[go: up one dir, main page]

WO1992006996A1 - Peptides containing substituted 1,4-diamines as transition-state inserts - Google Patents

Peptides containing substituted 1,4-diamines as transition-state inserts Download PDF

Info

Publication number
WO1992006996A1
WO1992006996A1 PCT/US1991/007047 US9107047W WO9206996A1 WO 1992006996 A1 WO1992006996 A1 WO 1992006996A1 US 9107047 W US9107047 W US 9107047W WO 9206996 A1 WO9206996 A1 WO 9206996A1
Authority
WO
WIPO (PCT)
Prior art keywords
alkyl
amino
hydrogen
aryl
het
Prior art date
Legal status (The legal status is an assumption and is not a legal conclusion. Google has not performed a legal analysis and makes no representation as to the accuracy of the status listed.)
Ceased
Application number
PCT/US1991/007047
Other languages
French (fr)
Inventor
Suvit Thaisrivongs
Current Assignee (The listed assignees may be inaccurate. Google has not performed a legal analysis and makes no representation or warranty as to the accuracy of the list.)
Pharmacia and Upjohn Co
Original Assignee
Upjohn Co
Priority date (The priority date is an assumption and is not a legal conclusion. Google has not performed a legal analysis and makes no representation as to the accuracy of the date listed.)
Filing date
Publication date
Application filed by Upjohn Co filed Critical Upjohn Co
Priority to JP3517923A priority Critical patent/JPH06502403A/en
Publication of WO1992006996A1 publication Critical patent/WO1992006996A1/en
Anticipated expiration legal-status Critical
Ceased legal-status Critical Current

Links

Classifications

    • CCHEMISTRY; METALLURGY
    • C07ORGANIC CHEMISTRY
    • C07CACYCLIC OR CARBOCYCLIC COMPOUNDS
    • C07C271/00Derivatives of carbamic acids, i.e. compounds containing any of the groups, the nitrogen atom not being part of nitro or nitroso groups
    • C07C271/06Esters of carbamic acids
    • C07C271/08Esters of carbamic acids having oxygen atoms of carbamate groups bound to acyclic carbon atoms
    • C07C271/10Esters of carbamic acids having oxygen atoms of carbamate groups bound to acyclic carbon atoms with the nitrogen atoms of the carbamate groups bound to hydrogen atoms or to acyclic carbon atoms
    • C07C271/20Esters of carbamic acids having oxygen atoms of carbamate groups bound to acyclic carbon atoms with the nitrogen atoms of the carbamate groups bound to hydrogen atoms or to acyclic carbon atoms to carbon atoms of hydrocarbon radicals substituted by nitrogen atoms not being part of nitro or nitroso groups
    • AHUMAN NECESSITIES
    • A61MEDICAL OR VETERINARY SCIENCE; HYGIENE
    • A61PSPECIFIC THERAPEUTIC ACTIVITY OF CHEMICAL COMPOUNDS OR MEDICINAL PREPARATIONS
    • A61P31/00Antiinfectives, i.e. antibiotics, antiseptics, chemotherapeutics
    • A61P31/12Antivirals
    • AHUMAN NECESSITIES
    • A61MEDICAL OR VETERINARY SCIENCE; HYGIENE
    • A61PSPECIFIC THERAPEUTIC ACTIVITY OF CHEMICAL COMPOUNDS OR MEDICINAL PREPARATIONS
    • A61P31/00Antiinfectives, i.e. antibiotics, antiseptics, chemotherapeutics
    • A61P31/12Antivirals
    • A61P31/14Antivirals for RNA viruses
    • A61P31/18Antivirals for RNA viruses for HIV
    • CCHEMISTRY; METALLURGY
    • C07ORGANIC CHEMISTRY
    • C07CACYCLIC OR CARBOCYCLIC COMPOUNDS
    • C07C271/00Derivatives of carbamic acids, i.e. compounds containing any of the groups, the nitrogen atom not being part of nitro or nitroso groups
    • C07C271/06Esters of carbamic acids
    • C07C271/08Esters of carbamic acids having oxygen atoms of carbamate groups bound to acyclic carbon atoms
    • C07C271/10Esters of carbamic acids having oxygen atoms of carbamate groups bound to acyclic carbon atoms with the nitrogen atoms of the carbamate groups bound to hydrogen atoms or to acyclic carbon atoms
    • C07C271/22Esters of carbamic acids having oxygen atoms of carbamate groups bound to acyclic carbon atoms with the nitrogen atoms of the carbamate groups bound to hydrogen atoms or to acyclic carbon atoms to carbon atoms of hydrocarbon radicals substituted by carboxyl groups
    • CCHEMISTRY; METALLURGY
    • C07ORGANIC CHEMISTRY
    • C07DHETEROCYCLIC COMPOUNDS
    • C07D233/00Heterocyclic compounds containing 1,3-diazole or hydrogenated 1,3-diazole rings, not condensed with other rings
    • C07D233/04Heterocyclic compounds containing 1,3-diazole or hydrogenated 1,3-diazole rings, not condensed with other rings having one double bond between ring members or between a ring member and a non-ring member
    • C07D233/20Heterocyclic compounds containing 1,3-diazole or hydrogenated 1,3-diazole rings, not condensed with other rings having one double bond between ring members or between a ring member and a non-ring member with substituted hydrocarbon radicals, directly attached to ring carbon atoms
    • C07D233/26Radicals substituted by carbon atoms having three bonds to hetero atoms
    • CCHEMISTRY; METALLURGY
    • C07ORGANIC CHEMISTRY
    • C07KPEPTIDES
    • C07K5/00Peptides containing up to four amino acids in a fully defined sequence; Derivatives thereof
    • C07K5/02Peptides containing up to four amino acids in a fully defined sequence; Derivatives thereof containing at least one abnormal peptide link
    • C07K5/021Peptides containing up to four amino acids in a fully defined sequence; Derivatives thereof containing at least one abnormal peptide link containing the structure -NH-(X)n-C(=0)-, n being 5 or 6; for n > 6, classification in C07K5/06 - C07K5/10, according to the moiety having normal peptide bonds
    • AHUMAN NECESSITIES
    • A61MEDICAL OR VETERINARY SCIENCE; HYGIENE
    • A61KPREPARATIONS FOR MEDICAL, DENTAL OR TOILETRY PURPOSES
    • A61K38/00Medicinal preparations containing peptides

Definitions

  • the present invention provides novel compounds. More particularly, the present invention provides novel peptide analogs.
  • the peptides of the present invention contain a substituted 1,4-diamine moiety as a novel transition state insert. These peptides are useful as inhibitors of retroviral proteases. Inhibitors of retroviral proteases, such as the
  • HIV-I protease are useful for treating diseases caused by retroviruses, such as human acquired immunodeficiency disease syndrome (AIDS).
  • AIDS human acquired immunodeficiency disease syndrome
  • AZT zidovudine
  • U.S. Patent 4,724,232 claims a method of treating humans having acquired immunodeficiency syndrome utilizing 3'-azido-3'-deoxy-thymidine (azidothymidine, AZT).
  • HIV Human immunodeficiency virus
  • infective and non-infective HIV-isolates Sequence analysis of the complete genomes from several infective and non-infective HIV-isolates has shed considerable light on the make-up of the virus and the .types of molecules that are essential for its replication and maturation to an infective species (L. Ratner, et al., Nature, 313:277-284 (1985)). HIV exhibits the same gag/pol/env organization seen in other retroviruses (L.
  • Reverse transcriptase is an enzyme unique to retroviruses that catalyzes the conversion of viral RNA into double stranded DNA. Blockage at any point during the transcription process, by AZT or any other aberrant deoxynucleoside triphosphate incapable of elongation, should have dramatic consequences relative to viral replication. Much work on the RT target is in progress based, in large measure, upon the fact that nucleosides like AZT are easily delivered to cells. However, the inefficiency of phosphorylation steps to the triphosphate, and the lack of specificity and consequent toxicity, constitute major drawbacks to use of AZT and similar nucleosides having a blocked, or missing, 3'hydroxyl group.
  • the T4 cell receptor for HTV has also been targeted as an intervention point in AIDS therapy ( R.A. Fisher, etal., Nature, 331:76-78 (1988); R.E. Hussey, et al., Nature, 331:78-81 (1988); and K.C. Deen, et al., Nature, 331:82- 84 (1988)).
  • the exterior portion of this transmembrane protein, a molecule of 371 amino acids (sCD4) has been expressed in Chinese hamster ovary (CHO) cells and Genentech ( D.H. Smith, et al., Science, 238:1704-1707 (1987)) has had a product in clinical trials since the fall of 1987.
  • CD4 based therapy the molecules can neutralize HIV by interfering with viral attachment to T4, and other cells which express CD4 on their surfaces.
  • a variant on this theme is to attach cell toxins to CD4 for specific binding and delivery to infected cells which display glycoprotein gp-120 on their surfaces ( M.A. Till, et al., Science, 242:1166-1168 (1988); and V.K. Chaudhary, et al., Nature, 335:369-372 (1988)).
  • Another therapeutic target in AIDS involves inhibition of the viral protease (or proteinase) that is essential for processing HW-fusion polypeptide precursors.
  • the proteolytic maturation of the gag and gag/pol fusion polypeptides (a process indispensable for generation of infective viral particles) has been shown to be mediated by a protease that is, itself, encoded by the pol region of the viral genome (Y. Yoshinaka, et al., Proc. Natl. Acad. Sci. USA, 82:1618-1622 (1985); Y. Yoshinaka, et al., J. Virol., 55:870-873 (1985); Y. Yoshinaka, et al., J. Virol., 57:826- 832 (1986); and K. von der Helm, Proc. Natl. Acad. Sci., USA, 74:911-915 (1977)).
  • protease or proteinase
  • the protease consisting of only 99 amino acids, is among the smallest enzymes known, and its demonstrated homology to aspartyl proteases such as pepsin and renin ( L.H. Pearl and W.R. Taylor, Nature, 329: 351-354 (1987); and I. Katoh, et al., Nature, 329:654-656 (1987)), led to inferences regarding the three-dimensional structure and mechanism of the enzyme (L.H. Pearl and W.R. Taylor, Nature, 329:351-354 (1987)) that have since been borne out experimentally. Active HIV protease has been expressed in bacteria (see, e.g., P.L. Darke, et al., J. Biol.
  • pepstatin A 100 ⁇ M
  • pepstatin A a general aspartyl proteinase inhibitor
  • the present invention particularly provides:
  • P is OH or NH 2 ;
  • Y is OH or NH 2 ;
  • a or B or both are absent or are a divalent moiety of the formula XL 1 , XL 2 or
  • n 0 to 5, inclusive
  • aryl is phenyl or naphthyl substituted by zero to three of the following:
  • -Het is a 5- or 6-membered saturated ring containing from one to three heteroatoms selected from the group consisting of nitrogen, oxygen, and sulfur; and including any bicyclic group in which any of the above heterocyclic rings is fused to a benzene ring or another heterocycle; and if chemically feasible, the nitrogen and sulfur atoms may be in the oxidized forms; and optionally substituted by zero to three of the following:
  • amino acyl derivatives any of the naturally occurring amino acids such as: glycine, alanine, valine, leucine, isoleucine, phenylalanine, lysine, proline, tryptophan, methionine, serine, threonine, cysteine, tyrosine, asparagine, glutamine, aspartic acid, glutamic acid, arginine, ornithine, and histidine, and synthetic derivatives thereof. These compounds may be in the L or D configuration and are well known and readily available to those skilled in the art.
  • the present invention provides for novel compounds or pharmacologically acceptable salts and/or hydrates thereof.
  • Pharmacologically acceptable salts refers to those salts which would be readily apparent to a manufacturing pharmaceutical chemist to be equivalent to the parent compound in properties such as formulation, stability, patient acceptance and bioavailablility.
  • Examples of pharmaceutically acceptable acid addition salts include: acetate, adipate, alginate, aspartate, benzoate, benzenesulfonate, bisulfate, butyrate, citrate, camphorate, camphorsulfonate, cyclopentanepropionate, digluconate, dodecylsulfate, ethane-sulfonate, fumarate, glucoheptanoate, glycerophosphate, hemisulfate, heptanoate, hexanoate, hydrochloride, hydrobfomide, hydroiodide, 2-hydroxyethanesulfonate, lactate, maleate, methanesulfonate, 2-naphthalenesulfonate, nicotinate, oxalate, palmoate, pectinate, persulfate, 3-phenylpropionate, picrate, pivalate, propionate, succinate, tartrate, thi
  • the carbon atom content of various hydrocarbon-containing moieties is indicated by a prefix designating the minimum and maximum number of carbon atoms in the moiety, i.e., the prefix (C i -C j ) indicates a moiety of the integer "i" to the integer "j" carbon atoms, inclusive.
  • (C 1 -C 4 )alkyl refers to alkyl of one to 4 carbon atoms, inclusive, or methyl, ethyl, propyl, butyl, and isomeric forms thereof.
  • C 4 -C 7 cyclic amino indicates a monocyclic group containing one nitrogen and 4 to 7 carbon atoms.
  • Examples of (C 3 -C 10 )cycloalkyl which include alkyl-substituted cycloalkyl containing a total of up to 10 total carbon atoms, are cyclopropyl, 2-methylcyclopropyl,
  • aryl examples include phenyl, naphthyl, (o-, m-, or p-)tolyl, (o-, m-, or p-)ethylphenyl, 2-ethyl-tolyl,4-ethyl-o-tolyl,5-ethyl-m-tolyl, (o-, m-, orp-)propylphenyl, 2-propyl-(o-, m-, or p-)tolyl, 4-isopropyl-2,6-xylyl, 3-propyl-4-ethylphenyl, (2,3,4- 2,3,6-, or 2,4,5-)trimethylphenyl, (o-, m-, or p-)fluorophenyl, (o-, m-, or p-trifluorometh ⁇ l)phenyl, 4-fluoro-2,5-xylyl, (2,4-, 2,5-, 2,6-, 3,4-
  • Examples of -Het include: 2-, 3-, or 4-pyridyl, imidazolyl, indolyl, N in -formyl- indolyl, N in - C 1 -C 5 alkyl-C(O)-indolyl, 1,2,4-triazolyl, 2-, 4-, or 5-pyrimidinyl, 2- or 3-thienyl, piperidinyl, pyrryl, pyrrolinyl, pyrrolidinyl, pyrazolyl, pyrazolinyl, pyrazolidi- nyl, imidazolinyl, imidazolidinyl, pyrazinyl, piperazinyl, pyridazinyl, oxazolyl, oxazolidinyl, isoxazolyl, isoxazolidinyl, morpholinyl, thiazolyl, thiazolidinyl, isothiazolidinyl, isothiazolid
  • a heterocycle as defined herein for -Het would not be bonded through oxygen or sulfur or through nitrogen which is within a ring and part of a double bond.
  • Halo is halogen (fluoro, chloro, bromo, or iodo) or trifluoromethyl.
  • Examples of pharmaceutically acceptable cations include: pharmacologically acceptable metal cations, ammonium, amine cations, or quaternary ammonium cations.
  • pharmacologically acceptable metal cations are those derived from the alkali metals, e.g., lithium, sodium, and potassium, and from the alkaline earth metals, e.g., magnesium and calcium, although cationic forms of other metals, e.g., aluminum, zinc, and iron are also within the scope of this invention.
  • Pharmacologically acceptable amine cations are those derived from primary, secondary, or tertiary amines.
  • novel peptides herein contain both natural and synthetic amino acid residues.
  • the compounds of the present invention can occur in several diastereomeric forms, depending on the configuration around the asymmetric carbon atoms. All such diastereomeric forms are included within the scope of the present invention.
  • the stereochemistry of the amino acids corresponds to that of the naturally occurring amino acids.
  • the HIV protease which belongs to the class of aspartyl proteases, is a C-2 symmetric homodimer, M.A. Navia et al., Science 1989, 337, 615; A. Wlodawer et al., Science 1989, 337, 616.
  • the compounds of the present invention of formula I have C-2 symmetry and thus provide complementary ligands for the C-2 symmetric active site of the enzyme.
  • the C-2 symmetric transition-state insert is depicted at -NH-CH(CH 2 R 1 )-CHP-CHY-CH(CH 2 R 2 )-NH-.
  • the symmetrical transition-state inserts 1,4-diamino-2,3- dihydroxy-1,4-dibenzyl-butane and 1,4-diamino-2,3-dihydroxy-1,4-diisobutyl-butane, are preferred.
  • the 1S,2S,3S,4S and the 1S,2R,3R,4S isomers are preferred.
  • the compounds of the present invention are effective and potent inhibitors of HIV protease. Therefore, the compounds of formula I inhibit retroviral proteases and thus inhibit the replication of the virus. They are useful for treating patients infected with a human retrovirus, such as human immunodeficiency virus (strains of HIV-1 or HIV-2) or human T-cell leukemia viruses (HTLV-I or HTLV-II) which results in acquired immunodeficiency syndrome (AIDS) and/or related diseases.
  • a human retrovirus such as human immunodeficiency virus (strains of HIV-1 or HIV-2) or human T-cell leukemia viruses (HTLV-I or HTLV-II) which results in acquired immunodeficiency syndrome (AIDS) and/or related diseases.
  • the capsid and replicative enzymes (i.e. protease, reverse transcriptase, integrase) of retroviruses are translated from the viral gag and pol genes as polyproteins that are further processed by the viral protease (PR) to the mature proteins found in the viral capsid and necessary for viral functions and replication. If the PR is absent or nonfunctional, the virus cannot replicate.
  • the retroviral PR such as HIV-1 PR, has been found to be an aspartic protease with active site characteristics similar to those exhibited by the more complex aspartic protease, renin.
  • human retrovirus includes human immunodeficiency virus type I, human immunodeficiency virus type II, or strains thereof, as well as human T cell leukemia virus 1 and 2 (HTLV-1 and HTLV-2) or strains apparent to one skilled in the art, which belong to the same or related viral families and which create similar physiological effects in humans as various human retroviruses.
  • Patients to be treated would be those individuals: 1) infected with one or more strains of a human retrovirus as determined by the presence of either measurable viral antibody or antigen in the serum and 2) in the case of HIV, having either a symptomatic AIDS defining infection such as i) disseminated histoplasmosis, ii) isopsoriasis, iii) bronchial and pulmonary candidiasis including pneumocystic pneumonia iv) non- Hodgkin's lymphoma or v) Kaposi's sarcoma and being less than sixty years old; or having an absolute CD4 lymphocyte count of less than 200/m 3 in the peripheral blood.
  • Treatment would consist of maintaining an inhibitory level of the peptide used according to this invention in the patient at all times and would continue until the occurrence of a second symptomatic AIDS defining infection indicates alternate therapy is needed.
  • HTV human immunodeficiency virus
  • AIDS human acquired immunodeficiency disease syndrome
  • HIV contains a retro viral encoded protease, HIV-I protease, that cleaves the fusion polypeptides into the functional proteins of the mature virus particle, E.P. Lillehoj, et al., J. Virology, 62:3053 (1988); C. Debuck, et al., Proc. Natl. Acad. Sci., 84:8903 (1987).
  • HIV-I protease This enzyme, HIV-I protease, has been classified as an aspartyl protease and has a demonstrated homology to other aspartyl proteases such as renin, L.H. Pearl, et al., Nature 329:351 (1987); I. Katoh, et al, Nature 329:654 (1987). Inhibition of HIV-I protease blocks the replication of HIV and thus is useful in the treatment of human AIDS, E.D. Clerq, J. Med. Chem. 29:1561 (1986). Inhibitors of HIV-I protease are useful in the treatment of AIDS.
  • Pepstatin A a general inhibitor of aspartyl proteases, has been disclosed as an inhibitor of HIV-I protease, S. Seelmeier, et al., Proc. Natl. Acad. Sci. USA, 85:6612 (1986).
  • Other substrate derived inhibitors containing reduced bond isosteres or statine at the scissle position have also been disclosed, M.L. Moore, et al., Biochem. Biophys, Res. Commun. 159:420 (1989); S. Billich, et al, J. Biol. Chem. 263:17905 (1988); Sandoz, D.E. 3812-576-A.
  • the peptides of the present invention are useful for treating diseases caused by retroviruses, such as human acquired immunodeficiency disease syndrome (AIDS).
  • AIDS human acquired immunodeficiency disease syndrome
  • the compounds of formula I are administered by oral, nasal, transdermal and parenteral (including i.m. and i.v.) routes in doses of 1 ⁇ g to 100 mg/kg of body weight.
  • the compounds of this invention into appropriate pharmaceutical dosage forms.
  • the dosage forms include oral formulations, such as tablets or capsules, or parenteral formulations, such as sterile solutions.
  • the compounds of the present invention are preferably orally administered to humans to effect HTV protease inhibition for the purpose of favorably treating diseases caused by retroviruses.
  • the compounds are administered from 0.1 mg to 100 mg per kg per dose, from 1 to 4 times daily.
  • Solid compositions are prepared by mixing the compounds of this invention with conventional ingredients such as talc, magnesium stearate, dicalcium phosphate, magnesium aluminum silicate, calcium sulfate, starch, lactose, acacia, methyl cellulose, or functionally similar pharmaceutical diluents and carriers.
  • Capsules are prepared by mixing the compounds of this invention with an inert pharmaceutical diluent and placing the mixture into an appropriately sized hard gelatin capsule.
  • Soft gelatin capsules are prepared by machine encapsulation of a slurry of the compounds of this invention with an acceptable inert oil such as vegetable oil or light liquid petrolatum.
  • Syrups are prepared by dissolving the compounds of this invention in an aqueous vehicle and adding sugar, aromatic flavoring agents and preservatives.
  • Elixirs are prepared using a hydroalcoholic vehicle such as ethanol, suitable sweeteners such as sugar or saccharin and an aromatic flavoring agent.
  • Suspensions are prepared with an aqueous vehicle and a suspending agent such as acacia, tragacanth, or methyl cellulose.
  • parenteral solutions are prepared by dissolving the compounds of this invention in water and filter sterilizing the solution before placing in a suitable sealable vial or ampule.
  • Parenteral suspensions are prepared in substantially the same way except a sterile suspension vehicle is used and the compounds of this invention are sterilized with ethylene oxide or suitable gas before it is suspended in the vehicle.
  • Patients to be treated would be those individuals: 1) infected with one or more than one strain of a human immunodeficiency virus as determined by the presence of either measurable viral antibody or antigen in the serum and 2) having either a symptomatic AIDS defining infection such as i) disseminated histoplasmosis, ii) isoporiasis, iii) bronchial and pulmonary candidiasis including pneumocystis pneumonia, iv) non-Hodgkin's lymphoma, or v) Kaposi's sarcoma and being less than sixty years old; or having an absolute CD4 lymphocyte count of less than 200/mm 3 in the peripheral blood.
  • Treatment would consist of maintaining an inhibitory level of the compounds of this invention in the patient at all times and would continue until the occurrence of a second symptomatic AIDS defining infection indicates alternate therapy is needed.
  • the utility of the compounds of the present invention has been demonstrated in the biological test described below.
  • the HIV-1 protease has been expressed in E. coli, isolated, characterized and used to determine the inhibitory constants (K 1 ) of potential inhibitory compounds as follows:
  • the synthetic peptide H-Val-Ser-Gln-Asn-Tyr-Pro-Ile-Val-OH serves as the substrate for the measurement of HIV-1 protease activity.
  • This peptide corresponds to the sequence from residue 128 to 135 in the HIV gag protein. Cleavage of the synthetic peptide, as well as the gag protein, takes place at the Tyr-Pro bond.
  • HTV-1 protease activity is measured at 30°C in 50 mM sodium acetate, pH 5.5, containing 10% glycerol, 5% ethylene glycol, 0.1% Nonidet P-40 and 2.8 mM substrate in a total volume of 50 ⁇ l.
  • the compounds of the present invention are also useful for treating non-human animals infected with a retrovirus, such as cats infected with feline leukemia virus.
  • a retrovirus such as cats infected with feline leukemia virus.
  • viruses that infect cats include, for example, feline infectious peritonitis virus, calicivirus, rabies virus, feline immunodeficiency virus, feline parvovirus (panleukopenia virus), and feline chlamydia.
  • Exact dosages, forms and modes of administration of the compounds of the present invention to non-human animals would be apparent to one of ordinary skill in the art, such as a veterinarian.
  • the compounds of the present invention are prepared as depicted in the charts and as described more fully in the Preparations and Examples. In these charts, the variables are as defined above.
  • Chart A describes the preparation of the insert of formula A-7 and final compounds of formulas A-8 and A-9 of Examples 1 and 2 below, respectively.
  • Vigorous basic hydrolysis of the compound of formula A-5 gives the hydroxyamine of formula A-6.
  • the acid labile protecting groups are removed with acidic methanol to give the compound of formula A-7 which is isolated as the dihydrochloride.
  • the compound of formula A-7 is treated with excess di-tert- butyldicarbonate to give the final peptide of formula A-8.
  • the amine dihydrochloride A-7 can also be coupled with tert-butyloxycarbonyl-L-valine using diethylphosphoryl cyanide, by the procedure described in S. Yamada et al., Tetrahedron Lett. 1973, 1595, to give the final peptide of formula A-9.
  • Chart B describes the preparation of the final peptide of formula B-4 of Example 3 below.
  • the amine dihydrochloride B-1 prepared as the compound A-7 in Chart A, can be coupled with tert-butyloxycarbonyl-N im -tosyl-L-histidine using diethylphosphoryl cyanide by the procedure described in S. Yamada et al., Tetrahedron Lett. 1973, 1595, to give the compound of formula B-2.
  • the tert-butyloxycarbonyl protecting group is removed with trifluoroacetic acid and the resulting amine is then coupled to 1- naphthoxyacetic acid using diethylphosphoryl cyanide, by the procedure described in S. Yamada et al., Tetrahedron Lett. 1973, 1595, to give the compound of formula B-3.
  • the tosyl protecting group is then removed with 1-hydroxybenzotriazole to give the final peptide of formula B-4.
  • Chart C describes the preparation of the insert of formula C-7 and final peptide of formula C-8 of Example 4 below.
  • the renin inhibiting polypeptides may be prepared by solution phase peptide synthetic procedures analogous to those described hereinafter or to those methods known in the art.
  • Appropriate protecting groups, reagents, and solvents for the solution phase method can be found in "The Peptides: Analysis, Synthesis, and Biology," Vols. 1-5, eds. E. Gross and T. Meienhofer, Academic Press, NY, 1979-1983; "The Practice of Peptide Synthesis", M. Bodansky and A. Bodansky, Springer- Verlag, New York, 1984; “The Principles of Peptide Synthesis", M. Bodansky, Springer- Verlag, New York, 1984.
  • the carboxylic moiety of N ⁇ -t-butyloxycarbonyl (BOC)-substituted amino acid derivatives having suitable side chain protecting groups may be condensed with the amino functionality of a suitably protected amino acid or peptide using a conventional coupling protocol such as dicyclohexyl- carbodiimide (DCC) and 1-hydroxybenzotriazole (HOBT) or diethylphosphoryl cyanide (DEPC) and triethylamine (Et 3 N) in methylene chloride or dimethylformamide.
  • DCC dicyclohexyl- carbodiimide
  • HOBT 1-hydroxybenzotriazole
  • DEPC diethylphosphoryl cyanide
  • Et 3 N triethylamine
  • N ⁇ -BOC moiety may be selectively removed with 50% trifluoroacetic acid with or without 2% anisole (v/v) in methylene chloride.
  • Neutralization of the resultant trifluoroacetate salt may be accomplished with 10% diisopropylethylamine or sodium bicarbonate in methylene chloride.
  • the compounds of the present invention may be in either free form or in protected form at one or more of the remaining (not previously protected) peptide, carboxyl, amino, hydroxy, or other reactive groups.
  • the protecting groups may be any of those known in the polypeptide art. Examples of nitrogen and oxygen protection groups are set forth in T.W. Greene, Protecting Groups in Organic Synthesis, Wiley, New York, (1981); J.F.W. McOmie, ed. Protective Groups in Organic Chemistry, Plenum Press (1973); and J. Fuhrhop and G. Benzlin, Organic Synthesis, Verlag Chemie (1983). Included among the nitrogen protective groups are t-butoxycarbonyl (BOC), benzyloxycarbonyl, acetyl, allyl, phthalyl, benzyl, benzoyl, trityl and the like.
  • BOC is t-butoxycarbonyl
  • BOPCL is bis (2-oxo-3-oxazolidinyl) phosphinic chloride
  • Celite is a filter aid
  • DCC is dicyclohexylcarbodiimide
  • DEPC diethylphosphoryl cyanide
  • ⁇ -Glu is ⁇ -glutamic acid
  • N-MeHis is N ⁇ -methyl histidine
  • HOBT 1-hydroxybenzotriazole monohydrate
  • HPLC high performance liquid chromatography
  • MPLC medium pressure liquid chromatography
  • Ph is phenyl
  • Phe is phenylalanine
  • TEA is triethylamine
  • TFA is trifluoroacetic acid
  • THF is tetrahydrofuran
  • TsoH is p-toluenesulfonic acid
  • Tyr is tyrosine
  • ⁇ -Val is ⁇ -Valine.
  • the wedge-shape line indicates a bond which extends above the plane of the paper relative to the plane of the compound thereon.
  • the dotted line indicates a bond which extends below the plane of the paper relative to the plane of the compound thereon.
  • Preparation 8 4S,7S-Bis-[1-Naphthoxyacetyl-N im -tosyl-L-histidyl-amino]-5S,6S- dihydroxy-2,9-dimethyldecane (Formula B-3)
  • 1 trifluoroacetic acid : dichloromethane is allowed to stir for 50 min.
  • the reaction mixture is partitioned between dichloromethane and aqueous sodium bicarbonate.
  • the organic phase is dried (sodium sulfate) and then concentrated to give 42.6 mg.
  • Example 4 4S,7S-Bis-[N ⁇ -rert-Butyloxycarbonyl-L-valyl-amino]-5R,6R- dihydroxy-2,9-dimethyldecane (Formula C-8) Refer to Chart C. To a stirred solution of 15 mg of the title product of Preparation 14 and 25.6 mg of tert-butyloxycarbonyl-L-valine in 0.5 mL dimethylformamide is added 0.038 mL of diisopropylethylamine and 48 mg of bis(2-oxo-3-oxazolidinyl)phosphinic chloride. After stirring for 18 h, the concentrated reaction mixture is chromatographed on silica gel with 3% to 5% methanol in dichloromethane to give 31 mg of the title product.
  • Example 7 4S,7S-Bis-[N ⁇ -Benzyloxycarbonyl-L-valyl-amino]-5R,6R-dihydroxy-2,9- dimethyldecane. FAB-MS (found): 699.4337.
  • Example 8 4S,7S-Bis-[N ⁇ -Benzyloxycarbonyl-L-valyl-amino]-5S,6S-dihydroxy-2,9- dimethyldecane. FAB-MS (found): 699.4337.

Landscapes

  • Chemical & Material Sciences (AREA)
  • Organic Chemistry (AREA)
  • Health & Medical Sciences (AREA)
  • Life Sciences & Earth Sciences (AREA)
  • Medicinal Chemistry (AREA)
  • Virology (AREA)
  • General Health & Medical Sciences (AREA)
  • Public Health (AREA)
  • Molecular Biology (AREA)
  • Chemical Kinetics & Catalysis (AREA)
  • Nuclear Medicine, Radiotherapy & Molecular Imaging (AREA)
  • Pharmacology & Pharmacy (AREA)
  • Animal Behavior & Ethology (AREA)
  • Oncology (AREA)
  • Communicable Diseases (AREA)
  • Veterinary Medicine (AREA)
  • General Chemical & Material Sciences (AREA)
  • Tropical Medicine & Parasitology (AREA)
  • AIDS & HIV (AREA)
  • Crystallography & Structural Chemistry (AREA)
  • Biochemistry (AREA)
  • Biophysics (AREA)
  • Genetics & Genomics (AREA)
  • Proteomics, Peptides & Aminoacids (AREA)
  • Medicines That Contain Protein Lipid Enzymes And Other Medicines (AREA)
  • Acyclic And Carbocyclic Compounds In Medicinal Compositions (AREA)
  • Organic Low-Molecular-Weight Compounds And Preparation Thereof (AREA)
  • Peptides Or Proteins (AREA)
  • Pharmaceuticals Containing Other Organic And Inorganic Compounds (AREA)

Abstract

The present invention provides novel peptides of formula (I). These peptides are useful as inhibitors of retroviral proteases. Inhibitors of retroviral proteases, such as the HIV-I protease, are useful for treating diseases caused by retroviruses, such as human acquired immunodeficiency disease syndrome (AIDS).

Description

PEPΗDES CONTAINING
SUBSTITUTED 1,4-DIAMINES AS TRANSITION-STATE INSERTS
DESCRIPTION
BACKGROUND OF THE INVENΗON
The present invention provides novel compounds. More particularly, the present invention provides novel peptide analogs. The peptides of the present invention contain a substituted 1,4-diamine moiety as a novel transition state insert. These peptides are useful as inhibitors of retroviral proteases. Inhibitors of retroviral proteases, such as the
HIV-I protease, are useful for treating diseases caused by retroviruses, such as human acquired immunodeficiency disease syndrome (AIDS).
BACKGROUND OF THE INVENTION
An estimated one to one and one-half million people in the United States are infected with a human retrovirus, the human immunodeficiency virus type I, HIV-1, which is the etiological agent of acquired immunodeficiency syndrome, AIDS (C. Norman, Science, 661-662 (1986)). Of those infected, an estimated two hundred and fifty thousands people will develop AIDS in the next five years (J.W. Curran, et al., Science, 1352-1357 (1985)). On March 20, 1987, the FDA approved the use of the compound, zidovudine (AZT), to treat AIDS patients with a recent initial episode of pneumocystis carinii pneumonia, AIDS patients with conditions other than pneumocystis carinii pneumonia or patients infected with the virus with an absolute CD4 lymphocyte count of less than 200/mm3 in the peripheral blood. AZT is a known inhibitor of viral reverse transcriptase, an enzyme necessary for human immunodeficiency virus replication.
U.S. Patent 4,724,232 claims a method of treating humans having acquired immunodeficiency syndrome utilizing 3'-azido-3'-deoxy-thymidine (azidothymidine, AZT).
Since the first description of the malady in the early part of this decade, acquired immunodeficiency disease syndrome (AIDS) and its devastating consequences have been subjects of continuous and intense coverage in both the lay and scientific press. Indeed, a recent edition of Scientific American was entirely devoted to AIDS (Scientific American 289, #4 (1988)), and the literature on the disease and the virus is already so vast as to defy thorough citation. At present, there is no effective treatment of the disease, and 3'-azido-3'-deoxythymidine (AZT), an inhibitor of the viral reverse transcriptase (RT) remains the therapy of choice, despite its highly toxic side effects.
Human immunodeficiency virus (HIV) has long been recognized as the causative agent in AIDS, although a minority opinion to the contrary has been expressed (e.g., P. Duesberg, Proc. Natl. Acad. Sci., USA, 86:755-764 (1989)). Sequence analysis of the complete genomes from several infective and non-infective HIV-isolates has shed considerable light on the make-up of the virus and the .types of molecules that are essential for its replication and maturation to an infective species (L. Ratner, et al., Nature, 313:277-284 (1985)). HIV exhibits the same gag/pol/env organization seen in other retroviruses (L. Ratner, et al., Nature, 313:277-284 (1985)); S. Wain-Hobson, et al., Cell, 40:9-17 (1985); R. Sanchez-Pescador, et al., Science, 227:484-492 (1985); and M.A. Muesing, et al., Nature, 313: 450-458 (1985)).
Reverse transcriptase (RT) is an enzyme unique to retroviruses that catalyzes the conversion of viral RNA into double stranded DNA. Blockage at any point during the transcription process, by AZT or any other aberrant deoxynucleoside triphosphate incapable of elongation, should have dramatic consequences relative to viral replication. Much work on the RT target is in progress based, in large measure, upon the fact that nucleosides like AZT are easily delivered to cells. However, the inefficiency of phosphorylation steps to the triphosphate, and the lack of specificity and consequent toxicity, constitute major drawbacks to use of AZT and similar nucleosides having a blocked, or missing, 3'hydroxyl group.
The T4 cell receptor for HTV, the so-called CD4 molecule, has also been targeted as an intervention point in AIDS therapy ( R.A. Fisher, etal., Nature, 331:76-78 (1988); R.E. Hussey, et al., Nature, 331:78-81 (1988); and K.C. Deen, et al., Nature, 331:82- 84 (1988)). The exterior portion of this transmembrane protein, a molecule of 371 amino acids (sCD4) has been expressed in Chinese hamster ovary (CHO) cells and Genentech ( D.H. Smith, et al., Science, 238:1704-1707 (1987)) has had a product in clinical trials since the fall of 1987. Thus far, little information on efficacy is available beyond the fact that the recombinant sCD4 appears to be relatively non-toxic. The idea behind CD4 based therapy is that the molecules can neutralize HIV by interfering with viral attachment to T4, and other cells which express CD4 on their surfaces. A variant on this theme is to attach cell toxins to CD4 for specific binding and delivery to infected cells which display glycoprotein gp-120 on their surfaces ( M.A. Till, et al., Science, 242:1166-1168 (1988); and V.K. Chaudhary, et al., Nature, 335:369-372 (1988)). Another therapeutic target in AIDS involves inhibition of the viral protease (or proteinase) that is essential for processing HW-fusion polypeptide precursors. In HIV and several other retroviruses, the proteolytic maturation of the gag and gag/pol fusion polypeptides (a process indispensable for generation of infective viral particles) has been shown to be mediated by a protease that is, itself, encoded by the pol region of the viral genome (Y. Yoshinaka, et al., Proc. Natl. Acad. Sci. USA, 82:1618-1622 (1985); Y. Yoshinaka, et al., J. Virol., 55:870-873 (1985); Y. Yoshinaka, et al., J. Virol., 57:826- 832 (1986); and K. von der Helm, Proc. Natl. Acad. Sci., USA, 74:911-915 (1977)).
The protease (or proteinase), consisting of only 99 amino acids, is among the smallest enzymes known, and its demonstrated homology to aspartyl proteases such as pepsin and renin ( L.H. Pearl and W.R. Taylor, Nature, 329: 351-354 (1987); and I. Katoh, et al., Nature, 329:654-656 (1987)), led to inferences regarding the three-dimensional structure and mechanism of the enzyme (L.H. Pearl and W.R. Taylor, Nature, 329:351-354 (1987)) that have since been borne out experimentally. Active HIV protease has been expressed in bacteria (see, e.g., P.L. Darke, et al., J. Biol. Chem., 264:2307-2312 (1989)) and chemically synthesized ( J. Schneider and S.B. Kent, Cell, 54:363-368 (1988); and R.F. Nutt, et al., Proc. Natl. Acad. Sci., USA, 85:7129-7133 (1988)). Site directed mutagenesis (P.L. Darke, et al., J. Biol. Chem., 264: 2307-2312 (1989); and N.E. Kohl, et al., Proc. Natl. Acad. Sci., USA, 85:4686-4690 (1988) and pepstatin inhibition (P.L. Darke, et al., J. Biol. Chem., 264:2307-2312 (1989); S. Seelmeier, et al., Proc. Natl. Acad. Sci., USA, 85:6612-6616 (1988); C.-Z. Giam and I. Borsos, J. Biol. Chem., 263:14617-14720 (1988); and J. Hansen, et al., EMBO J., 7:1785-1791 (1988)) have provided evidence for HIV protease's mechanistic function as an aspartyl protease. A recent study has demonstrated that the protease cleaves at the sites expected in peptides modeled after the regions actually cleaved by the enzyme in the gag and pol precursor proteins during viral maturation (P.L. Darke, et al., Biochem. Biophys. Res. Communs., 156:297-303 (1988)). X-ray crystallographic analysis of the HIV-protease (M.A. Navia, et al., Nature, 337:615-620 (1989)) and a related retroviral enzyme from Rous sarcoma virus (M. Miller, et al., Nature, 337:576-579 (1989)) reveal an active site in the protease dimer that is identical to that seen in other aspartyl proteases, thus supporting the supposition (L.H. Pearl and W.R. Taylor, Nature, 329:351-354 (1987)) that the HIV enzyme is active as a dimer.
To date, a compound which effectively inhibits retroviruses in a human hosting such a virus, and thereby effectively treats diseases caused by such a virus, such as acquired immunodeficiency syndrome (AIDS), has not been found.
INFORMATION DISCLOSURE
DJ. Kempf et al., J. Med. Chem. 1990, 33, 2687-2689 discloses HIV protease mhibitorshavingthestructuresBOC-NH-CH(benzyl)-CH(OH)-CH(OH)-CH(benzyl)-NH-
BOC and Cbz-Val-NH-CH(benzyl)-CH(OH)-CH(OH)-CH(benzyl)-NH-Val-Cbz. This article was published prior to the filing date of the present application, but after the invention herein.
European patent application 189,203, published 30 July 1986, and European patent application 230,266, published 24 July 1987, disclose N-dihydroxyalkyl peptide derivatives which are useful as inhibitors of renin for treating hypertension. They specifically disclose the intermediate compound, (2S,3R,4S)-1-amino-2,3-dihydroxy-4- tert-butoxy-carbonylamino-5-cyclohexylpentane, and the final compound Boc-Phe-His
Amide of (2S,3R,4S)-1-(3-Methylbutylcarbonylamino)-2,3-dihydroxy-4-amino-5- cyclohexylpentane.
Derivatives of isosteric bond replacements at positions 10,11 as dihydroxy ethylene isosteres are disclosed in International Patent Application, PCT/US 87/00291, published 11 September 1987 (Publication No. WO87/05302).
International Patent Application, PCT/US 87/03007, published 30 June 1988 (Publication No. WO88/04664) discloses renin inhibitory peptides having an epoxide or glycol moiety at the 10,11-position.
International Application PCT/US90/03754, filed 9 July 1990, discloses peptides having a diamino glycol moiety as the non-cleavable transition state insert corresponding to the 10,11-position of the renin substrate (angiotensinogen). These peptides are disclosed as being useful as renin inhibitors and as inhibitors of retroviral proteases.
U.S. Patent Application Serial No. 07/573,110, filed 24 August 1990, discloses peptides, having amino-polyols as transition state mimics, which are useful as renin inhibitors and retroviral protease inhibitors.
The inhibition by relatively high concentrations of pepstatin A (100 μM), a general aspartyl proteinase inhibitor, of HIV replication in H9 cells is described in K. Von der Helm, et al., FEBS Letters, 247:349 (1989).
Great Britain 2,203,740 (Sandoz) claims the use of renin inhibitors for treating diseases caused by retroviruses. A.D. Richards, etal., FEBS Letters, 247:113 (1989) discloses tBoc-His-Pro-Phe- His-LVA-Ile -His, a potent inhibitor of another aspartyl protease human renin, which also contains a hydroxyethylene isotere, inhibits the HIV-1 protease in vitro.
Recent information from Smith-Kline-Beecham researchers has described work on the inhibition of HIV-1 replication in cell culture with synthetic protease inhibitors. Int. AIDS Symposium, Montreal, Canada, June 1989
The following patent applications disclose peptides that are useful as inhibitors of renin and HTV-I protease: International application, Serial No. PCT/US89/01672, filed 24 April 1989; U.S. Patent application, Serial No. 07/405,691, filed 11 September 1989; and International application, Serial No. PCT/US90/03754, filed 9 July 1990..
SUMMARY OF THE INVENTION
The present invention particularly provides:
A compound of Formula I
wherein X is
(a) hydrogen,
(b) C1-C7alkyl,
(c) aryl-(CH2)p-,
(d) Het-(CH2)p-,
(e) C3-C7cycloalkyl-(CH2)p-,
(f) R5-O-CH2-C(O)-,
(g) R5-CH2-O-C(O)-,
(h) R5-O-C(O)-,
(i) R5-(CH2)n-C(O)-,
(j) R5-(CH2)n-C(S)-,
(k) R4N(R4)-(CH2)n-C(O)-
(l) R5-SO2-(CH2)q-C(O)-,
(m) R5-SO2-(CH2)q-O-C(O)-,
(n) R6-(CH2)n-C(O)-, or
(o) R5-(CH2)n-SO2-;
wherein Z is
(a) hydrogen,
(b) C1-C7alkyl,
(c) -(CH2)p-aryl, (d) -(CH2)p-Het,
(e) -(CH2)p-C3-C7cycloalkyl,
(f) -C(O)-CH2-O-R5,
(g) -C(O)-O-CH2-R5,
(h) -C(O)-O-R5,
(i) -C(O)-(CH2)n-R5,
(j) -C(S)-(CH2)n-R5,
(k) -C(O)-(CH2)n-(R4)NR4,
(l) -C(O)-(CH2)q-SO2-R5,
(m) -C(O)-O-(CH2)q-SO2-R5,
(n) -C(O)-(CH2)n-R6, or
(o) -SO2-(CH2)n-R5;
wherein P is OH or NH2;
wherein Y is OH or NH2;
wherein Q is
(a) -CH2-,
(b) -CH(OH)-,
(c) -O-, or
(d) -S-;
wherein A or B or both are absent or are a divalent moiety of the formula XL1, XL2 or
XL 3 or other amino acyl derivative;
wherein C or D or both are absent or are a divalent moiety of the formula XL4, XL5 or
XL6 or other amino acyl derivative;
wherein R1 is
(a) hydrogen,
(b) C1-C5alkyl,
(c) aryl,
(d) C3-C7cycloalkyl,
(e) -Het,
(f) C1-C3alkoxy, or
(g) C1-C3alkylthio;
wherein R2 is
(a) hydrogen, (b) C1-C5alkyl,
(c) aryl,
(d) C3-C7cycloalkyl,
(e) -Het,
(f) C1-C3alkoxy, or
(g) C1-C3alkylthio;
wherein R3 is
(a) hydrogen,
(b) C1-C5alkyl, or
(c) aryl- C1-C5alkyl;
wherein R4 is
(a) hydrogen
(b) C1-C5alkyl,
(c) -(CH2)p-aryl,
(d) -(CH2)p-Het,
(e) -(CH2)p-C3-C7cycloalkyl, or
(f) 1- or 2-adamantyl;
wherein R5 is
(a) C1-C3alkyl,
(b) -(CH2)p-C3-C7cycloalkyl,
(c) -(CH2)p-aryl,
(d) -(CH2)p-Het, or
(e) 5-oxo-2-pyrrolidinyl;
wherein R6 is
(a) hydrogen,
(b) C1-C5alkyl,
(c) -(CH2)p-aryl,
(d) -(CH2)p-Het,
(e) -(CH2)p-C3-C7cycloalkyl, or
(f) 1- or 2-adamatyl;
wherein R7 is
(a) hydrogen,
(b) C1-C3alkyl, or (c) phenyl-C1-C3alkyl;
wherein R8 is
(a) hydrogen,
(b) C1-C5 alkyl, or
(c) -(CH2)p-phenyl;
wherein m is 1 to 2, inclusive
wherein n is 0 to 5, inclusive;
wherein p is 0 to 2, inclusive;
wherein q is 1 to 5, inclusive;
wherein aryl is phenyl or naphthyl substituted by zero to three of the following:
(a) C1-C3alkyl,
(b) hydroxy,
(c) C1-C3alkoxy,
(d) halo,
(e) amino,
(f) mono- or di-C1-C3alkylamino,
(g) -CHO,
(h) -COOH,
(i) COOR7,
(j) CONHR7,
(k) nitro,
(l) mercapto,
(m) C1-C3alkylthio,
(n) C1-C3alkylsulfinyl,
(o) C1-C3alkylsulfonyl,
(p) -N(R8)- C1-C3alkylsulfinyl,
(q) SO3H,
(r) SO2NH2,
(s) -CN, or
(t) CH2NH2;
wherein -Het is a 5- or 6-membered saturated ring containing from one to three heteroatoms selected from the group consisting of nitrogen, oxygen, and sulfur; and including any bicyclic group in which any of the above heterocyclic rings is fused to a benzene ring or another heterocycle; and if chemically feasible, the nitrogen and sulfur atoms may be in the oxidized forms; and optionally substituted by zero to three of the following:
(a) C1-C5alkyl,
(b) hydroxy,
(c) hydroxy (C1-C5alkyl),
(d) halogen,
(e) amino,
(f) amino (C1-C5alkyl),
(g) -CHO,
(h) -CO2H,
(i) -CO2-(C1-C5alkyl),
(j) -CONH2,
(k) -CONH-( C1-C5alkyl),
(l) nitro.
(m) mercapto,
(n) mercapto (C1-C5alkyl),
(o) -SO3H,
(p) -SO2NH2,
(q) -CN, or
(r) -O-C1-C5alkyl;
or a carboxy, amino or other reactive group protected form thereof;
or a pharmaceutically acceptable acid or base addition salt thereof.
By "amino acyl derivatives" is meant any of the naturally occurring amino acids such as: glycine, alanine, valine, leucine, isoleucine, phenylalanine, lysine, proline, tryptophan, methionine, serine, threonine, cysteine, tyrosine, asparagine, glutamine, aspartic acid, glutamic acid, arginine, ornithine, and histidine, and synthetic derivatives thereof. These compounds may be in the L or D configuration and are well known and readily available to those skilled in the art.
The present invention provides for novel compounds or pharmacologically acceptable salts and/or hydrates thereof. Pharmacologically acceptable salts refers to those salts which would be readily apparent to a manufacturing pharmaceutical chemist to be equivalent to the parent compound in properties such as formulation, stability, patient acceptance and bioavailablility.
Examples of pharmaceutically acceptable acid addition salts include: acetate, adipate, alginate, aspartate, benzoate, benzenesulfonate, bisulfate, butyrate, citrate, camphorate, camphorsulfonate, cyclopentanepropionate, digluconate, dodecylsulfate, ethane-sulfonate, fumarate, glucoheptanoate, glycerophosphate, hemisulfate, heptanoate, hexanoate, hydrochloride, hydrobfomide, hydroiodide, 2-hydroxyethanesulfonate, lactate, maleate, methanesulfonate, 2-naphthalenesulfonate, nicotinate, oxalate, palmoate, pectinate, persulfate, 3-phenylpropionate, picrate, pivalate, propionate, succinate, tartrate, thiocyanate, tosylate, and undecanoate.
The carbon atom content of various hydrocarbon-containing moieties is indicated by a prefix designating the minimum and maximum number of carbon atoms in the moiety, i.e., the prefix (Ci-Cj) indicates a moiety of the integer "i" to the integer "j" carbon atoms, inclusive. Thus (C1-C4)alkyl refers to alkyl of one to 4 carbon atoms, inclusive, or methyl, ethyl, propyl, butyl, and isomeric forms thereof. C4-C7cyclic amino indicates a monocyclic group containing one nitrogen and 4 to 7 carbon atoms.
Examples of (C3-C10)cycloalkyl, which include alkyl-substituted cycloalkyl containing a total of up to 10 total carbon atoms, are cyclopropyl, 2-methylcyclopropyl,
2,2-dimethylcyclopropyl, 2,3-diethylcyclopropyl, 2-butylcyclopropyl, cyclobutyl, 2- methylcyclobutyl, 3-propylcyclobutyl, cyclopentyl, 2,2-dimethylcyclopentyl, cyclohexyl, cycloheptyl, cyclooctyl, cyclononyl, cyclodecyl and isomeric forms thereof.
Examples of aryl include phenyl, naphthyl, (o-, m-, or p-)tolyl, (o-, m-, or p-)ethylphenyl, 2-ethyl-tolyl,4-ethyl-o-tolyl,5-ethyl-m-tolyl, (o-, m-, orp-)propylphenyl, 2-propyl-(o-, m-, or p-)tolyl, 4-isopropyl-2,6-xylyl, 3-propyl-4-ethylphenyl, (2,3,4- 2,3,6-, or 2,4,5-)trimethylphenyl, (o-, m-, or p-)fluorophenyl, (o-, m-, or p-trifluoromethγl)phenyl, 4-fluoro-2,5-xylyl, (2,4-, 2,5-, 2,6-, 3,4-, or 3,5- )difluor ophenyl, (o-, m-, or p-)chlorophenyl, 2-chloro-p-tolyl, (3-, 4-, 5- or 6-)chloro-o- tolyl, 4-chloro-2-propylphenyl, 2-isopropyl-4-chlorophenyl, 4-chloro-3-fluorophenyl, (3- or 4-)chloro-2-fluorophenyl, (o-, m-, or p-)trifluoro-methylphenyl, (o-, m-, or p-)ethoxyphenyl, (4- or 5-)chloro-2-methoxy-phenyl, and 2,4-dichloro(5- or
6-)methylphenyl, and the like.
Examples of -Het include: 2-, 3-, or 4-pyridyl, imidazolyl, indolyl, Nin-formyl- indolyl, Nin- C1-C5alkyl-C(O)-indolyl, 1,2,4-triazolyl, 2-, 4-, or 5-pyrimidinyl, 2- or 3-thienyl, piperidinyl, pyrryl, pyrrolinyl, pyrrolidinyl, pyrazolyl, pyrazolinyl, pyrazolidi- nyl, imidazolinyl, imidazolidinyl, pyrazinyl, piperazinyl, pyridazinyl, oxazolyl, oxazolidinyl, isoxazolyl, isoxazolidinyl, morpholinyl, thiazolyl, thiazolidinyl, isothiazolyl, isothiazolidinyl, quinolinyl, isoquinolinyl, benzimidazolyl, benzothiazolyl, benzoxazolyl, furyl, thienyl, and benzothienyl. Each of these moieties may be substituted as noted above.
As would be generally recognized by those skilled in the art of organic chemistry, a heterocycle as defined herein for -Het would not be bonded through oxygen or sulfur or through nitrogen which is within a ring and part of a double bond.
Halo is halogen (fluoro, chloro, bromo, or iodo) or trifluoromethyl.
Examples of pharmaceutically acceptable cations include: pharmacologically acceptable metal cations, ammonium, amine cations, or quaternary ammonium cations. Especially preferred metal cations are those derived from the alkali metals, e.g., lithium, sodium, and potassium, and from the alkaline earth metals, e.g., magnesium and calcium, although cationic forms of other metals, e.g., aluminum, zinc, and iron are also within the scope of this invention. Pharmacologically acceptable amine cations are those derived from primary, secondary, or tertiary amines.
The novel peptides herein contain both natural and synthetic amino acid residues.
These residues are depicted using standard amino acid abbreviations (see, e.g., IUPAC-
IUB Joint Commission on Biochemical Nomenclature (JCBN), "Nomenclature and Symbolism for amino Acids and Peptides," Eur. J. Biochem. 138:9-37 (1984)) unless otherwise indicated.
As is apparent to those of ordinary skill in the art, the compounds of the present invention can occur in several diastereomeric forms, depending on the configuration around the asymmetric carbon atoms. All such diastereomeric forms are included within the scope of the present invention. Preferably, the stereochemistry of the amino acids corresponds to that of the naturally occurring amino acids.
The HIV protease, which belongs to the class of aspartyl proteases, is a C-2 symmetric homodimer, M.A. Navia et al., Science 1989, 337, 615; A. Wlodawer et al., Science 1989, 337, 616. Advantageously, the compounds of the present invention of formula I have C-2 symmetry and thus provide complementary ligands for the C-2 symmetric active site of the enzyme. In formula I, the C-2 symmetric transition-state insert is depicted at -NH-CH(CH2R1)-CHP-CHY-CH(CH2R2)-NH-. For the compounds of the present invention, the symmetrical transition-state inserts, 1,4-diamino-2,3- dihydroxy-1,4-dibenzyl-butane and 1,4-diamino-2,3-dihydroxy-1,4-diisobutyl-butane, are preferred. The 1S,2S,3S,4S and the 1S,2R,3R,4S isomers are preferred.
The compounds of the present invention are effective and potent inhibitors of HIV protease. Therefore, the compounds of formula I inhibit retroviral proteases and thus inhibit the replication of the virus. They are useful for treating patients infected with a human retrovirus, such as human immunodeficiency virus (strains of HIV-1 or HIV-2) or human T-cell leukemia viruses (HTLV-I or HTLV-II) which results in acquired immunodeficiency syndrome (AIDS) and/or related diseases.
The capsid and replicative enzymes (i.e. protease, reverse transcriptase, integrase) of retroviruses are translated from the viral gag and pol genes as polyproteins that are further processed by the viral protease (PR) to the mature proteins found in the viral capsid and necessary for viral functions and replication. If the PR is absent or nonfunctional, the virus cannot replicate. The retroviral PR, such as HIV-1 PR, has been found to be an aspartic protease with active site characteristics similar to those exhibited by the more complex aspartic protease, renin.
The term human retrovirus (HRV) includes human immunodeficiency virus type I, human immunodeficiency virus type II, or strains thereof, as well as human T cell leukemia virus 1 and 2 (HTLV-1 and HTLV-2) or strains apparent to one skilled in the art, which belong to the same or related viral families and which create similar physiological effects in humans as various human retroviruses.
Patients to be treated would be those individuals: 1) infected with one or more strains of a human retrovirus as determined by the presence of either measurable viral antibody or antigen in the serum and 2) in the case of HIV, having either a symptomatic AIDS defining infection such as i) disseminated histoplasmosis, ii) isopsoriasis, iii) bronchial and pulmonary candidiasis including pneumocystic pneumonia iv) non- Hodgkin's lymphoma or v) Kaposi's sarcoma and being less than sixty years old; or having an absolute CD4 lymphocyte count of less than 200/m3 in the peripheral blood. Treatment would consist of maintaining an inhibitory level of the peptide used according to this invention in the patient at all times and would continue until the occurrence of a second symptomatic AIDS defining infection indicates alternate therapy is needed.
More specifically, an example of one such human retrovirus is the human immunodeficiency virus (HTV, also known as HTLV-III or LAV) which has been recognized as the causative agent in human acquired immunodeficiency disease syndrome (AIDS), P. Duesberg, Proc. Natl. Acad. Sci. USA, 86:755 (1989). HIV contains a retro viral encoded protease, HIV-I protease, that cleaves the fusion polypeptides into the functional proteins of the mature virus particle, E.P. Lillehoj, et al., J. Virology, 62:3053 (1988); C. Debuck, et al., Proc. Natl. Acad. Sci., 84:8903 (1987). This enzyme, HIV-I protease, has been classified as an aspartyl protease and has a demonstrated homology to other aspartyl proteases such as renin, L.H. Pearl, et al., Nature 329:351 (1987); I. Katoh, et al, Nature 329:654 (1987). Inhibition of HIV-I protease blocks the replication of HIV and thus is useful in the treatment of human AIDS, E.D. Clerq, J. Med. Chem. 29:1561 (1986). Inhibitors of HIV-I protease are useful in the treatment of AIDS.
Pepstatin A, a general inhibitor of aspartyl proteases, has been disclosed as an inhibitor of HIV-I protease, S. Seelmeier, et al., Proc. Natl. Acad. Sci. USA, 85:6612 (1986). Other substrate derived inhibitors containing reduced bond isosteres or statine at the scissle position have also been disclosed, M.L. Moore, et al., Biochem. Biophys, Res. Commun. 159:420 (1989); S. Billich, et al, J. Biol. Chem. 263:17905 (1988); Sandoz, D.E. 3812-576-A.
Thus, the peptides of the present invention are useful for treating diseases caused by retroviruses, such as human acquired immunodeficiency disease syndrome (AIDS).
For this indication, the compounds of formula I are administered by oral, nasal, transdermal and parenteral (including i.m. and i.v.) routes in doses of 1 μg to 100 mg/kg of body weight.
Those skilled in the art would know how to formulate the compounds of this invention into appropriate pharmaceutical dosage forms. Examples of the dosage forms include oral formulations, such as tablets or capsules, or parenteral formulations, such as sterile solutions.
The compounds of the present invention are preferably orally administered to humans to effect HTV protease inhibition for the purpose of favorably treating diseases caused by retroviruses. For this purpose, the compounds are administered from 0.1 mg to 100 mg per kg per dose, from 1 to 4 times daily.
Either solid or fluid dosage forms can be prepared for oral administration. Solid compositions are prepared by mixing the compounds of this invention with conventional ingredients such as talc, magnesium stearate, dicalcium phosphate, magnesium aluminum silicate, calcium sulfate, starch, lactose, acacia, methyl cellulose, or functionally similar pharmaceutical diluents and carriers. Capsules are prepared by mixing the compounds of this invention with an inert pharmaceutical diluent and placing the mixture into an appropriately sized hard gelatin capsule. Soft gelatin capsules are prepared by machine encapsulation of a slurry of the compounds of this invention with an acceptable inert oil such as vegetable oil or light liquid petrolatum. Syrups are prepared by dissolving the compounds of this invention in an aqueous vehicle and adding sugar, aromatic flavoring agents and preservatives. Elixirs are prepared using a hydroalcoholic vehicle such as ethanol, suitable sweeteners such as sugar or saccharin and an aromatic flavoring agent. Suspensions are prepared with an aqueous vehicle and a suspending agent such as acacia, tragacanth, or methyl cellulose.
When the compounds of this invention are administered parenterally, they can be given by injection or by intravenous infusion. An effective amount is from about 1 μg to 100 mg per kg per day. Parenteral solutions are prepared by dissolving the compounds of this invention in water and filter sterilizing the solution before placing in a suitable sealable vial or ampule. Parenteral suspensions are prepared in substantially the same way except a sterile suspension vehicle is used and the compounds of this invention are sterilized with ethylene oxide or suitable gas before it is suspended in the vehicle.
The exact route of administration, dose, or frequency of administration would be readily determined by those skill in the art and is dependant on the age, weight, general physical condition, or other clinical symptoms specific to the patient to be treated.
Patients to be treated would be those individuals: 1) infected with one or more than one strain of a human immunodeficiency virus as determined by the presence of either measurable viral antibody or antigen in the serum and 2) having either a symptomatic AIDS defining infection such as i) disseminated histoplasmosis, ii) isoporiasis, iii) bronchial and pulmonary candidiasis including pneumocystis pneumonia, iv) non-Hodgkin's lymphoma, or v) Kaposi's sarcoma and being less than sixty years old; or having an absolute CD4 lymphocyte count of less than 200/mm3 in the peripheral blood. Treatment would consist of maintaining an inhibitory level of the compounds of this invention in the patient at all times and would continue until the occurrence of a second symptomatic AIDS defining infection indicates alternate therapy is needed.
The utility of the compounds of the present invention has been demonstrated in the biological test described below. The HIV-1 protease has been expressed in E. coli, isolated, characterized and used to determine the inhibitory constants (K1) of potential inhibitory compounds as follows:
The synthetic peptide H-Val-Ser-Gln-Asn-Tyr-Pro-Ile-Val-OH serves as the substrate for the measurement of HIV-1 protease activity. This peptide corresponds to the sequence from residue 128 to 135 in the HIV gag protein. Cleavage of the synthetic peptide, as well as the gag protein, takes place at the Tyr-Pro bond. HTV-1 protease activity is measured at 30°C in 50 mM sodium acetate, pH 5.5, containing 10% glycerol, 5% ethylene glycol, 0.1% Nonidet P-40 and 2.8 mM substrate in a total volume of 50 μl. After 30 minutes of incubation, 75 μl of 1 % trifluoroacetic acid (TFA) is added and the reaction mixture subjected to HPLC analysis. HPLC is carried out with a Vydac C18 column (0.46 x 15 cm), eluting with a linear gradient of 0-30% acetonitrile over a period of 25 minutes at a flow rate of 1.0 ml/minute.
The K1 values of the compounds of formula I of the present invention are listed in Table I below.
The compounds of the present invention are also useful for treating non-human animals infected with a retrovirus, such as cats infected with feline leukemia virus. Other viruses that infect cats include, for example, feline infectious peritonitis virus, calicivirus, rabies virus, feline immunodeficiency virus, feline parvovirus (panleukopenia virus), and feline chlamydia. Exact dosages, forms and modes of administration of the compounds of the present invention to non-human animals would be apparent to one of ordinary skill in the art, such as a veterinarian.
The compounds of the present invention are prepared as depicted in the charts and as described more fully in the Preparations and Examples. In these charts, the variables are as defined above.
CHART A
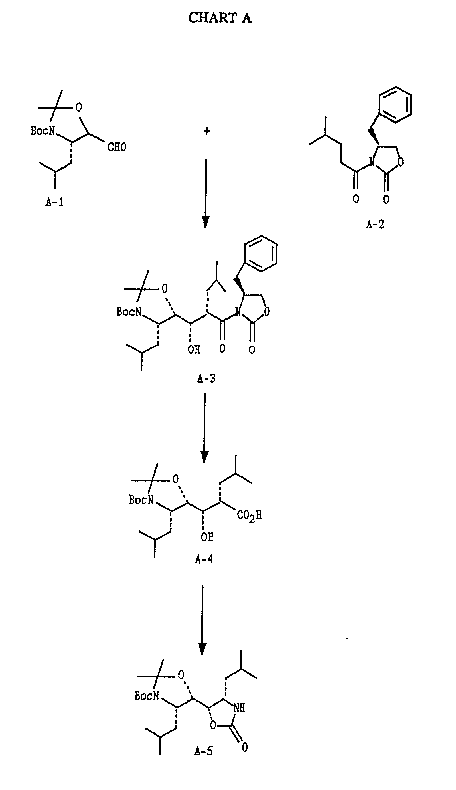
Chart A describes the preparation of the insert of formula A-7 and final compounds of formulas A-8 and A-9 of Examples 1 and 2 below, respectively.
An aldol addition reaction between the aldehyde of formula A-1, prepared as described in S. Thaisrivongs et al., J. Med. Chem. 1987, 30, 976, as an epimeric mixture at C-2, and the acyloxazolidinone of formula A-2 lead to a mixture of two adducts, the compound of formula A-3 and its diastereomer. The chiral auxiliary is removed from the compound of formula A-3 by basic hydrolysis with hydrogen peroxide to give the acid of formula A-4. A Curtius reaction using diphenylphosphoryl azide gives an intermediate isocyanate which is trapped by the adjacent hydroxyl group to give the cyclic carbamate of formula A-5. Vigorous basic hydrolysis of the compound of formula A-5 gives the hydroxyamine of formula A-6. The acid labile protecting groups are removed with acidic methanol to give the compound of formula A-7 which is isolated as the dihydrochloride. The compound of formula A-7 is treated with excess di-tert- butyldicarbonate to give the final peptide of formula A-8. The amine dihydrochloride A-7 can also be coupled with tert-butyloxycarbonyl-L-valine using diethylphosphoryl cyanide, by the procedure described in S. Yamada et al., Tetrahedron Lett. 1973, 1595, to give the final peptide of formula A-9.
Chart B
Chart B describes the preparation of the final peptide of formula B-4 of Example 3 below.
The amine dihydrochloride B-1, prepared as the compound A-7 in Chart A, can be coupled with tert-butyloxycarbonyl-Nim-tosyl-L-histidine using diethylphosphoryl cyanide by the procedure described in S. Yamada et al., Tetrahedron Lett. 1973, 1595, to give the compound of formula B-2. The tert-butyloxycarbonyl protecting group is removed with trifluoroacetic acid and the resulting amine is then coupled to 1- naphthoxyacetic acid using diethylphosphoryl cyanide, by the procedure described in S. Yamada et al., Tetrahedron Lett. 1973, 1595, to give the compound of formula B-3. The tosyl protecting group is then removed with 1-hydroxybenzotriazole to give the final peptide of formula B-4.
Chart C
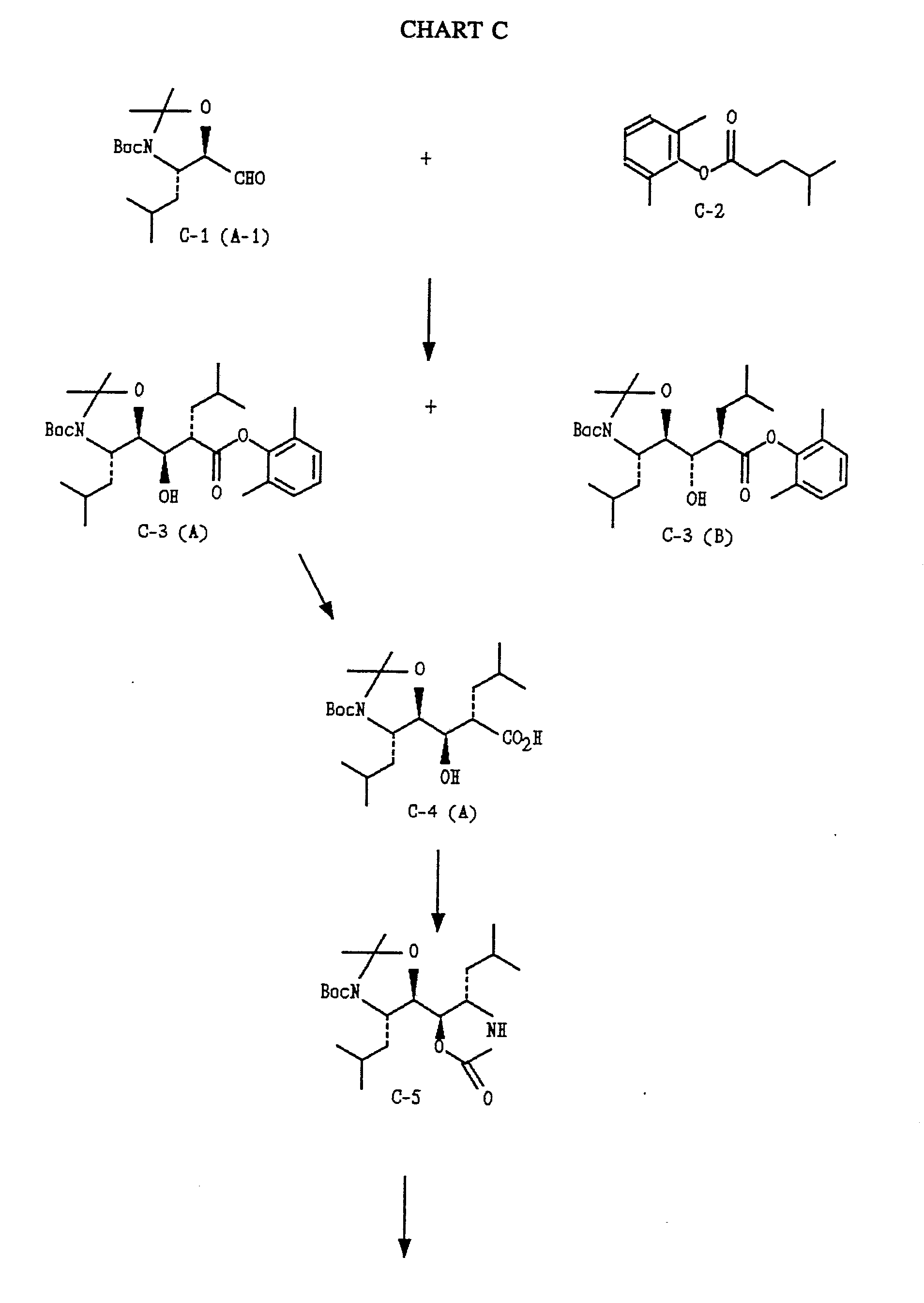
Chart C describes the preparation of the insert of formula C-7 and final peptide of formula C-8 of Example 4 below.
An aldol addition reaction as described in CH. Heathcock et al., J. Org. Chem. 1980, 45, 1727, between the aldehyde of formula C-1, also the compound of formula A- 1 of Chart A, prepared as described in S. Thaisrivongs et al., J. Med. Chem. 1987, 30, 976, and the ester of formula C-2 gives the two adducts, the compound of formula C- 3(A) and its diastereomer of formula C-3(B). Basic hydrolysis of the ester of formula C-3(A) gives the corresponding acid of formula C-4(A). A Curtius reaction using diphenylphosphoryl azide, by the procedure described in T. Shioiri et al., J. Am. Chem. Soc. 1972, 94, 6203, gives an intermediate isocyanate which is trapped by the adjacent hydroxyl group to give the cyclic carbamate of formula C-5. Vigorous basic hydrolysis of the compound of formula C-5 gives the hydroxyamine of formula C-6. The acid labile protecting groups are removed with acidic methanol to give the compound of formula C-7 which is isolated as the dihydrochloride. The amine dihydrochloride of formula C-7 can be coupled with terf-butyloxycarbonyl-L-valine using bis(2-oxo-3- oxazolidinyl)phosphinic chloride, by the procedure described in J. Diago-Meseguer and A.L. Palomo-Coll, Synthesis 1980, 547, to give the final peptide of formula C-8.
Following procedures analogous to those described above, the other peptides of the present invention may be prepared.
Generally, the renin inhibiting polypeptides may be prepared by solution phase peptide synthetic procedures analogous to those described hereinafter or to those methods known in the art. Appropriate protecting groups, reagents, and solvents for the solution phase method can be found in "The Peptides: Analysis, Synthesis, and Biology," Vols. 1-5, eds. E. Gross and T. Meienhofer, Academic Press, NY, 1979-1983; "The Practice of Peptide Synthesis", M. Bodansky and A. Bodansky, Springer- Verlag, New York, 1984; "The Principles of Peptide Synthesis", M. Bodansky, Springer- Verlag, New York, 1984. Thus, for example, the carboxylic moiety of Nα-t-butyloxycarbonyl (BOC)-substituted amino acid derivatives having suitable side chain protecting groups, if necessary, may be condensed with the amino functionality of a suitably protected amino acid or peptide using a conventional coupling protocol such as dicyclohexyl- carbodiimide (DCC) and 1-hydroxybenzotriazole (HOBT) or diethylphosphoryl cyanide (DEPC) and triethylamine (Et3N) in methylene chloride or dimethylformamide.
Following coupling reaction completion, the Nα-BOC moiety may be selectively removed with 50% trifluoroacetic acid with or without 2% anisole (v/v) in methylene chloride. Neutralization of the resultant trifluoroacetate salt may be accomplished with 10% diisopropylethylamine or sodium bicarbonate in methylene chloride.
Variations in the above description for starting materials, reactants, reaction conditions and required protecting groups to obtain other such N-alkylated compounds are known to an ordinarily skilled chemist or are readily available in the literature.
The compounds of the present invention may be in either free form or in protected form at one or more of the remaining (not previously protected) peptide, carboxyl, amino, hydroxy, or other reactive groups. The protecting groups may be any of those known in the polypeptide art. Examples of nitrogen and oxygen protection groups are set forth in T.W. Greene, Protecting Groups in Organic Synthesis, Wiley, New York, (1981); J.F.W. McOmie, ed. Protective Groups in Organic Chemistry, Plenum Press (1973); and J. Fuhrhop and G. Benzlin, Organic Synthesis, Verlag Chemie (1983). Included among the nitrogen protective groups are t-butoxycarbonyl (BOC), benzyloxycarbonyl, acetyl, allyl, phthalyl, benzyl, benzoyl, trityl and the like.
The following compounds of the present invention are preferred:
4S,7S-Bis-[Nα-Benzyloxycarbonyl-L-valyl-amino]-5S,6S-dihydroxy-2,9- dimethyldecane;
4S,7S-Bis-[Nα-Benzyloxycarbonyl-L-valyl-amino]-5R,6S-dihydroxy-2,9- dimethyldecane.
4S,7S-Bis-[Nα-tert-Butyloxycarbonyl-L-valyl-amino]-5S,6S-dihydroxy-2,9- dimethyldecane;
4S,7S-Bis-[1-Naphthoxyacetyl-L-histidyl-amino]-5S,6S-dihydroxy-2,9-dimethyl- decane;
DESCRIPTION OF THE PREFERRED EMBODIMENTS
The following Preparations and Examples illustrate the present invention.
In the Preparations and Examples below and throughout this document:
1H-NMR is nuclear magnetic resonance
BOC is t-butoxycarbonyl
BOPCL is bis (2-oxo-3-oxazolidinyl) phosphinic chloride
Bz is benzyl
C is centigrade
Cbz is benzyloxycarbonyl
CDCl3 is deuteriochloroform
Celite is a filter aid
DCC is dicyclohexylcarbodiimide
DEPC is diethylphosphoryl cyanide
EtOAc is ethyl acetate
g is grams
γ-Glu is γ-glutamic acid
His is histidine
N-MeHis is Nα-methyl histidine
HOBT is 1-hydroxybenzotriazole monohydrate HPLC is high performance liquid chromatography
IR is infrared spectra
M or mol is mole
Me is methyl
min is minute
mL is milliliter
MPLC is medium pressure liquid chromatography
MS is mass spectroscopy
Ph is phenyl
Phe is phenylalanine
Pro is proline
TEA is triethylamine
TFA is trifluoroacetic acid
THF is tetrahydrofuran
TLC is thin layer chromatography
Tos is p-toluenesulfonyl
TsoH is p-toluenesulfonic acid
Tyr is tyrosine
(OCH3)Tyr is O-methyl tyrosine
β-Val is β-Valine.
The wedge-shape line indicates a bond which extends above the plane of the paper relative to the plane of the compound thereon.
The dotted line indicates a bond which extends below the plane of the paper relative to the plane of the compound thereon.
Preparation 1 4S-Benzyl-3-(1-oxo-4-methylpentyl)-2-oxazolidinone
(Formula A-2) Refer to Chart A.
To a stirred solution of 3.0 g of 4S-benzyl-2-oxazolidinone in 34 mL of dry tetrahydrofuran at -78°C under argon is added dropwise 11.9 mL of a 1.56 M solution of n-butyllithium in hexane. After 5 min, 2.8 mL of 4-methylvaleryl chloride is added and the resulting solution allowed to warm to room temperature. After 1 h, the reaction mixture is concentrated and the residue partitioned between ether and diluted aqueous sodium hydroxide. The organic phase is washed with saturated aqueous sodium chloride, dried (magnesium sulfate) and then concentrated. The residue is flash-chromatographed on silica gel with 20% ethyl acetate in hexane to give 4.58 g of the title product as a colorless oil.
Physical characteristics of the title product are as follows:
1H-NMR (CDCl3) δ 0.95, 1.6, 2.76, 2.9, 3.3, 4.2, 4.7, 7.3.
Preparation 2 3-[3S-[3-(tert-Butyloxycarbonyl)-2,2-dimethyl-4S-isobutyl-5S- oxazolidinyl]-3-hydroxy-2S-isobutyl-1-oxopropy]-4S-benzyl-2-oxazolidinone (Formula A-3) Refer to Chart A.
To a stirred solution of 2.1 g of the title product of Preparation 1 in 3.8 mL of dichloromethane at 0°C under argon is added dropwise 8.3 mL of a 1 M solution of dibutylboron triflate in dichloromethane, followed by 1.6 mL of diisopropylethylamine. After stirring for 30 min, the reaction mixture is cooled to -78°C and 1.98 g of the epimeric mixture of aldehyde A-1 in 3.8 mL of dichloromethane is added with two 0.5 mL dichloromethane rinses. After 30 min, the reaction mixture is allowed to warm to room temperature and, after additional 2 h, it is cooled to 0°C. A 5.1 mL portion of 1 M aqu eous phosphate pH 7 buffer is added, followed by 10.2 mL of methanol, and 5.1 mL of 30% hydrogen peroxide in 10.2 mL of methanol. After stirring at 0°C for 3 h, the reaction mixture is partitioned between dichloromethane and aqueous phosphate pH 7 buffer. The organic phase is dried (magnesium sulfate) and then concentrated. The residue is flashed chromatographed on silica gel with 25% to 30% ethyl acetate in hexane to give 0.76 g of the title product, and 2.96g of the other diastereomer.
Physical characteristics of the title product are as follows:
1H-NMR (CDCl3), δ 0.9, 1.47, 1.54, 1.58, 2.70, 3.36, 4.17, 4.7, 7.3.
FAB MS [M+H]+ =561. Anal., 65.72% C, 8.75 % H, 4.99% N.
IR 2960, 1785, 1700, 1385 cm-1.
Physical characteristics of the other diastereomer are as follows:
1H NMR δ 0.9, 1.46, 2.7, 2.9, 3.3, 3.7, 4.2, 4.7, 7.2.
Preparation 3 3-[3S-[3-(tert-Butyloxycarbonyl)-2,2-dimethyl-4S-isobutyl-5S- oxazolidinyl]-3-hydroxy-2S-isobutyl-propionicacid (Formula A-4)
Refer to Chart A.
To a stirred solution of 532 mg ofthe title product of Preparation 2 in 7 mL of methanol at 0°C is added a mixture of 80 mg of lithium hydroxide and 0.6 mL of 30% hydrogen peroxide in 1.6 mL of water. The reaction mixture is allowed to warm to room temperature and, after 30 min, acidified with 1 M aqueous potassium hydrogen sulfate and then extracted with dichloromethane. The organic phase is dried (magnesium sulfate) and then concentrated. The residue is flashed chromatographed on silica gel with 15% to 25% ethyl acetate in hexane to give 268 mg of the title product.
Physical characteristics of the title product are as follows:
1H-NMR (CDCl3) δ 0.9, 1.45, 1.53, 1.56, 2.6, 3.93, 4.02.
FAB MS [M +H]+ =402; [M+Na]+ =424.
Preparation 4 5-[5S-[3-(tert-Butyloxycarbonyl)-2,2-dimethyl-4S-isobutyl-5S- oxazolidinyl]-4S-isobutyl-2-oxazolidinone (Formula A-5) Refer to Chart A.
To a stirred solution of 40 mg of the title product of Preparation 3 in 1 mL of dry tetrahydrofuran under argon is added 0.019 mL of diisopropylethyl amine and 0.024 mL of diphenylphosphoryl azide. The resulting mixture is heated in an oil bath at 70°C. After 3 h, the cooled reaction mixture is concentrated and the residue is chromatographed on silica gel with 20% ethyl acetate in dichloromethane to give 38.2 mg of the title product.
Physical characteristics of the title product are as follows:
1H-NMR (CDCl3) δ 0.9, 1.49, 1.56, 1.58, 4.0, 4.7, 6.70.
FAB HRMS (M+H]+ 399.2863.
IR 3250, 2950, 1760, 1680, 1370 cm-1.
Preparation 5 1-[1S-[3-(ter t-Butyloxycarbonyl)-2,2-dimethyl-4S-isobutyl-5S- oxazolidinyl]-2S-amino-4-methyl-1-pentanol (Formula A-6) Refer to Chart A.
To a stirred solution of 122 mg of the title product of Preparation 4 in 1.5 mL of dioxane is added a solution of 500 mg of Ba(OH)2.8H2O in 1.5 mL of water. The resulting mixture is heated to reflux for 3 days, and the cooled reaction mixture is diluted with dichloromethane and water, and then filtered through Celite. The aqueous phase is extracted with dichloromethane. The organic phase is dried (magnesium sulfate) and then concentrated. The residue is chromatographed on silica gel with 2% to 4% methanol (saturated with ammonia) in dichloromethane to give 102.8 mg of the title product.
Physical characteristics of the title product are as follows:
1H-NMR (CDCl3) δ 0.9, 1.48, 1.56, 1.58, 2.8, 3.7, 4.0.
FAB MS [M+H]+ =373. Preparation 6 4S,7S-Diamino-5S,6S-dihydroxy-2,9-dimethyldecane(Formula A-
7) Refer to Chart A.
A solution of 0.07 mL of acetyl chloride in 1 mL of methanol is allowed to stirred for 15 min, and then 28.4 mg of the title product of Preparation 5 is dissolved in. After stirring for 24 h, the reaction mixture is concentrated and the resulting residue is dried to give 22 mg of the title product.
Example 1 4S,7S-Di-tert-Butyloxycarbonylamino-5S,6S-dihydroxy-2,9- dimethyldecane (Formula A-8) Refer to Chart A.
A mixture of 22 mg of the title product of Preparation 6, 0.032 mL of diisopropylethyl amine and 37 mg of di-te rt-butyl dicarbonate in 1 mL of dichloromethane is allowed to stir for 24 h. The concentrated reaction mixture is then chromatographed on silica gel with 20% to 25% ethyl acetate in dichloromethane to give 22.8 mg of the title product.
Physical characteristics of the title product are as follows:
1H-NMR (CDCI3) δ 0.92, 1.2, 1.43, 1.7, 3.3, 3.69, 3.91, 4.52.
13C NMR (CDCl3) δ 21.50, 23.69, 24.91, 28.33, 40.91, 50.71, 73.05, 80.02, 157.20.
FAB HRMS [M+H]+ 433.3290.
Example 2 4S,7S-Bis-[Nα-tert-Butyloxycarbonyl-L-valyl-amino]-5S,6S- dihydroxy-2,9-dimethyldecane (Formula A-9) Refer to Chart A.
To a stirred mixture of 15.3 mg of the title product of Preparation 6 and 26 mg of tert-butyloxycarbonyl-L-valine in 0.5 mL of dichloromethane at 0°C is added 0.047 mL of diisopropylethyl amine and 0.018 mL of diethylphosphoryl cyanide. The resulting mixture is allowed to stir at room temperature for 18 h, and the concentrated reaction mixture is then chromatographed on silica gel with 1:1 = ethylacetate : dichloromethane to give 21.4 mg of the title product.
Physical characteristics of the title product are as follows:
1H-NMR (CDCl3) δ 0.9, 1.44, 2.1, 3.32, 3.83, 4.0, 5.05, 6.26.
FAB HRMS [M+ H]+ = 631.4655.
Preparation 7 4S,7S-Bis-[Nα-tert-Butyloxycarbonyl-Nim-tosyl-L-histidyl-amino]-
5S,6S-dihydroxy-2,9-dimethyldecane(FormulaB-2) Refer to Chart B.
To a stirred mixture of 22.9 mg of the title product of Preparation 6 and 74 mg of tert-butyloxycarbonyl-Nim-tosyl-L-histidine in 0.8 mL of dichloromethane at 0°C is added 0.058 mL of diisopropylethyl amine and 0.028 mL of diethylphosphoryl cyanide. The resulting mixture is allowed to stir at room temperature for 18 h, and the concentrated reaction mixture is then chromatographed on silica gel with 3% to 5% methanol in dichloromethane to give 49.4 mg of the title product .
Physical characteristics of the title product are as follows:
1H-NMR (CDCl3) δ 0.9, 1.42, 2.46, 2.8, 3.60, 5.6, 5.65, 6.64, 7.1, 7.40, 7.77, 7.84.
FAB MS [M+H]+ = 1015.
Preparation 8 4S,7S-Bis-[1-Naphthoxyacetyl-Nim-tosyl-L-histidyl-amino]-5S,6S- dihydroxy-2,9-dimethyldecane (Formula B-3) Refer to Chart B. A solution of 49.4 mg of the title product of Preparation 7 in 0.5 mL of 1: 1 = trifluoroacetic acid : dichloromethane is allowed to stir for 50 min. The reaction mixture is partitioned between dichloromethane and aqueous sodium bicarbonate. The organic phase is dried (sodium sulfate) and then concentrated to give 42.6 mg.
To a stirred solution of this residue and 23.6 mg of 1-naphthoxyacetic acid in 0.5 mL of dichloromethane at 0°C is added 0.020 mL of diisopropylethyl amine and 0.018 mL of diethylphosphoryl cyanide. The mixture is allowed to stir at room temperature for 18 h, and the concentrated reaction mixture is then chromatographed on silica gel with 3% to 5% methanol in dichloromethane to give 49.3 mg of the title product.
Physical characteristics of the title product are as follows:
1H-NMR (CDCl3) δ 0.63, 0.65, 0.8, 1.1-1.4, 2.31, 2.88, 3.12, 3.33, 4.0, 4.70, 4.77, 4.88, 6.49, 6.87, 6.91, 7.2 - 7.7, 7.86, 8.42, 8.81.
FAB MS [M+H]+ = 1183.
Example 3 4S,7S-Bis-[1-Naphthoxyacetyl-L-histidyl-amino]-5S,6S-dihydroxy-
2,9-dimethyldecane (Formula B-4) Refer to Chart B.
A solution of 49.3 mg of the title product of Preparation 8 and 34 mg of 1- hydroxybenzotriazole in 0.5 mL of methanol is allowed to stir for 18 h. The concentrated reaction mixture is then chromatographed on silica gel with 4% to 8% methanol (saturated with ammonia) in dichloromethane to give 32.6 mg, of the title product.
Physical characteristics of the title product are as follows:
1H-NMR (CDCl3) δ 0.8, 1.3, 3.0, 3.72, 4.18, 4.63, 4.8, 6.27, 6.71, 7.3-7.5, 7.77, 8.30.
FAB HRMS [M+H]+ =875.4466.
Preparation 9 4-Methylvaleric acid, 2,6-dimethylphenol ester (Formula C-2)
Refer to Chart C.
4.4 g of 60% sodium hydride in oil is washed with four portions of hexane and the resulting residue is suspended in 200 mL of dry ether. To this stirred mixture at 0ºC is slowly added a solution of 12.2 g of 2,6-dimethylphenol in 25 mL of dry ether. After complete addition, a solution of 15.2 mL of 4-methylvaleryl chloride in 25 mL of dry ether is added dropwise. The resulting mixture is allowed to warm to room temperature and stir overnight. The reaction mixture is diluted with cold water and the organic phase washed successively with diluted aqueous potassium hydroxide, water, diluted aqueous HCl, and then saturated aqueous sodium chloride. The organic phase is dried (magnesium sulfate) and then concentrated, and the residue is distilled at ca. 0.2 mmHg, 75-76°C to give a colorless liquid, 20.88 g of the title product.
Physical characteristics of the title product are as follows:
1H-NMR (CDCl3) δ 1.00 1.7, 2.17, 2.6, 7.1.
Preparation 10 3-[3R-[3-(tert-Butyloxycarbonyl)-2,2-dimethyl-4S-isobutyl-5R- oxazolidinyl]-3-hydroxy-2S-isobutylpropionic acid, 2,6-dimethyl- phenol ester (Formula C-3 (A) and (B)) Refer to Chart C.
To a stirred solution of 0.3 mL of diisopropylamine in 1.5 mL of dry tetrahydrofuran at -78°C under argon is slowly added 1.3 mL of a 1.56 M solution of butyllithium in hexane. After 5 min, a solution of 441 mg of the title product of preparation 9 in 0.5 mL of dry tetrahydrofuran is added dropwise. After 1 h, a solution of 571 mg of the aldehyde C-1 in 0.5 mL of dry tetrahydrofuran is slowly added. After 1 h, 5 mL of saturated aqueous ammonium chloride is added and the resulting mixture allowed to warm to room temperature. It is diluted with water and then extracted with ether. The organic phase is dried (magnesium sulfate) and then concentrated, and the residue is chromatographed on silica gel with 15% to 20% ethyl acetate in hexane to give 300 mg of the title product, 156 mg of the other diastereomer and 220 mg of mixed fractions.
Physical characteristics of the title product are as follows:
1H-NMR (CDCl3), δ 1.0, 1.50, 1.55, 1.61, 2.20, 3.3, 3.61, 3.8, 4.1.
FAB MS [M+H]+ = 506.
Physical characteristics of the other diastereomer are as follows: 1H NMR δ 1.0, 1.50, 2.16, 2.9, 3.3, 3.7-4.3, 7.0
Preparation 11 3-[3R-[3-(tert-Butyloxycarbonyl)-2,2-dimethyl-4S-isobutyl-5R- oxazolidinyl]-3-hydroxy-2S-isobutylpropionic acid (Formula C-4 (A)) Refer to Chart C.
To a stirred solution of 300 mg of the title product of Preparation 10 in 0.6 mL of methanol is added a solution of 160 mg of potassium hydroxide in 0.6 mL of water and 0.6 mL of methanol. The resulting mixture is stirred for 18 h, and then partitioned between water and ether. The aqueous phase is acidified with 1 M aqueous potassium hydrogen sulfate and then extracted with dichloromethane. The organic phase is dried (magnesium sulfate) and then concentrated, and the residue is chromatographed on silica gel with 10% to 15% methanol in dichloromethane to give 195 mg of the title product.
Physical characteristics of the title product are as follows:
1H-NMR (CDCl3) δ 0.9, 1.48, 1.54, 1.55, 2.95, 3.5, 3.7, 4.1.
Preparation 12 5-[5R-[3-(tert-Butyloxycarbonyl)-2,2-dimethyl-4S-isobutyl-5R- oxazolidinyl]-4S-isobutyl-2-oxazolidinone (Formula C-5) Refer to
Chart C.
To a stirred solution of 100 mg of the title product of Preparation 11 in 1.5 mL of dry tetrahydrofuran under argon is added 0.048 mL of diisopropylethylamine, followed by 0.059 mL of diphenylphosphoryl azide. The resulting mixture is heated to reflux for 5 h. The cooled reaction mixture is partitioned between dichloromethane and water. The organic phase is dried (magnesium sulfate) and then concentrated, and the residue is chromatographed on silica gel with 15% to 20% ethyl acetate in dichloromethane to give 91.6 mg of the title product.
Physical characteristics of the title product are as follows:
1H-NMR (CDCl3) δ 0.9, 1.46, 3.8, 4.0, 6.77.
FAB MS [M+H]+ =399.
Preparation 13 1-[1R-[3-(tert-Butyloxycarbonyl)-2,2-dimethyl-4S-isobutyl-5R- oxazolidinyl]-2S-amino-4-methyl-1-pentanol (Formula C-6) Refer to Chart C.
To a stirred solution of 91 mg of the title product of Preparation 12 in 1.2 mL of dioxane is added a solution of 400 mg of Ba(OH)2.8H2O in 0.8 mL of water. The resulting mixture is heated to reflux for 3 days, and the cooled reaction mixture is partitioned between dichloromethane and water. The organic phase is dried (magnesium sulfate) and then concentrated, and the residue is chromatographed on silica gel with 1% to 3% methanol (saturated with ammonia) in dichloromethane to give 76.6 mg of the title product.
Physical characteristics of the title product are as follows:
1H-NMR (CDCl3) δ 0.9, 1.3, 1.48, 1.53, 3.3, 3.6, 4.1.
FAB MS [M+H]+ =373.
Preparation 14 4S,7S-Diamino-5R,6R-dihydroxy-2,9-dimethyldecane(Formula C-
7) Refer to Chart C.
A solution of 0.07 mL of acetyl chloride in 1 mL of methanol is allowed to stirred for 15 min, and then 76 mg of the title product of Preparation 13 is dissolved in.
After stirring for 24 h, the reaction mixture is concentrated and the resulting residue is dissolved in 2 mL of water. This solution is then lyophilized to give 53.9 mg of the title product.
Physical characteristics of the title product are as follows:
1H NMR (D2O) δ 0.90, 1.5, 1.66, 3.50, 3.81
13C NMR (D2O) δ 21.40, 21.98, 23.89, 38.44, 50.67, 69.65.
FAB MS [M+H]+ =233.
Example 4 4S,7S-Bis-[Nα-rert-Butyloxycarbonyl-L-valyl-amino]-5R,6R- dihydroxy-2,9-dimethyldecane (Formula C-8) Refer to Chart C. To a stirred solution of 15 mg of the title product of Preparation 14 and 25.6 mg of tert-butyloxycarbonyl-L-valine in 0.5 mL dimethylformamide is added 0.038 mL of diisopropylethylamine and 48 mg of bis(2-oxo-3-oxazolidinyl)phosphinic chloride. After stirring for 18 h, the concentrated reaction mixture is chromatographed on silica gel with 3% to 5% methanol in dichloromethane to give 31 mg of the title product.
Physical characteristics of the title product are as follows:
1H-NMR (CDCl3) δ 0.9, 1.25, 1.41, 1.6, 2.1, 2.45, 3.1, 3.86, 3.95, 4.2, 5.22, 5.40, 6.8.
FAB HRMS [M+ H]+ 631.4631
Examples 5-9
Following chemical processes and procedures analogous to those described above and using starting materials and reactants which are commerically available or readily prepared by methods known in the art, the following compounds of the present invention, having the indicated physical characteristics, are prepared: Example 5 4S ,7R-Di-tert-butyloxycarbonylamino-5R,6S-dihydroxy-2,9- dimethyldecane. FAB-MS (found): 433.3269.
Example 6 4S ,7R-Bis-[Nα-tert-Butyloxycarbonyl-L-valyl-amino]-SR, 6S-dihydroxy- 2,9-dimethyldecane. FAB-MS (found): 631.4649.
Example 7 4S,7S-Bis-[Nα-Benzyloxycarbonyl-L-valyl-amino]-5R,6R-dihydroxy-2,9- dimethyldecane. FAB-MS (found): 699.4337. Example 8 4S,7S-Bis-[Nα-Benzyloxycarbonyl-L-valyl-amino]-5S,6S-dihydroxy-2,9- dimethyldecane. FAB-MS (found): 699.4337.
Example 9 4S,7S-Bis-[ Nα-Benzyloxycar bonyl-L-valyl-amino]-5R,6S-dihydroxy-2,9- dimethyldecane. FAB-MS (found): 699.4337.
Figure imgf000030_0001
Figure imgf000031_0001
Figure imgf000032_0001
Figure imgf000033_0001
Figure imgf000034_0001
Figure imgf000035_0001
Figure imgf000036_0001
Figure imgf000037_0001

Claims

1. A compound of Formula I
Figure imgf000038_0001
wherein X is
(a) hydrogen,
(b) C1-C7alkyl,
(c) aryl-(CH2)p-,
(d) Het-(CH2)p-,
(e) C3-C7cycloalkyl-(CH2)p-,
(f) R5-O-CH2-C(O)-,
(g) R5-CH2-O-C(O)-,
(h) R5-O-C(O)-,
(i) R5-(CH2)n-C(O)-,
(j) R5-(CH2)n-C(S)-,
(k) R4N(R4)-(CH2)n-C(O)-
(l) R5-SO2-(CH2)q-C(O)-,
(m) R5-SO2-(CH2)q-O-C(O)-,
(n) R6-(CH2)n-C(O)-, or
(o) R5-(CH2)n-SO2-;
wherein Z is
(a) hydrogen,
(b) C1-C7alkyl,
(c) -(CH2)p-aryl,
(d) -(CH2)p-Het,
(e) -(CH2)p-C3-C7cycloalkyl,
(f) -C(O)-CH2-O-R5,
(g) -C(O)-O-CH2-R5,
(h) -C(O)-O-R5,
(i) -C(O)-(CH2)n-R5,
(j) -C(S)-(CH2)n-R5, (k) -C(O)-(CH2)n-(R4)NR4,
(l) -C(O)-(CH2)q-SO2-R5,
(m) -C(O)-O-(CH2)q-SO2-R5,
(n) -C(O)-(CH2)n-R6, or
(o) -SO2-(CH2)n-R5;
wherein P is OH or NH2;
wherein Y is OH or NH2;
wherein Q is
(a) -CH2-,
(b) -CH(OH)-,
(c) -O-, or
(d) -S-;
wherein A or B or both are absent or are a divalent moiety of the formula XL1, XL2 or XL 3 or other amino acyl derivative;
Figure imgf000039_0001
wherein C or D or both are absent or are a divalent moiety of the formula XL4, XL5 or XL6 or other amino acyl derivative;
wherein R1 is
Figure imgf000039_0002
(a) hydrogen,
(b) C1-C3alkyl,
(c) aryl,
(d) C3-C7cycloalkyl,
(e) -Het,
(f) C1-C3alkoxy, or
(g) C1-C3alkylthio; wherein R2 is
(a) hydrogen,
(b) C1-C5alkyl,
(c) aryl,
(d) C3-C7cycloalkyl,
(e) -Het,
(f) C1-C3alkoxy, or
(g) C1-C3alkylthio;
wherein R3 is
(a) hydrogen,
(b) C1-C5alkyl, or
(c) aryl-C1-C5alkyl;
wherein R4 is
(a) hydrogen
(b) C1-C5alkyl,
(c) -(CH2)p-aryl,
(d) -(CH2)p-Het,
(e) -(CH2)p-C3-C7cycloalkyl, or
(f) 1- or 2-adamantyl;
wherein R5 is
(a) C1-C6alkyl,
(b) -(CH2)p-C3-C7cycloalkyl,
(c) -(CH2)p-aryl,
(d) -(CH2)p-Het, or
(e) 5-ox o-2-pyrrolidinyl ;
wherein R6 is
(a) hydrogen,
(b) C1-C5alkyl,
(c) -(CH2)p-aryl,
(d) -(CH2)p-Het,
(e) -(CH2)p-C3-C7cycloalkyl, or
(f) 1- or 2-adamatyl;
wherein R7 is (a) hydrogen,
(b) C1-C3alkyl, or
(c) phenyl-C1-C3alkyl;
wherein R8 is
(a) hydrogen,
(b) C1-C5 alkyl, or
(c) -(CH2)p-phenyl;
wherein m is 1 to 2, inclusive
wherein n is i 0 to 5, inclusive;
wherein p is 0 to 2, inclusive;
wherein q is 1 to 5, inclusive;
wherein aryl is phenyl or naphthyl substituted by zero to three of the following:
(a) C1-C3alkyl,
(b) hydroxy,
(c) C1-C3alkoxy,
(d) halo,
(e) amino,
(f) mono- or di-C1-C3alkylamino,
(g) -CHO,
(h) -COOH,
(i) COOR7,
(j) CONHR7,
(k) nitro,
(l) mercapto,
(m) C1-C3alkylthio,
(n) C1-C3alkylsulfinyl,
(o) C1-C3alkylsulfonyl,
(p) -N(R8)- C1-C3alkylsulfinyl,
(q) SO3H,
(r) SO2NH2,
(s) -CN, or
(t) CH2NH2;
wherein -Het is a 5- or 6-membered saturated ring containing from one to three heteroatoms selected from the group consisting of nitrogen, oxygen, and sulfur; and including any bicyclic group in which any of the above heterocyclic rings is fused to a benzene ring or another heterocycle; and if chemically feasible, the nitrogen and sulfur atoms may be in the oxidized forms; and optionally substituted by zero to three of the following:
(a) C1-C5alkyl,
(b) hydroxy,
(c) hydroxy ( C1-C5alkyl),
(d) halogen,
(e) amino,
(f) amino ( C1-C5alkyl),
(g) -CHO,
(h) -CO2H,
(i) -CO2-(C1-C5alkyl),
(j) -CONH2,
(k) -CONH-(C1-C5alkyi),
(l) nitro,
(m) mercapto,
(n) mercapto (C1-C5alkyl),
(o) -SO3H,
(p) -SO2NH2,
(q) -CN, or
(r) -O- C1-C5alkyl;
or a carboxy, amino or other reactive group protected form thereof;
or a pharmaceutically acceptable acid or base addition salt thereof.
2. A compound of Formula I of claim 1
Figure imgf000042_0001
wherein X is
(a) hydrogen,
(b) C1-C7alkyl, (c) aryl-(CH2)p-,
(d) Het-(CH2)p-,
(e) C3-C7cycloalkyl-(CH2)p-
(f) R5-O-CH2-C(O)-,
(g) R5-CH2-O-C(O)-,
(h) R5-O-C(O)-,
(i) R5-(CH2)n-C(O)-,
(j) R5-(CH2)n-C(S)-,
(k) R4N(R4)-(CH2)n-C(O)-
(l) R5-SO2-(CH2)q-C(O)-,
(m) R5-SO2-(CH2)q-O-C(O)-,
(n) R6-(CH2)n-C(O)-, or
(o) R5-(CH2)n-SO2-;
wherein Z is
(a) hydrogen,
(b) C1-C7alkyl,
(c) -(CH2)p-aryl,
(d) -(CH2)p-Het,
(e) -(CH2)p-C3-C7cycloalkyl,
(f) -C(O)-CH2-O-R5,
(g) -C(O)-O-CH2-R5,
(h) -C(O)-O-R5,
(i) -C(O)-(CH2)n-R5,
(j) -C(S)-(CH2)n-R5,
(k) -C(O)-(CH2)n-(R4)NR4,
(l) -C(O)-(CH2)q-SO2-R5,
(m) -C(O)-O-(CH2)q-SO2-R5,
(n) -C(O)-(CH2)n-R6, or
(o) -SO2-(CH2)n-R5;
wherein P is OH or NH2;
wherein Y is OH or NH2;
wherein Q is
(a) -CH2-, (b) -CH(OH)-,
(c) -O-, or
(d) -S-;
wherein A or B or both are absent or are a divalent moiety of the formula XL1, XL2 or XL 3 or other amino acyl derivative;
Figure imgf000044_0001
wherein C or D or both are absent or are a divalent moiety of the formula XL4, XL5 or XL6 or other amino acyl derivative;
Figure imgf000044_0002
wherein R1 is
(a) hydrogen,
(b) C1-C5alkyl,
(c) aryl,
(d) C3-C7cycloalkyl,
(e) -Het,
(f) C1-C3alkoxy, or
(g) C1-C3alkylthio; wherein R2 is
(a) hydrogen,
(b) C1-C5alkyl,
(c) aryl,
(d) C3-C7cycloalkyl,
(e) -Het,
(f) C1-C3alkoxy, or
(g) C1-C3alkylthio; wherein R3 is
(a) hydrogen,
(b) C1-C5alkyl, or
(c) aryl-C1-C5alkyl;
wherein R4 is
(a) hydrogen
(b) C1-C5alkyl,
(c) -(CH2)p-aryl,
(d) -(CH2)p-Het,
(e) -(CH2)p-C3-C7cycloalkyl, or
(f) 1- or 2-adamantyl;
wherein R5 is
(a) C1-C6alkyl,
(b) -(CH2)p-C3-C7cycloalkyl,
(c) -(CH2)p-aryl,
(d) -(CH2)p-Het, or
(e) 5-oxo-2-pyrrolidinyl;
wherein R6 is
(a) hydrogen,
(b) C1-C5alkyl,
(c) -(CH2)p-aryl,
(d) -(CH2)p-Het,
(e) -(CH2)p-C3-C7cycloalkyl, or
(f) 1- or 2-adamatyl;
wherein R7 is
(a) hydrogen,
(b) C1-C3alkyl, or
(c) phenyl- C1-C3alkyl;
wherein R8 is
(a) hydrogen,
(b) C1-C5 alkyl, or
(c) -(CH2)p-phenyl;
wherein m is 1 to 2, inclusive wherein n is 0 to 5, inclusive;
wherein p is 0 to 2, inclusive;
wherein q is 1 to 5, inclusive;
wherein aryl is phenyl or naphthyl substituted by zero to three of the following:
(a) C1-C3alkyl,
(b) hydroxy,
(c) C1-C3alkoxy,
(d) halo,
(e) amino,
(f) mono- or di-C1-C3alkylamino,
(g) -CHO,
(h) -COOH,
(i) COOR7,
(j) CONHR7,
(k) nitro,
(l) mercapto,
(m) C1-C3alkylthio,
(n) C1-C3alkylsulfιnyl,
(o) C1-C3alkylsulfonyl,
(p) -N(R8)- C1-C3alkylsulfιnyl,
(q) SO3H,
(r) SO2NH2,
(s) -CN, or
(t) CH2NH2;
wherein -Het is a 5- or 6-membered saturated ring containing from one to three heteroatoms selected from the group consisting of nitrogen, oxygen, and sulfiir; and including any bicyclic group in which any of the above heterocyclic rings is fused to a benzene ring or another heterocycle; and if chemically feasible, the nitrogen and sulfiir atoms may be in the oxidized forms; and optionally substituted by zero to three of the following:
(a) C1-C5alkyl,
(b) hydroxy,
(c) hydroxy (C1-C5alkyl), (d) halogen,
(e) amino,
(f) amino (C1-C5alkyl),
(g) -CHO,
(h) -CO2H,
(i) -CO2-(C1-C5alkyl),
(j) -CONH2,
(k) -CONH-(C1- C5alkyl),
(l) nitro,
(m) mercapto,
(n) mercapto (C1-C5alkyl),
(o) -SO3H,
(p) -SO2NH2,
(q) -CN, or
(r) -O-C1-C5alkyl;
or a carboxy, amino or other reactive group protected form thereof;
or a pharmaceutically acceptable acid or base addition salt thereof,
with the provisos that:
1) R1 and R2 are each other than phenyl when X and Z are each t- butyloxycarbonyl, A, B, C and D are absent and P and Y are each hydroxy; and
2) R1 and R2 are each other than phenyl when X and Z are each benzyloxycarbonyl, A and D are absent, B and C are each Val, and P and Y are each hydroxy.
3. A compound of claim 2
wherein X is
(a) t-butyloxycarbonyl,
(b) 1-naphthoxyacetyl, or
(c) benzyloxycarbonyl;
wherein Z is
(a) t-butyloxycarbonyl,
(b) 1-naphthoxyacetyl, or
(c) benzyloxycarbonyl;
wherein P is OH; wherein Y is OH;
wherein A is absent;
wherein B is
(a) valyl, or
(b) histidyl;
wherein C is
(a) valyl, or
(b) histidyl;
wherein D is absent;
wherein R1 is isopropyl;
wherein R2 is isopropyl.
4. A compound of claim 3 selected from the group consisting of:
4S,7S-Di-tert-Butyloxycarbonylamino-5S,6S-dihydroxy-2,9-dimethyldecane;
4S,7S-Bis-[Nα-tert-Butyloxycarbonyl-L-valyl-amino]-5S,6S-dihydroxy-2,9-dimethyl- decane;
4S,7S-Bis-[1-Naphthoxyacetyl-L-histidyl-amino]-5S,6S-dihydroxy-2,9-dimethyldecane;
4S,7S-Bis-[Nα-tert-Butyloxycarbonyl-L-valyl-amino]-5R,6R-dihydroxy-2,9-dimethyl- decane;
4S,7R-Di-tert-butyloxycarbonylamino-5R,6S-dihydroxy-2,9-dimethyldecane;
4S,7R-Bis-[Nα-tert-Butyloxycarbonyl-L-valyI-amino]-5R,6S-dihydroxy-2,9- dimethyldecane;
4S,7S-Bis-[Nα-Benzyloxycarbonyl-L-valyl-amino]-5R,6R-dihydroxy-2,9-dimethyldecane;
4S,7S-Bis-[Nα-Benzyloxycarbonyl-L-valyl-amino]-5S,6S-dihydroxy-2,9-dimethyldecane;
4S,7S-Bis-[Nα-Benzyloxycarb onyl-L- valyl-am ino]-5R,6S-dihydroxy-2,9-dimethyldecane.
PCT/US1991/007047 1990-10-10 1991-10-01 Peptides containing substituted 1,4-diamines as transition-state inserts Ceased WO1992006996A1 (en)

Priority Applications (1)

Application Number Priority Date Filing Date Title
JP3517923A JPH06502403A (en) 1990-10-10 1991-10-01 Peptides containing substituted 1,4-diamines as transition state inserts

Applications Claiming Priority (2)

Application Number Priority Date Filing Date Title
US59547090A 1990-10-10 1990-10-10
US595,740 1990-10-10

Publications (1)

Publication Number Publication Date
WO1992006996A1 true WO1992006996A1 (en) 1992-04-30

Family

ID=34520315

Family Applications (1)

Application Number Title Priority Date Filing Date
PCT/US1991/007047 Ceased WO1992006996A1 (en) 1990-10-10 1991-10-01 Peptides containing substituted 1,4-diamines as transition-state inserts

Country Status (4)

Country Link
EP (1) EP0552247A1 (en)
JP (1) JPH06502403A (en)
AU (1) AU8759491A (en)
WO (1) WO1992006996A1 (en)

Cited By (8)

* Cited by examiner, † Cited by third party
Publication number Priority date Publication date Assignee Title
US5362912A (en) * 1989-05-23 1994-11-08 Abbott Laboratories Process for the preparation of a substituted diaminodiol
US5436339A (en) * 1991-03-06 1995-07-25 Abbott Laboratories Process for the preparation of a substituted diaminoalcohol
US5539122A (en) * 1989-05-23 1996-07-23 Abbott Laboratories Retroviral protease inhibiting compounds
US5541334A (en) * 1989-05-23 1996-07-30 Abbott Laboratories Retroviral protease inhibiting compounds
US5559256A (en) * 1992-07-20 1996-09-24 E. R. Squibb & Sons, Inc. Aminediol protease inhibitors
US5846987A (en) * 1992-12-29 1998-12-08 Abbott Laboratories Retroviral protease inhibiting compounds
EP1039886A4 (en) * 1997-12-08 2001-05-16 Scripps Research Inst A SMALL P3 REMAINING HIV / FIV PROTEASE INHIBITOR
US8013115B1 (en) 1999-08-16 2011-09-06 Bio-Rad Pasteur Use of stabilised synthetic compounds in immunoassay

Families Citing this family (5)

* Cited by examiner, † Cited by third party
Publication number Priority date Publication date Assignee Title
US6071895A (en) * 1992-03-11 2000-06-06 Narhex Limited Polar-substituted hydrocarbons
ATE253050T1 (en) 1992-03-11 2003-11-15 Narhex Ltd AMINE DERIVATIVES OF OXO- AND HYDROXY-SUBSTITUTED HYDROCARBONS
US5888992A (en) * 1992-03-11 1999-03-30 Narhex Limited Polar substituted hydrocarbons
BR9306058A (en) * 1992-03-11 1997-11-18 Narhex Ltd Amine derivatives of oxo- and hydroxy-substituted hydrocarbons
IL110898A0 (en) * 1993-09-10 1994-11-28 Narhex Australia Pty Ltd Polar-substituted hydrocarbons

Citations (4)

* Cited by examiner, † Cited by third party
Publication number Priority date Publication date Assignee Title
WO1988004664A2 (en) * 1986-12-22 1988-06-30 The Upjohn Company Renin-inhibitory peptides having an epoxide or glycol moiety
EP0393445A2 (en) * 1989-04-19 1990-10-24 Bayer Ag Use of peptide renin inhibitors as an agent against retrovirus
WO1991001327A1 (en) * 1989-07-19 1991-02-07 The Upjohn Company Peptides containing diamino-glycols as transition-state mimics
EP0428849A2 (en) * 1989-09-28 1991-05-29 Hoechst Aktiengesellschaft Retroviral protease inhibitors

Patent Citations (4)

* Cited by examiner, † Cited by third party
Publication number Priority date Publication date Assignee Title
WO1988004664A2 (en) * 1986-12-22 1988-06-30 The Upjohn Company Renin-inhibitory peptides having an epoxide or glycol moiety
EP0393445A2 (en) * 1989-04-19 1990-10-24 Bayer Ag Use of peptide renin inhibitors as an agent against retrovirus
WO1991001327A1 (en) * 1989-07-19 1991-02-07 The Upjohn Company Peptides containing diamino-glycols as transition-state mimics
EP0428849A2 (en) * 1989-09-28 1991-05-29 Hoechst Aktiengesellschaft Retroviral protease inhibitors

Non-Patent Citations (1)

* Cited by examiner, † Cited by third party
Title
J. Med. Chem., Vol. 33, No. 10, 1990 Ronald B. Gammill et al: "Structure-Based, C2 Symmetric Inhibitors of HIV Protease ", *

Cited By (31)

* Cited by examiner, † Cited by third party
Publication number Priority date Publication date Assignee Title
US5616720A (en) * 1989-05-23 1997-04-01 Abbott Laboratories Retroviral protease inhibiting compounds
US5659044A (en) * 1989-05-23 1997-08-19 Abbott Laboratories Retroviral protease inhibiting compounds
US5539122A (en) * 1989-05-23 1996-07-23 Abbott Laboratories Retroviral protease inhibiting compounds
US5541334A (en) * 1989-05-23 1996-07-30 Abbott Laboratories Retroviral protease inhibiting compounds
US5541206A (en) * 1989-05-23 1996-07-30 Abbott Laboratories Retroviral protease inhibiting compounds
US5552558A (en) * 1989-05-23 1996-09-03 Abbott Laboratories Retroviral protease inhibiting compounds
US6531610B1 (en) 1989-05-23 2003-03-11 Abbott Laboratories Retroviral protease inhibiting compounds
US5565418A (en) * 1989-05-23 1996-10-15 Abbott Laboratories Retroviral protease inhibiting compounds
US5583232A (en) * 1989-05-23 1996-12-10 Abbott Laboratories Retroviral protease inhibiting compounds
US5583233A (en) * 1989-05-23 1996-12-10 Abbott Laboratories Retroviral protease inhibiting compounds
US5591860A (en) * 1989-05-23 1997-01-07 Abbott Laboratories Retroviral protease inhibiting compounds
US5597928A (en) * 1989-05-23 1997-01-28 Abbott Laboratories Retroviral protease inhibiting compounds
US5597927A (en) * 1989-05-23 1997-01-28 Abbott Laboratories Retroviral protease inhibiting compounds
US5608072A (en) * 1989-05-23 1997-03-04 Abbott Laboratories Retroviral protease inhibiting compounds
US5892052A (en) * 1989-05-23 1999-04-06 Abbott Labortories Process for making retroviral protease inhibiting compounds
US5362912A (en) * 1989-05-23 1994-11-08 Abbott Laboratories Process for the preparation of a substituted diaminodiol
US5679797A (en) * 1989-05-23 1997-10-21 Abbott Laboratories Retroviral protease inhibiting compounds
US5659045A (en) * 1989-05-23 1997-08-19 Abbott Laboratories Retroviral protease inhibiting compounds
US5625072A (en) * 1989-05-23 1997-04-29 Abbott Laboratories Retroviral protease inhibiting compounds
US5696270A (en) * 1989-05-23 1997-12-09 Abbott Laboratories Intermediate for making retroviral protease inhibiting compounds
US5436339A (en) * 1991-03-06 1995-07-25 Abbott Laboratories Process for the preparation of a substituted diaminoalcohol
US6667404B2 (en) 1991-08-15 2003-12-23 Abbott Laboratories Retroviral protease inhibiting compounds
US5760036A (en) * 1992-07-20 1998-06-02 E. R. Squibb & Sons, Inc. Aminediol protease inhibitors
US5776933A (en) * 1992-07-20 1998-07-07 E. R. Squibb & Sons, Inc. Method of inhibiting protease
US5559256A (en) * 1992-07-20 1996-09-24 E. R. Squibb & Sons, Inc. Aminediol protease inhibitors
US5846987A (en) * 1992-12-29 1998-12-08 Abbott Laboratories Retroviral protease inhibiting compounds
US5886036A (en) * 1992-12-29 1999-03-23 Abbott Laboratories Retroviral protease inhibiting compounds
US6017928A (en) * 1992-12-29 2000-01-25 Abbott Laboratories Retroviral protease inhibiting compounds
US6150530A (en) * 1992-12-29 2000-11-21 Abbott Laboratories Retroviral protease inhibiting compounds
EP1039886A4 (en) * 1997-12-08 2001-05-16 Scripps Research Inst A SMALL P3 REMAINING HIV / FIV PROTEASE INHIBITOR
US8013115B1 (en) 1999-08-16 2011-09-06 Bio-Rad Pasteur Use of stabilised synthetic compounds in immunoassay

Also Published As

Publication number Publication date
EP0552247A1 (en) 1993-07-28
AU8759491A (en) 1992-05-20
JPH06502403A (en) 1994-03-17

Similar Documents

Publication Publication Date Title
AU663207B2 (en) Inhibitors of retroviral proteases
CZ280292A3 (en) Novel derivatives of 5-amino-4-hydroxyhexanoic acid which derivatives act as therapeutic agents
JPH06500561A (en) Aminopolyol-containing peptides as transition state mimetics
WO1992006996A1 (en) Peptides containing substituted 1,4-diamines as transition-state inserts
EP0665215A1 (en) 1,4-Diamino-2,3-dihydroxybutanes
CZ280651B6 (en) Hydrazine derivatives, pharmaceutical compositions containing thereof, their use, process as well as intermediates for their preparation
EP0578745A1 (en) Phosphorus containing compounds as inhibitors of retroviruses
US5212157A (en) Enzyme inhibitors
US5126326A (en) Enzyme inhibiting peptide derivatives
DE69220100T2 (en) Retroviral protease inhibitors
JP2916359B2 (en) Irreversible human immunodeficiency virus (HIV) protease inhibitor, intermediates, compositions and methods for making the same
CA2005340A1 (en) Retroviral protease inhibitors
WO1991006561A1 (en) Method for treating hiv and other retroviruses and compounds useful therefor
US5643878A (en) 5-amino-4-hydroxyhexanoic acid derivatives
EP0483271B1 (en) Peptides containing diamino-glycols as transition-state mimics
US6043357A (en) HIV protease inhibitors
EP0687675A2 (en) Irreversible HIV protease inhibitors, intermediates, compositions and processes for the preparation thereof
JPH04504716A (en) Peptides with a novel polar N-terminal group
EP0815108A1 (en) Cyclic urea hiv protease inhibitors
AU684875B2 (en) Macrocyclic difluorostatone derivatives useful as antiviral agents
US5827827A (en) HIV-1 protease inhibitors
SAKURAI et al. Studies of human immunodeficiency virus type 1 (HIV-1) protease inhibitors. III. Structure-activity relationship of HIV-1 protease inhibitors containing cyclohexylalanylalanine hydroxyethylene dipeptide isostere
Bouygues et al. Short and unexpectedly potent 3-pyrrolidinone type inhibitors of HIV-1 replication
US5696134A (en) Irreversible HIV protease inhibitors, intermediates, compositions and processes for the preparation thereof
Viani et al. Peptides containing 2-, 3-or 4-fluorophenylalanine or 2, 2-or 3, 3-difluorophenylalanine as potential inhibitors of HIV protease

Legal Events

Date Code Title Description
AK Designated states

Kind code of ref document: A1

Designated state(s): AU BB BG BR CA CS FI HU JP KP KR LK MC MG MN MW NO PL RO SD SU US

AL Designated countries for regional patents

Kind code of ref document: A1

Designated state(s): AT BE BF BJ CF CG CH CI CM DE DK ES FR GA GB GN GR IT LU ML MR NL SE SN TD TG

WWE Wipo information: entry into national phase

Ref document number: 1991918640

Country of ref document: EP

WWP Wipo information: published in national office

Ref document number: 1991918640

Country of ref document: EP

REG Reference to national code

Ref country code: DE

Ref legal event code: 8642

WWW Wipo information: withdrawn in national office

Ref document number: 1991918640

Country of ref document: EP

NENP Non-entry into the national phase

Ref country code: CA