WO1994015901A1 - Compounds having selectivity for retinoid x receptors - Google Patents
Compounds having selectivity for retinoid x receptors Download PDFInfo
- Publication number
- WO1994015901A1 WO1994015901A1 PCT/US1993/010094 US9310094W WO9415901A1 WO 1994015901 A1 WO1994015901 A1 WO 1994015901A1 US 9310094 W US9310094 W US 9310094W WO 9415901 A1 WO9415901 A1 WO 9415901A1
- Authority
- WO
- WIPO (PCT)
- Prior art keywords
- compound
- methyl
- receptors
- retinoid
- compounds
- Prior art date
- Legal status (The legal status is an assumption and is not a legal conclusion. Google has not performed a legal analysis and makes no representation as to the accuracy of the status listed.)
- Ceased
Links
- 0 CC(C)(CCC1(C)C)C(C2)C1C=C(C)C2C(c1ccc(*)[s]1)=O Chemical compound CC(C)(CCC1(C)C)C(C2)C1C=C(C)C2C(c1ccc(*)[s]1)=O 0.000 description 2
Classifications
-
- C—CHEMISTRY; METALLURGY
- C07—ORGANIC CHEMISTRY
- C07D—HETEROCYCLIC COMPOUNDS
- C07D213/00—Heterocyclic compounds containing six-membered rings, not condensed with other rings, with one nitrogen atom as the only ring hetero atom and three or more double bonds between ring members or between ring members and non-ring members
- C07D213/02—Heterocyclic compounds containing six-membered rings, not condensed with other rings, with one nitrogen atom as the only ring hetero atom and three or more double bonds between ring members or between ring members and non-ring members having three double bonds between ring members or between ring members and non-ring members
- C07D213/04—Heterocyclic compounds containing six-membered rings, not condensed with other rings, with one nitrogen atom as the only ring hetero atom and three or more double bonds between ring members or between ring members and non-ring members having three double bonds between ring members or between ring members and non-ring members having no bond between the ring nitrogen atom and a non-ring member or having only hydrogen or carbon atoms directly attached to the ring nitrogen atom
- C07D213/60—Heterocyclic compounds containing six-membered rings, not condensed with other rings, with one nitrogen atom as the only ring hetero atom and three or more double bonds between ring members or between ring members and non-ring members having three double bonds between ring members or between ring members and non-ring members having no bond between the ring nitrogen atom and a non-ring member or having only hydrogen or carbon atoms directly attached to the ring nitrogen atom with hetero atoms or with carbon atoms having three bonds to hetero atoms with at the most one bond to halogen, e.g. ester or nitrile radicals, directly attached to ring carbon atoms
- C07D213/78—Carbon atoms having three bonds to hetero atoms, with at the most one bond to halogen, e.g. ester or nitrile radicals
- C07D213/79—Acids; Esters
-
- C—CHEMISTRY; METALLURGY
- C07—ORGANIC CHEMISTRY
- C07C—ACYCLIC OR CARBOCYCLIC COMPOUNDS
- C07C233/00—Carboxylic acid amides
- C07C233/64—Carboxylic acid amides having carbon atoms of carboxamide groups bound to carbon atoms of six-membered aromatic rings
- C07C233/66—Carboxylic acid amides having carbon atoms of carboxamide groups bound to carbon atoms of six-membered aromatic rings having the nitrogen atom of at least one of the carboxamide groups bound to a carbon atom of a hydrocarbon radical substituted by halogen atoms or by nitro or nitroso groups
-
- C—CHEMISTRY; METALLURGY
- C07—ORGANIC CHEMISTRY
- C07C—ACYCLIC OR CARBOCYCLIC COMPOUNDS
- C07C233/00—Carboxylic acid amides
- C07C233/64—Carboxylic acid amides having carbon atoms of carboxamide groups bound to carbon atoms of six-membered aromatic rings
- C07C233/67—Carboxylic acid amides having carbon atoms of carboxamide groups bound to carbon atoms of six-membered aromatic rings having the nitrogen atom of at least one of the carboxamide groups bound to a carbon atom of a hydrocarbon radical substituted by singly-bound oxygen atoms
- C07C233/75—Carboxylic acid amides having carbon atoms of carboxamide groups bound to carbon atoms of six-membered aromatic rings having the nitrogen atom of at least one of the carboxamide groups bound to a carbon atom of a hydrocarbon radical substituted by singly-bound oxygen atoms with the substituted hydrocarbon radical bound to the nitrogen atom of the carboxamide group by a carbon atom of a six-membered aromatic ring
-
- C—CHEMISTRY; METALLURGY
- C07—ORGANIC CHEMISTRY
- C07C—ACYCLIC OR CARBOCYCLIC COMPOUNDS
- C07C233/00—Carboxylic acid amides
- C07C233/64—Carboxylic acid amides having carbon atoms of carboxamide groups bound to carbon atoms of six-membered aromatic rings
- C07C233/81—Carboxylic acid amides having carbon atoms of carboxamide groups bound to carbon atoms of six-membered aromatic rings having the nitrogen atom of at least one of the carboxamide groups bound to a carbon atom of a hydrocarbon radical substituted by carboxyl groups
-
- C—CHEMISTRY; METALLURGY
- C07—ORGANIC CHEMISTRY
- C07C—ACYCLIC OR CARBOCYCLIC COMPOUNDS
- C07C235/00—Carboxylic acid amides, the carbon skeleton of the acid part being further substituted by oxygen atoms
- C07C235/70—Carboxylic acid amides, the carbon skeleton of the acid part being further substituted by oxygen atoms having carbon atoms of carboxamide groups and doubly-bound oxygen atoms bound to the same carbon skeleton
- C07C235/84—Carboxylic acid amides, the carbon skeleton of the acid part being further substituted by oxygen atoms having carbon atoms of carboxamide groups and doubly-bound oxygen atoms bound to the same carbon skeleton with the carbon atom of at least one of the carboxamide groups bound to a carbon atom of a six-membered aromatic ring
-
- C—CHEMISTRY; METALLURGY
- C07—ORGANIC CHEMISTRY
- C07C—ACYCLIC OR CARBOCYCLIC COMPOUNDS
- C07C251/00—Compounds containing nitrogen atoms doubly-bound to a carbon skeleton
- C07C251/32—Oximes
- C07C251/34—Oximes with oxygen atoms of oxyimino groups bound to hydrogen atoms or to carbon atoms of unsubstituted hydrocarbon radicals
- C07C251/48—Oximes with oxygen atoms of oxyimino groups bound to hydrogen atoms or to carbon atoms of unsubstituted hydrocarbon radicals with the carbon atom of at least one of the oxyimino groups bound to a carbon atom of a six-membered aromatic ring
-
- C—CHEMISTRY; METALLURGY
- C07—ORGANIC CHEMISTRY
- C07C—ACYCLIC OR CARBOCYCLIC COMPOUNDS
- C07C63/00—Compounds having carboxyl groups bound to a carbon atoms of six-membered aromatic rings
- C07C63/33—Polycyclic acids
- C07C63/49—Polycyclic acids containing rings other than six-membered aromatic rings
-
- C—CHEMISTRY; METALLURGY
- C07—ORGANIC CHEMISTRY
- C07C—ACYCLIC OR CARBOCYCLIC COMPOUNDS
- C07C63/00—Compounds having carboxyl groups bound to a carbon atoms of six-membered aromatic rings
- C07C63/66—Polycyclic acids with unsaturation outside the aromatic rings
-
- C—CHEMISTRY; METALLURGY
- C07—ORGANIC CHEMISTRY
- C07C—ACYCLIC OR CARBOCYCLIC COMPOUNDS
- C07C63/00—Compounds having carboxyl groups bound to a carbon atoms of six-membered aromatic rings
- C07C63/68—Compounds having carboxyl groups bound to a carbon atoms of six-membered aromatic rings containing halogen
- C07C63/72—Polycyclic acids
-
- C—CHEMISTRY; METALLURGY
- C07—ORGANIC CHEMISTRY
- C07C—ACYCLIC OR CARBOCYCLIC COMPOUNDS
- C07C65/00—Compounds having carboxyl groups bound to carbon atoms of six—membered aromatic rings and containing any of the groups OH, O—metal, —CHO, keto, ether, groups, groups, or groups
- C07C65/01—Compounds having carboxyl groups bound to carbon atoms of six—membered aromatic rings and containing any of the groups OH, O—metal, —CHO, keto, ether, groups, groups, or groups containing hydroxy or O-metal groups
- C07C65/19—Compounds having carboxyl groups bound to carbon atoms of six—membered aromatic rings and containing any of the groups OH, O—metal, —CHO, keto, ether, groups, groups, or groups containing hydroxy or O-metal groups having unsaturation outside the aromatic ring
-
- C—CHEMISTRY; METALLURGY
- C07—ORGANIC CHEMISTRY
- C07C—ACYCLIC OR CARBOCYCLIC COMPOUNDS
- C07C65/00—Compounds having carboxyl groups bound to carbon atoms of six—membered aromatic rings and containing any of the groups OH, O—metal, —CHO, keto, ether, groups, groups, or groups
- C07C65/32—Compounds having carboxyl groups bound to carbon atoms of six—membered aromatic rings and containing any of the groups OH, O—metal, —CHO, keto, ether, groups, groups, or groups containing keto groups
- C07C65/34—Compounds having carboxyl groups bound to carbon atoms of six—membered aromatic rings and containing any of the groups OH, O—metal, —CHO, keto, ether, groups, groups, or groups containing keto groups polycyclic
- C07C65/36—Compounds having carboxyl groups bound to carbon atoms of six—membered aromatic rings and containing any of the groups OH, O—metal, —CHO, keto, ether, groups, groups, or groups containing keto groups polycyclic containing rings other than six-membered aromatic rings
-
- C—CHEMISTRY; METALLURGY
- C07—ORGANIC CHEMISTRY
- C07C—ACYCLIC OR CARBOCYCLIC COMPOUNDS
- C07C65/00—Compounds having carboxyl groups bound to carbon atoms of six—membered aromatic rings and containing any of the groups OH, O—metal, —CHO, keto, ether, groups, groups, or groups
- C07C65/32—Compounds having carboxyl groups bound to carbon atoms of six—membered aromatic rings and containing any of the groups OH, O—metal, —CHO, keto, ether, groups, groups, or groups containing keto groups
- C07C65/40—Compounds having carboxyl groups bound to carbon atoms of six—membered aromatic rings and containing any of the groups OH, O—metal, —CHO, keto, ether, groups, groups, or groups containing keto groups containing singly bound oxygen-containing groups
-
- C—CHEMISTRY; METALLURGY
- C07—ORGANIC CHEMISTRY
- C07C—ACYCLIC OR CARBOCYCLIC COMPOUNDS
- C07C69/00—Esters of carboxylic acids; Esters of carbonic or haloformic acids
- C07C69/66—Esters of carboxylic acids having esterified carboxylic groups bound to acyclic carbon atoms and having any of the groups OH, O—metal, —CHO, keto, ether, acyloxy, groups, groups, or in the acid moiety
- C07C69/73—Esters of carboxylic acids having esterified carboxylic groups bound to acyclic carbon atoms and having any of the groups OH, O—metal, —CHO, keto, ether, acyloxy, groups, groups, or in the acid moiety of unsaturated acids
- C07C69/738—Esters of keto-carboxylic acids or aldehydo-carboxylic acids
-
- C—CHEMISTRY; METALLURGY
- C07—ORGANIC CHEMISTRY
- C07C—ACYCLIC OR CARBOCYCLIC COMPOUNDS
- C07C69/00—Esters of carboxylic acids; Esters of carbonic or haloformic acids
- C07C69/76—Esters of carboxylic acids having a carboxyl group bound to a carbon atom of a six-membered aromatic ring
-
- C—CHEMISTRY; METALLURGY
- C07—ORGANIC CHEMISTRY
- C07D—HETEROCYCLIC COMPOUNDS
- C07D213/00—Heterocyclic compounds containing six-membered rings, not condensed with other rings, with one nitrogen atom as the only ring hetero atom and three or more double bonds between ring members or between ring members and non-ring members
- C07D213/02—Heterocyclic compounds containing six-membered rings, not condensed with other rings, with one nitrogen atom as the only ring hetero atom and three or more double bonds between ring members or between ring members and non-ring members having three double bonds between ring members or between ring members and non-ring members
- C07D213/04—Heterocyclic compounds containing six-membered rings, not condensed with other rings, with one nitrogen atom as the only ring hetero atom and three or more double bonds between ring members or between ring members and non-ring members having three double bonds between ring members or between ring members and non-ring members having no bond between the ring nitrogen atom and a non-ring member or having only hydrogen or carbon atoms directly attached to the ring nitrogen atom
- C07D213/60—Heterocyclic compounds containing six-membered rings, not condensed with other rings, with one nitrogen atom as the only ring hetero atom and three or more double bonds between ring members or between ring members and non-ring members having three double bonds between ring members or between ring members and non-ring members having no bond between the ring nitrogen atom and a non-ring member or having only hydrogen or carbon atoms directly attached to the ring nitrogen atom with hetero atoms or with carbon atoms having three bonds to hetero atoms with at the most one bond to halogen, e.g. ester or nitrile radicals, directly attached to ring carbon atoms
- C07D213/78—Carbon atoms having three bonds to hetero atoms, with at the most one bond to halogen, e.g. ester or nitrile radicals
- C07D213/79—Acids; Esters
- C07D213/80—Acids; Esters in position 3
-
- C—CHEMISTRY; METALLURGY
- C07—ORGANIC CHEMISTRY
- C07D—HETEROCYCLIC COMPOUNDS
- C07D257/00—Heterocyclic compounds containing rings having four nitrogen atoms as the only ring hetero atoms
- C07D257/02—Heterocyclic compounds containing rings having four nitrogen atoms as the only ring hetero atoms not condensed with other rings
- C07D257/04—Five-membered rings
-
- C—CHEMISTRY; METALLURGY
- C07—ORGANIC CHEMISTRY
- C07D—HETEROCYCLIC COMPOUNDS
- C07D303/00—Compounds containing three-membered rings having one oxygen atom as the only ring hetero atom
- C07D303/02—Compounds containing oxirane rings
- C07D303/38—Compounds containing oxirane rings with hydrocarbon radicals, substituted by carbon atoms having three bonds to hetero atoms with at the most one bond to halogen, e.g. ester or nitrile radicals
-
- C—CHEMISTRY; METALLURGY
- C07—ORGANIC CHEMISTRY
- C07D—HETEROCYCLIC COMPOUNDS
- C07D307/00—Heterocyclic compounds containing five-membered rings having one oxygen atom as the only ring hetero atom
- C07D307/02—Heterocyclic compounds containing five-membered rings having one oxygen atom as the only ring hetero atom not condensed with other rings
- C07D307/34—Heterocyclic compounds containing five-membered rings having one oxygen atom as the only ring hetero atom not condensed with other rings having two or three double bonds between ring members or between ring members and non-ring members
- C07D307/56—Heterocyclic compounds containing five-membered rings having one oxygen atom as the only ring hetero atom not condensed with other rings having two or three double bonds between ring members or between ring members and non-ring members with hetero atoms or with carbon atoms having three bonds to hetero atoms with at the most one bond to halogen, e.g. ester or nitrile radicals, directly attached to ring carbon atoms
- C07D307/68—Carbon atoms having three bonds to hetero atoms with at the most one bond to halogen
-
- C—CHEMISTRY; METALLURGY
- C07—ORGANIC CHEMISTRY
- C07D—HETEROCYCLIC COMPOUNDS
- C07D311/00—Heterocyclic compounds containing six-membered rings having one oxygen atom as the only hetero atom, condensed with other rings
- C07D311/02—Heterocyclic compounds containing six-membered rings having one oxygen atom as the only hetero atom, condensed with other rings ortho- or peri-condensed with carbocyclic rings or ring systems
- C07D311/04—Benzo[b]pyrans, not hydrogenated in the carbocyclic ring
- C07D311/58—Benzo[b]pyrans, not hydrogenated in the carbocyclic ring other than with oxygen or sulphur atoms in position 2 or 4
-
- C—CHEMISTRY; METALLURGY
- C07—ORGANIC CHEMISTRY
- C07D—HETEROCYCLIC COMPOUNDS
- C07D333/00—Heterocyclic compounds containing five-membered rings having one sulfur atom as the only ring hetero atom
- C07D333/02—Heterocyclic compounds containing five-membered rings having one sulfur atom as the only ring hetero atom not condensed with other rings
- C07D333/04—Heterocyclic compounds containing five-membered rings having one sulfur atom as the only ring hetero atom not condensed with other rings not substituted on the ring sulphur atom
- C07D333/26—Heterocyclic compounds containing five-membered rings having one sulfur atom as the only ring hetero atom not condensed with other rings not substituted on the ring sulphur atom with hetero atoms or with carbon atoms having three bonds to hetero atoms with at the most one bond to halogen, e.g. ester or nitrile radicals, directly attached to ring carbon atoms
- C07D333/38—Carbon atoms having three bonds to hetero atoms with at the most one bond to halogen, e.g. ester or nitrile radicals
-
- C—CHEMISTRY; METALLURGY
- C07—ORGANIC CHEMISTRY
- C07C—ACYCLIC OR CARBOCYCLIC COMPOUNDS
- C07C2601/00—Systems containing only non-condensed rings
- C07C2601/02—Systems containing only non-condensed rings with a three-membered ring
-
- C—CHEMISTRY; METALLURGY
- C07—ORGANIC CHEMISTRY
- C07C—ACYCLIC OR CARBOCYCLIC COMPOUNDS
- C07C2602/00—Systems containing two condensed rings
- C07C2602/02—Systems containing two condensed rings the rings having only two atoms in common
- C07C2602/04—One of the condensed rings being a six-membered aromatic ring
- C07C2602/08—One of the condensed rings being a six-membered aromatic ring the other ring being five-membered, e.g. indane
-
- C—CHEMISTRY; METALLURGY
- C07—ORGANIC CHEMISTRY
- C07C—ACYCLIC OR CARBOCYCLIC COMPOUNDS
- C07C2602/00—Systems containing two condensed rings
- C07C2602/02—Systems containing two condensed rings the rings having only two atoms in common
- C07C2602/04—One of the condensed rings being a six-membered aromatic ring
- C07C2602/10—One of the condensed rings being a six-membered aromatic ring the other ring being six-membered, e.g. tetraline
Definitions
- This invention relates to intracellular receptors and ligands therefor. More specifically, this invention relates to compounds having selective activity for specific retinoic acid receptors, and methods for use of such compounds.
- the vitamin A metabolite retinoic acid has long been recognized to induce a broad spectrum of biological effects.
- a variety of structural analogues of retinoic acid have been synthesized that also have been found to be bioactive. Some, such as Retin-A ® (registered trademark of Johnson & Johnson) and Accutane ® (registered trademark of Hoffmann-LaRoche), have found utility as therapeutic agents for the treatment of various pathological conditions.
- Metabolites of vitamin A and their synthetic analogues are collectively herein called "retinoids”. Synthetic retinoids have been found to mimic many of the pharmacological actions of retinoic acid.
- retinoids have become very interested in the medicinal applications of retinoids. Among their uses approved by the FDA is the treatment of severe forms of acne and psoriasis. A large body of evidence also exists that these compounds can be used to arrest and, to an extent, reverse the effects of skin damage arising from prolonged exposure to the sun. Other evidence exists that these compounds may be useful in the treatments of a variety of severe cancers including melanoma, cervical cancer; some forms of leukemia, and basal and squamous cell carcinomas. Retinoids have also shown an ability to be efficacious in treating premalignant cell lesions, such as oral leukoplakia, and to prevent the occurrence of malignancy.
- retinoids Use of the retinoids is associated with a number of significant side effects. The most serious of these is that, as a class, they are among the most potent teratogens known. Teratogens are compounds that cause severe birth defects during specific periods of fetal exposure. Other side effects include irritation of the tissues treated, which can be so severe that patients cannot tolerate treatment.
- RARs Retinoic Acid Receptors
- RXRs Retinoid X Receptors
- the first retinoic acid receptor identified, designated RAR-alpha acts to modulate transcription of specific target genes in a manner which is ligand- dependent, as has been shown to be the case for many of the members of the steroid/thyroid hormone intracellular receptor superfamily.
- the endogenous low-molecular-weight ligand upon which the transcription-modulating activity of RAR-alpha depends is all-trans-retinoic acid.
- Retinoic acid receptor-mediated changes in gene expression result in characteristic alterations in cellular phenotype, with consequences in many tissues manifesting the biological response to retinoic acid.
- RAR-beta and RAR-gamma Two additional genes closely related to RAR-alpha were recently identified and were designated RAR-beta and RAR-gamma and are very highly related (Brand et al., Nature , 332:850-53 (1988); Ishikawa et al., Mol. Endochn. , 4:837-44 (1990)).
- Alltrans-retinoic acid is a natural ligand for the retinoic acid receptors (RARs) and is capable of binding to these receptors with high affinity, resulting in the regulation of gene expression.
- the newly-discovered retinoid metabolite, 9-cis-retinoic acid is also an activator of RARs.
- RXR Retinoid X Receptor
- the RXRs are also known to have at least three subtypes or isoforms, namely RXR-alpha, RXR-beta, and RXR-gamma, with corresponding unique patterns of expression (Manglesdorf et al., Genes & Devel . , 6:329-44 (1992)).
- the receptors differ in several important aspects.
- the RARs and RXRs are significantly divergent in primary structure (e.g., the ligand binding domains of RAR ⁇ ; and RXR ⁇ have only 27% amino acid identity). These structural differences are reflected in the different relative degrees of responsiveness of RARs and RXRs to various vitamin A metabolites and synthetic retinoids.
- distinctly different patterns of tissue distribution are seen for RARs and RXRs.
- RXR ⁇ in contrast to the RARs, which are not expressed at high levels in the visceral tissues, RXR ⁇ ; mRNA has been shown to be most abundant in the liver, kidney, lung, muscle and intestine.
- RARs and RXRs have different target gene specificity.
- response elements have recently been identified in the cellular retinal binding protein type II (CRBPII) and apolipoprotein Al genes which confer responsiveness to RXR, but not RAR.
- RAR has also been recently shown to repress RXR-mediated activation through the CRBPII RXR response element (Manglesdorf et al., Cell, 66:555-61 (1991)).
- ligands which are more selective for the Retinoid X Receptor subfamily would be of great value for selectively controlling processes mediated by one or more of the RXR isoforms, and would provide the capacity for independent control of the physiologic processes mediated by the RXRs.
- Ligands which preferentially affect one or more but not all of the receptor isoforms also offer the possibility of increased therapeutic efficacy when used for medicinal applications.
- the present invention is directed to compounds, compositions, and methods for modulating processes mediated by one or more Retinoid X Receptors. More particularly, the invention relates to compounds which selectively or preferentially activate Retinoid X Receptors, in comparison to Retinoic Acid Receptors. These compounds selectively modulate processes mediated by Retinoid X Receptors. Accordingly, the invention also relates to methods for modulating processes selectively mediated by one or more Retinoid X Receptors, in comparison to Retinoic Acid Receptors, by use of the compounds of this invention.
- Examples of compounds used in and forming part of the invention include bicyclic benzyl, pyridinyl, thiophene, furanyl, and pyrrole derivatives.
- Pharmaceutical compositions containing the compounds disclosed are also within the scope of this invention. Also included are methods for identifying or purifying Retinoid X Receptors by use of the compounds of this invention. Brief Description of the Figures
- Figure 1 presents the standardized dose response profiles showing the transactivation of RAR and RXR isoforms by 3-methyl-TTNCB.
- Figure 2 presents the standardized dose response profiles showing the transactivation of RAR and RXR isoforms by all-trans-retinoic acid.
- Figure 3 presents the standardized dose response profiles showing the transactivation of RAR and RXR isoforms by 9-cis-retinoic acid.
- Figure 4 presents the standardized dose response profiles showing the transactivation of RAR and RXR isoforms by 3-methyl-TTNEB.
- Figure 5 presents the standardized dose response profiles showing the transactivation of RAR and RXR isoforms by 3-bromo-TTNEB.
- Figure 6 presents the standardized dose response profiles showing the transactivation of RAR and RXR isoforms by 3-methyl-TTNCHBP.
- Figure 7 presents the standardized dose response profiles showing the transactivation of RAR and RXR isoforms by 3-methyl-TTNEHBP.
- Figure 8 presents the inhibition of transglutaminase activity by 9-cis-retinoic acid, all-trans- retinoic acid, and 3-methyl-TTNCB.
- Figure 9 presents the Topical Dose Response, based on the test on Rhino mice, for 9-cis-retinoic acid, all-trans-retinoic acid, 3 -methyl-TTNCB, 1, 25-dihydroxy Vitamin D.
- Figure 10 presents the effect on rat HDL cholesterol of all-trans-retinoic acid, 9-cis-retinoic acid, 3-methyl-TTNCB, and 3 -methyl-TTNEB.
- Figure 11 presents the concentration-related effect of 3-methyl-TTNEB and TTNPB individually on incorporation of radiolabeled thymidine into DNA.
- Figure 12 presents the concentration-related effect of a combination of 3 -methyl-TTNEB and TTNPB on incorporation of radiolabeled thymidine into DNA.
- This invention discloses retinoid-like compounds or ligands which have selective activity for members of the subfamily of Retinoid X Receptors (RXRs), in comparison to members of the subfamily of Retinoic Acid Receptors (RARs).
- RXRs Retinoid X Receptors
- RARs Retinoic Acid Receptors
- examples of such compounds are bicyclic benzyl, pyridinyl, thiophene, furanyl, and pyrrole derivatives which can be represented by the formulae :
- R 1 and R 2 each independently, represent hydrogen or lower alkyl or acyl having 1-4 carbon atoms;
- Y represents C, O, S, N, CHOH, CO, SO, SO 2 , or a pharmaceutically acceptable salt;
- R 3 represents hydrogen or lower alkyl having 1-4 carbon atoms where Y is C or N;
- R 4 represents hydrogen or lower alkyl having 1-4 carbon atoms where Y is C, but R 4 does not exist if Y is N, and neither R 3 or R 4 exist if Y is S, O, CHOH, CO, SO, or SO 2 ;
- R' and R" represent hydrogen, lower alkyl or acyl having 1-4 carbon atoms, OH, alkoxy having 1-4 carbon atoms, thiol or thio ether, or amino,
- R'" and R"" represent hydrogen, halogen, lower alkyl or acyl having 1-4 carbon atoms, alkyl amino,
- R'" and R"" taken together form a cycloalkyl group having 3-10 carbons, and wherein the cycloalkyl group can be substituted with lower alkyl having 1-4 carbons or halogen;
- R 5 represents hydrogen, a lower alkyl having 1-4 carbons, halogen, nitro, OR 7 , SR 7 , NR 7 R 8 , or (CF) n CF 3 , but R 5 cannot be hydrogen if together R 6 , R 10 , R 117 R 12 and R 13 are all hydrogen, Z, Z', Z", Z"', and Z"" are all carbon, and R' and R" represent H, OH, C 1 -C 4 alkoxy or C 1 -C 4 acyloxy or R' and R" taken together form an oxo, methano, or hydroxyimino group;
- R 6 , R 10 , R 11 , R 12 , R 13 each independently represent hydrogen, a lower alkyl having 1-4 carbons, halogen, nitro, OR 7 , SR 7 , NR 7 R 8 or (CF) n CF 3 , and exist only if the Z, Z', Z", Z'", or Z"" from which it originates is C, or each independently represent hydrogen or a lower alkyl having 1-4 carbons if the Z, Z', Z", Z'", or Z" " from which it originates is N, and where one of R 6 , R 10 , R 11 , R 12 or R 13 is
- R 7 represents hydrogen or a lower alkyl having 1-6 carbons
- R 8 represents hydrogen or a lower alkyl having 1-6 carbons
- R 14 represents hydrogen, a lower alkyl having 1-4 carbons, oxo, hydroxy, acyl having 1-4 carbons, halogen, thiol, or thioketone;
- R 17 represents hydrogen, lower alkyl having 1-8 carbons, alkenyl (including halogen, acyl, OR 7 and SR 7 substituted alkenes), R 9 , alkyl carboxylic acid (including halogen, acyl, OR 7 and SR 7 substituted alkyls), alkenyl carboxylic acid (including halogen, acyl, OR 7 and SR 7 substituted alkenes), alkyl amines (including halogen, acyl, OR 7 and SR 7 substituted alkyls), and alkenyl amines (including halogen, acryl, OR 7 and SR 7 substituted alkenes);
- R 18 represents hydrogen, a lower alkyl having 1-4 carbons, halogen, nitro, OR 7 , SR 7 , NR 7 R 8 , or (CF)nCF 3 ;
- X is COOH, tetrazole, PO 3 H, SO 3 H, CHO, CH 2 OH, CONH 2 , COSH, COOR 9 , COSR 9 , CONHR 9 , or COOW where W is a pharmaceutically acceptable salt, and where X can originate from any C or N on the ring;
- Z, Z', Z", Z"' and Z" each independently, represent C, S, O, N, or a pharmaceutically acceptable salt, but is not O or S if attached by a double bond to another such Z or if attached to another such Z which is O or S, and is not N if attached by a single bond to another such Z which is N;
- n 0-3;
- pharmaceutically acceptable salts include but are not limited to: hydrochloric, hydrobromic, hydroiodic, hydrofluoric, sulfuric, citric, maleic, acetic, lactic, nicotinic, succinic, oxalic, phosphoric, malonic, salicylic, phenylacetic, stearic, pyridine, ammonium, piperazine, diethylamine, nicotinamide, formic, urea, sodium, potassium, calcium, magnesium, zinc, lithium, cinnamic, methylamino, methanesulf onic, picric, tartaric, t r i e t hyl am i no , d i me t hy l ami no , an d tris(hydroxymethyl)aminomethane. Additional pharmaceutically acceptable salts are known to those of skill in the art.
- Representative derivatives according to the present invention include the following:
- TTNEB or Compound 43;
- TTNCP 5-[(3,5,5,8,8-pentamethyl-5,6,7,8-tetrahydro- 2-naphthyl)carbonyl]
- thiophene, furanyl, pyridine, pyrazine, pyrazole, pyridazine, thadiazole, and pyrrole groups function as isosteres for phenyl groups, and may be substituted for the phenyl group of the above bicyclic benzyl derivatives.
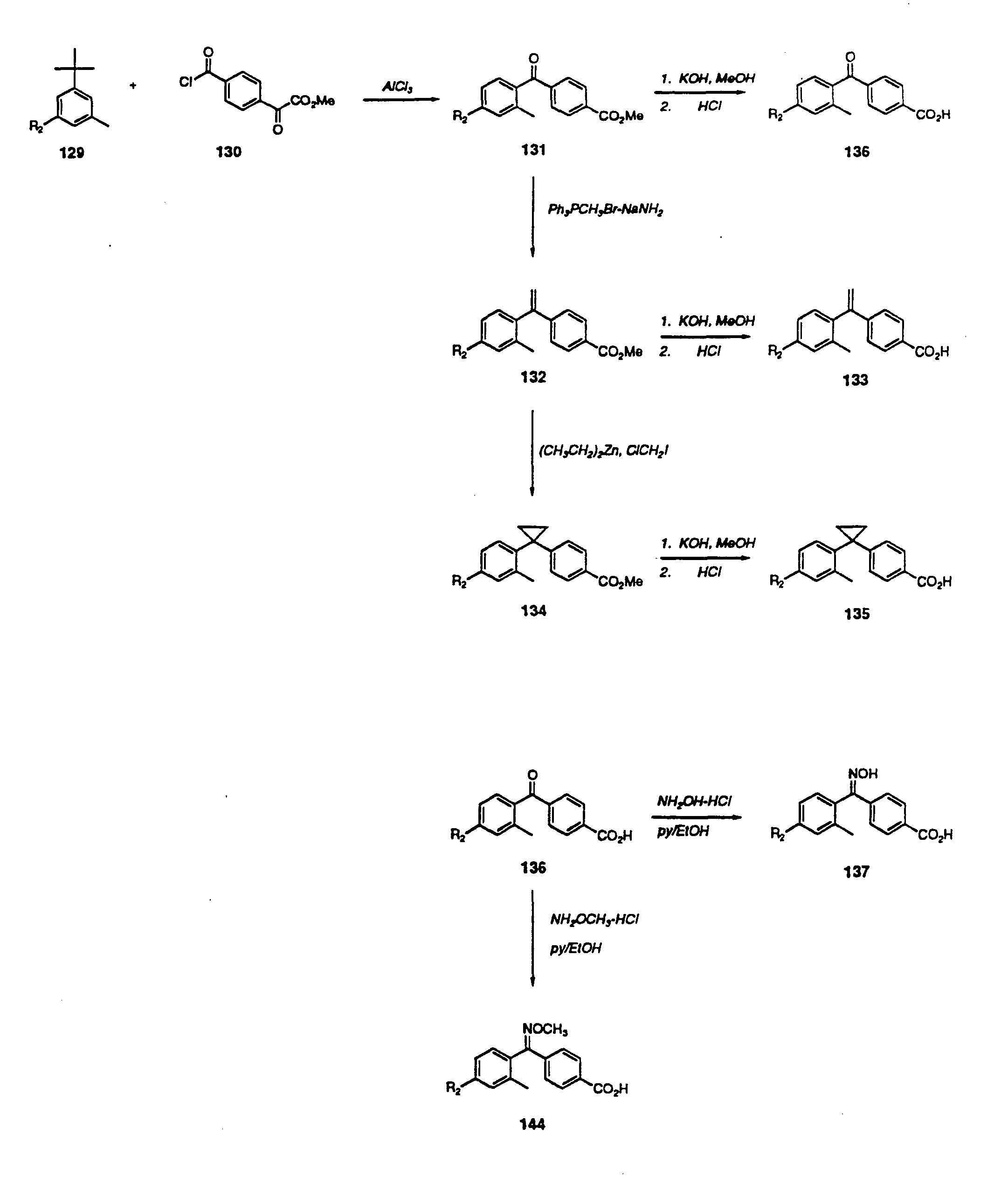
- the resulting methyl esters 3 are hydrolyzed to the carboxylic acid 4 by refluxing in aqueous KOH-MeOH followed by acidification.
- the carboxylic acid 7 was formed by adding KOH to methano compound 6 in MeOH, followed by acidification.
- 4,4-Dimethylchroman and 4,4-dimethyl-7- alkylchroman compounds of type 13 and 14 as well as 4,4- dimethylthiochroman, 4,4-dimethyl-7-alkylthiochroman, 4,4- dimethyl-1,2,3,4-tetrahydroquinoline, and 4,4-dimethyl-7- alkyl-1,2,3,4-tetrahydroquinoline analogs were synthesized by similar methods as compound 3, i.e .
- cyclopropyl derivatives such as TPNCB (compound 48) may be likewise prepared by the same method as described for analog 23: olefin 6 is treated with the Simmons-Smith reagent described above, followed by hydrolysis with methanolic-KOH and acidification (HCl) to give the desired cyclopropyl derivative.
- Epoxy derivatives such as TPNEB (compound 47) may be synthesized by treatment of compound 7 with m-chloroperbenzoic acid at room temperature in CH 2 Cl 2 for several hours.
- pyridinal analogs such as compounds 58 (TPNEP), 60 (TPNEPC), and 61 (3TTNEPE) may be prepared by the following synthetic route.
- Representative derivaties of compounds such as 131-137 and 144 may be prepared according to the illustrative synthetic scheme shown above. Synthesis of such compounds is also described below in examples 44-51.
- the compound was prepared in a manner similar to that of compound 4 except that 6-isopropyl-1,1,4,4- tetramethyl-1,2,3,4-tetra-hydronaphthalene was substituted for 1,1,4,4,6-pentamethyl-1,2,3,4-tetrahydronaphthalene in examples 1 and 2.
- the compound was prepared in a manner similar to that of compound 4 except that 6-chloro-1,1,4,4- tetramethyl-1,2,3,4-tetrahydro-naphthalenewas substituted for 1,1,4,4,6-pentamethyl-1,2,3,4-tetrahydronaphthalene in examples 1 and 2.
- the compound was prepared in a manner similar to that of compound 4 except that 6-hydroxy-1,1,4,4- tetramethyl-1,2,3,4-tetrahydro-naphthalene was substituted for 1,1,4,4,6-pentamethyl-1,2,3,4-1etrahydronaphthalene in examples 1 and 2.
- the compound was prepared in a manner similar to that of compound 4 except that 6-ethyl-1,1,4,4- tetramethyl-1,2,3,4-tetrahydro-naphthalene was substituted for 1,1,4,4,6-pentamethyl-1,2,3,4-tetrahydronaphthalene in examples 1 and 2.
- the compound was prepared in a manner similar to that of compound 4 except that 6-bromo-1,1,4,4- tetramethyl-1,2,3,4-tetrahydro-naphthalenewas substituted for 1,1,4,4,6-pentamethyl-1,2,3,4-tetrahydronaphthalene in examples 1 and 2.
- TTNEB TTNEB
- the compound was prepared in a manner similar to that of compound 7 except that 6-isopropyl-1,1,4,4- tetramethyl-1,2,3,4-tetrahydro-naphthalene was substituted for 1,1,4,4,6-pentamethyl-1,2,3,4-tetrahydronaphthalene in examples 1, 2, 4, and 5.
- MP: 252 oC; 1 H-NMR (CDCl 3 ) ⁇ 1.05 (d, J 7 Hz,CH(CH 3 ) 2 ), 1.27 (s,2(CH 3 )), 1.32 (s,2(CH 3 )), 1.70
- the compound was prepared in a manner similar to that of compound 7 except that 6-chloro-1,1,4,4- tetramethyl-1,2,3,4-tetrahydro-naphthalene was substituted for 1,1,4,4,6-pentamethyl-1,2,3,4-tetrahydronaphthalene in examples 1, 2, 4, and 5.
- the compound was prepared in a manner similar to that of compound 7 except that 6-hydroxy-1,1,4,4- tetramethyl-1,2,3,4-tetrahydro-naphthalenewas substituted for 1,1,4,4,6-pentamethyl-1,2,3,4-tetrahydronaphthalene in examples 1, 2, 4, and 5.
- the compound was prepared in a manner similar to that of compound 7 except that 6-ethyl-1,1,4,4- tetramethyl-1,2,3,4-tetrahydro-naphthalene was substituted for 1,1,4,4,6-pentamethyl-1,2,3,4-tetrahydronaphthalene in examples 1, 2, 4, and 5.
- the compound was prepared in a manner similar to that of compound 7 except that 6-bromo-1,1,4,4- tetramethyl-1,2,3,4-tetrahydro-naphthalene was substituted for 1,1,4,4,6-pentamethyl-l,2,3,4-tetrahydronaphthalene in examples 1, 2, 4, and 5.
- the compound was prepared from compound 6 where R 1 , R 2 , R 3 , R 4 , R 5 are methyl.
- the compound was prepared from compound 6 where R 1 , R 2 , R 3 , R 4 , R 5 are methyl.
- To the addition funnel is added 1g
- R 1 , R 2 , R 3 , R 4 , R 5 are methyl.
- the compound was prepared from compound 4 and where R 1 , R 2 , R 3 , R 4 , R 5 are methyl.
- R' and R" isopropylidene
- X COOH (PTNIB) :
- the compound was prepared from compound 4 and where R 1 , R 2 , R 3 , R 4 , R 5 are methyl.
- Compound 53 was prepared from the methyl ester of 52 in a manner similar to examples 4 and 5.
- the pyridinedicarboxylate 30 (19.5 g, 0.1 mol) was treated with solid KOH (6.51 g, 0.1 mol) in 300 mL of methanol at room temperature for 2 h, giving rise to a thick pale white suspension, which was filtered and dried to provide the mono-potassium pyridinecarboxylate 3 in quantitative yield.
- the crude mono-pyridinecarboxylate 31 (880 mg, 4 mmol) was treated with 3 mL of thionyl chloride at reflux for 2h and the excess SOCl 2 was removed by the usual method.
- a THF (4 mL) solution containing the bromocompound 33 (141 mg, 0.5 mmol) at - 78 °C was treated with a 1.6 M hexane solution (0.4 mL, 0.6 mmol) of n-BuLi, and the resulting mixture was then cannulated to a THF (2 mL) solution of the 2-acetyl-5- pyridinecarboxylate 32 (72 mg, 0.4 mmol) at -78 °C. The mixture was allowed to stir at -78 °C for 60 min. and was quenched with 2% HCl.
- the mono-potassium pyridinecarboxylate 31 (1.1 g, 5 mmol) was treated with SOCl 2 (5 mL, excess) at 70 °C for 2h and the excess thionyl chloride was removed to give a yellowish solid.
- SOCl 2 5 mL, excess
- the pyridinealdehyde 35 (10 mg, 0.03 mmol) was treated with 2.0 mL of H 2 O 2 in 2 mL of methanol-water 1:1 mixture at room temperature for 10 h and then was quenched with 10% HCl. Extraction of the mixture with EtOAc (40 mL) and removal of solvent gave rise to 5-[1-(3,5,5,8,8- pent ame thyl - 5 , 6 , 7 , 8 - t etrahydro - 2 - naphthyl)ethenyl]pyridine-2-carboxylic acid 60 as a white solid in almost quantitative yield.
- the compound was prepared in a manner similar to that of compound 63 except that 4-fluoroaniline was substituted for 4-aminophenol.
- the compound was prepared in a manner similar to that of compound 63 except that methyl 4-aminophenyl carboxylate was substituted for 4-aminophenol.
- the resulting ester was hydrolyzed in methanolic KOH, followed by acidification (20% HCl) to give the desired compound
- the compound was prepared in a manner similar to that of compound 63 except that 3-aminophenol was substituted for 4-aminophenol.
- the compound was prepared in a manner similar to that of compound 7 except that 1, 1, 3 , 3 , 5-pentamethylindane was substituted for 1,1,4,4,6-pentamethyl-1,2,3,4- tetrahydronaphthalene in examples 1, 2, 4, and 5.
- the compound was prepared in a manner similar to that of compound 7 except that 1,1,2,3,3,5- pentamethylindane was substituted for 1,1,4,4,6- pentamethyl-1,2,3,4-tetrahydronaphthalene in examples 1, 2, 4, and 5.
- the compound was prepared in a manner similar to that of compound 4 (examples 1 and 2) except that methyl- 4-(bromomethyl)benzoate was substituted for mono-methyl terephthalic acid chloride.
- MeOH was added 1 ml of aqueous 5N KOH solution and the suspension was refluxed for 20 m. After acidification
- Representative synthetic retinoid compounds of the current invention were analyzed and found to exhibit subtype selectivity for retinoid receptors, and to be capable of modulating processes selectively mediated by retinoid X receptors, as discussed more fully below.
- processes selectively mediated by retinoid X receptors refers to biological, physiological, endocrinological, and other bodily processes which are mediated by receptors or receptor combinations which are responsive to retinoid X receptor selective processes, e.g., compounds which selectively activate one and/or multiple members of the RXR subfamily. Modulation includes activation or enhancement of such processes as well as inhibition or repression, and can be accomplished in vitro or in vivo. In vivo modulation can be carried out in a wide range of subjects, such as, for example, humans, rodents, sheep, pigs, cows, and the like. It is well accepted that modulation of such processes has direct relevance to use in treating disease states.
- the receptors which are responsive to retinoid X receptor selective ligands include: retinoid X receptor-alpha, retinoid X receptor-beta, retinoid X receptor-gamma, and splicing variants encoded by the genes for such receptors, as well as various combinations thereof (i.e . , homodimers, homotrimers, heterodimers, heterotrimers, and the like). Also included are combinations of retinoid X receptors with other members of the steroid/thyroid superfamily of receptors with which the retinoid X receptors may interact by forming heterodimers, heterotrimers, and the higher heteromultimers.
- the retinoic acid receptor-alpha, -beta, or - gamma isoforms form a heterodimer with any of the retinoid X receptor isoforms, (i.e. , alpha, beta, or gamma, including any combination of the different receptor isoforms), and the various retinoid X receptors form a heterodimer with thyroid receptor and form a heterodimer with vitamin D receptor.
- retinoid X receptor subfamily forms a heterodimer with certain "orphan receptors" including PPAR (Issemann and Green, Nature, 347:645-49 (1990)); HNF4 (Sladek et al., Genes & Development 4 : 2353-65 (1990)); the COUP family of receptors (e.g., Miyajima et al . , Nucleic Acids Research 16:11057-74 (1988), and Wang et al., Nature, 340 : 163-66 (1989)); COUP-like receptors and COUP homologs, such as those described by Mlodzik et al.
- PPAR Issemann and Green, Nature, 347:645-49 (1990)
- HNF4 Sladek et al., Genes & Development 4 : 2353-65 (1990)
- the COUP family of receptors e.g., Miyajima et al . , Nucle
- the phrase "members of the steroid/thyroid superfamily of receptors" refers to hormone binding proteins that operate as ligand- dependent transcription factors. Furthermore, this classification includes identified members of the steroid/thyroid superfamily of receptors for which specific ligands have not yet been identified (referred to hereinafter as “orphan receptors"). All members of the intracellular receptor superfamily have the intrinsic ability to bind to specific DNA sequences. Following binding, the transcriptional activity of a target gene (i.e., a gene associated with the specific DNA sequence) is modulated as a function of the ligand bound to the receptor. Also, see Heyman et al., Cell, 68 : 397-406 (1992), and copending U.S. Serial No. 809,980, filed December 18, 1991, whose entire disclosures are incorporated herein by reference.
- the modulation of gene expression by the ligand retinoic acid and its receptors can be examined in a reconstituted system in cell culture.
- a system was used to evaluate the synthetic retinoid compounds of this invention for their interaction with the retinoid receptor subtypes RAR ⁇ , RAR ⁇ , RAR ⁇ , RXR ⁇ , RXR ⁇ , and RXR ⁇ .
- the system for reconstituting ligand-dependent transcriptional control which was developed by Evans et al., Science, 240:889-95 (1988), has been termed a "co- transfection” or "cis-trans” assay.
- This assay is described in further detail in U.S. Patent Nos. 4,981,784 and 5,071,773, which are incorporated herein by reference. Also see Heyman et al., Cell, 68:397-406 (1992).
- the co- transfection assay provides a mechanism to evaluate the ability of a compound to modulate the transcription response initiated by an intracellular receptor.
- the co- transfection assay is a functional, rapid assay that monitors hormone or ligand activity, is a good predictor of an in vivo system, and can be used to quantitate the pharmacological potency and utility of such ligands in treating disease states. Berger et al., J. Steroid Biochem. Molec. Biol. , 41:733-38 (1992).
- the co-transfection assay involves the introduction of two plasmids by transient transfection into a retinoid receptor-negative mammalian cell background.
- the first plasmid contains a retinoid receptor cDNA and directs constitutive expression of the encoded receptor.
- the second plasmid contains a cDNA that encodes for a readily quantifiable protein, e.g. , firefly luciferase or chloramphenicol acetyl transferase (CAT), under control of a promoter containing a retinoid acid response element, which confers retinoid dependence on the transcription of the reporter.
- a readily quantifiable protein e.g. , firefly luciferase or chloramphenicol acetyl transferase (CAT)
- synthetic retinoid compounds of the current invention were evaluated for their interaction with retinoid receptor subtypes using the co-transfection assay in which CV-1 cells were co-transfected with one of the retinoid receptor subtypes, a reporter construct, and an internal control to allow normalization of the response for transfection efficiency.
- the following example is illustrative.
- Retinoids All-trans-retinoic acid (RA) and 13-cis- retinoic acid (13-cis-RA) were obtained from Sigma. 9-cis- retinoic acid (9-cis-RA) was synthesized as described in Heyman et al., Cell, 68:397-406 (1992). Retinoid purity was established as greater than 99% by reverse phase high- performance liquid chromatography. Retinoids were dissolved in dimethylsulfoxide for use in the transcriptional activation assays.
- Plasmids The receptor expression vectors used in the co-transfection assay have been described previously (pRShRAR- ⁇ : Giguere et al . (1987); pRShRAR- ⁇ and pRShRAR- ⁇ : Ishikawa et al . (1990); pRShRXR- ⁇ : Mangelsdorf et al . , (1990); pRSmRXR- ⁇ and pRSmRXR- ⁇ : Mangelsdorf et al., Genes & Devel.,
- CV-1 A monkey kidney cell line, CV-1, was used in the cis-trans assay. Cells were transfected with two plasmids. The trans-vector allowed efficient production of the retinoid receptor in these cells, which do not normally express this receptor protein.
- the cis-vector contains an easily assayable gene product, in this case the firefly luciferase, coupled to a retinoid-responsive promoter, i.e . , an RARE or RXRE.
- retinoic acid or an appropriate synthetic retinoid results in the formation of a retinoid-RAR or - RXR complex that activates the expression of luciferase gene, causing light to be emitted from cell extracts.
- the level of luciferase activity is directly proportional to the effectiveness of the retinoid-receptor complex in activating gene expression. This sensitive and reproducible co-transfection approach permits the identification of retinoids that interact with the different receptor isoforms.
- Efficacy values less than 5% are not statistically different than the 0% background. Compounds with an efficacy of less than 20% at concentrations of 10 -5 M are considered to be inactive. At higher concentrations of compound, such as 10 -4 M, these compounds are generally toxic to cells and thus the maximal efficacy at 10 -5 M is reported in the tables and figures contained herein.
- the synthetic retinoid compound 3-methyl-TTNCB was evaluated for its ability to regulate gene expression mediated by retinoid receptors. As shown in Figure 1, this compound is capable of activating members of the RXR subfamily, i.e. , RXR ⁇ , RXR ⁇ , and RXR ⁇ , but clearly has no significant activity for members of the RAR subfamily, i.e. , RAR ⁇ , RAR ⁇ , and RAR ⁇ . Assays using all-trans-retinoic acid ( Figure 2) and 9-cis- retinoic acid ( Figure 3) were run for reference, and demonstrate that these retinoic acid isomers activate members of both the RAR and RXR subfamilies.
- 3-methyl-TTNCB readily and at low concentrations activates RXRs. Further, 3 -methyl-TTNCB is more potent an activator of RXRs than RARs, and preferentially activates RXRs in comparison to RARs, in that much higher concentrations of the compound are required to activate the RARs. In contrast, 9-cis-retinoic acid does not preferentially activate the RXRs, as also shown in Table 1.
- 9-cis- retinoic acid activates the RAR ⁇ and RAR ⁇ isoforms at lower concentrations and more readily than the RXR ⁇ and RXR ⁇ isoforms, and has substantially the same, within the accuracy of the measurement, activity for the RAR ⁇ isoform in comparison to the RXR ⁇ isoform.
- 3-methyl-TTNEB, 3-bromo-TTNEB, 3-methyl-TTNCHBP, 3 -methyl-TTNEHBP, TPNEP, and TPNCP each readily and preferentially activate the RXRs, and are more potent as activators of RXRs than of RARs.
- the diminished activity of these compounds for the RARs in comparison to the RXRs is also shown for some of these compounds in Figures 4-7.
- these compounds preferentially activate RXRs in comparison to RARs.
- the Maignon compound is virtually inactive and shows no selectivity for RXRs.
- the compounds of this invention such as 3 -methyl-TTNCB, which have a substituent at the 3 -position, are potent activators of RXRs and exhibit the unexpected RXR selectivity shown in Table 1 (as well as Tables 2 and 3) and discussed above.
- synthetic retinoid ligands such as those exemplified in Tables 1, 2, and 3 which preferentially affect some but not all of the retinoic acid receptor isoforms, can, in pharmacological preparations, provide pharmaceuticals with higher therapeutic indices and a better side effect profile than currently used retinoids.
- the compounds of the present invention have been observed to be less irritating to the skin than previously known retinoids.
- the retinoid compounds of this invention are useful for the treatment of certain dermatological conditions such as keratinization disorders, i.e . , differentiation/proliferation.
- a standard assay to determine the activity of these compounds is the measurement of the enzymatic activity for transglut- aminase; this is a measure of the antiproliferative action of retinoids.
- Retinoids have been shown to inhibit the pathway of differentiation, which is indicated by a decrease in several biochemical markers that are associated with the expression of squamous cell phenotype, such as transglutaminase. (Yuspa et al., Cancer Research, 43 : 5707-12 (1983)).
- the 3-methyl-TTNCB compound is capable of inhibiting transglutaminase activity and inhibits 50% of the enzyme activity at 1 x 10 -7 M.
- the retinoid compounds of this invention have been demonstrated in in vi tro tests to block (or antagonize) AP-1 activity, a set of oncogenes which drive cellular proliferation.
- Many proliferative disorders are the results of oncogenes/oncogene activation, and therefore a compound which blocks the AP-1 oncogene pathway can be used to treat diseases associated with proliferative disorders including cancers, inflammatory diseases, psoriasis, etc.
- the compound 3 -methyl-TTNEB was evaluated using the co-transfection assay in which HeLa cells were co-transfected with a plasmid expressing RXR ⁇ under the control of a constitutive promoter, and a plasmid which expresses the reporter enzyme luciferase under the control of a conditional promoter (collagenase) containing an AP-1 responsive element.
- a conditional promoter collagenase
- the compounds of this invention also exhibit good comedolytic activity in the test on Rhino mice described by Kligman etal. (J. of Inves. Derm. , 73:354-58 (1979)) and Mezick et al. (J. of Inves. Derm. , 83:110-13 (1984)).
- the test on Rhino mice has been a model for screening comedolytic agents.
- the activity of the 3-methyl-TTNCB retinoid compound, as well as 9-cis and all -trans retinoic acid is shown in Figure 9.
- a 0.1% solution of 3-methyl-TTNCB is capable of inhibiting the utriculi diameter by approximately 50%. It has also been observed that 3- methyl-TTNCB is less irritating to the skin of Rhino mice than 9-cis- or all-trans-retinoic acid.
- the co-transfection assay allows examination of the ability of a compound to modulate gene expression in a retinoid receptor dependent fashion.
- To examine the ability of the compounds of this invention to directly interact with the receptors we have examined the ligand binding properties of all six retinoid receptors.
- the receptors were expressed employing a baculovirus expression system in which we have demonstrated that RXR ⁇ binds 9-cis-retinoic acid with high effinity (Heyman et al . , Cell , 68:397 (1992)).
- the binding parameters of receptors expressed in baculovirus systems and mammaliam systems are essentially identical.
- the synthetic retinoids of the current invention have also been tested using radioligand displacement assays.
- radioligand displacement assays By testing the abilities of various synthetic retinoids to compete with the radiolabeled retinoic acid for binding to various receptor isoforms, the ability of the compounds to directly interact with the receptor can be examined, and the relative dissociation constant for the receptor itself can be determined. This is an important supplementary analysis to the co-transfection assay since it can detect different properties/ determinants of retinoid activity than are measured in the co-transfection assay. These determinants/differences in the two assay systems may include (1) activating or inactivating metabolic alterations of the test compounds, (2) binding to serum proteins which could alter the free concentration or other properties of the test compound,
- the 3 -methyl-TTNCB compound is capable of displacing 3 H-9-cis-retinoic acid bound to the RXRs, but is not capable of displacing radiolabeled ligand that is bound to the RARs. This indicates that the 3-methyl-TTNCB compound preferentially binds RXRs in comparison to RARs, a property which would be expected of a ligand selective for the RXRs.
- the K d values were determined by application of the Cleng-Prusoff equation. These values were based on a determination of the IC 50 value as determined graphically from a log-logit plot of the data.
- the compounds in Table 4 were shown to readily and preferentially activate RXRs, and to be more potent as activators of RXRs than of RARs using the co-transfection assay, as discussed above.
- the binding results in Table 4 show these compounds to also preferentially bind RXRs versus RARs.
- the ligand binding properties of these compounds and their ability to selectively modulate members of the RXR subfamily demonstrate the identification of a class of compounds with the unique biological properties.
- the binding properties and especially the transcriptional activation assays are a good predictor of the pharmacological activity of a compound (Berger et al. (1992)).
- the co-transfection assay provides a functional assessment of the ligand being tested as either an agonist or antagonist of the specific genetic process sought to be affected, and is a predictor of in vivo pharmacology (Berger et al. (1992)).
- Ligands which do not significantly react with other intracellular receptors, as determined by the co-transfection assay, can be expected to result in fewer pharmacological side effects. Because the co-transfection assay is run in living cells, the evaluation of a ligand provides an early indicator of the potential toxicity of the candidate at concentrations where a therapeutic benefit would be expected.
- Processes capable of being modulated by retinoid receptors include in vitro cellular differentiation, the regulation of morphogenetic processes including limb morphogenesis, regulation of cellular retinol binding protein (CRBP), and the like.
- CRBP cellular retinol binding protein
- the availability of ligands for the retinoid X receptor makes it possible, for the first time, to elucidate the processes controlled by members of the retinoid X receptor subfamily. In addition, it allows development of assays for the identification of antagonists for these receptors.
- the processes capable of being modulated by retinoid receptors further include the in vivo modulation of lipid metabolism; in vivo modulation of skin related processes (e.g., acne, psoriasis, aging, wrinkling, and the like); in vivo modulation of programmed cell death (apoptosis); in vivo modulation of malignant cell development, such as occurs, for example, in acute promyelocytic leukemia, mammary cancer, prostate cancer, lung cancer, cancers of the aerodigestive pathway, skin cancer, bladder cancer, and sarcomas; in vivo modulation of premalignant lesions, such as occurs with oral leukoplakia and the like; in vivo modulation of auto-immune diseases such as rheumatoic arthritis; in vivo modulation of fatty acid metabolism; and the like.
- skin related processes e.g., acne, psoriasis, aging, wrinkling, and the like
- Such applications can be expected to allow the modulation of various biological processes with reduced occurrence of undesirable side effects such as teratogenic effects, skin irritation, mucosal dryness, lipid disturbances, and the like.
- In vivo applications can be employed with a wide range of subjects, such as, for example, humans, rodents, sheep, pigs, cows, and the like.
- apolipoprotein A-1 (“apo A-1”) is a major protein component of plasma high density lipoprotein (HDL) cholesterol.
- HDL plasma high density lipoprotein
- ASCVD atherosclerotic cardiovascular disease
- the circulating level of HDL in humans has been shown to be inversely correlated to the risk of atherosclerotic cardiovascular disease (ASCVD), the leading cause of mobidity and mortality in the United States, with a 3-4% increase in ASCVD for every 1% decrease in HDL cholesterol.
- ASCVD atherosclerotic cardiovascular disease
- mice Male Sprague-Dawley rats (160-200 gram) were obtained from Harlan. Animals were fed standard laboratory diets (Harlan/Teklad) and kept in an environmentally controlled animal house with a light period lasting from 6 a.m. to 6 p.m. Animals were treated with drugs prepared as suspensions in olive oil.
- RXR activation can increase plasma apoAl/HDL cholesterol
- an initial study was carried out that included dosing rats for 4 days with an RAR- selective compound, all-trans retinoic acid, the non- selective RAR/RXR agonist, 9-cis-retinoic acid, and either of two RXR-selective agents, 3-methyl-TTNCB or 3-methyl- TTNEB.
- Each drug was administered at a dose of 100 mg/kg, i.p.
- Positive control groups received olive oil as a vehicle.
- Plasma total cholesterol was measured enzymatically utilizing Boeringer Mannheim Diagnostics High Performance Cholesterol Methods with an ABBOTT VP Bichromatic Analyzer.
- HDL cholesterol was measured after preparation of the HDL-containing fraction by heparin- manganese precipitation of plasma. HDL-cholesterol in this fraction was estimated as mentioned earlier. All HDL separations were checked for contamination by other lipoproteins with agarose gel electrophoresis.
- rats receiving the RXR-selective compounds exhibited substantial and statistically significant increases in HDL levels, particularly when receiving 3- methyl-TTNEB. Because the RXR-selective ligand 3-methyl-TTNEB was the most efficacious, additional 4 day experiments were conducted with this agent at doses of 0.3, 1, 3, 6, 10, 30, 100, or 300 mg/kg i.p. in 1.0 ml olive oil or 1, 3, 10, 30, 100, 300 mg/kg p.o. in 1.0 ml olive oil for 4 days. An additional 30 day p.o. study was conducted with 10, 30, or 100 mg/kg 3-methyl-TTNEB to determine whether tolerance would develop to its pharmacological actions.
- 3 -methyl-TTNEB increased plasma concentrations of HDL-cholesterol in a dose-dependent manner with significant increases being made at the lowest dose, 0.3 mg/kg i.p.
- 3 -methyl-TTNEB increased plasma HDL- cholesterol concentrations from 58 mg/dl to 95 mg/dl - an increase of greater than 60%.
- Measurement of total cholesterol showed an increase due to the increase of the HDL-cholesterol fraction.
- Measurement of triglycerides showed either no change or a slight decrease.
- the 30-day study with 3-methyl-TTNEB did not indicate development of tolerance to its pharmacological action. This study demonstrated that 3-methyl-TTNEB increased plasma concentrations of HDL-cholesterol in a dose-dependent manner following either i.p. or p.o. administration.
- Plasmid constructs coding for the various receptors were transfected into a human hepatocyte cell line (HepG-2) along with the reporter plasmid.
- the RxR-selective compounds of this invention can be used to elevate apoAl/HDL cholesterol and in the therapeutic treatment of related cardiovascular disorders.
- the retinoid compounds of this invention have been demonstrated to induce apoptosis in particular cell types including leukemia cells and squamous epithelial carcinomas. Normally in cells there is a fine balance between cellular processes of proliferation, differentiation, and cell death, and compounds which affect this balance may be used to treat certain cancers.
- 3-methyl-TTNEB was able to induce apoptosis as measured by D ⁇ A fragmentation and morphological changes.
- Other retinoid compounds of this invention showed similar results, and similar results were also shown in other cell lines such as squamous epithelial cell lines and ME180 cells, a human cervical carcinoma.
- RXR specific compounds such as 3-methyl-TT ⁇ EB induce apoptosis with a minimal direct effect on inhibition of proliferation and differentiation induction.
- Compounds which are capable of inducing apoptosis have been shown to be effective in cancer chemotherapy (e.g., anti-hormonal therapy for breast and prostate cancer).
- retinoids have been shown to inhibit activation driven T-cell apoptosis and 9-cis-retinoic acid was approximately ten fold more potent than all- trans-retinoic acids (Ashwell et al., Proceedings National Academy of Science, Vol . 90, p . 6170- 6174 (1993)). These data imply that RXRs are involved in this event. Thus retinoids could be used to block and/or immunomodulate T-cell apoptosis associated with certain disease states ( e . g. , AIDS).
- certain disease states e . g. , AIDS
- This assay examines the incorporation of radiolabeled thymidine into DNA, and by determin- ing the ability of a compound to inhibit thymidine incorporation into DNA, provides a measure of cell proliferation.
- L.M. Bradley Selected Methods in Cellular Immunology, Ch. 10.1, pp. 235-38, Mishell & Shiigi (eds.), Freeman & Co., New York, 1980.
- Compounds which inhibit cell proliferation have well-known utility in the treatment of certain cancers.
- 3-methyl-TTNEB activates members of the RXR subfamily and has no significant activity for members of the RAR subfamily.
- Examination of the effects of 3-methyl-TTNEB on the proliferation of myeloma cells show a concentration dependent inhibition of thymidine incorporation.
- the IC 50 (the concentration of 3-methyl-TTNEB required to produce
- TTNPB activates members of the RAR subfamily and has no significant activity for members of the RXR subfamily.
- TTNPB The compound TTNPB is shown below, and its activity is shown in Table 5.
- TTNPB TTNPB
- IC 50 value of TTNPB is about 5 x 10 -11 M, and a concentration of less than 10 -11 M produces essentially no effect on cell proliferation.
- the biological response of an RAR selective compound at a given concentration can be synergistically enhanced by combining the compound with an RXR selective compound.
- the biological response of an RXR selective compound can be enhanced by combining the compound with an RAR selective compound.
- peroxisome proliferator-activated receptor is a member of the intracellular receptor super family that plays a role in the modulation of lipid homeostasis.
- PPAR peroxisome proliferator-activated receptor
- amphipathic carboxyl- ates such as clofibric acid, and gemfibrizol.
- VDR VDR
- RXR/S and VD receptors were co-transfected into CV-1 cells containing a hormone response element, the addition of RXR selective 3-methyl-
- TTNCB and 1,25-dihydroxy-vitamin D (1,25-D) produced a greater than additive response than was observed for each of the individual ligands, as shown below in Table 8.
- each pair of receptors (RXR ⁇ /PPAR and RXR ⁇ /VDR, respectively), in the presence of ligands known to specifically activate their respective receptors, are capable of producing a synergistic response.
- the results indicate that the response of a single agent can be enhanced by the combination of the two agents, or that comparable biological or therapeutic responses can be achieved by use of lower doses of such agents in combination.
- RXR-specific ligands are able to act synergistically with RAR ligands, PPAR ligands, and Vitamin D ligands indicates that RXR-specific ligands have usefulness not only as single therapeutic agents but also in combination therapy to obtain enhanced biological or therapeutic response by the addition of the RXR-specific ligand.
- Such combination therapy also may provide an added benefit of decreasing the side effects associated with the primary agent by employing lower doses of that agent.
- Vitamin D or a related Vitamin D receptor ligand in conjunction with an RXR selective compound for the treatment of a variety of disorders including skin diseases (acne, psoriasis), hyperproliferative disorders (benign and malignant cancers) and disorders of calcium homeostasis may decrease the adverse side effects associated with Vitamin D therapy alone.
- the RXR-specific compounds of this invention have been demonstrated in vi tro to act synergistically with compounds which affect cellular proliferation, such as Interferon.
- the growth properties of two human tumor cell lines (ME180, a squamous cell carcinoma, and RPMI18226, a multiple myeloma) were monitored in the presence of the compound 3- methyl-TTNEB alone and in combination with Interferon ⁇ 2b, utilizing standard cell culture procedures. The effects on growth of these cells were monitored by evaluation of cell number, and also by evaluation of growth in semi- solid medium for the RPMI18226 cell line.
- Both 3-methyl- TTNEB and Interferon ⁇ 2b were found to inhibit cell growth in a concentration-dependent manner, and each alone to produce a significant depression in cell proliferation.
- an additive or a greater than additive effect on the depression in cell proliferation was observed.
- Treatment with other chemotherapeutic agents including anti-proliferative agents and/or cell-cycle modulators e . g. , methotrexate, fluorouracil (5-FU, ARA-C, etc.)
- RXR-specific compounds e . g. , methotrexate, fluorouracil (5-FU, ARA-C, etc.)
- the enhanced antiproliferative effect can be expected to permit lower therapeutic doses in treatment of proliferative disorders, such as squamous cell and other carcinomas.
- combination therapy could allow the use of lower doses of these compounds to achieve a comparable beneficial effect along with fewer side effects/toxic effects, thereby enhancing the therapeutic index of the therapy.
- the therapeutic index is defined as the ratio of efficacy to toxicity of a compound.
- RXR is known to form heterodimers with various members of the intracellular receptor super family
- synergistic response observed with use of RXR-selective ligands may be achieved with other receptors with which heterodimers are formed.
- the compounds disclosed above can be readily utilized in pharmacological applications where selective retinoid receptor activity is desired, and where it is desired to minimize cross reactivities with other related intracellular receptors.
- In vivo applications of the invention include administration of the disclosed compounds to mammalian subjects, and in particular to humans.
- the compounds of the present invention are small molecules which are relatively fat soluble or lipophilic and enter the cell by passive diffusion across the plasma membrane. Consequently, these ligands are well suited for administration orally and by injection, as well as topically. Upon administration, these ligands can selectively activate retinoid X receptors, and thereby selectively modulate processes mediated by these receptors.
- compositions of this invention are prepared in conventional dosage unit forms by incorporating an active compound of the invention, or a mixture of such compounds, with a nontoxic pharmaceutical carrier according to accepted procedures in a nontoxic amount sufficient to produce the desired pharmacodynamic activity in a mammalian and in particular a human subject.
- the composition contains the active ingredient in an active, but nontoxic, amount selected from about 5 mg to about 500 mg of active ingredient per dosage unit. This quantity depends on the specific biological activity desired and the condition of the patient.
- the pharmaceutical carrier or vehicle employed may be, for example, a solid or liquid.
- a variety of pharmaceutical forms can be employed.
- the preparation when using a solid carrier, can be plain milled, micronized in oil, tableted, placed in a hard gelatin or enteric-coated capsule in micronized powder or pellet form, or in the form of a troche, lozenge, or suppository.
- the preparation when using a liquid carrier, can be in the form of a liquid, such as an ampule, or as an aqueous or nonaqueous liquid suspension.
- the active ingredient may be formulated using bland, moisturizing bases, such as ointments or creams.
- ointment bases are petrolatum, petrolatum plus volatile silicones, lanolin, and water in oil emulsions such as Eucerin (Beiersdorf).
- suitable cream bases are Nivea Cream (Beiersdorf), cold cream (USP), Purpose Cream (Johnson & Johnson) hydrophilic ointment (USP), and Lubriderm (Warner-Lambert).
- Example 55 The following examples provide illustrative pharmacological composition formulations: Example 55
- Hard gelatin capsules are prepared using the following ingredients:
- the above ingredients are mixed and filled into hard gelatin capsules in 250 mg quantities.
- a tablet is prepared using the ingredients below:
- the components are blended and compressed to form tablets each weighing 360 mg.
- the active ingredient, starch, and cellulose are passed through a No. 45 mesh U.S. sieve and mixed thoroughly.
- the solution of PVP is mixed with the resultant powders, which are then passed through a No. 14 mesh U.S. sieve.
- the granules so produced are dried at
- SCMS, magnesium stearate, and talc previously passed through a No. 60 mesh U.S. sieve, are then added to the granules which, after mixing, are compressed on a tablet machine to yield tablets each weighing 150 mg.
- Suppositories each containing 225 mg of active ingredient, may be made as follows:
- the active ingredient is passed through a No. 60 mesh U.S. sieve and suspended in the saturated fatty acid glycerides previously melted using the minimum heat necessary. The mixture is then poured into a suppository mold of normal 2g capacity and allowed to cool .
- An intravenous formulation may be prepared as follows: 3-methyl-TTNCB 100 mg
- the compound is dissolved in the glycerol and then the solution is slowly diluted with isotonic saline.
- the solution of the above ingredients is then administered intravenously at a rate of 1 ml per minute to a patient.
- the compounds of this invention also have utility when labeled as ligands for use in assays to determine the presence of RXRs. They are particularly useful due to their ability to selectively bond to members of the RXR subfamily and can therefore be used to determine the presence of RXR isoforms in the presence of other related receptors.
- these compounds can also be used to purify samples of retinoid X receptors in vitro .
- Such purification can be carried out by mixing samples containing retinoid X receptors with one of more of the bicyclic derivative compounds disclosed so that the compound (ligand) binds to the receptor, and then separating out the bound ligand/receptor combination by separation techniques which are known to those of skill in the art. These techniques include column separation, filtration, centrifugation, tagging and physical separation, and antibody complexing, among others.
Landscapes
- Chemical & Material Sciences (AREA)
- Organic Chemistry (AREA)
- Acyclic And Carbocyclic Compounds In Medicinal Compositions (AREA)
- Pharmaceuticals Containing Other Organic And Inorganic Compounds (AREA)
Abstract
Compounds, compositions, and methods for modulating processes mediated by Retinoid X Receptors using retinoid-like compounds which have activity selective for members of the subclass of Retinoid X Receptors (RXRs), in preference to members of the subclass of Retinoic Acid Receptors (RARs). Examples of such compounds are bicyclic benzyl, pyridinyl, thiophene, furanyl, and pyrrole derivatives. The disclosed methods employ compounds for modulating processes selectively mediated by Retinoid X Receptors.
Description
DESCRIPTION
COMPOUNDS HAVING SELECTIVITY FOR RETINOID X RECEPTORS
Related Applications
This application is a continuation-in-part of the application Serial No. 08/052,051 filed on April 21, 1993, which is a continuation-in-part of the application Serial No. 08/027,747 filed on March 5, 1993, which is a continuation-in-part of application Serial No. 08/003,223 filed on January 11, 1993, which is a continuation-in-part of application Serial No. 944,783 filed on September 11, 1992, which is a continuation-in-part of application Serial No. 872,707 filed April 22, 1992, whose entire disclosures are incorporated herein by reference.
Field of the Invention
This invention relates to intracellular receptors and ligands therefor. More specifically, this invention relates to compounds having selective activity for specific retinoic acid receptors, and methods for use of such compounds.
Background of the Invention
The vitamin A metabolite retinoic acid has long been recognized to induce a broad spectrum of biological effects. A variety of structural analogues of retinoic acid have been synthesized that also have been found to be bioactive. Some, such as Retin-A® (registered trademark of Johnson & Johnson) and Accutane® (registered trademark of Hoffmann-LaRoche), have found utility as therapeutic agents for the treatment of various pathological conditions. Metabolites of vitamin A and their synthetic analogues are collectively herein called "retinoids".
Synthetic retinoids have been found to mimic many of the pharmacological actions of retinoic acid.
However, the broad spectrum of pharmacological actions of retinoic acid is not reproduced in full by all bioactive synthetic retinoids.
Medical professionals have become very interested in the medicinal applications of retinoids. Among their uses approved by the FDA is the treatment of severe forms of acne and psoriasis. A large body of evidence also exists that these compounds can be used to arrest and, to an extent, reverse the effects of skin damage arising from prolonged exposure to the sun. Other evidence exists that these compounds may be useful in the treatments of a variety of severe cancers including melanoma, cervical cancer; some forms of leukemia, and basal and squamous cell carcinomas. Retinoids have also shown an ability to be efficacious in treating premalignant cell lesions, such as oral leukoplakia, and to prevent the occurrence of malignancy.
Use of the retinoids is associated with a number of significant side effects. The most serious of these is that, as a class, they are among the most potent teratogens known. Teratogens are compounds that cause severe birth defects during specific periods of fetal exposure. Other side effects include irritation of the tissues treated, which can be so severe that patients cannot tolerate treatment.
Various investigations have been undertaken to elucidate the structure-activity relationships governing the abilities of synthetic retinoids to induce the various pharmacological consequences of retinoic acid exposure. This has been a complicated task, however, since the assays available to investigators have been bioassays, carried out either in intact animals or in isolated tissues. Technical constraints have often dictated the use of different small animal species for different assays. Interpretation of results has been complicated by
possible pharmacokinetic and metabolic effects and possible species differences in the receptors involved. Nevertheless, definite differences in the pharmacological effects of various synthetic retinoids have been observed.
Major insight into the molecular mechanism of retinoic acid signal transduction was gained in 1988. Prior to that time, several high abundance cellular retinoid binding proteins were incorrectly inferred to be the signal transducing receptors for retinoic acid. In 1988, a member of the steroid/thyroid hormone intracellular receptor superfamily (Evans, Science, 240 : 889-95 (1988)) was shown to transduce a retinoic acid signal (Giguere et al., Nature, 330 : 624-29 (1987); Petkovich et al., Nature, 330: 444-50 (1987)). This unexpected finding related retinoic acid to other non-peptide hormones and elucidated the mechanism of retinoic acid effects in altering cell function. It is now known that retinoids regulate the activity of two distinct intracellular receptor subfamilies; the Retinoic Acid Receptors (RARs) and the Retinoid X Receptors (RXRs).
The first retinoic acid receptor identified, designated RAR-alpha, acts to modulate transcription of specific target genes in a manner which is ligand- dependent, as has been shown to be the case for many of the members of the steroid/thyroid hormone intracellular receptor superfamily. The endogenous low-molecular-weight ligand upon which the transcription-modulating activity of RAR-alpha depends is all-trans-retinoic acid. Retinoic acid receptor-mediated changes in gene expression result in characteristic alterations in cellular phenotype, with consequences in many tissues manifesting the biological response to retinoic acid. Two additional genes closely related to RAR-alpha were recently identified and were designated RAR-beta and RAR-gamma and are very highly related (Brand et al., Nature , 332:850-53 (1988); Ishikawa et al., Mol. Endochn. , 4:837-44 (1990)). In the region of the
retinoid receptors which can be shown to confer ligand binding, the primary amino acid sequences diverge by less than 15% among the three RAR subtypes or isoforms. Alltrans-retinoic acid is a natural ligand for the retinoic acid receptors (RARs) and is capable of binding to these receptors with high affinity, resulting in the regulation of gene expression. The newly-discovered retinoid metabolite, 9-cis-retinoic acid, is also an activator of RARs.
A related but unexpected observation was made recently (Mangelsdorf etal., Nature, 345 : 224-29 (1990)), in which another member of the steroid/thyroid receptor superfamily was also shown to be responsive to retinoic acid. This new retinoid receptor subtype has been designated Retinoid X Receptor (RXR), because certain earlier data suggested that a derivative of all-trans-retinoic acid may be the endogenous ligand for RXR. Like the RARs, the RXRs are also known to have at least three subtypes or isoforms, namely RXR-alpha, RXR-beta, and RXR-gamma, with corresponding unique patterns of expression (Manglesdorf et al., Genes & Devel . , 6:329-44 (1992)).
Although both the RARs and RXRs respond to all- trans-retinoic acid in vivo, the receptors differ in several important aspects. First, the RARs and RXRs are significantly divergent in primary structure (e.g., the ligand binding domains of RARα; and RXRα have only 27% amino acid identity). These structural differences are reflected in the different relative degrees of responsiveness of RARs and RXRs to various vitamin A metabolites and synthetic retinoids. In addition, distinctly different patterns of tissue distribution are seen for RARs and RXRs. For example, in contrast to the RARs, which are not expressed at high levels in the visceral tissues, RXRα; mRNA has been shown to be most abundant in the liver, kidney, lung, muscle and intestine. Finally, the RARs and RXRs have different target gene
specificity. For example, response elements have recently been identified in the cellular retinal binding protein type II (CRBPII) and apolipoprotein Al genes which confer responsiveness to RXR, but not RAR. Furthermore, RAR has also been recently shown to repress RXR-mediated activation through the CRBPII RXR response element (Manglesdorf et al., Cell, 66:555-61 (1991)). These data indicate that two retinoic acid responsive pathways are not simply redundant, but instead manifest a complex interplay. Recently, Heyman et al. (Cell, 68:397-406 (1992)) and Levin et al. (Nature, 355:359-61 (1992)) independently demonstrated that 9-cis-retinoic acid is a natural endogenous ligand for the RXRs. 9-cis-retinoic acid was shown to bind and transactivate the RXRs, as well as the RARs, and therefore appears to act as a "bifunctional" ligand.
In view of the related, but clearly distinct, nature of these receptors, ligands which are more selective for the Retinoid X Receptor subfamily would be of great value for selectively controlling processes mediated by one or more of the RXR isoforms, and would provide the capacity for independent control of the physiologic processes mediated by the RXRs. Ligands which preferentially affect one or more but not all of the receptor isoforms also offer the possibility of increased therapeutic efficacy when used for medicinal applications.
The entire disclosures of the publications and references referred to above and hereafter in this specification are incorporated herein by reference. Summary of the Invention
The present invention is directed to compounds, compositions, and methods for modulating processes mediated by one or more Retinoid X Receptors. More particularly, the invention relates to compounds which selectively or preferentially activate Retinoid X
Receptors, in comparison to Retinoic Acid Receptors. These compounds selectively modulate processes mediated by Retinoid X Receptors. Accordingly, the invention also relates to methods for modulating processes selectively mediated by one or more Retinoid X Receptors, in comparison to Retinoic Acid Receptors, by use of the compounds of this invention. Examples of compounds used in and forming part of the invention include bicyclic benzyl, pyridinyl, thiophene, furanyl, and pyrrole derivatives. Pharmaceutical compositions containing the compounds disclosed are also within the scope of this invention. Also included are methods for identifying or purifying Retinoid X Receptors by use of the compounds of this invention. Brief Description of the Figures
The present invention may be better understood and its advantages appreciated by those skilled in the art by referring to the accompanying drawings wherein:
Figure 1 presents the standardized dose response profiles showing the transactivation of RAR and RXR isoforms by 3-methyl-TTNCB.
Figure 2 presents the standardized dose response profiles showing the transactivation of RAR and RXR isoforms by all-trans-retinoic acid.
Figure 3 presents the standardized dose response profiles showing the transactivation of RAR and RXR isoforms by 9-cis-retinoic acid.
Figure 4 presents the standardized dose response profiles showing the transactivation of RAR and RXR isoforms by 3-methyl-TTNEB.
Figure 5 presents the standardized dose response profiles showing the transactivation of RAR and RXR isoforms by 3-bromo-TTNEB.
Figure 6 presents the standardized dose response profiles showing the transactivation of RAR and RXR isoforms by 3-methyl-TTNCHBP.
Figure 7 presents the standardized dose response profiles showing the transactivation of RAR and RXR isoforms by 3-methyl-TTNEHBP.
Figure 8 presents the inhibition of transglutaminase activity by 9-cis-retinoic acid, all-trans- retinoic acid, and 3-methyl-TTNCB.
Figure 9 presents the Topical Dose Response, based on the test on Rhino mice, for 9-cis-retinoic acid, all-trans-retinoic acid, 3 -methyl-TTNCB, 1, 25-dihydroxy Vitamin D.
Figure 10 presents the effect on rat HDL cholesterol of all-trans-retinoic acid, 9-cis-retinoic acid, 3-methyl-TTNCB, and 3 -methyl-TTNEB.
Figure 11 presents the concentration-related effect of 3-methyl-TTNEB and TTNPB individually on incorporation of radiolabeled thymidine into DNA.
Figure 12 presents the concentration-related effect of a combination of 3 -methyl-TTNEB and TTNPB on incorporation of radiolabeled thymidine into DNA. Detailed Description of the Invention
This invention discloses retinoid-like compounds or ligands which have selective activity for members of the subfamily of Retinoid X Receptors (RXRs), in comparison to members of the subfamily of Retinoic Acid Receptors (RARs). Examples of such compounds are bicyclic benzyl, pyridinyl, thiophene, furanyl, and pyrrole derivatives which can be represented by the formulae :
or
or
R1 and R2, each independently, represent hydrogen or lower alkyl or acyl having 1-4 carbon atoms;
Y represents C, O, S, N, CHOH, CO, SO, SO2, or a pharmaceutically acceptable salt;
R3 represents hydrogen or lower alkyl having 1-4 carbon atoms where Y is C or N;
R4 represents hydrogen or lower alkyl having 1-4 carbon atoms where Y is C, but R4 does not exist if Y is N, and neither R3 or R4 exist if Y is S, O, CHOH, CO, SO, or SO2;
R' and R" represent hydrogen, lower alkyl or acyl having 1-4 carbon atoms, OH, alkoxy having 1-4 carbon atoms, thiol or thio ether, or amino,
or R' or R" taken together form an oxo (keto), methano, thioketo, HO-N=, NC-N=, (R7R8)N-N=, R17O-N=, R17N=, epoxy, cyclopropyl, or cycloalkyl group and wherein the epoxy, cyclopropyl, and cycloalkyl groups can be substituted with lower alkyl having 1-4 carbons or halogen;
R'" and R"" represent hydrogen, halogen, lower alkyl or acyl having 1-4 carbon atoms, alkyl amino,
or R'" and R"" taken together form a cycloalkyl group having 3-10 carbons, and wherein the cycloalkyl group can be substituted with lower alkyl having 1-4 carbons or halogen;
R5 represents hydrogen, a lower alkyl having 1-4 carbons, halogen, nitro, OR7, SR7, NR7R8, or (CF)nCF3, but R5 cannot be hydrogen if together R6, R10, R117 R12 and R13 are all hydrogen, Z, Z', Z", Z"', and Z"" are all carbon, and R' and R" represent H, OH, C1-C4 alkoxy or C1-C4 acyloxy or R' and R" taken together form an oxo, methano, or hydroxyimino group;
R6, R10, R11, R12, R13 each independently represent hydrogen, a lower alkyl having 1-4 carbons, halogen, nitro, OR7, SR7, NR7R8 or (CF)nCF3, and exist only if the Z, Z', Z", Z'", or Z"" from which it originates is C, or each independently represent hydrogen or a lower alkyl having 1-4 carbons if the Z, Z', Z", Z'", or Z" " from which it
originates is N, and where one of R6 , R10 , R11 , R12 or R13 is
X ;
R7 represents hydrogen or a lower alkyl having 1-6 carbons;
R8 represents hydrogen or a lower alkyl having 1-6 carbons;
R9 represents a lower alkyl having 1-4 carbons, phenyl, aromatic alkyl, or q-hydroxyphenyl, q-bromophenyl, q-chlorophenyl, q-florophenyl, or q-iodophenyl, where q=2- 4;
R14 represents hydrogen, a lower alkyl having 1-4 carbons, oxo, hydroxy, acyl having 1-4 carbons, halogen, thiol, or thioketone;
R17 represents hydrogen, lower alkyl having 1-8 carbons, alkenyl (including halogen, acyl, OR7 and SR7 substituted alkenes), R9, alkyl carboxylic acid (including halogen, acyl, OR7 and SR7 substituted alkyls), alkenyl carboxylic acid (including halogen, acyl, OR7 and SR7 substituted alkenes), alkyl amines (including halogen, acyl, OR7 and SR7 substituted alkyls), and alkenyl amines (including halogen, acryl, OR7 and SR7 substituted alkenes);
R18 represents hydrogen, a lower alkyl having 1-4 carbons, halogen, nitro, OR7, SR7, NR7R8, or (CF)nCF3;
X is COOH, tetrazole, PO3H, SO3H, CHO, CH2OH, CONH2, COSH, COOR9, COSR9, CONHR9, or COOW where W is a pharmaceutically acceptable salt, and where X can originate from any C or N on the ring;
Z, Z', Z", Z"' and Z"", each independently, represent C, S, O, N, or a pharmaceutically acceptable salt, but is not O or S if attached by a double bond to another such Z or if attached to another such Z which is O or S, and is not N if attached by a single bond to another such Z which is N;
n = 0-3; and
the dashed lines in the second and seventh structures shown depict optional double bonds.
As used in this disclosure, pharmaceutically acceptable salts include but are not limited to: hydrochloric, hydrobromic, hydroiodic, hydrofluoric, sulfuric, citric, maleic, acetic, lactic, nicotinic, succinic, oxalic, phosphoric, malonic, salicylic, phenylacetic, stearic, pyridine, ammonium, piperazine, diethylamine, nicotinamide, formic, urea, sodium, potassium, calcium, magnesium, zinc, lithium, cinnamic, methylamino, methanesulf onic, picric, tartaric, t r i e t hyl am i no , d i me t hy l ami no , an d tris(hydroxymethyl)aminomethane. Additional pharmaceutically acceptable salts are known to those of skill in the art.
Representative derivatives according to the present invention include the following:
p[3,5,5,8,8-pentamethyl-1,2,3,4-tetrahydro-2- naphthyl-(2-carbonyl)]-benzoic acid, also known as 4-
[ (3, 5, 5, 8, 8-pentamethyl-5, 6, 7, 8-tetrahydro-2- naphthyl)carbonyl]benzoic acid, and designated "3-methyl- TTNCB";
p[5,5,8,8-tetramethyl-1,2,3,4-tetrahydro-3-isopropyl-
2-naphthyl-(2-carbonyl)]-benzoic acid, also known as 4-
[(3-isopropyl-5,5,8,8-tetramethyl-5,6,7,8-tetrahydro-2- naphthyl)carbonyl]benzoic acid, and designated "3-IPR- TTNCB" or Compound 37;
p[5,5,8,8-tetramethyl-1,2,3,4-tetrahydro-3-isopropyl-
2-naphthyl-(2-methano)]-benzoic acid, also known as 4-[1-
(3-isopropyl-5,5,8,8-tetramethyl-5,6,7,8-tetrahydro-2- naphthyl)ethenyl]benzoic acid, and designated "3-IPR- TTNEB" or Compound 42;
p[5,5,8,8-tetramethyl-1,2,3,4-tetrahydro-3-ethyl-2- naphthyl-(2-methano)]-benzoic acid, also known as 4-[1-(3- ethyl-5,5,8,8-tetramethyl-5,6,7,8-tetrahydro-2- naphthyl)ethenyl]benzoic acid, and designated "3-ethyl- TTNEB" or Compound 45;
p[5,5,8,8-tetramethyl-1,2,3,4-tetrahydro-3-bromo-2- naphthyl-(2-methano)]-benzoic acid, also known as 4-[1-(3-
bromo-5, 5, 8, 8-tetramethyl-5, 6, 7, 8-tetrahydro-2- naphthyl)ethenyl]benzoic acid, and designated "3-bromoTTNEB " or Compound 46 ;
p[5,5,8,8-tetramethyl-1,2,3,4-tetrahydro-3-chloro-2- naphthyl-(2-methano)]-benzoic acid, also known as 4-[1-(3- chloro-5,5,8,8-tetramethyl-5, 6, 7, 8-tetrahydro-2- naphthyl)ethenyl]benzoic acid, and designated "3-chloro-
TTNEB" or Compound 43;
p[3,5,5,8,8-pentamethyl-1 ,2,3,4-tetrahydro-2- naphthyl-(2-methano)]-benzoic acid, also known as 4-[1-
(3, 5, 5, 8 , 8-pentamethyl-5, 6 , 7, 8-tetrahydro-2- naphthyl)ethenyl]benzoic acid, and designated "3-methyl-
TTNEB " ;
p[3,5,5,8,8-pentamethyl-1,2,3,4-tetrahydro-2- naphthyl-(2-hydroxymethyl)]-benzoic acid, also known as 4-
[1- (3, 5, 5, 8, 8-pentamethyl-5,6, 7, 8-tetrahydro-2- naphthyl)hydroxymethyl]benzoic acid, and designated "3- methyl-TTNHMB";
p[5,5,8,8-tetramethyl-1,2,3,4-tetrahydro-3-bromo-2- naphthyl-(2-carbonyl)]-benzoic acid, also known as 4-[(3- bromo-5, 5, 8, 8-tetramethyl-5, 6, 7, 8-tetrahydro-2- naphthyl)carbonyl]benzoic acid, and designated "3-bromo¬
TTNCB" or Compound 41;
p[5,5,8,8-tetramethyl-1,2,3,4-tetrahydro-3-chloro-2- naphthyl-(2-carbonyl)]-benzoic acid, also known as 4-[(3- chloro-5,5,8,8-tetramethyl-5,6,7, 8-tetrahydro-2- naphthyl)carbonyl]benzoic acid, and designated "3-chloro-
TTNCB" or Compound 38;
p[5,5,8,8-tetramethyl-1,2,3,4-tetrahydro-3-hydroxy-2- naphthyl-(2-carbonyl)]-benzoic acid, also known as 4-[(3- hydroxy-5,5,8, 8-tetramethyl-5, 6,7,8-tetrahydro-2- naphthyl)carbonyl]benzoic acid, and designated "3-hydroxy-
TTNCB" or Compound 39;
p[5,5,8,8-tetramethyl-1,2,3,4-tetrahydro-3-ethyl-2- naphthyl-(2-carbonyl)]-benzoic acid, also known as 4-[(3- ethyl-5, 5, 8, 8-tetramethyl-5, 6, 7, 8-tetrahydro-2-
naphthyl)carbonyl]benzoic acid, and designated "3-ethyl- TTNCB" or Compound 40;
p[3,5,5,8,8-pentamethyl-1,2,3,4-tetrahydro-2- naphthyl-(2-thioketo)]-benzoic acid, also known as 4- [ (3 , 5, 5, 8, 8-pentamethyl-5, 6, 7, 8-tetrahydro-2- naphthyl)thioketo]benzoic acid, and designated
"thioketone";
p[3,5,5,8,8-pentamethyl-1,2,3,4-tetrahydro-2- naphthyl-(2-carbonyl)]-N-(4-hydroxyphenyl)benzamide, also known as 4-[(3,5,5,8,8-pentamethyl-5,6,7,8-tetrahydro-2- naphthyl)carbonyl]-N-(4-hydroxyphenyl)benzamide, and designated "3-methyl-TTNCHBP";
p[3,5,5,8,8-pentamethyl-1 ,2,3,4-tetrahydro-2- naphthyl-(2-methano)]-N-(4-hydroxyphenyl)benzamide, also known as 4-[1-(3,5,5,8,8-pentamethyl-5,6,7,8-tetrahydro-2- naphthyl)ethenyl]-N-(4-hydroxyphenyl)benzamide, and designated "3-methyl-TTNEHBP" or Compound 63;
2-[1-(3,5,5,8,8-pentamethyl-5,6,7,8-tetrahydro-2- naphthyl) ethenyl]pyridine-5-carboxylic acid, designated "TPNEP" or Compound 58;
ethyl 2-[1-(3,5,5,8,8-pentamethyl-5,6,7,8-tetrahydro- 2-naphthyl)ethenyl]pyridine-5-carboxylate, designated
"TPNEPE" or Compound Et-58;
2- [1- (5,5,8,8-tetramethyl-5,6,7,8-tetrahydro-2- naphthyl) ethenyl]pyridine-5-carboxylic acid, designated "TTNEP" or Compound 56;
4-[1-(3,5,5,8,8-pentamethyl-5,6,7,8-tetrahydro-2- naphthyl) epoxy]benzoic acid, designated "TPNEB" or Compound 47;
4-[1-(3,5,5,8,8-pentamethyl-5,6,7,8-tetrahydro-2- naphthyl) cyclopropyl]benzoic acid, designated "TPNCB" or Compound 48;
4-[1-(3,5,5,8,8-pentamethyl-5,6,7,8-tetrahydro-2- naphthyl)ethenylebenzenetetrazole, designated "3-methyl- TTNEBT" or Compound 55;
5-[1-(3,5,5,8,8-pentamethyl-5,6,7,8-tetrahydro-2- naphthyl)ethenyl]pyridine-2-carboxylic acid, designated "TPNEPC" or Compound 60;
2-[1-(3,5,5,8,8-pentamethyl-5,6,7,8-tetrahydro-2- naphthyl)cyclopropyl]pyridine-5-carboxylic acid, designated "TPNCP" or Compound 62;
methyl 2-[1-(3,5,5,8,8-pentamethyl-5,6,7,8- tetrahydro-2-naphthyl)cyclopropyl]pyridine-5-carboxylate, designated Compound Me-62;
4-[1-(2-methyl-4-t-butylphenyl)ethenyl] benzoic acid, designated Compound 133;
4-[1-(2-methyl-4-t-butylphenyl)cyclopropyl] benzoic acid, designated Compound 135;
4-[(2-methyl-4-t-butylphenyl)carbonyl] benzoic acid, designated Compound 136;
4-[(2-methyl-4-t-butylphenyl)carbonyl] benzoic acid oxime, designated Compound 137; and
4-[1-(2-methyl-4-t-butylphenyl)carbonyl] benzoic acid methyloxime, designated Compound 144.
Representative structures for such compounds are as follows:
3-methyl-TTNCHBP
4-[(3-isopropyl-5,5,8,8-tetramethyl-5,6,7,8-tetrahydro- 2-naphthyl)carbonyl] benzoic acid (3-iPr-TTNCB)
4-[(3-chloro-5,5,8,8-tetramethyl-5,6,7,8-tetrahydro- 2-naphthyl)carbonyl] benzoic acid (3-chloro-TTNCS)
4-[(3-hydroxy-5,5,8,8-tetramethyl-5,6,7,8-tetrahydro- 2-naphthyl)carbonyl] benzoic acid (3-hydroxy-TTNCB)
4-[(3-ethyl-5,5,8,8-tetramethyl-5,6,7,8-tetrahydro- 2-naphthyl)carbonyl] benzoic acid (3-Et-TTNCB)
4-[(3-bromo-5,5,8,8-tetramethyl-5,6,7,8-tetrahydro- 2-naphthyl)carbonyl] benzoic acid (3-bromo-TTNCB)
4-[1-(3-isopropyl-5,5,8,8-tetramethyl-5,6,7,8-tetrahydro)- 2-naphthyl)ethenyl] benzoic acid (3-iPr-TTΝEB)
4-[1-(3-chloro-5,5,8,8-tetramethyl-5,6,7,8-tetrahydro- 2-naphthyI)ethenyl] benzoic acid (3-chloro-TTNEB)
4-[1-(3-hydroxy-5,5,8,8-tetramethyl-5,6,7,8-tetrahydro- 2-naphthyl) ethenyl] benzoic acid (3-hydroxy-TTNEB)
4-[1-(3-ethyl-5,5,8,8-tetramethyl-5,6,7,8-tetrhydro- 2-naphthyl)ethenyI] benzoic acid (3-Et-TTNEB)
4-[1-(3-bromo-5,5,8,8-tetramethyl-5,6,7,8-tetrahydro- 2-naphthyl)ethenyl] benzoic acid (3-bromo-TTNEB)
4-[1-(3,5,5,8,8-pentamethyl-5,6,7,8-tetrahydro- 2-naphthyl)epoxy] benzoic acid (TPNEB)
4-[1-(3,5,5,8,8-pentamethyI-5,6,7,8-tetrahydro- 2-naphthyl)cycloproρyl] benzoic acid (TPNCB)
4-[1-(3,5,5,8,8,pentamethyl-5,6,7,8-tetrahydro- 2-naphthyl)ethyl] benzoic acid (FTNEB)
4-[1-(3,5,5,8,8-pentamethyl-5,6,7,8-tetrahydro-2-naphthyl) methylidine cydopentane] benzoic acid (PTNCB)
4-[1-(3,5,5,8,8-pentamethyl-5,6,7,8-tetrahydro- 2-naphthyl)-2-methyl propenyl] benzoic acid (PTMB)
2-[(3,5,5,8,8-pent amethyl-5,6,7,8-tetrahydro- 2-naphthyl)car bonyl) thiophene-5-carboxylic acid (TTNCTC)
2-[1-(3,5,5,8,8-pentamethyl-5,6,7,8-tetrahydro- 2-naphthyl)ethenyl) thiophene-5-catboxylic acid (TTNETC)
4-[(3,5,5,8,8-pentamethyl-5,6,7,8-tetrahydro-
2-naphthyl)carbonyl) benzenetetrazole (3-methyl-TTNCBT)
4-[1-(3,5,5,8,8-pentamethyl-5,6,7,8-tetrahydro- 2-naphthyl)ethenyI] benzenetetrazole (3-methyl-TTNEBT)
56
2-[1-(5,5,8,8-tetramethyl-5,6,7,8-tetrahydro-
2-naphthyl)ethenyl] pyridine- 5-carboxylic acid (TTNEP)
2-[(3,5,5,8,8-pentamethyl-5,6,7,8-tetrahydro- 2-naphthyl)carbonyl] pyridine- 5-carboxylic acid
2-[1-(3,5,5,8,8-pentamethyl-5,6,7,8-tetrahydro- 2-naphthyl)ethenyl) pyridine-5-carboxylic acid (TPNEP)
Ethyl-2-(1-(3,5,5,8,8-pentamethyl-5,6,7,8-tetrahydro-2- naphthyl)ethenyl] pyridine-5-carboxylate
5-[(3,5,5,8,8-pentamethyl-5,6,7,8-tetrahydro- 2-naphthyl)carbonyl] pyridine-2-carboxylic acid (TTNCP)
5-[1-(3,5,5,8,8-pentamethyl-5,6,7,8-tetrahydro- 2-naphthyl)ethenyl] pyridine-2-carboxylic acid (TPNEPC)
Ethyl-5-(1-(3,5,5,8,8-pentamethyl-5,6,7,8-tetrabydro- 2-naphthyl)ethenyl] pyridine-2-caιboxylate (3TTNEPE)
2-[1-(3,5,5,8,8-pentamethyl-5,6,7,8-tetrahydro- 2-naphthyl)cyclopropyl] pyridine-5-carboxylic acid (TPNCP)
Methyl 2-[1-(3,5,5,8,8-pentamethyl-5,6,7,8-tetrahydro- 2-naphthyl)cyclopropyl] pyridine-5-carboxylate
Ethyl-2-[1-(3,5,5,8,8-pentamethyl- 5,6,7,8-tetrahydro-2- naphthyl)cyclopropyl] pyridine-5-carboxylate
4-(1-(3,5,5,8,8-pentamethyl-5,6,7,8-tetrahydro-2-naphthyl) ethenyl]-N-(4-hydroxyphenyl)benzamide (3-Me-TTNEHBP)
4-[1-(3,5,5,8,8-pentamethyl-5,6,7,8-tetrahydro-2-naphthyl) ethenyl]-N-(4-nuorophenyl)benzam ide (3-Me-TTNEFBP)
4-[1-(3,5,5,8,8-pentamethyl-5,6,7,8-tetrahydro-2-naphthyl) ethenyl]-N-(4-carboxyphenyl)benzamide (3-Me-TTNECBP)
4-[(3,5,5,8,8-pentamethyl-5,6,7,8-tetrahydro-2-naphthyl) carbonyl]-N-(3-bydroxyphenyl)benzamide (3-Me-m-TTNCHBP)
4-[1-(3,5,5,8,8-pentamethyl-5,6,7,8-tetrahydro-2-naphthyl) ethenyl]-N-(3-hydroxyphenyl)benzamide (3-Me-m-TTNEHBP)
4-[1-(3,5,5,8,8-pentamethyl-5,6,7,8-tetrahydro-2-naphthyl) etbenyl]-N-(2-hydroxyphenyl)benzamide(3-Me-o-TTNCHBP)
4-[1-(3,5,5,8,8-pentamethyl-5,6,7,8-tetrahydro-2-naphthyl) ethenyl]-N-(3-carboxypbenyl)benz amide (3-Me-m-TTNECBP)
4-[1-(3,5,5,7,7-pentamethyl-2-indanyl)ethenyl] benzoic add
4-[1-(3,5,5,6,7,7-hexamethyl-2-indanyl)ethenyl] benzoic acid
4-[1-(3,5,5.8,8-pentamethyl-5,6,7,8-tetrahydro-2-naphthyl) methyl] benzoic acid
Et-3-methyl- TTNEB
4-[1-(2-methyl-4-t-butylphenyl)ethenyl] benzoic acid
4-[1-(2-methyl-4-t-butylphenyl)cyclopropyl] benzoic acid
4-[(2-methyl-4-t-butylpbenyl)carbonyl] benzoic add
4-[1-(2-methyl-4-t-bulylphenyl)carbonyl] benzoic acid oxime
4-[1-(2-methyl-4-t-butylphenyl)carbonyl] benzoic add methytoxime
In addition, thiophene, furanyl, pyridine, pyrazine, pyrazole, pyridazine, thadiazole, and pyrrole groups function as isosteres for phenyl groups, and may be substituted for the phenyl group of the above bicyclic benzyl derivatives.
Representative derivatives of the present invention can be prepared according to the following illustrative synthetic schemes:
Compounds of structure 1 containing R5 = lower alkyl are prepared in accordance with United States Patent No. 2,897,237. When R5 = Halo, OH, amino, or thio, the products are prepared by standard Friedel-Crafts reaction conditions combining the appropriate substituted benzene with 2,5-dichloro-2,5-dimethyl hexane in the presence of aluminum trichloride.
Condensation of 1 with mono-methyl terephthalate 2 was carried out by addition of PCl5 to 1 and 2 in CH2Cl2 followed by addition of AlCl3 at. room temperature.
The resulting methyl esters 3 are hydrolyzed to the carboxylic acid 4 by refluxing in aqueous KOH-MeOH followed by acidification.
H4/ 2
Cl
Treatment of ketone 4 with NaBH4 afforded alcohol 5.
Treatment of the methyl ester 3 with methyltriphosphonium bromide-sodium amide in THF afforded the methano compound 6.
The carboxylic acid 7 was formed by adding KOH to methano compound 6 in MeOH, followed by acidification.
2
Treatment of the methyl ester 6 with hydrogen gas and 5% palladium over carbon in ethyl acetate yields the hydrogenated compound 9.
Treatment of compound 9 with aqueous KOH in refluxing MeOH, followed by acidification, yields the carboxylic acid compound 10.
1) P Cl5
l l3
R = Me or H
Condensation of 1 with thiophene 2, 5-mono methyl dicarboxylic acid or furanyl 2,5-mono methyl dicarboxylic acid was carried out by addition of PClB in CH2Cl2 followed by addition of AlCl3 at room temperature to give esters 11 and 12, which were hydrolyzed with KOH followed by acidification to the corresponding acids.
l5
l l 3
4,4-Dimethylchroman and 4,4-dimethyl-7- alkylchroman compounds of type 13 and 14 as well as 4,4- dimethylthiochroman, 4,4-dimethyl-7-alkylthiochroman, 4,4- dimethyl-1,2,3,4-tetrahydroquinoline, and 4,4-dimethyl-7- alkyl-1,2,3,4-tetrahydroquinoline analogs were synthesized by similar methods as compound 3, i.e . , Friedel-Crafts conditions combining the appropriate dimethylchroman, dimethylthiochroman or dimethyltetrahydroquinoline with mono-methyl terephthalate acid chloride in the presence of AlCl3 or SnCl4, followed by base hydrolysis and acidification to give the carboxylic acid. For the synthesis of the tetrahydroquinoline analogs, it was necessary to acylate the amine before Friedel-Crafts coupling with mono-methyl terephthalate acid chloride. For the synthesis of the appropriate dimethylchromans, dimethylthiochromans and tetrahydroquinolines, see U.S. Patent Nos. 5,053,523 and 5,023,341 and European Patent Publication No. 0284288.
1.
Compounds of the type 18 were synthesized by nucleophillic addition of the Grignard reagent 16 to bromotetralone, bromoindane, or other bicyclic ketone derivitive. Treatment of the resulting alcohol with methanolic HCl gave the intermediate 17. Displacement of the bromine with CuCN in quinoline gave the nitrile which was then hydrolyzed to the acid 18 in refluxing KOH. Bromine compound 15 was synthesized from 2,5-dichloro-2,5- dimethylhexane and 2-bromotoluene with a catalytic amount of AlCl3.
Treatment of compounds 3-methyl-TTNCB and 3-methyl-TTNEB with DCC, p-aminophenol, and DMAP resulted in the amino- esters 19 and 20.
Representative pyridinal derivatives (compounds 21, 23, 26, and 27) may be prepared according to the illustrative synthetic schemes shown above. The synthesis of compound 21 is similar to that previously described for compound 7. Pentamethyl tetrahydronaphthalene 1, pyridinal acid chloride 24, and AlCl3 are stirred in CH2Cl2 to give the ketone 25. Treatment of the ketone 25 with methyl triphosphonium bromide-sodium amide in THF afforded the ethenyl compound 26. Hydrolysis of 26 (KOH, MeOH) followed by acidification gave the acid 21. The cyclopropyl analog 23 was synthesized by treatment of the ethenyl compound 26 with CH2I2, zinc dust, CuCl in refluxing ether (Simmons-Smith reaction). Hydrolysis of the resulting cyclopropyl ester 27 was achieved with methanolic KOH followed by acidification to give compound 23. When R1-R5 are methyl, for example, compound 62 (TPNCP) is obtained, as shown in Example 33 below.
Other cyclopropyl derivatives such as TPNCB (compound 48) may be likewise prepared by the same method as described for analog 23: olefin 6 is treated with the Simmons-Smith reagent described above, followed by hydrolysis with methanolic-KOH and acidification (HCl) to give the desired cyclopropyl derivative. Epoxy derivatives such as TPNEB (compound 47) may be synthesized by treatment of compound 7 with m-chloroperbenzoic acid at room temperature in CH2Cl2 for several hours.
Alternatively, pyridinal analogs, such as compounds 58 (TPNEP), 60 (TPNEPC), and 61 (3TTNEPE), may be prepared by the following synthetic route.
Representative derivaties of compounds such as 131-137 and 144 may be prepared according to the illustrative synthetic scheme shown above. Synthesis of such compounds is also described below in examples 44-51.
Illustrative examples for the preparation of some of the compounds according to this invention are as follows :
Example 1
Preparation of compound 3 where R1, R2, R3, R4 and R5 are methyl, R' and R" are oxo, and X=COOMe:
To 7 gm (34.7 mmol) of 1, 1, 4 , 4 , 6-pentamethyl- 1,2,3,4-tetrahydronaphthalene and 6 gm (33.3 mmol) of mono-methyl teraphthalate in 200 mL of CH2Cl2 was added 8 g (38.8 mmol) of PCl5. The reaction boiled vigorously and turned clear within 10 min. After stirring for an additional 1 h, 6 g (43.5 mmol) of AlCl3 was added in 1 g portions over 15 min. and the reaction was allowed to stir overnight. The mixture was poured into 300 mL of 20% aqueous HCl and extracted with 5% EtOAc-hexanes, dried (MgSO4), concentrated, and crystallized from MeOH to give ca. 6 gm (16.5 mmol) of methyl ester 3.
1HNMR (CD3OCD3) δ 1.20 (s, 2 (CH3)), 1.35 (s, 2 (CH3)), 1.75 (s, 2(CH2)), 2.31 (s, CH3), 3.93 (s, COOCH3), 7.21 (s, Ar- CH), 7.23 (s, Ar-CH), 7.85 (d, J=8 Hz, Ar-2 (CH)), 8.18 (d, J=8 Hz, Ar-2 (CH)).
Example 2
Preparation of compound 4 where R1, R2, R3, R4 and R5 are methyl, R' and R" are oxo, and X = COOH (3-methyl-TTNCB) :
To 6 gm (16.5 mmol) of methyl ester 3 suspended in 100 mL of MeOH was added 50 mL of 5N aqueous KOH. The mixture was heated under reflux for 1 h, cooled, acidified
(20% aqueous HCl) and the organics extracted with EtOAc.
After drying (MgSO4), the product was concentrated and precipitated from 1:4 EtOAc-hexanes to give ca. 5 g (14.3 mmol) of acid 4.
1HNMR (CD3OCD3) δ 1.20 (s, 2 (CH3)), 1.35 (s, 2 (CH3)), 1.75 (s, 2(CH2)), 2.31 (s, CH3), 7.21 (s, Ar-CH), 7.23 (s, Ar- CH), 7.91 (d, J=8 Hz, Ar-2(CH)), 8.21 (d, J=8 Hz, Ar- 2(CH)).
Example 3
Preparation of compound 5 where R1 , R2, R3, R4 and R5 are methyl, R' = H and R" = OH, and X = COOH (3-methyl- TTNHMB) :
To a 1:1 THF-MeOH solution containing 1 g (2.86 mmol) of ketone 4 was added 100 mg of NaBH4. The mixture was heated to 50°C for 10 min., cooled, acidified (20% aqueous HCl), and the organics extracted (EtOAc). After drying (MgSO4), the product was concentrated and precipitated from 1:3 EtOAc-hexanes to give 550 mg (1.56 mmol) of the alcohol 5.
1HNMR (CD3OCD3) δ 1.20 (s, CH3)), 1.22 (s, (CH3)), 1.22 (s, 2(CH3)), 1.65 (s, 2(CH2)), 2.21 (s, CH3), 6.00 (s, -CHOH-), 7.09 (s, Ar-CH), 7.41 (s, Ar-CH), 7.53 (d, J=8 Hz, Ar- 2(CH)), 8.01 (d, J=8 Hz, Ar-2 (CH)).
Example 4
Preparation of compound 6 where R1 , R2, R3, R4 and R5 are methyl, R' and R" are methano, and X = COOMe:
To 1 gm of methyl ester 3 (2.7 mmol) in 25 mL of dry THF was added 1.2 g (3.08 mmol) of methyltriphosphonium bromide-sodium amide. The solution was stirred at RT for 3 h or until complete by TLC (20% EtOAc-hexanes). Water was added and the organics were extracted with EtOAc, dried (MgSO4), concentrated and purified by SiO2 chromatography (5% EtOAc-hexanes) followed by crystallization from MeOH to give 700 mg (1.93 mmol) of methano compound 6.
1HNMR (CD3OCD3) δ 1.22 (s, 2 (CH3)), 1.30 (s, 2 (CH3)), 1.72 (s, 2(CH2)), 1.95 (s, CH3), 3.85 (s, COOCH3), 5.29 (s,=CH), 5.92 (s, =CH), 7.19 (s, Ar-CH), 7.20 (s, Ar-CH), 7.39 (d, J=8 Hz, Ar-2(CH)), 7.96 (d, J=8 Hz, Ar-2 (CH)).
Example 5
Preparation of compound 7 where R1, R2, R3, R4 and R5 are methyl, R' and R" are methano, and X = COOH (3-methyl- TTNEB):
To 500 mg of methano compound 6 (1.38 mmol) in 20 mL of MeOH was added 5 mL of 5 N aqueous KOH and the suspension was refluxed for 1 h. After acidification (20% aqueous HCl) the organics were extracted (EtOAc), dried (MgSO4), concentrated, and the solids recrystallized from EtOAc-hexanes 1:5 to give 350 mg (1.0 mmol) of the carboxylic acid 7.
1HNMR (CD3OCD3), δ 1.22 (s, 2 (CH3)), 1.30 (s, 2 (CH3)), 1.72 (s, 2(CH2)), 1.95 (s, CH3), 5.22 (s,=CH), 5.89 (s,=CH), 7.19 (s, Ar-CH), 7.20 (s, Ar-CH), 7.39 (d, J=8 Hz, Ar- 2(CH)), 7.96 (d, J = 8 Hz, Ar-2 (CH)).
Example 6
Preparation of compound 37 where R1, R2, R3, R4 are methyl, R5 is isopropyl, R' and R" are oxo, and X=COOH (3-IPR-TTNCB) :
The compound was prepared in a manner similar to that of compound 4 except that 6-isopropyl-1,1,4,4- tetramethyl-1,2,3,4-tetra-hydronaphthalene was substituted for 1,1,4,4,6-pentamethyl-1,2,3,4-tetrahydronaphthalene in examples 1 and 2. MP: 254 ºC; 1H-NMR (CDCl3) δ1.19 (d,J=7 Hz, CH(CH3)2), 1.21 (s, 2(CH3)), 1.33 (s, 2(CH3)), 1.70 (s, 2(CH2)), 3.12 (q, J=7 Hz,CH(CH3)2), 7.14 (s,Ar-CH), 7.37 (s, Ar-CH), 7.92 (d,J=8 Hz, Ar-2 (CH)), 8.18 (d,J=8 Hz, Ar- 2(CH)).
Example 7
Preparation of compound 38 where R1, R2, R3, R4 are methyl, R5 is chloro, R' and R" are oxo, and X=COOH (3-chloro-TTNCB) :
The compound was prepared in a manner similar to that of compound 4 except that 6-chloro-1,1,4,4- tetramethyl-1,2,3,4-tetrahydro-naphthalenewas substituted for 1,1,4,4,6-pentamethyl-1,2,3,4-tetrahydronaphthalene in examples 1 and 2. MP: 254 ºC; 1H-NMR (CDCl3) δ1.26 (s,2(CH3)), 1.32 (s,2(CH3)), 1.72 (s,2(CH2)), 7.35 (s,Ar- CH), 7.36 (s,Ar-CH), 7.91 (d,J=8 Hz, Ar-2 (CH)), 8.19 (d, J=8 Hz, Ar-2 (CH)).
Example 8
Preparation of compound 39 where R1, R2, R3, R4 are methyl, R5 is hydroxy, R' and R" are oxo, and X = COOH (3-hydroxy- TTNCB) :
The compound was prepared in a manner similar to that of compound 4 except that 6-hydroxy-1,1,4,4- tetramethyl-1,2,3,4-tetrahydro-naphthalene was substituted for 1,1,4,4,6-pentamethyl-1,2,3,4-1etrahydronaphthalene in examples 1 and 2. MP: 264 °C; 1H-NMR (CDCl3) δ1.17 (s,2(CH3)), 1.31 (s,2(CH3)), 1.68 (s,2(CH2)), 7.02 (s,Ar- CH), 7.44 (s,Ar-CH), 7.77 (d,J=8 Hz, Ar-2 (CH)), 8.27 (d,J=8 Hz, Ar-2(CH)), 11.50 (s,-OH).
Example 9
Preparation of compound 40 where R1, R2, R3, R4 are methyl, R5 is ethyl, R' and R" are oxo, and X=COOH (3-Et-TTNCB) :
The compound was prepared in a manner similar to that of compound 4 except that 6-ethyl-1,1,4,4- tetramethyl-1,2,3,4-tetrahydro-naphthalene was substituted for 1,1,4,4,6-pentamethyl-1,2,3,4-tetrahydronaphthalene in examples 1 and 2. MP: 226°C; 1H-NMR (CDCl3) δ1.16 (t,J=7.5 Hz, -CH2CH3), 1.19 (s,2(CH3)), 1.32 (s,2(CH3)), 1.69 (s,2(CH2)), 2.69(q,J=7.5 Hz, CH2CH3), 7.20 (s,Ar-CH), 7.25 (s,Ar-CH), 7.87 (brd,Ar-2(CH)), 8.20 (brd,Ar-2 (CH)).
Example 10
Preparation of compound 41 where R1, R2, R3, R4 are methyl, R5 is bromo, R' and R" are oxo, and X = COOH (3-bromo-TTNCB) :
The compound was prepared in a manner similar to that of compound 4 except that 6-bromo-1,1,4,4- tetramethyl-1,2,3,4-tetrahydro-naphthalenewas substituted for 1,1,4,4,6-pentamethyl-1,2,3,4-tetrahydronaphthalene in examples 1 and 2. MP: 275 ºC; 1H-NMR (CDCl3) δ1.25
(s,2(CH3), 1.32 (s,2(CH3)), 1.71 (s,2(CH2)), 7.30 (s,Ar-CH),
7.54 (s,Ar-CH), 7.90 (d,J=8 Hz, Ar-2 (CH)), 8.18 (d,J=8
Hz,Ar-2(CH)).
Example 11
Preparation of compound 42 where R1,R2,R3,R4 are methyl, R5 is isopropyl, R' and R" are methano, and X = COOH (3-IPR-
TTNEB) :
The compound was prepared in a manner similar to that of compound 7 except that 6-isopropyl-1,1,4,4- tetramethyl-1,2,3,4-tetrahydro-naphthalene was substituted for 1,1,4,4,6-pentamethyl-1,2,3,4-tetrahydronaphthalene in examples 1, 2, 4, and 5. MP: 252 ºC; 1H-NMR (CDCl3) δ1.05 (d, J=7 Hz,CH(CH3)2), 1.27 (s,2(CH3)), 1.32 (s,2(CH3)), 1.70
(s,2(CH2)), 2.73(q,J=7 Hz, CH (CH3)2), 5.32 (s,=CH), 5.87
(s,=CH) 7.06 (s,Ar-CH), 7.23 (s,Ar-CH), 7.40 (d,J=8Hz,Ar-
2(CH)), 8.040 (d, J=8 Hz,Ar-2(CH)).
Example 12
Preparation of compound 43 where R1, R2, R3, R4 are methyl, R5 is chloro, R' and R" are methano, and X=COOH (3-chloro- TTNEB) :
The compound was prepared in a manner similar to that of compound 7 except that 6-chloro-1,1,4,4- tetramethyl-1,2,3,4-tetrahydro-naphthalene was substituted for 1,1,4,4,6-pentamethyl-1,2,3,4-tetrahydronaphthalene in examples 1, 2, 4, and 5. MP: 233 °C; 1H-NMR (CDCl3) δ1.28 (s,2(CH3)), 1.31 (s,2(CH3)), 1.71 (s,2(CH2)), 5.42 (s,=CH), 5.89 (s,=CH), 7.23 (s,Ar-CH), 7.28 (s,Ar-CH), 7.37 (d,J=8 Hz,Ar-2(CH)), 8.03 (d, J=8 Hz,Ar-2 (CH)).
Example 13
Preparation of compound 44 where R1, R2, R3, R4 are methyl, R5 is hydroxy, R' and R" are methano, and X = COOH (3- hydroxy-TTNEB) :
The compound was prepared in a manner similar to that of compound 7 except that 6-hydroxy-1,1,4,4- tetramethyl-1,2,3,4-tetrahydro-naphthalenewas substituted for 1,1,4,4,6-pentamethyl-1,2,3,4-tetrahydronaphthalene in examples 1, 2, 4, and 5. MP: 216 °C; 1H-NMR (CDCl3) δ1.21 (s,2(CH3), 1.30 (s,2(CH3)), 1.68 (s,2(CH2)), 5.54 (s,=CH),
5.94 (s,=CH), 6.86 (s,Ar-CH), 7.00 (s,Ar-CH), 7.48 (d,J=8.4 Hz, Ar-2(CH)), 8.07 (d,J=8.4 Hz, Ar-2 (CH)).
Example 14
Preparation of compound 45 where R1, R2, R3, R4 are methyl, R5 is ethyl, R' and R" are methano, and X = COOH (3-Et- TTNEB) :
The compound was prepared in a manner similar to that of compound 7 except that 6-ethyl-1,1,4,4- tetramethyl-1,2,3,4-tetrahydro-naphthalene was substituted for 1,1,4,4,6-pentamethyl-1,2,3,4-tetrahydronaphthalene in examples 1, 2, 4, and 5. MP: 236 °C; 1H-NMR (CDCl3) δ0.99 (t, J=7.6 Hz,-CH2CH3), 1.27 (s,2(CH3)), 1.31 (s,2(CH3)), 1.70 (s,2(CH2)), 2.29(q,J=7.6 Hz, -CH2CH3), 5.34 (s,=CH), 5.83 (s,=CH), 7.08 (s,Ar-CH), 7.12 (s,Ar-CH), 7.38 (d,J=8 Hz, Ar-2(CH)), 8.00 (d,J=8 Hz, Ar-2 (CH)).
Example 15
Preparation of compound 46 where R1, R2, R3, R4 are methyl, R5 is bromo, R' and R" are methano, and X = COOH (3-bromo- TTNEB) :
The compound was prepared in a manner similar to that of compound 7 except that 6-bromo-1,1,4,4- tetramethyl-1,2,3,4-tetrahydro-naphthalene was substituted for 1,1,4,4,6-pentamethyl-l,2,3,4-tetrahydronaphthalene in examples 1, 2, 4, and 5. MP: 235 ºC; 1H-NMR (CDCl3) δ1.27 (s,2(CH3)), 1.31 (s,2(CH3)), 1.71 (s,CH3), 5.40 (s,=CH), 5.90 (s,=CH), 7.26 (s,Ar-CH), 7.36 (s,Ar-CH), 7.43 (d,J=8 Hz,Ar-2(CH)), 8.04 (d, J=8 Hz,Ar-2 (CH)).
Example 16
Preparation of compound 47 where R1, R2, R3, R4, R5 are methyl, R' and R" taken together are CH2-O (epoxide), and X = COOH (TPNEB) :
The compound was prepared from compound 6 where R1 , R2, R3, R4, R5 are methyl. To 1 g (2.76 mmol) of olefin 6 in 5 mL of CH2Cl2 was added 600 mg (3.46 mmol) of mCPBA
and the reaction was stirred at room temperature for 2 h. Water was added followed by extraction of the organics with ether. The ether layer was washed with water, IN Na2CO3, brine and dried (MgSO4), filtered and concentrated. Crystallization from MeOH gave the desired epoxide-methyl ester. The methyl ester was hydrolized in refluxing methanolic KOH followed by acidification (1N HCl) to give the crude epoxide-acid 47 which was purified by crystallization from EtOAc-hex to give 600 mg (1.64 mmol) of a white powder (59% yield). MP: 168 °C; 1H-NMR (CDCl3) δ1.26 (s,CH3), 1.27 (s,CH3), 1.30 (s,CH3), 1.31 (s,CH3), 1.69 (s,(2CH2)), 2.14 (s,CH3), 3.15 (d, J=5.6 Hz, CH-O), 3.41 (d,J=5.6 Hz, CH-O), 7.09 (s,Ar-CH), 7.28 (d,J=8.3 Hz, Ar- 2(CH)), 7.32 (s,Ar-CH), 8.01 (d, J=8.3 Hz,Ar-2 (CH)). Example 17
Preparation of compound 48 where R1, R2, R3, R4, R5 are methyl, R' and R" taken together are CH2-CH2 (cyclopropyl), and X = COOH (TPNCB) :
The compound was prepared from compound 6 where R1, R2, R3, R4, R5 are methyl. To a dry 100 mL three necked round bottom flask fitted with a reflux condensor, dropping funnel, and magnetic stir bar was added 722 mg (11.65 mmol) of zinc dust, 109 mg (1.105 mmol) of cuprous chloride (CuCl), 7.5 mL of dry THF, and 1.48 g (5.52 mmol) of diiodomethane. To the addition funnel is added 1g
(2.76 mmol) of compound 6 in 5 mL of dry THF. The flask is heated to 80 °C, followed by dropwise addition of 6.
After the addition of 6 was complete, the reaction was allowed to reflux for 30 h or until completion, followed by dilution with 50 mL of ether and 20 mL of saturated aqueous ammonium chloride solution. The organic layer was washed with 10% NaOH (3 x 20 mL), brine and dried over anhydrous MgSO4. The product was concentrated and purified by preparative TLC (2% EtOAc-hexane) to give 220 mg (0.59 mmol) of the methyl ester of 48. Hydrolysis of the methyl ester with refluxing methanolic KOH, followed by
acidification (1N HCl), gave 150 mg (0.41 mmol) of the desired compound 48 after crystallization from EtOAc- hexane (15% yield). MP: 244 ºC; 1H-NMR (CDCl3) δ1.28 (s,4 (CH3)), 1.39 (s,CH2-CH2), 1.69 (s,2(CH2)), 2.12 (s,CH3), 6.98 (d,J=8.4 Hz,Ar-2(CH)), 7.06 (s,Ar-CH), 7.29 (s,Ar- CH), 7.91 (d, J=8.4 Hz,Ar-2(CH)).
Example 18
Preparation of compound 49 where R1, R2, R3, R4, R5 are methyl,
R' = H and R" = CH3, and X = COOH (PTNEB) :
The compound was prepared from compound 7 where
R1, R2, R3, R4, R5 are methyl. To 1g (2.87 mmol) of compound 7 in 25 mL of EtOAc was added 10 mg of 10% Pd/C. The mixture was degassed under vacuum followed by addition of H2, and allowed to stir under H2 for 2 h. The reaction was filtered through celite and the product crystallized from EtOAc-hexane to give 750 mg (2.14 mmol) of the desired product 49 (75% yield). MP: 208 °C; 1H-NMR (CDCl3) δ1.24 (s,CH3), 1.25 (s,CH3), 1.26 (s,CH3), 1.29 (s,CH3), 1.61 (d,J=7.2 Hz,CH3), 1.67 (s,2(CH2)), 2.12 (s,CH3), 4.30(q, J=7.2 Hz, CH), 7.02 (s,Ar-CH), 7.20 (s,Ar-CH), 7.24 (d,J=8.4 Hz, Ar-2(CH)), 7.99 (d,J=8.4 Hz,Ar-2 (CH)).
Example 19
Preparation of compound 50 where R1,R2, R3, R4, R5 are methyl,
R' and R" = methylidene cyclopentane, and X = COOH (PTNCB):
The compound was prepared from compound 4 and where R1 , R2, R3, R4, R5 are methyl. To 1g (2.87 mmol) of 4 in 25 mL of THF at 0 ºC was added 8.6 mL of a IM cyclopentenyl magnesium chloride solution (8.6 mmol). After stirring for 30 m, water was added and acidified with 5 N HCl. The acidified mixture was heated for 5 m, cooled, and the organic product extracted with EtOAc. The EtOAc layer was washed with water and brine, dried (MgSO4), filtered, and concentrated to give the crude product. Crystallization from EtOAc-hexane gave 340 mg (0.85 mmol)
of 50 as a white powder (30% yield). MP: 201 ºC; 2H-NMR (CDCl3) δ1.27 (s,4(CH3)), 1.64 (br t,CH2), 1.68 (s,2(CH2)), 1.70 (br t,CH2), 1.97 (s,CH3), 2.15 (br t,CH2), 2.56 (br t,CH2), 7.04 (s,Ar-CH), 7.05 (s,Ar-CH), 7.29 (d,J=8 Hz,Ar- 2(CH)), 7.97 (d,J=8 Hz,Ar-2(CH)).
Example 20
Preparation of compound 51 where R1, R2, R3, R4, R5 are methyl,
R' and R" = isopropylidene, and X = COOH (PTNIB) :
The compound was prepared from compound 4 and where R1 , R2, R3, R4, R5 are methyl. To 1g (2.87 mmol) of 4 in 25 mL of THF at 0ºC was added 8.6 mL of a IM isopropyl magnesium chloride solution (8.6 mmol). After stirring for 30 m, water was added and acidified with 5 N HCl. The acidified mixture was heated for 5 m, cooled, and the organic product extracted with EtOAc. The EtOAc layer was washed with water and brine, dried (MgSO4), filtered, and concentrated to give the crude isopropylidene product. Crystallization from EtOAc-hexane gave 550 mg (1.46 mmol) of 51 as a white powder (51% yield). MP: 297°C; 1H-NMR (CDCl3) δ1.25 (br s, 4 (CH3)), 1.64 (s,=CCH3), 1.66 (s,=CCH3) 1.87 (s,2(CH2)), 1.96 (s,CH3), 7.00 (s,Ar-CH), 7.03 (s,Ar- CH), 7.25 (d, J=8 Hz,Ar-2(CH)), 7.97 (d, J=8 Hz,Ar-2 (CH)).
Example 21
Preparation of compound 52 where R1, R2, R3, R4,R5 are methyl, R' and R" = oxo, Z = S, and X = COOH (TTNCTC) :
To 1 g (4.9 mmol) of 1, 1,4,4,6-pentamethyl- 1,2,3,4-tetrahydro-naphthalene and 1 g (4.9 mmol) of mono methyl thiophene carboxylic acid chloride in 25 mL of CH2Cl2 was added 1 g (7.5 mmol) of AlCl3. The reaction was heated to reflux for 15 m followed by cooling and addition of 20% aqueous HCl. The product was extracted with EtOAc, washed (H2O, brine), dried (MgSO4), filtered, concentrated, and purified by crystallization from MeOH to give 450 mg
(1.21 mmol) of the methyl ester of 52 (25% yield). The methyl ester was hydrolized in methanolic KOH followed by
acidification (20% HCl) extraction with EtOAc, washed (H2O, brine), dried (MgSO4), filtered, concentrated, and purified by crystallization from EtOAc-hexane to give 375 mg (1.05 mmol) of 52 (87% yield). MP: 206 ºC; 1H-NMR (CDCl3) δ1.26 (s,2(CH3)), 1.31 (s,2(CH3)), 1.71 (s,2(CH2)), 2.38 (s,CH3), 7.21 (s,Ar-CH), 7.44 (s,Ar-CH), 7.48 (d,J=4 Hz, Thio Ar- CH), 7.85 (d,J=4 Hz, Thio Ar-CH).
Example 22
Preparation of compound 53 where R1, R2, R3, R4, R5 are methyl, R' and R" = methano, Z = S, and X = COOH (TTNETC) :
Compound 53 was prepared from the methyl ester of 52 in a manner similar to examples 4 and 5. MP: 200 °C; 1H-NMR (CDCl3) δ1.26 (s,2(CH3)), 1.30 (s,2(CH3)), 1.69 (s,2(CH2)), 2.10 (s,CH3), 5.21 (s,=CH), 5.88 (s,=CH), 6.76 (d,J=4 Hz, Thio Ar-CH), 7.11 (s,Ar-CH), 7.23 (s,Ar-CH), 7.68 (d,J=4 Hz, Thio Ar-CH).
Example 23
Preparation of compound 54 where R1,R2,R3, R4, R5 are methyl,
R' and R" = oxo, and X = tetrazole (3-methyl-TTNCBT) :
To 500 mg (1.51 mmol) of 4-[(3,5,5,8,8- pentamethyl - 5 , 6 , 7 , 8 - tetrahydro - 2 - naphthyl)carbonyl]benzonitrile (synthesized by AlCl3 catalyzed condensation of 1,1,4,4,6-pentamethyl-1,2,3,4- tetra
hydronaphthalene with 4-cyanobenzoic acid chloride in CH2Cl2) in toluene was added 342 mg (1.66 mmol) of trimethyl tin azide. The mixture was refluxed for 23 h and cooled to give 537 mg (1.44 mmol) of the desired tetrazole 54 as a white precipitate (96% yield). LRMS: 374.15; 1H-NMR (CD3SOCD3) δ1.19 (s,2(CH3)), 1.32 (s,2(CH3)), 1.70 (s,2(CH2)), 2.25 (s,CH3), 3.19 (s,N-H), 7.30 (s,Ar-CH), 7.32 (s,Ar-CH), 7.90 (d,J=8 Hz,Ar-2 (CH)), 8.20 (d,J=8 Hz,Ar-2(CH)).
Example 24
Preparation of compound 55 where R1, R2, R3, R4, R5 are methyl, R' and R" = methano, and X = tetrazole (3-methyl-TTNEBT) :
To 500 mg (1.52 mmol) of 4-[1-(3,5,5,8,8- pentamethyl-5,6,7,8-tetrahydro-2-naphthyl)ethenyl]- benzonitrile (synthesized by AlCl3 catalyzed condensation of 1,1,4,4,6-pentamethyl-1,2,3,4-tetrahydronaphthalene with 4-cyanobenzoic acid chloride in CH2Cl2 followed by treatment of the ketone with CH3PPh3Br-NaNH2) in toluene was added 342 mg (1.67 mmol) of trimethyl tin azide. The mixture was refluxed for 23 h and cooled to give 535 mg
(1.44 mmol) of the desired tetrazole 55 as a white precipitate (95% yield). LRMS: 372.25; 1H-NMR (CD3SOCD3) δ1.21 (s,2(CH3)), 1.24 (s,2(CH3)), 1.68 (s,2(CH2)), 1.92 (s,CH3), 2.55 (s,N-H), 5.27 (=CH), 5.97 (s,=CH), 7.10 (s,Ar-CH), 7.18 (s,Ar-CH), 7.47 (d, J=8 Hz,Ar-2 (CH)), 8.00 (d,J=8 Hz,Ar-2(CH)).
Example 25
Preparation of compound 25 where R1, R2, R3, R4 are methyl, R' and R" = oxo, and X = COOMe:
The compound was prepared in a manner similar to that of compound 4 except that 1,1,4,4-tetramethyl-
1,2,3,4-tetrahydronaphthalene was substituted for
1,1,4,4,6-pentamethyl-1,2,3,4-1etrahydronaphthalene and4- methyl ester pyridinic 2-acid chloride was substituted for mono-methyl terephthalic acid chloride (see examples 1 and 2).
Example 26
Preparation of compound 56 where R1, R2, R3, R4 are methyl, R' and R" = methano, and X = COOH (TTNEP) :
Compound 25 was treated with CH3PPh3Br-NaNH2 as in example #4. Hydrolysis of the resulting olefinic methyl ester with methanolic KOH, followed by acidification (20% HCl) and crystallization from EtOAc-hexane gave compound 56. MP: 173 °C; 1H-NMR (CDCl3) δ1.26 (s,(CH3)), 1.27
(s,CH3), 1.30 (s,2(CH3)), 1.70 (s, (CH2)), 5.70 (s,=CH), 6.10 (s,=CH), 7.08 (d,J=8 Hz,Pyr-CH), 7.27 (s,Ar-CH), 7.19 (d,J=8 Hz,Ar-CH), 7.39 (d,J=8 Hz,Ar-CH), 8.28 (d,J=8 Hz,Pyr-CH), 9.31 (s,Pyr-CH). Example 27
Preparation of compound 57 where R1, R2, R3, R4, R5 are methyl, R' and R" = oxo, and X = COOH:
Compound 57 was prepared in a manner similar to that of compound 6 (example #4) except that 4-methylester- pyridinic-2-acid chloride was substituted for mono-methyl terephthalic acid chloride (see examples 1 and 2). The resulting methyl ester was hydrolyzed as in example #5 to give compound 57. 1H-NMR (CDCl3) δ1.22 (s,2(CH3)), 1.30 (s, 2(CH3)), 1.69 (s,2(CH2)), 2.40 (s,CH3), 7.22 (s,Ar-CH), 7.43 (s,Ar-CH), 8.13 (d,J=8.0 Hz,Pyr-CH), 8.54 (d,J=8 Hz,Pyr- CH), 9.34 (s,Pyr-CH).
Example 28
Preparation of compound 58 where R1, R2, R3, R4,R5 are methyl,
R' and R" = methano, and X = COOH (TPNEP):
The methyl ester from example #26 was treated with CH3PPh3Br-NaNH2 as in example #4 followed by hydrolysis with methanolic KOH at reflux for 1 h and acidification with 20% aqueous HCl and crystallization from EtOAc-hexane to give compound 58. MP: 235 °C; 1H-NMR (CDCl3) δ1.27 (s,2(CH2)), 1.31 (s,2(CH3)), 1.70 (s,2(CH2)), 2.00 (s,CH3), 5.55 (s,=CH), 6.57 (s,=CH), 7.06 (d, J=8.3 Hz, Pyr-CH), 7.12 (s,Ar-CH), 7.14 (s,Ar-CH), 8.20 (d, J=8.1 Hz, Pyr-CH). 9.29 (s, Pyr-CH).
Example 29
Preparation of methyl 2-acetyl-5-pyridinecarboxylate 32:
To a slurry of the 2, 5-pyridinedicarboxylic acid 29 (34 g, 0.2 mol) in 120 mL of methanol at 0°C was added dropwise 15 mL of thionyl chloride and the resulting slurry was warmed up to room temperature, giving rise to
a clear solution. The mixture then was heated at reflux for 12h and to afford a yellow slurry. Filtration of the reaction mixture provided dimethyl-2,5-pyridinedicarboxylate 30 in quantitative yield as a yellow crystalline solid.
The pyridinedicarboxylate 30 (19.5 g, 0.1 mol) was treated with solid KOH (6.51 g, 0.1 mol) in 300 mL of methanol at room temperature for 2 h, giving rise to a thick pale white suspension, which was filtered and dried to provide the mono-potassium pyridinecarboxylate 3 in quantitative yield.
The crude mono-pyridinecarboxylate 31 (880 mg, 4 mmol) was treated with 3 mL of thionyl chloride at reflux for 2h and the excess SOCl2 was removed by the usual method. To the crude acid chloride in 8 mL of THF at - 78°C was added slowly a freshly prepared 1.0M ether solution (5.5 mL, 5.5 mmol) Me2CuLi. The resulting dark slurry was allowed to stir at -78 °C for 60 min. and then was quenched with 2% HCl. Standard work-up and chromatography of the crude mixture afforded methyl-2- acetyl-5-pyridinecarboxylate 32 in over 56% yield as a yellow solid.
Example 30
Preparation of compound 58 (TPNEP) (by an alternate scheme than in Example 28) and of corresponding ester Et-58 where
R1, R2, R3, R4, R5 are methyl, R' and R" are methano, and =
COOH:
A solution of 2-bromotoluene (8.5 g, 50 mmol) and 2,2-dichloro-2,2-dimethylhexane (9.15 g, 50 mmol) in 100 mL of dichloroethane was treated with aluminum trichloride (0.66 g, 5 mmol). The resulting dark brown solution was allowed to stir at room temperature for 30 min. and was then quenched with ice. Removal of solvent and recrystallization from methanol afforded 2-bromo- 3,5,5,8,8-pentamethyl-5,6,7,8-tetrahydronaphthalene 33 in 95% yield as a white solid. A THF (4 mL) solution
containing the bromocompound 33 (141 mg, 0.5 mmol) at - 78 °C was treated with a 1.6 M hexane solution (0.4 mL, 0.6 mmol) of n-BuLi, and the resulting mixture was then cannulated to a THF (2 mL) solution of the 2-acetyl-5- pyridinecarboxylate 32 (72 mg, 0.4 mmol) at -78 °C. The mixture was allowed to stir at -78 °C for 60 min. and was quenched with 2% HCl. Removal of the solvent and chromatography of the crude mixture provided the intermediate 34, which was then treated with 5% HCl at reflux followed by KOH-MeOH at 70°C for 30 min. Standard work-up and chromatography of the crude mixture provided 2-[1-(3,5,5,8,8-pentamethyl-5,6,7,8-tetrahydro-2 naphthyl)ethenyl] pyridine-5-carboxylic acid 58 in over 50% yield as a white solid. 1H-NMR (CDCl3) δ1.27 (s,2(CH3)), 1.31 (s,2(CH3)), 1.70 (s,2(CH2)), 2.00 (s, CH3), 5.56 (s,=CH), 6.55 (s,=CH), 7.08 (d,J = 8.3 Hz, Pyr-CH), 7.12 (s, Ar-CH), 7.15 (s,Ar-CH), 8.23 (d, J = 8.3 Hz, Pyr-CH) and 9.32 (s, Pyr-CH).
Treatment of the pyridinecarboxylic acid 58 (15 mg, 0.004 mmol) with one drop of SOCl2 in 5 mL of ethanol at reflux for 60 m, followed by a flash chromatography, gave rise to a quantitative yield of the ethyl ester Et-58 as a white solid. 1H-NMR (CDCl3) δl.27 (s,2(CH3)), 1.31 (s,2(CH3)), 1.40 (t,J = 7.1 Hz,
-CH2CH3), 1.70 (s,2(CH2)), 1.99 (s,CH3), 4.40 (q, J = 7.1 Hz, -CH2CH3), 5.51 (s,=CH), 6.53 (s,=CH), 7.01 (d, J = 8.0 Hz, Pyr-CH), 7.12 (s,Ar-CH), 7.14 (s,Ar-CH), 8.15 (d,J = 8.0 Hz, Pyr-CH) and 9.23 (s, Pyr-CH).
Example 31
Preparation of 3-acetyl-2-pyridinecarboxylic acid N,N- diisopro-pylamide 36a:
The mono-potassium pyridinecarboxylate 31 (1.1 g, 5 mmol) was treated with SOCl2 (5 mL, excess) at 70 °C for 2h and the excess thionyl chloride was removed to give a yellowish solid. To a solution of diisopropylamine (1 g,
10 mmol) in 10 mL of methylene chloride at 0 °C was added
the CH2Cl2 solution (10 mL) of the above acid chloride. The resulting slurry was allowed to stir at room temperature for 3 h and was filtered from the ammonium salts. Removal of solvent and chromatography of the crude residue afforded the product 36a in 90% yield as a white solid.
Example 32
Preparation of compounds 60 (TPNEPC) and 61 (3TTNEPE) :
2-Bromo-3,5,5,8,8-pentamethyl-5,6,7,8- tetrahydronaphthalene 33 (620 mg, 2.2 mmol) and the acetylpyridineamide 36a (500 mg, 2 mmol) were converted by a similar method as described above to obtain the intermediate 34 in over 80% yield. To a solution of the pyridine amide 34 (432 mg, 1 mmol) in 5 mL of THF at -78°C was added 1.5 M DIBAL toluene solution (0.7 mL, 1.05 mmol) and the resulting yellow clear solution was warmed up to - 20 °C slowly in 60 min. and then was quenched with water. Removal of solvent and chromatography of the crude mixture afforded the pyridinealdehyde 35 in 83% yield as a white solid. 1H-NMR (CDCl3) δ1.25 (s,2(CH3)), 1.29 (s,2(CH3)), 1.70 (s,2(CH2)), 1.96 (s,CH3), 5.47 (s,=CH), 5.92 (s,=CH), 7.10 (s,Ar-CH), 7.11 (s,Ar-CH), 7.70 (d,J = 8.0 Hz, Pyr- CH), 7.88 (d,J = 8.0 Hz, Pyr-CH), 8.72 (s, Pyr-CH), 10.06 (s,CHO).
The pyridinealdehyde 35 (10 mg, 0.03 mmol) was treated with 2.0 mL of H2O2 in 2 mL of methanol-water 1:1 mixture at room temperature for 10 h and then was quenched with 10% HCl. Extraction of the mixture with EtOAc (40 mL) and removal of solvent gave rise to 5-[1-(3,5,5,8,8- pent ame thyl - 5 , 6 , 7 , 8 - t etrahydro - 2 - naphthyl)ethenyl]pyridine-2-carboxylic acid 60 as a white solid in almost quantitative yield. 1H-NMR (CDCl3) δ1.26 (s,2(CH3)), 1.30 (s,2(CH3)), 1.70 (s,2(CH2)), 1.94 (s,CH3), 5.47 (s,=CH), 5.92 (s,=CH), 7.10 (s,Ar-2(CH)), 7.76 (bs, Pyr-CH, 8.16 (bs, Pyr-CH) and 8.65 (s, Pyr-CH).
Treatment of the pyridinecarboxylic acid 60 (5 mg) with one drop of SOCl2 in 1 mL of ethanol at reflux for
60 min followed by a flash chromatography gave rise to a quantitative yield of the ethyl ester 61 as a white solid. 1H-NMR (CDCl3) δ1.26 (s,2(CH3)), 1.29 (s,2(CH3)), 1.44 (t,J = 7.1 Hz,-CH2CH3), 1.69 (s,2(CH2)), 1.95 (s,CH3), 4.46 (q,J = 7.1 Hz,-CH2CH3)), 5.43 (s,=CH), 5.88 (s,=CH), 7.09 (s, Ar- CH), 7.10 (s, Ar-CH), 7.64 (d,J = 8.0 Hz, Pyr-CH), 8.03 (d,J = 8.0 Hz, Pyr-CH) and 8.68 (s, Pyr-CH).
Example 33
Preparation of compound 62 where R1,R2,R3,R4,R5 are methyl and R' and R" together are CH2CH2 (TPNCP):
To 162 mg (2.48 mmol) of zinc dust, 25 mg (0.25 mmol) of CuCl, and 332 mg (1.24 mmol) of CH2I2 in 3 mL of dry ether was added dropwise 150 mg (0.413 mmol) of olefin 26 where R1, R2, R3, R4, R5 are methyl in 5 mL of dry ether. The mixture was heated at reflux for 12 h or until complete by H-NMR. Water was added and the organics extracted with ether, washed with NH4Cl, brine and dried over MgSO4. The desired cyclopropyl compound was purified by crystallization from ether-MeOH to give 60 mg (0.159 mmol) of the methyl ester of 62 as a pale yellow solid (39% yield). MP : 177 °C; 1H-NMR (CDCl3) δ1.27 (s,2(CH3)), 1.31 (s,2(CH3)), 1.35 (s,CH2), 1.70 (s,2(CH2)), 1.85 (s,CH2), 2.11 (s,CH3), 3.90 (s,CH3), 6.75 (d, J = 8.0 Hz, Pyr- CH), 7.14 (s,Ar-CH), 7.26 (s,Ar-CH), 7.98 (d,J = 8.0 Hz, Pyr-CH) and 9.23 (s, Pyr-CH).
To 60 mg (0.16 mmol) of the above methyl ester in 10 mL of MeOH was added 1 mL of an aqueous 6N KOH solution. After stirring at room temperature for 1 h, the hydrolysis was complete and the reaction was acidified with 1 N aqueous HCl until the solids precipitated. The product was extracted with ether, washed with water, brine and dried over MgSO4. Crystallization from EtOAc-hexanes gave 33 mg (0.094 mmol) of the pyridinal carboxylic acid 62 (59% yield). MP : 275 °C; 1H-NMR (CDCl3) δ1.25 (s,2(CH3)), 1.35 (s,2(CH3)), 1.40 (s,CH2), 1.72 (s,2(CH2)), 1.85 (s,CH2), 2.15(s,CH3), 6.78 (d,J = 8.0 Hz, Pyr-CH), 7.14
(s,Ar-CH), 7.26 (s, Ar-CH), 8.02 (d,J = 8.0 Hz, Pyr-CH) and 9.15 (s, Pyr-CH).
Example 34
Preparation of compound 63 where R1, R2, R3, R4, R5 are methyl, R' and R" are methano, X = CONHR9, and R9 = 4-hydroxyphenyl (3-methyl-TTNEHBP) :
To 750 mg (10 mml) of DMF in 22 mL of anhydrous ether was added 1.3g (10 mmol) of oxalyl chloride. The reaction was stirred for 1 h, followed by removal of solvent to give a crude white solid
(dimethylchloroformadinium chloride) . To the dimethylchloro-formadinium chloride was added 2.87 g (8.24 mmol) of compound 7 in 12 mL of dry DMF. The reaction was stirred for 20 m at room temperature followed by cooling to 0°C. The cooled solution of the acid chloride of 7 was added dropwise to a cooled DMF (0°C) solution containing 3.62 g (33 mmol) of 4-aminophenol and 1.68 g (16.3 mmol) of triethyl amine. After stirring at 0°c for 30 m, the reaction was warmed to room temperature for 12 h. Aqueous 20% HCl was added and the resulting solid was filtered and washed with water, acetone, and EtOAc to give 600 mg (1.36 mmol) of the desired compound 63 (17% yield). 1H-NMR
(CDCl3) δ1.29 (s,2(CH3)), 1.31 (s,2(CH3)), 1.71 (s, (CH2)),
1.99 (s,CH3), 5.31 (s,=CH), 5.80 (s,=CH), 6.85 (d,Ar- 2(CH)), 7.09 (s,Ar-CH), 7.16 (s,Ar-CH), 7.40 (d,Ar-2 (CH)), 7.48 (d,Ar-2 (CH)), 8.40 (d, Ar-2 (CH)).
Example 35
Preparation of compound 64 where R1, R2, R3, R4, R5 are methyl,
R' and R" are methano, X = CONHR9, and R9 = 4-fluorophenyl (3-methyl-TTNEFBP) :
The compound was prepared in a manner similar to that of compound 63 except that 4-fluoroaniline was substituted for 4-aminophenol. MP: 203°C; 1H-NMR (CDCl3) δ1.28 (s,2(CH3)), 1.31 (s,2(CH3)), 1.70 (s,2(CH2)), 1.96 (s,CH3), 5.33 (s,=CH), 5.81 (s,=CH), 7.05 (d,J=9 Hz),Ar-
2(CH)) , 7.09 (s, Ar-CH) , 7.13 (s, Ar-CH) , 7.39 (d,J=8.4 Hz,Ar-2(CH)) , 7.59 (dd,J=5,9 Hz,Ar-2CH) , 7.75 (brs NH) , 7.78 (d, J=8.4 Hz,Ar-2(CH)) .
Example 36
Preparation of compound 65 where R1, R2, R3, R4, R5 are methyl,
R' and R" are methano, X = CONHR9, and R9 = 4- phenylcarboxylic acid (3-methyl-TTNECBP) :
The compound was prepared in a manner similar to that of compound 63 except that methyl 4-aminophenyl carboxylate was substituted for 4-aminophenol. The resulting ester was hydrolyzed in methanolic KOH, followed by acidification (20% HCl) to give the desired compound
65. MP: 200 °C; 1H-NMR (CDCl3) δ1.28 (s,2(CH3)), 1.31
(s,2(CH3)), 1.71 (s,2(CH2)), 1.97 (s,CH3), 5.34 (s,=CH), 5.85 (s,=CH), 7.09 (s,Ar-CH), 7.14 (s,Ar-CH), 7.40 (d,J=8
Hz,Ar-CH), 7.80 (d, J=8 Hz,Ar-2 (CH)), 7.87 (br s,Ar-2 (CH)),
8.14 (br s,Ar-2(CH)).
Example 37
Preparation of compound 66 where R1, R2, R3, R4, R5 are methyl, R' and R" are oxo, X = CONHR9, and R9 = 3-hydroxyphenyl (3- methyl-m-TTNCHBP) :
To 750 mg (10 mml) of DMF in 22 mL of anhydrous ether was added 1.3g (10 mmol) of oxalyl chloride. The reaction was stirred for 1 h, followed by removal of solvent to give a crude white solid
(dimethylchloroformadinium chloride). To the dimethylchlorofor-madinium chloride was added 2.88 g (8.24 mmol) of compound 4 in 12 mL of dry DMF. The reaction was stirred for 20 m at room temperature, followed by cooling to 0°C. The cooled solution of the acid chloride of 7 was added dropwise to a cooled DMF (0°C) solution containing 3.62 g (33 mmol) of 4-aminophenol and 1.68 g (16.3 mmol) of triethyl amine. After stirring at 0°C for 30 m, the reaction was warmed to room temperature for 12 h. Aqueous 20% HCl was added and the resulting solid was filtered and
washed with water, acetone, and EtOAc to give 750 mg (1.70 mmol) of the desired compound 66 (21% yield). MP: 182°C; 1H-NMR (CDCI3) δl.22 (s,2(CH3)), 1.32 (s,2(CH3)), 1.70 (s,2(CH2)), 2.37 (s,CH3), 6.58 (m,Ar-2 (CH)), 7.20 (d,J=8 Hz,Ar-CH), 7.22 (s, Ar-CH), 7.28 (s,Ar-Ch), 7.91 (d,J=8.3 Hz,Ar-2 (CH)), 8.26 (d, J=8.3 Hz,Ar-2 (CH)).
Example 38
Preparation of compound 67 where R1, R2, R3, R4, R5 are methyl,
R' and R" are methano, X = CONHR9, and R9 = 3-hydroxyphenyl (3-methyl-m-TTNEHBP) :
The compound was prepared in a manner similar to that of compound 63 except that 3-aminophenol was substituted for 4-aminophenol. MP: 136°C; 1H-NMR (CDCl3) δ1.28 (s,2(CH3)), 1.31 (s,2(CH3)), 1.70 (s,2(CH2)), 1.97 (s,CH3), 5.35 (s,=CH), 5.84 (s,=CH), 6.57 (m, Ar-2 (CH)), 7.09 (s,Ar-CH), 7.14 (s, Ar-CH), 7.16 (m,Ar-CH), 7.39 (d,J=8.3 Hz,Ar-2 (CH)), 8.09 (d,J=8.3 Hz,Ar-2 (CH)).
Example 39
Preparation of compound 68 where R1, R2, R3, R4, R5 are methyl, R' and R" are methano, X = CONHR9, and R9 = 2-hydroxyphenyl (3-methyl-o-TTNCHBP) :
The compound was prepared in a manner similar to that of compound 63 except that 2-aminophenol was substituted for 4-aminophenol. MP: 180ºC; 1H-NMR (CDCl3) δ1.28 (s,2(CH3)), 1.31 (s,2(CH3)), 1.71 (s,2(CH2)), 1.97 (s,CH3), 5.35 (s,=CH), 5.84 (s,=CH), 6.9 (m,Ar-CH), 7.08- 7.2 (m,Ar-CH), 7.09 (s,Ar-CH), 7.13 (s,Ar-CH), 7.42 (d,J=8.4 Hz,Ar-2 (CH)), 7.83 (d,J=8.4 Hz, Ar-2 (CH)), 8.03 (brs,Ar-CH), 8.64 (s,NH). Example 40
Preparation of compound 69 where R1, R2, R3, R4, R5 are methyl, R' and R" are methano, X = CONHR9, and R9 = 3- phenylcarboxylic acid (3-methyl-m-TTNECBP):
The compound was prepared in a manner similar to that of compound 63 except that methyl-3-amino phenyl carboxylate was substituted for 4-aminophenol. The resulting ester was hydrolyzed in methanolic KOH followed by acidification (20% HCl) to give the desired compound
69. MP: 250°C; 1H-NMR (CDCl3) δ1.28 (s,2(CH3)), 1.31
(s,2(CH3)), 1.71 (s,2(CH2)), 1.97 (s,CH3), 5.34 (s,=CH),
5.85 (s,=CH), 7.09 (s,Ar-CH), 7.14 (s,Ar-CH), 7.40 (d,J=8
Hz, Ar-2(CH)), 7.55 (m, Ar-CH), 7.76 (m,Ar-CH), 7.80 (d,J=8 Hz, Ar-2(CH)), 7.87 (s,Ar-CH), 8.14 (s,NH).
Example 41
Preparation of compound 70 where R1, R2, R3, R4, R5 are methyl,
R' and R" are methano, n=0, and X = COOH:
The compound was prepared in a manner similar to that of compound 7 except that 1, 1, 3 , 3 , 5-pentamethylindane was substituted for 1,1,4,4,6-pentamethyl-1,2,3,4- tetrahydronaphthalene in examples 1, 2, 4, and 5.
MP: 145°C; 1H-NMR (CDCl3) δ1.05 (s,2(CH3)), 1.28 (s,CH3),
1.31 (s,CH3), 1.38 (s,CH2), 1.98 (s,CH3), 5.34 (s,CH), 5.84 (s,CH), 6.90 (s, Ar-CH), 6.92 (s, Ar-CH), 7.36 (d,J=8.4
Hz, Ar-2 (CH)), 8.00 (d, J=8.4 Hz,Ar-2 (CH)).
Example 42
Preparation of compound 71 where R1, R2, R3, R4, R5, R14 are methyl, R' and R" are methano, n=0, and X = COOH:
The compound was prepared in a manner similar to that of compound 7 except that 1,1,2,3,3,5- pentamethylindane was substituted for 1,1,4,4,6- pentamethyl-1,2,3,4-tetrahydronaphthalene in examples 1, 2, 4, and 5. MP: 217°C; 1H-NMR (CDCl3) δl.01 (d,J=7.3 Hz,CH3), 1.08 (s,CH3), 1.10 (s,CH3), 1.27 (s,CH3), 1.30 (s,CH3), 1.88 (q,CH), 2.00 (s,CH3), 5.35 (s,=CH), 5.85 (s,=CH), 6.95 (s,Ar-CH), 6.98 (s,Ar-CH), 7.38(d,J=8.3 Hz,Ar-2(CH)) 8.00 (d,J=8.3 Hz,Ar-2 (CH)).
Example 43
Preparation of compound 72 where R1, R2, R3, R4, R5, are methyl,
R' and R" are H, and X = COOH:
The compound was prepared in a manner similar to that of compound 4 (examples 1 and 2) except that methyl- 4-(bromomethyl)benzoate was substituted for mono-methyl terephthalic acid chloride. MP: 237°C; 1H-NMR (CDCl3) δ1.23 (s,2(CH3)), 1.27 (s,2(CH3)), 1.67 (s,2(CH2)), 2.16 (s,CH3), 4.06 (s,CH2), 7.01 (s,Ar-CH), 7.08 (s,Ar-CH), 7.25 (d, J=8 Hz,Ar-2(CH)), 8.01 (d, J=8 Hz,Ar-2 (CH)).
Example 44
Preparation of compound 131:
To 5 gm (24.5 mM) of 3,5-di-tert-butyltoluene 129 and 4.4 gm (22.0 mM) of tetraphthalic acid monomethyl ester chloride 130 in 50 ml of CH2Cl2 was added 6.5 gm (48.9 mM) of AlCl3 in several portions. The reaction was allowed to stir for 1 h. the mixture was then poured into 100 ml of 20% aqueous HCl and extracted with EtOAC, dried (MgSO4), concentrated, purified by SiO2 chromatography (5% EtOAC-hexanes) to give 4.1 gm (13.2 mM) of methyl ester 131. 1H-NMR(CDCl3) : δ1.37 (s, 3 (CH3)), 2.4 (s, CH3), 3.94 (s, COOCH3), 7.20-7.32 (m, Ar-3 (CH)), 7.85 (d, Ar-2 (CH)), 8.13 (d, Ar-2 (CH)).
Example 45
Preparation of compound 132:
To 2 gm (6.5 mM) of methyl ester 131 in 40 ml of dry THF was added 3.8 gm (9.7 mM) of methyltriphenylphosphonium bromide-sodium amide. The solution was stirred at RT for 2.5 h. Water was added and the organics were extracted with EtOAC, dried (MgSO4), concentrated and purified by SiO2 chromatography (3% EtOAC- hexanes) followed by crystallization from MeOH to give 1.4 gm (4.6 mM) of methano compound 132. 1H-NMR(CDCl3) δ1.30 (s, 3(CH3)), 2.09 (s, CH3), 3.89 (s, COOCH3), 5.29 (s, =CH2), 5.82 (s, =CH2), 7.11 (d, Ar-2 (CH)), 7.19 (s, Ar-CH),
7.24 (d, Ar-2(CH)), 7.32 (d, Ar-2 (CH)), 7.96 (d, Ar- 2(CH)).
Example 46
Preparation of compound 133 :
To 100 mg (0.32 mM) of methano compound 132 in
10 ml of MeOH was added 2.5 ml of 5N aqueous KOH and the suspension was refluxed for 30 m. After acidification (20% aqueous HCl) the organics were extracted (EtOAC), dried (MgSO4), concentrated, and the solids recrystallized from EtOAC-hexanes (1:5) to give 91 mg (0.31 mM) of carboxylic acid 133. MP:202-203°C. 1H-NMR(CDCl3) δ1.35 (s, 3(CH)), 2.02 (s, CH3), 5.34 (s, =CH2), 5.85 (s, =CH2), 7.16 (d, Ar-2(CH)), 7.20 (s, Ar-CH), 7.23 (d, Ar-2 (CH)), 7.36(d, Ar-2(CH)), 8.0 (d, Ar-2 (CH)). Example 47
Preparation of compound 134 :
In a 50 ml flask, 200 mg (0.65 mMO of olefin 132 in 10 ml of dichloroethane was cooled to 0°C, and 401 mg (3.25 mM) of Et2Zn was added via syringe. To this solution was added dropwise 1.15 g (6.5 mM) of ClCH2I. The solution was stirred for 20 m at 0°C, allowed to warm to room temperature, and was stirred for an additional 30 m. The mixture was then heated at 72°C for 10 h. After cooling to 0°C, NH4Cl was added and the organics extracted with ether, washed with water, brine and dried over MgSO4. The desired cyclopropyl compound was purified by crystallization from ether-MeOH (1:5) to give 50 mg (0.16 mM) of the methyl ester of 134. 1H-NMR(CDCl3) δ1.28 (s, 3 (CH3)), 1.37 (s, CH2), 1.39 (s, CH2), 2.18 (s, CH3), 3.87 (s, COOCH3), 6.96 (d, Ar-2(CH)), 7.18 (s, Ar-CH), 7.22 (d, Ar-2 (CH)), 7.29 (d, Ar-2(CH)), 7.85 (d, Ar-2 (CH)).
Example 48
Preparation of compound 135:
To 15 mg (0.047 mM) of compound 134 in 5 ml of
MeOH was added 1 ml of aqueous 5N KOH solution and the suspension was refluxed for 20 m. After acidification
(20% aqueous HCl), the organics were extracted (EtOAC), dried (MgSO4), concentrated, and the solids recrystallized from EtOAC-hexanes 1:4 to give 11 mg (0.036 mM) of the carboxylic acid 135. MP:214-215°C. 1H-NMR (CDCl3) : δ1.27 (d, CH2), 1.33 (s, 3(CH3)), 1.40 (d, CH2) , 2.19 (s, CH3),
6.99 (d, Ar-2(CH)), 7.18 (s, Ar-CH), 7.20 (d, Ar-2 (CH)),
7.29 (d, Ar-2(CH)), 7.90 (d, AR-2 (CH)).
Example 49
Preparation of compound 136:
Compound 136 was hydrolyzed in a manner similar to that of compound 133 except that compound 131 was substituted for compound 132. 1H-NMR (CDCl3) δ1.36 (s, 3(CH3)), 2.41 (s, CH3), 7.28-7.33 (m, AR-3 (CH)), 7.87 (d, Ar-2(CH)), 8.18 (d, Ar-2 (CH)). Example 50
Preparation of compound 137:
To 100 mg (0.34 mM) of compound 136 in 4 ml of EtOH was added 117 mg (1.69 mM) of NH2OH· HCl and 0.41 ml (5.07 mM) of pyridine. The solution was refluxed for 16 h. IN HCl was added at RT and the organics extracted with EtOAC, washed with water, brine, dried over MgSO4. The oxime compound was purified by crystallization from EtOAC- hexanes (1:5) to give 68 mg (0.22 mM) of a mixture of trans and cis oximes (2:1) 137. 1H-NMR (CDCl3) (Trans) δ1.36 (s, 3(CH3)), 2.18 (s, CH3), 7.06 (d, Ar-2 CH)), 7.20 (d, Ar- 2(CH)), 7.33 (s, Ar-CH), 7.57 (d, Ar-2 (CH)), 8.07 (d, Ar- 2(CH)).
Example 51
Preparation of compound 144 :
To 100 mg (0.34 mM) of compound 136 in 4 mL of EtOH was added 140 mg of methoxylamine hydrochloride and 0.41 mL (5.07 mM) of pyridine. The solution was refluxed for 6 h. IN HCl was added at RT and the organics extracted with EtOAc, washed with water, brine, and dried over MgSO4. The methyloxime compound was purified by crystallization from EtOAc-hexanes (1:5) to give 75 mg (0.25 mmol) of methyl oxime 144. 1H-NMR (CDCl3) δ1.36 (s, 3(CH3)), 2.18 (s, CH3), 4.00 (s, -OCH3), 7.06 (d, Ar-2 (CH)), 7.20 (d, Ar-2(CH)), 7.33 (s, Ar-CH), 7.57 (d, Ar-2 (CH)), 8.07 (d, Ar-2(CH)).
Evaluation of Retinoid Receptor Subtype Selectivity
Representative synthetic retinoid compounds of the current invention were analyzed and found to exhibit subtype selectivity for retinoid receptors, and to be capable of modulating processes selectively mediated by retinoid X receptors, as discussed more fully below.
As employed herein, the phrase "processes selectively mediated by retinoid X receptors" refers to biological, physiological, endocrinological, and other bodily processes which are mediated by receptors or receptor combinations which are responsive to retinoid X receptor selective processes, e.g., compounds which selectively activate one and/or multiple members of the RXR subfamily. Modulation includes activation or enhancement of such processes as well as inhibition or repression, and can be accomplished in vitro or in vivo. In vivo modulation can be carried out in a wide range of subjects, such as, for example, humans, rodents, sheep, pigs, cows, and the like. It is well accepted that modulation of such processes has direct relevance to use in treating disease states.
The receptors which are responsive to retinoid X receptor selective ligands include: retinoid X receptor-alpha, retinoid X receptor-beta, retinoid X
receptor-gamma, and splicing variants encoded by the genes for such receptors, as well as various combinations thereof (i.e . , homodimers, homotrimers, heterodimers, heterotrimers, and the like). Also included are combinations of retinoid X receptors with other members of the steroid/thyroid superfamily of receptors with which the retinoid X receptors may interact by forming heterodimers, heterotrimers, and the higher heteromultimers. For example, the retinoic acid receptor-alpha, -beta, or - gamma isoforms form a heterodimer with any of the retinoid X receptor isoforms, (i.e. , alpha, beta, or gamma, including any combination of the different receptor isoforms), and the various retinoid X receptors form a heterodimer with thyroid receptor and form a heterodimer with vitamin D receptor. Members of the retinoid X receptor subfamily form a heterodimer with certain "orphan receptors" including PPAR (Issemann and Green, Nature, 347:645-49 (1990)); HNF4 (Sladek et al., Genes & Development 4 : 2353-65 (1990)); the COUP family of receptors (e.g., Miyajima et al . , Nucleic Acids Research 16:11057-74 (1988), and Wang et al., Nature, 340 : 163-66 (1989)); COUP-like receptors and COUP homologs, such as those described by Mlodzik et al. (Cell, 60:211-24 (1990)) and Ladias et al. (Science, 251:561-65 (1991)); the ultraspiracle receptor (e.g., Oro et al., Nature, 347 : 298-301 (1990)); and the like.
As employed herein, the phrase "members of the steroid/thyroid superfamily of receptors" (also known as "nuclear receptors" or "intracellular receptors") refers to hormone binding proteins that operate as ligand- dependent transcription factors. Furthermore, this classification includes identified members of the steroid/thyroid superfamily of receptors for which specific ligands have not yet been identified (referred to hereinafter as "orphan receptors"). All members of the intracellular receptor superfamily have the intrinsic ability to bind to specific DNA sequences. Following
binding, the transcriptional activity of a target gene (i.e., a gene associated with the specific DNA sequence) is modulated as a function of the ligand bound to the receptor. Also, see Heyman et al., Cell, 68 : 397-406 (1992), and copending U.S. Serial No. 809,980, filed December 18, 1991, whose entire disclosures are incorporated herein by reference.
The modulation of gene expression by the ligand retinoic acid and its receptors can be examined in a reconstituted system in cell culture. Such a system was used to evaluate the synthetic retinoid compounds of this invention for their interaction with the retinoid receptor subtypes RARα, RARβ, RARγ, RXRα, RXRβ, and RXRγ.
The system for reconstituting ligand-dependent transcriptional control, which was developed by Evans et al., Science, 240:889-95 (1988), has been termed a "co- transfection" or "cis-trans" assay. This assay is described in further detail in U.S. Patent Nos. 4,981,784 and 5,071,773, which are incorporated herein by reference. Also see Heyman et al., Cell, 68:397-406 (1992). The co- transfection assay provides a mechanism to evaluate the ability of a compound to modulate the transcription response initiated by an intracellular receptor. The co- transfection assay is a functional, rapid assay that monitors hormone or ligand activity, is a good predictor of an in vivo system, and can be used to quantitate the pharmacological potency and utility of such ligands in treating disease states. Berger et al., J. Steroid Biochem. Molec. Biol. , 41:733-38 (1992).
Briefly, the co-transfection assay involves the introduction of two plasmids by transient transfection into a retinoid receptor-negative mammalian cell background. The first plasmid contains a retinoid receptor cDNA and directs constitutive expression of the encoded receptor. The second plasmid contains a cDNA that encodes for a readily quantifiable protein, e.g. , firefly
luciferase or chloramphenicol acetyl transferase (CAT), under control of a promoter containing a retinoid acid response element, which confers retinoid dependence on the transcription of the reporter. In this co-transfection assay, all retinoid receptors respond to all-trans-retinoic acid in a similar fashion. This assay can be used to accurately measure efficacy and potency of retinoic acid and synthetic retinoids as ligands that interact with the individual retinoid receptor subtypes.
Accordingly, synthetic retinoid compounds of the current invention were evaluated for their interaction with retinoid receptor subtypes using the co-transfection assay in which CV-1 cells were co-transfected with one of the retinoid receptor subtypes, a reporter construct, and an internal control to allow normalization of the response for transfection efficiency. The following example is illustrative.
Example 52
Retinoids: All-trans-retinoic acid (RA) and 13-cis- retinoic acid (13-cis-RA) were obtained from Sigma. 9-cis- retinoic acid (9-cis-RA) was synthesized as described in Heyman et al., Cell, 68:397-406 (1992). Retinoid purity was established as greater than 99% by reverse phase high- performance liquid chromatography. Retinoids were dissolved in dimethylsulfoxide for use in the transcriptional activation assays.
Plasmids : The receptor expression vectors used in the co-transfection assay have been described previously (pRShRAR-α: Giguere et al . (1987); pRShRAR-β and pRShRAR-γ: Ishikawa et al . (1990); pRShRXR-α: Mangelsdorf et al . , (1990); pRSmRXR-β and pRSmRXR-γ: Mangelsdorf et al., Genes & Devel.,
6:329-44 (1992)). A basal reporter plasmid Δ-MTV-LUC
(Hollenberg and Evans, Cell, 55:899-906 (1988)) containing two copies of the TRE-palindromic response element 5'- TCAGGTCATGACCTGA-3' (Umesono et al., Nature, 336:262-65 (1988))
was used in transfections for the RARs, and CRBPIIFKLUC, which contains an RXRE (retinoid X receptor response element (Mangelsdorf et al . , Cell, 66:555-61 (1991)), was used in transfections for the RXRs.
Co-transfection Assay In CV-1 Cells: A monkey kidney cell line, CV-1, was used in the cis-trans assay. Cells were transfected with two plasmids. The trans-vector allowed efficient production of the retinoid receptor in these cells, which do not normally express this receptor protein. The cis-vector contains an easily assayable gene product, in this case the firefly luciferase, coupled to a retinoid-responsive promoter, i.e . , an RARE or RXRE. Addition of retinoic acid or an appropriate synthetic retinoid results in the formation of a retinoid-RAR or - RXR complex that activates the expression of luciferase gene, causing light to be emitted from cell extracts. The level of luciferase activity is directly proportional to the effectiveness of the retinoid-receptor complex in activating gene expression. This sensitive and reproducible co-transfection approach permits the identification of retinoids that interact with the different receptor isoforms.
Cells were cultured in DMEM supplemented with 10% charcoal resin-stripped fetal bovine serum, and experiments were conducted in 96-well plates. The plasmids were transiently transfected by the calcium phosphate method (Umesono and Evans, Cell, 57:1139-46 (1989) and Berger et al., J. Steroid Biochem. Molec. Biol. , 41:733-38 (1992)) by using 10 ng of a pRS (Rous sarcoma virus promoter) receptor-expression plasmid vector, 50 ng of the reporter luciferase (LUC) plasmid, 50 ng of pRSβ-GAL (β- galactosidase) as an internal control, and 90 ng of carrier plasmid, pGEM. Cells were transfected for 6 h and then washed to remove the precipitate. The cells were then incubated for 36 h with or without retinoid. After the transfection, all subsequent steps were performed on
a Beckman Biomek Automated Workstation. Cell extracts were prepared, then assayed for luciferase and β- galactosidase activities, as described by Berger et al . (1992). All determinations were performed in triplicate in two independent experiments and were normalized for transfection efficiency by using β-galactosidase as the internal control. Retinoid activity was normalized relative to that of all-trans-retinoic acid and is expressed as potency (EC50), which is the concentration of retinoid required to produce 50% of the maximal observed response, and efficacy (%), which is the maximal response observed relative to that of all-trans-retinoic acid at 10-5M. The data obtained is the average of at least four independent experiments. Efficacy values less than 5% are not statistically different than the 0% background. Compounds with an efficacy of less than 20% at concentrations of 10-5 M are considered to be inactive. At higher concentrations of compound, such as 10-4 M, these compounds are generally toxic to cells and thus the maximal efficacy at 10-5 M is reported in the tables and figures contained herein.
The synthetic retinoid compound 3-methyl-TTNCB, as described above, was evaluated for its ability to regulate gene expression mediated by retinoid receptors. As shown in Figure 1, this compound is capable of activating members of the RXR subfamily, i.e. , RXRα, RXRβ, and RXRγ, but clearly has no significant activity for members of the RAR subfamily, i.e. , RARα, RARβ, and RARγ. Assays using all-trans-retinoic acid (Figure 2) and 9-cis- retinoic acid (Figure 3) were run for reference, and demonstrate that these retinoic acid isomers activate members of both the RAR and RXR subfamilies.
Potency and efficacy were calculated for the 3- methyl-TTNCB compound, as summarized in the following table. For reference, the data for 9-cis-retinoic acid are also included.
As shown by the data in Table 1, 3-methyl-TTNCB readily and at low concentrations activates RXRs. Further, 3 -methyl-TTNCB is more potent an activator of RXRs than RARs, and preferentially activates RXRs in comparison to RARs, in that much higher concentrations of the compound are required to activate the RARs. In contrast, 9-cis-retinoic acid does not preferentially activate the RXRs, as also shown in Table 1. Rather, 9-cis- retinoic acid activates the RARβ and RARγ isoforms at lower concentrations and more readily than the RXRβ and RXRγ isoforms, and has substantially the same, within the accuracy of the measurement, activity for the RARα isoform in comparison to the RXRα isoform.
An extract reported to contain 9 -cis-retinoic acid has previously been reported as at least 10-fold more
potent in inducing RXRα than RARα (Heyman et al., Cell, 68:397,399 (January 24, 1992)). Presently available data indicate that 9-cis-retinoic acid does not preferentially activate RXRs in comparison to RARs, as shown and discussed above. The compounds of this invention preferentially activate RXRs in comparison to RARs, and are preferably at least three times more potent as activators of RXRs than RARs, and more preferably at least five times more potent as activators of RXRs than RARs.
Potency and efficacy have also been calculated for the 3-memhyl-TTNEB, 3 -bromo-TTNEB, 3 -methyl-TTNCHBP, 3-methyl-TTNEHBP, TPNEP, and TPNCP compounds, as summarized below in Table 2.
As shown by the data in Table 2, 3-methyl-TTNEB, 3-bromo-TTNEB, 3-methyl-TTNCHBP, 3 -methyl-TTNEHBP, TPNEP, and TPNCP each readily and preferentially activate the RXRs, and are more potent as activators of RXRs than of RARs. The diminished activity of these compounds for the RARs in comparison to the RXRs is also shown for some of these compounds in Figures 4-7.
The potency and efficacy of derivative compounds 133 and 137 have also been calculated, as summarized below in Table 3.
As shown, these compounds preferentially activate RXRs in comparison to RARs.
The selective activity of the compounds of this invention for Retinoid X Receptors is not exhibited by other known compounds. For example, compounds such as
those described in U.S. Patent No. 4,833,240 (Maignan et al.) appear structurally similar to the compounds of this invention, but lack a functional group (such as methyl, ethyl, isopropyl, bromo, chloro, etc.) at the 3-position. Such compounds have little or no potency and lack any selectivity for RXRs.
For example, a representative compound of U.S. Patent No. 4,833,240 (Maignan) is shown below, along with the compound 3-methyl-TTNCB of this invention.
The potency and efficacy of the Maignon compound and that of 3-methyl-TTNCB are summarized below:
As shown, the Maignon compound is virtually inactive and shows no selectivity for RXRs. In contrast, the compounds of this invention such as 3 -methyl-TTNCB, which have a substituent at the 3 -position, are potent activators of RXRs and exhibit the unexpected RXR selectivity shown in Table 1 (as well as Tables 2 and 3) and discussed above.
It can be expected that synthetic retinoid ligands, such as those exemplified in Tables 1, 2, and 3 which preferentially affect some but not all of the retinoic acid receptor isoforms, can, in pharmacological preparations, provide pharmaceuticals with higher therapeutic indices and a better side effect profile than currently used retinoids. For example, the compounds of the present invention have been observed to be less irritating to the skin than previously known retinoids.
The retinoid compounds of this invention are useful for the treatment of certain dermatological conditions such as keratinization disorders, i.e . , differentiation/proliferation. A standard assay to determine the activity of these compounds is the measurement of the enzymatic activity for transglut- aminase; this is a measure of the antiproliferative action of retinoids. Retinoids have been shown to inhibit the pathway of differentiation, which is indicated by a decrease in several biochemical markers that are associated with the expression of squamous cell phenotype, such as transglutaminase. (Yuspa et al., Cancer Research, 43 : 5707-12
(1983)). As can be seen from Figure 8, the 3-methyl-TTNCB compound is capable of inhibiting transglutaminase activity and inhibits 50% of the enzyme activity at 1 x 10-7 M.
The retinoid compounds of this invention have been demonstrated in in vi tro tests to block (or antagonize) AP-1 activity, a set of oncogenes which drive cellular proliferation. Many proliferative disorders are the results of oncogenes/oncogene activation, and therefore a compound which blocks the AP-1 oncogene pathway can be used to treat diseases associated with proliferative disorders including cancers, inflammatory diseases, psoriasis, etc. For example, the compound 3 -methyl-TTNEB was evaluated using the co-transfection assay in which HeLa cells were co-transfected with a plasmid expressing RXRα under the control of a constitutive promoter, and a plasmid which expresses the reporter enzyme luciferase under the control of a conditional promoter (collagenase) containing an AP-1 responsive element. E. g. , Angel et al . , Mol . Cell . Biol . , 7:2256 (1987); Lafyatis et al., Mol . Endocrinol . , 4:973 (1990). Following AP-1 activation, the assay results showed antagonism of AP-1 activity by the 3 -methyl-TTNEB compound via RXRα in a dose- dependent manner. Other compounds of this invention have shown similar antagonism of AP-1 activity. These results demonstrate that RXR-selective compounds such as 3-methyl- TTNEB can be used as anti-proliferatives to limit cell growth and treat diseases associated with hyperproliteration.
The compounds of this invention also exhibit good comedolytic activity in the test on Rhino mice described by Kligman etal. (J. of Inves. Derm. , 73:354-58 (1979)) and Mezick et al. (J. of Inves. Derm. , 83:110-13 (1984)). The test on Rhino mice has been a model for screening comedolytic agents. The activity of the 3-methyl-TTNCB retinoid compound, as well as 9-cis and all -trans retinoic acid is shown in Figure 9. A 0.1% solution of 3-methyl-TTNCB is capable of inhibiting the utriculi diameter by
approximately 50%. It has also been observed that 3- methyl-TTNCB is less irritating to the skin of Rhino mice than 9-cis- or all-trans-retinoic acid.
The co-transfection assay allows examination of the ability of a compound to modulate gene expression in a retinoid receptor dependent fashion. To examine the ability of the compounds of this invention to directly interact with the receptors, we have examined the ligand binding properties of all six retinoid receptors. The receptors were expressed employing a baculovirus expression system in which we have demonstrated that RXRα binds 9-cis-retinoic acid with high effinity (Heyman et al . , Cell , 68:397 (1992)). The binding parameters of receptors expressed in baculovirus systems and mammaliam systems are essentially identical.
The synthetic retinoids of the current invention have also been tested using radioligand displacement assays. By testing the abilities of various synthetic retinoids to compete with the radiolabeled retinoic acid for binding to various receptor isoforms, the ability of the compounds to directly interact with the receptor can be examined, and the relative dissociation constant for the receptor itself can be determined. This is an important supplementary analysis to the co-transfection assay since it can detect different properties/ determinants of retinoid activity than are measured in the co-transfection assay. These determinants/differences in the two assay systems may include (1) activating or inactivating metabolic alterations of the test compounds, (2) binding to serum proteins which could alter the free concentration or other properties of the test compound,
(3) differences in cell permeation among test compounds,
(4) intrinsic differences in the affinity of the test compounds for the receptor proteins, i.e . , in Kd, can be directly measured, and (5) conformational changes produced in the receptor after binding of the test compound,
reflected in the effects on reporter gene expression; (i.e., a functional measurement of receptor activation).
The 3 -methyl-TTNCB compound is capable of displacing 3H-9-cis-retinoic acid bound to the RXRs, but is not capable of displacing radiolabeled ligand that is bound to the RARs. This indicates that the 3-methyl-TTNCB compound preferentially binds RXRs in comparison to RARs, a property which would be expected of a ligand selective for the RXRs. The Kd values were determined by application of the Cleng-Prusoff equation. These values were based on a determination of the IC50 value as determined graphically from a log-logit plot of the data.
Binding data were obtained for various compounds using the method discussed in Wecksler & Norman, Anal. Biochem. 92:314-23 (1979). Results are shown below in Table 4. 0
The compounds in Table 4 were shown to readily and preferentially activate RXRs, and to be more potent as activators of RXRs than of RARs using the co-transfection assay, as discussed above. The binding results in Table 4 show these compounds to also preferentially bind RXRs versus RARs. Taken together the ligand binding properties of these compounds and their ability to selectively modulate members of the RXR subfamily demonstrate the identification of a class of compounds with the unique biological properties. The binding properties and especially the transcriptional activation assays are a good predictor of the pharmacological activity of a compound (Berger et al. (1992)).
It has been recognized that the co-transfection assay provides a functional assessment of the ligand being tested as either an agonist or antagonist of the specific genetic process sought to be affected, and is a predictor of in vivo pharmacology (Berger et al. (1992)). Ligands which do not significantly react with other intracellular
receptors, as determined by the co-transfection assay, can be expected to result in fewer pharmacological side effects. Because the co-transfection assay is run in living cells, the evaluation of a ligand provides an early indicator of the potential toxicity of the candidate at concentrations where a therapeutic benefit would be expected.
Processes capable of being modulated by retinoid receptors, in accordance with the present invention, include in vitro cellular differentiation, the regulation of morphogenetic processes including limb morphogenesis, regulation of cellular retinol binding protein (CRBP), and the like. As readily recognized by those of skill in the art, the availability of ligands for the retinoid X receptor makes it possible, for the first time, to elucidate the processes controlled by members of the retinoid X receptor subfamily. In addition, it allows development of assays for the identification of antagonists for these receptors.
The processes capable of being modulated by retinoid receptors, in accordance with the present invention, further include the in vivo modulation of lipid metabolism; in vivo modulation of skin related processes (e.g., acne, psoriasis, aging, wrinkling, and the like); in vivo modulation of programmed cell death (apoptosis); in vivo modulation of malignant cell development, such as occurs, for example, in acute promyelocytic leukemia, mammary cancer, prostate cancer, lung cancer, cancers of the aerodigestive pathway, skin cancer, bladder cancer, and sarcomas; in vivo modulation of premalignant lesions, such as occurs with oral leukoplakia and the like; in vivo modulation of auto-immune diseases such as rheumatoic arthritis; in vivo modulation of fatty acid metabolism; and the like. Such applications can be expected to allow the modulation of various biological processes with reduced occurrence of undesirable side effects such as teratogenic effects, skin
irritation, mucosal dryness, lipid disturbances, and the like. In vivo applications can be employed with a wide range of subjects, such as, for example, humans, rodents, sheep, pigs, cows, and the like.
For example, regarding the in vivo modulation of lipid metabolism referred to above, apolipoprotein A-1 ("apo A-1") is a major protein component of plasma high density lipoprotein (HDL) cholesterol. The circulating level of HDL in humans has been shown to be inversely correlated to the risk of atherosclerotic cardiovascular disease (ASCVD), the leading cause of mobidity and mortality in the United States, with a 3-4% increase in ASCVD for every 1% decrease in HDL cholesterol. Gordon et al., New Engl. J. Med., 321:1311 (1989). While there are currently no good therapeutic regimens that increase HDL cholesterol, it can be expected that regulating synthesis of apoAI can be utilized to affect plasma concentrations of HDL cholesterol and to decrease the risk of ASCVD. Rubin et al., Nature, 353:265 (1991).
It has been established that regulation of transcription of apoAI is controlled by members of the intracellular receptor superfamily, and further that the apoAI gene transcription start site "A" is a highly selective retinoic acid-responsive element that responds to retinoid X receptors. Rottman et al., Mol. Cell. Biol., 11:3814-20 (1991). Because RXRs can form heterodimers with trans- repressers such as ARP-1 and COUP-TF and transactivators such as HNF-4, and an RXR response element resides in the apoAI promoter, retinoids or ligands which selectively activate members of the RXR family of retinoic acid receptors may regulate apoAI transcription. We have demonstrated in in vivo studies that ligands of this invention which have selective activity for RXRs can be used to modulate apoAl/HDL cholesterol and to significantly raise plasma HDL levels, as demonstrated in the following example.
Example 53
Male Sprague-Dawley rats (160-200 gram) were obtained from Harlan. Animals were fed standard laboratory diets (Harlan/Teklad) and kept in an environmentally controlled animal house with a light period lasting from 6 a.m. to 6 p.m. Animals were treated with drugs prepared as suspensions in olive oil.
To verify that RXR activation can increase plasma apoAl/HDL cholesterol, an initial study was carried out that included dosing rats for 4 days with an RAR- selective compound, all-trans retinoic acid, the non- selective RAR/RXR agonist, 9-cis-retinoic acid, and either of two RXR-selective agents, 3-methyl-TTNCB or 3-methyl- TTNEB. Each drug was administered at a dose of 100 mg/kg, i.p. Positive control groups received olive oil as a vehicle. Twenty-four hours after the last treatment, rats were sacrificed by CO2 inhalation, blood was collected from the inferior vena cava into a tube containing 0.1 ml of 0.15% EDTA and centrifuged at 1500 x g for 20 min. at 4°C. Plasma was separated and stored at 4°C for evaluation of plasma total cholesterol and high density lipoprotein cholesterol (HDL-cholesterol).
Plasma total cholesterol was measured enzymatically utilizing Boeringer Mannheim Diagnostics High Performance Cholesterol Methods with an ABBOTT VP Bichromatic Analyzer. HDL cholesterol was measured after preparation of the HDL-containing fraction by heparin- manganese precipitation of plasma. HDL-cholesterol in this fraction was estimated as mentioned earlier. All HDL separations were checked for contamination by other lipoproteins with agarose gel electrophoresis.
The results of this study are shown in Figure
10. As shown, rats receiving the RXR-selective compounds exhibited substantial and statistically significant increases in HDL levels, particularly when receiving 3- methyl-TTNEB.
Because the RXR-selective ligand 3-methyl-TTNEB was the most efficacious, additional 4 day experiments were conducted with this agent at doses of 0.3, 1, 3, 6, 10, 30, 100, or 300 mg/kg i.p. in 1.0 ml olive oil or 1, 3, 10, 30, 100, 300 mg/kg p.o. in 1.0 ml olive oil for 4 days. An additional 30 day p.o. study was conducted with 10, 30, or 100 mg/kg 3-methyl-TTNEB to determine whether tolerance would develop to its pharmacological actions. For the rats receiving 3-methyl-TTNEB in various doses for four days, it was also observed that 3 -methyl-TTNEB increased plasma concentrations of HDL-cholesterol in a dose-dependent manner with significant increases being made at the lowest dose, 0.3 mg/kg i.p. At its optimally efficacious dose, 3 -methyl-TTNEB increased plasma HDL- cholesterol concentrations from 58 mg/dl to 95 mg/dl - an increase of greater than 60%. Measurement of total cholesterol showed an increase due to the increase of the HDL-cholesterol fraction. Measurement of triglycerides showed either no change or a slight decrease. The 30-day study with 3-methyl-TTNEB did not indicate development of tolerance to its pharmacological action. This study demonstrated that 3-methyl-TTNEB increased plasma concentrations of HDL-cholesterol in a dose-dependent manner following either i.p. or p.o. administration.
The effect on circulating apoAI of orally administered 3-methyl-TTNEB was also studied. Male Sprague-Dawley rats were treated daily with 3 mg/kg body weight of 3-methyl-TTNEB for four days. Serum samples were taken and analyzed by Western Blot using antisera specific to rat apoA1. The treatment with 3-methyl-TTNEB resulted in a significant increase in circulating apoAI levels.
These studies demonstrate that treatment with an RXR specific compound such as 3 -methyl-TTNEB increases plasma concentrations of apoAl/HDL cholesterol. Since such animal studies are an accepted predictor of human response, it would therefore be expected that such
compounds could be used to therapeutically increase HDL- cholesterol in patients who either have, or are at risk for, atherosclerosis.
Additional in vitro studies were also performed utilizing the co-transfection assay previously described within this application to demonstrate the effect of RXR- selective ligands on regulation of transcription of apoA1, as described in the following example.
Example 54 :
This work focused on studying the transcriptional properties of the retinoid receptors RAR and RXR on a reporter molecule (e.g., luciferase) under control of a basal promoter containing the RXR response element from the apoAI gene ("A" site). Plasmid constructs coding for the various receptors were transfected into a human hepatocyte cell line (HepG-2) along with the reporter plasmid. Reporter plasmids contained multimers of the apoAI "A" site (-214 to -192 relative to transcription start site) shown to bind RXR. Widom et al., Mol. Cell. Biol. 12:3380-89 (1992); Ladias & Karathanasis, Science 251 : 561-65 (1991). After transfection, treatment, harvest, and assay, the data obtained was normalized to transfected beta-galactosidase activity so as to control for transfection efficiency. The results demonstrated activation in the system with the RXR-specific ligands 3-methyl-TTNCB and 3-methyl-TTNEB in a concentration-dependent fashion, demonstrating that the RXR specific ligands could regulate the transcriptional properties via the "A" site from the apoA1 gene. These compounds had no effect when RAR was used in the transfection, demonstrating receptor specificity. The transcriptional regulation by RXR was dependent on the presence of the hormone response element.
These in vivo and in vitro studies demonstrate that the RxR-selective compounds of this invention can be used to elevate apoAl/HDL cholesterol and in the therapeutic treatment of related cardiovascular disorders.
Regarding the modulation of programmed cell death (apoptosis), the retinoid compounds of this invention have been demonstrated to induce apoptosis in particular cell types including leukemia cells and squamous epithelial carcinomas. Normally in cells there is a fine balance between cellular processes of proliferation, differentiation, and cell death, and compounds which affect this balance may be used to treat certain cancers. Specifically, the ability of 3 -methyl-TTNEB to induce dif- ferentiation, inhibit proliferation, and induce apoptosis in an acute promyelucytic leukemia cell line, HL60, was studied. Cellular proliferation was measured by a thymidine incorporation assay (Shrivastav et al . , Cancer Res . , 40:4438 (1980)), and 3-methyl-TTNEB was found to have no effect on cellular proliferation. This contrasts all-trans-retinoic acid, which inhibits thymidine incorporation. Cellular differation was measured by the ability of the cells to reduce nitroblue tetrazolium (NBT) (Breitman et al . , Proc . Natl . Acad. Sci . , 77:2936 (1980)), and 3 -methyl-TTNEB was found not to induce undue differentiation. The EC50 for 3-methyl-TTNEB mediated differentiation was >1000 μM, compared to 2.0μM for all- trans-retinoic acid. However, 3 -methyl-TTNEB was found to induce transglutaminase activity in the HL60 cells (Murtaugh et al . , J. Biol . Chem. 258:11074 (1983)) in a concentration-dependent manner, which correlates with the induction of apoptosis or programmed cell death. It was further found that 3-methyl-TTNEB was able to induce apoptosis as measured by DΝA fragmentation and morphological changes. Other retinoid compounds of this invention showed similar results, and similar results were also shown in other cell lines such as squamous epithelial cell lines and ME180 cells, a human cervical carcinoma.
These results show that RXR specific compounds such as 3-methyl-TTΝEB induce apoptosis with a minimal direct effect on inhibition of proliferation and differentiation induction. Compounds which are capable of
inducing apoptosis have been shown to be effective in cancer chemotherapy (e.g., anti-hormonal therapy for breast and prostate cancer).
In contrast, in another cell type retinoids have been shown to inhibit activation driven T-cell apoptosis and 9-cis-retinoic acid was approximately ten fold more potent than all- trans-retinoic acids (Ashwell et al., Proceedings National Academy of Science, Vol . 90, p . 6170- 6174 (1993)). These data imply that RXRs are involved in this event. Thus retinoids could be used to block and/or immunomodulate T-cell apoptosis associated with certain disease states ( e . g. , AIDS).
It has been surprisingly found that the administration of a ligand which has specific activity for RXRs but essentially no activity for RARs, in combination with a ligand that has specific activity for RARS but not RXRs, provides a cellular response at extremely low dosages, dosages at which the ligands individually provide no significant response. Specifically, the concentration- related effect of an RXR-specific ligand and a RAR- specific ligand on proliferation of a myeloma cell line (RPMI 8226) was studied in in vitro studies using a thymidine incorporation assay. This assay examines the incorporation of radiolabeled thymidine into DNA, and by determin- ing the ability of a compound to inhibit thymidine incorporation into DNA, provides a measure of cell proliferation. (L.M. Bradley, Selected Methods in Cellular Immunology, Ch. 10.1, pp. 235-38, Mishell & Shiigi (eds.), Freeman & Co., New York, 1980). Compounds which inhibit cell proliferation have well-known utility in the treatment of certain cancers.
As shown previously (Table 2), 3-methyl-TTNEB activates members of the RXR subfamily and has no significant activity for members of the RAR subfamily. Examination of the effects of 3-methyl-TTNEB on the proliferation of myeloma cells show a concentration dependent inhibition of thymidine incorporation. The IC50
(the concentration of 3-methyl-TTNEB required to produce
50% inhibition of the maximal response) is 10-7 M, as shown in Figure 11. Concentrations less than 10-8 M provide essentially no effect on cell proliferation, as also shown in Figure 11.
It is well known that the compound TTNPB activates members of the RAR subfamily and has no significant activity for members of the RXR subfamily.
The compound TTNPB is shown below, and its activity is shown in Table 5.
The effect of TTNPB on cell proliferation is shown in Figure 11. The IC50 value of TTNPB is about 5 x 10-11 M, and a concentration of less than 10-11 M produces essentially no effect on cell proliferation.
However, it has been found that when 3-methyl- TTNEB and TTNPB are present together, each at a concentration where the compound alone produces substantially no anti-proliferative effect, the combination of the two compound's effectively blocks cell proliferation. The
combination of the two compounds appears to produce a greater than additive, or synergistic, effect.
For example, as shown in Figure 12, the presence of TTNPB at a concentration of 10-11 M produces a 9% inhibition on thymidine incorporation. However, combining it with 3-methyl-TTΝEB at a concentration of 10-8 M (which results in no effect on cell proliferation) produces a greatly enhanced inhibitory effect of 49%. Likewise, it has also been found that the inhibitory effect of 3- methyl-TTΝEB is greatly increased by the presence of TTNPB at a concentration which alone produces no effect.
Since it is well-known that toxic side effects of compounds such as TTΝPB are concentration-dependent, the synergistic effect resulting from combining such RAR- specific compounds with RXR-specific compounds can be expected to permit lower dosages that are efficacious and to therefore reduce toxic side effects. For example, in cancer chemotherapy, use of two such compounds, in combination, at relatively low doses can be expected to produce the desired beneficial effect, while minimizing undesired side effects which result at higher doses of the compounds.
In vitro studies utilizing the co-transfection assay have also shown this same synergistic effect. For example, utilizing the co-transfection assay described previously and employing RAR-α and RXR-α and a reporter consisting of the ApoAI response element "A" site in the context of TKLUC (Ladias & Karathanasis, Science 251:561-65 (1991), transfections were performed in HEPG2 cells. In this study, 100 ng of the designated receptor were used and RSVCAT was used as a carrier to keep the amount of RSV promoter constant. All compounds were added at a final concentration of 10-7 M. The RXR specific compound 3- methyl-TTNEB (Table 2, above) and the RAR specific compound TTΝPB (Table 5, above) were utilized. As shown below in Table 6, the relative normalized response observed utilizing the co-transfection assay also demon-
strated a synergistic effect when a combination of the two compounds was utilized, compared to the response achieved utilizing the compounds individually.
As will be discemable to those skilled in the art from the foregoing discussions, the biological response of an RAR selective compound at a given concentration can be synergistically enhanced by combining the compound with an RXR selective compound. Similarly, the biological response of an RXR selective compound can be enhanced by combining the compound with an RAR selective compound. Thus, it becomes possible to achieve a desirable biological response, using a combination of RAR and RXR selective compounds, at lower concentrations than would be the case using the compounds alone. Among the advantages provided by such combinations of RAR and RXR selective compounds are desirable therapeutic effects with fewer side effects. In addition, novel effects that are not obtainable with either agent alone may be achieved by combinations of RAR and RXR selective compounds.
It has been further demonstrated that RXR- specific compounds also synergistically enhance the response of other hormonal systems. Specifically, peroxisome proliferator-activated receptor (PPAR) is a member of the intracellular receptor super family that plays a role in the modulation of lipid homeostasis. PPAR has been shown to be activated by amphipathic carboxyl- ates, such as clofibric acid, and gemfibrizol. These agents, called peroxisome proliferators, have been used in
man as hypolipidemic agents. The addition of 9-cis- retinoic acid (a retinoid ligand which activates both RAR and RXR receptors) and clofibric acid to HepG2 cells transfected with RXRα and PPAR expression plasmids, results in the activation of receptor gene which was greater than the sum of the activation with each ligand separately. (Kliewer et al., Nature 358:771 (1992)). Similarly, when the above two receptors were co- transfected into HepG2 cells, the addition of both an RXR- specific ligand (3-methyl-TTNEB) and clofibric acid was found to produce a greater than additive response as determined by activation of a target reporter gene, as shown below in Table 7.
A similar synergistic effect was observed with RXR and RXR-specific ligands and the Vitamin D receptor
(VDR) and its cognate ligands. When RXR/S and VD receptors were co-transfected into CV-1 cells containing a hormone response element, the addition of RXR selective 3-methyl-
TTNCB and 1,25-dihydroxy-vitamin D (1,25-D) produced a greater than additive response than was observed for each of the individual ligands, as shown below in Table 8.
As shown, the above results indicate that each pair of receptors (RXRα/PPAR and RXRβ/VDR, respectively),
in the presence of ligands known to specifically activate their respective receptors, are capable of producing a synergistic response. The results indicate that the response of a single agent can be enhanced by the combination of the two agents, or that comparable biological or therapeutic responses can be achieved by use of lower doses of such agents in combination.
The observation that RXR-specific ligands are able to act synergistically with RAR ligands, PPAR ligands, and Vitamin D ligands indicates that RXR-specific ligands have usefulness not only as single therapeutic agents but also in combination therapy to obtain enhanced biological or therapeutic response by the addition of the RXR-specific ligand. Such combination therapy also may provide an added benefit of decreasing the side effects associated with the primary agent by employing lower doses of that agent. For example, use of Vitamin D or a related Vitamin D receptor ligand in conjunction with an RXR selective compound for the treatment of a variety of disorders including skin diseases (acne, psoriasis), hyperproliferative disorders (benign and malignant cancers) and disorders of calcium homeostasis may decrease the adverse side effects associated with Vitamin D therapy alone.
As a further example, the RXR-specific compounds of this invention have been demonstrated in vi tro to act synergistically with compounds which affect cellular proliferation, such as Interferon. Specifically, the growth properties of two human tumor cell lines (ME180, a squamous cell carcinoma, and RPMI18226, a multiple myeloma) were monitored in the presence of the compound 3- methyl-TTNEB alone and in combination with Interferonα2b, utilizing standard cell culture procedures. The effects on growth of these cells were monitored by evaluation of cell number, and also by evaluation of growth in semi- solid medium for the RPMI18226 cell line. Both 3-methyl- TTNEB and Interferonα2b were found to inhibit cell growth
in a concentration-dependent manner, and each alone to produce a significant depression in cell proliferation. In addition, when the cells were treated with both compounds, an additive or a greater than additive effect on the depression in cell proliferation was observed. Treatment with other chemotherapeutic agents including anti-proliferative agents and/or cell-cycle modulators ( e . g. , methotrexate, fluorouracil (5-FU, ARA-C, etc.)) in combination with RXR-specific compounds would be expected to produce similar results. The enhanced antiproliferative effect can be expected to permit lower therapeutic doses in treatment of proliferative disorders, such as squamous cell and other carcinomas.
In addition, combination therapy could allow the use of lower doses of these compounds to achieve a comparable beneficial effect along with fewer side effects/toxic effects, thereby enhancing the therapeutic index of the therapy. The therapeutic index is defined as the ratio of efficacy to toxicity of a compound.
Since RXR is known to form heterodimers with various members of the intracellular receptor super family, it can be expected that the synergistic response observed with use of RXR-selective ligands may be achieved with other receptors with which heterodimers are formed. These include PPARs, RARs, Vitamin D, thyroid hormone receptors, HNF4, the COUP family of receptors, as referenced above, and other as yet unidentified members of the intracellular super family of receptors.
As will be further discernible to those skilled in the art, the compounds disclosed above can be readily utilized in pharmacological applications where selective retinoid receptor activity is desired, and where it is desired to minimize cross reactivities with other related intracellular receptors. In vivo applications of the invention include administration of the disclosed compounds to mammalian subjects, and in particular to humans.
The compounds of the present invention are small molecules which are relatively fat soluble or lipophilic and enter the cell by passive diffusion across the plasma membrane. Consequently, these ligands are well suited for administration orally and by injection, as well as topically. Upon administration, these ligands can selectively activate retinoid X receptors, and thereby selectively modulate processes mediated by these receptors.
The pharmaceutical compositions of this invention are prepared in conventional dosage unit forms by incorporating an active compound of the invention, or a mixture of such compounds, with a nontoxic pharmaceutical carrier according to accepted procedures in a nontoxic amount sufficient to produce the desired pharmacodynamic activity in a mammalian and in particular a human subject. Preferably, the composition contains the active ingredient in an active, but nontoxic, amount selected from about 5 mg to about 500 mg of active ingredient per dosage unit. This quantity depends on the specific biological activity desired and the condition of the patient.
The pharmaceutical carrier or vehicle employed may be, for example, a solid or liquid. A variety of pharmaceutical forms can be employed. Thus, when using a solid carrier, the preparation can be plain milled, micronized in oil, tableted, placed in a hard gelatin or enteric-coated capsule in micronized powder or pellet form, or in the form of a troche, lozenge, or suppository. When using a liquid carrier, the preparation can be in the form of a liquid, such as an ampule, or as an aqueous or nonaqueous liquid suspension. For topical administration, the active ingredient may be formulated using bland, moisturizing bases, such as ointments or creams. Examples of suitable ointment bases are petrolatum, petrolatum plus volatile silicones, lanolin, and water in oil emulsions such as Eucerin (Beiersdorf). Examples of suitable cream bases are Nivea Cream (Beiersdorf), cold cream (USP),
Purpose Cream (Johnson & Johnson) hydrophilic ointment (USP), and Lubriderm (Warner-Lambert).
The following examples provide illustrative pharmacological composition formulations: Example 55
Hard gelatin capsules are prepared using the following ingredients:
Quantity
(mg/capsule) 3-methyl-TTNCB 140
Starch, dried 100
Magnesium stearate 10
Total 250 mg
The above ingredients are mixed and filled into hard gelatin capsules in 250 mg quantities.
Example 56
A tablet is prepared using the ingredients below:
Quantity
(mg/tablet)
3-methyl-TTNCB 140
Cellulose, microcrystalline 200
Silicon dioxide, fumed 10
Stearic acid 10
Total 360 mg
The components are blended and compressed to form tablets each weighing 360 mg.
Example 57
Tablets, each containing 60 mg of active ingredient, are made as follows:
Quantity
(mg/tablet) 3 -methyl-TTNCB 60
Starch 45
Cellulose, microcrystalline 35
Polyvinylpyrrolidone (PVP)
(as 10% solution in water) 4
Sodium carboxymethyl starch (SCMS) 4.5
Magnesium stearate 0.5
Talc 1.0
Total 150 mg
The active ingredient, starch, and cellulose are passed through a No. 45 mesh U.S. sieve and mixed thoroughly. The solution of PVP is mixed with the resultant powders, which are then passed through a No. 14 mesh U.S. sieve. The granules so produced are dried at
50°C and passed through a No. 18 mesh U.S. sieve. The
SCMS, magnesium stearate, and talc, previously passed through a No. 60 mesh U.S. sieve, are then added to the granules which, after mixing, are compressed on a tablet machine to yield tablets each weighing 150 mg.
Example 58
Suppositories, each containing 225 mg of active ingredient, may be made as follows:
3 -methyl-TTNCB 225 mg
Saturated fatty acid glycerides 2,000 mg
Total 2,225 mg
The active ingredient is passed through a No. 60 mesh U.S. sieve and suspended in the saturated fatty acid glycerides previously melted using the minimum heat necessary. The mixture is then poured into a suppository mold of normal 2g capacity and allowed to cool .
Example 59
An intravenous formulation may be prepared as follows:
3-methyl-TTNCB 100 mg
Isotonic saline 1,000 ml
Glycerol 100 ml
The compound is dissolved in the glycerol and then the solution is slowly diluted with isotonic saline. The solution of the above ingredients is then administered intravenously at a rate of 1 ml per minute to a patient.
The compounds of this invention also have utility when labeled as ligands for use in assays to determine the presence of RXRs. They are particularly useful due to their ability to selectively bond to members of the RXR subfamily and can therefore be used to determine the presence of RXR isoforms in the presence of other related receptors.
Due to the selective specificity of the compounds of this invention for retinoid X receptors, these compounds can also be used to purify samples of retinoid X receptors in vitro . Such purification can be carried out by mixing samples containing retinoid X receptors with one of more of the bicyclic derivative compounds disclosed so that the compound (ligand) binds to the receptor, and then separating out the bound ligand/receptor combination by separation techniques which are known to those of skill in the art. These techniques include column separation, filtration, centrifugation, tagging and physical separation, and antibody complexing, among others.
While the preferred embodiments have been described and illustrated, various substitutions and modifications may be made thereto without departing from the scope of the invention. Accordingly, it is to be understood that the present invention has been described by way of illustration and not limitation.
Claims
A compound having the formula :
R1 and R2, each independently, represent hydrogen or lower alkyl or acyl having 1-4 carbon atoms;
R' and R" represent hydrogen, lower alkyl or acyl having 1-4 carbon atoms, OH, alkoxy having 1-4 carbon atoms, thiol or thio ether, or amino,
or R' or R" taken together form an oxo (keto), methano, thioketo, HO-N=, NC-N=, (R7R8)N-N=, R17O-N=, R17N=, epoxy, cyclopropyl, or cycloalkyl group and wherein the epoxy, cyclopropyl, and cycloalkyl groups can be substituted with lower alkyl having 1-4 carbons or halogen;
R6, R10, R11, R12, R 13 each independently represent hydrogen, a lower alkyl having 1-4 carbons, halogen, nitro, OR7, SR7, NR7R8 or (CF)nCF3, and exist only if the Z, Z', Z", Z'", or Z"" from which it originates is C, or each independently represent hydrogen or a lower alkyl having 1-4 carbons if the Z, Z', Z", Z'", or Z"" from which it originates is N, and where one of R6, R10, R11, R12 or R13 is
X;
R7 represents hydrogen or a lower alkyl having 1-6 carbons;
R8 represents hydrogen or a lower alkyl having 1-6 carbons; R9 represents a lower alkyl having 1-4 carbons, phenyl, aromatic alkyl, or q-hydroxyphenyl, q-bromophenyl, q-chlorophenyl, q-florophenyl, or q-iodophenyl, where q=2-
4;
R17 represents hydrogen, lower alkyl having 1-8 carbons, alkenyl (including halogen, acyl, OR7 and SR7 substituted alkenes), R9, alkyl carboxylic acid (including halogen, acyl, OR7 and SR7 substituted alkyls), alkenyl carboxylic acid (including halogen, acyl, OR7 and SR7 substituted alkenes), alkyl amines (including halogen, acyl, OR7 and SR7 substituted alkyls), and alkenyl amines
(including halogen, acryl, OR7 and SR7 substituted alkenes);
R18 represents hydrogen, a lower alkyl having 1-4 carbons, halogan, nitro, OR7, SR7, NR7R8, or (CF)n CF3;
X is COOH, tetrazole, PO3H, SO3H, CHO, CH2OH, CONH2, COSH, COOR9, COSR9, CONHR9, or COOW where W is a pharmaceutically acceptable salt, and where X can originate from any C or N on the ring;
Z, Z', Z", Z" ' and Z" " , each independently, represent C, S, O, N, or a pharmaceutically acceptable salt, but is not O or S if attached by a double bond to another such Z or if attached to another such Z which is O or S, and is not N if attached by a single bond to another such Z which is N; and
n = 0-3.
2. A compound of claim 1 wherein said compound selectively activates Retinoid X Receptors in preference to Retinoic Acid Receptors.
3. A compound selected from the group consisting of 4-[1-(2-methyl-4-t-butylphenyl)ethenyl] benzoic acid,
4-[1-(2-methyl-4-t-butylphenyl)cyclopropyl] benzoic acid,
4-[(2-methyl-4-t-butylphenyl)carbonyl] benzoic acid, 4-[(2-methyl-4-t-butylphenyl)carbonyl] benzoic acid oxime, and
4-[1-(2-methyl-4-t-butylphenyl)carbonyl] benzoic acid with methyloxime. 4. A pharmaceutical composition comprising in a pharmaceutically acceptable vehicle suitable for enteral, parenteral, or topical administration, one or more compound of claim 1.
5. A method for modulating a process mediated by one or more Retinoid X Receptors, said method comprising causing said process to be conducted in the presence of at least one compound as set forth in claim 1.
6. A method according to claim 5 wherein said process is the in vivo modulation of lipid metabolism, in vivo modulation of skin-related processes, in vivo modulation of malignant cell development, in vivo modulation of premalignant lesions, or in vivo modulation of programmed cell death.
7. A method according to claim 5 wherein said process is in vivo or in vitro cellular growth and differentiation, or in vivo limb morphogenesis.
8. A method for modulating a process mediated by one or more Retinoid X Receptors, said method comprising administering to a mammalian subject an amount, effective to modulate said process mediated by said one or more Retinoid X Receptors, of one or more compound of claim 1.
9. A method for treating a mammalian subject requiring Retinoid X Receptor therapy comprising administering to such subject a pharmaceutically effective amount of one or more compounds as set forth in claim 1.
10. A method for increasing plasma concentrations of high density lipoprotein in a mammalian subject comprising administering to such subject a pharmaceutically effective amount of one or more compounds as set forth in claim 1.
11. A method for modulating a process mediated by intracellular receptors, said method comprising causing said process to be conducted in the presence of a composition comprising a first compound as set forth in claim 1 which selectively activates Retinoid X Receptors in preference to Retinoic Acid Receptors, in combination with a second compound which activates one or more intracellular receptors other than Retinoid X Receptors, and wherein the physiological effect in mammals produced by said composition at a given concentration is greater than the additive effect achieved utilizing each said compound alone at said concentration.
Priority Applications (2)
| Application Number | Priority Date | Filing Date | Title |
|---|---|---|---|
| PCT/US1993/010094 WO1994015901A1 (en) | 1993-01-11 | 1993-10-22 | Compounds having selectivity for retinoid x receptors |
| AU62258/94A AU6225894A (en) | 1993-01-11 | 1993-10-22 | Compounds having selectivity for retinoid x receptors |
Applications Claiming Priority (7)
| Application Number | Priority Date | Filing Date | Title |
|---|---|---|---|
| US322393A | 1993-01-11 | 1993-01-11 | |
| US2774793A | 1993-03-05 | 1993-03-05 | |
| US5205193A | 1993-04-21 | 1993-04-21 | |
| US08/052,051 | 1993-04-21 | ||
| US08/003,223 | 1993-04-21 | ||
| US08/027,747 | 1993-04-21 | ||
| PCT/US1993/010094 WO1994015901A1 (en) | 1993-01-11 | 1993-10-22 | Compounds having selectivity for retinoid x receptors |
Publications (2)
| Publication Number | Publication Date |
|---|---|
| WO1994015901A1 true WO1994015901A1 (en) | 1994-07-21 |
| WO1994015901B1 WO1994015901B1 (en) | 1994-09-15 |
Family
ID=27485256
Family Applications (1)
| Application Number | Title | Priority Date | Filing Date |
|---|---|---|---|
| PCT/US1993/010094 Ceased WO1994015901A1 (en) | 1993-01-11 | 1993-10-22 | Compounds having selectivity for retinoid x receptors |
Country Status (1)
| Country | Link |
|---|---|
| WO (1) | WO1994015901A1 (en) |
Cited By (19)
| Publication number | Priority date | Publication date | Assignee | Title |
|---|---|---|---|---|
| FR2735367A1 (en) * | 1995-06-19 | 1996-12-20 | Cird Galderma | USE OF LIGANDS SPECIFIC TO RXRS RECEPTORS |
| WO1997012853A1 (en) * | 1995-10-06 | 1997-04-10 | Ligand Pharmaceuticals Incorporated | Dimer-selective rxr modulators and methods for their use |
| US5972881A (en) * | 1995-09-18 | 1999-10-26 | Ligand Pharmaceuticals Incorporated | Treating NIDDM with RXR agonists |
| WO2000055118A1 (en) * | 1999-03-16 | 2000-09-21 | Glaxo Group Limited | Nuclear receptor arylating compounds |
| WO2002013864A1 (en) * | 2000-08-16 | 2002-02-21 | Sankyo Company, Limited | Medicinal compositions for preventing and treating cancer |
| US6462038B1 (en) | 1999-08-27 | 2002-10-08 | Ligand Pharmaceuticals, Inc. | Androgen receptor modulator compounds and methods |
| US6562849B1 (en) | 1999-04-07 | 2003-05-13 | Sankyo Company, Limited | Amine derivative compounds |
| US6566372B1 (en) | 1999-08-27 | 2003-05-20 | Ligand Pharmaceuticals Incorporated | Bicyclic androgen and progesterone receptor modulator compounds and methods |
| WO2003053440A1 (en) * | 2001-12-11 | 2003-07-03 | Sankyo Company, Limited | Medicinal composition |
| US6593493B1 (en) | 1999-09-14 | 2003-07-15 | Ligand Pharmaceuticals, Inc. | RXR modulators with improved pharmacologic profile |
| US6667313B1 (en) | 1999-08-27 | 2003-12-23 | Ligand Pharmaceuticals Inc. | 8-substituted-6-triflouromethyl-9-pyrido [3,2-G] quinoline compounds as androgen receptor modulators |
| FR2861069A1 (en) * | 2003-10-17 | 2005-04-22 | Galderma Res & Dev | New 4-phenyliminoethoxy-benzoic acid derivatives are activating ligands for nuclear retinoic acid receptors used for treating skin diseases and in cosmetics |
| US7098025B1 (en) | 1997-07-25 | 2006-08-29 | Ligand Pharmaceuticals Incorporated | Human peroxisome proliferator activated receptor gamma (pparγ) gene regulatory sequences and uses therefor |
| US7115728B1 (en) | 1995-01-30 | 2006-10-03 | Ligand Pharmaceutical Incorporated | Human peroxisome proliferator activated receptor γ |
| EP1741446A2 (en) | 2000-01-21 | 2007-01-10 | Novartis AG | Combinations comprising dipeptidylpeptidase-IV inhibitors and antidiabetic agents |
| US7560589B2 (en) | 2003-07-28 | 2009-07-14 | Smithkline Beecham Corporation | Cycloalkylidene compounds as modulators of estrogen receptor |
| US9050310B2 (en) | 2004-06-25 | 2015-06-09 | Minas Theodore Coroneo | Treatment of ocular lesions |
| US11045441B2 (en) | 2015-10-13 | 2021-06-29 | Wisconsin Alumni Research Foundation | Use of retinoic acid and analogs thereof to treat central neural apneas |
| US12338214B2 (en) | 2018-03-01 | 2025-06-24 | DJ Therapeutics LLC | Bexarotene derivatives and their use in treating cancer |
Citations (4)
| Publication number | Priority date | Publication date | Assignee | Title |
|---|---|---|---|---|
| FR1444545A (en) * | 1964-08-17 | 1966-07-01 | Allied Chem | Process for the preparation of alpha- (hydroxyphenyl) cumic acid and its derivatives, especially esters and polyesters, and their uses |
| FR2307524A1 (en) * | 1975-04-17 | 1976-11-12 | Lilly Industries Ltd | NEW DERIVATIVES OF BENZOPHENONE |
| US4548723A (en) * | 1984-09-28 | 1985-10-22 | Chevron Research Company | Ortho-carboxy phenylphenone lubricating oil additives |
| DE3711546A1 (en) * | 1986-04-04 | 1987-10-15 | Oreal | AROMATIC COMPOUNDS, METHOD FOR THEIR PRODUCTION AND THEIR USE IN HUMAN AND VETERINE MEDICINE AND IN COSMETICS |
-
1993
- 1993-10-22 WO PCT/US1993/010094 patent/WO1994015901A1/en not_active Ceased
Patent Citations (4)
| Publication number | Priority date | Publication date | Assignee | Title |
|---|---|---|---|---|
| FR1444545A (en) * | 1964-08-17 | 1966-07-01 | Allied Chem | Process for the preparation of alpha- (hydroxyphenyl) cumic acid and its derivatives, especially esters and polyesters, and their uses |
| FR2307524A1 (en) * | 1975-04-17 | 1976-11-12 | Lilly Industries Ltd | NEW DERIVATIVES OF BENZOPHENONE |
| US4548723A (en) * | 1984-09-28 | 1985-10-22 | Chevron Research Company | Ortho-carboxy phenylphenone lubricating oil additives |
| DE3711546A1 (en) * | 1986-04-04 | 1987-10-15 | Oreal | AROMATIC COMPOUNDS, METHOD FOR THEIR PRODUCTION AND THEIR USE IN HUMAN AND VETERINE MEDICINE AND IN COSMETICS |
Cited By (34)
| Publication number | Priority date | Publication date | Assignee | Title |
|---|---|---|---|---|
| US7115728B1 (en) | 1995-01-30 | 2006-10-03 | Ligand Pharmaceutical Incorporated | Human peroxisome proliferator activated receptor γ |
| US6004987A (en) * | 1995-06-19 | 1999-12-21 | Centre International De Recherches Dermatologiques Galderma | Use of ligands which are specific for RXR receptors |
| EP0749752A1 (en) * | 1995-06-19 | 1996-12-27 | Centre International De Recherches Dermatologiques Galderma (C.I.R.D. Galderma) | Use of specific RXR receptor ligands |
| FR2735367A1 (en) * | 1995-06-19 | 1996-12-20 | Cird Galderma | USE OF LIGANDS SPECIFIC TO RXRS RECEPTORS |
| US6028052A (en) * | 1995-09-18 | 2000-02-22 | Ligand Pharmaceuticals Incorporated | Treating NIDDM with RXR agonists |
| US6521633B2 (en) | 1995-09-18 | 2003-02-18 | Ligand Pharmaceuticals Incorporated | Treating NIDDM with RXR agonists |
| US5972881A (en) * | 1995-09-18 | 1999-10-26 | Ligand Pharmaceuticals Incorporated | Treating NIDDM with RXR agonists |
| US6228862B1 (en) | 1995-09-18 | 2001-05-08 | Ligand Pharmaceuticals Incorporated | Treating NIDDM with RXR agonists |
| US6316404B1 (en) | 1995-09-18 | 2001-11-13 | Ligand Pharmaceuticals Incorporated | Treating NIDDM with RXR agonists |
| US6545049B1 (en) | 1995-10-06 | 2003-04-08 | Ligand Pharmaceuticals Incorporated | Dimer-selective RXR modulators and methods for their use |
| WO1997012853A1 (en) * | 1995-10-06 | 1997-04-10 | Ligand Pharmaceuticals Incorporated | Dimer-selective rxr modulators and methods for their use |
| EP1336600A3 (en) * | 1995-10-06 | 2004-07-07 | Ligand Pharmaceuticals Incorporated | Dimer-selective RXR modulators and methods for their use |
| US7098025B1 (en) | 1997-07-25 | 2006-08-29 | Ligand Pharmaceuticals Incorporated | Human peroxisome proliferator activated receptor gamma (pparγ) gene regulatory sequences and uses therefor |
| WO2000055118A1 (en) * | 1999-03-16 | 2000-09-21 | Glaxo Group Limited | Nuclear receptor arylating compounds |
| US6562849B1 (en) | 1999-04-07 | 2003-05-13 | Sankyo Company, Limited | Amine derivative compounds |
| US7696246B2 (en) | 1999-08-27 | 2010-04-13 | Ligand Pharmaceuticals Incorporated | Bicyclic androgen and progesterone receptor modulator compounds and methods |
| US6462038B1 (en) | 1999-08-27 | 2002-10-08 | Ligand Pharmaceuticals, Inc. | Androgen receptor modulator compounds and methods |
| US6964973B2 (en) | 1999-08-27 | 2005-11-15 | Ligand Pharmaceuticals Incorporated | Bicyclic androgen and progesterone receptor modulator compounds and methods |
| US6566372B1 (en) | 1999-08-27 | 2003-05-20 | Ligand Pharmaceuticals Incorporated | Bicyclic androgen and progesterone receptor modulator compounds and methods |
| US6667313B1 (en) | 1999-08-27 | 2003-12-23 | Ligand Pharmaceuticals Inc. | 8-substituted-6-triflouromethyl-9-pyrido [3,2-G] quinoline compounds as androgen receptor modulators |
| US6593493B1 (en) | 1999-09-14 | 2003-07-15 | Ligand Pharmaceuticals, Inc. | RXR modulators with improved pharmacologic profile |
| EP1743655A1 (en) | 2000-01-21 | 2007-01-17 | Novartis AG | Combinations comprising dipeptidylpeptidase-IV inhibitors and antidiabetic agents |
| EP1741446A2 (en) | 2000-01-21 | 2007-01-10 | Novartis AG | Combinations comprising dipeptidylpeptidase-IV inhibitors and antidiabetic agents |
| WO2002013864A1 (en) * | 2000-08-16 | 2002-02-21 | Sankyo Company, Limited | Medicinal compositions for preventing and treating cancer |
| WO2003053440A1 (en) * | 2001-12-11 | 2003-07-03 | Sankyo Company, Limited | Medicinal composition |
| US7560589B2 (en) | 2003-07-28 | 2009-07-14 | Smithkline Beecham Corporation | Cycloalkylidene compounds as modulators of estrogen receptor |
| US7569601B2 (en) | 2003-07-28 | 2009-08-04 | Smithkline Beecham Corporation | Cycloalkylidene compounds as modulators of estrogen receptor |
| US7799828B2 (en) | 2003-07-28 | 2010-09-21 | Glaxosmithkline Llc | Cycloalkylidene compounds as modulators of estrogen receptor |
| US7439396B2 (en) | 2003-10-17 | 2008-10-21 | Galderma Research & Development | Pharmaceutical/cosmetic compositions comprising novel ligands that activate RAR receptors |
| WO2005037772A3 (en) * | 2003-10-17 | 2005-09-01 | Galderma Res & Dev | Novel ligand activating receptors rars used for human medicine and cosmetics |
| FR2861069A1 (en) * | 2003-10-17 | 2005-04-22 | Galderma Res & Dev | New 4-phenyliminoethoxy-benzoic acid derivatives are activating ligands for nuclear retinoic acid receptors used for treating skin diseases and in cosmetics |
| US9050310B2 (en) | 2004-06-25 | 2015-06-09 | Minas Theodore Coroneo | Treatment of ocular lesions |
| US11045441B2 (en) | 2015-10-13 | 2021-06-29 | Wisconsin Alumni Research Foundation | Use of retinoic acid and analogs thereof to treat central neural apneas |
| US12338214B2 (en) | 2018-03-01 | 2025-06-24 | DJ Therapeutics LLC | Bexarotene derivatives and their use in treating cancer |
Similar Documents
| Publication | Publication Date | Title |
|---|---|---|
| AU691477B2 (en) | Compounds having selectivity for retinoid X receptors | |
| US6610883B1 (en) | Compounds having selective activity for retinoid X receptors, and means for modulation of processes mediated by retinoid X receptors | |
| EP0637297B1 (en) | Compounds having selectivity for retinoid x receptors | |
| EP0678087B1 (en) | Compounds having selective activity for retinoid x receptors, and means for modulation of processes mediated by retinoid x receptors | |
| US5962731A (en) | Compounds having selective activity for retinoid X receptors, and means for modulation of processes mediated by retinoid X receptors | |
| WO1994015901A1 (en) | Compounds having selectivity for retinoid x receptors | |
| EP0873295B1 (en) | Dimer-selective rxr modulators and methods for their use | |
| US6320074B1 (en) | Compounds having selective activity for retinoid X receptors, and means for modulation of processes mediated by retinoid X receptors | |
| US7655699B1 (en) | Compounds having selective activity for retinoid X receptors, and means for modulation of processes mediated by retinoid X receptors | |
| EP1117628B1 (en) | 2, 4-pentadienoic acid derivatives having selective activity for retinoid x (rxr) receptors | |
| WO1996020913A1 (en) | Novel trienoic retinoid compounds and methods | |
| US5998654A (en) | Retinoic acid receptor antagonist compounds and methods | |
| US6005007A (en) | Retinoids, methods for their production and use | |
| WO2000026172A1 (en) | Trienoic retinoid compounds as retinoic acid receptor antagonists | |
| WO2000026173A1 (en) | Novel retinoids, methods for their production and use | |
| HK1039477B (en) | 2, 4-pentadienoic acid derivatives having selective activity for retinoid x (rxr) receptors |
Legal Events
| Date | Code | Title | Description |
|---|---|---|---|
| AK | Designated states |
Kind code of ref document: A1 Designated state(s): AU BB BG BR CA CZ FI HU JP KP KR LK MN MW NO NZ PL PT RO RU SD SK UA |
|
| AL | Designated countries for regional patents |
Kind code of ref document: A1 Designated state(s): AT BE CH DE DK ES FR GB GR IE IT LU MC NL PT SE |
|
| DFPE | Request for preliminary examination filed prior to expiration of 19th month from priority date (pct application filed before 20040101) | ||
| 121 | Ep: the epo has been informed by wipo that ep was designated in this application | ||
| 122 | Ep: pct application non-entry in european phase | ||
| NENP | Non-entry into the national phase |
Ref country code: CA |










































































