WO1998024782A2 - Substituted pyrimidine compounds and their use - Google Patents
Substituted pyrimidine compounds and their use Download PDFInfo
- Publication number
- WO1998024782A2 WO1998024782A2 PCT/US1997/022390 US9722390W WO9824782A2 WO 1998024782 A2 WO1998024782 A2 WO 1998024782A2 US 9722390 W US9722390 W US 9722390W WO 9824782 A2 WO9824782 A2 WO 9824782A2
- Authority
- WO
- WIPO (PCT)
- Prior art keywords
- radicals
- amino
- alkyl
- alkoxy
- optionally substituted
- Prior art date
- Legal status (The legal status is an assumption and is not a legal conclusion. Google has not performed a legal analysis and makes no representation as to the accuracy of the status listed.)
- Ceased
Links
- 0 CCC(N(*)*)I Chemical compound CCC(N(*)*)I 0.000 description 8
- XNTSQSMGVQDMIQ-UHFFFAOYSA-N CCN1C(NCC(C)Cc2ccccc2)=NC(c2ccncc2)=C(c(cc2)ccc2F)C1=O Chemical compound CCN1C(NCC(C)Cc2ccccc2)=NC(c2ccncc2)=C(c(cc2)ccc2F)C1=O XNTSQSMGVQDMIQ-UHFFFAOYSA-N 0.000 description 1
- JIZKQNVVKBCKIA-UHFFFAOYSA-N CC[O](C)C(C(C(c1ccncc1)=O)c(cc1)ccc1F)=O Chemical compound CC[O](C)C(C(C(c1ccncc1)=O)c(cc1)ccc1F)=O JIZKQNVVKBCKIA-UHFFFAOYSA-N 0.000 description 1
- DABUXRKNQJRLFR-UHFFFAOYSA-N CC[O](C)C(Cc(cc1)ccc1F)=O Chemical compound CC[O](C)C(Cc(cc1)ccc1F)=O DABUXRKNQJRLFR-UHFFFAOYSA-N 0.000 description 1
- MKUSESJNNKQJKT-UHFFFAOYSA-N CC[O](C)C(c1ccncc1)=O Chemical compound CC[O](C)C(c1ccncc1)=O MKUSESJNNKQJKT-UHFFFAOYSA-N 0.000 description 1
- IVCPHVGIOAHVNK-RVDMUPIBSA-N CN(C)/C=C(/C(c1ccncc1)=O)\c(cc1)ccc1F Chemical compound CN(C)/C=C(/C(c1ccncc1)=O)\c(cc1)ccc1F IVCPHVGIOAHVNK-RVDMUPIBSA-N 0.000 description 1
- XQMCQECVZZXKEJ-MRVPVSSYSA-N CNCC[C@@H](CC1)CC=C1Br Chemical compound CNCC[C@@H](CC1)CC=C1Br XQMCQECVZZXKEJ-MRVPVSSYSA-N 0.000 description 1
- AXVZFRBSCNEKPQ-UHFFFAOYSA-N CNCCc(cc1)ccc1O Chemical compound CNCCc(cc1)ccc1O AXVZFRBSCNEKPQ-UHFFFAOYSA-N 0.000 description 1
- UAMKLRDJWTWGBE-PSASIEDQSA-N C[C@H](CN)[C@H](c1ccccc1)N Chemical compound C[C@H](CN)[C@H](c1ccccc1)N UAMKLRDJWTWGBE-PSASIEDQSA-N 0.000 description 1
- LHLSGSPSOSTKCH-UHFFFAOYSA-N Fc(cc1)ccc1-c(cn1)c(-c2ccncc2)nc1Cl Chemical compound Fc(cc1)ccc1-c(cn1)c(-c2ccncc2)nc1Cl LHLSGSPSOSTKCH-UHFFFAOYSA-N 0.000 description 1
- GPHQHTOMRSGBNZ-UHFFFAOYSA-N N#Cc1ccncc1 Chemical compound N#Cc1ccncc1 GPHQHTOMRSGBNZ-UHFFFAOYSA-N 0.000 description 1
- WCDSVWRUXWCYFN-UHFFFAOYSA-N Nc(cc1)ccc1S Chemical compound Nc(cc1)ccc1S WCDSVWRUXWCYFN-UHFFFAOYSA-N 0.000 description 1
- GHHCTVFKRFQKNX-UHFFFAOYSA-N Nc1ncc(C(CC2)=CC=C2F)c(-c2ccncc2)n1 Chemical compound Nc1ncc(C(CC2)=CC=C2F)c(-c2ccncc2)n1 GHHCTVFKRFQKNX-UHFFFAOYSA-N 0.000 description 1
- SWLMSOXBPVFLNF-UHFFFAOYSA-N O=C(Cc(cc1)ccc1F)c1ccncc1 Chemical compound O=C(Cc(cc1)ccc1F)c1ccncc1 SWLMSOXBPVFLNF-UHFFFAOYSA-N 0.000 description 1
- GAVMJXOPBQLFBJ-UHFFFAOYSA-N O=C1NC(c2ccncc2)=NC(c2ccncc2)=C1c1ccccc1 Chemical compound O=C1NC(c2ccncc2)=NC(c2ccncc2)=C1c1ccccc1 GAVMJXOPBQLFBJ-UHFFFAOYSA-N 0.000 description 1
Classifications
-
- C—CHEMISTRY; METALLURGY
- C07—ORGANIC CHEMISTRY
- C07D—HETEROCYCLIC COMPOUNDS
- C07D401/00—Heterocyclic compounds containing two or more hetero rings, having nitrogen atoms as the only ring hetero atoms, at least one ring being a six-membered ring with only one nitrogen atom
- C07D401/02—Heterocyclic compounds containing two or more hetero rings, having nitrogen atoms as the only ring hetero atoms, at least one ring being a six-membered ring with only one nitrogen atom containing two hetero rings
- C07D401/04—Heterocyclic compounds containing two or more hetero rings, having nitrogen atoms as the only ring hetero atoms, at least one ring being a six-membered ring with only one nitrogen atom containing two hetero rings directly linked by a ring-member-to-ring-member bond
-
- A—HUMAN NECESSITIES
- A61—MEDICAL OR VETERINARY SCIENCE; HYGIENE
- A61P—SPECIFIC THERAPEUTIC ACTIVITY OF CHEMICAL COMPOUNDS OR MEDICINAL PREPARATIONS
- A61P1/00—Drugs for disorders of the alimentary tract or the digestive system
- A61P1/04—Drugs for disorders of the alimentary tract or the digestive system for ulcers, gastritis or reflux esophagitis, e.g. antacids, inhibitors of acid secretion, mucosal protectants
-
- A—HUMAN NECESSITIES
- A61—MEDICAL OR VETERINARY SCIENCE; HYGIENE
- A61P—SPECIFIC THERAPEUTIC ACTIVITY OF CHEMICAL COMPOUNDS OR MEDICINAL PREPARATIONS
- A61P1/00—Drugs for disorders of the alimentary tract or the digestive system
- A61P1/18—Drugs for disorders of the alimentary tract or the digestive system for pancreatic disorders, e.g. pancreatic enzymes
-
- A—HUMAN NECESSITIES
- A61—MEDICAL OR VETERINARY SCIENCE; HYGIENE
- A61P—SPECIFIC THERAPEUTIC ACTIVITY OF CHEMICAL COMPOUNDS OR MEDICINAL PREPARATIONS
- A61P11/00—Drugs for disorders of the respiratory system
-
- A—HUMAN NECESSITIES
- A61—MEDICAL OR VETERINARY SCIENCE; HYGIENE
- A61P—SPECIFIC THERAPEUTIC ACTIVITY OF CHEMICAL COMPOUNDS OR MEDICINAL PREPARATIONS
- A61P11/00—Drugs for disorders of the respiratory system
- A61P11/16—Central respiratory analeptics
-
- A—HUMAN NECESSITIES
- A61—MEDICAL OR VETERINARY SCIENCE; HYGIENE
- A61P—SPECIFIC THERAPEUTIC ACTIVITY OF CHEMICAL COMPOUNDS OR MEDICINAL PREPARATIONS
- A61P17/00—Drugs for dermatological disorders
-
- A—HUMAN NECESSITIES
- A61—MEDICAL OR VETERINARY SCIENCE; HYGIENE
- A61P—SPECIFIC THERAPEUTIC ACTIVITY OF CHEMICAL COMPOUNDS OR MEDICINAL PREPARATIONS
- A61P17/00—Drugs for dermatological disorders
- A61P17/06—Antipsoriatics
-
- A—HUMAN NECESSITIES
- A61—MEDICAL OR VETERINARY SCIENCE; HYGIENE
- A61P—SPECIFIC THERAPEUTIC ACTIVITY OF CHEMICAL COMPOUNDS OR MEDICINAL PREPARATIONS
- A61P19/00—Drugs for skeletal disorders
- A61P19/02—Drugs for skeletal disorders for joint disorders, e.g. arthritis, arthrosis
-
- A—HUMAN NECESSITIES
- A61—MEDICAL OR VETERINARY SCIENCE; HYGIENE
- A61P—SPECIFIC THERAPEUTIC ACTIVITY OF CHEMICAL COMPOUNDS OR MEDICINAL PREPARATIONS
- A61P19/00—Drugs for skeletal disorders
- A61P19/06—Antigout agents, e.g. antihyperuricemic or uricosuric agents
-
- A—HUMAN NECESSITIES
- A61—MEDICAL OR VETERINARY SCIENCE; HYGIENE
- A61P—SPECIFIC THERAPEUTIC ACTIVITY OF CHEMICAL COMPOUNDS OR MEDICINAL PREPARATIONS
- A61P19/00—Drugs for skeletal disorders
- A61P19/08—Drugs for skeletal disorders for bone diseases, e.g. rachitism, Paget's disease
-
- A—HUMAN NECESSITIES
- A61—MEDICAL OR VETERINARY SCIENCE; HYGIENE
- A61P—SPECIFIC THERAPEUTIC ACTIVITY OF CHEMICAL COMPOUNDS OR MEDICINAL PREPARATIONS
- A61P19/00—Drugs for skeletal disorders
- A61P19/08—Drugs for skeletal disorders for bone diseases, e.g. rachitism, Paget's disease
- A61P19/10—Drugs for skeletal disorders for bone diseases, e.g. rachitism, Paget's disease for osteoporosis
-
- A—HUMAN NECESSITIES
- A61—MEDICAL OR VETERINARY SCIENCE; HYGIENE
- A61P—SPECIFIC THERAPEUTIC ACTIVITY OF CHEMICAL COMPOUNDS OR MEDICINAL PREPARATIONS
- A61P21/00—Drugs for disorders of the muscular or neuromuscular system
-
- A—HUMAN NECESSITIES
- A61—MEDICAL OR VETERINARY SCIENCE; HYGIENE
- A61P—SPECIFIC THERAPEUTIC ACTIVITY OF CHEMICAL COMPOUNDS OR MEDICINAL PREPARATIONS
- A61P25/00—Drugs for disorders of the nervous system
-
- A—HUMAN NECESSITIES
- A61—MEDICAL OR VETERINARY SCIENCE; HYGIENE
- A61P—SPECIFIC THERAPEUTIC ACTIVITY OF CHEMICAL COMPOUNDS OR MEDICINAL PREPARATIONS
- A61P25/00—Drugs for disorders of the nervous system
- A61P25/04—Centrally acting analgesics, e.g. opioids
-
- A—HUMAN NECESSITIES
- A61—MEDICAL OR VETERINARY SCIENCE; HYGIENE
- A61P—SPECIFIC THERAPEUTIC ACTIVITY OF CHEMICAL COMPOUNDS OR MEDICINAL PREPARATIONS
- A61P25/00—Drugs for disorders of the nervous system
- A61P25/28—Drugs for disorders of the nervous system for treating neurodegenerative disorders of the central nervous system, e.g. nootropic agents, cognition enhancers, drugs for treating Alzheimer's disease or other forms of dementia
-
- A—HUMAN NECESSITIES
- A61—MEDICAL OR VETERINARY SCIENCE; HYGIENE
- A61P—SPECIFIC THERAPEUTIC ACTIVITY OF CHEMICAL COMPOUNDS OR MEDICINAL PREPARATIONS
- A61P27/00—Drugs for disorders of the senses
- A61P27/16—Otologicals
-
- A—HUMAN NECESSITIES
- A61—MEDICAL OR VETERINARY SCIENCE; HYGIENE
- A61P—SPECIFIC THERAPEUTIC ACTIVITY OF CHEMICAL COMPOUNDS OR MEDICINAL PREPARATIONS
- A61P29/00—Non-central analgesic, antipyretic or antiinflammatory agents, e.g. antirheumatic agents; Non-steroidal antiinflammatory drugs [NSAID]
-
- A—HUMAN NECESSITIES
- A61—MEDICAL OR VETERINARY SCIENCE; HYGIENE
- A61P—SPECIFIC THERAPEUTIC ACTIVITY OF CHEMICAL COMPOUNDS OR MEDICINAL PREPARATIONS
- A61P3/00—Drugs for disorders of the metabolism
- A61P3/08—Drugs for disorders of the metabolism for glucose homeostasis
- A61P3/10—Drugs for disorders of the metabolism for glucose homeostasis for hyperglycaemia, e.g. antidiabetics
-
- A—HUMAN NECESSITIES
- A61—MEDICAL OR VETERINARY SCIENCE; HYGIENE
- A61P—SPECIFIC THERAPEUTIC ACTIVITY OF CHEMICAL COMPOUNDS OR MEDICINAL PREPARATIONS
- A61P31/00—Antiinfectives, i.e. antibiotics, antiseptics, chemotherapeutics
- A61P31/12—Antivirals
-
- A—HUMAN NECESSITIES
- A61—MEDICAL OR VETERINARY SCIENCE; HYGIENE
- A61P—SPECIFIC THERAPEUTIC ACTIVITY OF CHEMICAL COMPOUNDS OR MEDICINAL PREPARATIONS
- A61P35/00—Antineoplastic agents
-
- A—HUMAN NECESSITIES
- A61—MEDICAL OR VETERINARY SCIENCE; HYGIENE
- A61P—SPECIFIC THERAPEUTIC ACTIVITY OF CHEMICAL COMPOUNDS OR MEDICINAL PREPARATIONS
- A61P35/00—Antineoplastic agents
- A61P35/02—Antineoplastic agents specific for leukemia
-
- A—HUMAN NECESSITIES
- A61—MEDICAL OR VETERINARY SCIENCE; HYGIENE
- A61P—SPECIFIC THERAPEUTIC ACTIVITY OF CHEMICAL COMPOUNDS OR MEDICINAL PREPARATIONS
- A61P37/00—Drugs for immunological or allergic disorders
- A61P37/02—Immunomodulators
- A61P37/06—Immunosuppressants, e.g. drugs for graft rejection
-
- A—HUMAN NECESSITIES
- A61—MEDICAL OR VETERINARY SCIENCE; HYGIENE
- A61P—SPECIFIC THERAPEUTIC ACTIVITY OF CHEMICAL COMPOUNDS OR MEDICINAL PREPARATIONS
- A61P37/00—Drugs for immunological or allergic disorders
- A61P37/08—Antiallergic agents
-
- A—HUMAN NECESSITIES
- A61—MEDICAL OR VETERINARY SCIENCE; HYGIENE
- A61P—SPECIFIC THERAPEUTIC ACTIVITY OF CHEMICAL COMPOUNDS OR MEDICINAL PREPARATIONS
- A61P7/00—Drugs for disorders of the blood or the extracellular fluid
-
- A—HUMAN NECESSITIES
- A61—MEDICAL OR VETERINARY SCIENCE; HYGIENE
- A61P—SPECIFIC THERAPEUTIC ACTIVITY OF CHEMICAL COMPOUNDS OR MEDICINAL PREPARATIONS
- A61P9/00—Drugs for disorders of the cardiovascular system
- A61P9/10—Drugs for disorders of the cardiovascular system for treating ischaemic or atherosclerotic diseases, e.g. antianginal drugs, coronary vasodilators, drugs for myocardial infarction, retinopathy, cerebrovascula insufficiency, renal arteriosclerosis
-
- C—CHEMISTRY; METALLURGY
- C07—ORGANIC CHEMISTRY
- C07D—HETEROCYCLIC COMPOUNDS
- C07D401/00—Heterocyclic compounds containing two or more hetero rings, having nitrogen atoms as the only ring hetero atoms, at least one ring being a six-membered ring with only one nitrogen atom
- C07D401/14—Heterocyclic compounds containing two or more hetero rings, having nitrogen atoms as the only ring hetero atoms, at least one ring being a six-membered ring with only one nitrogen atom containing three or more hetero rings
-
- C—CHEMISTRY; METALLURGY
- C07—ORGANIC CHEMISTRY
- C07D—HETEROCYCLIC COMPOUNDS
- C07D409/00—Heterocyclic compounds containing two or more hetero rings, at least one ring having sulfur atoms as the only ring hetero atoms
- C07D409/14—Heterocyclic compounds containing two or more hetero rings, at least one ring having sulfur atoms as the only ring hetero atoms containing three or more hetero rings
-
- C—CHEMISTRY; METALLURGY
- C07—ORGANIC CHEMISTRY
- C07D—HETEROCYCLIC COMPOUNDS
- C07D487/00—Heterocyclic compounds containing nitrogen atoms as the only ring hetero atoms in the condensed system, not provided for by groups C07D451/00 - C07D477/00
- C07D487/02—Heterocyclic compounds containing nitrogen atoms as the only ring hetero atoms in the condensed system, not provided for by groups C07D451/00 - C07D477/00 in which the condensed system contains two hetero rings
- C07D487/04—Ortho-condensed systems
Definitions
- the present invention comprises a new class of compounds useful in treating diseases, such as TNF- ⁇ , IL-l ⁇ , IL-6 and/or IL-8 mediated diseases and other maladies, such as pain and diabetes.
- diseases such as TNF- ⁇ , IL-l ⁇ , IL-6 and/or IL-8 mediated diseases and other maladies, such as pain and diabetes.
- the compounds of the invention are useful for the prophylaxis and treatment of diseases or conditions involving inflammation.
- This invention also relates to intermediates and processes useful in the preparation of such compounds.
- TNF- ⁇ are pro-inflammatory cytokines secreted by a variety of cells, including monocytes and macrophages , in response to many inflammatory stimuli (e . g. , lipopolysaccharide - LPS) or external cellular stress (e.g., osmotic shock and peroxide) .
- inflammatory stimuli e.g. , lipopolysaccharide - LPS
- external cellular stress e.g., osmotic shock and peroxide
- Elevated levels of TNF- ⁇ and/or IL-1 over basal levels have been implicated in mediating or exacerbating a number of disease states including rheumatoid arthritis; Pagets disease; osteophorosis; multiple myeloma; uveititis; acute and chronic myelogenous leukemia; pancreatic ⁇ cell destruction; osteoarthritis ; rheumatoid spondylitis; gouty arthritis; inflammatory bowel disease; adult respiratory distress syndrome (ARDS) ; psoriasis; Crohn's disease; allergic rhinitis; ulcerative colitis; anaphylaxis; contact dermatitis; asthma; muscle degeneration; cachexia; Reiter's syndrome; type I and type II diabetes; bone resorption diseases; graft vs.
- ARDS adult respiratory distress syndrome
- HIV-1, HIV-2, HIV-3, cytomegalovirus (CMV), influenza, adenovirus, the herpes viruses (including HSV-1, HSV-2) , and herpes zoster are also exacerbated by TNF- ⁇ .
- TNF- ⁇ plays a role in head trauma, stroke, and ischemia.
- TNF- ⁇ levels increased in the contused hemisphere (Shohami et al . , J " . Cereb . Blood Flow Metab . 14, 615 (1994)).
- the levels of TNF- ⁇ mRNA of TNF- ⁇ increased (Feurstein et al . , Neurosci . Lett . 164, 125 (1993)).
- Administration of TNF- ⁇ into the rat cortex has been reported to result in significant neutrophil accumulation in capillaries and adherence in small blood vessels.
- TNF- ⁇ promotes the infiltration of other cytokines (IL-l ⁇ , IL-6) and also chemokines, which promote neutrophil infiltration into the infarct area (Feurstein, Stroke 25, 1481 (1994)). TNF- ⁇ has also been implicated to play a role in type II diabetes (Endocrinol. 130, 43-52, 1994; and Endocrinol . 136, 1474-1481, 1995) .
- TNF- ⁇ appears to play a role in promoting certain viral life cycles and disease states associated with them. For instance, TNF- ⁇ secreted by monocytes induced elevated levels of HIV expression in a chronically infected T cell clone (Clouse et al . , J. Immunol . 142, 431 (1989)). Lahdevirta et al . , (Am . J. Med. 85, 289
- TNF- ⁇ is upstream in the cytokine cascade of inflammation.
- elevated levels of TNF- ⁇ may lead to elevated levels of other inflammatory and proinflammatory cytokines, such as IL-1, IL-6, and IL-8.
- Elevated levels of IL-1 over basal levels have been implicated in mediating or exacerbating a number of disease states including rheumatoid arthritis; osteoarthritis; rheumatoid spondylitis; gouty arthritis; inflammatory bowel disease; adult respiratory distress syndrome (ARDS) ; psoriasis; Crohn's disease; ulcerative colitis; anaphylaxis; muscle degeneration; cachexia; Reiter's syndrome; type I and type II diabetes; bone resorption diseases; ischemia reperfusion injury; atherosclerosis; brain trauma; multiple sclerosis; sepsis; septic shock; and toxic shock syndrome.
- Viruses sensitive to TNF- ⁇ inhibition e . g. , HIV-1, HIV-2, HIV- 3, are also affected by IL-1.
- TNF- ⁇ and IL-1 appear to play a role in pancreatic ⁇ cell destruction and diabetes.
- Pancreatic ⁇ cells produce insulin which helps mediate blood glucose homeostasis. Deterioration of pancreatic ⁇ cells often accompanies type I diabetes. Pancreatic ⁇ cell functional abnormalities may occur in patients with type II diabetes. Type II diabetes is characterized by a functional resistance to insulin. Further, type II diabetes is also often accompanied by elevated levels of plasma glucagon and increased rates of hepatic glucose production.
- Glucagon is a regulatory hormone that attenuates liver gluconeogenesis inhibition by insulin. Glucagon receptors have been found in the liver, kidney and adipose tissue.
- glucagon antagonists are useful for attenuating plasma glucose levels (WO 97/16442, incorporated herein by reference in its entirety). By antagonizing the glucagon receptors, it is thought that insulin responsiveness in the liver will improve, thereby decreasing gluconeogenesis and lowering the rate of hepatic glucose production.
- IL-1 is a more potent inducer of stromelysin than is TNF- ⁇ (Firestein, Am. J. Pathol . 140, 1309 (1992)). At sites of local injection, neutrophil, lymphocyte, and monocyte emigration has been observed.
- IL-1 chemokines
- IL-8 chemokines
- adhesion molecules adhesion molecules
- IL-1 also appears to play a role in promoting certain viral life cycles.
- cytokine- induced increase of HIV expression in a chronically infected acrophage line has been associated with a concomitant and selective increase in IL-1 production (Folks et al., J “ . Immunol . 136, 40 (1986)).
- Beutler et al. J. Immunol . 135, 3969 (1985) discussed the role of IL-1 in cachexia.
- IL-8 has been implicated in exacerbating and/or causing many disease states in which massive neutrophil infiltration into sites of inflammation or injury (e.g., ischemia) is mediated by the chemotactic nature of IL-8, including, but not limited to, the following: asthma, inflammatory bowel disease, psoriasis, adult respiratory distress syndrome, cardiac and renal reperfusion injury, thrombosis and glomerulonephritis .
- IL-8 also has the ability to activate neutrophils.
- reduction in IL- 8 levels may lead to diminished neutrophil infiltration.
- TNF- ⁇ Several approaches have been taken to block the effect of TNF- ⁇ .
- TNF- ⁇ soluble receptors for TNF- ⁇
- TNFR-55 or TNFR-75 soluble receptors for TNF- ⁇
- cA2 monoclonal antibody specific to TNF- ⁇
- R a x is 2-, 3-, or 4-pyridyl
- R a 2 is H, methyl, or phenyl
- R a 3 is H, amino
- WO 97/33883 describes substituted pyrimidine compounds useful in treating cytokine mediated diseases.
- the present invention comprises a new class of compounds useful in the prophylaxis and treatment of diseases, such as TNF- ⁇ , IL-l ⁇ , IL-6 and/or IL-8 mediated diseases and other maladies, such as pain and diabetes.
- diseases such as TNF- ⁇ , IL-l ⁇ , IL-6 and/or IL-8 mediated diseases and other maladies, such as pain and diabetes.
- the compounds of the invention are useful for the prophylaxis and treatment of diseases or conditions involving inflammation.
- the invention also comprises pharmaceutical compositions comprising the compounds, methods for the prophylaxis and treatment of TNF- ⁇ , IL-l ⁇ , IL-6 and/or IL-8 mediated diseases, such as inflammatory, pain and diabetes diseases, using the compounds and compositions of the invention, and intermediates and processes useful for the preparation of the compounds of the invention.
- the compounds of the invention are represented by the following general structure:
- R 1 , R 2 , R 11 and R 12 are defined below.
- R l and R 2 are each independently -Z-Y, provided that (1) the total number of aryl, heteroaryl, cycloalkyl and heterocyclyl radicals in each -Z-Y is 0-3; preferably, 0-2; more preferably, 0-1; and (2) the combined total number of aryl, heteroaryl, cycloalkyl and heterocyclyl radicals in Ri and R 2 is 0-4; preferably, 0-3; more preferably, 0-2; most preferably, 0-1;
- R 2 is a radical of hydrogen, C 1 -C 4 alkyl , halo, hydroxy, C 1 -C 4 alkoxy, C 1 -C 2 haloalkoxy of 1-3 halo radicals, thiol, C 1 -C 4 alkylthio, aminosulfonyl, C 1 -C 4 alkylaminosulfonyl, di- (C 1 -C 4 alkyl) aminosulfonyl, amino, C 1 -C 4 alkylamino, di- (C 1 -C 4 alkyl) amino, C 1 -C 5 alkanoylamino, (C 1 -C 4 alkoxy) carbonylamino, C 1 -C 4 alkylsulfonylamino or C 1 -C 2 haloalkyl of 1-3 halo radicals;
- R 2 is a radical of hydrogen, C 1 -C 4 alkyl, halo, hydroxy, C 1 -C 4 alkoxy, trifluoromethoxy, thiol, C 1 -C 4 alkylthio, amino, C 1 -C 4 alkylamino, di- (Cj_- C 4 alkyl) amino, C1 .
- R 2 is a radical of hydrogen, methyl, ethyl, fluoro, chloro, hydroxy, methoxy, trifluoromethoxy, amino, methylamino, dimethylamino , acetylamino or trifluoromethyl; and most preferably, R 2 is a radical of hydrogen or hydroxy;
- alkyl, alkenyl or alkynyl radical optionally substituted by (a) 1-3 radicals of amino, alkylamino, dialkylamino, alkanoylamino, alkoxycarbonylammo, alkylsulfonylamino, hydroxy, alkoxy, alkylthio or halo, and (b) 1-2 radicals of heterocyclyl, aryl or heteroaryl optionally substituted by 1-3 radicals of amino, alkylamino, dialkylamino, alkanoylamino, alkoxycarbonylammo, alkylsulfonylamino, hydroxy, alkoxy, alkylthio, halo, alkyl or haloalkyl;
- heterocyclyl radical optionally substituted by 1-3 radicals of amino, alkylamino, dialkylamino, alkanoylamino, alkoxycarbonylamino, alkylsulfonylamino, hydroxy, alkoxy, alkylthio, alkyl or haloalkyl; or
- aryl or heteroaryl radical optionally substituted by 1-3 radicals of amino, alkylamino, dialkylamino, alkanoylamino, alkoxycarbonylamino, alkylsulfonylamino, hydroxy, alkoxy, alkylthio, cyano, halo, alkyl or haloalkyl;
- each Z is independently a (1) bond; (2) Ci-C ⁇ alkyl, C 2 -C 8 alkenyl or C 2 -C 8 alkynyl radical optionally substituted by 1-3 radicals of amino, C 3. -C4 alkylamino, di- (C 1 -C 4 alkyl) amino, C 1 -C 5 alkanoylamino,
- heterocyclyl radical optionally substituted by 1-3 radicals of amino, C1.-C4 alkylamino, di- (C1-C4 alkyl) amino, C1-C5 alkanoylamino, (C1-C4 alkoxy) carbonylamino, C1-C4 alkylsulfonylamino, hydroxy,
- each Z is independently a
- each Z is independently a (1) bond; (2) C 1 -C 8 alkyl or C 2 -C 8 alkenyl radical optionally substituted by 1-3 radicals of amino, C 1 -C 4 alkylamino, di-(C ⁇ -C 4 alkyl) amino, C 1 -C 5 alkanoylamino, (C 1 -C 4 alkoxy) carbonylamino, hydroxy, C 1 -C 4 alkoxy, C 1 -C 4 alkylthio or halo, and (b) 1-2 radicals of heterocyclyl, aryl or heteroaryl optionally substituted by 1-3 radicals of amino, C 1 -C 4 alkylamino, di- (C 1 -C 4 alkyl) amino, C 1 -C 5 alkanoylamino, (C 1 -C 4 alkoxy) carbonylamino, hydroxy, C 1 -C 4 alkoxy, C 1 -C 4 alkylthio, halo, C 1
- heterocyclyl radical optionally substituted by 1-2 radicals of amino, di-(C ⁇ -C 4 alkyl) amino, (C 1 -C 4 alkoxy) carbonylamino, hydroxy, C 1 -C 4 alkoxy, C 1 -C 4 alkylthio or C 1 -C 4 alkyl radicals; or (4) aryl or heteroaryl radical optionally substituted by 1-3 radicals of amino, C 1 -C 4 alkylamino, di- (C 1 -C 4 alkyl) amino, C 1 -C 5 alkanoylamino, (C 1 -C 4 alkoxy) carbonylamino, C 1 -C 4 alkylsulfonylamino, hydroxy, C 1 -C 4 alkoxy, C 1 -C 4 alkylthio, cyano, halo, C1-C 4 alkyl or C 1 -C 2 haloalkyl of 1-3 halo radicals;
- each Z is independently a
- C 1 -C 4 alkyl or C 2 -C 5 alkenyl radical optionally substituted by 1-3 radicals of amino, di- (C1-C 2 alkyl) amino, C 1 -C 5 alkanoylamino, (C 1 -C 4 alkoxy) carbonylamino, hydroxy, C 1 -C 2 alkoxy, C 1 -C 2 alkylthio or halo, and (b) 1-2 radicals of heterocyclyl, aryl or heteroaryl optionally substituted by 1-3 radicals of amino, C 1 -C 4 alkylamino, di- (C 1 -C 2 alkyl) amino, C 1 -C 5 alkanoylamino, (C 1 -C 4 alkoxy) carbonylamino, hydroxy, C 1 -C 4 alkoxy, C 1 -C 4 alkylthio, halo, C 1 -C 4 alkyl or trifluoromethyl radicals; (3) heterocyclyl radical optionally substitute
- each Z is independently a
- C 1 -C 4 alkyl or C 2 -C 5 alkenyl radical optionally substituted by 1-3 radicals of amino, di- (C1-C 2 alkyl) amino, (C 1 -C 4 alkoxy) carbonylamino, hydroxy, C 1 -C 2 alkoxy, C 1 -C 2 alkylthio or halo, and (b) 1-2 radicals of aryl or heteroaryl optionally substituted by 1-2 radicals of amino, di- (C 1 -C 2 alkyl) amino, acetamido, (C1-C4 alkoxy) carbonylamino, hydroxy, C1-C2 alkoxy, C1-C2 alkylthio, halo, C 1 -C 4 alkyl or trifluoromethyl radicals; or
- each Z is independently a radical of amino, di-(C ⁇ -C 2 alkyl) amino, acetamido, (C 1 -C 4 alkoxy) carbonylamino, hydroxy, C 1 -C 2 alkoxy, C1-C2 alkylthio, cyano, halo, C 1 -C 4 alkyl or trifluoromethyl radicals; more preferably, each Z is independently a radical of amino, di-(C ⁇ -C 2 alkyl) amino, acetamido, (C 1 -C 4 alkoxy) carbonylamino, hydroxy, C 1 -C 2 alkoxy, C1-C2 alkylthio, cyano, halo, C 1 -C 4 alkyl or trifluoromethyl radicals; more preferably, each Z is independently a radicals of amino, di-(C ⁇ -C 2 alkyl) amino, acetamido, (C 1 -C 4 alkoxy) carbonylamino,
- C1-C4 alkyl radical optionally substituted by 1-2 radicals of amino, di- (C1-C2 alkyl) amino, (C1-C4 alkoxy) carbonylamino, hydroxy, C1-C2 alkoxy, C1-C2 alkylthio, halo or aryl or heteroaryl optionally substituted by 1-2 radicals of hydroxy, C1-C2 alkoxy, C1-C2 alkylthio, halo, C1-C4 alkyl or trifluoromethyl radicals; and
- each Z is independently a
- C1-C4 alkyl radical optionally substituted by 1-2 radicals of amino, t-butoxycarbonylamino, dimethylamino, hydroxy, methoxy, methylthio or halo radicals;
- each Y is independently a (1) hydrogen radical; (2) halo or nitro radical;
- each Y is independently a
- each Y is independently a
- each Y is independently a
- each Y is independently a
- each Y is independently a -OR 21 , -SR 21 or -NR 5 R 21 radical;
- alkyl, alkenyl or alkynyl radicals optionally substituted by 1-3 radicals of amino, alkylamino, dialkylamino, hydroxy, alkoxy, alkylthio, -S0 3 H or halo; or (3) aryl, heteroaryl, aralkyl, heteroaralkyl, heterocyclyl, heterocyclylalkyl, cycloalkyl or cycloalkylalkyl radicals optionally substituted by 1-3 radicals of amino, alkylamino, dialkylamino, hydroxy, alkoxy, alkylthio, alkyl or haloalkyl;
- each R5 is independently
- each R5 is independently
- each R5 is independently (1) hydrogen radicals
- C1-C4 alkyl or C2-C5 alkenyl radicals optionally substituted by 1-3 radicals of amino, di- (C1-C4- alkyl) amino, hydroxy, C1-C4 alkoxy, C1-C4 alkylthio, - SO 3 H or halo; or
- each R5 is independently (1) hydrogen radical; (2) C1-C4 alkyl radical optionally substituted by 1-3 radicals of amino, di- (C]_-C2-alkyl) amino, hydroxy, C1-C2 alkoxy, C1-C2 alkylthio or halo; or (3) phenyl-C ⁇ -C 2 -alkyl, heteroaryl-C ⁇ -C2-alkyl, heterocyclyl-C ⁇ -C2-alkyl or C3-C6-cycloalkyl-C ⁇ -C2-alkyl radicals optionally substituted by 1-3 radicals of amino, di- (C ⁇ C2-alkyl) amino, hydroxy, C1-C2 alkoxy, C ⁇ C2 alkylthio, methoxy, methylthio, C1-C4 alkyl or trifluoromethyl radicals;
- each R5 is independently
- each R5 is independently hydrogen or C1-C4 alkyl radical; and most preferably, each R5 is a hydrogen radical; wherein each R 20 is independently
- alkyl, alkenyl or alkynyl radicals optionally substituted by 1-3 radicals of amino, alkylamino, dialkylamino, alkanoylamino, alkoxycarbonylamino, N- (alkoxycarbonyl ) -N- (alkyl ) amino , aminocarbonylamino , alkylsulfonylamino, hydroxy, alkoxy, alkylthio, alkylsulfinyl, alkylsulfonyl, halo or aralkoxy, aralkylthio, aralkylsulfonyl, cycloalkyl, heterocyclyl, aryl or heteroaryl radicals optionally substituted by 1- 3 radicals of amino, alkylamino, dialkylamino, alkanoylamino, alkoxycarbonylamino, alkylsulfonylamino, alkanoyl, hydroxy, alkoxy, alkyl
- each R 20 s independently
- heterocyclyl radical optionally substituted by 1-3 radicals of amino, C1-C4 alkylamino, di- (C1-C4 alkyl) amino, C1-C5 alkanoylamino, (C1-C4 alkoxy) carbonylamino, C1-C4 alkylsulfonylamino, hydroxy, C1-C4 alkoxy, C1-C4 alkylthio, C1-C4 alkyl or C1-C4 haloalkyl of 1-3 halo radicals; or
- aryl or heteroaryl radicals optionally substituted by 1-3 radicals of amino, C1-C4 alkylamino, di-(C ⁇ -C4 alkyl) amino, C3.-C5 alkanoylamino, (C1-C4 alkoxy) carbonylamino, C1-C4 alkylsulfonylamino, (C1-C4 alkoxy) carbonyl, hydroxy, C1-C4 alkoxy, C1-C4 alkylthio, cyano, halo, azido, C1-C4 alkyl or C1-C4 haloalkyl of 1-3 halo radicals;
- each R20 is independently
- heterocyclyl radical optionally substituted by 1-3 radicals of amino, C 1 -C 4 alkylamino, di- (C 1 -C 4 alkyl) amino, C 1 -C 5 alkanoylamino, (C 1 -C 4 alkoxy) carbonylamino, C 1 -C 4 alkylsulfonylamino, hydroxy, C 1 -C 4 alkoxy, C 1 -C 4 alkylthio, C 1 -C 4 alkyl or C 1 -C 4 haloalkyl of 1-3 halo radicals; or
- aryl or heteroaryl radicals optionally substituted by 1-3 radicals of amino, C 1 -C 4 alkylamino, di- (C 1 -C 4 alkyl) amino, C 1 -C 5 alkanoylamino, (C 1 -C4 alkoxy) carbonylamino, C 1 -C 4 alkylsulfonylamino, (C 1 -C4 alkoxy) carbonyl, hydroxy, C 1 -C 4 alkoxy, C 1 -C 4 alkylthio, cyano, halo, azido, C 1 -C 4 alkyl or C 1 -C 4 haloalkyl of 1- 3 halo radicals;
- each R 20 is independently (1) C 1 -C 8 alkyl or C 2 -C 5 alkenyl radicals optionally substituted by 1-3 radicals of amino, C3.-C 4 alkylamino, di-(C ⁇ -C 4 alkyl) amino, C 1 -C 5 alkanoylamino, (C1-C4 alkoxy) carbonylamino, N-((C ⁇ -C 4 alkoxy) carbonyl) -N- (C1-C4 alkyl) amino, aminocarbonylamino, hydroxy, C 1 -C 4 alkoxy, C 1 -C 4 alkylthio, C 1 -C 4 alkylsulfinyl, C1-C 4 alkylsulfonyl, halo or aryl-C ⁇ -C 4 -alkoxy, aryl-C ⁇ -C4- alkylthio, aryl-C ⁇ -C 4 -alkylsulfonyl, C 3 -
- aryl or heteroaryl radicals optionally substituted by 1-3 radicals of amino, C 1 -C 4 alkylamino, di-(C ⁇ -C 4 alkyl) amino, C 1 -C 5 alkanoylamino, (C 1 -C 4 alkoxy) carbonylamino, C 1 -C 4 alkylsulfonylamino, (C 1 -C 4 alkoxy) carbonyl, hydroxy, C 1 -C 4 alkoxy, C 1 -C 4 alkylthio, cyano, halo, azido, C 1 -C 4 alkyl or C 1 -C 2 haloalkyl of 1-3 halo radicals;
- each R 20 is independently (1) C 1 -C 8 alkyl or C 2 -C 5 alkenyl radicals optionally substituted by 1-3 radicals of amino, C 1 -C 4 alkylamino, di-(C ⁇ -C4 alkyl) amino, C 1 -C 5 alkanoylamino, (C 1 -C 4 alkoxy) carbonylamino, N-((C ⁇ -C 4 alkoxy) carbonyl) -N- (C 1 -C4 alkyl) amino, aminocarbonylamino, hydroxy, C 1 -C 4 alkoxy, C 1 -C 4 alkylthio, C 1 -C 4 alkylsulfinyl, C 1 -C 4 alkylsulfonyl, halo or aryl-C ⁇ -C 4 -alkoxy, aryl-C ⁇ -C 4 - alkylthio, aryl-C ⁇ -C 4 -alkylsulfonyl
- each R20 is independently substituted by 1-2 radicals of amino, di- (C 1 -C 4 alkyl) amino, (C 1 -C 4 alkoxy) carbonylamino, hydroxy, C1 . -C 4 alkoxy, C 1 -C 4 alkylthio or C 1 -C 4 alkyl; or (3) aryl or heteroaryl radicals optionally substituted by 1-2 radicals of amino, C 1 -C 4 alkylamino, di- (C1-C4 alkyl) amino, acetamido, (C 1 -C 4 alkoxy) carbonylamino, C ⁇ C 4 alkylsulfonylamino, (C 1 -C 4 alkoxy) carbonyl , hydroxy, C 1 -C 4 alkoxy, C 1 -C 4 alkylthio, cyano, halo, azido, C 1 -C4 alkyl or trifluoromethyl radicals; more preferably, each R20 is
- C1-C8 alkyl radicals optionally substituted by 1-3 radicals of amino, C1-C4 alkylamino, di-(C ⁇ -C4 alkyl) amino, C1-C5 alkanoylamino, (C1-C4 alkoxy) carbonylamino, N-((C ⁇ C4 alkoxy) carbonyl) -N- (C1-C4 alkyl) amino, aminocarbonylamino, hydroxy, C1-C4 alkoxy, C1-C4 alkylthio, C1-C4 alkylsulfinyl, C1-C4 alkylsulfonyl, halo or C3-C6 cycloalkyl, heterocyclyl, aryl or heteroaryl radicals optionally substituted by 1- 2 radicals of amino, di- (C1-C4 alkyl) amino, C1-C5 alkanoylamino, (C1-C4 alkoxy) carbonylamino, C
- heterocyclyl radical optionally substituted by 1-2 radicals of hydroxy, C1-C4 alkoxy, C1-C4 alkylthio or Ci- C4 alkyl; or
- aryl or heteroaryl radicals optionally substituted by 1-2 radicals of (C1-C4 alkoxy) carbonyl, amino, C1-C4 alkylamino, di- (C1-C4 alkyl)amino, hydroxy, C1-C4 alkoxy, C1-C4 alkylthio, cyano, halo, azido, C1-C4 alkyl or trifluoromethyl radicals;
- each R20 is independently
- C1-C6 alkyl radicals optionally substituted by 1-3 radicals of amino, methylamino, dimethylamino, t- butoxycarbonylamino , N- ( ( t-butoxy) carbonyl ) -N- (methyl) amino, aminocarbonylamino, hydroxy, butoxy, methoxy, butylthio, methylthio, methylsulfinyl , methylsulfonyl, halo or C5-C6 cycloalkyl, heterocyclyl, phenyl or heteroaryl radicals optionally substituted by 1-2 radicals of amino, dimethylamino, acetamino, hydroxy, methoxy, methylthio, halo, methyl or trifluoromethyl radicals; (2) heterocyclyl radical optionally substituted by 1-2 radicals- of hydroxy or C1-C4 alkyl; or
- aryl or heteroaryl radicals optionally substituted by 1-2 radicals of amino, dimethylamino, hydroxy, methoxy, methylthio, halo, methyl or trifluoromethyl radicals;
- each R20 is independently
- C1-C6 alkyl radicals optionally substituted by 1-3 radicals of amino, methylamino, dimethylamino, t- butoxycarbonylamino , N- ( ( t-butoxy) carbonyl ) -N- (methyl) amino, aminocarbonylamino, hydroxy, butoxy, methoxy, butylthio, methylthio, methylsulfinyl, methylsulfonyl, halo or C5-C6 cycloalkyl, heterocyclyl, phenyl or heteroaryl radicals optionally substituted by 1-2 radicals of amino, dimethylamino, acetamino, hydroxy, methoxy, methylthio, halo, methyl or trifluoromethyl radicals;
- heterocyclyl radical or (3) aryl or heteroaryl radicals optionally substituted by 1-2 radicals of amino, dimethylamino, hydroxy, methoxy, methylthio, halo, methyl or trifluoromethyl radicals;
- each R20 is independently
- Ci-C ⁇ alkyl radicals optionally substituted by 1-3 radicals of amino, methylamino, dimethylamino, hydroxy or phenyl or heteroaryl radicals optionally substituted by 1-2 radicals of amino, dimethylamino, hydroxy, methoxy, methylthio, halo, methyl or trifluoromethyl radicals;
- each R21 is independently hydrogen radical or R 20 ;
- each R 22 is independently (1) hydrogen radical; (2) alkyl radical optionally substituted by a radical of heterocyclyl, aryl or heteroaryl optionally substituted by 1-3 radicals of amino, alkylamino, dialkylamino, alkanoylamino, alkoxycarbonylamino, alkylsulfonylamino, hydroxy, alkoxy, alkylthio, alkylsulfinyl, alkylsulfonyl, cyano, halo, alkyl or haloalkyl; or
- heterocyclyl, aryl or heteroaryl radicals optionally substituted by 1-3 radicals of amino, alkylamino, dialkylamino, alkanoylamino, alkoxycarbonylamino, alkylsulfonylamino, hydroxy, alkoxy, alkylthio, alkylsulfinyl, alkylsulfonyl, cyano, halo, alkyl or haloalkyl; provided when Z is a bond and Y is -NR 22 - C(0)-NH2, then R 22 is other then an optionally substituted aryl radical;
- each R 22 is independently
- C 1 -C 4 alkyl radical optionally substituted by a radical of heterocyclyl, aryl or heteroaryl optionally substituted by 1-3 radicals of amino, C 1 -C 4 alkylamino, di- (C 1 -C 4 alkyl) amino, C 1 -C 5 alkanoylamino, (C 1 -C 4 alkoxy) carbonylamino, C 1 -C 4 alkylsulfonylamino, hydroxy, C 1 -C 4 alkoxy, C 1 -C 4 alkylthio, C 1 -C 4 alkylsulfinyl, C 1 -C 4 alkylsulfonyl, cyano, halo, C 1 -C 4 alkyl or C 1 -C 4 haloalkyl of 1-3 halo radicals; or (3) heterocyclyl, aryl or heteroaryl radicals optionally substituted by 1-3 radicals of amino, C 1 -C 4 alkylamino
- each R 22 is independently (1) hydrogen radical; or
- C 1 -C 4 alkyl radical optionally substituted by a radical of phenyl or heteroaryl optionally substituted by 1-3 radicals of amino, di- (C 1 -C 2 alkyl) amino, C 1 -C 5 alkanoylamino, (C 1 -C 4 alkoxy) carbonylamino, hydroxy, C ⁇ C 4 alkoxy, C1-C4 alkylthio, cyano, halo, C 1 -C 4 alkyl or C 1 -C 2 haloalkyl of 1-3 halo radicals;
- each R 22 is independently hydrogen or C 1 -C 4 alkyl radical; and most preferably, each R 22 is independently hydrogen or methyl radical;
- R ll and R ⁇ 2 are each independently an aryl or heteroaryl radical optionally substituted by 1-3 radicals of (1) R30; (2) halo or cyano radicals;
- Rn is other than a 4-pyridyl, 4- pyrimidinyl, 4-quinolyl or 6-isoquinolinyl radical optionally substituted by 1-2 substituents; and (2) the total number of aryl, heteroaryl, cycloalkyl and heterocyclyl radicals substituted on each of Rn and R 12 is 0-1; preferably, Rn and R12 are each independently an aryl or heteroaryl radical optionally substituted by 1-2 radicals of (1) R30;
- Rn is other than a 4-pyridyl, 4- pyrimidinyl, 4-quinolyl or 6-isoquinolinyl radical optionally substituted by 1-2 substituents; and (2) the total number of aryl, heteroaryl, cycloalkyl and heterocyclyl radicals substituted on each of Rn and R12 is 0-1;
- Rn and R12 are each independently an aryl or heteroaryl radical optionally substituted by 1-2 radicals of
- Rn is an aryl radical and R12 is a heteroaryl radical, wherein the aryl and heteroaryl radicals are optionally substituted by 1-2 radicals of ( 1 ) R30 ;
- Rn is an aryl radical and R 12 is a heteroaryl radical, wherein the aryl and heteroaryl radicals are optionally substituted by 1-2 radicals of
- Rn is an aryl radical optionally substituted by 1-2 radicals of (1) R 30 ; (2) halo or cyano radicals; or (3) -C (0) -NR31R32 , -OR29, -SR29, - S(O)-R 30 , -S(O)2-R30, -S(0)2-NR3lR32- - R31 32 or -NR33- C(0)-R 29 radicals; more preferably, Rn is an aryl radical optionally substituted by 1-2 radicals of amino, dimethylamino, acetamido, hydroxy, halo, cyano, methoxy, methylthio, methylsulfinyl, methylsulfonyl , aminocarbonyl , methyl or trifluoromethyl radicals; more preferably, Rn is an unsubstituted phenyl or naphthyl radical or a phenyl radical substituted by 1-2 radicals of amino, dimethylamino
- alkyl, alkenyl or alkynyl radicals optionally substituted by 1-3 radicals of -NR31R31, -CO2R23, hydroxy, alkoxy, alkylthio, alkylsulfinyl, alkylsulfonyl , cyano, halo or aralkoxy, aralkylthio, aralkylsulfonyl , heterocyclyl, aryl or heteroaryl radicals optionally substituted by 1-3 radicals of amino, alkylamino, dialkylamino, alkanoylamino, alkoxycarbonylamino, alkylsulfonylamino, hydroxy, alkoxy, alkylthio, alkylsulfinyl, alkylsulfonyl , cyano, halo, alkyl or haloalkyl;
- heterocyclyl radical optionally substituted by 1-3 radicals of amino, alkylamino, dialkylamino, alkanoylamino, alkoxycarbonylamino, alkylsulfonylamino, hydroxy, alkoxy, alkylthio, cyano, alkyl or haloalkyl; or
- aryl or heteroaryl radicals optionally substituted by 1-3 radicals of amino, alkylamino, dialkylamino, alkanoylamino, alkoxycarbonylamino, alkylsulfonylamino, hydroxy, alkoxy, alkylthio, cyano, halo, alkyl or haloalkyl ;
- each R30 is independently (1) C1-C4 alkyl, C2-C4 alkenyl or C2-C4 alkynyl radicals optionally substituted by 1-3 radicals of -NR31R31, - CO2R23 hydroxy, C1-C4 alkoxy, C1-C4 alkylthio, C1-C4 alkylsulfinyl, C1-C4 alkylsulfonyl, cyano, halo or aryl- C ⁇ -C4-alkoxy, aryl-C ⁇ -C4-alkylthio, aryl-C ⁇ -C4- alkylsulfonyl, heterocyclyl, aryl or heteroaryl radicals optionally substituted by 1-3 radicals of amino, C1-C4 alkylamino, di- (C1-C4 alkyl)amino, C1-C5 alkanoylamino, (C1-C4 alkoxy) carbonylamino, C
- heterocyclyl radical optionally substituted by 1-3 radicals of amino, C1-C4 alkylamino, di- (C1-C4 alkyl) amino, C1-C5 alkanoylamino, (C1-C4 alkoxy) carbonylamino, C1-C4 alkylsulfonylamino, hydroxy, C1-C4 alkoxy, C1-C4 alkylthio, cyano, C1-C4 alkyl or C ⁇ C4 haloalkyl of 1-3 halo radicals; or
- aryl or heteroaryl radicals optionally substituted by 1-3 radicals of amino, C1-C4 alkylamino, di- (C1-C4 alkyl) amino, C1-C5 alkanoylamino, (C1-C4 alkoxy) carbonylamino, C1-C4 alkylsulfonylamino, hydroxy, C1-C4 alkoxy, C1-C4 alkylthio, cyano, halo, C1-C4 alkyl or C1-C4 haloalkyl of 1-3 halo radicals;
- each R30 is independently
- each R 30 is independently (1) C 1 -C 4 alkyl radical optionally substituted by
- aryl or heteroaryl radicals optionally substituted by 1-3 radicals of amino, C 3. -C 4 alkylamino, di- (C 1 -C 4 alkyl) amino, C1-C5 alkanoylamino, (C1-C4 alkoxy) carbonylamino, hydroxy, C1-C4 alkoxy, C1-C4 alkylthio, cyano, halo, C1-C4 alkyl or trifluoromethyl radicals;
- each R30 is independently
- C1-C4 alkyl radical optionally substituted by a phenyl or heteroaryl radical optionally substituted by 1-3 radicals of amino, di-(C ⁇ -C2 alkyl) amino, acetamido, hydroxy, C1-C2 alkoxy, halo, C1-C4 alkyl or trifluoromethyl radicals;
- aryl or heteroaryl radicals optionally substituted by 1-3 radicals of amino, di- (C1-C2 alkyl) amino, acetamido, hydroxy, C1-C2 alkoxy, halo, C1-C4 alkyl or trifluoromethyl radicals;
- each R30 is independently
- R30 is independently
- C1-C4 alkyl radical optionally substituted by a phenyl or heteroaryl radical optionally substituted by 1-2 radicals of amino, dimethylamino, acetamido, hydroxy, halo, methoxy, methyl or trifluoromethyl radicals;
- each R29 is independently hydrogen radical or R30; and most preferably, R 2 9 is an aryl or heteroaryl radicals optionally substituted by 1-2 radicals of amino, dimethylamino, acetamido, hydroxy, halo, methoxy, methyl or trifluoromethyl radicals;
- each R31 is independently
- alkyl radical optionally substituted by an cycloalkyl, aryl, heterocyclyl or heteroaryl radical optionally substituted by 1-3 radicals of amino, alkylamino, dialkylamino, alkanoylamino, alkoxycarbonylamino, alkylsulfonylamino, hydroxy, alkoxy, alkylthio, cyano, alkyl or haloalkyl; or (3) aryl, heteroaryl, heterocyclyl or cycloalkyl radical optionally substituted by 1-3 radicals of amino, alkylamino, dialkylamino, alkanoylamino, alkoxycarbonylamino, alkylsulfonylamino, hydroxy, alkoxy, alkylthio, cyano, alkyl or haloalkyl;
- each R 31 is independently
- C1-C4 alkyl radical optionally substituted by an C3- C ⁇ cycloalkyl, aryl, heterocyclyl or heteroaryl radical optionally substituted by 1-3 radicals of amino, C1-C4 alkylamino, di-(C ⁇ -C4 alkyl) amino, C1-C5 alkanoylamino, (C1-C4 alkoxy) carbonylamino, C1-C4 alkylsulfonylamino, hydroxy, C1-C4 alkoxy, C1-C4 alkylthio, cyano, C1-C4 alkyl or C1-C4 haloalkyl of 1-3 halo radicals; or (3) aryl, heteroaryl, heterocyclyl or C3-C8 cycloalkyl radical optionally substituted by 1-3 radicals of amino, C1-C4 alkylamino, di- (C1-C4 alkyl) amino, C1-C5 alkanoylamin
- each R31 is independently
- each R31 is independently hydrogen or C1-C4 alkyl radicals; and most preferably, each R31 is independently hydrogen, methyl or ethyl radicals;
- each R3 2 is independently
- alkyl radical optionally substituted by an cycloalkyl, aryl, heterocyclyl or heteroaryl radical optionally substituted by 1-3 radicals of amino, alkylamino, dialkylamino, alkanoylamino, alkoxycarbonylamino, alkylsulfonylamino, hydroxy, alkoxy, alkylthio, cyano, alkyl or haloalkyl; or
- aryl, heteroaryl, heterocyclyl or cycloalkyl radical optionally substituted by 1-3 radicals of amino, alkylamino, dialkylamino, alkanoylamino, alkoxycarbonylamino, alkylsulfonylamino, hydroxy, alkoxy, alkylthio, cyano, alkyl or haloalkyl;
- each R3 2 is independently (1) hydrogen radicals; (2) C 1 -C 4 alkyl radical optionally substituted by an C 3 - C ⁇ cycloalkyl, aryl, heterocyclyl or heteroaryl radical optionally substituted by 1-3 radicals of amino, C 1 -C 4 alkylamino, di- (C 1 -C 4 alkyl)amino, C 1 -C 5 alkanoylamino, (C 1 -C 4 alkoxy) carbonylamino, C 1 -C 4 alkylsulfonylamino, hydroxy, C 1 -C 4 alkoxy, C 1 -C 4 alkylthio, cyano, C 1 -C 4 alkyl or C 1 -C 4 haloalkyl of 1-3 halo radicals; or
- aryl, heteroaryl, heterocyclyl or C 3 -C 8 cycloalkyl radical optionally substituted by 1-3 radicals of amino, C 1 -C 4 alkylamino, di-(C ⁇ -C 4 alkyl) amino, C 1 -C 5 alkanoylamino, (C 1 -C 4 alkoxy) carbonylamino, C 1 -C 4 alkylsulfonylamino, hydroxy, C 1 -C 4 alkoxy, C 1 -C 4 alkylthio, cyano, C 1 -C 4 alkyl or C 1 -C 4 haloalkyl of 1-3 halo radicals;
- each R 3 is independently
- C 1 -C 4 alkyl radical optionally substituted by an C 3 - Ce cycloalkyl, aryl, heterocyclyl or heteroaryl radical optionally substituted by 1-3 radicals of amino, C 1 -C 4 alkylamino, di-(C ⁇ -C 4 alkyl) amino, C 1 -C 5 alkanoylamino, (C 1 -C 4 alkoxy) carbonylamino, C 1 -C 4 alkylsulfonylamino, hydroxy, C 1 -C 4 alkoxy, C 1 -C 4 alkylthio, cyano, C 1 -C4 alkyl or C 1 -C 4 haloalkyl of 1-3 halo radicals; or (3) aryl, heteroaryl, heterocyclyl or C 3 -C 6 cycloalkyl radical optionally substituted by 1-3 radicals of amino, C 1 -C 4 alkylamino, di- (C 1 -C 4 alkyl) amino
- each R 32 is independently (1) hydrogen radicals; (2) C 1 -C 4 alkyl radical optionally substituted by phenyl or heteroaryl radical optionally substituted by 1-3 radicals of amino, C 1 -C 4 alkylamino, di- (C 1 -C 4 alkyl) amino, C 1 -C 5 alkanoylamino, (C 1 -C 4 alkoxy) carbonylamino, hydroxy, C 1 -C 4 alkoxy, C 1 -C 4 alkyl or trifluoromethyl radicals; or
- phenyl or heteroaryl radical optionally substituted by 1-3 radicals of amino, C 1 -C 4 alkylamino, di- (C 1 -C 4 alkyl) amino, C 1 -C 5 alkanoylamino, (C 1 -C 4 alkoxy) carbonylamino, hydroxy, C 1 -C 4 alkoxy, C 1 -C 4 alkyl or trifluoromethyl radicals;
- each R 32 is independently (1) hydrogen radicals; (2) C 1 -C 4 alkyl radical or C 1 -C alkyl radical substituted by phenyl or heteroaryl radical optionally substituted by 1-3 radicals of amino, dimethylamino, acetamido, hydroxy, methoxy, methyl or trifluoromethyl radicals; or (3) phenyl or heteroaryl radical optionally substituted by 1-3 radicals of amino, dimethylamino, acetamido, hydroxy, methoxy, methyl or trifluoromethyl radicals;
- R 32 is independently (1) hydrogen or C 1 -C 4 alkyl radical; or
- alkyl radical optionally substituted by a radical of heterocyclyl, aryl or heteroaryl optionally substituted by 1-3 radicals of amino, alkylamino, dialkylamino, alkanoylamino, alkoxycarbonylamino, alkylsulfonylamino, hydroxy, alkoxy, alkylthio, cyano, alkyl or haloalkyl;
- each R 33 is independently (1) hydrogen radical; or
- C1-C4 alkyl radical optionally substituted by a radical of heterocyclyl, aryl or heteroaryl optionally substituted by 1-3 radicals of amino, C 1 -C 4 alkylamino, di- (C1-C4 alkyl) amino, C 1 -C 5 alkanoylamino, (C 1 -C 4 alkoxy) carbonylamino, C 1 -C 4 alkylsulfonylamino, hydroxy, C 1 -C 4 alkoxy, C 1 -C 4 alkylthio, cyano, C 1 -C 4 alkyl or Ci- C 4 haloalkyl of 1-3 halo radicals;
- each R 33 is independently hydrogen or C 1 -C 4 alkyl radical; and most preferably, each R 33 is independently hydrogen or methyl radical.
- R 1 and R 12 are the same and are a 5- or 6- member ring having from 1-3 heteroatoms independently selected from N, S, and 0, to which ring a benzene ring is optionally fused
- R 11 is phenyl or naphthyl optionally substituted with halo, C x -C 6 alkyl, C 1 -C 4 alkoxy, C t -C 4 alkylthiol, hydroxy, amino, C 1 -C 4 alkylamino, or dialkylamino
- R 11 is a 5- or 6-membered ring having from 1-3 heteroatoms independently selected from N, S, and O, to which ring a benzene ring is optionally fused and optionally substituted with C ⁇ -C j alkyl
- R 2 is other than OH or NH 2 ; 2.
- R 11 when R 2 is H, R 11 is phenyl and R 12 is phenyl or 4- pyridyl, then R 1 is other than H, methyl, or amino ; 3. when R 2 is H, R 11 is 2-methylphenyl and R 12 is 2- pyridyl, then R 1 is other than n-propyl; and
- R 11 and R 12 are each an optionally substituted phenyl radical , then R 1 is other than an optionally substituted 2-pyridyl radical.
- the compounds of this invention may have in general several asymmetric centers and are typically depicted in the form of racemic mixtures. This invention is intended to encompass racemic mixtures, partially racemic mixtures and separate enantiomers and diasteromers .
- Compounds of interest include the following:
- R 2 is H and R 11 , and R 1 are one of the combinations given in the following table:
- R 2 is -OH and R 1 and R 1 are one of the combinations given in the following table:
- Alkyl means a straight-chain or branched-chain alkyl radical containing preferably 1- 15 carbon atoms (C 1 -C 15 ) , more preferably 1-8 carbon atoms (Ci-Cs) even more preferably 1-6 carbon atoms (C 1 -C6) yet more preferably 1-4 carbon atoms (C 1 -C 4 ) , still more preferably 1-3 carbon atoms (C 1 -C 3 ) , and most preferably 1-2 carbon atoms (C 1 -C 2 ) •
- Examples of such radicals include methyl, ethyl, n-propyl, isopropyl, n-butyl, isobutyl, sec-butyl, tert-butyl, pentyl, iso- amyl, hexyl, octyl and the like.
- Hydroalkyl means an alkyl radical as defined above wherein at least one hydrogen radical is replaced with a hydroxyl radical, preferably 1-3 hydrogen radicals are replaced by hydroxyl radicals, more preferably 1-2 hydrogen radicals are replaced by hydroxyl radicals, and most preferably one hydrogen radical is replaced by a hydroxyl radical.
- examples of such radicals include hydroxymethyl, 1-, 2-hydroxyethyl, 1-, 2-, 3 -hydroxypropyl , 1, 3 -dihydroxy-2-propyl, 1,3- dihydroxybutyl , 1,2,3,4,5,6-hexahydroxy-2-hexyl and the like.
- Alkenyl alone or in combination, means a straight- chain or branched-chain hydrocarbon radical having one or more double bonds, preferably 1-2 double bonds and more preferably one double bond, and containing preferably 2-15 carbon atoms (C 2 -C 15 ) , more preferably 2-8 carbon atoms (C 2 -Cs) even more preferably 2-6 carbon atoms (C 2 -C 6 ) , yet more preferably 2-4 carbon atoms (C 2 -C 4 ) , and still more preferably 2-3 carbon atoms (C 2 -C 3 ) .
- alkenyl radicals include ethenyl, propenyl, 2-methylpropenyl, 1,4- butadienyl and the like.
- Alkoxy alone or in combination, means a radical of the type "R-0-" wherein “R” is an alkyl radical as defined above and "0" is an oxygen atom.
- alkoxy radicals include methoxy, ethoxy, n-propoxy, isopropoxy, n-butoxy, iso-butoxy, sec-butoxy, tert- butoxy and the like.
- Alkoxycarbonyl alone or in combination, means a radical of the type "R-O-C(O)-" wherein "R-0-" is an alkoxy radical as defined above and “C(0)” is a carbonyl radical .
- Alkoxycarbonylamino alone or in combination, means a radical of the type "R-O-C (0) -NH-" wherein “R-O-C(O)” is an alkoxycarbonyl radical as defined above, wherein the amino radical may optionally be substituted, such as with alkyl, aryl, aralkyl, cycloalkyl, cycloalkylalkyl and the like.
- Alkylthio alone or in combination, means a radical of the type "R-S-" wherein "R” is an alkyl radical as defined above and “S” is a sulfur atom.
- alkylthio radicals include methylthio, ethylthio, n-propylthio, isopropylthio, n-butylthio, iso-butylthio, sec-butylthio, tert-butylthio and the like.
- Alkylsulfinyl means a radical of the type “R-S(O)-" wherein "R” is an alkyl radical as defined above and “S(0)” is a mono-oxygenated sulfur atom.
- alkylsulfinyl radicals include methylsulfinyl , ethylsulfinyl, n-propylsulfinyl, isopropylsulfinyl, n-butylsulfinyl, iso-butylsulfinyl, sec-butylsulfinyl , tert-butylsulfinyl and the like.
- Alkylsulfonyl means a radical of the type “R-S(0) 2 -" wherein "R” is an alkyl radical as defined above and “S(0) 2 " is a di-oxygenated sulfur atom.
- alkylsulfonyl radicals include methylsulfonyl , ethylsulfonyl, n-propylsulfonyl, isopropylsulfonyl, n-butylsulfonyl, iso-butylsulfonyl, sec-butylsulfonyl, tert-butylsulfonyl and the like.
- Aryl alone or in combination, means a phenyl or biphenyl radical, which is optionally benzo fused or heterocyclo fused and which is optionally substituted with one or more substituents selected from alkyl, alkoxy, halogen, hydroxy, amino, azido, nitro, cyano, haloalkyl, carboxy, alkoxycarbonyl, cycloalkyl, alkanoylamino, amido, amidino, alkoxycarbonylamino, N- alkylamidino, alkylamino, dialkylamino, aminoalkyl, alkylaminoalkyl , dialkylaminoalkyl, N-alkylamido, N,N- dialkylamido, aralkoxycarbonylamino , alkylthio, alkylsulfinyl, alkylsulfonyl , oxo and the like.
- aryl radicals are phenyl, o-tolyl, 4- methoxyphenyl, 2- (tert-butoxy) phenyl, 3-methyl-4- methoxyphenyl , 2-CF 3 -phenyl, 2-fluorophenyl , 2- chlorophenyl, 3 -nitropheny1, 3-aminophenyl, 3- aceta idophenyl, 2-amino-3- (aminomethyl) phenyl, 6- methyl-3-acetamidophenyl , 6-methyl-2-aminophenyl , 6- methyl-2 , 3-diaminophenyl, 2-amino-3 -methylphenyl, 4,6- dimethyl-2-aminophenyl, 4-hydroxyphenyl, 3-methyl-4- hydroxyphenyl, 4- ( 2-methoxyphenyl) phenyl, 2-amino-l- naphthyl, 2-naphthyl, 3 -amino-2-na
- Alkyl and arylalkyl alone or in combination, means an alkyl radical as defined above in which at least one hydrogen atom, preferably 1-2, is replaced by an aryl radical as defined above, such as benzyl, 1-, 2- phenylethyl, dibenzylmethyl, hydroxyphenylmethyl , methylphenylmethyl , diphenylmethyl , dichlorophenylmethyl , 4-methoxyphenylmethyl and the like.
- Alkoxy alone or in combination, means an alkoxy radical as defined above in which at least one hydrogen atom, preferably 1-2, is replaced by an aryl radical as defined above, such as benzyloxy, 1-, 2-phenylethoxy, dibenzylmethoxy, hydroxyphenylmethoxy, methylphenylmethoxy, dichlorophenylmethoxy, 4- methoxyphenylmethoxy and the like.
- Alkoxycarbonyl alone or in combination, means a radical of the type "R-O-C(O)-" wherein “R-0-” is an aralkoxy radical as defined above and “-C(O)-” is a carbonyl radical .
- Alkanoyl alone or in combination, means a radical of the type "R-C(O)-" wherein "R” is an alkyl radical as defined above and "-C(O)-” is a carbonyl radical.
- alkanoyl radicals include acetyl, trifluoroacetyl, hydroxyacetyl, propionyl, butyryl, valeryl, 4-methylvaleryl, and the like.
- Alkanoylamino alone or in combination, means a radical of the type "R-C(0)-NH-" wherein "R-C(O)-" is an alkanoyl radical as defined above, wherein the amino radical may optionally be substituted, such as with alkyl, aryl, aralkyl, cycloalkyl, cycloalkylalkyl and the like.
- aminocarbonyl alone or in combination, means an amino substituted carbonyl (carbamoyl) radical, wherein the amino radical may optionally be mono- or di-substituted, such as with alkyl, aryl, aralkyl, cycloalkyl, cycloalkylalkyl, alkanoyl, alkoxycarbonyl, aralkoxycarbonyl and the like.
- Aminosulfonyl means an amino substituted sulfonyl radical.
- Benzo fused forms a ring system in which benzene and a cycloalkyl or aryl group have two carbons in common, for example tetrahydronaphthylene and the like.
- Bicyclic as used herein is intended to include both fused ring systems, such as naphthyl and ⁇ -carbolinyl, and substituted ring systems, such as biphenyl, phenylpyridyl and diphenylpiperazinyl .
- Cycloalkyl alone or in combination, means a saturated or partially saturated, preferably one double bond, monocyclic, bicyclic or tricyclic carbocyclic alkyl radical, preferably monocyclic, containing preferably 5- 12 carbon atoms (C 5 -C 12 ) , more preferably 5-10 carbon atoms (C 5 -C 10 ) , even more preferably 5-7 carbon atoms (C 5 -C 7 ) , which is optionally benzo fused or heterocyclo fused and which is optionally substituted as defined herein with respect to the definition of aryl.
- cycloalkyl radicals include cyclopentyl, cyclohexyl, dihydroxycyclohexyl, ethylenedioxycyclohexyl, cycloheptyl, octahydronaphthyl , tetrahydronaphthyl , octahydroquinolinyl, dimethoxytetrahydronaphthyl , 2 , 3-dihydro-lH-indenyl , azabicyclo [3.2.1] octyl and the like.
- Heteroatoms means nitrogen, oxygen and sulfur heteroatoms.
- Heterocyclo fused forms a ring system in which a heterocyclyl or heteroaryl group of 5-6 ring members and a cycloalkyl or aryl group have two carbons in common, for example indole, isoquinoline, tetrahydroquinoline, methylenedioxybenzene and the like.
- Heterocyclyl means a saturated or partially unsaturated, preferably one double bond, monocyclic or bicyclic, preferably monocyclic, heterocycle radical containing at least one, preferably 1 to 4 , more preferably 1 to 3 , even more preferably 1-2, nitrogen, oxygen or sulfur atom ring member and having preferably 3-8 ring members in each ring, more preferably 5-8 ring members in each ring and even more preferably 5-6 ring members in each ring.
- Heterocyclyl is intended to include sulfone and sulfoxide derivatives of sulfur ring members and N-oxides of tertiary nitrogen ring members, and carbocyclic fused, preferably 3-6 ring carbon atoms and more preferably 5-6 ring carbon atoms, and benzo fused ring systems.
- Heterocyclyl radicals may optionally be substituted on at least one, preferably 1- 4, more preferably 1-3, even more preferably 1-2, carbon atoms by halogen, alkyl, alkoxy, hydroxy, oxo, thioxo, aryl, aralkyl, heteroaryl, heteroaralkyl , amidino, N- alkylamidino, alkoxycarbonylamino, alkylsulfonylamino and the like, and/or on a secondary nitrogen atom by hydroxy, alkyl, aralkoxycarbonyl, alkanoyl, alkoxycarbonyl, heteroaralkyl, aryl or aralkyl radicals.
- heterocyclyl is a radical of a monocyclic or bicyclic saturated heterocyclic ring system having 5-8 ring members per ring, wherein 1-3 ring members are oxygen, sulfur or nitrogen heteroatoms, which is optionally partially unsaturated or benzo-fused and optionally substituted by 1-2 oxo or thioxo radicals.
- heterocyclyl radicals include pyrrolidinyl, piperidinyl, piperazinyl, morpholinyl, thiamorpholinyl, 4-benzyl-piperazin-l-yl, pyrimidinyl , tetrahydrofuryl, pyrazolidonyl , pyrazolinyl, pyridazinonyl, pyrrolidonyl, tetrahydrothienyl and its sulfoxide and sulfone derivatives, 2 , 3-dihydroindolyl, tetrahydroquinolinyl , 1,2,3, 4-tetrahydroisoquinolinyl, 1,2,3, 4-tetrahydro-l- oxo-isoquinolinyl, 2 , 3-dihydrobenzofuryl , benzopyranyl, methylenedioxyphenyl, ethylenedioxyphenyl and the like.
- Heteroaryl means a monocyclic or bicyclic, preferably monocyclic, aromatic heterocycle radical, having at least one, preferably 1 to 4, more preferably 1 to 3 , even more preferably 1-2, nitrogen, oxygen or sulfur atom ring members and having preferably 5-6 ring members in each ring, which is optionally saturated carbocyclic fused, preferably 3-4 carbon atoms (C 3 -C 4 ) to form 5-6 ring membered rings and which is optionally substituted as defined above with respect to the definitions of aryl .
- heteroaryl groups include imidazolyl, l-benzyloxycarbonylimidazol-4-yl, pyrrolyl, pyrazolyl, pyridyl, 3- ( 2-methyl) pyridyl, 3- (4- trifluoromethyl) pyridyl, pyrimidinyl, 5- (4- trifluoromethyl) pyrimidinyl , pyrazinyl, triazolyl, furyl, thienyl, oxazolyl, thiazolyl, indolyl, quinolinyl, 5,6,7, 8-tetrahydroquinolyl , 5, 6, 7 , 8-tetrahydroisoquinolinyl, quinoxalinyl, benzothiazolyl, benzofuryl, benzimidazolyl, benzoxazolyl and the like.
- Heteroaralkyl and “heteroarylalkyl, " alone or in combination, means an alkyl radical as defined above in which at least one hydrogen atom, preferably 1-2, is replaced by a heteroaryl radical as defined above, such as 3-furylpropyl, 2-pyrrolyl propyl, chloroquinolinylmethyl , 2-thienylethyl, pyridylmethyl, 1-imidazolylethyl and the like.
- Halogen and "halo”, alone or in combination, means fluoro, chloro, bromo or iodo radicals.
- Haloalkyl alone or in combination, means an alkyl radical as defined above in which at least one hydrogen atom, preferably 1-3, is replaced by a halogen radical, more preferably fluoro or chloro radicals .
- haloalkyl radicals include 1, 1, 1-trifluoroethyl, chloromethyl , 1-bromoethyl, fluoromethyl, difluoromethyl, trifluoromethyl, bis (trifluoromethyl) methyl and the like.
- “Pharmacologically acceptable salt” means a salt prepared by conventional means, and are well known by those skilled in the art.
- the “pharmacologically acceptable salts” include basic salts of inorganic and organic acids, including but not limited to hydrochloric acid, hydrobromic acid, sulphuric acid, phosphoric acid, methanesulphonic acid, ethanesulfonic acid, malic acid, acetic acid, oxalic acid, tartaric acid, citric acid, lactic acid, fumaric acid, succinic acid, maleic acid, salicylic acid, benzoic acid, phenylacetic acid, mandelic acid and the like.
- Suitable pharmaceutically acceptable cation pairs for the carboxy group are well known to those skilled in the art and include alkaline, alkaline earth, ammonium, quaternary ammonium cations and the like.
- pharmaceutically acceptable salts see infra and Berge et al, J “ . Pharm . Sci . 66, 1 (1977) . 8 " 2
- Cytokine means a secreted protein that affects the functions of other cells, particularly as it relates to the modulation of interactions between cells of the immune system or cells involved in the inflammatory response.
- cytokines include but are not limited to interleukin 1 (IL-1) , preferably IL-l ⁇ , interleukin 6 (IL-6) , interleukin 8 (IL-8) and TNF, preferably TNF- ⁇ (tumor necrosis factor- ⁇ ) .
- TNF, IL-1, IL-6, and/or IL-8 mediated disease or disease state means all disease states wherein TNF, IL- 1, IL-6, and/or IL-8 plays a role, either directly as TNF, IL-1, IL-6, and/or IL-8 itself, or by TNF, IL-1, IL-6, and/or IL-8 inducing another cytokine to be released.
- TNF a disease state in which IL-1 plays a major role, but in which the production of or action of IL-1 is a result of TNF, would be considered mediated by TNF.
- leaving group generally refers to groups readily displaceable by a nucleophile, such as an amine, a thiol or an alcohol nucleophile. Such leaving groups are well known in the art. Examples of such leaving groups include, but are not limited to, N-hydroxysuccinimide, N-hydroxybenzotriazole, halides, triflates, tosylates and the like. Preferred leaving groups are indicated herein where appropriate .
- Protecting group generally refers to groups well known in the art which are used to prevent selected reactive groups, such as carboxy, amino, hydroxy, mercapto and the like, from undergoing undesired reactions, such as nucleophilic, electrophilic, oxidation, reduction and the like. Preferred protecting groups are indicated herein where appropriate. Examples of amino protecting groups include, but are not limited to, aralkyl, substituted aralkyl, cycloalkenylalkyl and substituted cycloalkenyl alkyl, allyl, substituted allyl, acyl, alkoxycarbonyl, aralkoxycarbonyl, silyl and the like.
- aralkyl examples include, but are not limited to, benzyl, ortho- methylbenzyl, trityl and benzhydryl, which can be optionally substituted with halogen, alkyl, alkoxy, hydroxy, nitro, acylamino, acyl and the like, and salts, such as p osphonium and ammonium salts .
- aryl groups include phenyl, naphthyl, indanyl, anthracenyl, 9- ( 9-phenylfluorenyl) , phenanthrenyl , durenyl and the like.
- cycloalkenylalkyl or substituted cycloalkylenylalkyl radicals preferably have 6-10 carbon atoms, include, but are not limited to, cyclohexenyl methyl and the like.
- Suitable acyl, alkoxycarbonyl and aralkoxycarbonyl groups include benzyloxycarbonyl, t- butoxycarbonyl, iso-butoxycarbonyl, benzoyl, substituted benzoyl, butyryl, acetyl, tri-fluoroacetyl, tri-chloro acetyl, phthaloyl and the like.
- a mixture of protecting groups can be used to protect the same amino group, such as a primary amino group can be protected by both an aralkyl group and an aralkoxycarbonyl group.
- Amino protecting groups can also form a heterocyclic ring with the nitrogen to which they are attached, for example, 1, 2-bis (methylene) benzene, phthalimidyl , succinimidyl, maleimidyl and the like and where these heterocyclic groups can further include adjoining aryl and cycloalkyl rings.
- the heterocyclic groups can be mono-, di- or tri-substituted, such as nitrophthalimidyl .
- Amino groups may also be protected against undesired reactions, such as oxidation, through the formation of an addition salt, such as hydrochloride, toluenesulfonic acid, trifluoroacetic acid and the like.
- an addition salt such as hydrochloride, toluenesulfonic acid, trifluoroacetic acid and the like.
- Many of the amino protecting groups are also suitable for protecting carboxy, hydroxy and mercapto groups.
- aralkyl groups .
- Alkyl groups are also sutiable groups for protecting hydroxy and mercapto groups, such as tert- butyl .
- Silyl protecting groups are silicon atoms optionally substituted by one or more alkyl, aryl and aralkyl " groups.
- Suitable silyl protecting groups include, but are not limited to, trimethylsilyl, triethylsilyl, tri-isopropylsilyl, tert- butyldimethylsilyl , dimethylphenylsilyl, 1,2- bis (dimethylsilyl) benzene, 1, 2-bis (dimethylsilyl) ethane and diphenylmethylsilyl .
- Silylation of an amino groups provide mono- or di-silylamino groups. Silylation of aminoalcohol compounds can lead to a N,N, O-tri-silyl derivative.
- silyl function from a silyl ether function is readily accomplished by treatment with, for example, a metal hydroxide or ammonium flouride reagent, either as a discrete reaction step or in situ during a reaction with the alcohol group.
- Suitable silylating agents are, for example, trimethylsilyl chloride, tert-buty-dimethylsilyl chloride, phenyldimethylsilyl chloride, diphenylmethyl silyl chloride or their combination products with imidazole or DMF .
- Methods for silylation of amines and removal of silyl protecting groups are well known to those skilled in the art. Methods of preparation of these amine derivatives from corresponding amino acids, amino acid amides or amino acid esters are also well known to those skilled in the art of organic chemistry including amino acid/amino acid ester or aminoalcohol chemistry.
- Protecting groups are removed under conditions which will not affect the remaining portion of the molecule. These methods are well known in the art and include acid hydrolysis, hydrogenolysis and the like. A preferred method involves removal of a protecting group, such as removal of a benzyloxycarbonyl group by hydrogenolysis utilizing palladium on carbon in a suitable solvent system such as an alcohol, acetic acid, and the like or mixtures thereof. A t-butoxycarbonyl protecting group can be removed utilizing an inorganic or organic acid, such as HCl or trifluoroacetic acid, in a suitable solvent system, such as dioxane or methylene chloride. The resulting amino salt can readily be neutralized to yield the free amine .
- a protecting group such as removal of a benzyloxycarbonyl group by hydrogenolysis utilizing palladium on carbon in a suitable solvent system such as an alcohol, acetic acid, and the like or mixtures thereof.
- a t-butoxycarbonyl protecting group can be removed utilizing an in
- Carboxy protecting group such as methyl, ethyl, benzyl, tert-butyl, 4- methoxyphenylmethyl and the like, can be removed under hydroylsis and hydrogenolysis conditions well known to those skilled in the art.
- Prodrugs of the compounds of this invention are also contemplated by this invention.
- a prodrug is an active or inactive compound that is modified chemically through in vivo physicological action, such as hydrolysis, metabolism and the like, into a compound of this invention following adminstration of the prodrug to a patient.
- the suitability and techniques involved in making and using prodrugs are well known by those skilled in the art.
- For a general discussion of prodrugs involving esters see Svensson and Tunek Drug Metabolism Reviews 165 (1988) and Bundgaard Design of Prodrugs, Elsevier (1985) .
- Examples of a masked carboxylate anion include a variety of esters, such as alkyl (for example, methyl, ethyl) , cycloalkyl (for example, cyclohexyl) , aralkyl (for example, benzyl, p- methoxybenzyl) , and alkylcarbonyloxyalkyl (for example, pivaloyloxymethyl) .
- esters such as alkyl (for example, methyl, ethyl) , cycloalkyl (for example, cyclohexyl) , aralkyl (for example, benzyl, p- methoxybenzyl) , and alkylcarbonyloxyalkyl (for example, pivaloyloxymethyl) .
- Amines have been masked as arylcarbonyloxymethyl substituted derivatives which are cleaved by esterases in vivo releasing the free drug and formaldehyde
- drugs containing an acidic NH group such as imidazole, imide, indole and the like, have been masked with N-acyloxymethyl groups (Bundgaard Design of Prodrugs, Elsevier (1985)). Hydroxy groups have been masked as esters and ethers.
- EP 039,051 (Sloan and Little, 4/11/81) discloses Mannich-base hydroxamic acid prodrugs, their preparation and use.
- Compounds according to the invention can be synthesized according to one or more of the following methods . It should be noted that the general procedures are shown as it relates to preparation of compounds having unspecified stereochemistry. However, such procedures are generally applicable to those compounds of a specific stereochemistry, e.g., where the stereochemistry about a group is (S) or (R) . In addition, the compounds having one stereochemistry (e.g., (R) ) can often be utilized to produce those having opposite stereochemistry (i.e., (S) ) using well- known methods, for example, by inversion.
- the general procedures are shown as it relates to preparation of compounds having unspecified stereochemistry. However, such procedures are generally applicable to those compounds of a specific stereochemistry, e.g., where the stereochemistry about a group is (S) or (R) .
- the compounds having one stereochemistry e.g., (R)
- a general method for the preparation of compounds of formula I involves the condensation of an 1,3- dicarbonyl intermediate IV with an N-C-N containing structure such as an amidine V, a guanidine VI or urea VII (Scheme 1; for a review of synthetic methods see D.J. Brown, Heterocyclic Compounds : the Pyrimidines, Chapter 3, 1994, John Wiley & Sons).
- Scheme 1
- a b- dimethylamino-a,b-unsaturated ketone IX can be reacted with amidines V or guanidines VI as described (G.B. Bennett et al . , J. Med. Chem. 21, 623-628, 1978). (Scheme 2).
- Such b-dimethylamino-a,b-unsaturated ketones IX can be prepared by aminoformylation of an active methylene ketone VIII with Bredereck' s reagent, namely, bis (dimethylamino )methoxymethane (H. Bredereck et al., Chem. Ber . 101, 41-50 (1968); G. B. Bennett et al J . Org . Chem . 43 , 221-225 ( 1977 ) ) Scheme 2
- Scheme 3 illustrates the conversion of 2- (4-fluorophenyl) -1- (4- pyridyl) ethanone (VIII; Sheldrake, Synthetic
- ketones VIII may be prepared (e.g., according to Sheldrake, Synthetic communications 23, 1967-1971 (1993)), by employing other heteroaryl carboxaldehydes as the starting material, such as 2- methylpyridine-4-carboxaldehyde, 2, 6-dimethylpyridine-4- carboxaldehyde (Mathes and Sauermilch, Chem . Ber.
- intermediate IX may also be condensed with urea VII to give the 2(1.7)- pyrimidinone derivative X.
- X is transformed into chloride XI by reaction with a halogenating agent such as phosphorous oxychloride.
- a halogenating agent such as phosphorous oxychloride.
- Treatment of chloride XI with primary and secondary amines, thiolates or alcoholates allows the preparation of further pyrimidines I with R 1 represented by a substituted N, S or 0 groups, as recited above.
- hydrazines may be reacted with chloride XI to provide 2-hydrazino substituted pyrimidines I.
- Palladium or nickel catalyzed cross couplings of chloride XI with arylboronic acids or arylzinc halides provide compounds of formula I wherein R 1 is aryl or heteroaryl .
- Scheme 6 illustrates the reaction of intermediate IX with guanidine VI to give 2-amino substituted I.
- 2- Amino I is a useful intermediate for further acylations and sulfonylations of the 2-amino group to give acylamido and sulfonamido derivatives.
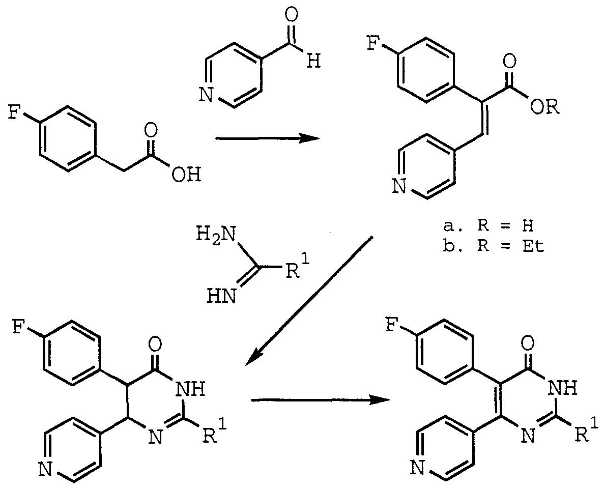
- the disubstituted acrylic acid ester XII may be prepared conveniently by condensation of pyridine-4- carboxaldehyde with 4-fluorophenylacetic acid followed by esterification. XII may be reacted with a variety of amidines V at elevated temperature . As a dehydrogenating agent for the conversion of XIII to II, sodium nitrite/acetic acid is suitable.
- R 12 is any other heteroaryl ring within the definition of R 12 by the appropriate choice of starting material.
- starting materials include but are not limited to 2-methylpyridine-4-carboxaldehyde, 2 , 6-dimethylpyridine-4-carboxaldehyde (Mathes and Sauermilch, Chem . Ber.
- methyl 2- nitroisonicotinate (Stanonis, J “ . Org. Chem . 22, 475 (1957)) may be reacted with an aryl acetic acid ester followed by cyclization of the resultant b-keto ester with thiourea analogously to Scheme 9. Subsequent catalytic reduction of the nitro group to an amino group would give a 4-hydroxy-pyrimidine II in which R 12 is represented by a 2-amino-4-pyridyl group (Scheme 10]
- methyl 2-acetamido isonicotinate may be reacted analogously to Scheme 9 after appropriate protection of the amide nitrogen with e.g. a tert-butyldimethylsilyloxymethyl group (Benneche et al . , Acta Chem . Scand. B 42 384-389 (1988)), a tert- butyldimethylsilyl group, a benzyloxymethyl group, a benzyl group or the like (P x ) .
- a tert-butyldimethylsilyloxymethyl group (Benneche et al . , Acta Chem . Scand. B 42 384-389 (1988)
- P x tert-butyldimethylsilyl group
- compounds of pyrimidines II may be prepared by coupling a suitable derivative of XVIII (L is a leaving group, such as halogen radical and the like, and P 2 is a protecting group, such as benzyl and the like) with an appropriate aryl equivalent.
- L is a leaving group, such as halogen radical and the like
- P 2 is a protecting group, such as benzyl and the like
- aryl/heteroaryl couplings are well known to those skilled in the art and involve an organic-metallic component for reaction with a reactive derivative, e.g., a halogeno derivative, of the second compound in the presence of a catalyst.
- a reactive derivative e.g., a halogeno derivative
- the metallo-organic species may be provided either by the pyrimidinone in which case the aryl component provides the reactive halogen equivalent or the pyrimidinone may be in the form of a reactive 5- halogeno derivative for reaction with a metallo organic aryl compound.
- 5-bromo and 5-iodo derivatives of XVIII may be treated with arylalkyl tin compounds, e.g., trimethylstannylbenzene, in an inert solvent such as tetrahydrofuran in the presence of a palladium catalyst, such as di (triphenylphosphine) palladium (II) dichloride .
- a palladium catalyst such as di (triphenylphosphine) palladium (II) dichloride .
- Modification at the 4-position (R 2 of formula I) of pyrimidine II is possible by conversion into the chloro derivative XX by reaction with phosphorous oxychloride (Scheme 14) .
- a 4-alkoxy derivative XXI may be prepared from chloro derivative XX by nucleophilic substitution with alkoxide.
- other leaving groups such as tosylates, mesylates and the like, can be used. Also, such leaving groups can also be displaced by amino, thiolates, alcoholates, and the like nucleophiles .
- the chloro derivative XX may be reduced by catalytic hydrogenation to give a pyrimidine I where R 2 is H, or may be reacted with an alkyl or aryl boronic acid or an alkyl or aryl zinc halide to provide a pyrimidine I where R 2 is alkyl or aryl.
- compounds of the present invention of formula XXX can be readily prepared by reacting the methylthio intermediate XXXI with the amine NHR 5 R 21 , for example by heating the mixture preferably at a temperature greater than 100°C, more preferably 150- 210°C.
- compounds of formula XXX can be readily prepared by reacting the methylsulfonyl intermediate XXXII with the amine NHR 5 R 21 , for example by heating the mixture preferably at a temperature greater than 40°C, more preferably 50-210°C.
- Amines of formula NHR 5 R 21 are commercially available or can be readily prepared by those skilled in the art from commercially available starting materials.
- an amide, nitro or cyano group can be reduced under reducing conditions, such as in the prescence of a reducing agent like lithium aluminum hydride and the like, to form the corresponding amine.
- Alkylation and acylation of amino groups are well known in the art.
- Chiral and achiral substituted amines can be prepared from chiral amino acids and amino acid amides (for example, alkyl, aryl, heteroaryl, cycloalkyl, arylalkyl, heteroarylalkyl, cycloalkylalkyl and the like substituted glycine, ⁇ -alanine and the like) using methods well known in the art, such as H. Brunner, P. Hankofer, U. Holzinger, B. Treittinger and H. Schoenenberger, Eur. J. Med. Chem. 25, 35-44, 1990; M. Freiberger and R. B. Hasbrouck, J. Am. Chem. Soc.
- Rl NH - 1-20 2 -Ethylamino- 5- (4-f luorophenyl) -4- (4-pyridyl) - pyrimidine: MS (m/z) : 295.0 (M+H) + ; C 17 H 15 FN 4 requir . 294.3.
- Rl H0 3 S-CH 2 -CH 2 -NH- 1-22 2- (2-Diethylaminoethylamino) -5- (4-f luorophenyl) -4- (4-pyridyl) -pyrimidine: MS (m/z) : 365.8 (M+H) + ; C 21 H 24 FN 5 requir. 365.5.
- Rl NH 2 CH 2 CH 2 CH 2 NH- 2-3 2- (4-Aminobutylamino) -5- (4-f luorophenyl) -4- (4- pyridyl) -pyrimidine hydrochloride: MS (m/z) : 338.0 (M+H) * ; C 19 H 20 FN S -HC1 requir. 337.4+36.5.
- R R 21 , OR 20 or NR 5 R 21
- the chlorocarbonyl R-C(0)C1 (0.57 mmol) was added dropwise to a solution of 2-amino-5- (4-fluorophenyl) -4- (4-pyridyl) -pyrimidine (0.38 mmol) in pyridine (3 ml) at ice-bath temperature. It was stirred for 3 h at room temperature, monitored by thin layer chromatography, poured into ice-water, extracted with dichloromethane, dried and evaporated. The crude product can be purified by silica gel column chromatography (hexane-acetone) and recrystallized from a suitable solvent such as ethyl acetate.
- Step B 5- (4-Fluorophenyl) -2 , 4-bis- (4-pyridyl) - pyrimidine:
- the resulting material was purified on a column of silica gel (5% methanol/dichloromethane) , then dissolved in methanol (2 ml) and 4N hydrogen chloride/dioxane (2 ml) was added. After 1 h at room temperature, it was evaporated and the remainder taken up in dichloromethane followed by washing with aqueous sodium hydrogencarbonate, drying of the organic solution and evaporation.
- Step A 4- (4-Pyridyl) -2 (IH) -pyrimidinone: A mixture of 4-acetylpyridine (25 ml, 226.0 mmol) and bis (dimethylamino)methoxymethane (44 ml, 293.8 mmol) was heated at 85°C for 30 min followed by evaporation to dryness to recover a solid of 3- (dimethylamino) -1- (4- pyridyl) -3-propen-l-one. Its ethanolic solution (200 ml) was transferred into ethanolic 1.13 N sodium ethoxide (200 ml) containing urea (16.3 g, 271 mmol).
- Step B 2-Chloro-4- (4-pyridyl) -pyrimidine: With ice- bath cooling under argon, 4- (4-pyridyl) -2 (IH) - pyrimidinone (13.45 g, 77.7 mmol) and thionyl chloride (92 ml) were combined. N, N-Dimethylformamide (13.2 ml, 170.5 mmol) was added slowly and the mixture was heated to reflux for 1 h. It was evaporated and co-distilled with toluene. At 0°C, water was added to the remainder, then 10% ammonium hydroxide until neutral followed by extraction with dichloromethane.
- Step C 2- ( ( (S) -2-Amino-3 -phenylpropyl) -amino) -4- (4- pyridyl) -pyrimidine: A mixture of 2-chloro-4- (4- pyridyl) -pyrimidine (4.5 g, 23.7 mmol) and (S)-l,2- benzylethylendiamine (8.0 g, 53.3 mmol) was heated at 100°C for 25 min.
- Step D 2- ( ( (S) -2-Amino-3-phenylpropyl) -amino) -5-bromo-
- Step E 2- ( ( (S) -2-Amino-3-phenylpropyl) amino) -5- (3- chloro-4-fluorophenyl) -4- (4-pyridyl) -pyrimidine hydrochloride : A mixture of 2- ( (2 (S) -amino-3-phenyl propyl) amino) -5-bromo-4- (4-pyridyl) -pyrimidine (204 mg, 0.53 mmol), aqueous 2M sodium carbonate (1.66 ml, 3.32 mmol) and 3-chloro-4-fluorobenzene boronic acid (103 mg, 0.637 mmol) in toluene (5 ml) was stirred for 10 min under argon. The mixture was thoroughly degassed (10 times) , before the addition of tetrakis
- Step A 5- (4-Fluorophenyl) -3-methyl-2-methylsulfonyl-6- (4-pyridyl) -4 (3H) -pyrimidinone: A mixture of 5- (4- fluorophenyl) -3-methyl-2-methylthio-6- (4-pyridyl) -4 (3H) - pyrimidinone (400 mg, 1.22 mmol) and Oxone R (potassium peroxymonosulfate, 2.3 g, 3.74 mmol) in methanol (100 ml) and water (45 ml) was stirred for 13 h. The solvent was concentrated to about 50 ml, followed by extraction with dichloromethane, drying of the organic solution and evaporation.
- Step B 2- ( ( (S) -2-N, -Dimethylamino-3 -phenylpropyl) - amino) -5- (4-fluorophenyl-3-methyl-6- (4-pyridyl) -4 (3H) - pyrimidinone hydrochloride: A mixture of crude 5- (4- fluorophenyl) -3-methyl-2-methylsulfonyl-6- (4-pyridyl) - 4 ( 3H) -pyrimidinone (430 mg g, 1.19 mmol) and ( S ) -2-N, N- dimethylamino-3-phenylpropylamine (600 mml, -3.4 mmol) was stirred at room temperature for lh and then briefly o warmed at 50 C.
- a solution of 2-chloroisonicotinic acid (25. Og, 0.16 mol) in 65 mL of concentrated ammonium hydroxide was warmed to 205 Celsius in a steel bomb for 72 h. After cooling to 23 C, the solution was acidified to a pH of 1 using 6N HCl and subsequently filtered to remove unreacted starting material. The solution was concentrated to one fourth the original volume (approx 200 mL) in vacuo, and carefully adjusted to a pH of 6 using 1 N NaOH. After storing the cloudy solution at 0 C for 20 h, the desired 2-aminoisonicotinic acid was filtered off.
- Step B 5- (4-fluorophenyl) -6- (4- (2-acetamido)pyridyl) ) - 2-thiouracil:
- 2-Methyl-3-phenylpropylamine A mixture of commercially available 2-methyl-3-phenylpropylamide (4.32 g, 26.5 mmol) and lithium aluminium hydride (1.3 g, 34.3 mmol) in tetrahydrofuran (184 ml) was stirred at room temperature for 5 h. It was poured into aqu. sat. sodium sulfate and extracted with dichloromethane followed by drying of the organic solution and evaporation to provide the amine as an oil . Other syntheses have been reported, e.g. Dornow and Fust, Chem. Ber. 87, 984 (1954).
- Example 24 A mixture of commercially available 2-methyl-3-phenylpropylamide (4.32 g, 26.5 mmol) and lithium aluminium hydride (1.3 g, 34.3 mmol) in tetrahydrofuran (184 ml) was stirred at room temperature for 5 h. It was poured into aqu
- Step A Methyl 2-amino-3- (2-fluorophenyl) propionate: 5g (27.3 mmol) of (D,L) - (2-fluoro-phenyl) alanine was suspended in 50 ml methanolic HCl and stirred at room temperature for 3 days . The reaction mixture was concentrated in vacuo and dried to give a yellow oil . MS (m/z): 198 (M+H) * ; C 10 H 12 FNO 2 requir . 197.2.
- Step B 2-Amino-3- (2-fluorophenyl)propionamide: Methyl 2-amino-3- (2-fluorophenyl) propionate was suspended in 50 ml 30% ammonium hydroxide and stirred at room temperature for 18 hrs. The mixture was filtered, washed with cold water and 2-amino-3- (2-fluorophenyl) propionamide was collected as a white solid. MS (m/z) : 183.1 (M+H) * ; C 9 H u FN 2 0 requir. 182.2.
- Step A Methyl (2S.3R, ⁇ S) -3- (N-benzyl -N- ⁇ - methylbenzylamino) -2-methyl-3-phenylpropionate was prepared as reported for the 2R, 3S, ⁇ R-enantiomer (S) .G. Davies and I.A.S. Walters, J. Chem. Soc. Perkin Trans. I, 1129-1139 (1994).
- Step B Methyl (2S , 3R) -3-amino-2-methyl-3- phenylpropionate : A mixture of methyl (2S, 3R, ⁇ S) -3- (N- benzyl -N- ⁇ -methylbenzylamino) -2-methyl-3- phenylpropionate (13.0 g, 33.55 mmol) and 10% palladium- on-carbon (13.0 g) in glacial acetic acid (260 ml) was hydrogenated under a balloon of hydrogen for 24 h. The catalyst. was removed by filtration followed by evaporation and co-distillation with toluene to provide the title compound as a white solid. MS (m/z) : 194.2 (M+H) * ; C ⁇ H ⁇ NO. requir. 193.3.
- Step D (1R, 2R) -2-methyl-1-phenyl-l, 3-propanediamine: Lithium aluminium hydride (2.3 g, 60.60 mmol) was added in portions to a stirring solution of (2S, 3R) -3-amino-2- methyl-3-phenylpropionamide (2.6 g, 14.59 mmol) in tetrahydrofuran (54 ml) at ice-bath temperature. After 45 min, the mixture was heated at reflux for 16 h. With ice-bath cooling, the reaction was quenched by the portionwise addition of sodium sulfate decahydrate and some methanol until hydrogen evolution ceased. The solids were removed by filtration and washed with dichloromethane. The combined filtrates were evaporated to provide the title compound. MS (m/z) : 165.2 (M+H) * ; C 10 H 16 N 2 requir. 164.3.
- Biological Assays The following assays were used to characterize the ability of compounds of the invention to inhibit the production of TNF- ⁇ and IL-l- ⁇ .
- the second assay measured the inhibition of TNF- ⁇ and/or IL-l- ⁇ in mice after oral administration of the test compounds .
- the third assay a glucagon binding inhibition in vitro assay, can be used to characterize the ability of compounds of the invention to inhibit glucagon binding.
- the fourth assay a Cyclooxygenase enzyme (COX-1 and COX-2) inhibition activity in vitro assay, can be used to characterize the ability of compounds of the invention to inhibit COX-1 and/or COX-2.
- COX-1 and COX-2 a Cyclooxygenase enzyme
- Test compounds were evaluated in vi tro for the ability to inhibit the production of TNF by monocytes activated with bacterial lipopolysaccharide (LPS) .
- Fresh residual source leukocytes (a byproduct of plateletpheresis) were obtained from a local blood bank, and peripheral blood mononuclear cells (PBMCs) were isolated by density gradient centrifugation on Ficol- Paque Plus (Pharmacia) .
- PBMCs peripheral blood mononuclear cells
- PBMCs peripheral blood mononuclear cells
- PBMCs peripheral blood mononuclear cells
- PBMCs were suspended at 2 x 10 s /ml in DMEM supplemented to contain 2% FCS, 10 mM, 0.3 mg/ml glutamate, 100 U/ml penicillin G and 100 mg/ml streptomycin sulfate (complete media) .
- Cells were plated into Falcon flat bottom, 96 well culture plates (200 ⁇ l/well) and cultured overnight at 37°C and 6% C0 2 . Non-adherent cells were removed by washing with 200 ⁇ l/well of fresh medium. Wells containing adherent cells (-70% monocytes) were replenished with 100 ⁇ l of fresh medium.
- Test compounds were dissolved in DMZ. Compound stock solutions were prepared to an initial concentration of 10 - 50 uM. Stocks were diluted initially to 20 - 200 ⁇ M in complete media. Nine twofold serial dilutions of each compound were then prepared in complete medium. Treatment of cells wi th test compounds and activation of
- Standards consisted of eleven 1.5-fold serial dilutions from a stock of 1 ng/ml recombinant human TNF (R&D Systems) . Plates were incubated at room temperature for 1 hr on orbital shaker (300 rpm) , washed and replenished with 100 ⁇ l/well of 0.5 ⁇ g/ml goat anti-human TNF- ⁇ (R&D systems #AB-210-NA) biotinylated at a 4:1 ratio. Plates were incubated for 40 min, washed and replenished with 100 ⁇ l/well of alkaline phosphatase-conjugated streptavidin (Jackson ImmunoResearch #016-050-084) at 0.02 ⁇ g/ml.
- Plates were incubated 30 min, washed and replenished with 200 ⁇ l/well of 1 mg/ml of p-nitrophenyl phosphate. After 30 min, plates were read at 405 nm on a Vmax p*-late reader.
- Standard curve data were fit to a second order polynomial and unknown TNF- ⁇ concentrations determined from their OD by solving this equation for concentration. TNF concentrations were then plotted vs. test compound concentration using a second order polynomial. This equation was then used to calculate the concentration of test compounds causing a 50% reduction in TNF production.
- Compounds of the invention can also be shown to inhibit LPS-induced release of IL-l ⁇ , IL-6 and/or IL-8 from monocytes by measuring concentrations of IL-l ⁇ , IL- 6 and/or IL-8 by methods well known to those skilled in the art.
- compounds of this invention can also be shown to inhibit LPS induced release of IL-l ⁇ , IL-6 and/or IL- 8 from monocytes by measuring concentrations of IL-l ⁇ , IL-6 and/or IL-8 by methods well known to those skilled in the art.
- the compounds of the invention may lower elevated levels of TNF- ⁇ , IL-1, IL-6, and IL-8 levels. Reducing elevated levels of these inflammatory cytokines to basal levels or below is favorable in controlling, slowing progression, and alleviating many disease states. All of the compounds are useful in the methods of treating disease states in which TNF- ⁇ , IL- l ⁇ , IL-6, and IL-8 play a role to the full extent of the definition of TNF- ⁇ -mediated diseases described herein.
- mice Male DBA/1LACJ mice were dosed with vehicle or test compounds in a vehicle (the vehicle consisting of 0.5% tragacanth in 0.03 N HCl) 30 minutes prior to lipopolysaccharide (2 mg/kg, I.V.) injection.
- vehicle the vehicle consisting of 0.5% tragacanth in 0.03 N HCl
- lipopolysaccharide 2 mg/kg, I.V.
- the following compounds exhibit activities in the monocyte assay (LPS induced TNF release) with IC 50 values of 20 ⁇ M or less: 5- (4-Fluorophenyl) -2- (4-pyridyl) -4- (4-pyridyl) - pyrimidine
- Compounds of the invention may be shown to have anti-inflammatory properties in animal models of inflammation, including carageenan paw edema, collagen induced arthritis and adjuvant arthritis, such as the carageenan paw edema model (C. A. Winter et al Proc. Soc. Exp. Biol. Med. (1962) vol 111, p 544; K. F. Swingle, in R. A. Scherrer and M. W. Whitehouse, Eds., Antiinflammatory Agents, Chemistry and Pharmacology, Vol. 13-11, Academic, New York, 1974, p. 33) and collagen induced arthritis (D. E. Trentham et al J. Exp. Med. (1977) vol. 146, p 857; J. S. Courtenay, Nature (New Biol.) (1980), Vol 283, p 666).
- the assay is described in WO 97/16442, which is incorporated herein by reference in its entirety.
- Reagents The reagents can be prepared as follows: (a) prepare fresh IM o-Phenanthroline (Aldrich) (198.2 mg/ml ethanol); (b) prepare fresh 0.5M DTT (Sigma); (c) Protease Inhibitor Mix (1000X) : 5 mg leupeptin, 10 mg benzamidine, 40 mg bacitracin and 5 mg soybean trypsin inhibitor per ml DMSO and store aliquots at -20°C; (d) 250 ⁇ M human glucagon (Peninsula): solubilize 0.5 mg vial in 575 ⁇ l 0.
- Final protein concentration of a membrane preparation is determined on a per batch basis.
- the determination of inhibition of glucagon binding can be carried out by measuring the reduction of I 125 - glucagon binding in the presence of compounds of Formula
- the mixture is incubated for 60 min. at 22°C on a shaker at 275 rpm.
- the mixture is filtered over pre-soaked (0.5% polyethylimine (PEI)) GF/C filtermat using an Innotech Harvester or Tomtec Harvester with four washes of ice-cold 20mM Tris buffer (pH 7.8).
- the radioactivity in the filters is determined by a gamma- scintillation counter.
- compounds of the invention may also be shown to inhibit the binding of glucagon to glucagon receptors .
- THP-1 The human monocytic leukemia cell line, THP-1, differentiated by exposure to phorbol esters expresses only COX-1; the human osteosarcoma cell line 143B expresses predominantly COX-2.
- THP-1 cells are routinely cultured in RPMI complete media supplemented with 10% FBS and human osteosarcoma cells (HOSC) are cultured in minimal essential media supplemented with 10% fetal bovine serum (MEM-10%FBS) ; all cell incubations are at 37°C in a humidified environment containing 5% C0 2 .
- THP-1 cells are grown to confluency, split 1:3 into RPMI containing 2% FBS and 10 mM phorbol 12-myristate 13-acetate (TPA) , and incubated for 48 hours on a shaker to prevent attachment.
- Cells are pelleted and resuspended in Hank's Buffered Saline (HBS) at a concentration of 2.5 x 10 6 cells/mL and plated in 96-well culture plates at a density of 5 x 10 5 cells/mL.
- Test compounds are diluted in HBS and added to the desired final concentration and the cells are incubated for an additional 4 hours.
- Arachidonic acid is added to a final concentration of 30 mM, the cells incubated for 20 minutes at 37°C, and enzyme activity determined as described below.
- COX-2 Assay For the COX-2 assay, subconfluent HOSC are trypsinized and resuspended at 3 x 10 6 cells/mL in MEM- FBS containing 1 ng human IL-lb/mL, plated in 96-well tissue culture plates at a density of 3 x 10 4 cells per well, incubated on a shaker for 1 hour to evenly distribute cells, followed by an additional 2 hour static incubation to allow attachment. The media is then replaced with MEM containing 2% FBS (MEM-2%FBS) and 1 ng human IL-lb/mL, and the cells incubated for 18-22 hours.
- MEM-2%FBS MEM-2% FBS
- test compound diluted in HBS is added to achieve the desired concentration and the cells incubated for 4 hours .
- the supernatants are removed and replaced with MEM containing 30 mM arachidonic acid, the cells incubated for 20 minutes at 37°C, and enzyme activity determined as described below.
- the compounds of the invention or a pharmaceutical composition thereof are useful for prophylaxis and treatment of rheumatoid arthritis; Pagets disease; osteophorosis; multiple myeloma; uveititis; acute and chronic myelogenous leukemia; pancreatic ⁇ cell destruction; osteoarthritis; rheumatoid spondylitis; gouty arthritis; inflammatory bowel disease; adult respiratory distress syndrome (ARDS) ; psoriasis; Crohn's disease; allergic rhinitis; ulcerative colitis; anaphylaxis ; contact dermatitis; asthma; muscle degeneration; cachexia; Reiter's syndrome; type I and type II diabetes; bone resorption diseases; graft vs.
- ARDS adult respiratory distress syndrome
- HIV-1, HIV-2, HIV-3, cytomegalovirus (CMV), influenza, adenovirus, the herpes viruses (including HSV-1, HSV-2) , and herpes zoster, all of which are sensitive to TNF- ⁇ and/or IL-1 inhibition or glucagon antagonism, will also be positively effected by the compounds and methods of the invention.
- CMV cytomegalovirus
- the compounds of the present invention also may possess analgesic properties and may be useful for the treatment of pain disorders, such as hyperalgesia due to excessive IL-1.
- the compounds of the present invention may also prevent the production of prostaglandins by inhibition of enzymes in the human arachidonic acid/prostaglandin pathway, including cyclooxygenase (WO 96/03387, incorporated herein by reference in its entirety) .
- the compounds of the invention are also useful research tools for studying the physiology associated with blocking these effects.
- the methods of the invention comprise administering an effective dose of a compound of the invention, a pharmaceutical salt thereof, or a pharmaceutical composition of either, to a subject (i.e., an animal, preferably a mammal, most preferably a human) in need of a reduction in the level of TNF- ⁇ , IL-1, IL-6, and/or IL-8 levels and/or reduction in plasma glucose levels and/or which subject may be suffering from rheumatoid arthritis; Pagets disease; osteophorosis; multiple myeloma; uveititis; acute and chronic myelogenous leukemia; pancreatic ⁇ cell destruction; osteoarthritis ; rheumatoid spondylitis; gouty arthritis; inflammatory bowel disease; adult respiratory distress syndrome (ARDS) ; psoriasis; Crohn's disease; allergic rhinitis; ulcerative colitis; anaphylaxis; contact dermatitis; asthma; muscle degeneration; cachexia; Re
- CMV cytomegalovirus
- this invention comprises the use of a compound of the invention, or pharmaceutically acceptable salts thereof, in the manufacture of a medicament for the treatment either acutely or chronically of a TNF- ⁇ , IL-l ⁇ , IL-6, and/or IL-8 mediated disease state, including those described previously.
- the compounds of this invention are useful in the manufacture of a analgesic medicament and a medicament for treating pain disorders, such as hyperalgesia.
- the compounds of the present invention also are useful in the manufacture of a medicament to prevent the production of prostaglandins by inhibition of enzymes in the human arachidonic acid/prostaglandin pathway.
- this invention provides a pharmaceutical composition
- a pharmaceutical composition comprising an effective TNF- ⁇ , IL-l ⁇ , IL-6, and/or IL-8 lowering amount and/or effective plasma glucose level lowering amount of a compound of the invention and a pharmaceutically acceptable carrier or diluent, and if desired other active ingredients.
- the compounds of the invention are administered by any suitable route, preferably in the form of a pharmaceutical composition adapted to such a route, and in a dose effective for the treatment intended.
- Therapeutically effective doses of the compounds of the present invention required to arrest the progress or prevent tissue damage associated with the disease are readily ascertained by one of ordinary skill in the art using standard methods.
- the compounds of the present invention may be administered orally, parentally, by inhalation spray, rectally, or topically in dosage unit formulations containing conventional pharmaceutically acceptable carriers, adjuvants, and vehicles.
- parenteral as used herein includes, subcutaneous, intravenous, intramuscular, intrasternal, infusion techniques or intraperitoneally.
- the dosage regimen for treating a TNF- ⁇ , IL-1, IL- 6, and IL-8 mediated diseases and/or hyperglycemia with the compounds of this invention and/or compositions of this invention is based on a variety of factors, including the type of disease, the age, weight, sex, medical condition of the patient, the severity of the condition, the route of administration, and the particular compound employed. Thus, the dosage regimen may vary widely, but can be determined routinely using standard methods. Dosage levels of the order from about 0.01 mg to 30 mg per kilogram of body weight per day, preferably from about 0.1 mg to 10 mg/kg, more preferably from about 0.25 mg to 1 mg/kg are useful for all methods of use disclosed herein.
- the pharmaceutically active compounds of this invention can be processed in accordance with conventional methods of pharmacy to produce medicinal agents for administration to patients, including humans and other mammals.
- the pharmaceutical composition may be in the form of, for example, a capsule, a tablet, a suspension, or liquid.
- the pharmaceutical composition is preferably made in the form of a dosage unit containing a given amount of the active ingredient.
- these may contain an amount of active ingredient from about 1 to 2000 mg, preferably from about 1 to 500 mg, more preferably from about 5 to 150 mg .
- a suitable daily dose for a human or other mammal may vary widely depending on the condition of the patient and other factors, but, once again, can be determined using routine methods.
- the active ingredient may also be administered by injection as a composition with suitable carriers including saline, dextrose, or water.
- suitable carriers including saline, dextrose, or water.
- the daily parenteral dosage regimen will be from about 0.1 to about 30 mg/kg of total body weight, preferably from about 0.1 to about 10 mg/kg, and more preferably from about 0.25 mg to 1 mg/kg.
- Injectable preparations such as sterile injectable aqueous or oleaginous suspensions, may be formulated according to the known are using suitable dispersing or wetting agents and suspending agents.
- the sterile injectable preparation may also be a sterile injectable solution or suspension in a non-toxic parenterally acceptable diluent or solvent, for example as a solution in 1, 3-butanediol .
- a non-toxic parenterally acceptable diluent or solvent for example as a solution in 1, 3-butanediol .
- the acceptable vehicles and solvents that may be employed are water, Ringer's solution, and isotonic sodium chloride solution.
- sterile, fixed oils are conventionally employed as a solvent or suspending medium.
- any bland fixed oil may be employed, including synthetic mono- or diglycerides .
- fatty acids such as oleic acid find use in the preparation of injectables .
- Suppositories for rectal administration of the drug can be prepared by mixing the drug with a suitable non- irritating excipient such as cocoa butter and polyethylene glycols that are solid at ordinary temperatures but liquid at the rectal temperature and will therefore melt in the rectum and release the drug.
- a suitable topical dose of active ingredient of a compound of the invention is 0.1 mg to 150 mg administered one to four, preferably one or two times daily.
- the active ingredient may comprise from 0.001% to 10% w/w, e . g. , from 1% to 2% by weight of the formulation, although it may comprise as much as 10% w/w, but preferably not more than 5% w/w, and more preferably from 0.1% to 1% of the formulation.
- Formulations suitable for topical administration include liquid or semi-liquid preparations suitable for penetration through the skin (e.g., liniments, lotions, ointments, creams, or pastes) and drops suitable for administration to the eye, ear, or nose.
- liquid or semi-liquid preparations suitable for penetration through the skin e.g., liniments, lotions, ointments, creams, or pastes
- drops suitable for administration to the eye, ear, or nose e.g., liniments, lotions, ointments, creams, or pastes
- the compounds of this invention are ordinarily combined with one or more adjuvants appropriate for the indicated route of administration.
- the compounds may be admixed with lactose, sucrose, starch powder, cellulose esters of alkanoic acids, stearic acid, talc, magnesium stearate, magnesium oxide, sodium and calcium salts of phosphoric and sulphuric acids, acacia, gelatin, sodium alginate, polyvinyl- pyrrolidine, and/or polyvinyl alcohol, and tableted or encapsulated for conventional administration.
- the compounds of this invention may be dissolved in saline, water, polyethylene glycol, propylene glycol, ethanol, corn oil, peanut oil, cottonseed oil, sesame oil, tragacanth gum, and/or various buffers.
- Other adjuvants and modes of administration are well known in the pharmaceutical art.
- the carrier or diluent may include time delay material, such as glyceryl monostearate or glyceryl distearate alone or with a wax, or other materials well known in the art .
- the pharmaceutical compositions may be made up in a solid form (including granules, powders or suppositories) or in a liquid form (e.g., solutions, suspensions, or emulsions) .
- the pharmaceutical compositions may be subjected to conventional pharmaceutical operations such as sterilization and/or may contain conventional adjuvants, such as preservatives, stabilizers, wetting agents, emulsifiers, buffers etc.
- Solid dosage forms for oral administration may include capsules, tablets, pills, powders, and granules.
- the active compound may be admixed with at least one inert diluent such as sucrose, lactose, or starch.
- Such dosage forms may also comprise, as in normal practice, additional substances other than inert diluents, e.g., lubricating agents such as magnesium stearate.
- the dosage forms may also comprise buffering agents. Tablets and pills can additionally be prepared with enteric coatings.
- Liquid dosage forms for oral administration may include pharmaceutically acceptable emulsions, solutions, suspensions, syrups, and elixirs containing inert diluents commonly used in the art, such as water. Such compositions may also comprise adjuvants, such as wetting, sweetening, flavoring, and perfuming agents.
- optical isomers can be obtained by resolution of the racemic mixtures according to conventional processes, e.g., by formation of diastereoisomeric salts, by treatment with an optically active acid or base.
- appropriate acids are tartaric, diacetyltartaric, dibenzoyltartaric, ditoluoyltartaric, and camphorsulfonic acid and then separation of the mixture of diastereoisomers by crystallization followed by liberation of the optically active bases from these salts.
- a different process for separation of optical isomers involves the use of a chiral chromatography column optimally chosen to maximize the separation of the enantiomers.
- Still another available method involves synthesis of covalent diastereoisomeric molecules by reacting compounds of the invention with an optically pure acid in an activated form or an optically pure isocyanate.
- the synthesized diastereoisomers can be separated by conventional means such as chromatography, distillation, crystallization or sublimation, and then hydrolyzed to deliver the enantiomerically pure compound.
- the optically active compounds of the invention can likewise be obtained by using active starting materials. These isomers may be in the form of a free acid, a free base, an ester or a salt.
- the compounds of the present invention can be used in the form of salts derived from inorganic or organic acids.
- the salts include, but are not limited to, the following: acetate, adipate, alginate, citrate, aspartate, benzoate, benzenesulfonate, bisulfate, butyrate, camphorate, camphorsulfonate, digluconate, cyclopentanepropionate, dodecylsulfate, ethanesulfonate, glucoheptanoate, glycerophosphate, hemisulfate, heptanoate, hexanoate, fumarate, hydrochloride, hydrobromide, hydroiodide, 2-hyroxy-ethanesulfonate, lactate, maleate, methansulfonate, nicotinate, 2- naphthalenesulfonate, oxalate, palmoate, pectinate, pers
Landscapes
- Health & Medical Sciences (AREA)
- Organic Chemistry (AREA)
- Chemical & Material Sciences (AREA)
- Life Sciences & Earth Sciences (AREA)
- Pharmacology & Pharmacy (AREA)
- General Health & Medical Sciences (AREA)
- Chemical Kinetics & Catalysis (AREA)
- General Chemical & Material Sciences (AREA)
- Medicinal Chemistry (AREA)
- Veterinary Medicine (AREA)
- Nuclear Medicine, Radiotherapy & Molecular Imaging (AREA)
- Public Health (AREA)
- Animal Behavior & Ethology (AREA)
- Engineering & Computer Science (AREA)
- Bioinformatics & Cheminformatics (AREA)
- Physical Education & Sports Medicine (AREA)
- Rheumatology (AREA)
- Orthopedic Medicine & Surgery (AREA)
- Immunology (AREA)
- Neurology (AREA)
- Biomedical Technology (AREA)
- Diabetes (AREA)
- Neurosurgery (AREA)
- Pulmonology (AREA)
- Hematology (AREA)
- Pain & Pain Management (AREA)
- Dermatology (AREA)
- Oncology (AREA)
- Heart & Thoracic Surgery (AREA)
- Hospice & Palliative Care (AREA)
- Emergency Medicine (AREA)
- Virology (AREA)
- Endocrinology (AREA)
- Cardiology (AREA)
- Transplantation (AREA)
- Communicable Diseases (AREA)
- Psychiatry (AREA)
- Vascular Medicine (AREA)
- Urology & Nephrology (AREA)
- Obesity (AREA)
Abstract
Description
Claims
Priority Applications (9)
| Application Number | Priority Date | Filing Date | Title |
|---|---|---|---|
| NZ335997A NZ335997A (en) | 1996-12-05 | 1997-12-04 | Substituted pyrimidine compounds for treating TNF and interleukin diseases |
| BR9713850-9A BR9713850A (en) | 1996-12-05 | 1997-12-04 | Compound, pharmaceutical composition, processes for prophylaxis or treatment of infection and diseases, to decrease plasma concentrations of either or both tnf-. and o; -1 of either or both il-6 and il-8, for the prophylaxis or treatment of diabetes disease and a pain disorder in a mammal, to decrease prostaglandin production in a mammal, and to decrease the activity of the enzyme cyclooxygenase in a mammal. |
| AU60120/98A AU733877C (en) | 1996-12-05 | 1997-12-04 | Substituted pyrimidine compounds and their use |
| HU0001698A HUP0001698A3 (en) | 1996-12-05 | 1997-12-04 | Substituted pyrimidine compounds and their use |
| JP52585098A JP2002514195A (en) | 1996-12-05 | 1997-12-04 | Substituted pyrimidine compounds and uses thereof |
| EP97954778A EP0948497A2 (en) | 1996-12-05 | 1997-12-04 | Substituted pyrimidine compounds and their use |
| CA002274063A CA2274063C (en) | 1996-12-05 | 1997-12-04 | Substituted pyrimidine compounds and their use |
| KR1019997005021A KR20000069328A (en) | 1997-06-13 | 1997-12-04 | Substituted pyrimidine compounds and their use |
| IL13018097A IL130180A0 (en) | 1996-12-05 | 1997-12-04 | Substituted pyrimidine compounds and their use |
Applications Claiming Priority (4)
| Application Number | Priority Date | Filing Date | Title |
|---|---|---|---|
| US3212896P | 1996-12-05 | 1996-12-05 | |
| US60/032,128 | 1996-12-05 | ||
| US5095097P | 1997-06-13 | 1997-06-13 | |
| US60/050,950 | 1997-06-13 |
Publications (2)
| Publication Number | Publication Date |
|---|---|
| WO1998024782A2 true WO1998024782A2 (en) | 1998-06-11 |
| WO1998024782A3 WO1998024782A3 (en) | 1998-08-27 |
Family
ID=26708010
Family Applications (1)
| Application Number | Title | Priority Date | Filing Date |
|---|---|---|---|
| PCT/US1997/022390 Ceased WO1998024782A2 (en) | 1996-12-05 | 1997-12-04 | Substituted pyrimidine compounds and their use |
Country Status (4)
| Country | Link |
|---|---|
| JP (1) | JP2002514195A (en) |
| AR (1) | AR038955A1 (en) |
| TW (1) | TW520362B (en) |
| WO (1) | WO1998024782A2 (en) |
Cited By (84)
| Publication number | Priority date | Publication date | Assignee | Title |
|---|---|---|---|---|
| WO1999065897A1 (en) * | 1998-06-19 | 1999-12-23 | Chiron Corporation | Inhibitors of glycogen synthase kinase 3 |
| WO2000018758A1 (en) * | 1998-09-25 | 2000-04-06 | Mitsubishi Chemical Corporation | Pyrimidone derivatives |
| WO2000031065A1 (en) * | 1998-11-20 | 2000-06-02 | Merck & Co., Inc. | Compounds having cytokine inhibitory activity |
| WO2001047897A1 (en) * | 1999-12-28 | 2001-07-05 | Pharmacopeia, Inc. | Cytokine, especially tnf-alpha, inhibitors |
| WO2001058881A1 (en) * | 2000-02-11 | 2001-08-16 | Glaxo Group Limited | Pyrimidine derivatives as selective inhibitors of cox-2 |
| EP1136491A1 (en) * | 2000-03-23 | 2001-09-26 | Sanofi-Synthelabo | 2-[(Heteroaryl)alkylamino]pyrimidone derivatives |
| EP1136482A1 (en) * | 2000-03-23 | 2001-09-26 | Sanofi-Synthelabo | 2-Amino-3-(alkyl)-pyrimidone derivatives as GSK3beta inhibitors |
| EP1136099A1 (en) * | 2000-03-23 | 2001-09-26 | Sanofi-Synthelabo | 2-(Indolylalkylamino)pyrimidone derivatives as GSK3beta inhibitors |
| EP1136484A1 (en) * | 2000-03-23 | 2001-09-26 | Sanofi-Synthelabo | 2-(Arylalkylamino)pyrimidone derivatives |
| EP1136483A1 (en) * | 2000-03-23 | 2001-09-26 | Sanofi-Synthelabo | 2-[Piperazinyl]pyrimidone derivatives |
| EP1136493A1 (en) * | 2000-03-23 | 2001-09-26 | Sanofi-Synthelabo | 2-(Thienopyridinyl)pyrimidone, 2-(furopyridinyl)pyrimidone 2-(isoquinolinyl)pyrimidone, 2-(pyridoindolyl)pyrimidone and 2-(benzofuropyridinyl)pyrimidone derivatives |
| EP1136485A1 (en) * | 2000-03-23 | 2001-09-26 | Sanofi-Synthelabo | Aminophenyl pyrimidone derivatives |
| EP1136489A1 (en) * | 2000-03-23 | 2001-09-26 | Sanofi-Synthelabo | 2-[Piperidin-1-yl]pyrimidone derivatives |
| EP1136486A1 (en) * | 2000-03-23 | 2001-09-26 | Sanofi-Synthelabo | 2-[Indanylamino]pyrimidone and 2-[tetrahydronaphthalenylamino]pyrimidone derivatives |
| WO2001070728A1 (en) * | 2000-03-23 | 2001-09-27 | Sanofi-Synthelabo | 2-[nitrogen-heterocyclic]pyrimidone derivatives |
| WO2001070727A1 (en) * | 2000-03-23 | 2001-09-27 | Sanofi-Synthelabo | 2-(arylalkylamino)pyrimidone derivatives and 2-(heteroarylalkylamino)pyrimidone derivatives |
| WO2001038311A3 (en) * | 1999-11-26 | 2001-11-01 | Glaxo Group Ltd | Pyrimidine derivatives as selective inhibitors of cox-2 |
| WO2002018374A1 (en) * | 2000-09-01 | 2002-03-07 | Glaxo Group Limited | Substituted pyrimidines as selective cyclooxygenase-2 inhibitors |
| WO2002020495A3 (en) * | 2000-09-06 | 2002-06-20 | Chiron Corp | Inhibitors of glycogen synthase kinase 3 |
| US6469018B1 (en) | 1999-01-08 | 2002-10-22 | Smithkline Beecham Corporation | Compounds |
| WO2002096427A1 (en) * | 2001-05-25 | 2002-12-05 | Glaxo Group Limited | Pyrimidine derivatives as selective inhibitors of cox-2 |
| US6503949B1 (en) | 1999-05-17 | 2003-01-07 | Noro Nordisk A/S | Glucagon antagonists/inverse agonists |
| WO2003014091A1 (en) * | 2001-08-09 | 2003-02-20 | Glaxo Group Limited | Pyrimidine derivatives as selective inhibitors of cox-2 |
| US6548503B1 (en) | 1998-11-04 | 2003-04-15 | Smithkline Beecham Corporation | Pyridin-4-yl or pyrimidin-4-yl substituted pyrazines |
| WO2003035639A1 (en) * | 2001-10-22 | 2003-05-01 | Eisai Co., Ltd. | Pyrimidine compound and medicinal composition thereof |
| WO2003035640A1 (en) * | 2001-10-22 | 2003-05-01 | Eisai Co., Ltd. | Pyrimidone compounds and pharmaceutical compositions containing the same |
| WO2003037888A1 (en) * | 2001-09-21 | 2003-05-08 | Mitsubishi Pharma Corporation | 3-substituted-4-pyrimidone derivatives |
| US6562807B2 (en) | 2000-06-23 | 2003-05-13 | Novo Nordisk A/S | Glucagon antagonists/inverse agonists |
| US6613942B1 (en) | 1997-07-01 | 2003-09-02 | Novo Nordisk A/S | Glucagon antagonists/inverse agonists |
| US6649641B2 (en) | 1970-11-01 | 2003-11-18 | Novo Nordisk A/S | Glucagon antagonists/inverse agonists |
| WO2003099808A1 (en) * | 2002-05-21 | 2003-12-04 | Amgen Inc. | Substituted heterocyclic compounds and methods of use |
| US6670362B2 (en) | 2000-09-20 | 2003-12-30 | Pfizer Inc. | Pyridazine endothelin antagonists |
| US6706744B2 (en) | 2000-11-17 | 2004-03-16 | Novo Nordisk A/S | Glucagon antagonists/inverse agonists |
| WO2003084935A3 (en) * | 2002-04-10 | 2004-05-21 | Orchid Chemicals & Pharm Ltd | Diaryl pyrimidinone derivatives useful for the treatment of inflammation and immunogolical diseases |
| US6762318B2 (en) | 2001-12-03 | 2004-07-13 | Novo Nordisk A/S | Glucagon antagonists |
| WO2004069846A1 (en) * | 2003-02-06 | 2004-08-19 | Basf Aktiengesellschaft | Pyrimidines, methods for the production thereof, and use thereof |
| US6821960B2 (en) | 2000-11-17 | 2004-11-23 | Noyo Nordisk Pharmaceuticals, Inc. | Glucagon antagonists/inverse agonists |
| US6855709B2 (en) | 2002-02-22 | 2005-02-15 | Pharmacia & Upjohn Company | Pyridyl sulfone derivatives |
| WO2005019202A1 (en) * | 2003-08-20 | 2005-03-03 | Amgen Inc. | Substituted pyrimdinone derivatives and methods of use |
| WO2005007648A3 (en) * | 2003-07-16 | 2005-03-24 | Neurogen Corp | Biaryl piperazinyl-pyridine analogues |
| US6881746B2 (en) | 2001-12-03 | 2005-04-19 | Novo Nordick A/S | Glucagon antagonists/inverse agonists |
| US6906067B2 (en) | 1999-12-28 | 2005-06-14 | Bristol-Myers Squibb Company | N-heterocyclic inhibitors of TNF-α expression |
| US6921762B2 (en) | 2001-11-16 | 2005-07-26 | Amgen Inc. | Substituted indolizine-like compounds and methods of use |
| US7026327B2 (en) | 2001-05-25 | 2006-04-11 | Glaxo Group Limited | Pyrimidine derivatives useful as selective COX-2 inhibitors |
| US7045519B2 (en) | 1998-06-19 | 2006-05-16 | Chiron Corporation | Inhibitors of glycogen synthase kinase 3 |
| EP1707205A2 (en) | 2002-07-09 | 2006-10-04 | Boehringer Ingelheim Pharma GmbH & Co. KG | Pharmaceutical compositions of anticholinergics and p38 kinase inhibitors in the treatment of respiratory diseases |
| US7122666B2 (en) | 1999-07-21 | 2006-10-17 | Sankyo Company, Limited | Heteroaryl-substituted pyrrole derivatives, their preparation and their therapeutic uses |
| US7189717B2 (en) | 2000-04-26 | 2007-03-13 | Eisai Co., Ltd. | Medicinal compositions promoting bowel movement |
| CN1315832C (en) * | 2002-02-28 | 2007-05-16 | 沙诺费-阿方蒂 | Heteroaryl-substituted 2-pyridyl and 2-pyrimidinyl-6,7,8,9-tetrahydropyrimido[1,2-a]pyrimidin-4-one derivatives |
| US7235560B2 (en) | 2002-08-19 | 2007-06-26 | Glaxo Group Limited | Pyrimidine derivative as selective COX-2 inhibitors |
| EP1732541A4 (en) * | 2004-04-07 | 2008-03-05 | Takeda Pharmaceutical | CYCLIC COMPOUNDS |
| US7446117B2 (en) | 2002-09-16 | 2008-11-04 | Glaxo Group Limited | Cox-2 inhibiting pyridine derivatives |
| US7449470B2 (en) | 2003-10-03 | 2008-11-11 | Universiteit Leiden | Substituted pyrimidines as ligands of adenosine receptors |
| WO2008142031A1 (en) | 2007-05-18 | 2008-11-27 | Institut Curie | P38alpha as a therapeutic target in bladder carcinoma |
| US7504411B2 (en) | 2003-03-26 | 2009-03-17 | Mitsubishi Tanabe Pharma Corporation | 2,3,6-Trisubstituted-4-pyrimidone derivatives |
| US7572793B2 (en) | 2001-09-21 | 2009-08-11 | Mitsubishi Tanabe Pharma Corporation | 3-Substituted-4-pyrimidone derivatives |
| US7589197B2 (en) | 2005-06-14 | 2009-09-15 | Taigen Biotechnology | Pyrimidine compounds |
| WO2009131598A1 (en) * | 2008-04-21 | 2009-10-29 | Taigen Biotechnology Co., Ltd. | Heterocyclic compounds |
| EP2116245A2 (en) | 2004-08-07 | 2009-11-11 | Boehringer Ingelheim International GmbH | EGFR kinase inhibitor combinations for treating respiratory and gastrointestinal disorders |
| US7662830B2 (en) | 2004-08-13 | 2010-02-16 | Neurogen Corporation | Substituted biaryl piperazinyl-pyridine analogues |
| US7683069B2 (en) | 2002-12-16 | 2010-03-23 | Mitsubishi Tanabe Pharma Corporation | 3-substituted-4-pyrimidone derivatives |
| US7759357B2 (en) | 2002-02-01 | 2010-07-20 | Novartis Ag | Phenylpyrimidine amines as IgE inhibitors |
| US7790728B2 (en) | 2005-07-29 | 2010-09-07 | Laboratorios Almirall, S.A. | Pyrazine derivatives useful as adenosine receptor antagonists |
| US7855202B2 (en) | 2005-10-06 | 2010-12-21 | Laboratorios Almirall, S.A. | Imidazopyridine derivatives as A2B adenosine receptor antagonists |
| CN1810802B (en) * | 2001-09-21 | 2011-04-27 | 三菱制药株式会社 | 3-substituted-4-pyrimidone derivatives |
| US8022061B2 (en) | 2006-10-10 | 2011-09-20 | Amgen Inc. | N-aryl pyrazole compounds, compositions, and methods for their use |
| EP2384751A1 (en) | 2004-12-24 | 2011-11-09 | Boehringer Ingelheim International Gmbh | Medicaments for the treatment or prevention of fibrotic diseases |
| WO2012055942A1 (en) | 2010-10-27 | 2012-05-03 | Proximagen Limited | Alpha-7 nicotinic receptor modulators for the treatment of pain, a psychotic disorder, cognitive impairment or alzheimer's disease |
| US8193206B2 (en) | 2005-06-14 | 2012-06-05 | Taigen Biotechnology Co., Ltd. | Pyrimidine compounds |
| US8507533B2 (en) | 2011-02-08 | 2013-08-13 | Pfizer Inc. | Glucagon receptor modulators |
| JP2014129406A (en) * | 2000-05-12 | 2014-07-10 | Genzyme Corp | MODULATORS OF TNF-α SIGNALING |
| US8809342B2 (en) | 2010-12-23 | 2014-08-19 | Pfizer Inc. | Glucagon receptor modulators |
| US8835449B2 (en) | 2011-11-11 | 2014-09-16 | Pfizer Inc. | 2-thiopyrimidinones |
| US8927577B2 (en) | 2011-07-22 | 2015-01-06 | Pfizer Inc. | Quinolinyl glucagon receptor modulators |
| US9023834B2 (en) | 2008-11-13 | 2015-05-05 | Taigen Biotechnology Co., Ltd. | Lyophilization formulation |
| US9296697B2 (en) | 2005-08-24 | 2016-03-29 | Abbott Laboratories | Hetaryl-substituted guanidine compounds and use thereof as binding partners for 5-HT5-receptors |
| WO2017087445A1 (en) * | 2015-11-17 | 2017-05-26 | Merck Patent Gmbh | Methods for treating multiple sclerosis using pyrimidine and pyridine compounds with btk inhibitory activity |
| US9771332B2 (en) | 2015-05-05 | 2017-09-26 | Pfizer Inc. | 2-thiopyrimidinones |
| US9902712B2 (en) | 2013-12-19 | 2018-02-27 | Sunshine Lake Pharma Co., Ltd. | Nitrogenous heterocyclic derivatives and their application in drugs |
| US10220040B2 (en) | 2010-10-18 | 2019-03-05 | Cerenis Therapeutics Holding Sa | Compounds, compositions and methods useful for cholesterol mobilization |
| US10450273B2 (en) | 2016-08-29 | 2019-10-22 | Novartis Ag | N-(pyridin-2-yl)pyridine-sulfonamide derivatives and their use in the treatment of disease |
| WO2021097054A1 (en) * | 2019-11-12 | 2021-05-20 | Genzyme Corporation | 6-membered heteroarylaminosulfonamides for treating diseases and conditions mediated by deficient cftr activity |
| AU2021211982B2 (en) * | 2015-11-04 | 2023-03-02 | Merck Patent Gmbh | Methods for treating cancer using pyrimidine and pyridine compounds with BTK inhibitory activity |
| US11993580B1 (en) | 2022-12-02 | 2024-05-28 | Neumora Therapeutics, Inc. | Methods of treating neurological disorders |
Families Citing this family (5)
| Publication number | Priority date | Publication date | Assignee | Title |
|---|---|---|---|---|
| MXPA05013637A (en) * | 2003-08-13 | 2006-02-24 | Chiron Corp | Gsk-3 inhibitors and uses thereof. |
| CN101765591B (en) * | 2007-07-26 | 2013-11-27 | 诺华股份有限公司 | Pyrimidine derivatives useful for treatment of inflammatory or allergic conditions |
| TWI651310B (en) * | 2014-02-20 | 2019-02-21 | 日商日本煙草產業股份有限公司 | Triterpenoids and their medical use |
| CN108137515B (en) | 2015-08-17 | 2021-07-06 | 日本烟草产业株式会社 | Hydroxytriazine compounds and their medicinal uses |
| DK3372589T3 (en) | 2015-10-29 | 2021-12-06 | Aska Pharm Co Ltd | Pyrimidine derivatives |
Family Cites Families (10)
| Publication number | Priority date | Publication date | Assignee | Title |
|---|---|---|---|---|
| DE1271116B (en) * | 1965-05-04 | 1968-06-27 | Bayer Ag | Process for the preparation of 4-hydroxypyrimidines |
| BE759176A (en) * | 1969-11-20 | 1971-05-19 | Sandoz Sa | PYRIMIDINE DERIVATIVES, THEIR PREPARATION AND MEDICINAL PRODUCTS CONTAINING THESE DERIVES |
| US4438117A (en) * | 1980-09-03 | 1984-03-20 | E. I. Du Pont De Nemours And Company | 2-Substituted thio-4,5-diarylpyrimidines |
| DE3319843A1 (en) * | 1983-06-01 | 1984-12-06 | Ali-Akbar Dipl.-Chem. Dr. 4300 Mülheim Pourzal | Process for the preparation of pyrimidines from nitrile and alkynes |
| US4500533A (en) * | 1983-06-22 | 1985-02-19 | Eli Lilly And Company | 2,4,5-Triaryl pyrimidines and a method of treating pain, fever, thrombosis, inflammation and arthritis |
| US5077142A (en) * | 1989-04-20 | 1991-12-31 | Ricoh Company, Ltd. | Electroluminescent devices |
| US5620999A (en) * | 1994-07-28 | 1997-04-15 | Weier; Richard M. | Benzenesulfonamide subtituted imidazolyl compounds for the treatment of inflammation |
| CN1117082C (en) * | 1995-10-06 | 2003-08-06 | 麦克公司 | Substituted imidazoles having anti-cancer and cytokine inhibitory activity |
| WO1997016442A1 (en) * | 1995-10-31 | 1997-05-09 | Merck & Co., Inc. | Substituted pyridyl pyrroles, compositions containing such compounds and methods of use |
| JP2000506532A (en) * | 1996-03-13 | 2000-05-30 | スミスクライン・ビーチャム・コーポレイション | Novel pyrimidine compounds useful in treating cytokine-mediated diseases |
-
1997
- 1997-12-04 WO PCT/US1997/022390 patent/WO1998024782A2/en not_active Ceased
- 1997-12-04 AR ARP970105716A patent/AR038955A1/en not_active Application Discontinuation
- 1997-12-04 TW TW086118244A patent/TW520362B/en not_active IP Right Cessation
- 1997-12-04 JP JP52585098A patent/JP2002514195A/en active Pending
Cited By (145)
| Publication number | Priority date | Publication date | Assignee | Title |
|---|---|---|---|---|
| US6649641B2 (en) | 1970-11-01 | 2003-11-18 | Novo Nordisk A/S | Glucagon antagonists/inverse agonists |
| US6613942B1 (en) | 1997-07-01 | 2003-09-02 | Novo Nordisk A/S | Glucagon antagonists/inverse agonists |
| WO1999065897A1 (en) * | 1998-06-19 | 1999-12-23 | Chiron Corporation | Inhibitors of glycogen synthase kinase 3 |
| US6417185B1 (en) * | 1998-06-19 | 2002-07-09 | Chiron Corporation | Inhibitors of glycogen synthase kinase 3 |
| US7425557B2 (en) | 1998-06-19 | 2008-09-16 | Novartis Vaccines And Diagnostics, Inc. | Inhibitors of glycogen synthase kinase 3 |
| JP2003527303A (en) * | 1998-06-19 | 2003-09-16 | カイロン コーポレイション | Inhibitors of glycogen synthase kinase 3 |
| US7037918B2 (en) | 1998-06-19 | 2006-05-02 | Chiron Corporation | Inhibitors of glycogen synthase kinase 3 |
| US7045519B2 (en) | 1998-06-19 | 2006-05-16 | Chiron Corporation | Inhibitors of glycogen synthase kinase 3 |
| WO2000018758A1 (en) * | 1998-09-25 | 2000-04-06 | Mitsubishi Chemical Corporation | Pyrimidone derivatives |
| US7256199B1 (en) | 1998-09-25 | 2007-08-14 | Mitsubishi Chemical Corporation | Pyrimidone derivatives |
| US6861417B2 (en) | 1998-11-04 | 2005-03-01 | Smithkline Beecham Corporation | Pyridin-4-YL or pyrimidin-4-YL substituted pyrazines |
| US6548503B1 (en) | 1998-11-04 | 2003-04-15 | Smithkline Beecham Corporation | Pyridin-4-yl or pyrimidin-4-yl substituted pyrazines |
| AU756862C (en) * | 1998-11-20 | 2004-02-12 | Merck & Co., Inc. | Compounds having cytokine inhibitory activity |
| EP1131314A4 (en) * | 1998-11-20 | 2002-05-02 | Merck & Co Inc | COMPOUNDS HAVING CYTOKINE INHIBITING ACTIVITY |
| AU756862B2 (en) * | 1998-11-20 | 2003-01-23 | Merck & Co., Inc. | Compounds having cytokine inhibitory activity |
| US6350744B1 (en) | 1998-11-20 | 2002-02-26 | Merck & Co., Inc. | Compounds having cytokine inhibitory activity |
| WO2000031065A1 (en) * | 1998-11-20 | 2000-06-02 | Merck & Co., Inc. | Compounds having cytokine inhibitory activity |
| US6469018B1 (en) | 1999-01-08 | 2002-10-22 | Smithkline Beecham Corporation | Compounds |
| US6503949B1 (en) | 1999-05-17 | 2003-01-07 | Noro Nordisk A/S | Glucagon antagonists/inverse agonists |
| US6875760B2 (en) | 1999-05-17 | 2005-04-05 | Novo Nordisk A/S | Glucagon antagonists/inverse agonists |
| US7122666B2 (en) | 1999-07-21 | 2006-10-17 | Sankyo Company, Limited | Heteroaryl-substituted pyrrole derivatives, their preparation and their therapeutic uses |
| US6780869B1 (en) | 1999-11-26 | 2004-08-24 | Smithkline Beecham Corporation | Pyrimidine derivatives |
| WO2001038311A3 (en) * | 1999-11-26 | 2001-11-01 | Glaxo Group Ltd | Pyrimidine derivatives as selective inhibitors of cox-2 |
| WO2001047897A1 (en) * | 1999-12-28 | 2001-07-05 | Pharmacopeia, Inc. | Cytokine, especially tnf-alpha, inhibitors |
| US6906067B2 (en) | 1999-12-28 | 2005-06-14 | Bristol-Myers Squibb Company | N-heterocyclic inhibitors of TNF-α expression |
| JP2003519130A (en) * | 1999-12-28 | 2003-06-17 | ファーマコペイア, インコーポレイテッド | N-heterocyclic TNF-α expression inhibitor |
| US7479495B2 (en) | 1999-12-28 | 2009-01-20 | Pharmacopeia, Inc. | N-heterocyclic inhibitors of TNF-α expression |
| US6780870B2 (en) | 2000-02-11 | 2004-08-24 | Smithkline Beecham Corporation | Pyrimidine derivatives as selective inhibitors of COX-2 |
| WO2001058881A1 (en) * | 2000-02-11 | 2001-08-16 | Glaxo Group Limited | Pyrimidine derivatives as selective inhibitors of cox-2 |
| EP1136486A1 (en) * | 2000-03-23 | 2001-09-26 | Sanofi-Synthelabo | 2-[Indanylamino]pyrimidone and 2-[tetrahydronaphthalenylamino]pyrimidone derivatives |
| EP1136099A1 (en) * | 2000-03-23 | 2001-09-26 | Sanofi-Synthelabo | 2-(Indolylalkylamino)pyrimidone derivatives as GSK3beta inhibitors |
| WO2001070725A1 (en) * | 2000-03-23 | 2001-09-27 | Sanofi-Synthelabo | 2-[indanylamino]pyrimidone and 2-[tetrahydronaphthalenylamino]pyrimidone derivatives |
| EP1136493A1 (en) * | 2000-03-23 | 2001-09-26 | Sanofi-Synthelabo | 2-(Thienopyridinyl)pyrimidone, 2-(furopyridinyl)pyrimidone 2-(isoquinolinyl)pyrimidone, 2-(pyridoindolyl)pyrimidone and 2-(benzofuropyridinyl)pyrimidone derivatives |
| EP1136483A1 (en) * | 2000-03-23 | 2001-09-26 | Sanofi-Synthelabo | 2-[Piperazinyl]pyrimidone derivatives |
| EP1136489A1 (en) * | 2000-03-23 | 2001-09-26 | Sanofi-Synthelabo | 2-[Piperidin-1-yl]pyrimidone derivatives |
| EP1136484A1 (en) * | 2000-03-23 | 2001-09-26 | Sanofi-Synthelabo | 2-(Arylalkylamino)pyrimidone derivatives |
| EP1136485A1 (en) * | 2000-03-23 | 2001-09-26 | Sanofi-Synthelabo | Aminophenyl pyrimidone derivatives |
| EP1136482A1 (en) * | 2000-03-23 | 2001-09-26 | Sanofi-Synthelabo | 2-Amino-3-(alkyl)-pyrimidone derivatives as GSK3beta inhibitors |
| WO2001070728A1 (en) * | 2000-03-23 | 2001-09-27 | Sanofi-Synthelabo | 2-[nitrogen-heterocyclic]pyrimidone derivatives |
| EP1136491A1 (en) * | 2000-03-23 | 2001-09-26 | Sanofi-Synthelabo | 2-[(Heteroaryl)alkylamino]pyrimidone derivatives |
| WO2001070726A1 (en) * | 2000-03-23 | 2001-09-27 | Sanofi-Synthelabo | Aminophenyl pyrimidone derivatives |
| WO2001070727A1 (en) * | 2000-03-23 | 2001-09-27 | Sanofi-Synthelabo | 2-(arylalkylamino)pyrimidone derivatives and 2-(heteroarylalkylamino)pyrimidone derivatives |
| US7189717B2 (en) | 2000-04-26 | 2007-03-13 | Eisai Co., Ltd. | Medicinal compositions promoting bowel movement |
| JP2014129406A (en) * | 2000-05-12 | 2014-07-10 | Genzyme Corp | MODULATORS OF TNF-α SIGNALING |
| US6953812B2 (en) | 2000-06-23 | 2005-10-11 | Novo Nordisk, Inc. | Glucagon antagonists/inverse agonists |
| US6562807B2 (en) | 2000-06-23 | 2003-05-13 | Novo Nordisk A/S | Glucagon antagonists/inverse agonists |
| WO2002018374A1 (en) * | 2000-09-01 | 2002-03-07 | Glaxo Group Limited | Substituted pyrimidines as selective cyclooxygenase-2 inhibitors |
| US7084148B2 (en) | 2000-09-01 | 2006-08-01 | Smithkline Beecham Corporation | Substituted pyrimidines as selective cyclooxygenase-2 inhibitors |
| WO2002020495A3 (en) * | 2000-09-06 | 2002-06-20 | Chiron Corp | Inhibitors of glycogen synthase kinase 3 |
| AU2001295026B2 (en) * | 2000-09-06 | 2008-04-03 | Novartis Vaccines And Diagnostics, Inc. | Inhibitors of glycogen synthase kinase 3 |
| US6670362B2 (en) | 2000-09-20 | 2003-12-30 | Pfizer Inc. | Pyridazine endothelin antagonists |
| US6821960B2 (en) | 2000-11-17 | 2004-11-23 | Noyo Nordisk Pharmaceuticals, Inc. | Glucagon antagonists/inverse agonists |
| US6706744B2 (en) | 2000-11-17 | 2004-03-16 | Novo Nordisk A/S | Glucagon antagonists/inverse agonists |
| US7074802B2 (en) | 2001-05-25 | 2006-07-11 | Glaxo Group Limited | Pyrimidine derivatives as selective inhibitors of cox-2 |
| WO2002096427A1 (en) * | 2001-05-25 | 2002-12-05 | Glaxo Group Limited | Pyrimidine derivatives as selective inhibitors of cox-2 |
| US7026327B2 (en) | 2001-05-25 | 2006-04-11 | Glaxo Group Limited | Pyrimidine derivatives useful as selective COX-2 inhibitors |
| US7056928B2 (en) | 2001-08-09 | 2006-06-06 | Glaxo Group Limited | Pyrimidine derivatives as selective inhibitors of COX-2 |
| WO2003014091A1 (en) * | 2001-08-09 | 2003-02-20 | Glaxo Group Limited | Pyrimidine derivatives as selective inhibitors of cox-2 |
| EA007576B1 (en) * | 2001-09-21 | 2006-12-29 | Мицубиси Фарма Корпорейшн | 3-substituted-4-pyrimidone derivatives |
| CN1810802B (en) * | 2001-09-21 | 2011-04-27 | 三菱制药株式会社 | 3-substituted-4-pyrimidone derivatives |
| KR100881821B1 (en) * | 2001-09-21 | 2009-02-03 | 미쓰비시 타나베 파마 코퍼레이션 | 3-substituted-4-pyrimidone derivatives |
| US7427615B2 (en) | 2001-09-21 | 2008-09-23 | Mitsubishi Pharma Corporation | 3-substituted-4-pyrimidone derivatives |
| WO2003037888A1 (en) * | 2001-09-21 | 2003-05-08 | Mitsubishi Pharma Corporation | 3-substituted-4-pyrimidone derivatives |
| US7572793B2 (en) | 2001-09-21 | 2009-08-11 | Mitsubishi Tanabe Pharma Corporation | 3-Substituted-4-pyrimidone derivatives |
| WO2003035639A1 (en) * | 2001-10-22 | 2003-05-01 | Eisai Co., Ltd. | Pyrimidine compound and medicinal composition thereof |
| WO2003035640A1 (en) * | 2001-10-22 | 2003-05-01 | Eisai Co., Ltd. | Pyrimidone compounds and pharmaceutical compositions containing the same |
| EP2246344A1 (en) | 2001-10-22 | 2010-11-03 | Eisai R&D Management Co., Ltd. | Pyrimidine compounds and medicinal composition thereof |
| US7160892B2 (en) | 2001-10-22 | 2007-01-09 | Eisai Co., Ltd. | Pyrimidone compounds and pharmaceutical compositions containing the same |
| JPWO2003035640A1 (en) * | 2001-10-22 | 2005-02-10 | エーザイ株式会社 | Pyrimidone compound and pharmaceutical composition thereof |
| JPWO2003035639A1 (en) * | 2001-10-22 | 2005-02-10 | エーザイ株式会社 | Pyrimidine compound and pharmaceutical composition thereof |
| AU2002335536B2 (en) * | 2001-10-22 | 2008-11-13 | Eisai R&D Management Co., Ltd. | Pyrimidine compound and medicinal composition thereof |
| US7396836B2 (en) | 2001-10-22 | 2008-07-08 | Eisai R&D Management Co., Ltd. | Pyrimidine compound and medicinal composition thereof |
| US6921762B2 (en) | 2001-11-16 | 2005-07-26 | Amgen Inc. | Substituted indolizine-like compounds and methods of use |
| US6881746B2 (en) | 2001-12-03 | 2005-04-19 | Novo Nordick A/S | Glucagon antagonists/inverse agonists |
| US6762318B2 (en) | 2001-12-03 | 2004-07-13 | Novo Nordisk A/S | Glucagon antagonists |
| US7759357B2 (en) | 2002-02-01 | 2010-07-20 | Novartis Ag | Phenylpyrimidine amines as IgE inhibitors |
| US6855709B2 (en) | 2002-02-22 | 2005-02-15 | Pharmacia & Upjohn Company | Pyridyl sulfone derivatives |
| CN1315832C (en) * | 2002-02-28 | 2007-05-16 | 沙诺费-阿方蒂 | Heteroaryl-substituted 2-pyridyl and 2-pyrimidinyl-6,7,8,9-tetrahydropyrimido[1,2-a]pyrimidin-4-one derivatives |
| WO2003084935A3 (en) * | 2002-04-10 | 2004-05-21 | Orchid Chemicals & Pharm Ltd | Diaryl pyrimidinone derivatives useful for the treatment of inflammation and immunogolical diseases |
| AU2003234628B2 (en) * | 2002-05-21 | 2007-08-23 | Amgen Inc. | Substituted heterocyclic compounds and methods of use |
| WO2003099808A1 (en) * | 2002-05-21 | 2003-12-04 | Amgen Inc. | Substituted heterocyclic compounds and methods of use |
| US7026326B2 (en) | 2002-05-21 | 2006-04-11 | Amgen Inc. | Substituted heterocyclic compounds and methods of use |
| EP1707205A2 (en) | 2002-07-09 | 2006-10-04 | Boehringer Ingelheim Pharma GmbH & Co. KG | Pharmaceutical compositions of anticholinergics and p38 kinase inhibitors in the treatment of respiratory diseases |
| US7235560B2 (en) | 2002-08-19 | 2007-06-26 | Glaxo Group Limited | Pyrimidine derivative as selective COX-2 inhibitors |
| US7446117B2 (en) | 2002-09-16 | 2008-11-04 | Glaxo Group Limited | Cox-2 inhibiting pyridine derivatives |
| US7683069B2 (en) | 2002-12-16 | 2010-03-23 | Mitsubishi Tanabe Pharma Corporation | 3-substituted-4-pyrimidone derivatives |
| CN100357297C (en) * | 2003-02-06 | 2007-12-26 | 巴斯福股份公司 | Pyrimidines, their production methods and their uses |
| WO2004069846A1 (en) * | 2003-02-06 | 2004-08-19 | Basf Aktiengesellschaft | Pyrimidines, methods for the production thereof, and use thereof |
| EP2305651A1 (en) | 2003-03-26 | 2011-04-06 | Mitsubishi Tanabe Pharma Corporation | 2,3,6-trisubstituted-4-pyrimidone derivatives |
| US7504411B2 (en) | 2003-03-26 | 2009-03-17 | Mitsubishi Tanabe Pharma Corporation | 2,3,6-Trisubstituted-4-pyrimidone derivatives |
| US7566712B2 (en) | 2003-07-16 | 2009-07-28 | Neurogen Corporation | Biaryl piperazinyl-pyridine analogues |
| WO2005007648A3 (en) * | 2003-07-16 | 2005-03-24 | Neurogen Corp | Biaryl piperazinyl-pyridine analogues |
| WO2005019202A1 (en) * | 2003-08-20 | 2005-03-03 | Amgen Inc. | Substituted pyrimdinone derivatives and methods of use |
| AU2004267096B2 (en) * | 2003-08-20 | 2008-10-02 | Amgen Inc. | Substituted pyrimdinone derivatives and methods of use |
| US7429594B2 (en) | 2003-08-20 | 2008-09-30 | Amgen Inc. | Substituted heterocyclic compounds and methods of use |
| US7449470B2 (en) | 2003-10-03 | 2008-11-11 | Universiteit Leiden | Substituted pyrimidines as ligands of adenosine receptors |
| EP1732541A4 (en) * | 2004-04-07 | 2008-03-05 | Takeda Pharmaceutical | CYCLIC COMPOUNDS |
| US7897607B2 (en) | 2004-04-07 | 2011-03-01 | Takeda Pharmaceutical Company Limited | Cyclic compounds |
| EP2116245A2 (en) | 2004-08-07 | 2009-11-11 | Boehringer Ingelheim International GmbH | EGFR kinase inhibitor combinations for treating respiratory and gastrointestinal disorders |
| US8334382B2 (en) | 2004-08-13 | 2012-12-18 | Neurogen Corporation | Substituted biaryl piperazinyl-pyridine analogues |
| US7662830B2 (en) | 2004-08-13 | 2010-02-16 | Neurogen Corporation | Substituted biaryl piperazinyl-pyridine analogues |
| EP2878297A1 (en) | 2004-12-24 | 2015-06-03 | Boehringer Ingelheim International GmbH | Medicaments for the treatment or prevention of fibrotic diseases |
| EP2384751A1 (en) | 2004-12-24 | 2011-11-09 | Boehringer Ingelheim International Gmbh | Medicaments for the treatment or prevention of fibrotic diseases |
| US8193206B2 (en) | 2005-06-14 | 2012-06-05 | Taigen Biotechnology Co., Ltd. | Pyrimidine compounds |
| EA015890B1 (en) * | 2005-06-14 | 2011-12-30 | Тайджен Байотекнолоджи Ко. Лтд. | Pyrimidine compounds |
| AU2006259525B2 (en) * | 2005-06-14 | 2012-05-24 | Gpcr Therapeutics, Inc | Pyrimidine compounds |
| US7589197B2 (en) | 2005-06-14 | 2009-09-15 | Taigen Biotechnology | Pyrimidine compounds |
| US7790728B2 (en) | 2005-07-29 | 2010-09-07 | Laboratorios Almirall, S.A. | Pyrazine derivatives useful as adenosine receptor antagonists |
| US9296697B2 (en) | 2005-08-24 | 2016-03-29 | Abbott Laboratories | Hetaryl-substituted guanidine compounds and use thereof as binding partners for 5-HT5-receptors |
| US7855202B2 (en) | 2005-10-06 | 2010-12-21 | Laboratorios Almirall, S.A. | Imidazopyridine derivatives as A2B adenosine receptor antagonists |
| US8022061B2 (en) | 2006-10-10 | 2011-09-20 | Amgen Inc. | N-aryl pyrazole compounds, compositions, and methods for their use |
| WO2008142031A1 (en) | 2007-05-18 | 2008-11-27 | Institut Curie | P38alpha as a therapeutic target in bladder carcinoma |
| WO2009131598A1 (en) * | 2008-04-21 | 2009-10-29 | Taigen Biotechnology Co., Ltd. | Heterocyclic compounds |
| US8372849B2 (en) | 2008-04-21 | 2013-02-12 | Taigen Biotechnology Co., Ltd. | Heterocyclic compounds |
| EA019289B1 (en) * | 2008-04-21 | 2014-02-28 | Тайджен Байотекнолоджи Ко., Лтд. | Aminopiridin, aminopirimidin and amino-1,3,5-triazine derivatives |
| US9023834B2 (en) | 2008-11-13 | 2015-05-05 | Taigen Biotechnology Co., Ltd. | Lyophilization formulation |
| US10220040B2 (en) | 2010-10-18 | 2019-03-05 | Cerenis Therapeutics Holding Sa | Compounds, compositions and methods useful for cholesterol mobilization |
| WO2012055942A1 (en) | 2010-10-27 | 2012-05-03 | Proximagen Limited | Alpha-7 nicotinic receptor modulators for the treatment of pain, a psychotic disorder, cognitive impairment or alzheimer's disease |
| US9133178B2 (en) | 2010-10-27 | 2015-09-15 | Proximagen Limited | Alpha-7 nicotinic receptor modulators for the treatment of pain, a psychotic disorder, cognitive impairment or alzheimer'S disease |
| US8809342B2 (en) | 2010-12-23 | 2014-08-19 | Pfizer Inc. | Glucagon receptor modulators |
| US8933104B2 (en) | 2010-12-23 | 2015-01-13 | Pfizer Inc. | Glucagon receptor modulators |
| US9056834B2 (en) | 2010-12-23 | 2015-06-16 | Pfizer Inc. | Glucagon receptor modulators |
| US9452999B2 (en) | 2011-02-08 | 2016-09-27 | Pfizer Inc. | Glucagon receptor modulators |
| US9073871B2 (en) | 2011-02-08 | 2015-07-07 | Pfizer Inc. | Glucagon receptor modulators |
| US8507533B2 (en) | 2011-02-08 | 2013-08-13 | Pfizer Inc. | Glucagon receptor modulators |
| US8859591B2 (en) | 2011-02-08 | 2014-10-14 | Pfizer Inc. | Glucagon receptor modulators |
| US8927577B2 (en) | 2011-07-22 | 2015-01-06 | Pfizer Inc. | Quinolinyl glucagon receptor modulators |
| US9139538B2 (en) | 2011-07-22 | 2015-09-22 | Pfizer Inc. | Quinolinyl glucagon receptor modulators |
| US8835449B2 (en) | 2011-11-11 | 2014-09-16 | Pfizer Inc. | 2-thiopyrimidinones |
| US9399626B2 (en) | 2011-11-11 | 2016-07-26 | Pfizer Inc. | 2-thiopyrimidinones |
| US8841314B2 (en) | 2011-11-11 | 2014-09-23 | Pfizer Inc. | 2-Thiopyrimidinones |
| US9873673B2 (en) | 2011-11-11 | 2018-01-23 | Pfizer Inc. | 2-thiopyrimidinones |
| US9902712B2 (en) | 2013-12-19 | 2018-02-27 | Sunshine Lake Pharma Co., Ltd. | Nitrogenous heterocyclic derivatives and their application in drugs |
| US9771332B2 (en) | 2015-05-05 | 2017-09-26 | Pfizer Inc. | 2-thiopyrimidinones |
| AU2021211982B2 (en) * | 2015-11-04 | 2023-03-02 | Merck Patent Gmbh | Methods for treating cancer using pyrimidine and pyridine compounds with BTK inhibitory activity |
| WO2017087445A1 (en) * | 2015-11-17 | 2017-05-26 | Merck Patent Gmbh | Methods for treating multiple sclerosis using pyrimidine and pyridine compounds with btk inhibitory activity |
| US10716788B2 (en) | 2015-11-17 | 2020-07-21 | Merck Patent Gmbh | Methods for treating MS using pyrimidine and pyridine compounds with BTK inhibitory activity |
| AU2016357735B2 (en) * | 2015-11-17 | 2021-01-14 | Merck Patent Gmbh | Methods for treating multiple sclerosis using pyrimidine and pyridine compounds with BTK inhibitory activity |
| EP4295910A3 (en) * | 2015-11-17 | 2024-03-20 | Merck Patent GmbH | Methods for treating multiple sclerosis using pyrimidine and pyridine compounds with btk inhibitory activity |
| US10450273B2 (en) | 2016-08-29 | 2019-10-22 | Novartis Ag | N-(pyridin-2-yl)pyridine-sulfonamide derivatives and their use in the treatment of disease |
| US11066369B2 (en) | 2016-08-29 | 2021-07-20 | Novartis Ag | N-(pyridin-2-yl)pyridine-sulfonamide derivatives and their use in the treatment of disease |
| WO2021097054A1 (en) * | 2019-11-12 | 2021-05-20 | Genzyme Corporation | 6-membered heteroarylaminosulfonamides for treating diseases and conditions mediated by deficient cftr activity |
| CN114981243A (en) * | 2019-11-12 | 2022-08-30 | 健赞公司 | 6-membered heteroarylaminosulfonamides for treating diseases and conditions mediated by deficiency of CFTR activity |
| US11993580B1 (en) | 2022-12-02 | 2024-05-28 | Neumora Therapeutics, Inc. | Methods of treating neurological disorders |
| US12371414B2 (en) | 2022-12-02 | 2025-07-29 | Neumora Therapeutics, Inc. | Methods of treating neurological disorders |
Also Published As
| Publication number | Publication date |
|---|---|
| WO1998024782A3 (en) | 1998-08-27 |
| AR038955A1 (en) | 2005-02-02 |
| TW520362B (en) | 2003-02-11 |
| JP2002514195A (en) | 2002-05-14 |
Similar Documents
| Publication | Publication Date | Title |
|---|---|---|
| US6610698B2 (en) | Substituted pyrimidine compounds and methods of use | |
| WO1998024782A2 (en) | Substituted pyrimidine compounds and their use | |
| AU735901C (en) | Substituted pyrimidinone and pyridone compounds and methods of use | |
| US6420385B1 (en) | Substituted pyrimidinone and pyridone compounds and methods of use | |
| CA2315827C (en) | Substituted pyridine and pyridazine compounds and their pharmaceutical use | |
| US6174901B1 (en) | Substituted pyridine and pyridazine compounds and methods of use | |
| CA2271767A1 (en) | Aryl and heteroaryl substituted fused pyrrole antiinflammatory agents | |
| WO1998022457A9 (en) | Aryl and heteroaryl substituted fused pyrrole antiinflammatory agents | |
| EP1448564A2 (en) | Substituted indolizine-like compounds and methods of use | |
| AU733877C (en) | Substituted pyrimidine compounds and their use | |
| CA2535644A1 (en) | Substituted pyrimdinone derivatives and methods of use | |
| EP1314732A2 (en) | Substituted pyrimidine compounds and their use | |
| MXPA99005168A (en) | Substituted pyrimidine compounds and their use | |
| KR20000069328A (en) | Substituted pyrimidine compounds and their use | |
| AU8142901A (en) | Substituted pyrimidinone and pyridone compounds and methods of use |
Legal Events
| Date | Code | Title | Description |
|---|---|---|---|
| WWE | Wipo information: entry into national phase |
Ref document number: 97181563.1 Country of ref document: CN |
|
| AK | Designated states |
Kind code of ref document: A2 Designated state(s): AL AM AT AU AZ BA BB BG BR BY CA CH CN CU CZ DE DK EE ES FI GB GE GH HU ID IL IS JP KE KG KP KR KZ LC LK LR LS LT LU LV MD MG MK MN MW MX NO NZ PL PT RO RU SD SE SG SI SK SL TJ TM TR TT UA UG US UZ VN YU ZW AM AZ BY KG KZ MD RU TJ TM |
|
| AL | Designated countries for regional patents |
Kind code of ref document: A2 Designated state(s): GH KE LS MW SD SZ UG ZW AT BE CH DE DK ES FI FR GB GR IE IT LU MC |
|
| DFPE | Request for preliminary examination filed prior to expiration of 19th month from priority date (pct application filed before 20040101) | ||
| AK | Designated states |
Kind code of ref document: A3 Designated state(s): AL AM AT AU AZ BA BB BG BR BY CA CH CN CU CZ DE DK EE ES FI GB GE GH HU ID IL IS JP KE KG KP KR KZ LC LK LR LS LT LU LV MD MG MK MN MW MX NO NZ PL PT RO RU SD SE SG SI SK SL TJ TM TR TT UA UG US UZ VN YU ZW AM AZ BY KG KZ MD RU TJ TM |
|
| AL | Designated countries for regional patents |
Kind code of ref document: A3 Designated state(s): GH KE LS MW SD SZ UG ZW AT BE CH DE DK ES FI FR GB GR IE IT LU MC |
|
| 121 | Ep: the epo has been informed by wipo that ep was designated in this application | ||
| WWE | Wipo information: entry into national phase |
Ref document number: 335997 Country of ref document: NZ |
|
| WWE | Wipo information: entry into national phase |
Ref document number: 60120/98 Country of ref document: AU |
|
| ENP | Entry into the national phase |
Ref document number: 2274063 Country of ref document: CA Ref document number: 2274063 Country of ref document: CA Kind code of ref document: A |
|
| WWE | Wipo information: entry into national phase |
Ref document number: PA/a/1999/005168 Country of ref document: MX |
|
| WWE | Wipo information: entry into national phase |
Ref document number: PV1999-2015 Country of ref document: CZ |
|
| WWE | Wipo information: entry into national phase |
Ref document number: 1019997005021 Country of ref document: KR |
|
| WWE | Wipo information: entry into national phase |
Ref document number: 1997954778 Country of ref document: EP |
|
| REG | Reference to national code |
Ref country code: DE Ref legal event code: 8642 |
|
| WWP | Wipo information: published in national office |
Ref document number: 1997954778 Country of ref document: EP |
|
| WWP | Wipo information: published in national office |
Ref document number: PV1999-2015 Country of ref document: CZ |
|
| WWP | Wipo information: published in national office |
Ref document number: 1019997005021 Country of ref document: KR |
|
| WWG | Wipo information: grant in national office |
Ref document number: 60120/98 Country of ref document: AU |
|
| WWW | Wipo information: withdrawn in national office |
Ref document number: 1997954778 Country of ref document: EP |
|
| WWR | Wipo information: refused in national office |
Ref document number: 1019997005021 Country of ref document: KR |
|
| WWG | Wipo information: grant in national office |
Ref document number: PV1999-2015 Country of ref document: CZ |
































































































































































































