WO2000056709A1 - Indolinone compounds as kinase inhibitors - Google Patents
Indolinone compounds as kinase inhibitors Download PDFInfo
- Publication number
- WO2000056709A1 WO2000056709A1 PCT/US2000/007704 US0007704W WO0056709A1 WO 2000056709 A1 WO2000056709 A1 WO 2000056709A1 US 0007704 W US0007704 W US 0007704W WO 0056709 A1 WO0056709 A1 WO 0056709A1
- Authority
- WO
- WIPO (PCT)
- Prior art keywords
- group
- alkyl
- optionally substituted
- independently selected
- ester
- Prior art date
- Legal status (The legal status is an assumption and is not a legal conclusion. Google has not performed a legal analysis and makes no representation as to the accuracy of the status listed.)
- Ceased
Links
- 0 Cc1c[n]c(C(**)=O)c1CCC(N)=O Chemical compound Cc1c[n]c(C(**)=O)c1CCC(N)=O 0.000 description 2
- QCTTURYDKWVDHW-UHFFFAOYSA-N CC(C)(C)NC(OCCc1c(CC(N2)=O)c2ccc1)=O Chemical compound CC(C)(C)NC(OCCc1c(CC(N2)=O)c2ccc1)=O QCTTURYDKWVDHW-UHFFFAOYSA-N 0.000 description 1
- CCUBWMSDLZLBBV-JLPGSUDCSA-N CC(C)c(cc1)ccc1OCCc1c(/C(/C(N2)=O)=C/c3c(C)c(CCC(O)=O)c(C)[nH]3)c2ccc1 Chemical compound CC(C)c(cc1)ccc1OCCc1c(/C(/C(N2)=O)=C/c3c(C)c(CCC(O)=O)c(C)[nH]3)c2ccc1 CCUBWMSDLZLBBV-JLPGSUDCSA-N 0.000 description 1
- BISJGLCEKFBXTO-UHFFFAOYSA-N CC(c1c(CCCN2CCOCC2)c(C)c[nH]1)=O Chemical compound CC(c1c(CCCN2CCOCC2)c(C)c[nH]1)=O BISJGLCEKFBXTO-UHFFFAOYSA-N 0.000 description 1
- LXCMRBBAPWRIGZ-UHFFFAOYSA-N CCOCCc1cccc(N2)c1CC2=O Chemical compound CCOCCc1cccc(N2)c1CC2=O LXCMRBBAPWRIGZ-UHFFFAOYSA-N 0.000 description 1
- STNFQVCOVBMYCR-UHFFFAOYSA-N COCCc1c(CC(N2)=O)c2ccc1 Chemical compound COCCc1c(CC(N2)=O)c2ccc1 STNFQVCOVBMYCR-UHFFFAOYSA-N 0.000 description 1
- XEPLFVMODFMRLB-XFXZXTDPSA-N Cc(nc1/C=C(/c2c(CCO)cccc2N2)\C2=O)ccc1O Chemical compound Cc(nc1/C=C(/c2c(CCO)cccc2N2)\C2=O)ccc1O XEPLFVMODFMRLB-XFXZXTDPSA-N 0.000 description 1
- VIRGIOQJECYOKB-AQTBWJFISA-N Cc1c(/C=C(/c(c(CCO)ccc2)c2N2)\C2=O)[nH]c(C)c1CCCN(C)C Chemical compound Cc1c(/C=C(/c(c(CCO)ccc2)c2N2)\C2=O)[nH]c(C)c1CCCN(C)C VIRGIOQJECYOKB-AQTBWJFISA-N 0.000 description 1
Classifications
-
- C—CHEMISTRY; METALLURGY
- C07—ORGANIC CHEMISTRY
- C07D—HETEROCYCLIC COMPOUNDS
- C07D401/00—Heterocyclic compounds containing two or more hetero rings, having nitrogen atoms as the only ring hetero atoms, at least one ring being a six-membered ring with only one nitrogen atom
- C07D401/02—Heterocyclic compounds containing two or more hetero rings, having nitrogen atoms as the only ring hetero atoms, at least one ring being a six-membered ring with only one nitrogen atom containing two hetero rings
- C07D401/06—Heterocyclic compounds containing two or more hetero rings, having nitrogen atoms as the only ring hetero atoms, at least one ring being a six-membered ring with only one nitrogen atom containing two hetero rings linked by a carbon chain containing only aliphatic carbon atoms
-
- A—HUMAN NECESSITIES
- A61—MEDICAL OR VETERINARY SCIENCE; HYGIENE
- A61P—SPECIFIC THERAPEUTIC ACTIVITY OF CHEMICAL COMPOUNDS OR MEDICINAL PREPARATIONS
- A61P17/00—Drugs for dermatological disorders
- A61P17/06—Antipsoriatics
-
- A—HUMAN NECESSITIES
- A61—MEDICAL OR VETERINARY SCIENCE; HYGIENE
- A61P—SPECIFIC THERAPEUTIC ACTIVITY OF CHEMICAL COMPOUNDS OR MEDICINAL PREPARATIONS
- A61P19/00—Drugs for skeletal disorders
- A61P19/02—Drugs for skeletal disorders for joint disorders, e.g. arthritis, arthrosis
-
- A—HUMAN NECESSITIES
- A61—MEDICAL OR VETERINARY SCIENCE; HYGIENE
- A61P—SPECIFIC THERAPEUTIC ACTIVITY OF CHEMICAL COMPOUNDS OR MEDICINAL PREPARATIONS
- A61P29/00—Non-central analgesic, antipyretic or antiinflammatory agents, e.g. antirheumatic agents; Non-steroidal antiinflammatory drugs [NSAID]
-
- A—HUMAN NECESSITIES
- A61—MEDICAL OR VETERINARY SCIENCE; HYGIENE
- A61P—SPECIFIC THERAPEUTIC ACTIVITY OF CHEMICAL COMPOUNDS OR MEDICINAL PREPARATIONS
- A61P3/00—Drugs for disorders of the metabolism
- A61P3/08—Drugs for disorders of the metabolism for glucose homeostasis
- A61P3/10—Drugs for disorders of the metabolism for glucose homeostasis for hyperglycaemia, e.g. antidiabetics
-
- A—HUMAN NECESSITIES
- A61—MEDICAL OR VETERINARY SCIENCE; HYGIENE
- A61P—SPECIFIC THERAPEUTIC ACTIVITY OF CHEMICAL COMPOUNDS OR MEDICINAL PREPARATIONS
- A61P35/00—Antineoplastic agents
-
- A—HUMAN NECESSITIES
- A61—MEDICAL OR VETERINARY SCIENCE; HYGIENE
- A61P—SPECIFIC THERAPEUTIC ACTIVITY OF CHEMICAL COMPOUNDS OR MEDICINAL PREPARATIONS
- A61P37/00—Drugs for immunological or allergic disorders
-
- A—HUMAN NECESSITIES
- A61—MEDICAL OR VETERINARY SCIENCE; HYGIENE
- A61P—SPECIFIC THERAPEUTIC ACTIVITY OF CHEMICAL COMPOUNDS OR MEDICINAL PREPARATIONS
- A61P43/00—Drugs for specific purposes, not provided for in groups A61P1/00-A61P41/00
-
- A—HUMAN NECESSITIES
- A61—MEDICAL OR VETERINARY SCIENCE; HYGIENE
- A61P—SPECIFIC THERAPEUTIC ACTIVITY OF CHEMICAL COMPOUNDS OR MEDICINAL PREPARATIONS
- A61P9/00—Drugs for disorders of the cardiovascular system
-
- A—HUMAN NECESSITIES
- A61—MEDICAL OR VETERINARY SCIENCE; HYGIENE
- A61P—SPECIFIC THERAPEUTIC ACTIVITY OF CHEMICAL COMPOUNDS OR MEDICINAL PREPARATIONS
- A61P9/00—Drugs for disorders of the cardiovascular system
- A61P9/10—Drugs for disorders of the cardiovascular system for treating ischaemic or atherosclerotic diseases, e.g. antianginal drugs, coronary vasodilators, drugs for myocardial infarction, retinopathy, cerebrovascula insufficiency, renal arteriosclerosis
-
- C—CHEMISTRY; METALLURGY
- C07—ORGANIC CHEMISTRY
- C07D—HETEROCYCLIC COMPOUNDS
- C07D209/00—Heterocyclic compounds containing five-membered rings, condensed with other rings, with one nitrogen atom as the only ring hetero atom
- C07D209/02—Heterocyclic compounds containing five-membered rings, condensed with other rings, with one nitrogen atom as the only ring hetero atom condensed with one carbocyclic ring
- C07D209/04—Indoles; Hydrogenated indoles
- C07D209/30—Indoles; Hydrogenated indoles with hetero atoms or with carbon atoms having three bonds to hetero atoms with at the most one bond to halogen, directly attached to carbon atoms of the hetero ring
- C07D209/32—Oxygen atoms
- C07D209/34—Oxygen atoms in position 2
-
- C—CHEMISTRY; METALLURGY
- C07—ORGANIC CHEMISTRY
- C07D—HETEROCYCLIC COMPOUNDS
- C07D401/00—Heterocyclic compounds containing two or more hetero rings, having nitrogen atoms as the only ring hetero atoms, at least one ring being a six-membered ring with only one nitrogen atom
- C07D401/02—Heterocyclic compounds containing two or more hetero rings, having nitrogen atoms as the only ring hetero atoms, at least one ring being a six-membered ring with only one nitrogen atom containing two hetero rings
- C07D401/12—Heterocyclic compounds containing two or more hetero rings, having nitrogen atoms as the only ring hetero atoms, at least one ring being a six-membered ring with only one nitrogen atom containing two hetero rings linked by a chain containing hetero atoms as chain links
-
- C—CHEMISTRY; METALLURGY
- C07—ORGANIC CHEMISTRY
- C07D—HETEROCYCLIC COMPOUNDS
- C07D403/00—Heterocyclic compounds containing two or more hetero rings, having nitrogen atoms as the only ring hetero atoms, not provided for by group C07D401/00
- C07D403/02—Heterocyclic compounds containing two or more hetero rings, having nitrogen atoms as the only ring hetero atoms, not provided for by group C07D401/00 containing two hetero rings
- C07D403/06—Heterocyclic compounds containing two or more hetero rings, having nitrogen atoms as the only ring hetero atoms, not provided for by group C07D401/00 containing two hetero rings linked by a carbon chain containing only aliphatic carbon atoms
-
- C—CHEMISTRY; METALLURGY
- C07—ORGANIC CHEMISTRY
- C07D—HETEROCYCLIC COMPOUNDS
- C07D409/00—Heterocyclic compounds containing two or more hetero rings, at least one ring having sulfur atoms as the only ring hetero atoms
- C07D409/02—Heterocyclic compounds containing two or more hetero rings, at least one ring having sulfur atoms as the only ring hetero atoms containing two hetero rings
- C07D409/10—Heterocyclic compounds containing two or more hetero rings, at least one ring having sulfur atoms as the only ring hetero atoms containing two hetero rings linked by a carbon chain containing aromatic rings
Definitions
- PKs Protein kinases
- PTKs protein tyrosme kmases
- STKs se ⁇ ne-threomne kinases
- Growth factor receptors are cell-surface proteins. When bound by a growth factor ligand, growth factor receptors are converted to an active form that can interact with proteins on the inner surface of a cell membrane. This interaction leads to phosphorylation on tyrosme residues of the receptor as well as other ammo acids and to the formation inside the cell of complexes with a va ⁇ ety of cytoplasmic signaling molecules In turn, these complexes affect numerous cellular responses such as cell division (proliferation), cell differentiation, cell growth, expression of metabolic effects on the extracellular microenvironment, etc.
- RTKs Receptor tyrosme kinases
- RTKs consist of an extracellular glycosylated ligand binding domain, a transmembrane domain and an intracellular cytoplasmic catalytic domain that can phosphorylate tyrosine residues on proteins.
- Another RTK subfamily consists of insulin receptor (IR), insulin-like growth factor I receptor (IGF-1R) and insulin receptor related receptor (IRR).
- IR and IGF- 1R interact with insulin, IGF-I and IGF-II to form a heterotetramer composed of two entirely extracellular glycosylated ⁇ subunits and two ⁇ subunits which contain the tyrosine kinase domain.
- a third RTK subfamily is referred to as the platelet derived growth factor receptor (“PDGFR”) group, which includes PDGFR ⁇ , PDGFR ⁇ , CSFIR, c-kit and c-fms. These receptors consist of a glycosylated extracellular domain composed of variable numbers of immunoglobin-like loops, a transmembrane domain and an intracellular domain having a tyrosine kinase domain interrupted by unrelated amino acid sequences.
- PDGFR platelet derived growth factor receptor
- flk fetus liver kinase
- KDR/FLK-1 kinase insert domain-receptor fetal liver kinase- 1
- flk-lR fetal liver kinase- 1
- flt-4 fins-like tyrosine kinase 1
- FGF fibroblast growth factor
- This group consists of four receptors, FGFRl-4, and seven ligands, FGFl-7. While not yet well characterized, it appears that the receptors also consist of a glycosylated extracellular domain containing a variable number of immunoglobin-like loops, a transmembrane domain and an intracellular domain in which the tyrosine kinase domain is interrupted by regions of unrelated amino acid sequences.
- CTK non-receptor tyrosine kinases
- CTK cellular tyrosine kinases
- Src Src, Frk, Btk, Csk, Abl, Zap70, Fes, Fps, Fak, Jak and Ack
- Src subfamily appears so far to be the largest group of CTKs and includes Src, Yes, Fyn, Lyn, Lck, Blk, Hck, Fgr and Yrk.
- Bolen, Oncogene, 1993, 8:2025-2031 which is incorporated by reference, including any drawings, as if fully set forth herein.
- STKs serine-threonine kinases
- CTKs serine-threonine kinases
- STKs are the most common of the cytosolic kinases; i. e. , kinases that perform their function in that part of the cytoplasm other than the cytoplasmic organelles and cytoskelton.
- the cytosol is the region within the cell where much of the cell's intermediary metabolic and biosynthetic activity occurs; e.g., it is in the cytosol that proteins are synthesized on ribosomes.
- RTKs, CTKs and STKs have all been implicated in a host of pathogenic conditions including, significantly, cancer.
- pathogenic conditions which have been associated with PTKs include, without limitation, psoriasis, hepatic cirrhosis, diabetes, atherosclerosis, angiogenesis, restenosis, ocular diseases, rheumatoid arthritis and other inflammatory disorders, immunological disorders such as autoimmune disease, cardiovascular diseases such as atherosclerosis and a variety of renal disorders.
- PK regulated functions known to be PK regulated. That is, it has been suggested that malignant cell growth is the result of a breakdown in the mechanisms that control cell division and/or differentiation. It has been shown that the protein products of a number of proto- oncogenes are involved in the signal transduction pathways that regulate cell growth and differentiation. These protein products of proto-oncogenes include the extracellular growth factors, transmembrane growth factor PTK receptors (RTKs), cytoplasmic PTKs (CTKs) and cytosolic STKs, discussed above.
- RTKs transmembrane growth factor PTK receptors
- CTKs cytoplasmic PTKs
- STKs cytosolic STKs
- RNA ligands (Jelinek, et al., Biochemistry, 33:10450-56); Takano, et al., Mol. Bio. Cell, 1993, 4:358A; Kinsella, et al., Exp. Cell Res., 1992, 199:56-62; Wright, et al., J. Cellular Phys., 152:448-57) and tyrosine kinase inhibitors (WO 94/03427; WO 92/21660; WO 91/15495; WO 94/14808; U.S. Pat. No. 5,330,992; Mariani, et al., Proc. Am. Assoc. Cancer Res., 1994, 35:2268).
- the present invention is directed in part towards indolinone compounds and methods of modulating the function of protein kinases with these compounds.
- the methods incorporate cells that express a protein kinase.
- the invention describes methods of preventing and treating protein kinases-related abnormal conditions in organisms with a compound identified by the methods described herein.
- the invention pertains to pharmaceutical compositions comprising compounds identified by methods of the invention.
- the present invention features indolinone compounds that potently inhibit protein kinases and related products and methods.
- Inhibitors of protein kinases can be obtained by adding chemical substituents to an indolinone compound.
- the compounds of the invention represent a new generation of therapeutics for diseases associated with one or more functional or non-functional protein kinases. Neuro- degenerative diseases and certain types of cancer fall into this class of diseases. Other diseases or disorders include dermatologic, ophthalmic, nurologic, cardiovascular, and immune disorders as well as disorders associated with abnormal angiogenesis and/or vasculogenesis.
- the compounds can be modified such that they are specific to their target or targets and will subsequently cause few side effects and thus represent a new generation of potential cancer therapeutics. These properties are significant improvements over the currently utilized cancer therapeutics that cause multiple side effects and deleteriously weaken patients.
- the compounds of the invention will minimize or obliterate solid tumors by inhibiting the activity of the protein kinases, or will at least modulate or inhibit tumor growth and/or metastases.
- Protein kinases regulate proliferation of blood vessels during angiogenesis, among other functions. Increased rates of angiogenesis accompany cancer tumor growth in cells as cancer tumors must be nourished by oxygenated blood during growth. Therefore, inhibition of the protein kinase and the corresponding decreases in angiogenesis will starve tumors of nutrients and most likely obliterate them.
- PTKs fibroblast growth factor receptor 1
- FGFR1 fibroblast growth factor receptor 1
- the compounds are believed to interact with the amino acids of the PTKs' catalytic region.
- PTKs typically possess a bi- lobate structure, and ATP appears to bind in the cleft between the two lobes in a region where the amino acids are conserved among PTKs; inhibitors of PTKs are believed to bind to the PTKs through non-covalent interactions such as hydrogen bonding, Van der Waals interactions, and ionic bonding, in the same general region that ATP binds to the PTKs.
- the oxindole component of the compounds of the present invention binds in the same general space occupied by the adenine ring of ATP.
- Specificity of a PTK inhibitor for a particular PTK may be conferred by interactions between the constituents .around the oxindole core with amino acid domains specific to individual PKs.
- different substitutents may contribute to preferential binding to particular PKs.
- the ability to select those compounds active at different ATP binding sites makes them useful in targeting any protein with such a site, including not only protein tyrosine kinases, but also serine/threonine kinases.
- such compounds have utility for in vitro assays on such proteins and for in vivo therapeutic effect through such proteins.
- indolinone compounds that are synthesized by the condensation of an oxindole compound and a ketone compound display a mixture of the possible E and Z isomers, making the isolation of the isomer of choice difficult.
- the compounds of the present invention feature an intermolecular hydrogen bond between the carbonyl of the oxindole compound and the hydrogen of the 1 position of the pyrrole moiety of the ketone compounds. Said hydrogen bond eliminates the problem of having a mixture of isomers by locking the intermediates in the synthesis of the indolinone compounds in the preferred conformation.
- compound refers to the compound or a pharmaceutically acceptable salt, ester, amide, prodrug, isomer, or metabolite, thereof.
- pharmaceutically acceptable salt refers to a formulation of a compound that does not abrogate the biological activity and properties of the compound.
- Pharmaceutical salts can be obtained by reacting a compound of the invention with inorganic or organic acids such as hydrochloric acid, hydrobromic acid, sulfuric acid, nitric acid, phosphoric acid, methanesulfonic acid, ethanesulfonic acid, />-toluenesulfonic acid, salicylic acid and the like.
- a “prodrug” refers to an agent that is converted into the parent drug in vivo. Prodrugs are often useful because, in some situations, they may be easier to administer than the parent drug. They may, for instance, be bioavailable by oral administration whereas the parent is not. The prodrug may also have improved solubility in pharmaceutical compositions over the parent drug.
- An example, without limitation, of a prodrug would be a compound of the present invention which is administered as an ester (the "prodrug") to facilitate transmittal across a cell membrane where water solubility is detrimental to mobility but which then is metabolically hydrolyzed to the carboxylic acid, the active entity, once inside the cell where water solubility is beneficial.
- a fruther example of a prodrug might be a short peptide (polyaminoacid) bonded to an acid group wherein the peptide is metabolized to reveal the active moiety.
- indolinone is used as that term is commonly understood in the art and includes a large subclass of substituted or unsubstituted compounds that are capable of being synthesized from an aldehyde moiety and an oxindole moiety.
- oxindole refers to an oxindole compound substituted with chemical substituents. Oxindole compounds are of the general structure:
- substituted in reference to the invention, refers to an oxindole compound that is derivatized with any number of chemical substituents.
- alkyl refers to an aliphatic hydrocarbon group.
- the alkyl moiety may be a "saturated alkyl” group, which means that it does not contain any alkene or alkyne moieties.
- the alkyl moiety may also an be “unsaturated alkyl” moiety, which means that it contains at least one alkene or alkyne moiety.
- An “alkene” moiety refers to a group consisting of at least two carbon atoms and at least one carbon-carbon double bond
- an “alkyne” moiety refers to a groupconsisting of at least two carbon atoms and at least one carbon- carbon triple bond.
- the alkyl moiety, whether saturated or unsaturated may be branched, non-branched, or cyclic.
- the alkyl group has 1 to 20 carbon atoms (whenever it appears herein, a numerical range such as “1 to 20” refers to each integer in the given range; e.g., "1 to 20 carbon atoms” means that the alkyl group may consist of 1 carbon atom, 2 carbon atoms, 3 carbon atoms, etc., up to and including 20 carbon atoms, although the present definition also covers the occurrence of the term "alkyl” where no numerical range is designated). More preferably, it is a medium size alkyl having 1 to 10 carbon atoms. Most preferably, it is a lower alkyl having 1 to 4 carbon atoms.
- the alkyl group may be substituted or unsubstituted.
- the substituent group(s) is(are) preferably one or more group(s) individually and independently selected from cycloalkyl, aryl, heteroaryl, heteroalicyclic, hydroxy, alkoxy, aryloxy, mercapto, alkylthio, arylthio, cyano, halo, carbonyl, thiocarbonyl, O-carbamyl, N-carbamyl, O-thiocarbamyl, N-thiocarbamyl, C-amido, N-amido, S- sulfonamido, N-sulfonamido, C-carboxy, O-carboxy, isocyanato, thiocyanato, isothiocyanato, nitro, silyl and amino, including mono- and di-substituted amino groups.
- aromatic refers to an aromatic group which has at least one ring having a conjugated pi electron system and includes both carbocyclic aryl (e.g., phenyl) and heterocyclic aryl groups (e.g., pyridine).
- carbocyclic aryl e.g., phenyl
- heterocyclic aryl groups e.g., pyridine
- the term includes monocyclic or fused-ring polycyclic (i.e., rings which share adjacent pairs of carbon atoms) groups.
- carbocyclic refers to a compound which contains one or more covalently closed ring structures, and that the atoms forming the backbone of the ring are all carbon atoms. The term thus distinguishes carbocyclic from heterocyclic rings in which the ring backbone contains at least one atom which is different from carbon.
- heteroheteroaromatic refers to an aromatic group which contains at least one heterocyclic ring.
- aliphatic ring refers to a compound which contains one or more covalently closed ring structures, and that at least one of the atoms forming the backbone is a saturated carbon atom (e.g., cyclohexane).
- heteroaliphatic ring refers to a ring system in which at least one of the atoms forming the backbone is a heteroatom (e.g., tetrahydropyran).
- amine refers to a chemical moiety of formula -NR,R 2 where R, and R 2 are independently selected from the group consisting of hydrogen, saturated or unsaturated alkyl, and five-membered or six-membered aryl or heteroaryl ring moieties, where the ring is optionally substituted with one or more substituents independently selected from the group consisting of alkyl, halogen, trihalomethyl, carboxylate, nitro, and ester moieties.
- halogen or “halo” refers to an atom selected from the group consisting of fluorine, chlorine, bromine, and iodine.
- trimeromethyl refers to the -CX 3 group, where X is a halogen.
- carboxylic acid refers to a chemical moiety with formula -(R) n -COOH, where R is selected from the group consisting of of alkyl, cycloalkyl, aryl, heteroaryl (bonded through a ring carbon) and heteroalicyclic (bonded through a ring carbon), as those terms are defined herein, and where n is 0 or 1.
- esters refers to a chemical moiety with formula -(R) n -COOR ⁇ where R and R' are independently selected from the group consisting of alkyl, cycloalkyl, aryl, heteroaryl (bonded through a ring carbon) and heteroalicyclic (bonded through a ring carbon), as those terms are defined herein, and where n is 0 or 1.
- R and R' are independently selected from the group consisting of alkyl, cycloalkyl, aryl, heteroaryl (bonded through a ring carbon) and heteroalicyclic (bonded through a ring carbon), as those terms are defined herein, and where n is 0 or 1.
- carboxyalkyl also falls within this definition.
- aldehyde refers to a chemical moiety with formula -(R) tenu-CHO, where R is as defined herein and where n is 0 or 1.
- sulfone refers to a chemical moiety with formula -SO 2 -R, where R is as defined herein.
- acyl refers to chemical moieties of the general formula -C(O)R.
- R When R is hydrogen the molecule containing the acyl group is an aldehyde.
- R When R is selected from the group consisting of alkyl, cycloalkyl, aryl, heteroaryl (bonded through a ring carbon) and heteroalicyclic (bonded through a ring carbon), as those terms are defined herein, then the molecule containing the acyl group is a ketone.
- a “cyano” group refers to a -C ⁇ N group.
- An “isocyanato” group refers to a -NCO group.
- a “thiocyanato” group refers to a -CNS group.
- An “isothiocyanato” group refers to a -NCS group.
- combined when referring to two adjacent “R” groups herein is meant that the two “R” groups are covalently bonded to each other so as to form a ring system.
- the ring system may be cycloalkyl, aryl, heteroaryl or heteroalicyclic.
- a "combinatorial library” refers to all the compounds formed by the reaction of each compound of one dimension with a compound in each of the other dimensions in a multi-dimensional array of compounds.
- the array is two dimensional and one dimension represents all the oxindoles of the invention and the second dimension represents all the aldehydes of the invention.
- Each oxindole may be reacted with each and every aldehyde in order to form an indolinone compound. All indolinone compounds formed in this way are within the scope of the present invention.
- composition refers to a mixture of a compound of the invention with other chemical components, such as diluents, excipients, or carriers.
- the pharmaceutical composition facilitates administration of the compound to an organism. Multiple techniques of administering a compound exist in the art including, but not limited to, oral, aerosol, parenteral, and topical administration.
- Pharmaceutical compositions can also be obtained by reacting compounds with inorganic acids such as hydrochloric acid, hydrobromic acid, sulfuric acid, nitric acid, phosphoric acid, methanesulfonic acid, ethanesulfonic acid, -toluenesulfonic acid, salicylic acid and the like.
- physiologically acceptable defines a carrier or diluent that does not abrogate the biological activity and properties of the compound.
- carrier defines a chemical compound that facilitates the incorporation of a compound into cells or tissues.
- DMSO dimethyl sulfoxide
- carrier facilitates the uptake of many organic compounds into the cells or tissues of an organism.
- diot defines chemical compounds diluted in water that will dissolve the compound of interest as well as stabilize the biologically active form of the compound. Salts dissolved in buffered solutions are utilized as diluents in the art.
- One commonly used buffered solution is phosphate buffered saline because it mimics the salt conditions of human blood. Since buffer salts can control the pH of a solution at low concentrations, a buffered diluent rarely modifies the biological activity of a compound.
- composition refers to a mixture of a compound of the invention with other chemical components, such as diluents, excipients, or carriers.
- the pharmaceutical composition facilitates administration of the compound to an organism. Multiple techniques of administering a compound exist in the art including, but not limited to, oral, aerosol, parenteral, and topical administration.
- Pharmaceutical compositions can also be obtained by reacting compounds with inorganic acids such as hydrochloric acid, hydrobromic acid, sulfuric acid, nitric acid, phosphoric acid, methanesulfonic acid, ethanesulfonic acid, / toluenesulfonic acid, salicylic acid and the like.
- the term "physiologically acceptable” defines a carrier or diluent that does not abrogate the biological activity and properties of the compound.
- function refers to the cellular role of a protein kinase.
- the protein kinase family includes members that regulate many steps in signaling cascades, including cascades controlling cell growth, migration, differentiation, gene expression, muscle contraction, glucose metabolism, cellular protein synthesis, and regulation of the cell cycle.
- catalytic activity in the context of the inv ⁇ personally-uion, defines the rate at which a protein kinase phosphorylates a substrate. Catalytic activity can be measured, for example, by determining the amount of a substrate converted to a product as a function of time. Phosphorylation of a substrate occurs at the active- site of a protein kinase. The active-site is normally a cavity in which the substrate binds to the protein kinase and is phosphorylated.
- substrate refers to a molecule phosphorylated by a protein kinase.
- the substrate is preferably a peptide and more preferably a protein.
- the term "activates” refers to increasing the cellular function of a protein kinase.
- the protein kinase function is preferably the interaction with a natural binding partner and most preferably catalytic activity.
- inhibitor refers to decreasing the cellular function of a protein kinase.
- the protein kinase function is preferably the interaction with a natural binding partner and most preferably catalytic activity.
- modulates refers to altering the function of a protein kinase by increasing or decreasing the probability that a complex forms between a protein kinase and a natural binding partner.
- a modulator preferably increases the probability that such a complex forms between the protein kinase and the natural binding partner, more preferably increases or decreases the probability that a complex forms between the protein kinase and the natural binding partner depending on the concentration of the compound exposed to the protein kinase, and most preferably decreases the probability that a complex forms between the protein kinase and the natural binding partner.
- a modulator preferably activates the catalytic activity of a protein kinase, more preferably activates or inhibits the catalytic activity of a protein kinase depending on the concentration of the compound exposed to the protein kinase, or most preferably inhibits the catalytic activity of a protein kinase.
- complex refers to an assembly of at least two molecules bound to one another. Signal transduction complexes often contain at least two protein molecules bound to one another.
- Natural binding partner refers to polypeptides that bind to a protein kinase in cells. Natural binding partners can play a role in propagating a signal in a protein kinase signal transduction process. A change in the interaction between a protein kinase and a natural binding partner can manifest itself as an increased or decreased probability that the interaction forms, or an increased or decreased concentration of the protein kinase/natural binding partner complex.
- contacting refers to mixing a solution comprising a compound of the invention with a liquid medium bathing the cells of the methods.
- the solution comprising the compound may also comprise another component, such as dimethylsulfoxide (DMSO), which facilitates the uptake of the compound or compounds into the cells of the methods.
- DMSO dimethylsulfoxide
- the solution comprising the compound of the invention may be added to the medium bathing the cells by utilizing a delivery apparatus, such as a pipet-based device or syringe-based device.
- monitoring refers to observing the effect of adding the compound to the cells of the method.
- the effect can be manifested in a change in cell phenotype, cell proliferation, protein kinase catalytic activity, or in the interaction between a protein kinase and a natural binding partner.
- effect describes a change or an absence of a change in cell phenotype or cell proliferation.
- Effect can also describe a change or an absence of a change in the catalytic activity of the protein kinase.
- Effect can also describe a change or an absence of a change in an interaction between the protein kinase and a natural binding partner.
- cell phenotype refers to the outward appearance of a cell or tissue or the function of the cell or tissue. Examples of cell phenotype are cell size
- antibody refers to an antibody (e.g., a monoclonal or polyclonal antibody), or antibody fragment, having specific binding affinity to protein kinase or its fragment.
- Specific binding affinity is meant that the antibody binds to target (protein kinase) polypeptides with greater affinity than it binds to other polypeptides under specified conditions.
- Antibodies having specific binding affinity to a protein kinase may be used in methods for detecting the presence and/or amount of a protein kinase in a sample by contacting the sample with the antibody under conditions such that an immunocomplex forms and detecting the presence and or amount of the antibody conjugated to the protein kinase. Diagnostic kits for performing such methods may be constructed to include a first container containing the antibody and a second container having a conjugate of a binding partner of the antibody and a label, such as, for example, a radioisotope.
- the diagnostic kit may also include notification of an FDA approved use and instructions therefor.
- polyclonal refers to antibodies that are heterogenous populations of antibody molecules derived from the sera of animals immunized with an antigen or an anti genie functional derivative thereof.
- various host animals may be immunized by injection with the antigen.
- Various adjuvants may be used to increase the immunological response, depending on the host species.
- “Monoclonal antibodies” are substantially homogenous populations of antibodies to a particular antigen. They may be obtained by any technique which provides for the production of antibody molecules by continuous cell lines in culture. Monoclonal antibodies may be obtained by methods known to those skilled in the art. See, for example, Kohler, et al., Nature 256:495-497 (1975), and U.S. Patent No. 4,376,110.
- antibody fragment refers to a portion of an antibody, often the hypervariable region and portions of the surrounding heavy and light chains, that displays specific binding affinity for a particular molecule.
- a hypervariable region is a portion of an antibody that physically binds to the polypeptide target.
- inhibition in conjunction with a signal transduction process, refers to a protein kinase that is over- or under-expressed in an organism, mutated such that its catalytic activity is lower or higher than wild-type protein kinase activity, mutated such that it can no longer interact with a natural binding partner, is no longer modified by another protein kinase or protein phosphatase, or no longer interacts with a natural binding partner.
- promoting or disrupting the abnormal interaction refers to a method that can be accomplished by administering a compound of the invention to cells or tissues in an organism.
- a compound can promote an interaction between a protein kinase and natural binding partners by forming favorable interactions with multiple atoms at the complex interface.
- a compound can inhibit an interaction between a protein kinase and natural binding partners by compromising favorable interactions formed between atoms at the complex interface.
- In vitro refers to procedures performed in an artificial environment, such as, without limitation, in a test tube, in a cell, or culture medium.
- in vivo refers to procedures performed within a living organism such as, without limitation, a mouse, rat, or rabbit.
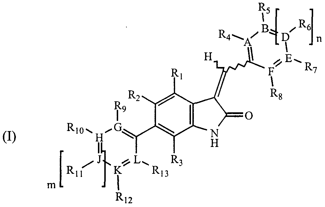
- the present invention relates to 3-arylidenyl-6-heterocyclyl- 2-indolinone derivatives having the chemical structure set forth in formula I:
- n and m are independently 0 or 1.
- n 1, then A, B, D, E and F are independently selected from the group consisting of carbon and nitrogen; however, no more than three of A, B, D, E and F are nitrogen at the same time and, when A, B, D, E, or F is nitrogen, then R 4 , R 5 , R 6 , R 7 or R 8 , respectively, does not exist.
- G, H, J, K and L are independently selected from the group consisting of carbon and nitrogen; however, at least one and no more than three of G, H, J, K and L are nitrogen at the same time and, when G, H, J, K or L is nitrogen, then R,,, R, 0 , R n , R 12 or R 13 , respectively, does not exist.
- A is selected from the group consisting of carbon and nitrogen
- B and F are selected from the group consisting of carbon, nitrogen, NH, oxygen and sulfur, provided that when B or F is NH, the other cannot be NH
- E is selected from the group consisting of carbon, nitrogen, oxygen and sulfur, further provided that no more than one of B, E or F is oxygen or sulfur and provided also that at least one of A, B, E or F is a heteroatom (i.e., not carbon).
- G is selected from the group consisting of carbon and nitrogen
- H, K and L are selected from the group consisting of carbon, nitrogen, NH, oxygen and sulfur, provided that when H or L is NH, the other cannot be NH
- K is selected from the group consisting of carbon, nitrogen, oxygen and sulfur, further provided that no more than one of H, K or L is oxygen or sulfur and provided also that at least one of G, H, K or L is a heteroatom (i.e., not carbon).
- Rstrich R 2 , R 3 , R 4 , R 5 , R 6 , R 7 , R 8 , R,, R, 0 , R ⁇ , R, 2 and R, 3 are independently selected from the group consisting of hydrogen, alkyl, trihaloalkyl, cycloalkyl, alkenyl, alkynyl, aryl, heteroaryl, heteroalicyclic, hydroxy, alkoxy, mercapto, alkylthio, aryloxy, arylthio, sulfinyl, sulfonyl, S-sulfonamido, N-sulfonamido, carbonyl, C-carboxy, O-carboxy, carboxyalkyl, cyano, nitro, halo, O-carbamyl, N-carbamyl, C-amido, N-amido and -NR 14 R 15 .
- R 14 and R, 5 are independently selected from the group consisting of hydrogen, alkyl, cycloalkyl, alkenyl, alkynyl, aryl, heteroaryl, carbonyl, sulfonyl, and, combined, a five-member or a six-member heteroalicyclic ring.
- a presently preferred embodiment of this invention is a compound of formula I wherein,
- R shelter R 2 and R 3 are independently selected from the group consisting of (i) hydrogen, (ii) lower alkyl optionally substituted with one or more halo groups, (iii) lower alkoxy optionally substituted with one or more halo groups, (iv) (lower alkyl)-S-sulfonamido, (v) aryl-S-sulfonamido, (vi) halo, and (vii) - NR 14 R 15 ; and,
- R 4 , R 5 , R 6 , R 7 , R 8 , R,, R 10 , R n , R 12 , and R 13 are independently selected from the group consisting of (i) hydrogen; (ii) lower alkyl, optionally substituted with one or more groups selected from the group consisting of aryl, heteroaryl, heteroalicyclic, halo, hydroxy, lower alkoxy, mercapto, lower alkylthio, C- carboxy and -NR 14 R, 5 ; (iii) cycloalkyl; (iv) hydroxy; (v) lower alkoxy, optionally substituted with one or more groups selected from the group consisting of one or more halo groups, aryl, heteroaryl and heteroalicyclic; (vi) halo; (vii) carboxyalkyl; (viii) aryl, optionally substituted with one or more groups selected from the group consisting of lower alkyl optionally substituted one or more halo groups, halo,
- R, 4 and R, 5 are independently selected from the group consisting of hydrogen and lower alkyl.
- Another presently preferred embodiment of this invention is a compound of formula I in which n is 1 ; A, B, D, E and F are carbon, m is 1 and one of G, H, J, K and L is nitrogen.
- n is 1 ;
- A, B, D, E and F are carbon, m is 0, G, H and K are carbon, and L is NH, oxygen or sulfur.
- a still further preferred embodiment of this invention is a compound of formula I in which n is 0; A, B and E are carbon; F is NH; R 4 and R 7 are independently selected from the group consisting of hydrogen and lower alkyl; R 5 is selected from the group consisting of (i) lower alkyl optionally substituted with one or more groups selected from the group consisting of, hydroxy, heteroaromatic containing an NH group in the ring, heteroalicyclic containing at least one NH group in the ring, C-carboxy, and, -NR I4 R ]5 ; (ii) carboxyalkyl; (iii) C-carboxy; and, (iv) -NR, 4 R, 5 , wherein R 14 and R, 5 are independently selected from the group consisting of hydrogen, lower alkyl and carbonyl; m is 1; and, one of G, H, I, J, K or L is nitrogen.
- n is 0; A, B and E are carbon; F is NH; R 4 and R 7 are independently selected from the group consisting of hydrogen and lower alkyl; R 5 is selected from the group consisting of (i) lower alkyl optionally substituted with one or more groups selected from the group consisting of, hydroxy, heteroaromatic containing an NH in the ring, heteroalicyclic containing at least one NH group in the ring, C-carboxy, and, -NR ]4 R 15 ; (ii) carboxyalkyl; (iii) C- carboxy; and, (iv) -NR 14 R 15 , wherein R, 4 and R l5 are independently selected from the group consisting of hydrogen, lower alkyl and carbonyl; m is 0; G, H and K are carbon; and, L is NH, oxygen or sulfur.
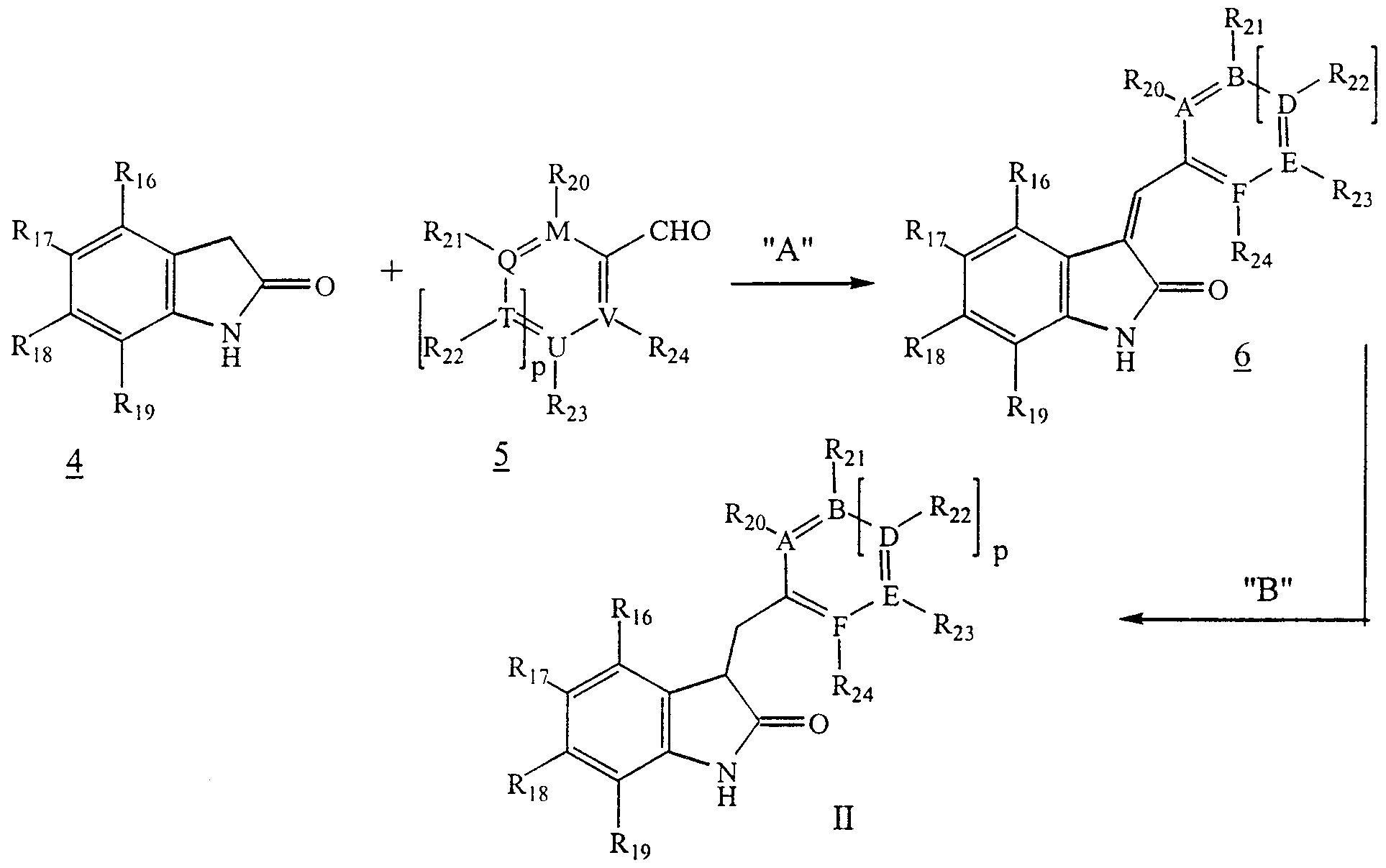
- the present invention relates to 3-aralkyl-2-indolinone derivatives having the chemical structure set forth in formula II:
- n 0 or 1.
- M, Q, T, U and V are independently selected from the group consisting of carbon and nitrogen, it being understood that, when M, Q, T, U, or V is nitrogen, R 20 , R 21 , R 22 , R 23 , or R 24 , respectively, do not exist.
- M, Q, U, and V are independently selected from the group consisting of carbon, nitrogen, oxygen and sulfur, it being understood that, when M, Q, U, or V is oxygen or sulfur or nitrogen (wherein said nitrogen is participating in a double bond), R 20 , R 21 , R,,, R 23 , or R 24 , respectively, do not exist.
- R, 6 , R l7 , R I8 , R, 9 , R, 0 , R 21 , R 22 , R 23 , or R 24 are independently selected from the group consisting of hydrogen, alkyl, trihaloalkyl, cycloalkyl, alkenyl, alkynyl, aryl, heteroaryl, heteroalicyclic, hydroxy, alkoxy, mercapto, alkylthio, aryloxy, sulfinyl, sulfonyl, S-sulfonamido, N-sulfonamido, carbonyl, C-carboxy, O- carboxy, carboxyalkyl, cyano, nitro, halo, O-carbamyl, N-carbamyl, C-amido, N- amido and -NR 25 R 26 .
- R 20 and R 2I or R 21 and R 22 or R 23 and R 23 or R 23 and R 24 may combine to form a five-member or a six-member aryl or heteroaryl ring.
- R 25 and R 26 are independently selected from the group consisting of hydrogen, alkyl, cycloalkyl, alkenyl, alkynyl, aryl, heteroaryl, carbonyl, sulfonyl, and, combined, a five-member or a six-member heteroalicyclic ring.
- a presently preferred embodiment of this invention is a compound wherein R, 6 , R, 7 , R 18 , R ]9 , R 20 , R 2I , R 22 , R 23 , and R 24 are independently selected from the group consisting of (i) hydrogen; (ii) lower alkyl, optionally substituted with one or more groups selected from the group consisting of cycloalkyl, aryl, heteroaryl, heteroalicyclic, halo, hydroxy, C-carboxy and -NR 25 R 26 ; (iii) cycloalkyl; (iv) hydroxy; (v) lower alkoxy,optionally substituted with one or more groups selected from the group consisting of one or more halo groups, aryl, heteroaryl and heteroalicyclic; (vi) trihalomethyl; (vii) trihalomethoxy; (viii) halo; (ix) carboxyalkyl; (x) aryl,optionally substituted with one or more groups selected from the group consisting
- R l6 , R ]7 , R 18 , and R 19 are independently selected from the group consisting of (i) hydrogen; (ii) halo; (iii) hydroxy; (iv) -NR 25 R 26 ; (v) S-sulfonamido optionally substituted with one or more groups selected from the group consisting of hydrogen, lower alkyl and aryl; (vi) lower alkyl optionally substituted with a group selected from the group consisting of hydroxy, one or more halo groups, C-carboxy, C-amido, heteroalicyclic, and -NR 25 R 26 ; (vii) lower alkoxy optionally substituted with one or more halo groups; (viii) aryl optionally substituted with one or more groups selected from the group consisting of lower alkyl, lower alkoxy, halo, hydroxy and -NR
- p is 1 and one or two of M, Q, T, U, or V are nitrogen.
- R, 6 , R, 7 , R 18 , and R 19 are independently selected from the group consisting of (i) hydrogen; (ii) halo; (iii) hydroxy; (iv) -NR 25 R 26 ; (v) S- sulfonamido optionally substituted with one or more groups selected from the group consisting of hydrogen, lower alkyl and aryl; (vi) lower alkyl optionally substituted with a group selected from the group consisting of hydroxy, one or more halo groups, C-carboxy, C-amido, heteroalicyclic, and -NR 25 R 26 ; (vii) lower alkoxy optionally substituted with one or more halo groups; (viii) aryl optionally substituted with one or more groups selected from the group consisting of lower alkyl, lower alkoxy, halo, hydroxy and -NR 25 R
- R, 6 , R 17 , R 18 , and R 19 are independently selected from the group consisting of (i) hydrogen; (ii) halo; (iii) hydroxy; (iv) -NR 25 R 26 ; (v) S-sulfonamido optionally substituted with one or more groups selected from the group consisting of hydrogen, lower alkyl and aryl; (vi) lower alkyl optionally substituted with a group selected from the group consisting of hydroxy, one or more halo groups, C-carboxy, C-amido, heteroalicyclic and, -NR 25 R 26 ; (vii) lower alkoxy optionally substituted with one or more halo groups; (viii) aryl optionally substituted with one or more groups selected from the group consisting of lower alkyl, lower alkoxy, hal
- R 20 , R 23 , and R 24 are independently selected from the group consisting of (i) hydrogen; (ii) halo; (iii) hydroxy; (iv) -NR 25 R 26 ; (v) lower alkyl optionally substituted with one or more groups selected from the group consisting of hydroxy, one or more halo groups, C-carboxy, C-amido, heteroalicyclic and, -NR 25 R 26 ; (vi) cycloalkyl; (vii) lower alkoxy optionally substituted with one or more groups selected from the group consisting of one or more halo groups, aryl, -NR 25 R 26 and, heteroaryl; (viii) aryl optionally substituted with one or more groups selected from the group consisting of halo, hydroxy, lower alkoxy, -NR 25 R 26 and, C-carboxy.
- R l6 , R 17 , R l8 , and R, 9 are independently selected from the group consisting of (i) hydrogen; (ii) halo; (iii) hydroxy; (iv) -NR 25 R 26 ; (v) S-sulfonamido optionally substituted with one or more groups selected from the group consisting of hydrogen, lower alkyl and aryl; (vi) lower alkyl optionally substituted with a group selected from the group consisting of hydroxy, one or more halo groups, C-carboxy, C-amido, heteroalicyclic and, -NR 25 R 26 ; (vii) lower alkoxy optionally substituted with one or more halo groups; (viii) aryl optionally substituted with one or more groups selected from the group consist
- R 20 , R 2I , R 23 , and R 24 are independently selected from the group consisting of (i) hydrogen; (ii) halo; (iii) hydroxy; (iv) -NR 25 R 26 ; (v) lower alkyl optionally substituted with one or more groups selected from the group consisting of hydroxy, one or more halo groups, C-carboxy, C- amido, heteroalicyclic and, -NR 25 R 26 ; (vi) cycloalkyl; (vii) lower alkoxy optionally substituted with one or more groups selected from the group consisting of one or more halo groups, aryl, -NR 25 R 26 , and, heteroaryl.
- R 16 , R l7 , R, 8 , and R 19 are independently selected from the group consisting of (i) hydrogen; (ii) halo; (iii) hydroxy; (iv) -NR 25 R 26 ; (v) S-sulfonamido optionally substituted with one or more groups selected from the group consisting of hydrogen, lower alkyl and aryl; (vi) lower alkyl optionally substituted with a group selected from the group consisting of hydroxy, one or more halo groups, C-carboxy, C-amido, heteroalicyclic and, -NR 25 R 26 ; (vii) lower alkoxy optionally substituted with one or more halo groups; (viii) aryl optionally substituted with one or more groups selected from the group consisting of lower alkyl, lower alkoxy, halo, hydroxy and -NR 25 R 26 ; (ix) N-amido optionally substituted with one or more groups selected from hydrogen, lower
- R 20 , R 23 , and R 24 are independently selected from the group consisting of (i) hydrogen; (ii) halo; (iii) hydroxy; (iv) -NR 25 R 26 ; (v) lower alkyl optionally substituted with one or more groups selected from the group consisting of hydroxy, one or more halo groups, C-carboxy, C-amido, heteroalicyclic and, -NR 25 R 26 ; (vi) cycloalkyl; (vii) lower alkoxy optionally substituted with one or more groups selected from the group consisting of one or more halo groups, aryl, -NR 25 R 26 and, heteroaryl; (viii) aryl optionally substituted with one or more groups selected from the group consisting of halo, hydroxy, lower alkoxy, -NR 25 R 26 and, C-carboxy.
- the invention provides a compound ) saving a structure set forth in formula III
- an aliphatic or heteroaliphatic ring optionally substituted with one or more substituents independently selected from the group consisting of alkyl, alkoxy, halogen, trihalomethyl, carboxylate, amino, nitro, ester, and an aromatic or heteroaromatic ring optionally substituted with one or more substituents independently selected from the group consisting of alkyl, alkoxy, halogen, trihalomethyl, carboxylate, amino, nitro, and ester moieties;
- R 32 , R 33 , and R 34 are each independently selected from the group consisting of (i) hydrogen;
- X is selected from the group consisting of saturated or unsaturated alkyl, and five-membered or six-membered aromatic, heteroaromatic, or aliphatic ring moieties, nl is 0 or 1, and X 2 and X 3 are independently selected from the group consisting of hydrogen, saturated or unsaturated alkyl, and five-membered or six- membered aromatic, heteroaromatic, or aliphatic ring moieties; (vi) a nitro of formula -NO 2 ; (vii) a halogen or trihalomethyl; (viii) a ketone of formula -(X 4 ) n4 -CO-X 5 , where
- X 4 and X 5 are independently selected from the group consisting of alkyl and five-membered or six-membered aromatic, heteroaromatic, aliphatic, or heteroaliphatic ring moieties, the alkyl and ring moieties are optionally substituted with one, two, or three substituents independently selected from the group consisting of alkyl, halogen, trihalomethyl, carboxylate, amino, nitro, and ester moieties and where, and n4 is 0 or 1 ; (ix) a carboxylic acid of formula -(X 6 ) n6 -COOH or ester of formula -(X 7 ), l7 -COO- X s , where
- X 6 , X 7 , and X 8 are independently selected from the group consisting of alkyl and five-membered or six-membered aromatic, heteroaromatic, aliphatic, or heteroaliphatic ring moieties, and no and n7 are independently 0 or 1 ; (x) an alcohol of formula -(X 9 ) ⁇ 9 -OH or an alkoxyalkyl moiety of formula -(X ⁇ o)mo-O-X,, where X 9 , X l0 , and X ⁇ are independently selected from the group consisting of saturated or unsaturated alkyl, and five-membered or six- membered aromatic, heteroaromatic, aliphatic, or heteroaliphatic ring moieties, the alkyl and ring moieties are optionally substituted with one or more substituents independently selected from the group consisting of alkyl, halogen, trihalomethyl, carboxylate, amino, nitro, and ester, and n9
- X 17 is selected from the group consisting of alkyl, and five-membered or six-membered aromatic, heteroaromatic, aliphatic, or heteroaliphatic ring moieties the alkyl and ring moieties are optionally substituted with one or more substituents independently selected from the group consisting of alkyl, halogen, trihalomethyl, carboxylate, amino, nitro, and ester, nl7 is 0, 1, or 2, X 18 , and X ]9 are independently selected from the group consisting of hydrogen, alkyl, and five-membered or six-membered aromatic, heteroaromatic, aliphatic, or heteroaliphatic ring moieties the alkyl and ring moieties are optionally substituted with one or more substituents independently selected from the group consisting of alkyl, halogen, trihalomethyl, carboxylate, amino, nitro, and ester, or where X, 8 and X 19 taken together form a five-membered or six- member
- X 20 is selected from the group consisting of saturated or unsaturated alkyl, and five-membered or six-membered aromatic, heteroaromatic, aliphatic, or heteroaliphatic ring moieties, the alkyl and ring moieties are optionally substituted with one or more substituents independently selected from the group consisting of alkyl, halogen, trihalomethyl, carboxylate, amino, nitro, and ester, and n20 is 0 or l;
- X 2 , and X 22 are independently selected from the group consisting of saturated or unsaturated alkyl, and five-membered or six-membered aromatic, heteroaromatic, aliphatic, or heteroaliphatic ring moieties, the alkyl and ring moieties are optionally substituted with one or more substituents independently selected from the group consisting of alkyl, halogen, trihalomethyl, carboxylate, amino, nitro, and ester, and n21 is 0 or 1; and (xv) a thiol of formula -(X 23 ) n23 -SH or a thioether of formula -(X 24 ) n24 -S-X 25 , where X 23 , X 24 , and X 25 are independently selected from the group consisting of saturated or unsaturated alkyl, and five-membered or six- membered aromatic, heteroaromatic, aliphatic, or heteroaliphatic ring moieties, the alkyl and
- X is selected from the group consisting of saturated or unsaturated alkyl, and five-membered or six-membered aromatic, heteroaromatic, or aliphatic ring moieties, nl is 0 or 1, and
- X 2 , and X 3 are independently selected from the group consisting of hydrogen, saturated or unsaturated alkyl, and five-membered or six- membered aromatic, heteroaromatic, or aliphatic ring moieties; (vi) a nitro of formula -NO 2 ; (vii) a halogen or trihalomethyl; (viii) a ketone of formula -(X 4 ) n4 -CO-X 5 , where
- X 4 and X 5 are independently selected from the group consisting of alkyl and five-membered or six-membered aromatic, heteroaromatic, aliphatic, or heteroaliphatic ring moieties, the alkyl and ring moieties are optionally substituted with one, two, or three substituents independently selected from the group consisting of alkyl, halogen, trihalomethyl, carboxylate, amino, nitro, and ester moieties, and n4 is 0 or l;
- X 6 , X 7 , and X 8 are independently selected from the group consisting of alkyl and five-membered or six-membered aromatic, heteroaromatic, aliphatic, or heteroaliphatic ring moieties, and n6 and n7 are independently 0 or 1 ; (x) an alcohol of formula -(X 9 ) n9 -OH or an alkoxyalkyl moiety of formula -(X ⁇ o) n io-O-X, , where
- X 9 , X, 0 , and X are independently selected from the group consisting of saturated or unsaturated alkyl, and five-membered or six- membered aromatic, heteroaromatic, aliphatic, or heteroaliphatic ring moieties, the alkyl and ring moieties are optionally substituted with one or more substituents independently selected from the group consisting of alkyl, halogen, trihalomethyl, carboxylate, amino, nitro, and ester, and n9 and nlO are independently 0 or 1; (xi) an amide of formula -(X 12 ) nl2 -NHCOX 13 , or of formula -(X 14 ) ceremoni 14 -CONX 15 X l6 , where
- X, 7 is selected from the group consisting of alkyl, five-membered or six-membered aromatic, heteroaromatic, aliphatic, or heteroaliphatic ring moieties the alkyl and ring moieties are optionally substituted with one or more substituents independently selected from the group consisting of alkyl, halogen, trihalomethyl, carboxylate, amino, nitro, and ester, and nl7 is 0, 1, or 2, and
- X,g, and X 19 are independently selected from the group consisting of hydrogen, alkyl, five-membered or six-membered aromatic, heteroaromatic, aliphatic, or heteroaliphatic ring moieties, the alkyl and ring moieties are optionally substituted with one or more substituents independently selected from the group consisting of alkyl, halogen, trihalomethyl, carboxylate, amino, nitro, and ester, or X 18 and X 19 taken together form a five-membered or six-membered aliphatic or heteroaliphatic ring optionally substituted with one or more substituents independently selected from the group consisting of alkyl, halogen, trihalomethyl, carboxylate, amino, nitro, and ester; (xiii) an aldehyde of formula -(X 20 ) ⁇ 20 -CO-H where X 20 is selected from the group consisting of satui ated or unsaturated alkyl, and five-member
- X 21 and X 22 are independently selected from the group consisting of saturated or unsaturated alkyl, and five-membered or six-membered aromatic, heteroaromatic, aliphatic, or heteroaliphatic ring moieties, the alkyl and ring moieties are optionally substituted with one or more substituents independently selected from the group consisting of alkyl, halogen, trihalomethyl, carboxylate, amino, nitro, and ester, and n21 is 0 or 1; and
- X 23 , X 24 , and X 25 are independently selected from the group consisting of saturated or unsaturated alkyl, and five-membered or six- membered aromatic, heteroaromatic, aliphatic, or heteroaliphatic ring moieties, the alkyl and ring moieties are optionally substituted with one or more substituents independently selected from the group consisting of alkyl, halogen, trihalomethyl, carboxylate, amino, nitro, and ester, and n23 and n24 are independently 0 or 1.
- the invention relates to a compound of formula III where
- R 31 is hydrogen
- R 32 , R 33 , and R 34 are each independently selected from the group consisting of (i) hydrogen;
- R 28 , R 29 , and R 30 are each independently selected from the group consisting of
- X 8 where X 6 , X 7 , and X 8 and are alkyl, and n6 and n7 are independently 0 or 1;
- X 9 , X 10 , and X, are alkyl, and n9 and nlO are independently 0 or l;
- X l6 are each independently selected from the group consisting of hydrogen and alkyl; and (vii) a sulfonamide of formula -(X
- X 18 , and X 19 are independently selected from the group consisting of hydrogen and alkyl.
- R 28 is selected from the group consisting of hydrogen, methyl, and 2- hydroxyethyl
- R 29 is selected from the group consisting of hydrogen, methyl, chloro, bromo, carboxy, methoxy, -NHC(O)-CH 3 , and -SO 2 N(CH 3 ) 2 ;
- R 30 is selected from the group consisting of hydrogen, chloro, methoxy, and -NHC(O)-CH 3 ;
- R 3 is hydrogen;
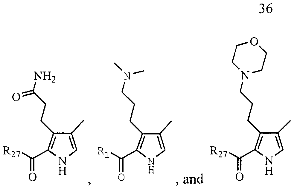
- R 32 is selected from the group consisting of hydrogen, methyl, - CH 2 CH 2 C(O)OH, -CH 2 CH 2 C(O)NH 2 , -CH 2 CH 2 CH 2 N(CH 3 ) 2 , and 3- morpholinopropyl;
- R 33 and R 34 are each independently selected from the group consisting of hydrogen, methyl, -CH 2 CH 2 C(O)OH, -CH 2 CH 2 CH 2 N(CH 3 ) 2 , and 3- morpholinopropyl, or R 8 and R, taken together form a six-membered aromatic or aliphatic ring.
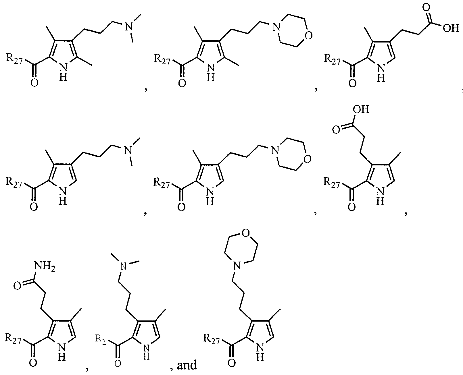
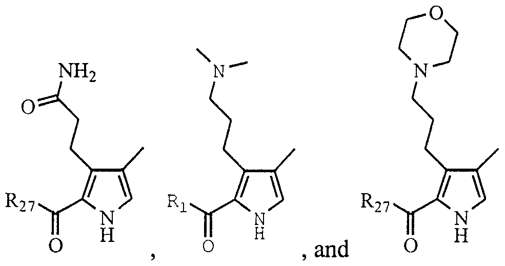
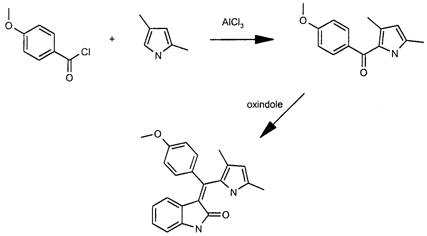
- the preferred diaryl indolinone compounds of the invention are those which are preferrably formed by the reaction of a ketone compound with and oxindole compound.
- the ketone compound is preferrably selected from the group consisting of
- R 27 is selected from the group consisting of (i) saturated or unsaturated alkyl optionally substituted with substituents selected from the group consisting of halogen, trihalomethyl, alkoxy, carboxylate, amino, nitro, ester, and a five-membered or six-membered aromatic, heteroaromatic, aliphatic, or heteroaliphatic ring moiety, wherein said ring moiety is optionally substituted with one, two, or three substituents independently selected from the group consisting of alkyl, halogen, trihalomethyl, carboxylate, amino, nitro, and ester moieties; and
- an aromatic or heteroaromatic ring optionally substituted with one, two, or three substituents independently selected from the group consisting of alkyl, alkoxy, halogen, trihalomethyl, carboxylate, amino, nitro, and ester moieties;
- an aliphatic or heteroaliphatic ring optionally substituted with one or more substituents independently selected from the group consisting of alkyl, alkoxy, halogen, trihalomethyl, carboxylate, amino, nitro, ester, and an aromatic or heteroaromatic ring optionally substituted with one or more substituents independently selected from the group consisting of alkyl, alkoxy, halogen, trihalomethyl, carboxylate, amino, nitro, and ester moieties.
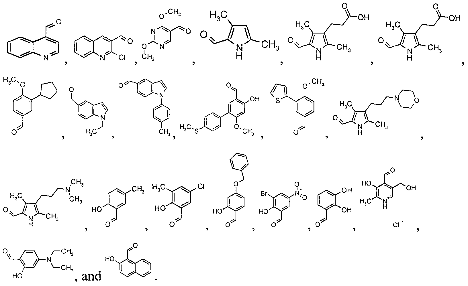
- the oxindole compound is preferrably selected from the group consisting of
- the invention provides a compound having a structure set forth in formula IV or formula V:
- R 35 , R 36 , and R 41 are each independently selected from the group consisting of
- an aromatic or heteroaromatic ring optionally substituted with one, two, or three substituents independently selected from the group consisting of alkyl, alkoxy, halogen, trihalomethyl, carboxylate, amino, nitro, and ester moieties;
- R 37 is an ethyl-2-oxy group of formula -CH 2 CH 2 -O-R, where R is selected from the group consisting of
- X 15 , and X 16 are each independently selected from the group consisting of hydrogen, alkyl, hydroxyl, sulfone of formula -SO 2 -X 22 , and five-membered or six-membered aromatic, heteroaromatic, aliphatic, or heteroaliphatic ring moieties, the ring is optionally substituted with one or more substituents independently selected from the group consisting of alkyl, aryl, halogen, trihalomethyl, carboxylate, amino, nitro, and ester,
- X 22 is selected from the group consisting of saturated or unsaturated alkyl, and five-membered or six-membered aromatic, heteroaromatic, aliphatic, or heteroaliphatic ring moieties, the ring is optionally substituted with one or more substituents independently selected from the group consisting of alkyl, halogen, trihalomethyl, carboxylate, amino, nitro, and ester, E is selected from the group consisting of oxygen and sulfur; and (c) R 38 , R 39 , and R 40 are each hydrogen;
- Z is a 5, 6, 7, 8, 9, or 10 membered, monocyclic or bicyclic, aromatic or heteroaromatic, ring moiety, optionally substituted with one or more substituents selected from the group consisting of (i) hydrogen; (ii) saturated or unsaturated alkyl optionally substituted with one or more substituents selected from the group consisting of hydroxy, halogen, trihalomethyl, carboxylate, amino, nitro, ester, and a five-membered or six-membered aromatic, heteroaromatic, aliphatic, or heteroaliphatic ring moiety, the ring moiety is optionally substituted with one or more substituents independently selected from the group consisting of alkyl, halogen, trihalomethyl, carboxylate, amino, nitro, and ester moieties;
- an aromatic or heteroaromatic ring optionally substituted with one or more substituents independently selected from the group consisting of alkyl, alkoxy, halogen, trihalomethyl, carboxylate, amino, nitro, and ester moieties;
- an aliphatic or heteroaliphatic ring optionally substituted with one or more substituents independently selected from the group consisting of alkyl, alkoxy, halogen, trihalomethyl, carboxylate, amino, nitro, ester, and an aromatic or heteroaromatic ring optionally substituted with one or more substituents independently selected from the group consisting of alkyl, alkoxy, halogen, trihalomethyl, carboxylate, amino, nitro, and ester moieties;
- X is selected from the group consisting of saturated or unsaturated alkyl, and five-membered or six-membered aromatic, heteroaromatic, or aliphatic ring moieties, nl is 0 or 1, and X 2 , and X 3 are independently selected from the group consisting of hydrogen, saturated or unsaturated alkyl, and five-membered or six-membered aromatic, heteroaromatic, or aliphatic ring moieties; (vi) a nitro of formula -NO 2 ; (vii) a halogen or trihalomethyl; (viii) a ketone of formula -(X 4 ) n4 -CO-X 5 , where
- X 4 and X 5 are independently selected from the group consisting of alkyl and five-membered or six-membered aromatic, heteroaromatic, aliphatic, or heteroaliphatic ring moieties, the alkyl and ring moieties are optionally substituted with one, two, or three substituents independently selected from the group consisting of alkyl, halogen, trihalomethyl, carboxylate, amino, nitro, and ester moieties, and n4 is 0 or 1 ; (ix) a carboxylic acid of formula -(X 6 ) n6 -COOH or ester of formula -(X 7 ) n7 -COO- X 8 , where X 6 , X 7 , and X 8 and are independently selected from the group consisting of alkyl and five-membered or six-membered aromatic, heteroaromatic, aliphatic, or heteroaliphatic ring moieties, and n6 and n7 are independently 0 or 1
- X 9 , X 10 , and X are independently selected from the group consisting of saturated or unsaturated alkyl, and five-membered or six-membered aromatic, heteroaromatic, aliphatic, or heteroaliphatic ring moieties, the alkyl and ring moieties are optionally substituted with one or more substituents independently selected from the group consisting of alkyl, halogen, trihalomethyl, carboxylate, amino, nitro, and ester, and n9 and nlO are independently 0 or 1 ; (xi) an amide of formula -(X 12 ) nl2 -NHCOX 13 , or of formula -(X 14 ) nl4 -CONX, 5 X 16 , where X 12 and X I4 are each independently selected from the group consisting of alkyl, hydroxyl, and five-membered or six-membered aromatic, heteroaromatic, aliphatic, or heteroaliphatic ring moieties
- X I3 , X 15 , and X ]6 are each independently selected from the group consisting of hydrogen, alkyl, hydroxyl, and five-membered or six-membered aromatic, heteroaromatic, aliphatic, or heteroaliphatic ring moieties, and the alkyl and ring moieties are optionally substituted with one or more substituents independently selected from the group consisting of alkyl, halogen, trihalomethyl, carboxylate, amino, nitro, and ester; (xii) a sulfonamide of formula -(X, 7 ) ⁇ l7 -SO 2 NX 18 X 19 , where
- X 17 is selected from the group consisting of alkyl, five-membered or six- membered aromatic, heteroaromatic, aliphatic, or heteroaliphatic ring moieties the alkyl and ring moieties are optionally substituted with one or more substituents independently selected from the group consisting of alkyl, halogen, trihalomethyl, carboxylate, amino, nitro, or ester, and nl7 is 0, 1, or 2, and
- X, 8 , and X 19 are independently selected from the group consisting of hydrogen, alkyl, five-membered or six-membered aromatic, heteroaromatic, aliphatic, or heteroaliphatic ring moieties, the alkyl and ring moieties are optionally substituted with one or more substituents independently selected from the group consisting of alkyl, halogen, trihalomethyl, carboxylate, amino, nitro, or ester, or X,g and X 19 taken together form a five-membered or six-membered aliphatic or heteroaliphatic ring optionally substituted with one or more substituents independently selected from the group consisting of alkyl, halogen, trihalomethyl, carboxylate, amino, nitro, and ester;
- X 20 is selected from the group consisting of saturated or unsaturated alkyl, and five-membered or six-membered aromatic, heteroaromatic, aliphatic, or heteroaliphatic ring moieties, the alkyl and ring moieties are optionally substituted with one or more substituents independently selected from the group consisting of alkyl, halogen, trihalomethyl, carboxylate, amino, nitro, and ester, and n20 is 0 or 1 ; (xiv) a sulfone of formula -(X 21 ) n2 ,-SO 2 -X 22 , where X 21 and X 22 are independently selected from the group consisting of saturated or unsaturated alkyl, and five-membered or six-membered aromatic, heteroaromatic, aliphatic, or heteroaliphatic ring moieties, the alkyl and ring moieties are optionally substituted with one or more substituents independently selected from the group consisting of alkyl, hal
- X 23 , X 24 , and X 25 are independently selected from the group consisting of saturated or unsaturated alkyl, and five-membered or six-membered aromatic, heteroaromatic, aliphatic, or heteroaliphatic ring moieties, the alkyl and ring moieties are optionally substituted with one or more substituents independently selected from the group consisting of alkyl, halogen, trihalomethyl, carboxylate, amino, nitro, and ester, and n23 and n24 are independently 0 or 1.
- the invention relates to a compound of formula IV or formula V, where (a) R 35 , R 36 , and R 41 are hydrogen; (b) R 37 is an ethyl-2-oxy group of formula -CH 2 CH 2 -O-R, where R is selected from the group consisting of hydrogen, saturated alkyl, an aromatic ring optionally substituted with one or more substituents independently selected from the group consisting of alkyl, aryl, and alkoxy moieties, and a substituent of formula -C(E)NHX 15 , where X 15 is selected from the group consisting of alkyl, sulfone of formula -SO 2 -
- X 22 and six-membered aromatic or aliphatic ring moieties, the ring is optionally substituted with one or more substituents independently selected from the group consisting of alkyl and aryl, X 22 is selected from the group consisting of saturated alkyl, and optionally substituted six-membered aromatic ring moieties, and
- E is selected from the group consisting of oxygen and sulfur, and; (c) Z is a 5, 6, or 9 membered, monocyclic or bicyclic, aromatic or heteroaromatic, ring moiety, optionally substituted with one or more substituents selected from the group consisting of (i) hydrogen; (ii) saturated alkyl,
- X is alkyl, nl is 0 or 1, and X 2 and X 3 are independently selected from the group consisting of hydrogen and saturated alkyl; (v) a halogen or trihalomethyl; (vi) a carboxylic acid of formula -(X 6 ) n6 -COOH, where
- X 6 is alkyl, and n6 is 0 or l;
- R 37 is an ethyl-2-oxy group of formula -CH 2 CH,-O-R, wherein R is selected from the group consisting of hydrogen, methyl, ethyl, 2-isopropylphenyl, 3-isopropylphenyl, 4- isopropylphenyl, 4-methoxyphenyl, biphen-3-yl, 5-chloropyridin-3-yl, ethylcarbamyl, tert-butylcarbamyl, cyclohexylcarbamyl, phenylcarbamyl, benzene sulfonylcarbamyl, biphen-2-yl-carbamyl, and phenylthiocarbamyl, and Z is selected from the group consisting of 4-bromophenyl,
- a base may be used.
- the base is preferably a nitrogen base or an inorganic base.
- nitrogen bases are commonly used in the art and are selected from acyclic and cyclic amines. Examples of nitrogen bases include, but are not limited to, ammonia, methylamine, trimethylamine, triethylamine, aniline, l,8-diazabicyclo[5.4.0]undec-7-ene, diisopropylethylamine, pyrrolidine, piperidine, and pyridine or substituted pyridine (e.g., 2,6-di-tertbutylpyridine).
- Inorganic bases are bases that do not contain any carbon atoms. Examples of inorganic bases include, but are not limited to, hydroxide, phosphate, bisulfate, hydrosulfide, and amide anions. Those skilled in the art know which nitrogen base or inorganic base would match the requirements of the reaction conditions.
- the base used may be pyrrolidine or piperidine. In other embodiments the base may be the hydroxide anion, preferably used as its sodium or potassium salt.
- the synthesis of the compounds of the invention may take place in a solvent.
- the solvent of the reaction is preferably a protic solvent or an aprotic solevent.
- protic solvents are those that are capable of donating a proton to a solute.
- protic solvents examples include, but are not limited to, alcohols and water.
- “Aprotic solvents” are those solvents that, under normal reaction conditions, do not donate a proton to a solute. Typical organic solvents, such as hexane, toluene, benzene, methylene chloride, dimethylformamide, chloroform, tetrahydrofuran, are some of the examples of aprotic solvents. Other aprotic solvents are also within the scope used by the present invention.
- the solvent of the reaction is an alcohol, which may preferably be isopropanol or most preferably ethanol. Water is another preferred protic solvent. Dimethylformamide, known in the chemistry art as DMF, is a preferred aprotic solvent.
- the synthetic method of the invention calls for the reaction to take place at elevated temperatures which are temperatures that are greater than room temperature. More preferably, the elevated temperature is preferably about 30-150 °C, more preferably about 80-100 °C, and most preferably about 80-90 °C, which is about the temperature at which ethanol boils (i.e., the boiling point of ethanol).
- elevated temperatures are temperatures that are greater than room temperature. More preferably, the elevated temperature is preferably about 30-150 °C, more preferably about 80-100 °C, and most preferably about 80-90 °C, which is about the temperature at which ethanol boils (i.e., the boiling point of ethanol).
- about 80 °C it is meant that the temperature range is preferably 80 ⁇ 10 °C, more preferably 80 ⁇ 5 °C, and most preferably 80 ⁇ 2 °C.
- the synthetic method of the invention may be accompanied by the step of screening a library for a compound of the desired activity and structure - thus, providing a method of synthesis of a compound by first screening for a compound having the desired properties and then chemically synthesizing that compound.
- An additional aspect of this invention is a combinatorial library of at least ten
- 3-arylidenyl-6-heterocyclyl-2-indolinone compounds that can be formed by condensing oxindoles of structure 2 with aldehydes of structure 3.
- condensation refers to a reaction by which two molecules are combined to give one molecule.
- a condensation refers to the reaction shown in Scheme I.
- the oxindole in the above combinatorial library is preferrably selected from the group consisting of 6-(pyridin-2-yl)-2-oxindole, 6-(pyridin-3-yl)-2-oxindole, 6- (pyridine-4-yl)-2-oxindole, 6-(pyrimidin-2-yl)-2-oxindole, 6-(pyrimidin-4-yl)-2- oxindole, 6-(pyrimidin-5-yl)-2-oxindole, 6-(triazinyl)-2-oxindole, 6-(pyrrol-2-yl)-2- oxindole, 6-(pyrrol-3-yl)-2-oxindole, 6-(thiophen-2-yl)-2-oxindole, 6-(thiophen-3- yl)-2-oxindole, 6-(furan-2-yl)-2-oxindole, 6-(furan-3-yl)-2-oxindole, 6-(imidazol-2- yl)-2
- the aldehyde in the above combinatorial library is preferably selected from the group consisting of, without limitation, benzaldehyde, 3-isopropyl-p- anisaldehyde, 2-methyl-5-isopropyl-p-anisaldehyde, 3,5-diisopropyl-p-anisaldehyde, 3 -cyclopentyl-p-anisaldehyde, 3 -cyclohexyl-p-anisaldehyde, 3 -phenyl-p- anisaldehyde, 3,5-dimethyl-p-anisaldehyde, 2-hydroxy-3,5-dichlorobenzaldehyde, 2- hydroxy-5-chlorobenzaldehyde, 2-hydroxy-4-methoxy-5-(4- methoxyphenyl)benzaldehyde, 3-cyclopentyl-4-methoxybenzaldehyde, 3- cyclopentyl-4-hydroxybenzaldeh
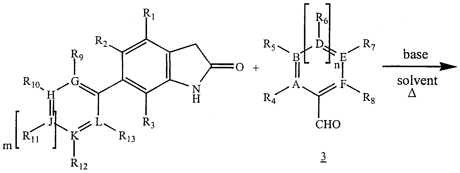
- Another aspect of this invention provides a method for the synthesis of 3- arylidenyl-6-heterocyclyl-2-indolinone of formula I comprising condensing an oxindole of formula 2 with an aldehyde of formula 3 in a solvent, preferably in the presence of a base.
- Examples of the oxindoles of formula 2 that may be condensed with an aldehyde of formula 3 to give a 3-arylidenyl-6-heterocyclyl-2-indolinones of formula I are 6-(pyridin-2-yl)-2-oxindole, 6-(pyridin-3-yl)-2-oxindole, 6-(pyridine- 4-yl)-2-oxindole, 6-(pyrimidin-2-yl)-2-oxindole, 6-(pyrimidin-4-yl)-2-oxindole, 6- (pyrimidin-5-yl)-2-oxindole, 6-(triazinyl)-2-oxindole, 6-(pyrrol-2-yl)-2-oxindole, 6- (pyrrol-3-yl)-2-oxindole, 6-(thiophen-2-yl)-2-oxindole, 6-(thiophen-3-yl)-2- oxindole, 6-(furan-2-yl)-2-oxindole
- aldehydes of structure 3 which may be condensed with oxindoles of structure 2 to give a compound of this invention are, without limitation, benzaldehyde, 3-isopropyl-p-anisaldehyde, 2-methyl-5-isopropyl-p-anisaldehyde, 3,5- diisopropyl-p-anisaldehyde, 3-cyclopentyl-p-anisaldehyde, 3-cyclohexyl-p- anisaldehyde, 3-phenyl-p-anisaldehyde, 3,5-dimethyl-p-anisaldehyde, 2-hydroxy-3,5- dichlorobenzaldehyde, 2-hydroxy-5-chlorobenzaldehyde, 2-hydroxy-4-methoxy-5-(4- methoxyphenyl)benzaldehyde, 3-cyclopentyl-4-methoxybenzaldehyde, 3-cyclopentyl- 4-hydroxybenzaldeh
- Another aspect of this invention is a combinatorial library of at least ten 3- aralkyl-2-indolinone compounds that can be formed by condensing oxindoles of structure 4 with aldehydes of structure 5 and then reducing the 3-position double bond of the resultant 3-arylidene-2-oxindole.
- the condensation refers to reaction "A” in Scheme II.
- Compound 4 is the "3-arylidene-2-oxindole" referred to above.
- Reducing refers to the addition of hydrogen across the double bond at the 3-position of compound 6
- the oxindole in the above combinatorial library is preferrably selected from the group consisting of oxindole itself and substituted oxindoles such as, without limitation, 5-fluorooxindole, 6-fluorooxindole, 7-fluorooxindole, 6- trifluoromethyloxindole, 5-chlorooxindole, 6-chlorooxindole, indole-4-carboxylic acid, 5-bromooxindole, 6 — (acetamido)- oxindole, 4-methyloxindole, 5- methyloxindole, 4-methyl-5-chlorooxindole, 5-ethyloxindole, 6-hydroxyoxindole, 6- (cyclopentylcarboxamido)oxindole, 5-acetyloxindole, oxindole-5-carboxylic acid, 5- methoxyoxindole, 6-methoxyoxindole, 5-aminooxindole, 6-amin
- the aldehyde in the above combinatorial library is preferably selected from the group consisting of, without limitation, benzaldehyde itself as well as 3- isopropyl-p-anisaldehyde, 2-methyl-5-isopropyl-p-anisaldehyde, 3,5-diisopropyl-p- anisaldehyde, 3-cyclopentyl-p-anisaldehyde, 3-cyclohexyl-p-anisaldehyde, 3- phenyl-p-anisaldehyde, 3,5-dimethyl-p-anisaldehyde, 2-hydroxy-3,5- dichlorobenzaldehyde, 2-hydroxy-5-chlorobenzaldehyde, 2-hydroxy-4-methoxy-5- (4-methoxyphenyl)benzaldehyde, 3-cyclopentyl-4-methoxybenzaldehyde, 3- cyclopentyl-4-hydroxybenzaldehyde, 3-(
- Another aspect of this invention provides a method for the synthesis of 3- aralkyl-2-indolinone of formula II comprising condensing an oxindole of formula 4 with an aldehyde of formula 5 in a solvent, preferably in the presence of a base, optionally isolating the resultant 3-arylidene-2-oxindole and then reducing the 3- arylidene-2-oxindole.
- oxindole itself and substituted oxindoles such as, without limitation, 5-fluorooxindole, 6-fluorooxindole, 7-fluorooxindole, 6-trifluoromethyloxindole, 5- chlorooxindole, 6-chlorooxindole, indole-4-carboxylic acid, 5-bromooxindole, 6 — (acetamido)- oxindole, 4-methyloxindole, 5-methyloxindole, 4-methyl-5- chlorooxindole, 5-ethyloxindole, 6-hydroxyoxindole, 6-
- aldehydes of structure 3 which may be condensed with oxindoles of structure 4 and the product reduced to give a compound of this invention are, without limitation, benzaldehyde itself as well as 3-isopropyl-p- anisaldehyde, 2-methyl-5-isopropyl-p-anisaldehyde, 3,5-diisopropyl-p-anisaldehyde, 3-cyclopentyl-p-anisaldehyde, 3-cyclohexyl-p-anisaldehyde, 3-phenyl-p- anisaldehyde, 3,5-dimethyl-p-anisaldehyde, 2-hydroxy-3,5-dichlorobenzaldehyde, 2- hydroxy-5-chlorobenzaldehyde, 2-hydroxy-4-methoxy-5-(4- methoxyphenyl)benzaldehyde, 3 -cyclopentyl-4-methoxybenzaldehyde, 3
- the invention provides a combinatorial library of at least 10 indolinone compounds that can be formed by reacting an oxindole with a ketone, where the oxindole has the following structure
- ketone has the following structure and R 27 , R 28 , R 29 , R 30 , R 31 , R 32 , R 33 , and R 34 are as described herin.
- the oxindole in the above combinatorial library is preferrably selected from the group consisting of l,3-dihydro-indol-2-one, 4-methyl-l,3-dihydro-indol-2-one, 4-(2-hydroxy-ethyl)-l,3-dihydro-indol-2-one, 5-chloro-l,3-dihydro-indol-2-one, 5- bromo-l,3-dihydro-indol-2-one, 5-methoxy-l,3-dihydro-indol-2-one, 2-oxo-2,3- dihydro-lH-indole-5 -carboxylic acid, 2-oxo-2,3-dihydro-lH-indole-5-sulfonic acid dimethylamide, N-(2-oxo-2,3-dihydro-lH-indole-5-yl)-acetamide, 6-chloro-l
- the ketone is preferably selected from the group consisting of
- Another aspect of the invention provides for a method for synthesizing a compound of formula III, as described herein, comprising the step of reacting a first reactant with a second reactant in a solvent and in the presence of a base at elevated temperatures, where the first reactant is an oxindole having the following structure
- R 27 , R 28 , R 29 , R 30 , R 31 , R 32 , R 33 , and R 34 are as described herin.
- the first reactant is preferrably an oxindole selected from the group consisting of l,3-dihydro-indol-2-one, 4-methyl-l,3-dihydro-indol-2-one, 4-(2- hydroxy-ethyl)-l,3-dihydro-indol-2-one, 5-chloro-l,3-dihydro-indol-2-one, 5- bromo- 1 ,3-dihydro-indol-2-one, 5-methoxy- 1 ,3-dihydro-indol-2-one, 5-carboxy-l ,3- dihydro-indol-2-one, 5-dimethylsulfonamido- 1 ,3-dihydro-indol-2-one, 5- formamido-l,3-dihydro-indol-2-one, 6-chloro-l,3-dihydro-indol-2-one, 6-me
- the invention provides a combinatorial library of at least
- the oxindole in the above combinatorial library is preferrably selected from the group consisting of 4-[2-(3-isopropyl-phenoxy)-ethyl]-l,3-dihydro-indol-2-one, 4-[2-(2-isopropyl-phenoxy)-ethyl]-l,3-dihydro-indol-2-one, 4-[2-(biphenyl-3- yloxy)-ethyl] - 1 ,3 -dihydro-indol-2-one, 4-(2-hydroxy-ethyl)- 1 ,3 -dihydro-indol-2-one, phenyl-thiocarbamic acid O-[2-(2-oxo-2,3-dihydro-lH-indol-4-yl)-ethyl] ester, phenyl-carbamic acid 2-(2-oxo-2,3-dihydro-lH-indo
- the method of synthesizing a compound of formula IV comprises the step of reacting a first reactant with a second reactant in a solvent and in the presence of a mixture of other reagents.
- the reaction may take place at ambient temperatures or at elevated temperatures.
- the first reactant is preferably an oxindole, more preferably 4-(2- hydroxyethyl)-l,3-dihydro-indol-2-one.
- the second reactant is preferably selected from the group consisting of an alcohol, an iodoalkyl, an alkyl or aryl isocyanate, and an alkyl or aryl isothiocyanate, and more preferably is selected from the group consisting of 3-isopropylphenol, 2-isopropylphenol, 3-phenylphenol, 4- methoxyphenol, 5-chloro-3- ⁇ yridinol, methyl iodide, ethyl iodide, phenyl isocyanate, tert-butyl isocyanate, cyclohexyl isocyanate, benzenesulfonyl isocyanate, 2-biphenylyl isocyanate, ethyl isocyanate, isopropyl isocyanate
- the "mixture of other reagents” generally refers to a mixture of synthetic reagents or solvents that would facilitate the synthesis of the compounds of the invention, and may include a mixture of diethyl azodicarboxylate with triphenylphosphine in a solvent, or silver trifluoromethanesulfonate, by itself or with a base, in a solvent, or a mixture of solvents.
- the method of synthesizing a compound of formula V comprises the step of reacting a first reactant with a second reactant in a solvent and in the presence of a base at elevated temperatures, where the first reactant is an oxindole having a structure set forth in formula I, as defined herein, and the second reactant is an aldehyde, having the formula
- the first reactant is preferrably an oxindole selected from the group consisting of4-[2-(3-isopropyl-phenoxy)-ethyl]-l,3-dihydro-indol-2-one, 4-[2-(2- isopropyl-phenoxy)-ethyl]-l,3-dihydro-indol-2-one, 4-[2-(biphenyl-3-yloxy)-ethyl]- l,3-dihydro-indol-2-one, 4-(2 -hydroxy-ethyl)-l, 3 -dihydro-indol-2-one, phenyl- thiocarbamic acid O-[2-(2-oxo-2,3-dihydro-lH-indol-4-yl)-ethyl] ester, phenyl- carbamic acid 2-(2-oxo-2,3-dihydro-lH-indol-4-
- the second reactant is preferrably an aldehyde selected from the group consisting of 4-bromobenzaldehyde, 2-pyridinecarboxaldehyde, 6-methyl-2- pyridine-carbaldehyde, lH-indole-5-carbaldehyde, 4-methoxy-3-thiophen-2-yl- benzaldehyde, 4-(3-dimethylamino-propyl)-3,5-dimethyl-lH-pyrrole-2- carbaldehyde, 3-hydroxy-6-methyl-pyridine-2-carbaldehyde, 4-(3-dimethylamino- propyl)-3,5-dimethyl-lH-pyrrole-2-carbaldehyde, and 4-carboxyethyl-3,5-dimethyl- 2-formylpyrrole.
- an aldehyde selected from the group consisting of 4-bromobenzaldehyde, 2-pyridinecarboxaldehyde, 6-methyl
- the invention features a pharmaceutical composition
- a pharmaceutical composition comprising (i) a physiologically acceptable carrier, diluent, or excipient; and (ii) a compound as described herein.
- the invention also features a method of modulating the function of a protein kinase with a compound of the invention, comprising the step of contacting cells expressing the protein kinase with the compound.
- a still further aspect of this invention is that the protein kinase whose catalytic activity is being modulated by a compound of this invention is selected from the group consisting of receptor protein tyrosine kinases, cellular tyrosine kinases and serine-threonine kinases.
- the receptor protein kinase whose catalytic activity is modulated by a compound of this invention is selected from the group consisting of EGF, HER2, HER3, HER4, IR, IGF-1R, IRR, PDGFR ⁇ , PDGFR ⁇ , CSFIR, C-Kit, C-fms, Flk-IR, Flk4, KDR Flk-1, Flt-1, FGFR-1R, FGFR- 2R, FGFR-3R and FGFR-4R.
- the cellular tyrosine kinase whose catalytic activity is modulated by a compound of this invention is selected from the group consisting of Src, Frk, Btk, Csk, Abl, ZAP70, Fes/Fps, Fak, Jak, Ack, Yes, Fyn, Lyn, Lck, Blk, Hck, Fgr and Yrk.
- the serine-threonine protein kinase whose catalytic activity is modulated by a compound of this invention is selected from the group consisting of CDK2 and Raf.
- a protein kinase natural binding partner can bind to a protein kinase' s intracellular region with high affinity. High affinity represents an equilibrium binding constant on the order of 10 "6 M or less.
- a natural binding partner can also transiently interact with a protein kinase intracellular region and chemically modify it.
- Protein kinase natural binding partners are chosen from a group that includes, but is not limited to, SRC homology 2 (SH2) or 3 (SH3) domains, other phosphoryl tyrosine binding (PTB) domains, guanine nucleotide exchange factors, protein phosphatases, and other protein kinases. Methods of determining changes in interactions between protein kinases and their natural binding partners are readily available in the art.
- the compounds of the invention preferably modulate the activity of the protein tyrosine kinase in vitro. These compounds preferably show positive results in one or more in vitro assays for an activity corresponding to treatment of the disease or disorder in question (such as the assays described in the Examples below).
- the invention also features a method of identifying compounds that modulate the function of protein kinase, comprising the following steps: (a) contacting cells expressing the protein tyrosine kinase with the compound; and (b) monitoring an effect upon the cells.
- the effect upon the cells is preferably a change or an absence of a change in cell phenotype, more preferably it is a change or an absence of a change in cell proliferation, even more preferably it is a change or absence of a change in the catalytic activity of the protein kinase, and most preferably it is a change or absence of a change in the interaction between the protein kinase with a natural binding partner, as described herein.
- the invention features a method for identifying the compounds of the invention, comprising the following steps: (a) lysing the cells to render a lysate comprising protein tyrosine kinase; (b) adsorbing the protein tyrosine kinase to an antibody; (c)incubating the adsorbed protein tyrosine kinase with a substrate or substrates; and (d) adsorbing the substrate or substrates to a solid support or antibody; where the step of monitoring the effect on the cells comprises measuring the phosphate concentration of the substrate or substrates.
- the invention features a method for treating a disease related to unregulated kinase signal transduction, where the method includes the step of administering to a subject in need thereof a therapeutically effective amount of a compound of the invention as described herein.
- the invention also features a method of regulating kinase signal transduction comprising administering to a subject a therapeutically effective amount of a compound of the invention as described herein. Furthermore, the invention features a method of preventing or treating an abnormal condition in an organism, where the abnormal condition is associated with an aberration in a signal transduction pathway characterized by an interaction between a protein kinase and a natural binding partner, where the method comprises the following steps: (a) administering a compound of the invention as described herein; and (b) promoting or disrupting the abnormal interaction.
- the organism is preferably a mammal and the abnormal condition is preferably cancer.
- the abnormal condition may also preferably be selected from the group consisting of hypertension, depression, generalized anxiety disorder, phobias, post-traumatic stress syndrome, avoidant personality disorder, sexual dysfunction, eating disorders, obesity, chemical dependencies, cluster headache, migraine, pain, Alzheimer's disease, obsessive-compulsive disorder, panic disorder, memory disorders, Parkinson's disease, endocrine disorders, vasospasm, cerebellar ataxia, and gastrointestinal tract disorders.
- PK related disorder "PK driven disorder”
- abnormal condition may also preferably be selected from the group consisting of hypertension, depression, generalized anxiety disorder, phobias, post-traumatic stress syndrome, avoidant personality disorder, sexual dysfunction, eating disorders, obesity, chemical dependencies, cluster headache, migraine, pain, Alzheimer's disease, obsessive-compulsive disorder, panic disorder, memory disorders, Parkinson's disease, endocrine disorders, vasospasm, cerebellar ataxia, and gastrointestinal tract disorders.
- PK related disorder "PK driven disorder”
- PK activity all refer to a condition characterized by inappropriate; i.e., under or, more commonly, over, PK catalytic activity, where the particular PK can be an RTK, a CTK or an STK.
- Inappropriate catalytic activity can arise as the result of either: (1) PK expression in cells which normally do not express PKs; (2) increased PK expression leading to unwanted cell proliferation, differentiatic r- and/or growth; or, (3) decreased PK expression leading to unwanted reductions in cell proliferation, differentiation and/or growth.
- Over-activity of a PK refers to either amplification of the gene encoding a particular PK or production of a level of PK activity which can correlate with a cell proliferation, differentiation and/or growth disorder (that is, as the level of the PK increases, the severity of one or more of the symptoms of the cellular disorder increases). Under-activity is, of course, the converse, wherein the severity of one or more symptoms of a cellular disorder increase as the level of the PK activity decreases.
- a therapeutically effective amount refers to that amount of the compound being administered which will relieve to some extent one or more of the symptoms of the disorder being treated.
- a therapeutically effective amount refers to that amount which has the effect of (1) reducing the size of the tumor; (2) inhibiting (that is, slowing to some extent, preferably stopping) tumor metastasis; (3) inhibiting to some extent (that is, slowing to some extent, preferably stopping) tumor growth; and/or, (4) relieving to some extent (or, preferably, eliminating) one or more symptoms associated with the cancer.
- the above-referenced protein kinase related disorder is selected from the group consisting of a receptor protein tyrosine kinase related disorder, a cellular tyrosine kinase disorder and a serine-threonine kinase related disorder.
- the above referenced protein kinase related disorder is selected from the group consisting of an EGFR related disorder, a PDGFR related disorder, an IGFR related disorder and a flk related disorder.
- the above referenced protein kinase related disorder is a cancer selected from the group consisting of squamous cell carcinoma, astrocytoma, glioblastoma, lung cancer, bladder cancer, head and neck cancer, melanoma, ovarian cancer, prostate cancer, breast cancer, small-cell lung cancer and glioma in a further aspect of this invention.
- the above referenced protein kinase related disorder is selected from the group consisting of diabetes, immunlogical disorders such as autoimmune disorder, a hype ⁇ roliferation disorder, restinosis, fibrosis, psoriasis, osteoarthritis, rheumatoid arthritis, an inflammatory disorder, angiogenesis, cardiovascular disease such as aetherosclerosis, and renal disease, in yet another aspect of this invention.
- the compounds of this invention may inhibit the activity of protein phosphatases which are enzymes which remove phosphate groups from phosphorylated proteins.
- protein phosphatases which are enzymes which remove phosphate groups from phosphorylated proteins.
- the compounds disclosed herein may also represent a new generation of therapeutic compounds for diseases and disorders associated with abnormal phosphatase activity (such as, without limitation, diabetes, cell proliferation disorders and inflammatory disorders).
- diseases and disorders associated with abnormal phosphatase activity such as, without limitation, diabetes, cell proliferation disorders and inflammatory disorders.
- the present invention relates to compounds capable of regulating and/or modulating cellular signal transduction and, in preferred embodiments, receptor and non-receptor tyrosine kinase signal transduction.
- Receptor kinase mediated signal transduction is initiated by extracellular interaction with a specific growth factor (ligand), followed by receptor dimerization, transient stimulation of the intrinsic protein kinase activity and phosphorylation. Binding sites are thereby created for intracellular signal transduction molecules and lead to the formation of complexes with a spectrum of cytoplasmic signaling molecules that facilitate the appropriate cellular response (e.g., cell division, metabolic effects to the extracellular microenvironment). See, Schlessinger and Ullrich, 1992, Neuron 9:303-391.
- tyrosine phosphorylation sites in growth factor receptors function as high-affinity binding sites for SH2 (src homology) domains of signaling molecules. Fantl et ⁇ /., 1992, Cell 69:413-423; Songyang et al, 1994, Mol. Cell. Biol. 74:2777-2785); Songyang et al, 1993, Cell 72:161-118; and Koch et al, 1991, Science 252:668-678.
- Several intracellular substrate proteins that associate with receptor kinases have been identified. They may be divided into two principal groups: (1) substrates which have a catalytic domain; and (2) substrates which lack such domain but serve as adapters and associate with catalytically active molecules.
- kinase signal transduction results in, among other responses, cell proliferation, differentiation and metabolism.
- Abnormal cell proliferation may result in a wide array of disorders and diseases, including the development of neoplasia such as carcinoma, sarcoma, leukemia, glioblastoma, hemangioma, psoriasis, arteriosclerosis, arthritis and diabetic retinopathy (or other disorders related to uncontrolled angiogenesis and/or vasculogenesis).
- This invention is therefore directed to compounds which regulate, modulate and/or inhibit kinase signal transduction by affecting the enzymatic activity of the receptor kinases (RKs) and/or the non-receptor kinases and interfering with the signal transduced by such proteins. More particularly, the present invention is directed to compounds which regulate, modulate and/or inhibit the RK and/or non- receptor kinase mediated signal transduction pathways as a therapeutic approach to cure many kinds of solid tumors, including but not limited to carcinoma, sarcoma, erythroblastoma, glioblastoma, meningioma, astrocytoma, melanoma and myoblastoma. Indications may include, but are not limited to brain cancers, bladder cancers, ovarian cancers, gastric cancers, pancreas cancers, colon cancers, blood cancers, lung cancers and bone cancers.
- the compounds described herein are useful for treating disorders related to unregulated kinase signal transduction, including cell prohferative disorders, fibrotic disorders and metabolic disorders.
- Blood vessel prohferative disorders which can be treated or further studied by the present invention include cancers, blood vessel prohferative disorders and mesangial cell prohferative disorders.
- Blood vessel prohferative disorders refer to angiogenic and vasculogenic disorders generally resulting in abnormal proliferation of blood vessels.
- the formation and spreading of blood vessels, or vasculogenesis and angiogenesis, respectively, play important roles in a variety of physiological processes such as embryonic development, co ⁇ us luteum formation, wound healing and organ regeneration. They also play a pivotal role in cancer development.
- blood vessel proliferation disorders include arthritis, where new capillary blood vessels invade the joint and destroy cartilage, and ocular diseases, like diabetic retinopathy, where new capillaries in the retina invade the vitreous, bleed and cause blindness.
- ocular diseases like diabetic retinopathy, where new capillaries in the retina invade the vitreous, bleed and cause blindness.
- disorders related to the shrinkage, contraction or closing of blood vessels, such as restenosis are also implicated.
- Fibrotic disorders refer to the abnormal formation of extracellular matrix. Examples of fibrotic disorders include hepatic cirrhosis and mesangial cell prohferative disorders. Hepatic cirrhosis is characterized by the increase in extracellular matrix constituents resulting in the formation of a hepatic scar. Hepatic cirrhosis can cause diseases such as cirrhosis of the liver. An increased extracellular matrix resulting in a hepatic scar can also be caused by viral infection such as hepatitis. Lipocytes appear to play a major role in hepatic cirrhosis. Other fibrotic disorders implicated include atherosclerosis (.see, below).
- Mesangial cell prohferative disorders refer to disorders brought about by abnormal proliferation of mesangial cells.
- Mesangial prohferative disorders include various human renal diseases, such as glomerulonephritis, diabetic nephropathy, malignant nephrosclerosis, thrombotic microangiopathy syndromes, transplant rejection, and glomerulopathies.
- the PDGF-R has been implicated in the maintenance of mesangial cell proliferation. Floege et ⁇ /., 1993, Kidney International 43:47S-54S.
- PKs have been associated with such cell prohferative disorders.
- some members of the receptor tyrosine kinase family have been associated with the development of cancer.
- Some of these receptors like the EGFR (Tuzi et al, 1991, Br. J. Cancer 63:221 -233; To ⁇ et ⁇ /., 1992, APMIS 100:113-119)
- HER2/neu (Slamon et al, 1989, Science 244:101-112) and the PDGF-R (Kumabe et al, 1992, Oncogene 7:627-633) are overexpressed in many tumors and/or persistently activated by autocrine loops.
- these receptor overexpressions (Akbasak and Suner-Akbasak et al, 1992, J. Neurol Sci. 777:119-133; Dickson et al. , 1992, Cancer Treatment Res. 61:249-213; Korc et al, 1992, J. Clin. Invest. 90: 1352-1360) and autocrine loops (Lee and Donoghue, 1992, J. Cell.
- the EGFR receptor has been associated with squamous cell carcinoma, astrocytoma, glioblastoma, head and neck cancer, lung cancer and bladder cancer.
- HER2 has been associated with breast, ovarian, gastric, lung, pancreas and bladder cancer.
- the PDGF-R has been associated with glioblastoma, lung, ovarian, melanoma and prostate cancer.
- the RK c-met has been generally associated with hepatocarcinogenesis and thus hepatocellular carcinoma. Additionally, c-met has been linked to malignant tumor formation.
- the RK c-met has been associated with, among other cancers, colorectal, thyroid, pancreatic and gastric carcinoma, leukemia and lymphoma. Additionally, over-expression of the c-met gene has been detected in patients with Hodgkin's disease, Burkitt's disease, and the lymphoma cell line. Flk has likewise been associated with a broad spectrum of tumors including, without limitation, mammary, ovarian and lung tumors as well as gliomas such as glioblastoma.
- IGF-IR in addition to being implicated in nutritional support and in type-II diabetes, has also been associated with several types of cancers.
- IGF-I has been implicated as an autocrine growth stimulator for several tumor types, e.g., human breast cancer carcinoma cells (Arteaga et al, 1989, J. Clin. Invest. 54:1418-1423) and small lung tumor cells (Macauley et al, 1990, Cancer Res. 50:2511-2517).
- IGF-I integrally involved in the normal growth and differentiation of the nervous system, appears to be an autocrine stimulator of human gliomas. Sandberg-Nordqvist et al, 1993, Cancer Res. 55:2475-2478.
- IGF-IR insulin growth factor-IR
- fibroblasts epithelial cells, smooth muscle cells, T-lymphocytes, myeloid cells, chondrocytes, osteoblasts, the stem cells of the bone marrow
- IGF-I Eukaryotic Gene Expression 7:301-326.
- Baserga even suggests that IGF-I-R plays a central role in the mechanisms of transformation and, as such, could be a preferred target for therapeutic interventions for a broad spectrum of human malignancies. Baserga, 1995, Cancer Res. 55:249-252; Baserga, 1994, Cell 79:921-930; Coppola et al, 1994, Mol. Cell. Biol. 74:4588-4595.
- PKs protein kinases
- Some protein kinases (PKs) have been implicated in many types of cancer including, notably, breast cancer (Cance, et al., Int. J. Cancer, 54:571-77 (1993)).
- PKs protein kinases
- the association between abnormalities in RKs and disease are not restricted to cancer, however.
- RKs have been associated with metabolic diseases like psoriasis, diabetes mellitus, wound healing, inflammation, and neurodegenerative diseases.
- These diseases include, but are not limited to hypertension, depression, generalized anxiety disorder, phobias, post-traumatic stress syndrome, avoidant personality disorder, sexual dysfunction, eating disorders, obesity, chemical dependencies, cluster headache, migraine, pain, Alzheimer's disease, obsessive-compulsive disorder, panic disorder, memory disorders, Parkinson's disease, endocrine disorders, vasospasm, cerebellar ataxia, and gastrointestinal tract disorders.
- the EGF-R is indicated in corneal and dermal wound healing. Defects in the Insulin-R and the IGF-IR are indicated in type-II diabetes mellitus.
- a more complete correlation between specific RKs and their therapeutic indications is set forth in Plowman et al, 1994, DN&P 7:334-339.
- CKs cellular kinases
- src receptor type kinases
- abl cellular kinases
- fps cellular kinases
- yes, fyn, lyn, lck, blk, hck, fgr, yrk are involved in the prohferative and metabolic signal transduction pathway and thus in indications of the present invention.
- mutated src v-src
- pp60 v"src oncoprotein
- pp60 c"src transmits oncogenic signals of many receptors.
- overexpression of EGF-R or HER2/neu in tumors leads to the constitutive activation of pp60 c ⁇ src , which is characteristic for the malignant cell but absent from the normal cell.
- mice deficient for the expression of c-src exhibit an osteopetrotic phenotype, indicating a key participation of c-src in osteoclast function and a possible involvement in related disorders.
- Zap 70 is implicated in T-cell signaling.
- CTK modulating compounds to augment or even synergize with RK aimed blockers is an aspect of the present invention.
- RKs and non-receptor type kinases have been connected to hyperimmune disorders.
- the compounds of the present invention are also effective in treating diseases that are related to the PYK-2 protein.
- This protein, its cellular function, and diseases related to them are set forth in detail in U.S. Applications Serial Number 08/357,642, filed December 15, 1994, by Lev et al., and entitled “PYK2 RELATED PRODUCTS AND METHODS” (Lyon & Lyon Docket No. 209/070), and Serial Number 08/460,626, filed June 2, 1995, by Lev et al., and entitled “PYK2 RELATED PRODUCTS AND METHODS” (Lyon & Lyon Docket No. 211/121), both of which are hereby inco ⁇ orated by reference herein in their entirety, including any drawings.
- the present invention is directed towards oxindole and indolinone compounds and methods of modulating the functions of protein phosphatases, as well as methods of preventing and treating protein phosphatase related abnormal conditions in organisms with a compound of the method identified above.
- the compounds of the invention, as well as compounds obtained by adding chemical substituents, may potently inhibit the action of phosphatases and may represent a new generation of therapeutics for diseases associated with defects in said phosphatases.
- Terms defined above with respect to kinases have a similar meaning to one skilled in the art with respect to phosphatases. Both RKs and non-receptor type kinases have been connected to hyperimmune disorders.
- the compounds of the present invention are also effective in treating diseases that are related to the PYK-2 protein.
- This protein, its cellular function, and diseases related to them are set forth in detail in U.S. Patent Number 5,837,524, issued November 17, 1998, to Lev et al., and entitled “PYK2 RELATED PRODUCTS AND METHODS," and U.S. Patent Number 5,837,815, issued November 17, 1998, to Lev et al., and entitled “PYK2 RELATED PRODUCTS AND METHODS,” both of which are hereby inco ⁇ orated by reference herein in their entirety, including any drawings.
- KDR/FLK-1 a The KDR/FLK-1 Receptor and VEGF
- vasculogenesis and or angiogenesis have been associated with the growth of malignant solid tumors and metastasis.
- a tumor must, continuously stimulate the growth of new capillary blood vessels for the tumor itself to grow.
- the new blood vessels embedded in a tumor provide a gateway for tumor cells to enter the circulation and to metastasize to distant sites in the body.
- VEGF vascular endothehal growth factor
- placental growth factor aFGF, bFGF
- VEGF vascular endothehal growth factor
- placental growth factor aFGF, bFGF
- VEGF vascular endothehal growth factor
- the identification of the specific receptors to which VEGF binds is an important advancement in the understanding of the regulation of endothehal cell proliferation.
- RKs Two structurally closely related RKs have been identified to bind VEGF with high affinity: the flt-1 receptor (Shibuya et al, 1990, Oncogene 5:519-524; De Vries et al., 1992, Science 255:989-991) and the KDR/FLK-1 receptor, discussed in the U.S. Patent Application No. 08/193,829. Consequently, it had been surmised that these RKs may have a role in the modulation and regulation of endothehal cell proliferation.
- VEGF is not only responsible for endothehal cell proliferation, but also is a prime regulator of normal and pathological angiogenesis. See generally, Klagsburn and Soker, 1993, Current Biology 3:699-102; Houck et ⁇ /., 1992, J. Biol. Chem. 267:26031-26031. Moreover, it has been shown that KDR/FLK-1 and flt-1 are abundantly expressed in the proliferating endothehal cells of a growing tumor, but not in the surrounding quiescent endothehal cells. Plate et al, 1992, Nature 559:845-848; Shweiki et al,
- RKs In view of the deduced importance of RKs in the control, regulation and modulation of endothehal cell proliferation and potentially vasculogenesis and/or angiogenesis, many attempts have been made to identify RK "inhibitors" using a variety of approaches. These include the use of mutant ligands (U.S. Patent No. 4,966,849); soluble receptors and antibodies (Application No. WO 94/10202;
- kinase inhibitors WO 94/03427; WO 92/21660; WO 91/15495; WO 94/14808; U.S. Patent No. 5,330,992; Mariani et al, 1994, Proc. Am. Assoc. Cancer Res. 55:2268
- inhibitors acting on receptor kinase signal transduction pathways such as protein kinase C inhibitors
- KDR/FLK-1 receptor in order to effectively and specifically suppress vasculogenesis.
- Some of the compounds of the present invention demonstrate excellent activity in biological assays and thus these compounds and related compounds are expected to be effective in treating Flk related disorders such as those driven by persistent unregulated or inappropriate angiogenesis.
- Suitable routes of administration may, for example, include oral, rectal, transmucosal, or intestinal administration; parenteral delivery, including intramuscular, subcutaneous, intravenous, intramedullary injections, as well as intrathecal, direct intraventricular, intraperitoneal, intranasal, or intraocular injections.
- compositions of the present invention may be manufactured in a manner that is itself known, e.g., by means of conventional mixing, dissolving, granulating, dragee-making, levigating, emulsifying, encapsulating, entrapping or lyophilizing processes.
- compositions for use in accordance with the present invention thus may be formulated in conventional manner using one or more physiologically acceptable carriers comprising excipients and auxiliaries which facilitate processing of the active compounds into preparations which can be used pharmaceutically. Proper formulation is dependent upon the route of administration chosen.
- the agents of the invention may be formulated in aqueous solutions, preferably in physiologically compatible buffers such as Hanks's solution, Ringer's solution, or physiological saline buffer.
- physiologically compatible buffers such as Hanks's solution, Ringer's solution, or physiological saline buffer.
- penetrants appropriate to the barrier to be permeated are used in the formulation. Such penetrants are generally known in the art.
- the compounds can be formulated readily by combining the active compounds with pharmaceutically acceptable carriers well known in the art.
- Such carriers enable the compounds of the invention to be formulated as tablets, pills, dragees, capsules, liquids, gels, syrups, slurries, suspensions and the like, for oral ingestion by a patient to be treated.
- Pharmaceutical preparations for oral use can be obtained by mixing one or more solid excipient with one or more compound of the invention, optionally grinding the resulting mixture, and processing the mixture of granules, after adding suitable auxiliaries, if desired, to obtain tablets or dragee cores.
- Suitable excipients are, in particular, fillers such as sugars, including lactose, sucrose, mannitol, or sorbitol; cellulose preparations such as, for example, maize starch, wheat starch, rice starch, potato starch, gelatin, gum tragacanth, methyl cellulose, hydroxypropylmethyl-cellulose, sodium carboxymethylcellulose, and/or polyvinylpyrrolidone (PVP).
- disintegrating agents may be added, such as the cross-linked polyvinyl pyrrolidone, agar, or alginic acid or a salt thereof such as sodium alginate.
- Dragee cores are provided with suitable coatings.
- concentrated sugar solutions may be used, which may optionally contain gum arabic, talc, polyvinyl pyrrolidone, carbopol gel, polyethylene glycol, and/or titanium dioxide, lacquer solutions, and suitable organic solvents or solvent mixtures.
- Dyestuffs or pigments may be added to the tablets or dragee coatings for identification or to characterize different combinations of active compound doses.
- Pharmaceutical preparations which can be used orally include push-fit capsules made of gelatin, as well as soft, sealed capsules made of gelatin and a plasticizer, such as glycerol or sorbitol.
- the push-fit capsules can contain the active ingredients in admixture with filler such as lactose, binders such as starches, and/or lubricants such as talc or magnesium stearate and, optionally, stabilizers.
- filler such as lactose, binders such as starches, and/or lubricants such as talc or magnesium stearate and, optionally, stabilizers.
- the active compounds may be dissolved or suspended in suitable liquids, such as fatty oils, liquid paraffin, or liquid polyethylene glycols.
- stabilizers may be added. All formulations for oral administration should be in dosages suitable for such administration.
- the compositions may take the form of tablets or lozenges formulated in conventional manner.
- the compounds for use according to the present invention are conveniently delivered in the form of an aerosol spray presentation from pressurized packs or a nebuliser, with the use of a suitable propellant, e.g., dichlorodifluoromethane, trichlorofiuoromethane, dichlorotetrafluoroethane, carbon dioxide or other suitable gas.
- a suitable propellant e.g., dichlorodifluoromethane, trichlorofiuoromethane, dichlorotetrafluoroethane, carbon dioxide or other suitable gas.
- the dosage unit may be determined by providing a valve to deliver a metered amount.
- Capsules and cartridges of e.g. gelatin for use in an inhaler or insufflator may be formulated containing a powder mix of the compound and a suitable powder base such as lactose or starch.
- the compounds may be formulated for parenteral administration by injection, e.g., by bolus injection or continuous infusion.
- Formulations for injection may be presented in unit dosage form, e.g., in ampoules or in multi-dose containers, with an added preservative.
- the compositions may take such forms as suspensions, solutions or emulsions in oily or aqueous vehicles, and may contain formulatory agents such as suspending, stabilizing and/or dispersing agents.
- compositions for parenteral administration include aqueous solutions of the active compounds in water-soluble form. Additionally, suspensions of the active compounds may be prepared as appropriate oily injection suspensions. Suitable lipophilic solvents or vehicles include fatty oils such as sesame oil, or synthetic fatty acid esters, such as ethyl oleate or triglycerides, or liposomes.
- Aqueous injection suspensions may contain substances which increase the viscosity of the suspension, such as sodium carboxymethyl cellulose, sorbitol, or dextran.
- the suspension may also contain suitable stabilizers or agents which increase the solubility of the compounds to allow for the preparation of highly concentrated solutions.
- the active ingredient may be in powder form for constitution with a suitable vehicle, e.g., sterile pyrogen-free water, before use.
- a suitable vehicle e.g., sterile pyrogen-free water
- the compounds may also be formulated in rectal compositions such as suppositories or retention enemas, e.g., containing conventional suppository bases such as cocoa butter or other glycerides.
- the compounds may also be formulated as a depot preparation. Such long acting formulations may be administered by implantation (for example subcutaneously or intramuscularly) or by intramuscular injection.
- the compounds may be formulated with suitable polymeric or hydrophobic materials (for example as an emulsion in an acceptable oil) or ion exchange resins, or as sparingly soluble derivatives, for example, as a sparingly soluble salt.
- a pharmaceutical carrier for the hydrophobic compounds of the invention is a cosolvent system comprising benzyl alcohol, a nonpolar surfactant, a water- miscible organic polymer, and an aqueous phase.
- the cosolvent system may be the VPD co-solvent system.
- VPD is a solution of 3% w/v benzyl alcohol, 8% w/v of the nonpolar surfactant Polysorbate 80TM, and 65% w/v polyethylene glycol 300, made up to volume in absolute ethanol.
- the VPD co-solvent system (VPD:D5W) consists of VPD diluted 1:1 with a 5% dextrose in water solution. This co-solvent system dissolves hydrophobic compounds well, and itself produces low toxicity upon systemic administration.
- co-solvent system may be varied considerably without destroying its solubility and toxicity characteristics.
- identity of the co-solvent components may be varied: for example, other low-toxicity nonpolar surfactants may be used instead of Polysorbate 80; the fraction size of polyethylene glycol may be varied; other biocompatible polymers may replace polyethylene glycol, e.g., polyvinyl pyrrolidone; and other sugars or polysaccharides may substitute for dextrose.
- hydrophobic pharmaceutical compounds may be employed.
- Liposomes and emulsions are well known examples of delivery vehicles or carriers for hydrophobic drugs.
- Certain organic solvents such as dimethylsulfoxide also may be employed, although usually at the cost of greater toxicity.
- the compounds may be delivered using a sustained-release system, such as semipermeable matrices of solid hydrophobic polymers containing the therapeutic agent.
- sustained-release materials have been established and are well known by those skilled in the art. Sustained-release capsules may, depending on their chemical nature, release the compounds for a few weeks up to over 100 days.
- additional strategies for protein stabilization may be employed.
- PK modulating compounds of the invention may be provided as salts with pharmaceutically compatible counterions.
- Pharmaceutically compatible salts may be formed with many acids, including but not limited to hydrochloric, sulfuric, acetic, lactic, tartaric, malic, succinic, etc. Salts tend to be more soluble in aqueous or other protonic solvents than are the corresponding free base forms.
- compositions suitable for use in the present invention include compositions where the active ingredients are contained in an amount effective to achieve its intended pu ⁇ ose. More specifically, a therapeutically effective amount means an amount of compound effective to prevent, alleviate or ameliorate symptoms of disease or prolong the survival of the subject being treated. Determination of a therapeutically effective amount is well within the capability of those skilled in the art, especially in light of the detailed disclosure provided herein.
- the therapeutically effective dose can be estimated initially from cell culture assays. For example, a dose can be formulated in animal models to achieve a circulating concentration range that includes the IC 50 as determined in cell culture (i.e., the concentration of the test compound which achieves a half-maximal inhibition of the PK activity).
- Such information can be used to more accurately determine useful doses in humans.
- Toxicity .and therapeutic efficacy of the compounds described herein can be determined by standard pharmaceutical procedures in cell cultures or experimental animals, e.g., for determining the LD 50 (the dose lethal to 50% of the population) and the ED 50 (the dose therapeutically effective in 50% of the population).
- the dose ratio between toxic and therapeutic effects is the therapeutic index and it can be expressed as the ratio between LD 50 and ED 50 .
- Compounds which exhibit high therapeutic indices are preferred.
- the data obtained from these cell culture assays and animal studies can be used in formulating a range of dosage for use in human.
- the dosage of such compounds lies preferably within a range of circulating concentrations that include the ED 50 with little or no toxicity.
- the dosage may vary within this range depending upon the dosage form employed and the route of administration utilized.
- the exact formulation, route of administration and dosage can be chosen by the individual physician in view of the patient's condition. (See e.g., Fingl et al, 1975, in "The Pharmacological Basis of Therapeutics", Ch. 1 p.l).
- Dosage amount and interval may be adjusted individually to provide plasma levels of the active moiety which are sufficient to maintain the kinase modulating effects, or minimal effective concentration (MEC).
- MEC minimal effective concentration
- the MEC will vary for each compound but can be estimated from in vitro data; e.g., the concentration necessary to achieve 50-90% inhibition of the kinase using the assays described herein.
- Dosage intervals can also be determined using MEC value.
- Compounds should be administered using a regimen which maintains plasma levels above the MEC for 10-90%) of the time, preferably between 30-90% and most preferably between 50-90%.
- the effective local concentration of the drug may not be related to plasma concentration.
- the amount of composition administered will, of course, be dependent on the subject being treated, on the subject's weight, the severity of the affliction, the manner of administration and the judgment of the prescribing physician.
- compositions may, if desired, be presented in a pack or dispenser device which may contain one or more unit dosage forms containing the active ingredient.
- the pack may for example comprise metal or plastic foil, such as a blister pack.
- the pack or dispenser device may be accompanied by instructions for administration.
- the pack or dispenser may also be accompanied with a notice associated with the container in form prescribed by a governmental agency regulating the manufacture, use, or sale of pharmaceuticals, which notice is reflective of approval by the agency of the form of the polynucleotide for human or veterinary administration.
- Such notice for example, may be the labeling approved by the U.S. Food and Drug Administration for prescription drugs, or the approved product insert.
- compositions comprising a compound of the invention formulated in a compatible pharmaceutical carrier may also be prepared, placed in an appropriate container, and labeled for treatment of an indicated condition.
- Suitable conditions indicated on the label may include treatment of a tumor, inhibition of angiogenesis, treatment of fibrosis, diabetes, and the like.
- the compounds of the present invention were tested for their ability to inhibit most of protein kinase activity.
- the biological assays and results of these inhibition studies are reported herein.
- the methods used to measure modulation of protein kinase function are similar to those described in International Publication No. WO 98/07695, published March 26, 1998, by Tang et al., and entitled
- the cells used in the methods are commercially available.
- the nucleic acid vectors harbored by the cells are also commercially available and the sequences of genes for the various protein kinases are readily accessible in sequence data banks.
- a person of ordinary skill in the art can readily recreate the cell lines in a timely manner by combining the commercially available cells, the commercially available nucleic acid vectors, and the protein kinase genes using techniques readily available to persons of ordinary skill in the art.
- the compounds of this invention may be readily synthesized using techniques well known in the chemical arts. It will be appreciated by those skilled in the art that other synthetic pathways for forming the compounds of the invention are available and that the following is offered by way of example and not limitation. Furthermore, the compounds whose syntheses are described below are likewise not to be construed as limiting the scope of this invention in any manner whatsoever.
- Thefiltrate was column chromatographed (eluant - isopropanol/dichloromethane) to give 30 mg (15%) of 3-(4-methoxy-3-thiophen-2- yl-benzylidene)-6-pyridin-3-yl-l,3-dihydroindol-2-one as a yellow solid.
- Method B Condensation of oxindoles and aldehydes
- oxindole 1 equivalent of the aldehyde and 1 - 5 equivalents of piperidine (or pyrrolidine) in enough ethanol to make a solution which is 0.5 - 1.0 M in the oxindole are stirred at 90-100 °C for 1-18 hours.
- the mixture is cooled to room temperature and, if a precipitate forms, it is collected by vacuum filtration, washed with ethanol and dried to give the product. When no precipitate forms upon cooling of the reaction mixture, the mixture is concentrated and the residue purified by column chromatography.
- Method C Reduction using Palladium on Carbon A solution of the indolinone in methanol containing a couple of drops of acetic acid is hydrogenated over palladium on carbon overnight at room temperature. The catalyst is removed by filtration, rinsed with methanol and the filtrate concentrated to give the reduced product.
- Method D Reduction using sodium borohydride To a mixture of the indolinone (1 equiv.) in methanol and dimethylforamide is added sodium borohydride (10 equiv.). The mixture is stirred at room temperature for Vi - 3 hours. The reaction is then poured into water, extracted with ethyl acetate, washed with brine, dried and concentrated to give the reduced product.
- Tetrakis(triphenylphosphine)palladium(0) (1.35 g, 1.17 mmol) was added to a solution of 4-methoxy-3-bromobenzaldehyde (6.72 g, 31.26 mmol) dissolved in toluene (45 mL) and ethanol (45 mL).
- To the solution was added 2M aqueous sodium carbonate (80 mL, 78 mmol).
- Thiophene-3-boronic acid (5 g, 39.07 mmol) was then added to the mixture. The mixture was refluxed for 12 hours after which it was poured into water (200 mL) and extracted with ethyl acetate (2 x 150 mL).
- Cyclopentanecarboxyhc acid (2-oxo-2,3-dihydro-lH-indol-6-yl)-amide was condensed with 3,5-dichlorosalicylaldehyde using method B to give a mixture of isomers of cyclopentanecarboxyhc acid [3-(3,5-dichloro-2-hydroxy-benzylidene)-2- oxo-2,3-dihydro-lH-indol-6-yl]-amide as an orange solid which was reduced using method D to give 10 mg (40%) of cyclopentanecarboxyhc acid [3-(3,5-dichloro-2- hydroxybenzyl)-2-oxo-2,3-dihydro-lH-indol-6-yl]-amide as an off- white crystalline solid.
- Cyclopentanecarboxyhc acid (2-oxo-2,3-dihydro-lH-indol-6-yl)-amide was condensed with 5-chlorosalicylaldehyde using method B to give cyclopentanecarboxyhc acid [3-(5-chloro-2-hydroxy-benzylidene)-2-oxo-2,3- dihydro-lH-indol-6-yl]-amide which was reducted using method D to give 34.4 mg
- 2-Oxindole was condensed with 4-hydroxy-6,4'-dimethoxybiphenyl-3- carbaldehyde using method B to give a mixture of isomers of 3-(4-hydroxy-6,4'- dimethoxybiphenyl-3-ylmethylene)-l,3-dihydroindol-2-one, followed by reduction using method E to give 4.5 mg (75%) of 3-(4-hydroxy-6,4'-dimethoxybiphenyl-3- ylmethyl)- 1 ,3-dihydroindol-2-one as a white solid.
- 6-Acetamido-2-oxindole was condensed with 3-(2-thiophene)-4- methoxybenzaldehyde to give N-[3-(4-methoxy-3-thiophen-2-ylbenzylidene)-2-oxo- 2,3-dihydro-lH-indol-6-yl]-acetamide as a yellow solid which was reduced using method E to give 0.04 g (80%) of ⁇ -[3-(4-methoxy-3-thiophen-2-ylbenzyl)-2-oxo- 2,3-dihydro-l ⁇ -indol-6-yl]-acetamide as a white solid.
- 5-(2-M ⁇ holin-4-ylethyI)-2-oxindole was condensed with 3(3-thiophene)-4- methoxybenzaldehyde using method B to give 3-(4-methoxy-3-thiophen-3-yl- benzylidene)-5-(2-mo ⁇ holin-4-ylethyl)-l,3-dihydroindol-2-one as an orange-yellow solid which was reduced using method E to give 0.03 g (60%) of 3-(4-methoxy-3- thiophen-3-yl-benzyl)-5-(2-mo ⁇ holin-4-ylethyl)- 1 ,3-dihydroindol-2-one as a white solid.
- 2-Oxindole was condensed with 5-isopropyl-4-methoxy-2- methylbenzaldehyde using method B to give 0.25 g of 3-(5-Isopropyl-4-methoxy-2- methylbenzylidene)-l,3-dihydroindol-2-one as a yellow-orange solid which was reduced using method E to give 2 g (100%) of 3-(5-isopropyl-4-methoxy-2- methylbenzyl)-l,3-dihydroindol-2-one as a white solid.
- 6-(3-Methoxyphenyl)-l,3-dihydroindol-2-one was condensed with salicylaldehyde using method B to give 3-(2-hydroxybenzylidene)-6-(3- methoxyphenyl)- 1 ,3-dihydro-indol-2-one as a yellow solid which was reducted using method E to give 0.03 g (66%) of 3-(2-hydroxy-benzyl)-6-(3-methoxy- phenyl)-l,3-dihydro-indol-2-one as a white solid.
- 5-Chloro-2-oxindole was condensed with 3,5-diisopropyl-4-(2- mo ⁇ holin-4- yl-ethoxy)-benzaldehyde using method B to give 5-chloro-3-[3,5-diisopropyl-4-(2- mo ⁇ holin-4-ylethoxy)-benzylidene]-l,3-dihydroindol-2-one as a brownish-orange solid which was reduced using method E to give 1.3 g (100%>) of 5-chloro-3-[3,5- diisopropyl-4-(2-mo ⁇ holin-4-ylethoxy)-benzyl]- 1 ,3-dihydroindol-2-one as a yellow/orange foam.
- Compound AAI-17 3-(lH-Indol-5-ylmethyl)-l,3-dihvdroindol-2-one
- 5-Bromo-l,3-dihydroindol-2-one was condensed with 4-(3-dimethylamino- propyl)-3,5-dimethyl-lH-pyrrole-2-carbaldehyde (208 mg, 1.0 mmol) using method B to give 284.9 mg (71%>) of 5-bromo-3-[4-(3-dimethylamino ⁇ ropyl)-3,5-dimethyl- lH-pyrrol-2-ylmethylene]-l,3-dihydroindol-2-one as a red solid.
- 6-(3-Methoxyphenyl)-l,3-dihydroindol-2-one (239 mg, 1.0 mmol) was condensed with 4-(3-dimethylaminopropyl)-3,5-dimethyl-lH-pyrrole-2- carbaldehyde (208 mg, 1.0 mmol) using method B to give 333 mg (83%) of 3-[4-(3- dimethylaminopropyl)-3,5-dimethyl-lH-pyrrol-2-ylmethylene]-6-(3- methoxyphenyl)- l,3-dihydroindol-2-one as a red solid.
- Compound AAI-22 3-[4-(3-Dimethylaminopropyiy3.5-dimethyl-lH-pyrrol-2- ylmethyll-6-(4-methoxyphenviyi,3-dihvdroindol-2-one
- 6-(4-Methoxyphenyl)-l,3-dihydroindol-2-one (239 mg, 1.0 mmol) was condensed with 4 ⁇ (3-dimethylaminopropyl)-3,5-dimethyl-lH-pyrrole-2- carbaldehyde (208 mg, 1.0 mmol) using method B to give 333 mg (83%>) of 3-[4-(3- dimethylaminopropyl)-3,5-dimethyl-lH-pyrrol-2-ylmethylene]-6-(4- methoxyphenyl)- 1 ,3 -dihydroindol-2-one as a brown solid.
- 6-phenyl-2-oxindole 50 mg, 0.3 mmol was condensed with 3-fluoro-2- hydroxybenzaldehyde (50 mg, 0.36 mmol) using method B to give 52 mg (53%) of 3-(3-fluoro-2-hydroxybenzylidene)-6-phenyl-l,3-dihydroindol-2-one as a yellow/orange solid.
- 6-Phenyl-2-oxindole 50 mg, 0.3 mmol was condensed with 2-hydroxy-4- methoxybenzaldehyde (50 mg, 0.33 mmol) using method B to give 70 mg (68%) of 3-(2-hydroxy-4-methoxybenzylidene)-6-phenyl-l,3-dihydroindol-2-one as a yellow/orange solid.
- 6-Phenyl-2-oxindole 50 mg, 0.3 mmol was condensed with 5- bromosalicylaldehyde (50 mg, 0.25 mmol) using method B to give 80 mg (82%) of 3-(5-bromo-2-hydroxybenzylidene)-6-phenyl-l,3-dihydroindoi 2-one as a yellow/orange solid.
- Compound AAI-28 3-(3-Bromo-5-tert-butyl-4-hvdroxybenzyl)-5-chloro-l,3- dihvdroindol-2-one
- 5-Chloro-2-oxindole (167 mg, 1 mmol) was condensed with 3-bromo-5-tert- butyl-4-hydroxybenzaldehyde (308.5 mg, 1.2 mmol) using method B to give 329 mg (81 %) of 3-(3-bromo-5-tert-butyl-4-hydroxybenzylidene)-5-chloro- 1 ,3- dihydroindol-2-one as a mixture of isomers.
- a reaction mixture of the proper indolin-2-ones (1.0 equiv.), the appropriate ketone (1.2 equiv.), and piperidine or pyrrolidine (0.1 equiv.) in ethanol (1-2 mL/1.0 mmol oxindole) is stirred at 90 °C for 3-5 h. After cooling, the precipitate is filtered, washed with cold ethanol, and dried to yield the target compound.
- Diethyl azodicarboxylate (0.47 mL, 3 mmol) was added to a solution of triphenylphosphine (0.786 g, 3 mmol) in tetrahydrofuran (10 mL) under nitrogen atmosphere. The mixture was stirred for 15 minutes. To it was then added 4-(2- hydroxy-ethyl)-l,3-dihydro-indol-2-one (0.53 g, 3 mmol) (Hayler, J. D.; Howie, S. L. B.; Giles, R. G.; Negus, A.; Oxley, P. W.; et al; J. Heteocycl.
- Diethyl azodicarboxylate (1.58 mL, 10 mmol) was added to a solution of triphenylphosphine (2.62 g, 10 mmol) in tetrahydrofuran (20 mL) under nitrogen atmosphere. The mixture was stirred for 15 minutes. To it was then added 4-(2- hydroxy-ethyl)-l,3-dihydro-indol-2-one (1.77 g, 10 mmol) followed by 2- isopropylphenol (1.36 mL, 10 mmol). The mixture was stirred at room temperature for 18 hours and the solvent was evaporated.
- Diethyl azodicarboxylate (1.58 mL, 10 mmol) was added to a solution of triphenylphosphine (2.62 g, 10 mmol) in tetrahydrofuran (20 mL) under nitrogen atmosphere. The mixture was stirred for 15 minutes. To it was then added 4-(2- hydroxy-ethyl)-l,3-dihydro-indol-2-one (1.77 g, 10 mmol) followed by 3- phenylphenol (1.7 g, 10 mmol). The mixture was stirred at room temperature for one day and the solvent was evaporated.
- Tetrakis(triphenylphosphine)palladium(0) (0.24 g, 0.21 mmol) was added to a solution of 4-methoxy-3-bromobenzaldehyde (1.5 g, 6.98 mmol) in toluene (15 mL) and ethanol (15 mL), followed by a 2 M aqueous solution of sodium carbonate (14 mL, 28 mmol).
- thiophene-2-boronic acid 0.98 g, 7.68 mmol
- Phenyl isothiocyanate (0.45 mL, 3.75 mmol) was added dropwise to a stirred mixture of 4-(2-hydroxy-ethyl)-l,3-dihydro-indol-2-one (443 mg, 2.5 mmol) in tetrahydrofuran (5 mL). The mixture was stirred at room temperature for 20 hours and then 70 °C for 8 hours. One mL of dimethylforamide was added to the mixture to make it homogenous and the heating was continued for another 42 hours. The reaction was cooled, poured into 1 N sodium hydroxide solution (100 mL) and extracted with ethyl acetate (200 mL).
- Phenyl isocyanate (0.652 mL, 6 mmol) was added dropwise to a stirred mixture of 4-(2-hydroxy-ethyl)-l,3-dihydro-indol-2-one (709 mg, 4 mmol) in tetrahydrofur.an (8 mL), dimethylforamide (2 mL) and pyridine (3 drops). The mixture was heated at 70 °C for 15 hours. The reaction was cooled, poured into 1 N sodium hydroxide solution (100 mL) and extracted with ethyl acetate (200 mL). The organic layer was washed with 1 N hydrochloric acid (100 mL) and brine, dried over anhydrous sodium sulfate and concentrated.
- Eert-butyl isocyanate (0.685 mL, 6 mmol) was added dropwise to a stirred mixture of 4-(2-hydroxy-ethyl)-l,3-dihydro-indol-2-one (709 mg, 4 mmol) in tetrahydrofuran (8 mL), dimethylforamide (2 mL) and pyridine (3 drops). The mixture was heated at 70 °C for 15 hours and 80 °C for 39 hours. 0.457 mL of tert- butyl isocyanate was added to the reaction and continued to heat at 90 °C for 24 hours. More tert-butyl isocyanate (0.457 mL) was added and continued to heat at 90 °C for 37 hours.
- Cyclohexyl isocyanate (0.766 mL, 6 mmol) was added dropwise to a stirred mixture of 4-(2-hydroxy-ethyl)-l,3-dihydro-indol-2-one (709 mg, 4 mmol) in tetrahydrofuran (8 mL), dimethylforamide (2 mL) and pyridine (3 drops). The mixture was heated at 70 °C for 16 hours. 0.511 mL of cyclohexyl isocyanate was added to the reaction and continued to heat at 80 °C for 24 hours. More cyclohexyl isocyanate (0.255 mL) was added and continued to heat at 85 °C for 24 hours.
- Benzene sulfonyl isocyanate (1.07 mL, 8 mmol) was added dropwise to a stirred mixture of 4-(2-hydroxy-ethyl)-l,3-dihydro-indol-2-one (709 mg, 4 mmol) in tetrahydrofuran (8 mL), dimethylforamide (2 mL) and pyridine (3 drops) under nitrogen atmosphere. The mixture was heated at 80 °C for 15 hours. The reaction was cooled, poured into 1 N sodium hydroxide solution (100 mL) and extracted with ethyl acetate (200 mL).
- 2-Biphenylyl isocyanate (1.15 mL, 6.7 mmol) was added dropwise to a stirred mixture of 4-(2-hydroxy-ethyl)-l,3-dihydro-indol-2-one (709 mg, 4 mmol) in tetrahydrofuran (8 mL), dimethylforamide (2 mL) and pyridine (3 drops) under nitrogen atmosphere. The mixture was heated at 80 °C for 15 hours. The reaction was cooled, quenched with 1 N sodium hydroxide solution (100 mL) and extracted with ethyl acetate (200 mL). The organic layer was washed with brine, dried over anhydrous sodium sulfate and concentrated.
- Ethyl isocyanate (0.633 mL, 8 mmol) was added dropwise to a stirred mixture of 4-(2-hydroxy-ethyl)-l,3-dihydro-indol-2-one (709 mg, 4 mmol) in tetrahydrofuran (8 mL) and dimethylforamide (2 mL) under nitrogen atmosphere. The mixture was heated at 80 °C for 48 hours. The reaction was cooled, poured into water (100 mL) and extracted with ethyl acetate (200 mL). The organic layer was washed with brine, dried over anhydrous sodium sulfate and concentrated.
- Diethyl azodicarboxylate (0.47 mL, 3 mmol) was added to a solution of triphenylphosphine (0.786 g, 3 mmol) in tetrahydrofuran (10 mL) under nitrogen atmosphere. The mixture was stirred for 15 minutes. To it was then added 4-(2- hydroxy-ethyl)-l,3-dihydro-indol-2-one (0.53 g, 3 mmol) followed by 4- methoxyphenol (0.372 g, 3 mmol). The mixture was stirred at room temperature for 18 hours and the solvent was evaporated.
- Methyl iodide (1.41 g, 10 mmol) was added to a stirred mixture of silver trifluoromethanesulfonate (2.56 g, 10 mmol) and 4-(2-hydroxy-ethyl)-l,3-dihydro- indol-2-one (0.88 g, 5 mmol) in dichloromethane (20 mL) at 0 °C.
- the mixture was stirred at room temperature for 2 hours.
- the reaction mixture was diluted with dichloromethane and filtered through celite.
- Ethyl iodide (o.47 mL, 6 mmol) was added to a stirred mixture of silver trifluoromethanesulfonate (1.35 g, 5.2 mmol) 2,6-di-tert-butylpyridine (1 g, 5.2 mmol) and 4-(2-hydroxy-ethyl)-l,3-dihydro-indol-2-one (0.53 g, 3 mmol) in dichloromethane (10 mL) at 0 °C. The mixture was warmed to room temperature and stirred for 2 hours. The precipitate formed after 5-10 minutes changed color from yellow to brown.
- reaction mixture was diluted with dichloromethane (100 mL) and washed with 1 N hydrochloric acid, saturated sodium bicarbonate and brine, dried and concentrated. The residue was chromatographed on silica gel to give 180 mg (29%) of 4-(2-ethoxy-ethyl)-l,3-dihydro-indol-2-one as a pu ⁇ le oil.
- Diethyl azodicarboxylate (1.58 mL, 10 mmol) was added to a solution of triphenylphosphine (2.62 g, 10 mmol) in tetrahydrofuran (20 mL) under nitrogen atmosphere. The mixture was stirred for 15 minutes. To it was then added 4-(2- hydroxy-ethyl)-l,3-dihydro-indol-2-one (1.77 g, 10 mmol) followed by 4- isopropylphenol (1.36 g, 10 mmol). The mixture was stirred at room temperature for one day and the solvent was evaporated.
- Diethyl azodicarboxylate (1.74 g, 10 mmol) was added to a solution of triphenylphosphine (2.62 g, 10 mmol) in tetrahydrofuran (20 mL) under nitrogen atmosphere. The mixture was stirred for 15 minutes. To it was then added 4-(2- hydroxy-ethyl)-l,3-dihydro-indol-2-one (1.77 g, 10 mmol) followed by 5-chloro-3- pyridinol (1.29 g, 10 mmol). The mixture was stirred at room temperature for 2 days.
- in vitro assays may be used to determine the level of activity and effect of the different compounds of the present invention on one or more of the PKs. Similar assays can be designed along the same lines for any PK using techniques well known in the art.
- the cellular/catalytic assays described herein are performed in an ELISA format.
- the general procedure is a follows: a compound is introduced to cells expressing the test kinase, either naturally or recombinantly, for some period of time after which, if the test kinase is a receptor, a ligand known to activate the receptor is added. The cells are lysed and the lysate is transferred to the wells of an ELISA plate previously coated with a specific antibody recognizing the substrate of the enzymatic phosphorylation reaction. Non-substrate components of the cell lysate are washed away and the amount of phosphorylation on the substrate is detected with an antibody specifically recognizing phosphotyrosme compared with control cells that were not contacted with a test compound.
- the cellular/biologic assays described herein measure the amount of DNA made in response to activation of a test kinase, which is a general measure of a prohferative response.
- the general procedure for this assay is as follows: a compound is introduced to cells expressing the test kinase, either naturally or recombinantly, for some period of time after which, if the test kinase is a receptor, a ligand known to activate the receptor is added. After incubation at least overnight, a DNA labeling reagent such as Bromodeoxy-uridine (BrdU) or 3H-thymidine is added.
- a DNA labeling reagent such as Bromodeoxy-uridine (BrdU) or 3H-thymidine is added.
- Enzyme linked immunosorbent assays may be used to detect and measure the presence of PK activity.
- the ELISA may be conducted according to known protocols which are described in, for example, Voller, et al., 1980, "Enzyme- Linked Immunosorbent Assay," In: Manual of Clinical Immunology , 2d ed., edited by Rose and Friedman, pp 359-371 Am. Soc. Of Microbiology, Washington, D.C.
- the disclosed protocol may be adapted for determining activity with respect to a specific PK.
- An ELISA assay was conducted to measure the kinase activity of the FLK-1 receptor and more specifically, the inhibition or activation of TK activity on the FLK-1 receptor. Specifically, the following assay was conducted to measure kinase activity of the FLK-1 receptor in cells genetically engineered to express Flk-1.
- a. Corning 96-well ELISA plates (Corning Catalog No. 25805-96); b. Cappel goat anti-rabbit IgG (catalog no. 55641); c. PBS (Gibco Catalog No. 450-1300EB); d. TBSW Buffer (50 mM Tris (pH 7.2), 150 mM NaCl and 0.1% Tween-20); e. Ethanolamine stock (10% ethanolamine (pH 7.0), stored at 4 °C); f. HNTG buffer (20 mM HEPES buffer (pH 7.5), 150 mM NaCl, 0.2% Triton X-100, and 10% glycerol); g.
- EDTA 0.5 M (pH 7.0) as a 100X stock
- h Sodium orthovanadate (0.5 M as a 100X stock)
- i Sodium pyrophosphate (0.2 M as a 100X stock)
- j NUNC 96 well V bottom polypropylene plates (Applied Scientific Catalog
- DMEM with IX high glucose L-Glutamine (catalog No. 11965-050); m. FBS, Gibco (catalog no. 16000-028); n. L-glutamine, Gibco (catalog no. 25030-016);
- VEGF vascular endothelial growth factor
- PeproTech, Inc. catalog no. 100-20
- VEGF vascular endothelial growth factor
- p Affinity purified anti -FLK-1 antiserum
- q UB40 monoclonal antibody specific for phosphotyrosine (see, Fendley, et al, 1990, Cancer Research 50:1550-1558);
- r EIA grade Goat anti-mouse IgG-POD (BioRad catalog no. 172-1011); s.
- ABTS 2,2-azino-bis(3-ethylbenz-thiazoline-6-sulfonic acid
- solution should be stored in dark at 4 °C until ready for use; t. H 2 O 2 (30% solution) (Fisher catalog no. H325); u. ABTS/H 2 O, (15 mL ABTS solution, 2 ⁇ L H 2 O 2 ) prepared 5 minutes before use and left at room temperature; v. 0.2 M HC1 stock in H 2 O; w. dimethylsulfoxide (100%) (Sigma Catalog No. D-8418); and y. Trypsin-EDTA (Gibco BRL Catalog No. 25200-049).
- Assay 1 EGF Receptor-HER2 Chimeric Receptor Assay In Whole Cells.
- HER2 kinase activity in whole EGFR-NIH3T3 cells was measured as described below:
- EGF stock concentration: 16.5 ILM; EGF 201, TOYOBO, Co., Ltd. Japan.
- b. 05-101 (UBI) (a monoclonal antibody recognizing an EGFR extracellular domain).
- Anti-Ptyr Anti-phosphotyrosine antibody (anti-Ptyr) (polyclonal) (see, Fendley, et al, supra).
- Detection antibody Goat anti-rabbit IgG horse radish peroxidase conjugate,
- Coated plates are good for up to 10 days when stored at 4 °C. 2. On day of use, remove coating buffer and replace with 100 ⁇ L blocking buffer (5% Carnation Instant Non-Fat Dry Milk in PBS). Incubate the plate, shaking, at room temperature (about 23 °C to 25 °C) for 30 minutes. Just prior to use, remove blocking buffer and wash plate 4 times with TBST buffer.
- blocking buffer 5% Carnation Instant Non-Fat Dry Milk in PBS.
- An NIH3T3 cell line overexpressing a chimeric receptor containing the EGFR extracellular domain and intracellular HER2 kinase domain can be used for this assay.
- DMEM seeding medium
- seeding medium 0.5% bovine serum
- seed cells in DMEM medium (0.5% bovine serum) at a density of 10,000 cells per well, 100 ⁇ L per well, in a 96 well microtiter plate.
- EGF ligand dilute stock EGF in DMEM so that upon transfer of 10 ⁇ L dilute EGF (1 :12 dilution), 100 nM final concentration is attained.
- HNTG stock 2.0 mL milli-Q H 2 O 7.3 mL
- HNTG * to cells, 100 ⁇ L per well. Place on ice for 5 minutes. Meanwhile, remove blocking buffer from other ELISA plate and wash with TBST as described above. 6. With a pipette tip securely fitted to a micropipettor, scrape cells from plate and homogenize cell material by repeatedly aspirating and dispensing the HNTG * lysis buffer. Transfer lysate to a coated, blocked, and washed ELISA plate. Incubate shaking at room temperature for one hour.
- the maximal phosphotyrosme signal is determined by subtracting the value of the negative controls from the positive controls. The percent inhibition of phosphotyrosine content for extract-containing wells is then calculated, after subtraction of the negative controls.
- All cell culture media, glutamine, and fetal bovine serum were purchased from Gibco Life Technologies (Grand Island, NY) unless otherwise specified. All cells were grown in a humid atmosphere of 90-95% air and 5-10% CO, at 37 °C. All cell lines were routinely subcultured twice a week and were negative for mycoplasma as determined by the Mycotect method (Gibco).
- cells (U1242, obtained from Joseph Schlessinger, NYU) were grown to 80-90% confluency in growth medium (MEM with 10% FBS, NEAA, 1 mM NaPyr and 2 mM GLN) and seeded in 96-well tissue culture plates in 0.5% serum at 25,000 to 30,000 cells per well. After overnight incubation in 0.5% serum-containing medium, cells were changed to serum-free medium and treated with test compound for 2 hr in a 5% CO,, 37 °C incubator.
- Cells were then stimulated with ligand for 5-10 minute followed by lysis with HNTG (20 mM Hepes, 150 mM NaCl, 10% glycerol, 5 mM EDTA, 5 mM Na 3 VO 4 , 0.2% Triton X- 100, and 2 mM NaPyr).
- HNTG 20 mM Hepes, 150 mM NaCl, 10% glycerol, 5 mM EDTA, 5 mM Na 3 VO 4 , 0.2% Triton X- 100, and 2 mM NaPyr.
- Cell lysates (0.5 mg/well in PBS) were transferred to ELISA plates previously coated with receptor-specific antibody and which had been blocked with 5% milk in TBST (50 mM Tris-HCl pH 7.2, 150 mM NaCl and 0.1% Triton X-100) at room temperature for 30 min. Lysates were incubated with shaking for 1 hour at room temperature.
- the plates were washed with TBST four times and then incubated with polyclonal anti-phosphotyrosine antibody at room temperature for 30 minutes. Excess anti-phosphotyrosine antibody was removed by rinsing the plate with TBST four times. Goat anti-rabbit IgG antibody was added to the ELISA plate for 30 min at room temperature followed by rinsing with TBST four more times.
- ABTS 100 mM citric acid, 250 mM Na,HPO 4 and 0.5 mg/mL 2,2'-azino- bis(3-ethylbenzthiazoline-6-sulfonic acid) plus H,O 2 (1.2 mL 30% H,O, to 10 mL ABTS) was added to the ELISA plates to start color development. Absorbance at 410 nm with a reference wavelength of 630 nm was recorded about 15 to 30 min after ABTS addition.
- the following protocol may be used to measure phosphotyrosine level on IGF-I receptor, which indicates IGF-I receptor tyrosine kinase activity.
- the following materials and reagents were used: a.
- the cell line used in this assay is 3T3/IGF-1R, a cell line genetically engineered to overexpresses IGF-1 receptor.
- b. NIH3T3/IGF-1R is grown in an incubator with 5% CO, at 37 °C. The growth media is DMEM + 10% FBS (heat inactivated)+ 2 mM L-glutamine.
- D-PBS D-PBS:
- Blocking Buffer TBST plus 5% Milk (Carnation Instant Non-Fat Dry Milk).
- TBST buffer NaCl 150 mM (pH 7.2/HC1 10 N)
- Triton X-100 0.2% Stock solution (5X) is prepared and kept at 4 °C.
- EDTA/HC1 0.5 M pH 7.0 (NaOH) as 100X stock.
- Na 3 VO 4 0.5 M as 100X stock and aliquots are kept in -80 °C.
- Na 4 P 2 O 7 0.2 M as 100X stock.
- Insulin-like growth factor- 1 from Promega (Cat# G5111).
- ABTS solution should be kept in dark and 4°C. The solution should be discarded when it turns green.
- All the following steps are conducted at room temperature unless it is specifically indicated. All ELISA plate washings are performed by rinsing the plate with tap water three times, followed by one TBST rinse. Pat plate dry with paper towels.
- the cells grown in tissue culture dish (Coming 25020-100) to 80-90% confluence, are harvested with Trypsin-EDTA (0.25%, 0.5 mL/D-100, GIBCO).
- EXAMPLE 6 EGF Receptor ELISA
- EGF Receptor kinase activity in cells genetically engineered to express human EGF-R was measured as described below:
- UBI 05-101
- Anti-phosphotyosine antibody anti-Ptyr
- Detection antibody Goat anti-rabbit IgG horse radish peroxidase conjugate, TAGO, Inc., Burlingame, CA.
- NIH 3T3/C7 cell line (Honegger, et al, Cell 51 :199-209, 1987) can be use for this assay.
- 2. Choose dishes having 80-90% confluence for the experiment. Trypsinize cells and stop reaction by adding 10% CS DMEM medium. Suspend cells in DMEM medium (10% CS DMEM medium) and centrifuge once at 1000 ⁇ m at room temperature for 5 minutes.
- DMEM seeding medium
- seeding medium 0.5% bovine serum
- seed cells in DMEM medium (0.5% bovine serum) at a density of 10,000 cells per well, 100 ⁇ L per well, in a 96 well microtiter plate.
- EGF ligand dilute stock EGF in DMEM so that upon transfer of 10 ⁇ L dilute EGF (1 : 12 dilution), 25 nM final concentration is attained.
- HNTG * comprises: HNTG stock (2.0 mL), milli-Q H 2 O (7.3 mL), EDTA, 100 mM, pH 7.0 (0.5 mL), Na 3 VO 4 0.5 M (0.1 mL) and Na 4 (P 2 O 7 ), 0.2 M (0.1 mL).
- Ptyr antibody to ELISA plate at 100 ⁇ L per well. Incubate shaking at room temperature for 30 minutes in the presence of the anti-Ptyr antiserum (1 :3000 dilution in TBST).
- the maximal phosphotyrosme signal is determined by subtracting the value of the negative controls from the positive controls. The percent inhibition of phosphotyrosine content for extract-containing wells is then calculated, after subtraction of the negative controls.
- This assay determines Met tyrosine kinase activity by analyzing Met protein tyrosine kinase levels on the Met receptor.
- HNTG (5X stock solution) : Dissolve 23.83 g HEPES and 43.83 g NaCl in about 350 mL dH,O. Adjust pH to 7.2 with HCl or NaOH, add 500 mL glycerol and
- MilliQ H,O adjust pH to 7.5 (or 7.2) with HCl , bring volume to 1 L with MilliQ H,O. k. NaCl, Fischer Cat. # S271 - 10, make up 5 M solution.
- EMR Transiently Transfected EGFR/Met chimeric cells
- EMR Lysis This procedure can be performed the night before or immediately prior to the start of receptor capture.
- Dilute compounds/extracts 1 10 in IX Kinase Buffer in a polypropylene 96 well plate.
- Test Filter 450 nm
- reference filter 410 nm.
- This assay is used to determine src protein kinase activity measuring phosphorylation of a biotinylated peptide as the readout.
- Yeast transformed with src a.
- Cell lysates Yeast cells expressing src are pelleted, washed once with water, re -pelleted and stored at -80 °C until use.
- N-terminus biotinylated EEEYEEYEEEYEEEYEEEY is prepared by standard procedures well known to those skilled in the art.
- DMSO Sigma, St. Louis, MO.
- 96 Well ELISA Plate Corning 96 Well Easy Wash, Modified flat Bottom
- Pombe strain SP200 (h-s leul.32 ura4 ade210) was grown as described and transformations were pRSP expression plasmids were done by the lithium acetate method (Superti-Furga, supra). Cells were grown in the presence of 1 ⁇ M thiamine to repress expression from the nmtl promoter or in the absence of thiamine to induce expression.
- i Monoclonal anti-phosphotyrosine, UBI 05-321 (UB40 may be used instead)
- j. Turbo TMB-ELISA peroxidase substrate Pierce Chemical.
- Buffer Solutions a. PBS (Dulbecco's Phosphate-Buffered Saline): GIBCO PBS, GIBCO Cat. # 450-1300EB. b. Blocking Buffer: 5% Non-fat milk (Carnation) in PBS. c. Carbonate Buffer: Na,CO 4 from Fischer, Cat. # S495, make up 100 mM stock solution. d. Kinase Buffer: 1.0 mL (from 1 M stock solution) MgCl,; 0.2 mL (from a 1
- Lysis Buffer 5.0 HEPES (from 1 M stock solution.); 2.74 mL NaCl (from 5 M stock solution); 10 mL glycerol; 1.0 mL TX-100; 0.4 mL EDTA (from a 100 mM stock solution); 1.0 mL PMSF (from a 100 mM stock solution); 0.1 mL Na 3 VO 4 (from a 0.1 M stock solution); bring to 100 mL total volume with MilliQ H,O. f. ATP: Sigma Cat. # A-7699, make up 10 mM stock solution (5.51 mg/mL).
- TRIS-HC1 Fischer Cat.
- MgCl Fischer Cat. # M33-500, make up 1 M stock solution with MilliQ
- H,O. k. HEPES Fischer Cat. # BP 310-500; to 200 mL MilliQ H 2 O, add 59.6 g material, adjust pH to 7.5, bring to 250 mL total volume with MilliQ H,O, sterile filter (1 M stock solution).
- TBST Buffer To 900 mL dH,O add 6.057 g TRIS and 8.766 g NaCl; adjust pH to 7.2 with HCl, add 1.0 mL Triton-XlOO; bring to 1 L total volume with dH 2 O. m. MnCl 2 : Fischer Cat. # M87-100, make up 1 M stock solution with MilliQ
- 4G10 plate coat 0.5 ⁇ g/well 4G10 in 100 ⁇ L PBS overnight at 4 °C and block with 150 ⁇ L of 5% milk in PBS for 30 minutes at room temperature. c. Kinase assay procedure.
- This assay is used to determine lck protein kinase activities measuring phosphorylation of GST- ⁇ as the readout.
- Yeast transformed with lck Schizosaccharomyces Pombe was used to express recombinant Lck (Superti-Furga, et al., EMBO J, 12:2625-2634; Superti- Furga, et al., Nature Biotech., 14:600-605).
- S. Pombe strain SP200 h-s leul.32 ura4 ade210 was grown as described and transformations with pRSP expression plasmids were done by the lithium acetate method (Superti-Furga, supra). Cells were grown in the presence of 1 ⁇ M thiamine to induce expression.
- Cell lysates Yeast cells expressing lck are pelleted, washed once in water, re-pelleted and stored frozen at -80 °C until use.
- GST- ⁇ DNA encoding for GST- ⁇ fusion protein for expression in bacteria obtained from Arthur Weiss of the Howard Hughes Medical Institute at the University of California, San Francisco. Transformed bacteria were grown overnight while shaking at 25 °C. GST- ⁇ was purified by glutathione affinity chromatography, Pharmacia, Alameda, CA. d. DMSO: Sigma, St. Louis, MO. e. 96-Well ELISA plate: Corning 96 Well Easy Wash, Modified Flat Bottom
- Buffer solutions a. PBS (Dulbecco's Phosphate-Buffered Saline) IX solution: GIBCO PBS, GIBCO Cat. # 450-1300EB. b. Blocking Buffer: 100 g. BSA, 12.1 g. TRIS-pH7.5, 58.44 g NaCl, 10 mL Tween-20, bring up to 1 L total volume with MilliQ H,O. c. Carbonate Buffer: Na,CO 4 from Fischer, Cat. # S495; make up 100 mM solution with MilliQ H 2 O. d.
- PBS Dynabecco's Phosphate-Buffered Saline
- IX solution GIBCO PBS, GIBCO Cat. # 450-1300EB.
- Blocking Buffer 100 g. BSA, 12.1 g. TRIS-pH7.5, 58.44 g NaCl, 10 mL Tween-20, bring up to 1 L total volume with MilliQ
- Kinase Buffer 1.0 mL (from 1 M stock solution) MgCl 2 ; 0.2 mL (from a 1 M stock solution) MnCl 2 ; 0.2 mL (from a 1 M stock solution) DTT; 5.0 mL (from a 1 M stock solution) HEPES; 0.1 mL TX-100; bring to 10 mL total volume with MilliQ H,O. e.
- Lysis Buffer 5.0 HEPES (from 1 M stock solution.); 2.74 mL NaCl (from 5 M stock solution); 10 mL glycerol; 1.0 mL TX-100; 0.4 mL EDTA (from a 100 mM stock solution); 1.0 mL PMSF (from a 100 mM stock solution); 0.1 mL Na 3 VO 4 (from a 0.1 M stock solution); bring to 100 mL total volume with MilliQ H 2 O.
- f. ATP Sigma Cat. # A-7699, make up 10 mM stock solution (5.51 mg/mL).
- g TRIS-HC1 Fischer Cat.
- H,O. i. Na 3 VO 4 Fischer Cat. # S454-50; to 80 mL MilliQ H,O, add 1.8 g material; adjust pH to 10.0 with HCl or NaOH; boil in a microwave; cool; check pH, repeat pH adjustment until pH remains stable after heating/cooling cycle; bring to 100 mL total volume with MilliQ H,O; make 1 mL aliquots and store at -80 °C. j. MgCl 2 : Fischer Cat. # M33-500, make up 1 M stock solution with MilliQ H,O. k.
- HEPES Fischer Cat. # BP 310-500; to 200 mL MilliQ H 2 O, add 59.6 g material, adjust pH to 7.5, bring to 250 mL total volume with MilliQ H,O, sterile filter (1 M stock solution).
- TBS TriS Buffered Saline
- q Kinase Reaction Mixture Amount per assay plate (100 wells): 1.0 mL Kinase Buffer, 200 ⁇ g GST- ⁇ , bring to final volume of 8.0 mL with MilliQ H 2 O.
- UB40 plate 1.0 ⁇ g/well UB40 in 100 L of PBS overnight at 4 °C and block with 150 ⁇ L of Blocking Buffer for at least 1 hour, c. Kinase assay procedure.
- RAF RAF-catalyzed phosphorylation of its target protein MEK as well as MEK's target MAPK.
- the RAF gene sequence is described in Bonner et al., 1985, Molec. Cell. Biol. 5: 1400-1407, and is readily accessible in multiple gene sequence data banks. Construction of the nucleic acid vector and cell lines utilized for this portion of the invention are fully described in Morrison et al, 1988, Proc. Natl Acad. Set USA 85: 8855-8859.
- Sf9 Spodopterafrugiperda cells
- GIBCO-BRL Gaithersburg, MD.
- RIPA buffer 20 mM Tris/HCl pH 7.4, 137 mM NaCl, 10% glycerol, 1 mM PMSF, 5 mg/L Aprotenin, 0.5 % Triton X-100;
- T-MEK Thioredoxin-MEK fusion protein
- His-MAPK (ERK 2); His-tagged MAPK was expressed in XL1 Blue cells transformed with pUCl 8 vector encoding His-MAPK. His-MAPK was purified by Ni-affinity chromatography. Cat# 27-4949-01, Pharmacia, Alameda, CA, as described herein.
- RAF-1 protein kinase specific antibody URP2653 from UBI.
- Coating buffer PBS; phosphate buffered saline, GIBCO-BRL, Gaithersburg, MD
- wash buffer 50 mM Tris/HCL pH 7.2, 150 mM NaCl, 0.1 % Triton X-100
- Block buffer TBST, 0.1 % ethanolamine pH 7.4
- Kinase buffer 20 mM HEPES/HCl pH 7.2, 150 mM NaCl, 0.1 % Triton X-100, 1 mM PMSF, 5 mg/L Aprotenin, 75 mM sodium ortho vanadate, 0.5 MM DTT and 10 mM MgCl,.
- ATP mix 100 mM MgCl 2 , 300 mM ATP, 10 mCi 33 P ATP (Dupont- NEN)/mL.
- Stop solution 1 % phosphoric acid; Fisher, Pittsburgh, PA. 14. Wallac Cellulose Phosphate Filter mats; Wallac, Turku, Finnland.
- Filter wash solution 1 % phosphoric acid, Fisher, Pittsburgh, PA.
- ELISA plate coating ELISA wells are coated with 100 mL of Sheep anti mouse affinity purified antiserum (1 mg/100 mL coating buffer) over night at 4 °C.
- ELISA plates can be used for two weeks when stored at 4 °C.
- Lysates from RAS/RAF infected Sf9 insect cells are prepared after cells are infected with recombinant baculoviruses at a MOI of 5 for each virus, and harvested 48 hours later. The cells are washed once with PBS and lysed in RIP A buffer. Insoluble material is removed by centrifugation (5 min at 10 000 x g). Aliquots of lysates are frozen in dry ice/ethanol and stored at -80 °C until use.
- 40 mL aliquots from individual wells of the assay plate can be transfe ⁇ ed to the corresponding positions on the phosphocellulose filter mat.
- After air drying the filters put the filters in a tray. Gently rock the tray, changing the wash solution at 15 min intervals for 1 hour. Air-dry the filter mats. Seal the filter mats and place them in a holder suitable for measuring the radioactive phosphorous in the samples. Insert the holder into a detection device and quantify the radioactive phosphorous on the filter mats.
- This assay analyzes the protein kinase activity of CDK2 in exogenous substrate.
- ATP solution 60 ⁇ M ATP, 300 g/mL BSA, 3 mM DTT: 120 ⁇ L 10 mM ATP, 600 ⁇ L 10 mg/mL BSA to 20 mL, stored in 1 mL aliquots at -80 °C.
- CDK2 solution cdk2/cyclin A in 10 mM HEPES pH 7.2, 25 mM NaCl, o.5 mM DTT, 10% glycerol, stored in 9 ⁇ L aliquots at -80 °C.
Landscapes
- Health & Medical Sciences (AREA)
- Chemical & Material Sciences (AREA)
- Organic Chemistry (AREA)
- General Health & Medical Sciences (AREA)
- Public Health (AREA)
- Veterinary Medicine (AREA)
- Chemical Kinetics & Catalysis (AREA)
- General Chemical & Material Sciences (AREA)
- Medicinal Chemistry (AREA)
- Nuclear Medicine, Radiotherapy & Molecular Imaging (AREA)
- Pharmacology & Pharmacy (AREA)
- Life Sciences & Earth Sciences (AREA)
- Animal Behavior & Ethology (AREA)
- Engineering & Computer Science (AREA)
- Bioinformatics & Cheminformatics (AREA)
- Diabetes (AREA)
- Immunology (AREA)
- Heart & Thoracic Surgery (AREA)
- Rheumatology (AREA)
- Cardiology (AREA)
- Emergency Medicine (AREA)
- Vascular Medicine (AREA)
- Endocrinology (AREA)
- Urology & Nephrology (AREA)
- Obesity (AREA)
- Pain & Pain Management (AREA)
- Hematology (AREA)
- Dermatology (AREA)
- Orthopedic Medicine & Surgery (AREA)
- Physical Education & Sports Medicine (AREA)
- Pharmaceuticals Containing Other Organic And Inorganic Compounds (AREA)
- Plural Heterocyclic Compounds (AREA)
- Indole Compounds (AREA)
Abstract
Description
Claims
Priority Applications (4)
| Application Number | Priority Date | Filing Date | Title |
|---|---|---|---|
| CA002368041A CA2368041A1 (en) | 1999-03-24 | 2000-03-22 | Indolinone compounds as kinase inhibitors |
| AU37700/00A AU3770000A (en) | 1999-03-24 | 2000-03-22 | Indolinone compounds as kinase inhibitors |
| JP2000606571A JP2002540096A (en) | 1999-03-24 | 2000-03-22 | Indolinone compounds as kinase inhibitors |
| EP00916622A EP1165513A1 (en) | 1999-03-24 | 2000-03-22 | Indolinone compounds as kinase inhibitors |
Applications Claiming Priority (8)
| Application Number | Priority Date | Filing Date | Title |
|---|---|---|---|
| US12594599P | 1999-03-24 | 1999-03-24 | |
| US60/125,945 | 1999-03-24 | ||
| US12786399P | 1999-04-05 | 1999-04-05 | |
| US60/127,863 | 1999-04-05 | ||
| US13119299P | 1999-04-26 | 1999-04-26 | |
| US60/131,192 | 1999-04-26 | ||
| US13224399P | 1999-05-03 | 1999-05-03 | |
| US60/132,243 | 1999-05-03 |
Publications (1)
| Publication Number | Publication Date |
|---|---|
| WO2000056709A1 true WO2000056709A1 (en) | 2000-09-28 |
Family
ID=27494607
Family Applications (1)
| Application Number | Title | Priority Date | Filing Date |
|---|---|---|---|
| PCT/US2000/007704 Ceased WO2000056709A1 (en) | 1999-03-24 | 2000-03-22 | Indolinone compounds as kinase inhibitors |
Country Status (5)
| Country | Link |
|---|---|
| EP (1) | EP1165513A1 (en) |
| JP (1) | JP2002540096A (en) |
| AU (1) | AU3770000A (en) |
| CA (1) | CA2368041A1 (en) |
| WO (1) | WO2000056709A1 (en) |
Cited By (29)
| Publication number | Priority date | Publication date | Assignee | Title |
|---|---|---|---|---|
| WO2001037820A3 (en) * | 1999-11-24 | 2001-12-13 | Sugen Inc | Ionizable indolinone derivatives and their use as ptk ligands |
| WO2001045689A3 (en) * | 1999-12-22 | 2002-01-03 | Sugen Inc | Indolinone derivatives for modulation of c-kit tyrosine protein kinase |
| WO2002002551A1 (en) * | 2000-06-30 | 2002-01-10 | Sugen, Inc. | 4-heteroaryl-3-heteroarylidenyl-2-indolinones and their use as protein kinase inhibitors |
| WO2001094312A3 (en) * | 2000-06-02 | 2002-08-08 | Sugen Inc | Indolinone derivatives as protein kinase/phosphatase inhibitors |
| US6451838B1 (en) | 2000-05-24 | 2002-09-17 | Pharmacia & Upjohn Company | 1-(pyrrolidin-1-ylmethyl)-3-(pyrrol-2-ylmethylidene)-2-indolinone derivatives |
| US6525072B1 (en) | 1998-08-31 | 2003-02-25 | Sugen, Inc. | Geometrically restricted 2-indolinone derivatives as modulators of protein kinase activity |
| US6569868B2 (en) | 1998-04-16 | 2003-05-27 | Sugen, Inc. | 2-indolinone derivatives as modulators of protein kinase activity |
| US6599902B2 (en) | 2001-05-30 | 2003-07-29 | Sugen, Inc. | 5-aralkysufonyl-3-(pyrrol-2-ylmethylidene)-2-indolinone derivatives as kinase inhibitors |
| WO2003002105A3 (en) * | 2001-06-29 | 2003-08-28 | Ab Science | Use of tyrosine kinase inhibitors for treating bone loss |
| WO2003051838A3 (en) * | 2001-12-13 | 2003-09-18 | Abbott Lab | Protein kinase inhibitors |
| WO2003002108A3 (en) * | 2001-06-29 | 2003-09-25 | Ab Science | Use of tyrosine kinase inhibitors for treating inflammatory diseases |
| US6797825B2 (en) | 2001-12-13 | 2004-09-28 | Abbott Laboratories | Protein kinase inhibitors |
| US6831175B2 (en) | 2001-12-13 | 2004-12-14 | Abbott Laboratories | Kinase inhibitors |
| US6878733B1 (en) | 1999-11-24 | 2005-04-12 | Sugen, Inc. | Formulations for pharmaceutical agents ionizable as free acids or free bases |
| WO2006064044A1 (en) * | 2004-12-17 | 2006-06-22 | Boehringer Ingelheim International Gmbh | Indolinones and their use as antiproliferative agents |
| US7105563B2 (en) | 2003-10-24 | 2006-09-12 | Schering Aktiengesellschaft | Indolinone derivatives and their use in treating disease-states such as cancer |
| US7125905B2 (en) | 2000-02-15 | 2006-10-24 | Agouron Pharmaceuticals, Inc. | Pyrrole substituted 2-indolinone protein kinase inhibitors |
| US7179910B2 (en) | 2001-02-15 | 2007-02-20 | Agouron Pharmaceuticals, Inc. | 3-(4-amidopyrrol-2-ylmethlidene)-2-indolinone derivatives as protein kinase inhibitors |
| US7186745B2 (en) | 2001-03-06 | 2007-03-06 | Astrazeneca Ab | Indolone derivatives having vascular damaging activity |
| US7626031B2 (en) | 2002-11-15 | 2009-12-01 | Symphony Evolution, Inc. | Substituted 3-(diarylmethylene)indolin-2-ones and methods of their use |
| US7678805B2 (en) | 2001-06-29 | 2010-03-16 | Ab Science | Use of tyrosine kinase inhibitors for treating inflammatory bowel diseases (IBD) |
| US7700610B2 (en) | 2001-06-29 | 2010-04-20 | Ab Science | Use of tyrosine kinase inhibitors for treating allergic diseases |
| US7727731B2 (en) | 2001-06-29 | 2010-06-01 | Ab Science | Potent, selective and non toxic c-kit inhibitors |
| WO2010115279A1 (en) | 2009-04-06 | 2010-10-14 | University Health Network | Kinase inhibitors and method of treating cancer with same |
| US8481533B2 (en) | 2010-04-06 | 2013-07-09 | University Health Network | Kinase inhibitors and method of treating cancer |
| WO2014040969A1 (en) | 2012-09-13 | 2014-03-20 | F. Hoffmann-La Roche Ag | 2-oxo-2,3-dihydro-indoles for the treatment of cns disorders |
| US8765748B2 (en) | 2007-12-21 | 2014-07-01 | University Health Network | Indazolyl, benzimidazolyl, benzotriazolyl substituted indolinone derivatives as kinase inhibitors useful in the treatment of cancer |
| CN105037243A (en) * | 2015-06-28 | 2015-11-11 | 贵州大学 | Paclitaxel side-chain phenyl serine derivative, and preparation method and application thereof |
| US20160250220A1 (en) | 2013-10-18 | 2016-09-01 | University Health Network | Treatment for pancreatic cancer |
Citations (14)
| Publication number | Priority date | Publication date | Assignee | Title |
|---|---|---|---|---|
| US3308134A (en) * | 1965-10-22 | 1967-03-07 | Mcneilab Inc | Spiro(indan-2, 3'-indoline)-1, 2'-diones |
| FR1599772A (en) * | 1968-09-17 | 1970-07-20 | ||
| EP0304493A1 (en) * | 1987-03-11 | 1989-03-01 | Kanegafuchi Kagaku Kogyo Kabushiki Kaisha | Hydroxystyrene derivatives |
| WO1991013055A2 (en) * | 1990-02-28 | 1991-09-05 | Farmitalia Carlo Erba S.R.L. | New aryl- and heteroarylethenylene derivatives and process for their preparation |
| WO1993001182A1 (en) * | 1991-07-12 | 1993-01-21 | Farmitalia Carlo Erba Srl | Methylen-oxindole derivatives and process for their preparation |
| WO1994014808A1 (en) * | 1992-12-23 | 1994-07-07 | Farmitalia Carlo Erba Srl | Vinylene-azaindole derivatives and process for their preparation |
| WO1995001349A1 (en) * | 1993-07-01 | 1995-01-12 | Pharmacia S.P.A. | Arylidene and heteroarylidene oxindole derivatives as tyrosine kinase inhibitors |
| WO1996022976A1 (en) * | 1995-01-26 | 1996-08-01 | Pharmacia S.P.A. | Hydrosoluble 3-arylidene-2-oxindole derivatives as tyrosine kinase inhibitors |
| WO1996032380A1 (en) * | 1995-04-07 | 1996-10-17 | Pharmacia & Upjohn S.P.A. | Substituted indolylmethylene-oxindole analogues as tyrosine kinase inhibitors |
| WO1996040116A1 (en) * | 1995-06-07 | 1996-12-19 | Sugen, Inc. | Indolinone compounds for the treatment of disease |
| WO1998007695A1 (en) * | 1996-08-23 | 1998-02-26 | Sugen, Inc. | Indolinone combinatorial libraries and related products and methods for the treatment of disease |
| WO1998024432A2 (en) * | 1996-12-05 | 1998-06-11 | Sugen, Inc. | Use of indolinone compounds as modulators of protein kinases |
| WO1998050356A1 (en) * | 1997-05-07 | 1998-11-12 | Sugen, Inc. | 2-indolinone derivatives as modulators of protein kinase activity |
| WO1999010325A1 (en) * | 1997-08-06 | 1999-03-04 | Glaxo Group Limited | Benzylidene-1,3-dihydro-indol-2-one derivatives as receptor tyrosine kinase inhibitors, particularly of raf kinases |
-
2000
- 2000-03-22 WO PCT/US2000/007704 patent/WO2000056709A1/en not_active Ceased
- 2000-03-22 JP JP2000606571A patent/JP2002540096A/en not_active Withdrawn
- 2000-03-22 AU AU37700/00A patent/AU3770000A/en not_active Abandoned
- 2000-03-22 EP EP00916622A patent/EP1165513A1/en not_active Withdrawn
- 2000-03-22 CA CA002368041A patent/CA2368041A1/en not_active Abandoned
Patent Citations (15)
| Publication number | Priority date | Publication date | Assignee | Title |
|---|---|---|---|---|
| US3308134A (en) * | 1965-10-22 | 1967-03-07 | Mcneilab Inc | Spiro(indan-2, 3'-indoline)-1, 2'-diones |
| FR1599772A (en) * | 1968-09-17 | 1970-07-20 | ||
| EP0304493A1 (en) * | 1987-03-11 | 1989-03-01 | Kanegafuchi Kagaku Kogyo Kabushiki Kaisha | Hydroxystyrene derivatives |
| WO1991013055A2 (en) * | 1990-02-28 | 1991-09-05 | Farmitalia Carlo Erba S.R.L. | New aryl- and heteroarylethenylene derivatives and process for their preparation |
| WO1993001182A1 (en) * | 1991-07-12 | 1993-01-21 | Farmitalia Carlo Erba Srl | Methylen-oxindole derivatives and process for their preparation |
| WO1994014808A1 (en) * | 1992-12-23 | 1994-07-07 | Farmitalia Carlo Erba Srl | Vinylene-azaindole derivatives and process for their preparation |
| WO1995001349A1 (en) * | 1993-07-01 | 1995-01-12 | Pharmacia S.P.A. | Arylidene and heteroarylidene oxindole derivatives as tyrosine kinase inhibitors |
| WO1996022976A1 (en) * | 1995-01-26 | 1996-08-01 | Pharmacia S.P.A. | Hydrosoluble 3-arylidene-2-oxindole derivatives as tyrosine kinase inhibitors |
| WO1996032380A1 (en) * | 1995-04-07 | 1996-10-17 | Pharmacia & Upjohn S.P.A. | Substituted indolylmethylene-oxindole analogues as tyrosine kinase inhibitors |
| WO1996040116A1 (en) * | 1995-06-07 | 1996-12-19 | Sugen, Inc. | Indolinone compounds for the treatment of disease |
| US5792783A (en) * | 1995-06-07 | 1998-08-11 | Sugen, Inc. | 3-heteroaryl-2-indolinone compounds for the treatment of disease |
| WO1998007695A1 (en) * | 1996-08-23 | 1998-02-26 | Sugen, Inc. | Indolinone combinatorial libraries and related products and methods for the treatment of disease |
| WO1998024432A2 (en) * | 1996-12-05 | 1998-06-11 | Sugen, Inc. | Use of indolinone compounds as modulators of protein kinases |
| WO1998050356A1 (en) * | 1997-05-07 | 1998-11-12 | Sugen, Inc. | 2-indolinone derivatives as modulators of protein kinase activity |
| WO1999010325A1 (en) * | 1997-08-06 | 1999-03-04 | Glaxo Group Limited | Benzylidene-1,3-dihydro-indol-2-one derivatives as receptor tyrosine kinase inhibitors, particularly of raf kinases |
Non-Patent Citations (16)
| Title |
|---|
| DATABASE CHEMABS [online] CHEMICAL ABSTRACTS SERVICE, COLUMBUS, OHIO, US; ANDREANI, ALDO ET AL: "Synthesis and cardiotonic activity of 2-indolinones", XP002142540, retrieved from STN Database accession no. 113:78106 CA * |
| DATABASE CHEMABS [online] CHEMICAL ABSTRACTS SERVICE, COLUMBUS, OHIO, US; DECODTS, GUY ET AL: "Suicide inhibitors of proteases. Lack of activity of halomethyl derivatives of some aromatic lactams", XP002142541, retrieved from STN Database accession no. 99:38344 CA * |
| DATABASE CHEMABS [online] CHEMICAL ABSTRACTS SERVICE, COLUMBUS, OHIO, US; HAYLER, JOHN D. ET AL: "Development of Large-Scale Syntheses of Ropinirole in the Pursuit of a Manufacturing Process", XP002142546, retrieved from STN Database accession no. 128:24223 CA * |
| DATABASE CHEMABS [online] CHEMICAL ABSTRACTS SERVICE, COLUMBUS, OHIO, US; HIRAO, KOJIRO ET AL: "Rhodium-catalyzed carbonylation of 2-alkynylanilines: syntheses of 1,3-dihydroindol-2-ones", XP002142539, retrieved from STN Database accession no. 123:339615 CA * |
| DATABASE CHEMABS [online] CHEMICAL ABSTRACTS SERVICE, COLUMBUS, OHIO, US; KIKUMOTO, RYOJI ET AL: "Reactions of oxindoles and isatin with nitrobenzyl chlorides. Formation of 2'-hydroxyspiro[2H-indole-2,3'-3'H-indole]", XP002142545, retrieved from STN Database accession no. 66:2434 CA * |
| DATABASE CHEMABS [online] CHEMICAL ABSTRACTS SERVICE, COLUMBUS, OHIO, US; LAL, B. ET AL: "Novel diuretic agents. Syntheses of substituted isatylidenes and 3-alkyl or 3-arylalkyl-2-oxindoles", XP002142543, retrieved from STN Database accession no. 84:121586 CA * |
| DATABASE CHEMABS [online] CHEMICAL ABSTRACTS SERVICE, COLUMBUS, OHIO, US; POO AN THIO ET AL: "Interconversion of 2-(2-aminophenyl)-3-piperolidinone and 3-(2-piperidylmethyl)-2-indolinone. Reversible N.dbr.N' transacylation", XP002142544, retrieved from STN Database accession no. 75:140621 CA * |
| DATABASE CHEMABS [online] CHEMICAL ABSTRACTS SERVICE, COLUMBUS, OHIO, US; SAINSBURY, MALCOLM ET AL: "Electrochemical oxidation of aromatic ethers. Part 5. Further studies of the coupling reactions of alkoxylated aralkyl and aryl amides", XP002142542, retrieved from STN Database accession no. 91:73929 CA * |
| EUR. J. MED. CHEM. - CHIM. THER. (1983), 18(2), 107-11, 1983 * |
| EUR. J. MED. CHEM. (1990), 25(2), 187-90, 1990 * |
| INDIAN J. CHEM. (1975), 13(9), 898-903, 1975 * |
| J. CHEM. SOC., PERKIN TRANS. 1 (1979), (1), 108-14, 1979 * |
| J. HETEROCYCL. CHEM. (1971), 8(3), 479-82, 1971 * |
| ORG. PROCESS RES. DEV. (1998), 2(1), 3-9, 1998 * |
| TETRAHEDRON (1966), 22(10), 3337-43, 1966 * |
| TETRAHEDRON LETT. (1995), 36(35), 6243-6, 1995 * |
Cited By (57)
| Publication number | Priority date | Publication date | Assignee | Title |
|---|---|---|---|---|
| US6569868B2 (en) | 1998-04-16 | 2003-05-27 | Sugen, Inc. | 2-indolinone derivatives as modulators of protein kinase activity |
| US6642251B1 (en) | 1998-08-31 | 2003-11-04 | Sugen, Inc. | Geometrically restricted 2-indolinone derivatives as modulators of protein kinase activity |
| US6525072B1 (en) | 1998-08-31 | 2003-02-25 | Sugen, Inc. | Geometrically restricted 2-indolinone derivatives as modulators of protein kinase activity |
| US6878733B1 (en) | 1999-11-24 | 2005-04-12 | Sugen, Inc. | Formulations for pharmaceutical agents ionizable as free acids or free bases |
| WO2001037820A3 (en) * | 1999-11-24 | 2001-12-13 | Sugen Inc | Ionizable indolinone derivatives and their use as ptk ligands |
| WO2001045689A3 (en) * | 1999-12-22 | 2002-01-03 | Sugen Inc | Indolinone derivatives for modulation of c-kit tyrosine protein kinase |
| US7572924B2 (en) | 2000-02-15 | 2009-08-11 | Sugen, Inc. | Pyrrole substituted 2-indolinone protein kinase inhibitors |
| US7125905B2 (en) | 2000-02-15 | 2006-10-24 | Agouron Pharmaceuticals, Inc. | Pyrrole substituted 2-indolinone protein kinase inhibitors |
| US6482848B2 (en) | 2000-05-24 | 2002-11-19 | Sugen Incorporated | Prodrugs of 3-(pyrrol-2-ylmethylidene)-2-indolinone derivatives |
| US6451838B1 (en) | 2000-05-24 | 2002-09-17 | Pharmacia & Upjohn Company | 1-(pyrrolidin-1-ylmethyl)-3-(pyrrol-2-ylmethylidene)-2-indolinone derivatives |
| US7112603B2 (en) | 2000-05-24 | 2006-09-26 | Agouron Pharmaceuticals, Inc. | Prodrugs of 3-(pyrrol-2-ylmethylidene)-2-indolinone derivatives |
| US6710067B2 (en) | 2000-05-24 | 2004-03-23 | Sugen Incorporated | Mannich base prodrugs of 3-(pyrrol-2-ylmethylidene)-2-indolinone derivatives |
| US6716870B2 (en) | 2000-05-24 | 2004-04-06 | Sugen, Inc. | Prodrugs of 3-(pyrrol-2-ylmethylidene)-2-indolinone derivatives |
| US7053113B2 (en) | 2000-05-24 | 2006-05-30 | Sugen, Inc. | Mannich base prodrugs of 3-(pyrrol-2-yl-methylidene)-2-indolinone derivatives |
| US7008943B2 (en) | 2000-05-24 | 2006-03-07 | Pharmacia & Upjohn Company | 1-(Pyrrolidin-1-ylmethyl)-3-(pyrrol-2-ylmethylidene)-2-indolinone derivatives |
| WO2001094312A3 (en) * | 2000-06-02 | 2002-08-08 | Sugen Inc | Indolinone derivatives as protein kinase/phosphatase inhibitors |
| US6706709B2 (en) | 2000-06-02 | 2004-03-16 | Sugen, Inc. | Indolinone derivatives as protein kinase/phosphatase inhibitors |
| US7071332B2 (en) | 2000-06-02 | 2006-07-04 | Sugen, Inc. | Indolinone derivatives as protein kinase/phosphatase inhibitors |
| US7053086B2 (en) | 2000-06-30 | 2006-05-30 | Sugen, Inc. | 4-heteroaryl-3-heteroarylidenyl-2-indolinones and their use as protein kinase inhibitors |
| US6635640B2 (en) | 2000-06-30 | 2003-10-21 | Sugen, Inc. | 4-heteroaryl-3-heteroarylidenyl-2-indolinones and their use as protein kinase inhibitors |
| WO2002002551A1 (en) * | 2000-06-30 | 2002-01-10 | Sugen, Inc. | 4-heteroaryl-3-heteroarylidenyl-2-indolinones and their use as protein kinase inhibitors |
| US7179910B2 (en) | 2001-02-15 | 2007-02-20 | Agouron Pharmaceuticals, Inc. | 3-(4-amidopyrrol-2-ylmethlidene)-2-indolinone derivatives as protein kinase inhibitors |
| US7582756B2 (en) | 2001-02-15 | 2009-09-01 | Sugen, Inc. | 3-(4-amidopyrrol-2-ylmethylidene)-2-indolinone derivatives as protein kinase inhibitors |
| US7256189B2 (en) | 2001-02-15 | 2007-08-14 | Sugen, Inc. | 3-(4-amidopyrrol-2-ylmethylidene)-2-indolinone der derivatives as protein kinase inhibitors |
| US7186745B2 (en) | 2001-03-06 | 2007-03-06 | Astrazeneca Ab | Indolone derivatives having vascular damaging activity |
| US6599902B2 (en) | 2001-05-30 | 2003-07-29 | Sugen, Inc. | 5-aralkysufonyl-3-(pyrrol-2-ylmethylidene)-2-indolinone derivatives as kinase inhibitors |
| US7741335B2 (en) | 2001-06-29 | 2010-06-22 | Ab Science | Use of tyrosine kinase inhibitors for treating inflammatory diseases |
| US7700610B2 (en) | 2001-06-29 | 2010-04-20 | Ab Science | Use of tyrosine kinase inhibitors for treating allergic diseases |
| WO2003002105A3 (en) * | 2001-06-29 | 2003-08-28 | Ab Science | Use of tyrosine kinase inhibitors for treating bone loss |
| WO2003002108A3 (en) * | 2001-06-29 | 2003-09-25 | Ab Science | Use of tyrosine kinase inhibitors for treating inflammatory diseases |
| US7727731B2 (en) | 2001-06-29 | 2010-06-01 | Ab Science | Potent, selective and non toxic c-kit inhibitors |
| US7678805B2 (en) | 2001-06-29 | 2010-03-16 | Ab Science | Use of tyrosine kinase inhibitors for treating inflammatory bowel diseases (IBD) |
| WO2003051838A3 (en) * | 2001-12-13 | 2003-09-18 | Abbott Lab | Protein kinase inhibitors |
| US6831175B2 (en) | 2001-12-13 | 2004-12-14 | Abbott Laboratories | Kinase inhibitors |
| US6797825B2 (en) | 2001-12-13 | 2004-09-28 | Abbott Laboratories | Protein kinase inhibitors |
| US7626031B2 (en) | 2002-11-15 | 2009-12-01 | Symphony Evolution, Inc. | Substituted 3-(diarylmethylene)indolin-2-ones and methods of their use |
| US7105563B2 (en) | 2003-10-24 | 2006-09-12 | Schering Aktiengesellschaft | Indolinone derivatives and their use in treating disease-states such as cancer |
| WO2006064044A1 (en) * | 2004-12-17 | 2006-06-22 | Boehringer Ingelheim International Gmbh | Indolinones and their use as antiproliferative agents |
| JP2008524165A (en) * | 2004-12-17 | 2008-07-10 | ベーリンガー インゲルハイム インターナショナル ゲゼルシャフト ミット ベシュレンクテル ハフツング | Indolinone and its use as an antiproliferative agent |
| US8765748B2 (en) | 2007-12-21 | 2014-07-01 | University Health Network | Indazolyl, benzimidazolyl, benzotriazolyl substituted indolinone derivatives as kinase inhibitors useful in the treatment of cancer |
| US8481525B2 (en) | 2009-04-06 | 2013-07-09 | University Of Health Network | Kinase inhibitors and method of treating cancer with same |
| US8999968B2 (en) | 2009-04-06 | 2015-04-07 | University Health Network | Kinase inhibitors and method of treating cancer with same |
| USRE47731E1 (en) | 2009-04-06 | 2019-11-19 | University Health Network | Kinase inhibitors and method of treating cancer with same |
| EP2417127A4 (en) * | 2009-04-06 | 2012-08-29 | Univ Health Network | KINASEHEMMER AND METHOD FOR THE CANCER TREATMENT THEREWITH |
| WO2010115279A1 (en) | 2009-04-06 | 2010-10-14 | University Health Network | Kinase inhibitors and method of treating cancer with same |
| US9579327B2 (en) | 2010-04-06 | 2017-02-28 | University Health Network | Synthesis of chiral 2-(1H-indazol-6-yl)-spiro[cyclopropane-1,3′-indolin]-2′-ones |
| US9139563B2 (en) | 2010-04-06 | 2015-09-22 | University Health Network | Kinase inhibitors and method of treating cancer |
| US9796703B2 (en) | 2010-04-06 | 2017-10-24 | University Health Network | Synthesis of chiral 2-(1H-indazol-6-yl)-spiro[cyclopropane-1,3′-indolin]-2′-ones |
| US9907800B2 (en) | 2010-04-06 | 2018-03-06 | University Health Network | Kinase inhibitors and method of treating cancer |
| US10077255B2 (en) | 2010-04-06 | 2018-09-18 | University Health Network | Synthesis of chiral 2-(1H-indazol-6-yl)-spiro[cyclopropane-1,3′-indolin]-2′-ones |
| US10358436B2 (en) | 2010-04-06 | 2019-07-23 | University Health Network | Kinase inhibitors and method of treating cancer |
| US8481533B2 (en) | 2010-04-06 | 2013-07-09 | University Health Network | Kinase inhibitors and method of treating cancer |
| WO2014040969A1 (en) | 2012-09-13 | 2014-03-20 | F. Hoffmann-La Roche Ag | 2-oxo-2,3-dihydro-indoles for the treatment of cns disorders |
| US20160250220A1 (en) | 2013-10-18 | 2016-09-01 | University Health Network | Treatment for pancreatic cancer |
| US9642856B2 (en) | 2013-10-18 | 2017-05-09 | University Health Network | Treatment for pancreatic cancer |
| CN105037243A (en) * | 2015-06-28 | 2015-11-11 | 贵州大学 | Paclitaxel side-chain phenyl serine derivative, and preparation method and application thereof |
| CN105037243B (en) * | 2015-06-28 | 2017-09-05 | 贵州大学 | A kind of paclitaxel side chain phenylisoserine derivative and its preparation method and application |
Also Published As
| Publication number | Publication date |
|---|---|
| JP2002540096A (en) | 2002-11-26 |
| CA2368041A1 (en) | 2000-09-28 |
| EP1165513A1 (en) | 2002-01-02 |
| AU3770000A (en) | 2000-10-09 |
Similar Documents
| Publication | Publication Date | Title |
|---|---|---|
| US6133305A (en) | 3-(substituted)-2-indolinones compounds and use thereof as inhibitors of protein kinase activity | |
| EP1165513A1 (en) | Indolinone compounds as kinase inhibitors | |
| US6395734B1 (en) | Pyrrole substituted 2-indolinone protein kinase inhibitors | |
| US6642251B1 (en) | Geometrically restricted 2-indolinone derivatives as modulators of protein kinase activity | |
| EP1259514B9 (en) | 3-(pyrolyllactone)-2-indolinone compounds as kinase inhibitors | |
| US7189721B2 (en) | Bicyclic protein kinase inhibitors | |
| US6316635B1 (en) | 2-indolinone derivatives as modulators of protein kinase activity | |
| WO2000008202A2 (en) | 3-methylidenyl-2-indolinone modulators of protein kinase | |
| US6114371A (en) | 3-(cyclohexanoheteroarylidenyl)-2-indolinone protein tyrosine kinase inhibitors | |
| US6486185B1 (en) | 3-heteroarylidene-2-indolinone protein kinase inhibitors | |
| US6689806B1 (en) | Indolinone compounds as kinase inhibitors | |
| US6849641B1 (en) | Azaindole tyrosine kinase inhibitors | |
| US6350754B2 (en) | 3-(cycloalkanoheteroarylidenyl)-2-indolinone protein tyrosine kinase inhibitors | |
| US6855730B2 (en) | 3-methylidenyl-2-indolinone modulators of protein kinase | |
| US6130238A (en) | 3-(cyclohexanoheteroarylidenyl)-2-indolinone protein tyrosine kinase inhibitors | |
| US6569868B2 (en) | 2-indolinone derivatives as modulators of protein kinase activity |
Legal Events
| Date | Code | Title | Description |
|---|---|---|---|
| AK | Designated states |
Kind code of ref document: A1 Designated state(s): AE AG AL AM AT AU AZ BA BB BG BR BY CA CH CN CR CU CZ DE DK DM DZ EE ES FI GB GD GE GH GM HR HU ID IL IN IS JP KE KG KP KR KZ LC LK LR LS LT LU LV MA MD MG MK MN MW MX NO NZ PL PT RO RU SD SE SG SI SK SL TJ TM TR TT TZ UA UG US UZ VN YU ZA ZW |
|
| AL | Designated countries for regional patents |
Kind code of ref document: A1 Designated state(s): GH GM KE LS MW SD SL SZ TZ UG ZW AM AZ BY KG KZ MD RU TJ TM AT BE CH CY DE DK ES FI FR GB GR IE IT LU MC NL PT SE BF BJ CF CG CI CM GA GN GW ML MR NE SN TD TG |
|
| 121 | Ep: the epo has been informed by wipo that ep was designated in this application | ||
| DFPE | Request for preliminary examination filed prior to expiration of 19th month from priority date (pct application filed before 20040101) | ||
| ENP | Entry into the national phase |
Ref document number: 2368041 Country of ref document: CA Ref country code: CA Ref document number: 2368041 Kind code of ref document: A Format of ref document f/p: F |
|
| ENP | Entry into the national phase |
Ref country code: JP Ref document number: 2000 606571 Kind code of ref document: A Format of ref document f/p: F |
|
| WWE | Wipo information: entry into national phase |
Ref document number: 2000916622 Country of ref document: EP |
|
| WWP | Wipo information: published in national office |
Ref document number: 2000916622 Country of ref document: EP |
|
| REG | Reference to national code |
Ref country code: DE Ref legal event code: 8642 |






































































