WO1997016068A1 - Triterpene derivatives with immunosuppressant activity - Google Patents
Triterpene derivatives with immunosuppressant activity Download PDFInfo
- Publication number
- WO1997016068A1 WO1997016068A1 PCT/US1996/017211 US9617211W WO9716068A1 WO 1997016068 A1 WO1997016068 A1 WO 1997016068A1 US 9617211 W US9617211 W US 9617211W WO 9716068 A1 WO9716068 A1 WO 9716068A1
- Authority
- WO
- WIPO (PCT)
- Prior art keywords
- alkyl
- defined above
- aryl
- heteroaryl
- hydroxy
- Prior art date
- Legal status (The legal status is an assumption and is not a legal conclusion. Google has not performed a legal analysis and makes no representation as to the accuracy of the status listed.)
- Ceased
Links
Classifications
-
- C—CHEMISTRY; METALLURGY
- C07—ORGANIC CHEMISTRY
- C07D—HETEROCYCLIC COMPOUNDS
- C07D313/00—Heterocyclic compounds containing rings of more than six members having one oxygen atom as the only ring hetero atom
- C07D313/02—Seven-membered rings
- C07D313/06—Seven-membered rings condensed with carbocyclic rings or ring systems
-
- A—HUMAN NECESSITIES
- A61—MEDICAL OR VETERINARY SCIENCE; HYGIENE
- A61P—SPECIFIC THERAPEUTIC ACTIVITY OF CHEMICAL COMPOUNDS OR MEDICINAL PREPARATIONS
- A61P37/00—Drugs for immunological or allergic disorders
-
- A—HUMAN NECESSITIES
- A61—MEDICAL OR VETERINARY SCIENCE; HYGIENE
- A61P—SPECIFIC THERAPEUTIC ACTIVITY OF CHEMICAL COMPOUNDS OR MEDICINAL PREPARATIONS
- A61P37/00—Drugs for immunological or allergic disorders
- A61P37/02—Immunomodulators
- A61P37/06—Immunosuppressants, e.g. drugs for graft rejection
Definitions
- knmunoregulatory abnormalities have been shown to exist in a wide variety of ''autoijnmune" and chronic iiiflammatory diseases, including systemic lupus erythematosis, chronic rheumatoid arthritis, type I and II diabetes mellitus, inflammatory bowel disease, biliary cirrhosis, uveitis, multiple sclerosis and other disorders such as Crohn's disease, ulcerative colitis, bullous pemphigoid, sarcoidosis, psoriasis, ichthyosis, Graves ophthalmopathy and asthma.
- the host lymphocytes recognize the foreign tissue antigens and begin to produce antibodies which lead to graft rejection.
- autoimmune or a rejection process tissue destruction caused by inflammatory' cells and the mediators they release.
- Anti-inflammatory agents such as NSAID's act principally by blocking the effect or secretion of these mediators but do nothing to modify the immunologic basis of the disease.
- cytotoxic agents such as cyclophosphamide, act in such a nonspecific fashion that both the normal and autoimmune responses are shut off. Indeed, patients treated with such nonspecific iinmunosuppressive agents are as likely to succumb from infection as they are from their autoimmune disease.
- Cyclosporin A which was approved by the US FDA in 1983 is currently the leading drug used to prevent rejection of transplanted organs.
- FK-506 Prograf
- CsA and FK-506 act by inhibiting the body's immune system from mobilizing its vast arsenal of natural protecting agents to reject the transplant's foreign protein.
- CsA was approved by the US FDA for the treatment of severe psoriasis and has been approved by European regulatory agencies for the treatment of atopic dermatitis. Though they are effective in fighting transplant rejection, CsA and FK- 506 are known to cause several undesirable side effects including nephrotoxicity, neurotoxicity, and gastrointestinal discomfort.
- the present invention describes newly developed immunosuppressive compounds denved from the compounds described in Formulae 1 (a) through 1 (d) and which have the relative stereochemistry depicted above.
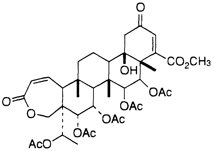
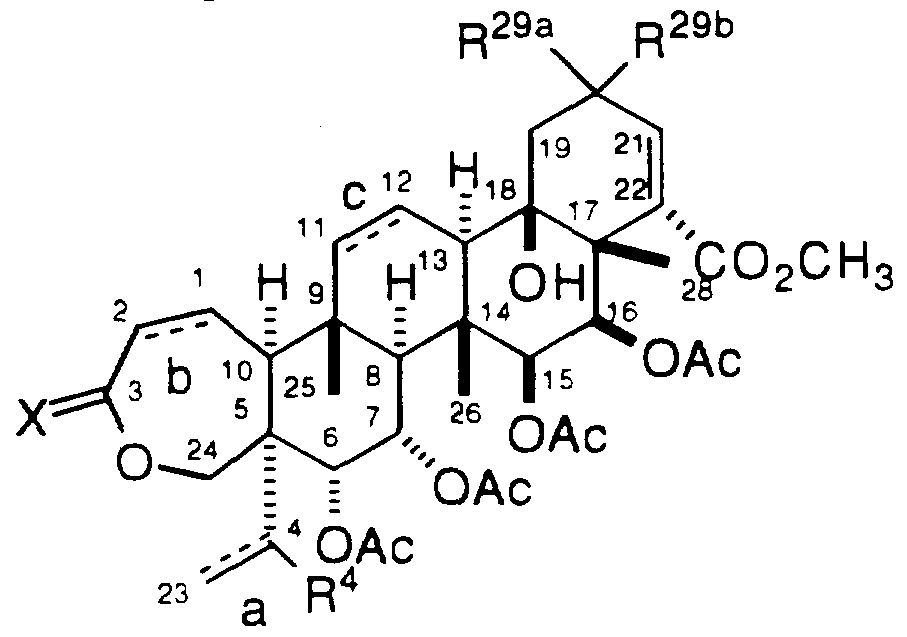
- This invention relates to a class of triterpene derivatives of the general structural Formula I
- the compounds of this invention are useful in the treatment of autoimmune diseases, the prevention of rejection of foreign organ transplants and/or related afflictions, diseases and illnesses.
- pharmaceutical formulations comprising a compound of Formula I and a pharmaceutical carrier, as well as, pharmaceutical formulations comprising a compound of Formula I, a second immunosuppressive agent and a pharmaceutical carrier.
- the present invention is related to compounds of formula I. including but not limited to those specified in the examples, which are useful in a mammalian subject for the treatment and prevention of the resistance by transplantation of organs or tissue, graft-versus-host diseases brought about by medulla ossium transplantation; rheumatoid arthritis, systemic lupus erythematosus, Hashimoto's thyroiditis, multiple sclerosis, myasthenia gravis, type I diabetes uveitis, juvenile- onset or recent-onset diabetes mellitus, posterior uveitis, allergic encephalomyelitis, glomerulonephritis, infectious diseases caused by pathogenic microorganisms, inflammatory and hyperproliferative skin diseases, psoriasis, atopical dermatitis, contact dermatitis, eczematous dermatitises, seborrhoeis dermatitis, Lichen planus, Pemphigus,
- erythemas cutaneous eosinophilias, Lupus erythematosus, acne, Alopecia areata, keratoconjunctivitis, vernal conjunctivitis, uveitis associated with Behcet's disease, keratitis, herpetic keratitis, conical cornea, dystrophia epithelialis corneae. corneal leukoma, ocular pemphigus, Mooren's ulcer, Scleritis, Graves' opthalmopathy.
- Good-pasture's syndrome hemolytic-uremic syndrome, diabetic nephropathy, multiple myositis, Guillain-Barre syndrome. Meniere's disease, polyneuritis. multiple neuritis, mononeuritis, radiculopathy, hyperthyroidism, Basedow's disease, pure red cell aplasia, aplastic anemia, hypoplastic anemia, idiopathic thrombocytopenic purpura.
- autoimmune hemolytic anemia agranulocytosis, pernicious anemia, megaloblastic anemia, anerythroplasia, osteoporosis, sarcoidosis, fibroid lung, idiopathic interstitial pneumonia, dermatomyositis, leukoderma vulgaris, ichthyosis vulgaris, photoallergic sensitivity, cutaneous T cell lymphoma, aneriosclerosis, atherosclerosis, aortitis syndrome, polyarteritis nodosa, myocardosis, scleroderma, Wegener's granuloma, Sjogren's syndrome, adiposis, eosinophilic fascitis, lesions of gingiva, periodontium, alveolar bone, substantia ossea dentis, glomerulonephritis, male pattem alopecia or alopecia senilis by preventing epilation or providing hair germination and/or promoting hair generation and
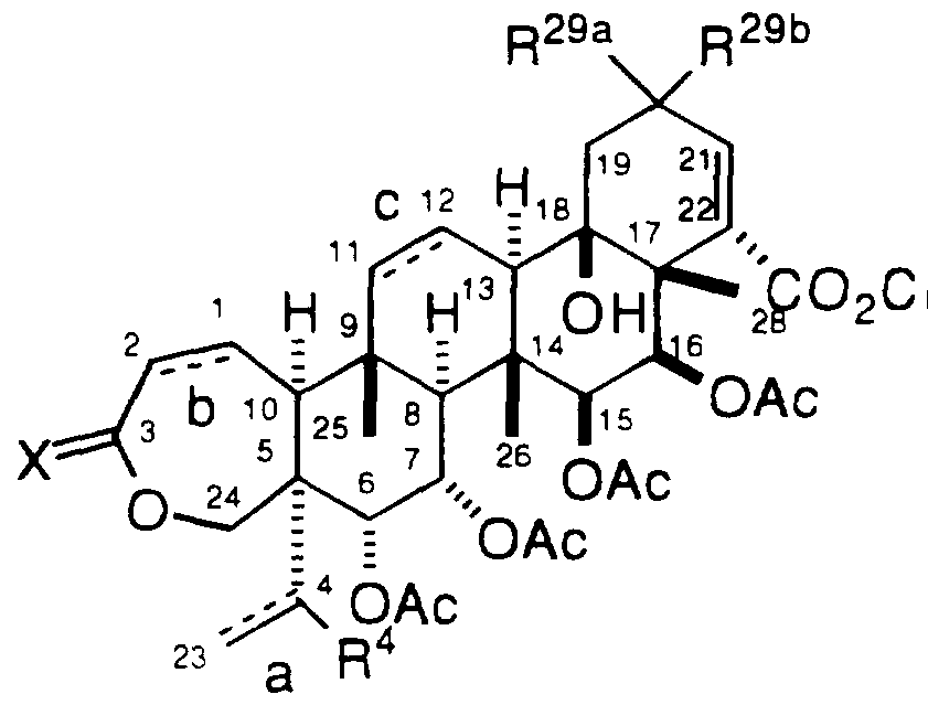
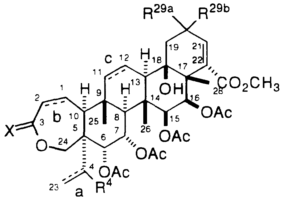
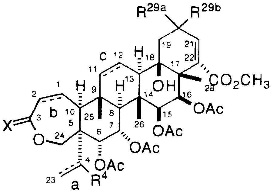
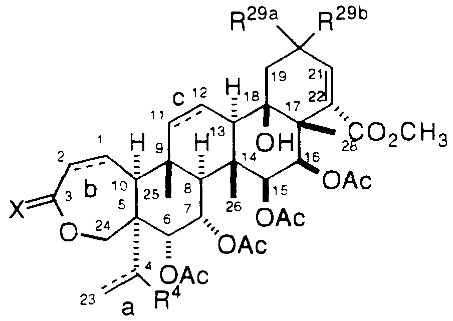
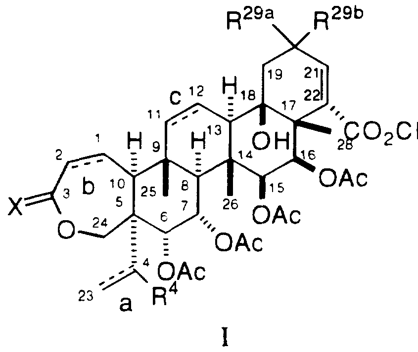
- this invention relates to compounds of the ceneral structural formula I:
- a is: a single bond, or a double bond when R ⁇ is absent;
- b and c are independently: a single bond or a double bond
- n 1 to 4;
- n 1 to 4.
- r is: 0 or 1;
- s is: 0 or 1;
- R 1 and R2 are independently: a) H, or b) (C ⁇ -C6)-alkyl, wherein alkyl is unsubstituted or substituted with one, two or three substituents selected from the group consisting of: Br, Cl. F, I, (Cl-C6)-alkoxy. vinyl, cyano, oxo, nitro.
- R 2 , NR 1 R 2 , NR 1 COC 1 -C6-alkyl and any two of adjacent substituents can be joined to form a 5-, 6- or 7- membered fused ring said ring containing 1 or 2 oxygen atoms and the remainder carbon atoms, heteroaryl, wherein heteroaryl is defined as a 5 or 6-membered ring substituted with one and two heteroatoms selected from O, S, N, unsubstituted or substituted with one, two or three substituents selected from the group consisting of: Br, Cl, F, I, (C ⁇ -C6)-alkoxy, cyano, nitro, hydroxy, CHO, CO2H, COCl -C6-alkyl, C ⁇ 2Cl -C6-alkyl, CONR ⁇ R , NR lR , NR ⁇ COCl -C6-alkyl, any two adjacent substituents can be joined to form a 5-, 6- or 7-membered fused
- NRlCOCl -C6-alkyl aryl as defined above, and heteroaryl as defined above, d) -aryl, aryl as defined above, or e) -heteroaryl, heteroaryl as defined above;
- X is: 0. S, or NH
- a is: a single bond
- b and c are independently: a single bond or a double bond
- n 1 to 4;
- r is: O or 1;
- R 1 and R are independently: a) H, or b) (Cl -C6)-alkyl, wherein alkyl is unsubstituted or substituted with one, two or three substituents selected from the group consisting of: Br, Cl, F, I, (Cl -C6)-alkoxy, vinyl, cyano, oxo, nitro, hydroxy, CHO, C ⁇ 2H, C0Cl -C6-alkyl, C ⁇ 2Cl -C6-alkyl, C0NR 1 R2, NR 1 R2, NR l C0Cl -C6-alkyl, aryl, wherein aryl is defined as phenyl or naphthyl, unsubstituted or substituted with one, two or three substituents selected from the group consisting of: Br, Cl, F, I, (Ci -C6)-alkoxy, phenyl, phenoxy, cyano, nitro.
- substituents selected from the group consisting of: Br, Cl, F, I, (Cl -C6)-alkoxy. cyano. nitro. hydroxy. CHO. CO2H. COC 1 -C6-alkyl, CO2C 1 -C6-alkyI. CONR 1 * R2, NR 1 R2, NR lCOCl -C6-alkyl, any two adjacent substituents can be joined to form a 5-, 6- or 7-membered fused ring said ring containing 1 or 2 oxygen atoms and the remainder carbon atoms, or any two adjacent substituents can be joined together to form a benzo-fused ring;
- R 3 is: a) -(Cl -C6)-alkyl. alkyl as defined above; b) -(Cl -C6)-alkenyl, wherein alkenyl is unsubstituted or substituted with one, two or three substituents selected from the group consisting of: Br, Cl, F, I, (Ci -C6)-alkoxy, cyano, oxo, nitro, hydroxy, CHO, C02H, COCl-C6-alkyl, C02Ci -C6-alkyl, CONR 1R2, NR ⁇ R 2 , NR ⁇ COCi -C ⁇ -alkyl, aryl as defined above, and heteroaryl as defined above; c) -(Cl -C6)-alkynyl, wherein alkynyl is unsubstituted or substituted with one, two or three substituents selected from the group consisting of: Br, Cl, F, I, (Cl -C
- X is: O;
- a is: a single bond; b and c are independently: a single bond or a double bond;
- n 1 to 4;
- n 1 to 4.
- r is: 0 or 1 ;
- s is: 0 or 1;
- R 1 and R are independently: a) H, or b) (Cl -C6)-alkyl, wherein alkyl is unsubstituted or substituted with one, two or three substituents selected from the group consisting of: Br, Cl, F, I, (Cl -C6)-alkoxy. vinyl, cyano, oxo. nitro, hydroxy. CHO, C02H, COCl -C6-alkyl, C ⁇ 2Cl -C6-alkyl, CONR ⁇ R , NRIR 2 , N lCOCl -C6-alkyl.
- aryl wherein aryl is defined as phenyl or naphthyl, unsubstituted or substituted with one, two or three substituents selected from the group consisting of: Br. Cl, F. I, (Cl -C6)-alkoxy, phenyl, phenoxy. cyano.
- R 3 is: a) -(Cl -C6)-alkyl, alkyl as defined above, b) -aryl, aryl as defined above, or c) -heteroaryl, heteroaryl as defined above;
- An embodiment of this embodiment are the compounds of structural Formula I or a pharmaceutically acceptable salt, crystal form or hydrate, wherein:
- heteroaryl is defined as a 5 or 6-membered ring substituted with one and two heteroatoms selected from O, S, N, unsubstituted or substituted with one, two or three substituents selected from the group consisting of: Br, Cl, F, I, (Cl -C6)-alkoxy. cyano. nitro. hydroxy. CHO, CO2H, COC ⁇ -C6-alkyl, C02Cl -C6-alkyl, CONR 1 R2, NR 1 R , NR lCOCl -C6-alkyl.
- any two adjacent substituents can be joined to form a 5-, 6- or 7-membered fused ring said ring containing 1 or 2 oxygen atoms and the remainder carbon atoms, or any two adjacent substituents can be joined together to form a benzo-fused ring.
- An embodiment of the invention are the compounds of
- X is: H, Rl;
- a is: a single bond
- b and c are independently: a single bond or a double bond
- n 1 to 4;
- n 1 to 4.
- s is: O or 1 ;
- R l and R2 are independently: a) H, or b) (Cl -C6)-alkyl, wherein alkyl is unsubstituted or substituted with one, two or three substituents selected from the group consisting of: Br, Cl, F. I, (Cl -C6)-alkoxy, vinyl, cyano.
- aryl wherein aryl is defined as phenyl or naphthyl, unsubstituted or substituted with one, two or three substituents selected from the group consisting of: Br, Cl,
- R is: a) -(Ci-C6)-alkyl, alkyl as defined above; b) -(C ⁇ -C6)-alkenyl, wherein alkenyl is unsubstituted or substituted with one, two or three substituents selected from the group consisting of: Br, Cl. F, I, (Cl-C6)-alkoxy, cyano, oxo, nitro, hydroxy, CHO. CO2H. COC ⁇ -C6-alkyl, C02Cl-C6-alkyl, CONR1R2, NR1R , NRlCOCl-C6-alkyl.
- aryl as defined above, and heteroaryl as defined above; c) -(Cl-C6)-alkynyl, wherein alkynyl is unsubstituted or substituted with one, two or three substituents selected from the group consisting of: Br, Cl, F, I, (Cl-C6)-alkoxy, cyano, oxo, nitro, hydroxy, CHO, C ⁇ 2H, COC] -C ⁇ -alkyl, C02Cl -C6-alkyl, CONR 1 R2, NR 1 R2, NRlCOCl -C6-alkyl, aryl as defined above, and heteroaryl as defined above, d) -aryl, aryl as defined above, or e) -heteroaryl, heteroaryl as defined above;
- X is: H. Rl ;
- a is: a sincle bond
- b is: a single bond or a double bond
- r is: 0 or 1 ;
- s is: 0 or 1 ;
- R l and R are independently: a) H, or b) (Cl -C6)-alkyl, wherein alkyl is unsubstituted or substituted with one, two or three substituents selected from the group consisting of: Br, Cl, F, I, (Cl -C6)-alkoxy, vinyl, cyano, oxo, nitro, hydroxy, CHO, C ⁇ 2H, COCl -C6-alkyl, C02C l -C6-alkyl, CONR 1 R2, NR 1 R2, NR J COC 1 -C-6-alky 1.
- aryl wherein aryl is defined as phenyl or naphthyl, unsubstituted or substituted with one, two or three substituents selected from the group consisting of: Br, Cl, F, I, (Cl -C6)-alkoxy, phenyl, phenoxy, cyano, nitro, hydroxy, CHO, C02H, COC ⁇ -C6-alkyl.
- C ⁇ 2Cl -C6-alkyl, CONR 1 R2, NR 1 R2, NR 1 COC 1 -C6-alky 1 and any two of adjacent substituents can be joined to form a 5-, 6- or 7- membered fused ring said ring containing 1 or 2 oxygen atoms and the remainder carbon atoms, heteroaryl.
- heteroaryl is defined as a 5 or 6-membered ring substituted with one and two heteroatoms selected from O, S, N, unsubstituted or substituted with one, two or three substituents selected from the group consisting of: Br, Cl, F, I, (Cl -C6)-alkoxy, cyano, nitro, hydroxy, CHO, CO2H.
- R 3 is: a) -(Cl-C6)-alkyl, alkyl as defined above; b) -(Cl-C6)-alkenyl, wherein alkenyl is unsubstituted or substituted with one, two or three substituents selected from the group consisting of: Br, Cl, F, I, (Cl -C6)-alkoxy, cyano, oxo, nitro, hydroxy, CHO, C02H, COCl -C6-alkyl
- the compounds of the present invention have asymmetric centers and this invention includes all of the optical isomers and mixtures thereof.
- alkyl includes those alkyl groups of a designated number of carbon atoms of either a straight, branched, or cyclic configuration.
- alkyl include methyl, ethyl, propyl. isopropyl, butyl, sec-and tert-butyl, pentyl. hexyl, heptyl, cyclopropyl, cyclobutyl, cyclopentyl, cyclohexyl, cycloheptyl, norbornyl, and the like.
- Alkoxy represents an alkyl group of indicated number of carbon atoms attached through an oxygen bridge, such as methoxy, ethoxy, propoxy, butoxy and pentoxy.
- Alkenyl is intended to include hydrocarbon chains of a specified number of carbon atoms of either a straight- or branched- configuration and at least one unsaturation, which may occur at any point along the chain, such as ethenyl, propenyl, butenyl, pentenyl, dimethyl pentenyl, and the like, and includes E and Z forms, where applicable.
- Hydrogen as used herein, means fluoro. chloro, bromo and iodo.
- aryl is defined as a phenyl or naphthyl ring which is optionally substituted at any available carbon atoms with one, two or three substituents selected from the group consisting of: Br, Cl, F, I, (C ⁇ -C6)-alkoxy, phenyl, phenoxy, cyano, oxo. nitro, hydroxy, CHO, C ⁇ 2H, COCl -C6-alkyl, C ⁇ 2Cl-C6-alkyl, CONR 1R2, NR1R2, NR ⁇ COC i -C ⁇ -alkyl.
- the aryl may also be substituted with a fused 5-, 6-, or 7-membered ring containing one or two oxygens and the remaining ring atoms being carbon, the fused 5-, 6-, or 7-ring being selected from the group consisting of: dioxolanyl, dihydrofuranyl, dihydropyranyl, and dioxanyl.
- heteroaryl as utilized herein is intended to include the following a 5 or 6-membered ring substituted with one or two heteroatoms selected from O, S, N, and is unsubstituted or substituted with one, two or three substituents selected from the group consisting of: Br, Cl, F, I, (Cl -C6)-alkoxy, cyano, nitro, hydroxy, CHO, C02H, COCl -C6-alkyl, C ⁇ 2Cl -C6-alkyl, CONR 1R2, NR 1R , NR lCOCl -C6-alkyl, any two adjacent substituents can be joined to form a 5-, 6- or 7-membered fused ring said ring containing 1 or 2 oxygen atoms and the remainder carbon atoms, or any two adjacent substituents can be joined together to form a benzo-fused ring.
- Heteroaryl groups within the scope of this definition include but are not limited to: acridinyl, carbazolyl, cinnolinyl, quinoxalinyl, pyrrazolyl, indolyl, benzotriazolyl, furanyl, thienyl, benzothienyl, benzofuranyl, quinolinyl. isoquinolinyl, pyrazinyl, pyridazinyl, pyridinyl, pyrimidinyl, and pyrrolyl which are substituted or unsubstituted as defined above.
- the heteroaryl group may be optionally substituted with the substituents listed above at any available carbon atom or nitrogen atom (if present), but compounds bearing certain substitutents, directly substituted to a nitrogen may be relatively unstable and are not preferred.
- the heteroaryl may also be fused to a second 5-, 6-, or 7-membered ring containing one or two oxygens selected from the , the remaining ring atoms being carbon, selected from the group consisting of: dioxolanyl, dihydrofuranyl, dihydropyranyl, and dioxanyl.
- Pharmaceutically acceptable salts include both the metallic (inorganic) salts and organic salts; a list of which is given in Remington's Pharmaceutical Sciences, 17th Edition, pg. 1418 (1985). It is well known to one skilled in the art that an appropriate salt form is chosen based on physical and chemical stability, flowability, hydro- scopicity and solubility.
- pharmaceutically acceptable salts include, but are not limited to salts of inorganic acids such as hydrochloride, sulfate, phosphate, diphosphate, hydrobromide, and nitrate or salts of an organic acid such as malate, maleate, fumarate, tartrate, succinate, citrate, acetate, lactate, methanesulfonate, p-toluenesulfonate or palmoate, salicylate and stearate.
- pharmaceutically acceptable cations include, but are not limited to sodium, potassium, calcium, aluminum, lithium and ammonium (especially ammonium salts with secondary amines).
- Preferred salts of this invention for the reasons cited above include potassium, sodium, calcium and ammonium salts.
- crystal forms, hydrates and solvates of the compounds of Formula I are crystal forms, hydrates and solvates of the compounds of Formula I.
- DIBAL-H di-isobutylaluminum hydride
- Red-Al sodium bis(2-methoxyethoxy)aluminum hydride
- a more optimal reducing agent is the use of lithium tri-t-butoxyaluminum hydride in an inert solvent such as dichloromethane at reduced temperatures, preferably 0°C.
- the purified lactol intermediate is then reacted with triethylsilane and a Lewis acid such as borontrifluoride diethyl etherate to give the ether (oxepin) analog of I.
- oxepin derivatives substituted at C3 can also be prepared.
- lactone I is first reduced to the lactol as described in Reaction Scheme B.
- the purified lactol intermediate is then reacted with a trialkylaluminum reagent, as exemplified in this scheme by triethylaluminum (Et3Al) to give the ethyl derivative.
- Et3Al triethylaluminum
- the allyl derivative can be prepared with allyltrimethylsilane and a Lewis acid such as borontrifluoride diethyl etherate.
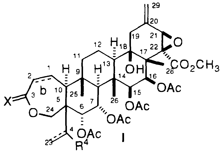
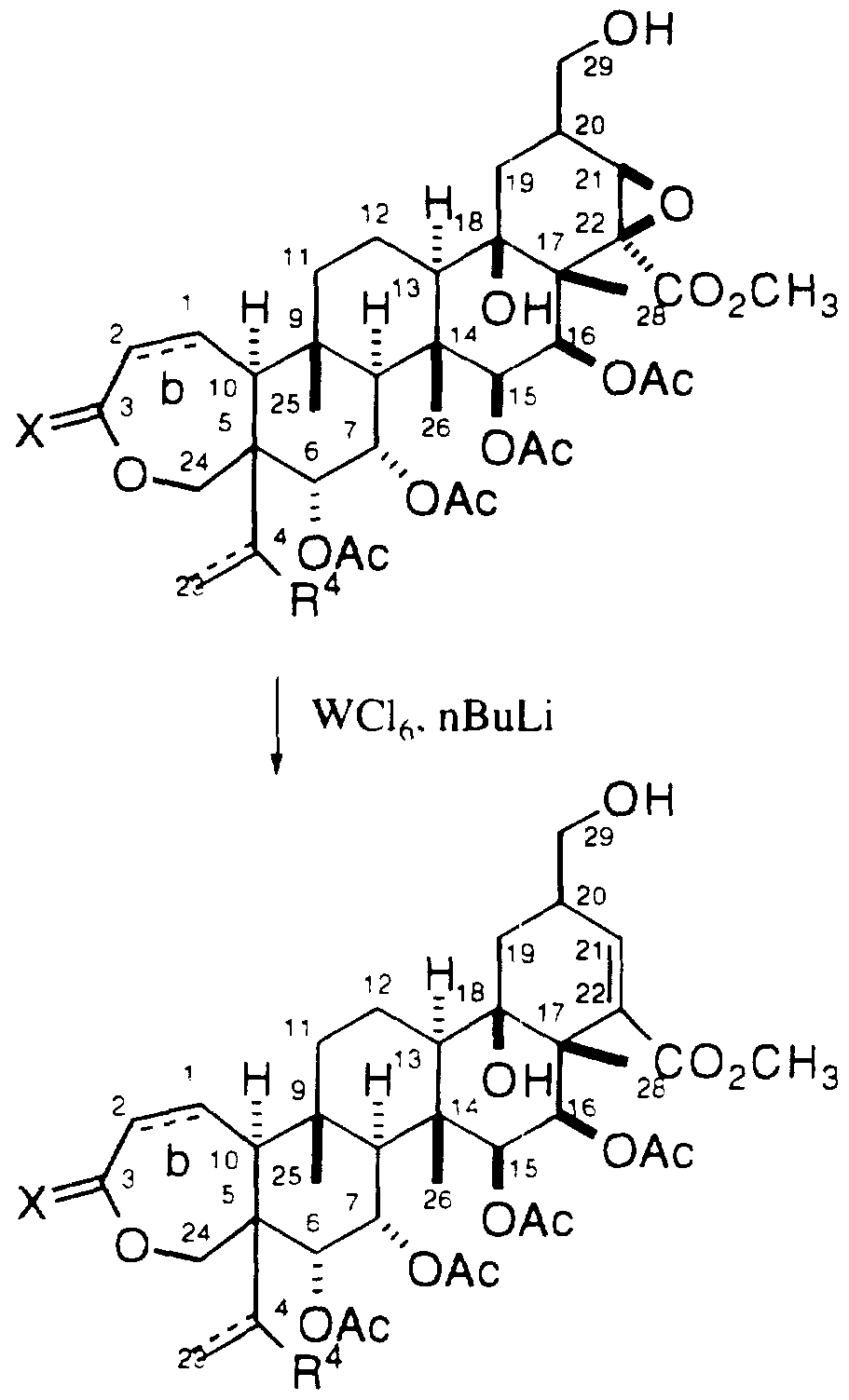
- the C21 -C22 epoxide of lactone or ether derivatives can be converted to the olefin by use of a WCl6/BuLi complex ( 1 :2) in tetrahydrofuran (THF) by procedures developed by Sha ⁇ less et al. (J. Am. Chem. Soc, 94. 6538-6540, 1972). This conversion can be achieved before or after any of the reaction schemes described.
- Lactone or ether derivatives can be selectively de-acetylated at C4 to give the corresponding alcohol by reacting it with an aqueous solution of HCl (preferably 2M to 3M concentration) in THF. It can also be prepared by reacting I with CH3(C1)A1[N(0CH3)CH3] (Weinreb reagent) in inert solvents such as THF, toluene or methylene chloride.
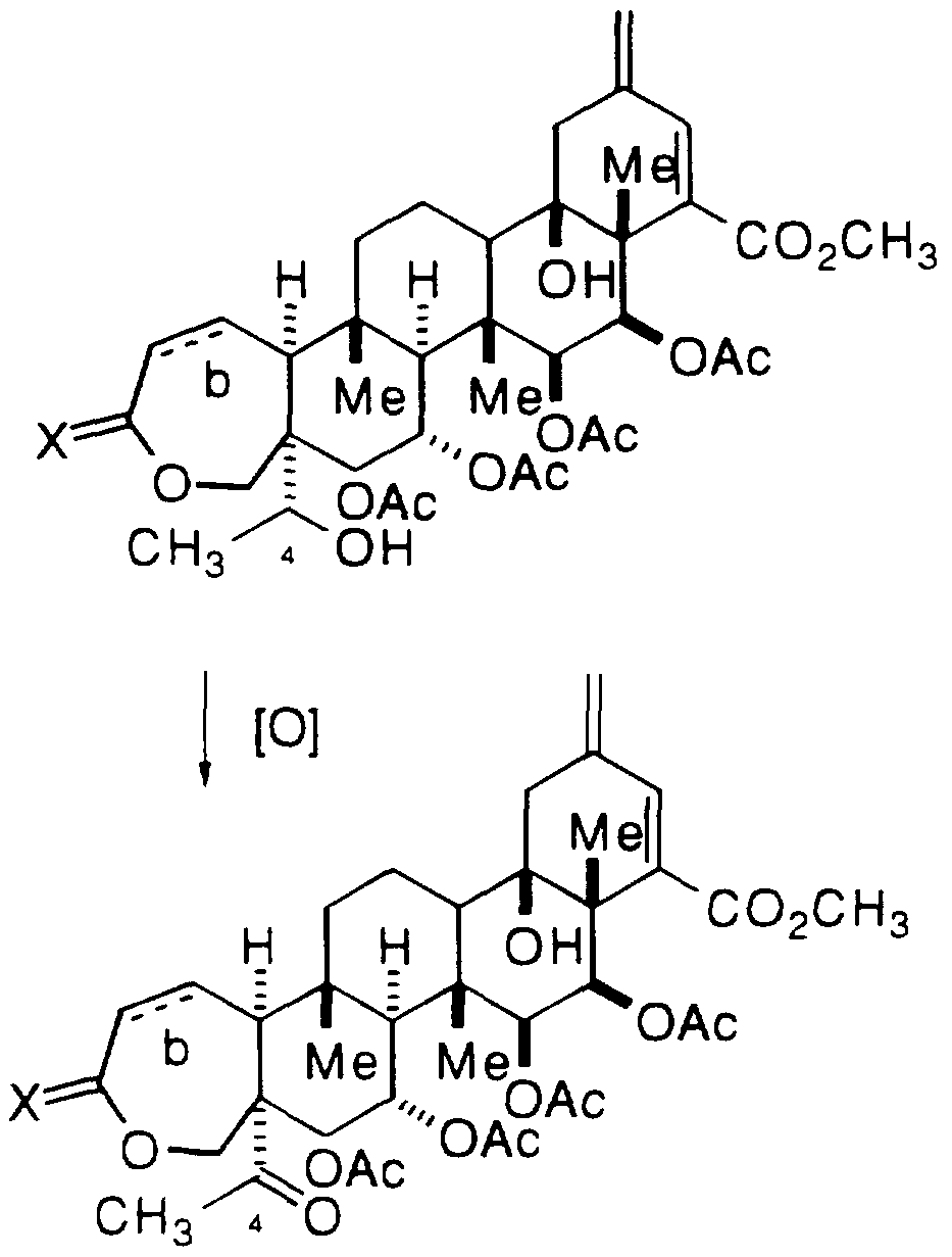
- the C4 hydroxy group can be oxidized to the corresponding ketone by a variety of oxidizing agents.
- the Jones reagent chromic acid and sulfuric acid in H2 ⁇
- pyridinium chlorochromate pyridinium chlorochromate.
- oxalyl chloride plus DMSO all will achieve this conversion.
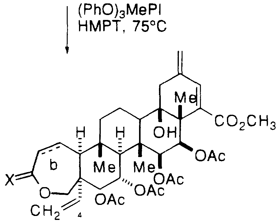
- the C4 hydroxy group can be dehydrated to give the olefin. Reaction of the alcohol with tris-phenoxymethylphosphonium iodide in hexamethylphosphorous triamide (HMPT) at 75°C will achieve this conversion. REAC ⁇ ON SCHEME H
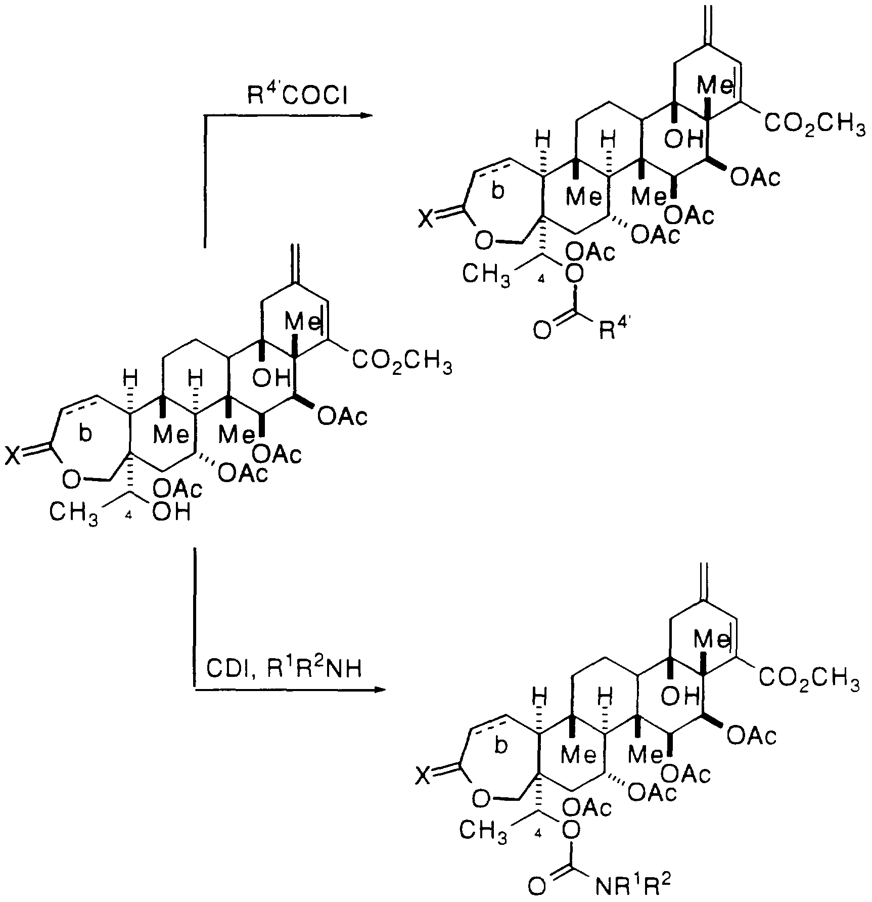
- esters at C4 can be prepared by reaction of a preformed carboxylic acid chloride with the C4 alcohol derivative (Reaction Scheme E) in a basic solvent such as pyridine.
- the acid chlorides when not purchased, are prepared by stirring the carboxylic acids in reagents such as oxalyl chloride or thionyl chloride.
- Esters may also be prepared by reaction of the acid chloride and C4 alcohol with silver cyanide (AgCN) in an aprotic solvent such as HMPA.
- AgCN silver cyanide
- C4 sulfonate derivatives are prepared in a similar manner by reaction with sulfonyl chlorides.
- C4 carbonate and carbamate derivatives are prepared by first reacting the C4 alcohol derivative with carbonyldiimidazole (CDl) to obtain the imidazolecarbonyl intermediate which is then reacted with an alcohol or amine (R 1 R NH) to give the corresponding carbonate or carbamate derivatives.
- CDl carbonyldiimidazole
- R 1 R NH an alcohol or amine
- C4 ether derivatives can also be prepared.
- the best procedure involves reacting an alcohol with trifluoromethanesulfonic anhydride (Tf2 ⁇ , triflic anhydride) to obtain the preformed triflate in dichloromethane at reduced temperature, preferably -78°C.
- Tf2 ⁇ trifluoromethanesulfonic anhydride
- To this solution is added the trite ⁇ ene alcohol, the reaction mixture is warmed to room temperature and stirring is continued until reaction is complete.
- Ethers may also be prepared by heating a mixture of trite ⁇ ene C4 alcohol, the appropriate alkylhalide and an excess of silver oxide (Ag2 ⁇ ) in an aprotic invert solvent such as THF.
- Amines at C4 can be prepared from the C4 ketone described in Reaction Scheme F by reaction with an amine R ⁇ R2NH in a variety of solvents with a reducing agent such as sodium cyanoborohydride.
- Lactone or ether (oxepin) derivatives which have or have not been derivatized at C4 can be selectively hydrogenated at the C20 position to give the methyl analog. This conversion can be achieved by hydrogenation with tris(triphenylphosphine)rhodium(I)chloride (Wilkinson's catalyst) in THF at 15 to 80psi for several days.
- the C21 -C22 epoxide of lactone or ether derivatives can then be converted to the olefin by use of a WCl6/BuLi complex (1 :2) in tetrahydrofuran (THF) by procedures described in reaction scheme D.
- diene lactone or ether (oxepin) derivatives which have or have not been derivatized at C4 can be selectively hydrogenated at the C20 position to give the methyl analog.
- This conversion can be achieved by hydrogenation with Tris(triphenylphosphine)rhodium(I)chloride (Wilkinson's catalyst) in THF at 15 to 80 psi for several days.
- the C20-29 olefin can be selectively converted to the corresponding ketone by a variety of oxidative cleavage procedures.
- the C20 ketone can be prepared by sequential reaction with osmium tetroxide or ruthenium tetroxide and sodium periodate.
- the epoxide can then be removed by procedures described in reaction scheme D.
- the C20 ketone can be reduced to its corresponding alcohol by using a variety of reducing agents.
- reducing agents tetramethylammonium triacetoxyborohydride in THF is effective.
- the epoxide can then be removed by procedures described in reaction scheme D.
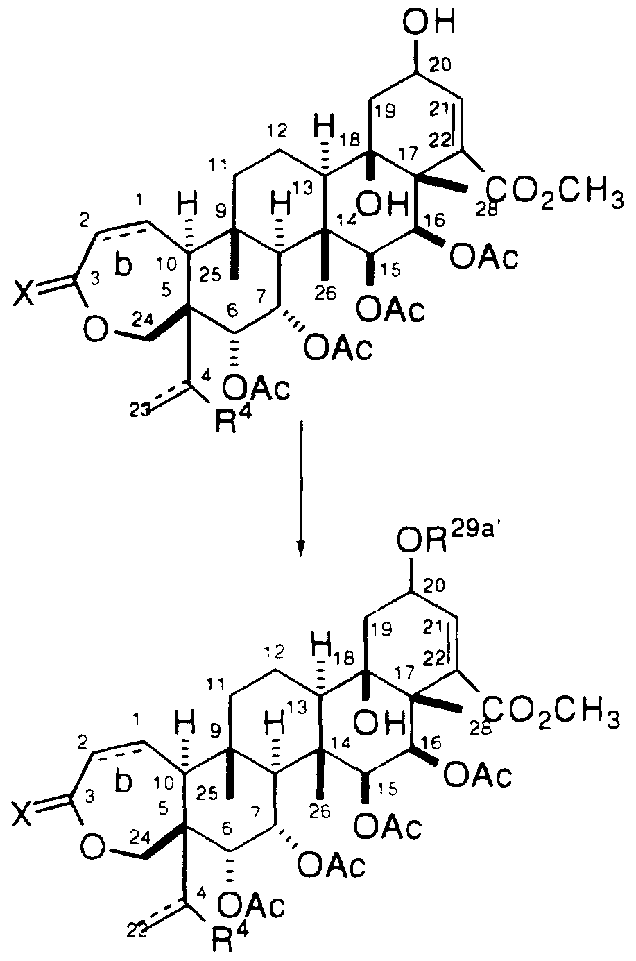
- the C20-29 olefin can be converted to the C20 hydroxymethyl derivative.
- One procedure involves reaction with diborane in THF followed by oxidative workup with trimethylamine-N- oxide (Me3NO).
- the C20 ketone derivative can be reacted to produce olefins with a variety of well known olefination agents.
- a particularly useful reagent is the Horner-Emmons-type of olefination reagent [(RO)2P(0)CR'R"l. This produces a mixture of geometric isomers.
- the C20 ketone can be reacted with nucleophiles (R 9a ' -M+) t0 gj ve C20 substituted hydroxy derivatives.
- nucleophiles R 9a ' -M+
- Grignard reagents R 9a ' MgBr
- 0 r alkyllithium reagents R29a Lj
- aprotic solvents such as diethyl ether or THF.
- Amines at C20 can be prepared from the C20 ketone by reaction with an amine R 1 R NH in a variety of solvents with a reducing agent such as sodium cyanoborohydride.
- reaction Scheme M The C20 hydroxy derivative (Reaction Scheme M) or the methyl derivative (Reaction Scheme N) can be converted to ether, ester, carbonate, carbamate, sulfonate and other related derivatives by procedures commonly practiced in the art and as described in Reaction Scheme H.
- the C20 hydroxymethyl derivative may also be derivatized as a methanesulfinate ester or triflate ester by standard procedures.
- the methansulfinate or triflate can then be reacted with an amine NR 1R2H to give amine derivatives.
- the present invention is related to compounds of formula I. including but not limited to those specified in the examples, which are useful in a mammalian subject for the treatment and prevention of immunemediated diseases such as the resistance by transplantation of organs or tissue such as heart, kidney, liver, medulla ossium, skin, cornea, lung, pancreas, intestinum ***, limb, muscle, nervus, duodenum, small-bowel, pancreatic-islet-cell, including xeno transplants, etc.; graft-versus-host diseases brought about by medulla ossium transplantation; autoimmune diseases such as rheumatoid arthritis, systemic lupus erythematosus, Hashimoto's thyroiditis, multiple sclerosis, myasthenia gravis, type I diabetes uveitis, juvenile- onset or recent-onset diabetes mellitus, posterior uveitis.
- immunemediated diseases such as the resistance by transplantation of organs or tissue such as heart, kidney
- inflammatory and hyperproliferative skin diseases and cutaneous manifestations of immunologically mediated illnesses such as psoriasis, atopical dermatitis, contact dermatitis and further eczematous dermatitises and further eczematous dermatitises, seborrhoeis dermatitis.
- immunologically mediated illnesses such as psoriasis, atopical dermatitis, contact dermatitis and further eczematous dermatitises and further eczematous dermatitises, seborrhoeis dermatitis.
- urticaria angioedemas, vasculitides, erythemas, cutaneous eosinophilias, Lupus erythematosus, acne and Alopecia areata; various eye diseases (autoimmune and otherwise) such as keratoconjunctivitis, vernal conjunctivitis, uveitis associated with Behcet's disease, keratitis, herpetic keratitis, conical cornea, dystrophia epithelialis corneae, corneal leukoma, ocular pemphigus, Mooren's ulcer, Scleritis, Graves' opthalmopathy, Vogt-Koyanagi-Harada syndrome, sarcoidosis, etc.; pollen allergies, reversible obstructive airway disease, which includes condition such as asthma (for example, bronchial asthma, allergic asthma, intrinsic asthma, extrinsic asthma and dust asthma), particularly chronic or inveterate asthma (for example, late asthma and
- renal diseases such as interstitial nephritis, Good- pasture's syndrome, hemolytic-uremic syndrome and diabetic nephropathy
- nervous diseases such as multiple myositis, Guillain-Barre syndrome, Meniere's disease, polyneuritis, multiple neuritis, mononeuritis and radiculopathy
- endocrine diseases such as hyperthyroidism and Basedow's disease: hematic diseases such as pure red cell aplasia, aplastic anemia, hypoplastic anemia, idiopathic thrombocytopenic purpura, autoimmune hemolytic anemia, agranulocytosis, pernicious anemia, megaloblastic anemia and anerythroplasia; bone diseases such as osteoporosis; respiratory diseases such as sarcoidosis, fibroid lung and idiopathic interstitial pneumonia; skin disease such as dermatomyositis, leukoderma vulgaris, ichthy
- the compounds of the invention are useful for the treatment and prevention of hepatic disease such as immunogenic diseases (for example, chronic autoimmune liver diseases such as the group consisting of autoimmune hepatitis, primary biliary cirrhosis and sclerosing cholangitis), partial liver resection, acute liver necrosis (e.g. necrosis caused by toxin, viral hepatitis, shock, or anoxia), B-virus hepatitis.
- immunogenic diseases for example, chronic autoimmune liver diseases such as the group consisting of autoimmune hepatitis, primary biliary cirrhosis and sclerosing cholangitis
- partial liver resection for example, acute liver necrosis (e.g. necrosis caused by toxin, viral hepatitis, shock, or anoxia), B-virus hepatitis.
- non-A/non-B hepatitis such as cirrhosis (such as alcoholic cirrhosis) and hepatic failure such as fulminant hepatic failure, late-onset hepatic failure and "acute-on- chronic" liver failure (acute liver failure on chronic liver diseases), and moreover are useful for various diseases because of their useful activity such as augmention of chemotherapeutic effect, preventing or treating activity of cytomegalovirus infection, particularly HCMV infection, and antiinflammatory activity; and
- the compounds of the present invention may also be used in the treatment of immunodepression or a disorder involving immunodepression, such as AIDS, cancer, senile dementia, trauma (including wound healing, surgery and shock) chronic bacterial infection, and certain central nervous system disorders.
- a disorder involving immunodepression such as AIDS, cancer, senile dementia, trauma (including wound healing, surgery and shock) chronic bacterial infection, and certain central nervous system disorders.
- inflammatory and hyperproliferative skin diseases and cutaneous manifestations of immunologically mediated illnesses such as psoriasis, atopical dermatitis, contact dermatitis and further eczematous dermatitises and further eczematous dermatitises, seborrhoeis dermatitis, Lichen planus.
- Pemphigus, bullous pemphigoid, Epidermolysis bullosa, urticaria, angioedemas, vasculitides, erythemas, cutaneous eosinophilias, Lupus erythematosus, acne and Alopecia areata; various eye diseases (autoimmune and otherwise) such as keratoconjunctivitis, vernal conjunctivitis, uveitis associated with Behcet's disease, keratitis, herpetic keratitis, conical cornea, dystrophia epithelialis corneae, corneal leukoma, ocular pemphigus, Mooren's ulcer, Scleritis, Graves' opthalmopathy, Vogt-Koyanagi-Harada syndrome, sarcoidosis, etc.; pollen allergies, reversible obstructive airway disease, which includes condition such as asthma (for example, bronchial asthma, allergic asthma, intrinsic asthma
- renal diseases such as interstitial nephritis.
- Good- pasture's syndrome hemolytic-uremic syndrome and diabetic nephropathy
- nervous diseases such as multiple myositis. Guillain-Barre syndrome, Meniere's disease, polyneuritis.
- multiple neuritis, mononeuritis and radiculopathy endocrine diseases such as hyperthyroidism and Basedow's disease: hematic diseases such as pure red cell aplasia, aplastic anemia, hypoplastic anemia, idiopathic thrombocytopenic purpura, autoimmune hemolytic anemia, agranulocytosis, pernicious anemia, megaloblastic anemia and anerythroplasia; bone diseases such as osteoporosis: respiratory diseases such as sarcoidosis, fibroid lung and idiopathic interstitial pneumonia; skin disease such as dermatomyositis, leukoderma vulgaris, ichthyosis vulgaris, photoallergic sensitivity and cutaneous T cell lymphoma; circulatory diseases such as arteriosclerosis, atherosclerosis, aortitis syndrome, polyarteritis nodosa and myocardosis; collagen diseases such as scleroderma, Wegener's granuloma and
- the compounds of the invention are useful for the treatment and prevention of hepatic disease such as immunogenic diseases (for example, chronic autoimmune liver diseases such as the group consisting of autoimmune hepatitis, primary biliary cirrhosis and sclerosing cholangitis), partial liver resection, acute liver necrosis (e.g. necrosis caused by toxin, viral hepatitis, shock, or anoxia), B-virus hepatitis, non-A/non-B hepatitis.
- immunogenic diseases for example, chronic autoimmune liver diseases such as the group consisting of autoimmune hepatitis, primary biliary cirrhosis and sclerosing cholangitis
- partial liver resection e.g. necrosis caused by toxin, viral hepatitis, shock, or anoxia
- acute liver necrosis e.g. necrosis caused by toxin, viral hepatitis, shock, or anoxia
- cirrhosis such as alcoholic cirrhosis
- hepatic failure such as fulminant hepatic failure, late-onset hepatic failure and "acute-on- chronic" liver failure (acute liver failure on chronic liver diseases), and moreover are useful for various diseases because of their useful activity such as augmention of chemotherapeutic effect, preventing or treating activity of cytomegalovirus infection, particularly HCMV infection, and antiinflammatory activity; and immunodepression or a disorder involving immunodepression, such as AIDS, cancer, senile dementia, trauma (including wound healing, surgery and shock), chronic bacterial infection, and certain central nervous system disorders.
- An embodiment of the invention is a method for the treatment of autoimmune diseases.
- Another embodiment of the invention is a method for the prevention of rejection of foreign organ transplants comprising administering to a patient in need of such treatment a therapeutically effective amount of a compound of formula I.
- autoimmune or a rejection process tissue destruction caused by inflammatory cells and the mediators they release.
- Anti -inflammatory agents such as NSAID's and corticosteroids act principally by blocking the effect or secretion of these mediators, but do nothing to modify the immunologic basis of the disease.
- cytotoxic agents such as cyclophosphamide, act in such a nonspecific fashion that both the normal and autoimmune responses are shut off. Indeed, patients treated with such nonspecific immuno ⁇ suppressive agents are as likely to succumb from infection as they are from their autoimmune disease.
- Cyclosporin A which was approved by the US FDA in 1983. is currently the leading drug used to prevent rejection of transplanted organs. The drug acts by inhibiting the body's immune system from mobilizing its vast arsenal of natural protecting agents to reject the transplant's foreign protein. Though cyclosporin A is effective in fighting transplant rejection, it is nephrotoxic and is known to cause several undesirable side effects including kidney failure, abnormal liver function and gastrointestinal discomfort.
- the present invention provides for immunosuppressant agents which are inhibitors of a voltage dependent potassium channel, Kvl -3, that is found on human T-lymphocytes.
- Kvl -3 a voltage dependent potassium channel
- Potassium channels modulate a number of cellular events such as muscle contraction, neuro-endocrine secretion, frequency and duration of action potentials, electrolyte homeostasis, and resting membrane potential. These channels comprise a family of proteins that have been classified according to their biophysical and pharmacological characteristics. Inhibition of K + channels, in their role as modulators of the plasma membrane potential in human T -lymphocytes, has been postulated to play a role in eliciting immunosuppressive responses.
- K + channels play a role in the regulation of intracellular Ca+ + homeostasis, which has been found to be important in T-cell activation.
- the biochemical characterization of K+ channels is underdeveloped, due to the paucity of selective high affinity probes.
- Kv 1.3 channel is a voltage-gated potassium channel that is found in neurons, blood cells, osteoclasts and T-lymphocytes.
- the Chandy and Cahalan laboratories proposed a hypothesis that blocking the Kv l .3 channel would elicit an immunosuppressant response. (Chandy et al., J. Exp. Med. 160, 369, 1984; Decoursey et al.. Nature, 307, 465, 1984).
- Also within the scope of this invention is a method of treating a condition in a mammal, the treatment of which is effected or facilitated by K ⁇ l .3 inhibition, comprising the administration of a pharmaceutical composition comprising a suitable pharmaceutical carrier and a compound of Formula (I), in an amount that is effective at inhibiting Ky i .3.
- immunosuppressant agents within the scope of this invention include, but are not limited to, IMUREK® azathioprine sodium, brequinar sodium, SPANTDIN® gusperimus trihydrochloride (also known as deoxyspergualin). mizoribine (also known as bredinin), CELLCEPT® mycophenolate mofetil, NEORAL® Cyclosporin A (also marketed as different formulation of Cyclosporin A under the trademark SANDIMMUNE®), PROGRAF® tacrolimus (also known as FK-506) and RAPIMMUNE® sirolimus (also known as rapamycin).
- leflunomide also known as HWA-486.
- glucocortcoids such as prednisolone and its derivatives
- antibody therapies such as orthoclone (OKT3 ) and Zenapax and antithymyocyte globulins, such as thymoglobulins.
- MNC Peripheral blood mononuclear
- LSM ficoll-hypaque
- SRBC neuraminidase treated sheep red blood cells
- the cell suspension was immediately distributed into 96 well round-bottom microculture plates (Costar) at 200 ⁇ l/well. The various dilutions of test compound were then added in triplicate wells at 25 ⁇ l/well, incubated for 30 min at 37°C. Ionomycin (125 ng/ml), and PMA ( 1 or 5 ng ml), were added to the appropriate wells. The culture plates were then incubated at 37°C in a humidified atmosphere of 5% C02 - 95% air for 18-24 hours.
- the supernatants were removed, and assayed for IL-2 with an IL-2 capture ELISA. using monoclonal anti-IL-2, and biotinylated goat anti-IL-2 antibodies (unconjugated antibodies purchased from R&D System, Minneapolis, MN).
- the ELISA was developed with streptavidin conjugated peroxidase (Zymed, San Francisco, CA) and substrate for peroxidase (Sigma). Mean OD and units of IL-2 of the replicate wells were calculated from standard curve, created with recombinant IL-2 (Collaborative Biomedical Products, Bedford, MA) and the results were expressed as concentration of compound required to inhibit IL-2 production of T cells by 50%.
- MNC Peripheral blood mononuclear cells
- LSM Organon Teknika, Durham. NC
- complete media RPMI 1640 medium with 5% fetal calf serum, 100 mM glutamine, 1 mM sodium pyruvate, 0.1 mM non-essential amino acid, and 1 % penn-strep, obtained from GIBCO, Grand Island, NY
- the sheep red blood cells (SRBC) of these rosetted T cells were then lysed with ammonium chloride lysing buffer (GIBCO, Grand Island, NY). After washing 2X with complete media, these purified T cells were also resuspended at 2-2.5 x 1 O ⁇ cells/ml in complete media. The various dilutions of the compound were added in triplicates at 50 ul/well of a 96 well flat-bottom microculture plate (Costar, Cambridge, MA). T cell suspension was then immediately distributed into the wells at 100 ul/well. After incubating the cells with compound for 30 min. at 37°C in a humidified atmosphere of 5% C02 - 95% air.
- Radioactivity of filter discs corresponding to individual wells was measured by standard liquid scintillation counting methods (Betaplate Scint Counter. Wallac). Mean counts per minute of replicate wells were calculated and the results were expressed as concentration of compound required to inhibit tritiated thymidine uptake of T cells by 50%.
- CHO cells transfected with Ky i .3 channels at site densities of approximately 40,000 sites/cell are plated into 96 well culture plates and maintained in Iscove's Modified Dulbecco's Medium (IMDM, with L-Glutamine and HEPES, JRH Biosciences). Cells are incubated overnight with 86 Rb + (3 ⁇ Ci/ml, Dupont-NEN) in the glutamine supplemented IMDM. After aspiration of the media, 100 ⁇ l of Low K Buffer (in mM, 6.5 KCl, 125 NaCl, 1 CaCb.
- IMDM Iscove's Modified Dulbecco's Medium
- K Buffer (final concentrations, in mM, 63.25 KCl, 68.25 NaCl, 1 CaCl2, 2 MgCl2, 10 HEPES, pH adjusted to 7.2 with NaOH) also containing test compounds.
- aliquots of 100 ⁇ l are taken from each well after a given time and added to plates containing 100 ⁇ l MicroScint-40 (Packard) for counting by liquid scintillation techniques.
- MicroScint-40 100 ⁇ l is then added to each well of the cell plate to determine the remaining 86 Rb + activity.
- the efflux counts are normalized for the total amount of 86 Rb + that was in the cells by adding the efflux counts to the cell plate counts.
- these compounds are useful in the treatment of autoimmune diseases, the prevention of rejection of foreign organ transplants and/or related afflictions, diseases and illnesses.
- the compounds of this invention can be administered for the treatment of autoimmune diseases, the prevention of rejection of foreign organ transplants and/or related afflictions, diseases and illnesses according to the invention by any means that effects contact of the active ingredient compound with the site of action in the body of a warm ⁇ blooded animal.
- administration can be oral, topical, including transdermal, ocular, buccal, intranasal, inhalation, intravaginal. rectal, intracisternal and parenteral.
- parenteral refers to modes of administration which include subcutaneous, intravenous, intramuscular, intraarticular injection or infusion, intrasternal and intraperitoneal.
- the compounds can be administered by any conventional means available for use in conjunction with pharmaceuticals, either as individual therapeutic agents or in a combination of therapeutic agents. They can be administered alone, but are generally administered with a pharmaceutical carrier selected on the basis of the chosen route of administration and standard pharmaceutical practice.
- a warm-blooded animal is a member of the animal kingdom possessed of a homeostatic mechanism and includes mammals and birds.
- the dosage administered will be dependent on the age, health and weight of the recipient, the extent of disease, kind of concurrent treatment, if any, frequency of treatment and the nature of the effect desired.
- a daily dosage of active ingredient compound will be from about 1-500 milligrams per day. Ordinarily, from 10 to 100 milligrams per day in one or more applications is effective to obtain desired results.
- These dosages are the effective amounts for the treatment of autoimmune diseases, the prevention of rejection of foreign organ transplants and/or related afflictions, diseases and illnesses.
- the active ingredient can be administered orally in solid dosage forms, such as capsules, tablets, troches, dragees, granules and powders, or in liquid dosage forms, such as elixirs, syrups, emulsions, dispersions, and suspensions.
- the active ingredient can also be administered parenterally, in sterile liquid dosage forms, such as dispersions, suspensions or solutions.
- dosages forms that can also be used to administer the active ingredient as an ointment, cream, drops, transdermal patch or powder for topical administration, as an ophthalmic solution or suspension formation, i.e., eye drops, for ocular administration, as an aerosol spray or powder composition for inhalation or intranasal administration, or as a cream, ointment, spray or suppository for rectal or vaginal administration.
- Gelatin capsules contain the active ingredient and powdered carriers, such as lactose, starch, cellulose derivatives, magnesium stearate, stearic acid, and the like. Similar diluents can be used to make compressed tablets.
- Both tablets and capsules can be manufactured as sustained release products to provide for continuous release of medication over a period of hours.
- Compressed tablets can be sugar coated or film coated to mask any unpleasant taste and protect the tablet from the atmosphere, or enteric coated for selective disintegration in the gastrointestinal tract.
- Liquid dosage forms for oral administration can contain coloring and flavoring to increase patient acceptance.
- water a suitable oil, saline, aqueous dextrose (glucose), and related sugar solutions and glycols such as propylene glycol or polyethylene gycols are suitable carriers for parenteral solutions.
- Solutions for parenteral administration preferably contain a water soluble salt of the active ingredient, suitable stabilizing agents, and if necessary, buffer substances.
- Antioxidizing agents such as sodium bisulfite, sodium sulfite, or ascorbic acid, either alone or combined, are suitable stabilizing agents.
- citric acid and its salts and sodium EDTA are also used.
- parenteral solutions can contain preservatives, such as benzalkonium chloride, methyl- or propylparaben. and chlorobutanol.
- Suitable pharmaceutical carriers are described in Remington's Pharmaceutical Sciences, A. Osol, a standard reference text in this field.
- the compounds of the present invention may be conveniently delivered in the form of an aerosol spray presentation from pressurized packs or nebulisers.
- the compounds may also be delivered as powders which may be formulated and the powder composition may be inhaled with the aid of an insufflation powder inhaler device.
- the preferred delivery system for inhalation is a metered dose inhalation (MDI) aerosol, which may be formulated as a suspension or solution of a compound of Formula I in suitable propellants, such as fluorocarbons or hydrocarbons.
- MDI metered dose inhalation
- an ophthalmic preparation may be formulated with an appropriate weight percent solution or suspension of the compounds of Formula I in an appropriate ophthalmic vehicle, such that the compound is maintained in contact with the ocular surface for a sufficient time period to allow the compound to penetrate the comeal and intemal regions of the eye.
- Useful pharmaceutical dosage-forms for administration of the compounds of this invention can be illustrated as follows:
- a large number of unit capsules are prepared by filling standard two-piece hard gelatin capsules each with 100 milligrams of powdered active ingredient, 150 milligrams of lactose, 50 milligrams of cellulose, and 6 milligrams magnesium stearate.
- a mixture of active ingredient in a digestible oil such as soybean oil, cottonseed oil or olive oil is prepared and injected by means of a positive displacement pump into gelatin to form soft gelatin capsules containing 100 milligrams of the active ingredient.
- the capsules are washed and dried.
- a large number of tablets are prepared by conventional procedures so that the dosage unit is 100 milligrams of active ingredient, 0.2 milligrams of colloidal silicon dioxide, 5 milligrams of magnesium stearate, 275 milligrams of microcrystalline cellulose, 1 1 milligrams of starch and 98.8 milligrams of lactose.
- Appropriate coatings may be applied to increase palatability or delay abso ⁇ tion.
- a parenteral composition suitable for administration by injection is prepared by stirring 1.5% by weight of active ingredient in 10% by volume propylene glycol. The solution is made to volume with water for injection and sterilized.
- aqueous suspension is prepared for oral administration so that each 5 milliliters contain 100 milligrams of finely divided active ingredient, 100 milligrams of sodium carboxymethyl cellulose, 5 milligrams of sodium benzoate, 1.0 grams of sorbitol solution, U.S.P., and 0.025 milliliters of vanillin.
- the same dosage forms can generally be used when the compounds of this invention are administered stepwise or in conjunction with another therapeutic agent.
- the dosage form and administration route should be selected depending on the compatibility of the combined drugs.
- coadministration is understood to include the administration of the two agents concomitantly or sequentially, or alternatively as a fixed dose combination of the two active components.
- the bioactive methylene chloride extract was dried down to give 12 mg of residue. This was first fractionated by preparative thin layer chromatography (TLC) on a 20 cm by 20 cm E. Merck silica gel 60F254 plate of 1mm thickness using methylene chloride-ethyl acetate 1 : 1 (v/v) as solvent, then by high performance liquid chromatography (HPLC) using a Zorbax RxCft 4.6 mm x 25 cm column, operated at 50°C and eluted with a 50 minute gradient of acetonitrile:water ( 1 : 1 , v/v) to 100% acetonitrile. delivered at 1 ml/min, to afford 4 mg of compound 1 (a) and 1 mg of 1 (b).
- TLC preparative thin layer chromatography
- HPLC high performance liquid chromatography
- Mass spectra were recorded on JEOL SX-102A (electron impact, EI.903V) and JEOL HX1 10 (Fast Atom Bombardment, FAB) mass spectrometers. Exact mass measurements were performed at high resolution (HR-EI) using perfluorokerosene (PFK) as the internal standard. Trimethylsilyl derivatives were prepared with a 1 : 1 mixture of BSTFA-pyridine at room temperature. The FAB spectrum was run in a matrix of dithiothreitol (20/80).
- the compound of Formula 1(a) runs underivatized by EI.
- the molecular ion is observed a m/z 788 and three successive loses of acetic acid are observed.
- the base peak is observed a m/z 334.
- the compound does not silylate.
- Scanning HR-EI indicated a molecular formula of C40H52O16. A table of the critical HR-EI data is given below.
- the carbon count of 40 is in agreement with the molecular formula C40H50 16 derived by scanning HR EI-MS.
- Analogs of the compounds of Formula 1(a) and 1(b) could be detected in the crude extract and fractions thereof when the process of Example 1 was carried out on a larger scale.
- 50 g of ethanol extract were partitioned as described in Example 1 using 900 ml of each solvent at each step.
- Partial purification of the methylene chloride extract was achieved by column chromatography on E. Merck silica gel 60 (120 ml), eluting with a step gradient of ethyl acetate in methylene chloride.
- the step gradient was designed so that the column was washed first with 100% methylene chloride and then with methylene chloride- ethyl acetate mixtures of 9: 1 , 8:2, 3:2, 2: 1 , 1 : 1 , 1 :2, 2:8 and 1 :9.
- the column was washed with 100% ethyl acetate.
- the 13c NMR spectra obtained for the compound of Formula 1(c) using the conditions previously described is as follows: 15.1 (2x), 16.9, 19.8, 20.8, 20.91 , 20.94, 21.9, 22.3, 35.6, 40.6, 42.2, 43.9, 45.0, 47.7, 50.8, 53.5, 55.6, 61.8, 63.5, 66.0, 67.6 (2x), 69.8, 70.0, 73.9, 75.0, 75.6, 1 19.3, 123.7, 139.0, 144.4, 167.8, 169.2, 169.5, 170.1 , 170.4, 171.4 ppm.
- a simplified purification process allows for rapid fraction- ation of even larger amounts of crude extract and the preparation of gram amounts of the compounds of Formula 1 (a) and 1 (b).
- the ethanol extract is first dissolved at 20 grams per 150 ml in methanol. This solution is diluted with 150 ml of water and then extracted three times with methylene chloride using 150 ml of methylene chloride each time. The pooled methylene chloride extracts are evaporated down and fractionation proceeds by repeated column chromatography on silica gel.
- Volume of elution for the compound of Formula 1 (a) ranges from about 2 to about 3.5 column volumes of solvent; that for the compound of Formula 1 (b) is about 3 to about 4.5 column volumes.
- advantage is taken of the low solubility of these compounds, and, after total resolution by chromatography, the compounds of Formula 1 (a) and 1 (b) can be precipitated and or crystallized from concentrated methanol solutions. Analyses using this HPLC system can be used to quantify the compounds in the crude extract or other mixtures, by comparing the absorbance of HPLC peaks at a wavelength of 220 nm with that produced by injections of known (weighed) amounts of pure standards.
- a simplified purification process allows for rapid fraction ⁇ ation of even larger amounts of crude extract and the preparation of gram amounts of the compounds of Formula 1 (a) and 1 (b).
- the ethanol extract is first dissolved at 20 grams per
- Volume of elution for the compound of Formula 1(a) ranges from about 2 to about 3.5 column volumes of solvent; that for the compound of Formula 1(b) is about 3 to about 4.5 column volumes.
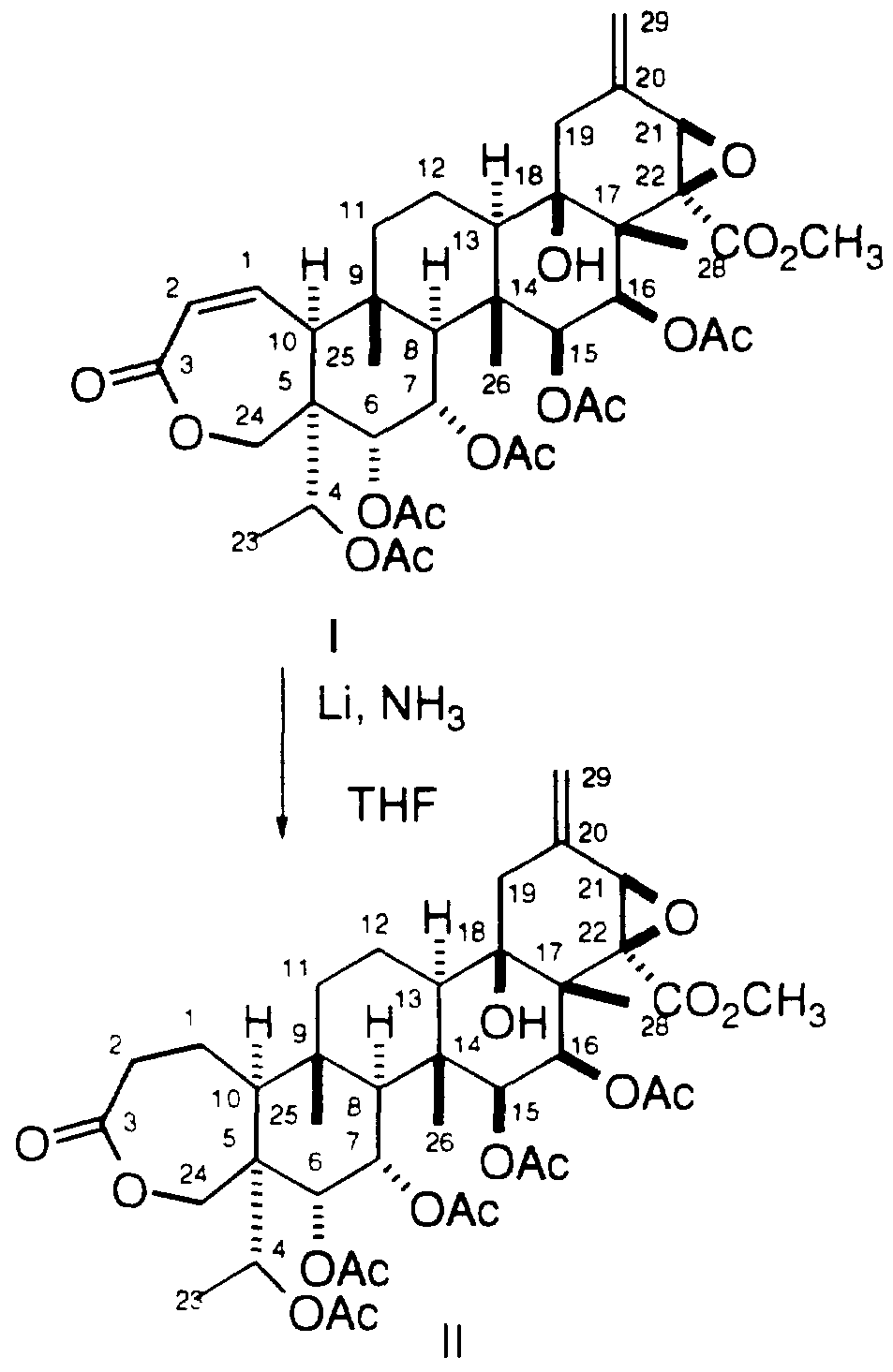
- the reaction vessel was then pressurized with H2 to 15 psi ( latm) and shaken for 65h at 25°C. After that time the solvent was removed under reduced pressure. The residue was dissolved in a small amount of ethyl acetate/hexanes (2:1 ) (ca. 1 mL) and filtered through 30g of silica gel eluting with 500ml of ethyl acetate / hexanes (2: 1 ). The first fractions, containing the Wilkinson- catalyst (approx. 50mL) were discarded. The fractions containing the product were combined.
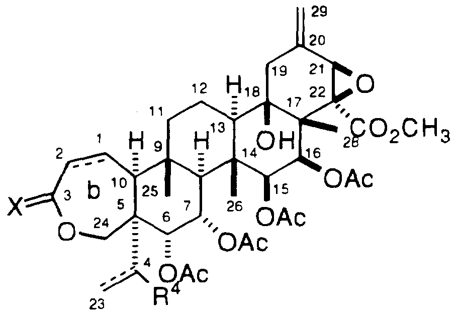
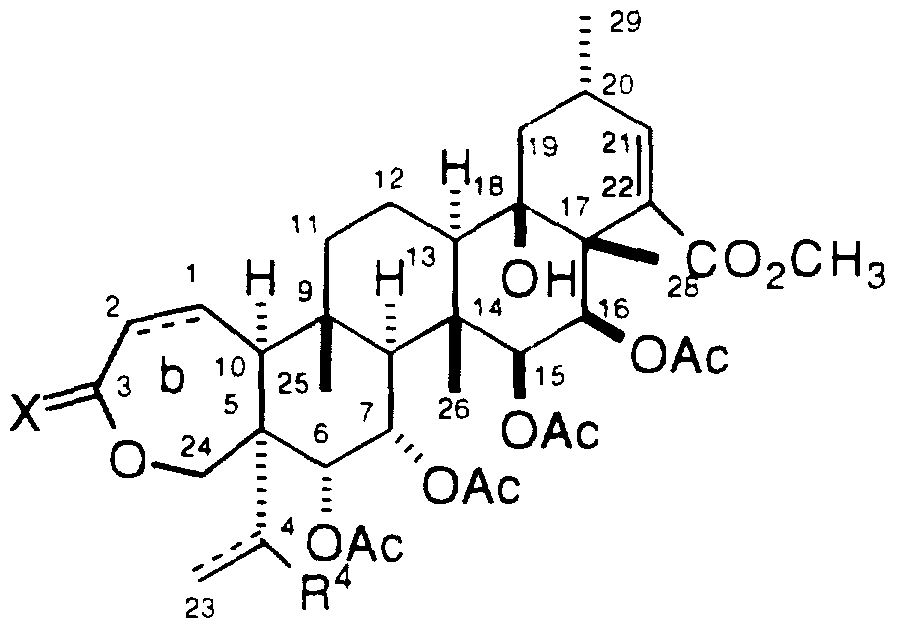
- Step A 6,7,15,16-Tetrakis(acetyloxy)-21,22-epoxy-4, 18- dihydroxy-22-methoxycarbonyl[6 ⁇ ,7 ⁇ ,15 ⁇ ,- 16 ⁇ ,21 ⁇ ,22 ⁇ ]D:A-Friedo-A-homo-27.30-dinor-24- oxaoleana- 1 ,20(29)-dien-3-one
- Step B 4-(2-Bromobenzoyloxy )-6,7, 15, 16-Tetrakis(acetyloxy )-
- Step C 4-(2-Bromobenzoyl)oxy-6,7,15,16-Tetrakis(acetyloxy)- 21 ,22-epoxy-l 8-hydroxy-22-methoxycarbonyl- [6 ⁇ ,7 ⁇ , 15 ⁇ ,16 ⁇ .20 ,21 ⁇ ,22 ⁇ lD:A-Friedo-A-homo-27,30- dinor-24-oxaoleana- 1 -en-3-one
- Step D 4-(2-Bromobenzoy l)oxy-6,7, 15,16-tetrakis(acety loxy)- 18- hydroxy-22-methoxycarbonyl[6 ⁇ ,7 ⁇ ,15 ⁇ ,16 ⁇ ,20 ⁇ ]D:A- Friedo-A-homo-27.30-dinor-24-oxaoleana- 1.21 -dien-3-one
- This compound is prepared from 4-(2-bromobenzoyl)oxy- 6,7, 15 , 16-tetrakis(acetyloxy)-21 ,22-epoxy- 18-hydroxy-22- methoxycarbonyl[6 ⁇ ,7 ⁇ , 15 ⁇ , 16 ⁇ ,20 ⁇ ,21 ⁇ ,22 ⁇ ]D:A-Friedo-A-homo- 27.30-dinor-24-oxaoleana-l -en-3-one using the procedures described in Example 8.
- EX AMPLE 13 4,6,7, 15, 16-Pentakis(acetyloxy)-21,22-epoxy-18-hydroxy-22-methoxy- carbonyl[6 ⁇ ,7 ⁇ , 15 ⁇ , 16 ⁇ ,20 ⁇ ,21 ⁇ ,22 ⁇ ]D: A-Friedo- A-homo-27, 30- dinor-24-oxaoleana-3-one
- the reaction vessel is then pressurized with H2 to 15 psi ( latm) and shaken for 65h at 25°C. After that time the solvent is removed under reduced pressure. The residue is dissolved in a small amount of ethyl acetate/hexanes (2: 1) (ca. 1 mL) and filtered through 30g of silica gel eluting with 500ml of ethyl acetate / hexanes (2: 1 ). The first fractions, containing the Wilkinson-catalyst (approx. 50mL) is discarded. The fractions containing the product is combined. After removing the solvent under reduced pressure the crude product is dried in vacuo and purified by HPLC to produce the title compound. EX AMPLE 14
- Step A 6,7, 15, 16-Tetrakis(acetyloxy)-21 ,22-epoxy-4, 18- dihydroxy-22-methoxycarbonyl[6 ,7 ⁇ ,15 ⁇ , 16 ⁇ ,21 ⁇ .22 ⁇ ]-
- Step B 4-(2-Bromobenzoy loxy)-6,7, 15 , 16-tetrakis(acetyloxy)- 21 ,22-epoxy-18-hydroxy-22-methoxycarbonyl-
- Step C 4-(2-Bromobenzoy loxy )-6,7 ,15,16-tetrakis(acety loxy)- 21 ,22-epoxy- 18-hydroxy-22-methoxycarbonyl- [6 ⁇ ,7 ⁇ , 15 ⁇ , 16 ⁇ ,20 ⁇ ,21 ⁇ ,22 ⁇ ]D:A-Friedo-A-homo-27,30- dinor-24-oxaoleana-3-one
- the reaction vessel is then pressurized with H2 to 50 psi (3.5 atm) and shaken for 72h at 25°C. After that time the solvent is removed under reduced pressure. The residue is dissolved in a small amount of ethyl acetate/hexanes (1 :1 ) (ca. 1 mL) and filtered through 30g of silica gel eluting with 500ml of ethyl acetate / hexanes ( 1 : 1 ). The first fractions, containing the Wilkinson- catalyst (approx. 50mL) are discarded. The fractions containing the product are combined. After removing the solvent under reduced pressure the crude product is dried in vacuo and purified by HPLC to produce the title compound.
- Step D 4-(2-Bromobenzoy loxy)-6,7, 15,16-tetrakis(acety loxy)- 18- hydroxy-22-methoxycarbonyl-[6 ⁇ ,7 ⁇ , 15 ⁇ , 16 ⁇ ,20 ⁇ JD: A- Friedo- A-homo-27.30-dinor-24-oxaoleana-21 -en-3-one
- This compound is prepared from 4-(2-bromobenzoyloxy)- 6, 7, 15,16-tetrakis(acetyloxy)-21 ,22-epoxy- 1 R-hydroxy-22-methoxy- carbonylf 6 .7 ⁇ , 15 ⁇ , 16 ⁇ ,20 ⁇ ,21 ⁇ ,22 ⁇ ]D: A-Friedo-A-homo-27,30- dinor-24-oxaoleana- l -en-3-one using the procedures described in Example 16.
Landscapes
- Health & Medical Sciences (AREA)
- Organic Chemistry (AREA)
- Chemical & Material Sciences (AREA)
- Immunology (AREA)
- Bioinformatics & Cheminformatics (AREA)
- Engineering & Computer Science (AREA)
- Pharmacology & Pharmacy (AREA)
- Animal Behavior & Ethology (AREA)
- Medicinal Chemistry (AREA)
- Chemical Kinetics & Catalysis (AREA)
- Nuclear Medicine, Radiotherapy & Molecular Imaging (AREA)
- Veterinary Medicine (AREA)
- Life Sciences & Earth Sciences (AREA)
- General Chemical & Material Sciences (AREA)
- General Health & Medical Sciences (AREA)
- Public Health (AREA)
- Transplantation (AREA)
- Pharmaceuticals Containing Other Organic And Inorganic Compounds (AREA)
- Organic Low-Molecular-Weight Compounds And Preparation Thereof (AREA)
- Steroid Compounds (AREA)
Abstract
Description
Claims
Priority Applications (4)
| Application Number | Priority Date | Filing Date | Title |
|---|---|---|---|
| AU74781/96A AU712015B2 (en) | 1995-10-31 | 1996-10-28 | Triterpene derivatives with immunosuppressant activity |
| CA 2235886 CA2235886A1 (en) | 1995-10-31 | 1996-10-28 | Triterpene derivatives with immunosuppressant activity |
| JP9517439A JPH11514648A (en) | 1995-10-31 | 1996-10-28 | Triterpene derivatives with immunosuppressive activity |
| EP96937010A EP0877554A1 (en) | 1995-10-31 | 1996-10-28 | Triterpene derivatives with immunosuppressant activity |
Applications Claiming Priority (8)
| Application Number | Priority Date | Filing Date | Title |
|---|---|---|---|
| US818995P | 1995-10-31 | 1995-10-31 | |
| US816995P | 1995-10-31 | 1995-10-31 | |
| US60/008,169 | 1995-10-31 | ||
| US60/008,189 | 1995-10-31 | ||
| GBGB9603833.6A GB9603833D0 (en) | 1996-02-23 | 1996-02-23 | Triterpene derivatives with immunosuppressive activity |
| GBGB9605156.0A GB9605156D0 (en) | 1996-03-12 | 1996-03-12 | Triterpene derivatives with immunosuppressant activity |
| GB9603833.6 | 1996-03-12 | ||
| GB9605156.0 | 1996-03-12 |
Publications (1)
| Publication Number | Publication Date |
|---|---|
| WO1997016068A1 true WO1997016068A1 (en) | 1997-05-09 |
Family
ID=27451409
Family Applications (1)
| Application Number | Title | Priority Date | Filing Date |
|---|---|---|---|
| PCT/US1996/017211 Ceased WO1997016068A1 (en) | 1995-10-31 | 1996-10-28 | Triterpene derivatives with immunosuppressant activity |
Country Status (4)
| Country | Link |
|---|---|
| EP (1) | EP0877554A1 (en) |
| JP (1) | JPH11514648A (en) |
| AU (1) | AU712015B2 (en) |
| WO (1) | WO1997016068A1 (en) |
Cited By (14)
| Publication number | Priority date | Publication date | Assignee | Title |
|---|---|---|---|---|
| US5874594A (en) * | 1996-10-16 | 1999-02-23 | Merck & Co., Inc. | Triterpene derivatives with immunosuppressant activity |
| US5952371A (en) * | 1996-10-16 | 1999-09-14 | Merck & Co., Inc. | Triterpene derivatives with immunosuppressant activity |
| US5998408A (en) * | 1996-10-16 | 1999-12-07 | Merck & Co., Inc. | Triterpene derivatives with immunosuppressant activity |
| US6022890A (en) * | 1997-11-14 | 2000-02-08 | Merck & Co., Inc. | Immunosuppressant tetracyclic triterpenes |
| US6051590A (en) * | 1999-05-13 | 2000-04-18 | Merck & Co., Inc. | Immunosuppressant tricyclic compounds |
| US6083980A (en) * | 1997-10-17 | 2000-07-04 | Merck & Co., Inc. | Furanyl, tetracyclic triterpene derivatives with immunosuppressant activity |
| US6100293A (en) * | 1997-10-17 | 2000-08-08 | Merck & Co., Inc. | Tetracyclic triterpene derivatives with immunosuppressant activity |
| US6955817B2 (en) | 1997-05-22 | 2005-10-18 | The Procter & Gamble Company | Cleansing articles for skin or hair |
| US7585517B2 (en) | 2003-09-18 | 2009-09-08 | Macusight, Inc. | Transscleral delivery |
| US8163726B2 (en) | 2002-09-18 | 2012-04-24 | University Of Pennsylvania | Method of inhibiting choroidal neovascularization |
| EP2583678A2 (en) | 2004-06-24 | 2013-04-24 | Novartis Vaccines and Diagnostics, Inc. | Small molecule immunopotentiators and assays for their detection |
| US8486960B2 (en) | 2006-03-23 | 2013-07-16 | Santen Pharmaceutical Co., Ltd. | Formulations and methods for vascular permeability-related diseases or conditions |
| US8658667B2 (en) | 2006-02-09 | 2014-02-25 | Santen Pharmaceutical Co., Ltd. | Stable formulations, and methods of their preparation and use |
| US8927005B2 (en) | 2005-02-09 | 2015-01-06 | Santen Pharmaceutical Co., Ltd. | Liquid formulations for treatment of diseases or conditions |
Families Citing this family (1)
| Publication number | Priority date | Publication date | Assignee | Title |
|---|---|---|---|---|
| KR20060035652A (en) * | 2003-06-30 | 2006-04-26 | 이데닉스 (케이만) 리미티드 | Synthesis of β-L-2-deoxy Nucleoside |
Citations (1)
| Publication number | Priority date | Publication date | Assignee | Title |
|---|---|---|---|---|
| US3483191A (en) * | 1963-09-13 | 1969-12-09 | Squibb & Sons Inc | Steroids |
Family Cites Families (2)
| Publication number | Priority date | Publication date | Assignee | Title |
|---|---|---|---|---|
| CA2237607A1 (en) * | 1995-10-31 | 1997-05-09 | Robert K. Baker | Triterpene derivatives with immunosuppressant activity |
| CA2236171A1 (en) * | 1995-10-31 | 1997-05-09 | Merck & Co., Inc. | Triterpene derivatives with immunosuppressant activity |
-
1996
- 1996-10-28 WO PCT/US1996/017211 patent/WO1997016068A1/en not_active Ceased
- 1996-10-28 AU AU74781/96A patent/AU712015B2/en not_active Ceased
- 1996-10-28 JP JP9517439A patent/JPH11514648A/en active Pending
- 1996-10-28 EP EP96937010A patent/EP0877554A1/en not_active Withdrawn
Patent Citations (1)
| Publication number | Priority date | Publication date | Assignee | Title |
|---|---|---|---|---|
| US3483191A (en) * | 1963-09-13 | 1969-12-09 | Squibb & Sons Inc | Steroids |
Non-Patent Citations (2)
| Title |
|---|
| PHYTOCHEMISTRY, 04 June 1990, Vol. 29, No. 7, ABREU H.D.S. et al., "A Nor-triterpenoid from Lophanthera Lactescens", pages 2257-2261. * |
| See also references of EP0877554A4 * |
Cited By (18)
| Publication number | Priority date | Publication date | Assignee | Title |
|---|---|---|---|---|
| US5874594A (en) * | 1996-10-16 | 1999-02-23 | Merck & Co., Inc. | Triterpene derivatives with immunosuppressant activity |
| US5952371A (en) * | 1996-10-16 | 1999-09-14 | Merck & Co., Inc. | Triterpene derivatives with immunosuppressant activity |
| US5998408A (en) * | 1996-10-16 | 1999-12-07 | Merck & Co., Inc. | Triterpene derivatives with immunosuppressant activity |
| US6955817B2 (en) | 1997-05-22 | 2005-10-18 | The Procter & Gamble Company | Cleansing articles for skin or hair |
| US6083980A (en) * | 1997-10-17 | 2000-07-04 | Merck & Co., Inc. | Furanyl, tetracyclic triterpene derivatives with immunosuppressant activity |
| US6100293A (en) * | 1997-10-17 | 2000-08-08 | Merck & Co., Inc. | Tetracyclic triterpene derivatives with immunosuppressant activity |
| US6022890A (en) * | 1997-11-14 | 2000-02-08 | Merck & Co., Inc. | Immunosuppressant tetracyclic triterpenes |
| US6051590A (en) * | 1999-05-13 | 2000-04-18 | Merck & Co., Inc. | Immunosuppressant tricyclic compounds |
| US8618088B2 (en) | 2002-09-18 | 2013-12-31 | University Of Pennsylvania | Methods of inhibiting choroidal neovascularization |
| US8163726B2 (en) | 2002-09-18 | 2012-04-24 | University Of Pennsylvania | Method of inhibiting choroidal neovascularization |
| US7585517B2 (en) | 2003-09-18 | 2009-09-08 | Macusight, Inc. | Transscleral delivery |
| EP2583678A2 (en) | 2004-06-24 | 2013-04-24 | Novartis Vaccines and Diagnostics, Inc. | Small molecule immunopotentiators and assays for their detection |
| US8927005B2 (en) | 2005-02-09 | 2015-01-06 | Santen Pharmaceutical Co., Ltd. | Liquid formulations for treatment of diseases or conditions |
| US9381153B2 (en) | 2005-02-09 | 2016-07-05 | Santen Pharmaceutical Co., Ltd. | Liquid formulations for treatment of diseases or conditions |
| US9387165B2 (en) | 2005-02-09 | 2016-07-12 | Santen Pharmaceutical Co., Ltd. | Rapamycin formulations and methods of their use |
| US8658667B2 (en) | 2006-02-09 | 2014-02-25 | Santen Pharmaceutical Co., Ltd. | Stable formulations, and methods of their preparation and use |
| US8486960B2 (en) | 2006-03-23 | 2013-07-16 | Santen Pharmaceutical Co., Ltd. | Formulations and methods for vascular permeability-related diseases or conditions |
| US9452156B2 (en) | 2006-03-23 | 2016-09-27 | Santen Pharmaceutical Co., Ltd. | Formulations and methods for vascular permeability-related diseases or conditions |
Also Published As
| Publication number | Publication date |
|---|---|
| EP0877554A4 (en) | 1998-12-02 |
| EP0877554A1 (en) | 1998-11-18 |
| AU712015B2 (en) | 1999-10-28 |
| AU7478196A (en) | 1997-05-22 |
| JPH11514648A (en) | 1999-12-14 |
Similar Documents
| Publication | Publication Date | Title |
|---|---|---|
| US5679705A (en) | Triterpene derivatives with immunosuppressant activity | |
| US5696156A (en) | Triterpene derivatives with immunosuppressant activity | |
| AU700036B2 (en) | Triterpene derivatives with immunosuppressant activity | |
| EP1126849B1 (en) | Heterocyclic potassium channel inhibitors | |
| US6979671B2 (en) | Cyclosporins for the treatment of immune disorders | |
| US7468419B2 (en) | Cyclosporin derivatives for the treatment of immune disorders | |
| AU712015B2 (en) | Triterpene derivatives with immunosuppressant activity | |
| US5952371A (en) | Triterpene derivatives with immunosuppressant activity | |
| WO2003033010A1 (en) | Cyclosporin analogs for the treatment of autoimmune diseases | |
| AU708667B2 (en) | Triterpene derivatives with immunosuppressant activity | |
| US6051590A (en) | Immunosuppressant tricyclic compounds | |
| AU707991B2 (en) | Triterpene derivatives with immunosuppressant activity | |
| US5763478A (en) | Triterpene derivatives with immunosuppressant activity | |
| US5998408A (en) | Triterpene derivatives with immunosuppressant activity | |
| US5874594A (en) | Triterpene derivatives with immunosuppressant activity | |
| US5883119A (en) | Triterpene derivatives with immunosuppressant activity | |
| WO1998016532A1 (en) | Triterpene derivatives with immunosuppressant activity | |
| US6022890A (en) | Immunosuppressant tetracyclic triterpenes | |
| WO1999025703A1 (en) | Immunosuppressant tetracyclic triterpenes | |
| WO1998016518A1 (en) | Triterpene derivatives with immunosuppressant activity | |
| WO1998016531A1 (en) | Triterpene derivatives with immunosupressant activity | |
| US6083980A (en) | Furanyl, tetracyclic triterpene derivatives with immunosuppressant activity | |
| CA2235886A1 (en) | Triterpene derivatives with immunosuppressant activity | |
| WO1999020267A1 (en) | Furanyl, tetracyclic triterpene derivatives with immunosuppressant activity | |
| CA2235858A1 (en) | Triterpene derivatives with immunosuppressant activity |
Legal Events
| Date | Code | Title | Description |
|---|---|---|---|
| AK | Designated states |
Kind code of ref document: A1 Designated state(s): AL AM AU AZ BA BB BG BR BY CA CN CU CZ EE GE HU IL IS JP KG KR KZ LC LK LR LT LV MD MG MK MN MX NO NZ PL RO RU SG SI SK TJ TM TR TT UA US UZ VN AM AZ BY KG KZ MD RU TJ TM |
|
| AL | Designated countries for regional patents |
Kind code of ref document: A1 Designated state(s): KE LS MW SD SZ UG AT BE CH DE DK ES FI FR GB GR IE IT LU MC NL PT SE BF BJ CF CG CI CM GA GN ML MR NE SN TD TG |
|
| DFPE | Request for preliminary examination filed prior to expiration of 19th month from priority date (pct application filed before 20040101) | ||
| 121 | Ep: the epo has been informed by wipo that ep was designated in this application | ||
| ENP | Entry into the national phase |
Ref document number: 2235886 Country of ref document: CA Ref country code: CA Ref document number: 2235886 Kind code of ref document: A Format of ref document f/p: F |
|
| WWE | Wipo information: entry into national phase |
Ref document number: 1996937010 Country of ref document: EP |
|
| ENP | Entry into the national phase |
Ref country code: JP Ref document number: 1997 517439 Kind code of ref document: A Format of ref document f/p: F |
|
| WWP | Wipo information: published in national office |
Ref document number: 1996937010 Country of ref document: EP |
|
| WWW | Wipo information: withdrawn in national office |
Ref document number: 1996937010 Country of ref document: EP |





































































