[go: up one dir, main page]

WO2000004868A2 - Libraries of polyhydroxamates and their analogs - Google Patents

Libraries of polyhydroxamates and their analogs Download PDF

Info

Publication number
WO2000004868A2
WO2000004868A2 PCT/US1999/016848 US9916848W WO0004868A2 WO 2000004868 A2 WO2000004868 A2 WO 2000004868A2 US 9916848 W US9916848 W US 9916848W WO 0004868 A2 WO0004868 A2 WO 0004868A2
Authority
WO
WIPO (PCT)
Prior art keywords
polyhydroxamate
analog
library
polyhydroxamates
group
Prior art date
Legal status (The legal status is an assumption and is not a legal conclusion. Google has not performed a legal analysis and makes no representation as to the accuracy of the status listed.)
Ceased
Application number
PCT/US1999/016848
Other languages
French (fr)
Other versions
WO2000004868A3 (en
Inventor
Garland R. Marshall
Leonard O. Rosik
Otto F. Schall
Urszula J. Slomczynska
Current Assignee (The listed assignees may be inaccurate. Google has not performed a legal analysis and makes no representation or warranty as to the accuracy of the list.)
METAPHORE Inc
Original Assignee
METAPHORE Inc
Priority date (The priority date is an assumption and is not a legal conclusion. Google has not performed a legal analysis and makes no representation as to the accuracy of the date listed.)
Filing date
Publication date
Application filed by METAPHORE Inc filed Critical METAPHORE Inc
Priority to CA002337756A priority Critical patent/CA2337756A1/en
Priority to JP2000560861A priority patent/JP2002521319A/en
Priority to AU52295/99A priority patent/AU5229599A/en
Priority to EP99937465A priority patent/EP1098659A4/en
Publication of WO2000004868A2 publication Critical patent/WO2000004868A2/en
Publication of WO2000004868A3 publication Critical patent/WO2000004868A3/en
Anticipated expiration legal-status Critical
Ceased legal-status Critical Current

Links

Classifications

    • CCHEMISTRY; METALLURGY
    • C07ORGANIC CHEMISTRY
    • C07CACYCLIC OR CARBOCYCLIC COMPOUNDS
    • C07C259/00Compounds containing carboxyl groups, an oxygen atom of a carboxyl group being replaced by a nitrogen atom, this nitrogen atom being further bound to an oxygen atom and not being part of nitro or nitroso groups
    • C07C259/04Compounds containing carboxyl groups, an oxygen atom of a carboxyl group being replaced by a nitrogen atom, this nitrogen atom being further bound to an oxygen atom and not being part of nitro or nitroso groups without replacement of the other oxygen atom of the carboxyl group, e.g. hydroxamic acids
    • C07C259/06Compounds containing carboxyl groups, an oxygen atom of a carboxyl group being replaced by a nitrogen atom, this nitrogen atom being further bound to an oxygen atom and not being part of nitro or nitroso groups without replacement of the other oxygen atom of the carboxyl group, e.g. hydroxamic acids having carbon atoms of hydroxamic groups bound to hydrogen atoms or to acyclic carbon atoms
    • AHUMAN NECESSITIES
    • A61MEDICAL OR VETERINARY SCIENCE; HYGIENE
    • A61PSPECIFIC THERAPEUTIC ACTIVITY OF CHEMICAL COMPOUNDS OR MEDICINAL PREPARATIONS
    • A61P15/00Drugs for genital or sexual disorders; Contraceptives
    • A61P15/06Antiabortive agents; Labour repressants
    • AHUMAN NECESSITIES
    • A61MEDICAL OR VETERINARY SCIENCE; HYGIENE
    • A61PSPECIFIC THERAPEUTIC ACTIVITY OF CHEMICAL COMPOUNDS OR MEDICINAL PREPARATIONS
    • A61P17/00Drugs for dermatological disorders
    • A61P17/02Drugs for dermatological disorders for treating wounds, ulcers, burns, scars, keloids, or the like
    • AHUMAN NECESSITIES
    • A61MEDICAL OR VETERINARY SCIENCE; HYGIENE
    • A61PSPECIFIC THERAPEUTIC ACTIVITY OF CHEMICAL COMPOUNDS OR MEDICINAL PREPARATIONS
    • A61P19/00Drugs for skeletal disorders
    • A61P19/02Drugs for skeletal disorders for joint disorders, e.g. arthritis, arthrosis
    • AHUMAN NECESSITIES
    • A61MEDICAL OR VETERINARY SCIENCE; HYGIENE
    • A61PSPECIFIC THERAPEUTIC ACTIVITY OF CHEMICAL COMPOUNDS OR MEDICINAL PREPARATIONS
    • A61P25/00Drugs for disorders of the nervous system
    • A61P25/14Drugs for disorders of the nervous system for treating abnormal movements, e.g. chorea, dyskinesia
    • A61P25/16Anti-Parkinson drugs
    • AHUMAN NECESSITIES
    • A61MEDICAL OR VETERINARY SCIENCE; HYGIENE
    • A61PSPECIFIC THERAPEUTIC ACTIVITY OF CHEMICAL COMPOUNDS OR MEDICINAL PREPARATIONS
    • A61P25/00Drugs for disorders of the nervous system
    • A61P25/18Antipsychotics, i.e. neuroleptics; Drugs for mania or schizophrenia
    • AHUMAN NECESSITIES
    • A61MEDICAL OR VETERINARY SCIENCE; HYGIENE
    • A61PSPECIFIC THERAPEUTIC ACTIVITY OF CHEMICAL COMPOUNDS OR MEDICINAL PREPARATIONS
    • A61P25/00Drugs for disorders of the nervous system
    • A61P25/24Antidepressants
    • AHUMAN NECESSITIES
    • A61MEDICAL OR VETERINARY SCIENCE; HYGIENE
    • A61PSPECIFIC THERAPEUTIC ACTIVITY OF CHEMICAL COMPOUNDS OR MEDICINAL PREPARATIONS
    • A61P29/00Non-central analgesic, antipyretic or antiinflammatory agents, e.g. antirheumatic agents; Non-steroidal antiinflammatory drugs [NSAID]
    • AHUMAN NECESSITIES
    • A61MEDICAL OR VETERINARY SCIENCE; HYGIENE
    • A61PSPECIFIC THERAPEUTIC ACTIVITY OF CHEMICAL COMPOUNDS OR MEDICINAL PREPARATIONS
    • A61P39/00General protective or antinoxious agents
    • A61P39/02Antidotes
    • AHUMAN NECESSITIES
    • A61MEDICAL OR VETERINARY SCIENCE; HYGIENE
    • A61PSPECIFIC THERAPEUTIC ACTIVITY OF CHEMICAL COMPOUNDS OR MEDICINAL PREPARATIONS
    • A61P43/00Drugs for specific purposes, not provided for in groups A61P1/00-A61P41/00
    • AHUMAN NECESSITIES
    • A61MEDICAL OR VETERINARY SCIENCE; HYGIENE
    • A61PSPECIFIC THERAPEUTIC ACTIVITY OF CHEMICAL COMPOUNDS OR MEDICINAL PREPARATIONS
    • A61P7/00Drugs for disorders of the blood or the extracellular fluid
    • AHUMAN NECESSITIES
    • A61MEDICAL OR VETERINARY SCIENCE; HYGIENE
    • A61PSPECIFIC THERAPEUTIC ACTIVITY OF CHEMICAL COMPOUNDS OR MEDICINAL PREPARATIONS
    • A61P9/00Drugs for disorders of the cardiovascular system
    • AHUMAN NECESSITIES
    • A61MEDICAL OR VETERINARY SCIENCE; HYGIENE
    • A61PSPECIFIC THERAPEUTIC ACTIVITY OF CHEMICAL COMPOUNDS OR MEDICINAL PREPARATIONS
    • A61P9/00Drugs for disorders of the cardiovascular system
    • A61P9/10Drugs for disorders of the cardiovascular system for treating ischaemic or atherosclerotic diseases, e.g. antianginal drugs, coronary vasodilators, drugs for myocardial infarction, retinopathy, cerebrovascula insufficiency, renal arteriosclerosis
    • CCHEMISTRY; METALLURGY
    • C07ORGANIC CHEMISTRY
    • C07BGENERAL METHODS OF ORGANIC CHEMISTRY; APPARATUS THEREFOR
    • C07B2200/00Indexing scheme relating to specific properties of organic compounds
    • C07B2200/11Compounds covalently bound to a solid support
    • CCHEMISTRY; METALLURGY
    • C40COMBINATORIAL TECHNOLOGY
    • C40BCOMBINATORIAL CHEMISTRY; LIBRARIES, e.g. CHEMICAL LIBRARIES
    • C40B40/00Libraries per se, e.g. arrays, mixtures
    • YGENERAL TAGGING OF NEW TECHNOLOGICAL DEVELOPMENTS; GENERAL TAGGING OF CROSS-SECTIONAL TECHNOLOGIES SPANNING OVER SEVERAL SECTIONS OF THE IPC; TECHNICAL SUBJECTS COVERED BY FORMER USPC CROSS-REFERENCE ART COLLECTIONS [XRACs] AND DIGESTS
    • Y02TECHNOLOGIES OR APPLICATIONS FOR MITIGATION OR ADAPTATION AGAINST CLIMATE CHANGE
    • Y02PCLIMATE CHANGE MITIGATION TECHNOLOGIES IN THE PRODUCTION OR PROCESSING OF GOODS
    • Y02P20/00Technologies relating to chemical industry
    • Y02P20/50Improvements relating to the production of bulk chemicals
    • Y02P20/55Design of synthesis routes, e.g. reducing the use of auxiliary or protecting groups

Definitions

  • This invention relates to novel hydroxamates and their analogs, methods of obtaining hydroxamates and their analogs having a specified target property such as affinity to iron, and libraries containing candidate hydroxamates and their analogs which are retrievable and analyzable for such target property.
  • Desferrioxamine B also known as deferoxamine, is a naturally-produced siderophore derived from the microorganism Streptomyces pilosus .
  • DFO is an iron chelator which has been used for decades in the clinic to treat various conditions related to acute iron poisoning or overload. For example, iron overload may be caused by the frequent transfusions required during the treatment of thalassemias and sickle cell anemia.
  • Thalassemias represent two of the most common inherited disorders, and it is estimated that over 100,000 children are born each year with forms of the disease severe enough to require treatment. Moreover, the World Health Organization estimates that each year more than 250,000 babies are born worldwide with sickle cell disease, and it is believed to affect more than 72,000 African Americans in the United States, alone.
  • HHC hereditary hemochromatosis
  • HHC is a disorder of iron metabolism that increases iron absorption and results in excessive iron accumulation. It is estimated that 24 million people worldwide carry double genes for hemochromatosis and more than 600,000,000 people carry the single gene. Hemochromatosis affects approximately one in three hundred people in the United States, and one in nine people is a carrier, making it one of the most common genetic disorders in the United States. As iron accumulates in the body, serious and sometimes fatal health problems appear, including arthritis, cirrhosis of the liver, diabetes, impotence, heart failure and liver cancer.
  • Oral iron chelators also have potential application in the treatment of infections. Many pathogens require ferric ions (the +3 form of iron) for growth, and have evolved to produce siderophores that complex and transport these ions. This ensures the continued survival of the microorganism by enabling it to compete effectively with its host for this limiting resource. In fact, man has developed an elaborate mechanism for sequestering ferric ion from pathogens as part of its natural defenses against infection. Iron chelation is potentially useful in the treatment of parasitic diseases such as malaria, and leishmaniasis, as well as in the treatment of opportunistic infections arising from Pneumocystis carnii and Histoplas a capsulatum .
  • DFO has also been reported to have utility (in complexes with Mn) as a low-molecular weight mimic of superoxide dismutase to reduce or prevent superoxide radical-induced toxicity. It is used in the treatment of conditions associated with inflamation and oxidative stress (oxyen toxicity) such as reperfusion injury, stroke, psoriasis, inflamatory bowel disease, shock, hyperbaric oxygen therapy, etc. See, e . g. , Fridovich et al . , U. S . Patent No . 5, 227, 405, which is incorporated by reference.
  • DFO is not ideal for use as a therapeutic in several significant respects.
  • DFO is not orally active, and consequently, its clinical use is often plagued by patient non-compliance.
  • DFO is cleared by the kidneys and has a short half-life in the body.
  • DFO administration is also quite costly and exhibits unwanted toxicity in some patients.
  • a superior metal chelator for treatment of iron overload, and to fill the need for a therapeutic effective for infections and related applications, is long overdue.
  • Metal chelators including DFO, also have utility as metal-binding ligands in non-therapeutic applications. For example, their affinity for ferric ions and other metals makes them useful imaging agents in the diagnosis of numerous diseases. Complexes of chelators with X-ray opaque metals such as lead, tungsten, and bismuth can be used as X-ray imaging agents, while complexes with gadolinium, iron, and other magnetically active metals are used as MRI imaging agents .
  • metal chelators Another non-therapeutic use of metal chelators is in water purification and remediation regimens.
  • Ligands attached to a polymer or other solid support sequester metals from a waste stream and in doing so, enable removal and recovery of metal pollutants.
  • Desferrioxamine was first produced synthetically in 1962 by Prelog et al . [Helv. Chim. Acta., Vol. 75, p. 631 (1962)].
  • This lack of progress has no doubt been fueled by the perception that the synthesis of DFO or hydroxamate analogs requires a large number of reaction steps and produces only a low yield of product, making the synthesis and evaluation of this type of compound problematic and laborious.
  • the present invention is directed to a novel method of synthesizing a desired polyhydroxamate or polyhydroxamate analog.
  • the method includes linking a first component of said desired polyhydroxamate or polyhydroxamate analog to a support matrix under conditions effective to form a first matrix- bound intermediate of said desired polyhydroxamate, extending said first matrix-bound intermediate using reagents and reaction conditions effective to form one or more additional matrix-bound intermediates of said desired polyhydroxamate or polyhydroxamate analog, thereby forming a matrix-bound precursor of said desired polyhydroxamate or polyhydroxamate analog. Any protective groups used during synthesis of said precursor are removed and the matrix-bound precursor is cleaved from the support matrix, thereby synthesizing the desired polyhydroxamate or polyhydroxamate analog.
  • the present invention is further directed to a method relating to libraries of candidate polyhydroxamate or polyhydroxamate analog molecules.
  • the method includes the steps of designing a molecular scaffold or scaffolds for a prototype polyhydroxamate or polyhydroxamate analog, designing a synthetic pathway to make said prototype, obtaining a support matrix or matrices for use in construction of the library of candidate polyhydroxamate or polyhydroxamate analog molecules, and carrying out reaction steps according to the synthetic pathway so that the library is thereby created.
  • the library thus created comprises an array of at least two candidate polyhydroxamate or polyhydroxamate analog molecules substantially all of which comprise the molecular scaffold or scaffolds of the prototype linked to the support matrix or matrices .
  • a method of obtaining a polyhydroxamate or polyhydroxamate analog or mixture of polyhydroxamates or analogs of a specified target property comprises the steps of providing a library or libraries of candidate polyhydroxamates or analogs which contains at least five different candidates with each of the candidates being present in retrievable and analyzable amounts, selecting from the candidates one or more having a desired target property, and separating said polyhydroxamates or analogs having the desired target property from those not having the target property.
  • a library of polyhydroxamates or polyhydroxamate analog molecules which are candidates targeted for one or more desired properties.
  • the library includes an array of at least two different polyhydroxamate or polyhydroxamate analog molecules wherein any of the candidate molecules are retrievable and analyzable for the one or more desired target properties.
  • the invention is directed to a compound comprising a matrix-bound polyhydroxamate or polyhydroxamate analog; a compound comprising an N-nosyl intermediate of a polyhydroxamate or polyhydroxamate analog; a polyhydroxamate or polyhydroxamate analog comprising the formula:
  • R ⁇ and R 5 are independently selected and incorporate one of the following, or combinations of any of the following: hydrogen; cyclic or acyclic, branched or unbranched alkyl or heteroalkyl , aryl or heteroaryl, alkylidene or heteroalkylidene, heterocyclic, arylalkyl or heteroarylalkyl, alkylether, alkoxyalkyl, alkylpolyether, alkylthioether, alkylamino, alkylaminoalkyl, alkylpolyamino, all optionally substituted with one or more, same or different, hydroxyl, thiol , halide, alkoxy, thioalkoxy, amino, including mono-, di-, tri-, and tetrasubstituted, aminoalkyl, carboxyl, carboxamido, carboxamidoalkyl , carboxyalkyl, sulfonic and phosphonic acid groups, a support matrix, and
  • the invention is directed to a pharmaceutical composition
  • a pharmaceutical composition comprising at least one of the polyhydroxamates or polyhydroxamate analogs first identified by selection from a library or from libraries of candidate polyhydroxamates or analogs as defined above, having the desired target property or properties, or the pharmaceutically acceptable salt or salts thereof, either with or without a complexed metal, in combination with a pharmaceutically acceptable carrier.
  • imaging agents comprising at least one of the polyhydroxamates or polyhydroxamate analogs first identified by selection from a library or from libraries of candidate polyhydroxamates or analogs as defined above having the desired target property or properties, wherein said target property or properties include the ability to provide a suitable image, complexed with a transition metal or lanthanide.
  • a system for the separation or concentration of fluid-borne metals from a fluid comprising at least one polyhydroxamate or polyhydroxamate analog and a porous container for housing the at least one polyhydroxamate or polyhydroxamate analog and for flowing the solution through, wherein the at least one polyhydroxamate or polyhydroxamate analog is first identified by selection from a library or from libraries of candidate polyhydroxamates or analogs as defined above having the desired target property or properties, wherein said target property or properties include the ability to separate or concentrate said solution-borne metals from said solution.
  • a metal chelator comprising a polyhydroxamate or polyhydroxamate analog first identified by selection from a library or libraries of candidate polyhydroxamates or analogs as defined above having the desired target property or properties, wherein said target property or properties include the ability to chelate a target metal anion.
  • compositions of the invention are also provided.
  • a method of preventing or treating a disease or disorder characterized by the presence of a cellular excess of a particular metal anion comprising administering to a subject in need of such prevention or treatment, a therapeutically, prophylactically, or resuscitatively effective amount of at least one pharmaceutical composition described above, wherein said target property or properties include the ability to bind to said particular metal anion.
  • a method of assisting in the diagnosis of a physiological condition comprising administering to a subject in need of such diagnosis, an imaging agent, a radiodiagnostic agent, or an X-ray contrast agent as described above, of a type and in an amount sufficient to aid in said diagnosis.
  • a method for the separation or concentration of fluid-borne metals from a fluid containing said metals comprising flowing said fluid through a system such as one characterized above using polyhydroxamates or polyhydroxamate analogs .
  • a method for the chelation of a target metal or metals comprising contacting the target metal or metals with a metal chelator as described above, wherein the metal chelator has an affinity for said target metal or metals is provided.
  • the method of the present invention consists of three integrated parts: i) Devising the solid phase synthesis of basic molecular scaffolds for polyhydroxamates or their analogs which are capable of selectively binding ferric ions and/or other metal ions; ii) Generating combinatorial libraries consisting of candidate polyhydroxamates or their analogs incorporating such basic molecular scaffolds; and iii) The use of high-throughput screening techniques to select those compounds with the desired target property or profile of properties.
  • a method of synthesizing polyhydroxamates comprises building a polyhydroxamate scaffold by linking a first component of a desired polyhydroxamate to a support matrix under conditions effective to form a first matrix-bound intermediate of the desired polyhydroxamate, and in subsequent steps extending this first matrix-bound intermediate using reagents and reaction conditions effective to form one or more additional matrix-bound intermediates of the desired polyhydroxamate until a matrix-bound precursor to the desired polyhydroxamate is formed.
  • the method further comprises removing any protective groups used during synthesis of the matrix- bound polyhydroxamate precursor and cleaving the matrix- bound polyhydroxamate precursor from the support matrix to form the desired polyhydroxamate.
  • a solid phase method for synthesizing polyhydroxamates comprises the following synthetic stages : a) Attachment of a suitable linker, which may or may not be an integral part of the target polyhydroxamate, onto the synthetic support (e. g. , resin matrix) . This modification affords the first support- bound intermediate. b) Incorporation of additional molecular component (s) into the growing chain prior to the introduction of the first of a series of hydroxamates or hydroxamate-analog moieties. c) Introduction of a first hydroxamate moiety as a suitably N, O-Jbis-protected hydroxylamine precursor.
  • Insoluble solid phases in the following forms as examples, but not limited to: Gel-types: polystyrene-co-divinylbenzene (0.5-2%) , polystyrene-Kel-F, polystyrene-polyethylene film (PEPS) , polystyrene-polyethyleneglycol (TentaGel, NovaSyn TG, ArgoGel), poly [styrene-co-tetraethyleneglycol diacrylate] (TEGDA-PS) .
  • Polyamides various co-polymers of
  • Miscellaneous polymers polyethylene pins grafted with various acrylates (such as the pins made by Chiron), polyolefins (ASPECT), poly [ethylene) -co-vinyl alcohol] (EVAL) , polypropylene-polyhydroxypropylacrylate (HPA-PP) , 3,6, 9-trioxadecanoic acid-PEPS (PEO-PEPS) .
  • Polymeric macroporous (rigid) solids amide-PEG based Polyhipe, polystyrene-co-divinylbenzene (8-50%) based (ArgoPore) .
  • Natural organic polymers Sephadex, cellulose, chitin.
  • Inorganics silica, glass, controlled pore glass, kiesselguhr, NovaSyn K125, and ii) Soluble polymers: polyethyleneglycol (PEG), bovine serum albumin (BSA) , Starburst dendrimers.
  • PEG polyethyleneglycol
  • BSA bovine serum albumin
  • a linker is defined as a covalent chemical linkage which facilitates the attachment of the starting material to the support matrix and the convenient and efficient removal of the product under desired conditions.
  • Linkers may be already attached to the support matrix or may be coupled to it chemically by known methods.
  • Materials suitable for use as linkers include but are not limited to: 4-alkoxybenzyl alcohol (Wang) , p-carbamoylmethyl-benzyl ester (PAM) , 2-methoxy-4-alkoxybenzyl alcohol (SASRIN) ,
  • HMBP 4-hydroxymethyl-3-methoxyphenoxybutyric
  • HMBA 4-hydroxymethylbenzoyl
  • trityl 2-chlorotrityl
  • 4-methyltrityl 4-methoxytrityl
  • 4 , 4 ' -dichlorotrityl 4-hydroxymethyl-3-methoxyphenoxybutyric (HMBP)
  • HMBP 4-hydroxymethyl-3-methoxyphenoxybutyric
  • a Wang combination solid support matrix linker is preferred, and is best described as a 4-hydroxymethylphenoxy linker covalently attached to an insoluble polymer matrix of copoly (styrene-1% divinylbenzene crosslinker) , 100-200 mesh size. See “A Practical Guide to Combinatorial Chemistry", A.W. Czarnik and S.H. DeWitt, Eds., 1997, ACS and references therein for additional support matrices and linkers.
  • polyhydroxamates explicitly excludes a polyhydroxamate which is naturally occurring or which was otherwise first discovered prior to applicants' invention thereof.
  • hydroxamate analogs or “polyhydroxamate analogs” means hydroxamate-like compounds wherein the hydroxyl group of one or more hydroxamate moieties may be replaced, e . g. , by thiol, ⁇ H 2 or R- L as defined for X in Scheme 7, and/or wherein the carbonyl oxygen of one or more of the hydroxamate moieties may be replaced, e. g. , by NH 1# NR ⁇ sulfur or selenium as defined for Z in Scheme 7.
  • An additional aspect included in the present invention is the preparation of novel O-protected-N- (nosyl) hydroxylamine derivatives, where nosyl ( ⁇ s) is 2- or 4-nitrobenzenesulfonyl .
  • PG stands for protective group, and includes but is not limited to any of tert-butyl (t-Bu), benzyl (Bn) , tetrahydropyranyl (THP) , tert-butyldimethylsilyl (TBDMS) , 4-benzyloxybenzyl (BnOBn) , 2 , 4-dimethoxybenzyl [(2,4- MeO) 2 Bn], methoxymethyl (MOM), and allyl.
  • t-Bu tert-butyl
  • Bn benzyl
  • THP tetrahydropyranyl
  • TDMS tert-butyldimethylsilyl
  • BnOBn 4-benzyloxybenzyl
  • 2 4-dimethoxybenzyl [(2,4- MeO) 2 Bn]
  • MOM methoxymethyl
  • hydroxylamine derivatives are important intermediates for the syntheses of polyhydroxamates disclosed in the present work.
  • the use of a nosyl group is advantageous from several perspectives. It is easily incorporated via commercially available nosyl chloride. It activates the ⁇ -H bond in the nosylated species to the extent that it can be deprotonated by a wide variety of organic and inorganic bases (e . g.
  • nosyl groups are conveniently and selectively removed via a Meisenheimer-type complex using a thiol nucleophile ( e . g.
  • this process includes the steps of: a) reacting a support matrix (e . g. , p- benzyloxybenzyl alcohol resin is exemplified) containing an imidazolyl-carbamate group 3.1 with 5-aminopentanol to form compound 3.2; b) activating the hydroxyl end of compound 3.2 via a sulphonate ( e . g. , with tosyl chloride) to form compound 3.3 or via an alkyl halide ( e . g .
  • PG-O- ⁇ H- ⁇ s N-nosyl -O-protected-hydroxylamine synthon
  • the protective group [PG] may be, for example, benzyl [Bn] , tetrahydropyranyl [THP] , tert-butyl [t-Bu] , 4-benzyloxybenzyl [BnOBn] , 2,4- dimethoxybenzyl [ (2, 4-MeO) 2 Bn] methoxymethyl [MOM], tert- butyldimethylsilyl [TBDMS] or allyl) in the presence of an organic or inorganic base (e.g., DBU, DIPEA, Cs 2 C0 3 , MTBD, TMG, etc.) to form compound 3.4; d) Removal of nosyl groups with a thiol
  • N-nosyl - O-protected-hydroxylamine synthon (PG-O- ⁇ H- ⁇ s, where the protective group [PG] may be, for example, benzyl [Bn] , tetrahydropyranyl [THP], tert-butyl [t-Bu] , 4-benzyloxybenzyl [BnOBn] , 2 , 4-dimethoxybenzyl [(2,4- MeO) 2 Bn] methoxymethyl [MOM], tert-butyldimethylsilyl [TBDMS] or allyl) in the presence of triphenylphosphine (Ph 3 P) and diethyl azodicarboxylate (DEAD) or diisopropyl azodicarboxylate (DIAD) for the transformation of the alcohol intermediate 3a.2 to 3a.3 [see
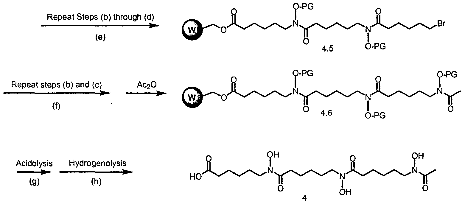
  • the synthesis of compound 4 comprises: a) Reacting a resin containing a hydroxyl function (e . g. , p-benzyloxybenzyl alcohol resin is exemplified) with 6-bromohexanoic acid and coupling agent to form compound 4.1; b) Displacing the halide of compound 4.1 with an N-nosyl -O-protected-hydroxylamine synthon (PG-O- ⁇ H- ⁇ s, where the protective group [PG] may be, for example, benzyl [Bn] , tetrahydropyranyl [THP] , tert-butyl [t-Bu] , 4-benzyloxybenzyl [BnOBn] , 2 , 4-dimethoxybenzyl [(2,4- MeO) 2 Bn] , methoxymethyl [MOM], tert-butyldimethylsilyl [TBDMS] or allyl) in
  • O-protected-hydroxylamine intermediate 4.3 with 6-bromohexanoic acid via a variety of coupling methods (e.g., CDI, HATU/DIPEA, acid chloride/DIPEA etc.) to form 4.4.
  • coupling methods e.g., CDI, HATU/DIPEA, acid chloride/DIPEA etc.
  • a resin containing a hydroxyl function e.g., p-benzyloxybenzyl alcohol resin is exemplified
  • 6-bromohexanoic acid and a coupling agent to form compound 5.1
  • hydroxylamine-derivatized resin 6.1 e.g., p-benzyloxybenzyl alcohol resin is exemplified, which was prepared according to the procedure of Floyd et al . , Tetrahedron Lett .
  • MeO) 2 Bn methoxymethyl [MOM], tert-butyldimethylsilyl [TBDMS] or allyl
  • organic or inorganic base e.g., DBU, MTBD, DIPEA, Cs 2 C0 3 , TMG, etc.
  • an organic or inorganic base e.g., DBU, MTBD, DIPEA, Cs 2 C0 3 , TMG, etc.
  • f) Repeating steps (c) through (e) to form compound 6.7 (nosyl group removal, acylation with 6- bromohexanoyl chloride, and nucleophilic displacement with PG-O-NH-Ns)
  • g) Repeating steps (c) through (e) and then (c) (nosyl group removal, acylation with 6-bromohexanoyl chloride, nucleophilic displacement with PG-O-NH-Ns, and nosyl group removal) followed by acetylation of the resulting secondary
  • design of a molecular scaffold for the polyhydroxamates or their analogs involves selecting and positioning ferric ion-binding and/or other metal ion-binding atoms from a set of electron-rich hetero atoms (e.g., 0, N, S, P) as donors and positioning such metal ion-binding atoms in an optimal geometric arrangement around the spherical metal ion.
  • the scaffold includes at least two hydroxamate units as ligation sites.
  • Design of the scaffold also includes the selection and placement of carbon, oxygen, phosphorus, nitrogen and/or sulfur atoms to form connective acyclic, cyclic, or branched chains which link the metal-binding atoms in the same molecule.
  • the design of an appropriate molecular scaffold may also include the utilization of a computer program in which pre-selected properties are incorporated into the design criteria.
  • properties which may be included in the design criteria are: i) Availability of viable synthetic reaction schemes to construct and integrate the design components and necessary intermediates by solid phase synthesis; ii) Avoidance of spatial coincidence of ligand and metal atoms; iii) Avoidance of van der Waals contact of ligand atoms separated by greater than two bonds; iv) Ensurance of appropriate length and angle of bonds between connecting atoms; and v) Review and incorporation of optimal geometric arrangements seen in crystal structures of preferred pre-existing and/or newly-synthesized metal-ligand complexes.
  • the candidate polyhydroxamates are preferably constructed on a support matrix which allows generation of the candidate compounds in good yield with a purity that allows identification and assaying without extensive purification.
  • a specific set of chemical reactions and reagents is employed which enables assembly of the "building blocks" containing the hydroxamate residues and/or other ligating electron-rich atoms, in accordance with design criteria.
  • fragments to be assembled on the support matrix are appropriately derivatized as part of an overall protection strategy.
  • the nosyl group is advantageously utilized to protect the amino group of hydroxylamine. This nosyl protective group may then be removed from an intermediate compound (e.g.
  • combinatorial libraries of polyhydroxamates and analogs as mixtures or individual compounds are constructed by any of a variety of means used in the field of combinatorial chemistry. These include but are not limited to methodologies such as the "tea bag” method, “pin” methods, “split and combine” methods, or spatially addressable synthesis.
  • the "tea bag” and “pin” methods are techniques which physically separate different compounds on the polymeric support.
  • the "tea-bag” method first developed by Houghten, et al . (Proc . Natl . Acad. Sci . U. S .A .
  • pin method developed by Geysen, et al . [J. Immunol . Meth . (1987) 102 : 259 -274] is an alternative to conventional resins in which rigid pins are used as a solid support.
  • Pins consist of polymer chains that are grafted at one end to a dimensionally stable plastic polymer such as polyethylene or polypropylene.
  • Pins are held in a grid referenced position (such as a 96-well microtitre format) . This grid format simplifies parallel synthesis by allowing for convenient removal of unreacted reagents, washing of the resin, and the simultaneous handling of thousands of individual compounds.
  • Compounds in combinatorial syntheses are prepared as either separate compounds, using parallel synthesis or spatially addressable synthesis, or as mixtures (e.g. a "mix and split" method).
  • Spatially addressable synthesis is a combinatorial synthesis in which the identity of a compound is ascertained by virtue of its location in the synthesis.
  • the combinatorial process is carried out by controlling the addition of a chemical reagent to specific locations of a solid support.
  • This approach enables generation of unique compounds in discrete locations, for example a specific polymeric bead, a "tea bag” of polymeric beads, a “Kan” of polymeric beads, a specific pin head in an array of pins, a specific location in a 364-well plate, a specific location in a reaction block, or a specific location of an addressable site on silicon or paper.
  • An example of light-directed, spatially addressable parallel chemical synthesis is that developed by Fodor and co- workers (Fodor et al . Science, 1991 , 251 , 767) , which combines solid phase chemistry and photolithography to generate arrays of compounds .
  • the present invention is directed to novel libraries of candidate polyhydroxamates or their analogs targeted for one or more desired properties.
  • the library contains at least 2 different polyhydroxamate or analog candidates and preferably 50 or more candidates. Any of the candidates are retrievable and analyzable for the one or more desired target properties.
  • R x and R 5 are independently selected and incorporate one of the following, or combinations of any of the following: hydrogen; cyclic or acyclic, branched or unbranched alkyl or heteroalkyl, aryl or heteroaryl, alkylidene or heteroalkylidene, heterocyclic, arylalkyl or heteroarylalkyl, alkylether, alkoxyalkyl, alkylpolyether, alkylthioether, alkylamino, alkylaminoalkyl, alkylpolyamino, all optionally substituted with one or more, same or different, hydroxyl, thiol, halide, alkoxy, thioalkoxy, amino (mono- , di-, tri-, and tetrasubstituted) , aminoalkyl, carboxyl, carboxamido, carboxamidoalkyl, carboxyalkyl, sulfonic and phosphonic acid groups, a support matrix, a support
  • R 2 through R 4 are independently selected and incorporate one of the following, or combinations of any of the following: no atom, all definitions of R x and R 5 .
  • R x through R 5 may be the same or different in any of their occurrences. Any pair of R x through R 5 , together with any moiety through which they are linked, may form a carbocyclic or heterocyclic ring.
  • a, b, and c are integers greater than or equal to zero, and w is an integer greater than or equal to one.
  • Each X is independently selected from the group consisting of hydroxyl, thiol, NH 2 , and NHR X .
  • Each Y is independently selected from the group consisting of no atom, oxygen, sulfur, selenium, CH 2 , CHR ⁇ R 1( NH, NOH, NNH 2 , NNHR 1# CONRi, NRjCO, CO, C0 2 , sulfonate or phosphonate ester, sulfinate or phosphinate, carboxyl, carboxamido, carboxamidoalkyl, carboxyalkyl, or any of the moieties belonging to groups R 1 and R 5 except for hydrogen.
  • Each Z is independently selected from the group consisting of oxygen, NH, NR 1# sulfur, and selenium.
  • Each X, Y, and Z can be the same or different in any of their occurrences.
  • the structural diversity of the chemical species available through applicants' methodologies described herein are extensive and multifaceted. For illustrative purposes, the following structures are provided to demonstrate the architectural variety of this approach.
  • polyhydroxamates encompassed by the invention include branched chain scaffolds, for example bifurcated and trifurcated polyhydroxamates including but not limited to those shown in Scheme 9 below:
  • R ⁇ and R 5 are independently selected and incorporate one of the following, or combinations of any of the following: hydrogen; cyclic or acyclic, branched or unbranched alkyl or heteroalkyl, aryl or heteroaryl, alkylidene or heteroalkylidene, heterocyclic, arylalkyl or heteroarylalkyl, alkylether, alkoxyalkyl, alkylpolyether, alkylthioether, alkylpolythioether, alkylamino, alkylaminoalkyl , alkylpolyamino, all optionally substituted with one or more, same or different, hydroxyl, thiol, halide, alkoxy, thioalkoxy, amino (mono-, di-, tri-, and tetra-substituted) , aminoalkyl, carboxyl, carboxamido, carboxamidoalkyl, carboxyalkyl, sulfonic and phosphonic
  • R 2 through R 4 are independently selected and incorporate one of the following or combinations of any of the following: no atom, all definitions of R 1 and R 5 .
  • R- L through R s may be the same or different in any of their occurrences. Any pair of R ⁇ through R 5 , together with any moiety through which they are linked, may form a carbocyclic or heterocyclic ring.
  • a, b, and c are integers greater than or equal to zero, and w is an integer greater than or equal to one.
  • q, r, s, t, and u are integers greater than or equal to zero.
  • Each X is independently selected from the group consisting of hydroxyl, thiol, NH 2 , and NHR X .
  • Each Y is independently selected from the group consisting of no atom, oxygen, sulfur, selenium, CH 2 , CHR 17 NR lf NH, NOH, NNH 2 , NNHR 1# CONRi, NRjCO, CO, C0 2 , sulfonate or phosphonate ester, sulfinate or phosphinate, carboxyl, carboxamido, carboxamidoalkyl, carboxyalkyl, or any of the moieties belonging to groups R x and R 5 except for hydrogen.
  • Each V is independently selected from the group consisting of no atom, oxygen, NH, NR ⁇ ; sulfur, and selenium.
  • Each Z is independently selected from the group consisting of oxygen, NH, NR 1# sulfur, and selenium.
  • Each X, Y, V and Z can be the same or different in any of their occurrences.
  • the bi- and trifurcated chains are built by substituting a bi- or tri-halo carboxylic acid for the mono-halo carboxylic acid used, for example, in the synthesis of compound 4.
  • An example would be the use of 3-bromo-2-bromomethylpropionic acid in place of 6- bromohexanoic acid (see Scheme 4) to yield a bifurcated derivative.
  • the chain building chemistry continues on in the same manner as for straight chain polyhydroxamates except that the chemistry is occurring on two or three chains simultaneously.
  • novel polyhydroxamates and libraries containing said novel polyhydroxamates and their analogs are provided. These newly discovered compounds have the general formula :
  • n, and p are independently selected from the group consisting of the integers 1 to 10.
  • This invention relates also to the complexes of such novel compounds with iron and other metals including, but not limited to, aluminum, manganese, cobalt, nickel, copper, zinc, cadmium, tungsten, platinum, gold, mercury, lead, bismuth, gadolinium, europium, technium, indium, gallium, scandium, and chromium.
  • iron and other metals including, but not limited to, aluminum, manganese, cobalt, nickel, copper, zinc, cadmium, tungsten, platinum, gold, mercury, lead, bismuth, gadolinium, europium, technium, indium, gallium, scandium, and chromium.
  • These complexes have the general formula illustrativly depicted in Scheme 11 below for a metal ion bearing a formal charge (q) of +3.
  • n, and p are independently selected from the group consisting of the integers 1 to 10; and q can be +2, +3, or +4.
  • novel matrix-bound polyhydroxamates are provided. These compounds have the general architecture/formula :
  • support matrix and linker may be independently selected from the list of support matrixes and linkers detailed above, and m, n, and p are independently selected from the group consisting of the integers 1 to 10.
  • This invention relates also to the complexes of such novel compounds with the general structure of polyhydroxamtes 4,5,6,10,13,14,15,16,17,18, and 19 with iron and other metals including, but not limited to,
  • novel matrix-bound polyhydroxamates with the general structure of polyhydroxamates 4,5,6,10,13,14,15,16,17,18, and 19 are provided.
  • the methods of the present invention can also be used to generate polyhydroxamate libraries with
  • the methods of the present invention are also directed to processes for producing polyhydroxamate libraries. These processess include: a) Reacting a support matrix, in any of the variety of forms used in the field of combinatorial chemistry (tea bag, pin, split and combine, spatially addressable, etc.), with a suitable linker for those supports lacking an appropriate one; b) Reacting the matrix-bound linker, in one or more steps, to create intermediates consistent with R 1 through R 5 as defined in Scheme 7.
  • these reagents will consist of hydroxy-acids, halo-acids, or amino-alcohols, but can also include dicarboxylic acids, amino acids and other reagents which are subsequently reacted with other reagents such as amino-alcohols or halo-acids; c) Displacement of the resin-bound intermediate's terminal hydroxyl (via its sulfonate) or halide by an N-nosyl -O-protected-hydroxylamine moiety (where the O-protective group may be, e.g., benzyl [Bn] , tetrahydropyranyl [THP] , t-butyl [t-Bu] , 4-benzyloxybenzyl [BnOBn] , 2 , 4-dimethoxybenzyl [(2,4- MeO) 2 Bn], methoxymethyl [MOM], t-butyldimethylsilyl [TBDMS] or
  • these reagents will consist of hydroxy-acids, halo-acids, or amino-alcohols, but can also include dicarboxylic acids, anhydrides, dicarboxyl halides, and other reagents which are subsequently reacted with other reagents such as amino- alcohols; f) Repeating steps (c) through (e) as needed to elongate the polyhydroxamate scaffold; g) Repeating steps (c) and (d) (nucleophilic displacement with PG-O-NH-Ns and nosyl group removal) followed by treatment with an acetylating agent to form an intermediate which is ultimately consistent with R 5 as defined in Scheme 6.
  • the present invention is further directed to a novel method for identifying polyhydroxamate and analog compounds which bind metals for therapeutic or non-therapeutic use.
  • This method includes the steps of producing a library of polyhydroxamate or analog compounds on support matrices; cleaving and separating the polyhydroxamate and analog compounds from the resin- linkers; presenting each compound in the combinatorial library with a metal ion; assessing the metal binding affinity of each compound; selecting the compounds which have useful binding affinities; and determining other properties of the selected compounds which are important for therapeutic, diagnostic or other commercial uses.
  • a method of obtaining a polyhydroxamate or mixture of polyhydroxamates of a specified target property includes providing a library of candidate polyhydroxamates or analogs which contains at least ten candidates with each of the candidates being present in retrievable and analyzable amounts; selecting from the candidate polyhydroxamates or analogs one or more having a desired target property; and separating said polyhydroxamates or analogs from those not having the target property.
  • properties of potential interest for the candidate polyhydroxamates and their analogs are (1) metal affinity, (2) metal selectivity, (3) oral bioavailability, (4) absence of toxicity, (5) serum half-life, and (6) solubility.
  • the target properties to be selected from may vary depending on the projected use of the candidate hydroxamates.
  • oral bioavailability would be relevant for many therapeutic applications, but generally not in the case of a polyhydroxamate targeted for use in water purification or imaging .
  • the combinatorial libraries as delineated provide a large pool of candidate polyhydroxamates and analogs which can readily be screened to locate those having a desired target property.
  • the library is screened using a high-throughput selection protocol so that a great number of candidates are assessed simultaneously, or in rapid succession.
  • High-throughput-screening of candidates may be directed toward any target property of interest . These include, e.g., a) affinity for a desired metal, b) selectivity (one metal over another) , c) hydrophobicity, d) stability of metal-ligand complexes, and e) biological properties such as catalytic or transport activity.
  • Electrospray mass spectrometry can be used to characterize the relative affinity and specificity of ligand-metal interactions. In mixtures of ligands and metals, the spectra are dominated by the molecular ions of the complex, and their relative abundance correlates with the concentration of ligand- metal complexes present, and hence, the relative affinities and specificities of the ligand-metal binding pairs.
  • a single metal (which is incorporated in limiting concentration) is added to a mixture of ligands.
  • the ligands compete for the metal and the ligand having the highest affinity for the metal will be present in the highest concentration, and hence will show the strongest molecular ion. This method identifies the relative affinity of ligands for a given metal .
  • Relative affinities can also be determined in sequential analyses, in which the tightest binding metal in a mixture of metals is first determined by ES-MS. In a subsequent analysis, this metal is eliminated from the mixture of metals and the assay repeated. A series of these assays, which eliminate one metal at each step, allows one to rank the order of affinity of a series of metals for a given ligand. Mixtures containing multiple ligands can also be analyzed by ES-MS following the addition of multiple metals. Deconvolution of the observed molecular ions enables determination of which ligand-metal complexes are of highest concentration in solution, permitting discrimination of the highest affinity ligands in the mixture .
  • HPLC can be coupled to ES-MS, allowing chromatographic peaks to be monitored by their expected masses (molecular weight of compound alone and plus metal) .
  • the affinity and selectivity of metals for members of a ligand library also can be determined by UV, visible, and fluorescence spectroscopy.
  • a candidate ligand is added to a solution of the dye complexed with iron.
  • the ligand displaces the dye to form a ligand-iron complex which no longer absorbs at 630 nm, thereby reducing the absorption of the sample by an amount proportional to the affinity of the ligand for iron.
  • This simple spectrophotometric assay is readily adapted to a standard microtiter plate format (for example, 96-well format) , enabling automated analysis of ligand libraries.
  • spectrophotometric reagents including ferron (7-iodo-8-hydroxyquinoline-5-sulfonic acid) and sulfoxine (8 -hydroxyquinoline-5-sulfonic acid) which can work at physiologically relevant pH (7.0) have been developed as tools for high throughput screening of our library.
  • test solutions are prepared in two ways: preformation of the spectrophotometric reagent :Fe complex with subsequent addition of the test ligand, and as an alternative, preformation of the ligand : Fe complex with subsequent addition of the reagent.
  • the results from both preparation methods must agree to verify that equilibrium of the complexes has been reached.
  • the method was adapted for microtiter plates, for use in a plate reader. Analysis of 96 wells requires approximately 2.5 minutes. The percentage of iron stripped by the unknown ligand is expressed as a percentage:
  • a 0 is the absorbance of the initial spectrophotometric reagent iron complex
  • A is the absorbance of the solution after addition and equilibration of uncharacterized ligand.
  • a particular biological property may be of interest . Examples could include superoxide dismutase enzymatic activity, ability of the metal-ligand complex to bind to a particular receptor, or the ability of a particular ligand to transport a metal across a cellular membrane. In these examples, specific relevant assay to quantitate each ligand would be used to guide optimization of ligand for the particular objective .
  • the polyhydroxamates or analogs and the pharmaceutical compositions of the present invention may be administered by any means that achieve their intended purpose.
  • administration may be by oral, parenteral , subcutaneous, inhalable aerosol, intravenous, intramuscular, intraperitoneal, or transdermal routes, to the extent each is permitted for the particular composition and application in question.
  • the dosage administered will be dependent upon the age, health, and weight of the recipient, type of concurrent treatment, if any, frequency of treatment, and the nature of the effect desired.
  • treatment e . g. , of iron overload, an amount sufficient to reduce ferric ion cell concentrations to acceptable levels is administered.
  • compositions within the scope of this invention include all compositions wherein the polyhydroxamate or analog is contained in an amount that is effective to achieve chelation of the target metal at desired binding levels. Although individual needs vary, determination of optimal ranges of effective amounts of each component is within the skill of the art.
  • polyhydroxamate or analog, or their pharmaceutically acceptable salts, e.g., the mesylate thereof, as raw chemicals in solution they may be administered as part of a pharmaceutically active mixture or preparation containing suitable pharmaceutically acceptable carriers comprising excipients and auxiliaries that facilitate processing of the -polyhydroxamates or their analogs that can be used pharmaceutically.
  • Suitable formulations for parenteral administration include aqueous solutions of the polyhydroxamates, analogs, or their salts in water- soluble form, for example, water-soluble salts.
  • suspensions of the active compounds as appropriate oily injection suspensions may be administered.
  • Suitable lipophilic solvents or vehicles include fatty oils, for example, sesame oil, or synthetic fatty acid esters, for example, sodium carboxymethyl cellulose, sorbitol, and/or dextran.
  • the suspension may also contain stabilizers.
  • Polyhydroxamates or analogs selected from the library of candidates of the invention are also useful as chelators to form complexes with transition metals and lanthanides for use as imaging agents, radiodiagnostic agents, X-ray contrast agents, and may also be utilized as therapeutic radioactive agents in a complex of an appropriate radionuclide and ligand attached to a suitable targeting moiety.
  • Complexes of the invention with X-ray opaque metals such as lead, tungsten, and bismuth may give suitable X-ray imaging agents.
  • Complexes with gadolinium or other lanthanides, manganese, or iron may give suitable MRI imaging agents.
  • polyhydroxamate ligand molecules used for imaging will have three hydroxamic moieties for complexing with transition metals and four for complexing with lanthanides.
  • Such polyhydroxamates are prepared having varying chain lengths between the hydroxamic complexing units to maximize affinity for the particular target metal. They also may include ionic (amine, acid) groups which do not participate in metal complexation, but affect the overall charge of the complex to enhance excretion, absorption, uptake or other physiological properties as desired. Further, the polyhydroxamate ligand molecules also may include non-ionic groups such as hydroxyl, alkoxide, and ether linkages to enhance solubility.
  • water purification of heavy metals may be achieved (or other separation and concentration of solution-borne metals accomplished) by a variety of methods.
  • the metal-containing solution is brought into contact with a composition which includes the metal-binding hydroxamates by flowing the solution through a porous mesh container housing the polymeric hydroxamate composition.
  • the metal ions are thereby captured by the metal chelators and may be discarded or recycled as desired.
  • the reaction cycle includes introduction of the nosyl-protected metal -binding moiety, nosyl group removal, introduction of a spacer, and repetition of the cycle to elongate the scaffold.
  • washing protocol A typical washing cycle consisted of mechanically stirring the resin in the specified volume of solvent for 3-5 min, followed by decantation of the liquid phase by suction using a gas dispersion tube (Porosity C) and house vacuum. Cleavage protocol for small resin samples.
  • N- [2- ⁇ itrobenzenesulfonyl] -0- benzylhydroxylamine, Bn-O-NH-Ns A 250-mL round bottom flask fitted with an addition funnel was charged with O-benzylhydroxylamine hydrochloride (5 g, 31.32 mmol) and the solid was partially dissolved in 60 mL dry pyridine by stirring with a magnetic bar under a flow of nitrogen. The flask was immersed in an ice-salt water bath and cooled to about -50 °C.
  • N- [2-Nitrobenesulfonyl] -O-tert- butylhydroxyla ine, tBu-0-NH-Ns A 250 mL round bottom flask fitted with an addition funnel was charged with O-tert- butylhydroxyla ine hydrochloride (4.8 g, 38 mmol) and the solid was dissolved in 80 mL of dry chloroform by stirring with a magnetic bar. The flask was immersed in an ice-salt water bath and cooled to about -5 °C and triethylamine (8.08g, 80 mmol) was added dropwise.
  • 2-Nitrobezenesulfonyl chloride (nosyl chloride, 7.8 g, 35 mmol) as a solution in 20 mL of anhydrous pyridine was added dropwise over 30 min. After addition was complete, the dark orange solution was allowed to warm to RT and stirred for 17 h. Pyridine was removed under reduced pressure and the residue taken up in EtOAc (200 mL) and extracted successively with water (2 x 100 mL) , 5% aq. HCl (2 x 100 mL) , and 5% aq. NaHC0 3 (200 mL) . The organic layer was dried over MgS0 4 , filtered, and the solvent removed.
  • O-protected-N- (nosyl) hydroxylamine derivatives may be prepared from commercially available starting materials using synthetic and isolation protocols analogous to those described above for the t- Bu, Bn, 2, 4-dimethoxybenzyl, and THP analogs.
  • reaction (a) Freshly prepared 3.1 (0.996 mmol/g, 4.51 mmol) was suspended in 50 mL DMF and stirred while DIPEA (1.2 mL, 6.77 mmol, 1.5 eq.) was added with a graduated pipette. After five min, 5-aminopentanol (2.5 mL, 22.6 mmol, 5 eq. , 0.45 M in final resin suspension) was added likewise. The suspension was heated to 60 °C with a heating mantle and stirred for 24 hours.
  • reaction (b) Tosylation of terminal hydroxyl group to form compound 3.3, reaction (b) . Freshly prepared 3.2 (0.962 mmol/g, 4.51 mmol) was washed with 60 mL dichloroethane and decanted. Dichloroethane (35 mL) was added and stirred while a light yellow solution of p-toluenesulfonyl chloride (4.3 g, 22.6 mmol, 5 eq. , 0.38 M in final resin suspension) and pyridine (3.57 g,45.2 mmol, 10 eq, 0.76 M) in dichloroethane (25 mL) was added with a pipette.
  • p-toluenesulfonyl chloride 4.3 g, 22.6 mmol, 5 eq. , 0.38 M in final resin suspension
  • pyridine 3.57 g,45.2 mmol, 10 eq, 0.76 M
  • reaction (d) Removal of 2 -nitrobenzene-sulfonyl (nosyl) protective group to form compound 3.5, reaction (d) .
  • Freshly prepared 3.4 (0.742 mmol/g, 4.51 mmol) was suspended in 45 mL DMF, and Cs 2 C0 3 (12 g, 36 mmol, 8 eq.) was added in one portion. The suspension was stirred at room temperature while thiophenol (1.5 mL, 13.6 mmol, 3 eq. , 0.3 M in final suspension) was added with a graduated pipette. The suspension turned orange immediately. After stirring for 4 hours, the brownish-orange supernatant was decanted, and the resin washed with DMF:H 2 0 (7:3, v/v, 3 x 50 mL) , DMF (50 mL) ,
  • HPLC analysis (condition 1) of a crude isolate from cleavage of a small sample ( ca . 2-3 mg resin) indicated 95% purity and complete nosyl group removal.
  • reaction (b) Repetition of a series of reactions (tosylation, displacement of tosyl group by nosyl- protected hydroxylamine, removal of nosyl group, coupling of succinate, and condensation of aminopentanol) to further elongate the polyhydroxamate scaffold and produce compound 3.8.
  • Repetition of reaction (b) Starting from compound 3.7 (0.74 mmol/g 4.51 mmol), tosylation was effected with tosyl chloride (4.3 g, 22.6 mmol, 5 eq. , 0.38 M in final suspension), and pyridine (3.57g, 45.2 mmol) in dichloroethane (60 mL) as described above for the preparation of 3.3.
  • reaction (e) Repetition of reaction (e) .
  • the second succinate unit was added (0.685 mmol/g, 4.51 mmol) by reaction with succinic anhydride (1.36 g, 13.6 mmol, 3 eq., 0.27 M in final suspension) in DMF (50 mL) as described for the preparation of compound 3.6.
  • the suspension was decanted and washed with DMF (3 30 mL) , EtOH (30 mL) , CH 2 C1 2 (30 mL) , EtOH (30 mL) , CH 2 C1 2 (30 mL) and DMF (3 x 30 mL) .
  • the derivatized resin was used as such for the next step.
  • reaction (d) Condensation of hydroxylamine intermediate with 6-bromohexanoic acid to form compound 4.4, reaction (d) .
  • Freshly prepared compound 4.3 (4.42 mmol, 5.0 g) was suspended in 50 mL DMF while a solution of 6- bromohexanoic acid (4.32 g, 22.1 mmol, 5 eq.) and DMAP (0.11 g, 0.9 mmol, 0.2 eq. w/respect to resin) in 10 mL DMF was added. After stirring for 2-3 min, DIC (3.5 mL, 22.1 mmol, 5 eq.) was added via pipette.
  • the suspension was heated for 17 hours at 50 °C, cooled, decanted, and washed with DMF (3 x 30 mL) , EtOH (3 x 30 mL) , CH 2 C1 2 (3 x 30 mL) , EtOH (2 x 30 mL) , and DMF (3 x 30 mL) .
  • the resin was washed with DMF (3 x 60 mL) , EtOH (60 mL) , CH 2 C1 2 (60 mL) , EtOH (60 mL) , CH 2 C1 2 (60 mL) , EtOH (2 x 60 mL) , and CH 2 C1 2 (3 x 60 mL) .
  • the library compounds represented by the general structure 10 were characterized by ES-MS and the purity determined by HPLC (condition 2) . Results of the ES-MS and HPLC analyses are set forth in Table 9 below.
  • the CDI -activated Wang resin 13a.1 was prepared from Wang PS resin (1.1 mmol/g) as described in Example 2 and 0.066 g (0.91 mmol/g, 0.06 mmol) of the activated resin was loaded into each well of the 96 well-format reaction block. The resin was swelled in DMF and washed with the solvent in which the reaction was supposed to be performed. A typical washing cycle include mixing the resin with 1.0-1.5 mL of the specified solvent at 600 rpm for 1 min and emptying the block for 4 to 5 min with N 2 pressure of about 9 psi .
  • the reagent solutions prepared in anhydrous solvents whenever necessary
  • solvents were delivered into the reaction wells by robotic arms (except during the cleavage of the compounds from the solid support, which was done manually using a repeater pipette) and all the operations and reactions were carried out in an atmosphere of N 2 .
  • the reaction block was agitated at 600 rpm for specified amount of time. After each reaction, the reaction block was emptied and the resin was washed with one of the following washing protocols given below:
  • Washing protocol 1 THF (x 2) , DMF (x 1) , EtOH (x 1) , and DMF (x 1); Washing protocol 2: DMF (x 2) , EtOH (x 1) , and DMF (x 2); and Washing protocol 3: DMA (x 2) , EtOH (x 1) , and DMA (x 2) . Washing protocol 4: THF (x 3) .
  • CDI -activated Wang resin in each well was reacted with a solution of 0.5 M 5-aminopentanol and 0.3 M N, N- diisopropylethylamine (DIPEA) in DMF for 8 h at 60 °C. Washing protocol 2 and 4.
  • DIPEA N, N- diisopropylethylamine
  • the resin-bound substrate was agitated and heated with a solution of 0.50 M NsNHOBu t (4.0 eq.)in THF (0.4 ml), 1.0 M triphenylphosphine (4.0 eq.) in THF (0.22 ml), and 1.0 M diisopropyl azodicarboxylate (DIAD, 4.0 eq.) in THF (0.22 mL) for 4 h at 37 °C. Washing protocol 1.
  • the substrate 13a.3 was agitated with a solution of 0.20 M 2-mercaptoethanol (0.18 mmol, 3.0 eq.) and 0.40 M DBU (0.36 mmol, 6.0 eq.) in DMF (0.90 mL) for 30 min at room temperature. The yellow colored solution was drained and the resin was washed with 1 mL each of EtOH and DMF. The reaction was repeated with fresh reagents. Washing protocol 2. (d) Coupling with carboxylic acid anhydride or dicarboxylic acid/HATU/DIPEA to from intermediates of the general structure 13a.5
  • the intermediate 13a.4 in each well was reacted with dicarboxylic acid anhydride (succinic anhydride, glutaric anhydride or 3,3- tetramethyleneglutaric anhydride) or with dicarboxylic acid (1 , 4-phenylenedipropionic acid, adipic acid, trans- 1, 4-cyclohexane dicarboxylic acid) depending on its location in the array) .
  • dicarboxylic acid anhydride succinic anhydride, glutaric anhydride or 3,3- tetramethyleneglutaric anhydride
  • dicarboxylic acid 1, 4-phenylenedipropionic acid, adipic acid, trans- 1, 4-cyclohexane dicarboxylic acid
  • the substrate was agitated with a solution of 0.25 M acetic anhydride (0.30 mmol, 5.0 eq.) and 0.50 M DIPEA (0.60 mmol, 10.0 eq) in DMF (1.2 mL) for 6 h at room temperature.
  • the resin was further washed with DMF (x 2), EtOH ( x 2) , and 1,2- dichloroethane (DCE, x 3) , and dried overnight under vacuum.
  • the compounds were simultaneously cleaved off the resin by agitating the resin-bound intermediate of the general structure 13a.7 with a solution of 90%TFA in CH 2 C1 2 (1.5 mL each; 18:1:1, v/v) for 2 h at room temperature. After filtration, the resin was washed with cleavage cocktail (1.0 mL each), and the combined solution in the collection vial was screw-capped, and left overnight (24 h) at room temeprature to ensure the complete deprotection of the tert-butyl groups . The solutions were then transferred to glass tubes and evaporated to dryness by blowing a stream of N 2 . Acetonitrile (1 mL) was added to each sample and evaporated to dryness with N 2 . Once again acetonitrile (1 mL) was added to each sample and evaporated to dryness on a speedvac concentrator overnight. The samples were further dried under high vacuum overnight .
  • Washing protocol 1 THF (x 2) , DMF (x 1) , EtOH (x 1) , and DMF (x 1); Washing protocol 2: DMF (x 2), EtOH (x 1) , and DMF (x 2); and Washing protocol 3: DMF (x 2) , EtOH (x 1) , and 1,2 -dichloroethane (DCE, x 2).
  • nosyl resin 14a.2 was converted to intermediates of the general structure 14a.3 either (i) by alkylation using alkyl bromides (leading to the products 14.1 to 14.4) or (ii) by Mitsunobu reaction with alcohols [leading to the products 14.7 to 14.33 (corresponding N-Boc alcohol was used for the analogs 14.27 to 14.33) ] .
  • the substrate 14a.3 was agitated with a solution of 0.20 M 2-mercaptoethanol (0.18 mmol, 3.0 eq.) and 0.40 M DBU (0.36 mmol, 6.0 eq.) in DMF (0.90 mL) for 30 min at room temperature. The yellow colored solution was drained and the resin was washed with 1 mL each of EtOH and DMF. The reaction was repeated with fresh reagents. Washing protocol 3.
  • the substrate 14a.4 was agitated with a solution of the appropriate 0.25 M bromoacid chloride (6- bromohexanoyl chloride or 8-bromooctanoyl chloride; 0.24 mmol, 4.0 eq.) and 0.50 M DIPEA (0.48 mmol, 8.0 eq.) in DCE (0.96 mL) for 4 h at room temperature. Washing protocol 2.
  • the substrate 14a.5 was agitated with a solution of 0.20 M 0- (tert-butyl) -N- (2 -nosyl) hydroxylamine (0.18 mmol, 3.0 eq.) and 0.13 M 1, 1, 3 , 3-tetramethylguanididne (TMG, 0.12 mmol, 2.0 eq.) in DMF (0.90 mL) at 50 °C for 6 h. Washing protocol 2.
  • the nosyl resin 14a.2 was converted to intermediates of the general structure 15a.1 either (i) by Mitsunobu reaction with alcohols [leading to the products 15.1 to 15.6 (Boc-aminopentanol was used) and 15.11 to 15.18] or (ii) by alkylation using alkyl bromides (leading to the products 15.7 to 15.10).
  • End-capping was carried out by agitating the substrate with a solution of 0.25 M acetic anhydride (0.15 mmol, 2.5 eq.) and 0.50 M DIPEA (0.30 mmol, 5.0 eq) in DMF (0.60 mL) for 2 h at room temperature. Washing protocol 2.
  • the substrate 15a.1 was agitated with a solution of 0.20 M 2-mercaptoethanol (0.18 mmol, 3.0 eq.) and 0.40 M DBU (0.36 mmol, 6.0 eq.) in DMF (0.90 mL) for 30 min at room temperature. The yellow colored solution was drained and the resin was washed with 1 mL each of EtOH and DMF. The reaction was repeated with fresh reagents. Washing protocol 2.
  • the substrate 15a.2 was agitated with a solution of appropriate 0.17 M N-Fmoc -amino acid (0.24 mmol, 4.0 eq.), 0.17 M HATU (0.24 mmol, 4.0 eq.), and 0.33 M (DIPEA) in DMA (1.48 mL) for 4 h at room temperature. The solution was drained and the resin was washed with DMF (x 2) . The reaction was repeated with fresh reagents using half the amounts given above. Washing protocol 2.
  • Bromide displacement was carried out by agitating the substrate 15a.5 with a solution of 0.20 M O- ( ert- butyl) -N- (2 -nosyl) hydroxylamine (0.18 mmol, 3.0 eq.) and 0.13 M TMG (0.12 mmol, 2.0 eq.) in DMF (0.90 mL) at 50 °C for 4 h. Washing protocol 2. The nosyl group was removed as described in the step (b) . Washing protocol 2.
  • the substrate 15a.6 was heated with a solution of 0.50 M succinic anhydride (0.30 mmol, 5.0 eq.), 0.05 M
  • the substrate 15a.8 was heated with a solution of the 0.25 M 0- ( ert-butyl) -N- (2-nosyl) hydroxylamine (0.24 mmol, 4.0 eq.), 0.25 M triphenylphosphine (0.24 mmol, 4.0 eq.), and 0.25 M DIAD (0.24 mmol, 4.0 eq.) in THF (0.96 mL) for 4 h at 37 °C. Washing protocol 1.
  • End-capping was carried out by agitating the substrate with a solution of 0.25 M acetic anhydride (0.15 mmol, 2.5 eq.) and 0.50 M DIPEA (0.30 mmol, 5.0 eq) in DMF (0.60 mL) for 2 h at room temperature. Washing protocol 2. Subsequent transformation of the intermediates of the type 16a.2 to the final products 16 was achieved by repeating the sequence of reactions described earlier in Scheme 15a for the conversion of 15a.1 to 15 [except that TFA-CH 2 C1 2 (9:1, v/v) was used in the final step].
  • the novel examples represented by the general structure 16 were characterized by ES-MS and the purity determined by HPLC (condition 2; gradient: 0% to 100% B in 10 min) and the results are summarized in the following Table 13.
  • the MiniKans were stirred for 15 min with 25 mL or 50 mL of the solvent for 8 and 16 MiniKans respectively. After finishing the wash cycles between the reactions, the MiniKans were dried under vacuum (10-20 mm Hg) for about 30 min.
  • MiniKans containing nosyl-derivatized resin 14a.2 (0.907 mmol/g, 0.061 g each, 8 MiniKans, 0.055 mmol) were suspended in a solution of 0.25 M each of triphenylphoshine (1.64 g, 6.25 mmol), appropriate alcohol MeOH (0.253 mL, 6.25 mmol) or EtOH (0.362 mL,
  • End-capping was carried out by stirring the MiniKans (16) with 0.40 M acetic anhydride (1.89 mL, 20.0 mmol) and 0.80 M DIPEA (6.95 mL, 40.0 mmol) in DMF (50 mL) for 3 h at room temperature. The solution was decanted and the MiniKans were washed with DMF (x 1) and then with EtOH and CH 2 C1 2 alternately (3 cycles) . (b) The nosyl group was removed to form intermediates of the general structure 17a.2
  • the MiniKans (16) containing 17a.1 were stirred with a soluion of 0.20 M 2-mercaptoethanol (0.70 mL, 10.0 mmol) and 0.40 M DBU (2.99 mL, 20.0 mmol) in DMF (50 mL) for 1 h at room temperature in an atmosphere of N 2 .
  • the yellow colored solution was removed and the MiniKans were washed with DMF (50 mL) .
  • the reaction was repeated with fresh reagents and the MiniKans were washed with DMF (x 1) and then with EtOH and CH 2 C1 2 alternately (4 cycles) .
  • the MiniKans (8) were suspended in 20% piperidine in DMF and stirred for 6 min at room temperature. The solution was decanted, fresh deprotection cocktail was added, and stirring continued for 40 min. The solution was decanted and the MiniKans were washed with EtOH and CH 2 C1 2 alternately (4 cycles) .
  • the Minikans (16) containing 17a.5 were stirred with an orange-red colored solution of 0.20 M 0-(2,4- dimethoxybenzyl) -N- (2-nitrobenzenesulfonyl) hydroxylamine (2.94 g, 8.00 mmol) and 0.15 M TMG (0.752 mL, 6.00 mmol) in anhydrous DMF (40 mL) for 12 h at 50 °C in an atmosphere of ⁇ 2 . The solution was removed and the
  • N-Acetylation was carried out by stirring the MiniKans (16) with 0.25 M acetic anhydride (1.18 mL, 12.5 mmol) and 0.50 M DIPEA (4.35 mL, 25.0 mmol) in 1,2- dichloroethane (50 mL) for 12 h at room temperature in an atmosphere of ⁇ 2 .
  • the solution was decanted and the MiniKans were washed with DMF (x 2) and then with EtOH (x 1) and CH 2 C1 2 (x 2) alternately (2 cycles) .
  • the nosyl resin 14a.2 was converted to intermediates of the general structure 18a.1 either (i) by Mitsunobu reaction with alcohols [leading to the final products 18.1, 18.2, and 18.15 (Boc-aminopentanol was used) and 18.7 to 18.14] or (ii) by alkylation using alkyl bromides (leading to the products 18.3 to 18.6).
  • End-capping was carried out by agitating the substrate with a solution of 0.25 M acetic anhydride (0.15 mmol, 2.5 eq.) and 0.50 M DIPEA (0.30 mmol, 5.0 eq) in DMF (0.60 mL) for 2 h at room temperature. Wash protocol 2. (b) The nosyl group was removed to form the intermediates of the general structure 18a.2.
  • the substrate 18a.1 was agitated with a solution of 0.20 M 2-mercaptoethanol (0.18 mmol, 3.0 eq.) and 0.40 M DBU (0.36 mmol, 6.0. eq.) in DMF (0.90 mL) for 30 min at room temperature. The yellow colored solution was drained and the resin was washed with 1 mL each of EtOH and DMF. The reaction was repeated with fresh reagents. Washing protocol 2. (c) Coupling with N-Fmoc -amino acid was carried out to form intermediates of the general structure 18a.3.
  • the substrate 18a.2 was agitated with a solution of appropriate 0.17 M N-Fmoc - amino acid (0.24 mmol, 4.0 eq.), 0.17 M HATU (0.24 mmol, 4.0 eq.), and 0.33 M (DIPEA) in DMA (1.48 mL) for 4 h at room temperature. The solution was drained and the resin was washed with DMF (x 2) . The reaction was repeated with fresh reagents using half the amounts given above. Washing protocol 2.
  • the substrate 18a.3 was agitated with a solution of 25% piperidine in DMF (1.0 mL) for 3 min at room temperature. The solution was drained off and the reaction was repeated with fresh reagents for 15 min. Washing protocol 2.
  • the substrate 18a.4 was agitated with a solution of the appropriate 0.25 M bromoacid chloride (6- bromohexanoyl chloride or 8-bromooctanoyl chloride; 0.24 mmol, 4.0 eq.) and 0.50 M DIPEA (0.48 mmol, 8.0 eq.) in DCE (0.96 mL) for 4 h at room temperature. Washing protocol 2.
  • Bromide displacement was carried out by agitating the substrate 18a.5 with a solution of 0.20 M O- ( tert- butyl) -N- (2 -nosyl) hydroxylamine (0.18 mmol, 3.0 eq.) and 0.13 M TMG (0.12 mmol, 2.0 eq.) in DMF (0.90 mL) at 50 °C for 4 h. Wash protocol 2.
  • the substrate 18a.6 was transformed to compounds of the general structure 18a.7 by repeating the above dsecribed steps (b) to (f) .
  • the substrate was agitated with a solution of 0.25 M acetic anhydride (0.30 mmol, 5.0 eq.) and 0.50 M DIPEA (0.60 mmol, 10.0 eq) in DCE (1.2 mL) for 6 h at room temperature. After completing the washing protocol 2, the resin was further washed with (DCE x 3) , and dried overnight under vacuum.
  • Bromide displacement was carried out by agitating the substrate 19a.1 with a solution of 0.20 M O- ( ert- butyl) -N- (2 -nosyl) hydroxylamine (0.18 mmol, 3.0 eq.) and 0.13 M TMG (0.12 mmol, 2.0 eq.) in DMF (0.90 mL) at 55 °C for 6 h. Washing protocol 2.
  • End-capping was carried out by agitating the substrate with a solution of 0.25 M acetic anhydride (0.15 mmol, 2.5 eq.) and 0.50 M DIPEA (0.30 mmol, 5.0 eq) in DMF (0.60 mL) for 2 h at room temperature. Washing protocol 2.
  • the negative value of the descending slope (- S) was used to determine the relative binding affinity of each ligand for iron. A more negative slope corresponds to a higher iron binding affinity.
  • DFO was used as a control ligand.
  • the following relative iron binding affinities (expressed as -S) were determined for each ligand in the library: DFO 3 (0.64), 10.10 (0.46); 10.7 (0.44); 10.4 (0.43); 10.12 (0.42); 10.8 (0.35); 10.11 (0.39); 10.2 (0.37), 10.3 (0.32) 10.5 (0.32), 10.1 (0.27), 10.9 (0.24).
  • Nanopure water before using The required stock solutions were prepared as described below:
  • Stock solution #2 0.1 M Iron (III) chloride in 0.1 M HCl Dissolved FeCl 3 .6H 2 0 (0.27 g, 0.001 mol) in 5 mL water. Added 1 mL 1 M HCl; mix, and diluted to 10 mL with water.
  • Stock solution #7 1.0 mM sulfoxine sodium salt in water. Prepared fresh. Diluted 1 mL of 0.01 M sulfoxine-Na to 10 mL with 0.02 M PIPES (pH 7.0, stock #1)
  • a 0 the absorbance of the control solution
  • a s the absorbance of a sample solution
  • the precentage of iron stripped by the tested ligand of the library 13, 14, 15, 16, 17, and 18, is expressed as a percentage: [A 0 -A s ] / [A 0 ] xlOO
  • a 0 is the absorbance of the initial sulfoxine : Fe complex
  • A is the absorbance of the solution after addition and equilibration of uncharacterized ligand.
  • the calculation is made for both sets of samples, using the appropriate A 0 .
  • the error in the %Fe value has been determined to be ⁇ 2%.
  • the following relative iron binding affinities were determined for each ligand and expressed as % of iron removed from preformed sulfoxine.
  • Fe 3+ complex preformed ligand. Fe 3+ complex
  • the system can be represented as:
  • Fe +3 complex were determined for ligands in the library of the general structure 13. 13.1 (DFO): 58.9; 13.2: 28.2; 13.3: 30.8; 13.6:25.5;

Landscapes

  • Health & Medical Sciences (AREA)
  • Chemical & Material Sciences (AREA)
  • Organic Chemistry (AREA)
  • Engineering & Computer Science (AREA)
  • Bioinformatics & Cheminformatics (AREA)
  • Life Sciences & Earth Sciences (AREA)
  • Chemical Kinetics & Catalysis (AREA)
  • General Chemical & Material Sciences (AREA)
  • Medicinal Chemistry (AREA)
  • Nuclear Medicine, Radiotherapy & Molecular Imaging (AREA)
  • Pharmacology & Pharmacy (AREA)
  • Animal Behavior & Ethology (AREA)
  • General Health & Medical Sciences (AREA)
  • Public Health (AREA)
  • Veterinary Medicine (AREA)
  • Neurology (AREA)
  • Neurosurgery (AREA)
  • Biomedical Technology (AREA)
  • Pain & Pain Management (AREA)
  • Rheumatology (AREA)
  • Psychiatry (AREA)
  • Cardiology (AREA)
  • Heart & Thoracic Surgery (AREA)
  • Endocrinology (AREA)
  • Orthopedic Medicine & Surgery (AREA)
  • Hematology (AREA)
  • Diabetes (AREA)
  • Psychology (AREA)
  • Urology & Nephrology (AREA)
  • Gynecology & Obstetrics (AREA)
  • Pregnancy & Childbirth (AREA)
  • Toxicology (AREA)
  • Reproductive Health (AREA)
  • Immunology (AREA)
  • Vascular Medicine (AREA)
  • Physical Education & Sports Medicine (AREA)
  • Dermatology (AREA)
  • Organic Low-Molecular-Weight Compounds And Preparation Thereof (AREA)
  • Heterocyclic Carbon Compounds Containing A Hetero Ring Having Nitrogen And Oxygen As The Only Ring Hetero Atoms (AREA)
  • Peptides Or Proteins (AREA)

Abstract

A method of synthesizing desired polyhydroxamates and polyhydroxamate analogs is provided. The method comprises linking a first component of the desired polyhydroxamate or polyhydroxamate analog to a support matrix under conditions effective to form a first matrix-bound intermediate of said desired polyhydroxamate or analog, extending said first matrix-bound intermediate using reagents and reaction conditions effective to form one or more additional matrix-bound intermediates of said desired polyhydroxamate or analog, thereby forming a matrix-bound precursor of the desired polyhydroxamate or polyhydroxamate analog. Protective groups used during synthesis of the precursor are removed and the matrix-bound precursor is cleared from the support matrix, thereby synthesizing the desired polyhydroxamate or polyhydroxamate analog. Methods of making, screening and selecting libraries of candidate polyhydroxamates, the libraries and polyhydroxamates, polyhydroxamate analogs, their intermediates, and methods for using such compounds and their compositions are also disclosed.

Description

LIBRARIES OF POLYHYDROXAMATES AND THEIR ANALOGS
This invention was developed with Government support under SBIR 1 R43 DK54157-01. The Government has certain rights in the invention.
Background of the Invention
This invention relates to novel hydroxamates and their analogs, methods of obtaining hydroxamates and their analogs having a specified target property such as affinity to iron, and libraries containing candidate hydroxamates and their analogs which are retrievable and analyzable for such target property. Desferrioxamine B (DFO) , also known as deferoxamine, is a naturally-produced siderophore derived from the microorganism Streptomyces pilosus . DFO is an iron chelator which has been used for decades in the clinic to treat various conditions related to acute iron poisoning or overload. For example, iron overload may be caused by the frequent transfusions required during the treatment of thalassemias and sickle cell anemia. Thalassemias represent two of the most common inherited disorders, and it is estimated that over 100,000 children are born each year with forms of the disease severe enough to require treatment. Moreover, the World Health Organization estimates that each year more than 250,000 babies are born worldwide with sickle cell disease, and it is believed to affect more than 72,000 African Americans in the United States, alone.
Iron overload is also caused by hereditary hemochromatosis (HHC) . HHC is a disorder of iron metabolism that increases iron absorption and results in excessive iron accumulation. It is estimated that 24 million people worldwide carry double genes for hemochromatosis and more than 600,000,000 people carry the single gene. Hemochromatosis affects approximately one in three hundred people in the United States, and one in nine people is a carrier, making it one of the most common genetic disorders in the United States. As iron accumulates in the body, serious and sometimes fatal health problems appear, including arthritis, cirrhosis of the liver, diabetes, impotence, heart failure and liver cancer.
Oral iron chelators also have potential application in the treatment of infections. Many pathogens require ferric ions (the +3 form of iron) for growth, and have evolved to produce siderophores that complex and transport these ions. This ensures the continued survival of the microorganism by enabling it to compete effectively with its host for this limiting resource. In fact, man has developed an elaborate mechanism for sequestering ferric ion from pathogens as part of its natural defenses against infection. Iron chelation is potentially useful in the treatment of parasitic diseases such as malaria, and leishmaniasis, as well as in the treatment of opportunistic infections arising from Pneumocystis carnii and Histoplas a capsulatum . These infections are associated with compromised immune systems in diseases such as AIDS or with cancer treatment and organ transplants . Siderophores such as DFO are believed to intercede in the development of the infection by their complexation with ferric ions that are required for the growth of the pathogen. If the infecting organism lacks the receptor necessary to transport the DFO-ferric ion complex into the pathogen, administration of DFO effectively prevents the pathogen from acquiring essential iron. DFO was also recently shown effective in preventing septic shock by degradation of nitric oxide. This finding indicates yet another potential therapeutic application of iron chelators.
Finally, DFO has also been reported to have utility (in complexes with Mn) as a low-molecular weight mimic of superoxide dismutase to reduce or prevent superoxide radical-induced toxicity. It is used in the treatment of conditions associated with inflamation and oxidative stress (oxyen toxicity) such as reperfusion injury, stroke, psoriasis, inflamatory bowel disease, shock, hyperbaric oxygen therapy, etc. See, e . g. , Fridovich et al . , U. S . Patent No . 5, 227, 405, which is incorporated by reference.
Although used for over thirty years in the treatment of transfusional iron overload, DFO is not ideal for use as a therapeutic in several significant respects. In particular, DFO is not orally active, and consequently, its clinical use is often plagued by patient non-compliance. Additionally, DFO is cleared by the kidneys and has a short half-life in the body. DFO administration is also quite costly and exhibits unwanted toxicity in some patients. A superior metal chelator for treatment of iron overload, and to fill the need for a therapeutic effective for infections and related applications, is long overdue.
Metal chelators, including DFO, also have utility as metal-binding ligands in non-therapeutic applications. For example, their affinity for ferric ions and other metals makes them useful imaging agents in the diagnosis of numerous diseases. Complexes of chelators with X-ray opaque metals such as lead, tungsten, and bismuth can be used as X-ray imaging agents, while complexes with gadolinium, iron, and other magnetically active metals are used as MRI imaging agents .
Another non-therapeutic use of metal chelators is in water purification and remediation regimens.
Ligands attached to a polymer or other solid support sequester metals from a waste stream and in doing so, enable removal and recovery of metal pollutants.
The molecular structure of DFO, 7,18,29- trihydroxy-8, 11, 19,22, 30-pentaoxo-l , 7, 12, 18,23,29- hexaazahentriacontane, has been elucidated as shown in Scheme 1 :
Figure imgf000006_0001
DFO belongs to a class of compounds known as polyhydroxamates which utilize hydroxamic groups as ligation sites for the chelation of iron in the form of ferric ions (Fe+3) . DFO binds Fe3+ with an association constant, Ka, of 30.4.
Desferrioxamine was first produced synthetically in 1962 by Prelog et al . [Helv. Chim. Acta., Vol. 75, p. 631 (1962)]. However, despite the high-profile problems associated with the clinical use of DFO and the long-standing interest in generating iron chelators with superior properties to those exhibited by it, there has been little progress over the past several decades in developing effective alternative hydroxamates which could serve as candidates to replace or supplement DFO in its clinical applications. This lack of progress has no doubt been fueled by the perception that the synthesis of DFO or hydroxamate analogs requires a large number of reaction steps and produces only a low yield of product, making the synthesis and evaluation of this type of compound problematic and laborious.
To date, synthetic methods for making DFO and related analogs have been limited to solution-based processes developed mostly by Bergeron et al . (see, e . g. , U.S. Pat. No. 4.987,253) and Dionis et al (J. Org. Chem . 1989, 54 , 5623-5627) . Using such solution-based chemistry, Bergeron and co-workers have prepared DFO and certain related analogs with some limited success. However, in general, these approaches have serious limitations. The syntheses have relied largely on nitrile starting materials which require additional synthesis themselves. Several hydrogenolysis and reduction steps, with either metal hydrides or hydrogen and metal catalysts, are necessary to reach the target, DFO. The limited availability of starting materials and the crucial reduction and hydrogenolysis steps have restricted the range of chemical functionalities that could be employed, and therefore severely confined the syntheses and scope of DFO mimics. A second approach by Bergeron et al . , J. Med . Chem . 34 : 3182 - 7 (1991 ) decreased the number of steps necessary to prepare DFO but, nonetheless, the principal concerns still remain: limited scope of starting materials and intermediates, and lack of reagents and conditions which are more amenable for elaborating on chemical diversity. Moreover, there are systemic limits to the overall effectiveness of solution-based synthetic approaches to the creation of novel hydroxamates. Reliance upon solution-phase reaction methods can be extremely tedious with multiple reaction and purification steps required for each particular compound produced. Finally, the sheer economic cost of such a labor and time-intensive development strategy when employed to create, isolate, characterize and test hydroxamates for their therapeutic and non-therapeutic efficacy is daunting in and of itself.
As evidence of these intrinsic difficulties, no promising polyhydroxamate candidates generated by solution-based chemistry are known, to date, to be undergoing clinical evaluation. Thus, a significant impediment to the development of improved polyhydroxamate compounds to serve as iron chelators has been the difficulty of synthesizing and testing candidate compounds which fit the desired target profile.
An alternative approach to solution-based synthesis of hydroxamic acid has been explored. Solid phase synthesis (SPS) of hydroxamic acid is known. However, the application of SPS, to date, has been limited to hydroxamate monomers or chemically-modified hydroxamate monomers. .See e. g. , Ngu et al . J. Org . Chem. , 1997, 62, 7088-7089; Bauer et al . Tetrahedron Lett . ,
1997, 38, 7233-7236; and Golebiowski et al . Tetrahedron Lett . , 1998 , 39, 3397-3400 .
The complexity of the DFO molecule and the difficulties associated with its multi-step solution synthesis suggest that a solid phase combinatorial approach to the synthesis of DFO, its analogs and other polyhydroxamates would not be feasible. However, applicants have successfully devised solid phase synthetic routes for molecular scaffolds for DFO and other polyhydroxamates which can be used to generate libraries of candidates with the capacity for chelating iron and other transition and heavy metals. This approach makes use of a support matrix for ease and efficiency in the synthesis of candidate polyhydroxamates .
Summary of the Invention
Among the several objects of the invention, therefore, may be noted: i) The provision of a method for synthesizing, characterizing, and screening structurally-diverse candidate polyhydroxamates or their analogs which fit a target profile for therapeutic and/or non-therapeutic metal -binding applications. ii) The provision of such a method which provides for rapid and efficient isolation and identification of such candidates. iii) The provision of a method which dramatically reduces the difficulties of synthesizing and purifying candidates in good yield. iv) The provision of a method that allows for large quantities and numbers of candidate chelators to be characterized and screened for their metal ion-complexing properties, rather than to do so one or a few compounds at a time. v) Also among the objectives of the invention is the creation of libraries of candidate polyhydroxamates, novel branched, unbranched, and cyclic polyhydroxamates and related novel compounds with high affinity for ferric (Fe+3) and other metal ions.
Briefly, therefore, the present invention is directed to a novel method of synthesizing a desired polyhydroxamate or polyhydroxamate analog. The method includes linking a first component of said desired polyhydroxamate or polyhydroxamate analog to a support matrix under conditions effective to form a first matrix- bound intermediate of said desired polyhydroxamate, extending said first matrix-bound intermediate using reagents and reaction conditions effective to form one or more additional matrix-bound intermediates of said desired polyhydroxamate or polyhydroxamate analog, thereby forming a matrix-bound precursor of said desired polyhydroxamate or polyhydroxamate analog. Any protective groups used during synthesis of said precursor are removed and the matrix-bound precursor is cleaved from the support matrix, thereby synthesizing the desired polyhydroxamate or polyhydroxamate analog.
The present invention is further directed to a method relating to libraries of candidate polyhydroxamate or polyhydroxamate analog molecules. The method includes the steps of designing a molecular scaffold or scaffolds for a prototype polyhydroxamate or polyhydroxamate analog, designing a synthetic pathway to make said prototype, obtaining a support matrix or matrices for use in construction of the library of candidate polyhydroxamate or polyhydroxamate analog molecules, and carrying out reaction steps according to the synthetic pathway so that the library is thereby created. The library thus created comprises an array of at least two candidate polyhydroxamate or polyhydroxamate analog molecules substantially all of which comprise the molecular scaffold or scaffolds of the prototype linked to the support matrix or matrices . In yet another aspect of the invention, a method of obtaining a polyhydroxamate or polyhydroxamate analog or mixture of polyhydroxamates or analogs of a specified target property is provided. The method comprises the steps of providing a library or libraries of candidate polyhydroxamates or analogs which contains at least five different candidates with each of the candidates being present in retrievable and analyzable amounts, selecting from the candidates one or more having a desired target property, and separating said polyhydroxamates or analogs having the desired target property from those not having the target property.
In a related aspect, a library of polyhydroxamates or polyhydroxamate analog molecules is provided which are candidates targeted for one or more desired properties. The library includes an array of at least two different polyhydroxamate or polyhydroxamate analog molecules wherein any of the candidate molecules are retrievable and analyzable for the one or more desired target properties. In additional embodiments, the invention is directed to a compound comprising a matrix-bound polyhydroxamate or polyhydroxamate analog; a compound comprising an N-nosyl intermediate of a polyhydroxamate or polyhydroxamate analog; a polyhydroxamate or polyhydroxamate analog comprising the formula:
Figure imgf000012_0001
wherein Rλ and R5 are independently selected and incorporate one of the following, or combinations of any of the following: hydrogen; cyclic or acyclic, branched or unbranched alkyl or heteroalkyl , aryl or heteroaryl, alkylidene or heteroalkylidene, heterocyclic, arylalkyl or heteroarylalkyl, alkylether, alkoxyalkyl, alkylpolyether, alkylthioether, alkylamino, alkylaminoalkyl, alkylpolyamino, all optionally substituted with one or more, same or different, hydroxyl, thiol , halide, alkoxy, thioalkoxy, amino, including mono-, di-, tri-, and tetrasubstituted, aminoalkyl, carboxyl, carboxamido, carboxamidoalkyl , carboxyalkyl, sulfonic and phosphonic acid groups, a support matrix, and a linker to the support matrix; R2 through R4 are independently selected and incorporate one of the following, or combinations of any of the following: no atom, all definitions of Rx and R5; Rx through R5 are optionally the same or different in any of their occurrences; any pair of Rx through R5, together with any moiety through which they are linked, optionally form a carbocyclic or heterocyclic ring; a, b, and c are integers greater than or equal to zero, and w is an integer greater than or equal to one; each X is independently selected from the group consisting of hydroxyl, thiol, NH2, and NHR^ each Y is independently selected from the group consisting of no atom, oxygen, sulfur, selenium, CH2, CHR1# NRι NH, NOH, NNH2, NNHRlf CONRx, NR^O, CO, C02, sulfonate or phosphonate ester, sulfinate or phosphinate, carboxyl, carboxamido, carboxamidoalkyl, carboxyalkyl, or any of the moieties belonging to groups Rx and R5 except for hydrogen; each Z is independently selected from the group consisting of oxygen, NH, NRιr sulfur, and selenium; and each X, Y, and Z is optionally the same or different in any of their occurrences; and a complex comprising the polyhydroxamate or polyhydroxamate analog set forth above, complexed with a metal ion.
In yet another aspect of the invention, the invention is directed to a pharmaceutical composition comprising at least one of the polyhydroxamates or polyhydroxamate analogs first identified by selection from a library or from libraries of candidate polyhydroxamates or analogs as defined above, having the desired target property or properties, or the pharmaceutically acceptable salt or salts thereof, either with or without a complexed metal, in combination with a pharmaceutically acceptable carrier.
Also disclosed are imaging agents comprising at least one of the polyhydroxamates or polyhydroxamate analogs first identified by selection from a library or from libraries of candidate polyhydroxamates or analogs as defined above having the desired target property or properties, wherein said target property or properties include the ability to provide a suitable image, complexed with a transition metal or lanthanide.
In a further embodiment, a radiodiagnostic agent is disclosed comprising at least one of the polyhydroxamates or polyhydroxamate analogs first identified by selection from a library or from libraries of candidate polyhydroxamates or analogs as defined above having the desired target property or properties, wherein said target property or properties include the ability to serve as a suitable radiodiagnostic, complexed with a transition metal or lanthanide.
Further disclosed is an X-ray contrast agent comprising at least one of the polyhydroxamates or polyhydroxamate analogs first identified by selection from a library or from libraries of candidate polyhydroxamates or analogs as defined above having the desired target property or properties, wherein said target property or properties include the ability to serve as a suitable X-ray contrast agent, complexed with a transition metal or lanthanide.
In another aspect, a system is provided for the separation or concentration of fluid-borne metals from a fluid comprising at least one polyhydroxamate or polyhydroxamate analog and a porous container for housing the at least one polyhydroxamate or polyhydroxamate analog and for flowing the solution through, wherein the at least one polyhydroxamate or polyhydroxamate analog is first identified by selection from a library or from libraries of candidate polyhydroxamates or analogs as defined above having the desired target property or properties, wherein said target property or properties include the ability to separate or concentrate said solution-borne metals from said solution.
Relatedly, a metal chelator is provided comprising a polyhydroxamate or polyhydroxamate analog first identified by selection from a library or libraries of candidate polyhydroxamates or analogs as defined above having the desired target property or properties, wherein said target property or properties include the ability to chelate a target metal anion.
Methods of using the compositions of the invention are also provided. In one regard, a method of preventing or treating a disease or disorder characterized by the presence of a cellular excess of a particular metal anion is provided, comprising administering to a subject in need of such prevention or treatment, a therapeutically, prophylactically, or resuscitatively effective amount of at least one pharmaceutical composition described above, wherein said target property or properties include the ability to bind to said particular metal anion.
Additionally, a method of assisting in the diagnosis of a physiological condition is disclosed comprising administering to a subject in need of such diagnosis, an imaging agent, a radiodiagnostic agent, or an X-ray contrast agent as described above, of a type and in an amount sufficient to aid in said diagnosis.
In another method of the invention, a method for the separation or concentration of fluid-borne metals from a fluid containing said metals is provided, comprising flowing said fluid through a system such as one characterized above using polyhydroxamates or polyhydroxamate analogs .
Further, a method for the chelation of a target metal or metals comprising contacting the target metal or metals with a metal chelator as described above, wherein the metal chelator has an affinity for said target metal or metals is provided.
Other objects and features will be in part apparent and in part pointed out hereinafter.
Description of the Preferred Embodiment
In its broadest aspect, the method of the present invention consists of three integrated parts: i) Devising the solid phase synthesis of basic molecular scaffolds for polyhydroxamates or their analogs which are capable of selectively binding ferric ions and/or other metal ions; ii) Generating combinatorial libraries consisting of candidate polyhydroxamates or their analogs incorporating such basic molecular scaffolds; and iii) The use of high-throughput screening techniques to select those compounds with the desired target property or profile of properties.
Synthesis
A method of synthesizing polyhydroxamates is provided. The method comprises building a polyhydroxamate scaffold by linking a first component of a desired polyhydroxamate to a support matrix under conditions effective to form a first matrix-bound intermediate of the desired polyhydroxamate, and in subsequent steps extending this first matrix-bound intermediate using reagents and reaction conditions effective to form one or more additional matrix-bound intermediates of the desired polyhydroxamate until a matrix-bound precursor to the desired polyhydroxamate is formed. The method further comprises removing any protective groups used during synthesis of the matrix- bound polyhydroxamate precursor and cleaving the matrix- bound polyhydroxamate precursor from the support matrix to form the desired polyhydroxamate. A solid phase method for synthesizing polyhydroxamates comprises the following synthetic stages : a) Attachment of a suitable linker, which may or may not be an integral part of the target polyhydroxamate, onto the synthetic support ( e. g. , resin matrix) . This modification affords the first support- bound intermediate. b) Incorporation of additional molecular component (s) into the growing chain prior to the introduction of the first of a series of hydroxamates or hydroxamate-analog moieties. c) Introduction of a first hydroxamate moiety as a suitably N, O-Jbis-protected hydroxylamine precursor. d) Removal of N-protection from the introduced hydroxylamino group, and elaboration of the growing chain as desired prior to the introduction of the second of a series of functional (i.e. hydroxamate) moieties. e) Introduction of a second hydroxamate moiety as a suitably N, O-Jbis-protected hydroxylamine precursor. f) Removal of N-protection from the introduced hydroxylamino group, and elaboration of the growing chain as desired prior to the introduction of the third of a series of functional (i.e. hydroxamate) moieties . g) Once as many hydroxamate functionalities as desired have been assembled into the growing chain, terminate it by reacting it with a suitable component. h) Removal of any remaining protective group (s) from the polyhydroxamate precursor. i) Cleavage of the support-bound deprotected polyhydroxamate molecule to obtain the desired compound.
The support matrix to be utilized for solid phase synthesis may be constructed of any suitable material to which the candidate polyhydroxamate (s) may be attached and subsequently cleaved. Herein, a support matrix is defined as an insoluble solid phase (polymeric and otherwise) , such as in the form of beads, films, rods or pins; or a soluble polymeric support such as dendrimers, or bovine serum albumin, on which synthetic manipulations may be accomplished. This support may in itself be of natural or synthetic origin. Accordingly, such materials include but are not limited to: i) Insoluble solid phases in the following forms as examples, but not limited to: Gel-types: polystyrene-co-divinylbenzene (0.5-2%) , polystyrene-Kel-F, polystyrene-polyethylene film (PEPS) , polystyrene-polyethyleneglycol (TentaGel, NovaSyn TG, ArgoGel), poly [styrene-co-tetraethyleneglycol diacrylate] (TEGDA-PS) . Polyamides : various co-polymers of
N, N-dimethylacrylamide and other amides and polyethyleneglycol (Pepsyn, Pepsyn K, Sparrow, Expansin, PEGA, NovaSyn P500) .
Miscellaneous polymers: polyethylene pins grafted with various acrylates (such as the pins made by Chiron), polyolefins (ASPECT), poly [ethylene) -co-vinyl alcohol] (EVAL) , polypropylene-polyhydroxypropylacrylate (HPA-PP) , 3,6, 9-trioxadecanoic acid-PEPS (PEO-PEPS) .
Polymeric macroporous (rigid) solids: amide-PEG based Polyhipe, polystyrene-co-divinylbenzene (8-50%) based (ArgoPore) . Natural organic polymers : Sephadex, cellulose, chitin.
Inorganics: silica, glass, controlled pore glass, kiesselguhr, NovaSyn K125, and ii) Soluble polymers: polyethyleneglycol (PEG), bovine serum albumin (BSA) , Starburst dendrimers.
As used herein, a linker is defined as a covalent chemical linkage which facilitates the attachment of the starting material to the support matrix and the convenient and efficient removal of the product under desired conditions. Linkers may be already attached to the support matrix or may be coupled to it chemically by known methods. Materials suitable for use as linkers include but are not limited to: 4-alkoxybenzyl alcohol (Wang) , p-carbamoylmethyl-benzyl ester (PAM) , 2-methoxy-4-alkoxybenzyl alcohol (SASRIN) ,
4-hydroxymethyl-3-methoxyphenoxybutyric (HMBP) , 4-hydroxymethylbenzoyl (HMBA) , trityl, 2-chlorotrityl, 4-methyltrityl, 4-methoxytrityl, 4 , 4 ' -dichlorotrityl, p-nitrobenzophenone oxime, 4-hydroxymethyl-3-methoxyphenoxybutyric (HMBP) ,
1- (1-hydroxyethyl) -6-nitro-3-methoxy-4-phenoxybutyric, 2-methoxy-4-alkoxybenzaldehyde, diethylsilyl-alkyl, benzhydrylamine, 4-methylbenzhydrylamine (MBHA) , 4- (2 ' , 4 ' -dimethoxy-phenylaminomethyl) -phenoxymethyl (Rink), 5- (4-aminomethyl-3 , 5-dimethoxy) valeric acid (PAL) , 9-aminoxanthen-3-yloxyl (Sieber) , 4-sulfamyl-benzoyl, 4-sulfamyl-butyryl , and N-methoxy- ?-alanyl (Weinreb) .
A Wang combination solid support matrix linker is preferred, and is best described as a 4-hydroxymethylphenoxy linker covalently attached to an insoluble polymer matrix of copoly (styrene-1% divinylbenzene crosslinker) , 100-200 mesh size. See "A Practical Guide to Combinatorial Chemistry", A.W. Czarnik and S.H. DeWitt, Eds., 1997, ACS and references therein for additional support matrices and linkers. A "polyhydroxamate", as used herein, refers to a compound comprising a scaffold or backbone of at least two hydroxamate moieties linked together and upon which, when desired, modification can be made to create variants and analogs. As used herein, except as where required by context (such as in the "Background of the Invention" section) , the term "polyhydroxamates" explicitly excludes a polyhydroxamate which is naturally occurring or which was otherwise first discovered prior to applicants' invention thereof.
As used herein, "hydroxamate analogs" or "polyhydroxamate analogs" means hydroxamate-like compounds wherein the hydroxyl group of one or more hydroxamate moieties may be replaced, e . g. , by thiol, ΝH2 or R-L as defined for X in Scheme 7, and/or wherein the carbonyl oxygen of one or more of the hydroxamate moieties may be replaced, e. g. , by NH1# NR^ sulfur or selenium as defined for Z in Scheme 7.
An additional aspect included in the present invention is the preparation of novel O-protected-N- (nosyl) hydroxylamine derivatives, where nosyl (Νs) is 2- or 4-nitrobenzenesulfonyl .
The structure below illustrates a general formula for these nosylated hydroxylamine derivatives. PG stands for protective group, and includes but is not limited to any of tert-butyl (t-Bu), benzyl (Bn) , tetrahydropyranyl (THP) , tert-butyldimethylsilyl (TBDMS) , 4-benzyloxybenzyl (BnOBn) , 2 , 4-dimethoxybenzyl [(2,4- MeO)2Bn], methoxymethyl (MOM), and allyl.
Figure imgf000021_0001
Scheme 2
These hydroxylamine derivatives are important intermediates for the syntheses of polyhydroxamates disclosed in the present work. The use of a nosyl group is advantageous from several perspectives. It is easily incorporated via commercially available nosyl chloride. It activates the Ν-H bond in the nosylated species to the extent that it can be deprotonated by a wide variety of organic and inorganic bases (e . g. , 1,8- diazabicyclo [5.4.0] undec-7-ene [DBU] , diisopropylethylamine [DIPEA] , LiOH, Cs2C03, 7-methyl- 1, 5, 7-triazabicyclo [4.4.0] dec-5-ene [MTBD] , 1,1,3,3- tetramethylguanidine (TMG) , etc.), thus generating a robust anionic species suitable for nucleophilic substitution. Lastly, nosyl groups are conveniently and selectively removed via a Meisenheimer-type complex using a thiol nucleophile ( e . g. , mercaptoethanol, mercaptoacetic acid, thiophenol, etc.) in the presence of a variety of bases (see above) in a suitable solvent. In another aspect of the method of the present invention, a process for synthesizing desferrioxamine B is provided.
Figure imgf000022_0001
Acid
Figure imgf000022_0002
where the polymer matrix is copolystyrene-1% divinylbenzene (100-200 mesh)
Figure imgf000022_0003
Scheme 3
With reference to Scheme 3 above, this process includes the steps of: a) reacting a support matrix ( e . g. , p- benzyloxybenzyl alcohol resin is exemplified) containing an imidazolyl-carbamate group 3.1 with 5-aminopentanol to form compound 3.2; b) activating the hydroxyl end of compound 3.2 via a sulphonate ( e . g. , with tosyl chloride) to form compound 3.3 or via an alkyl halide ( e . g . , with CBr4/Ph3P) ; c) displacing the tosyl group of compound 3.3, or halide, with an N-nosyl -O-protected-hydroxylamine synthon (PG-O-ΝH-Νs, where the protective group [PG] may be, for example, benzyl [Bn] , tetrahydropyranyl [THP] , tert-butyl [t-Bu] , 4-benzyloxybenzyl [BnOBn] , 2,4- dimethoxybenzyl [ (2, 4-MeO) 2Bn] methoxymethyl [MOM], tert- butyldimethylsilyl [TBDMS] or allyl) in the presence of an organic or inorganic base (e.g., DBU, DIPEA, Cs2C03, MTBD, TMG, etc.) to form compound 3.4; d) Removal of nosyl groups with a thiol ( e . g. , thiophenol or mercaptoethanol) and base ( e . g. ,
DBU, DIPEA, Cs2C03, MTBD, LiOH, TMG, etc.) to form compound 3.5; e) Reacting the secondary O-protected-hydroxylamine intermediate 3.5 with succinic anhydride to form compound 3.6, and introducing the first of two succinimide spacers present in DFO; f) Condensing the free carboxylic acid of compound 3.6 with the amine group of 5-aminopentanol via a variety of coupling methods ( e . g. , DIC/DMAP, HATU/DIPEA, etc.) to form compound 3.7; g) Repeating steps (b) through (f) to form compound 3.8; h) Repeating steps (b) through (d) and acetylating the resulting secondary hydroxylamine using acetic anhydride or other acylating agent to produce the tris-O-protected derivative of DFO 3.9; i) Cleaving compound 3.9 from the resin and removing the O-protective groups by, e . g. , reaction with trifluoroacetic acid (TFA) ; and additionally, if necessary, j ) Removing any remaining O-protective groups, unaffected by acidolysis, by palladium-catalyzed reaction with H2 or other appropriate deprotection method [ e . g. , Pd(Ph3P)4/HOAc for allyl group). The nature of the O-protective group used determines the necessary chemical treatment. Either method, acidolysis or acidolysis plus required deprotection yields the target desferrioxamine B (DFO) , compound 3. An alternate process for synthesizing desferrioxamine B (3) was developed utilizing the Mitsunobu reaction (Huges et al . , Org. Prep. Proced . Int . 1996, 28 , 127-164 and the references cited therein) with an N-nosyl - O-protected-hydroxylamine synthon (PG-O-ΝH-Νs, where the protective group [PG] may be, for example, benzyl [Bn] , tetrahydropyranyl [THP], tert-butyl [t-Bu] , 4-benzyloxybenzyl [BnOBn] , 2 , 4-dimethoxybenzyl [(2,4- MeO)2Bn] methoxymethyl [MOM], tert-butyldimethylsilyl [TBDMS] or allyl) in the presence of triphenylphosphine (Ph3P) and diethyl azodicarboxylate (DEAD) or diisopropyl azodicarboxylate (DIAD) for the transformation of the alcohol intermediate 3a.2 to 3a.3 [see step (b) Scheme 3a] , and later in the preparation of the intermediates of the general structure 3a.8.
Figure imgf000025_0001
Succinic anhydride
(d)
Figure imgf000025_0002
Repeat stes (b) through (e)
Figure imgf000025_0003
Figure imgf000025_0004
Scheme 3a
In a further embodiment of the method of the present invention, a process is provided for obtaining a compound of the structure represented by 4 (see Scheme 4 below) .
Figure imgf000026_0001
Figure imgf000026_0002
Scheme 4
With reference to Scheme No. 4 above, the synthesis of compound 4 comprises: a) Reacting a resin containing a hydroxyl function ( e . g. , p-benzyloxybenzyl alcohol resin is exemplified) with 6-bromohexanoic acid and coupling agent to form compound 4.1; b) Displacing the halide of compound 4.1 with an N-nosyl -O-protected-hydroxylamine synthon (PG-O-ΝH-Νs, where the protective group [PG] may be, for example, benzyl [Bn] , tetrahydropyranyl [THP] , tert-butyl [t-Bu] , 4-benzyloxybenzyl [BnOBn] , 2 , 4-dimethoxybenzyl [(2,4- MeO) 2Bn] , methoxymethyl [MOM], tert-butyldimethylsilyl [TBDMS] or allyl) in the presence of an organic or inorganic base (e.g. DBU, MTBD, DIPEA, Cs2C03, TMG, etc.) to form compound 4.2; c) Removal of nosyl groups with a thiol ( e . g . , thiophenol or mercaptoethanol) and base (e.g., DBU, MTBD, DIPEA, Cs2C03, LiOH, TMG, etc.) to form compound 4.3; d) Condensing the secondary
O-protected-hydroxylamine intermediate 4.3 with 6-bromohexanoic acid via a variety of coupling methods (e.g., CDI, HATU/DIPEA, acid chloride/DIPEA etc.) to form 4.4. e) Repeating steps (b) through (d) to form compound 4.5; f) Repeating steps (b) and (c) (nucleophilic displacement with PG-O-NH-Ns and nosyl group removal) followed by treatment with an acetylating agent to form compound 4.6; g) Cleaving compound 4.6 from the resin and removing the O-protective groups by, e.g., reaction with trifluoroacetic acid (TFA) ; and additionally, if necessary, h) Removing any remaining O-protective groups, unaffected by acidolysis, by palladium-catalyzed reaction with H2 or other appropriate deprotection method [e.g., Pd(Ph3P)4/HOAc for allyl group). The nature of the O-protective group used determines the necessary chemical treatment. Either method, acidolysis or acidolysis plus required deprotection, yields the target DFO analog, compound 4.
A process is also provided for obtaining a compound of the structure represented by 5. With reference to Scheme 5 below, the synthesis of compound 5 comprises :
Figure imgf000028_0001
Figure imgf000028_0002
Figure imgf000028_0003
Scheme 5
a) Reacting a resin containing a hydroxyl function (e.g., p-benzyloxybenzyl alcohol resin is exemplified) with 6-bromohexanoic acid and a coupling agent to form compound 5.1; b) Displacing the halide of compound 5.1 with an N-nosyl - O-protected-hydroxylamine synthon (PG-O-ΝH-Νs, where the protective group [PG] may be, for example, benzyl [Bn] , tetrahydropyranyl [THP], tert-butyl [t-Bu], 4-benzyloxybenzyl [BnOBn] , 2 , 4-dimethoxybenzyl [(2,4- MeO)2Bn], methoxymethyl [MOM], tert-butyldimethylsilyl
[TBDMS] or allyl) in the presence of an organic or inorganic base (e.g., DBU, MTBD, DIPEA, Cs2C03, TMG, etc.) to form compound 5.2; c) Removal of nosyl groups with a thiol (e.g. thiophenol or mercaptoethanol) and base (e.g., DBU, MTBD, DIPEA, Cs2C03, LiOH, TMG, etc.) to form compound 5.3; d) Condensing the secondary
O-protected-hydroxylamine intermediate 5.3 with 6-bromohexanoic acid via one of a variety of coupling methods (e.g., DIC/DMAP, HATU/DIPEA, acyl chloride/DIPEA, etc . ) to form 5.4. e) Repeating steps (b) through (d) to form compound 5.5 (nucleophilic displacement with PG-O-NH-Ns, nosyl group removal, and condensation with 6- bromohexanoic acid) ; f) Repeating steps (b) through (d) to form compound 5.6 (nucleophilic displacement with PG-O-NH-Ns, nosyl group removal, and condensation with 6- bromohexanoic acid) ; g) Repeating steps (b) and (c) (nucleophilic displacement with PG-O-NH-Ns and nosyl group removal) followed by acetylation of the resulting secondary hydroxylamine using acetic anhydride or other appropriate acylating agent to produce the tetra-O-protected derivative 5.7; h) Cleaving compound 5.7 from the resin and removing the O-protective groups by, e.g., reaction with trifluoroacetic acid (TFA) ; and additionally, if necessary, i) Removing any remaining O-protective groups, unaffected by acidolysis, by palladium-catalyzed reaction with H2 or other appropriate deprotection method [e.g., Pd(PPh3)4/HOAc for allyl group). The nature of the O-protective group used determines the necessary chemical treatment. Either method, acidolysis or acidolysis plus required deprotection, yields the target DFO analog, compound 5.
A process is also provided for obtaining a compound of the structure represented by 6. With reference to Scheme 6 below, the synthesis of compound 6 comprises :
Figure imgf000030_0001
Scheme 6
a) Reacting hydroxylamine-derivatized resin 6.1 (e.g., p-benzyloxybenzyl alcohol resin is exemplified, which was prepared according to the procedure of Floyd et al . , Tetrahedron Lett . 1996, 37, 8045-8048) with 2 -nosyl chloride in the presence of an organic base (e.g., pyridine, 2 , 6-lutidine, etc.) to form compound 6.2; b) N-Alkylation of 6.2 by reacting either with alcohol under Mitsunobu conditions (Ph3P and DEAD or DIAD) or alkyl bromide in the presence of a base (e.g., DBU, MTBD, TMG, etc.) to form compound 6.3; c) Removal of nosyl groups with a thiol (e.g., thiophenol or mercaptoethanol) and base (e.g., DBU, MTBD, DIPEA, Cs2C03, LiOH, TMG, etc.) to form compound 6.4; d) Acylating the secondary
O-protected-hydroxylamine intermediate 6.4 with 6-bromohexanoyl chloride in the presence of an organic base (e.g., DIPEA, pyridine, Et3Ν, etc.) or 6- bromohexanoic acid via one of a variety of coupling methods (e.g., DIC/DMAP, HATU/DIPEA, etc) to form 6.5; e) Displacing the halide of compound 6.5 with an N-nosyl -O-protected-hydroxylamine synthon (PG-O-ΝH-Νs, where the protective group [PG] may be, for example, benzyl [Bn] , tetrahydropyranyl [THP] , tert-butyl [t-Bu] , 4 -benzyloxybenzyl [BnOBn] , 2 , 4-dimethoxybenzyl [ (2 , 4-
MeO)2Bn], methoxymethyl [MOM], tert-butyldimethylsilyl [TBDMS] or allyl) in the presence of an organic or inorganic base (e.g., DBU, MTBD, DIPEA, Cs2C03, TMG, etc.) to form compound 6.6; f) Repeating steps (c) through (e) to form compound 6.7 (nosyl group removal, acylation with 6- bromohexanoyl chloride, and nucleophilic displacement with PG-O-NH-Ns) ; g) Repeating steps (c) through (e) and then (c) (nosyl group removal, acylation with 6-bromohexanoyl chloride, nucleophilic displacement with PG-O-NH-Ns, and nosyl group removal) followed by acetylation of the resulting secondary hydroxylamine using acetic anhydride or other appropriate acylating agent to produce the tetra-O-protected derivative 6.8; h) Cleaving compound 6.8 from the resin and removing the O-protective groups by, e.g., reaction with trifluoroacetic acid (TFA) ; and additionally, if necessary, i) Removing any remaining O-protective groups, unaffected by acidolysis, by palladium-catalyzed reaction with H2 or other appropriate deprotection method [e.g., Pd(PPh3) 4/HOAc for allyl group]. The nature of the O-protective group used determines the necessary chemical treatment. Either method, acidolysis or acidolysis plus required deprotection, yields the target DFO analog, compound 6.
The syntheses of DFO (3) and compounds 4, 5, and 6 as described above are illustrative of the variety of polyhydroxamate molecular scaffolds that can be prepared using the methods set forth below.
Library Design
In general, design of a molecular scaffold for the polyhydroxamates or their analogs involves selecting and positioning ferric ion-binding and/or other metal ion-binding atoms from a set of electron-rich hetero atoms (e.g., 0, N, S, P) as donors and positioning such metal ion-binding atoms in an optimal geometric arrangement around the spherical metal ion. Preferably, the scaffold includes at least two hydroxamate units as ligation sites. Design of the scaffold also includes the selection and placement of carbon, oxygen, phosphorus, nitrogen and/or sulfur atoms to form connective acyclic, cyclic, or branched chains which link the metal-binding atoms in the same molecule. These chains allow the ion binding atoms to adopt spatial positions which are geometrically feasible for metal ligation. The design of an appropriate molecular scaffold may also include the utilization of a computer program in which pre-selected properties are incorporated into the design criteria. Among the properties which may be included in the design criteria are: i) Availability of viable synthetic reaction schemes to construct and integrate the design components and necessary intermediates by solid phase synthesis; ii) Avoidance of spatial coincidence of ligand and metal atoms; iii) Avoidance of van der Waals contact of ligand atoms separated by greater than two bonds; iv) Ensurance of appropriate length and angle of bonds between connecting atoms; and v) Review and incorporation of optimal geometric arrangements seen in crystal structures of preferred pre-existing and/or newly-synthesized metal-ligand complexes.
The candidate polyhydroxamates are preferably constructed on a support matrix which allows generation of the candidate compounds in good yield with a purity that allows identification and assaying without extensive purification. Depending on the particular polyhydroxamate scaffold of interest, a specific set of chemical reactions and reagents is employed which enables assembly of the "building blocks" containing the hydroxamate residues and/or other ligating electron-rich atoms, in accordance with design criteria. In accordance with a preferred embodiment of the present invention, fragments to be assembled on the support matrix are appropriately derivatized as part of an overall protection strategy. For example, the nosyl group is advantageously utilized to protect the amino group of hydroxylamine. This nosyl protective group may then be removed from an intermediate compound (e.g. by nucleophilic aromatic substitution reactions using thiols, such as thiophenol or mercaptoethanol) to permit further elongation steps. In addition, the hydroxyl group of hydroxylamine may be masked with selected protective groups, such as benzyl, 2 , 4-dimethoxybenzyl, tetrahydropyranyl, and t-butyl among others already cited, and conveniently removed whenever necessary.
Library production
Using the method of synthesis described herein, combinatorial libraries of polyhydroxamates and analogs as mixtures or individual compounds are constructed by any of a variety of means used in the field of combinatorial chemistry. These include but are not limited to methodologies such as the "tea bag" method, "pin" methods, "split and combine" methods, or spatially addressable synthesis. The "tea bag" and "pin" methods are techniques which physically separate different compounds on the polymeric support. In the "tea-bag" method, first developed by Houghten, et al . (Proc . Natl . Acad. Sci . U. S .A . 1985, 82, 5131 -5135) , the synthesis occurs on resin that is sealed inside porous polypropylene bags or in it's radiofrequency tagged equivalent, IRORI Kans (Nicolaou et al . , Angew. Chem . Int . Ed. Engl . 1995, 34, 2289 -2291) . Reagents are allowed to react with the resin by placing bags in the appropriate solutions, while all common steps such as washing or deprotection are performed simultaneously in one reaction vessel. At the end of the synthesis, each bag contains a single compound. This technique offers the advantage of considerable synthetic flexibility.
The pin method developed by Geysen, et al . [J. Immunol . Meth . (1987) 102 : 259 -274] is an alternative to conventional resins in which rigid pins are used as a solid support. Pins consist of polymer chains that are grafted at one end to a dimensionally stable plastic polymer such as polyethylene or polypropylene. Pins are held in a grid referenced position (such as a 96-well microtitre format) . This grid format simplifies parallel synthesis by allowing for convenient removal of unreacted reagents, washing of the resin, and the simultaneous handling of thousands of individual compounds.
Compounds in combinatorial syntheses are prepared as either separate compounds, using parallel synthesis or spatially addressable synthesis, or as mixtures (e.g. a "mix and split" method). Spatially addressable synthesis is a combinatorial synthesis in which the identity of a compound is ascertained by virtue of its location in the synthesis. Thus, the combinatorial process is carried out by controlling the addition of a chemical reagent to specific locations of a solid support. This approach enables generation of unique compounds in discrete locations, for example a specific polymeric bead, a "tea bag" of polymeric beads, a "Kan" of polymeric beads, a specific pin head in an array of pins, a specific location in a 364-well plate, a specific location in a reaction block, or a specific location of an addressable site on silicon or paper. An example of light-directed, spatially addressable parallel chemical synthesis is that developed by Fodor and co- workers (Fodor et al . Science, 1991 , 251 , 767) , which combines solid phase chemistry and photolithography to generate arrays of compounds .
Mixtures of large numbers of compounds also can be generated using the split and combine method [Furka et al . Abstr. 14 th Int . Congr. Biochem . , Prague, Czechoslovakia, 1988, 5, 47; Furka et al . , Int . J. Peptide Protein Res . , 1991 , 37 487-493 ; Lam et al . , Nature (1991 ) , 354 , 82 - 84] . The method works as follows: a sample of resin support material is divided into a number of equal portions (x) and each of these are individually reacted with a single different reagent. After completion of the reaction and washings, the individual portions are recombined, the whole is thoroughly mixed and is divided again for the next set of reactions. The whole process may be repeated as necessary for a total number of n times. The number of compounds obtained arises from the geometric increase in potential products; in this case x to the power of n .
Combinatorial libraries allow development of an array of related molecules to be screened for more desirable exhibition of a target property or set of properties.
Briefly, therefore, the present invention is directed to novel libraries of candidate polyhydroxamates or their analogs targeted for one or more desired properties. The library contains at least 2 different polyhydroxamate or analog candidates and preferably 50 or more candidates. Any of the candidates are retrievable and analyzable for the one or more desired target properties. Each candidate polyhydroxamate or analog contains at least two metal-binding functionalities (for example, hydroxamic acid moieties, -C [=0] -N-OH-) and a spacer. Further, each polyhydroxamate or analog is formed from a combination of at least some or all of the following or their precursors: a support matrix, a linker to this matrix, a spacer spanning at least one methylene residue or one composed of any combination of the chemical entities mentioned in Scheme 7 below for Y, R2, R3, and R4, and at least two metal-binding functionalities (for example, hydroxamic acid moieties, -C [=0] -N [OH] -) separated by the spacer.
Also provided are novel libraries of candidate polyhydroxamates and analogs wherein substantially all of said candidates polyhydroxamates and their analogs have the following structure:
Figure imgf000037_0001
Scheme 7
wherein Rx and R5 are independently selected and incorporate one of the following, or combinations of any of the following: hydrogen; cyclic or acyclic, branched or unbranched alkyl or heteroalkyl, aryl or heteroaryl, alkylidene or heteroalkylidene, heterocyclic, arylalkyl or heteroarylalkyl, alkylether, alkoxyalkyl, alkylpolyether, alkylthioether, alkylamino, alkylaminoalkyl, alkylpolyamino, all optionally substituted with one or more, same or different, hydroxyl, thiol, halide, alkoxy, thioalkoxy, amino (mono- , di-, tri-, and tetrasubstituted) , aminoalkyl, carboxyl, carboxamido, carboxamidoalkyl, carboxyalkyl, sulfonic and phosphonic acid groups, a support matrix, a linker to the support matrix.
R2 through R4 are independently selected and incorporate one of the following, or combinations of any of the following: no atom, all definitions of Rx and R5. Rx through R5 may be the same or different in any of their occurrences. Any pair of Rx through R5, together with any moiety through which they are linked, may form a carbocyclic or heterocyclic ring. a, b, and c are integers greater than or equal to zero, and w is an integer greater than or equal to one. Each X is independently selected from the group consisting of hydroxyl, thiol, NH2, and NHRX . Each Y is independently selected from the group consisting of no atom, oxygen, sulfur, selenium, CH2, CHR^ R1( NH, NOH, NNH2, NNHR1# CONRi, NRjCO, CO, C02, sulfonate or phosphonate ester, sulfinate or phosphinate, carboxyl, carboxamido, carboxamidoalkyl, carboxyalkyl, or any of the moieties belonging to groups R1 and R5 except for hydrogen. Each Z is independently selected from the group consisting of oxygen, NH, NR1# sulfur, and selenium. Each X, Y, and Z can be the same or different in any of their occurrences. The structural diversity of the chemical species available through applicants' methodologies described herein are extensive and multifaceted. For illustrative purposes, the following structures are provided to demonstrate the architectural variety of this approach.
Figure imgf000039_0001
Figure imgf000039_0002
Figure imgf000039_0003
Figure imgf000039_0004
Scheme 8
As a further example of the structural diversity achieved by applicants methodologies, it is noted that the polyhydroxamates encompassed by the invention include branched chain scaffolds, for example bifurcated and trifurcated polyhydroxamates including but not limited to those shown in Scheme 9 below:
Figure imgf000040_0001
Figure imgf000040_0002
where R is
Figure imgf000040_0003
Scheme 9
wherein Rλ and R5 are independently selected and incorporate one of the following, or combinations of any of the following: hydrogen; cyclic or acyclic, branched or unbranched alkyl or heteroalkyl, aryl or heteroaryl, alkylidene or heteroalkylidene, heterocyclic, arylalkyl or heteroarylalkyl, alkylether, alkoxyalkyl, alkylpolyether, alkylthioether, alkylpolythioether, alkylamino, alkylaminoalkyl , alkylpolyamino, all optionally substituted with one or more, same or different, hydroxyl, thiol, halide, alkoxy, thioalkoxy, amino (mono-, di-, tri-, and tetra-substituted) , aminoalkyl, carboxyl, carboxamido, carboxamidoalkyl, carboxyalkyl, sulfonic and phosphonic acid groups, a support matrix, a linker to the support matrix.
R2 through R4 are independently selected and incorporate one of the following or combinations of any of the following: no atom, all definitions of R1 and R5. R-L through Rs may be the same or different in any of their occurrences. Any pair of Rλ through R5, together with any moiety through which they are linked, may form a carbocyclic or heterocyclic ring. a, b, and c are integers greater than or equal to zero, and w is an integer greater than or equal to one. q, r, s, t, and u are integers greater than or equal to zero. Each X is independently selected from the group consisting of hydroxyl, thiol, NH2, and NHRX . Each Y is independently selected from the group consisting of no atom, oxygen, sulfur, selenium, CH2, CHR17 NRlf NH, NOH, NNH2, NNHR1# CONRi, NRjCO, CO, C02, sulfonate or phosphonate ester, sulfinate or phosphinate, carboxyl, carboxamido, carboxamidoalkyl, carboxyalkyl, or any of the moieties belonging to groups Rx and R5 except for hydrogen. Each V is independently selected from the group consisting of no atom, oxygen, NH, NRι; sulfur, and selenium. Each Z is independently selected from the group consisting of oxygen, NH, NR1# sulfur, and selenium. Each X, Y, V and Z can be the same or different in any of their occurrences. The bi- and trifurcated chains are built by substituting a bi- or tri-halo carboxylic acid for the mono-halo carboxylic acid used, for example, in the synthesis of compound 4. An example would be the use of 3-bromo-2-bromomethylpropionic acid in place of 6- bromohexanoic acid (see Scheme 4) to yield a bifurcated derivative. Preferably, the chain building chemistry continues on in the same manner as for straight chain polyhydroxamates except that the chemistry is occurring on two or three chains simultaneously.
In another aspect of the present invention, novel polyhydroxamates and libraries containing said novel polyhydroxamates and their analogs are provided. These newly discovered compounds have the general formula :
Figure imgf000042_0001
Scheme 10
wherein m, n, and p are independently selected from the group consisting of the integers 1 to 10.
This invention relates also to the complexes of such novel compounds with iron and other metals including, but not limited to, aluminum, manganese, cobalt, nickel, copper, zinc, cadmium, tungsten, platinum, gold, mercury, lead, bismuth, gadolinium, europium, technium, indium, gallium, scandium, and chromium. These complexes have the general formula illustrativly depicted in Scheme 11 below for a metal ion bearing a formal charge (q) of +3. , n, and p are independently selected from the group consisting of the integers 1 to 10; and q can be +2, +3, or +4.
Figure imgf000043_0001
Scheme 11
In yet another aspect of the present invention, novel matrix-bound polyhydroxamates are provided. These compounds have the general architecture/formula :
Figure imgf000043_0002
Scheme 12
wherein the support matrix and linker may be independently selected from the list of support matrixes and linkers detailed above, and m, n, and p are independently selected from the group consisting of the integers 1 to 10.
Exemplary candidate polyhydroxamate libraries generated in accordance with the methods of the invention are summarized in the following Schemes and Tables. A polyhydroxamate library (Example 4 and
Scheme 10a in the experimental section) of the general formula 10 shown below, and examples of the novel compounds are listed in Table 1:
Figure imgf000044_0001
10
Table 1
Figure imgf000044_0003
A polyhydroxamate library (Example 5 and Scheme 13a in the experimental section) of the general formula 13, depicted in Scheme 13, and examples of the novel compounds are listed in Table 2.
Figure imgf000044_0002
13 Scheme 13
Table 2
Figure imgf000045_0001
Figure imgf000046_0001
1 -cyclo-NC5H9^l-(CH2)2 (CH2)2- cyclo-C5H8(CH2)2 ::)o
(CH2)2-C6H4-4-(CH2)2 = -<H2C)2- (CH2)2 — trans-1 ,4-C6H10
^>"
A polyhydroxamate library (Example 6 and Scheme 14a in the experimental section) of the general formula 14, depicted in Scheme 14, and examples of the novel compounds are listed in Table 3:
Figure imgf000047_0001
14
Scheme 14
Table 3
Figure imgf000047_0002
Figure imgf000048_0002
A polyhydroxamate library (Example 7 and Scheme 15a in the experimental section) of the general formula 15, depicted in Scheme 15, and examples of the novel compounds are listed in Table 4:
Figure imgf000048_0001
15
Scheme 15
Table 4
Figure imgf000048_0003
Figure imgf000049_0002
A polyhydroxamate library (Example 8 and Scheme 16a in the experimental section) of the general formula 16, depicted in Scheme 16, and examples of the novel compounds are listed in Table 5:
Figure imgf000049_0001
16
Scheme 16
Table 5
Figure imgf000049_0003
A polyhydroxamate library (Example 9 and Scheme 17a in the experimental section) of the general formula 17, depicted in Scheme 17, and examples of the novel compounds are listed in Table 6:
Figure imgf000050_0001
17
Scheme 17
Table 6
Figure imgf000050_0002
A polyhydroxamate library (Example 10 and Scheme 18a in the experimental section) of the general formula 18, depicted in Scheme 18, and examples of the novel compounds are listed in Table 7:
Figure imgf000051_0001
18
Scheme 18
Table 7
Figure imgf000051_0002
A polyhydroxamate library (Example 11 and ιo Scheme 19a in the experimental section) of the general formula 19, depicted in Scheme 19, and examples of the novel compounds are listed in Table 8.
Figure imgf000052_0001
19 Scheme 19
Table 8
Figure imgf000052_0002
This invention relates also to the complexes of such novel compounds with the general structure of polyhydroxamtes 4,5,6,10,13,14,15,16,17,18, and 19 with iron and other metals including, but not limited to,
10 aluminum, manganese, cobalt, nickel, copper, zinc, cadmium, tungsten, platinum, gold, mercury, lead, bismuth, gadolinium, europium, technium, indium, gallium, scandium, and chromium.
In yet another aspect of the present
15 invention, novel matrix-bound polyhydroxamates with the general structure of polyhydroxamates 4,5,6,10,13,14,15,16,17,18, and 19 are provided.
The methods of the present invention can also be used to generate polyhydroxamate libraries with
20 protected hydroxymates which can serve as produgs and be regenerated through the gut passage by exposure to acidic and basic conditions and to esterases . For example, the hydroxyl group of -N(OH)-CO- in polyhyhydroxamate analogs can be modified with acyl , aryl-acyl, alkyl carbonate, alkyl, etc. or terminal carboxyl group could be esterified with a variety of alcohols, etc.
The methods of the present invention are also directed to processes for producing polyhydroxamate libraries. These processess include: a) Reacting a support matrix, in any of the variety of forms used in the field of combinatorial chemistry (tea bag, pin, split and combine, spatially addressable, etc.), with a suitable linker for those supports lacking an appropriate one; b) Reacting the matrix-bound linker, in one or more steps, to create intermediates consistent with R1 through R5 as defined in Scheme 7. Typically, these reagents will consist of hydroxy-acids, halo-acids, or amino-alcohols, but can also include dicarboxylic acids, amino acids and other reagents which are subsequently reacted with other reagents such as amino-alcohols or halo-acids; c) Displacement of the resin-bound intermediate's terminal hydroxyl (via its sulfonate) or halide by an N-nosyl -O-protected-hydroxylamine moiety (where the O-protective group may be, e.g., benzyl [Bn] , tetrahydropyranyl [THP] , t-butyl [t-Bu] , 4-benzyloxybenzyl [BnOBn] , 2 , 4-dimethoxybenzyl [(2,4- MeO)2Bn], methoxymethyl [MOM], t-butyldimethylsilyl [TBDMS] or allyl) in the presence of an organic or inorganic base; d) Removal of the Νs protective group using a thiol and an organic or inorganic base; e) Reaction of the resulting intermediate in one or more steps, to create intermediates that are ultimately consistent with the spacer R2-Y-R3-R4 as defined in Scheme 7. Typically, these reagents will consist of hydroxy-acids, halo-acids, or amino-alcohols, but can also include dicarboxylic acids, anhydrides, dicarboxyl halides, and other reagents which are subsequently reacted with other reagents such as amino- alcohols; f) Repeating steps (c) through (e) as needed to elongate the polyhydroxamate scaffold; g) Repeating steps (c) and (d) (nucleophilic displacement with PG-O-NH-Ns and nosyl group removal) followed by treatment with an acetylating agent to form an intermediate which is ultimately consistent with R5 as defined in Scheme 6. h) Cleaving the synthesized material from the support matrix and removing any protective groups; provided that all members of said combinatorial library comprise at least two hydroxamate moieties with at least one carbon atom between each of the hydroxamate moieties. Thus, in accordance with the present invention, it has been discovered that solid phase synthesis utilizing novel reaction protocols may be employed in conjunction with principles of combinatorial chemistry to produce libraries of individual polyhydroxamates or hydroxamate analogs, or mixtures of candidate hydroxamates or hydroxamate analogs which are retrievable and analyzable for such target properties as binding affinity to a particular metal such as iron. Methodologies for screening candidates from such libraries are provided below.
Screening
The present invention is further directed to a novel method for identifying polyhydroxamate and analog compounds which bind metals for therapeutic or non-therapeutic use. This method includes the steps of producing a library of polyhydroxamate or analog compounds on support matrices; cleaving and separating the polyhydroxamate and analog compounds from the resin- linkers; presenting each compound in the combinatorial library with a metal ion; assessing the metal binding affinity of each compound; selecting the compounds which have useful binding affinities; and determining other properties of the selected compounds which are important for therapeutic, diagnostic or other commercial uses.
In another aspect of the method of the present invention, a method of obtaining a polyhydroxamate or mixture of polyhydroxamates of a specified target property is provided. The method includes providing a library of candidate polyhydroxamates or analogs which contains at least ten candidates with each of the candidates being present in retrievable and analyzable amounts; selecting from the candidate polyhydroxamates or analogs one or more having a desired target property; and separating said polyhydroxamates or analogs from those not having the target property. Among the properties of potential interest for the candidate polyhydroxamates and their analogs are (1) metal affinity, (2) metal selectivity, (3) oral bioavailability, (4) absence of toxicity, (5) serum half-life, and (6) solubility. In this regard, it should be recognized that the target properties to be selected from may vary depending on the projected use of the candidate hydroxamates. For example, oral bioavailability would be relevant for many therapeutic applications, but generally not in the case of a polyhydroxamate targeted for use in water purification or imaging . The combinatorial libraries as delineated provide a large pool of candidate polyhydroxamates and analogs which can readily be screened to locate those having a desired target property. Preferably, the library is screened using a high-throughput selection protocol so that a great number of candidates are assessed simultaneously, or in rapid succession.
High-throughput-screening of candidates may be directed toward any target property of interest . These include, e.g., a) affinity for a desired metal, b) selectivity (one metal over another) , c) hydrophobicity, d) stability of metal-ligand complexes, and e) biological properties such as catalytic or transport activity.
Once a target property is selected, a number of approaches to high throughput screens may be used, including mass spectrometry, high-performance liquid chromatography (HPLC) , and UV-visible spectrophotometry. Electrospray mass spectrometry (ES-MS) can be used to characterize the relative affinity and specificity of ligand-metal interactions. In mixtures of ligands and metals, the spectra are dominated by the molecular ions of the complex, and their relative abundance correlates with the concentration of ligand- metal complexes present, and hence, the relative affinities and specificities of the ligand-metal binding pairs.
In general, a single metal (which is incorporated in limiting concentration) is added to a mixture of ligands. The ligands compete for the metal and the ligand having the highest affinity for the metal will be present in the highest concentration, and hence will show the strongest molecular ion. This method identifies the relative affinity of ligands for a given metal .
The relative affinities can also be determined by mass spectrometry in a competition assay. To a solution containing 1 equivalent of standard ligand (e.g., DFO) and 0.5 equivalent of the metal (e.g., iron), a known amount of the uncharacterized ligand is added. The solution is allowed to equilibrate, and the ability of the ligand to strip metal from the standard ligand is expressed as a change in the ratio [standard ligand] / [standard ligand-metal complex] as measured by positive ion ESMS . The system can be represented as : standard ligand + standard ligand-metal complex + ligand = ligand-metal complex + standard ligand-metal complex + standard ligand + ligand
Since only the intensities of standard ligand and standard ligand-metal complex are used for the measurement, the results are independent of the ionization properties of the screened ligand. The change in the ratio [standard ligand] / [standard ligand-metal complex] upon addition of new ligand reveals the amount of metal stripped from the standard ligand-metal complex by the ligand being screened. As a control, the reverse experiment is run to ensure that the solution is at equilibrium. In the assay the crude synthetic product can be used, and the concentration of the ligand to be screened within the crude product is determined by HPLC using standard solutions of pure known standard. With each set of ligands to be analyzed, a calibration curve is generated from standard solutions which allows us to determine what ratio of [standard ligand] / [standard ligand-metal complex] corresponds to a particular amount of metal displaced. This method has been tested with known ligands (EDTA, aerobactin, enterobactin) and shown to give the expected results. The measurement reflects relative affinities of ligands, not absolute (Keff or K . In principle, this could be expanded to provide range information - by using ligands whose Keff is known and which represent a range of binding affinities. Ideally, the ligand to be displaced should be from the same class of compounds in order to avoid problems with equilibration.
Alternatively, to determine ligand specificity a single ligand is added to a mixture of metals. The metals compete for the ligand, which is in limiting concentration and the metal having the highest affinity for the ligand will show the strongest molecular ion.
Relative affinities can also be determined in sequential analyses, in which the tightest binding metal in a mixture of metals is first determined by ES-MS. In a subsequent analysis, this metal is eliminated from the mixture of metals and the assay repeated. A series of these assays, which eliminate one metal at each step, allows one to rank the order of affinity of a series of metals for a given ligand. Mixtures containing multiple ligands can also be analyzed by ES-MS following the addition of multiple metals. Deconvolution of the observed molecular ions enables determination of which ligand-metal complexes are of highest concentration in solution, permitting discrimination of the highest affinity ligands in the mixture . Using standard robotic hardware such as that supplied by Gilson or Bohdan, and standard microtiter plates (for example, 96-well formats) , these mass spectroscopic analyses can readily be automated to rapidly determine the relative affinity and selectivity of the ligands in a library.
HPLC methods can be adapted to analysis of ligand libraries. A given ligand will show a characteristic retention time by reverse-phase HPLC. Upon complexation with a metal, the retention time will change, due to the sequestration of polar functionalities which bind to the metal and as a result are no longer exposed. The relative HPLC peak areas of the ligand and the ligand-metal complex are a measure of the stability of the ligand-metal complex and the affinity of the ligand for the metal. In addition, the relative retention times of ligands are a measure of their relative hydrophobicity. Using a robotic sampler, libraries of ligands can be assayed by this method. With the spectroscopic detection used in most HPLCs, analysis of ligand mixtures is limited due to the limited resolution and overlap of peaks from different ligands and their complexes. HPLC can be coupled to ES-MS, allowing chromatographic peaks to be monitored by their expected masses (molecular weight of compound alone and plus metal) .
The affinity and selectivity of metals for members of a ligand library also can be determined by UV, visible, and fluorescence spectroscopy. An example is the method of Schwyn and Neilands (Anal . Biochem. , 160, 47-56 (1987) ) , which uses the dye chrome azurol S (λmax = 630 nm) . To a solution of the dye complexed with iron, a candidate ligand is added. The ligand displaces the dye to form a ligand-iron complex which no longer absorbs at 630 nm, thereby reducing the absorption of the sample by an amount proportional to the affinity of the ligand for iron. This simple spectrophotometric assay is readily adapted to a standard microtiter plate format (for example, 96-well format) , enabling automated analysis of ligand libraries.
Other spectrophotometric reagents including ferron (7-iodo-8-hydroxyquinoline-5-sulfonic acid) and sulfoxine (8 -hydroxyquinoline-5-sulfonic acid) which can work at physiologically relevant pH (7.0) have been developed as tools for high throughput screening of our library. In order to ensure that the solutions are in equilibrium at the time of assay, test solutions are prepared in two ways: preformation of the spectrophotometric reagent :Fe complex with subsequent addition of the test ligand, and as an alternative, preformation of the ligand : Fe complex with subsequent addition of the reagent. The results from both preparation methods must agree to verify that equilibrium of the complexes has been reached. The method was adapted for microtiter plates, for use in a plate reader. Analysis of 96 wells requires approximately 2.5 minutes. The percentage of iron stripped by the unknown ligand is expressed as a percentage:
[A0 - A]/[A0] x 100 where A0 is the absorbance of the initial spectrophotometric reagent iron complex, and A is the absorbance of the solution after addition and equilibration of uncharacterized ligand. For some libraries, a particular biological property may be of interest . Examples could include superoxide dismutase enzymatic activity, ability of the metal-ligand complex to bind to a particular receptor, or the ability of a particular ligand to transport a metal across a cellular membrane. In these examples, specific relevant assay to quantitate each ligand would be used to guide optimization of ligand for the particular objective .
Compositions and uses
Also included in the present invention are pharmaceutical compositions comprising an effective amount of at least one of the polyhydroxamates or analogs selected from the library of candidate polyhydroxamates or analogs of the invention having the desired target property or properties, either with or without a complexed metal, in combination with a pharmaceutically acceptable carrier. The polyhydroxamates or analogs are preferably coadministered with an agent which enhances the uptake of the polyhydroxamate or analog molecule by the cells.
The polyhydroxamates or analogs and the pharmaceutical compositions of the present invention may be administered by any means that achieve their intended purpose. For example, administration may be by oral, parenteral , subcutaneous, inhalable aerosol, intravenous, intramuscular, intraperitoneal, or transdermal routes, to the extent each is permitted for the particular composition and application in question. The dosage administered will be dependent upon the age, health, and weight of the recipient, type of concurrent treatment, if any, frequency of treatment, and the nature of the effect desired. For treatment, e . g. , of iron overload, an amount sufficient to reduce ferric ion cell concentrations to acceptable levels is administered. Compositions within the scope of this invention include all compositions wherein the polyhydroxamate or analog is contained in an amount that is effective to achieve chelation of the target metal at desired binding levels. Although individual needs vary, determination of optimal ranges of effective amounts of each component is within the skill of the art.
In addition to administering the polyhydroxamate or analog, or their pharmaceutically acceptable salts, e.g., the mesylate thereof, as raw chemicals in solution, they may be administered as part of a pharmaceutically active mixture or preparation containing suitable pharmaceutically acceptable carriers comprising excipients and auxiliaries that facilitate processing of the -polyhydroxamates or their analogs that can be used pharmaceutically.
Suitable formulations for parenteral administration include aqueous solutions of the polyhydroxamates, analogs, or their salts in water- soluble form, for example, water-soluble salts. In addition, suspensions of the active compounds as appropriate oily injection suspensions may be administered. Suitable lipophilic solvents or vehicles include fatty oils, for example, sesame oil, or synthetic fatty acid esters, for example, sodium carboxymethyl cellulose, sorbitol, and/or dextran. Optionally, the suspension may also contain stabilizers. Polyhydroxamates or analogs selected from the library of candidates of the invention are also useful as chelators to form complexes with transition metals and lanthanides for use as imaging agents, radiodiagnostic agents, X-ray contrast agents, and may also be utilized as therapeutic radioactive agents in a complex of an appropriate radionuclide and ligand attached to a suitable targeting moiety. Complexes of the invention with X-ray opaque metals such as lead, tungsten, and bismuth may give suitable X-ray imaging agents. Complexes with gadolinium or other lanthanides, manganese, or iron may give suitable MRI imaging agents.
Preferably, polyhydroxamate ligand molecules used for imaging will have three hydroxamic moieties for complexing with transition metals and four for complexing with lanthanides. Such polyhydroxamates are prepared having varying chain lengths between the hydroxamic complexing units to maximize affinity for the particular target metal. They also may include ionic (amine, acid) groups which do not participate in metal complexation, but affect the overall charge of the complex to enhance excretion, absorption, uptake or other physiological properties as desired. Further, the polyhydroxamate ligand molecules also may include non-ionic groups such as hydroxyl, alkoxide, and ether linkages to enhance solubility. Finally, the addition of hydrophobic groups (alkyl, phenyl , benzyl) is an option if it is desired to increase residency in the body. Polyhydroxamates and analogs of the present invention also have utility for binding metal ions in solution, for example, to achieve quantitative removal of heavy metals from wastewater effluents. For such applications, candidates are screened and selected for target properties such as enhanced affinity to specified metal (s) (e.g., iron, copper, lead). Depending on the particular application, a mixture of two or more polyhydroxamates may be utilized to achieve highly specific binding of ligands to an array of metal ions found in the source solution.
Using techniques well known in the art, water purification of heavy metals may be achieved (or other separation and concentration of solution-borne metals accomplished) by a variety of methods. Illustratively, the metal-containing solution is brought into contact with a composition which includes the metal-binding hydroxamates by flowing the solution through a porous mesh container housing the polymeric hydroxamate composition. The metal ions are thereby captured by the metal chelators and may be discarded or recycled as desired.
Experiments In a preferred solid phase reaction scheme for the solid phase synthesis of DFO and analog polyhydroxamates, the reaction cycle includes introduction of the nosyl-protected metal -binding moiety, nosyl group removal, introduction of a spacer, and repetition of the cycle to elongate the scaffold.
Complete reaction sequences for the solid phase synthesis of DFO and examples of other polyhydroxamates which have been synthesized in accordance with the invention are set forth below.
The following examples illustrate the invention. Washing protocol. A typical washing cycle consisted of mechanically stirring the resin in the specified volume of solvent for 3-5 min, followed by decantation of the liquid phase by suction using a gas dispersion tube (Porosity C) and house vacuum. Cleavage protocol for small resin samples.
Typically, after the last CH2C12 wash, a 100-mg sample of derivatized Wang resin was stirred with 1 mL of a 1 : 1 (v/v) mixture of trifluoroacetic acid:CH2Cl2 for 15 min. The resin was filtered and washed with CH2C12 (3 x 0.5 mL) , and then the solvent and acid were removed with a fast stream of nitrogen on a manifold. The residue was taken up in 1 mL of 1:1 (v/v) CH3OH:H20 and the solution evaporated at ~35 °C using a SpeedVac and a dry ice/i-PrOH trap. Drying protocol. When necessary, derivatized resin samples were dried in vacuo (0.1 torr) , at room temperature over P2Os, for at least 14 hours prior to evaluating transformation yields.
HPLC conditions. HPLC analysis were carried out under two sets of conditions: (1) PhaseSep Spherisorb 0DS2 5μ column under isocratic conditions: 0.1% TFA in 50% aqueous CH3CN at a flow rate of 0.5 mL/min; UV detection at 218 nm and an attenuation factor of 0.2. (2) YMC CombiScreen ODS-column (4.6 mm x 5 cm) : Flow rate 2 mL/min and UV detection at 218 nm; Gradient: 10% to 60% B in 6 min, followed by 60% to 90% B in 3 min where buffer A = 0.1% TFA in water and buffer B = 0.08% TFA in acetonitrile.
EXAMPLE 1
Synthesis of O-protected-N-nosylhydroxylamine analogs .
N- [2-Νitrobenzenesulfonyl] -0- benzylhydroxylamine, Bn-O-NH-Ns. A 250-mL round bottom flask fitted with an addition funnel was charged with O-benzylhydroxylamine hydrochloride (5 g, 31.32 mmol) and the solid was partially dissolved in 60 mL dry pyridine by stirring with a magnetic bar under a flow of nitrogen. The flask was immersed in an ice-salt water bath and cooled to about -50 °C. A brown-greenish solution of 2- nitrobenzenesulfonyl chloride (nosyl chloride, 7.1 g, 32 mmol, 1.02 eq.) in 20 mL of dry pyridine was added dropwise at a rate of -1 drop per second, while the temperature of the cooling bath was maintained around -5 °C throughout addition. Once addition was complete, the orange-brownish solution was stirred for 30 min. more at this temperature, then allowed to warm to room temperature and stirred for a total of 2 hours. Water (15 mL) was added to terminate the reaction and afford a clear solution, and the solvents were then removed in a rotary evaporator using a high vacuum pump. The resulting dark amber syrup was taken up in EtOAc:water (400 mL, 1:1) and partitioned in a separatory funnel. The organic layer was washed successively with 5% aqueous HC1, water, and saturated NaHC03 (200 mL each) . The organic layer was dried over MgS04, filtered, and the solvent removed in a rotary evaporator under reduced pressure. The resulting orange-brown solid was then dissolved in boiling EtOH:H20 (200 ml, 9:1), and treated with charcoal (2 g) . After 5 min, celite (2 g) was added, and the suspension stirred for another 5 min. The suspension was allowed to rest for 5 min, and then filtered through a one-inch bed of EtOH-soaked celite into a filter flask. During filtration, a large amount of solid crystallized. Heating this suspension to near reflux affords a clear solution which, upon cooling to room temperature, deposited small-to medium-sized light yellow rhombic crystals of the product (6.7g, 70%). 1H- NMR (dmso-d 4.91 (s, 2H, Bn-CH20) , 7.37 (m, 5H, Bn arom. H) , 7.92, 8.03, and 8.06 (m, 4H, Ns arom. H) , 11.05 (s, 1H, NH, exchanged in D20) . Homogeneous by TLC.
N- [2-Nitrobenesulfonyl] -O-tert- butylhydroxyla ine, tBu-0-NH-Ns. A 250 mL round bottom flask fitted with an addition funnel was charged with O-tert- butylhydroxyla ine hydrochloride (4.8 g, 38 mmol) and the solid was dissolved in 80 mL of dry chloroform by stirring with a magnetic bar. The flask was immersed in an ice-salt water bath and cooled to about -5 °C and triethylamine (8.08g, 80 mmol) was added dropwise. A solution of 2-nitrobenzenesulfonyl chloride (8.49 g, 38 mmol) in chloroform (50 mL) was added dropwise, while the temperature was maintained at -5 °C throughout addition. Once the addition was complete, the orange-brownish solution was stirred for 2 hours more at this temperature, and then allowed to warm to room temperature and stirred for a total of 2 hours. The reaction mixture was diluted with 250 mL of chloroform and the organic phase was washed successively with 5% aqueous HCl , water, saturated NaHC03, and brine (2 x 50 mL each) . The organic layer was dried over MgS04, filtered, and the solvent removed in a rotary evaporator under reduced pressure. The resulting slightly orange solid (8.8 g) was dissolved in boiling ethanol (100 mL) and 50 mL of hexane was added. Upon cooling, off-white crystals formed. After filtration and drying in vacuo, 7.5 g (72% yield) of the product were obtained. Homogenous by TLC. HPLC purity 98%, Molecular weight = 274.42 for C10H14O5N2S FAB (M+l)=275.
N- (2-Nitrobenzenesulfonyl) -O- (2,4- dimethoxybenzyl) hydroxylamine, (2,4-MeO) 2BnO-NH-Ns .
A 250-mL round bottom flask fitted with an addition funnel is charged with crude 0-2,4- dimethoxybenzylhydroxylamine (6 g, ca . 32 mmol, prepared according to the procedure of Barlaam et al . ( Tetrahedron Lett. 1998, 39, 7865- 7868) , and the solid co-evaporated with 150 mL of anhydrous pyridine. The residue was re- dissolved in the same volume of anhydrous pyridine and the yellow solution cooled to -5 °C in an ice-salt bath under a flow of N2. 2-Nitrobezenesulfonyl chloride (nosyl chloride, 7.8 g, 35 mmol) as a solution in 20 mL of anhydrous pyridine was added dropwise over 30 min. After addition was complete, the dark orange solution was allowed to warm to RT and stirred for 17 h. Pyridine was removed under reduced pressure and the residue taken up in EtOAc (200 mL) and extracted successively with water (2 x 100 mL) , 5% aq. HCl (2 x 100 mL) , and 5% aq. NaHC03 (200 mL) . The organic layer was dried over MgS04, filtered, and the solvent removed. The remaining crude product was dried in vacuo (~8 g) . This material was then dissolved in 100 mL of hot absolute EtOH, treated with 2 g of activated charcoal, and filtered while hot. Upon removal of EtOH from the filtrate, the remaining orange residue was recrystallized from 2:5 hexanes/EtOAc (70 mL) . The product was collected after two days at RT as light yellow crystals (4.3 g, 51%, >97% pure by HPLC) [Alternatively, the product may be purified by flash chromatography on Si02 using 3:7 hexanes/CH2Cl2 as eluant] . Additional product (1.3 g) , having a purity of ca . 70%, can be recovered by cooling the mother liquor for 2-3 h at -20 °C. ES-MS calcd for C15H16N207S : 391 [MNa+] . XH-NMR (CDC13) : 3.81 (s, 6H, 2 x OCH3) , 5.07 (s, 2H, PhCH20-), 6.45 (m, 2H, Bz-H5 and H6) , 7.27 (d, IH, Bz-H3) , 7.80 (m, 3H, Ns-H4, 5, and 6), 8.02 (s, IH, NH, exchanged in D20) , 8.24 (m, IH, Ns-H3). 13C-NMR: 162.22, 159.77, 148.77, 134.82, 134.08, 133.49, 133.00, 130.82, 125.64, 115.88, 104.35, 98.78, 74.79, 55.64, and 55.56 ppm. N- (2-Nitrobenzenesulfonyl) -O- (tetrahydro-2Jϊ-pyran-2- yl) hydroxylamine, THPO-NH-Ns .
To a solution of O- (tetrahydro-2H-pyran-2- yl) hydroxylamine (101.0 mmol, 11.82 g) , prepared according to the procedure of Patel et al . (J. Med . Chem . 1996, 39, 4197-4210) , and pyridine (151.5 mmol, 12.2 mL) in CH2C12 (275 mL) , was added a solution of 2- nitrobenzenesulfonyl chloride (101.0 mmol, 22.42 g) in CH2C12 (125 mL) containing pyridine (50.5 mmol, 4.1 L) slowly ( ca . 1 h) with stirring at -5 °C in an atmosphere of N2. Stirring was continued at -5 °C for 2 h, cooling bath was removed, and the resulting yellow colored solution was stirred overnight ( ca . 14 h) at ambient temperature. The reaction mixture was diluted with CH2C12 (200 mL) , washed with 5% NaHC03 solution (3 x 200 mL) , and dried over Na2S04. Solvent was removed on a rotary evaporator to give 35.87 g of a dark colored viscous residue. Quick filtration through a bed of silica gel (100 g) packed in a cintered glass funnel with a fritted disc using CH2Cl2-hexanes (4:1, v/v) as eluant, followed by the trituration of the concentrate with Et20-hexanes (1:3, v/v), afforded 26.01 g of slightly impure product as a cream colored powder. Further purification was accomplished by flash chromatography over silica gel (300 g) using EtOAc-hexanes (2:3, v/v) containing 0.5 % Et3N to give 24.14 g (79%) of N- (2-nitrobenzenesulfonyl) -O- (tetrahydro-2 H-pyran-2 -yl) hydroxylamine as a cream colored powder: homogeneous by tic; XH ΝMR (CDC13) δ 8.23-8.17 (m, IH, ArH) , 7.96-7.78 (m, 3H, ArH) , 5.22 (t, J = 3.2 Hz, OCH) , 3.91-3.83 (m, IH, diastereotopic H of 0CH2) , 3.70-3.60 (m, IH, diastereotopic H of OCH2) , 1.82-1.50 (m, 6H, (CH2)3) . Mass spectrum: ES-MS positive mode m/z 325 (MΝa+) ; negative mode m/z 301 (M-H) " Calcd.
Figure imgf000070_0001
Other O-protected-N- (nosyl) hydroxylamine derivatives may be prepared from commercially available starting materials using synthetic and isolation protocols analogous to those described above for the t- Bu, Bn, 2, 4-dimethoxybenzyl, and THP analogs.
Example 2 Synthesis of desferrioxamine B (DFO) on solid support matrix (see Scheme 3) .
Activation of Wang resin with
N,N' -carbonyldiimidazole (CDI) to form compound 3.1.
Commercial Wang resin (AnaSpec, Inc., 1.1 mmol/g, 4.1 g, 4.51 mmol) was washed with THF (2 x 60 mL) in a three-neck 250 -mL round bottom flask fit with an overhead mechanical stirrer and stirring gear, drierite guard tube and a rubber septum. The solvent was decanted and the resin suspended in 40 mL of THF and stirred. A solution of CDI (2.2 g, 13.53 mmol, 3 eq., 0.27 M in final resin suspension) in 10 mL of DMF was quickly added in six portions with a pipette. This suspension was stirred at room temperature for two hours. Supernatants were decanted and the resin was subjected to a second identical reaction cycle. Finally, following decantation, the resin was washed with DMF (2 x 50 mL) , THF (2 x 50 mL) , Et20 (50 mL) , DMF (50 mL) , Et20 (50 mL) , and DMF (50 mL) to yield 3.1.
Reaction with 5-aminopentanol to form compound 3.2, reaction (a). Freshly prepared 3.1 (0.996 mmol/g, 4.51 mmol) was suspended in 50 mL DMF and stirred while DIPEA (1.2 mL, 6.77 mmol, 1.5 eq.) was added with a graduated pipette. After five min, 5-aminopentanol (2.5 mL, 22.6 mmol, 5 eq. , 0.45 M in final resin suspension) was added likewise. The suspension was heated to 60 °C with a heating mantle and stirred for 24 hours.
Following this period, the suspension was cooled, the supernatants decanted, and the resin washed with DMF (2 x 50 mL) , CH2C12 (50 mL) , Et20 (50 mL) , DMF (50 mL) , Et20 (50 mL) , DMF (50 mL) , and finally Et20 (50 mL) . In order to determine the degree of resin substitution, a sample of the dry resin ( ca . 100 mg before product cleavage) was cleaved with TFA to yield ca . 11 mg (110%) of the crude starting aminoalcohol , 95% pure by ^-NMR.
Tosylation of terminal hydroxyl group to form compound 3.3, reaction (b) . Freshly prepared 3.2 (0.962 mmol/g, 4.51 mmol) was washed with 60 mL dichloroethane and decanted. Dichloroethane (35 mL) was added and stirred while a light yellow solution of p-toluenesulfonyl chloride (4.3 g, 22.6 mmol, 5 eq. , 0.38 M in final resin suspension) and pyridine (3.57 g,45.2 mmol, 10 eq, 0.76 M) in dichloroethane (25 mL) was added with a pipette. After 20 hours at room temperature, the light purple suspension was decanted and the resin washed with DMF (2 x 50 mL) , Et20 (50 mL) , DMF (50 mL) , Et20 (50 mL) , DMF (50 mL) , Et20 (50 mL) and DMF (2 x 50 mL) .
Displacement of tosyl group with N-nosyl-O- benzyl-hydroxylamine to form compound 3.4, reaction (c) . Freshly prepared resin 3.3 (0.837 mmol/g, 4.51 mmol) was suspended in 40 mL DMF. Cs2C03 (2.97 g, 9.1 mmol, 2 eq.) was added as a solid in one portion, and the suspension stirred. A light yellow solution of Bn-0-NH-Ns (2.81 g, 9.1 mmol, 2 eq., 0.18 M in final resin suspension) in 10 mL DMF was added with a pipette. The light orange suspension was stirred and heated to 50 °C with a heating mantle overnight. After 16 hours, the orange suspension was cooled, the supernatants decanted, and the resin washed with DMF:H20 (7:3, v/v, 3 x 50 mL) , DMF (50 mL) ,
DMF:H20 (7:3, v/v, 50 mL) , DMF (50 mL) , EtOH (50 mL) , DMF (50 mL) , DMF:H20 (7:3, v/v, 50 mL) , DMF (50 mL) , EtOH (50 mL) , and finally DMF (3 x 50 mL) .
In order to determine the extent of reaction, ca . 100 mg of the dry resin (before product cleavage) was subjected to TFA cleavage, resulting in ca . 34 mg (90%) of crude
N-nosyl -0-benzyl -N- ( 5-aminopentyl) hydroxylamine . TFA. XH-ΝMR (dmso-d 8.04 (m, 3H, Nosyl H) ; 7.90 (m, IH, Nosyl H) ; 7.84 (broad s, ~3H, -NH3 +, exchanged in D20) ; 7.42 (s, 5H, Bn arom. H) ; 5.01 (s, 2H, Ph-CH2-0-); 3.01 (t, 2H, CH2-N(Ns) -OBn) ; 2.77 (m, 2H, CH2-N+) ; 1.47 (m, 4H, - [CH2- CH2-CH2]-); 1.33 (m, 2H, - [CH2-CH2-CH2] - . HPLC (condition 2) purity 96%, tR = 4.34 min. Mass spectrum: (FAB) m/z- 394 (M+l) ; ES-MS positive mode m/z (MH+) 394 Calcd. for C18H23N305S 393. Removal of 2 -nitrobenzene-sulfonyl (nosyl) protective group to form compound 3.5, reaction (d) . Freshly prepared 3.4 (0.742 mmol/g, 4.51 mmol) was suspended in 45 mL DMF, and Cs2C03 (12 g, 36 mmol, 8 eq.) was added in one portion. The suspension was stirred at room temperature while thiophenol (1.5 mL, 13.6 mmol, 3 eq. , 0.3 M in final suspension) was added with a graduated pipette. The suspension turned orange immediately. After stirring for 4 hours, the brownish-orange supernatant was decanted, and the resin washed with DMF:H20 (7:3, v/v, 3 x 50 mL) , DMF (50 mL) ,
DMF:H20 (7:3, v/v, 50 mL) , DMF (50 mL) , EtOH (50 mL) , DMF (50 mL) , DMF:H20 (7:3, v/v, 50 mL) , DMF (50 mL) , EtOH (50 mL) , and finally DMF (3x 50 mL) .
HPLC analysis (condition 1) of a crude isolate from cleavage of a small sample ( ca . 2-3 mg resin) indicated 95% purity and complete nosyl group removal.
Introduction of succinic unit to form compound 3.6, reaction (e) . Freshly prepared 3.5 (0.858 mmol/g, 4.51 mmol) was suspended in 40 mL DMF and stirred while a solution of succinic anhydride (1.36 g, 13.6 mmol, 3 eq. , 0.27 M in final suspension) in 10 mL DMF was added with a pipette. The resin suspension was heated to 50 °C, and allowed to react overnight. After 20 hours, the suspension was cooled, the supernatants decanted and the resin washed with DMF (3 x 50 mL) , EtOH (50 mL) , CH2C12 (50 mL) and EtOH (50 mL) , CH2C12 (50 mL) , EtOH (2 x 50 mL) , and DMF (3 x 50 mL) . HPLC analysis (condition 1) of a crude isolate from cleavage of a small sample ( ca . 2-3 mg resin) indicated 99% purity. -N R (dmso- 7.77 (broad s, ~3H, -NH3 +, exchanged in D20) ; 7.44 (m, 5H, Bn arom. H) ; 4.90 (s, 2H, Ph-CH2-0-); 3.60 (t, 2H, CH2-N (C=0) -OBn) ; 2.77 (m, 2H, CH2-N+) ; 2.65 (t, 2H, CH2 (C=0) N-OBn) ; 2.44 (t, 2H, CH2C(=0)OH); 1.53 (m, 4H, - [CH2-CH2-CH2] - ) ; 1.26 (m, 2H, - [CH2-CH2-CH2] -) . Mass spectrum (FAB) m/z 309 (M+l) . Condensation of terminal succinic acid group with 5-aminopentanol to form compound 3.7, reaction (f) . Freshly prepared 3.6 (0.79 mmol/g, 4.51 mmol) was washed with 50 mL of anhydrous THF: DMF (4:1) and 25 mL of the same solvent system was added. To the stirring resin suspension a solution of 1, 1-carbonyldiimidazole (3.65 g, 22.6 mmol, 5 eq, 0.45 M) dissolved in 25 mL THF:DMF (4:1) was added with a pipette. After 2 hours at room temperature, the suspension was decanted and the resin washed with DMF(2 x 50 ml), THF (50 ml), DMF (2 x 50 ml). 5-aminopentanol (2.5 mL, 22.6 mmol, 5 eq., 0.45 M) and DIPEA (2.4 ml, 13.6 mmol, 3 eq.) dissolved in 50 mL DMF were added with a pipette. After 16 hours stirring at room temperature the resin was decanted and washed with DMF (3 x 50 mL) , EtOH (50 mL) , CH2C12 (50 mL) , EtOH (50 mL) , CH2C12 (50 mL) .
HPLC analysis (condition 1) of a crude isolate from cleavage of a small sample ( ca . 2-3 mg resin) indicated 79% purity. XH-NMR (dmso-d6) 7.81 (t, IH, amide-NH, exchanged in D20) ; 7.70 (broad s, 3H, -NH3 +, exchanged in D20) ; 7.42 (m, 5H, Ph-Hs) ; 4.90 (s, 2H, PhCH2) ; 3.60 (t, 2H, CH2-N (C=0) -OBn) ; 3.37 (masked by trace water, CH2-0) ; 3.02 (m, 2H, CH2-NH [C=0] ) ; 2.77 (m, 2H, CH2-N+) ; 2.64 (t, 2H, CH2 (C=0) N-OBn) ; 2.32 (t, 2H, CH2C[=0]NH); 1.26-1.52 (m, 12H, 2 x -[CH2]3-). Mass spectrum: (FAB) m/z 394 (M+l) .
Repetition of a series of reactions (tosylation, displacement of tosyl group by nosyl- protected hydroxylamine, removal of nosyl group, coupling of succinate, and condensation of aminopentanol) to further elongate the polyhydroxamate scaffold and produce compound 3.8. Repetition of reaction (b) . Starting from compound 3.7 (0.74 mmol/g 4.51 mmol), tosylation was effected with tosyl chloride (4.3 g, 22.6 mmol, 5 eq. , 0.38 M in final suspension), and pyridine (3.57g, 45.2 mmol) in dichloroethane (60 mL) as described above for the preparation of 3.3.
Repetition of reaction (c) . Displacement of the tosyl group was carried out on the resulting intermediate (0.664 mmol/g, 4.51 mmol) using Bn-O-NH-Ns (2.81 g, 9.1 mmol, 2 eq. , 0.18 M in final suspension) and Cs2C03 (2.97 g, 9.1 mmol, 2 eq.) in DMF (50 mL) as described for the preparation of 3.4. A small sample was cleaved and analyzed. HPLC (condition 2) purity 84%, tR=5.41 min. ES-MS positive mode m/z (MH+) 684 Calcd. for C34H45N508S 683. Repetition of reaction (d) . From the intermediate of the displacement reaction (0.609 mmol/g, 4.51 mmol), the nosyl group was removed using thiophenol (1.5 mL, 13.6 mmol, 3 eq. , 0.3 M in final suspension) and Cs2C03 (12 g, 36 mmol, 8 eq.) in DMF (45 mL) as described for the preparation of 3.5.
Repetition of reaction (e) . The second succinate unit was added (0.685 mmol/g, 4.51 mmol) by reaction with succinic anhydride (1.36 g, 13.6 mmol, 3 eq., 0.27 M in final suspension) in DMF (50 mL) as described for the preparation of compound 3.6.
Repetition of reaction (f) . As described for the preparation of compound 3.7, the terminal succinic acid group (0.641 mmol/g, 4,51 mmol) was activated with CDI (3.65g, 22.6 mmol) or HATU as depicted in Scheme 3 in a mixture of DMF and THF (4:1, 50 mL) and then, after washing, coupled to 5-aminopentanol (2.5 mL, 22.6 mmol, 5 eq., 0.45 M in final suspension) in DMF (50 mL) to yield 3.8.
Repetition of a series of reactions (tosylation, displacement of tosyl group by nosyl- protected hydroxylamine, removal of nosyl group) and acetylation to further elongate the polyhydroxamate scaffold and produce compound 3.9.
Repetition of reaction (b) . Compound 3.8 (0.74 mmol/g, 4.51 mmol), was reacted with tosyl chloride (4.3 g, 22.6 mmol, 5 eq. , 0.38 M in final suspension) and pyridine (3.57g, 45.2 mmol) in dichloroethane (60 mL) to yield the tosylate as described for the preparation of compound 3.3.
Repeti tion of reaction (c) . Displacement of the tosyl group was carried out on the resulting intermediate (4.51 mmol) using Bn-O-NH-Ns (2.81 mmol/g,
9.1 mmol, 2 eq., 0.18 M in final suspension) and Cs2C03 (3 g, 9.1 mmol, 2 eq.) in DMF (50 mL) as described for the preparation of compound 3.4. A small sample was cleaved and analyzed. HPLC (condition 2) purity 69%. ES-MS positive mode m/z (MH+) 974. Calcd for ^H^N^S 973.
Repetition of reaction (d) . From the product of the displacement reaction (0.523 mmol/g, 4.51 mmol), the nosyl group was removed using thiophenol (1.5 mL, 13.6 mmol, 3 eq. , 0.3 M in final suspension) and Cs2C03 (12 g, 36 mmol, 8 eq.) in DMF (45 mL) as described for the preparation of compound 3.5. Acetylation . The product of the previous reaction (4 mmol) was washed with pyridine (3 x 50 mL) , decanted and suspended in 40 mL pyridine. Acetic anhydride (0.77 mL, 8 mmol, 2 eq. , 0.2 M in final suspension) was added with a graduated pipette. The light yellow suspension was stirred at room temperature for 17 hours. The liquid phase was decanted and the resin washed with CH2C12 (50 mL) and EtOH (50 mL) , alternately, four times, and finally with CH2C12 (60 mL) . Cleavage of 3.9 from the resin and deprotection to yield DFO, compound 3. The solvent from the last wash of 3.9 was decanted and only 10 mL of CH2C12 were used to swell the resin. The flask containing the resin was dismounted and the stirring gear retrieved from it. A small magnetic stirring bar was introduced. This suspension was treated with 50 mL of 50% TFA in CH2C12 at room temperature for 15 min. After this period, the suspension was carefully filtered using a fritted funnel. The bed of resin was washed with CH2C12 (3 x 50 mL) and the combined washings placed in a rotary evaporator provided with an efficient KOH trap. After removing solvent and excess TFA, the residual dark amber gum was left in vacuo overnight to yield 3.9 grams of crude cleavage material, tris (O-Benzyl) -DFO.TFA. HPLC (condition 2) purity 62%, tR = 5.02 min. ES-MS positive mode m/z (MH+) 832 Calcd for C46H66N608 830.49.
The tris-O-benzylated analog of 3 (83.2 mg, 0.1 mmol) was dissolved in 10 mL cyclohexene/EtOH (1:2, v/v) and the flask and condenser set up flushed with a stream of dry nitrogen for 2-3 min. After this period, 10% Pd/C (75 mg, 25 mg per benzyl group) was carefully added. The stirred black suspension was heated at 70°C for 2 hours and at room temperature for 2 hours more
(monitored by C18 reverse phase TLC and 0.5 M NaCl/CH3CN, 3:7 v/v) . After cooling, the suspension was filtered through a pad of celite previously soaked with EtOH, and the bed washed with EtOH (3 x 10 mL) . EtOH was removed using a rotary evaporator and the crude product was chromatographed on a C18 reverse phase silica column using H2θ/CH3CN (8:2, v/v) as eluant . Selected fractions were combined and the solvent removed using a SpeedVac. Yield 37mg (60%) . HPLC (condition 2, gradient 5% B to 60% B in 6 min; 60% B to 90% B in 3 min; flow rate 1 ml/min) tR = 3.44 min. ES-MS pos . mode m/z 561 (M+l) , 583 (MNa+) ; Calcd. for C25H48N608 560. ES-MS pos. mode for Fe3+:33" prepared from a 1:1 FeCl3-6H20: 3 solution, m/z 614 (M+Fe+1) .
Example 3
Synthesis of compound 4 on solid support matrix (see Scheme 4) .
Reaction of Wang resin with 6-bromohexanoic acid to form compound 4.1. The reaction set up consisted of a three-neck 250 -mL round bottom flask fit with an overhead mechanical stirrer with a teflon blade, CaCl2 guard tube and a rubber septum. Commercial Wang resin (AnaSpec, Inc., 1.1 mmol/g, 4.02 g, 4.42 mmol) was washed with THF (2 x 25 mL) , and then suspended in 50 mL of the same solvent. DMAP (54 mg, 0.44 mmol, 0.1 eq w/respect to resin) in 1 mL THF was added, followed by a solution of 6-bromohexanoic acid (2.6 g, 13.27 mmol, 3 eq.) in 13 mL THF. After stirring for 2-3 min, neat DIC (1.67 g, 2.1 mL, 13.27 mmol, 3 eq.) was added via pipette. The light tan suspension was stirred at room temperature for one hour, then decanted and washed with THF (2 x 25 mL) . A second reaction cycle was carried out using the same amounts of reagent added in the same order, and stirred for one hour at room temperature as well . The suspension was decanted and washed with DMF (3 30 mL) , EtOH (30 mL) , CH2C12 (30 mL) , EtOH (30 mL) , CH2C12 (30 mL) and DMF (3 x 30 mL) . After the third wash, the derivatized resin was used as such for the next step.
Displacement of bromide with N-nosyl-O-benzyl- hydroxylamine to yield compound 4.2, reaction (b) . Freshly prepared 4.1 (4.42 mmol, 4.81 g) was suspended in 30 mL DMF and Cs2C03 (2.9 g, 8.9 mmol, 2 eq.) was added. After stirring for 2-3 minutes, a solution of Bn-O-NH-Ns (2.75 g, 8.9 mmol, 2 eq.) in 10 mL DMF was added causing a change in color from tan to yellow-orange. DMF (20 mL) was added and the suspension heated to 50 °C for 16 h.
After cooling, the resin was decanted and washed with DMF (30 mL) , DMF/H20 (7:3 v/v, 3 x 30 mL) , DMF (30 mL) , EtOH (30 mL) , DMF/H20 (7:3 v/v, 3 x 30 mL) , EtOH (3 x 30 mL) , and DMF (3 x 30 mL) . Cleavage of a sample ( ca . 100 mg resin) yielded ca . 47 mg (100% yield) of 6 - {N- [2 - nitrobenzenesulfonyl] -O-benzylhydroxylamino} -hexanoic acid. "H-ΝMR (dmso-d6) 1.29 (m, 2H, - (CH2) 2-CH2- (CH2) 2-) , 1.45 (m, 4H, - (CH2-CH2-CH2-CH2-CH2Ν- ) , 2.19 (t, 2H, -CH2- C=0) , 3.02 (broad s, 2H, CH2-N-Ns) , 5.00 (s, 2H, -0CH2Ph) , 7.44 (m, 5H, Bn arom. H) , 7.89 (t, IH, Ns H4) , 7.99 (d, IH, Ns H6) , 8.03 (t, IH, Ns H5) , 8.08 (d, IH, Ns H3) . HPLC (condition 1) tR = 28.5 min, >98% pure.
Removal of 2 -nitrobenzene-sulfonyl (nosyl) protective group to form compound 4.3, reaction (c) .
Freshly prepared 4.2 (4.42 mmol, 5.81 g) was suspended in 60 mL DMF, and Cs2C03 (11.53 g, 36 mmol, 8 eq.) was added in one portion. The suspension was stirred at room temperature while thiophenol (1.37 mL, 13.3 mmol, 3 eq.) was added with a pipette. The suspension turned intense yellow-orange immediately. After stirring for 4 hours, the resulting orange-brownish suspension was decanted and the resin washed with DMF:H20 (7:3, v/v, 3 x 50 mL) , DMF (50 mL) , DMF:H20 (7:3, v/v, 50 mL) , DMF (50 mL) , EtOH (50 mL) , DMF (50 mL) , DMF:H20 (7:3, v/v, 50 mL) , DMF (50 mL) , EtOH (50 mL) , and finally DMF (3 x 50 mL) . After these washing cycles, the resin was used as such for the next step.
HPLC analysis (condition 1) of a crude isolate from cleavage of a small sample ( ca . 2-3 mg resin) indicated 96% purity ( R = 8.5 min) and complete nosyl group removal. XH-NMR (dmso-d6) 1.34 (m, 2H, -(CH2)2-CH2-
(CH2)2-), 1.56 (m, 4H, CH2-CH2-CH2-CH2-CH2-N- ) , 2.21 (t, 2H, -CH2-C=0) , 3.16 (t, 2H, CH2-N-Ns) , 5.03 (s, 2H, -OCH2Ph) , 7.41 (m, 5H, Bn arom. H) .
Condensation of hydroxylamine intermediate with 6-bromohexanoic acid to form compound 4.4, reaction (d) . Freshly prepared compound 4.3 (4.42 mmol, 5.0 g) was suspended in 50 mL DMF while a solution of 6- bromohexanoic acid (4.32 g, 22.1 mmol, 5 eq.) and DMAP (0.11 g, 0.9 mmol, 0.2 eq. w/respect to resin) in 10 mL DMF was added. After stirring for 2-3 min, DIC (3.5 mL, 22.1 mmol, 5 eq.) was added via pipette. The suspension was heated for 17 hours at 50 °C, cooled, decanted, and washed with DMF (3 x 30 mL) , EtOH (3 x 30 mL) , CH2C12 (3 x 30 mL) , EtOH (2 x 30 mL) , and DMF (3 x 30 mL) .
HPLC analysis (condition 1) of a crude isolate from cleavage of a small sample ( ca . 2-3 mg resin) indicated 94% purity ( R = 29.1 min) . XH-NMR (dmso- 6) 1.23 (m, 2H, 0=C- (CH2) 2-CH2- (CH2) 2-N) , 1.34 (m, 2H, 0=C- (CH2)2- CH2- (CH2)2-Br) , 1.49 (m, 6H, 3 x CH2) , 1.76 (t, 2H, CH2-CH2- Br) , 2.18 (t, 2H, -CH2-COOH) , 2.33 (t, 2H, CH2-CO- N-OBn] ) , 3.50 (t, 2H, CH2Br) , 3.59 (t, 2H, CH2-N-OBn) , 4.85 (s, 2H, 0-CH2Ph) , 7.42 (m, 5H, Bn arom H) .
Repetition of a series of reactions (bromide displacement by nosyl-protected hydroxylamine, removal of nosyl protecting group, and condensation with 6- bromohexanoic acid) to further elongate the polyhydroxamate scaffold and produce compound 4.5.
Repeti tion of reaction (b) . Compound 4.4 (4.42 mmol, 5.8 g) was reacted with Bn-O-NH-Ns (2.75 g, 8.9 mmol, 2 eq.) and Cs2C03 (2.9 g, 8.9 mmol, 2 eq.) in DMF (60 mL) as described for the preparation of 4.2. HPLC analysis (condition 1) of a crude isolate from cleavage of a small sample ( ca . 2-3 mg resin) indicated >93% purity ( R = 27.8 min).
Repetition of reaction (c) . From the intermediate of the bromide displacement reaction (4.42 mmol, 6.80 g) , the nosyl group was removed using thiophenol (1.37 mL, 13.3 mmol, 3 eq.) and Cs2C03 (11.5 g, 36 mmol, 8 eq.) in DMF (60 mL) as described for the preparation of 4.3.
HPLC analysis (condition 1) of a crude isolate from cleavage of a small sample ( ca . 2-3 mg resin) indicated 92% purity ( R = 27.2 min).
Repeti tion of reaction (d) . To generate compound 4.5, the product of the deprotection reaction (4.42 mmol, 6.0 g) was coupled with 6-bromohexanoic acid (4.32 g, 22.1 mmol, 5 eq.) using DMAP (0.11 g, 0.9 mmol, 0.2 eq. w/respect to resin) and DIC (3.5 mL, 22.1 mmol, 5 eq.) in DMF (60 mL) as described for the preparation of compound 4.4.
Repetition of previous reactions (bromide displacement by nosyl-protected hydroxylamine and removal of nosyl protecting group) and acetylation to further elongate the polyhydroxamate scaffold and produce compound 4.6.
Repeti tion of reaction (b) . Starting from compound 4.5 (4.42 mmol, 6.78 g) , bromide was displaced using Bn-O-NH-Ns (2.75 g, 8.9 mmol, 2 eq.) and Cs2C03 (2.9 g, 8.9 mmol, 2 eq.) in DMF (60 mL) as described above for the preparation of compound 4.2.
Repetition of reaction (c) . The nosyl group was removed from the intermediate of the displacement reaction above (4.42 mmol, 7.79 g) , using thiophenol (1.37 mL, 13.3 mmol, 3 eq.) and Cs2C03 (11.5 g, 36 mmol, 8 eq.) in DMF (60 mL) as described for the preparation of compound 4.3.
HPLC analysis (condition 1) of a crude isolate from cleavage of a small sample ( ca . 2-3 mg resin) indicated 82% purity ( R = 65.3 min at 0.7 mL/min flow rate). XH-NMR (dmso-d6) 1.21 (m, 6H, 3 x CO- (CH2) 2-CH2-) , 1.47 (m, 12H, 6 x CH2) , 2.16 (t, 2H, -CH2-COOH) , 2.31 (m, 4H, 2 x CH2-CO-N-OBn) , 3.20 (m, 2H, CH2-NH-0Bn) , 3.57 (t, 4H, 2 x CH2-N-CO) , 4.82 (s, 4H, 2 x CO-N-0-CH2Ph) , 5.02 (s, 2H, NH-0-CH2Ph) , 7.40 (m, 15H, 3 x Bn arom H) .
Acetylation . The product of the nosyl deprotection reaction (4.42 mmol, 6.98 g) was washed with DMF (3 x 60 mL) , decanted and suspended in 60 mL DMF. Acetic acid (1.3 mL, 22.1 mmol, 5 eq.) was added with a graduated pipette. DMAP (0.11 g, 0.9 mmol, 0.2 eq. w/respect to resin) was added as a solution in 1 mL DMF and the suspension was stirred while DIC (3.5 mL, 22.1 mmol, 5 eq.) was added. The resin suspension was heated to 50 °C for 17 hours. After cooling and decanting, the resin was washed with DMF (3 x 60 mL) , EtOH (60 mL) , CH2C12 (60 mL) , EtOH (60 mL) , CH2C12 (60 mL) , EtOH (2 x 60 mL) , and CH2C12 (3 x 60 mL) .
Acidolytic cleavage of 4.6 to yield the tris- O-benzylated analog of 4. The solvent from the last wash of 4.6 was decanted and CH2C12 (10 mL) was used to swell the resin. The flask containing the resin was dismounted and the stirring gear retrieved from it. A small magnetic stirring bar was introduced. This suspension was treated with 70 mL 50% TFA in CH2C12 at room temperature for 20 min. After this period, the suspension was carefully filtered using a fritted funnel. The bed of resin was washed with CH2C12 (5 x 30 mL) until the resin turned light brown in color. The combined washings were combined and the solvents removed in a rotary evaporator attached to an efficient KOH trap. The residual dark amber gum was left in vacuo overnight to yield 3.9 grams of crude cleavage material as thick dark amber oil . This residue was dissolved in 50 mL 50% aqueous CH3CN, and the solvents removed once more. HPLC analysis (condition 1) indicated -65% purity ( R = 58.7 min at 0.7 mL/min flow rate) . This crude isolate was loaded onto a Si02 column (2.5 x 25 cm bed size) ready for flash chromatography. Elution was accomplished with 4-5% MeOH:CHCl3. Selected fractions were collected, the solvents removed, and the residue chromatographed on a C18 reverse phase silica column (2.5 x 20 cm bed size) using 2% NH4OH in H20/ CH3CN (4:6, v/v) as eluant . Selected fractions yielded, after solvent removal and drying in vacuo, 1.8 g (57%) of the tris-O- benzylated polyhydroxamate with a purity of ,>93% by HPLC. XH-NMR (dmso-d6) 1.26 (m, 6H, 3 x CO- (CH2) 2-CH2- (CH2) 2-N) , 1.58 (m, 12H, 6 x CH2) , 2.06 (s, 3H, C0-CH3) , 2.31 (m, 6H, 2 x N-CO-CH2, 1 x CH2-COOH) , 3.60 (broad s, 6H, 3 x CH2-N- CO) , 4.75 (s, 4H, 2 x -0-CH2Ph) , 4.77 (s, 2H, -0-CH2Ph) , 7.33 (m, 15H, 3 x Bn arom. H) .
Hydrogenolysis of O-benzyl groups to yield compound 4. The tris-O-benzylated analog of 4 (400 mg, 0.56 mmol) was dissolved in 35 mL cyclohexene/EtOH (1:2, v/v) and the flask and condenser set up flushed with a stream of dry nitrogen for 2-3 min. After this period,
10% Pd/C (700 mg, 233 mg per benzyl group) was carefully added. The stirred black suspension was heated at 70 °C for 2 hours and at room temperature for 2 hours more (monitored using C18 reverse phase TLC and 0.5 M NaCl/CH3CN, 3:7 v/v) . After cooling, the suspension was filtered through a pad of celite previously soaked with EtOH, and the bed washed with EtOH (3 x 10 mL) . EtOH was removed using a rotary evaporator to afford a light brown gum. The gum was chromatographed on a C18 reverse phase silica column (2.5 x 15 cm) using H20/CH3CN (7:3, v/v) as eluant. Selected fractions were combined and the solvent removed. The residue was dissolved in 2 mL of hot mobile phase and allowed to rest undisturbed overnight . The polyhydroxamate 4 was isolated after filtration from the mother liquor as an off-white homogeneous solid (200 mg, 80% yield from precursor) . HPLC (condition 1) tR = 4.6 min. 'H-NMR (dmso-d6) 1.22 (m, 6H, 3 x CO- (CH2) 2-CH2- (CH2) 2- N) , 1.48 (m, 12H, 6 x CH2) , 1.96 (s, 3H, CO-CH3) , 2.10 (t, 2H, CH2-COOH) , 2.33 (t, 4H, 2 x N-CO-CH2) , 3.46 (t, 6H, 3 x CH2-N-CO) . Mass spectra ES-MS m/z 448 (M+l) ; m/z 501 (M+l) for complex of Fe3+ and 43" prepared from a 1:1 solution of FeCl3-6H20: 4.
Example 4
Solid Phase Synthesis of a DFO non-amide analog library depicted by structure 10 (Scheme 10a) .
/-" b brroommooccaarrbbooxxyylliicc aacciidd,, D DIiCe,, D DMMAAPP Λ ftf t-BuO-NH-Ns, DBU
®^OH - ®- ^* Br (c)
^^ 10.1
β-mercaptoethanol, DBU
Figure imgf000085_0001
Figure imgf000085_0002
b
Figure imgf000085_0003
10.5
Figure imgf000085_0004
10.6
Figure imgf000085_0005
10 Scheme 10a
Using the method of synthesis described herein, a library of DFO analogs similar to compound 4 was constructed on pins by adaptation of the methods described by Geysen and coworkers [Geysen et al . , J. of Immunological Methods (1987) 102 :259-274 and reference therein] . Twelve pins with an aminomethyl polystyrene grafted surface and derivatized with a 4- (hydroxymethoyl) -phenoxyacetic acid linker (HMPA, available from Chiron Technologies with 2.2 μmole loading per pin) were mounted on a block in an arrangement and spacing corresponding to a 96-well Microtiter reaction plate (kit from Chiron Technologies) . a) The pins were washed with DMF (x 3) , CH2C12
(x 3) and THF (x 3) prior to the synthesis. The pin block was then lowered over a series of reaction plates to immerse the pins in the wells of the plates in order to perform the following steps as shown in Scheme 13 below. The removal of reaction solutions and rinses from the solid support was accomplished by physically lifting the pins out of the reaction solutions which were retained in 96-well microtiter plates, and dipping the pins into rinse solutions. A typical washing cycle after each step consisted of DMF (x 3) , ethanol (x 2) , CH2C12 (x 2) and DMF (x 2) . b) Each pin (pin-PS-HMP-OH) was loaded with a bromocarboxylic acid (4-bromobutyric acid, 6- bromohexanoic acid or 8-bromohexanoic acid, depending on its location in the array) to form compounds of the general structure 10a.1.
A solution of 0.25 M bromocarboxylic acid, 0.25 M N, N-diisopropylcarbodiimide (DIC) and 0.012 M 4- dimethylaminopyridine (DMAP) in THF (0.2 mL per pin) was reacted with the pin for 1 hr at room temperature. The reaction was repeated with fresh reagents. c) Bromide was displaced with N-nosyl -O- t- butylhydroxylamine to form compounds of the general structure 10a.2.
A solution of 0.2 M N-nosyl -O- -butyl- hydroxylamine and 0.15 M of 1, 8-diazabicyclo [5 , 4 , 0] undec- 7-ene (DBU) in DMF (0.2 mL per pin) was reacted with each pin in the block for 2 hr at 50 °C. d) The nosyl group was removed from each pin to form compounds of the general structure 10a.3.
A solution of 0.2 M mercaptoethanol and 0.4 M DBU in DMF (0.2 mL per pin) was reacted with each pin in the block for 30 min. The reaction was repeated with fresh reagents. e) A bromocarboxylic acid (4-bromobutyric acid, 6-bromohexanoic acid or 8-bromohexanoic acid, depending on the location of the pin in the array) was coupled with each intermediate on the pins to form compounds of the general structure 10a.4.
A solution of 0.25 M bromocarboxylic acid, 0.25 M [0- (7-aza)benzotriazol-l-yl] -1,1,3,3- tetramethyluronium hexafluorophosphate (HATU) and 0.25 M Ν,Ν-diisopropylethylamine (DIPEA) in DMF (0.2 mL per pin) was reacted with the pin for 4 hr at room temperature. f) Steps (c) through (d) were repeated to form compounds of the general structure 10a.5. g) Steps (c) and (d) were repeated. h) The resulting compounds , were coupled with acetic acid to form compounds of the general structure 10a . 6 .
A solution of 0.25 M acetic acid, 0.25 M HATU and 0.25 M DIPEA in DMF (0.2 mL per pin) was reacted with each pin for 4 hr at room temperature. (i) The compounds were simultaneously cleaved from the pins and deprotected to form compounds of the general structure 10.
A solution of trifluoroacetic acid in CH2C12 (9:1) was reacted with each pin (0.4 ml) for 3 hr. After removal of the pins, the cleaved solutions were transferred to glass tubes and evaporated to dryness with nitrogen. Acetonitrile (0.5 ml) was added to each sample and evaporated to dryness on a speed vac (repeated twice) . Each compound was dissolved in 0.3 mL acetonitrile :water (7:3) and the resulting 2-5 mM stock solutions were used without purification for screening.
The library compounds represented by the general structure 10 were characterized by ES-MS and the purity determined by HPLC (condition 2) . Results of the ES-MS and HPLC analyses are set forth in Table 9 below.
Figure imgf000088_0001
10
Table 9
10 . 1 (m = 1 ; n = 3 ; p = 3 ) :
ES -MS : pos . mode m/ z (MH+ ) 420 , (MNa+) 441 ; neg . mode m/ z (M-H) ~ 418 Calcd for C18H3308N3 419 . HPLC purity 68 % , tR = 2.06 min
10.2 (m = 1; n = 3; p = 5) :
ES-MS: pos mode m/z (MH+) 448, (MNa+) 470; neg. mode m/z (M-H)" 446 Calcd for C20H37O8N3 447. HPLC purity 73%, tR = 2.71 min
10.3 (m = 1; n = 5; p = 3) :
ES-MS: pos mode m/z: (MH+) 448, (MNa+) 470; neg. mode m/z: (M-H)" 446 Calcd for C20H37O8N3 447. HPLC purity 59%, tR = 2.71 min 10.4 (m = 1; n = 5; p = 5) :
ES-MS: pos. mode m/z(MH+) 476, (MNa+) 498; neg mode m/z(M- H)" 474 Calcd for C22H4108N3 475. HPLC purity 58%, tR =3.21 min
10.5 (m = 3; n = 3; p = 3; same as compound 4) : ES-MS: pos. mode m/z (MH+) 448, (MNa+) 470; neg mode m/z (M-H)~ 446 Calcd for C20H37O8N3 447. HPLC purity 61%, tR = 2.52 min
10.6 (m = 3; n = 3; p = 5)
ES-MS: pos. mode m/z (MH+) 476, (MNa+) 498; neg mode m/z (M-H)" 474 Calcd for C22H4108N3 475. HPLC purity 78%, tR
= 3.08 min
10.7 (m = 3; n = 5; p = 3) :
ES-MS: pos. mode m/z (MH+) 476, (MNa+) 498; neg. mode m/z (M-H)" 474 Calcd for C22H4108N3 475. HPLC purity 78%, tR = 3.11 min
10.8 (m = 3; n = 5; p = 5) :
ES-MS: pos. mode m/z (MH+) 504, (MNa+) 526; neg mode m/z (M-H)" 502 Calcd for C24H4508N3 503. HPLC purity 78%, tR =
3.58 min 10.9 (m = 5; n = 3; p = 3) :
ES-MS: pos. mode m/z (MH+) 476, (MNa+) 498; pos. mode m/z (M-H)" 474 Calcd for C22H4108N3 475. HPLC purity 63%, tR = 3.17 min
10.10 (m = 5; n = 3; p = 5) :
ES-MS: pos mode m/z (MH+) 504, (MNa+) 526; neg. mode m/z (M-H)" 502 Calcd for C24H4508N3 503. HPLC purity 63%, tR = 3.61 min
10.11 (m = 5; n = 5; p = 3) :
ES-MS: pos. mode m/z (MH+) 504, (MNa+) 526; neg. mode m/z (M-H)" 502 Calcd for C24H4508N3 503. HPLC purity 63%, tR = 3.68 min
10.12 (m = 5; n = 5; p = 5) :
ES-MS: pos. mode m/z (MH+) 532, (MNa+) 554; neg. mode m/z (M-H)" 530 Calcd for C2GH4908N3 531. HPLC purity 67%, tR = 4.07 min.
Example 5 Solid Phase Synthesis of a DFO analog library depicted by structure 13 (Scheme 13a) .
Figure imgf000090_0001
HS(CH2)2θH, DBU
Figure imgf000090_0002
(C)
13a.3
Figure imgf000090_0004
13a.5
(f) Repeat steps (b) through (e) AC2O
(8) Repeat steps (b) to (c) (h)
Figure imgf000090_0005
Figure imgf000090_0006
13 Scheme 13a
Using the method of synthesis described herein, a library of DFO analogs similar to compound 3 was synthesized using Advanced ChemTech 496 Ω MOS System. The CDI -activated Wang resin 13a.1 was prepared from Wang PS resin (1.1 mmol/g) as described in Example 2 and 0.066 g (0.91 mmol/g, 0.06 mmol) of the activated resin was loaded into each well of the 96 well-format reaction block. The resin was swelled in DMF and washed with the solvent in which the reaction was supposed to be performed. A typical washing cycle include mixing the resin with 1.0-1.5 mL of the specified solvent at 600 rpm for 1 min and emptying the block for 4 to 5 min with N2 pressure of about 9 psi . The reagent solutions (prepared in anhydrous solvents whenever necessary) and solvents were delivered into the reaction wells by robotic arms (except during the cleavage of the compounds from the solid support, which was done manually using a repeater pipette) and all the operations and reactions were carried out in an atmosphere of N2. During the course of the reaction, the reaction block was agitated at 600 rpm for specified amount of time. After each reaction, the reaction block was emptied and the resin was washed with one of the following washing protocols given below:
Washing protocol 1: THF (x 2) , DMF (x 1) , EtOH (x 1) , and DMF (x 1); Washing protocol 2: DMF (x 2) , EtOH (x 1) , and DMF (x 2); and Washing protocol 3: DMA (x 2) , EtOH (x 1) , and DMA (x 2) . Washing protocol 4: THF (x 3) . (a) Loading of 5-aminopentanol to form compound 13a.2
CDI -activated Wang resin in each well was reacted with a solution of 0.5 M 5-aminopentanol and 0.3 M N, N- diisopropylethylamine (DIPEA) in DMF for 8 h at 60 °C. Washing protocol 2 and 4.
(b) Transformation of hydroxyl group to ΝsΝH(0But) using Mitsunobu conditions to form compound 13a.3
The resin-bound substrate was agitated and heated with a solution of 0.50 M NsNHOBut(4.0 eq.)in THF (0.4 ml), 1.0 M triphenylphosphine (4.0 eq.) in THF (0.22 ml), and 1.0 M diisopropyl azodicarboxylate (DIAD, 4.0 eq.) in THF (0.22 mL) for 4 h at 37 °C. Washing protocol 1.
(c) Deprotection of 2-nitrobenzenesulfonyl (nosyl) protective group to from compound 13a.4
The substrate 13a.3 was agitated with a solution of 0.20 M 2-mercaptoethanol (0.18 mmol, 3.0 eq.) and 0.40 M DBU (0.36 mmol, 6.0 eq.) in DMF (0.90 mL) for 30 min at room temperature. The yellow colored solution was drained and the resin was washed with 1 mL each of EtOH and DMF. The reaction was repeated with fresh reagents. Washing protocol 2. (d) Coupling with carboxylic acid anhydride or dicarboxylic acid/HATU/DIPEA to from intermediates of the general structure 13a.5
After the nosyl deprotection, the intermediate 13a.4 in each well was reacted with dicarboxylic acid anhydride (succinic anhydride, glutaric anhydride or 3,3- tetramethyleneglutaric anhydride) or with dicarboxylic acid (1 , 4-phenylenedipropionic acid, adipic acid, trans- 1, 4-cyclohexane dicarboxylic acid) depending on its location in the array) . (1) Coupling with dicarboxylic acid anhydride
The intermediate 13a.4 was reacted with solution of 0.5 M carboxylic acid anhydride (5 eq.)and 0.05 M 4- dimethylaminopyridine (DMAP, 0.5 eq.)) in DMA (0.6 mL) for 8 h at 50 °C (with agitation) . Washing protocol 3. (2) Coupling with dicarboxylic acid The solution of the active ester of dicarboxylic acid (0.25 M) in DMA (1.2 ml) preformed in situ from dicarboxylic acid (5 eq.), HATU (5 eq.) and DIPEA (10 eq.) was reacted with the intermediate 13a.4 for 8 h at 50 °C (with agitation) . Washing protocol 3. (e) Coupling with amino-alcohol to from intermediates of the general structure 13a.6
(1) Activation of carboxylic group with CDI
The intermediates of the general structure 13a.5 were reacted while agitating with 0.5 M solution of CDI in THF: DMA system(4:l, 1 mL) for 2 hr at room temperature. Washing protocol 3
(2) Coupling with amino-alcohol
Each of the activated intermediate was reacted with 0.5 M solution of amino-alcohol (5-aminopentanol, 4- piperidineethanol, 3-aminopropanol , depending on its location in the array) and 0.3 M DIPEA in DMA for 8 h at room temperature (with agitation) . Washing protocol 2 and 4.
(f) Repetition of steps from (b) trough (e) (g) Repetition of steps (b) trough (c)
(h) Acetylation with acetic anhydride to form compounds of the general structure 13a.7
After the nosyl deprotection, the substrate was agitated with a solution of 0.25 M acetic anhydride (0.30 mmol, 5.0 eq.) and 0.50 M DIPEA (0.60 mmol, 10.0 eq) in DMF (1.2 mL) for 6 h at room temperature. After completing the Wash protocol 3, the resin was further washed with DMF (x 2), EtOH ( x 2) , and 1,2- dichloroethane (DCE, x 3) , and dried overnight under vacuum.
(i) Cleavage and deprotection step to from compounds of the general structure 13.
The compounds were simultaneously cleaved off the resin by agitating the resin-bound intermediate of the general structure 13a.7 with a solution of 90%TFA in CH2C12 (1.5 mL each; 18:1:1, v/v) for 2 h at room temperature. After filtration, the resin was washed with cleavage cocktail (1.0 mL each), and the combined solution in the collection vial was screw-capped, and left overnight (24 h) at room temeprature to ensure the complete deprotection of the tert-butyl groups . The solutions were then transferred to glass tubes and evaporated to dryness by blowing a stream of N2. Acetonitrile (1 mL) was added to each sample and evaporated to dryness with N2. Once again acetonitrile (1 mL) was added to each sample and evaporated to dryness on a speedvac concentrator overnight. The samples were further dried under high vacuum overnight .
The novel examples represented by the general structure 13 were characterized by ES-MS and the purity determined by HPLC (condition 2; gradient: 0% to 90% B in 10 min) and the results are summarized in the following Table 10.
Figure imgf000094_0001
13 Table 10
13.1 [Rx = (CH2)2; NR2R3 = NH(CH2)5; R4 = (CH2)2; NRSR6 = NH(CH2)5; same as compound 3] : ES-MS: pos. mode m/z 561 (MH+) ; 583 (MNa+) ; Calcd. for C25H48N608 560; HPLC purity 67%, tR = 2.29 min.
13.2 [R, = (CH2)2; NR2R3 = NH(CH2)5; R4 = (CH2)3; NR5R6 = NH(CH2)5] :
ES-MS: pos. mode m/z 575 (MH+) ; 597 (MNa+) ; Calcd. for C26H50N6O8 574; HPLC purity 63%, tR = 2.40 min.
13.3 [R, = (CH2)2; NR2R3 = NH(CH2)5; R4 = (CH2)3; NR5R6 = 1- cyclo-NC5H9-4- (CH2)2 ] :
ES-MS: pos. mode m/z 601 (MH+) ; 623 (MNa+) ; Calcd. for C28H52N608 600; HPLC purity 53%, tR = 2.60 min. 13.4 [Rx = (CH2)2; NR2R3 = NH(CH2)5; R4 = (CH2) 2-C6H4-4- (CH2) 2 ; NR5R6 = NH(CH2)5] :
ES-MS: pos. mode m/z 665 (MH+) ; 687 (MNa+) ; Calcd. for C33H56N608664; HPLC purity 37%, tR = 3.19 min.
13.5 [Rλ = (CH2)3; NR2R3 = NH(CH2)5; R4 = (CH2)2; NRSR6 = NH(CH2)5] :
ES-MS: pos. mode m/z 575 (MH+) ; 597 (MNa+) ; Calcd. for C26H50N6O8574; HPLC purity 53%, tR = 2.34 min.
13.6 [Rx = (CH2)3; NR2R3 = NH(CH2)5; R4 = (CH2)3; NR5R6 = NH(CH2)5] : ES-MS: pos. mode m/z 589 (MH+) ;Calcd. for C27H52N608588 ; HPLC purity 67%, tR = 2.40 min.
13.7 [R, = (CH2)3; NR2R3 = NH(CH2)5; R4 = (CH2)3; NRSR6 = 1- cyclo-NC5H9-4- (CH2)2] :
ES-MS: pos. mode m/z 615 (MH+) ; Calcd. for C29H54N608 614 ; HPLC purity 52%, tR = 3.45 min.
13.8 [R, = (CH2)3; NR2R3 = NH(CH2)5; R4 = (CH2) 2-C6H4-4- (CH2) 2 ; NR5R6 = l-cyclo-NC5H9-4- (CH2)2] : ES-MS: pos. mode m/z 705 (MH+) ; Calcd. for C36H60N6O8704 ; HPLC purity 51%, tR = 2.61 min.
13.9 [Rx = (CH2)3; NR2R3 = l-cyclo-NC5H9-4- (CH2) 2 ; R4 = (CH2)2; NR5R6 = NH(CH2)5] : ES-MS: pos. mode m/z 601 (MH+) ; Calcd. for C28HS3N608 600 ; HPLC purity 59%, tR = 2.53 min.
13.10 [Rx = (CH2)3; NR2R3 = l-cyclo-NC5H9-4- (CH2) 2 ; R4 = (CH2)3; NR5R6 = NH(CH2)5] :
ES-MS: pos. mode m/z 615 (MH+) ; Calcd. for C29H54N608614 ; HPLC purity 57%, tR = 2.60 min.
13.11 [Rx = (CH2)3; NR2R3 = l-cyclo-NC5H9-4 - (CH2) 2 ; R4 = (CH2)3; NR5R6 = l-cyclθ-NC5H9-4- (CH2) 2] :
ES-MS: pos. mode m/z 641 (MH+) ; Calcd. for C31H56N608640; HPLC purity 47%, tR = 2.76 min. 13.12 [Ri = (CH2)3; NR2R3 = l-cyclo-NCsH9-4- (CH2) 2 ; R4 = (CH2)2-C6H4-4- (CH2)2; NRSR6 = NH(CH2)S] :
ES-MS: pos. mode m/z 741 (MH+) ; Calcd. for CHN608740 ; HPLC purity 44%, tR = 3.38 min.
13.13 [R = (CH2)3; NR2R3 = l-cyclo-NC5H9-4- (CH2) 2 ; R4 = (CH2)2-C6H4-4- (CH2)2; NR5R6 = l-cyclo-NC5H9-4 - (CH2) 2] :
ES-MS: pos. mode m/z 731 (MH+) ; Calcd. for C36H46N608730 ; HPLC purity 38%, tR = 3.53 min.
13.14 [R, = (CH2)2-C6H4-4- (CH2)2; NR2R3 = NH(CH2)5; R4 = (CH2)2; NR5R6 = NH(CH2)S] : ES-MS: pos . mode m/z 665 (MH+) ; Calcd. for C33HS6N608664 ; HPLC purity 37%, tR = 3.10 min.
13.15 [R, = (CH2)2-C6H4-4- (CH2)2; NR2R3 = NH(CH2)5; R4 = (CH2)3; NR5R6 = NH(CH2)5] :
ES-MS: pos. mode m/z 679 (MH+) ; Calcd. for C34HS8N608678 ; HPLC purity 37%, tR = 3.25 min.
13.16 [R, = (CH2)2-C6H4-4- (CH2)2; NR2R3 = NH(CH2)5; R4 = (CH2)3; NR5R6 = l-cyclo-NC5H9-4- (CH2) 2] : ES-MS: pos. mode m/z 705 (MH+) ; Calcd. for C36H60N6Oa 704 ; HPLC purity 36%, tR = 3.25 min.
13.17 [Ri = (CH2)2-C6H4-4- (CH2)2; NR2R3 = NH(CH2)5; R4 = (CH2)2-C6H4-4- (CH2)2; NR5R6 = NH(CH2)5] : ES-MS: pos. mode m/z 767 (MH+) ; Calcd. for C41H64N608766; HPLC purity 31%, tR = 3.73 min.
13.18 [R = (CH2)2-C6H4-4- (CH2)2; NR2R3 = NH(CH2)5; R4 = (CH2)2; NR5R6 = l-cyclo-NC5H9-4- (CH2) 2] :
ES-MS: pos. mode m/z 795 (MH+) ; Calcd. for C43H66N608794 ; HPLC purity 32%, tR = 3.92 min.
13.19 [Rx = (CH2)2-C6H4-4- (CH2)2; NR2R3 = l-cyclo-NC5H9-4 - (CH2)2; R4 = (CH2)2; NRSR6 = NH(CH2)5] :
ES-MS: pos. mode m/z 691 (MH+) ; Calcd. for C35Hs8N608690 ; HPLC purity 32%, tR = 3.92 min. 13.20 [Rx = (CH2)2-C6H4-4- (CH2)2; NR2R3 = l-cyclo-NC5H9-4- (CH2)2; R4 = (CH2)3; NR5R6 = NH(CH2)5] :
ES-MS: pos. mode m/z 705 (MH+) ; Calcd. for C36H60N6O8704 ; HPLC purity 25%, tR = 3.30 min.
13.21 [Rx = (CH2)2-C6H4-4- (CH2)2; NR2R3 = l-cyclo-NC5H9-4 - (CH2)2; R4 = (CH2)3; NR5R6 = l-cyclo-NC5H9-4 - (CH2) 2] :
ES-MS: pos. mode 731 m/z (MH+) ; Calcd. for C38H62N608708 ; HPLC purity 46 %, tR = 3.32 min.
13.22 [R, = (CH2)2-C6H4-4- (CH2)2; NR2R3 = l-cyclo-NC5H9-4- (CH2)2; R4 = (CH2)2-C6H4-4-(CH2)2; NR5R6 = NH(CH2)5] : ES-MS: pos. mode m/z 795 (MH+) ; Calcd. for C43H66N608794 ;
HPLC purity 26%, tR = 3.87 min.
13.23 [Rx = (CH2)2-C6H4-4- (CH2)2; NR2R3 = l-cyclo-NC5H9-4- (CH2)2; R4 = (CH2)2-C6H4-4- (CH2)2; NR5R6 = l-cyclo-NC5H9-4- (CH2)2] : ES-MS: pos. mode m/z 821 (MH+) ; Calcd. for C45H68N608820 ; HPLC purity 53%, tR = 2.88 min.
13.24 [Rx = cyclo-C5H8(CH2)2; NR2R3 = NH(CH2)3; R4 = (CH2)2; NR5R6 = NH(CH2)5] :
ES-MS: pos. mode m/z 601 (MH+) ; Calcd. for C28H52N608600 ;
HPLC purity 25%, tR = 4.05 min.
13.25 [Rx = trans-l,4-C6H10; NR2R3 = NH(CH2)3; R4 = (CH2)2; NR5R6 = NH(CH2)5] :
ES-MS: pos. mode m/z 587 (MH+) ; Calcd. for C27H50N6O8586 ; HPLC purity 36%, tR = 2.28 min.
13.26 [R, = (CH2)4; NR2R3 = NH(CH2)3; R4 = (CH2)2; NR5R6 = NH(CH2)5] :
ES-MS: pos. mode m/z 561 (MH+) ; Calcd. for C25H48N608560 ; HPLC purity 39%, tR = 2.17 min.
Example 6
Solid Phase Synthesis of a DFO retro-amide analog library depicted by structure 14 (Scheme 14a) .
Figure imgf000098_0001
14a.1 14a.2 14a.3
Figure imgf000098_0002
Repeat steps (c) through (e Repeat steps (c) through (e)
Figure imgf000098_0003
Figure imgf000098_0004
14
Scheme 14a Using the method of synthesis described herein, a library of DFO analogs was synthesized using Advanced ChemTech 496 Ω MOS System. For general description and operating procedures, see Example 5. The nosyl - derivatized resin 14a.2 was prepared independently from the known hydroxylamine derivatized Wang resin 14a.1 and 0.066 g (0.91 mmol/g, 0.06 mmol) of the resin was loaded into each well of the 96 well-format reaction block. Washing protocol 1: THF (x 2) , DMF (x 1) , EtOH (x 1) , and DMF (x 1); Washing protocol 2: DMF (x 2), EtOH (x 1) , and DMF (x 2); and Washing protocol 3: DMF (x 2) , EtOH (x 1) , and 1,2 -dichloroethane (DCE, x 2).
(a) Freshly prepared 14a.1 (prepared according to the procedure of Floyd et al . , Tetrahedron Lett . 1996, 37, 8045-8048 ; 1.04 mmol/g, 1.59 g, 1.65 mmol) was swelled with DMF (40 mL) and then washed with DCE (2 x 40 mL) . Then it was suspended in DCE (30 mL) , 2, 6-lutidine (2.03 mL, 17.5 mmol) followed by 2-nitrobenzenesulfonyl chloride (1.55 g, 6.97 mmol) in DCE (10 mL) were added and the suspension was agitated for 4 h at room temperature. After filtration, the resin was washed successively with 20 mL portions of DCE (x 2) , DMF (x 2) , EtOH (x 1) , and CH2C12 (x 3) , which was then dried under high vacuum to give 1.82 g of 14a.2. The reaction can also be carried out in DCE using pyridine as base or in pyridine as solvent without compromising the loading (typically 0.89 to 0.91 mmol/g based on the mass of dried resin) of the resin and the purity of the subsequent reaction products. (b) The nosyl resin 14a.2 was converted to intermediates of the general structure 14a.3 either (i) by alkylation using alkyl bromides (leading to the products 14.1 to 14.4) or (ii) by Mitsunobu reaction with alcohols [leading to the products 14.7 to 14.33 (corresponding N-Boc alcohol was used for the analogs 14.27 to 14.33) ] .
(i) The resin-bound substrate was heated with a solution of the appropriate 0.25 M 6-bromohexanoic acid alkyl ester (0.24 mmol, 4.0 eq.) and 0.125 M DBU (0.12 mmol, 2.0 eq.) in DMF (0.96 mL) for 6 h at 55 °C. Washing protocol 2.
(ii) The resin-bound substrate was heated with a solution of the appropriate 0.30 M alcohol (0.30 mmol, 5.0 eq.), 0.30 M triphenylphosphine (0.30 mmol, 5.0 eq.), 0.30 M Et3Ν (0.30 mmol, 5.0 eq.), and 0.30 M DIAD (0.30 mmol, 5.0 eq.) in THF (1.0 mL) for 4 h at 37 °C. Washing protocol 1.
(c) The nosyl group was removed to form the intermediates of the general structure 14a.4.
The substrate 14a.3 was agitated with a solution of 0.20 M 2-mercaptoethanol (0.18 mmol, 3.0 eq.) and 0.40 M DBU (0.36 mmol, 6.0 eq.) in DMF (0.90 mL) for 30 min at room temperature. The yellow colored solution was drained and the resin was washed with 1 mL each of EtOH and DMF. The reaction was repeated with fresh reagents. Washing protocol 3.
(d) Acylation reaction with bromoacid chloride was employed to obtain the intermediates of the general structue 14a.5.
The substrate 14a.4 was agitated with a solution of the appropriate 0.25 M bromoacid chloride (6- bromohexanoyl chloride or 8-bromooctanoyl chloride; 0.24 mmol, 4.0 eq.) and 0.50 M DIPEA (0.48 mmol, 8.0 eq.) in DCE (0.96 mL) for 4 h at room temperature. Washing protocol 2.
(e) Bromide was displaced with O- ( ert-butyl) -N- (2- nosyl) hydroxylamine to form the compounds of the general structure 14a.6.
The substrate 14a.5 was agitated with a solution of 0.20 M 0- (tert-butyl) -N- (2 -nosyl) hydroxylamine (0.18 mmol, 3.0 eq.) and 0.13 M 1, 1, 3 , 3-tetramethylguanididne (TMG, 0.12 mmol, 2.0 eq.) in DMF (0.90 mL) at 50 °C for 6 h. Washing protocol 2.
The intermediates of the general structure 14a.7 were prepared from 14a.6 by repeating the steps (c) through (e) . Further repeating the steps (c) through (e) afforded the intermediates of the general structure
14a.8, although there are compounds in which this last sequence is omitted leading to shorter analogs. Further transformation to the intermediates of the type 14a.9 was accomplished by nosyl deprotection of 14a.8 [repeat step (c) ] followed by N-acetylation described below.
(f) After the nosyl deprotection, the substrate was agitated with a solution of 0.25 M acetic anhydride (0.30 mmol, 5.0 eq.) and 0.50 M DIPEA (0.60 mmol, 10.0 eq) in DCE (1.2 mL) for 6 h at room temperature. After completing the Wash protocol 3, the resin was further washed with DMF (x 2) , EtOH (x 2) , and (DCE x 3) , and dried overnight under vacuum.
Further transformation of the intermediates of the general structure 14a.9 to the final products 14 was accomplished as described below.
(g) The compounds were simultaneously cleaved off the resin by agitating the substrate 14a.9 with a solution of TFA and triisopropylsilane (TIS) in CH2C12 (1.5 mL each; 18:1:1, v/v) for 2 h at room temperature. After filtration, the resin was washed with cleavage cocktail (1.0 mL each), and the combined solution in the collection vial was screw-capped, and left overnight (15 h) at room temeprature to ensure the complete deprotection of the tert-butyl groups. Subsequent TFA evaporation and drying procedure described in Example 5, gave the final products.
The novel examples represented by the gemeral structure 14 were characterized by ES-MS and the purity determined by HPLC (condition 2; gradient: 0% to 100% B in 10 min unless otherwise mentioned) and the results are summarized in the following Table 11.
Figure imgf000102_0001
14
Table 11
14.1 [R = (CH2)5COOMe; m = 5; n = 5; a = 0; p = 0] : ES-MS: pos. mode m/z 484 (MNa+) ; neg. mode m/z 460 (M-H) " Calcd. for C21H39N308 461. HPLC purity 63%, tR = 3.56 min.
14.2 [R = (CH2)5COOEt; m = 5 ; n = 5 ; a = 0 ; p = 0] : ES-MS: pos. mode m/z 498 (MNa+) ; neg. mode m/z 474 (M-H)" Calcd. for C22H41N308 475. HPLC purity 57%, tR = 3.80 min.
14.3 [R = (CH2)5C00Prn; m = 5 ; n = 5 ; a = 0 ; p = 0] : ES-MS: pos. mode m/z 490 (MH+) ; neg. mode m/z m/z 488 (M- H) " Calcd. for C23H43N308 489. HPLC purity 57%, tR = 4.14 min.
14.4 [R = (CH2)5COOBun; m = 5 ; n = 5 ; a = 0 ; p = 0] : ES-MS: pos. mode m/z 526 (MNa+) ; neg. mode m/z 502 (M-H)" Calcd. for C24H45N308 503. HPLC purity 64%, tR = 4.47 min.
14.5 (R = H; m = 5; n = 5 ; a = 1; p = 5) :
ES-MS: pos. mode m/z 485 (MNa+) ; neg. mode m/z 461 (M-H)" Calcd. for C20H38N4O8 462. HPLC purity 28%, tR = 3.84 min.
14.6 (R = H; m = 5; n = 5; a = 0; p = 0) : ES-MS: pos. mode m/z 356 (MNa+) ; neg. mode m/z 332 (M-H)" Calcd. for C14H27N306 333. HPLC purity 30%, tR = 3.72 min.
14.7 (R = Me; m = 5; n = 5; a = 1 ; p = 5) :
ES-MS: pos. mode m/z 515 (MK+) ; neg. mode m/z 589 (M+TFA") Calcd. for C21H40N408 476. HPLC purity 68%, tR = 2.59 min (gradient: 10 to 100% B in 10 min) .
14.8 (R = Me; m = 5; n = 7; a = 1; p = 7) :
ES-MS: pos. mode m/z 533 (MH+) ; neg. mode m/z 645 (M+TFA") Calcd. for C25H48N408 532. HPLC purity 50%, tR = 4.25 min.
14.9 (R = Me; m = 7; n = 7; a = 1; p = 7) : ES-MS: pos. mode m/z 561 (MH+) ; neg. mode m/z 673 (M+TFA") Calcd. for C27H52N408 560. HPLC purity 60%, tR = 4.63 min.
14.10 (R = Me; m = 5; n = 5; a = 0; p = 0) :
ES-MS: pos. mode m/z 348 (MH+) ; neg. mode m/z 346 (M-H)" Calcd. for C1SH29N306 347. HPLC purity 50%, tR = 3.00 min. 14.11 (R = Me; m = 5 ; n = 7; a = 0; p = 0) :
ES-MS: pos. mode m/z 376 (MH+) ; neg. mode m/z 488 (M+TFA") Calcd. for C17H33N306 375. HPLC purity 56%, tR = 3.57 min.
14.12 (R = Me; m = 7; n = 5; a = 0 ; p = 0) :
ES-MS: pos. mode m/z 376 (MH+) ; neg. mode m/z 488 (M+TFA") Calcd. for C17H33N306 375. HPLC purity 55%, tR = 3.58 min.
14.13 (R = Me; m = 7; n = 7; a = 0; p = 0) :
ES-MS: pos. mode m/z 404 (MH+) ; neg. mode m/z 402 (M-H)" Calcd. for C19H37N306 403. HPLC purity 58%, tR = 4.10 min.
14.14 (R = Et; m = 5 ; n = 5; a = 1; p = 5) :
ES-MS: pos. mode m/z 513 (MNa+) ; neg. mode m/z 603 (M+TFA") Calcd. for C22H42N408 490. HPLC purity 78%, tR = 2.83 min (gradient: 10 to 100% B in 10 min) .
14.15 (R = Et; m = 5; n = 7; a = 1; p = 7) :
ES-MS: pos. mode m/z 547 (MH+) ; neg. mode m/z 659 (M+TFA") Calcd. for C26H50N4O8 546. HPLC purity 58%, tR = 4.44 min.
14.16 (R = Et; m = 7; n = 7; a = 1; p = 7) : ES-MS: pos. mode m/z 575 (MH+) ; neg. mode m/z 687 (M+TFA") Calcd. for C28H54N408 574. HPLC purity 61%, tR = 4.82 min.
14.17 (R = Et; m = 5; n = 5; a = 0; p = 0) :
ES-MS: pos. mode m/z 362 (MH+) ; neg. mode m/z 360 (M-H)" Calcd. for C16H31N306 361. HPLC purity 59%, tR = 3.22 min. 14.18 (R = Et; m = 5; n = 7; a = 0; p = 0) :
ES-MS: pos. mode m/z 390 (MH+) ; neg. mode m/z 502 (M+TFA") Calcd. for C18H35N306 389. HPLC purity 53%, tR = 3.78 min.
14.19 (R = Et; m = 7; n = 5; a = 0; p = 0) :
ES-MS: pos. mode m/z 390 (MH+) ; neg. mode m/z 502 (M+TFA") Calcd. for C18H35N306 389. HPLC purity 66%, tR = 3.77 min.
14.20 (R = Et; m = 7; n = 7; a = 0; p = 0) :
ES-MS: pos. mode m/z 418 (MH+) ; neg. mode m/z 416 (M-H)" Calcd. for C20H39N3O6 417. HPLC purity 67%, tR = 4.27 min.
14.21 (R = Bn; m = 5 ; n = 7 ; a = 1 ; p = 7) : ES-MS: pos. mode m/z 609 (MH+) ; neg. mode m/z 721 (M+TFA") Calcd. for C31H52N408 608. HPLC purity 54%, tR = 5.14 min.
14.22 (R = Bn; m = 7 ; n = 7 ; a = 1 ; p = 7) :
ES-MS: pos. mode m/z 637 (MH+) ; neg. mode m/z 749 (M+TFA" Calcd. for C33H56N408 636. HPLC purity 75% (precipitated from MeOH-H20) , tR = 5.49 min.
14.23 (R = Bn; m = 5 ; n = 5 ; a = 0 ; p = 0) :
ES-MS: pos. mode m/z 424 (MH+) ; neg. mode m/z 422 (M-H)" Calcd. for C21H33N306 423. HPLC purity 53%, tR = 4.23 min. 14.24 (R = Bn; m = 5 ; n = 7 ; a = 0; p = 0) : ES-MS: pos. mode m/z 452 (MH+) ; neg. mode m/z 450 (M-H)" Calcd. for C23H37N306 451. HPLC purity 53%, tR = 4.69 min. 14.25 (R = Bn; m = 7,- n = 5; a = 0; p = 0) :
ES-MS: pos. mode m/z 452 (MH+) ; neg. mode m/z 450 (M-H)" Calcd. for C23H37N306 451. HPLC purity 55%, tR = 4.72 min. 14.26 (R = Bn; m = 7 ; n = 7; a = 0; p = 0) : ES-MS: pos. mode m/z 480 (MH+) ; neg. mode m/z 592 (M+TFA") Calcd. for C2SH41N306 479. HPLC purity 56%, tR = 5.10 min. 14.27 [R = (CH2)5NH2; m = 5 ; n = 5 ; a = 1 ; p = 5] : ES-MS: pos. mode m/z 548 (MH+) ; neg. mode m/z 660 (M+TFA") Calcd. for C25H49N508 547. HPLC purity 59%, tR = 2.39 min (gradient: 10 to 100% B in 10 min) . 14.28 [R = (CH2)5NH2; m = 5 ; n = 7 ; a = 1 ; p = 7] :
ES-MS: pos. mode m/z 604 (MH+) ; neg. mode m/z 716 (M+TFA") Calcd. for C29HS7N508 603. HPLC purity 45%, tR = 3.98 min.
14.29 [R = (CH2)5NH2; m = 7; n = 7; a = 1; p = 7] : ES-MS: pos. mode m/z 632 (MH+) ; neg. mode m/z 744 (M+TFA") Calcd. for C31H61N508 631. HPLC purity 48%, tR = 4.25 min.
14.30 [R = (CH2)5NH2; m = 5 ; n = 5 ; a = 0 ; p = 0] : ES-MS: pos. mode m/z 419 (MH+) ; neg. mode m/z 417 (M-H)" Calcd. for C19H38N406 418. HPLC purity 54%, tR = 2.90 min.
14.31 [R = (CH2)5NH2; m = 5 ; n = 7 ; a = 0 ; p = 0] : ES-MS: pos . mode m/z 447 (MH+) ; neg. mode m/z 559 (M+TFA")
Calcd. for C21H42N406 446. HPLC purity 57%, tR = 3.38 min.
14.32 [R = (CH2)5NH2; m = 7 ; n = 5 ; a = 0 ; p = 0] : ES-MS: pos. mode m/z 447 (MH+) ; neg. mode m/z 559 (M+TFA") Calcd. for C21H42N406 446. HPLC purity 55%, tR = 3.32 min. 14.33 [R = (CH2)5NH2; m = 7 ; n = 7 ; a = 0 ; p = 0] :
ES-MS: pos. mode m/z 475 (MH+) ; neg. mode m/z 587 (M+TFA") Calcd. for C23H46N406 474. HPLC purity 60%, tR = 3.78 min. Example 7
Solid Phase Synthesis of a DFO retro-amide analog library depicted by structure 15 (Scheme 15a) .
Figure imgf000106_0001
15a.11
Figure imgf000106_0002
15
Scheme 15a
Using the method of synthesis described herein, a library of DFO analogs was synthesized using Advanced ChemTech 496 Ω MOS System. For general description and operating procedures, see Example 5. The nosyl- derivatized resin 14a.2 was prepared independently (Example 6) and 0.067 g (0.89 mmol/g, 0.06 mmol) of the resin was loaded into each well of the 96 well format reaction block. Washing protocol 1: THF (x 2), DMF (x 1), EtOH (x 1) , and DMF (x 1); Washing protocol 2: DMF (x 2), EtOH (x 1) , and DMF (x 2) .
(a) The nosyl resin 14a.2 was converted to intermediates of the general structure 15a.1 either (i) by Mitsunobu reaction with alcohols [leading to the products 15.1 to 15.6 (Boc-aminopentanol was used) and 15.11 to 15.18] or (ii) by alkylation using alkyl bromides (leading to the products 15.7 to 15.10). (i) The resin-bound substrate was heated with a solution of the appropriate 0.30 M alcohol (0.30 mmol, 5.0 eq.), 0.30 M triphenylphosphine (0.30 mmol, 5.0 eq.), 0.30 M Et3N (0.30 mmol, 5.0 eq.), and 0.30 M DIAD (0.30 mmol, 5.0 eq.) in THF (1.0 mL) for 4 h at 37 °C. Washing protocol 1.
(ii) The resin-bound substrate was heated with a solution of the appropriate 0.25 M 6-bromohexanoic acid alkyl ester (0.24 mmol, 4.0 eq.) and 0.125 M DBU (0.12 mmol, 2.0 eq.) in DMF (0.96 mL) for 6 h at 55 °C. Washing protocol 2.
End-capping was carried out by agitating the substrate with a solution of 0.25 M acetic anhydride (0.15 mmol, 2.5 eq.) and 0.50 M DIPEA (0.30 mmol, 5.0 eq) in DMF (0.60 mL) for 2 h at room temperature. Washing protocol 2.
(b) The nosyl group was removed to form the intermediates of the general structure 15a.2.
The substrate 15a.1 was agitated with a solution of 0.20 M 2-mercaptoethanol (0.18 mmol, 3.0 eq.) and 0.40 M DBU (0.36 mmol, 6.0 eq.) in DMF (0.90 mL) for 30 min at room temperature. The yellow colored solution was drained and the resin was washed with 1 mL each of EtOH and DMF. The reaction was repeated with fresh reagents. Washing protocol 2.
(c) Coupling with N-Fmoc - amino acid was carried out to form intermediates of the general structure 15a.3.
The substrate 15a.2 was agitated with a solution of appropriate 0.17 M N-Fmoc -amino acid (0.24 mmol, 4.0 eq.), 0.17 M HATU (0.24 mmol, 4.0 eq.), and 0.33 M (DIPEA) in DMA (1.48 mL) for 4 h at room temperature. The solution was drained and the resin was washed with DMF (x 2) . The reaction was repeated with fresh reagents using half the amounts given above. Washing protocol 2.
(d) Deprotection of Fmoc group as below furnished the intermediates of the general structure 15a.4. The substrate 15a.3 was agitated with a solution of 25% piperidine in DMF (1.0 mL) for 3 min at room temperature. The solution was drained and the reaction was repeated with fresh reagents for 15 min. Washing protocol 2. (e) Acylation reaction with bromoacid chloride was employed to obtain the intermediates of the general structue 15a.5.
The substrate 15a.4 was agitated with a solution of the appropriate 0.25 M bromoacid chloride (6- bromohexanoyl chloride or 8-bromooctanoyl chloride; 0.24 mmol, 4.0 eq.) and 0.50 M DIPEA (0.48 mmol, 8.0 eq.) in DCE (0.96 mL) for 4 h at room temperature. Washing protocol 2.
(f) Bromide displacement with 0- ( ert-butyl) -N- (2- nosyl) hydroxylamine followed by nosyl deprotection gave the compounds of the general structure 15a.6.
Bromide displacement was carried out by agitating the substrate 15a.5 with a solution of 0.20 M O- ( ert- butyl) -N- (2 -nosyl) hydroxylamine (0.18 mmol, 3.0 eq.) and 0.13 M TMG (0.12 mmol, 2.0 eq.) in DMF (0.90 mL) at 50 °C for 4 h. Washing protocol 2. The nosyl group was removed as described in the step (b) . Washing protocol 2.
(g) Succinoylation gave the compounds of the general structure 15a.7.
The substrate 15a.6 was heated with a solution of 0.50 M succinic anhydride (0.30 mmol, 5.0 eq.), 0.05 M
DMAP (0.03 mmol, 0.5 eq.) in DMA (0.60 mL) for 6 h at 50 °C. Washing protocol 2.
(h) Activation of the carboxylic acid with CDI followed by reaction with 5-amino-l-pentanol gave the intermediates of the general structure 15a.8.
The substrate 15a.7 was agitated with 0.50 M CDI (0.30 mmol, 5.0 eq) in DMA (0.60 mL) for 2 h at room temperature. The solution was drained and the resin was washed with DMA (x 2) , and the intermediate was then reacted with 0.50 M 5-amino-l-pentanol (0.30 mmol, 5.0 eq.) and 0.50 M DIPEA (0.30 mmol, 5.0 eq.) in DMA (0.60 mL) for 8 h at room temperature. Washing protocol 2.
(i) Mitsunobu reaction with 0- ( ert-butyl) -N- (2- nosyl) hydroxylamine was carried out to form the compounds of the general structure 15a.9.
The substrate 15a.8 was heated with a solution of the 0.25 M 0- ( ert-butyl) -N- (2-nosyl) hydroxylamine (0.24 mmol, 4.0 eq.), 0.25 M triphenylphosphine (0.24 mmol, 4.0 eq.), and 0.25 M DIAD (0.24 mmol, 4.0 eq.) in THF (0.96 mL) for 4 h at 37 °C. Washing protocol 1.
(j) Νosyl deprotection of 15a.9 [repeat step (b) ] followed by N-acetylation gave the intermediates of the general structure 15a.11.
The substrate 15a.10 was agitated with a solution of
0.25 M acetic anhydride (0.30 mmol, 5.0 eq.) and 0.50 M DIPEA (0.60 mmol, 10.0 eq) in DCE (1.2 mL) for 6 h at room temperature. After completing the washing protocol
2, the resin was further washed with DCE (x 3) , and dried overnight under vacuum.
Further transformation of the intermediates of the general structure 15a.11 to the final products 15 was accomplished as described below.
(g) The compounds were simultaneously cleaved off the resin by agitating the substrate 15a.11 with a solution of TFA and TIS in CH2C12 (1.5 mL each; 18:1:1, v/v) for 2 h at room temperature. After filtration , the resin was washed with cleavage cocktail (1.0 mL each), and the combined solution in the collection vial was screw-capped, and left overnight (20 h) at room temeprature to ensure the complete deprotection of the tert-butyl groups. Subsequent TFA evaporation and drying procedure described in Example 5, gave the final products .
The novel examples represented by the general structure 15 were characterized by ES-MS and the purity determined by HPLC (condition 2; gradient: 0% to 100% B in 10 min) and the results are summarized in the following Table 12.
Figure imgf000110_0001
15 Table 12
15.1 [Rx = (CH2)SNH2; a = 1 ; b = 2 ; R2 = H; R3 = H; R4 = H; m = 5] :
ES-MS: Pos. mode m/z 561 (MH+) ; Calcd. for C25H48N608 560. HPLC purity 72%, tR = 2.25 min.
15.2 [Rτ = (CH2)5NH2; a = 1 ; b = 2 ; R2 = H; R3 = H; R4 = H; m = 7] : ES-MS: Pos. mode m/z 589 (MH+) ; Calcd. for C27H52N608 588. HPLC purity 54%, tR = 2.64 min.
15.3 [Rx = (CH2)5NH2; a = 0 ; b = 0 ; m = 7] :
ES-MS: pos. mode m/z 518 (MH+) ; neg. mode m/z 516 (M-H)"; Calcd. for C24H47N507 517. HPLC purity 57%, tR = 3.28 min. 15.4 [Rx = (CH2)5NH2; a = 0; b = 0; m = 5] :
ES-MS: pos. mode m/z 490 (MH+) ; neg. mode m/z 602 (M+TFA") ; Calcd. for C22H43N507 489. HPLC purity 41%, tR = 2.63 min.
15.5 [R: = (CH2)5NH2; a = 1 ; b = 1 ; R2 = H; R3 = H; R4 = H; m = 5] : ES-MS: pos. mode m/z 547 (MH+) ; neg. mode m/z 545 (M-H)"; Calcd. for C24H46N608 546. HPLC purity 61%, tR = 2.52 min.
15.6 [R2 = (CH2)5NH2; a = 1 ; b = 1 ; R2 = H; R3 = H; R4 = H; m = 7] :
ES-MS: pos. mode m/z 575 (MH+) ; neg. mode m/z 687 (M+TFA") Calcd. for C26H50N6O8 574. HPLC purity 46%, tR = 2.92 min.
15.7 [Rλ = (CH2)5COOMe; a = 1 ; b = 2 ; R2 = H; R3 = H; R4 = H; m = 5] :
ES-MS: pos. mode m/z 604 (MH+) ; neg. mode m/z 602 (M-H)" Calcd. for C27H49N5O10 603. HPLC purity 40%, tR = 3.56 min. 15.8 [Ri = (CH2)5COOEt; a = 1; b = 2; R2 = H; R3 = H; R4 = H; m = 5] : ES-MS: pos. mode m/z 618 (MH+) ; neg. mode m/z 616 (M-H)" Calcd. for C28H51N5O10 617. HPLC purity 41%, tR = 3.58 min.
15.9 [Rx = (CH2)5COOPrn; a = 1 ; b = 2 ; R2 = H; R3 = H; R4 = H; m = 5] :
ES-MS: pos. mode m/z 632 (MH+) ; neg. mode m/z 630 (M-H)" Calcd. for C29H53N5O10 631. HPLC purity 41%, tR = 3.91 min.
15.10 [Rx = (CH2)5COOBun; a = 1 ; b = 2 ; R2 = H; R3 = H; R4 = H; m = 5] :
ES-MS: pos. mode m/z 668 (MNa+) ; neg. mode m/z 758 (M+TFA") Calcd. for C30HS5N5O10 645. HPLC purity 52%, tR = 4.22 min.
15.11 (Rx = Me; a =1; b = 2; R2 = H; R3 = H; R4 = H; m = 5) : ES-MS: pos. mode m/z 512 (MNa+) ; neg. mode m/z 488 (M-H)" Calcd. for C21H39N508 489. HPLC purity 29%, t„ = 2.50 min.
15.12 (R> = Me; a =1; b = 1; R2 = H; R3,R4 = (CH2)4; m = 7) : ES-MS: pos. mode m/z 544 (MH+) ; neg. mode m/z 656 (M+TFA") Calcd. for C25H45N508 543. HPLC purity 48%, tR = 3.37 min.
15.13 (Ri = Et; a =1; b = 2; R2 = H; R3 = H; R4 = H; m = 5) : ES-MS: pos. mode m/z 526 (MNa+) ; neg. mode m/z 502 (M-H)" Calcd. for C22H41N508 503. HPLC purity 48%, tR = 2.76 min.
15.14 [R = Et; a =1; b = 1; R2 = H; R3,R4 = (CH2)4; m = 7] : ES-MS: pos. mode m/z 558 (MH+) ; neg. mode m/z 670 (M+TFA")
Calcd. for C26H47N508 557. HPLC purity 46%, tR = 3.48 min.
15.15 (R, = Prn; a =1; b = 2; R2 = H; R3 = H; R4 = H; m = 5) :
ES-MS: pos. mode m/z 540 (MNa+) ; neg. mode m/z 516 (M-H)" Calcd. for C23H43NS08 517. HPLC purity 45%, tR = 2.93 min.
15.16 [Rλ = Prn; a =1; b = 1; R2 = H; R3,R4 = (CH2)4; m = 7] :
ES-MS: pos. mode m/z 572 (MH+) ; neg. mode m/z 684 (M+TFA") Calcd. for C27H49N508 571. HPLC purity 47%, tR = 3.66 min. 15.17 (Rz = Bun; a =1; b = 2; R2 = H; R3 = H; R4 = H; m = 5) : ES-MS: pos. mode m/z 532 (MH+) ; neg. mode m/z 530 (M-H)" Calcd. for C24H45Ns08 531. HPLC purity 47%, tR = 3.20 min. 15.18 [R, = Bun; a =1; b = 1; R2 = H; R3,R4 = (CH2)4; m = 7] :
ES-MS: pos. mode m/z 586 (MH+) ; neg. mode m/z 698 (M+TFA") Calcd. for C28H51N508 585. HPLC purity 58%, tR = 3.93 min.
Example 8
Solid Phase Synthesis of a DFO analog library- depicted by structure 16 (Scheme 16a) .
Figure imgf000113_0001
16 Scheme 16a
Using the method of synthesis described herein, a library of DFO analogs was synthesized using Advanced ChemTech 496 Ω MOS System. For general description and operating procedures, see Example 5. The derivatized Wang resin 16a.1 (m = 5, Example 4) was prepared and 0.064 g (0.94 mmol/g, 0.06 mmol) of the resin was loaded into each well. Washing protocol 1: THF (x 2) , DMF (x 1) , EtOH (x 1), and DMF (x 1); Washing protocol 2: DMF (x 2), EtOH (x 1) , and DMF (x 2) .
(a) Bromide was displaced with O- ( ert-butyl) -N- (2- nosyl) hydroxylamine give the compounds of the general structure 16a.2. Bromide displacement was carried out by agitating the substrate 16a.1 with a solution of 0.20 M 0- ( ert- butyl) -N- (2 -nosyl) hydroxylamine (0.18 mmol, 3.0 eq.) and 0.13 M TMG (0.12 mmol, 2.0 eq.) in DMF (0.90 mL) at 55 °C for 6 h. Washing protocol 2. End-capping was carried out by agitating the substrate with a solution of 0.25 M acetic anhydride (0.15 mmol, 2.5 eq.) and 0.50 M DIPEA (0.30 mmol, 5.0 eq) in DMF (0.60 mL) for 2 h at room temperature. Washing protocol 2. Subsequent transformation of the intermediates of the type 16a.2 to the final products 16 was achieved by repeating the sequence of reactions described earlier in Scheme 15a for the conversion of 15a.1 to 15 [except that TFA-CH2C12 (9:1, v/v) was used in the final step]. The novel examples represented by the general structure 16 were characterized by ES-MS and the purity determined by HPLC (condition 2; gradient: 0% to 100% B in 10 min) and the results are summarized in the following Table 13.
Figure imgf000115_0001
16
Table 13
16.1 (m = 5; a = 1; b = 1; Rt = H; R2 = H; R4 = H; n = 5) ES-MS: pos. mode m/z 576 (MH+) ; neg. mode m/z 574 (M-H)"
Calcd. for C2SH45N5O10 575. HPLC purity 41%, tR = 2.93 min.
16.2 (m = 5; a = 1; b = 1; R-. = H; R2 = H; R4 = H; n = 7) ES-MS: pos. mode m/z 604 (MH+) ; neg. mode m/z 602 (M-H)" Calcd. for C27H49N5O10 603. HPLC purity 34%, tR = 3.31 min. 16.3 (m = 5; a = 0 ; b = 0; n = 5)
ES-MS: pos. mode m/z 519 (MH+) ; neg. mode m/z 517 (M-H)"
Calcd. for C23H42N409 518. HPLC purity 35%, tR = 3.09 min.
16.4 (m = 5; a = 0 ; b = 0; n = 7
ES-MS: pos. mode m/z 547 (MH+) ; neg. mode m/z 545 (M-H)" Calcd. for C25H46N409 546. HPLC purity 44%, tR = 3.54 min.
Example 9
Solid Phase Synthesis of a DFO tetro-amide analog library depicted by structure 17 (Scheme 17a) .
Figure imgf000116_0001
Fmoc-β-Ala-OH Piperidine 2-NsCI/2,6-Lutidine eOTs/MTBD
— HATU D -I —PEA; ( *c)-
Figure imgf000116_0002
— < —d> *- <e> *~ « *-
17a.3 Repeat Bromoacid chloride
Figure imgf000116_0004
s stteeop rt(b) D DIIPPEEAA:; ( (αgl)
Figure imgf000116_0003
17a.4 17a.5
Figure imgf000116_0005
17
Scheme 17a
Using the method of synthesis described herein, a library of DFO analogs were synthesized in IRORI MiniKan™ reactors (polypropylene) using AccuTag™-100 Combinatorial Chemistry System. The nosyl derivatized resin 14a.2 was prepared (Example 6) , and loaded into each of the sixteen MiniKans containing a radiofrequency tag. Subsequent chemical operations were carried out in round-bottom flasks by sorting MiniKans (whenever necessary) using the AccuTag system. After the addition of solvent or reagent solutions, air bubbles were removed from the MiniKans by applying vacuum (10-20 mm Hg) for 5-10 seconds. During the wash cycles, the MiniKans were stirred for 15 min with 25 mL or 50 mL of the solvent for 8 and 16 MiniKans respectively. After finishing the wash cycles between the reactions, the MiniKans were dried under vacuum (10-20 mm Hg) for about 30 min.
(a) The Mitsunobu reaction was used to form intermediates of the general structure 17a.1.
MiniKans containing nosyl-derivatized resin 14a.2 (0.907 mmol/g, 0.061 g each, 8 MiniKans, 0.055 mmol) were suspended in a solution of 0.25 M each of triphenylphoshine (1.64 g, 6.25 mmol), appropriate alcohol MeOH (0.253 mL, 6.25 mmol) or EtOH (0.362 mL,
6.25 mmol), and DIAD (1.23 mL, 6.25 mmol) in anhydrous THF (25 mL) and stirred at 37 °C for 4 h in an atmosphere of N2. The solution was removed and the MiniKans were washed separately (MeOH and EtOH reactions) with THF (3 x 25 mL) and the reaction was repeated with fresh reagents. The MiniKans were washed separately with THF (x 3) and then together with DMF (x 1) , EtOH (x 1) , and CH2C12 (x 2) .
End-capping was carried out by stirring the MiniKans (16) with 0.40 M acetic anhydride (1.89 mL, 20.0 mmol) and 0.80 M DIPEA (6.95 mL, 40.0 mmol) in DMF (50 mL) for 3 h at room temperature. The solution was decanted and the MiniKans were washed with DMF (x 1) and then with EtOH and CH2C12 alternately (3 cycles) . (b) The nosyl group was removed to form intermediates of the general structure 17a.2
The MiniKans (16) containing 17a.1 were stirred with a soluion of 0.20 M 2-mercaptoethanol (0.70 mL, 10.0 mmol) and 0.40 M DBU (2.99 mL, 20.0 mmol) in DMF (50 mL) for 1 h at room temperature in an atmosphere of N2. The yellow colored solution was removed and the MiniKans were washed with DMF (50 mL) . The reaction was repeated with fresh reagents and the MiniKans were washed with DMF (x 1) and then with EtOH and CH2C12 alternately (4 cycles) .
(c) Coupling with N-Fmoc - ?-alanine was carried out to form intermediates of the general structure 17a.3. The MiniKans (16) containing 17a.2 were stirred with a solution of 0.20 M N-Fmoc - ?-alanine (3.11 g, 10.0 mmol), 0.20 M HATU (3.80 g, 10.0 mmol), 0.20 M 1-hydroxy- 7-azabenzotriazole (HOAt, 1.36 g, 10.0 mmol), and 0.20 M DIPEA (3.48 mL, 20.0 mmol) in anhydrous DMA (50 mL) for 10 h at room temperature in an atmosphere of Ν2. The yellow colored solution was removed and the MiniKans were washed with EtOH and DMF alternately (2 cycles) . Further washed with EtOH and CH2C12 alternately (2 cycles) .
(d) Deprotection of Fmoc group on 17a.3 was carried out in two batches. The intermediates leading to secondary amide analogs (R2 = H) were saved as Fmoc derivatives until subsquent N-methylation and deprotection of the nosyl group was carried out on the intermediate 17a.4 leading to the rest of the analogs (R2 = Me) .
Thus, the MiniKans (8) were suspended in 20% piperidine in DMF and stirred for 6 min at room temperature. The solution was decanted, fresh deprotection cocktail was added, and stirring continued for 40 min. The solution was decanted and the MiniKans were washed with EtOH and CH2C12 alternately (4 cycles) .
(e) The above MiniKans (8) containing Fmoc- deprotected derivative were stirred with a solution 0.20 M 2-nitrobenzenesulfonyl chloride (1.11 g, 5.0 mmol) and 0.50 M 2, 6-lutidine (1.46 mL, 12.5 mmol) in anhydrous DCE (25 mL) for 8 h at room temperature in an atmosphere of N2. The solution was removed and the MiniKans were washed with EtOH and CH2C12 alternately (3 cycles) .
(f) The above N-nosylated derivative was transformed to the corresponding N-methyl derivative 17a.4 (R2 = Me) by stirring MiniKans (8) in a solution of 0.25 M methyl p-toluenesulfonate (1.16 g, 6.25 mmol) and 0.125 M MTBD (0.479 g, 3.13 mmol) in anhydrous DMF for 8 h at 50 °C in an atmosphere of Ν2. The solution was removed and the MiniKans were washed with EtOH and DMF alternately (2 cycles) . Further washed with EtOH and CH2C12 alternately (2 cycles) . Nosyl group was deprotected by repeating the step (b) with half of the reagents.
At this stage, Fmoc deprotection on rest of the intermediate 17a.3 was carried out as described in step (d) .
(g) Coupling of bromoacid chlorides with the intermediates obtained by Fmoc deprotection of 17a.3 and nosyl deprotection of 17a.4 afforded compounds of the general structure 17a.5. The above-mentioned intermediates were reacted with 0.25 M solution of appropriate bromoacid chloride [8 MiniKans each; 6-bromohexanoyl chloride (1.33 g, 6.25 mmol) or 8-bromooctanoyl chloride (1.51 g, 6.25 mmol)] and 0.50 M DIPEA (2.17 mL, 12.5 mmol) in anhydrous DCE (25 mL) for 13 h at room temperature in an atmosphere of N2. The MiniKans were washed independently with 1,2- dichloroethane (x 2) and EtOH (x 1) and then together with EtOH (x 1) and CH2C12 (x 2) alternately (2 cycles) . (h) Bromide was displaced with 0-(2,4- dimethoxybenzyl) -N- (2 -nosyl) hydroxylamine to form compounds of the general structure 17a.6.
The Minikans (16) containing 17a.5 were stirred with an orange-red colored solution of 0.20 M 0-(2,4- dimethoxybenzyl) -N- (2-nitrobenzenesulfonyl) hydroxylamine (2.94 g, 8.00 mmol) and 0.15 M TMG (0.752 mL, 6.00 mmol) in anhydrous DMF (40 mL) for 12 h at 50 °C in an atmosphere of Ν2. The solution was removed and the
MiniKans were washed with DMF (x 2) and then with EtOH (x 1) and CH2C12 (x 2) alternately (2 cycles) .
The intermediates of general structure 17a.7 were prepared from 17a.6 by repeating the steps (b) , (g) , and (h) as described above. Further transformation to the final products 17 was accomplished by first nosyl deprotection [repeat step (b) ] and subsequent series of reactions described below.
(i) N-Acetylation was carried out by stirring the MiniKans (16) with 0.25 M acetic anhydride (1.18 mL, 12.5 mmol) and 0.50 M DIPEA (4.35 mL, 25.0 mmol) in 1,2- dichloroethane (50 mL) for 12 h at room temperature in an atmosphere of Ν2. The solution was decanted and the MiniKans were washed with DMF (x 2) and then with EtOH (x 1) and CH2C12 (x 2) alternately (2 cycles) .
(j) Deprotection of 2 , 4-dimethoxybenzyl groups was carried out by stirring the MiniKans (16) with 1% TFA/5% thioanisole in CH2C12 (50 mL) for 1 h at room temperature. The pale pink colored turbid solution was removed, the MiniKans were washed with CH2C12 (x 2) , and the reaction was repeated with fresh reagents. Finally, the MiniKans were washed with EtOH (x 1) and DMF (x 2) alternately and then with EtOH (x 1) and CH2C12 (x 2) alternately (2 cycles) and dried under high vacuum overnight. (k) The compounds were simultaneously cleaved off the resin directly from the MiniKans (AccuCleave™-96 system) by reacting with a solution of TFA in CH2C12 (2.5 mL each; 4:1, v/v) for 2 h at room temperature. After filtration, the MiniKans were washed with cleavage cocktail (2.5 mL each), and the combined solutions were transferred to glass tubes and evaporated to dryness by blowing a stream of N2. Acetonitrile (2 mL) was added to each sample and evaporated to dryness with N2. Once again acetonitrile (2 mL) was added to each sample and evaporated to dryness on a speedvac concentrator overnight . The samples were further dried under high vacuum overnight.
The novel examples represented by the general structure 17 were characterized by ES-MS and the purity determined by HPLC (condition 2; gradient: 0% to 100% B in 10 min) and the results are summarized in the following Table 14.
Figure imgf000121_0001
17
Table 14
17.1 (Rλ = Me; R2 = H; m = 5; n = 5) :
ES-MS: pos. mode m/z 441 (MNa+) ; neg. mode m/z 531 (M+TFA") Calcd. for C18H34N407 418. HPLC purity 76%, tR = 3.05 min.
17.2 (R, = Me; R2 = H; m = 5; n = 7) : ES-MS: pos . mode m/z 469 (MNa+) ; neg. mode m/z 559 (M+TFA") Calcd. for C20H38N4O7 446. HPLC purity 65%, tR = 3.58 min.
17.3 (R, = Me; R2 = H; m = 7; n = 5) :
ES-MS: pos. mode m/z 469 (MNa+) ; neg. mode m/z 559 (M+TFA") Calcd. for C20H38N4O7 446. HPLC purity 65%, tR = 3.56 min. 17.4 (R, = Me; R2 = H; m = 7; n = 7) :
ES-MS: pos. mode m/z 497 (MNa+) ; neg. mode m/z 587 (M+TFA") Calcd. for C22H42N407 474. HPLC purity 58%, tR = 4.05 min.
17.5 (Rx = Me; R2 = Me; m = 5; n = 5) :
ES-MS: pos. mode m/z 455 (MNa+) ; neg. mode m/z 545 (M+TFA") Calcd. for C19H36N407 432. HPLC purity 78%, tR = 3.28 min.
17.6 (Rλ = Me; R2 = Me ; m = 5; n = 7) :
ES-MS: pos. mode m/z 483 (MNa+) ; neg. mode m/z 573 (M+TFA") Calcd. for C21H40N4O7 460. HPLC purity 74%, tR = 3.78 min.
17.7 (Rx = Me; R2 = Me ; m = 7; n = 5) :
ES-MS: pos. mode m/z 483 (MNa+) ; neg. mode m/z 573 (M+TFA") Calcd. for C21H40N4O7 460. HPLC purity 77%, tR = 3.79 min.
17.8 (Rλ = Me; R2 = Me; m = 7; n = 7) :
ES-MS: pos. mode m/z 511 (MNa+) ; neg. mode m/z 601 (M+TFA") Calcd. for C23H44N407 488. HPLC purity 71%, tR = 4.24 min.
17.9 (Rx = Et; R2 = H; m = 5; n = 5) :
ES-MS: pos. mode m/z 455 (MNa+) ; neg. mode m/z 545 (M+TFA") Calcd. for C19H36N407 432. HPLC purity 69%, tR = 3.23 min.
17.10 (Rλ = Et; R2 = H; m = 5; n = 7) : ES-MS: pos. mode m/z 483 (MNa+) ; neg. mode m/z 573 (M+TFA") Calcd. for C21H40N4O7 460. HPLC purity 63%, tR = 3.73 min.
17.11 (Rx = Et; R2 = H; m = 7; n = 5) :
ES-MS: pos. mode m/z 483 (MNa+) ; neg. mode m/z 573 (M+TFA") Calcd. for C21H40N4O7 460. HPLC purity 67%, tR = 3.72 min.
17.12 (Rx = Et; R2 = H; m = 7; n = 7) :
ES-MS: pos. mode m/z 511 (MNa+) ; neg. mode m/z 601 (M+TFA") Calcd. for C23H44N407 488. HPLC purity 61%, tR = 4.18 min.
17.13 (Rj = Et; R2 = Me; m = 5; n = 5) :
ES-MS: pos. mode m/z 469 (MNa+) ; neg. mode m/z 559 (M+TFA") Calcd. for C20H38N4O7 446. HPLC purity 82%, tR = 3.46 min.
17.14 (R = Et; R2 = Me; m = 5; n = 7) : ES-MS: pos. mode m/z 497 (MNa+) ; neg. mode m/z 587 (M+TFA") Calcd. for C22H42N407 474. HPLC purity 75%, tR = 3.93 min. 17.15 (Rx = Et; R2 = Me; m = 7; n = 5) :
ES-MS: pos. mode m/z 497 (MNa+) ; neg. mode m/z 587 (M+TFA") Calcd. for C22H42N407 474. HPLC purity 78%, tR = 3.97 min. 17.16 (Rx = Et; R2 = Me; m = 7; n = 7) :
ES-MS: pos. mode m/z 525 (MNa+) ; neg. mode m/z 615 (M+TFA") Calcd. for C24H46N407 502. HPLC purity 75%, tR = 4.42 min.
Example 10 Solid Phase Synthesis of a DFO retro-amide analog library depicted by structure 18 (Scheme 18a) .
Figure imgf000123_0001
Fmoc-aminoacid Bromoacid chloride
HATU/DIPEA; (c) DIPEA; (e)
Figure imgf000123_0002
18a.3
Figure imgf000123_0003
Scheme 18a
Using the method of synthesis described herein, a library of DFO analogs was synthesized using Advanced ChemTech 496 Ω MOS System. For general description and operating procedures, see Example 5. The nosyl - derivatized resin 14a.2 was prepared independently (Example 6) and 0.067 g (0.89 mmol/g, 0.06 mmol) of the resin was loaded into each well of the 96 well format reaction block. Washing protocol 1: THF (x 2), DMF (x 1), EtOH (x 1) , and DMF (x 1); Washing protocol 2: DMF (x 2), EtOH (x 1) , and DMF (x 2) . (a) The nosyl resin 14a.2 was converted to intermediates of the general structure 18a.1 either (i) by Mitsunobu reaction with alcohols [leading to the final products 18.1, 18.2, and 18.15 (Boc-aminopentanol was used) and 18.7 to 18.14] or (ii) by alkylation using alkyl bromides (leading to the products 18.3 to 18.6). (i) The resin-bound substrate was heated with a solution of the appropriate 0.30 M alcohol (0.30 mmol, 5.0 eq.), 0.30 M triphenylphosphine (0.30 mmol, 5.0 eq.), 0.30 M Et3N (0.30 mmol, 5.0 eq.), and 0.30 M DIAD (0.30 mmol, 5.0 eq.) in THF (1.0 mL) for 4 h at 37 °C. Washing protocol 1.
(ii) The resin-bound substrate was heated with a solution of the appropriate 0.25 M 6-bromohexanoic acid alkyl ester (0.24 mmol, 4.0 eq.) and 0.125 M DBU (0.12 mmol, 2.0 eq.) in DMF (0.96 mL) for 6 h at 55 °C. Washing protocol 2.
End-capping was carried out by agitating the substrate with a solution of 0.25 M acetic anhydride (0.15 mmol, 2.5 eq.) and 0.50 M DIPEA (0.30 mmol, 5.0 eq) in DMF (0.60 mL) for 2 h at room temperature. Wash protocol 2. (b) The nosyl group was removed to form the intermediates of the general structure 18a.2.
The substrate 18a.1 was agitated with a solution of 0.20 M 2-mercaptoethanol (0.18 mmol, 3.0 eq.) and 0.40 M DBU (0.36 mmol, 6.0. eq.) in DMF (0.90 mL) for 30 min at room temperature. The yellow colored solution was drained and the resin was washed with 1 mL each of EtOH and DMF. The reaction was repeated with fresh reagents. Washing protocol 2. (c) Coupling with N-Fmoc -amino acid was carried out to form intermediates of the general structure 18a.3.
The substrate 18a.2 was agitated with a solution of appropriate 0.17 M N-Fmoc - amino acid (0.24 mmol, 4.0 eq.), 0.17 M HATU (0.24 mmol, 4.0 eq.), and 0.33 M (DIPEA) in DMA (1.48 mL) for 4 h at room temperature. The solution was drained and the resin was washed with DMF (x 2) . The reaction was repeated with fresh reagents using half the amounts given above. Washing protocol 2.
(d) Deprotection of Fmoc group furnished the intermediates of the general structure 18a.4.
The substrate 18a.3 was agitated with a solution of 25% piperidine in DMF (1.0 mL) for 3 min at room temperature. The solution was drained off and the reaction was repeated with fresh reagents for 15 min. Washing protocol 2.
(e) Acylation reaction with bromoacid chlorides was employed to obtain the intermediates of the general structue 18a.5.
The substrate 18a.4 was agitated with a solution of the appropriate 0.25 M bromoacid chloride (6- bromohexanoyl chloride or 8-bromooctanoyl chloride; 0.24 mmol, 4.0 eq.) and 0.50 M DIPEA (0.48 mmol, 8.0 eq.) in DCE (0.96 mL) for 4 h at room temperature. Washing protocol 2.
(f) Bromide displacement with O- ( ert-butyl) -N- (2- nosyl) hydroxylamine followed by nosyl deprotection gave the compounds of the general structure 18a.6.
Bromide displacement was carried out by agitating the substrate 18a.5 with a solution of 0.20 M O- ( tert- butyl) -N- (2 -nosyl) hydroxylamine (0.18 mmol, 3.0 eq.) and 0.13 M TMG (0.12 mmol, 2.0 eq.) in DMF (0.90 mL) at 50 °C for 4 h. Wash protocol 2.
The substrate 18a.6 was transformed to compounds of the general structure 18a.7 by repeating the above dsecribed steps (b) to (f) .
(h) Νosyl deprotection of 18a.7 followed by N- acetylation gave the intermediates of the general structure 18a.8.
After the deprotection of nosyl group [repeat step (b) ] , the substrate was agitated with a solution of 0.25 M acetic anhydride (0.30 mmol, 5.0 eq.) and 0.50 M DIPEA (0.60 mmol, 10.0 eq) in DCE (1.2 mL) for 6 h at room temperature. After completing the washing protocol 2, the resin was further washed with (DCE x 3) , and dried overnight under vacuum.
Further transformation of the intermediates of the general structure 18a.8 to the final products 18 was accomplished as described below.
(i) The compounds were simultaneously cleaved off the resin by agitating the substrate 18a.8 with a solution of TFA and TIS in CH2C12 (1.5 mL each; 18:1:1, v/v) for 2 h at room temperature. After filtration, the resin was washed with cleavage cocktail (1.0 mL each), and the combined solution in the collection vial was screw-capped, and left overnight (20 h) at room temperature to ensure the complete deprotection of the tert-butyl groups . Subsequent TFA evaporation and drying procedure described in Example 5, gave the final products .
The novel examples represented by the general structure 18 were characterized by ES-MS and the purity determined by HPLC (condition 2; gradient: 0% to 100% B in 10 min) and the results are summarized in the following Table 15.
Figure imgf000127_0001
Table 15
18.1 [R. = (CH2)5NH2; a = 1 ; b = 2 ; R2 = H; R3 = H; R4 = H; m = 5 ; c = 0; d = 0; n = 5]:
ES-MS: pos. mode m/z 490 (MH+) ; neg. mode m/z 488 (M-H)" Calcd. for C22H43N507 489. HPLC purity 57%, tR = 2.57 min.
18.2 [Ri = (CH2)5NH2; a = 1 ; b = 2 ; R2 = H; R3 = H; R4 = H; m = 5; c = 0; d = 0; n = 7]:
ES-MS: pos. mode m/z 518 (MH+) ; neg. mode m/z 630 (M+TFA") Calcd. for C24H47N507 517. HPLC purity 58%, tR = 3.04 min. 18.3 [Rτ = (CH2)5COOMe; a = 1 ; b = 2 ; R2 = H; R3 = H; R4 = H ; m = 5 ; c = 0 ; d = 0 ; n = 7 ] :
ES-MS: pos. mode m/z 561 (MH+) ; neg. mode m/z 559 (M-H)" Calcd. for C26H48N409560. HPLC purity 48%, tR = 3.81 min. 18.4 [Rλ = (CH2)5COOEt; a = 1 ; b = 2; R2 = H; R3 = H; R4 = H; m = 5; c = 0; d = 0; n = 7] :
ES-MS: pos. mode m/z 575 (MH+) ; neg. mode m/z 687 (M+TFA")
Calcd. for C27H50N4O9 574. HPLC purity 57%, tR = 4.02 min.
18.5 [Ri = (CH2)sCOOPrn; a = 1 ; b = 2 ; R2 = H; R3 = H; R4 = H; m = 5; c = 0; d = 0; n = 7] :
ES-MS: pos. mode m/z 611 (MNa+) ; neg. mode m/z 701 (M+TFA") Calcd. for C28H52N409 588. HPLC purity 48%, tR = 4.31 min.
18.6 [Rx = (CH2)5COOBun; a = 1 ; b = 2 ; R2 = H; R3 = H; R4 = H; m = 5; c = 0; d = 0; n = 7] : ES-MS: pos. mode m/z 603 (MH+) ; neg. mode m/z 601 (M-H)" Calcd. for C29H54N409 602. HPLC purity 51%, tR = 4.63 min.
18.7 (Rλ = Me; a = 1; b = 2; R2 = H; R3 = H; R4 = H; m = 5; c = 0 ; d = 0 ; n = 7 ; same as the compound 17.2) :
ES-MS: pos. mode m/z 447 (MH+) ; neg. mode m/z 445 (M-H)" Calcd. for C20H38N4O7 446. HPLC purity 52%, tR = 3.13 min.
18.8 (Rj. = Me; a = 1; b = 1; R2 = H; R3,R4 = (CH2)4; m = 7; c = 0; d = 0; n = 7) :
ES-MS: pos. mode m/z 501 (MH+) ; neg. mode m/z 499 (M-H)" Calcd. for C24H44N407 500. HPLC purity 75%, tR = 3.90 min. 18.9 (R: = Et; a = 1; b = 2; R2 = H; R3 = H; R4 = H; m = 5 ; c = 0; d = 0; n = 7; same as the compound 17.10) : ES-MS: pos. mode m/z 461 (MH+) ; neg. mode m/z 459 (M-H)" Calcd. for C21H40N4O7 460. HPLC purity 54%, tR = 3.27 min.
18.10 (Rx = Et; a = 1; b = 1; R2 = H; R3,R4 = (CH2)4; m = 7 ; c = 0; d = 0; n = 7) :
ES-MS: pos. mode m/z 515 (MH+) ; neg. mode m/z 513 (M-H)" Calcd. for C25H46N407 514. HPLC purity 69%, tR = 3.98 min.
18.11 (Rχ = Prn; a = 1; b = 2; R2 = H; R3 = H; R4 = H; m = 5; c = 0; d = 0; n = 7) : ES-MS: pos. mode m/z 475 (MH+) ; neg. mode m/z 473 (M-H)" Calcd. for C22H42N407 474. HPLC purity 18%, tR = 3.46 min.
18.12 (Rx = Prn; a = 1 ; b = 1 ; R2 = H; R3 , R4 = (CH2)4; m = 7; c = 0; d = 0; n = 7) :
ES-MS: pos. mode m/z 529 (MH+) ; neg. mode m/z 641 (M+TFA")
Calcd. for C26H48N407 528. HPLC purity 69%, tR = 4.17 min.
18.13 (Rx = Bun; a = 1 ; b = 2 ; R2 = H; R3 = H; R4 = H; m = 5; c = 0; d = 0; n = 7) :
ES-MS: pos. mode m/z 489 (MH+) ; neg. mode m/z 601 (M+TFA") Calcd. for C23H44N407 488. HPLC purity 35%, tR = 3.72 min.
18.14 [R, = Bun; a = 1 ; b = 1 ; R2 = H; R3, R4 = (CH2)4; m = 7; c = 0; d = 0; n = 7] : ES-MS: pos. mode m/z 565 (MNa+) ; neg. mode m/z 541 (M-H)" Calcd. for C27Hs0N4O7 542. HPLC purity 34%, tR = 4.40 min.
18.15 [R, = (CH2)5NH2; a = 1 ; b = 2 ; R2 = H; R3 = H; R4 = H; m = 5 ; c = 1 ; d = 2 ; R5 = H ; R6 = H ; R7 = H ; n = 5 ] : ES-MS: pos. mode m/z 561 (MH+) ; neg. mode m/z 673 (M+TFA") Calcd. for C2SH48N608 560. HPLC purity 57%, tR = 2.52 min.
Example 11
Solid Phase Synthesis of a DFO retro-amide analog library depicted by structure 19 (Scheme 19a) .
Figure imgf000130_0001
19
Scheme 19a
Using the method of synthesis described herein, a library of DFO analogs was synthesized using Advanced ChemTech 496 Ω MOS System. For general description and operating procedures, see Example 5. The derivatized Wang resin 19a.1 (m = 5, Example 4) was prepared and 0.064 g (0.94 mmol/g, 0.06 mmol) of the resin was loaded into each well. Washing protocol 1: THF (x 2), DMF (x 1), EtOH (x 1) , and DMF (x 1); Washing protocol 2: DMF (x 2) , EtOH (x 1) , and DMF (x 2) .
(a) Bromide was displaced with O- ( ert-butyl) -N- (2- nosyl) hydroxylamine give the compounds of the general structure 19a.2.
Bromide displacement was carried out by agitating the substrate 19a.1 with a solution of 0.20 M O- ( ert- butyl) -N- (2 -nosyl) hydroxylamine (0.18 mmol, 3.0 eq.) and 0.13 M TMG (0.12 mmol, 2.0 eq.) in DMF (0.90 mL) at 55 °C for 6 h. Washing protocol 2.
End-capping was carried out by agitating the substrate with a solution of 0.25 M acetic anhydride (0.15 mmol, 2.5 eq.) and 0.50 M DIPEA (0.30 mmol, 5.0 eq) in DMF (0.60 mL) for 2 h at room temperature. Washing protocol 2.
Subsequent transformation of the intermediates of the type 19a.2 to the final products 19 was achieved by repeating the sequence of reactions described earlier in Scheme 18a for the conversion of 18a.1 to 18 [except that TFA-CH2C12 (9:1, v/v) was used in the final step].
The novel examples represented by the general structure 19 were characterized by ES-MS and the purity determined by HPLC (condition 2; gradient: 0% to 100% B in 10 min) and the results are summarized in the following Table 16.
Figure imgf000131_0001
19
Table 16
19.1 (m = 5; a = 1 ; b = 2; Rx = H; R2 = H; R3 = H; n = 5 ; C = 0; d = 0; p = 5): ES-MS: pos. mode m/z 519 (MH+) ; neg. mode m/z 517 (M-H)" Calcd. for C23H42N409 518. HPLC purity 43%, tR = 3.04 min.
19.2 (m = 5; a = 1; b = 2; Rλ = H; R2 = H; R3 = H; n = 5; c = 0; d = 0; p = 7) : ES-MS: pos. mode m/z 547 (MH+) ; neg. mode m/z 545 (M-H)" Calcd. for C25H46N409 546. HPLC purity 37%, tR = 3.43 min.
19.3 (m = 5; a = 1; b = 2; Rx = H; R2 = H; R3 = H; n = 5; C = 1; d = 2; R4 =H; Rs =H; R6 =H; p = 5) :
ES-MS: pos. mode m/z 590 (MH+) ; neg. mode m/z 588 (M-H)" Calcd. for C26H47N5O10 589. HPLC purity 36%, tR = 2.95 min.
Example 12a
Determination of relative iron binding affinity for a library of polyhydroxamates (compounds 10.1-10.12) using a UV-VIS spectrometric assay.
A. Preparation of Chrome azurol S (CAS) solution for screening.
The CAS assay solution was prepared as described by B.Schwyn and J.B. Neilands (Analytical Biochemistry, 160, 47-56, 1987) . A 6-mL volume of 10 mM HDTMA (hexadecyltrimethylammonium bromide) solution was placed in a 100-mL volumetric flask and diluted with water (10 mL) . A mixture of 1.5 mL iron(III) solution (1 mM, FeCl3.6H20, 10 mM HC1) and 7.5 mL of a 2 mM aqueous CAS solution was slowly added under stirring. Anhydrous piperazine (4.307 g) was dissolved in water (50 mL) and 6.25 mL of 12 M HCl was carefully added. This buffer solution (pH = 5.6) was rinsed into the volumetric flask, followed by addition of 5-sulfosalicylic acid (0.101 g) which was used as a shuttle to speed up the iron exchange. The volumetric flask was then filled with water to afford 100 mL of CAS assay solution which was stored in the dark. The extinction coefficient of the ternary complex consisting of chrome azurol S/iron(III)/ hexadecyltrimethylammonium bromide at pH = 5.6 is about 100,000 M'^m"1 at 630 nm. B. Determination of relative binding affinities for iron.
For each of the compounds 10.1-10.12, different aliquots of a stock solution (50 μl , 100 μl and 150 μl of a 0.04 mM ligand stock solution in water) were mixed with 0.5 mL of the CAS assay solution, diluted to 1.0 mL, and allowed to equilibrate for 1 hour. The absorbance was measured at 630 nm. All ligands exibited a linear dependence of the relative absorbance (A/A0, where A = measured absorbance in the presence of ligand and A0 = reference absorbance of the CAS solution) which is described by the equation:
A/A0 = S x [ligand] .
The negative value of the descending slope (- S) was used to determine the relative binding affinity of each ligand for iron. A more negative slope corresponds to a higher iron binding affinity. DFO was used as a control ligand. The following relative iron binding affinities (expressed as -S) were determined for each ligand in the library: DFO 3 (0.64), 10.10 (0.46); 10.7 (0.44); 10.4 (0.43); 10.12 (0.42); 10.8 (0.35); 10.11 (0.39); 10.2 (0.37), 10.3 (0.32) 10.5 (0.32), 10.1 (0.27), 10.9 (0.24).
Example 12b Determination of relative iron binding affinity for a library of polyhydroxamates (compounds 13, 14, 15, 16, 17, 18 ) using a UV-VIS spectrometric assay- based on sulfoxine.
A. Preparation of the required stock solutions for sulfoxine screening. All glassware was rinsed with 1 N HCl and
Nanopure water before using. The required stock solutions were prepared as described below:
Stock solution #1: 0.02 M PIPES buffer, pH 7.0 Suspended PIPES (Piperazine-N,N'bis [2- ethanesulfonic acid], 3.02 g, 0.01 mol) in about 425 mL of water and with stirring added 0.2 N NaOH until all solids dissolved, and continued adding to pH 7.0.
Stock solution #2: 0.1 M Iron (III) chloride in 0.1 M HCl Dissolved FeCl3.6H20 (0.27 g, 0.001 mol) in 5 mL water. Added 1 mL 1 M HCl; mix, and diluted to 10 mL with water.
Stock soul tion #3 : 1 mM FeCl3 in 1 mM HCl. Prepared fresh. Diluted 50 μl 0.1 M FeCl3 in 0.1 M HCl to 5.0 mL with water. Stock solution #4: 0.01 M Sulfoxine sodium salt in water.
Combined sulfoxine (8 -hydroxyquinoline-5-sulfonic acid, 0.12 g, 0.5 mmol), 25 mL water and 0.2 N NaOH (2.5 mL, 0.5 mmol); mixed and diluted to 50 mL with water. Stock solution #5: 0.06 mM Sulfoxine-Iron (III) complex solution, pH 7.0
Mixed 3.0 mL 0.01 M sulfoxine-Na (stock #4) with 3.0 mL ImM FeCl3-6H20-l mM HCl (stock #3) . Let it stand for 5 minutes. Diluted to 50 mL with 0.02 M PIPES (pH 7.0, stock #1). (Ratio of sulfoxine to iron (III) 10:1)
Stock solution #6: 0.5 mM FeCl3-6H20 in 0.5 mM HCl Prepared fresh. Diluted 25 μl of 0.1 M (FeCl3- 6H20-HC1) (stock #2) to 5.0 mL with water.
Stock solution #7: 1.0 mM sulfoxine sodium salt in water. Prepared fresh. Diluted 1 mL of 0.01 M sulfoxine-Na to 10 mL with 0.02 M PIPES (pH 7.0, stock #1)
Stock solution #8: 0.5 mM Ligand in DMS0-H20 or MeOH- H20.
Prepared fresh. Based on the concentration of the stock solution in DMSO or MeOH:H20 (9:1), diluted with an appropriate volume of water.
B. Determination of relative binding affinities for iron.
(1) Preformation of the sulfoxine :Fe complex with subsequent addition of the test ligand.
For each of the compounds from library of general structure 13, 14, 15, 16, 17, 18, and 19, 0.03 mL of freshly prepared 0.5 M solution in DMSO or MeOH:H20 (9:1) (stock #8) was mixed with 0.250 mL of pre-formed sulfoxine-Fe+3 complex (stock #5) , vortexed and left overnight (16 hrs) at room temperature.
(2) Pre-formed ligand-Fe+3 complex with subsequent addition of sulfoxine.
For each of the tested compound of the library 13, 14, 15, 16, 17, and 18, 0.03 mL of freshly prepared 0.5 M solution in DMSO or MeOH:H20 (9:1) (stock #8) was mixed with 0.5 mM FeCl3 in 0.5 M HCl (0.03 mL, stock #6) and 0.02 M PIPES buffer (pH = 7.0) (0.07 mL, stock #1) and left at room temperature for 15 minutes. Then the solution of sulfoxine (0.15 mL; stock #7) was added, vortexed and left at room temperature overnight (16 hrs) . Measurements of the absorbances of the two sets of solutions decribed above were made at 570 nm on a microplate reader.
The calculation was made for both sets of samples, using the appropriate A0.
A0 = the absorbance of the control solution As = the absorbance of a sample solution
The precentage of iron stripped by the tested ligand of the library 13, 14, 15, 16, 17, and 18, is expressed as a percentage: [A0-As] / [A0] xlOO where A0 is the absorbance of the initial sulfoxine : Fe complex, and A is the absorbance of the solution after addition and equilibration of uncharacterized ligand. The calculation is made for both sets of samples, using the appropriate A0. The error in the %Fe value has been determined to be ±2%. The following relative iron binding affinities were determined for each ligand and expressed as % of iron removed from preformed sulfoxine. Fe3+ complex (preformed ligand. Fe3+ complex) :
DFO (Sigma) -control standard: 67(71); 13.1 (DFO synthesized as a control): 67(65); 13.2: 45(37); 13.3: 33(32); 13.4: 41(47); 13.5: 43(36); 13.6: 34(34); 13.7: 21(20); 13.8: 32(35); 13.9: 37(39); 13.10: 32(22); 13.11: 10(12); 13.12: 23(29); 13.13: 19(15); 13.14: 42(42); 13.15: 25(26); 13.16: 23(16); 13.17: 20(26); 13.18: 20(15); 13.19: 38(37); 13.20: 19(20); 13.21: 23(17); 13.22: 23(34); 13.23: 16(22); 13.24: 49(49); 13.25:
44(42); 13.26:47(46]
14.1: 21 (27); 14.2: 19 (23); 14.3: 23 (26); 14.4: 25 (28); 14.5: 11 (12); 14.6: 3 (5); 14.7: 20 (24); 14.8: 43 (46); 14.9: 39 (35); 14.10: 16 (20); 14.11: 23 (25); 14.12: 25 (29); 14.13: 31 (32); 14.14: 16 (21); 14.15: 30 (35); 14.16: 35 (34); 14.17: 11 (13); 14.18: 18 (19); 14.19: 19 (21); 14.20: 26 (30); 14.21: 33 (34); 14.22: 40 (35); 14.23: 11 (20); 14.24: 13 (21); 14.25: 9 (18); 14.26: 16 (24); 14.27: 23 (29); 14.28: 42 (44); 14.29: 41 (39); 14.30: 17 (21); 14.31: 22 (26); 14.32: 22 (26); 14.33: 30 (32) .
15.1: 53 (50); 15.2: 53 (51); 15.3: 52 (58); 15.5: 59 (59); 15.6: 58 (60); 15.7: 46 (40); 15.8: 46 (48); 15.9: 53 (53); 15.10: 44 (43); 15.12: 47 (48); 15.13: 57 (59); 15.14: 45 (33); 15.15: 62 (63); 15.16: 41 (42); 15.17: 65 (65) ; 15.18: 43 (41) .
16.1: 36 (34); 16.2: 44 (43); 16.3: 31 (31); 16.4: 59 (57) .
17.1: 26 (27); 17.2: 36 (38); 17.3: 20 (23); 17.4: 30
(32); 17.5: 12 (15); 17.6: 24 (27); 17.7: 18 (22); 17.8:
17 (21); 17.9 24 (26); 17.10 34 (36); 17.11: 17 (21); 17.12: 25 (30); 17.13: 16 (19); 17.14: 23 (29); 17.15: 11 (18) ; 17.16: 19 (26) .
18.1: 44 (45); 18.3: 40 (46); 18.4: 36 (41); 18.5: 33
(34); 18.6: 41 (41); 18.7: 56 (58); 18.8: 26 (30); 18.9: 52 (52); 18.10: 30 (46); 18.12: 25 (23).
Example 13 Mass spectrometry assay for screening iron affinity.
To a solution containing 1 equivalent of DFO and 0.5 equivalent of iron (FeCl3) , a known amount of the uncharacterized ligand is added. The solution is allowed to equilibrate, and the ability of the ligand to strip iron from DFO is expressed as a change in the ratio [DFO] / [DFO:Fe3+] as measured by positive ion ESMS .
The system can be represented as:
DFO + DF0:Fe + Ligand< > Ligand : Fe + DFO:Fe + DFO + Ligand
The following relative iron binding affinities
(expressed as the percentage of iron strip from the DFO-
Fe+3 complex) were determined for ligands in the library of the general structure 13. 13.1 (DFO): 58.9; 13.2: 28.2; 13.3: 30.8; 13.6:25.5;
13.7: 20.6; 13.8: 20.1; 13.9: 17.4; 13.10: 16.3; 13.11:
24; 13.12: 18.2; 13.13: 26; 13.14: 25.9; 13.16: 24.3;
13.17: 25.2; 13.19:22.1; 13.20:12.3; 13.21:17; 13.25: 12;
13.26: 63.7
Example 14
Determination of the metal selectivity of ligand by electrospray mass spectrometry (ES-MS) . i) ES-MS analysis of the iron complex of 10.5.
20 μl of a 5 mM stock solution of the compound 10.5 in methanol was mixed with 20 μl of a 5 mM stock solution of FeCl3 in water and diluted to 0.5 mL with water. This solution was allowed to equilibrate by standing for 24 hours before being analyzed by ES-MS.
ES-MS positive mode: m/z [ (M+Fe+3-3H) +1H] =501 was observed with very strong intensity; m/z (MH+) 448 and (MNa+) 470 which correspond to free ligand were not observed. ii) ES-MS analysis of 10.5 in the presence of a metal mixture containing iron, copper and nickel. 20 μl of a 5 mM stock solution of 10.5 in methanol was mixed with 20 μl of a 5 mM stock solution of FeCl3 in water, 20 μl of a 5 mM stock solution of Cu(N03)2 in waters, and 20 μl of a 5 mM stock solution of Zn(N03)2 in water. The mixture was diluted to 0.5 mL. This solution was allowed to stand for 24 hr to equilibrate before analyzing by ES-MS.
ES-MS positive mode: m/z [ (M+Fe+3-3H) +1H] =501 was observed with very strong intensity; m/z [ (M+Cu+2- (3 or 2H)+1H] 507 or 508, or m/z [ (M+Ni+2- (3 or 2H) +1H] 508 or 509 corresponding respectively to copper and nickel complexes were not observed.
In view of the above, it will be noted that the several objects of the invention are achieved and other advantageous results attained as well .

Claims

WHAT IS CLAIMED IS:
1. A method of synthesizing a desired 5 polyhydroxamate or polyhydroxamate analog comprising linking a first component of said desired polyhydroxamate or polyhydroxamate analog to a support matrix under conditions effective to form a first matrix-bound intermediate of said desired
10 polyhydroxamate, extending said first matrix-bound intermediate using reagents and reaction conditions effective to form one or more additional matrix-bound intermediates of said desired polyhydroxamate or polyhydroxamate analog, thereby forming a matrix-bound
15 precursor of said desired polyhydroxamate or polyhydroxamate analog, removing any protective groups used during synthesis of said precursor, and cleaving said matrix-bound precursor from said support matrix, thereby synthesizing said desired polyhydroxamate or
20 polyhydroxamate analog.
2. The method of claim 1 wherein the desired polyhydroxamate or analog contains at least three hydroxamate or analog ligand binding moieties.
25
3. The method of claim 1 wherein the desired polyhydroxamate or analog contains at least four hydroxamate or analog ligand binding moieties.
34. The method of claim 1 wherein the desired polyhydroxamate or analog contains at least five hydroxamate or analog ligand binding moieties.
5. The method of claim 1 wherein the desired polyhdroxamate or analog comprises the structure:
Figure imgf000141_0001
wherein Rλ and R5 are independently selected and incorporate one of the following, or combinations of any of the following: hydrogen; cyclic or acyclic, branched or unbranched alkyl or heteroalkyl, aryl or heteroaryl , alkylidene or heteroalkylidene, heterocyclic, arylalkyl or heteroarylalkyl, alkylether, alkoxyalkyl, alkylpolyether, alkylthioether, alkylamino, alkylaminoalkyl , alkylpolyamino, all optionally substituted with one or more, same or different, hydroxyl, thiol, halide, alkoxy, thioalkoxy, amino, including mono-, di-, tri-, and tetrasubstituted, aminoalkyl, carboxyl, carboxamido, carboxamidoalkyl, carboxyalkyl, sulfonic and phosphonic acid groups, a support matrix, and a linker to the support matrix; R2 through R4 are independently selected and incorporate one of the following, or combinations of any of the following: no atom, all definitions of Rx and R5; Rj^ through R5 are optionally the same or different in any of their occurrences; any pair of R-L through R5, together with any moiety through which they are linked, optionally form a carbocyclic or heterocyclic ring; a, b, and c are integers greater than or equal to zero, and w is an integer greater than or equal to one; each X is independently selected from the group consisting of hydroxyl, thiol, NH2, and NHR-L,- each Y is independently selected from the group consisting of no atom, oxygen, sulfur, selenium, CH2, CHR.^ NRX, NH, NOH, NNH2, NHR1# CONR17 NR^O, CO, C02, sulfonate or phosphonate ester, sulfinate or phosphinate, carboxyl, carboxamido, carboxamidoalkyl, carboxyalkyl, or any of the moieties belonging to groups Rλ and R5 except for hydrogen; each Z is independently selected from the group consisting of oxygen, NH, NRX, sulfur, and selenium; and each X, Y, and Z is optionally the same or different in any of their occurrences.
6. The method of claim 1 wherein the desired polyhydroxamate or analog comprises a branched chain scaffold.
7. The method of claim 1 wherein the desired polyhydroxamate or analog comprises a molecular scaffold selected from the group consisting of
Figure imgf000143_0001
Figure imgf000143_0002
where R is
Figure imgf000143_0003
wherein Rx and Rs are independently selected and incorporate one of the following, or combinations of any of the following: hydrogen; cyclic or acyclic, branched or unbranched alkyl or heteroalkyl, aryl or heteroaryl, alkylidene or heteroalkylidene, heterocyclic, arylalkyl or heteroarylalkyl, alkylether, alkoxyalkyl, alkylpolyether, alkylthioether, alkylpolythioether, alkylamino, alkylaminoalkyl, alkylpolyamino, all optionally substituted with one or more, same or different, hydroxyl, thiol, halide, alkoxy, thioalkoxy, amino (mono-, di-, tri, and tetrasubstituted) , aminoalkyl, carboxyl, carboxamido, carboxamidoalkyl, carboxyalkyl, sulfonic and phosphonic acid groups, a support matrix, a linker to the support matrix;
R2 through R4 are independently selected and incorporate one of the following or combinations of any of the following: no atom, all definitions of Rτ and R5. Rx through R5 may be the same or different in any of their occurrences. Any pair of R1 through R5, together with any moiety through which they are linked, may form a carbocyclic or heterocyclic ring. a, b, and c are integers greater than or equal to zero, and w is an integer greater than or equal to one. q, r, s, t, and u are integers greater than or equal to zero. Each X is independently selected from the group consisting of hydroxyl, thiol, NH2, and NHRX . Each Y is independently selected from the group consisting of no atom, oxygen, sulfur, selenium, CH2, CHR1# NRX, NH, NOH, NNH2, NNHR1# CONRιr NR^O, CO, C02 , sulfonate or phosphonate ester, sulfinate or phosphinate, carboxyl, carboxamido, carboxamidoalkyl, carboxyalkyl, or any of the moieties belonging to groups Rx and R5 except for hydrogen. Each V is independently selected from the group consisting of no atom, oxygen, NH, NRχ sulfur, and selenium. Each Z is independently selected from the group consisting of oxygen, NH, NRl t sulfur, and selenium. Each X, Y, V and Z can be the same or different in any of their occurrences; the bi- and trifurcated chains are built by substituting a bi- or tri-halo carboxylic acid for the mono-halo carboxylic acid used, for example, in the synthesis of compound 4. An example would be the use of 3-bromo-2-bromomethylpropionic acid in place of 6- bromohexanoic acid (see Scheme 4) to yield a bifurcated derivative. Preferably, the chain building chemistry continues on in the same manner as for straight chain polyhydroxamates except that the chemistry is occurring on two or three chains simultaneously; in another aspect of the present invention, novel polyhydroxamates and libraries containing said novel polyhydroxamates and their analogs are provided.
8. The method of claim 1 wherein the desired polyhydroxamate or analog comprises a molecular scaffold selected from the group consisting of
Figure imgf000146_0001
15
Figure imgf000146_0002
19
9. The method of claim 1 wherein the desired polyhdroxamate or analog is selected from the group consisting of 3-6, 10.1-10.12, 13.1-13.26, 14.1-14.33,
15.1-15.18, 16.1-16.4, 17.1-17.6, 18.1-18.15, 19.1-19.3, and
Figure imgf000147_0001
Figure imgf000147_0002
Figure imgf000147_0003
Figure imgf000147_0004
Figure imgf000147_0005
10. The method of claim 1 wherein the support matrix comprises an insoluble solid phase or a soluble polymeric support.
11. The method of claim 1 wherein the support matrix comprises a material selected from the groups consisting
5 of polystyrene-co-divinylbenzene, polystyrene-Kel-F, polystyrene-polyethylene film, polystyrene-polyethyleneglycol poly [styrene-co-tetraethyleneglycol diacrylate] , co-polymers of N, N-dimethylacrylamide and other amides ιo and polyethyleneglycol, polyethylene pins grafted with various acrylates, polyolefins, poly [ethylene) -c o-vinyl alcohol] , polypropylene-polyhydroxypropylacrylate, 3 , 6, 9-trioxadecanoic acid-PEPS, amide-PEG based Polyhipe, polystyrene-co-divinylbenzene based, Sephadex,
15 cellulose, chitin, silica, glass, controlled pore glass, kiesselguhr, NovaSyn K125, polyethyleneglycol, bovine serum albumin and Starburst dendrimers.
12. The method of claim 1 wherein a linker is used to 20 attach the first component to the support matrix.
The method of claim 12 where the linker is selected from the groups consisting of: 4-alkoxybenzyl alcohol, p-carbamoylmethyl-benzyl ester, 2-methoxy-4-alkoxybenzyl
25 alcohol, 4-hydroxymethyl-3-methoxyphenoxybutyric (HMBP) , 4-hydroxymethylbenzoyl, trityl, 2-chlorotrityl, 4-methyltrityl, 4-methoxytrityl, 4, 4 ' -dichlorotrityl, p-nitrobenzophenone oxime, 4-hydroxymethyl-3-methoxyphenoxybutyric,
30 1- (1-hydroxyethyl) -6-nitro-3-methoxy-4-phenoxybutyric, 2-methoxy-4-alkoxybenz-aldehyde, diethylsilyl-alkyl , benzhydrylamine, 4-methylbenzhydrylamine, 4- (2 ' ,4 ' -dimethoxy-phenylaminomethyl) -phenoxymethyl (Rink), 5- (4-aminomethyl-3, 5-dimethoxy) valeric acid, 9-aminoxanthen-3-yloxyl, 4-sulfamyl-benzoyl, 4-sulfamyl-butyryl, and N-methoxy- ?-alanyl .
14. The method of claim 1 wherein one or more of the matrix-bound intermediates comprises an O-protected-Ν- nosyl-hydroxyl -amino derivatives .
15. A method relating to libraries of candidate polyhydroxamate or polyhydroxamate analog molecules comprising the steps of designing a molecular scaffold or scaffolds for a prototype polyhydroxamate or polyhydroxamate analog, designing a synthetic pathway to make said prototype, obtaining a support matrix or matrices for use in construction of the library of candidate polyhydroxamate or polyhydroxamate analog molecules, and carrying out reaction steps according to the synthetic pathway so that the library is thereby created wherein the library comprises an array of at least two candidate polyhydroxamate or polyhydroxamate analog molecules substantially all of which comprise the molecular scaffold or scaffolds of the prototype linked to the support matrix or matrices .
16. The method of claim 15 wherein the library comprises at least 5 candidate molecules.
17. The method of claim 15 wherein the library comprises at least 10 candidate molecules.
18. The method of claim 15 wherein the design of a molecular scaffold or scaffolds includes utilization of a computer program in which pre-selected properties are incorporated into the design criteria.
19. The method of claim 15 wherein construction of the library comprises use of the tea bag, pin, split and combine, mix and split, kan or spatially addressable synthesis methods. 0
20. A method according to claim 11 further comprising the step of screening at least some portion of said library of candidate molecules for one or more target characteristics . 5
21. The method of claim 20 wherein the one or more target characteristics comprises metal affinity, metal selectivity, oral bio-availability, absence of toxicity, serum half-life, solubility, hydrophobicity, stability 0 of metal-ligand complexes, catalytic activity or transport activity.
22. The method of claim 20 wherein the screening of the library comprises high-throughput-screening. 5
23. The method of claim 22 wherein the high-throughput- screening comprises the use of mass spectrometry, high- performance liquid chromatography or UV-visible spectrophotometry. 0
24. A method of obtaining a polyhydroxamate or polyhydroxamate analog or mixture of polyhydroxamates or analogs of a specified target property comprising the steps of providing a library or libraries of candidate polyhydroxamates or analogs which contains at least five different candidates with each of the candidates being present in retrievable and analyzable amounts, selecting from the candidates one or more having a desired target property, and separating said polyhydroxamates or analogs having the desired target property from those not having the target property.
25. The method of claim 24 wherein the library selected from comprises at least ten different candidates.
26. A library of polyhydroxamates or polyhydroxamate analog molecules which are candidates targeted for one or more desired properties comprising an array of at least two different polyhydroxamate or polyhydroxamate analog molecules wherein any of the candidate molecules are retrievable and analyzable for the one or more desired target properties.
27. The library of claim 26 wherein the array comprises at least five different molecules.
28. The library of claim 26 wherein the array comprises at least ten different molecules.
29. The library of claim 26 wherein at least a substantial portion of the polyhydroxamates or polyhydroxamate analogs comprising the library comprise the structure:
Figure imgf000152_0001
wherein Rx and R5 are independently selected and incorporate one of the following, or combinations of any of the following: hydrogen; cyclic or acyclic, branched or unbranched alkyl or heteroalkyl, aryl or heteroaryl, alkylidene or heteroalkylidene, heterocyclic, arylalkyl or heteroarylalkyl , alkylether, alkoxyalkyl, alkylpolyether, alkylthioether, alkylamino, alkylaminoalkyl , alkylpolyamino, all optionally substituted with one or more, same or different, hydroxyl, thiol, halide, alkoxy, thioalkoxy, amino, including mono-, di-, tri-, and tetrasubstituted, aminoalkyl, carboxyl, carboxamido, carboxamidoalkyl, carboxyalkyl, sulfonic and phosphonic acid groups, a support matrix, and a linker to the support matrix; R2 through R4 are independently selected and incorporate one of the following, or combinations of any of the following: no atom, all definitions of Rx and R5; Rx through R5 are optionally the same or different in any of their occurrences; any pair of R1 through R5, together with any moiety through which they are linked, optionally form a carbocyclic or heterocyclic ring; a, b, and c are integers greater than or equal to zero, and w is an integer greater than or equal to one; each X is independently selected from the group consisting of hydroxyl, thiol, NH2, and NHR^- each Y is independently selected from the group consisting of no atom, oxygen, sulfur, selenium, CH2, CHR^ NRX,
NH, NOH, NNH2, NNHR1# CO Rj, NRjCO, CO, C02, sulfonate or phosphonate ester, sulfinate or phosphinate, carboxyl, carboxamido, carboxamidoalkyl, carboxyalkyl, or any of the moieties belonging to groups R: and R5 except for hydrogen; each Z is independently selected from the group consisting of oxygen, NH, NR17 sulfur, and selenium; and each X, Y, and Z is optionally the same or different in any of their occurrences.
30. The library of claim 26 wherein at least a substantial portion of the polyhydroxamates or polyhydroxamate analogs comprising the library comprise a branched chain scaffold.
31. The library of claim 26 wherein at least a substantial portion of the polyhydroxamates or polyhydroxamate analogs comprising the library comprise a molecular scaffold selected from the group consisting of
Figure imgf000154_0001
15
Figure imgf000154_0002
32. A compound comprising a matrix-bound polyhydroxamate or polyhydroxamate analog.
33. The matrix-bound polyhydroxamate or polyhydroxamate analog of claim 32 comprising a general structure selected from the group consisting of:
Figure imgf000155_0001
19 bound to a support matrix.
34. A compound comprising an N-nosyl intermediate of a polyhydroxamate or polyhydroxamate analog.
35. The compound of claim 34 wherein the compound further comprises at least one O-protected hydroxylamine moiety.
36. A polyhydroxamate or polyhydroxamate analog comprising the formula:
Figure imgf000156_0001
wherein R and R5 are independently selected and incorporate one of the following, or combinations of any of the following: hydrogen; cyclic or acyclic, branched or unbranched alkyl or heteroalkyl, aryl or heteroaryl, alkylidene or heteroalkylidene, heterocyclic, arylalkyl or heteroarylalkyl, alkylether, alkoxyalkyl, alkylpolyether, alkylthioether, alkylamino, alkylaminoalkyl, alkylpolyamino, all optionally substituted with one or more, same or different, hydroxyl, thiol, halide, alkoxy, thioalkoxy, amino, including mono-, di-, tri-, and tetrasubstituted, aminoalkyl, carboxyl, carboxamido, carboxamidoalkyl, carboxyalkyl, sulfonic and phosphonic acid groups, a support matrix, and a linker to the support matrix; R2 through R4 are independently selected and incorporate one of the following, or combinations of any of the following: no atom, all definitions of Rx and R5; Rx through Rs are optionally the same or different in any of their occurrences; any pair of Rx through R5, together with any moiety through which they are linked, optionally form a carbocyclic or heterocyclic ring; a, b, and c are integers greater than or equal to zero, and w is an integer greater than or equal to one; each X is independently selected from the group consisting of hydroxyl, thiol, NH2, and NHRi,- each Y is independently selected from the group consisting of no atom, oxygen, sulfur, selenium, CH2, CHR^ NR1 NH, NOH, NNH2, NNHRX, CONR1# NR.CO, CO, C02, sulfonate or phosphonate ester, sulfinate or phosphinate, carboxyl, carboxamido, carboxamidoalkyl, carboxyalkyl, or any of the moieties belonging to groups Rx and R5 except for hydrogen; each Z is independently selected from the group consisting of oxygen, NH, NR1# sulfur, and selenium; and each X, Y, and Z is optionally the same or different in any of their occurrences.
37. The polyhydroxamate or polyhydroxamate analog of claim 36 further comprising the formula:
Figure imgf000157_0001
wherein m, n, and p are independently selected from the group consisting of the integers 1 to 10.
38. The polyhydroxamate or polyhydroxamate analog of claim 36 wherein the polyhydroxamate or polyhydroxamate analog comprises a molecular scaffold selected from the group consisting of
Figure imgf000158_0001
15
Figure imgf000158_0002
19
39. The polyhydroxamate or polyhydroxamate analog of claim 36 wherein said compound is selected from the group consisting of 10.1-10.12, 13.1-13.26, 14.1-14.33, 15.1-15.16, 16.1-16.4, 17.1-17.6, 18.1-18.5 and 19.1-
19 . 3 .
40. A complex comprising the polyhydroxamate or polyhydroxamate analog of claim 36 complexed with a metal ion.
41. The complex of claim 40 further comprising a polyhydroxamate or polyhydroxamate analog which comprises a molecular scaffold selected from the group consisting of
Figure imgf000160_0001
Figure imgf000160_0002
19
42. The complex of claim 40 wherein the metal ion is selected from the group consisting of iron, aluminum, manganese, cobalt, nickel, copper, zinc, cadmium, tungsten, platinum, gold, mercury, lead, bismuth, gadolinium, europium, technium, indium, gallium, scandium and chromium.
43. The complex of claim 40 comprising the formula:
Figure imgf000161_0001
wherein m, n, or p are independently selected from the group consisting of integers 1-10, and q is +2, +3 or +4.
44. The complex of claim 43 wherein the metal ion is selected from the group consisting of iron, aluminum, manganese, cobalt, nickel, copper, zinc, cadmium, tungsten, platinum, gold, mercury, lead, bismuth, gadolinium, europium, technium, indium, gallium, scandium and chromium.
45. A pharmaceutical composition comprising at least one of the polyhydroxamates or polyhydroxamate analogs first identified by selection from a library or from libraries of candidate polyhydroxamates or analogs as defined in claim 26 having the desired target property or properties, or the pharmaceutically acceptable salt or salts thereof, either with or without a complexed metal, in combination with a pharmaceutically acceptable carrier.
46. An imaging agent comprising at least one of the polyhydroxamates or polyhydroxamate analogs first identified by selection from a library or from libraries of candidate polyhydroxamates or analogs as defined in claim 26 having the desired target property or properties, wherein said target property or properties include the ability to provide a suitable image, complexed with a transition metal or lanthanide.
47. A radiodiagnostic agent comprising at least one of the polyhydroxamates or polyhydroxamate analogs first identified by selection from a library or from libraries of candidate polyhydroxamates or analogs as defined in claim 26 having the desired target property or properties, wherein said target property or properties include the ability to serve as a suitable radiodiagnostic, complexed with a transition metal or lanthanide .
48. An X-ray contrast agent comprising at least one of the polyhydroxamates or polyhydroxamate analogs first identified by selection from a library or from libraries of candidate polyhydroxamates or analogs as defined in claim 26 having the desired target property or properties, wherein said target property or properties include the ability to serve as a suitable X-ray contrast agent, complexed with a transition metal or lanthanide .
49. A system for the separation or concentration of fluid-borne metals from a fluid comprising at least one polyhydroxamate or polyhydroxamate analog and a porous container for housing the at least one polyhydroxamate or polyhydroxamate analog and for flowing the solution through, wherein the at least one polyhydroxamate or polyhydroxamate analog is first identified by selection from a library or from libraries of candidate polyhydroxamates or analogs as defined in claim 26 having the desired target property or properties, wherein said target property or properties include the ability to separate or concentrate said solution-borne metals from said solution.
50. A metal chelator comprising a polyhydroxamate or polyhydroxamate analog first identified by selection from a library or libraries of candidate polyhydroxamates or analogs as defined in claim 26 having the desired target property or properties, wherein said target property or properties include the ability to chelate a target metal anion.
51. A method of preventing or treating a disease or disorder characterized by the presence of a cellular excess of a particular metal anion, comprising administering to a subject in need of such prevention or treatment, a therapeutically, prophylactically, or resuscitatively effective amount of at least one composition of claim 45, wherein said target property or properties include the ability to bind to said particular metal anion.
52. The method of claim 51 wherein said disease or disorder is selected from the group consisting of Thalassemia, sickle cell anemia, hereditary hemochromatosis, Wilson's disease, lead poisoning, Parkinson's disease, Lou Gherig's disease, stroke, ischemia, chemotherapy, manic depression, burns, premature labor, inflamation, rheumatoid arthritis, atherosclerosis and asthma.
53. A method of assisting in the diagnosis of a physiological condition comprising administering to a subject in need of such diagnosis, an imaging agent of claim 46, a radiodiagnostic agent of claim 47, or an X- ray contrast agent of claim 48 of a type and in an amount sufficient to aid in said diagnosis.
54. A method for the separation or concentration of fluid-borne metals from a fluid containing said metals comprising flowing said fluid through a system characterized as set forth in claim 49.
55. A method for the chelation of a target metal or metals comprising contacting the target metal or metals with a metal chelator as set forth in claim 50, wherein said metal chelator has an affinity for said target metal or metals.
56. A method as set forth in claim 55 wherein the metal chelator preferentially binds to said target metal or metals
PCT/US1999/016848 1998-07-23 1999-07-23 Libraries of polyhydroxamates and their analogs Ceased WO2000004868A2 (en)

Priority Applications (4)

Application Number Priority Date Filing Date Title
CA002337756A CA2337756A1 (en) 1998-07-23 1999-07-23 Libraries of polyhydroxamates and their analogs
JP2000560861A JP2002521319A (en) 1998-07-23 1999-07-23 Library of polyhydroxamates and their analogs
AU52295/99A AU5229599A (en) 1998-07-23 1999-07-23 Libraries of polyhydroxamates and their analogs
EP99937465A EP1098659A4 (en) 1998-07-23 1999-07-23 Libraries of polyhydroxamates and their analogs

Applications Claiming Priority (2)

Application Number Priority Date Filing Date Title
US9388398P 1998-07-23 1998-07-23
US60/093,883 1998-07-23

Publications (2)

Publication Number Publication Date
WO2000004868A2 true WO2000004868A2 (en) 2000-02-03
WO2000004868A3 WO2000004868A3 (en) 2000-05-04

Family

ID=22241527

Family Applications (1)

Application Number Title Priority Date Filing Date
PCT/US1999/016848 Ceased WO2000004868A2 (en) 1998-07-23 1999-07-23 Libraries of polyhydroxamates and their analogs

Country Status (5)

Country Link
EP (1) EP1098659A4 (en)
JP (1) JP2002521319A (en)
AU (1) AU5229599A (en)
CA (1) CA2337756A1 (en)
WO (1) WO2000004868A2 (en)

Cited By (8)

* Cited by examiner, † Cited by third party
Publication number Priority date Publication date Assignee Title
JP2004531694A (en) * 2000-10-23 2004-10-14 ジェネティックス インスティテュート エルエルシー Acid labile isotope-coded extractant (ALICE) and its use in quantitative mass spectrometric analysis of protein mixtures
EP1417219A4 (en) * 2001-06-08 2005-05-25 Metaphore Pharmaceuticals Inc Libraries of conformationally constrained peptides, chiral azacrowns, and peptidomimetics and methods of making the same
US8217026B2 (en) 1999-01-25 2012-07-10 Aeolus Sciences, Inc. Substituted porphyrins
US8470808B2 (en) 1999-01-25 2013-06-25 Jon D. Piganelli Oxidant scavengers for treatment of type I diabetes or type II diabetes
WO2015140212A1 (en) * 2014-03-19 2015-09-24 Universität Zürich Multidentate bifunctional chelating agents for radionuclide complexation in diagnostics and therapy
US9334716B2 (en) 2012-04-12 2016-05-10 Halliburton Energy Services, Inc. Treatment fluids comprising a hydroxypyridinecarboxylic acid and methods for use thereof
CN110270133A (en) * 2019-07-30 2019-09-24 深圳市百迈生命科学有限公司 A kind of integral post plate preparation method and application based on PE sieve plate conjugation chemistry group
US11382895B2 (en) 2008-05-23 2022-07-12 National Jewish Health Methods for treating injury associated with exposure to an alkylating species

Families Citing this family (4)

* Cited by examiner, † Cited by third party
Publication number Priority date Publication date Assignee Title
US6127356A (en) 1993-10-15 2000-10-03 Duke University Oxidant scavengers
JP2001521939A (en) 1997-11-03 2001-11-13 デューク・ユニバーシティー Substituted porphyrins
WO2003103680A1 (en) 2002-06-07 2003-12-18 Duke University Substituted porphyrins
AU2019250362B2 (en) * 2018-04-10 2025-11-06 Sanofi-Aventis Deutschland Gmbh Lixisenatide synthesis with capping

Family Cites Families (3)

* Cited by examiner, † Cited by third party
Publication number Priority date Publication date Assignee Title
US4987253A (en) * 1988-09-19 1991-01-22 University Of Florida Method for the synthesis of desferrioxamine B and analogs thereof
US5322961A (en) * 1992-12-09 1994-06-21 University Of Florida Analogs of desferrioxamine B and method for synthesis thereof
GB9503749D0 (en) * 1995-02-24 1995-04-12 British Biotech Pharm Synthesis of hydroxamic acid derivatives

Cited By (13)

* Cited by examiner, † Cited by third party
Publication number Priority date Publication date Assignee Title
US8217026B2 (en) 1999-01-25 2012-07-10 Aeolus Sciences, Inc. Substituted porphyrins
US8470808B2 (en) 1999-01-25 2013-06-25 Jon D. Piganelli Oxidant scavengers for treatment of type I diabetes or type II diabetes
US8546562B2 (en) 1999-01-25 2013-10-01 James D. Crapo Substituted porphyrins
US8946202B2 (en) 1999-01-25 2015-02-03 Aeolus Sciences, Inc. Substituted porphyrins
US9289434B2 (en) 1999-01-25 2016-03-22 Aeolus Sciences, Inc. Substituted porphyrins
JP2004531694A (en) * 2000-10-23 2004-10-14 ジェネティックス インスティテュート エルエルシー Acid labile isotope-coded extractant (ALICE) and its use in quantitative mass spectrometric analysis of protein mixtures
EP1417219A4 (en) * 2001-06-08 2005-05-25 Metaphore Pharmaceuticals Inc Libraries of conformationally constrained peptides, chiral azacrowns, and peptidomimetics and methods of making the same
US11382895B2 (en) 2008-05-23 2022-07-12 National Jewish Health Methods for treating injury associated with exposure to an alkylating species
US9334716B2 (en) 2012-04-12 2016-05-10 Halliburton Energy Services, Inc. Treatment fluids comprising a hydroxypyridinecarboxylic acid and methods for use thereof
WO2015140212A1 (en) * 2014-03-19 2015-09-24 Universität Zürich Multidentate bifunctional chelating agents for radionuclide complexation in diagnostics and therapy
US11033642B2 (en) 2014-03-19 2021-06-15 Universitat Zurich Multidentate bifunctional chelating agents for radionuclide complexation in diagnostics and therapy
US20170106106A1 (en) * 2014-03-19 2017-04-20 Universitat Zurich Multidentate bifunctional chelating agents for radionuclide complexation in diagnostics and therapy
CN110270133A (en) * 2019-07-30 2019-09-24 深圳市百迈生命科学有限公司 A kind of integral post plate preparation method and application based on PE sieve plate conjugation chemistry group

Also Published As

Publication number Publication date
CA2337756A1 (en) 2000-02-03
AU5229599A (en) 2000-02-14
WO2000004868A3 (en) 2000-05-04
EP1098659A2 (en) 2001-05-16
JP2002521319A (en) 2002-07-16
EP1098659A4 (en) 2004-11-24

Similar Documents

Publication Publication Date Title
US5549974A (en) Methods for the solid phase synthesis of thiazolidinones, metathiazanones, and derivatives thereof
US5739386A (en) Photolabile compounds and methods for their use
Lee et al. Fabrication of chemical microarrays by efficient immobilization of hydrazide-linked substances on epoxide-coated glass surfaces
JP3819092B2 (en) Template for liquid phase synthesis of combinatorial libraries
Früchtel et al. Organic chemistry on solid supports
WO2000004868A2 (en) Libraries of polyhydroxamates and their analogs
US5646285A (en) Combinatorial non-peptide libraries
US6306959B1 (en) Rapid purification by polymer supported quench
WO1996000391A1 (en) Methods for the synthesis of diketopiperazines
US6541276B2 (en) Methods for solid-phase synthesis of hydroxylamine compounds and derivatives and combinatorial libraries thereof
WO1995013538A1 (en) Methods of producing and screening complex chemical libraries
EP1769094A2 (en) Scavenger supports with amino-functionalised pendant ketoester or ketoamide groups for removing metals from solutions
Herlan et al. Bio-instructive materials on-demand–combinatorial chemistry of peptoids, foldamers, and beyond
EP1119529B1 (en) Chemical constructs
US5684130A (en) Process for synthesis of organic compounds using magnetic particles
US20040077019A1 (en) Tagging compounds and process for use in aida libraries
WO2013057186A1 (en) Photolabile linker for the synthesis of hydroxamic acids
US5773512A (en) Compounds and methods
EP1218319A1 (en) Chemical constructs
US5874589A (en) Methods for synthesizing diverse collections of tetramic acids and derivatives thereof
WO1998035923A1 (en) Process for creating molecular diversity
Britton New linkers for the direct biological assay of combinatorial libraries
US6004823A (en) Compounds
Kumar Development of Chip-Based Electrochemically-and Light-Directed Peptide Microarray Synthesis
Karskela Solid-phase organic synthesis: Bicyclic peptides and purine-derived small molecules

Legal Events

Date Code Title Description
AK Designated states

Kind code of ref document: A2

Designated state(s): AE AL AM AT AU AZ BA BB BG BR BY CA CH CN CU CZ DE DK EE ES FI GB GD GE GH GM HR HU ID IL IN IS JP KE KG KP KR KZ LC LK LR LS LT LU LV MD MG MK MN MW MX NO NZ PL PT RO RU SD SE SG SI SK SL TJ TM TR TT UA UG UZ VN YU ZA ZW

AL Designated countries for regional patents

Kind code of ref document: A2

Designated state(s): GH GM KE LS MW SD SL SZ UG ZW AM AZ BY KG KZ MD RU TJ TM AT BE CH CY DE DK ES FI FR GB GR IE IT LU MC NL PT SE BF BJ CF CG CI CM GA GN GW ML MR NE SN TD TG

121 Ep: the epo has been informed by wipo that ep was designated in this application
DFPE Request for preliminary examination filed prior to expiration of 19th month from priority date (pct application filed before 20040101)
AK Designated states

Kind code of ref document: A3

Designated state(s): AE AL AM AT AU AZ BA BB BG BR BY CA CH CN CU CZ DE DK EE ES FI GB GD GE GH GM HR HU ID IL IN IS JP KE KG KP KR KZ LC LK LR LS LT LU LV MD MG MK MN MW MX NO NZ PL PT RO RU SD SE SG SI SK SL TJ TM TR TT UA UG UZ VN YU ZA ZW

AL Designated countries for regional patents

Kind code of ref document: A3

Designated state(s): GH GM KE LS MW SD SL SZ UG ZW AM AZ BY KG KZ MD RU TJ TM AT BE CH CY DE DK ES FI FR GB GR IE IT LU MC NL PT SE BF BJ CF CG CI CM GA GN GW ML MR NE SN TD TG

WWE Wipo information: entry into national phase

Ref document number: 508768

Country of ref document: NZ

WWE Wipo information: entry into national phase

Ref document number: 52295/99

Country of ref document: AU

ENP Entry into the national phase

Ref document number: 2337756

Country of ref document: CA

Ref country code: CA

Ref document number: 2337756

Kind code of ref document: A

Format of ref document f/p: F

ENP Entry into the national phase

Ref country code: JP

Ref document number: 2000 560861

Kind code of ref document: A

Format of ref document f/p: F

WWE Wipo information: entry into national phase

Ref document number: 1999937465

Country of ref document: EP

WWP Wipo information: published in national office

Ref document number: 1999937465

Country of ref document: EP

REG Reference to national code

Ref country code: DE

Ref legal event code: 8642

WWW Wipo information: withdrawn in national office

Ref document number: 1999937465

Country of ref document: EP