WO1997042819A1 - Cationic lipids for transfection of negatively charged or neutral molecules into living cells - Google Patents
Cationic lipids for transfection of negatively charged or neutral molecules into living cells Download PDFInfo
- Publication number
- WO1997042819A1 WO1997042819A1 PCT/US1997/009093 US9709093W WO9742819A1 WO 1997042819 A1 WO1997042819 A1 WO 1997042819A1 US 9709093 W US9709093 W US 9709093W WO 9742819 A1 WO9742819 A1 WO 9742819A1
- Authority
- WO
- WIPO (PCT)
- Prior art keywords
- compound
- cells
- aco
- pharmaceutically acceptable
- acceptable anion
- Prior art date
- Legal status (The legal status is an assumption and is not a legal conclusion. Google has not performed a legal analysis and makes no representation as to the accuracy of the status listed.)
- Ceased
Links
- 0 CC(N)(N)NCCCCN(*)CCOCCN(*)CCCNC(*)=* Chemical compound CC(N)(N)NCCCCN(*)CCOCCN(*)CCCNC(*)=* 0.000 description 2
Classifications
-
- C—CHEMISTRY; METALLURGY
- C07—ORGANIC CHEMISTRY
- C07F—ACYCLIC, CARBOCYCLIC OR HETEROCYCLIC COMPOUNDS CONTAINING ELEMENTS OTHER THAN CARBON, HYDROGEN, HALOGEN, OXYGEN, NITROGEN, SULFUR, SELENIUM OR TELLURIUM
- C07F9/00—Compounds containing elements of Groups 5 or 15 of the Periodic Table
- C07F9/02—Phosphorus compounds
- C07F9/06—Phosphorus compounds without P—C bonds
- C07F9/08—Esters of oxyacids of phosphorus
- C07F9/09—Esters of phosphoric acids
- C07F9/10—Phosphatides, e.g. lecithin
-
- A—HUMAN NECESSITIES
- A61—MEDICAL OR VETERINARY SCIENCE; HYGIENE
- A61K—PREPARATIONS FOR MEDICAL, DENTAL OR TOILETRY PURPOSES
- A61K48/00—Medicinal preparations containing genetic material which is inserted into cells of the living body to treat genetic diseases; Gene therapy
-
- A—HUMAN NECESSITIES
- A61—MEDICAL OR VETERINARY SCIENCE; HYGIENE
- A61K—PREPARATIONS FOR MEDICAL, DENTAL OR TOILETRY PURPOSES
- A61K9/00—Medicinal preparations characterised by special physical form
- A61K9/10—Dispersions; Emulsions
- A61K9/127—Synthetic bilayered vehicles, e.g. liposomes or liposomes with cholesterol as the only non-phosphatidyl surfactant
- A61K9/1271—Non-conventional liposomes, e.g. PEGylated liposomes or liposomes coated or grafted with polymers
- A61K9/1272—Non-conventional liposomes, e.g. PEGylated liposomes or liposomes coated or grafted with polymers comprising non-phosphatidyl surfactants as bilayer-forming substances, e.g. cationic lipids or non-phosphatidyl liposomes coated or grafted with polymers
-
- C—CHEMISTRY; METALLURGY
- C07—ORGANIC CHEMISTRY
- C07C—ACYCLIC OR CARBOCYCLIC COMPOUNDS
- C07C217/00—Compounds containing amino and etherified hydroxy groups bound to the same carbon skeleton
- C07C217/02—Compounds containing amino and etherified hydroxy groups bound to the same carbon skeleton having etherified hydroxy groups and amino groups bound to acyclic carbon atoms of the same carbon skeleton
- C07C217/04—Compounds containing amino and etherified hydroxy groups bound to the same carbon skeleton having etherified hydroxy groups and amino groups bound to acyclic carbon atoms of the same carbon skeleton the carbon skeleton being acyclic and saturated
- C07C217/06—Compounds containing amino and etherified hydroxy groups bound to the same carbon skeleton having etherified hydroxy groups and amino groups bound to acyclic carbon atoms of the same carbon skeleton the carbon skeleton being acyclic and saturated having only one etherified hydroxy group and one amino group bound to the carbon skeleton, which is not further substituted
- C07C217/08—Compounds containing amino and etherified hydroxy groups bound to the same carbon skeleton having etherified hydroxy groups and amino groups bound to acyclic carbon atoms of the same carbon skeleton the carbon skeleton being acyclic and saturated having only one etherified hydroxy group and one amino group bound to the carbon skeleton, which is not further substituted the oxygen atom of the etherified hydroxy group being further bound to an acyclic carbon atom
-
- C—CHEMISTRY; METALLURGY
- C07—ORGANIC CHEMISTRY
- C07C—ACYCLIC OR CARBOCYCLIC COMPOUNDS
- C07C229/00—Compounds containing amino and carboxyl groups bound to the same carbon skeleton
- C07C229/02—Compounds containing amino and carboxyl groups bound to the same carbon skeleton having amino and carboxyl groups bound to acyclic carbon atoms of the same carbon skeleton
- C07C229/04—Compounds containing amino and carboxyl groups bound to the same carbon skeleton having amino and carboxyl groups bound to acyclic carbon atoms of the same carbon skeleton the carbon skeleton being acyclic and saturated
- C07C229/06—Compounds containing amino and carboxyl groups bound to the same carbon skeleton having amino and carboxyl groups bound to acyclic carbon atoms of the same carbon skeleton the carbon skeleton being acyclic and saturated having only one amino and one carboxyl group bound to the carbon skeleton
- C07C229/10—Compounds containing amino and carboxyl groups bound to the same carbon skeleton having amino and carboxyl groups bound to acyclic carbon atoms of the same carbon skeleton the carbon skeleton being acyclic and saturated having only one amino and one carboxyl group bound to the carbon skeleton the nitrogen atom of the amino group being further bound to acyclic carbon atoms or to carbon atoms of rings other than six-membered aromatic rings
- C07C229/16—Compounds containing amino and carboxyl groups bound to the same carbon skeleton having amino and carboxyl groups bound to acyclic carbon atoms of the same carbon skeleton the carbon skeleton being acyclic and saturated having only one amino and one carboxyl group bound to the carbon skeleton the nitrogen atom of the amino group being further bound to acyclic carbon atoms or to carbon atoms of rings other than six-membered aromatic rings to carbon atoms of hydrocarbon radicals substituted by amino or carboxyl groups, e.g. ethylenediamine-tetra-acetic acid, iminodiacetic acids
-
- C—CHEMISTRY; METALLURGY
- C07—ORGANIC CHEMISTRY
- C07C—ACYCLIC OR CARBOCYCLIC COMPOUNDS
- C07C237/00—Carboxylic acid amides, the carbon skeleton of the acid part being further substituted by amino groups
- C07C237/02—Carboxylic acid amides, the carbon skeleton of the acid part being further substituted by amino groups having the carbon atoms of the carboxamide groups bound to acyclic carbon atoms of the carbon skeleton
- C07C237/04—Carboxylic acid amides, the carbon skeleton of the acid part being further substituted by amino groups having the carbon atoms of the carboxamide groups bound to acyclic carbon atoms of the carbon skeleton the carbon skeleton being acyclic and saturated
- C07C237/10—Carboxylic acid amides, the carbon skeleton of the acid part being further substituted by amino groups having the carbon atoms of the carboxamide groups bound to acyclic carbon atoms of the carbon skeleton the carbon skeleton being acyclic and saturated having the nitrogen atom of at least one of the carboxamide groups bound to an acyclic carbon atom of a hydrocarbon radical substituted by nitrogen atoms not being part of nitro or nitroso groups
-
- C—CHEMISTRY; METALLURGY
- C07—ORGANIC CHEMISTRY
- C07C—ACYCLIC OR CARBOCYCLIC COMPOUNDS
- C07C255/00—Carboxylic acid nitriles
- C07C255/01—Carboxylic acid nitriles having cyano groups bound to acyclic carbon atoms
- C07C255/24—Carboxylic acid nitriles having cyano groups bound to acyclic carbon atoms containing cyano groups and singly-bound nitrogen atoms, not being further bound to other hetero atoms, bound to the same saturated acyclic carbon skeleton
-
- C—CHEMISTRY; METALLURGY
- C07—ORGANIC CHEMISTRY
- C07C—ACYCLIC OR CARBOCYCLIC COMPOUNDS
- C07C271/00—Derivatives of carbamic acids, i.e. compounds containing any of the groups, the nitrogen atom not being part of nitro or nitroso groups
- C07C271/06—Esters of carbamic acids
- C07C271/08—Esters of carbamic acids having oxygen atoms of carbamate groups bound to acyclic carbon atoms
- C07C271/10—Esters of carbamic acids having oxygen atoms of carbamate groups bound to acyclic carbon atoms with the nitrogen atoms of the carbamate groups bound to hydrogen atoms or to acyclic carbon atoms
- C07C271/12—Esters of carbamic acids having oxygen atoms of carbamate groups bound to acyclic carbon atoms with the nitrogen atoms of the carbamate groups bound to hydrogen atoms or to acyclic carbon atoms to hydrogen atoms or to carbon atoms of unsubstituted hydrocarbon radicals
-
- C—CHEMISTRY; METALLURGY
- C07—ORGANIC CHEMISTRY
- C07C—ACYCLIC OR CARBOCYCLIC COMPOUNDS
- C07C279/00—Derivatives of guanidine, i.e. compounds containing the group, the singly-bound nitrogen atoms not being part of nitro or nitroso groups
- C07C279/04—Derivatives of guanidine, i.e. compounds containing the group, the singly-bound nitrogen atoms not being part of nitro or nitroso groups having nitrogen atoms of guanidine groups bound to acyclic carbon atoms of a carbon skeleton
- C07C279/12—Derivatives of guanidine, i.e. compounds containing the group, the singly-bound nitrogen atoms not being part of nitro or nitroso groups having nitrogen atoms of guanidine groups bound to acyclic carbon atoms of a carbon skeleton being further substituted by nitrogen atoms not being part of nitro or nitroso groups
Definitions
- This invention relates to polycationic lipids useful for the delivery (transfection) of nucleic acids (DNA,RNA) and other negatively charged or neutral molecules into living cells, either in vivo or in vitro.
- Liposomes aggregates made with polycationic lipids are useful structures capable of complexing with negatively charged macromolecules such as DNA or RNA. These complexes can be taken up by living cells and then , once inside the cytosol, through an unknown mechanism, they are presumed to migrate into the cell nucleus. In the nucleus, there are enzymes capable of "reading” and “expressing” the message coded by the nucleic acids so delivered and produce new proteins, which were not being produced by the cell before the transfection of the foreign nucleic acid. When cells so transfected divide and their daughter cells still have the capability to produce the proteins encoded by the initially transfected DNA , the transfection is said to be stable.
- the new DNA has stably integrated into the cell nucleus changing the cell's genetic make-up.
- the parent cells can produce the protein encoded by the transfected DNA, but their daughter cells are not capable of expressing the such DNA , the transfection is said to be transient.
- RNA transfection is always transient. Stable transfection of human or animal cells is the basis of the so called gene therapy, since cells which are deficient on a crucial protein for the organism's survival could be in principle repaired by stably transfecting the DNA needed to produce the absent protein.
- Another type of potential use of DNA/RNA transfection for therapy is the antisense therapy .
- nucleic acid capable of adhering (hybridizing) to defective DNA (or RNA) which is being expressed by the cells to produce an undesired protein, such as an oncoprotein (cancer causing protein)
- an undesired protein such as an oncoprotein (cancer causing protein)
- This method of therapy does not change the genetic make-up of the cell, but blocks the effect of the genetic disorder already present in the cell's genome.
- polycationic lipids for use in human therapy, there is already a well established market for these types of chemicals in the research products field. They are currently being used by researchers to deliver nucleic acids and proteins into cells in order to study how the expression of different genes affect cell growth and function.
- ex vivo and in vivo transfection There are two possible ways to deliver DNA into cells for gene therapy : ex vivo and in vivo transfection.
- ex vivo modality cells from a patient are removed from the body, cultured and transfected in vitro. Then, the cells are returned into the patient where the beneficial DNA message is hopefully expressed.
- the DNA is delivered directly into the patient, which makes this procedure simpler and less expensive.
- the only effective way to deliver DNA in vivo is by using a virus which naturally infects cells of an specific organ (targets that organ) within the body, and whose genetic make up has been modified by adding the DNA beneficial to the patient.
- the virus can incorporate the new DNA in the genome of the cell (stable transfection) and the parent cell and its daughters can express the beneficial protein.
- the pathological component of the virus has been deleted before the patient is exposed to such a virus and only the targeting component left intact. Virus can do this process sometimes with nearly 100% efficiency.
- risk associated with their use they can produce immunological reactions which may be fatal to the patient; the DNA incorporation in the cell's genome is random, therefore it might disrupt needed genes or activate oncogenes; they are also difficult to mass produce, etc.
- Liposomes or lipid aggregates do not have the side effects of viruses , but are not as efficient as viruses are. There is a constant need to develop newer lipids that can approach the efficiency of viruses without their undesirable side effects (E. Marshall, Science 269,1050 (1995)) . There are several lipids for nucleic acids transfection already in the market. The most relevant of these lipids are: DOTMA (N-[l-(2,3- dioleoyloxy)propyl]- N,N,N-trimethylamonium chloride, U.S. Pat. No. 4,897,355 to D.
- DOTMA N-[l-(2,3- dioleoyloxy)propyl]- N,N,N-trimethylamonium chloride
- DOGS is sold under the trade name TransfectamTM by the Promega Corp. Madison, WI ), DOSPA (2,3-dioleyloxy-N-[2(sperminecarboxyamido)ethyl]-N,N- dimethyl-propanaminium trifluoroacetate, U.S. Pat. No. 5,334,761 to Gebeyehu, G. et al.), DDAB (Dimethyloctadecylammoniumbromide, U.S. Pat. No. 5,279,833 to Rose, J.K.), TMTPS (N,N,N,N-Tetramethyltetrapalmyls ⁇ ermine, PCT Int.Pub.No. WO 95/17373.
- TransfectamTM by the Promega Corp. Madison, WI
- DOSPA 2,3-dioleyloxy-N-[2(sperminecarboxyamido)ethyl]-N,N- dimethyl-propanaminium triflu
- DOTMA, DOSPA, DDAB and TMTPS are sold by Life Technologies, Inc., Gaithersburg, MD under the trade names of Lipofectin, LipofectAMINE, LipofectACE and CellFECTIN, respectively.
- a recent relevant publication which deals with art related to the present invention has been reported by Ruysschaert et al.(( ⁇ 994)Biochem. Biophys. Res. Commun.203, 1622- 1228). All these lipids, except DOGS, are formulated with dioleolylphosphatidylethanolamine (DOPE), which is a neutral lipid devoid of transfection activity, in order to make the active liposomes.
- DOPE dioleolylphosphatidylethanolamine
- lipids are useful as transfection reagents for: nucleic acids, oligonucleotides.mononucleotides, polypeptides and proteins.
- lipids are also useful as more effective detergents for cleaning and as vehicles in the cosmetic field.
- the present invention describes novel oxo and sulfinyl backbone substituted polycationic lipids with ammonium, guanidinium and imidinium positively charges moieties as anchoring groups having the formula:
- Y C1-, Br-, I-, AcO-, or any pharmaceutically acceptable anion
- R4 Independently: linear (CO)C 6 -C 2 n , C6-C 20
- A Guanidinium; imidinium; guanidylated polyamines.
- These compounds can be used alone or in mixtures with other liposome forming compounds (co-lipids) to prepare lipid aggregates which are useful to deliver macromolecules, specifically negatively charged macromolecules to living cells either in culture or in vivo.
- liposome forming compounds co-lipids
- the lipids depicted in Formula I have a hydrocarbon backbone substituted with heteroatoms which are sterically smaller, but equally or more flexible as the methylene group that they replace. This feature makes these new lipids fit more closely to the macromolecule to be delivered to the cells. This closer fit combined with the polycationic nature of the backbone produces a tighter binding.
- these heteroatoms are hydrophilic; thus, they not only confer an increased amphiphilic character to the lipids but also make the backbone more linear or "stretched" as compared to the all-methylene groups backbone.
- the latter being hydrophobic tends to wrap around itself in an aqueous environment, therefore pulling the positively charged moieties away from the negatively charged phosphates on the DNA/RNA backbone, this results on a weaker binding between the polycationic lipid backbone and the polyanionic DNA backbone, since the opposite charges can not align properly in this arrangement.
- the hydrophilic backbone being linear allows for proper alignment of the opposite charges, also leading to a tighter binding.
- the higher hydrophilicity conferred by the heteroatoms on the polycationic backbone make possible the addition of more hydrophobic tails without loss of water solubility, thus making these compounds more densely packed than compounds of the prior art.
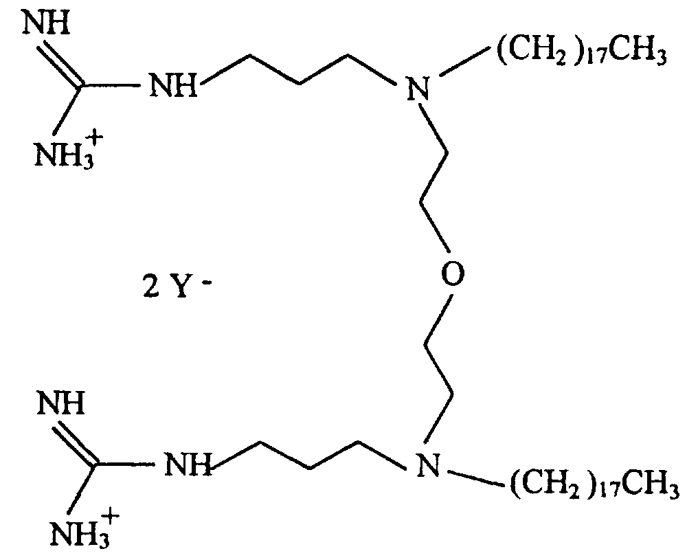
- one of the preferred embodiments is compound (5a) which has four hydrophobic tails and two positive charges (two tails per charge).
- (13a,b) have fewer hydrophobic tails and a more hydrophobic backbone ( no heteroatom substitution, but less hydrophobic overall).
- these compounds have moieties which mimic small natural biological effectors such as the neurotransmitters gamma amino butyric acid (GABA), acetylcholine etc.
- GABA neurotransmitters gamma amino butyric acid
- acetylcholine bind to their corresponding cell receptors targeting the delivery of nucleic acids to those cells rich in these type of receptors such as muscle and neural cells.
- the latter type of cells are among the most difficult to transfect since they are postmitotic cells (non-dividing).
- a particular preferred embodiment of the latter compounds are compounds of formulae (13a) and more specifically compound (13d).
- guanidino and amidino moieties are used as permanent positively charged centers. These functional groups are strongly basic an have the same charge as their ammonium counterparts, but have the advantage of being sterically smaller , since they are planar. Thus, they can get closer to the negatively charged phosphates of the DNA/ RNA backbone producing a stronger binding interaction than that of ammonium salts. Furthermore, these guanidinium and amidinium moieties have the ability to form hydrogen bridges with the nucleic acids bases (guanidinium salts are used as chaotropic agents to precipitate DNA) therefore they have an additional binding mode not available to ammonium salts.
- the guanidino moiety can also be used to target neural cells, since compounds such as Guanethidine , which possess such a functional group, are internalized by neurons (Wiener, N. In, The Pharmacological Basis of Therapeutics, (Gilman, A.G.; Goodman.L.S.; Rail, T.W.; and Murad, F.; Eds.) Macmillan Pubs. Co. New York, 1985,0 ⁇ 181-214.) .
- lipidic content as well as the amine and guanidino moieties of Guanethidine in our novel liposome reagents we can target this difficult to transfect cell type.
- a particularly useful and preferred embodiment of these compounds is compound (6d), which is the most active of compounds tested.
- R Stearoyl, Rosenthal inhibitor (inactive)
- R Oleyl
- DOTMA active
- R Myristyl
- DMRIE active
- R Oleoyl
- DOTAP active
- R Oleoyl
- DORI diester active
- This reactions scheme shows the general synthetic route to prepare polycationic lipids having a heteroatom substituted anchoring backbone.
- diglycolyl chloride (1) is treated with a suitable primary or secondary amine (2a-d) in methylene chloride in the presence of a base such as triethyl amine under an inert gas such as argon at room temperature to obtain the corresponding diglycolamides (3a-d).
- a base such as triethyl amine
- an inert gas such as argon
- These amides can then be reduced with lithium aluminum hydride or borane in refluxing anhydrous tetrahydrofurane (THF) to afford the corresponding amines (4a-d).
- Secondary amine (4c) was easily converted to the corresponding tertiary amine (4e) upon treatment with acrylonitrile.
- Compound (4e) can be treated with ammonium chloride at high temperature to produce the corresponding amidine( ⁇ e).
- the latter amidine derivatives can be obtained by reacting the dinitrile (4e) with anhydrous hydrogen chloride in ethanol, followed of treatment of the imidoester so obtained with ammonium hydroxide.
- Primary amine (4d) can be converted to the target compound (6) by treatment with S-methyl isothiouronium hydroiodide (S-methyl thiourea) in tetrahydrofurane in the presence of triethylamine.
- this guanidinium derivative can be alkylated with for example iodo methane to produce the corresponding quaternary ammonium salt
- Tertiary amines (4a,b,e) are treated with an alkylating agent such as iodo methane , iodoethyl acetate or 2- bromo ethyl acetate to afford the quaternary ammonium salts (5a,b,f).
- the latter compounds were also synthesized by treating the corresponding tertiary amines with the commercially available 2-bromoethyl ether (lower panel, scheme I). This route has only two steps , but is not as flexible or prolific as the route depicted on scheme I.
- Compound (7) is easily synthesized by treating commercially available 1,4- diaminobutane with acrylonitrile.
- Diamide-dinitrile (8) is then easily obtained by treatment of compound (7) with an acyl halide such as palmitoyl chloride in methylene chloride in the presence of triethyl amine.
- the diamide-dinitrile (8) can be reduced with lithium aluminum hydride or borane in THF to the corresponding tertiary and primary amines functionalities to afford compound (9).
- Guanidinium compound (10) can be obtained in a similar fashion as shown in scheme I for compound (6d) by reacting the primary amines of compound (9) with S-methyl thiourea in THF and triethylamine.
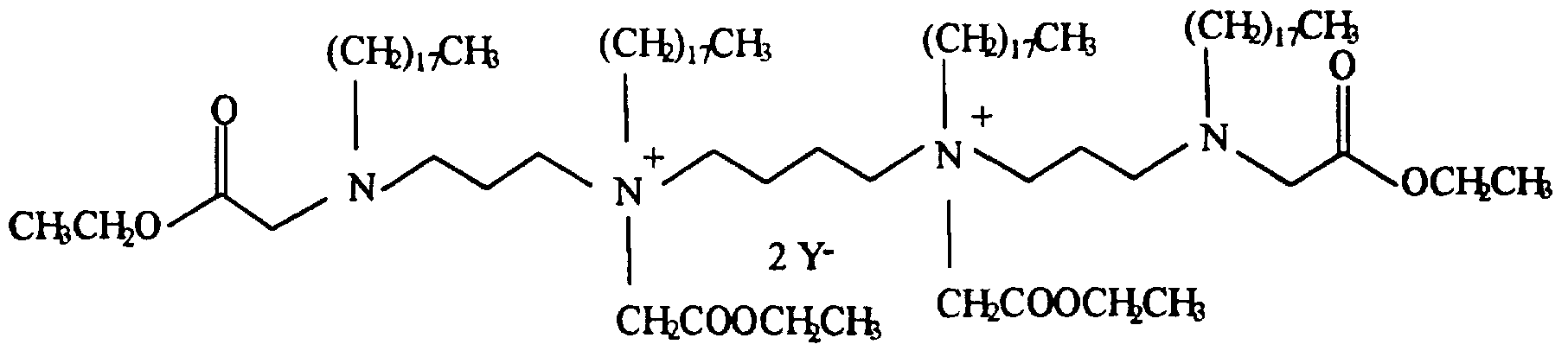
- Tetrapalmyl spermine (11) ( Haces, A. et al. PCT Int. Pub. No WO 95/17373) was treated with ethyl iodoacetate at room temperature to afford the tetraalkylated derivative (13a). Similarly, compound (11) can be treated with 2-bromoethyl acetate at high temperature to afford (13b). Reaction of (11) with 4-bromo or 4- chloro butyryl chloride in methylene chloride in the presence of triethyl amine at low temperature gives the corresponding 4-bromobutyramide derivative (12).
- N,N,N!,N!-dioctadecyl-2,2'-oxy bis ethylamine (19mg, 0.017mmol) was dissolved in iodo methane (1ml) inside a capped thick- wall test tube, and the resulting solution heated for 20h at 75°C.
- the excess iodo methane was removed in vacuo to afford desired product (23 mg, 96%).
- Example 6 Synthesis of N.N.N.N'.N'.N'-cyanoethyloctadecylmethyl-2.2'-oxybis ethyl ammonium iodide (5e ⁇ .
- Example 7 Synthesis of N.N.N.N'.N'.N'- acetoxyethyldioctadecyl-2.2'-oxybis ethyl ammonium iodide(5f).
- Example 14 Synthesis of N.N'"-4-bromobutyryl-N.N'.N"N'"-tetrapamylspermine ( 12).
- N,N , ,N",N'"-tetrapalmylspermine 400mg, 0.36 mmol
- triethylamine 80mg, 0.8 mmol
- dichloromethane 14ml
- 4- bromobutyryl chloride 156mg, 0.8 mmol
- N,N"' - 4-bromobutyryl-N,N',N",N'"-tetrapalmylspermine (350mg,0.25 mmol) was dissolved in iodo methane (3 ml) and the resulting solution let react for 2 days at room temperature . Excess iodo methane was evaporated to afford desired product, which is negative for ninhydrin test.
- Lipids were formulated by mixing the appropriated molar amounts of the active lipid with dioleoylphophatidyl ethanolamine (DOPE) in dichloromethane and dispersing this mixture in the final amount of water using the solvent vaporization method.
- DOPE dioleoylphophatidyl ethanolamine
- Plasmid pCMV ⁇ -gal which contains the E. Coli ⁇ -galactosidase (gene) under the control of the powerful cytomegalovirus promoter (McGregor et al. (1989) Nucleic Acids Res., 17 ⁇ :2365) was purchased from Clontech, Inc. Primary cells were from human tracheal isolates and neonatal foreskin.
- Example 20 Transfection of HepG2 and HeLa cells.
- lipids aliquats 1,3 and 5 ⁇ l of lmg/ml liposome in water were diluted in polystyrene tubes containing lOO ⁇ l of serum-free, antibiotic-free RPMI-1640 and to these tubes were added 150 ng of plasmid in lOO ⁇ l of the same medium (suboptimal amount in polypropylene tubes) and incubate for 15 min.
- Plasmid reporter (2 ⁇ g and 5 ⁇ g, respectively) was mixed with variable amounts of liposomes (see tables IV and V) and the complex formed added to the cells. The cells were transfected during 4h and 6h, respectively. The DNA/liposome complex was removed by rinsing with SFM and the cells incubated for 48h under normal growth conditions and then assayed for the appropiate marker.
- Example 22 Transfection and CAT assay of Jurkat Cells (suspension cells ' ).
- the cell suspension culture was transferred to a 50 ml conical tube and centrifuged at 400g for 10 min.
- the cells were washed twice by aspirating off the supernatant and gently resuspending the cell pellet in 25 ml of sterile PBS and centrifuging again at 400g for lOmin.
- the pellet was resuspended in a volume of serum-free growth medium such that a final concentration of 6.25 x IO 6 cells /ml is obtained (about 10 ml).
- 35 mm cell culture plates were inoculated with 0.8 ml of the cell suspension.
- CAT plasmid For each well, 10 ⁇ g of CAT plasmid were dissolved in 110 ⁇ l of serum-free medium and a separately in another tube were diluted 30 ⁇ l of the lipid solution in 70 ⁇ l of serum-free medium. The plasmid and lipid solution were mixed and gently swirled and let stand at room temperature for 10 min. The complex DNA/lipid solution was then randomly dropped over the culture well. The wells were gently swirled and then incubated at 37 ° C under a 7 % CO 2 profunde for 5 hours. After 5h incubation, 4ml of 12.5 % FBS growth medium were added to the wells and the incubation continued for additional 72 h under the above conditions.
- the cells were then transferred to 10 ml Falcon tubes and the wells rinsed with 5ml of sterile PBS .
- the cell suspension was washed twice with 5ml of sterile PBS as previously.
- the final pellet was resuspended in 400 ⁇ l of lysis buffer and transferred to 1.5 ml centrifugation tubes.
- the tubes were capped and placed horizontally on a rocker and the cells lysated for 30 min. 100 ⁇ l aliquats were then assayed for CAT activity following the procedure of Neumann et al. (1987) Biotechniques 5: 444
- Example 23 Assay for transient transfection (adherent cells').
- the cells were washed twice with Dulbecco's PBS and stained with freshly prepared fixative (2%formaldehyde/ 0.2% glutaraldehyde in PBS) for 5 min, washed twice with Dulbecco PBS.). Then, stained with 0.5 ml of ⁇ -galactosidase histochemical stain (0.1% x-gal, 5mM potassium ferrocyanide, 5mM potassium ferrocyanide, 2mM MgC12 in PBS) for 24h at 37 C° in a 5% CO 2 atmosphere. Blue cells ( ⁇ -gal positive) were counted.
- Tables I and II show the relative transfection efficiency of compounds 5a, 6d and 13d versus control compound TMTPS (Compound 3 in PCT Int.Pub.No. WO95/17373. Haces, A. et al.) in HepG2 (human hepatocarcinoma) and HeLaS3 (human cervical carcinoma) cells, respectively. And under suboptimal conditions for activity. In these cell lines, compounds 6d and 13d show a 2-2.4 fold higher efficiency than the TMTPS control , and compound 5a is half as active as control in HepG2 cells and showed negligible activity in HeLaS3 cells.
- Table III shows an analogous comparison using Jurkat cells (T-cell leukemia).
- compounds 5a and 13d show similar efficiency as TMTPS, but compound 6d shows almost 38% more activity than that of the control.
- Tables IV and V shows the relative efficiency of compounds 6d and 13d in the primary human tracheobronchial epithelial and human keratinocytes cells.
- Primary cells are cells that are freshly isolated from humans or animals and which , unlike the cultured cell lines, reflect the potential behavior of a compound in vivo more closely. Thus, for genetic therapy to work, it is necessary to be able to transfect these types of cell lines before any in vivo experiments are tried. These types of cells are also the most difficult to transfect and their transfection efficiencies are usually below 1%.
- Table IV shows the relative efficiency of compounds 6d and 13d versus DOTMA (LipofectinTM Reagent, Life Technologies, Inc.. Supra) in primary human Tracheo brochial cells. Both of these compounds show a relative range of activities of 5.3 to 6.0 times higher than that of the Lipofectin control. At the same time their cell toxicity was below 5%, unlike the control which showed toxicity in the 10-20% range. Thus, these lipid reagents are superior to the commercial standards in both respects. In addition, this is a very significant result since tracheobronchial cells are involved in the genetic disease cystic fibrosis.
- DOTMA LipofectinTM Reagent
- Table V depicts the percentages of ⁇ -gal positive cells (absolute number) which were obtained in primary human epidermal keratinocytes with compounds 5a and 6d versus that obtained with DOSPA control (LipofectamineTM Reagent, Life Technologies, Inc. Supra) .
- Compounds 5a and 6d gave, respectively, 35% and 50% positive cells as compared with 2% positives for the control. This represents a 15-25 fold better efficiency for these novel liposome reagents when compared with this well known standard.
- primary human keratinocytes are also a potential target cells for genetic therapy ( Fenjves, E.S. et al., Hum Gene Ther 5: 10,1241-8, Oct. 1994.), but its use has been restricted due to the lack of highly efficient transfection vectors.
- LipidVDOPE (molar ratio) Optimal Liposome Amount( ⁇ g) ⁇ - Gal Positive Cells (%)
- Cells were plated in 48 well plates at a density of 1 x 10 per well in 0.5 ml of growth medium. After 24h, the cells were washed with serum free medium and transfected with a suboptimal amount ( 150 ng ) of plasmid pCMV- ⁇ gal. using 1,3 and Sul (1,3 and 5 ⁇ g) of lipid formulation. The amount giving tne highest level of transfection efficiency is shown. The experiment was run in triplicate.
- Lipid/DOPE (molar Optimal Liposome Amount ⁇ -Gal Positive Cells (%) ratio) ( ⁇ g)
- Lipid/DOPE molar ratio
- Optimal Liposome Amount CAT Activity (mU/well)
- Lipid/DOPE (molar ratio) Optimal Liposome Amount ⁇ -Gal Positive Cells (%) (ug)
- Cells were seeded at 2xl0 5 /well in 35 mm wells and transfected the next day. 5 ⁇ g of ⁇ gal DNA were mixed with the appropiate amount of lipids and added to the cells. After 4h, the medium was replaced and the cells incubated for additional 48h and then assayed. Blue cells were observed under the microscope and counted.
Landscapes
- Chemical & Material Sciences (AREA)
- Organic Chemistry (AREA)
- Health & Medical Sciences (AREA)
- Life Sciences & Earth Sciences (AREA)
- General Health & Medical Sciences (AREA)
- Molecular Biology (AREA)
- Epidemiology (AREA)
- Veterinary Medicine (AREA)
- Public Health (AREA)
- Animal Behavior & Ethology (AREA)
- Medicinal Chemistry (AREA)
- Pharmacology & Pharmacy (AREA)
- Biochemistry (AREA)
- Genetics & Genomics (AREA)
- Biotechnology (AREA)
- Engineering & Computer Science (AREA)
- Biophysics (AREA)
- Dispersion Chemistry (AREA)
- Organic Low-Molecular-Weight Compounds And Preparation Thereof (AREA)
Abstract
Description
Claims
Priority Applications (1)
| Application Number | Priority Date | Filing Date | Title |
|---|---|---|---|
| CA002289078A CA2289078A1 (en) | 1996-05-13 | 1997-05-09 | Cationic lipids for transfection of negatively charged or neutral molecules into living cells |
Applications Claiming Priority (2)
| Application Number | Priority Date | Filing Date | Title |
|---|---|---|---|
| US1729896P | 1996-05-13 | 1996-05-13 | |
| US60/017,298 | 1996-05-13 |
Publications (2)
| Publication Number | Publication Date |
|---|---|
| WO1997042819A1 true WO1997042819A1 (en) | 1997-11-20 |
| WO1997042819A9 WO1997042819A9 (en) | 1998-03-12 |
Family
ID=21781830
Family Applications (1)
| Application Number | Title | Priority Date | Filing Date |
|---|---|---|---|
| PCT/US1997/009093 Ceased WO1997042819A1 (en) | 1996-05-13 | 1997-05-09 | Cationic lipids for transfection of negatively charged or neutral molecules into living cells |
Country Status (2)
| Country | Link |
|---|---|
| CA (1) | CA2289078A1 (en) |
| WO (1) | WO1997042819A1 (en) |
Cited By (15)
| Publication number | Priority date | Publication date | Assignee | Title |
|---|---|---|---|---|
| WO2000027795A1 (en) * | 1998-11-12 | 2000-05-18 | Invitrogen Corporation | Transfection reagents |
| WO2001013933A3 (en) * | 1999-08-25 | 2001-07-19 | Gmp Companies Inc | Agents for the enhanced oxygen delivery in mammals |
| WO2002010177A1 (en) * | 2000-08-01 | 2002-02-07 | Gmp Companies, Inc. | Ammonium salts of inositol hexaphosphate and uses thereof |
| JP2003502307A (en) * | 1999-06-16 | 2003-01-21 | スミスクライン ビーチャム パブリック リミテッド カンパニー | Polyhydroxydiamine surfactant and its use in gene transfer |
| US6716882B2 (en) | 1993-12-20 | 2004-04-06 | Invitrogen Corporation | Highly packed polycationic ammonium, sulfonium and phosphonium lipids |
| US6989434B1 (en) | 1994-02-11 | 2006-01-24 | Invitrogen Corporation | Reagents for intracellular delivery of macromolecules |
| WO2006060246A2 (en) | 2004-11-22 | 2006-06-08 | Dharmacon, Inc. | Apparatus and system having dry control gene silencing compositions |
| WO2008037463A3 (en) * | 2006-09-27 | 2009-02-26 | Paolo Botti | Means and methods of enhancing delivery to biological systems |
| US7595387B2 (en) | 2004-04-01 | 2009-09-29 | Dharmacon, Inc. | Modified polynucleotides for reducing off-target effects in RNA interference |
| US7683035B1 (en) * | 1999-02-23 | 2010-03-23 | Qiagen, Gmbh | Method of stabilizing and/or isolating nucleic acids |
| US9879243B2 (en) | 2001-03-27 | 2018-01-30 | Lifetechnologies Corporation | Culture medium for cell growth and transfection |
| US10195280B2 (en) | 2014-07-15 | 2019-02-05 | Life Technologies Corporation | Compositions and methods for efficient delivery of molecules to cells |
| US10501404B1 (en) | 2019-07-30 | 2019-12-10 | Factor Bioscience Inc. | Cationic lipids and transfection methods |
| CN116162066A (en) * | 2022-12-19 | 2023-05-26 | 长沙贝塔医药科技有限公司 | Preparation method of 4-chloro-2-methylthiopyrimidine-5-carboxylic acid ethyl ester-14C |
| US12344572B2 (en) | 2019-07-03 | 2025-07-01 | Factor Bioscience Inc. | Cationic lipids and transfection methods |
Citations (1)
| Publication number | Priority date | Publication date | Assignee | Title |
|---|---|---|---|---|
| US5459127A (en) * | 1990-04-19 | 1995-10-17 | Vical, Inc. | Cationic lipids for intracellular delivery of biologically active molecules |
-
1997
- 1997-05-09 WO PCT/US1997/009093 patent/WO1997042819A1/en not_active Ceased
- 1997-05-09 CA CA002289078A patent/CA2289078A1/en not_active Abandoned
Patent Citations (1)
| Publication number | Priority date | Publication date | Assignee | Title |
|---|---|---|---|---|
| US5459127A (en) * | 1990-04-19 | 1995-10-17 | Vical, Inc. | Cationic lipids for intracellular delivery of biologically active molecules |
Cited By (42)
| Publication number | Priority date | Publication date | Assignee | Title |
|---|---|---|---|---|
| US6716882B2 (en) | 1993-12-20 | 2004-04-06 | Invitrogen Corporation | Highly packed polycationic ammonium, sulfonium and phosphonium lipids |
| US7501542B2 (en) | 1993-12-20 | 2009-03-10 | Invitrogen Corporation | Highly-packed polycationic ammonium, sulfonium and phosphonium lipids |
| US7687070B2 (en) | 1994-02-11 | 2010-03-30 | Life Technologies Corporation | Reagents for intracellular delivery of macromolecules |
| US6989434B1 (en) | 1994-02-11 | 2006-01-24 | Invitrogen Corporation | Reagents for intracellular delivery of macromolecules |
| US7601872B2 (en) | 1998-11-12 | 2009-10-13 | Life Technologies Corporation | Transfection reagents |
| US7166745B1 (en) * | 1998-11-12 | 2007-01-23 | Invitrogen Corporation | Transfection reagents |
| US7323594B2 (en) | 1998-11-12 | 2008-01-29 | Invitrogen Corporation | Transfection reagents |
| AU772847B2 (en) * | 1998-11-12 | 2004-05-06 | Invitrogen Corporation | Transfection reagents |
| JP2002529439A (en) * | 1998-11-12 | 2002-09-10 | インビトロジェン コーポレイション | Transfection drug |
| US9358300B2 (en) | 1998-11-12 | 2016-06-07 | Life Technologies Corporation | Transfection reagents |
| US7145039B2 (en) | 1998-11-12 | 2006-12-05 | Invitrogen Corp. | Transfection reagents |
| WO2000027795A1 (en) * | 1998-11-12 | 2000-05-18 | Invitrogen Corporation | Transfection reagents |
| US7173154B2 (en) | 1998-11-12 | 2007-02-06 | Invitrogen Corp. | Transfection reagents |
| EP2298728A1 (en) * | 1998-11-12 | 2011-03-23 | Life Technologies Corporation | Transfection reagents |
| US7470817B2 (en) | 1998-11-12 | 2008-12-30 | Invitrogen Corporation | Transfection reagents |
| US7479573B2 (en) | 1998-11-12 | 2009-01-20 | Invitrogen Corporation | Transfection reagents |
| EP1829856A3 (en) * | 1998-11-12 | 2009-02-25 | Invitrogen Corporation | Transfection reagents |
| JP4854853B2 (en) * | 1998-11-12 | 2012-01-18 | ライフ テクノロジーズ コーポレーション | Transfection drug |
| US7683035B1 (en) * | 1999-02-23 | 2010-03-23 | Qiagen, Gmbh | Method of stabilizing and/or isolating nucleic acids |
| JP2003502307A (en) * | 1999-06-16 | 2003-01-21 | スミスクライン ビーチャム パブリック リミテッド カンパニー | Polyhydroxydiamine surfactant and its use in gene transfer |
| WO2001013933A3 (en) * | 1999-08-25 | 2001-07-19 | Gmp Companies Inc | Agents for the enhanced oxygen delivery in mammals |
| US6610702B2 (en) | 2000-08-01 | 2003-08-26 | Gmp Oxycell, Inc. | Ammonium salts of inositol hexaphosphate, and uses thereof |
| WO2002010177A1 (en) * | 2000-08-01 | 2002-02-07 | Gmp Companies, Inc. | Ammonium salts of inositol hexaphosphate and uses thereof |
| US9879243B2 (en) | 2001-03-27 | 2018-01-30 | Lifetechnologies Corporation | Culture medium for cell growth and transfection |
| US7595387B2 (en) | 2004-04-01 | 2009-09-29 | Dharmacon, Inc. | Modified polynucleotides for reducing off-target effects in RNA interference |
| WO2006060246A2 (en) | 2004-11-22 | 2006-06-08 | Dharmacon, Inc. | Apparatus and system having dry control gene silencing compositions |
| US9211340B2 (en) | 2006-09-27 | 2015-12-15 | Paolo Botti | Means and methods of enhancing delivery to biological systems |
| EP2561891A3 (en) * | 2006-09-27 | 2013-03-06 | Paolo Botti | Means and methods of enhancing delivery to biological systems |
| WO2008037463A3 (en) * | 2006-09-27 | 2009-02-26 | Paolo Botti | Means and methods of enhancing delivery to biological systems |
| JP2010504929A (en) * | 2006-09-27 | 2010-02-18 | ボッティ,パオロ | Means and methods for enhancing delivery to biological systems |
| US10792362B2 (en) | 2014-07-15 | 2020-10-06 | Life Technologies Corporation | Compositions and methods for efficient delivery of molecules to cells |
| US10195280B2 (en) | 2014-07-15 | 2019-02-05 | Life Technologies Corporation | Compositions and methods for efficient delivery of molecules to cells |
| US11872285B2 (en) | 2014-07-15 | 2024-01-16 | Life Technologies Corporation | Compositions and methods for efficient delivery of molecules to cells |
| US12344572B2 (en) | 2019-07-03 | 2025-07-01 | Factor Bioscience Inc. | Cationic lipids and transfection methods |
| US10501404B1 (en) | 2019-07-30 | 2019-12-10 | Factor Bioscience Inc. | Cationic lipids and transfection methods |
| US10752576B1 (en) | 2019-07-30 | 2020-08-25 | Factor Bioscience Inc. | Cationic lipids and transfection methods |
| US11242311B2 (en) | 2019-07-30 | 2022-02-08 | Factor Bioscience Inc. | Cationic lipids and transfection methods |
| US11814333B2 (en) | 2019-07-30 | 2023-11-14 | Factor Bioscience Inc. | Cationic lipids and transfection methods |
| US10611722B1 (en) | 2019-07-30 | 2020-04-07 | Factor Bioscience Inc. | Cationic lipids and transfection methods |
| US10556855B1 (en) | 2019-07-30 | 2020-02-11 | Factor Bioscience Inc. | Cationic lipids and transfection methods |
| US12384740B2 (en) | 2019-07-30 | 2025-08-12 | Factor Bioscience Inc. | Cationic lipids and transfection methods |
| CN116162066A (en) * | 2022-12-19 | 2023-05-26 | 长沙贝塔医药科技有限公司 | Preparation method of 4-chloro-2-methylthiopyrimidine-5-carboxylic acid ethyl ester-14C |
Also Published As
| Publication number | Publication date |
|---|---|
| CA2289078A1 (en) | 1997-11-20 |
Similar Documents
| Publication | Publication Date | Title |
|---|---|---|
| JP4854853B2 (en) | Transfection drug | |
| AU693507B2 (en) | Highly packed polycationic ammonium, sulfonium and phosphonium lipids | |
| Remy et al. | Gene transfer with a series of lipophilic DNA-binding molecules | |
| JP3210019B2 (en) | Cationic lipid | |
| US5925623A (en) | Formulations and methods for generating active cytofectin: polynucleotide transfection complexes | |
| WO1997042819A1 (en) | Cationic lipids for transfection of negatively charged or neutral molecules into living cells | |
| US8034977B2 (en) | Lipids for transfection of nucleic acids | |
| WO1997042819A9 (en) | Cationic lipids for transfection of negatively charged or neutral molecules into living cells | |
| WO1996018372A2 (en) | Cationic amphiphiles and plasmids for intracellular delivery of therapeutic molecules | |
| AU8113398A (en) | Novel lipid complexes for transferring at least one therapeutically active substance, in particular a polynucleotide, into a target cell, and use in gene therapy | |
| US6281371B1 (en) | Lipopolyamines, and the preparation and use thereof | |
| WO2000012454A1 (en) | Novel polycationic lipids | |
| CA2233064C (en) | Polyfunctional cationic cytofectins, formulations and methods for generating active cytofectin:polynucleotide transfection complexes | |
| CZ303963B6 (en) | Spermin-type lipopolyamines for construction of liposomal transfection systems | |
| AU736143B2 (en) | Cationic amphiphile compositions for intracellular delivery of therapeutic molecules | |
| AU716706C (en) | Cationic amphiphiles and plasmids for intracellular delivery of therapeutic molecules | |
| EP1436014A1 (en) | Cationic lipids suitable for gene transfer | |
| AU5718099A (en) | Cationic amphiphiles and plasmids for intracellular delivery of therapeutic molecules |
Legal Events
| Date | Code | Title | Description |
|---|---|---|---|
| AK | Designated states |
Kind code of ref document: A1 Designated state(s): CA IL JP US |
|
| AL | Designated countries for regional patents |
Kind code of ref document: A1 Designated state(s): AT BE CH DE DK ES FI FR GB GR IE IT LU MC NL PT SE |
|
| DFPE | Request for preliminary examination filed prior to expiration of 19th month from priority date (pct application filed before 20040101) | ||
| 121 | Ep: the epo has been informed by wipo that ep was designated in this application | ||
| COP | Corrected version of pamphlet |
Free format text: PAGE 1, DESCRIPTION, AND PAGES 1/4-4/4, DRAWINGS, REPLACED BY NEW PAGES BEARING THE SAME NUMBER; DUE TO LATE TRANSMITTAL BY THE RECEIVING OFFICE |
|
| NENP | Non-entry into the national phase |
Ref country code: JP Ref document number: 97541224 Format of ref document f/p: F |
|
| ENP | Entry into the national phase |
Ref document number: 2289078 Country of ref document: CA Ref country code: CA Ref document number: 2289078 Kind code of ref document: A Format of ref document f/p: F |
|
| 122 | Ep: pct application non-entry in european phase |























