WO1998050352A1 - Dithiocarbazonic acid derivatives as pesticides - Google Patents
Dithiocarbazonic acid derivatives as pesticides Download PDFInfo
- Publication number
- WO1998050352A1 WO1998050352A1 PCT/GB1998/001234 GB9801234W WO9850352A1 WO 1998050352 A1 WO1998050352 A1 WO 1998050352A1 GB 9801234 W GB9801234 W GB 9801234W WO 9850352 A1 WO9850352 A1 WO 9850352A1
- Authority
- WO
- WIPO (PCT)
- Prior art keywords
- optionally substituted
- compound
- 2xch
- ppm
- ch3s
- Prior art date
- Legal status (The legal status is an assumption and is not a legal conclusion. Google has not performed a legal analysis and makes no representation as to the accuracy of the status listed.)
- Ceased
Links
Classifications
-
- C—CHEMISTRY; METALLURGY
- C07—ORGANIC CHEMISTRY
- C07D—HETEROCYCLIC COMPOUNDS
- C07D207/00—Heterocyclic compounds containing five-membered rings not condensed with other rings, with one nitrogen atom as the only ring hetero atom
- C07D207/02—Heterocyclic compounds containing five-membered rings not condensed with other rings, with one nitrogen atom as the only ring hetero atom with only hydrogen or carbon atoms directly attached to the ring nitrogen atom
- C07D207/30—Heterocyclic compounds containing five-membered rings not condensed with other rings, with one nitrogen atom as the only ring hetero atom with only hydrogen or carbon atoms directly attached to the ring nitrogen atom having two double bonds between ring members or between ring members and non-ring members
- C07D207/32—Heterocyclic compounds containing five-membered rings not condensed with other rings, with one nitrogen atom as the only ring hetero atom with only hydrogen or carbon atoms directly attached to the ring nitrogen atom having two double bonds between ring members or between ring members and non-ring members with only hydrogen atoms, hydrocarbon or substituted hydrocarbon radicals, directly attached to ring carbon atoms
- C07D207/33—Heterocyclic compounds containing five-membered rings not condensed with other rings, with one nitrogen atom as the only ring hetero atom with only hydrogen or carbon atoms directly attached to the ring nitrogen atom having two double bonds between ring members or between ring members and non-ring members with only hydrogen atoms, hydrocarbon or substituted hydrocarbon radicals, directly attached to ring carbon atoms with substituted hydrocarbon radicals, directly attached to ring carbon atoms
- C07D207/335—Radicals substituted by nitrogen atoms not forming part of a nitro radical
-
- A—HUMAN NECESSITIES
- A01—AGRICULTURE; FORESTRY; ANIMAL HUSBANDRY; HUNTING; TRAPPING; FISHING
- A01N—PRESERVATION OF BODIES OF HUMANS OR ANIMALS OR PLANTS OR PARTS THEREOF; BIOCIDES, e.g. AS DISINFECTANTS, AS PESTICIDES OR AS HERBICIDES; PEST REPELLANTS OR ATTRACTANTS; PLANT GROWTH REGULATORS
- A01N47/00—Biocides, pest repellants or attractants, or plant growth regulators containing organic compounds containing a carbon atom not being member of a ring and having no bond to a carbon or hydrogen atom, e.g. derivatives of carbonic acid
- A01N47/40—Biocides, pest repellants or attractants, or plant growth regulators containing organic compounds containing a carbon atom not being member of a ring and having no bond to a carbon or hydrogen atom, e.g. derivatives of carbonic acid the carbon atom having a double or triple bond to nitrogen, e.g. cyanates, cyanamides
- A01N47/42—Biocides, pest repellants or attractants, or plant growth regulators containing organic compounds containing a carbon atom not being member of a ring and having no bond to a carbon or hydrogen atom, e.g. derivatives of carbonic acid the carbon atom having a double or triple bond to nitrogen, e.g. cyanates, cyanamides containing —N=CX2 groups, e.g. isothiourea
-
- C—CHEMISTRY; METALLURGY
- C07—ORGANIC CHEMISTRY
- C07C—ACYCLIC OR CARBOCYCLIC COMPOUNDS
- C07C337/00—Derivatives of thiocarbonic acids containing functional groups covered by groups C07C333/00 or C07C335/00 in which at least one nitrogen atom of these functional groups is further bound to another nitrogen atom not being part of a nitro or nitroso group
- C07C337/06—Compounds containing any of the groups, e.g. thiosemicarbazides
- C07C337/08—Compounds containing any of the groups, e.g. thiosemicarbazides the other nitrogen atom being further doubly-bound to a carbon atom, e.g. thiosemicarbazones
-
- C—CHEMISTRY; METALLURGY
- C07—ORGANIC CHEMISTRY
- C07D—HETEROCYCLIC COMPOUNDS
- C07D209/00—Heterocyclic compounds containing five-membered rings, condensed with other rings, with one nitrogen atom as the only ring hetero atom
- C07D209/02—Heterocyclic compounds containing five-membered rings, condensed with other rings, with one nitrogen atom as the only ring hetero atom condensed with one carbocyclic ring
- C07D209/04—Indoles; Hydrogenated indoles
- C07D209/10—Indoles; Hydrogenated indoles with substituted hydrocarbon radicals attached to carbon atoms of the hetero ring
- C07D209/14—Radicals substituted by nitrogen atoms, not forming part of a nitro radical
-
- C—CHEMISTRY; METALLURGY
- C07—ORGANIC CHEMISTRY
- C07D—HETEROCYCLIC COMPOUNDS
- C07D213/00—Heterocyclic compounds containing six-membered rings, not condensed with other rings, with one nitrogen atom as the only ring hetero atom and three or more double bonds between ring members or between ring members and non-ring members
- C07D213/02—Heterocyclic compounds containing six-membered rings, not condensed with other rings, with one nitrogen atom as the only ring hetero atom and three or more double bonds between ring members or between ring members and non-ring members having three double bonds between ring members or between ring members and non-ring members
- C07D213/04—Heterocyclic compounds containing six-membered rings, not condensed with other rings, with one nitrogen atom as the only ring hetero atom and three or more double bonds between ring members or between ring members and non-ring members having three double bonds between ring members or between ring members and non-ring members having no bond between the ring nitrogen atom and a non-ring member or having only hydrogen or carbon atoms directly attached to the ring nitrogen atom
- C07D213/24—Heterocyclic compounds containing six-membered rings, not condensed with other rings, with one nitrogen atom as the only ring hetero atom and three or more double bonds between ring members or between ring members and non-ring members having three double bonds between ring members or between ring members and non-ring members having no bond between the ring nitrogen atom and a non-ring member or having only hydrogen or carbon atoms directly attached to the ring nitrogen atom with substituted hydrocarbon radicals attached to ring carbon atoms
- C07D213/44—Radicals substituted by doubly-bound oxygen, sulfur, or nitrogen atoms, or by two such atoms singly-bound to the same carbon atom
- C07D213/53—Nitrogen atoms
-
- C—CHEMISTRY; METALLURGY
- C07—ORGANIC CHEMISTRY
- C07D—HETEROCYCLIC COMPOUNDS
- C07D213/00—Heterocyclic compounds containing six-membered rings, not condensed with other rings, with one nitrogen atom as the only ring hetero atom and three or more double bonds between ring members or between ring members and non-ring members
- C07D213/02—Heterocyclic compounds containing six-membered rings, not condensed with other rings, with one nitrogen atom as the only ring hetero atom and three or more double bonds between ring members or between ring members and non-ring members having three double bonds between ring members or between ring members and non-ring members
- C07D213/04—Heterocyclic compounds containing six-membered rings, not condensed with other rings, with one nitrogen atom as the only ring hetero atom and three or more double bonds between ring members or between ring members and non-ring members having three double bonds between ring members or between ring members and non-ring members having no bond between the ring nitrogen atom and a non-ring member or having only hydrogen or carbon atoms directly attached to the ring nitrogen atom
- C07D213/60—Heterocyclic compounds containing six-membered rings, not condensed with other rings, with one nitrogen atom as the only ring hetero atom and three or more double bonds between ring members or between ring members and non-ring members having three double bonds between ring members or between ring members and non-ring members having no bond between the ring nitrogen atom and a non-ring member or having only hydrogen or carbon atoms directly attached to the ring nitrogen atom with hetero atoms or with carbon atoms having three bonds to hetero atoms with at the most one bond to halogen, e.g. ester or nitrile radicals, directly attached to ring carbon atoms
- C07D213/61—Halogen atoms or nitro radicals
-
- C—CHEMISTRY; METALLURGY
- C07—ORGANIC CHEMISTRY
- C07D—HETEROCYCLIC COMPOUNDS
- C07D213/00—Heterocyclic compounds containing six-membered rings, not condensed with other rings, with one nitrogen atom as the only ring hetero atom and three or more double bonds between ring members or between ring members and non-ring members
- C07D213/02—Heterocyclic compounds containing six-membered rings, not condensed with other rings, with one nitrogen atom as the only ring hetero atom and three or more double bonds between ring members or between ring members and non-ring members having three double bonds between ring members or between ring members and non-ring members
- C07D213/89—Heterocyclic compounds containing six-membered rings, not condensed with other rings, with one nitrogen atom as the only ring hetero atom and three or more double bonds between ring members or between ring members and non-ring members having three double bonds between ring members or between ring members and non-ring members with hetero atoms directly attached to the ring nitrogen atom
-
- C—CHEMISTRY; METALLURGY
- C07—ORGANIC CHEMISTRY
- C07D—HETEROCYCLIC COMPOUNDS
- C07D215/00—Heterocyclic compounds containing quinoline or hydrogenated quinoline ring systems
- C07D215/02—Heterocyclic compounds containing quinoline or hydrogenated quinoline ring systems having no bond between the ring nitrogen atom and a non-ring member or having only hydrogen atoms or carbon atoms directly attached to the ring nitrogen atom
- C07D215/12—Heterocyclic compounds containing quinoline or hydrogenated quinoline ring systems having no bond between the ring nitrogen atom and a non-ring member or having only hydrogen atoms or carbon atoms directly attached to the ring nitrogen atom with substituted hydrocarbon radicals attached to ring carbon atoms
-
- C—CHEMISTRY; METALLURGY
- C07—ORGANIC CHEMISTRY
- C07D—HETEROCYCLIC COMPOUNDS
- C07D239/00—Heterocyclic compounds containing 1,3-diazine or hydrogenated 1,3-diazine rings
- C07D239/02—Heterocyclic compounds containing 1,3-diazine or hydrogenated 1,3-diazine rings not condensed with other rings
- C07D239/24—Heterocyclic compounds containing 1,3-diazine or hydrogenated 1,3-diazine rings not condensed with other rings having three or more double bonds between ring members or between ring members and non-ring members
- C07D239/28—Heterocyclic compounds containing 1,3-diazine or hydrogenated 1,3-diazine rings not condensed with other rings having three or more double bonds between ring members or between ring members and non-ring members with hetero atoms or with carbon atoms having three bonds to hetero atoms with at the most one bond to halogen, directly attached to ring carbon atoms
- C07D239/32—One oxygen, sulfur or nitrogen atom
- C07D239/34—One oxygen atom
-
- C—CHEMISTRY; METALLURGY
- C07—ORGANIC CHEMISTRY
- C07D—HETEROCYCLIC COMPOUNDS
- C07D277/00—Heterocyclic compounds containing 1,3-thiazole or hydrogenated 1,3-thiazole rings
- C07D277/02—Heterocyclic compounds containing 1,3-thiazole or hydrogenated 1,3-thiazole rings not condensed with other rings
- C07D277/20—Heterocyclic compounds containing 1,3-thiazole or hydrogenated 1,3-thiazole rings not condensed with other rings having two or three double bonds between ring members or between ring members and non-ring members
- C07D277/22—Heterocyclic compounds containing 1,3-thiazole or hydrogenated 1,3-thiazole rings not condensed with other rings having two or three double bonds between ring members or between ring members and non-ring members with only hydrogen atoms, hydrocarbon or substituted hydrocarbon radicals, directly attached to ring carbon atoms
- C07D277/28—Radicals substituted by nitrogen atoms
-
- C—CHEMISTRY; METALLURGY
- C07—ORGANIC CHEMISTRY
- C07D—HETEROCYCLIC COMPOUNDS
- C07D307/00—Heterocyclic compounds containing five-membered rings having one oxygen atom as the only ring hetero atom
- C07D307/02—Heterocyclic compounds containing five-membered rings having one oxygen atom as the only ring hetero atom not condensed with other rings
- C07D307/34—Heterocyclic compounds containing five-membered rings having one oxygen atom as the only ring hetero atom not condensed with other rings having two or three double bonds between ring members or between ring members and non-ring members
- C07D307/38—Heterocyclic compounds containing five-membered rings having one oxygen atom as the only ring hetero atom not condensed with other rings having two or three double bonds between ring members or between ring members and non-ring members with substituted hydrocarbon radicals attached to ring carbon atoms
- C07D307/52—Radicals substituted by nitrogen atoms not forming part of a nitro radical
-
- C—CHEMISTRY; METALLURGY
- C07—ORGANIC CHEMISTRY
- C07D—HETEROCYCLIC COMPOUNDS
- C07D307/00—Heterocyclic compounds containing five-membered rings having one oxygen atom as the only ring hetero atom
- C07D307/02—Heterocyclic compounds containing five-membered rings having one oxygen atom as the only ring hetero atom not condensed with other rings
- C07D307/34—Heterocyclic compounds containing five-membered rings having one oxygen atom as the only ring hetero atom not condensed with other rings having two or three double bonds between ring members or between ring members and non-ring members
- C07D307/56—Heterocyclic compounds containing five-membered rings having one oxygen atom as the only ring hetero atom not condensed with other rings having two or three double bonds between ring members or between ring members and non-ring members with hetero atoms or with carbon atoms having three bonds to hetero atoms with at the most one bond to halogen, e.g. ester or nitrile radicals, directly attached to ring carbon atoms
- C07D307/70—Nitro radicals
- C07D307/71—Nitro radicals attached in position 5
- C07D307/72—Nitro radicals attached in position 5 with hydrocarbon radicals, substituted by nitrogen-containing radicals, attached in position 2
- C07D307/74—Nitro radicals attached in position 5 with hydrocarbon radicals, substituted by nitrogen-containing radicals, attached in position 2 by hydrazino or hydrazono or such substituted radicals
-
- C—CHEMISTRY; METALLURGY
- C07—ORGANIC CHEMISTRY
- C07D—HETEROCYCLIC COMPOUNDS
- C07D307/00—Heterocyclic compounds containing five-membered rings having one oxygen atom as the only ring hetero atom
- C07D307/77—Heterocyclic compounds containing five-membered rings having one oxygen atom as the only ring hetero atom ortho- or peri-condensed with carbocyclic rings or ring systems
- C07D307/78—Benzo [b] furans; Hydrogenated benzo [b] furans
- C07D307/79—Benzo [b] furans; Hydrogenated benzo [b] furans with only hydrogen atoms, hydrocarbon or substituted hydrocarbon radicals, directly attached to carbon atoms of the hetero ring
- C07D307/81—Radicals substituted by nitrogen atoms not forming part of a nitro radical
-
- C—CHEMISTRY; METALLURGY
- C07—ORGANIC CHEMISTRY
- C07D—HETEROCYCLIC COMPOUNDS
- C07D333/00—Heterocyclic compounds containing five-membered rings having one sulfur atom as the only ring hetero atom
- C07D333/02—Heterocyclic compounds containing five-membered rings having one sulfur atom as the only ring hetero atom not condensed with other rings
- C07D333/04—Heterocyclic compounds containing five-membered rings having one sulfur atom as the only ring hetero atom not condensed with other rings not substituted on the ring sulphur atom
- C07D333/06—Heterocyclic compounds containing five-membered rings having one sulfur atom as the only ring hetero atom not condensed with other rings not substituted on the ring sulphur atom with only hydrogen atoms, hydrocarbon or substituted hydrocarbon radicals, directly attached to the ring carbon atoms
- C07D333/22—Radicals substituted by doubly bound hetero atoms, or by two hetero atoms other than halogen singly bound to the same carbon atom
-
- C—CHEMISTRY; METALLURGY
- C07—ORGANIC CHEMISTRY
- C07C—ACYCLIC OR CARBOCYCLIC COMPOUNDS
- C07C2601/00—Systems containing only non-condensed rings
- C07C2601/06—Systems containing only non-condensed rings with a five-membered ring
- C07C2601/08—Systems containing only non-condensed rings with a five-membered ring the ring being saturated
-
- C—CHEMISTRY; METALLURGY
- C07—ORGANIC CHEMISTRY
- C07C—ACYCLIC OR CARBOCYCLIC COMPOUNDS
- C07C2601/00—Systems containing only non-condensed rings
- C07C2601/12—Systems containing only non-condensed rings with a six-membered ring
- C07C2601/14—The ring being saturated
-
- C—CHEMISTRY; METALLURGY
- C07—ORGANIC CHEMISTRY
- C07C—ACYCLIC OR CARBOCYCLIC COMPOUNDS
- C07C2601/00—Systems containing only non-condensed rings
- C07C2601/12—Systems containing only non-condensed rings with a six-membered ring
- C07C2601/16—Systems containing only non-condensed rings with a six-membered ring the ring being unsaturated
-
- C—CHEMISTRY; METALLURGY
- C07—ORGANIC CHEMISTRY
- C07C—ACYCLIC OR CARBOCYCLIC COMPOUNDS
- C07C2602/00—Systems containing two condensed rings
- C07C2602/02—Systems containing two condensed rings the rings having only two atoms in common
- C07C2602/04—One of the condensed rings being a six-membered aromatic ring
- C07C2602/08—One of the condensed rings being a six-membered aromatic ring the other ring being five-membered, e.g. indane
-
- C—CHEMISTRY; METALLURGY
- C07—ORGANIC CHEMISTRY
- C07C—ACYCLIC OR CARBOCYCLIC COMPOUNDS
- C07C2602/00—Systems containing two condensed rings
- C07C2602/02—Systems containing two condensed rings the rings having only two atoms in common
- C07C2602/04—One of the condensed rings being a six-membered aromatic ring
- C07C2602/10—One of the condensed rings being a six-membered aromatic ring the other ring being six-membered, e.g. tetraline
-
- C—CHEMISTRY; METALLURGY
- C07—ORGANIC CHEMISTRY
- C07C—ACYCLIC OR CARBOCYCLIC COMPOUNDS
- C07C2602/00—Systems containing two condensed rings
- C07C2602/36—Systems containing two condensed rings the rings having more than two atoms in common
- C07C2602/42—Systems containing two condensed rings the rings having more than two atoms in common the bicyclo ring system containing seven carbon atoms
Definitions
- This invention relates to compounds having pesticidal, especially fungicidal, insecticidal and acaricidal, activity.
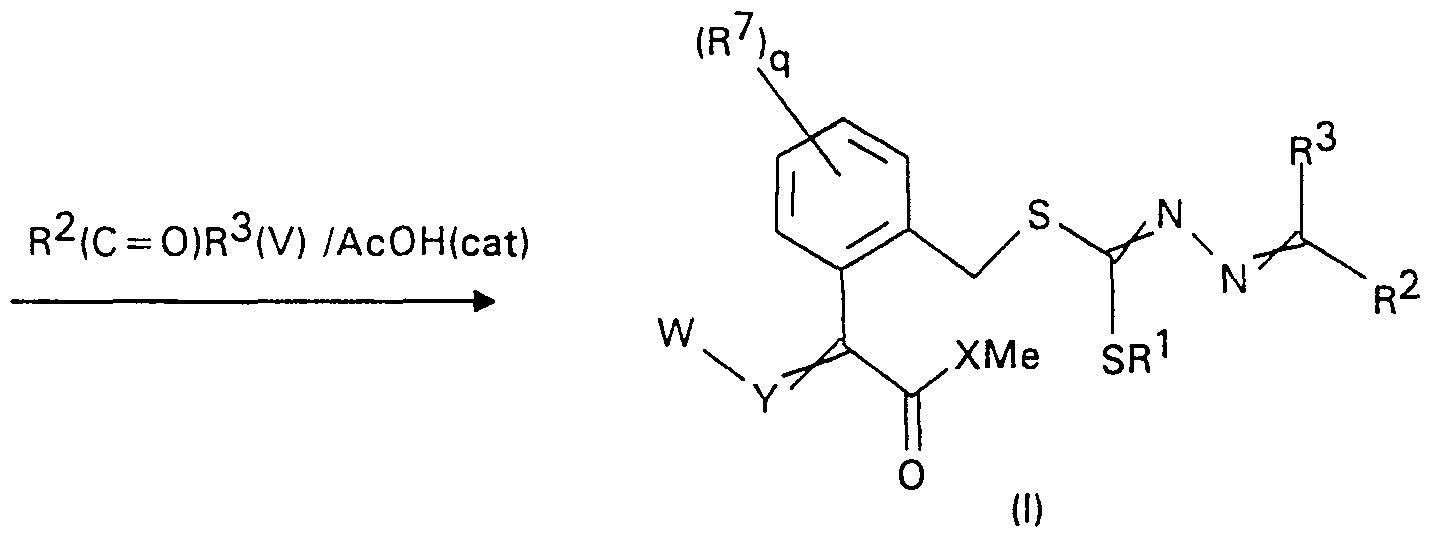
- the invention provides a compound of general formula I
- R 1 and R 2 which may be the same or different, are optionally substituted alkyl, optionally substituted alkenyl, optionally substituted alkynyl, optionally substituted cycloalkyl, optionally substituted cycloalkenyl, optionally substituted phenyl or optionally substituted heterocyclyl;
- R 3 has the same meaning as R 2 or can be hydrogen
- R 2 and R 3 together with the carbon to which they are attached form a 5- to 7- membered heterocyclyl, cycloalkyl or cycloalkenyl group which is optionally substituted;
- R 7 is alkyl, haloalkyi, alkenyl, alkynyl, cycloalkyl, halogen, cyano, alkoxy, alkylthio, haloalkoxy, and optionally substituted phenyl; and q is 0 to 4, preferably 0.
- alkyl group may be straight or branched and is preferably of 1 to 10 carbon atoms, especially 1 to 7 and particularly 1 to 5.
- Alkenyl and alkynyl groups are generally of 3 to 6 carbon atoms.
- Cycloalkyl or cycloalkenyl groups are preferably of 3 to 8 carbon atoms.
- Substituents when present on any alkyl, cycloalkyl, cycloalkenyl, alkenyl or alkynyl moiety include trialkylsilyl, halogen, cyano, optionally substituted alkoxy, optionally substituted alkylthio, optionally substituted haloalkyi, hydroxy, nitro, optionally substituted amino, acyl, acyloxy, optionally substituted phenyl, optionally substituted heterocyclyl, optionally substituted phenoxy, optionally substituted phenylthio, optionally substituted hetercyclyloxy, or optionally substituted heterocyclylthio.
- cycloalkyl or cycloalkenyl groups may also be substituted by alkyl, alkenyl or alkynyl, ail of which may be substituted as described above.
- heterocyclyl includes both aromatic and non-aromatic heterocyclyl groups.
- Heterocyclyl groups are generally 5, 6 or 7-membered rings containing up to 4 hetero atoms selected from nitrogen, oxygen and sulfur.
- Examples of heterocyclyl groups are furyl, thienyl, pyrrolyl, pyrrolinyl, pyrrolidinyi, imidazolyl, dioxolanyl, oxazolyl, thiazolyl, imidazolyl, imidazolinyl, imidazolidinyl, pyrazolyl, pyrazolinyl, pyrazolidinyl, isoxazolyl, isothiazolyl, oxadiazolyl, triazolyl, thiadiazolyl, pyranyl, pyridyl, piperidinyl, dioxanyl, morpholino, dithianyl, thiomorpholino, pyridazinyl, pyrimi
- E " * can also be optionally substituted amino.
- two adjacent groups on the phenyl or heterocyclyl group together with the atoms to which they are attached form a carbocyclic or heterocyclic ring, which may be similarly substituted.
- Any amino group may be substituted for example by one or two optionally substituted alkyl or acyl groups, or two substituents can form a ring, preferably a 5 to 7- membered ring, which may be substituted and may contain other hetero atoms, for example morpholine, or piperidine.
- acyl includes the residue of sulfur and phosphorus-containing acids as well as carboxylic acids.
- each crossed bond depicted in general formula I represents a double bond having either Z or E stereochemistry.
- R ⁇ is preferably optionally substituted alkyl, especially methyl.
- R 3 is preferably hydrogen.
- R 2 is preferably optionally substituted alkyl, optionally substituted phenyl or optionally substituted heterocyclyl.
- R 2 is an optionally substituted alkyl group
- preferred groups are optionally substituted branched alkyl, particularly optionally substituted tertiary butyl.
- the substituents are preferably halogen, alkyl or optionally substituted phenyl, which when substituted is substituted by alkyl.
- R 2 is an optionally substituted phenyl group or an optionally substituted phenylalkyl group
- preferred substituents are alkyl, haloalkyi, halogen, cyano, nitro, haloalkoxy, alkoxy, aryloxy or acyl.
- Particularly preferred substituents are electron withdrawing groups, especially halogen.
- R 2 is an optionally substituted heterocyclyl group
- preferred groups are deactivating aromatic heterocyclyl groups, especially pyridine or pyrimidine.
- preferred substituents are alkyl, haloalkyi, alkoxy, haloalkoxy, halogen or aryloxy.
- the compounds of the invention have activity as fungicides, especially against fungal diseases of plants, e.g. mildews and particularly barley powdery mildew (Erysiphe graminis) and vine downy mildew (Plasmopara viticola), rice blast (Pyricularia oryzae), cereal eyespot (Pseudocercospore/la herpotrichoides) , rice sheath blight (Pellicularia sasakii), grey mould (Botrytis cinerea), damping off (Rhizoctonia solani), wheat brown rust (Puccinia recondita), late tomato or potato blight (Phytophthora infestans), apple scab (Venturia inaequalis), glume blotch
- the compounds of the invention also have insecticidal, acaricidal and nematicidal activity and are particularly useful in combating a variety of economically important insects, acarids and plant nematodes, including animal ectoparasites and especially Diptera, such as sheep blow-fly, Lucilia sericata, and house-flies, M ⁇ sca domestica; Lepidoptera, including Plutella xylostelia, Spodoptera Httoralis, Heiiothis armigera and Pieris brassicae; Homoptera, including aphids such as Megoura viciae; Coleoptera, including corn rootworms (Diabrotica spp., e.g.
- the invention thus also provides a method of combating pests (i.e. fungi, insects, nematodes, acarids and weeds) at a locus infested or liable to be infested therewith, which comprises applying to the locus a compound of formula I.
- pests i.e. fungi, insects, nematodes, acarids and weeds
- the invention also provides an agricultural composition
- an agricultural composition comprising a compound of formula I in admixture with an agriculturally acceptable diluent or carrier.
- composition of the invention may of course include more than one compound of the invention.
- composition can comprise one or more additional active ingredients, for example compounds known to possess plant-growth regulant, herbicidal, fungicidal, insecticidal or acaricidal properties.
- additional active ingredients for example compounds known to possess plant-growth regulant, herbicidal, fungicidal, insecticidal or acaricidal properties.
- the compound of the invention can be used in sequence with the other active ingredient.
- the diluent or carrier in the composition of the invention can be a solid or a liquid optionally in association with a surface-active agent, for example a dispersing agent, emulsifying agent or wetting agent.
- Suitable surface-active agents include anionic compounds such as a carboxylate, for example a metal carboxylate of a long chain fatty acid; an N-acylsarcosinate; mono- or di-esters of phosphoric acid with fatty alcohol ethoxylates or salts of such esters; fatty alcohol sulfates such as sodium dodecyl sulfate, sodium octadecyl sulfate or sodium cetyl sulfate; ethoxylated fatty alcohol sulfates; ethoxylated alkylphenol sulfates; lignin sulfonates; petroleum sulfonates; alkyl-aryl sulfonates such as alkyl-benzene s
- butyl-naphthalene sulfonate salts of sulfonated naphthalene-formaldehyde condensates; salts of sulfonated phenol-formaldehyde condensates; or more complex sulfonates such as the amide sulfonates, e.g. the sulfonated condensation product of oleic acid and N-methyl taurine or the dialkyl sulfosuccinates, e.g. the sodium sulfonate of dioctyl succinate.
- amide sulfonates e.g. the sulfonated condensation product of oleic acid and N-methyl taurine or the dialkyl sulfosuccinates, e.g. the sodium sulfonate of dioctyl succinate.
- Nonionic agents include condensation products of fatty acid esters, fatty alcohols, fatty acid amides or fatty-alkyl- or alkenyl-substituted phenols with ethylene oxide, fatty esters of polyhydric alcohol ethers, e.g. sorbitan fatty acid esters, condensation products of such esters with ethylene oxide, e.g. polyoxyethylene sorbitan fatty acid esters, block copolymers of ethylene oxide and propylene oxide, acetylenic glycols such as 2,4,7,9-tetramethyl-5-decyne-4,7-diol, or ethoxylated acetylenic glycols.
- a cationic surface-active agent examples include, for instance, an aliphatic mono-, di-, or polyamine as an acetate, naphthenate or oleate; an oxygen-containing amine such as an amine oxide or polyoxyethylene alkylamine; an amide-linked amine prepared by the condensation of a carboxylic acid with a di- or polyamine; or a quaternary ammonium salt.
- compositions of the invention can take any form known in the art for the formulation of agrochemicals, for example, a solution, a dispersion, an aqueous emulsion, a dusting powder, a seed dressing, a fumigant, a smoke, a dispersible powder, an emulsifiable concentrate or granules. Moreover it can be in a suitable form for direct application or as a concentrate or primary composition which requires dilution with a suitable quantity of water or other diluent before application.
- An emulsifiable concentrate comprises a compound of the invention dissolved in a water-immiscible solvent which is formed into an emulsion with water in the presence of an emulsifying agent.
- a dusting powder comprises a compound of the invention intimately mixed and ground with a solid pulverulent diluent, for example, kaolin.
- a granular solid comprises a compound of the invention associated with similar diluents to those which may be employed in dusting powders, but the mixture is granulated by known methods. Alternatively it comprises the active ingredient absorbed or adsorbed on a pre-granular diluent, for example, Fuller's earth, attapulgite or limestone grit. Wettable powders, granules or grains usually comprise the active ingredient in admixture with a suitable surfactant and an inert powder diluent such as china clay.
- Another suitable concentrate is a flowable suspension concentrate which is formed by grinding the compound with water or other liquid, a wetting agent and a suspending agent.
- the concentration of the active ingredient in the composition of the present invention, as applied to plants is preferably within the range of 0.0001 to 1 .0 per cent by weight, especially 0.0001 to 0.01 per cent by weight.
- the amount of active ingredient can vary widely and can be, for example, from 5 to 95 per cent by weight of the composition.
- the compound is generally applied to seeds, plants or their habitat.
- the compound can be applied directly to the soil before, at or after drilling so that the presence of active compound in the soil can control the growth of fungi which may attack seeds.
- the active compound can be applied in any manner which allows it to be intimately mixed with the soil such as by spraying, by broadcasting a solid form of granules, or by applying the active ingredient at the same time as drilling by inserting it in the same drill as the seeds.
- a suitable application rate is within the range of from 5 to 1000 g per hectare, more preferably from 10 to 500 g per hectare.
- the active compound can be applied directly to the plant by, for example, spraying or dusting either at the time when the fungus has begun to appear on the plant or before the appearance of fungus as a protective measure.
- the preferred mode of application is by foliar spraying. It is generally important to obtain good control of fungi in the early stages of plant growth as this is the time when the plant can be most severely damaged.
- the spray or dust can conveniently contain a pre- or post-emergence herbicide if this is thought necessary.
- a suitable rate of application is from 0.025 to 5 kg per hectare, preferably from 0.05 to 1 kg per hectare.
- the compounds of the invention can be applied to plants or parts thereof which have been genetically modified to exhibit a trait such as fungal and/or herbicidal resistance.
- Alkyl dithiocarbazates of formula IV can be prepared by reacting a basic solution of hydrazine hydrate with carbon disulphide followed by addition of a compound of general formula R 1 Q where Q is a leaving group, eg halogen, alkyl or aryl sulfonate, alkyl sulfate etc.
- Q is preferably methyl sulfate.
- Preferred bases include metal hydroxides (M + (OH) " ], such as potassium hydroxide.
- Alkyl dithiocarbazates IV can either be prepared in one step by addition of R 1 Q to the crude reaction mixture or alternatively in two steps by firstly isolating the metallated dithiocarbazate VI as a crystalline solid.
- the base is potassium hydroxide the crystalline solid is the mono-potassium salt of dithiocarbazate VI.
- reaction Scheme 8 Alternatively to preparing compounds of general formula I by reacting compounds of formula II with compounds of formula III according to Scheme 1 , compounds of general formula I can be prepared according to reaction Scheme 8.
- Preferred reaction conditions for reacting compound II with compound III comprise sodium hydride in tetrahydrofuran.
- Preferred reaction conditions for reacting compound VII with carbonyl V comprise stirring a methanolic or tetrahydrofuran solution of VII in the presence of a small amount of glacial acetic acid.
- N CHCH 2
- 2xCH 3 C N
- 2.39 (3H, s, CH3S)
- 2.50 (3H, s, CH3S)
- 2.93 (3x3H, 2xd, CH3N)
- N CCH 3 SC_H 3 ), 2.50 (3H, s, SCH 3 ), 2.55 (3H, s, SCH3), 2.75 (3H, s, SCH3),
- Leptosphaeria nodorum glume blotch
- Phytophthora infestans late blight of potatoes
- Plasmopara viticola downy mildew of vines
- Aqueous solutions or dispersions of the compounds at the desired concentration, including a wetting agent, were applied by spray or by drenching the stem base of the test plants, as appropriate. After a given time, plants or plant parts were inoculated with appropriate test pathogens and kept under controlled environmental conditions suitable for maintaining plant growth and development of the disease. After an appropriate time, the degree of infection of the affected part of the plant was visually estimated. Compounds are assessed on a score of 1 to 3 where 1 is little or no control, 2 is moderate control and 3 is good to total control. At a concentration of 500 ppm (w/v) or less, the following compounds scored 2 or more against the fungi specified.
Landscapes
- Chemical & Material Sciences (AREA)
- Organic Chemistry (AREA)
- Life Sciences & Earth Sciences (AREA)
- Agronomy & Crop Science (AREA)
- Pest Control & Pesticides (AREA)
- Plant Pathology (AREA)
- Health & Medical Sciences (AREA)
- Engineering & Computer Science (AREA)
- Dentistry (AREA)
- General Health & Medical Sciences (AREA)
- Wood Science & Technology (AREA)
- Zoology (AREA)
- Environmental Sciences (AREA)
- Organic Low-Molecular-Weight Compounds And Preparation Thereof (AREA)
- Plural Heterocyclic Compounds (AREA)
- Agricultural Chemicals And Associated Chemicals (AREA)
Abstract
The invention relates to compounds of general formula (I), wherein X is O or NH; Y is CH or N; W is methyl or methoxy; R?1 and R2¿, which may be the same or different, are optionally substituted alkyl, optionally substituted alkenyl, optionally substituted alkynyl, optionally substituted cycloalkyl, optionally substituted cycloalkenyl, optionally substituted phenyl or optionally substituted heterocyclyl; R3 has the same meaning as R2 or can be hydrogen; or R?2 and R3¿ together with the carbon to which they are attached form a 5- to 7-membered heterocyclyl, cycloalkyl or cycloalkenyl group which is optionally substituted; R7 is alkyl, haloalkyl, alkenyl, alkynyl, cycloalkyl, halogen, cyano, alkoxy, alkylthio, haloalkoxy, and optionally substituted phenyl; and q is 0 to 4.
Description
DITHIOCARBAZONIC ACID DERIVATIVES AS PESTICIDES
This invention relates to compounds having pesticidal, especially fungicidal, insecticidal and acaricidal, activity.
The invention provides a compound of general formula I
(I) wherein X is O or NH; Y is CH or N; W is methyl or methoxy;
R1 and R2, which may be the same or different, are optionally substituted alkyl, optionally substituted alkenyl, optionally substituted alkynyl, optionally substituted cycloalkyl, optionally substituted cycloalkenyl, optionally substituted phenyl or optionally substituted heterocyclyl;
R3 has the same meaning as R2 or can be hydrogen; or
R2 and R3 together with the carbon to which they are attached form a 5- to 7- membered heterocyclyl, cycloalkyl or cycloalkenyl group which is optionally substituted;
R7 is alkyl, haloalkyi, alkenyl, alkynyl, cycloalkyl, halogen, cyano, alkoxy, alkylthio, haloalkoxy, and optionally substituted phenyl; and q is 0 to 4, preferably 0.
Any alkyl group may be straight or branched and is preferably of 1 to 10 carbon atoms, especially 1 to 7 and particularly 1 to 5. Alkenyl and alkynyl groups are generally of 3 to 6 carbon atoms. Cycloalkyl or cycloalkenyl groups are preferably of 3 to 8 carbon atoms.
Substituents, when present on any alkyl, cycloalkyl, cycloalkenyl, alkenyl or alkynyl moiety include trialkylsilyl, halogen, cyano, optionally substituted alkoxy, optionally substituted alkylthio, optionally substituted haloalkyi, hydroxy, nitro, optionally substituted amino, acyl, acyloxy, optionally substituted phenyl, optionally substituted heterocyclyl, optionally substituted phenoxy, optionally substituted phenylthio, optionally substituted hetercyclyloxy, or optionally substituted heterocyclylthio.
Any cycloalkyl or cycloalkenyl groups may also be substituted by alkyl, alkenyl or alkynyl, ail of which may be substituted as described above.
The term heterocyclyl includes both aromatic and non-aromatic heterocyclyl groups. Heterocyclyl groups are generally 5, 6 or 7-membered rings containing up to 4 hetero atoms selected from nitrogen, oxygen and sulfur. Examples of heterocyclyl groups are furyl, thienyl, pyrrolyl, pyrrolinyl, pyrrolidinyi, imidazolyl, dioxolanyl, oxazolyl, thiazolyl, imidazolyl, imidazolinyl, imidazolidinyl, pyrazolyl, pyrazolinyl, pyrazolidinyl, isoxazolyl, isothiazolyl, oxadiazolyl, triazolyl, thiadiazolyl, pyranyl, pyridyl, piperidinyl, dioxanyl, morpholino, dithianyl, thiomorpholino, pyridazinyl, pyrimidinyl, pyrazinyl, piperazinyl, triazinyl, thiazolinyl, benzimidazolyl, tetrazolyl, benzoxazolyl, imidazopyridinyl, benzoxazinyl, benzothiazinyl, oxazolopyridinyl, benzofuranyl, quinolinyl, quinazolinyl, quinoxalinyl, sulfolanyl, dihydroquinazolinyl, benzothiazolyl, phthalimido, benzofuranyl, azepinyl, oxazepinyl, thiazepinyl, diazepinyl and benzodiazepinyl. Heterocyclyl groups may themselves be substituted.
Substituents when present on any phenyl or heterocyclyl group may for example be halogen, trialkylsilyl, CN, NO2, acyl, O-acyl, SF5 or a group E1 , OE1 , -S(0)nE1 or -(E^ ) = NOE2, where n is 0, 1 or 2, E^ and E2, which may be the same or different, are hydrogen, optionally substituted alkyl, optionally substituted cycloalkyl, optionally substituted alkenyl, optionally substituted alkynyl, optionally substituted acyl, optionally substituted phenyl or optionally substituted heterocyclyl. E"* can also be optionally substituted amino. Alternatively two adjacent groups on the phenyl or heterocyclyl group together with the atoms to which they are attached form a carbocyclic or heterocyclic ring, which may be similarly substituted.
Any amino group may be substituted for example by one or two optionally substituted alkyl or acyl groups, or two substituents can form a ring, preferably a 5 to 7- membered ring, which may be substituted and may contain other hetero atoms, for example morpholine, or piperidine.
The term acyl includes the residue of sulfur and phosphorus-containing acids as well as carboxylic acids. Examples of acyl groups are thus -C(=0)R4, -C(=0)OR4, -C(=Z)NR R5, -C(=0)N(R4)OR5, -C(=0)ONR4R5, -C(=0)N(R4)NR5R6| -C(=0)SR4, -C(=S)SR4, -S(0)pR4, -S(0)2OR4, -S(0)pR4R5, -P(=Z)(OR )(OR5), -C(=0)-C(=0)OR5, where R4, R5 and R6 which may be the same or different, are hydrogen, optionally substituted alkyl, optionally substituted cycloalkyl, optionally substituted cycloalkenyl, optionally substituted alkenyl, optionally substituted alkynyl, optionally substituted phenyl or optionally substituted heterocyclyl or R^ and R6 together with the atom(s) to which they are attached can form a ring; p is 1 or 2; and Z is O or S.
In cases where the compounds of the invention exist as the E and Z isomers, the invention includes individual isomers as well as mixtures thereof. In addition, each crossed bond depicted in general formula I represents a double bond having either Z or E stereochemistry.
We have found that compounds where the double bond attached to Y is of E geometry generally provide the highest activity for combating fungi.
In addition, we have found that R^ is preferably optionally substituted alkyl, especially methyl.
Further we have found that R3 is preferably hydrogen.
R2 is preferably optionally substituted alkyl, optionally substituted phenyl or optionally substituted heterocyclyl.
When R2 is an optionally substituted alkyl group, preferred groups are optionally substituted branched alkyl, particularly optionally substituted tertiary butyl. When substituted, the substituents are preferably halogen, alkyl or optionally substituted phenyl, which when substituted is substituted by alkyl.
When R2 is an optionally substituted phenyl group or an optionally substituted phenylalkyl group, preferred substituents are alkyl, haloalkyi, halogen, cyano, nitro, haloalkoxy, alkoxy, aryloxy or acyl. Particularly preferred substituents are electron withdrawing groups, especially halogen.
When R2 is an optionally substituted heterocyclyl group, preferred groups are deactivating aromatic heterocyclyl groups, especially pyridine or pyrimidine. When the heterocyclyl group is substituted, preferred substituents are alkyl, haloalkyi, alkoxy, haloalkoxy, halogen or aryloxy.
Although good activity has been found for all combinations of X, Y and W, we have found particularly good activity when X is NH, Y is N and W is methoxy.
The compounds of the invention have activity as fungicides, especially against fungal diseases of plants, e.g. mildews and particularly barley powdery mildew (Erysiphe graminis) and vine downy mildew (Plasmopara viticola), rice blast (Pyricularia oryzae), cereal eyespot (Pseudocercospore/la herpotrichoides) , rice sheath blight (Pellicularia sasakii), grey mould (Botrytis cinerea), damping off (Rhizoctonia solani), wheat brown rust (Puccinia recondita), late tomato or potato blight (Phytophthora infestans), apple scab (Venturia inaequalis), glume blotch
[Leptosphaeria nodorum). Other fungi against which the compounds may be active include other powdery mildews, other rusts, and general pathogens of Deuteromycete, Ascomycete, Phycomycete and Basidomycete origin.
The compounds of the invention also have insecticidal, acaricidal and nematicidal activity and are particularly useful in combating a variety of economically important insects, acarids and plant nematodes, including animal ectoparasites and especially Diptera, such as sheep blow-fly, Lucilia sericata, and house-flies, Mυsca domestica; Lepidoptera, including Plutella xylostelia, Spodoptera Httoralis,
Heiiothis armigera and Pieris brassicae; Homoptera, including aphids such as Megoura viciae; Coleoptera, including corn rootworms (Diabrotica spp., e.g. Diabrotica undecimpunctata); and spider mites, such as Tetranychus spp.. The invention thus also provides a method of combating pests (i.e. fungi, insects, nematodes, acarids and weeds) at a locus infested or liable to be infested therewith, which comprises applying to the locus a compound of formula I.
The invention also provides an agricultural composition comprising a compound of formula I in admixture with an agriculturally acceptable diluent or carrier.
The composition of the invention may of course include more than one compound of the invention.
In addition the composition can comprise one or more additional active ingredients, for example compounds known to possess plant-growth regulant, herbicidal, fungicidal, insecticidal or acaricidal properties. Alternatively the compound of the invention can be used in sequence with the other active ingredient.
The diluent or carrier in the composition of the invention can be a solid or a liquid optionally in association with a surface-active agent, for example a dispersing agent, emulsifying agent or wetting agent. Suitable surface-active agents include anionic compounds such as a carboxylate, for example a metal carboxylate of a long chain fatty acid; an N-acylsarcosinate; mono- or di-esters of phosphoric acid with fatty alcohol ethoxylates or salts of such esters; fatty alcohol sulfates such as sodium dodecyl sulfate, sodium octadecyl sulfate or sodium cetyl sulfate; ethoxylated fatty alcohol sulfates; ethoxylated alkylphenol sulfates; lignin sulfonates; petroleum sulfonates; alkyl-aryl sulfonates such as alkyl-benzene sulfonates or lower alkylnaphthalene sulfonates, e.g. butyl-naphthalene sulfonate; salts of sulfonated naphthalene-formaldehyde condensates; salts of sulfonated phenol-formaldehyde condensates; or more complex sulfonates such as the amide sulfonates, e.g. the sulfonated condensation product of oleic acid and N-methyl taurine or the dialkyl sulfosuccinates, e.g. the sodium sulfonate of dioctyl succinate. Nonionic agents include condensation products of fatty acid esters,
fatty alcohols, fatty acid amides or fatty-alkyl- or alkenyl-substituted phenols with ethylene oxide, fatty esters of polyhydric alcohol ethers, e.g. sorbitan fatty acid esters, condensation products of such esters with ethylene oxide, e.g. polyoxyethylene sorbitan fatty acid esters, block copolymers of ethylene oxide and propylene oxide, acetylenic glycols such as 2,4,7,9-tetramethyl-5-decyne-4,7-diol, or ethoxylated acetylenic glycols.
Examples of a cationic surface-active agent include, for instance, an aliphatic mono-, di-, or polyamine as an acetate, naphthenate or oleate; an oxygen-containing amine such as an amine oxide or polyoxyethylene alkylamine; an amide-linked amine prepared by the condensation of a carboxylic acid with a di- or polyamine; or a quaternary ammonium salt.
The compositions of the invention can take any form known in the art for the formulation of agrochemicals, for example, a solution, a dispersion, an aqueous emulsion, a dusting powder, a seed dressing, a fumigant, a smoke, a dispersible powder, an emulsifiable concentrate or granules. Moreover it can be in a suitable form for direct application or as a concentrate or primary composition which requires dilution with a suitable quantity of water or other diluent before application.
An emulsifiable concentrate comprises a compound of the invention dissolved in a water-immiscible solvent which is formed into an emulsion with water in the presence of an emulsifying agent.
A dusting powder comprises a compound of the invention intimately mixed and ground with a solid pulverulent diluent, for example, kaolin.
A granular solid comprises a compound of the invention associated with similar diluents to those which may be employed in dusting powders, but the mixture is granulated by known methods. Alternatively it comprises the active ingredient absorbed or adsorbed on a pre-granular diluent, for example, Fuller's earth, attapulgite or limestone grit.
Wettable powders, granules or grains usually comprise the active ingredient in admixture with a suitable surfactant and an inert powder diluent such as china clay.
Another suitable concentrate is a flowable suspension concentrate which is formed by grinding the compound with water or other liquid, a wetting agent and a suspending agent.
The concentration of the active ingredient in the composition of the present invention, as applied to plants is preferably within the range of 0.0001 to 1 .0 per cent by weight, especially 0.0001 to 0.01 per cent by weight. In a primary composition, the amount of active ingredient can vary widely and can be, for example, from 5 to 95 per cent by weight of the composition.
In the method of the invention the compound is generally applied to seeds, plants or their habitat. Thus, the compound can be applied directly to the soil before, at or after drilling so that the presence of active compound in the soil can control the growth of fungi which may attack seeds. When the soil is treated directly the active compound can be applied in any manner which allows it to be intimately mixed with the soil such as by spraying, by broadcasting a solid form of granules, or by applying the active ingredient at the same time as drilling by inserting it in the same drill as the seeds. A suitable application rate is within the range of from 5 to 1000 g per hectare, more preferably from 10 to 500 g per hectare.
Alternatively the active compound can be applied directly to the plant by, for example, spraying or dusting either at the time when the fungus has begun to appear on the plant or before the appearance of fungus as a protective measure. In both such cases the preferred mode of application is by foliar spraying. It is generally important to obtain good control of fungi in the early stages of plant growth as this is the time when the plant can be most severely damaged. The spray or dust can conveniently contain a pre- or post-emergence herbicide if this is thought necessary. Sometimes, it is practicable to treat the roots of a plant before or during planting, for example, by dipping the roots in a suitable liquid or solid composition. When the active compound is applied directly to the plant a
suitable rate of application is from 0.025 to 5 kg per hectare, preferably from 0.05 to 1 kg per hectare.
In addition, the compounds of the invention can be applied to plants or parts thereof which have been genetically modified to exhibit a trait such as fungal and/or herbicidal resistance.
Compounds of the invention may be prepared, in known manner, in a variety of ways.
Compounds of general formula I can be prepared by reacting a benzyl bromide of general formula II with a dithiocarbazate of general formula III, in the presence of a suitable base eg sodium hydride, according to the following reaction scheme.
Scheme 1
Intermediates of formula III can be prepared in turn by reacting aldehydes and ketones V with compounds of formula IV. Preferred reaction conditions comprise heating a methanolic solution of IV and V in the presence of a small amount of glacial acetic acid.
Scheme 2
Alkyl dithiocarbazates of formula IV can be prepared by reacting a basic solution of hydrazine hydrate with carbon disulphide followed by addition of a compound of general formula R 1 Q where Q is a leaving group, eg halogen, alkyl or aryl sulfonate, alkyl sulfate etc. When R ^ is methyl, Q is preferably methyl sulfate.
Preferred bases include metal hydroxides (M + (OH)"], such as potassium hydroxide. Alkyl dithiocarbazates IV can either be prepared in one step by addition of R1 Q to the crude reaction mixture or alternatively in two steps by firstly isolating the metallated dithiocarbazate VI as a crystalline solid. When the base is potassium hydroxide the crystalline solid is the mono-potassium salt of dithiocarbazate VI.
Scheme 3
Compounds of formula la, i.e. compounds of general formula I where X is 0 and Y is CH, may be prepared from compounds of formula lla according to Scheme 5. Compounds of formula lla may be prepared by methods described in EP 0 299 694.
Scheme 4
(lla) (la)
Similarly compounds of formula lb, i.e. compounds of general formula I where X is 0 and Y is N, may be prepared according to Scheme 6. Compounds of formula lib may be prepared by methods described in EP 0299694.
Scheme 5
(lib) (lb)
Compounds of formula lc, i.e. compounds of general formula I where X is NH and Y is N can be prepared by treating compounds of formula lb with a solution of methylamine in a suitable solvent according to Scheme 7. Preferred reaction conditions comprise stirring with 20% methylamine in methanol at room temperature.
Scheme 6
(lb) (10
Alternatively to preparing compounds of general formula I by reacting compounds of formula II with compounds of formula III according to Scheme 1 , compounds of general formula I can be prepared according to reaction Scheme 8. Preferred reaction conditions for reacting compound II with compound III comprise sodium hydride in tetrahydrofuran. Preferred reaction conditions for reacting compound VII with carbonyl V comprise stirring a methanolic or tetrahydrofuran solution of VII in the presence of a small amount of glacial acetic acid.
Scheme 7
Other methods will be apparent to the chemist skilled in the art as will be the methods for preparing starting materials and intermediates.
The following Examples also make apparent various methods of preparing compounds of the invention as well as starting materials and intermediates of the invention. Structures of isolated novel compounds were confirmed by elemental and/or other appropriate analyses.
Example 1
Methyl 3-methoxy-2-(2-[[1 -(3-methylphenyl)ethylidenehydrazono](methylthio) methylthiomethyl]phenyl)acrylate (Compound 1 )
Sodium hydride (165 mg of a 60% oil dispersion) was added to a solution of methyl [1 -(3-methylphenyl)ethylidene]dithiocarbazate (0.67 g) in dry tetrahydrofuran (20 ml) under an atmosphere of nitrogen. After stirring for 30 minutes, the solution was purged with nitrogen and methyl 3-methoxy-2-[2- (bromomethyl)phenyl]acrylate (see EP 0 299 694 for preparative method) (0.8 g) added. The resulting mixture was stirred for 18 hours, quenched with methanol (0.2 ml) and evaporated under reduced pressure. The residue was taken up in diethyl ether, washed with brine, dried (MgSθ4) and concentrated to give an oil.
Trituration with diethyl ether/hexane gave the titled product as a mixture of geometric isomers, m.p. 102-5 °C.
Preparation of starting materials a) Methyl [1 -(3-methylphenyl)ethylidene]dithiocarbazate
To a solution of methyl dithiocarbazate ( 1 .22 g) in methanol (10 ml) containing glacial acetic acid (2 drops) was added 3'-methylacetophenone (1 .34 g) and the mixture was heated at reflux for 2 hours. The reaction was cooled to room temperature and diluted with diisopropyl ether/hexane
1 : 1 (8 ml). The resulting solid was filtered and washed with further diisopropyl ether/hexane 1 : 1 to give the title compound, m.p. 1 28-130 °C.
b) Methyl dithiocarbazate Hydrazine hydrate (48.5 ml) was added to a solution of potassium hydroxide (59 g, 85% purity) cooled to 10 °C. The resultant solution was cooled to 5 °C and carbon disulfide (63.5 ml) was added dropwise using efficient stirring and cooling. The resultant mixture was stirred at 0 °C for 1 hour prior to the dropwise addition of dimethyl sulfate (100 ml). The
mixture was stirred at 10 °C for 30 minutes then water (100 ml) was added dropwise followed by further water (250 ml) as a steady stream. The resultant mixture was chilled for 30 minutes and the resulting solid filtered. The solid was washed with water followed by diethyl ether/hexane 1 : 1 to give the title product, m.p. 80-81 °C.
Example 2
Methyl 3-methoxy-2-(2-[(benzylidenehydrazono)(methylthio)methylthiomethyl] phenyl)acrylate (Compound 6). To a solution of methyl 3-methoxy-2-{2-[(hydrazono)(methylthio)methylthiomethyl] phenyl}acrylate (0.5 g of major isomer) in dry tetrahydrofuran (10 ml) was added benzaldehyde (0.1 6 ml), followed by glacial acetic acid (2 drops). The reaction mixture was stirred at room temperature for 1 hour. The solvent was removed and the residue purified by silica gel chromatography using petrol (40-60)/ether as eluents to give the title compound as a 1 .38: 1 mixture of geometric isomers).
Preparation of starting materials
Methyl 3-methoxy-2-{2-[(hydrazono)(methylthio)methylthiomethyl]phenyl} acrylate To a solution of methyl dithiocarbazate (1 .22 g, starting material from step b) in Example 1 ) in dry tetrahydrofuran (20 ml) was added, portionwise, sodium hydride (60% dispersion in oil) (400 mg). The solution was stirred at room temperature for 30 minutes before adding dropwise a solution of methyl 3-methoxy-2-[2-(bromomethyl)phenyl]acrylate (EP 0 299 694) (2.86 g) in dry tetrahydrofuran (1 5 ml). The solution was stirred at room temperature for 56 hours and quenched with a few drops of glacial acetic acid. The reaction mixture was poured onto brine (100 ml) and extracted with diethyl ether (3x50 ml). Organic extracts were combined, washed with water, dried over magnesium sulphate, filtered and evaporated to give a crude product. The crude product was purified by silica gel chromatography using diethyl ether and petrol (b.p. 40-60 °C) as eluents to give title compound as an isomeric mixture; "Η N.M.R. δ(ppm, major isomer) 2.34 (3H, s, CH3S), 3.74 (3H, s, CH30), 3.82 (3H, s, CH3OOC), 3.98 (2H, s, CH2Ar), 5.60 (2H, s, NNH?), 7.08 (1 H, m, ArH), 7.22 (2H, m,
2xArH), 7.30 (1 H, m, ArXI) and 7.60 ( 1 H, s, MeOCH = ), 1 H N.M.R. δ(ppm, minor isomer) 2.36 (3H, s, CH3S), 3.68 (3H, S, CH3O), 3.80 (3H, s,
CH3OOC), 4.04 (2H, s, CH2Ar), 5.55 (2H, s N-NH2>< 7-08 <1 H' m< Ar:Hh 7.24 (2H, m, 2xArXI) and 7.56 (1 H, s, MeOCH = ).
Example 3
Methyl (E)-2-(methoxyimino)-2-(2-[(3-methylbenzylidenehydrazono)(methylthio) methylthiomethyl]phenyl)acetate (Compound 165)
Sodium hydride (1 50 mg of a 60% oil dispersion) was added to a solution of methyl [1 -(3-methylphenyl)ethylidene]dithiocarbazate (0.78 g, starting material from step a) in Example 1 ) in dry tetrahydrofuran (1 5 ml). After stirring at room temperature for 1 5 minutes, a solution containing methyl (E)-2-(methoxyimino)-2- [[2-(bromomethyl)phenyl]acetate EP 0299694 (1 .0 g) in dry tetrahydrofuran (5 ml) was added. The solution was stirred at room temperature for 24 hours. The solvent was removed and the residue quenched with water. The mixture was extracted (x3) with ether. The ether extracts were combined, washed with brine, dried over magnesium sulphate, filtered and evaporated to give a crude product which was purified by silica gel chromatography (1 :4 ethyl acetate: petrol 40-60) to give the title product, m.p. 108-1 10°C.
Example 4
(E)-2-(Methoxyimino)-/V-methyl-2-{2-[(3-methylbenzylidenehydrazono)
(methylthio)methylthiomethyl]phenyl)acetamide (Compound 147)
To a solution containing methyl (E) 2-(methoxyimino)-2-[[2-[1 -(3-methylphenyl) ethylidinehydroazono] (methylthiomethyl)phenyl] acetate (1 .5 g, Compound 1 65 from Example 3) in tetrahydrofuran (5 ml) and methanol (5 ml) was added 27% w/v solution of methylamine in methanol (3 ml). The solution was allowed to stir at room temperature for 24 hours. Removal of the solvent followed by trituration of the resultant solid with 1 : 1 petrol 40-60: diethyl ether gave the title product, m.p. 1 21 -1 25 °C.
The following compounds of formula Id, i.e. compounds of general formula I where R1 is methyl and W is methoxy, q is 0, may be prepared by methods analogous to those of Examples 1 to 4. All isolated compounds exist as a mixture of two or more geometric isomers which may equilibrate in solution. It is possible in some cases to separate the mixture into individual geometric isomers. Those instances where this was attempted have been indicated by an asterisk in the Table.
(Id) Table
The ^ H N.M.R. data of those compounds in Table I which did not possess discrete melting points at room temperature are presented below.
Compound 38
1 H N.M.R. δ(ppm) 2.42 (3H, s, CH3S), 2.55 (3H, s, CH3S), 3.68 (3H, s, CH3O), 3.70 (3H, s, CH3O), 3.83 (3H, s, CH3OOC), 3.85 (3H, s, CH3OOC), 4.1 8 (2H, s, CH2Ar), 4.35 (2H, s, CH2Ar), 6.95-7.78 (26H, m, 2x1 3 Ar l), 7.60 (2H, m, 2x = CHOCH3), 8.25 ( 1 H, s, ArCH = N) and (1 H, s, ArCH_ = N).
Compound 39
"> H N.M.R. δ(ppm) 2.42 (3H, s, CH3), 2.55 (3H, s, CH3S), 3,66 (3H, s, CH3O), 3.70 (3H, s, CjH30), 3.80 (3H, s, CH3OOC), 3.84 (3H, s, CH3OOC), 4.1 5 (2H, s, CH2Ar, 4.32 (2H, S, CH2Ar), 6.96-7.55 (26h, m, 2 x 1 3 ArJH), 7.6 (2H, m, 2x = CH_OCH3), 8.26 (1 H, s, ArCH = N) and 8.32 (1 H, s, ArCH = N).
Compound 43 H N.M.R. δ(ppm) 2.44 (3H, s, CH3S), 2.54 (3H, s, CH3S), 3.66 (6H, m, 2xCH30), 3.82 (6H, m, 2xCH OOC), 4.20 (2H, s, CH2Ar), 4,36 (2H, s, CH2Ar), 7.02-7.5 ( 1 4H, m, 2x7Ar-H/Het-JH), 7.6 (2H, m, 2x-CHOCH3), 8.42 ( 1 H, s, ArCH = N) and 8.48 (1 H, s, ArCH = N).
Compound 44
1 H N.M.R. δ(ppm) 2.46 (3H, s, CH3S), 2.74 (3H, s, CH3S), 3.64 (6H, m, 2xCH30), 3.78 (3H, s, C_H3OOC), 3.82 (3H, s, CH3OOC), 4.20 (2H, s, CH20 Ar), 4.58 (2H, s, CH2Ar), 7.06-7.56 ( 1 4H, m, 2x7Ar:HJHet;H), 7.6 (2H, m, 2x = CH0CH3), 8.00 ( 1 H, s, ArCH = N) and 8.04 ( 1 H, s, ArCH = N).
Compound 45
1 H N.M.R. δ(ppm) 2.42 (3H, s, CH3S), 2.55 (3H, s, CH3S), 3.62 (3H, s, CH Q), 3.64 (3H, s, CH3O), 3.80 (3H, s, CH3N), 3.82 (3H, s, CH3N), 3.82 (3H, s,
CH3N), 3.9 (3H, s, CH3OOC), 3.98 (3H, s, CH3OOC), 4.1 6 (2H, s, CH2Ar), 4.34
(2H, s, Cϋ2Ar), 6.14 (2H, m, 2xHet;H), 6.54 (2H, m, 2xHet;H), 6.76 (2H, m,
2xHetX1), 7.14 (2H, m, 2xArXI), 7.28 (4H, m, 2xArXI), 7.56 (2H, m, 2xAH-j), 7.6 (2H, m, 2x = CHOCH3), 8.24 (1 H, s, ArCH = N) and 8.30 ( 1 H, s, ArCH = N).
Compound 46
1 H N.M.R. δ(ppm) 0.92 (9H, m, CH3CH2), 1 .56 (6H, m, 3xCH2CH3), 1 .94 (6H, m, 2xCH3C = ), 2.04 (3H, s, CH3C = ), 2.1 6 (6H, m, 3 x CjH2CH2), 2.40 (6H, m,
2 x CH3S), 2.48 (3H, s, C_H3C), 3.68 (9H, s, 3xCϋ30), 3.82 (9H, m, 3xCH3OOC), 4.1 4 (2H, s, CH2Ar), 4.26 (4H, m, 2xCH2Ar), 7.1 2 (3H, m, 3xAr;
H), 7.24 (6H, m, 3x2Ar-H), 7.46 (3H, m, 3xAr-H) and 7.58 (3H, m, 3x = CH3OCH3).
Compound 47
1 H N.M.R. δ(ppm) 2.06 (3H, s, CH3S), 2.44 (3H, s, CH3S), 3.62 (3H, s, CH30), 3.68 (3H, s, CH3O), 3.70 (3H, s, CH3OOC), 3.82 (3H, s, CH3OOC), 4.04 (2H, s, CH?Ar), 4.38 (2H, s, CH2Ar), 7.02-7.5 (1 8H, m, 2x9ArJH) and 7.62 (2H, m, 2xCHOCH3).
Compound 48
1 H N.M.R. δ(ppm) 1 .10 (1 2H, m, 2xCH(CH3)2), 1 .90 (6H, m, 2xH3-C = ), 2.38
(3H, s, CH3S), 2.46 (3H, s, CH3S), 2.56 (2H, m, 2xCH(CH3)2), 3.68 (6H, s, 2xCH30), 3.80 (6H, m, 2xCH3OOC), 4.14 (2H, s, CH2Ar), 4.24 (2H, s, CH2Ar),
7.10 (2H, m, 2 x ArXI), 7.26 (4H, m, 2xAr-IH), 7.48 (2H, m, 2xAr H) and 7.60 (2H, m, 2x = CHOCH3).
Compound 49 1 H N.M.R. δ(ppm) 1 .1 2 (9H, s, C(CH3)3), 1 .92 (6H, m, 2xCH3-C = ), 2.38 (3H, s, CH3S), 2.50 (3H, s, CjH3S), 2.66 (6H, s, 2xCH30), 2.82 (6H, s, CH3OOC), 4.14 (2H, s, CH2Ar), 4.26 (2H, s, CH2Ar), 7.1 0 (2H, m, 2xArXi), 7,28 (4H, m, 2x2Ar- H), 7.5 (2H, m, 2xAr-H) and 7.58 (2H, m, 2x = CjHOCH3).
Compound 50
"Η N.M.R. δ(ppm) 0.90 ( 1 6H, m, 4xCH2CH2), 1 .66 (4H, m, 4xCHCH2), 1 .84 (1 2H, m, 4xCH3C = ), 2.38 (6H, m, 2xCH3S), 2.50 (6H, m, CjH3S), 3.66 (1 2H, m, 4xCH30), 3.82 (1 2H, m, 4xCH3OOC), 4.1 4 (4H, m, 2xCH2Ar), 4.26 (4H, m, 2xCH?Ar), 7.10 (4H, m, 4xAr-JH), 7.28 (8H, m, 4x2Ar:H), 7.46 (4H, m, 4xAr^H) and 7.58 (4H, m, 4x = CH0CH?).
Compound 51
1 H N.M.R. δ(ppm) 1 .76 (8H, m, 2xCH2CH2), 2.40 (3H, s, CH3S), 2.44 (3H, s, CH3S), 2.46 (8H, m, 4x = CCH2), 3.66 (6H, s, 2xCH30), 3.82 (6H, s, 2xCH3OOC), 4.1 5 (2H, s, CH2Ar), 4.26 (2H, CH2Ar), 7.10 (2H, m, 2xAr H), 7.24 (4H, m, 2x2Ar;H), 7.50 (2H, m, 2xAr-JH) and 7.60 (2H, m, 2xCHOOCH3).
Compound 52
1 H N.M.R. δ(ppm) 1 .14 (6H, m, 2xCH_3CH2), 2.44 (3H, s, CjH3S), 2.58 (3H, s, CH3S), 2.94 (4H, m, 2x2CH2CH3), 3.68 (3H, s, CH30), 3.70 (3H, s, CH3O), 3.80 (3H, s, CjH3OOC), 3.82 (3H, s, CH3OOC), 4.1 8 (2H, s, CH2Ar), 4.38 (2H, s, CH2Ar), 7.1 4 (2H, m, 2xArXI), 7.32 ( 10H, m, 2x5Ar H), 7.54 (2H, m, 2xArXI), 7.60 (2H, m, 2x = CHOCH3) and 7.84 (4H, m, 2x2ArXI).
Compound 53 1 H N.M.R. δ(ppm) 0.94 (6H, m, 2xCH3CH2), 1 .58 (4H, m, 2xCH2CH3), 2.44 (3H, s, CH3S), 2.58 (3H, s, CH3S), 2.90 (4H, m, 2x = CCIH2), 3.64 (3H, s, CH3O), 3.68 (3H, s, CH3O), 3.80 (3H, s, CH3OOC), 3.84 (3H, s, CH3OOC), 4.1 8 (2H, s, CH2Ar), 4.35 (2H, s, CH2Ar), 7.1 4 (2H, m, 2xAr;H), 7.34 (1 0H, m, 2x5Ar-H), 7.54 (2H, m, 2xAr-H), 7.62 (2H, m, 2x = CHOCH?) and 7.84 (4H, m, 2x2Ar-H).
Compound 54 H N.M.R. δ(ppm) 0.9 (6H, m, 2xCH3CH2), 1 .34 (4H, m, 2xCH2CH3), 1 .52 (4H, m, 2xCj 2CH2CH3), 2.44 (3H, s, CH3S), 2.56 (3H, s, CH3O), 2.92 (4H, m, 2x = CCH3), 3.66 (3H, s, CH3O), 3.68 (3H, s, CH3O), 3.80 (3H, s, CH3OOC),
3.84 (3H, s, CH3OOC), 4.18 (2H, s, CH2Ar), 4.35 (2H, s, CH2Ar), 7.14 (2H, m,
2 x Ar;H), 7.34 (1 0H, m, 2x4Ar-H), 7.60 (2H, m, 2x = CHOCH3) and 7.84 (4H, m, 2x2Ar-H).
Compound 55
1 H N.M.R. δ(ppm) 1 .98 (9H, m, 3x = CHCH3), 2.40 (6H, m, 2xCH_3S), 2.50 (3H, s, CH3S), 2.55-2.94 ( 1 2H, , 3x2CH2), 3.62 (3H, s, CH3O), 3.68 (6H, m, 2CH30), 3.72 (3H, s, CH3OOC), 3.84 (6H, m, 2xCH3OOC), 4.1 8 (2H, s, CH2Ar), 4.25 (4H, m, 2xCH2Ar), 7.68-7.34 (24H, m, 3x8Ar H), 7.50 (3H, m, 3xArXI) and 7.58 (3H, m, 3x = CHOCH3).
Compound 56
1 H N.M.R. δ(ppm) 2.40 (6H, m, 2xCϋ3S), 2.46 (3H, s, CH3S), 2.62-2.90 ( 1 2H, m, 3x2CH2), 3.64 (3H, s, CH3O), 3.68 (6H, m, 2xCJH30), 3.76 (3H, s, CH3OOC), 4.02 (6H, m, 2xCH3OOC), 4.1 6 (2H, s, CH?Ar), 4.26 (4H, m, 2xCH2Ar), 7.1 0-7.34 (24H, m, 3x8ArXI), 7.50 (3H, m, 3xAr;H), 7.58 (3H, m, 3x = CHOCH3) and 7.76 (3H, m, 3xN = CHCH2).
Compound 57
1 H N.M.R. δ(ppm) 1 .98 (6H, m, 2x = CCH?), 2.04 (6H, m, 2x = CCH3), 2.40 (6H, m, 2xCH3S), 2.48 (6H, m, 2xCH3S), 3.68 (1 2H, s, 4xCH30), 4.02 (1 2H, m, 4xCH3OOC), 4.1 5 (2H, s, CH2Ar), 4.24 (2H, s, CH2Ar), 4.30 (2H, s, CH2Ar), 4.44 (2H, s, CH2Ar), 7.1 2 (4H, m, 4xAr±- \), 7.1 6 (8H, m, 2x2Ar±\), 7.48 (2H, m, 4xArϋ), 7.58 (4H, m, 4x = CHOCH3) and 7.75 (4H, m, 4xN = Cj CH3).
Compound 58
1 H N.M.R. δ(ppm) 1 .98 (9H, m, 3x = CCH3), 2.06 (3H, s, = CCH3), 2.40 (3H, s, CH3S), 3.80 (3H, s, CH3S), 3.68 (6H, s, 2xCH30), 3.80 (6H, m, 2xCH3OOC), 4.1 5 (2H, s, CH_2Ar), 4.28 (2H, s, CH2Ar), 7.14 (2H, m, 2xArX(), 7.26 (4H, m, 2x2ArXI), 7.48 (2H, m, 2xAr H) and 7.58 (2H, m, 2x = CHOCH3).
Compound 59
1 H N.M.R. δ(ppm) 2.28 (3H, s, CH3C = ), 2,36 (3H, s, CH3C = ), 2.42 (6H, m, CH3C = and CH3S), 2.55 (3H, s, CH3S), 2.60 (3H, s, CH3S), 3.68 (9H, m, 3xCH30), 3.76 (3H, s, CH3OOC), 4.02 (6H, m, 2xCH3OOC), 4.1 6 (2H, s, CH2Ar), 4.34 (4H, m, 2xC_H2Ar), 6.42 (3H, m, 3xHet-IH), 6.82 (3H, m, 3xHet-H),
7.1 3 (3H, m, 3xAMH), 7.26 (6H, m, 3x2 Ar-H), 7.48 (6H, m, 3xArH/3xHet-H) and 7.60 (3H, m, 3x = CHOCH3).
Compound 60 1 H N.M.R. δ(ppm) 1 .1 2 (9H, m, 3xCjH3CH2), 2.28-2.50 (6H, m, 3xCH2CH3),
2.38 (3H, s, CH3S), 2.42 (3H, s, CH3S), 2.45 (3H, s, CH3S), 3.66 (9H, s,
3xCH30), 3.82 (9H, m, 3xCjH3OOC), 7.1 0 (3H, m, 3xAr^H), 7.26 (6H, m, 3x2Ar:
H), 7.46 (3H, m, 3xArXl), 7.58 (3H, m, 3xCHOCH3) and 7.72 (3H, m,
N = CHCH2).
Compound 61
1 H N.M.R. δ(ppm) 0.96 (9H, m, 3xC_H3CH2), 1 .60 (6H, m, 3xCH3CH2), 2.35
(6H, m, 3xCH2CH2CH3), 2.40 (3H, s, CΗ3S), 2.44 (3H, s, CJ3S), 2.46 (3H, s,
CH3S), 3.70 (9H, m, 3xCH30), 3.82 (9H, m, 3xCH3OOC), 4.14 (2H, s, CH2Ar), 4.24 (4H, m, 2xCH2Ar), 7.1 0 (3H, m, 3xArXI), 7.24 (6H, m, 3x2Ar-H), 7.46 (3H, m, 3xArXI) and 7.58 (3H, m, 3x = CHCH?).
Compound 62
1 H N.M.R. δ(ppm) 1 .08 (9H, s, C(CH3)3), 1 .1 5 (9H, s, C(CH3)3), 2.38 (3H, s, CH3S), 2.48 (3H, s, CH3S), 3.66 (6H, s, 2xCH30), 3.82 (6H, m, 2xCH3OOC),
4.14 (2H, s, CH2Ar), 4.26 (2H, s, CH2Ar), 7.1 0 (2H, m, 2xArXI), 7.26 (4H, m, 2x2Ar;H), 7.44 (2H, m, 2xAr H) and 7.56 (4H, m, 2x = CH0CH3 and
2xN = CHC(CH3)3).
Compound 63
1H N.M.R. δ(ppm) 1.00-1.18 (12H, m, 4xCH3CH), 1.90 (3H, s, CH3C = ), 1.94 (3H, S, CH3S = ), 1.98 (3H, s, CH3C = ), 2.05 (3H, s, CH3C), 2.24-2.50 (8H, m, 4xCH2CH3), 2.38 (6H, m, 2xCH3S), 2.46 (6H, m, 2xCH3S), 3.68 (12H, s, 4xCH30), 3.82 (12H, m, 4xCH 00C), 4.14 (4H, m, 2xCH2Ar), 4.26 (4H, m, 2xCH2Ar), 7.10 (4H, m, 4xAr1H), 7.26 (8H, m, 4x2AMH), 7.48 (4H, m, 4xAr j) and 7.60 (4H, m, 4x = CHCH3).
Compound 64 1H N.M.R. δ(ppm) 1.84 (6H, m, 2xCH3C = ), 1.92 (3H, s, CH3C = ), 1.98 (3H, s,
CJ-j3C = ), 2.40 (6H, m, 2xCH3S), 2.46 (6H, m, 2xCH3S), 3.59-3.88 (32H,
4xCH30, 4xCH3QOC and 4x-CCH ), 4.18 (4H, s, 2xCH2Ar), 4.24 (2H, s,
CH2Ar), 4.30 (2H, s, CH2Ar), 7.10 (8H, m, 4x2AMH), 7.24 (24H, m, 4x6Ar^H),
7.48 (4H, m, 4xArXl) and 7.56 (4H, m, 4x = CHOCH3).
Compound 65
"Η N.M.R. δ(ppm) 2.54 (6H, s, 2xCH3S), 3.66 (6H, m, 2xCH3OC), 3.82 (6H, m,
2xCH3OOC), 3.96 (6H, m, 2xCH3OPy), 4.18 (4H, s, 2xCH2Ar), 6.72 (2H, m,
2xPy-H), 7.14 (2H, m, 2xAr H), 7.26 (4H, m, 2x2 Ar-H), 7.48 (2H, m, 2xPy-H), 7.60 (2H, m, 2x = CHOCH3), 8.08 (2H, m, 2xPyXI) and 8.28 (4H, m, 2xPy-H,
2xN = CHPy).
Compound 66
">H N.M.R. δ(ppm) 2.04 (3H, s, CH3C = ), 2.10 (3H, s, CH3C = ), 2.16 (3H, s, CH3C = ), 2.18 (3H, s, CH3C = ), 2.42 (3H, s, CH3S), 2.35 (3H, s, CH3S), 3.66
(3H, s, CH3O), 3.68 (3H, s, CH3O), 3.80 (6H, m, 2xCH3OOC), 3.96 (3H,
S.CH3ON), 3.98 (3H, s, CH3ON), 4.16 (2H, s, CH2Ar), 4.35 (2H, s, CjH2Ar), 7.12
(2H, m, 2XAXH), 7.26 (4H, m, 2x2ArXI), 7.46 (2H, m, 2xArXI) and 7.58 (2H, m, 2x = CHOCH3).
Compound 67
1 H N.M.R. δ(ppm) 2.44 (3H , s, CH3S), 2.56 (3H, s, CH3S), 3.64 (3H, s, CH30), 3.66 (3H, s, CH3O), 3.80 (3H, s, CH3OOC), 3.82 (3H, s, CH3OOC), 4.22 (2H, s, CH2Ar), 4.38 (2H, s, Oi2Ar), 7.1 2 (2H, m, 2xAr^H), 7.26 (4H, m, 2x2Ar±\), 7.38 (6H, m, 3x2Ar;H_), 7.50 (2H, m, 2xAr1H), 7.60 (2H, m, 2x-CHOCH3), 7.78 (4H, m, 2xAr;H), 8.32 (1 H, s, N = CHAr) and 8.36 (1 H, s, N = CHAr).
Compound 69
1 H N.M.R. δ(ppm) 2.44 (3H, s CH3S), 2.52 (3H, s, CH3S), 2.88 (6H, m, 2xCH3NH), 3.96 (6H, m, 2xCH3ON), 4.1 6 (2H, s, CH2Ar), 4.28 (2H, s, CH2Ar),
6.74 (2H, s, 2xNH), 7.06 (2H, m, 2xHet-H), 7.1 7 (2H, m, 2xAr-H), 7.40 (8H, m, 2x2HetXi and 2Aτ_±), 7.50 (2H, m, 2xAMH) and4 (2H, m, 2xN = CH-Het).
Compound 70 1 H N.M.R. δ(ppm) 2.46 (3H, s, CH3S), 2.74 (3H, s, CH3S), 2.88 (6H, m,
2xCH3NH), 3.90 (3H, s, CH3ON), 3.97 (3H, s, CH3ON), 4.1 8 (2H, s, CH2Ar),
4.55 (2H, s, CH2Ar), 6.76 (2H, s, 2xNH), 7.06 (2H, m, 2xHet-H), 7.1 6 (2H, m,
2xAr-H), 7.34 (6H, m, 2x2xHet;H. 2x2Ar ), 7.52 (4H, m, 2xHet H and 2xAr H), 7.98 (1 H, s, N = CH-Het) and 8.04 (1 H, s, N = CH-Het).
Compound 71
1 H N.M.R. δ(ppm) 2.42 (3H, s, CH3S), 2.52 (3H, s, CI^S), 3.80 (3H, s, CH3ON),
3.82 (3H, s, CH3ON), 4.08 (6H, s, 2xCH3OOC), 4.1 5 (2H, s, CH2Ar), 4.28 (2H, s, CH2Ar), 7.05 (2H, m, 2xHetXI), 7.1 4 (2H, m, 2xAr j), 7.32 (8H, m, 2x2Het: H), 7.54 (2H, m, 2xAr-H), 8.42 ( 1 H, s, N = CH-Het) and 8.44 (N = CH-Het).
Compound 72
1 H N.M.R. δ(ppm) 2.46 (3H, s, CH_3S), 2.54 (3H, s, CH3S), 3.83 (6H, s, CH3ON),
4.02 (3H, s, CH3OOC), 4.06 (3H, s, CH3OOC), 4.1 7 (2H, s, CH2Ar), 4.54 (2H, s,
CH2Ar), 7.06 (2H, m, 2xHet-H), 7.14 (2H, m, 2xArXI), 7.36 (6H, m, 2xHetXI and 2x2ArX(), 7.56 (4H, m, 2xHet-H and 2xAr^H), 8.00 ( 1 H, s, N = CIH-Het) and 8.04 (1 H, s, N = CH-Het).
Compound 74
"Η N.M.R. δ(ppm) 2.44 (3H, s, CH3S), 2.56 (3H, s, CH3S), 3.82 (3H, s, CH3ON), 3.86 (3H, s, CH3ON), 4.06 (3H, s, CH3OOC), 4.07 (3H, s, CH3OOC), 4.1 6 (2H, s, CH2Ar), 4.30 (2H, s, CH_2Ar), 7.14 (2H, m, 2xArXi), 7.36 (4H, m, 2x2Ar±\),
7.52 (4H, m, 2x2Ar;HJ, 7.64 (2H, m, 2xAr^H), 7.94 (4H, m, 2x2Ar^H), 8.34 ( 1 H, s, N = CH-Ar) and 8.36 (1 H, s, N = CHAr).
Compound 75
1 H N.M.R. δ(ppm) 2.44 (3H, s, CH3S), 2.56 (3H, s, CH3S), 3.81 (3H, s, CH3ON),
3.85 (3H, s, CH3ON), 4.07 (3H, s, CH3OOC), 4.09 (3H, s, CH3OOC), 4.14 (2H, s, CH2Ar), 4.28 (2H, s, CH2Ar), 7.14 (2H, m, 2xAr-H), 7.36 ( 10H, m, 5x2Ar^H),
7.55 (2H, m, 2xAr^H), 7.75 (4H, 2x2ArMH), 8.30 ( 1 H, s, N = CHAr) and 8.32 (1 H, s, N = CHAr).
Compound 77
1 H N.M.R. δ(ppm) 2.44 (3H, s, CH3S), 2.56 (3H, s, CH3S), 3.82 (3H, s, CH3ON), 3.84 (3H, s, CH3ON), 4.05 (6H, s, 2 x CH3OOC), (4.1 5 (2H, s, CH2Ar), 4.28 (2H, s, CH2Ar), 7.1 4 (2H, m, 2xArXI), 7.28-7-67 (1 0H, m, 2x5Ar i), 7.84 (2H, m, 2Ar-H), 8.20 (2H, s, N = CHAr) and 8.22 (1 H, s, N = CHAr).
Compound 83
1H N.M.R. δ(ppm) 2.42 (3H, s, CH3S), 2.55 (3H, s, CH3S), 3.80 (3H, s, CH30), 3.84 (3H, s, CH_30), 4.08 (3H, s, CH3OOC), 4.10 (3H, s, CH3OOC), 4.14 (2H, s, CH2Ar), 4.30 (2H, s, CH2Ar), 6.99-7.56 (26H, m, 2x13Ar^H), 8.26 (1H, s, 5 ArCH = N) and 8.28 (1H, s, ArCH = N).
Compound 86
TH N.M.R. δ(ppm) 2.48 (3H, s, CH3S), 2.55 (3H, s, CH3S), 3.84 (3H, s, CH3O), 3.90 (3H, s, CH3O), 4.08 (3H, s, CjH3OOC), 4.10 (3H, s, CH3OOC), 4.18 (2H, s, ° CH2Ar), 4.31 (2H, s, CH2-Ar), 7.05-8.95 (16H, m, 2x8ArXl), 8.35 (1H, s, ArCH = N) and 8.37 (1H, s, ArCH = N).
Compound 87
1H N.M.R. δ(ppm) 2.48 (3H, s, CH3S), 2.56 (3H, s, CH3S), 2.56 (3H, s, CH3S), 5 3.81 (3H, s, CH3O), 3.84 (3H, s, CH3O), 4.09 (6H, s, 2xCjH3OOC), 4.19 (2H, s, CH2Ar), 4.30 (2H, s, CH2Ar), 7.14-8.64 (16H, m, 2x8Ar-H), 8.25 (1H, s, Ar; CH = N) and 8.26 (1H, s, Ar-CH = N).
Compound 89 0 1 H N.M.R. δ(ppm) 2.46 (3H, s, CH3S), 2.59 (3H, s, CH3S), 2.94 (6H, m,
2xNHCH3), 3.97 (3H, s, CH3O), 3.99 (3H, s, CH3O), 4.13 (2H, s, CH2Ar), 4.32 (2H, s, CH2Ar), 6.78 (2H, m, 2x13Ar;H) and 8.27 (1H, s, Ar-CH = N).
Compound 94 5 1 H N.M.R. δ(ppm) 2.46 (3H, s, CH3S), 2.58 (3H, s, CH3S), 2.4-2.94 (6H, m,
2xNHCH3), 3.99 (6H, m, s, 2xCH30), 4.20 (2H, s, CjH2Ar), 4.33 (2H, s, CH2Ar), 6.80 (2H, m, 2xCH3NH), 7.14-8.64 (16H, m, 2x4Ar;H, 2x4Het-H), 8.37 (1H, s, Ar-CH = N) and 8.38 (1H, s, Ar-CH = N).
Compound 101
1 H N.M.R. δ(ppm) 1.24 (12H, m, (CH3)2Cx2), 2.44 (3H, s, CH3S), 2.55 (3H, s, CH3S), 2.94 (2H, m, (CH3)2CHx2), 3.81 (3H, s, CH3O), 3.85 (3H, s, CH3O), 4.06 (3H, s, CH302C), 4.10 (3H, s, CH302C), 4.17 (2H, s, CH2Ar), 4.32 (2H, s, 5 CH2Ar), 7.15-7.77 (16H, m, 2x8ArXI), 8.32 (1H, s, C_H = N) and 8.35 (1H, s, CH = N).
Compound 104
"•H N.M.R. δ(ppm) 2.43 (3H, s, CH3O), 2.57 (2H, s, CH3S), 3.09 (6H, s, 10 CH3Sx2), 3.836H, s, 2xOCH3), 4.06 (6H, s, 2xCH302C), 4.1 (6H, s,
2xCH30 C), 4.16 (4H, s, 2xCH2Ar), 4.30 (4H, s, 2xCH2Ar) and 7.0-7.9 (32H, m, 4x8ArX().
Compound 105 15 1 H N.M.R. δ(ppm) 2.30 (6H, s, Ar-CH3x2), 2.42 (6H, s, Ar-CH x2), 2.56 (3H, s, CH3Q), 2.64 (3H, s, CH3S), 3.82 (3H, s, CH3O), 3.86 (3H, s, CH302C), 4.07 (3H, s, CH302C), 4.14 (2H, s, CH2Ar), 4.30 (2H, s, CH?Ar), 7.0-7.8 (14H, m, 2x7ArXI), 8.30 (1H, s, CJH = N) and 8.33 (1H, s, CH = N).
20. Compound 107
1H N.M.R. δ(ppm) 2.35 (3H, s, CH3Ar), 2.38 (3H, s, CH3Ar), 2.42 (3H, s, CH Ar), 2.48 (3H, s, CH_3Ar), 2.58 (3H, s, CH3S), 2.70 (3H, s, CH3S), 3.82 (3H, s, CH3O), 3.90 (3H, s, CH3O), 4.08 (3H, s, CH3O2C), 4.10 (3H, s, CH3O2C), 4.18 (2H, s, CIH2Ar), 4.38 (2H, s, CH2Ar), 7.1-7.78 (14H, m, 2x7Ar-JH), 8.59
25 (1H, s, CH = N) and 8.60 (1H, s, CH = N).
Compound 108
1H N.M.R. δ(ppm) 2.52 (3H, s, CH3S), 2.62 (3H, s, CH3S), 3.8 (3H, s, CH3O), 3.88 (3H, s, CH3O), 4.08 (3H, s, CH302C), 4.10 (3H, s, CH302C), 4.2 (2H, s, 30 CH Ar), 4.4 (2H, s, CH2Ar), 7.14-8.0 (22H, m, 2x11Ar^H), 8.98), (1H, s, CH = N) and 9.04 (1H, s, CH = N).
Compound 109
1 H N.M.R. δ(ppm) 1 .1 4 (6H, m, CH3CH2x2), 2.48 (3H, s, CH3S), 2.58 (3H, s, CH3S), 2.90 (4H, m, CH2CH3x2), 3.80 (3H, s, CH3O), 3.86 (3H, s, CH3O), 4.08 (3H, s, CH302C), 4.09 (3H, s, CH302C), 4.1 6 (2H, s, CH2Ar), 4.34 (2H, s, CH2Ar) and 7.06-7.98 ( 1 8H, m, 2x9Ar;H_).
Compound 1 10 H N.M.R. δ(ppm) 0.94 (6H, m, CH3CH2x2), 1 .58 (4H, m, CΗ2CH3x2), 2.44 (3H, s, CH3O), 2.59 (3H, s, CH3S), 2.90 (4H, m, CH2CH2x2), 3.82 (3H, s, CH3O), 3.88 (3H, s, CH3O), 4.08 (3H, s, CH3θ2C), 4.09 (3H, s, CH_302C), 4.1 5 (2H, s, CH2Ar), 4.34 (2H, s, CH2Ar) and 7.04-7.94 (1 8H, m, 2x9Ar;H).
Compound 1 1 1
1 H N.M.R. δ(ppm) 1 .96-2.0 (3H, s, CH30x4), 2.40 (3H, s, CH3S), 2.46 (3H, s, CH3O), 2.47 (3H, s, CH3O), 2.64 (8H, m, CH2CH2x4), 2.96 (8H, m,
CH2CH2x4), 3.86 ( 1 2H, m, CH30x4), 4.08 ( 1 2H, m, CH302Cx4), 4.1 2 (4H, br.s, CH2Arx2), 4.20 (4H, br.s, CH2Arx2) and 7.08-7.6 (36H, m, 4x9Ar1H).
Compound 1 53 1 H N.M.R. δ(ppm) 2.39 (3H, s, N = CCH3), 2.41 (3H, s, N = CCH3), 2.50 (3H, s, CH3S), 2.59 (3H, s, CI-I3S), 2.90-2.95 (6H, m, 2xNHCH3), 3.02 (6H, m, 2xCH3S02) , 3.99 (6H, 2xs, 2xCH30), 4.20 (2H, s, CH2Ar), 4.38 (2H, s, CH2Ar), 6.80 (2H, m, 2xCH3NH) and 7.1 4-8.10 ( 1 6H, m, 2x8AMH).
Compound 1 58
"Η N.M.R. δ(ppm) 2.50 (3H, s, CH3S), 2.60 (3H, s, CH3S), 3.10 (6H, 2xs, 2xCH3S02), 3.86 (3H, s, CH3O), 3.91 (3H, s, CH3O), 4.07 (6H, 2xs, 2xCH3OOC), 4.1 9 (2H, s, CH2Ar), 4.34 (2H, s, CH2Ar), 7.14-7.56 (8H, m, 2x4ArX(), 7.95 (8H, m, 2x4Ar H), 8.37 ( 1 H, s, Ar^H = N) and 8.39 ( 1 H, s, Ar- CH = N).
Compound 168
1 H N.M.R. δ(ppm) 1.95-2.05 (4x3H, 4s, CH3C), 2.41 (3H, s, CH3S), 2.92 (2x3H,
2xd, CH3N), 3.95 (3H, s, CH3O), 3.99 (3H, s, CH2Ar), 4.22 (2H, s, CH2Ar), 6.76
(2H, s, 2xNH) and 7.12-7.54 (8H, m, 2x4AM-]).
Compound 170
1H N.M.R. δ(ppm) 1.15 (9H, s, (CH3.3C), 1,83 (3H, s, CH3C = N), 1.92 (6H, s,
2xCH3C = N), 2.39 (3H, s, CH3S), 2.50 (3H, s, CH3S), 2.93 (3x3H, 2xd, CH3N),
3.95 (3H, s, CH3O), 3.95 (3H, s, CH3O), 4.09 (2H, s, CH2Ar), 4.22 (2H, s, CH2Ar), 6.77 (2H, s, 2xNIH) and 7.12-7.54 (8H, m, 2x4Ar;H).
Compound 175
1 H N.M.R. δ(ppm) 1.89-1.95 (4x3H, s, CH3S), 2.41 (3H, s, CH3S), 2.45 (3H, s, CH3S), 2.90 (6H, d, 2xCH3N), 3.95 (2x3H, 2xs, CH3O), 4.14 (2H, s, CH2Ar), 4.27 (2H, s, CH2Ar), 6, (1H, d, =CHCH = ), 6.77 (2H, s, 2xNH), 7.13-7.53 (8H, m, 2X4AMH) and 8.14 (2H, m, 2xN = CH).
Compound 176
1H N.M.R. δ(ppm) 2.35-2.50 (18H, m, SCH3 and =CCH3), 2.85-2.95 (9H, m, CONHCH3), 3.90 (3H, s, NCCH3), 3.95 (3H, s, NCCH3), 4.00 (3H, s, NCCH3), 4.15 (2H, s, CH2Ar), 4.25 (2H, s, CH2Ar), 4.50 (2H, s, CH2Ar).6.75 (3H, m, 3xCH3NH), 6.80-7.60 (18H, m, 3x4Ar i and 3x2Het-H), 7.95 (1H, s, N = CH), 8.30 (1H, s, N = CH) and 8.35 (1H, s, N = CH).
Compound 177
1H N.M.R. δ(ppm) 2.45 (3H, s, SCH3), 2.50 (3H, s, SCjH3), 2.55 (3H, s, SCH3),
2.65 (3H, s, SCH3), 2.90-2.95 (12H, m, CONHCH3), 3.95 (3H, s, NCCH3), 4.00
(9H, m, NCCJH3), 4.15 (2H, s, Ar-CH?), 4.20 (2H, s, Ar-CH?), 4.35 (2H, s, Ar:
CH?), 4.50 (2H, s, Ar-CH2), 6.95 (4H, m, 4xCH3NH), 7.20-7.60 (24H, m, 4xAr- H), 4x2Het-H), 7.95 (1 H, s, N = CJH), 8.00 (1 H, s, N = CH) and 8.40 (2H, m, N = CH).
Compound 178
1H N.M.R. δ(ppm) 2.45 (3H, s, SCH3), 2.50 (3H, s, SCH3), 2.55 (3H, s, SCH3), 2.75 (3H, s, SCH3), 3.90 (12H, m, CONHCH3), 3.95 (6H, s, NOCH3), -00 <6H' s, NOCH3), 4.15-4.20 (4H, m, Ar-CH2), 4.25 (2H, s, Ar-CH2), 4.50 (2H, s, Ar- CH2), 6.80-6.90 (4H, m, 4xCH3NH), 7.04-7.55 (24H, m, 4x4Ar;H and 4x2HetX() and 7.90 (2H, m, N = CH).
Compound 179
1H N.M.R. δ(ppm) 2.40 (12H, s, N = CCH3 and =CCH3), 2.50 (3H, s, S-CH3), 2.55 (3H, s, SCH3), 3.90 (6H, m, CONHCH3), 3.95 (6H, s, NOCH_3), 4.15 (2H, Ar-CH2), 4.25 (2H, s, Ar-CH2), 4.25 (2H, s, Ar-CH2), 6.80 (2H, m, 2xCH3 JH) and 6.90-7.55 (12H, m, 2x4ArXI and 2x2HetMH).
Compound 180 1H N.M.R. δ(ppm) 2.25-2.50 (21 H, m, N = CC_H3 and SCH3), 2.75 (3H, s, S-CH3), (12H, m, CONHCH3), 3.95-4.05 (12H, m, NOCH3), 4.15 (4H, m, Ar-CH2), 4.25 (2H, m, Ar-CH2), 4.50 (2H, s, Ar-CH2), 6.78 (4H, m, 4xCH3NH), 6.90 (4H, m, 4xHetXI), 7.14-7.60 (20H, m, 4x4ArXI and 4xHet H).
Compound 184
1H N.M.R. δ(ppm) 2.40 (3H, s, SCH3), 2.55 (3H, s, SCH3), 2.95 (6H, m, CONHCH3), 4.00 (6H, s, NOCH3), 4.20 (2H, s, Ar-CH2), 4.30 (2H, s, Ar-CH2), 6.85 (2H, m, 2xCH3NH), 7.15-7.66 (14H, m, 2x4Ar H and 2x3Het-H) and 8.35 (2H, m, N = CH).
Compound 186
1H N.M.R. δ(ppm) 2.42 (3H, s, CH3S), 2.43 (3H, s, CH3S), 2.44 (3H, s CH3S),
2.82-3.00 (12H, m, 3xSCjH2CH_2), 2.96 (9H, m, 3xNHCy3), 3.61 (6H, m,
3xNCCH?S), 3.98 (9H, m, 3xCH3ON), 4.16 (2H, s, CH2Ar), 4.23 (4H, m, 2xCH2Ar), 6.80 (3H, m, 3xNHCH3) and 7.10-7.56 (12H, m, 3x4ArXI).
Compound 187
1H N.M.R. δ(ppm) 2.42 (3H, s, CH3S), 2.44 (3H, s, CH3S), 2.61-2.79 (8H, m, 2xCH2SCH2), 2.81-2.90 (8H, m, 2x = CH2)2), 2.93 (6H, m, 2xCH3NH), 3.97 (3H, s, CH3ON), 3.99 (3H, s, C_H3ON), 3.99 (3H, s, CH3ON), 4.10 (2H, s, CH2Ar), 4.20 (2H, s, CH2Ar), 6.80 (2H, m, 2xCH3NH), 7.13-7.55 (8H, m, 2x4ArH).
Compound 188
1H N.M.R. δ(ppm) 2.35-2.62 (18H, m, 3xCH3S and 3xCH3C = ), 2.96 (9H, m, 3xCH3NH), 3.94 (3H, s, CH3ON), 3.96 (3H, s, CH3ON), 3.97 (3H, s, CH3ON), 4.18 (2H, s, CH2Ar), 4.30 (2H, s, CH2Ar), 4.40 (2H, s, CH2Ar), 6.10 (3H, m, 3x = CH), 6.72 (3H, m, 3x = CH), 6.82 (3H, m, 3xCH?NH), 7.17-7.58 (12H, m, 3x4Ar-JH) and 8.10 (3H, m, 3xN = CH).
Compound 190
"Η N.M.R. δ(ppm) 1.14(9H, m, 3xCH3CH2), 2.42 (3H, s, CH_3S), 2.43 (3H, s, CH3S), 2.50 (3H, s, CH3S), 2.72 (6H, m, 3xCH2CH3), 2.90 (9H, m, 3xCH3NH), 3.90 (3H, s, CH3S), 3.85 (3H, s, CΗ3ON), 3.87 (3H, s, CH3ON), 4.15 (2H, CH2Ar), 4.28 (2H, s, CH2Ar), 4.38 (2H, s, CH2Ar), 6.10 (3H, m, 3x = CH), 6.74 (3H, m, 3x = CH), 6.80 (3H, m, CH3NH), 7.18-7.58 (12H, m, 3x4ArXI) and 8.08 (3H, m, 3xN = CH).
Compound 191 H N.M.R. δ(ppm) 1.95 (9H, m, 3xCϋ3C = ), 2.24 (9H, m, C_H3C = ), 2.40 (3H, s, CH3S), 2.41 (3H, s, CH3S), 2.48 (3H, m, CH3S), 2.94 (9H, m, 3xCH3NH), 3.95 (9H, m, 3xCH_3ON), 4.16 (2H, s, CH Ar), 4.26 (4H, m, 2xCH2Ar), 6.60 (3H, m, 3x = CH), 6.75 (3H, m , 3xCH3NH), 7.08-7.55 (12H, m, 3x4Ar:H) and 8.02 (3H, m, 3xN = CH).
Compound 192
1H N.M.R. δ(ppm) 2.42 (3H, s, CH3S), 2.44 (3H, s, CH3S), 2.50 (3H, s, CH3S), 2.90 (9H, m, 3xCH3NH), 3.95 (9H, m, 3xCH3ON), 4.17 (2H, s, CH_2Ar), 4.28 (2H, s, CH?Ar), 4.35 (2H, s, CH2Ar), 6.40 (3H, m, 3x = CH), 6.74 (3H, m, 3x = CH), 6.80 (3H, m, 3xCH3NH), 7.10-7.55 (12H, m, 3x4Ar H) and 8.06 (3H, m, 3xN = CH).
Compound 193
1H N.M.R. δ(ppm) 1.10-1.42 (24H, m, 4xCH2CH2CH2), 1.60-1.90 (16H, m, 4xCH(CH2)2), 2.28-2.50 (16H, m, 4x = CH3S), 2.92 (12H, m, 4xCH3NH), 3.98 (12H, m, 4xCH30N), 4.15 (2H, s, CH2Ar), 4.23 (4H, m, 2xCH2Ar), 4.40 (2H, m, CH?Ar), 6.97 (4H, m, 4xCH3NH), 7.10-7.55 (16H, m, 4x4Ar;H) and 7.62 (4H, m, 4xN = CH).
Compound 194
1H N.M.R. δ(ppm) 1.10-2.75 (28H, m, 4x3CH2 and 4xCH(CH2)2)> 2.40-2.52
(12H, m, 4xCH3S), 2.94 (12H, m, 4xCH NH), 3.98 (12H, m, 4xCH30N), 4.15
(2H, s, CH_2Ar), 4.22 (6H, m, 3xCH2Ar), 5.70 (8H, m, 4xCH = CH), 6.78 (4H, ,
4xCH3NH_), 7.14-7.58 (16H, m, 4x4ArXI) and 7.68 (4H, m, 4xCH = N).
Compound 196
1H N.M.R. δ(ppm) 2.47 (3H, s, CH3S), 2.57 (3H, s, CH3S), 3.04 (6H, s,
(CH3)2N), 3.07 (6H, s, (CH3)2N), 3.86 (3H, s, CH3ON), 3.89 (3H, s, CH3ON),
4.10 (2x3H, 2xs, CH_302C), 4.15? (2H, s, C_H2Ar), 4.32 (2H, s, CH Ar), 6.73 (2H, d, 2xAr;H), 7.15-7.65 (6H, 2x3ArXi), 8.25 (1H, s, CH = N) and 8.27 (1H, s, CH = N).
Compound 197
1H N.M.R. δ(ppm) 2.47 (3H, s, CH3S), 2.61 (3H, s, CH3S), 2.70 (3H, s, CH3S), 3.85 (3H, s, CH3ON), 3.91 (6H, s, 2xCH3ON), 4.10 (3H, s, CH3OOC), 4.13 (6H, s, 2 x CH3OOC), 4.19 (2H, s, CH2Ar), 4.36 (4H, m, 2xChl2Ar), 7.17-7.75 (21 H, m, 3x7Ar:H), 8.22 (5H, m, 3xAr;H and 2xN = CH) and 8.73 (1 H, s, N = CH).
Compound 198
1H N.M.R. δ(ppm) 1.97 (3H, s, CH3C = N), 1.99 (3H, s, CH3C = N), 2.07 (3H, s, C_H3C = N), 2.04 (3H, s, CH3C = N), 2.42 (3H, s, CjH3C), 2.5 (3H, s, CH3S), 3.89 (6H, s, 2xCH3ON), 4.06 (3H, s, CH302C), 4.08 (3H, s, CH3θ2C), 4.13 (2H, s, CH2Ar), 4.23 (2H, s, CH2Ar) and 7.13-7.59 (8H, m, 2x4ArH).
Compound 199
1H N.M.R. δ(ppm) 2.39 (3H, s, C_H3C = N), 2.42 (3H, s, CH3C = N), 2.46 (3H, s, CU3S), 2.59 (3H, s, CH3S), 3.83 (3H, s, CH3ON), 3.90 (3H, s, CH3ON), 4.09 (3H, s, CH3S02C), 4.11 (3H, s, CH3O2C), 4.18 (2H, s, CH2Ar), 4.36 (2H, s, CH2Ar) and 7.16-7.93 (18H, m, 2x9ArH).
Compound 200 1H N.M.R. δ(ppm) 1.16 (9H, s, (CH3)3C), 1.2 (9H, s, (CH3)3C), 1.88 (3H, s, CH3C = N), 1.93 (3H, s, Cj 30C = N), 2.42 (3H, s, CH3S), 2.52 (3H, s, CH3S), 3.87 (3H, s, CH3ON), 3.88 (3H, s, CH3ON), 4.08 (3H, s, Cy3S), 4.09 (3H, s, CU3O2C), 4.13 (2H, s, CH2Ar), 4.23 (2H, s, CH?Ar) and 7.14-7.58 (8H, m, 2x4ArH).
Compound 201
1H N.M.R. δ(ppm) 2.48 (12H, m, 4x = CCH3), 2.60-2.70 (12H, m, 4xCjH3S), 3.83
(3H, s, CH3ON), 3.90 (9H, m, 4xCH3ON), 4.04-4.16 (18H, 4xCH3OOC and
3xCH2Ar), 4.35 (2H, s, CH2Ar), 7.18-7.76 (24H, m, 4x4ArXi), 8.23 (4H, m, 4xHet-H) and 8.62 (4H, m, 4xHet-H).
Compound 202
1H N.M.R. δ(ppm) 2.32 (3H, s, = CCH3), 2.36 (3H, s, =CCH3), 2.40 (3H, s, = CCH3), 2.48 (6H, m, CH3S and =CCH3), 2.60 (6H, m, 2xCH3S), 2.72 (3H, s, CH3S), 3.82 (3H, s, CH3ON), 3.90 (9H, m, 3xCH3ON), 4.10 (12H, m, 4xCH3OOC), 4.18 (4H, m, 2xCH2Ar), 4.35 (4H, s, 2xCH2Ar), 7.18-7.76 (24H, m, 4x4Ar^H and 4x2HetXl) and 8.66 (8H, m, 4x2Het^l).
Compound 203
1H N.M.R. δ(ppm) 2.49 (3H, s, CH_3S), 2.59 (3H, s, CH3S), 3.86 (3H, s, CH3ON), 3.91 (3H, s, CH3ON), 4.09 (3H, s, CH302C), 4.10 (3H, s, CH302C), 4.34 (2H, s, CH2Ar), 4.37 (2H, s, CH2Ar>' 7.14-7.95 (12H, m, 2x6ArH), 8.49 (1H, s, CHC = N) and 8.54 (1H, s, CHC = N).
Compound 204 1H N.M.R. δ(ppm) 2.50 (3H, s, CH3S), 2.61 (3H, s, CH3S), 3.86 (3H, s, CH3ON), 3.90 (3h, s, CH3ON), 4.10 (3H, s, CH302C), 4.22 (2H, s, CH2Ar), 4.34 (2M, s, CH2Ar), 8.46 (18H, m, 2 x 9, Ar H), 8.53 (1H, s, CHC = N), 8.56 (1H, s, CHC = N), 9.35 (1H, d, ArXI) and 9.41 (1H, d, ArH).
Compound 207
1H N.M.R. δ(ppm) 1.94 (3H, s, CH3C), 1.95 (3H, s, CH3C = C), 1.97 (3H, s, CH3C = C), 2.42 (3H, s, CH3S), 3.51 (3H, s, CH3S), 3.89 (3H, s, CH3ON), 3.40 (3H, s, CH3ON), 4.08 (6H, s, 2xCH302C), 4.14 (2H, s, CH2Ar), 4.26 (2H, s, CH2Ar), 6.14 (1H, d, C = CHC = ), 7.13-7.57 (8H, m, 2x4 ArXI), 8.08-8.12 (1H, d, CHC = N) and 8.10-8.15 (1H, d, CHC = N).
Compound 21 3
1 H N.M.R. δ(ppm) 1 .48 (6H, m, 2xCjH3C), 2.20 (3H, s, CH3S), 2.23 (3H, s, CH3S), 2.84 (3H, m, CH3NH), 2.86 (3H, m, CH3NH), 3.78 (2H, m, 2x = CHCHMe), 3.94 (3H, s, CH3ON), 3.98 (3H, s, CH.3ON), 4.1 3 (2H, s, CH2Ar), 4.1 9 (2H, s, CH2Ar), 6.73 (2H, s, 2xNHMe), 7.10-7.55 (1 8H, m, 2x9ArH) and 7.62 (2H, m, 2x = CHCHMe).
Compound 214
1 H N.M.R. δ(ppm) 1 .34 (6H, m, 2xCH3CHCF3), 2.40 (3H, s, CH3S), 2.46 (3H, s, CH3S), 2.90 (6H, m, 2xCH3NH), 3.24 (2H, m, 2xCH3CHCF3), 3.94 (6H, s,
2xCH3ON), 4.1 2 (2H, s, CH2Ar), 4.22 (2H, s, CH2Ar), 6.75 (2H, s, 2xNHMe),
7.1 4 (2H, m, 2xAr H), 7.30 (4H, m, 2x2 Ar- ), 7.44 (2H , m, 2xAr i) and 7.64 (2H, m, 2xN = CHCH).
Compound 21 5
1 H N.M.R. δ(ppm) 2.43 (6H, m, 2xCH3S), 2.52 (3H, s, CH3S), 2.70 (9H, m,
3xCH3NH), 3.81 (9H, , 3xCH3OAr), 3.96 (9H, s, 3xCH.3ON), 4.1 6 (2H, s,
CH2Ar), 4.28 (4H, m, 2xCH2Ar), 6.76 (3H, m, 3xCH3NH), 6.82-6.95 ( 1 2H, m,
3x2ArH and 3xCH = CH), 7.14 (3H, m, 3xArH), 7.23-7.54 ( 1 5H, m, 3x5ArlH) and 8.10 (3H, m, N = CH).
Compound 21 6
1 H N.M.R. δ(ppm) 2.40 (3H, s, CH3S), 2.44 (3H, s, CH3S), 2.40-2.75 (8H, m, 2x2CH2CH2C), 2.98 (6H, m, 2xCH3NH), 3.66-3.86 (8H, m, 2x2CH?CH?C), 3.90 (3H, s, CH3ON), 3.92 (3H, s, CH3ON), 4.1 0 (2H, s, CH2Ar), 4.1 9 (2H, s,
CH2Ar), 6.76 (2H, m, 2xCH3NH), 7.14 (2H, m, 2xAτ__), 7.30 (4H, m, 2x2ArH) and 7.48 (2H, m, 2xArH).
Compound 217
1H N.M.R. δ(ppm) 0.92 (18H, m, 3xCH(CH2CJH3)2), 1.50 (12H, m, 3xCH(CH2CH3)2), 2.18 (3H, m, 3xCH(CH2CH3)2), 2,38 (6H, m, 2xCH3S), 2.44 (3H, s, CH3S), 2.90 (9H, m, 3xCH3NH), 3.94 (9H, s, 3xCH3ON), 4.10 (2H, s, CH2Ar), 4.22 (4H, m, 2xCH2Ar), 6.76 (3H, m, CH3NH), 7.14 (3H, m, 3xArH), 7.30 (6H, m, 2x2ArH) and 7.45 (6H, m, 3xNCH and 3xArH).
Compound 218
1H N.M.R. δ(ppm) 1.07-2.10 (20H, m, 4x3CH and 4xCH2), 2.20-2.25 (12H, m, 4xCH3S), 2.92 (12H, m, 4xCH_3NH), 3.04 (8H, m, 4xCH2 bridging), 3.96 (12H, m, 4xCH3ON), 4.14 (2H, s, CH2Ar), 4.22 (6H, m, 3xCH2Ar), 6.00-6.23 (8H, m, 4xCH = CH), 6.75 (4H, m, 4 x CH3NH), 7.15 (4H, m, 3 x AHH), 7.34 (8H, m, 4 x2ArH), 7.48 (4H, m, 4xArH) and 7.72 (4H, m, 4xN = CH).
Compound 219
1H N.M.R. δ(ppm) 1.08 (3H, s, CH3C), 1.15 (3H, s, CJH3C), 2.02 (4H, m,
2xCH2CH), 2.38 (3H, s, CH3S), 2.46 (3H, s, CH3S), 2.95 (6H, m, 2xCH3NH),
3.95 (6H, m, 2xCH30N), 4.12 (2H, s, CH2Ar), 4.22 (2H, s, CH2Ar), 5.02 (4H, m,
2xHC = CH2), 5.80 (2H, m, 2xCH_ = CH2), 6.75 (2H, s, 2xCH3NH), 7.14 (2H, m, 2xArH), 7.30 (4H, m, 2x2ArH), 7.48 (2H, m, 2xArH), 7.55 (1 H, s, N =CH) and 7.57 (1H, s, N = CH).
Compound 220
1H N.M.R. δ(ppm) 1.08 (12H, m, 4xCH3), 1.54-2.00 (8H, m, 4xCH2), 2.35 (4H, m, 4xCHMe), 2.42 (6H, m, 2xCH3S), 2.48 (6H, m, 2xCH3S), 2.82 (4H, m, 4xCHMe), 2.88 (12H, m, 4xCH3ON), 4.14 (4H, m, 2xCH2Ar), 4.22 (4H, m, 2xCH2Ar), 6.76 (4H, m, 4xCH3NH), 7.08-7.42 (32H, m, 4x8ArH) and 7.52 (8H, m, 4xN = CH and 4xArH).
Compound 221
1H N.M.R. δ(ppm) 2.35-2.70 (36H, m, =CCH3, N = CCH3 and S CH3), 3.85 (3H, s, CH3ON), 3.90 (9H, m, CH3ON), 4.10 (12H, m, COOCH3), 4.15-4.20 (4H, m, ArCH2), 4.35 (4H, m, ArCH2), 6.75 (4H, m, HetXO, 7.10-7.60 (20H, m, ArXI), 7.90 (1H, s, N = CH), 7.95 (1H, s, N = CH) and 8.40 (2H, m, N = CH).
Compound 222 1H N.M.R. δ(ppm) 2.40-2.50 (18H, m, =CCH3 and SCH3), 2.65 (3H, s, SCH3),
2.75 (3H, s, SCH3), 3.90 (12H, m, CU3ON), 4.10 (12H, m, COOCH3), 4.15 (4H, m, ArCH2), 4.30 (2H, s, ArCH2), 4.60 (2H, s, ArCH2), 6.75 (4H, m, Het-H),
7.10-7.60 (20H, m, ArXI), 7.90 (1H, s, N = CH), 7.95 (1H, s, N = CH) and 8.40 (2H, m, N = CH).
Compound 223
1H N.M.R. δ(ppm) 2.45 (3H, s, SCH3), 2.55 (3H, s, SCH3), 3.85 (3H, s, CjH3ON),
3.90 (3H, s, CH3ON), 4.10 (6H, m, COOCH3), 4.15 (2H, m, ArCH2), 4.30 (2H, s,
ArCH2), 7.15 (2H, m, ArH), 7.30-7.45 (6H, m, ArH), 7.50-7.70 (6H, m, ArH) and 8.35 (2H, m, N = CH).
Compound 224
1H N.M.R. δ(ppm) 2.40 (3H, s, SCH3), 2.50 (3H, s, SCH3), 2.55 (3H, s, SCH3), 2.75 (3H, s, SCH3), 3.90 (12H, m, CH3ON), 4.05-4.20 (12H, m, COOCH3), 4.30 (4H, s, ArCH2), 4.35 (2H, s, ArCH2), 4.50 (2H, s, ArCH2), 7.10-7.60 (30H, m, Ar-H), 7.95 (1H, s, N = CH), 8.00 (1H, s, N = CH) and 8.35 (2H, m, N = CH).
Compound 225
•Η N.M.R. δ(ppm) 2.45 (3, s, CH3S), 2.50 (3H, s, CH3S), 2.55 (3H, s, CH3S),
2.75 (3H, s, CH3S), 3.90 (12H, m, 4xCH3ON), 4.12 (12H, m, 4xCH3OOC), 4.15 (2H, s, CH2Ar), 4.26 (2H, s, CH2Ar), 4.38 (2H, s, CH?Ar), 4.50 (2H, s, CIH Ar),
7.00-7.60 (24H, m, 4x4ArXI and 4x2Het-JH), 7.85 (1 H, s, NCH), 7.90 (1 H, s, N = CH) and 8.30 (2H, m, 2xN = CH).
Compound 226 1 H N.M.R. δ(ppm) 1.35 (27H, m, C.CH3.3), 2.45 (3H, s, SCH3), 2.55 (3H, s,
SCH2), 2.70 (3H, s, SCH3), 3.85-3.90 (9H, m, CH3ON), 4.10 (9H, CH3OOC),
4.20 (2H, s, ArCH2), 4.30 (2H, s, ArCH2), 4.35 (2H, s, ArCH2), 7.15-7.20 (3H, m, ArH), 7.30-7.50 (12H, m, ArH), 7.55-7.60 (3H, m, ArH), 7.65-7.80 (6H, m ArH), 7.85 (1H, s, N = CH) and 8.35 (2H, m, N=CH).
Compound 227
1H N.M.R. δ(ppm) 2.30 (3H, s, N = CCH3), 2.35 (3H, s, N = CCH3), 2.45 (9H, m,
N = CCH3SC_H3), 2.50 (3H, s, SCH3), 2.55 (3H, s, SCH3), 2.75 (3H, s, SCH3),
3.95 (12H, m, CH3ON), 4.05 (12H, m, CH3OOC), 4.10 (4H, m, ArCH2), 4.30 (2H, s, ArCH2), 4.50 (2H, s, ArCH2), 6.85 (2H, m, Het±l), 7.10-7.20 (8H, m,
ArH), 7.30-7.45 (8H, m, ArH) and 7.55-7.60 (4H, m, Ar ).
Compound 228
1H N.M.R. δ(ppm) 2.04 (12H, m, 4xCH3S), 2.78-3.00 (16H, m, 4xCH_2CH2S), 2.92 (12H, m, 4xCH3NH), 3.58-3.68 (8H, m, 4xN = CCH2S), 3.86 (12H, m,
4xCH30N), 4.06 (12H, m, 4xCH300C), 4.10-4.21 (8H, m, 4xCH2Ar) and 7.14- 7.58 (16H, m, 4x4Ar-H).
Compound 229
1H N.M.R. δ(ppm) 2.42 (3H, s, CH3S), 2.44 (3H, s, CH3S), 2.72 (8H, m,
2xCH2SCH2), 2.86 (8H, m, 2x = C(CH2)2), 3.84 (6H, s, 2xCH3ON), 4.04-4.10
(10H, m, 2xCH3OOC and 2xCH2Ar) and 7.14-7.58 (8H, m, 2x4Ar j).
Compound 230
1H N.M.R. δ(ppm) 2.44 (3H, s, CH3S), 2.52 (3H, s, CH3S), 3.84 (3H, s, CH3ON),
3.86 (3H, s, CH3ON), 4.06 (6H, m, 2xCH3OOC), 4.25 (2H, s, CH2Ar), 4.34 (2H, s, CH2Ar), 6.80-7.78 (14H, m, 2x4ArH and 2x3Het H), 8.26 (1H, s, N = CH) and 8.30 (1H, s, N=CH).
Compound 231
1H N.M.R. δ(ppm) 2.35-2.55 (12H, m, 2xCH3S and 2xCH3C = ), 3.84 (6H, m,
2xCH3ON), 4.06 (6H, s, CJ-J3OOC), 4.15 (2H, s, CH2Ar), 4.30 (2H, s, CH2Ar), 6.10 (2H, m, 2x = CH), 6.74 (2H, m, 2x = CH), 7.12-7.60 (8H, m, 2xArH), 8.10 (1H, s, N = CH) and 8.14 (1H, s, N = CH).
Compound 232
1H N.M.R. δ(ppm) 2.46 (3H, s, C_H3S), 2.55 (3H, s, CH3S), 3.84 (3H, s, CH3ON), 3.86 (3H, s, CH3ON), 4.08 (6H, s, 2xCH3OOC), 4.21 (2H, s, CH2Ar), 4.32 (2H, s, CH2Ar) and 7.14-7.66 (18H, m, 2x8ArH and 2xHet-JH).
Compound 233
1H N.M.R. δ(ppm) 1.25 (9H, m, 3xCH3CH2), 2.48 (3H, s, CH3S), 2.50 (3H, s, CH3S), 2.54 (3H, s, CH3S), 2.68-2.78 (6H, m, 3xCH2CH3), 3.86 (9H, m,
3xCjH3ON), 4.06 (9H, m, 3xCH3OOC), 4.15 (2H, s, CH2Ar), 4.28 (2H, s, CH2Ar), 4.35 (2H, s, CH2Ar), 6.10 (3H, m, 3x = CH), 6.74 (3H, m, 3x = CIH), 7.15-7.60 (12H, m, 3x4Ar-H) and 8.14 (3H, m, 3xN = CH).
Compound 234
1H N.M.R. δ(ppm) 2.42-2.66 (18H, m, 2CH3-C = and 2xCH3S), 3.83 (3H, s, CH30N), 3.88 (3H, s, CH3ON), 4.06 (6H, m, 2xCH3OOC), 4.15 (2H, s, CH2Ar), 4.30 (2H, s, CH2Ar), 7.16-7.60 (8H, m, 2x4Ar-JH) and 8.08 (2H, m, 2xN = CH).
Compound 235
"Η N.M.R. δ(ppm) 2.08-2.66 (36H, m, 4x3CH3C= and 4xCH3S), 3.86 (12H, m, 4xCH30N), 4.03 (3H, s, CH.3OOC), 4.08-44.18 (11H, m, 3xCH3OOC and 1xCH2Ar), 4.28 (2H, s, CH2Ar), 4.35 (4H, m, 2xCH2Ar), 6.63 (4H, m, 4xH_C = ), 7.1-7.62 (16H, m, 4x4ArXI) and 8.00 (4H, s, 4xN = CH).
Compound 236
1H N.M.R. δ(ppm) 2.24-2.68 (12H, m, 4xCH3S), 3.86 (12H, m, 4xCH30N), 4.04-
4.18 (14H, m, 4xCH300C and1xCH2Ar), 4.34 (6H, m, 3xCH2Ar), 6.38-6.55 (4H, m, 4x = CH), 6.75-6.86 (4H, m, 4x = CH), 7.14-7.58 (16H, m, 4x4ArH) and 8.18 (4H, m, 4xN = CH).
Compound 237
1H N.M.R. δ(ppm) 1.08-1.40 (24H, m, 4xCH?CH?CH?), 1.62-1.94 (16H, m, 4xCH(CH2)2), 2.28-2.54 (16H, m, 4x = CH and 4xCH3S), 3.88 (12H, m,
4xCH30N), 4.10-4.18 (14H, m, 4xCH300C and 1xCH2Ar), 4.24 (2H, s, CH2Ar), 4.36 (2H, s, CH2Ar), 4.38 (2H, s, CH2Ar), 7.10-7.56 (16H, m, 4x4ArH) and 7.62 (4H, m, 4xN = CH).
Compound 238
1H N.M.R. δ(ppm) 1.44-2.70 (28H, m, 4x3CH2and 4xCH(CH2)2), 2.42-2.55 (12H, m, 4xCH3S), 3.90 (12H, m, 4xCH3ON), 4.04-4.17 (14H, m, 4xCH OOC and 1xCH2Ar), 4.24 (4H, m, 2xCH2Ar), 4.35 (2H, s, CH2Ar), 5.70 (8H, m, 4xHC = CH), 7.14-7.58 (16H, m ,4x4ArH) and 7.72 (4H, m, 4xN = CH).
Compound 239
1H N.M.R. δ(ppm) 1.14 (12H, m CH3CHCH3x2), 2.40 (3H, s, CH3S), 2.48 (3H, s, CH3S), 2.60 (2H, CH3CHCH3x2), 2.94 (6H, m, CH3NHx2), 3.98 (6H, m, CH30x2), 4.18 (2H, s, C_H2Ar), 4.21 (2H, s, CH2Ar), 6.80 (2H, br.t, NHCH3x2), 7.1-7.9 (10H, m, 2x4ArH and CH = Nx2).
Compound 242 H N.M.R. δ(ppm) 0.90 (6H, m, CH3CH2x2), 1.34 (8H, m, CH3CH2CH2x2), 1.48 (8H, m, CH2CH2CH2CH x2), 1.80 (4H, m, OCH2CH2x2), 2.46 (3H, s, CH3S), 2.55 (3H, s, CH3S), 2.90 (6H, m, CH3NHx2), 3.98 (6H, m, CH30x2), 4.17 (2H, s, CH2Ar), 4.30 (2H, s, CH2Ar), 6.80 (2H, br.t, NH CH3 x2), 6.90-7.60 (16H, m, 2x8 ArH), 8.30 (2H, s, CH = N) and 8.33 (1H, s, CH = N).
Compound 243
1H N.M.R. δ(ppm) 2.44 (3H, s, CH3S), 2.58 (3H, s, CH3S), 2.98 (6H, m,
CH3NHx2), 3.99 (6H, m, CH30x2), 4.18 (2H, s, CH2Ar), 4.26 (2H, s, CH2Ar),
5.7-6.18 (2H, t, CHF2x2), 6.79 (2H, br.s, NHCH3x2), 7.38-7.78 (16H, m,
2x8ArH), 8.30 (1H, s, CH = N) and 8.32 (1H, s, CH = N).
Compound 244
1H N.M.R. δ(ppm) 2.46 (3H, s, CH3S), 2.60 (3H, s, CjH3S), 2.88 (3H, d, CH3NH),
2.90 (3H, d, CH3NH), 3.98 (3H, s, CH3O), 4.00 (3H, s, CH3O), 4.22 (2H, s,
CH2Ar), 4.38 (2H, s, CH2Ar), 6.82 (2H, br.d, NHCH3x2), 7.00-8.3 (22H, m, 2x11ArH), 8.35 (1H, s, CH = N) and 8.40 (1H, s, CH = N).
Compound 245
1H N.M.R. δ(ppm) 2.42 (3H, s, CH3S), 2.56 (3H, s, CH3S), 2.94 (6H, d, CH3NHx2), 3.98 (6H, s, CH30x2), 4.18 (2H, s, CH2Ar), 4.3 (2H, s, CI 2Ar), 6.8 (2H, br.m, NjHCH3x2), 6.94-7.18 (4H, m, CH = CHx2), 7.20-7.60 (18H, m, 2x9ArlH), 8.18 (1H, s, CH = N) and 8.20 (1H, s, CH = N).
Compound 247
1H N.M.R. δ(ppm) 1.1 (6H, d, CH3CHCH3), 1.15 (6H, d, CH3CHCH3), 2.41 (3H, s, CH3S), 2.48 (3H, s, CH3S), 2.60 (2H, m, CH(CH3)2x2), 3.85 (6H, s, CH30x2), 4.05 (6H, s, 2xCH302C), 4.102H, s, CH2Ar), 4.20 (2H, s, CH2Ar), 7.0-7.5 (8H, m, 2x4ArH) and 7.52-7.61 (2H, m, CH = Nx2).
Compound 248
1H N.M.R. δ(ppm) 1.28 (18H, s, (CH?)3Cx2), 2.44 (3H, s, CH3S), 2.56 (3H, s, CJH3S), 3.80 (3H, s, CH3O), 3.85 (3H, s, CH3O), 4.05 (3H, s, CH302C), 4.10 (3H, s, CH302C), 4.15 (2H, s, CH2Ar), 4.24 (2H, s, CH2Ar), 6.9-7.6 (24H, m, 2x12 ArH), 8.21 (1H, s, CH = N) and 4.23 (1H,s, CH = N).
Compound 249 1H N.M.R. δ(ppm) 2.42 (3H, s, CH3S), 2.56 (3H, s, CH3S), 3.78 (3H, s, CH3O), 3.82 (3H, s, CH3O), 4.05 (3H, s, CH302C), 4.10 (3H, s, CH302C), 4.25 (2H, s, CH2Ar), 4.30 (2H, s, CH2Ar), 6.9-7.6 (24H, m, 2x12ArH), 8.24 (1H, s, CH = N) and 8.28 (1H, s, CH = N).
Compound 250
1H N.M.R. δ(ppm) 0.90 (6H, m, CH3CH2x2), 1.36 (12H, m, CH3CH2CH2CH2x2), 1.45 (8H, m, CH2CH20x2), 2.44 (3H, s, Cj±3S), 2.56 (3H, s, CH3S), 3.84 (3H, s, Cj 30), 3.86 (3H, s, CH3O), 4.0 (3H, s, CH302C), 4.16 (2H, s, CH2Ar), 4.28 (2H, s, CH2Ar), 6.8-7.6 (16H, m, 2x8ArlH), 8.22 (1H, s, CH = N) and 8.24 (1H, s, CH = N).
Compound 251
1 H N.M.R. δ(ppm) 2.40 (3H, s, CjH3S), 2.50 (3H, s, CH3S), 3.78 (3H, s, CH3O), 3.84 (3H, s, CH3O), 4.08 (3H, s, CH3O2C), 4.1 6 (3H, s, CH302C), 4.1 8 (2H, s, CH2Ar), 4.30 (2H, s, CH2Ar), 6.78-7.6 (22H, m, 2x1 1 ArH), 8.26 (1 H, s, CH = N) and 8.30 (1 H, s, CH = N).
Compound 253
1 H N.M.R. δ(ppm) 2.44 (3H, s, CH3S), 2.56 (3H, s, CH3S), 3.80 (3H, s, CH3O), 3.82 (3H, s, CjH30), 4.02 (3H, s, CH302C), 4.04 (3H, s, CH302C), 4.1 8 (2H, s, CH2Ar), 4.28 (2H, s, CH2Ar), 5.7-6.1 (2H, t, CHF2x2), 7.1 -7.8 (1 6H, m, 2x8ArH), 8.32 (1 H, s CH = N) and 8.34 ( 1 H, s, CH = N).
Compound 254
1 H N.M.R. δ(ppm) 1 .38 (3H, m, CH3CH), 1 .55 (6H, m, 2xCH3CH), 2.42 (3H, s, CH3S), 2.46 (3H, s, CH3S), 2.50 (3H, s, C_H3S), 3.73 (3H, m, 3xCHCH?), 3.80
(6H, m, 2xCH3ON), 3.82 (3H, s, CH3ON), 4.02 (6H, m, 2xCH3OOC), 4.06 (3H, s, CH3OOC), 4.10 (2H, s, CH2Ar), 4.18 (2H, s, CIH2Ar), 4.24 (2H, s, CIH2Ar), 7.1
(3H, m, 3xArH), 7.26 (21 H, m, 3x7ArH), 7.50 (3H, s, 3xArH) and 7.74 (3H, m, 3xN = CH).
Compound 255
1 H N.M.R. δ(ppm) 1 .1 4-1 .20 (24H, m, 4xCH(CH3)2), 2.38 (6H, s, 2xCH3S), 2.42
(3H, s, CH3S), 2.46 (3H, s, CH3S), 3.22 (4H, m, 4xCH(CH3)2), 3.83 (1 2H, m,
4xCH3ON), 4.02 ( 1 2H, m, 4xCϋ3OOC), 4.08 (4H, m, 2xCH2Ar), 4.22 (4H, m, 2xCH2Ar), 7.1 2 (4H, m, 2xCH2Ar), 7.1 2 (4H, m, 4xArH), 7.34 (8H, m, 4x2ArH),
7.48 (4H, m, 4xArH) and 7.65 (4H, m, 4xN = CH).
Compound 256
"Η N.M.R. δ(ppm) 2.42 (3H, s, CH3S), 2.50 (3H, s, CH3S), 3.80 (6H, m, 2xArOCH3), 3.84 (6H, m, 2xCH3ON), 4.04 (6H, m, 2xCH3OOC), 4.14 (2H, s, CH Ar), 4.26 (2H, s, CH2Ar), 6.88 (8H, m, 2xHC = CH and 2x2ArH), 7.14-7.58 (12H, m, 2x6ArH) and 8.14 (3H, m, 3xN = CH).
Compound 257
T H N.M.R. δ(ppm) 2.40 (3H, s, CH3S), 2.44 (3H, s, CH3S), 2.44-2.76 (8H, m, 2x2CH2), 3.66 (4H, m, 2xCH2), 3.82 (4H, m, 2xCH2), 3.82 (6H, m, 2xCH3ON), 4.02 (3H, s, CH3OOC), 4.04 (3H, s, CH3OOC), 4.08 (2H, s, CH2Ar), 4.1 8 (2H, s, CH2Ar), 7.10 (2H, m, 2xArH), 7.34 (4H, m, 2x2ArH) and 7.50 (2H, m, 2xArH).
Compound 258
1 H N.M.R. δ(ppm) 0.88 ( 1 8H, m, 3x(CH2CH3)2), 1 .52 (1 2H, m, 3xCH(CH2CH3)2, 2.1 8 (3H, m, 3xCH(CH2CH3)2), 2.37 (3H, s, CH3S), 2.40 (3H, s, CH3S), 2.44 (3H, s, CH3S), 3.84 (9H, m, 3xCH3ON), 4.05 (9H, s, 3xCH3OOC), 4.10 (2H, s, CH2Ar), 4.20 (4H, m, 2xCH2Ar), 7.1 2 (3H, m, Ar l), 7.34 (6H, m, 3xArlH), 7.48 (6H, m, 2xArH and 2xN = CH).
Compound 259
1 H N.M.R. δ(ppm) 1 .06-2.06 (20H, m, 4x3CH and 4xCH2), 2.40 (1 2H, m,
4xCH3S), 2.83-3.10 (8H, m, 4xCH2 bridging), 3.83 (1 2H, s, 4xCH30N), 4.02
(1 2H, m, 4xCH300C), 4.1 8 (2H, s, CH2Ar), 4.20 (6H, m, 3xCH2Ar), 5.95-6.22
(8H, m, 4xC_H = CH), 7.1 0 (4H, m, 4xArH), 7.36 (8H, m, 4x2ArH), 7.44 (4H, m, 4xArH) and 7.75 (4H, m, 4xN = CH).
Compound 260
1 H N.M.R. δ(ppm) 1 .44 (6H, s, = C-C(CH3)?), 1 .60 (3H, N = CCH3), 1 .64 (3H, s, N = CCH3), 2.42 (3H, s, CI^S), 2.48 (3H, s, CH3S), 3.83 (6H, s, 2xCH30N), 4.02 (3H, s, CH3OOC), 4.06 (3H, s, CH3OOC), 4.14 (2H, s, CH_2Ar), 4.20 (2H, s, CH2Ar) and 7.08-7.56 ( 1 6H, m, 2x8Ar H).
Compound 261
1H N.M.R. δ(ppm) 1.06 (6H, s, =CHC.Cϋ3)2), 1.12 (6H, s, =CHC(CH3)2), 2.20 (4H, m, 2xCH2), 2.38 (3H, s, CH3S), 2.46 (3H, s, CH3S), 3.84 (6H, m, 2xCH3ON), 4.04 (6H, m, 2xCH3OOC), 4.10 (2H, s, CH2Ar), 4.18 (2H, s, CH2Ar), 5.02 <4H, m, 2xC = CH2), 5.60 (2H, m, 2xCH_CH2), 7.10 (2H, m, 2xArIH), 7.32 (4H, m, 2x2ArH), 7.48 (2H, m, 2xArH), 7.55 (2H, m, 2xN = CH).
Compound 262
1H N.M.R. δ(ppm) 1.06 (12H, m, 4xCH3CH), 1.14 (12H, 4xCH3CH), 1.50-1.98 (8H, m, 4xCH2), 2.34 (4H, m, 4xCHCH3), 2.40 (6H, m, 2xCH3S), 2.44 (6H, m, 2xCH3S), 2.84 (4H, m, 4xCHCH3), 3.84 (12H, m, 4xCH3ON), 4.02 (12H, m, 4xCH3OOC), 4.08 (4H, m, CH2Ar), 4.20 (4H, m, 2xCH2Ar), 7.06-7.40 (32H, 4x8 AMH) and 7.54 (4H, m, 2xArH and 2xN = CH).
Compound 263
1H N.M.R. δ(ppm) 2.34 (12H, m, 2xN = CCH3 and 2xN = CCH3), 2.44 (3H, s,
CH3S), 2.58 (3H, s, CH3S), 3.80 (3H, s, CH3ON), 3.88 (3H, s, CH3ON), 4.04
(6H, m, 2xCH3OOC), 4.15 (2H, s, CH2Ar), 4.30 (2H, s, CH2Ar), 7.10-7.40 (10H, m, 2x5ArH), 7.55 (2H, m, 2xArH) and 7.66 (4H, m, 2x2ArH).
Compound 264
1H N.M.R. δ(ppm) 2.45 (3H, s, SCH3), 2.55 (3H, s, SCH3), 3.85 (3H, s, CH3ON),
3.90 (3H, s, CH3ON), 4.10 (6H, , CI^OC), 4.15 (2H, m, Ar-CH2), 4.30 (2H, s, Ar-CH2), 6.95-7.10 (8H, m, Ar l), 7.15-7.20 (4H, m, Ar l), 7.35-7.40 (8H, m, AMH), 7.55 (2H, m, Ar ), 7.70-7.80 (4H, m, AMH), 8.30 (1 H, s, N = CH) and 8.35 (1H, s, N = CH).
Compound 265
1 H N.M.R. δ(ppm) 2.45 (3H, s, SCH3), 2.55 (3H, s, SCH3), 2.65 (3H, s, SCH3),
3.85 (3H, s, CH3ON), 3.90 (6H, s, CH3ON), 4.00 (9H, m, NCH3), 4.10 (9H, m,
CJH3OOC), 4.30 (6H, m, ArCH2), 6.20 (3H, m, Het±l), 6.60 (3H, m, Het-H), 6.80 (3H, m, Het±l), 7.25 (3H, m, Ar±l), 7.30-7.45 (6H, m, Ar±l), 7.60 (3H, m, Ar±l) and 8.30 (3H, m, N = CH).
Compound 266
"> H N.M.R. δ(ppm) 2.45 (3H, s, = CCH3), 2.55-2.70 (9H, m, = CCH3and 2xCH_3S), 3.85 (3H, s, CH3ON), 3.90 (3H, s, CH3ON), 4.08 (6H, m, 2xCH3OOC), 4.1 5 (2H, s, CIH2Ar), 4.34 (2H, s, CH2Ar), 7.1 2-8.00 (14H, m, 2x4ArH and 2x3Het±i), 8.35 (1 H, s, N = CH) and 8.40 (1 H, s, N = CH).
Compound 267 1 H N.M.R. δ(ppm) 2.44 (9H, s, 3xCCH3), 2.54 (3H, s, CH3S), 2.66 (3H, s,
CH3S), 2.76 (3H, s, CH3S), 3.96 (9H, m, 3xCH3ON), 4.08 (9H, m, 3xCH3OOC), 4.30 (2H, s, Cj-j2Ar), 4.34 (2H, s, CH2Ar), 4.55 (2H, s, CH2Ar) and 7.00-7.62 (21 H, m, 3x4Ar±i and 3x3Het±l).
Compound 272
"Η N.M.R. δ(ppm) 2.44 (3H, s, CH3S), 2.56 (3H, s, CH3S), 3.82 (3H, s, CH3ON),
3.86 (3H, s, CH3ON), 4.06 (6H, m, 2xCH3OOC), 4.1 8 (2H, s, CH_2Ar), 4.30 (2H, s, CH2Ar), 7.1 5-8.04 ( 1 4H, m, 2x7Ar±l), 8.28 (1 H, s, N = CH) and 8.30 (1 H, s,
N = CH).
Test Example
Compounds were assessed for activity against one or more of the following:
Erysiphe graminis f sp. tritici: wheat powdery mildew Pyricularia oryzae: rice blast
Leptosphaeria nodorum: glume blotch Phytophthora infestans: late blight of potatoes Plasmopara viticola: downy mildew of vines
Aqueous solutions or dispersions of the compounds at the desired concentration, including a wetting agent, were applied by spray or by drenching the stem base of the test plants, as appropriate. After a given time, plants or plant parts were inoculated with appropriate test pathogens and kept under controlled environmental conditions suitable for maintaining plant growth and development of the disease. After an appropriate time, the degree of infection of the affected part of the plant was visually estimated. Compounds are assessed on a score of 1 to 3 where 1 is little or no control, 2 is moderate control and 3 is good to total control. At a concentration of 500 ppm (w/v) or less, the following compounds scored 2 or more against the fungi specified.
Erysiphe graminis f sp. tritici
1,3, 5, 11, 14, 17, 18, 19, 20, 21, 22, 23, 24, 25, 26, 27, 32,43,44,45,46, 47, 48, 49, 50, 51, 52, 62, 69, 70, 74, 76, 77, 78, 79, 80, 81, 89, 91, 94, 95, 96, 97, 98, 99, 103, 104, 112, 113, 114, 115, 116, 117, 123, 126, 127, 129, 130, 131, 132, 134, 135, 139, 140, 141, 142, 143, 144, 145, 146, 147, 150, 151, 167, 176, 177, 178, 183, 184, 189, 190, 212, 214, 215, 217, 219, 220, 243, 245, 249, 255, 260 and 261.
Pyricularia oryzae 1, 2, 3, 4, 5, 6, 9, 11, 12, 17, 18, 20, 21, 22, 23, 24, 25, 27, 30, 32, 38, 39, 42, 44, 45, 46, 48, 49, 52, 62, 63, 64, 65, 66, 67, 69, 70, 71, 72, 73, 74, 75, 76, 77, 78, 79, 80, 81, 91, 92, 94, 95, 96, 97, 98, 99, 100, 101, 102, 103, 104, 105, 133, 134, 135, 136, 137, 138, 139, 140, 141, 142, 143, 144, 145, 146, 147, 148, 149, 150, 151, 152, 155, 156, 157, 158, 159, 161, 163, 164,
165, 167, 169, 170, 171, 173, 174, 175, 176, 177, 178, 179, 180, 181, 182, 183, 184, 185, 186, 188, 189, 191, 192, 193, 194, 195, 197, 199, 200, 202, 203, 218, 219, 220, 221, 222, 224, 225, 243, 245, 249, 254, 255, 258, 260 and 261.
Leptosphaeria nodorum
1 , 3, 4, 5, 6, 11 , 17, 18, 19, 20, 22, 23, 24, 25, 29, 32, 38, 39, 42, 43, 44, 49, 62, 64, 65, 66, 67, 68, 69, 70, 71, 72, 73, 74, 75, 76, 77, 78, 79, 80, 81, 82, 83, 84, 85, 88, 89, 90, 91, 92, 93, 94, 95, 96, 97, 98, 99, 101, 102, 104, 105, 107, 108, 112, 113, 114, 115, 116, 117, 119, 120, 122, 123, 124, 125, 126, 127, 129, 130, 131, 132, 139, 140, 141, 142, 143, 144, 145, 146, 147,
150, 151, 176, 177, 178, 183, 184, 188, 189, 192, 194, 200, 203, 218, 219, 220, 221, 222, 224, 225, 243, 245, 249, 254, 255, 258, 260 and 261.
Phytophthora infestans
6, 9, 10, 11, 14, 15, 16, 22, 28, 69, 70, 71, 72, 74, 76, 77, 78, 79, 80, 81, 88, 91, 95, 96, 97, 98, 99, 113, 114, 115, 116, 117, 119, 123, 124, 127, 129, 130, 131, 132, 134, 135, 139, 140, 141, 142, 143, 144, 145, 147, 150,
151, 155, 156, 157, 159, 163, 165, 166, 169, 170, 174, 176, 177, 178, 184, 214, 219, 223, 236, 237, 238, 245, 247, 254, 255, 258, 259, 261, 265 and
266.
Plasmopara viticola
2, 4, 6, 8, 9, 10, 11, 12, 14, 16, 18, 21, 22, 29, 31, 33, 34, 35, 36, 43, 44, 45, 48, 49, 50, 52, 62, 64, 66, 67, 68, 69, 70, 72, 74, 76, 77, 78, 79, 80, 81 ,
84, 85, 86, 87, 90, 91, 91, 92, 93, 94, 95, 96, 98, 99, 101, 102, 104, 105, 106, 107, 108, 109, 123, 124, 125, 126, 127, 128, 129, 130, 131, 132, 133, 124, 135, 136, 137, 138, 139, 140, 141, 142, 143, 144, 145, 146, 147, 148, 149, 150, 151, 152, 153, 154, 155, 156, 157, 158, 159, 160, 161, 162, 163, 164, 165, 166, 167, 168, 169, 170, 171, 172, 173, 174, 175, 176, 177, 178, 179, 180, 182, 183, 184, 185, 202, 206, 211, 212, 213, 214, 215, 216, 220, 235, 236, 237, 238, 240, 241, 246, 247, 249, 252, 259, 261 and 265.
Claims
The invention provides a compound of general formula
(I) wherein X is O or NH; Y is CH or N; W is methyl or methoxy;
R " and R2, which may be the same or different, are optionally substituted alkyl, optionally substituted alkenyl, optionally substituted alkynyl, optionally substituted cycloalkyl, optionally substituted cycloalkenyl, optionally substituted phenyl or optionally substituted heterocyclyl;
R3 has the same meaning as R2 or can be hydrogen; or
R2 and R3 together with the carbon to which they are attached form a 5- to 7- membered heterocyclyl, cycloalkyl or cycloalkenyl group which is optionally substituted;
R7 is alkyl, haloalkyi, alkenyl, alkynyl, cycloalkyl, halogen, cyano, alkoxy, alkylthio, haloalkoxy, and optionally substituted phenyl; and q is 0 to 4.
A compound according to claim 1 wherein the double bond attached to Y is of E geometry.
3 A compound according to claim 1 or 2 wherein R ^ is optionally substituted alkyl.
4 A compound according to claim 3 where R1 is methyl.
A compound according to any preceding claim wherein R3 is hydrogen.
A compound according to any preceding claim wherein q is 0.
A compound according to any preceding claim wherein R2 js optionally substituted alkyl, optionally substituted phenyl or optionally substituted heterocyclyl.
A compound according to claims 7 wherein when R2 is optionally substituted branched alkyl.
A compound according to claim 8 wherein R2 is optionally substituted tertiary butyl.
A compound according to claim 7 wherein when R2 is a phenyl group substituted by one or more electron-withdrawing groups.
A compound according to claim 10 wherein the electron with drawing group or groups are halogen.
A compound according to claim 7 wherein when R2 is optionally substituted heterocyclyl, the heterocyclyl group is aromatic and deactivating.
A compound according to claim 1 2 wherein the heterocyclyl group is optionally substituted pyridine or pyrimidine.
A compound according to any preceding claim wherein X is NH, Y is N and W is methoxy.
A pesticidal composition comprising compounds as claimed in any preceding claim in admixture with an agriculturally acceptable diluent or carrier.
Priority Applications (1)
| Application Number | Priority Date | Filing Date | Title |
|---|---|---|---|
| AU72204/98A AU7220498A (en) | 1997-05-02 | 1998-04-28 | Dithiocarbazonic acid derivatives as pesticides |
Applications Claiming Priority (2)
| Application Number | Priority Date | Filing Date | Title |
|---|---|---|---|
| GB9708903.1 | 1997-05-02 | ||
| GBGB9708903.1A GB9708903D0 (en) | 1997-05-02 | 1997-05-02 | Fungicides |
Publications (1)
| Publication Number | Publication Date |
|---|---|
| WO1998050352A1 true WO1998050352A1 (en) | 1998-11-12 |
Family
ID=10811678
Family Applications (1)
| Application Number | Title | Priority Date | Filing Date |
|---|---|---|---|
| PCT/GB1998/001234 Ceased WO1998050352A1 (en) | 1997-05-02 | 1998-04-28 | Dithiocarbazonic acid derivatives as pesticides |
Country Status (3)
| Country | Link |
|---|---|
| AU (1) | AU7220498A (en) |
| GB (1) | GB9708903D0 (en) |
| WO (1) | WO1998050352A1 (en) |
Cited By (2)
| Publication number | Priority date | Publication date | Assignee | Title |
|---|---|---|---|---|
| WO2001012604A1 (en) | 1999-08-18 | 2001-02-22 | Aventis Cropscience Gmbh | Fungicides |
| CN113321603A (en) * | 2020-02-28 | 2021-08-31 | 江苏仁明生物科技有限公司 | S-substituted-thiosemicarbazone structural compound and preparation method and application thereof |
Citations (2)
| Publication number | Priority date | Publication date | Assignee | Title |
|---|---|---|---|---|
| EP0299694A2 (en) * | 1987-07-11 | 1989-01-18 | AgrEvo UK Limited | Acrylate fungicides |
| DE4439334A1 (en) * | 1994-11-04 | 1996-05-09 | Bayer Ag | Butenyl dithiocarbazonate |
-
1997
- 1997-05-02 GB GBGB9708903.1A patent/GB9708903D0/en active Pending
-
1998
- 1998-04-28 WO PCT/GB1998/001234 patent/WO1998050352A1/en not_active Ceased
- 1998-04-28 AU AU72204/98A patent/AU7220498A/en not_active Abandoned
Patent Citations (2)
| Publication number | Priority date | Publication date | Assignee | Title |
|---|---|---|---|---|
| EP0299694A2 (en) * | 1987-07-11 | 1989-01-18 | AgrEvo UK Limited | Acrylate fungicides |
| DE4439334A1 (en) * | 1994-11-04 | 1996-05-09 | Bayer Ag | Butenyl dithiocarbazonate |
Cited By (5)
| Publication number | Priority date | Publication date | Assignee | Title |
|---|---|---|---|---|
| WO2001012604A1 (en) | 1999-08-18 | 2001-02-22 | Aventis Cropscience Gmbh | Fungicides |
| US6939882B1 (en) | 1999-08-18 | 2005-09-06 | Aventis Cropsciences Gmbh | Fungicides |
| CN113321603A (en) * | 2020-02-28 | 2021-08-31 | 江苏仁明生物科技有限公司 | S-substituted-thiosemicarbazone structural compound and preparation method and application thereof |
| WO2021168903A1 (en) * | 2020-02-28 | 2021-09-02 | 江苏仁明生物科技有限公司 | S-substituted-thiosemicarbazone structure compound and preparation method and application thereof |
| CN113321603B (en) * | 2020-02-28 | 2023-04-11 | 江苏仁明生物科技有限公司 | S-substituted-thiosemicarbazone structural compound and preparation method and application thereof |
Also Published As
| Publication number | Publication date |
|---|---|
| AU7220498A (en) | 1998-11-27 |
| GB9708903D0 (en) | 1997-06-25 |
Similar Documents
| Publication | Publication Date | Title |
|---|---|---|
| EP1445251B1 (en) | Aminoacetonitrile derivative, agricultural and horticultural insecticide containing the same, and use thereof | |
| EP0299694B1 (en) | Acrylate fungicides | |
| RU2234504C2 (en) | Compounds useful as fungicides and method for fungus eradication | |
| JP4749542B2 (en) | 2-pyridylmethylamine derivatives useful as fungicides | |
| EP1204642A1 (en) | Fungicides | |
| WO1996029301A1 (en) | Fungicidal compounds | |
| US6664295B2 (en) | Fungicidal phenylamidine derivatives | |
| AU628469B2 (en) | Acrylate fungicides | |
| WO1997007099A1 (en) | Alpha-methoxymethylene or alpha-methoxyimino naphthylacetic acid derivatives and their use as fungicides | |
| WO2001000599A1 (en) | Benzamide derivatives, insecticides for agricultural and horticultural use and usage thereof | |
| US5061731A (en) | Novel n-benzyl-cyclopropanecarboxamide fungicides | |
| EP1178037B1 (en) | Fungicidal phenylimidate derivatives | |
| WO2003093228A1 (en) | Phthalamide derivative, agricultural or horticultural insecticide, and method of use thereof | |
| WO1996029305A1 (en) | Fungicidal compounds | |
| WO1998050352A1 (en) | Dithiocarbazonic acid derivatives as pesticides | |
| EP1178035B1 (en) | Fungicidal phenylimine derivatives | |
| US6933307B2 (en) | Fungicidal phenylimine derivatives | |
| JP4573075B2 (en) | Phthalic acid diamide derivatives, agricultural and horticultural insecticides and methods of use thereof | |
| WO1998004525A1 (en) | Fungicidal n-aryl five-membered cyclic imides | |
| JP2004143147A (en) | Sulfonamide derivatives, agricultural and horticultural insecticides and methods of using the same | |
| WO1999023066A1 (en) | Dithiocarbazate derivatives and their use as pesticides | |
| WO1998051673A1 (en) | Novel imidazole and pyrrole derivatives useful as fungicides | |
| GB2225011A (en) | Fungicidal acrylates | |
| JPH0748347A (en) | Diaryl derivative, antibacterial agent containing it, sterilization with it and extermination of harmful insect with it | |
| EP0416746A2 (en) | Fungicides containing an alkoxycarbonylvinyl group or an alkyloxyimino group |
Legal Events
| Date | Code | Title | Description |
|---|---|---|---|
| AK | Designated states |
Kind code of ref document: A1 Designated state(s): AU BR CA CN CZ HU ID IL JP KR MX PL RO RU TR UA US VN |
|
| AL | Designated countries for regional patents |
Kind code of ref document: A1 Designated state(s): AT BE CH CY DE DK ES FI FR GB GR IE IT LU MC NL PT SE |
|
| DFPE | Request for preliminary examination filed prior to expiration of 19th month from priority date (pct application filed before 20040101) | ||
| 121 | Ep: the epo has been informed by wipo that ep was designated in this application | ||
| NENP | Non-entry into the national phase |
Ref country code: JP Ref document number: 1998547815 Format of ref document f/p: F |
|
| 122 | Ep: pct application non-entry in european phase | ||
| NENP | Non-entry into the national phase |
Ref country code: CA |






















