WO1989004833A1 - Renin inhibiting peptides that contain amino and hydroxy dicarboxylic acids - Google Patents
Renin inhibiting peptides that contain amino and hydroxy dicarboxylic acidsInfo
- Publication number
- WO1989004833A1 WO1989004833A1 PCT/US1988/003436 US8803436W WO8904833A1 WO 1989004833 A1 WO1989004833 A1 WO 1989004833A1 US 8803436 W US8803436 W US 8803436W WO 8904833 A1 WO8904833 A1 WO 8904833A1
- Authority
- WO
- WIPO (PCT)
- Prior art keywords
- amino
- hydroxy
- succinyl
- isopropyl
- isoleucyl
- Prior art date
- Legal status (The legal status is an assumption and is not a legal conclusion. Google has not performed a legal analysis and makes no representation as to the accuracy of the status listed.)
- Ceased
Links
Classifications
-
- C—CHEMISTRY; METALLURGY
- C07—ORGANIC CHEMISTRY
- C07K—PEPTIDES
- C07K5/00—Peptides containing up to four amino acids in a fully defined sequence; Derivatives thereof
- C07K5/02—Peptides containing up to four amino acids in a fully defined sequence; Derivatives thereof containing at least one abnormal peptide link
- C07K5/0227—Peptides containing up to four amino acids in a fully defined sequence; Derivatives thereof containing at least one abnormal peptide link containing the (partial) peptide sequence -Phe-His-NH-(X)2-C(=0)-, e.g. Renin-inhibitors with n = 2 - 6; for n > 6 see C07K5/06 - C07K5/10
-
- A—HUMAN NECESSITIES
- A61—MEDICAL OR VETERINARY SCIENCE; HYGIENE
- A61P—SPECIFIC THERAPEUTIC ACTIVITY OF CHEMICAL COMPOUNDS OR MEDICINAL PREPARATIONS
- A61P9/00—Drugs for disorders of the cardiovascular system
- A61P9/12—Antihypertensives
-
- C—CHEMISTRY; METALLURGY
- C07—ORGANIC CHEMISTRY
- C07C—ACYCLIC OR CARBOCYCLIC COMPOUNDS
- C07C237/00—Carboxylic acid amides, the carbon skeleton of the acid part being further substituted by amino groups
- C07C237/02—Carboxylic acid amides, the carbon skeleton of the acid part being further substituted by amino groups having the carbon atoms of the carboxamide groups bound to acyclic carbon atoms of the carbon skeleton
- C07C237/22—Carboxylic acid amides, the carbon skeleton of the acid part being further substituted by amino groups having the carbon atoms of the carboxamide groups bound to acyclic carbon atoms of the carbon skeleton having nitrogen atoms of amino groups bound to the carbon skeleton of the acid part, further acylated
-
- C—CHEMISTRY; METALLURGY
- C07—ORGANIC CHEMISTRY
- C07C—ACYCLIC OR CARBOCYCLIC COMPOUNDS
- C07C323/00—Thiols, sulfides, hydropolysulfides or polysulfides substituted by halogen, oxygen or nitrogen atoms, or by sulfur atoms not being part of thio groups
- C07C323/50—Thiols, sulfides, hydropolysulfides or polysulfides substituted by halogen, oxygen or nitrogen atoms, or by sulfur atoms not being part of thio groups containing thio groups and carboxyl groups bound to the same carbon skeleton
- C07C323/51—Thiols, sulfides, hydropolysulfides or polysulfides substituted by halogen, oxygen or nitrogen atoms, or by sulfur atoms not being part of thio groups containing thio groups and carboxyl groups bound to the same carbon skeleton having the sulfur atoms of the thio groups bound to acyclic carbon atoms of the carbon skeleton
- C07C323/52—Thiols, sulfides, hydropolysulfides or polysulfides substituted by halogen, oxygen or nitrogen atoms, or by sulfur atoms not being part of thio groups containing thio groups and carboxyl groups bound to the same carbon skeleton having the sulfur atoms of the thio groups bound to acyclic carbon atoms of the carbon skeleton the carbon skeleton being acyclic and saturated
-
- C—CHEMISTRY; METALLURGY
- C07—ORGANIC CHEMISTRY
- C07K—PEPTIDES
- C07K5/00—Peptides containing up to four amino acids in a fully defined sequence; Derivatives thereof
- C07K5/02—Peptides containing up to four amino acids in a fully defined sequence; Derivatives thereof containing at least one abnormal peptide link
- C07K5/0205—Peptides containing up to four amino acids in a fully defined sequence; Derivatives thereof containing at least one abnormal peptide link containing the structure -NH-(X)3-C(=0)-, e.g. statine or derivatives thereof
-
- C—CHEMISTRY; METALLURGY
- C07—ORGANIC CHEMISTRY
- C07K—PEPTIDES
- C07K5/00—Peptides containing up to four amino acids in a fully defined sequence; Derivatives thereof
- C07K5/02—Peptides containing up to four amino acids in a fully defined sequence; Derivatives thereof containing at least one abnormal peptide link
- C07K5/0207—Peptides containing up to four amino acids in a fully defined sequence; Derivatives thereof containing at least one abnormal peptide link containing the structure -NH-(X)4-C(=0), e.g. 'isosters', replacing two amino acids
-
- C—CHEMISTRY; METALLURGY
- C07—ORGANIC CHEMISTRY
- C07K—PEPTIDES
- C07K5/00—Peptides containing up to four amino acids in a fully defined sequence; Derivatives thereof
- C07K5/02—Peptides containing up to four amino acids in a fully defined sequence; Derivatives thereof containing at least one abnormal peptide link
- C07K5/0215—Peptides containing up to four amino acids in a fully defined sequence; Derivatives thereof containing at least one abnormal peptide link containing natural amino acids, forming a peptide bond via their side chain functional group, e.g. epsilon-Lys, gamma-Glu
-
- C—CHEMISTRY; METALLURGY
- C07—ORGANIC CHEMISTRY
- C07C—ACYCLIC OR CARBOCYCLIC COMPOUNDS
- C07C2601/00—Systems containing only non-condensed rings
- C07C2601/12—Systems containing only non-condensed rings with a six-membered ring
- C07C2601/14—The ring being saturated
Definitions
- the present invention provides novel compounds. More particu- larly, the present invention provides novel renin-inhibiting peptide analogs. Most particularly, the present invention provides renin- inhibitory amino and hydroxy dicarboxylic acid derivatives and having transition state inserts. The renin inhibitors provided herein are useful for the diagnosis and control of renin-dependent hypertension and other related diseases.
- Renin is an endopeptidase which specifically cleaves a particular peptide bond of its substrate (angiotensinogen), of which the N-ter- minal sequence in equine substrate is for example: Renin
- Renin cleaves angiotensinogen to produce angiotensin I, which is converted to the potent pressor angiotensin II.
- a number of angiotensin I converting enzyme inhibitors are known to be useful in the treatment of hypertension.
- Inhibitors of renin are also useful in the treatment of hypertension.
- Terminal disulfide cycles have also been disclosed in renin inhibiting peptides; see, e.g., U.S. patents 4,477,440 and 4,477,441.
- Aromatic and aliphatic amino acid residues at the 10, 11-position of the renin substrate are disclosed in U.S. patents 4,478,827 and 4,455,303.
- C-terminal amide cycles are disclosed in U.S. patent 4,485,099 and European published applications 156,320 and 156,318.
- Certain tetrapeptides are disclosed in European publications 111,266 and 77,027. Further, European published application No.
- Chem., 50, 4615 (1985) discloses the synthesis of Hydroxyethylene Dipeptide Isosteres. See also published European patent application 163,237 which discloses certain renin inhibiting peptides. Additionally, published European Applications 45,161 and 53,017 disclose amide derivatives useful as inhibitors of angiotensin converting enzymes.
- E.P. 189,203 discloses new N-dihydroxyalkyl peptide derivatives which are useful as inhibitors of renin for treating hypertension.
- E.P. 184,855 discloses new hydroxy substituted-statine peptide derivatives which are useful as inhibitors of renin for treating hypertension.
- the invention more particularly provides the renin inhibitory peptide of the Formula I wherein A is
- HET is a 5 ot 6-membered saturated or unsaturated ring containing from one to three heteroatoms (nitrogen, oxygen, sulfur) ; and including any bicyclic group in which any of the above heterocyclic rings is fused to a benzene ring or another heterocycle; and, if chemically feasible, the nitrogen and sulfur atoms may be in the oxidized forms; or a carboxy-, amino- or other reactive group-protected form thereof; or a pharmaceutically acceptable acid or base addition salts thereof.
- Preferred compounds of this invention have the Formula II wherein the stereochemistry at the 2 , 4 and 5 carbon is of the S configuration and wherein A is selected from the group consisting of R 3 -O-(CH 2 ) q -C(O)-, R 3 -(CH 2 ) n -C(O)- and R 3 S-(CH 2 ) q -C(O) - ; V is oxygen or -N(R1)-; R 2 is C 1 -C 5 alkyl or C 3 -C 7 cycloalkyl; R 1 is hydrogen or C 1 -C 5 alkyl; R 4 is hydrogen or C 1 -C 5 alkyl; F is absent or a divalent moiety of the formula L 3 ; and Z is N(R 1 )R 5 wherein R 5 is (C 1 -C 10 ) alkyl or -(CH 2 )- Het.
- renin inhibitory peptide is meant a compound capable of inhibiting the renin enzyme in mammalian metabolism and linked by peptidic or pseudo-peptidic bonds.
- a non-cleavable transition state insert is meant a transition state insert which is not cleavable by a hydrolytic enzyme in mammalian metabolism.
- a variety of such transition state inserts, corresponding to the 10,11-position of the renin substrate, are known in the art, including those disclosed in the following references:
- the renin inhibitory peptides of the present invention can occur in several isomeric forms, depending on the configuration around the asymmetric carbon atoms. All such isomeric forms are included within the scope of the present invention.
- the stereochemistry of the other amino acids corresponds to that of the naturally-occurring amino acids.
- Renin inhibitory peptides commonly have protecting groups at the N-terminus and the C-terminus. These protecting groups are known in the polypeptide art. Examples of these protecting groups are given below. Any of these protecting groups are suitable for the renin inhibitory peptides of the present invention.
- the derivative of Formula I of the present invention may occur at the N-terminus of the renin inhibitory peptide and, as such, will, when coupled with a suitable protecting group, assume the ending position.
- These compounds are shown in relation to the human renin substrate as follows:
- the present invention provides peptide inhibitors of renin which are derivatives and contain at least one amino acid and have transition state inserts.
- Examples of pharmaceutically acceptable acid addition salts include: acetate, adipate, alginate, aspartate, benzoate, benzenesulfonate, bisulfate, butyrate, citrate, camphorate, camphorsulfonate, cyclopentanepropionate, digluconate, dodecylsulfate, ethanesulfonate, fumarate, glucoheptanoate, glycerophosphate, hemisulfate, heptanoate, hexanoate, hydrochloride, hydrobromide, hydroiodide, 2-hydroxyethanesulfonate, lactate, maleate, methanesulfonate, 2-naphthaienesulfonate, nicotinate, oxalate, palmoate, pectinate, persulfate, 3-phenylpropionate, picrate, pivalate, propionate, succinate, tartrate, thio
- the carbon atom content of various hydrocarbon-containing moieties is indicated by a prefix designating the minimum and maximum number of carbon atoms in the moiety, i.e., the prefix (C i -C j ) indicates a moiety of the integer "i" to the integer "j" carbon atoms, inclusive.
- (C 1 -C 4 )alkyl refers to alkyl of one to 4 carbon atoms, inclusive, or methyl, ethyl, propyl, butyl, and isomeric forms thereof.
- C 4 -C 7 cyclic amino indicates a monocyclic group containing one nitrogen and 4 to 7 carbon atoms.
- Examples of (C 3 -C 10 )cycloalkyl which include alkyl-substituted cycloalkyl containing a total of up to 10 total carbon atoms, are cyclopropyl, 2-methylcyclopropyl, 2,2-dimethylcyclopropyl, 2,3-diethylcyclopropyl, 2-butylcyclopropyl, cyclobutyl, 2-methylcyclobutyl, 3-propylcyclobutyl, cyclopentyl, 2,2-dimethylcyclopentyl, cyclohexyl, cycloheptyl, cyclooctyl, cyclononyl, cyclodecyl and isomeric forms thereof.
- aryl examples include phenyl, naphthyl, (o-, m- , p-)tolyl, (o- , m-, p-)ethylphenyl, 2-ethyl-tolyl, 4-ethyl-o-tolyl, 5-ethyl-m-tolyl, (o-, m-, or p-)propylphenyl, 2-propyl-(o-, m-, or p-)tolyl, 4-isopropyl-2,6-xylyl, 3-propyl-4-ethylphenyl, (2,3,4- 2,3,6-, or 2,4,5-)-trimethylphenyl, (o-, m- , or p-) fluorophenyl , (o-, m-, or p-trifluoromethyl)phenyl, 4-fluoro-2,5-xylyl, (2,4-, 2,5-, 2,6-, 3,4-
- Examples of -Het include: 2-, 3-, or 4-pyridyl, imidazolyl, indolyl, N in -formyl-indolyl, N in -C 1 -C 5 alkyl-C(O)-indolyl, [1,2,4]-triazolyl, 2-, 4-, or 5-pyrimidinyl, 2- or 3-thienyl, piperidinyl, pyrryl, pyrrolinyl, pyrrolidinyl, pyrazolyl, pyrazolinyl, pyrazolidinyl, imidazolinyl, imidazolidinyl, pyrazinyl, piperazinyl, pyridazinyl, oxazolyl, oxazolidinyl, isoxazolyl, isoxazolidinyl, morpholinyl, thiazolyl, thiazolidinyl, isothiazolyl, isothiazolidinyl
- a heterocycle as defined herein for -Het would not be bonded through oxygen or sulfur or through nitrogen which is within a ring and part of a double bond.
- Halo is halogen (fluoro, chloro, bromo, or iodo) or trifluoromethyl.
- Examples of pharmaceutically acceptable cations include: pharmacologically acceptable metal cations, ammonium, amine cations, or quaternary ammonium cations.
- pharmacologically acceptable metal cations are those derived from the alkali metals, e.g., lithium, sodium, and potassium, and from the alkaline earth metals, e.g., magnesium and calcium, although cationic forms of other metals, e.g., aluminum, zinc, and iron are also within the scope of this invention.
- Pharmacologically acceptable amine cations are those derived from primary, secondary, or tertiary amines.
- novel peptides herein contain both natural and synthetic amino acid residues. These residues are depicted using standard amino acid abbreviations (see, e.g., Eur. J. Biochem., 138, 9 (1984)) unless otherwise indicated.
- the compounds of the invention are effective in the treatment of humans.
- the renin inhibitors of this invention are useful for treating an medical condition for which it is beneficial to reduce the levels o active circulating renin. Examples of such conditions include renin- associated hypertension and hyperaldosteronism, hypertension, hypertension under treatment with another antihypertensive and/or a diuretic agent, congestive heart failure, angina, and post-myocardial infarction.
- the renin-angiotension system may play a role in maintenance of intracellular homeostasis: see Clinical and Experimental Hypertension, 86, 1739-1742 (1984) at page 1740 under Discussion. Procedures for determining the renin-inhibiting activity of peptides are described in co-pending application Serial No. 825,250 filed February 3, 1986 which is hereby expressly incorporated by reference.
- the renin inhibitors of this invention may be useful in the treatment of cerebrovascular disorders and disorders of intracellular homeotasis.
- the possible role of the renin-angiotensin system in the maintenance of intracellular homeostasis is disclosed in Clinical and Experimental Hypertension, 86:1739-1742 (1984).
- the renin inhibitors of this invention potentiate the antithrombotic activity of a thromboxane antagonist (U.S. patent 4,558,037).
- the antihypertensive effect of the renin inhibitors of this invention are potentiated by combination with a thromboxane synthetase inhibitor.
- the compounds of the present invention are preferably orally administered to humans to effect renin inhibition for the purpose of favorably affecting blood pressure.
- the compounds are administered from 0.1 mg to 100 mg per kg per dose, administered from 1 to 4 times daily.
- the compounds of the present invention are preferably orally administered in the form of pharmacologically acceptable acid addition salts.
- Preferred pharmacologically acceptable salts for oral administration include the citrate and aspartate salts, although any pharmacologically acceptable salt is useful in this invention, including those listed above. These salts may be in hydrated or solvated form.
- parenteral by inhalation spray, or rectally in dosage unit formulations containing conventional non-toxic pharmaceutically acceptable carriers, adjuvants and vehicles.
- parenteral as used herein includes subcutaneous injections, intravenous, intramuscular, intrasternal injection or infusion techniques.
- the pharmaceutical compositions may be in the form of a sterile injectable preparation, for example as a sterile injectable aqueous or oleagenous suspension. This suspension may be formulated according to the known art using suitable dispersing or wetting agents and suspend ⁇ ing agents.
- the sterile injectable preparation may also be a sterile injectable solution or suspension in a non-toxic parenterally-accept ⁇ able diluent or solvent, for example as a solution in 1,3-butanediol.
- a non-toxic parenterally-accept ⁇ able diluent or solvent for example as a solution in 1,3-butanediol.
- acceptable vehicles and solvents that may be employed are water, Ringer's solution and isotonic sodium chloride solution.
- sterile, fixed oils are conventionally employed as a solvent or suspending medium.
- any bland fixed oil may be employed including synthetic mono- or diglycerides.
- fatty acids such as oleic acid find use in the preparation of injectables.
- the compounds of the present invention may be in the form of pharmaceutically acceptable salts both those which can be produced from the free bases by methods well known in the art and those with which acids have pharmacologically acceptable conjugate bases.
- the renin-inhibiting compounds of this invention may be administered in combination with other agents used in antihypertensive therapy such as diuretics, ⁇ and/or ⁇ -adrenergic blocking agents, CNS-acting agents, adrenergic neuron blocking agents, vasodilators, angiotensin I converting enzyme inhibitors, and the like as described, for example, in published European patent application 156 318.
- agents used in antihypertensive therapy such as diuretics, ⁇ and/or ⁇ -adrenergic blocking agents, CNS-acting agents, adrenergic neuron blocking agents, vasodilators, angiotensin I converting enzyme inhibitors, and the like as described, for example, in published European patent application 156 318.
- the compounds of this invention can be given in combination with such compounds or salts or other derivative forms thereof as:
- Diuretics acetazolamide; amiloride; bendroflumethiazide; benzthiazide; bumetanide; chlorothiazide; chlorthalidone; cyclothiazide; ethacrynic acid; furosemide; hydrochlorothiazide; hydroflumethiazide; indacrinone (racemic mixture, or as either the (+) or (-) enantiomer alone, or a manipulated ratio, e.g., 9:1 of said enantiomers, respectively); metolazone; methyclothiazide; muzolimine; polythiazide; quinethazone; sodium ethacrynate; sodium nitroprusside; spironolactone; ticrynaten; trimaterene; trichlormethiazide; ⁇ -Adrenergic Blocking Agents: dibenamine; phentolamine; phenoxybenzamine; prazosin; to
- anti-hypertensive agents aminophylline; eryptenamine acetates and tannates; deserpidine; meremethoxylline procaine; pargyline; tri-methaphan camsylate; and the like, as well as admixtures and combinations thereof.
- the individual daily dosages for these combinations can range from about one-fifth of the minimally recommended clinical dosages to the maximum recommended levels for the entities when they are given singly.
- Co-administration is most readily accomplished by combining the active ingredients into a suitable unit dosage form containing the proper dosages of each. Other methods of co-administration are, of course, possible.
- the compounds of the present invention are prepared as depicted in the charts and as described more fully in the Preparations and Examples.
- Ph is used to represent the phenyl ring.
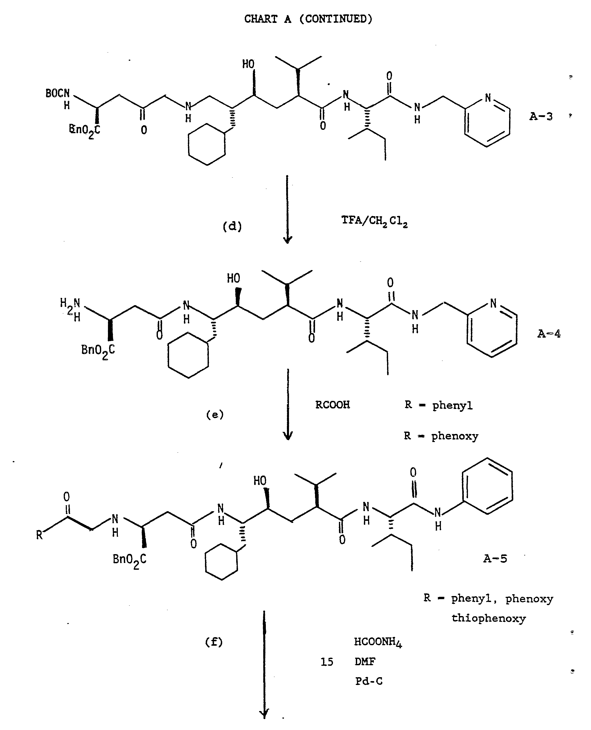
- Charts A, B, C and D illustrate the preparation of compounds of this invention wherein aspartic or glutamic acid residues are used as the P2 replacement in renin inhibitory peptides.
- step (a) a N ⁇ -Boc protected form of amino acid alcohol such as ch-val-alcohol acid derivative is coupled with a derivative amino acid utilizing standard coupling procedures to yield peptide A-1.
- step (b) the N ⁇ -Boc moiety is then removed by reacting a solution of A-1 in diethyl ether with HCL gas to yield the peptide A-2.
- step (c) A-2 is coupled with a derivative amino acid utilizing diisopropylethyl amine and DEPC to give peptide A-3.
- step (d) the peptide A-3 the N ⁇ alpha-Boc moiety is removed utilizing trifluroacetic acid to yield the free amine A-4.
- step (e) the amine A-4 is converted to peptide A-5 by reacting it with an appropriately substituted carboxylic acid in the presence of diisopropylethyl amine and DEPC.
- step (f) a suspension of peptide A-5 in a solvent, for example, demethylformamide, is reacted with palladium on carbon and ammonium formate to yield the desired compound A-6.
- a solvent for example, demethylformamide
- step (a) a N ⁇ -Boc protected form of an amino acid alcohol, such as cha-val-alcohol is coupled with a simple amine utilizing standard coupling procedures to yield peptide B-1 wherein Mba is methylbutylamine.
- step (b) the N ⁇ -Boc moiety is then removed by reacting a solution of B-1 in diethyl ether with HCL gas to yield the peptide B-2.
- step (c) B-2 is coupled with a derivative aspartic or glutamic acid utilizing diisopropylethyl amine and DEPC to give peptide B-3.
- step (d) the benzyl moiety of peptide B-3 is removed by contacting the peptide with hydrogen in the presence of a palladium/carbon catalyst to yield compound B-4.
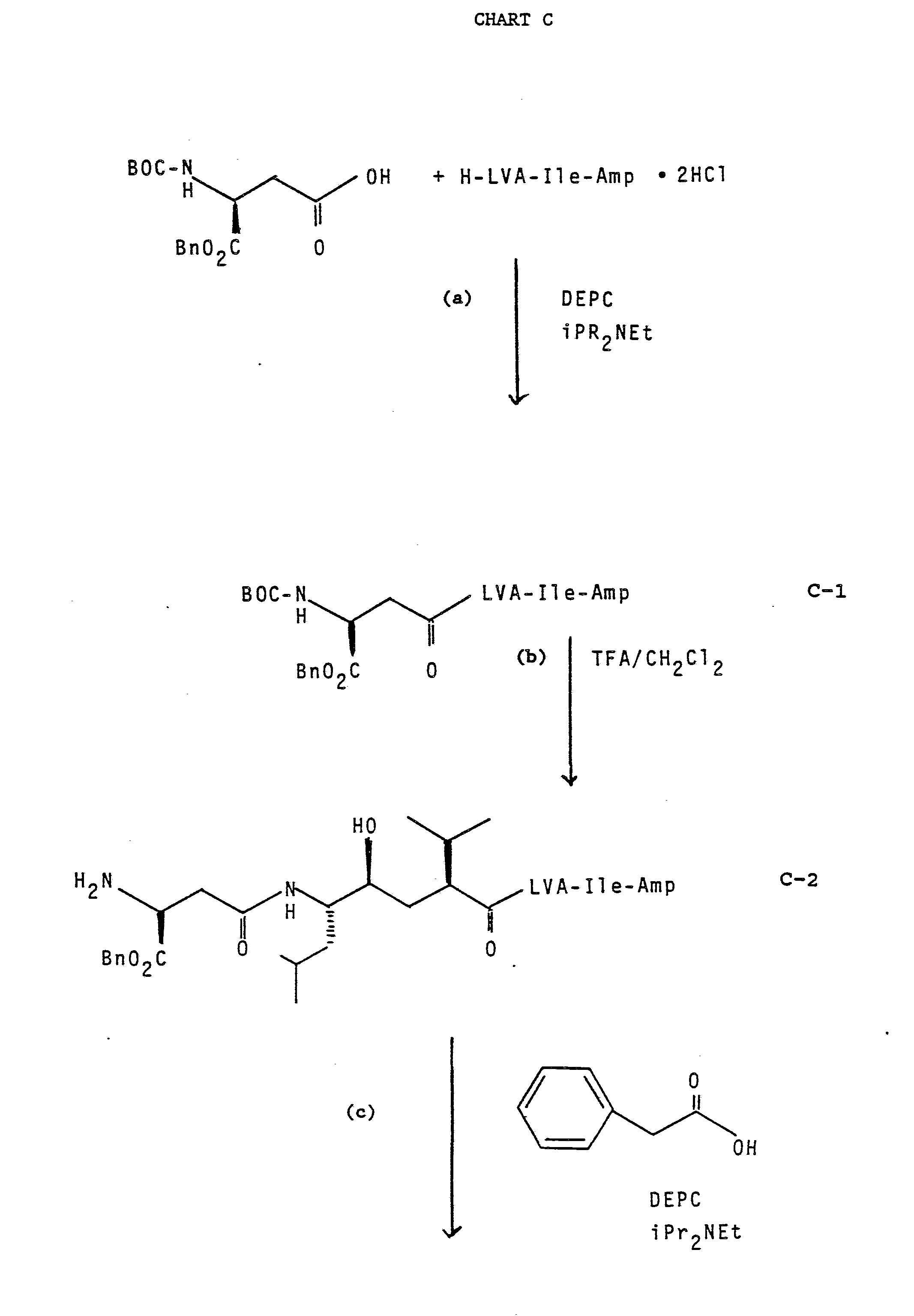
- step (a) N ⁇ -Boc protected aspartic or glutamic acid derivative is coupled with leu-val-alcohol-containing fragment utilizing standard coupling procedures to yield peptide C-1.
- step (b) the N ⁇ -Boc moiety is removed by reacting a solution of C-1 in dichloromethane with triflouroacetic acid yield the peptide C-2.
- step (c) C-2 is coupled with a substituted acetic acid utilizing diisopropylethyl amine and DEPC to give peptide C-3.
- step (d) the acid protecting group is removed by contacting a solution of C-3 in a solvent, such as dimethylformamide, with palladium on carbon and ammonium formate to yield C-4.
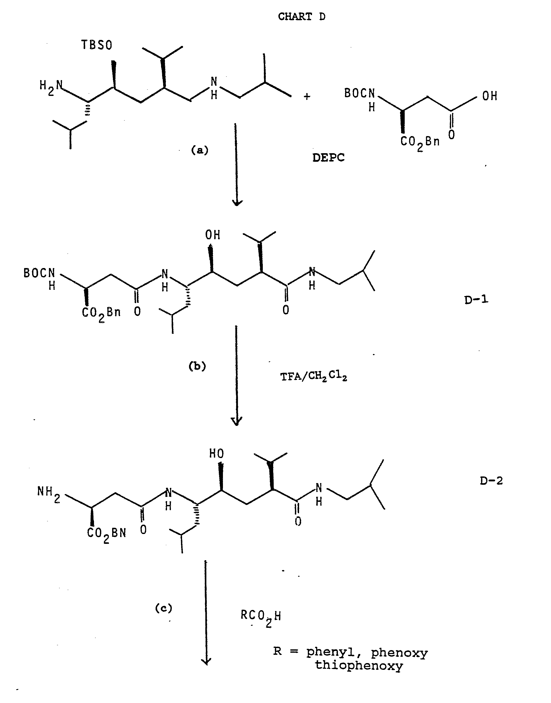
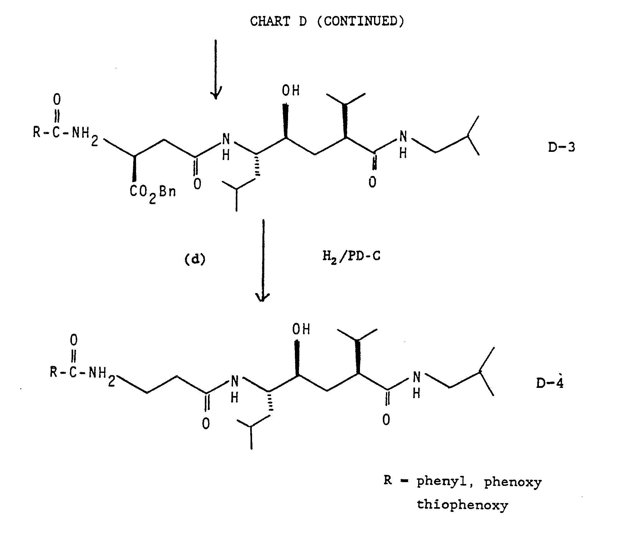
- Chart D illustrates a process that is similar to the one illustrated in Chart C. Different amine is coupled in step (a) and that removal of the benzy group in step (d) is accomplished by the use of hydrogen gas rather than ammonium formate.
- Chart E illustrates the preparation of compounds wherein malic acid residues are used as a P 2 (subscript) replacement in renin inhibitory peptide.
- step (a) amide E-1 is reacted with trifluoracetic acid to yield the free amine E-2.
- Amides of the type exemplified by E-1 are commercially available or can be made by methods well known in the art. For example by the method of step (b) of Chart B.
- E-2 is then reacted with benzyl S-malate in the presence of diisopropyl ethyl amine and DEPC to yield the alcohol E-3.
- step (c) the alcohol E-3 is converted to peptide E-4 by reacting it with the appropriately substituted acyl chloride in the presence of DMAP.
- step (d) peptide E-4 is deprotected to yield peptide E-5.
- step (e) peptide E-5 is deesterified by reacting it with hydrogen, carbon and ammonium formate to yield the compound E-6.
- the derivative amino acids are incorporated into a peptide using standard coupling procedures. Should the peptide exist in a protected form, the protecting groups are removed prior to coupling. For example, a Boc group is removed from an N-terminus with trifluoroacetic acid in methylene chloride and then the derivative acid is introduced. After coupling, any remaining protecting groups are removed under standard conditions. For example a tosyl group is removed from histidine using 1-hydroxybenzotriazole in methanol.
- the renin inhibiting polypeptides may be prepared by either polymer assisted or solution phase peptide synthetic procedures analogous to those described hereinafter or to those methods known in the art.
- the carboxylic moiety of N ⁇ -t-butyloxycarbonyl (Boc)-substituted amino acid derivatives having suitable side chain protecting groups may be condensed with the amino functionality of a suitably protected amino acid, peptide or polymer bound peptide using a conventional coupling protocol such as dicyclohexylcarbodiimide (DCC) and 1-hydroxybenzotriazole (HOBT) or diethylphosphoryl cyanide (DEPC) and triethylamine (Et 3 N) in methylene chloride or dimethylformamide.
- DCC dicyclohexylcarbodiimide
- HOBT 1-hydroxybenzotriazole
- DEPC diethylphosphoryl cyanide
- Et 3 N triethylamine
- N ⁇ -Boc moiety may be selectively removed with 45% trifluoroacetic acid with or without 2% anisole (v/v) in methylene chloride.
- Neutralization of the resultant trifluoroacetate salt may be accomplished with 10% diisopropylethylamine or sodium bicarbonate in methylene chloride.
- this stepwise, coupling strategy may be partially or completely automated to provide the desired peptide-polymer intermediates. Anhydrous hydrofluoric acid treatment of the peptide-polymer intermediate may then be used to effect simultaneous protecting group removal and cleavage of the peptide from its polymeric support.
- N in -formylindolyl-substituted peptides in which the N in -formyl-indolyl moiety is stable to TFA or HF but may be removed by NH 3 or NaOH.
- FTrp is somewhat unstable to base in synthetic procedures, possibly causing lower yields, it may be desirable in solution phase synthesis to introduce the FTrp-containing moiety late in the synthetic sequence so that it is not exposed to such conditions.
- the incorporation of N in -formyl-Trp into compounds of the present invention is easily accomplished because of the commercial availability of N ⁇ -Boc-N in -formyl-Trp-OH.
- N in -formyl moiety may be introduced into indolyl-substituted amino acid derivatives or related compounds by reaction with HCl-formic acid as reported in the literature, see A. Previero et al, Biochim. Biophys. Acta 147, 453 (1967); Y.C.S. Yang et al, Int. J. Peptide Protein Res. 15, 130 (1980).
- peptides may also be prepared by the standard solid phase techniques of Merrifield. Appropriate protecting groups, reagents, and solvents for both the solution and solid phase methods can be found in "The Peptides: Analysis, Synthesis, and Biology,” Vols. 1-5, eds. E. Gross and T. Meienhofer, Academic Press, NY, 1979-1983.
- the compounds of the present invention may be in either free form or in protected form at one or more of the remaining (not previously protected) peptide, carboxyl, amino, hydroxy, or other reactive groups.
- the protecting groups may be any of those known in the polypeptide art. Examples of nitrogen and oxygen protection groups are set forth in T.W. Greene, Protecting Groups in Organic Synthesis, Wiley, New York, (1981); J.F.W. McOmie, ed. Protective Groups in Organic Chemistry, Plenum Press (1973); and J. Fuhrhop and G. Benzlin, Organic Synthesis, Verlag Chemie (1983).
- nitrogen protective groups include t-butoxycarbonyl (Boc), benzyloxycarbonyl, acetyl, allyl, phthalyl, benzyl, benzoyl, trityl and the like.
- Boc t-butoxycarbonyl
- benzyloxycarbonyl acetyl, allyl, phthalyl, benzyl, benzoyl, trityl and the like.
- AMP is 2-(aminomethyl)pyridine; BOC is t-butoxycarbonyl; BOM is benzyloxymethyl; Bz is benzyl; C is centigrade; Celite is a filter aid;
- DCC is dicyclohexylcarbodiimide
- DMAP is dimethylaminopyridine
- DMF is dimethylformamide
- EtOAc is ethyl acetate; is grams; PLC is high performance liquid chromatography;
- I 2 is iodine
- IR is infra red spectra
- a Lindlar catalyst is a modified 5% palladium on calcium carbonate catalyst, obtained from Engelhard Industries and used for reduction;
- MBA is 2-methylbutylamino (racemic or optically active); MBAS is 2S-methylbutylamino;
- Me is methyl; min. is minute; ml is milliliter;
- NMR nuclear magnetic resonance
- NOA1 is (1-naphthyloxy)acetyl
- p-TSA salt is para-toluene sulfonic acid salt
- Ph is phenyl
- POA is phenoxyacetyl
- RIP means a compound having the formula H-Pro-His-Phe-His-Phe-Phe- Val-Tyr-Lys-OH.2(CH 3 C(O)OH).XH 2 O which is a known renin-inhibiting peptide.
- Skellysolve B is as defined in the Merck Index, 10th edition; TBDMS is t-butyldimethylsilyl;
- TFA is trifluoroacetic acid
- THF is tetrahydrofuran
- TLC is thin layer chromatography
- Tos is p-toluenesulfonyl; Tr is trityl (triphenylmethyl);
- 2HPA is ( ⁇ )-(2-hydroxypropyl)amino
- UV is ultraviolet.
- the wedge-shape line indicates a bond which extends above the plane of the paper relative to the plane of the compound thereon.
- the dotted line indicates a bond which extends below the plane of the paper relative to the plane of the compound thereon.
- Preferred compounds are those of Formula IC in which the aspartic acid residue has been used as a replacement in the renin inhibiting peptide and the stereochemistry at the 2, 4, and 5 carbon atoms of the transition state insert is of the S configuration.
- the compound 3-S-phenylacetylamino-succinyl-5S-amino-4S-hydroxy-2S-isopropyl-6-(cyclohexylmethylhexanoyl-L-isoleucyl-2-pyridylmethylamide and its use as a renin inhibitor represents among the best mode contemplated by the applicants to practice the invention.
- Example 1 Example 1
- step (b) To a stirred solution of 135.1 mg (0.195 mmol) of the product prepared in step (a) in 10 mL of dry ether was passed over the surface dry HCl gas until saturated. After 25 minutes, the ether was removed via a stream of argon and then pumped on high vac for 2 hours to afford the amine A-2 as a white ppt.
- step (d) A stirred solution of 133.2 mg (0.170 mmol) of the peptide prepared in step (c) in 1.0 mL of dichloromethane and 1.0 mL of trifluoroacetic acid was stirred at room temperature for 45 min. The reaction mixture was slowly added to 1.5 g of NaHCO 3 in 15 mL of water. The aqueous phase was extracted with dichloromethane.
- step (c) A solution of 76 mg (0.15 mmol) of the peptide prepared in step (a) in 8 ml dry ether was saturated with dry HCl. After 20 minutes, volatiles were removed under a gentle stream of N 2 and the residue pumped via a KOH trap.
- step (b) To a stirred solution of 747.5 mg (1.01 mmol) of the peptide prepared in step (a) A in 2.0 mL of dichloromethane was added 2.0 mL of trifluoroacetic acid. After 45 minutes at room temperature, the reaction mixture was slowly pipetted into a stirred solution containing 3.0 g of NaHCO 3 in 30 mL of water. After 10 minutes, the phases were separated. The aqueous phase was extracted with four portions of dichloromethane.
- step (c) To a stirred solution of 425.6 mg (0.666 mmol) of the amine prepared in step (b) and 117.8 mg of phenylacetic acid in 3 ml. of dichloromethane was added 0.24 mL (1.39 mmol) of diisopropylethyl amine followed by 0.16 mL (1.06 mmol) of diethylcyanophosphonate. After 10 minutes, reaction mixture was a gel. The reaction mixture was agitated at room temperature overnight. Partitioned between dichloromethane and saturated aqueous sodium bicarbonate. The aqueous phase was extracted with dichloromethane. Combined organics were dried with magnesium sulfate, filtered, and concentrated.
- step (d) To a stirred suspension of 120.1 mg (0.158 mmol) of the peptide prepared in step (c) in dimethylformanide was added 75 mg of 10% palladium on carbon followed by 109.5 mg (1.73 mmol) of ammonium formate. The reaction mixture was stirred for 3 hours at room temperature, then diluted with methanol. The reaction mixture was filtered through celite, catalyst washed with methanol, and the filtrate was concentrated.
- Steps (a) and (b) were the same as steps (a) and (b) of Example 5.
- (c) To a stirred solution of 78.5 mg (0.122 mmol) of 2S-amino-1- benzylsuccinyl-5S-amino-4S-hydroxy-2S-isopropyl-7-methyl-octanoyl-L- isoleucyl-2-pyridylmethyl amide prepared in step (c) and 22.4 mg (0.147 mmol) of phenoxyacetic acid in 0.6 mL of dichloromethane was added 39 ⁇ L (0.221 mmol) of diisopropylethylamine followed by 25 ⁇ L (0.172 mmol) of diethylcyanophosphonate.
- reaction mixture was a gel.
- the reaction mixture was agitated at room temperature for 5 hours.
- the reaction mixture was diluted with dichloromethane and some methanol, then concentrated.
- the residue was chromatographed on 15 g of silica gel using 3% to 5% methanol in dichloromethane to afford 67.5 mg (0.087 mmol, 72%) of peptide 2S-phenoxyacetylamino-1-benzylsuccinyl- 5S-amino-4S-hydroxy-2S-isopropyl-7-methyl-octanoyl-L-isoleucyl-2-pyridylmethyl amide.
- step (d) To a stirred suspension of 28.5 mg. (0.038 mmol) of the peptide prepared in step (c) in dimethylformamide was added 11 mg. of 10% palladium on carbon followed by 26.5 mg. (0.421 mmol) of ammonium formate. The reaction mixture was stirred for three hours at room temperature, then diluted with methanol. The reaction mixture was filtered through celite, catalyst washed with methanol, and the filtrate was concentrated to afford 24.2 mg.
- step (d) To a stirred solution of 42.0 mg. (0.055 mmol) of the peptide prepared in step (c), in 0.3 ml. of glacial acetic acid was added 42.0 mg. of 10% palladium on carbon followed by 100 ⁇ l of 1,4-cyclohexyldiene. The reaction mixture was stirred at room temperature for 18 hours, then filtered through celite. Catalyst washed with 1:1 acetic acid/methanol. The filtrate was concentrated to afford 28.0 mg.
- Steps (a) and (b) were the same as in Examples 5 thru 8.
- (c) To a stirred solution of 69.3 mg. (0.018 mmol) of the amine prepared in step (b) and 24.5 mg. (0.141 mmol) of 3-pyridylacet acid HCl in 0.5 ml. of dichloromethane was added 57 ⁇ l (0,325 mmol) of diisopropylethylamine followed by 26 ⁇ l (0.173 mmol) of diethylcyanophosphonate. After 10 minutes, the reaction mixture was a gel. The reaction mixture was agitated at room temperature overnight. Diluted with dichloromethane and some methanol and then concentrated.
- step (d) To a stirred solution of 38.5 mg. (0.050 mmol) of the peptide prepared in step (c) in 0.25 ml. of glacial acetic acid was added 38.5 mg. of 10% palladium on carbon followed by 100 ⁇ l of 1,4-cyclohexyldiene . After stirring at room temperature for 20 hours, the mixture was filtered through celite. The catalyst was washed with methanol and the filtrate concentrated. The residue was chromatographed on 4.7 g. of silica gel using 15% to 20% methanol in dichloromethane to afford 12 mg.
- reaction mixture was slowly pipetted into a stirred solution of 65 g. of sodium bicarbonate in 15 ml. of water. After 10 minutes, the phases were separated. The aqueous phase was extracted with dichloromethane. The combined organics were dried with magnesium sulfate filtered, and concentrated to afford 103 mg. (0.157 mmol, 82%) of the desired amine.
- reaction mixture was slowly pipetted into a stirred solution of 65 g. of sodium bicarbonate in 15 ml. of water. After 10 minutes the phases were separated. The aqueous phase was extracted with dichloromethane. The combined organics were dried with magnesium sulfate, filtered, and concentrated to afford the desired amine.
- step (c) To residue of the amine prepared in step (b) and 27.4 mg. (0.201 mmol) of phenylacetic acid in 1.0 ml. of dichloromethane was added 60 ⁇ l (0.325 mmol) of diisopropylethylamine followed by 40 ⁇ l (0.248 mmol) of diethylcyanophosphonate. After stirring for three hours, the reaction mixture was concentrated and chromatographed on 10 g.
- step (b) To the residue of the amide prepared in step (a) in 3 ml. of dichloromethane was added 3 ml. of trifluoroacetic acid. After 30 minutes at room temperature, the reaction mixture was slowly added to 4 g. of sodium bicarbonate in 40 ml. of water. The aqueous phase was extracted with dichloromethane. Combined organics were dried with magnesium sulfate, filtered and concentrated to give 5S-Amino-4S-tert-butyldimethylsilyloxy-2S-isopropyl-7-methyl-octanoyl-isobutyl amide as a thick paste.
- Steps (a) through (d) are the sane as in Example 14.
- Steps (a) thru (d) are the same as in Examples 14 and 15.
- step (f) To a stirred solution of 27 mg. of the peptide prepared in step (e) in 1:1 methanol-tetrahydrofuran was added 0.1 ml. of 1 M aqueous sodium hydroxide. After stirring overnight, the reaction mixture was treated with 0.1 ml. of 1 M aqueous hydrogen chlorine. The solvents were removed via a stream of argon. The residue was partitioned between dichloromethane and 1 M aqueous potassium hydrogen sulfate. The aqueous phase was extracted with dichloromethane. The combined organic phase was dried with magnesium sulfate and concentrated.
- reaction mixture was chromatographed on silica gel using 10-20% ethylacetate in dichloromethane and then 5%-10% methanol in dichloromethane to yield 127 mg. of (2S- hydroxy-1-benzylsuccinyl-5S-amino)-4S-t-butyldimethylsilyloxy-2S-isopropyl-7-methyloctanoyl-2S-methylbutylamide as a yellow solid (49% yield).
Landscapes
- Chemical & Material Sciences (AREA)
- Organic Chemistry (AREA)
- Health & Medical Sciences (AREA)
- Life Sciences & Earth Sciences (AREA)
- General Health & Medical Sciences (AREA)
- Medicinal Chemistry (AREA)
- Biochemistry (AREA)
- Biophysics (AREA)
- Genetics & Genomics (AREA)
- Molecular Biology (AREA)
- Proteomics, Peptides & Aminoacids (AREA)
- Crystallography & Structural Chemistry (AREA)
- Heart & Thoracic Surgery (AREA)
- Veterinary Medicine (AREA)
- Bioinformatics & Cheminformatics (AREA)
- Chemical Kinetics & Catalysis (AREA)
- General Chemical & Material Sciences (AREA)
- Nuclear Medicine, Radiotherapy & Molecular Imaging (AREA)
- Pharmacology & Pharmacy (AREA)
- Animal Behavior & Ethology (AREA)
- Public Health (AREA)
- Cardiology (AREA)
- Engineering & Computer Science (AREA)
- Peptides Or Proteins (AREA)
- Medicines That Contain Protein Lipid Enzymes And Other Medicines (AREA)
- Organic Low-Molecular-Weight Compounds And Preparation Thereof (AREA)
- Thiazole And Isothizaole Compounds (AREA)
- Pyridine Compounds (AREA)
- Heterocyclic Carbon Compounds Containing A Hetero Ring Having Nitrogen And Oxygen As The Only Ring Hetero Atoms (AREA)
- Pyrrole Compounds (AREA)
- Pharmaceuticals Containing Other Organic And Inorganic Compounds (AREA)
Abstract
Description
Claims
Priority Applications (4)
| Application Number | Priority Date | Filing Date | Title |
|---|---|---|---|
| AU28067/89A AU617740B2 (en) | 1987-11-16 | 1988-10-11 | Renin inhibiting peptides that contain amino and hydroxy dicarboxylic acids |
| FI902422A FI902422A7 (en) | 1987-11-16 | 1988-10-11 | Renin-inhibiting peptides containing amino and hydroxydicarboxylic acids |
| DK119590A DK119590A (en) | 1987-11-16 | 1990-05-14 | PURE INHIBIT PAPTIDES |
| NO90902180A NO902180L (en) | 1987-11-16 | 1990-05-15 | PURE-INHIBITIVE PEPTIDES CONTAINING AMINO- AND HYDROXYDICARBOXYLIC ACIDS. |
Applications Claiming Priority (2)
| Application Number | Priority Date | Filing Date | Title |
|---|---|---|---|
| US12127087A | 1987-11-16 | 1987-11-16 | |
| US121,270 | 1987-11-16 |
Publications (1)
| Publication Number | Publication Date |
|---|---|
| WO1989004833A1 true WO1989004833A1 (en) | 1989-06-01 |
Family
ID=22395600
Family Applications (1)
| Application Number | Title | Priority Date | Filing Date |
|---|---|---|---|
| PCT/US1988/003436 Ceased WO1989004833A1 (en) | 1987-11-16 | 1988-10-11 | Renin inhibiting peptides that contain amino and hydroxy dicarboxylic acids |
Country Status (5)
| Country | Link |
|---|---|
| EP (1) | EP0394311A1 (en) |
| JP (1) | JPH03500886A (en) |
| DK (1) | DK119590A (en) |
| FI (1) | FI902422A7 (en) |
| WO (1) | WO1989004833A1 (en) |
Cited By (12)
| Publication number | Priority date | Publication date | Assignee | Title |
|---|---|---|---|---|
| EP0432595A1 (en) * | 1989-12-14 | 1991-06-19 | Bayer Ag | Novel peptides, their preparation and their application in medicaments |
| EP0778266A1 (en) * | 1995-12-05 | 1997-06-11 | Bristol-Myers Squibb Company | 5-Amino-6-cyclohexyl-4-hydroxy-hexanamide derivatives as inhibitors of beta-amyloid protein production |
| US5703129A (en) * | 1996-09-30 | 1997-12-30 | Bristol-Myers Squibb Company | 5-amino-6-cyclohexyl-4-hydroxy-hexanamide derivatives as inhibitors of β-amyloid protein production |
| US6486193B2 (en) | 1998-12-31 | 2002-11-26 | Aventis Pharmaceuticals Inc. | 3-substituted pyrrolidines useful as inhibitors of matrix metalloproteinases |
| WO2003099202A3 (en) * | 2002-05-17 | 2004-07-15 | Merck & Co Inc | Beta-secretase inhibitors |
| US7291620B2 (en) | 2003-06-30 | 2007-11-06 | Merck + Co., Inc. | N-alkyl phenylcarboxamide beta-secretase inhibitors for the treatment of Alzheimer's disease |
| US7348448B2 (en) | 2003-07-01 | 2008-03-25 | Merck & Co., Inc. | Phenylcarboxylate beta-secretase inhibitors for the treatment of alzheimer's disease |
| US7371853B2 (en) | 2003-01-07 | 2008-05-13 | Merck & Co., Inc. | Macrocyclic β-secretase inhibitors for the treatment of Alzheimer's disease |
| US7829597B2 (en) | 2003-10-03 | 2010-11-09 | Merck, Sharp & Dohme, Inc. | Benzylether and benzylamino beta-secretase inhibitors for the treatment of alzheimer's disease |
| US11851422B2 (en) | 2021-07-09 | 2023-12-26 | Aligos Therapeutics, Inc. | Anti-viral compounds |
| US11952365B2 (en) | 2020-06-10 | 2024-04-09 | Aligos Therapeutics, Inc. | Anti-viral compounds |
| US12065428B2 (en) | 2021-09-17 | 2024-08-20 | Aligos Therapeutics, Inc. | Anti-viral compounds |
Citations (4)
| Publication number | Priority date | Publication date | Assignee | Title |
|---|---|---|---|---|
| EP0209848A2 (en) * | 1985-07-24 | 1987-01-28 | Merck & Co. Inc. | Enzyme inhibitors |
| DE3601248A1 (en) * | 1986-01-17 | 1987-07-23 | Hoechst Ag | SUBSTITUTED 4-AMINO-3-HYDROXYBUTTERIC ACID DERIVATIVES, METHOD FOR THE PRODUCTION THEREOF, THESE AGENTS AND THEIR USE |
| DE3610593A1 (en) * | 1986-03-29 | 1987-10-01 | Hoechst Ag | SUBSTITUTED 4-AMINO-3-HYDROXYBUTTERIC ACID DERIVATIVES METHOD FOR THE PRODUCTION THEREOF, THE CONTAINERS THEREOF AND THEIR USE |
| EP0244836A2 (en) * | 1986-05-09 | 1987-11-11 | Dainippon Pharmaceutical Co., Ltd. | Tripeptide derivatives |
-
1988
- 1988-10-11 WO PCT/US1988/003436 patent/WO1989004833A1/en not_active Ceased
- 1988-10-11 FI FI902422A patent/FI902422A7/en not_active IP Right Cessation
- 1988-10-11 EP EP89900393A patent/EP0394311A1/en not_active Withdrawn
- 1988-10-11 JP JP1500117A patent/JPH03500886A/en active Pending
-
1990
- 1990-05-14 DK DK119590A patent/DK119590A/en not_active Application Discontinuation
Patent Citations (4)
| Publication number | Priority date | Publication date | Assignee | Title |
|---|---|---|---|---|
| EP0209848A2 (en) * | 1985-07-24 | 1987-01-28 | Merck & Co. Inc. | Enzyme inhibitors |
| DE3601248A1 (en) * | 1986-01-17 | 1987-07-23 | Hoechst Ag | SUBSTITUTED 4-AMINO-3-HYDROXYBUTTERIC ACID DERIVATIVES, METHOD FOR THE PRODUCTION THEREOF, THESE AGENTS AND THEIR USE |
| DE3610593A1 (en) * | 1986-03-29 | 1987-10-01 | Hoechst Ag | SUBSTITUTED 4-AMINO-3-HYDROXYBUTTERIC ACID DERIVATIVES METHOD FOR THE PRODUCTION THEREOF, THE CONTAINERS THEREOF AND THEIR USE |
| EP0244836A2 (en) * | 1986-05-09 | 1987-11-11 | Dainippon Pharmaceutical Co., Ltd. | Tripeptide derivatives |
Cited By (14)
| Publication number | Priority date | Publication date | Assignee | Title |
|---|---|---|---|---|
| EP0432595A1 (en) * | 1989-12-14 | 1991-06-19 | Bayer Ag | Novel peptides, their preparation and their application in medicaments |
| EP0778266A1 (en) * | 1995-12-05 | 1997-06-11 | Bristol-Myers Squibb Company | 5-Amino-6-cyclohexyl-4-hydroxy-hexanamide derivatives as inhibitors of beta-amyloid protein production |
| US5703129A (en) * | 1996-09-30 | 1997-12-30 | Bristol-Myers Squibb Company | 5-amino-6-cyclohexyl-4-hydroxy-hexanamide derivatives as inhibitors of β-amyloid protein production |
| US6486193B2 (en) | 1998-12-31 | 2002-11-26 | Aventis Pharmaceuticals Inc. | 3-substituted pyrrolidines useful as inhibitors of matrix metalloproteinases |
| WO2003099202A3 (en) * | 2002-05-17 | 2004-07-15 | Merck & Co Inc | Beta-secretase inhibitors |
| US7205336B2 (en) | 2002-05-17 | 2007-04-17 | Merck & Co., Inc. | β-secretase inhibitors |
| US7371853B2 (en) | 2003-01-07 | 2008-05-13 | Merck & Co., Inc. | Macrocyclic β-secretase inhibitors for the treatment of Alzheimer's disease |
| US7291620B2 (en) | 2003-06-30 | 2007-11-06 | Merck + Co., Inc. | N-alkyl phenylcarboxamide beta-secretase inhibitors for the treatment of Alzheimer's disease |
| US7348448B2 (en) | 2003-07-01 | 2008-03-25 | Merck & Co., Inc. | Phenylcarboxylate beta-secretase inhibitors for the treatment of alzheimer's disease |
| US7829597B2 (en) | 2003-10-03 | 2010-11-09 | Merck, Sharp & Dohme, Inc. | Benzylether and benzylamino beta-secretase inhibitors for the treatment of alzheimer's disease |
| US11952365B2 (en) | 2020-06-10 | 2024-04-09 | Aligos Therapeutics, Inc. | Anti-viral compounds |
| US11851422B2 (en) | 2021-07-09 | 2023-12-26 | Aligos Therapeutics, Inc. | Anti-viral compounds |
| US12252481B2 (en) | 2021-07-09 | 2025-03-18 | Aligos Therapeutics, Inc. | Anti-viral compounds |
| US12065428B2 (en) | 2021-09-17 | 2024-08-20 | Aligos Therapeutics, Inc. | Anti-viral compounds |
Also Published As
| Publication number | Publication date |
|---|---|
| EP0394311A1 (en) | 1990-10-31 |
| JPH03500886A (en) | 1991-02-28 |
| AU2806789A (en) | 1989-06-14 |
| FI902422A0 (en) | 1990-05-15 |
| DK119590D0 (en) | 1990-05-14 |
| DK119590A (en) | 1990-05-14 |
| FI902422A7 (en) | 1990-05-15 |
Similar Documents
| Publication | Publication Date | Title |
|---|---|---|
| US5132400A (en) | Peptides containing a (1-amino-2-hydroxy-2-heterocyclic)ethyl moiety | |
| WO1992003472A1 (en) | Peptides containing amino-polyols as transition-state mimics | |
| US4663310A (en) | Renin inhibitors containing 2-substituted statine | |
| US4812442A (en) | Tripeptide renin inhibitors | |
| WO1989004833A1 (en) | Renin inhibiting peptides that contain amino and hydroxy dicarboxylic acids | |
| EP0483271B1 (en) | Peptides containing diamino-glycols as transition-state mimics | |
| WO1988002374A2 (en) | Renin inhibitory peptides having novel c-terminal moieties | |
| EP0413750A1 (en) | Renin inhibitory peptides containing a substituted phenoxyacetyle group | |
| US4839357A (en) | Renin inhibitors containing phenylalanyl-histidine replacements | |
| WO1989001488A1 (en) | Renin inhibiting peptides with nonpeptide linkages | |
| EP0312157A2 (en) | Tetrapeptide renin inhibitors having a novel c-terminal amino acid | |
| US5049548A (en) | Renin-inhibitory di-, tri-, and tetrapeptides | |
| EP0468998A1 (en) | Peptides having novel polar n-terminal groups | |
| WO1989000161A1 (en) | Malic acid derivative containing renin inhibiting peptides | |
| EP0278158A2 (en) | Renin inhibitors containing phenylalanyl-histidine replacements | |
| AU617740B2 (en) | Renin inhibiting peptides that contain amino and hydroxy dicarboxylic acids | |
| AU617740C (en) | Renin inhibiting peptides that contain amino and hydroxy dicarboxylic acids | |
| EP0355065A1 (en) | Renin inhibitory peptides containing suleptanic acid or derivatives thereof | |
| US5006511A (en) | Di- or tripeptide renin inhibitors containing lactam conformational restriction in achpa | |
| EP0349570A1 (en) | Renin inhibitors containing a cyclopropyl amino acid and/or a cycloalkyl transition-state analogue | |
| EP0312283A2 (en) | Di-or tripeptide renin inhibitors containing lactam conformational restrictions in ACHPA | |
| US5039664A (en) | Renin inhibitors containing phenylalanyl-histidine replacements | |
| WO1990003389A1 (en) | Renin inhibitory peptides containing maleamide substituents | |
| AU2541588A (en) | Renin inhibitors containing a (1-amino-2-hydroxy-2- heterocyclic)ethyl moiety | |
| US5037807A (en) | Renin inhibitors containing phenylalanyl-histidine replacements |
Legal Events
| Date | Code | Title | Description |
|---|---|---|---|
| AK | Designated states |
Kind code of ref document: A1 Designated state(s): AU DK FI JP KR NO US |
|
| AL | Designated countries for regional patents |
Kind code of ref document: A1 Designated state(s): AT BE CH DE FR GB IT LU NL SE |
|
| WWE | Wipo information: entry into national phase |
Ref document number: 1989900393 Country of ref document: EP |
|
| WWE | Wipo information: entry into national phase |
Ref document number: 902422 Country of ref document: FI |
|
| WWP | Wipo information: published in national office |
Ref document number: 1989900393 Country of ref document: EP |
|
| WWW | Wipo information: withdrawn in national office |
Ref document number: 1989900393 Country of ref document: EP |














