USRE46171E1 - Functional biopolymer modification reagents and uses thereof - Google Patents
Functional biopolymer modification reagents and uses thereof Download PDFInfo
- Publication number
- USRE46171E1 USRE46171E1 US13/491,563 US201213491563A USRE46171E US RE46171 E1 USRE46171 E1 US RE46171E1 US 201213491563 A US201213491563 A US 201213491563A US RE46171 E USRE46171 E US RE46171E
- Authority
- US
- United States
- Prior art keywords
- group
- oligonucleotide
- hydrazino
- modified
- oxyamino
- Prior art date
- Legal status (The legal status is an assumption and is not a legal conclusion. Google has not performed a legal analysis and makes no representation as to the accuracy of the status listed.)
- Expired - Lifetime, expires
Links
- 0 CC*(C)CC Chemical compound CC*(C)CC 0.000 description 9
- OZXPCIMUHCYYFC-UHFFFAOYSA-N CC(C)(C)CCCC(CCC(C)(C)C)CCC(C)(C)C.[H]N(CCCCCCC(C)(C)C)C(=O)C(CCCCC(C)(C)C)N([H])C(=O)C1=CC=C(C(C)(C)C)C=C1 Chemical compound CC(C)(C)CCCC(CCC(C)(C)C)CCC(C)(C)C.[H]N(CCCCCCC(C)(C)C)C(=O)C(CCCCC(C)(C)C)N([H])C(=O)C1=CC=C(C(C)(C)C)C=C1 OZXPCIMUHCYYFC-UHFFFAOYSA-N 0.000 description 2
- VLJXXKKOSFGPHI-UHFFFAOYSA-N CCCC(C)CC Chemical compound CCCC(C)CC VLJXXKKOSFGPHI-UHFFFAOYSA-N 0.000 description 2
- CRCXMLPNPZJMSM-UHFFFAOYSA-N [H]N(CCCCCCC(C)(C)C)C(=O)C1=CN=C(C(C)(C)C)C=C1 Chemical compound [H]N(CCCCCCC(C)(C)C)C(=O)C1=CN=C(C(C)(C)C)C=C1 CRCXMLPNPZJMSM-UHFFFAOYSA-N 0.000 description 2
- CZBKMRXNBAMTFH-UHFFFAOYSA-N CC(=O)C1=CN=C(NN=C(C)C)C=C1 Chemical compound CC(=O)C1=CN=C(NN=C(C)C)C=C1 CZBKMRXNBAMTFH-UHFFFAOYSA-N 0.000 description 1
- LAKQVIQIVZADQE-UHFFFAOYSA-N CC(=O)C1=CN=C(ON=C(C)C)C=C1 Chemical compound CC(=O)C1=CN=C(ON=C(C)C)C=C1 LAKQVIQIVZADQE-UHFFFAOYSA-N 0.000 description 1
- WIOTXHSHQMHVHV-HSPNERQOSA-N COC=N.[3H]OC.[3H]OC.[H]N(CC#CC1=CN(C2CC(OP(OCC[N+]#[C-])N(C(C)C)C(C)C)C(C[2H])O2)C(=O)N=C1NC(=O)C1=CC=CC=C1)C(=O)C1=CC=C(OC)C=C1.[H]N(F)C1=CC=C(C(=O)N([H])CC#CC2=CN(C3CC(OP(OCC[N+]#[C-])N(C(C)C)C(C)C)C(C[2H])O3)C(=O)N=C2NC(=O)C2=CC=CC=C2)C=N1 Chemical compound COC=N.[3H]OC.[3H]OC.[H]N(CC#CC1=CN(C2CC(OP(OCC[N+]#[C-])N(C(C)C)C(C)C)C(C[2H])O2)C(=O)N=C1NC(=O)C1=CC=CC=C1)C(=O)C1=CC=C(OC)C=C1.[H]N(F)C1=CC=C(C(=O)N([H])CC#CC2=CN(C3CC(OP(OCC[N+]#[C-])N(C(C)C)C(C)C)C(C[2H])O3)C(=O)N=C2NC(=O)C2=CC=CC=C2)C=N1 WIOTXHSHQMHVHV-HSPNERQOSA-N 0.000 description 1
- WZMNMHDRURIIAB-UHFFFAOYSA-M CP(=O)([O-])OCCC(CCCN)CCNN.[H]N(C)C1=CC=C(C(=O)N([H])C(CCCCC)C(=O)N([H])CCCCCCOP(C)(=[O-])O)C=C1 Chemical compound CP(=O)([O-])OCCC(CCCN)CCNN.[H]N(C)C1=CC=C(C(=O)N([H])C(CCCCC)C(=O)N([H])CCCCCCOP(C)(=[O-])O)C=C1 WZMNMHDRURIIAB-UHFFFAOYSA-M 0.000 description 1
- WUADPRWOCVXLEP-FYFYMZLNSA-N [3H]C[2H]NNCCC(CCCNFCOC)CCOP(OCC[N+]#[C-])N(C(C)C)C(C)C.[H]N(CCCCCCOP(C)OCCC#N)C(=O)C(CCCCC)N([H])C(=O)C1=CC=C(N([H])N[2H]C[3H])C=C1 Chemical compound [3H]C[2H]NNCCC(CCCNFCOC)CCOP(OCC[N+]#[C-])N(C(C)C)C(C)C.[H]N(CCCCCCOP(C)OCCC#N)C(=O)C(CCCCC)N([H])C(=O)C1=CC=C(N([H])N[2H]C[3H])C=C1 WUADPRWOCVXLEP-FYFYMZLNSA-N 0.000 description 1
- WAOJVFYZZUDORJ-UHFFFAOYSA-L [H]N(CC#CC1=CN(C2CC(OP(C)(=O)[O-])C(COC)O2)C(=O)N=C1N)C(=O)C1=CC=C(OC)C=C1.[H]N(N)C1=CC=C(C(=O)N([H])CC#CC2=CN(C3CC(OP(C)(=O)[O-])C(COC)O3)C(=O)N=C2N)C=N1 Chemical compound [H]N(CC#CC1=CN(C2CC(OP(C)(=O)[O-])C(COC)O2)C(=O)N=C1N)C(=O)C1=CC=C(OC)C=C1.[H]N(N)C1=CC=C(C(=O)N([H])CC#CC2=CN(C3CC(OP(C)(=O)[O-])C(COC)O3)C(=O)N=C2N)C=N1 WAOJVFYZZUDORJ-UHFFFAOYSA-L 0.000 description 1
- NXVWWGGRHMAPCC-UHFFFAOYSA-N [H]N(CCCC)C(=O)C1=CC=C(NN)N=C1 Chemical compound [H]N(CCCC)C(=O)C1=CC=C(NN)N=C1 NXVWWGGRHMAPCC-UHFFFAOYSA-N 0.000 description 1
- BDVMPGDOBPYSIW-UHFFFAOYSA-N [H]N(CCCCCCC(C)(C)C)C(=O)C1=CC=C(C(C)(C)C)C=C1 Chemical compound [H]N(CCCCCCC(C)(C)C)C(=O)C1=CC=C(C(C)(C)C)C=C1 BDVMPGDOBPYSIW-UHFFFAOYSA-N 0.000 description 1
- DONXRSOPWTZNFI-UHFFFAOYSA-I [H]N(CCCCCCOP(C)(=O)[O-])C(=O)C1=CC=C(C(C)=O)C=C1.[H]N(CCCCCCOP(C)(=O)[O-])C(=O)C1=CC=C(C=O)C=C1.[H]N(CCCCCCOP(C)(=O)[O-])C(=O)C1=CN=C(NN)C=C1.[H]N(CCCCCCOP(C)(=O)[O-])C(=O)C1=CN=C(ON)C=C1.[H]N(CCCCCCOP(C)(=O)[O-])C(=O)CCC(C)=O Chemical compound [H]N(CCCCCCOP(C)(=O)[O-])C(=O)C1=CC=C(C(C)=O)C=C1.[H]N(CCCCCCOP(C)(=O)[O-])C(=O)C1=CC=C(C=O)C=C1.[H]N(CCCCCCOP(C)(=O)[O-])C(=O)C1=CN=C(NN)C=C1.[H]N(CCCCCCOP(C)(=O)[O-])C(=O)C1=CN=C(ON)C=C1.[H]N(CCCCCCOP(C)(=O)[O-])C(=O)CCC(C)=O DONXRSOPWTZNFI-UHFFFAOYSA-I 0.000 description 1
- GUCYXLXHEAYFTH-UHFFFAOYSA-N [H]N(CCCCCCOP(C)OCC[N+]#[C-])C(=O)C1=CC=C(C)C=C1.[H]N(CCCCCCOP(C)OCC[N+]#[C-])C(=O)C1=CC=C(C=O)C=C1.[H]N(CCCCCCOP(C)OCC[N+]#[C-])C(=O)CCC(C)=O Chemical compound [H]N(CCCCCCOP(C)OCC[N+]#[C-])C(=O)C1=CC=C(C)C=C1.[H]N(CCCCCCOP(C)OCC[N+]#[C-])C(=O)C1=CC=C(C=O)C=C1.[H]N(CCCCCCOP(C)OCC[N+]#[C-])C(=O)CCC(C)=O GUCYXLXHEAYFTH-UHFFFAOYSA-N 0.000 description 1
- ZDKWZTJRMWCHDE-UHFFFAOYSA-N [H]N(CCCCCCOP(OCC[N+]#[C-])N(C(C)C)C(C)C)C(=O)C1=CN=C(C)C=C1 Chemical compound [H]N(CCCCCCOP(OCC[N+]#[C-])N(C(C)C)C(C)C)C(=O)C1=CN=C(C)C=C1 ZDKWZTJRMWCHDE-UHFFFAOYSA-N 0.000 description 1
- HRAYDGRGLATOKB-JZNHWAGWSA-N [H]N(CCCCCCOP(OCC[N+]#[C-])N(C(C)C)C(C)C)C(=O)C1=CN=C(NN[2H]C[3H])C=C1.[H]N(CCCCCCOP(OCC[N+]#[C-])N(C(C)C)C(C)C)C(=S)N([H])NFCOC Chemical compound [H]N(CCCCCCOP(OCC[N+]#[C-])N(C(C)C)C(C)C)C(=O)C1=CN=C(NN[2H]C[3H])C=C1.[H]N(CCCCCCOP(OCC[N+]#[C-])N(C(C)C)C(C)C)C(=S)N([H])NFCOC HRAYDGRGLATOKB-JZNHWAGWSA-N 0.000 description 1
- NHIDPNCLQXSRDN-UHFFFAOYSA-N [H]N(CCSC)C(=O)C1=CC=C(NN)N=C1 Chemical compound [H]N(CCSC)C(=O)C1=CC=C(NN)N=C1 NHIDPNCLQXSRDN-UHFFFAOYSA-N 0.000 description 1
Images
Classifications
-
- C—CHEMISTRY; METALLURGY
- C08—ORGANIC MACROMOLECULAR COMPOUNDS; THEIR PREPARATION OR CHEMICAL WORKING-UP; COMPOSITIONS BASED THEREON
- C08G—MACROMOLECULAR COMPOUNDS OBTAINED OTHERWISE THAN BY REACTIONS ONLY INVOLVING UNSATURATED CARBON-TO-CARBON BONDS
- C08G65/00—Macromolecular compounds obtained by reactions forming an ether link in the main chain of the macromolecule
- C08G65/02—Macromolecular compounds obtained by reactions forming an ether link in the main chain of the macromolecule from cyclic ethers by opening of the heterocyclic ring
- C08G65/32—Polymers modified by chemical after-treatment
- C08G65/329—Polymers modified by chemical after-treatment with organic compounds
-
- A61K47/4823—
-
- A61K47/48238—
-
- A61K47/48284—
-
- A61K47/48315—
-
- A—HUMAN NECESSITIES
- A61—MEDICAL OR VETERINARY SCIENCE; HYGIENE
- A61K—PREPARATIONS FOR MEDICAL, DENTAL OR TOILETRY PURPOSES
- A61K47/00—Medicinal preparations characterised by the non-active ingredients used, e.g. carriers or inert additives; Targeting or modifying agents chemically bound to the active ingredient
- A61K47/50—Medicinal preparations characterised by the non-active ingredients used, e.g. carriers or inert additives; Targeting or modifying agents chemically bound to the active ingredient the non-active ingredient being chemically bound to the active ingredient, e.g. polymer-drug conjugates
- A61K47/51—Medicinal preparations characterised by the non-active ingredients used, e.g. carriers or inert additives; Targeting or modifying agents chemically bound to the active ingredient the non-active ingredient being chemically bound to the active ingredient, e.g. polymer-drug conjugates the non-active ingredient being a modifying agent
- A61K47/56—Medicinal preparations characterised by the non-active ingredients used, e.g. carriers or inert additives; Targeting or modifying agents chemically bound to the active ingredient the non-active ingredient being chemically bound to the active ingredient, e.g. polymer-drug conjugates the non-active ingredient being a modifying agent the modifying agent being an organic macromolecular compound, e.g. an oligomeric, polymeric or dendrimeric molecule
- A61K47/61—Medicinal preparations characterised by the non-active ingredients used, e.g. carriers or inert additives; Targeting or modifying agents chemically bound to the active ingredient the non-active ingredient being chemically bound to the active ingredient, e.g. polymer-drug conjugates the non-active ingredient being a modifying agent the modifying agent being an organic macromolecular compound, e.g. an oligomeric, polymeric or dendrimeric molecule the organic macromolecular compound being a polysaccharide or a derivative thereof
-
- A—HUMAN NECESSITIES
- A61—MEDICAL OR VETERINARY SCIENCE; HYGIENE
- A61K—PREPARATIONS FOR MEDICAL, DENTAL OR TOILETRY PURPOSES
- A61K47/00—Medicinal preparations characterised by the non-active ingredients used, e.g. carriers or inert additives; Targeting or modifying agents chemically bound to the active ingredient
- A61K47/50—Medicinal preparations characterised by the non-active ingredients used, e.g. carriers or inert additives; Targeting or modifying agents chemically bound to the active ingredient the non-active ingredient being chemically bound to the active ingredient, e.g. polymer-drug conjugates
- A61K47/51—Medicinal preparations characterised by the non-active ingredients used, e.g. carriers or inert additives; Targeting or modifying agents chemically bound to the active ingredient the non-active ingredient being chemically bound to the active ingredient, e.g. polymer-drug conjugates the non-active ingredient being a modifying agent
- A61K47/62—Medicinal preparations characterised by the non-active ingredients used, e.g. carriers or inert additives; Targeting or modifying agents chemically bound to the active ingredient the non-active ingredient being chemically bound to the active ingredient, e.g. polymer-drug conjugates the non-active ingredient being a modifying agent the modifying agent being a protein, peptide or polyamino acid
-
- A—HUMAN NECESSITIES
- A61—MEDICAL OR VETERINARY SCIENCE; HYGIENE
- A61K—PREPARATIONS FOR MEDICAL, DENTAL OR TOILETRY PURPOSES
- A61K47/00—Medicinal preparations characterised by the non-active ingredients used, e.g. carriers or inert additives; Targeting or modifying agents chemically bound to the active ingredient
- A61K47/50—Medicinal preparations characterised by the non-active ingredients used, e.g. carriers or inert additives; Targeting or modifying agents chemically bound to the active ingredient the non-active ingredient being chemically bound to the active ingredient, e.g. polymer-drug conjugates
- A61K47/51—Medicinal preparations characterised by the non-active ingredients used, e.g. carriers or inert additives; Targeting or modifying agents chemically bound to the active ingredient the non-active ingredient being chemically bound to the active ingredient, e.g. polymer-drug conjugates the non-active ingredient being a modifying agent
- A61K47/62—Medicinal preparations characterised by the non-active ingredients used, e.g. carriers or inert additives; Targeting or modifying agents chemically bound to the active ingredient the non-active ingredient being chemically bound to the active ingredient, e.g. polymer-drug conjugates the non-active ingredient being a modifying agent the modifying agent being a protein, peptide or polyamino acid
- A61K47/64—Drug-peptide, drug-protein or drug-polyamino acid conjugates, i.e. the modifying agent being a peptide, protein or polyamino acid which is covalently bonded or complexed to a therapeutically active agent
- A61K47/643—Albumins, e.g. HSA, BSA, ovalbumin or a Keyhole Limpet Hemocyanin [KHL]
-
- A—HUMAN NECESSITIES
- A61—MEDICAL OR VETERINARY SCIENCE; HYGIENE
- A61K—PREPARATIONS FOR MEDICAL, DENTAL OR TOILETRY PURPOSES
- A61K47/00—Medicinal preparations characterised by the non-active ingredients used, e.g. carriers or inert additives; Targeting or modifying agents chemically bound to the active ingredient
- A61K47/50—Medicinal preparations characterised by the non-active ingredients used, e.g. carriers or inert additives; Targeting or modifying agents chemically bound to the active ingredient the non-active ingredient being chemically bound to the active ingredient, e.g. polymer-drug conjugates
- A61K47/51—Medicinal preparations characterised by the non-active ingredients used, e.g. carriers or inert additives; Targeting or modifying agents chemically bound to the active ingredient the non-active ingredient being chemically bound to the active ingredient, e.g. polymer-drug conjugates the non-active ingredient being a modifying agent
- A61K47/62—Medicinal preparations characterised by the non-active ingredients used, e.g. carriers or inert additives; Targeting or modifying agents chemically bound to the active ingredient the non-active ingredient being chemically bound to the active ingredient, e.g. polymer-drug conjugates the non-active ingredient being a modifying agent the modifying agent being a protein, peptide or polyamino acid
- A61K47/64—Drug-peptide, drug-protein or drug-polyamino acid conjugates, i.e. the modifying agent being a peptide, protein or polyamino acid which is covalently bonded or complexed to a therapeutically active agent
- A61K47/645—Polycationic or polyanionic oligopeptides, polypeptides or polyamino acids, e.g. polylysine, polyarginine, polyglutamic acid or peptide TAT
-
- A—HUMAN NECESSITIES
- A61—MEDICAL OR VETERINARY SCIENCE; HYGIENE
- A61K—PREPARATIONS FOR MEDICAL, DENTAL OR TOILETRY PURPOSES
- A61K47/00—Medicinal preparations characterised by the non-active ingredients used, e.g. carriers or inert additives; Targeting or modifying agents chemically bound to the active ingredient
- A61K47/50—Medicinal preparations characterised by the non-active ingredients used, e.g. carriers or inert additives; Targeting or modifying agents chemically bound to the active ingredient the non-active ingredient being chemically bound to the active ingredient, e.g. polymer-drug conjugates
- A61K47/51—Medicinal preparations characterised by the non-active ingredients used, e.g. carriers or inert additives; Targeting or modifying agents chemically bound to the active ingredient the non-active ingredient being chemically bound to the active ingredient, e.g. polymer-drug conjugates the non-active ingredient being a modifying agent
- A61K47/68—Medicinal preparations characterised by the non-active ingredients used, e.g. carriers or inert additives; Targeting or modifying agents chemically bound to the active ingredient the non-active ingredient being chemically bound to the active ingredient, e.g. polymer-drug conjugates the non-active ingredient being a modifying agent the modifying agent being an antibody, an immunoglobulin or a fragment thereof, e.g. an Fc-fragment
- A61K47/6801—Drug-antibody or immunoglobulin conjugates defined by the pharmacologically or therapeutically active agent
-
- C—CHEMISTRY; METALLURGY
- C07—ORGANIC CHEMISTRY
- C07F—ACYCLIC, CARBOCYCLIC OR HETEROCYCLIC COMPOUNDS CONTAINING ELEMENTS OTHER THAN CARBON, HYDROGEN, HALOGEN, OXYGEN, NITROGEN, SULFUR, SELENIUM OR TELLURIUM
- C07F7/00—Compounds containing elements of Groups 4 or 14 of the Periodic Table
- C07F7/02—Silicon compounds
- C07F7/08—Compounds having one or more C—Si linkages
- C07F7/18—Compounds having one or more C—Si linkages as well as one or more C—O—Si linkages
- C07F7/1804—Compounds having Si-O-C linkages
-
- C—CHEMISTRY; METALLURGY
- C07—ORGANIC CHEMISTRY
- C07F—ACYCLIC, CARBOCYCLIC OR HETEROCYCLIC COMPOUNDS CONTAINING ELEMENTS OTHER THAN CARBON, HYDROGEN, HALOGEN, OXYGEN, NITROGEN, SULFUR, SELENIUM OR TELLURIUM
- C07F9/00—Compounds containing elements of Groups 5 or 15 of the Periodic Table
- C07F9/02—Phosphorus compounds
- C07F9/547—Heterocyclic compounds, e.g. containing phosphorus as a ring hetero atom
- C07F9/553—Heterocyclic compounds, e.g. containing phosphorus as a ring hetero atom having one nitrogen atom as the only ring hetero atom
- C07F9/576—Six-membered rings
- C07F9/58—Pyridine rings
-
- A61K47/48376—
-
- C—CHEMISTRY; METALLURGY
- C04—CEMENTS; CONCRETE; ARTIFICIAL STONE; CERAMICS; REFRACTORIES
- C04B—LIME, MAGNESIA; SLAG; CEMENTS; COMPOSITIONS THEREOF, e.g. MORTARS, CONCRETE OR LIKE BUILDING MATERIALS; ARTIFICIAL STONE; CERAMICS; REFRACTORIES; TREATMENT OF NATURAL STONE
- C04B35/00—Shaped ceramic products characterised by their composition; Ceramics compositions; Processing powders of inorganic compounds preparatory to the manufacturing of ceramic products
- C04B35/622—Forming processes; Processing powders of inorganic compounds preparatory to the manufacturing of ceramic products
- C04B35/626—Preparing or treating the powders individually or as batches ; preparing or treating macroscopic reinforcing agents for ceramic products, e.g. fibres; mechanical aspects section B
- C04B35/63—Preparing or treating the powders individually or as batches ; preparing or treating macroscopic reinforcing agents for ceramic products, e.g. fibres; mechanical aspects section B using additives specially adapted for forming the products, e.g.. binder binders
- C04B35/632—Organic additives
-
- C—CHEMISTRY; METALLURGY
- C07—ORGANIC CHEMISTRY
- C07D—HETEROCYCLIC COMPOUNDS
- C07D207/00—Heterocyclic compounds containing five-membered rings not condensed with other rings, with one nitrogen atom as the only ring hetero atom
- C07D207/02—Heterocyclic compounds containing five-membered rings not condensed with other rings, with one nitrogen atom as the only ring hetero atom with only hydrogen or carbon atoms directly attached to the ring nitrogen atom
- C07D207/44—Heterocyclic compounds containing five-membered rings not condensed with other rings, with one nitrogen atom as the only ring hetero atom with only hydrogen or carbon atoms directly attached to the ring nitrogen atom having three double bonds between ring members or between ring members and non-ring members
- C07D207/444—Heterocyclic compounds containing five-membered rings not condensed with other rings, with one nitrogen atom as the only ring hetero atom with only hydrogen or carbon atoms directly attached to the ring nitrogen atom having three double bonds between ring members or between ring members and non-ring members having two doubly-bound oxygen atoms directly attached in positions 2 and 5
- C07D207/448—Heterocyclic compounds containing five-membered rings not condensed with other rings, with one nitrogen atom as the only ring hetero atom with only hydrogen or carbon atoms directly attached to the ring nitrogen atom having three double bonds between ring members or between ring members and non-ring members having two doubly-bound oxygen atoms directly attached in positions 2 and 5 with only hydrogen atoms or radicals containing only hydrogen and carbon atoms directly attached to other ring carbon atoms, e.g. maleimide
- C07D207/452—Heterocyclic compounds containing five-membered rings not condensed with other rings, with one nitrogen atom as the only ring hetero atom with only hydrogen or carbon atoms directly attached to the ring nitrogen atom having three double bonds between ring members or between ring members and non-ring members having two doubly-bound oxygen atoms directly attached in positions 2 and 5 with only hydrogen atoms or radicals containing only hydrogen and carbon atoms directly attached to other ring carbon atoms, e.g. maleimide with hydrocarbon radicals, substituted by hetero atoms, directly attached to the ring nitrogen atom
-
- C—CHEMISTRY; METALLURGY
- C07—ORGANIC CHEMISTRY
- C07D—HETEROCYCLIC COMPOUNDS
- C07D207/00—Heterocyclic compounds containing five-membered rings not condensed with other rings, with one nitrogen atom as the only ring hetero atom
- C07D207/46—Heterocyclic compounds containing five-membered rings not condensed with other rings, with one nitrogen atom as the only ring hetero atom with hetero atoms directly attached to the ring nitrogen atom
-
- C—CHEMISTRY; METALLURGY
- C07—ORGANIC CHEMISTRY
- C07D—HETEROCYCLIC COMPOUNDS
- C07D213/00—Heterocyclic compounds containing six-membered rings, not condensed with other rings, with one nitrogen atom as the only ring hetero atom and three or more double bonds between ring members or between ring members and non-ring members
- C07D213/02—Heterocyclic compounds containing six-membered rings, not condensed with other rings, with one nitrogen atom as the only ring hetero atom and three or more double bonds between ring members or between ring members and non-ring members having three double bonds between ring members or between ring members and non-ring members
- C07D213/04—Heterocyclic compounds containing six-membered rings, not condensed with other rings, with one nitrogen atom as the only ring hetero atom and three or more double bonds between ring members or between ring members and non-ring members having three double bonds between ring members or between ring members and non-ring members having no bond between the ring nitrogen atom and a non-ring member or having only hydrogen or carbon atoms directly attached to the ring nitrogen atom
- C07D213/60—Heterocyclic compounds containing six-membered rings, not condensed with other rings, with one nitrogen atom as the only ring hetero atom and three or more double bonds between ring members or between ring members and non-ring members having three double bonds between ring members or between ring members and non-ring members having no bond between the ring nitrogen atom and a non-ring member or having only hydrogen or carbon atoms directly attached to the ring nitrogen atom with hetero atoms or with carbon atoms having three bonds to hetero atoms with at the most one bond to halogen, e.g. ester or nitrile radicals, directly attached to ring carbon atoms
- C07D213/78—Carbon atoms having three bonds to hetero atoms, with at the most one bond to halogen, e.g. ester or nitrile radicals
- C07D213/81—Amides; Imides
- C07D213/82—Amides; Imides in position 3
-
- C—CHEMISTRY; METALLURGY
- C07—ORGANIC CHEMISTRY
- C07D—HETEROCYCLIC COMPOUNDS
- C07D401/00—Heterocyclic compounds containing two or more hetero rings, having nitrogen atoms as the only ring hetero atoms, at least one ring being a six-membered ring with only one nitrogen atom
- C07D401/02—Heterocyclic compounds containing two or more hetero rings, having nitrogen atoms as the only ring hetero atoms, at least one ring being a six-membered ring with only one nitrogen atom containing two hetero rings
- C07D401/12—Heterocyclic compounds containing two or more hetero rings, having nitrogen atoms as the only ring hetero atoms, at least one ring being a six-membered ring with only one nitrogen atom containing two hetero rings linked by a chain containing hetero atoms as chain links
-
- C07F7/1836—
-
- C—CHEMISTRY; METALLURGY
- C07—ORGANIC CHEMISTRY
- C07F—ACYCLIC, CARBOCYCLIC OR HETEROCYCLIC COMPOUNDS CONTAINING ELEMENTS OTHER THAN CARBON, HYDROGEN, HALOGEN, OXYGEN, NITROGEN, SULFUR, SELENIUM OR TELLURIUM
- C07F9/00—Compounds containing elements of Groups 5 or 15 of the Periodic Table
- C07F9/02—Phosphorus compounds
- C07F9/06—Phosphorus compounds without P—C bonds
- C07F9/22—Amides of acids of phosphorus
- C07F9/24—Esteramides
- C07F9/2404—Esteramides the ester moiety containing a substituent or a structure which is considered as characteristic
- C07F9/2408—Esteramides the ester moiety containing a substituent or a structure which is considered as characteristic of hydroxyalkyl compounds
-
- C07F9/588—
-
- C—CHEMISTRY; METALLURGY
- C07—ORGANIC CHEMISTRY
- C07H—SUGARS; DERIVATIVES THEREOF; NUCLEOSIDES; NUCLEOTIDES; NUCLEIC ACIDS
- C07H21/00—Compounds containing two or more mononucleotide units having separate phosphate or polyphosphate groups linked by saccharide radicals of nucleoside groups, e.g. nucleic acids
Definitions
- the field of invention relates to the preparation reagents and methods for preparation of modified biopolymers, and to methods and reagents for preparing immobilized biopolymers and also for preparing conjugates of biopolymers.
- Oligonucleotides functionalized 3′, 5′ or internally with reactive moieties have been used for a variety of therapeutic and diagnostic purposes.
- modified oligonucleotides incorporating targeting moieties have been prepared to increase activity of antisense oligonucleotides for therapy.
- Functionalized or modified oligonucleotides have been prepared to permit conjugation to supports and also for preparation of conjugates.
- Functional groups that can be added directly to a growing oligonucleotide on a solid support include amines and thiols. Direct binding of amino or thiol-functionalized oligonucleotides to solid surfaces require that the surface be modified with a moiety that reacts directly with an amino or thiol function.
- the reactive moieties succinimidyl esters and maleimides have been used for this purpose. The coupling efficiency of these moieties suffers from their inherent instability and ease of hydrolysis (for maleimides and succinimidyl esters).
- Biotin monomers that can be added to the 5′-end of an oligonucleotide on a solid support have been described, as well as coupling of biotinylated oligonucleotides to surfaces and other molecules that have been modified to incorporate either avidin or streptavidin protein.
- This method is functional but requires the use of a protein that is expensive, may lead to non-specific binding, and has at most four biotin binding sites per molecule. Also, incorporation of large molecules on biotin reduces the binding affinity and the number of accessible binding sites on avidin.
- the density of oligonucleotide per mm 2 is limited due to the use of a protein having a molecular weight of about 14000.
- Table 1 lists the available reactive couples to bind oligonucleotides to solid surfaces.
- oligonucleotide it is an object herein to provide reagents and methods for immobilization of oligonucleotides on solid surfaces without the need for post-synthetic modification of the oligonucleotide. It is also an object herein to provide reagents and methods for synthesis of biopolymer conjugates, including oligonucleotide, protein, oligosaccharide, glycoprotein and/or protein nucleic acid (PNA) conjugates. A further object herein is to provide modified, immobilized or conjugated oligonucleotides.
- Reagents and methods for immobilization and conjugation of biopolymers, particularly oligonucleotides are provided.
- the reagents are bifunctional phosphorous-containing monomers that are incorporated into an oligonucleotide during standard solid phase synthesis.
- the resulting modified first component is then conjugated to a second component.
- the reagents possess a phosphorous based coupling group that can be coupled at the 5′ or 3′ terminus of an oligonucleotide, preferably at the 5′ terminus.
- the reagents can be incorporated at an internal position in the oligonucleotide, thus forming an oligonucleotide analog.
- the reagents provided herein also are useful as mass modification reagents in DNA sequencing (see, e.g., U.S. Pat. Nos. 6,074,823 and 5,547,835).
- the reagents can be incorporated into oligonucleotides for the accurate determination of base composition (Muddiman et al. (1997) Anal. Chem. 69:1543), and for the scoring of single nucleotide polymorphisms (SNPs) (Chen et al. (1999) Anal. Chem. 71:3118).
- the reagents also can be used to study the mechanisms by which ribozymes effect catalytic cleavage (Earnshaw et al.
- the reagents can be incorporated into antisense oligonucleotides to increase their resistance to enzymatic degradation (Verheijen et al. (2000) Bioorg. Med. Chem. Lett. 10:801), their overall potency (Flanagan et al. (1999) Proc. Natl. Acad. Sci. USA 96:3513) and the stability of their hybrids with the complementary RNA sequences (Compagno et al. (1999) J. Biol. Chem. 274:8191).
- Phosphorous based coupling groups for use in the reagents and methods herein are well known to those of skill in the art.
- the phosphorous based coupling groups include, but are not limited to, phosphoramidites, phosphonamidites, H-phosphonates and phosphotriesters.
- the phosphorous-based coupling group forms linking groups with the oligonucleotides.
- linking groups include, but are not limited to, phosphorodithioates, phosphorothioates, phosphoramidates, phosphonates, phosphodiesters, phosphotriesters, thiophosphoramidates, thionoalkylphosphonates, thionoalkylphosphotriesters or boranophosphates.
- Preferred phosphorous based coupling groups are phosphoramidites and preferred linking groups are phosphodiesters.
- ⁇ -cyanoethyl-N,N-diisopropylphosphoramidite groups can be used in the reagents and methods provided herein.
- the reagents also possess, in addition to the phosphorous based coupling group, a protected hydrazino, protected oxyamino (—O—NH 2 ), or carbonyl moiety for formation of a hydrazone or oxime linkage with an appropriately modified second component.
- the hydrazino moiety is an aliphatic, aromatic or heteroaromatic hydrazine, semicarbazide, carbazide, hydrazide, thiosemicarbazide, thiocarbazide, carbonic acid dihydrazine or hydrazine carboxylate (see, e.g., FIG. 1 ).
- the protecting groups are salts of the hydrazino or oxyamino group, including but not limited to, mineral acids salts, such as but not limited to hydrochlorides and sulfates, and salts of organic acids, such as but not limited to acetates, lactates, malates, tartrates, citrates, ascorbates, succinates, butyrates, valerates and fumarates, or any amino or hydrazino protecting group known to those of skill in the art (see, e.g., Greene et al. (1999) Protective Groups in Organic Synthesis (3rd Ed.) (J. Wiley Sons, Inc.)).
- the carbonyl moiety is any carbonyl containing group capable of forming a hydrazone or oxime linkage with one or more of the above hydrazino or oxyamino moieties.
- Preferred carbonyl moieties include aldehydes and ketones.
- the reagents provided herein also possess a group, such as a hydroxyl group or other group that provides a site for oligonucleotide synthesis.
- a hydroxyl group or other such group provides a site for continuing the oligonucleotide synthesis.
- the hydroxyl group of the reagent is preferably a primary alcohol or a functional equivalent thereof, including a free OH group or such group ppropriately protected for use in solid phase oligonucleotide synthesis.
- the hydroxyl group may be protected as the corresponding monomethoxytrityl (MMT) ether.
- the hydrazino or oxyamino group if present, is protected with a group that is orthogonal to an MMT ether (i.e., that is not removed under conditions where an MMT ether is cleaved, but is removed under conditions where an MMT ether is stable).
- Groups that are orthogonal to an MMT ether include, but are not limited to, carbamates, including 9-fluorenylmethoxycarbonyl (FMOC) carbamates.
- a phosphoramidite monomer containing two orthogonally-protected alcohols can be used in the oligonucleotide synthesis.
- One of the protecting groups is amenable to standard oligonucleotide synthesis.
- the orthogonal protecting group is removed to afford a free alcohol. Reaction of this alcohol with a reagent of formula (I) provides the desired hydrazino, oxyamino, or carbonyl modified oligonucleotide.
- the protecting group amenable to oligonucleotide synthesis is an MMT ether
- the other is a protecting group that is orthogonal to an MMT ether including, but not limited to, a carbonate such as an FMOC carbonate.
- Phosphoramidites containing two orthogonally-protected alcohols are commercially available (see, e.g., “Asymmetric Doubler Phosphoramidite”, Glen Research Corporation, Sterling, Va.).
- a hydroxyl-substituted nucleoside preferably possessing the hydroxy group on the nucleobase, is incorporated into the oligonucleotide during standard synthesis.
- the hydroxyl group is preferably protected with a group that is orthogonal to protecting groups amenable to oligonucleotide synthesis.
- groups include, but are not limited to, carbonates such as an FMOC carbonate.
- the protecting group is removed and the resulting free alcohol is reacted with a reagent of formula (I) to provide a hydrazino, oxyamino, or carbonyl modified oligonucleotide.
- the hydroxy substituted nucleoside is a 5′-(O-MMT)-5-substituted cytosine possessing an FMOC protected hydroxyl group on the 5-substituent.
- the reagents possess a protected amino or protected hydroxyl group, in addition to a protected hydrazino group or a protected oxyamino group, and a phosphorous based coupling group.
- the protected amino or protected hydroxyl group provides a site for conjugation of a second component.
- second components that do not possess substantial fluorescence in the absence of intercalation into a DNA double helix.
- the second component in this embodiment is preferably an ethidium bromide analog.
- the reagents for use in the methods provided herein have formula (I): P 1 -M-X or a derivative thereof, as defined herein, where P 1 is a phosphorous based coupling group, as defined herein; X is a protected hydrazino group, a protected oxyamino group, or a carbonyl derivative, where the protecting group is a salt or any amino or hydrazino protecting group known to those of skill in the art; and M is a divalent group having any combination of the following groups, which are combined in any order: arylene, heteroarylene, cycloalkylene, C(R 1 ) 2 , —C(R 1 ) ⁇ C(R 1 )—, >C ⁇ C(R 2 )(R 3 ), >C(R 2 )(R 3 ), —C ⁇ C—, O, S(A) a , P(D) b (R 1 ), P(D) b (ER 1 ), N(R 1 ),
- R 1 , R 2 , R 3 , R 4 , R 5 , R 6 , R 7 , R 8 , R 9 and R 10 can be substituted with one or more substituents each independently selected from Z, wherein Z is selected from alkyl, alkenyl, alkynyl, aryl, cycloalkyl, cycloalkenyl, hydroxy, S(O) h R 20 , NR 20 R 21 , COOR 20 , COR 20 , CONR 20 R 21 , OC(O)NR 20 R 21 , N(R 20 )C(O)R 21 , alkoxy, aryloxy, heteroaryl, heterocyclyl, heteroaralkoxy, heterocyclyloxy, aralkyl, aralkenyl, aralkynyl, heteroaralkyl, heteroaralkenyl, heteroaralkynyl, aralkoxy, heteroaralkoxy, alkoxycarbonyl, carbamoyl,
- the M group is not tetra(ethyleneoxy) (i.e., (CH 2 CH 2 O) 4 , TEG).
- X when X is a protected oxyamino group, it does not substitute the 2′, 3′ or 5′, particularly the 2′, position of a nucleoside, nucleotide, or analog thereof.
- the X group particularly when X is an aldehyde group, a protected hydrazine group, or a protected oxyamino group, the X group does not substitute the nucleobase of a nucleoside, nucleotide or analog thereof.
- the reagents for use in the methods provided herein have formula (VIII):
- L is a trivalent group having any combination of the following groups: arylene, heteroarylene, cycloalkylene, C(R 1 ) 2 , —C(R 1 ) ⁇ C(R 1 )—, —C ⁇ C—, O, S(A) a , P(D) b (R 1 ), P(D) b (GR 1 ), N(R 1 ), >N + (R 2 )(R 3 ), C(R 40 ) 2 , C(R 1 )(R 40 ), —C(R 40 ) ⁇ C(R 1 )—, —C(R 40 ) ⁇ C(R 40 )—, S(NR 40 ), P(D) b (R 40 ), P(D) b (GR 40 ), N(R 40 ) or C(G); where a is 0, 1 or 2; b is 0, 1, 2 or 3; A is O or NR 1 NR 1
- the reagents for use in the methods provided herein have formula (X): P 1 —S 1 —B 1 -M-X, or a derivative thereof, as defined herein, where P 1 , M and X are selected as above; S 1 is a ribose, a deoxyribose or a dideoxyribose; and B 1 is a nucleobase.
- P 1 is attached to the 3′-hydroxyl of S 1 .
- the 5′-hydroxyl group of S 1 is preferably protected with a group amenable to solid phase oligonucleotide synthesis, including, but not limited to, a monomethoxytrityl (MMT) or a dimethoxytrityl (DMT) group.
- MMT monomethoxytrityl
- DMT dimethoxytrityl
- the variable X in addition to the groups recited above, is selected from protected hydroxy or protected amino groups, where the protecting group is orthogonal to the protecting group on the 5′-hydroxyl of S 1 .
- orthogonal protecting groups include, but are not limited to, carbamates and carbonates, particularly 9-fluorenylmethoxycarbonyl (FMOC) carbamates and carbonates.
- the oligonucleotide analogs of formula (II) are selected with the proviso that if X is CHO, then M is not undecylenecarbonylaminomethylene (n-C 11 H 22 C(O)NHCH 2 ) or C 1-20 alkylene.
- the oligonucleotide analogs are of formula (II) where X is not an oxyamino or protected oxyamino group.
- the oligonucleotide analogs are of formula (II) where X is not a hydrazide (—C(O)—NHNH 2 ) group.
- the oligonucleotide analogs of formula (II) are selected with the proviso that if X is —NHNH 2 , then M is not —CH(CH 2 OH)(CH 2 ) 6 NHCO-5-pyrid-2-ylene. In other embodiments, the oligonucleotide analogs of formula (II) are selected with the proviso that P 2 is not a phosphoramidate group.
- X 1 also includes the free hydrazino and oxyamino groups resulting from deprotection.
- X 2 also includes the free amino or hydroxy group resulting from deprotection.
- oligonucleotide analogs of formula (XI) are provided:
- O 1 , P 2 , S 1 , B 1 , M and X are selected as above; and O 2 is an oligonucleotide, or analog thereof such as a PNA.
- X also includes the free hydrazino and oxyamino groups resulting from deprotection.
- oligonucleotide analogs are useful as antisense drugs, cis-elements acting as regulators of gene expression, and substrates for RNA binding proteins such as HIV-1 Rev and Tat (see, e.g., Agrawal (1999) Biochim. Biophys. Acta 1489: 53; Crooke (1999) Biochim. Biophys. Acta 1489:31; Gryaznov (1999) Biochim. Biophys. Acta 1489:131; and Morishita (2000) Nipp. Yakuri. Zass. 115:123).
- Oligonucleotides covalently immobilized on a solid surface are also provided.
- the oligonucleotides are of formula (II), (IX) or (XI), and are immobilized through a covalent hydrazone or oxime linkage.
- Solid surfaces for use in this embodiment are any know to those of skill in the art to be suitable for immobilization of biopolymers.
- the solid surface is modified to possess a hydrazino, oxyamino, or carbonyl group that is complementary to the hydrazino, oxyamino or carbonyl moiety of the oligonucleotide of formula (II), (IX) or (XI) for formation of a hydrazone or oxime linkage.
- the oligonucleotides are immobilized through a covalent hydrazone linkage.
- the immobilized oligonucleotides are useful for a variety of purposes known to those of skill in the art, including, but not limited to, diagnostic probe assays, DNA amplification by solid phase polymerase chain reactions (PCR), molecular computing (see, e.g., Adleman (1994) Science 266:1021-1024; Kari (1997) Mathematical Intelligencer 19:9-22; Frutos et al. (1997) Nucleic Acids Res. 25:4748; Smith et al. (1998) J. Comp. Biol. 5:255; Liu et al. (1998) J. Comp. Biol. 5:267; Frutos et al. (1998) J. Am. Chem. Soc.
- the immobilized oligonucleotides also can be used, for example, in PCR-based solid phase sequencing methods (Mustajoki et al. (1997) Genome Res. 7:1054). They also can be used to measure the interaction forces between single strands of DNA (Lee et al. (1994) Science 266:771), in solid phase-mediated transfection of oligonucleotides (Bielinska et al. (2000) J. Biomaterials 21:877), and in solid phase cloning to create libraries suitable for direct solid phase sequencing (Hultman et al. (1994) J. Biotechnol. 35:229).
- the immobilized oligonucleotides also can be used in DNA chip technology to create arrays of oligonucleotides, such as chips used to compare the qualitative and quantitative characteristics of gene expression profiles, mutations, insertions and deletions in normal and diseased states (De Benedetti et al. (2000) Int. J. Biol. Markers 15:1). They also can be used to identify and characterize the DNA binding site of DNA binding proteins (Roth et al. (1995) EMBO J. 14:2106; Carlsson et al. (1995) Anal. Biochem. 232:172).
- Immobilized oligonucleotides bound for example to Sephacryl S-500 particles via a CNBr-activation procedure can be used to assemble extended DNA duplexes by phosphorylation, and ligation and restriction enzyme digestion of assemblies of annealed oligonucleotides in solid phase (Hostomsky et al. (1987) Nucleic Acids Symp. Ser. 18:241).
- the immobilized oligonucleotides also can be used in PCR, RT-PCR (Kozwich et al. (2000) Appl. Environ. Microbiol. 66:2711; Blomqvist et al. (1999) J. Clin. Microbiol.
- the solid surface also can be modified to possess an epoxide, ⁇ -bromocarbonyl, maleimide, maleic anhydride, isothiocyanate or isocyanate group.
- Such solid surfaces can be prepared by methods provided herein or other methods well known to those of skill in the art. For example, reaction of pentafluorophenyl 4-isothiocyanatobenzoate with an amino or hydroxy solid surface results in formation of an isothiocyanato modified solid surface.
- Some of these surfaces are commercially available from, e.g., Pierce (Rockford, Ill.), SINTEF Applied Chemistry (Trondheim, Norway), Rapp Polymere Gmbh (Tubingen, Germany), and Dyno Particles AS (Trondheim, Norway). Reaction of the hydrazino or oxyamino group of the modified oligonucleotide with the epoxide, ⁇ -bromocarbonyl, maleimide, maleic anhydride, isothiocyanate or isocyanate group of the solid surface results in covalent attachment of the oligonucleotide to the solid surface.
- the immobilized oligonucleotides are selected such that the solid surface is not modified with an aldehyde or epoxide group.
- Oligonucleotide conjugates are provided.
- the conjugates are prepared from the modified oligonucleotides of formula (II), (IX) or (XI).
- the modified oligonucleotide of formula (II), (IX) or (XI) is reacted with a complementary derivative of a second component to form a hydrazone or oxime covalent linkage.
- Second components for use herein include, but are not limited to, biopolymers as defined herein, macromolecules as defined herein, polymers including, but not limited to, polyamines, polyamides, polyethers and polyethylene glycols, and other compounds of interest herein for use in assays, kits, diagnostic arrays, including, but not limited to, intercalators, vitamins, reporter molecules, cholesterols, phospholipids, biotin, phenazine, phenanthridine, anthraquinone, acridine, fluoresceins, rhodamines, coumarins, dyes, antibodies, haptens, antigens, enzymes, and detection reagents including, but not limited to, fluorophores, metals including, but not limited to, gold, metal chelates, chromophores, fluorophore precursors and chromophore precursors, that possess or are modified to possess a hydrazino, oxyamino or carbonyl group that is complementary
- Fluorophore precursors and chromophore precursors are compounds that react with the hydrazino, oxyamino or carbonyl group of the modified oligonucleotide to form a fluorogenic or chromogenic group for analysis. Such groups are preferred due to the absence of background noise in the resulting assay.
- Preferred conjugates include those containing a hydrazone linkage.
- the second component can be modified to possess an epoxide, ⁇ -bromocarbonyl, maleimide, maleic anhydride, isothiocyanate or isocyanate group.
- Such second components can be prepared by methods provided herein or by other methods well known to those of skill in the art. For example, reaction of pentafluorophenyl 4-isothiocyanatobenzoate with an amino or hydroxy group of a second component, such as a protein or oligosaccharide, results in formation of an isothiocyanato modified second component.
- Reaction of the hydrazine or oxyamino group of the modified oligonucleotide with the epoxide, ⁇ -bromocarbonyl, maleimide, maleic anhydride, isothiocyanate or isocyanate group of the second component results in covalent attachment of the oligonucleotide to the second component to form the conjugates provided herein.
- the oligonucleotide conjugates are selected with the proviso that the covalent linkage is not an acyl hydrazone (—C(O)NHNH ⁇ ).
- the oligonucleotide conjugates are prepared from modified oligonucleotides of formula (II) where P 2 is not a phosphoramidate.
- the oligonucleotide conjugates are selected with the proviso that the second component is not a protein, particularly a glycoprotein, more particularly an immunoglobulin.
- modified oligonucleotides provided herein also can be conjugated to ligands such as growth factors, membrane-active bacterial proteins and asialoglycoproteins as delivery strategies for antisense therapy and gene therapy (see, e.g., Perales et al. (1994) Eur. J. Biochem. 226:255; Cristiano et al. (1996) Cancer Gene Ther. 3:4; Hoganson et al. (1998) Hum. Gene Ther. 9:2565; Gottschalk et al. (1995) Gene Ther. 2:498; Lu et al. (1994) J. Nucl. Med. 35:269).
- ligands such as growth factors, membrane-active bacterial proteins and asialoglycoproteins
- Oligonucleotide-antigen conjugates can be used as immunomodulators in regulating airway eosinophilia in bronchial asthma (Shirota et al. (2000) J. Immunol. 164:5575). Oligonucleotide probes conjugated to fluorescent molecules are used in fluorescence in situ hybridization (FISH) for chromosome classification and the detection of chromosome aberrations (Pinkel et al. (1986) Proc. Natl. Acad. Sci. USA 83:2934). Oligonucleotide conjugates are also used to study the mechanics of DNA hybridization, and to investigate protein-DNA contacts of DNA binding proteins (Lannutti et al. (1996) Biochemistry 35:9821; Brown et al. (1997) Curr. Opin. Biotechnol. 8:45).
- FISH fluorescence in situ hybridization
- the immobilized oligonucleotides or oligonucleotide conjugates provided herein can be formed under aqueous conditions without the need for additional reagents, such as a reducing agent.
- hydrazino modified, oxyamino modified or carbonyl modified oligonucleotides of formula (II), (IX) or (XI) to appropriately modified surfaces, as described herein, are provided.
- the attachment is via a covalent hydrazone or oxime bond formed from the hydrazino, oxyamino, or carbonyl group of the modified oligonucleotide and a complementary carbonyl, oxyamino or hydrazino modified surface provided herein (see, FIG. 2 ).
- Methods for the conjugation of a first component oligonucleotide to second components including, but not limited to, biopolymers as defined herein, macromolecules as defined herein, polymers including, but not limited to, polyamines, polyamides, polyethers and polyethylene glycols, and other compounds of interest herein for use in assays, kits, diagnostic arrays, and the like, including, but not limited to, intercalators, vitamins, reporter molecules, cholesterols, phospholipids, biotin, phenazine, phenanthridine, anthraquinone, acridine, fluoresceins, rhodamines, coumarins, dyes, antibodies, haptens, antigens, enzymes, and detection reagents including, but not limited to, fluorophores, metals including, but not limited to, gold, metal chelates, chromophores, fluorophore precursors and chromophore precursors, that possess or are modified to possess a
- Fluorophore precursors and chromophore precursors are compounds that react with the hydrazino, oxyamino or carbonyl group of the modified oligonucleotide to form a fluorogenic or chromogenic group for analysis.
- methods for conjugation of a hydrazino, oxyamino, or carbonyl modified oligonucleotide of formula (II), (IX) or (XI) with an appropriately modified second component are provided.
- the conjugation is achieved through a covalent hydrazone or oxime bond formed from the hydrazino, oxyamino or carbonyl group of the modified oligonucleotide first component and a second component possessing a complementary carbonyl, oxyamino or hydrazino group.
- one, more preferably both, of the reactive partners are aromatic or heteroaromatic.
- the compounds of formula (I), (VIII) or (X) will be aryl or heteroaryl hydrazino or oxyamino derivatives, or aryl or heteroaryl carbonyl derivatives.
- the coupling partner e.g., the modified solid surface or the second component
- Hydrazone and oxime linkages formed from these preferred groups are more stable than the corresponding aliphatic hydrazone and oxime linkages, and thus are more preferred in certain applications.
- FIG. 1 illustrates hydrazino derivatives provided herein.
- FIG. 2 illustrates the immobilization of a hydrazino or oxyamino modified oligonucleotide on a carbonyl modified solid support.
- FIG. 3 shows the synthesis of a carbonyl (aldehyde) amidite monomer provided herein (see, Example 1).
- FIG. 4 illustrates incorporation of the aldehyde amidite monomer of FIG. 3 during oligonucleotide solid phase synthesis.
- FIG. 5 illustrates the synthesis of a hydrazone phosphoramidite monomer provided herein (see, Example 3).
- FIG. 6 illustrates the synthesis of a dimethoxytrityl (DMT)-protected hydrazino phophoramidite monomer provided herein (see, Example 4).
- DMT dimethoxytrityl
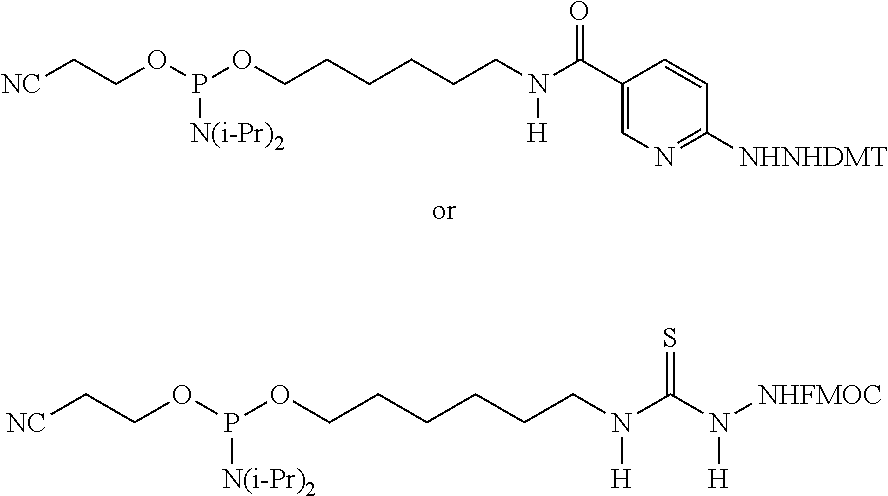
- FIG. 7 illustrates the synthesis of a 9-fluorenylmethoxycarbonyl (FMOC)-protected hydrazino phophoramidite monomer provided herein.
- FMOC 9-fluorenylmethoxycarbonyl
- FIG. 8 shows the synthesis of an aliphatic hydrazino amidite and the incorporation thereof into an oligonucleotide using solid phase synthetic techniques.
- FIG. 9 shows the synthesis of an aliphatic semicarbazido amidite and the incorporation thereof into an oligonucleotide using solid phase synthetic techniques.
- FIG. 10 shows the synthesis of an aliphatic thiosemicarbazido amidite and the incorporation thereof into an oligonucleotide using solid phase synthetic techniques.
- FIG. 11 illustrates the synthesis of a monomethoxytrityl (MMT) protected oxyamino phosphoramidite provided herein.
- MMT monomethoxytrityl
- FIG. 12 shows the modification of an oligosaccharide to incorporate a hydrazino group for conjugation to an aldehyde modified oligonucleotide.
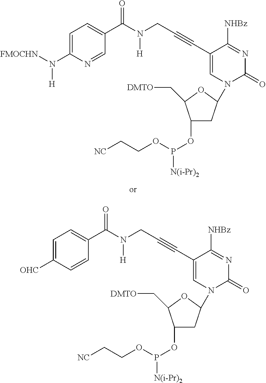
- FIG. 13 shows the synthesis of a fluorenylmethoxycarbonyl (FMOC)-protected hydrazino nucleoside amidite provided herein for incorporation at an internal position of an oligonucleotide.
- FMOC fluorenylmethoxycarbonyl
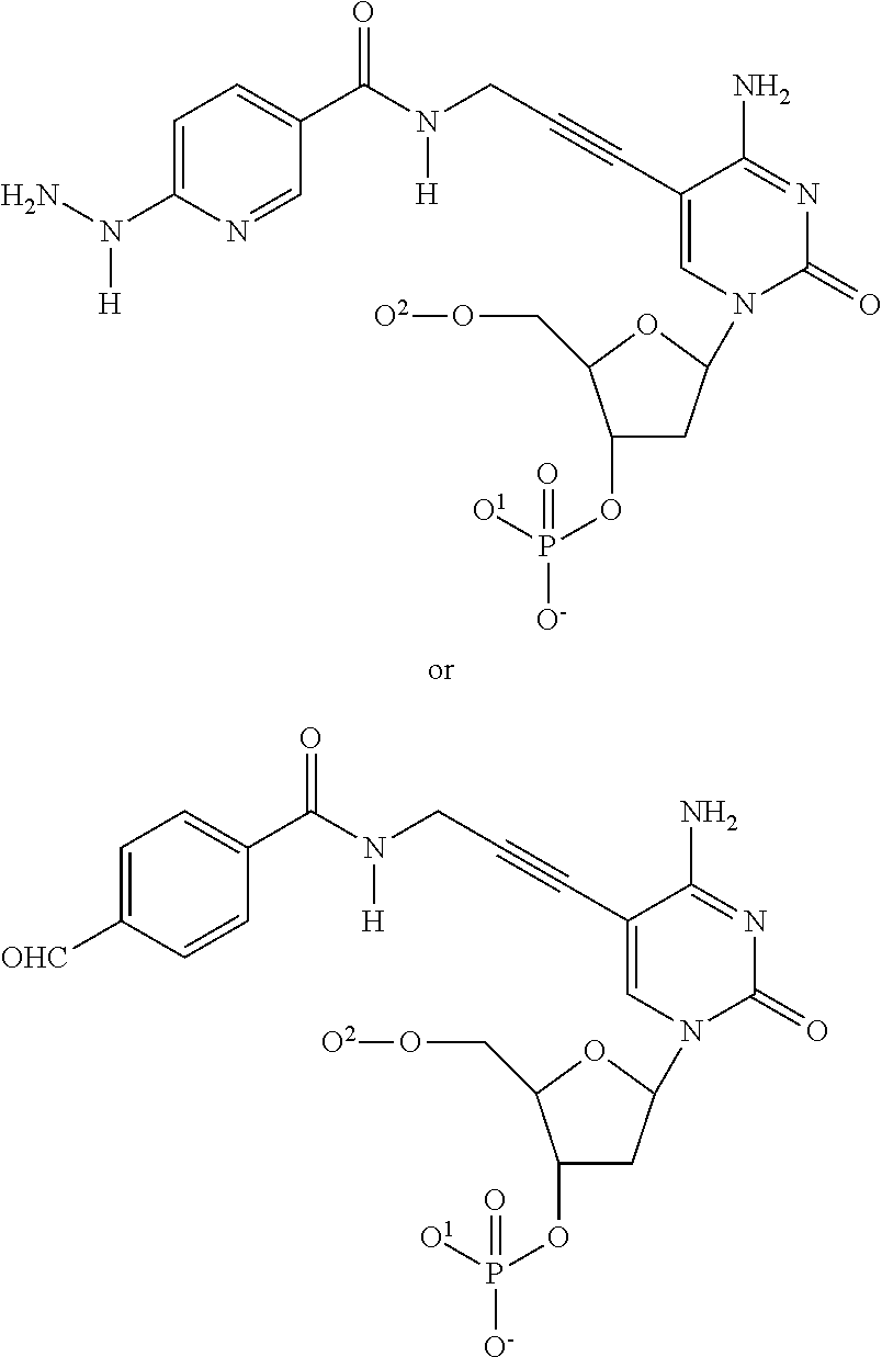
- FIG. 14 illustrates incorporation of the FMOC-protected hydrazino nucleoside amidite of FIG. 16 into an oligonucleotide during solid phase synthesis and cleavage of the hydrazino modified oligonucleotide from the solid surface.
- FIG. 15 illustrates the synthesis and incorporation of an aldehyde-substituted nucleoside amidite provided herein at an internal position of an oligonucleotide during solid phase synthesis and subsequent cleavage of the aldehyde modified oligonucleotide from the solid surface.
- FIG. 16 illustrates the formation of hydrazino beads, immobilization of the aldehyde modified oligonucleotide of FIG. 5 , and reaction of the immobilized oligonucleotide with its fluorescein modified complement 5′-fluorescein-cat ggc atc agt tac gct-3′.
- FIG. 17 illustrates the preparation of a carbonyl (e.g., aldehyde) modified solid surface and immobilization of a hydrazino modified oligonucleotide thereon.
- a carbonyl e.g., aldehyde
- FIG. 18 illustrates the preparation of a hydrazino modified solid surface and immobilization of a carbonyl (e.g., aldehyde) modified oligonucleotide thereon.
- a carbonyl e.g., aldehyde
- FIG. 19 shows the preparation of an isothiocyanato modified solid surface and conjugation of a hydrazino modified oligonuceotide thereto.
- FIG. 20 illustrates the immobilization of a hydrazino modified oligonucleotide onto an aldehyde modified solid surface.
- the hydrazino modified oligonucleotide e.g., modified SEQ ID NO:4
- a fluorescent modification reagent that, upon hybridization with a target oligonucleotide (e.g., SEQ ID NO:5), intercalates into the hybridized complex, leading to enhanced fluorescence.
- FIG. 21 illustrates the synthesis of a fluorophore containing hydrazino amidite.
- FIG. 22 shows the synthesis of an ethidium bromide derivative provided herein.
- hydrazino groups include, but are not limited to, hydrazines, hydrazides, semicarbazides, carbazides, thiosemicarbazides, thiocarbazides, hydrazine carboxylates and carbonic acid hydrazines (see, e.g., FIG. 1 ).
- hydrazone linkages include, but are not limited to, hydrazones, acyl hydrazones, semicarbazones, carbazones, thiosemicarbazones, thiocarbazones, hydrazone carboxylates and carbonic acid hydrazones.
- an oxyamino group has the formula —O—NH 2 .
- An oxime has the formula —O—N ⁇ R.
- a protected hydrazino or a protected oxyamino group refers to a hydrazino or oxyamino group that has been derivatized as a salt of the hydrazino or oxyamino group, including but not limited to, mineral acids salts, such as but not limited to hydrochlorides and sulfates, and salts of organic acids, such as but not limited to acetates, lactates, malates, tartrates, citrates, ascorbates, succinates, butyrates, valerates and fumarates; or with any amino or hydrazino protecting group known to those of skill in the art (see, e.g., Greene et al.
- amino and hydrazino protecting groups herein include, but are not limited to, amino or hydrazino protecting groups useful in the synthesis of oligonucleotides, more preferably monomethoxytrityl (MMT), dimethoxytrityl (DMT), 9-fluorenylmethoxycarbonyl (FMOC), acetyl, trifluoroacetyl, benzoyl, or a hydrazone or oxime that is cleaved under mild acidic conditions (e.g., 100 mM acetate, pH 4.5-5.5) including, but not limited to, a hydrazone or oxime formed from a lower aliphatic aldehyde or ketone, preferably from acetone, propanal, cyclohexanone or 2-butanone.
- mild acidic conditions e.g., 100 mM acetate, pH 4.5-5.5
- an oligonucleotide is a nucleic acid, including, but not limited to, a ribonucleic acid (RNA), a deoxyribonucleic acid (DNA), and analogs thereof such as a protein nucleic acid (PNA), of any length, including chromosomes and genomic material, such as PCR products or sequencing reaction products, preferably DNA including double and single stranded forms. Single stranded forms of the oligonucleotides are also provided.
- RNA ribonucleic acid
- DNA deoxyribonucleic acid
- PNA protein nucleic acid
- a conjugate is a compound containing two components covalently linked together.
- a first component e.g., an oligonucleotide
- a second component as defined herein, to form a conjugate.
- carbonyl derivatives include, but are not limited to, ketones and aldehydes.
- complementary reactive groups are those that, when reacted together, form a covalent linkage, including, but not limited to, a hydrazone or oxime linkage.
- a hydrazino group as defined herein, is complementary to a carbonyl derivative.
- An oxyamino group is also complementary to a carbonyl derivative.
- phosphorous based coupling group refers to any phosphorous-containing group known to those of skill in the art to be useful in oligonucleotide synthesis including, but not limited to, phosphorodithioate, phosphorothioate, phosphoramidate, phosphonate, phosphiodiester, phosphotriester, thiophosphoramidate, thionoalkylphosphonate, thionoalkylphosphotriester or boranophosphate.
- phosphoramidite, phosphonamide, H-phosphonate and phosphotriester chemistries have been developed for the stepwise solid phase synthesis of oligonucleotides (DNA or RNA) and modified analogs (i.e., 2′ modified RNA, methylphosphonates, 3′-5′ phosphoramidites, and phosophorothioates).
- All phosphorous based coupling groups known to those of skill in the art are contemplated for use in the reagents and methods provided herein. See, e.g., Glen Research Catalog of Products for DNA Research, Glen Reserach, Sterling, Va.
- Exemplary phosphorous based coupling groups herein include ⁇ -cyanoethyl-N,N-diisopropylphosphoramidites.
- a biopolymer is any compound found in nature, or derivatives thereof, made up of monomeric units.
- Biopolymers include, but are not limited to, oligonucleotides, peptides, peptide nucleic acids (PNAs), glycoproteins and oligosaccharides.
- the monomeric units include, but are not limited to, nucleotides, nucleosides, amino acids, PNA monomers, monosaccharides, and derivatives thereof.
- a macromolecule refers to a molecule of colloidal size (i.e., of high molecular weight), including, but not limited to, proteins, polynucleic acids, polysaccharides and carbohydrates.
- a reporter molecule refers to a molecule, such as an enzyme or indicator, which is capable of generating a detectable signal (e.g., by colorimetric, chemiluminescent, bioluminescent, fluorescent, or potentiometric means) when contacted with a suitable substrate under appropriate reaction conditions.
- exemplary reporter enzymes include, but are not limited to, alkaline phosphatase, horseradish peroxidase, ⁇ -galactosidase, aryl esterase, sulfatase and urease.
- a nucleobase is a heterocyclic moiety that is found in naturally occurring oligonucleotides, including ribonucleic acids (RNA) and deoxyribonucleic acids (DNA), and analogs thereof, including deaza analogs.
- Preferred nucleobases include, but are not limited to, cytosines, uracils, adenines, guanines and thymines, and analogs thereof including deaza analogs.
- a fluorophore refers to a fluorescent compound. Fluorescence is a physical process in which light is emitted from the compound following absorption of radiation. Generally, the emitted light is of lower energy and longer wavelength than that absorbed. Preferred fluorophores herein are those whose fluorescence can be detected using standard techniques.
- a derivative of a compound includes a salt, ester, enol ether, enol ester, solvate or hydrate thereof that can be prepared by those of skill in this art using known methods for such derivatization.
- Salts include, but are not limited to, amine salts, such as but not limited to N,N′-dibenzylethylenediamine, chloroprocaine, choline, ammonia, diethanolamine and other hydroxyalkylamines, ethylenediamine, N-methylglucamine, procaine, N-benzylphenethylamine, 1-para-chlorobenzyl-2-pyrrolidin-1′-ylmethylbenzimidazole, diethylamine and other alkylamines, piperazine and tris (hydroxymethyl)aminomethane; alkali metal salts, such as but not limited to lithium, potassium and sodium; alkali earth metal salts, such as but not limited to barium, calcium and magnesium; transition metal salts,
- Esters include, but are not limited to, alkyl, alkenyl, alkynyl, aryl, heteroaryl, aralkyl, heteroaralkyl, cycloalkyl and heterocyclyl esters of acidic groups, including, but not limited to, carboxylic acids, phosphoric acids, phosphinic acids, sulfonic acids, sulfuric acids and boronic acids.
- Enol ethers include, but are not limited to, derivatives of formula C ⁇ C(OR) where R is hydrogen, alkyl, alkenyl, alkynyl, aryl, heteroaryl, aralkyl, heteroaralkyl, cycloalkyl ar heterocyclyl.
- Enol esters include, but are not limited to, derivatives of formula C ⁇ C(OC(O)R) where R is hydrogen, alkyl, alkenyl, alkynyl, aryl, heteroaryl, aralkyl, heteroaralkyl, cycloalkyl ar heterocyclyl.
- Solvates and hydrates are complexes of a compound with one or more solvent or water molecule, preferably 1 to about 100, more preferably 1 to about 10, most preferably one to about 2, 3 or 4, solvent or water molecules.
- the compounds provided herein can contain chiral centers. Such chiral centers can be of either the (R) or (S) configuration, or can be a mixture thereof. Thus, the compounds provided herein may be enantiomerically pure, or be stereoisomeric or diastereomeric mixtures. In the case of amino acid residues, such residues may be of either the L- or D-form. The preferred configuration for naturally occurring amino acid residues is L.
- alkyl, alkenyl and alkynyl carbon chains contain from 1 to 20 carbons, preferably 1 to 16 carbons, and are straight or branched.
- Alkenyl carbon chains of from 2 to 20 carbons preferably contain 1 to 8 double bonds, and the alkenyl carbon chains of 1 to 16 carbons preferably contain 1 to 5 double bonds.
- Alkynyl carbon chains of from 2 to 20 carbons preferably contain 1 to 8 triple bonds, and the alkynyl carbon chains of 2 to 16 carbons preferably contain 1 to 5 triple bonds.
- alkyl, alkenyl and alkynyl groups herein include, but are not limited to, methyl, ethyl, propyl, isopropyl, isobutyl, n-butyl, sec-butyl, tert-butyl, isopentyl, neopentyl, tert-penytyl and isohexyl.
- the alkyl, alkenyl and alkynyl groups can be optionally substituted, with one or more groups, preferably alkyl group substituents that can be the same or different.
- lower alkyl, lower alkenyl, and lower alkynyl refer to carbon chains having less than about 6 carbons.
- alk(en)(yn)yl refers to an alkyl group containing at least one double bond and at least one triple bond.
- an “alkyl group substituent” includes halo, haloalkyl, preferably halo lower alkyl, aryl, hydroxy, alkoxy, aryloxy, alkyloxy, alkylthio, arylthio, aralkyloxy, aralkylthio, carboxy alkoxycarbonyl, oxo and cycloalkyl.
- aryl refers to cyclic groups containing from 5 to 19 carbon atoms.
- Aryl groups include, but are not limited to groups, such as fluorenyl, substituted fluorenyl, phenyl, substituted phenyl, naphthyl and substituted naphthyl, in which the substituent is lower alkyl, halogen, or lower alkoxy.
- an “aryl group substituent” includes alkyl, cycloalkyl, cycloalkylalkyl, aryl, heteroaryl optionally substituted with 1 or more, preferably 1 to 3, substituents selected from halo, halo alkyl and alkyl, aralkyl, heteroaralkyl, alkenyl containing 1 to 2 double bonds, alkynyl containing 1 to 2 triple bonds, alk(en)(yn)yl groups, halo, pseudohalo, cyano, hydroxy, haloalkyl and polyhaloalkyl, preferably halo lower alkyl, especially trifluoromethyl, formyl, alkylcarbonyl, arylcarbonyl that is optionally substituted with 1 or more, preferably 1 to 3, substituents selected from halo, halo alkyl and alkyl, heteroarylcarbonyl, carboxy, alkoxycarbonyl, aryloxycarbonyl, aminocarbonyl,
- aralkyl refers to an alkyl group in which one of the hydrogen atoms of the alkyl is replaced by an aryl group.
- heteroarylkyl refers to an alkyl group in which one of the hydrogen atoms of the alkyl is replaced by a heteroaryl group.
- cycloalkyl refers to a saturated mono- or multicyclic ring system, preferably of 3 to 10 carbon atoms, more preferably 3 to 6 carbon atoms; cycloalkenyl and cycloalkynyl refer to mono- or multicyclic ring systems that respectively include at least one double bond and at least one triple bond. Cycloalkenyl and cycloalkynyl groups can preferably contain 3 to 10 carbon atoms, with cycloalkenyl groups more preferably containing 4 to 7 carbon atoms and cycloalkynyl groups more preferably containing 8 to 10 carbon atoms.
- ring systems of the cycloalkyl, cycloalkenyl and cycloalkynyl groups can be composed of one ring or two or more rings which can be joined together in a fused, bridged or spiro-connected fashion, and can be optionally substituted with one or more alkyl group substituents.
- Cycloalk(en)(yn)yl refers to a cylcoalkyl group containing at least one double bond and at least one triple bond.
- heteroaryl refers to a monocyclic or multicyclic ring system, preferably of about 5 to about 15 members where one or more, more preferably 1 to 3 of the atoms in the ring system is a heteroatom, that is, an element other than carbon, for example, nitrogen, oxygen and sulfur atoms.
- the heteroaryl can be optionally substituted with one or more, preferably 1 to 3, aryl group substituents.
- the heteroaryl group can be optionally fused to a benzene ring.
- heteroaryl groups include, for example, furyl, imidazinyl, pyrrolidinyl, pyrimidinyl, tetrazolyl, thienyl, pyridyl, pyrrolyl, N-methylpyrrolyl, quinolinyl and isoquinolinyl, with pyridyl and quinolinyl being preferred.
- heterocyclic refers to a monocyclic or multicyclic ring system, preferably of 3 to 10 members, more preferably 4 to 7 members, even more preferably 5 to 6 members, where one or more, preferably 1 to 3 of the atoms in the ring system is a heteroatom, that is, an element other than carbon, for example, nitrogen, oxygen and sulfur atoms.
- the heterocycle can be optionally substituted with one or more, preferably 1 to 3 aryl group substituents.
- Preferred substituents of the heterocyclic group include hydroxy, amino, alkoxy containing 1 to 4 carbon atoms, halo lower alkyl, including trihalomethyl, such as trifluoromethyl, and halogen.
- the term heterocycle includes reference to heteroaryl.
- alkyl refers to saturated carbon chains that contain one or more carbons; the chains are straight or branched or include cyclic portions or be cyclic.
- alicyclic refers to aryl groups that are cyclic.
- haloalkyl includes one or more of the same or different halogens.
- C 1-3 alkoxyphenyl can include one or more of the same or different alkoxy groups containing one, two or three carbons.
- halogen or “halide” refers to F, Cl, Br or I.
- pseudohalides are compounds that behave substantially similar to halides. Such compounds can be used in the same manner and treated in the same manner as halides (X ⁇ , in which X is a halogen, such as Cl or Br).
- Pseudohalides include, but are not limited to, cyanide, cyanate, thiocyanate, selenocyanate, trifluoromethoxy, trifluoromethyl and azide.
- haloalkyl refers to a lower alkyl radical in which one or more of the hydrogen atoms are replaced by halogen including, but not limited to, chloromethyl, trifluoromethyl, 1-chloro-2-fluoroethyl and the like.
- haloalkoxy refers to RO— in which R is a haloalkyl group.
- sulfinyl or “thionyl” refers to —S(O)—.
- sulfonyl or “sulfuryl” refers to —S(O) 2 —.
- sulfo refers to —S(O) 3 —.
- Carboxy refers to a divalent radical, —C(O)O—.
- aminocarbonyl refers to —C(O)NH 2 .
- alkylaminocarbonyl refers to —C(O)NHR in which R is hydrogen or alkyl, preferably lower alkyl.
- dialkylaminocarbonyl refers to —C(O)NR′R in which R′ and R are independently selected from hydrogen or alkyl, preferably lower alkyl;
- carboxamide refers to groups of formula —NR′COR.
- diarylaminocarbonyl refers to —C(O)NRR′ in which R and R′ are independently selected from aryl, preferably lower aryl, more preferably phenyl.
- aralkylaminocarbonyl refers to —C(O)NRR′ in which one of R and R′ is aryl, preferably lower aryl, more preferably phenyl, and the other of R and R′ is alkyl, preferably lower alkyl.
- arylaminocarbonyl refers to —C(O)NHR in which R is aryl, preferably lower aryl, more preferably phenyl.
- alkoxycarbonyl refers to —C(O)OR in which R is alkyl, preferably lower alkyl.
- aryloxycarbonyl refers to —C(O)OR in which R is aryl, preferably lower aryl, more preferably phenyl.
- alkoxy and “alkylthio” refer to RO— and RS—, in which R is alkyl, preferably lower alkyl.
- aryloxy and “arylthio” refer to RO— and RS—, in which R is aryl, preferably lower aryl, more preferably phenyl.
- alkylene refers to a straight, branched or cyclic, preferably straight or branched, bivalent aliphatic hydrocarbon group, preferably having from 1 to about 20 carbon atoms, more preferably 1 to 12 carbons, even more preferably lower alkylene.
- the alkylene group is optionally substituted with one or more “alkyl group substituents.” There can be optionally inserted along the alkylene group one or more oxygen, sulphur or substituted or unsubstituted nitrogen atoms, where the nitrogen substituent is alkyl as previously described.
- alkylene groups include methylene (—CH 2 —), ethylene (—CH 2 CH 2 —), propylene (—(CH 2 ) 3 —), cyclohexylene (—C 6 H 10 —), methylenedioxy (—O—CH 2 —O—) and ethylenedioxy (—O—(CH 2 ) 2 —O—).
- the term “lower alkylene” refers to alkylene groups having 1 to 6 carbons. Preferred alkylene groups are lower alkylene, with alkylene of 1 to 3 carbon atoms being particularly preferred.
- alkenylene refers to a straight, branched or cyclic, preferably straight or branched, bivalent aliphatic hydrocarbon group, preferably having from 2 to about 20 carbon atoms and at least one double bond, more preferably 1 to 12 carbons, even more preferably lower alkenylene.
- the alkenylene group is optionally substituted with one or more “alkyl group substituents.” There can be optionally inserted along the alkenylene group one or more oxygen, sulphur or substituted or unsubstituted nitrogen atoms, where the nitrogen substituent is alkyl as previously described.
- Exemplary alkenylene groups include —CH ⁇ CH—CH ⁇ CH— and —CH ⁇ CH—CH 2 —.
- the term “lower alkenylene” refers to alkenylene groups having 2 to 6 carbons. Preferred alkenylene groups are lower alkenylene, with alkenylene of 3 to 4 carbon atoms being particularly preferred.
- alkynylene refers to a straight, branched or cyclic, preferably straight or branched, bivalent aliphatic hydrocarbon group, preferably having from 2 to about 20 carbon atoms and at least one triple bond, more preferably 1 to 12 carbons, even more preferably lower alkynylene.
- the alkynylene group is optionally substituted with one or more “alkyl group substituents.” There can be optionally inserted along the alkynylene group one or more oxygen, sulphur or substituted or unsubstituted nitrogen atoms, where the nitrogen substituent is alkyl as previously described.
- Exemplary alkynylene groups include —C ⁇ C—C ⁇ C—, —C ⁇ C— and —C ⁇ C—CH 2 —.
- the term “lower alkynylene” refers to alkynylene groups having 2 to 6 carbons.
- Preferred alkynylene groups are lower alkynylene, with alkynylene of 3 to 4 carbon atoms being particularly preferred.
- alk(en)(yn)ylene refers to a straight, branched or cyclic, preferably straight or branched, bivalent aliphatic hydrocarbon group, preferably having from 2 to about 20 carbon atoms and at least one triple bond, and at least one double bond; more preferably 1 to 12 carbons, even more preferably lower alk(en)(yn)ylene.
- the alk(en)(yn)ylene group is optionally substituted with one or more “alkyl group substituents.” There can be optionally inserted along the alkynylene group one or more oxygen, sulphur or substituted or unsubstituted nitrogen atoms, where the nitrogen substituent is alkyl as previously described.
- Exemplary alk(en)(yn)ylene groups include —C ⁇ C—(CH 2 ) n —C ⁇ C—, where n is 1 or 2.
- lower alk(en)(yn)ylene refers to alk(en)(yn)ylene groups having up to 6 carbons.
- Preferred alk(en)(yn)ylene groups are lower alk(en)(yn)ylene, with alk(en)(yn)ylene of 4 carbon atoms being particularly preferred.
- arylene refers to a monocycle or polycyclic, preferably monocyclic, bivalent aromatic group, preferably having from 5 to about 20 carbon atoms and at least one aromatic ring, more preferably 5 to 12 carbons, even more preferably lower arylene.
- the arylene group is optionally substituted with one or more “alkyl group substituents.” There can be optionally inserted around the arylene group one or more oxygen, sulphur or substituted or unsubstituted nitrogen atoms, where the nitrogen substituent is alkyl as previously described.
- Exemplary arylene groups include 1,2-, 1,3- and 1,4-phenylene.
- the term “lower arylene” refers to arylene groups having 5 or 6 carbons. Preferred arylene groups are lower arylene.
- heteroarylene refers to a bivalent monocyclic or multicyclic ring system, preferably of about 5 to about 15 members where one or more, more preferably 1 to 3 of the atoms in the ring system is a heteroatom, that is, an element other than carbon, for example, nitrogen, oxygen and sulfur atoms.
- the heteroarylene group are optionally substituted with one or more, preferably 1 to 3, aryl group substituents.
- alkylidene refers to a bivalent group, such as ⁇ CR′R′′, which is attached to one atom of another group, forming a double bond.
- exemplary alkylidene groups are methylidene ( ⁇ CH 2 ) and ethylidene ( ⁇ CHCH 3 ).
- aralkylidene refers to an alkylidene group in which either R′ or R′′ is and aryl group.
- amido refers to the bivalent group —C(O)NH—.
- Thioamido refers to the bivalent group —C(S)NH—.
- Oxyamido refers to the bivalent group —OC(O)NH—.
- Thioamido refers to the bivalent group —SC(O)NH—.
- Dithiaamido refers to the bivalent group —SC(S)NH—.
- Ureido refers to the bivalent group —HNC(O)NH—.
- Thioureido refers to the bivalent group —HNC(S)NH—.
- “semicarbazide” refers to —NHC(O)NHNH—. “Carbazate” refers to the bivalent group —OC(O)NHNH—. “Isothiocarbazate” refers to the bivalent group —SC(O)NHNH—. “Thiocarbazate” refers to the bivalent group —OC(S)NHNH—. “Sulfonylhydrazide” refers to the group —SO 2 NHNH—. “Hydrazide” refers to the bivalent group —C(O)NHNH—. “Azo” refers to the bivalent group —N ⁇ N—. “Hydrazinyl” refers to the bivalent group —NH—NH—.
- amino acid refers to ⁇ -amino acids which are racemic, or of either the D- or L-configuration.
- the designation “d” preceding an amino acid designation refers to the D-isomer of the amino acid.
- the designation “dl” preceding an amino acid designation refers to a mixture of the L- and D-isomers of the amino acid.
- composition refers to any mixture of two or more products or compounds. It can be a solution, a suspension, liquid, powder, a paste, aqueous, non-aqueous or any combination thereof.
- a combination refers to any association between two or more items.
- fluid refers to any composition that can flow. Fluids thus encompass compositions that are in the form of semi-solids, pastes, solutions, aqueous mixtures, gels, lotions, creams and other such compositions.
- substantially identical to a product means sufficiently similar so that the property of interest is sufficiently unchanged so that the substantially identical product can be used in place of the product.
- the reagents are bifunctional phosphorous containing monomers that are incorporated into an oligonucleotide during standard solid phase synthesis.
- the reagents possess a phosphorous based coupling group that can be coupled at the 5′ or 3′ terminus, preferably the 5′ terminus, of an oligonucleotide.
- the reagents can be incorporated at an internal position in the oligonucleotide, thus forming an oligonucleotide analog.
- Phosphorous based coupling groups for use in the reagents and methods herein include, but are not limited to, phosphoramidites, H-phosphonates and phosphotriesters.
- Preferred phosphorous based coupling groups are phosphoramidites.
- ⁇ -cyanoethyl-N,N-diisopropylphosphoramidite groups can be used in the reagents and methods provided herein.
- P 1 is (NCCH 2 CH 2 O)(i-Pr 2 N)P—O—.
- the reagents also possess, in addition to the phosphorous based coupling group, a protected hydrazino, protected oxyamino, or a carbonyl moiety for formation of a hydrazone or oxime linkage with an appropriately modified surface or biopolymer.
- the hydrazino moiety can be an aliphatic, aromatic or heteroaromatic hydrazine, semicarbazide, carbazide, hydrazide, thiosemicarbazide, thiocarazide, carbonic acid dihydrazine or hydrazine carboxylate (see, FIG. 1 ).
- the protecting groups are salts of the hydrazino or oxyamino group, or any amino or hydrazino protecting groups known to those of skill in the art. (see, e.g., Greene et al. (1999) Protective Groups in Organic Synthesis (3rd Ed.) (J. Wiley Sons, Inc.)).
- the carbonyl moiety can be any carbonyl containing group capable of forming a hydrazone linkage with one or more of the above hydrazino moieties.
- Preferred carbonyl moieties include aldehydes and ketones.
- the reagents provided herein also possess a hydroxyl group.
- the hydroxyl group provides a site for continuing the oligonucleotide synthesis.
- the hydroxyl group of the reagent can be a free OH group or can be appropriately protected for use in solid phase oligonucleotide synthesis.
- the hydroxyl group can be protected as the corresponding monomethoxytrityl (MMT) ether.
- the hydrazino or oxyamino group if present, is protected with a group that is orthogonal to an MMT ether (i.e., that is not removed under conditions where an MMT ether is cleaved, but is removed under conditions where an MMT ether is stable).
- Groups that are orthogonal to an MMT ether include, but are not limited to, carbonates, including 9-fluorenylmethoxycarbonyl (FMOC) carbonates.
- a phosphoramidite monomer containing two orthogonally-protected alcohols can be used in the oligonucleotide synthesis.
- One of the protecting groups is amenable to standard oligonucleotide synthesis.
- the orthogonal protecting group is removed to afford a free alcohol. Reaction of this alcohol with a reagent of formula (I) provides the desired hydrazino, oxyamino, or carbonyl modified oligonucleotide.
- the protecting group amenable to oligonucleotide synthesis is am MMT ether, and the other is a protecting group that is orthogonal to an MMT ether including, but not limited to, a carbonate such as an FMOC carbonate.
- Phosphoramidites containing two orthogonally-protected alcohols are commercially available (see, e.g., “Asymmetric Doubler Phosphoramidite”, Glen Research Corporation, Sterling, Va.).
- a hydroxyl-substituted nucleoside preferably possessing the hydroxy group linked to the nucleobase either directly or through a carbon chain, is incorporated into the oligonucleotide during standard synthesis.
- the hydroxyl group is preferably protected with a group that is orthogonal to protecting groups amenable to oligonucleotide synthesis.
- groups include, but are not limited to, carbonates such as an FMOC carbonate.
- the protecting group is removed and the resulting free alcohol is reacted with a reagent of formula (I) to provide a hydrazino, oxyamino, or carbonyl modified oligonucleotide.
- the hydroxy substituted nucleoside is a 5′-(O-MMT)-5-substituted cytosine possessing an FMOC protected hydroxyl group on the 5-substituent.
- the reagents for use in the methods provided herein have formula (I): P 1 -M-X or a derivative thereof, as defined herein, where P 1 is a phosphorous based coupling group, as defined herein, preferably a phosphoramidite, more preferably (NCCH 2 CH 2 O)(i-Pr 2 N)P—O—; X is a protected hydrazino group; and M is a divalent group having any combination, preferably 1-2000, more preferably 1-1000, particularly 1-100, most preferably 1-50 or 1-25 or 1-10, of the following groups, which can be combined in any order: arylene, heteroarylene, cycloalkylene, C(R 1 ) 2 , —C(R 1 ) ⁇ C(R 1 )—, >C ⁇ C(R 2 )(R 3 ), >C(R 2 )(R 3 ), —C ⁇ C—, O, S(A) a , P(D) b (R 1 ),
- R 1 , R 2 , R 3 , R 4 , R 5 , R 6 , R 7 , R 8 , R 9 and R 10 can be substituted with one or more substituents each independently selected from Z, wherein Z is selected from alkyl, alkenyl, alkynyl, aryl, cycloalkyl, cycloalkenyl, hydroxy, S(O) h R 20 , NR 20 R 21 , COOR 20 , COR 20 , CONR 20 R 21 , OC(O)NR 20 R 21 , N(R 20 )C(O)R 21 , alkoxy, aryloxy, heteroaryl, heterocyclyl, heteroaryloxy, heterocyclyloxy, aralkyl, aralkenyl, aralkynyl, heteroaralkyl, heteroaralkenyl, heteroaralkynyl, aralkoxy, heteroaralkoxy, alkoxycarbonyl, carbamoyl, thi
- the X group when X is a protected hydrazine group, the X group does not substitute the nucleobase of a nucleoside, nucleotide, or analog thereof.
- the reagents for use in the methods provided herein have formula (I): P 1 -M-X or a derivative thereof, as defined herein, where P 1 is a phosphorous based coupling group, as defined herein, preferably a phosphoramidite, more preferably (NCCH 2 CH 2 O)(i-Pr 2 N)P—O—; X is a protected oxyamino group; and M is a divalent group having any combination, preferably 1-2000, more preferably 1-1000, particularly 1-100, most preferably 1-50 or 1-25 or 1-10, of the following groups, which can be combined in any order: arylene, heteroarylene, cycloalkylene, C(R 1 ) 2 , —C(R 1 ) ⁇ C(R 1 )—, >C ⁇ C(R 2 )(R 3 ), >C(R 2 )(R 3 ), —C ⁇ C—, O, S(A) a , P(D) b (R 1 ),
- R 1 , R 2 , R 3 , R 4 , R 5 , R 6 , R 7 , R 8 , R 9 and R 10 can be substituted with one or more substituents each independently selected from Z, wherein Z is selected from alkyl, alkenyl, alkynyl, aryl, cycloalkyl, cycloalkenyl, hydroxy, S(O) h R 20 , NR 20 R 21 , COOR 20 , COR 20 , CONR 20 R 21 , OC(O)NR 20 R 21 , N(R 20 )C(O)R 21 , alkoxy, aryloxy, heteroaryl, heterocyclyl, heteroaryloxy, heterocyclyloxy, aralkyl, aralkenyl, aralkynyl, heteroaralkyl, heteroaralkenyl, heteroaralkynyl, aralkoxy, heteroaralkoxy, alkoxycarbonyl, carbamoyl, thi
- the X group when X is a protected oxyamino group, the X group does not substitute the 2′, 3′ or 5′, particularly the 2′, position of a nucleoside, nucleotide, or analog thereof.
- M when X is a protected oxyamino group, M is selected with the proviso that it is not tetra(ethyleneoxy) (i.e., (CH 2 CH 2 O) 4 , TEG).
- the X group when X is a protected oxyamino group, the X group does not substitute the nucleobase of a nucleoside, nucleotide, or analog thereof.
- the reagents for use in the methods provided herein have formula (I): P 1 -M-X or a derivative thereof, as defined herein, where P 1 is a phosphorous based coupling group, as defined herein, preferably a phosphoramidite, more preferably (NCCH 2 CH 2 O)(i-Pr 2 N)P—O—; X is a carbonyl group; and M is a divalent group having any combination, preferably 1-2000, more preferably 1-1000, particularly 1-100, most preferably 1-50 or 1-25 or 1-10, of the following groups, which can be combined in any order: arylene, heteroarylene, cycloalkylene, C(R 1 ) 2 , —C(R 1 ) ⁇ C(R 1 )—, >C ⁇ C(R 2 )(R 3 ), >C(R 2 )(R 3 ), —C ⁇ C—, O, S(A) a , P(D) b (R 1 ), P(D) b
- R 1 , R 2 , R 3 , R 4 , R 5 , R 6 , R 7 , R 8 , R 9 and R 10 can be substituted with one or more substituents each independently selected from Z, wherein Z is selected from alkyl, alkenyl, alkynyl, aryl, cycloalkyl, cycloalkenyl, hydroxy, S(O)R 20 , NR 20 R 21 , COOR 20 , COR 20 , CONR 20 R 21 , OC(O)NR 20 R 21 , N(R 20 )C(O)R 21 , alkoxy, aryloxy, heteroaryl, heterocyclyl, heteroaryloxy, heterocyclyloxy, aralkyl, aralkenyl, aralkynyl, heteroaralkyl, heteroaralkenyl, heteroaralkynyl, aralkoxy, heteroaralkoxy, alkoxycarbonyl, carbamoyl, thiocar
- the X group when X is a carbonyl group, particularly an aldehyde group, the X group does not substitute the nucleobase of a nucleoside, nucleotide, or analog thereof.
- the reagents for use in the methods provided herein are phosphoramites that have formula (I): P 1 -M-X or a derivative thereof, wherein P 1 is (NCCH 2 CH 2 O)(i-Pr 2 N)P—O—; X is a protected hydrazino, protected oxyamino, or a carbonyl group; and M is as defined above.
- M preferably has 1-2000, more preferably 1-1000, particularly 1-100, most preferably 1-50 or 1-25 or 1-10 of the groups as defined above.
- M has 1-50, preferably 1-25, more preferably 1-10 of the following groups, which can be combined in any order: arylene, heteroarylene, C(R 5 ) 2 , O, S(A) a , N(R 5 ), N(COR 5 ) and C(E); where a is 0, 1 or 2; A is O or NR 5 ; and E is S, O or NR 5 ; where R 5 is as defined above.
- M has 1-10 of the following groups, which can be combined in any order: heteroarylene, C(R 5 ) 2 , N(R 5 ) and C(E); where E is S, O or NR 5 ; where R 5 is as defined above.
- M has 1-10 of the following groups, which can be combined in any order: arylene, C(R 5 ) 2 , N(R 5 ) and C(E); where E is S, O or NR 5 ; where R 5 is as defined above.
- R 5 is preferably hydrogen; and E is preferably oxygen.
- the heteroarylene groups of M are preferably monocyclic or fused bicyclic divalent groups, more preferably monocyclic divalent groups, including, but not limited to, thienylene, furylene, pyrrolylene including 2,3-, 2,4- and 2,5-pyrrolylene, pyridylene including 2,3-, 2,4-, 2,5- and 2,6-pyridylene, triazinylene including 1,3,5-triazinylene, triazolylene including 1,2,4- and 1,2,3-triazolylene or pyrimidylene including 2,4-, 2,5- and 2,6-pyrimidylene groups.
- the arylene groups of M are preferably divalent monocyclic, bicyclic or tricyclic groups, including, but not limited to, 1,2-, 1,3- and 1,4-phenylene, and naphthylene.
- M is a chain of repeating monomer units, preferably 1-2000 monomer units, more preferably 1-1000, particularly 1-100, most preferably 1-50 or 1-25 or 1-10, including, but not limited to, ethylene oxide, propylene oxide, methacrylamide, or ethylene glycol.
- M is a polyethylene glycol (PEG), polypropylene glycol (PPG) or acrylate chain.
- PEG polyethylene glycol
- PPG polypropylene glycol
- M is a diethyleneglycol, triethyleneglycol or tetraethyleneglycol moiety.
- M contains a cleavable linkage, including, but not limited to, a disulfide, an ester, an enzyme specific peptide, a photocleavable linkage, such as nitroaromatic group, or an acid labile group.
- Reagents of formula (I) and modified oligonucleotides of formula (II) containing such M groups have applications in capture assay methods where the analyte is captured by the modified oligonucleotide, the conjugate isolated, and the M group cleaved to provide an isolated analyte. See, e.g., Niemeyer et al. (1994) Nucl. Acids Res. 22(25):5530-5539.
- X is preferably —C(O)R 30 , —Y—N(R 31 )—Y 1 —N(R 32 )—Y 2 or —O—N(R 30 )—Y 2 ;
- R 30 , R 31 and R 32 are each independently hydrogen, alkyl, alkenyl, alkynyl, aryl, heteroaryl, aralkyl, aralkenyl, aralkynyl, heteroaralkyl, heteroaralkenyl, heteroaralkynyl, heterocyclyl or cycloalkyl;
- Y and Y 1 are selected as in (i) or (ii) as follows:
- Y is a direct link
- Y 1 is a direct link, C(O)N(R 35 ), N(R 35 )C(O)N(R 36 ), C(S)N(R 35 ), N(R 35 )C(S)N(R 36 ) or C(O)N(R 35 )N(R 36 )C(O)N(R 37 ); or
- Y is C(O) or OC(O), and Y 1 is a direct link;
- R 35 , R 36 and R 37 are each independently selected from among hydrogen, alkyl, alkenyl, alkynyl, aryl, heteroaryl, aralkyl, aralkenyl, aralkynyl, heteroaralkyl, heteroaralkenyl, heteroaralkynyl, heterocyclyl and cylcoalkyl; and
- Y 2 is a salt of the hydrazino or oxyamino group, including but not limited to, mineral acids salts, such as but not limited to hydrochlorides and sulfates, and salts of organic acids, such as but not limited to acetates, lactates, malates, tartrates, citrates, ascorbates, succinates, butyrates, valerates and fumarates, or any amino or hydrazine protecting group (see, e.g., Greene et al. (1999) Protective Groups in Organic Synthesis (3rd Ed.) (J. Wiley Sons, Inc.));
- R 30 , R 31 , R 32 , R 35 , R 36 , R 37 and Y 2 are unsubstituted or substituted with one or more substituents each independently selected from Z, wherein Z is selected from alkyl, alkenyl, alkynyl, aryl, cycloalkyl, cycloalkenyl, hydroxy, S(O) h R 20 , NR 20 R 21 , COOR 20 , COR 20 , CONR 20 R 21 , OC(O)NR 20 R 21 , N(R 20 )C(O)R 21 , alkoxy, aryloxy, heteroaryl, heterocyclyl, heteroaryloxy, heterocyclyloxy, aralkyl, aralkenyl, aralkynyl, heteroaralkyl, heteroaralkenyl, heteroaralkynyl, aralkoxy, heteroaralkoxy, alkoxycarbonyl, carbamoyl, thiocarbamo
- Y 2 is selected from any amino or hydrazino protecting group, preferably an amino or hydrazino protecting group useful in the synthesis of oligonucleotides, more preferably monomethoxytrityl (MMT), dimethoxytrityl (DMT), 9-fluorenylmethoxycarbonyl (FMOC), acetyl, trifluoroacetyl, benzoyl, or a hydrazone or oxime that is cleaved under mild acidic conditions (e.g., 100 mM acetate, pH 4.5-5.5) including, but not limited to, a hydrazone or oxime formed from a lower aliphatic aldehyde or ketone, preferably from acetone, propanal, cyclohexanone or 2-butanone.
- the protecting group is not a phthalimidyl group.
- the reagents for use in the methods provided herein have formula (VIII):
- X 1 is preferably a protected hydrazino group and X 2 is preferably an orthogonally protected amino group.
- the reagents for use in the methods provided herein have formula (X): P 1 —S 1 —B 1 -M-X, or a derivative thereof, where P 1 , S 1 , B 1 , M and X are selected as above.
- B 1 is preferably a cytosine derivative that is substituted with -M-X at the position ortho to the amino substituent (see, e.g., FIGS. 13, 14 and 15 ).
- X is preferably a carbonyl group, more preferably an aldehyde group, or is a protected hydroxyl group.
- the monomeric reagents provided herein are added to the growing oligonucleotide chain as the coupling reagent in a standard automated solid phase oligonucleotide synthesis.
- the amino or hydrazino protecting group is DMT, or a similar moiety that is amenable to solid phase oligonucleotide synthesis.
- the final protected hydrazino or protected oxyamino substituted product is deprotected following high performance liquid chromatography (HPLC) purification.
- the reagents for use in the methods provided herein contain a phosphorous based coupling group, as defined herein, and a hydrazino group (see, FIG. 1 ).
- the compounds of formula (I) have formula (III): P 1 -M-Y—N(R 31 )—Y 1 —N(R 32 )—Y 2 , or a derivative thereof, where P 1 is a phosphorous based coupling group, preferably a phosphoramidite, H-phosphonate or phosphotriester, more preferably a phosphoramidite, most preferably (NCCH 2 CH 2 O)(i-Pr 2 N)P—O—;
- M is a divalent group having any combination, preferably 1-2000, more preferably 1-1000, particularly 1-100, most preferably 1-50 or 1-25 or 1-10, of the following groups, which can be combined in any order: arylene, heteroarylene, cycloalkylene, C(R 1 ) 2 , —C(R 1 ) ⁇ C(R 1 )—, >C ⁇ C(R 2 )(R 3 ), >C(R 2 )(R 3 ), —C ⁇ C—, O, S(A) a , P(D) b (R 1 ), P(D) b (ER 1 ), N(R 1 ), >N + (R 2 )(R 3 ) and C(E); where a is 0, 1 or 2; b is 0, 1, 2 or 3; A is O or NR 1 ; D is S or O; and E is S, O or NR 1 ; each R 1 is a monovalent group independently selected from hydrogen and M 1 -R 4 ; each M 1 is a
- Y and Y 1 are selected as in (i) or (ii) as follows:
- Y is a direct link
- Y 1 is a direct link, C(O)N(R 35 ), N(R 35 )C(O)N(R 36 ), C(S)N(R 35 ), N(R 35 )C(S)N(R 36 ) or C(O)N(R 35 )N(R 36 )C(O)N(R 37 ); or
- Y is C(O) or OC(O), and Y 1 is a direct link;
- R 35 , R 36 and R 37 are each independently selected from among hydrogen, alkyl, alkenyl, alkynyl, aryl, heteroaryl, aralkyl, aralkenyl, aralkynyl, heteroaralkyl, heteroaralkenyl, heteroaralkynyl, heterocyclyl and cylcoalkyl;
- Y 2 is a salt of the hydrazino group, including but not limited to, mineral acids salts, such as but not limited to hydrochlorides and sulfates, and salts of organic acids, such as but not limited to acetates, lactates, malates, tartrates, citrates, ascorbates, succinates, butyrates, valerates and fumarates, or any amino or hydrazino protecting group, preferably an amino or hydrazino protecting group useful in the synthesis of oligonucleotides, more preferably monomethoxytrityl (MMT), dimethoxytrityl (DMT), 9-fluorenylmethoxycarbonyl (FMOC), acetyl, trifluoroacetyl (TFA), benzoyl, or a hydrazone that is cleaved under mild acidic conditions (e.g., 100 mM acetate, pH 4.5-5.5) including, but not limited to, a
- R 31 and R 32 are each independently hydrogen, alkyl, alkenyl, alkynyl, aryl, heteroaryl, aralkyl, aralkenyl, aralkynyl, heteroaralkyl, heteroaralkenyl, heteroaralkynyl, heterocyclyl or cycloalkyl;
- R 1 , R 2 , R 3 , R 4 , R 5 , R 6 , R 7 , R 8 , R 9 , R 10 , R 31 , R 32 , R 35 , R 36 , R 37 and Y 2 are unsubstituted or substituted with one or more substituents each independently selected from Z, as defined above.
- the protected hydrazine group does not substitute the nucleobase of a nucleoside, nucleotide, or analog thereof.
- R 31 , R 32 , R 35 , R 36 and R 37 are hydrogen or lower alkyl, more preferably hydrogen.
- the compounds of formula (III) have formula (IV): P 1 -M-Y—NH—Y 1 —NH—Y 2 , or a derivative thereof, where Y and Y 1 are selected from (i) or (ii) as follows:
- Y is a direct link, and Y 1 is a direct link, C(O)NH, NHC(O)NH, C(S)NH, NHC(S)NH or C(O)NHNHC(O)NH; or
- Y is C(O) or OC(O), and Y 1 is a direct link;
- the compounds for use in the methods provided herein are of formula (IV) where M has 1-50, preferably 1-25, more preferably 1-10 of the following groups, which can be combined in any order: arylene, heteroarylene, C(R 5 ) 2 , O, S(A) a , N(R 5 ), N(COR 5 ) and C(E); where a is 0, 1 or 2; A is O or NR 5 ; and E is S, O or NR 5 ; where R 5 is selected as above.
- the group attached to Y is a heteroarylene group, preferably a nitrogen-containing heteroarylene group, preferably a pyrrolylene including 2,3-, 2,4- and 2,5-pyrrolylene, pyridylene including 2,3-, 2,4-, 2,5- and 2,6-pyridylene, triazinylene including 1,3,5-triazinylene, triazolylene including 1,2,4- and 1,2,3-triazolylene or pyrimidylene including 2,4-, 2,5- and 2,6-pyrimidylene group, more preferably a pyridylene group, most preferably a 2,5-pyridylene group.
- M has the formula:
- the presently most preferred compounds of formula (IV) are N-dimethoxytrityl-N′- ⁇ 5-[8-(2-cyanoethyl-N,N-diisopropylphosphoramidyloxy)-2-aza-1-oxooct-1-yl]pyrid-2-yl ⁇ hydrazine or N-(9-fluorenylmethoxycarbonyl)-N′-[8-(2-cyanoethyl-N,N-diisopropylphosphoramidyloxy)-2-aza-1-thiooct-1-yl]hydrazine, having the structure:
- the reagents for use in the methods provided herein contain a phosphorous based coupling group, as defined herein, and a carbonyl group.
- the compounds of formula (I) have formula (V): P 1 -M-C(O)R 30 , or a derivative thereof, where P 1 is a phosphorous based coupling group, preferably a phosphoramidite, H-phosphonate or phosphotriester, more preferably a phosphoramidite, most preferably (NCCH 2 CH 2 O)(i-Pr 2 N)P—O—;
- M is a divalent group having any combination, preferably 1-2000, more preferably 1-1000, particularly 1-100, most preferably 1-50 or 1-25 or 1-10, of the following groups, which can be combined in any order: arylene, heteroarylene, cycloalkylene, C(R 1 ) 2 , —C(R 1 ) ⁇ C(R 1 )—, >C ⁇ C(R 2 )(R 3 ), >C(R 2 )(R 3 ), —C ⁇ C—, O, S(A) a , P(D) b (R 1 ), P(D) b (ER 1 ), N(R 1 ), >N + (R 2 )(R 3 ) and C(E); where a is 0, 1 or 2; b is 0, 1, 2 or 3; A is O or NR 1 ; D is S or O; and E is S, O or NR 1 ; each R 1 is a monovalent group independently selected from hydrogen and M 1 -R 4 ; each M 1 is a
- R 30 is hydrogen, alkyl, alkenyl, alkynyl, aryl, heteroaryl, aralkyl, aralkenyl, aralkynyl, heteroaralkyl, heteroaralkenyl, heteroaralkynyl, heterocyclyl or cycloalkyl;
- R 1 , R 2 , R 3 , R 4 , R 5 , R 6 , R 7 , R 8 , R 9 , R 10 and R 30 are unsubstituted or substituted with one or more substituents each independently selected from Z, as defined above.
- the carbonyl group does not substitute the nucleobase of a nucleoside, nucleotide, or analog thereof.
- R 30 is hydrogen or lower alkyl, more preferably hydrogen or methyl, most preferably hydrogen.
- the compounds of formula (V) have formulae (VI): P 1 -M-CHO or P 1 -M-C(O)Me, or a derivative thereof, where P 1 and M are selected as above.
- the compounds for use in the methods provided herein are of formula (VI) where M has 1-50, preferably 1-25, more preferably 1-10 of the following groups, which can be combined in any order: arylene, heteroarylene, C(R 5 ) 2 , O, S(A) a , N(R 5 ), N(COR 5 ) and C(E); where a is 0, 1 or 2; A is O or NR 5 ; and E is S, O or NR 5 ; where R 5 is selected as above.
- M has 1-10 of the following groups, which can be combined in any order: arylene, C(R 5 ) 2 , N(R 5 ) and C(E); where E is S, O or NR 1 ; where R 5 is selected as above. R 5 is preferably hydrogen; and E is preferably oxygen.
- the group attached to CHO or C(O)Me is a arylene group, preferably a monocyclic arylene group, more preferably phenylene.
- M includes phenylene attached to CHO or C(O)Me, and 1-9 of the following groups, which can be combined in any order: CH 2 , NH and C(O).
- M has the formula:
- the presently most preferred compounds of formulae (VI) are 4-[8-(2-cyanoethyl-N,N-diisopropylphosphoramidyloxy)-2-aza-1-oxooct-1-yl]benzaldehyde, 4-[8-(2-cyanoethyl-N,N-diisopropylphosphoramidyloxy)-2-aza-1-oxooct-1-yl]acetophenone and N-[6-(2-cyanoethyl-N,N-diisopropylphosphoramidyloxy)hexyl]4-oxopentanamide, having the structures:
- the reagents for use in the methods provided herein contain a phosphorous based coupling group, as defined herein, and an oxyamino group.
- the oxyamino group is preferably protected as described above.
- the compounds of formula (I) have formula (VII): P 1 -M-O—NH—Y 2 , or a derivative thereof, where P 1 is a phosphorous based coupling group, preferably a phosphoramidite, H-phosphonate or phosphotriester, more preferably a phosphoramidite, most preferably (NCCH 2 CH 2 O)(i-Pr 2 N)P—O—; and
- M is a divalent group having any combination, preferably 1-2000, more preferably 1-1000, particularly 1-100, most preferably 1-50 or 1-25 or 1-10, of the following groups, which can be combined in any order: arylene, heteroarylene, cycloalkylene, C(R 1 ) 2 , —C(R 1 ) ⁇ C(R 1 )—, >C ⁇ C(R 2 )(R 3 ), >C(R 2 )(R 3 ), —C ⁇ C—, O, S(A) a , P(D) b (R 1 ), P(D) b (ER 1 ), N(R 1 ), >N ⁇ (R 2 )(R 3 ) and C(E); where a is 0, 1 or 2; b is 0, 1, 2 or 3; A is O or NR 1 ; D is S or O; and E is S, O or NR 1 ; each R 1 is a monovalent group independently selected from hydrogen and M 1 -R 4 ; each M 1 is
- Y 2 is a salt of the oxyamino group, including but not limited to, mineral acids salts, such as but not limited to hydrochlorides and sulfates, and salts of organic acids, such as but not limited to acetates, lactates, malates, tartrates, citrates, ascorbates, succinates, butyrates, valerates and fumarates, or any amino protecting group, preferably an amino protecting group useful in the synthesis of oligonucleotides, more preferably monomethoxytrityl (MMT), dimethoxytrityl (DMT), 9-fluorenylmethoxycarbonyl (FMOC), acetyl, trifluoroacetyl (TFA), benzoyl, or an oxime that is cleaved under mild acidic conditions (e q, 100 mM acetate, pH 4.5-5.5) including, but not limited to, an oxime formed from a lower aliphatic aldehy
- R 1 , R 2 , R 3 , R 4 , R 5 , R 6 , R 7 , R 8 , R 9 , R 10 and Y 2 are unsubstituted or substituted with one or more substituents each independently selected from Z, as defined above;
- M is not tetra(ethyleneoxy) (i.e., (CH 2 CH 2 O) 4 , TEG).
- the protected oxyamino group does not substitute the nucleobase of a nucleoside, nucleotide, or analog thereof.
- the compounds have formula (VII) where the protected oxyamino group does not substitute the 2′, 3′ or 5′, particularly the 2′, position of a nucleoside, nucleotide, or analog thereof.
- the protected oxyamino group does not substitute the nucleobase of a nucleoside, nucleotide, or analog thereof.
- the compounds for use in the methods provided herein are of formula (VII) where M has 1-50, preferably 1-25, more preferably 1-10 of the following groups, which can be combined in any order: arylene, heteroarylene, C(R 5 ) 2 , O, S(A) a , N(R 5 ), N(COR 5 ) and C(E); where a is 0, 1 or 2; A is O or NR 5 ; and E is S, O or NR 5 ; where R 5 is selected as above.
- M has 1-10 of the following groups, which can be combined in any order: heteroarylene, C(R 5 ) 2 , N(R 5 ) and C(E); where E is S, O or NR 5 ; where R 5 is selected as above.
- R 5 is preferably hydrogen; and E is preferably oxygen.
- the group attached to the oxygen of the oxyamino group is an arylene or heteroarylene group, preferably a nitrogen-containing heteroarylene group, more preferably pyridylene.
- M includes pyridylene attached to the oxygen of the oxyamino group and 1-9 of the following groups, which can be combined in any order: CH 2 , NH and C(O).
- M has the formula:
- the presently most preferred compound of formula (VII) is N-monomethoxytrityl-O- ⁇ 5-[8-(2-cyanoethyl-N,N-diisopropylphosphoramidyloxy)-2-aza-1-oxooct-1-yl]pyrid-2-yl ⁇ oxyamine, having the structure:
- the reagents for use in the methods provided herein have formula (VIII):
- the reagents of formula (VIII) are those where X 1 is a protected hydrazino group and X 2 is an orthogonally protected amino group.
- X 2 is, in certain embodiments, an amino group that is conjugated to a fluorophore F*, such as an ethidium bromide derivative or analog.
- each M is preferably an alkylene group, more preferably a lower alkylene group.
- each M preferably has a heteroarylene group, more preferably a 2,5-pyridylene group, and 1-9 of the following groups, which can be combined in any order: C(R 1 ) 2 , N(R 1 ) and C(E), where R 1 and E are selected as above.
- R 1 is preferably hydrogen and E is preferably oxygen.
- L is preferably a trivalent group of formula C n H 2n-1 , where n is about 2 to about 10, more preferably about 2 to about 6, most preferably about 3 to about 5 or 6, and optionally can possess one or more, preferably 1-10, more preferably 1 or 2, of the following groups, which can be combined in any order: N(R 1 ) and C(E), where R 1 and E are selected as above.
- the compound of formula (VIII) has either of the formulae:
- F* is a fluorophore, such a an ethidium bromide derivative or analog.
- the reagents for use in the methods provided herein have formula (X): P 1 —S 1 —B 1 -M-X, or a derivative thereof, where P 1 , S 1 , B 1 , M and X are selected as above.
- B 1 is preferably a cytosine derivative that is substituted with -M-X at the position ortho to the amino substituent (see, e.g., FIGS. 13, 14 and 15 ).
- X is preferably a carbonyl group, more preferably an aldehyde group, or is a protected hydroxyl group.
- the reagents are of formula (X) where M includes an alkynyl group.
- M has any combination, preferably 1 to 100, more preferably 1 to 50, most preferably 1 to 10, of the following groups: —C ⁇ C—, C(R 1 ) 2 , N(R 1 ), arylene and heteroarylene, which groups can be combined in any order.
- R 1 is hydrogen and M has —C ⁇ C— and 1 to 9 of the following groups: CH 2 , NH and arylene, preferably phenylene.
- the compounds are of formula (X) where M is —C ⁇ C—CH 2 — or —C ⁇ C—CH 2 —NH-(1,4-phenylene).
- M is —C ⁇ C—CH 2 — or —C ⁇ C—CH 2 —NH-(1,4-phenylene).
- the compounds of formula (X) have the structures:
- Methods of preparation of the phosphoramidites provided herein involve the steps of (i) derivatizing a carboxylic acid selected from an ⁇ -carbonyl, an ⁇ -protected hydrazino, and an ⁇ -protected oxyamino substituted carboxylic acid as the corresponding active ester, including, but not limited to, aryl, heteroaryl, succinimidyl, maleimidyl, phthalimidyl and naphthimidyl, preferably succinimidyl, esters by reacting the carboxylic acid with the appropriate aryl, heteroaryl, succinimidyl, maleimidyl, phthalimidyl or naphthimidyl alcohol, preferably N-hydroxysuccinimide, under dehydrating conditions, including, but not limited to, in the presence of a carbodiimide, such as dicyclohexylcarbodiimide; (ii) reacting the resulting active ester with an ⁇ , ⁇ -
- Preferred ⁇ -carbonyl carboxylic acids include 4-formylbenzoic acid, levulinic acid and 4-carboxyacetophenone.
- Preferred ⁇ -protected hydrazino carboxylic acids include 6-(N′-dimethoxytrityl) hydrazinonicotinic acid.
- Preferred ⁇ -protected oxyamino carboxylic acids include 6-(N-dimethoxytrityl)oxyaminonicotinic acid.
- modified oligonucleotides that possess a hydrazino group (see, FIG. 1 ), an oxyamino group, or a carbonyl group. These modified oligonucleotides are synthesized directly during standard solid phase synthesis without the need for post synthetic modification to produce the hydrazine, oxyamino, or carbonyl group.
- the modified oligonucleotides can be immobilized or conjugated through the formation of covalent hydrazone or oxime bonds.
- Such hydrazone or oxime bonds can be formed by reaction of the hydrazino, oxyamino or carbonyl modified oligonucleotides with appropriately derivatized solid surfaces, as described herein; or second components, including, but not limited to, biopolymers as defined herein, macromolecules as defined herein, polymers including, but not limited to, polyamines, polyamides, polyethers and polyethylene glycols, and other compounds of interest herein for use in assays, kits, diagnostic arrays, and the like, including, but not limited to, intercalators, vitamins, reporter molecules, cholesterols, phospholipids, biotin, phenazine, phenanthridine, anthraquinone, acridine, fluoresceins, rhodamines, coumarins, dyes, antibodies, haptens, antigens, enzymes, and detection reagents including, but not limited to, fluorophores, metals including, but not limited to, gold,
- Fluorophore precursors and chromophore precursors are compounds that react with the hydrazino, oxyamino or carbonyl group of the modified oligonucleotide to form a fluorogenic or chromogenic group for analysis.
- Fluorophore precursors and chromophore precursors are well know to those of skill in the art, and include, but are not limited to, 3-(4-carboxybenzoyl) quinoline-2-carboxaldehyde (CBQCA) and 3-(2-furoyl) quinoline-2-carboxaldehyde (FQ), sold by Molecular Probes, Inc. (Eugene, Oreg.).
- the reaction to form the immobilized oligonucleotide or oligonucleotide conjugate can be performed under aqueous conditions without the need for catalysis.
- the modified oligonucleotides provided herein have formula (II): O 1 —P 2 -M-X, or a derivative thereof, where O 1 is a first component that is an oligonucleotide or analog thereof, such as a protein nucleic acid (PNA); P 2 is a phosphorous linking group resulting from the coupling of a compound of formula (I) with the oligonucleotide or analog thereof, preferably a phosphodiester group; and M and X are as defined above for the hydrazino, oxyamino, and carbonyl derivatives of phosphoramidites.
- O 1 is a first component that is an oligonucleotide or analog thereof, such as a protein nucleic acid (PNA);
- P 2 is a phosphorous linking group resulting from the coupling of a compound of formula (I) with the oligonucleotide or analog thereof, preferably a phosphodiester group; and M and X are
- the oligonucleotide analogs of formula (II) are selected with the proviso that if X is CHO, then M is not undecylenecarbonylaminomethylene (n-C 11 H 22 C(O)NHCH 2 ) or C 1-20 alkylene.
- the oligonucleotide analogs are of formula (II) where X is not an oxyamino or protected oxyamino group.
- the oligonucleotide analogs are of formula (II) where X is not a hydrazide (—C(O)—NHNH 2 ) group.
- the oligonucleotide analogs of formula (II) are selected with the proviso that if X is —NHNH 2 , then M is not —CH(CH 2 OH)(CH 2 ) 6 NHCO-5-pyrid-2-ylene. In other embodiments, the oligonucleotide analogs of formula (II) are selected with the proviso that P 2 is not a phosphoramidate group.
- the modified oligonucleotides have formulae:
- X 1 also includes the free hydrazino and oxyamino groups resulting from deprotection.
- X 2 also includes the free amino or hydroxy group resulting from deprotection.
- the modified oligonucleotides have formula (IX) where X 1 is protected or unprotected hydrazino and X 2 is protected or unprotected amino.
- X 2 is an amino group that is conjugated to a fluorophore F*, such as an ethidium bromide analog or derivative.
- the modified oligonucleotides have formula (IX) where X 1 is —NHNH 2 and X 2 is —NH 2 or —NHF*.
- each M is preferably an alkylene group, more preferably a lower alkylene group.
- each M preferably has a heteroarylene group, more preferably a 2,5-pyridylene group, and 1-9 of the following groups, which can be combined in any order: C(R 1 ) 2 , N(R 1 ) and C(E), where R 1 and E are selected as above.
- R 1 is preferably hydrogen and E is preferably oxygen.
- L is preferably a trivalent group of formula C n H 2n-1 , where n is about 2 to about 10, more preferably about 2 to about 6, most preferably about 3 to about 5 or 6, and optionally can possess one or more, preferably 1-10, more preferably 1 or 2, of the following groups, which can be combined in any order: N(R 1 ) and C(E), where R 1 and E are selected as above.
- the modified oligonucleotide of formula (IX) has the structure:
- F* is a fluorophore, such as an ethidium bromide analog or derivative.
- oligonucleotide analogs of formula (XI) are provided:
- O 1 , P 2 , S 1 , B 1 , M and X are selected as above; and O 2 is an oligonucleotide, or analog thereof such as a PNA.
- X also includes the free hydrazino and oxyamino groups resulting from deprotection.
- B 1 is preferably a cytosine derivative that is substituted with -M-X at the position ortho to the amino substituent (see, e.g., FIGS. 13, 14 and 15 ).
- X is preferably a carbonyl group, more preferably an aldehyde group, or is a hydroxyl group. The hydroxyl group is reacted with a reagent of formula (I) to provide certain of the hydrazino, oxyamino or carbonyl modified oligonucleotides provided herein.
- M includes an alkynyl group.
- M has any combination, preferably 1 to 100, more preferably 1 to 50, most preferably 1 to 10, of the following groups: —C ⁇ C—, C(R 1 ) 2 , N(R 1 ), arylene and heteroarylene, which groups can be combined in any order.
- R 1 is hydrogen and M has —C ⁇ C— and 1 to 9 of the following groups: CH 2 , NH and arylene, preferably phenylene.
- M is —C ⁇ C—CH 2 — or —C ⁇ C—CH 2 —NH-(1,4-phenylene).
- the modified oligonucleotides of formula (XI) have the structure:
- Methods of preparation of the modified oligonucleotides provided herein involve the steps of: (i) synthesizing an oligonucleotide on a solid phase synthesizer wherein at least one of the monomers is a phosphoramidite provided herein; and (ii) removing the hydrazino or oxyamino protecting group; and (iii) cleaving the modified oligonucleotide from the solid surface. Steps (ii) and (iii) are performed in either order.
- Oligonucleotides immobilized through a hydrazone or oxime linkage to a solid surface are provided.
- the oligonucleotides have formula (II) or (XI) and are modified with a hydrazino, oxyamino, or carbonyl moiety; or have formula (IX) and are modified with a hydrazino or oxyamino moiety, and an amino or hydroxy group.
- Reaction of the modified oligonucleotide with an appropriately functionalized solid surface provides an immobilized oligonucleotide for use in diagnostic probe assays, DNA amplification by solid phase polymerase chain reactions (PCR), molecular computing (see, e.g., Adleman (1994) Science 266:1021-1024; Kari (1997) Mathematical Intelligencer 19:9-22; Frutos et al. (1997) Nucleic Acids Res. 25:4748; Smith et al. (1998) J. Comp. Biol. 5:255; Liu et al. (1998) J. Comp. Biol. 5:267; Frutos et al. (1998) J. Am. Chem. Soc.
- the reaction to form the immobilized oligonucleotide can be performed under aqueous conditions without the need for additional reagents, such as a reducing agent.
- Appropriately modified solid surfaces can be prepared by the methods provided herein and possess carbonyl, oxyamino, or hydrazino groups complementary to the modified oligonucleotide. Reaction of the modified oligonucleotide with the modified solid surface results in covalent attachment of the oligonucleotide to the solid surface through a hydrazone or oxime linkage.
- the solid surface can be modified to possess an epoxide, ⁇ -bromocarbonyl, maleimide, maleic anhydride, isothiocyanate or isocyanate group.
- Such solid surfaces can be prepared by methods provided herein or other methods well known to those of skill in the art. For example, reaction of pentafluorophenyl 4-isothiocyanatobenzoate with an amino or hydroxy solid surface results in formation of an isothiocyanato modified solid surface.
- Some of these surfaces are commercially available from, e.g., Pierce (Rockford, Ill.), SINTEF Applied Chemistry (Trondheim, Norway), Rapp Polymere Gmbh (Tubingen, Germany), and Dyno Particles AS (Trondheim, Norway). Reaction of the hydrazino or oxyamino group of the modified oligonucleotide with the epoxide, ⁇ -bromocarbonyl, maleimide, maleic anhydride, isothiocyanate or isocyanate group of the solid surface results in covalent attachment of the oligonucleotide to the solid surface.
- the immobilized oligonucleotides are selected such that the solid surface is not modified with an aldehyde or epoxide group.
- the X 2 group provides a site for conjugation of a second component to the immobilized oligonucleotide.
- the conjucation partner, F* in these embodiments is preferably a compound that does not appreciably fluoresce, including, but not limited to, an ethidium bromide derivative. Intercalation of F* into the oligonucleotide duplex leads to enhanced fluorescence of F*.
- Oligonucleotide first components conjugated to second components including, but not limited to, biopolymers as defined herein, macromolecules as defined herein, polymers including, but not limited to, polyamines, polyamides, polyethers and polyethylene glycols, and other compounds of interest herein for use in assays, kits, diagnostic arrays, and the like, including, but not limited to, intercalators, vitamins, reporter molecules, cholesterols, phospholipids, biotin, phenazine, phenanthridine, anthraquinone, acridine, fluoresceins, rhodamines, coumarins, dyes, antibodies, haptens, antigens, enzymes, and detection reagents including, but not limited to, fluorophores, metals including, but not limited to, gold, metal chelates, chromophores, fluorophore precursors and chromophore precursors, that are modified to possess a hydrazino, oxyamin
- Fluorophore precursors and chromophore precursors are compounds that react with the hydrazino, oxyamino or carbonyl group of the modified oligonucleotide to form a fluorogenic or chromogenic group for analysis.
- oligonucleotide-enzyme conjugates will find particular use in molecular addressing and known diagnostic assays.
- a modified oligonucleotide of formula (II), (IX) or (XI) Reaction of a modified oligonucleotide of formula (II), (IX) or (XI) with an appropriately modified second component provides a hydrazone or oxime linked conjugate.
- a hydrazino modified oligonucleotide of formula (II), (IX) or (XI) reacts with a carbonyl containing second component, or a second component modified to possess a carbonyl group, such as an aldehyde or a ketone, to afford the conjugate provided herein.
- a carbonyl modified oligonucleotide of formula (II), (IX) or (XI) is reacted with a second component containing a hydrazino group, or modified to contain a hydrazino group, to afford the conjugate provided herein.
- the modified oligonucleotide possesses an oxyamino or carbonyl group
- the second component possesses a complementary carbonyl or oxyamino group, or is modified to possess a complementary carbonyl or oxyamino group, to afford an oxime linked conjugate.
- the reaction to form the oligonucleotide conjugate can be performed under aqueous conditions without the need for additional reagents, such as a reducing agent.
- Kaneko et al. ((1991) Bioconj. Chem. 2:133) describes the preparation of pyridyldisulfide-substituted hydrazone derived crosslinkers in their study to identify acid-labile bonds for crosslinking of adriamycin to monoclonal antibodies, and release of the adriamycin following localization and internalization of the drug/protein conjugate.
- the hydrazones formed from aliphatic hydrazides were the optimal bond for this purpose as this hydrazone was stable at neutral pH but hydrolyzed at the acidic pH (4.5) in the endosome.
- Schwartz et al. (U.S. Pat. Nos. 5,206,370, 5,420,285 and 5,753,520, and European Patent Specification No. EP 0 384 769 B1) describe the synthesis and protein-modifying properties of a series of aromatic hydrazides, hydrazines and thiosemicarbazides.
- the hydrazine and thiosemicarbazide-modified conjugates are used to bind metals, e.g., technetium and rhenium, to macromolecules for use in diagnosis and treatment of diseases (see, also, Abrams et al. ((1990) J. Nucl. Med. 31:2022) and Schwartz et al. ((1991) Bioconj. Chem.
- modified solid surfaces and second components are useful for the immobilization of the oligonucleotide first components provided herein, and in the conjugation of such first components, respectively.
- a dihydrazine reagent for modification of oligosaccharides also can be used in the modification of solid surfaces to provide a hydrazino solid surface.
- Many of the other reagents provided below can be used in the preparation of either modified solid surfaces or in the modification of second components for conjugation with the modified oligonucleotides provided herein.
- Hydrazino, oxyamino and carbonyl modified surfaces are provided.
- the surfaces provided herein include, but are not limited to, glasses including glasses including controlled pore glass, plastics including polyethylenes, polycarbonates, polypropylenes, polyamides such as Nylon® and polyacrylamides, and polyvinyldenedifluorides, latexes, rubbers, celluloses including nitrocelluloses and diazatized celluloses, latexes, metals including platinum, nickel, zinc, tin, palladium, steel, gold, silver, aluminum, silicon and copper, silicas, agaroses including Sephadex®, dextrans including Sepharose®, natural sponges, polystyrenes including polystyrene crosslinked with divinylbenzene, polystyrenes radiation grafted onto perfluorinated polymers such as Teflon® see, e.g., Maeji et al.
- Synthetic solid surfaces include those made from polymers and co-polymers such as polyvinylalcohols, acrylates and acrylic acids such as polyethylene-co-acrylic acid, polyethylene-co-methacrylic acid, polyethylene-co-ethylacrylate, polyethylene-co-methyl acrylate, polypropylene-co-acrylic acid, polypropylene-co-methyl-acrylic acid, polypropylene-co-ethylacrylate, polypropylene-co-methyl acrylate, polyethylene-co-vinyl acetate, polypropylene-co-vinyl acetate, and those containing acid anhydride groups such as polyethylene-co-maleic anhydride, polypropylene-co-maleic anhydride and the like.
- Liposomes also have been used as solid surfaces for affinity purifications (see, e.g., Powell et al. (1989) Biotechnol. Bioeng. 33:173).
- U.S. Pat. No. 5,403,750 describes the preparation of polyurethane-based polymers.
- U.S. Pat. No. 4,241,537 describes a plant growth medium containing a hydrophilic polyurethane gel composition prepared from chain-extended polyols; random copolymerization is preferred with up to 50% propylene oxide units so that the prepolymer will be a liquid at room temperature.
- U.S. Pat. No. 3,939,123 describes lightly crosslinked polyurethane polymers of isocyanate terminated prepolymers comprised of poly(ethyleneoxy)glycols with up to 35% of a poly(propyleneoxy)glycol or a poly(butyleneoxy)glycol.
- an organic polyamine is used as a crosslinking agent.
- Other solid surfaces and preparation thereof are described in U.S. Pat. Nos. 4,177,038, 4,175,183, 4,439,585, 4,485,227, 4,569,981, 5,092,992, 5,334,640, and 5,328,603.
- U.S. Pat. No. 4,162,355 describes a polymer suitable for use in affinity chromatography, which is a polymer of an aminimide and a vinyl compound having at least one pendant halo-methyl group.
- An amine ligand which affords sites for binding in affinity chromatography is coupled to the polymer by reaction with a portion of the pendant halo-methyl groups and the remainder of the pendant halo-methyl groups are reacted with an amine containing a pendant hydrophilic group.
- a method of coating a substrate with this polymer is also described.
- An exemplary aminimide is 1,1-dimethyl-1-(2-hydroxyoctyl)amine methacrylimide and vinyl compound is a chloromethyl styrene.
- U.S. Pat. No. 4,171,412 describes specific matrices based on hydrophilic polymeric gels, preferably of a macroporous character, which carry covalently bonded D-aminoacids or peptides which contain D-aminoacid units.
- the basic carrier is prepared by copolymerization of hydroxyalkyl esters or hydroxyalkylamides of acrylic and methacrylic acid with crosslinking acrylate or methacrylate comonomers are modified by the reaction with diamines, aminoacids or dicarboxylic acids and the resulting carboxyterminal or aminoterminal groups are condensed with D-analogs of aminoacids or peptides.
- the peptide containing D-aminoacids also can be synthesized stepwise on the surface of the carrier.
- U.S. Pat. No. 4,178,439 describes a cationic ion exchanger and a method for preparation thereof.
- U.S. Pat. No. 4,180,524 describes chemical syntheses on a silica support.
- the solid supports can be identifiable or addressable, including electronic tags, such as by including encodable or pre-encoded electronic tags or bar codes in or on or associate with the supports (see, e.g., U.S. Pat. No. 6,025,129; U.S. Pat. No. 6,017,496; U.S. Pat. No. 5,972,639; U.S. Pat. No. 5,961,923; U.S. Pat. No. 5,925,562; U.S. Pat. No. 5,874,214; U.S. Pat. No. 5,751,629; U.S. Pat. No. 5,741,462), or chemical tags (see, U.S. Pat. No. 5,432,018; U.S. Pat. No.
- Electronic tags include radio-frequency tags, such as IRORI MICROKANS® and MICROTUBES® microreactors (see, U.S. Pat. No. 6,025,129; U.S. Pat. No. 6,017,496; U.S. Pat. No. 5,972,639; U.S. Pat. No. 5,961,923; U.S. Pat. No. 5,925,562; U.S. Pat. No. 5,874,214; U.S. Pat. No. 5,751,629; U.S. Pat. No. 5,741,462; International PCT application No. WO98/31732; International PCT application No. WO98/15825; and, see, also U.S. Pat. No. 6,087,186).
- radio-frequency tags such as IRORI MICROKANS® and MICROTUBES® microreactors
- Immobilized Artificial Membranes see, e.g., U.S. Pat. Nos. 4,931,498 and 4,927,879) also can be used. IAMs mimic cell membrane environments and can be used to bind molecules that preferentially associate with cell membranes (see, e.g., Pidgeon et al. (1990) Enzyme Microb. Technol. 12:149).
- the solid surfaces can take the form of beads, capillaries, flat supports such as glass fiber filters, multiwell plates, thin films, membranes, wafers, combs, pins, beads in pits of flat surfaces such as wafers (e.g., silicon wafers), with or without filter plates, pellets, disks, continuous surfaces such as a microtiter dish or well, hollow fibers, needles, solid fibers, slides, chips, sheets, containers or meshes.
- the solid surfaces can be formed in arrays for combinatorial synthesis or analysis, or for formation of a combinatorial library.
- Other supports for use herein include papers coated with functionalized or functionalizable matrix materials.
- the solid surface is modified to possess a hydrazino, oxyamino, or carbonyl group that is complementary to the hydrazino, oxyamino or carbonyl moiety of the oligonucleotide of formula (II) for formation of a hydrazone or oxime linkage.
- the hydrazino or oxyamino modified surfaces are prepared from commercially available or known solid supports such as those described above, or incorporated into monomers for direct modification of surfaces, e.g., trialkoxysilane or monomers for inclusion in polymers or copolymers. Reaction of the support with, e.g., 5-succinimidyloxycarbonylpyrid-2yl acetone hydrazone having the formula:
- hydrazone or oxime modified solid surface forms a hydrazone or oxime modified solid surface.
- the hydrazone or oxime succinimidyl esters shown above are reacted with an amino-substituted silane, such as 3-aminopropyltriethoxysilane, to form a silyl hydrazone or oxime.
- Reaction of the silyl group with a solid surface forms a hydrazone or oxime modified solid surface.
- Hydrolysis of the hydrazone or oxime group under mild acidic conditions e.g., 0.1 M acetate, pH 4.7
- hydrazino modified gold surfaces are prepared by reaction with a dihydrazino-dithiol compound of formula X-M-S—S-M-X, where each S is sulfur, each X is independently a protected or unprotected hydrazino group, and each M is independently selected as above.
- the compound is symmetrical and has the formula (X-M-S—) 2 .
- M preferably has any combination, preferably 1 to 100, more preferably 1 to 50, most preferably 1 to 10, of the following groups: arylene, heteroarylene, C(E), N(R 1 ) and C(R 1 ) 2 , where E and R 1 are selected as above, which groups can be combined in any order.
- R 1 is preferably hydrogen and E is preferably oxygen.
- M has 1 to 10 of the following groups: pyridylene, NH, C(O) and CH 2 , which groups can be combined in any order.
- M is most preferably derived from cysteamine. Briefly, reaction of cysteamine dimer (i.e., (H 2 NCH 2 CH 2 S) 2 ) with succinimidyl 2-BOC-hydrazino-5-pyridylcarboxylate provides, after deprotection, the dihydrazino-dithiol:
- Carbonyl modified surfaces are prepared from commercially available solid supports such as those described above. Reaction of the support with, e q, succinimidyl 4-formylbenzoate or 4′-succinimidyloxycarbonylacetophenone forms a carbonyl, particularly an aldehyde or methyl ketone modified solid surface. Alternatively, succinimidyl 4-formyl benzoate or 4′-succinimidyloxycarbonylacetophenone is reacted with an amino-substituted silane, such as 3-aminopropyltriethoxysilane, to form a silyl aldehyde or ketone. Reaction of the silyl group with a solid surface forms an aldehyde or ketone modified solid surface.
- Hydrazino, oxyamino, and carbonyl modified second components can be prepared by methods provided herein, or by methods well known to those of skill in the art.
- an oligosaccharide can be reacted with cyanogen bromide or 1-cyano-4-dimethylaminopyridinium bromide (CDAP) to afford a cyano ether of formula R—O—CN.
- the hydrazino, oxyamino or carbonyl substituted amine provided herein for oligosaccharide modification has the formula: H 2 N-M-X, or a derivative thereof, where M and X are selected as above.
- the compound of formula H 2 N-M-X is selected where M is not C 1-12 alkyl.
- the modified oligosaccharide has the formula: O 3 —O—C( ⁇ NH)—NH-M-X, where O 3 is an oligosaccharide; and M and X are as defined above.
- oligosaccharides are derivatized as their hydrazino analogs by reaction with CDAP and a dihydrazino compound (see, e.g., FIG. 12 ).
- the dihydrazino compounds have the formula: X-M-X, or a derivative thereof, where each X is independently a hydrazino group and M is selected as above.
- M has any combination, preferably 1 to 100, more preferably 1 to 50, most preferably 1 to 10, of the following groups: arylene, heteroarylene, C(R 1 ) 2 , N(R 1 ) and C(E), where R 1 and E are selected as above, which groups can be combined in any order.
- R 1 is hydrogen and E is oxygen.
- M has 1 to 10 of the following groups: heteroarylene, CH 2 , NH and C(O), which groups can be combined in any order.
- M most preferably is derived, in these embodiments, from reaction of 1,6-hexanediamine with two equivalents of succinimidyl N′-BOC-6-hydrazinonicotinate (see, FIG. 12 ).
- the reagent of formula X-M-X most preferably has formula:
- hydrazino modified oligosaccharide is then conjugated to a carbonyl modified oligonucleotide provided herein.
- di(oxyamino) compounds of formula X-M-X, or a derivative thereof, where X is an oxyamino group and M is selected as above can be used to generate oxyamino modified oligosaccharides for conjugation with carbonyl modified oligonucleotides.
- Polysaccharides or glycoproteins can be oxidized with sodium periodate to yield aldehyde groups directly. These aldehyde groups can be directly labeled with hydrazine modified oligonucleotides as described herein. Lysine moieties on proteins can be modified to incorporate aldehydes using succinimidyl 4-formylbenzoate (Pierce Chemical Co.). These aldehyde containing proteins can be directly conjugated to hydrazine modified oligonucleotides.
- Hydrazine groups also can be incorporated on insoluble polysaccharides such as cellulose or agarose using 1-cyano-4-dimethylaminopyridine bromide (CDAP) as described by Lees et al. ((1996) Vaccine 14:190 and (2000) Vaccine 18:1273) using a dihydrazine molecule (see, e.g., Example 16).
- CDAP 1-cyano-4-dimethylaminopyridine bromide
- Modified proteins possessing hydrazino or oxyamino groups can be prepared by the methods described in U.S. Pat. Nos. 5,206,370, 5,420,285 and 5,753,520, and European Patent Specification EP 0 384 769 B1, the disclosures of which are incorporated herein by reference in their entirety. These hydrazine modified proteins can be directly conjugated to aldehyde modified oligonucleotides prepared as described herein. Carbonyl modified proteins are prepared by reaction of an aldehyde or ketone substituted succinimidyl ester with nucleophilic groups of the protein, including, but not limited to, the amino side chain of lysine.
- the aldehyde or ketone substituted N-hydroxysuccinic ester is, for example, succinimidyl 4-formyl- or 4-acetylbenzoate.
- the protein is reacted with succinimidyl levulinate (succinimidyl 4-oxopentanoate) to provide a ketone substituted protein.
- the second component can possess an epoxide, ⁇ -bromocarbonyl, maleimide, maleic anhydride, isothiocyanate or isocyanate group.
- Such second components can be prepared by methods provided herein or other methods well known to those of skill in the art. For example, reaction of pentafluorophenyl 4-isothiocyanatobenzoate with an amino or hydroxy group of a second component results in formation of an isothiocyanato modified solid surface.
- Reaction of the hydrazino or oxyamino group of the modified oligonucleotide with the epoxide, ⁇ -bromocarbonyl, maleimide, maleic anhydride, isothiocyanate or isocyanate group of the second component results in covalent attachment of the oligonucleotide to the second component.
- conjugation of the hydrazino modified oligonucleotide can be conducted at a lower pH that for the corresponding amino modified oligonucleotide.
- hydrazino, oxyamino and carbonyl modified oligonucleotides or formula (II) provided herein are useful in a variety of methods, including, but not limited to, diagnostic probe assays, DNA amplification by solid phase polymerase chain reactions (PCR), molecular computing (see, e.g., Adleman (1994) Science 266:1021-1024; Kari (1997) Mathematical Intelligencer 19:9-22; Frutos et al. (1997) Nucleic Acids Res. 25:4748; Smith et al. (1998) J. Comp. Biol. 5:255; Liu et al. (1998) J. Comp. Biol. 5:267; Frutos et al. (1998) J.
- modified oligonucleotide is immobilized as described herein for use in the above methods.
- hydrazino modified oligonucleotides prepared using the reagents of formula (I) are also useful for a variety of additional purposes, including, but not limited to:
- the hydrazino protecting group is a labile protecting group, including, but not limited to, FMOC, benzoyl or acetyl, that is removed during deprotection of the other oligonucleotide protecting groups.
- reagents of formula (I) provided herein can be prepared by methods well known to those of skill in the art, or by modification of those methods using techniques known to those of skill in the art.
- reagents of formula (I) where X is a carbonyl group, particularly an aldehyde or ketone group can be prepared starting from formyl- or keto-substituted carboxylic acids and carboxylic acid derivatives.
- Many such formyl- or keto-substituted carboxylic acids and carboxylic acid derivatives, including 4-formylbenzoic acid and 4′-carboxyacetophenone are commercially available (see, e.g., Aldrich Chemical Co., Milwaukee, Wis.).
- succinimidyl ester or other activated ester of these carboxylic acids prepared, e.g., from the carboxylic acid, N-hydroxysuccinimide and dicyclohexylcarbodiimide, with, e.g., an ⁇ , ⁇ -aminoalcohol such as 6-aminohexanol, provides a formyl- or keto-substituted- ⁇ -hydroxyamide.
- Derivatization of the hydroxy group of this amide as the corresponding phosphorous based coupling group, e.g., a phosphoramidite can be achieved under standard conditions well known to those of skill in the art.
- reaction of the alcohol with diisopropyl pyrrolidinyl phosphoryl chloride in the presence of triethylamine provides the desired N,N-diisopropylchlorophosphoramidite.
- reaction of the alcohol with 2-cyanoethyl-N,N,N′,N′-tetraisopropylphosphorodiamidite in the presence of diisopropylammonium tetrazolide affords the 2-cyanoethyl-N,N-diisopropylphorphoramides provided herein.
- the reagents of formula (I) where X is a hydrazino group or oxyamino group are prepared starting from hydrazino- or oxyamino-substituted carboxylic acids and carboxylic acid derivatives.
- Such hydrazino or oxyamino compounds are prepared by reaction of the corresponding halocarboxylic acid with, e.g., hydrazine, hydroxylamine, or derivatives thereof.
- Semicarbazides and thiosemicarbazides are prepared by reaction of hydrazine with the corresponding isocyanates and isothiocyanates.
- Carbazides and thiocarbazides can be prepared by reaction of a hydrazine derivative with phosgene or thiophosgene, or an equivalent thereof, and hydrazine.
- Hydrazides are prepared by reaction of an activated carboxylic acid with hydrazine.
- a carbonic acid dihydrazine is prepared by reaction of an isocyanate with carbonic acid dihydrazide.
- a hydrazine carboxylate can be prepared by reaction of an alcohol with phosgene and hydrazine.
- the resulting hydrazino or oxyamino carboxylic acid is then protected.
- the protecting group is a salt or is any amine or hydrazine protecting group known to those of skill in the art.
- succinimidyl ester or other activated ester of protected hydrazino or protected oxyamino carboxylic acids prepared, e.g., from the carboxylic acid, N-hydroxysuccinimide and dicyclohexylcarbodiimide, with, e.g., an ⁇ , ⁇ -aminoalcohol such as 6-aminohexanol, provides a formyl- or keto-substituted- ⁇ -hydroxyamide.
- Derivatization of the hydroxy group of this amide as the corresponding phosphorous based coupling group, e.g., a phosphoramidite can be achieved under standard conditions well known to those of skill in the art.
- reaction of the alcohol with diisopropyl phosphoryl dichloride in the presence of triethylamine provides the desired N,N-diisopropylchlorophosphoramidite
- reaction of the alcohol with N,N-diisopropyl-O-(2-cyanoethyl)phophoramidyl chloride provides the desired N,N-diisopropyl-O-(2-cyanoethyl)phosphoramidate.
- succinimidyl 4-formylbenzoate (3-1; 6.06 g, 24.5 mmol, 1 eq.) was dissolved in dioxane (60 mL).
- a solution of 6-aminohexanol (3-2; 3 g, 25.7 mmol, 1.05 eq.) in H 2 O (10 mL) was added dropwise.
- Thin layer chromatography indicated that the reaction is complete after 3 hours stirring at room temperature.
- the reaction mixture was concentrated and the residue was suspended in ethyl acetate.
- the product was isolated by filtration.
- the product was recrystallized from ethyl acetate.
- the mother liquor was concentrated and a second crop of produce was isolated by filtration to give a total of 3.4 grams of desired aldehyde alcohol 3-3.
- a 25 mer phosphodiester DNA oligonucleotide with sequence 5′ ttt-ttt-tag-cct-aac-tga-tgc-cat-g 3′ was synthesized on a PerSeptive Expedite 8909 instrument using the standard protocol. A small amount of beads were removed for use as a precursor (DMT-off) standard.
- a 0.1 M solution of the aldehyde phosphoramidite from Example 1 was prepared by dissolving the solid in dry acetonitrile (less than 20 ppm water). The aldehyde amidite was coupled to the 5′ end of the oligonucleotide by syringe using a manual syringe coupling technique. The coupling time was 15 minutes.
- the MMT-protected hydrazino phosphoramidite monomer 8-3 from Example 4.A is then dissolved in acetonitrile and coupled to the 5′ terminus of an oligonucleotide in the presence of an excess of tetrazole.
- the oligonucleotide is then be deprotected and cleaved from support using base, followed by purification and subsequent removal of the trityl (MMT) moiety with acid. Repurification is possible at this juncture, if required.
- the resulting 2-MMT-protected semicarbazido-alcohol 9-1 is converted to the corresponding amidite 9-2 using the general protocol for preparation of amidites described in Example 3.
- Example 5 The reagent from Example 5.A 9-2 is then dissolved in acetonitrile and coupled to the 5′ terminus of an oligonucleotide in the presence of an excess of tetrazole. The oligonucleotide is then deprotected and cleaved from support using base, followed by purification and subsequent removal of the trityl moiety with acid. Repurification would be possible at this juncture, if required.
- the FMOC-protected thiosemicarbazido amidite 10-3 is incorporated on the 5′-end of an oligonucleotide on the solid support using standard coupling conditions as described in Example 2 above.
- Covalink primary amino 96 well plates (Nalgene Nunc, catalog #459439) are reacted with succinimidyl 6-hydrazinonicitinoate acetone hydrazone to immobilize lower alkyl hydrazone groups on the surface.
- a 5 nM solution of a 5′-hydrazino-oligonucleotide, as prepared in Example 4, in 0.1 M acetate, pH 4.7 is prepared.
- the oligonucleotide solution is added to one or more wells of the above aldehyde 96 well plate. Following incubation at 25-37° C. for 2-16 h, the wells are washed with PBS/0.05% Tween® to remove unreacted oligonucleotide.
- the probe oligonucleotide is covalently bound to the plastic and ready for use to capture its complementary target oligonucleotide.
- the bound amplicons are converted to single stranded molecules by treatment with NaOH.
- the bound single stranded PCR product can be used for variety of purposes as described in the literature. See, e.g., Agrawal, Protocols for Oligonucleotides and Analogs, in Methods in Molecular Biology 20 (Humana Press, 1993).
- a 95% ethanol-5% water solution is adjusted to pH 4.5-5.5 with acetic acid.
- Silane 17-2 is added with stirring to yield a 2% final concentration. Five minutes is allowed for hydrolysis and silanol formation.
- the glass plates are dipped into the colution, agitated gently, and removed after 1-2 minutes. The plate is rinsed free of excess materials by dipping briefly in ethanol. Cure of the silane layer is 24 h at room temperature.
- an aldehyde modified oligonucleotide is immobilized on a hydrazino modified bead. Hybridization to the oligonucleotide's fluorescent complement allows for identification of the sites of immobilization.
- 5′-Aldehyde-modified oligonucleotide (Example 2) (3 ⁇ L of a 0.118 OD/ ⁇ L solution in 0.1 M acetate, pH 4.7) was added to 0.5 mM 2-hydrazinopyridine (Aldrich Chemical Co., Milwaukee, Wis.) in 0.1 M acetate, pH4.7 (97 ⁇ L) and incubated at room temperature in the dark for 2-4 h. The absorbance of the sample was read at 360 nm (molar extinction coefficient at 360 nm for the hydrazone of 2-hydrazinopyridine and methyl 4-formylbenzoate is 18000).
- Amino beads (714 ⁇ L; Bangs Laboratories, Fishers, Ind.; mean diameter (0.87 ⁇ m; density of solid polymer 1.06 g/mL; surface titration 245 ⁇ eq/g; number of spheres/gram 2.736e12) were solvent exchanged by centrifugation, removal of supernatant and washing with conjugation buffer (100 mM phosphate, 150 mM NaCl, pH 7.4) three times (1.0 mL). A solution of succinimidyl 4-formyl benzoate (10 mg; 0.04 mmol) in DMF (50 ⁇ L) was added to a suspension of the beads in conjugation buffer and the reaction mixture was placed on a rotator overnight. The beads were purified by centrifugation, removal of the supernatant and washing with DI water (3 ⁇ 1000 ⁇ L).
- Amino beads (0.245 mL) were prepped as in Example 14A in conjugation buffer.
- the beads were resuspended in conjugation buffer and SANH/DMF solution (40 ⁇ L) was added.
- the beads were purified by centrifugation, removal of supernatant, washed with conjugation buffer (2 ⁇ 1 mL) and 0.1 M acetate buffer, pH 4.7 (2 ⁇ 1.0 mL) to deprotect the hydrazine.
- a solution of hydroxylamine.HCl (Aldrich Chemical Co.) in water is basified to pH 10 with 10 M sodium hydroxide. 6-Chloronicotinic acid (11-1) is added to the hydroxylamine solution heated at 95° C. for 16 hours. The solvent is removed under reduced pressure and water is added and the solution acidified with cone. HCl leading to the formation of a precipitate. The precipitate is isolated by filtration, washed with ethanol and dried under vacuum to give a mixture of 11-2 and 11-3.
- N-MMT product 11-4 (1 equiv) is dissolved in DMF and N-hydroxysuccinimide (1 equiv) and 6-aminohexanol are added followed by the dropwise addition of a solution of dicyclohexylcarbodiimide (1 equiv).
- the reaction mixture is stirred at room temperature and the progress of the reaction is followed by TLC.
- Dicyclohexylurea solids are removed by filtration and the filtrate is concentrated under reduced pressure.
- the residue is treated with ethyl acetate and insolubles are removed by filtration.
- the filtrate is concentrated to dryness under reduced pressure and the product 11-5 is isolated by silica gel chromatography. Alcohol 11-5 is converted into its phosphoramidite 11-6 as described in Example 3.
- a solution of 5′-aldehyde modified oligonucleotide (as prepared in Example 2; 0.2 OD/ ⁇ L in 0.1 M acetate buffer, pH 4.7) is spotted (1 ⁇ L) on the hydrazino-modified cellulose. The spot is allowed to stand until dry and washed with hybridization buffer (50 mM tris, 0.5 M NaCl, 1% tween, pH 7.4).
- hybridization buffer 50 mM tris, 0.5 M NaCl, 1% tween, pH 7.4
- the modification is analyzed for successful modification by hybridization to the immobilized oligonucleotide's 5′-modified complement.
- the hybridization is performed by spotting a 0.2 OD/mL solution of the complementary oligonucleotide in hybridization buffer (1 ⁇ L) and incubation at room temperature until fry. The membrane is washed with hybridization buffer and visualized using a fluorescent microscope.
- hydrazinonicotinamidohexanol (7-1; 1.9 g, 6.84 mmole) was dissolved in water/methanol (2:1) and 2.2 g (6.84 mmole, 1 eq) of FMOC-O—Su was added and stirred at room temperature for 3 hours. Further acetonitrile was added to dissolve precipitate. The reaction mixture was evaporated and re-dissolved in methanol. On standing a precipitate formed. The precipitate was filtered and dried under vacuum to give 7-2 (1.9 grams; 60% yield). The structure of the product was confirmed by 1 H NMR.
- the reaction was analyzed by TLC on silica gel using ethyl acetate/hexane (1:1) with 5% triethylamine. The mixture was dried down and redissolved in 5 ml of ethyl acetate and purified on a 20 grams silica gel with ethyl acetate hexane.
- hydrazinonicotinic acid (6-1; 5.0 g, 32.64 mmole) was co-evaporated with anhydrous pyridine (2 ⁇ 30 ml) and dissolved in 30 ml of dichloromethane. The solution was cooled in an ice bath and triethylamine (3.96 g; 39.2 mmole) was added. Dimethoxytrityl chloride (8.85 g, 26.14 mmole, 0.8 eq) was dissolved in 30 ml of dichloromethane and added and stirred at room temperature overnight. Anhydrous pyridine (10 ml) was added to dissolve any insolubles.
- 1-(N 2 -dimethoxytrityl)hydrazino-nicotinic acid (6-2; 2.0 g, 4.39 mmole) was suspended in 30 ml of ethyl acetate and 0.99 g (4.83 mmole) of dicyclohexylcarbodiimide (DCC) and 0.5 g (4.39 mmole) of N-hydroxysuccinimide was added. Reaction was allowed to stir at RT overnight. TLC on silica gel plate showed disappearance of the starting material and formation of one major product. The precipitated dicyclohexylurea was filtered off and washed with ethyl acetate.
- DCC dicyclohexylcarbodiimide
- the reaction was analyzed by TLC on silica gel using ethyl acetate/hexane (1:1) with 5% triethylamine.
- the mixture was evaporated, redissolved in 5 ml of ethyl acetate and purified on a 20 grams silica gel.
- the column was packed with ethyl acetate/hexane (1:1) with 5% triethylamine and washed with the same solvent but only 1% triethylamine.
- the product was eluted with ethyl acetate/hexane (1:1).
- the product fractions were pooled and dried to obtain 400 mg of 6-4.
- the structure was analyzed by 1 H NMR and 31 P NMR.
- a 95% ethanol-5% water solution is adjusted to pH 4.5-5.5 with acetic acid.
- Silane 19-4 added with stirring to yield a 2% final concentration. Five minutes is allowed for hydrolysis and silanol formation.
- the glass plates are dipped into the solution, agitated gently, and removed after 1-2 minutes. The plate is rinsed free of excess materials by dipping briefly in ethanol. Cure of the silane layer is 24 hours at room temperature to give 19-5.
- 3-(5-trifluoroacetamido)propynylcytosine (13-1; 1 equiv), prepared following the procedure of U.S. Pat. No. 5,151,507) is treated with a solution of ammonium hydroxide in acetone for 30 min at room temperature. The volatiles are removed under reduced pressure and dissolved in 0.1 M phosphate buffer, pH 7.4. An equal volume of dioxane is added followed by the dropwise addition of a solution of succinimidyl 6-FMOC-hydrazinonicotinate (1.2 equiv). The reaction mixture is stirred at room temperature for 3 hours. The dioxane is removed under reduced pressure and the aqueous residue is extracted twice with ethyl acetate. The combined organic extracts are dried (magnesium sulfate), filtered and concentrated to give 13-2.
- Amino diol 13-2 (1 equiv) is co-evaporated from DMF and redissolved in DMF and treated with hexamethyldisilazine (1 equiv) and stirred until the reaction is complete as determined by TLC (1 hour).
- a solution of benzoic anhydride (2 equiv) and triethylamine (2 equiv) are added and the reaction mixture is stirred at room temperature until the reaction is complete as determined by TLC.
- the silyl groups are removed by addition of methanol/water (1/1) over one hour. The solvents were removed under reduced pressure and the residue is dissolved in ethyl acetate and washed with saturated aqueous sodium bicarbonate and brine.
- the organic phase is dried over magnesium sulfate, filtered and concentrated to give the desired diol.
- the diol is coevaporated twice from DMF and redissolved in DMF and a solution of dimethoxytritylchloride (1.1 equiv) in 1/1 DMF is added dropwise over 1 h.
- the reaction mixture is stirred until complete as determined by TLC.
- the solvent were removed under reduced pressure and the residue is dissolved in ethyl acetate and washed with saturated sodium bicarbonate and brine.
- the organic phase is dried (magnesium sulfate), filtered and concentrated under reduced pressure to give 13-3.
- Alcohol 13-3 was converted to its amidite 13-4 using the general procedure for preparation of amidites described in Example 3.
- 3-(5-trifluoroacetamido)propynylcytosine (15-1; 1 equiv), prepared according to the procedure of U.S. Pat. No. 5,151,507, is treated with a solution of ammonium hydroxide in acetone for 30 min at room temperature. The volatiles are removed under reduced pressure and dissolved in 0.1 M phosphate buffer, pH 7.4. An equal volume of dioxane is added followed by the dropwise addition of a solution of 4-formylbenzoate (1 equiv). The reaction mixture is stirred at mom temperature for 3 hours. The dioxane is removed under reduced pressure and the aqueous residue is extracted twice with ethyl acetate. The combined organic extracts are dried (magnesium sulfate), filtered and concentrated to give 15-2.
- Aldehyde 15-2 (1 equiv) is coevaporated from pyridine and redissolved in pyridine and treated with hexamethyldisilazine (1 equiv) and stirred until the reaction is complete as determined by TLC-1 hour.
- a solution of benzoic anhydride (2 equiv) are added and the reaction mixture is stirred at room temperature until the reaction is complete as determined by TLC.
- the silyl groups are removed by addition of methanol/water (1/1) over one hour. The solvents were removed under reduced pressure and the residue is dissolved in ethyl acetate and washed with saturated aqueous sodium bicarbonate and brine.
- 15-3 is coevaporated twice from pyridine and redissolved in pyridine and a solution of dimethoxytrityl chloride (1.1 equiv) in 1/1 didchloromethane/pyridine is added dropwise over 1 h. The reaction mixture is stirred until complete as determined by TLC. The solvent were removed under reduced pressure and the residue are dissolved in ethyl acetate and washed with saturated sodium bicarbonate and brine. The organic phase is dried (magnesium sulfate), filtered and concentrated under reduced pressure to give 15-3.
- Alcohol 15-3 was converted to its amidite 15-4 using the general procedure for preparation of amidites described in Example 3.
- 2,7-Biscarboethoxyamino-9-phenylphenanthridine (22-1, 1 equiv.), prepared by the method of Watkins (1952) J. Chem. Soc. 3059, is combined with 3-bromopropionic acid (2.5 equiv.; Aldrich Chemical Co., Milwaukee, Wis.) and is heated in nitrobenzene at 100° C. for 4-6 hours. Following cooling to room temperature the crude product is precipitated by addition of ether. The product 22-2 is isolated by filtration and used directly.
- Alcohol 21-6 is converted into its amidite 21-7 using the general procedure for preparation of amidites described in Example 3.
- Amidite 21-7 is incorporated onto the 5′-terminus of an oligonucleotide using the procedure of Example 4.
Landscapes
- Chemical & Material Sciences (AREA)
- Health & Medical Sciences (AREA)
- Organic Chemistry (AREA)
- Life Sciences & Earth Sciences (AREA)
- Engineering & Computer Science (AREA)
- Bioinformatics & Cheminformatics (AREA)
- General Health & Medical Sciences (AREA)
- Medicinal Chemistry (AREA)
- Molecular Biology (AREA)
- Pharmacology & Pharmacy (AREA)
- Epidemiology (AREA)
- Proteomics, Peptides & Aminoacids (AREA)
- Animal Behavior & Ethology (AREA)
- Public Health (AREA)
- Veterinary Medicine (AREA)
- Biochemistry (AREA)
- Manufacturing & Machinery (AREA)
- Ceramic Engineering (AREA)
- Inorganic Chemistry (AREA)
- Polymers & Plastics (AREA)
- Biotechnology (AREA)
- Genetics & Genomics (AREA)
- Immunology (AREA)
- Chemical Kinetics & Catalysis (AREA)
- General Chemical & Material Sciences (AREA)
- Materials Engineering (AREA)
- Structural Engineering (AREA)
- Measuring Or Testing Involving Enzymes Or Micro-Organisms (AREA)
- Pharmaceuticals Containing Other Organic And Inorganic Compounds (AREA)
- Saccharide Compounds (AREA)
Abstract
Description
| TABLE 1 | |||
| 5′-oligonucleotide | |||
| modification | Surface modification | ||
| amino | N-hydroxysuccinimidyl ester (NHS), | ||
| isothiocyanates (ITC) | |||
| thiol | Maleimide, bromoacetyl, activated thiol | ||
| (to form disulfide) | |||
| disulfide | thiol | ||
| biotin | avidin | ||
P1-M-X
or a derivative thereof, as defined herein, where P1 is a phosphorous based coupling group, as defined herein; X is a protected hydrazino group, a protected oxyamino group, or a carbonyl derivative, where the protecting group is a salt or any amino or hydrazino protecting group known to those of skill in the art; and M is a divalent group having any combination of the following groups, which are combined in any order: arylene, heteroarylene, cycloalkylene, C(R1)2, —C(R1)═C(R1)—, >C═C(R2)(R3), >C(R2)(R3), —C≡C—, O, S(A)a, P(D)b(R1), P(D)b(ER1), N(R1), >N+(R2)(R3) and C(E); where a is 0, 1 or 2; b is 0, 1, 2 or 3; A is O or NR1; D is S or O; and E is S, O or NR1; each R1 is a monovalent group independently selected from hydrogen and M1-R4; each M1 is a divalent group independently having any combination of the following groups, which groups are combined in any order: a direct link, arylene, heteroarylene, cycloalkylene, C(R5)2, —C(R5)═C(R5)—, >C═C(R2)(R3), >C(R2)(R3), —C≡C—, O, S(A)a, P(D)b(R5), P(D)b(ER5), N(R5), N(COR5), >N+(R2)(R3) and C(E); where a is 0, 1 or 2; b is 0, 1, 2 or 3; A is O or NR5; D is S or O; and E is S, O or NR5; R4 and R5 are each independently selected from the group among hydrogen, halo, pseudohalo, cyano, azido, nitro, SiR6R7R8, alkyl, alkenyl, alkynyl, haloalkyl, haloalkoxy, aryl, aralkyl, aralkenyl, aralkynyl, heteroaryl, heteroaralkyl, heteroaralkenyl, heteroaralkynyl, heterocyclyl, heterocyclylalkyl, heterocyclylalkenyl, heterocyclylalkynyl, hydroxy, alkoxy, aryloxy, aralkoxy, heteroaralkoxy and NR9R10; R9 and R10 are each independently selected from hydrogen, alkyl, alkenyl, alkynyl, cycloalkyl, aryl, aralkyl, heteroaryl, heteroaralkyl and heterocyclyl; R2 and R3 are selected from (i) or (ii) as follows: (i) R2 and R3 are independently selected from among hydrogen, alkyl, alkenyl, alkynyl, cycloalkyl, aryl and heteroaryl; or (ii) R2 and R3 together form alkylene, alkenylene or cycloalkylene; R6, R7 and R8 are each independently a monovalent group selected from hydrogen, alkyl, alkenyl, alkynyl, haloalkyl, haloalkoxy, aryl, aralkyl, aralkenyl, aralkynyl, heteroaryl, heteroaralkyl, heteroaralkenyl, heteroaralkynyl, heterocyclyl, heterocyclylalkyl, heterocyclylalkenyl, heterocyclylalkynyl, hydroxy, alkoxy, aryloxy, aralkoxy, heteroaralkoxy and NR9R10; and
or a derivative thereof, where P1 is selected as above; each M is independently selected as above; L is a trivalent group having any combination of the following groups: arylene, heteroarylene, cycloalkylene, C(R1)2, —C(R1)═C(R1)—, —C≡C—, O, S(A)a, P(D)b(R1), P(D)b(GR1), N(R1), >N+(R2)(R3), C(R40)2, C(R1)(R40), —C(R40)═C(R1)—, —C(R40)═C(R40)—, S(NR40), P(D)b(R40), P(D)b(GR40), N(R40) or C(G); where a is 0, 1 or 2; b is 0, 1, 2 or 3; A is O or NR1; D is S or O; and G is S, O, NR1 or NR40; which groups are combined in any order; R1, R2 and R3 are as defined above; each R40 is a divalent group independently having any combination of the following groups: arylene, heteroarylene, cycloalkylene, C(R5)2, —C(R5)═C(R5)—, —C≡C—, O, S(A)a, P(D)b(R5), P(D)b(GR5), N(R5), N(COR5), >N+(R2)(R3), C(R41)2, C(R5)(R41), —C(R4)═C(R5)—, S(NR41), P(D)b(R41), P(D)b(GR41), N(R41), N(COR41) or C(G); where a is 0, 1 or 2; b is 0, 1, 2 or 3; A is O or NR5; D is S or O; and G is S, O, NR5 or NR41; which groups are combined in any order; each R41 is a divalent group and each is independently selected from alkylene, alkenylene, alkynylene, arylene, heteroarylene, heterocyclylene, cycloalkylene, cycloalkenylene, alkylenoxy, arylenoxy, aralkylene, aralkenylene, aralkynylene, heteroaralkylene, heteroaralkenylene, heteroaralkynylene, aralkylenoxy, and heteroaralkylenoxy; X1 is a protected hydrazino or a protected oxyamino group; and X2 is an orthogonally protected amino or orthogonally protected hydroxyl group.
P1—S1—B1-M-X,
or a derivative thereof, as defined herein, where P1, M and X are selected as above; S1 is a ribose, a deoxyribose or a dideoxyribose; and B1 is a nucleobase. In these embodiments, it is preferred that P1 is attached to the 3′-hydroxyl of S1. The 5′-hydroxyl group of S1 is preferably protected with a group amenable to solid phase oligonucleotide synthesis, including, but not limited to, a monomethoxytrityl (MMT) or a dimethoxytrityl (DMT) group. In the compounds of formula (X), the variable X, in addition to the groups recited above, is selected from protected hydroxy or protected amino groups, where the protecting group is orthogonal to the protecting group on the 5′-hydroxyl of S1. Such orthogonal protecting groups include, but are not limited to, carbamates and carbonates, particularly 9-fluorenylmethoxycarbonyl (FMOC) carbamates and carbonates. Removal of the orthogonal protecting group following oligonucleotide synthesis provides a free hydroxy or amino group. Reaction of this free hydroxy or amino group with a reagent of formula (I) affords certain of the oligonucleotides provided herein modified with a hydrazino, oxyamino or carbonyl moiety at an internal position.
O1—P2-M-X,
or a derivative thereof, where O1 is a first component that is an oligonucleotide or analog thereof, such as a protein nucleic acid (PNA); P2 is a phosphorous based linking group, including, but not limited to, a phosphorodithioate, phosphorothioate, phosphoramidate, phosphonate, phosphodiester, phosphotriester, thiophosphoramidate, thionoalkylphosphonate, thionoalkylphosphotriester or boranophosphate group, preferably a phosphodiester group, resulting from the coupling of a compound of formula (I) with the oligonucleotide or analog thereof; and M and X are as defined above. In these embodiments, X also includes the free hydrazino and oxyamino groups resulting from deprotection.
or a derivative thereof, where O1, P2, L, X1 and X2 are selected as above; and each M is independently selected as above. In these embodiments, X1 also includes the free hydrazino and oxyamino groups resulting from deprotection. X2 also includes the free amino or hydroxy group resulting from deprotection.
or a derivative thereof, where O1, P2, S1, B1, M and X are selected as above; and O2 is an oligonucleotide, or analog thereof such as a PNA. In these embodiments, X also includes the free hydrazino and oxyamino groups resulting from deprotection.
P1-M-X
or a derivative thereof, as defined herein, where P1 is a phosphorous based coupling group, as defined herein, preferably a phosphoramidite, more preferably (NCCH2CH2O)(i-Pr2N)P—O—; X is a protected hydrazino group; and M is a divalent group having any combination, preferably 1-2000, more preferably 1-1000, particularly 1-100, most preferably 1-50 or 1-25 or 1-10, of the following groups, which can be combined in any order: arylene, heteroarylene, cycloalkylene, C(R1)2, —C(R1)═C(R1)—, >C═C(R2)(R3), >C(R2)(R3), —C≡C—, O, S(A)a, P(D)b(R1), P(D)b(ER1), N(R1), >N+(R2)(R3) and C(E); where a is 0, 1 or 2; b is 0, 1, 2 or 3; A is O or NR1; D is S or O; and E is S, O or NR1; each R1 is a monovalent group independently selected from hydrogen and M1-R4; each M1 is a divalent group independently having any combination of the following groups, which groups can be combined in any order: a direct link, arylene, heteroarylene, cycloalkylene, C(R5)2, —C(R5)═C(R5)—, >C═C(R2)(R3), >C(R2)(R3), —C≡C—, O, S(A)a, P(D)b(R5), P(D)b(ER5), N(R5), N(COR5), >N+(R2)(R3) and C(E); where a is 0, 1 or 2; b is 0, 1, 2 or 3; A is O or NR5; D is S or O; and E is S, O or NR5; R4 and R5 are each independently selected from the group among hydrogen, halo, pseudohalo, cyano, azido, nitro, SiR6R7R8, alkyl, alkenyl, alkynyl, haloalkyl, haloalkoxy, aryl, aralkyl, aralkenyl, aralkynyl, heteroaryl, heteroaralkyl, heteroaralkenyl, heteroaralkynyl, heterocyclyl, heterocyclylalkyl, heterocyclylalkenyl, heterocyclylalkynyl, hydroxy, alkoxy, aryloxy, aralkoxy, heteroaralkoxy and NR9R10; R9 and R10 are each independently selected from hydrogen, alkyl, alkenyl, alkynyl, cycloalkyl, aryl, aralkyl, heteroaryl, heteroaralkyl and heterocyclyl; R2 and R3 are selected from (i) or (ii) as follows: (i) R2 and R3 are independently selected among hydrogen, alkyl, alkenyl, alkynyl, cycloalkyl, aryl and heteroaryl; or (ii) R2 and R3 together form alkylene, alkenylene or cycloalkylene; R6, R7 and R8 are each independently a monovalent group selected from hydrogen, alkyl, alkenyl, alkynyl, haloalkyl, haloalkoxy, aryl, aralkyl, aralkenyl, aralkynyl, heteroaryl, heteroaralkyl, heteroaralkenyl, heteroaralkynyl, heterocyclyl, heterocyclylalkyl, heterocyclylalkenyl, heterocyclylalkynyl, hydroxy, alkoxy, aryloxy, aralkoxy, heteroaralkoxy and NR9R10; and
P1-M-X
or a derivative thereof, as defined herein, where P1 is a phosphorous based coupling group, as defined herein, preferably a phosphoramidite, more preferably (NCCH2CH2O)(i-Pr2N)P—O—; X is a protected oxyamino group; and M is a divalent group having any combination, preferably 1-2000, more preferably 1-1000, particularly 1-100, most preferably 1-50 or 1-25 or 1-10, of the following groups, which can be combined in any order: arylene, heteroarylene, cycloalkylene, C(R1)2, —C(R1)═C(R1)—, >C═C(R2)(R3), >C(R2)(R3), —C≡C—, O, S(A)a, P(D)b(R1), P(D)b(ER1), N(R1), >N+(R2)(R3) and C(E); where a is 0, 1 or 2; b is 0, 1, 2 or 3; A is O or NR1; D is S or O; and E is S, O or NR1; each R1 is a monovalent group independently selected from hydrogen and M1-R4, each M1 is a divalent group independently having any combination of the following groups, which groups can be combined in any order: a direct link, arylene, heteroarylene, cycloalkylene, C(R5)2, —C(R5)═C(R5)—, >C═C(R2)(R3), >C(R2)(R3), —C≡C—, O, S(A)a, P(D)b(R5), P(D)b(ER5), N(R5), N(COR5), >N+(R2)(R3) and C(E); where a is 0, 1 or 2; b is 0, 1, 2 or 3; A is O or NR5; D is S or O; and E is S, O or NR5; R4 and R5 are each independently selected among hydrogen, halo, pseudohalo, cyano, azido, nitro, SiR6R7R8, alkyl, alkenyl, alkynyl, haloalkyl, haloalkoxy, aryl, aralkyl, aralkenyl, aralkynyl, heteroaryl, heteroaralkyl, heteroaralkenyl, heteroaralkynyl, heterocyclyl, heterocyclylalkyl, heterocyclylalkenyl, heterocyclylalkynyl, hydroxy, alkoxy, aryloxy, aralkoxy, heteroaralkoxy and NR9R10; R9 and R10 are each independently selected from hydrogen, alkyl, alkenyl, alkynyl, cycloalkyl, aryl, aralkyl, heteroaryl, heteroaralkyl and heterocyclyl; R2 and R3 are selected from (i) or (ii) as follows: (i) R2 and R3 are independently selected from among hydrogen, alkyl, alkenyl, alkynyl, cycloalkyl, aryl and heteroaryl; or (ii) R2 and R3 together form alkylene, alkenylene or cycloalkylene; R6, R7 and R8 are each independently a monovalent group selected from hydrogen, alkyl, alkenyl, alkynyl, haloalkyl, haloalkoxy, aryl, aralkyl, aralkenyl, aralkynyl, heteroaryl, heteroaralkyl, heteroaralkenyl, heteroaralkynyl, heterocyclyl, heterocyclylalkyl, heterocyclylalkenyl, heterocyclylalkynyl, hydroxy, alkoxy, aryloxy, aralkoxy, heteroaralkoxy and NR9R10; and
P1-M-X
or a derivative thereof, as defined herein, where P1 is a phosphorous based coupling group, as defined herein, preferably a phosphoramidite, more preferably (NCCH2CH2O)(i-Pr2N)P—O—; X is a carbonyl group; and M is a divalent group having any combination, preferably 1-2000, more preferably 1-1000, particularly 1-100, most preferably 1-50 or 1-25 or 1-10, of the following groups, which can be combined in any order: arylene, heteroarylene, cycloalkylene, C(R1)2, —C(R1)═C(R1)—, >C═C(R2)(R3), >C(R2)(R3), —C≡C—, O, S(A)a, P(D)b(R1), P(D)b(ER1), N(R1), >N+(R2)(R3) and C(E); where a is 0, 1 or 2; b is 0, 1, 2 or 3; A is O or NR1; D is S or O; and E is S, O or NR1; each R1 is a monovalent group independently selected from hydrogen and M1-R4; each M1 is a divalent group independently having any combination of the following groups, which groups can be combined in any order: a direct link, arylene, heteroarylene, cycloalkylene, C(R5)2, —C(R5)═C(R5)—, >C═C(R2)(R3), >C(R2)(R3), —C≡C—, O, S(A)a, P(D)b(R5), P(D)b(ER5), N(R5), N(COR5), >N+(R2)(R3) and C(E); where a is 0, 1 or 2; b is 0, 1, 2 or 3; A is O or NR5; D is S or O; and E is S, O or NR5; R4 and R5 are each independently selected from among hydrogen, halo, pseudohalo, cyano, azido; nitro, SiR6R7R8, alkyl, alkenyl, alkynyl, haloalkyl, haloalkoxy, aryl, aralkyl, aralkenyl, aralkynyl, heteroaryl, heteroaralkyl, heteroaralkenyl, heteroaralkynyl, heterocyclyl, heterocyclylalkyl, heterocyclylalkenyl, heterocyclylalkynyl, hydroxy, alkoxy, aryloxy, aralkoxy, heteroaralkoxy and NR9 R 10; R9 and R10 are each independently selected from hydrogen, alkyl, alkenyl, alkynyl, cycloalkyl, aryl, aralkyl, heteroaryl, heteroaralkyl and heterocyclyl; R2 and R3 are selected from (i) or (ii) as follows: (i) R2 and R3 are independently selected from among hydrogen, alkyl, alkenyl, alkynyl, cycloalkyl, aryl and heteroaryl; or (ii) R2 and R3 together form alkylene, alkenylene or cycloalkylene; R6, R7 and R8 are each independently a monovalent group selected from hydrogen, alkyl, alkenyl, alkynyl, haloalkyl, haloalkoxy, aryl, aralkyl, aralkenyl, aralkynyl, heteroaryl, heteroaralkyl, heteroaralkenyl, heteroaralkynyl, heterocyclyl, heterocyclylalkyl, heterocyclylalkenyl, heterocyclylalkynyl, hydroxy, alkoxy, aryloxy, aralkoxy, heteroaralkoxy and NR9R10; and
P1-M-X
or a derivative thereof, wherein P1 is (NCCH2CH2O)(i-Pr2N)P—O—; X is a protected hydrazino, protected oxyamino, or a carbonyl group; and M is as defined above.
or a derivative thereof, where P1, L, X1 and X2 are selected as above; and each M is independently selected as above. X1 is preferably a protected hydrazino group and X2 is preferably an orthogonally protected amino group.
P1—S1—B1-M-X,
or a derivative thereof, where P1, S1, B1, M and X are selected as above. In these embodiments, B1 is preferably a cytosine derivative that is substituted with -M-X at the position ortho to the amino substituent (see, e.g.,
P1-M-Y—N(R31)—Y1—N(R32)—Y2,
or a derivative thereof, where P1 is a phosphorous based coupling group, preferably a phosphoramidite, H-phosphonate or phosphotriester, more preferably a phosphoramidite, most preferably (NCCH2CH2O)(i-Pr2N)P—O—;
P1-M-Y—NH—Y1—NH—Y2,
or a derivative thereof, where Y and Y1 are selected from (i) or (ii) as follows:
The presently most preferred compounds of formula (IV) are N-dimethoxytrityl-N′-{5-[8-(2-cyanoethyl-N,N-diisopropylphosphoramidyloxy)-2-aza-1-oxooct-1-yl]pyrid-2-yl}hydrazine or N-(9-fluorenylmethoxycarbonyl)-N′-[8-(2-cyanoethyl-N,N-diisopropylphosphoramidyloxy)-2-aza-1-thiooct-1-yl]hydrazine, having the structure:
P1-M-C(O)R30,
or a derivative thereof, where P1 is a phosphorous based coupling group, preferably a phosphoramidite, H-phosphonate or phosphotriester, more preferably a phosphoramidite, most preferably (NCCH2CH2O)(i-Pr2N)P—O—;
P1-M-CHO or P1-M-C(O)Me,
or a derivative thereof, where P1 and M are selected as above.
The presently most preferred compounds of formulae (VI) are 4-[8-(2-cyanoethyl-N,N-diisopropylphosphoramidyloxy)-2-aza-1-oxooct-1-yl]benzaldehyde, 4-[8-(2-cyanoethyl-N,N-diisopropylphosphoramidyloxy)-2-aza-1-oxooct-1-yl]acetophenone and N-[6-(2-cyanoethyl-N,N-diisopropylphosphoramidyloxy)hexyl]4-oxopentanamide, having the structures:
P1-M-O—NH—Y2,
or a derivative thereof, where P1 is a phosphorous based coupling group, preferably a phosphoramidite, H-phosphonate or phosphotriester, more preferably a phosphoramidite, most preferably (NCCH2CH2O)(i-Pr2N)P—O—; and
The presently most preferred compound of formula (VII) is N-monomethoxytrityl-O-{5-[8-(2-cyanoethyl-N,N-diisopropylphosphoramidyloxy)-2-aza-1-oxooct-1-yl]pyrid-2-yl}oxyamine, having the structure:
or a derivative thereof, where P1, L, X1 and X2 are selected as above; and each M is independently selected as above.
P1—S1—B1-M-X,
or a derivative thereof, where P1, S1, B1, M and X are selected as above. In these embodiments, B1 is preferably a cytosine derivative that is substituted with -M-X at the position ortho to the amino substituent (see, e.g.,
O1—P2-M-X,
or a derivative thereof, where O1 is a first component that is an oligonucleotide or analog thereof, such as a protein nucleic acid (PNA); P2 is a phosphorous linking group resulting from the coupling of a compound of formula (I) with the oligonucleotide or analog thereof, preferably a phosphodiester group; and M and X are as defined above for the hydrazino, oxyamino, and carbonyl derivatives of phosphoramidites.
or a derivative thereof, where O1, P2, L, X1 and X2 are selected as above; and each M is independently selected as above. In these embodiments, X1 also includes the free hydrazino and oxyamino groups resulting from deprotection. X2 also includes the free amino or hydroxy group resulting from deprotection.
or a derivative thereof, where O1, P2, S1, B1, M and X are selected as above; and O2 is an oligonucleotide, or analog thereof such as a PNA. In these embodiments, X also includes the free hydrazino and oxyamino groups resulting from deprotection.
forms a hydrazone or oxime modified solid surface. Alternatively, the hydrazone or oxime succinimidyl esters shown above are reacted with an amino-substituted silane, such as 3-aminopropyltriethoxysilane, to form a silyl hydrazone or oxime. Reaction of the silyl group with a solid surface forms a hydrazone or oxime modified solid surface. Hydrolysis of the hydrazone or oxime group under mild acidic conditions (e.g., 0.1 M acetate, pH 4.7) affords the hydrazino or oxyamino modified surfaces provided herein. See, co-pending, co-owned U.S. provisional application Ser. No. 60/191,186, the disclosure of which is incorporated herein by reference in its entirety.
Reaction of this dithiol with a gold surface results in cleavage of the dithiol bond to form a hydrazino modified gold surface (i.e., Au—S—CH2CH2—NHC(O)-pyr-NHNH2).
H2N-M-X,
or a derivative thereof, where M and X are selected as above. In certain embodiments, the compound of formula H2N-M-X is selected where M is not C1-12alkyl.
O3—O—C(═NH)—NH-M-X,
where O3 is an oligosaccharide; and M and X are as defined above.
X-M-X,
or a derivative thereof, where each X is independently a hydrazino group and M is selected as above. In preferred embodiments, M has any combination, preferably 1 to 100, more preferably 1 to 50, most preferably 1 to 10, of the following groups: arylene, heteroarylene, C(R1)2, N(R1) and C(E), where R1 and E are selected as above, which groups can be combined in any order. In preferred embodiments, R1 is hydrogen and E is oxygen. In more preferred embodiments, M has 1 to 10 of the following groups: heteroarylene, CH2, NH and C(O), which groups can be combined in any order. M most preferably is derived, in these embodiments, from reaction of 1,6-hexanediamine with two equivalents of succinimidyl N′-BOC-6-hydrazinonicotinate (see,
Claims (23)
P1-M-X
P1-M-X
P1-M-X
Priority Applications (1)
| Application Number | Priority Date | Filing Date | Title |
|---|---|---|---|
| US13/491,563 USRE46171E1 (en) | 2000-08-01 | 2012-06-07 | Functional biopolymer modification reagents and uses thereof |
Applications Claiming Priority (3)
| Application Number | Priority Date | Filing Date | Title |
|---|---|---|---|
| US09/630,060 US7102024B1 (en) | 2000-08-01 | 2000-08-01 | Functional biopolymer modification reagents and uses thereof |
| US10/936,751 US7732628B2 (en) | 2000-03-22 | 2004-09-08 | Functional biopolymer modification reagents and uses thereof |
| US13/491,563 USRE46171E1 (en) | 2000-08-01 | 2012-06-07 | Functional biopolymer modification reagents and uses thereof |
Related Parent Applications (1)
| Application Number | Title | Priority Date | Filing Date |
|---|---|---|---|
| US10/936,751 Reissue US7732628B2 (en) | 2000-03-22 | 2004-09-08 | Functional biopolymer modification reagents and uses thereof |
Publications (1)
| Publication Number | Publication Date |
|---|---|
| USRE46171E1 true USRE46171E1 (en) | 2016-10-04 |
Family
ID=24525593
Family Applications (3)
| Application Number | Title | Priority Date | Filing Date |
|---|---|---|---|
| US09/630,060 Expired - Lifetime US7102024B1 (en) | 2000-03-22 | 2000-08-01 | Functional biopolymer modification reagents and uses thereof |
| US10/936,751 Ceased US7732628B2 (en) | 2000-03-22 | 2004-09-08 | Functional biopolymer modification reagents and uses thereof |
| US13/491,563 Expired - Lifetime USRE46171E1 (en) | 2000-08-01 | 2012-06-07 | Functional biopolymer modification reagents and uses thereof |
Family Applications Before (2)
| Application Number | Title | Priority Date | Filing Date |
|---|---|---|---|
| US09/630,060 Expired - Lifetime US7102024B1 (en) | 2000-03-22 | 2000-08-01 | Functional biopolymer modification reagents and uses thereof |
| US10/936,751 Ceased US7732628B2 (en) | 2000-03-22 | 2004-09-08 | Functional biopolymer modification reagents and uses thereof |
Country Status (3)
| Country | Link |
|---|---|
| US (3) | US7102024B1 (en) |
| AU (1) | AU2001278060A1 (en) |
| WO (1) | WO2002010431A2 (en) |
Families Citing this family (18)
| Publication number | Priority date | Publication date | Assignee | Title |
|---|---|---|---|---|
| US20060275782A1 (en) | 1999-04-20 | 2006-12-07 | Illumina, Inc. | Detection of nucleic acid reactions on bead arrays |
| WO2005103066A1 (en) * | 2004-04-09 | 2005-11-03 | Burzynski, Stanislaw, R. | Method for attaching molecular probes to a solid support |
| JP2008517950A (en) * | 2004-10-25 | 2008-05-29 | オペロン ホールディングス, インコーポレイテッド | Amino or thiol linker building blocks for the synthesis of amino functionalized or thiol functionalized nucleic acids and methods of making and using them |
| KR20080072934A (en) * | 2005-11-25 | 2008-08-07 | 콜리 파마슈티칼 게엠베하 | Immunostimulatory oligoribonucleotides |
| US8541555B2 (en) * | 2006-04-18 | 2013-09-24 | Solulink Biosciences, Inc. | Hydrazone-based and oxime-based fluorescent and chromophoric/pro-fluorescent and pro-chromophoric reagents and linkers |
| US9175015B2 (en) * | 2007-08-22 | 2015-11-03 | Colorado School Of Mines | Gold nanoparticle conjugates and uses thereof |
| WO2009059210A1 (en) * | 2007-10-31 | 2009-05-07 | Bioventures, Inc. | Method, substances and kits for labeling populations of rna and other subtances containing geminal diols |
| US8968705B2 (en) | 2008-08-22 | 2015-03-03 | Colorado School Of Mines | Gold/lanthanide nanoparticle conjugates and uses thereof |
| US8309306B2 (en) * | 2008-11-12 | 2012-11-13 | Nodality, Inc. | Detection composition |
| US8846875B2 (en) * | 2010-02-12 | 2014-09-30 | Solulink, Inc. | Preparation and/or purification of oligonucleotide conjugates |
| US20120258870A1 (en) | 2010-11-22 | 2012-10-11 | The University Of Chicago | Methods, Systems, and/or Use of Oligonucleotide Conjugates to Develop Panels for Use in Assays and Detections |
| WO2013177046A1 (en) | 2012-05-21 | 2013-11-28 | Solulink, Inc. | Methods and/or use of oligonucleotide conjugates for suppressing background due to cross-hybridization |
| WO2014030066A2 (en) | 2012-08-22 | 2014-02-27 | Bernitz Mats Nilsson | Methods for identifying nucleic acid sequences |
| CN107531778A (en) | 2015-02-06 | 2018-01-02 | 赛尔伊迪克斯公司 | Antigen-conjugated immunoreagents |
| CN113801296B (en) | 2016-04-15 | 2024-08-23 | 拜克门寇尔特公司 | Photosensitive macromolecules and uses thereof |
| US11897917B2 (en) | 2017-09-27 | 2024-02-13 | The University Of York | Bioconjugation of polypeptides |
| US20230122876A1 (en) * | 2021-10-20 | 2023-04-20 | Fina Biosolutions, Llc | Chemical Reagents for the Activation of Polysaccharides in the Preparation of Conjugate Vaccines |
| US12168674B1 (en) | 2023-12-08 | 2024-12-17 | Oligo Foundry, Inc. | Reagents and methods for the highly-efficient synthesis and purification of biopolymers |
Citations (86)
| Publication number | Priority date | Publication date | Assignee | Title |
|---|---|---|---|---|
| US3939123A (en) | 1974-06-18 | 1976-02-17 | Union Carbide Corporation | Lightly cross-linked polyurethane hydrogels based on poly(alkylene ether) polyols |
| US4006117A (en) | 1973-01-24 | 1977-02-01 | Hooker Chemicals & Plastics Corporation | Amine phosphite antioxidants |
| US4162355A (en) | 1976-06-30 | 1979-07-24 | Board Of Regents, For And On Behalf Of The University Of Florida | Copolymers of (a) aminimides and (b) vinyl pendant primary halomethy monomers useful for affinity chromatography |
| US4171412A (en) | 1974-04-25 | 1979-10-16 | Ceskoslovenska Akademie Ved | Specific sorbent having D-aminoacid moiety covalently bonded to solid particulate hydrophilic polymeric carrier |
| US4175183A (en) | 1977-03-01 | 1979-11-20 | Development Finance Corporation Of New Zealand | Hydroxyalkylated cross-linked regenerated cellulose and method of preparation thereof |
| US4177038A (en) | 1976-05-18 | 1979-12-04 | Max-Planck-Gesellschaft Zur Forderung Der Wissenschafen E.V. | Method for the production of a vehicle substance which is capable of covalent bonding with biologically active matter |
| US4178439A (en) | 1976-03-04 | 1979-12-11 | Development Finance Corporation Of New Zealand | Sulphated ion exchanger and method for preparation thereof |
| US4180524A (en) | 1978-02-16 | 1979-12-25 | Phillips Petroleum Company | Disproportionation/double-bond isomerization of olefins |
| US4241537A (en) | 1979-05-10 | 1980-12-30 | W. R. Grace & Co. | Plant growth media utilizing polyurethane hydrogel |
| US4337063A (en) | 1979-03-01 | 1982-06-29 | Fuji Photo Film Co., Ltd. | Competitive immunoassay using spectral sensitizer label |
| US4404289A (en) | 1980-09-02 | 1983-09-13 | Fuji Photo Film Co., Ltd. | Method for immunochemical measurement of trace components |
| US4405711A (en) | 1980-09-02 | 1983-09-20 | Fuji Photo Film Co., Ltd. | Analysis element for immunochemical measurement of trace components and method for immunochemical measurement using the same |
| US4439585A (en) | 1980-11-12 | 1984-03-27 | Tyndale Plains-Hunter, Ltd. | Polyurethane diacrylate compositions as carrier for pharmacological agents |
| US4485227A (en) | 1983-06-16 | 1984-11-27 | Howmedica, Inc. | Biocompatible poly-(ether-urethane-urea) and process for its preparation |
| US4507230A (en) | 1982-05-12 | 1985-03-26 | Research Corporation | Peptide synthesis reagents and method of use |
| US4569981A (en) | 1980-07-18 | 1986-02-11 | Bayer Aktiengesellschaft | Solid, water-dispersible plastics precursors containing isocyanate groups, a process for the production of aqueous plastics dispersions using such plastics precursors |
| US4683202A (en) | 1985-03-28 | 1987-07-28 | Cetus Corporation | Process for amplifying nucleic acid sequences |
| US4707440A (en) | 1984-01-30 | 1987-11-17 | Enzo Biochem, Inc. | Nucleic acid hybridization assay and detectable molecules useful in such assay |
| US4833251A (en) | 1985-06-25 | 1989-05-23 | Siska Diagnostics, Inc. | Compounds for tagging nucleic acid probes |
| US4874813A (en) | 1987-02-09 | 1989-10-17 | Shannessy Daniel J O | Proteins bound to a marker or solid phase support matrix using a hydrazone linkage |
| US4889798A (en) | 1984-02-09 | 1989-12-26 | Enzo Biochem, Inc. | Heterologous system for the detection of chemically labeled DNA and other biological materials providing a receptor or target moiety thereon |
| EP0361768A2 (en) | 1988-09-26 | 1990-04-04 | Siska Diagnostics,Inc. | Enzyme-nucleic acid hydrazone and hydrazide conjugate compositions, probes and methods |
| US4927879A (en) | 1988-02-25 | 1990-05-22 | Purdue Research Foundation | Method for solid phase membrane mimetics |
| US4931498A (en) | 1988-02-25 | 1990-06-05 | Purdue Research Foundation | Immobilized artificial membranes |
| EP0384769A2 (en) | 1989-02-24 | 1990-08-29 | Johnson Matthey Public Limited Company | Protein labelling |
| US5092992A (en) | 1989-06-07 | 1992-03-03 | J. T. Baker Inc. | Polyethyleneimine matrixes for affinity chromatography |
| US5130446A (en) | 1985-06-25 | 1992-07-14 | Siska Diagnostics, Inc. | Fluorescent compounds for tagging nucleic acid probes |
| US5151507A (en) | 1986-07-02 | 1992-09-29 | E. I. Du Pont De Nemours And Company | Alkynylamino-nucleotides |
| US5206370A (en) | 1989-02-24 | 1993-04-27 | Johnson Matthey, Inc. | Certain pyridyl hydrazines and hydrazides useful for protein labeling |
| US5210203A (en) | 1985-06-25 | 1993-05-11 | Siska Diagnostics, Inc. | Sulfonamide-derivative compounds for tagging nucleic acid probes |
| US5237016A (en) | 1989-01-05 | 1993-08-17 | Siska Diagnostics, Inc. | End-attachment of oligonucleotides to polyacrylamide solid supports for capture and detection of nucleic acids |
| US5242756A (en) | 1990-01-03 | 1993-09-07 | Hoechst Aktiengesellschaft | Polyester film having improved adhesion properties |
| US5242796A (en) | 1986-07-02 | 1993-09-07 | E. I. Du Pont De Nemours And Company | Method, system and reagents for DNA sequencing |
| US5328603A (en) | 1990-03-20 | 1994-07-12 | The Center For Innovative Technology | Lignocellulosic and cellulosic beads for use in affinity and immunoaffinity chromatography of high molecular weight proteins |
| US5334640A (en) | 1992-04-08 | 1994-08-02 | Clover Consolidated, Ltd. | Ionically covalently crosslinked and crosslinkable biocompatible encapsulation compositions and methods |
| US5389449A (en) | 1991-01-04 | 1995-02-14 | Perseptive Biosystems, Inc. | Sulfonamide bonded hydrophilic coatings |
| US5403750A (en) | 1991-03-06 | 1995-04-04 | W. R. Grace & Co.-Conn. | Biocompatible, low protein adsorption affinity matrix |
| US5432018A (en) | 1990-06-20 | 1995-07-11 | Affymax Technologies N.V. | Peptide library and screening systems |
| US5474895A (en) | 1990-11-14 | 1995-12-12 | Siska Diagnostics Inc. | Non-isotopic detection of nucleic acids using a polystyrene support-based sandwich hybridization assay and compositions useful therefor |
| US5486616A (en) | 1986-04-18 | 1996-01-23 | Carnegie Mellon University | Method for labeling and detecting materials employing arylsulfonate cyanine dyes |
| US5521290A (en) | 1988-09-30 | 1996-05-28 | Neorx Corporation | Targeting substance-diagnostic/therapeutic agent conjugates having schiff base linkages and methods for their preparation |
| US5547839A (en) | 1989-06-07 | 1996-08-20 | Affymax Technologies N.V. | Sequencing of surface immobilized polymers utilizing microflourescence detection |
| US5547835A (en) | 1993-01-07 | 1996-08-20 | Sequenom, Inc. | DNA sequencing by mass spectrometry |
| US5556752A (en) | 1994-10-24 | 1996-09-17 | Affymetrix, Inc. | Surface-bound, unimolecular, double-stranded DNA |
| US5569587A (en) | 1986-04-18 | 1996-10-29 | Carnegie Mellon University | Method for labeling and detecting materials employing luminescent arysulfonate cyanine dyes |
| US5627027A (en) | 1986-04-18 | 1997-05-06 | Carnegie Mellon University | Cyanine dyes as labeling reagents for detection of biological and other materials by luminescence methods |
| EP0772135A1 (en) | 1995-11-03 | 1997-05-07 | Nec Corporation | DNA sequences useful for computation |
| US5679778A (en) | 1992-11-05 | 1997-10-21 | Johnson Matthey Public Limited Company | Molecule labelling using 2-hydraninopyridine derivatives |
| US5726329A (en) | 1990-01-16 | 1998-03-10 | La Jolla Pharmaceutical Company | Modified phosphorous intermediates for providing functional groups on the 5' end of oligonucleotides |
| WO1998015825A2 (en) | 1996-10-07 | 1998-04-16 | Irori | Matrices with memories in automated drug discovery and units therefor |
| US5741462A (en) | 1995-04-25 | 1998-04-21 | Irori | Remotely programmable matrices with memories |
| US5744305A (en) | 1989-06-07 | 1998-04-28 | Affymetrix, Inc. | Arrays of materials attached to a substrate |
| US5751629A (en) | 1995-04-25 | 1998-05-12 | Irori | Remotely programmable matrices with memories |
| WO1998031732A2 (en) | 1997-01-22 | 1998-07-23 | Irori | Methods for radiation grafting to polymeric surfaces |
| US5789576A (en) | 1994-12-09 | 1998-08-04 | Genta Incorporated | Methylphosphonate dimer synthesis |
| US5792615A (en) | 1993-11-16 | 1998-08-11 | Genta, Incorporated | Synthetic oligomers having chirally pure phoshonate internucleosidyl linkages mixed with non-phosphonate internucleosidyl linkages |
| US5808044A (en) * | 1993-01-22 | 1998-09-15 | Pharmacia Biotech Inc. | Indocarbocyanine and benzindocarbocyanine phosphoramidites |
| US5824473A (en) | 1993-12-10 | 1998-10-20 | California Institute Of Technology | Nucleic acid mediated electron transfer |
| US5837856A (en) | 1993-11-16 | 1998-11-17 | Genta, Incorporated | Chirally enriched synthetic phosphonate oligomers |
| US5837860A (en) | 1997-03-05 | 1998-11-17 | Molecular Tool, Inc. | Covalent attachment of nucleic acid molecules onto solid-phases via disulfide bonds |
| US5854410A (en) | 1994-03-31 | 1998-12-29 | Genta Incorporated | Oligonucleoside cleavage compounds and therapies |
| US5856571A (en) | 1995-06-07 | 1999-01-05 | Cellpro, Incorporated | Semicarbazide-containing linker compounds for formation of stably-linked conjugates and methods related thereto |
| US5874214A (en) | 1995-04-25 | 1999-02-23 | Irori | Remotely programmable matrices with memories |
| US5876938A (en) | 1996-08-05 | 1999-03-02 | Prolinx, Incorporated | Use of boron-containing polynucleotides as diagnostic agents |
| US5877220A (en) | 1997-03-06 | 1999-03-02 | Genta, Incorporated | Amide-based oligomeric cationic lipids |
| US5880270A (en) | 1995-06-07 | 1999-03-09 | Cellpro, Incorporated | Aminooxy-containing linker compounds for formation of stably-linked conjugates and methods related thereto |
| US5925562A (en) | 1995-04-25 | 1999-07-20 | Irori | Remotely programmable matrices with memories |
| US5952172A (en) | 1993-12-10 | 1999-09-14 | California Institute Of Technology | Nucleic acid mediated electron transfer |
| US5955597A (en) | 1993-11-16 | 1999-09-21 | Genta, Incorporated | Chirally enriched synthetic phosphate oligomers |
| US5958901A (en) | 1995-06-07 | 1999-09-28 | Genta Incorporated | Phosphonic acid-based cationic lipids |
| US5961923A (en) | 1995-04-25 | 1999-10-05 | Irori | Matrices with memories and uses thereof |
| US5972639A (en) | 1997-07-24 | 1999-10-26 | Irori | Fluorescence-based assays for measuring cell proliferation |
| US6001826A (en) | 1989-12-21 | 1999-12-14 | Anormed, Inc. | Chemical compounds |
| WO1999065993A1 (en) | 1998-06-18 | 1999-12-23 | Beckman Coulter, Inc. | Efficient activated cyanine dyes |
| US6017496A (en) | 1995-06-07 | 2000-01-25 | Irori | Matrices with memories and uses thereof |
| WO2000004390A2 (en) | 1998-07-14 | 2000-01-27 | Zyomyx, Inc. | Microdevices for screening biomolecules |
| WO2000004389A2 (en) | 1998-07-14 | 2000-01-27 | Zyomyx, Inc. | Arrays of protein-capture agents and methods of use thereof |
| US6020526A (en) | 1995-07-21 | 2000-02-01 | Genta, Incorporated | Amide-based cationic lipids |
| US6025129A (en) | 1995-04-25 | 2000-02-15 | Irori | Remotely programmable matrices with memories and uses thereof |
| WO2000008042A1 (en) | 1998-08-07 | 2000-02-17 | Isis Pharmaceuticals, Inc. | Aminooxy-modified nucleosidic compounds and oligomeric compounds prepared therefrom |
| US6034135A (en) | 1997-03-06 | 2000-03-07 | Promega Biosciences, Inc. | Dimeric cationic lipids |
| US6066448A (en) | 1995-03-10 | 2000-05-23 | Meso Sclae Technologies, Llc. | Multi-array, multi-specific electrochemiluminescence testing |
| US6071699A (en) | 1996-06-07 | 2000-06-06 | California Institute Of Technology | Nucleic acid mediated electron transfer |
| US6074823A (en) | 1993-03-19 | 2000-06-13 | Sequenom, Inc. | DNA sequencing by mass spectrometry via exonuclease degradation |
| US6087186A (en) | 1993-07-16 | 2000-07-11 | Irori | Methods and apparatus for synthesizing labeled combinatorial chemistry libraries |
| WO2001009385A2 (en) | 1999-07-29 | 2001-02-08 | Epoch Biosciences, Inc. | Attachment of oligonucleotides to solid supports through schiff base type linkages for capture and detection of nucleic acids |
Family Cites Families (4)
| Publication number | Priority date | Publication date | Assignee | Title |
|---|---|---|---|---|
| PT748382E (en) * | 1993-09-02 | 2003-03-31 | Ribozyme Pharm Inc | NUCLEIC ENZYMAL ACIDS CONTAINING NON-NUCLEOTIDES |
| ITVI980146A1 (en) * | 1998-08-04 | 2000-02-04 | Inco Ind Colori Srl | CONTINUOUS ROTARY OVEN FOR CALCINATION ESPECIALLY SUITABLE FOR CALCINATION OF INORGANIC PIGMENTS. |
| ATE277065T1 (en) | 1999-01-05 | 2004-10-15 | Bio Merieux | FUNCTIONALIZED COMPOUND, OPTIONALLY LABELED POLYNUCLEOTIDES AND METHOD FOR DETECTING A TARGET NUCLEIC ACID |
| US6114518A (en) * | 1999-09-30 | 2000-09-05 | Becton, Dickinson And Company | Synthesis and use of labelled phosphoramidite compositions |
-
2000
- 2000-08-01 US US09/630,060 patent/US7102024B1/en not_active Expired - Lifetime
-
2001
- 2001-07-27 WO PCT/US2001/023774 patent/WO2002010431A2/en not_active Ceased
- 2001-07-27 AU AU2001278060A patent/AU2001278060A1/en not_active Abandoned
-
2004
- 2004-09-08 US US10/936,751 patent/US7732628B2/en not_active Ceased
-
2012
- 2012-06-07 US US13/491,563 patent/USRE46171E1/en not_active Expired - Lifetime
Patent Citations (97)
| Publication number | Priority date | Publication date | Assignee | Title |
|---|---|---|---|---|
| US4006117A (en) | 1973-01-24 | 1977-02-01 | Hooker Chemicals & Plastics Corporation | Amine phosphite antioxidants |
| US4171412A (en) | 1974-04-25 | 1979-10-16 | Ceskoslovenska Akademie Ved | Specific sorbent having D-aminoacid moiety covalently bonded to solid particulate hydrophilic polymeric carrier |
| US3939123A (en) | 1974-06-18 | 1976-02-17 | Union Carbide Corporation | Lightly cross-linked polyurethane hydrogels based on poly(alkylene ether) polyols |
| US4178439A (en) | 1976-03-04 | 1979-12-11 | Development Finance Corporation Of New Zealand | Sulphated ion exchanger and method for preparation thereof |
| US4177038A (en) | 1976-05-18 | 1979-12-04 | Max-Planck-Gesellschaft Zur Forderung Der Wissenschafen E.V. | Method for the production of a vehicle substance which is capable of covalent bonding with biologically active matter |
| US4162355A (en) | 1976-06-30 | 1979-07-24 | Board Of Regents, For And On Behalf Of The University Of Florida | Copolymers of (a) aminimides and (b) vinyl pendant primary halomethy monomers useful for affinity chromatography |
| US4175183A (en) | 1977-03-01 | 1979-11-20 | Development Finance Corporation Of New Zealand | Hydroxyalkylated cross-linked regenerated cellulose and method of preparation thereof |
| US4180524A (en) | 1978-02-16 | 1979-12-25 | Phillips Petroleum Company | Disproportionation/double-bond isomerization of olefins |
| US4337063A (en) | 1979-03-01 | 1982-06-29 | Fuji Photo Film Co., Ltd. | Competitive immunoassay using spectral sensitizer label |
| US4241537A (en) | 1979-05-10 | 1980-12-30 | W. R. Grace & Co. | Plant growth media utilizing polyurethane hydrogel |
| US4569981A (en) | 1980-07-18 | 1986-02-11 | Bayer Aktiengesellschaft | Solid, water-dispersible plastics precursors containing isocyanate groups, a process for the production of aqueous plastics dispersions using such plastics precursors |
| US4404289A (en) | 1980-09-02 | 1983-09-13 | Fuji Photo Film Co., Ltd. | Method for immunochemical measurement of trace components |
| US4405711A (en) | 1980-09-02 | 1983-09-20 | Fuji Photo Film Co., Ltd. | Analysis element for immunochemical measurement of trace components and method for immunochemical measurement using the same |
| US4439585A (en) | 1980-11-12 | 1984-03-27 | Tyndale Plains-Hunter, Ltd. | Polyurethane diacrylate compositions as carrier for pharmacological agents |
| US4507230A (en) | 1982-05-12 | 1985-03-26 | Research Corporation | Peptide synthesis reagents and method of use |
| US4485227A (en) | 1983-06-16 | 1984-11-27 | Howmedica, Inc. | Biocompatible poly-(ether-urethane-urea) and process for its preparation |
| US4707440A (en) | 1984-01-30 | 1987-11-17 | Enzo Biochem, Inc. | Nucleic acid hybridization assay and detectable molecules useful in such assay |
| US4889798A (en) | 1984-02-09 | 1989-12-26 | Enzo Biochem, Inc. | Heterologous system for the detection of chemically labeled DNA and other biological materials providing a receptor or target moiety thereon |
| US4683202A (en) | 1985-03-28 | 1987-07-28 | Cetus Corporation | Process for amplifying nucleic acid sequences |
| US4683202B1 (en) | 1985-03-28 | 1990-11-27 | Cetus Corp | |
| US4833251A (en) | 1985-06-25 | 1989-05-23 | Siska Diagnostics, Inc. | Compounds for tagging nucleic acid probes |
| US5130446A (en) | 1985-06-25 | 1992-07-14 | Siska Diagnostics, Inc. | Fluorescent compounds for tagging nucleic acid probes |
| US5210203A (en) | 1985-06-25 | 1993-05-11 | Siska Diagnostics, Inc. | Sulfonamide-derivative compounds for tagging nucleic acid probes |
| US5627027A (en) | 1986-04-18 | 1997-05-06 | Carnegie Mellon University | Cyanine dyes as labeling reagents for detection of biological and other materials by luminescence methods |
| US5569766A (en) | 1986-04-18 | 1996-10-29 | Carnegie Mellon University | Method for labeling and detecting materials employing arylsulfonate cyanine dyes |
| US5569587A (en) | 1986-04-18 | 1996-10-29 | Carnegie Mellon University | Method for labeling and detecting materials employing luminescent arysulfonate cyanine dyes |
| US5486616A (en) | 1986-04-18 | 1996-01-23 | Carnegie Mellon University | Method for labeling and detecting materials employing arylsulfonate cyanine dyes |
| US5151507A (en) | 1986-07-02 | 1992-09-29 | E. I. Du Pont De Nemours And Company | Alkynylamino-nucleotides |
| US5242796A (en) | 1986-07-02 | 1993-09-07 | E. I. Du Pont De Nemours And Company | Method, system and reagents for DNA sequencing |
| US4874813A (en) | 1987-02-09 | 1989-10-17 | Shannessy Daniel J O | Proteins bound to a marker or solid phase support matrix using a hydrazone linkage |
| US4931498A (en) | 1988-02-25 | 1990-06-05 | Purdue Research Foundation | Immobilized artificial membranes |
| US4927879A (en) | 1988-02-25 | 1990-05-22 | Purdue Research Foundation | Method for solid phase membrane mimetics |
| EP0361768A2 (en) | 1988-09-26 | 1990-04-04 | Siska Diagnostics,Inc. | Enzyme-nucleic acid hydrazone and hydrazide conjugate compositions, probes and methods |
| US5521290A (en) | 1988-09-30 | 1996-05-28 | Neorx Corporation | Targeting substance-diagnostic/therapeutic agent conjugates having schiff base linkages and methods for their preparation |
| US5237016A (en) | 1989-01-05 | 1993-08-17 | Siska Diagnostics, Inc. | End-attachment of oligonucleotides to polyacrylamide solid supports for capture and detection of nucleic acids |
| US5663242A (en) | 1989-01-05 | 1997-09-02 | Siska Diagnostics, Inc. | End-attachment of oligonucleotides to polyacrylamide solid supports for capture and detection of nucleic acids |
| US5478893A (en) | 1989-01-05 | 1995-12-26 | Siska Diagnostics Inc. | End-attachment of oligonucleotides to polyacrylamide solid supports for capture and detection of nucleic acids |
| US5420285A (en) | 1989-02-24 | 1995-05-30 | Johnson Matthey, Inc. | Protein labelling utilizing certain pyridyl hydrazines, hydrazides and derivatives |
| EP0384769A2 (en) | 1989-02-24 | 1990-08-29 | Johnson Matthey Public Limited Company | Protein labelling |
| US5753520A (en) | 1989-02-24 | 1998-05-19 | Johnson Matthey Inc. | Protein labelling |
| US5206370A (en) | 1989-02-24 | 1993-04-27 | Johnson Matthey, Inc. | Certain pyridyl hydrazines and hydrazides useful for protein labeling |
| US6217845B1 (en) | 1989-02-24 | 2001-04-17 | Anormed, Inc. | Protein labelling |
| EP0384769B1 (en) | 1989-02-24 | 1996-04-24 | Johnson Matthey Public Limited Company | Protein labelling |
| US5547839A (en) | 1989-06-07 | 1996-08-20 | Affymax Technologies N.V. | Sequencing of surface immobilized polymers utilizing microflourescence detection |
| US5744305A (en) | 1989-06-07 | 1998-04-28 | Affymetrix, Inc. | Arrays of materials attached to a substrate |
| US5092992A (en) | 1989-06-07 | 1992-03-03 | J. T. Baker Inc. | Polyethyleneimine matrixes for affinity chromatography |
| US6001826A (en) | 1989-12-21 | 1999-12-14 | Anormed, Inc. | Chemical compounds |
| US5242756A (en) | 1990-01-03 | 1993-09-07 | Hoechst Aktiengesellschaft | Polyester film having improved adhesion properties |
| US5726329A (en) | 1990-01-16 | 1998-03-10 | La Jolla Pharmaceutical Company | Modified phosphorous intermediates for providing functional groups on the 5' end of oligonucleotides |
| US5874552A (en) | 1990-01-16 | 1999-02-23 | La Jolla Pharmaceutical Company | Modified phosphorous intermediates for providing functional groups on the 5' end of oligonucleotides |
| US5328603A (en) | 1990-03-20 | 1994-07-12 | The Center For Innovative Technology | Lignocellulosic and cellulosic beads for use in affinity and immunoaffinity chromatography of high molecular weight proteins |
| US5432018A (en) | 1990-06-20 | 1995-07-11 | Affymax Technologies N.V. | Peptide library and screening systems |
| US5474895A (en) | 1990-11-14 | 1995-12-12 | Siska Diagnostics Inc. | Non-isotopic detection of nucleic acids using a polystyrene support-based sandwich hybridization assay and compositions useful therefor |
| US5389449A (en) | 1991-01-04 | 1995-02-14 | Perseptive Biosystems, Inc. | Sulfonamide bonded hydrophilic coatings |
| US5403750A (en) | 1991-03-06 | 1995-04-04 | W. R. Grace & Co.-Conn. | Biocompatible, low protein adsorption affinity matrix |
| US5334640A (en) | 1992-04-08 | 1994-08-02 | Clover Consolidated, Ltd. | Ionically covalently crosslinked and crosslinkable biocompatible encapsulation compositions and methods |
| US5679778A (en) | 1992-11-05 | 1997-10-21 | Johnson Matthey Public Limited Company | Molecule labelling using 2-hydraninopyridine derivatives |
| US5547835A (en) | 1993-01-07 | 1996-08-20 | Sequenom, Inc. | DNA sequencing by mass spectrometry |
| US5808044A (en) * | 1993-01-22 | 1998-09-15 | Pharmacia Biotech Inc. | Indocarbocyanine and benzindocarbocyanine phosphoramidites |
| US6074823A (en) | 1993-03-19 | 2000-06-13 | Sequenom, Inc. | DNA sequencing by mass spectrometry via exonuclease degradation |
| US6087186A (en) | 1993-07-16 | 2000-07-11 | Irori | Methods and apparatus for synthesizing labeled combinatorial chemistry libraries |
| US5792615A (en) | 1993-11-16 | 1998-08-11 | Genta, Incorporated | Synthetic oligomers having chirally pure phoshonate internucleosidyl linkages mixed with non-phosphonate internucleosidyl linkages |
| US5837856A (en) | 1993-11-16 | 1998-11-17 | Genta, Incorporated | Chirally enriched synthetic phosphonate oligomers |
| US6028188A (en) | 1993-11-16 | 2000-02-22 | Genta Incorporated | Synthetic oligomers having chirally pure phosphonate internucleosidyl linkages mixed with non-phosphonate internucleosidyl linkages |
| US5955597A (en) | 1993-11-16 | 1999-09-21 | Genta, Incorporated | Chirally enriched synthetic phosphate oligomers |
| US5952172A (en) | 1993-12-10 | 1999-09-14 | California Institute Of Technology | Nucleic acid mediated electron transfer |
| US5824473A (en) | 1993-12-10 | 1998-10-20 | California Institute Of Technology | Nucleic acid mediated electron transfer |
| US5854410A (en) | 1994-03-31 | 1998-12-29 | Genta Incorporated | Oligonucleoside cleavage compounds and therapies |
| US5556752A (en) | 1994-10-24 | 1996-09-17 | Affymetrix, Inc. | Surface-bound, unimolecular, double-stranded DNA |
| US5789576A (en) | 1994-12-09 | 1998-08-04 | Genta Incorporated | Methylphosphonate dimer synthesis |
| US6066448A (en) | 1995-03-10 | 2000-05-23 | Meso Sclae Technologies, Llc. | Multi-array, multi-specific electrochemiluminescence testing |
| US5961923A (en) | 1995-04-25 | 1999-10-05 | Irori | Matrices with memories and uses thereof |
| US5741462A (en) | 1995-04-25 | 1998-04-21 | Irori | Remotely programmable matrices with memories |
| US6025129A (en) | 1995-04-25 | 2000-02-15 | Irori | Remotely programmable matrices with memories and uses thereof |
| US5925562A (en) | 1995-04-25 | 1999-07-20 | Irori | Remotely programmable matrices with memories |
| US5874214A (en) | 1995-04-25 | 1999-02-23 | Irori | Remotely programmable matrices with memories |
| US5751629A (en) | 1995-04-25 | 1998-05-12 | Irori | Remotely programmable matrices with memories |
| US5958901A (en) | 1995-06-07 | 1999-09-28 | Genta Incorporated | Phosphonic acid-based cationic lipids |
| US5856571A (en) | 1995-06-07 | 1999-01-05 | Cellpro, Incorporated | Semicarbazide-containing linker compounds for formation of stably-linked conjugates and methods related thereto |
| US6017496A (en) | 1995-06-07 | 2000-01-25 | Irori | Matrices with memories and uses thereof |
| US5880270A (en) | 1995-06-07 | 1999-03-09 | Cellpro, Incorporated | Aminooxy-containing linker compounds for formation of stably-linked conjugates and methods related thereto |
| US6020526A (en) | 1995-07-21 | 2000-02-01 | Genta, Incorporated | Amide-based cationic lipids |
| EP0772135A1 (en) | 1995-11-03 | 1997-05-07 | Nec Corporation | DNA sequences useful for computation |
| US6071699A (en) | 1996-06-07 | 2000-06-06 | California Institute Of Technology | Nucleic acid mediated electron transfer |
| US5876938A (en) | 1996-08-05 | 1999-03-02 | Prolinx, Incorporated | Use of boron-containing polynucleotides as diagnostic agents |
| WO1998015825A2 (en) | 1996-10-07 | 1998-04-16 | Irori | Matrices with memories in automated drug discovery and units therefor |
| WO1998031732A2 (en) | 1997-01-22 | 1998-07-23 | Irori | Methods for radiation grafting to polymeric surfaces |
| US5837860A (en) | 1997-03-05 | 1998-11-17 | Molecular Tool, Inc. | Covalent attachment of nucleic acid molecules onto solid-phases via disulfide bonds |
| US6034135A (en) | 1997-03-06 | 2000-03-07 | Promega Biosciences, Inc. | Dimeric cationic lipids |
| US5877220A (en) | 1997-03-06 | 1999-03-02 | Genta, Incorporated | Amide-based oligomeric cationic lipids |
| US5972639A (en) | 1997-07-24 | 1999-10-26 | Irori | Fluorescence-based assays for measuring cell proliferation |
| WO1999065993A1 (en) | 1998-06-18 | 1999-12-23 | Beckman Coulter, Inc. | Efficient activated cyanine dyes |
| WO2000004382A1 (en) | 1998-07-14 | 2000-01-27 | Zyomyx, Inc. | Arrays of proteins and methods of use thereof |
| WO2000004389A2 (en) | 1998-07-14 | 2000-01-27 | Zyomyx, Inc. | Arrays of protein-capture agents and methods of use thereof |
| WO2000004390A2 (en) | 1998-07-14 | 2000-01-27 | Zyomyx, Inc. | Microdevices for screening biomolecules |
| WO2000008042A1 (en) | 1998-08-07 | 2000-02-17 | Isis Pharmaceuticals, Inc. | Aminooxy-modified nucleosidic compounds and oligomeric compounds prepared therefrom |
| WO2001009385A2 (en) | 1999-07-29 | 2001-02-08 | Epoch Biosciences, Inc. | Attachment of oligonucleotides to solid supports through schiff base type linkages for capture and detection of nucleic acids |
Non-Patent Citations (104)
| Title |
|---|
| Abrams et al., Technetium-99m-Human Polyclonal IgG Radiolabeled via the Hydrazino Nicotinamide Derivative for Imaging Focal Sites of Infection in Rats, J. Nucl. Med., 1990, 31, p. 2022-2028. |
| Adleman et al., Molecular Computation of Solutions to Combinatorial Problems, Science, 1994, 266, p. 1021-1024. |
| Agrawal, S. (Ed.), Protocols for Oligonucleotides and Analogs, Methods in Molecular Biology, 1993, Humana Press, 20. |
| Agrawal, S., Importance of nucleotide sequence and chemical modifications of antisense oligonucleotides, Biochim. Biophys. Acta., 1999, 1489, p. 53-68. |
| Berg et al., Long-Chain Polystyrene-Grafted Polyethylene Film Matrix: A New Support for Solid-Phase Peptide Synthesis, J. Am. Chem. Soc., 1989, 111, p. 8024-8026. |
| Berg et al., Peptide Synthesis on Polystyrene-Grafted Polyethylene Sheets, Pept. Proc. Eur. Pept. Symp., 20th, Jung, G. et al. (Eds.) 1989, p. 196-198. |
| Berg et al., Polystyrene-Grafted Polyethylene: Design of Film and felt Matrices for Solid-Phase Peptide Synthesis, Innovation Perspect. Solid Phase Synth. Collect. Pap., Int. Symp., 1st, Epton R. (Ed.) 1989, p. 453-459. |
| Bielinska et al., Application of membrane-based dendrimer/DNA complexes for solid phase transfection in vitro and in vivo, J. Biomaterials, 2000, 21, p. 877-887. |
| Bischoff et al., Introduction of 5′-Terminal Functional Groups into Synthetic Oligonucleotides for Selective Immobilization, Anal. Biochem., 1987, 164, p. 336-344. |
| Bischoff et al., Introduction of 5'-Terminal Functional Groups into Synthetic Oligonucleotides for Selective Immobilization, Anal. Biochem., 1987, 164, p. 336-344. |
| Blomqvist et al., Rapid Detection of Human Rhinoviruses in Nasopharyngeal Aspirates by a Microwell Reserve Transcription-PCR-Hybridization Assay, J. Clin. Microbiol., 1999, 37, p. 2813-2816. |
| Bologna et al., Eur. J. Org. Chem., 1999, p. 2353-2358. |
| Brown, M.P. and Royer, C., Fluorescence spectroscopy as a tool to investigate protein, Curr. Opin. Biotechnol., 1997, 8, p. 45-49. |
| Browne, D.W. and Dyson, G.M., The Inhibitory Effect of Substituents in Chemical Reactions. Part III. The Reactivity of the iso Thiocyano-group in Substituted Arylthiocarbimides, J. Chem. Soc., 1934, p. 178-179. |
| Carlsson, B. and Haggblad, J., Quantitative Determination of DNA-Binding Parameters for the Human Estrogen Receptor in a Solid-Phase Nonseparation Assay, Anal. Biochem., 1995, 232, p. 172-179. |
| Chang et al., Early Results in the International Design of New Bifunctional Chelators, 6th Conference on Radioimmunodetection and Radioimmunotherapy of Cancer-Supplement to Cancer, 1997, 80, p. 2347-2353. |
| Chen et al., Stable-Isotope-Assisted MALDI-TOF Mass Spectrometry for Accurate Determination of Nucleotide Compositions of PCR Products, 1999, 71, p. 3118-3125. |
| Compagno et al., Antisense Oligonucleotides Containing Modified Bases Inhibit in Vitro Translation of Leishmania amazonensis mRNAs by Invading the Mini-exon Hairpin, J. Biol. Chem., 1999, 274, p. 8191-8198. |
| Cristiano, R. J. and Roth, J.A., Epidermal growth factor mediated DNA delivery into lung cancer cells via the epidermal growth factor receptor, Cancer Gene Therapy, 1996, 3, p. 4-10. |
| Crooke, S.T., Molecular mechanisms of action of antisense drugs, Biochim. Biophys. Acta., 1999, 1489, p. 31-44. |
| De Benedetti et al., DNA chips: the future of biomarkers, Int. J. Biol. Markers, 2000, 15(1), p. 1-9. |
| Earnshaw et al., Investigation of the Proposed Interdomain Ribose Zipper in Hairpin Ribozyme Cleavage Using 2′-Modified Nucleosides, Biochemistry, 2000, 39, p. 6410-6421. |
| Earnshaw et al., Investigation of the Proposed Interdomain Ribose Zipper in Hairpin Ribozyme Cleavage Using 2'-Modified Nucleosides, Biochemistry, 2000, 39, p. 6410-6421. |
| Feinberg et al., A Technique for Radiolabeling DNA Restrictoin Endonuclease Fragments to High Specific Activity, Analytical Biochemistry, 1983, 132, p. 6-13. |
| Filippov et al., Solid-Phase Ligation of Synthetic DNA Fragments, Bioorg Khim., 1990, 16, p. 1045-1051. |
| Flanagan et al., A cytosine analog that confers enhanced potency to antisense oligonucleotides, Proc. Natl. Acad. Sci. USA, 1999, 96, p. 3513-3518. |
| Frutos et al., Demonstration of a word design strategy for DNA computing on surfaces, Nucl. Acids Res., 1997, 25, p. 4748-4757. |
| Frutos et al., Enzymatic Ligation Reactions of DNA 'Words' on Surfaces for DNA Computing, J. Am. Chem. Soc., 1998, 120(40), p. 10277-10282. |
| Frutos et al., Reversible Protection and Reactive Patterning of Amine- and Hydroxyl- Terminated Self-Assembled Monolayers on Gold Surfaces for the Fabrication of Biopolymer Arrays, Langmuir, 2000, 16, p. 2192-2197. |
| Fujita, K. and Silver, J., Surprising Lability of Biotin-Streptavidin Bond During Transcription of Biotinylated DNA Bound to Paramagnetic Streptavidin Beads, Biotechniques, 1993, 14(4), p. 608-617. |
| Garrett et al., Biochemistry, 1999, Saunders College Publishing, 2nd edition, p. 382-384. |
| Ghosh et al., Covalent attachment of oligonucleotides to solid supports, Nucl. Acids. Res., 1987, 15(3), p. 5353-5372. |
| Ghosh et al., Synthesis of 5′-Oligonucleotide Hydrazide Derivatives and Their Use in Preparation of Enzyme-Nucleic Acid Hybridization Probes, Anal. Biochem., 1989, 178, p. 43-51. |
| Ghosh et al., Synthesis of 5'-Oligonucleotide Hydrazide Derivatives and Their Use in Preparation of Enzyme-Nucleic Acid Hybridization Probes, Anal. Biochem., 1989, 178, p. 43-51. |
| Gottschalk et al., Efficient gene delivery and expression in mammalian cells using DNA coupled with perfringolysin O, Gene Therapy, 1995, 2, p. 498-503. |
| Greene, T.W. and Wuts, P.G.M. (Eds.), Protective Groups in Organic Synthesis, 3rd ed. (J. Wiley & Sons, Inc.) (1999). |
| Gryaznov, S.M., Oligonucleotide N3′-> P5′ phosphoramidates as potential therapeutic agents, Biochim. Biophys. Acta, 1999, 1489, p. 131-140. |
| Gryaznov, S.M., Oligonucleotide N3'-> P5' phosphoramidates as potential therapeutic agents, Biochim. Biophys. Acta, 1999, 1489, p. 131-140. |
| Hakala et al., Detection of Oligonucleotide Hybridization on a Single Microparticle by Time-Resolved Fluorometry: Hybridization Assays on Polymer Particles obtained by Direct Solid Phase Assembly of the Oligonucleotide Probes, Bioconjugate Chem., 1997, 8, p. 378-384. |
| Hakala et al., Detection of Oligonucleotide Hybridization on a Single Microparticle by Time-Resolved Fluorometry: Quantiation and Optimization of a Sandwich Type Assay, Bioconjugate Chem., 1998, 9, p. 316-321. |
| Hermanson et al., Immobilized Affinity Ligand Techniques (Academic Press, Inc., San Diego) 1992. |
| Hnatowich et al., Comparative Properties of a Technetium-99m-Labeled Single Stranded Natural DNA and a Phosphorothioate Derivative in Vitro and in Mice, The Journal of Pharmacology and Experimental Therapeutics, 1996, 276, p. 326-334. |
| Hnatowich et al., Pharmacokinetics of 99mTc-labeled oligonucleotides, QJ Nucl. Med., 1996, 40, p. 202-208. |
| Hnatowich et al., Technetium-99m Labeling of DNA Oligonucleotides, The Journal of Nuclear Medicine, 1995, 36(12), p. 2306-2314. |
| Hoganson et al., Targeted Delivery of DNA Encoding Cytotoxic Proteins through High-Affinity Fibroblast Growth Factor Receptors, Human Gene Therapy, 1998, 9, 2565-2575. |
| Hogrefe et al., An Improved Method for the Synthesis and Deprotection of Methylphosphonate Oligonucleotides, Chapter 7 in Methods in Molecular Biology vol. 20: Protocols for Oligonucleotides and Analogs, Agrawal, S. (Ed.) 1993, Humana Press Inc., Totowa, NJ., p. 143-164. |
| Hogrefe, R.I., An Antisense Oligonucleotide Primer, Antisense & Nucleic Acid Drug Development, 1999, 9, p. 351-357. |
| Horwitz et al., J. Med. Chem., 1970, 13(5), p. 1024-1025. |
| Hostomsky et al., Solid-phase assembly of DNA duplexes from synthetic oligonucleotides, Nucl. Acid. Symp. Ser., 1987, 18, p. 241-244. |
| Hultman et al., Solid-phase cloning to create sublibraries suitable for DNA sequencing, J. Biotechnol., 1994, 35, 229-238. |
| IUPAC-IUB Commission on Biochemical Nomenclature, Abbreviated Nomenclature of Synthetic Polypeptides (Polymerized Amino Acids), Revised Recommendations (1971), Biochem., 1972, 11(5), p. 942-944. |
| Kaneko et al., New Hydrazone Derivates of Adriamycin and Their Immunoconjugates-a Correlation between Acid Stability and Cytotoxicity, Bioconj. Chem., 1991, 2(3), p. 133-141. |
| Kari, L., DNA Computing: Arrival of Biological Mathematics, Mathmatical Intelligencer, 1997, 19, p. 9-22. |
| Kent, S.B.H. and Merrifeld, R.B., Preparation and Properties of tert-Butyloxycarbonylaminoacy1-4-(oxymethyl)phenylacetamidomethyl-(Kel F-g-styrene) Resin, an Insoluble, Noncrosslinked Support for Solid Phase Peptide Synthesis, Isr. J. Chem., 1978, 17, p. 243-247. |
| Kozwich et al., Development of a Novel, Rapid, Integrated Cryptosporidium parvum Detection Assay, Appl. Environ. Microbiol., 2000, 66(6), p. 2711-2717. |
| Kremsky et al., Immobilization of DNA via oligonucleotides containing an aldehyde or carboxylic acid group at the 5' terminus, Nucl. Acids. Res., 1987, 15(7), p.2891-2909. |
| Kremsky et al., Immobilization of DNA via oligonucleotides containing an aldehyde or carboxylic acid group at the 5′ terminus, Nucl. Acids. Res., 1987, 15(7), p.2891-2909. |
| Kumar et al., Nonradioactive Labeling of Synthetic Oligonucleotide Probes with Terminal Deoxynucleotidyl Transferase, Analytical Biochemistry, 1988, 169, p. 376-382. |
| Lannutti et al., Probing the Protein-DNA Contacts of a Yeast RNA Polymerase III Transcription Complex in a Crude Extract: Solid Phase Synthesis of DNA Photoaffinity Probes Containing a Novel Photoreactive Deoxycytidine Analog, Biochemistry, 1996, 35, p. 9821-9831. |
| Lee et al., Direct Measurement of the Forces Between Complementary Strands of DNA, Science, 1994, 266, p. 771-773. |
| Lees et al., Activation of soluble polysaccharides with 1-cyano-4-dimethylaminopyridinium tetrafluoroborate for use in protein-polysaccharide conjugate vaccines and immunological reagents, Vaccine, 1996, 14, p. 190-198. |
| Liu et al., DNA computing on surfaces, Nature, 2000, 403, p. 175-179. |
| Liu et al., DNA Computing on Surfaces: Encoding Information at the Single Base Level, J. Comp. Biol., 1998, 5, p. 269-278. |
| Liu et al., Progress toward demonstration of a surface based DNA computation: a one word approach to solve a model satisfiability problem, BioSystems, 1999, 52, p. 25-33. |
| Lu et al., Antisense DNA Delivery In Vivo: Liver Targeting by Receptor-Mediated Uptake, J. Nucl. Med., 1994, 35, p. 269-275. |
| Maeji et al., Grafted supports used with the multipin method of peptide synthesis, Reactive Polymers, 1994, 22, p. 203-212. |
| Marble et al., RNA Transcription from Immobilized DNA Templates, Biotechnol. Prog., 1995, 11, p. 393-396. |
| Merrifeld, R.B., Solid-Phase Peptide Synthesis. III. An Improved Synthesis of Bradykinin, Biochemistry, 1964, 3, p. 1385-1390. |
| Mitchell et al., Preparation of Aminomethyl-Polystyrene Resin by Direct Amidomethylation, Tetrahedron Lett., 1976, 42, p. 3795-3798. |
| Mitchell, A.R., Kent S.B.H. et al., A New Synthetic Route to tert-Butyloxycarbonylaminoacy1-4-(oxymethyl)phenylacetamidomethl-resin, an Improved Support for Solid-Phase Synthesis, J. Org. Chem., 1978, 43, p. 2845-2852. |
| Morishita, R., Oligonucleotide-based therapy as a potential new pharmacotherapy, Folia Pharmacol. Jpn. (Nippon Yakurigaku Zasshi) 2000, 115, p. 123-130. |
| Muddiman et al., Length and Base Composition of PCR-Amplifiedd Nucleic Acids Using Mass Measurements from Electrospray Ionization Mass Spectrometry, Anal. Chem., 1997, 69(8), p. 1543-1549. |
| Mustajoki et al., Steady-State Transcript Levels of the Porphobilinogen Deaminase Gene in Patients with Acute Intermittent Porphyria, Genome Res., 1997, 7, p. 1054-1060. |
| Niemeyer et al., Oligonucleotide-directed self-assembly of proteins: semisynthetic DNA-streptavidin hybrid molecules as connectors for the generation of macroscopic arrays and the construction of supramolecular bioconjuqates, Nucl. Acids Res., 1994, 22(25), 5530-5539. |
| Patani et al., Chem. Rev, 1996, 96, p. 3147-3176. |
| Perales et al., An evaluation of receptor-mediated gene transfer using synthetic DNA-ligand complexes, Eur. J. Biochem., 1994, 226, p. 255-266. |
| Pidgeon et al., Solid phase membrane mimetics: Immobilized artificial membranes, Enzyme Microb. Technol., 1990, 12, p. 149-150. |
| Pinkel et al., Cytogenetic analysis using quantitative, high-sensitivity, fluorescence hybridization, Proc. Natl. Acad. Sci. USA, 1986, 83, p. 2934-2938. |
| Powers et al., Protein Purification by Affinity Binding to Unilamellar Vesicles, Biotechnol. Bioorg., 1989, 33, p. 173-182. |
| Prevote et al., Heteroatom Chemistry, 1995, 6(4), p. 313-318. * |
| Reed, M.A. and Tror, J.M., Computing with Molecules, Scientific American, Jun. 2000, p. 86-93. |
| Reynolds et al., A Non-Nucleotide-Based Linking Method for the Preparation of Psoralen-Derivatized Methylphosphonate Oligonucleotides, Bioconjugate Chem., 1992, 3, p. 366-374. |
| Reynolds et al., Antisense oligonucleotides containing an internal non-nucleotidebased linker promote site-specific cleavage of RNA, Nucl. Acids. Res., 1996, 24(4), p. 760-765. |
| Reynolds et al., Synthesis and thermodynamics of oligonucleotides containing chirally pure Rp methylphosphonate linkages, Nucl. Acids. Res., 1996, 24(22), p. 4584-4591. |
| Rigby et al., Labeling Deoxyribonucleic Acid to High Specific Activity in Vitro by Nick Translation with DNA Polymerase I, J. Mol. Biol., 1977, 113, p. 237-251. |
| Rogers et al., Immobilization of Oligonucleotides onto a Glass Support via Disulfide Bonds: A Method for Preparation of DNA Microarrays, Anal. Biochem., 1999, 266, p. 23-30. |
| Roth, A. and Messer, W., The DNA binding domain of the initiator protein, EMBO J., 1995, 14, p. 2106-2111. |
| Rusckowski et al., Effect of Endogenous Biotin on the Applications of Streptavidin and Biotin in Mice, Nuclear Medicine & Biology, 1997, 24, p. 263-268. |
| Rusckowski et al., Imaging Osteomyelitis with Streptavidin and Indium-111-Labeled Biotin, J. Nuclear Medicine, 1996, 37, p. 1655-1662. |
| Rusckowski et al., Pretargeting Using Peptide Nucleic Acid, 6th Conference on Radioimmunodetection and radioimmunotherapy of Cancer-Supplement to Cancer, 1997, 80, p. 2699-2705. |
| Salles et al., DNA damage excision repair in microplate wells with chemiluminescence detection: Development and perspectives, Biochimie, 1999, 81, p. 53-58. |
| Salo et al., Aminooxy Functionalized Oligonucleotides: Preparation, On-Support Derivatization, and Postsynthetic Attachment to Polymer Support, Bioconjugate Chem., 1999, 10, p. 815-823. |
| Salo et al., Disulfide-Tethered Solid Supports for Synthesis of Photoluminescent Oligonucleotide Conjugates: Hydrolytic Stability and Labeling on the Support, Bioconjugate Chem., 1998, 9, p. 365-371. |
| Shafer, D.E., Lees, A. et al., Activation of soluble polysaccharides with 1-cyano-4-dimethylaminopyridinium tetrafluoroborate (CDAP) for use in protein-polysaccharide conjugates vaccines and immunological reagents. II. Selective crosslinking of proteins to CDAP-activated polysaccharides, Vaccine, 2000, 18, p. 1273-1281. |
| Shirota et al., Regulation of Murine Airway Eosinophilia and Th2 Cells by Antigen-Conjugaed CpG Oligodeoxynucleotides as a Novel Antigen-Specific Immunomodulator, J. Immunol., 2000, 164, p. 5575-5582. |
| Smith et al., A Surface-Based Approach to DNA Computation, J. Como. Biol., 1998, 5(2), p. 255-267. |
| Timofeev et al., Regioselective immobilization of short oligonucleotides to acrylic copolymer gels, Nucl. Acids. Res., 1996, 24(16), p. 3142-3148. |
| Trevisiol et al., Synthesis of Nucleoside Triphosphate that Contain an Aminooxy Function for "Post-Ampification Labeling", Eur. J. Org. Chem., 2000, p. 211-217. |
| Trevisiol et al., The Oxyamino-Aldehyde Coupling Reaction: An Efficient Method for the Derivatization of Oligonucleotides, Tetrahedron Letters, 1997, 38(50), p. 8687-8690. |
| Tsou et al., Journal of Medicinal Chemistry, 1967, 10(4), p. 662-664. |
| Verheijen et al., Incorporation of a 4-Hydroxy-N-acetylprolinol Nucleotide Analogue Improves the 3′-Exonuclease Stability of 2′- 5′-Oligoadenylate-Antisense Conjugates, Bioorg. Med. Chem. Lett., 2000, 10, p. 801-804. |
| Verheijen et al., Incorporation of a 4-Hydroxy-N-acetylprolinol Nucleotide Analogue Improves the 3'-Exonuclease Stability of 2'- 5'-Oligoadenylate-Antisense Conjugates, Bioorg. Med. Chem. Lett., 2000, 10, p. 801-804. |
| Wang et al., Surface-based DNA computing operations: Destroy and Readout, BioSystems, 1999, 52, p. 189-191. |
| Watkins, T.I., Trypanocides of the Phenanthridine Series. Part I. The Effect of CHanging the Quarternary Grouping in Dimidium Bromide, J. Chem. Soc., 1952, p. 3059-3064. |
Also Published As
| Publication number | Publication date |
|---|---|
| US7102024B1 (en) | 2006-09-05 |
| WO2002010431A3 (en) | 2007-05-10 |
| US7732628B2 (en) | 2010-06-08 |
| AU2001278060A1 (en) | 2002-02-13 |
| WO2002010431A2 (en) | 2002-02-07 |
| US20050203289A1 (en) | 2005-09-15 |
| AU2001278060A8 (en) | 2007-06-21 |
Similar Documents
| Publication | Publication Date | Title |
|---|---|---|
| USRE46171E1 (en) | Functional biopolymer modification reagents and uses thereof | |
| US7173125B2 (en) | Triphosphate oligonucleotide modification reagents and uses thereof | |
| EP2295407B1 (en) | Hydrazine-based and carbonyl-based bifunctional crosslinking reagents | |
| US6911535B2 (en) | Biomolecule/polymer conjugates | |
| JP3256539B2 (en) | Solid support synthesis of 3'-tailed oligonucleotides via linking molecules | |
| AU716108B2 (en) | Covalently linked oligonucleotide minor groove binder conjugates | |
| KR20080059323A (en) | Polynucleotide labeling reagents | |
| Tabone et al. | Factors influencing the extent and regiospecificity of cross-link formation between single-stranded DNA and reactive complementary oligodeoxynucleotides | |
| US6166239A (en) | Oligonucleotide protecting groups | |
| JPH02502283A (en) | Acridinium ester labeling and purification of nucleotide probes | |
| US7094943B2 (en) | Solution phase biopolymer synthesis | |
| US7164014B2 (en) | Protected linker compounds | |
| US20050266427A1 (en) | Biomolecule/polymer conjugates | |
| WO2007059912A1 (en) | Polynucleotide labelling reagent | |
| CN103232507A (en) | Modified nucleoside monomers, and synthesizing methods and application thereof | |
| JP2003508450A (en) | How to couple molecules | |
| WO1984002526A1 (en) | Process for producing polynucleotides | |
| AU2002237839A1 (en) | Ternary biomolecule/polymer/surface-based immobilization systems | |
| CA2382324A1 (en) | Nucleoside analogues | |
| HK1155438A (en) | Hydrazine-based and carbonyl-based bifunctional crosslinking reagents | |
| JP2001106671A (en) | Solid phase support for oligonucleotide | |
| HK1155439A (en) | Hydrazine-based and carbonyl-based bifunctional crosslinking reagents | |
| HK1126183B (en) | Polynucleotide labelling reagent |
Legal Events
| Date | Code | Title | Description |
|---|---|---|---|
| AS | Assignment |
Owner name: SOLULINK, INCORPORATED, CALIFORNIA Free format text: ASSIGNMENT OF ASSIGNORS INTEREST;ASSIGNORS:SCHWARTZ, DAVID A.;HOGREFE, RICHARD I.;REEL/FRAME:038055/0403 Effective date: 20000922 |
|
| FEPP | Fee payment procedure |
Free format text: PAYOR NUMBER ASSIGNED (ORIGINAL EVENT CODE: ASPN); ENTITY STATUS OF PATENT OWNER: SMALL ENTITY |
|
| AS | Assignment |
Owner name: NXT CAPITAL, LLC, AS AGENT, ILLINOIS Free format text: SECURITY INTEREST;ASSIGNOR:TRILINK BIOTECHNOLOGIES, LLC;REEL/FRAME:040791/0639 Effective date: 20161227 |
|
| AS | Assignment |
Owner name: TRILINK BIOTECHNOLOGIES, LLC, CALIFORNIA Free format text: ASSIGNMENT OF ASSIGNORS INTEREST;ASSIGNOR:SOLULINK INCORPORATED;REEL/FRAME:040810/0576 Effective date: 20161227 |
|
| MAFP | Maintenance fee payment |
Free format text: PAYMENT OF MAINTENANCE FEE, 8TH YR, SMALL ENTITY (ORIGINAL EVENT CODE: M2552) Year of fee payment: 8 |
|
| AS | Assignment |
Owner name: JPMORGAN CHASE BANK, N.A., AS COLLATERAL AGENT, NE Free format text: SECURITY AGREEMENT;ASSIGNORS:TRILINK BIOTECHNOLOGIES;TRILINK BIOTECHNOLOGIES, INC.;TRILINK BIOTECHNOLOGIES, LLC;AND OTHERS;REEL/FRAME:046708/0095 Effective date: 20180802 |
|
| AS | Assignment |
Owner name: ANTARES CAPITAL LP, AS COLLATERAL AGENT, ILLINOIS Free format text: SECURITY AGREEMENT;ASSIGNORS:TRILINK BIOTECHNOLOGIES;TRILINK BIOTECHNOLOGIES, INC.;TRILINK BIOTECHNOLOGIES, LLC;AND OTHERS;REEL/FRAME:046702/0651 Effective date: 20180802 |
|
| AS | Assignment |
Owner name: TRILINK BIOTECHNOLOGIES, LLC, CALIFORNIA Free format text: RELEASE AND REASSIGNMENT OF SECURITY INTEREST RECORDED AT REEL/FRAME 40791/0639;ASSIGNOR:NXT CAPITAL, LLC;REEL/FRAME:047073/0142 Effective date: 20180802 |
|
| AS | Assignment |
Owner name: MORGAN STANLEY SENIOR FUNDING, INC., MARYLAND Free format text: SECURITY AGREEMENT;ASSIGNORS:MARAVAI LIFE SCIENCES, INC.;TRILINK BIOTECHNOLOGIES, LLC;VECTOR LABORATORIES, INC.;AND OTHERS;REEL/FRAME:054118/0848 Effective date: 20201019 Owner name: GLEN RESEARCH, LLC, VIRGINIA Free format text: RELEASE OF FIRST LIEN SECURITY INTEREST;ASSIGNOR:JPMORGAN CHASE BANK, N.A.;REEL/FRAME:054118/0751 Effective date: 20201019 Owner name: GLEN RESEARCH, LLC, VIRGINIA Free format text: RELEASE OF SECOND LIEN SECURITY INTEREST;ASSIGNOR:ANTARES CAPITAL LP;REEL/FRAME:054118/0763 Effective date: 20201019 Owner name: VECTOR LABORATORIES, INC., CALIFORNIA Free format text: RELEASE OF FIRST LIEN SECURITY INTEREST;ASSIGNOR:JPMORGAN CHASE BANK, N.A.;REEL/FRAME:054118/0751 Effective date: 20201019 Owner name: VECTOR LABORATORIES, INC., CALIFORNIA Free format text: RELEASE OF SECOND LIEN SECURITY INTEREST;ASSIGNOR:ANTARES CAPITAL LP;REEL/FRAME:054118/0763 Effective date: 20201019 Owner name: TRILINK BIOTECHNOLOGIES, LLC, CALIFORNIA Free format text: RELEASE OF SECOND LIEN SECURITY INTEREST;ASSIGNOR:ANTARES CAPITAL LP;REEL/FRAME:054118/0763 Effective date: 20201019 Owner name: TRILINK BIOTECHNOLOGIES, LLC, CALIFORNIA Free format text: RELEASE OF FIRST LIEN SECURITY INTEREST;ASSIGNOR:JPMORGAN CHASE BANK, N.A.;REEL/FRAME:054118/0751 Effective date: 20201019 |
|
| AS | Assignment |
Owner name: TRILINK BIOTECHNOLOGIES, LLC, CALIFORNIA Free format text: PARTIAL RELEASE OF SECURITY INTEREST;ASSIGNOR:MORGAN STANLEY SENIOR FUNDING, INC.;REEL/FRAME:057480/0783 Effective date: 20210902 Owner name: VECTOR LABORATORIES, INC., CALIFORNIA Free format text: PARTIAL RELEASE OF SECURITY INTEREST;ASSIGNOR:MORGAN STANLEY SENIOR FUNDING, INC.;REEL/FRAME:057480/0783 Effective date: 20210902 |
|
| AS | Assignment |
Owner name: AUDAX PRIVATE DEBT LLC, AS AGENT, MASSACHUSETTS Free format text: SECURITY INTEREST;ASSIGNOR:VECTOR LABORATORIES, INC.;REEL/FRAME:057729/0126 Effective date: 20211007 |
|
| AS | Assignment |
Owner name: VECTOR LABORATORIES, INC., CALIFORNIA Free format text: ASSIGNMENT OF ASSIGNORS INTEREST;ASSIGNOR:TRILINK BIOTECHNOLOGIES, LLC;REEL/FRAME:057742/0627 Effective date: 20210902 |
|
| MAFP | Maintenance fee payment |
Free format text: PAYMENT OF MAINTENANCE FEE, 12TH YR, SMALL ENTITY (ORIGINAL EVENT CODE: M2553); ENTITY STATUS OF PATENT OWNER: SMALL ENTITY Year of fee payment: 12 |
|
| AS | Assignment |
Owner name: AUDAX PRIVATE DEBT LLC, AS AGENT, MASSACHUSETTS Free format text: SECURITY INTEREST;ASSIGNOR:VECTOR LABORATORIES, INC.;REEL/FRAME:067659/0930 Effective date: 20240607 |





















