WO1996007666A1 - Mononucleotide and dinucleotide analogues and intermediates therefor - Google Patents
Mononucleotide and dinucleotide analogues and intermediates therefor Download PDFInfo
- Publication number
- WO1996007666A1 WO1996007666A1 PCT/GB1995/001986 GB9501986W WO9607666A1 WO 1996007666 A1 WO1996007666 A1 WO 1996007666A1 GB 9501986 W GB9501986 W GB 9501986W WO 9607666 A1 WO9607666 A1 WO 9607666A1
- Authority
- WO
- WIPO (PCT)
- Prior art keywords
- hydrogen
- formula
- group
- compound according
- compound
- Prior art date
- Legal status (The legal status is an assumption and is not a legal conclusion. Google has not performed a legal analysis and makes no representation as to the accuracy of the status listed.)
- Ceased
Links
- 0 C*C1[C@@](CCP(O)=O)O[C@@](*)C1 Chemical compound C*C1[C@@](CCP(O)=O)O[C@@](*)C1 0.000 description 5
- DXCKUTMIUMHSQN-RRKCRQDMSA-N C[C@@H](C1)O[C@H](CCP(O)=O)[C@@H]1S Chemical compound C[C@@H](C1)O[C@H](CCP(O)=O)[C@@H]1S DXCKUTMIUMHSQN-RRKCRQDMSA-N 0.000 description 1
- YKKWNPZMXQRZOA-JAMMHHFISA-N C[C@@H]1OC(CCP(CF)(O)=O)CC1 Chemical compound C[C@@H]1OC(CCP(CF)(O)=O)CC1 YKKWNPZMXQRZOA-JAMMHHFISA-N 0.000 description 1
Classifications
-
- C—CHEMISTRY; METALLURGY
- C07—ORGANIC CHEMISTRY
- C07H—SUGARS; DERIVATIVES THEREOF; NUCLEOSIDES; NUCLEOTIDES; NUCLEIC ACIDS
- C07H23/00—Compounds containing boron, silicon or a metal, e.g. chelates or vitamin B12
-
- C—CHEMISTRY; METALLURGY
- C07—ORGANIC CHEMISTRY
- C07H—SUGARS; DERIVATIVES THEREOF; NUCLEOSIDES; NUCLEOTIDES; NUCLEIC ACIDS
- C07H19/00—Compounds containing a hetero ring sharing one ring hetero atom with a saccharide radical; Nucleosides; Mononucleotides; Anhydro-derivatives thereof
- C07H19/02—Compounds containing a hetero ring sharing one ring hetero atom with a saccharide radical; Nucleosides; Mononucleotides; Anhydro-derivatives thereof sharing nitrogen
- C07H19/04—Heterocyclic radicals containing only nitrogen atoms as ring hetero atom
- C07H19/06—Pyrimidine radicals
-
- C—CHEMISTRY; METALLURGY
- C07—ORGANIC CHEMISTRY
- C07H—SUGARS; DERIVATIVES THEREOF; NUCLEOSIDES; NUCLEOTIDES; NUCLEIC ACIDS
- C07H21/00—Compounds containing two or more mononucleotide units having separate phosphate or polyphosphate groups linked by saccharide radicals of nucleoside groups, e.g. nucleic acids
-
- C—CHEMISTRY; METALLURGY
- C07—ORGANIC CHEMISTRY
- C07H—SUGARS; DERIVATIVES THEREOF; NUCLEOSIDES; NUCLEOTIDES; NUCLEIC ACIDS
- C07H21/00—Compounds containing two or more mononucleotide units having separate phosphate or polyphosphate groups linked by saccharide radicals of nucleoside groups, e.g. nucleic acids
- C07H21/04—Compounds containing two or more mononucleotide units having separate phosphate or polyphosphate groups linked by saccharide radicals of nucleoside groups, e.g. nucleic acids with deoxyribosyl as saccharide radical
-
- Y—GENERAL TAGGING OF NEW TECHNOLOGICAL DEVELOPMENTS; GENERAL TAGGING OF CROSS-SECTIONAL TECHNOLOGIES SPANNING OVER SEVERAL SECTIONS OF THE IPC; TECHNICAL SUBJECTS COVERED BY FORMER USPC CROSS-REFERENCE ART COLLECTIONS [XRACs] AND DIGESTS
- Y02—TECHNOLOGIES OR APPLICATIONS FOR MITIGATION OR ADAPTATION AGAINST CLIMATE CHANGE
- Y02P—CLIMATE CHANGE MITIGATION TECHNOLOGIES IN THE PRODUCTION OR PROCESSING OF GOODS
- Y02P20/00—Technologies relating to chemical industry
- Y02P20/50—Improvements relating to the production of bulk chemicals
- Y02P20/55—Design of synthesis routes, e.g. reducing the use of auxiliary or protecting groups
Definitions
- This invention relates to compounds which are mononucleotide and dinucleotide analogues capable of terminating a replicating strand of a nucleic acid and intermediates therefor, and their preparation.
- nucleosides substituted at the 3' position by an azido group or other atom or group capable of terminating a replicating strand of a nucleic acid such as fluoro or amino are of continuing interest as therapeutic agents for the treatment of AIDS and other viral diseases.
- appropriately 3'-substituted mononucleotide and dinucleotide analogues having phosphinic acid, phosphinate ester or phosphine oxide linkages in place of the phosphate ester linkages of natural nucleotides may be prepared.
- These compounds have good hydrolytic stability, facilitating their use as pharmaceuticals in the treatment of viruses such as HTV, influenza and herpes.
- R 1 is hydrogen, R l t or a group of formula
- R 1 is R ⁇ or a protecting group Q
- R l b is C1-C 20 alkyl, C 2 -C 2 o alkenyl, C 3 -C 10 cycloalkyl, C 6 -C 15 aryl, C 7 -C 16 aralkyl or a 5- or 6- membered heterocyclic group attached by a carbon atom in the heterocyclic group to the indicated phosphorus atom,
- R 2 is hydrogen, R 2 a or -OR 15 , provided that when R 1 is hydrogen, R 2 is R 2 a or -OR 15 ,
- R 2 a is a Cj-C2o aliphatic group, a C 3 -C ⁇ 0 cycloaliphatic group, a C 6 -C 15 aromatic group, a
- R 3 is hydrogen, halogen, hydroxy, R 16 , -OR 16 , OCOR 16 or tri (C, -C 15 hydrocarbyl) silyloxy, or -OSO2R 16 ,
- R 4 is R a or together with R 6 denotes a valence bond
- R a is hydrogen, halogen or R 17 ,
- R 5 is hydrogen, halogen, hydroxy, R 18 , -OR 18 , -OCOR 18 , or tri(C r C 15 hydrocarbyl) silyloxy or -OSO 2 R 18 ,
- R 6 is hydrogen, halogen or R 19 , or together with R 4 denotes a valence bond,
- R 7 is hydrogen, or an atom or group capable of terminating a replicating strand of a nucleic acid or of inhibiting viral DNA synthesis, other than a group connected to the indicated furanose ring through an oxygen atom, or together with R 8 denotes a valence bond,
- R 8 is R 8 migraine or together with R 7 denotes a valence bond
- R 8 is hydrogen, halogen, hydroxy, R 20 , -OR 20 , -OCOR 20 , -OSO 2 R 20 or tri(C,-C 15 hydroca ⁇ byl)silyloxy,
- R 9 is a monovalent nucleoside base radical
- R 10 is hydrogen or R 10heim
- R 10 t is R 21 , -COR 21 , -SO 2 R 21 or tri(C r C 15 hydrocarbyl)silyl,
- R 11 is hydrogen, halogen, hydroxy, R 22 , -OR 22 , -OCOR 22 , -OSO2R 22 or Z,
- R lz is hydrogen, halogen or R 23
- R 13 is hydrogen or R 13 a , R 13 , is halogen, hydroxy, R 24 , -OR 24 , -OCOR 24 , -OSO 2 R 24 or tri(C r C 15 hydrocarbyl)silyloxy,
- R 14 is a monovalent nucleoside base radical
- R 15 is hydrogen or R 15 a ,
- R 15 is a to C 10 aliphatic group, a C 3 to C 8 cycloaliphatic group, a C 6 to C 15 aromatic group or a C 7 to C 16 araliphatic group,
- R 16 , R 17 , R 18 , R 19 , R 20 , R 21 , R 22 , R 23 and R 24 are independently a Q to C 10 aliphatic group, a C 3 to Cio cycloaliphatic group, a C 6 to C1 5 aromatic group or a C 7 to C 30 araliphatic group, and Z is substituted or unsubstituted C 6 to Q aryloxythiocarbonyloxy.
- the aliphatic groups are independently substituted or unsubstituted alkyl or alkenyl groups
- the cycloaliphatic groups are substituted or unsubstituted cycloalkyl groups
- the aromatic groups arc substituted or unsubstituted aryl groups
- the araliphatic groups are substituted or unsubstituted aralkyl groups.
- the substituted or unsubstituted alkyl groups may be, for example, substituted or unsubstituted methyl, ethyl, n-propyl, isopropyl, n-butyl, isobutyl, ten-butyl, n-pentyl, neopentyl, n-hexyl, n-octyl, 2-ethylhexyl or n-decyl.
- R 1 or R 2 as substituted or unsubstituted Ci to C 2 0 alkyl may additionally be, for example, substituted or unsubstituted n-dodecyl, n-tetradecyl, n-hexadecyl, n-octadecyl or eicosyl.
- the substituted or unsubstituted alkenyl groups may be, for example, substituted or unsubstituted vinyl, allyl, 1-propenyl, isopropenyl, methallyl, 2-butenyl, 1-butenyl, isobutenyl, pentenyl, hexenyl, octenyl or decenyl.
- R 1 or R 2 as substituted or unsubstituted alkenyl may additionally be, for example, dodecenyl, hexadecenyl, octadecenyl or eicosenyl.
- the substituted or unsubstituted cycloalkyl groups may be, for example, substituted or unsubstituted cyclopropyl, cyclobutyl, cyclopentyl, methylcyclopentyl, cyclohexyl, methylcyclohexyl, dimethylcyclohexyl, tert-butylcyclohexyl, cycloheptyl or cyciooctyl.
- the substituted or unsubstituted aryl groups may be, for example, substituted or unsubstituted phenyl, o-tolyl, m-tolyl, p-tolyl, o-xylyl, m-xylyl, p-xylyl, alpha-naphthyl, beta-naphthyl, dimethylnaphthyl or anthryl.
- R 1 , R 2 or R 15 as substituted or unsubstituted C 7 to C 16 aralkyl may be, for example, substituted or unsubstituted benzyl, 4-methylbenzyl. 2-phenylethyl, 2-phenylpropyl, 3-phenylpropyl or diphenylmethyl.
- the other substituted or unsubstituted C 7 to C 30 aralkyl groups may be, for example, substituted or unsubstituted benzyl, 4-methylbenzyl, 2-phenylethyl, 2-phenylpropyl, 3-phenylpropyl, diphenylmethyl or triphenylmethyl.
- the alkyl groups are C ⁇ to C alkyl
- the alkenyl groups are C 2 to C alkenyl
- the cycloalkyl groups are C 5 to C 8 cycloalkyl
- the aryl groups are C 6 to C ⁇ 0 aryl
- the C 7 to C 16 aralkyl group is C 7 to C 9 aralkyl
- the C 7 to C 3 o aralkyl groups are C to C 2 o aralkyl, any of which are substituted or unsubstituted.
- these groups are unsubstituted or substituted by halogen, hydroxy, Cj to C alkoxy, cyano, nitro, amino, Cj to C 4 alkylamino or di ⁇ alkyl) amino, the unsubstituted groups being especially preferred.
- R 1 in formula I is a protecting group Q
- this may be any group which is known to be effective in protecting P-H bonds whilst reactions are carried out which would affect such bonds and be readily removable after such reactions to generate a P-H bond.
- protecting groups may be, for example, those in compounds of formula la of EP 0009348, or those in compounds described in Aust. J. Chem. 33, 292 (1980) or US 4933478.
- Preferred protecting groups Q are to C 2 o hydrocarbyl groups, preferably alkyl groups, substituted on the carbon atom thereof attached to the indicated phosphorus atom by at least one hydroxy or CI-CH) alkoxy group, including those of formula
- R 25 is hydrogen, C r C ⁇ 0 alkyl, C 3 -C 8 cycloalkyl, C 6 -C 10 aryl or C 7 -C ⁇ aralkyl and R 26 and R 27 are independently C ⁇ -C 10 alkyl.
- Preferred groups of formula HI are those where R 25 is hydrogen or Cj-C 4 alkyl and R 26 and R 27 are each C1-C 4 alkyl.
- Q is a group of formula HI where R 25 is hydrogen or methyl and R 26 and R 27 are each methyl or ethyl.
- the tr-iC -C ⁇ hydrocarbyl)silyl radical may be, for example, trialkylsilyl such as trimethylsilyl, triethysilyl, tri-n-propylsilyl, tri-isopropysilyl, tri-n-butylsilyl, tri-isobutysilyl, tri-tert-butylsilyl, isopropyldimethylsilyl, terLbutyldimethylsilyl or 1,1,2,2-tetramethylethyldimethylsilyl (thexyldimethylsilyl), aryldialkylsilyl such as phenyldimethylsilyl, phenyldiethylsilyl, phenyldiisopropylsilyl or phenyl di-tert-butylsilyl, or alkylsilyl such as trimethylsilyl, triethysilyl, tri-n-propylsily
- R 11 as substituted or unsubstituted C 6 -C 10 aryloxythiocarbonyloxy may be, for example, substituted or unsubstituted phenyloxythiocarbonyloxy, preferably C r C 4 alkyl- or halogen- substituted phenyloxythiocarbonyloxy, especially p-tolyloxythiocarbonyloxy or pentafluorophenoxythiocarbonyloxy.
- R 9 or R 14 as a monovalent nucleoside base radical may be the same or different and may be a radical of a naturally occuring nucleoside base, such as adeninyl, cytosinyl, thyminyl, guaninyl or uracilyl, which may be unsubstituted or substituted, for example on an amino nitrogen atom by an acyl group such as acetyl, an aralkyl oxyalkyl group such as benzyloxymethyl or an aracyl group such as benzoyl or nitrobenzoyl, or a synthetic analogue thereof.
- a naturally occuring nucleoside base such as adeninyl, cytosinyl, thyminyl, guaninyl or uracilyl, which may be unsubstituted or substituted, for example on an amino nitrogen atom by an acyl group such as acetyl, an aralkyl oxyalkyl
- R 9 or R 14 as a monovalent nucleoside base radical is unsubstituted or substituted thyminyl, cytosinyl, guaninyl or adeninyl, especially thyminyl.
- R 2 as R 2 a is preferably to C 4 alkyl, more preferably methyl or ethyl; C 2 to C alkenyl, more preferably vinyl or allyl; C 5 to C 8 cycloalkyl, more preferably cyclopenryl, cyclohexyl or methylcyclohexyl; C $ to C 10 aryl, more preferably phenyl, tolyl or naphthyl; or C to Co aralkyl, more preferably benzyl.
- R 2 as R 2 a is especially methyl, cyclohexyl or phenyl.
- R 15 is preferably hydrogen or to C alkyl. In certain especially preferred compounds R 2 is -OR 15 where R 15 is hydrogen, ethyl or isobutyl or R 2 is methyl.
- R 3 is hydrogen, halogen (usually fluorine or chlorine), hydroxy, C to C alkyl (more preferably methyl or ethyl), Ci to C 4 alkoxy (more preferably methoxy or ethoxy), C 7 to C aralkyloxy (more preferably benzyloxy), or -OCOR 16 or -OSO 2 R 16 where R 16 is C t to C 4 alkyl, particularly methyl or ethyl, or C 6 to C 10 aryl, particularly phenyl or p-tolyl, or ( to C 6 alkyl) di (C 6 -C 8 aryl) silyloxy, particularly ten-butyl diphenylsilyloxy, and R 4 is hydrogen, halogen (usually fluorine or chlorine) or Cj to C 4 alkyl, particularly methyl or ethyl.
- halogen usually fluorine or chlorine
- R 3 and R 4 are each hydrogen.
- R 5 is hydrogen, halogen (usually fluorine or chlorine), hydroxy, Cito C 4 alkyl (more preferably methyl or ed yl), Ci to C alkoxy (more preferably methoxy or ethoxy), C 7 to C aralkyloxy (more preferably benzyloxy), or -OCOR 18 or -OSO 2 R 18 where R 18 is C j to C 4 alkyl, particularly methyl or ethyl, or C 6 to C 10 aryl, particularly phenyl or p-tolyl, or (Cj -C 6 alkyl) di (C 6 -C 8 aryl) silyloxy, particularly ten-butyldiphenylsilyloxy, and R 6 is hydrogen, halogen (usually fluorine or chlorine) or to C 4 alkyl, particularly methyl or ethyl.
- R 5 and R 6 are each hydrogen.
- R 7 may be hydrogen or any atom or group capable of terminating a replicating strand of a nucleic acid or of inhibiting viral DNA synthesis, other than a group connected to the indicated furanose ring through an oxygen atom.
- atoms and groups are known from the literature and include azido; halogen, generally fluorine or chlorine; mercapto, including alkylmercapto; amino, including alkylamino and dialkylamino; hydroxylamino; cyano; thiocyanate, -SCN; isothiocyanate, -NCS; and an unsubstituted or substituted hydrocarbyl group R 7 a which is to C 10 alkyl, preferably C j to C alkyl, C 2 to C 10 alkenyl, preferably C 2 to C 4 alkenyl, C 3 to C 8 cycloalkyl, preferably C 5 to C 8 cycloalkyl, C 6 to C 10 aryl, preferably C 6 to C 8 aryl
- R 7 is hydrogen, azido or fluoro, or together with R 8 denotes a valence bond.
- R 7 is azido or together with R 8 denotes a valence bond.
- R 8 is preferably hydrogen, hydroxy or -OR 20 , -OCOR 20 or -OSO 2 R 20 where R 20 is substituted or unsubstituted C ⁇ to C alkyl (more preferably methyl or ethyl) or substituted or unsubstituted C 6 to CIQ aryl (more preferably phenyl, tolyl or naphthyl), or together with R 7 denotes a valence bond. In certain especially preferred compounds, R 8 is hydrogen, or together with R 7 denotes a valence bond.
- R 9 is thyminyl and, where R 1 is a group of formula II, R 14 is also myminyl.
- R 10 is preferably hydrogen, substituted or unsubstituted Ci to C 4 alkyl (more preferably methyl or ethyl), substituted or unsubstituted C 7 to C 20 aralkyl (more preferably benzyl, diphenylmethyl, triphenylmethyl, methoxytriphenylmethyl or dimethoxytriphenylmethyl), -COR 21 or -SO 2 R 21 where R 21 is substituted or unsubstituted to C 4 alkyl or substituted or unsubstituted C 6 to C 10 aryl (more preferably phenyl, tolyl or naphthyl), or (Cj to C 6 alkyl)di(C 6 -C 8 aryl)silyl.
- R 10 is hydrogen, benzoyl or ten-butyldiphenylsilyl.
- R 11 is hydrogen, halogen, hydroxy, -OCOR 22 or -OSO 2 R 22 where R 22 is substituted or unsubstituted Cj to C alkyl or C 6 to o aryl (more preferably methyl, trifluoromethyl, ethyl, phenyl, tolyl or naphthyl), or C1-C 4 alkyl- or halogen- substituted phenyloxythiocarbonyloxy, and R 12 is hydrogen or halogen.
- R 11 is hydrogen, hydroxy or p-tolyloxythiocarbonyloxy and R 12 is hydrogen.
- R 13 is hydrogen, hydroxy, or -OR 24 , -OCOR 24 or -OSO 2 R 24 where R 24 is substituted or unsubstituted Cj to C 4 alkyl or C 6 to CI Q aryl (more preferably methyl, ethyl, phenyl, tolyl or naphthyl).
- R 13 is hydrogen.
- R 1 is preferably hydrogen, a protecting group Q or a group of formula II where R 10 to R 14 have the preferred meanings hereinbefore defined.
- R 1 is hydrogen, a protecting group of formula IH where R 25 is hydrogen or methyl and R 26 and R 27 are each methyl or ethyl, or a group of formula II where R 10 is hydrogen or ten-butyldiphenylsilyl, R 11 is hydrogen, hydroxy or p-tolyloxythiocarbonyloxy, R 12 is hydrogen, R 13 is hydrogen and R 14 is thyminyl.
- R 1 to R 9 certain especially preferred compounds of the invention are those in which R 1 is hydrogen, a protecting group Q of formula III as defined above, or a group of formula ⁇ where R 10 is hydrogen, benzoyl or ten-butyldiphenylsilyl, R 11 is hydrogen, hydroxy or p-tolyloxythiocarbonyloxy, R 12 and R 13 are hydrogen and R 14 is thyminyl; R 2 is methyl, cyclohexyl, phenyl or -OR 15 where R 15 is hydrogen, ethyl or isobutyl; R 3 , R 4 , R 5 and R 6 are each hydrogen; R 7 is hydrogen, azido or fluoro, or together with R 8 denotes a valence bond; R 8 is hydrogen or together with R 7 denotes a valence bond; and R 9 is thyminyl.
- Compounds of the invention may be in the form of one of the possible isomers, for example as a diastereomer, an optical isomer or a racemate, or a mixture thereof.
- Preferred isomers of compounds of formula I are those of formula where R 2 to R 9 are as hereinbefore defined and R 1 is hydrogen, R 1 , as hereinbefore defined or a group of formula
- R 10 to R 14 are as hereinbefore defined.
- R 10 , R 13 and R 14 are as hereinbefore defined.
- This reaction may be carried out in the presence of a base, preferably a non-nucleophilic base, for example a hindered amine such as 1, 8-diazabicyclo [5.4.0] undec-7-ene or 1,5-diazabicyclo [4.3.0] non-5-ene, preferably in an amount of 0.1 to 2 equivalents, especially 1 to 1.5 equivalents, or an alkali metal alkoxide such as the ten-butoxide of sodium or potassium.
- the reaction may be carried out at temperamres of -20 to 100°C, preferably 10 to 30°C.
- an organic solvent for example a hydrocarbon such as benzene, toluene or xylene, a halohydrocarbon such as dichloroethane or methylene chloride or, preferably, an ether such as diemyl ether, dioxan or, especially, tetrahydrofuran.
- a hydrocarbon such as benzene, toluene or xylene
- a halohydrocarbon such as dichloroethane or methylene chloride
- an ether such as diemyl ether, dioxan or, especially, tetrahydrofuran.
- R 1 is a group of formula II in which R 11 is hydroxy and R 12 is hydrogen
- a silylating agent may be, for example, a dialkylhalosilane such as dimethylchlorosilane, trialkylhalosilane such as trimethylchlorosilane or triethylchlorosilane which is reacted with the compound of Formula I where R 1 is hydrogen in the presence of tertiary base such as pyridine or triethylamine.
- silylating agent which can be used is a bis(trialkylsilyl) derivative of an amide, for example bis(trirnethylsilyl)acetamide or bis(trimethylsilyl)trifluoroacetamide).
- the reaction between the compound of formula I where R 1 is hydrogen and the silane or the silyl amide may be carried out at temperatures ranging from -20°C to 150°C and can be effected with or without the use of a solvent such as diethylether, tetrahydrofuran, dioxan. dichloromethane or toluene. Alternatively, an excess of the silane can be used as diluent.
- the silylating agent may alternatively be hexamethyldisilazide, which may be reacted with the compound of Formula I where R 1 is hydrogen in the absence of a solvent at 100-200°C.
- the reaction of the P(LII) silyl compound with the aldehyde of formula VI may be carried out under conditions conventional for substitution reactions on P(HT) species. It is preferably carried out by the Arbuzov method, e.g. at temperatures between ambient and elevated temperatures such as 160°C, followed by hydrolysis of the intermediate silyl species.
- the reaction between the aldehyde of formula VI and the compound of formula I where R 1 is hydrogen may be carried out under acid conditions, for example in the presence of a Lewis acid such as boron trifluoride or a titanium (IV) compound, for example a titanium tetrahalide such as TiCl 4 , a titanium dialkoxidedihalide such as Ti(OiPr) 2 Cl 2 or, preferably, a titanium tetraalkoxide such as titanium tetra-isopropoxide.
- a Lewis acid such as boron trifluoride or a titanium (IV) compound
- a titanium tetrahalide such as TiCl 4
- a titanium dialkoxidedihalide such as Ti(OiPr) 2 Cl 2
- a titanium tetraalkoxide such as titanium tetra-isopropoxide.
- Aldehydes of formula VI may be prepared by reaction of the conesponding 3'-iodo nucleoside with carbon monoxide and tris(trimethylsilyl)silane in the presence of a free radical initiator such as 2,2'-azobis(isobutyronitrile), by reduction of the corresponding 3'-cyano nucleoside with diisobutylaluminium hydride or otherwise as described in WO 92/20823 and Y.S. Sanghvi et al Tetrahedron Utters 35 (27) 4697-4700 (1994). Aldehydes of formula VI may also be prepared by treatment of the corresponding 3'-amino nucleoside with nitrite as described by S.
- a free radical initiator such as 2,2'-azobis(isobutyronitrile
- R 1 is a group of formula II in which R 11 and R 12 are hydrogen
- deoxygenation which may be effected by conventional methods, for example by reaction with a suitably substituted reagent to allow free radical mediated cleavage, such as by reaction with a substituted or unsubstituted C 6 -C 10 aryloxythiocarbonyl chloride such as p-tolylchlorothionoformate or pentafluorophenylchlorothionoformate to conven the hydroxy group R 11 into a substituted or unsubstituted C 6 -C 1( ) aryloxythiocarbonyloxy group, and then removing this group by reaction with a trialkylstannane such as tri-n-butylstannane, in the presence of a free radical initiator such as azobis(isobutyronit)
- Such deoxygenation can be carried out using conventional procedures.
- reaction with the aryloxythiocarbonyl chloride may be carried out in an organic solvent, preferably a halohydrocarbon, an ether or an aromatic solvent, especially dichloromethane, in the presence of a tertiary amine such as triethylamine or dimethylaminopyridine.
- Removal of the aryloxythiocarbonyloxy group may be effected by heating with the initiator in a hydrocarbon solvent, preferably an aromatic solvent such as benzene, toluene or xylene, at 60 to 140°C, preferably 100-U0°C.
- a hydrocarbon solvent preferably an aromatic solvent such as benzene, toluene or xylene
- R 1 is a group of formula II in which R 11 is halogen and R 12 is hydrogen
- R 11 is hydroxy and R 12 is hydrogen
- compounds of formula I where R 1 is a group of formula II in which R 11 is fluoro and R 12 is hydrogen may be prepared by reacting a compound of formula I in which R 11 is hydroxy and R 12 is hydrogen with a dialkylaminofluorosulfurane or sulphur tetrafluoride.
- the dialkylaminofluorosulfurane is preferably a dialkylaminosulphurtrifluoride such as diethylaminosulphurtrifluoride (DAST) and is generally reacted in a non-protic solvent, preferably a halohydrocarbon, an aromatic hydrocarbon or tetrahydrofuran, especially a chlorine-containing solvent such as chloroform or dichloromethane.
- a non-protic solvent preferably a halohydrocarbon, an aromatic hydrocarbon or tetrahydrofuran, especially a chlorine-containing solvent such as chloroform or dichloromethane.
- the reaction is preferably carried out at a temperature from -78° to 30°C. Suitable reaction procedures are described by M. Hudlicky, Organic Reactions 35,513 (1988). Suitable reaction procedures for the reaction with sulphur tetrafluoride are described by C.L.J. Wang, Organic Reactions, 34, 319 (1988).
- R 1 is a group of formula ⁇ in which R 11 is hydroxy and R 12 is hydrogen
- R 11 is -OR 22 , -OCOR 22 or -OSO 2 R 22 , where R 22 is as hereinbefore defined.
- they may be converted into corresponding compounds where R 11 is -OSO 2 R 22 by reacton with a sulphonyl chloride of formula R 22 SO 2 Cl in the presence of a tertiary base, preferably triethylamine, pyridine or, especially, dimethylaminopyridine.
- a tertiary base preferably triethylamine, pyridine or, especially, dimethylaminopyridine.
- the reaction is generally carried out in an organic non-protic solvent, for example a hydrocarbon, a halohydrocarbon or a cyclic ether, preferably chloroform, tetrahydrofuran or, especially, dichloromethane, and at a temperature from -78°C to 50°C, preferably -20°C to 30°C, especially 0 to 25°C.
- organic non-protic solvent for example a hydrocarbon, a halohydrocarbon or a cyclic ether, preferably chloroform, tetrahydrofuran or, especially, dichloromethane
- R 1 is a group of formula II in which R 11 is -OSO 2 R 22 and R 12 is hydrogen, preferably those where R 22 is methyl, rrifluoromethyl orp-tolyl
- R 1 is a group of formula II in which R 11 is fluoro and R 12 is hydrogen by reaction with a metal fluoride or an ammonium fluoride, preferably an alkali metal fluoride or a quaternary ammonium fluoride such as a tetraalkylammonium fluoride, especially tetrabutylammonium fluoride.
- the reaction is generally carried out in an organic solvent, preferably a polar aprotic solvent such as a halohydrocarbon, dimethylformamide, dimethylsulphoxide, acetonitrile or an ether, especially tetrahydrofuran, and at a temperature from -30 to 100°C, preferably -20 to 50°C, especially 0 to 30°C.
- a polar aprotic solvent such as a halohydrocarbon, dimethylformamide, dimethylsulphoxide, acetonitrile or an ether, especially tetrahydrofuran
- R 1 is hydrogen
- R 1 is a protecting group Q to replace Q by a hydrogen atom.
- This deprotection may be carried out using known procedures.
- the protecting group Q is of formula HI, it may be effected by reaction with a trialkylsilyl halide such as trimethylsilyl chloride, trimethylsilyl bromide or trimethylsilyl iodide.
- the reaction may be carried out at a temperature of -30°C to 100°C, preferably 0 to 40°C, preferably under anhydrous conditions, in an organic solvent, for example a halohydrocarbon such as chloroform or trichloroethane, an ether such as tetrahydrofuran or an aromatic hydrocarbon such as benzene, toluene or xylene, or a mixture of two or more of such solvents.
- an organic solvent for example a halohydrocarbon such as chloroform or trichloroethane, an ether such as tetrahydrofuran or an aromatic hydrocarbon such as benzene, toluene or xylene, or a mixture of two or more of such solvents.
- a trialkylsilyl chloride is used, the reaction is carried out in the presence of an alcohol such as ethanol.
- R 2 in formula I is -OR 15 a
- this group may also be affected by the deprotection reaction: in general, use of a trialkylsilyl chloride gives a product in which R 15 a is unchanged, while use of a trialkylsilyl iodide gives a product in which R 15 a is replaced by hydrogen.
- a trialkylsilyl bromide is used, a mixture of a compound in which R 2 is -OH and a compound in which R 2 is -OR 15 , is generally obtained.
- Deprotection of compounds of formula I where R 1 is Q, to replace Q by a hydrogen atom can also be effected by treatment with an acid, preferably under anhydrous conditions. It may be carried out with a mineral acid such as hydrochloric acid, in which case when R 2 is -OR 15 , it is also converted to -OH, or with an organic acid such as acetic acid, in which case when R 2 is -OR 15 , the product may be a compound in which R 2 is -OR 15 ,, a compound in which R 2 is -OH or a mixture ⁇ ereof.
- an acid preferably under anhydrous conditions. It may be carried out with a mineral acid such as hydrochloric acid, in which case when R 2 is -OR 15 , it is also converted to -OH, or with an organic acid such as acetic acid, in which case when R 2 is -OR 15 , the product may be a compound in which R 2 is -OR 15 ,, a compound in which R 2 is
- R 1 in formula I is Q which is a hydroxyalkyl group
- hydrolysis to replace Q by a hydrogen atom can be effected by treatment with base, for example by treatment with aqueous ammonia at a temperature from ambient temperature to 100°C.
- R 2 to R 6 , R 8 , and R 9 are as hereinbefore defined and R 1 is R 1 , or a group of formula ⁇ .
- Such deoxygenation may be effected by conventional methods, for example as hereinbefore described for the deoxygenation of compounds of formula I where R 1 is a group of formula II in which R 11 is hydroxy and R 12 is hydrogen.
- R 8 , and R 9 arc as hereinbefore defined, with an organometallic compound of formula where R 1 ,, R 3 and R 4 a are as hereinbefore defined, R 28 is R 2 , or -OR 15 , as hereinbefore defined and M is lithium, ceriumdichloride or magnesium, in die presence of a Lewis acid, preferably a boron trifluoride complex.
- the reaction is usually carried out at low temperature, generally -120°C to 40°C, preferably -80 to -60°C, in an organic solvent, e.g.
- organometallic compound of formula DC is preferably formed in situ by reaction of an organolimium, preferably an alkyllithium, a hindered lithium amide such as lithium dusopropylamide or an organomagnesium halide, preferably an alkylmagnesium halide, with a compound of formula
- R 1 ,, R 3 , R 4 , and R 28 arc as hereinbefore defined.
- a suitable procedure for reaction of an organometallic compound with a nucleoside oxetane is described in H. Tanaka et al, Tetrahedron Lett., 30,2567 (1989).
- R 3 and R 4 are as hereinbefore defined and Y denotes a leaving atom or group.
- R 29 is C j -C alkyl and Q is as hereinbefore defined, with an organomagnesium halide of formula R 28 MgX or an organolithium of formula R ⁇ Li, where R 28 is as hereinbefore defined, using the process described in EPO 501 702.
- the leaving atom or group Y in formula XLTI may be, for example, a halogen atom or a residue of an organic or inorganic acid after removal of an acidic hydrogen atom therefrom, such as an organic sulphonate group, e.g. a p-toluenesulphonate or trifluoromethanesulphonate group, or a sulphate anion.
- Y is a halogen atom or an arylsulphonate group, especially a chlorine, bromine or iodine atom or a p-toluenesulphonate group.
- compounds of formula XLTJ are known or may be prepared by known methods.
- the reaction between the compound of formula XII and the compound of formula XHT may be carried out under conventional conditions for substitution reactions at a P-H bond, for example using a base such as a tertiary amine, an alkali metal, usually sodium, an organometal of an alkali metal or magnesium, usually an alkyllithium, an alkali metal hydride, usually sodium hydride, or an alkali metal amide such as Li N-fCHfO ⁇ -
- the reaction may be carried out in an organic solvent, usually an ether such as diethyl ether or tetrahydrofuran, a hydrocarbon such as hexane or toluene or mixtures thereof, and at a temperature from -100°C to 100°C, usually from -80°C to 40°C.
- R 1 ,, R 2 , R 3 , R 4 overcome R 8 ,, R 9 and R 19 are as hereinbefore defined and R 30 is an optionally substituted acyl, aracyl, alkylsulphonyl or arylsulphonyl group, followed by hydrolysis of the R- ⁇ O- group.
- the deoxygenation may be effected using deoxygenation procedures hereinbefore described.
- the hydrolysis of the R 30 O- group may be effected using conventional basic ester hydrolysis procedures.
- R 30 is preferably acetyl, benzoyl, methanesulphonyl, trifluoromethanesulphonyl or p-toluenesulphonyl.
- R 8 dirt R 9 , R 19 and R 30 are as hereinbefore defined, optionally in the presence of a Lewis acid such as a boron trifluoride complex, for example under the conditions hereinbefore described for the reaction of compounds of formulae DC and X.
- a Lewis acid such as a boron trifluoride complex
- R 8 ,, R 9 and R 30 are as hereinbefore defined, with an organometallic compound of formula R 19 Li or R 19 Mg X where R 19 is as hereinbefore defined and X is halogen, usually chlorine or bromine, generally in an organic solvent, for example an ether such as tetrahydrofuran or diethyl ether, and at a temperature of -120 to 0°C, usually -100 to -60°C, followed by oxidation, for example a Swern oxidation, of the resulting alcohol.
- organometallic compound of formula R 19 Li or R 19 Mg X where R 19 is as hereinbefore defined and X is halogen, usually chlorine or bromine, generally in an organic solvent, for example an ether such as tetrahydrofuran or diethyl ether, and at a temperature of -120 to 0°C, usually -100 to -60°C, followed by oxidation, for example a Swern oxidation, of the resulting alcohol
- Aldehydes of formula XVII can be obtained by oxidation of the corresponding 5'-hydroxymethyl compounds using known methods, for example by treatment with a haloacetic acid, dimethyl sulphoxide and dicyclohexylcarbodiimide using the procedure of Jones and Moffat, J. Amer. Chem. See. 90,5337 (1968) or Ranganatham et al, J. Org. Chem. 39,290 0974).
- the 5'-hydroxymethyl compounds are readily available nucleosides, or substituted derivatives thereof.
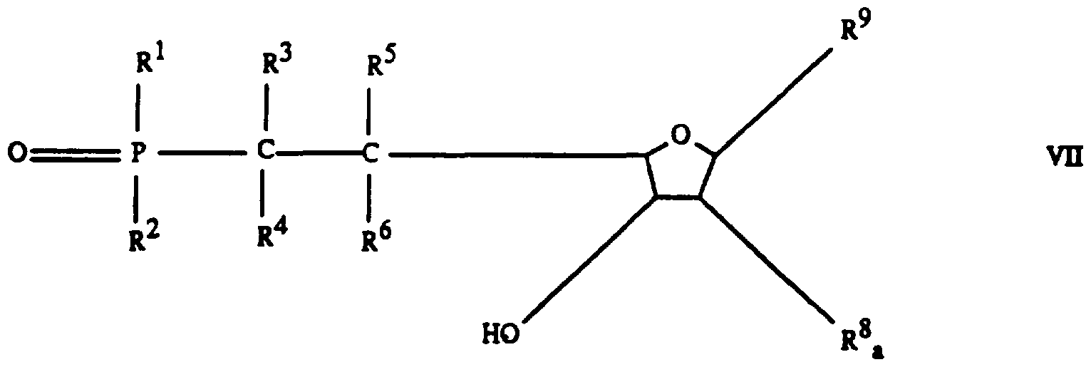
- Compounds of formula VII where R 1 is R 1 ,, R 5 is -OR 18 and R 6 is R 19 may be prepared by etherification of the hydroxyl group in compounds of formula XV by reaction with a halide of formula R 18 X where R 18 is as hereinbefore defined and X is halogen, usually bromine or iodine, followed by hydrolysis of die R 30 O- ester group.
- the etherification reaction is generally carried out in d e presence of a base e.g. sodium hydride or a hindered amine such as 1,8-diazobicyclo [5.4.0] undec-7-ene in an organic solvent, usually a hydrocarbon such as benzene or toluene.
- R 1 ,, R 2 , R 3 , R 4 ,, R 8 ,, R 9 and R 30 are as hereinbefore defined, into compounds of formula VII where R 5 is -OR 18 and R 6 is hydrogen.
- Compounds of formula XVHI can be prepared by reacting an aldehyde of formula XVLT widi a compound of formula DC.
- the reaction is generally carried out at a temperature of -100 to 0°C, preferably -70 to -80°C, in an organic solvent such as tetrahs drofuran, diethyl ether, ten-butyl methyl ether or toluene, optionally in the presence of a Lewis acid such as a boron trifluoride complex.
- Compounds of formula I in which R 7 is azido may be prepared by reacting a compound of formula VII with hydrazoic acid in the presence of a tertiary phosphine. preferably a triaryl phosphine such as triphenyl phosphine, and a dialkylazodicarboxylate such as diediylazodicarboxylate or diisopropylazodicarboxylate.
- the reaction is generally carried out using 1 to 3 mol, preferably 1 to 1.5 mol, of hydrazoic acid per mol of compound of formula VII, in an aptotic solvent such as a hydrocarbon, halohydrocarbon or ether, preferably a mixture of toluene and tetrahydrofuran.
- the reaction is generally effected at a temperature from -50 to 50°C, preferably -20 to 30°C, especially 15 to 30°C.
- me compound of formula VII is of formula
- R 1 to R 6 , R 8 , and R 9 are as defined for formula VII, the sterochemical orientation of the indicated hydroxy group is inverted.
- the reaction may be carried out using known procedures - see Mitsunobu, Synthesis 1981, 1.
- R 7 is azido
- R 7 is azido
- R 31 is an optionally substituted Cj to C 4 alkyl or C 6 to C 10 aryl group, preferably a methyl, trifluoromethyl or p-tolyl group, with an inorganic azide, preferably an alkali metal azide, especially sodium azide or lidiium azide.
- the reaction is generally carried out in an organic solvent, preferably an aprotic polar solvent such as acetonitrile, dimethyl sulphoxide or, especially, dimetfiyl formamide, at a temperature from 40 to 200°C, preferably 40 to 120°C.
- an organic solvent preferably an aprotic polar solvent such as acetonitrile, dimethyl sulphoxide or, especially, dimetfiyl formamide
- a temperature from 40 to 200°C, preferably 40 to 120°C.
- 1 to 10 mol of the inorganic azide is used per mol of compound of formula XX.
- Compounds of formula XX can be prepared by reacting a compound of formula VII with a sulphonyl halide of formula R 31 SO 2 X where X is halogen, usually chlorine, in the presence of a tertiary base such as triethylamine, pyridine or, preferably, dimethylaminopyridine.
- a tertiary base such as triethylamine, pyridine or, preferably, dimethylaminopyridine.
- the reaction may be carried out using conventional procedures for the preparation of sulphonyl esters. It is generally carried out in an organic aprotic solvent such as a hydrocarbon, halohydrocarbon or edier, preferably dichloromemane or chloroform, at a temperature from -78°C to 50°, preferably -20 to 30°C, especially 0 to 30°C.
- Compounds of formula I in which R 7 is fluoro may alternatively be prepared by reacting a compound of formula XX with a metal fluoride or an ammonium fluoride, preferably an alkali metal fluoride or a quaternary ammonium fluoride such as a tetralkylammonium fluoride, especially tetrabutylammonium fluoride. This reaction may be carried using die procedure hereinbefore described for d e corresponding preparation of compounds of formula I where R ⁇ is fluoro and R 12 is hydrogen.
- a metal fluoride or an ammonium fluoride preferably an alkali metal fluoride or a quaternary ammonium fluoride such as a tetralkylammonium fluoride, especially tetrabutylammonium fluoride.
- Dehydration of the compound of formula VII may be carried out using known methods for die dehydration of alcohols. For example, it may be effected by treating d e compound widi an acid, preferably an organic acid, especially an aliphatic or aromatic carboxylic acid, generally in an aprotic organic solvent such as a hydrocarbon, halohydrocarbon or ether, preferably toluene, dichloromethane or tetrahydrofuran, preferably at a temperature from -50 to 50°C, especially 15 to 30°C, in me presence of dialkylazodicarboxylate such as diediylazodicarboxylate or diisopropylazodicarboxylate and, preferably, a tertiary phosphine, especially a triarylphosphine such as triphenylphosphine.
- an acid preferably an organic acid, especially an aliphatic or aromatic carboxylic acid
- an aprotic organic solvent such as a hydrocarbon, halo
- Elimination of the R 31 SO 2 O- group from a compound of formula XX can be carried out using known methods for the elimination of such leaving groups. Generally it is carried out by treating d e compound widi a base, preferably an alkali metal alkoxide such as sodium methoxide or potassium ten-butoxide. in a polar aprotic organic solvent such as dime ylformamide or dimethyl sulphoxide. The reaction is generally effected at -70 to 100°C, more usually at -20 - 50°C.
- R 2 to R 6 and R 9 are as hereinbefore defined for formula I and R 1 is R 1 , or a group of formula II.
- the reductive elimination may be carried out using known procedures, for example using a zinc/copper couple - see M. J. Robins et al, Tetrahedron Lett. 25,367 (1984).
- R 1 to R 6 and R 9 are as defined for formula XXLI to a Mattocks reaction (J. Chem. Soc. 1964, 1918) with ⁇ -acetoxyisobutyryl bromide or to a variant diereof using acetyl bromide (Marumoto and Honjo, Chem. Pharm. Bull. 22,128 (1974), or by reacting die compound of formula XXII widi tetraacetoxysilane and phosphorus tribromide in the presence of boron trifluoride edierate using, for example, the procedure of Kondo et al, J. Org. Chem. 42, 3967 0977), to give either a compound of formula XXII or a compound of formula XXLIa, or a mixutre thereof.
- the acetonide of formula XXVI is reacted widi a compound of formula XII, in die presence of a free radical initiator in an aromatic hydrocarbon solvent such as toluene, at 70-90°C to give a compound of formula
- R 1 to R 6 and R 9 are as hereinbefore defined for formula I (which can be prepared by esterification of the glycol of formula XXTJI with 1 , 1 l - thiocarbonyldiimidazole - see C. H. Kim et al, J. Med-Chem. 1987, 30,862.), widi a phosphite ester or a diazaphospholidine (Corey- Winter reaction - see Corey and Winter, J. Am. Chem. Soc. 1963, 85, 2677 and Corey et al, Tetrahedron Lett. 1982, 23, 1979).
- a further method for the preparation of compounds of formula I in which R 7 and R 8 together denote a valence bond is an Eastwood olefination procedure, in which a cyclic orthoformate ester of a glycol of formula XXLLT is heated in the presence of an acid catalyst - see Crank and Eastwood, Aust. J. Chem. 17, 1392 (1964), Ando et al, Chem. Lett. 1986, 879 and Mizutani et al, 13th Heterocyclic Congress, August 11-16, 1991.
- a yet further method for me preparation of compounds of formula I in which R 7 and R 8 together denote a valence bond is a Barton deoxygenation reaction, in which a bisxanthate derived from a glycol of formula XXIII is treated with tributyltinhydride or an alkyl silane (containing a Si-H bond) - see C.K. Chu et al, J. Org Chem. 1989, 54, 2217 and D.H.R. Barton et al, Tetrahedron lett., 1991, 32, 2569.
- R 7 and R 8 each denote hydrogen
- the hydrogenation may be carried out using conventional procedures, for example by catalytic hydrogenation using a transition metal or compound or complex thereof as catalyst, or by reaction with an alkali metal in an alcohol, ammonia or an amine. It is conveniently effected using a palladium -carbon catalyst in an alcohol or ethyl acetate as solvent under a pressure of 0.1 to 10 atmospheres of hydrogen.
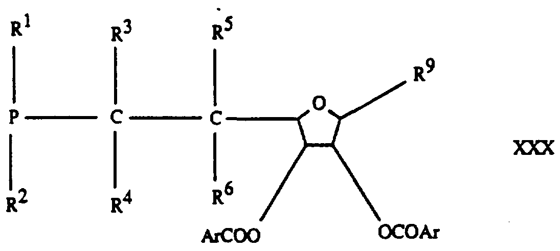
- R 1 is R 1 , or a group of formula ⁇ , R 2 to R 6 and R 9 are as defined for formula I and Ar is an optionally substituted C 6 to C 10 aryl group, such as phenyl, p-tolyl, p-chlorophenyl or, preferably, m-(trifluoromethyl)phenyl.
- the deoxygenation may be effected by irradiation with a high pressure mercury lamp of the compound in alcohol- water mixtures in the presence of N-metiiylcarbazole as photosensitiser. Suitable procedures are described by Saito et al, J. Am. Chem. Soc, 108, 3115 (1986).
- Compounds of formula XXX can be obtained by esterification of a glycol of formula XXHl widi an acid of formula Ar COOH or an anhydride or acid halide mereof, using conventional esterification procedures.
- Compounds of formula I in which R 7 is chloro, bromo or iodo can be prepared by reacting a compound of formula XX widi an inorganic chloride, bromide or iodide respectively, preferably a chloride, bromide or iodide of an alkali metal.
- Compounds of formula I where R 7 is mercapto, amino, cyano, iocyanate or isothiocyanate can be prepared by reacting a compound of formula XX with a hydrosulphide, amide, cyanide, thiocyanate or isothiocyanate respectively of an alkali metal.
- Compounds of formula I where R 7 is hydroxylamino may be obtained by reacting a compound of formula XX with a hydroxylamine in which the hydroxyl group is protected, e.g. by a tert-butyldiphenylsilyl group, followed by removal of the protecting group.
- These reactions of compounds of formula XX with inorganic salts and other nucleophiles may be carried out using conventional procedures for displacement of R 31 SO 2 O- leaving groups from nucleosides.
- R 7 is an unsubstituted or substituted hydrocarbyl group R 7
- R 7 can be prepared by reaction of a compound of formula XX with an organomagnesium halide of formula R 7 a MgX or an organoli ium of formula R 7 a Li where R 7 , is as hereinbefore defined and X is halogen.
- Such a reaction may be carried out using known procedures for reaction of such organometallic compounds with compounds having leaving groups.
- R 7 as R 7 is Cj to C 10 alkenyl, especially allyl
- R 7 as R 7 is Cj to C 10 alkenyl, especially allyl
- a 3'-O- aryloxythiocarbonyl derivative of a compound of formula VTJ with a C ⁇ -C 10 alkenyl-substituted trialkylstannane, particularly allyl-tri-n-butylstannane, in the presence of a free radical initiator such as azobisisobutyronitrile.
- R 1 is R 1 , or a group of formula II and R 2 to R 6 and R 9 are as hereinbefore defined wid an organomagnesium halide of formula R 7 ,MgX or an organolithium of formula R 7 ,Li where R 7 , is as hereinbefore defined and X is halogen.
- Alkenyl groups attached to the furanose ring by this method can be reacted further to produce substituted alkyl groups.
- Compounds of formula XXXI can be prepared by epoxidation of compounds of formula XXI using conventional epoxidation procedures or by treatment of die 2',3 ⁇ - dimethanesulphonyl ester of the compound of formula XXLII with aqueous base following d e procedure of J. F. Codington et al, J. Org. Chem. 27, 163 (1962).
- Compounds of formula I in which R 1 is a group of formula LI in which R 10 is hydrogen may be prepared by hydrolysing a compound of formula I in which R 10 is R 21 , -COR 21 or hydrocarbyl)silyl. This hydrolysis may be carried out using known procedures for the hydrolysis of ether, ester or silyl ether groups.
- Compounds of me invention containing salt-forming groups may be in die form of pharmaceutically acceptable, i.e. physiologically tolerable, salts.
- a compound of formula I in which R 2 is hydroxy, which is a phosphinic acid may in die form of a pharmaceutically acceptable salt with a base.
- Such salts include alkali metal salts such as sodium or potassium salts, alkaline earth metal salts such as magnesium or calcium salts, or ammonium salts with ammonia or organic amines, preferably tertiary monoamines and heterocyclic bases such as triethylamine, tri(2-hydroxyethyl)amine, N-ediylpiperidine or
- Acids which form suitable salts include hydrohalic acids, for example hydrochloric and hydrobromic acid, sulphuric acid, phosphoric acid, nitric acid or perchloric acid, or aliphatic, alicyclic, aromatic or heterocyclic carboxylic or sulphonic acids, such as formic, acetic, propionic, succinic, glycolic, lactic, malic, ta ⁇ aric, citric, fumaric, maleic, hydroxymaleic, oxalic, pyruvic, phenylacetic, benzoic, p-aminobenzoic, andiranilic, p-hydroxybenzoic, salicyclic, p-aminosalicyclic acid, embonic acid, methanesulphonic, eihanesulphonic, hydroxyethanesulphonic, ediylened
- Salts of the invention may be prepared by conventional salt-forming procedures.
- diese can be separated by known methods, for example by fractional distillation, crystallisation or chromatography.
- the invention also relates to the use of compounds of formula I, and dieir pharmaceutically acceptable salts, as pharmaceuticals, particularly as anti-viral agents. Accordingly, the present invention also provides a pharmaceutical composition comprising as active ingredient a compound of formula I or a pharmaceutically acceptable salt thereof.
- the composition may contain a pharmaceutically acceptable carrier such as one conventionally used in pharmaceutical compositions.
- the composition may be formulated for enteral or parenteral administration.
- compositions according to die invention intended for enteral and parenteral administration may be, for example, pharmaceutical compositions in dose unit form, such as drag ⁇ es, tablets, capsules or suppositories, and also ampoules for injection. They may be manufactured using known mediods, for example by means of conventional mixing, granulating, confectioning, dissolving or lyophilisa ⁇ ng processes.
- pharmaceutical compositions for oral administration can be obtained by combining d e active ingredient wid solid carriers, if desired granulating d e resulting mixture and processing me mixture or granulate obtained, if desired or necessary after addition of suitable adjuncts, into tablets, tablet cores, dragees or capsules.
- compositions of d e invention can be used in die treatment of viruses such as influenza, herpes viruses including Herpes I and II, Herpes CMV, Herpes ERV and Herpes Zoster, and HIV. They are preferably administered orally, by inhalation, intraveneously, subcutaneously or intramuscularly, but otiier methods of administration such as transdermal, topical or intra-lesional methods, and by inclusion in suppositories, can also be useful. Optimum dosages and treatment schedules for individual patients can readily be determined by those skilled in die an. The invention is illustrated by the following Examples.
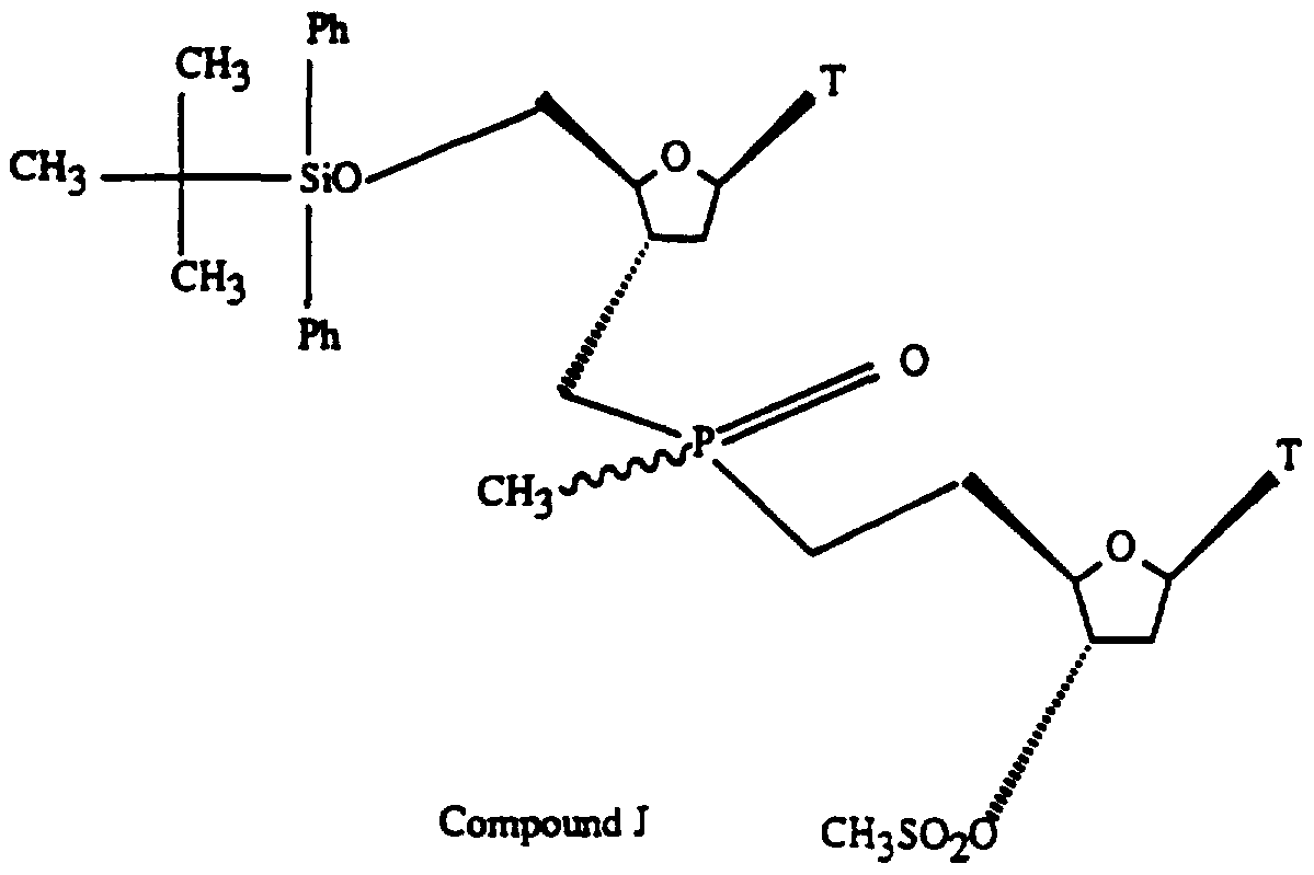
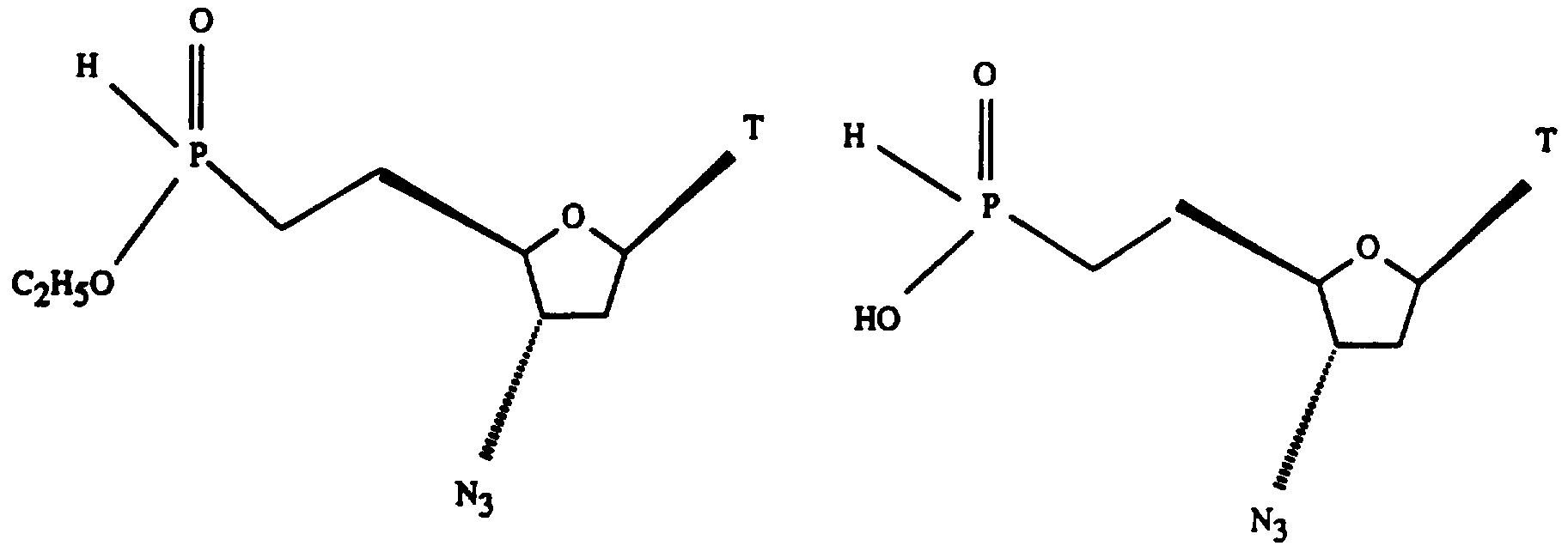
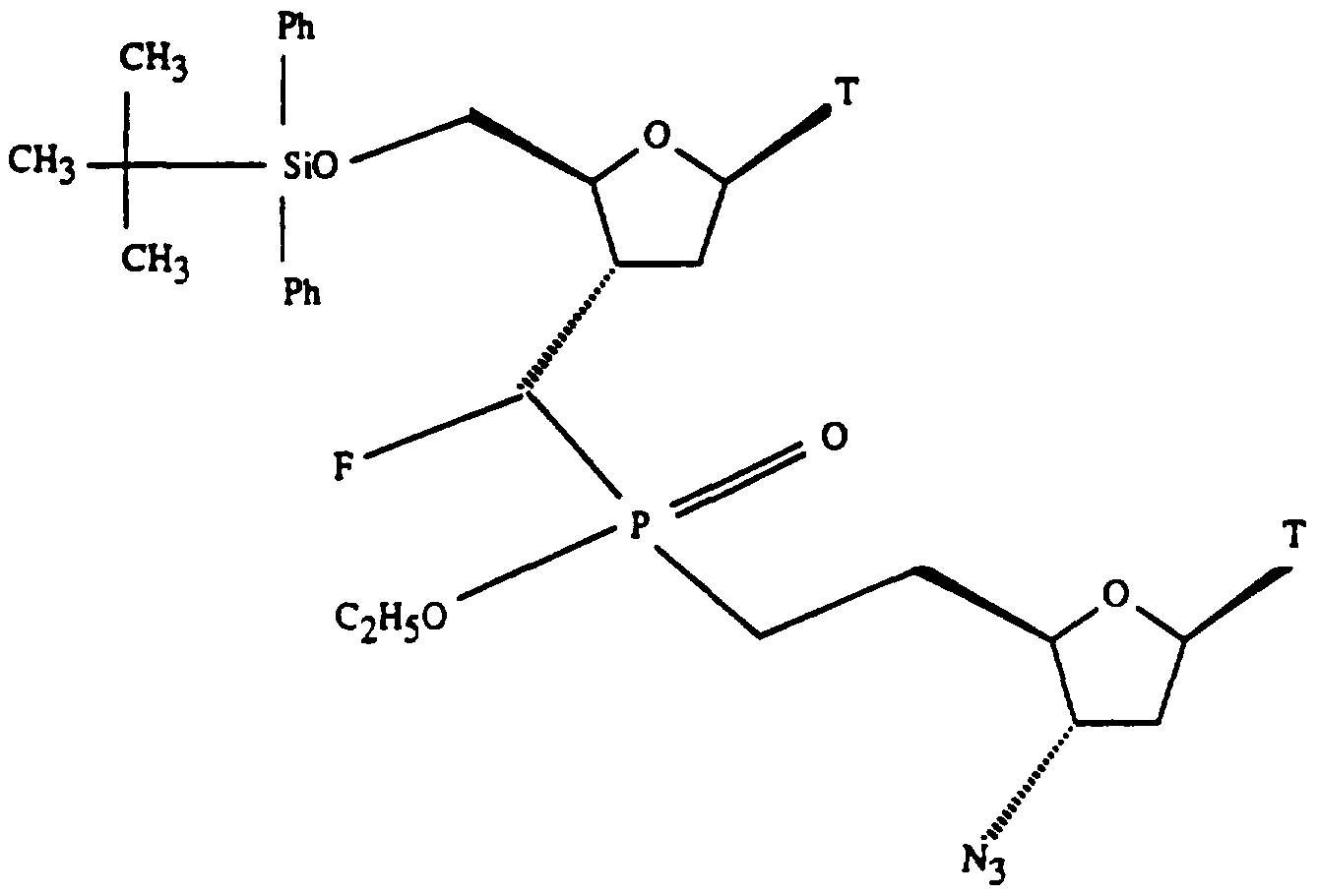
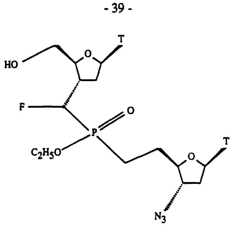
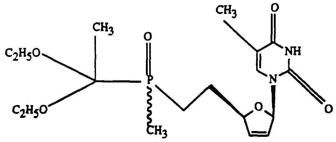
- Ph is phenyl and T is l-thyminyl.
- Trimediylsilylchloride 0-6ml, Dmmole is added to a stirred solution of Compound B (700mg, 1.3mmole) in chloroform (10ml) containing ethanol (0.2ml) under argon. The resulting solution is stood at room temperature for 20 hours and is dien concentrated under vacuum. Purification by flash silica column chromatography (eluant: chloroform /e anol 20:1) gives Compound C as a white foam isolated as a mixture of 2 diastereoisomers.
- Compound H used in die Examples is the compound prepared in Example 21 of EP 0629 633.
- Compound J used in die Examples is prepared as follows: To a solution of die compound prepared in Example 25 of EP 0629 633 (0.75g, 0.85mmol) in medianol (6ml) sodium med oxide solution in medianol (25% by weight, 0.55ml, 3.4mmol) is added dropwise. The solution is stirred for 1.5 hours and a sulphonic acidic ion exchange resin is added. The resin is tiien filtered off and die solution evaporated. The crude product is subjected to chromatography on silica gel, during with a gradient of ethyl acetate/edianol. Compound I, a mixture of two diastereoisomers, is obtained as a white solid.
- T is 1-d ⁇ yminyl
- Example 5 This Example describes the preparation of die compound of formula
- This example describes die preparation of die compound of formula
- T is 1-d ⁇ yminyl
- Diediylazodicarboxylate (0.42ml, 2.7mmole) is added dropwise over 5 minutes to a stirred solution of Compound A (l.Og, 2.2mmole), triphenylphosphine (0.70g, 2.7mmole) and para-nitrobenzoic acid (0.45g, 2.7mmole) in a toluene - THF mixture (4:1, 20ml) under argon. After standing at room temperature for 18 hours, concentration and purification by flash silica column chromatography (eluant chloroform/edianol 50:1) gives, as well as other products, Compound 11 as a mixture of 2 diastereoisomers.
- This example describes die preparation of die compound of formula
- T is 1-d ⁇ yminyl.
- Trimefhylsilylchloride (1.4ml, llmmol) is added to a stirred solution of Compound 11 (500mg, l.l ⁇ mmol) in chloroform (5ml) containing ethanol 00 pipette drops). After standing at room temperature for 18 hours, concentration gives a white solid which is purified by flash silica column chromatography (eluantxhloroform-edianol 30:1) to give Compound 12, isolated as a mixture of 2 diastereoisomers at phosphorus.
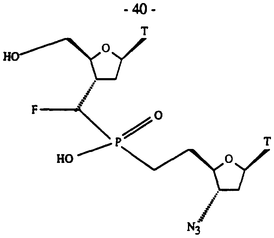
- Example 13 By a procedure similar to that of Example 12, die pure isomers obtained by chromatography of Compound H are converted into the pure isomers of Compound 13.
- Compound 7 is tested for antiviral activity against herpes simplex virus type 1(HSV-1) (strain 17i) in vitro.
- Aqueous solutions of the compound are prepared at concentrations between lO ⁇ M and 50 ⁇ M.
- the solutions are stored at -70°C after preparation and thawed prior to use in d e antiviral assays. After thawing, the solutions are diluted to die appropriate concentration in the cell-culture medium without prior filtration.
- Vero cell monolayers are infected widi 20-200 plaque forming units and after virus adsorption die inoculum is replaced by maintenance medium containing different concentrations of the compound under investigation. Virus spread is prevented by die incorporation of 0.5% low gelling temperature agarose. At the end of a set period (2 or 3 days) monolayers are fixed, stained widi methylene blue and plaque numbers determined. The results are as follows: IC 50 >10 ⁇ m ⁇ 50 ⁇ m.
Landscapes
- Chemical & Material Sciences (AREA)
- Organic Chemistry (AREA)
- Health & Medical Sciences (AREA)
- Life Sciences & Earth Sciences (AREA)
- Biochemistry (AREA)
- Molecular Biology (AREA)
- Engineering & Computer Science (AREA)
- Biotechnology (AREA)
- General Health & Medical Sciences (AREA)
- Genetics & Genomics (AREA)
- Pharmaceuticals Containing Other Organic And Inorganic Compounds (AREA)
Abstract
A compound of formula (I) or a pharmaceutically acceptable salt thereof, where R1 is hydrogen, R1a or a group of formula (II), R?1?a is R?1¿b or a protecting group Q, R1b is C1-C20 alkyl, C2-C20 alkenyl, C3-C10 cycloalkyl, C6-C15 aryl, C7-C16 aralkyl or a 5- or 6- membered heterocyclic group attached by a carbon atom in the heterocyclic group to the indicated phosphorus atom, R2 is hydrogen, R2a or -OR15, provided that when R1 is hydrogen, R2 is R2a or -OR15, R2a is a C1-C20 aliphatic group, a C3-C10 cycloaliphatic group, a C6-C15 aromatic group, a C7-C16 araliphatic group, or a 5- or 6- membered heterocyclic group attached by a carbon atom in the heterocyclic group to the indicated phosphorus atom, R3 is hydrogen, halogen, hydroxy, R?16, -OR16, OSO¿2R?16, OCOR16¿ or tri(C¿1?-C15 hydrocarbyl) silyloxy, R?4 is R4¿a or together with R6 denotes a valence bond, R4a is hydrogen, halogen or R17, R5 is hydrogen, halogen, hydroxy, R?18, -OR18, -OCOR18, OSO¿2R18, or tri(C¿1?-C15 hydrocarbyl) silyloxy, R?6¿ is hydrogen, halogen or R19, or together with R4 denotes a valence bond, R7 is hydrogen, or an atom or group capable of terminating a replicating strand of a nucleic acid or of inhibiting viral DNA synthesis, other than a group connected to the indicated furanose ring through an oxygen atom, or together with R8 denotes a valence bond, R8 is R8a, or together with R7 denotes a valence bond, R8a is hydrogen, halogen, hydroxy, R?20, -OR20, -OCOR20¿, -OSO¿2R?20 or tri(C¿1?-C15 hydrocarbyl) silyloxy, R?9¿ is a monovalent nucleoside base radical, R10 is hydrogen or R10a, R10a is R?21, -COR21, -SO¿2R21 or tri(C¿1?-C15 hydrocarbyl)silyl, R?11¿ is hydrogen, halogen, hydroxy, R?22, -OR22, -OCOR22¿, -OSO¿2R?22 or Z, R12 is hydrogen, halogen or R23. R13 is hydrogen or R13a, R13a is halogen, hydroxy, R?24, -OR24, -OCOR24¿, -OSO¿2R?24 or tri(C¿1?-C15 hydrocarbyl)silyloxy, R?14¿ is a monovalent nucleoside base radical, R15 is hydrogen or R15a, R15a is a C1 to C10 aliphatic group, a C3 to C8 cycloaliphatic group, a C6 to C15 aromatic group or a C7 to C16 araliphatic group, R?16, R17, R18, R19, R20, R21, R22, R23 and R24¿ are independently a C¿1? to C10 aliphatic group, a C3 to C10 cycloaliphatic group, a C6 to C15 aromatic group or a C7 to C30 araliphatic group, and Z is substituted or unsubstituted C6 to C10 aryloxythiocarbonyloxy.
Description
Mononucleotide and Dinucleotide Analogues and Intermediates Therefor
This invention relates to compounds which are mononucleotide and dinucleotide analogues capable of terminating a replicating strand of a nucleic acid and intermediates therefor, and their preparation.
As described in Chem. Rev. 1992, 92, 1745-1768, nucleosides substituted at the 3' position by an azido group or other atom or group capable of terminating a replicating strand of a nucleic acid such as fluoro or amino are of continuing interest as therapeutic agents for the treatment of AIDS and other viral diseases.
In accordance with the invention, appropriately 3'-substituted mononucleotide and dinucleotide analogues having phosphinic acid, phosphinate ester or phosphine oxide linkages in place of the phosphate ester linkages of natural nucleotides may be prepared. These compounds have good hydrolytic stability, facilitating their use as pharmaceuticals in the treatment of viruses such as HTV, influenza and herpes.
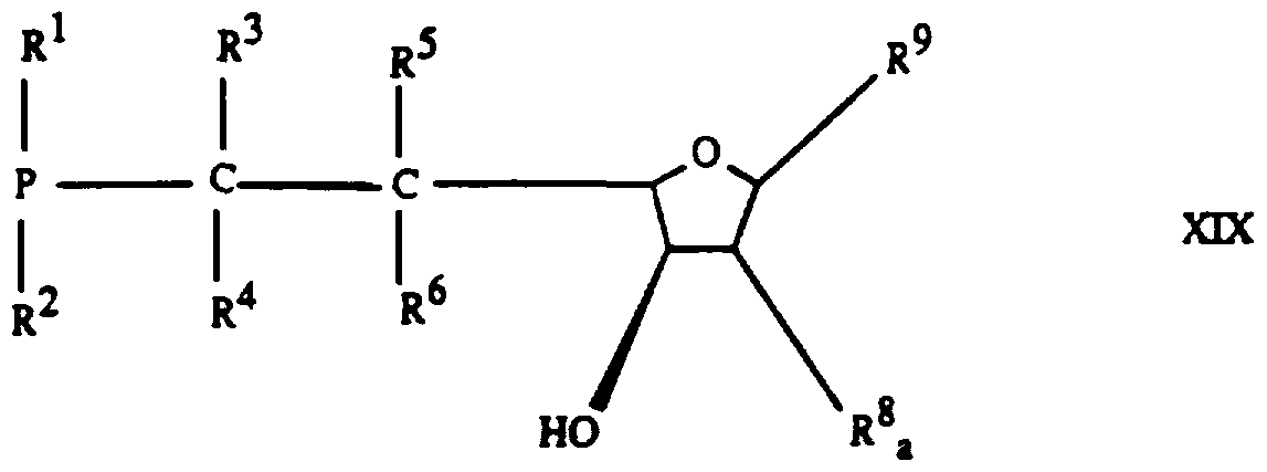
Accordingly, the present invention provides compounds of formula
R1, is R^ or a protecting group Q,
Rl b is C1-C20 alkyl, C2-C2o alkenyl, C3-C10 cycloalkyl, C6-C15 aryl, C7-C16 aralkyl or a 5- or 6- membered heterocyclic group attached by a carbon atom in the heterocyclic group to the indicated phosphorus atom,
R2 is hydrogen, R2 a or -OR15, provided that when R1 is hydrogen, R2 is R2 a or -OR15,
R2 a is a Cj-C2o aliphatic group, a C3-Cι0 cycloaliphatic group, a C6-C15 aromatic group, a
C-T-Ctø araliphatic group, or a 5- or 6- membered heterocyclic group attached by a carbon atom in the heterocyclic group to the indicated phosphorus atom,
R3 is hydrogen, halogen, hydroxy, R16, -OR16, OCOR16 or tri (C, -C15 hydrocarbyl) silyloxy, or -OSO2R16,
R4 is R a or together with R6 denotes a valence bond,
R a is hydrogen, halogen or R17,
R5 is hydrogen, halogen, hydroxy, R18, -OR18, -OCOR18, or tri(Cr C15 hydrocarbyl) silyloxy or -OSO2R18,
R6 is hydrogen, halogen or R19, or together with R4 denotes a valence bond,
R7 is hydrogen, or an atom or group capable of terminating a replicating strand of a nucleic acid or of inhibiting viral DNA synthesis, other than a group connected to the indicated furanose ring through an oxygen atom, or together with R8 denotes a valence bond,
R8 is R8„ or together with R7 denotes a valence bond,
R8, is hydrogen, halogen, hydroxy, R20, -OR20, -OCOR20, -OSO2R20 or tri(C,-C15 hydrocaτbyl)silyloxy,
R9 is a monovalent nucleoside base radical,
R10 is hydrogen or R10„
R10 t is R21, -COR21, -SO2R21 or tri(CrC15 hydrocarbyl)silyl,
R11 is hydrogen, halogen, hydroxy, R22, -OR22, -OCOR22, -OSO2R22 or Z,
Rlz is hydrogen, halogen or R23
R13 is hydrogen or R13 a,
R13, is halogen, hydroxy, R24, -OR24, -OCOR24, -OSO2R24 or tri(CrC15 hydrocarbyl)silyloxy,
R14 is a monovalent nucleoside base radical, R15 is hydrogen or R15 a,
R15, is a to C10 aliphatic group, a C3 to C8 cycloaliphatic group, a C6 to C15 aromatic group or a C7 to C16 araliphatic group,
R16, R17, R18, R19, R20, R21, R22, R23 and R24 are independently a Q to C10 aliphatic group, a C3 to Cio cycloaliphatic group, a C6 to C15 aromatic group or a C7 to C30 araliphatic group, and Z is substituted or unsubstituted C6 to Q aryloxythiocarbonyloxy.
In compounds of formula I, generally the aliphatic groups are independently substituted or unsubstituted alkyl or alkenyl groups, the cycloaliphatic groups are substituted or unsubstituted cycloalkyl groups, the aromatic groups arc substituted or unsubstituted aryl groups and the araliphatic groups are substituted or unsubstituted aralkyl groups.
The substituted or unsubstituted alkyl groups may be, for example, substituted or unsubstituted methyl, ethyl, n-propyl, isopropyl, n-butyl, isobutyl, ten-butyl, n-pentyl, neopentyl, n-hexyl, n-octyl, 2-ethylhexyl or n-decyl. R1 or R2 as substituted or unsubstituted Ci to C20 alkyl may additionally be, for example, substituted or unsubstituted n-dodecyl, n-tetradecyl, n-hexadecyl, n-octadecyl or eicosyl.
The substituted or unsubstituted alkenyl groups may be, for example, substituted or unsubstituted vinyl, allyl, 1-propenyl, isopropenyl, methallyl, 2-butenyl, 1-butenyl, isobutenyl, pentenyl, hexenyl, octenyl or decenyl. R1 or R2 as substituted or unsubstituted alkenyl may additionally be, for example, dodecenyl, hexadecenyl, octadecenyl or eicosenyl.
The substituted or unsubstituted cycloalkyl groups may be, for example, substituted or unsubstituted cyclopropyl, cyclobutyl, cyclopentyl, methylcyclopentyl, cyclohexyl, methylcyclohexyl, dimethylcyclohexyl, tert-butylcyclohexyl, cycloheptyl or cyciooctyl. The substituted or unsubstituted aryl groups may be, for example, substituted or unsubstituted phenyl, o-tolyl, m-tolyl, p-tolyl, o-xylyl, m-xylyl, p-xylyl, alpha-naphthyl, beta-naphthyl, dimethylnaphthyl or anthryl.
R1, R2 or R15 as substituted or unsubstituted C7 to C16 aralkyl may be, for example, substituted or unsubstituted benzyl, 4-methylbenzyl. 2-phenylethyl, 2-phenylpropyl, 3-phenylpropyl or diphenylmethyl. The other substituted or unsubstituted C7 to C30
aralkyl groups may be, for example, substituted or unsubstituted benzyl, 4-methylbenzyl, 2-phenylethyl, 2-phenylpropyl, 3-phenylpropyl, diphenylmethyl or triphenylmethyl.
Preferably, the alkyl groups are Cλ to C alkyl, the alkenyl groups are C2 to C alkenyl, the cycloalkyl groups are C5 to C8 cycloalkyl, the aryl groups are C6 to Cι0 aryl, the C7 to C16 aralkyl group is C7 to C9 aralkyl and the C7 to C3o aralkyl groups are C to C2o aralkyl, any of which are substituted or unsubstituted. More preferably, these groups are unsubstituted or substituted by halogen, hydroxy, Cj to C alkoxy, cyano, nitro, amino, Cj to C4 alkylamino or di^^ alkyl) amino, the unsubstituted groups being especially preferred.
When R1 in formula I is a protecting group Q, this may be any group which is known to be effective in protecting P-H bonds whilst reactions are carried out which would affect such bonds and be readily removable after such reactions to generate a P-H bond. Such protecting groups may be, for example, those in compounds of formula la of EP 0009348, or those in compounds described in Aust. J. Chem. 33, 292 (1980) or US 4933478. Preferred protecting groups Q are to C2o hydrocarbyl groups, preferably alkyl groups, substituted on the carbon atom thereof attached to the indicated phosphorus atom by at least one hydroxy or CI-CH) alkoxy group, including those of formula
,25
where R25 is hydrogen, CrCι0 alkyl, C3-C8 cycloalkyl, C6-C10 aryl or C7-Cπ aralkyl and R26 and R27 are independently Cι-C10 alkyl. Preferred groups of formula HI are those where R25 is hydrogen or Cj-C4 alkyl and R26 and R27 are each C1-C4 alkyl. In especially preferred compounds, Q is a group of formula HI where R25 is hydrogen or methyl and R26 and R27 are each methyl or ethyl.
When a
hydrocarbyl)silyl or
hydrocarbyl)silyloxy group is present in compounds of formula I, the tr-iC -C^ hydrocarbyl)silyl radical may be, for example, trialkylsilyl such as trimethylsilyl, triethysilyl, tri-n-propylsilyl, tri-isopropysilyl, tri-n-butylsilyl, tri-isobutysilyl, tri-tert-butylsilyl, isopropyldimethylsilyl,
terLbutyldimethylsilyl or 1,1,2,2-tetramethylethyldimethylsilyl (thexyldimethylsilyl), aryldialkylsilyl such as phenyldimethylsilyl, phenyldiethylsilyl, phenyldiisopropylsilyl or phenyl di-tert-butylsilyl, or alkyldiarylsilyl such as isopropyldiphenylsilyl or teπ-butyldiphenylsilyl, preferably CrC6 alkyldi(C6-C8 aryl)silyl, especially tert-butyldiphenylsilyl, or branched C2-Cι0 alkyl di (C C4 alkyl)silyl, especially thexyldimethylsilyl.
R11 as substituted or unsubstituted C6-C10 aryloxythiocarbonyloxy may be, for example, substituted or unsubstituted phenyloxythiocarbonyloxy, preferably CrC4 alkyl- or halogen- substituted phenyloxythiocarbonyloxy, especially p-tolyloxythiocarbonyloxy or pentafluorophenoxythiocarbonyloxy.
R9 or R14 as a monovalent nucleoside base radical may be the same or different and may be a radical of a naturally occuring nucleoside base, such as adeninyl, cytosinyl, thyminyl, guaninyl or uracilyl, which may be unsubstituted or substituted, for example on an amino nitrogen atom by an acyl group such as acetyl, an aralkyl oxyalkyl group such as benzyloxymethyl or an aracyl group such as benzoyl or nitrobenzoyl, or a synthetic analogue thereof. Preferably, R9 or R14 as a monovalent nucleoside base radical is unsubstituted or substituted thyminyl, cytosinyl, guaninyl or adeninyl, especially thyminyl.
R2 as R2 a is preferably to C4 alkyl, more preferably methyl or ethyl; C2 to C alkenyl, more preferably vinyl or allyl; C5 to C8 cycloalkyl, more preferably cyclopenryl, cyclohexyl or methylcyclohexyl; C$ to C10 aryl, more preferably phenyl, tolyl or naphthyl; or C to Co aralkyl, more preferably benzyl. R2 as R2 a is especially methyl, cyclohexyl or phenyl.
Where R2 is -OR15, R15 is preferably hydrogen or to C alkyl. In certain especially preferred compounds R2 is -OR15 where R15 is hydrogen, ethyl or isobutyl or R2 is methyl.
Preferably R3 is hydrogen, halogen (usually fluorine or chlorine), hydroxy, C to C alkyl (more preferably methyl or ethyl), Ci to C4 alkoxy (more preferably methoxy or ethoxy), C7 to C aralkyloxy (more preferably benzyloxy), or -OCOR16 or -OSO2R16 where R16 is Ct to C4 alkyl, particularly methyl or ethyl, or C6 to C10 aryl, particularly phenyl or p-tolyl, or ( to C6 alkyl) di (C6 -C8 aryl) silyloxy, particularly ten-butyl diphenylsilyloxy, and R4 is hydrogen, halogen (usually fluorine or chlorine) or Cj to C4 alkyl, particularly methyl or ethyl. In especially preferred compounds, R3 and R4 are each hydrogen.
Preferably R5 is hydrogen, halogen (usually fluorine or chlorine), hydroxy, Cito C4 alkyl (more preferably methyl or ed yl), Ci to C alkoxy (more preferably methoxy or ethoxy), C7 to C aralkyloxy (more preferably benzyloxy), or -OCOR18 or -OSO2R18 where R18 is Cj to C4 alkyl, particularly methyl or ethyl, or C6 to C10 aryl, particularly phenyl or p-tolyl, or (Cj -C6 alkyl) di (C6 -C8 aryl) silyloxy, particularly ten-butyldiphenylsilyloxy, and R6 is hydrogen, halogen (usually fluorine or chlorine) or to C4 alkyl, particularly methyl or ethyl. In especially preferred compounds, R5 and R6 are each hydrogen.
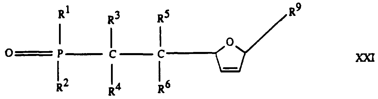
R7 may be hydrogen or any atom or group capable of terminating a replicating strand of a nucleic acid or of inhibiting viral DNA synthesis, other than a group connected to the indicated furanose ring through an oxygen atom. Such atoms and groups are known from the literature and include azido; halogen, generally fluorine or chlorine; mercapto, including alkylmercapto; amino, including alkylamino and dialkylamino; hydroxylamino; cyano; thiocyanate, -SCN; isothiocyanate, -NCS; and an unsubstituted or substituted hydrocarbyl group R7 a which is to C10 alkyl, preferably Cj to C alkyl, C2 to C10 alkenyl, preferably C2 to C4 alkenyl, C3 to C8 cycloalkyl, preferably C5 to C8 cycloalkyl, C6 to C10 aryl, preferably C6 to C8 aryl, or C7 to C16 aralkyl, preferably C7 to Cn aralkyl, any of the alkyl, alkenyl, cycloalkyl, aryl and aralkyl groups being unsubstituted or substituted, for example, by halogen, mercapto, amino or cyano. Alternatively, R7 together with R8 may denote a valence bond, i.e. the carbon atoms in the 2' and 3' positions in the indicated furanose ring in formula I may be linked by a double bond.
Preferably, R7 is hydrogen, azido or fluoro, or together with R8 denotes a valence bond. In certain especially preferred compounds, R7 is azido or together with R8 denotes a valence bond.
R8 is preferably hydrogen, hydroxy or -OR20, -OCOR20 or -OSO2R20 where R20 is substituted or unsubstituted C\ to C alkyl (more preferably methyl or ethyl) or substituted or unsubstituted C6 to CIQ aryl (more preferably phenyl, tolyl or naphthyl), or together with R7 denotes a valence bond. In certain especially preferred compounds, R8 is hydrogen, or together with R7 denotes a valence bond.
In especially preferred compounds of formula I, R9 is thyminyl and, where R1 is a group of formula II, R14 is also myminyl.
R10 is preferably hydrogen, substituted or unsubstituted Ci to C4 alkyl (more preferably methyl or ethyl), substituted or unsubstituted C7 to C20 aralkyl (more preferably benzyl,
diphenylmethyl, triphenylmethyl, methoxytriphenylmethyl or dimethoxytriphenylmethyl), -COR21 or -SO2R21 where R21 is substituted or unsubstituted to C4 alkyl or substituted or unsubstituted C6 to C10 aryl (more preferably phenyl, tolyl or naphthyl), or (Cj to C6 alkyl)di(C6-C8 aryl)silyl. In certain especially preferred compounds, R10 is hydrogen, benzoyl or ten-butyldiphenylsilyl.
Preferably R11 is hydrogen, halogen, hydroxy, -OCOR22 or -OSO2R22 where R22 is substituted or unsubstituted Cj to C alkyl or C6 to o aryl (more preferably methyl, trifluoromethyl, ethyl, phenyl, tolyl or naphthyl), or C1-C4 alkyl- or halogen- substituted phenyloxythiocarbonyloxy, and R12 is hydrogen or halogen. In some especially preferred compounds R11 is hydrogen, hydroxy or p-tolyloxythiocarbonyloxy and R12 is hydrogen.
Preferably R13 is hydrogen, hydroxy, or -OR24, -OCOR24 or -OSO2R24 where R24 is substituted or unsubstituted Cj to C4 alkyl or C6 to CIQ aryl (more preferably methyl, ethyl, phenyl, tolyl or naphthyl). In certain especially preferred compounds, R13 is hydrogen.
R1 is preferably hydrogen, a protecting group Q or a group of formula II where R10 to R14 have the preferred meanings hereinbefore defined. In certain especially preferred compounds, R1 is hydrogen, a protecting group of formula IH where R25 is hydrogen or methyl and R26 and R27 are each methyl or ethyl, or a group of formula II where R10 is hydrogen or ten-butyldiphenylsilyl, R11 is hydrogen, hydroxy or p-tolyloxythiocarbonyloxy, R12 is hydrogen, R13 is hydrogen and R14 is thyminyl.
In accordance with the abovementioned definitions of especially preferred groups R1 to R9, certain especially preferred compounds of the invention are those in which R1 is hydrogen, a protecting group Q of formula III as defined above, or a group of formula π where R10 is hydrogen, benzoyl or ten-butyldiphenylsilyl, R11 is hydrogen, hydroxy or p-tolyloxythiocarbonyloxy, R12 and R13 are hydrogen and R14 is thyminyl; R2 is methyl, cyclohexyl, phenyl or -OR15 where R15 is hydrogen, ethyl or isobutyl; R3, R4, R5 and R6 are each hydrogen; R7 is hydrogen, azido or fluoro, or together with R8 denotes a valence bond; R8 is hydrogen or together with R7 denotes a valence bond; and R9 is thyminyl.
Compounds of the invention may be in the form of one of the possible isomers, for example as a diastereomer, an optical isomer or a racemate, or a mixture thereof.
Preferred isomers of compounds of formula I are those of formula
where R2 to R9 are as hereinbefore defined and R1 is hydrogen, R1, as hereinbefore defined or a group of formula
Most especially preferred compounds of the invention are those hereinafter described in the Examples.
Compounds of formula I where R1 is a group of formula II in which R11 is hydroxy and R12 is hydrogen may be prepared by reacting a compound of formula I where R1 is hydrogen with an aldehyde of formula
where R10, R13 and R14 are as hereinbefore defined. This reaction may be carried out in the presence of a base, preferably a non-nucleophilic base, for example a hindered amine such as 1, 8-diazabicyclo [5.4.0] undec-7-ene or 1,5-diazabicyclo [4.3.0] non-5-ene, preferably in an amount of 0.1 to 2 equivalents, especially 1 to 1.5 equivalents, or an alkali metal alkoxide such as the ten-butoxide of sodium or potassium. The reaction may be carried out at temperamres of -20 to 100°C, preferably 10 to 30°C. It is preferably effected in an organic solvent, for example a hydrocarbon such as benzene, toluene or xylene, a halohydrocarbon such as dichloroethane or methylene chloride or, preferably, an ether
such as diemyl ether, dioxan or, especially, tetrahydrofuran.
Compounds of formula I where R1 is a group of formula II in which R11 is hydroxy and R12 is hydrogen may also be prepared by reaction of a compound of formula I where R1 is hydrogen with a silylating agent to give a P(III) silyl compound and reacting the latter with an aldehyde of formula VI as hereinbefore defined. The silylating agent may be, for example, a dialkylhalosilane such as dimethylchlorosilane, trialkylhalosilane such as trimethylchlorosilane or triethylchlorosilane which is reacted with the compound of Formula I where R1 is hydrogen in the presence of tertiary base such as pyridine or triethylamine. Another type of silylating agent which can be used is a bis(trialkylsilyl) derivative of an amide, for example bis(trirnethylsilyl)acetamide or bis(trimethylsilyl)trifluoroacetamide). The reaction between the compound of formula I where R1 is hydrogen and the silane or the silyl amide may be carried out at temperatures ranging from -20°C to 150°C and can be effected with or without the use of a solvent such as diethylether, tetrahydrofuran, dioxan. dichloromethane or toluene. Alternatively, an excess of the silane can be used as diluent. The silylating agent may alternatively be hexamethyldisilazide, which may be reacted with the compound of Formula I where R1 is hydrogen in the absence of a solvent at 100-200°C. The reaction of the P(LII) silyl compound with the aldehyde of formula VI may be carried out under conditions conventional for substitution reactions on P(HT) species. It is preferably carried out by the Arbuzov method, e.g. at temperatures between ambient and elevated temperatures such as 160°C, followed by hydrolysis of the intermediate silyl species.
The reaction between the aldehyde of formula VI and the compound of formula I where R1 is hydrogen may be carried out under acid conditions, for example in the presence of a Lewis acid such as boron trifluoride or a titanium (IV) compound, for example a titanium tetrahalide such as TiCl4, a titanium dialkoxidedihalide such as Ti(OiPr)2Cl2 or, preferably, a titanium tetraalkoxide such as titanium tetra-isopropoxide.
Aldehydes of formula VI may be prepared by reaction of the conesponding 3'-iodo nucleoside with carbon monoxide and tris(trimethylsilyl)silane in the presence of a free radical initiator such as 2,2'-azobis(isobutyronitrile), by reduction of the corresponding 3'-cyano nucleoside with diisobutylaluminium hydride or otherwise as described in WO 92/20823 and Y.S. Sanghvi et al Tetrahedron Utters 35 (27) 4697-4700 (1994). Aldehydes of formula VI may also be prepared by treatment of the corresponding 3'-amino nucleoside with nitrite as described by S. Shuto et al, Nucleosides & Nucleotides, 1 (3), 263-272(1982), or by hydrolysis of the corresponding 3 -C-(4,5-dihydro-5-methyl-l,3f5-dithiazin-2-yl) nucleoside as described by Bamford et
al, J. Med. Chem. 1990, 33, 2494.
Compounds of formula I where R1 is a group of formula II in which R11 and R12 are hydrogen can be prepared from corresponding compounds in which R11 is hydroxy and R12 is hydrogen, prepared as hereinbefore described, by deoxygenation, which may be effected by conventional methods, for example by reaction with a suitably substituted reagent to allow free radical mediated cleavage, such as by reaction with a substituted or unsubstituted C6-C10 aryloxythiocarbonyl chloride such as p-tolylchlorothionoformate or pentafluorophenylchlorothionoformate to conven the hydroxy group R11 into a substituted or unsubstituted C6-C1() aryloxythiocarbonyloxy group, and then removing this group by reaction with a trialkylstannane such as tri-n-butylstannane, in the presence of a free radical initiator such as azobis(isobutyronitrile). Such deoxygenation can be carried out using conventional procedures. For example, reaction with the aryloxythiocarbonyl chloride may be carried out in an organic solvent, preferably a halohydrocarbon, an ether or an aromatic solvent, especially dichloromethane, in the presence of a tertiary amine such as triethylamine or dimethylaminopyridine. Removal of the aryloxythiocarbonyloxy group may be effected by heating with the initiator in a hydrocarbon solvent, preferably an aromatic solvent such as benzene, toluene or xylene, at 60 to 140°C, preferably 100-U0°C. Other standard methods for the deoxygenation of alcohols are described by Hartwig, Tetrahedron 39, 2609 (1983).
Compounds of formula I where R1 is a group of formula II in which R11 is halogen and R12 is hydrogen can be prepared from those in which R11 is hydroxy and R12 is hydrogen by nucleophilic displacement reactions using known procedures. For example, compounds of formula I where R1 is a group of formula II in which R11 is fluoro and R12 is hydrogen may be prepared by reacting a compound of formula I in which R11 is hydroxy and R12 is hydrogen with a dialkylaminofluorosulfurane or sulphur tetrafluoride. The dialkylaminofluorosulfurane is preferably a dialkylaminosulphurtrifluoride such as diethylaminosulphurtrifluoride (DAST) and is generally reacted in a non-protic solvent, preferably a halohydrocarbon, an aromatic hydrocarbon or tetrahydrofuran, especially a chlorine-containing solvent such as chloroform or dichloromethane. The reaction is preferably carried out at a temperature from -78° to 30°C. Suitable reaction procedures are described by M. Hudlicky, Organic Reactions 35,513 (1988). Suitable reaction procedures for the reaction with sulphur tetrafluoride are described by C.L.J. Wang, Organic Reactions, 34, 319 (1988).
Compounds of formula I where R1 is a group of formula π in which R11 is hydroxy and R12 is hydrogen may be etherified or esterified using conventional procedures to give
corresponding compounds where R11 is -OR22, -OCOR22 or -OSO2R22, where R22 is as hereinbefore defined. For example, they may be converted into corresponding compounds where R11 is -OSO2R22 by reacton with a sulphonyl chloride of formula R22SO2Cl in the presence of a tertiary base, preferably triethylamine, pyridine or, especially, dimethylaminopyridine. The reaction is generally carried out in an organic non-protic solvent, for example a hydrocarbon, a halohydrocarbon or a cyclic ether, preferably chloroform, tetrahydrofuran or, especially, dichloromethane, and at a temperature from -78°C to 50°C, preferably -20°C to 30°C, especially 0 to 25°C.
Compounds of formula I where R1 is a group of formula II in which R11 is -OSO2R22 and R12 is hydrogen, preferably those where R22 is methyl, rrifluoromethyl orp-tolyl, may be convened into compounds of formula I where R1 is a group of formula II in which R11 is fluoro and R12 is hydrogen by reaction with a metal fluoride or an ammonium fluoride, preferably an alkali metal fluoride or a quaternary ammonium fluoride such as a tetraalkylammonium fluoride, especially tetrabutylammonium fluoride. The reaction is generally carried out in an organic solvent, preferably a polar aprotic solvent such as a halohydrocarbon, dimethylformamide, dimethylsulphoxide, acetonitrile or an ether, especially tetrahydrofuran, and at a temperature from -30 to 100°C, preferably -20 to 50°C, especially 0 to 30°C.
Compounds of formula I where R1 is hydrogen may be prepared by deprotection of compounds of formula I where R1 is a protecting group Q to replace Q by a hydrogen atom. This deprotection may be carried out using known procedures. For example, where the protecting group Q is of formula HI, it may be effected by reaction with a trialkylsilyl halide such as trimethylsilyl chloride, trimethylsilyl bromide or trimethylsilyl iodide. The reaction may be carried out at a temperature of -30°C to 100°C, preferably 0 to 40°C, preferably under anhydrous conditions, in an organic solvent, for example a halohydrocarbon such as chloroform or trichloroethane, an ether such as tetrahydrofuran or an aromatic hydrocarbon such as benzene, toluene or xylene, or a mixture of two or more of such solvents. When a trialkylsilyl chloride is used, the reaction is carried out in the presence of an alcohol such as ethanol. When R2 in formula I is -OR15 a, this group may also be affected by the deprotection reaction: in general, use of a trialkylsilyl chloride gives a product in which R15 a is unchanged, while use of a trialkylsilyl iodide gives a product in which R15 a is replaced by hydrogen. When a trialkylsilyl bromide is used, a mixture of a compound in which R2 is -OH and a compound in which R2 is -OR15, is generally obtained.
Deprotection of compounds of formula I where R1 is Q, to replace Q by a hydrogen atom,
can also be effected by treatment with an acid, preferably under anhydrous conditions. It may be carried out with a mineral acid such as hydrochloric acid, in which case when R2 is -OR15, it is also converted to -OH, or with an organic acid such as acetic acid, in which case when R2 is -OR15, the product may be a compound in which R2 is -OR15,, a compound in which R2 is -OH or a mixture ύ ereof.
When R1 in formula I is Q which is a hydroxyalkyl group, hydrolysis to replace Q by a hydrogen atom can be effected by treatment with base, for example by treatment with aqueous ammonia at a temperature from ambient temperature to 100°C.
Compounds of formula I where R7 is hydrogen can be prepared by deoxygenation of a compound of formula
where R2 to R6, R8, and R9 are as hereinbefore defined and R1 is R1, or a group of formula π. Such deoxygenation may be effected by conventional methods, for example as hereinbefore described for the deoxygenation of compounds of formula I where R1 is a group of formula II in which R11 is hydroxy and R12 is hydrogen.
Compounds of formula VII where R1 is R1, as hereinbefore defined and R5 and R6 are each hydrogen can be prepared by reaction of an oxetane of formula
where R8, and R9 arc as hereinbefore defined, with an organometallic compound of formula
where R1,, R3 and R4 a are as hereinbefore defined, R28 is R2, or -OR15, as hereinbefore defined and M is lithium, ceriumdichloride or magnesium, in die presence of a Lewis acid, preferably a boron trifluoride complex. The reaction is usually carried out at low temperature, generally -120°C to 40°C, preferably -80 to -60°C, in an organic solvent, e.g. an ether such as tetrahydrofuran, a hydrocarbon such as hexane or a mixmre thereof, using 1 to 10 equivalents, preferably 4 to 7 equivalents, of the organometallic compound per equivalent of the oxetane. The organometallic compound of formula DC is preferably formed in situ by reaction of an organolimium, preferably an alkyllithium, a hindered lithium amide such as lithium dusopropylamide or an organomagnesium halide, preferably an alkylmagnesium halide, with a compound of formula
where R1,, R3, R4, and R28 arc as hereinbefore defined. A suitable procedure for reaction of an organometallic compound with a nucleoside oxetane is described in H. Tanaka et al, Tetrahedron Lett., 30,2567 (1989).
Compounds of formula VHI may be prepared by reaction of a compound of formula
where R8, and R9 as hereinbefore defined, widi methane sulphonyl chloride in pyridine, followed by treatment with aqueous sodium hydroxide, for example using the procedure of J.P. Horwitz et al, J. Org. Chem., 31,205 (1966).
Compounds of formula X can be obtained by reaction of a compound of formula
where R1, and R28 are as hereinbefore defined, with a compound of formula
Compounds of formula XII where R1, is R and R28 is R2,, where R^ and R2, are as hereinbefore defined, are phosphine oxides which are either commercially available or may be prepared by conventional methods. Compounds of formula XII where R1, is a protecting group Q and R28 is R2, as hereinbefore defined are phosphine oxides which can be prepared by reacting a protected phosphinate ester of formula
where R29 is Cj-C alkyl and Q is as hereinbefore defined, with an organomagnesium halide of formula R28MgX or an organolithium of formula R^Li, where R28 is as hereinbefore defined, using the process described in EPO 501 702.
Compounds of formula XII where R1, is a protecting group Q and R28 is -OR15, where R15, is as hereinbefore defined are protected phosphinate esters which can be prepared by
known methods, for example as described in EP 0009348, Aust. J. Chem. 33, 212 (1980) or US 4933 478.
The leaving atom or group Y in formula XLTI may be, for example, a halogen atom or a residue of an organic or inorganic acid after removal of an acidic hydrogen atom therefrom, such as an organic sulphonate group, e.g. a p-toluenesulphonate or trifluoromethanesulphonate group, or a sulphate anion. Preferably Y is a halogen atom or an arylsulphonate group, especially a chlorine, bromine or iodine atom or a p-toluenesulphonate group. Thus compounds of formula XLTJ are known or may be prepared by known methods.
The reaction between the compound of formula XII and the compound of formula XHT may be carried out under conventional conditions for substitution reactions at a P-H bond, for example using a base such as a tertiary amine, an alkali metal, usually sodium, an organometal of an alkali metal or magnesium, usually an alkyllithium, an alkali metal hydride, usually sodium hydride, or an alkali metal amide such as Li N-fCHfO^^- The reaction may be carried out in an organic solvent, usually an ether such as diethyl ether or tetrahydrofuran, a hydrocarbon such as hexane or toluene or mixtures thereof, and at a temperature from -100°C to 100°C, usually from -80°C to 40°C.
Compounds of formula XI where R8, is hydrogen or hydroxy are readily available nucleosides. Compounds of formula XI where R8, is other than hydrogen or hydroxy can be prepared by halogenation, etherification, esterification or silylation reactions of compounds where R8 a is hydroxy, and the other reactive functionalities are suitably protected, using known methods.
Compounds of formula VII where R1 is R1,, R5 is hydrogen and R6 is R19, where R1, and R19 arc as hereinbefore defined, may be prepared by deoxygenation of a compound of formula
where R1,, R2, R3, R4„ R8,, R9 and R19 are as hereinbefore defined and R30 is an optionally substituted acyl, aracyl, alkylsulphonyl or arylsulphonyl group, followed by
hydrolysis of the R-^O- group. The deoxygenation may be effected using deoxygenation procedures hereinbefore described. The hydrolysis of the R30O- group may be effected using conventional basic ester hydrolysis procedures.
In formula XV, R30 is preferably acetyl, benzoyl, methanesulphonyl, trifluoromethanesulphonyl or p-toluenesulphonyl.
Compounds of formula XV can be obtained by reaction of a compound of formula DC with a compound of formula
where R8„ R9, R19 and R30 are as hereinbefore defined, optionally in the presence of a Lewis acid such as a boron trifluoride complex, for example under the conditions hereinbefore described for the reaction of compounds of formulae DC and X.
Compounds of formula XVI may be prepared by reaction of an aldehyde of formula
where R8,, R9 and R30 are as hereinbefore defined, with an organometallic compound of formula R19Li or R19Mg X where R19 is as hereinbefore defined and X is halogen, usually chlorine or bromine, generally in an organic solvent, for example an ether such as tetrahydrofuran or diethyl ether, and at a temperature of -120 to 0°C, usually -100 to -60°C, followed by oxidation, for example a Swern oxidation, of the resulting alcohol.
Aldehydes of formula XVII can be obtained by oxidation of the corresponding 5'-hydroxymethyl compounds using known methods, for example by treatment with a haloacetic acid, dimethyl sulphoxide and dicyclohexylcarbodiimide using the procedure of Jones and Moffat, J. Amer. Chem. See. 90,5337 (1968) or Ranganatham et al, J. Org.
Chem. 39,290 0974). The 5'-hydroxymethyl compounds are readily available nucleosides, or substituted derivatives thereof.
Compounds of formula VII where R1 is R1,, and R4 and R6 together denote a valence bond, i.e. compounds where die carbon atoms linking the phosphorus atom to the furanose ring in formula I are linked by an ethylenic double bond, can be prepared by esterifying compounds of formula XV where R4, is hydrogen to conven the indicated hydroxyl group into an aliphatic or aromatic sulphonyl ester group, for example by reaction with methanesulphonyl chloride or p-toluenesulphonyl chloride in the presence of a tertiary base such as triethylamine, and heating the resulting sulphonyl ester in the presence of a strong base, for example an alkali metal alkoxide such as sodium methoxide or a non-nucleophilic base such as 1,8-diazabicyclo [5.4.0] undec-7-ene or 1,5-diazabicyclo [4.3.0] non-5-ene, to effect dehydration to the desired unsaturated compound, followed by hydrolysis of the R30O- ester group.
Compounds of formula VII where R1 is R1,, R5 is -OR18 and R6 is R19 may be prepared by etherification of the hydroxyl group in compounds of formula XV by reaction with a halide of formula R18X where R18 is as hereinbefore defined and X is halogen, usually bromine or iodine, followed by hydrolysis of die R30O- ester group. The etherification reaction is generally carried out in d e presence of a base e.g. sodium hydride or a hindered amine such as 1,8-diazobicyclo [5.4.0] undec-7-ene in an organic solvent, usually a hydrocarbon such as benzene or toluene.
A similar procedure of etherification followed by hydrolysis may be used to convert compounds of formula
where R1,, R2, R3, R4,, R8,, R9 and R30 are as hereinbefore defined, into compounds of formula VII where R5 is -OR18 and R6 is hydrogen.
Compounds of formula VII where R1 is R1,, R5 is halogen and R6 is hydrogen or R19 can be obtained by a nucleophilic displacement reaction of a compound of formula XVHT or
XV respectively, for example wid diediylamino sulphur trifluoride in an organic solvent such as methylene chloride at a temperature of -100 to -30°C, optionally in die presence of pyridine, followed by hydrolysis of the R^O- ester group.
Compounds of formula XVHI can be prepared by reacting an aldehyde of formula XVLT widi a compound of formula DC. The reaction is generally carried out at a temperature of -100 to 0°C, preferably -70 to -80°C, in an organic solvent such as tetrahs drofuran, diethyl ether, ten-butyl methyl ether or toluene, optionally in the presence of a Lewis acid such as a boron trifluoride complex.
Compounds of formula I in which R7 is azido may be prepared by reacting a compound of formula VII with hydrazoic acid in the presence of a tertiary phosphine. preferably a triaryl phosphine such as triphenyl phosphine, and a dialkylazodicarboxylate such as diediylazodicarboxylate or diisopropylazodicarboxylate. The reaction is generally carried out using 1 to 3 mol, preferably 1 to 1.5 mol, of hydrazoic acid per mol of compound of formula VII, in an aptotic solvent such as a hydrocarbon, halohydrocarbon or ether, preferably a mixture of toluene and tetrahydrofuran. The reaction is generally effected at a temperature from -50 to 50°C, preferably -20 to 30°C, especially 15 to 30°C. When, as in preferred embodiments, me compound of formula VII is of formula
where R1 to R6, R8, and R9 are as defined for formula VII, the sterochemical orientation of the indicated hydroxy group is inverted. The reaction may be carried out using known procedures - see Mitsunobu, Synthesis 1981, 1.
Compounds of formula I in which R7 is azido can also be prepared by reacting a compound of formula
where R1 to R6, R8 a and R9 are as hereinbefore defined for formula I and R31 is an optionally substituted Cj to C4 alkyl or C6 to C10 aryl group, preferably a methyl, trifluoromethyl or p-tolyl group, with an inorganic azide, preferably an alkali metal azide, especially sodium azide or lidiium azide. The reaction is generally carried out in an organic solvent, preferably an aprotic polar solvent such as acetonitrile, dimethyl sulphoxide or, especially, dimetfiyl formamide, at a temperature from 40 to 200°C, preferably 40 to 120°C. Preferably, 1 to 10 mol of the inorganic azide is used per mol of compound of formula XX.
Compounds of formula XX can be prepared by reacting a compound of formula VII with a sulphonyl halide of formula R31SO2X where X is halogen, usually chlorine, in the presence of a tertiary base such as triethylamine, pyridine or, preferably, dimethylaminopyridine. The reaction may be carried out using conventional procedures for the preparation of sulphonyl esters. It is generally carried out in an organic aprotic solvent such as a hydrocarbon, halohydrocarbon or edier, preferably dichloromemane or chloroform, at a temperature from -78°C to 50°, preferably -20 to 30°C, especially 0 to 30°C.
Compounds of formula I in which R7 is fluoro may be prepared by rcacting a compound of formula VII with a dialkylaminosulfurane or sulphur tetrafluoride. The dialkylaminosulphurane and die reaction procedures may be as hereinbefore described for the corresponding preparation of compounds of formula I in which R11 is fluoro and R12 is hydrogen. Compounds of formula I in which R7 is fluoro may alternatively be prepared by reacting a compound of formula XX with a metal fluoride or an ammonium fluoride, preferably an alkali metal fluoride or a quaternary ammonium fluoride such as a tetralkylammonium fluoride, especially tetrabutylammonium fluoride. This reaction may be carried using die procedure hereinbefore described for d e corresponding preparation of compounds of formula I where Rπ is fluoro and R12 is hydrogen.
Compounds of formula I in which R7 and R8 together denote a valence bond, i.e. compounds of formula
where R1 to R6 and R9 are as hereinbefore defined for formula I, may be prepared by dehydrating a compound of formula VII or by eliminating die R31SO2O- group from a compound of formula XX.
Dehydration of the compound of formula VII may be carried out using known methods for die dehydration of alcohols. For example, it may be effected by treating d e compound widi an acid, preferably an organic acid, especially an aliphatic or aromatic carboxylic acid, generally in an aprotic organic solvent such as a hydrocarbon, halohydrocarbon or ether, preferably toluene, dichloromethane or tetrahydrofuran, preferably at a temperature from -50 to 50°C, especially 15 to 30°C, in me presence of dialkylazodicarboxylate such as diediylazodicarboxylate or diisopropylazodicarboxylate and, preferably, a tertiary phosphine, especially a triarylphosphine such as triphenylphosphine.
Elimination of the R31SO2O- group from a compound of formula XX can be carried out using known methods for the elimination of such leaving groups. Generally it is carried out by treating d e compound widi a base, preferably an alkali metal alkoxide such as sodium methoxide or potassium ten-butoxide. in a polar aprotic organic solvent such as dime ylformamide or dimethyl sulphoxide. The reaction is generally effected at -70 to 100°C, more usually at -20 - 50°C.
Compounds of formula I in which R7 and R8 together denote a valence bond can also be prepared by reductive elimination of a compound of formula
where R2 to R6 and R9 are as hereinbefore defined for formula I and R1 is R1, or a group of formula II.
The reductive elimination may be carried out using known procedures, for example using a zinc/copper couple - see M. J. Robins et al, Tetrahedron Lett. 25,367 (1984).
Compounds of formula XXLI and XHa can be prepared by subjecting a compound of formula
where R1 to R6 and R9 are as defined for formula XXLI to a Mattocks reaction (J. Chem. Soc. 1964, 1918) with α-acetoxyisobutyryl bromide or to a variant diereof using acetyl bromide (Marumoto and Honjo, Chem. Pharm. Bull. 22,128 (1974), or by reacting die compound of formula XXII widi tetraacetoxysilane and phosphorus tribromide in the presence of boron trifluoride edierate using, for example, the procedure of Kondo et al, J. Org. Chem. 42, 3967 0977), to give either a compound of formula XXII or a compound of formula XXLIa, or a mixutre thereof.
which itself can be prepared by me process described in Carbohyd. Res. 24, 1940972). In this process, die diacetonide is reacted with acetic anhydride and the product reacted widi 80% acetic acid at ambient temperature to give a monoacetonide of formula
which is then reacted wid methanesulphonyl chloride in the presence of a base to esterify me hydroxyl groups. The product is reacted widi sodium iodide in methyl etiiyl ketone at 70-90°C to eliminate the memanesulphonyloxy groups and me resulting olefinic compound is hydrolysed by treatment widi potassium carbonate in aqueous methanol at ambient temperature to give an olefinic acetonide of formula
The acetonide of formula XXVI is reacted widi a compound of formula XII, in die presence of a free radical initiator in an aromatic hydrocarbon solvent such as toluene, at 70-90°C to give a compound of formula
The acetonide group in formula XXVII is hydrolysed by treatment with an acidic ion exchange resin in dimethoxyethane and the resulting compound estenfied by reaction with acetic anhydride in pyridine to give a compound of formula
This compound is reacted with a base of formula R9^ where R9 is as hereinbefore defined, under conventional glycosylation conditions to replace die 2'-acetoxy group by R9 and the product is hydrolysed by treatment with potassium carbonate in medianol to give a compound of formula XXIJJ where R1 is R1,. Compounds of formula XXHI where R1 is a group of formula II can be obtained by hydrolysing a compound of formula XXITJ where R1 is Q as hereinbefore defined to replace Q by hydrogen as hereinbefore described and reacting the product with an aldehyde of formula VI as hereinbefore described.
Compounds of formula I in which R7 and R8 togeώer denote a valence bond can also be prepared by reaction of a cyclic tiύonocarbonate of formula
where R1 to R6 and R9 are as hereinbefore defined for formula I (which can be prepared by esterification of the glycol of formula XXTJI with 1 , 1 l - thiocarbonyldiimidazole - see C. H. Kim et al, J. Med-Chem. 1987, 30,862.), widi a phosphite ester or a diazaphospholidine (Corey- Winter reaction - see Corey and Winter, J. Am. Chem. Soc. 1963, 85, 2677 and Corey et al, Tetrahedron Lett. 1982, 23, 1979).
A further method for the preparation of compounds of formula I in which R7 and R8 together denote a valence bond is an Eastwood olefination procedure, in which a cyclic orthoformate ester of a glycol of formula XXLLT is heated in the presence of an acid
catalyst - see Crank and Eastwood, Aust. J. Chem. 17, 1392 (1964), Ando et al, Chem. Lett. 1986, 879 and Mizutani et al, 13th Heterocyclic Congress, August 11-16, 1991.
A yet further method for me preparation of compounds of formula I in which R7 and R8 together denote a valence bond is a Barton deoxygenation reaction, in which a bisxanthate derived from a glycol of formula XXIII is treated with tributyltinhydride or an alkyl silane (containing a Si-H bond) - see C.K. Chu et al, J. Org Chem. 1989, 54, 2217 and D.H.R. Barton et al, Tetrahedron lett., 1991, 32, 2569.
Compounds of formula I in which R7 and R8 each denote hydrogen may be prepared by hydrogenating a compound of formula I in which R7 and R8 together denote a valence bond. The hydrogenation may be carried out using conventional procedures, for example by catalytic hydrogenation using a transition metal or compound or complex thereof as catalyst, or by reaction with an alkali metal in an alcohol, ammonia or an amine. It is conveniently effected using a palladium -carbon catalyst in an alcohol or ethyl acetate as solvent under a pressure of 0.1 to 10 atmospheres of hydrogen.
Compounds of formula I in which R7 and R8 are each hydrogen can also be prepared by photosensitised deoxygenation of a compound of formula
where R1 is R1, or a group of formula π, R2 to R6 and R9 are as defined for formula I and Ar is an optionally substituted C6 to C10 aryl group, such as phenyl, p-tolyl, p-chlorophenyl or, preferably, m-(trifluoromethyl)phenyl. The deoxygenation may be effected by irradiation with a high pressure mercury lamp of the compound in alcohol- water mixtures in the presence of N-metiiylcarbazole as photosensitiser. Suitable procedures are described by Saito et al, J. Am. Chem. Soc, 108, 3115 (1986).
Compounds of formula XXX can be obtained by esterification of a glycol of formula XXHl widi an acid of formula Ar COOH or an anhydride or acid halide mereof, using conventional esterification procedures.
Compounds of formula I in which R7 is chloro, bromo or iodo can be prepared by reacting a compound of formula XX widi an inorganic chloride, bromide or iodide respectively, preferably a chloride, bromide or iodide of an alkali metal. Compounds of formula I where R7 is mercapto, amino, cyano, iocyanate or isothiocyanate can be prepared by reacting a compound of formula XX with a hydrosulphide, amide, cyanide, thiocyanate or isothiocyanate respectively of an alkali metal. Compounds of formula I where R7 is hydroxylamino may be obtained by reacting a compound of formula XX with a hydroxylamine in which the hydroxyl group is protected, e.g. by a tert-butyldiphenylsilyl group, followed by removal of the protecting group. These reactions of compounds of formula XX with inorganic salts and other nucleophiles may be carried out using conventional procedures for displacement of R31SO2O- leaving groups from nucleosides.
Compounds of formula I in which R7 is an unsubstituted or substituted hydrocarbyl group R7, can be prepared by reaction of a compound of formula XX with an organomagnesium halide of formula R7 aMgX or an organoli ium of formula R7 aLi where R7, is as hereinbefore defined and X is halogen. Such a reaction may be carried out using known procedures for reaction of such organometallic compounds with compounds having leaving groups. Compounds of formula I in which R7 as R7, is Cj to C10 alkenyl, especially allyl, can also be obtained by reacting a 3'-O- aryloxythiocarbonyl derivative of a compound of formula VTJ with a Cι-C10 alkenyl-substituted trialkylstannane, particularly allyl-tri-n-butylstannane, in the presence of a free radical initiator such as azobisisobutyronitrile. Compounds of formula I in which R7 as R7 a is substituted C to Cι0 altyl can *50 *>e obtained by reacting a 3'-O-aryloxythiocarbonyl derivative of a compound of formula VTJ with a vinyl compound such as acrylonitrile. For suitable procedures for carrying out tiiese reactions of the 3'-O-aryloxythiocarbonyl derivatives, see J. Fiandor et al, Nucleosides Nucleotides, 8, 1107 0989).
Compounds of formula I in which R7 is a group R7 a can also be prepared by rcacting an epoxide of formula
XXXI
where R1 is R1, or a group of formula II and R2 to R6 and R9 are as hereinbefore defined wid an organomagnesium halide of formula R7,MgX or an organolithium of formula R7,Li where R7, is as hereinbefore defined and X is halogen. Alkenyl groups attached to the furanose ring by this method can be reacted further to produce substituted alkyl groups. For suitable procedures for die reaction of epoxides of formula XXXI and subsequent modifications, see M. Ashwell et al, Nucleic Acids Res 15, 2157 (1987) and A. Mete et al, Tetrahedron Lett 26, 97 0985).
Compounds of formula XXXI can be prepared by epoxidation of compounds of formula XXI using conventional epoxidation procedures or by treatment of die 2',3\- dimethanesulphonyl ester of the compound of formula XXLII with aqueous base following d e procedure of J. F. Codington et al, J. Org. Chem. 27, 163 (1962).
Compounds of formula I in which R1 is a group of formula LI in which R10 is hydrogen may be prepared by hydrolysing a compound of formula I in which R10 is R21, -COR21 or
hydrocarbyl)silyl. This hydrolysis may be carried out using known procedures for the hydrolysis of ether, ester or silyl ether groups.
Compounds of formula I in which R1 is a group of formula II and R2 is hydroxy can be prepared by hydrolysing a compound of formula I in which R1 is a group of formula II and R2 is -OR15, to replace R15, by hydrogen. Such hydrolysis can be carried out using known procedures for me hydrolysis of phosphinate esters to give phosphinic acids.
Compounds of me invention containing salt-forming groups may be in die form of pharmaceutically acceptable, i.e. physiologically tolerable, salts. For example, a compound of formula I in which R2 is hydroxy, which is a phosphinic acid, may in die form of a pharmaceutically acceptable salt with a base. Such salts include alkali metal salts such as sodium or potassium salts, alkaline earth metal salts such as magnesium or calcium salts, or ammonium salts with ammonia or organic amines, preferably tertiary monoamines and heterocyclic bases such as triethylamine, tri(2-hydroxyethyl)amine, N-ediylpiperidine or
Since all of the compounds of formula I contain a basic group R9, they may be in the form of acid addition salts with organic or inorganic acids. Acids which form suitable salts include hydrohalic acids, for example hydrochloric and hydrobromic acid, sulphuric acid, phosphoric acid, nitric acid or perchloric acid, or aliphatic, alicyclic, aromatic or heterocyclic carboxylic or sulphonic acids, such as formic, acetic, propionic, succinic, glycolic, lactic, malic, taπaric, citric, fumaric, maleic, hydroxymaleic, oxalic, pyruvic,
phenylacetic, benzoic, p-aminobenzoic, andiranilic, p-hydroxybenzoic, salicyclic, p-aminosalicyclic acid, embonic acid, methanesulphonic, eihanesulphonic, hydroxyethanesulphonic, ediylenedisulphonic, halobenzenesulphonic, toluenesulphonic, naphthalenesulphonic and sulphanilic acids, methionine, tryptophan, lysine, arginine and ascorbic acid.
Salts of the invention may be prepared by conventional salt-forming procedures.
When mixtures of diastereomers of compounds of formula I or intermediates are obtained, diese can be separated by known methods, for example by fractional distillation, crystallisation or chromatography.
The invention also relates to the use of compounds of formula I, and dieir pharmaceutically acceptable salts, as pharmaceuticals, particularly as anti-viral agents. Accordingly, the present invention also provides a pharmaceutical composition comprising as active ingredient a compound of formula I or a pharmaceutically acceptable salt thereof. The composition may contain a pharmaceutically acceptable carrier such as one conventionally used in pharmaceutical compositions. The composition may be formulated for enteral or parenteral administration.
Pharmaceutical compositions according to die invention intended for enteral and parenteral administration may be, for example, pharmaceutical compositions in dose unit form, such as dragέes, tablets, capsules or suppositories, and also ampoules for injection. They may be manufactured using known mediods, for example by means of conventional mixing, granulating, confectioning, dissolving or lyophilisaύng processes. For example, pharmaceutical compositions for oral administration can be obtained by combining d e active ingredient wid solid carriers, if desired granulating d e resulting mixture and processing me mixture or granulate obtained, if desired or necessary after addition of suitable adjuncts, into tablets, tablet cores, dragees or capsules.
The pharmaceutical compositions of d e invention can be used in die treatment of viruses such as influenza, herpes viruses including Herpes I and II, Herpes CMV, Herpes ERV and Herpes Zoster, and HIV. They are preferably administered orally, by inhalation, intraveneously, subcutaneously or intramuscularly, but otiier methods of administration such as transdermal, topical or intra-lesional methods, and by inclusion in suppositories, can also be useful. Optimum dosages and treatment schedules for individual patients can readily be determined by those skilled in die an.
The invention is illustrated by the following Examples.
Compound A used in d e Examples is prepared as follows:
Compound A
To a solution of ethyl methyl(l,l-died oxyedιyl)phosphinate (59.5g, 0.26mole) in tetrahydrofuran (THF) (500ml) at -78°C under an atmosphere of argon is added nBuLi (170ml, 1.6 molar solution in hexanes) slowly over 20 minutes. The resulting solution is stirred at -78°C for 90 minutes. Boron trifluoride edierate (39g, 0.27mole) is then added over 5 minutes followed after a further 5 minutes by me dropwise addition of a solution of l-(3,5-anhydrcr-β-D-t reo-pentofuranosyl)dιymine (12g, 53mmole) in THF (500ml) over one hour. The resulting solution is stirred for one hour at -78°C before the addition of NaHCO3 (saturated) solution (30ml) plus NaHCO3 (lOg). The resulting mixture is allowed to warm to room temperature over a few hours and tiien concentrated in vacuo. Addition of dichloromethane (400 ml) and filtration gives a clear yellow oil after concentration. Purification by vacuum flash silica column chromatography gradient elution (chloroform -chloroform/ethanol 15:1) gives Compound A as a hygroscopic white solid, mp 24-51°C.
Found C 49.7%, H 7.4%, N 6.0%, P 6.7%; required for C19H33N2O8P.iH2O, C 49.9%, H 7.5%, N 6.1%, P 6.75%.
NMR characterisation as a mixture of 2 diastereoisomers: 31P nmr !H decoupled (CDC13, 36.4 MHz)δ 50.7, 50.5 ppm.
Compound G used in die Examples is prepared as follows:
To a solution of Compound A (6.08g, 13.6mmol) in dry pyridine (50ml) is added benzoyl
chloride 0-89ml, 16.3mmol). After standing at room temperature under argon for 48 hours, concentration gives a yellow oil. Dissolution in dichloromethane (200ml), washing widi 0.5N HCl (2 x 50ml) and saturated NaHCC^ (2 x 50ml) and drying over Na2SO4 gives a yellow foam which is purified by repeated flash silica column chromatography to give Compound B as a white solid.
Compound B
31P nmr !H decoupled (CDC13, 162MHz) δ 48.3 and 48.2 ppm.
m/z (CI NH3) 553.3 (MH+), 507.3 (M-OEt)
Trimediylsilylchloride 0-6ml, Dmmole) is added to a stirred solution of Compound B (700mg, 1.3mmole) in chloroform (10ml) containing ethanol (0.2ml) under argon. The resulting solution is stood at room temperature for 20 hours and is dien concentrated under vacuum. Purification by flash silica column chromatography (eluant: chloroform /e anol 20:1) gives Compound C as a white foam isolated as a mixture of 2 diastereoisomers.
Compound C
Found C 52.4, H 5.4, N 6.2, P 6.3%
C2oH25 2θ7P.iCHα3 requires C 52.15, H 5.45, N 6.0, P 6.65%.
m/z (CI NH3) 454(MNH4)+ 437(MH+)
To a solution of Compound C (393mg, 0.9mmole) and an aldehyde of Formula VI where R10 is ten-butyldiphenylsilyl, R13 is hydrogen and R14 is 1-dιyminyl (433mg, 0.88mmole) in dry THF (10ml) under an atmosphere of argon is added diazabicyclo [5.4.0]undec-7-ene (0.13ml, 0.88mmole) at 0-5°C. The resulting mixture is stirred at room temperature for 2 hours and concentrated. Passage through a 2cm thick frit of silica with a 5:1 mixture of chloroform and ethanol (400ml) gives, after concentration, an off-white solid. Further purification by flash silica column chromatography (gradient elution, chloroform: edianol 25:1-13:1) gives Compound D as a white solid, isolated as a mixture of four diastereoisomers.
Compound D where Ph is phenyl and T is 1-dιyminyl.
Found C 58.7, H 5.7, N 5.6, P 3.0%
C47H57N4O12PSi.iCHCl3 requires C 58.7, H 5.95, N 5.8, P 3.2%.
31P nmr *H decoupled (CDC13, 162MHz) δ 53.9, 53.8, 53.6 and 53.1 ppm. m/z (FAB+) 929 (MH+), 803 (M-T).
To a solution of Compound D (0.50g, 0.54mmol) and dimethylaminopyridine (65mg, 0.53mmol) in dry dichloromethane (15ml) is added triediylamine (97μl, 0.70mmol) under argon. The resulting solution is cooled to 0-5°C and p-tolylchlorothionoformate (H7μJ, 0.76mmol) is added dropwise over 5 minutes. After standing at room temperature for 18 hours, die reaction mixture is diluted (50ml CH2C12) and washed with 0. IN NaH2PO (2 x 25ml). Drying
(MgSO4), concentration and purification by flash silica column chromatography (eluant: chloroform-edianol, 25:1) gives Compound E as a white solid isolated as a mixture of 4 diastereoisomers.
Compound E where Ph is phenyl and T is 1-thyminyl.
Found C 58.4, H 5.7, N 4.8, P 2.5%
C55H63N4O13PSSi.3H:O requires C 58.3, H 6.15, N 4.95, P 2.75%.
31P nmr. 1H decoupled (CDC13, 162MHz) δ 47.7, 47.4, 46.7 ppm.
To a solution of Compound E (365mg, 0.34mmol) and tributyltinhydride (109μl, 0.41mmol) in degassed toluene (3ml) under argon at 100°C is added azobisisobutyronitrile (ALBN) (3mg). After 3 hours at 100°C, concentration gives an off white foam which is purified by flash silica column chromatography (gradient elution, chlorofoπn:edιanol 30:1-25:1) to give Compound F as a mixture of 2 diastereoisomers.
Compound F
where Ph is phenyl and T is 1-thyminyl.
Found C 60.0, H 6.3, N 5.9%
C47H57N4O11PSi.iCHCi3 requires C 60.2, H 6.1, N 5.95%.
31P nmr 1H decoupled (CDC13 162MHz) δ 54.3, 53.6 ppm. m/z (FAB+) 913 (MH+), 787 (M-T).
To a solution of Compound F OOOmg, O.llmmole) in dry medianol (2ml) under argon is added sodium (5mg). After stirring for 1 hour at room temperature acetic acid (35μl) is added. Concentration gives a white solid which is purified by flash silica column chromatography (eluant chloroform:erhanol, 15:1) to give Compound G as a white solid isolated as a mixture of 2 diastereoisomers.
31P nmr 1H decoupled (CDC13, 162MHz) δ 56.1, 55.6 ppm. m z (FAB+) 809 (MH+) 683 (M-T).
Compound H used in die Examples is the compound prepared in Example 21 of EP 0629 633.
Compound J used in die Examples is prepared as follows: To a solution of die compound prepared in Example 25 of EP 0629 633 (0.75g, 0.85mmol) in medianol (6ml) sodium med oxide solution in medianol (25% by weight, 0.55ml, 3.4mmol) is added dropwise. The solution is stirred for 1.5 hours and a sulphonic acidic ion exchange resin is added. The resin is tiien filtered off and die solution evaporated. The crude product is subjected to chromatography on silica gel, during with a gradient of ethyl acetate/edianol. Compound I, a mixture of two diastereoisomers, is obtained as a white solid.
31P NMR (162 MHz, CDC13) δ 52.2, 52.4ppm; m/z 0;AB+) 779 (MH+).
To a solution of Compound I (200mg. 0.26mmol) in dichloromethane (2ml) at 0°C, triediylamine (54μl, 0.39mmol) is added. Medianesulphonyl chloride (22μl, 0.28mmol) is men added dropwise over seven minutes. After 2 hours at 0°C, additional medianesulphonyl chloride is added (3μl, 0.04mmol). After an additional 2.25 hours at 0°C die reaction mixture is evaporated direcdy onto silica gel and subjected to chromatographic purification. Compound J, a mixture of two diastereoisomers, eluted using a gradient of medianol in chloroform, is obtained as a viscous oil.
where Ph is phenyl and T is 1-dιyminyl.
31P NMR (162MHz, CDC13) δ 46.7 ppm; M Z (FAB+) 857 (MH+).
Example 1
This example describes the preparation of die compound of formula
Compound 1
To a stirred solution of Compound A OOg, 22mmol) and triphenylphosphme (7.0g, 27mmol) in tetrahydrofuran (THF) (200ml) at room temperature under an argon atmosphere is added hydrazoic acid 06.7ml, 1.6 molar solution in toluene), followed immediately by d e dropwise addition of diediylazodicarboxylate (4.24ml, 27mmol) over
2 minutes. After stirring for 1 hour, concentration gives a yellow oil, which is purified by vacuum flash silica column chromatography (gradient elution: chloroform - chloroform/edianol 25:1) to yield Compound 1 as a white meringue, isolated as a mixture of 2 diastereoisomers at phosphorus.
Found C45.8, H6.6, N13.5, P5.9%;
Ci9H32N5O7P.iCHC EtOH requires C 46.1, H 6.6, N 13.6, P 6.0%
31P nmr !H decoupled (CDC13, 162MHz) δ 48.6, 48.4 ppm.
Example 2
This example describes the preparation of compounds of formulae
Compound 2 Compound 3
where T is 1-dιyminyl.
To a stirred cooled solution of Compound 1 (7.43g, 15.7mmol) in chloroform/ethanol (200ml, 20:1) under argon is added trimethylsilyl chloride (19ml, 0.15mole). The resulting solution is allowed to stand at room temperature for 3 days. Concentration and coevaporation (3 x 100ml dichloromethane) gives an off-white foam which is purified by vacuum flash silica column chromatography (gradient elution: chloroform -ethanol 50:1 - 20:1) to give Compound 2 as a hygroscopic foam. Further elution with edianol gives Compound 3.
Compound 2: Found C 43.8, H 5.9, N 18.6%; Ci3H2θN5θ5P.τ EtOH requires C 44.05, H 5.95, N 18.8%.
31P nmr !H decoupled (CDC13, 162MHz) δ 37.1, 36.9 ppm.
Compound 3: 31P nmr 1H decoupled (CD3OD, 162MHz) δ 27.0 ppm.
Example 3
This Example describes die preparation of the compound of formula
where Ph is phenyl and T is 1-tiιyminyl.
To a solution of Compound 2 (1.0g, 2.8mmol) and an aldehyde of Formula VI where R10 is ten-butyldiphenylsilyl, R13 is hydrogen and R14 is 1-dιyminyl 0-35g, 2.75mmole) in dry THF (20ml) under an atmosphere of argon is added dropwise widi cooling diazabicyclo[5.4.0]undec-7-ene (0.41ml, 2.74mmole). The resulting mixture is stirred at room temperature for 3 hours and concentrated. Passage through a 2cm thick frit of silica with chloroform-edianol 5:1 (500ml) gives, after concentration, an off-white solid. Purification by flash silica column chromatography (gradient elution: chloroform-edianol 25:1-13:1) gives Compound 4 as a white solid, isolated as a mixture of 4 diastereoisomers. Found C 55.6, H6.4, Nl 1.0, P 3.8%: C4oH52Nr010PSi. H20 requires C 55.35, H 6.25, N 11.30, P 3.55%.
31P nmr !H decoupled (CDC13, 162MHz) δ 54.3, 53.5, 532, 52.6 ppm.
m z 0:AB+) 872 (MNa+), 850 (MH+).
Example 4
This Example describes die preparation of die compound of formula
Compound 5
where Ph is phenyl and T is 1-dιyminyl.
To a solution of Compound 4 (2.0g, 2.4mmole) and dimethylaminopyridine (0.29g, 2.4mmole) in dry dichloromethane (50ml) under argon is added triediylamine (0.43ml, 3.1 mmole). The resulting solution is cooled to 0-5°C (ice badi) and p-tolylchlorothionoformate (0.52ml, 3.3mmol) is added dropwise using a micro syringe over 5 minutes. After 18 hours, die reaction mixture is diluted (250ml CH2C-2) and washed with O.IN NaH2PO4 (2 x 100ml) and water (2 x 100ml). Drying over magnesium sulphate, concentration and purification by flash silica column chromatography (eluant 33:1 chloroform-edianol) gives Compound 5 as a white solid.
Found C 55.9, H 5.8, N 9.0, P 3.1%
2H20 requires C 55.65, H 6.05, N 9.45, P 3.0% 31P nmr !H decoupled (162MHz) δ 48.2, 47.6, 47.4, 47.1 ppm. m/z (FAB+) 1001 (MH+) 874 (M-T).
Example 5
This Example describes the preparation of die compound of formula
Compound 6
where Ph is phenyl and T is 1-dιyminyl.
To a solution of Compound 4 (0.5g, 0.59mmole) in anhydrous chloroform under an argon atmosphere at 0°C is added diemylaminosulphurtrifluoride (170μl, 1.3mmole). After stirring for 30 minutes at 0°C, triediylamine is added (170μl, 1.2mmol) and die resulting mixture is then washed widi aqueous NaHCO3 solution, dried over MgSO4 and concentrated. Purification by flash silica column chromatography (eluant chloroform-ethanol 30:1) gives Compound 6 as a mixture of 4 diastereoisomers.
31P nmr !H decoupled (CDC13, 162MHz) δ 47.8 (d, JP.F 67Hz), 47.6 (d, JP.F 56Hz), 47.2 (d, JP.F 64Hz) 47.15 (d P.F 57Hz) ppm.
m/z (FA +) 874 (MNa+), 852 (MH+), 726 (M-T).
Example 6
This example describes die preparation of die compound of formula
Compound 7 where T is 1-thyminyl.
To a solution of Compound 6 (145mg, 0.17mmole) in dry THF (2.5ml) containing acetic acid (9.8μl, 0.17mmole) is added tetra-n-butylammonium fluoride as a solution in THF (0.17ml, 1 molar) at room temperature. After 2 hours, the reaction mixture is concentrated and purified by flash silica column chromatography (gradient elution, chloroform: edianol 20:1 - 13:1) to give Compound 7 as a white solid.
31P nmr ]H decoupled (CD3OD, 162MHz) δ 50.5 (d, JP.F 80 Hz) 50.4 (d, JP.F 77Hz) 50.1 (d, JP.F 69Hz), and 49.9 (d, JP-F 64Hz) ppm. m/z (FAB+) 636 (MNa+), 614(MH+), 488(M-T).
Example 7
This describes die preparation of die compound of formula
Compound 8 where T is 1-thyminyl.
A solution of Compound 7 (45mg, 0.073mmole) in 2N aqueous sodium hydroxide solution (lml) is sonicated at 45°C for 2 hours. Dilution of the resulting mixture with water (5ml), addition of Dowex 50 W x 2 ion exchange resin, H+ form, and subsequent filtration gives Compound 8 as a white solid, isolated as a mixture of 2 diastereoisomers.
Found C 38.8, H 5.2, N 13.4, P 4.1%
C22H2oFN7θoP.CH2α2.5/2 H2O requires C 38.6, H 5.1, N 13.7, P 4.35%
31P nmr !H decoupled 20> 162MHz) δ 38.4 (d, JP.F 70Hz), and 37.9 (d, JP.F 69Hz) m/z (FAB*) 608 (MNa+), 586 (MH+).
Example 8
This Example describes me preparation of die compound of formula
Compound 9 where Ph is phenyl and T is 1-thyminyl.
Memod l
To a stirred solution of Compound G (50mg, 0.062mmol) and triphenylphosphine 09.6mg, 0.075mmol) in dry THF (10ml) at room temperature under argon is added hydrazoic acid (46.5μl, 0.075mmol, 1.6 molar solution in toluene) followed immediately by die dropwise addition of diediylazodicarboxylate (11.7μl, 0.075mmol). After stirring at room temperature for 2 hours, the reaction mixture is concentrated and purified by flash silica column chromatography (gradient elution, chloroform:edιanol 20:1-15:1) to give Compound 9 as a white solid, isolated as a mixture of 2 diastereoisomers. υm„ 2110s (Njjcm-1. 31P nmr !H decoupled (CDC13, 162MHz) δ 54.0, 53.8 ppm.
Method 2
To a stirred solution of Compound 5 (500mg, 0.50mmol) and tris(trimethylsilyloxy) silane (210μl, 0.68mmol) in degassed toluene (3ml) under argon at 100°C is added AIBN (3mg). The resulting solution is stirred at 100°C for 9 hours. Concentration and purification by flash silica column chromatography (gradient elution, chloroform:emanol, 20:1-10:1) gives Compound 9 as a white solid, isolated as a mixture of 2 diastereoisomers.
Example 9
This Example describes die preparation of the compound of formula
To a solution of Compound 9 (26m g, 31μmol) in dry THF (0.5ml) containing acetic acid (1.8μl, 31μmol) is added tetra-n-butylammonium fluoride as a solution in THF (31μl, 1 molar) at room temperature. After 2 hours, die reaction mixture is concentrated and purified by flash silica column chromatography (gradient elution, chloroform :ethanol 15:1-11:1) to give Compound 10 as a white solid, isolated as a mixture of 2 diastereoisomers.
Found C 48.6, H 6.1, N 15.0, P 4.7%
31P nmr !H decoupled (CD3OD, 162MHz) δ 56.1, 55.5 ppm.
Example 10
This example describes die preparation of the compound of formula
Compound 11
Diediylazodicarboxylate (0.42ml, 2.7mmole) is added dropwise over 5 minutes to a stirred solution of Compound A (l.Og, 2.2mmole), triphenylphosphine (0.70g, 2.7mmole) and para-nitrobenzoic acid (0.45g, 2.7mmole) in a toluene - THF mixture (4:1, 20ml) under argon. After standing at room temperature for 18 hours, concentration and purification by flash silica column chromatography (eluant chloroform/edianol 50:1) gives, as well as other products, Compound 11 as a mixture of 2 diastereoisomers.
31P nmr !H decoupled (CDC13, 162MHz) δ 48.8 and 48.75ppm.
Example 11
This example describes die preparation of die compound of formula
where T is 1-dιyminyl.
Trimefhylsilylchloride (1.4ml, llmmol) is added to a stirred solution of Compound 11 (500mg, l.lόmmol) in chloroform (5ml) containing ethanol 00 pipette drops). After standing at room temperature for 18 hours, concentration gives a white solid which is purified by flash silica column chromatography (eluantxhloroform-edianol 30:1) to give Compound 12, isolated as a mixture of 2 diastereoisomers at phosphorus.
31P nmr lH decoupled (CDC13 162MHz) δ 37.4 and 37.1ppm.
Example 12
This example describes die preparation of the compound of formula
Compound 13
To a solution of Compound H (11.2g, 26.8mmoI) in tetrahydrofuran (90ml), triphenylphosphine (7.02g, 26.8mmol) and benzoic acid (3.27 g, 26.8mmol) are added, followed by toluene (60ml). The solution is cooled to 0°C and diediyl azodicarboxylate (4.2ml, 26.8mmol) is added dropwise, maintaining die temperature at 5-7°C, over a period of fifteen minutes. After five minutes at 5°C, die reaction mixture is allowed to warm to 20°C slowly. After 1.5 hours, further triphenylphosphine (1.76g), benzoic acid (0.82g) and diediylazodicarboxylate (1.05ml) are added as above. The reaction mixture is maintained at 20°C for 15 hours and then evaporated. The crude product mixture is purified by chromatography on silica gel. The product is obtained by elution with a medianol/dichloromediane gradient, and it is then further purified by a second silica gel column, eluting with a gradient of ethanol/ediyl acetate. Compound 13, a viscous oil, is obtained as a mixture of two diastereoisomers.
31P NMR (162MHz, CDC13) δ 50.7, 50.6ppm; M/Z 07AB+) 401 QΛR+).
Example 13
By a procedure similar to that of Example 12, die pure isomers obtained by chromatography of Compound H are converted into the pure isomers of Compound 13.
Isomer A : 31P NMR (CDC13, 162 MHz) δ 51.5ppm.
Isomer B : 31P NMR (CDC13, 162 MHz) δ 51.1 ppm.
Example 14
This Example describes the preparation of die compound of formula
Compound 14 where Ph is phenyl and T is 1-dιyminyl.
To a solution of Compound J (84mg, 98μmol) in dimediyl sulphoxide Oml), a solution of potassium ten. butoxide (l.OM in THf, 196μl, 196μmol) is added dropwise. After 1 hour, further potassium ten. butoxide solution (98μl) is added. After a further 2 hours, die solution is stored at -18°C for 15 hours. A solution of acetic acid in tetrahydrofuran (llμl in lOOμl) is added to the reaction mixture, which is men evaporated The residue is dissolved in ethyl acetate and washed five times widi water. The organic phase is dried over magnesium sulphate, evaporated, and subjected to chromatography on silica gel. The product is eluted widi a gradient of edianol in chloroform. Compound 14 is obtained as a mixture of two diastereoisomers.
31P NMR (162MHz, CD3OD) δ 44.7 ppm. M/Z FAB+ 783 (MNa+).
Example 15
Compound 7 is tested for antiviral activity against herpes simplex virus type 1(HSV-1)
(strain 17i) in vitro. Aqueous solutions of the compound are prepared at concentrations between lOμM and 50μM. The solutions are stored at -70°C after preparation and thawed prior to use in d e antiviral assays. After thawing, the solutions are diluted to die appropriate concentration in the cell-culture medium without prior filtration.
In a procedure similar to mat described by Tyms et aL J. Antimicrob. Chemother, 8, 65-72 (1981), Vero cell monolayers are infected widi 20-200 plaque forming units and after virus adsorption die inoculum is replaced by maintenance medium containing different concentrations of the compound under investigation. Virus spread is prevented by die incorporation of 0.5% low gelling temperature agarose. At the end of a set period (2 or 3 days) monolayers are fixed, stained widi methylene blue and plaque numbers determined. The results are as follows: IC50 >10μm <50μm.
Claims
1. A compound of formula
.14
R1, is R b or a protecting group Q, is CrC2o alkyl, C2-C20 alkenyl, C3-C10 cycloalkyl, C6-C15 aryl, C7-C16 aralkyl or a 5- or 6- membered heterocyclic group attached by a carbon atom in die heterocyclic group to die indicated phosphorus atom,
R2 is hydrogen, R2, or -OR15, provided that when R1 is hydrogen, R2 is R2, or
-OR15,
R2, is a C!-C2o aliphatic group, a C3-CIQ cycloaliphatic group, a -C15 aromatic group, a C7-C16 araliphatic group, or a 5- or 6- membered heterocyclic group attached by a carbon atom in the heterocyclic group to die indicated phosphorus atom,
R3 is hydrogen, halogen, hydroxy, R16, -OR16, OSO2R16, OCOR16 or - C15 hydrocarbyl) silyloxy, R4 is R4, or togedier widi R6 denotes a valence bond, R4, is hydrogen, halogen or R17,
R6 is hydrogen, halogen or R19, or together widi R4 denotes a valence bond, R7 is hydrogen, or an atom or group capable of terminating a replicating strand of a nucleic acid or of inhibiting viral DNA synthesis, other than a group connected to the indicated furanose ring through an oxygen atom, or together widi R8 denotes a valence bond,
R8 is R8 a, or togedier with R7 denotes a valence bond,
R8, is hydrogen, halogen, hydroxy, R20, -OR20, -OCOR20, -OSO2R20 or tri(C,-C15 hydrocarbyl) silyloxy, R9 is a monovalent nucleoside base radical, R10 is hydrogen or R10„
R10, is R21, -COR21, -SO2R21 or tri(CrC15 hydrocarbyl)silyl, R11 is hydrogen, halogen, hydroxy, R22, -OR22, -OCOR22, -OSOjR22 or Z, R12 is hydrogen, halogen or R23 R13 is hydrogen or R13„
R14 is a monovalent nucleoside base radical, R15 is hydrogen or R15„
R15, is a Cj to C10 aliphatic group, a C3 to C8 cycloaliphatic group, a to 5 aromatic group or a C7 to C16 araliphatic group,
R16, R17, R18, R19, R20, R21, R22, R23 and R24 arc independendy a to C10 aliphatic group, a C3 to C10 cycloaliphatic group, a C6 to C15 aromatic group or a C7 to C30 araliphatic group, and Z is substituted or unsubstituted C6 to C10 aryloxythiocarbonyloxy.
2. A compound according to claim 1, in which die aliphatic groups arc substituted or unsubstituted alkyl or alkenyl groups, die cycloaliphatic groups are substituted or unsubstituted cycloalkyl groups, the aromatic groups are substituted or unsubstituted aryl groups and the araliphatic groups are substituted or unsubstituted aralkyl groups.
3. A compound according to claim 2, in which the alkyl groups are C1-C4 alkyl groups, die alkenyl groups are C2-C4 alkenyl groups, die cycloalkyl groups are CrCg cycloalkyl groups, die aryl groups are C6-Cι0 aryl groups, die C7-C16 aralkyl group is a C7-C9 aralkyl group and die C7-C30 aralkyl groups are 7-C20 aralkyl groups, any of which are substituted or unsubstituted.
4. A compound according to claim 3, in which said groups are unsubstituted or substituted by halogen, hydroxy, Cj to C alkoxy, cyano, nitro, amino, C1-C4 alkylamino or di(C 1,-04 alkyl)amino.
5. A compound according to claim 1, in which the protecting group Q is a Cj to C20 hydrocarbyl group substituted on die carbon atom diereof attached to die indicated phosphorus atom by at least one hydroxy or Cj-Cio alkoxy group.
6. A compound according to claim 5, in which die protecting group Q is of formula
>25
7. A compound according to claim 6, in which R25 is hydrogen or to C alkyl and R26 and R27 are C, to C4 alkyl.
8. A compound according to any of die preceding claims, in which R2 is -OR15 where R15 is hydrogen or Cj to C4 alkyl.
9. A compound according to claim 8, in which R15 is hydrogen, ethyl or isobutyl.
10. A compound according to any of claims 1 to 7, in which R2 is Cj to C alkyl, C2 to C4 alkenyl, C5 to C8 cycloalkyl, C6-C10 aryl or C7 to Co aralkyl.
11. A compound according to claim 10, in which R2 is metiiy , cyclohexyl or phenyl.
12. A compound according to any of die preceding claims, in which R3 is hydrogen, halogen, hydroxy, to C4 alkyl, Cj to C alkoxy, C7 to Co aralkyloxy, or -OCOR16 or -OSO2R16 where R16 is Ct to C4 alkyl or C* to C10 aryl, or (Ci to C6 alkyl) di (C6 to Cg aryl) silyloxy, and R4 is hydrogen, halogen or Cj to C4 alkyl.
13. A compound according to claim 12, in which R3 and R4 are each hydrogen.
14. A compound according to any of die preceding claims, in which R5 is hydrogen, halogen, hydroxy, to C alkyl, to C4 alkoxy, C7 to Co aralkyloxy or -OCOR18 or 0SO2R18 where R18 is C, to C4 alkyl or C6 to C10 aryl, or (C,to C6 alkyl) di (C6 to C8 aryl) silyoxy, and R6 is hydrogen, halogen or to C4 alkyl.
15. A compound according to claim 14, in which R5 and R6 are each hydrogen.
16. A compound according to any of die preceding claims, in which R7 is hydrogen, azido, halogen, mercapto, amino, hydroxylamino, cyano, thiocyanato, isodiiocyanato or unsubstituted or substituted Ct to C10 alkyl, C2 to C10 alkenyl, C3 to C8 cycloalkyl, C6 to C10 aryl or C7 to C16 aralkyl, or together with R8 denotes a valence bond.
17. A compound according to claim 16, in which R7 is hydrogen, azido or fluoro, or together with R8 denotes a valence bond.
18. A compound according to any of die preceding claims, in which R8 is hydrogen, hydroxy or -OR20, -OCOR20 or -OSO2R20 where R20 is substituted or unsubstituted to C4 alkyl or C6 to C10 aryl, or together widi R7 denotes a valence bond.
19. A compound according to claim 18, in which R8 is hydrogen or together widi R7 denotes a valence bond.
20. A compound according to any of die preceding claims, in which R9 is diyminyl and, where R1 is a group of formula II, R14 is also diyminyL
21. A compound according to any of die preceding claims, in which R10 is hydrogen, substituted or unsubstituted Ct to C alkyl, substituted or unsubstituted C7 to C 0 aralkyl, -COR21 or -SO2R21, where R21 is substituted or unsubstituted Cj to C alkyl or Cg to Cl0 aryl, or Ci to 0 alkyl di(C6-C8 aryl)silyl.
22. A compound according to claim 21, in which R10 is hydrogen, benzoyl or ten-butyldiphenylsilyl.
23. A compound according to any of die preceding claims, in which R11 is hydrogen, halogen, hydroxy, -OCOR22 or -OSO2R22 where R22 is substimted or unsubstituted Cj to C4 alkyl or C6 to C10 aryl, or to C4 alkyl- or halogen- substituted phenyloxythiocarbonyloxy, and R12 is hydrogen or halogen.
24. A compound according to claim 23, in which R11 is hydrogen, hydroxy or p-tolyloxydiiocarbonyloxy and R12 is hydrogen.
25. A compound according to any of die preceding claims, in which R13 is hydrogen, hydroxy or -OR24, -OCOR24 or -OSO2R24 where R24 is substimted or unsubstituted Cj to C4 alkyl or C6 to C10 aryl.
26. A compound according to claim 25, in which R13 is hydrogen.
27. A compound according to any of die preceding claims, which is of formula
where R2 to R9 are as defined in any of claims 1 to 20, R1 is hydrogen, R1, is as defined in claim 1, 5, 6 or 7, or a group of formula
where R10 to R14 are as defined in any of claims 1 and 20 to 26.
28. A method of preparing a compound according to claim 1 where R1 is a group of formula II in which R11 is hydroxy and R12 is hydrogen, which comprises reacting a compound of formula I where R1 is hydrogen with an aldehyde of formula
29. A method according to claim 28, in which the base is a non-nucleophilic base.
30. A mediod of preparing a compound according to claim 1 where Rl is a group of formula LI in which R11 is hydroxy and R12 is hydrogen, which comprises reacting a compound of formula I where R1 is hydrogen widi a silylating agent, to give a P(U3) silyl compound and reacting die P(IH) silyl compound widi an aldehyde of formula VI as defined in claim 28.
31. A mediod of preparing a compound according to claim 1 where R1 is a group of formula LI in which R11 and R12 are each hydrogen, which comprises deoxygenation of a compound according to claim 1 where R1 is a group of formula Lϊ in which R11 is hydroxy and R12 is hydrogen.
32. A method of preparing a compound according to claim 1 in which R1 is a group of formula II in which R11 is fluoro and R12 is hydrogen which comprises reacting a compound of formula I in which R1 is a group of formula II in which R11 is hydroxy and R12 is hydrogen widi a dialkylaminofluorosulfurane or sulphur tetrafluoride.
33. A mediod of preparing a compound according to claim 1 in which R1 is a group of formula LT in which R11 is fluoro and R12 is hydrogen which comprises reacting a compound of formula I in which R1 is a group of formula LI in which R11 is -OSO2R22 with a metal fluoride or an ammonium fluoride.
34. A mediod of preparing a compound according to claim 1 where R1 is hydrogen which comprises hydrolysing a compound according to claim 1 where R1 is a protecting group Q to replace Q by a hydrogen atom.
35. A method of preparing a compound according to claim 1 where R7 is hydrogen, which comprises deoxygenation of a compound of formula
36. A mediod of preparing a compound according to claim 1 where R7 is azido which comprises reacting a compound of formula VLT as defined in claim 35 with hydrazoic acid in die presence of a tertiary phosphine and a dialkylazodicarboxylate.
37. A mediod according to claim 36 in which die reaction is carried out at -50 to 50°C in an aprotic solvent using 1 to 3 mol of hydrazoic acid per mol of compound of formula VLT.
39. A mediod according to claim 38, in which the inorganic azide is an alkali metal azide.
40. A method of preparing a compound according to claim 1 in which R7 is fluoro which comprises reacting a compound of formula VLT as defined in claim 35 widi a dialkylaminofluorosulfurane or sulphur tetrafluoride, or reacting a compound of formula XX as defined in claim 38 with a metal fluoride or an ammonium fluoride.
41. A mediod of preparing a compound according to claim 1 in which R7 and R8 togedier denote a valence bond which comprises dehydrating a compound of formula VII as defined in claim 35 or eliminating die R31SO2O-group from a compound of formula XX as defined in claim 38.
42. A mediod according to claim 41, in which a compound of formula VII as defined in claim 35 is reacted widi an organic acid in the presence of a dialkylazodicarboxylate and a tertiary phosphine.
43. A method of preparing a compound according to claim 1 in which R7 and R8 togedier denote a valence bond which comprises reductive elimination of a compound of formula
where R2 to R6 are as defined in claim 1, and R1 is R1, as defined in claim 1 or a group of formula II as defined in claim 1.
44. A method of preparing a compound according to claim 1 in which R7 and R8 togedier denote a valence bond which comprises rcacting a cyclic thionocarbonate of formula
46. A method of preparing a compound according to claim 1 in which R7 and R8 together denote a valence bond which comprises reacting a bisxanthate of a glycol of formula XXIII as defined in claim 45 widi triburyltin hydride or an alkylislane having a Si-H bond.
47. A method of preparing a compound according to claim 1 in which R7 and R8 each denote hydrogen which comprises hydrogenating a compound according to claim 1 in which R7 and R8 togedier denote a valence bond.
48. A mediod of preparing a compound according to claim 1 in which R7 and R8 are each hydrogen which comprises photosensitised deoxygenation of a compound of formula
49. A mediod of preparing a compound according to claim 1 in which R1 is a group of formula II in which R10 is hydrogen, which comprises hydrolysing a compound according to claim 1 in which R1 is a group of formula LI in which R10 is R21, -COR21, -SO2R21 or 0^,-0,5 hydrocarbyl)silyl.
50. A method of preparing a compound according to claim 1 in which R1 is a group of formula II and R2 is hydroxy, which comprises hydrolysing a compound according to claim 1 in which R1 is a group of formula II and R2 is -OR15, to replace R15, by hydrogen.
51. A pharmaceutical composition containing as active ingredient a compound according to any of claims 1 to 27.
52. Use of a compound according to any of claims 1 to 27 in die preparation of a pharmaceutical for use as an antiviral agent.
53. A compound according to claim 1, substantially as described in any of die Examples.
54. A method of preparing a compound according to claim 1, substantially as described in any of Examples 1 to 14.
Priority Applications (1)
| Application Number | Priority Date | Filing Date | Title |
|---|---|---|---|
| AU32629/95A AU3262995A (en) | 1994-09-06 | 1995-08-21 | Mononucleotide and dinucleotide analogues and intermediates herefor |
Applications Claiming Priority (2)
| Application Number | Priority Date | Filing Date | Title |
|---|---|---|---|
| GB9417938.9 | 1994-09-06 | ||
| GB9417938A GB9417938D0 (en) | 1994-09-06 | 1994-09-06 | Compounds |
Publications (1)
| Publication Number | Publication Date |
|---|---|
| WO1996007666A1 true WO1996007666A1 (en) | 1996-03-14 |
Family
ID=10760919
Family Applications (1)
| Application Number | Title | Priority Date | Filing Date |
|---|---|---|---|
| PCT/GB1995/001986 Ceased WO1996007666A1 (en) | 1994-09-06 | 1995-08-21 | Mononucleotide and dinucleotide analogues and intermediates therefor |
Country Status (3)
| Country | Link |
|---|---|
| AU (1) | AU3262995A (en) |
| GB (1) | GB9417938D0 (en) |
| WO (1) | WO1996007666A1 (en) |
Cited By (5)
| Publication number | Priority date | Publication date | Assignee | Title |
|---|---|---|---|---|
| US8324179B2 (en) | 2007-02-09 | 2012-12-04 | Gilead Sciences, Inc. | Nucleoside analogs for antiviral treatment |
| US8871737B2 (en) | 2010-09-22 | 2014-10-28 | Alios Biopharma, Inc. | Substituted nucleotide analogs |
| US8916538B2 (en) | 2012-03-21 | 2014-12-23 | Vertex Pharmaceuticals Incorporated | Solid forms of a thiophosphoramidate nucleotide prodrug |
| US8980865B2 (en) | 2011-12-22 | 2015-03-17 | Alios Biopharma, Inc. | Substituted nucleotide analogs |
| US9012427B2 (en) | 2012-03-22 | 2015-04-21 | Alios Biopharma, Inc. | Pharmaceutical combinations comprising a thionucleotide analog |
Citations (6)
| Publication number | Priority date | Publication date | Assignee | Title |
|---|---|---|---|---|
| WO1991015499A1 (en) * | 1990-04-09 | 1991-10-17 | Europäisches Laboratorium für Molekularbiologie | 2'-o-alkyl nucleotides and polymers containing them |
| WO1992013869A1 (en) * | 1991-02-08 | 1992-08-20 | Gilead Sciences, Inc. | Methylene phosphonate nucleoside analogs and oligonucleotide analogs made therefrom |
| WO1992020823A1 (en) * | 1991-05-21 | 1992-11-26 | Isis Pharmaceuticals, Inc. | Backbone modified oligonucleotide analogs |
| EP0614906A1 (en) * | 1993-03-06 | 1994-09-14 | Ciba-Geigy Ag | Mononucleotide analogues and intermediates therefor |
| EP0614907A1 (en) * | 1993-03-06 | 1994-09-14 | Ciba-Geigy Ag | Dinucleotide and oligonucleotide analogues |
| EP0629633A2 (en) * | 1993-06-05 | 1994-12-21 | Ciba-Geigy Ag | Dinucleotide analogues, intermediates therefor and oligonucleotides derived therefrom |
-
1994
- 1994-09-06 GB GB9417938A patent/GB9417938D0/en active Pending
-
1995
- 1995-08-21 WO PCT/GB1995/001986 patent/WO1996007666A1/en not_active Ceased
- 1995-08-21 AU AU32629/95A patent/AU3262995A/en not_active Abandoned
Patent Citations (6)
| Publication number | Priority date | Publication date | Assignee | Title |
|---|---|---|---|---|
| WO1991015499A1 (en) * | 1990-04-09 | 1991-10-17 | Europäisches Laboratorium für Molekularbiologie | 2'-o-alkyl nucleotides and polymers containing them |
| WO1992013869A1 (en) * | 1991-02-08 | 1992-08-20 | Gilead Sciences, Inc. | Methylene phosphonate nucleoside analogs and oligonucleotide analogs made therefrom |
| WO1992020823A1 (en) * | 1991-05-21 | 1992-11-26 | Isis Pharmaceuticals, Inc. | Backbone modified oligonucleotide analogs |
| EP0614906A1 (en) * | 1993-03-06 | 1994-09-14 | Ciba-Geigy Ag | Mononucleotide analogues and intermediates therefor |
| EP0614907A1 (en) * | 1993-03-06 | 1994-09-14 | Ciba-Geigy Ag | Dinucleotide and oligonucleotide analogues |
| EP0629633A2 (en) * | 1993-06-05 | 1994-12-21 | Ciba-Geigy Ag | Dinucleotide analogues, intermediates therefor and oligonucleotides derived therefrom |
Non-Patent Citations (4)
| Title |
|---|
| Bioorg. Med. Chem. Lett. (1992), 2(5), 367-70 * |
| C.K. CHU ET AL: "General Syntheses of 2',3'-Dideoxynucleosides and 2',3'-Didehydro-2',3'-dideoxynucleosides", J. ORG. CHEM., vol. 54, 1989, XP002304765, DOI: doi:10.1021/jo00270a036 * |
| CHEMICAL ABSTRACTS, vol. 119, no. 9, 30 August 1993, Columbus, Ohio, US; abstract no. 96051, KIM, CHOUNG UN ET AL: "Synthesis and HIV activity of phosphonate isosteres of d4T monophosphate" * |
| HIROMICHI TANAKA ET AL: "Cleavage of a Nucleosidic Oxetane with Carbanions: Synthesis of a Highly Promising Candidate for Anti-HIV Agents-a Phosphonate Isostere of AZT 5'-Phosphate", TETRAHEDRON LETTERS, vol. 30, no. 19, 1989, Great Britain * |
Cited By (9)
| Publication number | Priority date | Publication date | Assignee | Title |
|---|---|---|---|---|
| US8324179B2 (en) | 2007-02-09 | 2012-12-04 | Gilead Sciences, Inc. | Nucleoside analogs for antiviral treatment |
| US8871737B2 (en) | 2010-09-22 | 2014-10-28 | Alios Biopharma, Inc. | Substituted nucleotide analogs |
| US9278990B2 (en) | 2010-09-22 | 2016-03-08 | Alios Biopharma, Inc. | Substituted nucleotide analogs |
| US8980865B2 (en) | 2011-12-22 | 2015-03-17 | Alios Biopharma, Inc. | Substituted nucleotide analogs |
| US9605018B2 (en) | 2011-12-22 | 2017-03-28 | Alios Biopharma, Inc. | Substituted nucleotide analogs |
| US8916538B2 (en) | 2012-03-21 | 2014-12-23 | Vertex Pharmaceuticals Incorporated | Solid forms of a thiophosphoramidate nucleotide prodrug |
| US9394330B2 (en) | 2012-03-21 | 2016-07-19 | Alios Biopharma, Inc. | Solid forms of a thiophosphoramidate nucleotide prodrug |
| US9856284B2 (en) | 2012-03-21 | 2018-01-02 | Alios Biopharma, Inc. | Solid forms of a thiophosphoramidate nucleotide prodrug |
| US9012427B2 (en) | 2012-03-22 | 2015-04-21 | Alios Biopharma, Inc. | Pharmaceutical combinations comprising a thionucleotide analog |
Also Published As
| Publication number | Publication date |
|---|---|
| AU3262995A (en) | 1996-03-27 |
| GB9417938D0 (en) | 1994-10-26 |
Similar Documents
| Publication | Publication Date | Title |
|---|---|---|
| JPH06345791A (en) | Dinucleotide analogue, its intermediate and oligonucleotide derived from it | |
| RU2079508C1 (en) | Method of nucleoside linkage by 3'--5'-internucleotide silyl unit | |
| WO1997035869A1 (en) | Dinucleotide and oligonucleotide analogues | |
| JPH07309885A (en) | Mononucleotide analog and its intermediate | |
| CA2117009A1 (en) | Dinucleotide and olignucleotide analogues | |
| EP1745573A2 (en) | METHODS OF MANUFACTURE OF 2 -DEOXY-&bgr;-L-NUCLEOSIDES | |
| JP2012097095A (en) | Process for fluorocytidine derivative | |
| KR920004486B1 (en) | Production of cytosine nucleosides | |
| JP2000506849A (en) | Oligonucleotide analogues | |
| CA2172660A1 (en) | Intermediates and process for the preparation of an antiviral agent | |
| EP0519464B1 (en) | Nucleoside derivatives and production thereof | |
| WO1996007666A1 (en) | Mononucleotide and dinucleotide analogues and intermediates therefor | |
| EP0334250A2 (en) | Oxetanocin-related compounds and process for producing same | |
| AU695607B2 (en) | Intermediates for dinucleotide and oligonucleotide analogues | |
| EP0653437B1 (en) | Process for preparing AZT and derivatives thereof | |
| JPH08269081A (en) | Method for producing 3,3-difluorofuran in which the 2-position is substituted | |
| US6384201B1 (en) | Synthetic method for the preparation of the antineoplastic agent etoposide | |
| JPH06135988A (en) | Nucleotide derivative | |
| Bera et al. | Nucleosides with furanyl scaffolds | |
| KR20070073958A (en) | Difluoronucleosides and preparation methods thereof | |
| JPH07165785A (en) | Process for producing 3'-fluoropyrimidine nucleosides | |
| JP2770357B2 (en) | Method for producing nucleoside derivative | |
| JP4830128B2 (en) | Synthesis and production of pentostatin and its precursors, analogs and derivatives | |
| EP0514036A2 (en) | Preparation of thionucleosides | |
| EP0698610B1 (en) | Process for producing sialic acid derivative and novel sialic acid derivative |
Legal Events
| Date | Code | Title | Description |
|---|---|---|---|
| AK | Designated states |
Kind code of ref document: A1 Designated state(s): AM AU BB BG BR BY CA CN CZ EE FI GE HU IS JP KG KP KR KZ LK LR LT LV MD MG MK MN MX NO NZ PL RO RU SG SI SK TJ TM TT UA US UZ VN |
|
| AL | Designated countries for regional patents |
Kind code of ref document: A1 Designated state(s): KE MW SD SZ UG AT BE CH DE DK ES FR GB GR IE IT LU MC NL PT SE BF BJ CF CG CI CM GA GN ML MR NE SN TD TG |
|
| DFPE | Request for preliminary examination filed prior to expiration of 19th month from priority date (pct application filed before 20040101) | ||
| 121 | Ep: the epo has been informed by wipo that ep was designated in this application | ||
| 122 | Ep: pct application non-entry in european phase |































































