WO1998007835A2 - Crystal structures of a protein tyrosine kinase - Google Patents
Crystal structures of a protein tyrosine kinase Download PDFInfo
- Publication number
- WO1998007835A2 WO1998007835A2 PCT/US1997/014885 US9714885W WO9807835A2 WO 1998007835 A2 WO1998007835 A2 WO 1998007835A2 US 9714885 W US9714885 W US 9714885W WO 9807835 A2 WO9807835 A2 WO 9807835A2
- Authority
- WO
- WIPO (PCT)
- Prior art keywords
- tyrosine kinase
- sssd
- protein tyrosine
- atom
- ptk
- Prior art date
- Legal status (The legal status is an assumption and is not a legal conclusion. Google has not performed a legal analysis and makes no representation as to the accuracy of the status listed.)
- Ceased
Links
Classifications
-
- G—PHYSICS
- G01—MEASURING; TESTING
- G01N—INVESTIGATING OR ANALYSING MATERIALS BY DETERMINING THEIR CHEMICAL OR PHYSICAL PROPERTIES
- G01N33/00—Investigating or analysing materials by specific methods not covered by groups G01N1/00 - G01N31/00
- G01N33/48—Biological material, e.g. blood, urine; Haemocytometers
- G01N33/50—Chemical analysis of biological material, e.g. blood, urine; Testing involving biospecific ligand binding methods; Immunological testing
- G01N33/68—Chemical analysis of biological material, e.g. blood, urine; Testing involving biospecific ligand binding methods; Immunological testing involving proteins, peptides or amino acids
- G01N33/6803—General methods of protein analysis not limited to specific proteins or families of proteins
- G01N33/6842—Proteomic analysis of subsets of protein mixtures with reduced complexity, e.g. membrane proteins, phosphoproteins, organelle proteins
-
- C—CHEMISTRY; METALLURGY
- C07—ORGANIC CHEMISTRY
- C07K—PEPTIDES
- C07K14/00—Peptides having more than 20 amino acids; Gastrins; Somatostatins; Melanotropins; Derivatives thereof
- C07K14/435—Peptides having more than 20 amino acids; Gastrins; Somatostatins; Melanotropins; Derivatives thereof from animals; from humans
- C07K14/705—Receptors; Cell surface antigens; Cell surface determinants
- C07K14/71—Receptors; Cell surface antigens; Cell surface determinants for growth factors; for growth regulators
-
- C—CHEMISTRY; METALLURGY
- C12—BIOCHEMISTRY; BEER; SPIRITS; WINE; VINEGAR; MICROBIOLOGY; ENZYMOLOGY; MUTATION OR GENETIC ENGINEERING
- C12N—MICROORGANISMS OR ENZYMES; COMPOSITIONS THEREOF; PROPAGATING, PRESERVING, OR MAINTAINING MICROORGANISMS; MUTATION OR GENETIC ENGINEERING; CULTURE MEDIA
- C12N9/00—Enzymes; Proenzymes; Compositions thereof; Processes for preparing, activating, inhibiting, separating or purifying enzymes
- C12N9/10—Transferases (2.)
- C12N9/12—Transferases (2.) transferring phosphorus containing groups, e.g. kinases (2.7)
- C12N9/1205—Phosphotransferases with an alcohol group as acceptor (2.7.1), e.g. protein kinases
-
- G—PHYSICS
- G01—MEASURING; TESTING
- G01N—INVESTIGATING OR ANALYSING MATERIALS BY DETERMINING THEIR CHEMICAL OR PHYSICAL PROPERTIES
- G01N33/00—Investigating or analysing materials by specific methods not covered by groups G01N1/00 - G01N31/00
- G01N33/48—Biological material, e.g. blood, urine; Haemocytometers
- G01N33/50—Chemical analysis of biological material, e.g. blood, urine; Testing involving biospecific ligand binding methods; Immunological testing
- G01N33/68—Chemical analysis of biological material, e.g. blood, urine; Testing involving biospecific ligand binding methods; Immunological testing involving proteins, peptides or amino acids
Definitions
- the present invention relates to the three dimensional structures of protein kinases.
- PTKs Protein tyrosine kinases
- FGF-R fibroblast growth factor receptor
- PTKs enzymatically transfer a high energy phosphate from adenosine triphosphate to a tyrosine residue in a target protein. These phosphorylation events regulate cellular phenomena in signal transduction processes.
- Cellular signal transduction processes contain multiple steps that convert an extracellular signal into an intracellular signal. The intracellular signal is then converted into a cellular response.
- PTKs are components in many signal transduction processes.
- a PTK regulates the flow of a signal in a particular step in the process by phosphorylating a downstream molecule.
- the addition of a phosphate can either modulate the activity of the downstream molecule by turning it "on” or "off".
- aberrations in a particular PTK's activity can either cause overflow or underflow of the signal. Overflow of a signal can lead to such abnormalities as uncontrolled cell proliferation, which is representative of such disorders as cancer and angiogenesis .
- PTK inhibitors that down-regulate overflow signal transduction pathways.
- small molecule PTK inhibitors are sought that can traverse the cell membrane and not become hydrolyzed in acidic environments. These small molecule PTK inhibitors can be highly bioavailable and can be administered orally to patients.
- PTK inhibitors Some small molecule PTK inhibitors have already been discovered. For example, bis (monocyclic) , bicyclic or heterocyclic aryl compounds (PCT WO 92/20642) , vinylene-azaindole derivatives (PCT WO 94/14808) , 1- cyclopropyl-4-pyridyl-quinolones (U.S. Patent No. 5,330,992) , styryl compounds (U.S. Patent No.
- the present invention relates to the three dimensional structures of protein tyrosine kinases.
- the use of X-ray crystallography can define the three dimensional structure of protein tyrosine kinase at atomic resolution.
- the three dimensional structures described herein elucidate specific interactions between protein tyrosine kinases and compounds bound to them.
- the coordinates that define the three dimensional structures of protein tyrosine kinases are useful for determining three dimensional structures of PTKs with unknown structure.
- the coordinates are also useful for designing and identifying modulators of protein tyrosine kinase function. These modulators are potentially useful as therapeutics for diseases, including (but limited to) cell proliferative diseases, such as cancer, angiogenesis, atherosclerosis, and arthritis.
- the invention features a crystalline form of a polypeptide corresponding to the catalytic domain of a protein tyrosine kinase.
- crystalline form in the context of the invention, is a crystal formed from an aqueous solution comprising a purified polypeptide corresponding to the catalytic domain of a PTK.
- a crystalline form of a protein tyrosine kinase is characterized as being capable of diffracting x-rays in a pattern defined by one of the crystal forms depicted in Blundel et al . , 1976, Protein Crystallography. Academic Press.
- a crystalline form of a protein kinase is not characterized as being capable of diffracting x-rays in a pattern analogous to a crystalline form consisting of primarily salt or primarily a compound, for example.
- the term "protein tyrosine kinase,” or PTK refers to an enzyme that transfers the high energy phosphate of adenosine triphosphate to a tyrosine residue located on a protein target.
- a protein tyrosine kinase catalytic domain of the invention can originate from receptor protein tyrosine kinases that bind fibroblast growth factor (FGF) . These protein tyrosine kinases are known as "FGFR" herein, and can relate to one member of the FGFR family, such as FGFR1.
- catalytic domain refers to the region of a protein that can exist as a separate entity from the protein.
- the catalytic domain of a protein tyrosine kinase is characterized as having considerable amino acid identity to the catalytic domain of other protein tyrosine kinases.
- Considerable amino acid identity preferably refers to at least 30% identity, more preferably at least 35% identity, and most preferably at least 40% identity. These degrees of amino acid identity refer to the identity between different protein tyrosine kinase families. Amino acid identity for members of a given protein tyrosine kinase family range from 55% to 90%.
- the catalytic domain may be functional as a separate entity.
- the catalytic domain of a protein tyrosine kinase is also characterized as a polypeptide that is soluble in solution.
- identity refers to a property of sequences that measures their similarity or relationship. Identity is measured by dividing the number of identical residues in the two sequences by the total number of residues and multiplying the product by 100. Thus, two copies of exactly the same sequence have 100% identity, but sequences that are less highly conserved and have deletions, additions, or replacements have a lower degree of identity. Those skilled in the art will recognize that several computer programs are available for determining sequence identity.
- the term "functional” refers to the ability of a catalytic domain to convert a substrate into a product by phosphorylating the substrate.
- the term “functional” also relates to the ability of a catalytic domain to bind natural binding partners.
- the catalytic region may comprise an N-terminal tail, a catalytic core, and a C-terminal tail.
- the catalytic core is a polypeptide that can be functional in terms of catalysis.
- N- and C- terminal tails are polypeptide regions that may not confer appreciable functionality in terms of catalysis, but may confer functionality in terms of modulator specificity.
- a polypeptide can exist as a catalytic domain eventhough it is not functional.
- a polypeptide corresponding to a catalytic domain may not be functional if it does not harbor phosphate moieties in key areas. Multiple examples of phosphorylation- state dependent function are well documented in the art. Therefore, a catalytic domain can also exist without being functional.
- a measure of a protein kinase catalytic domain is a polypeptide that is homologous to other protein kinase catalytic domains.
- the term "polypeptide" refers to an amino acid chain representing a portion of, or the entire sequence of, amino acids comprising a protein.
- a preferred embodiment of the invention includes a crystalline form of a PTK that is a receptor PTK.
- Receptors are proteins that straddle the inside and outside of the cell membrane.
- Receptor PTKs comprise an extracellular region, a transmembrane region, and an intracellular region comprising a catalytic domain.
- Another preferred embodiment of the invention is the crystalline form of a receptor PTK selected from the group consisting of FGF-R, PDGF-R, FLK, CCK4 , MET, TRKA,
- Yet another preferred embodiment of the invention is the crystalline form of a PTK that is a non-receptor
- Non-receptor PTKs are located inside the cell and do not harbor extracellular or membrane-spanning polypeptides attached to the polypeptide corresponding to the catalytic domain. Non-receptor PTKs may harbor fatty acids or lipids, which can impart a membrane associated character to a PTK. In preferred embodiments of the invention, crystalline forms of non-receptor PTKs are selected from the group consisting of SRC, BRK, BTK,
- the invention features a crystalline form of a PTK that comprises a heavy metal atom.
- PTK crystalline form of a PTK that comprises a heavy metal atom.
- These types of crystals can be referred to as derivative crystals.
- the term “derivative crystal” refers to a crystal where the polypeptide is in association with one or more heavy-metal atoms .
- association refers to a condition of proximity between a chemical entity or compound, or portions or fragments thereof, and tyrosine kinase domain protein, or portions or fragments thereof.
- the association may be non-covalent , i.e., where the juxtaposition is energetically favored by, e.g., hydrogen-bonding, van der Waals, electrostatic or hydrophobic interactions, or it may be covalent .
- heavy metal atom refers to an atom that is a transition element, a lanthanide metal, or an actinide metal.
- Lanthanide metals include elements with atomic numbers between 57 and 71, inclusive.
- Actinide metals include elements with atomic numbers between 89 and 103, inclusive.
- the invention features a crystal of an FGF receptor tyrosine kinase domain protein.
- the FGF receptor tyrosine kinase domain protein can relate to FGFR1.
- FGFR1 refers to one member of multiple receptor PTKs that are homologous to one another and bind FGF.
- homologous refers to at least 70% amino acid identity between two members of the FGFR family.
- FGFR1 can also refer to a mutant of human FGFR1 which is characterized by the amino acid sequence of SEQ ID NO: 2. As compared to human FGFR1 , FGFR1 contains the following amino acid substitutions: Cys-488 ⁇ Ala, Cys-584 - Ser, Leu-457 - Val, and has an additional five amino acid residues at the N- terminus (Ser-Ala-Ala-Gly-Thr) .
- human FGFR1 refers to the tyrosine kinase domain of human fibroblast growth factor receptor 1 ("FGFR1") having the amino acid sequence of SEQ ID NO:l.
- FGFR1 fibroblast growth factor receptor 1
- human FGFR1 comprises a 310 amino acid residue fragment (residues 456 to 765) of human FGFR1.
- mutant refers to a polypeptide which is obtained by replacing at least one amino acid residue in a native tyrosine kinase domain with a different amino acid residue. Mutation can be accomplished by adding and/or deleting amino acid residues within the native polypeptide or at the N- and/or C- terminus of a polypeptide corresponding to a native tyrosine kinase domain having substantially the same three-dimensional structure as the native tyrosine kinase domain from which it is derived.
- having substantially the same three-dimensional structure is meant having a set of atomic structure coordinates that have a root mean square deviation (r.m.s.d.) of less than or equal to about 2 A when superimposed with the atomic structure coordinates of the native tyrosine kinase domain from which the mutant is derived when at least about 50% to 100% of the C ⁇ atoms of the native tyrosine kinase are included in the superposition.
- a mutant may have, but need not have, PTK activity.
- the invention in another preferred embodiment, relates to a crystalline form defined by the structural coordinates set forth in Table 1.
- the term "atomic structural coordinates" as used herein refers to a data set that defines the three dimensional structure of a molecule or molecules. Structural coordinates can be slightly modified and still render nearly identical three dimensional structures. A measure of a unique set of structural coordinates is the root-mean-square deviation of the resulting structure. Structural coordinates that render three dimensional structures that deviate from one another by a root -mean-square deviation of less than 1.5 A may be viewed by a person of ordinary skill in the art as identical. Hence, the structural coordinates set forth in Table 1, Table 2, Table 3, and Table 4 are not limited to the values defined therein.
- the invention features a crystalline form of the polypeptide in association with a compound.
- crystalline forms can be referred to as co- crystals.
- the compound may be a cofactor, substrate, substrate analog, inhibitor, or allosteric effector.
- the term "compound” refers to an organic molecule .
- organic molecule refers to a molecule which has at least one carbon atom in its structure.
- the compound can have a molecular weight of less than 6kDa.
- Both the geometry of the compound and the interactions formed between the compound and the polypeptide preferably govern high affinity binding between the two molecules.
- High affinity binding is preferably governed by a dissociation equilibrium constant on the order of IO -6 M or less.
- the compound is preferably a modulator that alters the function of a PTK.
- function in reference to the effect of a modulator on PTK function, refers to the ability of a modulator to enhance or inhibit the catalytic activity of a PTK.
- catalytic activity in the context of the invention, defines the ability of a PTK to phosphorylate a substrate polypeptide. Catalytic activity can be measured, for example, by determining the amount of a substrate converted to a product as a function of time. The conversion of the substrate to a product occurs at the active-site of the PTK.
- active-site refers to a cavity located in the PTK in which one or more substrate molecules may bind. Addition of a modulator to cells expressing a PTK may enhance (activate) or lower (inhibit) the catalytic activity of the PTK. A small number of inhibitors of PTK catalytic activity are known in the art. Small molecule inhibitors may modulate PTK function by blocking the binding of substrates. Indolinone compounds, for example, may bind to the active-site of PTK catalytic domains and inhibit them effectively, as measured by inhibition constants on the order of IO -6 M or less.
- Activators of PTK intracellular regions can enhance PTK function by interacting with both the PTK catalytic domain and the substrate. Activators may also promote dimerization of PTKs and thus activate them by bringing them into close proximity with one another. In addition, activators may operate by promoting a conformational change in the intracellular region of the PTK such that the catalytic region modifies substrates at a faster rate in the presence of the activator.
- function can also refer to the ability of a modulator to enhance or inhibit the association between a PTK and a natural binding partner.
- natural binding partner refers to a polypeptide that normally binds to a PTK in a cell. These natural binding partners can play a role in propagating a signal in a PTK signal transduction process.
- the natural binding partner can bind to a PTK with high affinity. High affinity represents an equilibrium binding constant on the order of IO -6 M or less.
- a natural binding partner can also transiently interact with a PTK and chemically modify it .
- PTK natural binding partners are chosen from a group consisting of, but not limited to, src homology 2 (SH2) or 3 (SH3) domains, other phosphoryl tyrosine binding (PTB) domains, nucleotide exchange factors, and other protein kinases or protein phosphatases .
- reactions refers to hydrophobic, aromatic, and ionic forces and hydrogen bonds formed between atoms in the modulator and the enzyme active- site.
- cofactor refers to a compound that may, in addition to the substrate, bind to a protein and undergo a chemical reaction. Multiple co- factors are nucleotides or nucleotide derivatives, such as phosphate and nicotinamide derivatives of adenosine .
- substrate refers to a compound that reacts with an enzyme. Enzymes can catalyze a specific reaction on a specific substrate. For example, PTKs can phosphorylate specific protein and peptide substrates on tyrosine moieties. In addition, nucleotides can act as substrates for protein kinases.
- substrate analog refers to a compound that is structurally similar, but not identical, to a substrate.
- the substrate analog may be a nucleotide analog. Examples of nucleotide analogs are described below.
- inhibitor refers to a compound that decreases the cellular function of a protein kinase.
- the protein kinase function is preferably the interaction with a natural binding partner and more preferably catalytic activity.
- allosteric effector refers to a compound that causes allosteric interactions in a protein.
- allosteric interactions refers to interactions between separate sites on a protein. The sites can be different from the active site.
- the allosteric effector can enhance or inhibit catalytic activity by binding to a site that may be different than the active site.
- crystal refers to a crystal where the polypeptide is in association with one or more compounds.
- a co-crystal of the invention can be in association with a heavy metal atom.
- heavy metal atoms are described above.
- the invention features a co-crystal comprising the crystalline form of the polypeptide in association with a compound, where the compound is a non-hydrolyzable analog of ATP.
- a co-crystal comprising the crystalline form of the polypeptide in association with a compound, where the compound is a non-hydrolyzable analog of ATP.
- These analogs can be referred to as nucleotide analogs.
- ATP refers to the chemical compound adenosine triphosphate .
- non-hydrolyzable refers to a compound having a covalent bond that does not readily react with water.
- non-hydrolyzable analogs of ATP are AMP-PNP and AMP-PCP, whose structures are well known to those skilled in the art.
- AMP-PNP refers to adenylyl imidodiphosphate, a non-hydrolyzable analog of ATP.
- AMP-PCP refers to adenylyl diphosphonate , a non-hydrolyzable analogue of ATP.
- the invention relates to a crystalline form defined by the structural coordinates set forth in Table 2.
- the invention relates to crystalline forms, where the compound in association with the polypeptide is an indolinone.
- Certain indolinones are specific modulators of PTK function.
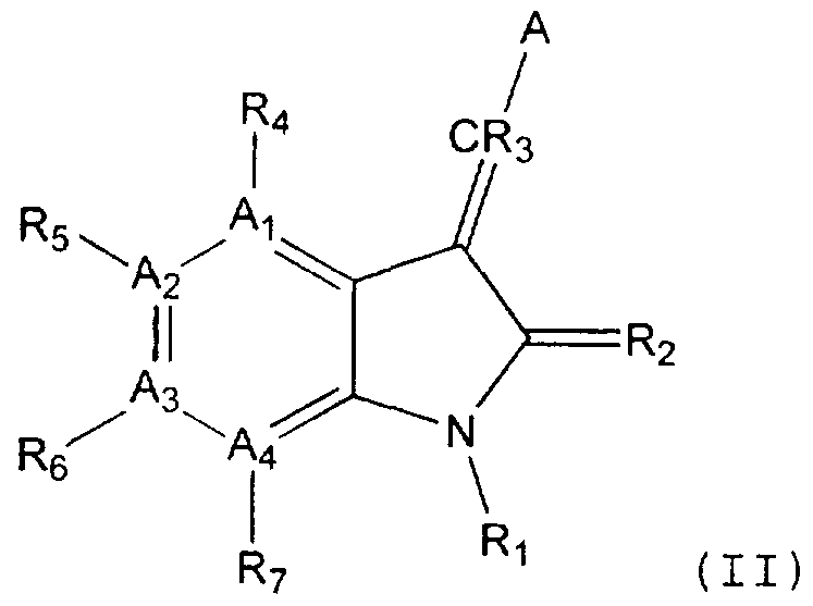
- a preferred embodiment of the invention is the crystalline form of a PTK complexed with an indolinone of formula I or II:
- a lf A 2 , A 3 , and A 4 are independently carbon or nitrogen;
- R x is hydrogen or alkyl
- R 2 is oxygen in the case of an oxindolinone or sulfur in the case of a thiolindolinone ;
- R 3 is hydrogen;
- R 4 , R 5 , R 6 , and R 7 are optionally present, and are either (i) independently selected from the group consisting of alkyl, alkoxy, aryl, aryloxy, alkaryl, alkaryloxy, halogen, trihalomethyl, S(0)R, S0 2 NRR ' , S0 3 R, SR, N0 2 , NRR', OH, CN, C(0)R, 0C(0)R, NHC(0)R, (CH 2 ) n C0 ? R, and CONRR' or (ii) any two adjacent R 4 , R 5 , R 6 , and R 7 taken together form a fused ring with the aryl portion of the indole-based portion of the indolinone;
- R 2 ' , R 3 ', R 4 ' , R b ' , and R 6 ' are each independently selected from the group consisting of hydrogen, alkyl, alkoxy, aryl, aryloxy, alkaryl, alkaryloxy, halogen, trihalomethyl, S(0)R, S0 2 NR ' , S0 3 R, SR, N0 ? , NRR', OH, CN, C(0)R, 0C(0)R, NHC(0)R, (CH ) n C0 2 R, and CONRR ' ;
- n 0, 1, 2, or 3;
- R is hydrogen, alkyl or aryl;
- R' is hydrogen, alkyl or aryl;
- A is a five membered heteroaryl ring selected from the group consisting of thiophene, pyrrole, pyrazole, imidazole, 1 , 2 , 3 - triazole , 1 , 2 , 4 -triazole, oxazole, isoxazole, thiazole, isothiazole, furan, 1,2,3- oxadiazole, 1 , 2 , 4 -oxadiazole, 1 , 2 , 5-oxadiazole , 1,3,4- oxadiazole, 1 , 2 , 3 , -oxatriazole , 1 , 2 , 3 , 5-oxatriazole,
- pharmaceutically acceptable salt refers to those salts which retain the biological activity and properties of the free bases.
- Pharmaceutically acceptable salts can be obtained by reaction with inorganic acids such as hydrochloric acid, hydrobromic acid, sulfuric acid, nitric acid, phosphoric acid, methanesulfonic acid, ethanesulfonic acid, p- toluenesulfonic acid, salicylic acid and the like.
- prodrug refers to an agent that is converted into the parent drug in vi vo . Prodrugs may be easier to administer than the parent drug in some situations. For example, the prodrug may be bioavailable by oral administration but the parent is not, or the prodrug may improve solubility to allow for intravenous administration.
- Alkyl refers to a straight-chain, branched or cyclic saturated aliphatic hydrocarbon.
- the alkyl group has 1 to 12 carbons. More preferably, it is a lower alkyl of from 1 to 7 carbons, more preferably 1 to 4 carbons.
- Typical alkyl groups include methyl, ethyl, propyl, isopropyl, butyl, isobutyl, tertiary butyl, pentyl , hexyl and the like.
- alkenyl refers to a straight -chain, branched or cyclic unsaturated hydrocarbon group containing at least one carbon-carbon double bond.
- the alkenyl group has 2 to 12 carbons. More preferably it is a lower alkenyl of from 2 to 7 carbons, more preferably 2 to 4 carbons.
- Alkynyl refers to a straight -chain, branched or cyclic unsaturated hydrocarbon containing at least one carbon-carbon triple bond.
- the alkynyl group has 2 to 12 carbons. More preferably it is a lower alkynyl of from 2 to 7 carbons, more preferably 2 to 4 carbons.
- Alkoxy refers to an "O-alkyl” group.
- Aryl refers to an aromatic group which has at least one ring having a conjugated pi -electron system and includes carbocyclic aryl, heterocyclic aryl and biaryl groups. The aryl group may be optionally substituted with one or more substituents selected from the group consisting of halogen, trihalomethyl, hydroxyl, SH, OH, NO ? , amine, thioether, cyano, alkoxy, alkyl, and amino.
- Alkaryl refers to an alkyl that is covalently joined to an aryl group.
- the alkyl is a lower alkyl .
- Carbocyclic aryl refers to an aryl group wherein the ring atoms are carbon.
- Heterocyclic aryl refers to an aryl group having from 1 to 3 heteroatoms as ring atoms, the remainder of the ring atoms being carbon. Heteroatoms include oxygen, sulfur, and nitrogen. Thus, heterocyclic aryl groups include furanyl, thienyl, pyridyl, pyrrolyl, N- lower alkyl pyrrolo, pyrimidyl, pyrazinyl, imidazolyl and the like.
- Amide refers to -C(0)-NH-R, where R is alkyl, aryl, alkylaryl or hydrogen.
- Thioamide refers to -C(S)-NH-R, where R is alkyl, aryl, alkylaryl or hydrogen.
- Amin refers to a -N(R')R'' group, where R' and
- R 1 ' are independently selected from the group consisting of alkyl, aryl, and alkylaryl.
- Thioether refers to -S-R, where R is alkyl, aryl, or alkylaryl .
- Sulfonyl refers to -S(0) 2 -R, where R is aryl,
- C(CN) C-aryl, CH 2 CN, alkyaryl, sulfonamide, NH-alkyl, NH- alkylaryl, or NH-aryl.
- acyl denotes groups -C(0)R, where R is alkyl as defined above, such as formyl , acetyl, propionyl, or butyryl .
- indoles having such fused rings include the following:
- the six membered rings shown above exemplify possible A rings in compound II.
- Other preferred embodiments of the invention are crystalline forms comprising 3 - [ (3 - (2-carboxyethyl) -4 - methylpyrrol-5-yl) methylene] -2 -indolinone as well as 3- [4- (4-formylpiperazine-1-yl- ) benzylidenyl] -2 - indolinone .
- the polypeptide of these crystalline forms can be FGFR, and specifically, FGFR1.
- the crystalline forms of the invention can be defined by the structural coordinates set forth in Table 3 or Table 4.
- the use of X-ray crystallography can elucidate the three dimensional structure of crystalline forms of the invention.
- the first characterization of crystalline forms by X-ray crystallography can determine the unit cell shape and its orientation in the crystal.
- the invention features a crystal of an FGF receptor tyrosine kinase domain protein, where the crystal is characterized by having monoclinic unit cells.
- the crystal may also be characterized by having space group symmetry C2.
- unit cell refers to the smallest and simplest volume element (i.e., parallelpiped-shaped block) of a crystal that is completely representative of the unit of pattern of the crystal.
- the dimensions of the unit cell are defined by six numbers: dimensions a, b and c and angles ⁇ , ⁇ and ⁇ .
- a crystal can be viewed as an efficiently packed array of multiple unit cells. Detailed descriptions of crystallographic terms are described in, which is hereby incorporated herein by reference in its entirety, including any drawings, figures, and tables.
- space group refers to the symmetry of a unit cell.
- space group designation e.g., C2
- the capital letter indicates the lattice type and the other symbols represent symmetry operations that can be carried out on the unit cell without changing its appearance .
- latitude in reference to crystal structures refers to the array of points defined by the vertices of packed unit cells.
- symmetry operations refers to geometrically defined ways of exchanging equivalent parts of a unit cell, or exchanging equivalent molecules between two different unit cells. Examples of symmetry operations are screw axes, centers of inversion, and mirror planes.
- the invention features a polypeptide corresponding to the catalytic domain of a protein tyrosine kinase, containing at least about 20 amino acid residues upstream of the first glycine in the conserved glycine-rich region of the catalytic domain, and at least about 17 amino acid residues downstream of the conserved arginine located at the C-terminal boundary of the catalytic domain.
- polypeptides of the invention can be isolated, enriched or purified.
- crystalline forms of the invention can be formed from polypeptides that are isolated, enriched, or purified.
- isolated in reference to a polypeptide is meant a polymer of 6 , 12, 18 or more amino acids conjugated to each other, including polypeptides that are isolated from a natural source or that are synthesized.
- the isolated polypeptides of the present invention are unique in the sense that they are not found in a pure or separated state in nature .
- Use of the term “isolated” indicates that a naturally occurring sequence has been removed from its normal cellular environment. Thus, the sequence may be in a cell -free solution or placed in a different cellular environment. The term does not imply that the sequence is the only amino acid chain present, but that it is essentially free (about 90 - 95% pure at least) of material naturally associated with it.
- enriched in reference to a polypeptide it is meant that the specific amino acid sequence constitutes a significantly higher fraction (2 - 5 fold) of the total of amino acids present in the cells or solution of interest than in normal or diseased cells or in the cells from which the sequence was taken. This could be caused by a person by preferential reduction in the amount of other amino acids present, or by a preferential increase in the amount of the specific amino acid sequence of interest, or by a combination of the two.
- enriched does not imply that there are no other amino acid sequences present, just that the relative amount of the sequence of interest has been significantly increased.
- the term significant here is used to indicate that the level of increase is useful to the person making such an increase, and generally means an increase relative to other amino acids of about at least 2 fold, more preferably at least 5 to 10 fold or even more.
- the term also does not imply that there are no amino acids from other sources.
- the other source amino acids may, for example, comprise amino acids encoded by a yeast or bacterial genome, or a cloning vector such as pUC19. The term is meant to cover only those situations in which a person has intervened to elevate the proportion of the desired nucleic acid.
- an amino acid sequence be in purified form.
- purified in reference to a polypeptide does not require absolute purity (such as a homogeneous preparation) ; instead, it represents an indication that the sequence is relatively purer than in the natural environment (compared to the natural level this level should be at least 2-5 fold greater, e . g. , in terms of mg/ml) .
- Purification of at least one order of magnitude, preferably two or three orders, and more preferably four or five orders of magnitude is expressly contemplated.
- the substance is preferably free of contamination at a functionally significant level, for example 90%, 95%, or 99% pure.
- the invention features a polypeptide corresponding to the catalytic domain of a receptor PTK.
- the receptor PTK may have a three- dimensional structure substantially similar to that of the insulin receptor, even though the amino acid content may be different.
- the invention features a polypeptide corresponding to the catalytic domain of a non-receptor PTK, where the non-insulin receptor tyrosine kinase is a cytoplas ic tyrosine kinase.
- the invention features a polypeptide corresponding to the catalytic domain of a receptor PTK, selected from the group consisting of FGF- R, PDGF-R, KDR, CCK4 , MET, TRKA, AXL, TIE, EPH, RYK, DDR, ROS, RET, LTK, ROR1 , or MUSK.
- a receptor PTK selected from the group consisting of FGF- R, PDGF-R, KDR, CCK4 , MET, TRKA, AXL, TIE, EPH, RYK, DDR, ROS, RET, LTK, ROR1 , or MUSK.
- the invention features a polypeptide corresponding to the catalytic domain of a non-receptor PTK, selected from the group consisting of SRC, BRK, BTK, CSK, ABL, ZAP70, FES, FAK, JAK, or ACK.
- a non-receptor PTK selected from the group consisting of SRC, BRK, BTK, CSK, ABL, ZAP70, FES, FAK, JAK, or ACK.
- the invention features a polypeptide corresponding to the catalytic domain of a PTK, having the amino acid sequence shown in Table 1 or Table 2.
- the invention features a method for creating crystalline forms described herein.
- the method may utilize the polypeptides described herein to form a crystal.
- the method comprises the steps of:
- step (b) incubating the mixture obtained in step (a) over the reservoir solution in a closed container, under conditions suitable for crystallization.
- the invention features a method of obtaining FGF receptor tyrosine kinase domain polypeptide in crystalline form, comprising the steps of: (a) mixing a volume of polypeptide solution with an equal volume of reservoir solution, where the polypeptide solution comprises 1 mg/mL to 60 mg/mL FGF- type tyrosine kinase domain protein, 10 mM to 200 mM buffering agent, 0 mM to 20 mM dithiothreitol and has a pH of about 5.5 to about 7.5, and where the reservoir solution comprises 10% to 30% (w/v) polyethylene glycol, 0.1 M to 0.5 M ammonium sulfate, 0% to 20% (w/v) ethylene glycol or glycerol, 10 M to 200 mM buffering agent and has a pH of about 5.5 to about 7.5; and (b) incubating the mixture obtained in step (a) over said reservoir solution in a closed container at a temperature between 0° and 25°
- the invention features a method of obtaining FGF receptor tyrosine kinase domain polypeptide in crystalline form, where the polypeptide solution comprises about 10 mg/mL FGF receptor tyrosine kinase domain, about 10 mM sodium chloride, about 2 mM dithiothreitol, about 10 mM Tris-HCl and has a pH of about 8; the reservoir buffer comprises about 16% (w/v) polyethylene glycol (MW 10000), about 0.3 M ammonium sulfate, about 5% ethylene glycol or glycerol, about 100 mM bis-Tris and has a pH of about 6.5; and the temperature is about 4°C.
- the invention features a method of obtaining FGF receptor tyrosine kinase domain polypeptide in crystalline form, where the polypeptide solution includes a compound such as a cofactor, substrate, substrate analog, inhibitor or allosteric effector.
- the invention features a method of obtaining FGF receptor tyrosine kinase domain polypeptide in crystalline form, where the compound is a nucleotide analog, such as a non-hydrolyzable analog of ATP, or an indolinone. Indolinone compounds have the general structural formula as described herein.
- the invention features a cDNA encoding an FGF receptor tyrosine kinase domain protein, where a coding strand of the cDNA has the nucleotide sequence of SEQ ID NO : 5.
- Another aspect of the invention relates to a method of determining three dimensional structures of PTKs with unknown structure by utilizing the structural coordinates of Table 1, Table 2, Table 3, and Table 4. These methods can relate to homology modeling, molecular replacement, and nuclear magnetic resonance methods.
- the invention relates to a method of determining three dimensional structures of PTKs with unknown structures by utilizing the coordinates of Table 1, Table 2, Table 3, or Table 4 in conjunction with the amino acid sequences of PTKs.
- This method of homology modeling comprises the steps of: (a) aligning the computer representation of an amino acid sequence of a PTK with unknown structure with that of a PTK with known structure, where alignment is achieved by matching homologous regions of the amino acid sequences; (b) transferring the computer representation of an amino acid structure in the PTK sequence of known structure to a computer representation of a structure of the corresponding amino acid in the PTK sequence with unknown structure; and (c) determining low energy conformations of the resulting PTK structure.
- amino acid sequence describes the order of amino acids in the amino acid chain comprising a polypeptide corresponding to the catalytic domain of a PTK .
- aligning describes matching the beginning and the end of two or more amino acid sequences. Homologous amino acid sequences are placed on top of one another during the alignment process.
- homologous describes amino acids in two sequences that are identical or have similar side-chain chemical groups (e.g., aliphatic, aromatic, polar, negatively charged, or positively charged) .
- corresponding refers to an amino acid that is aligned with another in the sequence alignment mentioned above.
- determining the low energy conformation describes a process of changing the conformation of the PTK structure such that the structure is of low free energy.
- the PTK structure may or may not have molecules, such as modulators bound to it .
- low free energy describes a state where the molecules are in a stable state as measured by the process. A stable state is achieved when favorable interactions are formed within the complex.
- vorable interactions refers to hydrophobic, aromatic, and ionic forces, and hydrogen bonds .
- Another preferred embodiment of the invention relates to a method of determining three dimensional structures of PTKs with unknown structure.
- This method is accomplished by applying the structural coordinates of Table 1, Table 2, Table 3, or Table 4 to an incomplete X-ray crystallographic data set for a PTK.
- the method comprises the steps of: (a) aligning the positions of atoms in the unit cell by matching electron diffraction data from two crystals, where one data set is complete and the other is incomplete; and (b) determining a low energy conformation of the resulting PTK structure.
- incomplete data set relates to a X-ray crystallographic data set that does not have enough information to give rise to a three dimensional structure .
- the invention in another preferred embodiment, relates to a method of determining three dimensional structures of PTKs with unknown structure by applying the structural coordinates of Table 1, Table 2, Table 3, or Table 4 to nuclear magnetic resonance (NMR) data of a PTK.
- This method comprises the steps of: (a) determining the secondary structure of a PTK structure using NMR data; and (b) simplifying the assignment of through-space interactions of amino acids.
- the PTK structure may not be complexed with compounds or modulators .
- the term "secondary structure" describes the arrangement of amino acids in a three dimensional structure, such as in ⁇ -helix or ⁇ -sheet elements.
- through-space interactions defines the orientation of the secondary structural elements in the three dimensional structure and the distances between amino acids from different portions of the amino acid sequence .
- the term "assignment" defines a method of analyzing NMR data and identifying which amino acids give rise to signals in the NMR spectrum.
- the invention features a method of identifying potential modulators of PTK function. These modulators are identified by docking a computer representation of a structure of a compound with a computer representation of a cavity formed by the active-site of a PTK.
- the computer representation of the PTK active-site structure can be defined by structural coordinates.
- chemical group refers to moieties that can form hydrogen bonds, hydrophobic, aromatic, or ionic interactions.
- the term "docking" refers to a process of placing a compound in close proximity with a PTK.
- the term can also refer to a process of finding low energy conformations of the co pound/PTK complex.
- a preferred embodiment of the invention is a method of identifying potential modulators of PTK function. The method involves utilizing the structural coordinates or a PTK three dimensional structure . The structural coordinates set forth in Table 1, Table 2, Table 3, and Table 4 can be utilized.
- the method comprises the steps of: (a) removing a computer representation of a PTK structure and docking a computer representation of a compound from a computer data base with a computer representation of the active-site of the PTK; (b) determining a conformation of the complex with a favorable geometric fit and favorable complementary interactions; and (c) identifying compounds that best fit the PTK active-site as potential modulators of PTK function.
- the initial PTK structure may or may not have compounds bound to it.
- the term "favorable geometric fit” refers to a conformation of the compound-PTK complex where the surface area of the compound is in close proximity with the surface area of the active-site without forming unfavorable interactions. Unfavorable interactions can be steric hindrances between atoms in the compound and atoms in the PTK active-site.
- vorable complementary interactions relates to hydrophobic, aromatic, ionic, and hydrogen bond donating, and hydrogen bond accepting forces formed between the compound and the PTK active-site.
- Another preferred embodiment of the invention is a method of identifying potential modulators of PTK function.
- the method involves utilizing a three dimensional structure of a PTK, with or without compounds bound to it .
- the method comprises the steps of: (a) modifying a computer representation of a PTK having one or more compounds bound to it, where the computer representations of the compound or compounds and PTK are defined by structural coordinates; (b) determining a conformation of the complex with a favorable geometric fit and favorable complementary interactions; and (c) identifying the compounds that best fit the PTK active-site as potential modulators of PTK function.
- modifying relates to deleting a chemical group or groups or adding a chemical group or groups.
- Computer representations of the chemical groups can be selected from a computer data base.
- Yet another preferred embodiment of the invention is a method of identifying potential modulators of PTK function by operating modulator construction or modulator searching computer programs on the compounds complexed with the PTK.
- the method comprises the steps of: (a) removing a computer representation of one or more compounds complexed with a PTK; and (b) searching a data base for compounds similar to the removed compounds using a compound searching computer program, or replacing portions of the compounds complexed with the PTK with similar chemical structures from a data base using a compound construction computer program, where the representations of the compounds are defined by structural coordinates.
- operating refers to utilizing the three-dimensional conformation of molecules defined by the processes described herein in various computer programs.
- similar compound refers to a compound in a computer data base that has a similar geometric structure as compounds that can bind to a PTK.
- the similar compound can also have similar chemical groups as the compounds that are either bound to the PTK or once bound to the PTK.
- the similar chemical groups can form complementary interactions with the PTK.
- compound searching computer program describes a computer program that searches computer representations of compounds from a computer data base that have similar three dimensional structures and similar chemical groups as a compound of interest.
- the compound of interest is preferably an indolinone compound.
- similar chemical structures refers to chemical groups that share similar geometry as portions of the compounds in complex with the PTK or compounds removed from the PTK structure. Similar chemical structures can also refer to chemical groups that may form similar complementary interactions as portions of the compounds in complex with the PTK or compounds removed from the PTK structure.
- planning structures refers to removing a portion of the compounds in complex with the PTK or compounds removed from the PTK structure and connecting the broken bonds to a similar chemical structure.
- compound construction computer program describes a computer program that replaces computer representations of chemical groups in a compound with groups from a computer data base.
- the compound is preferably an indolinone compound.
- the PTK structures used in the modulator design or identification method of the invention are defined by the structural coordinates of Table 1, Table 2, Table 3, or Table 4.
- the invention relates to a receptor PTK.
- the receptor PTK can be selected form the group consisting of FGF-R, PDGF-R, FLK, CCK4 , MET, TRKA, AXL, TIE, EPH, RYK, DDR, ROS, RET, LTK, R0R1 , and MUSK.
- the PTK may also exist as a non-receptor PTK.
- the non- receptor PTK can be selected from the group consisting of SRC, BRK, BTK, CSK, ABL, ZAP70, FES, FAK, JAK, and
- the invention features a potential modulator of PTK function identified by methods disclosed in the invention.
- a preferred embodiment of the invention is that the potential modulator of PTK function is an oxindolinone or a thiolindolinone of formula I or II disclosed above.
- Another aspect of the invention is a method for synthesizing a potential modulator of PTK function or its pharmaceutically acceptable salts, isomers, metabolites, esters, amides, or prodrugs by a standard synthetic method known in the art. Synthetic procedures are discussed below.
- the invention features a method of identifying a potential modulator of PTK function as a modulator of PTK function.
- the method comprises the steps of: (a) administering a potential modulator of PTK function to cells; (b) comparing the level of PTK phosphorylation between cells not administered the potential modulator and cells administered the potential modulator; and (c) identifying the potential modulator as a modulator of PTK function based on the difference in the level of PTK phosphorylation.
- the term "cells” refers to any type of cells either primary or cultured. Primary cells can be extracted directly from an organism while cultured cells rapidly divide and can be cultured in many successive rounds. Cells can be grown in a variety of containers including, but not limited to flasks, dishes, and well plates.
- the term “administer” refers to a method of delivering a compound to cells.
- the compound can be prepared using a carrier such as dimethyl sulfoxide (DMSO) in an aqueous solution.
- DMSO dimethyl sulfoxide
- the aqueous solution comprising the compound also termed an "aqueous preparation" can be simply mixed into the medium bathing the layer of cells or microinjected into the cells themselves.
- the compounds may be administered to the cells using a suitable buffered solution.
- suitable buffered solution refers to an aqueous preparation of the compound that comprises a salt that can control the pH of the solution at low concentrations. Because the salt exists at low concentrations, the salt preferably does not alter the function of the cells.
- PTK phosphorylation refers to the presence of phosphate on the PTK. Phosphates on PTKs can be identified by antibodies that bind them specifically with high affinity.
- the invention features a method of identifying a potential modulator of PTK function as a modulator of PTK function.
- the method comprises the steps of: (a) administering a potential modulator of PTK function to cells; (b) comparing the level of cell growth between cells not administered the potential modulator and cells administered the potential modulator; and (c) identifying the potential modulator as a modulator of PTK function based on the difference in cell growth.
- cell growth refers to the rate at which a group of cells divides. Cell division rates can be readily measured by methods utilized by those skilled in the art.
- Another aspect of the invention features a method of diagnosing a disease by identifying cells harboring a PTK with inappropriate activity.
- the method comprises the steps of: (a) administering a modulator of PTK function to cells; (b) comparing the rate of cell growth between cells not administered the modulator and cells administered the modulator; and (c) diagnosing a disease by characterizing cells harboring a PTK with inappropriate activity from the effect of the modulator on the difference in the rate of cell growth.
- the modulator can be identified by the methods of the invention .
- inappropriate activity refers to a PTK that regulates a step in a signal transduction process at a higher or lower rate than normal cells.
- Aberrations in the rate of signal transduction can be caused by alterations in the stimulation of a receptor PTK by a growth factor, alterations in the activity of PTK-specific phosphatase, over-expression of a PTK in a cell, or mutations in the catalytic region of the PTK itself.
- signal transduction process describes the steps in a cascade of events where an extracellular signal is transmitted into an intracellular signal.
- PTK-specific phosphatase describes an enzyme that dephosphorylates a particular PTK and thereby regulates that PTK's activity.
- Another aspect of the invention is a method of treating a disease associated with a PTK with inappropriate activity in a cellular organism, where the method comprises the steps of: (a) administering the modulator of PTK function to the organism, where the modulator is in an acceptable pharmaceutical preparation; and (b) activating or inhibiting the PTK function to treat the disease.
- the term "organism” relates to any living being comprised of at least one cell. An organism can be as simple as one eukaryotic cell or as complex as a mammal.
- administering in reference to an organism, refers to a method of introducing the compound to the organism.
- the compound can be administered when the cells or tissues of the organism exist within the organism or outside of the organism. Cells existing outside the organism can be maintained or grown in cell culture dishes.
- many techniques exist in the art to administer compounds including (but not limited to) oral, parenteral, dermal, and injection applications.
- multiple techniques exist in the art to administer the compounds, including (but not limited to) cell microinjection techniques, transformation techniques, and carrier techniques.
- composition refers to a preparation comprising the modulator of PTK activity.
- the composition is acceptable if it does not appreciably cause irritations to the organism administered the compound.
- the PTK is a receptor PTK selected from the group consisting of FGF-R, PDGF-R, FLK-1, CCK4 , MET, TRKA, AXL, TIE, EPH, RYK, DDR, ROS, RET, LTK, ROR1 , and MUSK.
- the PTK is a non-receptor PTK selected from the group consisting of SRC, BRK, BTK, CSK, ABL, ZAP70, FES, FAK, JAK, and ACK.
- FIG. 1 provides a ribbon diagram of the structure of FGFR1 showing the side chains of tyrosines Tyr-653 and Tyr-654 and the helical ( C, ⁇ D, E, EF, ⁇ F- ⁇ l), ⁇ strand ( ⁇ l- ⁇ 5, ⁇ 7, ⁇ 8), nucleotide-binding loop, catalytic loop, activation loop and kinase insert regions of the molecule.
- the termini are denoted by N and C.
- the loop between ⁇ 2 and ⁇ 3 is disordered, indicated by a break in the chain in this region.
- FIG. 2 provides a stereo view of a C ⁇ trace of FGFRl shown in the same orientation as FIG. 1, with every tenth amino acid residue marked with a filled circle and every twentieth amino acid residue labeled with a residue number.
- FIG. 3 provides a structure-based sequence alignment of human fibroblast growth factor receptor 1 (FGFRl), human fibroblast growth factor receptor 2 (FGFR2), human fibroblast growth factor receptor 3 (FGFR3), human fibroblast growth factor receptor 4 (FGFR4) , a D. malanogaster homolog (DFGFR1), a C. elegans homolog (EGL-15) and insulin receptor tyrosine kinase (IRK) .
- FIGS. 4A and 4B provide ribbon diagrams of the
- FIG. 5 illustrates the side-chain positions of the tyrosine autophosphorylation sites of FGFRl on the backbone representation of FGFRl.
- FIGS. 6A and 6B are amino acid sequence alignments of the catalytic domains of PTKs, including receptor and non-receptor type PTKs.
- FIG. 6A depicts one representative member from each of the eighteen subfamilies of receptor tyrosine kinases.
- FIG. 6B depicts one representative member from each of the subfamilies of cytoplasmic tyrosine kinases.
- highly conserved residues are boxed. The position of the glycine-rich domain, kinase insert, catalytic loop, and activation loop are indicated. The numbering is for human FGF-receptor .
- Table 2 provides the atomic structure coordinates of FGFRl :AMP-PCP co-crystals of the invention as determined by X-ray crystallography.
- Table 3 lists crystallographic coordinates defining the three dimensional structure of FGF-Rl complexed with 3- [ (3- (2-carboxyethyl) -4 -methylpyrrol- 5 -yl) methylene] -2- indolinone.
- the columns (from left to right) are descriptions of the atoms by number and type, amino acid and number containing the atom, the x coordinate, y coordinate, z coordinate, bond connectivity, and temperature factor. All of these parameters are well defined in the art.
- Table 4 is a file of crystallographic coordinates defining the three dimensional structure of FGF-Rl complexed with 3 - [4 - (4 -formylpiperazine-1-yl) benzylidenyl] -2 -indolinone .
- the columns are as described in Table 3.
- the present invention is directed to the design and identification of modulators of protein tyrosine kinase function that are PTK subfamily specific, non- hydrolyzable under acidic conditions, and highly bioavailable.
- the three dimensional structures of a PTK optionally complexed with compounds can facilitate design and identification of modulators of PTK function.
- PTKs Protein tyrosine kinases
- FGF-R fibroblast growth factor receptor
- FGF-Rl can mediates cellular functions by its role in one or more cellular signal transduction processes.
- Cellular signal transduction processes comprise multiple steps that convert an extracellular signal into an intracellular signal.
- Receptor PTK mediated signal transduction is initiated by binding a specific extracellular ligand, followed by receptor dimerization, and subsequent autophosphorylation of the receptor PTK.
- the phosphate groups are binding sites for intracellular signal transduction molecules which leads to the formation of protein complexes at the cell membrane. These complexes facilitate an appropriate cellular effect (e.g., cell division, metabolic effects to the extracellular microenvironment) in response to the ligand that began the cascade of events .
- Receptor PTKs function as binding sites for several intracellular proteins . Intracellular PTK binding proteins are divided into two principal groups: (1) those which harbor a catalytic domain; and (2) those which lack such a domain but serve as adapters and associate with catalytically active molecules.
- SH2 ( src homology) domains are common adaptors found in proteins which directly bind to the receptor PTK. SH2 domains are harbored by PTK binding proteins of both groups mentioned above. Fantl e ⁇ al . , 1992, Cell 69 :413 -423 ; Songyang et al . , 1994, Mol . Cell . Biol . 14:2777-2785); Songyang et al . , 1993, Cell 72:767-778; and Koch et al . , 1991, Science 252:668-678.
- receptor PTKs The specificity of the interactions between receptor PTKs and the SH2 domains of their binding proteins is determined by the amino acid residues immediately surrounding the phosphorylated tyrosine residue. Differences in the binding affinities of SH2 domains is correlated with the observed differences in substrate phosphorylation profiles of downstream molecules in the signal transduction process . Songyang et al . , 1993, Cell 72:767-778. These observations suggest that the function of each receptor PTK is determined not only by its pattern of expression and ligand availability but also by the array of downstream signal transduction pathways that are activated by a particular receptor. Thus, PTKs provide a controlling regulatory role in signal transduction processes as a consequence of autophosphoryla ion .
- PTK-mediated signal transduction regulates cell proliferative , differentiation, and metabolic responses in cells. Therefore, inappropriate PTK activity can result in a wide array of disorders and diseases. These disorders, which are described below, may be treated by the modulators of PTK function designed or identified by the methods disclosed herein.
- the present invention also relates to crystalline polypeptides corresponding to the catalytic domain of receptor tyrosine kinases .
- tyrosine kinases include receptors of a class that are not covalently cross -linked but are understood to undergo ligand- induced dimerization, as well as cytoplasmic tyrosine kinases.
- the crystalline catalytic domains are of sufficient quality to allow for the determination of a three-dimensional X-ray diffraction structure to a resolution of about 1.5 A to about 2.5 A.
- the invention also relates to methods for preparing and crystallizing the polypeptides.
- the polypeptides themselves, as well as information derived from their crystal structures can be used to analyze and modify tyrosine kinase activity as well as to identify compounds that interact with the catalytic domain.
- the polypeptides of the invention are designed on the basis of the structure of a region in the cytoplasmic domain of the receptor tyrosine kinase that contains the catalytic domain.
- FIG. 6A shows the amino acid sequence alignment of the catalytic domains of eighteen human receptor tyrosine kinases; one representative member from each of the eighteen subfamilies is shown.
- FIG. 6B shows the alignment for cytoplasmic kinases.
- the applicants have discovered and determined the boundaries of the domain required for crystallization of the resulting polypeptide. Surprisingly, these boundaries differ from that required for catalytic activity. For example, referring to FIG.
- the domain required for catalytic activity is generally believed to span about 7 amino acid residues upstream of the first glycine (FIG. 6A residue number 485) of the N-terminal glycine-rich region through about 10 residues beyond the C-terminal conserved arginine (FIG. 6A, residue number 744) .
- the additional sequence upstream of the N- terminal glycine-rich region and downstream of the C- terminal conserved arginine can be required for crystallization.
- at least about 20 amino acid residues (+/- 5 amino acid residues) upstream of the first glycine i.e.. FIG.
- cysteine residues can be substituted with an appropriate amino acid that does not readily form covalent bonds with other amino acid residues under crystallization conditions; e.g., by substituting the cysteine with Ala, Ser or Gly.
- Any cysteine located in a non-helical or non- ⁇ - stranded segment, based on secondary structure assignments, are good candidates for replacement.
- cysteines located in regions corresponding to the glycine-rich-loop, the kinase insert, the juxtamembrane region or the activation loop are prime candidates for replacement.
- substitutions of cysteine residues that - are conserved among the kinases (e.g.. FIG. 6A at positions 725 and 736) are preferably avoided.
- Blood vessel proliferative disorders refer to angiogenic and vasculogenic disorders generally resulting in abnormal proliferation of blood vessels.
- the formation and spreading of blood vessels play important roles in a variety of physiological processes such as embryonic development, corpus luteum formation, wound healing and organ regeneration. They also play a pivotal role in cancer development.
- Other examples of blood vessel proliferation disorders include arthritis, where new capillary blood vessels invade the joint and destroy cartilage, and ocular diseases, like diabetic retinopathy, where new capillaries in the retina invade the vitreous, bleed and cause blindness.
- disorders related to the shrinkage, contraction or closing of blood vessels are implicated in such diseases as restenosis.
- Fibrotic disorders refer to the abnormal formation of extracellular matrix.
- fibrotic disorders include hepatic cirrhosis and mesangial cell proliferative disorders.
- Hepatic cirrhosis is characterized by the increase in extracellular matrix constituents resulting in the formation of a hepatic scar.
- Hepatic cirrhosis can cause diseases such as cirrhosis of the liver.
- An increased extracellular matrix resulting in a hepatic scar can also be caused by viral infection such as hepatitis.
- Mesangial cell proliferative disorders refer to disorders brought about by abnormal proliferation of mesangial cells.
- Mesangial proliferative disorders include various human renal diseases, such as glomerulonephritis, diabetic nephropathy, malignant nephrosclerosis , thrombotic microangiopathy syndromes, transplant rejection, and glomerulopathies .
- the PDGF-R has been implicated in the maintenance of mesangial cell proliferation. Floege et al . , 1993, Kidney In terna tional 43 :47S-54S.
- PTKs are directly associated with the cell proliferative disorders described above. For example, some members of the receptor PTK family have been associated with the development of cancer. Some of these receptors, like EGFR (Tuzi et al . , 1991, Br . J.
- EGFR is associated with squamous cell carcinoma, astrocytoma, glioblastoma, head and neck cancer, lung cancer and bladder cancer.
- HER2 is associated with breast, ovarian, gastric, lung, pancreas and bladder cancer.
- PDGF-R is associated with glioblastoma, lung, ovarian, melanoma and prostate cancer.
- the receptor PTK c-met is generally associated with hepatocarcinogenesis and thus hepatocellular carcinoma. Additionally, c-met is linked to malignant tumor formation. More specifically, c-met has been associated with, among other cancers, colorectal, thyroid, pancreatic and gastric carcinoma, leukemia and lymphoma. Additionally, over-expression of the c-met gene has been detected in patients with Hodgkins disease, Burkitts disease, and the lymphoma cell line.
- IGF- I receptor PTK in addition to being implicated in nutritional support and in type-II diabetes, is also associated with several types of cancers.
- IGF- I has been implicated as an autocrine growth stimulator for several tumor types, e.g. human breast cancer carcinoma cells (Arteaga et al . , 1989, J. Clin . Inves t . 54:1418-1423) and small lung tumor cells (Macauley et al . , 1990, Cancer Res . 50:2511- 2517).
- IGF- I integrally involved in the normal growth and differentiation of the nervous system, appears to be an autocrine stimulator of human gliomas. Sandberg-Nordqvist et al .
- IGF-IR Intracellular factor-IR
- fibroblasts , epithelial cells, smooth muscle cells, T- lymphocytes, myeloid cells, chondrocytes, osteoblasts, the stem cells of the bone marrow
- IGF- I Goldring and Goldring, 1991, Eukaryotic Gene Expression 1:301- 326.
- IGF-IR plays a central role in the mechanisms of transformation and, as such, could be a preferred target for therapeutic interventions for a broad spectrum of human malignancies. Baserga, 1995, Cancer Res . 55:249- 252; Baserga, 1994, Cell 75:927-930; Coppola et al . , 1994, Mol . Cell . Biol . 14:4588-4595.
- receptor PTKs are associated with metabolic diseases like psoriasis, diabetes mellitus, wound healing, inflammation, and neurodegenerative diseases.
- EGF-R is indicated in corneal and dermal wound healing.
- Defects in Insulm-R and IGF-IR are indicated type- II diabetes mellitus.
- Non-receptor PTKs including src, abl, fps , yes, fyn, lyn, lck, blk, hck, fgr, yrk (reviewed by Bolen et al . , 1992, FASEB J. 6 : 3403-3409 ) , are involved in the proliferative and metabolic signal transduction pathways also associated with receptor PTKs. Therefore, the present invention is also directed towards designing modulators against this class of PTKs For example, mutated src (v-src) is an oncoprotein (pp60 v &rc ) m chicken. Moreover, its cellular homolog, the proto- oncogene pp60 c ⁇ src transmits oncoge ic signals of many receptors. For example, over-expression of EGF-R or
- HER2/neu m tumors leads to the constitutive activation of pp60 c ⁇ src , which is characteristic of the malignant cell but absent in the normal cell.
- Zap 70 s implicated in T-cell signaling. Both receptor PTKs and non-receptor PTKs are connected to hyperimmune disorders.
- the instant invention is directed in part towards designing modulators of PTK function that could indirectly kill tumors by cutting off their source of sustenance.
- Normal vasculogenesis and angiogenesis play important roles m a variety of physiological processes such as embryonic development, wound healing, organ regeneration and female reproductive processes such as follicle development in the corpus luteum during ovulation and placental growth after pregnancy.
- many diseases are driven by persistent unregulated or inappropriate angiogenesis. For example, in arthritis, new capillary blood vessels invade the joint and destroy the cartilage. In diabetes, new capillaries in the retina invade the vitreous, bleed and cause blindness.
- Thrombosis and Haemostasis (Verstraete, et. al , eds . ) , Leuven University Press, Leuven, pp.583-596. Ocular neovascularization is the most common cause of blindness and dominates approximately twenty (20) eye diseases. Moreover, vasculogenesis and/or angiogenesis can be associated with the growth of malignant solid tumors and metastasis. A tumor must continuously stimulate the growth of new capillary blood vessels for the tumor itself to grow. Furthermore, the new blood vessels embedded in a tumor provide a gateway for tumor cells to enter the circulation and to metastasize to distant sites in the body. Folkman, 1990, J. Natl . Cancer Inst . 82 : 4.
- VEGF vascular endothelial growth factor
- placental growth factor a polypeptide with in vi tro endothelial cell growth promoting activity. Examples include acidic and basic fibroblastic growth factor ( ⁇ FGF, ⁇ FGF) , vascular endothelial growth factor (VEGF) and placental growth factor. Unlike ⁇ FGF and ⁇ FGF, VEGF has recently been reported to be an endothelial cell specific mitogen. Ferrara and Henzel, 1989, Biochem. Biophys . Res . Comm . 161 : 851 - 858 ; Vaisman et al . , 1990, J. Biol . Chem . 265 :19461-19566.
- identifying the specific receptors that bind FGF or VEGF is important for understanding endothelial cell proliferation regulation.
- Two structurally related receptor PTKs that bind VEGF with high affinity are identified: the flt-1 receptor (Shibuya et al . , 1990, Oncogene 5:519-524; De Vries et al . , 1992, Science 255:989-991) and the KDR/FLK-1 receptor, discussed in the U.S. Patent Application No. 08/193,829.
- a receptor that binds ⁇ FGF and ⁇ FGF is identified. Jaye et al . , 1992, Biochem . Biophys . Acta 1135:185-199). Consequently, these receptor PTKs most likely regulate endothelial cell proliferation.
- FGFRs play important roles in angiogenesis, wound healing, embryonic development, and malignant transformation. Basilico and Moscatelli, 1992, Adv. Cancer Res . 55:115-165.
- Four mammalian FGFR (FGFR1-4) have been described and additional diversity is generated by alternative RNA splicing withm the extracellular domains. Jaye et al . , 1992, Biochem . Biophys . Acta 1135 : 185 - 199 .
- dimerization of FGF receptors is essential for their activation. Soluble or cell surface-bound heparin sulfate proteoglycans act in concert with FGF to induce dimerization (Schlessmger et al .
- Mutations in three human FGF receptor genes, FGFRl, FGFR2, and FGFR3 have been implicated in a variety of human genetic skeletal disorders. Mutations in FGFRl and FGFR2 result in the premature fusion of the flat bones of the skull and cause the craniosynostosis syndromes, such as Apert (FGFR2) (Wilkie et al . , 1994, Na t . Genet. 8:269-274), Pfeiffer (FGFRl and FGFR2 ) (Muenke et al . , 1994, Nat. Genet. 8:269-274), Jackson-Weiss (FGFR2) (Jabs et al . , 1994, Na t . Genet.
- Apert FGFR2
- Pfeiffer FGFRl and FGFR2
- FGFR2 Jackson-Weiss
- FGFs are thought to be involved in malignant transformation.
- VEGF is not only responsible for endothelial cell proliferation, but also is a prime regulator of normal and pathological angiogenesis. See generally, Klagsburn and Soker, 1993, Current Biology 3:699-702; Houck et al . , 1992, J. Biol . Chem . 267:26031-26037. Moreover, it has been shown that KDR/FLK-1 and flt-1 are abundantly expressed in the proliferating endothelial cells of a growing tumor, but not in the surrounding quiescent endothelial cells.
- the invention is directed to designing and identifying modulators of receptor and non-receptor PTK functions that could modify the inappropriate activity of a PTK involved with a clinical disorder.
- the rational design and identification of modulators of PTK functions can be accomplished by utilizing the structural coordinates that define a PTK three dimensional structure. II .
- Modulators of PTK functions as Therapeutics for Disease As a consequence of the disorders discussed above, scientists in the biomedical community are searching for modulators of PTK functions that down-regulate signal transduction pathways associated with inappropriate PTK activity .
- small molecule modulators of PTK functions are sought as some can traverse the cell membrane and do not hydrolyze in acidic environments.
- Some compounds have already been discovered. For example, bis monocyclic, bicyclic or heterocyclic aryl compounds (PCT WO 92/20642) , vinylene-azaindole derivatives (PCT WO 94/14808) 1-cyclopropyl -4 -pyridyl - quinolones (U.S. Patent No. 5,330,992), styryl compounds (U.S. Patent No. 5,217,999), styryl-substituted pyridyl compounds (U.S. Patent No. 5,302,606), certain quinazoline derivatives (EP Application No.
- PCT WO 94/03427 seleoindoles and selenides
- PCT WO 92/21660 tricyclic polyhydroxylic compounds
- PCT WO 91/15495 benzylphosphonic acid compounds
- the invention provides information regarding the specific interactions between a PTK and compounds of the oxindolinone/thiolindolinone family.
- X-ray crystallography has provided three dimensional structures of other PTKs, the PTKs in these structures are not complexed with PTK subfamily specific, hydrolysis resistant, highly bioavailable small molecules.
- the X-ray crystallography techniques used in the current invention resolve interactions between a PTK and compounds in complex with it at the atomic level, which provides detailed information regarding the orientation of chemical groups defining an effective modulator of PTK function.
- Crystalline Tyrosine Kinases include native crystals, derivative crystals and co-crystals.
- the native crystals of the invention generally comprise substantially pure polypeptides corresponding to the tyrosine kinase domain in crystalline form. It is to be understood that the crystalline tyrosine kinase domains of the invention are not limited to naturally occurring or native tyrosine kinase domains. Indeed, the crystals of the invention include mutants of native tyrosine kinase domains.
- Mutants of native tyrosine kinase domains are obtained by replacing at least one amino acid residue in a native tyrosine kinase domain with a different amino acid residue, or by adding or deleting amino acid residues within the native polypeptide or at the N- or C-terminus of the native polypeptide, and have substantially the same three- dimensional structure as the native tyrosine kinase domain from which the mutant is derived.
- having substantially the same three-dimensional structure is meant having a set of atomic structure coordinates that have a root -mean-square deviation of less than or equal to about 2A when superimposed with the atomic structure coordinates of the native tyrosine kinase domain from which the mutant is derived when at least about 50% to 100% of the C ⁇ atoms of the native tyrosine kinase domain are included in the superposition.
- Amino acid substitutions, deletions and additions which do not significantly interfere with the three- dimensional structure of the tyrosine kinase domain will depend, in part, on the region of the tyrosine kinase domain where the substitution, addition or deletion occurs.
- highly variable regions of the molecule such as those shown in FIG. 6, non-conservative substitutions as well as conservative substitutions may be tolerated without significantly disrupting the three- dimensional structure of the molecule.
- conservative amino acid substitutions are preferred.
- amino acid substitutions are well- known in the art, and include substitutions made on the basis of similarity in polarity, charge, solubility, hydrophobicity, hydrophilicity and/or the amphipathic nature of the amino acid residues involved.
- negatively charged amino acids include aspartic acid and glutamic acid
- positively charged amino acids include lysine and arginine
- amino acids with uncharged polar head groups having similar hydrophilicity values include the following: leucine, isoleucine, valine; glycine, alanine; asparagine, glutamine; serine, threonine; phenylalanine, tyrosine.
- Other conservative amino acid substitutions are well known in the art.
- amino acids available for substitution or addition is not limited co the genetically encoded amino acids. Indeed, the mutants described herein may contain non-genetically encoded amino acids. Conservative amino acid substitutions for many of the commonly known non- genetically encoded amino acids are well known in the art. Conservative substitutions for other amino acids can be determined based on their physical properties as compared to the properties of the genetically encoded amino acids .
- substitutions, deletions and/or additions which do not substantially alter the three dimensional structure of the native tyrosine kinase domain will be apparent to those of ordinary skill in the art .
- mutants contemplated herein need not exhibit PTK activity. Indeed, amino acid substitutions, additions or deletions that interfere with the kinase activity of the tyrosine kinase domain but which do not significantly alter the three-dimensional structure of the domain are specifically contemplated by the invention. Such crystalline polypeptides, or the atomic structure coordinates obtained therefrom, can be used to identify compounds that bind to the native domain. These compounds may affect the activity or the native domain.
- the derivative crystals of the invention generally comprise a crystalline tyrosine kinase domain polypeptide in covalent association with one or more heavy metal atoms. The polypeptide may correspond to a native or a mutated tyrosine kinase domain. Heavy metal atoms useful for providing derivative crystals include, by way of example and not limitation, gold, mercury, etc .
- the co-crystals of the invention generally comprise a crystalline tyrosine kinase domain polypeptide in association with one or more compounds.
- the association may be covalent or non-covalent .
- Such compounds include, but are not limited to, cofactors, substrates, substrate analogues, inhibitors, allosteric effectors, etc.
- IV. Three Dimensional Structure Determination Using X- ray Crystallography is a method of solving the three dimensional structures of molecules. The structure of a molecule is calculated from X-ray diffraction patterns using a crystal as a diffraction grating. Three dimensional structures of protein molecules arise from crystals grown from a concentrated aqueous solution of that protein. The process of X-ray crystallography can include the following steps:
- the native and mutated tyrosine kinase domain polypeptides described herein may be chemically synthesized in whole or part using techniques that are well-known in the art (see . e.g.. Creighton, 1983) .
- methods which are well known to those skilled in the art can be used to construct expression vectors containing the native or mutated tyrosine kinase domain polypeptide coding sequence and appropriate transcriptional/translational control signals. These methods include in vi tro recombinant DNA techniques, synthetic techniques and in vivo recombination/genetic recombination. See, for example, the techniques described in Maniatis et al . , 1989 and Ausubel et al . , 1989.
- a variety of host -expression vector systems may be utilized to express the tyrosine kinase domain coding sequence. These include but are not limited to microorganisms such as bacteria transformed with recombinant bacteriophage DNA, plasmid DNA or cosmid DNA expression vectors containing the tyrosine kinase domain coding sequence; yeast transformed with recombinant yeast expression vectors containing the tyrosine kinase domain coding sequence; insect cell systems infected with recombinant virus expression vectors (e.g.. baculovirus) containing the tyrosine kinase domain coding sequence; plant cell systems infected with recombinant virus expression vectors (e.g.
- plasmid expression vectors e.g.. Ti plasmid
- the expression elements of these systems vary in their strength and specificities.
- any of a number of suitable transcription and translation elements may be used in the expression vector.
- inducible promoters such as pL of bacteriophage ⁇ , plac, ptrp, ptac (ptrp-lac hybrid promoter) and the like may be used;
- promoters such as the baculovirus polyhedrin promoter may be used;
- promoters derived from the genome of plant cells e.g.
- heat shock promoters may be used; when cloning in mammalian cell systems, promoters derived from the genome of mammalian cells (e.g. , metallothionein promoter) or from mammalian viruses (e.g..
- the adenovirus late promoter may be used; when generating cell lines that contain multiple copies of the tyrosine kinase domain DNA, SV40-, BPV- and EBV- based vectors may be used with an appropriate selectable marker.
- Crystals are grown from an aqueous solution containing the purified and concentrated polypeptide by a variety of techniques . These techniques include batch, liquid, bridge, dialysis, vapor diffusion, and hanging drop methods. McPherson, 1982, John Wiley, New York; McPherson, 1990, Eur. J. Biochem . 189:1-23; Webber, 1991, Adv. Protein Chem . 41 : 1 - 36 , incorporated by reference herein in its entirety, including all figures, tables, and drawings.
- the native crystals of the invention are grown by adding precipitants to the concentrated solution of the polypeptide corresponding to the PTK catalytic domain.
- the precipitants are added at a concentration just below that necessary to precipitate the protein. Water is removed by controlled evaporation to produce precipitating conditions, which are maintained until crystal growth ceases.
- crystallization conditions can be varied. Such variations may be used alone or in combination, and include polypeptide solutions containing polypeptide concentrations between about 1 mg/mL and about 60 mg/mL, Tris-HCl concentrations between about 10 mM and about 200 M, dithiothreitol concentrations between about 0 M and about 20 mM, pH ranges between about 5.5 and about 7.5; and reservoir solutions containing polyethylene glycol concentrations between about 10% and about 30% (w/v), polyethylene glycol molecular weights between about 1000 and about 20,000, (NH 4 ) 2 S0 4 concentrations between about 0.1 M and about 0.5 M, ethylene glycol or glycerol concentrations between about 0% and about 20% (v/v) , bis-Tris concentrations between about 10 mM and about 200 mM, pH ranges between about 5.5 and about 7.5 and temperature ranges between about 0° C and about 25°C.
- Other buffer solutions may be used such as
- Derivative crystals of the invention can be obtained by soaking native crystals in mother liquor containing salts of heavy metal atoms. It has been found that soaking a native crystal in a solution containing about 0.1 mM to about 5 M thimerosal, 4- chloromeruribenzoic acid or KAu(CN) 2 for about 2 hr to about 72 hr provides derivative crystals suitable for use as isomorphous replacements in determining the X-ray crystal structure of the tyrosine kinase domain polypeptide .
- Co-crystals of the invention can be obtained by soaking a native crystal in mother liquor containing compound that bind the kinase domain, or described above, or can be obtained by co-crystallizmg the kinase domain polypeptide in the presence of one or more binding compounds .
- co-crystals of tyrosine kinase domain polypeptide in co-complex with AMP-PCP it has been found that co-crystallizing the kinase domain polypeptide in the presence of AMP-PCP using the above- described crystallization conditions for obtaining native crystals with a polypeptide solution additionally containing 10 mM AMP-PCP and 20 mM MgCl 2 yields co- crystals suitable for the high resolution structure determination by X-ray crystallography.
- concentrations of AMP-PCP and MgCl 2 in the polypeptide solution can be varied, alone or in combination with the variations described above for native crystals. Such variations include polypeptide solutions containing AMP- PCP concentrations between 0.1 mM and 50 mM and MgCl 2 concentrations between 0 mM and 50 mM.
- Crystals comprising a polypeptide corresponding to a PTK catalytic domain complexed with a compound can be grown by one of two methods.
- the modulator is added to the aqueous solution containing the polypeptide corresponding to the PTK catalytic domain before the crystal is grown.
- the modulator is soaked into an already existing crystal of a polypeptide corresponding to a PTK catalytic domain.
- the invention provides crystals of FGFRl.
- the crystals were obtained by the methods provided in the Examples.
- space group symmetry C2 There are two FGFRl molecules in the asymmetric unit, related by an approximate two- fold axis.
- the non- crystallographically related dimer comprises the two molecules in the asymmetric unit.
- the residues making up the dimer interface are located in C-terminal lobe.
- the C-terminal lobes abut with the N- terminal lobes distal to one another.
- the total amount of surface area buried in the surface is about 950 A 2 .
- Very few of the interactions in the interface are of a specific nature, e.g., hydrogen-bonding or close packing of hydrophobic residues.
- two main-chain hydrogen-bonds connect the ⁇ -sheets of the two monomers at the start of ⁇ 3 (amino acid residues 506 and 508) .
- the residues in this dimer interface, or their residue character, are generally conserved in the mammalian FGF receptors, but not in the invertebrate homologues .
- the other crystallographically-related dimer buries about 1650 A 2 in its interface.
- the ⁇ C helices of the two monomers are nearly parallel and contact each other at their C-terminal ends.
- Met-534 and Met-537 are in van der Waals contact with their twofold-related residues.
- Other hydrophobic contacts involve Pro-466 with Ile-648 and Pro-469 with Ile-676 and Thr-678.
- hydrogen bonds (side-chain to main-chain) are made between Arg-470 and Lys-618 and between His-649 and Glu-464, and there are several water molecules that bridge the two monomers through hydrogen bonding.
- the N-termmi of the two molecules comprising the dimer point the same direction and are reasonably close to one another.
- the crystal can be placed in a glass capillary tube and mounted onto a holding device connected to an X-ray generator and an X-ray detection device Collection of X-ray diffraction patterns are well documented by those in the art. Ducruix and Geige, 1992, IRL Press, Oxford, England, and references cited therein. A beam of X-rays enter the crystal and then diffract from the crystal. An X-ray detection device can be utilized to record the diffraction patterns emanating from the crystal Although the X-ray detection device on older models of these instruments is a piece of film, modern instruments digitally record X- ray diffraction scattering.
- the symmetry of the unit cell in the crystals is also characterized at this stage.
- the symmetry of the unit cell in the crystal simplifies the complexity of the collected data by identifying repeating patterns. Application of the symmetry and dimensions of the unit cell is described below.
- Each diffraction pattern emission is characterized as a vector and the data collected at this stage of the method determines the amplitude of each vector.
- the phases of the vectors can be determined using multiple techniques. In one method, heavy atoms can be soaked into a crystal, a method called isomorphous replacement, and the phases of the vectors can be determined by using these heavy atoms as reference points in the X-ray analysis. Otwinowski, 1991, Daresbury, United Kingdom, 80-86.
- the isomorphous replacement method usually requires more than one heavy atom derivative.
- the amplitudes and phases of vectors from a crystalline polypeptide with an already determined structure can be applied to the amplitudes of the vectors from a crystalline polypeptide of unknown structure and consequently determine the phases of these vectors.
- This second method is known as molecular replacement and the protein structure which is used as a reference must have a closely related structure to the protein of interest. Naraza, 1994, Proteins 11:281-296.
- the vector information from a PTK of known structure such as those reported herein, are useful for the molecular replacement analysis of another PTK with unknown structure .
- the vector amplitudes and phases, unit cell dimensions, and unit cell symmetry can be used as terms in a Fourier transform function.
- the Fourier transform function calculates the electron density in the unit cell from these measurements .
- the electron density that describes one of the molecules or one of the molecule complexes in the unit cell can be referred to as an electron density map.
- the amino acid structures of the sequence or the molecular structures of compounds complexed with the crystalline polypeptide may then fit to the electron density using a variety of computer programs. This step of the process is sometimes referred to as model building and can be accomplished by using computer programs such as TOM/FRODO.
- a theoretical electron density map can then be calculated from the amino acid structures fit to the experimentally determined electron density.
- the theoretical and experimental electron density maps can be compared to one another and the agreement between these two maps can be described by a parameter called an R-factor.
- a low value for an R-factor describes a high degree of overlapping electron density between a theoretical and experimental electron density map.
- the R- factor is then minimized by using computer programs that refine the theoretical electron density map.
- a computer program such as X-PLOR can be used for model refinement by those skilled in the art. Br nger, 1992, Na ture 355:472-475. Refinement may be achieved in an iterative process.
- a first step can entail altering the conformation of atoms defined in an electron density map. The conformations of the atoms can be altered by simulating a rise in temperature which will increase the vibrational frequency of the bonds and modify positions of atoms in the structure.
- a force field which typically defines interactions between atoms in terms of allowed bond angles and bond lengths, Van der Waals interactions, hydrogen bonds, ionic interactions, and hydrophobic interactions, can be applied to the system of atoms.
- Favorable interactions may be described in terms of free energy and the atoms can be moved over many iterations until a free energy minimum is achieved.
- the refinement process can be iterated until the R- factor reaches a minimum value .
- the three dimensional structure of the molecule or molecule complex is described by atoms that fit the theoretical electron density characterized by a minimum R-value.
- a file can then be created for the three dimensional structure that defines each atom by coordinates in three dimensions . Examples of such structural coordinate files are defined in Table 1, Table 2, Table 3, and Table 4. V. Structures of FGFRl
- the present invention provides high-resolution three-dimensional structures and atomic structure coordinates of crystalline FGFRl and crystalline FGFRl :AMP-PCP co-complex as determined by X-ray crystallography.
- the specific methods used to obtain the structure coordinates are provided in the examples.
- the atomic structure coordinates of crystalline FGFRl, obtained from the C2-A form of the crystal to 2.0 A resolution, are listed in Table 3; the coordinates of crystalline FGFRl :AMP-PCP co-complex, obtained from the C2-A form of the crystal to 2.3 A resolution are listed in Table 4.
- any set of structure coordinates obtained for crystals of FGFRl, whether native crystals, derivative crystals or co-crystals, that have a root mean square deviation ("r.m.s.d.") of less than or equal to about 1.5 A when superimposed, using backbone atoms (N, C ⁇ C and 0) , on the structure coordinates listed in Table 3 or Table 4 are considered to be identical with the structure coordinates listed in the Tables when at least about 50% to 100% of the backbone atoms of FGFRl are included in the superposition.
- FIG. 1 the overall structure of FGFRl is bi-lobate.
- the N- terminal lobe of FGFRl spans amino acid residues 456-567 (FIG. 3) and comprises a curled ⁇ -sheet of five anti-parallel strands ( ⁇ l- ⁇ 5) and one ⁇ -helix ( ⁇ C) .
- the C-terminal lobe spans amino acid residues 568-765 (FIG. 3) and comprises two ⁇ -strands ( ⁇ 7, ⁇ 8) and seven ⁇ -helices ( ⁇ D, ⁇ E, ⁇ EF, ⁇ F- ⁇ l) .
- the secondary structure nomenclature follows that used for IRK (Hubbard et al . , 1994) which in turn is based on the assignments for cAPK (Knighton et al . , 1991).
- FIG. 2 shows a stereo view of a C ⁇ trace of FGFRl in the same orientation as FIG. 1.
- a structure-based sequence alignment of the tyrosine kinase domains of human fibroblast growth factor receptor 1 (human FGFRl; labelled FGFRl), human fibroblast growth factor receptors 2, 3 and 4 (labelled FGFR2, FGFR3 and FGFR4 , respectively), a D . melanogaster homologue (labelled DFDFR1) , a C elegans homologue (labelled EGL-15) and insulin receptor kinase (labelled IRK), is shown in FIG. 3.
- DFDFR1 human fibroblast growth factor receptor 1
- EGL-15 C elegans homologue
- IRK insulin receptor kinase
- FGFRl 3 is identical to the sequence of FGFRl except that FGFRl has the following amino acid substitutions and additions: Cys-488 ⁇ Ala, Cys-584 - Ser, Leu-457 ⁇ Val and an additional five N-terminal amino acids (Ser-Ala-Ala-Gly-Thr) .
- the secondary structure assignments for FGFRl and IRK were obtained using the Kabsch and Sander algorithm (Kabsch and Sander, 1983) as implemented in PROCHECK (Laskowski et al . , 1993). In the FGF receptor sequences, a period represents sequence identity to FGFRl. In the IRK sequence, residues that are identical to FGFRl are highlighted. A hyphen denotes an insertion.
- the numbers under the EGL-15 sequence represent the fractional solvent accessibility (FSA2) of the residue in the FGFRl structure.
- the FSA ratio is the ratio of the solvent-accessible surface area of a residue in a Gly-X-Gly tripeptide compared to that in the FGFRl structure.
- a value of 0 represents an FSA between 0.00 and 0.09; 1 represents an FSA between 0.10 and 0.19, etc. The higher the value, the more solven -exposed the residue.
- An asterisk or pound sign in the FSA line indicates that the residue (asterisk) or side chain (pound sign) is not included in the atom model due to disorder.
- the numbers below the FSA line are the FSAs for those residues that form part of a dimer interface.
- the amino acid residue numbers for FGFRl, and hence FGFRl, and IRK provided in FIG. 3 are used in the discussion that follows. Significant differences in the N-terminal lobe of FGFRl as compared to IRK are found in the loops between ⁇ strands and in ⁇ C. Residues from the end of ⁇ l through the beginning of ⁇ 2 (amino acid residues 485-490) form the nucleotide-binding loop, named because of its role in ATP coordination. This residue stretch contains the protein kinase-conserved GXGXXG sequence motif, where X is any amino acid. This loop is poorly ordered in one FGFRl molecule in the asymmetric unit and disordered (i.e. , not included in the atomic model) in the other FGFRl molecule in the asymmetric unit. The loop between ⁇ l and ⁇ 3 is disordered in both FGFRl molecules comprising the asymmetric unit.
- FIG. 4A provides a ribbon diagram of the N-terminal lobes of FGFRl and IRK in which the C ⁇ atoms of the ⁇ -sheets have been superimposed
- FGFRl ⁇ C is longer by one helical turn than in IRK and is oriented such that residues Lys-514 and Glu-531, which are conserved in protein kinases, form a salt bridge (represented by a black line) . While not intending to be bound by theory, this salt bridge is believed to be important for proper positioning of the conserved lysine side chain, which coordinates two phosphate oxygens of ATP.
- FIG. 4B which provides a ribbon diagram of the C-terminal lobes of FGFRl and IRK in which the C ⁇ atoms of the ⁇ -helices have been superimposed, a significant difference is found in the C-terminal helix of FGFRl when compared to IRK; helix ⁇ l of FGFRl is longer by seven residues (two helical turns) than its counterpart in IRK.
- the extended length of ⁇ l is presumably important in the biological functioning of FGF receptors, since the tyrosine autophosphorylation site to which an SH2 domain of PLCy binds is six residues C-terminal to this helix.
- FGFRl displays an open disposition of the N- and C-terminal lobes. Despite having different sets of lattice contacts, the two FGFRl molecules in the asymmetric unit have only a 2° difference in relative lobe orientation. It appears as though the stearic interaction between residues in ⁇ C (Glu-531 and Met-534) with Phe-642 and Gly-643 of the protein kinase-conserved DFG sequence at the beginning of the activation loop accounts for the open conformation of FGFRl.
- the active site of FGFRl is characterized by at least amino acid residues spanning the catalytic loop, activation loop and nucleotide binding loop. Unlike the structure of IRK, in which Tyr-1162 occupies the active site of the molecule, the active sites of both FGFRl molecules in the asymmetric unit are unoccupied.
- the activation loop which regulates phosphorylation, is characterized by at least resides 640 to 663.
- the catalytic loop of protein kinases lies between secondary structure elements ⁇ E and ⁇ 7 and contains an invariant aspartic acid residue (Asp-623 in FGFRl) which serves as the catalytic base in the phosphotransfer reaction, abstracting the proton from the hydroxyl group of the substrate tyrosine, serine or threonine .
- the catalytic loop sequence of FGFRl comprises at least residues His-621 to Asn-628 (amino acid sequence HRDLAARN) , and is identical to that for IRK and most receptor and non-receptor PTKs.
- the positions of the autophosphorylation sites are mapped onto the FGFRl structure.
- the juxtamembrane site (Tyr-463) and the residues N-terminal to it are disordered in one of the FGFRl molecules in the asymmetric unit .
- Tyr-463 is involved in a lattice contact.
- the kinase insert region (the region between helices ⁇ D and ⁇ E) contains autophosphorylation sites Tyr-583 and Tyr-585 and is disordered in both FGFRl molecules in the asymmetric unit of the C2-A form of the crystal.
- the C2-B form several lattice contacts partially pin down this region in one of the two FGFRl molecules in the asymmetric unit, allowing a trace of the polypeptide chain to be made. There is no well- defined secondary structure for these residues.
- Tyr- 730 situated in ⁇ H in the C-terminal lobe, is nearly buried and the side-chain hydroxyl group makes two hydrogen-bonds .
- the side chains of neighboring Me -732 and Met-733 are both buried.
- phosphorylation of Tyr- 730 would presumably require prior unfolding of ⁇ H.
- the five other autophosphorylation sites (including Tyr-653 and Tyr- 654) are found in relatively mobile segments of the FGFRl molecule . While not intending to be bound by theory, the spatial positions of the autophosphorylat on sites relative to the active site suggest that autophosphorylation occurs by a trans mechanism between two kinase domains, supporting the hypothesis that ligand- induced receptor dimerization is critical for the initiation of autophosphorylation events.
- the structure of crystalline FGFRl AMP-PCP co- complex is essentially similar to that observed for crystalline FGFRl.
- the crystalline FGFRl :AMP-PCP co-complex contains hydrogen bonds that are present between Nl of adenine and the amide nitrogen of Ala- 564 and between N6 of adenine and the carbonyi oxygen of Glu-562.
- the adenine ring is flanked on one side by Leu-484 and Val-492 (N- terminal lobe) and on the other side by Leu-630
- AMP-PCP appears to be coordinated rather loosely to unphosphorylated FGFRl, being bound to the "roof" of the cleft rather than being tightly sandwiched between the two kinase lobes .
- FGF-receptor structure distinguishs from that of the insulin-receptor tyrosine kinase. These distinctions are likely to be important in signaling by FGF-receptors, and other monomeric receptors that are believed to undergo ligand- induced dimerization.
- FGFRl The most significant difference between the structures of FGFRl and IRK is the conformation of the activation loop.
- the activation loop In FGFRl, the activation loop is disposed such that the binding site for substrate peptides is blocked not by an activation loop tyrosine, as in IRK, but by Arg-661 and PTK-invariant Pro-663, while the ATP binding site is accessible.
- the observed autoinhibition in FGFRl would appear to be weaker than that in IRK because of fewer specific interactions made by residues in the FGFRl activation loop (manifested in the relatively higher B-values) and the accessibility of the ATP site.
- receptors are covalently linked heterotetramers ( ⁇ 2 ⁇ 2 )
- receptor dimerization is ligand dependent .
- Receptors whose kinase domains are always in close proximity may require a stronger autoinhibition mechanism than those receptors that associate only upon ligand binding (Taylor et al . , 1995). Since most growth factor receptors undergo ligand-dependent dimerization and activation, the FGF receptor autoinhibition mechanism appears to be a more general one .
- crystals of the invention and particularly the atomic structure coordinates obtained therefrom, have a wide variety of uses.
- the crystals described herein can be used as a starting material in any of the art -known methods of use for receptor and non-receptor tyrosine kinases.
- Such methods of use include, for example, identifying molecules that bind to the native or mutated catalytic domain of tyrosine kinases.
- the crystals and structure coordinates are particularly useful for identifying compounds that inhibit receptor and non-receptor tyrosine kinases as an approach towards developing new therapeutic agents (see . e.g.. Levitzki and Gazit, 1995) .
- the structure coordinates described herein can be used as phasing models for determining the crystal structures of additional native or mutated tyrosme kinase domains, as well as the structures of co-crystals of such domains with ligands such as inhibitors, agonists, antagonists, and other molecules
- the structure coordinates, as well as models of the three- dimensional structures obtained therefrom, can also be used to aid the elucidation of solution-based structures of native or mutated tyrosine kinase domains, such as those obtained via NMR.
- the crystals and atomic structure coordinates of the invention provide a convenient means for elucidating the structures and functions of receptor and non-receptor tyrosine kinases.
- crystals of the invention will be described by reference to specific FGFRl exemplary crystals.
- Those skilled in the art will appreciate that the principles described herein are generally applicable to crystals of the tyrosine kinase domain of any cytoplasmic tyrosine kinase that undergoes ligand- induced dimerization or receptor tyrosine kinase, including but not limited to the tyrosine kinases of FIG. 6.
- Table 1, Table 2, Table 3, and Table 4 can be used to determine the three dimensional structures of PTKs with unknown structure.
- the methods described below can apply structural coordinates of a polypeptide with known structure to another data set, such as an amino acid sequence, X-ray crystallographic diffraction data, or nuclear magnetic resonance (NMR) data.
- Preferred embodiments of the invention relate to determining the three dimensional structures of PTKs and related polypeptides. These include receptor PTKs such as FGF- R, PDGF-R, KDR, CCK4 , MET, TRKA, AXL, TIE, EPH, RYK, DDR, ROS, RET, LTK, ROR1 , and MUSK.
- Non-receptor PTKs such as SRC, BRK, BTK, CSK, ABL, ZAP70, FES, FAK, JAK, and ACK can also be used in the methods described herein.
- Homology modeling is a method of applying structural coordinates of a polypeptide of known structure to the amino acid sequence of a polypeptide of unknown structure. This method is accomplished using a computer representation of the three dimensional structure of a polypeptide or polypeptide complex, the computer representation of amino acid sequences of the polypeptides with known and unknown structures, and standard computer representations of the structures of amino acids.
- Homology modeling comprises the steps of (a) aligning the amino acid sequences of the polypeptides with and without known structure; (b) transferring the coordinates of the conserved amino acids in the known structure to the corresponding amino acids of the polypeptide of unknown structure; refining the subsequent three dimensional structure; and (d) constructing structures of the rest of the polypeptide.
- conserved amino acids between two proteins can be determined from the sequence alignment step in step (a) .
- Alignment of the amino acid sequence is accomplished by first placing the computer representation of the amino acid sequence of a polypeptide with known structure above the amino acid sequence of the polypeptide of unknown structure. Amino acids in the sequences are then compared and groups of amino acids that are homologous (e.g., amino acid side chains that are similar in chemical nature - aliphatic, aromatic, polar, or charged) are grouped together. This method will detect conserved regions of the polypeptides and account for amino acid insertions or deletions. Once the amino acid sequences of the polypeptides with known and unknown structures are aligned, the structures of the conserved amino acids in the computer representation of the polypeptide with known structure are transferred to the corresponding amino acids of the polypeptide whose structure is unknown.
- a tyrosine in the amino acid sequence of known structure may be replaced by a phenylalanine, the corresponding homologous amino acid in the amino acid sequence of unknown structure.
- the structures of amino acids located in non- conserved regions are to be assigned manually by either using standard peptide geometries or molecular simulation techniques, such as molecular dynamics.
- the final step in the process is accomplished by refining the entire structure using molecular dynamics and/or energy minimization.
- the homology modeling method is well known to those skilled in the art and has been practiced using different protein molecules.
- Molecular replacement is a method of applying the X-ray diffraction data of a polypeptide of known structure to the X-ray diffraction data of a polypeptide of unknown sequence. This method can be utilized to define the phases describing the X-ray diffraction data of a polypeptide of unknown structure when only the amplitudes are known.
- X-PLOR is a commonly utilized computer software package used for molecular replacement. Br ⁇ nger, 1992, Na ture 355:472-475.
- AMORE is another program used for molecular replacement. Navaza, 1994, Acta Crystallogr. A50 -. 157-163.
- the resulting structure does not exhibit a root -mean- square deviation of more than 3 A.
- a goal of molecular replacement is to align the positions of atoms in the unit cell by matching electron diffraction data from two crystals.
- a program such as X-PLOR can involve four steps. A first step can be to determine the number of molecules in the unit cell and define the angles between them. A second step can involve rotating the diffraction data to define the orientation of the molecules in the unit cell. A third step can be to translate the electron density in three dimensions to correctly position the molecules in the unit cell. Once the amplitudes and phases of the X-ray diffraction data is determined, an .R-factor can be calculated by comparing electron diffraction maps calculated experimentally from the reference data set and calculated from the new data set.
- a fourth step in the process can be to decrease the R-factor to roughly 20% by refining the new electron density map using iterative refinement techniques described herein and known to those or ordinary skill in the art .
- Structural coordinates of a polypeptide or polypeptide complex derived from X-ray crystallographic techniques can be applied towards the elucidation of three dimensional structures of polypeptides from nuclear magnetic resonance (NMR) data.
- NMR nuclear magnetic resonance
- the coordinates defining a three-dimensional structure of a polypeptide derived from X-ray crystallographic techniques can guide the NMR spectroscopist to an understanding of these spatial interactions between secondary structural elements in a polypeptide of related structure.
- the knowledge of spatial interactions between secondary structural elements can greatly simplify Nuclear Overhauser Effect (NOE) data from two- dimensional NMR experiments.
- NMR Nuclear Overhauser Effect
- applying the crystallographic coordinates after the determination of secondary structure by NMR techniques only simplifies the assignment of NOEs relating to particular amino acids in the polypeptide sequence and does not greatly bias the NMR analysis of polypeptide structure.
- using the crystallographic coordinates to simplify NOE data while determining secondary structure of the polypeptide would bias the NMR analysis of protein structure.
- Structure-based modulator design and identification methods are powerful techniques that can involve searches of computer data bases containing a wide variety of potential modulators and chemical functional groups.
- the computerized design and identification of modulators is useful as the computer data bases contain more compounds than the chemical libraries, often by an order of magnitude.
- the three dimensional structure of a polypeptide defined by structural coordinates can be utilized by these design methods .
- the structural coordinates of Table 1, Table 2, Table 3, and Table 4 can be utilized by this method.
- the three dimensional structures of receptor and non-receptor PTKs determined by the homology, molecular replacement, and NMR techniques described herein can also be applied to modulator design and identification methods.
- the structures of receptor PTKs, FGF-R, PDGF-R, FLK, CCK4 , MET, TRKA, AXL, TIE, EPH, RYK, DDR, ROS, RET, LTK, R0R1 , and MUSK can be utilized by the methods described herein.
- the structures of non-receptor PTKs, SRC, BRK, BTK, CSK, ABL, ZAP70, FES, FAK, JAK, and ACK can also be utilized by the rational modulator design method.
- ACD distributed by Molecular Designs Limited Information Systems
- a computer program widely utilized by those skilled in the art of rational modulator design is DOCK from the University of California in San Francisco.
- the general methods utilized by this computer program and programs like it are described m three applications below. More detailed information regarding some of these techniques can be found the Molecular Simulations User Guide, 1995.
- a typical computer program used for this purpose can comprise the following steps:
- Part (c) refers to characterizing the geometry and the complementary interactions formed between the atoms of the active-site and the compounds. A favorable geometric fit is attained when a significant surface area is shared between the compound and active-site atoms without forming unfavorable steric interactions.
- the method can be performed by skipping parts (d) and (e) and screening a data base of many compounds . Structure-based design and identification of modulators of PTK function can be used in conjunction with assay screening. As large computer data base of compounds (around 10,000 compounds) can be searched in a matter of hours, the computer based method can narrow the compounds tested as potential modulators of PTK function in cellular assays. The above descriptions of structure-based modulator design are not all encompassing and other methods are reported in the literature:
- Another way of identifying compounds as potential modulators is to modify an existing modulator in the polypeptide active-site.
- the computer representation of modulators can be modified within the computer representation of a PTK active-site. Detailed instructions for this technique can be found in the Molecular Simulations User Manual, 1995 in LUDI .
- the computer representation of the modulator is modified by the deletion of a chemical group or groups or by the addition of a chemical group or groups.
- the atoms of the modified compound and active-site can be shifted in conformation and the distance between the modulator and the active-site atoms may be scored along with any complimentary interactions formed between the two molecules. Scoring can be complete when a favorable geometric fit and favorable complementary interactions are attained. Compounds that have favorable scores are potential modulators of PTK function.
- a third method of structure-based modulator design is to screen compounds designed by a modulator building or modulator searching computer program. Examples of these types of programs can be found in the Molecular Simulations Package, Catalyst. Descriptions for using this program are documented in the Molecular Simulations User Guide (1995) .
- Other computer programs used in this application are ISIS/HOST, ISIS/BASE, ISIS/DRAW) from Molecular Designs Limited and UNITY from Tripos Associates . These programs can be operated on the structure of a compound that has been removed from the active-site of the three dimensional structure of a compound-PTK complex. Operating the program on such a compound is preferable since it is in a biologically active conformation.
- a modulator construction computer program is a computer program that may be used to replace computer representations of chemical groups in a compound complexed with a PTK with groups from a computer data base.
- a modulator searching computer program is a computer program that may be used to search computer representations of compounds from a computer data base that have similar three dimensional structures and similar chemical groups as compound bound to a PTK.
- a typical program can operate by using the following general steps:
- the important chemical features include, but are not limited to, a hydrogen bond donor, a hydrogen bond acceptor, and two hydrophobic points of contact.
- Those skilled in the art also recognize that not all of the possible chemical features of the compound need be present in the model of (b) .
- the versatility of computer-based modulator design and identification lies in the diversity of structures screened by the computer programs.
- the computer programs can search data bases that contain 200,000 molecules and can modify modulators already complexed with the enzyme with a wide variety of chemical functional groups.
- a consequence of this chemical diversity is that a potential modulator of PTK function may take a chemical form that is not predictable.
- One example of such a reference is March, 1994, Advanced Organic Chemistry; Reactions, Mechanisms, and Structure, New York, McGraw Hill.
- the techniques required to synthesize a potential modulator of PTK function identified by computer-based methods are readily available to those skilled in the art of organic chemical synthesis .
- Cellular assays can be used to test the activity of a potential modulator of PTK function as well as diagnose a disease associated with inappropriate PTK activity.
- a potential modulator of PTK function can be tested for activity in vi tro by assays that measure the effect of a potential modulator on the autophosphorylation of a particular PTK over-expressed in a cell line.
- a modulator that acts as a potent inhibitor of the catalytic domain corresponding to a PTK would decrease the amount of autophosphorylation catalyzed by that PTK.
- Potential modulators could also be tested for activity in cell growth assays in vi tro as well as in animal model assays in vivo . In vi vo assays are also useful for testing the bioactivity of a potential modulator designed by the methods of the invention.
- EXAMPLES The examples below are non- limiting and are merely representative of various aspects and features of the present invention. The examples provide illustrative methods for obtaining crystalline forms of protein kinase polypeptides, methods for determining three dimensional structures of these protein kinase polypeptides, and methods for identifying modulators of protein kinases using the three dimensional structures of the protein kinases.
- EXAMPLE 1 X-ray Crystallographic Structure Determination of FGFRl
- a recombinant baculovirus was engineered to encode residues 456-765 of human FGFRl.
- a cleavable N-terminal histidine tag was incorporated to aid in protein purification.
- Three amino acid substitutions were introduced: Cys-488 to Ala, Cys-584 to Ser and Leu-457 to Val.
- the two cysteine substitutions were made to prevent the formation of disulfide- linked oligomers, which occurs for the native protein.
- the substitution Leu-457 to Val introduced a Ncol cloning site near Met- 456.
- the codon for Tyr-766 (TAC) was changed to a stop codon (TAG) and a Hin lXI-cloning site was generated following this stop codon.
- Lysates were centrifuged in a Sorval RC 5C (Dupont) for 1 hr at 4°C at 40,000g followed by ultracentrifugation in an XL-80 (Beckman) at 100,000g for 1 hr . After centrifugation, the clarified lysate was passed over a Ni 2t -chelating column (Pharmacia) , and the bound histidine-tagged fusion protein was eluted with 100 mM imidazole (pH 7.5) . Pooled fractions were loaded onto a Mono Q anion exchange column (Pharmacia) and eluted with a NaCl gradient from 0 to 500 M .
- the fractions containing the fusion protein were concentrated in a Centricon-30 (Amicon) , and the histidine tag was removed by overnight digestion with enterokinase (Biozyme) at 20°C. The digestion was terminated by the addition of aprotonin, leupeptin, PMSF, TPCK, and bovine pancreatic trypsin inhibitor (BPTI) . The cleaved kinase domain was then separated from the histidine tag on a Superose 12 size-exclusion column (Pharmacia) . The eluted kinase domain was further purified on a Mono Q column. The purified kinase domain was analyzed by N-terminal sequencing and mass spectrometry . Five amino acids (SAAGT) remained from the histidine tag. The predicted molecular mass was confirmed by mass spectrometry.
- SAAGT Five amino acids
- Crystal Growth Purified FGFRl was concentrated to 20-50 mg/ml and exchanged into 10 mM Tris-HCl (pH 8.0), 10 mM NaCl, and 2 mM DTT using a Centricon-30. Crystals were grown at 4°C by vapor diffusion in hanging drops containing 2.0 ⁇ l of 10 mg/ml protein solution and 2.0 ⁇ l of reservoir solution: 16% polyethylene glycol (PEG) 10000, 0.3 M (NH 4 ),S0, , 5% ethylene glycol, and 100 mM bis-Tris (pH 6.5) .
- Crystals of native FGFRl were soaked in 500 ml stabilizing solution [25% PEG 10000, 0.3 M (NH4) 2 S0 4 , 0.1 M Bis-Tris (pH 6.5), 5% ethylene glycol] containing 3- [ (3 - (2-carboxyethyl) -4-methylpyrrol-5-yl) methylene] -2- indolinone (1-5 mM) or 3 - [4 - (4-formylpiperazine-1-yl ) - benzylidenyl] -2-indolinone (1 mM) at 4°C for 24 to 48 hours.
- the final soaking concentration of DMSO was between 1 to 5%.
- the crystals cracked at higher concentrations of DMSO.
- Co-crystals of FGFRl with the inhibitors could also be obtained by vapor diffusion in hanging drops containing 2.0 ⁇ l of 10 mg/ml protein solution and 2.0 ⁇ l of reservoir solution containing 1 mM 3- [(3- (2- carboxyethyl) -4 -methylpyrrol-5-yl) methylene] -2- indolinone and 3- [4- (4 -formylpiperazine-1-yl- ) benzylidenyl] -2 -indolinone .
- Co-crystals of FGFRl complexed with AMP-PCP were obtained as described for the creation of native crystals, except that the protein solution additionally contained 10 mM AMP-PCP and 20 mM MgCl 2 .
- Heavy atom derivative crystals were obtained by soaking FGFRl native crystals (C2-A form) in a solution containing ethylmercurithiosalicylic acid (thimerosal) , KAu(CN) 2 or 4 -chloromercuribenzoic acid, as provided in Table 1, infra , , and containing 25% PEG 10000, 0.3M (NH 4 ) 2 S0 4 , 5% ethylene glycol or glycerol, and 100 mM bis-Tris (pH 6.5), and were flash-cooled either in liquid nitrogen directly (Synchrotron) or in a dry nitrogen stream at -175°C (rotating anode).
- ethylmercurithiosalicylic acid thimerosal
- KAu(CN) 2 or 4 -chloromercuribenzoic acid as provided in Table 1, infra , and containing 25% PEG 10000, 0.3M (NH 4 ) 2 S0 4 , 5%
- cryo-cooled crystals were soaked in a cryo-protectant solution containing 25% PEG 10000, 0.3 M (NH 4 ) 2 S0 4 , 5% ethylene glycol or glycerol and 100 mM bis-Tris (pH 6.5), and were flash- cooled either in liquid nitrogen directly (synchrotron data) or in a dry nitrogen stream at -175°C (rotating anode data) . All data were processed using DENZO and SCALEPACK. Otwinowski , 1993, "Oscillation data reduction program," Proceedings of the CCP4 Study Weekend, Sawyer et al . , ed ⁇ . (Daresbury, United Kingdom: SERC Daresbury Laboratory), 56-62.
- Model building was performed using TOM/FRODO (Jones, 1985, "Diffraction methods for biological macromolecules . Interactive computer graphics: FRODO," Methods in Enzymology 115 : 157-171) and conjugate-gradient minimization and simulated annealing were performed using X-PLOR. Brunger, supra .
- the R-value was 30% (free R-value of 36%).
- experimental phases were obtained. Because crystals grown in the presence of ethylene glycol were easier to manipulate than those grown in glycerol, several heavy- atom derivative data sets were collected from C2-A crystals that had been soaked in various heavy atom solutions. The C2-B structure was subsequently refined against 6.0-2.4 A data to an R-value of 23.8% (free R- value of 30.4%) with r.m.s.d. values of 0.008 A for bond distances and 1.4° for bond angles.
- NCS non-crystallographic symmetry
- Residues that are not included m the atomic model due to poor supporting electron density are for FLGK-A: 456- 463, 486-490, 501-504, 580-591, 763-765; and for FLG-B: 456-460, 501-504, 578-593, 646-651, 657-659, 762-765.
- the positions of the two AMP-PCP molecules were easily identified in 2F obs(co _ COT , plex , - FcaiciFGFRD difference Fourier maps.
- the AMP-PCP molecule bound to FLGK-B is less tightly bound and has been modeled with an occupancy of 0.5.
- Table A summarizes the X-ray crystallography data sets of FGFRl derivative crystals that were used to determine the structures of crystalline FGFRl and crystalline FGFRl : AMP-PCP co-complex of the invention
- Atomic superpositions were performed with TOSS (Hendrickson, 1979) .
- Per residue solvent accessible surface calculations were done with X-PLOR
- the surface area buried in a dimer interface was calculated with GRASP (Nicholls et al . , 1991) using a probe radius of 1.4 A.
- the stereochemical quality of the atomic model was monitored using PROCHECK (Laskowski et al . , 1993, PROCHECK: a computer program to check the stereochemical quality of protein structures," J. Appl Crys t .
- R-value 100 x ⁇ h
- F ob 100 x ⁇ h
- c Value in parentheses is the free R-value (Brunger, 1993) determined from 5% of the data.
- Tables 1 and 2 provide the atomic structural coordinates of unphosphorylated FGFRl and unphosphorylated FGFRl :AMP-PCP co-complex, respectively.
- coordinates for both of the FGFRl molecules of the dimer comprising the asymmetric unit are provided.
- the amino acid residue numbers coincide with those used in FIG. 3.
- residue number 464 of the first FGFRl molecule of the dimer is denoted by "1464".
- Tables 3 and 4 provide the atomic structural coordinates of FGFRl in complex with indolinone compounds found to inhibit FGFRl function . The following abbreviations are used in the Tables:
- Atom Type refers to the element whose coordinates are provided. The first letter in the column defines the element . “A. A.” refers to amino acid.
- X, Y and Z provide the Cartesian coordinates of the element .
- OCC refers to occupancy, and represents the percentage of time the atom type occupies the particular coordinate. OCC values range from 0 to 1 , with 1 being 100%.
- PRT1 or PRT2 relate to occupancy, with PRT1 designating the coordinates of the atom when in the first conformation and PRT2 designating the coordinates of the atom when in the second or alternate conformation .
- Structural coordinates for FGFRl may be modified by mathematical manipulation. Such manipulations include, but are not limited to, crystallographic permutations of the raw structure coordinates, fractionalization of the raw structure coordinates, integer additions or subtractions to sets of the raw structure coordinates, inversion of the raw structure coordinates and any combination of the above.
- the structural coordinates can be slightly modified and still render nearly identical three dimensional structures. Therefore, a measure of a unique set of structural coordinates is the root-mean- square deviation of the resulting structure. Structural coordinates that render three dimensional structures that deviate from one another by a root -mean-square deviation of less than 1.5 A may be viewed as identical.
- Potential modulators of PTK function were designed and identified by operating the program Catalyst on the structure of 3 - [ (3 - (2-carboxyethyl) -4-methylpyrrol-5- yl) methylene] -2 -indolinone .
- the chemical features constraining the search model include a hydrogen bond donor, a hydrogen bond acceptor, and two hydrophobic points of contact. Approximately 40 compounds were identified as potential modulators of PTK function using this method.
- Tresyl-Activated Agarose/Flk-1-D column by incubating 10 ml of Tresyl -Activated Agarose with 20 mg of purified GST-Flk-1-D fusion protein in lOOmM sodium bicarbonate (pH 9.6) buffer overnight at 4°C.
- the Flk-1 ELISA can include a 2 , 2-azino-bis (3- ethylbenz-thiazoline-6-sulfonic acid (ABTS) solution, which can comprise lOOmM citric acid (anhydrous) , 250 mM Na 2 HP0 4 (pH 4.0), 0.5 mg/ml ABTS (Sigma catalog no. A- 1888) .
- ABTS ethylbenz-thiazoline-6-sulfonic acid
- the solution is most appropriately stored in dark at 4°C until ready for use.
- the FLK-1 specific antibodies can also be purchased from Santa Cruz Biotechnology (Catalog No. SC-504) .
- the modulators inhibit the FLK protein kinase with the following IC 5Q values:
- Lys Met lie Gly Lys H s Lys Asn lie lie Asn Leu Leu Gly Ala Cys 85 90 95
- Ser Lys Lys Cys lie His Arg Asp Leu Ala Ala Arg Asn Val Leu Val 165 170 175
- Thr Glu Asp Asn Val Met Lys lie Ala Asp Phe Gly Leu Ala Arg Asp 180 185 190 lie His His lie Asp Tyr Tyr Lys Lys Thr Thr Asn Gly Arg Leu Pro 195 200 205
- Trp Glu He Phe Thr Leu Gly Gly Ser Pro Tyr Pro Gly Val Pro Val 245 250 255
- MOLECULE TYPE protein
- HYPOTHETICAL NO
- SEQUENCE DESCRIPTION SEQ ID NO : 3 :
- CGGAGGCCCC CAGGGCTGGA ATACTGCTAC AACCCCAGCC ACAACCCAGA GGAGCAGCTC 420 TCCTCCAAGG ACCTGGTGTC CTGCGCCTAC CAGGTGGCCC GAGGCATGGA GTATCTGGCC 480
- AAGACAACCA ACGGCCGACT GCCTGTGAAG TGGATGGCAC CCGAGGCATT ATTTGACCGG 660
- CTCTCCTCCA AGGACCTGGT GTCCTGCGCC TACCAGGTGG CCCGAGGCAT GGAGTATCTG 600
- AAAAAGACAA CCAACGGCCG ACTGCCTGTG AAGTGGATGG CACCCGAGGC ATTATTTGAC 780
Landscapes
- Life Sciences & Earth Sciences (AREA)
- Health & Medical Sciences (AREA)
- Chemical & Material Sciences (AREA)
- Engineering & Computer Science (AREA)
- Molecular Biology (AREA)
- Biomedical Technology (AREA)
- Immunology (AREA)
- Biochemistry (AREA)
- Organic Chemistry (AREA)
- Bioinformatics & Cheminformatics (AREA)
- General Health & Medical Sciences (AREA)
- Physics & Mathematics (AREA)
- Medicinal Chemistry (AREA)
- Urology & Nephrology (AREA)
- Hematology (AREA)
- Microbiology (AREA)
- Genetics & Genomics (AREA)
- Cell Biology (AREA)
- Biotechnology (AREA)
- Proteomics, Peptides & Aminoacids (AREA)
- Biophysics (AREA)
- Zoology (AREA)
- Bioinformatics & Computational Biology (AREA)
- Food Science & Technology (AREA)
- Analytical Chemistry (AREA)
- General Physics & Mathematics (AREA)
- Pathology (AREA)
- Wood Science & Technology (AREA)
- Gastroenterology & Hepatology (AREA)
- Toxicology (AREA)
- General Engineering & Computer Science (AREA)
- Enzymes And Modification Thereof (AREA)
- Measuring Or Testing Involving Enzymes Or Micro-Organisms (AREA)
- Pharmaceuticals Containing Other Organic And Inorganic Compounds (AREA)
Abstract
Description
Claims
Priority Applications (4)
| Application Number | Priority Date | Filing Date | Title |
|---|---|---|---|
| EP97939534A EP0931152A2 (en) | 1996-08-21 | 1997-08-21 | Crystal structures of a protein tyrosine kinase |
| AU41603/97A AU733890B2 (en) | 1996-08-21 | 1997-08-21 | Crystal structures of a protein tyrosine kinase |
| CA002263838A CA2263838A1 (en) | 1996-08-21 | 1997-08-21 | Crystal structures of a protein tyrosine kinase |
| JP51103698A JP2001514484A (en) | 1996-08-21 | 1997-08-21 | Crystal structure of protein tyrosine kinase |
Applications Claiming Priority (4)
| Application Number | Priority Date | Filing Date | Title |
|---|---|---|---|
| US08/701,191 US5942428A (en) | 1996-08-21 | 1996-08-21 | Crystals of the tyrosine kinase domain of non-insulin receptor tyrosine kinases |
| US3416896P | 1996-12-19 | 1996-12-19 | |
| US08/701,191 | 1996-12-19 | ||
| US60/034,168 | 1996-12-19 |
Publications (3)
| Publication Number | Publication Date |
|---|---|
| WO1998007835A2 true WO1998007835A2 (en) | 1998-02-26 |
| WO1998007835A9 WO1998007835A9 (en) | 1998-06-11 |
| WO1998007835A3 WO1998007835A3 (en) | 1998-10-01 |
Family
ID=26710643
Family Applications (1)
| Application Number | Title | Priority Date | Filing Date |
|---|---|---|---|
| PCT/US1997/014885 Ceased WO1998007835A2 (en) | 1996-08-21 | 1997-08-21 | Crystal structures of a protein tyrosine kinase |
Country Status (5)
| Country | Link |
|---|---|
| EP (1) | EP0931152A2 (en) |
| JP (1) | JP2001514484A (en) |
| AU (1) | AU733890B2 (en) |
| CA (1) | CA2263838A1 (en) |
| WO (1) | WO1998007835A2 (en) |
Cited By (43)
| Publication number | Priority date | Publication date | Assignee | Title |
|---|---|---|---|---|
| WO2000070030A1 (en) * | 1999-05-19 | 2000-11-23 | Amgen Inc. | Crystal of a lymphocyte kinase-ligand complex and methods of use |
| WO2001016181A3 (en) * | 1999-08-30 | 2002-01-24 | Univ New York School Medicine | Crystal structures of domains of receptor protein tyrosine kinases and their ligands |
| US6350747B1 (en) | 1999-03-04 | 2002-02-26 | Glaxo Wellcome Inc. | 3-(anilinomethylene) oxindoles |
| US6369086B1 (en) | 1997-09-05 | 2002-04-09 | Smithkline Beecham Corporation | Substituted oxidole derivatives as protein tyrosine and as protein serine/threonine kinase inhibitors |
| WO2001072778A3 (en) * | 2000-03-29 | 2002-05-02 | Knoll Ges Mit Beschraenkter Ha | Method of identifying inhibitors of tie-2 |
| US6395734B1 (en) | 1998-05-29 | 2002-05-28 | Sugen, Inc. | Pyrrole substituted 2-indolinone protein kinase inhibitors |
| US6469032B2 (en) | 1995-06-07 | 2002-10-22 | Sugen, Inc. | 3-(4′-bromobenzylindenyl)-2-indolinone and analogues thereof for the treatment of disease |
| US6486185B1 (en) | 1997-05-07 | 2002-11-26 | Sugen, Inc. | 3-heteroarylidene-2-indolinone protein kinase inhibitors |
| US6492398B1 (en) | 1999-03-04 | 2002-12-10 | Smithkline Beechman Corporation | Thiazoloindolinone compounds |
| US6620818B1 (en) | 2000-03-01 | 2003-09-16 | Smithkline Beecham Corporation | Method for reducing the severity of side effects of chemotherapy and/or radiation therapy |
| US6624171B1 (en) | 1999-03-04 | 2003-09-23 | Smithkline Beecham Corporation | Substituted aza-oxindole derivatives |
| US6656696B2 (en) * | 1999-02-26 | 2003-12-02 | Cyclacel | Compositions and methods for monitoring the phosphorylation of natural binding partners |
| US6670144B1 (en) * | 1999-02-26 | 2003-12-30 | Cyclacel, Ltd. | Compositions and methods for monitoring the phosphorylation of natural binding partners |
| US6683082B2 (en) | 1997-05-07 | 2004-01-27 | Sugen, Inc. | Bicyclic protein kinase inhibitors |
| US6689806B1 (en) | 1999-03-24 | 2004-02-10 | Sugen, Inc. | Indolinone compounds as kinase inhibitors |
| US6820011B2 (en) * | 2001-04-11 | 2004-11-16 | The Regents Of The University Of Colorado | Three-dimensional structure of complement receptor type 2 and uses thereof |
| US6828106B2 (en) * | 1999-02-26 | 2004-12-07 | Cyclacel Limited | Methods and compositions using coiled binding partners |
| US6878733B1 (en) | 1999-11-24 | 2005-04-12 | Sugen, Inc. | Formulations for pharmaceutical agents ionizable as free acids or free bases |
| US6904369B1 (en) * | 2000-06-29 | 2005-06-07 | The Trustees Of Columbia University In The City Of New York | Conjugated ligands for the stimulation of blood cell proliferation by effecting dimerization of the receptor for stem cell factor |
| US6972182B1 (en) * | 1999-02-26 | 2005-12-06 | Cyclacel, Ltd. | Methods and compositions using coiled binding partners |
| EP1583827A4 (en) * | 2002-12-20 | 2006-07-12 | Structural Genomix Inc | Crystals and structures of spleen tyrosine kinase sykkd |
| US7125905B2 (en) | 2000-02-15 | 2006-10-24 | Agouron Pharmaceuticals, Inc. | Pyrrole substituted 2-indolinone protein kinase inhibitors |
| US7129072B1 (en) | 1999-08-30 | 2006-10-31 | New York University | Crystal of fibroblast growth factor receptor 1 in complex with fibroblast growth factor |
| US7179910B2 (en) | 2001-02-15 | 2007-02-20 | Agouron Pharmaceuticals, Inc. | 3-(4-amidopyrrol-2-ylmethlidene)-2-indolinone derivatives as protein kinase inhibitors |
| US7196089B2 (en) | 2003-01-29 | 2007-03-27 | Asterand Uk Limited | EP4 receptor antagonists |
| US7202265B2 (en) | 1997-08-20 | 2007-04-10 | Sugen, Inc. | Indolinone combinatorial libraries and related products and methods for the treatment of disease |
| US7369946B2 (en) | 2000-03-29 | 2008-05-06 | Abbott Gmbh & Co. Kg | Method of identifying inhibitors of Tie-2 |
| US7417068B2 (en) | 2003-10-16 | 2008-08-26 | Asterand Uk Limited | EP4 receptor antagonists |
| US7427616B2 (en) | 2002-08-06 | 2008-09-23 | Astrazeneca Ab | Condensed pyridines and pyrimidines with tie2 (TEK) activity |
| WO2008066887A3 (en) * | 2006-11-30 | 2008-11-13 | Einstein Coll Med | Small molecule inhibitors of bcl6 |
| US7485297B2 (en) | 2003-08-12 | 2009-02-03 | Dyax Corp. | Method of inhibition of vascular development using an antibody |
| US7736875B2 (en) | 2000-09-08 | 2010-06-15 | Prozymex A/S | Dipeptidyl peptidase I crystal structure and its uses |
| JP2011105716A (en) * | 1998-12-03 | 2011-06-02 | Max-Planck-Ges Zur Foerderung Der Wissenschaften Ev | RECOMBINANT SOLUBLE Fc RECEPTOR |
| US8007804B2 (en) | 2002-11-15 | 2011-08-30 | Musc Foundation For Research Development | Complement receptor 2 targeted complement modulators |
| US8158586B2 (en) | 2005-04-11 | 2012-04-17 | Pharmagap Inc. | Inhibitors of protein kinases and uses thereof |
| US8569225B2 (en) | 2006-06-21 | 2013-10-29 | Musc Foundation For Research Development | Targeting complement factor H for treatment of diseases |
| KR20130126960A (en) * | 2010-12-16 | 2013-11-21 | 알러간, 인코포레이티드 | Sulfur derivatives as chemokine receptor modulators |
| US9066925B2 (en) | 2009-07-02 | 2015-06-30 | Musc Foundation For Research Development | Methods of stimulating liver regeneration |
| US9259488B2 (en) | 2012-08-17 | 2016-02-16 | The Regents Of The University Of Colorado, A Body Corporate | Anti-C3d antibody conjugates and methods of detecting complement activation |
| US9650447B2 (en) | 2010-05-14 | 2017-05-16 | The Regents Of The University Of Colorado, A Body Corporate | Complement receptor 2 (CR2) targeting groups |
| US9815890B2 (en) | 2010-06-22 | 2017-11-14 | The Regents Of The University Of Colorado, A Body Corporate | Antibodies to the C3d fragment of complement component 3 |
| US10239937B2 (en) | 2009-11-05 | 2019-03-26 | Alexion Pharmaceuticals, Inc. | Treatment of paroxysmal nocturnal hemoglobinuria, hemolytic anemias and disease states involving intravascular and extravascular hemolysis |
| US11191851B2 (en) | 2012-08-17 | 2021-12-07 | Musc Foundation For Research Development | Anti-C3d antibody conjugates and methods of detecting complement activation |
Families Citing this family (2)
| Publication number | Priority date | Publication date | Assignee | Title |
|---|---|---|---|---|
| EP1627045A2 (en) * | 2003-02-28 | 2006-02-22 | Plexxikon, Inc. | Pyk2 crystal structure and uses |
| DK1856252T3 (en) * | 2005-03-08 | 2015-03-09 | Boehringer Ingelheim Int | Crystallographic structure of MNK-1 and MNK-2 proteins |
Family Cites Families (1)
| Publication number | Priority date | Publication date | Assignee | Title |
|---|---|---|---|---|
| IE920318A1 (en) * | 1991-01-31 | 1992-07-29 | Univ California | Human platelet-derived growth factor receptors |
-
1997
- 1997-08-21 CA CA002263838A patent/CA2263838A1/en not_active Abandoned
- 1997-08-21 AU AU41603/97A patent/AU733890B2/en not_active Ceased
- 1997-08-21 EP EP97939534A patent/EP0931152A2/en not_active Withdrawn
- 1997-08-21 JP JP51103698A patent/JP2001514484A/en not_active Ceased
- 1997-08-21 WO PCT/US1997/014885 patent/WO1998007835A2/en not_active Ceased
Cited By (69)
| Publication number | Priority date | Publication date | Assignee | Title |
|---|---|---|---|---|
| US6469032B2 (en) | 1995-06-07 | 2002-10-22 | Sugen, Inc. | 3-(4′-bromobenzylindenyl)-2-indolinone and analogues thereof for the treatment of disease |
| US6683082B2 (en) | 1997-05-07 | 2004-01-27 | Sugen, Inc. | Bicyclic protein kinase inhibitors |
| US7189721B2 (en) | 1997-05-07 | 2007-03-13 | Sugen Inc. | Bicyclic protein kinase inhibitors |
| US6486185B1 (en) | 1997-05-07 | 2002-11-26 | Sugen, Inc. | 3-heteroarylidene-2-indolinone protein kinase inhibitors |
| US7202265B2 (en) | 1997-08-20 | 2007-04-10 | Sugen, Inc. | Indolinone combinatorial libraries and related products and methods for the treatment of disease |
| US7105529B2 (en) | 1997-09-05 | 2006-09-12 | Smithkline Beecham Corporation | Substituted oxindole derivatives as protein tyrosine and as protein serine/threonine kinase inhibitors and compositions and methods of treating chemotherapy and radiation therapy side effects |
| US6387919B1 (en) | 1997-09-05 | 2002-05-14 | Glaxo Wellcome Inc. | Substituted oxindole derivatives as protein tyrosine kinase and as protein serine/threonine kinase inhibitors |
| US6369086B1 (en) | 1997-09-05 | 2002-04-09 | Smithkline Beecham Corporation | Substituted oxidole derivatives as protein tyrosine and as protein serine/threonine kinase inhibitors |
| US6541503B2 (en) | 1997-09-05 | 2003-04-01 | Smithkline Beecham Corporation | Substituted oxindole derivatives as protein tyrosine kinase and as protein serine/threonine kinase inhibitors |
| US6395734B1 (en) | 1998-05-29 | 2002-05-28 | Sugen, Inc. | Pyrrole substituted 2-indolinone protein kinase inhibitors |
| KR100743287B1 (en) * | 1998-05-29 | 2007-07-26 | 수젠, 인크. | 2-indolinone protein kinase inhibitor substituted with pyrrole group |
| JP2011105716A (en) * | 1998-12-03 | 2011-06-02 | Max-Planck-Ges Zur Foerderung Der Wissenschaften Ev | RECOMBINANT SOLUBLE Fc RECEPTOR |
| US8666680B2 (en) | 1998-12-03 | 2014-03-04 | MAX-PLANCK-Gesellschaft zur Förderung der Wissenschaften e.V. | Recombinant soluble FC receptors |
| US6828106B2 (en) * | 1999-02-26 | 2004-12-07 | Cyclacel Limited | Methods and compositions using coiled binding partners |
| US6972182B1 (en) * | 1999-02-26 | 2005-12-06 | Cyclacel, Ltd. | Methods and compositions using coiled binding partners |
| US6656696B2 (en) * | 1999-02-26 | 2003-12-02 | Cyclacel | Compositions and methods for monitoring the phosphorylation of natural binding partners |
| US6670144B1 (en) * | 1999-02-26 | 2003-12-30 | Cyclacel, Ltd. | Compositions and methods for monitoring the phosphorylation of natural binding partners |
| US6815439B2 (en) | 1999-03-04 | 2004-11-09 | Smithkline Beecham Corporation | Substituted aza-oxindole derivatives |
| US6624171B1 (en) | 1999-03-04 | 2003-09-23 | Smithkline Beecham Corporation | Substituted aza-oxindole derivatives |
| US6818632B2 (en) | 1999-03-04 | 2004-11-16 | Smithkline Beecham Corporation | 3-(anilinomethylene)oxindoles |
| US6350747B1 (en) | 1999-03-04 | 2002-02-26 | Glaxo Wellcome Inc. | 3-(anilinomethylene) oxindoles |
| US6492398B1 (en) | 1999-03-04 | 2002-12-10 | Smithkline Beechman Corporation | Thiazoloindolinone compounds |
| US7129253B2 (en) | 1999-03-04 | 2006-10-31 | Smithkline Beecham Corporation | Compounds |
| US6689806B1 (en) | 1999-03-24 | 2004-02-10 | Sugen, Inc. | Indolinone compounds as kinase inhibitors |
| WO2000070030A1 (en) * | 1999-05-19 | 2000-11-23 | Amgen Inc. | Crystal of a lymphocyte kinase-ligand complex and methods of use |
| WO2001016181A3 (en) * | 1999-08-30 | 2002-01-24 | Univ New York School Medicine | Crystal structures of domains of receptor protein tyrosine kinases and their ligands |
| US7129072B1 (en) | 1999-08-30 | 2006-10-31 | New York University | Crystal of fibroblast growth factor receptor 1 in complex with fibroblast growth factor |
| JP2003513016A (en) * | 1999-08-30 | 2003-04-08 | ニューヨーク・ユニバーシティ | Crystal structure of receptor protein tyrosine kinase domain and its ligand |
| US6878733B1 (en) | 1999-11-24 | 2005-04-12 | Sugen, Inc. | Formulations for pharmaceutical agents ionizable as free acids or free bases |
| US7572924B2 (en) | 2000-02-15 | 2009-08-11 | Sugen, Inc. | Pyrrole substituted 2-indolinone protein kinase inhibitors |
| US7125905B2 (en) | 2000-02-15 | 2006-10-24 | Agouron Pharmaceuticals, Inc. | Pyrrole substituted 2-indolinone protein kinase inhibitors |
| US6620818B1 (en) | 2000-03-01 | 2003-09-16 | Smithkline Beecham Corporation | Method for reducing the severity of side effects of chemotherapy and/or radiation therapy |
| US7369946B2 (en) | 2000-03-29 | 2008-05-06 | Abbott Gmbh & Co. Kg | Method of identifying inhibitors of Tie-2 |
| WO2001072778A3 (en) * | 2000-03-29 | 2002-05-02 | Knoll Ges Mit Beschraenkter Ha | Method of identifying inhibitors of tie-2 |
| US6904369B1 (en) * | 2000-06-29 | 2005-06-07 | The Trustees Of Columbia University In The City Of New York | Conjugated ligands for the stimulation of blood cell proliferation by effecting dimerization of the receptor for stem cell factor |
| US7736875B2 (en) | 2000-09-08 | 2010-06-15 | Prozymex A/S | Dipeptidyl peptidase I crystal structure and its uses |
| US7256189B2 (en) | 2001-02-15 | 2007-08-14 | Sugen, Inc. | 3-(4-amidopyrrol-2-ylmethylidene)-2-indolinone der derivatives as protein kinase inhibitors |
| US7179910B2 (en) | 2001-02-15 | 2007-02-20 | Agouron Pharmaceuticals, Inc. | 3-(4-amidopyrrol-2-ylmethlidene)-2-indolinone derivatives as protein kinase inhibitors |
| US7582756B2 (en) | 2001-02-15 | 2009-09-01 | Sugen, Inc. | 3-(4-amidopyrrol-2-ylmethylidene)-2-indolinone derivatives as protein kinase inhibitors |
| US8858945B2 (en) | 2001-04-11 | 2014-10-14 | The Regents Of The University Of Colorado, A Body Corporate | Three-dimensional structure of complement receptor type 2 and uses thereof |
| US8465737B2 (en) | 2001-04-11 | 2013-06-18 | The Regents Of The University Of Colorado | Three-dimensional structure of complement receptor type 2 and uses thereof |
| US6820011B2 (en) * | 2001-04-11 | 2004-11-16 | The Regents Of The University Of Colorado | Three-dimensional structure of complement receptor type 2 and uses thereof |
| US7427616B2 (en) | 2002-08-06 | 2008-09-23 | Astrazeneca Ab | Condensed pyridines and pyrimidines with tie2 (TEK) activity |
| US8540997B2 (en) | 2002-11-15 | 2013-09-24 | Musc Foundation For Research Development | Complement receptor 1 and 2 fusion proteins |
| US8007804B2 (en) | 2002-11-15 | 2011-08-30 | Musc Foundation For Research Development | Complement receptor 2 targeted complement modulators |
| EP1583827A4 (en) * | 2002-12-20 | 2006-07-12 | Structural Genomix Inc | Crystals and structures of spleen tyrosine kinase sykkd |
| US7528157B2 (en) | 2003-01-29 | 2009-05-05 | Asterand Uk Limited | EP4 receptor antagonists |
| US7858644B2 (en) | 2003-01-29 | 2010-12-28 | Asterand Uk Limited | EP4 receptor antagonists |
| US7196089B2 (en) | 2003-01-29 | 2007-03-27 | Asterand Uk Limited | EP4 receptor antagonists |
| US7507754B2 (en) | 2003-01-29 | 2009-03-24 | Asterand Uk Limited | EP4 receptor antagonists |
| US7485297B2 (en) | 2003-08-12 | 2009-02-03 | Dyax Corp. | Method of inhibition of vascular development using an antibody |
| US7417068B2 (en) | 2003-10-16 | 2008-08-26 | Asterand Uk Limited | EP4 receptor antagonists |
| US7569602B2 (en) | 2003-10-16 | 2009-08-04 | Asterand Uk Limited | Furan derivatives as EP4 receptor antagonists |
| US8158586B2 (en) | 2005-04-11 | 2012-04-17 | Pharmagap Inc. | Inhibitors of protein kinases and uses thereof |
| US8569225B2 (en) | 2006-06-21 | 2013-10-29 | Musc Foundation For Research Development | Targeting complement factor H for treatment of diseases |
| US9212212B2 (en) | 2006-06-21 | 2015-12-15 | The Regents Of The University Of Colorado, A Body Corporate | Targeting complement factor H for treatment of diseases |
| US8338464B2 (en) | 2006-11-30 | 2012-12-25 | Albert Einstein College Of Medicine Of Yeshiva University | Small molecule inhibitors of BCL6 |
| WO2008066887A3 (en) * | 2006-11-30 | 2008-11-13 | Einstein Coll Med | Small molecule inhibitors of bcl6 |
| US9066925B2 (en) | 2009-07-02 | 2015-06-30 | Musc Foundation For Research Development | Methods of stimulating liver regeneration |
| US10239937B2 (en) | 2009-11-05 | 2019-03-26 | Alexion Pharmaceuticals, Inc. | Treatment of paroxysmal nocturnal hemoglobinuria, hemolytic anemias and disease states involving intravascular and extravascular hemolysis |
| US9650447B2 (en) | 2010-05-14 | 2017-05-16 | The Regents Of The University Of Colorado, A Body Corporate | Complement receptor 2 (CR2) targeting groups |
| US9815890B2 (en) | 2010-06-22 | 2017-11-14 | The Regents Of The University Of Colorado, A Body Corporate | Antibodies to the C3d fragment of complement component 3 |
| USRE49339E1 (en) | 2010-06-22 | 2022-12-20 | The Regents Of The University Of Colorado, A Body Corporate | Antibodies to the C3D fragment of complement component 3 |
| US9328067B2 (en) | 2010-12-16 | 2016-05-03 | Allergan, Inc. | Sulfur derivatives as chemokine receptor modulators |
| US9371278B2 (en) | 2010-12-16 | 2016-06-21 | Allergan, Inc. | Sulfur derivatives as chemokine receptor modulators |
| KR20130126960A (en) * | 2010-12-16 | 2013-11-21 | 알러간, 인코포레이티드 | Sulfur derivatives as chemokine receptor modulators |
| KR101967936B1 (en) * | 2010-12-16 | 2019-04-10 | 알러간, 인코포레이티드 | Sulfur derivatives as chemokine receptor modulators |
| US9259488B2 (en) | 2012-08-17 | 2016-02-16 | The Regents Of The University Of Colorado, A Body Corporate | Anti-C3d antibody conjugates and methods of detecting complement activation |
| US11191851B2 (en) | 2012-08-17 | 2021-12-07 | Musc Foundation For Research Development | Anti-C3d antibody conjugates and methods of detecting complement activation |
Also Published As
| Publication number | Publication date |
|---|---|
| WO1998007835A3 (en) | 1998-10-01 |
| AU733890B2 (en) | 2001-05-31 |
| CA2263838A1 (en) | 1998-02-26 |
| AU4160397A (en) | 1998-03-06 |
| EP0931152A2 (en) | 1999-07-28 |
| JP2001514484A (en) | 2001-09-11 |
Similar Documents
| Publication | Publication Date | Title |
|---|---|---|
| WO1998007835A2 (en) | Crystal structures of a protein tyrosine kinase | |
| Shewchuk et al. | Structure of the Tie2 RTK domain: self-inhibition by the nucleotide binding loop, activation loop, and C-terminal tail | |
| Spink et al. | Molecular mechanisms of β‐catenin recognition by adenomatous polyposis coli revealed by the structure of an APC–β‐catenin complex | |
| Tesmer et al. | Structure of RGS4 bound to AlF4−-activated Giα1: stabilization of the transition state for GTP hydrolysis | |
| US7214518B2 (en) | Crystal structure of aurora a kinase and uses thereof | |
| WO1998007835A9 (en) | Crystal structures of a protein tyrosine kinase | |
| US7129072B1 (en) | Crystal of fibroblast growth factor receptor 1 in complex with fibroblast growth factor | |
| CA2456236A1 (en) | Methods of screening based on the egf receptor crystal structure | |
| WO2003016338A1 (en) | Crystal structure of the btk kinase domain | |
| US6682921B1 (en) | Crystals of the tyrosine kinase domain of non-insulin receptor tyrosine kinases | |
| CA2490023A1 (en) | Crystal of glucokinase protein, and method for drug design using the crystal | |
| EP1375517A1 (en) | Structure of a glucocorticoid receptor ligand binding domain comprising an expanded binding pocket and methods employing same | |
| JP2003513016A (en) | Crystal structure of receptor protein tyrosine kinase domain and its ligand | |
| CA2437194A1 (en) | Methods for regulating the kinase domain of ephb2 | |
| Xu et al. | Structural insights into the catalytic mechanism and ubiquitin recognition of USP34 | |
| Meier et al. | Engineering human MEK-1 for structural studies: A case study of combinatorial domain hunting | |
| WO2000037500A1 (en) | Three dimensional structure of a sterile alpha motif domain | |
| US20040002145A1 (en) | Crystal structure of liganded cFMS kinase domain | |
| WO2004087905A2 (en) | Protein tyrosine phosphatase and inhibitors thereof | |
| WO2011019558A1 (en) | Methods to measure dissociation rates for ligands that form reversible covalent bonds | |
| KR101821345B1 (en) | Ubiquitin specific protease 47, three-dimensional structure thereof and method of developing a ubiquitin specific protease inhibitor | |
| WO2002020734A2 (en) | Crystallized cytoplasmic tie2 receptor tyrosine kinase domain and method of determining and designing modulators of the same | |
| US20050085626A1 (en) | Polo domain structure | |
| US20060134768A1 (en) | Erbb4 co-crystal | |
| US20060234293A1 (en) | Polypeptide methods and means |
Legal Events
| Date | Code | Title | Description |
|---|---|---|---|
| AK | Designated states |
Kind code of ref document: A2 Designated state(s): AL AM AT AU AZ BA BB BG BR BY CA CH CN CU CZ DE DK EE ES FI GB GE GH HU IL IS JP KE KG KP KR KZ LC LK LR LS LT LU LV MD MG MK MN MW MX NO NZ PL PT RO RU SD SE SG SI SK SL TJ TM TR TT UA UG US UZ VN YU ZW AM AZ BY KG KZ MD RU TJ TM |
|
| AL | Designated countries for regional patents |
Kind code of ref document: A2 Designated state(s): GH KE LS MW SD SZ UG ZW AT BE CH DE DK ES FI FR GB GR IE IT LU MC NL |
|
| DFPE | Request for preliminary examination filed prior to expiration of 19th month from priority date (pct application filed before 20040101) | ||
| COP | Corrected version of pamphlet |
Free format text: PAGES 1/7 AND 4/7-7/7, DRAWINGS, REPLACED BY NEW PAGES 1/11 AND 4/11-11/11; PAGES 2/7-3/7 RENUMBERED AS PAGES 2/11-3/11; DUE TO LATE TRANSMITTAL BY THE RECEIVING OFFICE |
|
| 121 | Ep: the epo has been informed by wipo that ep was designated in this application | ||
| AK | Designated states |
Kind code of ref document: A3 Designated state(s): AL AM AT AU AZ BA BB BG BR BY CA CH CN CU CZ DE DK EE ES FI GB GE GH HU IL IS JP KE KG KP KR KZ LC LK LR LS LT LU LV MD MG MK MN MW MX NO NZ PL PT RO RU SD SE SG SI SK SL TJ TM TR TT UA UG US UZ VN YU ZW AM AZ BY KG KZ MD RU TJ TM |
|
| AL | Designated countries for regional patents |
Kind code of ref document: A3 Designated state(s): GH KE LS MW SD SZ UG ZW AT BE CH DE DK ES FI FR GB GR IE IT LU MC NL |
|
| ENP | Entry into the national phase |
Ref document number: 2263838 Country of ref document: CA Ref country code: CA Ref document number: 2263838 Kind code of ref document: A Format of ref document f/p: F |
|
| ENP | Entry into the national phase |
Ref country code: JP Ref document number: 1998 511036 Kind code of ref document: A Format of ref document f/p: F |
|
| WWE | Wipo information: entry into national phase |
Ref document number: 1997939534 Country of ref document: EP |
|
| REG | Reference to national code |
Ref country code: DE Ref legal event code: 8642 |
|
| WWP | Wipo information: published in national office |
Ref document number: 1997939534 Country of ref document: EP |
|
| WWW | Wipo information: withdrawn in national office |
Ref document number: 1997939534 Country of ref document: EP |






























































































































































































































































































































































































































