WO1998018770A1 - A process for the preparation of (-)-3,4-trans-diarylchromans - Google Patents
A process for the preparation of (-)-3,4-trans-diarylchromans Download PDFInfo
- Publication number
- WO1998018770A1 WO1998018770A1 PCT/DK1997/000476 DK9700476W WO9818770A1 WO 1998018770 A1 WO1998018770 A1 WO 1998018770A1 DK 9700476 W DK9700476 W DK 9700476W WO 9818770 A1 WO9818770 A1 WO 9818770A1
- Authority
- WO
- WIPO (PCT)
- Prior art keywords
- process according
- cis
- alkyl
- salt
- phenyl
- Prior art date
- Legal status (The legal status is an assumption and is not a legal conclusion. Google has not performed a legal analysis and makes no representation as to the accuracy of the status listed.)
- Ceased
Links
Classifications
-
- C—CHEMISTRY; METALLURGY
- C07—ORGANIC CHEMISTRY
- C07D—HETEROCYCLIC COMPOUNDS
- C07D311/00—Heterocyclic compounds containing six-membered rings having one oxygen atom as the only hetero atom, condensed with other rings
- C07D311/02—Heterocyclic compounds containing six-membered rings having one oxygen atom as the only hetero atom, condensed with other rings ortho- or peri-condensed with carbocyclic rings or ring systems
- C07D311/74—Benzo[b]pyrans, hydrogenated in the carbocyclic ring
Definitions
- the present invention relates to a novel and advantageous process for the preparation of (-)- 3,4-trans-diarylchromans of the following formula I:
- R 1 , R 4 and R 5 are individually hydrogen, hydroxy, halogen, trifluoromethyl, C 1-6 alkyl, C ⁇ alkoxy or -0-(CH 2 ) n -NR 6 R 7 wherein n is an integer in the range of 1 to 6 and R 6 and R 7 independently are C ⁇ alkyl or R 6 and R 7 together with the N atom is a saturated or unsaturated 5- or 6- membered heterocyclic group containing one or two heteroatom(s) which het- erocyclic group is optionally substituted with C h alky!; and R 2 and R 3 are individually hydrogen or C 1-6 alkyl; and salts thereof.
- the present invention provides a process which comprises reacting a (+,-)-3,4-cis- diarylchroman with a chiral acid, e.g. (-)-di-p-toluoyltartaric acid, in an inert organic solvent to obtain the chiral acid salt, e.g. (-)-di-p-toluoyltartaric acid salt, of the (-)-3,4-cis enantiomer in crystalline form, subjecting the crystalline salt to hydrolysis and rearranging the (-)-3,4-cis enantiomer to the (-)-3,4-trans enantiomer with a strong base in an inert aprotic solvent.
- a chiral acid e.g. (-)-di-p-toluoyltartaric acid
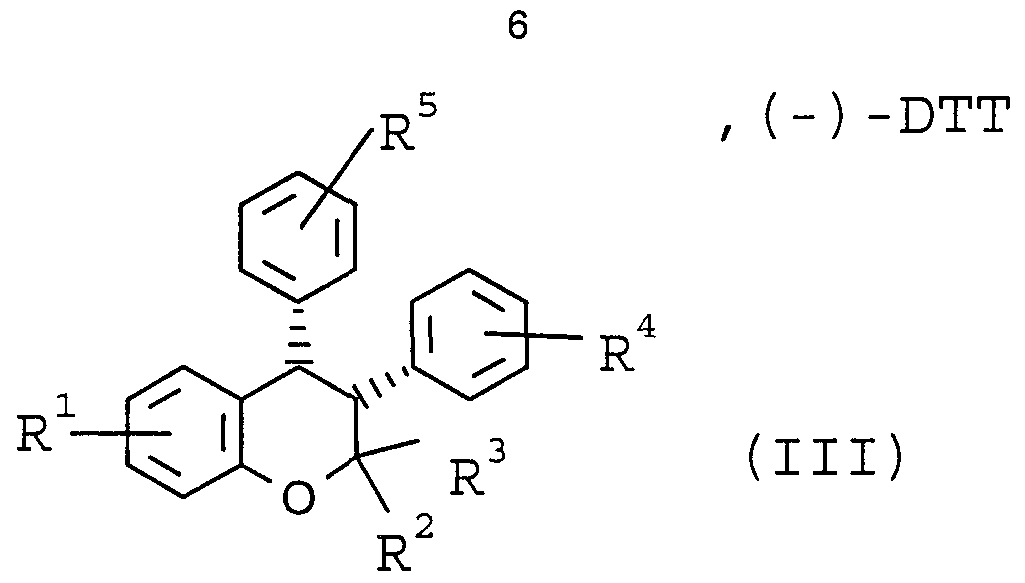
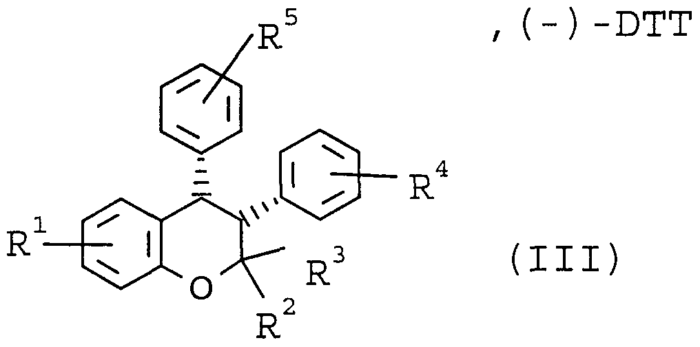
- the present invention also relates to novel intermediates of formula III
- R ⁇ R 2 , R 3 ,R 4 and R 5 are as defined above; or a salt thereof, useful in the preparation of the compounds of formula I.
- U.S. Pat. No. 5,280,040 discloses a class of 3,4-diarylchromans and their salts useful in the treatment of bone loss due to osteoporosis or other conditions. Furthermore, PCT/DK96/00014 discloses that these compounds are useful in the treatment of hyperlipoproteinaemia, hypertriglyceridaemia, hyperlipidaemia, or hypercholesterolaemia or arteriosclerosis or for anticoaguiative treatment.
- PCT/DK96/00015 discloses that these compounds are useful in the treatment of gynaecological disorders, such as endometriosis, dysfunctional bleedings, endometrial cancer, polycystic ovarian syndrome and anovulatoric bleeding and for the induction of endometrial thinning.
- the compounds are also known to have useful effects on gynaecomastia, obesity, vasodilation (respectively from PCT/DK96/00012, PCT/DK96/00011 , and PCT/DK96/00013) and furthermore on e.g. Alzheimers disease (PCT/DK96/00010).
- Example 1 of U.S. Pat. No. 4,447,622 describes the preparation of the (-)-3,4-trans enantiomer, shown by the following formula :
- One object of the present invention is therefore to provide a new and improved process for the preparation of (-)-3,4-trans enantiomers of compounds of formula I which process is adaptable to large scale manufacture, provide good yields and high purity and reduce the cost of manufacture.
- Another object of the present invention is to provide a new intermediate of formula III, which is useful in the preparation of compounds of formula I.
- R 1 , R 4 and R 5 are individually hydrogen, hydroxy, halogen, trifluoromethyl, C 1- ⁇ alkyl, C,. 6 alkoxy or -0-(CH 2 ) n -NR 6 R 7 wherein n is an integer in the range of 1 to 6 and R 6 and R 7 independently are C ⁇ alkyl or R 6 and R 7 together with the N atom is a saturated or unsaturated 5- or 6- membered heterocyclic group containing one or two heteroatom(s) which heterocyclic group is optionally substituted with C,. ⁇ alkyl; and R 2 and R 3 are individually hydrogen or C 1- ⁇ alkyl; or a salt thereof, comprises treating a cis-racemate of a compound of formula II
- R 1 , R 2 , R 3 ,R 4 and R 5 are as defined above or a salt thereof with a chiral acid in an inert organic solvent, crystallizing the chiral acid salt of the (-)-3,4-cis enantiomer, hydrolyz- ing the optically active acid salt and rearranging the resulting (-)-3,4-cis enantiomer to the corresponding (-)-3,4-trans enantiomer of above formula I by treatment with a strong base in an aprotic solvent and optionally forming a salt thereof .
- R 1 , R 4 and R 5 are individually hydrogen, hydroxy, halogen, trifluoromethyl, C ⁇ alkyl, C ⁇ alkoxy or -0-(CH 2 ) n -NR 6 R 7 wherein n is an integer in the range of 1 to 6 and R 6 and R 7 independently are C ⁇ alkyl or R 6 and R 7 together with the N atom is a saturated or unsaturated 5- or 6- membered heterocyclic group containing one or two heteroatom(s) which heterocyclic group is optionally substituted with C ⁇ alkyl; and R 2 and R 3 are individually hydrogen or C ⁇ alkyl; or a salt thereof, comprises treating a cis-racemate of a compound of formula II
- R ⁇ R 2 , R 3 ,R 4 and R 5 are as defined above or a salt thereof with (-)-di-p- toluoyltartaric acid in an inert organic solvent, crystallizing the (-)-di-p-toluoyltartaric acid salt of the (-)-3,4-cis enantiomer of formula III
- R ⁇ R 2 , R 3 ,R 4 and R 5 are as defined above, hydrolyzing the optically active acid salt and rearranging the resulting (-)-3,4-cis enantiomer to the corresponding (-)-3,4-trans enantiomer of above formula I by treatment with a strong base in an aprotic solvent and optionally forming a salt thereof .
- R 1 , R 2 , R 3 ,R 4 and R 5 are as defined above; and salts thereof.
- Intermediates of formula III are useful for preparing the compounds of formula I, and moreover, some of these compounds of formula III posess the same pharmaceutical activity as compounds of formula I.
- a preferred embodiment of the compound of formula III is the (-)-di-p-toluoyltartahc acid salt having the formula
- R 2 and R 3 preferably are the same and C,. 6 alkyl, especially methyl;
- R 4 is preferably hydrogen; and
- R 5 is preferably -0-(CH 2 ) n -NR 6 R 7 wherein n is 2 and R 6 and R 7 together with the N atom is a saturated or unsaturated 5- or 6- membered heterocyclic group containing one or two heteroatom(s) and optionally substituted with C,. 6 alkyl.
- R 1 is in the 7-position and is hydroxy or C ⁇ aikoxy, particularly methoxy; each of R 2 and R 3 is methyl, R 4 is hydrogen, and R 5 is in the 4-position and is 2-(pyrrolidin-1-yl)ethoxy.
- a preferred embodiment of the intermediate of formula III is 3,4-cis-7-methoxy-2,2-dimethyl- 3-phenyl-4- ⁇ 4-[2-(pyrrolidin-1-yl)ethoxy]phenyl ⁇ chromane or a salt thereof.
- the compound of formula III can be obtained directly in a purity of more than 99% ee (enantiomeric excess) without further crystallization and that a stereoselective rearrangement of the (-)-3,4-cis enantiomer to the corresponding (-)-3,4- trans enatiomer of formula I is possible without any loss of chiral purity.
- R ⁇ R 2 , R 3 ,R 4 and R s are as defined above.
- the cis-racemate of formula II is reacted with a chiral acid like e.g. tartaric acid, lactic acid, mandelic acid, dibenzoyl tartaric acid camphorsulphonic acid or (-)- di-p- toluoyltartaric acid in an inert organic solvent.
- a chiral acid like e.g. tartaric acid, lactic acid, mandelic acid, dibenzoyl tartaric acid camphorsulphonic acid or (-)- di-p- toluoyltartaric acid in an inert organic solvent.
- (-)-Di-p-toluoyltartaric acid is the preferred chiral acid.
- the resulting optically active acid salt of the (-)-3,4-cis enantiomer of formula II crystallizes from the reaction mixture by cooling.
- any such solvent which is not attacked by the conditions may be used for example a C, 6 -alkanol or mixtures thereof with water, tetrahydrofuran, acetone or acetonitril. It is preferred to use a C, 6 -alkanol as the organic solvent e.g. methanol, etha- nol or propanol.
- the optically active salt of the (-)-3,4-cis enantiomer is firstly hydrolyzed to obtain the (-)-3,4-cis enantiomer which is then rearranged to the (-)-3,4- trans enantiomer by treatment with a strong base in an aprotic solvent.
- the treatment with the strong base is normally carried out by heating the mixture, preferably at 80 - 110 °C.
- hydrolyzing agent is normally used a weak base as e.g. aqueous ammonia, sodium carbonate, potassium carbonate or the like.
- strong bases for the rearrangement may be used potassium hydroxide, sodium hydroxide, metal alkoxides, such as sodium methoxide, sodium ethoxide or potassium t-butoxide , sodium hydride, alkyllithiums such as n-butyllithium and sec-butyllithium; methal amides, such as sodium amide, magnesium diisopropylamide and lithium diisopropylamide or the like.
- the preferred strong bases are potassium hydroxide and potassium t-butoxide.
- the most preferred strong base is potassium t-butoxide.
- the preferred aprotic solvents are dimethylsulfoxide, dimethylformamide, N- methylpyrrolidone (NMP) and toluene or combinations thereof.
- NMP N- methylpyrrolidone
- organic acid can be used e.g. formic acid, fumaric acid, methanesulfonic acid or the like.
- Formic acid is preferred.
- Preferred compounds prepared by the process according to the invention include those in which R 1 is hydroxy or C ⁇ alkoxy, especially methoxy.
- R 2 and R 3 preferably are the same and C 1-6 alkyl, especially methyl;
- R 4 is preferably hydrogen;
- R s is preferably - 0-(CH 2 ) n -NR 6 R 7 wherein n is 2 and R 6 and R 7 together with the N atom is a saturated or unsaturated 5- or 6- membered heterocyclic group containing one or two heteroatom(s) and optionally substituted with C h alky!.
- R 1 is in the 7- position and is hydroxy or C ⁇ alkoxy, particularly methoxy; each of R 2 and R 3 is methyl, R 4 is hydrogen, and R 5 is in the 4-position and is 2-(pyrrolidin-1-yl)ethoxy.
- a preferred embodiment of the invention provides a process for the preparation of ( - ) - 3R.4R- trans - 7-methoxy-2,2-dimethyl-3-phenyl-4- ⁇ 4-[2-(pyrrolidin-1- yl)ethoxy]phenyl ⁇ chromane, herein referred to as levormeloxifene, or a salt, thereof prepared from 3,4-cis-7-methoxy-2,2-dimethyl-3-phenyl-4- ⁇ 4-[2-(pyrrolidin-1-yl)ethoxy]phenyl ⁇ chromane or a salt thereof, as shown in the following scheme 2.
- the ( - ) -3R,4R- trans - 7-methoxy-2,2-dimethyl-3- phenyl-4- ⁇ 4-[2-(pyrrolidin-1-yl)ethoxy]phenyl ⁇ chromane is isolated as the hydrogen fumarate salt.
- the preferred solvent for the reaction with (-)-di-p-toluoyltartaric acid is methanol.
- the invention provides a process for the preparation of (- )-3,4-trans-2,2-dimethyl-3-phenyl-4- ⁇ 4-[2-(pyrrolidin-1-yl)ethoxy ⁇ phenyl-7-hydroxychroman.
- C.,. 6 alkanol includes methanol, ethanol, propanol, isopropanol, butanol, and the like.
- C 1 . 6 alkyl includes straight and branched chain alkyl radicals containing from 1 to 6 carbon atoms, such as methyl, ethyl, n-propyl, isopropyl, n-butyl, tert- butyl, n-amyl, sec-amyl, n-hexyl, 2-ethylbutyl, 2,3-dimethylbutyl and the like.
- C 1-6 alkoxy includes straight and branched chain alkoxy radicals containing from 1 to 6 carbon atoms, such as methoxy, ethoxy, n-propoxy, isopropoxy, n-butoxy, tert-butoxy, n-amyloxy, sec-amyloxy, n-hexyloxy, 2-ethylbutoxy, 2,3-dimethylbutoxy and the like.
- Halogen includes chloro, fluoro, bromo and iodo.
- heteroatom(s) preferably are selected among N, O, or S such as e.g., piperidine, pyrrolidine, N-methyipiperazine or morpholine.
- 3,4-diarylchromans of formula I may be prepared in the form of salts thereof e.g. pharmaceutically acceptable salts, especially acid-addition salts, including salts of organic acids and mineral acids.
- pharmaceutically acceptable salts especially acid-addition salts, including salts of organic acids and mineral acids.
- salts include salts of organic acids such as formic acid, fumaric acid, acetic acid, propionic acid, glycolic acid, lactic acid, pyruvic acid, oxalic acid, succinic acid, malic acid, tartaric acid, citric acid, benzoic acid, salicylic acid and the like.
- Suitable inorganic acid-addition salts include salts of hydrochloric, hy- drobromic, sulphuric and phosphoric acids and the like.
- the acid addition salts may be ob- tained from the free base in a suitable solvent containing the appropriate acid, and the salt isolated by evaporating the solvent or otherwise separating the salt and solvent e.g. by crystallisation.
- the starting compound for the process, the cis-racemate of formula II may be prepared according to known methods, such as those disclosed in U.S. Pat. No. 3,340,276 to Carney et al., U.S. Pat. No. 3,822,287 to Bolger, and Ray et al.. J Med Chem 19 (1976), 276 - 279, the contents of which are incorporated herein by reference.
- the compound of formula II might also be prepared by hydrogenation of the corresponding chromene using e.g. palladium on carbon following the scheme:
- the oxidation may be carried out with a quinone in an inert solvent as e.g. xylene, 1- butanol, propyien glycol or ethylen glycol and in presence of an organic acid as e.g. acetic acid or inorganic acid as e.g. hydrochloric acid and a supplementary oxidizing agent as e.g. sulfur. It is preferred to use chloranil as oxidizing agent, hydrochloride acid as inorganic acids and ethylen glycol as solvent.
- the optically active acid is preferably (-)-di-p-toluoyltartaric acid.
- This acid is much cheaper than the (+)-di-p-toluoyltartaric acid used in the process described in U.S. Pat. No. 4,447,662. This also makes the process of the invention more economic over the known process.
- the aqueous phase was separated and extracted with another portion of toluene (20 ml).
- the combined organic phases was washed with water (2x50 ml) and evaporated to an oil.
- the oil was dissolved in methanol (100 ml) and crystallized by adding water (200 ml).
- the product was filtered off and dried. Yield 28 g (98 %), m.p. 118 - 119 °C.
- the identity of the product was verified by 1 H-NMR and elemental analysis.
- Chiral HPLC The enantiomeric purity was determined by Chiral HPLC to be better than 99 %.
- the oil was dissolved in ethanol (135 ml) at 40 °C and mixed with a solution of fumaric acid (9.1 g) in ethanol (265 ml) at 40 - 60 °C. The mixture was stirred for 2 hours at ambient temperature and then for 1 hour at 0 °C. The crystals were filtered off and dried.
- Chiral HPLC By Chiral HPLC the enantiomeric purity was determined to be better than 99.5 % and the identity to be hydrogen fumarate salt of levormeloxifene, i.e. the minus enantiomer of the racemic compound Centchroman.
- the product was purified further by a crystallisation of the base from ethanol - water.
- the product (670 g) was dissolved in a mixture of ethanol ( 2.66 I ) and water ( 0.7 I ) by heating to 60 °C.
- a solution of sodium hydroxide (121 ml , 36 %) was added.
- the solution was seeded while the mixture was 50 - 60 °C.
- the mixture was cooled down to ca. 10 °C and the product filtered off and washed with 75 % ethanol (3 times 300 ml) and dried. Yield 520 g, 79 %.
- the oil was dissolved in ethanol (16 ml) at 40 °C and mixed with a suspension of fumaric acid (4.2 g) in ethanol (31 ml) at 60 °C. The mixture was stirred. Additional ethanol (47 ml) was added and the mixture was refluxed for 3 hours. The mixture was stirred at ambient temperature overnight. The crystals were filtered off and dried.
Landscapes
- Chemical & Material Sciences (AREA)
- Organic Chemistry (AREA)
- Pharmaceuticals Containing Other Organic And Inorganic Compounds (AREA)
- Plural Heterocyclic Compounds (AREA)
- Pyrane Compounds (AREA)
- Organic Low-Molecular-Weight Compounds And Preparation Thereof (AREA)
Abstract
Description
Claims
Priority Applications (3)
| Application Number | Priority Date | Filing Date | Title |
|---|---|---|---|
| JP10519935A JP2001502703A (en) | 1996-10-28 | 1997-10-28 | Method for preparing (-)-3,4-trans-diarylchroman |
| EP97909213A EP0937056A1 (en) | 1996-10-28 | 1997-10-28 | A process for the preparation of (-)-3,4-trans-diarylchromans |
| AU46996/97A AU4699697A (en) | 1996-10-28 | 1997-10-28 | A process for the preparation of (-)-3,4-trans-diarylchromans |
Applications Claiming Priority (4)
| Application Number | Priority Date | Filing Date | Title |
|---|---|---|---|
| DK1194/96 | 1996-10-28 | ||
| DK119496 | 1996-10-28 | ||
| DK1108/97 | 1997-09-26 | ||
| DK110897 | 1997-09-26 |
Publications (1)
| Publication Number | Publication Date |
|---|---|
| WO1998018770A1 true WO1998018770A1 (en) | 1998-05-07 |
Family
ID=26065243
Family Applications (1)
| Application Number | Title | Priority Date | Filing Date |
|---|---|---|---|
| PCT/DK1997/000476 Ceased WO1998018770A1 (en) | 1996-10-28 | 1997-10-28 | A process for the preparation of (-)-3,4-trans-diarylchromans |
Country Status (4)
| Country | Link |
|---|---|
| EP (1) | EP0937056A1 (en) |
| JP (1) | JP2001502703A (en) |
| AU (1) | AU4699697A (en) |
| WO (1) | WO1998018770A1 (en) |
Cited By (26)
| Publication number | Priority date | Publication date | Assignee | Title |
|---|---|---|---|---|
| US7601855B2 (en) | 2004-09-21 | 2009-10-13 | Novogen Research Pty Ltd | Substituted chroman derivatives, medicaments and use in therapy |
| US8080675B2 (en) | 2004-09-21 | 2011-12-20 | Marshall Edwards, Inc. | Chroman derivatives, medicaments and use in therapy |
| US8664232B2 (en) | 2002-08-21 | 2014-03-04 | Boehringer Ingelheim Pharma Gmbh & Co. Kg | 8-[3-amino-piperidin-1-yl]-xanthines, the preparation thereof and their use as pharmaceutical compositions |
| US8673927B2 (en) | 2006-05-04 | 2014-03-18 | Boehringer Ingelheim International Gmbh | Uses of DPP-IV inhibitors |
| US8846695B2 (en) | 2009-01-07 | 2014-09-30 | Boehringer Ingelheim International Gmbh | Treatment for diabetes in patients with inadequate glycemic control despite metformin therapy comprising a DPP-IV inhibitor |
| US8853156B2 (en) | 2008-08-06 | 2014-10-07 | Boehringer Ingelheim International Gmbh | Treatment for diabetes in patients inappropriate for metformin therapy |
| US8865729B2 (en) | 2008-12-23 | 2014-10-21 | Boehringer Ingelheim International Gmbh | Salt forms of a xanthine compound |
| US8883805B2 (en) | 2004-11-05 | 2014-11-11 | Boehringer Ingelheim International Gmbh | Process for the preparation of chiral 8-(3-aminopiperidin-1-yl)-xanthines |
| US8883800B2 (en) | 2011-07-15 | 2014-11-11 | Boehringer Ingelheim International Gmbh | Substituted quinazolines, the preparation thereof and the use thereof in pharmaceutical compositions |
| US9034883B2 (en) | 2010-11-15 | 2015-05-19 | Boehringer Ingelheim International Gmbh | Vasoprotective and cardioprotective antidiabetic therapy |
| US9149478B2 (en) | 2010-06-24 | 2015-10-06 | Boehringer Ingelheim International Gmbh | Diabetes therapy |
| US9155705B2 (en) | 2008-04-03 | 2015-10-13 | Boehringer Ingelheim International Gmbh | DPP-IV inhibitor combined with a further antidiabetic agent, tablets comprising such formulations, their use and process for their preparation |
| US9186392B2 (en) | 2010-05-05 | 2015-11-17 | Boehringer Ingelheim International Gmbh | Combination therapy |
| US9266888B2 (en) | 2006-05-04 | 2016-02-23 | Boehringer Ingelheim International Gmbh | Polymorphs |
| US9457029B2 (en) | 2009-11-27 | 2016-10-04 | Boehringer Ingelheim International Gmbh | Treatment of genotyped diabetic patients with DPP-IV inhibitors such as linagliptin |
| US9486526B2 (en) | 2008-08-06 | 2016-11-08 | Boehringer Ingelheim International Gmbh | Treatment for diabetes in patients inappropriate for metformin therapy |
| US9526730B2 (en) | 2012-05-14 | 2016-12-27 | Boehringer Ingelheim International Gmbh | Use of a DPP-4 inhibitor in podocytes related disorders and/or nephrotic syndrome |
| US9526728B2 (en) | 2014-02-28 | 2016-12-27 | Boehringer Ingelheim International Gmbh | Medical use of a DPP-4 inhibitor |
| US9555001B2 (en) | 2012-03-07 | 2017-01-31 | Boehringer Ingelheim International Gmbh | Pharmaceutical composition and uses thereof |
| US9663484B2 (en) | 2010-11-01 | 2017-05-30 | Mei Pharma, Inc. | Isoflavonoid compounds and methods for the treatment of cancer |
| US9713618B2 (en) | 2012-05-24 | 2017-07-25 | Boehringer Ingelheim International Gmbh | Method for modifying food intake and regulating food preference with a DPP-4 inhibitor |
| US10155000B2 (en) | 2016-06-10 | 2018-12-18 | Boehringer Ingelheim International Gmbh | Medical use of pharmaceutical combination or composition |
| US10980774B2 (en) | 2015-02-02 | 2021-04-20 | Mei Pharma, Inc. | Combination therapies |
| US11033552B2 (en) | 2006-05-04 | 2021-06-15 | Boehringer Ingelheim International Gmbh | DPP IV inhibitor formulations |
| US11911388B2 (en) | 2008-10-16 | 2024-02-27 | Boehringer Ingelheim International Gmbh | Treatment for diabetes in patients with insufficient glycemic control despite therapy with an oral or non-oral antidiabetic drug |
| US12312352B2 (en) | 2012-05-14 | 2025-05-27 | Boehringer Ingelheim International Gmbh | Use of a DPP-4 inhibitor in SIRS and/or sepsis |
Citations (2)
| Publication number | Priority date | Publication date | Assignee | Title |
|---|---|---|---|---|
| US3340276A (en) * | 1964-04-01 | 1967-09-05 | Ciba Geigy Corp | 3, 4-diphenyl-chromans |
| US4447622A (en) * | 1981-09-22 | 1984-05-08 | Council Of Scientific And Industrial Research Rafi Marg | Preparation of l- and d-isomers of dl-3,4-trans-2,2-disubstituted-3,4-diarylchromans and derivatives thereof |
-
1997
- 1997-10-28 WO PCT/DK1997/000476 patent/WO1998018770A1/en not_active Ceased
- 1997-10-28 JP JP10519935A patent/JP2001502703A/en active Pending
- 1997-10-28 AU AU46996/97A patent/AU4699697A/en not_active Abandoned
- 1997-10-28 EP EP97909213A patent/EP0937056A1/en not_active Withdrawn
Patent Citations (2)
| Publication number | Priority date | Publication date | Assignee | Title |
|---|---|---|---|---|
| US3340276A (en) * | 1964-04-01 | 1967-09-05 | Ciba Geigy Corp | 3, 4-diphenyl-chromans |
| US4447622A (en) * | 1981-09-22 | 1984-05-08 | Council Of Scientific And Industrial Research Rafi Marg | Preparation of l- and d-isomers of dl-3,4-trans-2,2-disubstituted-3,4-diarylchromans and derivatives thereof |
Non-Patent Citations (2)
| Title |
|---|
| J. MED. CHEM., Volume 26, 1983, Md. SALMAN et al., "Antifertility Agents. 38. Effect of the Side Chain and Its Position on the Activity of 3,4-Diarylchromans", pages 592-595. * |
| JOURNAL OF MEDICINAL CHEMISTRY, Volume 19, No. 2, 1976, SUPRABHAT RAY et al., "Antifertility Agents. 12. Structure-Activity Relationship of 3,4-Diphenylchromenes and -Chromans", pages 276-279. * |
Cited By (72)
| Publication number | Priority date | Publication date | Assignee | Title |
|---|---|---|---|---|
| US9556175B2 (en) | 2002-08-21 | 2017-01-31 | Boehringer Ingelheim International Gmbh | 8-[3-amino-piperidin-1-yl]-xanthines, the preparation thereof and thier use as pharmaceutical compositions |
| US10202383B2 (en) | 2002-08-21 | 2019-02-12 | Boehringer Ingelheim International Gmbh | 8-[3-amino-piperidin-1-yl]-xanthines, the preparation thereof and their use as pharmaceutical compositions |
| US9321791B2 (en) | 2002-08-21 | 2016-04-26 | Boehringer Ingelheim International Gmbh | 8-[3-amino-piperidin-1-yl]-xanthines, the preparation thereof and their use as pharmaceutical compositions |
| US9108964B2 (en) | 2002-08-21 | 2015-08-18 | Boehringer Ingelheim International Gmbh | 8-[3-amino-piperidin-1-yl]-xanthines, the preparation thereof and their use as pharmaceutical compositions |
| US8664232B2 (en) | 2002-08-21 | 2014-03-04 | Boehringer Ingelheim Pharma Gmbh & Co. Kg | 8-[3-amino-piperidin-1-yl]-xanthines, the preparation thereof and their use as pharmaceutical compositions |
| US10023574B2 (en) | 2002-08-21 | 2018-07-17 | Boehringer Ingelheim International Gmbh | 8-[3-amino-piperidin-1-yl]-xanthines, the preparation thereof and their use as pharmaceutical compositions |
| US8697891B2 (en) | 2004-09-21 | 2014-04-15 | Marshall Edwards, Inc. | Substituted chroman derivatives, medicaments and use in therapy |
| US7601855B2 (en) | 2004-09-21 | 2009-10-13 | Novogen Research Pty Ltd | Substituted chroman derivatives, medicaments and use in therapy |
| US8080675B2 (en) | 2004-09-21 | 2011-12-20 | Marshall Edwards, Inc. | Chroman derivatives, medicaments and use in therapy |
| US9198895B2 (en) | 2004-09-21 | 2015-12-01 | Mei Pharma, Inc. | Chroman derivatives, medicaments and use in therapy |
| US8461361B2 (en) | 2004-09-21 | 2013-06-11 | Marshall Edwards, Inc. | Chroman derivatives, medicaments and use in therapy |
| US9138478B2 (en) | 2004-09-21 | 2015-09-22 | Mei Pharma, Inc. | Substituted chroman derivatives, medicaments and use in therapy |
| US8957109B2 (en) | 2004-09-21 | 2015-02-17 | Mei Pharma, Inc. | Chroman derivatives, medicaments and use in therapy |
| US9381186B2 (en) | 2004-09-21 | 2016-07-05 | Mei Pharma, Inc. | Substituted chroman derivatives, medicaments and use in therapy |
| US8084628B2 (en) | 2004-09-21 | 2011-12-27 | Marshall Edwards, Inc. | Substituted chroman derivatives, medicaments and use in therapy |
| US9751855B2 (en) | 2004-11-05 | 2017-09-05 | Boehringer Ingelheim International Gmbh | Process for the preparation of chiral 8-(3-aminopiperidin-1-yl)-xanthines |
| US9499546B2 (en) | 2004-11-05 | 2016-11-22 | Boehringer Ingelheim International Gmbh | Process for the preparation of chiral 8-(3-aminopiperidin-1-yl)-xanthines |
| US8883805B2 (en) | 2004-11-05 | 2014-11-11 | Boehringer Ingelheim International Gmbh | Process for the preparation of chiral 8-(3-aminopiperidin-1-yl)-xanthines |
| US11291668B2 (en) | 2006-05-04 | 2022-04-05 | Boehringer Ingelheim International Gmbh | Uses of DPP IV inhibitors |
| US12178819B2 (en) | 2006-05-04 | 2024-12-31 | Boehringer Ingelheim International Gmbh | DPP IV inhibitor formulations |
| US9815837B2 (en) | 2006-05-04 | 2017-11-14 | Boehringer Ingelheim International Gmbh | Polymorphs |
| US11084819B2 (en) | 2006-05-04 | 2021-08-10 | Boehringer Ingelheim International Gmbh | Polymorphs |
| US8673927B2 (en) | 2006-05-04 | 2014-03-18 | Boehringer Ingelheim International Gmbh | Uses of DPP-IV inhibitors |
| US10080754B2 (en) | 2006-05-04 | 2018-09-25 | Boehringer Ingelheim International Gmbh | Uses of DPP IV inhibitors |
| US9266888B2 (en) | 2006-05-04 | 2016-02-23 | Boehringer Ingelheim International Gmbh | Polymorphs |
| US11919903B2 (en) | 2006-05-04 | 2024-03-05 | Boehringer Ingelheim International Gmbh | Polymorphs |
| US12171767B2 (en) | 2006-05-04 | 2024-12-24 | Boehringer Ingelheim International Gmbh | Uses of DPP IV inhibitors |
| US10301313B2 (en) | 2006-05-04 | 2019-05-28 | Boehringer Ingelheim International Gmbh | Polymorphs |
| US11033552B2 (en) | 2006-05-04 | 2021-06-15 | Boehringer Ingelheim International Gmbh | DPP IV inhibitor formulations |
| US9173859B2 (en) | 2006-05-04 | 2015-11-03 | Boehringer Ingelheim International Gmbh | Uses of DPP IV inhibitors |
| US9493462B2 (en) | 2006-05-04 | 2016-11-15 | Boehringer Ingelheim International Gmbh | Polymorphs |
| US9415016B2 (en) | 2008-04-03 | 2016-08-16 | Boehringer Ingelheim International Gmbh | DPP-IV inhibitor combined with a further antidiabetic agent, tablets comprising such formulations, their use and process for their preparation |
| US9155705B2 (en) | 2008-04-03 | 2015-10-13 | Boehringer Ingelheim International Gmbh | DPP-IV inhibitor combined with a further antidiabetic agent, tablets comprising such formulations, their use and process for their preparation |
| US10022379B2 (en) | 2008-04-03 | 2018-07-17 | Boehringer Ingelheim International Gmbh | DPP-IV inhibitor combined with a further antidiabetic agent, tablets comprising such formulations, their use and process for their preparation |
| US9486526B2 (en) | 2008-08-06 | 2016-11-08 | Boehringer Ingelheim International Gmbh | Treatment for diabetes in patients inappropriate for metformin therapy |
| US8853156B2 (en) | 2008-08-06 | 2014-10-07 | Boehringer Ingelheim International Gmbh | Treatment for diabetes in patients inappropriate for metformin therapy |
| US10034877B2 (en) | 2008-08-06 | 2018-07-31 | Boehringer Ingelheim International Gmbh | Treatment for diabetes in patients inappropriate for metformin therapy |
| US11911388B2 (en) | 2008-10-16 | 2024-02-27 | Boehringer Ingelheim International Gmbh | Treatment for diabetes in patients with insufficient glycemic control despite therapy with an oral or non-oral antidiabetic drug |
| US8865729B2 (en) | 2008-12-23 | 2014-10-21 | Boehringer Ingelheim International Gmbh | Salt forms of a xanthine compound |
| US9212183B2 (en) | 2008-12-23 | 2015-12-15 | Boehringer Ingelheim International Gmbh | Salt forms of 1-[(4-methyl-quinazolin-2-yl)methyl]-3-methyl-7-(2-butyn-1-yl)-8-(3-(R)-amino-piperidin-1-yl)-xanthine |
| US8846695B2 (en) | 2009-01-07 | 2014-09-30 | Boehringer Ingelheim International Gmbh | Treatment for diabetes in patients with inadequate glycemic control despite metformin therapy comprising a DPP-IV inhibitor |
| US9457029B2 (en) | 2009-11-27 | 2016-10-04 | Boehringer Ingelheim International Gmbh | Treatment of genotyped diabetic patients with DPP-IV inhibitors such as linagliptin |
| US10092571B2 (en) | 2009-11-27 | 2018-10-09 | Boehringer Ingelheim International Gmbh | Treatment of genotyped diabetic patients with DPP-IV inhibitors such as linagliptin |
| US9603851B2 (en) | 2010-05-05 | 2017-03-28 | Boehringer Ingelheim International Gmbh | Combination therapy |
| US9186392B2 (en) | 2010-05-05 | 2015-11-17 | Boehringer Ingelheim International Gmbh | Combination therapy |
| US10004747B2 (en) | 2010-05-05 | 2018-06-26 | Boehringer Ingelheim International Gmbh | Combination therapy |
| US9149478B2 (en) | 2010-06-24 | 2015-10-06 | Boehringer Ingelheim International Gmbh | Diabetes therapy |
| US9708283B2 (en) | 2010-11-01 | 2017-07-18 | Mei Pharma, Inc. | Isoflavonoid compositions and methods for the treatment of cancer |
| US9663484B2 (en) | 2010-11-01 | 2017-05-30 | Mei Pharma, Inc. | Isoflavonoid compounds and methods for the treatment of cancer |
| US10105346B2 (en) | 2010-11-01 | 2018-10-23 | Mei Pharma, Inc. | Isoflavonoid compounds and methods for the treatment of cancer |
| US12318364B2 (en) | 2010-11-01 | 2025-06-03 | Aardvark Therapeutics, Inc. | Isoflavonoid compositions and methods for the treatment of cancer |
| US12329739B2 (en) | 2010-11-01 | 2025-06-17 | Aardvark Therapeutic, Inc. | Isoflavonoid compounds and methods for the treatment of cancer |
| US9981936B2 (en) | 2010-11-01 | 2018-05-29 | Mei Pharma, Inc. | Isoflavonoid compositions and methods for the treatment of cancer |
| US10369132B2 (en) | 2010-11-01 | 2019-08-06 | Mei Pharma, Inc. | Isoflavonoid compositions and methods for the treatment of cancer |
| US10973799B2 (en) | 2010-11-01 | 2021-04-13 | Mei Pharma, Inc. | Isoflavonoid compositions and methods for the treatment of cancer |
| US11723893B2 (en) | 2010-11-01 | 2023-08-15 | Mei Pharma, Inc. | Isoflavonoid compositions and methods for the treatment of cancer |
| US11583514B2 (en) | 2010-11-01 | 2023-02-21 | Mei Pharma, Inc. | Isoflavonoid compounds and methods for the treatment of cancer |
| US9034883B2 (en) | 2010-11-15 | 2015-05-19 | Boehringer Ingelheim International Gmbh | Vasoprotective and cardioprotective antidiabetic therapy |
| US11911387B2 (en) | 2010-11-15 | 2024-02-27 | Boehringer Ingelheim International Gmbh | Vasoprotective and cardioprotective antidiabetic therapy |
| US8962636B2 (en) | 2011-07-15 | 2015-02-24 | Boehringer Ingelheim International Gmbh | Substituted quinazolines, the preparation thereof and the use thereof in pharmaceutical compositions |
| US9199998B2 (en) | 2011-07-15 | 2015-12-01 | Boehringer Ingelheim Internatioal Gmbh | Substituted quinazolines, the preparation thereof and the use thereof in pharmaceutical compositions |
| US8883800B2 (en) | 2011-07-15 | 2014-11-11 | Boehringer Ingelheim International Gmbh | Substituted quinazolines, the preparation thereof and the use thereof in pharmaceutical compositions |
| US9555001B2 (en) | 2012-03-07 | 2017-01-31 | Boehringer Ingelheim International Gmbh | Pharmaceutical composition and uses thereof |
| US9526730B2 (en) | 2012-05-14 | 2016-12-27 | Boehringer Ingelheim International Gmbh | Use of a DPP-4 inhibitor in podocytes related disorders and/or nephrotic syndrome |
| US10195203B2 (en) | 2012-05-14 | 2019-02-05 | Boehringr Ingelheim International GmbH | Use of a DPP-4 inhibitor in podocytes related disorders and/or nephrotic syndrome |
| US12312352B2 (en) | 2012-05-14 | 2025-05-27 | Boehringer Ingelheim International Gmbh | Use of a DPP-4 inhibitor in SIRS and/or sepsis |
| US9713618B2 (en) | 2012-05-24 | 2017-07-25 | Boehringer Ingelheim International Gmbh | Method for modifying food intake and regulating food preference with a DPP-4 inhibitor |
| US9526728B2 (en) | 2014-02-28 | 2016-12-27 | Boehringer Ingelheim International Gmbh | Medical use of a DPP-4 inhibitor |
| US10980774B2 (en) | 2015-02-02 | 2021-04-20 | Mei Pharma, Inc. | Combination therapies |
| US12414934B2 (en) | 2015-02-02 | 2025-09-16 | Aardvark Therapeutics, Inc. | Combination therapies |
| US10155000B2 (en) | 2016-06-10 | 2018-12-18 | Boehringer Ingelheim International Gmbh | Medical use of pharmaceutical combination or composition |
| US12364700B2 (en) | 2016-06-10 | 2025-07-22 | Boehringer Ingelheim International Gmbh | Medical use of pharmaceutical combination or composition |
Also Published As
| Publication number | Publication date |
|---|---|
| AU4699697A (en) | 1998-05-22 |
| EP0937056A1 (en) | 1999-08-25 |
| JP2001502703A (en) | 2001-02-27 |
Similar Documents
| Publication | Publication Date | Title |
|---|---|---|
| WO1998018770A1 (en) | A process for the preparation of (-)-3,4-trans-diarylchromans | |
| JP2002526386A (en) | Method for producing citalopram | |
| JP3773255B2 (en) | Heterocyclic compounds for treating CNS and cardiovascular diseases | |
| WO2007016423A2 (en) | Method for enantioselective hydrogenation of chromenes | |
| US5859045A (en) | Crystalline -! 3R 4R-trans-7 methoxy 2,2-dimethyl1-3-phenyl 1-4 4-12 pyrrolidin-1 -Y1!ethoxyl 1!chromane hydrogen fumarate | |
| EP1776354B1 (en) | A novel process for preparation of nebivolol intermediates | |
| EP0223744B1 (en) | Flavone derivatives | |
| CN101952270B (en) | Process for preparing nebivolol | |
| US5925771A (en) | Process for the preparation of (-)-3,4-trans-diarylchromans | |
| CN102164906A (en) | Method for preparing nebivolol | |
| EP1114050B1 (en) | Process for the production of a naphthyridine carboxylic acid derivative ( methanesulfonate sesquihydrate ) | |
| JP2004508363A (en) | Chromanone derivative | |
| JP5560279B2 (en) | Nebivolol preparation process | |
| Draper et al. | An Efficient Process for the Synthesis of trans-2, 3-Disubstituted-2, 3-dihydro-4H-1-benzopyran-4-ones (Chroman-4-ones) | |
| WO1999055898A1 (en) | Enzymatic resolvation for obtaining a (-)-3,4-trans-diarylchroman | |
| US6184005B1 (en) | Enzymatic resolvation for obtaining a (−)-3,4-trans-diarylchroman | |
| KR20030067742A (en) | Prcoess for preparing (±)trans-4-p-fluorophenyl-3-hydroxymethyl-1-methylpiperidine | |
| JP4461048B2 (en) | Enantioselective synthesis | |
| EP0912543B1 (en) | Crystalline (-)-3r,4r-trans-7-methoxy-2,2-dimethyl-3-phenyl-4-[4- 2-(pyrrolidin-1-yl)ethoxy]phenyl chromane, hydrogen fumarate | |
| JP3468589B2 (en) | 5-aminoflavone derivative | |
| JP2002519419A (en) | Process for producing (8-chloro-3,10-dibromo-6,11-dihydro-5H-benzo [5,6] cyclohepta [1,2-B] pyridin-11-yl) -1-piperidine | |
| HUT58727A (en) | Process for producing new benzopyrane derivatives and pharmaceutical compositions containing them as active components | |
| WO2000039121A1 (en) | Process for the preparation of an acetate salt of paroxetine or paroxetine analogues | |
| WO2001002346A1 (en) | Crystalline single diastereomers of 2-cyano-3-arylglutarate esters | |
| EP1178962A1 (en) | Process for the preparation of paroxetine acetate and analogues thereof |
Legal Events
| Date | Code | Title | Description |
|---|---|---|---|
| AK | Designated states |
Kind code of ref document: A1 Designated state(s): AL AM AT AU AZ BA BB BG BR BY CA CH CN CU CZ DE DK EE ES FI GB GE GH HU ID IL IS JP KE KG KP KR KZ LC LK LR LS LT LU LV MD MG MK MN MW MX NO NZ PL PT RO RU SD SE SG SI SK SL TJ TM TR TT UA UG UZ VN YU ZW AM AZ BY KG KZ MD RU TJ TM |
|
| AL | Designated countries for regional patents |
Kind code of ref document: A1 Designated state(s): GH KE LS MW SD SZ UG ZW AT BE CH DE DK ES FI FR GB GR IE IT LU MC NL |
|
| DFPE | Request for preliminary examination filed prior to expiration of 19th month from priority date (pct application filed before 20040101) | ||
| 121 | Ep: the epo has been informed by wipo that ep was designated in this application | ||
| WWE | Wipo information: entry into national phase |
Ref document number: 1997909213 Country of ref document: EP |
|
| ENP | Entry into the national phase |
Ref country code: JP Ref document number: 1998 519935 Kind code of ref document: A Format of ref document f/p: F |
|
| WWP | Wipo information: published in national office |
Ref document number: 1997909213 Country of ref document: EP |
|
| REG | Reference to national code |
Ref country code: DE Ref legal event code: 8642 |
|
| NENP | Non-entry into the national phase |
Ref country code: CA |
|
| WWW | Wipo information: withdrawn in national office |
Ref document number: 1997909213 Country of ref document: EP |

















