WO1995018801A1 - Benzimidazolyl quinoline-3-carboxylate derivatives, intermediates thereto, and their use as herbicides - Google Patents
Benzimidazolyl quinoline-3-carboxylate derivatives, intermediates thereto, and their use as herbicides Download PDFInfo
- Publication number
- WO1995018801A1 WO1995018801A1 PCT/EP1994/000035 EP9400035W WO9518801A1 WO 1995018801 A1 WO1995018801 A1 WO 1995018801A1 EP 9400035 W EP9400035 W EP 9400035W WO 9518801 A1 WO9518801 A1 WO 9518801A1
- Authority
- WO
- WIPO (PCT)
- Prior art keywords
- different
- same
- groups
- optionally substituted
- carbon atoms
- Prior art date
- Legal status (The legal status is an assumption and is not a legal conclusion. Google has not performed a legal analysis and makes no representation as to the accuracy of the status listed.)
- Ceased
Links
- 0 **(C=CC1C=C2C(N3C(C=C*(C=C4)I)=C4N)=O)C=CC1N=C2C3=O Chemical compound **(C=CC1C=C2C(N3C(C=C*(C=C4)I)=C4N)=O)C=CC1N=C2C3=O 0.000 description 1
Classifications
-
- C—CHEMISTRY; METALLURGY
- C07—ORGANIC CHEMISTRY
- C07D—HETEROCYCLIC COMPOUNDS
- C07D401/00—Heterocyclic compounds containing two or more hetero rings, having nitrogen atoms as the only ring hetero atoms, at least one ring being a six-membered ring with only one nitrogen atom
- C07D401/02—Heterocyclic compounds containing two or more hetero rings, having nitrogen atoms as the only ring hetero atoms, at least one ring being a six-membered ring with only one nitrogen atom containing two hetero rings
- C07D401/04—Heterocyclic compounds containing two or more hetero rings, having nitrogen atoms as the only ring hetero atoms, at least one ring being a six-membered ring with only one nitrogen atom containing two hetero rings directly linked by a ring-member-to-ring-member bond
-
- A—HUMAN NECESSITIES
- A01—AGRICULTURE; FORESTRY; ANIMAL HUSBANDRY; HUNTING; TRAPPING; FISHING
- A01N—PRESERVATION OF BODIES OF HUMANS OR ANIMALS OR PLANTS OR PARTS THEREOF; BIOCIDES, e.g. AS DISINFECTANTS, AS PESTICIDES OR AS HERBICIDES; PEST REPELLANTS OR ATTRACTANTS; PLANT GROWTH REGULATORS
- A01N43/00—Biocides, pest repellants or attractants, or plant growth regulators containing heterocyclic compounds
- A01N43/48—Biocides, pest repellants or attractants, or plant growth regulators containing heterocyclic compounds having rings with two nitrogen atoms as the only ring hetero atoms
- A01N43/50—1,3-Diazoles; Hydrogenated 1,3-diazoles
- A01N43/52—1,3-Diazoles; Hydrogenated 1,3-diazoles condensed with carbocyclic rings, e.g. benzimidazoles
Definitions
- herbicidal compositions comprising one or more of the benzimidazolyl quinoline-3-carboxylate derivatives of formula I or an agriculturally acceptable salt thereof, in association with, and preferably homogeneously dispersed in, one or more compatible agriculturally- acceptable diluents or carriers and/or surface active agents [i.e. diluents or carriers and/or surface active agents of the type generally accepted in the art as being suitable for use in herbicidal compositions and which are compatible with compounds of general formula (I)].
- the term "herbicidal compositions" is used in a broad sense to include not only compositions which are ready for use as herbicides but also concentrates which must be diluted before use.
Landscapes
- Life Sciences & Earth Sciences (AREA)
- Organic Chemistry (AREA)
- Chemical & Material Sciences (AREA)
- Dentistry (AREA)
- Health & Medical Sciences (AREA)
- Engineering & Computer Science (AREA)
- Plant Pathology (AREA)
- General Health & Medical Sciences (AREA)
- Wood Science & Technology (AREA)
- Zoology (AREA)
- Environmental Sciences (AREA)
- Pest Control & Pesticides (AREA)
- Agronomy & Crop Science (AREA)
- Plural Heterocyclic Compounds (AREA)
- Nitrogen Condensed Heterocyclic Rings (AREA)
Abstract
The invention relates to benzimidazolyl quinoline-3-carboxylate derivatives of formula (I), in which the various symbols are as defined in the description, and their use as herbicides.
Description
BENZIMIDAZOLYL QUINOLINE -3- CARBOXYUTE DERIVATIVES , INTERMEDIATES THERETO, AND THEIR USE AS HERBICIDES
Technical Field
This invention relates to novel compounds, processes for their preparation, compositions containing them, intermediates in their synthesis and their use as herbicides. Background Art
European Patent Application number 90420452.6 describes certain 2-azolyl nicotinate derivatives having herbicidal activity. Disclosure of Invention
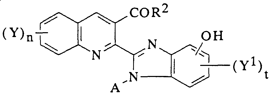
The present invention provides benzimidazolyl quinoline-3- carboxylate derivatives of formula I :-
(I) wherein Y represents a straight- or branched- chain alkyl group containing up to eight carbon atoms which is optionally substituted by one or more Rl groups which may be the same or different; or a cycloalkyl group containing from 3 to 6 carbon atoms optionally substituted by one or more R groups which may be the same or different; or a group selected from -SR, -S(0)R, -SO2R,
-OR, halogen, nitro, cyano, -NR^R -*, aryl and O-aryl;
Y1 represents a straight- or branched- chain alkyl, alkenyl or alkynyl group containing up to eight carbon atoms which is optionally substituted by one or more Rl groups which may be the same or different; or a cycloalkyl group containing from 3 to 6 carbon atoms optionally substituted by .-ne or more R* groups which may be the same or different; or a group selected from -SR, -OR, -ORla, halogen, aryl, aralkyl, O-aryl, -NR?R8 or -OCH2Rn; R2 represents a group -OH -NR^Rδ 0r -X-M, where X represents oxygen or sulphur and
M represents a straight- or branched- chain alkyl group containing up to eight carbon atoms optionally substituted by one or more Rl groups which may be the same or different; or a cycloalkyl group containing from three to six carbon atoms optionally
Z substituted by one or more Rl groups which may be the same or different; or a group selected from aryl, aralkyl, -(CR41R42)q-C≡CR6, -(CR41R42)q-C(R4) = CR-5R6 and -N = CR9R10; A represents -Sθ2 R7R8;
R represents a straight- or branched- chain alkyl group containing up to eight carbon atoms optionally substituted by one or more groups R1 which may be the same or different; or a cycloalkyl group containing from 3 to 6 carbon atoms optionally substituted by one or more groups R^ which may be the same or different;
R1 represents a group selected from -OR- , -S(0)SR , wherein s is zero, one or two, halogen, a cycloalkyl group containing from 3 to 6 carbon atoms (optionally substituted by one or more groups R* which may be the same or different, other than cycloalkyl), R3, O-aryl, cyano or -Q-^R^;
Rla is -(CR4R5)r-OCR6 or-(CR41R42)r-C(R4) = CR5R6; R- represents a straight- or branched- chain alkyl group contaimng up to 6 carbon atoms optionally substituted by one or more halogen atoms which may be the same or different; R4, R41, R42 and R^ , which may be the same or different, each represent hydrogen or a straight- or branched- chain alkyl group contaimng up to 6 carbon atoms optionally substituted by one or more halogen atoms which may be the same or different; or aryl; R6 represents a group selected from R4 or aralkyl; R and R^, which may be the same or different, each represent a hydrogen atom a group selected from R, -OR^, -S(0)SR3, halogen, R3, O-aryl, aryl or aralkyl; or θ and R% may form together with the nitrogen to which they are attached a heterocycle containing from 3 to 6 carbon atoms in the ring and zero, 1 or 2 additional heteroatoms in the ring selected from nitrogen, oxygen and sulphur;
R9 and Rlυ which may be the same or different, each represent: a hydrogen atom or a straight- or branched- chain alkyl group containing up to eight carbon atoms optionally substituted by one or more groups, which may be the same or different, selected from halogen,-OR or -S(0)sR, where s is zero, 1 or 2; or phenyl optionally substituted by from one to four groups, which may be the
same or different, selected from nitro, R, -NR4R^, halogen or -S(0)sR; or a 5 or 6 membered heterocycle containing from 3 to 5 carbon atoms in the ring and one or more heteroatoms in the ring selected from nitrogen, sulphur or oxygen, e.g. thienyl, furyl, piperidyl, thiazolyl, optionally substituted by one or more groups R which may be the same or different; or R9 and R^ may form together with the nitrogen to which they are attached a heterocycle containing 4 or 5 carbon atoms in the ring, which may be optionally substituted by from 1 to 3 groups R3 which may be the same or different;
RU represents a five or six membered aliphatic ring comprising an oxygen atom in the ring;
'aryl' represents a phenyl group optionally substituted by from one to four groups which may be the same or different selected from -OR3, -SR3, halogen or R3; or a 5 or 6 membered heterocycle containing from 3 to 5 carbon atoms in the ring and one or more heteroatoms in the ring selected from nitrogen, sulphur or oxygen, e.g. thienyl, furyl, piperidyl, thiazolyl; optionally substituted by one or more groups, which may be the same or different, selected from - OR3, -SR3, halogen or R3; aralkyl represents a group-(CR4R^)p-aryl (e.g. benzyl); m represents zero or an integer from 1 to 4, the groups Y* being the same or different when m is greater than 1; n represents an integer from 1 to 4; p represents one or two; q represents one or two; r represents an integer from 1 to 5; where p, q or r is greater than 1, the groups -(CR4R^)" and the groups -(CR41R42)- may be the same or different; where n is greater than 1 no more than one of the groups Y represents nitro, -SR, -SOR, -SO2R, nitro, -NR7R8, aryl or O-aryl; and agriculturally acceptable salts thereof; which possess valuable herbicidal properties.
Furthermore, in certain cases the substituents Y, Y*, R2 and A may give rise to optical isomerism and/or stereoisomerism. All such forms are embraced by the present invention. By the term "agriculturally acceptable salts" is meant salts the cations or anions of which are known and accepted in the art for the formation of salts for agricultural or horticultural use. Preferably the salts are water-soluble.
H
It is to be understood that where reference is made in the present specification to the compounds of formula I, such reference is intended to include salts where the context so permits.
A particularly important class of compounds because of their herbicidal properties are those in which:
(a) A represents a group -Sθ2NR7R8 in which R7 and R8 each represents an alkyl group, preferably methyl;
(b) R2 represents a group -OH, -XM or -XW in which X is preferably oxygen, M is preferably alkynyl, eg propargyl, and W is an agriculturally acceptable cation, eg Na, K, Li or an ammonium cation such as isopropylammonium;
(c) Y represents alkyl, eg methyl or ethyl; alkoxy, eg methoxy; a halogen, eg chlorine or fluorine; and n is 1 or 2; compounds in which n is 1 and the substituent Y is in the 6- position of the quinoline ring are preferred;
(d) Y1 represents a group OR or SR, eg methoxy, ethoxy, i-propoxy, n-propoxy, trifluoromethoxy, difluoromethoxy or cycloalkylmethoxy or cycloalkylmethylthio, eg cyclopropylmethoxy or cyclopropylmethylthio; halogen, eg chlorine or fluorine; alkyl, eg methyl; a group -OR 3 or -SR^a, eg allyloxy or propargyloxy; and m is 0, 1 or 2; compounds in which m is 1 and the substituent is in the 4 or 5 position of the benzimidazole ring are preferred, as are compounds in which m is 2 and the substituents, which may be the same or different, are in the 4- and 5- positions of the benzimidazole ring. Compounds of formula I in which Y represents methyl, ethyl or chlorine are particularly preferred. Preferably the quinoline ring is substituted in the 6- position by a group Y.
Preferably the benzimidazole ring is substituted in the 4- and/or 5- position by a group Y . Where the benzimidazole ring is substituted in the 4- position γl is preferably a group selected from methyl, methoxy, ethoxy, n-propyloxy, allyloxy, propargyloxy, 2- methoxyethoxy and chlorine. Where the benzimidazole ring is substituted in the 5- position Y1 is preferably a group selected from methyl, chlorine and fluorine. Compounds in which n is one are especially preferred.
Particularly important compounds include the following:- 1. 2-( l-N,N-Dimethylsulphamoylbenzimidazol-2-yl)-6- ethylquinoline-3-carboxylic acid. 2. 2-(l-N,N-
Dimethylsulphamoylbenzimidazol-2-yl)-6-methoxyquinoline-3- carboxylic acid. 3. 2-(l-N,N-Dimethylsulphamoylbenzimidazol-2- yl)-6-methylquinoline-3-carboxylic acid. 4. 2-(l-N,N- Dimethylsulphamoylbenzimidazol-2-yl)-8-methylquinoline-3- carboxylic acid. 5. 2-(l-N,N-Dimethylsulphamoylbenzimidazol-2- yl)-5,8-dimethylquinoline-3-carboxylic acid. 6. 2-Propynyl 2-(l- N,N-dimethylsulphamoylbenzimidazol-2-yl)-6-ethylquinoline-3- carboxylate. 7. 2-Propynyl 2-(l-N,N- dimethylsulphamoylbenzimidazol-2-yl)-6-methoxyquinoline-3- carboxylate. 8. Methyl 2-(l-N,N- dimethylsulphamoylbenzimidazol-2-yl)-6-methylquinoline-3- carboxylate. 9. 2-Propynyl 2-(l-N,N- dimethylsulphamoylbenzimidazol-2-yl)-8-methylquinoline-3- carboxylate. 10. 2-Propynyl 2-(l-N,N- dimethylsulphamoylbenzimidazol-2-yl)-5,8-dimethylquinoline-3- carboxylate. 11. 2-[(l-N,N-Dimethylsulphamoyl)-4-(2- propynyloxy)-benzimidazol-2-yl]-6-methylquinoline-3-carboxylic acid. 12. 2-[(l-N,N-Dimethylsulphamoyl)-4- methoxybenzimidazol-2-yl]-6-methyylquinoline-3-carboxylic acid 13. 2-[(l-N,N-Dimethylsulphamoyl)-4-(2-propenyloxy)- benzimidazol-2-yl]-6-methylquinoline-3-carboxylic acid. 14. 2-[(l- N,N-Dimethylsulphamoyl)-4-difluoromethoxy-benzimidazol-2-yl]-6- methylquinoline-3-carboxylic acid. 15. 2-[(l-N,N- Dimethylsulphamoyl)-4-ethoxybenzimidazol-2-yl]-6- methylquinoline-3-carboxylic acid. 16. 2-[(l-N,N-
Dimethylsulphamoyl)-4-methoxybenzimidazol-2-yl]-6- ethylquinoline-3-carboxylic acid. 17. 2-[(l-N,N- Dimethylsulphamoyl)benzimidazol-2-yl]-
6-chloroquinoline-3-carboxylic acid. 18. 2-[(l-N,N- Dimethylsulphamoyl)-4-methoxybenzimidazol-2-yl]-6- chloroquinoline-3-carboxylic acid. 19. 2-[(l-N,N- Dimethylsulphamoyl)-4-(2-propynyloxy)-benzimidazol-2-yl]-6- chloroquinoline-3-carboxylic acid. 20. Methyl 2-[(l-N,N- dimethylsulphamoyl)-4-(2-propynyloxy)-benzimidazol-2-yl]-6- methylquinoline-3-carboxylate. 21. Methyl 2-[(l-N,N- dimethylsulphamoyl)-4-methoxy-benzimidazol-2-yl]-6- methylquinoline-3-carboxylate. 22. Methyl 2-[(l-N,N- dimethylsulphamoyl)-4-(2-propenyloxy)-benzimidazol-2-yl]-6-
methylquinoline-3-carboxylate. 23. Methyl 2-[( l-N,N- dimethylsulphamoyl)-4-difluoromethoxy-benzimidazol-2-yl]-6- methylquinoline-3-carboxylate. 24. Methyl 2-[(l-N,N- dimethylsulphamoyl)-4-ethoxybenzimidazol-2-yl]-6- methylquinoline-3-carboxylate. 25. Methyl 2-[(l-N,N- dimethylsulphamoyl)-4-methoxybenzimidazol-2-yl]-6- ethylquinoline-3-carboxylate. 26. Methyl 2-[(l-N,N- dimethylsulphamoyl)benzimidazol-2-yl]-6-chloroquinoline-3- carboxylate. 27. Methyl 2-[(l-N,N-dimethylsulphamoyl)-4- methoxybenzimidazol-2-yl]-6-chloroquinoline-3-carboxylate. 28.
Methyl 2-[( l-N,N-dimethylsulphamoyl)-4-(2- propynyloxy)benzimidazol-2-yl]-6-chloroquinoline-3-carboxylate.
The numbers 1 to 28 are assigned to these compounds for reference and identification hereafter. Processes for Carrying Out the Invention
The compounds of formula I can be prepared by the application or adaptation of known methods (i.e. methods heretofore used or described in the chemical literature), for example as hereinafter described. According to a feature of the present invention compounds of formula (I) in which R2 is a -XM or -NR7R8 radical can be prepared by reacting a sulphamoyl chloride of the formula Cl-Sθ2NR7R8 with a compound of formula (la):
(la) in which A1 is the hydrogen atom and R2 is an -XM or - NR7R8 radical, in the presence of an acid acceptor such as potassium carbonate, triethylamine, l,8-diazabicyclo[5.9.0]undec-7- ene or sodium hydride, preferably in an anhydrous medium using an aprotic polar solvent, for example, ethers (such as tetrahydrofuran) or nitriles, at a temperature which is generally between 25 °C and the reflux temperature of the solvent.
According to a further feature of the present invention compounds of formula (I) where R2 is -XW in which X represents
oxygen may be prepared from compounds of formula (I) where R2 is -OH by reaction with the corresponding base.
According to a further feature of the present invention compounds of the formula (I) in which R^ represents -OH, may be prepared by the hydrolysis of compounds of formula (I) in which R^ represents the group -XM using an inorganic base, for example lithium hydroxide, in a mixture of water and an alcohol, for example methanol, at a temperature between 0 °C and 25 °C.
Intermediates in the preparation of compounds of formula I are prepared by the application or adaptation of known methods. Compounds of formula (la) in which A* is the hydrogen atom and R2 is a radical -XM or -NR7R8 may be prepared by reacting a compound of formula (II) :
(II) with an alkali metal alcoholate or alkaline earth metal alcoholate of the formula XM-M' , wherein M' represents an alkali metal or alkaline earth metal cation, in an aprotic solvent and at a temperature between 0°C and the boiling point of the solvent, or with an alcohol, thiol or oxime of the formula H-XM, or with an amine of the formula HNR7R8.. The reaction with H-XM or HNR7R8 is generally performed in a polar organic solvent in the presence of an acid acceptor such as pyridine or triethylamine.
Compounds of formula (la) in which A represents the hydrogen atom and R2 is a radical -XM or -NR7R8 may be prepared by the reaction of the compound of formula (III) :
(III) with an alcohol , thiol or oxime of formula H-XM or an amine of formula H-NR7R8 in the presence of a coupling reagent, for example N,N-dicyclohexylcarbodiimide, in the presence of an inert
δ solvent such as dichloromethane and at a temperature between 0 °C and the reflux temperature of the solvent.
Compounds of formula (la) in which A* is the hydrogen atom and R2 is a radical -XM in which X is the oxygen atom and M is as hereinbefore defined excluding the group -N = CR9R10. may be prepared by reacting a compound of formula (III) with a compound of formula H-OM in the presence of gaseous HC1 with the compound of formula H-OM also acting as a solvent following a well known esterification process.
Compounds of the formula (la) , where A--- is the hydrogen atom and R2 is the radical -XM, where X represents the oxygen atom and M is as hereinbefore defined excluding the group -N =CR9R10, may be prepared by heating a compound of formula (Ilia):
in a high boiling compound of formula H-OM ,where M has the abovementioned meaning, for example ethoxyethanol at temperatures between 50 °C and the reflux temperature of the solvent.
Compounds of formula ( II ) may be prepared by reacting a quinoline-2,3 dicarboxylic acid anhydride of formula (IV) with a 1,2- phenylenediamine of formula (V):
(IV) (V) by heating at temperatures between 110 and 190°C for between 1 and 3 hours, either in the absence of a solvent or in a solvent such as xylene, dichlorobenzene, or acetic acid followed by the addition of acetic anhydride and continued heating at a temperature between 70°C and the boiling point of the solvent.
Compounds of formula (III) may be prepared by the cyclisation of a compound of formula (VI) :
(VI). The reaction may be carried out in an organic solvent such as ethoxyethanol under reflux. Compounds of formula (VI) may be obtained by the reaction of a quinoline -2,3-dicarboxylic acid anhydride of formula (IV) with a 1,2-phenylenediamine of formula (V) in an inert organic solvent, for example chloroform at temperatures between 0 °C and the boiling point of the solvent. Compounds of formula (VI) may also be obtained by the reduction of a compound of formula (VII) :
(VII).
The reaction may be carried out in ethanol, in the presence of hydrogen chloride and of finely divided iron, at a temperature between 20 and 70 °C.
Compounds of the formula (VII) may be obtained by the reaction of a quinoline -2,3-dicarboxylic acid anhydride of formula (IV) with a 2-nitroaniline of the formula (VIII):
(VIII)
±0 in an organic solvent, for example chloroform or tetrahydrofuran, at a temperature between 20 °C and the boiling point of the solvent.
Compounds of formula (Ilia) may be prepared by the reduction of a compound of formula (IX):
(IX) in ethanol in the presence of hydrogen chloride and of finely divided iron and at a temperature between 20 and 70 °C, or in an ethanol water mixture in the presence of sodium sulphide at a temperature between 20 °C and the boiling point of the solvent mixture.
Compounds of formula (IX) may be prepared by the reaction of a 1,2-benzo-isoxazole of formula (X) with a maleimide of formula (XI):
(X) (XI) in a high boiling organic solvent such as xylene or o-dichlorobenzene at a temperature from 120 to 180°C. When a reaction temperature below 120°C is used the major reaction product is an aldehyde of formula (XII):
(XII) The above reaction is particularly useful for the synthesis of compounds of formula (IX) where the group Y is an electron
la withdrawing substituent (e.g. nitro, halogen or trifluoromethyl). The compound of formula (XII) may be converted into a compound of formula (IX) in the presence of a base (e.g. piperidine) in an organic solvent such as ethanol at a temperature from 20°C to the boiling point of the solvent. Alternatively the cyclisation of (XII) to (IX) can be achieved by refluxing in xylene in the presence of p-toluene sulphonic acid.
The intermediates of formula (XII) may also be prepared by the oxidation of an alcohol of formula (XIII):
(XIII) in the presence of an oxidising agent, for example pyridinium chlorochromate in dichloromethane at room temperature. The alcohol of formula (XIII) can be prepared by the reaction between an alcohol of formula (XIV) and a bromomaleimide of formula (XV):
(XIV) (XV) in an aprotic solvent such as toluene and at a temperature between 25°C and the reflux temperature of the solvent. This method is particularly useful for the synthesis of precursors to compounds of the formula (la) where n is one, and the group Y occupies the 5- or 7- position or, when n is 2, the groups Y which may be the same or different occupy positions 6- and 7-, or 5- and 6- , or 5- and 7- of the quinoline ring.
Compounds of formula (IX) may also be prepared by the method described by Maudling, J. Het. Chem.25, 1777 (1988) which involves the cyclisation of a compound of formula (XVI):
(XVI) in polyphosphoric acid. This reaction is particularly useful for the synthesis of precursors to compounds of formula (la) in which either n is one and Y occupies the 6- or 8- position of the quinoline ring, or in which n is two and the groups Y occupy the 6- and 8- positions of the quinoline ring.
Compounds of formula (XVI) may be prepared by the reacti
(XVIa) with dimethylformamide dimethylacetal.
The anilinomaleimides of formula (XVIa) may be prepared by the reaction of a bromomaleimide of formula (XV) and an aniline of formula (XVII) :
(XVII) in an aprotic organic solvent such as toluene or a protic solvent, for example, ethanol and at a temperature between 25°C and the boiling point of the solvent.
According to a further feature of the invention compounds of formula (I) wherein m is 1, 2, 3 or 4 and one of the groups Y* represents a group -OR or -OR*a which occupies the 4- or 5- position of the benzimidazole ring and in which R2 represents a group -X-M wherein X is oxygen and M represents a straight or branched chain alkyl group containing up to 8 carbon atoms, or a
cycloalkyl group containing 3-6 carbon atoms, and the group Y is as hereinbefore defined excluding the groups -NO2, 1, Cl, and Br, may be prepared by the reaction of a hydroxybenzimidazole of formula (XVIII):
(XVIII) wherein t is 0, 1, 2 or 3, with a compound (R*a) -L or R-L where L represents a leaving group, for example the tosyl group or halogen (Cl, Br, I). The reaction is generally carried out in the presence of a base such as potassium carbonate in an inert organic solvent, for example acetone or DMF and at temperatures between 0°C and the reflux temperature of the solvent. Compounds of formula (XVIII) may be prepared by hydrogenolysis of a benzyloxy benzimidazole of formula (XIX):
(XIX) in a protic solvent such as methanol in the presence of hydrogen or a hydrogen donor such a 1,4-cyclohexadiene optionally in the presence of a catalytic amount of a hydrogenation catalyst for example palladium on charcoal. The reaction is generally carried out at room temperature and atmospheric pressure. Compounds of formula (XIX) can be prepared by the application of methods hereinbefore described.
Compounds of formula (XV) or (XI) may be prepared by the reaction of a 2-nitroaniline of formula (VIII) with t-omomaleic anhydride or maleic anhydride respectively. The reaction is generally carried out in an organic solvent, for example chloroform and at a temperature between 25°C and the boiling point of the solvent to obtain an intermediate of formula (XX) which may be cyclised by heating in acetic acid at reflux temperature in the
^ presence of sodium acetate, as illustrated in the following reaction scheme
Z= H or Br (vπo (XX)
m
(XV) Z = Br (XI) Z=H The 1,2-phenylenediamines of general formula (V) may be prepared by the reduction of 2-nitroanilines of formula (VIII) or of dinitrobenzenes of formula (XXI):
(XXI) in hydrochloric acid in the presence of stannous chloride at a temperature between 40 and 90°C, or in a mixture of a polar protic solvent, for example ethanol, and water in the presence of sodium sulphide at a temperature of between 20°C and the boiling point of the solvent mixture. Alternatively the reduction can be carried out in a polar protic solvent such as methanol in the presence of hydrogen and of a hydrogenation catalyst, for example palladium on charcoal at a temperature between 20°C and 60°C. It shall be understood that the catalytic reduction cannot be used for compounds of the formula (XXI) and (VIII) where the group (Yl)m includes a functional group which is capable of being reduced by the said method for example -NO2, halogen or when a group Y1 contains a double or triple bond.
45
Compounds of formula (VIII) wherein m is 1 or 2 and one of the groups Y1 represents a group -OR or -ORla may be prepared by the reaction of an aminonitrophenol of formula (XXII):
(XXII) with a compound (Rla)-L, or R-L, wherein L is as hereinbefore defined in the presence of a base, for example potassium carbonate in an inert solvent, for example acetone or DMF and at a temperature from 0°C to the reflux temperature of the solvent.
The 2-nitroanilines of general formula (VIII), the dinitrobenzenes of formula (XXI) and the quinoline-2,3- dicarboxylic acid anhydrides of formula (IV) can be prepared by the application or adaption of known methods e.g. as described in US Patent 4,656,283. Compounds of formula (XXII) are known or can be prepared by the application and adaptation of known methods. The compounds of formula (la), (XVIII) and (XIX) are novel and as such constitute a feature of the invention.
The following Examples illustrate the preparation of compounds of formula (I) and the Reference Examples illustrate the preparation of intermediates. Unless otherwise stated percentages are by weight. Example 1
Preparation of 2-fl-N. N-dimethylsulphamoylbenzimidazol-2- ylV6-ethylquinoline-3-carboxylic acid, compound 1.
A solution of lithium hydroxide (0.52g) in water was added to a stirred suspension of 2-propynyl 2-(l-N,N- dimethylsulphamoylbenzimidazol-2-yl)-6-ethylquinoline-3- carboxylate (1.87g) in methanol at room temperature. The mixture was then stirred for 5 hours at 50°C. The cooled reaction mixture was filtered and evaporated under reduced pressure. The resulting yellow residue was dissolved in water, washed with ethyl acetate and then acidified with 2N hydrochloric acid to pH 1. The precipitate thus obtained was filtered and dried to give the title compound as a white solid, 1.3g, m.p. 240°C.
I
By proceeding in a similar manner the following compounds of the formula I above wherein R^ is -OH and A is -Sθ2NMe2 were obtained from the appropriate starting materials:
(2H,d), 5.80 (lH,dd),
5.84 (lH,dd), 6.10 (1H,M), 7.00 (lH,d), 7.40 (lH,t), 7.50 (lH,d), 7.88 (lH,d),
8.05 (lH,d), 8.10 (lH,s), 9.07 (lH,s) ppm.
(b) (DMSO-d6) d = 2.60 (3H,s), 2.90 (6H,s), 3.30 (lH,s), 3.75 (3H,s), 7.38 (lH,d),
7.55 (lH,t), 7.80 (lH,t), 7.90 (lH,d), 8.05 (1H, d), 8.10 (lH, br s), 9.10 (lH,s) ppm.
Example 2
Preparation of 2-propynyI 2-fl-N.N-dimethylsulphamoyl- benzimidazol-2-ylV6-ethyl-quinoline-3-carboxylate. compound 6.
A mixture of anhydrous potassium carbonate (7.4g) and 2- propynyl 2-( lH-benzimidazol-2-yl)-6-ethylquinoline-3-carboxylate (6.4g) in anhydrous acetonitrile was stirred at reflux for 4 hours. To the cooled reaction mixture was added dimethylsulphamoyl chloride (7.7g) and then the mixture was heated at reflux for 12 hours. The solvent was then evaporated and the residue suspended in water and extracted with dichloromethane. The organic phase was dried
1? over magnesium sulphate, filtered and evaporated. The residue was crystallised from ethyl acetate to give the title compound as a white solid, 2.2 g, m.p. 194°C.
By proceeding in a similar manner the following compounds of formula I above wherein A is -Sθ2NMe2 were obtained from the
Reference Example 1
4-Ethvlquinolo[2'.3':3.41pvrrolo[1.2-a]benzimidazol-7-one A mixture of 6-ethylquinoline-2,3-dicarboxylic acid anhydride (8.9g) (prepared as in US Patent 4,656,283) and o-phenylenediamine (4.2g) in acetic acid (77 ml) was heated at reflux temperature for 6 hours. To the cooled solution was added acetic anhydride (17 ml) and the resulting mixture heated at reflux for 4 hours to give after cooling a brown precipitate which was filtered and washed with diethyl ether and dried to give the title compound as a yellow solid, 5.82 g, m.p. 254°C.
By proceeding in a similar manner the following compounds of formula (II) above were obtained from the appropriate starting materials
Reference Example 2
Preparation of 2-propynyl 2-(2H-benzimidazol-2-yO-6- ethylquinoline-3-carboxylate.
Triethylamine (3 ml) was added to a stirred solution of 4-ethylquinolo[2',3':3,4] pyrrolo[l,2-a]benzimidazol-7-one (5.8g) and propargyl alcohol (2.2g) in dichloromethane at room temperature. The mixture was stirred for 14 hours then the resulting yellow solution was washed three times with water. The combined aqueous washings were extracted with dichloromethane and then the combined organic extracts were dried over magnesium sulphate and evaporated to give the title compound as a white solid, 6.4g, m.p. 1670C.
By proceeding in a similar manner the following compounds of the formula (la) above were obtained from the appropriate quinolo[2',3':3,4]pyrrolo [l,2-a]benzimidazol-5-one and alcohol:
6-CH3 1 4-OCHF2 OCH3 177-180
6-CH3 1 4-OC2H5 OCH3 nmr (d)
6-C2H5 1 4-OCH3 OCH3 nmr (e)
6-Cl 0 - OCH3 nmr (f)
6-Cl 1 4-OCH3 OCH3 nmr (g)
6-Cl 1 4-OCH2OCH OCH3 nmr (h)
H1 NMR.
(c) (DMSO-d6) d = 2.55 (3H,S), 4.10 (3H,s), 4.80 (2H,d), 5.38 (lH,d), 6.28 (lH,m), 6.75 (lH,d), 7.20 (lH,d), 7.30 (lH,d), 7.60 (2H,m), 8.05 (IH, d), 8.25 (IH, d) ppm.
(d) (CDC13) d = 1.55 (3H, t), 2.60 (3H,s), 4.10 (3H,s), 4.30 (2H,q), 6.75 (lH,d), 7.20 (lH,t), 7.30 (lH,d), 7.65 (2H,m), 8.05 (lH,d), 8.30 (lH,s) ppm.
(e) (DMSO-d6) d = 1.30 (3H,t), 2.87 (2H,q), 3.9 (3H,s), 4.00 (3H,s), 6.75 (lH,m), 7.20 (2H,m), 7.85 (lH,dd), 7.95 (IH, m), 8.10 (lH,d), 8.60 (lH,s), 13.2 (lH,s) ppm.
(f) (DMSO-d6)d = 3.90 (3H,s), 7.25 (2H,m), 7.97 (lH,d), 8.20 (lH,d), 8.30 (lH,s),8.70 (lH,s), 13.3 (lH,br s) ppm.
(g) (DMSO-d6) d = 3.35 (3H,s), 4.00 (3H,s), 6.75 (lH,d), 7.70 (2H,m), 7.95 (lH,d), 8.20 (lH,d), 8.70 (lH,d), 8.80 (lH,d), 13.20 (lH,br s) ppm.
(h) (DMSO-d6) d = 3.60 (lH,t), 3.95 (3H,t), 5.15 (2H,d), 6.85 (IH, dd), 7.25 (2H,m), 7.97 (IH, dd), 8.20 (lH,d),8.30 (lH,s), 8.70 (lH,s), 13.38 (lH,s) ppm.
Reference Example 3
Preparation of 3-f difluoromethoxyV 1.2-benzenediamine.
A mixture of 6-difluoromethoxy-2-nitroaniline (28.8g) and sodium sulphide anhydrate (152g) in a mixture of ethanol and water was heated at reflux with stirring for 12 hours. The resulting brown solution was cooled and then concentrated in vacuo. The residue was dissolved in dichloromethane and washed with brine. The organic phase was dried over magnesium sulphate and then evaporated to give the title compound as a solid(22 g), ^H NMR (DMSO-D6) d = 4.32 (2H,br s), 4.75 (2H,br s), 6.40 (3H,m), 6.98 (lH,t) ppm.
Reference Example 4
Preparation of 6-difluoromethoxy-2-nitroaniline.
A solution of sodium hydroxide (2M, 1.6L) was added to a stirred solution of 2-amino-3-nitrophenol (lOOg) in dioxan. Chlorodifluoromethane was then bubbled into the reaction mixture for two hours. The solution was extracted with dichloromethane and the combined organic extracts washed with 2M sodium hydroxide solution and then brine. After drying over magnesium sulphate the solvent was evaporated to give the title compound as a brown solid (77.2g), m.p. 47-49°C. Industrial Applicability According to a feature of the present invention, there is provided a method for controlling the growth of weeds (i.e. undesired vegetation) at a locus which comprises applying to the locus a herbicidally effective amount of at least one benzimidazolyl quinoline-3-carboxylate derivative of general formula (I) or an agriculturally acceptable salt thereof. For this purpose, the benzimidazolyl quinoline-3-carboxylate derivatives are normally used in the form of herbicidal compositions (i.e. in association with compatible diluents or carriers and/or surface active agents suitable for use in herbicidal compositions), for example as hereinafter described.
The compounds of general formula (I) show herbicidal activity against dicotyledonous (i.e. broad-leafed) and monocotyledonous (e.g. grass) weeds by pre- and/or post-emergence application. The amounts of compounds of general formula (I) applied vary with the nature of the weeds, the compositions used, the time of application, the climatic and edaphic conditions and (when used to control the growth of weeds in crop-growing areas) the nature of the crops. When applied to a crop-growing area, the rate of application should be sufficient to control the growth of weeds without causing substantial permanent damage to the crop. In general, taking these factors into account, application rates between 0.01kg and 5kg of active material per hectare give good results. However, it is to be understood that higher or lower application rates may be used, depending upon the particular problem of weed control encountered.
Representative compounds of general formula (I) have been used in herbicidal applications according to the following procedures.
At
Weed species Approx number of seeds/pot
1) Broad-leafed weeds
Abutilon theophrasti 10
Amaranthus retroflexus 20
Galium aparine 10
Ipomoea purpurea 10
Sinapis arvensis 15
Xanthium strumarium 2.
2) Grass weeds
Alopecurus myosuroides 15
Avena fatua 10
Echinochloa crus-galli 15
Setaria viridis 20.
3) Sedges
Cyperus esculentus 3.
Crop
1) Broad-leafed
Cotton 3
Soya 3.
2) Grass
Maize 2
Rice 6
Wheat 6.
The compounds of the invention were applied to the soil surface, contaimng the seeds, as described in (a). A single pot of each crop and each weed was allocated to each treatment, with unsprayed controls and controls sprayed with acetone alone. After treatment the pots were placed on capillary matting kept in a glass house, and watered overhead . Visual assessment of crop damage was made 20-24 days after spraying. The results were expressed as the percentage reduction in growth or damage to the crop or weeds, in comparison with the plants in the control pots. c. Weed control : Post-emergence
The weeds and crops were sown directly into John Innes potting compost in 75 mm deep, 70 mm square pots except for Amaranthus which was pricked out at the seedling stage and
Aa transferred to the pots one week before spraying. The plants were then grown in the greenhouse until ready for spraying with the compounds used to treat the plants. The number of plants per pot were as follows :-
1) Broad leafed weeds
Weed species Number of plants per pot Growth stage
Abutilon theophrasti 3 1-2 leaves
Amaranthus retroflexus 4 1-2 leaves
Galium aparine 3 1st whorl
Ipomoea purpurea 3 1-2 leaves
Sinapis arvensis 4 2 leaves
Xanthium strumarium 1 2-3 leaves.
2) Grass weeds
Weed species Number of plants per pot Growth stage
Alopecurus myosuroides 8-12 1-2 leaves
Avena fatua 12-18 1-2 leaves
Echinochloa crus-galli 4 2-3 leaves
Setaria viridis 15-25 1-2 leaves.
3 Sedges
Weed species Number of plants per pot Growth stage
Cyperus esculentus 3 3 leaves.
1) Broad leafed
Crops Number of plants per pot Growth stage
Cotton 2 l leaf
Soya • 2 2 leaves.
2) Grass
Crops Number of plants per pot Growth stage
Maize 2 2-3 leaves
Rice 4 2-3 leaves
Wheat 5 2-3 leaves.
The compounds used to treat the plants were applied to the plants as described in (a). A single pot of each crop and weed species was allocated to each treatment, with unsprayed controls and controls sprayed with acetone alone.
After treatment the pots were placed on capillary matting in a glass house, and watered overhead once after 24 hours and then by controlled sub-irrigation. Visual assessment of crop damage and weed control was made 20-24 days after spraying. The results were
expressed as the percentage reduction in growth or damage to the crop or weeds, in comparison with the plants in the control pots.
Representative compounds of the invention used at 4000 g/ha or less, have shown an excellent level of herbicidal activity in the foregoing experiments, giving 90% reduction in growth of one or more weed species when applied pre- or post- emergence,combined with tolerance on one or more crops.
When applied pre-emergence at 1000 g/ha or less, compounds 1, 3, 11, 12, 13, 14, 15, 16, 17, 18 and 19 gave 90% reduction in growth of one or more weed species with tolerance on one or more crop species. When applied post-emergence at 1000 g/ha or less, compounds 1, 2, 3, 6, 7, 11, 12, 13, 14, 15, 16, 17, 18 and 19 gave 90% reduction in growth of one or more weed species with tolerance on one or more crop species. According to a further feature of the present invention, there are provided herbicidal compositions comprising one or more of the benzimidazolyl quinoline-3-carboxylate derivatives of formula I or an agriculturally acceptable salt thereof, in association with, and preferably homogeneously dispersed in, one or more compatible agriculturally- acceptable diluents or carriers and/or surface active agents [i.e. diluents or carriers and/or surface active agents of the type generally accepted in the art as being suitable for use in herbicidal compositions and which are compatible with compounds of general formula (I)]. The term "herbicidal compositions" is used in a broad sense to include not only compositions which are ready for use as herbicides but also concentrates which must be diluted before use. The herbicidal compositions may contain both a diluent or carrier and surface-active (e.g. wetting, dispersing, or emulsifying) agent. Herbicidal compositions according to the present invention may also comprise the compounds of general formula (I) in association with, and preferably homogeneously dispersed in, one or more other pesticidally active compounds and, if desired, one or more compatible pesticidally acceptable diluents or carriers, surface -active agents and conventional adjuvants as hereinbefore described.
Pesticidally active compounds and other biologically active materials which may be included in, or used in conjunction with, the
herbicidal compositions of the present invention, for example those hereinbefore mentioned, and which are acids, may, if desired, be utilized in the form of conventional derivatives, for example alkali metal and amine salts and esters.
Claims
1. A benzimidazolyl quinoline-3-carboxylate derivative of formula I
(I) wherein Y represents: a straight- or branched- chain alkyl group containing up to eight carbon atoms which is optionally substituted by one or more R! groups which may be the same or different; or a cycloalkyl group containing from 3 to 6 carbon atoms optionally substituted by one or more R* groups which may be the same or different; or a group selected from -SR, -S(0)R, -SO2R, -OR, halogen, nitro, cyano, -NR?R8, aryl or O-aryl;
Y1 represents:- a straight- or branched- chain alkyl, alkenyl or alkynyl group containing up to eight carbon atoms which is optionally substituted by one or more R groups which may be the same or different; or a cycloalkyl group contaimng from 3 to 6 carbon atoms optionally substituted by one or more R groups which may be the same or different; or a group selected from -SR, -OR, -ORla, halogen, aryl, aralkyl, O-aryl, -NR?R8 or -OCH2Rπ;
R2 represents:- a group -OH -NR^R8 or -X-M, where X represents oxygen or sulphur, and
M represents:- a straight- or branched- chain alkyl group containing up to eight carbon atoms optionally substituted by one or more R1 groups which may be the same or different; a cycloalkyl group containing from three to six carbon atoms optionally substituted by one or more R1 groups which may be the same or different; or 2Jb a group selected from aryl, aralkyl, -(CR41R42)q-C≡CR6, -(CR41R42)q-C(R4) = CR5R6 and -N = CR9R10;
A represents -S02NR7R8;
R represents:- a straight- or branched- chain alkyl group containing up to eight carbon atoms optionally substituted by one or more groups R1 which may be the same or different; or a cycloalkyl group containing from 3 to 6 carbon atoms optionally substituted by one or more groups R3 which may be the same or different;
Rl represents:- a group selected from -OR3, -S(0)sR3, wherein s is zero, one or two, halogen, a cycloalkyl group containing from 3 to 6 carbon atoms (optionally substituted by one or more groups R* which may be the same or different, other than cycloalkyl), R3, O-aryl, cyano or -C02R5;
Rla is -(CR R5)rOCR6 or-(CR 1R42)r-C(R4) = CR5R6;
R3 represents a straight- or branched- chain alkyl group containing up to 6 carbon atoms optionally substituted by one or more halogen atoms which may be the same or different;
R4, R41, R42 and R$ , which may be the same or different, each represent hydrogen or a straight- or branched- chain alkyl group contaimng up to 6 carbon atoms optionally substituted by one or more halogen atoms which may be the same or different; or aryl; R6 represents a group selected from R4 or aralkyl;
R and R8, which may be the same or different, each represent:- a hydrogen atom, or a group selected from R, -OR3, -S(0)sR3, halogen, R3, O-aryl, aryl or aralkyl; or R? and R8 may form together with the nitrogen to which they are attached a heterocycle containing from 3 to 6 carbon atoms in the ring and zero, 1 or 2 additional heteroatoms in the ring selected from nitrogen, oxygen and sulphur;
R9 and R*0, which may be the same or different, each represent: a hydrogen atom, or a straight- or branched- chain alkyl group containing up to eight carbon atoms optionally substituted by one or more groups, which may be the same or different, selected from halogen,-OR or -S(0)sR, where s is zero, 1 or 2; or a phenyl group optionally substituted by from one to four groups, which may be the same or different, selected from nitro, R, -NR4R5, halogen or -S(0)sR; or a 5 or 6 membered heterocycle contaimng from 3 to 5 carbon atoms in the ring and one or more heteroatoms in the ring selected from nitrogen, sulphur or oxygen, optionally substituted by one or more groups Rl which may be the same or different; or R9 and R 0 may form together with the nitrogen to which they are attached a heterocycle containing 4 or 5 carbon atoms in the ring, which may be optionally substituted by from 1 to 3 groups R3 which may be the same or different;
RU represents a five or six membered aliphatic ring comprising an oxygen atom in the ring;
'aryl' represents:- a phenyl group optionally substituted by from one to four groups which may be the same or different selected from -OR3, -SR3, halogen or R3; or a 5 or 6 membered heterocycle containing from 3 to 5 carbon atoms in the ring and one or more heteroatoms in the ring selected from nitrogen, sulphur or oxygen, optionally substituted by one or more groups, which may be the same or different, selected from -OR3, -SR3, halogen or R3; aralkyl represents a group-(CR4R^)p-aryl; m represents zero or an integer from 1 to 4, the groups Y* being the same or different when m is greater than 1; n represents an integer from 1 to 4; p represents one or two; q represents one or two; r represents an integer from 1 to 5; where p, q or r is greater than 1, the groups -(CR4R^)* and the groups -(CR *R42)- may be the same or different; where n is greater than 1 no more than one of the groups Y represents nitro, -SR, -SOR, -SO2R, nitro, -NR7R8, aryl or O-aryl; or an agriculturally acceptable salt thereof.
2. A compound according to claim 1 wherein: (a) A represents a group -Sθ2NR7R8 in which R7 and R8 each represents an alkyl group; and/or (b) R2 represents a group -OH, -XM or -XW in which X is oxygen, M is alkynyl and W is an agriculturally acceptable cation; and/or
(c) Y represents alkyl, and n is 1 or 2; and/or (d) Y1 represents -OR, SR, -ORla or -SRla; and m is 0, 1 or 2.
3. A compound according to claim 1 wherein the benzimidazole ring is substituted in the 4- and/or 5- position by a group Y1.
4. A compound according to claim 1 wherein the benzimidazole ring is substituted in the 4- position and γl is a group selected from methyl, methoxy, ethoxy, n-propyloxy, allyloxy, propargyloxy, 2-methoxyethoxy and chlorine.
5. A compound according to claim 1 wherein Y represents methyl, ethyl or chlorine.
6. A compound according to claim 1 wherein n is one and the ggrroouupp YY iiss iinn the 6- position of the quinoline ring.
7. A compound according to claim 1 wherein m is one and the group Y1 is in the 4- or 5- position of the benzimidazole ring.
8. A herbicidal composition which comprises as active ingredient a herbicidally effective amount of a benzimidazolyl quinoline-3-carboxylate derivative of formula I as defined in claim 1 or an agriculturally acceptable salt thereof, in association with an agriculturally acceptable diluent or carrier and/or surface active agent.
9. A method for controlling the growth of weeds at a locus which comprises applying to the locus a herbicidally effective amount of a benzimidazolyl quinoline-3-carboxylate derivative of formula I as defined in claim 1 or an agriculturally acceptable salt thereof. •*?
10. A compound useful as an intermediate in the synthesis of herbicidal compounds, characterised by the formula la, XIII or XIX:
(XIX)
in which Y, Y R2, A, n and m are as defined in claim 1, A1 is the hydrogen atom, t is 0, 1, 2 or 3 and R2 is -XM or -NR7R8, wherein X, M, R7 and R8 are as defined in claim 1.
Priority Applications (2)
| Application Number | Priority Date | Filing Date | Title |
|---|---|---|---|
| PCT/EP1994/000035 WO1995018801A1 (en) | 1994-01-08 | 1994-01-08 | Benzimidazolyl quinoline-3-carboxylate derivatives, intermediates thereto, and their use as herbicides |
| AU58813/94A AU5881394A (en) | 1994-01-08 | 1994-01-08 | Benzimidazolyl quinoline-3-carboxylate derivatives, intermediates thereto, and their use as herbicides |
Applications Claiming Priority (1)
| Application Number | Priority Date | Filing Date | Title |
|---|---|---|---|
| PCT/EP1994/000035 WO1995018801A1 (en) | 1994-01-08 | 1994-01-08 | Benzimidazolyl quinoline-3-carboxylate derivatives, intermediates thereto, and their use as herbicides |
Publications (1)
| Publication Number | Publication Date |
|---|---|
| WO1995018801A1 true WO1995018801A1 (en) | 1995-07-13 |
Family
ID=8165815
Family Applications (1)
| Application Number | Title | Priority Date | Filing Date |
|---|---|---|---|
| PCT/EP1994/000035 Ceased WO1995018801A1 (en) | 1994-01-08 | 1994-01-08 | Benzimidazolyl quinoline-3-carboxylate derivatives, intermediates thereto, and their use as herbicides |
Country Status (2)
| Country | Link |
|---|---|
| AU (1) | AU5881394A (en) |
| WO (1) | WO1995018801A1 (en) |
Cited By (10)
| Publication number | Priority date | Publication date | Assignee | Title |
|---|---|---|---|---|
| US6605617B2 (en) | 2000-09-11 | 2003-08-12 | Chiron Corporation | Quinolinone derivatives |
| US6756383B2 (en) | 2000-09-01 | 2004-06-29 | Chiron Corporation | Heterocyclic derivatives of quinolinone benimidazoles |
| US7470709B2 (en) | 2002-08-23 | 2008-12-30 | Novartis Vaccines And Diagnostics, Inc. | Benzimidazole quinolinones and uses thereof |
| US7825132B2 (en) | 2002-08-23 | 2010-11-02 | Novartis Vaccines And Diagnostics, Inc. | Inhibition of FGFR3 and treatment of multiple myeloma |
| US7838527B2 (en) | 2002-11-13 | 2010-11-23 | Novartis Vaccines And Diagnostics, Inc. | Methods of treating cancer and related methods |
| US7875624B2 (en) | 2004-02-20 | 2011-01-25 | Novartis Vaccines And Diagnostics, Inc. | Modulating and measuring cellular adhesion |
| US8222413B2 (en) | 2005-05-17 | 2012-07-17 | Novartis Ag | Methods for synthesizing heterocyclic compounds |
| US8299081B2 (en) | 2005-05-13 | 2012-10-30 | Novartis Ag | Methods for treating drug resistant cancer |
| US8614216B2 (en) | 2005-05-23 | 2013-12-24 | Novartis Ag | Crystalline and other forms of 4-amino-5-fluoro-3-[6-(4-methylpiperazin-1-yl)-1H-benzimidazol-2-yl]-1H-quinolin-2-one lactic acid salts |
| CN109415370A (en) * | 2016-07-01 | 2019-03-01 | 日本农药株式会社 | N-Alkylsulfonyl fused heterocyclic compound or salts thereof, pesticides containing the same, and methods of using the same |
Citations (3)
| Publication number | Priority date | Publication date | Assignee | Title |
|---|---|---|---|---|
| EP0429372A1 (en) * | 1989-10-20 | 1991-05-29 | Rhone-Poulenc Agrochimie | 2-Azolyl nicotinate derivatives as herbicides |
| EP0508800A1 (en) * | 1991-04-11 | 1992-10-14 | Rhone Poulenc Agriculture Ltd. | New Herbicides |
| EP0509717A2 (en) * | 1991-04-18 | 1992-10-21 | Rhone Poulenc Agriculture Ltd. | New herbicidal compositions |
-
1994
- 1994-01-08 WO PCT/EP1994/000035 patent/WO1995018801A1/en not_active Ceased
- 1994-01-08 AU AU58813/94A patent/AU5881394A/en not_active Abandoned
Patent Citations (3)
| Publication number | Priority date | Publication date | Assignee | Title |
|---|---|---|---|---|
| EP0429372A1 (en) * | 1989-10-20 | 1991-05-29 | Rhone-Poulenc Agrochimie | 2-Azolyl nicotinate derivatives as herbicides |
| EP0508800A1 (en) * | 1991-04-11 | 1992-10-14 | Rhone Poulenc Agriculture Ltd. | New Herbicides |
| EP0509717A2 (en) * | 1991-04-18 | 1992-10-21 | Rhone Poulenc Agriculture Ltd. | New herbicidal compositions |
Cited By (19)
| Publication number | Priority date | Publication date | Assignee | Title |
|---|---|---|---|---|
| US7138409B2 (en) | 2000-09-01 | 2006-11-21 | Chiron Corporation | Heterocyclic compounds |
| US6756383B2 (en) | 2000-09-01 | 2004-06-29 | Chiron Corporation | Heterocyclic derivatives of quinolinone benimidazoles |
| US6759417B2 (en) | 2000-09-01 | 2004-07-06 | Chiron Corporation | Heterocyclic compounds |
| US7368459B2 (en) | 2000-09-01 | 2008-05-06 | Chiron Corporation | Heterocyclic compounds |
| US6774237B2 (en) | 2000-09-11 | 2004-08-10 | Chiron Corporation | Quinolinone derivatives |
| US7598268B2 (en) | 2000-09-11 | 2009-10-06 | Novartis Vaccines & Diagnostics, Inc. | Quinolinone derivatives |
| US6605617B2 (en) | 2000-09-11 | 2003-08-12 | Chiron Corporation | Quinolinone derivatives |
| US7335774B2 (en) | 2000-09-11 | 2008-02-26 | Novartis Vaccines And Diagnostics, Inc. | Quinolinone derivatives |
| US6762194B2 (en) | 2000-09-11 | 2004-07-13 | Chiron Corporation | Quinolinone derivatives |
| US6800760B2 (en) | 2000-09-11 | 2004-10-05 | Chiron Corporation | Quinolinone derivatives |
| US7825132B2 (en) | 2002-08-23 | 2010-11-02 | Novartis Vaccines And Diagnostics, Inc. | Inhibition of FGFR3 and treatment of multiple myeloma |
| US7470709B2 (en) | 2002-08-23 | 2008-12-30 | Novartis Vaccines And Diagnostics, Inc. | Benzimidazole quinolinones and uses thereof |
| US7838527B2 (en) | 2002-11-13 | 2010-11-23 | Novartis Vaccines And Diagnostics, Inc. | Methods of treating cancer and related methods |
| US7875624B2 (en) | 2004-02-20 | 2011-01-25 | Novartis Vaccines And Diagnostics, Inc. | Modulating and measuring cellular adhesion |
| US8299081B2 (en) | 2005-05-13 | 2012-10-30 | Novartis Ag | Methods for treating drug resistant cancer |
| US8222413B2 (en) | 2005-05-17 | 2012-07-17 | Novartis Ag | Methods for synthesizing heterocyclic compounds |
| US8614216B2 (en) | 2005-05-23 | 2013-12-24 | Novartis Ag | Crystalline and other forms of 4-amino-5-fluoro-3-[6-(4-methylpiperazin-1-yl)-1H-benzimidazol-2-yl]-1H-quinolin-2-one lactic acid salts |
| CN109415370A (en) * | 2016-07-01 | 2019-03-01 | 日本农药株式会社 | N-Alkylsulfonyl fused heterocyclic compound or salts thereof, pesticides containing the same, and methods of using the same |
| EP3483162A4 (en) * | 2016-07-01 | 2020-01-22 | Nihon Nohyaku Co., Ltd. | FUSED N-ALKYLSULFONYL HETEROCYCLIC COMPOUND OR SALTS THEREOF, PESTICIDE CONTAINING SAID COMPOUND AND METHOD OF USING SAID PESTICIDE |
Also Published As
| Publication number | Publication date |
|---|---|
| AU5881394A (en) | 1995-08-01 |
Similar Documents
| Publication | Publication Date | Title |
|---|---|---|
| US6444617B1 (en) | Fused-heterocycle dicarboxylic acid diamide derivatives or salts thereof, herbicide and usage thereof | |
| EP0370704B1 (en) | Aralkylamine derivatives, preparation thereof and fungicides containing the same | |
| US4656283A (en) | Alkyl esters of substituted 2-methyl-3-quinolinecarboxylic acid and quinoline-2,3-dicarboxylic acid | |
| JPWO2001012613A1 (en) | Isoxazoline derivatives and herbicides containing them as active ingredients | |
| EP0636622A1 (en) | Isoxazole derivatives and their use as herbicides | |
| EP0634404A1 (en) | Phtalazin derivatives and their use as pesticides | |
| EP0219451B1 (en) | Semicarbazones and thiosemicarbazones | |
| JP3383813B2 (en) | Substituted phenyl heterocyclic herbicides | |
| US4459409A (en) | Process for the preparation of 2,3-quinolinedicarboxylic acids | |
| WO1995018801A1 (en) | Benzimidazolyl quinoline-3-carboxylate derivatives, intermediates thereto, and their use as herbicides | |
| CN115181116B (en) | Condensed ring compound with sulfur-containing substituent, preparation method, insecticide composition and use | |
| HU205832B (en) | Herbicide compositions containing 5-substituted-2-/2-imidazolin-2-yl/-nicotinic acid derivative and process for producing these compounds | |
| JPH05112557A (en) | New herbicide | |
| JPH0670054B2 (en) | Dihydroimidazopyrrolopyridines and their derivatives | |
| US4910327A (en) | Alkyl esters of substituted 2-methyl-3-quinolinecarboxylic acid and quinoline-2,3-dicarboxylic acid: dialkyl 3-(substituted)phenylaminobut-2-ene-dioates and methods for the preparation thereof | |
| WO2002002540A1 (en) | Benzoxazole compound, process for producing the same, and herbicide | |
| JPH05112558A (en) | New herbicidal composition | |
| SK92995A3 (en) | 4-phenoxycoumarins, method of their preparation and their use as herbicidal agents | |
| US4997947A (en) | Process of preparing 2-(imidazolin-2-yl)-nicotinic acid compounds | |
| AU638854B2 (en) | Novel herbicides | |
| US4439607A (en) | Method for the preparation of certain pyridine and quinoline 2,3-dicarboxylic anhydrides | |
| JPH04145081A (en) | Pyrazole carboxylic acid derivatives and herbicides | |
| CN112624974B (en) | Cinnamate compound and application thereof | |
| JP2000016982A (en) | Quinoline derivatives and herbicides containing the same as active ingredients | |
| KR19980703553A (en) | Pyrazole derivative |
Legal Events
| Date | Code | Title | Description |
|---|---|---|---|
| AK | Designated states |
Kind code of ref document: A1 Designated state(s): AU JP RU US |
|
| AL | Designated countries for regional patents |
Kind code of ref document: A1 Designated state(s): AT BE CH DE DK ES FR GB GR IE IT LU MC NL PT SE |
|
| 121 | Ep: the epo has been informed by wipo that ep was designated in this application | ||
| 122 | Ep: pct application non-entry in european phase |




























