WO1999043674A1 - Remedies for erectile dysfunction - Google Patents
Remedies for erectile dysfunction Download PDFInfo
- Publication number
- WO1999043674A1 WO1999043674A1 PCT/JP1999/000920 JP9900920W WO9943674A1 WO 1999043674 A1 WO1999043674 A1 WO 1999043674A1 JP 9900920 W JP9900920 W JP 9900920W WO 9943674 A1 WO9943674 A1 WO 9943674A1
- Authority
- WO
- WIPO (PCT)
- Prior art keywords
- substituted
- unsubstituted
- compound
- defined above
- aralkyl
- Prior art date
- Legal status (The legal status is an assumption and is not a legal conclusion. Google has not performed a legal analysis and makes no representation as to the accuracy of the status listed.)
- Ceased
Links
Classifications
-
- C—CHEMISTRY; METALLURGY
- C07—ORGANIC CHEMISTRY
- C07D—HETEROCYCLIC COMPOUNDS
- C07D471/00—Heterocyclic compounds containing nitrogen atoms as the only ring hetero atoms in the condensed system, at least one ring being a six-membered ring with one nitrogen atom, not provided for by groups C07D451/00 - C07D463/00
- C07D471/02—Heterocyclic compounds containing nitrogen atoms as the only ring hetero atoms in the condensed system, at least one ring being a six-membered ring with one nitrogen atom, not provided for by groups C07D451/00 - C07D463/00 in which the condensed system contains two hetero rings
- C07D471/04—Ortho-condensed systems
Definitions
- the present invention has a cyclic guanosine 3 ′, 5′-1 phosphate (cGMP) -specific phosphodiesterase (PDE) inhibitory effect, and is useful for treating erectile dysfunction and thrombosis, angina pectoris, hypertension, heart failure And a quinazoline derivative or a pharmaceutically acceptable salt thereof which is useful for treating or alleviating cardiovascular diseases such as arteriosclerosis and asthma.
- cGMP 5′-1 phosphate
- PDE phosphodiesterase
- c GMP plays an important role as a secondary messenger of the intracellular signal transduction mechanism in living organisms.
- Inhibitors of cGMP-specific PDE which is a degrading enzyme, increase intracellular cGMP concentration, Shows potentiating effects of derived relaxation factor (EDRF), nitro vasodilators or atrial sodium diuretic peptide, antiplatelet, antivasospasm, vasodilatory effects, etc., thrombosis, angina, hypertension, congestion
- Heart failure including congestive heart failure, revascularization after percutaneous coronary angioplasty or bypass surgery, peripheral vascular disease, cardiovascular diseases such as arteriosclerosis, bronchitis, chronic asthma, allergic asthma, allergic nasal catarrh, etc. It is useful for the treatment or alleviation of inflammatory allergic diseases of the digestive tract such as irritable bowel syndrome, glaucoma, or impotence.
- WO96 / 26940 discloses a 2,3-dihydro-1H-imidazo [4,5-g] quinazoline derivative having inhibitory activity against cGMP-specific PDEs.
- [4,5-g] quinoline derivative, imidazoquinazoline ring There is no description of a compound having a substituent such as an alkyl group, a cycloalkyl group, or an aralkyl group at the 6-position.
- the newly disclosed 2-substituted amino-2,3-dihydro-1H-imidazo [4,5- g ] quinazoline derivative, 2-cyano imino-2,3-dihydrido-1H-imidazo There is no description about [4,5-g] quinazoline derivatives.
- WO95 / 19970 and USP 5,679,683 disclose 3H-imidazo [4,5-g] quinazoline derivatives having tyrosine kinase inhibitory activity, but there is no description on selective CGMP-specific PDE inhibitory activity.
- J. Med. Chem., 39, 918 (1996) and EP 0635507 A1 contain imidazo [4,5-g] quinazoline and triazo.
- oral [4,5-g] quinazoline is disclosed to have tyrosine kinase activity, there is no description of selective cGMP-specific PDE inhibitory activity.
- PDE inhibitors inhibit not only cGMP-specific PDEs but also similar enzymes such as cyclic adenosine 3 ', 5'-1 phosphate (cAMP) -specific PDEs. This causes an increase in cAMP concentration as well as intracellular cGMP concentration, which is problematic in terms of side effects and the like. In addition, the inhibitory strength is still unsatisfactory, and compounds with higher activity and higher selectivity are expected and required.
- cAMP cyclic adenosine 3 ', 5'-1 phosphate
- An object of the present invention is to provide a quinazoline derivative which has a potent and selective cGMP-specific PDE inhibitory action, raises intracellular cGMP concentration, and contains a novel compound useful for treating or alleviating erectile dysfunction. Or to provide a pharmaceutically acceptable salt thereof.
- the present invention provides a compound represented by the general formula (I):
- R 3 represents hydrogen, substituted or unsubstituted lower alkyl, substituted or unsubstituted cycloalkyl, substituted or unsubstituted aralkyl
- Y represents N or CH
- R 7 is hydrogen, substituted or unsubstituted lower alkyl, substituted or unsubstituted cycloalkyl, substituted or unsubstituted bicycloalkyl, substituted or Unsubstituted tricycloalkyl, substituted or unsubstituted benzocycloalkenyl, substituted or unsubstituted lower alkenyl, substituted or unsubstituted heteroarylalkyl, substituted or unsubstituted heteroaryl, substituted or unsubstituted aralkyl Or a substituted or unsubstituted aryl), one NH
- R 3 represents hydrogen, substituted or unsubstituted lower alkyl, substituted or unsubstituted cycloalkyl, or substituted or unsubstituted aralkyl
- R 1A is a substituted or unsubstituted lower alkyl, a substituted or unsubstituted alkyl, a substituted or unsubstituted alkyl, a substituted or unsubstituted trialkyl.
- Chloroalkyl substituted or unsubstituted benzocycloalkenyl, substituted or unsubstituted lower alkenyl, substituted or unsubstituted heteroarylalkyl, substituted or unsubstituted heteroaryl or substituted or unsubstituted aralkyl;
- R 2A is hydrogen, substituted or unsubstituted lower alkyl, substituted or unsubstituted cycloalkyl, substituted or unsubstituted bicycloalkyl, substituted or unsubstituted tricycloalkyl, substituted or unsubstituted benzocyclo Alkenyl, substituted or unsubstituted lower alkenyl, substituted or unsubstituted heteroarylalkyl, substituted or unsubstituted heteroaryl or substituted or unsubstituted aralkyl;
- R 1A and R 2A may together represent a substituted or unsubstituted nitrogen-containing heterocyclic group formed containing N,
- R 3 represents hydrogen, substituted or unsubstituted lower alkyl, substituted or unsubstituted cycloalkyl or substituted or unsubstituted aralkyl
- Y represents N or CH
- R 8 is as defined above, and R 7A is a substituted or unsubstituted lower alkyl, a substituted or unsubstituted cycloalkyl, Substituted or unsubstituted bicycloalkyl, substituted or unsubstituted trialkyl, substituted or unsubstituted benzocycloalkenyl, substituted or unsubstituted lower alkenyl, substituted or unsubstituted heteroarylalkyl, substituted Represents an unsubstituted heteroaryl or a substituted or unsubstituted a
- Substituted or unsubstituted heteroaryl, substituted or unsubstituted aralkyl, lower alkoxycarbonyl Or N C (OR 10 ) -NR 7A- (wherein R 7A and R 10 are as defined above), and R 1B is a substituted or unsubstituted heteroarylalkyl or an substitution or unsubstituted Ararukiru, R 2B is hydrogen, substituted or non-replacement of the heteroalkyl ⁇ reel alkyl or substituted or unsubstituted Represents Ararukiru of conversion, unsubstituted or is formed containing N becomes R 1B and R 2B gar cord May represent a substituted nitrogen-containing heterocyclic group] or a pharmaceutically acceptable salt thereof.
- R 1C is include N number of substituted 1-4 same or different Heteroarylalkyl in which a substituted or unsubstituted nitrogen-containing heterocyclic group to be formed is substituted with a heteroaryl, or aralkyl ⁇ provided that the aralkyl part of the aralkyl is the same or different and has 1 to 5 substituents Z— (C HR 4 ) — (CH 2 ) m NR 5 R 6 (wherein Z represents S, and R 4 , m, R 5 and R 6 are as defined above) or, the same or different in NR HR 12 (equation.
- R 11 and R 12 are the same or different, hydrogen, a substituted or unsubstituted lower alkyl, substituted or unsubstituted Chloroalkyl, substituted or unsubstituted bicycloalkyl, substituted or unsubstituted tricycloalkyl, substituted or unsubstituted benzocycloalkenyl, substituted or unsubstituted lower alkenyl, substituted or unsubstituted Represents an aralkyl, a substituted or unsubstituted aryl, a substituted or unsubstituted heteroaryl or a substituted or unsubstituted heteroarylalkyl, or a substituent formed by combining R 11 and R 12 to contain N.
- N represents a substituted or unsubstituted nitrogen-containing heterocyclic group which is formed
- R 2C is hydrogen, substituted or unsubstituted formed containing the same or different N having 1 to 5 substituents Heteroarylalkyl or aralkyl in which a nitrogen-containing heterocyclic group is substituted with heteroaryl, provided that the aralkyl moiety of the aralkyl is the same or different and has 1 to 5 substituents Z— (CHR 4 ) — (CH 2 ) m NR S R 6 (wherein Z represents S, and R 4 , m, R 5 and R 6 are as defined above) or may be the same or different.
- NR HR 12 (wherein the ⁇ 5, R 11 and R 12 are as defined above, a substituted or unsubstituted nitrogen-containing heterocyclic group and R 11 and R 12 are formed containing together a connexion N Which is substituted by at least one substituted or unsubstituted nitrogen-containing heterocyclic group formed containing N) or a pharmaceutically acceptable compound thereof. It relates to a compound represented by a salt or a pharmaceutically acceptable salt thereof.
- R 3D represents substituted or unsubstituted lower alkyl, substituted or unsubstituted cycloalkyl, or substituted or unsubstituted aralkyl;
- R 1D is table terrorism ⁇ reel alkyl or substituted or unsubstituted Ararukiru to the substituted or unsubstituted
- R 2D is hydrogen, substituted or Unsubstituted heteroarylalkyl or Or a substituted or unsubstituted nitrogen-containing heterocyclic group which is formed by containing N together with a scale and a scale 2D .
- R 3 represents a substituted or unsubstituted lower alkyl, a substituted or unsubstituted cycloalkyl or a substituted or unsubstituted aralkyl, and a compound in which Y represents N is a preferred embodiment of the present invention. This is an example.
- R 3 represents hydrogen, compound Y represents N, R 3 represents hydrogen, compound Y represents CH, R 3 is a substituted or unsubstituted lower alkyl, substituted or unsubstituted
- Y represents N is one of preferred embodiments of the present invention.
- the compound or a pharmaceutically acceptable salt thereof is one of the preferred embodiments of the present invention.
- the compound or a pharmaceutically acceptable salt thereof is one of the preferred embodiments of the present invention.
- compound (I) the compound represented by the formula (I) is referred to as compound (I).
- compound (I) the compound represented by the formula (I).
- lower alkyl includes straight-chain or branched-chain C 1-8, for example, methyl, ethyl, propyl, isopropyl, butyl, isobutyl, sec-butyl, tert-butyl.
- Such as butyl, pentyl, isopentyl, neopentyl, sec-pentyl, tert-pentyl, hexyl, isohexyl, heptyl, octyl, and isooctyl are included, and the lower alkyl portion of lower alkoxycarbonyl has the same meaning.
- Cycloalkyls include those having 3 to 8 carbon atoms, such as cyclopropyl, cyclobutyl, cyclopentyl, cyclohexyl, cycloheptyl, cyclooctyl, etc., and bicycloalkyls having 7 to 10 carbon atoms, such as bicyclo [2.2.1] heptyl, bicyclo [2.2.2] octyl, bicyclo [3.3.1] nonyl, etc., and the tricycloalkyl has 9 to 12 carbon atoms, for example, tricyclo [3.3.1.1].
- Lower alkenyl includes straight-chain or branched-chain C 2 -C 6, such as vinyl, aryl, propenyl, methyl phenyl, butenyl, crotyl, pentenyl, hexenyl and the like.
- Aralkyl includes benzyl, phenethyl, benzhydryl, naphthylmethyl and the like having 7 to 15 carbon atoms, aryl includes phenyl and naphthyl, and heteroaryl includes pyridyl, pyrimidyl, virazyl and quinoyl.
- Ryl isoquinolyl, phenyl, furyl, pyrrolyl, benzophenyl, benzofuryl, indolyl and the like are included.
- the alkylene moiety in the heteroarylalkyl is a group obtained by removing one hydrogen from the lower alkyl, and the heteroaryl moiety has the same meaning as the heteroaryl.
- Examples of the nitrogen-containing heterocyclic group formed containing N include pyrrolidinyl, piperidino, piperazinyl, morpholino, thiomorpholino, homopiperazinyl, imidazolyl, tetrahydroisoquinolyl and the like.
- Substituents in the substituted lower alkyl, substituted cycloalkyl, substituted bicycloalkyl and substituted tricycloalkyl are the same or different and have 1 to 3 substitutions, for example, cycloalkyl, hydroxy, lower alkoxy, carboxy, lower alkoxy. Examples include carbonyl, amino, mono-lower alkyl-substituted amino, di-lower alkyl-substituted amino, substituted or unsubstituted alicyclic complex, nitro, halogen and the like.
- cycloalkyl has the same meaning as the above cycloalkyl.
- alkyl moiety in lower alkoxy, lower alkoxylability luponyl, mono-lower alkyl-substituted amino and di-lower alkyl-substituted amino is as defined above for lower alkyl.
- Halogen means fluorine, chlorine, bromine and iodine atoms.
- specific examples of the alicyclic heterocyclic group include tetrahydrofuryl, piperidino, piperidinyl, morpholinyl, thiomorpholinyl, piperazinyl, homopiperazinyl, -tetrahydrodrobilanyl, pyrrolidinyl, imidazolyl, tetrahydrolysoquinolyl and the like.
- Examples of the substituent of the substituted alicyclic heterocyclic ring include lower alkyl, aralkyl, aralkyl, and heteroarylalkyl as defined above. And heteroaryl.
- Preferred examples of the substituted alicyclic heterocyclic group include N-methylbiperazinyl, N-ethylbiperazinyl, N-methylhomopiperazinyl, N-phenylbiperazinyl, and N-benzylpiperazinyl. is there.
- Specific examples of the lower alkyl having a hydroxy group include hydroxymethyl, 2-hydroxyl, 3-hydroxypropyl, 4-hydroxyl butyl, 3-hydroxybutyl, 2-hydroxylbutyl, 5-hydroxypentyl, etc. Are included as preferred examples.
- Substituents in substituted benzocycloalkenyl, substituted lower alkenyl, substituted aralkyl aryl, substituted aryl, substituted heteroarylalkyl and substituted heteroaryl are the same or different and are the same or different, and have 1 to 5 substituents.
- the substituents on the reel are the same or different, and have 1 to 5 substituents, lower alkyl, hydroxy, lower alkyl having hydroxy, lower alkoxy, ethoxy, lower alkoxycarbonyl, amino, mono-lower alkyl substituted amino.
- R 1 1 and R 1 2 are the same or different, hydrogen
- the alkyl moiety in lower alkyl, lower alkoxy, lower alkoxycarbonyl, mono-lower alkyl-substituted amino and di-lower alkyl-substituted amino has the same meaning as the above lower alkyl
- halogen is
- the nitrogen-containing heterocyclic group formed having a substituted or unsubstituted N has the same meaning as the above-mentioned halogen, and the substituent on the nitrogen-containing heterocyclic ring formed having N is as defined above.
- Pharmaceutically acceptable salts of compound (I) include pharmaceutically acceptable acid addition salts, for example, hydrochloride, hydrobromide, hydroiodide, nitrate, sulfate, sulfate Inorganic acid salts such as phosphate, formate, acetate, benzoate, tartrate, maleate, fumarate, succinate, oxalate, dalioxylate, aspartate, methanesulfonate And organic acid salts such as benzenesulfonate.
- pharmaceutically acceptable acid addition salts for example, hydrochloride, hydrobromide, hydroiodide, nitrate, sulfate, sulfate
- Inorganic acid salts such as phosphate, formate, acetate, benzoate, tartrate, maleate, fumarate, succinate, oxalate, dalioxylate, aspartate, methanesulfonate
- organic acid salts such as benzenesulfonate
- Y is N
- R 3 is a raw material of a compound represented by a substituted or unsubstituted alkyl group, a substituted or unsubstituted cycloalkyl group, or a substituted or unsubstituted aralkyl group
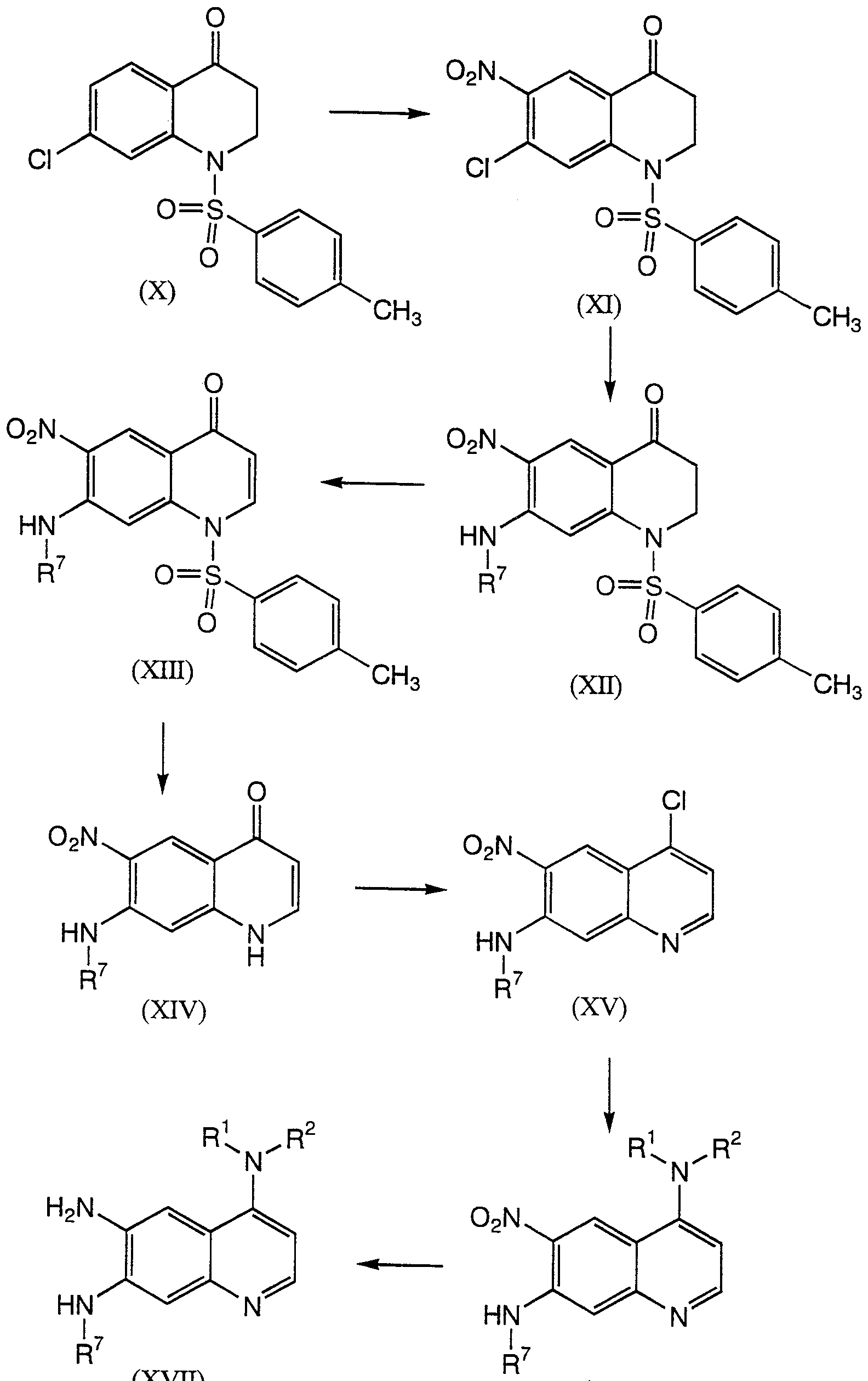
- Compound (VIII) can be synthesized according to the following production method.
- R 1 RRR 7 has the same meaning as described above, and R 13 represents a substituted or unsubstituted aryl. However, R 3 is not H.
- the compound (IVa) in which R 3 is a methyl group in the compound (IV) can be prepared by a known method [Anal, Chim. (Rome)), Vol. 56 (8-9), p. 839 (1966), and references described in the literature].
- R 3 is a substituent other than a methyl group in the compound (IV), it can be obtained by the method described below. That is, the compound (II).
- Compound (IV) was prepared according to the method described in Japanese Patent Application Laid-Open No. 499-134697.
- an alkali metal hydroxide such as lithium hydroxide, potassium hydroxide and sodium hydroxide or an alkaline earth metal hydroxide such as barium hydroxide and magnesium hydroxide.
- an oxidizing agent such as hydrogen peroxide or chromic acid
- Compound (V) is obtained by compounding compound (IV) with 1 to 1.5 equivalents of nitrating agent such as nitric acid, fuming nitric acid, potassium nitrate, etc.
- Compound (VI) is the compound (V) and 1 to 10 equivalents of the formula, (wherein, R 7 has the same meaning as defined above) R 7 NH 2 and Amin or aqueous amine solution represented by In a solvent such as ethanol, butanol, tetrahydrofuran, dioxane, dimethyl sulfoxide, etc., in a sealed container if necessary (in a sealed tube) at room temperature to 150 ° C for 1 to 24 hours. Can be done.
- Compound (VII) may be used in the presence of 1 to 10 equivalents of a base such as triethylamine, N, N-diisopropylethylamine or pyridin, if necessary, without solvent or in a solvent such as dichloromethane, chloroform, 1,2-dichloroethane or the like.
- a base such as triethylamine, N, N-diisopropylethylamine or pyridin
- a solvent such as dichloromethane, chloroform, 1,2-dichloroethane or the like.
- 0.05 to 2 equivalents of N, N-dimethylformamide, 4-dimethylaminopyridine, etc. may be added, but compound (VI) is converted to 1.2 to 10 at the boiling point of the solvent used from room temperature.
- R 1 and R 2 are as defined above
- a base such as 1 to 10 equivalents of triethylamine, ⁇ , ⁇ -diisopropylethylamine or pyridine, if necessary.
- a solvent such as tetrahydrofuran, dioxane, methylene chloride, chloroform, 1,2-dichloroethane, etc. at -20 t: for 30 minutes to 24 hours at the boiling point of the solvent used. Obtainable.
- Compound (VIII) is obtained by converting compound (VII) to water, tetrahydrofuran, methanol, ethanol, N, N-dimethyl in the presence of a catalytic reduction catalyst such as palladium / carbon in a weight ratio of 1/100 to 1/10.
- a catalytic reduction catalyst such as palladium / carbon in a weight ratio of 1/100 to 1/10.
- a solvent such as formamide
- reducing agent such as iron Z ferric chloride It can be obtained by reduction in a solvent such as water-containing ethanol or water in the presence of water while stirring from room temperature to the boiling point of the solvent used for 1 to 24 hours.
- Compound (VIII) in which R 3 is CH 2 CH 2 R 13 can be prepared in the presence of a catalytic reduction catalyst such as palladium Z carbon in a weight ratio of 1/100 to 1/10 with respect to compound (IX). , Water, tetrahydrofuran, stanol. Catalytic reduction in a solvent such as ethanol, N, N-dimethylformamide, etc. under a hydrogen atmosphere or a hydrogen stream at room temperature for 1 to 24 hours at the boiling point of the solvent used. Obtainable.
- Y is CH
- raw material comprising a compound of compounds wherein R 3 is hydrogen (XV II) may be obtained by the following production method.
- RRR 7 is as defined above
- the starting compound (X) can be prepared by a known method [Journal of American, Michal's Society (J. Am. Chem. Soc.), Vol. 71, p. 1901 (1949) and references described in the literature].
- Compound (XI) is prepared by using compound (X) and 1-5 equivalents of nitrating agent such as nitric acid, fuming nitric acid, potassium nitrate, etc. in the normal nitration of sulfuric acid, fuming sulfuric acid, acetic acid, acetic anhydride, etc. in is solvent - 7 at a temperature between the boiling point of the solvent used from 8 ° C can be obtained by reacting 1 to 24 hours.
- nitrating agent such as nitric acid, fuming nitric acid, potassium nitrate, etc.
- solvent - 7 at a temperature between the boiling point of the solvent used from 8 ° C can be obtained by reacting 1 to 24 hours.
- Compound (XII) is compound (XI) with 1 to 10 equivalents of an amine represented by the formula: R 7 NH 2 (wherein R 7 has the same meaning as described above) or an aqueous solution thereof. It can be obtained by reacting in a solvent such as phenol, tetrahydrofuran, dioxane, or dimethylsulfoxide in a sealed container if necessary (in a sealed tube) at room temperature to 150 at room temperature for 1 to 24 hours.
- a solvent such as phenol, tetrahydrofuran, dioxane, or dimethylsulfoxide
- Compound (XIII) can be prepared by converting compound (XII) in a solvent such as dichloromethane, toluene, chloroform, dioxane, or a mixture of these solvents in an amount of 1 to 30 equivalents of manganese dioxide, chromic acid, pyridinium chlorochloride. It can be obtained by reacting in the presence of an oxidizing agent such as a lime under dehydration conditions using Dean Stark, molecular sieve, or the like, at room temperature to the boiling point of the solvent used for 1 to 24 hours.
- a solvent such as dichloromethane, toluene, chloroform, dioxane, or a mixture of these solvents in an amount of 1 to 30 equivalents of manganese dioxide, chromic acid, pyridinium chlorochloride. It can be obtained by reacting in the presence of an oxidizing agent such as a lime under dehydration conditions using Dean Stark, molecular sieve, or the like, at room temperature to
- Compound (XIV) is prepared by converting compound (XIII) from 1 to 10 equivalents of an inorganic base such as sodium hydroxide, potassium hydroxide, lithium hydroxide, barium hydroxide or sodium or potassium alcoholate. 1 to 24 hours in the presence of an organic base such as methanol, ethanol, propanol, etc., in a solvent such as water, dioxane, tetrahydrofuran or a mixed solvent of the above solvents, from room temperature to the boiling point of the solvent used. It can be obtained by reacting.
- an inorganic base such as sodium hydroxide, potassium hydroxide, lithium hydroxide, barium hydroxide or sodium or potassium alcoholate. 1 to 24 hours in the presence of an organic base such as methanol, ethanol, propanol, etc.
- a solvent such as water, dioxane, tetrahydrofuran or a mixed solvent of the above solvents, from room temperature to the boiling point of the solvent used. It can be obtained by reacting
- Compound (XV) is optionally used in the presence of a base such as triethylamine, ⁇ , ⁇ -diisopropylethylamine, pyridine or the like without solvent or in a solvent such as dichloromethane, 1,2-dichloroethane or the like, if necessary, with ⁇ , ⁇ -dimethylformamide.
- a solvent such as solvent and 4-dimethylaminopyridine
- the compound (XVI) is a compound represented by the formula (XV) and 1 to 10 equivalents of an amine represented by the formula: R 1 R 2 NH (wherein R 1 and R 2 are as defined above); If necessary, in a solvent such as tetrahydrofuran, dioxane, methylene chloride, 1,2-dichloroethane or in the absence of a solvent in the presence of 10 equivalents of bases such as triethylamine, ⁇ , ⁇ -diisopropylethylamine, pyridine, etc. Add 0.05 to 1 equivalent of ⁇ , ⁇ -dimethylformamide, 4-dimethylaminopyridinine, etc., and add the boiling point of the solvent used from -78 ° C. It can be obtained by reacting between the boiling points for 30 minutes to 24 hours.
- a solvent such as tetrahydrofuran, dioxane, methylene chloride, 1,2-dichloroethane or in the absence of a
- Compound (XV II) is prepared by using compound (XVI) as a raw material, in the presence of a catalytic reduction catalyst such as palladium Z carbon in a weight ratio of 1/100 to 1/10, water, tetrahydrofuran, methanol, Catalytic reduction in a solvent such as ethanol, ethanol, dioxane, ⁇ , ⁇ -dimethylformamide, hydrogen atmosphere or hydrogen stream, from room temperature to the boiling point of the solvent used for 1 to 24 hours, or 2 ⁇ 8 equivalents of iron / ferric chloride in the presence of a reducing agent in a solvent such as aqueous ethanol, water, etc. Obtainable.
- a catalytic reduction catalyst such as palladium Z carbon in a weight ratio of 1/100 to 1/10, water, tetrahydrofuran, methanol
- Catalytic reduction in a solvent such as ethanol, ethanol, dioxane, ⁇ , ⁇ -dimethylformamide, hydrogen atmosphere or hydrogen stream
- ⁇ is ⁇
- R 3 is hydrogen, a substituted or unsubstituted lower alkyl group, a substituted or unsubstituted cycloalkyl group or a substituted or unsubstituted aralkyl group
- X 1 —
- Compound (Ia) may be used in combination with compound (VIII) and 1 to: L0 equivalent of a carbonylation reagent such as ⁇ , ⁇ '-carbonyldiimidazole, phosgene, urea, black alkyl carbonate, black aryl carbonate if necessary. It can be obtained by cyclizing by reacting in an inert solvent in the presence of up to 10 equivalents of a base. Examples of the base include triethylamine, ⁇ , ⁇ -diisopropylethylamine, pyridine and the like.
- inert solvents examples include water, alcohols (e.g., methanol and ethanol), nonpolar solvents (e.g., ethyl acetate and ether), and nonprotonic polar solvents (acetonitrile, ⁇ , ⁇ -dimethylformamide, dimethylacetate).
- alcohols e.g., methanol and ethanol
- nonpolar solvents e.g., ethyl acetate and ether
- nonprotonic polar solvents acetonitrile, ⁇ , ⁇ -dimethylformamide, dimethylacetate
- halogenated hydrocarbons dichloromethane, chloroform, etc.
- Y is N
- R 3 is hydrogen, a substituted or unsubstituted lower alkyl group, a substituted or unsubstituted cycloalkyl group or a substituted or unsubstituted aralkyl group, and — X 1 —
- Compound (lb) is prepared by combining compound (VIII) with 1 to 10 equivalents of ⁇ , -'- thiocalponyldiimidazole, thiophosgene or 1 to 200 equivalents of a thiocarbonylating reagent such as carbon disulfide, if necessary. It can be obtained by cyclizing by reacting in an inert solvent in the presence of 200 equivalents of a base. The base and the inert solvent are the same as those used in production method 13 to produce compound (Ia). Is mentioned. The reaction is completed in 10 minutes to 120 hours from 0 ° C. to the boiling point of the solvent used.
- V I I (V I I) can be used as a starting material according to the following reaction steps.
- Compound (I c) can be obtained by reacting compound (VIII) with 1-2 equivalents of a nitrous acid solubilizing agent such as sodium nitrite in an aqueous solution of hydrochloric acid, acetic acid, sulfuric acid or a mixed solvent thereof. It can. The reaction is performed between ice-cooling and the boiling point of the solvent used, and is completed in 10 minutes to 4 hours.
- a nitrous acid solubilizing agent such as sodium nitrite
- Y is N
- R 3 is hydrogen, substituted or unsubstituted lower alkyl, substituted or unsubstituted cycloalkyl or substituted or unsubstituted aralkyl, and one X 1 —X 2 — X 3 — but — NH— C
- R 1 R 2 , R 3 and R 7 are as defined above
- Compound (Id) may be prepared by adding i-io equivalents of dialkylcyanodithioiminocarbonate and diarylcyanodithioimino carbonyl compound to compound (VIII) in the presence of ⁇ ⁇ equivalents of base, if necessary. It can be obtained by cyclizing by reacting in an active solvent or without using a solvent. Examples of the base and the inert solvent include the same ones as in the production method 112 for producing the compound (Ia). The reaction is completed in 10 minutes to 48 hours from 0 ° C to the boiling point of the solvent used, or the temperature at which the substrate melts if no solvent is used.
- the compound (Id) is obtained from the compound (lb) obtained by the production method 1-4. Can be obtained by the following two methods (a, b). That is, the compound (lb) is reacted with 1 to 6 equivalents of mercury oxide (II) Z sulfur in an inert solvent in the presence of 1 to 10 equivalents of a base, if necessary, and then 1 to 10 equivalents as necessary.
- the compound (Id) can be obtained by reacting 2-5 equivalents of cyanamide (H 2 NCN) in the presence of the base (Method a).
- the compound (Id) can also be obtained by carrying out (Method b).
- the base and the inert solvent in the above reaction those similar to Production methods 1-3 for producing compound (Ia) can be mentioned. The reaction is completed in 10 minutes to 48 hours from 0 ° C to the boiling point of the solvent used.
- Y is N
- R 3 is hydrogen, substituted or unsubstituted lower alkyl, substituted or unsubstituted cycloalkyl or substituted or unsubstituted aralkyl
- the compound (I e) is obtained by using the compound (VIII) as a starting material in the next reaction step. It can be manufactured according to
- R 1 R 2 , R 3 , R 7A and R 8 are as defined above
- Compound (I e) is 1 to 15 equivalents of compound (VIII) and 15 equivalents of ethyl orthoformate (CH ( ⁇ CH 2 CH 3 ) 3 ) and ethyl acetate ortho (CH 3 C ( ⁇ CH 3 It can be obtained by reacting ortho acid esters such as 2 CH 3 ) 3 ) and ethyl ethyl orthopropionate (CH 3 CH 2 C ( ⁇ CH 2 CH 3 ) 3 ) in an inert solvent or without solvent. .
- the compound (I e) can also be obtained by the method described above.
- a suitable base such as N-diisopropylamine or pyridine
- a suitable base such as sodium hydroxide or potassium tert-butoxide.
- the compound (I e) can also be obtained by the method described above.
- the base and the inert solvent in the above reaction those similar to the production method 13 to produce the compound (Ia) can be mentioned.
- the reaction is completed in 10 minutes to 48 hours from 0 ° C to the boiling point of the solvent used.
- Y is N and R 3 is hydrogen, substituted or unsubstituted lower alkyl, substituted or unsubstituted cycloalkyl or substituted or unsubstituted aralkyl, and X 1 — X
- the compound (If) wherein 2 — X 3 — is one of N C (NH R 9A ) — NR 7A — (wherein R 9A and R 7A are as defined above) is a compound (VIII)
- the starting material [ABSTRACTS 26th CONGRESS OF HETEROCYCLIC CHEMISTRY] C-19 (pp.241-244), Otsu (November 6-8, 1995) It can be manufactured according to it.
- R 1 R 2 , R 3 , R 7A and R 9A are as defined above
- Y is N
- R 3 is hydrogen, substituted or unsubstituted lower alkyl, substituted or unsubstituted cycloalkyl or substituted or unsubstituted aralkyl
- Compound (I g) the compound (VIII) with tetramethylene Tokishimetan, such as Te tiger diethoxymethane C (OR 10 ) It can be obtained by reacting the compound represented by 4 in the presence of 1/1000 to 5 equivalents of an acid such as hydrochloric acid, sulfuric acid, acetic acid, trifluoroacetic acid, and trifluorostansulfonic acid. The reaction is carried out without solvent and is completed between 0 minutes and the boiling point of the tetraalkoxymethane used in 10 minutes to 48 hours.
- an acid such as hydrochloric acid, sulfuric acid, acetic acid, trifluoroacetic acid, and trifluorostansulfonic acid.
- Y is CH
- R 3 is hydrogen
- R 7 is The compound (Ih) having the same meaning as the above) can be produced by the same method as in Production method 13 using compound (XVII) as a raw material.
- R 1 RR 7 is as defined above
- RRR 7 is as defined above
- RRR 7 is as defined above
- Y is CH
- R 3 is hydrogen
- Y is CH
- R 3 is hydrogen
- R 8 and R 7A are The compound (Im) is a compound (Xm) as a starting material, and can be produced by a method similar to the production method 117.
- Y is CH
- R 3 is hydrogen
- R 1 R 2 , R 7A and R 9A are as defined above
- Y is CH
- R 3 is hydrogen
- R 1 , R 2 , R 7A and R 10 are as defined above
- Intermediates and target compounds in the above production methods can be isolated and purified by purification methods commonly used in organic synthetic chemistry, such as filtration, extraction, washing, drying, concentration, recrystallization, and various types of chromatography. it can.
- the intermediate can be subjected to the next reaction without purification.
- Some of the compounds (I) may have positional isomers, geometric isomers, optical isomers or tautomers, but the present invention relates to all possible isomers, including these, Of mixtures.
- compound (I) When it is desired to obtain a salt of compound (I), compound (I) is obtained in the form of a salt. In the case where it is obtained in a free form, it may be isolated or purified by dissolving or suspending it in an appropriate solvent, adding an acid to form a salt, and purifying.
- Compound (I) and its pharmacologically acceptable salts may exist in the form of adducts of water or various solvents, and these adducts are also included in the present invention.
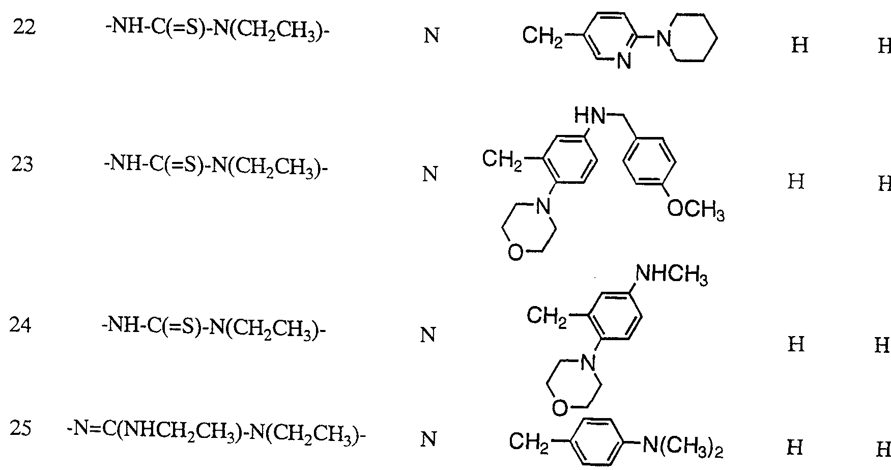
- Table 1 shows specific examples of the compound (I) obtained by the present invention.
- 26 -N CN (CH 2 CH 3 )-N CH 2 -N (CH 3 ) 2 HH
- 31 -N C (NHCH,)-N (CH 2 CH-N CH 2 ⁇ ⁇
- 34 -N C (OCH 2 CH 3 ) -N (CH 2 CH 3 )- ⁇ CH 2 ⁇ -N (CH 3 ) 2 ⁇ ⁇
- 35 -N C (OCH 3 ) -N (CH 2 CH 3 )- ⁇ ⁇ ⁇
- 36 -N C (OCH 3 ) -N (CH 2 CH 3 )- ⁇ -CH 2 CH 2 -0-CH 2 CH 2 - ⁇
- Test Example 1 Inhibitory effect on PDE derived from canine tracheal smooth muscle
- PDEV (cGMP-specific) from canine tracheal smooth muscle, mainly according to the method of Torphy et al. [Molecular 'Mol. Pharmacol., 37, 206 (1990)] PDE) was purified.
- the activity was determined by the method of Kincaid et al. [Methods in, Enzymol. (J. D. Corbin et al.), 159, 457].
- Noffer composition 50 mM N, N-bis (2-hydroxyxetyl) -2-aminoethanesulfonic acid (pH 7.2), 1 mM MgCl 2, 0.1 mg / ml soybean trypsin inhibitor
- the reaction was started by addition of the enzyme, and the reaction was stopped by adding hydrochloric acid after reacting at 30 for 10 to 30 minutes. After neutralization with sodium hydroxide, 5'-GMP was converted to guanosine with 5'-nucleotidase, the reaction solution was applied to a DEAE-Sephadex A-25 column, and [ 3 H] guanosine was eluted with distilled water. Radioactivity was measured with a liquid scintillation counter. The inhibitor was dissolved in 1.7% dimethyl sulfoxide.
- Table 2 shows the PDE inhibitory activity. Table 2 Activity of P D EV
- a male Sprague-Dawley rat was fixed on the back, a forcepray was inserted into the trachea, and artificial respiration was performed at 10 ml / kg, 60 times / min. Was done.
- force neurons were introduced into the carotid artery and the duodenum, which were used for blood pressure measurement and drug administration, respectively.
- the drug was dissolved or suspended in distilled water and administered into the duodenum using the above-mentioned forcenula.
- the pelvic nerve was detached and a bipolar stimulating electrode (UT-1530, Unique Medical) was attached, and stimulated with an electric stimulator (SEN-3201, Nippon Koden).
- an electric stimulator SEN-3201, Nippon Koden.
- excessive electrical stimulation (10 to 40 Hz,:! To 5 V, for 10 to 20 seconds) was applied to induce an increase in ICP, which was defined as the maximum response.
- the stimulation conditions were adjusted to obtain a 30-50% response.
- the stimulation was repeated at 10-minute intervals, and the experiment was started after confirming that the reaction occurred reproducibly.
- the drug was dissolved in a 0.5% methylcellulose solution and administered in the duodenum (lmg / kg, 0.5mL / kg), and observed for 2 hours and 30 minutes.
- Compound (I) or a pharmaceutically acceptable salt thereof described in claim 1 is useful as a therapeutic drug for erectile dysfunction.
- Compound (I) or a pharmacologically acceptable salt thereof includes, for example, commonly used preparations such as tablets, capsules, injections, drops, syrups, sublingual tablets, various creams, suppositories, etc. It can be prepared in a form that can be administered orally or by parenteral administration, such as intramuscular injection, intravenous injection, intraarterial injection, infusion, application, rectal administration with suppositories.
- Pharmaceutical carriers used include, for example, water, distilled water for injection, physiological saline, glucose, sucrose, mannite, lactose, starch, and cellulose. Methylcellulose, carboxymethylcellulose, hydroxypropylcellulose, alginic acid, talc, sodium citrate, calcium carbonate, calcium hydrogen phosphate, magnesium stearate, urea, silicone resin, sorbitan fatty acid ester, glyceric acid ester, etc. Is raised.
- a tablet having the following composition was prepared by a conventional method.
- a powder having the following composition was prepared by a conventional method.
- a syrup having the following composition was prepared by a conventional method.
- the dosage and frequency of administration vary depending on the dosage form, patient age, body weight, symptoms, etc., but usually 0.05 to 5 g / 60 kg / day is appropriate for oral administration, and 0.01 to 5 mg / day for infusion. It is preferred that the daily oral dose at kg / min not exceed the limit.
- Lithium aluminum hydride (2.43 g, 64.0 mmol) was suspended in tetrahydrofuran (100 ml) and stirred. Under ice cooling, a solution of the compound obtained in Reference Example 5 (4.00 g, 21.3 mmol) in tetrahydrofuran (100 ml) was added dropwise to the above suspension. After completion of the dropwise addition, the reaction solution was reacted at 80 for 3 hours. After completion of the reaction, the reaction solution was cooled, and sodium sulfate / 10-hydrate was added little by little until foaming stopped. The insoluble material was filtered, and the filtrate was concentrated to obtain an oily substance (about 3.8 g).
- the obtained white solid was suspended in a mixed solvent of methanol (50 ml) and Z tetrahydrofuran (25 ml), 10% palladium-carbon catalyst (0.8 g) was added, and the mixture was stirred at room temperature under a hydrogen stream for 24 hours. . After completion of the reaction, the catalyst was filtered off and the filtrate was concentrated to obtain an oily substance.
- Reference Example 47 The compound obtained in Reference Example 47 was used as a starting material, reduced with lithium aluminum hydride in the same manner as in Reference Example 44, and then oxidized with manganese dioxide in the same manner as in Reference Example 45 to obtain the title compound. 90%).
- Reference Example 51 The compound obtained in Reference Example 1 (0.75 g, 2.32 mmol) was dissolved in tetrahydrofuran (10 ml), and lithium aluminum hydride (0.27 g, 7.11 mmol) was added under ice-cooling. Stirred for hours. After completion of the reaction, sodium sulfate decahydrate was added little by little until the foaming stopped while the reaction solution was cooled on ice. The insolubles were filtered and the filtrate was concentrated to give an oil.
- Reference Example 55 Water generated in a mixed solvent of toluene (110 ml) / dioxane (44 ml) containing the compound obtained in Step 5 (2.20 g, 5.65 imnol) and activated manganese dioxide (9.82 g, 113 mmol) was removed. The mixture was refluxed for 3 hours while heating. After completion of the reaction, the mixture was cooled to room temperature, filtered through celite, and the filtrate was concentrated under reduced pressure to obtain an oily substance. The oily substance obtained above was dissolved in ethanol (27 ml), 10 N sodium hydroxide solution (0.7 ml, 7.00 mmol) was added, and the mixture was stirred at room temperature for 12 hours. After completion of the reaction, the pH of the reaction solution was adjusted to 6, and the precipitated crystals were collected by filtration and dried to obtain the title compound (0.88 g, 67%).
- Reference example 6 1 7-ethylamino-6-nitro-2--4- [2- (2-pyridyl) ethylamino] quinoline Reference Example 57 The title compound was obtained from the compound obtained in 7 and 2- (2-aminoaminoethyl) pyridine ( Yield 74
- the compound (0.700 g, 1.84 mmol) obtained in Reference Example 3 was suspended in a mixed solvent of methanol (50 ml) and tetrahydrofuran (20 ml). To this suspension was added 10% -palladium / carbon catalyst (0.14 g), and the mixture was stirred at room temperature under a hydrogen gas atmosphere. After completion of the reaction, the catalyst was separated by filtration using a filter aid, and triethylamine (2.00 ml, 14.3 mmol) and carbon disulfide (10.0 ml, 166 mmol) were added to the obtained filtrate, followed by stirring at room temperature overnight.
- Example 8 Using the compound obtained in Reference Example 8, the title compound was obtained in the same manner as in Example 1 (yield: 12%).
- Reference Example 33 The compound obtained in 3 (1.00 g, 2.96 mmol) was dissolved in tetrahydrofuran (20 ml), and a 10% -palladium carbon catalyst (0.10 g) was added, followed by catalytic reduction under a hydrogen gas atmosphere. Was done. After completion of the reaction, the catalyst was filtered through celite, and the filtrate was concentrated under reduced pressure to obtain an oily substance.
- the obtained thiourea compound (0.40 g, 0.946 mmol) was suspended in acetonitrilile (20 ml), silver trifluoroacetate (0.46 g, 2.08 mmol) was added, and the mixture was stirred at room temperature for 3 hours. After completion of the reaction, 4N hydrochloric acid was added to the concentrated residue obtained by concentrating the solution under reduced pressure, and the deposited precipitate was separated by filtration. Sodium bicarbonate solution was added to the filtrate to adjust the pH to 8-9. The precipitated crystals were collected, washed with water, and dried to give the free base of the title compound (0.21 g, 57%).
- Example 25 The method described in Example 25 was repeated using 7-ethylamino-4- (4-dimethylaminobenzylamino) -6-nitroquinazoline (compound described in WO95 / 06648) and phenylisothiocinnamate. The title compound was obtained in the same manner (yield
- Example 25 was carried out using 7-ethylamino-4- (4-dimethylaminobenzylamino) -6-nitroquinoline (compound described in WO95 / 06648) and ethoxycarbonylisothiocinane. The title compound was obtained in the same manner as described (yield 16%).
- Example 64 Using the compound obtained in Reference Example 64, the title compound was obtained in the same manner as in Example 34 (yield: 11% ⁇ ).
- Reference Example 58 The compound obtained in Reference Example 8 (0.400 g, 1.24 mmoi) was dissolved in tetrahydrofuran (12 ml), and 10% -palladium carbon catalyst (0.12 g) was dissolved in ethanol (1.2 ml) and dioxane (2.4 ml). The solution suspended in was added, and the mixture was stirred at room temperature in a hydrogen gas atmosphere for 4 hours. After completion of the reaction, the catalyst was separated by filtration using a filter aid, and the filtrate was concentrated under reduced pressure.
- 6-amino-4-benzylamino-7-ethylaminoquinazoline (0.291 g, 1.00 mmol) was dissolved in 0.8N hydrochloric acid (4.8 ml), and acetic acid (2 ml) was added under ice cooling. Further, sodium nitrite (0.07 g, 1.00 mmol) was added. After stirring at the same temperature for 1 hour, water was added to the reaction solution to make the solution slightly alkaline. The precipitated crystals were separated and recrystallized from methanol-Z dioxane to obtain the title compound (0.167 g, 55%).
- the present invention provides a therapeutic agent for erectile dysfunction, which has a potent and selective cGMP-specific PDE inhibitory action.
- it has a strong and selective cGMP-specific PDE inhibitory effect, and is used for treatment or alleviation of thrombosis, angina, hypertension, heart failure, cardiovascular disease such as arterial stiffness, asthma, erectile dysfunction, etc.
- Useful imidazo quinazoline derivatives or pharmacologically acceptable salts thereof are provided.
Landscapes
- Chemical & Material Sciences (AREA)
- Organic Chemistry (AREA)
- Pharmaceuticals Containing Other Organic And Inorganic Compounds (AREA)
Abstract
Description
明細書 Specification
勃起不全治療薬 Erectile dysfunction drug
技術分野 Technical field
本発明は、 サイク リ ックグアノシン 3',5'-1 燐酸(c G M P )特異的ホ スホジエステラーゼ(P D E )阻害作用を有し、 勃起不全治療剤並びに血 栓症、 狭心症、 高血圧、 心不全及び動脈硬化等の心血管病、 喘息等の治 療または緩和に有用なキナゾリ ン誘導体またはその薬理的に許容される 塩に関する。 The present invention has a cyclic guanosine 3 ′, 5′-1 phosphate (cGMP) -specific phosphodiesterase (PDE) inhibitory effect, and is useful for treating erectile dysfunction and thrombosis, angina pectoris, hypertension, heart failure And a quinazoline derivative or a pharmaceutically acceptable salt thereof which is useful for treating or alleviating cardiovascular diseases such as arteriosclerosis and asthma.
背景技術 Background art
c G M Pは生体の細胞内情報伝達機構の二次伝達物質として重要な役 割を果しており、 その分解酵素である c G M P特異的 P D Eの阻害薬は、 細胞内の c G M P濃度を上昇し、 内皮由来弛緩因子(E D R F )やニトロ 系血管拡張薬あるいは心房性ナト リウム利尿ペプチドの効果の増強作用 や、 抗血小板、 抗血管攣縮、 血管拡張作用等を示し、 血栓症、 狭心症、 高血圧、 鬱血性心不全を含む心不全、 経皮的冠動脈形成術やバイパス形 成術後の血管再閉塞、 末梢血管病、 動脈硬化等の心血管病、 気管支炎、 慢性喘息、 アレルギー性喘息、 アレルギー性鼻カタル等の炎症アレルギ 一性疾患、 過敏性腸症候群等のような消化管の疾患、 緑内症、 またはィ ンポテンツ等の治療または緩和に有用である。 c GMP plays an important role as a secondary messenger of the intracellular signal transduction mechanism in living organisms.Inhibitors of cGMP-specific PDE, which is a degrading enzyme, increase intracellular cGMP concentration, Shows potentiating effects of derived relaxation factor (EDRF), nitro vasodilators or atrial sodium diuretic peptide, antiplatelet, antivasospasm, vasodilatory effects, etc., thrombosis, angina, hypertension, congestion Heart failure including congestive heart failure, revascularization after percutaneous coronary angioplasty or bypass surgery, peripheral vascular disease, cardiovascular diseases such as arteriosclerosis, bronchitis, chronic asthma, allergic asthma, allergic nasal catarrh, etc. It is useful for the treatment or alleviation of inflammatory allergic diseases of the digestive tract such as irritable bowel syndrome, glaucoma, or impotence.
ジャーナル ' ォブ ' メディ シナル ' ケミス ト リ一 (J. Med. Chem.) 、 29 巻、 972 頁 (1986 年) 、 同、 32 卷、 2247 頁 ( 1989 年) 、 ジャー ナル ' ォブ ' オーガニック · ケミス ト リー (J. Org. Chem.) 、 51 巻、 616 頁 (1986 年) 及びこれらの引用文献に、 イミダゾ [4,5-g]キナゾリ ン誘導体の P D E阻害作用及びアデノシン受容体拮抗作用が記載されて いる。 しかしこれらの化合物は、 特に強い P D E阻害剤ではなく、 また 選択的 c G M P特異的 P D E阻害剤でもない。 WO95/06648 及び Journal 'Ob' Medical 'Chemistry (J. Med. Chem.), Vol. 29, p. 972 (1986), Vol. 32, p. 2247 (1989), Journal' Ob 'Organic · Chemistry (J. Org. Chem.), 51, 616 (1986) and references cited therein include the PDE inhibitory activity and adenosine receptor antagonistic activity of imidazo [4,5-g] quinazoline derivatives. Is described. However, these compounds are not particularly potent PDE inhibitors and are not selective cGMP-specific PDE inhibitors. WO95 / 06648 and
WO96/26940 には c G M P特異的 P D Eに対して阻害活性を有する 2,3- ジヒ ドロ- 1H-ィミダゾ [4,5-g]キナゾリ ン誘導体が開示されているが、 今 回開示されるィミダゾ [4,5-g]キノ リ ン誘導体、 ィミダゾキナゾリ ン環の 6 位にアルキル基、 シクロアルキル基、 ァラルキル基等の置換基を有す る化合物の記載はない。 また今回新たに開示される 2-置換ァミノ - 2,3- ジヒ ドロ- 1H-ィミダゾ [4,5-g]キナゾリ ン誘導体、 2-シァノイミ ノ -2,3-ジ ヒ ド口- 1H-ィミダゾ [4,5-g]キナゾリ ン誘導体等についての記載もない。 WO95/19970 及び USP 5,679,683 にはチロシンキナーゼ阻害活性を持つ 3H-ィミダゾ [4,5-g]キナゾリ ン誘導体が開示されているが、 選択的 C G MP特異的 P D E阻害活性に関する記載はない。 ジャーナル · ォブ · メ ディ シナリレ ' ケミス ト リ一 (J. Med. Chem.) 、 39 卷、 918 頁 (1996 年) 及び EP 0635507 A1 にはイ ミダゾ [4,5-g]キナゾリ ン及びトリァゾ 口 [4,5-g]キナゾリ ンがチロシンキナーゼ活性を持つと開示されているが、 選択的 c GMP特異的 P D E阻害活性に関する記載はない。 WO96 / 26940 discloses a 2,3-dihydro-1H-imidazo [4,5-g] quinazoline derivative having inhibitory activity against cGMP-specific PDEs. [4,5-g] quinoline derivative, imidazoquinazoline ring There is no description of a compound having a substituent such as an alkyl group, a cycloalkyl group, or an aralkyl group at the 6-position. The newly disclosed 2-substituted amino-2,3-dihydro-1H-imidazo [4,5- g ] quinazoline derivative, 2-cyano imino-2,3-dihydrido-1H-imidazo There is no description about [4,5-g] quinazoline derivatives. WO95 / 19970 and USP 5,679,683 disclose 3H-imidazo [4,5-g] quinazoline derivatives having tyrosine kinase inhibitory activity, but there is no description on selective CGMP-specific PDE inhibitory activity. J. Med. Chem., 39, 918 (1996) and EP 0635507 A1 contain imidazo [4,5-g] quinazoline and triazo. Although oral [4,5-g] quinazoline is disclosed to have tyrosine kinase activity, there is no description of selective cGMP-specific PDE inhibitory activity.
従来知られている多く の P D E阻害剤は、 c GM P特異的 P D Eだけ でなく類似の酵素であるサイクリ ックアデノシン 3',5'-1 燐酸(c AM P)特異的 P D E 等も阻害するため、 細胞内の c GM P濃度だけでなく c AMP濃度の上昇も引き起こし、 副作用等の面で問題がある。 また、 阻害強度においても未だ満足できるものではなく、 より活性が強くかつ 選択性の高い化合物が期待され求められている。 Many known PDE inhibitors inhibit not only cGMP-specific PDEs but also similar enzymes such as cyclic adenosine 3 ', 5'-1 phosphate (cAMP) -specific PDEs. This causes an increase in cAMP concentration as well as intracellular cGMP concentration, which is problematic in terms of side effects and the like. In addition, the inhibitory strength is still unsatisfactory, and compounds with higher activity and higher selectivity are expected and required.
発明の開示 Disclosure of the invention
本発明の目的は、 強力かつ選択的な c GMP特異的 P D E阻害作用を 有し、 細胞内の c GM P濃度を上昇し、 勃起不全の治療または緩和に有 用な新規化合物を含むキナゾリ ン誘導体またはその薬理的に許容される 塩を提供することにある。 An object of the present invention is to provide a quinazoline derivative which has a potent and selective cGMP-specific PDE inhibitory action, raises intracellular cGMP concentration, and contains a novel compound useful for treating or alleviating erectile dysfunction. Or to provide a pharmaceutically acceptable salt thereof.
本発明は、 一般式 ( I ) The present invention provides a compound represented by the general formula (I):
(I) (I)
[式中、 R 3は水素、 置換もしくは非置換の低級アルキル、 置換もしく は非置換のシクロアルキル、 置換もしくは非置換のァラルキルを表し、 Yは Nまたは C Hを表し、 — X 1— X2— X3—は一 N = N— N R 7— (式 中、 R 7は水素、 置換もしくは非置換の低級アルキル、 置換もしくは非 置換のシクロアルキル、 置換もしく は非置換のビシクロアルキル、 置換 もしくは非置換の トリシクロアルキル、 置換もしくは非置換のベンゾシ クロアルケニル、 置換もしくは非置換の低級アルケニル、 置換もしくは 非置換のへテロアリールアルキル、 置換もしくは非置換のへテロァリ一 ル、 置換もしくは非置換のァラルキルまたは置換もしくは非置換のァリ —ルを表す) 、 一 NH— C (- N - C N) — NR 7— (式中、 R 7は前記 と同義である) 、 — NH— C (=N - C ONH2) 一 NR 7— (式中、 R 7は前記と同義である) 、 — N= C R 8— NR 7— (式中、 R 7は前記と同 義であり R 8は R 7と同義である) 、 一 N = C (NHR 9) — N R 7— (式 中、 R 7は前記と同義であり、 R 9は水素、 置換もしく は非置換の低級ァ ルキル、 置換もしくは非置換のシクロアルキル、 置換もしく は非置換の ビシクロアルキル、 置換もしくは非置換の ト リシクロアルキル、 置換も しくは非置換のベンゾシクロアルケニル、 置換もしくは非置換の低級ァ ルケニル、 置換もしく は非置換のァリール、 置換もしくは非置換のへテ ロアリールアルキル、 置換もしく は非置換のへテロアリール、 置換もし くは非置換のァラルキル、 低級アルコキシカルポニルまたは力ルバモイ ルを表す) 、 — N = C (O R 10) 一 N R 7— (式中、 R 7は前記と同義で あり、 R 1。は R 7と同義である) 、 — NH— C (= O) —N R 7— (式中 R7は前記と同義である) または一 NH— C (- S ) — N R 7— (式中、 R 7は前記と同義である) を表し、 R 1及び R 2は、 同一もしくは異なつ て、 水素、 置換もしくは非置換の低級アルキル、 置換もしくは非置換の シクロアルキル、 置換もしくは非置換のビシクロアルキル、 置換もしく は非置換の ト リ シク口アルキル、 置換もしくは非置換のベンゾシクロア ルケニル、 置換もしくは非置換の低級アルケニル、 置換もしく は非置換 のへテロァリールアルキル、 置換もしくは非置換のへテロアリールまた は置換もしくは非置換のァラルキルを表すか、 R 1と R 2が一緒になつて. Nを含んで形成される置換もしくは非置換の含窒素複素環基を表わす] で表される化合物またはその薬理的に許容される塩を有効成分とする勃 起不全治療薬に関する。 [Wherein, R 3 represents hydrogen, substituted or unsubstituted lower alkyl, substituted or unsubstituted cycloalkyl, substituted or unsubstituted aralkyl, Y represents N or CH, and — X 1 — X 2 — X 3 — is one N = N— NR 7 — (wherein R 7 is hydrogen, substituted or unsubstituted lower alkyl, substituted or unsubstituted cycloalkyl, substituted or unsubstituted bicycloalkyl, substituted or Unsubstituted tricycloalkyl, substituted or unsubstituted benzocycloalkenyl, substituted or unsubstituted lower alkenyl, substituted or unsubstituted heteroarylalkyl, substituted or unsubstituted heteroaryl, substituted or unsubstituted aralkyl Or a substituted or unsubstituted aryl), one NH—C (—N—CN) —NR 7 — (wherein R 7 is as defined above), —NH—C (= N -C ONH 2 ) 1 NR 7 — (wherein, R 7 is as defined above), — N = CR 8 — NR 7 — (wherein, R 7 is as defined above, and R 8 is R 7 N = C (NHR 9 ) — NR 7 — (wherein R 7 is as defined above, and R 9 is hydrogen, substituted or unsubstituted lower alkyl, substituted or unsubstituted Substituted cycloalkyl, substituted or unsubstituted bicycloalkyl, substituted or unsubstituted tricycloalkyl, substituted or unsubstituted benzocycloalkenyl, substituted or unsubstituted lower alkenyl, substituted or unsubstituted Represents a substituted aryl, a substituted or unsubstituted heteroarylalkyl, a substituted or unsubstituted heteroaryl, a substituted or unsubstituted aralkyl, a lower alkoxycarbonyl or a carbamoyl), — N = C ( OR 10) one NR 7 - (wherein, R 7 is the same as the In and, R 1 has the same meaning as R 7), -. NH- C (= O) -NR 7 - ( wherein R 7 has the same meaning as defined above) or one NH—C (—S) —NR 7 — (wherein, R 7 has the same meaning as defined above), and R 1 and R 2 are the same or different , Hydrogen, substituted or unsubstituted lower alkyl, substituted or unsubstituted cycloalkyl, substituted or unsubstituted bicycloalkyl, substituted or unsubstituted trialkyl, substituted or unsubstituted benzocycloalkenyl, substituted or unsubstituted Represents an unsubstituted lower alkenyl, a substituted or unsubstituted heteroarylalkyl, a substituted or unsubstituted heteroaryl or a substituted or unsubstituted aralkyl, or R 1 and R 2 together; Or a substituted or unsubstituted nitrogen-containing heterocyclic group formed by containing the compound or a pharmaceutically acceptable salt thereof as an active ingredient.
また、 一般式 ( I A) The general formula (I A)
(IA) (IA)
[式中、 R 3は水素、 置換もしくは非置換の低級アルキル、 置換もしく は非置換のシクロアルキルまたは置換もしくは非置換のァラルキルを表 し、 [Wherein, R 3 represents hydrogen, substituted or unsubstituted lower alkyl, substituted or unsubstituted cycloalkyl, or substituted or unsubstituted aralkyl,
( i ) Yが Nを表すとき、 一 X 1A— X 2A— X3A—は一 N = N— N R 7— (式中、 R 7は前記と同義である) 、 — NH— C (= N - C N) - N R 7 一 (式中、 R 7は前記と同義である) または一 NH— C (= N - C 0 N H2) 一 N R 7— (式中、 R 7は前記と同義である) を表し、 R 1Aは置換 もしくは非置換の低級アルキル、 置換もしくは非置換のシク口アルキル 置換もしくは非置換のビシク口アルキル、 置換もしくは非置換のト リ シ クロアルキル、 置換もしく は非置換のベンゾシクロアルケニル、 置換も しくは非置換の低級アルケニル、 置換もしくは非置換のへテロアリール アルキル、 置換もしくは非置換のへテロアリールまたは置換もしくは非 置換のァラルキルを表し、 R 2Aは水素、 置換もしくは非置換の低級アル キル、 置換もしくは非置換のシクロアルキル、 置換もしくは非置換のビ シクロアルキル、 置換もしくは非置換の 卜リ シクロアルキル、 置換もし くは非置換のベンゾシクロアルケニル、 置換もしくは非置換の低級アル ケニル、 置換もしくは非置換のへテロアリールアルキル、 置換もしくは 非置換のへテロアリールまたは置換もしくは非置換のァラルキルを表し、(i) When Y represents N, one X 1A — X 2A — X 3A — is one N = N— NR 7 — (where R 7 is as defined above), — NH— C (= N - CN) - NR 7 i (wherein, R 7 has the same meaning as defined above) or a NH- C (= N - C 0 NH 2) one NR 7 - (in the formula, R 7 is a as defined above And R 1A is a substituted or unsubstituted lower alkyl, a substituted or unsubstituted alkyl, a substituted or unsubstituted alkyl, a substituted or unsubstituted trialkyl. Chloroalkyl, substituted or unsubstituted benzocycloalkenyl, substituted or unsubstituted lower alkenyl, substituted or unsubstituted heteroarylalkyl, substituted or unsubstituted heteroaryl or substituted or unsubstituted aralkyl; R 2A is hydrogen, substituted or unsubstituted lower alkyl, substituted or unsubstituted cycloalkyl, substituted or unsubstituted bicycloalkyl, substituted or unsubstituted tricycloalkyl, substituted or unsubstituted benzocyclo Alkenyl, substituted or unsubstituted lower alkenyl, substituted or unsubstituted heteroarylalkyl, substituted or unsubstituted heteroaryl or substituted or unsubstituted aralkyl;
R 1Aと R 2Aが一緒になつて Nを含んで形成される置換もしくは非置換の 含窒素複素環基を表してもよく、 R 1A and R 2A may together represent a substituted or unsubstituted nitrogen-containing heterocyclic group formed containing N,
( i i ) Yが C Hを表すとき、 — X 1A— X 2A— X 3A—は— N = N— N R 7— (式中、 R 7は前記と同義である) 、 一 NH— C ( = N - C N) - N R 7— (式中、 R 7は前記と同義である) 、 一 NH— C (=0) - N R 7 一 (式中、 R 7は前記と同義である) または— NH— C (= S ) - N R 7 一 (式中、 R 7は前記と同義である) を表し、 R 1Aは置換もしくは非置 換の低級アルキル、 置換もしくは非置換のシクロアルキル、 置換もしく は非置換のビシク口アルキル、 置換もしくは非置換の ト リ シクロアルキ ル、 置換もしく は非置換のベンゾシクロアルケニル、 置換もしくは非置 換の低級アルケニル、 置換もしくは非置換のへテロアリールアルキル、 置換もしくは非置換のへテロァリ一ル、 置換もしくは非置換のァラルキ ルまたは置換もしく は非置換のァリールを表し、 R 2Aは R 7と同義であ り、 R 1Aと R 2Aが一緒になつて Nを含んで形成される置換もしくは非置 換の含窒素複素環基を表してもよい] で表される化合物またはその薬理 的に許容される塩に関する。 (ii) When Y represents CH, — X 1A — X 2A — X 3A — is — N = N— NR 7 — (wherein R 7 is as defined above), and one NH—C (= N - CN) - NR 7 - (wherein, R 7 is as defined above), single NH- C (= 0) - NR 7 i (wherein, R 7 is as defined above) or - NH- C (= S) - NR 7 i (wherein, R 7 has the same meaning as defined above) represents, R 1A is unsubstituted or replacement of lower alkyl, substituted or unsubstituted cycloalkyl, substituted or is properly non Substituted bicycloalkyl, substituted or unsubstituted tricycloalkyl, substituted or unsubstituted benzocycloalkenyl, substituted or unsubstituted lower alkenyl, substituted or unsubstituted heteroarylalkyl, substituted or unsubstituted R 2A represents a heteroaryl, substituted or unsubstituted aralkyl or substituted or unsubstituted aryl. R 7 and Ri synonymous der compound or a pharmacologically represented by R 1A and R 2A may represent a substituted or non-replacement of the nitrogen-containing heterocyclic group formed by including a together a connexion N] Permissible salts.
また、 一般式 ( I B) The general formula (IB)
(m) (m)
[式中、 R 3は水素、 置換もしくは非置換の低級アルキル、 置換もしく は非置換のシク口アルキルまたは置換もしくは非置換のァラルキルを表 し、 Yは Nまたは C Hを表し、 一 X 1B— X 2B— X 3B—は一 N = C R 8— N R 7A— (式中、 R 8は前記と同義であり、 R 7Aは置換もしく は非置換 の低級アルキル、 置換もしくは非置換のシクロアルキル、 置換もしくは 非置換のビシク口アルキル、 置換もしくは非置換の ト リ シク口アルキル、 置換もしくは非置換のベンゾシクロアルケニル、 置換もしくは非置換の 低級アルケニル、 置換もしくは非置換のへテロアリールアルキル、 置換 もしく は非置換のへテロアリールまたは置換もしくは非置換のァラルキ ルを表す) 、 一 N = C (NH R 9A) — NR 7A— (式中、 R 7Aは前記と同 義であり、 R 9Aは水素、 置換もしく は非置換の低級アルキル、 置換もし くは非置換のシクロアルキル、 置換もしく は非置換のビシクロアルキル, 置換もしくは非置換の ト リ シクロアルキル、 置換もしく は非置換のベン ゾシクロアルケニル、 置換もしく は非置換の低級アルケニル、 置換もし くは非置換のァリール、 置換もしく は非置換のへテロアリールアルキル. 置換もしくは非置換のへテロアリール、 置換もしくは非置換のァラルキ ル、 低級アルコキシカルボニルまたは力ルバモイルを表す) または一 N = C (O R 10) - N R 7A- (式中、 R 7A及び R 10は前記と同義である) を表し、 R 1Bは置換もしくは非置換のへテロアリールアルキルまたは置 換もしくは非置換のァラルキルを表し、 R 2Bは水素、 置換もしくは非置 換のヘテロァリールアルキルまたは置換もしくは非置換のァラルキルを 表し、 R 1Bと R 2Bがー緒になって Nを含んで形成される置換もしくは非 置換の含窒素複素環基を表してもよい] で表される化合物またはその薬 理的に許容される塩に関する。 [Wherein, R 3 represents hydrogen, substituted or unsubstituted lower alkyl, substituted or unsubstituted cycloalkyl or substituted or unsubstituted aralkyl, Y represents N or CH, and X 1B — X 2B — X 3B — is one N = CR 8 — NR 7A — (wherein, R 8 is as defined above, and R 7A is a substituted or unsubstituted lower alkyl, a substituted or unsubstituted cycloalkyl, Substituted or unsubstituted bicycloalkyl, substituted or unsubstituted trialkyl, substituted or unsubstituted benzocycloalkenyl, substituted or unsubstituted lower alkenyl, substituted or unsubstituted heteroarylalkyl, substituted Represents an unsubstituted heteroaryl or a substituted or unsubstituted aralkyl), one N = C (NH R 9A ) —NR 7A — (wherein, R 7A is as defined above, R 9A is hydrogen, Replace Or unsubstituted lower alkyl, substituted or unsubstituted cycloalkyl, substituted or unsubstituted bicycloalkyl, substituted or unsubstituted tricycloalkyl, substituted or unsubstituted benzocycloalkenyl, Substituted or unsubstituted lower alkenyl, substituted or unsubstituted aryl, substituted or unsubstituted heteroarylalkyl. Substituted or unsubstituted heteroaryl, substituted or unsubstituted aralkyl, lower alkoxycarbonyl Or N = C (OR 10 ) -NR 7A- (wherein R 7A and R 10 are as defined above), and R 1B is a substituted or unsubstituted heteroarylalkyl or an substitution or unsubstituted Ararukiru, R 2B is hydrogen, substituted or non-replacement of the heteroalkyl § reel alkyl or substituted or unsubstituted Represents Ararukiru of conversion, unsubstituted or is formed containing N becomes R 1B and R 2B gar cord May represent a substituted nitrogen-containing heterocyclic group] or a pharmaceutically acceptable salt thereof.
さらに、 一般式 ( I C) Furthermore, the general formula (IC)
(IC) (I C)
[式中、 R 3Cは水素を表し、 Ycは Nであり、 一 X 1C— X 2C— X 3C—は - NH - C ( =〇) 一 N R 7— (式中、 R 7は前記と同義である) または — NH— C (= S ) - N R 7- (式中、 R 7は前記と同義である) を表し、 R 1Cは同一もしくは異なって置換数 1〜 4の Nを含んで形成される置換 もしくは非置換の含窒素複素環基がヘテロァリールに置換したヘテロァ リールアルキル、 またはァラルキル {但し、 該ァラルキルのァリール部 分は、 同一もしくは異なって置換数 1〜 5の一 Z— (C HR4) — ( C H 2) mN R 5R 6 (式中、 Zは Sを表し、 R4、 m、 R 5及び R 6は前記と 同義である) で表される置換基で置換されるか、 同一もしくは異なって 1〜 5の N R HR 12 (式中、 R 11及び R 12は同一もしくは異なって、 水 素、 置換もしくは非置換の低級アルキル、 置換もしくは非置換のシクロ アルキル、 置換もしく は非置換のビシクロアルキル、 置換もしく は非置 換の ト リ シクロアルキル、 置換もしくは非置換のベンゾシクロアルケ二 ル、 置換もしくは非置換の低級アルケニル、 置換もしくは非置換のァラ ルキル、 置換もしくは非置換のァリール、 置換もしくは非置換のへテロ ァリールまたは置換もしくは非置換のへテロアリールアルキルを表すか R 11と R 12が一緒になつて Nを含んで形成される置換もしくは非置換の 含窒素複素環基を表してもよい) 及び少なく とも 1以上の、 Nを含んで 形成される置換もしくは非置換の含窒素複素環基によって置換される } を表し、 R 2Cは水素、 同一もしくは異なって置換数 1〜 5の Nを含んで 形成される置換もしく は非置換の含窒素複素環基がヘテロァリールに置 換したへテロアリールアルキル、 またはァラルキル {但し、 該ァラルキ ルのァリール部分は、 同一もしくは異なって置換数 1〜 5の一 Z— ( C HR 4) — ( C H 2) mN R SR 6 (式中、 Zは Sを表し、 R 4、 m、 R 5及 び R 6は前記と同義である) で表される置換基で置換されるか、 同一も しくは異なって:!〜 5の N R HR 12 (式中、 R 11及び R 12は前記と同義 であり、 R 11と R 12が一緒になつて Nを含んで形成される置換もしくは 非置換の含窒素複素環基を表してもよい) 及び少なく とも 1以上の、 N を含んで形成される置換もしくは非置換の含窒素複素環基によって置換 される } を表す] で表される化合物またはその薬理的に許容される塩で 表される化合物またはその薬理的に許容される塩に関する。 [Wherein, R 3C represents hydrogen, Y c is N, and one X 1C — X 2C — X 3C — is —NH—C (= 〇) one NR 7 — (wherein, R 7 is as defined above. synonymous) or - NH- C (= S) - NR 7 - ( wherein, R 7 represents the same meaning as defined above), R 1C is include N number of substituted 1-4 same or different Heteroarylalkyl in which a substituted or unsubstituted nitrogen-containing heterocyclic group to be formed is substituted with a heteroaryl, or aralkyl {provided that the aralkyl part of the aralkyl is the same or different and has 1 to 5 substituents Z— (C HR 4 ) — (CH 2 ) m NR 5 R 6 (wherein Z represents S, and R 4 , m, R 5 and R 6 are as defined above) or, the same or different in NR HR 12 (equation. 1 to 5, R 11 and R 12 are the same or different, hydrogen, a substituted or unsubstituted lower alkyl, substituted or unsubstituted Chloroalkyl, substituted or unsubstituted bicycloalkyl, substituted or unsubstituted tricycloalkyl, substituted or unsubstituted benzocycloalkenyl, substituted or unsubstituted lower alkenyl, substituted or unsubstituted Represents an aralkyl, a substituted or unsubstituted aryl, a substituted or unsubstituted heteroaryl or a substituted or unsubstituted heteroarylalkyl, or a substituent formed by combining R 11 and R 12 to contain N. Or an unsubstituted nitrogen-containing heterocyclic group) and at least one or more N Represents a substituted or unsubstituted nitrogen-containing heterocyclic group which is formed, and R 2C is hydrogen, substituted or unsubstituted formed containing the same or different N having 1 to 5 substituents Heteroarylalkyl or aralkyl in which a nitrogen-containing heterocyclic group is substituted with heteroaryl, provided that the aralkyl moiety of the aralkyl is the same or different and has 1 to 5 substituents Z— (CHR 4 ) — (CH 2 ) m NR S R 6 (wherein Z represents S, and R 4 , m, R 5 and R 6 are as defined above) or may be the same or different. Is different! NR HR 12 (wherein the ~ 5, R 11 and R 12 are as defined above, a substituted or unsubstituted nitrogen-containing heterocyclic group and R 11 and R 12 are formed containing together a connexion N Which is substituted by at least one substituted or unsubstituted nitrogen-containing heterocyclic group formed containing N) or a pharmaceutically acceptable compound thereof. It relates to a compound represented by a salt or a pharmaceutically acceptable salt thereof.
さらにまた、 一般式 ( I D) Furthermore, the general formula (ID)
(ED) (ED)
[式中、 R 3Dは置換もしく は非置換の低級アルキル、 置換もしくは非置 換のシクロアルキルまたは置換もしくは非置換のァラルキルを表し、 Y[Wherein, R 3D represents substituted or unsubstituted lower alkyl, substituted or unsubstituted cycloalkyl, or substituted or unsubstituted aralkyl;
DttNであり、 一 X 1D— X 2D— X 3D—は一 N H— C (= 0) 一 NR 7— (式中、 R 7は前記と同義である) または— NH— C (= S ) - N R 7- (式中、 R 7は前記と同義である) を表し、 R 1Dは置換もしくは非置換 のへテロァリールアルキルまたは置換もしくは非置換のァラルキルを表 し、 R 2Dは水素、 置換もしくは非置換のへテロアリールアルキルまたは 置換もしくは非置換のァラルキルを表し、 尺 と尺 2Dが一緒になつて N を含んで形成される置換もしくは非置換の含窒素複素環基を表してもよ い] で表される化合物またはその薬理的に許容される塩に関する。 D ttN, and one X 1D — X 2D — X 3D — is one NH— C (= 0) one NR 7 — (where R 7 is as defined above) or — NH— C (= S) - NR 7 - (wherein, R 7 has the same meaning as defined above) represents, R 1D is table terrorism § reel alkyl or substituted or unsubstituted Ararukiru to the substituted or unsubstituted, R 2D is hydrogen, substituted or Unsubstituted heteroarylalkyl or Or a substituted or unsubstituted nitrogen-containing heterocyclic group which is formed by containing N together with a scale and a scale 2D . Permissible salts.
一般式 ( I A) において、 R 3が水素を表し、 Yが Nを表す化合物は 本発明で好ましい態様の一つであり、 さらにその中で— X 1A— X2A— X 3A—が一 N = N— N R 7— (式中、 R 7は前記と同義である) で表される 化合物及び一 X 1A— X 2A— X 3A—が— N H— C ( = N - C N) - N R 7 一 (式中、 R 7は前記と同義である) で表される化合物は好ましい。 In the general formula (IA), a compound in which R 3 represents hydrogen and Y represents N is one of preferred embodiments of the present invention, and among them, —X 1A —X 2A —X 3A— N-NR 7 - (wherein, R 7 is the and a is defined above) compounds and one X 1A is represented by - X 2A - X 3A - is - NH- C (= N - CN ) - NR 7 one ( In the formula, R 7 has the same meaning as described above.
一般式 ( I A) において、 R 3が水素を表し、 Yが CHを表す化合物 は本発明で好ましい態様であり、 その中でさらに一 X 1A— X 2A— X 3A— が— NH— C ( = 0) — N R 7 - (式中、 R 7は前記と同義である) で表 される化合物、 また— X 1A— X 2A— X 3A—が— N H— C (= S ) — N R 7— (式中、 R 7は前記と同義である) で表される化合物は好ましい。 一般式 ( I A) において、 R 3が置換もしくは非置換の低級アルキル、 置換もしくは非置換のシクロアルキルまたは置換もしくは非置換のァラ ルキルを表し、 Yが Nを表す化合物は本発明における好ましい態様の一 例である。 In the general formula (IA), a compound in which R 3 represents hydrogen and Y represents CH is a preferred embodiment of the present invention, in which one X 1A —X 2A —X 3A — is —NH—C (= 0) — NR 7 — (wherein, R 7 is as defined above), and — X 1A — X 2A — X 3A — is — NH— C (= S) — NR 7 — ( In the formula, R 7 has the same meaning as described above. In the general formula (IA), R 3 represents a substituted or unsubstituted lower alkyl, a substituted or unsubstituted cycloalkyl or a substituted or unsubstituted aralkyl, and a compound in which Y represents N is a preferred embodiment of the present invention. This is an example.
一般式 ( I B) において、 R 3が水素を表し、 Yが Nを表す化合物、 R 3が水素を表し、 Yが CHを表す化合物、 R 3が置換もしくは非置換の 低級アルキル、 置換もしくは非置換のシクロアルキルまたは置換もしく は非置換のァラルキルを表し、 Yが Nを表す化合物は本発明において好 ましい態様の一つである。 一般式 ( I B) において、 R 3が水素を表し、 Yが Nを表す化合物のうちで、 — X 1B— X 2B— X 3B—が— N = C R 8— NR 7A- (式中、 R 8及び R 7Aはそれぞれ前記と同義である〉 で表され る化合物、 一 X 1B— X 2B— X 3B—が一 N = C (NHR 9A) — NR 7八— (式中、 R 7A及び R 9Aは前記と同義である) で表される化合物、 及び一 X 一 χ 2B一 X 3B—がー N = c (O R 10) 一 N R 7A— (式中、 R 7A及び R 1Qは前記と同義である) で表される化合物は本発明において好ましい 態様の一つである。 一般式 ( I C) において、 — X 1C— X 2C— X 3C—が— NH— C (= O) - N R 7- (式中、 R 7は前記と同義である) で表される化合物また はその薬理的に許容される塩、 及び一 X 1C— X 2C— X 3C—がー NH— C (= S ) — N R 7— (式中、 R 7は前記と同義である) で表される化合物 またはその薬理的に許容される塩は本発明において好ましい態様の一つ である。 In formula (IB), R 3 represents hydrogen, compound Y represents N, R 3 represents hydrogen, compound Y represents CH, R 3 is a substituted or unsubstituted lower alkyl, substituted or unsubstituted The compound which represents cycloalkyl or substituted or unsubstituted aralkyl, and Y represents N is one of preferred embodiments of the present invention. In the general formula (IB), among the compounds in which R 3 represents hydrogen and Y represents N, — X 1B — X 2B — X 3B — is — N = CR 8 — NR 7A- (wherein, R 8 and compounds you express in R 7A are respectively the same as the aforementioned> one X 1B - X 2B - X 3B - is one N = C (NHR 9A) - NR 7 eight - (wherein, R 7A and R 9A compounds represented by the same meanings as defined above), and one X one chi 2B one X 3B - Gar N = c (oR 10) one NR 7A - (wherein, R 7A and R 1Q is defined as above The compound represented by the following is one of preferred embodiments of the present invention. In the general formula (IC), — X 1C — X 2C — X 3C — is —NH—C (= O) —NR 7 — (wherein, R 7 has the same meaning as described above) or A pharmaceutically acceptable salt thereof, and a compound represented by the formula: X 1C — X 2C — X 3C — is —NH—C (= S) —NR 7 — (wherein, R 7 is as defined above) The compound or a pharmaceutically acceptable salt thereof is one of the preferred embodiments of the present invention.
一般式 ( I D) において、 一 X 1D— X 2D— X 3D—がー NH— C (= O) — NR 7— (式中、 R 7は前記と同義である) で表される化合物また はその薬理的に許容される塩、 及び一 X1D— X2D— X3D—が— NH— C (= S ) 一 NR 7— (式中、 R 7は前記と同義である) で表される化合物 またはその薬理的に許容される塩は本発明において好ましい態様の一つ である。 In the general formula (ID), a compound represented by the formula: X 1D — X 2D — X 3D — is —NH—C (= O) —NR 7 — (wherein, R 7 has the same meaning as described above) or A pharmaceutically acceptable salt thereof, and one X 1D — X 2D — X 3D — is —NH—C (= S) —NR 7 — (wherein, R 7 is as defined above) The compound or a pharmaceutically acceptable salt thereof is one of the preferred embodiments of the present invention.
以下、 式 ( I ) で表される化合物を化合物 ( I ) という。 他の式番号 の化合物についても同様である。 Hereinafter, the compound represented by the formula (I) is referred to as compound (I). The same applies to compounds of other formula numbers.
式 ( I ) の各基の定義において、 低級アルキルとしては、 直鎖または 分枝状の炭素数 1〜 8の、 例えばメチル、 ェチル、 プロピル、 イソプロ ピル、 ブチル、 イソブチル、 sec-ブチル、 tert-プチル、 ペンチル、 イソ ペンチル、 ネオペンチル、 sec-ペンチル、 tert-ペンチル、 へキシル、 ィ ソへキシル、 ヘプチル 、 ォクチル及びイソォクチル等が包合され、 低 級アルコキシカルボニルの低級アルキル部分は同義である。 シクロアル キルとしては、 炭素数 3〜 8の、 例えばシクロプロピル、 シクロブチル, シクロペンチル、 シクロへキシル、 シクロへプチル、 シクロォクチル等 が包含され、 ビシクロアルキルとしては、 炭素数 7〜 1 0の、 例えばビ シクロ [2.2.1]ヘプチル、 ビシクロ [2.2.2]ォクチル、 ビシクロ [3.3.1]ノニ ル等が包含され、 トリシクロアルキルとしては、 炭素数 9〜 1 2の、 例 えばトリ シクロ [3.3.1.13' 7]デシル、 ト リシクロ [3.3.1.03' 7]ノニル、 ト _ リシク口 [5.4.0.02' 9]ゥンデシル等が包含され、 ベンゾシクロアルケ二 ルとしては、 炭素数 8〜 1 2の.、 例えばべンゾシクロブテニル、 ジヒ ド 口ベンゾブテニル、 インダニル、 ベンゾシクロへキセニル、 ジヒ ドロべ ンゾへキセニル、 テトラヒ ドロべンゾへキセニル、 ベンゾシクロォクテ ニル等が包含される。 低級アルケニルとしては直鎖または分枝状の炭素 数 2 〜 6の、 例えばビニル、 ァリル、 プロぺニル、 メ夕クリル、 ブテニ ル、 クロチル、 ペンテニル、 へキセニル等が包含される。 ァラルキルと しては、 炭素数 7 〜 1 5のベンジル、 フエネチル、 ベンズヒ ドリル、 ナ フチルメチル等が包含され、 ァリールとしてはフエニル、 ナフチル等が 包含され、 ヘテロァリールとしては、 ピリジル、 ピリ ミジル、 ビラジル、 キノ リル、 イソキノ リル、 チェニル、 フリル、 ピロリル、 ベンゾチェ二 ル、 ベンゾフリル、 インドリル等が包含される。 ヘテロァリールアルキ ルにおけるアルキレン部分は前記低級アルキルから一水素を除いた基で あり、 ヘテロァリール部分は前記へテロアリールと同義である。 Nを含 んで形成される含窒素複素環基としては、 ピロリジニル、 ピペリ ジノ、 ピペラジニル 、 モルホリ ノ、 チオモルホリ ノ、 ホモピペラジニル、 ィ ミダゾリル、 テトラヒ ドロイソキノ リル等が包含される。 In the definition of each group of formula (I), lower alkyl includes straight-chain or branched-chain C 1-8, for example, methyl, ethyl, propyl, isopropyl, butyl, isobutyl, sec-butyl, tert-butyl. Such as butyl, pentyl, isopentyl, neopentyl, sec-pentyl, tert-pentyl, hexyl, isohexyl, heptyl, octyl, and isooctyl are included, and the lower alkyl portion of lower alkoxycarbonyl has the same meaning. Cycloalkyls include those having 3 to 8 carbon atoms, such as cyclopropyl, cyclobutyl, cyclopentyl, cyclohexyl, cycloheptyl, cyclooctyl, etc., and bicycloalkyls having 7 to 10 carbon atoms, such as bicyclo [2.2.1] heptyl, bicyclo [2.2.2] octyl, bicyclo [3.3.1] nonyl, etc., and the tricycloalkyl has 9 to 12 carbon atoms, for example, tricyclo [3.3.1.1]. 3 '7] decyl, preparative Rishikuro [3.3.1.0 3' 7] nonyl, preparative _ Rishiku port [5.4.0.0 2 '9] Undeshiru like are included, as benzo cycloalkenylene Le, 8 carbon atoms 1 2 For example, benzocyclobutenyl, dihydric benzobutenyl, indanyl, benzocyclohexenyl, dihydrob Benzohexenyl, tetrahydrobenzohexenyl, benzocyclooctenyl and the like. Lower alkenyl includes straight-chain or branched-chain C 2 -C 6, such as vinyl, aryl, propenyl, methyl phenyl, butenyl, crotyl, pentenyl, hexenyl and the like. Aralkyl includes benzyl, phenethyl, benzhydryl, naphthylmethyl and the like having 7 to 15 carbon atoms, aryl includes phenyl and naphthyl, and heteroaryl includes pyridyl, pyrimidyl, virazyl and quinoyl. Ryl, isoquinolyl, phenyl, furyl, pyrrolyl, benzophenyl, benzofuryl, indolyl and the like are included. The alkylene moiety in the heteroarylalkyl is a group obtained by removing one hydrogen from the lower alkyl, and the heteroaryl moiety has the same meaning as the heteroaryl. Examples of the nitrogen-containing heterocyclic group formed containing N include pyrrolidinyl, piperidino, piperazinyl, morpholino, thiomorpholino, homopiperazinyl, imidazolyl, tetrahydroisoquinolyl and the like.
置換低級アルキル、 置換シクロアルキル、 置換ビシクロアルキル、 置 換ト リシクロアルキルにおける置換基としては、 同一または異なって置 換数 1 〜 3の、 例えばシクロアルキル、 ヒ ドロキシ、 低級アルコキシ、 カルボキシ、 低級アルコキシカルボニル、 ァミノ、 モノ低級アルキル置 換ァミノ、 ジ低級アルキル置換アミ ノ、 置換もしくは非置換の脂環式複 素環基、 ニトロ、 ハロゲン等が包含される。 ここでシクロアルキルは、 前記シクロアルキルと同義である。 低級アルコキシ、 低級アルコキシ力 ルポニル、 モノ低級アルキル置換アミノ及びジ低級アルキル置換アミ ノ におけるアルキル部分は、 前記低級アルキルと同義である。 ハロゲンは、 フッ素、 塩素、 臭素、 ヨウ素の各原子を意味する。 ここで脂環式複素環 基の具体例としては、 テトラヒ ドロフリル、 ピペリジノ、 ピベリ ジニル、 モルホリニル、 チオモルホリニル、 ピペラジニル、 ホモピペラジニル、 - テ卜ラヒ ドロビラニル、 ピロリ ジニル、 イミダゾリル、 テトラヒ ドロイ ソキノ リル等が挙げられる。 置換脂環式複素環の置換基としては、 前記 と同義の低級アルキル、 ァラルキル、 ァリール、 ヘテロァリールアルキ ルまたはへテロアリールが包含される。 置換脂環式複素環基として、 例 えば、 N-メチルビペラジニル、 N-ェチルビペラジニル、 N-メチルホモ ピペラジニル、 N-フエ二ルビペラジニル、 N-ベンジルピペラジニルは 好ましい例である。 ヒ ドロキシを有する低級アルキルの具体例には、 ヒ ドロキシメチル、 2-ヒ ドロキシェチル、 3-ヒ ドロキシプロピル、 4-ヒ ド 口キシブチル、 3-ヒ ドロキシブチル、 2-ヒ ドロキシブチル、 5-ヒ ドロキ シペンチル等が好ましい例として包含される。 Substituents in the substituted lower alkyl, substituted cycloalkyl, substituted bicycloalkyl and substituted tricycloalkyl are the same or different and have 1 to 3 substitutions, for example, cycloalkyl, hydroxy, lower alkoxy, carboxy, lower alkoxy. Examples include carbonyl, amino, mono-lower alkyl-substituted amino, di-lower alkyl-substituted amino, substituted or unsubstituted alicyclic complex, nitro, halogen and the like. Here, cycloalkyl has the same meaning as the above cycloalkyl. The alkyl moiety in lower alkoxy, lower alkoxylability luponyl, mono-lower alkyl-substituted amino and di-lower alkyl-substituted amino is as defined above for lower alkyl. Halogen means fluorine, chlorine, bromine and iodine atoms. Here, specific examples of the alicyclic heterocyclic group include tetrahydrofuryl, piperidino, piperidinyl, morpholinyl, thiomorpholinyl, piperazinyl, homopiperazinyl, -tetrahydrodrobilanyl, pyrrolidinyl, imidazolyl, tetrahydrolysoquinolyl and the like. Examples of the substituent of the substituted alicyclic heterocyclic ring include lower alkyl, aralkyl, aralkyl, and heteroarylalkyl as defined above. And heteroaryl. Preferred examples of the substituted alicyclic heterocyclic group include N-methylbiperazinyl, N-ethylbiperazinyl, N-methylhomopiperazinyl, N-phenylbiperazinyl, and N-benzylpiperazinyl. is there. Specific examples of the lower alkyl having a hydroxy group include hydroxymethyl, 2-hydroxyl, 3-hydroxypropyl, 4-hydroxyl butyl, 3-hydroxybutyl, 2-hydroxylbutyl, 5-hydroxypentyl, etc. Are included as preferred examples.
置換ベンゾシクロアルケニル、 置換低級アルケニル、 置換ァラルキル のァリール、 置換ァリール、 置換へテロアリールアルキルのへテロァリ —ル及び置換へテロァリールにおける置換基としては、 同一または異な つて、 置換数 1 〜 5の、 低級アルキル、 ヒ ドロキシ、 ヒ ドロキシを有す る低級アルキル、 低級アルコキシ、 カルボキシ、 低級アルコキシ力ルポ ニル、 ァミノ、 モノ低級アルキル置換アミノ、 ジ低級アルキル置換アミ ノ、 ニトロ、 スルホンアミ ド、 八ロゲン、 トリ フルォロメチル、 置換も しくは非置換の Nを含んで形成される含窒素複素環基等が包含され、 さ らにー Z— ( C H R 4 ) — ( C H 2) mN R 5 R 6 {式中、 Zは 0、 Sまた は単結合を表し、 R 4は水素または置換もしく は非置換の低級アルキル (ここで、 置換低級アルキルの置換基は前記と同義である) を表し、 m は 0〜 3の整数を表し、 R 5及び R 6は、 同一または異なって、 水素、 置 換もしくは非置換の低級アルキル、 置換もしくは非置換のシクロアルキ ル、 置換もしくは非置換のビシクロアルキル、 置換もしくは非置換のト リシクロアルキル (ここで、 置換低級アルキル、 置換シクロアルキル、 置換ビシク口アルキル、 置換トリ シクロアルキルの置換基は前記と同義 である) 、 置換もしく は非置換の低級アルケニル、 置換もしくは非置換 のベンゾシクロアルケニル、 置換もしく は非置換のァラルキル、 置換も しくは非置換のァリール、 置換もしくは非置換のへテロアリールアルキ ルまたは置換もしくは非置換のへテロアリール (ここで、 置換アルケニ ル、 置換ベンゾシクロアルケニル、 置換ァラルキルのァリール、 置換ァ リール、 置換へテロアリールアルキルのへテロアリール、 置換へテロア リールの置換基は、 同一または異なって、 置換数 1〜 5の、 低級アルキ ル、 ヒ ドロキシ、 ヒ ドロキシを有する低級アルキル、 低級アルコキシ、 力ルポキシ、 低級アルコキシカルボニル、 ァミノ、 モノ低級アルキル置 換ァミノ、 ジ低級アルキル置換アミ ノ、 ニトロ、 スルホンアミ ド、 ハロ ゲン、 トリ フルォロメチル、 置換もしくは非置換の Nを含んで形成され る含窒素複素環基等が挙げられる) を表すか、 R 5と R 6が一緒になつて Nを含んで形成される置換もしくは非置換の含窒素複素環基を表す } ま たは N R H R 1 2 {式中、 R 1 1及び R 1 2は同一もしくは異なって、 水素、 置換もしくは非置換の低級アルキル、 置換もしくは非置換のシク口アル キル、 置換もしくは非置換のビシクロアルキル、 置換もしくは非置換の トリ シクロアルキル (ここで、 置換低級アルキル、 置換シクロアルキル、 置換ビシク口アルキル、 置換トリ シク口アルキルの置換基は前記と同義 である) 、 置換もしくは非置換のベンゾシクロアルケニル、 置換もしく は非置換の低級アルケニル、 置換もしく は非置換のァラルキル、 置換も しくは非置換のァリール、 置換もしく は非置換のへテロアリールまたは 置換もしくは非置換のへテロアリールアルキル (ここで、 置換べンゾシ クロアルケニル、 置換アルケニル、 置換ァラルキルのァリール、 置換ァ リール、 置換へテロアリールアルキルのへテロアリール、 置換へテロア リールの置換基は、 同一または異なって、 置換数 1〜 5の、 低級アルキ ル、 ヒ ドロキシ、 ヒ ドロキシを有する低級アルキル、 低級アルコキシ、 力ルポキシ、 低級アルコキシカルボニル、 ァミノ、 モノ低級アルキル置 換ァミノ、 ジ低級アルキル置換アミ ノ、 ニトロ、 スルホンアミ ド、 ハロ ゲン、 トリフルォロメチル、 置換もしく は非置換の Nを含んで形成され る含窒素複素環基等が挙げられる) を表すか、 R 1 1と R 1 2が一緒になつ て、 Nを含んで形成される置換もしく は非置換の含窒素複素環基を表 す } が包含される。 Substituents in substituted benzocycloalkenyl, substituted lower alkenyl, substituted aralkyl aryl, substituted aryl, substituted heteroarylalkyl and substituted heteroaryl are the same or different and are the same or different, and have 1 to 5 substituents. Alkyl, hydroxy, lower alkyl with hydroxy, lower alkoxy, carboxy, lower alkoxyl propyl, amino, mono-lower alkyl-substituted amino, di-lower alkyl-substituted amino, nitro, sulfonamide, halogen, trifluoromethyl , substituted or nitrogen-containing heterocyclic group which is formed to include unsubstituted N is included, the Raney Z- (CHR 4) - (CH 2) m NR 5 R 6 { wherein, Z It is 0, S or a single bond, R 4 is hydrogen or substituted or unsubstituted lower alkyl (wherein the substituted lower a Substituents Kill represents the same meaning as defined above), m represents an integer of 0 to 3, R 5 and R 6 are the same or different and are hydrogen, substitution or unsubstituted lower alkyl, substituted or unsubstituted Substituted cycloalkyl, substituted or unsubstituted bicycloalkyl, substituted or unsubstituted tricycloalkyl (where the substituents of substituted lower alkyl, substituted cycloalkyl, substituted bicycloalkyl, and substituted tricycloalkyl are as defined above. Substituted or unsubstituted lower alkenyl, substituted or unsubstituted benzocycloalkenyl, substituted or unsubstituted aralkyl, substituted or unsubstituted aryl, substituted or unsubstituted heteroarylalkyl Or substituted or unsubstituted heteroaryl (wherein, substituted alkenyl, substituted benzocycloalkenyl) Aryl, substituted aryl, substituted aryl, substituted heteroarylalkylheteroaryl, substituted heteroaryl The substituents on the reel are the same or different, and have 1 to 5 substituents, lower alkyl, hydroxy, lower alkyl having hydroxy, lower alkoxy, ethoxy, lower alkoxycarbonyl, amino, mono-lower alkyl substituted amino. Or a di-lower alkyl-substituted amino, nitro, sulfonamide, halogen, trifluoromethyl, substituted or unsubstituted nitrogen-containing heterocyclic group formed with N) or R 5 and R 6 There being together such connexion represents a substituted or unsubstituted nitrogen-containing heterocyclic group are comprise forms a N} or other NRHR 1 2 {wherein, R 1 1 and R 1 2 are the same or different, hydrogen, Substituted or unsubstituted lower alkyl, substituted or unsubstituted cycloalkyl, substituted or unsubstituted bicycloalkyl, substituted or unsubstituted tricyclo Alkyl (where the substituents of the substituted lower alkyl, the substituted cycloalkyl, the substituted bicycloalkyl, and the substituted tricycloalkyl are as defined above), substituted or unsubstituted benzocycloalkenyl, substituted or unsubstituted Lower alkenyl, substituted or unsubstituted aralkyl, substituted or unsubstituted aryl, substituted or unsubstituted heteroaryl or substituted or unsubstituted heteroarylalkyl (where substituted benzocycloalkenyl, Substituted alkenyl, substituted aralkyl aryl, substituted aryl, substituted heteroarylalkyl heteroaryl, substituted heteroaryl substituents may be the same or different and have 1 to 5 substituents, lower alkyl, hydroxy, hydroxy. Lower alkyl with droxy, lower alkoxy, ethoxylate, Lower alkoxycarbonyl, amino, mono-lower alkyl-substituted amino, di-lower alkyl-substituted amino, nitro, sulfonamide, halogen, trifluoromethyl, substituted or unsubstituted nitrogen-containing complex R 11 and R 12 together represent a substituted or unsubstituted nitrogen-containing heterocyclic group formed containing N}. You.
前段において、 低級アルキル、 低級アルコキシ、 低級アルコキシカル ボニル、 モノ低級アルキル置換アミノ及びジ低級アルキル置換ァミノに おけるアルキル部分は、 前記低級アルキルと同義であり、 ハロゲンは、 前記ハロゲンと同義であり、 置換もしくは非置換の Nを含んで形成され る含窒素複素環基は前記と同義であり、 Nを含んで形成される含窒素複 素環上の置換基としては、 前記と同義の低級アルキル、 ヒ ドロキシ、 前 記と同義のヒ ドロキシを有する低級アルキル、 低級アルコキシ、 力ルポ キシ、 低級アルコキシ力ルポニル、 ァミノ、 モノ低級アルキル置換アミ ノ、 ジ低級アルキル置換アミノ、 ニトロ、 スルホンアミ ド、 ノ\ロゲン、 トリ フルォロメチル等が挙げられる。 また、 ベンゾシクロアルケニル、 アルケニル、 ァラルキル、 ァリール、 ヘテロァリールアルキル、 ヘテロ ァリ一ルァルケニルは前記と同義である。 In the preceding paragraph, the alkyl moiety in lower alkyl, lower alkoxy, lower alkoxycarbonyl, mono-lower alkyl-substituted amino and di-lower alkyl-substituted amino has the same meaning as the above lower alkyl, and halogen is The nitrogen-containing heterocyclic group formed having a substituted or unsubstituted N has the same meaning as the above-mentioned halogen, and the substituent on the nitrogen-containing heterocyclic ring formed having N is as defined above. Lower alkyl as defined above, hydroxy, lower alkyl having the same meaning as defined above, lower alkoxy, lower alkoxy, lower alkoxy, lower amino, diamino, mono-lower alkyl-substituted amino, di-lower alkyl-substituted amino, nitro , Sulfonamide, norogen, trifluoromethyl and the like. In addition, benzocycloalkenyl, alkenyl, aralkyl, aryl, heteroarylalkyl, and heteroarylalkenyl have the same meanings as described above.
化合物 ( I ) の薬理的に許容される塩としては、 薬理的に許容される 酸付加塩が挙げられ、 例えば塩酸塩、 臭化水素酸塩、 ヨウ化水素酸塩、 硝酸塩、 硫酸塩、 リ ン酸塩などの無機酸塩、 ギ酸塩、 酢酸塩、 安息香酸 塩、 酒石酸塩、 マレイン酸塩、 フマル酸塩、 コハク酸塩、 シユウ酸塩、 ダリオキシル酸塩、 ァスパラギン酸塩、 メタンスルホン酸塩、 ベンゼン スルホン酸塩等の有機酸塩が挙げられる。 Pharmaceutically acceptable salts of compound (I) include pharmaceutically acceptable acid addition salts, for example, hydrochloride, hydrobromide, hydroiodide, nitrate, sulfate, sulfate Inorganic acid salts such as phosphate, formate, acetate, benzoate, tartrate, maleate, fumarate, succinate, oxalate, dalioxylate, aspartate, methanesulfonate And organic acid salts such as benzenesulfonate.
次に、 化合物 ( I ) の製造法について説明する。 Next, a method for producing the compound (I) will be described.
製造法 1 一 1 Manufacturing method 1 1 1
化合物 ( I ) において、 Yが Nであり、 R 3が置換もしくは非置換の アルキル基、 置換もしくは非置換のシクロアルキル基または置換もしく は非置換のァラルキル基で表される化合物の原料となる化合物 (V I I I ) は以下の製造法に従い合成することができる。 In compound (I), Y is N, and R 3 is a raw material of a compound represented by a substituted or unsubstituted alkyl group, a substituted or unsubstituted cycloalkyl group, or a substituted or unsubstituted aralkyl group Compound (VIII) can be synthesized according to the following production method.
(m) (m)
(V) (IV) (V) (IV)
(式中、 R 1 R R R 7は前記と同義であり、 R 13は置換もしくは 非置換のァリールを表す。 但し R 3は Hではない) (Wherein, R 1 RRR 7 has the same meaning as described above, and R 13 represents a substituted or unsubstituted aryl. However, R 3 is not H.)
化合物 ( I V) において R3がメチル基である化合物 ( I V a ) は、 公知の方法 [アナリ , ディ ' キミ力 (ローマ) (Ann. Chim. (Rome)) 、 56 巻(8-9)、 839 頁 (1966 年) 及び該文献に記載された参考文献等] に従い得ることができる。 The compound (IVa) in which R 3 is a methyl group in the compound (IV) can be prepared by a known method [Anal, Chim. (Rome)), Vol. 56 (8-9), p. 839 (1966), and references described in the literature].
化合物 ( I V) において、 R 3がメチル基以外の置換基の場合は、 以 下に記載する方法によって得ることができる。 すなわち、 化合物 ( I IWhen R 3 is a substituent other than a methyl group in the compound (IV), it can be obtained by the method described below. That is, the compound (II
I ) は化合物 ( I I ) と :!〜 10 当量の R 3C OOHで表されるカルボン 酸を 1〜10 当量の 1,3-ジシクロへキシルカルポジイミ ド、 N-ェチル- N-(3-ジメチルァミノプロピル)カルポジイ ミ ド、 1-ヒ ドロキシベンゾト リアゾール等の適当な縮合剤の共存下、 不活性溶媒中で反応させるか、 化合物 ( I I ) と R 3C〇OH (式中、 R 3は前記と同義である) で表さ れるカルボン酸の反応性誘導体 (R 3C O C 1で表される酸塩化物、 I) is the same as the compound (II): 1 to 10 equivalents of a carboxylic acid represented by R 3 COOH and 1 to 10 equivalents of 1,3-dicyclohexylcarpoimide, N-ethyl-N- (3 Reaction in an inert solvent in the presence of an appropriate condensing agent such as 1-dimethylaminopropyl) carpoimide, 1-hydroxybenzotriazole, or compound (II) and R 3 C〇OH (where R 3 Is the same as defined above), a reactive derivative of a carboxylic acid represented by the formula (acid chloride represented by R 3 COC 1,
(R 3C 0) 2〇で表される酸無水物等が挙げられる) 、 1〜5 当量とを、 必要により 0.05〜1 当量の 卜 リエチルァミン、 N,N-ジイソプロピルェ チルァミン、 ピリジン、 4-ジメチルァミノ ピリジン等の塩基の存在下、 無溶媒もしくはピリ ジン、 ジクロロメタン、 1,2-ジクロロェ夕ン等の溶 媒中で、 氷冷下から使用される溶媒の沸点、 無溶媒の場合は試薬及び基 質の溶融温度で 1〜48 時間反応させることで得ることができる。 (R 3 C 0) 2 ), and 1 to 5 equivalents, and if necessary, 0.05 to 1 equivalent of triethylamine, N, N-diisopropylethylamine, pyridine, In the presence of a base such as dimethylaminopyridine, in the absence of a solvent or in a solvent such as pyridine, dichloromethane, 1,2-dichloroethane or the like, the boiling point of the solvent used under ice-cooling. It can be obtained by reacting at the melting temperature of the material for 1 to 48 hours.
化合物 ( I V) は特開昭 49-134697 に記載の方法に従って、 化合物 Compound (IV) was prepared according to the method described in Japanese Patent Application Laid-Open No. 499-134697.
( I I I ) と 1〜 10 当量の水酸化リチウム、 水酸化カリウム、 水酸化 ナト リウム等のアルカリ金属水酸化物または水酸化バリウム、 水酸化マ グネシゥム等のアルカリ土類金属水酸化物とを、 場合によって 1〜10 当量の過酸化水素、 クロム酸のような酸化剤の存在下に、 水、 メタノ一 ル、 エタノール、 1-プロパノールまたはそれらの混合溶媒中で室温から 使用溶媒の沸点で 10 分〜 24 時間反応させることで得ることができる。 化合物 (V) は、 化合物 ( I V) と 1〜1.5 当量の硝酸、 発煙硝酸、 硝酸カリウム等のニトロ化剤とを硫酸、 発煙硫酸、 酢酸、 無水酢酸等の 通常ニトロ化の際に用いられる溶媒中で -78 °Cから用いられる溶媒の 沸点の間の温度で 1〜24 時間反応させることで得ることができる。 化合物 (V I ) は化合物 (V) と 1〜10 当量の式、 R 7NH2 (式中、 R 7は前記と同義である) で表されるァミンまたはそのアミン水溶液と を、 エタノール、 ブ夕ノール、 テトラヒ ドロフラン、 ジォキサン、 ジメ チルスルホキシド等の溶媒中、 必要により密閉容器を用いて (封管中) 、 室温から 150 でで、 1〜24 時間反応させることにより得ることができ る。 (III) and 1 to 10 equivalents of an alkali metal hydroxide such as lithium hydroxide, potassium hydroxide and sodium hydroxide or an alkaline earth metal hydroxide such as barium hydroxide and magnesium hydroxide. In water, methanol, ethanol, 1-propanol or a mixture thereof in the presence of 1 to 10 equivalents of an oxidizing agent such as hydrogen peroxide or chromic acid, from room temperature to 10 minutes at the boiling point of the solvent used. It can be obtained by reacting for 24 hours. Compound (V) is obtained by compounding compound (IV) with 1 to 1.5 equivalents of nitrating agent such as nitric acid, fuming nitric acid, potassium nitrate, etc. in a solvent usually used for nitration such as sulfuric acid, fuming sulfuric acid, acetic acid and acetic anhydride. The reaction can be carried out at a temperature between -78 ° C and the boiling point of the solvent used for 1 to 24 hours. Compound (VI) is the compound (V) and 1 to 10 equivalents of the formula, (wherein, R 7 has the same meaning as defined above) R 7 NH 2 and Amin or aqueous amine solution represented by In a solvent such as ethanol, butanol, tetrahydrofuran, dioxane, dimethyl sulfoxide, etc., in a sealed container if necessary (in a sealed tube) at room temperature to 150 ° C for 1 to 24 hours. Can be done.
化合物 (V I I ) は、 必要により 1〜10 当量の トリェチルァミン、 N,N-ジイソプロピルエヂルァミン、 ピリ ジン等の塩基の存在下、 無溶媒 もしくはジクロロメタン、 クロ口ホルム、 1,2-ジクロロエタン等の溶媒 中、 必要により 0.05〜2 当量の N,N-ジメチルホルムアミ ド、 4-ジメチ ルァミノピリジン等を添加してもよいが、 室温から使用される溶媒の沸 点で、 化合物 (V I ) を 1.2〜10 当量のメタンスルホニルクロリ ド、 ベンゼンスルホニルクロリ ド、 パラ-トルエンスルホニルクロリ ド等の スルホ二ル化剤またはォキシ塩化リ ン、 塩化チォニル、 五塩化リ ン等の 塩素化剤と 1〜96 時間反応させた後に、 1〜: 10 当量の式、 R 1R 2NHCompound (VII) may be used in the presence of 1 to 10 equivalents of a base such as triethylamine, N, N-diisopropylethylamine or pyridin, if necessary, without solvent or in a solvent such as dichloromethane, chloroform, 1,2-dichloroethane or the like. Medium, if necessary, 0.05 to 2 equivalents of N, N-dimethylformamide, 4-dimethylaminopyridine, etc. may be added, but compound (VI) is converted to 1.2 to 10 at the boiling point of the solvent used from room temperature. Reaction for 1 to 96 hours with an equivalent amount of a sulfonating agent such as methanesulfonyl chloride, benzenesulfonyl chloride, para-toluenesulfonyl chloride or a chlorinating agent such as phosphorus oxychloride, thionyl chloride, or phosphorus pentachloride After 1 to: 10 equivalents of the formula, R 1 R 2 NH
(式中、 R 1及び R 2は前記と同義である) で表されるアミンを、 必要に より 1〜 10 当量の トリェチルァミン、 Ν,Ν-ジイソプロピルェチルアミ ン、 ピリジン等の塩基の存在下にテ トラヒ ドロフラン、 ジォキサン、 塩 化メチレン、 クロ口ホルム、 1,2-ジクロロェ夕ン等の溶媒中、 -20 t:か ら使用される溶媒の沸点で、 30分〜 24 時間反応させることにより得る ことができる。 (Wherein R 1 and R 2 are as defined above) in the presence of a base such as 1 to 10 equivalents of triethylamine, Ν, Ν-diisopropylethylamine or pyridine, if necessary. In a solvent such as tetrahydrofuran, dioxane, methylene chloride, chloroform, 1,2-dichloroethane, etc. at -20 t: for 30 minutes to 24 hours at the boiling point of the solvent used. Obtainable.
化合物 (V I I I ) は化合物 (V I I ) を、 重量比にして 1/100〜 1/10 量のパラジウム/炭素等の接触還元触媒の存在下、 水、 テトラヒ ドロフラン、 メタノール、 エタノール、 N,N-ジメチルホルムアミ ド等の 溶媒中、 水素雰囲気下または水素気流下、 室温から使用される溶媒の沸 点で 1〜24 時間接触還元するか、 2〜8 当量の鉄 Z塩化第二鉄等の還元 剤の存在下、 含水エタノール、 水等の溶媒中、 室温から使用される溶媒 の沸点で 1〜24 時間攪拌しながら還元することにより得ることができ る。 Compound (VIII) is obtained by converting compound (VII) to water, tetrahydrofuran, methanol, ethanol, N, N-dimethyl in the presence of a catalytic reduction catalyst such as palladium / carbon in a weight ratio of 1/100 to 1/10. In a solvent such as formamide, under a hydrogen atmosphere or a hydrogen stream, catalytically reduce at room temperature for 1 to 24 hours at the boiling point of the solvent used, or 2 to 8 equivalents of reducing agent such as iron Z ferric chloride It can be obtained by reduction in a solvent such as water-containing ethanol or water in the presence of water while stirring from room temperature to the boiling point of the solvent used for 1 to 24 hours.
一方、 R 3がメチル基である化合物 (V i l a ) に対して、 蟻酸、 酢 酸等の溶媒中または無溶媒で、 1〜5 当量の R 13CH〇 (式中、 R 13は 前記と同義である) で表される化合物とを、 1~20 当量の酢酸ナトリウ ム、 酢酸アンモニゥム、 酢酸カリウムなどの共存下、 室温から使用され る溶媒の沸点で、 無溶媒の場合は室温から基質の溶融温度で 1〜48 時 間反応させることで、 R 3が C H = C H R 13である化合物 ( I X) に導 く こともできる。 On the other hand, for a compound (Vila) in which R 3 is a methyl group, 1 to 5 equivalents of R 13 CH〇 (in the formula, R 13 is used in a solvent such as formic acid or acetic acid or in a non-solvent). Is the boiling point of the solvent used from room temperature in the presence of 1 to 20 equivalents of sodium acetate, ammonium acetate, potassium acetate, etc. By reacting for 1 to 48 hours at the melting temperature of the substrate, it is possible to lead to the compound (IX) in which R 3 is CH = CHR 13 .
化合物 (V I I I ) において R 3が C H2CH 2R 13である化合物は、 化合物 ( I X) に対して重量比にして 1/100〜1/10 量のパラジウム Z 炭素等の接触還元触媒の存在下、 水、 テトラヒ ドロフラン、 スタノール. エタノール、 N,N-ジメチルホルムアミ ド等の溶媒中、 水素雰囲気下また は水素気流下、 室温から使用される溶媒の沸点で 1〜24 時間接触還元 することにより得ることができる。 Compound (VIII) in which R 3 is CH 2 CH 2 R 13 can be prepared in the presence of a catalytic reduction catalyst such as palladium Z carbon in a weight ratio of 1/100 to 1/10 with respect to compound (IX). , Water, tetrahydrofuran, stanol. Catalytic reduction in a solvent such as ethanol, N, N-dimethylformamide, etc. under a hydrogen atmosphere or a hydrogen stream at room temperature for 1 to 24 hours at the boiling point of the solvent used. Obtainable.
製造法 1 一 2 Manufacturing method 1 1 2
化合物 ( I ) において、 Yが CH、 R 3が水素である化合物の原料と なる化合物 (XV I I ) は以下の製造法により得ることができる。 In the compound (I), Y is CH, raw material comprising a compound of compounds wherein R 3 is hydrogen (XV II) may be obtained by the following production method.
(X ) (X)
(式中、 R R R 7は前記と同義である) (Wherein, RRR 7 is as defined above)
原料化合物 (X) は公知の方法 [ジャーナル . ォブ . アメリカン . ケ ミカル ' ソサイエティ一(J. Am. Chem. Soc.)、 71 巻、 1901 頁 (1949 年) 及び該文献に記載された参考文献等] に従い得ることができる。 The starting compound (X) can be prepared by a known method [Journal of American, Michal's Society (J. Am. Chem. Soc.), Vol. 71, p. 1901 (1949) and references described in the literature].
化合物 (X I ) は、 化合物 (X) と 1〜5 当量の硝酸、 発煙硝酸、 硝 酸カリウム等のニトロ化剤とを、 硫酸、 発煙硫酸、 酢酸、 無水酢酸等の 通常ニトロ化の際に用いられる溶媒中で -78 °Cから用いられる溶媒の 沸点の間の温度で 1〜24 時間反応させることで得ることができる。 Compound (XI) is prepared by using compound (X) and 1-5 equivalents of nitrating agent such as nitric acid, fuming nitric acid, potassium nitrate, etc. in the normal nitration of sulfuric acid, fuming sulfuric acid, acetic acid, acetic anhydride, etc. in is solvent - 7 at a temperature between the boiling point of the solvent used from 8 ° C can be obtained by reacting 1 to 24 hours.
化合物 (X I I ) は化合物 (X I ) と 1〜: 10 当量の式、 R 7NH2 (式中、 R 7は前記と同義である) で表されるァミンまたはその水溶液 とを、 エタノール、 ブ夕ノール、 テトラヒ ドロフラン、 ジォキサン、 ジ メチルスルホキシド等の溶媒中、 必要により密閉容器を用いて (封管 中) 、 室温から 150 でで、 1〜24 時間反応させることにより得ること ができる。 Compound (XII) is compound (XI) with 1 to 10 equivalents of an amine represented by the formula: R 7 NH 2 (wherein R 7 has the same meaning as described above) or an aqueous solution thereof. It can be obtained by reacting in a solvent such as phenol, tetrahydrofuran, dioxane, or dimethylsulfoxide in a sealed container if necessary (in a sealed tube) at room temperature to 150 at room temperature for 1 to 24 hours.
化合物 (X I I I ) は化合物 (X I I ) をジクロロメタン、 トルエン、 クロ口ホルム、 ジォキサン等の溶媒中、 またはこれらの溶媒の混合溶媒 中で、 1〜30 当量の二酸化マンガン、 クロム酸、 ピリジニゥムクロロク ロメ一 ト等の酸化剤の存在下、 ディ—ンスターク、 モレキュラーシーブ ス等を用いる脱水条件下で室温から使用溶媒の沸点の間で、 1〜24 時間 反応させることにより得ることができる。 Compound (XIII) can be prepared by converting compound (XII) in a solvent such as dichloromethane, toluene, chloroform, dioxane, or a mixture of these solvents in an amount of 1 to 30 equivalents of manganese dioxide, chromic acid, pyridinium chlorochloride. It can be obtained by reacting in the presence of an oxidizing agent such as a lime under dehydration conditions using Dean Stark, molecular sieve, or the like, at room temperature to the boiling point of the solvent used for 1 to 24 hours.
化合物 (X I V) は、 化合物 (X I I I ) を 1〜10 当量の水酸化ナ トリ ウム、 水酸化カリウム、 水酸化リチウム、 水酸化バリウムなどの無 機塩基またはナトリウムアルコラ一 ト、 カリウムアルコラ一ト等の有機 塩基共存下、 メタノール、 エタノール、 プロパノール等のアルコール、 水、 ジォキサン、 テトラヒ ドロフラン等の溶媒中、 または上記溶媒の混 合溶媒中、 室温から使用溶媒の沸点の間で、 1〜24 時間反応させること により得ることができる。 Compound (XIV) is prepared by converting compound (XIII) from 1 to 10 equivalents of an inorganic base such as sodium hydroxide, potassium hydroxide, lithium hydroxide, barium hydroxide or sodium or potassium alcoholate. 1 to 24 hours in the presence of an organic base such as methanol, ethanol, propanol, etc., in a solvent such as water, dioxane, tetrahydrofuran or a mixed solvent of the above solvents, from room temperature to the boiling point of the solvent used. It can be obtained by reacting.
化合物 (XV) は、 必要により ト リェチルァミン、 Ν,Ν-ジイソプロピ ルェチルァミン、 ピリジン等の塩基の存在下、 無溶媒もしくはジクロロ メタン、 1,2-ジクロロェタン等の溶媒中、 必要により Ν,Ν-ジメチルホ ルムアミ ド、 4-ジメチルァミノ ピリ ジン等を添加し、 溶媒を用いる場合 は室温から使用溶媒の沸点で、 無溶媒の場合は室温から使用塩素化剤の 沸点で、 化合物 (X I V) と、 2〜30 当量のォキシ塩化リ ン、 塩化チォ ニル、 三塩化リ ン、 五塩化リ ン等の塩素化剤を単独もしくは組み合わせ て 1〜96 時間反応させることで得ることができる。 Compound (XV) is optionally used in the presence of a base such as triethylamine, Ν, Ν-diisopropylethylamine, pyridine or the like without solvent or in a solvent such as dichloromethane, 1,2-dichloroethane or the like, if necessary, with Ν, Ν-dimethylformamide. When adding a solvent such as solvent and 4-dimethylaminopyridine Is the boiling point of the solvent used from room temperature to the boiling point of the solvent used, and from room temperature to the boiling point of the chlorinating agent used when no solvent is used. It can be obtained by reacting a chlorinating agent such as phosphorus chloride alone or in combination for 1 to 96 hours.
化合物 (XV I ) は、 化合物 (XV) と 1〜10 当量の式、 R 1R 2N H (式中、 R 1及び R 2は前記と同義である) で表されるァミンとを、 1 〜10 当量の ト リェチルァミン、 Ν,Ν-ジイソプロピルェチルァミン、 ピ リジン等の塩基の存在下にテトラヒ ドロフラン、 ジォキサン、 塩化メチ レン、 1,2-ジクロロェタン等の溶媒中もしくは無溶媒で、 必要により 0.05〜1 当量の Ν,Ν-ジメチルホルムアミ ド、 4-ジメチルァミノ ピリジ ン等を添加し、 -78 °Cから使用される溶媒の沸点で、 無溶媒の場合は - 78 から使用されるァミンの沸点の間で、 30 分〜 24 時間反応させる ことにより得ることができる。 The compound (XVI) is a compound represented by the formula (XV) and 1 to 10 equivalents of an amine represented by the formula: R 1 R 2 NH (wherein R 1 and R 2 are as defined above); If necessary, in a solvent such as tetrahydrofuran, dioxane, methylene chloride, 1,2-dichloroethane or in the absence of a solvent in the presence of 10 equivalents of bases such as triethylamine, Ν, Ν-diisopropylethylamine, pyridine, etc. Add 0.05 to 1 equivalent of Ν, Ν-dimethylformamide, 4-dimethylaminopyridinine, etc., and add the boiling point of the solvent used from -78 ° C. It can be obtained by reacting between the boiling points for 30 minutes to 24 hours.
化合物 (XV I I ) は、 化合物 (XV I ) を原料として用い、 重量比 にして 1/100〜: 1/10 量のパラジウム Z炭素等の接触還元触媒の存在下、 水、 テトラヒ ドロフラン、 メタノール、 エタノール等のアルコール、 ジ ォキサン、 Ν,Ν-ジメチルホルムアミ ド等の溶媒中、 水素雰囲気下または 水素気流下、 室温から使用される溶媒の沸点で 1〜24 時間接触還元す るか、 または 2〜8 当量の鉄/塩化第二鉄等の還元剤の存在下、 含水ェ 夕ノール、 水等の溶媒中、 室温から使用される溶媒の沸点で 1〜24 時 間攪拌しながら還元することにより得ることができる。 Compound (XV II) is prepared by using compound (XVI) as a raw material, in the presence of a catalytic reduction catalyst such as palladium Z carbon in a weight ratio of 1/100 to 1/10, water, tetrahydrofuran, methanol, Catalytic reduction in a solvent such as ethanol, ethanol, dioxane, Ν, Ν-dimethylformamide, hydrogen atmosphere or hydrogen stream, from room temperature to the boiling point of the solvent used for 1 to 24 hours, or 2 ~ 8 equivalents of iron / ferric chloride in the presence of a reducing agent in a solvent such as aqueous ethanol, water, etc. Obtainable.
製造法 1一 3 Manufacturing method 1 1 3
化合物 ( I ) において、 Υが Νであり、 R 3が水素、 置換もしくは非 置換の低級アルキル基、 置換もしくは非置換のシク口アルキル基または 置換もしくは非置換のァラルキル基であり、 一 X 1— X 2— X 3 -が一 Ν Η— C ( = 0) — N R 7— (式中、 R 7は前記と同義である) である化合 物 ( I a) は、 化合物 (V I I I ) を原料として次の反応工程に従い製 造することができる。 In the compound (I), Υ is 、, R 3 is hydrogen, a substituted or unsubstituted lower alkyl group, a substituted or unsubstituted cycloalkyl group or a substituted or unsubstituted aralkyl group, and X 1 — The compound (Ia) in which X 2 — X 3 — is 一 C— C (= 0) — NR 7 — (wherein R 7 has the same meaning as described above) is obtained by starting from the compound (VIII). It can be produced according to the following reaction steps.
(式中、 R 1, R R 3、 R 7は前記と同義である) (Wherein, R 1 , RR 3 , and R 7 are as defined above)
化合物 ( I a) は、 化合物 (V I I I ) と 1〜: L0 当量の Ν,Ν'-カル ボニルジイミダゾール、 ホスゲン、 尿素、 クロ口炭酸アルキル、 クロ口 炭酸ァリール等のカルボニル化試薬を必要により 1〜10 当量の塩基存 在下、 不活性溶媒中で反応させて環化させることにより得ることができ る。 塩基としては、 ト リェチルァミ ン、 Ν,Ν-ジイソプロピルェチルアミ ン、 ピリジン等が挙げられる。 不活性溶媒としては水、 アルコール (メ 夕ノール、 エタノール等) 、 非極性溶媒 (酢酸ェチル、 エーテル等) 、 非プロ トン性極性溶媒 (ァセ トニ トリル、 Ν,Ν-ジメチルホルムアミ ド、 ジメチルァセ トアミ ド、 ジメチルスルホキシド、 テトラヒ ドロフラン、 ジォキサン等) 、 及びハロゲン化炭化水素 (ジクロロメタン、 クロロホ ルム等) 等が挙げられる。 反応は、 0 °Cから使用される溶媒の沸点で、 10分〜 48 時間で終了する。 Compound (Ia) may be used in combination with compound (VIII) and 1 to: L0 equivalent of a carbonylation reagent such as Ν, Ν'-carbonyldiimidazole, phosgene, urea, black alkyl carbonate, black aryl carbonate if necessary. It can be obtained by cyclizing by reacting in an inert solvent in the presence of up to 10 equivalents of a base. Examples of the base include triethylamine, Ν, Ν-diisopropylethylamine, pyridine and the like. Examples of inert solvents include water, alcohols (e.g., methanol and ethanol), nonpolar solvents (e.g., ethyl acetate and ether), and nonprotonic polar solvents (acetonitrile, Ν, Ν-dimethylformamide, dimethylacetate). Tomide, dimethylsulfoxide, tetrahydrofuran, dioxane, etc.), and halogenated hydrocarbons (dichloromethane, chloroform, etc.). The reaction is completed in 10 minutes to 48 hours from 0 ° C. to the boiling point of the solvent used.
製造法 1 一 4 Manufacturing method 1 1 4
化合物 ( I ) において、 Yが Nであり、 R 3が水素、 置換もしくは非 置換の低級アルキル基、 置換もしくは非置換のシク口アルキル基または 置換もしくは非置換のァラルキル基であり、 — X 1— X 2— X3—がー N H— C (= S ) 一 N R 7— (式中、 R 7は前記と同義である) である化合 物 ( l b) は、 化合物 (V I I I ) を原料として次の反応工程に従い製 造することができる。 In the compound (I), Y is N, R 3 is hydrogen, a substituted or unsubstituted lower alkyl group, a substituted or unsubstituted cycloalkyl group or a substituted or unsubstituted aralkyl group, and — X 1 — A compound (lb) in which X 2 — X 3 — is —NH—C (= S) -NR 7 — (wherein R 7 has the same meaning as described above) is obtained by starting from the compound (VIII) It can be produced according to the reaction process.
(式中、 R 1, R 2、 R 3、 R 7は前記と同義である) (Wherein, R 1 , R 2 , R 3 and R 7 are as defined above)
化合物 ( l b ) は化合物 (V I I I ) と 1〜10 当量の Ν,Ν'-チォカ ルポニルジイミダゾール、 チォホスゲンまたは 1~200 当量の二硫化炭 素等のチォカルボニル化試薬とを、 必要により 1~200 当量の塩基の存 在下、 不活性溶媒中反応させて環化させることにより得ることができる, 塩基及び不活性溶媒としては、 化合物 ( I a) を製造する製造法 1 一 3 と同様のものが挙げられる。 反応は、 0 °Cから使用される溶媒の沸点で 10分〜 120 時間で終了する。 Compound (lb) is prepared by combining compound (VIII) with 1 to 10 equivalents of Ν, -'- thiocalponyldiimidazole, thiophosgene or 1 to 200 equivalents of a thiocarbonylating reagent such as carbon disulfide, if necessary. It can be obtained by cyclizing by reacting in an inert solvent in the presence of 200 equivalents of a base. The base and the inert solvent are the same as those used in production method 13 to produce compound (Ia). Is mentioned. The reaction is completed in 10 minutes to 120 hours from 0 ° C. to the boiling point of the solvent used.
製造法 1 一 5 Manufacturing method 1 1 5
化合物 ( I ) において、 Yが Nで、 R 3が水素、 置換もしく は非置換 の低級アルキル、 置換もしくは非置換のシクロアルキルまたは置換もし くは非置換のァラルキルで、 — X 1— X 2— X 3—が— N = N— N R 7— (式中、 R 7は前記と同義である) である化合物 ( I c ) は、 化合物 In the compound (I), Y is N and R 3 is hydrogen, substituted or unsubstituted lower alkyl, substituted or unsubstituted cycloalkyl or substituted or unsubstituted aralkyl, and — X 1 — X 2 — X 3 — is — N = N— NR 7 — (wherein R 7 is as defined above) (I c) is a compound
(V I I I ) を原料として次の反応工程に従い製造することができる。 (V I I) can be used as a starting material according to the following reaction steps.
R、 R,
(式中、 R 1, R 2、 R 3、 R 7は前記と同義である) 化合物 ( I c ) は化合物 (V I I I ) に塩酸、 酢酸、 硫酸等の水溶液 またはそれらの混合溶媒中で、 1〜2 当量の亜硝酸ナトリウム等のニト 口ソ化剤を作用させることで得ることができる。 反応は氷冷下から使用 溶媒の沸点の間で行い、 10分〜 4 時間で終了する。 (Wherein, R 1 , R 2 , R 3 and R 7 are as defined above) Compound (I c) can be obtained by reacting compound (VIII) with 1-2 equivalents of a nitrous acid solubilizing agent such as sodium nitrite in an aqueous solution of hydrochloric acid, acetic acid, sulfuric acid or a mixed solvent thereof. it can. The reaction is performed between ice-cooling and the boiling point of the solvent used, and is completed in 10 minutes to 4 hours.
製造法 1 一 6 Manufacturing method 1 1 6
化合物 ( I ) において、 Yが Nであり、 R 3が水素、 置換もしくは非 置換の低級アルキル、 置換もしくは非置換のシク口アルキルまたは置換 もしくは非置換のァラルキルであり、 一 X 1— X 2— X 3—が— NH— CIn the compound (I), Y is N, R 3 is hydrogen, substituted or unsubstituted lower alkyl, substituted or unsubstituted cycloalkyl or substituted or unsubstituted aralkyl, and one X 1 —X 2 — X 3 — but — NH— C
( = N - C N) _ N R 7— (式中、 R 7は前記と同義である) である化合 物 ( I d ) は、 化合物 (V I I I ) を原料として次の反応工程に従い製 造することができる。 (= N-CN) _NR 7 — (wherein R 7 is as defined above), can be produced from compound (VIII) as a starting material according to the following reaction steps. it can.
(式中、 R 1 R 2、 R 3、 R 7は前記と同義である) (Wherein, R 1 R 2 , R 3 and R 7 are as defined above)
化合物 ( I d ) は化合物 (V I I I ) と i〜io 当量のジアルキルシ ァノジチオイミノカルボネー ト、 ジァリ一ルシアノジチオイミノ力ルポ ネート等の試薬を必要により 〜^ 当量の塩基の存在下、 不活性溶媒 中または溶媒を用いずに反応させて環化させることにより得ることがで きる。 塩基及び不活性溶媒としては、 化合物 ( I a ) を製造する製造法 1 一 2 と同様のものが挙げられる。 反応は、 0 °Cから使用される溶媒の 沸点、 無溶媒の場合は基質の溶融する温度で、 10 分〜 48 時間で終了す る。 Compound (Id) may be prepared by adding i-io equivalents of dialkylcyanodithioiminocarbonate and diarylcyanodithioimino carbonyl compound to compound (VIII) in the presence of ~ ^ equivalents of base, if necessary. It can be obtained by cyclizing by reacting in an active solvent or without using a solvent. Examples of the base and the inert solvent include the same ones as in the production method 112 for producing the compound (Ia). The reaction is completed in 10 minutes to 48 hours from 0 ° C to the boiling point of the solvent used, or the temperature at which the substrate melts if no solvent is used.
また化合物 ( I d ) は製造法 1 一 4で得られる化合物 ( l b ) を原料 として以下の 2つの方法 ( a, b ) で得ることもできる。 すなわち、 化 合物 ( l b) を 1〜6 当量の酸化水銀 (II) Z硫黄を、 必要により 1〜 10 当量の塩基の存在下、 不活性溶媒中反応させた後に、 必要により 1 〜10 当量の塩基の存在下に 2〜5 当量のシァナミ ド (H2N C N) を作 用させることで化合物 ( I d ) を得ることができる (方法 a ) 。 一方、 化合物 ( I b ) と :!〜 5 当量のシァナミ ド鉛塩 ( P b = N— C N) を必 要により 1〜10 当量の塩基存在下、 不活性溶媒中で反応させて環化さ せることにより化合物 ( I d) を得ることもできる (方法 b) 。 上記反 応における塩基及び不活性溶媒としては、 化合物 ( I a) を製造する製 造法 1 — 3 と同様のものが挙げられる。 反応は、 0 °Cから使用される溶 媒の沸点で、 10 分〜 48 時間で終了する。 The compound (Id) is obtained from the compound (lb) obtained by the production method 1-4. Can be obtained by the following two methods (a, b). That is, the compound (lb) is reacted with 1 to 6 equivalents of mercury oxide (II) Z sulfur in an inert solvent in the presence of 1 to 10 equivalents of a base, if necessary, and then 1 to 10 equivalents as necessary. The compound (Id) can be obtained by reacting 2-5 equivalents of cyanamide (H 2 NCN) in the presence of the base (Method a). On the other hand, the compound (Ib) is reacted with: ~ 5 equivalents of a cyanamide lead salt (Pb = N-CN) in the presence of 1 to 10 equivalents of a base, if necessary, in an inert solvent to form a cyclized compound. The compound (Id) can also be obtained by carrying out (Method b). As the base and the inert solvent in the above reaction, those similar to Production methods 1-3 for producing compound (Ia) can be mentioned. The reaction is completed in 10 minutes to 48 hours from 0 ° C to the boiling point of the solvent used.
製造法 1 一 7 Manufacturing method 1 1 7
化合物 ( I ) において、 Yが Nであり、 R 3が水素、 置換もしく は非 置換の低級アルキル、 置換もしくは非置換のシクロアルキルまたは置換 もしくは非置換のァラルキルであり、 一 X 1— X2— X3—が一 NH— C R 8= N R 7A- (式中、 R 8及び R 7Aは前記と同義である) である化合物 ( I e ) は、 化合物 (V I I I ) を原料として次の反応工程に従い製造 することができる。 In the compound (I), Y is N, R 3 is hydrogen, substituted or unsubstituted lower alkyl, substituted or unsubstituted cycloalkyl or substituted or unsubstituted aralkyl, and X 1 — X 2 — X 3 — is one NH— CR 8 = NR 7A — (wherein R 8 and R 7A are as defined above). The compound (I e) is obtained by using the compound (VIII) as a starting material in the next reaction step. It can be manufactured according to
(式中、 R 1 R 2、 R 3、 R 7A、 R 8は前記と同義である) (Wherein, R 1 R 2 , R 3 , R 7A and R 8 are as defined above)
化合物 ( I e ) は化合物 (V I I I ) と 1〜: 15 当量のオル ト蟻酸ェ チル (C H (〇 C H2CH3) 3) 、 オルト酢酸ェチル (C H 3C (〇 C H 2C H 3) 3) 、 オルトプロピオン酸ェチル (CH3C H2C (〇 CH2CH 3) 3) 等のオルト酸エステル類を不活性溶媒中もしくは無溶媒で反応さ せることにより得ることができる。 また、 化合物 (V I I I ) と 1〜: 10 当量の R 8C 00 Hで表されるカルボン酸を 1〜10 当量の 1,3-ジシク 口へキシルカルポジイ ミ ド、 N-ェチル -N-(3-ジメチルァミノプロピル)力 ルポジィミ ド、 レヒ ドロキシベンゾト リァゾール等の適当な縮合剤の共 存下、 不活性溶媒中で反応させるか、 化合物 (V I I I ) と R 8C OO Hで表されるカルボン酸の反応性誘導体 (R 8C 0 C 1 で表される酸塩 化物、 (R 8C O) 20で表される酸無水物等が挙げられる) とを必要に より 1~10 当量のトリェチルァミン、 N,N-ジイソプロピルァミン、 ピ リジン等の適当な塩基の存在下、 不活性溶媒中で反応させた後に、 1〜 10 当量の水酸化ナト リウム、 tert-ブトキシカリウム等の適当な塩基で 処理することによつても化合物 ( I e ) を得ることができる。 上記反応 における塩基及び不活性溶媒としては、 化合物 ( I a) を製造する製造 法 1 一 3 と同様のものが挙げられる。 反応は、 0 °Cから使用される溶媒 の沸点で、 10 分〜 48 時間で終了する。 Compound (I e) is 1 to 15 equivalents of compound (VIII) and 15 equivalents of ethyl orthoformate (CH (〇CH 2 CH 3 ) 3 ) and ethyl acetate ortho (CH 3 C (〇CH 3 It can be obtained by reacting ortho acid esters such as 2 CH 3 ) 3 ) and ethyl ethyl orthopropionate (CH 3 CH 2 C (〇CH 2 CH 3 ) 3 ) in an inert solvent or without solvent. . Compound (VIII) and 1 to 10 equivalents of a carboxylic acid represented by R 8 C00H can be combined with 1 to 10 equivalents of 1,3-disc-hexylcarboximide, N-ethyl-N- (3- Dimethylaminopropyl) force The reaction is carried out in an inert solvent in the presence of a suitable condensing agent such as luposimid or hydroxybenzotriazole, or the reaction between compound (VIII) and a carboxylic acid represented by R 8 COOH. 1 to 10 equivalents of triethylamine, N, and the like, depending on the necessity of the acid derivative (an acid anhydride represented by R 8 C 0 C 1 or an acid anhydride represented by (R 8 CO) 20 ). After reacting in an inert solvent in the presence of a suitable base such as N-diisopropylamine or pyridine, treat with 1 to 10 equivalents of a suitable base such as sodium hydroxide or potassium tert-butoxide. The compound (I e) can also be obtained by the method described above. As the base and the inert solvent in the above reaction, those similar to the production method 13 to produce the compound (Ia) can be mentioned. The reaction is completed in 10 minutes to 48 hours from 0 ° C to the boiling point of the solvent used.
製造法 1 一 8 Manufacturing method 1 1 8
化合物 ( I ) において、 Yが Nで、 R 3が水素、 置換もしく は非置換 の低級アルキル、 置換もしくは非置換のシクロアルキルまたは置換もし くは非置換のァラルキルであり、 一 X 1— X 2— X 3—が一 N = C (NH R 9A) — NR 7A— (式中、 R 9A及び R 7Aは前記と同義である) である化 合物 ( I f ) は、 化合物 (V I I I ) を原料として公知の方法 [第 2 6 回複素環化学討論会講演要旨集(ABSTRACTS 26th CONGRESS OF HETEROCYCLIC CHEMISTRY) C-19 (241〜244 頁)、 大津(1995 年 11 月 6〜8 日)] に準じて製造することができる。 In the compound (I), Y is N and R 3 is hydrogen, substituted or unsubstituted lower alkyl, substituted or unsubstituted cycloalkyl or substituted or unsubstituted aralkyl, and X 1 — X The compound (If) wherein 2 — X 3 — is one of N = C (NH R 9A ) — NR 7A — (wherein R 9A and R 7A are as defined above) is a compound (VIII) In a well-known method using the starting material [ABSTRACTS 26th CONGRESS OF HETEROCYCLIC CHEMISTRY] C-19 (pp.241-244), Otsu (November 6-8, 1995) It can be manufactured according to it.
(式中、 R 1 R 2、 R 3、 R 7A、 R 9Aは前記と同義である) (Wherein, R 1 R 2 , R 3 , R 7A and R 9A are as defined above)
化合物 ( I f ) は化合物 (V I I I ) と 1〜5 当量の R 9A— N = C = Sで表されるイソチオシァネー卜を無溶媒、 またはピリジン中で反応さ せ、 対応するチォ尿素誘導体に導いた後に、 得られたチォ尿素誘導体を 不活性溶媒中で 1〜5 当量酢酸銀、 ト リ フルォロ酢酸銀、 ト リ フルォロ メ夕ン酢酸銀等の適当な銀塩と反応させることで得ることができる。 不 活性溶媒としては、 化合物 ( I a ) を製造する製造法 1 一 3 と同様のも のが挙げられる。 反応は 0 °Cから使用される溶媒の沸点で、 10分〜 48 時間で終了する。 Compound (If) is reacted with compound (VIII) and 1-5 equivalents of R 9A —N = C = S in the absence of solvent or in pyridine to obtain the corresponding thiourea derivative. Thereafter, the obtained thiourea derivative can be obtained by reacting the obtained thiourea derivative with an appropriate silver salt such as 1 to 5 equivalents of silver acetate, silver trifluoroacetate, or silver trifluorene acetate in an inert solvent. . As the inert solvent, those similar to the production method 13 of producing the compound (Ia) can be mentioned. The reaction is completed in 10 minutes to 48 hours from 0 ° C. to the boiling point of the solvent used.
製造法 1 一 9 Manufacturing method 1 1 9
化合物 ( I ) において、 Yが Nであり、 R 3が水素、 置換もしくは非 置換の低級アルキル、 置換もしく は非置換のシクロアルキルまたは置換 もしくは非置換のァラルキルであり、 一 X1— X2— X3—が— N = C (OR 10) 一 N R 7A— (式中、 R 10及び R 7Aは前記と同義である) であ る化合物 ( I g ) は、 化合物 (V I I I ) を原料として次の反応工程に 従い製造することができる。 In the compound (I), Y is N, R 3 is hydrogen, substituted or unsubstituted lower alkyl, substituted or unsubstituted cycloalkyl or substituted or unsubstituted aralkyl, and X 1 — X 2 — X 3 — is — N = C (OR 10 ) -NR 7A — (wherein R 10 and R 7A have the same meanings as above). It can be produced according to the following reaction steps.
(式中、 R 1 R 2、 R 3、 R 7A、 R 1 C)は前記と同義である) 化合物 ( I g ) は、 化合物 (V I I I ) をテトラメ トキシメタン、 テ トラエトキシメタン等の C (O R 10) 4で表される化合物中、 1/1000〜5 当量の塩酸、 硫酸、 酢酸、 トリ フルォロ酢酸、 トリフルォロスタンスル ホン酸等の酸存在下に反応させることで得ることができる。 反応は、 無 溶媒で行われ、 0 °Cから使用されるテトラアルコキシメタンの沸点の間 で、 10 分〜 48 時間で終了する。 (Wherein, R 1 R 2, R 3 , R 7A, R 1 C) are the same as defined above) Compound (I g), the compound (VIII) with tetramethylene Tokishimetan, such as Te tiger diethoxymethane C (OR 10 ) It can be obtained by reacting the compound represented by 4 in the presence of 1/1000 to 5 equivalents of an acid such as hydrochloric acid, sulfuric acid, acetic acid, trifluoroacetic acid, and trifluorostansulfonic acid. The reaction is carried out without solvent and is completed between 0 minutes and the boiling point of the tetraalkoxymethane used in 10 minutes to 48 hours.
製造法 1 一 1 0 Manufacturing method 1 1 1 0
化合物 ( I ) において、 Yが C Hであり、 R 3が水素であり、 一 X 1— X 2— X 3—が— NH— C ( = O) — N R 7— (式中、 R 7は前記と同義で ある) である化合物 ( I h) は、 化合物 (XV I I ) を原料として用い 製造法 1 一 3 と同様の方法により製造することができる。 In the compound (I), Y is CH, R 3 is hydrogen, and one X 1 — X 2 — X 3 — is —NH—C (= O) —NR 7 — (wherein R 7 is The compound (Ih) having the same meaning as the above) can be produced by the same method as in Production method 13 using compound (XVII) as a raw material.
(式中、 R 1 R R 7は前記と同義である) (Wherein, R 1 RR 7 is as defined above)
製造法 1 — 1 1 Manufacturing method 1 — 1 1
化合物 ( I ) において、 Yが C Hであり、 R 3が水素であり、 — X 1— 2ー 3ーが—?^^1ー〇 (= S ) - N R 7- (式中、 R 7は前記と同義で ある) である化合物 ( I i ) は、 化合物 (XV I I ) を原料として用 い、 製造法 1 一 4と同様の方法により製造することができる。 In compound (I), Y is CH, R 3 is hydrogen, and —X 1 —2-3 -——? ^^ 1 - ○ (= S) - NR 7 - ( wherein, R 7 has the same meaning as defined above) compound is (I i) are have use compound (XV II) as a raw material, production method 1 one It can be manufactured by the same method as in 4.
(式中、 R R R 7は前記と同義である) (Wherein, RRR 7 is as defined above)
製造法 1 一 1 2 Manufacturing method 1 1 1 2
化合物 ( I ) において、 Yが C Hであり、 R 3が水素であり、 — X 1— X 2— X 3—がー N = N— N R 7— (式中、 R 7は前記と同義である) であ る化合物 ( I j ) は、 化合物 (XV I I ) を原料として用い、 製造法 1 — 5 と同様の方法により製造することができる。 In the compound (I), Y is CH, R 3 is hydrogen, and — X 1 — X 2 — X 3 — is N = N—NR 7 — (wherein, R 7 has the same meaning as described above.) )) Can be produced in the same manner as in Production Methods 1 to 5, using Compound (XVII) as a raw material.
(式中、 R R R 7は前記と同義である) (Wherein, RRR 7 is as defined above)
製造法 1 一 1 3 Manufacturing method 1 1 1 3
化合物 ( I ) において、 Yが C Hであり、 R 3が水素であり、 — X 1 - X 2— X 3—がー NH— C ( = N - C N) — N R 7— (式中、 R 7は前記と 同義である) である化合物 ( I k) は、 化合物 (X V I I ) を原料と して用い、 製造法 1 — 6 と同様の方法により製造することができる。 NC一 N In the compound (I), Y is CH, R 3 is hydrogen, and — X 1 -X 2 —X 3 — is —NH—C (= N—CN) —NR 7 — (wherein, R 7 Is the same as defined above), and can be produced by the same method as in Production Methods 1 to 6, using Compound (XVII) as a raw material. NC-N
(式中、 R R 2、 R 7は前記と同義である) (Wherein, RR 2 and R 7 are as defined above)
製造法 1 一 1 4 Manufacturing method 1 1 1 4
化合物 ( I ) において、 Yが CHであり、 R 3が水素であり、 一 X 1— X 2— X 3—がー NH— C R 8= N R 7A— (式中、 R 8及び R 7Aは前記と同 義である) である化合物 ( I m) は、' 化合物 (XV I I ) を原料として 用い、 製造法 1 一 7と同様の方法により製造することができる。 In the compound (I), Y is CH, R 3 is hydrogen, and X 1 — X 2 — X 3 — is —NH—CR 8 = NR 7A — (wherein R 8 and R 7A are The compound (Im) is a compound (Xm) as a starting material, and can be produced by a method similar to the production method 117.
(式中、 R 1 R R 7A、 R 8は前記と同義である) (Wherein, R 1 RR 7A and R 8 are as defined above)
製造法 1一 1 5 Manufacturing method 1 1 1 5
化合物 ( I ) において、 Yが C Hであり、 R 3が水素であり、 一 X 1— X2— X 3—が— N = C (NHR 9A) _ NR 7A— (式中、 9 及び1 7八は 前記と同義である) である化合物 ( I n) は、 化合物 (XV I I ) を原 料として用い、 製造法 1 一 8 と同様の方法により製造することができる In the compound (I), Y is CH, R 3 is hydrogen, and one X 1 — X 2 — X 3 — is — N = C (NHR 9A ) _NR 7A — (wherein, 9 and 17 (In is) as defined above, can be produced by using the compound (XVII) as a raw material in the same manner as in the production method 118.
(式中、 R 1 R 2、 R 7A、 R9Aは前記と同義である) (Wherein, R 1 R 2 , R 7A and R 9A are as defined above)
製造法 1 一 1 6 Manufacturing method 1 1 1 6
化合物 ( I ) において、 Yが CHで、 R3が水素で、 — X 1— X2— X3 一が一 N = C (O R 10) - N R 7A- (式中、 R 10及び R 7Aは前記と同義 である) である化合物 ( I p ) は、 化合物 (XV I I ) を原料として用 い製造法 1 — 9 と同様の方法により製造することができる。 In the compound (I), Y is CH, R 3 is hydrogen, and —X 1 —X 2 —X 3 is one N = C (OR 10 ) -NR 7A- (where R 10 and R 7A are Compound (I p) having the same meaning as described above can be produced by the same method as in Production Methods 1 to 9 using compound (XVII) as a raw material.
(式中、 R 1, R 2、 R 7A、 R 10は前記と同義である) (Wherein, R 1 , R 2 , R 7A and R 10 are as defined above)
上記製造法における中間体及び目的化合物は、 有機合成化学で常用さ れる精製法、 例えば濾過、 抽出、 洗浄、 乾燥、 濃縮、 再結晶、 各種クロ マトグラフィ一等に付して単離精製することができる。 また、 中間体に おいては特に精製することなく次の反応に供することも可能である。 化合物 ( I ) の中には、 位置異性体、 幾何異性体、 光学異性体または 互変異性体が存在し得るものもあるが、 本発明は、 これらを含め、 全て の可能な異性体及びそれらの混合物を包含する。 Intermediates and target compounds in the above production methods can be isolated and purified by purification methods commonly used in organic synthetic chemistry, such as filtration, extraction, washing, drying, concentration, recrystallization, and various types of chromatography. it can. In addition, the intermediate can be subjected to the next reaction without purification. Some of the compounds (I) may have positional isomers, geometric isomers, optical isomers or tautomers, but the present invention relates to all possible isomers, including these, Of mixtures.
化合物 ( I ) の塩を取得したいとき、 化合物 ( I ) が塩の形で得られ る場合にはそのまま精製すればよく、 また、 遊離の形で得られる場合に は、 適当な溶媒に溶解または懸濁し、 酸を加え塩を形成させて単離精製 すればよい。 When it is desired to obtain a salt of compound (I), compound (I) is obtained in the form of a salt. In the case where it is obtained in a free form, it may be isolated or purified by dissolving or suspending it in an appropriate solvent, adding an acid to form a salt, and purifying.
また、 化合物 ( I ) 及びその薬理学的に許容される塩は、 水あるいは 各種溶媒の付加物の形で存在することもあるが、 これらの付加物も本発 明に包含される。 本発明によって得られる化合物 ( I ) の具体例を第 1表に示す。 Compound (I) and its pharmacologically acceptable salts may exist in the form of adducts of water or various solvents, and these adducts are also included in the present invention. Table 1 shows specific examples of the compound (I) obtained by the present invention.
zi -/66cevlcd>9ε o zi-/ 66cevlcd> 9ε o
o o
(¾¾H)()>KS:HN=- (¾¾H) ()> KS: HN =-
(¾D))KN(S:HN=-(¾D)) KN (S: HN =-
(¾。リ)。)H。¾) N入〕HM S=- ()23(>NHCNCSHCH CH= --- (¾.Li). ) H. ¾) N) HM S =- () 23 (> NHCNCSHCH CH = ---
雠 ^ 121 第 1表一 3 雠 ^ 121 Table 1-3
化合物番号 -xLx^x3 Y R1 Compound number -xLx ^ x 3 YR 1
21 -NH-C(=S)-N(CH2CH3)- N CH2~ N NCH3 H H 21 -NH-C (= S) -N (CH 2 CH 3 )-N CH 2 ~ N NCH 3 HH
26 -N=C-N(CH2CH3)- N CH2- N(CH3)2 H H 26 -N = CN (CH 2 CH 3 )-N CH 2 -N (CH 3 ) 2 HH
27 -N=C(NHC02CH2CH3)-N(CH2CH3)- N H H 27 -N = C (NHC0 2 CH 2 CH 3 ) -N (CH 2 CH 3 )-NHH
28 -N=C(NH2)-N(CH2CH3)- N CH2~i -N(CH3)2 H H 28 -N = C (NH 2 ) -N (CH 2 CH 3 )-N CH 2 ~ i -N (CH 3 ) 2 HH
第 1表一 4 Table 1-4
化合物番号 - χ^ χ χ3 Υ R1 Compound number-χ ^ χ χ 3 Υ R 1
31 -N=C(NHCH,)-N(CH2CH - N CH2 Η Η 31 -N = C (NHCH,)-N (CH 2 CH-N CH 2 Η Η
32 -NH-Q=N-CN)-N(CH,CH3)- Ν CH2-<\ I Η Η 32 -NH-Q = N-CN) -N (CH, CH 3 )-Ν CH 2 -<\ I Η Η
33 -NH-C(=N-CONH2)-N(CH2CH3)- Ν CH2 33 -NH-C (= N-CONH 2 ) -N (CH 2 CH 3 )-Ν CH 2
Ν· I Η Η Ν · I Η Η
34 -N=C(OCH2CH3)-N(CH2CH3)- Ν CH 2飞 -N(CH3)2 Η Η 34 -N = C (OCH 2 CH 3 ) -N (CH 2 CH 3 )-Ν CH 2 飞 -N (CH 3 ) 2 Η Η
35 -N=C(OCH3)-N(CH2CH3)- Ν Η Η 35 -N = C (OCH 3 ) -N (CH 2 CH 3 )-Ν Η Η
36 -N=C(OCH3)-N(CH2CH3)- Ν -CH2CH2-0-CH2CH2- Η 36 -N = C (OCH 3 ) -N (CH 2 CH 3 )-Ν -CH 2 CH 2 -0-CH 2 CH 2 - Η
38 -NH-C(=S)-N(CH2CH3)- CH H H 38 -NH-C (= S) -N (CH 2 CH 3 )-CH HH
H3CO H 3 CO
39 -NH-C(=S)-N(CH2CH3)- CH CH2CH2CH2N ^ O H H 39 -NH-C (= S) -N (CH 2 CH 3 )-CH CH 2 CH 2 CH 2 N ^ OHH
40 -NH-C(=S)-N(CH2CH3)- CH CH2CH2H /> H H 40 -NH-C (= S) -N (CH 2 CH 3 )-CH CH 2 CH 2 H /> HH
N- グ 第 1表一 5 N-g Table 1-5
化合物番号 -X -X -X - Y R1 Compound number -X -X -X-YR 1
41 -NH-Cf=S)-NfCH2CH3)- CH CH2-(\ // H H 41 -NH-Cf = S) -NfCH 2 CH 3 )-CH CH 2 -(\ // HH
42 -NH-C(=0)-N(CH2CH3)- CH CH.0 H H42 -NH-C (= 0) -N (CH 2 CH 3 )-CH CH.0 HH
、 ,
43 -N=N-N(CH2CH3)- N CH 2 /ノ H H 43 -N = NN (CH 2 CH 3 )-N CH 2 / NO HH
次に、 代表的な化合物 ( I ) の P D E阻害作用及び薬理作用について 試験例により具体的に説明する。 Next, the PDE inhibitory action and pharmacological action of the representative compound (I) will be specifically described with reference to test examples.
試験例 1. ィヌ気管平滑筋由来の P D Eに対する阻害作用 Test Example 1. Inhibitory effect on PDE derived from canine tracheal smooth muscle
(1) 酵素の精製 (1) Purification of enzyme
主に トルフィ ( Torphy) らの方法 [モレキュラー ' ファ一マコロジ一 (Mol. Pharmacol.) 、 37 卷、 206 頁 (1990 年) ] に準じて、 ィヌ気管 平滑筋より P D E V ( c GM P特異的 P D E) を精製した。 PDEV (cGMP-specific) from canine tracheal smooth muscle, mainly according to the method of Torphy et al. [Molecular 'Mol. Pharmacol., 37, 206 (1990)] PDE) was purified.
(2) P D E活性測定法 (2) PDE activity measurement method
活性はキンケード (Kincaid) らの方法 [メソッズ · イン , ェンザィ モロジ一 (Methods Enzymol.) ( J. D. Corbinら) 、 159 巻、 457 頁 The activity was determined by the method of Kincaid et al. [Methods in, Enzymol. (J. D. Corbin et al.), 159, 457].
(1988 年) 、 Academic Press, New York] を基礎に測定した。 すなわち、 基質として [3H]c GM P(1.0 mol)を用い、 反応は以下のような組成 ノ ッファー中で行った。 (1988), Academic Press, New York]. That is, [ 3 H] c GMP (1.0 mol) was used as a substrate, and the reaction was carried out in a composition buffer as follows.
ノ ッファ一組成 : 50mM N,N-ビス(2-ヒ ドロキシェチル) -2-ァミ ノエタン スルホン酸(pH 7.2)、 1 mM MgCl ,, 0.1 mg/ml 大豆ト リプシンインヒビ Noffer composition: 50 mM N, N-bis (2-hydroxyxetyl) -2-aminoethanesulfonic acid (pH 7.2), 1 mM MgCl 2, 0.1 mg / ml soybean trypsin inhibitor
3フ 夕一。 3f Yuichi.
反応は酵素添加により開始し、 30 で 10 分〜 30 分間反応した後に 反応を塩酸添加で停止した。 その後水酸化ナトリウムで中和後、 5'- GMP を 5'-ヌクレオチダ一ゼでグアノシンに変換後、 反応液を DEAE- Sephadex A-25 カラムにかけ、 蒸留水で [ 3 H]グアノシンを溶出し、 液体 シンチレ一シヨ ンカウンタ一で放射活性を測定した。 阻害剤は、 1.7 % ジメチルスルホキシドに溶解した。 The reaction was started by addition of the enzyme, and the reaction was stopped by adding hydrochloric acid after reacting at 30 for 10 to 30 minutes. After neutralization with sodium hydroxide, 5'-GMP was converted to guanosine with 5'-nucleotidase, the reaction solution was applied to a DEAE-Sephadex A-25 column, and [ 3 H] guanosine was eluted with distilled water. Radioactivity was measured with a liquid scintillation counter. The inhibitor was dissolved in 1.7% dimethyl sulfoxide.
P D E阻害活性を第 2表に示す。 第 2表 P D E V 阻窖活性 Table 2 shows the PDE inhibitory activity. Table 2 Activity of P D EV
化合物番号 阻害率 (%) Compound number Inhibition rate (%)
化合物濃度 (1 n M ) Compound concentration (1 nM)
1 86 1 86
2 91 2 91
3 89 3 89
4 84 4 84
42 42
13 89 13 89
17 97 17 97
21 83 21 83
22 90 22 90
23 87 23 87
24 79 試験例 2 . ラッ トにおける降圧作用 24 79 Test example 2. Antihypertensive action in rat
ウレタン麻酔を行った雄性スプラーグ · ド一リー (Sprague-Dawley) ラッ トを仰向けに固定した後、 気管に力二ュ一レを挿入し、 10 ml/kg、 60 回/分の条件で人工呼吸をおこなった。 また頸動脈及び十二指腸内に 力ニューレを揷入し、 各々血圧測定用と薬物投与用に用いた。 薬剤は蒸 留水に溶解または懸濁し上記の力ニューレを用いて十二指腸内に投与し た。 薬物投与後 30 分までの平均血圧 (mBP) を測定し薬物投与前値After urethane anesthesia, a male Sprague-Dawley rat was fixed on the back, a forcepray was inserted into the trachea, and artificial respiration was performed at 10 ml / kg, 60 times / min. Was done. In addition, force neurons were introduced into the carotid artery and the duodenum, which were used for blood pressure measurement and drug administration, respectively. The drug was dissolved or suspended in distilled water and administered into the duodenum using the above-mentioned forcenula. Mean blood pressure up to 30 minutes after drug administration (m BP) measured before drug administration value
( 100%) からの最大低下率 (% 表示) を求めた。 なお蒸留水を投与し た場合は 30 分間では平均血圧の変化はなかった。 The maximum decrease rate (in%) from (100%) was determined. When distilled water was administered, there was no change in mean blood pressure for 30 minutes.
その結果を第 3表に示す。 第 3表 降圧活性 Table 3 shows the results. Table 3 Antihypertensive activity
化合物番号 ラッ卜、 1 0mg/kg, i . d. N=2 Compound number Rat, 10 mg / kg, i.d.N = 2
最大低下率 (%) Maximum decrease rate (%)
13 14 13 14
試験例 3 . ィヌにおける海綿体内圧増加作用及び内圧増加持続時間増強 作用 Test Example 3. Intra-cavernous pressure-increasing action and internal pressure-increasing duration in dogs
実験には雄性ビーグル犬 (体重 9〜13 kg、 日本農産) をベン トバル ピタール麻酔下に用いた。 実験台上に仰臥位に固定し、 気管揷管して人 ェ呼吸器 (SN-480-3、 シナノ製作所) で呼吸量を一定 (15〜20 mL/kg、 15〜20 回 Z分) に保った。 海綿体内圧 (ICP) は陰茎海綿体に 18 ゲー ジの翼状針 (SV- 18CLK、 テルモ) を刺入し、 他端を圧ひずみセンサ一 ( TP-600DT、 日本光電) に接続し、 圧ひずみアンプ (AP-621 G、 日本 光電) を介して測定した。 骨盤神経を剥離して双極刺激電極 〔UT-1530、 ユニークメディカル) を.装着し、 電気刺激装置 (SEN-3201、 日本光 電) で刺激した。 まず過剰な電気刺激 (10〜40 Hz、 :!〜 5 V、 10〜20 秒 間) を加えて ICP 上昇を惹起し、 これを最大反応とした。 次いでその 30〜50 % の反応が得られるよう刺激条件を調整した。 刺激は 10 分間 隔で繰り返し、 反応が再現性よく起きることを確認してから実験を開始 した。 薬物は 0.5 % メチルセルロース溶液に溶解して十二指腸内投与 ( l mg/kg、 0.5 mL/kg) し、 2 時間 30 分後まで観察した。 Male beagle dogs (body weight 9-13 kg, manufactured by Nippon Agriculture) were used in the experiment under anesthesia with bentovalpital. Fix the patient on the bench in the supine position, place the trachea in the trachea, and use a human respirator (SN-480-3, Shinano Seisakusho) to keep the respiratory volume constant (15-20 mL / kg, 15-20 times Z minutes) Kept. For intracavernous pressure (ICP), an 18-gauge winged needle (SV-18CLK, Terumo) was inserted into the corpus cavernosum, and the other end was connected to a pressure-strain sensor (TP-600DT, Nihon Kohden). Amplifier (AP-621G, Japan (Photoelectric). The pelvic nerve was detached and a bipolar stimulating electrode (UT-1530, Unique Medical) was attached, and stimulated with an electric stimulator (SEN-3201, Nippon Koden). First, excessive electrical stimulation (10 to 40 Hz,:! To 5 V, for 10 to 20 seconds) was applied to induce an increase in ICP, which was defined as the maximum response. Then, the stimulation conditions were adjusted to obtain a 30-50% response. The stimulation was repeated at 10-minute intervals, and the experiment was started after confirming that the reaction occurred reproducibly. The drug was dissolved in a 0.5% methylcellulose solution and administered in the duodenum (lmg / kg, 0.5mL / kg), and observed for 2 hours and 30 minutes.
その結果を第 4表に示す。 Table 4 shows the results.
化合物 A : 3-ェチル -8-(2-ピリジルメチルァミノ)-2,3-ジヒ ドロ - 1H-ィミ ダゾ [4,5-g]キナゾリ ン -2-チオン · 2 塩酸塩(WO95/06648 の実施例 4 9 の化合物) Compound A: 3-Ethyl-8- (2-pyridylmethylamino) -2,3-dihydro-1H-imidazo [4,5-g] quinazoline-2-thione · 2 hydrochloride (WO95 / Compound of Example 49 of 06648)
化合物 B : 3-ェチル -8-{2- [ 1-(1,2,3,6-テトラヒ ドロピリジル)メチル]ベン ジルァミノ }-2,3-ジヒ ド口- 1H-ィミダゾ [4,5-g]キナゾリ ン -2-チオン · 2 塩酸塩 (WO96/26940 の実施例 7 1 の化合物) Compound B: 3-Ethyl-8- {2- [1- (1,2,3,6-tetrahydropyridyl) methyl] benzilamino} -2,3-dihydrido-1H-imidazo [4,5-g ] Quinazolin-2-thione dihydrochloride (Compound of Example 71 of WO96 / 26940)
第 4表 海綿体内圧上昇活性 ィ匕合物番号 投与前値 投与後値 増加率 例数 Table 4 Activity of increasing intracavernous pressure
0. 5 ¾ C 5 5 mmHg 5 5 mmHg ± 0 % 3 化合物 A 5 4 mmHg 7 1 mmHg + 25 % 2 化合物 B 5 0 mmHg 6 8 mmHg + 36 % 3 0.5 ¾ C 55 mmHg 55 mmHg ± 0% 3 Compound A 54 mmHg 71 mmHg + 25% 2 Compound B 50 mmHg 68 mmHg + 36% 3
W095/06648 W096/26940 W095 / 06648 W096 / 26940
化合物 49 化合物 71 Compound 49 Compound 71
以上により請求項 1 に記載された化合物 ( I ) またはその薬学的に許 容される塩は勃起不全治療薬として有用であることは明らかである。 化合物 ( I ) またはその薬理的に許容される塩は、 例えば、 錠剤、 力 プセル剤、 注射剤、 点滴剤、 シロップ剤、 舌下錠、 各種ク リーム剤、 坐 剤等の通常適用される剤形に調製して経口的にあるいは筋肉内注射、 静 脈内注射、 動脈内注射、 点滴、 塗布、 坐剤による直腸内投与のような非 経口的投与で投与することができる。 それらの経口的または非経口的に 投与する剤形の製剤化には通常知られた方法が適用され、 例えば、 各種 の賦形剤、 滑沢剤、 結合剤、 崩壊剤、 懸濁化剤、 等張化剤、 乳化剤等を 含有していてもよい。 From the above, it is apparent that the compound (I) or a pharmaceutically acceptable salt thereof described in claim 1 is useful as a therapeutic drug for erectile dysfunction. Compound (I) or a pharmacologically acceptable salt thereof includes, for example, commonly used preparations such as tablets, capsules, injections, drops, syrups, sublingual tablets, various creams, suppositories, etc. It can be prepared in a form that can be administered orally or by parenteral administration, such as intramuscular injection, intravenous injection, intraarterial injection, infusion, application, rectal administration with suppositories. For the preparation of such oral or parenteral dosage forms, generally known methods are applied, for example, various excipients, lubricants, binders, disintegrants, suspending agents, It may contain a tonicity agent, an emulsifier and the like.
使用する製剤用担体としては、 例えば、 水、 注射用蒸留水、 生理食塩 水、 グルコース、 白糖、 マンニッ ト、 ラク ト一ス、 でん粉、 セルロース メチルセルロース、 カルボキシメチルセルロース、 ヒ ドロキシプロピル セルロース、 アルギン酸、 タルク、 クェン酸ナトリウム、 炭酸カルシゥ ム、 リ ン酸水素カルシウム、 ステアリ ン酸マグネシウム、 尿素、 シリコ ーン樹脂、 ソルビタン脂肪酸エステル、 グリセリ ン酸エステル等があげ られる。 Pharmaceutical carriers used include, for example, water, distilled water for injection, physiological saline, glucose, sucrose, mannite, lactose, starch, and cellulose. Methylcellulose, carboxymethylcellulose, hydroxypropylcellulose, alginic acid, talc, sodium citrate, calcium carbonate, calcium hydrogen phosphate, magnesium stearate, urea, silicone resin, sorbitan fatty acid ester, glyceric acid ester, etc. Is raised.
製剤例 1 (錠剤) Formulation Example 1 (tablet)
常法により、 次の組成からなる錠剤を作成した。 A tablet having the following composition was prepared by a conventional method.
化合物 1 3 100 mg Compound 13 100 mg
乳糖 60 mg Lactose 60 mg
馬鈴薯でんぷん 30 mg Potato starch 30 mg
ボリ ビニルアルコール 2 mg Polyvinyl alcohol 2 mg
ステアリ ン酸マグネシウム 1 mg Magnesium stearate 1 mg
タール色素 Tar dye
製剤例 2 (散剤) Formulation Example 2 (powder)
常法により、 次の組成からなる散剤を作成した。 A powder having the following composition was prepared by a conventional method.
化合物 1 3 150 mg Compound 1 3 150 mg
孚し糖 280 mg 280 mg of sugar
製剤例 3 (シロップ剤) Formulation example 3 (syrup)
常法により、 次の組成からなるシロップ剤を作成した。 A syrup having the following composition was prepared by a conventional method.
化合物 1 3 100 mg Compound 13 100 mg
精製白糖 40 g 40 g purified sugar
P-ヒ ドロキシ安息香酸ェチル 40 mg P-hydroxyethyl benzoate 40 mg
P-ヒ ドロキシ安息香酸プロピル 10 mg P-hydroxypropyl benzoate 10 mg
ス トロベリーフレーバー 0.1 cc Strawberry flavor 0.1 cc
これに水を加えて全量を 100 cc とする。 Add water to make the total volume 100 cc.
投与量及び投与回数は、 投与形態、 患者の年齢、 体重、 症状等により 異なるが、 通常、 経口で 0.05〜5 g/60 kg/日が適当であり、 点滴の場合 は、 0.01〜5 mg/kg/分で 1 日当り経口投与量の限度を越えない範囲とす るのが好ましい。 発明を実施するための最良の形態 The dosage and frequency of administration vary depending on the dosage form, patient age, body weight, symptoms, etc., but usually 0.05 to 5 g / 60 kg / day is appropriate for oral administration, and 0.01 to 5 mg / day for infusion. It is preferred that the daily oral dose at kg / min not exceed the limit. BEST MODE FOR CARRYING OUT THE INVENTION
以下に、 実施例と参考例によつて本発明の態様を説明する。 Hereinafter, embodiments of the present invention will be described with reference to Examples and Reference Examples.
実施例及び参考例で用いられるプロ トン核磁気共鳴スぺク トル ( 1 H - N M R ) は、 特に指示がないかぎりは 270 MHz で測定されたもので ある。 また、 ピーク形状は次のように表す。 s : シングレッ ト、 d: ダブ レッ ト、 t: トリプレッ ト、 m :マルチプレッ ト、 br: ブロード。 参考例 1 The proton nuclear magnetic resonance spectra ( 1 H-NMR) used in Examples and Reference Examples were measured at 270 MHz unless otherwise indicated. The peak shape is expressed as follows. s: singlet, d: doublet, t: triplet, m: multiplet, br: broad. Reference example 1
7-ク口口- 2-メチル -6-二卜口- 4(3H)-キナゾリ ノン 7-Cu mouth- 2-methyl-6-nitro-2- 4 (3H) -quinazolinone
文献記載の方法 [アナリ ' ディ ' キミカ (ローマ) (Ann. Chim. Methods described in the literature [Anal 'Di' Kimika (Rome) (Ann. Chim.
(Rome)) 、 56 巻(8-9)、 839 頁 (1996 年) 等] で得られる 7-クロ口- 2- メチル -4(3H)-キナゾリ ノン(3.89 g, 20.0 mmol)を濃硫酸(20 ml)中で氷冷 し、 発煙硝酸(0.8 ml, 20.0 mmol)を内温を 10 °C以下に保ちながら滴下 した。 滴下終了後、 室温に昇温し 3.5 時間攪拌した。 反応溶液を氷に あけて中和後、 析出した結晶を分取し、 更に水、 メタノール、 エーテル で順に洗浄後、 乾燥して標記化合物 (2.74 g, 57 %) を得た。 (Rome)), vol. 56 (8-9), p. 839 (1996), etc.], and concentrated sulfuric acid was added to concentrated sulfuric acid (3.89 g, 20.0 mmol) obtained from 7-cloguchi-2-methyl-4 (3H) -quinazolinone. (20 ml), and fuming nitric acid (0.8 ml, 20.0 mmol) was added dropwise while maintaining the internal temperature at 10 ° C or lower. After completion of the dropwise addition, the temperature was raised to room temperature, and the mixture was stirred for 3.5 hours. The reaction solution was poured on ice, neutralized, and the precipitated crystals were collected, washed with water, methanol and ether in that order, and dried to obtain the title compound (2.74 g, 57%).
1 H-NMR (DMSO-d 6) δ (ppm) : 2.40(3H, s), 7.89(1H, s), 8.63(1H, s), 1 H-NMR (DMSO-d 6 ) δ (ppm): 2.40 (3H, s), 7.89 (1H, s), 8.63 (1H, s),
12.65(1H, br). 参考例 2 12.65 (1H, br). Reference Example 2
7-ェチルァミ ノ -2-メチル -6-二ト口- 4(3H)-キナゾリ ノ ン 7-Ethylamino-2-methyl-6-nitro-2--4 (3H) -quinazolinone
参考例 1で得られる化合物(28.0 g, 117 mmol)と 70%-ェチルアミン水 溶液(120 ml)をジメチルスルホキシ ド(200 ml)中で 80 °Cにて 2 時間攪 拌した。 反応完結のために更に上記ェチルアミン溶液 (20 ml)を加え、 同温で 1 時間攪拌した。 反応終了後、 大量の水を添加し析出した結晶 を分取し、 更に水で洗浄後、 乾燥して標記化合物 (19.7 g, 68 %) を得 _ た。 The compound (28.0 g, 117 mmol) obtained in Reference Example 1 and a 70% aqueous solution of ethylamine (120 ml) were stirred in dimethyl sulfoxide (200 ml) at 80 ° C for 2 hours. To complete the reaction, the above ethylamine solution (20 ml) was further added, and the mixture was stirred at the same temperature for 1 hour. After the completion of the reaction, a large amount of water was added, and the precipitated crystals were collected, washed with water, and dried to obtain the title compound (19.7 g, 68%).
1 H-NMR (DMSO-d 6) δ (ppm): 1.28(3H, t, J=7.1Hz), 2.32(3H, s), 3.36- 3.46(2H, m), 6.82(1H, s), 8.09(1H, br), 8.74(1H, s), 12.00(1H, br). 参考例 3 1 H-NMR (DMSO-d 6 ) δ (ppm): 1.28 (3H, t, J = 7.1 Hz), 2.32 (3H, s), 3.36- 3.46 (2H, m), 6.82 (1H, s), 8.09 (1H, br), 8.74 (1H, s), 12.00 (1H, br). Reference example 3
7-ェチルアミノ -2-メチル -4-(4-ジメチルアミ ノ)ベンジルアミノ -6-二卜 ロキナゾリ ン 7-ethylamino-2-methyl-4- (4-dimethylamino) benzylamino-6-diquinoquinoline
参考例 2で得られる化合物(1.00 g, 4.03 mmoi)、 p-トルエンスルホニ ルクロリ ド(1.15 g, 6.00 mmol)、 トリェチルァミン(2.23 ml, 16.0 mmol)> 4-ジメチルァミノ ピリジン(0.024 g, 0.20 mmol)を塩化メチレン(10 ml)中、 室温で一晩攪拌した。 更に P-トルエンスルホニルクロリ ド(1.15 g)、 ト リエルァミン(2.23 ml)を添加し終夜室温で攪拌した。 反応終了後、 反応 溶液に飽和炭酸水素ナトリゥム溶液を加えク口口ホルムで抽出した。 有 機層を乾燥 (無水硫酸ナト リウム) し、 減圧下で濃縮して油状物質を得 た。 Compound obtained in Reference Example 2 (1.00 g, 4.03 mmoi), p-toluenesulfonyl chloride (1.15 g, 6.00 mmol), triethylamine (2.23 ml, 16.0 mmol)> 4-dimethylaminopyridine (0.024 g, 0.20 mmol) Was stirred in methylene chloride (10 ml) at room temperature overnight. Further, P-toluenesulfonyl chloride (1.15 g) and trieramine (2.23 ml) were added, and the mixture was stirred overnight at room temperature. After completion of the reaction, a saturated sodium bicarbonate solution was added to the reaction solution, and the mixture was extracted with a mouth-mouth form. The organic layer was dried (anhydrous sodium sulfate) and concentrated under reduced pressure to obtain an oily substance.
得られた油状物質をテトラヒ ドロフラン(30 ml)に溶解し、 トリェチ ルァミン(2.80 ml, 20.0 mmol) 4-ジメチルァミノベンジルァミ ン 2 塩 酸塩(1.34 g, 6.00 mmol)を加え室温で一晩攪拌した。 反応終了後、 反応 溶液を減圧下濃縮し、 得られた油状物質に水を加え酢酸ェチルで抽出し た。 有機層を乾燥 (硫酸マグネシウム) し減圧下濃縮した。 得られた油 状物質(2.67 g)をシリ力ゲル力ラムクロマトグラフィー(クロ口ホルム Z 酢酸ェチル =6 で溶出)し標記化合物(1.19 g,78 %)を得た。 The obtained oil was dissolved in tetrahydrofuran (30 ml), and triethylamine (2.80 ml, 20.0 mmol) 4-dimethylaminobenzylamine dihydrochloride (1.34 g, 6.00 mmol) was added. Stirred overnight. After completion of the reaction, the reaction solution was concentrated under reduced pressure, water was added to the obtained oil, and the mixture was extracted with ethyl acetate. The organic layer was dried (magnesium sulfate) and concentrated under reduced pressure. The obtained oily substance (2.67 g) was subjected to gel chromatography on silica gel (eluted with chromatoform Z and ethyl acetate = 6) to give the title compound (1.19 g, 78%).
i H-NMR (CDC1 3) δ (ppm): 1.37(3H, t, J=7.3Hz), 2.60(3H, s), 2.94(6H, s), 3.30-3.36(2H, m), 4.72(2H, d, J=4.6Hz), 6.36(1H, br), 6.71(2H, d, J=8.9Hz), 6.91(1H, s), 7.28(2H, d, J=8.9Hz), 7.68(1H, t, J=4.6Hz), 8.69(1H, s). 参考例 4 i H-NMR (CDC1 3) δ (ppm): 1.37 (3H, t, J = 7.3Hz), 2.60 (3H, s), 2.94 (6H, s), 3.30-3.36 (2H, m), 4.72 ( 2H, d, J = 4.6Hz), 6.36 (1H, br), 6.71 (2H, d, J = 8.9Hz), 6.91 (1H, s), 7.28 (2H, d, J = 8.9Hz), 7.68 ( 1H, t, J = 4.6Hz), 8.69 (1H, s). Reference Example 4
7-ェチルアミ ノ—2-メチル -6-二ト口- 4-(2-ピリジルメチル)ァミノキナゾ U ン 7-Ethylamino-2-methyl-6-dimethoxy-4- (2-pyridylmethyl) aminoquinazones
参考例 3 と同様の方法を用いて標記化合物を得た(収率 11 %)。 The title compound was obtained in the same manner as in Reference Example 3 (yield 11%).
^-NMR (CDC1 3) (3 (ppm): 1.39(3H, t, J=7.3Hz), 2.55(3H, s), 3.33-3.40(2H, m), 4.91 (2H, d, J=4.6Hz), 6.86(1H, s), 7.26-7.31(1H, m), 7.40(1H, d, J=7.9Hz), 7.68-7.77(2H, m), 8.01 (1H, br), 8.65(1H, d, J=5.1Hz), 8.81(1H, s). 参考例 5 ^ -NMR (CDC1 3) (3 (ppm): 1.39 (3H, t, J = 7.3Hz), 2.55 (3H, s), 3.33-3.40 (2H, m), 4.91 (2H, d, J = 4.6 Hz), 6.86 (1H, s), 7.26-7.31 (1H, m), 7.40 (1H, d, J = 7.9Hz), 7.68-7.77 (2H, m), 8.01 (1H, br), 8.65 (1H, d, J = 5.1Hz), 8.81 (1H, s).
2-モルホリ ノべンゾニトリル 2-morpholine benzonitrile
2-フルォロベンゾニトリル(1.21 g, 1.00 mmol)をァセ トニト リル(50 ml)に溶解しモルホリ ン(33 ml, 377 mmol)を加え 110 °Cでニ晚撹拌した。 反応終了後、 反応溶液を濃縮し得られた油状物質をシリカゲルカラムク 口マトグラフィ一 (クロ口ホルムで溶出)で精製し、 油状物質として標 記化合物(1.80 g, 95 %)を得た。 2-Fluorobenzonitrile (1.21 g, 1.00 mmol) was dissolved in acetonitrile (50 ml), morpholine (33 ml, 377 mmol) was added, and the mixture was stirred at 110 ° C under nitrogen. After completion of the reaction, the reaction solution was concentrated, and the obtained oily substance was purified by silica gel column chromatography (eluted with silica gel column chromatography) to obtain the title compound (1.80 g, 95%) as an oily substance.
1 H-NMR (CDC1 3 ) δ (ppm): 3.15-3.23(4H, m), 3.83-3.97(4H, m), 7.01- 7.10(2H, m), 7.48-7.60(2H, m). 参考例 6 1 H-NMR (CDC1 3) δ (ppm):. 3.15-3.23 (4H, m), 3.83-3.97 (4H, m), 7.01- 7.10 (2H, m), 7.48-7.60 (2H, m) Reference Example 6
7-ェチルァ ノ -2-メチル -4-(2-モルホリ ノ)ベンジルァミノ -6-二トロキ ナゾリ ン 7-ethylano-2-methyl-4- (2-morpholino) benzylamino-6-nitroquinazoline
水素化リチウムアルミニウム(2.43 g, 64.0 mmol)をテトラヒ ドロフラ ン(100 ml)に懸濁させ攪拌した。 氷冷下で参考例 5で得られた化合物 (4.00 g, 21.3 mmol)をテトラヒ ドロフラン(100 ml)に溶解した溶液を、 上 記懸濁液に滴下した。 滴下終了後、 反応溶液を 80 で 3 時間反応し た。 反応終了後、 反応溶液を冷却し、 硫酸ナトリウム · 10 水和物をす こしづつ、 発泡が止まるまで添加した。 不溶物を濾過し濾液を濃縮して 油状物質(3.8 g程度)を得た。 Lithium aluminum hydride (2.43 g, 64.0 mmol) was suspended in tetrahydrofuran (100 ml) and stirred. Under ice cooling, a solution of the compound obtained in Reference Example 5 (4.00 g, 21.3 mmol) in tetrahydrofuran (100 ml) was added dropwise to the above suspension. After completion of the dropwise addition, the reaction solution was reacted at 80 for 3 hours. After completion of the reaction, the reaction solution was cooled, and sodium sulfate / 10-hydrate was added little by little until foaming stopped. The insoluble material was filtered, and the filtrate was concentrated to obtain an oily substance (about 3.8 g).
上記で得られた油状物質と、 参考例 2で得られた化合物を参考例 3に 記載の方法と同様に P-トルエンスルホニルクロリ ドで処理して得られ る化合物から標記化合物(収率 14 %)を得た。 The title compound (14% yield) was obtained by treating the oily substance obtained above and the compound obtained in Reference Example 2 with P-toluenesulfonyl chloride in the same manner as described in Reference Example 3. ).
^-NMR (DMSO-d 6) δ (ppm): 1.26(3H, t, J=7.1Hz), 2.34(3H, s), 2.83- 2.92(4H, m), 3.32-3.39(2H, m), 3.73-3.77(4H, m), 4.86(2H, d, J=5.6Hz), 6.80(1H, s), 7.06(1H, dd, J=7.3Hz, 8.6Hz), 7.17(1H, d, J=7.6Hz), 7.23- 7.29(2H, m), 7.75(1H, t, J=5.6Hz), 9.03(1H, t, J=5.3Hz), 9.28(1 H, s). 参考例 7 ^ -NMR (DMSO-d 6 ) δ (ppm): 1.26 (3H, t, J = 7.1 Hz), 2.34 (3H, s), 2.83-2.92 (4H, m), 3.32-3.39 (2H, m) , 3.73-3.77 (4H, m), 4.86 (2H, d, J = 5.6Hz), 6.80 (1H, s), 7.06 (1H, dd, J = 7.3Hz, 8.6Hz), 7.17 (1H, d, J = 7.6Hz), 7.23- 7.29 (2H, m), 7.75 (1H, t, J = 5.6Hz), 9.03 (1H, t, J = 5.3Hz), 9.28 (1H, s). Reference Example 7
4-プロピルァミノべンゾニトリル 4-propylaminobenzonitrile
4-フルォ口べンゾニトリルと n-プロピルアミンから参考例 5 と同様 にして標記化合物を得た(収率 45 %)。 The title compound was obtained from 4-fluorobenzonitrile and n-propylamine in the same manner as in Reference Example 5 (yield: 45%).
1 H-NMR (CDC1 3 ) δ (ppm) : 0.99(3H, t, J=7.4Hz), 1.57-1.71(2H, m), 3.06- 3.34(2H, m), 4.50(1H, br), 6.55(2H, d, J=8.7Hz), 7.38(2H, d, J=8.7Hz). 参考例 8 1 H-NMR (CDC1 3) δ (ppm): 0.99 (3H, t, J = 7.4Hz), 1.57-1.71 (2H, m), 3.06- 3.34 (2H, m), 4.50 (1H, br), 6.55 (2H, d, J = 8.7Hz), 7.38 (2H, d, J = 8.7Hz). Reference Example 8
7-ェチルァミノ -2-メチル -6-二卜口 -4-(4-プ口ピルァミノ)ベンジルアミ ノキナゾリ ン 7-ethylamino-2-methyl-6-nitro-2--4- (4-pyruamino) benzylaminoquinazoline
参考例 7で得られた化合物と参考例 2で得られた化合物を用いて、 参 考例 6 と同様にして標記化合物を得た(収率 79 The title compound was obtained in the same manner as in Reference Example 6 using the compound obtained in Reference Example 7 and the compound obtained in Reference Example 2 (yield 79
1 H-NMR (DMSO-d 6) δ (ppm): 0.91(3H, t, J=7.4Hz), 1.25(3H, t, J=7.1Hz), 1.46-1.59(2H, m), 2.38(3H, s), 2.89-2.97(2H, m), 3.30-3.40(2H, m), 4.56(2H, d, J = 5.6Hz), 5.51(1H, t, J=5.6Hz), 6.51(2H, d, J = 8.6Hz), 6.76(1H, s), 1 H-NMR (DMSO-d 6 ) δ (ppm): 0.91 (3H, t, J = 7.4 Hz), 1.25 (3H, t, J = 7.1 Hz), 1.46-1.59 (2H, m), 2.38 ( 3H, s), 2.89-2.97 (2H, m), 3.30-3.40 (2H, m), 4.56 (2H, d, J = 5.6Hz), 5.51 (1H, t, J = 5.6Hz), 6.51 (2H , d, J = 8.6Hz), 6.76 (1H, s),
7.10(2H, d, J = 8.6Hz), 7.72(1H, t, J=5.6Hz), 8.96(1H, t, J = 5.6Hz), 9.22(1H, s). 参考例 9 7.10 (2H, d, J = 8.6Hz), 7.72 (1H, t, J = 5.6Hz), 8.96 (1H, t, J = 5.6Hz), 9.22 (1H, s).
4-クロ口- 2- (プロピオニルァミノ)ベンゾニ卜リル 4-chloro-2- (propionylamino) benzonitrile
4-クロロアンスラニロニト リル(1.53 g, 10.0 mmol)をピリジン(5 mりに 溶解し、 氷冷下で 4-ジメチルァミ ノ ピリジン(0.12 g, 1.00 mmol)、 プロ ピオン酸クロリ ド(1.05 ml, 12.1 mmol)を添加した後に氷冷下で 2 時間 攪拌した。 反応終了後、 水(500 ml)を加え析出した結晶を分取し、 大 量の水で洗浄後、 乾燥して標記化合物(1.82 g, 87 %)を得た。 4-Chloroanthranilonitrile (1.53 g, 10.0 mmol) was dissolved in 5 ml of pyridine, and under ice cooling, 4-dimethylaminopyridine (0.12 g, 1.00 mmol) and propionic acid chloride (1.05 ml, After addition of water (500 ml), the precipitated crystals were collected, washed with a large amount of water, dried and dried to give the title compound (1.82 mmol). g, 87%).
1 H-NMR (CDC1 3) (5 (ppm): 1.28(3H,t, J=7.6Hz), 2.51(2H, q, J=7.6Hz), 7.15(1H, dd, J=2.0Hz, 8.6Hz), 7.50(1H, d, J=8.6Hz), 8.57(1H, d, J=2.0Hz). 参考例 1 0 1 H-NMR (CDC1 3) (5 (ppm): 1.28 (3H, t, J = 7.6Hz), 2.51 (2H, q, J = 7.6Hz), 7.15 (1H, dd, J = 2.0Hz, 8.6 Hz), 7.50 (1H, d, J = 8.6Hz), 8.57 (1H, d, J = 2.0Hz). Reference example 10
7-クロ口- 2-ェチル -4(3H)-キナゾリ ノン 7-Black mouth-2-ethyl-4 (3H) -quinazolinone
公知の方法 (公開特許公報、 特開昭 49-134697) に準じて、 参考例 9 で得られる化合物にエタノール Z水の混合溶媒中で、 過酸化水素共存下、 水酸化力リゥムを作用させて標記化合物(収率 83 %)を得た。 According to a known method (open patent publication, JP-A-4-19-134697), the compound obtained in Reference Example 9 was subjected to a hydroxylation power in the presence of hydrogen peroxide in a mixed solvent of ethanol and Z water. The title compound (83% yield) was obtained.
' H-NMR (DMSO-d 6) δ (ppm): 1.28(3H,t, J=7.3Hz), 2.66(2H, q, J=7.3Hz), 7.51(1H, d, J=7.6Hz), 7.67(1H, s), 8.09(1H, d, J = 7.6Hz), 12.36(1H , br). 参考例 1 1 'H-NMR (DMSO-d 6 ) δ (ppm): 1.28 (3H, t, J = 7.3 Hz), 2.66 (2H, q, J = 7.3 Hz), 7.51 (1H, d, J = 7.6 Hz) , 7.67 (1H, s), 8.09 (1H, d, J = 7.6Hz), 12.36 (1H, br). Reference Example 1 1
7-クロ口- 2-ェチル -6-二ト口- 4(3H)-キナゾリ ノン 7-Black mouth-2-Ethyl-6-6-2-mouth-4 (3H) -quinazolinone
参考例 1 0で得られる化合物を原料として用い、 参考例 1 と同様にし て標記化合物を得た(収率、 定量的) 。 Using the compound obtained in Reference Example 10 as a raw material, the title compound was obtained in the same manner as in Reference Example 1 (yield, quantitative).
X H-NMR (DMSO-d 6) δ (ppm): 1.26(3H, t, J = 7.6Hz), 2.64(2H, q, J =7.6Hz), 7.91(1H, s), 8.63(1H, s), 12.68(1H, s). 参考例 1 2 X H-NMR (DMSO-d 6 ) δ (ppm): 1.26 (3H, t, J = 7.6 Hz), 2.64 (2H, q, J = 7.6 Hz), 7.91 (1H, s), 8.63 (1H, s), 12.68 (1H, s). Reference Example 1 2
2-ェチル -7-ェチルァミノ -6-二ト口- 4(3H)-キナゾリ ノン 2-Ethyl-7-ethylamino-6-two-mouth-4 (3H) -quinazolinone
参考例 1 1 で得られる化合物を原料にして用い、 参考例 2 と同様にし て標記化合物を得た(収率 57 %)。 Using the compound obtained in Reference Example 11 as a raw material, the title compound was obtained in the same manner as in Reference Example 2 (57% yield).
1 H-NMR (DMSO-d 6) δ (ppm): 1.22-1.32(6H, m), 2.58(2H, q, J = 7.6Hz), 3.37-3.47(2H, m), 6.84(1H, s), 8.10(1H, t, J=5.3Hz), 8.75(1H, s), 12.03(1H, br). 参考例 1 3 1 H-NMR (DMSO-d 6 ) δ (ppm): 1.22-1.32 (6H, m), 2.58 (2H, q, J = 7.6 Hz), 3.37-3.47 (2H, m), 6.84 (1H, s ), 8.10 (1H, t, J = 5.3Hz), 8.75 (1H, s), 12.03 (1H, br).
2-ェチル -7-ェチルァミノ -4-(2-ピリジル)メチルアミノ -6-二卜口キナゾ リ ン 2-Ethyl-7-ethylamino-4- (2-pyridyl) methylamino-6-nitroquinoline
参考例 1 2で得られる化合物を原料として、 参考例 3 と同様にして標 記化合物を得た(収率 33 %)。 Using the compound obtained in Reference Example 12 as a raw material, the title compound was obtained in the same manner as in Reference Example 3 (yield 33%).
1 H-NMR (CDC1 3) δ (ppm): 1.30(3H, t, J=7.6Hz), 1.37(3H, t, J=7.3Hz), 2.76(2H, q, J = 7.6Hz), 3.30-3.38(2H, m), 5.15(2H, br), 6.88(1H, s), 7.28(1H, dd, J=4.3Hz, 7.9Hz), 7.45(1H, d, J=7.6Hz), 7.64(1H, t, J=5.0Hz), 7.76(1H, dd, J=7.6Hz, 7.9Hz), 8.45(1H, br), 8.63(1H, d, J=4.3Hz), 8.71(1H, s). 参考例 1 4 1 H-NMR (CDC1 3) δ (ppm): 1.30 (3H, t, J = 7.6Hz), 1.37 (3H, t, J = 7.3Hz), 2.76 (2H, q, J = 7.6Hz), 3.30-3.38 (2H, m), 5.15 (2H, br), 6.88 (1H, s), 7.28 (1H, dd, J = 4.3Hz, 7.9Hz), 7.45 (1H, d, J = 7.6Hz), 7.64 (1H, t, J = 5.0Hz), 7.76 (1H, dd, J = 7.6Hz, 7.9Hz), 8.45 (1H, br), 8.63 (1H, d, J = 4.3Hz), 8.71 (1H, s). Reference example 1 4
4-クロ口 -2-(シクロペンチルカルポキシアミ ド)ベンゾニトリル 4-chloro-2- (cyclopentylcarboxyamide) benzonitrile
4-クロ口アンスラニロニトリルとシクロペンタンカルボニルクロリ ド から参考例 9 と同様の方法を用いて標記化合物を得た(収率 79 %)。 The title compound was obtained from 4-cyclomouth anthranilonitrile and cyclopentanecarbonyl chloride in the same manner as in Reference Example 9 (yield 79%).
L H-NMR (CDC1 3) δ (ppm) : 1.62-2.07(8H, m), 2.74-2.86(1Η, m), 7.13(1H, dd, J=2.0Hz, 8.6Hz), 7.49(1H, d, J=8.6Hz), 7.67(1H, br), 8.58(1H, d, L H-NMR (CDC1 3) δ (ppm): 1.62-2.07 (8H, m), 2.74-2.86 (1Η, m), 7.13 (1H, dd, J = 2.0Hz, 8.6Hz), 7.49 (1H, d, J = 8.6Hz), 7.67 (1H, br), 8.58 (1H, d,
J=2.0Hz). 参考例 1 5 J = 2.0Hz). Reference example 1 5
7-ク口口- 2-シク口ペンチル -4(3H)-キナゾリ ノン 7-Cu mouth mouth 2- 2-neck mouth pentyl -4 (3H) -quinazolinone
参考例 1 4で得られる化合物を用い、 参考例 1 0 と同様の方法を用い て標記化合物を合成した(収率 82 %)。 Using the compound obtained in Reference Example 14, the title compound was synthesized in the same manner as in Reference Example 10 (82% yield).
' H-NMR (DMSO-d 6) δ (ppm) : 1.60-2.09(8H, m), 2.97-3.09(1Η, m), 7.47(1H, d, J = 8.6Hz), 7.63(1H, s), 8.06(1H, d, J = 8.6Hz), 12.27(1H, br). 参考例 1 6 'H-NMR (DMSO-d 6 ) δ (ppm): 1.60-2.09 (8H, m), 2.97-3.09 (1Η, m), 7.47 (1H, d, J = 8.6 Hz), 7.63 (1H, s ), 8.06 (1H, d, J = 8.6 Hz), 12.27 (1H, br).
7-クロ口- 2-シク口ペンチル -6-二ト口- 4(3H)-キナゾリ ノン 7-Black mouth 2-Chick mouth pentyl-6-Nito mouth-4 (3H) -quinazolinone
参考例 1 5で得られる化合物を原料として用い、 参考例 1 と同様にし て標記化合物を得た(収率、 定量的)。 Using the compound obtained in Reference Example 15 as a raw material, the title compound was obtained in the same manner as in Reference Example 1 (yield, quantitative).
i fi-NMR (DMSO-d 6) δ (ppm): 1.63-2.05(8H, m), 3.02-3.14(1Η, m), 7.85(1H, s), 8.63(1H, s), 12.67(1H, s). 参考例 1 7 i fi-NMR (DMSO-d 6 ) δ (ppm): 1.63-2.05 (8H, m), 3.02-3.14 (1Η, m), 7.85 (1H, s), 8.63 (1H, s), 12.67 (1H , S). Reference Example 1 7
2-シク口ペンチル -7-ェチルアミノ -6-二卜口- 4(3H)-キナゾリノ ン 2-cyclopentyl -7-ethylamino -6-nitro-4-4 (3H) -quinazolinone
参考例 1 6で得られる化合物を原料にして参考例 2 と同様にして標記 化合物を得た(収率 91 %)o Using the compound obtained in Reference Example 16 as a raw material and labeling in the same manner as Reference Example 2 Compound was obtained (yield 91%)
1 H-NMR (D SO-d 6) δ (ppm): 1 ·27(3Η, t, J=6.9Hz), 1.60-1.95(8H, m), 2.92-3.01(lH, m), 3.40-3.46(2H, m), 6.83(1H, s), 8.10(1H, br), 8.75(1H, s), 12.03(1H, br). 参考例 1 8 1 H-NMR (D SO-d 6 ) δ (ppm): 127 (3Η, t, J = 6.9 Hz), 1.60-1.95 (8H, m), 2.92-3.01 (lH, m), 3.40- 3.46 (2H, m), 6.83 (1H, s), 8.10 (1H, br), 8.75 (1H, s), 12.03 (1H, br). Reference Example 1 8
2-シクロペンチル -7-ェチルアミ ノ -4-(4-ジメチルァミノべンジルアミ ノ)-6-二卜口キナゾリ ン 2-cyclopentyl-7-ethylamino-4- (4-dimethylaminobenzilamino) -6-nitroquinazoline
参考例 1 7で得られる化合物と 4-ジメチルァミノベンジルァミン · 2 塩酸塩を用いて、 参考例 3 と同様にして標記化合物を得た(収率 82 %)。 1 H-NMR (CDC1 3) δ (ppm): 1.34(3H, t, J = 7.3Hz), 1.67- 1.72(2H, m), 1.85- 1.89(2H, m), 2.00-2.17(4H, m), 2.91(6H, s), 3.17-3.30(3H, m), 4.74(2H, d, J=5.0Hz), 6.57(1H, br), 6.67(2H, d, J = 8.6Hz), 6.88(1H, s), 7.28(2H, d, J = 8.6Hz), 7.63(1H, t, J=4.6Hz), 8.71 (1H, s). 参考例 1 9 The title compound was obtained in the same manner as in Reference Example 3 using the compound obtained in Reference Example 17 and 4-dimethylaminobenzylamine dihydrochloride (yield 82%). 1 H-NMR (CDC1 3) δ (ppm): 1.34 (3H, t, J = 7.3Hz), 1.67- 1.72 (2H, m), 1.85- 1.89 (2H, m), 2.00-2.17 (4H, m ), 2.91 (6H, s), 3.17-3.30 (3H, m), 4.74 (2H, d, J = 5.0Hz), 6.57 (1H, br), 6.67 (2H, d, J = 8.6Hz), 6.88 (1H, s), 7.28 (2H, d, J = 8.6Hz), 7.63 (1H, t, J = 4.6Hz), 8.71 (1H, s).
2-シクロペンチル -7-ェチルァミ ノ -6-二卜口- 4-(2-ピリジルメチルアミ ノ)キナゾリ ン 2-cyclopentyl-7-ethylamino-6-nitro-2--4- (2-pyridylmethylamino) quinazoline
参考例 1 7で得られる化合物と 2-ピリジルメチルアミンを原料にし て参考例 3 と同様にして標記化合物を得た(収率 59 %)。 The title compound was obtained in the same manner as in Reference Example 3 using the compound obtained in Reference Example 17 and 2-pyridylmethylamine as raw materials (yield 59%).
i H-NMR (CDC1 3) δ (ppm): 1.34(3H, t, J=7.3Hz), 1.64-2.02(8H, m), 3.02- 3.14(1H, m), 3.21-3.31(2H, m), 4.88(2H, d, J=4.6Hz), 6.74(1H, s), 7.24- 7.29(1H, ra), 7.47(1 H, d, J=7.9Hz), 7.53(1H, br), 7.71 -7.78(1H, m), 8.62(1H, d, J=8.6Hz), 8.64(1H, s), 8.90(1H, br). 参考例 2 0 i H-NMR (CDC1 3) δ (ppm): 1.34 (3H, t, J = 7.3Hz), 1.64-2.02 (8H, m), 3.02- 3.14 (1H, m), 3.21-3.31 (2H, m ), 4.88 (2H, d, J = 4.6Hz), 6.74 (1H, s), 7.24- 7.29 (1H, ra), 7.47 (1H, d, J = 7.9Hz), 7.53 (1H, br), 7.71 -7.78 (1H, m), 8.62 (1H, d, J = 8.6Hz), 8.64 (1H, s), 8.90 (1H, br). Reference example 20
2-シク口ペンチル -7-ェチルアミノ -4-(2-モルホリ ノベンジルアミノ) -6- ニトロキナゾリ ン 2-cyclopentyl-7-ethylamino-4- (2-morpholinobenzylamino) -6-nitroquinazoline
参考例 1 7で得られる化合物を原料として用い、 参考例 6 と同様にし て標記化合物を得た(収率 64 %)。 Using the compound obtained in Reference Example 17 as a raw material, This gave the title compound (yield 64%).
^-NMR (CDC1 3) δ (ppm): 1.38(3H, t, J=7.3Hz), 1.66-1.79(2H, m), 1.83- 2.18(6H, m), 3.02-3.06(4H, m), 3.13-3.23(1H, m), 3.31-3.38(2H, m), 3.90- 3.94(4H, m), 4.96(2H, d, J=5.3Hz), 6.96(1H, s), 7.12(1H, dd, J=7.3Hz, 7.3Hz), 7.23(1H, dd, J=7.3Hz, 8.3Hz), 7.30-7.37(2H, m), 7.54(1H, br), 7.69(1H, t, J = 5.0Hz), 8.68(1H, s). 参考例 2 1 ^ -NMR (CDC1 3) δ ( ppm): 1.38 (3H, t, J = 7.3Hz), 1.66-1.79 (2H, m), 1.83- 2.18 (6H, m), 3.02-3.06 (4H, m) , 3.13-3.23 (1H, m), 3.31-3.38 (2H, m), 3.90-3.94 (4H, m), 4.96 (2H, d, J = 5.3Hz), 6.96 (1H, s), 7.12 (1H , dd, J = 7.3Hz, 7.3Hz), 7.23 (1H, dd, J = 7.3Hz, 8.3Hz), 7.30-7.37 (2H, m), 7.54 (1H, br), 7.69 (1H, t, J = 5.0Hz), 8.68 (1H, s). Reference Example 2 1
2-シク口ペンチル -7-ェチルアミノ -6-二ト口- 4-(4-プロピルアミ ノベンジ ルァミノ)キナゾリン 2-cyclopentyl -7-ethylamino -6-nitro-2--4- (4-propylamino benzodiamino) quinazoline
参考例 1 7で得られる化合物を原料として用い、 参考例 6 と同様にし て標記化合物を得た(収率 58 %)。 The title compound was obtained in the same manner as in Reference Example 6 using the compound obtained in Reference Example 17 as a starting material (yield 58%).
1 H-NMR (CDC1 3) δ (ppm): 0.99(3H, t, J=7.4Hz), 1.36(3H, t, J=7.3Hz), 1.61- 1.67(4H, m), 1.80-1.90(2H, m), 1.95-2.07(4H, m), 3.03-3.14(2H, m), 3.17-3.35(3H, m), 4.71(2H, d, J=5.3Hz), 4.90(1H, br), 6.31(1H, br), 6.57(2H, d, J = 8.6Hz), 6.92(1H, s), 7.21(2H, d, J = 8.6Hz), 7.65(1H, t, J=4.6Hz), 8.67(1H, s). 参考例 2 2 1 H-NMR (CDC1 3) δ (ppm): 0.99 (3H, t, J = 7.4Hz), 1.36 (3H, t, J = 7.3Hz), 1.61- 1.67 (4H, m), 1.80-1.90 ( 2H, m), 1.95-2.07 (4H, m), 3.03-3.14 (2H, m), 3.17-3.35 (3H, m), 4.71 (2H, d, J = 5.3Hz), 4.90 (1H, br) , 6.31 (1H, br), 6.57 (2H, d, J = 8.6Hz), 6.92 (1H, s), 7.21 (2H, d, J = 8.6Hz), 7.65 (1H, t, J = 4.6Hz) , 8.67 (1H, s). Reference Example 2 2
4-クロ口 -2- (ィソブチリルァミ ノ)ベンゾニトリル 4-black mouth-2- (isobutyrylamino) benzonitrile
4-クロ口アンスラニロニト リルとイソ酪酸ク口リ ドから参考例 9 と同 様の方法を用いて標記化合物を得た(収率 96 %)。 The title compound was obtained from 4-closan anthranilonitrile and isobutyric acid chloride using the same method as in Reference Example 9 (96% yield).
1 H-NMR (CDC1 3) (5 (ppm) : 1.30(6H, d, J = 6.9Hz), 2.56-2.68(1Η, m), 7.15(1H, dd, J=2.0Hz, 8.6Hz), 7.50(1H, d, J = 8.6Hz), 7.70(1H, br), 8.58(1H, d, J=2.0Hz). 参考例 2 3 1 H-NMR (CDC1 3) (5 (ppm): 1.30 (6H, d, J = 6.9Hz), 2.56-2.68 (1Η, m), 7.15 (1H, dd, J = 2.0Hz, 8.6Hz), 7.50 (1H, d, J = 8.6Hz), 7.70 (1H, br), 8.58 (1H, d, J = 2.0Hz). Reference Example 2 3
フークロ口- 2-ィソプロピル- 4(3H)-キナゾリ ノン Fukuro-guchi-2-isopropyl-4 (3H) -quinazolinone
参考例 2 2で得られる化合物を用い、 参考例 1 0 と同様の方法を用い て標記化合物を得た(収率 定量的)。 Using the compound obtained in Reference Example 22 and using the same method as in Reference Example 10 To give the title compound (yield quantitative).
1 H-NMR (DMSO-d 6) δ (ppm): 1.28(6H, d, J=6.9Hz), 2.84-2.94(1Η, m), 7.42(1H, d, J=8.6Hz), 7.61(1H, s), 8.07(1H, d, J = 8.6Hz), 12.25(1H , br). 参考例 2 4 1 H-NMR (DMSO-d 6 ) δ (ppm): 1.28 (6H, d, J = 6.9 Hz), 2.84-2.94 (1Η, m), 7.42 (1H, d, J = 8.6 Hz), 7.61 ( 1H, s), 8.07 (1H, d, J = 8.6Hz), 12.25 (1H, br).
7-ク口口- 2-ィソプロピル- 6-二ト口- 4(3H)-キナゾリ ノン 7-Cu mouth mouth 2- 2-isopropyl-6-nitro mouth-4 (3H) -quinazolinone
参考例 2 3で得られる化合物を用い、 参考例 1 と同様にして標記化合 物を得た(収率 95 %ヽ。 The title compound was obtained in the same manner as in Reference Example 1 using the compound obtained in Reference Example 23 (yield: 95% ヽ.
1 H-NMR (DMSO-d 6) δ (ppm) : 1 ·27(6Η, d, J = 6.9Hz), 2.87-2.98(1Η, m), 7.94(1H, s), 8.65(1H, s), 12.68(1 H, s). 参考例 2 5 1 H-NMR (DMSO-d 6 ) δ (ppm): 127 (6Η, d, J = 6.9 Hz), 2.87-2.98 (1Η, m), 7.94 (1H, s), 8.65 (1H, s ), 12.68 (1 H, s). Reference Example 2 5
7-ェチルアミノ -2-ィソプロピル- 6-二ト口- 4(3H)-キナゾリ ノン 7-Ethylamino-2-isopropyl-6-nitro-4 (3H) -quinazolinone
参考例 2 4で得られる化合物を用い、 参考例 2 と同様の方法を用いて 標記化合物を得た(収率 80 %)。 Using the compound obtained in Reference Example 24 and the same method as in Reference Example 2, the title compound was obtained (80% yield).
1 H-NMR (DMSO-d 6) δ (ppm): 1.24- 1.30(9H, m), 2.90-2.98(1Η, m), 3.41 - 3.49(2H, m), 6.86(1H, s), 8.09(1H, s), 8.28(1H, s), 11.95(1H, s). 参考例 2 6 1 H-NMR (DMSO-d 6 ) δ (ppm): 1.24- 1.30 (9H, m), 2.90-2.98 (1Η, m), 3.41-3.49 (2H, m), 6.86 (1H, s), 8.09 (1H, s), 8.28 (1H, s), 11.95 (1H, s).
7-ェチルアミノ -2-ィソプロピル- 6-二ト口- 4-(2-ピリジルメチルアミ ノ) キナゾリ ン 7-ethylamino-2-isopropyl-6-nitro-2--4- (2-pyridylmethylamino) quinazoline
参考例 2 5で得られる化合物と 2-ピリジルメチルァミンを原料にし て参考例 3 と同様にして標記化合物を得た(収率 55 %、。 The title compound was obtained in the same manner as in Reference Example 3 using the compound obtained in Reference Example 25 and 2-pyridylmethylamine as raw materials (yield 55%, yield: 55%).
1 H-NMR (CDC1 3) δ (ppm): 1.26(6H, d, J =6.6Hz), 1.36(3H, t, J=7.1Hz), 2.92-2.98(lH, m), 3.27-3.32(2H, m), 4.91(2H, d, J=4.6Hz), 6.80(1H, s), 7.24-7.29(lH, m), 7.48(1H, d, J=7.9Hz), 7.53(1H, br), 7.71 -7.76(1H, m), 8.61(1H, d, J=5.0Hz), 8.67(1H, s), 8.68(1H, br). 参考例 2 7 4-クロ口 -2- (ビバロイルァミノ)ベンゾニト リル 1 H-NMR (CDC1 3) δ (ppm): 1.26 (6H, d, J = 6.6Hz), 1.36 (3H, t, J = 7.1Hz), 2.92-2.98 (lH, m), 3.27-3.32 ( 2H, m), 4.91 (2H, d, J = 4.6Hz), 6.80 (1H, s), 7.24-7.29 (lH, m), 7.48 (1H, d, J = 7.9Hz), 7.53 (1H, br ), 7.71 -7.76 (1H, m), 8.61 (1H, d, J = 5.0Hz), 8.67 (1H, s), 8.68 (1H, br). 4-black mouth-2- (bivaloylamino) benzonitrile
4-クロ口アンスラニロニトリルとピバロイルクロリ ドから参考例 9 と 同様の方法を用いて標記化合物を得た(収率 85 )o The title compound was obtained from 4-chloroanthranilonitrile and pivaloyl chloride in the same manner as in Reference Example 9 (yield 85).
' H-NMR (CDC1 3 ) δ (ppm): 1.37(9Η, s), 7.17(1Η, d, J=8.3Hz), 7.50(1H, d, J=8.3Hz), 7.98(1H, br), 8.59(1H, s). 参考例 2 8 '' H-NMR (CDC13) δ (ppm): 1.37 (9Η, s), 7.17 (1Η, d, J = 8.3Hz), 7.50 (1H, d, J = 8.3Hz), 7.98 (1H, br) , 8.59 (1H, s). Reference Example 2 8
2-ter ブチル -7-ク口口- 4(3H)-キナゾリ ノン 2-ter butyl -7-butanol-4 (3H) -quinazolinone
参考例 2 7で得られる化合物を用い、 参考例 1 0 と同様の方法を用い て標記化合物を合成した(収率 定量的)。 Using the compound obtained in Reference Example 27, the title compound was synthesized in the same manner as in Reference Example 10 (quantitative yield).
1 H-NMR (DMSO-d 6) δ (ppm): 1.48(9H, s), 7.41(1H, d, J=8.6Hz), 7.75(1H, s), 8.20(1H, d, J=8.6Hz), 11.17(1H, s). 参考例 2 9 1 H-NMR (DMSO-d 6 ) δ (ppm): 1.48 (9H, s), 7.41 (1H, d, J = 8.6 Hz), 7.75 (1H, s), 8.20 (1H, d, J = 8.6 Hz), 11.17 (1H, s). Reference example 2 9
2-tert-ブチル -7-ク口口- 6-二ト口- 4(3H)-キナゾリ ノン 2-tert-butyl -7-octopene-6-nitopen-4 (3H) -quinazolinone
参考例 2 8で得られる化合物を原料として用い、 参考例 1 と同様にし て標記化合物を得た(収率 81 %)。 Using the compound obtained in Reference Example 28 as a raw material, the title compound was obtained in the same manner as in Reference Example 1 (yield 81%).
1 H-NMR (DMSO-d 6) δ (ppm): 1.36(9H, s), 7.93(1H, s), 8.65(1H, s), 12.43(1H, s). 参考例 3 0 1 H-NMR (DMSO-d 6 ) δ (ppm): 1.36 (9H, s), 7.93 (1H, s), 8.65 (1H, s), 12.43 (1H, s). Reference Example 30
2-tert-ブチル -7-ェチルァミノ -4-二卜口- 4(3H)-キナゾリ ノン 2-tert-butyl -7-ethylamino-4--4-butanol-4 (3H) -quinazolinone
参考例 2 9で得られる化合物を用い、 参考例 2 と同様の方法を用いて 標記化合物を得た(収率 93 %)。 Using the compound obtained in Reference Example 29, the title compound was obtained in the same manner as in Reference Example 2 (93% yield).
' H-NMR (DMSO-d 6) δ (ppm): 1.27- 1.40(12H, m), 3.40-3.46(2H, m), 6.84(1H, s), 8.07(1H, br), 8.77(1H, s), 11.58(1H, br). 参考例 3 1 'H-NMR (DMSO-d 6 ) δ (ppm): 1.27-1.40 (12H, m), 3.40-3.46 (2H, m), 6.84 (1H, s), 8.07 (1H, br), 8.77 (1H , s), 11.58 (1H, br). Reference Example 3 1
2-tert-ブチル -7-ェチルアミノ -6-二卜口- 4-(2-ピリジルメチルァミノ)キナ ゾリ ン 2-tert-butyl-7-ethylamino-6-nitro-2--4- (2-pyridylmethylamino) quina Zolin
参考例 3 0で得られる化合物と 2-ピリジルメチルァミンを原料にし て参考例 3 と同様にして標記化合物を得た(収率 77 %、。 The title compound was obtained in the same manner as in Reference Example 3 using the compound obtained in Reference Example 30 and 2-pyridylmethylamine as raw materials (yield 77%, yield: 77%).
1 H-NMR (CDC1 3) δ (ppm): 1.35- 1.44(12H, m), 3.32-3.37(2H, m), 4.90(2H, d, J=5.0Hz), 6.88(1H, br), 7.23-7.28(1H, m), 7.45(1H, d, J=7.9Hz), 7.57(1H, br), 7.70-7.78(lH, m), 8.21(1H, br), 8.60(1H, d, J=5.0Hz), 8.72(1H, s). 参考例 3 2 1 H-NMR (CDC1 3) δ (ppm): 1.35- 1.44 (12H, m), 3.32-3.37 (2H, m), 4.90 (2H, d, J = 5.0Hz), 6.88 (1H, br), 7.23-7.28 (1H, m), 7.45 (1H, d, J = 7.9Hz), 7.57 (1H, br), 7.70-7.78 (lH, m), 8.21 (1H, br), 8.60 (1H, d, J = 5.0Hz), 8.72 (1H, s). Reference Example 3 2
2-tert-ブチル -7-ェチルアミ ノ -4-[(2-モルホリ ノ)ベンジルアミ ノ ]-6-二卜 口キナゾリ ン 2-tert-butyl-7-ethylamino -4-[(2-morpholino) benzylamino] -6-nitroquinazoline
参考例 3 0で得られる化合物を原料として用い、 参考例 6 と同様にし て標記化合物を得た(収率 78 %)。 Using the compound obtained in Reference Example 30 as a raw material, the title compound was obtained in the same manner as in Reference Example 6 (yield: 78%).
' H-NMR (CDCl 3) δ (ppm): 1.39(3H, t, J = 7.3Hz), 1.42(9H, s), 3.01-3.05(4H, m), 3.36-3.42(2H, m), 3.91-3.95(4H, m), 4.97(2H, d, J=5.3Hz), 7.04(1H, br), 7.11 (1H, dd, J = 7.3Hz, 7.3Hz), 7.21(1H, d, J=6.9Hz), 7.26(1H, s), 7.28- 7.38(2H, m), 7.67(1H, br), 8.69(1H, s). 参考例 3 3 'H-NMR (CDCl 3 ) δ (ppm): 1.39 (3H, t, J = 7.3 Hz), 1.42 (9H, s), 3.01-3.05 (4H, m), 3.36-3.42 (2H, m), 3.91-3.95 (4H, m), 4.97 (2H, d, J = 5.3Hz), 7.04 (1H, br), 7.11 (1H, dd, J = 7.3Hz, 7.3Hz), 7.21 (1H, d, J = 6.9Hz), 7.26 (1H, s), 7.28- 7.38 (2H, m), 7.67 (1H, br), 8.69 (1H, s).
4-ベンジルアミ ノ -7-ェチルァミノ - 2-メチル -6-二トロキナゾリ ン 4-benzylamino-7-ethylamino-2-methyl-6-nitroquinazoline
参考例 2で得られる化合物とベンジルァミンを原料として用い、 参考 例 3 と同様にして標記化合物を得た (;収率 43 %)。 Using the compound obtained in Reference Example 2 and benzylamine as raw materials, the title compound was obtained in the same manner as in Reference Example 3 (43% yield).
1 H-NMR (CDC1 3) (5 (ppm): 1.38(3H, t, J=7.2Hz), 2.58(3H, s), 3.30-3.45(2H, m), 4.85(2H, d, J=5.1Hz), 6.05-6.35(lH, br), 6.96(1H, s), 7.30-7.60(5H, m), 7.65-7.75(lH, m), 8.68(1H, s). 参考例 3 4 1 H-NMR (CDC1 3) (5 (ppm): 1.38 (3H, t, J = 7.2Hz), 2.58 (3H, s), 3.30-3.45 (2H, m), 4.85 (2H, d, J = 5.1Hz), 6.05-6.35 (lH, br), 6.96 (1H, s), 7.30-7.60 (5H, m), 7.65-7.75 (lH, m), 8.68 (1H, s).
4-ベンジルァミノ -7-ェチルァミノ -6-二ト口- 2-スチリルキナゾリ ン 参考例 3 3で得られる化合物(1.00 g, 2.97 mmol) ベンズアルデヒ ド (0.90 ml, 8.91 mmol)と酢酸アンモニゥム(2.26 g, 29.3 mmol)を酢酸中で : Lっ鹦驟 ¾ 掣っ 1ΐ驟 ¾ί 缀 。 つ tifi绺^ ¾ ¾ - ! ¾氺 01 * マ 魏 っ ^氺¾ Si^ 、¾上^^^ ° つ #lf ¾翻 I 丄^氺 、¾上^土嫂 土 ¾:)逖慇 ' T¾ ^m 0(H)く 乙口?! ^1 4 O)(louiui L-Zf '§ 0 T)i ^ >¾l ¾ L 9 ε fi^% 。 ·ΖΠ ί¾ιっ ^^^土^ く $翳籙: :)(ιω ο(η)く4-Benzylamino-7-ethylamino-6-two-mouth-2-styrylquinazoline The compound obtained in Reference Example 33 (1.00 g, 2.97 mmol) benzaldehyde (0.90 ml, 8.91 mmol) and ammonium acetate (2.26 g, 29.3) mmol) in acetic acid : L 鹦 鹦 掣 ΐ ΐ ΐ 1 ΐ ΐ ΐ 缀. One tifi 绺 ^ ¾ ¾-! ¾氺01 * Ma Tsu Wei ^氺¾ Si ^, ¾ on one ^^^ ° #lf ¾ transliteration I丄^氺, ¾ on ^ Doaniyome soil ¾ :)逖慇'T¾ ^ m 0 (H) Ku Otsu mouth? ! ^ 1 4 O) (louiui L - Z f '§ 0 T) i ^> ¾l ¾ L 9 ε fi ^%. · ΖΠ ί¾ι Tsu ^^^ earth ^ Ku $ Kage籙::) (ι ω ο ( η) Ku
^乙口 >| ^ 4 ¾(IOUIUI s-Ll '§ 9'0)マ 二 ^ マ^ fi ^峯氺 一 Π 「 1 ェ(/ Γι ^ Otsuguchi> | ^ 4 ¾ (IOUIUI s-Ll '§ 9'0) Ma 2 ^ Ma ^ fi ^ Mine 氺 Π "1 ェ (/ Γι
9 S f( % 9 S f (%
•(ΖΗ6·ん =JT 'Ρ 'Ηΐ 6·ん '(ΖΗ9"8 = Γ 'ΖΗ£·ん =f 'PP "u tfL '(ΖΗ£'ん =i 'P 'HI)t^'乙 '(zH9'8 = f 'ΖΗ6'Δ = Γ 'PP 'Hl)9l"A '(« 'Η£)06·ε 'O 'H Sん ·ε-ε9 '(zH9'L=f 'H 0'ε '(ΖΗ9·ん =f '】 'H ) 89 '(™ 'H1/)IS ' 0 : (mdd) ρ Ιθαθ)謂 N_H t • (ΖΗ6 · n = JT 'Ρ' Ηΐ 6 · n '(ΖΗ9 "8 = Γ' ΖΗ £ · n = f 'PP" u tfL' (ΖΗ £ 'n = i' P 'HI) t ^''(zH9'8 = f' ΖΗ6 'Δ = Γ' PP 'Hl) 9l "A' (« 'Η £) 06 · ε' O 'HS ん ε-ε9'(zH9'L = f 'H 0 'ε' (ΖΗ9 · n = f ')' H) 89 '(™' H1 /) IS '0: (mdd) ρ Ιθαθ) N_H t
° 會 ) ¾畺¾¾^^^^鷇 ° meeting) ¾ 畺 ¾¾ ^^^^ 鷇
、つ碡! laXffj ^ ΟΟΠΓ— ^ /マ^^ロ口 )一 乙 ^! 口 ^ マ /!し π 、つ鹦觳丄 缀^ 。^つ Φί¾ wi a. ooi - m -a ι χ 、 つ i¾ (IOUIUI ξ'ΐί 'S ε·εΐ)¾邈 1¾ I · Γι f ΐエロ□ -a iW ^ 。 つ ミ マ 〔 ^ ¾(louiui z-iL '§ ^Zl) ( -i -6--^^ Tsutsu! laXffj ^ ΟΟΠΓ— ^ / ma ^^ b) ichiichi ^! mouth ^ ma /! Then π, 鹦 觳 丄 缀 ^.つ Φ m wi a. Ooi-m -a ι χ, ¾ i¾ (I OUIUI ξ'ΐί 'S εΐίε) ¾ 邈 1¾ I · Γι f ΐero □ -a iW ^. Tsumi (^ ¾ (louiui z-iL '§ ^ Zl) (-i -6-^^
^翊暴 '^ [ ^ ェ( , Γι ^Λ(^:)-Ζ}-Ζ ^ Ikiro '^ [^ ((, Γι ^ Λ (^:)-Ζ} -Ζ
S ε Ρ^# S ε Ρ ^ #
'(Jq 'Hl)^f 6 '(s 'ΗΙ)ん Γ6 '(ZHS-Sl = f ' 'Η"θ96·ん 'ΗΖ)0Α·ん-ん 9'ん 'Hん) 6 ·Δ-εε·ん '(∞ 'ΗΙ)8Ζ·ん -£Γん '(zHS'Sl = f 'Ρ 'Ηΐ) Γ乙 ' 'Ηΐ)ん 8'9 '(ZH£-S=f 'Ρ 'ΗΖ)98·ャ'( J q' Hl) ^ f 6 '(s' ΗΙ) Γ6' (ZHS-Sl = f '' Η "θ96 'ΗΖ) 0Α-n- 9' n 'H-n) 6 · Δ-εε-n' (∞ 'ΗΙ) 8Ζ-n-£ Γn'(zHS'Sl = f 'Ρ' Ηΐ) ΓO ''Ηΐ) No 8'9' (ZH £ -S = f 'Ρ' ΗΖ) 98
'Ο Ήζ)εΐ7·ε-εε'ε '(ΖΗΓ乙 =r Ί Ήε) ·ι : Odd) ρ p-oswa) Η画 ·Η Τ 'Ο Ήζ) εΐ7 · ε-εε'ε' (ΖΗΓΖΗΓ = r Ί Ήε) · ι : Odd) ρ p-oswa) Η Η · Η Τ
PI '§ 、つ つ ff?½ tW¾^ 丄 ^ ¾ ° つ ί¾¾Β ζ 2>。 οπ PI '§ One ff? ½ tW¾ ^ 丄 ^ ¾ ° One ζ ζ 2>. οπ
0Z600/66df/I3d L9£P/660fA 1 H-NMR (CDC1 3) (5 (ppm): 2.30-2.38(4H, m), 2.44(2H, t, J=6.6Hz), 3.04(2H, t, J=6.6Hz), 3.59-3.67(4H, m), 4.71(2H, br), 7.22-7.31(2H, m), 7.35-7.39(lH, m), 7.43-7.48(l H, m). 参考例 3 7 0Z600 / 66df / I3d L9 £ P / 660fA 1 H-NMR (CDC1 3) (5 (ppm): 2.30-2.38 (4H, m), 2.44 (2H, t, J = 6.6Hz), 3.04 (2H, t, J = 6.6Hz), 3.59-3.67 (4H, m), 4.71 (2H, br), 7.22-7.31 (2H, m), 7.35-7.39 (lH, m), 7.43-7.48 (lH, m).
2-[2- (モルホリ ノ)ェチルチオ]ベンズアルデヒ ド 2- [2- (morpholino) ethylthio] benzaldehyde
参考例 3 6で得られた化合物(8.24 g, 32.6 mmol)をク口口ホルム(60 ml)に溶解し、 活性二酸化マンガン(35 g, 403 mmoりを添加し、 溶媒還流 下で 16 時間攪拌した。 反応終了後、 不溶物を濾別し濾液を減圧下濃縮 した。 得られた残査をシリカゲルカラムクロマ トグラフィー(クロロホ ルムノメタノール =200 で溶出)で精製し、 標記化合物(7.86 g, 96 %)を得 た。 The compound (8.24 g, 32.6 mmol) obtained in Reference Example 36 was dissolved in stomal form (60 ml), activated manganese dioxide (35 g, 403 mmol) was added, and the mixture was stirred for 16 hours under solvent reflux. After completion of the reaction, insolubles were removed by filtration, and the filtrate was concentrated under reduced pressure.The obtained residue was purified by silica gel column chromatography (eluted with chloroformumethanol = 200) to give the title compound (7.86 g, 96%).
1 H-NMR (CDC1 3) δ (ppm): 2.45-2.52(4H, m), 2.65(2H, t, J=7.3Hz), 3.09(2H, t, J=7.3Hz), 3.65-3.72(4H, m), 7.32(1H, dd, J=7.6Hz, 7.9Hz), 7.43-7.56(2H, m), 7.85(1H, d, J=7.6Hz), 10.44(1H, s). 参考例 3 8 1 H-NMR (CDC1 3) δ (ppm): 2.45-2.52 (4H, m), 2.65 (2H, t, J = 7.3Hz), 3.09 (2H, t, J = 7.3Hz), 3.65-3.72 ( 4H, m), 7.32 (1H, dd, J = 7.6Hz, 7.9Hz), 7.43-7.56 (2H, m), 7.85 (1H, d, J = 7.6Hz), 10.44 (1H, s). 3 8
7-ェチルアミノ -4-{2-[2- (モルホリ ノ)ェチルチオ]ベンジルアミ ノ }-6-二 卜口キナゾリ ン 7-Ethylamino -4- {2- [2- (morpholino) ethylthio] benzylamino} -6-Nitroquinazoline
参考例 3 7で得られた化合物(4.92 g, 19.6 mmoi)をエタノール(50 ml) に懸濁させ、 塩酸ヒ ドロキシルァミン(1.77 g, 25.5 mmol)、 炭酸ナトリ ゥム(2.70 g, 25.5 mmol)を添加し室温で 2 時間攪拌した。 反応溶液を減 圧下濃縮して、 白色固体を得た。 The compound (4.92 g, 19.6 mmoi) obtained in Reference Example 37 was suspended in ethanol (50 ml), and hydroxylamine hydrochloride (1.77 g, 25.5 mmol) and sodium carbonate (2.70 g, 25.5 mmol) were added. The mixture was added and stirred at room temperature for 2 hours. The reaction solution was concentrated under reduced pressure to obtain a white solid.
得られた白色固体をエーテル(240 ml)に懸濁させ、 水素化リチウムァ ルミニゥム(10.14 g, 266 mmol)を加え、 溶媒還流下 1.5 時間攪拌した。 反応終了後、 反応溶液を氷冷したまま硫酸ナ トリウム · 10 水和物をす— こしづつ、 発泡が止まるまで添加した。 不溶物を濾過し濾液を濃縮して 油状物質(4.76 g)を得た。 The obtained white solid was suspended in ether (240 ml), lithium hydride (10.14 g, 266 mmol) was added, and the mixture was stirred under reflux of the solvent for 1.5 hours. After the completion of the reaction, sodium sulfate decahydrate was added little by little until the foaming was stopped while the reaction solution was cooled on ice. The insolubles were filtered and the filtrate was concentrated to give an oil (4.76 g).
上記の油状物質(4.76 g)、 ト リェチルアミ ン(5.27 ml, 37.8 mmol)をテ 9S The oily substance (4.76 g) and triethylamine (5.27 ml, 37.8 mmol) were added to the solution. 9S
•(s Ήΐ)ΐ1τ·0Χ '(ΖΗ9·ん =f 'P 'HI) ん 'O 'HZ) Z«W乙 '(ΖΗ6·8 'ΖΗ6·ん ' 'ΗΖ ん '(ΖΗΓΔ=Γ 'b 'Η17)8? '(ΖΗΓん =f 'ϊ 'Η9)£0Ί : (uidd) ρ u D) HWN"H τ • (s Ήΐ) ΐ1τ · 0Χ '(ΖΗ9 · = f' P 'HI)''O' HZ) Z «W '' (ΖΗ6 · 8 'ΖΗ6 · '' ΗΖ '(' Δ = Γ 'b' Η17) 8? '(ΖΗΓ ==''' 9) £ 0Ί: (uidd) ρ u D) HWN "H τ
°(% 9L ^¾^®)¾¾¾(#^^5gm n¾ ι ε 、¾?^蕙 マ ニミ マ 6 n 挲氺 iつ:)對 fei 9 ε P^# ¾%^^¾; 9 t^ .6 ε r^## ° (% 9L ^ ¾ ^ ®) ¾¾¾ (# ^^ 5gm n¾ ι ε, ¾? ^ 蕙 Manimima 6 n 挲 氺 i :) vs fei 9 ε P ^ # ¾% ^^ ¾; 9 t ^ .6 ε r ^ ##
H ^^ΊΓ ί-^ΐ^ΐ , ^エ^-乙) H ^^ ΊΓ ί- ^ ΐ ^ ΐ, ^ d ^-b)
0 r^ 0 r ^
"(ω 'Ηΐ)96·ん -ΐ6· '(tu 'Η 9 'ん -Ζε'乙 'Ηΐ)9Γん -80·ム '(s 'H£)68"£ '(ΖΗ£· =f Ί 'ΗΖ)ん 0·£-86·Ζ '(ζΗε'Δ = Γ 'ΗΖ)£8マ -乙ん '(ω 'Β^ί^Ζ-ζζ-Ζ 'Ο 'Η9)Δ0·ΐ-66·0 : (mdd) ρ ιつ αつ)謂 Ν_Η τ "(ω 'Ηΐ) 96 · n -ΐ6' (tu 'Η 9' n -Ζε'Otsu 'Ηΐ) 9 n -80 · m' ( s 'H £) 68"£' (ΖΗ £ Ί 'ΗΖ) 0 0 ££ -86Ζ Ζ'(ζΗε'Δ = Γ 'ΗΖ) £ 8-乙' (ω 'Β ^ ί ^ Ζ-ζζ-Ζ' Ο 'Η9) Δ0 66 · 0: (mdd) ρ ια α) so-called Ν_Η τ
°( 06 ° (06
*¾ι) ¾¾ι¾^^^鷇ェつ :)對 fei s ε r^ ^ ?¾ ¾^ m x · く エロ口 -ε- ^ ^ェ マ 魏 ^ Γι * ¾ι) ¾¾ι¾ ^^^ 鷇 鷇 :) fe fei s ε r ^ ^? ¾ ¾ ^ mx · Ku erotic mouth -ε- ^ ^ ema Wei ^ Γι
邈暴冒 ^ ( Γ ΐェ , ^ エ ^) Assault ^ (Γ ΐ, ^ d ^)
6 ε ίι^# 6 ε ίι ^ #
-(s 'ΗΙ)0ε·6 '(ZH0'S = f '5 'Ηΐ)0Γ6 '(s 'ΗΤ)83'8 '(zH£"S 'Ρ 'Ηί)ひ'ん 'Ο 'Ηζ)8Γん -ZVL '(ΖΗε·8 'ΖΗ9"9 = Γ 'ΡΡ 'HI) ん ' Ήΐ)ΐ78'9 '(zH0'S=f 'Ρ iUZ)9f 'Ο-(s' ΗΙ) 0ε6 '(ZH0'S = f' 5 'Ηΐ) 0Γ6'(s' ΗΤ) 83'8 '(zH £ "S 'Ρ' Ηί) Hi '' Ο 'Ηζ) 8Γ -ZVL' (ΖΗε8 'ΖΗ9 "9 = Γ' ΡΡ 'HI)''')ΐ78'9'(zH0'S = f' Ρ i UZ) 9f 'Ο
'H e ε-ο ·ε '(™ Ήζ)8ε·ε-£ε·ε '(ΖΗ£·Δ=Γ Ί Ήζ)60·ε '(ζΗε· =Γ Ί 'H )6t'H e ε-ο ・ ε' (™ Ήζ) 8ε ·-£ ε · ε '(ΖΗ £ · Δ = Γ Ί Ήζ) 60 · ε' (ζΗε · = Γ Ί 'H) 6t
'Ο 'Ht SS'Z '(ΖΗΓ乙 =f Ί Ήε)^Ζ·Τ : (^dd) ρ (9 p-〇S ) ¾ N"H t '§ 68 )i¾^ >21^ 、つ碡縣 (ffl^i 0S〜00I = — , ノマ ロ'Ο' Ht SS'Z '(ΖΗΓOL = f Ή Ήε) ^ Ζ · Τ: (^ dd) ρ (9 p-〇S) ¾ N "H t ' § 68) i¾ ^> 21 ^ Agata (ffl ^ i 0S〜00I = —, Nomaro
C! )一 乙 ^ 4 ロ ^マ ^ し ^「1く、 ¾¾¾ 、つ鹦鎩土 9 I '§ 8Ι·ε /#^-^0)»SI 8 990/S6OAV)く 「し、 ÷口 4二- 9_ Z Γ ェ-ん-ロ口 C! ) One ^ ^ 4 ロ ^ ^ "1 、 ¾¾¾ 鹦 鎩 鹦 鎩 鹦 鎩 soil 9 I '§ 8Ι · ε / # ^-^ 0) »SI 8 990 / S6OAV)
0Z600/66dT/X3d Ρί9£Ρ/6β OAV 参考例 4 1 0Z600 / 66dT / X3d Ρί9 £ Ρ / 6β OAV Reference example 4 1
7-ェチルァミノ -4-[2—(2-ジェチルアミノエチルチオ)ベンジルァミノ] - 6-二トロキナゾリン 7-ethylamino -4- [2- (2-ethylaminoethylthio) benzylamino] -6-ditroquinazoline
参考例 4 0で得られた化合物を炭酸ナトリウム共存下で、 塩酸ヒ ド口 キシルァミンで処理した後に、 水素化リチウムアルミニウムで還元し、 更に 4-クロ口- 7-ェチルァミ ノ- 6-ニトロキナゾリ ン(WO95/06648 記載の 化合物)と反応させて標記化合物を得た(収率 33 %)。 The compound obtained in Reference Example 40 was treated with xylamine hydrochloride in the presence of sodium carbonate, reduced with lithium aluminum hydride, and further treated with 4-chloro-7-ethylethylamino-6-nitroquinazoline ( The compound was reacted with the compound described in WO95 / 06648) to give the title compound (yield 33%).
i H-NMR (DMSO-d 6) δ (ppm): 0.95(6H, t, J=7.1Hz), 1.30(3H, t, J=7.1Hz), 2.48-2.60(4H, m), 2.62-2.75(2H, br), 3.08(2H, t, J=7.3Hz), 3.34-3.42(2H, m), 4.79(2H, d, J=5.3Hz), 6.87(1H, s), 7.16(1H, dd, J = 6.6Hz, 6.9Hz), 7.24- 7.29(2H, m), 7.44(1H, d, J=7.3Hz), 7.76(1H, t, J=5.3Hz), 8.30(1H, s), i H-NMR (DMSO-d 6 ) δ (ppm): 0.95 (6H, t, J = 7.1 Hz), 1.30 (3H, t, J = 7.1 Hz), 2.48-2.60 (4H, m), 2.62- 2.75 (2H, br), 3.08 (2H, t, J = 7.3Hz), 3.34-3.42 (2H, m), 4.79 (2H, d, J = 5.3Hz), 6.87 (1H, s), 7.16 (1H , dd, J = 6.6Hz, 6.9Hz), 7.24- 7.29 (2H, m), 7.44 (1H, d, J = 7.3Hz), 7.76 (1H, t, J = 5.3Hz), 8.30 (1H, s ),
9.11(1H, t, J = 5.5Hz), 9.35(1H, s). 参考例 4 2 9.11 (1H, t, J = 5.5Hz), 9.35 (1H, s). Reference example 4 2
6-ク口口ニコチン酸メチル Methyl nicotinate
6-クロ口ニコチン酸(5.00 g, 31.7 mmol)を N,N-ジメチルホルムアミ ド (30 ml)に溶解し、 ょぅ化メチル(2.37 ml, 38· l mInol)、 炭酸カリ ウム(5.26 g, 38.1 mmol)を加え室温で一晩攪拌した。 反応終了後、 大量の水を加え 酢酸ェチルで抽出した。 有機層を減圧下濃縮し、 得られた残査をシリカ ゲルカラムクロマトグラフィー(へキサン Z酢酸ェチル =5 で溶出)し、 標記化合物(4.56 g, 83 %)を白色結晶として得た。 6-Chloronicotinic acid (5.00 g, 31.7 mmol) was dissolved in N, N-dimethylformamide (30 ml), and methyl bromide (2.37 ml, 38 · mInol), potassium carbonate (5.26 g) , 38.1 mmol) and stirred at room temperature overnight. After completion of the reaction, a large amount of water was added, and the mixture was extracted with ethyl acetate. The organic layer was concentrated under reduced pressure, and the obtained residue was subjected to silica gel column chromatography (eluted with hexane Z-ethyl acetate = 5) to give the title compound (4.56 g, 83%) as white crystals.
' H-NMR (CDC1 3) δ (ppm): 3.96(3H, s), 7.43(1H, d, J=8.4Hz), 8.25(1H, dd, J=2.0Hz, 8.4Hz), 9.00(1H, d, J=2.0Hz). 参考例 4 3 'H-NMR (CDC1 3) δ (ppm): 3.96 (3H, s), 7.43 (1H, d, J = 8.4Hz), 8.25 (1H, dd, J = 2.0Hz, 8.4Hz), 9.00 (1H , d, J = 2.0Hz). Reference Example 4 3
6-(4-メチルピペラジニル)ニコチン酸メチル Methyl 6- (4-methylpiperazinyl) nicotinate
参考例 4 2で得られる化合物(2.00 g, 11.7 mmol), 1-メチルビペラジ ン(4.53 mml, 40.8 mmol)をァセトニト リリレ(5 ml)中、 80 °Cで 1 時間攪 拌した。 反応終了後、 減圧下反応溶液を濃縮し、 水を加えて酢酸ェチル で抽出した。 有機層を減圧下濃縮し、 油状物質として標記化合物(2.20 g, 80 %)を得た。 The compound obtained in Reference Example 42 (2.00 g, 11.7 mmol) and 1-methylbiperazine (4.53 mml, 40.8 mmol) were stirred in acetonitrile (5 ml) at 80 ° C for 1 hour. Stirred. After completion of the reaction, the reaction solution was concentrated under reduced pressure, water was added, and the mixture was extracted with ethyl acetate. The organic layer was concentrated under reduced pressure to obtain the title compound (2.20 g, 80%) as an oil.
' H-NMR (CDC1 3) d (ppm): 2.40(3H, s), 2.56-2.63(4H, m), 3.74-3.79(4H, m), 3.87(3H, s), 6.60(1H, d, J=9.2Hz), 8.03(1H, dd, J=2.0Hz, 9.2Hz), 8.79(1H, d, J=2.0Hz). 参考例 4 4 'H-NMR (CDC1 3 ) d (ppm): 2.40 (3H, s), 2.56-2.63 (4H, m), 3.74-3.79 (4H, m), 3.87 (3H, s), 6.60 (1H, d , J = 9.2Hz), 8.03 (1H, dd, J = 2.0Hz, 9.2Hz), 8.79 (1H, d, J = 2.0Hz).
5-ヒ ドロキシメチル -2-(4-メチルピペラジニル)ピリジン 5-hydroxymethyl-2- (4-methylpiperazinyl) pyridine
参考例 4 3で得られる化合物(2.00 g, 8.51 mmol)をテトラヒ ドロフラ ン(20 ml)に溶解し、 氷冷下で水素化リチウムアルミニゥム(0.32 g, 8.51 mmol)を加え、 同温で 0.5 時間攪拌した。 反応終了後、 反応溶液を氷冷 したまま硫酸ナトリウム · 10 水和物をすこしづつ、 発泡が止まるまで 添加した。 不溶物を濾過し濾液を濃縮して標記化合物を油状物質(1.98 g, 92 %)として得た。 Reference Example 43 The compound obtained in 3 (2.00 g, 8.51 mmol) was dissolved in tetrahydrofuran (20 ml), and lithium aluminum hydride (0.32 g, 8.51 mmol) was added under ice-cooling. Stirred for 0.5 hours. After the completion of the reaction, sodium sulfate decahydrate was added little by little until the foaming stopped while the reaction solution was cooled on ice. The insolubles were filtered off and the filtrate was concentrated to give the title compound as an oil (1.98 g, 92%).
^-NMR (CDC1 3) δ (ppm): 2.32(3H, s), 2.42-2.57(4H, m), 3.45-3.57(4H, m), 3.67(1H, br), 4.52(2H, br), 6.63(1H, d, J=8.6Hz), 7.52(1H, dd, J=2.3Hz, 8.6Hz), 8.10(1H, d, J=2.3Hz). 参考例 4 5 ^ -NMR (CDC1 3) δ ( ppm): 2.32 (3H, s), 2.42-2.57 (4H, m), 3.45-3.57 (4H, m), 3.67 (1H, br), 4.52 (2H, br) , 6.63 (1H, d, J = 8.6Hz), 7.52 (1H, dd, J = 2.3Hz, 8.6Hz), 8.10 (1H, d, J = 2.3Hz).
5-ホルミル -2-(4-メチルビペラジニル)ピリジン 5-formyl-2- (4-methylbiperazinyl) pyridine
参考例 4 で得られる化合物(2.30 g, 11.1 mmol)と活性二酸化マンガ ン(2.30 g, 26.4 mmol)をトルエン(25 ml)中、 120 。(:(油浴温度)で 2 時間 攪拌した。 反応終了後、 不溶物を濾別し、 濾液を減圧下濃縮して得られ た油状物質をシリカゲルカラムクロマ トグラフィー(へキサンノ酢酸ェ チル =10 で溶出) で精製し標記化合物(2.05 g, 90 %)を得た。 The compound obtained in Reference Example 4 (2.30 g, 11.1 mmol) and activated manganese dioxide (2.30 g, 26.4 mmol) were dissolved in toluene (25 ml) 120. (The oil was stirred at (oil bath temperature) for 2 hours. After the reaction was completed, the insoluble material was separated by filtration, and the filtrate was concentrated under reduced pressure. The obtained oil was purified by silica gel column chromatography (ethyl hexanenoacetate = 10). The title compound (2.05 g, 90%) was obtained.
1 H-NMR (CDC1 3) δ (ppm): 2.36(3H, s), 2.51-2.60(4H, m), 3.76-3.87(4H, m), 6.67(1H, dd, J=2.0Hz, 9.2Hz), 7.92(1H, d, J=2.0Hz, 9.2Hz), 8.55(1H, d, J=2.0Hz), 9.78(1H, s). 参考例 4 6 1 H-NMR (CDC1 3) δ (ppm): 2.36 (3H, s), 2.51-2.60 (4H, m), 3.76-3.87 (4H, m), 6.67 (1H, dd, J = 2.0Hz, 9.2 Hz), 7.92 (1H, d, J = 2.0Hz, 9.2Hz), 8.55 (1H, d, J = 2.0Hz), 9.78 (1H, s). Reference Example 4 6
7-ェチルァミノ -4-{ [6-(4-メチルピペラジニル)-3-ピリジル]メチルアミ ノ }-6-二卜ロキナゾリ ン 7-ethylamino-4-{[6- (4-methylpiperazinyl) -3-pyridyl] methylamino} -6-diquinoazoline
参考例 4 5で得られた化合物(2.00 g, 9.76 mmol)をエタノ一ル(25 ml) に懸濁させ、 塩酸ヒ ドロキシルァミ ン(0.88 g, 12.7 mmol)、 炭酸ナトリ ゥム(1.34 g, 12.7 mmol)を添加し室温でー晚攪拌した。 反応溶液を減圧 下濃縮して白色固体を得た。 The compound (2.00 g, 9.76 mmol) obtained in Reference Example 45 was suspended in ethanol (25 ml), and hydroxylamine hydrochloride (0.88 g, 12.7 mmol) and sodium carbonate (1.34 g, 12.7 mmol) were suspended. mmol) and stirred at room temperature. The reaction solution was concentrated under reduced pressure to obtain a white solid.
得られた白色固体をメ夕ノール(50 ml)Zテトラヒ ドロフラン(25 ml) の混合溶媒に懸濁させ、 10%-パラジウム 炭素触媒(0.8 g)を加え、 水素 気流下室温で 24 時間攪拌した。 反応終了後、 触媒を濾別し濾液を濃縮 して油状物質を得た。 The obtained white solid was suspended in a mixed solvent of methanol (50 ml) and Z tetrahydrofuran (25 ml), 10% palladium-carbon catalyst (0.8 g) was added, and the mixture was stirred at room temperature under a hydrogen stream for 24 hours. . After completion of the reaction, the catalyst was filtered off and the filtrate was concentrated to obtain an oily substance.
上記油状物質、 ト リェチルアミン(2.80 ml, 20.1 mmol)をテトラヒ ドロ フラン(70 ml)に懸濁させ室温で攪拌した。 上記溶液に 4-クロ口- 7-ェチ ルァミノ - 6-ニトロキナゾリ ン(WO95/06648 記載の化合物、 1.00 g, 3.96 mmol)を添 加し室温で一晩攪拌した。 反応終了後、 溶液を減圧下濃縮 し、 得られた残査をシリ力ゲル力ラムクロマ トグラフィ一(ク口口ホル ム /メタノール =50 で溶出)し、 標記化合物(0.76 g, 46 %)を得た。 The above oily substance, triethylamine (2.80 ml, 20.1 mmol) was suspended in tetrahydrofuran (70 ml) and stirred at room temperature. To the above solution was added 4-chloro-7-ethylamino-6-nitroquinazoline (compound described in WO95 / 06648, 1.00 g, 3.96 mmol), and the mixture was stirred at room temperature overnight. After the completion of the reaction, the solution was concentrated under reduced pressure, and the obtained residue was subjected to gel chromatography on silica gel (eluted with gel-form / methanol = 50) to obtain the title compound (0.76 g, 46%). Was.
1 H-NMR (DMSO-d 6) (5 (ppm) : 1.29(3H, t, J=6.9Hz), 2.23(3H, s), 2.39- 2.50(4H, m), 3.32-3.50(6H, m), 4.59(2H, d, J=5.6Hz), 6.76(1H, d, J=8.6Hz), 6.84(1H, s), 7.56(1H, dd, J=2.3Hz, 8.6Hz), 7.72(1H, t, J=5.6Hz), 8.15(1 H, d, J=2.3Hz), 8.34(1H, s), 9.06(1H, t, J=5.5Hz), 9.23(1H, s). 参考例 4 7 1 H-NMR (DMSO-d 6 ) (5 (ppm): 1.29 (3H, t, J = 6.9 Hz), 2.23 (3H, s), 2.39-2.50 (4H, m), 3.32-3.50 (6H, m), 4.59 (2H, d, J = 5.6Hz), 6.76 (1H, d, J = 8.6Hz), 6.84 (1H, s), 7.56 (1H, dd, J = 2.3Hz, 8.6Hz), 7.72 (1H, t, J = 5.6Hz), 8.15 (1H, d, J = 2.3Hz), 8.34 (1H, s), 9.06 (1H, t, J = 5.5Hz), 9.23 (1H, s). Reference Example 4 7
6- (ピペリジノ)ニコチン酸メチル 6- (piperidino) methyl nicotinate
参考例 4 2で得られる化合物とピペリ ジンから参考例 4 3 と同様にし て標記化合物を得た(収率 57 %)。 The title compound was obtained from the compound obtained in Reference Example 42 and piperidine in the same manner as in Reference Example 43 (yield 57%).
1 H-NMR (CDC1 3) δ (ppm): 1.60- 1.78(6H, m), 3.66-3.78(4H, m), 3.86(3H, s), 6.59(1H, d, J=9.2Hz), 7.99(1H, dd, J=2.3Hz, 9.2Hz), 8.78(1H, d, J=2.3Hz). 参考例 4 8 1 H-NMR (CDC1 3) δ (ppm): 1.60- 1.78 (6H, m), 3.66-3.78 (4H, m), 3.86 (3H, s), 6.59 (1H, d, J = 9.2Hz), 7.99 (1H, dd, J = 2.3Hz, 9.2Hz), 8.78 (1H, d, J = 2.3Hz). Reference Example 4 8
5-ホルミル -2-(ピペリジノ)ピリジン 5-formyl-2- (piperidino) pyridine
参考例 4 7で得られる化合物を原料として用い参考例 4 4と同様に水 素化リチウムアルミニウムで還元後、 参考例 4 5 と同様に二酸化マンガ ンで酸化して標記化合物を得た(通算収率 90 %)。 The compound obtained in Reference Example 47 was used as a starting material, reduced with lithium aluminum hydride in the same manner as in Reference Example 44, and then oxidized with manganese dioxide in the same manner as in Reference Example 45 to obtain the title compound. 90%).
1 H-NMR (CDC1 3) <5 (ppm): 1.60-1.76(6H, m), 3.70-3.76(4H, m), 6.65(1H, d, J=9.2Hz), 7.88(1H, dd, J=2.3Hz, 9.2Hz), 8.53(1H, d, J=2.3Hz), 9.74(1H, s). 参考例 4 9 1 H-NMR (CDC1 3) <5 (ppm): 1.60-1.76 (6H, m), 3.70-3.76 (4H, m), 6.65 (1H, d, J = 9.2Hz), 7.88 (1H, dd, J = 2.3Hz, 9.2Hz), 8.53 (1H, d, J = 2.3Hz), 9.74 (1H, s).
7-ェチルアミ ノ -6-二ト口 -4- { [6- (ピぺリジノ)-3-ピリジル]メチルァミノ } キナゾリ ン 7-Ethylamino-6-nitro-2--4-[[6- (piridino) -3-pyridyl] methylamino] quinazoline
参考例 4 8で得られる化合物を用いて、 参考例 4 6 と同様にして標記 化合物を得た(収率 51 %)。 The title compound was obtained in the same manner as in Reference Example 46 using the compound obtained in Reference Example 48 (yield 51%).
X H-NMR (CDC1 3) δ (ppm): 1.38(3H, t, J=7.3Hz), 1.60-1.75(6H, m), 3.31- 3.41(2H, m), 3.50-3.60(4H, m), 4.72(2H, br), 6.66(1H, d, J = 8.9Hz), 7.02(1H, s), 7.50(1H, br), 7.63(1H, d, J=8.9Hz), 7.69(1H, br), 8.25(1H, br), 8.50(1H, s), 8.95(1H, s). 参考例 5 0 X H-NMR (CDC1 3) δ (ppm): 1.38 (3H, t, J = 7.3Hz), 1.60-1.75 (6H, m), 3.31- 3.41 (2H, m), 3.50-3.60 (4H, m ), 4.72 (2H, br), 6.66 (1H, d, J = 8.9Hz), 7.02 (1H, s), 7.50 (1H, br), 7.63 (1H, d, J = 8.9Hz), 7.69 (1H , br), 8.25 (1H, br), 8.50 (1H, s), 8.95 (1H, s). Reference Example 50
2-モルホリ ノ - 5-ニトロべンゾニトリル 2-morpholino-5-nitrobenzonitrile
2-ク口口- 5-二ト口べンゾニト リル(5.00 g, 27.4 mmol)を Ν,Ν-ジメチル ホルムァミ ド(20 ml)に溶解し、 モルホリ ン(4.90 ml, 56.3 mmol)を添加し 110 で 0.5 時間攪拌した。 反応終了後、 水を加え析出した黄色結晶 を水で洗浄、 乾燥して標記化合物(6.30 g, 99 %:)を得た。 Dissolve benzonitrile (5.00 g, 27.4 mmol) in Ν, Ν-dimethylformamide (20 ml) and add morpholine (4.90 ml, 56.3 mmol). For 0.5 hour. After completion of the reaction, water was added, and the precipitated yellow crystals were washed with water and dried to obtain the title compound (6.30 g, 99% :).
1 H-NMR (CDC1 3) δ (ppm): 3.48-3.52(4H, m), 3.90-3.94(4H, m), 7.01(1H, d, J=9.2Hz), 8.31(1H, dd, J=2.6Hz, 9.2Hz), 8.46(1H, d, J=2.6Hz). 参考例 5 1 -メ 卜キシベンジルァミノ - 2-モルホリ ノベンゾニ卜リル 1 H-NMR (CDC1 3) δ (ppm): 3.48-3.52 (4H, m), 3.90-3.94 (4H, m), 7.01 (1H, d, J = 9.2Hz), 8.31 (1H, dd, J = 2.6Hz, 9.2Hz), 8.46 (1H, d, J = 2.6Hz). Reference Example 5 1 -Methoxybenzylamino-2-morpholinobenzonitrile
参考例 5 0で得られた化合物(1.00 g, 4.29 mmol)をメタノール(10 ml) テトラヒ ドロフラン(5 ml)の混合溶媒に溶解した。 10%-パラジウムノ 炭素触媒 (0.20 g)を添加し、 冰素気流下、 室温で 3 時間攪拌した。 反応 終了後、 触媒を濾別し濾液を濃縮して油状物質(0.87 g, 定量的)を得た。 得られた油状物質の半分(2.15 mmol)をェ夕ノール(5 ml)に溶解し、 p- ァニスアルデヒ ド(0.34 g, 2.50 mmol)を添加しアルゴン雰囲気下室温で 一晩攪拌した。 溶媒を除去し更に P-ァニスアルデヒ ド(0.60 g, 4.40 mmol)を添加しアルゴン雰囲気下 80 で 3.5 時間攪拌した。 エタノー ル(5 ml)を加え、 氷冷下で水素化ほう素ナトリゥム(0.30 g, 7.93 mmol)を 加え、 0.5 時間攪拌した。 反応終了後、 水を加え酢酸ェチルで抽出した。 有機層を減圧下濃縮し、 得られた残査をシリカゲルカラムクロマ トダラ フィ一(へキサン Z酢酸ェチル =4 で溶出)で精製し標記化合物(0.75 g, 95 %)を油状物質として得た。 The compound (1.00 g, 4.29 mmol) obtained in Reference Example 50 was dissolved in a mixed solvent of methanol (10 ml) and tetrahydrofuran (5 ml). A 10% -palladium carbon catalyst (0.20 g) was added, and the mixture was stirred at room temperature for 3 hours under a stream of ice. After completion of the reaction, the catalyst was filtered off and the filtrate was concentrated to obtain an oily substance (0.87 g, quantitative). One half (2.15 mmol) of the obtained oil was dissolved in ethanol (5 ml), p-anisaldehyde (0.34 g, 2.50 mmol) was added, and the mixture was stirred overnight at room temperature under an argon atmosphere. The solvent was removed, and P-anisaldehyde (0.60 g, 4.40 mmol) was added, followed by stirring at 80 under an argon atmosphere for 3.5 hours. Ethanol (5 ml) was added, and sodium borohydride (0.30 g, 7.93 mmol) was added under ice cooling, followed by stirring for 0.5 hour. After completion of the reaction, water was added, and the mixture was extracted with ethyl acetate. The organic layer was concentrated under reduced pressure, and the resulting residue was purified by silica gel column chromatography (eluted with hexane Z ethyl acetate = 4) to give the title compound (0.75 g, 95%) as an oil.
i H-NMR (CDC1 3) δ (ppm): 3.06-3.09(4H, m), 3.80(3H, s), 3.81-3.89(4H, m), 4.22(2H, br), 6.85-6.98(5H, m), 7.25-7.28(3H, s). 参考例 5 2 i H-NMR (CDC1 3) δ (ppm): 3.06-3.09 (4H, m), 3.80 (3H, s), 3.81-3.89 (4H, m), 4.22 (2H, br), 6.85-6.98 (5H , m), 7.25-7.28 (3H, s).
7-ェチルァミノ -4-{ [5-(4-メ 卜キシベンジル)ァミノ -2-モルホリ ノ ]ベンジ ルァミノ }-6-二トロキナゾリ ン 7-ethylamino-4-{[5- (4-methoxybenzyl) amino-2-morpholino] benzylamino} -6-nitroquinazoline
参考例 5 1で得られる化合物(0.75 g, 2.32 mmol)をテトラヒ ドロフラ ン(10 ml)に溶解し、 氷冷下で水素化リチウムアルミニウム(0.27 g, 7.11 mmol)を加え、 溶媒還流下で 0.5 時間攪拌した。 反応終了後、 反応溶液 を氷冷したまま硫酸ナト リウム · 10 水和物をすこしづつ、 発泡が止ま るまで添加した。 不溶物を濾過し濾液を濃縮して油状物質を得た。 Reference Example 51 The compound obtained in Reference Example 1 (0.75 g, 2.32 mmol) was dissolved in tetrahydrofuran (10 ml), and lithium aluminum hydride (0.27 g, 7.11 mmol) was added under ice-cooling. Stirred for hours. After completion of the reaction, sodium sulfate decahydrate was added little by little until the foaming stopped while the reaction solution was cooled on ice. The insolubles were filtered and the filtrate was concentrated to give an oil.
上記の油状物質、 トリェチルアミン(1.40 ml, 10.3 mmol)をテ トラヒ ド 口フラン(10 ml)に懸濁させ室温で攪拌した。 上記溶液に 4-クロ口- 7-ェ チルァミノ- 6-ニトロキナゾリ ン(WO95/06648 記載の化合物、 0.52 g, 2.06 mmol)を 添加し室温で一晩攪拌した。 反応終了後、 溶液を減圧下 濃縮し得られた残査をシリ力ゲル力ラムクロマトグラフィ一(クロロホ ルム Zメタノール: =50 で溶出)し、 エーテル /メタノールでトリチレ一 トして標記化合物(0.71 g, 63 %)を得た。 The above oily substance, triethylamine (1.40 ml, 10.3 mmol) was suspended in tetrahydrofuran (10 ml) and stirred at room temperature. To the above solution was added 4-chloro-7-ethylamino-6-nitroquinazoline (the compound described in WO95 / 06648, 0.52 g, 2.06 mmol), and the mixture was stirred at room temperature overnight. After completion of the reaction, the solution is The residue obtained by concentration was subjected to column chromatography on silica gel (eluted with chloroform Z methanol: = 50), and triturated with ether / methanol to obtain the title compound (0.71 g, 63%).
' H-NMR (DMSO-d 6) δ (ppm): 1.30(3H, t, J=6.9Hz), 2.70-2.83(4H, m), 3.34-3.43(2H, m), 3.63(3H, s), 3.65-3.70(4H, m), 4.02(2H, br), 4.78(2H, d, J=5.3Hz), 6.00(1H, br), 6.41-6.46(2H, m), 6.63(2H, d, J = 8.6Hz), 6.88- 6.94(2H, m), 7.05(2H, d, J=8.6Hz), 7.79(1H, t, J=5.3Hz), 8.28(1H, s), 'H-NMR (DMSO-d 6 ) δ (ppm): 1.30 (3H, t, J = 6.9 Hz), 2.70-2.83 (4H, m), 3.34-3.43 (2H, m), 3.63 (3H, s ), 3.65-3.70 (4H, m), 4.02 (2H, br), 4.78 (2H, d, J = 5.3Hz), 6.00 (1H, br), 6.41-6.46 (2H, m), 6.63 (2H, d, J = 8.6Hz), 6.88-6.94 (2H, m), 7.05 (2H, d, J = 8.6Hz), 7.79 (1H, t, J = 5.3Hz), 8.28 (1H, s),
9.03(1H, br), 9.26(1H, s). 参考例 5 3 9.03 (1H, br), 9.26 (1H, s).
5 -メチルァミノ -2-モルホリ ノベンゾニ卜リル 5-Methylamino-2-morpholinobenzonitrile
参考例 5 0で得られた化合物(2.00 g, 8.58 mmol)をメタノール(20 ml) Zテトラヒ ドロフラン(10 ml)の混合溶媒に溶解した。 10%-パラジウム Z炭素触媒(0.40 g)を添加し水素気流下、 室温で一晩攪拌した。 反応終 了後、 触媒を濾別し濾液を濃縮して油状物質(定量的)を得た。 The compound (2.00 g, 8.58 mmol) obtained in Reference Example 50 was dissolved in a mixed solvent of methanol (20 ml) and Z-tetrahydrofuran (10 ml). A 10% -palladium Z carbon catalyst (0.40 g) was added, and the mixture was stirred overnight at room temperature under a hydrogen stream. After completion of the reaction, the catalyst was filtered off and the filtrate was concentrated to obtain an oily substance (quantitative).
得られた油状物質(0.60 g, 2.9 mmol), 触媒量の トリフルォロ酢酸をォ ルト蟻ェチル(18 ml, 108 mmol)中で 150 で 5 時間攪拌した。 その後 に減圧下で溶液を濃縮し、 得られた残査をエタノール(12 ml)に溶解し、 氷冷下で水素化ほう素ナ ト リゥム(0.30 g, 7.93 mmol)を加え同温で一晩 攪拌した。 反応終了後、 水を加え酢酸ェチルで抽出した。 有機層を減圧 下濃縮し、 得られた残査をシリ力ゲルカラムク口マ トグラフィ一(へキ サン/酢酸ェチル =4 で溶出)で精製し標記化合物(0.614 g, 96 %)を油状 物質として得た。 The obtained oily substance (0.60 g, 2.9 mmol) and a catalytic amount of trifluoroacetic acid were stirred at 150 ° C. in orthoarylethyl (18 ml, 108 mmol) for 5 hours. After that, the solution was concentrated under reduced pressure, the obtained residue was dissolved in ethanol (12 ml), sodium borohydride (0.30 g, 7.93 mmol) was added under ice-cooling, and the same temperature was maintained overnight. Stirred. After completion of the reaction, water was added, and the mixture was extracted with ethyl acetate. The organic layer was concentrated under reduced pressure, and the obtained residue was purified by silica gel column chromatography (eluted with hexane / ethyl acetate = 4) to give the title compound (0.614 g, 96%) as an oil. Was.
1 H-NMR (CDC1 3) δ (ppm): 2.82(3H, s), 3.01-3.06(4H, m), 3.80-3.89(4H, m), 6.76-6.80(2H, m), 6.95(1H, dd, J=2.0Hz, 7.3Hz). 参考例 5 4 1 H-NMR (CDC1 3) δ (ppm): 2.82 (3H, s), 3.01-3.06 (4H, m), 3.80-3.89 (4H, m), 6.76-6.80 (2H, m), 6.95 (1H , dd, J = 2.0Hz, 7.3Hz).
7-ェチルァミノ -4-[(5-メチルアミノ -2-モルホリ ノ)ベンジルァミノ ]-6-二 卜口キナゾリ ン 参考例 5 3で得られる化合物を参考例 5 2 と同様に水素化リチウムァ ルミ二ゥムで還元後、 4-クロ口- 7-ェチルアミノ -6-二トロキナゾリ ン (WO95/06648 記載の化合物)と反応させて標記化合物を得た(収率 67 %)。 X H-NMR (DMSO-d 6) δ (ppm): 1.41(3H, t, J=7.3Hz), 2.82(3H, s), 2.98- 3.02(4H, m), 3.35-3.45(2H, m), 3.89-3.93(4H, m), 4.88(2H, d, J=4.6Hz), 6.56-6·60(2Η, m), 7.04(1H, s), 7.15(1H, d, J=9.2Hz), 7.76(1H, br), 8.22(1H, br), 8.53(1H, br), 8.69(1H, s), 9.33(1H, s). 参考例 5 5 7-ethylamino-4-[(5-methylamino-2-morpholino) benzylamino] -6-nitroquinazoline The compound obtained in Reference Example 53 was reduced with lithium hydride in the same manner as in Reference Example 52, and then treated with 4-chloro-7-ethylamino-6-nitroquinazoline (the compound described in WO95 / 06648). The reaction was performed to obtain the title compound (yield 67%). X H-NMR (DMSO-d 6 ) δ (ppm): 1.41 (3H, t, J = 7.3 Hz), 2.82 (3H, s), 2.98-3.02 (4H, m), 3.35-3.45 (2H, m ), 3.89-3.93 (4H, m), 4.88 (2H, d, J = 4.6Hz), 6.56-6 · 60 (2Η, m), 7.04 (1H, s), 7.15 (1H, d, J = 9.2 Hz), 7.76 (1H, br), 8.22 (1H, br), 8.53 (1H, br), 8.69 (1H, s), 9.33 (1H, s).
7-ェチルアミノ -6-二ト口- l-(p-トルエンスルホニル)- 2,3-ジヒ ド口- 4(1H)-キノロン 7-Ethylamino-6-dito-l- (p-toluenesulfonyl) -2,3-dihydroto-4 (1H) -quinolone
7-ク口口- l -(p-トルエンスルホニル) -2,3-ジヒ ド口- 4(1H)-キノ ロン [ジ ヤーナル ' ォブ ' アメリカン · ケミカル ' ソサイエティ一(J. Am. Chem. Soc.)、 71 巻、 1901 頁 (1949 年) 等に記載] (13.9 g, 41.4 mmol)を無水 酢酸(140 ml)に溶解し、 触媒量の濃硫酸を添加し、 -30 に冷却し攪拌 した。 発煙硝酸(5.14 ml, 124 mmol)を内温が上昇しないような速度で滴 下した。 滴下終了後、 氷冷下で 1 時間、 室温で 2 時間攬拌した。 反応 液を氷水に添加し、 酢酸ェチルで抽出した。 有機層を飽和炭酸水素ナト リウム溶液、 飽和食塩水で洗浄し、 乾燥(硫酸マグネシウム;)し、 減圧下 で濃縮した。 得られた残査をエタノール(280 ml)に溶解し、 70%-ェチル ァミン水溶液(26.6 ml, 413 mmol)を加え、 2 時間溶媒還流下攪拌した。 反応終了後、 減圧下溶液を濃縮し、 得られた残査をシリカゲルカラムク 口マ トグラフィ一(へキサン Z酢酸ェチル =2 で溶出)で精製して標記化 合物(4.50 g, 28 %)を得た。 また副生成物として 7-ェチルァミノ - 8-二卜 口- l-(p-トルエンスルホニル) -2,3-ジヒ ド口- 4(1H)-キノ口ン(3.6 g, 22 %) を得た。 標記化合物、 副生成物の順で i H-NMR データを示す。 7-Hokuguchi-l- (p-Toluenesulfonyl) -2,3-dihydrogen-4 (1H) -quinolone [Journal of the American American Chemical Society] (J. Am. Chem. Soc.), Volume 71, p. 1901 (1949)] (13.9 g, 41.4 mmol) was dissolved in acetic anhydride (140 ml), a catalytic amount of concentrated sulfuric acid was added, and the mixture was cooled to -30 and stirred. did. Fuming nitric acid (5.14 ml, 124 mmol) was dropped at such a rate that the internal temperature did not rise. After completion of the dropwise addition, the mixture was stirred for 1 hour under ice cooling and for 2 hours at room temperature. The reaction solution was added to ice water and extracted with ethyl acetate. The organic layer was washed with a saturated sodium hydrogen carbonate solution and a saturated saline solution, dried (magnesium sulfate;), and concentrated under reduced pressure. The obtained residue was dissolved in ethanol (280 ml), a 70% -ethylamine aqueous solution (26.6 ml, 413 mmol) was added, and the mixture was stirred under reflux of the solvent for 2 hours. After completion of the reaction, the solution was concentrated under reduced pressure, and the obtained residue was purified by silica gel column chromatography (eluted with hexane Z-ethyl acetate = 2) to give the title compound (4.50 g, 28%) I got In addition, 7-ethylamino-8-nitro-2-l- (p-toluenesulfonyl) -2,3-dihydro-4 (1H) -quinopen (3.6 g, 22%) was obtained as a by-product. . The iH-NMR data are shown in the order of the title compound and by-product.
' H-NMR (標記化合物、 CDC1 3) δ (ppm): 1 ·42(3Η, t, J=7.3Hz), 2.42(2H, t, J=6.4Hz), 2.43(3H, s), 3.39-3.42(2H, m), 4.24(2H, t, J=6.4Hz), 7.21(1H, s), 7.31(2H, d, J=8.4Hz), 7.67(2H, d, J=8.4Hz), 8.31 (1H, br), 8.84(1H, s). X H-NMR (副生成物、 CDC1 3) δ (ppm): 1 ·39(3Η, t, J=7.3Hz), 2.21 (2H, t, J=6.3Hz), 2.43(3H, s), 3.30-3.50(2H, m), 3.90-4.40(2H, m), 6.80(1H, d, J=9.2Hz), 7.50(1H, br), 7.28(2H, d, J=8.6Hz), 7.58(2H, d, J=8.6Hz), 7.97(1H, d, J=9.2Hz). 参考例 5 6 'H-NMR (title compound, CDC1 3) δ (ppm) : 1 · 42 (3Η, t, J = 7.3Hz), 2.42 (2H, t, J = 6.4Hz), 2.43 (3H, s), 3.39 -3.42 (2H, m), 4.24 (2H, t, J = 6.4Hz), 7.21 (1H, s), 7.31 (2H, d, J = 8.4Hz), 7.67 (2H, d, J = 8.4Hz) , 8.31 (1H, br), 8.84 (1H, s). X H-NMR (byproduct, CDC1 3) δ (ppm) : 1 · 39 (3Η, t, J = 7.3Hz), 2.21 (2H, t, J = 6.3Hz), 2.43 (3H, s), 3.30-3.50 (2H, m), 3.90-4.40 (2H, m), 6.80 (1H, d, J = 9.2Hz), 7.50 (1H, br), 7.28 (2H, d, J = 8.6Hz), 7.58 (2H, d, J = 8.6Hz), 7.97 (1H, d, J = 9.2Hz).
7-ェチルァミノ -6-二ト口- 4(1H)-キノ ロン 7-Ethylamino-6- (2H) -4 (1H) -quinolone
参考例 5 5で得られる化合物(2.20 g, 5.65 imnol)、 活性二酸化マンガ ン(9.82 g, 113 mmol)を トルェン(110 ml)/ジォキサン(44 ml)の混合溶媒 中、 発生する水を除去しながら 3 時間加熱還流した。 反応終了後、 室 温に冷却しセライ ト濾過を行い、 濾液を減圧下濃縮して油状物質を得た。 上記で得られた油状物資をエタノール(27 ml)に溶解し、 10 規定水酸 化ナトリウム溶液(0.7 ml, 7.00 mmol)を加え室温で 12 時間攪拌した。 反応終了後、 反応溶液の pH を 6 に調整し析出した結晶を濾取、 乾燥 して標記化合物(0.88 g, 67 %)を得た。 Reference Example 55 Water generated in a mixed solvent of toluene (110 ml) / dioxane (44 ml) containing the compound obtained in Step 5 (2.20 g, 5.65 imnol) and activated manganese dioxide (9.82 g, 113 mmol) was removed. The mixture was refluxed for 3 hours while heating. After completion of the reaction, the mixture was cooled to room temperature, filtered through celite, and the filtrate was concentrated under reduced pressure to obtain an oily substance. The oily substance obtained above was dissolved in ethanol (27 ml), 10 N sodium hydroxide solution (0.7 ml, 7.00 mmol) was added, and the mixture was stirred at room temperature for 12 hours. After completion of the reaction, the pH of the reaction solution was adjusted to 6, and the precipitated crystals were collected by filtration and dried to obtain the title compound (0.88 g, 67%).
' H-NMR (CDC1 g-DMSO-d 6) δ (ppm) : 1.42(3H, t, J = 7.2Hz), 3.27-3.40(2H, m), 5.99(1H, d, J=7.4Hz), 6.64(1H, s), 7.54(1H, dd, J=5.6Hz, 7.4Hz), '' H-NMR (CDC1 g-DMSO-d 6 ) δ (ppm): 1.42 (3H, t, J = 7.2 Hz), 3.27-3.40 (2H, m), 5.99 (1H, d, J = 7.4 Hz) , 6.64 (1H, s), 7.54 (1H, dd, J = 5.6Hz, 7.4Hz),
7.80(1H, br), 9.05(1H, s), 11.30(1H, d, J=5.6Hz). 参考例 5 7 7.80 (1H, br), 9.05 (1H, s), 11.30 (1H, d, J = 5.6Hz).
4-ク口口- 7-ェチルァミノ -6-二トロキノ リ ン 4-kuguchi- 7-ethylamino-6-ditroquinoline
参考例 5 6で得られた化合物(1.14 g, 4.89 mmol)をォキシ塩化リ ン(2.3 ml, 24.7 mmol)中で 1 時間加熱還流した。 反応終了後、 減圧下濃縮(ト ルェン共沸)して得られた残査を ト リチレー ト(酢酸ェチル Zイ ソプロピ ルエーテル)して赤色結晶(0.50 g, 41 %)を得た。 The compound (1.14 g, 4.89 mmol) obtained in Reference Example 56 was heated to reflux in phosphorus oxychloride (2.3 ml, 24.7 mmol) for 1 hour. After completion of the reaction, the residue obtained by concentration under reduced pressure (azeotropic azeotrope) was tritiated (ethyl acetate Z-isopropyl ether) to obtain red crystals (0.50 g, 41%).
^-NMR (CDC1 3) δ (ppm): 1.42(3H, t, J=7.1Hz), 3.34-3.46(2H, m), 7.21(1H, d, J=4.8Hz), 7.30(1H, s), 7.40(1H, br), 8.68(1H, d, J=4.8Hz), 9.08(1H, s). 参考例 5 8 4_ベンジルァミノ -7-ェチルァミノ -6-二トロキノ リ ン ^ -NMR (CDC1 3) δ ( ppm): 1.42 (3H, t, J = 7.1Hz), 3.34-3.46 (2H, m), 7.21 (1H, d, J = 4.8Hz), 7.30 (1H, s ), 7.40 (1H, br), 8.68 (1H, d, J = 4.8Hz), 9.08 (1H, s). 4_benzylamino-7-ethylamino-6-ditroquinoline
参考例 5 7で得られた化合物(1.00 g, 3.97 mmol)とべンジルアミン(4.0 ml, 36.6 rmnol)を 100 でで 2 時間攪拌した。 反応終了後、 室温まで反 応溶液を冷却し飽和炭酸水素ナトリ ゥム溶液を加えクロロホルムで抽出 した。 有機層を飽和食塩水で洗浄し、 乾燥(硫酸マグネシウム)、 減圧下 濃縮して得られた残査をイソプロピルエーテルでトリチレ一卜して標記 化合物(0.70 g, 55 %)を得た。 The compound obtained in Reference Example 57 (1.00 g, 3.97 mmol) and benzylamine (4.0 ml, 36.6 rmnol) were stirred at 100 for 2 hours. After the completion of the reaction, the reaction solution was cooled to room temperature, a saturated sodium hydrogen carbonate solution was added, and the mixture was extracted with chloroform. The organic layer was washed with saturated saline, dried (magnesium sulfate), and concentrated under reduced pressure. The resulting residue was triturated with isopropyl ether to give the title compound (0.70 g, 55%).
1 H-NMR (CDC1 3) δ (ppm): 1.41(3H, t, J=7.2Hz), 3.29-3.45(2H, m), 4.54(2H, d, J=5.3Hz), 5.56(1H, br), 6.21(1H, d, J=5.4Hz), 7.17(1 H, s), 7.35-7.49(6H, m), 8.43(1H, d, J=5.4Hz), 8.77(1H, s). 参考例 5 9 1 H-NMR (CDC1 3) δ (ppm): 1.41 (3H, t, J = 7.2Hz), 3.29-3.45 (2H, m), 4.54 (2H, d, J = 5.3Hz), 5.56 (1H, br), 6.21 (1H, d, J = 5.4Hz), 7.17 (1H, s), 7.35-7.49 (6H, m), 8.43 (1H, d, J = 5.4Hz), 8.77 (1H, s) Reference Example 5 9
7-ェチルァミノ -4-(2-メ トキシベンジルァミノ)-6-二トロキノ リ ン 7-ethylamino-4- (2-methoxybenzylamino) -6-nitroquinoline
参考例 5 7で得られた化合物と 2-メ トキシベンジルアミンから標記 化合物を得た(収率 64 %) o The title compound was obtained from the compound obtained in Reference Example 57 and 2-methoxybenzylamine (yield 64%) o
^-NMR (CDC1 3) δ (ppm) : 1.38(3Η, t, J=7.2Hz), 3.26-3.42(2H, m), 3.83(3H, s), 4.56(2H, br), 6.20(1H, d, J = 5.6Hz), 6.60-6.80(lH, br), 6.83-7.00(2H, m), 7.18(1H, s), 7.18-7.30(2H, m), 7.43(1H, br), 8.26(1H, d, J=5.6Hz), 8.93(1H, s). 参考例 6 0 ^ -NMR (CDC1 3 ) δ (ppm): 1.38 (3Η, t, J = 7.2 Hz), 3.26-3.42 (2H, m), 3.83 (3H, s), 4.56 (2H, br), 6.20 (1H , d, J = 5.6 Hz), 6.60-6.80 (lH, br), 6.83-7.00 (2H, m), 7.18 (1H, s), 7.18-7.30 (2H, m), 7.43 (1H, br), 8.26 (1H, d, J = 5.6Hz), 8.93 (1H, s). Reference example 60
7-ェチルァミノ -4-(3-モルホリ ノプロピルアミノ)-6-二トロキノ リ ン 参考例 5 7で得られた化合物と 3-アミノプロピルモルホリ ンから標 記化合物を得た(収率 41 %ヽ。 7-Ethylamino-4- (3-morpholinopropylamino) -6-ditroquinoline The title compound was obtained from the compound obtained in Reference Example 57 and 3-aminopropylmorpholine (yield 41%).ヽ.
1 H-NMR (CDC1 3) δ (ppm): 1.40(3H, t, J=7.2Hz), 1.91-2.00(2H, m), 2.45- 2.65(6H, m), 3.33-3.43(4H, m), 3.68(1H, br), 3.83-3.98(4H, m), 6.12(1H, d, J=5.6Hz), 7.16(1H, s), 7.41(1H, br), 8.42(1H, d, J=5.6Hz), 8.83(1H, s). 参考例 6 1 7-ェチルアミノ -6-二卜口- 4-[2-(2-ピリジル)ェチルァミノ]キノ リ ン 参考例 5 7で得られた化合物と 2-(2-ァミノェチル)ピリジンから標記 化合物を得た(収率 74 1 H-NMR (CDC1 3) δ (ppm): 1.40 (3H, t, J = 7.2Hz), 1.91-2.00 (2H, m), 2.45- 2.65 (6H, m), 3.33-3.43 (4H, m ), 3.68 (1H, br), 3.83-3.98 (4H, m), 6.12 (1H, d, J = 5.6Hz), 7.16 (1H, s), 7.41 (1H, br), 8.42 (1H, d, J = 5.6Hz), 8.83 (1H, s). Reference example 6 1 7-ethylamino-6-nitro-2--4- [2- (2-pyridyl) ethylamino] quinoline Reference Example 57 The title compound was obtained from the compound obtained in 7 and 2- (2-aminoaminoethyl) pyridine ( Yield 74
1 H-NMR (CDC1 3) δ (ppm): 1.43(3H, t, J=7.2Hz), 3.23(2H, t, J=6.1Hz), 3.30-3.46(2H, m), 3.64-3.72(2H, m), 6.17(1H, d, J=5.6Hz), 7.18(1H, s), 7.23-7.27(2H, m), 7.44(1H, br), 7.61-7.71(1H, m), 7.72-7.88(lH, m), 1 H-NMR (CDC1 3) δ (ppm): 1.43 (3H, t, J = 7.2Hz), 3.23 (2H, t, J = 6.1Hz), 3.30-3.46 (2H, m), 3.64-3.72 ( 2H, m), 6.17 (1H, d, J = 5.6Hz), 7.18 (1H, s), 7.23-7.27 (2H, m), 7.44 (1H, br), 7.61-7.71 (1H, m), 7.72 -7.88 (lH, m),
8.38(1H, d, J=5.6Hz), 8.76(1H, dd, J=2.0Hz, 5.3Hz), 8.96(1H, s). 参考例 6 2 8.38 (1H, d, J = 5.6Hz), 8.76 (1H, dd, J = 2.0Hz, 5.3Hz), 8.96 (1H, s). Reference example 6 2
7-ェチルァミノ -6-二卜口- 4-(2-ピリジルメチルァミノ;)キノ リ ン 7-ethylamino-6-nitro-2--4- (2-pyridylmethylamino) quinoline
参考例 5 7で得られた化合物と 2-アミノメチルピリジンから標記化 合物を得た(収率 30 The title compound was obtained from the compound obtained in Reference Example 57 and 2-aminomethylpyridine (yield 30
1 H-NMR (CDC1 (5 (ppm) : 1.38(3H, t, J = 7.1Hz), 3.28-3.40(2H, m), 4.60(2H, br), 6.12(1H, d, J = 5.6Hz), 7.07(1H, s), 7.26-7.36(4H, m), 7.70-7.80(lH, m), 8.35(1H, d, J = 5.6Hz), 8.67(1H, d, J=4.9Hz), 8.88(1H, s). 参考例 6 3 1 H-NMR (CDC1 (5 (ppm): 1.38 (3H, t, J = 7.1 Hz), 3.28-3.40 (2H, m), 4.60 (2H, br), 6.12 (1H, d, J = 5.6 Hz ), 7.07 (1H, s), 7.26-7.36 (4H, m), 7.70-7.80 (lH, m), 8.35 (1H, d, J = 5.6Hz), 8.67 (1H, d, J = 4.9Hz) , 8.88 (1H, s). Reference example 6 3
4-ピペリジノベンゾ二トリル 4-piperidinobenzonitrile
4-フルォロベンゾニト リルとピぺリジンから参考例 5 と同様にして標 記化合物を合成した(収率 99 %)。 The title compound was synthesized from 4-fluorobenzonitrile and piperidine in the same manner as in Reference Example 5 (yield: 99%).
X H-NMR (CDC1 3) (5 (ppm): 1.60-1.75(6H, m), 3.30-3.38(4H, m), 6.83(2H, d, J=8.9Hz), 7.45(2H, d, J=8.9Hz). 参考例 6 4 X H-NMR (CDC1 3) (5 (ppm): 1.60-1.75 (6H, m), 3.30-3.38 (4H, m), 6.83 (2H, d, J = 8.9Hz), 7.45 (2H, d, J = 8.9Hz). Reference example 6 4
7-ェチルァミノ -6-二ト口- 4-(4-ピペリジノベンジルアミ ノ)キナゾリ ン 参考例 6 3で得られる化合物を参考例 6 と同様に水素化リチウムアル ミニゥムで還元した。 得られた化合物と 4-クロ口- 7-ェチルァミノ - 6-二 トロキナゾリ ン(WO95/06648 記載の化合物)から、 参考例 3 と同様にし て標記化合物を得た(収率 74 %)。 1 H-NMR (CDC1 3) δ (ppm) : 1.41(3H, t, J=7.4Hz), 1.50- 1.80(6H, m), 3.02- 3.19(4H, m), 3.33-3.43(2H, m), 4.73(2H, s), 6.20(1H, br), 6.80-7.00(2H, m), 7.21-7.30(3H, m), 7.69(1H, br), 8.54(1H, s), 8.69(1H, s). 参考例 6 5 7-Ethylamino-6-dito-4- (4-piperidinobenzylamino) quinazoline Reference Example 63 The compound obtained in Reference Example 3 was reduced with lithium hydride in the same manner as Reference Example 6. The title compound was obtained from the obtained compound and 4-chloro-7-ethylamino-6-2-troquinazoline (compound described in WO95 / 06648) in the same manner as in Reference Example 3 (yield 74%). 1 H-NMR (CDC1 3) δ (ppm): 1.41 (3H, t, J = 7.4Hz), 1.50- 1.80 (6H, m), 3.02- 3.19 (4H, m), 3.33-3.43 (2H, m ), 4.73 (2H, s), 6.20 (1H, br), 6.80-7.00 (2H, m), 7.21-7.30 (3H, m), 7.69 (1H, br), 8.54 (1H, s), 8.69 ( 1H, s). Reference example 6 5
7-ェチルアミ ノ -4-モルホリ ノ -6-二トロキナゾリ ン 7-ethylamino-4-morpholino-6-nitroquinazoline
モルホリ ンと 4-クロ口- 7-ェチルァミノ -6-二トロキナゾリ ン Morpholine and 4-chloro-7-ethylamino-6-ditroquinazoline
(WO95/06648 記載の化合物)から、 参考例 3 と同様にして標記化合物を 得た(収率 50 %ヽ。 (Compound described in WO95 / 06648) to give the title compound in the same manner as in Reference Example 3 (yield 50%).
' H-NMR (CDC1 3) (5 (ppm): 1.42(3H, t, J = 6.9Hz), 3.34-3.49(2H, m), 3.85- 3.95(8H, m), 7.02(1H, s), 7.65(1H, br), 8.53(1H, s), 8.85(1H, s). 実施例 1 'H-NMR (CDC1 3) (5 (ppm): 1.42 (3H, t, J = 6.9Hz), 3.34-3.49 (2H, m), 3.85- 3.95 (8H, m), 7.02 (1H, s) , 7.65 (1H, br), 8.53 (1H, s), 8.85 (1H, s).
3-ェチル -6-メチル -8-(4-ジメチルァミ ノベンジルアミ ノ)-2,3-ジヒ ドロ- 1H-ィミダゾ [4,5 -g]キナゾリ ン -2-チオン · 2 塩酸塩 (化合物 1 ) 3-Ethyl-6-methyl-8- (4-dimethylaminobenzylamino) -2,3-dihydro-1H-imidazo [4,5-g] quinazoline-2-thione dihydrochloride (Compound 1)
参考例 3で得られた化合物(0.700 g, 1.84 mmol)をメ夕ノ一ル(50 ml)と テトラヒ ドロフラン(20 ml)の混合溶媒に懸濁させた。 この懸濁液に 10%-パラジゥム /炭素触媒(0.14 g)を添加し水素ガス雰囲気下室温で一 晚撹拌した。 反応終了後、 濾過助剤を用いて触媒を濾別し、 得られた濾 液に トリェチルアミン(2.00 ml, 14.3 mmol)と二硫化炭素(10.0 ml, 166 mmol)を加え室温で一晩撹拌した。 反応終了後、 溶媒を減圧下除去し、 得られた残査をシリカゲルカラムクロマトグラフィー (クロ口ホルム Z メ夕ノール = 100 で溶出)で精製し標記化合物の遊離塩基(0.630 g, 87 ) を得た。 The compound (0.700 g, 1.84 mmol) obtained in Reference Example 3 was suspended in a mixed solvent of methanol (50 ml) and tetrahydrofuran (20 ml). To this suspension was added 10% -palladium / carbon catalyst (0.14 g), and the mixture was stirred at room temperature under a hydrogen gas atmosphere. After completion of the reaction, the catalyst was separated by filtration using a filter aid, and triethylamine (2.00 ml, 14.3 mmol) and carbon disulfide (10.0 ml, 166 mmol) were added to the obtained filtrate, followed by stirring at room temperature overnight. After the completion of the reaction, the solvent was removed under reduced pressure, and the obtained residue was purified by silica gel column chromatography (eluted with black-mouthed form Z medium = 100) to obtain the free base of the title compound (0.630 g, 87). Was.
得られた遊離塩基(0.50 g, 1.28 mmol)をメ夕ノール(10 ml)に懸濁させ、 氷冷下で過剰量の 4 規定塩化水素一酢酸ェチルを加えた。 溶液を減圧 下で半分程度に濃縮し、 析出した結晶を分取して標記化合物(0.53 g, 89 %)を得た。 The obtained free base (0.50 g, 1.28 mmol) was suspended in methanol (10 ml), and an excess amount of 4N hydrogen chloride monoethyl acetate was added under ice cooling. The solution was concentrated to about half under reduced pressure, and the precipitated crystals were separated to obtain the title compound (0.53 g, 89%).
1 H-NMR (2 塩酸塩, DMSO-d 6 ) δ (ppm): 1.31(3H, t, J=7.3Hz), 2.67(3H, s), .06(6H, s), 4.34(2H, q, J=7.3Hz), 4.91(2H, d, J=5.3Hz), 7.50-7.54(4H, br), 7.67(1H, s), 8.33(1H, s), 10.62(1H, t, J=5.3Hz), 13.69(1H, s). 実施例 2 1 H-NMR (dihydrochloride, DMSO-d 6 ) δ (ppm): 1.31 (3H, t, J = 7.3 Hz), 2.67 (3H, s), .06 (6H, s), 4.34 (2H, q, J = 7.3Hz), 4.91 (2H, d, J = 5.3Hz), 7.50-7.54 (4H, br), 7.67 (1H, s), 8.33 ( 1H, s), 10.62 (1H, t, J = 5.3Hz), 13.69 (1H, s).
3-ェチル -6-メチル -8-(2-ピリジルメチルアミ ノ)-2,3-ジヒ ド口- 1 H-ィミダ ゾ [4,5-g]キナゾリ ン -2-チオン · 2 塩酸塩 (化合物 2 ) 3-Ethyl-6-methyl-8- (2-pyridylmethylamino) -2,3-dihydrogen-1H-imidazo [4,5-g] quinazolin-2-thione dihydrochloride ( Compound 2)
参考例 4で得られた化合物を用い、 実施例 1 と同様にして標記化合物 を得た(収率 47 %)。 The title compound was obtained in the same manner as in Example 1 using the compound obtained in Reference Example 4 (yield 47%).
1 H-NMR (2 塩酸塩, DMSO-d 6 ) δ (ppm): 1.32(3H, t, J=7.3Hz), 2.62(3H, s), 4.35(2H, q, J=7.3Hz), 5.16(2H, d, J=5.3Hz), 7.63(1H, dd, J=6.3Hz,6.6Hz), 7.76(1H, d, J=7.6Hz), 7.68(1H, s), 8.14(1H, dd, J = 6.3Hz, 7.6Hz), 8.37(1H, s), 8.70(1H, d, J = 6.6Hz), 10.75(1H, t, J = 5.3Hz), 13.72(1H, s). 実施例 3 1 H-NMR (dihydrochloride, DMSO-d 6 ) δ (ppm): 1.32 (3H, t, J = 7.3 Hz), 2.62 (3H, s), 4.35 (2H, q, J = 7.3 Hz), 5.16 (2H, d, J = 5.3Hz), 7.63 (1H, dd, J = 6.3Hz, 6.6Hz), 7.76 (1H, d, J = 7.6Hz), 7.68 (1H, s), 8.14 (1H, dd, J = 6.3Hz, 7.6Hz), 8.37 (1H, s), 8.70 (1H, d, J = 6.6Hz), 10.75 (1H, t, J = 5.3Hz), 13.72 (1H, s). Example 3
3-ェチル -6-メチル -8-(2-モルホリ ノベンジルァミ ノ)-2,3-ジヒ ドロ -1H-ィ ミダゾ [4,5-g]キナゾリ ン -2-チオン · 2 塩酸塩 (化合物 3 ) 3-Ethyl-6-methyl-8- (2-morpholinobenzylamino) -2,3-dihydro-1H-imidazo [4,5-g] quinazolin-2-thione dihydrochloride (Compound 3)
参考例 6で得られた化合物を用い、 実施例 1 と同様にして標記化合物 を得た(収率 43 %) o Using the compound obtained in Reference Example 6, the title compound was obtained in the same manner as in Example 1 (yield 43%).
1 H-NMR (2 塩酸塩, DMSO-d 6 ) δ (ppm): 1.33(3H, t, J = 6.9Hz), 2 ·66(3Η, s), 2.95(4H, br), 3.79(4H, br), 4.38(2H, q, J = 6.9Hz), 5.07(2H, d, J =5.3Hz), 7.08(1H, dd, J=7.3Hz, 7.6Hz), 7.30-7.36(3H, m), 7.72(1H, s), 8.37(1H, s), 10.43(1H, t, J=5.3Hz), 13.67(1H, s). 実施例 4 1 H-NMR (dihydrochloride, DMSO-d 6 ) δ (ppm): 1.33 (3H, t, J = 6.9 Hz), 266 (3Η, s), 2.95 (4H, br), 3.79 (4H , br), 4.38 (2H, q, J = 6.9Hz), 5.07 (2H, d, J = 5.3Hz), 7.08 (1H, dd, J = 7.3Hz, 7.6Hz), 7.30-7.36 (3H, m ), 7.72 (1H, s), 8.37 (1H, s), 10.43 (1H, t, J = 5.3Hz), 13.67 (1H, s).
3-ェチル -6-メチル -8-(4-プロピルァミノべンジルアミ ノ) -2,3-ジヒ ド口- 1H-イミダゾ [4,5-g]キナゾリ ン- 2-チオン · 2 塩酸塩 (化合物 4 ) 3-Ethyl-6-methyl-8- (4-propylaminobenzilamino) -2,3-dihydrido-1H-imidazo [4,5- g ] quinazolin-2-thione · 2 hydrochloride (Compound 4 )
参考例 8で得られた化合物を用い、 実施例 1 と同様にして標記化合物 を得た(収率 12 %)= Using the compound obtained in Reference Example 8, the title compound was obtained in the same manner as in Example 1 (yield: 12%).
1 H-NMR (2 塩酸塩, DMSO-d 6 ) δ (ppm): 0.93(3H, t, J=7.4Hz), 1.31(3H, t, J=7.4Hz), 1.60-1.74(2H, m), 2.68(3H, s), 3.12-3.18(2H, m), 3.80(1H, br), 4.33(2H, q, J=7.4Hz), 4.92(2H, d, J = 5.4Hz), 7.38-7.52(4H, m), 7.65(1H, s), 8.33(1H, s), 10.60(1H, s), 13.71(1H, s). 実施例 5 1 H-NMR (2 hydrochloride, DMSO-d 6 ) δ (ppm): 0.93 (3H, t, J = 7.4 Hz), 1.31 (3H, t, J = 7.4Hz), 1.60-1.74 (2H, m), 2.68 (3H, s), 3.12-3.18 (2H, m), 3.80 (1H, br), 4.33 (2H, q, J = 7.4Hz), 4.92 (2H, d, J = 5.4Hz), 7.38-7.52 (4H, m), 7.65 (1H, s), 8.33 (1H, s), 10.60 (1H, s), 13.71 (1H, s). Example 5
3,6-ジェチル -8-(2-ピリジルメチルァミノ)-2,3-ジヒ ド口- 1H-ィミダゾ 3,6-Jetyl -8- (2-pyridylmethylamino) -2,3-dihydrid-1H-imidazo
[4,5-g]キナゾリ ン -2-チオン · 2 塩酸塩 (化合物 5 ) [4,5-g] quinazolin-2-thione · 2 hydrochloride (Compound 5)
参考例 1 3で得られた化合物を用い、 実施例 1 と同様にして標記化合 物を得た(収率 36 The title compound was obtained in the same manner as in Example 1 using the compound obtained in Reference Example 13 (yield 36
'H-NMR (2 塩酸塩, DMSO-d 6 ) (5 (ppm): 1.10(3H, t, J=7.6Hz), 1.30(3H, t, J=7.1Hz), 2.88(2H, q, J=7.6Hz), 4.32(2H, q, J = 7.1Hz), 5.24(2H, d, J = 5.0Hz), 7.79-7.85(2H, m), 7.94(1H, d, J = 7.9Hz), 8.35(1H, dd, J=7.6Hz, 7.9Hz), 8.43(1H, s), 8.79(1H, d, J = 5.3Hz), 11.05(1H, t, J = 5.0Hz), 13.78(1H, s). 実施例 6 'H-NMR (dihydrochloride, DMSO-d 6 ) (5 (ppm): 1.10 (3H, t, J = 7.6 Hz), 1.30 (3H, t, J = 7.1 Hz), 2.88 (2H, q, J = 7.6Hz), 4.32 (2H, q, J = 7.1Hz), 5.24 (2H, d, J = 5.0Hz), 7.79-7.85 (2H, m), 7.94 (1H, d, J = 7.9Hz) , 8.35 (1H, dd, J = 7.6Hz, 7.9Hz), 8.43 (1H, s), 8.79 (1H, d, J = 5.3Hz), 11.05 (1H, t, J = 5.0Hz), 13.78 (1H , s). Example 6
6-シクロペンチル -3-ェチル -8-(4-ジメチルァミノベンジルァミ ノ)-2,3-ジ ヒ ド口- 1H-ィ ミダゾ [4,5-g]キナゾリ ン -2-チオン (化合物 6 ) 6-cyclopentyl-3-ethyl-8- (4-dimethylaminobenzylamino) -2,3-dihydrido-1H-imidazo [4,5-g] quinazoline-2-thione (compound 6)
参考例 で得られた化合物を用い、 実施例 と同様の方法で標記化 合物を得た(収率 11 %ヽ。 Using the compound obtained in Reference Example, the title compound was obtained in the same manner as in Example (yield 11% ヽ).
'H-NMR (遊離塩基, DMSO-d 6 ) (5 (ppm): 1.27(3H, t, J = 6.8Hz), 1.55- 1.79(4H, m), 1.90-1.98(4H, m), 2.83(6H, s), 3.10-3.19(1H, m), 4.32(2H, q, J=6.8Hz), 4.64(2H, d, J=5.3Hz), 6.66(2H, d, J=8.3Hz), 7.24(2H, d, J = 8.3Hz), 7.59(1H, s), 7.98(1H, s), 8.60(1H, br), 13.15(1H, s). 実施例 7 'H-NMR (free base, DMSO-d 6 ) (5 (ppm): 1.27 (3H, t, J = 6.8 Hz), 1.55- 1.79 (4H, m), 1.90-1.98 (4H, m), 2.83 (6H, s), 3.10-3.19 (1H, m), 4.32 (2H, q, J = 6.8Hz), 4.64 (2H, d, J = 5.3Hz), 6.66 (2H, d, J = 8.3Hz) , 7.24 (2H, d, J = 8.3Hz), 7.59 (1H, s), 7.98 (1H, s), 8.60 (1H, br), 13.15 (1H, s).
6-シク口ペンチル -3-ェチル -8-(2-ピリジルメチルァミノ)-2,3-ジヒ ドロ- 1H-ィミダゾ [4,5-g]キナゾリ ン -2-チオン · 2 塩酸塩 (化合物 7 ) 6-cyclopentyl-3-ethyl-8- (2-pyridylmethylamino) -2,3-dihydro-1H-imidazo [4,5-g] quinazoline-2-thione · 2 hydrochloride (compound 7)
参考例 で得られた化合物を用い、 実施例 と同様の方法で標記化 合物を得た(収率 27 1 H-NMR (2 塩酸塩, DMSO-d 6 ) δ (ppm): 1.30(3H, t, J=6.6Hz), 1.50-Using the compound obtained in Reference Example, the title compound was obtained in the same manner as in Example (yield 27 1 H-NMR (dihydrochloride, DMSO-d 6 ) δ (ppm): 1.30 (3H, t, J = 6.6 Hz), 1.50-
I .65(6H, m), 1.80-1.95(2H, m), 3.40-3·45(1Η, m), 4.32(2H, q, J=6.6Hz), 5.20(2H, br), 7.80-7.92(3H, m), 8.33-8.38(lH, m), 8.43(1H, s), 8.77(1H, s),I .65 (6H, m), 1.80-1.95 (2H, m), 3.40-3 ・ 45 (1Η, m), 4.32 (2H, q, J = 6.6Hz), 5.20 (2H, br), 7.80- 7.92 (3H, m), 8.33-8.38 (lH, m), 8.43 (1H, s), 8.77 (1H, s),
I I .04(1H, br), 13.77(1H, s). 実施例 8 I I .04 (1H, br), 13.77 (1H, s).
6-シクロペンチル -3-ェチル -8-(2-モルホリ ノベンジルァミノ)-2,3-ジヒ ド 口- 1H-ィミダゾ [4,5-g]キナゾリ ン -2-チオン · 2 塩酸塩 (化合物 8 ) 参考例 2 0で得られた化合物を用い、 実施例 1 と同様の方法で標記化 合物を得た(収率 13 %ヽ。 6-Cyclopentyl-3-ethyl-8- (2-morpholinobenzylamino) -2,3-dihydrido-1H-imidazo [4,5-g] quinazolin-2-thione-2 hydrochloride (Compound 8) Reference Using the compound obtained in Example 20, the title compound was obtained in the same manner as in Example 1 (yield 13% ヽ).
' H-NMR (2 塩酸塩, DMSO-d 6 ) (5 (ppm): 1.30(3H, t, J = 7.3Hz), 1.60- 1 ·96(8Η, m), 2.85-2.89(4H, m), 3.34-3.40(lH, m), 3.73-3.77(4H, m), 'H-NMR (dihydrochloride, DMSO-d 6 ) (5 (ppm): 1.30 (3H, t, J = 7.3 Hz), 1.60-96 (8Η, m), 2.85-2.89 (4H, m ), 3.34-3.40 (lH, m), 3.73-3.77 (4H, m),
4.32(2H, q, J=7.3Hz), 4.99(2H, d, J=5.3Hz), 7.03(1H, dd, J=7.3Hz, 7.3Hz), 7.17-7.28(3H, m), 7.83(1H, s), 8.41 (1H, s), 10.64(1H, br), 13.72(1H, s). 実施例 9 4.32 (2H, q, J = 7.3Hz), 4.99 (2H, d, J = 5.3Hz), 7.03 (1H, dd, J = 7.3Hz, 7.3Hz), 7.17-7.28 (3H, m), 7.83 ( 1H, s), 8.41 (1H, s), 10.64 (1H, br), 13.72 (1H, s).
6-シク口ペンチル -3-ェチル -8-(4-プロピルァミノベンジルァミ ノ)-2,3-ジ ヒ ド口- 1H-ィミダゾ [4,5-g]キナゾリ ン -2-チオン · 2 塩酸塩 (化合物 9 ) 参考例 2 1で得られた化合物を用い、 実施例 1 と同様の方法で標記化 合物を得た(収率 25 %)o 6-cyclohexyl pentyl-3-ethyl-8- (4-propylaminobenzylamino) -2,3-dihydric mouth-1H-imidazo [4,5-g] quinazoline-2-thione 2 Hydrochloride (Compound 9) Using the compound obtained in Reference Example 21, the title compound was obtained in the same manner as in Example 1 (yield: 25%).
1 H-NMR (2 塩酸塩, DMSO-d 6 ) 6 (ppm): 0.91(3H, t, J=7.4Hz), 1.29(3H, t, J=7.1Hz), 1.63-1.86(8H, m), 1.98-2.09(2H, m), 3.11-3.18(2H, m), 3.41- 3.45(1H, m), 3.80(1H, br), 4.32(2H, q, J=7.1Hz), 4.88(2H, d, J = 5.3Hz), 7.39-7.51(4H, m), 7.79(1 H, s), 8.35(1H, s), 10.75(1H, br), 13.72(1 H, s). 実施例 1 0 1 H-NMR (dihydrochloride, DMSO-d 6 ) 6 (ppm): 0.91 (3H, t, J = 7.4 Hz), 1.29 (3H, t, J = 7.1 Hz), 1.63-1.86 (8H, m ), 1.98-2.09 (2H, m), 3.11-3.18 (2H, m), 3.41- 3.45 (1H, m), 3.80 (1H, br), 4.32 (2H, q, J = 7.1Hz), 4.88 ( 2H, d, J = 5.3Hz), 7.39-7.51 (4H, m), 7.79 (1H, s), 8.35 (1H, s), 10.75 (1H, br), 13.72 (1H, s). Example 1 0
3-ェチル -6-ィソプ口ピル- 8-(2-ピリジルメチルァミ ノ)-2,3-ジヒ ド口- 1H- ィミダゾ [4,5-g]キナゾリ ン -2-チオン (化合物 1 0 ) 3-Ethyl-6-isop-mouth pill-8- (2-pyridylmethylamino) -2,3-dihydro- mouth-1H-imidazo [4,5-g] quinazoline-2-thione (Compound 10 )
参考例 2 6で得られた化合物を用い、 実施例 1 と同様の方法で標記化 合物を得た(収率 30 Using the compound obtained in Reference Example 26 and title in the same manner as in Example 1. Compound (yield 30
1 H-NMR (遊離塩基, DMSO-d 6 ) 6 (ppm): 1.15(6H, d, J=6.6Hz), 1.29(3H, t, J=6.9Hz), 2.81-2.92(1H, m), 4.32(2H, q, J=6.9Hz), 4.85(2H, d, J=5.6Hz), 7.24(1H, dd, J=5.3Hz, 6.6Hz), 7.34(1H, d, J=7.6Hz), 7.61(1H, s), 7.68(1H, dd, J=6.6Hz,7.6Hz), 8.07(1H, s), 8.51(1H, d, J=5.3Hz), 8.86(1H, t, J=5.6Hz), 13.19(1H, s). 実施例 1 1 1 H-NMR (free base, DMSO-d 6 ) 6 (ppm): 1.15 (6H, d, J = 6.6 Hz), 1.29 (3H, t, J = 6.9 Hz), 2.81-2.92 (1H, m) , 4.32 (2H, q, J = 6.9Hz), 4.85 (2H, d, J = 5.6Hz), 7.24 (1H, dd, J = 5.3Hz, 6.6Hz), 7.34 (1H, d, J = 7.6Hz) ), 7.61 (1H, s), 7.68 (1H, dd, J = 6.6Hz, 7.6Hz), 8.07 (1H, s), 8.51 (1H, d, J = 5.3Hz), 8.86 (1H, t, J = 5.6Hz), 13.19 (1H, s).
6-tert-ブチル -3-ェチル -8-(2-ピリジルメチルアミノ)-2,3-ジヒ ド口- 1H-ィ ミダゾ [4,5-g]キナゾリ ン -2-チオン · 2 塩酸塩 (化合物 1 1 ) 6-tert-butyl-3-ethyl-8- (2-pyridylmethylamino) -2,3-dihydrogen-1H-imidazo [4,5-g] quinazoline-2-thione. · 2 hydrochloride ( Compound 11 1)
参考例 3 1で得られた化合物を用い、 実施例 1 と同様の方法で標記化 合物を得た(収率 52 %)。 Using the compound obtained in Reference Example 31, the title compound was obtained in the same manner as in Example 1 (yield: 52%).
1 H-NMR (2 塩酸塩, DMSO-d 6 ) δ (ppm): 1.32- 1.35(12H, m), 4.31(2H, q, J = 6.9Hz), 5.24(2H, d, J = 5.3Hz), 7.79(1H, dd, J = 6.3Hz, 6.6Hz), 7.91(1H, d, J=8.3Hz), 8.33(1H, dd, J = 6.6Hz, 8.3Hz), 8.43(1H, s), 8.48(1H, s), 8.77(1H, d, J = 6.3Hz), 11.11(1H, br), 13.78(1 H, s). 実施例 1 2 1 H-NMR (dihydrochloride, DMSO-d 6 ) δ (ppm): 1.32- 1.35 (12H, m), 4.31 (2H, q, J = 6.9 Hz), 5.24 (2H, d, J = 5.3 Hz) ), 7.79 (1H, dd, J = 6.3Hz, 6.6Hz), 7.91 (1H, d, J = 8.3Hz), 8.33 (1H, dd, J = 6.6Hz, 8.3Hz), 8.43 (1H, s) , 8.48 (1H, s), 8.77 (1H, d, J = 6.3Hz), 11.11 (1H, br), 13.78 (1H, s).
6-tert-ブチル -3-ェチル -8-(2-モルホリ ノベンジルァミ ノ)-2,3-ジヒ ドロ- 1H-ィミダゾ [4,5-g]キナゾリ ン -2-チオン · 2 塩酸塩 (化合物 1 2 ) 6-tert-butyl-3-ethyl-8- (2-morpholinobenzylamino) -2,3-dihydro-1H-imidazo [4,5-g] quinazoline-2-thione.2 hydrochloride (Compound 1 2)
参考例 3 2で得られた化合物を用い、 実施例 1 と同様の方法で標記化 合物を得た(収率 26 Using the compound obtained in Reference Example 32, the title compound was obtained in the same manner as in Example 1 (yield 26
1 H-NMR (2 塩酸塩, DMSO-d 6 ) δ (ppm): 1.32(3H, t, J=6.8Hz), 1.39(9H, s), 2.89(4H, br), 3.76(4H, br), 4.30(2H, q, J=6.8Hz), 5.04(2H, d, J=5.3Hz), 7.04(1H, dd, J=7.3Hz, 7.3Hz), 7.17-7.29(3H, m), 8.39(1H, s), 8.42(1H, s), 10.77(1H, br), 13.72(1H, s). 実施例 1 3 1 H-NMR (dihydrochloride, DMSO-d 6 ) δ (ppm): 1.32 (3H, t, J = 6.8 Hz), 1.39 (9H, s), 2.89 (4H, br), 3.76 (4H, br ), 4.30 (2H, q, J = 6.8Hz), 5.04 (2H, d, J = 5.3Hz), 7.04 (1H, dd, J = 7.3Hz, 7.3Hz), 7.17-7.29 (3H, m), 8.39 (1H, s), 8.42 (1H, s), 10.77 (1H, br), 13.72 (1H, s).
8-ベンジルァミノ -3-ェチル -6-メチル -2,3-ジヒ ド口- 1H-ィミダゾ [4,5-g] キナゾリ ン -2-チオン · 1 塩酸塩 (化合物 1 3 ) 8-benzylamino-3-ethyl-6-methyl-2,3-dihydrogen- 1H-imidazo [4,5-g] Quinazolin-2-thione monohydrochloride (Compound 13)
参考例 3 3で得られた化合物を用い、 実施例 1 と同様の方法を用いて 標記化合物を得た(収率 50 %)。 Using the compound obtained in Reference Example 33 and the same method as in Example 1, the title compound was obtained (yield: 50%).
1 H-NMR (1 塩酸塩, DMSO-d 6 ) δ (ppm) : 1.29(3H, t, J=7.2Hz), 2.66(3H, s), 4.35(2H, q, J=7.2Hz), 4.94(2H, d, J=3.5Hz), 7.25 -7.45 (5H, m), 7.61(1 H, s), 8.32(1H, s), 10.45- 10.55(1H, br), 13.71(1H, s). 実施例 1 4 1 H-NMR (1 hydrochloride, DMSO-d 6 ) δ (ppm): 1.29 (3H, t, J = 7.2 Hz), 2.66 (3H, s), 4.35 (2H, q, J = 7.2 Hz), 4.94 (2H, d, J = 3.5Hz), 7.25 -7.45 (5H, m), 7.61 (1H, s), 8.32 (1H, s), 10.45-10.55 (1H, br), 13.71 (1H, s Example 1 4
8-ベンジルアミノ -3-ェチル -6-メチル -2,3-ジヒ ド口- 1H-ィミダゾ [4,5 -g】 キナゾリ ン -2-ォン · 1 塩酸塩 (化合物 1 4 ) 8-Benzylamino-3-ethyl-6-methyl-2,3-dihydrogen-1H-imidazo [4,5-g] quinazolin-2-one / 1 hydrochloride (Compound 14)
参考例 3 3で得られた化合物(1.00 g, 2.96 mmol)をテトラヒ ドロフラ ン(20 ml)に溶解し、 10%-パラジウムノ炭素触媒(0.10 g)を添加し、 水素 ガス雰囲気下で接触還元を行った。 反応終了後、 触媒をセライ ト濾過し 濾液を減圧下で濃縮して油状物質を得た。 „ Reference Example 33 The compound obtained in 3 (1.00 g, 2.96 mmol) was dissolved in tetrahydrofuran (20 ml), and a 10% -palladium carbon catalyst (0.10 g) was added, followed by catalytic reduction under a hydrogen gas atmosphere. Was done. After completion of the reaction, the catalyst was filtered through celite, and the filtrate was concentrated under reduced pressure to obtain an oily substance. „
得られた油状物質の半分(1.48mmol)をァセ トニトリル(5 ml)に溶解し、 N,N-力ルポ二ルジィ ミダゾ一ル(CDI, 0.960 g, 5.92 mmol)を添加し、 80 °Cで 2 時間、 100 でで 2.5 時間攪拌した。 反応終了後、 水を加え 析出した結晶を濾取し、 ァセトニトリルノ水の混合溶媒で洗浄し、 乾燥 して標記化合物の遊離塩基(0.394 g, 80 %)を得た。 Half (1.48 mmol) of the obtained oily substance was dissolved in acetonitrile (5 ml), and N, N-propanoldimidazole (CDI, 0.960 g, 5.92 mmol) was added. For 2 hours and at 100 for 2.5 hours. After completion of the reaction, water was added, and the precipitated crystals were collected by filtration, washed with a mixed solvent of acetonitrile water, and dried to obtain the free base of the title compound (0.394 g, 80%).
得られた遊離塩基(0.344 g)をクロ口ホルム(5 ml) /メタノール(1 ml)の 混合溶媒に懸濁させ、 氷冷下で過剰量の 4 規定塩化水素 -酢酸ェチル を加えた。 溶液を減圧下で半分に濃縮し、 析出した結晶を分取してクロ 口ホルムでトリチレ一トして標記化合物(0.270 g, 71 を得た。 The obtained free base (0.344 g) was suspended in a mixed solvent of chloroform (5 ml) / methanol (1 ml), and an excess amount of 4N hydrogen chloride-ethyl acetate was added under ice cooling. The solution was concentrated in half under reduced pressure, and the precipitated crystals were collected and triturated with chloroform to give the title compound (0.270 g, 71).
' H-NMR (1 塩酸塩, DMSO-d 6 ) δ (ppm): 1 ,26(3H, t, J=7.2Hz), 2.63(3H, s), 3.94(2H, q, J=7.2Hz), 4.91 (2H, d, J=5.5Hz), 7.25 -7.45(6H, m), 8.09(1 H, s), 10.25 -10.35( 1H, br), 11.93(1H, s). 実施例 1 5 'H-NMR (monohydrochloride, DMSO-d 6 ) δ (ppm): 1, 26 (3H, t, J = 7.2Hz), 2.63 (3H, s), 3.94 (2H, q, J = 7.2Hz) ), 4.91 (2H, d, J = 5.5Hz), 7.25 -7.45 (6H, m), 8.09 (1 H, s), 10.25 -10.35 (1H, br), 11.93 (1H, s). Five
8-ベンジルァミノ -3-ェチル -6-フェネチル -2,3-ジヒ ド口- 1H-ィミダゾ [4,5-g]キナゾリン -2-チオン · 1 塩酸塩 (化合物 1 5 ) 8-Benzylamino-3-ethyl-6-phenethyl-2,3-dihydric mouth-1H-imidazo [4,5-g] quinazoline-2-thione monohydrochloride (Compound 15)
参考例 3 4で得られた化合物を用いて、 実施例 1 と同様にして標記化 合物を得た(収率 59 Using the compound obtained in Reference Example 34, the title compound was obtained in the same manner as in Example 1 (yield 59
1 H-NMR (1 塩酸塩, DMSO-d 6 ) δ (ppm): 1.29(3H, t, J=7.2Hz), 3.05- 3,30(4H, m), 4.34(2H, q, J = 7.2Hz), 4.93(2H, d, J=5.0Hz), 7.10-7.45(10H, m), 7.54(1H, s), 8.28(1H, s), 10.40-10.50(1H, br), 13.68(1H, s). 実施例 1 6 1 H-NMR (monohydrochloride, DMSO-d 6 ) δ (ppm): 1.29 (3H, t, J = 7.2 Hz), 3.05- 3,30 (4H, m), 4.34 (2H, q, J = 7.2Hz), 4.93 (2H, d, J = 5.0Hz), 7.10-7.45 (10H, m), 7.54 (1H, s), 8.28 (1H, s), 10.40-10.50 (1H, br), 13.68 ( 1H, s). Example 16
8-ベンジルアミノ -3-ェチル -6-フエネチル -2,3-ジヒ ド口- 1H-ィミダゾ 8-Benzylamino-3-ethyl-6-phenethyl-2,3-dihydrogen-1H-imidazo
[4,5-g]キナゾリ ン -2-オン · 1 塩酸塩 (化合物 1 6 ) [4,5-g] quinazolin-2-one · 1 hydrochloride (Compound 16)
参考例 3 4で得られた化合物を用いて、 実施例 1 4 と同様にして標記 化合物を得た(収率 28 The title compound was obtained in the same manner as in Example 14 using the compound obtained in Reference Example 34 (yield 28
1 H-NMR (1 塩酸塩, DMSO-d 6 ) δ (ppm): 1.28(3H, t, J=7.2Hz), 3.05- 3.25(4H, m), 3.94(2H, q, J=7.2Hz), 4.91(2H, d, J=4.5Hz), 7.10-7.45(11H, m), 8.04(1H, s), 10.20-10.30(1H, br), 11.89(1H, s). 実施例 1 7 1 H-NMR (1 hydrochloride, DMSO-d 6 ) δ (ppm): 1.28 (3H, t, J = 7.2 Hz), 3.05- 3.25 (4H, m), 3.94 (2H, q, J = 7.2 Hz) ), 4.91 (2H, d, J = 4.5Hz), 7.10-7.45 (11H, m), 8.04 (1H, s), 10.20-10.30 (1H, br), 11.89 (1H, s).
3-ェチル -8-[2-(2-モルホリ ノェチルチオ)ベンジルァミノ ]-2,3-ジヒ ドロ- 1H-ィミダゾ [4,.5 -g]キナゾリ ン -2-チオン · 2 塩酸塩 (化合物 1 7 ) 3-Ethyl-8- [2- (2-morpholinoethylthio) benzylamino] -2,3-dihydro-1H-imidazo [4, .5-g] quinazoline-2-thione · 2 hydrochloride (Compound 17 )
参考例 3 8で得られる化合物を用いて、 実施例 1 と同様にして標記化 合物を得た(収率 58 %)。 ' The title compound was obtained in the same manner as in Example 1 using the compound obtained in Reference Example 38 (yield 58%). '
X H-NMR (遊離塩基, DMSO-d 6 ) δ (ppm): 1.29(3H, t, J=7.1Hz), 2.38- 2.43(4H, m), 2.54(2H, t, J = 7.6Hz), 3.14(2H, t, J=7.6Hz), 3.53-3.59(4H, m), 4.36(2H, q, J=7.1Hz), 4.84(2H, d, J=5.6Hz), 7.13(1H, dd, J=6.6Hz, 7.3Hz), 7.22-7.28(2H, m), 7.44(1H, d, J=7.9Hz), 7.65(1H, s), 8.13(1H, s), 8.36(1H, s), 8.77(1H, t, J=5.6Hz), 13.28(1H, s). 実施例 1 8 X H-NMR (free base, DMSO-d 6 ) δ (ppm): 1.29 (3H, t, J = 7.1 Hz), 2.38-2.43 (4H, m), 2.54 (2H, t, J = 7.6 Hz) , 3.14 (2H, t, J = 7.6Hz), 3.53-3.59 (4H, m), 4.36 (2H, q, J = 7.1Hz), 4.84 (2H, d, J = 5.6Hz), 7.13 (1H, dd, J = 6.6Hz, 7.3Hz), 7.22-7.28 (2H, m), 7.44 (1H, d, J = 7.9Hz), 7.65 (1H, s), 8.13 (1H, s), 8.36 (1H, s), 8.77 (1H, t, J = 5.6Hz), 13.28 (1H, s).
3-ェチル -8-[2-(2-モルホリ ノェチルチオ)ベンジルァミノ] -2,3-ジヒ ドロ- 1H-ィミダゾ [4,5-g]キナゾリ ン -2-ォン · 2 塩酸塩 (化合物 1 8 ) 3-Ethyl-8- [2- (2-morpholinoethylthio) benzylamino] -2,3-dihydro- 1H-imidazo [4,5-g] quinazolin-2-one.dihydrochloride (compound 18)
参考例 3 8で得られる化合物を用いて、 実施例 1 4と同様にして標記 化合物を得た(収率 27 %)。 The title compound was obtained in the same manner as in Example 14 using the compound obtained in Reference Example 38 (yield 27%).
1 H-NMR (遊離塩基, DMSO-d 6 ) δ (ppm): 1.25(3H, t, J=7.1Hz), 2.38- 2.42(4H, m), 2.57(2H, t, J=7.6Hz), 3.14(2H, t, J=7.6Hz), 3.53-3.58(4H, m), 3.93(2H, q, J=7.1Hz), 4.79(2H, d, J=5.3Hz), 7.13(1H, dd, J=6.9Hz, 7.6Hz), 1 H-NMR (free base, DMSO-d 6 ) δ (ppm): 1.25 (3H, t, J = 7.1 Hz), 2.38- 2.42 (4H, m), 2.57 (2H, t, J = 7.6 Hz) , 3.14 (2H, t, J = 7.6Hz), 3.53-3.58 (4H, m), 3.93 (2H, q, J = 7.1Hz), 4.79 (2H, d, J = 5.3Hz), 7.13 (1H, dd, J = 6.9Hz, 7.6Hz),
7.20- 7.27(2H, m), 7.39(1H, s), 7.43(1H, d, J=7.6Hz), 7.87(1H, s), 8.31(1H, s), 8.50(1H, t, J=5.3Hz), 11.43(1H, s). 実施例 7.20- 7.27 (2H, m), 7.39 (1H, s), 7.43 (1H, d, J = 7.6Hz), 7.87 (1H, s), 8.31 (1H, s), 8.50 (1H, t, J = 5.3Hz), 11.43 (1H, s).
3-ェチル -8- [2-(2-ジェチルアミノエチルチオ)ベンジルァミノ ] -2,3-ジヒ ド口- 1H-ィミダゾ [4,5-g]キナゾリ ン -2-チオン · 2 塩酸塩 (化合物 1 9 ) 参考例 で得られる化合物を用い、 実施例 1 と同様にして標記化合 物を得た(収率 60 3-Ethyl-8- [2- (2-getylaminoethylthio) benzylamino] -2,3-dihydrogen-1H-imidazo [4,5-g] quinazoline-2-thione · 2 hydrochloride ( Compound 19) The title compound was obtained in the same manner as in Example 1 using the compound obtained in Reference Example (yield 60
1 H-NMR (遊離塩基, DMSO-d 6 ) (ppm): 0.93(6H, t, J=7.1Hz), 1.29(3H, t, J=7.1Hz), 2.50(4H, q, J = 7.1Hz), 2.66(2H, t, J=7.4Hz), 3.07(2H, t, J = 7.4Hz), 4.36(2H, q, J=7.1Hz), 4.80(2H, d, J=5.3Hz), 7.12(1H, dd, J = 7.3Hz, 7.6Hz), 1 H-NMR (free base, DMSO-d 6 ) (ppm): 0.93 (6H, t, J = 7.1 Hz), 1.29 (3H, t, J = 7.1 Hz), 2.50 (4H, q, J = 7.1 Hz), 2.66 (2H, t, J = 7.4Hz), 3.07 (2H, t, J = 7.4Hz), 4.36 (2H, q, J = 7.1Hz), 4.80 (2H, d, J = 5.3Hz) , 7.12 (1H, dd, J = 7.3Hz, 7.6Hz),
7.21- 7.27(2H, m), 7.42(1H, d, J=7.9Hz), 7.64(1H, s), 8.13(1H, s), 8.35(1H, s), 8.75(1H, t, J = 5.3Hz), 13.25(1H, s). 実施例 2 0 7.21- 7.27 (2H, m), 7.42 (1H, d, J = 7.9Hz), 7.64 (1H, s), 8.13 (1H, s), 8.35 (1H, s), 8.75 (1H, t, J = 5.3Hz), 13.25 (1H, s).
3-ェチル -8-[2-(2-ジェチルァミノェチルチオ)ベンジルァミノ ]-2,3-ジヒ ド口- 1H-ィミダゾ [4,5-g]キナゾリ ン -2-オン · 2 塩酸塩 (化合物 2 0 ) 参考例 で得られる化合物を用い、 実施例 1 と同様にして標記化 合物を得た(収率 20 3-Ethyl-8- [2- (2-ethylethylaminothio) benzylamino] -2,3-dihydrido-1H-imidazo [4,5-g] quinazolin-2-one · 2 hydrochloric acid Salt (Compound 20) The title compound was obtained in the same manner as in Example 1 using the compound obtained in Reference Example (yield: 20).
1 H-NMR (遊離塩基, DMSO-d 6 ) δ (ppm) : 0.96(6H, t, J=7.1Hz), 1 .28(3H, t, J=7.1Hz), 2.53(4H, q, J=7.1Hz), 2.69(2H, t, J=7.3Hz), 3.07(2H, t, J=7.3Hz), 3.93(2H, q, J=7.1Hz), 4.80(2H, d, J=5.3Hz), 7.10(1H, dd, J=6.9Hz, 7.3Hz), 7.20-7.25(2H, m), 7.33(1H, s), 7.40(1H, d, J=7.3Hz), 7.86(1H, s), 8.29(1H, s), 8.46(1H, t, J = 5.3Hz), 1 1.38(1H, s). 実施例 2 1 1 H-NMR (free base, DMSO-d 6 ) δ (ppm): 0.96 (6H, t, J = 7.1 Hz), 1.28 (3H, t, J = 7.1 Hz), 2.53 (4H, q, J = 7.1Hz), 2.69 (2H, t, J = 7.3Hz), 3.07 (2H, t, J = 7.3Hz), 3.93 (2H, q, J = 7.1Hz), 4.80 (2H, d, J = 5.3Hz), 7.10 (1H, dd, J = 6.9Hz, 7.3Hz), 7.20-7.25 (2H, m), 7.33 (1H, s), 7.40 (1H, d, J = 7.3Hz), 7.86 (1H , s), 8.29 (1H, s), 8.46 (1H, t, J = 5.3Hz), 1 1.38 (1H, s).
3-ェチル -8-[6-(4-メチルビペラジニル)-3-ピリジルメチルアミノ] -2,3-ジ ヒ ドロ- 1H-イミダゾ [4,5-g]キナゾリ ン- 2-チオン · 3 塩酸塩 (化合物 2 1 ) 3-Ethyl-8- [6- (4-methylbiperazinyl) -3-pyridylmethylamino] -2,3-dihydro-1H-imidazo [4,5-g] quinazoline-2-thione · 3 hydrochloride (Compound 21)
参考例 4 6で得られる化合物(0.60 g, 1.42 mmol)をテトラヒ ドロフラ ン(70 ml)Zメタノール(10 ml)の混合溶媒に懸濁させ、 10%-パラジウム /炭素触媒(0.20 g)を添加し、 水素ガス気流下で 6 時間攪拌した。 反応 終了後、 濾過助剤を用いて触媒を濾別し、 得られた濾液を減圧下で濃縮 した。 得られた濃縮残查をシリカゲルカラムクロマ トグラフィー(クロ 口ホルム Zメタノール =10 の混合溶媒にアンモニアを 5 % 吸収させた 溶媒で溶出)で精製して油状物質(0.58 g)を得た。 精製後の油状物質をメ 夕ノ一ル(16 ml)に溶解し、 トリェチルァミン(2.70 ml, 19.4 mmol)とニ硫 化炭素(2.68 ml, 44.6 mmol)を加え室温でー晚撹拌した。 反応終了後、 析 出した結晶を分取し、 エタノール Zエーテルで洗浄し標記化合物の遊離 塩基(0.21 g, 34 %)を得た。 Reference Example 46 The compound (0.60 g, 1.42 mmol) obtained in 6 was suspended in a mixed solvent of tetrahydrofuran (70 ml) and Z methanol (10 ml), and 10% palladium / carbon catalyst (0.20 g) was added. Then, the mixture was stirred for 6 hours under a hydrogen gas stream. After completion of the reaction, the catalyst was separated by filtration using a filter aid, and the obtained filtrate was concentrated under reduced pressure. The obtained concentrated residue was purified by silica gel column chromatography (eluted with a solvent in which 5% ammonia was absorbed in a mixed solvent of chloroform and methanol = 10) to give an oily substance (0.58 g). The oily substance after purification was dissolved in methanol (16 ml), and triethylamine (2.70 ml, 19.4 mmol) and carbon disulfide (2.68 ml, 44.6 mmol) were added, followed by stirring at room temperature. After completion of the reaction, the precipitated crystals were collected and washed with ethanol Z ether to obtain the free base of the title compound (0.21 g, 34%).
得られた遊離塩基(0.130 g, 0.300 mmol)をメタノール(10 ml)に懸濁さ せ、 氷冷下で過剰量の 4 規定塩化水素—酢酸ェチルを加えた。 反応溶 液を半分程度に濃縮し、 析出した結晶を分取、 乾燥して標記化合物 (0.150 g, 93 %)を得た。 The obtained free base (0.130 g, 0.300 mmol) was suspended in methanol (10 ml), and an excess amount of 4N hydrogen chloride-ethyl acetate was added under ice cooling. The reaction solution was concentrated to about half, and the precipitated crystals were separated and dried to obtain the title compound (0.150 g, 93%).
1 H-NMR (3 塩酸塩, DMSO-d 6 ) δ (ppm): 1.30(3H, t, J=7.1Hz), 2.77(3H, s), 3.07-3.18(2H, m), 3.38-3.55(4H, m), 4.30-4.58(4H, m), 4.87(2H, d, J=5.6Hz), 7.17(1H, d, J=8.9Hz), 7.75(1H, s), 7.93(1H, d, J=8.9Hz), 8.23(1H, s), 1 H-NMR (3 hydrochloride, DMSO-d 6 ) δ (ppm): 1.30 (3H, t, J = 7.1 Hz), 2.77 (3H, s), 3.07-3.18 (2H, m), 3.38-3.55 (4H, m), 4.30-4.58 (4H, m), 4.87 (2H, d, J = 5.6Hz), 7.17 (1H, d, J = 8.9Hz), 7.75 (1H, s), 7.93 (1H, d, J = 8.9Hz), 8.23 (1H, s),
8.38(1H, s), 8.89(1H, s), 10.84(1H, t, J=5.6Hz), 13.77(1H, s). 実施例 2 2 8.38 (1H, s), 8.89 (1H, s), 10.84 (1H, t, J = 5.6Hz), 13.77 (1H, s).
3-ェチル -8-[3-(6-ピペリジノ ピリジル)メチルアミノ] -2,3-ジヒ ドロ- 1H- ィミダゾ [4,5-g]キナゾリ ン -2-チオン · 2 塩酸塩 (化合物 2 2 ) 参考例 4 9で得られる化合物を用いて、 実施例 2 1 と同様にして標記 化合物を得た(収率 21 %)o 3-Ethyl-8- [3- (6-piperidinopyridyl) methylamino] -2,3-dihydro-1H-imidazo [4,5-g] quinazoline-2-thione · 2 hydrochloride (Compound 22 ) The title compound was obtained in the same manner as in Example 21 using the compound obtained in Reference Example 49 (yield 21%).
1 H-NMR (遊離塩基, DMSO-d 6 ) δ (ppm): 1.31(3H, t, J=6.9Hz), 1 -51- 1.65(6H, m), 3.44-3.48(4H, m), 4.34(2H, q, J=6.9Hz), 4.62(2H, d, J=5.6Hz), 6.71(1H, d, J=8.6Hz), 7.54(1H, dd, J=2.3Hz, 8.6Hz), 7.57(1H, s), 8.03(1H, s), 8.14(1H, d, J=2.3Hz), 8.42(1H, s), 8.75 (1H, t, J=5.6Hz), 13.50( 1H, s). 実施例 2 3 1 H-NMR (free base, DMSO-d 6 ) δ (ppm): 1.31 (3H, t, J = 6.9 Hz), 1 -51- 1.65 (6H, m), 3.44-3.48 (4H, m), 4.34 (2H, q, J = 6.9Hz), 4.62 (2H, d, J = 5.6Hz), 6.71 (1H, d, J = 8.6Hz), 7.54 (1H, dd, J = 2.3Hz, 8.6Hz) , 7.57 (1H, s), 8.03 (1H, s), 8.14 (1H, d, J = 2.3Hz), 8.42 (1H, s), 8.75 (1H, t, J = 5.6Hz), 13.50 (1H, s). Example 2 3
3-ェチル -8-[5-(4-メ 卜キシベンジルァミノ)-2-モルホリ ノベンジルアミ ノ ] -2,3-ジヒ ドロ - 1H-ィミダゾ [4,5-g]キナゾリ ン -2-チオン · 3 塩酸塩 (化合物 2 3 ) 3-Ethyl-8- [5- (4-methoxybenzylamino) -2-morpholinobenzylamino] -2,3-dihydro-1H-imidazo [4,5-g] quinazoline-2-thione · 3 hydrochloride (compound 23)
参考例 5 2で得られる化合物を用いて、 実施例 1 と同様にして標記化 合物を得た(収率 22 %) o Using the compound obtained in Reference Example 52, the title compound was obtained in the same manner as in Example 1 (yield: 22%) o
1 H-NMR (遊離塩基, DMSO-d 6 ) 6 (ppm): 1.34(3H, t, J = 6.9Hz), 2.70- 2.85(4H, m), 3.59(3H, s), 3.65-3.75(4H, m), 3.98(2H, br), 4.37(2H, q, J = 6.9Hz), 4.83(2H, d, J=5.3Hz), 5.92(1H, br), 6.40(1H, dd, J = 2.6Hz, 8.6Hz), 6.48(1H, d, J=2.6Hz), 6.55(2H, d, J = 8.6Hz), 6.91(1H, d, J = 8.6Hz), 6.98(2H, d, J=8.6Hz), 7.61(1H, s), 8.07(1H, s), 8.37(1H, s), 8.62(1H, t, J = 5.3Hz), 13.22(1H, s). 実施例 2 4 1 H-NMR (free base, DMSO-d 6 ) 6 (ppm): 1.34 (3H, t, J = 6.9 Hz), 2.70-2.85 (4H, m), 3.59 (3H, s), 3.65-3.75 ( 4H, m), 3.98 (2H, br), 4.37 (2H, q, J = 6.9 Hz), 4.83 (2H, d, J = 5.3 Hz), 5.92 (1H, br), 6.40 (1H, dd, J = 2.6Hz, 8.6Hz), 6.48 (1H, d, J = 2.6Hz), 6.55 (2H, d, J = 8.6Hz), 6.91 (1H, d, J = 8.6Hz), 6.98 (2H, d, J = 8.6Hz), 7.61 (1H, s), 8.07 (1H, s), 8.37 (1H, s), 8.62 (1H, t, J = 5.3Hz), 13.22 (1H, s).
3-ェチル -8-[5-メチルアミノ -2-モルホリ ノベンジルアミノ ]-2,3-ジヒ ドロ -1H-ィミダゾ [4,5-g]キナゾリ ン -2-チオン · 3 塩酸塩 (化合物 2 4 ) 参考例 5 4で得られた化合物を用い、 実施例 1 と同様にして標記化合 物を得た(収率 41 ) o 3-Ethyl-8- [5-methylamino-2-morpholinobenzylamino] -2,3-dihydro-1H-imidazo [4,5-g] quinazolin-2-thione · 3 hydrochloride (Compound 2 4) Using the compound obtained in Reference Example 54, the title compound was obtained in the same manner as in Example 1 (yield 41).
1 H-NMR (遊離塩基, DMSO-d 6 ) δ (ppm): 1.30(3H, t, J=6.9Hz), 2.51 (3H, d, J=5.3Hz), 2.73-2.81 (4H, m), 3.67-3.72(4H, m), 4.35(2H, q, J=6.9Hz), 4.84(2H, d, J =5.6Hz), 5.40(1H, br), 6.38(1H, dd, J=2.6Hz, 8.6Hz), 6.48(1H, d, J=2.6Hz), 6.99(1H, d, J=8.6Hz), 7.61(1H, s), 8.12(1H, s), 8.37(1H, s), 8.63(1H, t, J=5.6Hz), 13.22(1H, s). 実施例 2 5 1 H-NMR (free base, DMSO-d 6 ) δ (ppm): 1.30 (3H, t, J = 6.9 Hz), 2.51 (3H, d, J = 5.3 Hz), 2.73-2.81 (4H, m) , 3.67-3.72 (4H, m), 4.35 (2H, q, J = 6.9Hz), 4.84 (2H, d, J = 5.6Hz), 5.40 (1H, br), 6.38 (1H, dd, J = 2.6 Hz, 8.6Hz), 6.48 (1H, d, J = 2.6Hz), 6.99 (1H, d, J = 8.6Hz), 7.61 (1H, s), 8.12 (1H, s), 8.37 (1H, s) , 8.63 (1H, t, J = 5.6Hz), 13.22 (1H, s).
3-ェチル -2-ェチルアミノ -8-(4-ジメチルアミノベンジルアミノ) -3H-ィミ ダゾ [4,5-g]キナゾリ ン · 3 塩酸塩 (化合物 2 5 ) 3-Ethyl-2-ethylamino-8- (4-dimethylaminobenzylamino) -3H-imidazo [4,5-g] quinazoline · 3 hydrochloride (Compound 25)
7-ェチルアミノ -4-(4-ジメチルアミノベンジルアミ ノ) -6-二ト 口キナゾ リ ン(WO95/06648 記載の化合物、 30.0 g, 82.0 mmol)をメタノール(800 ml)Zテトラヒ ドロフラン(500 ml)の混合溶媒に懸濁させ、 10%-パラジ ゥム Z炭素触媒(6.0 g)を添加し、 水素気流下 9 時間接触還元を行った。 反応終了後、 触媒を濾別し、 濾液を濃縮して茶褐色固体として 6-アミ ノ -7-ェチルアミノ -4-(4-ジメチルァミノベンジルァミ ノ)キナゾリ ン(定 量的)を得た。 7-Ethylamino-4- (4-dimethylaminobenzylamino) -6-dimethoxyquinazoline (compound described in WO95 / 06648, 30.0 g, 82.0 mmol) was added to methanol (800 ml) and Z tetrahydrofuran (500 ml). ), A 10% -palladium Z carbon catalyst (6.0 g) was added, and the mixture was subjected to catalytic reduction in a hydrogen stream for 9 hours. After completion of the reaction, the catalyst was filtered off, and the filtrate was concentrated to obtain 6-amino-7-ethylamino-4- (4-dimethylaminobenzylamino) quinazoline (quantitative) as a brown solid. .
得られた茶褐色固体(1.50 g, 4.46 mmol)をピリ ジン(15 ml)に溶解し、 氷冷下ェチルイソチオシァネ一ト(0.97 ml, 11.0 mml)をゆつ く り と滴下 した。 滴下終了後、 室温に昇温し、 同温で 3 時間攪拌した。 反応終了 後、 減圧下溶媒を濃縮し得られた濃縮残査にエタノールを加え ト リチレ — 卜した。 得られた固体をエタノールで洗浄して、 対応するチォ尿素体 (0.60 g, 32 %)を得た。 The obtained brown solid (1.50 g, 4.46 mmol) was dissolved in pyridine (15 ml), and ethyl isothiosineate (0.97 ml, 11.0 mml) was slowly added dropwise under ice cooling. After completion of the dropwise addition, the temperature was raised to room temperature, and the mixture was stirred at the same temperature for 3 hours. After completion of the reaction, the solvent was concentrated under reduced pressure, and ethanol was added to the resulting concentrated residue, followed by trituration. The obtained solid was washed with ethanol to obtain a corresponding thiourea compound (0.60 g, 32%).
得られたチォ尿素体(0.40 g, 0.946 mmol)をァセ トニ ト リリレ(20 ml)に懸 濁させ、 トリフルォロ酢酸銀(0.46 g, 2.08 mmol)を添加、 室温で 3 時間 攪拌した。 反応終了後、 減圧下で溶液を濃縮して得られた濃縮残査に 4 規定塩酸を加え、 析出した沈殿を濾別した。 濾液に炭酸水素ナト リウム 溶液を加え pH を 8〜9 に調整した。 析出した結晶を分取し、 水での 洗浄後、 乾燥して標記化合物の遊離塩基(0.21 g, 57 % を得た。 The obtained thiourea compound (0.40 g, 0.946 mmol) was suspended in acetonitrilile (20 ml), silver trifluoroacetate (0.46 g, 2.08 mmol) was added, and the mixture was stirred at room temperature for 3 hours. After completion of the reaction, 4N hydrochloric acid was added to the concentrated residue obtained by concentrating the solution under reduced pressure, and the deposited precipitate was separated by filtration. Sodium bicarbonate solution was added to the filtrate to adjust the pH to 8-9. The precipitated crystals were collected, washed with water, and dried to give the free base of the title compound (0.21 g, 57%).
得られた遊離塩基(0.21 g, 0.540 mmol)にメ夕ノール(15 ml)を加え、 氷 冷下で 4 mol/l の塩酸ノ酢酸ェチル(0.68 ml, 2.72 mmol)を加え、 同温で 1 時間攪拌した。 反応溶液を減圧下濃縮し、 析出した結晶をエタノール Z水から再結晶して標記化合物(0.26 g, 98 %)を得た。 To the obtained free base (0.21 g, 0.540 mmol) was added methanol (15 ml). Under ice-cooling, 4 mol / l ethyl acetate hydrochloride (0.68 ml, 2.72 mmol) was added. Stirred for hours. The reaction solution was concentrated under reduced pressure, and the precipitated crystals were recrystallized from ethanol Z water to obtain the title compound (0.26 g, 98%).
' H-NMR (3 塩酸塩, DMSO-d 6 ) δ (ppm): 1.28-1.34(6H, m), 3.00(6H, s), 3,67(2H, br), 4.33(2H, br), 4.91(2H, br), 7.20-7.50(4H, m), 7.83(1H, s), 8.72(1H, s), 8.86(1H, s), 9.82(1H, br), 11.27(1H, s). 実施例 2 6 'H-NMR (3 hydrochloride, DMSO-d 6 ) δ (ppm): 1.28-1.34 (6H, m), 3.00 (6H, s), 3,67 (2H, br), 4.33 (2H, br), 4.91 (2H, br), 7.20-7.50 (4H, m), 7.83 (1H, s), 8.72 (1H, s), 8.86 (1H, s), 9.82 (1H, br), 11.27 (1H, s).
3-ェチル -8-(4-ジメチルァミノベンジルアミノ)-2-フェニルアミ ノ -3H-ィ ミダゾ [4,5-g]キナゾリ ン · 3 塩酸塩 (化合物 2 6 ) 3-Ethyl-8- (4-dimethylaminobenzylamino) -2-phenylamino-3H-imidazo [4,5-g] quinazoline · 3 hydrochloride (Compound 26)
7-ェチルアミノ -4-(4-ジメチルァミ ノベンジルアミノ)-6-二卜 口キナゾ リ ン(WO95/06648 記載の化合物)とフェニルイソチオシナネー 卜を用い て実施例 2 5中に記載の方法と同様にして標記化合物を得た(収率 The method described in Example 25 was repeated using 7-ethylamino-4- (4-dimethylaminobenzylamino) -6-nitroquinazoline (compound described in WO95 / 06648) and phenylisothiocinnamate. The title compound was obtained in the same manner (yield
37 37
1 H-NMR (3 塩酸塩, DMSO-d 6 ) δ (ppm) : 1.38(3H, t, J=6.9Hz), 3.05(6H, s), 4.52(2H, q, J = 6.9Hz), 4.95(2H, d, J=5.3Hz), 7.18(1H, t, J = 7.2Hz), 7.41- 7.47(3H, m), 7.50-7.60(4H, m), 7.80(1H, s), 7.82-7.90(2H, m), 8.67(1H, s), 8.83(1H, s), 10.91(1H, s). 実施例 2 7 1 H-NMR (3 hydrochloride, DMSO-d 6 ) δ (ppm): 1.38 (3H, t, J = 6.9 Hz), 3.05 (6H, s), 4.52 (2H, q, J = 6.9 Hz), 4.95 (2H, d, J = 5.3Hz), 7.18 (1H, t, J = 7.2Hz), 7.41- 7.47 (3H, m), 7.50-7.60 (4H, m), 7.80 (1H, s), 7.82 -7.90 (2H, m), 8.67 (1H, s), 8.83 (1H, s), 10.91 (1H, s).
2-ェトキシカルボニルアミ ノ -3-ェチル -8-(4-ジメチルァミノベンジルァ ミノ)-3H-ィミダゾ [4,5-g]キナゾリ ン · 2 塩酸塩 (化合物 2 7 ) 2-ethoxycarbonylamino-3-ethyl-8- (4-dimethylaminobenzylamino) -3H-imidazo [4,5-g] quinazolin dihydrochloride (Compound 27)
7-ェチルアミノ -4-(4-ジメチルァミノベンジルァミ ノ)-6-二ト 口キナゾ リ ン(WO95/06648 記載の化合物)とエトキシカルボ二ルイソチオシナネ —卜を用いて実施例 2 5中に記載の方法と同様にして標記化合物を得た (収率 16 %)。 Example 25 was carried out using 7-ethylamino-4- (4-dimethylaminobenzylamino) -6-nitroquinoline (compound described in WO95 / 06648) and ethoxycarbonylisothiocinane. The title compound was obtained in the same manner as described (yield 16%).
' H-NMR (2 塩酸塩, DMSO-d 6 ) δ (ppm): 1.24- 1.32(6H, m), 2.98(6H, s), 4.08-4.23(4H, m), 4.91(2H, d, J=5.3Hz), 7.10-7.42(4H, m), 7.73(1H, s), 8.41(1H, s), 8.85(1H, s), 10.68(1H, br), 13.10(1H, br). 実施例 2 8 'H-NMR (dihydrochloride, DMSO-d 6 ) δ (ppm): 1.24- 1.32 (6H, m), 2.98 (6H, s), 4.08-4.23 (4H, m), 4.91 (2H, d, J = 5.3Hz), 7.10-7.42 (4H, m), 7.73 (1H, s), 8.41 (1H, s), 8.85 (1H, s), 10.68 (1H, br), 13.10 (1H, br). Example 2 8
2-ァミノ -3-ェチル -8-(4-ジメチルァミ ノベンジルァミノ)-3H-ィ ミダゾ [4,5-g]キナゾリ ン · 3 塩酸塩 (化合物 2 8 ) 実施例 2 7で得られる化合物の遊離塩基(0.770 g, 1.78 mmol)をメ夕ノ —ル(77 ml)ノ水(23 ml)に溶解し、 水酸化バリゥム(0.696 g, 4.06 mmol)を 加え、 溶媒還流下で 5.5 時間攪拌した。 更に水酸化バリウム(1.30 g, 7.58 mmol)を加え、 同温で 16 時間攪拌した。 反応終了後、 溶液を濃縮 して得られた濃縮残査に 4 規定塩酸を加え、 不溶物を濾別し、 濾液を 炭酸水素ナトリ ゥム水溶液で中和し、 析出した結晶をシリ力ゲルカラム クロマ トグラフィ一(クロ口ホルム Zメタノール =20 で溶出)で精製して 標記化合物の遊離塩基 (0.23 g, 36 %)を得た。 2-Amino-3-ethyl-8- (4-dimethylaminobenzylamino) -3H-imidazo [4,5-g] quinazoline · 3 hydrochloride (Compound 28) The free base (0.770 g, 1.78 mmol) of the compound obtained in Example 27 was dissolved in methanol (77 ml) and water (23 ml), and then added with hydroxide hydroxide (0.696 g, 4.06 mmol). The mixture was stirred under reflux of the solvent for 5.5 hours. Further, barium hydroxide (1.30 g, 7.58 mmol) was added, and the mixture was stirred at the same temperature for 16 hours. After completion of the reaction, 4N hydrochloric acid was added to the concentrated residue obtained by concentrating the solution, the insolubles were filtered off, the filtrate was neutralized with an aqueous solution of sodium hydrogen carbonate, and the precipitated crystals were separated by silica gel chromatography. Purification by chromatography (eluting with black form Z methanol = 20) gave the free base of the title compound (0.23 g, 36%).
得られた遊離塩基(0.23 g, 0.637 mmol)をエタノール(10 ml)に溶解し、 氷冷下で 4 mol/1 の塩酸 Z酢酸ェチル(0.800 ml, 3.20 mmol)を加え、 室 温で 2 時間攪拌した。 反応溶液を減圧下濃縮し、 析出した結晶をエタ ノールで洗浄して標記化合物(0.15 g, 50 を得た。 The obtained free base (0.23 g, 0.637 mmol) was dissolved in ethanol (10 ml), and 4 mol / 1 hydrochloric acid-ethyl acetate (0.800 ml, 3.20 mmol) was added under ice-cooling, and the mixture was heated at room temperature for 2 hours. Stirred. The reaction solution was concentrated under reduced pressure, and the precipitated crystals were washed with ethanol to obtain the title compound (0.15 g, 50).
' H-NMR (3 塩酸塩, DMSO-d 6 ) δ (ppm): 1.32(3H, t, J=7.3Hz), 2.97(6H, s), 4.00(2H, br), 4.30(2H, q, J = 7.3Hz), 4.89(2H, br), 7.10-7.50(4H, m), 7.86(1H, s), 8.67(1H, s), 8.88(1H, s), 9.38(1H, br). 実施例 2 9 'H-NMR (3 hydrochloride, DMSO-d 6 ) δ (ppm): 1.32 (3H, t, J = 7.3 Hz), 2.97 (6H, s), 4.00 (2H, br), 4.30 (2H, q , J = 7.3Hz), 4.89 (2H, br), 7.10-7.50 (4H, m), 7.86 (1H, s), 8.67 (1H, s), 8.88 (1H, s), 9.38 (1H, br) Example 2 9
3-ェチル -2-メチルアミノ -8-(4-ジメチルブミノベンジルァミノ)-3H-ィ ミ ダゾ [4,5-g]キナゾリ ン · 3 塩酸塩 (化合物 2 9 ) 3-Ethyl-2-methylamino-8- (4-dimethylbuminobenzylamino) -3H-imidazo [4,5-g] quinazoline · 3 hydrochloride (Compound 29)
7-ェチルァミ ノ -4-(4-ジメチルァミ ノベンジルァミノ)-6-二卜口キナゾ リ ン(WO95/06648 記載の化合物)とメチルイソチオシナネー トを用いて 実施例 2 5中に記載の方法と同様にして標記化合物を得た(収率 20 %)。 ' H-NMR (3 塩酸塩, DMSO-d 6 ) δ (ppm): 1.32(3H, t, J=6.9Hz), 3.04(6H, s), 3.20(3H, d, J=4.6Hz), 4.35(2H, q, J = 6.9Hz), 4.94(2H, d, J=5.6Hz), 7.45- 7.60(4H, m), 7.89(1H, s), 8.79(1H, s), 8.87(1 H, s), 10.18(1H, t, J=5.6Hz), 11.43(1H, br). 実施例 3 0 As in the method described in Example 25 using 7-ethylamino-4- (4-dimethylaminobenzylamino) -6-nitroquinazoline (compound described in WO95 / 06648) and methylisothiocinnamate To give the title compound (20% yield). '' H-NMR (3 hydrochloride, DMSO-d 6 ) δ (ppm): 1.32 (3H, t, J = 6.9 Hz), 3.04 (6H, s), 3.20 (3H, d, J = 4.6 Hz), 4.35 (2H, q, J = 6.9 Hz), 4.94 (2H, d, J = 5.6 Hz), 7.45- 7.60 (4H, m), 7.89 (1H, s), 8.79 (1H, s), 8.87 (1 H, s), 10.18 (1H, t, J = 5.6Hz), 11.43 (1H, br).
2-ァリルアミ ノ -3-ェチル -8-(4-ジメチルァミ ノベンジルァミノ)-3H-ィミ ダゾ [4,5-g]キナゾリ ン (化合物 3 0 ) 2-arylamino-3-ethyl-8- (4-dimethylaminobenzylamino) -3H-imi Dazo [4,5-g] quinazoline (Compound 30)
7-ェチルアミノ -4-(4-ジメチルアミノベンジルアミ ノ) -6-二トロキナゾ リ ン(WO95/06648 記載の化合物)とァリルイソチオシナネ一 トを用いて 実施例 2 5中に記載の方法と同様にして標記化合物を得た(収率 12 %)。 1 H-NMR (遊離塩基, CDC1 3) (5 (ppm): 1.37(3H, t, J=7.3Hz), 2.91(6H, s), 3.96(2H, q, J=7.3Hz), 4.08(2H, br), 4.70(2H, br), 5.15-5.27(2H, m), 5.92- 6.03(1H, m), 6.64(2H, d, J=8.3Hz), 7.19(2H, d, J=8.3Hz), 7.38(1H, s), Method described in Example 25 using 7-ethylamino-4- (4-dimethylaminobenzylamino) -6-ditroquinazoline (compound described in WO95 / 06648) and arylisothiocinane The title compound was obtained in the same manner as described above (yield: 12%). 1 H-NMR (free base, CDC1 3) (5 (ppm ): 1.37 (3H, t, J = 7.3Hz), 2.91 (6H, s), 3.96 (2H, q, J = 7.3Hz), 4.08 ( 2H, br), 4.70 (2H, br), 5.15-5.27 (2H, m), 5.92- 6.03 (1H, m), 6.64 (2H, d, J = 8.3Hz), 7.19 (2H, d, J = 8.3Hz), 7.38 (1H, s),
7.77(1H, br), 8.58(1H, s), 10.10(1H, br), 13.10(1H, br). 実施例 3 1 7.77 (1H, br), 8.58 (1H, s), 10.10 (1H, br), 13.10 (1H, br).
3-ェチル -2-メチルァミノ -8-(2-ピリジルメチルァミ ノ)-3H-ィミダゾ [4,5- g]キナゾリ ン (化合物 3 1 ) 3-Ethyl-2-methylamino-8- (2-pyridylmethylamino) -3H-imidazo [4,5-g] quinazoline (Compound 31)
7-ェチルァミノ -6-二卜口- 4-(2-ピリジルメチルァミ ノ)キナゾリ ン (WO95/06648 記載の化合物)とメチルイソチオシナネー トを用いて実施 例 2 5中に記載の方法と同様にして標記化合物を得た(収率 14 %)。 Using 7-ethylamino-6-nitro-2--4- (2-pyridylmethylamino) quinazoline (compound described in WO95 / 06648) and methylisothiocinnamate, the method described in Example 25 was followed. The title compound was obtained in the same manner (yield: 14%).
i H-NMR (遊離塩基, DMSO-d 6 ) δ (ppm) : 1.24(3H, t, J=7.2Hz), 3.00(3H, d, J=4.0Hz), 4.12(2H, q, J=7.2Hz), 4.90(2H, d, J = 5.0Hz), 7.22-7.32(3H, m), 7.40(1H, s), 7.71 (1H, dd, J = 7.6Hz, 7.9Hz), 8.06(1H, s), 8.33(1H, s), 8.52(1H, d, J = 7.6Hz), 8.77(1H, s). 実施例 3 2 i H-NMR (free base, DMSO-d 6 ) δ (ppm): 1.24 (3H, t, J = 7.2Hz), 3.00 (3H, d, J = 4.0Hz), 4.12 (2H, q, J = 7.2Hz), 4.90 (2H, d, J = 5.0Hz), 7.22-7.32 (3H, m), 7.40 (1H, s), 7.71 (1H, dd, J = 7.6Hz, 7.9Hz), 8.06 (1H , s), 8.33 (1H, s), 8.52 (1H, d, J = 7.6 Hz), 8.77 (1H, s).
2-シァノィミノ -3-ェチル -8-(2-ピリジルメチルァミノ)-2,3-ジヒ ド口- 1H- イミダゾ [4,5-g]キナゾリ ン (化合物 3 2 ) 2-Cyanimino-3-ethyl-8- (2-pyridylmethylamino) -2,3-dihydrogen-1H-imidazo [4,5-g] quinazoline (Compound 32)
7-ェチルァミノ -6-二ト口- 4-(2-ピリジルメチルァミ ノ)キナゾリ ン (WO95/06648 記載の化合物、 10.0 g, 30.9 mmol)をメタノール(300 ml)Z テトラヒ ドロフラン(180 ml)の混合溶媒に懸濁させ、 10%-パラジウム/ 炭素触媒(5.0 g)を添加し、 水素気流下 9時間接触還元を行った。 反応終 了後、 触媒を濾別し、 濾液を濃縮して茶褐色固体として 6-ァミノ - 7-ェ チルアミノ -4-(2-ピリジルメチルアミノ)キナゾリ ン(8.78 g, 97 %)を得た c 6-アミノ -7-ェチルアミノ -4-(2-ピリジルメチルアミノ)キナゾリ ン(1.00 g, 3.40 mmol)とジメチルシアノジチオイミノカルボネ一ト(5.00 g, 34.2 mmol)を 90 °Cで 13 時間加熱攪拌した。 反応終了後、 反応溶液をシリ 力ゲルカラムクロマ トグラフィ一(クロ口ホルム Zメタノール =50 で溶 出)で精製して標記化合物(0.43 g, 37 %)を得た。 7-Ethylamino-6-dito-4- (2-pyridylmethylamino) quinazoline (compound described in WO95 / 06648, 10.0 g, 30.9 mmol) was added to methanol (300 ml) and Z tetrahydrofuran (180 ml). And a 10% -palladium / carbon catalyst (5.0 g) was added thereto, and catalytic reduction was carried out for 9 hours under a hydrogen stream. After completion of the reaction, the catalyst was filtered off, the filtrate was concentrated as a brown solid 6- Amino - 7-E Chiruamino 4- (2-pyridyl-methyl-amino) Kinazori emissions (8.78 g, 97%) was obtained c Heat 6-amino-7-ethylamino-4- (2-pyridylmethylamino) quinazoline (1.00 g, 3.40 mmol) and dimethylcyanodithioiminocarbonate (5.00 g, 34.2 mmol) at 90 ° C for 13 hours Stirred. After the completion of the reaction, the reaction solution was purified by silica gel column chromatography (eluted with chromatoform Z methanol = 50) to obtain the title compound (0.43 g, 37%).
1 H-NMR (遊離塩基, DMSO-d 6 ) δ (ppm): 1.27(3H, t, J=6.9Hz), 4.08(2H, q, J=6.9Hz), 4.87(2H, d, J=5.3Hz), 7.22-7.33(2H, m), 7.64-7.74(2H, m), 8.05(1H, s), 8.36(1H, s), 8.51(1H, br), 8.96(1H, s), 13.17(1H, br). 実施例 3 3 1 H-NMR (free base, DMSO-d 6 ) δ (ppm): 1.27 (3H, t, J = 6.9 Hz), 4.08 (2H, q, J = 6.9 Hz), 4.87 (2H, d, J = 5.3Hz), 7.22-7.33 (2H, m), 7.64-7.74 (2H, m), 8.05 (1H, s), 8.36 (1H, s), 8.51 (1H, br), 8.96 (1H, s), 13.17 (1H, br). Example 3 3
3-ェチル -8-(2-ピリジルメチルアミ ノ)-2-ゥレイ ド -3H-ィミダゾ [4,5-g]キ ナゾリ ン · 2 塩酸塩 (化合物 3 3 ) 3-Ethyl-8- (2-pyridylmethylamino) -2-perido-3H-imidazo [4,5-g] quinazoline dihydrochloride (Compound 33)
実施例 3 2で得られた化合物(0.400 g, 1.16 mmol)を 50%-硫酸(6 ml)/ 酢酸(3 ml)中で室温で 1 時間攪拌した。 更に 50%-硫酸(12 ml)Z酢酸(4 ml)を加え、 室温で 3 時間攪拌した。 反応終了後、 飽和炭酸水素ナトリ ゥム溶液を少しづつ添加し、 中和した。 析出した結晶を分取、 乾燥しシ リ力ゲル力ラムクロマ トグラフィー(クロ口ホルム Zメタノール =50 で 溶出)で精製して標記化合物の遊離塩基(0.300 g, 71 %)を得た。 The compound (0.400 g, 1.16 mmol) obtained in Example 32 was stirred in 50% sulfuric acid (6 ml) / acetic acid (3 ml) at room temperature for 1 hour. Further, 50% -sulfuric acid (12 ml) and Z acetic acid (4 ml) were added, and the mixture was stirred at room temperature for 3 hours. After the completion of the reaction, a saturated sodium hydrogen carbonate solution was added little by little to neutralize. The precipitated crystals were collected, dried and purified by silica gel gel chromatography (eluted with black form Z methanol = 50) to give the free base of the title compound (0.300 g, 71%).
得られた遊離塩基(0.290 g, 0.801 mmol)をメ夕ノール(10 ml)に溶解し、 氷冷下で 4 mol/l の塩酸 Z酢酸ェチル(1.00 ml, 4.00 mmol)を加え、 同温 で 2 時間攪拌した。 析出した結晶をメタノールで洗浄して標記化合物 (定量的)を得た。 The obtained free base (0.290 g, 0.801 mmol) was dissolved in methanol (10 ml), and 4 mol / l ethyl acetate hydrochloride Z (1.00 ml, 4.00 mmol) was added under ice-cooling. Stir for 2 hours. The precipitated crystals were washed with methanol to obtain the title compound (quantitative).
1 H-NMR (2 塩酸塩, DMSO-d 6 ) (5 (ppm): 1.35(3H, br), 4.53(2H, br), 5.24(2H, br), 6.50(2H, br), 7.60-7.82(3H, m), 7.99(1H, br), 8.20(1H, br), 8.72-8.78(2H, m), 8.88(1H, s), 11.15(1H, s). 実施例 3 4 1 H-NMR (2 hydrochloride, DMSO-d 6 ) (5 (ppm): 1.35 (3H, br), 4.53 (2H, br), 5.24 (2H, br), 6.50 (2H, br), 7.60- 7.82 (3H, m), 7.99 (1H, br), 8.20 (1H, br), 8.72-8.78 (2H, m), 8.88 (1H, s), 11.15 (1H, s).
2-ェトキシ -3-ェチル -8-(4-ジメチルァミノベンジルァミノ)-3H-ィミダゾ [4,5-g]キナゾリ ン (化合物 3 4 ) 7-ェチルアミノ -4-(4-ジメチルアミノベンジルアミノ) -6-二卜 口キナゾ リ ン(WO95/06648 記載の化合物、 1.10 g, 3.00 mmol)を実施例 2 5 と同 様にして還元した。 得られた 6-ァミノ- 7-ェチルァミノ - 4-(4-ジメチルァ ミノベンジルァミノ)キナゾリ ンとテトラエトキシメタン(7.00 ml, 33.5 mmol), 酢酸(0.30 ml, 5.24 mmol)を加え溶媒還流下で 1 時間攪拌した。 反応終了後、 溶液を濃縮し、 析出した結晶を分取、 乾燥しシリカゲル力 ラムクロマトグラフィー(クロ口ホルムノメタノール =50 で溶出)で精製 して標記化合物(0.220 g, 19 %)を得た。 2-ethoxy-3-ethyl-8- (4-dimethylaminobenzylamino) -3H-imidazo [4,5-g] quinazoline (Compound 34) 7-Ethylamino-4- (4-dimethylaminobenzylamino) -6-nitroquinoline (compound described in WO95 / 06648, 1.10 g, 3.00 mmol) was reduced in the same manner as in Example 25. The obtained 6-amino-7-ethylamino-4- (4-dimethylaminobenzylamino) quinazoline, tetraethoxymethane (7.00 ml, 33.5 mmol) and acetic acid (0.30 ml, 5.24 mmol) were added, and the mixture was refluxed under solvent. Stir for 1 hour. After completion of the reaction, the solution was concentrated, and the precipitated crystals were separated, dried, and purified by silica gel column chromatography (eluted with chloroform-formanol = 50) to give the title compound (0.220 g, 19%). .
1 H-NMR (遊離塩基, DMSO-d 6 ) δ (ppm): 1.26(3H, t, J=7.3Hz), 1.40(3H, t, J=6.9Hz), 2.79(6H, s), 4.06(2H, q, J = 6.9Hz), 4.56(2H, q, J=7.3Hz), 4.64(2H, d, J=5.6Hz), 6.61 (2H, d, J=8.6Hz), 7.16(2H, d, J = 8.6Hz), 7.52(1H, s), 8.25(1H, s), 8.29(1H, s), 8.37(1H, t, J=5.6Hz). 実施例 3 5 1 H-NMR (free base, DMSO-d 6 ) δ (ppm): 1.26 (3H, t, J = 7.3 Hz), 1.40 (3H, t, J = 6.9 Hz), 2.79 (6H, s), 4.06 (2H, q, J = 6.9Hz), 4.56 (2H, q, J = 7.3Hz), 4.64 (2H, d, J = 5.6Hz), 6.61 (2H, d, J = 8.6Hz), 7.16 (2H , d, J = 8.6Hz), 7.52 (1H, s), 8.25 (1H, s), 8.29 (1H, s), 8.37 (1H, t, J = 5.6Hz).
3-ェチル -2-メ 卜キシ -8-(4-ピペリジノベンジルァミノ)-3H-ィ ミダゾ [4,5- g]キナゾリン (化合物 3 5 ) 3-Ethyl-2-methoxy-8- (4-piperidinobenzylamino) -3H-imidazo [4,5-g] quinazoline (Compound 35)
参考例 6 4で得られる化合物を用いて、 実施例 3 4 と同様にして標記 化合物を得た(収率 11 %ヽ。 Using the compound obtained in Reference Example 64, the title compound was obtained in the same manner as in Example 34 (yield: 11% ヽ).
1 H-NMR (遊離塩基, DMSO-d 6 ) 6 (ppm): 1.30(3H, t, J =6.9Hz), 1.48- 1.65(6H, m), 3.04-3.10(4H, m), 4.12(2H, q, J = 6.9Hz), 4.19(3H, s), 4.71(2H, d, J=5.6Hz), 6.86(2H, d, J=8.3Hz), 7.22(2H, d, J = 8.3Hz), 7.63(1H, s), 8.33(1H, s), 8.36(1H, s), 8.52(1H, t, J=5.6Hz). 実施例 3 6 1 H-NMR (free base, DMSO-d 6 ) 6 (ppm): 1.30 (3H, t, J = 6.9 Hz), 1.48-1.65 (6H, m), 3.04-3.10 (4H, m), 4.12 ( 2H, q, J = 6.9Hz), 4.19 (3H, s), 4.71 (2H, d, J = 5.6Hz), 6.86 (2H, d, J = 8.3Hz), 7.22 (2H, d, J = 8.3) Hz), 7.63 (1H, s), 8.33 (1H, s), 8.36 (1H, s), 8.52 (1H, t, J = 5.6Hz).
3-ェチル -2-メ トキシ -8-モルホリ ノ -3H-ィミダゾ [4,5-g]キナゾリ ン (化 合物 3 6 ) 3-ethyl-2-methoxy-8-morpholino-3H-imidazo [4,5-g] quinazoline (Compound 36)
参考例 6 5で得られる化合物を用いて、 実施例 3 4 と同様にして標記 化合物を得た(収率 30 Using the compound obtained in Reference Example 65, the title compound was obtained in the same manner as in Example 34 (yield 30
1 H-NMR (遊離塩基, DMSO-d 6 ) δ (ppm): 1.33(3H, t, J=7.3Hz), 3.61- 3.66(4H, m), 3.83-3.87(4H, m), 4.15(2H, q, J = 7.3Hz), 4.21(3H, s), 7.78(1H, s), 8.29(1H, s), 8.60(1H, s). 実施例 3 7 1 H-NMR (free base, DMSO-d 6 ) δ (ppm): 1.33 (3H, t, J = 7.3 Hz), 3.61- 3.66 (4H, m), 3.83-3.87 (4H, m), 4.15 (2H, q, J = 7.3 Hz), 4.21 (3H, s), 7.78 (1H, s), 8.29 (1H, s), 8.60 (1H, s). Example 3 7
8-ベンジルァミノ -3-ェチル -2,3-ジヒ ドロ -1H-ィミダゾ [4,5-g]キノ リ ン- 8-benzylamino-3-ethyl-2,3-dihydro-1H-imidazo [4,5-g] quinolin-
2-チオン (化合物 3 7 ) 2-thione (compound 37)
参考例 5 8で得られた化合物(0.400 g, 1.24 mmoi)をテトラヒ ドロフラ ン(12 ml)に溶解させ、 10%-パラジウム 炭素触媒(0.12 g)をエタノール (1.2 ml),ジォキサン(2.4 ml)で懸濁させた溶液を添加し、 水素ガス雰囲 気下室温で 4 時間撹拌した。 反応終了後、 濾過助剤を用いて触媒を濾 別し、 濾液を減圧下濃縮した。 残渣にエタノール(4.0 ml)、 ト リェチル ァミン(0.32 ml, 2.48 mmol)と二硫化炭素(4.0 ml, 66.5 mmol)をカロえ室温 で 12 時間撹拌した。 反応終了後、 析出した結晶を濾取し、 イソプロピ ルエーテルで洗浄後、 乾燥して標記化合物(0.15 g, 36 を得た。 Reference Example 58 The compound obtained in Reference Example 8 (0.400 g, 1.24 mmoi) was dissolved in tetrahydrofuran (12 ml), and 10% -palladium carbon catalyst (0.12 g) was dissolved in ethanol (1.2 ml) and dioxane (2.4 ml). The solution suspended in was added, and the mixture was stirred at room temperature in a hydrogen gas atmosphere for 4 hours. After completion of the reaction, the catalyst was separated by filtration using a filter aid, and the filtrate was concentrated under reduced pressure. Ethanol (4.0 ml), triethylamine (0.32 ml, 2.48 mmol) and carbon disulfide (4.0 ml, 66.5 mmol) were added to the residue, and the mixture was stirred at room temperature for 12 hours. After completion of the reaction, the precipitated crystals were collected by filtration, washed with isopropyl ether, and dried to obtain the title compound (0.15 g, 36).
' H-NMR (遊離塩基, DMSO-d 6 -CDC1 3) δ (ppm): 1.32(3H, t, J=7.1Hz), 4.34(2H, q, J=7.1Hz), 4.53(2H, d, J=5.4Hz), 6.22(1H, d, J=5.3Hz), 7.17- 7.38(5H, m), 7.60(1H, s), 7.87(1H, t, J = 5.4Hz), 8.02(1H, s), 8.22(1H, d, J=5.3Hz), 12.50(1H, br). 実施例 3 8 'H-NMR (free base, DMSO-d 6 -CDC1 3) δ (ppm): 1.32 (3H, t, J = 7.1Hz), 4.34 (2H, q, J = 7.1Hz), 4.53 (2H, d , J = 5.4Hz), 6.22 (1H, d, J = 5.3Hz), 7.17-7.38 (5H, m), 7.60 (1H, s), 7.87 (1H, t, J = 5.4Hz), 8.02 (1H , s), 8.22 (1H, d, J = 5.3Hz), 12.50 (1H, br).
3-ェチル -8-(2-メ トキシベンジルァミノ)-2,3-ジヒ ドロ - 1H-ィミダゾ [4,5- g]キノ リ ン- 2-チオン (化合物 3 8 ) 3-Ethyl-8- (2-methoxybenzylamino) -2,3-dihydro-1H-imidazo [4,5-g] quinolin-2-thione (Compound 38)
参考例 5 9で得られる化合物を用いて、 実施例 1 と同様にして標記化 合物を得た(収率 35 %)o Using the compound obtained in Reference Example 59, the title compound was obtained in the same manner as in Example 1 (yield 35%).
1 H-NMR (遊離塩基, DMSO-d 6 -CDC1 3) δ (ppm): 1.30(3H, t, J=7.0Hz), 3.87(3H, s), 4.33(2H, q, J=7.0Hz), 4.48(2H, d, J=5.4Hz), 6.13(1H, d, 1 H-NMR (free base, DMSO-d 6 -CDC1 3) δ (ppm): 1.30 (3H, t, J = 7.0Hz), 3.87 (3H, s), 4.33 (2H, q, J = 7.0Hz ), 4.48 (2H, d, J = 5.4Hz), 6.13 (1H, d,
J=5.3Hz), 7.11 -7.23(4H, m), 7.62(1H, s), 7.74(1H, br), 8.02(1H, s), 8.21(1H, d, J=5.3Hz), 12.50(1H, br). 実施例 3 9 J = 5.3Hz), 7.11 -7.23 (4H, m), 7.62 (1H, s), 7.74 (1H, br), 8.02 (1H, s), 8.21 (1H, d, J = 5.3Hz), 12.50 ( 1H, br). Example 3 9
3-ェチル -8-(3-モルホリ ノプロピルアミノ)-2,3-ジヒ ド口- 1H-ィ ミダゾ [4,5-g]キノ リ ン- 2-チオン (化合物 3 9 ) 3-Ethyl-8- (3-morpholinopropylamino) -2,3-dihydroxy-1H-imidazo [4,5-g] quinolin-2-thione (Compound 39)
参考例 6 0で得られる化合物を用いて、 実施例 1 と同様にして標記化 合物を得た(収率 44 %)。 The title compound was obtained in the same manner as in Example 1 using the compound obtained in Reference Example 60 (44% yield).
1 H-N R (遊離塩基, DMSO-d 6 -CDC1 3) δ (ppm): 1.41(3H, t, J=7.3Hz), 1.90- 1.99(2H, m), 2.50-2.59(6H, m), 3.42-3.47(2H, m), 3.66-3.82(4H, m), 4.37(2H, q, J=7.3Hz), 6.38(1H, d, J=5.4Hz), 7.11(1H, br), 7.56(1H, s), 7.8- 7.81 (2H, m), 8.39(1H, d, J=5.4Hz). 実施例 4 0 1 HN R (free base, DMSO-d 6 -CDC1 3) δ (ppm): 1.41 (3H, t, J = 7.3Hz), 1.90- 1.99 (2H, m), 2.50-2.59 (6H, m), 3.42-3.47 (2H, m), 3.66-3.82 (4H, m), 4.37 (2H, q, J = 7.3Hz), 6.38 (1H, d, J = 5.4Hz), 7.11 (1H, br), 7.56 (1H, s), 7.8- 7.81 (2H, m), 8.39 (1H, d, J = 5.4Hz).
3-ェチル -8-[2-(2-ピリジル)ェチルァミノ] -2,3-ジヒ ド口- 1H-ィミダゾ [4,5-g]キノ リ ン- 2-チオン (化合物 4 0 ) 3-Ethyl-8- [2- (2-pyridyl) ethylamino] -2,3-dihydrogen-1H-imidazo [4,5-g] quinolin-2-thione (Compound 40)
参考例 6 1で得られる化合物を用いて、 実施例 1 と同様にして標記化 合物を得た(収率 33 %ヽ。 The title compound was obtained in the same manner as in Example 1 using the compound obtained in Reference Example 61 (yield 33% ヽ).
1 H-NMR (遊離塩基, DMSO-d 6 -CDC1 3) δ (ppm): 1.40(3H, t, J = 7.2Hz), 3.10-3.30(2H, m), 3.65-3.74(2H, m), 4.37(2H, q, J=7.2Hz), 6.44(1H, d, J=5.3Hz), 7.20-7.35(3H, ra), 7.56(1H, s), 7.60-7.70(lH, m), 7.88(1 H, s), 8.39(1H, d, J = 5.3Hz), 8.61(1H, d, J=5.4Hz), 12.30(1H, br). 実施例 4 1 1 H-NMR (free base, DMSO-d 6 -CDC1 3) δ (ppm): 1.40 (3H, t, J = 7.2Hz), 3.10-3.30 (2H, m), 3.65-3.74 (2H, m) , 4.37 (2H, q, J = 7.2Hz), 6.44 (1H, d, J = 5.3Hz), 7.20-7.35 (3H, ra), 7.56 (1H, s), 7.60-7.70 (lH, m), 7.88 (1 H, s), 8.39 (1 H, d, J = 5.3 Hz), 8.61 (1 H, d, J = 5.4 Hz), 12.30 (1 H, br).
3-ェチル -8-(2-ピリジルメチルアミノ) -2,3-ジヒ ド口- 1H-ィミダゾ [4,5-g] キノ リ ン -2-チオン (化合物 4 1 ) 3-Ethyl-8- (2-pyridylmethylamino) -2,3-dihydrogen-1H-imidazo [4,5-g] quinolin-2-thione (Compound 41)
参考例 6 2で得られる化合物を用いて、 実施例 1 と同様にして標記化 合物を得た(収率 45 %)。 The title compound was obtained in the same manner as in Example 1 using the compound obtained in Reference Example 62 (yield: 45%).
^-NMR (遊離塩基, DMSO-d 6 -CDC1 3) δ (ppm): 1.38(3H, t, J=7.1Hz), 4.37(2H, q, J=7.1Hz), 4.65(2H, d, J=5.6Hz), 6.26(1H, d, J=5.1Hz), 7.20- 7.25(1H, m), 7.36(1H, d, J=7.6Hz), 7.59(1H, s), 7.67(1H, dd, J=1.7Hz, 7.6Hz), 7.80(1H, br), 8.03(1H, s), 8.27(1H, d, J=5.1Hz), 8.56(1H, d, J=5.1Hz), 12.30(1H, br). 実施例 4 2 ^ -NMR (free base, DMSO-d 6 -CDC1 3) δ (ppm): 1.38 (3H, t, J = 7.1Hz), 4.37 (2H, q, J = 7.1Hz), 4.65 (2H, d, J = 5.6Hz), 6.26 (1H, d, J = 5.1Hz), 7.20- 7.25 (1H, m), 7.36 (1H, d, J = 7.6Hz), 7.59 (1H, s), 7.67 (1H, dd, J = 1.7Hz, 7.6Hz), 7.80 (1H, br), 8.03 (1H, s), 8.27 (1H, d, J = 5.1Hz), 8.56 (1H, d, J = 5.1Hz), 12.30 (1H, br).
8-ベンジルアミノ -3-ェチル -2,3-ジヒ ド口- 1H-ィミダゾ [4,5-g]キノ リ ン- 2-ォン (化合物 4 2 ) 8-Benzylamino-3-ethyl-2,3-dihydrogen-1H-imidazo [4,5-g] quinolin-2-one (Compound 42)
参考例 5 8で得られる化合物を用いて、 実施例 1 4 と同様にして標記 化合物を得た(収率 44 %)。 The title compound was obtained in the same manner as in Example 14 using the compound obtained in Reference Example 58 (44% yield).
1 H-NMR (遊離塩基, DMSO-d 6 -CDC1 3) 5 (ppm) : 1.37(3H, t, J=7.1Hz), 3.95(2H, q, J=7.1Hz), 4.56(2H, d, J=5.3Hz), 6.23(1H, d, J=5.3Hz), 7.20- 7.40(7H, m), 7.78(1H, s), 8.23(1H, d, J=5.3Hz), 11.00(1H, br). 実施例 4 3 1 H-NMR (free base, DMSO-d 6 -CDC1 3) 5 (ppm): 1.37 (3H, t, J = 7.1Hz), 3.95 (2H, q, J = 7.1Hz), 4.56 (2H, d , J = 5.3Hz), 6.23 (1H, d, J = 5.3Hz), 7.20-7.40 (7H, m), 7.78 (1H, s), 8.23 (1H, d, J = 5.3Hz), 11.00 (1H , br). Example 4 3
8-ベンジルァミノ -3-ェチル -3H- 1,2,3-卜リァゾロ [4,5-g]キナゾリ ン -2-チ オン · 3 塩酸塩 (化合物 4 3 ) 8-benzylamino-3-ethyl-3H- 1,2,3-triazolo [4,5-g] quinazolin-2-thione-3 hydrochloride (compound 43)
4-ベンジルアミノ -7-ェチルァミノ -6-二トロキナゾリ ン(WO95/06648 記載の化合物、 3.00 g, 9.28 mmol)を N,N-ジメチルホルムアミ ド(100 ml) に溶解し 、 10%-パラジウム Z炭素触媒(0.3 g)を添加し、 水素気流下 9 時間接触還元を行った。 反応終了後、 触媒を濾別し、 濾液を濃縮して茶 褐色固体として 6-アミノ -4-ベンジルアミノ -7-ェチルアミノキナゾリ ン (2.59 g, 95 %)を得た。 4-Benzylamino-7-ethylamino-6-nitroquinazoline (compound described in WO95 / 06648, 3.00 g, 9.28 mmol) was dissolved in N, N-dimethylformamide (100 ml), and 10% -palladium Z A carbon catalyst (0.3 g) was added, and catalytic reduction was performed for 9 hours under a hydrogen stream. After completion of the reaction, the catalyst was filtered off, and the filtrate was concentrated to obtain 6-amino-4-benzylamino-7-ethylaminoquinazoline (2.59 g, 95%) as a brown solid.
得られた 6-ァミノ -4-ベンジルァミノ -7-ェチルァミノキナゾリ ン (0.291 g, 1.00 mmol)を 0.8 規定塩酸(4.8 ml)に溶解し、 氷冷下で酢酸(2 ml)を添加し、 更に亜硝酸ナト リウム(0.07 g, 1.00 mmol)を加えた。 同温 で、 1 時間攪拌した後に、 反応溶液に水を加え、 液性を弱アルカリ性に した。 析出した結晶を分取し、 メタノール Zジォキサンで再結晶して標 記化合物(0.167 g, 55 %)を得た。 The obtained 6-amino-4-benzylamino-7-ethylaminoquinazoline (0.291 g, 1.00 mmol) was dissolved in 0.8N hydrochloric acid (4.8 ml), and acetic acid (2 ml) was added under ice cooling. Further, sodium nitrite (0.07 g, 1.00 mmol) was added. After stirring at the same temperature for 1 hour, water was added to the reaction solution to make the solution slightly alkaline. The precipitated crystals were separated and recrystallized from methanol-Z dioxane to obtain the title compound (0.167 g, 55%).
X H-NMR (遊離塩基, 90MHz, DMSO-d 6 ) <3 (ppm): 1.56(3H, t, J=7.1Hz), 4.70-4.90(4H, m), 7.27-7.42(5H, m), 8.15(1H, s), 8.46(1H, s), 9.22(1 H, br), 9.25(1H, s). 産業上の利用可能性 X H-NMR (free base, 90MHz, DMSO-d 6 ) <3 (ppm): 1.56 (3H, t, J = 7.1Hz), 4.70-4.90 (4H, m), 7.27-7.42 (5H, m) , 8.15 (1H, s), 8.46 (1H, s), 9.22 (1H, br), 9.25 (1H, s). Industrial applicability
本発明により、 強力かつ選択的な c GMP特異的 PD E阻害作用を有 する勃起不全治療薬が提供される。 また、 強力かつ選択的な c GMP特 異的 P D E阻害作用を有し、 血栓症、 狭心症、, 高血圧、 心不全、 動脈硬 化等の心血管病、 喘息、 勃起不全等の治療または緩和に有用なイミダゾ キナゾリン誘導体、 またはその薬理的に許容される塩が提供される。 The present invention provides a therapeutic agent for erectile dysfunction, which has a potent and selective cGMP-specific PDE inhibitory action. In addition, it has a strong and selective cGMP-specific PDE inhibitory effect, and is used for treatment or alleviation of thrombosis, angina, hypertension, heart failure, cardiovascular disease such as arterial stiffness, asthma, erectile dysfunction, etc. Useful imidazo quinazoline derivatives or pharmacologically acceptable salts thereof are provided.
Claims
Priority Applications (1)
| Application Number | Priority Date | Filing Date | Title |
|---|---|---|---|
| AU26411/99A AU2641199A (en) | 1998-02-27 | 1999-02-26 | Remedies for erectile dysfunction |
Applications Claiming Priority (2)
| Application Number | Priority Date | Filing Date | Title |
|---|---|---|---|
| JP10/48329 | 1998-02-27 | ||
| JP4832998 | 1998-02-27 |
Publications (1)
| Publication Number | Publication Date |
|---|---|
| WO1999043674A1 true WO1999043674A1 (en) | 1999-09-02 |
Family
ID=12800388
Family Applications (1)
| Application Number | Title | Priority Date | Filing Date |
|---|---|---|---|
| PCT/JP1999/000920 Ceased WO1999043674A1 (en) | 1998-02-27 | 1999-02-26 | Remedies for erectile dysfunction |
Country Status (2)
| Country | Link |
|---|---|
| AU (1) | AU2641199A (en) |
| WO (1) | WO1999043674A1 (en) |
Cited By (8)
| Publication number | Priority date | Publication date | Assignee | Title |
|---|---|---|---|---|
| JP2002523502A (en) * | 1998-08-28 | 2002-07-30 | サイオス インコーポレイテッド | Quinazoline derivatives as pharmaceuticals |
| US6576644B2 (en) | 2000-09-06 | 2003-06-10 | Bristol-Myers Squibb Co. | Quinoline inhibitors of cGMP phosphodiesterase |
| US6821978B2 (en) | 2000-09-19 | 2004-11-23 | Schering Corporation | Xanthine phosphodiesterase V inhibitors |
| US6943171B2 (en) | 2001-11-09 | 2005-09-13 | Schering Corporation | Polycyclic guanine derivative phosphodiesterase V inhibitors |
| WO2008020711A1 (en) * | 2006-08-16 | 2008-02-21 | Chong Kun Dang Pharmaceutical Corp. | Quinazoline derivative as phosphodiesterase inhibitor and a process for preparing the same |
| JP2010155847A (en) * | 2001-04-30 | 2010-07-15 | Bayer Schering Pharma Ag | NEW 4-AMINO-5,6-SUBSTITUTED THIOPHENO[2,3-d]PYRIMIDINE |
| CN104557955A (en) * | 2013-10-23 | 2015-04-29 | 上海汇伦生命科技有限公司 | Tricyclic compound as PI3K/mTOR inhibitor as well as preparation method and application of tricyclic compound |
| WO2019163798A1 (en) | 2018-02-23 | 2019-08-29 | 国立大学法人旭川医科大学 | Erectile dysfunction therapeutic agent |
Citations (7)
| Publication number | Priority date | Publication date | Assignee | Title |
|---|---|---|---|---|
| WO1995006648A1 (en) * | 1993-09-03 | 1995-03-09 | Kyowa Hakko Kogyo Co., Ltd. | Imidazoquinazoline derivative |
| WO1996016644A1 (en) * | 1994-11-26 | 1996-06-06 | Pfizer Limited | cGMP-PDE INHIBITORS FOR THE TREATMENT OF ERECTILE DYSFUNCTION |
| WO1996026940A1 (en) * | 1995-03-01 | 1996-09-06 | Kyowa Hakko Kogyo Co., Ltd. | Imidazoquinazoline derivatives |
| WO1996032379A1 (en) * | 1995-04-10 | 1996-10-17 | Fujisawa Pharmaceutical Co., Ltd. | INDOLE DERIVATIVES AS cGMP-PDE INHIBITORS |
| WO1997003675A1 (en) * | 1995-07-14 | 1997-02-06 | Icos Corporation | Use of cgmp-phosphodiesterase inhibitors to treat impotence |
| US5679683A (en) * | 1994-01-25 | 1997-10-21 | Warner-Lambert Company | Tricyclic compounds capable of inhibiting tyrosine kinases of the epidermal growth factor receptor family |
| WO1998008848A1 (en) * | 1996-08-30 | 1998-03-05 | Kyowa Hakko Kogyo Co., Ltd. | Imidazoquinazoline derivatives |
-
1999
- 1999-02-26 WO PCT/JP1999/000920 patent/WO1999043674A1/en not_active Ceased
- 1999-02-26 AU AU26411/99A patent/AU2641199A/en not_active Abandoned
Patent Citations (7)
| Publication number | Priority date | Publication date | Assignee | Title |
|---|---|---|---|---|
| WO1995006648A1 (en) * | 1993-09-03 | 1995-03-09 | Kyowa Hakko Kogyo Co., Ltd. | Imidazoquinazoline derivative |
| US5679683A (en) * | 1994-01-25 | 1997-10-21 | Warner-Lambert Company | Tricyclic compounds capable of inhibiting tyrosine kinases of the epidermal growth factor receptor family |
| WO1996016644A1 (en) * | 1994-11-26 | 1996-06-06 | Pfizer Limited | cGMP-PDE INHIBITORS FOR THE TREATMENT OF ERECTILE DYSFUNCTION |
| WO1996026940A1 (en) * | 1995-03-01 | 1996-09-06 | Kyowa Hakko Kogyo Co., Ltd. | Imidazoquinazoline derivatives |
| WO1996032379A1 (en) * | 1995-04-10 | 1996-10-17 | Fujisawa Pharmaceutical Co., Ltd. | INDOLE DERIVATIVES AS cGMP-PDE INHIBITORS |
| WO1997003675A1 (en) * | 1995-07-14 | 1997-02-06 | Icos Corporation | Use of cgmp-phosphodiesterase inhibitors to treat impotence |
| WO1998008848A1 (en) * | 1996-08-30 | 1998-03-05 | Kyowa Hakko Kogyo Co., Ltd. | Imidazoquinazoline derivatives |
Non-Patent Citations (1)
| Title |
|---|
| LEONARD N. J., ET AL.: "DEFINED DIMENSIONAL CHANGES IN ENZYME SUBSTRATES AND COFACTORS, SYNTHESIS OF LIN-BENZOADENOSINE AND ENZYMATIC EVALUATION OF DERIVATIVES OF THE BENZOPURINES.", JOURNAL OF THE AMERICAN CHEMICAL SOCIETY, AMERICAN CHEMICAL SOCIETY, US, vol. 98., no. 13., 1 January 1976 (1976-01-01), US, pages 3987 - 3994., XP002919086, ISSN: 0002-7863, DOI: 10.1021/ja00429a040 * |
Cited By (15)
| Publication number | Priority date | Publication date | Assignee | Title |
|---|---|---|---|---|
| JP2002523502A (en) * | 1998-08-28 | 2002-07-30 | サイオス インコーポレイテッド | Quinazoline derivatives as pharmaceuticals |
| US7384958B2 (en) | 2000-09-06 | 2008-06-10 | Bristol-Myers Squibb Company | Quinoline inhibitors of cGMP phosphodiesterase |
| US7378430B2 (en) | 2000-09-06 | 2008-05-27 | Bristol-Myers Squibb Company | Quinoline inhibitors of cGMP phosphodiesterase |
| US6835737B2 (en) | 2000-09-06 | 2004-12-28 | Bristol-Myers Squibb Company | Quinoline inhibitors of cGMP phosphodiesterase |
| US6576644B2 (en) | 2000-09-06 | 2003-06-10 | Bristol-Myers Squibb Co. | Quinoline inhibitors of cGMP phosphodiesterase |
| US7173042B2 (en) | 2000-09-06 | 2007-02-06 | Bristol-Myers Squibb Company | Quinoline inhibitors of cGMP phosphodiesterase |
| US7268141B2 (en) | 2000-09-19 | 2007-09-11 | Schering Corporation | Xanthine phosphodiesterase V inhibitors |
| US6821978B2 (en) | 2000-09-19 | 2004-11-23 | Schering Corporation | Xanthine phosphodiesterase V inhibitors |
| US7531544B2 (en) | 2000-09-19 | 2009-05-12 | Schering Corporation | Xanthine phosphodiesterase V inhibitors |
| JP2010155847A (en) * | 2001-04-30 | 2010-07-15 | Bayer Schering Pharma Ag | NEW 4-AMINO-5,6-SUBSTITUTED THIOPHENO[2,3-d]PYRIMIDINE |
| US6943171B2 (en) | 2001-11-09 | 2005-09-13 | Schering Corporation | Polycyclic guanine derivative phosphodiesterase V inhibitors |
| WO2008020711A1 (en) * | 2006-08-16 | 2008-02-21 | Chong Kun Dang Pharmaceutical Corp. | Quinazoline derivative as phosphodiesterase inhibitor and a process for preparing the same |
| CN104557955A (en) * | 2013-10-23 | 2015-04-29 | 上海汇伦生命科技有限公司 | Tricyclic compound as PI3K/mTOR inhibitor as well as preparation method and application of tricyclic compound |
| CN104557955B (en) * | 2013-10-23 | 2017-05-03 | 上海汇伦生命科技有限公司 | Tricyclic compound as PI3K/mTOR inhibitor as well as preparation method and application of tricyclic compound |
| WO2019163798A1 (en) | 2018-02-23 | 2019-08-29 | 国立大学法人旭川医科大学 | Erectile dysfunction therapeutic agent |
Also Published As
| Publication number | Publication date |
|---|---|
| AU2641199A (en) | 1999-09-15 |
Similar Documents
| Publication | Publication Date | Title |
|---|---|---|
| CA2546987C (en) | 5,7-diaminopyrazolo [4,3-d] pyrimidines with pde-5 inhibiting activity | |
| US8541417B2 (en) | Poly (ADP-ribose) polymerase (PARP) inhibitors | |
| JP3670908B2 (en) | Pyrazolopyrimidinone cGMPPDE5 inhibitor for the treatment of sexual dysfunction | |
| AU746586B2 (en) | Quinazolinone inhibitors of cGMP phosphodiesterase | |
| US6462047B1 (en) | Carboline derivatives as cGMP phosphodiesterase inhibitors | |
| JP5501369B2 (en) | Soluble guanylate cyclase activator | |
| CN100482664C (en) | 1,5-disubstituted-3,4-dihydro-1H-pyrimido [4,5-D] pyrimidi-2-one compounds and their use in treating CSBP/P38 kinase mediated diseases | |
| KR20020038941A (en) | 5-(2-Substituted-5-Heterocyclylsulphonylpyrid-3-yl)-Dihydropyrazolo[4,3-D]Pyrimidin-7-Ones as Phosphodiesterase Inhibitors | |
| DE69413019T2 (en) | NITROGEN-CONDENSED HETEROCYLENE | |
| WO2001019802A1 (en) | Aromatic nitrogenous six-membered ring compounds | |
| JP2012509877A5 (en) | ||
| JP2014520898A (en) | Heterocyclic protein kinase inhibitors | |
| AU3732700A (en) | Fused pyridopyridazine inhibitors of cgmp phosphodiesterase | |
| JP4178816B2 (en) | Pharmaceutical composition | |
| WO1999043674A1 (en) | Remedies for erectile dysfunction | |
| PL151696B1 (en) | Method of obtaining derivatives of quinolone | |
| EP0725068A1 (en) | Indole derivative | |
| JP3637961B2 (en) | Aromatic nitrogen-containing six-membered ring compounds | |
| WO1999043679A1 (en) | Imidazoquinazoline derivatives | |
| JPS6344576A (en) | Novel pyridazinone derivative, its production and its utilization as drug | |
| WO2014020531A1 (en) | Imidazo[1,2-b]pyridazin-6-amine derivatives as kinase jak-2 inhibitors | |
| US20050004200A1 (en) | Pyrazole compounds as integrin receptor antagonists derivatives | |
| EP4556478A1 (en) | Tgf-beta inhibitor compound and use thereof | |
| JPWO2004096812A1 (en) | Condensed pyrimidine derivatives | |
| JPWO1999043674A1 (en) | erectile dysfunction medication |
Legal Events
| Date | Code | Title | Description |
|---|---|---|---|
| AK | Designated states |
Kind code of ref document: A1 Designated state(s): AU BG BR CA CN CZ HU IL JP KR MX NO NZ PL RO SG SI SK UA US VN |
|
| AL | Designated countries for regional patents |
Kind code of ref document: A1 Designated state(s): AM AZ BY KG KZ MD RU TJ TM AT BE CH CY DE DK ES FI FR GB GR IE IT LU MC NL PT SE |
|
| 121 | Ep: the epo has been informed by wipo that ep was designated in this application | ||
| 122 | Ep: pct application non-entry in european phase |


































