WO1993014113A1 - Peptides with tachykinin antagonist activity - Google Patents
Peptides with tachykinin antagonist activity Download PDFInfo
- Publication number
- WO1993014113A1 WO1993014113A1 PCT/JP1993/000002 JP9300002W WO9314113A1 WO 1993014113 A1 WO1993014113 A1 WO 1993014113A1 JP 9300002 W JP9300002 W JP 9300002W WO 9314113 A1 WO9314113 A1 WO 9314113A1
- Authority
- WO
- WIPO (PCT)
- Prior art keywords
- alkyl
- compound
- salt
- formula
- defined above
- Prior art date
- Legal status (The legal status is an assumption and is not a legal conclusion. Google has not performed a legal analysis and makes no representation as to the accuracy of the status listed.)
- Ceased
Links
- 0 CC(C(C)=*)N(C)* Chemical compound CC(C(C)=*)N(C)* 0.000 description 7
Classifications
-
- C—CHEMISTRY; METALLURGY
- C07—ORGANIC CHEMISTRY
- C07K—PEPTIDES
- C07K5/00—Peptides containing up to four amino acids in a fully defined sequence; Derivatives thereof
- C07K5/04—Peptides containing up to four amino acids in a fully defined sequence; Derivatives thereof containing only normal peptide links
- C07K5/06—Dipeptides
- C07K5/06139—Dipeptides with the first amino acid being heterocyclic
-
- A—HUMAN NECESSITIES
- A61—MEDICAL OR VETERINARY SCIENCE; HYGIENE
- A61P—SPECIFIC THERAPEUTIC ACTIVITY OF CHEMICAL COMPOUNDS OR MEDICINAL PREPARATIONS
- A61P37/00—Drugs for immunological or allergic disorders
-
- C—CHEMISTRY; METALLURGY
- C07—ORGANIC CHEMISTRY
- C07K—PEPTIDES
- C07K5/00—Peptides containing up to four amino acids in a fully defined sequence; Derivatives thereof
- C07K5/02—Peptides containing up to four amino acids in a fully defined sequence; Derivatives thereof containing at least one abnormal peptide link
- C07K5/0202—Peptides containing up to four amino acids in a fully defined sequence; Derivatives thereof containing at least one abnormal peptide link containing the structure -NH-X-X-C(=0)-, X being an optionally substituted carbon atom or a heteroatom, e.g. beta-amino acids
-
- C—CHEMISTRY; METALLURGY
- C07—ORGANIC CHEMISTRY
- C07K—PEPTIDES
- C07K5/00—Peptides containing up to four amino acids in a fully defined sequence; Derivatives thereof
- C07K5/04—Peptides containing up to four amino acids in a fully defined sequence; Derivatives thereof containing only normal peptide links
- C07K5/08—Tripeptides
- C07K5/0821—Tripeptides with the first amino acid being heterocyclic, e.g. His, Pro, Trp
-
- A—HUMAN NECESSITIES
- A61—MEDICAL OR VETERINARY SCIENCE; HYGIENE
- A61K—PREPARATIONS FOR MEDICAL, DENTAL OR TOILETRY PURPOSES
- A61K38/00—Medicinal preparations containing peptides
Definitions
- the present invention relates to new peptide compound and a pharmaceutically acceptable salt thereof.
- new peptide compound and a pharmaceutically acceptable salt thereof which have pharmacological activities such as Tachykinin antagonism, especially Substance P antagonism, Neurokinin A
- antagonism to a process for preparation thereof, to a pharmaceutical composition comprising the same, and to a use of the same as a medicament.
- one object of the present invention is to provide new and useful peptide compound and a
- Neurokinin B antagonism Neurokinin B antagonism, and the like.
- Another object of the present invention is to provide a process for the preparation of said peptide compound and a salt thereof.
- a further object of the present invention is to provide a pharmaceutical composition
- a pharmaceutical composition comprising, as an active ingredient, said peptide compound and a
- Still further object of the present invention is to provide a use of said peptide compound or a
- Tachykinin antagonist especially Substance P antagonist, Neurokinin A antagonist or Neurokinin B antagonist, useful for treating or preventing Tachykinin-mediated diseases, for example, respiratory diseases such as asthma, bronchitis, rhinitis, cough, expectoration, and the like; ophthalmic diseases such as conjunctivitis, vernal conjunctivitis, and the like; cutaneous diseases such as contact
- dermatitis atopic dermatitis, urticaria, and other eczematoid dermatitis, and the like
- inflammatory diseases such as rheumatoid arthritis, osteoarthritis, and the like
- pains or aches e.g., migraine, headache, toothache, cancerous pain, back pain, etc.
- the like in human being or animals e.g., migraine, headache, toothache, cancerous pain, back pain, etc.
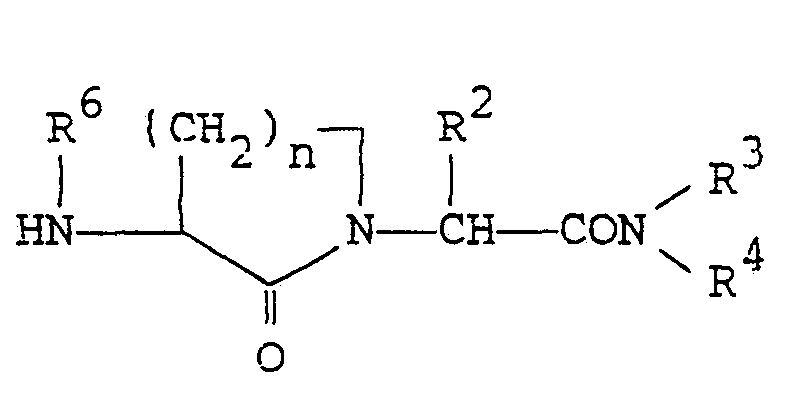
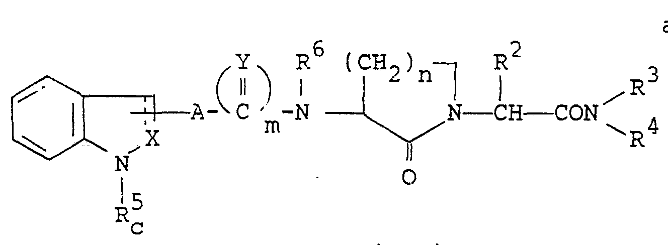
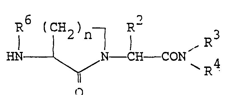
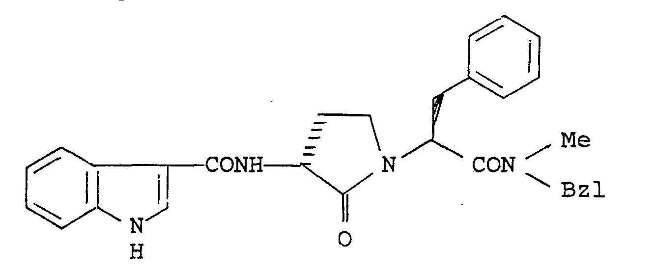
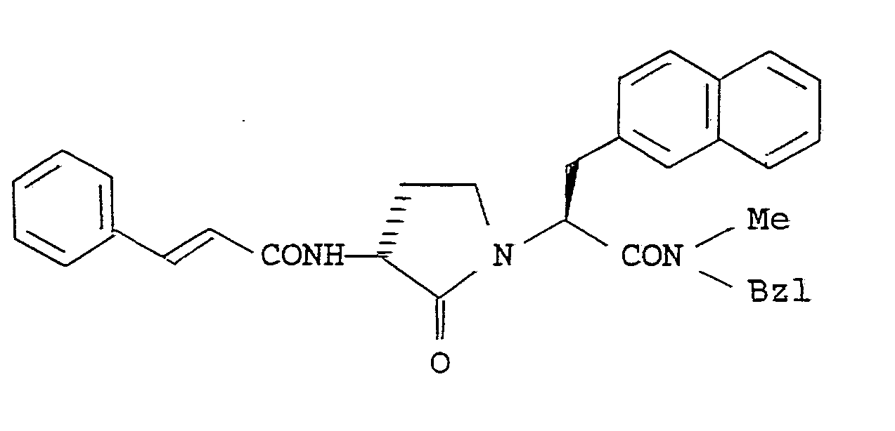
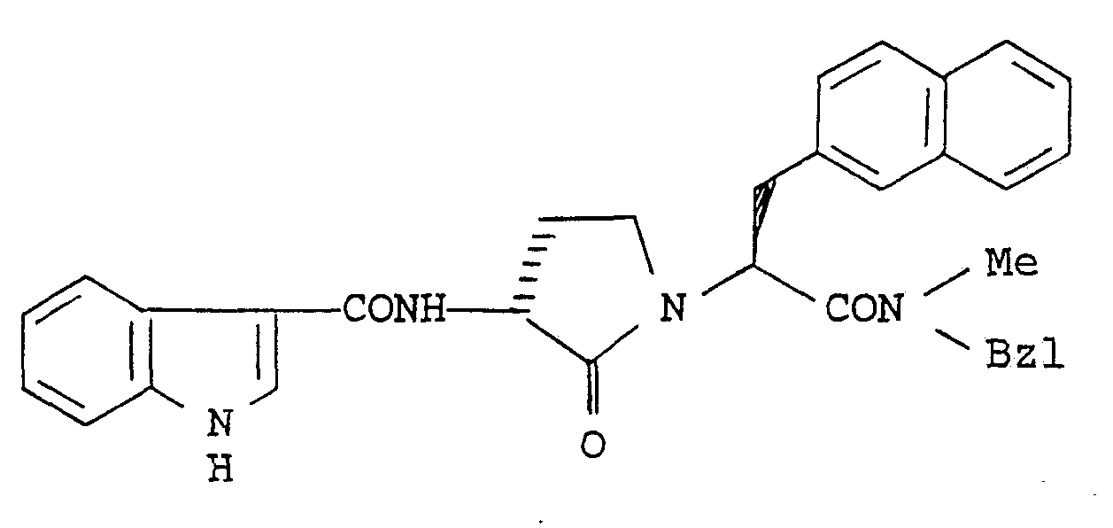
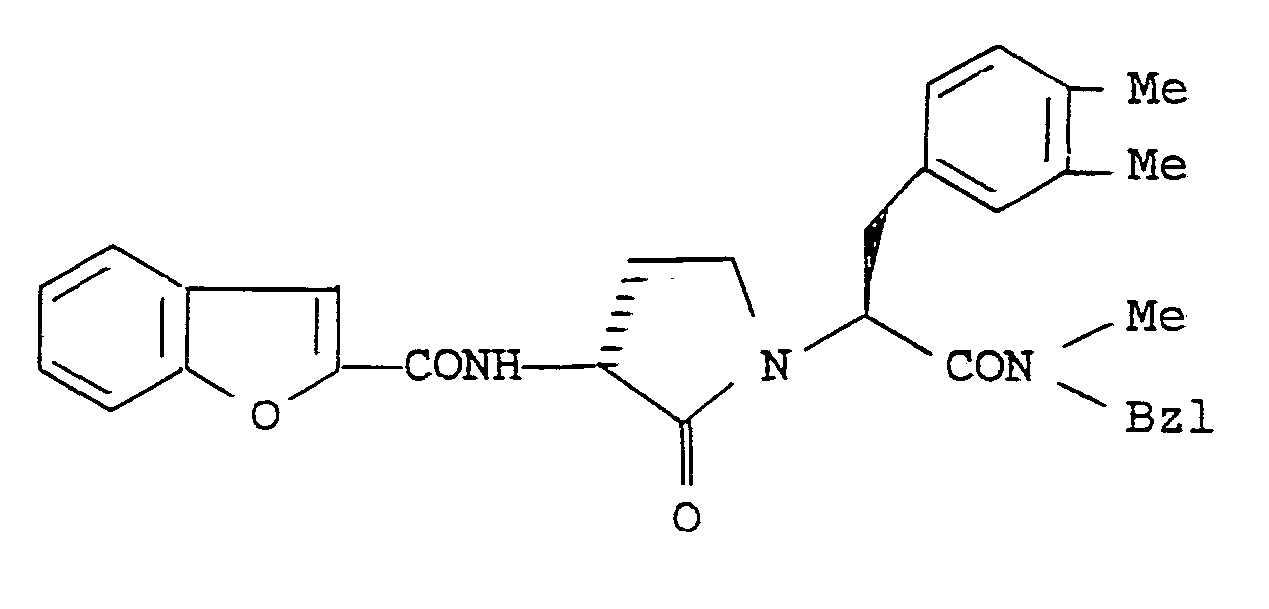
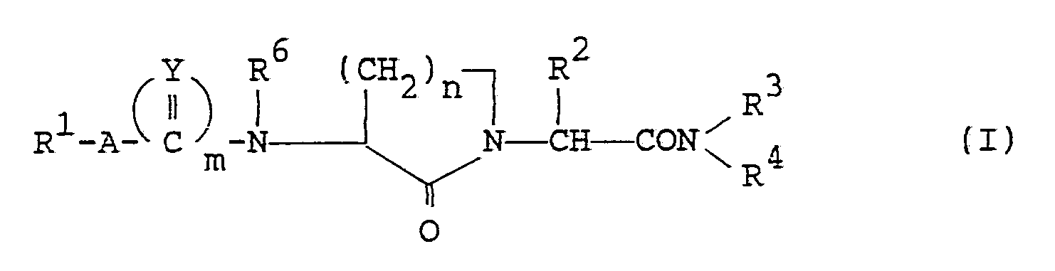
- the object compound of the present invention can be represented by the following general formula (I).
- R 1 is aryl, pyridyl, pyrrolyl, or
- X is CH or N
- Z is -O-, -S- or -NH-
- R 2 is ar(lower)alkyl which may have suitable substituent(s);
- R 3 is lower alkyl which may have suitable substituent(s);
- R 4 is ar(lower)alkyl which may have suitable substituent(s);
- R 6 is hydrogen or lower alkyl
- A is bond, lower alkylene or lower alkenylene; is 0 or N-R 7 in which R 7 is hydrogen or lower alkyl;
- n is an integer of 0 to 2.
- Preferred configuration of the compound (I) can be represented by the following- formula.
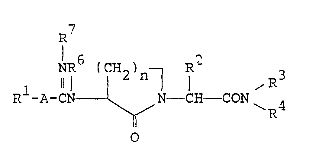
- the new peptide compound (I) can be prepared by processes which are illustrated in the following schemes.
- R 1 , R 2 , R 3 , R 4 , R 6 , R 7 , A, X, Y, m and n are each as defined above,
- R a is amidino or (lower alkylthio)(cyanoimino)- methyl
- L is a leaving group
- amino acid, peptides, protective groups, condensing agents, etc. are expressed by the abbreviations according to the IUPAC-IUB (Commission on Biological Nomenclature) which are in common use in the field of this art.
- amino acids and their residues when shown by such abbreviations are meant to be L-configured compounds and residues.
- Suitable pharmaceutically acceptable salts of the starting and object compounds are conventional non-toxic salt and include an acid addition salt such as an organic acid salt (e.g. acetate, trifluoroacetate, maleate, tartrate, methanesulfonate, benzenesulfonate, formate, toluenesulfonate, etc.), an inorganic acid salt (e.g.
- an organic acid salt e.g. acetate, trifluoroacetate, maleate, tartrate, methanesulfonate, benzenesulfonate, formate, toluenesulfonate, etc.
- an inorganic acid salt e.g.
- nitrate, phosphate, etc. or a salt which an amino acid (e.g. arginine, aspartic acid, glutamic acid, etc.), or a metal salt such as an alkali metal salt (e.g. sodium salt, potassium salt, etc.) and an alkaline earth metal salt (e.g. calcium salt, magnesium salt, etc.), an ammonium salt, an organic base salt (e.g. trimethylamine salt, triethylamine salt, pyridine salt, picoline salt,
- an amino acid e.g. arginine, aspartic acid, glutamic acid, etc.
- a metal salt such as an alkali metal salt (e.g. sodium salt, potassium salt, etc.) and an alkaline earth metal salt (e.g. calcium salt, magnesium salt, etc.), an ammonium salt, an organic base salt (e.g. trimethylamine salt, triethylamine salt, pyridine salt, picoline salt,
- dicyclohexylamine salt N,N'-dibenzylethylenediamine salt, etc.), or the like.
- Suitable "aryl” may include phenyl, tolyl, xylyl, mesityl, cumenyl, naphthyl, and the like, in which the preferred one is C 6 -C 10 aryl and the most preferred one is phenyl.
- indolyl e.g. indol-1-yl, indol-2-yl,
- benzofuryl e.g. benzofuran-2-yl, benzofuran-3-yl, etc.
- benzothienyl e.g.
- benzothien-2-yl, benzothien-3-yl, etc. indazolyl (e.g. 1H-indazol-1-yl, 1H-indazol-3-yl, etc.), indolinyl (e.g. indolin-2-yl, indolin-3-yl, etc.), and the like, in which the preferred one is indolyl.
- the aryl group and the group represented by the above formula may have one or more, preferably one to three suitable substituents such as lower alkyl (e.g. methyl, ethyl, propyl, isopropyl, butyl, isobutyl, pentyl, hexyl, etc.); amino(lower) alkyl (e.g.
- cyano(lower)alkyl e.g. cyanomethyl, cyanoethyl
- amidino(lower)alkyl e.g. amidinomethyl, amidinoethyl, amidinopropyl, amidinobutyl, amidinopentyl, amidinohexyl, etc.
- guanidino(lower)alkyl e.g. guanidinomethyl, guanidinoethyl, guanidinopropyl, guanidinobutyl
- Suitable "lower alkylene” is one having 1 to 6 carbon atom(s) and may include methylene, ethylene, trimethylene, propylene, tetramethylene, methyltrimethylene,
- hexamethylene and the like, in which the preferred one is methylene, ethylene or trimethylene.
- Suitable "lower alkenylene” is one having 2 to 6 carbon atom(s) and may include vinylene, propenylene, and the like, in which the preferred one is vinylene.
- substituent(s) may include a conventional group, which is used in the field of this art such as lower alkyl as exemplified above, carboxy(lower) alkyl (e.g. carboxymethyl, etc.), protected carboxy(lower)alkyl such as esterified carboxy(lower)alkyl, for example, lower alkoxycarbonyl(lower)alkyl (e.g. methoxycarbonylmethyl, etc.), carbamoyl(lower)alkyl (e.g. carbamoylmethyl, carbamoylethyl, etc.), lower alkylamino(lower)alkyl (e.g. dimethylaminomethyl, dimethylaminoethyl, etc.),
- hydroxy(lower)alkyl e.g., hydroxymethyl, hydroxyethyl, etc.
- protected hydroxy(lower)alkyl such as
- acyloxy(lower)alkyl e.g. acetyloxyethyl, etc.
- halo(lower)alkyl e.g. trifluoromethyl, etc.
- Suitable "ar(lower)alkyl which may have suitable substituent (s)” may include a conventional group, which is used in the field of amino acid and peptide chemistry, such as ar (lower)alkyl (e.g. trityl, benzhydryl, benzyl, phenethyl, naphthylmethyl, tolylmethyl, xylylmethyl, mesitylmethyl, etc.), substituted ar(lower)alkyl (e.g., o-fluorobenzyl, m-fluorobenzyl, o-trifluoromethylbenzyl, etc.), and the like.
- ar (lower)alkyl e.g. trityl, benzhydryl, benzyl, phenethyl, naphthylmethyl, tolylmethyl, xylylmethyl, mesitylmethyl, etc.
- ar(lower)alkyl e.g. trityl,
- alkyl-3-cyanoisothioureido](lower)alkyl "[2-lower alkyl-3-cyanoisothioureido](lower)alkyl” and [3-lower alkyl-2-cyanoguanidino](lower)alkyl may be the same as those given in the above.
- Suitable "(lower alkylthio) (cyanoimino)methyl” may include (methylthio)(cyanoimino)methyl,
- Suitable “leaving group” may include lower alkylthio (e.g. methylthio, ethylthio, etc.), substituted or
- pyrrol-1-yl e.g. pyrrol-1-yl
- R 1 , R 2 , R 3 , R 4 , R 6 , A, Y, m and n are as follows.
- R 1 is aryl, preferably C 6 -C 10 aryl (e.g. phenyl, etc.),
- R 5 is hydrogen
- lower alkyl e.g. methyl, etc.
- amino(lower)alkyl e.g. 2-aminoethyl, etc.
- protected amino(lower)alkyl preferably acylamino(lower)alkyl such as lower
- alkoxycarbonylamino(lower)alkyl e.g.
- guanidino(lower)alkyl e.g. 2-guanidinoethyl, etc.
- R 2 is ar(lower)alkyl, preferably C 6 -C 10 ar(lower)alkyl such as phenyl(lower)alkyl (e.g. benzyl, etc.), mono or di(lower)alkylphenyl(lower)alkyl (e.g. 3-tolylmethyl, 3,4-xylylmethyl, etc.), naphthyl(lower)alkyl (e.g.
- R 3 is lower alkyl (e.g. methyl, etc.);
- R 4 is ar(lower)alkyl such as phenyl(lower)alkyl (e.g.
- R 6 is hydrogen or lower alkyl (e.g. methyl, etc.);
- A is bond or lower alkenylene (e.g. vinylene, etc.);
- Y is O or N-R 7 in which R 7 is hydrogen or lower alkyl (e.g.
- n 0 or 1
- n is an integer of 1.
- the compound (I-a) or a salt thereof can be prepared by reacting the compound (II) or its reactive derivative at the amino group or a salt thereof with the compound
- Suitable reactive derivative at the amino group of the compound (II) may include a silyl derivative formed by the reaction of the compound (II) with a silyl compound such as bis(trimethylsilyl)acetamide,
- Suitable salts of the compound (II) and its reactive derivative can be referred to the ones as exemplified for the compound (I).
- Suitable reactive derivative at the carboxy group of the compound (III) may include conventional one which is used in the peptide chemistry such as an acid halide, an acid anhydride, an activated amide, an activated ester, and the like. Suitable examples of the reactive
- derivatives may be an acid chloride; an acid azide;
- a mixed acid anhydride within acid such as substituted phosphoric acid [e.g. dialkylphosphoric acid,
- dibenzylphosphoric acid dibenzylphosphoric acid, halogenated phosphoric acid, etc.] dialkylphosphorous acid, sulfurous acid,
- aliphatic carboxylie acid e.g. acetic acid, propionic acid, butyric acid,
- dimethylpyrazole, triazole or tetrazole or an activated ester
- N-hydroxy compound e.g. N,N-dimethylhydroxylamine, 1-hydroxy-2-(1H)-pyridone, N-hydroxysuccinimide,
- N-hydroxyphthalimide 1-hydroxy-1H-benzotriazole, etc.]
- These reactive derivatives can optionally be selected from them according to the kind of the
- Suitable salts of the compound (III) and its reactive derivative may be a base salt such as an alkali metal salt [e.g. sodium salt, potassium salt, etc.], an alkaline earth metal salt [e.g. calcium salt, magnesium salt, etc.], an ammonium salt, an organic base salt [e.g.
- trimethylamine salt triethylamine salt, pyridine salt, picoline salt, dicyclohexylamine salt,
- the reaction is usually carried out in a conventional solvent such as water, acetone, dioxane, acetonitrile, chloroform, dichloromethane, ethylene chloride,
- solvents may also be used in a mixture with water.
- a conventional condensing agent such as carbodiimide compound (e.g.
- N-cyclohexyl-N'-(4-dimethylaminocyclohexyl)carbodiimide N,N'-diethylcarbodiimide, N,N'-diisopropylcarbodiimide, N-ethyl-N'-(3-dimethylaminopropyl)carbodiimide, etc.
- triphenylphosphine 2-ethyl-7-hydroxybenzisoxazolium salt
- the reaction may also be carried out in the presence of an inorganic or organic base such as an alkali metal bicarbonate, tri(lower)alkylamine (e.g. triethylamine, etc.), pyridine, N,N-di(lower)alkyl-1,3-propanediamine (e.g. N,N-dimethyl-1,3-propanediamine, etc.),
- an inorganic or organic base such as an alkali metal bicarbonate, tri(lower)alkylamine (e.g. triethylamine, etc.), pyridine, N,N-di(lower)alkyl-1,3-propanediamine (e.g. N,N-dimethyl-1,3-propanediamine, etc.),
- N-(lower)alkylmorpholine e.g. N-methylmorpholine, etc.
- N,N-di(lower)alkylbenzylamine and the like.
- the reaction temperature is not critical, and the reaction is usually carried out under cooling to warming.
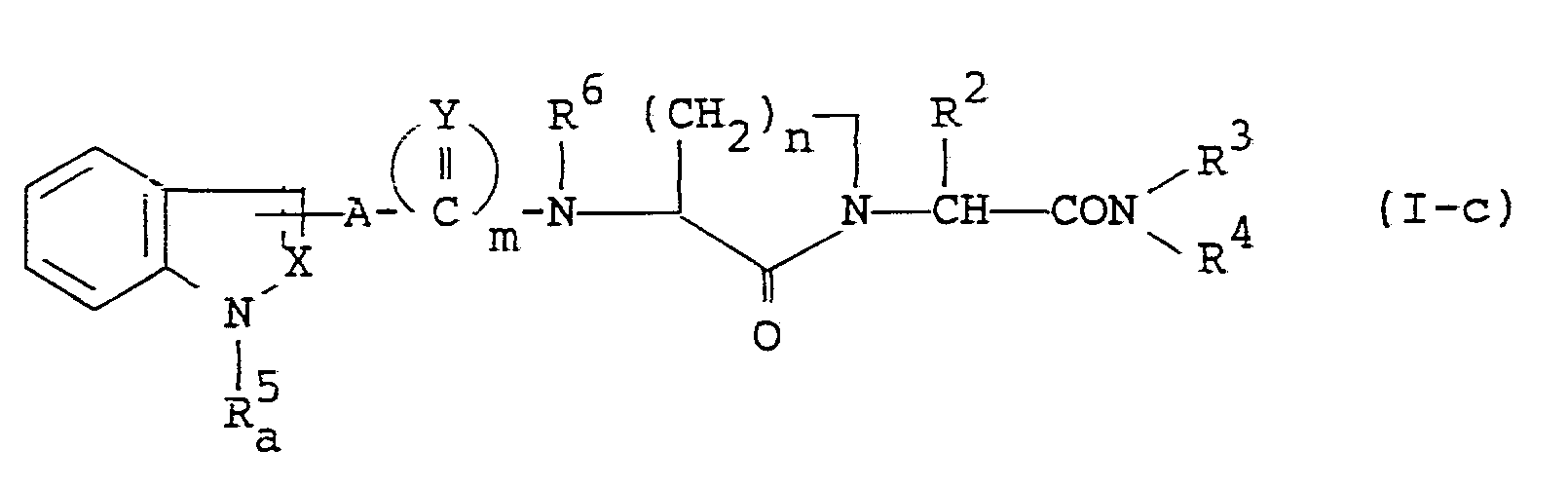
- the compound (I-c) or a salt thereof can be prepared by subjecting the compound (I-b) or a salt thereof to addition reaction of cyano(lower) alkene.
- Suitable “cyano(lower)alkene” may be acrylonitrile, and the like.
- the present reaction is usually carried out in the presence of a base which is capable of leaving proton from the first position of an indole ring such as Triton B, and the like.
- the present reaction is usually carried out in a solvent such as dioxane, dimethyl sulfoxide,
- reaction temperature is not critical and the reaction is usually carried out under cooling, at ambient temperature or under warming.
- the compound (I-d) or a salt thereof can be prepared by reacting the compound (I-c) or a salt thereof with ammonia or a salt thereof.
- Suitable salt of ammonia may be an acid addition salt as exemplified for the compound (I).
- This reaction can be carried out by a conventional method which is capable of converting a cyano group to an amidino group.
- the compound (I-c) is preferably converted to its imido ether compound as the first step by alcohol (e.g. methanol, ethanol, etc.) in the presence of an acid (e.g. hydrogen chloride, etc.), and then the intermediary imido ether compound are transformed into the object compound (I-d).
- alcohol e.g. methanol, ethanol, etc.
- acid e.g. hydrogen chloride, etc.
- This reaction is usually carried out in the presence of a conventional solvent such as methanol, ethanol or any other solvent which does not adversely affect the
- the reaction temperature is not critical, and the reaction is usually carried out under cooling, at ambient temperature or under warming.
- the compound (I-f) or a salt thereof can be prepared by subjecting the compound (I-e) or a salt thereof to removal reaction of the amino-protective group.
- Suitable base may include, for example, an inorganic base such as alkali metal hydroxide (e.g. sodium
- alkaline earth metal hydroxide e.g. magnesium hydroxide, calcium hydroxide, etc.
- alkali metal carbonate e.g. sodium carbonate, potassium carbonate, etc.
- alkaline earth metal carbonate e.g. magnesium carbonate, calcium
- alkali metal bicarbonate e.g. sodium bicarbonate, potassium bicarbonate, etc.
- alkali metal acetate e.g. sodium acetate, potassium acetate, etc.
- alkaline earth metal phosphate e.g. magnesium phosphate, calcium phosphate, etc.
- alkali metal hydrogen phosphate e.g. disodium hydrogen phosphate, dipotassium hydrogen phosphate, etc.
- an organic base such as trialkylamine (e.g. trimethylamine, triethylamine, etc.), picoline, N-methylpyrrolidine, N-methylmorpholine,
- Suitable acid may include an organic acid (e.g.
- formic acid acetic acid, propionic acid, etc.
- an inorganic acid e.g. hydrogen chloride, hydrochloric acid, hydrobromic acid, sulfuric acid, etc.
- the present hydrolysis is usually carried out in an organic solvent (e.g. ethyl acetate, etc.), water, or a mixed solvent thereof.
- an organic solvent e.g. ethyl acetate, etc.
- the reaction temperature is not critical, and it may suitably be selected in accordance with the kind of the amino-protective group and the removal method.
- the reduction elimination can be applied preferably for elimination of the protective group such as
- the reduction method applicable for the removal reacting may include, for example, reduction by using a combination of a metal (e.g. zinc, zinc amalgam, etc.) or a salt of chromium compound (e.g. chromous chloride, chromous acetate, etc.) and an organic or an inorganic acid (e.g. acetic acid, propionic acid, hydrochloric acid, etc.); and conventional catalytic reduction in the
- the compound (I-g) or a salt thereof can be prepared by reacting the compound (I-f) or a salt thereof with the compound (IV).
- the reaction can be carried out in the presence of a base as exemplified in Process 1.
- This reaction is usually carried out in a
- the reaction temperature is not critical and the reaction is usually carried out under cooling to warming.
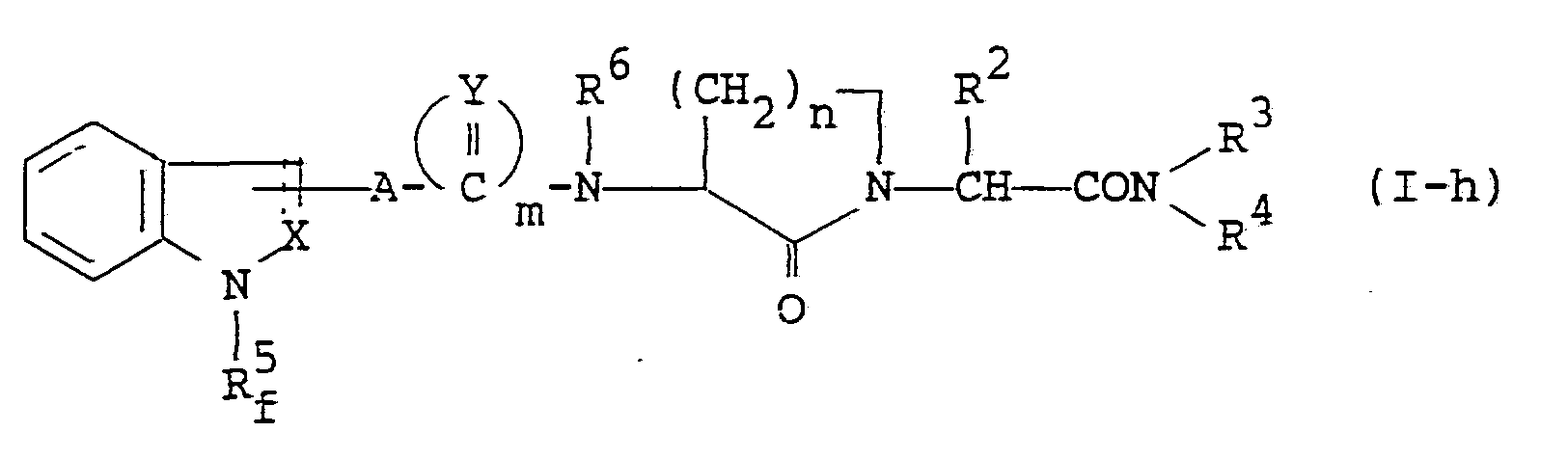
- the compound (I-i) or a salt thereof can be prepared by reacting the compound (I-h) or a salt thereof with lower alkylamine.
- Suitable "lower alkylamine” used in this reaction may be C 1 -C 6 alkylamine such as methylamine, ethylamine, propylamine, isopropylamine, butylamine, pentylamine, hexylamine, and the like.
- This reaction is usually carried out in a
- reaction temperature is not critical and the reaction is usually carried out under cooling to warming.
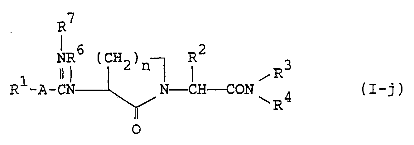
- the compound (I-j) or a salt thereof can be prepared by reacting the compound (I-a) or a salt thereof with the compound (V) or a salt thereof.
- the reaction can be carried out in the presence of a phosphorus compound (e.g. phosphorus pentachloride, etc.) and N,N-dimethylaniline.
- a phosphorus compound e.g. phosphorus pentachloride, etc.
- N,N-dimethylaniline e.g. N,N-dimethylaniline.
- This reaction is usually carried out in a
- the reaction temperature is not critical and the reaction is usually carried out under cooling to warming.
- the compound (I-k) or a salt thereof can be prepared by subjecting the compound (II) or its reactive derivative at the amino group or a salt thereof to Mannich reaction.
- the reaction can be carried out in a conventional manner, that is, by the reaction of the compound (II) or its reactive derivative at the amino group or a salt thereof with formalin and a compound of the formula :
- R 1 -H (preferably, indole), in which R 1 is as defined above, or a salt thereof in the presence of acid or base.
- the compounds obtained by the above processes can be isolated and purified by a conventional method such as pulverization, recrystallization, column chromatography, reprecipitation, or the like, and in case the object compound can be isolated in a free form, it can be
- the compound (I) and the other compounds may include one or more stereoisomers due to asymmetric carbon atoms, and all of such isomers and mixture thereof are included within the scope of this invention.
- the object compound (I) and a pharmaceutically acceptable salt thereof have pharmacological activities such as Tachykinin antagonism, especially Substance P antagonism, Neurokinin A antagonism or Neurokinin B antagonism, and therefore are useful for treating or preventing tachykinin-mediated diseases, particularly Substance P-mediated diseases, for example, respiratory diseases such as asthma, bronchitis, rhinitis, cough, expectoration, and the like;
- opthalmic diseases such as conjunctivitis, vernal
- cutaneous diseases such as contact dermatitis, atopic dermatitis, urticaria, and other eczematoid dermatitis, and the like; inflammatory diseases such as rheumatoid arthritis, osteoarthritis, and the like;
- pains or aches e.g. migraine, headache, toothache, cancerous pain, back pain, etc.; and the like.
- the object compound (I) of the present invention are useful for treating or preventing ophthalmic diseases such as glaucoma, uveitis, and the like; gastrointestinal diseases such as ulcer, ulcerative colitis, irritable bowel syndrome, food allergy, and the like; inflammatory diseases such as nephritis, and the like; circulatory diseases such as hypertension, angina pectoris, cardiac failure,
- thrombosis and the like; epilepsy; spartic paralysis; pollakiuria; dementia; Alzheimer's diseases;
- the compound (I) and a pharmaceutically acceptable salt thereof of the present invention can be used in a form of pharmaceutical preparation containing one of said compound, as an active ingredient, in admixture with a pharmaceutically
- compositions such as an organic or inorganic solid or liquid excipient suitable for oral, parenteral, topical or external administration.
- pharmaceutically acceptable carrier such as an organic or inorganic solid or liquid excipient suitable for oral, parenteral, topical or external administration.
- preparations may be solid, semi-solid or solutions such as capsules, tablets, dragees, powders, granules,
- suppositories ointments, creams, lotions, inhalants, eye drops, solution, syrups, suspension, emulsion, or the like. If desired, there may be included in these
- the dosage of the compound (I) will vary depending upon the age and condition of the patient, an average single dose of about 0.1 mg, 1 mg, 10 mg, 50 mg, 100 mg, 250 mg, 500 mg and 1000 mg of the compound (I) may be effective for treating tachykinin-mediated diseases such as asthma and the like. In general, amounts between 0.1 mg/body and about 1,000 mg/body may be administered per day.
- pellets were resuspended in buffer (5 mM Tris-HCl pH 7.5), homogenized with a teflon homogenizer and centrifuged (14000 xg, 20 min) to yield pellets which were referred to as crude membrane fractions.
- the obtained pallets were stored at -70°C until use.
- Test compound (10 mg/kg) dissolved in dimethyl sulfoxide was orally given 30 minutes before this
- Methyl 1-[3-(N,N-dimethylamino)propyl]indole-3- carboxylate was prepared by reacting methyl
- Benzyl 1-[2-(tert-butoxycarbonylamino)ethyl]indole-3- carboxylate was prepared by reacting benzyl indole-3- carboxylate with 2-(tert-butoxycarbonylamino) ethyl
- 1-methylindole-3-carboxylic acid (190 mg), the product prepared in Preparation 7 (470 mg) and HOBT (150 mg) in dichloromethane (10 ml) was added WSCD (0.20 ml). The mixture was stirred at the same temperature for 35 minutes and at room temperature for 17 hours, during which period triethylamine in two portions (0.04 ml and 0.03 ml) were added to the mixture. To the solution was added
- Example 2-(3) To an ice-cooled solution of the product obtained in Example 2-(3) (0.32 g) in ethyl acetate (10 ml) was added 4N-hydrogen chloride in ethyl acetate (0.19 ml). The reaction mixture was stirred for 5 minutes. After
- Example 7 To an ice-cooled solution of saturated hydrogen chloride in ethanol (25 ml) was added the product obtained in Example 7 (0.45 g). The solution was stirred at the same temperature for 1.5 hours. After concentration, the residue was dissolved in anhydrous ethanol (10 ml). To the solution was added a solution of 4N ammonia in ethanol (47 ml) under ice-cooling. The mixture was stirred at room temperature for 2.5 hours. After concentration, ether was added to the residue, and the resulting
- Example 2-(4) To an ice-cooled solution of the product obtained in Example 2-(4) (3.96 g) in ethyl acetate (40 ml) were added successively anisole (4.0 ml) and 4N hydrogen chloride in ethyl acetate (40 ml). The solution was stirred at the same temperature for 15 minutes and at the room
- Example 11 To a solution of the product obtained in Example 11 (0.55 g) in methanol (5 ml) was added a solution of 40% methylamine in methanol (10 ml) at room temperature. The solution was stirred for 21 hours at the same temperature. After concentration, the residue was extracted with ethyl acetate. The extract was washed with saturated aqueous sodium chloride, dried over magnesium sulfate, and
- Example 2 To the product prepared in Example 1 in methylene chloride (40 ml) was added a solution of N,N-dimethyl- aniline (242 mg) dissolved in methylene chloride (10 ml) at -30°C under nitrogen atmosphere and the solution was stirred at the same temperature for fifteen minutes. Then phosphorus pentachloride (416 mg) was added to the
- IR (CHCl 3 ) 3370, 3060, 3020, 2940, 1640, 1600,
- the product prepared in Preparation 7 was distributed between chloroform and aqueous sodium hydrogen carbonate solution and the organic layer was separated and was dried over magnesium sulfate and concentrated in vacuo.
- the residue was dissolved in a mixed solvent of 1,4-dioxane (2 ml) and ethyl acetate (2 ml).
- formalin solution 37%) (0.09 ml) under ice-cooling, and the solution was stirred for one and half hours at this temperature.
- 1-methylindole 150 mg
- 1,4-dioxane (2 ml) was added into the mixture at this temperature.
Landscapes
- Chemical & Material Sciences (AREA)
- Organic Chemistry (AREA)
- Health & Medical Sciences (AREA)
- Life Sciences & Earth Sciences (AREA)
- General Health & Medical Sciences (AREA)
- Medicinal Chemistry (AREA)
- Biochemistry (AREA)
- Biophysics (AREA)
- Genetics & Genomics (AREA)
- Molecular Biology (AREA)
- Proteomics, Peptides & Aminoacids (AREA)
- Engineering & Computer Science (AREA)
- Pharmacology & Pharmacy (AREA)
- Bioinformatics & Cheminformatics (AREA)
- Immunology (AREA)
- Chemical Kinetics & Catalysis (AREA)
- General Chemical & Material Sciences (AREA)
- Nuclear Medicine, Radiotherapy & Molecular Imaging (AREA)
- Crystallography & Structural Chemistry (AREA)
- Animal Behavior & Ethology (AREA)
- Public Health (AREA)
- Veterinary Medicine (AREA)
- Pharmaceuticals Containing Other Organic And Inorganic Compounds (AREA)
- Plural Heterocyclic Compounds (AREA)
- Pyrrole Compounds (AREA)
- Medicines That Contain Protein Lipid Enzymes And Other Medicines (AREA)
- Peptides Or Proteins (AREA)
Abstract
Description
Claims
Priority Applications (2)
| Application Number | Priority Date | Filing Date | Title |
|---|---|---|---|
| JP5512326A JPH07503711A (en) | 1992-01-10 | 1993-01-04 | Peptides with tachykinin antagonistic activity |
| EP93900452A EP0620824A1 (en) | 1992-01-10 | 1993-01-04 | Peptides with tachykinin antagonist activity |
Applications Claiming Priority (2)
| Application Number | Priority Date | Filing Date | Title |
|---|---|---|---|
| GB929200535A GB9200535D0 (en) | 1992-01-10 | 1992-01-10 | New compound |
| GB9200535.4 | 1992-01-10 |
Publications (1)
| Publication Number | Publication Date |
|---|---|
| WO1993014113A1 true WO1993014113A1 (en) | 1993-07-22 |
Family
ID=10708425
Family Applications (1)
| Application Number | Title | Priority Date | Filing Date |
|---|---|---|---|
| PCT/JP1993/000002 Ceased WO1993014113A1 (en) | 1992-01-10 | 1993-01-04 | Peptides with tachykinin antagonist activity |
Country Status (4)
| Country | Link |
|---|---|
| EP (1) | EP0620824A1 (en) |
| JP (1) | JPH07503711A (en) |
| GB (1) | GB9200535D0 (en) |
| WO (1) | WO1993014113A1 (en) |
Cited By (68)
| Publication number | Priority date | Publication date | Assignee | Title |
|---|---|---|---|---|
| WO1994013694A1 (en) * | 1992-12-04 | 1994-06-23 | A. Menarini Industrie Farmaceutiche Riunite S.R.L. | Tachyquinine antagonists, their preparation and use in pharmaceutical formulations |
| US5635510A (en) * | 1993-05-06 | 1997-06-03 | Merrell Pharmaceuticals Inc. | Substituted pyrrolidin-3-yl-alkyl-piperidines |
| US5672602A (en) * | 1995-04-13 | 1997-09-30 | Hoechst Marion Roussel, Inc. | Substituted piperazine derivatives |
| WO1997047598A1 (en) * | 1996-06-12 | 1997-12-18 | F. Hoffmann-La Roche Ag | A process for the manufacture of 1-(amino-alkyl)-indoles |
| US5922737A (en) * | 1996-02-21 | 1999-07-13 | Hoechst Marion Roussel, Inc. | Substituted N-methyl-N-(4-(4-(1H-Benzimidazol-2-YL-amino) piperidin-1-YL)-2-(arlyl) butyl) benzamides useful for the treatment of allergic diseases |
| US5932571A (en) * | 1996-02-21 | 1999-08-03 | Hoechst Marion Roussel, Inc. | Substituted N-methyl-N-(4-(4-(1H-benzimidazol-2-yl) {1,4}diazepan-1-yl)-2-(aryl) butyl) benzamides useful for the treatment of allergic diseases |
| WO1999031060A3 (en) * | 1997-12-17 | 1999-08-26 | Klinge Co Chem Pharm Fab | Piperidinyl-substituted pyridylalkane, alkene and alkine carboxamides as cytostatics and immunesuppressants |
| US5998439A (en) * | 1996-02-21 | 1999-12-07 | Hoescht Marion Roussel, Inc. | Substituted N-methyl-N-(4-(piperidin-1-yl)-2-(aryl)butyl)benzamides useful for the treatment of allergic diseases |
| US6194406B1 (en) | 1995-12-20 | 2001-02-27 | Aventis Pharmaceuticals Inc. | Substituted 4-(1H-benzimidazol-2-yl)[1,4]diazepanes useful for the treatment of allergic disease |
| US6211199B1 (en) | 1995-11-17 | 2001-04-03 | Aventis Pharmaceuticals Inc. | Substituted 4-(1H-benzimidazol-2-yl-amino)piperidines useful for the treatment of allergic diseases |
| US6297233B1 (en) | 1999-02-09 | 2001-10-02 | Bristol-Myers Squibb Company | Lactam inhibitors of FXa and method |
| US6329392B1 (en) | 1994-08-25 | 2001-12-11 | Aventis Pharmaceuticals, Inc. | Substituted piperidines useful for the treatment of allergic diseases |
| US6344450B1 (en) | 1999-02-09 | 2002-02-05 | Bristol-Myers Squibb Company | Lactam compounds and their use as inhibitors of serine proteases and method |
| US6423704B2 (en) | 1995-12-20 | 2002-07-23 | Aventis Pharmaceuticals Inc. | Substituted 4-(1H-benzimidazol-2-yl)[1,4]diazepanes useful for the treatment of allergic diseases |
| US6444823B1 (en) | 1996-06-20 | 2002-09-03 | Klinge Pharma Gmbh | Pyridyl alkane acid amides as cytostatics and immunosuppressives |
| US6451816B1 (en) | 1997-06-20 | 2002-09-17 | Klinge Pharma Gmbh | Use of pyridyl alkane, pyridyl alkene and/or pyridyl alkine acid amides in the treatment of tumors or for immunosuppression |
| US6506572B2 (en) | 1999-02-26 | 2003-01-14 | Klinge Pharma Gmbh | Inhibitors of cellular niacinamide mononucleotide formation and their use in cancer therapy |
| US6511973B2 (en) | 2000-08-02 | 2003-01-28 | Bristol-Myers Squibb Co. | Lactam inhibitors of FXa and method |
| US6579885B2 (en) | 1999-11-03 | 2003-06-17 | Albany Molecular Research, Inc. | Aryl and heteroaryl substituted tetrahydroisoquinolines and use thereof |
| US6903118B1 (en) | 1997-12-17 | 2005-06-07 | Klinge Pharma Gmbh | Piperazinyl-substituted pyridylalkane, alkene and alkine carboxamides |
| US7084152B2 (en) | 2000-07-11 | 2006-08-01 | Amr Technology, Inc. | 4-phenyl substituted tetrahydroisoquinolines therapeutic use thereof |
| WO2006123182A2 (en) | 2005-05-17 | 2006-11-23 | Merck Sharp & Dohme Limited | Cyclohexyl sulphones for treatment of cancer |
| US7163949B1 (en) | 1999-11-03 | 2007-01-16 | Amr Technology, Inc. | 4-phenyl substituted tetrahydroisoquinolines and use thereof |
| WO2007011820A2 (en) | 2005-07-15 | 2007-01-25 | Amr Technology, Inc. | Aryl-and heteroaryl-substituted tetrahydrobenzazepines and use thereof to block reuptake of norepinephrine, dopamine, and serotonin |
| US7192967B1 (en) | 1997-12-17 | 2007-03-20 | Astellas Pharma Gmbh | Cyclic imide-substituted pyridylalkane, alkene, alkine carboxamides useful as cytostatic and immunosuppressive agents |
| WO2007041052A2 (en) | 2005-09-29 | 2007-04-12 | Merck & Co., Inc. | Acylated spiropiperidine derivatives as melanocortin-4 receptor modulators |
| US7241745B2 (en) | 1996-06-20 | 2007-07-10 | Astellas Pharma Gmbh | Pyridyl alkene and pyridyl alkine acid amides as cytostatics and immunosupressives |
| WO2007093827A1 (en) | 2006-02-15 | 2007-08-23 | Istituto Di Ricerche Di Biologia Molecolare P. Angeletti Spa | Thiophene and thiazole substituted trifluoroethanone derivatives as histone deacetylase (hdac) inhibitors |
| US7320993B1 (en) | 1997-12-17 | 2008-01-22 | Astellas Deutschland Gmbh | Aryl-substituted pyridylalkane, alkene, and alkine carboxamides useful as cytostatic useful as cytostatic and immuosuppressive agents |
| WO2008120653A1 (en) | 2007-04-02 | 2008-10-09 | Banyu Pharmaceutical Co., Ltd. | Indoledione derivative |
| WO2009002495A1 (en) | 2007-06-27 | 2008-12-31 | Merck & Co., Inc. | 4-carboxybenzylamino derivatives as histone deacetylase inhibitors |
| US7541357B2 (en) | 2004-07-15 | 2009-06-02 | Amr Technology, Inc. | Aryl- and heteroaryl-substituted tetrahydroisoquinolines and use thereof to block reuptake of norepinephrine, dopamine, and serotonin |
| WO2009111354A2 (en) | 2008-03-03 | 2009-09-11 | Tiger Pharmatech | Tyrosine kinase inhibitors |
| WO2010114780A1 (en) | 2009-04-01 | 2010-10-07 | Merck Sharp & Dohme Corp. | Inhibitors of akt activity |
| WO2010132442A1 (en) | 2009-05-12 | 2010-11-18 | Albany Molecular Reserch, Inc. | 7-([1,2,4,]triazolo[1,5,-a]pyridin-6-yl)-4-(3,4-dichlorophenyl)-1,2,3,4- tetrahydroisoquinoline and use thereof |
| WO2010132487A1 (en) | 2009-05-12 | 2010-11-18 | Bristol-Myers Squibb Company | CRYSTALLINE FORMS OF (S)-7-([1,2,4]TRIAZOLO[1,5-a]PYRIDIN-6-YL)-4-(3,4-DICHLOROHPHENYL)-1,2,3,4-TETRAHYDROISOQUINOLINE AND USE THEREOF |
| WO2011046771A1 (en) | 2009-10-14 | 2011-04-21 | Schering Corporation | SUBSTITUTED PIPERIDINES THAT INCREASE p53 ACTIVITY AND THE USES THEREOF |
| EP2336120A1 (en) | 2007-01-10 | 2011-06-22 | Istituto di ricerche di Biologia Molecolare P. Angeletti S.R.L. | Combinations containing amide substituted indazoles as poly(ADP-ribose)polymerase (PARP) inhibitors |
| WO2011163330A1 (en) | 2010-06-24 | 2011-12-29 | Merck Sharp & Dohme Corp. | Novel heterocyclic compounds as erk inhibitors |
| WO2012018754A2 (en) | 2010-08-02 | 2012-02-09 | Merck Sharp & Dohme Corp. | RNA INTERFERENCE MEDIATED INHIBITION OF CATENIN (CADHERIN-ASSOCIATED PROTEIN), BETA 1 (CTNNB1) GENE EXPRESSION USING SHORT INTERFERING NUCLEIC ACID (siNA) |
| WO2012027236A1 (en) | 2010-08-23 | 2012-03-01 | Schering Corporation | NOVEL PYRAZOLO[1,5-a]PYRIMIDINE DERIVATIVES AS mTOR INHIBITORS |
| WO2012030685A2 (en) | 2010-09-01 | 2012-03-08 | Schering Corporation | Indazole derivatives useful as erk inhibitors |
| WO2012036997A1 (en) | 2010-09-16 | 2012-03-22 | Schering Corporation | Fused pyrazole derivatives as novel erk inhibitors |
| WO2012087772A1 (en) | 2010-12-21 | 2012-06-28 | Schering Corporation | Indazole derivatives useful as erk inhibitors |
| WO2012145471A1 (en) | 2011-04-21 | 2012-10-26 | Merck Sharp & Dohme Corp. | Insulin-like growth factor-1 receptor inhibitors |
| WO2013004766A1 (en) | 2011-07-04 | 2013-01-10 | Ferrari Giulio | Nk-1 receptor antagonists for treating corneal neovascularisation |
| WO2013063214A1 (en) | 2011-10-27 | 2013-05-02 | Merck Sharp & Dohme Corp. | Novel compounds that are erk inhibitors |
| WO2013165816A2 (en) | 2012-05-02 | 2013-11-07 | Merck Sharp & Dohme Corp. | SHORT INTERFERING NUCLEIC ACID (siNA) COMPOSITIONS |
| EP2698157A1 (en) | 2006-09-22 | 2014-02-19 | Merck Sharp & Dohme Corp. | Method of treatment using fatty acid synthesis inhibitors |
| WO2014052563A2 (en) | 2012-09-28 | 2014-04-03 | Merck Sharp & Dohme Corp. | Novel compounds that are erk inhibitors |
| WO2014085216A1 (en) | 2012-11-28 | 2014-06-05 | Merck Sharp & Dohme Corp. | Compositions and methods for treating cancer |
| WO2014100065A1 (en) | 2012-12-20 | 2014-06-26 | Merck Sharp & Dohme Corp. | Substituted imidazopyridines as hdm2 inhibitors |
| WO2014120748A1 (en) | 2013-01-30 | 2014-08-07 | Merck Sharp & Dohme Corp. | 2,6,7,8 substituted purines as hdm2 inhibitors |
| WO2015034925A1 (en) | 2013-09-03 | 2015-03-12 | Moderna Therapeutics, Inc. | Circular polynucleotides |
| US9034899B2 (en) | 2009-05-12 | 2015-05-19 | Albany Molecular Research, Inc. | Aryl, heteroaryl, and heterocycle substituted tetrahydroisoquinolines and use thereof |
| US9156812B2 (en) | 2008-06-04 | 2015-10-13 | Bristol-Myers Squibb Company | Crystalline form of 6-[(4S)-2-methyl-4-(2-naphthyl)-1,2,3,4-tetrahydroisoquinolin-7-yl]pyridazin-3-amine |
| CN105884675A (en) * | 2014-09-24 | 2016-08-24 | 中国药科大学 | N-substituted indole carboxylic acid derivative and its preparation method and medical use |
| WO2018071283A1 (en) | 2016-10-12 | 2018-04-19 | Merck Sharp & Dohme Corp. | Kdm5 inhibitors |
| EP3327125A1 (en) | 2010-10-29 | 2018-05-30 | Sirna Therapeutics, Inc. | Rna interference mediated inhibition of gene expression using short interfering nucleic acids (sina) |
| WO2019094311A1 (en) | 2017-11-08 | 2019-05-16 | Merck Sharp & Dohme Corp. | Prmt5 inhibitors |
| WO2019094312A1 (en) | 2017-11-08 | 2019-05-16 | Merck Sharp & Dohme Corp. | Prmt5 inhibitors |
| WO2019162519A1 (en) | 2018-02-26 | 2019-08-29 | Ospedale San Raffaele S.R.L. | Nk-1 antagonists for use in the treatment of ocular pain |
| WO2020033282A1 (en) | 2018-08-07 | 2020-02-13 | Merck Sharp & Dohme Corp. | Prmt5 inhibitors |
| WO2020033284A1 (en) | 2018-08-07 | 2020-02-13 | Merck Sharp & Dohme Corp. | Prmt5 inhibitors |
| WO2020033288A1 (en) | 2018-08-07 | 2020-02-13 | Merck Sharp & Dohme Corp. | Prmt5 inhibitors |
| US11096950B2 (en) | 2006-11-01 | 2021-08-24 | Barbara Brooke Jennings | Compounds, methods, and treatments for abnormal signaling pathways for prenatal and postnatal development |
| WO2021180885A1 (en) | 2020-03-11 | 2021-09-16 | Ospedale San Raffaele S.R.L. | Treatment of stem cell deficiency |
| EP4079856A1 (en) | 2010-08-17 | 2022-10-26 | Sirna Therapeutics, Inc. | Rna interference mediated inhibition of hepatitis b virus (hbv) gene expression using short interfering nucleic acid (sina) |
Families Citing this family (2)
| Publication number | Priority date | Publication date | Assignee | Title |
|---|---|---|---|---|
| GB0326407D0 (en) * | 2003-11-12 | 2003-12-17 | Glaxo Group Ltd | Chemical compounds |
| JP2010229034A (en) * | 2007-07-26 | 2010-10-14 | Dainippon Sumitomo Pharma Co Ltd | Bicyclic pyrrole derivative |
Citations (3)
| Publication number | Priority date | Publication date | Assignee | Title |
|---|---|---|---|---|
| EP0360390A1 (en) * | 1988-07-25 | 1990-03-28 | Glaxo Group Limited | Spirolactam derivatives |
| EP0394989A2 (en) * | 1989-04-28 | 1990-10-31 | Fujisawa Pharmaceutical Co., Ltd. | Peptide compounds, process for preparation thereof and pharmaceutical composition comprising the same |
| EP0443132A1 (en) * | 1989-12-22 | 1991-08-28 | Fujisawa Pharmaceutical Co., Ltd. | Peptides having tachykinin antagonist activity, a process for preparation thereof and pharmaceutical compositions comprising the same |
-
1992
- 1992-01-10 GB GB929200535A patent/GB9200535D0/en active Pending
-
1993
- 1993-01-04 EP EP93900452A patent/EP0620824A1/en not_active Withdrawn
- 1993-01-04 JP JP5512326A patent/JPH07503711A/en active Pending
- 1993-01-04 WO PCT/JP1993/000002 patent/WO1993014113A1/en not_active Ceased
Patent Citations (3)
| Publication number | Priority date | Publication date | Assignee | Title |
|---|---|---|---|---|
| EP0360390A1 (en) * | 1988-07-25 | 1990-03-28 | Glaxo Group Limited | Spirolactam derivatives |
| EP0394989A2 (en) * | 1989-04-28 | 1990-10-31 | Fujisawa Pharmaceutical Co., Ltd. | Peptide compounds, process for preparation thereof and pharmaceutical composition comprising the same |
| EP0443132A1 (en) * | 1989-12-22 | 1991-08-28 | Fujisawa Pharmaceutical Co., Ltd. | Peptides having tachykinin antagonist activity, a process for preparation thereof and pharmaceutical compositions comprising the same |
Non-Patent Citations (1)
| Title |
|---|
| JOURNAL OF MEDICINAL CHEMISTRY vol. 34, no. 10, October 1991, WASHINGTON US pages 3036 - 3043 J. SAMANEN ET AL 'An Investigation of Angiotensin II agonist and Antagonist Analogues with 5,5-Dimethylthiazolidine-4-carboxylic Acid and Other Constrained Amino Acids' * |
Cited By (91)
| Publication number | Priority date | Publication date | Assignee | Title |
|---|---|---|---|---|
| US5641802A (en) * | 1992-12-04 | 1997-06-24 | A. Menarini Industrie Farmaceutiche Reiunite S.R.L. | Tachyquinine antagonists, their preparation and use in pharmaceutical formulations |
| WO1994013694A1 (en) * | 1992-12-04 | 1994-06-23 | A. Menarini Industrie Farmaceutiche Riunite S.R.L. | Tachyquinine antagonists, their preparation and use in pharmaceutical formulations |
| US5635510A (en) * | 1993-05-06 | 1997-06-03 | Merrell Pharmaceuticals Inc. | Substituted pyrrolidin-3-yl-alkyl-piperidines |
| US5648366A (en) * | 1993-05-06 | 1997-07-15 | Merrell Pharmaceuticals Inc. | Substituted pyrrolidin-3-yl-alkyl-piperidines |
| US5661160A (en) * | 1993-05-06 | 1997-08-26 | Merrell Pharmaceuticals Inc. | Substituted pyrrolidin-3-yl-alkyl-piperidines |
| US5861416A (en) * | 1993-05-06 | 1999-01-19 | Merrell Pharmaceuticals Inc. | Substituted pyrrolidin-3-yl-alkyl-piperidines |
| US6329392B1 (en) | 1994-08-25 | 2001-12-11 | Aventis Pharmaceuticals, Inc. | Substituted piperidines useful for the treatment of allergic diseases |
| US5672602A (en) * | 1995-04-13 | 1997-09-30 | Hoechst Marion Roussel, Inc. | Substituted piperazine derivatives |
| US6211199B1 (en) | 1995-11-17 | 2001-04-03 | Aventis Pharmaceuticals Inc. | Substituted 4-(1H-benzimidazol-2-yl-amino)piperidines useful for the treatment of allergic diseases |
| US6194406B1 (en) | 1995-12-20 | 2001-02-27 | Aventis Pharmaceuticals Inc. | Substituted 4-(1H-benzimidazol-2-yl)[1,4]diazepanes useful for the treatment of allergic disease |
| US6423704B2 (en) | 1995-12-20 | 2002-07-23 | Aventis Pharmaceuticals Inc. | Substituted 4-(1H-benzimidazol-2-yl)[1,4]diazepanes useful for the treatment of allergic diseases |
| US6297259B1 (en) | 1996-02-21 | 2001-10-02 | Aventis Pharmaceuticals Inc. | Substituted N-methyl-N-(4-(piperidin-1-yl)-2-(aryl)butyl) benzamides useful for the treatment of allergic diseases |
| US5922737A (en) * | 1996-02-21 | 1999-07-13 | Hoechst Marion Roussel, Inc. | Substituted N-methyl-N-(4-(4-(1H-Benzimidazol-2-YL-amino) piperidin-1-YL)-2-(arlyl) butyl) benzamides useful for the treatment of allergic diseases |
| US5998439A (en) * | 1996-02-21 | 1999-12-07 | Hoescht Marion Roussel, Inc. | Substituted N-methyl-N-(4-(piperidin-1-yl)-2-(aryl)butyl)benzamides useful for the treatment of allergic diseases |
| US5932571A (en) * | 1996-02-21 | 1999-08-03 | Hoechst Marion Roussel, Inc. | Substituted N-methyl-N-(4-(4-(1H-benzimidazol-2-yl) {1,4}diazepan-1-yl)-2-(aryl) butyl) benzamides useful for the treatment of allergic diseases |
| WO1997047598A1 (en) * | 1996-06-12 | 1997-12-18 | F. Hoffmann-La Roche Ag | A process for the manufacture of 1-(amino-alkyl)-indoles |
| US7241745B2 (en) | 1996-06-20 | 2007-07-10 | Astellas Pharma Gmbh | Pyridyl alkene and pyridyl alkine acid amides as cytostatics and immunosupressives |
| US6444823B1 (en) | 1996-06-20 | 2002-09-03 | Klinge Pharma Gmbh | Pyridyl alkane acid amides as cytostatics and immunosuppressives |
| US6451816B1 (en) | 1997-06-20 | 2002-09-17 | Klinge Pharma Gmbh | Use of pyridyl alkane, pyridyl alkene and/or pyridyl alkine acid amides in the treatment of tumors or for immunosuppression |
| WO1999031060A3 (en) * | 1997-12-17 | 1999-08-26 | Klinge Co Chem Pharm Fab | Piperidinyl-substituted pyridylalkane, alkene and alkine carboxamides as cytostatics and immunesuppressants |
| US6593344B1 (en) | 1997-12-17 | 2003-07-15 | Klinge Pharma Gmbh | Piperadinyl-substituted pyridylalkane, alkene and alkine carboxamides |
| US6903118B1 (en) | 1997-12-17 | 2005-06-07 | Klinge Pharma Gmbh | Piperazinyl-substituted pyridylalkane, alkene and alkine carboxamides |
| US7320993B1 (en) | 1997-12-17 | 2008-01-22 | Astellas Deutschland Gmbh | Aryl-substituted pyridylalkane, alkene, and alkine carboxamides useful as cytostatic useful as cytostatic and immuosuppressive agents |
| US7192967B1 (en) | 1997-12-17 | 2007-03-20 | Astellas Pharma Gmbh | Cyclic imide-substituted pyridylalkane, alkene, alkine carboxamides useful as cytostatic and immunosuppressive agents |
| US6344450B1 (en) | 1999-02-09 | 2002-02-05 | Bristol-Myers Squibb Company | Lactam compounds and their use as inhibitors of serine proteases and method |
| US6297233B1 (en) | 1999-02-09 | 2001-10-02 | Bristol-Myers Squibb Company | Lactam inhibitors of FXa and method |
| US6506572B2 (en) | 1999-02-26 | 2003-01-14 | Klinge Pharma Gmbh | Inhibitors of cellular niacinamide mononucleotide formation and their use in cancer therapy |
| US6579885B2 (en) | 1999-11-03 | 2003-06-17 | Albany Molecular Research, Inc. | Aryl and heteroaryl substituted tetrahydroisoquinolines and use thereof |
| US7612090B2 (en) | 1999-11-03 | 2009-11-03 | Albany Molecular Research, Inc. | Aryl and heteroaryl substituted tetrahydroisoquinolines and use thereof |
| US7163949B1 (en) | 1999-11-03 | 2007-01-16 | Amr Technology, Inc. | 4-phenyl substituted tetrahydroisoquinolines and use thereof |
| US7265116B2 (en) | 1999-11-03 | 2007-09-04 | Arm Technology, Inc. | Aryl and heteroaryl substituted tetrahydroisoquinolines and use thereof |
| US7084152B2 (en) | 2000-07-11 | 2006-08-01 | Amr Technology, Inc. | 4-phenyl substituted tetrahydroisoquinolines therapeutic use thereof |
| US7309789B2 (en) | 2000-07-11 | 2007-12-18 | Amr Technology, Inc. | 4-phenyl substituted tetrahydroisoquinolines and therapeutic use thereof |
| US7419985B2 (en) | 2000-07-11 | 2008-09-02 | Amr Technology, Inc. | 4-Phenyl substituted tetrahydroisoquinolines and therapeutic use thereof |
| US6511973B2 (en) | 2000-08-02 | 2003-01-28 | Bristol-Myers Squibb Co. | Lactam inhibitors of FXa and method |
| US9499531B2 (en) | 2004-07-15 | 2016-11-22 | Albany Molecular Research, Inc. | Aryl- and heteroaryl-substituted tetrahydroisoquinolines and use thereof to block reuptake of norepinephrine, dopamine, and serotonin |
| US9085531B2 (en) | 2004-07-15 | 2015-07-21 | Albany Molecular Research, Inc. | Aryl- and heteroaryl-substituted tetrahydroisoquinolines and use thereof to block reuptake of norepinephrine, dopamine, and serotonin |
| US7541357B2 (en) | 2004-07-15 | 2009-06-02 | Amr Technology, Inc. | Aryl- and heteroaryl-substituted tetrahydroisoquinolines and use thereof to block reuptake of norepinephrine, dopamine, and serotonin |
| WO2006123182A2 (en) | 2005-05-17 | 2006-11-23 | Merck Sharp & Dohme Limited | Cyclohexyl sulphones for treatment of cancer |
| WO2007011820A2 (en) | 2005-07-15 | 2007-01-25 | Amr Technology, Inc. | Aryl-and heteroaryl-substituted tetrahydrobenzazepines and use thereof to block reuptake of norepinephrine, dopamine, and serotonin |
| US9403776B2 (en) | 2005-07-15 | 2016-08-02 | Albany Molecular Research, Inc. | Aryl- and heteroaryl-substituted tetrahydrobenzazepines and use thereof to block reuptake of norepinephrine, dopamine, and serotonin |
| WO2007041052A2 (en) | 2005-09-29 | 2007-04-12 | Merck & Co., Inc. | Acylated spiropiperidine derivatives as melanocortin-4 receptor modulators |
| WO2007093827A1 (en) | 2006-02-15 | 2007-08-23 | Istituto Di Ricerche Di Biologia Molecolare P. Angeletti Spa | Thiophene and thiazole substituted trifluoroethanone derivatives as histone deacetylase (hdac) inhibitors |
| EP2698157A1 (en) | 2006-09-22 | 2014-02-19 | Merck Sharp & Dohme Corp. | Method of treatment using fatty acid synthesis inhibitors |
| EP2946778A1 (en) | 2006-09-22 | 2015-11-25 | Merck Sharp & Dohme Corp. | Method of treatment using fatty acid synthesis inhibitors |
| US11096950B2 (en) | 2006-11-01 | 2021-08-24 | Barbara Brooke Jennings | Compounds, methods, and treatments for abnormal signaling pathways for prenatal and postnatal development |
| EP2336120A1 (en) | 2007-01-10 | 2011-06-22 | Istituto di ricerche di Biologia Molecolare P. Angeletti S.R.L. | Combinations containing amide substituted indazoles as poly(ADP-ribose)polymerase (PARP) inhibitors |
| EP2805945A1 (en) | 2007-01-10 | 2014-11-26 | MSD Italia S.r.l. | Amide substituted indazoles as poly(ADP-ribose)polymerase (PARP) inhibitors |
| WO2008120653A1 (en) | 2007-04-02 | 2008-10-09 | Banyu Pharmaceutical Co., Ltd. | Indoledione derivative |
| EP3103791A1 (en) | 2007-06-27 | 2016-12-14 | Merck Sharp & Dohme Corp. | 4-carboxybenzylamino derivatives as histone deacetylase inhibitors |
| WO2009002495A1 (en) | 2007-06-27 | 2008-12-31 | Merck & Co., Inc. | 4-carboxybenzylamino derivatives as histone deacetylase inhibitors |
| WO2009111354A2 (en) | 2008-03-03 | 2009-09-11 | Tiger Pharmatech | Tyrosine kinase inhibitors |
| US9156812B2 (en) | 2008-06-04 | 2015-10-13 | Bristol-Myers Squibb Company | Crystalline form of 6-[(4S)-2-methyl-4-(2-naphthyl)-1,2,3,4-tetrahydroisoquinolin-7-yl]pyridazin-3-amine |
| US9498476B2 (en) | 2008-06-04 | 2016-11-22 | Albany Molecular Research, Inc. | Crystalline form of 6-[(4S)-2-methyl-4-(2-naphthyl)-1,2,3,4-tetrahydroisoquinolin-7-yl]pyridazin-3-amine |
| WO2010114780A1 (en) | 2009-04-01 | 2010-10-07 | Merck Sharp & Dohme Corp. | Inhibitors of akt activity |
| US9034899B2 (en) | 2009-05-12 | 2015-05-19 | Albany Molecular Research, Inc. | Aryl, heteroaryl, and heterocycle substituted tetrahydroisoquinolines and use thereof |
| US9604960B2 (en) | 2009-05-12 | 2017-03-28 | Albany Molecular Research, Inc. | Aryl, heteroaryl, and heterocycle substituted tetrahydroisoquinolines and use thereof |
| WO2010132442A1 (en) | 2009-05-12 | 2010-11-18 | Albany Molecular Reserch, Inc. | 7-([1,2,4,]triazolo[1,5,-a]pyridin-6-yl)-4-(3,4-dichlorophenyl)-1,2,3,4- tetrahydroisoquinoline and use thereof |
| WO2010132487A1 (en) | 2009-05-12 | 2010-11-18 | Bristol-Myers Squibb Company | CRYSTALLINE FORMS OF (S)-7-([1,2,4]TRIAZOLO[1,5-a]PYRIDIN-6-YL)-4-(3,4-DICHLOROHPHENYL)-1,2,3,4-TETRAHYDROISOQUINOLINE AND USE THEREOF |
| US9173879B2 (en) | 2009-05-12 | 2015-11-03 | Bristol-Myers Squibb Company | Crystalline forms of (S)-7-([1,2,4]triazolo[1,5-a ]pyridin-6-yl)-4-(3,4-dichlorophenyl)-1,2,3,4-tetrahydroisoquinoline and use thereof |
| WO2011046771A1 (en) | 2009-10-14 | 2011-04-21 | Schering Corporation | SUBSTITUTED PIPERIDINES THAT INCREASE p53 ACTIVITY AND THE USES THEREOF |
| WO2011163330A1 (en) | 2010-06-24 | 2011-12-29 | Merck Sharp & Dohme Corp. | Novel heterocyclic compounds as erk inhibitors |
| WO2012018754A2 (en) | 2010-08-02 | 2012-02-09 | Merck Sharp & Dohme Corp. | RNA INTERFERENCE MEDIATED INHIBITION OF CATENIN (CADHERIN-ASSOCIATED PROTEIN), BETA 1 (CTNNB1) GENE EXPRESSION USING SHORT INTERFERING NUCLEIC ACID (siNA) |
| EP3330377A1 (en) | 2010-08-02 | 2018-06-06 | Sirna Therapeutics, Inc. | Rna interference mediated inhibition of catenin (cadherin-associated protein), beta 1 (ctnnb1) gene expression using short interfering nucleic acid (sina) |
| EP4079856A1 (en) | 2010-08-17 | 2022-10-26 | Sirna Therapeutics, Inc. | Rna interference mediated inhibition of hepatitis b virus (hbv) gene expression using short interfering nucleic acid (sina) |
| WO2012027236A1 (en) | 2010-08-23 | 2012-03-01 | Schering Corporation | NOVEL PYRAZOLO[1,5-a]PYRIMIDINE DERIVATIVES AS mTOR INHIBITORS |
| WO2012030685A2 (en) | 2010-09-01 | 2012-03-08 | Schering Corporation | Indazole derivatives useful as erk inhibitors |
| WO2012036997A1 (en) | 2010-09-16 | 2012-03-22 | Schering Corporation | Fused pyrazole derivatives as novel erk inhibitors |
| EP3327125A1 (en) | 2010-10-29 | 2018-05-30 | Sirna Therapeutics, Inc. | Rna interference mediated inhibition of gene expression using short interfering nucleic acids (sina) |
| EP3766975A1 (en) | 2010-10-29 | 2021-01-20 | Sirna Therapeutics, Inc. | Rna interference mediated inhibition of gene expression using short interfering nucleic acid (sina) |
| WO2012087772A1 (en) | 2010-12-21 | 2012-06-28 | Schering Corporation | Indazole derivatives useful as erk inhibitors |
| WO2012145471A1 (en) | 2011-04-21 | 2012-10-26 | Merck Sharp & Dohme Corp. | Insulin-like growth factor-1 receptor inhibitors |
| WO2013004766A1 (en) | 2011-07-04 | 2013-01-10 | Ferrari Giulio | Nk-1 receptor antagonists for treating corneal neovascularisation |
| WO2013063214A1 (en) | 2011-10-27 | 2013-05-02 | Merck Sharp & Dohme Corp. | Novel compounds that are erk inhibitors |
| WO2013165816A2 (en) | 2012-05-02 | 2013-11-07 | Merck Sharp & Dohme Corp. | SHORT INTERFERING NUCLEIC ACID (siNA) COMPOSITIONS |
| EP3919620A1 (en) | 2012-05-02 | 2021-12-08 | Sirna Therapeutics, Inc. | Short interfering nucleic acid (sina) compositions |
| WO2014052563A2 (en) | 2012-09-28 | 2014-04-03 | Merck Sharp & Dohme Corp. | Novel compounds that are erk inhibitors |
| WO2014085216A1 (en) | 2012-11-28 | 2014-06-05 | Merck Sharp & Dohme Corp. | Compositions and methods for treating cancer |
| WO2014100065A1 (en) | 2012-12-20 | 2014-06-26 | Merck Sharp & Dohme Corp. | Substituted imidazopyridines as hdm2 inhibitors |
| WO2014120748A1 (en) | 2013-01-30 | 2014-08-07 | Merck Sharp & Dohme Corp. | 2,6,7,8 substituted purines as hdm2 inhibitors |
| WO2015034925A1 (en) | 2013-09-03 | 2015-03-12 | Moderna Therapeutics, Inc. | Circular polynucleotides |
| CN105884675A (en) * | 2014-09-24 | 2016-08-24 | 中国药科大学 | N-substituted indole carboxylic acid derivative and its preparation method and medical use |
| WO2018071283A1 (en) | 2016-10-12 | 2018-04-19 | Merck Sharp & Dohme Corp. | Kdm5 inhibitors |
| WO2019094312A1 (en) | 2017-11-08 | 2019-05-16 | Merck Sharp & Dohme Corp. | Prmt5 inhibitors |
| WO2019094311A1 (en) | 2017-11-08 | 2019-05-16 | Merck Sharp & Dohme Corp. | Prmt5 inhibitors |
| WO2019162519A1 (en) | 2018-02-26 | 2019-08-29 | Ospedale San Raffaele S.R.L. | Nk-1 antagonists for use in the treatment of ocular pain |
| EP4371613A2 (en) | 2018-02-26 | 2024-05-22 | Ospedale San Raffaele S.r.l. | Compounds for use in the treatment of ocular pain |
| WO2020033282A1 (en) | 2018-08-07 | 2020-02-13 | Merck Sharp & Dohme Corp. | Prmt5 inhibitors |
| WO2020033284A1 (en) | 2018-08-07 | 2020-02-13 | Merck Sharp & Dohme Corp. | Prmt5 inhibitors |
| WO2020033288A1 (en) | 2018-08-07 | 2020-02-13 | Merck Sharp & Dohme Corp. | Prmt5 inhibitors |
| WO2021180885A1 (en) | 2020-03-11 | 2021-09-16 | Ospedale San Raffaele S.R.L. | Treatment of stem cell deficiency |
Also Published As
| Publication number | Publication date |
|---|---|
| GB9200535D0 (en) | 1992-02-26 |
| JPH07503711A (en) | 1995-04-20 |
| EP0620824A1 (en) | 1994-10-26 |
Similar Documents
| Publication | Publication Date | Title |
|---|---|---|
| WO1993014113A1 (en) | Peptides with tachykinin antagonist activity | |
| CA2032864C (en) | Peptide compounds, a process for preparation thereof and pharmaceutical composition comprising the same | |
| EP0482539B1 (en) | Peptide compounds, processes for preparation thereof and pharmaceutical composition comprising the same | |
| EP0640099B1 (en) | Peptides having tachykinin antagonist activity | |
| WO1992022569A1 (en) | Peptides with tachykinin antagonist activity | |
| EP0394989B1 (en) | Peptide compounds, process for preparation thereof and pharmaceutical composition comprising the same | |
| WO1998016527A1 (en) | Benzoxepine derivatives which promote release of growth hormone | |
| WO1996016981A2 (en) | Peptide compounds for prevention and/or treatment of no-mediated diseases | |
| EP0872481A1 (en) | Depsipeptide derivative, process for production thereof, and novel intermediate therefor | |
| CA2033363A1 (en) | Quinazoline derivatives and their preparation | |
| WO1993009101A1 (en) | Mercapto-amide derivatives as inhibitors of the neutral endopeptidase | |
| WO2004101571A1 (en) | Cephem compounds | |
| WO1995000536A1 (en) | Peptide compounds | |
| WO1994026719A1 (en) | Mercapto-amide derivatives useful as neutral endopeptidase and ace inhibitors | |
| US5654400A (en) | Process for making peptide compounds having tachykinin antagonistic activity |
Legal Events
| Date | Code | Title | Description |
|---|---|---|---|
| AK | Designated states |
Kind code of ref document: A1 Designated state(s): CA JP US |
|
| AL | Designated countries for regional patents |
Kind code of ref document: A1 Designated state(s): AT BE CH DE DK ES FR GB GR IE IT LU MC NL PT SE |
|
| DFPE | Request for preliminary examination filed prior to expiration of 19th month from priority date (pct application filed before 20040101) | ||
| ENP | Entry into the national phase |
Ref country code: US Ref document number: 1994 256055 Date of ref document: 19940627 Kind code of ref document: A Format of ref document f/p: F |
|
| WWE | Wipo information: entry into national phase |
Ref document number: 1993900452 Country of ref document: EP |
|
| WWP | Wipo information: published in national office |
Ref document number: 1993900452 Country of ref document: EP |
|
| NENP | Non-entry into the national phase |
Ref country code: CA |
|
| WWW | Wipo information: withdrawn in national office |
Ref document number: 1993900452 Country of ref document: EP |





















































































