WO1984003281A1 - Azabicycloalkyl benzamide and anilide derivatives - Google Patents
Azabicycloalkyl benzamide and anilide derivatives Download PDFInfo
- Publication number
- WO1984003281A1 WO1984003281A1 PCT/GB1984/000047 GB8400047W WO8403281A1 WO 1984003281 A1 WO1984003281 A1 WO 1984003281A1 GB 8400047 W GB8400047 W GB 8400047W WO 8403281 A1 WO8403281 A1 WO 8403281A1
- Authority
- WO
- WIPO (PCT)
- Prior art keywords
- formula
- alkyl
- hydrogen
- compound
- alkoxy
- Prior art date
- Legal status (The legal status is an assumption and is not a legal conclusion. Google has not performed a legal analysis and makes no representation as to the accuracy of the status listed.)
- Ceased
Links
- 0 CCC(C)(*)CNC1C(C)(*)C=CC=C(***)C1* Chemical compound CCC(C)(*)CNC1C(C)(*)C=CC=C(***)C1* 0.000 description 4
Classifications
-
- C—CHEMISTRY; METALLURGY
- C07—ORGANIC CHEMISTRY
- C07D—HETEROCYCLIC COMPOUNDS
- C07D307/00—Heterocyclic compounds containing five-membered rings having one oxygen atom as the only ring hetero atom
- C07D307/77—Heterocyclic compounds containing five-membered rings having one oxygen atom as the only ring hetero atom ortho- or peri-condensed with carbocyclic rings or ring systems
- C07D307/78—Benzo [b] furans; Hydrogenated benzo [b] furans
- C07D307/79—Benzo [b] furans; Hydrogenated benzo [b] furans with only hydrogen atoms, hydrocarbon or substituted hydrocarbon radicals, directly attached to carbon atoms of the hetero ring
-
- C—CHEMISTRY; METALLURGY
- C07—ORGANIC CHEMISTRY
- C07D—HETEROCYCLIC COMPOUNDS
- C07D311/00—Heterocyclic compounds containing six-membered rings having one oxygen atom as the only hetero atom, condensed with other rings
- C07D311/02—Heterocyclic compounds containing six-membered rings having one oxygen atom as the only hetero atom, condensed with other rings ortho- or peri-condensed with carbocyclic rings or ring systems
- C07D311/74—Benzo[b]pyrans, hydrogenated in the carbocyclic ring
-
- C—CHEMISTRY; METALLURGY
- C07—ORGANIC CHEMISTRY
- C07D—HETEROCYCLIC COMPOUNDS
- C07D451/00—Heterocyclic compounds containing 8-azabicyclo [3.2.1] octane, 9-azabicyclo [3.3.1] nonane, or 3-oxa-9-azatricyclo [3.3.1.0<2,4>] nonane ring systems, e.g. tropane or granatane alkaloids, scopolamine; Cyclic acetals thereof
- C07D451/02—Heterocyclic compounds containing 8-azabicyclo [3.2.1] octane, 9-azabicyclo [3.3.1] nonane, or 3-oxa-9-azatricyclo [3.3.1.0<2,4>] nonane ring systems, e.g. tropane or granatane alkaloids, scopolamine; Cyclic acetals thereof containing not further condensed 8-azabicyclo [3.2.1] octane or 3-oxa-9-azatricyclo [3.3.1.0<2,4>] nonane ring systems, e.g. tropane; Cyclic acetals thereof
-
- C—CHEMISTRY; METALLURGY
- C07—ORGANIC CHEMISTRY
- C07D—HETEROCYCLIC COMPOUNDS
- C07D451/00—Heterocyclic compounds containing 8-azabicyclo [3.2.1] octane, 9-azabicyclo [3.3.1] nonane, or 3-oxa-9-azatricyclo [3.3.1.0<2,4>] nonane ring systems, e.g. tropane or granatane alkaloids, scopolamine; Cyclic acetals thereof
- C07D451/02—Heterocyclic compounds containing 8-azabicyclo [3.2.1] octane, 9-azabicyclo [3.3.1] nonane, or 3-oxa-9-azatricyclo [3.3.1.0<2,4>] nonane ring systems, e.g. tropane or granatane alkaloids, scopolamine; Cyclic acetals thereof containing not further condensed 8-azabicyclo [3.2.1] octane or 3-oxa-9-azatricyclo [3.3.1.0<2,4>] nonane ring systems, e.g. tropane; Cyclic acetals thereof
- C07D451/04—Heterocyclic compounds containing 8-azabicyclo [3.2.1] octane, 9-azabicyclo [3.3.1] nonane, or 3-oxa-9-azatricyclo [3.3.1.0<2,4>] nonane ring systems, e.g. tropane or granatane alkaloids, scopolamine; Cyclic acetals thereof containing not further condensed 8-azabicyclo [3.2.1] octane or 3-oxa-9-azatricyclo [3.3.1.0<2,4>] nonane ring systems, e.g. tropane; Cyclic acetals thereof with hetero atoms directly attached in position 3 of the 8-azabicyclo [3.2.1] octane or in position 7 of the 3-oxa-9-azatricyclo [3.3.1.0<2,4>] nonane ring system
-
- C—CHEMISTRY; METALLURGY
- C07—ORGANIC CHEMISTRY
- C07D—HETEROCYCLIC COMPOUNDS
- C07D451/00—Heterocyclic compounds containing 8-azabicyclo [3.2.1] octane, 9-azabicyclo [3.3.1] nonane, or 3-oxa-9-azatricyclo [3.3.1.0<2,4>] nonane ring systems, e.g. tropane or granatane alkaloids, scopolamine; Cyclic acetals thereof
- C07D451/14—Heterocyclic compounds containing 8-azabicyclo [3.2.1] octane, 9-azabicyclo [3.3.1] nonane, or 3-oxa-9-azatricyclo [3.3.1.0<2,4>] nonane ring systems, e.g. tropane or granatane alkaloids, scopolamine; Cyclic acetals thereof containing 9-azabicyclo [3.3.1] nonane ring systems, e.g. granatane, 2-aza-adamantane; Cyclic acetals thereof
-
- Y—GENERAL TAGGING OF NEW TECHNOLOGICAL DEVELOPMENTS; GENERAL TAGGING OF CROSS-SECTIONAL TECHNOLOGIES SPANNING OVER SEVERAL SECTIONS OF THE IPC; TECHNICAL SUBJECTS COVERED BY FORMER USPC CROSS-REFERENCE ART COLLECTIONS [XRACs] AND DIGESTS
- Y02—TECHNOLOGIES OR APPLICATIONS FOR MITIGATION OR ADAPTATION AGAINST CLIMATE CHANGE
- Y02P—CLIMATE CHANGE MITIGATION TECHNOLOGIES IN THE PRODUCTION OR PROCESSING OF GOODS
- Y02P20/00—Technologies relating to chemical industry
- Y02P20/50—Improvements relating to the production of bulk chemicals
- Y02P20/55—Design of synthesis routes, e.g. reducing the use of auxiliary or protecting groups
Definitions
- E 1 is O, S or NR' wherein R'is hydrogen, methyl or acetyl
- R 4 is of formula (II).
- R 5 when -(CH 2 )tR 11 , are those wherein t is 1 and R 11 is unsubstituted phenyl or monosubsti tuted phenyl in particular mono-p-substituted phenyl.
- preferred p-substitutents include methyl, trifluoromethyl, fluoro, chloro and bromo, especially fluoro.
- Unsubstituted benzyl, p-fluorobenzyl, p-chlorobenzyl and p-methylbenzyl are especially preferred examples of R 5 .
- Suitable examples of R 1 include hydrogen, methyl, ethyl, n- and iso-propyl.
- R 1 is hydrogen or methyl.
- R 2 and R 3 are independently hydrogen, chloro, amino or optionally substituted aminosulphonyl, as defined.
- Particularly preferred compounds are those wherein R 2 5 is benzyl optionally substituted in the phenyl ring by one or two substituents selected from C 1-4 alkoxy, trifluoromethyl, halogen and C 1-4 alkyl.
- variable groups are as hereinbefore defined under formula (XIV).
- R 21 is hydrogen or C 1-4 alkanoyl
- the invention also provides a process for the preparation of a compound of the formula (I), which process comprises reacting a compound of the formula (XIX):
- the leaving group Q is a group that is readily displaceable by a nucleophile.
- examples of such groups are hydroxy, halogen such as chloro and bromo, acyloxy such as C 1-4 alkanoyloxy, C 1-4 alkoxycarbonyloxy and activiated hydrocarbyloxy such as pentachlorophenoxy.
- Another example of an acyloxy group Q is when Q is joined to E 1 to form -O-CO-N'-.
- E-A moiety in compounds of the formula (XIX) is generally prepared by a cyclisation reaction.
- E-A is of sub-formula (a) or (c) and E 1 is 0, the chroman/dihydrobenzofuran nucleus may be prepared according to the following scheme:
- the compounds of the present invention are dopamine antagonists and may generally be used in the treatment of emesis. Depending on their balance between peripheral and central action on the nervous system, they may also be used in the treatment of disorders relating to impaired gastro-i ntestinal motility, such as retarded gastric emptying, dyspepsia, flatulence, oesophagal reflux and peptic ulcer and/or in the treatment of disorders of the central nervous system, such as psychosis. Certain of the compounds of formula have blood pressure lowering activity and may also be useful in the treatment of hypertension.
- Parenteral suspensions are prepared in substantially the same manner except that the compound is suspended in the vehicle instead of being dissolved and sterilized by exposure to ethylene oxide before suspending in the sterile vehicle.
- a surfactant or wetting agent is included in the composition to facilitate uniform distribution of the compound of the invention.
- the invention further provides a method of treatment of disorders in mammals, such as humans, which comprises the administration of an effective amount of a compound of the formula (I) , or a pharmaceutically acceptable salt thereof, or an hydrate or N-oxide thereof, or a pharmaceutical composition, as hereinbefore defined to the sufferer.
- the present invention also provides a pharmaceutical compositions comprising a compound of the formula (I) and an analgesic.
Landscapes
- Chemical & Material Sciences (AREA)
- Organic Chemistry (AREA)
- Pharmaceuticals Containing Other Organic And Inorganic Compounds (AREA)
Abstract
Compounds of formula (I), or a pharmaceutically acceptable salt and/or N-oxide and/or a solvate, wherein: one of X and Y is CO and the other is NH; E is O, S or NR wherein R is hydrogen, C1-6 alkyl or a protecting group and A is C2-4 alkylene or C2-4 alkenylene or E and A together with the phenyl to which they are attached form a quinoline nucleus; R4 is groups, (II), (III), (IV), wherein; p and q each independently are 0 to 2; Z is O or S; n is 0 or 1; having dopamine antagonist activity, a process for their preparation and their use as pharmaceuticals.
Description
AZABICYCLOALKYL BENZAMIDE AND ANILIDE DERIVATIVES
This invention relates to novel compounds, to a process for their preparation and their use.
U.S. Patent No. 4273778 and published European Application No. 80304467.6 (corresponding to allowed U.S. Application No. 213237) disclose benzamides and anilides respectively having a bicyclic side chain. These compounds are described as having dopamine antagonist activity.
A novel class of benzamides and anilides have been discovered which compounds also have dopamine antagonist activity.
Accordingly, the present invention provides a compound of formula (I), or a pharmaceutically acceptable salt and/or N-oxide and/or a solvate thereof:
one of X and Y is CO and the other is NH;
E is O, S or NR wherein R is hydrogen, C1-6 alkyl or a protecting group and A is C2-4 alkylene or C2-4 alkenylene or E and A together with the phenyl to which they are attached form a quinoline nucleus;
R4 is a group:
wherein:
p and q each independently are O to 2;
Z is O or S; n is O or 1; one of R6 and R7 when n=0 is C1-4 alkoxy.
C1-4 alkoxycarbonyl, hydroxy or C1-4 alkyl optionally substituted by hydroxy, C1-4 alkoxy or C1-4 acyloxy, and the other is hydrogen or C1-4 alkyl or one of R6, R7 and R8 when n=1 is C1-4 alkyl and the other two are the same or different and are hydrogen or C1-4 alkyl; R5 is C1-7 alkyl, - (CH2)sR10,s being O to 2 and R10 being C3-8 cycloalkyl, -(CH2)tR11,t being 1 or 2 and R11 being thienyl or phenyl optionally substituted by one or two substituents selected from C1-4 alkoxy, trifluoromethyl, halogen, nitro, carboxy, esterified carboxy and C1-4 alkyl optionally substituted by hydroxy, C1-4 alkoxy, carboxy, esterified carboxy or in vivo hydrolysable acyloxy;
R1 is hydrogen or C1-6 alkyl; and
R2 and R3 are the same or different and are hydrogen, halogen, trifluoromethyl, C1-6 alkoxy, C1-6 alkylthio, carboxylic C1-7 acyl, carboxylic C1-7 acylamino, C1-6 alkylsulphonyl, C1-6 alkylsulphinyl, nitro or NR12R13, NR12R13CO, NR12 R13SO2, or C1-6 alkyl-SO2NR14, NR12R13SO2NR14 wherein R12 and R13 are the same or different and are hydrogen C1-6 alkyl, phenyl or phenyl C1-4 alkyl groups any of which phenyl moieties may be substituted by one or more halogen, trifluoromethyl, C1-6 alkoxy or nitro groups, or R12 and R13 together form C4-5 polymethylene, and R14 is hydrogen or C1-6 alkyl.
Preferably, X is CO and Y is NH.
Suitable values for E-A include the following:
wherein E1 is O, S or NR' wherein R'is hydrogen, methyl or acetyl;
Preferred values for E-A include a) wherein E1 is O or NH, and c) wherein E1 is 0 or NH.
A preferred value of R4 is of formula (II).
When R4 is a group of formula (II) as defined, p is suitably 0 or 1, and q is suitably 0 or 1.
Often the group Y and the heterobicycle nitrogen atom are separated by 2 or 3 carbon atoms preferably 3.
The X.Y. moiety is preferably in an equatorial orientation to the heterobicycle ring.
When R4 is a group of formula (III) as defined Z is O or S, preferably O.
When R4 is a group of formula (IV) as defined, preferably each of R6 and R7 when n=0 and each of R6, R7 and R8 when n=1 are in the exo-position.
Suitable examples for one of R6 and R7 when n=0 include methoxy, ethoxy, n-propoxy, methyl, ethyl.
n-propyl, methoxycarbonyl and ethoxycarbonyl, hydroxy, hydroxymethyl or hydroxethyl, methoxymethyl, methoxyethyl, ethoxymethyl, ethoxyethyl, acetylmethyl and acetylethyl. Methyl is preferred.
Suitable examples for one of R6, R7 and R8 when n=1 include methyl, ethyl and n-propyl .
Suitable examples for the other of R6 and R7 when n=0 and for the other two of R6, R7 and R8 when n=1 include hydrogen, methyl, ethyl and n- and iso-propyl.
Examples of R5 when C1-7 alkyl include methyl, ethyl and n-and iso-propyl. Within C1-7 alkyl, C4-7 alkyl are of interest, especially those of the formula (CH2)uR16 wherein u is 1 or 2 and R16 is a secondary or tertiary C3 -6 alkyl group. Examples of 04.7 alkyl include n-,sec- and tert-butyl, n-pentyl, n-heptyl, and especially iso-butyl, 3-methylbutyl, 2,2-dimethylpropyl and 3,3-dimethylbutyl.
Preferred examples of R5, when -(CH2)s R10 are those wherein s is 1 or 2, in particular those wherein R10 is C5-8 cycloalkyl, such as cyclohexyl, and cyclopropyl.
Preferred examples of R5 , when -(CH2)tR11, are those wherein t is 1. R11 may be 2- or 3-thienyl or preferably is phenyl optionally substituted by one of C1-4 alkoxy, trifluoromethyl, halogen, carboxy, esterified carboxy or C1-4 alkyl optionally substituted by hydroxy, C1-4 alkoxy, carboxy, esterified carboxy and in vivo hydrolysable acyloxy.
When phenyl is substituted by optionally substituted C1-4 alkyl, examples of C1-4 alkyl include
methyl, ethyl, n- and iso-propyl, and n-, iso-, sec- and tert- butyl; methyl however is preferred. Examples of substituents of such alkyl groups include hydroxy, methoxy, ethoxy, n- and iso- propoxy, carboxy, esterified carboxy and in vivo hydrolysable acyloxy. The substitution preferably occurs on the terminal carbon atom of the alkyl group.
Examples of esterified carboxy groups include C1-4 alkoxycarbonyl, such as methoxy-, ethoxy-, n- and iso-propoxycarbonyl, phenoxycarbonyl or benzyloxycarbonyl, either being optionally substituted in the phenyl ring by one or two substituents selected from C1-4 alkyl, C1-4 alkoxy, trifluoromethyl, halogen or nitro.
Examples of in vivo hydrolysable acyloxy groups include C1-6 alkanoyloxy, for example acetoxy, propionoxy, n- and iso- butyroxy, and 2,3-dimethylpropanyloxy, benzyloxy or benzenesulphonyloxy either being optionally substituted in the phenyl ring by one or two substituents selected from C1-4 alkyl, C1-4 trifluoromethyl, halogen or nitro, or other sulphonyloxy groups, for example C1-6 alkanesulphonyloxy group, such as methanesulphonyloxy .
The most preferred examples of R5, when -(CH2)tR11, are those wherein t is 1 and R11 is unsubstituted phenyl or monosubsti tuted phenyl in particular mono-p-substituted phenyl. Examples of preferred p-substitutents include methyl, trifluoromethyl, fluoro, chloro and bromo, especially fluoro. Unsubstituted benzyl, p-fluorobenzyl, p-chlorobenzyl and p-methylbenzyl are especially preferred examples of R5.
Suitable examples of R1 include hydrogen, methyl, ethyl, n- and iso-propyl. Preferably R1 is hydrogen or methyl.
R1 is preferably attached at the 2-position, i.e. at the carbon atom adjacent to E.
Suitable examples of R2 and R3 include the following groups: hydrogen, chloro, bromo,CF3, methoxy, ethoxy, n- and iso-propoxy, methylthio, ethylthio, n- and iso- propylthio, nitro, amino, C1-4 alkanoylamino such as formylamino, acetylamino, propionylamino, n- and iso-butyrylamino, aminosulphonyl ; and amino, aminosulphonyl and aminosulphonylamino N-substi tuted by one or two methyl, ethyl, n- or iso-propyl n-, sec-, or tert-butyl; cyclopropyl, cyclopentyl, cyclohexyl, phenyl or benzyl groups or N-disubstituted by C4 or C5 polymethylene; or aminosulphonylamino or methyl-, ethyl-, n- or iso-propylsulphonylamino.
Preferably R2 and R3 are independently hydrogen, chloro, amino or optionally substituted aminosulphonyl, as defined.
When R2 and R3 are other than C1-6 alkoxy or C1-6 alkylthio, R2 is preferably in the 4-position with respect to X as the 1-position; R3 is then preferably in the 5-position similarly defined.
It will of course be realised that the compounds of the formula (I) have chiral or prochiral centres, and thus are capable of existing in a number of stereoispmeric forms. The invention extends to each of these stereoisomeric forms, and to mixtures thereof (including racemates). The different stereoisomeric
forms may be separated one from the other by the usual methods, or any given isomer may be obtained by sterospecific or asymmetric synthesis.
Compounds of formula (I) include those containing the moiety of formula (V) :
wherein m is 1 or 2, R1 3 is aminosulphonyl optionally substituted as defined and R1 and E1 are as hereinbefore defined.
A group of compounds within those of formula (I) is therefore of formula (VI):
wherein the variable groups are as hereinbefore defined. Suitable values for R1 3 N-substituents are as described under formula (I). Preferably R1 3 is aminosulphonyl optionally substituted by one or two methyl groups. Suitable and preferred values for R1 and E1 are as so described under formula (I).
More suitably p is 0 or 1, it is believed preferably 0. Preferably q is 1 and the CONH moiety is then attached at the 3-position (conventional numbering) and in the β orientation.
A sub-group of compounds within those formula (VI) those of formula (VII):
R1 5 is C4-7 alkyl or -(CH2)sR10 where s is 0 to 2 and R10 is C5-8 cycloalkyl; and the remaining variables are as defined in formula (V).
Suitable and preferred R1 and E1 are as so described under formula (I).
Suitable and preferred R1 3 are as so described under formula (I) for corresponding R3.
A group of compounds within those of. formula (VII) is that wherein R1 5 is (CH2)uR16 as defined or (CH2)uR10 where u and R10 are as defined.
Examples of R1 5 in these compounds include iso-butyl, 3-methylbutyl, 2,2-dimethylpropyl, 3,3-dimethylbutyl and cyclopropylethyl.
It is preferred that the CONH moiety is in the β-orientation to the nortropane ring.
A sub-group of compounds wi thi n those of formula (VI ) is of the formula (VIII ) :
R2 5 is thienylmethyl or -(CH2)tR11, t being 1 or 2, and R11 being phenyl optionally subsituted by one or two substituents selected from C1-4 alkoxy, trifluoromethyl, halogen, carboxy, esterified carboxy, and C1-4 alkyl optionally substituted by hydroxy, C1-4 alkoxy, carboxy esterified carboxy or i n vivo hydrolysable acyloxy.
Particularly preferred compounds are those wherein R2 5 is benzyl optionally substituted in the phenyl ring by one or two substituents selected from C1-4 alkoxy, trifluoromethyl, halogen and C1-4 alkyl.
It is especially preferred that the phenyl ring is unsubstituted.
Suitable and preferred R1 and E1 are as so described under formula (I).
Suitable and preferred R1 3 are as so described under formula (V) .
It is preferred that the CONH moiety is in the β-orientation to the nortropane moiety.
A third sub-group of compounds within those of formula (VI) is of formula (IX):
Suitable and preferred variables are as so described under formula (VII).
Another sub-group of compounds within those of the formula (VI) of interest are those of the formula (X):
wherein R2 5 is as defined in formula (VIII)
Preferred compounds are those wherein R2 5 is optionally substituted benzyl as defined under formula (VIII).
It is especially preferred that the phenyl ring is mono-substituted and/or that the substitution is in the para-position and/or that the substituent is chloro, fluoro or methyl.
Suitable and preferred R1 3 are as so described under formula (VIII).
A second group of compounds within those of formula (I) is of formula (XI):
wherein the variables are as defined in formulae (I) and (III).
Suitable and preferred variables are as so described under formula (VI).
Preferably Z is O, and the CONH moiety is in the β-orientation.
There are further compounds within formula (I) containing the moiety of formula (XII):
wherein R1 2 and R2 3 are the same or different and are hydrogen, halogen, hydroxy, C1-6 alkoxy, C1-6 alkylthio, trifluoromethyl, amino or C1-7 acylamino; and
R1 and E are as hereinbefore defined.
Another group of compounds within formula (I) is therefore of formula (XIII):
wherein the variable groups are as hereinbefore defined.
Suitable and preferred values for R1 2 and R2 3 are as so described for the relevant R2 and R3 under formula (I).
Suitable values for R1 and E are as so described under formula (I).
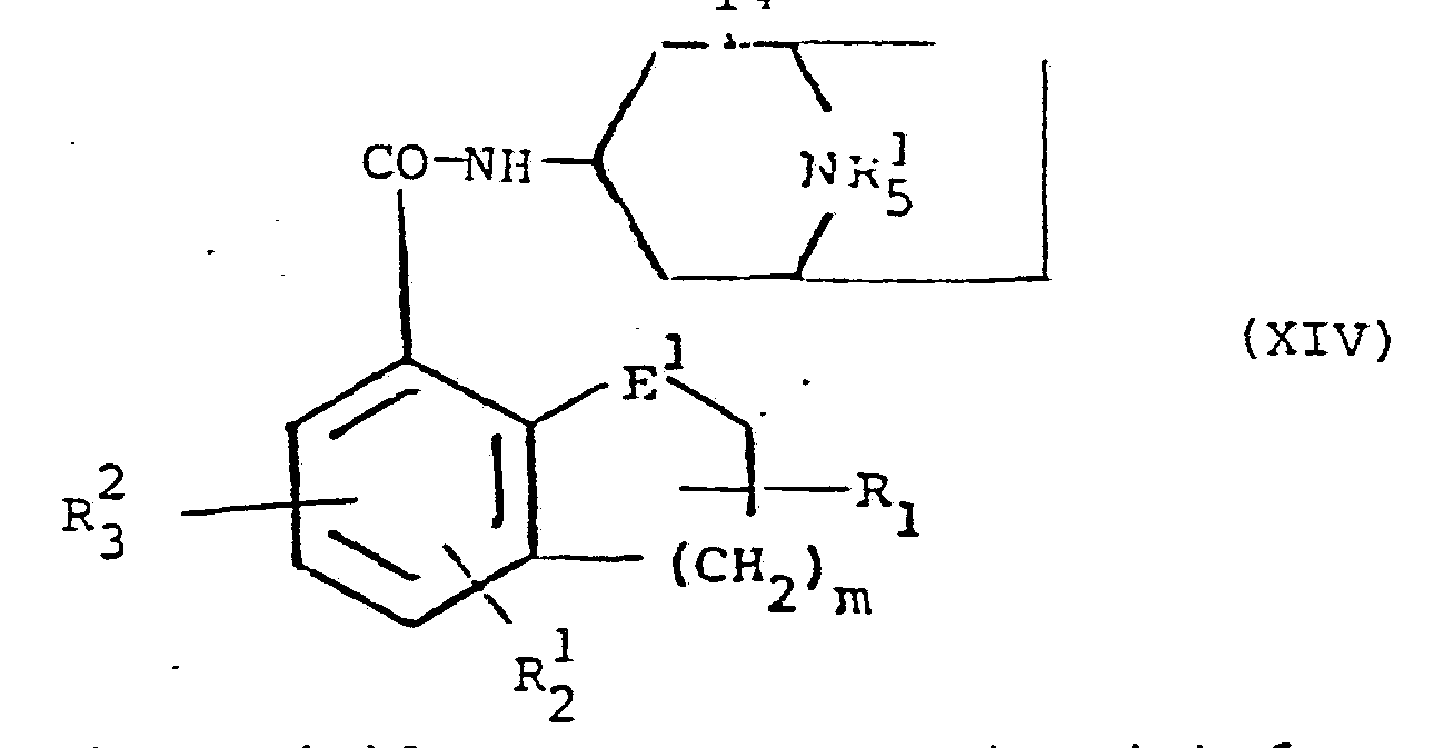
A sub-group of compounds within those of formula (XIII) are those of formula (XIV):
wherein the variable groups are as hereinbefore defined.
Suitable and preferred R1 and E1 are as so described under formula (I).
Suitable and preferred R1 2 and R2 3 are as so described under formula (I) for corresponding R2 and R3. Often, R1 2 and R2 3 are both hydrogen.
A group of compounds within those of formula (XIV) is that wherein R1 5 is (CH2)uR10 where u and R10 are as defined.
Examples of R1 5 in these compounds include iso-butyl, 3-methylbutyl, 2,2-dimethylpropyl and cyclopropylethyl.
It is preferred that the CONH moiety is in the β-orientation to the nortropane ring.
A sub-group of compounds within those of formula (XIII) is of formula (XV):
Particularly preferred compounds are those wherein R2 5 is benzyl optionally substituted in the phenyl ring by one or two substituents selected from C1-4 alkoxy, trifluoromethyl, halogen and C1-4 alkyl.
Suitable and preferred R1 and E1 are as so described under formula (I).
Suitable and preferred R1 2 and R2 3 are as so described under formula (XII).
It is preferred that the CONH moiety is in the β-orientation to the nortrσpane moiety.
A third sub-group of compounds within those of formula (XIII) is of formula (XVI):
wherein the variable groups are as hereinbefore defined under formula (XIV).
Another sub-group of compounds within those of the formula (XIII) of interest are those of formula (XVII):
Preferred compounds are those wherein R2 5 is optionally substituted benzyl as defined under formula (VIII).
It is especially preferred that the phenyl ring is mono-substituted and/or that the substitution is in the para-position and/or that the substituent is chloro, fluoro or methyl.
Suitable and preferred R1 2 and R2 3 are as so described under formula (XII).
Within formulae (XIV) to (XVII) there are sub-groups wherein the benzamide moiety is of formula (XVIII):
R1 1 is halogen or C1-6 alkyl;
R3 3 is halogen; and
R21 is hydrogen or C1-4 alkanoyl
The invention also provides a process for the preparation of a compound of the formula (I), which process comprises reacting a compound of the formula (XIX):
L-R4 (XX)
wherein:
One of J and L is COQ, where Q is a leaving group, and the other is -NH2; and the remaining variable groups are as defined in formula (I), with the proviso that when J is -NH2, R2 or R3 is other than amino, and thereafter optionally converting R, R1, R2 or R3 to another R, R1 , R2 or R3 respectively; as necessary converting R5 to other R5; and optionally forming a pharmaceutically acceptable salt of the resultant compound of the formula ( I ) .
The leaving group Q is a group that is readily displaceable by a nucleophile. Examples of such groups are hydroxy, halogen such as chloro and bromo, acyloxy such as C1-4 alkanoyloxy, C1-4alkoxycarbonyloxy and activiated hydrocarbyloxy such as pentachlorophenoxy. Another example of an acyloxy group Q is when Q is joined to E1 to form -O-CO-N'-.
If the leaving group is hydroxy, then the reaction is preferably carried out in an inert non-hydroxylic solvent, such as benzene, toluene or diethyl ether in the presence of a dehydrating catalyst, such as a carbodiimide, for example dicyclohexylcarbodiimide. The reaction may be carried out at a non-extreme temperature such as -10 to 100ºC, for example 0 to 80ºC.
If the leaving group is a halide, then the reaction is preferably carried out at a non-extreme temperature in an inert non-hydroxylic solvent, such as benzene, toluene or diethyl ether. It is also preferably carried out in the presence of an acid acceptor, such as an organic base, in particular a tertiary amine such as triethylamine, trimethylamine, pyridine or picoline, some of which can also function as the solvent. Alternatively, the acid acceptor can be inorganic, such as calcium carbonate, sodium carbonate or potassium carbonate.
If the leaving group is acyloxy, then the reaction is preferably carried in substantially the same manner as if the leaving group were hydroxy. Suitable examples of acyloxy leaving groups include C1-4 alkanoyloxy, mesyloxy, tosyloxy and triflate; and when E1 is NH, and X-Y is CO-N'.
If the leaving group is C1-4 alkoxycarbonyloxy, then the reaction is preferably carried out in an inert solvent, such as methylene chloride, at a non-extreme temperature in the presence of an acid acceptor, such as triethylamine.
If the leaving group is activated hydrocarbyloxy then the reaction is preferably carried out in an inert polar solvent, such as dimethylformamide. It is also preferred that the activated hydrocarbyloxy group is
pentachlorophenyl ester and that the reaction is carried out at ambient temperature.
Preferably Q is halogen, such as chloro.
The compounds of formula (XIX) and (XX) are either known compounds or can be prepared analogously to the preparation of structurally similar known compounds.
Compounds of formula (XIX) wherein R3 is aminosulphonyl may be formed from the corresponding R3 chlorosulphonyl derivatives of the compound of formula (XIX) wherein R3 is hydrogen, with a suitable amine or ammonia.
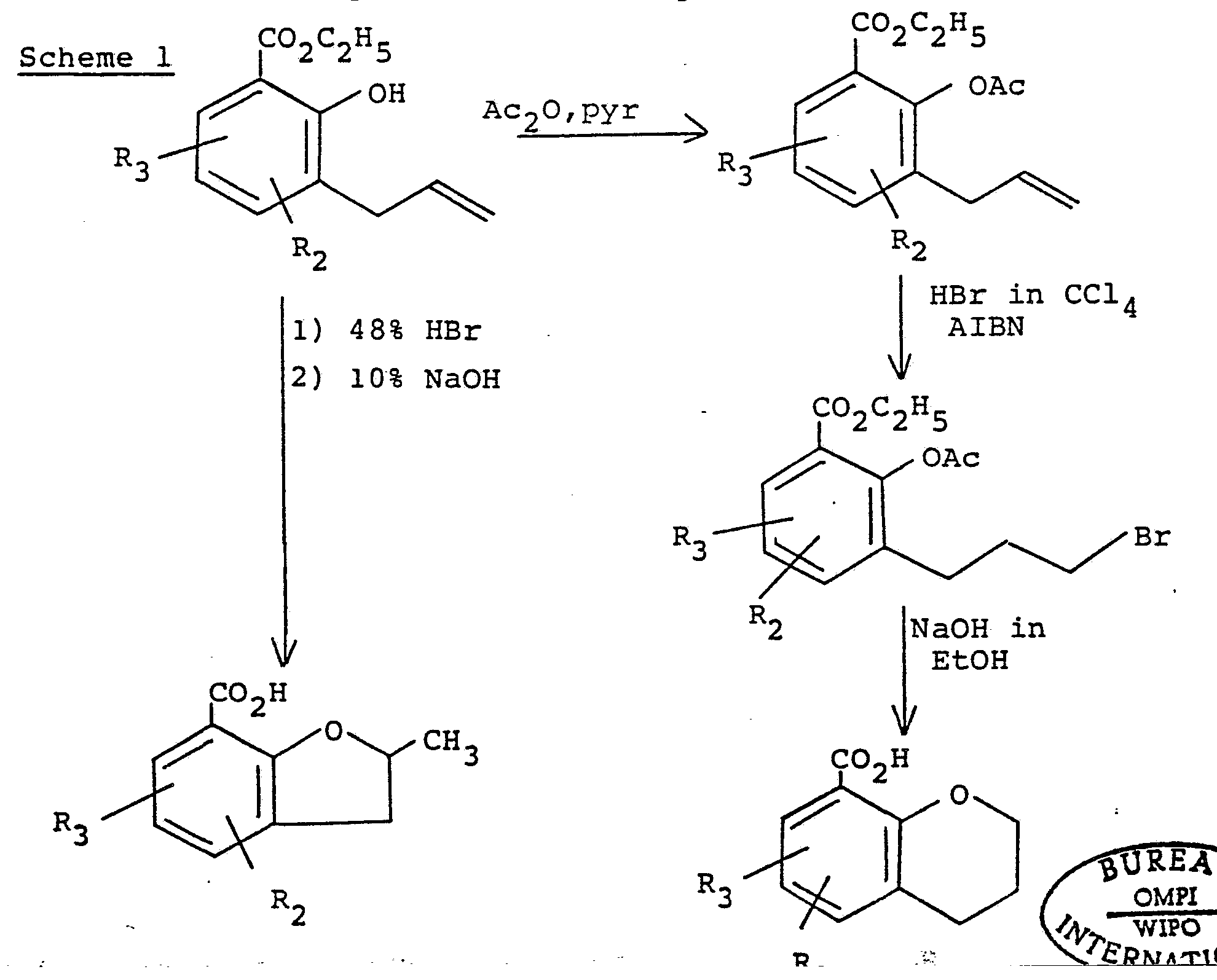
The E-A moiety in compounds of the formula (XIX) is generally prepared by a cyclisation reaction. For example, when E-A is of sub-formula (a) or (c) and E1 is 0, the chroman/dihydrobenzofuran nucleus may be prepared according to the following scheme:
Compounds of the formula (XIX) having E-A of sub-formula (d) wherein E1 is NH may be prepared by a conventional Fischer indole synthesis. Compounds of formula (XIX) having E-A of sub-formula (c) wherein E1 is NH may accordingly be prepared by reduction of the corresponding indole.
Compounds of the formula (XIX) having E-A of sub-formula (e) may be prepared by a conventional Skraup quinoline synthesis. Compounds of formula (XIX) having an E-A of sub-formula (a) wherein E1 is NH may accordingly be prepared by reduction of the corresponding quinoline.
The skilled man will appreciate that the choice or necessity of conversion of groups R, R1, R2 and/or R3 to other groups R, R1, R2 and/or R3 will be dicatated by the nature and/or position of substituents R, R1, R2 and R3.
It will be apparent that compounds of the formula (I) containing an R2, R3 or R5 group which is convertible to another R2 and R3 group or to an R5 group are useful novel intermediates. A number of such conversions is possible not only for the end compounds of fomula (I), but also for their intermediates as follows :
(a) an hydrogen substituent is convertible to a nitro substituent by nitration;
(b) a nitro substituent is convertible to an amino substituent by reduction;
(c) a C1-4 acylamino substituent is convertible to an amino substituent by deacylation;
(d) an amino substituent is convertible to a C1-4 acylamino substituent by acylation;
(e) a hydrogen substituent is convertible to a halogen substituent by halogenation;
(f) a C1-6 alkylthio or C1-6 alkylsulphinyl substituent is convertible to a C1-6 alkylsulphinyl or a C1-6 alkylsulphonyl substituent respecitvely by oxidation; and
(g) an amino substituent is convertible to a C1-6 alkyl SO2NR14 or NR12R13 SO2NR14 substituent by reaction with C1-6 alkyl SO2NQ2 or NR12R13SO2Q2 where Q2 is leaving group.
(h) a fluoro or chloro substituent is convertible to an optionally substituted amino substituent by reaction with a suitable amine or ammonia.
Conversions (a) to (h) are only exemplary and are not exhaustive of the possibilities.
In regard to (a), nitration is carried out in accordance with known procedures.
In regard to (b) , the reduction is carried out with a reagent suitable for reducing nitroanisole to ami noanisole.
In regard to (c), deacylation is carried out by treatment with a base, such as an alkali metal hydroxide.
In regard to (d), the acylation. is carried out with an acylating agent, such as the corresponding acid
or acid chloride. Formylation is carried out with the free acid.
In regard to (e), halogenation is carried out with conventional halogenating agents.
In regard to (f), oxidation is carried out at below ambient temperatures in a non-aqueous solvent, such as a chlorinated hydrocarbon, in the presence of an organic peracid, such as 3-chloroperbenzoic acid, or in water in the presence of a soluble strong inorganic oxidant, such as an alkali metal permanganate or in aqueous hydrogen peroxide.
In regard to (g), Q2 is often halide, for example chloride or bromide, or hydroxy. When halide is the leaving group, the reaction is generally carried out in the presence of a base. When hydroxy is the leaving group, the reaction is generally carried out in the presence of a dehydrating agent, such as dicyclohexylcarbodiimide, in an inert sovent at non-extreme temperature, such as ambient temperature.
In regard to (h), the amination is carried out under conventional conditions using an inert solvent such as CH2CI2 or an excess of amine also functioning as the solvent.
Depending on steric and/or electronic factors and/or reaction conditions mono- or di-acylation may occur. If diacylation takes place, subsequent selective monodeacylation of the resultant compound is necessary to form the desired alkyl- or aminosulphonylamino group.
Treatment with a base such as methanolic sodium hydroxide at ambient or slightly elevated temperatures is apt.
It is sometimes most convenient to effect the coupling of compounds (XIX) and (XX) using a compound of formula (XIX) wherein one of R2 and R3 is amino and to convert to alkyl- or aminosulphonylamino.
It will be appreciated that, R5 when optionally substituted benzyl as hereinbefore defined, may be replaced by another group R5.
Such R5 benzyl groups may be removed for example when R1, R2 or R3 is not halogen by conventional transition metal catalysed hydrogenolysis to give compounds of the formula (XXI):
wherein R1 4 is R4 wherein the R5 substituent is replaced by hydrogen and the remaining variable groups are as defined in formula (I).
This invention also provides an optional process step in the preparation of a compound of the formula (I) which comprises the reaction of a corresponding compound of the formula (XXI) as hereinbefore defined with a compound Q3R5 wherein R5 is as defined i n formula (I) and Q3 is a leaving group, and optionally forming a pharmaceutically acceptable salt of the resulting compound of the formula (I).
Suitable values for Q3 include groups readily displaced by nucleophiles such as Cl, Br, I, OSO2CH3 or OSO2C6H4PCH3.
Favoured values for Q3 include Cl, Br and I.
Particularly suitably the compound Q3R5 is a benzyl halide, such as the bromide or chloride.
The reaction may be carried out under conventional alkylation conditions for example in an inert solvent such as dimethylformamide in the presence of an acid acceptor such as potassium carbonate. Generally the reaction is carried out at non-extreme temperature such as at ambient or at a slightly elevated temperature.
Converting R5 to another R5 in the compound of the formula (XX) before coupling with the compound of the formula (XIX) or its derivative is preferred. Such interconversions are effected conveniently under the above conditions. It is desirable to protect the amine function with a group readily removable by hydrolysis such as a C2-7 alkanoyl group before R5 interconversion.
The substituents in the phenyl ring in an R5 benzyl group in a compound of formula (I), in particular the substituted C1-4 alkyl substituents, are interconvertible. A number of such interconversions are possible not only for the end compounds of formula (I), but also for their intermediates as follows:
(i) a carboxy C1-4 alkyl substituent is convertible to an esterified carboxy C1-4 alkyl substituent by esterification:
(ii) an esterified carboxy C1-4 alkyl substituent is convertible to a carboxy C1-4 alkyl substituent by deesterification;
(iii) C1-4 alkoxy C1-4 alkyl substituent or an in vivo hydrolysable C2-4 acyloxy C1-4 alkyl substituent is convertible to an hydroxy C1-4 alkyl substituent;
(iv) an optionally esterified carboxy or carboxy C1-3 alkyl substituent is convertible to an hydroxymethyl or hydroxy C2-4 alkyl substituent by reduction; and
(v) a hydroxy C1-4 alkyl is convertible to C1-4 alkyl by O-alkylation or in vivo hydrolysable C2-4 acyloxy C1-4 alkyl by O-acylation.
Conversions (i) to (iv) are only exemplary and are not exhaustive of the possibilities.
In regard to (i) and (ii), the esterification and de-esterification reactions are carried out in conventional manner.
In regard to (iii), a C1-4 alkoxy C1-4 alkyl substituent is convertible to an hydroxy C1-4 alkyl substituent by conventional methods, such as warming with aqueous hydrobromic acid or by treatment with pyridine hydrochloride, boron tribromide, boron triodide or iodotrimethylsilane.
As in vivo hydrolysable C2-4 acyloxy C1-4 alkyl substituent is convertible to an hydroxy C1-4 alkyl substituent by acid or base hydrolysis.
In regard to (iv), the reduction is carried out with a selective metal complex hydride, for example lithium aluminium hydride, under conventional conditions.
In regard to (v), O-alkylation is carried out under conventional conditions in an inert solvent at a non-extreme temperature such as ambient temperature or slightly above or at reflux temperature. The C1-4 alkylating agent has a leaving group that is readily displaceable by a nucleophile. Examples of leaving groups include halide, such as chloride, bromide or iodide, or labile acyloxy groups, such as mesyl or tosyl.
O-acylation is carried out under conventional conditions with an acylating agent which has an acyl group capable of forming an in vivo hydrolysable acyloxy group and a leaving group, such as halide, for example chloride and bromide, and hydrogen. When halide is the leaving group, the reaction is generally carried out in the presence of a base. When hydroxy is the leaving group, the reaction is generally carried out in the presence of a dehydrating agent, such as dicylohexylcarbodiimide, in an inert solvent at non-extreme temperature, such as ambient temperature or slightly above, or reflux temperature.
Before carrying out any of these conversions, the effect, if any, on other substituents should be considered, and such reagents as are appropriate should be selected together with the adoption of such precautionary measures as are necessary. For example, O-alkylation and O-acylation may also produce N-alkylated and N-acylated products respectively unless the nitrogen atom(s) is (are) previously protected. This may be conveniently achieved by carrying out the alkylation or acylation reaction in a strong acid, such as trifluoroacetic acid, which protonates, and thereby protects, the nitrogen atom(s).
Compounds of the formula (XXI) are novel intermediates and thus form an aspect of the present invention.
It will be realised that in the compound of the formula (I) the -X-Y-linkage may have an α or β orientation with respect to the ring of the bicyclic moiety to which it is attached. A mixture of α and β isomers of the compound of the formula (I) may be systhesised non-stereospecifically and the desired isomer separated conventionally therefrom eg by chromatography; or alternatively the α and β isomer may if desired by synthesised from the corresponding α or β form of the compound of the formula (XX) .
Synthesis from the corresponding α or β isomer of the compound of the formula (XX) is in general preferred.
It will be appreciated that, when X is NH, Y is CO in the compounds of the formulae (I) or (XX), epimerisation of the CO-ring linkage to the energetically more favourable orientation often takes place readily in the presence of acid or base. In such cases if the less favoured isomer is desired, it is preferred to stereospecifically synthesise the isomer of the compound of the formula (XX) and to convert it to the required comound of the formula (I) under such conditions to avoid epimersation.
The α or β form of the compound of the formula (XX) may if desired be prepared by known stereospecific processes, such as those leading to the α or β isomers of the compound of the formula (XX) depicted in the Scheme and described in the Descriptions hereinafter.
Compounds of the formula (XX) are known from or are preparable by the methods disclosed in published European Patent Applications and U.S. Patents hereinbefore referred to.
Pharmaceutically acceptable salts, hydrates and N-oxides of the compounds of this invention may be formed conventionally. The salts may be formed for example by reaction of the base compound of formula (I) with a pharmaceutically acceptable organic or inorganic acid.
N-oxides of the nitrogen atom of the bicyclic ring system are produced by reaction of a compound of formula (I) with an organic peracid, such as m-chloroperbenzoic acid in, for example, a chlorinated hydrocarbon solvent at below ambient temperature.
Quaternary ammonium salts may be prepared by reaction of a compound of the present invention with the appropriate alkyl, aryl, aralkyl chloride, bromide or iodide. This reaction may be carried out in a solvent, such as acetone, methanol, ethanol, dimethylformamide at ambient or elevated temperature with or without pressure.
The compounds of the present invention are dopamine antagonists and may generally be used in the treatment of emesis. Depending on their balance between peripheral and central action on the nervous system, they may also be used in the treatment of disorders relating to impaired gastro-i ntestinal motility, such as retarded gastric emptying, dyspepsia, flatulence, oesophagal reflux and peptic ulcer and/or in the treatment of disorders of the central nervous system, such as psychosis.
Certain of the compounds of formula have blood pressure lowering activity and may also be useful in the treatment of hypertension.
Those compounds of the present invention which are of interest for their beneficial effect on gastric motility are the compounds of formula (I) and (VI) the quaternary ammonium salts of the compounds of formula (I).
The invention also provides a pharmaceutical composition comprising a compound of formula (I), or a pharmaceutically acceptable salt thereof, or an solvate or N-oxide thereof, and a pharmaceutically acceptable carrier.
Such compositions are prepared by admixture and are suitably adapted for oral or parenteral administration, and as such may be in the form of tablets, capsules, oral liquid preparations, powders, granules, lozenges, reconsti tutable powders, injectable and infusable solutions or suspensions or suppositories. Orally administerable compositions are preferred.
Tablets and capsules for oral administration are usually presented in a unit dose, and contain conventional excipients such as binding agents, fillers, tabletting agents, lubricants, disintegrants, and wetting agents. The tablets may be coated according to well known methods in the art. Oral liquid preparations are usually in the form of aqueous or oily suspensions, solutions, emulsions, syrups, or elixirs or are presented as a dry product for reconstitution with water or other vehicle before use. Such liquid preparations may contain conventional
additives such as suspending agents, emulsifying agents, non-aqueous vehicles (which may include edible oils), preservatives, and flavouring or colouring agents.
For parenteral administration, fluid unit dose forms are prepared containing a compound of the present invention and a sterile vehicle. The compound, depending on the vehicle and the concentration, can be either suspended or dissolved. Parenteral solutions are normally prepared by dissolving the compound in the vehicle and filter sterilizing before filling into a suitable vial or ampoule and sealing. Advantageously, adjuvants such as a local anaesthetic, preservatives and buffering agents are also dissolved in the vechicle.
Parenteral suspensions are prepared in substantially the same manner except that the compound is suspended in the vehicle instead of being dissolved and sterilized by exposure to ethylene oxide before suspending in the sterile vehicle. Advantageously, a surfactant or wetting agent is included in the composition to facilitate uniform distribution of the compound of the invention.
The invention further provides a method of treatment of disorders in mammals, such as humans, which comprises the administration of an effective amount of a compound of the formula (I) , or a pharmaceutically acceptable salt thereof, or an hydrate or N-oxide thereof, or a pharmaceutical composition, as hereinbefore defined to the sufferer.
An amount effective to treat the disorders hereinbefore described depends on the relative efficacies of the compounds of the invention, the
nature and severity of the disorder being treated and the weight of the mammal. However, a unit dose will normally contain 0.1 to 20 mg for example 0.5 to 10mg, of the compound of the invention. Unit doses will normally be administered more than once a day, for example 2,3,4,5 or 6 times a day such that the total daily dose is normally in the range 0.01 to 10mg/ kg per day. The compounds of the present invention have the ability to potentiate the effect of conventional analgesics in migraine treatment when administered concurrently with the analgesic.
Accordingly, the present invention also provides a pharmaceutical compositions comprising a compound of the formula (I) and an analgesic.
The compound of the formula (I) and the analgesic, such as aspirin or paracetamol, are present in the composition in amounts generally similar to their usual effective dose.
The composition can be a combination product, for example a tablet or capsule containing both a compound of the invention and an analgesic for oral administration, or a twin pack comprising the two active ingredients made up for separate administration.
The invention accordingly provides a method of treatment of migraine comprising the administration of an effective amount of a compound of the formula (I) and an analgesic.
The invention also provides a compound of formula (1), for use in the treatment of emesis, disorders relating to impaired gastro-intestinal motility and of disorders of the central nervous system.
The following examples illustrate the preparation of compounds of the invention and the following descriptions illustrate the preparation of intermediates.
Description 1
Ethyl 2-(propen-3-oxy)benzoate (D1 )
80% sodium hydride (1.8g 60m. mole) was added in portions to ethyl salicylate (10g, 60m. mole) in dimethyIformam ide (150 mls).
The temperature of the mixture was maintained at 50ºC for 6 hours, after the dropwise addition of allyl bromide (5.4 mls, 60m. mole).
Water was then added to the solution and the resulting mixture was extracted with ether. Concentration of the dried organic extract gave an oil which was distilled to give the title compound (D1) (12g), 95% yield, (b.pt 95-100ºC/1mm.Hg)
Description 2
Ethyl 2-hydroxy-3-propenylbenzoate (D2)
Ethyl 2-(propen-3-oxy)benzoate (11.0g) was heated at 230°C for 1 hour. Distillation of the reaction mixture gave the title compound (D2) (10g), 83% yield, (b.pt. 100°C/1mmHg )
Doscription 3
Ethyl 2-acetoχy-3-propenyl benzoate (D3)
A mixture of ethyl 2-hydroxy-3-propenylbenzoate (8.0g), acetic anhydride (35mls) and pyridine (35mls) was stirred at room temperature overnight. After pouring into water, the mixture was extracted with methylene chloride. The organic extract was dried and evaporated to give the title compound (D3) (9.45g), 98% yield.
Description 4
Ethyl 2-acetoxy-3-bromopropylbenzoate (D4)
A solution of ethyl 2-acetoxy-3-propenylbenzoate (8.5g) and 2,21-azobis-(2-methylpropionitrile) (0.2g) in carbon tetrachloride (30mls) was cooled to -5ºC and saturated with hydrogen bromide. The reaction mixture was then left at 0ºC in a pressure vessel overnight.
The product was poured into water and the organic layer was washed with dilute sodium hydrogen carbonate solution. Evaporation of the solvent in vacuo gave the title compound (D4) (11g) which was used immediately.
Description 5 Chro m an-8-carboxylic acid (D5)
A solution of ethyl 2-acetoxy-3-bromopropylbenzoate (11g) in ethanol (85mls) and 10% sodium hydroxide solution (140mls) was heated under reflux for 4, hours.
The ethanol was then removed in vacuo and the residue was acidified with 5N hydrochloric acid to give chroman-8-carboxylic acid (D5) (4.6g), 74% yield m.pt. 84-86°C (Lit. m.pt.1 85-88°C).
Ref 1 Chem. Abs. 55 16535c
Description 6
6-Chlorosulphonylchroman-8-carbo xylic acid (D6)
Chroman-8-carboxylic acid (1.0g) was added portionwise to chlorosulphonic acid (15mls) while keeping the temperature of the mixture below 5ºC. The reaction mixture was then warmed to 55ºC and maintained at this temperature for 2 hours before being cooled and poured into ice-water. The precipitated white solid was filtered and dried in vacuo to give the title compound (D6) (1.3g),
84% yield which was used immediately.
Description 7 6-Dimethylaminosulphonylchro_man-8-carboxylic acid (D7)
6-Chlorosulphonylchroman-8-carboxylic acid (1.3g) was added in small portions to a cooled solution of 33% dimethylamine (25mls) and the resulting solution was allowed to stand overnight.
Acidification with 5N hydrochloric acid gave a precipitate which was filtered, washed with water and dried over potassium hydroxide in vacuo to give the title compound (D7) (1.36g), 99% yield.
Description 8
2-Methyl-2.3-dihydrobenzofuran-7-carboxylic acid (D8)
A solution of ethyl 2-hydroxy-3-(propenyl)benzoate (1g) in acetic acid (5mls) was heated under reflux with a 48% solution of hydrobromic acid (2.5mls) for 30 minutes. The solvent was then removed in vacuo and the residue was heated with 10% sodium hydroxide solution (10mls) for a further 30 minutes.
Cooling of the solution followed by acidification, extraction with ether and evaporation of the solvent gave the title compound (D8) (0.9g) 98% yield.
Example 1
N-[3β(8-benzyl-8-azabicyclo (3,2,1) octyl)]chroman-8-carboxamide hydrochloride (l)
Chroman-8-carboxylic acid (1.5g) was suspended in dry dichloromethane (50mls) with oxalyl chloride (0.76ml), and dry dimethylfoπnamide (0.5ml) was added. The mixture was stirred at room temperature until it became homogeneous.
The solution was cooled to 0ºC and kept below this temperature during the dropwise addition of triethylamine (3.46ml) in dry dichloromethane (10mls), followed by the dropwise addition of 3β-amino-8-benzyl-8-azabicyclo(3,2,1) octane (1.8g) in dry dichloromethane (10mls).
The reaction mixture was allowed to warm to room temperature before being shaken with 10% sodium hydroxide solution (10ml). The organic layer was dried over anhydrous sodium sulphate, filtered and the solvent was removed in vacuo to give an oil (4.5g) which was purified by column chromatography (silica, chloroform as eluant) to give the title compound as the free base (3.25g, 77%) .
This was converted into its hydrochloride salt (1) nmr (D20)
2.4-2.85(6H,m,-NCH2Ph and ortho H), 3.02 (1H,d,para H), 3.32 (1H, t, meta H), 5.55-6.1 (5H, m,-NCH2Ph, 3 H and Ar-O-CH2-), 6.25 (2H, m,
bridgehead As) , 7125-8.6 (12H, m, methylene H1 s).
C24H29N2O2Cl re quire s C, 70.12; H, 7.05; N, 6.69%.
Found C, 69.8; H, 7.0; N, 6.79% .
Mass spec. Observed mass = 376.2139. C24H28N2O2
requires 376.2140.
Example 2
6-Dimethylaminosulphonyl-N-[3β(8-benzyl-8-azabicyclo ( 3, 2, 1) octyl) ] -chrom an-8-carboxamide hydrochloride (2)
6-Dimethylaminosulphonylchroman-8-carboxylic acid (0.8g) was dissolved in dry dimethylformamide (15mls), and triethylamine (0.5ml) was added before cooling to 0ºC. Ethylchloroformate (0.22ml) was added dropwise to the reaction mixture whilst keeping the temperature at 0ºC and the mixture was stirred at this temperature for 15 minutes.
3-Amino-8-benzyl-8-azabicyclo 3.2.1 octane (0.6g) in dry dimethylformamide (2mls) was added in one portion to the reaction mixture at 0ºC before stirring at room temperature for 15 hours.
The solvent was removed in vacuo to leave a residue which was treated with ammonia solution and extracted with dichloromethane. The organic extract was dried and evaporated to give an oil which on purification by column chromatography (silica, chloroform to 5% methanol in chloroform as eluant) gave the title compound as its free base (1.3g» 96%) . This was used to prepare the hydrochloride salt (2) m.pt. 253-255°C n.m.r. (D2O) 2.25 (1H, d, aromatic H), 2.45 (1H, d, aromatic H), 2.52 (5H, m, -NCH2Ph), 5.25-5.8 (5H, m,
3 H, -NCH 2 Ph and Ar-O-CH2-) , 6.0 (2H, m, bridgehead H1s), 7.2 (2H, t, Ar-CH2-CH2-) , 7.42 (6H, S, -SO2N( CH3)2) , 7.55-8.4 (10H, m, methylene H1s).
C26 H34N3SC104 requires C, 59.4; H, 6.7; N, 7.93 %. Found C, 59.37; H, 6.47; N, 719%. Mass spec. Observed mass = 483.2156. C26H33 N3SO4 requires 483.2192.
The above mentioned method was used to prepare 2 -me thy 1-2, 3-dihydrobenzofuryl-7(N-3β[8-benzyl-8-azabicyclo ( 3, 2 , 1) octyl) ]carboxamide hydrochloride (3) m.pt.240-241ºC n.m.r. (D2 O) 2.4-2.5 (7H, m, -NCH2 Ph, ortho H and para H) , 3.2 (1H, t, meta H), 5.1 (1H, m, Ar-O-CHCH 3-) , 5.55-6.02 (3H, m, 3 H and - HCH2Fh), 6.15 (2H, m, bridgehead H1s), 6.6-8.5 (10H, m, methylene H1s), 8.7 (3H, d, Ar-O-CHCH3-) .
C24H29N2O2Cl re quires C, 69.8; H, 7.03, N, 6.79%. Found C, 69.6; H, 7.19; N, 6.76%. Mass spec. Observed mass = 376.2147 C24H28 N2O2 requires 376.2149
N- [ 3B- (8-BENZYL-8-AZABICYCLO ( 3 , 2 , 1 ) OCTYL) ] -8-[1, 2,3,4-TETRAHYDROQUINOLINYL]CARBOXAMIDE (4)
6,7-Dihydro-1H,3H-5H-pyrido[3,2,1,i,j][3,1]benzoxazine-1,3- dione (as prepared by G.M. Coppola, J. Med. Chem. , 15 , 645, 1978) (2.25g) was dissolved in anhydrous dimethylformamide (50ml) and treated with 3-β-amino-8-benzylnortropane (2.4g). The solution was warmed to 50° for one hour then left to cool to room temperature overnight: (17 hrs). The mixture was evaporated in vacuo, and the residue was chromatographed on Kieselgel 7734 via chloroform with 1-3% methanol. The isolated product was recrystallised from methylene chloride/ether to yield the title compound (2.19g) as colourless microcrystals mp. 142°.
C24H29N3O2.½H2O requires C, 75.00; H, 7.81; N, 10.93% Found C , 74.89, 75.14; H, 7.67, 7.69; N, 10.88, 10.82%
The above method was used to prepare 6-dimethylaminosulphonyl-N-[3β-8-benzyl-8-azabicyclo{3.2.1}octyl)]-8-[1, 2,3,4-tetrahydroquinolinyl]carboxamide 65% m.pt. 193-194ºC. (Compound 5)
C26H34N403S required C, 64.73; H, 7.05; N, 11.62% found C, 64.56; H, 7.13; N, 11.55%
Mass Spec. Observed mass = 482.2351
C26H34N4O3S requires 482.2352
2-Methyl-5-dimethylaminosulphonyl-2,3-dihydrobenzofuryl-7(N{3β (8-benzyl-8-azabicyclo{3,2,l}octyl)])carboxamide (Compound 6)
nmr (CDCl3) τ 1.65 (1H, d, aromatic H) , 2.3 (1H, d, aromatic H) , 2.45-2.95 (6H, m, -NCH2Ph and -CONH-), 4.5-5.05 (1H, m, C-2 H) , 5.35-5.95 (1H, m, 3αH) , 6.45 (2H, s, -NCH2Ph) , 6.7 (2H, m, bridgehead H's) , 7.3 (6H, s, -N(CH3 )2), 8.45
(3H, d, C-2 CH3) .
C26H33N3SO4 requires C, 64.59; H, 6.83; N, 8.69% found C, 64.45; H, 6.87; N, 8.67%
Mass spec. Observed mass = 483.2182
C26H33N3SO4 requires 483.2192
6-Cyclopentylaminosulphonyl-N[3β(8-benzyl-8-azabicyclo {3.2.1}octyl)]-8-chromancarboxamide (Compound 7)
nmr (CDCl3) 1.45 (1H, d, aromatic H) , 2.05-2.95 (7H, d and m, aromatic H, -CONH- and -NCH2Ph) , 4.75 (1H, d, -NHSO2-) , 5.6 (3H, m, Ar -O-CH2- and (CH-NH-) , 6.4 (2H, s, -NCH2Ph) , 6.75 (2H, m, bridgehead H's)
C29H37N3SO4 requires C, 66.5; H, 7.07; N, 8.03% fo\ιnd C, 66.42; H, 7.12; N, 8.01%
Mass spec. Observed mass = 523.2509
C2gH37N3SO4 requires 523.2505
Pharmacological Data
Increase in intragastric pressure
Intragastric pressure changes were recorded from previously starved conscious but restrained rats using a saline filled catheter inserted into the lumen of the stomach via a permanent gastric fistula. The catheter was connected to a physiological pressure transducer and pressure changes recorded on a hot wire pen recorder. In each animal a pre-dose period of 40 minutes was allowed to obtain a measure of spontaneous activity. An index of activity was obtained by measuring the average height of pressure waves during 10 minute periods. Values for 4 such periods were obtained during assessment of spontaneous activity and for 40 minute period after administration of compound. Student's 't' test was applied to the difference in average values obtained for spontaneous and post compound activity.
Compounds 1, 3, 6 and 7 significantly increased index of activity post administration at a dose of 1.0 mg/kg s.c. Compound 2 significantly increased index of activity post administration at a dose of 0.5 mg/kg s.c.
Anti-emetic activity in the dog
Compounds were administered subcutaneously 30 minutes prior to administration of a standard dose of
apomorphine HCl (0.1 mg/kg subcutaneously) and the vomiting response compared to that obtained when the same animals were dosed with apomorphine HCl and vehicle only. Compound 2 was active at a dose of 0.1 mg/kg s.c. Compound 3 had an ED50 value of 0.01 mg/kg s.c. and Compound 4 had an ED50 value of 0.5 mg/kg.
Dopamine Receptor Blocking Activity in the Central nervous System
Compounds were tested for inhibition of apomorhine induced climbing in the mouse. The test is based on that described by Protais, P., Constantin, J. and Schwartz J.C. (1976), Psychopharmacology, 50, 1.6.
Apomorphine 1 mg/kg s.c. induces mice to climb the wall of a wire cage (inverted food hopper - 11 x 7.5 x 18 cm high). Mice acclimatised in their home cages in groups of 5 are placed under the hoppers immediately after the injection of apomorphine 1mg/kg s.c. At 10.20 and 30 minutes after injection climbing behaviour is scored. The mice are observed for 30 seconds and scored according to the position they spend the majority of time in, score 0 - four paws on floor of cage; score 1 - four paws only on walls; score 2 - all paws on wall of cage. The scores at all 3 times and for each mouse are summed and mice drug treated orally compared to mice receiving apomorphine only. A saline only treated group is also included and any score 55% of maximum taken into account.
Compounds 1, 3, 4 and 7 had ED50 values of 1.7, 0.2, 3.8 and 7 mg/kg s.c. respectively.
Anti-hypertensive Activity
Systolic blood pressures were recorded by a modification of the tail cuff method described by J.M. Claxton, M.G. Palfreyman, R.H. Poyser and R.L. Whiting, European Journal of Pharmacology, 37, 179, (1976). An oscilloscope of W+W BP recorder, model 8002, was used to display pulses. Prior to all measurements rats were placed in a heated environment (33.5 ± 0.5<C) before transfer to a restraining cage. Each determination of blood pressure was the mean of at least 6 readings. Spontaneously hypertensive rats (aged 12-18 weeks) with systolic blood pressures 170 mmHg were considered hypertensive.
Compound 2 gave a 41% reduction in blood pressure at 4 hours post dose at a dose of 10 mg/kg p.o.
Toxicity
No toxic effects were observed in the above tests.
Claims
1. A compound of formula (I), or a pharmaceutically acceptable salt and/or N-oxide and/or a solvate thereof:
one of X and Y is CO and the other is NH;
E is O, S or NR wherein R is hydrogen, C1-6 alkyl or a protecting group and A is C2-4 alkylene or C2-4 alkenylene or E and A together with the phenyl to which they are attached form a quinoline nucleus;
R4 is a group:
wherein:
p and q each independently are 0 to 2;
Z is O or S; n is 0 or 1; one of R6 and R7 when n=0 is C1-4 alkoxy, C1-4 alkoxycarbonyl, hydroxy or C1-4 alkyl optionally substituted by hydroxy, C1-4 alkoxy or C1-4 acyloxy, and the other is hydrogen or C1-4 alkyl or one of R6, R7 and R8 when n=1 is Cι-4 alkyl and the other two are the same or different and are hydrogen or C1-4 alkyl; R5 is C1-7 alkyl, - (CH2)sR10,s being 0 to 2 and R10 being C3-8 cycloalkyl, -(CH2)tR11,t being 1 or 2 and R11 being thienyl or phenyl optionally substituted by one or two substituents selected from C1-4 alkoxy, trifluoromethyl, halogen, nitro, carboxy, esterified carboxy and C1-4 alkyl optionally substituted by hydroxy, C1-4 alkoxy, carboxy, esterified carboxy or in vivo hydrolysable acyloxy;
R1 is hydrogen or C1-6 alkyl; and
R2 and R3 are the same or different and are hydrogen, halogen, trifluoromethyl, C1-6 alkoxy, C1-6 alkylthio, carboxylic C1-7 acyl, carboxylic C1-7 acylamino, C1-6 alkylsulphonyl, C1-6 alkylsulphinyl, nitro or NR12R13, NR12R13CO, NR12 R13SO, or C1-6 alkyl-SO2NR14, NR12R13SO2NR14 wherein R12 and R13 are the same or different and are hydrogen C1-6 alkyl, phenyl or phenyl C1-4 alkyl groups any of which phenyl moieties may be substituted by one or more halogen, trifluoromethyl, C1-6 alkoxy or nitro groups, or R12 and R13 together form C4-5 polymethylene, and R14 is hydrogen or C1-6 alkyl.
2. A compound accordi ng to claim 1 of formula ( VI ) :
wherein E1 is O, S or NR' wherein R' is hydrogen, methyl or acetyl, m is 1 or 2, R13 is aminosulphonyl optionally substituted as defined for R3 in claim 1 and the remaining variables are as defined in claim 1.
3. A compound according to claim 2 of formula (VIII):
R2 5 is thienylmethyl or -(CH2)tR11, t being 1 or 2, and R11 being phenyl optionally substituted by one or two substituents selected from C1-4 alkoxy. trifluoromethyl, halogen, carboxy, esterified carboxy, and C1-4 alkyl optionally substituted by hydroxy, C1-4 alkoxy, carboxy esterified carboxy or in vivo hydrolysable acyloxy, and the remaining variables are as defined in claim 2.
4. A compound according to claim 1 of formula (XIII):
5. A compound according to claim 4 of formula (XV):
wherein the variable groups are as defined in claims 3 and 4.
6. A compound according to any one of claims 2 to 5 wherein E1 is oxygen.
7. A compound according to any one of claims 2 to 6 wherein m is 1 and R1 is 2-methyl.
8. A compound according to any one of claims 2 to 6 wherein m is 2 and R1 is hydrogen.
9. A compound according to anyone of claims 1 to 8 wherein R5 (or R2 5) is benzyl.
10. N-[3β(8-benzyl-8-azabicyclo (3,2,l)octyl)]chroman-8-carboxamide,
6-Dimethylaminosulphonyl-N-[3β(8-benzyl-8-azabicyclo-8-(3,2,1)octyl)]chroman-8-carboxamide,
2-methyl-2,3-dihydrobenzofuryl-7(N-3β(8-benzyl-8-azabicyclo(3,2,1)-octyl)]carboxamide,
N-(3β-(8-benzyl-8-azabicyclo(3,2,1)octyl)]-8-[1,2,3,4-tetrahydroquinolinyl]carboxamide ,
6-dimethylaminosulphonyl-N-[3β-8-benzyl-8-azabicyclo[3.2.1)]-8-[1,2,3,4-tetrahydroquinolinyl]carboxamide,
2-Methyl-5-dimethylaminosulphonyl-2,3-dihydrobenzofuryl-7(N[3β(8-benzyl-8-azabicyclo[3,2,1]octyl)])carboxamide,
6-Cyclopentylaminosulphonyl-N[3β(8-benzyl-8-azabicyclo[3.2.1]octyl)]-8-chromancarboxamide, or a pharmaceutically acceptable salt thereof.
11. A process for the preparation of a compound according to any one of claims 1 to 10, which process comprises reacting a compound of the formula (XIX):
L-R4 (XX)
wherein:
One of J and L is COQ, where Q is a leaving group, and the other is -NH2; and the remaining variable groups are as defined in claim I, with the proviso that when J is -NH2, R2 or R3 is other than amino, and thereafter optionally converting R, R1, R2 or R3 to another R, R1, R2 or R3 respectively; as necessary converting R5 to other R5; and optionally forming a pharmaceutically acceptable salt of the resultant compound of the formula (I).
12. A pharmaceutical composition comprising a compound according to any one of claims 1 to 10, or a pharmaceutically acceptable salt thereof and a pharmaceutically acceptable carrier.
13. A method of treatment of disorders related to impaired gastric motility, emesis and/or disorders of the central nervous system in mammals, which comprises the administration to the sufferer of an effective amount of a compound according to any one of claims 1 to 10, or a pharmaceutically acceptable salt thereof.
Applications Claiming Priority (2)
| Application Number | Priority Date | Filing Date | Title |
|---|---|---|---|
| GB838304648A GB8304648D0 (en) | 1983-02-19 | 1983-02-19 | Compounds |
| GB838328550A GB8328550D0 (en) | 1983-10-26 | 1983-10-26 | Compounds |
Publications (1)
| Publication Number | Publication Date |
|---|---|
| WO1984003281A1 true WO1984003281A1 (en) | 1984-08-30 |
Family
ID=26285285
Family Applications (1)
| Application Number | Title | Priority Date | Filing Date |
|---|---|---|---|
| PCT/GB1984/000047 Ceased WO1984003281A1 (en) | 1983-02-19 | 1984-02-17 | Azabicycloalkyl benzamide and anilide derivatives |
Country Status (2)
| Country | Link |
|---|---|
| EP (1) | EP0135545A1 (en) |
| WO (1) | WO1984003281A1 (en) |
Cited By (52)
| Publication number | Priority date | Publication date | Assignee | Title |
|---|---|---|---|---|
| EP0147044A3 (en) * | 1983-12-22 | 1985-11-21 | Adria Laboratories Inc. | Benzofurancarboxamides, process for their preparation and pharmaceutical preparations containing them |
| FR2575750A1 (en) * | 1985-01-07 | 1986-07-11 | Sandoz Sa | PIPERIDINE AND PYRROLIDINE DERIVATIVES, THEIR PREPARATION AND THEIR USE AS MEDICAMENTS |
| EP0190860A3 (en) * | 1985-01-30 | 1987-06-03 | Smithkline Beecham Corporation | 6-chloro-3-methyl-1h-2,3,4,5-tetrahydro-3-benzazepine-n-oxide and medical compositions using it |
| EP0230718A1 (en) * | 1985-11-02 | 1987-08-05 | Beecham Group Plc | Substituted benzamides and benzoates |
| EP0234872A1 (en) * | 1986-02-28 | 1987-09-02 | Erbamont Inc. | Carboxamides useful as antiemetic or antipsychotic agents |
| WO1988001866A1 (en) * | 1986-09-09 | 1988-03-24 | Adria Laboratories, Inc. | Method for controlling emesis caused by chemotherapeutic agents and antiemetic agents useful therein |
| EP0231139A3 (en) * | 1986-01-30 | 1988-04-27 | Laboratoires Delagrange | Dihydrobenzofurane and chromane carboxamide derivatives, processes for their preparation and their use as neuroleptics |
| US4803199A (en) * | 1982-06-29 | 1989-02-07 | Peter Donatsch | Pharmaceutically useful heterocyclic and carbocyclic acid esters and amides of alkylene bridged piperidines |
| US4851407A (en) * | 1985-03-14 | 1989-07-25 | Beecham Group, P.L.C. | Novel treatment |
| US4910193A (en) * | 1985-12-16 | 1990-03-20 | Sandoz Ltd. | Treatment of gastrointestinal disorders |
| US4921982A (en) * | 1988-07-21 | 1990-05-01 | Eli Lilly And Company | 5-halo-2,3-dihydro-2,2-dimethylbenzofuran-7-carboxylic acids useful as intermediates for 5-HT3 antagonists |
| WO1990006113A1 (en) * | 1988-11-29 | 1990-06-14 | Rorer International (Overseas) Inc. | Substituted saturated and unsaturated indole quinoline and benzazepine carboxamides and their use as pharmacological agents |
| EP0307172A3 (en) * | 1987-09-08 | 1991-01-23 | Eli Lilly And Company | Improvements in or relating to specific 5-ht3 antagonists |
| EP0416521A1 (en) * | 1989-09-05 | 1991-03-13 | G.D. Searle & Co. | N-Benzyltropaneamides |
| US5001133A (en) * | 1983-12-23 | 1991-03-19 | Sandoz Ltd. | Benzoic acid derivatives |
| WO1991005783A1 (en) * | 1989-10-14 | 1991-05-02 | John Wyeth & Brother Limited | Heterocyclic compounds |
| EP0339950A3 (en) * | 1988-04-27 | 1991-05-15 | Rhone-Poulenc Rorer International (Holdings) Inc. | Dibenzofurancarboxamides, their use as pharmaceutical agents, a composition containing the same, and a process for the preparation thereof |
| EP0445862A2 (en) | 1990-03-06 | 1991-09-11 | Janssen Pharmaceutica N.V. | N-(4-piperidinyl)(dihydrobenzofuran or dihydro-2H-benzopyran)carboxamide derivatives |
| US5049556A (en) * | 1988-03-23 | 1991-09-17 | Beecham Group P.L.C. | Certain N-azabicyclo-2,3-dihydro-indole-1-carboxamides having anti-emetic properties, further found useful in treating headaches, neuralgia and anxiety |
| US5063230A (en) * | 1988-11-29 | 1991-11-05 | Rhone-Poulenc Rorer Pharmaceuticals Inc. | Substituted saturated and unsaturated indole quinoline and benzazepine carboxamides and their use as pharmacological agents |
| EP0493031A1 (en) * | 1990-12-27 | 1992-07-01 | PHARMACIA S.p.A. | Dihydrobenzofuran carboxamides and process for their preparation |
| WO1992012147A1 (en) * | 1990-12-27 | 1992-07-23 | Farmitalia Carlo Erba S.R.L. | Process for the preparation of substituted benzofuran derivatives |
| US5142069A (en) * | 1991-03-07 | 1992-08-25 | Eli Lilly And Company | Process of preparing 2,2-dimethyl-2,3-dihydrobenzofuran-7-carboxylic acids |
| US5175173A (en) * | 1983-12-22 | 1992-12-29 | Sun Jung Hui | Carboxamides useful as antiemetic or antipsychotic agents |
| US5177244A (en) * | 1991-03-07 | 1993-01-05 | Eli Lilly And Company | Process and intermediates to 2,2-dimethyl-2,3-dihydrobenzofuran-7-carboxylic acids |
| EP0189002B1 (en) * | 1984-12-20 | 1993-03-03 | Sandoz Ag | Treatment of gastrointestinal disorders using 5-ht3 antagonists |
| EP0247266B1 (en) * | 1986-01-07 | 1993-03-10 | Beecham Group Plc | Indole derivatives having an azabicyclic side chain, process for their preparation, intermediates, and pharmaceutical compositions |
| US5225419A (en) * | 1989-10-14 | 1993-07-06 | John Wyeth & Brother, Limited | Certain 1,8-ethano or propano-1,4-dihydro-4-oxo-quinoline-3-carboxamides and derivatives thereof |
| US5364863A (en) * | 1987-09-08 | 1994-11-15 | Eli Lilly And Company | Specific 5-HT3 antagonists |
| US5446147A (en) * | 1992-04-03 | 1995-08-29 | Trustees Of The University Of Pennsylvania | Fluorinated and iodinated dopamine agents |
| CN1040756C (en) * | 1989-10-14 | 1998-11-18 | 约翰韦恩兄弟有限公司 | heterocyclic compounds |
| US8629274B2 (en) | 2011-12-21 | 2014-01-14 | Novira Therapeutics, Inc. | Hepatitis B antiviral agents |
| US8993771B2 (en) | 2013-03-12 | 2015-03-31 | Novira Therapeutics, Inc. | Hepatitis B antiviral agents |
| US9169212B2 (en) | 2014-01-16 | 2015-10-27 | Novira Therapeutics, Inc. | Azepane derivatives and methods of treating hepatitis B infections |
| US9181288B2 (en) | 2014-01-16 | 2015-11-10 | Novira Therapeutics, Inc. | Azepane derivatives and methods of treating hepatitis B infections |
| US9400280B2 (en) | 2014-03-27 | 2016-07-26 | Novira Therapeutics, Inc. | Piperidine derivatives and methods of treating hepatitis B infections |
| US9884831B2 (en) | 2015-03-19 | 2018-02-06 | Novira Therapeutics, Inc. | Azocane and azonane derivatives and methods of treating hepatitis B infections |
| US9884818B2 (en) | 2013-05-17 | 2018-02-06 | Janssen Sciences Ireland Uc | Sulphamoylpyrrolamide derivatives and the use thereof as medicaments for the treatment of hepatitis B |
| US9895349B2 (en) | 2013-04-03 | 2018-02-20 | Janssen Sciences Ireland Us | N-phenyl-carboxamide derivatives and the use thereof as medicaments for the treatment of hepatitis B |
| US10071961B2 (en) | 2013-10-23 | 2018-09-11 | Janssen Sciences Ireland Uc | Carboxamide derivatives and the use thereof as medicaments for the treatment of hepatitis B |
| US10077239B2 (en) | 2015-09-29 | 2018-09-18 | Novira Therapeutics, Inc. | Crystalline forms of a hepatitis B antiviral agent |
| US10125094B2 (en) | 2013-02-28 | 2018-11-13 | Janssen Sciences Ireland Uc | Sulfamoyl-arylamides and the use thereof as medicaments for the treatment of hepatitis B |
| US10213420B2 (en) | 2014-02-05 | 2019-02-26 | Novira Therapeutics, Inc. | Combination therapy for treatment of HBV infections |
| US10392349B2 (en) | 2014-01-16 | 2019-08-27 | Novira Therapeutics, Inc. | Azepane derivatives and methods of treating hepatitis B infections |
| US10441589B2 (en) | 2016-04-15 | 2019-10-15 | Novira Therapeutics, Inc. | Combinations and methods comprising a capsid assembly inhibitor |
| US10450270B2 (en) | 2013-07-25 | 2019-10-22 | Janssen Sciences Ireland Uc | Glyoxamide substituted pyrrolamide derivatives and the use thereof as medicaments for the treatment of hepatitis B |
| US10676429B2 (en) | 2012-08-28 | 2020-06-09 | Janssen Sciences Ireland Uc | Sulfamoyl-arylamides and the use thereof as medicaments for the treatment of hepatitis B |
| US10875876B2 (en) | 2015-07-02 | 2020-12-29 | Janssen Sciences Ireland Uc | Cyclized sulfamoylarylamide derivatives and the use thereof as medicaments for the treatment of hepatitis B |
| US10973801B2 (en) | 2018-03-14 | 2021-04-13 | Janssen Sciences Ireland Unlimited Company | Capsid assembly modulator dosing regimen |
| US11078193B2 (en) | 2014-02-06 | 2021-08-03 | Janssen Sciences Ireland Uc | Sulphamoylpyrrolamide derivatives and the use thereof as medicaments for the treatment of hepatitis B |
| US11096931B2 (en) | 2019-02-22 | 2021-08-24 | Janssen Sciences Ireland Unlimited Company | Amide derivatives useful in the treatment of HBV infection or HBV-induced diseases |
| US11491148B2 (en) | 2019-05-06 | 2022-11-08 | Janssen Sciences Ireland Unlimited Company | Amide derivatives useful in the treatment of HBV infection or HBV-induced diseases |
Citations (3)
| Publication number | Priority date | Publication date | Assignee | Title |
|---|---|---|---|---|
| EP0068700A1 (en) * | 1981-06-29 | 1983-01-05 | Beecham Group Plc | Azobicycloalkylbenzamides, process for their preparation and pharmaceutical compositions containing them |
| EP0095262A1 (en) * | 1982-05-11 | 1983-11-30 | Beecham Group Plc | Azabicycloalkane derivatives, their preparation and medicaments containing them |
| WO1984000166A1 (en) * | 1982-06-29 | 1984-01-19 | Sandoz Ag | Benzoic acid piperidyl ester derivatives and method of production and utilization thereof |
-
1984
- 1984-02-17 EP EP84900862A patent/EP0135545A1/en not_active Withdrawn
- 1984-02-17 WO PCT/GB1984/000047 patent/WO1984003281A1/en not_active Ceased
Patent Citations (3)
| Publication number | Priority date | Publication date | Assignee | Title |
|---|---|---|---|---|
| EP0068700A1 (en) * | 1981-06-29 | 1983-01-05 | Beecham Group Plc | Azobicycloalkylbenzamides, process for their preparation and pharmaceutical compositions containing them |
| EP0095262A1 (en) * | 1982-05-11 | 1983-11-30 | Beecham Group Plc | Azabicycloalkane derivatives, their preparation and medicaments containing them |
| WO1984000166A1 (en) * | 1982-06-29 | 1984-01-19 | Sandoz Ag | Benzoic acid piperidyl ester derivatives and method of production and utilization thereof |
Cited By (85)
| Publication number | Priority date | Publication date | Assignee | Title |
|---|---|---|---|---|
| US4910207A (en) * | 1982-06-29 | 1990-03-20 | Peter Donatsch | Method of treating psychosis with N-quinuclidinyl-benzamides |
| US5017582A (en) * | 1982-06-29 | 1991-05-21 | Sandoz Ltd. | Method of inducing a serotonin M receptor antagonist effect with N-quinuclidinyl-benzamides |
| US4803199A (en) * | 1982-06-29 | 1989-02-07 | Peter Donatsch | Pharmaceutically useful heterocyclic and carbocyclic acid esters and amides of alkylene bridged piperidines |
| EP0147044A3 (en) * | 1983-12-22 | 1985-11-21 | Adria Laboratories Inc. | Benzofurancarboxamides, process for their preparation and pharmaceutical preparations containing them |
| US5175173A (en) * | 1983-12-22 | 1992-12-29 | Sun Jung Hui | Carboxamides useful as antiemetic or antipsychotic agents |
| US5001133A (en) * | 1983-12-23 | 1991-03-19 | Sandoz Ltd. | Benzoic acid derivatives |
| EP0189002B1 (en) * | 1984-12-20 | 1993-03-03 | Sandoz Ag | Treatment of gastrointestinal disorders using 5-ht3 antagonists |
| FR2575750A1 (en) * | 1985-01-07 | 1986-07-11 | Sandoz Sa | PIPERIDINE AND PYRROLIDINE DERIVATIVES, THEIR PREPARATION AND THEIR USE AS MEDICAMENTS |
| EP0190860A3 (en) * | 1985-01-30 | 1987-06-03 | Smithkline Beecham Corporation | 6-chloro-3-methyl-1h-2,3,4,5-tetrahydro-3-benzazepine-n-oxide and medical compositions using it |
| US4851407A (en) * | 1985-03-14 | 1989-07-25 | Beecham Group, P.L.C. | Novel treatment |
| EP0230718A1 (en) * | 1985-11-02 | 1987-08-05 | Beecham Group Plc | Substituted benzamides and benzoates |
| US4853394A (en) * | 1985-11-02 | 1989-08-01 | Beecham Group P.L.C. | N-('-B-hydroxyethylpiperid-4-yl esters and amides |
| US4910193A (en) * | 1985-12-16 | 1990-03-20 | Sandoz Ltd. | Treatment of gastrointestinal disorders |
| EP0247266B1 (en) * | 1986-01-07 | 1993-03-10 | Beecham Group Plc | Indole derivatives having an azabicyclic side chain, process for their preparation, intermediates, and pharmaceutical compositions |
| AU593605B2 (en) * | 1986-01-30 | 1990-02-15 | Laboratoires Delagrange | New dihydrobenzofuran- and chroman-carboxamide derivatives, processes for the preparation thereof and use thereof as neuroleptics |
| EP0231139A3 (en) * | 1986-01-30 | 1988-04-27 | Laboratoires Delagrange | Dihydrobenzofurane and chromane carboxamide derivatives, processes for their preparation and their use as neuroleptics |
| US4888353A (en) * | 1986-02-28 | 1989-12-19 | Erbamont, Inc. | Carboxamides useful as antiemetic or antipsychotic agents |
| EP0234872A1 (en) * | 1986-02-28 | 1987-09-02 | Erbamont Inc. | Carboxamides useful as antiemetic or antipsychotic agents |
| US4772459A (en) * | 1986-09-09 | 1988-09-20 | Erbamont, Inc. | Method for controlling emesis caused by chemotherapeutic agents and antiemetic agents useful therein |
| WO1988001866A1 (en) * | 1986-09-09 | 1988-03-24 | Adria Laboratories, Inc. | Method for controlling emesis caused by chemotherapeutic agents and antiemetic agents useful therein |
| US5364863A (en) * | 1987-09-08 | 1994-11-15 | Eli Lilly And Company | Specific 5-HT3 antagonists |
| AU609185B2 (en) * | 1987-09-08 | 1991-04-26 | Eli Lilly And Company | Improvements in or relating to specific 5-ht3 antagonists |
| AU638790B2 (en) * | 1987-09-08 | 1993-07-08 | Eli Lilly And Company | Intermediates in the preparation of novel bicyclic esters and amides useful as specific 5-ht3 antagonists |
| EP0307172A3 (en) * | 1987-09-08 | 1991-01-23 | Eli Lilly And Company | Improvements in or relating to specific 5-ht3 antagonists |
| US5563148A (en) * | 1987-09-08 | 1996-10-08 | Eli Lilly And Company | Specific 5-HT3 antagonists |
| US5442078A (en) * | 1987-09-08 | 1995-08-15 | Eli Lilly And Company | Intermediates for specific 5-HT3 antagonists |
| US5049556A (en) * | 1988-03-23 | 1991-09-17 | Beecham Group P.L.C. | Certain N-azabicyclo-2,3-dihydro-indole-1-carboxamides having anti-emetic properties, further found useful in treating headaches, neuralgia and anxiety |
| EP0339950A3 (en) * | 1988-04-27 | 1991-05-15 | Rhone-Poulenc Rorer International (Holdings) Inc. | Dibenzofurancarboxamides, their use as pharmaceutical agents, a composition containing the same, and a process for the preparation thereof |
| US4921982A (en) * | 1988-07-21 | 1990-05-01 | Eli Lilly And Company | 5-halo-2,3-dihydro-2,2-dimethylbenzofuran-7-carboxylic acids useful as intermediates for 5-HT3 antagonists |
| WO1990006113A1 (en) * | 1988-11-29 | 1990-06-14 | Rorer International (Overseas) Inc. | Substituted saturated and unsaturated indole quinoline and benzazepine carboxamides and their use as pharmacological agents |
| US5063230A (en) * | 1988-11-29 | 1991-11-05 | Rhone-Poulenc Rorer Pharmaceuticals Inc. | Substituted saturated and unsaturated indole quinoline and benzazepine carboxamides and their use as pharmacological agents |
| EP0416521A1 (en) * | 1989-09-05 | 1991-03-13 | G.D. Searle & Co. | N-Benzyltropaneamides |
| CN1040756C (en) * | 1989-10-14 | 1998-11-18 | 约翰韦恩兄弟有限公司 | heterocyclic compounds |
| US5225419A (en) * | 1989-10-14 | 1993-07-06 | John Wyeth & Brother, Limited | Certain 1,8-ethano or propano-1,4-dihydro-4-oxo-quinoline-3-carboxamides and derivatives thereof |
| WO1991005783A1 (en) * | 1989-10-14 | 1991-05-02 | John Wyeth & Brother Limited | Heterocyclic compounds |
| LT3708B (en) | 1990-03-06 | 1996-02-26 | Janssen Pharmaceutica Nv | N-(4-piperidinyl)(dihydrobenzofuran or dihydro-2h-benzopyran)carboxamide derivatives,processes for the preparation thereof and pharmaceutical compositions |
| US5185335A (en) * | 1990-03-06 | 1993-02-09 | Janssen Pharmaceutica N.V. | N-(4-piperodinyl)(dihydrobenzofuran or dihydro-2h-benzopyran) carboxamide derivatives |
| EP0445862A2 (en) | 1990-03-06 | 1991-09-11 | Janssen Pharmaceutica N.V. | N-(4-piperidinyl)(dihydrobenzofuran or dihydro-2H-benzopyran)carboxamide derivatives |
| US5262418A (en) * | 1990-03-06 | 1993-11-16 | Tanssen Pharmaceutica N.V. | N-(4-piperidinyl) (dihydroxybenzofuran or dihydro-2H-benzopyran)carboxamide derivatives |
| US5459161A (en) * | 1990-12-27 | 1995-10-17 | Farmitalia Carlo Erba S.R.L. | Process for the preparation of substituted benzofuran derivatives |
| EP0496064A1 (en) * | 1990-12-27 | 1992-07-29 | PHARMACIA S.p.A. | Process for the preparation of substituted benzofuran derivatives |
| WO1992012147A1 (en) * | 1990-12-27 | 1992-07-23 | Farmitalia Carlo Erba S.R.L. | Process for the preparation of substituted benzofuran derivatives |
| EP0493031A1 (en) * | 1990-12-27 | 1992-07-01 | PHARMACIA S.p.A. | Dihydrobenzofuran carboxamides and process for their preparation |
| US5177244A (en) * | 1991-03-07 | 1993-01-05 | Eli Lilly And Company | Process and intermediates to 2,2-dimethyl-2,3-dihydrobenzofuran-7-carboxylic acids |
| US5142069A (en) * | 1991-03-07 | 1992-08-25 | Eli Lilly And Company | Process of preparing 2,2-dimethyl-2,3-dihydrobenzofuran-7-carboxylic acids |
| US5446147A (en) * | 1992-04-03 | 1995-08-29 | Trustees Of The University Of Pennsylvania | Fluorinated and iodinated dopamine agents |
| US8629274B2 (en) | 2011-12-21 | 2014-01-14 | Novira Therapeutics, Inc. | Hepatitis B antiviral agents |
| US10196376B2 (en) | 2011-12-21 | 2019-02-05 | Novira Therapeutics, Inc. | Hepatitis B antiviral agents |
| US9061008B2 (en) | 2011-12-21 | 2015-06-23 | Novira Therapeutics, Inc. | Hepatitis B antiviral agents |
| US9066932B2 (en) | 2011-12-21 | 2015-06-30 | Novira Therapeutics, Inc. | Hepatitis B antiviral agents |
| US9751857B2 (en) | 2011-12-21 | 2017-09-05 | Novira Therapeutics, Inc. | Hepatitis B antiviral agents |
| US9676747B2 (en) | 2011-12-21 | 2017-06-13 | Novira Therapeutics, Inc. | Hepatitis B antiviral agents |
| US10995064B2 (en) | 2012-08-28 | 2021-05-04 | Janssen Sciences Ireland Uc | Sulfamoyl-arylamides and the use thereof as medicaments for the treatment of hepatitis B |
| US10676429B2 (en) | 2012-08-28 | 2020-06-09 | Janssen Sciences Ireland Uc | Sulfamoyl-arylamides and the use thereof as medicaments for the treatment of hepatitis B |
| US10941113B2 (en) | 2013-02-28 | 2021-03-09 | Janssen Sciences Ireland Uc | Sulfamoyl-arylamides and the use thereof as medicaments for the treatment of hepatitis B |
| US10125094B2 (en) | 2013-02-28 | 2018-11-13 | Janssen Sciences Ireland Uc | Sulfamoyl-arylamides and the use thereof as medicaments for the treatment of hepatitis B |
| US9205079B2 (en) | 2013-03-12 | 2015-12-08 | Novira Therapeutics, Inc. | Hepatitis B antiviral agents |
| US9579313B2 (en) | 2013-03-12 | 2017-02-28 | Novira Therapeutics, Inc. | Hepatitis B antiviral agents |
| US8993771B2 (en) | 2013-03-12 | 2015-03-31 | Novira Therapeutics, Inc. | Hepatitis B antiviral agents |
| US10398677B2 (en) | 2013-04-03 | 2019-09-03 | Janssen Sciences Ireland Uc | N-phenyl-carboxamide derivatives and the use thereof as medicaments for the treatment of hepatitis B |
| US9895349B2 (en) | 2013-04-03 | 2018-02-20 | Janssen Sciences Ireland Us | N-phenyl-carboxamide derivatives and the use thereof as medicaments for the treatment of hepatitis B |
| US10457638B2 (en) | 2013-05-17 | 2019-10-29 | Janssen Sciences Ireland Uc | Sulphamoylpyrrolamide derivatives and the use thereof as medicaments for the treatment of hepatitis B |
| US9884818B2 (en) | 2013-05-17 | 2018-02-06 | Janssen Sciences Ireland Uc | Sulphamoylpyrrolamide derivatives and the use thereof as medicaments for the treatment of hepatitis B |
| US10450270B2 (en) | 2013-07-25 | 2019-10-22 | Janssen Sciences Ireland Uc | Glyoxamide substituted pyrrolamide derivatives and the use thereof as medicaments for the treatment of hepatitis B |
| US10071961B2 (en) | 2013-10-23 | 2018-09-11 | Janssen Sciences Ireland Uc | Carboxamide derivatives and the use thereof as medicaments for the treatment of hepatitis B |
| US10377709B2 (en) | 2013-10-23 | 2019-08-13 | Janssen Sciences Ireland Uc | Carboxamide derivatives and the use thereof as medicaments for the treatment of hepatitis B |
| US9169212B2 (en) | 2014-01-16 | 2015-10-27 | Novira Therapeutics, Inc. | Azepane derivatives and methods of treating hepatitis B infections |
| US9181288B2 (en) | 2014-01-16 | 2015-11-10 | Novira Therapeutics, Inc. | Azepane derivatives and methods of treating hepatitis B infections |
| US9873671B2 (en) | 2014-01-16 | 2018-01-23 | Novira Therapeutics, Inc. | Azepane derivatives and methods of treating hepatitis B infections |
| US10392349B2 (en) | 2014-01-16 | 2019-08-27 | Novira Therapeutics, Inc. | Azepane derivatives and methods of treating hepatitis B infections |
| US9505722B2 (en) | 2014-01-16 | 2016-11-29 | Novira Therapeutics, Inc. | Azepane derivatives and methods of treating hepatitis B infections |
| US9339510B2 (en) | 2014-01-16 | 2016-05-17 | Novira Therapeutics, Inc. | Azepane derivatives and methods of treating hepatitis B infections |
| US10213420B2 (en) | 2014-02-05 | 2019-02-26 | Novira Therapeutics, Inc. | Combination therapy for treatment of HBV infections |
| US10632112B2 (en) | 2014-02-05 | 2020-04-28 | Novira Therapeutics, Inc. | Combination therapy for treatment of HBV infections |
| US11078193B2 (en) | 2014-02-06 | 2021-08-03 | Janssen Sciences Ireland Uc | Sulphamoylpyrrolamide derivatives and the use thereof as medicaments for the treatment of hepatitis B |
| US9400280B2 (en) | 2014-03-27 | 2016-07-26 | Novira Therapeutics, Inc. | Piperidine derivatives and methods of treating hepatitis B infections |
| US10537580B2 (en) | 2015-03-19 | 2020-01-21 | Novira Therapeutics, Inc. | Azocane and azonane derivatives and methods of treating hepatitis B infections |
| US9884831B2 (en) | 2015-03-19 | 2018-02-06 | Novira Therapeutics, Inc. | Azocane and azonane derivatives and methods of treating hepatitis B infections |
| US10875876B2 (en) | 2015-07-02 | 2020-12-29 | Janssen Sciences Ireland Uc | Cyclized sulfamoylarylamide derivatives and the use thereof as medicaments for the treatment of hepatitis B |
| US10077239B2 (en) | 2015-09-29 | 2018-09-18 | Novira Therapeutics, Inc. | Crystalline forms of a hepatitis B antiviral agent |
| US10441589B2 (en) | 2016-04-15 | 2019-10-15 | Novira Therapeutics, Inc. | Combinations and methods comprising a capsid assembly inhibitor |
| US11129834B2 (en) | 2016-04-15 | 2021-09-28 | Novira Therapeutics, Inc. | Combinations and methods comprising a capsid assembly inhibitor |
| US10973801B2 (en) | 2018-03-14 | 2021-04-13 | Janssen Sciences Ireland Unlimited Company | Capsid assembly modulator dosing regimen |
| US11096931B2 (en) | 2019-02-22 | 2021-08-24 | Janssen Sciences Ireland Unlimited Company | Amide derivatives useful in the treatment of HBV infection or HBV-induced diseases |
| US11491148B2 (en) | 2019-05-06 | 2022-11-08 | Janssen Sciences Ireland Unlimited Company | Amide derivatives useful in the treatment of HBV infection or HBV-induced diseases |
Also Published As
| Publication number | Publication date |
|---|---|
| EP0135545A1 (en) | 1985-04-03 |
Similar Documents
| Publication | Publication Date | Title |
|---|---|---|
| WO1984003281A1 (en) | Azabicycloalkyl benzamide and anilide derivatives | |
| US4569940A (en) | Certain 5-N-mono- or disubstituted sulfamoyl benzamides having use in treatment of emesis, impaired gastro-intestinal motility disorders and central nervous system disorders | |
| US4697019A (en) | Azabicyclo compounds, useful as intermediates | |
| US4336259A (en) | Certain aza-bicyclo-benzamide derivatives and pharmaceutical compositions containing same | |
| US4612319A (en) | Bridged quinolizidinylbenzamides, compositions containing them and methods for their use | |
| EP0093488A2 (en) | Nortropyl benzopyrrolinone compounds, process for their preparation and pharmaceutical compositions containing them | |
| EP0067615A1 (en) | Alkylthio derivatives of azabicyclobenzamides, their preparation and pharmaceutical compositions | |
| EP0068700A1 (en) | Azobicycloalkylbenzamides, process for their preparation and pharmaceutical compositions containing them | |
| EP0126087A1 (en) | Amino-azabicycloalkyl derivatives as dopamine antagonists | |
| EP0095262A1 (en) | Azabicycloalkane derivatives, their preparation and medicaments containing them | |
| IE44765B1 (en) | Benzamide derivatives | |
| EP0115933B1 (en) | Amide derivatives of azabicycloalkanes | |
| US4459300A (en) | Pharmaceutically active aza-bicyclo benzamide derivatives | |
| US4410535A (en) | Aza-bicyclo-benzamide derivatives and pharmaceutical compositions and use thereof | |
| EP0034015B1 (en) | Pharmaceutically active compounds | |
| EP1053235A1 (en) | Oxazole derivatives as serotonin-1a receptor agonists | |
| US6057340A (en) | Oxazole derivatives as serotonin-1A receptor agonists | |
| US4559346A (en) | Certain N-octahydro-indolizinebenzamides and their use in treating psychosis, cardiac arrhythmia and hypertension | |
| EP0102195A2 (en) | Substituted aza bicycloalkyl derivatives with dopamine antagonist activity | |
| CA1162187A (en) | Benzamide derivatives of bicycloheterocyclic compounds | |
| EP0047620B1 (en) | Aryl diazabicyclyl amides, a process for their preparation and use | |
| EP0101641A2 (en) | Sulfonylamino-aza-bicyclo-alkyl derivatives | |
| EP0057536A1 (en) | Pharmaceutically active compounds | |
| GB2105707A (en) | Pharmaceutically active benzamides | |
| EP0691341A1 (en) | Benzopyrancarboxamide derivatives, salt thereof, process for the preparation of same and use thereof |
Legal Events
| Date | Code | Title | Description |
|---|---|---|---|
| AK | Designated states |
Designated state(s): GB JP US |
|
| AL | Designated countries for regional patents |
Designated state(s): CH DE FR GB NL |














































