WO1998021521A1 - Two-photon or higher-order absorbing optical materials and methods of use - Google Patents
Two-photon or higher-order absorbing optical materials and methods of use Download PDFInfo
- Publication number
- WO1998021521A1 WO1998021521A1 PCT/US1997/020596 US9720596W WO9821521A1 WO 1998021521 A1 WO1998021521 A1 WO 1998021521A1 US 9720596 W US9720596 W US 9720596W WO 9821521 A1 WO9821521 A1 WO 9821521A1
- Authority
- WO
- WIPO (PCT)
- Prior art keywords
- group
- carbons
- independently selected
- photon
- linear
- Prior art date
- Legal status (The legal status is an assumption and is not a legal conclusion. Google has not performed a legal analysis and makes no representation as to the accuracy of the status listed.)
- Ceased
Links
Classifications
-
- G—PHYSICS
- G11—INFORMATION STORAGE
- G11B—INFORMATION STORAGE BASED ON RELATIVE MOVEMENT BETWEEN RECORD CARRIER AND TRANSDUCER
- G11B7/00—Recording or reproducing by optical means, e.g. recording using a thermal beam of optical radiation by modifying optical properties or the physical structure, reproducing using an optical beam at lower power by sensing optical properties; Record carriers therefor
- G11B7/24—Record carriers characterised by shape, structure or physical properties, or by the selection of the material
- G11B7/241—Record carriers characterised by shape, structure or physical properties, or by the selection of the material characterised by the selection of the material
- G11B7/242—Record carriers characterised by shape, structure or physical properties, or by the selection of the material characterised by the selection of the material of recording layers
- G11B7/244—Record carriers characterised by shape, structure or physical properties, or by the selection of the material characterised by the selection of the material of recording layers comprising organic materials only
- G11B7/25—Record carriers characterised by shape, structure or physical properties, or by the selection of the material characterised by the selection of the material of recording layers comprising organic materials only containing liquid crystals
-
- B—PERFORMING OPERATIONS; TRANSPORTING
- B82—NANOTECHNOLOGY
- B82Y—SPECIFIC USES OR APPLICATIONS OF NANOSTRUCTURES; MEASUREMENT OR ANALYSIS OF NANOSTRUCTURES; MANUFACTURE OR TREATMENT OF NANOSTRUCTURES
- B82Y10/00—Nanotechnology for information processing, storage or transmission, e.g. quantum computing or single electron logic
-
- G—PHYSICS
- G11—INFORMATION STORAGE
- G11B—INFORMATION STORAGE BASED ON RELATIVE MOVEMENT BETWEEN RECORD CARRIER AND TRANSDUCER
- G11B7/00—Recording or reproducing by optical means, e.g. recording using a thermal beam of optical radiation by modifying optical properties or the physical structure, reproducing using an optical beam at lower power by sensing optical properties; Record carriers therefor
- G11B7/24—Record carriers characterised by shape, structure or physical properties, or by the selection of the material
- G11B7/241—Record carriers characterised by shape, structure or physical properties, or by the selection of the material characterised by the selection of the material
- G11B7/242—Record carriers characterised by shape, structure or physical properties, or by the selection of the material characterised by the selection of the material of recording layers
- G11B7/244—Record carriers characterised by shape, structure or physical properties, or by the selection of the material characterised by the selection of the material of recording layers comprising organic materials only
-
- G—PHYSICS
- G11—INFORMATION STORAGE
- G11B—INFORMATION STORAGE BASED ON RELATIVE MOVEMENT BETWEEN RECORD CARRIER AND TRANSDUCER
- G11B7/00—Recording or reproducing by optical means, e.g. recording using a thermal beam of optical radiation by modifying optical properties or the physical structure, reproducing using an optical beam at lower power by sensing optical properties; Record carriers therefor
- G11B7/24—Record carriers characterised by shape, structure or physical properties, or by the selection of the material
- G11B7/241—Record carriers characterised by shape, structure or physical properties, or by the selection of the material characterised by the selection of the material
- G11B7/242—Record carriers characterised by shape, structure or physical properties, or by the selection of the material characterised by the selection of the material of recording layers
- G11B7/244—Record carriers characterised by shape, structure or physical properties, or by the selection of the material characterised by the selection of the material of recording layers comprising organic materials only
- G11B7/246—Record carriers characterised by shape, structure or physical properties, or by the selection of the material characterised by the selection of the material of recording layers comprising organic materials only containing dyes
- G11B7/248—Record carriers characterised by shape, structure or physical properties, or by the selection of the material characterised by the selection of the material of recording layers comprising organic materials only containing dyes porphines; azaporphines, e.g. phthalocyanines
Definitions
- the invention relates generally to materials which exhibit nonlinear absorptive properties. More particularly, the invention relates to materials which have high two-photon or higher-order absorptivities and methods for their use.
- the exciting light is not attenuated by single-photon absorption in this case, it is possible to excite selectively molecules at a greater depth within a material than would be possible via single-photon excitation by use of a beam that is focused to that depth in the material.
- These two advantages also apply to, for example, excitation within tissue or other biological materials.
- multi-photon lithography or stereolithography the nonlinear scaling of absorption with intensity can lead to the ability to write features below the diffraction limit of light and the ability to write features in three dimensions, which is also of interest for holography.
- the ability to realize many of the possible applications of two-photon or higher-order absorption by molecules rests on the availability of chromophores with large two-photon or higher-order absorption cross sections.
- the motifs may be generally categorized as follows: a) molecules in which two donors are connected to a conjugated ⁇ (pi)- electron bridge (abbreviated "D- ⁇ -D” motif); b) molecules in which two donors are connected to a conjugated ⁇ (pi)- electron bridge which is substituted with one or more electron accepting groups (abbreviated "D-A-D” motif); c) molecules in which two acceptors are connected to a conjugated ⁇ (pi)- electron bridge (abbreviated "A- ⁇ -A” motif); and d) molecules in which two acceptors are connected to a conjugated ⁇ (pi)- electron bridge which is substituted with one or more electron donating groups (abbreviated "A-D-A” motif).
- Figure 1 schematically illustrates an intersystem crossing from the singlet manifold of states to the triplet manifold of states according to the invention
- Figure 2 is a graph of oxidation potentials for two series of diamines according to the invention.
- Figure 3 illustrates a Wittig reaction scheme for synthesis of bis-donor- substituted stilbene and bis-donor-substituted diphenylpolyenes according to the invention
- Figure 4 illustrates a reaction scheme for the synthesis of piperidine stilbenes according to the invention
- Figure 5 illustrates a reaction scheme for the synthesis of 4-[N-(t- butoxycarbonyl)]-piperazine benzaldehyde according to the invention
- Figure 6 illustrates a reaction scheme for the synthesis of dimethacrylate- substiruted bis-donor stilbenes according to the invention
- Figure 7 illustrates a reaction scheme for the synthesis of bis- (dialkylamino)stilbenes substituted with benzoate esters according to the invention
- Figure 8 illustrates a reaction scheme for the synthesis of an cyano- substituted and primary amino-substiruted stilbene according to the invention
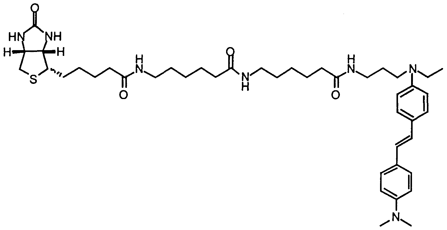
- Figure 9 illustrates a reaction scheme for the synthesis of an amine biotin substituted two-photon absorbing stilbene
- Figure 10 illustrates the reaction of l,4-bis(cyanomethyl)benzene with 4- diphenylaminobenzaldehyde and 4-di- «-butylaminobenzaldehyde to form 1,4- bis(p-cyano-4-diphenylaminostyryl)benzene and l,4-bis( ⁇ -cyano-4-di- «- butylaminostyryl)benzene according to the invention;
- Figure 11 illustrates the condensation of 1 ,4-dibromo-2,5- bis[methylene(triphenylphosphonium)]benzene dibromide, 1 ,4-dicyano-2,5- bis[methylene(triphenylphosphonium)]benzene dibromide and 4-diphenyl- aminobenzaldehyde to yield 1,4-dibromo- and l,4-dicyano-2,5-bis(4'- diphenylaminostyryl)benzenes;
- Figure 12 illustrates a reaction scheme for the synthesis of molecules following the A-D-A motif
- Figure 13 illustrates nonlinear abso ⁇ tion spectra of 4,4'-bis(di-n- butylamino)stilbene (squares), 4-(di-n-butylamino)-4'-(dimethylamino)diphenyl- butadiene (circles) and 4-(di-n-butylamino)-4'-(dimethylamino)diphenyl hexatriene (triangles) in toluene solution;
- Figure 14 illustrates nonlinear abso ⁇ tion spectra of 4,4'-bis(di- «- butylamino)stilbene (squares) and 4,4'-bis(diphenylamino)stilbene (circles);
- Figure 15 illustrates induction times for two-photon polymerization of a triacrylate monomer (SR9008) with 2 mJ, 8 ns, 594 nm pulses;
- Figure 16 illustrates two specific examples of photodeprotecting schemes according to the invention
- Figure 17 illustrates two-photon optical limiting in 4-(dimethylamino)-4'-
- Figure 18 illustrates two-photon optical limiting responses of 0.01 and 0.134 M solutions of 4,4'-bis(dibutylamino)stilbene for ⁇ 5 ns, 600 nm pulses;
- Figure 19 shows the nonlinear abso ⁇ tion peaks for 4,4'-bis-(di-n- butylamino)stilbene and 4,4'-bis-(diphenylamino)stilbene and the linear transmission of a mixture of these compounds at a total concentration of 0.1 M;
- Figure 20 illustrates nonlinear transmission data showing enhanced two- photon abso ⁇ tion in a l-(4-dimethylaminophenyl)-10-(4-dibutylaminophenyl)- deca-l,3,5,7,9-pentane (squares) as compared to the 4,4'-bis-(di-n- butylamino)stilbene (circles).
- bridge it is meant a molecular fragment that connects two or more chemical groups.
- donor an atom or group of atoms with a low ionization potential that can be bonded to a ⁇ (pi)-conjugated bridge.
- exemplary donors in order of increasing strength, are:
- acceptor an atom or group of atoms with a high electron affinity that can be bonded to a ⁇ (pi)-conjugated bridge.
- Exemplary acceptors in order of increasing strength, are:
- acceptors that have accepting strength greater than C(O)R include:
- R is as defined below in Note 3B, and X(O) indicates that the element oxygen is double bonded to the element X and * indicates the point of attachment to the ⁇ -conjugated bridge.
- aromatic group it is meant a carbocyclic group that contains 4n+2 ⁇ electrons where n is an integer.
- heteromatic group it is meant a cyclic group of atoms, with at least one atom within the ring being an element other than carbon, that contains 4n+2 ⁇ electrons where n is an integer.
- chromophore it is meant a molecule or aggregate of molecules that can absorb electromagnetic radiation.
- imultaneous it is meant that two events that occur within the period of 10" 14 sec or less.
- excited state it is meant an electronic state of a molecule wherein electrons populate an energy state that is higher than another energy state for the molecule.
- two-photon abso ⁇ tion it is meant the process wherein a molecule absorbs two quanta of electromagnetic radiation to reach an excited state.
- multi -photon abso ⁇ tion it is meant a process wherein a molecule absorbs two or more quanta of electromagnetic radiation to reach an excited state.
- optical limiting it is meant a process wherein the optical transmission of a body decreases with increasing incident optical intensity or fluence such that the intensity of fluence transmitted by the body does not exceed a prescribed level for a prescribed range of incident optical intensity or fluence.
- a " ⁇ -conjugated bridge” contains covalent bonds between atoms that both have ⁇ bonds and ⁇ bonds formed between two atoms by overlap of their atomic orbitals (s+p hybrid atomic orbitals for ⁇ bonds; p atomic orbitals for ⁇ bonds) with two orbitals (sp 3 , sp 2 , sp) overlapping end-to-end to form a ⁇ bond lying directly between the nuclei.
- s+p hybrid atomic orbitals for ⁇ bonds; p atomic orbitals for ⁇ bonds with two orbitals (sp 3 , sp 2 , sp) overlapping end-to-end to form a ⁇ bond lying directly between the nuclei.
- a ⁇ -conjugated bridge is one having a formal structure consisting of double or triple bonds alternating with single bonds where the double and triple bonds are capable of further ⁇ overlap with each other.
- Such bridges are said to be ⁇ -conjugated and include conjugated double or triple bonds.
- the invention generally provides compositions of matter that have large two-photon or higher-order abso ⁇ tivities and in some cases large fluorescence quantum yields, leading to efficient two-photon or higher-order excited fluorescence.
- two-photon or higher-order abso ⁇ tion we refer to the initial simultaneous abso ⁇ tion of two or more photons (also referred to as multi-photon abso ⁇ tion) without the actual population of an excited state by the abso ⁇ tion of a single photon. That is, subsequent to the initial abso ⁇ tion of two or more photons by the molecule, it is possible for the molecule to absorb additional photons from the state populated by the initial abso ⁇ tion event or from a state to which the molecule relaxes.
- molecules having two or more electron donor groups such as amino groups or alkoxy groups
- aromatic or heteroaromatic end groups as part of a ⁇ (pi)-electron bridge
- D- ⁇ -D the combination referred to herein as "D- ⁇ -D” molecules
- the strength and position of the two-photon or higher-order abso ⁇ tion of these molecules can be tuned and further enhanced by appropriate substitution of the ⁇ -electron bridge with at least one electron accepting group, such as cyano, (referred to herein as "D-A-D" molecules).
- A- ⁇ -A molecules molecules having two or more electron acceptor groups such as formyl or dicyanomethylidene groups, connected to aromatic or heteroaromatic end groups as part of a ⁇ (pi)-electron bridge
- A- ⁇ -A molecules exhibit unexpectedly and unusually high two-photon or higher-order abso ⁇ tivities in comparison to dyes such as stilbene, diphenylpolyenes, phenylene vinylene oligomers and related molecules.
- the strength and position of the two-photon or higher-order abso ⁇ tion of these molecules can be tuned and further enhanced by appropriate substitution of the ⁇ -electron bridge with electron donating groups, such as methoxy, to form "A-D-A" molecules.
- the aromaticity of the ⁇ -bridge in the electronic ground state is important in determining the energetic position of the electronic state which is responsible for multi-photon abso ⁇ tion relative to the state responsible for one-photon abso ⁇ tion.
- having donors attached to aromatic groups or heteroaromatic groups, i.e., D- ⁇ -D and D-A-D structures is conducive to placing the highly absorbing two-photon state energetically above that of the strongly fluorescent one-photon state, which is essential for the molecule to exhibit a high multi-photon fluorescence excitation efficiency.
- D-A-D molecules upon abso ⁇ tion of photons, charge is redistributed from the electron donor groups toward the ⁇ - electron bridge, thereby enhancing the molecules' multi-photon abso ⁇ tion characteristics.
- A- ⁇ -A and A-D-A structures are conducive to placing the highly absorbing two-photon state energetically above that of the strongly fluorescent one-photon state.
- A-D-A molecules upon abso ⁇ tion of photons, charge is transferred from the ⁇ -electron bridge toward the electron accepting groups, thereby enhancing the molecules' multi-photon abso ⁇ tion characteristics.
- the combination of the intrinsically high fluorescence quantum efficiency for these molecules and the rapid relaxation of the two-photon excited molecule from the two-photon state to the lower lying fluorescent one- photon state makes the molecules according to the invention highly efficient multi- photon excitable emitters.
- molecules according to the invention can be used for two-photon or higher-order sensitization by exploiting various photophysical or photochemical mechanisms such as energy transfer or charge transfer.
- the two-photon or higher-order absorber may directly sensitize various reactions or may transfer energy or charge to another sensitizer which itself sensitizes a further chemical reaction.
- any photochemical reaction which could be carried out by energy transfer or electron transfer could be performed by taking advantage of the associated benefits of two-photon or multi-photon abso ⁇ tion provided that either the Si, S , . . . S n , T ⁇ ; T 2 , . . . T ⁇ (where S refers to a singlet state and T refers to a triplet state and have the usual meaning as described in N. J.
- Mechanisms to foster such intersystem crossing processes include, but are not limited to, the inclusion of heavy atoms with large spin-orbit coupling coefficients, the attachment of aromatic ketones to the ⁇ -bridge electronic system of the multi-photon absorbing chromophores and attachment of paramagnetic groups.
- These new two-photon or multi-photon absorbing molecules may be used as fluorophores in microscopy, biological imaging, photodynamic therapy, pathology assays and medical diagnostics. These new two-photon or multi-photon absorbing molecules may be used as fluorophores in thin films and materials for imaging and analysis, especially in paint compositions, laminants, dental fillings or other coatings.
- These new two-photon or multi-photon absorbers may be used for two- photon generation of charge carriers, especially in photorefractive polymers.
- These new two-photon or multi-photon fluorophores may be used in three dimensional light emitting displays.
- These new two-photon or multi-photon absorbers may be used in holographic recording materials involving the use of a single or two different optical wavelengths for the recording process.
- These new two-photon or multi-photon fluorophores may be used as two- photon or multi-photon laser dyes with upconverted emission.
- These new two-photon or multi-photon fluorophores may be used for sensing applications including, but not limited to, sensing of metal ions and other species in solution, to electric fields or changes thereof (as in measurements of membrane potentials), viscosity of the surrounding environment and changes thereof, dielectric constants of the environment and changes thereof, biologically relevant organic molecules including, but not limited to, drugs, DNA sequences, antibodies, metabolites, hormones, explosives and neurotoxins.
- sensing relies on the fact that the fluorescence properties of these molecules, including their emission wavelength, efficiency and lifetimes, are all parameters known to be sensitive in a quantifiable manner to external perturbations.
- These new two-photon or multi-photon absorbers may be used as fluorophores for imaging of flow fields and diffusional fronts in gels or other porous media, especially in electrophoretic gels.
- These new two-photon or multi-photon absorbers may be used for two- photon or multi-photon optical lithography and three dimensional optical memory.
- These new two-photon or multi-photon absorbers may be used for optical limiting and optical switching. These new two-photon or multi-photon absorbers may be used to access photochemistry that would ordinarily be enabled by single-photon abso ⁇ tion.
- any photochemical reaction that can be carried out either by charge or electron transfer can be performed by taking advantage of the associated benefits of two-photon or higher-order abso ⁇ tion provided that the S,, S 2 or S N excited state, T,, T 2 or T N excited state (where S refers to singlet and T refers to triplet) of the molecule has sufficient energy and/or redox potential to foster the desired reaction.
- molecules in one embodiment of the invention are that molecules "end capped" with electron donor substituents, i.e., D- ⁇ -D and D-A-D structures, have relatively low oxidation potentials, Ey 2 (in tetrahydrofuran) for the ground-state as exemplified for the series of diamines having increasing length of ⁇ -conjugated bridge in Figure 2.
- these molecules Upon multi-photon excitation, these molecules become very strong excited state reducing agents and can therefore be used as multi-photon excited electron donors.
- Such materials can transfer electrons to electron acceptors (which may be covalently attached to the multi-photon absorbing chromophore or could be in a region of space near the multi-photon absorbing chromophore, as would be the case in a concentrated fluid solution or solid solution) to create a radical cation, in the case of a multi-photon absorbing dye and a radical anion, in the case of the acceptor.
- molecules "end capped" with electron accepting substituents i.e., A- ⁇ -A and A-D-A structures
- A- ⁇ -A and A-D-A structures have relatively high electron affinities in the ground-state form.
- these molecules upon multi-photon excitation, become very strong excited state oxidizing agents and can therefore be used as multi-photon excited electron acceptors.
- Such materials can accept electrons from electron donors (which may be covalently attached to the multi-photon absorbing chromophore or could be in a region of space near the multi-photon absorbing chromophore as would be the case in a concentrated fluid or solid solution) to create a radical anion, in the case of a multi-photon absorbing dye, and a radical cation, in the case of the donor.
- electron donors which may be covalently attached to the multi-photon absorbing chromophore or could be in a region of space near the multi-photon absorbing chromophore as would be the case in a concentrated fluid or solid solution
- Such radical cations and anions may have different spectroscopic properties from their neutral counte ⁇ arts and therefore may be used as transient photochromic materials for optical limiting and optical signal processing.
- these radical ion species generated upon multi-photon abso ⁇ tion can be chemical reactants.
- these multi-photon absorbing materials can be used to initiate polymerization of monomers which can be polymerized either by radical or ionic mechanisms in the presence or absence of polymerization promoters, including chain transfer agents.
- Examples of monomers which can be polymerized in these ways include, but are not limited to, vinyl monomers including acrylonitriles, acrylates, diacrylates, triacrylates, polyacrylates, styrenes, trifunctional isocyanurates substituted with acrylates, vinyl- and allyl-containing monomers, divinylbenzene and polymers which are end-capped with or have these groups attached to the carbon backbone such as polyurethanes, polyesters and polyolefins.
- examples of polymerizable monomers may be found in G. Odian, Principles of Polymerization, Second Edition, John Wiley and Son, New York, 1981, page 181, which is inco ⁇ orated herein by reference.
- Another feature of the invention is that the oxidation potential, reduction potential and the energy difference between the ground state and the fluorescent excited state can be precisely tuned such that the excited state reduction or oxidation potential can also be tuned.
- Marcus using the theory for electron transfer developed by Marcus, it is possible to tune both the forward electron transfer rate and charge recombination rate (G.J. Karvaros and N.J. Turro, Chem. Rev. 86, 401-449, 1986). This tunability allows control of, for example, the initiation rate of polymerization or the time constants for generation of abso ⁇ tion changes and recovery in transient photochromic materials.
- Another feature of the invention is that it is possible to selectively control the position of the multi-photon abso ⁇ tion peak in these molecules by controlling the substituents on the electron donor groups. For example, replacement of the alkyl groups with phenyl groups on the amine of 4,4'-diaminostilbene results in a minimal shift of the linear abso ⁇ tion edge to a longer wavelength, but a shift of the multi-photon abso ⁇ tion maximum 90 nm to longer wavelength.
- Another feature of this invention is that it is possible to control the position of the multi-photon abso ⁇ tion peak in these molecules by controlling the number of conjugated double bonds between the two donor-substituted aromatic or heteroaromatic end groups for Class 1 compounds (described below), or between the two electron acceptor-substituted aromatic or heteroaromatic end groups for Class 2 compounds (described below). Increasing the number of double bonds leads to a considerable shift of the multi-photon abso ⁇ tion band to longer wavelength. Inco ⁇ oration of phenylene-vinylene groups between the end groups has a similar effect.
- Another feature of the invention is that it is possible to substitute the donor groups, and in many cases the acceptor groups, with surface specific functionalities such that the molecules may self assemble on a surface to define a pattern of multi-photon absorbing chromophore. One can then use the various multi-photon induced processes described above to perform chemistry or other optical processes on a patterned substrate.
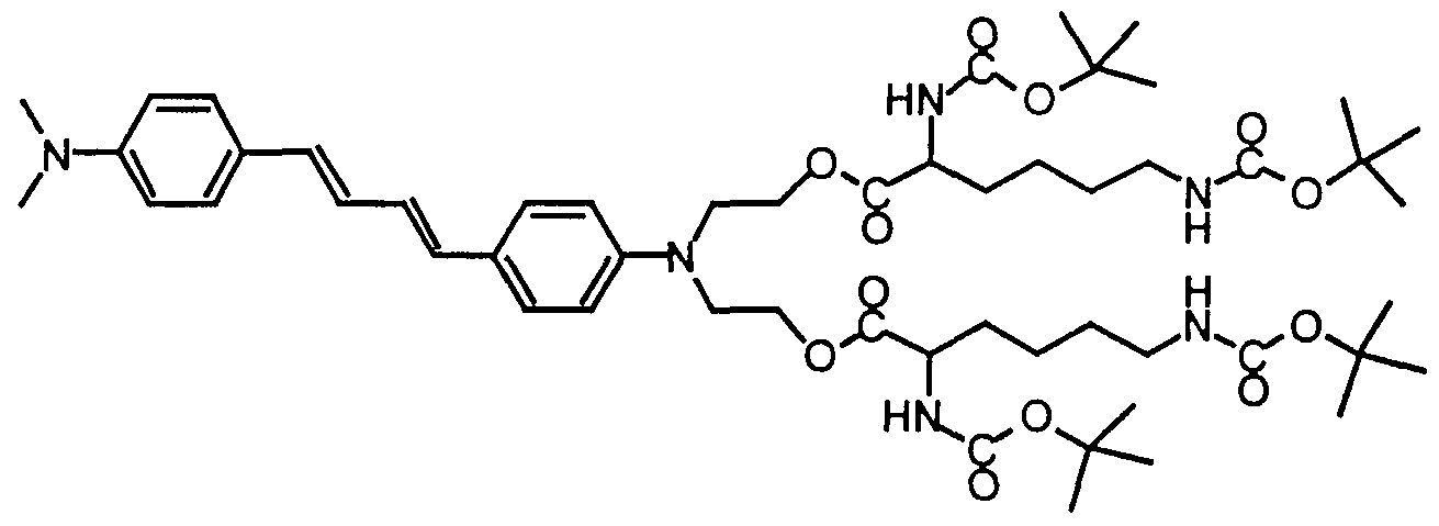
- Another feature of the invention is that it is possible to substitute the molecule with agents, such as biotin, which allow the molecules to form complexes with reagents (such as antibodies), tissues or surfaces labeled with the protein avidin.
- Another feature of the invention is that it is possible to substitute molecules with functional groups such as hydroxyl, cyano and amino, to bind these compounds to metal atoms or to react, for example, with the amine or hydroxyl groups with carboxylic acids, acid chlorides, sugars or aldehydes (in the case of amine functionality).
- functional groups such as hydroxyl, cyano and amino
- carboxylic acids, acid chlorides, sugars or aldehydes in the case of amine functionality
- molecules according to the invention will have use as labels for a variety of media including tissue, cells, organelles, DNA sequences, proteins, sugar, tumorous tissue, blood components, and as markers for the analysis of combinatorial libraries of chemicals, Hgands, and drugs.
- labeling of these media with multi-photon absorbing chromophores or derivatives thereof provides a mechanism to selectively excite the multi-photon absorbing chromophores without interfering abso ⁇ tion by the other (i.e., single- photon absorbing) chromophores which do not have the multi-photon abso ⁇ tion features of chromophores according to the invention.
- This selective excitation is particularly important for the use of these molecules in biological tissue, for example, where there are many aromatic groups such as heme-containing molecules and indole-containing molecules.
- An advantage which is gained by the efficient multi-photon abso ⁇ tion processes enabled by molecules according to the invention is that it is possible for the abso ⁇ tion to occur in a region of space whose cross sectional area is smaller than that of the diffraction-limited spot size of the exciting beam of light. This is because, for example, a two-photon process is dependent on I 2 , where I is the intensity of the exciting beam.
- the diffraction-limited spot size for a Gaussian beam is given by:
- compositions which can be used in accordance with the invention have the general formulas as shown below.
- the molecules we teach have large multi-photon abso ⁇ tivities and are themselves novel.
- the general formulas below are not inclusive of all the compositions that we teach are of use as two-photon or higher-order absorbers.
- Other compositions which have the characteristic electronic properties, as well as other advantageous properties for a variety of applications, and methods of making and using them, will also become apparent to those with ordinary skill in the art, when one considers the examples described in the preferred embodiments.
- Class 1 Structures Compounds where the end groups are electron donating groups
- R a , R , Re, Rd are independently selected from: H; a linear or branched alkyl group with up to 25 carbons; -(CH 2 CH 2 O) ⁇ -(CH 2 ) ⁇ OR a ⁇ ; -(CH 2 CH 2 O) ⁇ -(CH 2 ) ⁇ NRa2Ra3; -(CH 2 CH 2 O) a -(CH 2 ) p CONRa2Ra3;
- R a i, Ra2, and Ra3 are independently selected from: H; a linear or branched alkyl group with up to 25 carbons;
- R a i, Ra2, nd Ra3 can also be a functional group derived essentially from one of the 20 naturally occurring amino acids: alanine; valine; leucine; isoleucine; proline; tryptophan; phenylalanine; methionine; glycine; serine; threonine; tyrosine; cysteine; glutamine; asparganine; lysine; arginine; histidine; aspartic acid; and glutamic acid; a polypeptide; adenine; guanine; tyrosine; cytosine; uracil; biotin; ferrocene, ruthenocene, cyanuric chloride and derivatives thereof, or methacryloyl chloride.
- derived essentially it is meant that Rai, Ra2, and R ⁇ m ay be an amino acid or a functional group that is closely related (e.g., a trivial modification of an amino acid), where is 0-10
- R a R b , R e , R can be an aryl group of up to aromatic ring systems having 20 carbons in the aromatic ring framework (i.e., does not include carbons on the substituents), where aryl includes;
- E can be: S; O where R A *,1 # ⁇ 8, corresponding to the subscripts in the substituents in the structure shown directly above are independently selected from: H; a linear or branched alkyl group with up to 25 carbons; NRA#IRA#2, ORA#3J or phenyl where RA#I, RA#2, RA#3 are independently selected from: H; a linear or branched alkyl group with up to 25 carbons; or phenyl.
- R a R b , Re, R are independently selected from:
- polymerizable functionalities include vinyl; allyl; 4-styryl; acroyl; methacroyl; acrylonitrile, which may be polymerized by either a radical, cationic, or anionic polymerization process.
- polymerizable functionalities include isocyanate, isothiocyanate, epoxides such that they can be copolymerized with difunctional amines or alcohols such as HO(CH 2 ) ⁇ OH, H 2 N(CH 2 ) ⁇ NH 2 , where 1 ⁇ ⁇ ⁇ 25.
- polymerizable functionalities include strained ring olefins such as dicyclopentadienyl, norbomenyl, cyclobutenyl where the two-photon absorbing chromophore is attached to any of the saturated carbon linkages.
- strained ring olefins such as dicyclopentadienyl, norbomenyl, cyclobutenyl where the two-photon absorbing chromophore is attached to any of the saturated carbon linkages.
- Such monomers can be polymerized via ring opening metathesis polymerization using an appropriate metal catalyst as would be known to those skilled in the art.
- polymerizable functionalities include (-CH 2 ) ⁇ SiCl3; (-CH 2 ) ⁇ Si(OCH 2 CH )3; or (-CH 2 ) ⁇ Si(OCH 3 ) 3 where the two-photon absorbing monomers can be reacted with water under conditions known to those skilled in the art to form either thin film or monolithic organically modified sol-gel glasses, or modified silicated surfaces, where 0 ⁇ ⁇ ⁇ 25.
- Rf, Rg, Rh, Ri, Rj, Rk, Rl, Rm are independently selected from: H; a linear or branched alkyl group with up to 25 carbons; -(CH 2 CH 2 O) ⁇ -(CH 2 ) ⁇ ORbi; -(CH 2 CH 2 O) ⁇ -(CH 2 ) ⁇ NR b2 R b3 . -(CH 2 CH 2 0) ⁇ -(CH 2 ) ⁇ CONR b2 R b3 ;
- R i, Rb2, and Rb3 can also be a functional group derived essentially from one of the 20 naturally occurring amino acids: alanine; valine; leucine; isoleucine; proline; tryptophan; phenylalanine; methionine; glycine; serine; threonine; tyrosine; cysteine; glutamine; asparganine; lysine; arginine; histidine; aspartic acid; and glutamic acid; or a polypeptide; adenine; guanine; tyrosine; cytosine; uracil; biotin; ferrocene, ruthenocene, cyanuric chloride and derivatives thereof or methacryloyl chloride.
- derived essentially from it is meant that Rbi, Rb2, nd b3 can be an amino acid or a functional group that is closely related to an amino acid (i.e., a trivial modification of an amino acid).
- alkyl groups set forth in the above formulas include those groups having up to 25 carbon atoms and includes both branched and straight chain alkyl groups.
- Exemplary alkyl groups include methyl, ethyl, propyl, butyl, pentyl, hexyl, heptyl, octyl, nonyl, in the normal, secondary, iso and neo attachment isomers.
- Aryl groups referred to in the preceding formulas include aromatic hydrocarbons having up to 20 carbon atoms.
- Exemplary aryl groups include phenyl, naphthyl, furanyl, thiophenyl, pyrrolyl, selenophenyl and tellurophenyl.
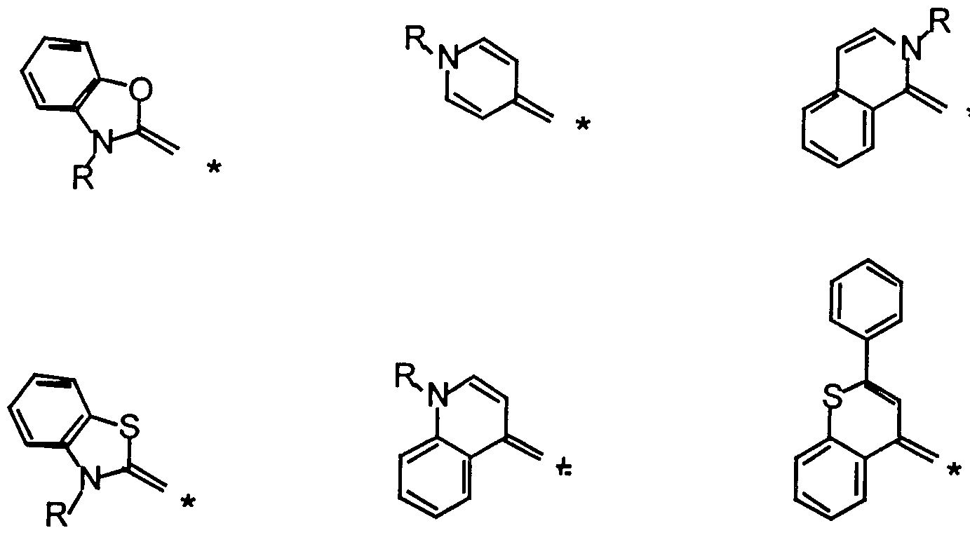
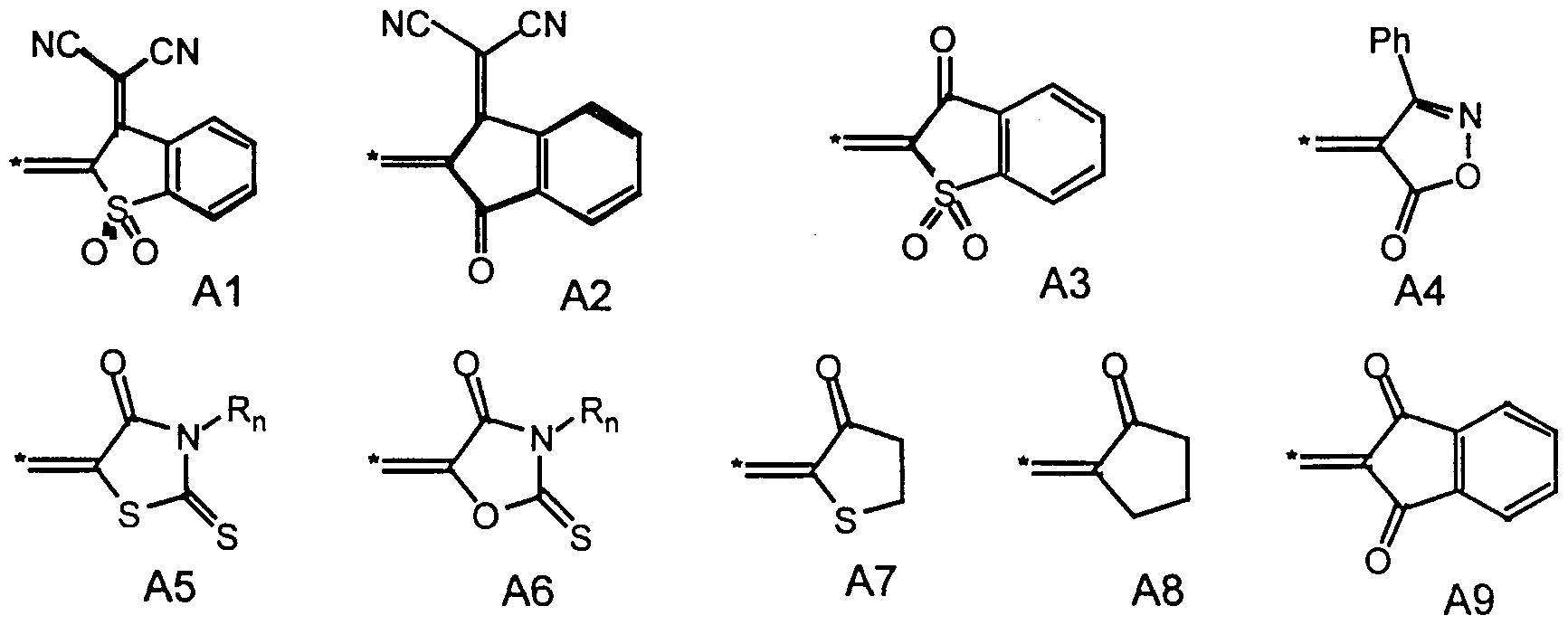
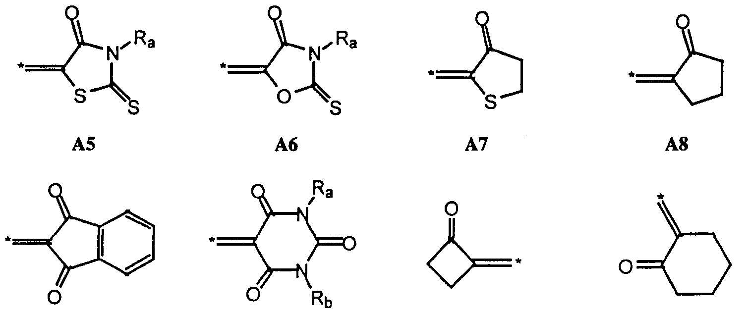
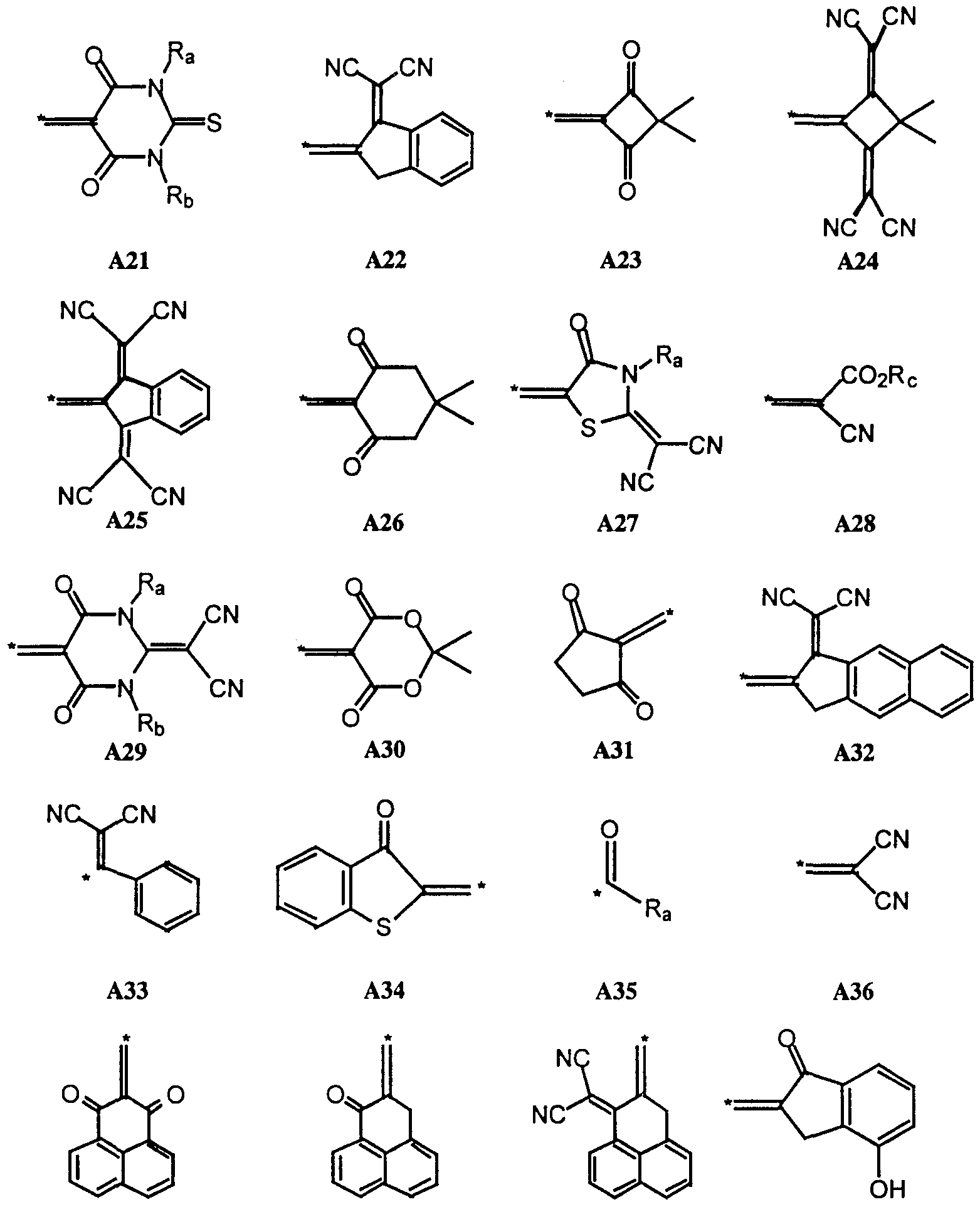
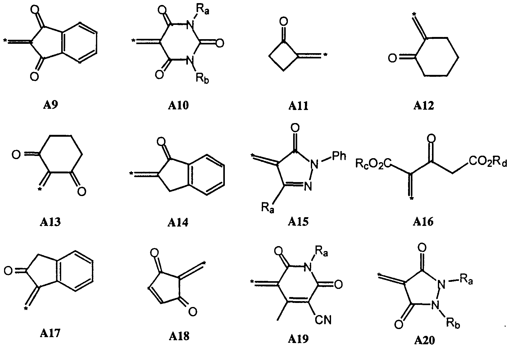
- Acceptor Groups Containing More than Two Carbon Atoms Re, Rf, R g , Rh, Ri, Rj, Rk, Rl, Rm , can be selected from the following list of groups Al - A41 and where R n and RQ are as defined in NOTE 3B:
- R n , RQ are independently selected from: H; a linear or branched alkyl group with up to 25 carbons; -(CH 2 CH 2 O) ⁇ -(CH 2 ) ⁇ OR gl ; -(CH 2 CH2O) a -(CH 2 ) p NRg2R g 3 -(CH 2 CH 2 O) ⁇ -(CH 2 ) ⁇ CONRg2R g 3; -(CH 2 CH 2 O) ⁇ -(CH 2 ) ⁇ CN
- Rgl, Rg2, and R g 3 are independently selected from: H; a linear or branched alkyl group with up to 25 carbons; • Rgi, Rg2, and R g 3 can also be a functional group derived essentially from one of the 20 naturally occurring amino acids: alanine; valine; leucine; isoleucine; proline; tryptophan; phenylalanine; methionine; glycine; serine; threonine; tyrosine; cysteine; glutamine; asparganine; lysine; arginine; histidine; aspartic acid; and glutamic acid; or a polypeptide; adenine; guanine; tyrosine; cytosine; uracil; biotin; ferrocene, ruthenocene, cyanuric chloride and derivatives thereof or methacryloyl chloride.
- derived essentially from it is meant that R g ⁇ ,
- Rg2, and R g 3 ca n be an amino acid or a functional group that is closely related to an amino acid (i.e., a trivial modification of an amino acid).
- ⁇ is 0-10, and where ⁇ is 1- 25.
- a a and A can be independently selected from: CHO; CN; NO 2 , and
- A41 A42 in addition A a and A b can be independently selected from Br, Cl, and I; and where 0 ⁇ m ⁇ 10, 0 ⁇ n ⁇ 10, 0 ⁇ o ⁇ 10.
- R a , Rb, Re, Rd are independently selected from: H; a linear or branched alkyl group with up to 25 carbons; -(CH2CH 2 O) ⁇ -(CH2) ⁇ OR a ⁇ ;
- Rai, Ra2, and R ⁇ are independently selected from: H; a linear or branched alkyl group with up to 25 carbons.
- R a ⁇ , Ra2, and R ⁇ can also be one of the twenty natural the amino acids; alanine; valine; leucine; isoleucine; proline; tryptophan; phenylalanine; methionine; glycine; serine; threonine; tyrosine; cysteine; glutamine; asparganine; lysine; arginine; histidine; aspartic acid; and glutamic acid; or a polypeptide; adenine; guanine; tyrosine; cytosine; uracil; biotin; ferrocene, ruthenocene, or cyanuric chloride and derivatives thereof.
- the invention includes molecules that do not fall into Class 1 or Class 2 formulae but are within the scope of the four structural motifs described herein.
- compositions of the invention are organic molecules having multi- photon abso ⁇ tion.
- the compositions themselves may exist as crystals, mesoscopic phases, polymers, glasses, liquids or gases.
- the compositions may be used alone or in combination with other crystals, mesoscopic phases, polymers, glasses liquids or gases.
- the molecules of the present invention may, in some cases, consist of a macroscopic crystal of the molecule. Such crystals may be grown at a slow rate under equilibrium with their mother liquor by a variety of methods known to one skilled in the art. Crystals may also be grown by sublimation at reduced pressure or in some cases from a melt. In the case of vapor or vacuum deposition of crystalline, microcrystalline or amorphorous materials, it is possible using well- developed processes to form multicomponent nanocomposite materials by codeposition with other organic or inorganic materials. Another method of producing a useful optical element involves dissolving the molecule in a solvent to form a solution which can be placed in a container having the desired shape.
- a particularly convenient and effective form of an optical element in accordance with the invention involves dispersing the multi-photon absorbing molecules in a polymeric or prepolymeric binder.
- the multi-photon absorbing molecules can be mixed into the binder or grafted onto the polymer, prepolymer or monomer.
- Suitable binders include polystyrene, polyacrylonitrile, polymethacrylate, poly(methyl methacrylate), poly(vinyl alcohol), copolymers of methyl methacrylate and methacrylic acid, copolymers of styrene and maleic anhydride and half ester-acids of the latter, as well as many others.
- the polymeric binder be highly transparent so that the transparency of the molecules utilized in the practice of this invention can be advantageously employed.
- the chromophores may still be excited by the two-photon or multi-photon abso ⁇ tion process.
- the methods according to invention are carried out by converting a multi-photon absorbing molecule to an electronically excited state by abso ⁇ tion of at least two photons of radiation.
- the excited state then facilitates numerous applications.
- the molecule may be irradiated with visible, ultraviolet or infrared radiation.
- One common form an optical element according to the invention can take is that of a Langmuir-Blodgett (LB) film.
- LB Langmuir-Blodgett
- a small amount of a molecule useful in the practice of this invention when spread on the surface of a liquid, forms a surface film of monomolecular thickness at the air/liquid interface.
- an oriented monomolecular film is formed on the substrate.
- the preparation and uses of Langmuir-Blodgett films are described in M.C. Petty, M.R. Bryce, D. Bloor, Introduction to Molecular Electronics, Edward, Arnold, London, 1995, Chapter 10, which is inco ⁇ orated herein by reference.
- compositions according to the invention are also useful when inco ⁇ orated into solutions, prepolymers, polymers, Langmuir-Blodgett thin films, and self- assembled monolayers.
- the compositions can be advantageously modified in such a way as to allow for variation of ease of dissolution in a variety of host media, including liquids and polymeric hosts, by changing the nature of the substituents attached to the central ⁇ -conjugated bridge framework of the molecule as well as by changing either the donors or acceptors.
- the length and composition of the ⁇ -bridge of the molecule it is possible to control the position and strength of the two-photon (or higher-order) abso ⁇ tion and the two- photon (or higher-order) excited fluorescence.
- compositions according to the invention may be prepared by reacting appropriate aldehydes with appropriate ylides under standard Wittig conditions.
- the compounds can be synthesized using the McMurray reaction.
- Figure 3 illustrates the general scheme depicting the synthesis of bis-donor stilbene and bis-donor-substituted-diphenylpolyenes by the Wittig reaction.
- the aldehydes used in the Wittig reaction were commercially available or synthesized by methods previously reported.
- the phosphonium salts were synthesized according to literature procedures. Other aldehdyes and phosphonium salt that could be employed in this reaction would be known to one skilled in the art of organic synthesis and with the aid of the knowledge provided in the example given below.
- Example 1 Example 1
- the products were either chromatographed or recrystallized in ethanol in case of the stilbene derivatives, or acetone in case of the diphenylpolyenes derivatives.
- the yields varied between 10% and 60% for all of the reactions.
- N,N-di-(2-t-butyldimethylsiloxy)ethyl-aniline N-phenyl diethanolamine (28.04 g, 154.7 mmol) was added at 0°C to a stirred solution of t- butyldimethylsilylchloride (58.299 g, 386.78 mmol) and imidazole (31.598 g, 464.1 mmol) in 250 mL N,N-dimethylformamide. The reaction mixture was stirred overnight at room temperature and then was added to ice water and extracted with ether. The organic layer was washed three times with brine and was dried over magnesium sulfate.
- N-bromosuccinamide 32.116 g, 180.43 mmol was dissolved in 150 mL anhydrous N,N- dimethylformamide and added at 0°C to a stirred solution of N,N-di-(2-t- butyldimethylsiloxy)ethyl-aniline (70.37 g, 171.84 mmol) in 140 mL anhydrous N,N-dimethylformamide.
- the flask was covered with aluminum foil and stirred overnight in the dark at room temperature. The reaction mixture was then poured into ice water and extracted with ether.
- the reaction mixture was allowed to warm to room temperature and then brine was added and the aqueous layer was extracted with ether. The combined organic layers were washed twice with brine and dried over magnesium sulfate.
- the crude was purified via flash chromatography over silica gel with gradual elutions from 95/5 to 80/20 (hexanes:ethyl acetate). Evaporation of solvent yielded 3.126 g (40%) of a light yellow oil.
- the precipitate was recovered by suction filtration and the ethanol solution was diluted with 20 mL water and extracted with ethyl acetate. A solid precipitated out of the aqueous fraction and was filtered. The combined solid fractions were washed with 50/50 (methanol: water) and air dried to yield 3.485 g (57%) of a tan solid.
- Figure 4 illustrates a reaction scheme for the synthesis of piperidine stilbenes.
- Figure 5 illustrates a reaction for the synthesis of 4-[N-(t- Butoxycarbonyl)]-piperazine-benzaldehyde.
- N-bromosuccinamide (4.195 g, 23.57 mmol) was dissolved in 20 mL anhydrous N,N- dimethylformamide and added to a stirred solution of N-(t-Butoxycarbonyl)-l- phenylpiperazine (6.0 g, 22.89 mmol) in 20 mL anhydrous N,N- dimethylformamide.
- the flask was covered with aluminum foil and stirred overnight in the dark at room temperature. Water (40 mL) was added and the precipitate was filtered. The crude solid was taken up in chloroform, washed with brine, and dried over magnesium sulfate.
- Figure 6 illustrates a reaction scheme for the synthesis of dimethacrylate substituted bis-donor-stilbenes.
- the reaction was then stirred while cooling to room temperature and then was placed in an ice bath for 30 minutes.
- the resulting solid was filtered and washed with 50/50 (ethano water).
- the solid was taken up in hot tetrahydrofuran and magnesium sulfate and a small scoop of silica gel was added.
- the solution was filtered and concentrated to a slurry.
- Figure 8 illustrates a reaction scheme for the synthesis of an cyano substituted and primary amino substituted stilbene.
- Figure 9 illustrates a reaction scheme for the synthesis of an amine biotin substituted two-photon absorbing stilbene.
- Sodium ethoxide was prepared by dissolving sodium (2.40 g, 104 mmol) in absolute ethanol (200 mL). To a solution of 4-[N, N-ethyl, 2- cyanoethylamino]benzyltriphenylphosphonium iodide, (30.2 g, 52.4 mmol) and dimethylaminobenzaldehyde (7.44 g, 49.9 mmol) in absolute ethanol (400 mL), the sodium ethoxide solution was added in one portion. The mixture was heated to reflux for approximately 8h, and then cooled to 50°C before adding 400 mL of H 2 O. Upon cooling to ambient temperature, the product precipitated.
- Example 51 Example of a copper coupling to synthesize a bithiophene derivative.
- N,N,N,N-tetraphenyl-2,5'-diamino-2',5-bithiophene To a solution of N,N- diphenyl-2-aminothiophene (1.5 g, 6 mmol) in THF (10 mL) was added slowly a solution of H-butyllithium (2.4 mL, 6 mmol, 2.5 M in hexanes) and stirred at room temperature for 15 min. To the solution was added copper(II)bromide (1.3 g, 6 mmol). The slurry was stirred for 30 min. then quenched with water. The mixture was extracted with methylene chloride and the organic layer was dried over magnesium sulfate and the solvent was removed in vacuum.
- H-butyllithium 2.4 mL, 6 mmol, 2.5 M in hexanes
- 4,4'-Bis-dioctyIarmnostiIbene An oven dried 3 -necked flask was fitted with a reflux condenser and purged with nitrogen. Into the flask was placed 4,4'- dibromostilbene (1.0 g, 2.96 mmol) (synthesized by the general Wittig procedure described above), tris(dibenzylideneacetone)dipalladium (Pd 2 (dba) 3 ) (13.5 mg, 0.0148 mmol), o-tolylphosphine (13,5 mg, 0.044 mmol), and sodium t-butoxide (711 mg, 7.4 mmol) in 6 mL dry toluene.
- 4,4'- dibromostilbene 1.0 g, 2.96 mmol
- Pd 2 (dba) 3 tris(dibenzylideneacetone)dipalladium
- o-tolylphosphine 13,5 mg, 0.044
- Trans-4,4'- dibromostilbene (15.00 g, 44.4 mmol) was added against a counterflow of nitrogen and the reaction was stirred for an additional 15 min; sodium tert-butoxide (13.00 g, 135 mmol) was then added and m-tolylphenylamine (16.8 mL, 97.6 mmol) was added from a syringe. After 30 min at room temperature, the reaction mixture was warmed to 95°C for 24 h, at which time, the reaction appeared complete by thin layer chromatography. The reaction mixture was transferred to a separating funnel together with water (1 L) and ether (500 mL). The aqueous layer was extracted with ether until the extracts were almost colorless.
- the cooling bath was removed and the reaction mixture was allowed to warm to room temperature over 2 h before recooling to -78° C and adding a solution 4-(m-tolylphenylamino)benzaldehyde (21.2 g, 73.8 mmol) in dry tetrahydrofuran (100 mL) dropwise.
- the reaction mixture was allowed to warm to room temperature and then stirred at room temperature for 2 h before cautiously adding water (300 mL).
- the mixture was extracted with diethyl ether until the extracts were almost colorless and the combined ether layers were dried on magnesium sulfate. After filtration silica gel was added and the solvent removed under reduced pressure leaving the product absorbed onto the silica.
- the crude product was transferred to the top of a silica gel column which was eluted with toluene.
- the first fraction was found to be an approximately statistical mixture of the geometric isomers of 3,5-bis[4-(m- tolylphenylamino)styryl]-l ,4-dimethoxybenzene. Further elution gave a trace of an unidentified material, possibly impure l-[4-(/w-tolylphenylamino)phenyl]- pentan-1-ol on the basis of its l U NMR spectrum, and then 4-(m- tolylphenylamino)benzaldehyde.
- the cooling bath was removed and the reaction mixture was allowed to warm to room temperature over 2 h before recooling to -78°C and adding a solution 4-(r ⁇ -tolylphenylamino)benzaldehyde (1.637 g, 5.70 mmol) in dry THF (30 mL) dropwise.
- the reaction mixture was allowed to warm to room temperature and then stirred at room temperature for 2.5 h before cautiously adding water (150 mL).
- the mixture was extracted with diethyl ether (3 x 50 mL) and the combined ether layers were dried on magnesium sulfate.
- the first fraction was found to be a mixture of the geometric isomers of 3,5-bis[4-(m-tolylphenylamino)styryl]-l ,4-di(/j-dodecoxy)benzene 'H NMR ( ⁇ Vacetone) £ 7.47-6.86 (m, aryl CHs), 6.65 (d), 6.56 (d), 4.12 (t), 4.05 (t), 3.77 (t), 2.25 (overlapping singlets), 2.12-1.19 (m), 0.86 (m) ⁇ .
- the mixed isomers were dissolved in toluene (200 mL) and heated under nitrogen with a few crystals of iodine. After 3 days, the solution was passed through a silica plug.
- l,4-Bis(4-morpholino)styryl Benzene prepared from the reaction of 4- morpholinobenzaldehyde (3.94 g, 0.02 mol) and l,4-bis(methyltriphenyl- phosphonium chloride (8.42g, 0.012 mol) and lithium/ethanol (0.296g, 0.043 mol/150 mL). Recrystallized from ethanol to yield a mixture of isomeric products, Yield 8%; Recrystallized from acetone to yield one pure isomer, Yield 11.8% m.p.
- the cooling bath was removed, and the reaction mixture was allowed to warm to ambient temperature over a period of 2 h.
- the mixture was diluted with water (200 mL) and stirred for lh. Upon the addition of water, a bright orange precipitate formed.
- the precipitate (pure trans isomer of the bisaldehyde) was collected by filtration and was rinsed with diethylether (200 mL).
- the organic layer (that contained the cis I trans isomeric mixture of the bisaldehyde) was collected and extracted with water (2x), extracted with brine (lx), and dried over Na2SO4.
- Figure 10 illustrates the reaction of 1 ,4-bis(cyanomethyl)benzene with 4- diphenylaminostilbene and 4-di-n-butylaminobenzaldehyde to yield l,4-bis( ⁇ - cyano-4'diphenyl-aminostyryl)benzene and l,4-bis( ⁇ -cyano-4'di- «- butylaminostyryl)benzene with donor side units and acceptors on the vinylene units (see examples 72 and 73).
- Figure 11 illustrates the condensation of l,4-dibromo-2,5- bis[methylene(triphenylphosphonium)]benzene dibromide, 1 ,4-dicyano-2,5- bis[methylene(triphenylphosphonium)]benzene dibromide and 4-diphenylaminobenzaldehyde to yield 1,4-dibromo- and l,4-dicyano-2,5-bis(4'- diphenylaminostyryl)benzenes.
- 2,5-Bromo-l,4-bis(4'-diphenylaminostyryl)benzene was synthesized with the analogous procedure.
- a crude product (2.354 g) was isomerized into thermodynamically more stable trans-trans isomer.
- Toluene (10 mL) and iodine (20 mg) were added to the mixture of isomers, and the mixture was refluxed for 15h in an illuminated hood. Toluene was removed on a vacuum line, and the residue was crystallized from a dichloromethane solution upon slow diffusion of petroleum ether. Yield was 86 %. m.p. 286.5 °C.
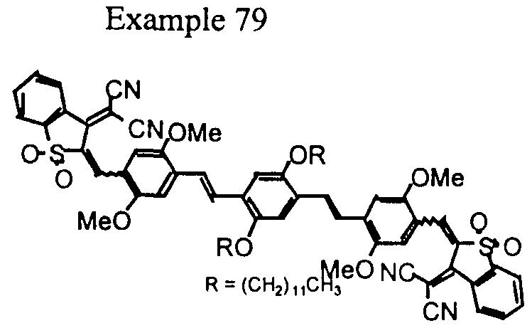
- Figure 12 illustrates a reaction scheme for the synthesis of A-D-A molecules according to the invention as exemplified in Examples 76-79.
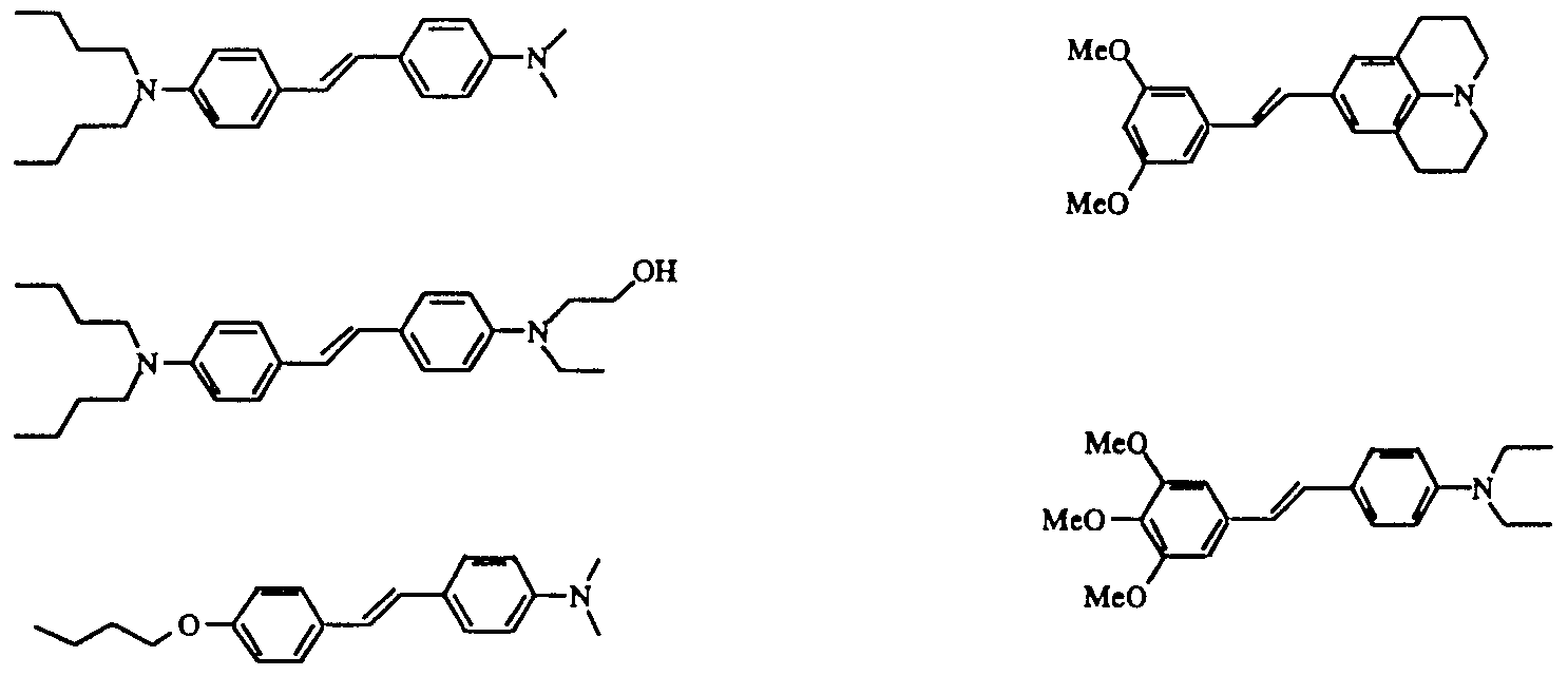
- Table 1 below presents one- and two-photon absorption data on a series of bis(dialkylamino)diphenylpolyenes with the following general structure:
- R and R 1 are defined in the table.
- the parameters listed are: the wavelength of the lowest energy one-photon abso ⁇ tion maximum, ⁇ (1) rnax , the wavelength of the lowest energy two-photon abso ⁇ tion maximum ⁇ (2) max , the two-photon abso ⁇ tivity ⁇ , and the one-photon fluorescence quantum yield, ⁇ fl .
- the two- photon abso ⁇ tivities listed in the table were measured by use of a comparative two-photon excited fluorescence method employing picosecond laser pulses (of 4 ps duration) and with Rhodamine B, Fluorescein and bis(methylstyryl)benzene as standards [C. Xu and W. W. Webb, J. Opt. Soc. Am. B, 13, 481 (1996)].
- Table 1 One-photon and two-photon optical data for bis-donor diphenylpolyenes as measured in toluene solution.
- the two-photon abso ⁇ tivity of tr rts-stilbene which lacks bis- donor substitution, is 12 x 10 -50 u cm" s/photon at 514 nm as determined by coherent anti-Stokes Raman spectroscopy [R. J. M. Anderson, G. R. Holtom, W. M. McClain, J. Chem. Phys., 70, 4310-4315 (1979)].
- Table 2 lists the values of ⁇ (2) max , ⁇ , and ⁇ fl for a series of bis- styryl benzene derivatives prepared in accord with the present invention.
- the two- photon abso ⁇ tivity values were determined using a comparative nanosecond pulse two-photon excited fluorescence method with Fluorescein or Rhodamine B as standards for calibration.
- compounds symmetrically substituted with a pair of terminal donors [i.e., D- ⁇ -D] or symmetrically substituted to form molecules according to the donor-acceptor- donor (D-A-D) or acceptor-donor-acceptor (A-D-A) motifs exhibit substantially enhanced two-photon abso ⁇ tivities compared to unsubstituted para-b ⁇ s(ortho- methylstyryl)benzene.
- Additional measurements including transient photoinduced abso ⁇ tion measurements and picosecond time resolved pump and probe measurements confirm the presence of excited-state abso ⁇ tion induced by two-photon abso ⁇ tion, which occurs at the two-photon excitation wavelength.
- the effective two-photon abso ⁇ tivities of the series of bis-donor diphenylpolyenes is one to two orders of magnitude larger than that measured with picosecond pulses and, in accord with the present invention, these data demonstrate utility in optical limiting applications involving nanosecond laser pulses.
- the values of the two-photon abso ⁇ tivity obtained for the bis donor diphenylpolyenes are an order of magnitude than that of Rhodamine B.
- Figure 13 illustrates nonlinear abso ⁇ tion spectra of 4,4'-bis(di-n- butylamino)stilbene (squares), 4-(di-n-butylamino)-4'-
- Figure 14 illustrates nonlinear abso ⁇ tion spectra of 4,4'-bis(di- «- butylamino)stilbene (squares) and 4,4'-bis(diphenylamino)stilbene (circles).
- ⁇ e ff is the effective two-photon abso ⁇ tivity obtained by fitting the data at low incident intensity to a pure two- photon abso ⁇ tion model
- Y e ff is the effective three-photon abso ⁇ tivity obtained by fitting the data to a pure three-photon abso ⁇ tion model
- Y*eff ' s tne effective three-photon abso ⁇ tivity obtained by fitting the data to a model involving two- and three-photon abso ⁇ tion and fixing the two-photon abso ⁇ tivity at the value listed as ⁇ e ff.
- two-photon and multi-photon absorbing molecules as initiators of polymerization, specifically the use of bis-donor- substituted ⁇ -conjugated molecules as two-photon initiators.
- Such two-photon excitable initiators have utility in two- and three-dimensional lithography applications, for example in three-dimensional optical data storage with ultrahigh storage densities (10 12 bits/cm 3 ).
- two-photon polymerizable materials can offer over a thousand-fold increase in storage capacity.
- Bis-donor-substituted ⁇ -conjugated molecules according to this invention exhibit large two-photon abso ⁇ tion cross sections and also possess structural features that permit them to be effective as initiators of polymerization. As has been discussed earlier, these bis-donor-substituted ⁇ -conjugated molecules exhibit large two-photon abso ⁇ tivities in the visible and the near infrared spectral regions. Another feature of these bis-donor-substituted diphenylpolyene molecules is that the donor groups also impart to them low oxidation potentials.
- bis-donor-substituted ⁇ -conjugated molecules enable them to function as powerful reducing agents and can reduce even molecules with low electron affinities, including various polymerizable groups such as acrylate monomers. Accordingly, bis-donor-substituted ⁇ -co ⁇ jugated molecules of this invention are able to function as multi-photon excitable initiators of polymerization. Many amino-substituted phenyl-containing compounds such as aniline, are known to initiate polymerization of vinyl or acrylate monomers upon exposure to ultraviolet radiation through a charge transfer initiation.
- the charge transfer initiation process may proceed by way of a direct charge transfer that leads to formation of initiating and propagating radical species or by way of a hydrogen abstraction reaction between members of a charge transfer complex involving the aromatic amine and the monomer that also leads to the formation of initiating and propagating radicals.
- the rate of two-photon initiated photopolymerization depends on the two- photon excitation rate and on the quantum yield for initiation.
- the standard expression for the rate of polymerization, R_, assuming a radical mechanism, (G. Odian, Principles of Polymerization, Second Edition, John Wiley and Son, New York, 1981, page 181) is given by
- Ri ⁇ i (1000/N A ) ⁇ I Ni
- ⁇ is the two-photon abso ⁇ tivity (in units of cm s photon *1 )
- I is the photon flux (photons c ⁇ r 2 s _1 )
- NA is Avogadro's number
- Nj is the number density of two-photon absorbing initiators
- ⁇ j is the quantum yield of initiation. Combining these two equations gives the rate of two-photon excited polymerization as:
- the rate of polymerization is dependent on the magnitude of the two-photon abso ⁇ tivity of the initiator and the quantum yield of initiation, which depends both on the characteristics of the initiator and the monomer.
- bis-donor-substituted conjugated molecules according to the invention can initiate, following two-photon excitation, the polymerization of crosslinkable liquid polyacrylate monomers.
- Polymerization of crosslinkable monomers leads to the formation of insoluble polymeric material, such that two-photon initiated polymerization causes the deposition of an easily observable volume of solid polymer on the window of the optical cell.
- Polymerization was generally observed when 13 mJ pulses were used but the intensity was sufficiently high that higher-order nonlinear processes may have led to polymerization. Formation of polymer was demonstrated by the characteristic pattern of infrared bands as determined by IR spectroscopy. The diminution of the peaks assigned to monomer provided further evidence for formation of polymer.
- the induction times for polymerization initiated by two-photon excitation of selected initiator molecules with a pulse energy of 2 mJ and a wavelength of 594 nm are shown in Figure 15.
- the molecule 4,4'-bis(dibutylamino)stilbene has a maximum two-photon abso ⁇ tivity at about 600nm and has the shortest induction time.
- a simple alkyl substitution of ethyl for butyl on the amino group has little effect.
- 4-(dibutylamino)-4'-(n-butoxy)stilbene has a low two-photon abso ⁇ tivity at 594 nm and has a relatively large induction time.
- Crosslinkable monomer Tris(2-hydroxy ethyl)isocyanurate triacrylate, (Sartomer SR368)
- Binder polymer Poly(methylmethacrylate) (PMMA)
- This composition forms translucent yellow/orange films by spin coating or casting.
- the ability to form polymer filaments that taper from an initial diameter ranging from millimeters to tens of microns down to final diameters of one to several microns can be of utility in providing low loss optical guided wave coupling of objects with disparate dimensions. For example, dimensional mismatch is often encountered in attempts to couple optical fibers, which can range between 10 ⁇ m to several hundred ⁇ m in diameter, to semiconductor laser diodes, which can have active areas with a cross sectional dimension of several microns or even less.
- One feature of the two-photon initiated polymerization disclosed here is that such tapered polymer filaments or arrays of such filaments can be formed.
- Two-photon excitation of a variety of the disclosed diphenylpolyene derivatives in the presence of acrylate monomers leads to the formation of polymer.
- excitation leads to formation of a visually observable cross-linked polymer spot on the wall of the vessel.
- the multi-photon absorbing materials of the invention and photopolymer compositions based on them can be used to form recording media for two or three dimensional optical data storage.
- the advantages of using two-photon induced processes for three dimensional optical data storage are well known. Using a strongly focused optical beam it is possible to produce localized two-photon excitation in a volume of the order of 1 ⁇ m 3 , thus resulting in data storage densities of 10 12 bits/cm 3 . Additionally, using crossed optical beams, spots or sheets of data can be stored or addressed in three dimensions, albeit at lower data densities.
- the disclosed compositions have utility in forming three dimensional optical data storage media with high recording sensitivity, due to the large two- photon abso ⁇ tivities exhibited by these materials.
- Fluorescence of the multi-photon absorbing molecules of the present invention can be enhanced upon polymerization of the local monomer concentration relative to that of the absorber in the presence of unpolymerized monomer. Because of the charge-transfer interaction or other interactions between the two-photon excited molecule and the monomer, the fluorescence of the excited molecule is highly quenched. Upon polymerization of the monomer, the quenching ability of the monomer is eliminated and the excited-absorbers are able to emit with an unquenched efficiency. Thus, the two-photon initiated polymerization can lead to a "turning on" of the fluorescence efficiency of the polymerized spot. This feature can provide an advantage for the readout of stored bits of information because the two-photon excited fluorescence can be used to readout as opposed to other more complex, expensive and cumbersome methods such as differential interference microscopy.
- Multi-photon absorbing molecules of the invention the compositions described above and related compositions based on other monomers or crosslinkable monomers, other polymer binders and other additives such as chain transfer agents, can be employed as multi-photon absorbing recording media for holographic recording.
- Molecules according to the present invention that behave as two-photon initiators for polymerization of acrylates can also initiate polymerization when irradiated with wavelengths of light for which the molecules exhibit strong linear abso ⁇ tion. Thus these molecules represent a new class of near UV and visible initiators. Furthermore, from the parallel chemistry observed by single and two- photon abso ⁇ tion, one can reasonably conclude that photon absorbing molecules that are single-photon initiators will also act as two-photon initiators, providing that the two-photon state is higher in energy than the one-photon state. This can be ascertained with some degree of certainty by observing whether the molecule is fluorescent.
- thin films of poly(triacrylate) can be prepared by excitation with low power 360 nm radiation of molecules that behave as two-photon initiators.
- the films so prepared were identified as poly(triacrylates) by IR spectroscopy.
- the polymerization did not take place in the presence of benzoquinone, which is a typical inhibitor for radical polymerizations.
- the solutions turned green and the UV spectrum has an abso ⁇ tion peak at 650 nm indicative of the stilbene radical-cation which was independently characterized by spectro -electrochemistry.
- Methylacrylate was polymerized in bulk under the absence of air by irradiation with a 450 W medium pressure mercury lamp.
- the molecular weight of the polymer was above 400 000.
- the polymer, characterized by IR spectroscopy showed a spectrum identical with that in the literature. After washing the polymer several times with CHCI 3 , the polymer exhibited fluorescence in the blue (-420 nm), indicating inco ⁇ orated or bound initiator.
- the bis-dibutylaminostilbene also polymerizes methylmethacrylate, yielding a soluble polymer in chloroform or CH 2 CI 2 . Once again, the molecular weight is higher than 400 000.
- Methylmethacrylate polymerizations were carried out in ethanol and toluene. Thus, 0.5 mL of the monomer were dissolved in 0.5 mL of the corresponding solvent in an ampoule. After adding 10 mg of bis- dibutylaminostilbene to each ampoule, nitrogen was bubbled through for 54 minutes and the ampoules were sealed. The samples were irradiated for 6 h with a 450 W medium pressure mercury lamp.
- photoinitiators for use in biomedical or materials processing such as xanthine-based dyes
- xanthine-based dyes are activated by single-photon excitation of their abso ⁇ tion bands in the visible spectrum.
- These visible photoinitiators have been used for stereolithography and for in situ polymerization, but their utility for in vivo photopolymerization is limited in some applications (e.g., when fiber optics are impractical) by the small penetration depth in tissues at visible wavelengths.
- Photoinitiators that can be activated by two-photon abso ⁇ tion of near-IR photons can provide tremendous advantages over conventional photoinitiators.
- a complementary approach is based on the use of Forster energy transfer to create a bichromophoric photoinitiators wherein the two-photon absorber is covalently attached to a xanthine-based photo initiator (e.g., rose bengal) such that energy transfer from the two-photon absorber to the xanthine photoinitiator initiates polymerization.
- a xanthine-based photo initiator e.g., rose bengal
- a method for multi-photon deprotection or photodecaging of groups is described in which a multi-photon absorbing dye is attached to known photodeprotecting groups or photodecaging groups.
- a dye can absorb two-photons or more of energy, and through an energy or charge transfer mechanism, serve to excite the attached photodeprotecting or photodecaging group, thereby inducing the deprotection of a functional group which could be a drug, neurotransmitter, metal ion or other chemical reagent.
- Multi-Photon Absorbing Compounds According to the Invention as Optical Limiting Materials
- Two-photon and higher-order absorbing compositions in accordance with the invention are useful in optical power or energy limiting devices. These devices can be used to protect eyes or sensors from intense optical pulses, to modify the shape of the optical output pulse from lasers, to perform a thresholding function on optical pulses for signal processing, or for optically controlled spatial light modulation.
- Materials that exhibit nonlinear abso ⁇ tion can be used for optical limiting devices. Such materials, including excited-state absorbers, two-photon absorbers or higher-order absorbers are initially highly transparent over a certain spectral band and become more strongly absorbing in this band as the incident optical intensity or energy is increased.
- One of the significant applications of optical limiting devices is in laser eye or sensor protection. The exposure of human eyes or sensors to intense optical pulses can lead to permanent damage or to impaired visual performance and thus presents a serious problem to those working in environments where lasers may be encountered.
- Frequency-doubled Q-switched Nd:yttrium/aluminum/garnet lasers are very common and for these lasers (which have pulse durations of 10 ns and a wavelength of 532 nm), the ED 50 level (the exposure energy for which there is a 50% probability of producing a retinal lesion) is about 3 ⁇ J, whereas the ANSI standard maximum permissible exposure level is about 0.1 ⁇ J.
- laser pulse energies of 1 to 100 mJ may be present, sometimes in the form of an unanticipated surface reflection off an optical component.
- protection devices must provide nonlinear attenuation and a high linear optical transmittance, to allow high visibility under ambient working conditions.
- molecules according to the present invention can provide a broad bandwidth optical limiting material based on a mixture of molecular two- photon or higher-order absorbers.
- these molecules can provide optical limiting devices using a two-photon or higher-order absorbing material based on a mixture of molecular two-photon absorbers.
- Two-photon or higher-order absorbers of the type described in this disclosure, which have large two-photon or effective two-photon abso ⁇ tivities are attractive materials for optical limiting since they can achieve large nonlinear attenuation and maintain very high linear transmittance.
- the present invention includes a class of molecules which exhibit very strong two-photon abso ⁇ tion in a spectral region where the linear transmission is very high.
- the present invention provides compositions of matter which have exceptionally large two-photon abso ⁇ tivities.
- bis-amino substitution of diphenylpolyenes and related conjugated structures leads to strong two-photon bands with excitation wavelengths in the transparent region of the molecules, below the one photon abso ⁇ tion edge.
- di-aryl substitution of the amines leads to a significant red shift of the two-photon abso ⁇ tion band but a smaller shift of the lowest one- photon abso ⁇ tion band. This provides utility in formulating broadband limiting materials which preserve transparency.
- broadband optical limiting materials with high transparency can be obtained.
- Large optical limiting effects have been observed with the new two-photon absorbers with large peak effective two-photon abso ⁇ tivities (e.g., > 1000 x 10 "50 cmVphoton '1 . These effects have been observed using only moderate intensity nanosecond pulses. In earlier materials, large optical limiting effects are observed only for very high intensity picosecond pulses.
- the optical limiting by two-photon abso ⁇ tion in 4-dimethylamino- 4'- dibutylaminostilbene (MBDAS) for 605-nm, 8-ns laser pulses in a collimated beam geometry is shown in Figure 17.
- the transmission is close to 1.0, i.e., the sample is nonabsorbing.
- the transmission decreases and at an input energy of -2000 ⁇ J (fluence of 2 J/cm ), the transmission drops to 0.15.
- the collimated beam geometry utilized for this measurement was one used mainly for characterizing the nonlinear transmission and not to optimize the optical limiting response.
- a line corresponding to a transmission of 1.0 is shown for reference.
- the sample was a 0.33M MBDAS solution in acetone with a pathlength of 1 cm.
- the measurements were made with 605 nm, 8-ns laser pulses in a collimated beam geometry with a beam diameter of ⁇ 400 ⁇ m.
- the spatial beam profile of the dye laser was adjusted to produce a roughly flat intensity distribution across a roughly 5-mm diameter beam.
- the beam was passed through an 8.5X beam reducing telescope.
- the position of the second lens in the telescope system was adjusted to produce a collimated beam over the length of the 1-cm sample cell holder.
- the sample solutions were placed in 1 cm pathlength quartz cells; the cell holder was about 50mm from the second lens.
- Typical maximum input energies into the samples were about 2.5 mJ.
- the energy delivered to the samples was controlled by a series of calibrated neutral density (ND) filters.
- ND neutral density
- a 4% beam splitter was inserted after the ND filter holder and this reference beam was sent to a 15mm diameter silicon photodetector (equipped with appropriate ND filters to assure that the signal did not saturate the detector).
- a similar detector system was placed 75 mm after the optical limiting samples to collect the transmitted laser signal and to measure the total transmitted energy. This large area was chosen for performing total transmitted energy measurements, since nonlinear refractive effects caused defocusing effects in the transmitted beam.
- the detector outputs were integrated using a boxcar integrator and the integrator output was digitized and read by a PC computer. Measurements of the sample transmissions were repeated for a range of input laser energies (via the neutral density filters). The data were then analyzed by fitting them to the solution of the intensity propagation equation for two-photon abso ⁇ tion and optical limiting. For samples with no linear abso ⁇ tion, plots of 1/T versus intensity were fit to the equation:
- T is the transmission
- ⁇ is the effective two-photon abso ⁇ tion coefficient and is directly proportional to the molecular two-photon abso ⁇ tivity
- L is the pathlength
- I 0 is the incident intensity.
- the two-photon abso ⁇ tivity of MBDAS was 13,500 x 10 " cm s/photon.
- the response for the MBDAS solution is better than that of the best phthalocyanine excited-state absorber (chloroindium tetra-(tert- butyl)phthalocyanine) solution with a transmission of 0.95).
- the new multi-photon absorbers according to the present invention afford several interesting advantages for optical limiting. Firstly, these molecules exhibit effective two-photon abso ⁇ tivities that are about one or more orders of magnitude higher for current state of the art materials. With such high two-photon abso ⁇ tivities, these molecules are effective in limiting nanosecond duration pulses Secondly, these molecules can have very high broadband linear transmission, since the two-photon abso ⁇ tion bands occur for photon energies well below the linear abso ⁇ tion edge. This could be a huge advantage, since low linear transmission and impairment of normal color vision are major concerns for potential users of laser protective devices.
- broadband two-photon absorbing molecules have been prepared from mixtures of compounds, all of which are essentially transparent over much of the visible spectrum, each with different two-photon resonances that span a wide band. Finally, these two-photon absorbing molecules perform very well at high intensities such that good short pulse performance is assured.
- optical limiting compositions according to the present invention may exist as crystals, mesoscopic phases, polymers, glasses, liquids or gases.
- the compositions may be used alone or in combination with other crystals, mesoscopic phases, polymers, glasses, liquids or gases.
- the multi-photon absorber may be inco ⁇ orated, in the form of a concentration gradient profile, into a material, to form a concentration gradient optical limiting material.
- concentration gradient materials can be made by solvent-assisted in-diffusion of molecules into porous solids or gels, by sequential deposition of layered thin film materials wherein the concentration of the dye in each layer is varied appropriately. This may be accomplished by forming a laminate structure comprised of thin films of free standing polymer containing the multi-photon absorber.
- gradient materials can be produced by codeposition of the dye with an inert binder material, with the relative rates of deposition of each material being varied with time to as to form a concentration gradient.
- solutions of 4,4'- bis(dibutylamino)stilbene (BDAS) in acetone were placed in a 1 cm pathlength cell positioned into the focus of an f/5 focusing lens.
- the transmitted optical energy was collected with a matched f/5 lens and relayed onto a silicon photodiode detector.
- Optical limiting responses for solutions with two different concentrations (0.01 and 0.134 moles/liter) of the BDAS were obtained and are shown in Figure 18.
- the sample linear transmission at 605 nm was 96%.
- the transmission of the sample at an input energy of 170 ⁇ J dropped to about 0.10.
- the sample pathlength was 1 cm, the effective interaction length was much smaller, ⁇ 100 ⁇ m, due to the fact that the intensity falls off as z" 2 from the focus and the rate of attenuation due to two-photon abso ⁇ tion depends on the square of the intensity.
- the rate of attenuation due to two-photon abso ⁇ tion falls off from the focus as Z" 4 .
- the attenuation rate is reduced by a factor of 4 relative to that at the focus.
- Figure 18 illustrates two-photon optical limiting responses of 0.01 and 0.134 M solutions of 4,4'-bis(dibutylamino)sti ⁇ bene for ⁇ 5-ns, 600 nm pulses.
- the straight line corresponds to the linear transmission (96%) of the 0.134 M solution.
- a 1 cm cell was centered on the focus of an -f/5 optical system (effective interaction length ⁇ 100 ⁇ m) and the total transmitted energy was detected.
- Solutions or materials containing the multi-photon absorbing molecules according to the invention such as 4,4'-bis(dibutylamino)stilbene, exhibit strong nonlinear optical beam spreading such that the transmitted energy emanating from the absorber is defocused and spread over a larger area for strong inputs compared to weaker ones.
- greater protection from optical damage is obtained for a detector or sensor placed at the final focal plane of the system.
- Yet further enhancements in the protection afforded by these multi-photon absorbers can be obtained by placement of a suitable aperture stop at an intermediary focal plane, so as to entirely eliminate the transmitted energy that falls outside the pupil of the stop, as a result of nonlinear beam spreading.
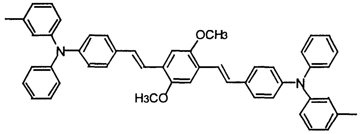
- Figure 19 shows the nonlinear abso ⁇ tion peaks for 4,4'-bis-(di-n- butylamino)stilbene and 4,4'-bis-(diphenylamino)stilbene and the linear transmission of a mixture of these compounds at a total concentration of 0.1 M.
- the abso ⁇ tion edge for 4,4'-bis-(di-n-butylamino)stilbene has an onset at 500 nm, so that the material is transparent from 500 nm to longer wavelengths throughout the visible spectral range.
- the two-photon abso ⁇ tion band occurs in a region of high transparency.
- the two-photon peak at 600 nm is fairly sha ⁇ , but we have shown that simple diphenyl substitution on the amines gives rise to a broader two-photon peak that is shifted to -690 nm, even though the one photon peak is red shifted by only 20 nm.
- a mixture of these materials would cover well the range from 560 to 730 nm, as demonstrated in Figure 18.
- Experiments show that such a mixture of 4,4'-bis(dibutylamino)stilbene and 4,4'- bis(diphenylamino)stilbene shows a net two-photon abso ⁇ tivity that is equal to the sum of the two-photon abso ⁇ tivities of the two individual molecules.
- Figure 19 illustrates linear transmission spectrum (solid line) of a mixture of 4,4'-bis(dibutylamino)stilbene and 4,4'-bis(diphenylamino)stilbene for a total concentration of 0.1M. Also shown are the wavelength dependent two-photon abso ⁇ tivities for each compound: triangles are for the dibutyl derivative and squares are for the diphenyl derivative.
- a combination of chromophores with alkyl and aryl substituents on the amino groups of diaminostilbenes produces materials with broadband two-photon abso ⁇ tion and high transparency. Additional shorter wavelength two-photon absorbers could be added with no compromise of the linear transmission in order to further extend the two-photon abso ⁇ tion to cover the whole visible spectrum.
- a 4,4'-bis(diphenylamino) biphenyl or a 4,4'-bis(diphenylamino) fluorene would add a two-photon abso ⁇ tion band at approximately 500 to 550 nm, but would not reduce the linear transmission.
- a mechanism to enhance the two-photon abso ⁇ tivity at a given wavelength is to synthesize molecules with extended conjugation such that the single-photon abso ⁇ tion edge approaches the fundamental frequency of the laser, without leading to substantially increased linear loss. For example, simply extending the number of bridging double bonds in the stilbene derivatives from one to five double bonds enhances the effective two-photon abso ⁇ tivity by a factor of five.
- Figure 20 illustrates nonlinear transmission data showing enhanced two- photon abso ⁇ tion in a l-(4-dimethylaminophenyl)-10-(4-dibutylaminophenyl)- deca-l,3,5,7,9-pentane (squares) as compared to the 4,4'-bis-(di-n- butylamino)stilbene (circles). Measurements were performed at 598 nm using 0.0 IM solutions.
- Another feature of this invention is the ability to systematically control the position of the lowest two-photon abso ⁇ tion band of bis donor-substituted ⁇ - conjugated molecules by increasing the ⁇ -conjugation length of the molecule by, for example, controlling the number of conjugated double bonds between the two donor-substituted aromatic or heteroaromatic end groups.
- increasing the number of double bonds leads to a considerable shift of the two-photon abso ⁇ tion band to longer wavelengths.
- Inco ⁇ oration of phenylene-vinylene groups between the end groups has a similar effect.
Landscapes
- Engineering & Computer Science (AREA)
- Chemical & Material Sciences (AREA)
- Crystallography & Structural Chemistry (AREA)
- Nanotechnology (AREA)
- Physics & Mathematics (AREA)
- Mathematical Physics (AREA)
- Theoretical Computer Science (AREA)
- Peptides Or Proteins (AREA)
- Saccharide Compounds (AREA)
- Plural Heterocyclic Compounds (AREA)
Abstract
Disclosed are highly efficient multi-photon absorbing compounds and methods of their use. The compounds generally include a bridge of pi-conjugated bonds connecting electron donating groups or electron accepting groups. The bridge may be substituted with electron donating groups or electron accepting groups. Solubility, lipophilicity, absorption maxima and other characteristics of the compounds may be tailored by changing the electron donating groups or electron accepting groups or the nature of the pi-conjugated bridge. Numerous photophysical and photochemical methods are enabled by converting these compounds to electronically excited states upon simultaneous absorption of at least two photons of radiation.
Description
TWO-PHOTON OR HIGHER-ORDER ABSORBING OPTICAL MATERIALS AND METHODS OF USE
Inventors: Seth Marder and Joseph Perry
ORIGIN OF INVENTION
The invention described herein was made in the performance of work under a NASA contract and is subject to the provisions of Public Law 96-517 (35 U.S.C. 202) in which the Contractor has elected to retain title. The invention was also partially supported by the United States Government through the Office of Naval Research (ONR Grant No. NOOO 14-95- 1 - 1319 and NAVOO 149611097), Air Force Office of Scientific Research (AFSOR Grant No. AFS5F49620-97- 1-0200) and the National Science Foundation (NSF Grant No. CHE 94-08701, Amendment 001).
CROSS REFERENCE TO RELATED APPLICATIONS
This application claims the benefit of U.S. Provisional Application No. 60/029,443 entitled "Two-Photon Optical Limiting Materials", U.S. Provisional Application No. 60/029,437, entitled "Two-Photon Absorbing Polymerization Initiators" and U.S. Provisional Application No. 60/030,141, entitled "Two-Photon Absorbing Optical Materials", all filed November 12, 1996, the disclosure of each of which is incorporated herein by reference.
BACKGROUND OF THE INVENTION Field of the Invention The invention relates generally to materials which exhibit nonlinear absorptive properties. More particularly, the invention relates to materials which have high two-photon or higher-order absorptivities and methods for their use.
2. Description of the Related Art Molecular two-photon absorption was predicted in Gόppert-Mayer, M.,
Ann. Phys. 1931, 9, 273. Upon the invention of pulsed ruby lasers in 1960,
experimental observation of two-photon absorption became reality. In years since, multi-photon excitation has found application in biology and optical data storage, as well as in other fields.
Although interest in multi-photon excitation has exploded, there is a paucity of two-photon absorbing dyes with adequately strong two-photon absorption in the correct spectral region for many applications.
There are two key advantages of two-photon (or higher-order) induced processes relative to single-photon induced processes. Whereas single-photon absorption scales linearly with the intensity of the incident radiation, two-photon absorption scales quadratically. Higher-order absorptions will scale with yet a higher power of incident intensity. As a result, it is possible to perform multi- photon processes with three dimensional spatial resolution. Further, because these processes involve the simultaneous absorption of two or more photons, the chromophore is excited with a number of photons whose total energy equals the energy of a multi-photon absorption peak, although each photon individually has insufficient energy to excite the chromophore. Because the exciting light is not attenuated by single-photon absorption in this case, it is possible to excite selectively molecules at a greater depth within a material than would be possible via single-photon excitation by use of a beam that is focused to that depth in the material. These two advantages also apply to, for example, excitation within tissue or other biological materials. In multi-photon lithography or stereolithography, the nonlinear scaling of absorption with intensity can lead to the ability to write features below the diffraction limit of light and the ability to write features in three dimensions, which is also of interest for holography. The ability to realize many of the possible applications of two-photon or higher-order absorption by molecules rests on the availability of chromophores with large two-photon or higher-order absorption cross sections.
SUMMARY OF THE INVENTION Many of the compounds useful according to the invention can be described
by one of four structural motifs. These compounds exhibit enhanced two-photon or multi-photon absoφtivities and allow one to control the position of two-photon or multi-photon absoφtion bands. The motifs may be generally categorized as follows: a) molecules in which two donors are connected to a conjugated π (pi)- electron bridge (abbreviated "D-π-D" motif); b) molecules in which two donors are connected to a conjugated π (pi)- electron bridge which is substituted with one or more electron accepting groups (abbreviated "D-A-D" motif); c) molecules in which two acceptors are connected to a conjugated π (pi)- electron bridge (abbreviated "A-π-A" motif); and d) molecules in which two acceptors are connected to a conjugated π (pi)- electron bridge which is substituted with one or more electron donating groups (abbreviated "A-D-A" motif). We have found that molecules which take these forms can be designed to operate in methods wherein the compounds undergo simultaneous two-photon (or higher- order) absoφtion, forming compositions which include molecules in an electronically excited state. These excited state species can be used in a great variety of subsequent method steps.
BRIEF DESCRIPTION OF THE DRA WINGS
The invention will be better understood by reference to the following drawings, in which:
Figure 1 schematically illustrates an intersystem crossing from the singlet manifold of states to the triplet manifold of states according to the invention;
Figure 2 is a graph of oxidation potentials for two series of diamines according to the invention;
Figure 3 illustrates a Wittig reaction scheme for synthesis of bis-donor- substituted stilbene and bis-donor-substituted diphenylpolyenes according to the invention;
Figure 4 illustrates a reaction scheme for the synthesis of piperidine stilbenes according to the invention;
Figure 5 illustrates a reaction scheme for the synthesis of 4-[N-(t- butoxycarbonyl)]-piperazine benzaldehyde according to the invention; Figure 6 illustrates a reaction scheme for the synthesis of dimethacrylate- substiruted bis-donor stilbenes according to the invention;
Figure 7 illustrates a reaction scheme for the synthesis of bis- (dialkylamino)stilbenes substituted with benzoate esters according to the invention; Figure 8 illustrates a reaction scheme for the synthesis of an cyano- substituted and primary amino-substiruted stilbene according to the invention;
Figure 9 illustrates a reaction scheme for the synthesis of an amine biotin substituted two-photon absorbing stilbene;
Figure 10 illustrates the reaction of l,4-bis(cyanomethyl)benzene with 4- diphenylaminobenzaldehyde and 4-di-«-butylaminobenzaldehyde to form 1,4- bis(p-cyano-4-diphenylaminostyryl)benzene and l,4-bis(β-cyano-4-di-«- butylaminostyryl)benzene according to the invention;
Figure 11 illustrates the condensation of 1 ,4-dibromo-2,5- bis[methylene(triphenylphosphonium)]benzene dibromide, 1 ,4-dicyano-2,5- bis[methylene(triphenylphosphonium)]benzene dibromide and 4-diphenyl- aminobenzaldehyde to yield 1,4-dibromo- and l,4-dicyano-2,5-bis(4'- diphenylaminostyryl)benzenes;
Figure 12 illustrates a reaction scheme for the synthesis of molecules following the A-D-A motif ; Figure 13 illustrates nonlinear absoφtion spectra of 4,4'-bis(di-n- butylamino)stilbene (squares), 4-(di-n-butylamino)-4'-(dimethylamino)diphenyl- butadiene (circles) and 4-(di-n-butylamino)-4'-(dimethylamino)diphenyl hexatriene (triangles) in toluene solution;
Figure 14 illustrates nonlinear absoφtion spectra of 4,4'-bis(di-«- butylamino)stilbene (squares) and 4,4'-bis(diphenylamino)stilbene (circles);
Figure 15 illustrates induction times for two-photon polymerization of a triacrylate monomer (SR9008) with 2 mJ, 8 ns, 594 nm pulses;
Figure 16 illustrates two specific examples of photodeprotecting schemes according to the invention; Figure 17 illustrates two-photon optical limiting in 4-(dimethylamino)-4'-
(dibutylamino)stilbene according to the invention;
Figure 18 illustrates two-photon optical limiting responses of 0.01 and 0.134 M solutions of 4,4'-bis(dibutylamino)stilbene for ~5 ns, 600 nm pulses;
Figure 19 shows the nonlinear absoφtion peaks for 4,4'-bis-(di-n- butylamino)stilbene and 4,4'-bis-(diphenylamino)stilbene and the linear transmission of a mixture of these compounds at a total concentration of 0.1 M; and
Figure 20 illustrates nonlinear transmission data showing enhanced two- photon absoφtion in a l-(4-dimethylaminophenyl)-10-(4-dibutylaminophenyl)- deca-l,3,5,7,9-pentane (squares) as compared to the 4,4'-bis-(di-n- butylamino)stilbene (circles).
DETAILED DESCRIPTION OF THE PREFERRED EMBODIMENTS To ensure a complete understanding of the invention, the following definitions are provided:
By the term "bridge", it is meant a molecular fragment that connects two or more chemical groups.
By the term "donor", it is meant an atom or group of atoms with a low ionization potential that can be bonded to a π (pi)-conjugated bridge. Exemplary donors, in order of increasing strength, are:
K Br < Cl < F < OC(O)R < SH< OH < SR < OR < NHC(O)R < NH2 < NHR < NR2 < S- < O-
By the term "acceptor", it is meant an atom or group of atoms with a high electron affinity that can be bonded to a π (pi)-conjugated bridge.
Exemplary acceptors, in order of increasing strength, are:
C(O)NR2 < C(O)NHR < C(O)NH2 < C(O)OR< C(O)OH < C(O)R < C(O)H < CN < S(O2)R < NO2
Other acceptors that have accepting strength greater than C(O)R include:
Where R is as defined below in Note 3B, and X(O) indicates that the element oxygen is double bonded to the element X and * indicates the point of attachment to the π-conjugated bridge.
A more complete description of what is meant by electron donors or donating groups and electron acceptors or electron accepting groups can be found
in J. March, Advanced Organic Chemistry: Reactions, Mechanisms and Structure, Fourth edition, Wiley-Interscience, New York, 1992, Chapter 9, which is incoφorated herein by reference.
By the phrase "aromatic group", it is meant a carbocyclic group that contains 4n+2 π electrons where n is an integer.
By the phrase "heteroaromatic group", it is meant a cyclic group of atoms, with at least one atom within the ring being an element other than carbon, that contains 4n+2 π electrons where n is an integer. A more complete description of aromaticity and heteroaromaticity can be found in J. March, Advanced Organic Chemistry: Reactions, Mechanisms and Structure, Fourth edition, Wiley- Interscience, New York, 1992, Chapter 2, which is incoφorated herein by reference.
By the term "chromophore", it is meant a molecule or aggregate of molecules that can absorb electromagnetic radiation. By the term "simultaneous", it is meant that two events that occur within the period of 10"14 sec or less.
By the phrase "excited state", it is meant an electronic state of a molecule wherein electrons populate an energy state that is higher than another energy state for the molecule. By the phrase "two-photon absoφtion", it is meant the process wherein a molecule absorbs two quanta of electromagnetic radiation to reach an excited state. By the phrase "multi -photon absoφtion", it is meant a process wherein a molecule absorbs two or more quanta of electromagnetic radiation to reach an excited state. By the phrase "optical limiting", it is meant a process wherein the optical transmission of a body decreases with increasing incident optical intensity or fluence such that the intensity of fluence transmitted by the body does not exceed a prescribed level for a prescribed range of incident optical intensity or fluence.
A "π-conjugated bridge" contains covalent bonds between atoms that both have σ bonds and π bonds formed between two atoms by overlap of their atomic
orbitals (s+p hybrid atomic orbitals for σ bonds; p atomic orbitals for π bonds) with two orbitals (sp3, sp2, sp) overlapping end-to-end to form a σ bond lying directly between the nuclei. In particular, when two p orbitals are standing peφendicular to the σ-bonded skeleton and overlapping sideways, a π bond is formed. When there are adjacent p orbitals on each side of an atom, and they overlap with the p orbital on that atom, a situation is created such that a more extended π orbital is formed in which the electrons in the orbital are no longer confined between two atoms, but rather are delocalized, over a greater number of nuclei. For this to occur, each successive atom bearing ap orbital for overlap must be adjacent to the last. (Sideways overlap o p orbitals is not significant for atoms more than a bond length apart, that is, ~1.5 A.)
This delocalization of π electrons is of central importance to the chemical and physical properties of unsaturated molecules. In particular, a π-conjugated bridge is one having a formal structure consisting of double or triple bonds alternating with single bonds where the double and triple bonds are capable of further π overlap with each other. Such bridges are said to be π-conjugated and include conjugated double or triple bonds. Introduction
The invention generally provides compositions of matter that have large two-photon or higher-order absoφtivities and in some cases large fluorescence quantum yields, leading to efficient two-photon or higher-order excited fluorescence. By two-photon or higher-order absoφtion, we refer to the initial simultaneous absoφtion of two or more photons (also referred to as multi-photon absoφtion) without the actual population of an excited state by the absoφtion of a single photon. That is, subsequent to the initial absoφtion of two or more photons by the molecule, it is possible for the molecule to absorb additional photons from the state populated by the initial absoφtion event or from a state to which the molecule relaxes. If sufficient total energy is absorbed by the molecule, it is possible to photoionize the molecule, thereby creating a radical cation of the molecule and an unbound electron. Conversion of a molecule to an excited state
by two-photon or higher-order absoφtion according to the invention enables many applications which can be induced from such an excited state, as described below.
For example, we have found that molecules having two or more electron donor groups, such as amino groups or alkoxy groups, connected to aromatic or heteroaromatic end groups as part of a π (pi)-electron bridge (the combination referred to herein as "D-π-D" molecules) exhibit unexpectedly and unusually high two-photon or higher-order absoφtivities in comparison to dyes such as stilbene, diphenylpolyenes, phenylene vinylene oligomers and related molecules. In addition, the strength and position of the two-photon or higher-order absoφtion of these molecules can be tuned and further enhanced by appropriate substitution of the π-electron bridge with at least one electron accepting group, such as cyano, (referred to herein as "D-A-D" molecules). We have further discovered that molecules having two or more electron acceptor groups such as formyl or dicyanomethylidene groups, connected to aromatic or heteroaromatic end groups as part of a π (pi)-electron bridge (referred to herein as "A-π-A" molecules) exhibit unexpectedly and unusually high two-photon or higher-order absoφtivities in comparison to dyes such as stilbene, diphenylpolyenes, phenylene vinylene oligomers and related molecules. The strength and position of the two-photon or higher-order absoφtion of these molecules can be tuned and further enhanced by appropriate substitution of the π-electron bridge with electron donating groups, such as methoxy, to form "A-D-A" molecules.
General Description of Structural Motifs
As a feature of the invention, we have discovered that the aromaticity of the π-bridge in the electronic ground state is important in determining the energetic position of the electronic state which is responsible for multi-photon absoφtion relative to the state responsible for one-photon absoφtion. In particular, having donors attached to aromatic groups or heteroaromatic groups, i.e., D-π-D and D-A-D structures, is conducive to placing the highly absorbing two-photon state energetically above that of the strongly fluorescent one-photon
state, which is essential for the molecule to exhibit a high multi-photon fluorescence excitation efficiency. In D-A-D molecules, upon absoφtion of photons, charge is redistributed from the electron donor groups toward the π- electron bridge, thereby enhancing the molecules' multi-photon absoφtion characteristics.
In addition, having acceptors attached to aromatic groups or heteroaromatic groups, i.e., A-π-A and A-D-A structures, is conducive to placing the highly absorbing two-photon state energetically above that of the strongly fluorescent one-photon state. In A-D-A molecules, upon absoφtion of photons, charge is transferred from the π-electron bridge toward the electron accepting groups, thereby enhancing the molecules' multi-photon absoφtion characteristics.
Accordingly, the combination of the intrinsically high fluorescence quantum efficiency for these molecules and the rapid relaxation of the two-photon excited molecule from the two-photon state to the lower lying fluorescent one- photon state makes the molecules according to the invention highly efficient multi- photon excitable emitters.
As a result of their large multi-photon absoφtivities, molecules according to the invention can be used for two-photon or higher-order sensitization by exploiting various photophysical or photochemical mechanisms such as energy transfer or charge transfer. The two-photon or higher-order absorber may directly sensitize various reactions or may transfer energy or charge to another sensitizer which itself sensitizes a further chemical reaction. Applications which would exploit these novel two-photon or higher-order sensitization properties would include photo-deprotection, photocaging or uncaging of biological molecules, photoinitiated polymerization, photochromism, photodissociation, photodimerization, photoisomerization, photoinduced electrocyclic rearrangement and photodeposition of various materials including metals, ceramics, ceramic- polymer composites, metal oxides, and metal chalcogenides.
In particular, any photochemical reaction which could be carried out by energy transfer or electron transfer could be performed by taking advantage of the
associated benefits of two-photon or multi-photon absoφtion provided that either the Si, S , . . . Sn, Tι; T2, . . . Tπ (where S refers to a singlet state and T refers to a triplet state and have the usual meaning as described in N. J. Turro, Modern Molecular Photochemistry, Benjamin/Cumming Publishing Company, Menlo Park, 1978, which is incoφorated herein by reference) excited states of the molecule were populated by said two-photon or multi-photon absoφtion or subsequent relaxation and had sufficient energy and/or reducing potential and/or oxidizing potential to foster the desired reaction.
If the reaction or sensitization process occurs from the triplet state, it is necessary to employ any of a number of well-known mechanisms to foster intersystem crossing from the singlet manifold of states to the triplet manifold of states as shown in Figure 1. Mechanisms to foster such intersystem crossing processes include, but are not limited to, the inclusion of heavy atoms with large spin-orbit coupling coefficients, the attachment of aromatic ketones to the π-bridge electronic system of the multi-photon absorbing chromophores and attachment of paramagnetic groups.
The advantageous combination of strong multi-photon absoφtion and the ability to sensitize, catalyze, initiate or otherwise render possible chemical reactions, changes of state of materials and emission of light, allow the compounds described here to have a great variety of novel and useful applications including, but not limited to, those described below.
These new two-photon or multi-photon absorbing molecules may be used as fluorophores in microscopy, biological imaging, photodynamic therapy, pathology assays and medical diagnostics. These new two-photon or multi-photon absorbing molecules may be used as fluorophores in thin films and materials for imaging and analysis, especially in paint compositions, laminants, dental fillings or other coatings.
These new two-photon or multi-photon absorbers may be used for two- photon generation of charge carriers, especially in photorefractive polymers.
These new two-photon or multi-photon fluorophores may be used in three dimensional light emitting displays.
These new two-photon or multi-photon absorbers may be used in holographic recording materials involving the use of a single or two different optical wavelengths for the recording process.
These new two-photon or multi-photon fluorophores may be used as two- photon or multi-photon laser dyes with upconverted emission.
These new two-photon or multi-photon fluorophores may be used for sensing applications including, but not limited to, sensing of metal ions and other species in solution, to electric fields or changes thereof (as in measurements of membrane potentials), viscosity of the surrounding environment and changes thereof, dielectric constants of the environment and changes thereof, biologically relevant organic molecules including, but not limited to, drugs, DNA sequences, antibodies, metabolites, hormones, explosives and neurotoxins. Such sensing relies on the fact that the fluorescence properties of these molecules, including their emission wavelength, efficiency and lifetimes, are all parameters known to be sensitive in a quantifiable manner to external perturbations.
These new two-photon or multi-photon absorbers may be used as fluorophores for imaging of flow fields and diffusional fronts in gels or other porous media, especially in electrophoretic gels.
These new two-photon or multi-photon absorbers may be used for two- photon or multi-photon optical lithography and three dimensional optical memory.
These new two-photon or multi-photon absorbers may be used for optical limiting and optical switching. These new two-photon or multi-photon absorbers may be used to access photochemistry that would ordinarily be enabled by single-photon absoφtion. Thus, any photochemical reaction that can be carried out either by charge or electron transfer can be performed by taking advantage of the associated benefits of two-photon or higher-order absoφtion provided that the S,, S2 or SN excited state, T,, T2 or TN excited state (where S refers to singlet and T refers to triplet) of
the molecule has sufficient energy and/or redox potential to foster the desired reaction.
A more extensive listing of applications that would be rendered substantially more useful by virtue of the large two-photon or multi-photon absoφtivities of the compounds described herein can be found, for example, in U.S. Patent Nos. 4,228,861, 4,238,840, 4,471,470, 4,333,165, 4,466,080 and 5,034,613, which are incoφorated herein by reference. Additional examples of photochemical reactions that could be induced by the excited states that can be populated by multi-photon absoφtion by the compounds described herein can be found in N. J. Turro, Modern Molecular Photochemistry, Benjamin/Cumming Publishing Company, Menlo Park, 1978, incoφorated herein by reference.
Correlation of Structure and Function
Another feature of molecules in one embodiment of the invention is that molecules "end capped" with electron donor substituents, i.e., D-π-D and D-A-D structures, have relatively low oxidation potentials, Ey2 (in tetrahydrofuran) for the ground-state as exemplified for the series of diamines having increasing length of π-conjugated bridge in Figure 2.
Upon multi-photon excitation, these molecules become very strong excited state reducing agents and can therefore be used as multi-photon excited electron donors. Such materials can transfer electrons to electron acceptors (which may be covalently attached to the multi-photon absorbing chromophore or could be in a region of space near the multi-photon absorbing chromophore, as would be the case in a concentrated fluid solution or solid solution) to create a radical cation, in the case of a multi-photon absorbing dye and a radical anion, in the case of the acceptor.
Another feature of some molecules in one embodiment of the invention is that molecules "end capped" with electron accepting substituents, i.e., A-π-A and A-D-A structures, have relatively high electron affinities in the ground-state form. Furthermore, upon multi-photon excitation, these molecules become very strong
excited state oxidizing agents and can therefore be used as multi-photon excited electron acceptors. Such materials can accept electrons from electron donors (which may be covalently attached to the multi-photon absorbing chromophore or could be in a region of space near the multi-photon absorbing chromophore as would be the case in a concentrated fluid or solid solution) to create a radical anion, in the case of a multi-photon absorbing dye, and a radical cation, in the case of the donor.
Such radical cations and anions may have different spectroscopic properties from their neutral counteφarts and therefore may be used as transient photochromic materials for optical limiting and optical signal processing.
In addition, these radical ion species generated upon multi-photon absoφtion can be chemical reactants. For example, these multi-photon absorbing materials can be used to initiate polymerization of monomers which can be polymerized either by radical or ionic mechanisms in the presence or absence of polymerization promoters, including chain transfer agents. Examples of monomers which can be polymerized in these ways include, but are not limited to, vinyl monomers including acrylonitriles, acrylates, diacrylates, triacrylates, polyacrylates, styrenes, trifunctional isocyanurates substituted with acrylates, vinyl- and allyl-containing monomers, divinylbenzene and polymers which are end-capped with or have these groups attached to the carbon backbone such as polyurethanes, polyesters and polyolefins. In addition, examples of polymerizable monomers may be found in G. Odian, Principles of Polymerization, Second Edition, John Wiley and Son, New York, 1981, page 181, which is incoφorated herein by reference. Another feature of the invention is that the oxidation potential, reduction potential and the energy difference between the ground state and the fluorescent excited state can be precisely tuned such that the excited state reduction or oxidation potential can also be tuned. In this manner, using the theory for electron transfer developed by Marcus, it is possible to tune both the forward electron transfer rate and charge recombination rate (G.J. Karvaros and N.J. Turro, Chem.
Rev. 86, 401-449, 1986). This tunability allows control of, for example, the initiation rate of polymerization or the time constants for generation of absoφtion changes and recovery in transient photochromic materials.
Another feature of the invention is that it is possible to selectively control the position of the multi-photon absoφtion peak in these molecules by controlling the substituents on the electron donor groups. For example, replacement of the alkyl groups with phenyl groups on the amine of 4,4'-diaminostilbene results in a minimal shift of the linear absoφtion edge to a longer wavelength, but a shift of the multi-photon absoφtion maximum 90 nm to longer wavelength. Another feature of this invention is that it is possible to control the position of the multi-photon absoφtion peak in these molecules by controlling the number of conjugated double bonds between the two donor-substituted aromatic or heteroaromatic end groups for Class 1 compounds (described below), or between the two electron acceptor-substituted aromatic or heteroaromatic end groups for Class 2 compounds (described below). Increasing the number of double bonds leads to a considerable shift of the multi-photon absoφtion band to longer wavelength. Incoφoration of phenylene-vinylene groups between the end groups has a similar effect.
In most cases, these shifts also result in considerable shifts of the emission maxima to lower energy, which is useful for tuning the multi-photon induced energy transfer properties. This is the case because in the Forster energy transfer mechanism, the energy transfer rate depends upon the degree of overlap of the fluorescence band of the multi-photon absorbing energy donor with the absoφtion band of the energy-accepting molecule. Control of the location of the multi- photon absoφtion band and the two-photon excited fluorescence band is also of use in regard to excitation and detection of emission from molecules in an absorbing or scattering medium. For example, absoφtion and scattering in tissue gives rise to a transmission band at -700 - 950 nm, thus molecules can be tailored for optimal two-photon excitation and fluorescence detection efficiency at depth in biological tissue.
Another feature of this invention is that it is possible to tune the lipophilicity, hydrophilicity and overall solubility of the multi-photon absorbing chromophores over a very wide range by the appropriate substitution of the donor groups. For example, 4,4'-bis-dimethylaminostilbene and 4,4'-bis-
(diphenyl)aminostilbene are sparingly soluble in nonpolar organic solvents whereas 4,4'-bis(-di-«-butylamino)stilbene and 4,4'-bis(di-4-«-butyl- phenyl)aminostilbene are very soluble, i.e., are lipophilic. In contrast, the hydrochloric acid adduct of the bis-lysyl ester of 4-diethylamino 4'- diethanolaminostilbene and the bis-lysyl ester of 1 -(4-dimethylaminophenyl)-4- (4'-diethanolaminophenyl) buta-l,3-diene shown below are hydrophilic. In each case, the molecules maintain their fluorescence in solution.
Another feature of the invention is that it is possible to substitute the donor groups, and in many cases the acceptor groups, with surface specific functionalities such that the molecules may self assemble on a surface to define a pattern of multi-photon absorbing chromophore. One can then use the various multi-photon induced processes described above to perform chemistry or other optical processes on a patterned substrate.
Another feature of the invention is that it is possible to substitute the molecule with agents, such as biotin, which allow the molecules to form complexes with reagents (such as antibodies), tissues or surfaces labeled with the protein avidin. Another feature of the invention is that it is possible to substitute molecules with functional groups such as hydroxyl, cyano and amino, to bind these compounds to metal atoms or to react, for example, with the amine or hydroxyl groups with carboxylic acids, acid chlorides, sugars or aldehydes (in the case of amine functionality). In such a manner, it is possible to greatly increase the diversity of functionality which may be advantageously combined with the multi- photon absorbing properties and the emissive properties of the molecules. For example, attachment of the multi-photon absorbing molecules to amino acids will allow for efficient labeling of proteins.
Since the molecules can be further functionalized as is amply demonstrated herein, molecules according to the invention will have use as labels for a variety of media including tissue, cells, organelles, DNA sequences, proteins, sugar, tumorous tissue, blood components, and as markers for the analysis of combinatorial libraries of chemicals, Hgands, and drugs. In particular, since many components in the complex media described above may have strong single-photon absoφtion, labeling of these media with multi-photon absorbing chromophores or derivatives thereof provides a mechanism to selectively excite the multi-photon absorbing chromophores without interfering absoφtion by the other (i.e., single- photon absorbing) chromophores which do not have the multi-photon absoφtion features of chromophores according to the invention. This selective excitation is particularly important for the use of these molecules in biological tissue, for example, where there are many aromatic groups such as heme-containing molecules and indole-containing molecules.
An advantage which is gained by the efficient multi-photon absoφtion processes enabled by molecules according to the invention is that it is possible for the absoφtion to occur in a region of space whose cross sectional area is smaller
than that of the diffraction-limited spot size of the exciting beam of light. This is because, for example, a two-photon process is dependent on I2, where I is the intensity of the exciting beam. The diffraction-limited spot size for a Gaussian beam is given by:
0.63 y NA
where λ is the wavelength of the exciting beam of light and NA is the numerical aperture of the focusing lens. Therefore the theoretical spot size for a two-photon excitation is given by:
For three-photon or higher-order excitation, further analogous reductions in spot size can be realized.
Examples of some compositions which can be used in accordance with the invention have the general formulas as shown below. In many cases, as will be made clear in the detailed description of the invention below, the molecules we teach have large multi-photon absoφtivities and are themselves novel. However, the general formulas below are not inclusive of all the compositions that we teach are of use as two-photon or higher-order absorbers. Other compositions which have the characteristic electronic properties, as well as other advantageous properties for a variety of applications, and methods of making and using them, will also become apparent to those with ordinary skill in the art, when one considers the examples described in the preferred embodiments.
General Formulae: (an asterisk (*) in the structures shown below identifies the atom of attachment to a functional group and implies that that atom is missing
one hydrogen that would normally be implied by the structure in the absence of the asterisk.)
"-" indicates a single bond between 2 atoms
"=" indicates a double bond between 2 atoms
"=" indicates a triple bond between 2 atoms
Class 1 Structures: Compounds where the end groups are electron donating groups
Class 1- III
Class 1- IV where Da is any electron donating group that is any one of N, O, S and P;
where D is any electron donating group that is any one of N, O, S and P; m, n, o are integers such that 0<m<10, 0<n<10, 0<o<10; and where X, Y, Z are independently selected from: CRk=CRι; O; S; N-Rm where R., Rf, X , R,,, Ri, R,, Rk, R\, Rm are defined in NOTE 3.
Ra, R , Re, Rd are independently selected from: H; a linear or branched alkyl group with up to 25 carbons; -(CH2CH2O)α-(CH2)βORaι; -(CH2CH2O)α-(CH2)βNRa2Ra3; -(CH2CH2O)a-(CH2)pCONRa2Ra3;
-(CH2CH2O)α-(CH2)βCN; -(CH2CH2O)α-(CH2)βCl; -(CH2CH2O)α-(CH2)βBr;
-(CH2CH2O)α-(CH2)βI; -(CH2CH2O)α-(CH2)β-Phenyl; various aryl groups (see
NOTE 1); various fused aromatic rings (see NOTE 2); various polymerizable functionalities (see NOTE 2A); • Rai, Ra2, and Ra3 are independently selected from: H; a linear or branched alkyl group with up to 25 carbons;
• Rai, Ra2, nd Ra3 can also be a functional group derived essentially from one of the 20 naturally occurring amino acids: alanine; valine; leucine; isoleucine; proline; tryptophan; phenylalanine; methionine; glycine; serine; threonine; tyrosine; cysteine; glutamine; asparganine; lysine; arginine; histidine; aspartic acid; and glutamic acid; a polypeptide; adenine; guanine; tyrosine; cytosine; uracil; biotin; ferrocene, ruthenocene, cyanuric chloride and derivatives thereof, or methacryloyl chloride. By "derived essentially", it is meant that Rai, Ra2, and R^ may be an amino acid or a functional group that is closely related (e.g., a trivial modification of an amino acid), where is 0-10,
• where β is 1- 25.
NOTE 1 :
Ra Rb, Re, R can be an aryl group of up to aromatic ring systems having 20 carbons in the aromatic ring framework (i.e., does not include carbons on the substituents), where aryl includes;
E can be: S; O where RA*,1 #<8, corresponding to the subscripts in the substituents in the structure shown directly above are independently selected from: H; a linear or branched alkyl group with up to 25 carbons; NRA#IRA#2, ORA#3J or phenyl where RA#I, RA#2, RA#3 are independently selected from: H; a linear or branched alkyl group with up to 25 carbons; or phenyl.
NOTE 2:
Ra Rb, Re, R are independently selected from:
cσoo. όoo. ooo. τ o
NOTE 2A:
Where polymerizable functionalities include vinyl; allyl; 4-styryl; acroyl; methacroyl; acrylonitrile, which may be polymerized by either a radical, cationic, or anionic polymerization process.
Also where polymerizable functionalities include isocyanate, isothiocyanate, epoxides such that they can be copolymerized with difunctional amines or alcohols such as HO(CH2)γOH, H2N(CH2)γNH2, where 1 < γ < 25.
Also where polymerizable functionalities include strained ring olefins such as dicyclopentadienyl, norbomenyl, cyclobutenyl where the two-photon absorbing chromophore is attached to any of the saturated carbon linkages. Such monomers can be polymerized via ring opening metathesis polymerization using an appropriate metal catalyst as would be known to those skilled in the art.
Also where polymerizable functionalities include (-CH2)δSiCl3; (-CH2)δSi(OCH2CH )3; or (-CH2)δSi(OCH3)3 where the two-photon absorbing monomers can be reacted with water under conditions known to those skilled in the art to form either thin film or monolithic organically modified sol-gel glasses, or modified silicated surfaces, where 0 < δ < 25.
Rg , Rf, giRji Rj Rμ-B i Rji Rm
NOTE 3:
Re, Rf, Rg, Rh, Ri, Rj, Rk, Rl, Rm are independently selected from: H; a linear or branched alkyl group with up to 25 carbons; -(CH2CH2O)α-(CH2)βORbi; -(CH2CH2O)α-(CH2)βNRb2Rb3. -(CH2CH20)α-(CH2)βCONRb2Rb3;
.(CH2CH2O)α-(CH2)βCN; -(CH2CH2O)α-(CH2)βCl; -(CH2CH2θ)α-(CH2)βBr;
-(CH2CH2O)α-(CH2)βI; -(CH2CH2O)α-(CH2)β-Phenyl; various aryl groups (see
NOTE 1); various fused aromatic rings (see NOTE 2); various polymerizable functionalities (see NOTE 2A); NRe^; ORe3; CHO; CN; NO2; Br; Cl; I; phenyl; an acceptor group containing more than two carbon atoms (see NOTE
3 A), and where Rei, R<» , R^, are independently as defined for R_ and R,, in NOTE
3B;
• R i, Rb2, and Rb3 can also be a functional group derived essentially from one of the 20 naturally occurring amino acids: alanine; valine; leucine; isoleucine; proline; tryptophan; phenylalanine; methionine; glycine; serine; threonine;
tyrosine; cysteine; glutamine; asparganine; lysine; arginine; histidine; aspartic acid; and glutamic acid; or a polypeptide; adenine; guanine; tyrosine; cytosine; uracil; biotin; ferrocene, ruthenocene, cyanuric chloride and derivatives thereof or methacryloyl chloride. By "derived essentially from", it is meant that Rbi, Rb2, nd b3 can be an amino acid or a functional group that is closely related to an amino acid (i.e., a trivial modification of an amino acid).
• where α is 0-10,
• where β is 1- 25.
Thus, in general, alkyl groups set forth in the above formulas include those groups having up to 25 carbon atoms and includes both branched and straight chain alkyl groups. Exemplary alkyl groups include methyl, ethyl, propyl, butyl, pentyl, hexyl, heptyl, octyl, nonyl, in the normal, secondary, iso and neo attachment isomers. Aryl groups referred to in the preceding formulas include aromatic hydrocarbons having up to 20 carbon atoms. Exemplary aryl groups include phenyl, naphthyl, furanyl, thiophenyl, pyrrolyl, selenophenyl and tellurophenyl.
NOTE 3A:
Acceptor Groups Containing More than Two Carbon Atoms Re, Rf, Rg, Rh, Ri, Rj, Rk, Rl, Rm, can be selected from the following list of groups Al - A41 and where Rn and RQ are as defined in NOTE 3B:
A40 A41
NOTE 3B: Rn, RQ are independently selected from: H; a linear or branched alkyl group with up to 25 carbons; -(CH2CH2O)α-(CH2)βORgl; -(CH2CH2O)a-(CH2)pNRg2Rg3 -(CH2CH2O)α-(CH2)βCONRg2Rg3; -(CH2CH2O)α-(CH2)βCN
-(CH2CH2O)α-(CH2)βCl; -(CH2CH2O)α-(CH2)βBr; -(CH2CH2O)α-(CH2)βI -(CH2CH2θ)α-(CH2)β-Phenyl; various aryl groups (see NOTE 1); various fused aromatic rings (see NOTE 2); various polymerizable functionalities (see NOTE 2A);
Rgl, Rg2, and Rg3 are independently selected from: H; a linear or branched alkyl group with up to 25 carbons; • Rgi, Rg2, and Rg3 can also be a functional group derived essentially from one of the 20 naturally occurring amino acids: alanine; valine; leucine; isoleucine; proline; tryptophan; phenylalanine; methionine; glycine; serine; threonine; tyrosine; cysteine; glutamine; asparganine; lysine; arginine; histidine; aspartic acid; and glutamic acid; or a polypeptide; adenine; guanine; tyrosine; cytosine; uracil; biotin; ferrocene, ruthenocene, cyanuric chloride and derivatives thereof or methacryloyl chloride. By "derived essentially from" it is meant that Rgι,
Rg2, and Rg3 can be an amino acid or a functional group that is closely related to an amino acid (i.e., a trivial modification of an amino acid). where α is 0-10, and where β is 1- 25.
Class 2 Structures- Compounds where the end groups are acceptors
Class 2- II
Class 2- III
Class 2- IV
Al A2 A3 A4
AS A6 A7 A8
A37 A38 A39 A40
A41 A42 in addition Aa and Ab can be independently selected from Br, Cl, and I; and where 0<m<10, 0<n<10, 0<o<10.
where X, Y, Z are independently selected from: CRk=CRι; O; S; N-Rm where Rk, Ri, Rm are defined in NOTE 3, above for Class 1 molecules, where Re, Rf, Rg, Rh, Ri, Rj, are defined in NOTE 3, above for Class 1 molecules.
Ra, Rb, Re, Rd are independently selected from: H; a linear or branched alkyl group with up to 25 carbons; -(CH2CH2O)α-(CH2)βORaι;
-(CH2CH2θ)α-(CH2)βNRa2Ra3; -(CH2CH2O)α-(CH2)βCONRa2Ra3; -(CH2CH2O)α-(CH2)βCN; -(CH2CH2O)α-(CH2)βCl; -(CH2CH2O)α-(CH2)βBr; -(CH2CH2O)α-(CH2)βI; -(CH2CH2O)α-(CH2)β-Phenyl; various aryl groups (see NOTE 1 as described above for Class 1 molecules); various fused aromatic rings (see NOTE 2 as described above for Class 1 molecules); various polymerizable functionalities (see NOTE 2A as described above for Class 1 molecules); NReiRe2; ORe3; CN; NO2; Br; Cl; I; phenyl; or an acceptor group containing more than two carbon atoms (see NOTE 3A as described above for Class 1 molecules).
• Rai, Ra2, and R^ are independently selected from: H; a linear or branched alkyl group with up to 25 carbons. • Raι, Ra2, and R^ can also be one of the twenty natural the amino acids; alanine; valine; leucine; isoleucine; proline; tryptophan; phenylalanine; methionine; glycine; serine; threonine; tyrosine; cysteine; glutamine; asparganine; lysine; arginine; histidine; aspartic acid; and glutamic acid; or a polypeptide; adenine; guanine; tyrosine; cytosine; uracil; biotin; ferrocene, ruthenocene, or cyanuric chloride and derivatives thereof.
• where α is 0-10 and where β is 1- 25.
• Rei , Re2, and Re3 are independently as defined for R_ and R„ in NOTE 3B.
In addition, the invention includes molecules that do not fall into Class 1 or Class 2 formulae but are within the scope of the four structural motifs described herein.
General Description of Uses According to the Invention
The compositions of the invention are organic molecules having multi- photon absoφtion. The compositions themselves may exist as crystals, mesoscopic phases, polymers, glasses, liquids or gases. The compositions may be used alone or in combination with other crystals, mesoscopic phases, polymers, glasses liquids or gases.
The molecules of the present invention may, in some cases, consist of a macroscopic crystal of the molecule. Such crystals may be grown at a slow rate under equilibrium with their mother liquor by a variety of methods known to one skilled in the art. Crystals may also be grown by sublimation at reduced pressure or in some cases from a melt. In the case of vapor or vacuum deposition of crystalline, microcrystalline or amorphorous materials, it is possible using well- developed processes to form multicomponent nanocomposite materials by codeposition with other organic or inorganic materials. Another method of producing a useful optical element involves dissolving the molecule in a solvent to form a solution which can be placed in a container having the desired shape.
A particularly convenient and effective form of an optical element in accordance with the invention involves dispersing the multi-photon absorbing molecules in a polymeric or prepolymeric binder. The multi-photon absorbing molecules can be mixed into the binder or grafted onto the polymer, prepolymer or monomer. Suitable binders include polystyrene, polyacrylonitrile, polymethacrylate, poly(methyl methacrylate), poly(vinyl alcohol), copolymers of methyl methacrylate and methacrylic acid, copolymers of styrene and maleic anhydride and half ester-acids of the latter, as well as many others.
It is preferred that the polymeric binder be highly transparent so that the transparency of the molecules utilized in the practice of this invention can be advantageously employed. However, it is a unique feature of the invention that even in the case where the binder has strong absoφtion at the wavelength required
to initiate single-photon processes, the chromophores may still be excited by the two-photon or multi-photon absoφtion process.
Generally, the methods according to invention are carried out by converting a multi-photon absorbing molecule to an electronically excited state by absoφtion of at least two photons of radiation. The excited state then facilitates numerous applications. In addition, the molecule may be irradiated with visible, ultraviolet or infrared radiation.
One common form an optical element according to the invention can take is that of a Langmuir-Blodgett (LB) film. As known to those skilled in the art, a small amount of a molecule useful in the practice of this invention, when spread on the surface of a liquid, forms a surface film of monomolecular thickness at the air/liquid interface. When the supporting substrate is slowly immersed in the film bearing liquid body or slowly withdrawn from it, an oriented monomolecular film is formed on the substrate. The preparation and uses of Langmuir-Blodgett films are described in M.C. Petty, M.R. Bryce, D. Bloor, Introduction to Molecular Electronics, Edward, Arnold, London, 1995, Chapter 10, which is incoφorated herein by reference.
Compositions according to the invention are also useful when incoφorated into solutions, prepolymers, polymers, Langmuir-Blodgett thin films, and self- assembled monolayers. The compositions can be advantageously modified in such a way as to allow for variation of ease of dissolution in a variety of host media, including liquids and polymeric hosts, by changing the nature of the substituents attached to the central π-conjugated bridge framework of the molecule as well as by changing either the donors or acceptors. In addition, by controlling the length and composition of the π-bridge of the molecule, it is possible to control the position and strength of the two-photon (or higher-order) absoφtion and the two- photon (or higher-order) excited fluorescence.
Synthesis and Characterization of Multi-photon Absorbing Compounds
Some compositions according to the invention may be prepared by reacting appropriate aldehydes with appropriate ylides under standard Wittig conditions. In some cases, the compounds can be synthesized using the McMurray reaction.
Examples of specific compounds for the general structures shown earlier which exhibit two-photon or higher-order absorption.
Examples of stilbene chromophores.
Examples of amino acid-containing water soluble multi-photon absorbing chromophores according to the invention.
General Wittig Procedure:
All the reactions were carried out under anhydrous conditions by use of Schlenk techniques. Figure 3 illustrates the general scheme depicting the synthesis of bis-donor stilbene and bis-donor-substituted-diphenylpolyenes by the Wittig reaction. Typically, the aldehydes used in the Wittig reaction were commercially available or synthesized by methods previously reported. The phosphonium salts were synthesized according to literature procedures. Other aldehdyes and phosphonium salt that could be employed in this reaction would be known to one skilled in the art of organic synthesis and with the aid of the knowledge provided in the example given below. Example 1
0.15 mol of sodium were slowly dissolved in 100 mL of ethanol and added to a solution of 0.05 mol of the corresponding aldehyde and the phosphonium salt in 300 mL of ethanol. This mixture was heated under reflux for 15 hours. After cooling down to room temperature, 100 mL of methanol and 100 mL of water were added to precipitate the substituted trans-stilbene or substituted diphenyl polyene, respectively. Usually, triphenylphosphinoxide and substituted cis- stilbene, also formed in the reaction, don't precipitate in this solvent mixture. The powder was separated by filtration. Filtration over a short column of Florisil with toluene as eluant usually yields further purification. To achieve correct elemental analysis the products were either chromatographed or recrystallized in ethanol in case of the stilbene derivatives, or acetone in case of the diphenylpolyenes derivatives. The yields varied between 10% and 60% for all of the reactions.
Characterizing data for compounds synthesized by the above general Wittig procedure:
Example 2
Η NMR (d6.acetone) δ 7.31 (d, J = 8.7 Hz, 4H), 6.81 (s, 2H), 6.64 (d, J = 8.7 Hz, 4H), 3.32 (t, J = 7.5 Hz, 8H), 1.57 (m, 8H), 1.36 (m, 8H), 0.94 (t, J = 7.27, 12H);
13 C NMR δ 14.26, 20.87, 30.27, 51.28, 112.73, 124.77, 126.50, 127.82, 148.12; accurate FAB mass spectrum (m/z) for M+ C30H46N2, calcd 434.3661, found 434.3673.
Example 3
Η NMR (d6-acetone) δ 7.32 (d, J = 8.0 Hz, 4H), 6.82 (s, 2H), 6.67 (d, J = 4.6 Hz, 2H), 6.64 (d, J = 4.7 Hz, 2H), 3.42-3.29 (m, 8H), 1.62-1.52 (m, 4H), 1.42- 1.30 (m, 4H), 1.13 (t, J = 7.0 Hz, 6H), 0.94 (t, J = 7.0 Hz, 6H); accurate FAB mass spectrum (m z) for M+ C26H38N2, calcd 378.3035, found 378.3039; elemental analysis, calcd: C, 82.48, H, 10.12, N 7.40 found: C, 82.30; H, 9.76; N 7.14. Example 4
Η NMR (d6-acetone) δ 7.35 (d, J = 7.2 Hz, 2H), 7.32 (d, J = 7.0 Hz, 2H), 6.84 (s, 2H), 6.71 (d, J = 8.7 Hz, 2H), 6.65 (d, J = 8.7 Hz, 2H), 3.32 (t, J = 7.5 Hz, 4H), 2.93 (s, 6H), 1.62-1.52 (m, 4H), 1.40-1.32 (m, 4H), 0.94 (t, J = 7.3 Hz, 6H); accurate FAB mass spectrum (m/z) for M+ C24H34N2, calcd 350.2722, found 350.2720; elemental analysis, calcd: C, 82.23, H, 9.78, N 7.99, found: C, 81.83; H, 9.90; N 8.07.
Example 5
Η NMR (d6-acetone) δ 7.31 (d, J = 8.7 Hz, 4H), 6.87 (s, 2H), 6.69 (d, J = 8.9 Hz, 2H), 6.64 (d, J = 8.9 Hz, 2H), 3.69 (t, J = 5.8 Hz, 2H), 3.48-3.42 (m, 4H), 3.32 (t, J = 7.5 Hz, 4H), 1.62-1.52 (m, 4H), 1.42-1.32 (m, 4H), 1.13 (t, J = 7.0 Hz, 3H), 0.94 (t, J = 7.3 Hz, 6H); accurate FAB mass spectrum (m/z) for M+ C26H38N2, calcd 394.2984, found 394.2990. Example 6
Η NMR (CDC13) δ 7.41 (d, J = 3.3 Hz, 2H), 7.39 (d, J = 2.0 Hz), 6.90-6.86 (m, 4H), 6.72 (d, J = 8.5 Hz, 2H), 3.98 (t, J = 6.5 Hz, 2H), 2.98 (s, 6H), 1.80-1.75 (m, 2H), 1.54-1.46 (m, 2H), 0.98 (t, J = 7.3 Hz, 3H); accurate FAB mass spectrum (m/z) for M+ C20H25NO, calcd 395.1936, found 395.1929.
Example 7
Η NMR (CDC13) δ 7.45-7.30 (m, 4H), 6.95-6.80 (m, 4H), 6.69 (d, J = 6.0 Hz, 2H), 3.97 (t, J = 6.3 Hz, 2H), 3.38 (d, broad, 4H), 1.82-1.72 (m, 2H), 1.56- 1.46 (m, 2H), 1.18 (t, J = 7.04 Hz, 6H), 0.97 (t, J = 7.2 Hz, 3H), accurate FAB mass spectrum (m/z) for M+ C22H29NO, calcd 323.2249, found 323.2238.
Example 8
Η NMR (d6-benzene) δ 7.45 (d, J = 4.4 Hz, 2H), 7.42 (d, J = 4.3 Hz, 2H), 7.04- 6.95 (m, 2H), 6.74-6.55 (m, 6H), 3.06 (t, J = 7.5 Hz, 4H), 2.51 (s, 6H), 1.44 (p, J = 7.3 Hz, 4H), 1.16 (s, J = 7.5 Hz, 4H), 0.84 (t, J = 7.3 Hz, 6H), accurate FAB mass spectrum (m/z) for M+ C26H36N2, calcd 376.2878, found 376.2880; elemental analysis, calcd: C, 82.93, H, 9.64, N 7.44, found: C, 82.72; H, 9.78; N 7.44. Example 9
Η NMR (d6-benzene) δ 7.42-7.37 (m, 4H), 6.97-6.89 (m, 2H), 6.68-6.54 (m, 8H), 3.04 (t, J = 7.5 Hz, 4H), 2.49 (s, 6H), 1.42 (p, J = 7.5 Hz, 4H), 1.15 (s, J = 7.3 Hz,
4H), 0.83 (t, J = 7.3 Hz, 6H), 13C NMR (d6-benzene) δ 150.11, 147.91, 132.93,
132.53 (2 signals), 132.24, 128.16, 127.83, 126.99, 126.26, 126.05, 125.69, 50.93,
40.03, 29.82, 20.55, 14.16; accurate FAB mass spectrum (m/z) for M+ C28H38N2, calcd 402.3035, found 402.3041; elemental analysis, calcd: C, 83.53, H, 9.51, N 6.96, found: C, 83.18; H, 9.63; N 6.79.
Example 10
Η NMR (d6-benzene) δ 7.50-7.30 (m, 4H), 6.95-6.78 (m, 2H), 6.75-6.38 (m, 10H), 3.05 (t, J = 7.1 Hz, 4H), 2.50 (s, 6H), 1.50-1.30 (m, 4H), 1.15 (q, J = 7.2 Hz, 4H) 0.84 (t, J = 7.1 Hz, 6H), accurate FAB mass spectrum (m/z) for M+ C30H40N2, calcd 428.3191, found 428.3176; elemental analysis, calcd: C, 84.06 H, 9.41, N 6.54, found: C, 83.86; H, 9.20; N 6.28. Example 11
Η NMR (d6-benzene) δ 7.45-7.32 (m, 4H), 6.95-6.80 (m, 2H), 6.68-6.37 (m, 12 H), 3.03 (t, J = 7.4 Hz, 4H), 2.48 (s, 6H), 1.50-1.28 (m, 4H), 1.20-1.05 (m, 4H), 0.83 (t, J = 7.3 Hz, 6H); accurate FAB mass spectrum (m/z) for M+ C32H42N2, calcd 454.3348, found 454.3332; elemental analysis, calcd: C, 84.53 H, 9.31, N 6.16, found: C, 83.17; H, 9.70; N 5.58.
Example 12
Η NMR (CDCI3) δ 7.40 (d, J = 8.4 Hz, 2H), 7.12 (d, J = 16.3 Hz, IH), 6.88 (d, J = 16.3 Hz, IH), 6.71-6.68 (m, 4H), 6.33 (t, J = 1.9 Hz, IH), 3.80 (s, 6H), 3.41 (q, J =
7.0 Hz, 4H), 1.13 (t, J = 7.2 Hz, 6H).
Example 13
Η NMR (CDCI3) δ 7.39 (d, J = 8,7 Hz, 2H), 6.95 (d, J = 16.0 Hz, IH), 6.82 (d, 16 Hz, IH), 6.71 (s, 2H), 6.67 (d, J = 8.7 Hz, 2H), 3.92 (s, 6H), 3.86 (s, 3H), 3.38 (q, J = 7.1 Hz, 4H), 1.19 (t , J = 7.0 Hz, 6H); accurate FAB mass spectrum (m/z) for M+ C2ιH27NO3, calcd 341.1991, found 341.2001 ; elemental analysis, calcd: C, 73.87, H, 7.97, N 4.10 found: C, 73.78; H, 8.07; N, 4.00.
Example 14
Η NMR (CDCI3) δ 7.43 (d, J = 8.5 Hz, 2H) 6.95-6.88 (m, 4H), 6.72 (s, 2H), 3.98 (t, J = 6.5 Hz, 2H), 3.91 (s, 6H), 3.87 (s, 3H), 1.78 (m, 2H), 1.50 (m, 2H), 0.98 (t, J = 7.3 Hz, 3H) ); 13C NMR δ 13.83, 19.22, 31.29, 56.07, 60.92, 67.22, 103.26, 114.68, 126.34, 127.56, 127.80, 129.74, 133.45, 153.34, 158.87; accurate FAB mass spectrum (m/z) for M+ C22H28O2, calcd 342.1831, found 342.1831 ; elemental analysis, calcd: C, 73.66, H, 7.65, found: C, 73.41 ; H, 7.85
Example 15
Η NMR (d6-acetone) δ 8.33-8.28 (m, 2H), 7.72-7.67 (m, 2H), 7.52-7.48 (m, 4H), 7.14 (d, J = 7.9 Hz, IH), 7.04 (d, J = 16.0 Hz, IH), 6.70 (d, J = 8.7 Hz, 2H), 3.36 (t, J = 7.5 Hz, 4H), 2.86 (s, 6H), 1.60 (m, 4H), 1.38 (m, 4H), 0.95 (t, J = 7.3 Hz, 6H); 13C NMR δ 150.99, 148.73, 133.39, 131.43, 131.30, 129.78, 128.65, 126.45, 126.07, 125.61, 125.36, 125.06, 123.52, 120.86, 115.03, 112.62, 51.26, 45.38, 30.26, 20.86, 14.26; accurate FAB mass spectrum (m/z) for M+ C28H36N2, calcd 400.2878, found 400.2888; elemental analysis, calcd: C, 83.95, H, 9.06, N 6.99 found: C, 83.91; H, 8.52; N, 6.93.
Η NMR (d6-acetone) δ 7.32 (m, 4H), 6.83 (s, 2H), 6.70 (d, J = 8.8 Hz, 2H), 6.66 (d, J = 8.8, 2H), 3.73 (t, J = 5.6 Hz, 4H), 3.55 (t, J = 5.7 Hz, 4H), 3.39 (q, J = 7.0 Hz, 4H), 1.13 (t, 7.0 Hz, 6H); IR (KBr pellet) 3386.40 (m broad), 2967.86 (m), 1607.93 (s), 1520.15 (s), 1390.74 (m), 13 53.33 (s), 1265.34 (m), 1189.59 (m), 1152.10 (w), 1077.47 (w), 1007.76 (w), 970.86 (w), 818.60(m) cm"1; accurate FAB mass spectrum (m/z) for M+ C22H30N2O2, calcd 354.2307, found 354.2304.
Example 17
Η NMR (d6-acetone) δ 7.35-7.20 (m, 4H), 6.90-6.65 (m, 6H), 6.48 (d, J = 14 Hz), 4.19 (t, J = 5.5 Hz, 2H, OH protons), 3.80-3.78 (m, 4H), 3.56 (t, J = 5.7 Hz, 4H), 2.94 (s, 6H); accurate FAB mass spectrum (m/z) for M+ C22H28N2O2, calcd 352.2151, found 352.2154; elemental analysis, calcd: C, 74.97, H, 8.01, N 7.95 found: C, 74.62; H, 8.27; N, 7.82; IR (KBr pellet) 3279.40 (m, broad), 3009.09
(m), 2878.66 (m), 1602.69 (s), 1513.54 (s), 1389.62 (m), 1351.78 (s), 1185.92 (s), 1061.93 (m), 986.26 (m), 838.50 (m), 798.78 (m), 520.33 (w) cm"1.
Example 18
•H NMR (CDC13, 300 MHz) δ 7.46 (d, 4H, J = 8.6 Hz); 7.12 (s, 2H); 6.57 (d, 4H, J = 8.6 Hz); 2.95 (q, 8H, J = 7.0 Hz); 0.87 (t, 12H, J = 7.0 Hz); ^C NMR (CDCI3, 75 MHz) δ 147.1, 127.8, 126.8, 125.1, 1 12.5, 44.5, 12.8; λmax = 372 nm (THF);
Example 19
!H NMR (d6-acetone) δ 7.34 (d, J = 8.7 Hz, 4H), 6.85 (s, 2H), 6.72 (d, J = 8.8 Hz, 2H), 6.67 (d, J =8.8 Hz, 2H), 3.72 (t, J = 6.3 Hz, 2H), 3.46 (q, J = 6.3 Hz, 2H), 3.36 (t, J = 7.5 Hz, 4H), 1.60 (m, 4H), 1.43 (m, 4H), 1.17 (t, J =7.0 Hz, 3H), 0.97 (t, 6H, J = 7.3 Hz); Η NMR (d6-acetone) δ 147.7, 147.6, 126.5, 126.1, 124.6, 124.4, 112.7, 112.6, 112.5, 112.4, 59.7, 53.1, 51.0, 45.6, 29.8, 20.6, 14.0, 12.2. Anal. Calc. for C26H38N2O: C, 79.14; H, 9.71; N, 7.10; Found: C, 78.84; H, 9.80; N, 6.97.
IH NMR (dό-acetone) δ 7.37 (d, J = 8.7 Hz, 4H), 6.86 (s, 2H), 6.73 (d, J = 8.9 Hz, 2H,), 6.70 (d, J =8.9 Hz, 2H), 3.77 (t, J = 5.7 Hz, 4H), 3.57 (t, J = 5.7 Hz, 4H), 3.41 (q, J = 7.0 Hz, 4H), 1.16 (t, J = 7.0 Hz, 6H).
Example 21
m.p. 40-50 °C; !H NMR (d6-acetone) δ 7.38 (t, J = 8.9 Hz, 4H), 6.89 (bd, 2H), 6.87 (d, J = 8.8 Hz, 2H,), 6.70 (d, J = 8.8 Hz, 2H), 4.29 (t, J = 6.0 Hz, 4H), 3.72 (t, J = 6.0 Hz, 4H), 3.43 (q, J = 7.0 Hz, 4H), 2.32 (t, J = 7.4 Hz, 4H), 1.60 (m, 4H), 1.30 (bs, 16H), 1.17 (t, J = 7.0 Hz, 6H), 0.90 (t, J = 7.0 Hz, 6H); 13C NMR (de- acetone, 75 MHz) δ 173.4, 147.4, 147.2, 127.7, 127.5, 126.0, 125.3, 124.1, 112.8, 112.3, 61.6, 49.9, 44.5, 34.2, 32.1, 29.4, 25.3, 23.0, 14.0, 12.6.
Example 22
N,N-di-(2-t-butyldimethylsiloxy)ethyl-aniline. N-phenyl diethanolamine (28.04 g, 154.7 mmol) was added at 0°C to a stirred solution of t-
butyldimethylsilylchloride (58.299 g, 386.78 mmol) and imidazole (31.598 g, 464.1 mmol) in 250 mL N,N-dimethylformamide. The reaction mixture was stirred overnight at room temperature and then was added to ice water and extracted with ether. The organic layer was washed three times with brine and was dried over magnesium sulfate. Evaporation of solvent yielded 63.35 g (100%) of the crude product as a light puφle oil which was taken on without further purification: RF 0.60 (90: 10-hexane: ethyl acetate); lH NMR (300 MHz, acetone- d6) δ 0.07 (s, 6H), 0.92 (s, 9H), 3.58 (t, J = 6.13 Hz, 2H), 3.83 (t, J = 6.11, 2H), 6.60 (t, IH), 6.75 (d, J = 8.34 Hz, 2H), 7.16 (m, 2H).
Example 23
4-bromo-N,N-di-(2-t-butyIdimethylsiloxy)ethyl-aniIine. N-bromosuccinamide (32.116 g, 180.43 mmol) was dissolved in 150 mL anhydrous N,N- dimethylformamide and added at 0°C to a stirred solution of N,N-di-(2-t- butyldimethylsiloxy)ethyl-aniline (70.37 g, 171.84 mmol) in 140 mL anhydrous N,N-dimethylformamide. The flask was covered with aluminum foil and stirred overnight in the dark at room temperature. The reaction mixture was then poured into ice water and extracted with ether. The organic layer was washed three times with brine and was dried over magnesium sulfate. Evaporation of solvent yielded 77.765 g (93%) of the crude product as a light puφle oil which was taken on without further purification: RF 0.60 (90: 10-hexane :ethyl acetate); Η NMR (300 MHz, αVacetone) δ 0.06 (s, 6H), 0.91 (s, 9H), 3.59 (t, J = 5.89 Hz, 2H), 3.84 (t, J = 5.87, 2H), 6.72 (d, J = 9.02 Hz, 2H), 7.27 (d, J = 8.91 Hz, 2H). Example 24
4-N,N-di-(2-t-butyldimethylsiloxy)ethyl-benzaldehyde. t-Butyllithium (35.34 mmol) was added via syringe under nitrogen and at -76°C to a stirred solution of 4-bromo-N,N-di-(2-t-butyldimethylsiloxy)ethyl-aniline (8.63 g, 17.67 mmol) in 175 mL dry THF. The reaction mixture was stirred for 30 minutes at -76 °C and then N,N-dimethylformamide (3.875 g, 53.0 mmol) was added via syringe. The reaction mixture was allowed to warm to room temperature and then brine was added and the aqueous layer was extracted with ether. The combined organic layers were washed twice with brine and dried over magnesium sulfate. The crude was purified via flash chromatography over silica gel with gradual elutions from 95/5 to 80/20 (hexanes:ethyl acetate). Evaporation of solvent yielded 3.126 g (40%) of a light yellow oil. The adjusted yield = 51%: RF 0.20 (90:10- hexane:ethyl acetate); lH NMR (300 MHz, acetone-d6) δ 0.04 (s, 6H), 0.89 (s, 9H), 3.73 (t, J = 5.75 Hz, 2H), 3.90 (t, J = 5.71, 2H), 6.90 (d, J = 8.85 Hz, 2H), 7.69 (d, J = 8.92 Hz, 2H), 9.71 (s, IH).
Example 25
4,4'-bis-(diethanolamino)stiIbene. Sodium (1.099 g, 47.8 mmol) was dissolved in 35 mL ethanol and then added to a stirred solution of 4-N,N-di-(2-t- butyldimethylsiloxy)ethyl-benzaldehyde (6.97 g, 15.93 mmol) and bis- diethanolaminobenzyltriphenylphosphoniumiodide (9.032 g, 15.93 mmol) in 35 mL ethanol. The reaction mixture was refluxed overnight under nitrogen balloon atmosphere. Water (-10 mL) was added and the solution was stirred while
cooling to room temperature. The precipitate was recovered by suction filtration and the ethanol solution was diluted with 20 mL water and extracted with ethyl acetate. A solid precipitated out of the aqueous fraction and was filtered. The combined solid fractions were washed with 50/50 (methanol: water) and air dried to yield 3.485 g (57%) of a tan solid. The crude was taken on without further purification: RF 0.18 (ethyl acetate); 'H NMR (d6-acetone) δ 3.57 (t, J = 5.60 Hz, 4H), 3.76 (q, J = 5.53, 4H), 4.18 (t, 2H), 6.72 (d, J = 8.71 Hz, 2H), 6.86 (s, IH), 7.34 (d, J = 8.72 Hz, 2H).
Figure 4 illustrates a reaction scheme for the synthesis of piperidine stilbenes.
4-(triphenylphosphinemethylene iodide)- 1-phenylpiperidine. Glacial acetic acid (3.9 mL) was added to a stirred solution of triphenylphosphine (5.246 g, 20.0 mmol), potassium iodide (3.32 g, 20.0 mmol), 1-phenylpiperidine (3.289 g, 20.4 mmol), and 37% aqueous formaldehyde (1.5 mL) in 15 mL chloroform. The reaction mixture was refluxed overnight and then cooled to room temperature. Ether (-100 mL) was added dropwise with stirring. The solution was decanted off and the gummy solid was dissolved in chloroform and washed with brine. The organic layer was dried over magnesium sulfate. Evaporation of solvent yielded 2.707 g (24%) of a light orange solid. The crude produect was taken on without further purification or characterization.
Example 27
4,4'-dipiperidinylstilbene. Sodium (221 mg, 9.61 mmol) was dissolved in 10 mL ethanol and then added to a stirred solution of 4-piperidinylbenzaldehyde (909 mg,
4.8 mmol) and 4-(triphenylphosphinemethylene iodide)- 1-phenylpiperidine (2.707 g, 4.8 mmol) in 15 mL ethanol. The reaction mixture was refluxed overnight
under nitrogen balloon atmosphere. Water (-5 mL) was added and the solution was stirred while cooling to room temperature. The precipitate was recovered by suction filtration and rinsed with methanol to yield 145 mg (9%) of a tan solid:RF 0.38 (90.T0-hexanes:ethyl acetate); !H NMR (dό-acetone) δ 1.50-1.80 (m, 6H), 3.19 (t, J = 4.66 Hz, 4H), 6.92 (d, J = 8.83 Hz, 2H), 6.94 (s, IH), 7.40 (d, J = 8.63 Hz, 2H).
Figure 5 illustrates a reaction for the synthesis of 4-[N-(t- Butoxycarbonyl)]-piperazine-benzaldehyde.
Example 28
" "B0C
N-(t-Butoxycarbonyl)-l-phenylpiperazine. 1-Phenylpiperazine (9.223 g, 56.85 mmol), BOC-ON (14.0 g, 56.85 mmol) (purchased from Aldrich Chemical Company), and triethylamine (7.19 g, 71.06 mmol) in 570 mL methanol were refluxed overnight. Water was added and the solution was extracted with ether. The organic layer was washed with brine and dried over magnesium sulfate. The crude was purified via flash chromatography over silica gel with gradual elutions from 90/10 to 80/20 (hexanes:ethyl acetate). Evaporation of solvent yielded 13.647 g (92%) of a white solid:RF 0.38 (90:10-hexanes:ethyl acetate); 'H NMR (d6-acetone) δ 1.46 (s, 9H), 3.13 (t, J = 5.19 Hz, 4H), 3.54 (t, J = 5.03 Hz, 4H), 6.83 (t, J = 7.29 Hz, IH), 6.98 (d, J = 8.16 Hz, 2H), 7.24 (t, J = 7.59 Hz, 2H); ,3C NMR (d6-acetone) δ 28.24, 44.0, 49.62, 79.36, 116.91, 120.20, 129.48, 152.13, 154.64.
Example 29
B -O"'00
4-bromo-[N-(t-Butoxycarbonyl)]-l-phenyIpiperazine. N-bromosuccinamide (4.195 g, 23.57 mmol) was dissolved in 20 mL anhydrous N,N- dimethylformamide and added to a stirred solution of N-(t-Butoxycarbonyl)-l- phenylpiperazine (6.0 g, 22.89 mmol) in 20 mL anhydrous N,N- dimethylformamide. The flask was covered with aluminum foil and stirred overnight in the dark at room temperature. Water (40 mL) was added and the precipitate was filtered. The crude solid was taken up in chloroform, washed with brine, and dried over magnesium sulfate. Evaporation of solvent yielded 6.95 g (89%) of a white solid which was carried on without further purification:RF 0.45 (80:20-hexanes:ethyl acetate); Η NMR (d6-acetone) δ 1.46 (s, 9H), 3.14 (t, J = 4.87 Hz, 4H), 3.53 (t, J = 4.80 Hz, 4H), 6.95 (d, J = 8.85 Hz, 2H), 7.37 (d, J = 8.94 Hz, 2H).
Example 30
OHC— — -BOC
4-[N-(t-Butoxycarbonyl)]-piperazine-benzaldehyde. t-Butyllithium (29.32 mmol) was added via syringe under nitrogen and at -76°C to a stirred solution of 4-bromo-[N-(t-butoxycarbonyl)]-l-phenylpiperazine (5.0 g, 14.66 mmol) in 145 mL dry tetrahydrofuran. The reaction mixture was stirred for 15 minutes at -76 °C and then N,N-dimethylaformamide (4.287 g, 58.6 mmol) was added via syringe. The reaction mixture was allowed to warm to room temperature and then brine was added. The organic layer was washed with brine and dried over magnesium sulfate. Evaporation of solvent yielded 4.099 g (96%) of a yellow-orange solid
which was carried on without further purification: RF 0.17 (80:20-hexanes:ethyl acetate).
Figure 6 illustrates a reaction scheme for the synthesis of dimethacrylate substituted bis-donor-stilbenes.
Example 31
4'-diethanolamino-4-diethylaminostilbene. Sodium (5.84 g, 254 mmol) was dissolved in 150 mL ethanol and then added to a stirred solution of bis- diethanolaminobenzyltriphenylphosphoniumiodide (48.01 g, 84.69 mmol) and 4- diethylaminobenzaldehyde (15.0 g, 84.69 mmol) in 250 mL ethanol. The reaction mixture was refluxed overnight under nitrogen balloon atmosphere. The crude was concentrated to -300 mL and then water (50 mL) was added and the solution was heated to dissolve everything. The reaction was then stirred while cooling to room temperature and then was placed in an ice bath for 30 minutes. The resulting solid was filtered and washed with 50/50 (ethano water). The solid was taken up in hot tetrahydrofuran and magnesium sulfate and a small scoop of silica gel was added. The solution was filtered and concentrated to a slurry. Filtration yielded 7.78 g of product and a second crop was isolated to yield a total of 9.58 g (35%) of a yellow solid: >H NMR (d6-acetone) δ 1.17 (t, J = 6.98 Hz, 6H), 3.42 (q, J = 7.02 Hz, 4H), 3.59 (t, J = 5.58 Hz, 4H), 3.78 (q, J = 5.58 Hz, 4H), 4.19 (t, J = 5.50 Hz, 2H), 6.72 (m, 4H), 6.86 (s, 2H), 7.35 (d, J = 7.48 Hz, 4H).
Example 32
4'-[N,N-di-(2-[(2-methyl-l-oxo-2-propenyl)oxy]ethyl)-amino]-4- diethylaminostilbene. Methacryloylchloride (713 mg, 6.83 mmol) was added at 0°C to a stirred suspension of 4'-diethanolamine-4-diethylaminostilbene (1.0 g, 3.10 mmol) and triethylamine (784 mg, 7.75 mmol) in 31 mL tetrahydrofuran. The reaction mixture was stirred for 2 hours at room temperature and was then treated with 10% HC1. The organic layer was separated, washed with brine, and dried over magnesium sulfate. The crude was concentrated to a slurry and then filtered and the solid was rinsed with tetrahydrofuran. The liquid portions were combined and adsorbed onto silica gel and purified via flash chromatography with gradual elutions from neat hexanes to 95/5 (hexanes:ethyl acetate). Evaporation of solvent yielded 589 mg (39%) of a light green oil: RF 0.67 (50:50-hexanes:ethyl acetate); ΗNMR (d^-acetone) δ 1.17 (t, J = 7.01 Hz, 6H), 1.93 (s, 6H), 3.42 (q, J = 7.01 Hz, 4H), 3.82 (t, J = 5.93 Hz, 4H), 4.38 (t, J = 5.89 Hz, 4H), 5.65 (s, 2H), 6.09 (s, 2H), 6.69 (d, J = 8.70, 2H), 6.90 (d, J = 8.97 Hz, 4H), 7.38 (t, J = 8.90 Hz, 4H).
Example 33
4-[4'-N,N-diethanolamino-(trans-l, trans-3, trans-5, trans-7- octatetraenyl)phenyl]-N,N-dimethylaniline. Sodium (206 mg, 8.98 mmol) was dissolved in 12 mL ethanol and then added to a stirred solution of bis-
diethanolaminobenzyltriphenylphosphoniumiodide (1.273 g, 2.24 mmol) and 6[N, N'-dimethaminophenyl]-hepta-2,4,6,-trien-l-al (510 mg, 2.24 mmol) in 10 mL ethanol. The reaction mixture was refluxed overnight under nitrogen balloon atmosphere. Water (10 mL) was added and the solution was stirred at room temperature for 1 hour and then at 0°C for one hour. The solution was filtered through a medium glass frit and the solid was washed with methanol and air dried to yield 610 mg (67%) of a dark brown solid: 'H NMR (d^-acetone) δ 2.98 (s, 6H), 3.58 (t, J = 5.52 Hz, 4H), 3.76 (q, J = 4.55 Hz, 4H), 4.20 (bds, 2H), 6.35-6.80 (m, 4H), 6.70 (m, 4H), 7.30 (t, J = 9.11 Hz, 4H).
Example 34
4-dibutylamino, 4'-ethyl,-2-hydroxyethylaminostilbene (0.100 g, 0.250 mmol) was dissolved in the smallest amount of dry tetrahydrofuran as possible. Triethylamine (>0.14 mL, excess) was added to the stilbene and stirred for 15 min. Addition of methacryloyl chloride (>0.10 mL, excess) caused the immediate formation of precipitates. After the addition of the acid chloride, the reaction was allowed to stir for 5 min. and was shown to be complete by thin layer chromatography. The mixture was diluted with diethyl ether (25 mL) and the organics were washed with water (3x 10 mL), washed with brine (lx 10 mL), and dried using K2CO3. Column chromatography on silica gel hexane/ethylacetate (9:1) yielded the desired acrylate as a clear oil (-50% for this tiny scale). *H NMR (d6-acetone) δ 7.39- 7.34 (m, 4H), 6.87-6.67 (m, 6H), 6.09 (s, IH), 5.65 (s, IH), 4.34 (t, J = 6.0 Hz, 2H), 3.70 (t, J = 6.0 Hz, 2H), 3.51 (q, J = 7.0 Hz, 2H), 3.36 (t, J = 7.4 Hz, 6H), 1.93 (s, 3H), 1.60 (p, J = 7.1 Hz, 4H), 1.38 (sx, J = 7.3 Hz, 4H), 1.19 (t, J = 6.9 Hz, 3H), 0.98 (t, J= 7.3 Hz, 6H).
General procedure for the sterification of the bishydroxyethyl substituted compounds with bis-Boc-lysine:
0.01 mol of the appropriate dialcohol, 0.03 mol of the amino acid and 0.025 mol of hydroxybenztriazole (HOBTH2 ) were dissolved in 60 mL of anhydrous N,N- dimethylformamide and stirred under nitrogen atmosphere. After cooling down to 0°C, 0.035 mol of dicyclohexylcarbodiimide were added at once. The solution was allowed to warm to ambient temperature and stirred for further 15 h. The precipitated urea was filtered off and the solution was diluted with 200 mL of diethyl ether. The organic phase was washed three times with 50 mL of water, dried over Na2SO4 and evaporated to dryness. To remove of the excess of amino acid, the residue was dissolved in diethyl ether and filtered over a short column of Florisil. The organic solvent was evaporated again yielding the bisester as a solid. Yields were typically around 70-80%. Example 35
Η NMR (d6-acetone) δ 7.38 (d, J = 8.7 Hz, 2H), 7.34 (d, J = 8.8 Hz, 2H), 6.93-
6.78 (m, 4H), 6.66 (d, J = 8.7 Hz), 5.93 (b, 2H), 4.4-4.25 (m, 4H), 4.19-4.05 (m,
2H), 3.76 (m, 4H), 3.39 (q, J = 7.0 Hz, 4H), 3.04 (q, J = 6.2 Hz, 4H), 2.40-1.55 (m,
8H), 1.40 and 1.39 (s, 18 BOC H and 4 CH2 H), 1.11 (t, J = 7 Hz, 6H); IR (KBr pellet) 3385.35 (m broad), 2975.70 (m), 2925.26 (m), 2868.32 (w), 1711.43 (s),
1610.89 (m), 1522.55 (s), 1458.04 (w), 1366.21 (m), 1251.55 (m), 1171.18 (s),
1015.40 (w), 859.00 (w), 818.04 (w) cm"1 ; accurate FAB mass spectrum (m/z) for
M+ C54H86N6OI2 calcd 1010.6303, found 1010.6304; elemental analysis, calcd: C, 64.13, H, 8.57, N 8.31 found: C, 63.77; H, 8.82; N, 9.10.
Example 36
Η NMR (d6-acetone) δ 7.40-7.25 (m, 4H), 6.90-6.60 (m, 6H), 6.55-6.40 (m, 2H), 6.23 (d, J = 7.8 Hz, 2H, HC-NH proton), 5.94 (b, 2H, H2C-NH protons), 4.38-4.25 (m, 4H), 4.20-4.05 (m, 2H), 3.76 (t, J = 5.0 Hz, 4H), 3.10-3.00 (m, 4H), 2.94 (s, 6H), 1.80-1.50 (m, 4H), 1.44-1.22 (m, 26H); accurate FAB mass spectrum (m/z) for M+ C54H84N6Ol2, calcd 1008.6147, found 1008.6141; IR (KBr pellet) 3335.94(w, broad), 2931.34 (m), 2118.44 (m), 1711.06 (s), 1605.33 (m), 1515.90 (s), 1451.52 (w), 1365.78 (m), 1249.00 (m), 1169.03 (s), 984.09 (w), 796.31 (w) cm"l.
General procedure for the deprotection of the Boc-protected amino groups:
Through 600 mL of ethyl acetate, gaseous HC1 was bubbled while stirring for one hour. Then, the tetra-Boc di-ester was added in portions over 5 min. and the clear solution was kept stirring. After a while, a white solid precipitated. Stirring was continued for 1 further hour. The ethyl acetate was distilled and the remaining white solid was suspended in diethyl ether. After filtration, the tetra ammonium tetrachloride salt was isolated in quantitative yield.
Example 37
Η NMR (D2O) δ 7.79 (d, J = 8.2 Hz, 2H), 7.72 (d, J = 8.3 Hz, 2H), 7.49 (d, J = 8.2 Hz, 2H), 7.35-7.20 (m, 4H), 4.49 (b, 4H), 4.02 (t, J = 6.3 Hz, 2H), 3.95-3.75 (m, 4H), 3.70-3.55 (m, 4H), 2.87 (t, J = 7.5 Hz, 4H), 1.90-1.65 (m, 4H), 1.60-1.45 (m, 4H), 1.42-1.15 (m, 4H), 1.11 (t, J = 7.1 Hz, 6H); Ir (KBr pellet) 3423.42 (m broad), 2960.10 (s broad), 2647.68 (m), 2604.98 (m), 1996.44 (w), 1751.93 (s), 1597.50 (m), 1516.95 (s), 1458.53 (m), 1388.05 (w), 1212.19 (m), 1150.47 (w), 1129.14 (w), 1043.83 (w), 1011.84 (w), 840.72 (w) cm"1; accurate FAB mass spectrum (m/z) for MH+ C34H55N6O4 calcd 611.4285 found 611.4262.
Η NMR (D2O) δ 7.72 (d, J = 8.2 Hz, 2H), 7.69-7.35 m, 4H), 7.27-6.98 (m, 4H), 6.88-6.75 (m, 2H), 4.53 (b, 4H), 4.04 (t, J = 6.2 Hz), 4.00-3.65 (m, 4H), 3.32 (s, 6H), 2.91 (t, J = 7.5 Hz, 4H), 1.90-1.70 (m, 4H), 1.65-1.50 (m, 4H), 1.48-1.15(m, 4H); accurate FAB mass spectrum (m z) for MH+ C34H53N6O4 calcd 609.4128, found 609.4102; elemental analysis, calcd: C, 49.35, H, 7.06, N 10.15 found: C, 50.09; H, 7.94; N, 8.92. IR (KBr pellet) 3430.64 (m, broad), 2934.60 (s, broad), 2612.09 (m, broad), 1751.11 (s), 1701.42 (m), 1595.50 (m), 1509.31 (s), 1459.71 (m), 1388.62 (m), 1366.92 (m)1246.44 (m), 1210.95 (m), 1168.24 (m), 1129.14 (m), 1050.94 (w), 994.98 (m), 898.10 (w), 855.45 (w), 802.13 (w), 731.04 (w), 695.49 (w), 554.61 (w) cπr1.
Figure 7 illustrates a reaction scheme for the synthesis of bis dialkylamino stilbene substituted with benzoate esters.
Example 39
!H NMR (d6-acetone):δ 8.38 (d, J= 8.4 Hz, 2H), 8.27 (d, J= 8.7 Hz, 2H), 7.38 (t, J= 8.7 Hz, 4H, ), 6.86 (d, J= 8.4 Hz, 4H), 6.70 (d, J= 8.4 Hz, 2H), 4.60 (t, J= 5.9 Hz, 2H), 3.86 (t, J = 5.9 Hz, 2H), 3.57 (q, J = 6.9 Hz, 2H), 3.43 (q, J = 6.9 Hz, 4H), 1.19 (m, J = 6.9 Hz, 2H); Elemental Analysis Cal'd for C29H33N3O4: C, 71.44; H, 6.82; N, 8.62; (Found): C, 71.40; H, 6.70; N, 8.62; MS (m/e, FAB): 487.3 (100%, M+); λmaχ (nm, acetone): 370.4; IR(KBr, cm"1): 1722.0 (C=O).
Example 40
1H NMR (d6-acetone): δ 8.28 (d, J = 8.1 Hz, 2H), 8.06 (d, J = 8.7 Hz, 2H), 7.46 (t, J= 7.7 Hz, 4H), 6.95 (m, J= 6.3 Hz, 4H), 6.79 (d, J= 8.7 Hz, 2H), 4.67 (t, J = 5.9 Hz, 2H), 3.94 (t, J= 5.7 Hz, 2H), 3.65 (q, J= 6.9 Hz, 2H), 3.52 (q, J= 6.9 Hz,
4H), 1.28 (m, J = 6.9 Hz, 2H); Elemental Analysis Cal'd for C30H33N3O2: C, 77.06; H, 7.11; N, 8.99; (Found): C, 76.90; H, 6.81; N, 8.91; MS (m e, FAB): 467.3 (100%, M+); λmax (nm, acetone): 370.4; IR(KBr, cm"1): 1723.3 (C=O),2227.6 (CN)-
Example 41
!H NMR (d6-acetone): δ 7.99 (d, J= 8.7 Hz, 2H), 7.38 (m, J= 7.7 Hz, 4H), 7.04 (d, J= 8.7 Hz, 4H), 6.86 (m, J= 7.8 Hz, 4H), 6.70 (d, J= 8.4 Hz, 2H), 4.48 (t, J = 6.0 Hz, 2H), 3.79 (t, J= 6.0 Hz, 2H), 3.56 (q, J= 6.9 Hz, 2H), 3.43 (q, J= 6.9 Hz, 4H), 1.19 (m, J = 6.5 Hz, 2H); Elemental Analysis Cal'd for C30H36N2O3: C, 76.24; H, 7.68; N, 5.93; (Found): C, 76.15; H, 7.69; N, 5.75; MS (m/e, FAB): 472.3 (100%, M+); λmax (nm, acetone): 371.4; IR(KBr, cm"1): 1708.6 (C=O).
Example 42
iH NMR (d5-pyridine): δ 9.24 (s, IH), 9.13 (s, 2H), 7.63 (overlapped with solvent), 6.97 (d, J = 7.8 Hz, 2H), 6.77 (d, J= 7.8 Hz, 2H), 4.67 (t, 2H), 3.77 (t,
2H), 3.44 (q, J = 6.3 Hz, 2H), 3.23 (q, J = 6.3 Hz, 4H), 1.13 (t, J = 6.3 Hz, 3H), 1.03 (t, J = 6H); Elemental Analysis Cal'd for C29H32N4O6: (Found): C, 65.40; H, 6.06; N, 10.52 (Found): C, 65.40; H, 6.31; N, 10.52. MS (m/e, FAB): 532.2 (35%, M+). λmax (nm, N,N-dimethylformamide): 374.1; IR(KBr, cm"1): 1732.7 (C=O).
Figure 8 illustrates a reaction scheme for the synthesis of an cyano substituted and primary amino substituted stilbene.
Figure 9 illustrates a reaction scheme for the synthesis of an amine biotin substituted two-photon absorbing stilbene.
Example 43
A suspension of formaldehyde (37.5 mL, 37% solution), triphenylphosphine (131 g, 0.5 mmol), KI (82.6 g, 0.5 mol), N,N-ethyl-2- cyanoethylaniline (87.1 g, 0.5 mol), CHC13 (375 mL), FI2O (2.5 mL), and glacial acetic acid (95 mL) was heated to reflux for 24h. The mixture was then filtered while warm to remove unreacted KI. The filtrate was allowed to cool and was then poured into diethylether (800 mL). This mixture was stirred until a fluffy white precipitate formed (8h). The precipitated product was collected by vacuum filtration and was rinsed with 1.5 L toluene to remove excess triphenylphosphine. The remaining solvent was removed from the white solid in vacuo to yield 120 g (42.0% yield). >H NMR (d4-MeOH) δ 7.91-7.60 (m, 15H), 6.84-6.60 (m, 4H), 4.83-4.75 (m, 2H), 3.63 (t, J= 6.44, 2H), 3.41 (q, J = 6.95, 2H), 2.66 (t, J = 6.48, 2H), 1.12 (t, J= 6.97, 3H).
Example 44
Sodium ethoxide was prepared by dissolving sodium (2.40 g, 104 mmol) in absolute ethanol (200 mL). To a solution of 4-[N, N-ethyl, 2- cyanoethylamino]benzyltriphenylphosphonium iodide, (30.2 g, 52.4 mmol) and dimethylaminobenzaldehyde (7.44 g, 49.9 mmol) in absolute ethanol (400 mL), the sodium ethoxide solution was added in one portion. The mixture was heated to reflux for approximately 8h, and then cooled to 50°C before adding 400 mL of H2O. Upon cooling to ambient temperature, the product precipitated. Filtration of the pale yellow fluorescent product, 1.90 g (12.0 % yield), yielded mostly pure trans product. >H NMR (300 MHz, αVacetone) δ 7.39-7.35 (m, 4H), 6.88 (s, 2H), 6.78-6.70 (m, 4H), 3.73 (t, J= 6.78, 2H), 3.50 (q, J= 6.96, 2H), 2.94 (s, 6H), 2.74 (t, J = 6.84, 2H), 1.17 (t, J = 6.97, 3H); IR (neat, NaCl) diagnostic signal (weak) 2246 cm"1.
Example 45
To a suspension of 4-dimethylamino-4'-[ethyl, 2-cyanoethylamino]- stilbene (0.480 g, 1.50 mmol) in dry diethylether (170 mL), lithium aluminum hydride (0.114 g, 3.01 mmol) was added as a solid in portions. Within 10 min. a yellow precipitate began to form. At this point, thin layer chromatography showed no starting material 4-dimethylamino-4'-[ethyl, 2-cyanoethylamino]-stilbene. The reaction suspension was stirred overnight. Carefully (under nitrogen atmosphere) the yellow precipitate was collected by vacuum filtration and was rinsed with copious amounts of diethylether. The reactive cake of solid was dissolved in ethylacetate , cooled to 5°C, and carefully quenched with H2O. The aqueous layer was extracted with ethylacetate (2x) and the organics were combined and dried with Na2SO4. Removal of solvent in vacuo yielded 0.420 g of pure yellow solid product (87.0 % yield). lH NMR (d6-acetone) δ 7.39-7.34 (m, 4H), 6.88 (s, 2H), 6.74-6.70 (m, 4H), 3.45-3.40 (m, 4H), 3.22 (t, J= 6.47, 2H), 3.15 (m, 2H), 2.93 (s,
6H), 1.90-1.86 (m, 2H), 1.14 (t, J = 6.86, 3H); IR (neat, NaCl) diagnostic signals (weak) 3400-3200 cm"1.
Example 46
4-dimethylamino-4'-[ethyl,3-aminopropylamino]-stilbene. (0.0253 g, 0.0773 mmol) in 1.0 mL of dry N,N-dimethylformamide was combined with triethylamine (> 0.012 mL) and a tiny fleck of N,N-dimethylaminopyridine. After stirring the mixture for 10 min., Molecular Probes B-1606 was added as a solid. The addition arm of the flask was rinsed with an additional 0.5 mL of N,N- dimethylformamide. The reaction mixture was stirred for 24h before all volatiles were removed in vacuo. The crude NMR of the residue in N,N- dimethylformamide-ύT7 clearly showed the formation of hydroxysuccinimide, and the biotin substituted stilbene pictured above, (diagnostic signal δ 1 1.07, br s, R2NOH).
General procedure for the preparation of stilbenes via McMurry coupling:
4,4'-Bis(N, N-diphenylamino)stilbene. To a suspension of zinc dust (4.7 g) in 150 mL THF, was added under nitrogen with stirring a solution of 37 mL 1.0 M TiCLj (in CH2CI2) over 20 min. The reaction mixture was heated under reflux for 1 h, and then a solution of N,N-disubstituted benzaldehyde (7.3 mmol) and pyridine (4.7 mL ) in 100 mL tetrahydrofuran was added through a syringe over 30 min to the gently refluxing suspension. After refluxing under nitrogen for 18 h, a quenching solution of K2CO3 (10%, 25 mL) was carefully introduced. The reaction mixture was filtered and the filtrate was concentrated in vacuo, and then extracted with 200 mL methylene chloride. The extract was washed with water (twice 100 mL each), and dried over anhydrous sodium sulfate. The solvent was evaporated under reduced pressure and the residue was subjected to column chromatography with the appropriate solvent. M.P. 247-259° C. ]H NMR (d6- acetone) δ 7.50(d, J = 8.63 Hz, 4H), 7.31(m, 8H), 7.12(s, 2H), 7.07(m, 12H), 7.01(d, J = 8.53 Hz, 4H); MS (FAB), m/z 514 (M+).
Example 48
Synthesized by general procedure for the preparation of stilbenes via McMurry coupling described for 4,4'-Bis(N, N-diphenylamino)stilbene. Yellow solid; H NMR (d6-benzene, 300 MHz) δ 7.23 (d, 4H, J = 8.7 Hz); 7.16 (t, 12H); 6.97 (d, 8H, J = 8.3 Hz); 6.94 (s, 2H); 2.44 (t, 8H, J = 7.6 Hz); 1.48 (m, 8H); 1.26 (m, 8H); 0.85 (t, 12H, J = 7.2 Hz); 13C NMR (CDC13, 75 MHz) δ 147.9, 146.1, 137.8, 132.0, 129.7, 127.6, 126.9, 125.0, 123.4, 35.4, 34.1, 22.7, 14.1; λmax = 394 nm (toluene); Anal. Calc. for C5 H62N2: C, 87.75; H, 8.45; N, 3.79; Found: C, 87.27; H, 8.41; N, 3.99.
Example 49
Synthesized by general procedure for the preparation of stilbenes via McMurry coupling described for 4,4'-Bis(N, N-diphenylamino)stilbene. Η NMR (d6- acetone) δ 8.28-8.36 (m, 4H), 7.90-7.92 (m, 4H), 7.52-7.58 (m, 4H), 7.19 (d, J =
7.9 Hz, 2H), 2.90 (s, 12H); 13C NMR δ 45.50, 1 14.92, 124.32, 124.68, 125.05, 125.49, 125.74, 126.77, 127.82, 129.65, 130.91, 133.52, 151.82; accurate FAB mass spectrum (m/z) for M C26H26N2, calcd 366.2096, found 366.2044.
Synthesized by general procedure for the preparation of stilbenes via McMurry coupling described for Bis(N, N-diphenyl-p-amino)stilbene. H NMR (d8- dioxane) δ 6.79 (d, J = 8.5 Hz, 8H), 6.39 (d, J = 8.5 Hz, 8H), 3.26 (q, J = 6.7 Hz, 16H), 1.07 (t, J = 6.8 Hz, 24H), 13C NMR δ 12.94, 44.53, 1 1 1.56, 133.27, 137.52, 133.80, 146.28; accurate FAB mass spectrum (m/z) for M+ C42H56N4, calcd 616.4505; found 616.4515.
Example of a copper coupling to synthesize a bithiophene derivative. Example 51
N,N,N,N-tetraphenyl-2,5'-diamino-2',5-bithiophene. To a solution of N,N- diphenyl-2-aminothiophene (1.5 g, 6 mmol) in THF (10 mL) was added slowly a solution of H-butyllithium (2.4 mL, 6 mmol, 2.5 M in hexanes) and stirred at room temperature for 15 min. To the solution was added copper(II)bromide (1.3 g, 6
mmol). The slurry was stirred for 30 min. then quenched with water. The mixture was extracted with methylene chloride and the organic layer was dried over magnesium sulfate and the solvent was removed in vacuum. Column chromatography (toluene, silica gel) gave 0.15 g (10% yield) of the title compound. Η NMR (d6-acetone) δ 7.35 (t, J = 8.1 Hz, 4 H), 7.16 (d, J = 8.3 Hz, 4 H), 7.11 (t, J = 8.0 Hz, 2 H), 7.01 (d, J = 4.1 Hz, 2 H), 6.64 (d, J = 4.1 Hz, 2 H).
Synthesis of a bis donor-substituted stilbene using a Pd catalyzed coupling of a secondary amine and a dibromostilbene Example 52
4,4'-Bis-dioctyIarmnostiIbene. An oven dried 3 -necked flask was fitted with a reflux condenser and purged with nitrogen. Into the flask was placed 4,4'- dibromostilbene (1.0 g, 2.96 mmol) (synthesized by the general Wittig procedure described above), tris(dibenzylideneacetone)dipalladium (Pd2(dba)3) (13.5 mg, 0.0148 mmol), o-tolylphosphine (13,5 mg, 0.044 mmol), and sodium t-butoxide (711 mg, 7.4 mmol) in 6 mL dry toluene. Dioctylamine (1.608 g, 6.65 mmol) was then added and the reaction mixture was stirred for 48 hours at 80°C under nitrogen balloon atmosphere. The crude product was then adsorbed onto silica gel and purified via flash chromatography with gradual elutions from 98/2 to 95/5 (hexanes:ethyl acetate). lR NMR (d6-acetone) δ 0.89 (m, 12H), 1.20-1.70 (m, 24H), 3.34 (t, J = 7.51 Hz, 8H), 6.66 (d, J = 8.75 Hz, 4H), 6.83 (s, 2H), 7.32 (d, J = 8.62 Hz, 4H).
Example 53
rran5-4,4,-bis(w-tolylphenylamino)stiIbene. Pd2dba3 (Example 52) (963 mg, 1.05 mmol) and bis(diphenylphosphino)ferrocene (833 mg, 1.33 mmol) were stirred under nitrogen in dry toluene (500 mL) for 15 min. Trans-4,4'- dibromostilbene (15.00 g, 44.4 mmol) was added against a counterflow of nitrogen and the reaction was stirred for an additional 15 min; sodium tert-butoxide (13.00 g, 135 mmol) was then added and m-tolylphenylamine (16.8 mL, 97.6 mmol) was added from a syringe. After 30 min at room temperature, the reaction mixture was warmed to 95°C for 24 h, at which time, the reaction appeared complete by thin layer chromatography. The reaction mixture was transferred to a separating funnel together with water (1 L) and ether (500 mL). The aqueous layer was extracted with ether until the extracts were almost colorless. The combined organics were dried over magnesium sulfate, filtered and concentrated by rotary evaporation. The resulting material was dissolved in benzene and passed through a silica plug. The benzene solution was concentrated under reduced pressure and heated. Addition of methanol followed by cooling afforded trα/w-4,4'-bis(m-tolylphenylamino)stilbene as an NMR-pure yellow powder (22.59 g, 41.6 mmol, 94%). !H NMR (d6-acetone) 7.47 (d, J = 8.6 Hz, 4H), 7.34-7.27 (m, ca. 6H), 7.19 (t, J = 7.7 Hz, 2H), 7.10- 6.85 (m, ca. 16H), 2.24 (s, 6H); 13C NMR (75 MHz, d6-acetone) δ 148.5, 148.4, 148.0, 139.9, 132.9, 130.2, 130.0, 128.1, 127.3, 125.9, 125.0, 124.9, 124.2, 123.8, 122.5, 21.4; UV (THF) X^ 305 (εχQ5 26000), 387 (£387 51000) nm; UV
(acetone) max 386 nm; UV (ethanol) Imax 304, 386 nm; High resolution LSIMS calcd. for C4oH3 N2 M+ 542.2722, found 542.2716.
General procedure for the synthesis of bis-sryrylbenzenes and compounds by a general double Wittig reaction:
Example 54
£',£'-l,4-Bis[4-(»ι-tolylphenyIamino)sryryl] benzene. A solution of tetramethyl a, α'- 7-xylenediphosphonate (10.7 g, 33.3 mmol) in dry N,N-N,N- dimethylformamide (200 mL) was added dropwise to a stirred suspension of sodium hydride (ca. 10 g, 420 mmol) in dry N,N-N,N-dimethylformamide (250 mL). After 1 h stirring at room temperature, a solution of 4-(m- tolylphenylamino)benzaldehyde (20.6 g, 71.5 mmol) in N,N-dimethylformamide (200 mL) was added dropwise. After 48 h water (200 mL) was added cautiously. The mixture was transferred to a separating funnel together with more water and dichloromethane. The aqueous layer was extracted with dichloromethane until the extracts were almost colorless. The combined organics were dried over magnesium sulfate. After filtration, silica gel was added and the solvent removed under reduced pressure, leaving the product absorbed onto the silica. The crude product was transferred to the top of a silica gel column which was eluted with toluene. Evaporation of the first fraction under reduced pressure afforded a yellow powder (16.3 g, 25.3 mmol, 76%) which was found to be NMR-pure £,E-l,4-bis[4-( - tolylphenylamino)styryl]benzene. The compound can be conveniently
recrystallized from a hot mixture of heptane and toluene. Η NMR (CD2C12) £7.49 (s, 4H), 7.41 (d, J = 8.6 Hz, 4H), 7.30-6.88 (m, 26H), 2.27 (s, 6H); '3C NMR (dichloromethane-^) £ 147.9, 147.8, 147.7, 139.7, 137.0, 131.6, 129.6, 129.4, 128.2, 127.6, 126.9, 126.7, 125.7, 124.8, 124.5, 123.6, 123.3, 122.2, 21.5; UV (THF) ; aχ 305 (£305 34000), 405 (£ 05 65000) nm; Tm (DSC) 215°C; High resolution LSIMS calcd. for C40H48N2 M+ 644.3192, found 644.3177.
Example 55
£',£'-3,5-Bis[4-(ιn-tolyIphenylamino)styrylJ-l,4-dimethoxybenzene. n- Butyllithium (28.5 mL of a 2.5 M hexane solution, 71.3 mmol) was added dropwise to a slurry of 2,5-bis(triphenylmethylenephosphonium)-l,4- dimethoxybenzene (26.8 g, 35.2 mmol) in dry THF (450 mL) at -78°C; the reaction mixture immediately became very dark. The cooling bath was removed and the reaction mixture was allowed to warm to room temperature over 2 h before recooling to -78° C and adding a solution 4-(m-tolylphenylamino)benzaldehyde (21.2 g, 73.8 mmol) in dry tetrahydrofuran (100 mL) dropwise. The reaction mixture was allowed to warm to room temperature and then stirred at room temperature for 2 h before cautiously adding water (300 mL). The mixture was extracted with diethyl ether until the extracts were almost colorless and the combined ether layers were dried on magnesium sulfate. After filtration silica gel was added and the solvent removed under reduced pressure leaving the product absorbed onto the silica. The crude product was transferred to the top of a silica gel column which was eluted with toluene. The first fraction was found to be an
approximately statistical mixture of the geometric isomers of 3,5-bis[4-(m- tolylphenylamino)styryl]-l ,4-dimethoxybenzene. Further elution gave a trace of an unidentified material, possibly impure l-[4-(/w-tolylphenylamino)phenyl]- pentan-1-ol on the basis of its lU NMR spectrum, and then 4-(m- tolylphenylamino)benzaldehyde. The mixed isomers were dissolved in toluene (1 L) and heated under nitrogen with a few crystals of iodine. After 48 h, the solution was passed through a silica plug. The solvent was removed under reduced pressure and the solids were recrystallized from hot toluene to afford the pure E,E isomer as a bright yellow powder (12.82 g, 18.2 mmol, 52%). lH NMR (CD2C12) £7.43 (d, J = 8.6 Hz, 4H), 7.36 (d, J= 16.5 Hz, 2H), 7.27 (t, J = ca. 8 Hz, 4H), 7.19-7.00 (m, ca. 16H), 6.94 (br s, 2H), 6.91-6. (br m, 4H) 3.91 (s, 6H), 2.27 (s, 6H); 1 C NMR (75 MHz, CD2C12) £ 151.7, 148.0, 147.8, 147.7, 139.6, 132.2, 129.5, 129.4, 128.5, 127.6, 126.7, 125.7, 124.7, 124.4, 123.7, 123.2, 122.2, 121.6, 109.0, 56.6, 21.5; UV (THF) ^ax 305 (£305 37000), 426 (£ 26 84000) nm; m.p 254°C; High resolution EIMS calcd. for C50H44N2O2 M+ 704.3403, found 704.3404; Anal, calcd for C50H44N2O2: C, 85.20; H, 6.29; N, 3.97. Found: C, 85.44; H, 6.40; N, 3.86.
Example 56
R = C12H25
£',£'-3,5-Bis[4-( M-tolylphenylamino)styryl]-l,4-di( ι-dodecyloxy)benzene. n- Butyllithium (2.3 mL of a 2.5 M hexane solution, 5.75 mmol) was added dropwise to 2,5-bis(triphenylmethylenephosphonium)-l,4-di(n-dodecoxy)benzene (2.498 g, 2.15 mmol) in dry tetrahydrofuran (50 mL) at -78°C; the reaction mixture
immediately became very dark. The cooling bath was removed and the reaction mixture was allowed to warm to room temperature over 2 h before recooling to -78°C and adding a solution 4-(rø-tolylphenylamino)benzaldehyde (1.637 g, 5.70 mmol) in dry THF (30 mL) dropwise. The reaction mixture was allowed to warm to room temperature and then stirred at room temperature for 2.5 h before cautiously adding water (150 mL). The mixture was extracted with diethyl ether (3 x 50 mL) and the combined ether layers were dried on magnesium sulfate. After filtration, the solvent removed under reduced pressure; the residue was dissolved in the minimum amount of dichloromethane and the resulting solution was transferred to the top of a silica gel column which was eluted with hexane / ethyl acetate (7 : 1). The first fraction was found to be a mixture of the geometric isomers of 3,5-bis[4-(m-tolylphenylamino)styryl]-l ,4-di(/j-dodecoxy)benzene 'H NMR (αVacetone) £ 7.47-6.86 (m, aryl CHs), 6.65 (d), 6.56 (d), 4.12 (t), 4.05 (t), 3.77 (t), 2.25 (overlapping singlets), 2.12-1.19 (m), 0.86 (m)}. The mixed isomers were dissolved in toluene (200 mL) and heated under nitrogen with a few crystals of iodine. After 3 days, the solution was passed through a silica plug. The solvent was removed under reduced pressure to afford a yellow oil (ca. 2.7 g) which was recrystallized from acetone to afford the pure E,E isomer as a bright yellow powder (925 mg, 0.927 mmol, 43%). »H NMR (CD2C12) £ 7.42 (d, J = 8.6 Hz, 4H), 7.35 (app. s, 2H), 7.27 (t, J = ca. 8 Hz, 4H), 7.19-7.01 (m, ca. 16H), 6.95 (s, 2H), 6.89. (br 3-line m, 4H), 4.05 (t, J = 7.2 Hz, 4H), 2.27 (s, 6H), 1.86 (app. quin., J = ca. 1 Hz, 4H), 1.53 (m, 4H), 1.48-1.19 (overlapping multiplets, 32H), 0.87 (t, J = ca. 6.5 Hz, 6H); 13C NMR (75 MHz, CD2C12) £ 151.3, 148.0, 147.8, 147.7, 139.6, 132.4, 129.6, 129.4, 128.3, 127.6, 127.0, 125.7, 124.7, 124.4, 123.7, 123.2, 122.2, 121.9, 110.5, 69.8, 32.3, 30.0 (several overlapping peaks), 29.9, 29.8, 29.7, 26.7, 23.1, 21.5, 14.3; High resolution LSIMS calcd. for C72H88N202 M+ 1012.6845, found 1012.6874; Anal, calcd for C72H88N202: C, 85.33; H, 8.75; N, 2.76. Found: C, 85.51 ; H, 8.69; N, 2.71.
Example 57
l,4-Bis(4-di-n-butylamino)styryl Benzene: prepared from the reaction of terephthalaldehyde (1.34 g, 0.01 mol) and 4-dibutylaminobenzyl phosphonium iodide (14.06g, 0.023 mol) and lithium/ethanol (0.32g, 0.053 mol/ 100 mL). Recrystallized from ethanol, Yield 40.7%; m.p. = 130-132°C; IR (KBr) v cm"1: 2955, 2870, 1603, 1520, 1367, 1187, 962, 823; UV-Vis (acetone) λmax, nm: 402; !H NMR (CDC13) δ 0.932 (t, J = 7.2 Hz, 12H), 1.35 (m, 8H), 1.56 (m, 8H), 3.28 (t, J = 7.5 Hz, 8H), 6.61, 7.36 (m 8H), 6.85 (d, J = 16.2 Hz, 2H), 7.01 (d, J = 16.21 Hz, 2H), 7.42 (s, 4H); MS (FAB, m-NBA matrix): m/z 536.5 (M+).
Example 58
l,4-Bis(4-bis-2-ethanolamino)styryl Benzene: prepared from the reaction of terephthalaldehyde (1.34 g, 0.01 mol) and 4-di-(2-hydroxyethyl)aminobenzyl phosphonium iodide (12.58g, 0.0216 mol) and lithium/ethanol (0.408g, 0.0677 mol 200 mL). Recrystallized twice from N,N-dimethylformamide, Yield 19.5%); Anal. Calcd. for C3oH36N2O4: C, 73.74; H, 7.43; N, 5.73. found: C, 72.71 ; H, 7.51; N, 7.49; IR (KBr) v cm"1 : 3209, 1601, 1518, 1354, 1185, 1068, 962, 823; UV-Vis (DMSO) λmax, nm: 404; *H NMR (d6-DMSO) δ: 3.49 (bd, J = 5.2 Hz,
8H), 3.60 (bd, J = 5.3 Hz, 8H), 4.84 (bt, J = 4.8 Hz, 4H), 6.75, 7.44 (Ar, J = 8.29 Hz,8H), 6.97 (d, J = 16.2 Hz, 2H), 7.16 (d, J = 16.2 Hz, 2H,), 7.53 (s, 4H, Ar); S (El): m/z 488.2 (M+).
Example 59
l,4-Bis(4-morpholino)styryl Benzene : prepared from the reaction of 4- morpholinobenzaldehyde (3.94 g, 0.02 mol) and l,4-bis(methyltriphenyl- phosphonium chloride (8.42g, 0.012 mol) and lithium/ethanol (0.296g, 0.043 mol/150 mL). Recrystallized from ethanol to yield a mixture of isomeric products, Yield 8%; Recrystallized from acetone to yield one pure isomer, Yield 11.8% m.p. = 155°C; IR (KBr) v cm"1: 1604, 1519, 1355, 1179, 962, 822; UV-Vis (acetone) λmax, nm: 400; *H NMR (CDC13, δ): 3.66 (t, J = 6.9 Hz, 8H), 3.76 (t, J = 6.9 Hz, 8H), 6.68, 7.42 (d, J = 8.5 Hz, 4H), 7.03 (d, J = 16.30 Hz, 2H), 6.96, (d, J = 16.30 Hz, 2H), 7.42 (s, 4H); MS (FAB, m-NBA matrix): m/z 560.92 (M+); MS (El): m/z 561.9, 512.9, 462.0, 436.0, 399.0, 336.0.
Example 60
l,4-Bis(4-di-n-butylamino)styryl Anthracene: prepared from the reaction of 9,10- anthracenedicarboxaldehyde (1.17 g, 0.005 mol) and 4-dibutylaminobenzyl phosphonium iodide (7.563g, 0.0125 mol) and lithium/ethanol (0.178g, 0.0295
mol 70 mL). Recrystallized from N,N-dimethylformamide/water Yield 62.4%; Anal. Calcd. for C46H56N2: C, 86.73; H, 8.86; N, 4.39. found: C, 86.18; H, 8.59; N, 5. 35; IR (KBr) v cm"1 : 2948, 1607, 1518, 1365, 1186, 760; UV-Vis (acetone) λmax, nm: 440, 320; Η NMR (C6D6 ) δ: 0.870 (t, J = 7.2 Hz, 12H), 1.18 (m, 8H), 1.48 (m, 8H), 3.08 (t, J = 7.4 Hz, 8H), 6.71, 7.51 (Ar, J = 8.5 Hz, 8H), 6.98 (d, J = 16.4 Hz, 2H), 7.82 (d, J = 16.4 Hz, 2H), 7.34, 8.66 (m, 8H, Ar); MS (FAB, m- NBA matrix): m/z 636.4 (M+).
Example 61
l,4-Bis(4-dimethylamino)cinnamyl benzene: prepared from the reaction of 4- dimethylaminocinnamaldehyde (3.50 g, 0.02 mol) and 1,4- bis(methyltriphenylphosphonium chloride (8.55g, 0.0122 mol) and lithium/ethanol (0.295g, 0.042 mol/ 100 mL). Unreacted aldehyde was found to be present even after 40 hrs. of stirring at rt and so refluxed for 3 hrs, worked up as described earlier and recrystallized from toluene, Yield 29.8%; m.p. = >300°C; UV-Vis (pyridine λmax, nm: 420; MS (FAB, m-NBA matrix): m/z 420.1 (M+).
Example 62
The general procedures for the double Wittig reaction and the cis to trans double bond isomerization were employed. (Overall yield: 22.4 %) *H NMR (d6- acetone) δ 7.37 (d, J= 8.73 Hz, 2H), 7.24 (d, J = 16.4 Hz, 2H), 7.24 (s, 2H), 7.12
(d, J= 16.5 Hz, 2H), 6.68 (d, J = 8.79 Hz, 2H), 3.89 (s, 6H), 3.35 (t, J = 7.56 Hz, 8H), 1.58 (p, J = 7.40 Hz, 8H), 1.36 (sx, J = 7.40 Hz, 8H), 0.95 (t, J = 7.30 Hz,
12H); 13C NMR (125 MHz, acetone-</6) δ 152.3, 148.9, 129.6, 128.6, 127.4, 126.3, 1 18.8, 112.8, 109.4, 56.7, 51.4, 30.2, 21.0, 14.4; UV (toluene) λmax (ε42g 67000) nm; High Resolution LSIMS calcd. for C4oH56N2θ2 M+ 596.434, found 596.434. Example 63
The general procedures for the double Wittig reaction using BuLi and the cis to trans double bond isomerization were employed. (Overall yield: 15.3 %) •H NMR (αVacetone) δ 7.31 (d, J= 8.60 Hz, 4H), 7.18 (s, 2H), 6.60-6.55 (m, 2H), 6.64 (d, J = 8.70 Hz, 4H), 7.13-6.79 (m, 6H), 3.89 (s, 6H), 3.34 (t, J = 7.50 Hz, 8H), 1.57 (p, J = 7.40 Hz, 8H), 1.36 (sx, 8H, J = 7.40 Hz, 8H), 0.94 (t, J = 7.29 Hz, 12H); 13C NMR (75 MHz, α^-acetone) δ 152.0, 148.7, 133.9, 131.3, 128.5, 127.2, 126.0, 125.6, 125.0, 1 12.6, 109.1, 56.4, 51.2, 30.2, 20.8, 14.2; UV (toluene) λmax (£456 93000) nm; High Resolution LSIMS calcd. for C44H6oN2O2 M+ 648.465, found 648.465. Anal, calcd for 0^60^02: C, 81.42; H, 9.32; N, 4.32. Found: C, 81.26; H, 9.31 ; N, 4.26.
Example 64
14.2 mmol) was chilled to -78°C and was then treated with rt-BuLi (5.60 mL, 14.2 mmol). The mixture was allowed to react at -78°C with stirring for 1 h, and then N,N-dimethylformamide (4.36 mL, 56.0 mmol) was added in one portion. The cooling bath was removed, and the reaction mixture was allowed to warm to ambient temperature over a period of 2 h . The mixture was diluted with water (200 mL) and extracted with diethyl ether (3x 250 mL). The organic layers were
combined and dried over K2CO3. The solvents were removed in vacuo, and the crude product was recrystallized twice from Hex/EtOAc (2: 1) to afford pure product (2.26 g, 65%) as a light yellow microcrystalline solid. 'H NMR (d6- acetone) δ 10.34 (s, IH), 7.46 (s, IH), 7.29 (s, IH), 3.96 (s, 3H), 3.89 (s, 3H); High Resolution LSIMS calcd. for C9H9O3Br M+ 243.974, found 243.974.
Example 65
A suspension of 1 ,4-hydroquinone (15.3 g, 140 mmol), 1 -bromododecane (100 mL, 416 mmol), K CO3 (57.6 g, 416 mmol), and acetonitrile (300 mL) was heated to reflux for two days. The mixture was then allowed to cool before pouring into water (1 L). The precipitates were first collected by filtration and were then redissolved in hexanes. The solution was poured into stirred methanol
(2 L) to precipitate the product. The crude product was collected by vacuum filtration, redissolved in hot hexanes, and poured into methanol once again to reprecipitate the product. After collecting the purified product by vacuum filtration, the remaining solvents were removed in vacuo to yield 34.5 g (56.0% yield) of white solid. *H NMR (CD2C12) δ 6.79 (s, 4H), 3.87 (t, J = 6.5 Hz, 4H),
1.73 (p, J = 7.0 Hz, 4H), 1.43-0.85 (m, 42H); 13C NMR (75.5 MHz, CD2C12) δ 153.5, 1 15.5, 68.9, 32.3, 30.0 (overlapping m), 29.8 (overlapping m), 26.4, 23.1,
14.2; Low Resolution LSIMS calcd. for C3oH54θ2 M+H+ 446, found 447.
Example 66
To a suspension of 1 ,4-bis(dodecyloxy)benzene (7.33 g, 16.4 mmol) and paraformaldehyde (1.00 g, 33.3 mmol) in acetic acid (120 mL) was added
hydrobromic acid (12 mL) in one portion. The mixture was then heated to 65- 70°C with stirring for 3h. During this time, the initial suspension changed to a clear solution first and then became a thick suspension. After cooling to ambient temperature, this suspension was poured into water (350 mL). The precipitate was filtered and was then dissolved in hot chloroform. Precipitation of the product was achieved by addition of the chloroform mixture to MeOH. Filtration of the precipitate yielded a purified product that consisted of a 3:1 mixture of 2,5- bis(bromomethyl)-l ,4-bis(dodecyloxy)benzene / 1 ,4-bis(dodecyloxy)benzene. This mixture was combined with >2 equivalents of triphenylphosphine and a minimal amount of toluene required to dissolve the triphenylphosphine. The reaction mixture was heated to reflux for 3h and then cooled to ambient temperature. A cloudy suspension formed upon cooling. Addition of hexanes aided in the precipitation of the desired product. Purification by reprecipitation of the product (dichloromethane / hexanes) yielded pure compound. *H NMR (CD2C12) δ 7.78-7.63 (m, 30 H), 6.69 (s, 2H), 5.26 (d, J= 13.0 Hz, 4H), 3.03 (t, J = 5.6 Hz, 4H), 1.28-0.86 (m, 42H).
Example 67
The general procedure for the double Wittig reaction using NaOEt was followed. After 4h of reflux, the reaction mixture was cooled and water was added. Upon addition of water, an oily product formed that became a solid mass after cooling overnight. The yellow solid was obtained in 94.9% yield as a mixture of isomers. (In the above structure, the "sawtooth" bond indicates that the structure includes both cis ans trans isomers.)
Example 68
R = (CH2)11CH3
A THF (35 mL) solution of the bis l,4-[4-bromo,2,5-dimethoxystyryl]-2,5- di-rt-dodecyloxybenzene, (1.40 g, 1.51 mmol) (synthesized as described above) was chilled to -78°C and was then treated with n-BuLi (2.64 mL, 4.22 mmol). The mixture was allowed to react at -78°C with stirring for 1 h, and then N,N- dimethylformamide (0.93 mL, 12.1 mmol) was added in one portion. Upon addition of N,N-dimethylformamide, a fluorescent viscous solution formed. The cooling bath was removed, and the reaction mixture was allowed to warm to ambient temperature over a period of 2 h. The mixture was diluted with water (200 mL) and stirred for lh. Upon the addition of water, a bright orange precipitate formed. The precipitate (pure trans isomer of the bisaldehyde) was collected by filtration and was rinsed with diethylether (200 mL). The organic layer (that contained the cis I trans isomeric mixture of the bisaldehyde) was collected and extracted with water (2x), extracted with brine (lx), and dried over Na2SO4. The solvents were removed in vacuo, and the crude product was purified by column chromatography on silica using hexanes/EtOAc (9: 1) as the eluent. 0.193 g of the pure trans isomer was obtained, and 0.561 g of the purified isomeric mixture was obtained. 60.4% yield total. !H NMR (CD2C12) δ 10.40 (s, 2H), 7.63 (d overlapping, J= 14.54 Hz, 2H), 7.57 (d overlapping, J = 14.42 Hz, 2H), 7.33 (s, 2H), 7.27 (s, 2H), 7.19 (s, 2H), 4.09 (t, J= 6.04 Hz, 4H), 3.97 (s, 6H), 3.91 (s, 6H), 1.88 (p, J= 6.80 Hz, 4H), 1.54-1.24 (m, 36H), 0.87 (t, J = 6.02 Hz, 6H); 1 C NMR (75 MHz, CD2C12) δ 188.8, 157.0, 151.8, 151.6, 134.9, 127.5, 124.3, 123.2, 11 1.1, 109.8, 109.3, 69.8, 56.4, 56.3, 32.3, 30.0-29.6 (overlapping m), 26.7, 23.0, 14.2; UV (toluene) λmax (ε445 52000) nm. Anal, calcd for C52H74O8: C, 75.49; H, 9.02. Found: C, 75.38; H, 9.12.
Example 69
R = (Oi)nCH3 The general procedures for the double Wittig reaction using NaOEt and the cis to trans double bond isomerization were employed. Recrystallization using d6- acetone, EtOAc, and/or toluene with hexanes afforded orange crystals (m.p. 146- 149°C). !H NMR (d6-benzene) δ 8.14-7.86 (m, 8H), 7.61 (d, J = 8.52 Hz, 4H), 7.50-7.38 (m, 8H), 7.26 (s, 2H), 6.65, (d, J = 8.60 Hz, 4H), 3.77 (t, j = 6.07 Hz, 4H), 3.58 (s, 6H), 3.50 (s, 6H), 3.04 (t, J = 7.40 Hz, 8H), 1.74-1.69 (m, 4H), 1.47- 0.81 (m, 70H); 13C NMR (75 MHz, d6-benzene) δ 152.2, 151.8, 151.9, 148.1, 129.7 (overlapping m), 126.7, 123.8, 1 19.1, 1 12.4, 1 10.8, 109.2, 108.7, 69.2, 55.7 (overlapping m), 50.9, 32.3, 29.6 (overlapping m), 26.7, 23.1, 20.5. 14.4, 14.2; UV (toluene) λmax (ε468 1 10000) nm; Low Resolution LSIMS calcd. for C82Hi2θN2θ6 M+ 1228.9, found 1228.9.
!H NMR (d6-acetone) δ 7.35 (d, J= 8.6 Hz, 4H), 7.23 (d, J= 16.3 Hz, 2H), 7.22 (s, 2H), 7.11 (d, J = 16.5 Hz, 2H), 6.70 (d, J = 8.8 Hz, 2H), 6.66 (d, J = 8.9 Hz, 2H), 3.88 (s, 6H), 3.79 (t, J = 5.0 Hz, IH), 3.73-3.67 (m, 2H), 3.49-3.43 (m, 4H), 3.33 (t, J = 5.0 Hz, 4H), 1.57 (p, J = 7.0 Hz, 4H), 1.35 (sx, J = 7.4 Hz, 4H), 1.13 (t, J = 6.9 Hz, 3H), 0.93 (t, J = 7.3 Hz, 6H) ; 1 C NMR (75.5 MHz, d6- acetone) δ 152.0, 148.6, 148.5, 129.4, 129.3, 128.5, 127.2, 127.1, 126.3, 126.1, 1 18.6, 1 18.5, 112.6, 112.5, 109.1, 109.0, 60.1, 56.5, 53.3, 51.2, 45.9, 30.2, 20.8,
14.3, 12.4;IR (neat) 3423.1 (br), 2961.5, 2929.7, 2866.6, 1701.7, 1602.3, 1521.2, 1463.6, 1399.7, 1359.5, 1258.9, 1205.2, 1181.7, 1044.2 cm"1; UV (acetone) λmaχ (428) nm.
Example 71
Η NMR (300 MHz, d6-acetone) δ 7.84-7.81 (m, 4H), 7.38-7.08 (m, 10H), 6.82 (d, J = 8.70 Hz, 2H), 6.67 (d, J = 8.71 Hz, 2H), 3.90-3.84 (m, 8H), 3.63 (t, J = 7.08 Hz, 2H), 3.47 (q, j = 7.01 Hz, 2H), 3.34 (t, J= 7.51 Hz, 4H), 1.57 (p, j = 7.59 Hz, 4H), 1.37 (sx, J = 7.46 Hz, 4H), 1.17 (t, J= 6.94 Hz, 3H), 0.95 (t, J= 7.29 Hz, 6H) ; 13C NMR (75.5 MHz, d6-acetone) δ 168.74, 152.03, 151.96, 148.62, 148.09, 134.88 (m), 133.06, 129.48, 129.19, 128.48, 127.27, 126.99, 127.01, 126.03, 123.69 (m), 119.16, 118.51, 112.81, 112.52, 109.15, 109.05, 56.69, 56.53, 56.47, 56.30, 51.20 (m), 45.49 (m), 30.21 (m), 20.84, 14.26, 12.68, 12.66.
Figure 10 illustrates the reaction of 1 ,4-bis(cyanomethyl)benzene with 4- diphenylaminostilbene and 4-di-n-butylaminobenzaldehyde to yield l,4-bis(β- cyano-4'diphenyl-aminostyryl)benzene and l,4-bis(β-cyano-4'di-«- butylaminostyryl)benzene with donor side units and acceptors on the vinylene units (see examples 72 and 73).
Example 72
7,9-Dicyano-8,10-bis(diphenylamino)-l,4-bis-styrylbenzene. Potassium t- butoxide (30 mg) was added to a solution of 1 ,4-bis(cyanomethyl)benzene (0.625 g, 4 mmol) and 4-diphenylaminobenzaldehyde (2.73 g, 10 mmol) in ethanol (300 mL), and the reaction mixture was refluxed for 2h. Ethanol was removed on a rotary evaporator, and the residue was separated by column chromatography on silica gel. The fraction eluted with a 1 :1 mixture of dichloromethane and petroleum ether was evaporated, the residue was crystallized and recrystallized from dichloromethane upon slow diffusion of petroleum ether. Yield (2.50 g, 71 %). m.p. 247.5 °C. ]H NMR (CD2C12) δ 8.03 (s, 2 H), 7.46 (m, 4 H), 7.30 (m, 6 H). 1 C NMR (CD2Cl2) δ 150.60, 146.93, 142.18, 142.13, 135.52, 131.18, 129.99, 126.58, 126.43, 126.28, 124.95, 120.85, 1 18.85, 106.94. UV-vis λ(max) = 443; ε = 56000. Emission λ(max) = 548 nm EIMS m/z 666 [M+] (100), 586 (6), 333 (18), 258 (20), 218 (5), 131 (5), 69 (15). Example 73
7,9-Dicyano-8,10-bis(di-«-butylamino)-l,4-bis-styrylbenzene was synthesized according to an analogous procedure. (Yield 26 %.) 'H NMR (CD2C12) δ 7.85 (m, 4 H), 7.65 (s, 4 H), 7.41 (s, 2 H), 6.65 (m, 4 H), 3.34 (m, 8 H), 1.59 (m, 8 H), 1.37 (m, 8 H), 0.98 (t, J = 7.5 Hz, 12 H). 13C NMR (CD2C12) δ 149.83 (s), 142.23 (d), 135.01 (s) 131.68 (d), 125.61 (d), 120.62 (s), 119.50 (s), 1 1 1.19 (d), 102.67 (s),
50.78 (t) 29.38 (t), 20.30 (t), 13.98 (q). UV-VIS λmax = 438 nm. Emission λmax = 527 nm. EIMS m/z 588, 544, 502, 250, 218.
Figure 11 illustrates the condensation of l,4-dibromo-2,5- bis[methylene(triphenylphosphonium)]benzene dibromide, 1 ,4-dicyano-2,5- bis[methylene(triphenylphosphonium)]benzene dibromide and 4-diphenylaminobenzaldehyde to yield 1,4-dibromo- and l,4-dicyano-2,5-bis(4'- diphenylaminostyryl)benzenes.
Example 74
2,5-Dicyano-l,4-bis(4'-diphenylaminostyryl)benzene. Potassium t-butoxide (1.122 g, 10 mmol) was added over 15 min to a solution of l,4-dicyano-2,5- bis[methylene(triphenylphosphonium)]benzene dibromide (3.354 g, 4 mmol) and 4-diphenylaminobenzaldehyde (2.733 g, 10 mmol) in ethanol (100 mL), and the mixture was refluxed for 1 h. A precipitate formed upon cooling of the solution to room temperature. It was filtered off and recrystallized from a dichloromethane solution upon slow diffusion of petroleum ether. Yield (1.354 g, 51 %). m. p. 259.7 °C. >H NMR (CD2C12) δ 7.99 (s, 2 H), 7.43 (m, 4 H), 7.29 (m, 8 H), 7.23 (AB, J = 16 Hz, 2H), 7.22 (AB, J= 16 Hz, 2H), 7.14 (m, 8 H), 7.09 (m, 4 H), 7.05 (m, 4 H). ' C NMR (CD2C12) δ 149.04 (s), 147.01 (s), 138.70 (s), 134.26 (d), 129.43 (d), 129.35 (s), 128.88 (s), 128.35 (d), 125.13 (d), 123.77 (d), 122.29 (d), 119.50 (d), 116.79 (s), 114.57 (s). UV-VIS λmax = 470 nm; ε = 62000. Emission λmax = 583 nm.
2,5-Bromo-l,4-bis(4'-diphenylaminostyryl)benzene was synthesized with the analogous procedure. A crude product (2.354 g) was isomerized into thermodynamically more stable trans-trans isomer. Toluene (10 mL) and iodine (20 mg) were added to the mixture of isomers, and the mixture was refluxed for 15h in an illuminated hood. Toluene was removed on a vacuum line, and the residue was crystallized from a dichloromethane solution upon slow diffusion of petroleum ether. Yield was 86 %. m.p. 286.5 °C. »H NMR (CD2C12) δ 7.84 (s, 2 H), 7.41 (m, 4 H), 7.28 (m, 6 H), 7.23 (d, J = 16 Hz, 2 H), 7.12 (m, 4 H), 7.05 (m, 6 H), 7.00 (d, J = 16 Hz, 2 H). I C NMR (CD2C12) δ 148.09, 147.33, 137.22, 131.49, 130.49, 129.98, 129.34, 127.85, 124.76, 123.86, 123.33, 123.03, 122.86. UV-VIS λmax = 424 nm; ε = 55000.
Figure 12 illustrates a reaction scheme for the synthesis of A-D-A molecules according to the invention as exemplified in Examples 76-79.
Example 76
l,4-bis(dodecoxy)-2,5-bis(2,5-dimethoxy-4-formylstyryl)benzene, (0.022 g, 0.027 mmol), excess malononitrile, and sodium acetate (0.010 g, 0.061 mmol) were combined in absolute ethanol. The reaction mixture was heated to reflux for 1.5h and then cooled to ambient temperature. During the course of the reaction, the product was formed as a red precipitate that was collected by filtration. Removal of the trace monodicyanovinyl / monoaldehyde intermediate was
achieved by column chromatography on silica using methylene chloride as the eluent followed by recrystallization using methylene chloride/hexanes. The microcrystalline greenish solid was collected in 55% yield after purification. 'H NMR (CD2C12) δ 8.30 (s, 2H), 7.84 (s, 2H), 7.73-7.55 (m, 4H), 7.22 (s, 2H), 7.18 (s, 2H), 4.09 (t, J = 6.24 Hz, 4H), 3.95 (s, 6H), 3.93 (s, 6H), 1.91-1.86 (m, 4H), 1.59-1.16 (m, 36H), 0.87 (t, J = 6.62 Hz, 6H); UV (toluene) λmax (ε5ι3 73000) nm; High Resolution LSIMS calcd. for C58H74N4O6 M+ 922.561, found 922.560.
Example 77
A solution of l,4-bis(dodecoxy)-2,5-bis(2,5-dimethoxy-4- formylstyryl)benzene, (0.30 g, 0.036 mmol) and l,3-diethyl-2-thiobarbituric acid
(0.017 g, 0.080 mmol) in absolute ethanol (25 mL) was heated to reflux for lh.
After 1 h of reflux, the mixture was cooled to ambient temperature and allowed to stand for 3h. During the course of the reaction, a purple precipitate that had a metallic luster formed. Upon filtration 0.036 g (83 % yield) of the purple product was collected. iH NMR (d6-benzene) δ 9.38 (s, 2H), 8.67 (s, 2H), 8.13-6.88 (m, 8H), 4.48 (q, J = 7.31 Hz, 8H), 3.77-3.72 (m, 10H), 3.30 (s, 6H), 1.73-1.20 (m, 52H), 0.918 (t, J = 5.24 Hz, 6H); UV (toluene) λmax (ε558 91000) nm; Low Resolution LSIMS calcd. for C68H94N4OιoS2 M+ 1190.6, found 1190.7. Anal, calcd for C68H94N4OιoS2: C, 68.53; H, 7.96; N, 4.70. Found: C, 68.63; H, 7.99; N, 4.70.
A solution of l,4-bis(dodecoxy)-2,5-bis(2,5-dimethoxy-4- formylstyryl)benzene, (0.30 g, 0.036 mmol) and l,3-diethyl-2-oxobarbituric acid (0.017 g, 0.080 mmol) in absolute ethanol (25 mL) was heated to reflux for 3h. After 3h of reflux, the mixture was filtered while hot. During the course of the reaction, a purple precipitate that had a metallic luster formed. Upon filtration 0.034 g (80 % yield) of the purple product was collected. !H NMR (CD C12) δ 8.88 (s, 2H), 8.11 (s, 2H), 7.72-7.56 (m, 4H), 7.20 (br s, 4H), 4.12-3.91 (m, 24H), 1.94-0.80 (m, 58H); UV (toluene) λmaχ (εs26 80000) nm; Low Resolution LSIMS calcd. for C68H94N4Oi2 M+ 1158.7, found 1158.5.
A solution of l,4-bis(dodecoxy)-2,5-bis(2,5-dimethoxy-4- formylstyryl)benzene, (0.31 g, 0.038 mmol) and 3-dicyanomethylene-2,3- dihydrobenzothiophene- 1,1 '-dioxide (0.035 g of 72.1% purity, 0.083 mmol) in absolute ethanol (25 mL) was heated to reflux for lh. After lh of reflux, the mixture was cooled to ambient temperature and allowed to stand for 12h. During the course of the reaction, a blue precipitate that had a metallic luster formed. Upon filtration 0.028 g (60 % yield) of the dark blue product was collected. 'H NMR (CD2C12) δ 8.99 (s, 2H), 8.83-8.80 (m, 2H), 8.04-7.27 (m, 16H), 4.17 (t, J = 6.17 Hz ,4H), 4.05 (s, 6H), 4.04 (s, 6H), 1.98-1.31 (m, 40 H), 0.916 (t, J = 6.14
Hz, 6H); UV (toluene) λmax (ε6i9 60000) nm; Low Resolution LSIMS calcd. for C74H82N4OιoS2 M+ 1250.5, found 1250.6. Anal, calcd for C74H82N4OιoS2: C, 71.01; H, 6.61; N, 4.48. Found: C, 70.73; H, 6.65; N, 4.38. As indicated previously, the "sawtooth" bond indicates that the molecule above represents both cis and trans isomers.
Single-Photon and Multi-Photon Absorptivities of Compounds According to the Invention
Table 1 below presents one- and two-photon absorption data on a series of bis(dialkylamino)diphenylpolyenes with the following general structure:
where R and R1 are defined in the table. The parameters listed are: the wavelength of the lowest energy one-photon absoφtion maximum, λ(1) rnax , the wavelength of the lowest energy two-photon absoφtion maximum λ(2) max , the two-photon absoφtivity δ, and the one-photon fluorescence quantum yield, Φfl. The two- photon absoφtivities listed in the table were measured by use of a comparative two-photon excited fluorescence method employing picosecond laser pulses (of 4 ps duration) and with Rhodamine B, Fluorescein and bis(methylstyryl)benzene as standards [C. Xu and W. W. Webb, J. Opt. Soc. Am. B, 13, 481 (1996)].
Table 1. One-photon and two-photon optical data for bis-donor diphenylpolyenes as measured in toluene solution.
Molecule Λ λOV ) ymax λ^ •'max δ Φfl
n R R' nm nm (10-50 cm 4 s/photon)
1 n-Bu n-Bu 374 605 240 0.90
2 Me n-Bu 390 645 242 0.80
3 Me n-Bu 412 693 272 0.89
4 Me n-Bu 430 696 222 0.75
5 Me n-Bu 449 730 172 0.02
For comparison, the two-photon absoφtivity of tr rts-stilbene, which lacks bis- donor substitution, is 12 x 10 -50u cm" s/photon at 514 nm as determined by coherent
anti-Stokes Raman spectroscopy [R. J. M. Anderson, G. R. Holtom, W. M. McClain, J. Chem. Phys., 70, 4310-4315 (1979)]. The data on the compounds in Table 1 demonstrate an order of magnitude enhancement of the magnitude of the two-photon absoφtivity compared to unsubstituted stilbene and an ability to control the wavelength of the peak two-photon absoφtivity by increasing the number of double bonds in the polyene fragment of the molecule.
Table 2 below lists the values of λ(2) max , δ, and Φfl for a series of bis- styryl benzene derivatives prepared in accord with the present invention. The two- photon absoφtivity values were determined using a comparative nanosecond pulse two-photon excited fluorescence method with Fluorescein or Rhodamine B as standards for calibration.
Table 2. Two-photon optical data and fluorescence quantum yield data on bis- styrylbenzene derivatives as obtained in toluene solution.
For comparison with the data in Table 2, para-bis(ortho- methylstyryl)benzene, which lacks donor or acceptor substitution, exhibits a two- photon absoφtivity of 69 x 10-50 cm4 s/photon at 568 nm [C. Xu and W. W. Webb, J. Opt. Soc. Am. B, 13, 481 (1996) and S. M. Kennedy and F. E. Lytle, Anal. Chem. 58, 2643 (1986)]. In accord with the present invention compounds symmetrically substituted with a pair of terminal donors, [i.e., D-π-D] or symmetrically substituted to form molecules according to the donor-acceptor- donor (D-A-D) or acceptor-donor-acceptor (A-D-A) motifs exhibit substantially enhanced two-photon absoφtivities compared to unsubstituted para-bιs(ortho- methylstyryl)benzene.
Measurements of two-photon absoφtivity by use of the nonlinear optical transmission method in solutions of bis-donor-substituted diphenylpolyenes show a strong dependence on laser pulse duration, as indicated by the values in Table 3. These results provide evidence of nonlinear absoφtion that is higher-order than two-photon absoφtion. In particular, the results suggest that these molecules undergo two-photon induced excited-state absoφtion, that is, two-photon absoφtion to an excited state and further absoφtion from this excited state or from a state formed rapidly on relaxation from the initial excited state. A greater excited state population is created with the longer pulses, leading to the enhanced
nonlinear absoφtion coefficient. Additional measurements including transient photoinduced absoφtion measurements and picosecond time resolved pump and probe measurements confirm the presence of excited-state absoφtion induced by two-photon absoφtion, which occurs at the two-photon excitation wavelength. The effective two-photon absoφtivities of the series of bis-donor diphenylpolyenes is one to two orders of magnitude larger than that measured with picosecond pulses and, in accord with the present invention, these data demonstrate utility in optical limiting applications involving nanosecond laser pulses. Furthermore, the values of the two-photon absoφtivity obtained for the bis donor diphenylpolyenes are an order of magnitude than that of Rhodamine B.
Table 3. Two-photon absoφtion data on a series of bis-donor diphenylpolyenes in toluene solution as measured with nanosecond (ns) and picosecond (ps) pulses and a nonlinear optical transmission method. The units of the two-photon absoφtivity, δ, are 10"*0 cm^-s/photon.
TABLE 3
The wavelength dependence of the higher-order nonlinear absoφtion of 4,4'-bis(di-n-butylamino)stilbene, 4(di-n-butylamino)-4'-(dimethylamino) diphenylbutadiene and 4-(di-n-butylamino) -4'-(dimethylamino)diphenyl hexatriene is shown in Figure 13. These spectra demonstrate an ability to control the spectral position of the higher-order nonlinear absoφtion band by increasing the number of double bonds in the π(pi)-conjugated bridge.
Figure 13 illustrates nonlinear absoφtion spectra of 4,4'-bis(di-n- butylamino)stilbene (squares), 4-(di-n-butylamino)-4'-
(dimethylamino)diphenylbutadiene (circles) and 4-(di-n-butylamino)-4'- (dimethylamino)diphenyl hexatriene (triangles) in toluene solution.
The wavelength dependence of the higher-order nonlinear absoφtion of 4,4'-bis(di-n-butylamino)stilbene and 4,4'-bis(diphenylamino)stilbene is shown in Figure 14. These spectra demonstrate the ability to control the spectral position of the higher-order nonlinear absoφtion band by replacing (dialkylamino) donor groups with (diphenylamino) donor groups. Furthermore, a mixture of these compounds provides broadband nonlinear absoφtion and high optical transmission from 560 to 730 nm, which is of special utility for optical limiting applications, as described herein.
Figure 14 illustrates nonlinear absoφtion spectra of 4,4'-bis(di-«- butylamino)stilbene (squares) and 4,4'-bis(diphenylamino)stilbene (circles).
Table 4. Effective two- and three-photon absoφtivities of bis-donor-substituted biphenyl derivatives as determined by use of nonlinear optical transmission measurements with 532-nm, 8-ns laser pulses. δeff is the effective two-photon absoφtivity obtained by fitting the data at low incident intensity to a pure two- photon absoφtion model, Yeff is the effective three-photon absoφtivity obtained by fitting the data to a pure three-photon absoφtion model, and Y*eff 's tne effective three-photon absoφtivity obtained by fitting the data to a model involving two- and three-photon absoφtion and fixing the two-photon absoφtivity at the value listed as δeff.
These data show the efficacy of compounds according to the present invention for optical limiting. γeff and δeff values indicate the identified compounds are highly efficient two-photon (or higher-order) absorbers. For comparison, serotonin, which contains an indole chromophone, has been reported to have a three-photon absoφtivity of 2xl0"84cm6s /photon2. [S. Maiti, J. B. Shear, R. M. Williams, W. R. Zipfel, and W. W. Webb, Science, 275, 530(1997)].
Multi-Photon Absorbing Compounds as Polymerization Initiators According to the Invention
Here we describe the utility of two-photon and multi-photon absorbing molecules as initiators of polymerization, specifically the use of bis-donor- substituted π-conjugated molecules as two-photon initiators. Such two-photon excitable initiators have utility in two- and three-dimensional lithography applications, for example in three-dimensional optical data storage with ultrahigh storage densities (1012 bits/cm3). When applied to a spinning disk (compact disk) type format, two-photon polymerizable materials can offer over a thousand-fold increase in storage capacity. There are two key advantages of two-photon induced polymerization relative to single-photon induced polymerization. Whereas single- photon absoφtion scales linearly with the intensity of the incident radiation, two- photon absoφtion scales quadratically. As a result, it is possible to perform two- photon polymerization with three-dimensional spatial resolution. In addition, because the phenomenon involves the simultaneous absoφtion of two-photons, the chromophore is excited with light of half the energy of the two-photon absoφtion peak. As a result, it is possible to excite molecules at a greater depth within a material than would be possible via single-photon excitation. These two advantages also apply to for example in vivo photo-initiated polymerization. In lithography or stereolithography, the quadratic scaling of absoφtion with intensity can lead to the ability to write features below the diffraction limit of light and the ability to write features in three dimensions, which is also of interest for holography.
Bis-donor-substituted π-conjugated molecules according to this invention exhibit large two-photon absoφtion cross sections and also possess structural features that permit them to be effective as initiators of polymerization. As has been discussed earlier, these bis-donor-substituted π-conjugated molecules exhibit large two-photon absoφtivities in the visible and the near infrared spectral regions. Another feature of these bis-donor-substituted diphenylpolyene molecules is that the donor groups also impart to them low oxidation potentials. Thus, two-photon
or multi-photon excitation of bis-donor-substituted π-conjugated molecules enables them to function as powerful reducing agents and can reduce even molecules with low electron affinities, including various polymerizable groups such as acrylate monomers. Accordingly, bis-donor-substituted π-coηjugated molecules of this invention are able to function as multi-photon excitable initiators of polymerization. Many amino-substituted phenyl-containing compounds such as aniline, are known to initiate polymerization of vinyl or acrylate monomers upon exposure to ultraviolet radiation through a charge transfer initiation. The charge transfer initiation process may proceed by way of a direct charge transfer that leads to formation of initiating and propagating radical species or by way of a hydrogen abstraction reaction between members of a charge transfer complex involving the aromatic amine and the monomer that also leads to the formation of initiating and propagating radicals.
A. Two-Photon Excited Polymerization Using Bis-Donor-substituted π-Conjugated Molecules
The rate of two-photon initiated photopolymerization depends on the two- photon excitation rate and on the quantum yield for initiation. The standard expression for the rate of polymerization, R_, assuming a radical mechanism, (G. Odian, Principles of Polymerization, Second Edition, John Wiley and Son, New York, 1981, page 181) is given by
Rp = [M] kp (Ri/2kt)1 2
where [M] is the monomer concentration, kp is the rate constant for polymerization, R\ is the rate of initiation and kt is the rate constant of termination. The rate of initiation for a two-photon excited initiation can be obtained by adapting the standard rate for single-photon initiation and we obtain:
Ri = Φi (1000/NA) δ I Ni
where δ is the two-photon absoφtivity (in units of cm s photon*1), I is the photon flux (photons cπr2 s_1), NA is Avogadro's number, Nj is the number density of two-photon absorbing initiators and Φj is the quantum yield of initiation. Combining these two equations gives the rate of two-photon excited polymerization as:
Rp = [M] kp (Φj (1000 NA) δ I2 N;/2kt)1 2
Thus, the rate of polymerization is dependent on the magnitude of the two-photon absoφtivity of the initiator and the quantum yield of initiation, which depends both on the characteristics of the initiator and the monomer.
1 ) Two-Photon Polymerization of Liquid Phase Polyacrylate Monomers
We have demonstrated that bis-donor-substituted conjugated molecules according to the invention can initiate, following two-photon excitation, the polymerization of crosslinkable liquid polyacrylate monomers. Polymerization of crosslinkable monomers leads to the formation of insoluble polymeric material, such that two-photon initiated polymerization causes the deposition of an easily observable volume of solid polymer on the window of the optical cell. Solutions of alkoxylated trifunctional triacrylate ester (Sartomer 9008) that included polymerization inhibitor MEHQ and containing up to 1% of various bis-donor- substituted conjugated molecules were placed in an optical cell and irradiated with 8-ns pulses with a wavelength of 594 nm from a pulsed dye laser operating at a repetition rate of 20 pulses/s. Irradiations were performed with a collimated beam of cross sectional area of 0.002 cm2 and various pulse energies. The time required for visually observable polymerization was roughly estimated for different irradiations and the results are summarized in Table 5. For cases where the molecules have large two-photon absoφtivities at 594 nm, polymerization was
observed. Polymerization was generally observed when 13 mJ pulses were used but the intensity was sufficiently high that higher-order nonlinear processes may have led to polymerization. Formation of polymer was demonstrated by the characteristic pattern of infrared bands as determined by IR spectroscopy. The diminution of the peaks assigned to monomer provided further evidence for formation of polymer.
TABLE 5
Laser Energy at 594 nm
Compounds 13 ml 3.5 J 2 mJ 1 mJ
n=5
The upper Yes/No entry indicates whether polymerization was observable and the lower entry indicates the time of observation. Concentration of the two-photon absorber was 1% by weight except for the starred compounds where the concentration was less than 0.5%.
The induction times for polymerization initiated by two-photon excitation of selected initiator molecules with a pulse energy of 2 mJ and a wavelength of 594 nm are shown in Figure 15. The molecule 4,4'-bis(dibutylamino)stilbene has a maximum two-photon absoφtivity at about 600nm and has the shortest induction time. A simple alkyl substitution of ethyl for butyl on the amino group has little effect. 4-(dibutylamino)-4'-(n-butoxy)stilbene has a low two-photon absoφtivity at 594 nm and has a relatively large induction time. The two-photon absoφtion of 4- (di-n-butylamino)-4'-(dimethylamino)diphenyl-buta-l,3-diene peaks at 650 nm, has a three-fold reduction in two-photon absoφtivity at 594 nm compared to 4,4'- bis(dibutylamino)stilbene and has a longer induction time. The molecule, 4- (dibutylamino)-4'-(n-butoxy)diphenyl-buta-l,3-diene, which has a red shifted two- photon absoφtion, exhibits a reduced induction time compared to 4- (dibutylamino)-4'-(n-butoxy)stilbene.
2) Two-Photon Absorbing Photopolymer Systems
We have demonstrated the use of several two-photon absorbing molecules in two-photon crosslinkable photopolymer systems. These compositions involved the use of 1) a two-photon absorbing initiator, 2) a crosslinkable monomer, and 3) a polymer binder. Many other compositional variations including the use of plasticizers, chain transfer agents, polymer blend binders, and polymerizable monomers are possible, as known to those skilled in the art, see for example, G. Odian "Principles of Polymerization" [John Wiley & Sons, NY, 1981]. In the formulations here, the components were dissolved in a suitable solvent, that depends on the composition of the system, to form a viscous solution and films were prepared by spin coating or by casting via solvent evaporation.
Examples of compositions of two-photon absorbing photopolymer systems are described below. I) Two-photon initiator: 4,4'-bis(dibutylamino)stilbene
Crosslinkable monomer: Tris(2-hydroxy ethyl)isocyanurate triacrylate, (Sartomer SR368)
Binder polymer: Poly(methylmethacrylate) (PMMA)
Solvent for processing: Dioxane This composition forms clear films by spin coating or casting.
II) Two-photon initiator: 4-(di-n-butylamino)-4'-(dimethylamino)diphenyl- octa-l,3,5,7-tetraene
Crosslinkable monomer: Ethoxylated trimethylolpropanetriacrylate
(Sartomer SR454) Binder polymer: Poly(vinylcarbazole) (PVK)
Solvent for processing: Tetrahydrofuran (THF)
This composition forms translucent yellow/orange films by spin coating or casting.
Gel films and thick gel plates of composition II with 66% SR454, 33% PVK and 1% 4-(di-n-butylamino)-4'-(dimethylamino)diphenyl-octa-l,3,5,7-
tetraene underwent two-photon initiation of cross-linking by excitation for 5 seconds with 2 mJ, 8 ns, 765 nm laser pulses at 20 pulses/s. A color change was observed in the irradiated spot and upon washing with THF solvent, a small insoluble hemispherical polymer plug was recovered, indicating that cross-linking had occurred.
3) Writing of filaments in liquid phase monomers
The ability to form polymer filaments that taper from an initial diameter ranging from millimeters to tens of microns down to final diameters of one to several microns can be of utility in providing low loss optical guided wave coupling of objects with disparate dimensions. For example, dimensional mismatch is often encountered in attempts to couple optical fibers, which can range between 10 μm to several hundred μm in diameter, to semiconductor laser diodes, which can have active areas with a cross sectional dimension of several microns or even less. One feature of the two-photon initiated polymerization disclosed here is that such tapered polymer filaments or arrays of such filaments can be formed.
Two-photon excitation of a variety of the disclosed diphenylpolyene derivatives in the presence of acrylate monomers leads to the formation of polymer. For example, with the two-photon absorbing molecule dissolved at 1% concentration in triacrylate monomer, excitation leads to formation of a visually observable cross-linked polymer spot on the wall of the vessel. It was observed that when irradiating a liquid cross-linkable triacrylate monomer containing a two- photon absorbing molecule (for example Sartomer 9008 with 1% 4,4'- bis(dibutylamino)stilbene) using a laser beam at a wavelength of -600 nm, an intensity of -100 MW/cm2 and a diameter of about 1 mm that the cross-linked polymer volume that formed was tapered to a point as the polymer advanced from the window into the bulk of the liquid. This tapering suggested that the two- photon polymerization of the monomer led to a focusing of the beam into the
monomer as the polymerization proceeded. We have also observed that prolonged exposure of a particular spot at the window/monomer solution interface leads to the development of a fine filament of polymer that extends for several millimeters into the solution. This process is the two-photon analog of the photopolymerization induced optical self-focusing and trapping reported recently (A. S. Kewitsch and A. Yariv, Optics Lett., 21(1), 24 (1996).) This demonstration was performed using Sartomer 9008 with 1% 4,4'-bis(dibutylamino)stilbene and 8 ns, 532 nm laser pulses at a pulse rate of 10 pulses/s. Using a beam that was focused onto the window with lenses varying from f 4 to f/7 and pulse energies of 0.3 to 0.4 mJ, filaments 1 to 4 mm in length could be formed.
4) Three Dimensional Optical Memory by Writing Cross Linked Voxels in Photopolymer Systems.
Webb, et al. (e.g., J.H. Strickler and W. Webb, Optics Lett., 26, 1780-1782,
(1991)) described two-photon initiated polymerization as a means for optical data recording utilizing a commercial photoresist prepared in a 170 μm thick film format where highly localized volumes in such a film were exposed with ultrashort laser pulses from a mode-locked titanium sapphire laser system. The exposed volumes exhibited a change in refractive index upon polymerization which served as a means of optical data storage. Retrieval of information was accomplished with differential contrast interference microscopy. Two-photon polymerized refractive index voxels of 0.3μm diameter were written and sheets of voxel patterns spaced about 3μm were created, with a sheet spacing limit of about lμm, leading to storage densities of -1012 bits/cm3.
The multi-photon absorbing materials of the invention and photopolymer compositions based on them can be used to form recording media for two or three dimensional optical data storage. The advantages of using two-photon induced processes for three dimensional optical data storage are well known. Using a strongly focused optical beam it is possible to produce localized two-photon
excitation in a volume of the order of 1 μm3, thus resulting in data storage densities of 1012 bits/cm3. Additionally, using crossed optical beams, spots or sheets of data can be stored or addressed in three dimensions, albeit at lower data densities. The disclosed compositions have utility in forming three dimensional optical data storage media with high recording sensitivity, due to the large two- photon absoφtivities exhibited by these materials.
Experiments to record small volume spots of cross-linked polymer were performed using a picosecond pulsed dye laser as the excitation source. This system provided 4 ps pulses at a repetition rate of 3.7 MHz with an average power of 30 to 40 mW in the 600 to 650 nm range. The laser beam was expanded to fill a microscope objective (numerical aperture = 0.25) so as to produce a 1.4 μm spot size at the focus. Exposures with different powers and durations were conducted. The two two-photon photopolymer compositions (I and II) described above were used as the recording media. Written spots were observed by optical microscopy and by washing the films with a solvent to strip away uncross-linked polymer and leave behind on the substrate spots of crosslinked material. The quality of the laser beam spatial profile, the exposure time, the power, the focusing and the material composition were found to be crucial in the ability to write spots and for the spot size. It was demonstrated that 3 μm diameter spots could be written at different depths in ~200μm thick films of composition II with 66% SR454, 33% PVK and 1 % 4-(di-n-butylamino)-4'-(dimethy lamino)diphenyl-octa- 1 ,3 ,5 ,7-tetraene, using 600 or 650 nm picosecond pulses focused with the numerical aperture = 0.25 microscope objective. With higher power objectives, smaller spots can be written. By writing spots of this material on the substrate/photopolymer interface, it was shown that these spots were left behind as insoluble polymer spots after washing with a solvent overnight.
Using spin coated thin films of composition I with varying percentages of 4,4'-bis(dibutylamino)stilbene, tris(2-hydroxyethyl)isocyanurate triacrylate, (Sartomer SR368) and poly(methylmethacrylate), it was shown that the power
required to write the crosslinked polymer depended on the concentration of the two-photon absorber. Good optical quality films 200 μm thick were made with a composition of 1% 4,4'-bis(dibutylamino)stilbene, 40% Sartomer SR368 and the remainder PMMA. Fluorescence of the multi-photon absorbing molecules of the present invention can be enhanced upon polymerization of the local monomer concentration relative to that of the absorber in the presence of unpolymerized monomer. Because of the charge-transfer interaction or other interactions between the two-photon excited molecule and the monomer, the fluorescence of the excited molecule is highly quenched. Upon polymerization of the monomer, the quenching ability of the monomer is eliminated and the excited-absorbers are able to emit with an unquenched efficiency. Thus, the two-photon initiated polymerization can lead to a "turning on" of the fluorescence efficiency of the polymerized spot. This feature can provide an advantage for the readout of stored bits of information because the two-photon excited fluorescence can be used to readout as opposed to other more complex, expensive and cumbersome methods such as differential interference microscopy.
Multi-photon absorbing molecules of the invention, the compositions described above and related compositions based on other monomers or crosslinkable monomers, other polymer binders and other additives such as chain transfer agents, can be employed as multi-photon absorbing recording media for holographic recording.
B. Single-Photon Excited Polymerization Using Bis-donor-substituted π-Conjugated Molecules According to the Invention
Molecules according to the present invention that behave as two-photon initiators for polymerization of acrylates can also initiate polymerization when irradiated with wavelengths of light for which the molecules exhibit strong linear absoφtion. Thus these molecules represent a new class of near UV and visible
initiators. Furthermore, from the parallel chemistry observed by single and two- photon absoφtion, one can reasonably conclude that photon absorbing molecules that are single-photon initiators will also act as two-photon initiators, providing that the two-photon state is higher in energy than the one-photon state. This can be ascertained with some degree of certainty by observing whether the molecule is fluorescent. It is well known to those knowledgeable of the spectroscopy of π- conjugated molecules that when the two-photon state is substantially lower in energy than the one-photon state, the molecules are not fluorescent, whereas when the two-photon state is higher than the one-photon state, the molecules can be fluorescent.
Thus, thin films of poly(triacrylate) can be prepared by excitation with low power 360 nm radiation of molecules that behave as two-photon initiators. The films so prepared were identified as poly(triacrylates) by IR spectroscopy. The polymerization did not take place in the presence of benzoquinone, which is a typical inhibitor for radical polymerizations. During the polymerization, the solutions turned green and the UV spectrum has an absoφtion peak at 650 nm indicative of the stilbene radical-cation which was independently characterized by spectro -electrochemistry.
Methylacrylate was polymerized in bulk under the absence of air by irradiation with a 450 W medium pressure mercury lamp. The molecular weight of the polymer was above 400 000. The estimated molecular weight from comparison of the elution time to the polystyrene standard was Mw = 697 000, Mn = 429 000. Furthermore, the polymer, characterized by IR spectroscopy showed a spectrum identical with that in the literature. After washing the polymer several times with CHCI3, the polymer exhibited fluorescence in the blue (-420 nm), indicating incoφorated or bound initiator.
The bis-dibutylaminostilbene also polymerizes methylmethacrylate, yielding a soluble polymer in chloroform or CH2CI2. Once again, the molecular weight is higher than 400 000.
Methylmethacrylate polymerizations were carried out in ethanol and toluene. Thus, 0.5 mL of the monomer were dissolved in 0.5 mL of the corresponding solvent in an ampoule. After adding 10 mg of bis- dibutylaminostilbene to each ampoule, nitrogen was bubbled through for 54 minutes and the ampoules were sealed. The samples were irradiated for 6 h with a 450 W medium pressure mercury lamp. In the ethanol-containing ampoule, poly(methylmethacrylate) was formed. In the toluene-containing ampoule, no polymerization was observed. It was further shown that the polymerization occurred in acetonitrile and acetone but not in benzene. A critical issue related to in situ photopolymerization addressed in this invention is limitations that may be introduced by the use of visible light; specifically, visible light does not penetrate tissues or other absorbing or scattering media at depth. To address this deficiency, we have developed photoinitiators which can be activated by two-photon absoφtion of near-infrared light, which has the greatest penetration depth through tissue.
Conventional photoinitiators for use in biomedical or materials processing, such as xanthine-based dyes, are activated by single-photon excitation of their absoφtion bands in the visible spectrum. These visible photoinitiators have been used for stereolithography and for in situ polymerization, but their utility for in vivo photopolymerization is limited in some applications (e.g., when fiber optics are impractical) by the small penetration depth in tissues at visible wavelengths. Photoinitiators that can be activated by two-photon absoφtion of near-IR photons can provide tremendous advantages over conventional photoinitiators. For photopolymerization through tissue, increased optical energy delivery and localization through tissue will result in shorter illumination times and better ability to localize the photopolymerization. Moreover, a new generation of inexpensive and highly reliable femtosecond Ti:sapphire lasers are being commercialized, making such treatment more accessible.
A complementary approach is based on the use of Forster energy transfer to create a bichromophoric photoinitiators wherein the two-photon absorber is
covalently attached to a xanthine-based photo initiator (e.g., rose bengal) such that energy transfer from the two-photon absorber to the xanthine photoinitiator initiates polymerization.
C. Photodeprotection and Photodecaging
A method for multi-photon deprotection or photodecaging of groups is described in which a multi-photon absorbing dye is attached to known photodeprotecting groups or photodecaging groups. In this method a dye can absorb two-photons or more of energy, and through an energy or charge transfer mechanism, serve to excite the attached photodeprotecting or photodecaging group, thereby inducing the deprotection of a functional group which could be a drug, neurotransmitter, metal ion or other chemical reagent.
Two specific examples of photodeprotecting schemes involving attachment of known deprotecting groups to two-photon absorbing dyes are shown in Figure 16.
Multi-Photon Absorbing Compounds According to the Invention as Optical Limiting Materials A. Introduction Two-photon and higher-order absorbing compositions in accordance with the invention are useful in optical power or energy limiting devices. These devices can be used to protect eyes or sensors from intense optical pulses, to modify the shape of the optical output pulse from lasers, to perform a thresholding function on optical pulses for signal processing, or for optically controlled spatial light modulation.
Materials that exhibit nonlinear absoφtion can be used for optical limiting devices. Such materials, including excited-state absorbers, two-photon absorbers or higher-order absorbers are initially highly transparent over a certain spectral band and become more strongly absorbing in this band as the incident optical intensity or energy is increased.
One of the significant applications of optical limiting devices is in laser eye or sensor protection. The exposure of human eyes or sensors to intense optical pulses can lead to permanent damage or to impaired visual performance and thus presents a serious problem to those working in environments where lasers may be encountered. Frequency-doubled Q-switched Nd:yttrium/aluminum/garnet lasers are very common and for these lasers (which have pulse durations of 10 ns and a wavelength of 532 nm), the ED50 level (the exposure energy for which there is a 50% probability of producing a retinal lesion) is about 3 μJ, whereas the ANSI standard maximum permissible exposure level is about 0.1 μJ. In the laboratory or field environments, laser pulse energies of 1 to 100 mJ may be present, sometimes in the form of an unanticipated surface reflection off an optical component. Thus, protection devices must provide nonlinear attenuation and a high linear optical transmittance, to allow high visibility under ambient working conditions. Although fixed wavelength or broadband absoφtive filters can be used to block laser beams from eyes or sensors, as in current commercial goggles for laser eye protection, these types of filters often impair visibility or color vision and are ineffective when there are multiple wavelengths or tunable lasers present.
A wide variety of materials and mechanisms have been investigated for use in optical limiting, however most existing materials have significant drawbacks such as a limited range of linear transmission or insufficient blocking ability. Optical limiting by two-photon absoφtion in semiconductors is well known and involves both two-photon absoφtion and nonlinear refraction due to the two- photon excited free carriers. However, most semiconductor materials are of limited utility for high dynamic range optical limiting because of their relatively low optical damage thresholds. Organic molecules can also exhibit two-photon absoφtion, but generally the two-photon absoφtivities of molecules examined to date, which are actually small in number and of limited range in structure, fall short of the levels needed for optical limiting by two or more orders of magnitude.
As a result, with the present invention one can provide optical limiting devices using molecular two-photon or higher-order absorbers with large peak
two-photon or higher-order absoφtivities, as exemplified by effective two-photon absoφtivities of > 1,000 xlO"50 cm s photon"1 and high linear transmission.
In addition, molecules according to the present invention can provide a broad bandwidth optical limiting material based on a mixture of molecular two- photon or higher-order absorbers.
Moreover, these molecules can provide optical limiting devices using a two-photon or higher-order absorbing material based on a mixture of molecular two-photon absorbers.
Two-photon or higher-order absorbers, of the type described in this disclosure, which have large two-photon or effective two-photon absoφtivities are attractive materials for optical limiting since they can achieve large nonlinear attenuation and maintain very high linear transmittance.
B. Optical Limiting Materials in Accordance with the Present Invention
The present invention includes a class of molecules which exhibit very strong two-photon absoφtion in a spectral region where the linear transmission is very high. The present invention provides compositions of matter which have exceptionally large two-photon absoφtivities. In particular, we teach that bis-amino substitution of diphenylpolyenes and related conjugated structures leads to strong two-photon bands with excitation wavelengths in the transparent region of the molecules, below the one photon absoφtion edge. Also, di-aryl substitution of the amines leads to a significant red shift of the two-photon absoφtion band but a smaller shift of the lowest one- photon absoφtion band. This provides utility in formulating broadband limiting materials which preserve transparency. Furthermore, by combining two-photon absorber molecules which have two-photon absoφtion bands at different positions but which are each transparent over a targeted region of the spectrum, broadband optical limiting materials with high transparency can be obtained.
Large optical limiting effects have been observed with the new two-photon absorbers with large peak effective two-photon absoφtivities (e.g., > 1000 x 10"50 cmVphoton'1. These effects have been observed using only moderate intensity nanosecond pulses. In earlier materials, large optical limiting effects are observed only for very high intensity picosecond pulses.
The optical limiting by two-photon absoφtion in 4-dimethylamino- 4'- dibutylaminostilbene (MBDAS) for 605-nm, 8-ns laser pulses in a collimated beam geometry is shown in Figure 17. At low incident energy, the transmission is close to 1.0, i.e., the sample is nonabsorbing. For input energies above ~100μJ (fluences above ~0.1J/cm ), the transmission decreases and at an input energy of -2000 μJ (fluence of 2 J/cm ), the transmission drops to 0.15. The collimated beam geometry utilized for this measurement was one used mainly for characterizing the nonlinear transmission and not to optimize the optical limiting response. A line corresponding to a transmission of 1.0 is shown for reference. The sample was a 0.33M MBDAS solution in acetone with a pathlength of 1 cm. The measurements were made with 605 nm, 8-ns laser pulses in a collimated beam geometry with a beam diameter of ~400μm.
For such nonlinear transmission experiments, the spatial beam profile of the dye laser was adjusted to produce a roughly flat intensity distribution across a roughly 5-mm diameter beam. The beam was passed through an 8.5X beam reducing telescope. The position of the second lens in the telescope system was adjusted to produce a collimated beam over the length of the 1-cm sample cell holder. The sample solutions were placed in 1 cm pathlength quartz cells; the cell holder was about 50mm from the second lens. Typical maximum input energies into the samples were about 2.5 mJ. The energy delivered to the samples was controlled by a series of calibrated neutral density (ND) filters. A 4% beam splitter was inserted after the ND filter holder and this reference beam was sent to a 15mm diameter silicon photodetector (equipped with appropriate ND filters to assure that the signal did not saturate the detector). A similar detector system was placed 75 mm after the optical limiting
samples to collect the transmitted laser signal and to measure the total transmitted energy. This large area was chosen for performing total transmitted energy measurements, since nonlinear refractive effects caused defocusing effects in the transmitted beam. The detector outputs were integrated using a boxcar integrator and the integrator output was digitized and read by a PC computer. Measurements of the sample transmissions were repeated for a range of input laser energies (via the neutral density filters). The data were then analyzed by fitting them to the solution of the intensity propagation equation for two-photon absoφtion and optical limiting. For samples with no linear absoφtion, plots of 1/T versus intensity were fit to the equation:
where T is the transmission, β is the effective two-photon absoφtion coefficient and is directly proportional to the molecular two-photon absoφtivity, L is the pathlength and I0 is the incident intensity. The two-photon absoφtivity of MBDAS was 13,500 x 10" cm s/photon.
For comparison, a value of 850 x 10" cm s was recently reported [G.S. He, G.C. Xu, P.N. Prasad, B.A. Reinhardt, J.C. Bhatt, and A.G. Dillard, Optics Letters, 20 435 (1995)]. For a bis(benzthiazole)dialkoxythiophene compound in solution and was reported to be two orders of magnitude higher than a reference dye (Rhodamine 6G). Clearly, the effective two-photon absoφtivity for MBDAS is very large. Much stronger optical limiting response is expected for MBDAS solutions in focusing optical systems. However, even in this unoptimized geometry, the response for the MBDAS solution is better than that of the best phthalocyanine excited-state absorber (chloroindium tetra-(tert- butyl)phthalocyanine) solution with a transmission of 0.95).
The new multi-photon absorbers according to the present invention afford several interesting advantages for optical limiting. Firstly, these molecules exhibit effective two-photon absoφtivities that are about one or more orders of magnitude higher for current state of the art materials. With such high two-photon
absoφtivities, these molecules are effective in limiting nanosecond duration pulses Secondly, these molecules can have very high broadband linear transmission, since the two-photon absoφtion bands occur for photon energies well below the linear absoφtion edge. This could be a huge advantage, since low linear transmission and impairment of normal color vision are major concerns for potential users of laser protective devices. Secondly, broadband two-photon absorbing molecules have been prepared from mixtures of compounds, all of which are essentially transparent over much of the visible spectrum, each with different two-photon resonances that span a wide band. Finally, these two-photon absorbing molecules perform very well at high intensities such that good short pulse performance is assured.
We have demonstrated optical limiting based on the new molecular two- photon and multi-photon absorbers described herein in different optical geometries and with combinations of materials as described below. The optical limiting compositions according to the present invention may exist as crystals, mesoscopic phases, polymers, glasses, liquids or gases. The compositions may be used alone or in combination with other crystals, mesoscopic phases, polymers, glasses, liquids or gases.
Depending upon the particular application the multi-photon absorber may be incoφorated, in the form of a concentration gradient profile, into a material, to form a concentration gradient optical limiting material. Such gradients have been demonstrated for excited state absoφtion-type optical limiting materials. Concentration gradient materials can be made by solvent-assisted in-diffusion of molecules into porous solids or gels, by sequential deposition of layered thin film materials wherein the concentration of the dye in each layer is varied appropriately. This may be accomplished by forming a laminate structure comprised of thin films of free standing polymer containing the multi-photon absorber. Alternatively, gradient materials can be produced by codeposition of the dye with an inert binder material, with the relative rates of deposition of each material being varied with time to as to form a concentration gradient.
We have performed optical limiting experiments using our multi-photon absorbers in a focusing optical system. In one example, solutions of 4,4'- bis(dibutylamino)stilbene (BDAS) in acetone were placed in a 1 cm pathlength cell positioned into the focus of an f/5 focusing lens. The transmitted optical energy was collected with a matched f/5 lens and relayed onto a silicon photodiode detector. Optical limiting responses for solutions with two different concentrations (0.01 and 0.134 moles/liter) of the BDAS were obtained and are shown in Figure 18. At the concentration of 0.134 moles/liter, the sample linear transmission at 605 nm was 96%. The transmission of the sample at an input energy of 170 μJ dropped to about 0.10. Although the sample pathlength was 1 cm, the effective interaction length was much smaller, < 100 μm, due to the fact that the intensity falls off as z"2 from the focus and the rate of attenuation due to two-photon absoφtion depends on the square of the intensity. Thus, the rate of attenuation due to two-photon absoφtion falls off from the focus as Z"4. As a result, at one confocal length from the focus, the attenuation rate is reduced by a factor of 4 relative to that at the focus.
Figure 18 illustrates two-photon optical limiting responses of 0.01 and 0.134 M solutions of 4,4'-bis(dibutylamino)stiιbene for ~5-ns, 600 nm pulses. The straight line corresponds to the linear transmission (96%) of the 0.134 M solution. A 1 cm cell was centered on the focus of an -f/5 optical system (effective interaction length <100μm) and the total transmitted energy was detected.
Solutions or materials containing the multi-photon absorbing molecules according to the invention such as 4,4'-bis(dibutylamino)stilbene, exhibit strong nonlinear optical beam spreading such that the transmitted energy emanating from the absorber is defocused and spread over a larger area for strong inputs compared to weaker ones. As a result, greater protection from optical damage is obtained for a detector or sensor placed at the final focal plane of the system. Yet further enhancements in the protection afforded by these multi-photon absorbers can be obtained by placement of a suitable aperture stop at an intermediary focal plane, so
as to entirely eliminate the transmitted energy that falls outside the pupil of the stop, as a result of nonlinear beam spreading.
Figure 19 shows the nonlinear absoφtion peaks for 4,4'-bis-(di-n- butylamino)stilbene and 4,4'-bis-(diphenylamino)stilbene and the linear transmission of a mixture of these compounds at a total concentration of 0.1 M. The absoφtion edge for 4,4'-bis-(di-n-butylamino)stilbene has an onset at 500 nm, so that the material is transparent from 500 nm to longer wavelengths throughout the visible spectral range. Thus, the two-photon absoφtion band occurs in a region of high transparency. The two-photon peak at 600 nm is fairly shaφ, but we have shown that simple diphenyl substitution on the amines gives rise to a broader two-photon peak that is shifted to -690 nm, even though the one photon peak is red shifted by only 20 nm. A mixture of these materials would cover well the range from 560 to 730 nm, as demonstrated in Figure 18. Experiments show that such a mixture of 4,4'-bis(dibutylamino)stilbene and 4,4'- bis(diphenylamino)stilbene shows a net two-photon absoφtivity that is equal to the sum of the two-photon absoφtivities of the two individual molecules. For example, measurements at 650 nm, corresponding to the wavelength where the two-photon spectra of the two molecules cross, show that the net two-photon absoφtivity is additive in the contribution from each compound. Figure 19 illustrates linear transmission spectrum (solid line) of a mixture of 4,4'-bis(dibutylamino)stilbene and 4,4'-bis(diphenylamino)stilbene for a total concentration of 0.1M. Also shown are the wavelength dependent two-photon absoφtivities for each compound: triangles are for the dibutyl derivative and squares are for the diphenyl derivative. Thus, we teach that a combination of chromophores with alkyl and aryl substituents on the amino groups of diaminostilbenes produces materials with broadband two-photon absoφtion and high transparency. Additional shorter wavelength two-photon absorbers could be added with no compromise of the linear transmission in order to further extend the two-photon absoφtion to cover the whole visible spectrum. For example, a 4,4'-bis(diphenylamino) biphenyl or a
4,4'-bis(diphenylamino) fluorene would add a two-photon absoφtion band at approximately 500 to 550 nm, but would not reduce the linear transmission.
A mechanism to enhance the two-photon absoφtivity at a given wavelength is to synthesize molecules with extended conjugation such that the single-photon absoφtion edge approaches the fundamental frequency of the laser, without leading to substantially increased linear loss. For example, simply extending the number of bridging double bonds in the stilbene derivatives from one to five double bonds enhances the effective two-photon absoφtivity by a factor of five. The enhanced two-photon absoφtion is evidenced in Figure 19 where the nonlinear transmission of 4,4'-bis-(di-n-butylamino)stilbene is compared with l-(di-4-n-butylaminophenyl)-10-(4-dimethylaminophenyl) deca 1, 3, 5, 7, 9- pentaene.
Figure 20 illustrates nonlinear transmission data showing enhanced two- photon absoφtion in a l-(4-dimethylaminophenyl)-10-(4-dibutylaminophenyl)- deca-l,3,5,7,9-pentane (squares) as compared to the 4,4'-bis-(di-n- butylamino)stilbene (circles). Measurements were performed at 598 nm using 0.0 IM solutions.
Another feature of this invention is the ability to systematically control the position of the lowest two-photon absoφtion band of bis donor-substituted π- conjugated molecules by increasing the π-conjugation length of the molecule by, for example, controlling the number of conjugated double bonds between the two donor-substituted aromatic or heteroaromatic end groups. Thus, increasing the number of double bonds, leads to a considerable shift of the two-photon absoφtion band to longer wavelengths. Incoφoration of phenylene-vinylene groups between the end groups has a similar effect.
Claims
position capable of simultaneous two-photon absoφtion comprising — ^cted from the group consisting of
2. A method for preparing a compound in an electronically excited state, comprising the steps of: a) exposing a compound having the formula D,-π-D2 to radiation, wherein D, and D2 are electron donor groups; and IT comprises a bridge of π- conjugated bonds connecting D, and D2; and b) converting said compound to a multi-photon electronically excited state upon simultaneous absoφtion of at least two photons of said radiation by said compound, wherein the sum of the energies of all of said absorbed photons is greater than or equal to the transition energy from a ground state of said compound to said multi-photon excited state and wherein the energy of each absorbed photon is less than the transition energy between said ground state and the lowest single- photon excited state of said compound and is less than the transition energy between said multi-photon excited state and said ground state.
3. A method according to claim 2, wherein said compound is selected from the group consisting of
4. A method according to claim 2, wherein said compound is further defined by a formula
where D is selected from the group consisting of N, O, S and P; where Dtø is selected from the group consisting of N, O, S and P; m, n, o are integers such that 0<m<10, 0<n<10, 0<o<10; and where:
X, Y, Z are independently selected from the group consisting of:
CR =CRj; O; S; and N-Rm; Ra, Rb, Re, Rd are independently selected from the group consisting of:
H; a linear or branched alkyl group with up to 25 carbons;
-(CH2CH2O)α-(CH2)βORal ; -(CH2CH2O)α-(CH2)βNRa2Ra3;
-(CH2CH20)α-(CH2)βCONRa2Ra3; -(CH2CH20)α-(CH2)βCN;
-(CH2CH20)α-(CH2)βCl; -(CH2CH20)α-(CH2)βBr; -(CH2CH20)α-(CH2)βI; -(CH2CH2O)α-(CH2)β-Phenyl; where 0 < < 10 and 1 < β < 25, a group of aromatic rings having up to 20 carbons in the aromatic ring framework; fused aromatic rings, vinyl; ally 1 ; 4-styryl; acroyl; methacroyl; acrylonitrile, isocyanate; isothiocyanate; epoxides; strained ring olefins; (-CH2)δSiCl3;
(-CH2)δSi(OCH2CH3)3; and (-CH2)δSi(OCH3)3; where δ < 25;
Rai, Ra2, and Ra3 are independently selected from the group consisting of: H; a linear or branched alkyl group with up to 25 carbons, a functional group derived from an amino acid; a polypeptide; adenine; guanine; tyrosine; cytosine; uracil; biotin; ferrocene, ruthenocene, cyanuric chloride and derivatives thereof, or methacryloyl chloride;
Re, Rf, Rg, Rh, Ri, Rj, Rk> Rl and m are independently selected from the group consisting of: H; a linear or branched alkyl group with up to 25 carbons;
-(CH2CH2O)α-(CH2)βORbι ; -(CH2CH2O)α-(CH2)βNRb2Rb3;
-(CH2CH2O)α-(CH2)βCONRb2Rb3, where RD1, Rb2, and Rb3 are independently selected from the group consisting of a functional group derived from an amino acid; a polypeptide; adenine; guanine; tyrosine; cytosine; uracil; biotin; ferrocene, ruthenocene, cyanuric chloride and derivatives thereof or methacryloyl chloride;
.(CH2CH2O)α-(CH2)βCN; -(CH2CH20)α-(CH2)βCl; .(CH2CH O)a-(CH2)pBr;
-(CH2CH2O)a-(CH2)βI; -(CH2CH2O)a-(CH2)β-Phenyl, where 0 < a < 10 and 1 < β < 25; a group of aromatic rings having up to 20 carbons in the aromatic framework; fused aromatic rings; CHO; CN; NO2; Br; Cl; I; phenyl; an acceptor group containing more than two carbon atoms; a functional group derived from an amino acid and NRelRe2; ORe3; where RQ \ , e2, Re3 are defined as for R_ and
Ro, where R_ and R„ are defined as any member of the group consisting of H; linear or branched alkyl group with up to 25 carbons; -(CH CH O)α-(CH2)βORgι;
-(CH2CH2O)α-(CH2)βNRg2Rg3; -(CH2CH2O)a-(CH2)pCONRg2Rg3; -(CH2CH2O)α-(CH2)βCN; -(CH2CH2O)α-(CH2)βCl; -(CH2CH2O)α-(CH2)βBr;
-(CH2CH2O)α-(CH2)βI; -(CH2CH2O)α-(CH2)β-Phenyl; aryl groups; fused aromatic rings; polymerizable functionalities;
Rgl, Rg2, and Rg3 are independently selected from: H; a linear or branched alkyl group with up to 25 carbons; a functional group derived from an amino acid: a polypeptide; adenine; guanine; tyrosine; cytosine; uracil; biotin; ferrocene, ruthenocene, cyanuric chloride and derivatives thereof or methacryloyl chloride.
5. A method according to claim 1 , wherein said compound is further defined by a formula
where Da is selected from the group consisting of N, O, S and P; where Db is selected from the group consisting of N, O, S and P; m, n, o are integers such that 0<m<10, 0<n<10, 0<o<10; and where:
X, Y, Z are independently selected from the group consisting of:
CRk=CRi; O; S; and N-Rm;
Ra, Rb, Re, d re independently selected from the group consisting of:
H; a linear or branched alkyl group with up to 25 carbons -(CH2CH2O)α-(CH2)βORal; -(CH2CH2O)α-(CH2)βNRa2Ra3
-(CH2CH2O)α-(CH2)βCONRa2Ra3; -(CH2CH2O)α-(CH2)βCN
-(CH2CH2O)α-(CH2)βCl; -(CH2CH2O)α-(CH2)βBr; -(CH2CH2O)α-(CH2)βI
-(CH2CH2O)α-(CH2)β-Phenyl; where 0 < α < 10 and 1 < β < 25, a group of aromatic rings having up to 20 carbons in the aromatic ring framework; fused aromatic rings, vinyl; allyl; 4-styryl; acroyl; methacroyl; acrylonitrile, isocyanate; isothiocyanate; epoxides; strained ring olefins; (-CH2)δSiCl3;
(-CH2)δSi(OCH2CH3)3; and (-CH2)δSi(OCH3)3; where δ < 25; Rai, Ra2, and Ra3 are independently selected from the group consisting of: H; a linear or branched alkyl group with up to 25 carbons, a functional group derived from an amino acid; a polypeptide; adenine; guanine; tyrosine; cytosine; uracil; biotin; ferrocene, ruthenocene, cyanuric chloride and derivatives thereof, or methacryloyl chloride;
Re, Rf, Rg, Rh, Ri, Rj, Rk, Rl and Rm are independently selected from the group consisting of: H; a linear or branched alkyl group with up to 25 carbons;
-(CH2CH2O)α-(CH2)βORbι; -(CH2CH2O)α-(CH2)βNRb2Rb3;
-(CH2CH2O)α-(CH )βCONRb2Rb3, where Rbl, Rb2, and Rb3 are independently selected from a functional group derived from an amino acid, a polypeptide; adenine; guanine; tyrosine; cytosine; uracil; biotin; ferrocene, ruthenocene, cyanuric chloride and derivatives thereof or methacryloyl chloride;
.(CH2CH2O)α-(CH2)βCN; -(CH2CH2O)α-(CH2)βCl; .(CH2CH2O)α-(CH2)βBr;
-(CH2CH2O)α-(CH2) I; -(CH2CH2O)α-(CH2)β-Phenyl, where 0 < α < 10 and 1 < β < 25; a group of aromatic rings having up to 20 carbons in the aromatic framework; fused aromatic rings; CHO; CN; NO2; Br; Cl; I; phenyl; an acceptor group containing more than two carbon atoms; a functional group derived from an amino acid and NReiRe2; ORe3; where Rel , Re2> Re3 are defined as for R_ and
R0, where R„ and R,, are defined as any member of the group consisting of H; a linear or branched alkyl group with up to 25 carbons; -(CH CH20)α-(CH )βORgι;
-(CH2CH2O)α-(CH2)βNRg2Rg3; -(CH2CH2O)α-(CH2)βCONRg2Rg3;
-(CH2CH2O)α-(CH2)βCN; -(CH2CH2O)α-(CH2)βCl; -(CH2CH2O)α-(CH2)βBr;
-(CH2CH2O)α-(CH2)βI; -(CH2CH2O)α-(CH2)β-Phenyl; aryl groups; fused aromatic rings; polymerizable functionalities; Rgi, Rg2, and Rg3 are independently selected from: H; a linear or branched alkyl group with up to 25 carbons; a functional group derived from an amino acid: a polypeptide; adenine; guanine; tyrosine; cytosine; uracil; biotin; ferrocene, ruthenocene, cyanuric chloride and derivatives thereof or methacryloyl chloride.
6. A method according to claim 1, wherein said compound is further defined by a formula
where Da is selected from the group consisting of N, O, S and P; where Db is selected from the group consisting of N, O, S and P; m, n, o are integers such that 0<m<10, 0<n<10, 0<o<10; and where:
X, Y, Z are independently selected from the group consisting of: CRk=CRi; O; S; and N-Rm;
Ra, Rb, Re, Rd are independently selected from the group consisting of: H; a linear or branched alkyl group with up to 25 carbons -(CH2CH2O)α-(CH2)βORaι ; -(CH2CH2O)α-(CH2)βNRa2Ra3
-(CH2CH2O)α-(CH2)βCONRa2Ra3 ; -(CH2CH2O)α-(CH2)βCN -(CH2CH2O)α-(CH2)βCl; -(CH2CH2O)α-(CH2)βBr; -(CH2CH2O)α-(CH2)βI -(CH2CH2O)α-(CH2)β-Phenyl; where 0 < α < 10 and l < β < 25, a group of aromatic rings having up to 20 carbons in the aromatic ring framework; fused aromatic rings, vinyl; allyl; 4-styryl; acroyl; methacroyl; acrylonitrile, isocyanate; isothiocyanate; epoxides; strained ring olefins; (-CH2) SiCl3; (-CH2)δSi(OCH2CH3)3; and (-CH2)δSi(OCH3)3 ; where δ < 25;
Rai, Ra2, and R^ are independently selected from the group consisting of: H; a linear or branched alkyl group with up to 25 carbons, a functional group derived from an amino acid; a polypeptide; adenine; guanine; tyrosine; cytosine; uracil; biotin; ferrocene, ruthenocene, cyanuric chloride and derivatives thereof, or methacryloyl chloride;
Re, Rf, Ri, Rj, Rk, Rl and Rm are independently selected from the group consisting of: H; a linear or branched alkyl group with up to 25 carbons; -(CH2CH20)α-(CH2)βORbι; -(CH2CH2O)α-(CH2)βNRb2Rb3;
-(CH2CH2O)α-(CH2)βCONRb2Rb3, where Rbl, Rb2, and Rb3 are independently selected from a functional group derived from an amino acid; a polypeptide; adenine; guanine; tyrosine; cytosine; uracil; biotin; ferrocene, ruthenocene, cyanuric chloride and derivatives thereof or methacryloyl chloride;
.(CH2CH2O)α-(CH2)βCN; -(CH2CH2O)α-(CH2)βCl; .(CH CH2O)a-(CH2)pBr;
-(CH2CH2O)a-(CH2)βI; -(CH2CH2O)a-(CH2)β-Phenyl, where 0 < a < 10 and 1 < β < 25; a group of aromatic rings having up to 20 carbons in the aromatic framework; fused aromatic rings; CHO; CN; NO2; Br; Cl; I; phenyl; an acceptor group containing more than two carbon atoms; a functional group derived from an amino acid and NReiRe2; ORe3; where Rel, Re2, Re3 are defined as for R_ and
R,,, where R„ and R„ are defined as any member of the group consisting of H; a linear or branched alkyl group with up to 25 carbons; -(CH2CH2O)α-(CH )βORgι;
-(CH2CH2O)α-(CH2)βNRg2Rg3; -(CH2CH2O)α-(CH2)βCONRg2Rg3; -(CH2CH2O)α-(CH2)βCN; -(CH2CH2O)α-(CH2)βCl; -(CH2CH2O)α-(CH2)βBr;
-(CH2CH2O)α-(CH2)βI; -(CH2CH20)α-(CH2)β-Phenyl; aryl groups; fused aromatic rings; polymerizable functionalities;
Rgl, Rg2, nd Rg3 are independently selected from: H; a linear or branched alkyl group with up to 25 carbons; a functional group derived from an amino acid: a polypeptide; adenine; guanine; tyrosine; cytosine; uracil; biotin; ferrocene, ruthenocene, cyanuric chloride and derivatives thereof or methacryloyl chloride.
7. A method according to claim 1 , wherein said compound is further defined by a formula
where Da is selected from the group consisting of N, O, S and P; where Db is selected from the group consisting of N, O, S and P; m, n, o are integers such that 0<m<10, 0<n<10, 0<o<10; and where:
X, Y, Z are independently selected from the group consisting of: CRk=CRl; O; S; and N-Rm;
Ra, Rb, Re, Rd are independently selected from the group consisting of:
H; a linear or branched alkyl group with up to 25 carbons
-(CH2CH2O)α-(CH2)βORaι ; -(CH2CH2O)α-(CH2)βNRa2Ra3
-(CH2CH2O)α-(CH2)βCONRa2Ra3; -(CH2CH2O)α-(CH2)βCN -(CH2CH2O)α-(CH2)βCl; -(CH2CH2O)α-(CH2)βBr; -(CH2CH2O)α-(CH2)βI
-(CH2CH O)α-(CH2)β-Phenyl; where 0 < α < 10 and 1 < β < 25, a group of aromatic rings having up to 20 carbons in the aromatic ring framework; fused aromatic rings, vinyl; allyl; 4-styryl; acroyl; methacroyl; acrylonitrile, isocyanate; isothiocyanate; epoxides; strained ring olefins; (-CH2) SiCl3; (-CH2)δSi(OCH2CH3)3; and (-CH2)δSi(OCH3)3; where δ < 25;
Rai, Ra2, and Ra3 are independently selected from the group consisting of: H; a linear or branched alkyl group with up to 25 carbons, a functional group derived from an amino acid; a polypeptide; adenine; guanine; tyrosine; cytosine; uracil; biotin; ferrocene, ruthenocene, cyanuric chloride and derivatives thereof, or methacryloyl chloride;
Re, Rf, Ri, Rj, Rk, Rl and Rm are independently selected from the group consisting of: H; a linear or branched alkyl group with up to 25 carbons;
-(CH2CH2O)α-(CH2)βORbι; -(CH2CH2O)α-(CH2)βNRb2Rb3;
-(CH2CH2O)α-(CH2)βCONRb2Rb3, where Rbl , Rb2, and Rb3 are independently selected from the group consisting of a functional group derived from an amino acid; a polypeptide; adenine; guanine; tyrosine; cytosine; uracil; biotin; ferrocene, ruthenocene, cyanuric chloride and derivatives thereof or methacryloyl chloride;
.(CH2CH20)α-(CH2)βCN; -(CH2CH2O)α-(CH2)βCl; .(CH2CH20)α-(CH2)βBr;
-(CH2CH2O)α-(CH2)βI; -(CH2CH2O)α-(CH2)β-Phenyl, where 0 < α < 10 and 1 < β < 25; a group of aromatic rings having up to 20 carbons in the aromatic framework; fused aromatic rings; CHO; CN; NO2; Br; Cl; I; phenyl; an acceptor group containing more than two carbon atoms; a functional group derived from an amino acid and NRelRe2; ORe3; where Rel, Re2, Re3 are defined as for R_ and Rg, where R. and R,, are defined as any member of the group consisting of H; a linear or branched alkyl group with up to 25 carbons; -(CH2CH2θ)α-(CH2)βORgι; -(CH2CH2O)α-(CH2)βNRg2Rg3; -(CH2CH2O)α-(CH2)βCONRg2Rg3;
-(CH2CH2O)α-(CH2)βCN; -(CH2CH2O)α-(CH2)βCl; -(CH2CH2O)α-(CH2)pBr; -(CH2CH2O)α-(CH2)βI; -(CH2CH2O)α-(CH2)β-Phenyl; aryl groups; fused aromatic ring; polymerizable functionalities; Rgi, Rg2, and Rg3 are independently selected from: H; a linear or branched alkyl group with up to 25 carbons; a functional group derived from an amino acid: a polypeptide; adenine; guanine; tyrosine; cytosine; uracil; biotin; ferrocene, ruthenocene, cyanuric chloride and derivatives thereof or methacryloyl chloride.
8. A method according to claim 1 , wherein said bridge is substituted with one or more electron acceptor groups.
9. A method for preparing a compound in an electronically excited state, comprising the steps of: a) exposing a compound having the formula A,-ri-A2 to radiation, wherein A, and A2 are electron acceptors; and IT comprises a bridge of π- conjugated bonds connecting A, and A2; and b) converting said compound to a multi-photon electronically excited state upon simultaneous absoφtion of at least two photons of said radiation by said compound, wherein the sum of the energies of all of said absorbed photons is greater than or equal to the transition energy from a ground state of said compound to said multi-photon excited state and wherein the energy of each absorbed photon is less than the transition energy between said ground state and the lowest single- photon excited state of said compound and is less than the transition energy between said multi-photon excited state and said ground state.
10. A method according to claim 9, wherein said compound is selected from the group consisting of
11. A method according to claim 9, wherein said compound is further defined by a formula
Al A2 A3 A4
A9 A10 All A12
A37 A38 A39 A40
A41 A42 in addition Aa and A can be independently selected from Br, Cl, and I; and where 0<m<l 0, 0<n<l 0, 0<o<l 0. and where:
Ra, Rb, Re, Rd are independently selected from the group consisting of: H; a linear or branched alkyl group with up to 25 carbons -(CH2CH2O)α-(CH2)βORal; -(CH2CH2O)α-(CH2)βNRa2Ra3
-(CH2CH2O)α-(CH2)βCONRa2Ra3; -(CH2CH2O)α-(CH2)pCN
-(CH2CH2O)α-(CH2)βCl; -(CH2CH2O)α-(CH2)βBr; -(CH2CH2O)α-(CH2)βI -(CH2CH2O)α-(CH2)β-Phenyl; where 0 < α < 10 and 1 < β < 25, a group of aromatic rings having up to 20 carbons in the aromatic ring framework; fused aromatic rings, vinyl; allyl; 4-styryl; acroyl; methacroyl; acrylonitrile, isocyanate; isothiocyanate; epoxides; strained ring olefins; (-CH2) SiCl3; (-CH2)δSi(OCH2CH3)3; and (-CH2)δSi(OCH3)3 ; where δ < 25;
Rai, Ra2, and R^ are independently selected from the group consisting of: H; a linear or branched alkyl group with up to 25 carbons, a functional group derived from an amino acid; a polypeptide; adenine; guanine; tyrosine; cytosine; uracil; biotin; ferrocene, ruthenocene, cyanuric chloride and derivatives thereof, or methacryloyl chloride;
R,., R Rg, Rh, R, R, Rk, P^ and R,,, are independently selected from the group consisting of: H; a linear or branched alkyl group with up to 25 carbons;
-(CH2CH2O)α-(CH2)βORbi; -(CH2CH2O)α-(CH2)βNRb2Rb3;
-(CH2CH2O)α-(CH2)βCONRb2Rb3, where Rbl, Rb2, and Rb3 are independently selected from the group consisting of a functional group derived from an amino acid; a polypeptide; adenine; guanine; tyrosine; cytosine; uracil; biotin; ferrocene, ruthenocene, cyanuric chloride and derivatives thereof or methacryloyl chloride;
.(CH2CH2O)α-(CH2)βCN; -(CH2CH2O)α-(CH2)βCl; .(CH2CH2θ)α-(CH2)βBr;
-(CH2CH20)α-(CH2)βI; -(CH2CH20)α-(CH2)p-Phenyl, where 0 < ex < 10 and 1 < β < 25; a group of aromatic rings having up to 20 carbons in the aromatic framework; fused aromatic rings; CHO; CN; NO2; Br; Cl; I; phenyl; an acceptor group containing more than two carbon atoms; a functional group derived from an amino acid and NRelRe2; ORe3; where Rei, Re2, Re3 are defined as for R_ and R,,, where R„ and R„ are defined as any member of the group consisting of H; a linear or branched alkyl group with up to 25 carbons; -(CH2CH2O)α-(CH2)pORgι; -(CH2CH2O)α-(CH2)pNRg2Rg3; -(CH2CH20)α-(CH2)pCONRg2Rg3;
-(CH2CH2O)α-(CH2)pCN; -(CH2CH2O)α-(CH2)pCl; -(CH2CH2O)α-(CH2)pBr; -(CH2CH2O)α-(CH2)βI; -(CH2CH2O)α-(CH2)p-Phenyl; aryl groups; fused aromatic rings; polymerizable functionalities;
Rgl, Rg2, and Rg3 are independently selected from: H; a linear or branched alkyl group with up to 25 carbons; a functional group derived from an amino acid; or a polypeptide; adenine; guanine; tyrosine; cytosine; uracil; biotin; ferrocene, ruthenocene, cyanuric chloride and derivatives thereof or methacryloyl chloride.
12. A method according to claim 9, wherein said compound is further defined by a formula
A5 A6 A7 A8
A9 A10 All A12
A37 A38 A39 A40
A41 A42 in addition Aa and Ab can be independently selected from Br, Cl, and I; and where 0<m<10, 0<n<10, 0<o<10. ; and where:
X, Y, Z are independently selected from the group consisting of: CRk=CRι; O; S; and N-Rm;
R3, Rb, Re, Rd are independently selected from the group consisting of: H; a linear or branched alkyl group with up to 25 carbons -(CH2CH2O)α-(CH2)PORal ; -(CH2CH2O)a-(CH2)pNRa2Ra3
-(CH2CH2O)α-(CH2)βCONRa2Ra3; -(CH2CH2O)α-(CH2)βCN
-(CH2CH2O)α-(CH2)βCl; -(CH2CH2O)α-(CH2)βBr; -(CH2CH2O)α-(CH2)βI -(CH2CH2O)α-(CH2)β-Phenyl; where 0 < α < 10 and 1 < β < 25, a group of aromatic rings having up to 20 carbons in the aromatic ring framework; fused aromatic rings, vinyl; allyl; 4-styryl; acroyl; methacroyl; acrylonitrile, isocyanate; isothiocyanate; epoxides; strained ring olefins; (-CH2)δSiCl3; (-CH2)δSi(OCH2CH3)3; and (-CH2)δSi(OCH3)3; where δ < 25;
Ral> Ra2, and R^ are independently selected from the group consisting of: H; a linear or branched alkyl group with up to 25 carbons, a functional group derived from an amino acid; a polypeptide; adenine; guanine; tyrosine; cytosine; uracil; biotin; ferrocene, ruthenocene, cyanuric chloride and derivatives thereof, or methacryloyl chloride;
R., R^, Rg, R,,, R,, R, R^, R, and R„, are independently selected from the group consisting of: H; a linear or branched alkyl group with up to 25 carbons; -(CH2CH2O)α-(CH2)βORbι; -(CH2CH2O)α-(CH2)βNRb2Rb3;
-(CH2CH2θ)α-(CH2)βCONRb2Rb3, where Rbl, Rb2, and R 3 are independently selected from the group consisting of a functional group derived from an amino acid; a polypeptide; adenine; guanine; tyrosine; cytosine; uracil; biotin; ferrocene, ruthenocene, cyanuric chloride and derivatives thereof or methacryloyl chloride; .(CH2CH2O)α-(CH2)βCN; -(CH2CH2O)α-(CH2)βCl; _(CH2CH2θ)α-(CH2)βBr; -(CH2CH2O)α-(CH2)βI; -(CH2CH2O)α-(CH2)β-Phenyl, where 0 < α < 10 and 1 < β < 25; a group of aromatic rings having up to 20 carbons in the aromatic framework; fused aromatic rings; CHO; CN; NO2; Br; Cl; I; phenyl; an acceptor group containing more than two carbon atoms; a functional group derived from an amino acid and NRelRe2; ORe3; where Rel, Re2, Re3 are defined as for R_ and R^, where R_ and R„ are defined as any member of the group consisting of H; a linear or branched alkyl group with up to 25 carbons; -(CH2CH2O)α-(CH2)βORgι; -(CH2CH2O)α-(CH2)βNRg2Rg3; -(CH2CH2θ)α-(CH2)βCONRg2Rg3;
-(CH2CH2O)α-(CH2)βCN; -(CH2CH2O)α-(CH2)pCl; -(CH2CH2O)α-(CH2)βBr; -(CH2CH2O)α-(CH2)βI; -(CH2CH2O)α-(CH2)p-Phenyl; aryl groups; fused aromatic rings; polymerizable functionalities;
Rgl, Rg2, and Rg3 are independently selected from: H; a linear or branched alkyl group with up to 25 carbons; a functional group derived from an amino acid; or a polypeptide; adenine; guanine; tyrosine; cytosine; uracil; biotin; ferrocene, ruthenocene, cyanuric chloride and derivatives thereof or methacryloyl chloride.
13. A method according to claim 9, wherein said compound is further defined by a formula
Al A2 A3 A4
A5 A6 A7 A8
A9 A1 All A12
A41 A42 in addition Aa and Ab can be independently selected from Br, Cl, and I; and where 0<m<10, 0<n<10, 0<o<10. ; and where:
X, Y, Z are independently selected from the group consisting of:
CRk=CRι; O; S; and N-Rm;
Ra, Rb, Re, Rd re independently selected from the group consisting of: H; a linear or branched alkyl group with up to 25 carbons;
-(CH2CH2O)α-(CH2)βORai ; -(CH2CH2O)α-(CH2)βNRa2Ra3;
-(CH2CH2O)α-(CH2)βCONRa2Ra3; -(CH2CH2O)α-(CH2)pCN;
-(CH2CH2O)α-(CH2)pCl; -(CH2CH2O)α-(CH2)pBr; -(CH2CH2O)α-(CH2)βI;
-(CH2CH2O)α-(CH2)β-Phenyl; where 0 < a < 10 and 1 < β < 25, a group of aromatic rings having up to 20 carbons in the aromatic ring framework; fused aromatic rings, vinyl; allyl; 4-styryl; acroyl; methacroyl; acrylonitrile, isocyanate; isothiocyanate; epoxides; strained ring olefins; (-CH )δSiCl3;
(-CH2)δSi(OCH2CH3)3; and (-CH2)δSi(OCH3)3; where δ < 25;
Rai, Ra2, and R&3 are independently selected from the group consisting of: H; a linear or branched alkyl group with up to 25 carbons, a functional group derived from an amino acid; a polypeptide; adenine; guanine; tyrosine; cytosine; uracil; biotin; ferrocene, ruthenocene, cyanuric chloride and derivatives thereof, or methacryloyl chloride;
Re, Rf, Ri, Rj, Rk, Rl and Rm are independently selected from the group consisting of: H; a linear or branched alkyl group with up to 25 carbons;
-(CH2CH2O)a-(CH2)PORbi ; -(CH2CH2θ)α-(CH2)pNRb2Rω;
-(CH2CH2O)α-(CH2)βCONRb2Rb3, where Rbl, Rb2, and Rb3 are independently selected from the group consisting of a functional group derived from an amino acid; a polypeptide; adenine; guanine; tyrosine; cytosine; uracil; biotin; ferrocene, ruthenocene, cyanuric chloride and derivatives thereof or methacryloyl chloride;
.(CH2CH2O)α-(CH2)βCN; -(CH2CH20)α-(CH2)βCl; .(CH2CH2θ)α-(CH2)βBr;
-(CH2CH2O)α-(CH2)βI; -(CH2CH2O)α-(CH2)β-Phenyl, where 0 < α < 10 and 1 < β < 25; a group of aromatic rings having up to 20 carbons in the aromatic framework; fused aromatic rings; CHO; CN; NO2; Br; Cl; I; phenyl; an acceptor group containing more than two carbon atoms; a functional group derived from an amino acid and NRelRe2; ORe3; where Rel, Re2, Re3 are defined as for R_ and R,,, where R. and R„ are defined as any member of the group consisting of H; a linear or branched alkyl group with up to 25 carbons; -(CH2CH2θ)α-(CH2)βORgι; -(CH2CH2θ)α-(CH2)βNRg2Rg3; -(CH2CH2θ)α-(CH2)βCONRg2Rg3;
-(CH2CH2O)α-(CH2)βCN; -(CH2CH2O)α-(CH2)βCl; -(CH2CH2O)α-(CH2)βBr; -(CH2CH2O)α-(CH2)pI; -(CH2CH2O)α-(CH2)p-Phenyl; aryl groups; fused aromatic rings; polymerizable functionalities;
Rgl, Rg2, and Rg3 are independently selected from: H; a linear or branched alkyl group with up to 25 carbons; a functional group derived from an amino acid; or a polypeptide; adenine; guanine; tyrosine; cytosine; uracil; biotin; ferrocene, ruthenocene, cyanuric chloride and derivatives thereof or methacryloyl chloride.
14. A method according to claim 9, wherein said compound is further defined by a formula
A5 A6 A7 A8
A37 A38 A39 A40
A41 A42 in addition Aa and Ab can be independently selected from Br, Cl, and I; and where 0<m<10, 0<n<10, 0<o<10. ; and where:
X, Y, Z are independently selected from the group consisting of: CRk=CRι; O; S; and N-Rm;
Ra, Rb, Re, Rd are independently selected from the group consisting of: H; a linear or branched alkyl group with up to 25 carbons
-(CH2CH2O)α-(CH2)βORai; -(CH2CH2O)a-(CH2)pNRa2Ra3
-(CH2CH2O)α-(CH2)βCONRa2Ra3 ; -(CH2CH2O)α-(CH2)pCN
-(CH2CH2O)α-(CH2)pCl; -(CH2CH2O)α-(CH2)βBr; -(CH2CH2O)α-(CH2)pI -(CH2CH2O)0-(CH2)ρ-Phenyl; where 0 < α < 10 and 1 < β < 25, a group of aromatic rings having up to 20 carbons in the aromatic ring framework; fused aromatic rings, vinyl; allyl; 4-styryl; acroyl; methacroyl; acrylonitrile, isocyanate; isothiocyanate; epoxides; strained ring olefins; (-CH2)δSiCl3; (-CH2)δSi(OCH2CH3)3; and (-CH2)δSi(OCH3)3; where δ < 25;
Rai, Ra2, and R^ are independently selected from the group consisting of: H; a linear or branched alkyl group with up to 25 carbons, a functional group derived from an amino acid; a polypeptide; adenine; guanine; tyrosine; cytosine; uracil; biotin; ferrocene, ruthenocene, cyanuric chloride and derivatives thereof, or methacryloyl chloride;
Re, Rf, Ri, Rj, Rk, Rl and Rm are independently selected from the group consisting of: H; a linear or branched alkyl group with up to 25 carbons; -(CH2CH2O)cr(CH2)pORbi; -(CH2CH2O)α-(CH2)βNRb2Rb3;
-(CH2CH2O)α-(CH2) CONRb2R1)3, where RDι, Rb2, and Rb3 are independently selected from the group consisting of a functional group derived from an amino acid; a polypeptide; adenine; guanine; tyrosine; cytosine; uracil; biotin; ferrocene, ruthenocene, cyanuric chloride and derivatives thereof or methacryloyl chloride; -(CH2CH2O)α-(CH2)pCN; -(CH2CH2O)α-(CH2)βCl; .(CH2CH2θ)α-(CH2)pBr; -(CH2CH2O)α-(CH2)pI; -(CH2CH20)α-(CH2)β-Phenyl, where 0 < α < 10 and 1 < β < 25; a group of aromatic rings having up to 20 carbons in the aromatic framework; fused aromatic rings; CHO; CN; NO2; Br; Cl; I; phenyl; an acceptor group containing more than two carbon atoms; a functional group derived from an amino acid and NRelRe2; ORe3; where Rel, Re2, Re3 are defined as for R. and R,,, where R. and R„ are defined as any member of the group consisting of H; a linear or branched alkyl group with up to 25 carbons; -(CH2CH2O)a-(CH2)pORgi; -(CH2CH2O)a-(CH2)βNRg2Rg3; -(CH2CH2O)a-(CH2)pCONRg2Rg3; -(CH2CH2O)a-(CH2)βCN; -(CH2CH2O)a-(CH2)pCl; -(CH2CH2O)a-(CH2)pBr; -(CH2CH2O)a-(CH2)pI; -(CH2CH2O)a-(CH2)β-Phenyl; aryl groups; fused aromatic rings; polymerizable functionalities;
Rgl, Rg2, and Rg3 are independently selected from: H; a linear or branched alkyl group with up to 25 carbons; a functional group derived from an amino acid; or a polypeptide; adenine; guanine; tyrosine; cytosine; uracil; biotin; ferrocene, ruthenocene, cyanuric chloride and derivatives thereof or methacryloyl chloride.
15. A method according to claim 9, wherein said bridge is substituted with one or more electron donor groups.
Applications Claiming Priority (8)
| Application Number | Priority Date | Filing Date | Title |
|---|---|---|---|
| US2943396P | 1996-11-12 | 1996-11-12 | |
| US3014196P | 1996-11-12 | 1996-11-12 | |
| US2943796P | 1996-11-12 | 1996-11-12 | |
| US60/029,433 | 1996-11-12 | ||
| US60/030,141 | 1996-11-12 | ||
| US60/029,437 | 1996-11-12 | ||
| US08/965,945 | 1997-11-07 | ||
| US08/965,945 US6267913B1 (en) | 1996-11-12 | 1997-11-07 | Two-photon or higher-order absorbing optical materials and methods of use |
Publications (2)
| Publication Number | Publication Date |
|---|---|
| WO1998021521A1 true WO1998021521A1 (en) | 1998-05-22 |
| WO1998021521A9 WO1998021521A9 (en) | 2000-03-02 |
Family
ID=27487754
Family Applications (1)
| Application Number | Title | Priority Date | Filing Date |
|---|---|---|---|
| PCT/US1997/020596 Ceased WO1998021521A1 (en) | 1996-11-12 | 1997-11-10 | Two-photon or higher-order absorbing optical materials and methods of use |
Country Status (1)
| Country | Link |
|---|---|
| WO (1) | WO1998021521A1 (en) |
Cited By (59)
| Publication number | Priority date | Publication date | Assignee | Title |
|---|---|---|---|---|
| JP2000230132A (en) * | 1998-12-07 | 2000-08-22 | Sony Corp | Bis (aminostyryl) benzene compounds and their synthetic intermediates, and methods for their production |
| WO2001096409A3 (en) * | 2000-06-15 | 2002-04-04 | 3M Innovative Properties Co | Multiphoton photosensitization system |
| KR20020058980A (en) * | 2000-12-30 | 2002-07-12 | 오길록 | Compound with two-photon absorption effect and the polymer therefrom |
| US6558851B1 (en) | 1999-10-28 | 2003-05-06 | Holo Tech A.S. | Optical medium for registration of holographic interferograms |
| EP1087717A4 (en) * | 1998-06-12 | 2003-05-28 | Photogen Inc | Improved methods and apparatus for multi-photon photo-activation of therapeutic agents |
| WO2004031862A1 (en) * | 2002-10-02 | 2004-04-15 | 3M Innovative Properties Company | Multi-photon reactive compositions with inorganic particles and method for fabricating structures |
| WO2004058740A1 (en) * | 2002-11-29 | 2004-07-15 | Infineon Technologies Ag | Amino-substituted oligothiophenes as organic semiconductor materials |
| US6767685B2 (en) | 1999-12-03 | 2004-07-27 | Fuji Photo Film Co., Ltd. | Plate-making method, plate-making apparatus used in such plate-making method, and image recording material |
| EP1071909A4 (en) * | 1998-04-16 | 2005-02-02 | California Inst Of Techn | OPTICAL MATERIALS WITH COMPOUNDS OF HIGH BI OR MULTIPHOTONIC ABSORPTION |
| US6852766B1 (en) | 2000-06-15 | 2005-02-08 | 3M Innovative Properties Company | Multiphoton photosensitization system |
| US6855478B2 (en) | 2000-06-15 | 2005-02-15 | 3M Innovative Properties Company | Microfabrication of organic optical elements |
| WO2004110607A3 (en) * | 2002-10-02 | 2005-04-21 | 3M Innovative Properties Co | Multiphoton photosensitization method |
| US7014988B2 (en) | 2000-06-15 | 2006-03-21 | 3M Innovative Properties Company | Multiphoton curing to provide encapsulated optical elements |
| US7026103B2 (en) | 2000-06-15 | 2006-04-11 | 3M Innovative Properties Company | Multicolor imaging using multiphoton photochemical processes |
| US7060419B2 (en) | 2000-06-15 | 2006-06-13 | 3M Innovative Properties Company | Process for producing microfluidic articles |
| US7118845B2 (en) | 2000-06-15 | 2006-10-10 | 3M Innovative Properties Company | Multiphoton photochemical process and articles preparable thereby |
| US7232650B2 (en) | 2002-10-02 | 2007-06-19 | 3M Innovative Properties Company | Planar inorganic device |
| EP1390664A4 (en) * | 2001-03-30 | 2008-01-02 | Univ Arizona | MATERIALS, METHODS AND USES FOR THE PHOTOCHEMICAL PRODUCTION OF ACIDS AND / OR RADICAL SPECIALTIES |
| US7381516B2 (en) | 2002-10-02 | 2008-06-03 | 3M Innovative Properties Company | Multiphoton photosensitization system |
| EP1084454A4 (en) * | 1998-04-21 | 2008-09-10 | Univ Connecticut | ARBITRARY MANUFACTURE IN THE NANOMETER AREA WITH MULTIPHOTONE EXCITEMENT |
| DE112006003494T5 (en) | 2005-12-21 | 2008-10-30 | 3M Innovative Properties Co., Saint Paul | Method and apparatus for processing multiphoton curable photoreactive compositions |
| EP2043096A1 (en) | 2007-09-28 | 2009-04-01 | FUJIFILM Corporation | Two-photon absorption recording material containing dye having polymerizable group |
| US7583444B1 (en) | 2005-12-21 | 2009-09-01 | 3M Innovative Properties Company | Process for making microlens arrays and masterforms |
| US7582685B2 (en) | 2004-12-29 | 2009-09-01 | 3M Innovative Properties Company | Multi-photon polymerizable pre-ceramic polymeric compositions |
| US7655376B2 (en) | 2003-12-05 | 2010-02-02 | 3M Innovative Properties Company | Process for producing photonic crystals and controlled defects therein |
| US7936956B2 (en) | 2006-05-18 | 2011-05-03 | 3M Innovative Properties Company | Process for making light guides with extraction structures and light guides produced thereby |
| WO2012003215A1 (en) | 2010-06-30 | 2012-01-05 | 3M Innovative Properties Company | Retarder film combinations with spatially selective birefringence reduction |
| US8124299B2 (en) | 2009-08-31 | 2012-02-28 | General Electric Company | Methods for using optical data storage media |
| US8182967B2 (en) | 2009-08-31 | 2012-05-22 | General Electric Company | Optical data storage media and methods for using the same |
| US8197722B2 (en) | 1996-11-12 | 2012-06-12 | The California Institute Of Technology | Two-photon or higher-order absorbing optical materials and methods of use |
| WO2012106512A2 (en) | 2011-02-02 | 2012-08-09 | 3M Innovative Properties Company | Nozzle and method of making same |
| WO2012145282A2 (en) | 2011-04-22 | 2012-10-26 | 3M Innovative Properties Company | Enhanced multi-photon imaging resolution method |
| EP2239629A4 (en) * | 2008-01-30 | 2012-10-31 | Univ Osaka | OPTICAL RECORDING MATERIAL, OPTICAL RECORDING METHOD, PHOTOSENSITIVE MATERIAL, PHOTOLITHOGRAPHY METHOD, PHOTOPOLYMERIZATION INITIATOR, AND PHOTOSENSITIZING AGENT |
| WO2012170204A1 (en) | 2011-06-08 | 2012-12-13 | 3M Innovative Properties Company | Photoresists containing polymer-tethered nanoparticles |
| US8411120B2 (en) | 2008-05-15 | 2013-04-02 | 3M Innovative Properties Company | Generation of color images |
| CN103124924A (en) * | 2010-08-05 | 2013-05-29 | 日东电工株式会社 | Photorefractive composition responsive to multiple laser wavelengths across the visible light spectrum |
| US8507153B2 (en) | 2009-08-31 | 2013-08-13 | General Electric Company | Compositions, optical data storage media and methods for using the optical data storage media |
| WO2013130297A1 (en) | 2012-02-28 | 2013-09-06 | 3M Innovative Properties Company | Multiphoton curing methods using negative contrast compositions |
| US8703388B2 (en) | 2009-08-31 | 2014-04-22 | General Electric Company | Optical data storage media |
| US20140219072A1 (en) * | 2011-06-09 | 2014-08-07 | Case Western Reserve University | Optical information storage medium |
| US8858807B2 (en) | 2006-03-24 | 2014-10-14 | 3M Innovative Properties Company | Process for making microneedles, microneedle arrays, masters, and replication tools |
| US8975012B2 (en) | 2010-06-30 | 2015-03-10 | 3M Innovative Properties Company | Multi-layer articles capable of forming color images and methods of forming color images |
| US8975011B2 (en) | 2010-06-30 | 2015-03-10 | 3M Innovative Properties Company | Multi-layer articles capable of forming color images and method of forming color images |
| US9045654B2 (en) | 2008-05-15 | 2015-06-02 | 3M Innovative Properties Company | Multilayer articles capable of forming color images |
| US9081147B2 (en) | 2012-01-03 | 2015-07-14 | 3M Innovative Properties Company | Effective media retarder films with spatially selective birefringence reduction |
| US9101956B2 (en) | 2010-06-30 | 2015-08-11 | 3M Innovative Properties Company | Mask processing using films with spatially selective birefringence reduction |
| CN105693618A (en) * | 2016-02-25 | 2016-06-22 | 浙江工业大学 | 4,5-diphenylimidazole capped compound and its preparation and application |
| CN105732477A (en) * | 2016-02-25 | 2016-07-06 | 浙江工业大学 | Intramolecular charge transfer compound and its synthesis method and application |
| CN106242936A (en) * | 2016-08-03 | 2016-12-21 | 红河学院 | One class is to diphenylethyllene benzene and to benzene divinyl analog derivative and preparation method thereof |
| US9939560B2 (en) | 2010-06-30 | 2018-04-10 | 3M Innovative Properties Company | Diffuse reflective optical films with spatially selective birefringence reduction |
| US10133174B2 (en) | 2013-12-06 | 2018-11-20 | 3M Innovative Properties Company | Liquid photoreactive composition and method of fabricating structures |
| US10196343B2 (en) | 2013-01-30 | 2019-02-05 | Ecolab Usa Inc. | Hydrogen sulfide scavengers |
| US10308886B2 (en) | 2015-04-22 | 2019-06-04 | Ecolab Usa Inc. | Development of a novel high temperature stable scavenger for removal of hydrogen sulfide |
| US10336950B2 (en) | 2016-07-29 | 2019-07-02 | Ecolab Usa Inc. | Antifouling and hydrogen sulfide scavenging compositions and methods |
| US10407626B2 (en) | 2015-09-08 | 2019-09-10 | Ecolab Usa Inc. | Hydrocarbon soluble/dispersible hemiformals as hydrogen sulfide scavengers |
| US10538710B2 (en) | 2017-07-13 | 2020-01-21 | Ecolab Usa Inc. | Hydrogen sulfide scavengers |
| US10584286B2 (en) | 2015-09-08 | 2020-03-10 | Ecolab Usa Inc. | Hydrogen sulfide scavengers |
| US11211091B2 (en) | 2011-06-09 | 2021-12-28 | Case Western Reserve University | Optical information storage medium |
| US11499108B2 (en) | 2019-01-23 | 2022-11-15 | Championx Usa Inc. | Complete removal of solids during hydrogen sulfide scavenging operations using a scavenger and a Michael acceptor |
Families Citing this family (3)
| Publication number | Priority date | Publication date | Assignee | Title |
|---|---|---|---|---|
| WO2001096961A2 (en) | 2000-06-15 | 2001-12-20 | 3M Innovative Properties Company | Multipass multiphoton absorption method and apparatus |
| ATE534500T1 (en) | 2007-09-06 | 2011-12-15 | 3M Innovative Properties Co | METHOD FOR SHAPING MOLDING TOOLS AND METHOD FOR SHAPING ARTICLES USING THE MOLDING TOOLS |
| US8605256B2 (en) | 2008-02-26 | 2013-12-10 | 3M Innovative Properties Company | Multi-photon exposure system |
Citations (2)
| Publication number | Priority date | Publication date | Assignee | Title |
|---|---|---|---|---|
| US5034613A (en) * | 1989-11-14 | 1991-07-23 | Cornell Research Foundation, Inc. | Two-photon laser microscopy |
| US5523573A (en) * | 1994-01-26 | 1996-06-04 | Haenninen; Pekka | Method for the excitation of dyes |
-
1997
- 1997-11-10 WO PCT/US1997/020596 patent/WO1998021521A1/en not_active Ceased
Patent Citations (2)
| Publication number | Priority date | Publication date | Assignee | Title |
|---|---|---|---|---|
| US5034613A (en) * | 1989-11-14 | 1991-07-23 | Cornell Research Foundation, Inc. | Two-photon laser microscopy |
| US5523573A (en) * | 1994-01-26 | 1996-06-04 | Haenninen; Pekka | Method for the excitation of dyes |
Cited By (85)
| Publication number | Priority date | Publication date | Assignee | Title |
|---|---|---|---|---|
| US7235194B2 (en) | 1996-11-12 | 2007-06-26 | California Institute Of Technology | Two-photon or higher-order absorbing optical materials for generation of reactive species |
| US8197722B2 (en) | 1996-11-12 | 2012-06-12 | The California Institute Of Technology | Two-photon or higher-order absorbing optical materials and methods of use |
| EP1071909A4 (en) * | 1998-04-16 | 2005-02-02 | California Inst Of Techn | OPTICAL MATERIALS WITH COMPOUNDS OF HIGH BI OR MULTIPHOTONIC ABSORPTION |
| EP1084454A4 (en) * | 1998-04-21 | 2008-09-10 | Univ Connecticut | ARBITRARY MANUFACTURE IN THE NANOMETER AREA WITH MULTIPHOTONE EXCITEMENT |
| EP1087717A4 (en) * | 1998-06-12 | 2003-05-28 | Photogen Inc | Improved methods and apparatus for multi-photon photo-activation of therapeutic agents |
| JP2000230132A (en) * | 1998-12-07 | 2000-08-22 | Sony Corp | Bis (aminostyryl) benzene compounds and their synthetic intermediates, and methods for their production |
| US6558851B1 (en) | 1999-10-28 | 2003-05-06 | Holo Tech A.S. | Optical medium for registration of holographic interferograms |
| US7157210B2 (en) | 1999-12-03 | 2007-01-02 | Fuji Photo Film Co.-, Ltd. | Plate-making method, plate-making apparatus used in such plate-making method, and image recording material |
| US6767685B2 (en) | 1999-12-03 | 2004-07-27 | Fuji Photo Film Co., Ltd. | Plate-making method, plate-making apparatus used in such plate-making method, and image recording material |
| US6855478B2 (en) | 2000-06-15 | 2005-02-15 | 3M Innovative Properties Company | Microfabrication of organic optical elements |
| US6852766B1 (en) | 2000-06-15 | 2005-02-08 | 3M Innovative Properties Company | Multiphoton photosensitization system |
| US7014988B2 (en) | 2000-06-15 | 2006-03-21 | 3M Innovative Properties Company | Multiphoton curing to provide encapsulated optical elements |
| US7026103B2 (en) | 2000-06-15 | 2006-04-11 | 3M Innovative Properties Company | Multicolor imaging using multiphoton photochemical processes |
| US7060419B2 (en) | 2000-06-15 | 2006-06-13 | 3M Innovative Properties Company | Process for producing microfluidic articles |
| US7118845B2 (en) | 2000-06-15 | 2006-10-10 | 3M Innovative Properties Company | Multiphoton photochemical process and articles preparable thereby |
| KR100813320B1 (en) * | 2000-06-15 | 2008-03-12 | 쓰리엠 이노베이티브 프로퍼티즈 캄파니 | Multiphoton photosensitive system |
| WO2001096409A3 (en) * | 2000-06-15 | 2002-04-04 | 3M Innovative Properties Co | Multiphoton photosensitization system |
| KR20020058980A (en) * | 2000-12-30 | 2002-07-12 | 오길록 | Compound with two-photon absorption effect and the polymer therefrom |
| EP1390664A4 (en) * | 2001-03-30 | 2008-01-02 | Univ Arizona | MATERIALS, METHODS AND USES FOR THE PHOTOCHEMICAL PRODUCTION OF ACIDS AND / OR RADICAL SPECIALTIES |
| US7459106B2 (en) | 2001-03-30 | 2008-12-02 | The Arizona Board Of Regents On Behalf Of The University Of Arizona | Materials, methods, and uses for photochemical generation of acids and/or radical species |
| US7232650B2 (en) | 2002-10-02 | 2007-06-19 | 3M Innovative Properties Company | Planar inorganic device |
| CN100580552C (en) * | 2002-10-02 | 2010-01-13 | 3M创新有限公司 | Multiphoton active composition with inorganic particles and method of making structures |
| WO2004031862A1 (en) * | 2002-10-02 | 2004-04-15 | 3M Innovative Properties Company | Multi-photon reactive compositions with inorganic particles and method for fabricating structures |
| US7381516B2 (en) | 2002-10-02 | 2008-06-03 | 3M Innovative Properties Company | Multiphoton photosensitization system |
| US7005229B2 (en) | 2002-10-02 | 2006-02-28 | 3M Innovative Properties Company | Multiphoton photosensitization method |
| WO2004110607A3 (en) * | 2002-10-02 | 2005-04-21 | 3M Innovative Properties Co | Multiphoton photosensitization method |
| US7790347B2 (en) | 2002-10-02 | 2010-09-07 | 3M Innovative Properties Company | Multi-photon reacted articles with inorganic particles and method for fabricating structures |
| US7265161B2 (en) | 2002-10-02 | 2007-09-04 | 3M Innovative Properties Company | Multi-photon reactive compositions with inorganic particles and method for fabricating structures |
| CN100549823C (en) * | 2002-10-02 | 2009-10-14 | 3M创新有限公司 | multiphoton photosensitization method |
| WO2004058740A1 (en) * | 2002-11-29 | 2004-07-15 | Infineon Technologies Ag | Amino-substituted oligothiophenes as organic semiconductor materials |
| US7655376B2 (en) | 2003-12-05 | 2010-02-02 | 3M Innovative Properties Company | Process for producing photonic crystals and controlled defects therein |
| US7582685B2 (en) | 2004-12-29 | 2009-09-01 | 3M Innovative Properties Company | Multi-photon polymerizable pre-ceramic polymeric compositions |
| US7583444B1 (en) | 2005-12-21 | 2009-09-01 | 3M Innovative Properties Company | Process for making microlens arrays and masterforms |
| US7893410B2 (en) | 2005-12-21 | 2011-02-22 | 3M Innovative Properties Company | Method and apparatus for processing multiphoton curable photoreactive compositions |
| DE112006003494T5 (en) | 2005-12-21 | 2008-10-30 | 3M Innovative Properties Co., Saint Paul | Method and apparatus for processing multiphoton curable photoreactive compositions |
| US8004767B2 (en) | 2005-12-21 | 2011-08-23 | 3M Innovative Properties Company | Process for making microlens arrays and masterforms |
| US8858807B2 (en) | 2006-03-24 | 2014-10-14 | 3M Innovative Properties Company | Process for making microneedles, microneedle arrays, masters, and replication tools |
| EP2468487A1 (en) | 2006-05-18 | 2012-06-27 | 3M Innovative Properties Company of 3M Center | Light extraction structures and light guides incorporating same |
| US7941013B2 (en) | 2006-05-18 | 2011-05-10 | 3M Innovative Properties Company | Process for making light guides with extraction structures and light guides produced thereby |
| US7936956B2 (en) | 2006-05-18 | 2011-05-03 | 3M Innovative Properties Company | Process for making light guides with extraction structures and light guides produced thereby |
| US9329326B2 (en) | 2006-05-18 | 2016-05-03 | 3M Innovative Properties Company | Process for making light guides with extraction structures and light guides produced thereby |
| EP2043096A1 (en) | 2007-09-28 | 2009-04-01 | FUJIFILM Corporation | Two-photon absorption recording material containing dye having polymerizable group |
| EP2239629A4 (en) * | 2008-01-30 | 2012-10-31 | Univ Osaka | OPTICAL RECORDING MATERIAL, OPTICAL RECORDING METHOD, PHOTOSENSITIVE MATERIAL, PHOTOLITHOGRAPHY METHOD, PHOTOPOLYMERIZATION INITIATOR, AND PHOTOSENSITIZING AGENT |
| US9045654B2 (en) | 2008-05-15 | 2015-06-02 | 3M Innovative Properties Company | Multilayer articles capable of forming color images |
| US8411120B2 (en) | 2008-05-15 | 2013-04-02 | 3M Innovative Properties Company | Generation of color images |
| US8507153B2 (en) | 2009-08-31 | 2013-08-13 | General Electric Company | Compositions, optical data storage media and methods for using the optical data storage media |
| US8124299B2 (en) | 2009-08-31 | 2012-02-28 | General Electric Company | Methods for using optical data storage media |
| US8182967B2 (en) | 2009-08-31 | 2012-05-22 | General Electric Company | Optical data storage media and methods for using the same |
| US8703388B2 (en) | 2009-08-31 | 2014-04-22 | General Electric Company | Optical data storage media |
| US9423545B2 (en) | 2010-06-30 | 2016-08-23 | 3M Innovative Properties Company | Mask processing using films with spatially selective birefringence reduction |
| US9101956B2 (en) | 2010-06-30 | 2015-08-11 | 3M Innovative Properties Company | Mask processing using films with spatially selective birefringence reduction |
| US9939560B2 (en) | 2010-06-30 | 2018-04-10 | 3M Innovative Properties Company | Diffuse reflective optical films with spatially selective birefringence reduction |
| WO2012003215A1 (en) | 2010-06-30 | 2012-01-05 | 3M Innovative Properties Company | Retarder film combinations with spatially selective birefringence reduction |
| US8975012B2 (en) | 2010-06-30 | 2015-03-10 | 3M Innovative Properties Company | Multi-layer articles capable of forming color images and methods of forming color images |
| US8975011B2 (en) | 2010-06-30 | 2015-03-10 | 3M Innovative Properties Company | Multi-layer articles capable of forming color images and method of forming color images |
| US9097858B2 (en) | 2010-06-30 | 2015-08-04 | 3M Innovative Properties Company | Retarder film combinations with spatially selective birefringence reduction |
| US9810930B2 (en) | 2010-06-30 | 2017-11-07 | 3M Innovative Properties Company | Mask processing using films with spatially selective birefringence reduction |
| CN103124924A (en) * | 2010-08-05 | 2013-05-29 | 日东电工株式会社 | Photorefractive composition responsive to multiple laser wavelengths across the visible light spectrum |
| US10054094B2 (en) | 2011-02-02 | 2018-08-21 | 3M Innovative Properties Company | Microstructured pattern for forming a nozzle pre-form |
| EP3467300A1 (en) | 2011-02-02 | 2019-04-10 | 3M Innovative Properties Co. | Nozzle |
| WO2012106512A2 (en) | 2011-02-02 | 2012-08-09 | 3M Innovative Properties Company | Nozzle and method of making same |
| WO2012145282A2 (en) | 2011-04-22 | 2012-10-26 | 3M Innovative Properties Company | Enhanced multi-photon imaging resolution method |
| US9104100B2 (en) | 2011-06-08 | 2015-08-11 | 3M Innovative Properties Company | Photoresists containing polymer-tethered nanoparticles |
| WO2012170204A1 (en) | 2011-06-08 | 2012-12-13 | 3M Innovative Properties Company | Photoresists containing polymer-tethered nanoparticles |
| US20140219072A1 (en) * | 2011-06-09 | 2014-08-07 | Case Western Reserve University | Optical information storage medium |
| US11211091B2 (en) | 2011-06-09 | 2021-12-28 | Case Western Reserve University | Optical information storage medium |
| US9275671B2 (en) * | 2011-06-09 | 2016-03-01 | Case Western Reserve University | Optical information storage medium |
| US10229709B2 (en) | 2011-06-09 | 2019-03-12 | Case Western Reserve University | Optical information storage medium |
| US9851484B2 (en) | 2012-01-03 | 2017-12-26 | 3M Innovative Properties Company | Effective media retarder films with spatially selective birefringence reduction |
| US9081147B2 (en) | 2012-01-03 | 2015-07-14 | 3M Innovative Properties Company | Effective media retarder films with spatially selective birefringence reduction |
| WO2013130297A1 (en) | 2012-02-28 | 2013-09-06 | 3M Innovative Properties Company | Multiphoton curing methods using negative contrast compositions |
| US10703710B2 (en) | 2013-01-30 | 2020-07-07 | Ecolab Usa Inc. | Hydrogen sulfide scavengers |
| US10196343B2 (en) | 2013-01-30 | 2019-02-05 | Ecolab Usa Inc. | Hydrogen sulfide scavengers |
| US11339118B2 (en) | 2013-01-30 | 2022-05-24 | Ecolab Usa Inc. | Hydrogen sulfide scavengers |
| US10133174B2 (en) | 2013-12-06 | 2018-11-20 | 3M Innovative Properties Company | Liquid photoreactive composition and method of fabricating structures |
| US11085002B2 (en) | 2015-04-22 | 2021-08-10 | Championx Usa Inc. | Development of a novel high temperature stable scavenger for removal of hydrogen sulfide |
| US10308886B2 (en) | 2015-04-22 | 2019-06-04 | Ecolab Usa Inc. | Development of a novel high temperature stable scavenger for removal of hydrogen sulfide |
| US10407626B2 (en) | 2015-09-08 | 2019-09-10 | Ecolab Usa Inc. | Hydrocarbon soluble/dispersible hemiformals as hydrogen sulfide scavengers |
| US10584286B2 (en) | 2015-09-08 | 2020-03-10 | Ecolab Usa Inc. | Hydrogen sulfide scavengers |
| CN105693618A (en) * | 2016-02-25 | 2016-06-22 | 浙江工业大学 | 4,5-diphenylimidazole capped compound and its preparation and application |
| CN105732477A (en) * | 2016-02-25 | 2016-07-06 | 浙江工业大学 | Intramolecular charge transfer compound and its synthesis method and application |
| US10336950B2 (en) | 2016-07-29 | 2019-07-02 | Ecolab Usa Inc. | Antifouling and hydrogen sulfide scavenging compositions and methods |
| CN106242936A (en) * | 2016-08-03 | 2016-12-21 | 红河学院 | One class is to diphenylethyllene benzene and to benzene divinyl analog derivative and preparation method thereof |
| US10538710B2 (en) | 2017-07-13 | 2020-01-21 | Ecolab Usa Inc. | Hydrogen sulfide scavengers |
| US11499108B2 (en) | 2019-01-23 | 2022-11-15 | Championx Usa Inc. | Complete removal of solids during hydrogen sulfide scavenging operations using a scavenger and a Michael acceptor |
Also Published As
| Publication number | Publication date |
|---|---|
| WO1998021521A9 (en) | 2000-03-02 |
Similar Documents
| Publication | Publication Date | Title |
|---|---|---|
| US6267913B1 (en) | Two-photon or higher-order absorbing optical materials and methods of use | |
| WO1998021521A1 (en) | Two-photon or higher-order absorbing optical materials and methods of use | |
| US6608228B1 (en) | Two-photon or higher-order absorbing optical materials for generation of reactive species | |
| JP5738554B2 (en) | Composition, optical data storage medium and method of using optical data storage medium | |
| CN102005220B (en) | Compositions, optical data storage media and methods for using the optical data storage media | |
| JP5774104B2 (en) | Photorefractive composition responsive to multiple laser wavelengths in the visible light spectrum | |
| JP2009545006A (en) | Nonlinear optical device with long grating persistence | |
| US8178261B2 (en) | Optical data storage media and methods for using the same | |
| US6969578B2 (en) | Optical recording material | |
| US6569600B2 (en) | Optical recording material | |
| KR20130054917A (en) | Reverse saturable absorbtion sensitizers for optical data storage media and methods for use | |
| JP5273640B2 (en) | Thermal irreversible reverse photochromic molecular material | |
| JP2013003590A (en) | Method for recording data in optical data storage medium and optical data storage medium | |
| Marder et al. | Two-photon or higher-order absorbing optical materials and methods of use | |
| US8703388B2 (en) | Optical data storage media | |
| Liu et al. | Two-photon absorption of photochromic diarylethene and its application to rewritable holographic recording | |
| Cumpston et al. | Two-photon or higher-order absorbing optical materials for generation of reactive species | |
| JP2012137549A (en) | Two-photon absorbing material and use thereof | |
| Corredor | Two-photon 3D optical data storage via fluorescence modulation of fluorene dyes by photochromic diarylethenes | |
| JP2006185506A (en) | Optical recording medium |
Legal Events
| Date | Code | Title | Description |
|---|---|---|---|
| AK | Designated states |
Kind code of ref document: A1 Designated state(s): JP |
|
| AL | Designated countries for regional patents |
Kind code of ref document: A1 Designated state(s): AT BE CH DE DK ES FI FR GB GR IE IT LU MC NL PT SE |
|
| DFPE | Request for preliminary examination filed prior to expiration of 19th month from priority date (pct application filed before 20040101) | ||
| 121 | Ep: the epo has been informed by wipo that ep was designated in this application | ||
| 122 | Ep: pct application non-entry in european phase | ||
| AK | Designated states |
Kind code of ref document: C2 Designated state(s): JP |
|
| AL | Designated countries for regional patents |
Kind code of ref document: C2 Designated state(s): AT BE CH DE DK ES FI FR GB GR IE IT LU MC NL PT SE |
|
| COP | Corrected version of pamphlet |
Free format text: PAGE 120, CLAIMS, REPLACED BY CORRECT PAGE 120 |




































































































































































