US8916577B2 - Tricyclic derivatives, process for their preparation and their use as kinase inhibitors - Google Patents
Tricyclic derivatives, process for their preparation and their use as kinase inhibitors Download PDFInfo
- Publication number
- US8916577B2 US8916577B2 US13/980,182 US201213980182A US8916577B2 US 8916577 B2 US8916577 B2 US 8916577B2 US 201213980182 A US201213980182 A US 201213980182A US 8916577 B2 US8916577 B2 US 8916577B2
- Authority
- US
- United States
- Prior art keywords
- cyclohepta
- pyrimidine
- tetrahydropyrazolo
- amino
- carboxamide
- Prior art date
- Legal status (The legal status is an assumption and is not a legal conclusion. Google has not performed a legal analysis and makes no representation as to the accuracy of the status listed.)
- Active
Links
- 238000000034 method Methods 0.000 title claims abstract description 102
- 230000008569 process Effects 0.000 title claims description 47
- 238000002360 preparation method Methods 0.000 title claims description 39
- 229940043355 kinase inhibitor Drugs 0.000 title description 4
- 239000003757 phosphotransferase inhibitor Substances 0.000 title description 4
- 150000001875 compounds Chemical class 0.000 claims abstract description 400
- 239000008194 pharmaceutical composition Substances 0.000 claims abstract description 18
- 208000037265 diseases, disorders, signs and symptoms Diseases 0.000 claims abstract description 15
- 201000010099 disease Diseases 0.000 claims abstract description 11
- ZMXDDKWLCZADIW-UHFFFAOYSA-N N,N-Dimethylformamide Chemical class CN(C)C=O ZMXDDKWLCZADIW-UHFFFAOYSA-N 0.000 claims description 156
- 239000001257 hydrogen Substances 0.000 claims description 83
- 229910052739 hydrogen Inorganic materials 0.000 claims description 83
- -1 hormonal agents Substances 0.000 claims description 77
- 125000003118 aryl group Chemical group 0.000 claims description 70
- 125000000623 heterocyclic group Chemical group 0.000 claims description 53
- 229920005989 resin Polymers 0.000 claims description 50
- 239000011347 resin Substances 0.000 claims description 50
- 125000000753 cycloalkyl group Chemical group 0.000 claims description 49
- 239000000243 solution Substances 0.000 claims description 49
- 125000003710 aryl alkyl group Chemical group 0.000 claims description 46
- 150000003839 salts Chemical class 0.000 claims description 44
- 125000001316 cycloalkyl alkyl group Chemical group 0.000 claims description 42
- 125000004415 heterocyclylalkyl group Chemical group 0.000 claims description 42
- 150000002431 hydrogen Chemical group 0.000 claims description 40
- 239000003795 chemical substances by application Substances 0.000 claims description 34
- 125000001301 ethoxy group Chemical group [H]C([H])([H])C([H])([H])O* 0.000 claims description 33
- UFHFLCQGNIYNRP-UHFFFAOYSA-N Hydrogen Chemical compound [H][H] UFHFLCQGNIYNRP-UHFFFAOYSA-N 0.000 claims description 32
- 125000004169 (C1-C6) alkyl group Chemical group 0.000 claims description 31
- 206010028980 Neoplasm Diseases 0.000 claims description 30
- 125000000956 methoxy group Chemical group [H]C([H])([H])O* 0.000 claims description 30
- 239000007787 solid Substances 0.000 claims description 28
- IJGRMHOSHXDMSA-UHFFFAOYSA-N Atomic nitrogen Chemical compound N#N IJGRMHOSHXDMSA-UHFFFAOYSA-N 0.000 claims description 23
- 125000001997 phenyl group Chemical group [H]C1=C([H])C([H])=C(*)C([H])=C1[H] 0.000 claims description 23
- 125000004435 hydrogen atom Chemical group [H]* 0.000 claims description 21
- 239000003112 inhibitor Substances 0.000 claims description 20
- 125000002924 primary amino group Chemical group [H]N([H])* 0.000 claims description 19
- 229910052757 nitrogen Inorganic materials 0.000 claims description 16
- 239000000725 suspension Substances 0.000 claims description 15
- 229910052760 oxygen Inorganic materials 0.000 claims description 13
- 201000011510 cancer Diseases 0.000 claims description 11
- 208000032839 leukemia Diseases 0.000 claims description 11
- QVGXLLKOCUKJST-UHFFFAOYSA-N atomic oxygen Chemical group [O] QVGXLLKOCUKJST-UHFFFAOYSA-N 0.000 claims description 10
- 239000001301 oxygen Substances 0.000 claims description 10
- 125000004178 (C1-C4) alkyl group Chemical group 0.000 claims description 9
- LKNZPTUMINHREC-UHFFFAOYSA-N 9-(4-bromo-2-methoxyanilino)-1-methyl-5,6-dihydro-4h-pyrazolo[4,5]cyclohepta[1,2-d]pyrimidine-3-carboxamide Chemical compound COC1=CC(Br)=CC=C1NC1=NC=C(CCCC2=C3N(C)N=C2C(N)=O)C3=N1 LKNZPTUMINHREC-UHFFFAOYSA-N 0.000 claims description 8
- GEMLZQBJYPNJIS-UHFFFAOYSA-N 9-[2-methoxy-4-(4-methylpiperazin-1-yl)anilino]-1-methyl-5,6-dihydro-4h-pyrazolo[4,5]cyclohepta[1,2-d]pyrimidine-3-carboxamide Chemical compound C=1C=C(NC=2N=C3C=4N(C)N=C(C=4CCCC3=CN=2)C(N)=O)C(OC)=CC=1N1CCN(C)CC1 GEMLZQBJYPNJIS-UHFFFAOYSA-N 0.000 claims description 8
- IGYPYSBXWWDEEL-UHFFFAOYSA-N 9-amino-n-(2,6-diethylphenyl)-1-methyl-5,6-dihydro-4h-pyrazolo[4,5]cyclohepta[1,2-d]pyrimidine-3-carboxamide Chemical compound CCC1=CC=CC(CC)=C1NC(=O)C1=NN(C)C2=C1CCCC1=CN=C(N)N=C21 IGYPYSBXWWDEEL-UHFFFAOYSA-N 0.000 claims description 8
- 208000026310 Breast neoplasm Diseases 0.000 claims description 8
- 125000001495 ethyl group Chemical group [H]C([H])([H])C([H])([H])* 0.000 claims description 8
- 206010006187 Breast cancer Diseases 0.000 claims description 7
- COSWBAATVOFELF-UHFFFAOYSA-N ethyl 9-[2-methoxy-4-(4-methylpiperazin-1-yl)anilino]-2,4,5,6-tetrahydropyrazolo[3,4]cyclohepta[1,3-d]pyrimidine-3-carboxylate Chemical compound CCOC(=O)C1=NNC(C2=N3)=C1CCCC2=CN=C3NC(C(=C1)OC)=CC=C1N1CCN(C)CC1 COSWBAATVOFELF-UHFFFAOYSA-N 0.000 claims description 7
- 229910052736 halogen Inorganic materials 0.000 claims description 7
- 150000002367 halogens Chemical group 0.000 claims description 7
- CEENYEYNKFXYSR-UHFFFAOYSA-N n-(2,6-diethylphenyl)-9-(2-methoxyanilino)-1-methyl-5,6-dihydro-4h-pyrazolo[4,5]cyclohepta[1,2-d]pyrimidine-3-carboxamide Chemical compound CCC1=CC=CC(CC)=C1NC(=O)C1=NN(C)C(C2=N3)=C1CCCC2=CN=C3NC1=CC=CC=C1OC CEENYEYNKFXYSR-UHFFFAOYSA-N 0.000 claims description 7
- BEAHGIGUODAINF-UHFFFAOYSA-N n-(2,6-diethylphenyl)-9-[2-methoxy-4-(4-methylpiperazin-1-yl)anilino]-1-[2-(oxan-2-yloxy)ethyl]-5,6-dihydro-4h-pyrazolo[4,5]cyclohepta[1,2-d]pyrimidine-3-carboxamide Chemical compound CCC1=CC=CC(CC)=C1NC(=O)C(C1=C2C3=NC(NC=4C(=CC(=CC=4)N4CCN(C)CC4)OC)=NC=C3CCC1)=NN2CCOC1OCCCC1 BEAHGIGUODAINF-UHFFFAOYSA-N 0.000 claims description 7
- GSWWYWLQGDFSHX-UHFFFAOYSA-N n-(2,6-diethylphenyl)-9-[2-methoxy-4-(4-pyrrolidin-1-ylpiperidin-1-yl)anilino]-1-methyl-5,6-dihydro-4h-pyrazolo[4,5]cyclohepta[1,2-d]pyrimidine-3-carboxamide Chemical compound CCC1=CC=CC(CC)=C1NC(=O)C1=NN(C)C(C2=N3)=C1CCCC2=CN=C3NC1=CC=C(N2CCC(CC2)N2CCCC2)C=C1OC GSWWYWLQGDFSHX-UHFFFAOYSA-N 0.000 claims description 7
- IORICWGEVRBSCU-UHFFFAOYSA-N n-cyclohexyl-9-[2-methoxy-4-(4-methylpiperazin-1-yl)anilino]-1-methyl-5,6-dihydro-4h-pyrazolo[4,5]cyclohepta[1,2-d]pyrimidine-3-carboxamide Chemical compound COC1=CC(N2CCN(C)CC2)=CC=C1NC(N=C1C=2N(C)N=3)=NC=C1CCCC=2C=3C(=O)NC1CCCCC1 IORICWGEVRBSCU-UHFFFAOYSA-N 0.000 claims description 7
- NOOSXMASRYLECZ-RUZDIDTESA-N 9-(4-bromo-2-methoxyanilino)-1-methyl-n-[(1s)-2-morpholin-4-yl-1-phenylethyl]-5,6-dihydro-4h-pyrazolo[4,5]cyclohepta[1,2-d]pyrimidine-3-carboxamide Chemical compound COC1=CC(Br)=CC=C1NC1=NC=C(CCCC2=C3N(C)N=C2C(=O)N[C@H](CN2CCOCC2)C=2C=CC=CC=2)C3=N1 NOOSXMASRYLECZ-RUZDIDTESA-N 0.000 claims description 6
- NJOBSRHUMIYGKU-UHFFFAOYSA-N 9-(4-bromo-2-methoxyanilino)-n-(2,6-diethylphenyl)-1-methyl-5,6-dihydro-4h-pyrazolo[4,5]cyclohepta[1,2-d]pyrimidine-3-carboxamide Chemical compound CCC1=CC=CC(CC)=C1NC(=O)C1=NN(C)C(C2=N3)=C1CCCC2=CN=C3NC1=CC=C(Br)C=C1OC NJOBSRHUMIYGKU-UHFFFAOYSA-N 0.000 claims description 6
- LHNDTXHRMIHSEN-UHFFFAOYSA-N 9-(4-bromo-2-methoxyanilino)-n-(2,6-dimethylphenyl)-1-methyl-5,6-dihydro-4h-pyrazolo[4,5]cyclohepta[1,2-d]pyrimidine-3-carboxamide Chemical compound COC1=CC(Br)=CC=C1NC1=NC=C(CCCC2=C3N(C)N=C2C(=O)NC=2C(=CC=CC=2C)C)C3=N1 LHNDTXHRMIHSEN-UHFFFAOYSA-N 0.000 claims description 6
- TUPHDYBFQCVSHH-UHFFFAOYSA-N 9-(4-bromo-2-methoxyanilino)-n-(2-ethyl-6-methylphenyl)-1-methyl-5,6-dihydro-4h-pyrazolo[4,5]cyclohepta[1,2-d]pyrimidine-3-carboxamide Chemical compound CCC1=CC=CC(C)=C1NC(=O)C1=NN(C)C(C2=N3)=C1CCCC2=CN=C3NC1=CC=C(Br)C=C1OC TUPHDYBFQCVSHH-UHFFFAOYSA-N 0.000 claims description 6
- GGCQPYKHIDBKJO-SSEXGKCCSA-N 9-[2-methoxy-4-(4-methylpiperazin-1-yl)anilino]-1-methyl-n-[(1s)-2-morpholin-4-yl-1-phenylethyl]-5,6-dihydro-4h-pyrazolo[4,5]cyclohepta[1,2-d]pyrimidine-3-carboxamide Chemical compound C([C@@H](NC(=O)C=1C=2CCCC3=CN=C(N=C3C=2N(C)N=1)NC1=CC=C(C=C1OC)N1CCN(C)CC1)C=1C=CC=CC=1)N1CCOCC1 GGCQPYKHIDBKJO-SSEXGKCCSA-N 0.000 claims description 6
- SRODFKAGZLWINR-UHFFFAOYSA-N 9-[2-methoxy-4-(4-methylpiperazin-1-yl)anilino]-1-methyl-n-phenyl-5,6-dihydro-4h-pyrazolo[4,5]cyclohepta[1,2-d]pyrimidine-3-carboxamide Chemical compound COC1=CC(N2CCN(C)CC2)=CC=C1NC(N=C1C=2N(C)N=3)=NC=C1CCCC=2C=3C(=O)NC1=CC=CC=C1 SRODFKAGZLWINR-UHFFFAOYSA-N 0.000 claims description 6
- UJYCBASCGSZKJQ-UHFFFAOYSA-N 9-[2-methoxy-4-(4-methylpiperazin-1-yl)anilino]-2-methyl-5,6-dihydro-4h-pyrazolo[3,4]cyclohepta[1,3-d]pyrimidine-3-carboxamide Chemical compound C=1C=C(NC=2N=C3C=4C(=C(N(C)N=4)C(N)=O)CCCC3=CN=2)C(OC)=CC=1N1CCN(C)CC1 UJYCBASCGSZKJQ-UHFFFAOYSA-N 0.000 claims description 6
- XTQYWWCSKDYVFU-UHFFFAOYSA-N 9-[4-(1-azabicyclo[2.2.2]octan-3-ylamino)-2-methoxyanilino]-n-(2,6-diethylphenyl)-1-methyl-5,6-dihydro-4h-pyrazolo[4,5]cyclohepta[1,2-d]pyrimidine-3-carboxamide Chemical compound CCC1=CC=CC(CC)=C1NC(=O)C1=NN(C)C(C2=N3)=C1CCCC2=CN=C3NC(C(=C1)OC)=CC=C1NC1C(CC2)CCN2C1 XTQYWWCSKDYVFU-UHFFFAOYSA-N 0.000 claims description 6
- HYAJSVBRYFKORU-UHFFFAOYSA-N 9-[4-(dimethylamino)-2-methoxyanilino]-n-(2,6-dimethylphenyl)-1-methyl-5,6-dihydro-4h-pyrazolo[4,5]cyclohepta[1,2-d]pyrimidine-3-carboxamide Chemical compound COC1=CC(N(C)C)=CC=C1NC1=NC=C(CCCC2=C3N(C)N=C2C(=O)NC=2C(=CC=CC=2C)C)C3=N1 HYAJSVBRYFKORU-UHFFFAOYSA-N 0.000 claims description 6
- ZRALSGWEFCBTJO-UHFFFAOYSA-N Guanidine Chemical compound NC(N)=N ZRALSGWEFCBTJO-UHFFFAOYSA-N 0.000 claims description 6
- 239000004037 angiogenesis inhibitor Substances 0.000 claims description 6
- PWMBNRDDGBWGFP-UHFFFAOYSA-N ethyl 1-methyl-9-[4-(trifluoromethoxy)phenyl]-5,6-dihydro-4h-pyrazolo[4,5]cyclohepta[1,2-d]pyrimidine-3-carboxylate Chemical compound CCOC(=O)C1=NN(C)C(C2=N3)=C1CCCC2=CN=C3C1=CC=C(OC(F)(F)F)C=C1 PWMBNRDDGBWGFP-UHFFFAOYSA-N 0.000 claims description 6
- TYOLLDHAGWOPEX-UHFFFAOYSA-N n-(2,6-diethylphenyl)-1-[3-(dimethylamino)propyl]-9-[2-methoxy-4-(4-methylpiperazin-1-yl)anilino]-5,6-dihydro-4h-pyrazolo[4,5]cyclohepta[1,2-d]pyrimidine-3-carboxamide Chemical compound CCC1=CC=CC(CC)=C1NC(=O)C1=NN(CCCN(C)C)C(C2=N3)=C1CCCC2=CN=C3NC1=CC=C(N2CCN(C)CC2)C=C1OC TYOLLDHAGWOPEX-UHFFFAOYSA-N 0.000 claims description 6
- XZHNLDDONKMWMI-UHFFFAOYSA-N n-(2,6-diethylphenyl)-1-methyl-9-[4-(4-methylpiperazin-1-yl)anilino]-5,6-dihydro-4h-pyrazolo[4,5]cyclohepta[1,2-d]pyrimidine-3-carboxamide Chemical compound CCC1=CC=CC(CC)=C1NC(=O)C1=NN(C)C(C2=N3)=C1CCCC2=CN=C3NC1=CC=C(N2CCN(C)CC2)C=C1 XZHNLDDONKMWMI-UHFFFAOYSA-N 0.000 claims description 6
- QYDAETSBZSCBBX-UHFFFAOYSA-N n-(2,6-diethylphenyl)-9-[2-methoxy-4-(4-methyl-1,4-diazepan-1-yl)anilino]-1-methyl-5,6-dihydro-4h-pyrazolo[4,5]cyclohepta[1,2-d]pyrimidine-3-carboxamide Chemical compound CCC1=CC=CC(CC)=C1NC(=O)C1=NN(C)C(C2=N3)=C1CCCC2=CN=C3NC1=CC=C(N2CCN(C)CCC2)C=C1OC QYDAETSBZSCBBX-UHFFFAOYSA-N 0.000 claims description 6
- WDAYJKIMTVLKJM-UHFFFAOYSA-N n-(2,6-diethylphenyl)-9-[2-methoxy-4-(4-methylpiperazin-1-yl)anilino]-1-(pyridin-4-ylmethyl)-5,6-dihydro-4h-pyrazolo[4,5]cyclohepta[1,2-d]pyrimidine-3-carboxamide Chemical compound CCC1=CC=CC(CC)=C1NC(=O)C(C1=C2C3=NC(NC=4C(=CC(=CC=4)N4CCN(C)CC4)OC)=NC=C3CCC1)=NN2CC1=CC=NC=C1 WDAYJKIMTVLKJM-UHFFFAOYSA-N 0.000 claims description 6
- KVGGTGOXIYVNKM-UHFFFAOYSA-N n-(2,6-diethylphenyl)-9-[2-methoxy-4-(4-methylpiperazin-1-yl)anilino]-1-[(4-methoxyphenyl)methyl]-5,6-dihydro-4h-pyrazolo[4,5]cyclohepta[1,2-d]pyrimidine-3-carboxamide Chemical compound CCC1=CC=CC(CC)=C1NC(=O)C(C1=C2C3=NC(NC=4C(=CC(=CC=4)N4CCN(C)CC4)OC)=NC=C3CCC1)=NN2CC1=CC=C(OC)C=C1 KVGGTGOXIYVNKM-UHFFFAOYSA-N 0.000 claims description 6
- NQYCKGJPXNFTCR-UHFFFAOYSA-N n-(2,6-diethylphenyl)-9-[2-methoxy-4-(4-methylpiperazin-1-yl)anilino]-1-methyl-5,6-dihydro-4h-pyrazolo[4,5]cyclohepta[1,2-d]pyrimidine-3-carboxamide Chemical compound CCC1=CC=CC(CC)=C1NC(=O)C1=NN(C)C(C2=N3)=C1CCCC2=CN=C3NC1=CC=C(N2CCN(C)CC2)C=C1OC NQYCKGJPXNFTCR-UHFFFAOYSA-N 0.000 claims description 6
- AISPHFCFAUALJZ-UHFFFAOYSA-N n-(2,6-diethylphenyl)-9-[2-methoxy-4-[(1-methylpiperidin-4-yl)amino]anilino]-1-methyl-5,6-dihydro-4h-pyrazolo[4,5]cyclohepta[1,2-d]pyrimidine-3-carboxamide Chemical compound CCC1=CC=CC(CC)=C1NC(=O)C1=NN(C)C(C2=N3)=C1CCCC2=CN=C3NC(C(=C1)OC)=CC=C1NC1CCN(C)CC1 AISPHFCFAUALJZ-UHFFFAOYSA-N 0.000 claims description 6
- ZZZQASHZMHRGNK-AREMUKBSSA-N n-(2,6-diethylphenyl)-9-[4-[(3r)-3-(dimethylamino)pyrrolidin-1-yl]-2-methoxyanilino]-1-methyl-5,6-dihydro-4h-pyrazolo[4,5]cyclohepta[1,2-d]pyrimidine-3-carboxamide Chemical compound CCC1=CC=CC(CC)=C1NC(=O)C1=NN(C)C(C2=N3)=C1CCCC2=CN=C3NC1=CC=C(N2C[C@@H](CC2)N(C)C)C=C1OC ZZZQASHZMHRGNK-AREMUKBSSA-N 0.000 claims description 6
- UUCDYFYEDRFOPB-UHFFFAOYSA-N n-(2,6-diethylphenyl)-9-[4-[(4-hydroxycyclohexyl)amino]-2-methoxyanilino]-1-methyl-5,6-dihydro-4h-pyrazolo[4,5]cyclohepta[1,2-d]pyrimidine-3-carboxamide Chemical compound CCC1=CC=CC(CC)=C1NC(=O)C1=NN(C)C(C2=N3)=C1CCCC2=CN=C3NC(C(=C1)OC)=CC=C1NC1CCC(O)CC1 UUCDYFYEDRFOPB-UHFFFAOYSA-N 0.000 claims description 6
- WYZXHLMJECJDCN-UHFFFAOYSA-N n-(2,6-diethylphenyl)-9-[4-[2-(dimethylamino)ethyl-methylamino]-2-methoxyanilino]-1-methyl-5,6-dihydro-4h-pyrazolo[4,5]cyclohepta[1,2-d]pyrimidine-3-carboxamide Chemical compound CCC1=CC=CC(CC)=C1NC(=O)C1=NN(C)C(C2=N3)=C1CCCC2=CN=C3NC1=CC=C(N(C)CCN(C)C)C=C1OC WYZXHLMJECJDCN-UHFFFAOYSA-N 0.000 claims description 6
- QWMLQNPWWUKGAN-UHFFFAOYSA-N n-(2,6-diethylphenyl)-9-[4-[3-(dimethylamino)propyl-methylamino]-2-methoxyanilino]-1-methyl-5,6-dihydro-4h-pyrazolo[4,5]cyclohepta[1,2-d]pyrimidine-3-carboxamide Chemical compound CCC1=CC=CC(CC)=C1NC(=O)C1=NN(C)C(C2=N3)=C1CCCC2=CN=C3NC1=CC=C(N(C)CCCN(C)C)C=C1OC QWMLQNPWWUKGAN-UHFFFAOYSA-N 0.000 claims description 6
- FMINQMVNFAJLPI-UHFFFAOYSA-N n-(2,6-diethylphenyl)-9-[4-[4-(2-hydroxyethyl)piperazin-1-yl]-2-methoxyanilino]-1-methyl-5,6-dihydro-4h-pyrazolo[4,5]cyclohepta[1,2-d]pyrimidine-3-carboxamide Chemical compound CCC1=CC=CC(CC)=C1NC(=O)C1=NN(C)C(C2=N3)=C1CCCC2=CN=C3NC1=CC=C(N2CCN(CCO)CC2)C=C1OC FMINQMVNFAJLPI-UHFFFAOYSA-N 0.000 claims description 6
- GWFISXIAKFJBMW-UHFFFAOYSA-N n-(2,6-diethylphenyl)-9-[4-[4-(dimethylamino)piperidin-1-yl]-2-methoxyanilino]-1-methyl-5,6-dihydro-4h-pyrazolo[4,5]cyclohepta[1,2-d]pyrimidine-3-carboxamide Chemical compound CCC1=CC=CC(CC)=C1NC(=O)C1=NN(C)C(C2=N3)=C1CCCC2=CN=C3NC1=CC=C(N2CCC(CC2)N(C)C)C=C1OC GWFISXIAKFJBMW-UHFFFAOYSA-N 0.000 claims description 6
- FVFAXGKMUDBZDX-UHFFFAOYSA-N n-(2,6-diethylphenyl)-9-[4-[4-(dimethylamino)piperidine-1-carbonyl]-2-(trifluoromethoxy)anilino]-1-methyl-5,6-dihydro-4h-pyrazolo[4,5]cyclohepta[1,2-d]pyrimidine-3-carboxamide Chemical compound CCC1=CC=CC(CC)=C1NC(=O)C1=NN(C)C(C2=N3)=C1CCCC2=CN=C3NC1=CC=C(C(=O)N2CCC(CC2)N(C)C)C=C1OC(F)(F)F FVFAXGKMUDBZDX-UHFFFAOYSA-N 0.000 claims description 6
- DWNYABADGPFYFY-UHFFFAOYSA-N n-(2,6-dimethylphenyl)-9-[2-methoxy-4-(4-methylpiperazin-1-yl)anilino]-1-methyl-5,6-dihydro-4h-pyrazolo[4,5]cyclohepta[1,2-d]pyrimidine-3-carboxamide Chemical compound COC1=CC(N2CCN(C)CC2)=CC=C1NC(N=C1C=2N(C)N=3)=NC=C1CCCC=2C=3C(=O)NC1=C(C)C=CC=C1C DWNYABADGPFYFY-UHFFFAOYSA-N 0.000 claims description 6
- HFJRLKADRDLRQP-UHFFFAOYSA-N n-(2-ethyl-6-methylphenyl)-9-[2-methoxy-4-(4-methylpiperazin-1-yl)anilino]-1-methyl-5,6-dihydro-4h-pyrazolo[4,5]cyclohepta[1,2-d]pyrimidine-3-carboxamide Chemical compound CCC1=CC=CC(C)=C1NC(=O)C1=NN(C)C(C2=N3)=C1CCCC2=CN=C3NC1=CC=C(N2CCN(C)CC2)C=C1OC HFJRLKADRDLRQP-UHFFFAOYSA-N 0.000 claims description 6
- AHSIHGJTYOFRED-UHFFFAOYSA-N n-benzyl-9-[2-methoxy-4-(4-methylpiperazin-1-yl)anilino]-1-methyl-5,6-dihydro-4h-pyrazolo[4,5]cyclohepta[1,2-d]pyrimidine-3-carboxamide Chemical compound COC1=CC(N2CCN(C)CC2)=CC=C1NC(N=C1C=2N(C)N=3)=NC=C1CCCC=2C=3C(=O)NCC1=CC=CC=C1 AHSIHGJTYOFRED-UHFFFAOYSA-N 0.000 claims description 6
- SEVFHBXVSRZJRL-UHFFFAOYSA-N 1-methyl-9-(4-nitroanilino)-n-propyl-5,6-dihydro-4h-pyrazolo[4,5]cyclohepta[1,2-d]pyrimidine-3-carboxamide Chemical compound CCCNC(=O)C1=NN(C)C(C2=N3)=C1CCCC2=CN=C3NC1=CC=C([N+]([O-])=O)C=C1 SEVFHBXVSRZJRL-UHFFFAOYSA-N 0.000 claims description 5
- CLLOMGBVNFNTFS-UHFFFAOYSA-N 1-methyl-9-[(6-nitro-1h-benzimidazol-2-yl)amino]-5,6-dihydro-4h-pyrazolo[4,5]cyclohepta[1,2-d]pyrimidine-3-carboxamide Chemical compound N1=C2C=3N(C)N=C(C(N)=O)C=3CCCC2=CN=C1NC1=NC2=CC([N+]([O-])=O)=CC=C2N1 CLLOMGBVNFNTFS-UHFFFAOYSA-N 0.000 claims description 5
- YOZVSKLZZRIYPC-UHFFFAOYSA-N 1-methyl-9-[4-(4-methylpiperazin-1-yl)sulfonylanilino]-5,6-dihydro-4h-pyrazolo[4,5]cyclohepta[1,2-d]pyrimidine-3-carboxamide Chemical compound C1CN(C)CCN1S(=O)(=O)C(C=C1)=CC=C1NC1=NC=C(CCCC2=C3N(C)N=C2C(N)=O)C3=N1 YOZVSKLZZRIYPC-UHFFFAOYSA-N 0.000 claims description 5
- WTWKQZWBNUINBP-UHFFFAOYSA-N 1-methyl-9-[4-(4-methylpiperazin-1-yl)sulfonylanilino]-n-propyl-5,6-dihydro-4h-pyrazolo[4,5]cyclohepta[1,2-d]pyrimidine-3-carboxamide Chemical compound CCCNC(=O)C1=NN(C)C(C2=N3)=C1CCCC2=CN=C3NC(C=C1)=CC=C1S(=O)(=O)N1CCN(C)CC1 WTWKQZWBNUINBP-UHFFFAOYSA-N 0.000 claims description 5
- FIBFIWKUCZYDPS-UHFFFAOYSA-N 1-methyl-9-[5-(4-methylpiperazin-1-yl)-2-(trifluoromethoxy)anilino]-5,6-dihydro-4h-pyrazolo[4,5]cyclohepta[1,2-d]pyrimidine-3-carboxamide Chemical compound C1CN(C)CCN1C1=CC=C(OC(F)(F)F)C(NC=2N=C3C=4N(C)N=C(C=4CCCC3=CN=2)C(N)=O)=C1 FIBFIWKUCZYDPS-UHFFFAOYSA-N 0.000 claims description 5
- WFYUJUGPWHKZKL-UHFFFAOYSA-N 1-methyl-9-methylsulfanyl-5,6-dihydro-4h-pyrazolo[4,5]cyclohepta[1,2-d]pyrimidine-3-carboxamide Chemical compound C12=NC(SC)=NC=C2CCCC2=C1N(C)N=C2C(N)=O WFYUJUGPWHKZKL-UHFFFAOYSA-N 0.000 claims description 5
- VCYDAYUWDCLTBA-UHFFFAOYSA-N 2-methyl-9-[4-(4-methylpiperazin-1-yl)anilino]-5,6-dihydro-4h-pyrazolo[3,4]cyclohepta[1,3-d]pyrimidine-3-carboxamide Chemical compound C1CN(C)CCN1C(C=C1)=CC=C1NC1=NC=C(CCCC2=C(N(C)N=C22)C(N)=O)C2=N1 VCYDAYUWDCLTBA-UHFFFAOYSA-N 0.000 claims description 5
- HKOGDIKYHBVHSJ-UHFFFAOYSA-N 9-(4-acetylanilino)-1-methyl-n-propyl-5,6-dihydro-4h-pyrazolo[4,5]cyclohepta[1,2-d]pyrimidine-3-carboxamide Chemical compound CCCNC(=O)C1=NN(C)C(C2=N3)=C1CCCC2=CN=C3NC1=CC=C(C(C)=O)C=C1 HKOGDIKYHBVHSJ-UHFFFAOYSA-N 0.000 claims description 5
- ZECWCVOSBSBNBX-UHFFFAOYSA-N 9-(4-bromo-2-methoxyanilino)-2-methyl-5,6-dihydro-4h-pyrazolo[3,4]cyclohepta[1,3-d]pyrimidine-3-carboxamide Chemical compound COC1=CC(Br)=CC=C1NC1=NC=C(CCCC2=C(N(C)N=C22)C(N)=O)C2=N1 ZECWCVOSBSBNBX-UHFFFAOYSA-N 0.000 claims description 5
- IDEGLRBNYHMVQX-UHFFFAOYSA-N 9-(4-bromo-2-methoxyanilino)-n,1-dimethyl-5,6-dihydro-4h-pyrazolo[4,5]cyclohepta[1,2-d]pyrimidine-3-carboxamide Chemical compound CNC(=O)C1=NN(C)C(C2=N3)=C1CCCC2=CN=C3NC1=CC=C(Br)C=C1OC IDEGLRBNYHMVQX-UHFFFAOYSA-N 0.000 claims description 5
- PIDJZENMZOIZNT-UHFFFAOYSA-N 9-(4-bromo-2-methoxyanilino)-n-(2,6-diethylphenyl)-2-methyl-5,6-dihydro-4h-pyrazolo[3,4]cyclohepta[1,3-d]pyrimidine-3-carboxamide Chemical compound CCC1=CC=CC(CC)=C1NC(=O)C1=C(CCCC=2C3=NC(NC=4C(=CC(Br)=CC=4)OC)=NC=2)C3=NN1C PIDJZENMZOIZNT-UHFFFAOYSA-N 0.000 claims description 5
- QTTZVHAPXBLDCB-UHFFFAOYSA-N 9-(5-bromo-2-methylanilino)-1-methyl-5,6-dihydro-4h-pyrazolo[4,5]cyclohepta[1,2-d]pyrimidine-3-carboxamide Chemical compound CC1=CC=C(Br)C=C1NC1=NC=C(CCCC2=C3N(C)N=C2C(N)=O)C3=N1 QTTZVHAPXBLDCB-UHFFFAOYSA-N 0.000 claims description 5
- OJZXKGPQZPITHB-UHFFFAOYSA-N 9-[2-methoxy-4-(4-methylpiperazin-1-yl)anilino]-n,1-dimethyl-5,6-dihydro-4h-pyrazolo[4,5]cyclohepta[1,2-d]pyrimidine-3-carboxamide Chemical compound CNC(=O)C1=NN(C)C(C2=N3)=C1CCCC2=CN=C3NC(C(=C1)OC)=CC=C1N1CCN(C)CC1 OJZXKGPQZPITHB-UHFFFAOYSA-N 0.000 claims description 5
- OQRIYPGYRYWAIB-UHFFFAOYSA-N 9-amino-1-methyl-5,6-dihydro-4h-pyrazolo[4,5]cyclohepta[1,2-d]pyrimidine-3-carboxamide Chemical compound C1CCC2=CN=C(N)N=C2C2=C1C(C(N)=O)=NN2C OQRIYPGYRYWAIB-UHFFFAOYSA-N 0.000 claims description 5
- 239000002246 antineoplastic agent Substances 0.000 claims description 5
- 229940127089 cytotoxic agent Drugs 0.000 claims description 5
- 239000003085 diluting agent Substances 0.000 claims description 5
- 239000003937 drug carrier Substances 0.000 claims description 5
- BQSLBXODPFKISQ-UHFFFAOYSA-N ethyl 1-methyl-9-[4-(trifluoromethyl)phenyl]-5,6-dihydro-4h-pyrazolo[4,5]cyclohepta[1,2-d]pyrimidine-3-carboxylate Chemical compound CCOC(=O)C1=NN(C)C(C2=N3)=C1CCCC2=CN=C3C1=CC=C(C(F)(F)F)C=C1 BQSLBXODPFKISQ-UHFFFAOYSA-N 0.000 claims description 5
- RDVAGCKOFUZUQA-UHFFFAOYSA-N ethyl 9-(4-methoxyphenyl)-1-methyl-5,6-dihydro-4h-pyrazolo[4,5]cyclohepta[1,2-d]pyrimidine-3-carboxylate Chemical compound CCOC(=O)C1=NN(C)C(C2=N3)=C1CCCC2=CN=C3C1=CC=C(OC)C=C1 RDVAGCKOFUZUQA-UHFFFAOYSA-N 0.000 claims description 5
- JINQSULMQLQWFZ-UHFFFAOYSA-N n-(2,6-diethylphenyl)-1-(3-hydroxypropyl)-9-[2-methoxy-4-(4-methylpiperazin-1-yl)anilino]-5,6-dihydro-4h-pyrazolo[4,5]cyclohepta[1,2-d]pyrimidine-3-carboxamide Chemical compound CCC1=CC=CC(CC)=C1NC(=O)C1=NN(CCCO)C(C2=N3)=C1CCCC2=CN=C3NC1=CC=C(N2CCN(C)CC2)C=C1OC JINQSULMQLQWFZ-UHFFFAOYSA-N 0.000 claims description 5
- LHBGRGUYBLISKG-UHFFFAOYSA-N n-(2,6-diethylphenyl)-1-methyl-9-[4-(4-methyl-1,4-diazepane-1-carbonyl)-2-(trifluoromethoxy)anilino]-5,6-dihydro-4h-pyrazolo[4,5]cyclohepta[1,2-d]pyrimidine-3-carboxamide Chemical compound CCC1=CC=CC(CC)=C1NC(=O)C1=NN(C)C(C2=N3)=C1CCCC2=CN=C3NC1=CC=C(C(=O)N2CCN(C)CCC2)C=C1OC(F)(F)F LHBGRGUYBLISKG-UHFFFAOYSA-N 0.000 claims description 5
- VIYJXBREADIRHL-UHFFFAOYSA-N n-(2,6-diethylphenyl)-1-methyl-9-[4-(4-pyrrolidin-1-ylpiperidine-1-carbonyl)-2-(trifluoromethoxy)anilino]-5,6-dihydro-4h-pyrazolo[4,5]cyclohepta[1,2-d]pyrimidine-3-carboxamide Chemical compound CCC1=CC=CC(CC)=C1NC(=O)C1=NN(C)C(C2=N3)=C1CCCC2=CN=C3NC1=CC=C(C(=O)N2CCC(CC2)N2CCCC2)C=C1OC(F)(F)F VIYJXBREADIRHL-UHFFFAOYSA-N 0.000 claims description 5
- YVBCJZWEAGZVII-UHFFFAOYSA-N n-(2,6-diethylphenyl)-1-methyl-9-[4-[(1-methylpiperidin-4-yl)carbamoyl]-2-(trifluoromethoxy)anilino]-5,6-dihydro-4h-pyrazolo[4,5]cyclohepta[1,2-d]pyrimidine-3-carboxamide Chemical compound CCC1=CC=CC(CC)=C1NC(=O)C1=NN(C)C(C2=N3)=C1CCCC2=CN=C3NC1=CC=C(C(=O)NC2CCN(C)CC2)C=C1OC(F)(F)F YVBCJZWEAGZVII-UHFFFAOYSA-N 0.000 claims description 5
- SVHQKCUNEPPYHV-UHFFFAOYSA-N n-(2,6-diethylphenyl)-9-[2-methoxy-4-(4-methyl-1,4-diazepane-1-carbonyl)anilino]-1-methyl-5,6-dihydro-4h-pyrazolo[4,5]cyclohepta[1,2-d]pyrimidine-3-carboxamide Chemical compound CCC1=CC=CC(CC)=C1NC(=O)C1=NN(C)C(C2=N3)=C1CCCC2=CN=C3NC1=CC=C(C(=O)N2CCN(C)CCC2)C=C1OC SVHQKCUNEPPYHV-UHFFFAOYSA-N 0.000 claims description 5
- GISLRHMOZHRLQZ-UHFFFAOYSA-N n-(2,6-diethylphenyl)-9-[2-methoxy-4-(4-methylpiperazin-1-yl)anilino]-1-(2,2,2-trifluoroethyl)-5,6-dihydro-4h-pyrazolo[4,5]cyclohepta[1,2-d]pyrimidine-3-carboxamide Chemical compound CCC1=CC=CC(CC)=C1NC(=O)C1=NN(CC(F)(F)F)C(C2=N3)=C1CCCC2=CN=C3NC1=CC=C(N2CCN(C)CC2)C=C1OC GISLRHMOZHRLQZ-UHFFFAOYSA-N 0.000 claims description 5
- AMTNVIJCFPTWBC-UHFFFAOYSA-N n-(2,6-diethylphenyl)-9-[2-methoxy-4-(4-methylpiperazin-1-yl)anilino]-1-(oxan-2-ylmethyl)-5,6-dihydro-4h-pyrazolo[4,5]cyclohepta[1,2-d]pyrimidine-3-carboxamide Chemical compound CCC1=CC=CC(CC)=C1NC(=O)C(C1=C2C3=NC(NC=4C(=CC(=CC=4)N4CCN(C)CC4)OC)=NC=C3CCC1)=NN2CC1OCCCC1 AMTNVIJCFPTWBC-UHFFFAOYSA-N 0.000 claims description 5
- CVGBXNRSRNLDTC-UHFFFAOYSA-N n-(2,6-diethylphenyl)-9-[2-methoxy-4-(4-methylpiperazin-1-yl)anilino]-2,4,5,6-tetrahydropyrazolo[3,4]cyclohepta[1,3-d]pyrimidine-3-carboxamide Chemical compound CCC1=CC=CC(CC)=C1NC(=O)C1=NNC(C2=N3)=C1CCCC2=CN=C3NC1=CC=C(N2CCN(C)CC2)C=C1OC CVGBXNRSRNLDTC-UHFFFAOYSA-N 0.000 claims description 5
- NGSWZHUXTMIEEP-UHFFFAOYSA-N n-(2,6-diethylphenyl)-9-[2-methoxy-4-(4-methylpiperazin-1-yl)anilino]-2-methyl-5,6-dihydro-4h-pyrazolo[3,4]cyclohepta[1,3-d]pyrimidine-3-carboxamide Chemical compound CCC1=CC=CC(CC)=C1NC(=O)C1=C(CCCC=2C3=NC(NC=4C(=CC(=CC=4)N4CCN(C)CC4)OC)=NC=2)C3=NN1C NGSWZHUXTMIEEP-UHFFFAOYSA-N 0.000 claims description 5
- VBFFYCUZDQIVOT-UHFFFAOYSA-N n-(2,6-diethylphenyl)-9-[2-methoxy-4-(4-methylpiperazin-1-yl)anilino]-5,6-dihydro-4h-[1,2]oxazolo[3,4]cyclohepta[1,3-d]pyrimidine-3-carboxamide Chemical compound CCC1=CC=CC(CC)=C1NC(=O)C1=C(CCCC=2C3=NC(NC=4C(=CC(=CC=4)N4CCN(C)CC4)OC)=NC=2)C3=NO1 VBFFYCUZDQIVOT-UHFFFAOYSA-N 0.000 claims description 5
- KXMIOKNXQPHICT-UHFFFAOYSA-N n-(2,6-diethylphenyl)-9-[2-methoxy-4-(4-methylpiperazin-1-yl)anilino]-5,6-dihydro-4h-[1,2]oxazolo[4,5]cyclohepta[1,2-d]pyrimidine-3-carboxamide Chemical compound CCC1=CC=CC(CC)=C1NC(=O)C1=NOC(C2=N3)=C1CCCC2=CN=C3NC1=CC=C(N2CCN(C)CC2)C=C1OC KXMIOKNXQPHICT-UHFFFAOYSA-N 0.000 claims description 5
- XAILRKNDLVCBJZ-UHFFFAOYSA-N n-(2,6-diethylphenyl)-9-[2-methoxy-4-(4-pyrrolidin-1-ylpiperidine-1-carbonyl)anilino]-1-methyl-5,6-dihydro-4h-pyrazolo[4,5]cyclohepta[1,2-d]pyrimidine-3-carboxamide Chemical compound CCC1=CC=CC(CC)=C1NC(=O)C1=NN(C)C(C2=N3)=C1CCCC2=CN=C3NC1=CC=C(C(=O)N2CCC(CC2)N2CCCC2)C=C1OC XAILRKNDLVCBJZ-UHFFFAOYSA-N 0.000 claims description 5
- GHVVVLWBGOTOBA-UHFFFAOYSA-N n-(2,6-diethylphenyl)-9-[2-methoxy-4-[(1-methylpiperidin-4-yl)carbamoyl]anilino]-1-methyl-5,6-dihydro-4h-pyrazolo[4,5]cyclohepta[1,2-d]pyrimidine-3-carboxamide Chemical compound CCC1=CC=CC(CC)=C1NC(=O)C1=NN(C)C(C2=N3)=C1CCCC2=CN=C3NC1=CC=C(C(=O)NC2CCN(C)CC2)C=C1OC GHVVVLWBGOTOBA-UHFFFAOYSA-N 0.000 claims description 5
- AFQHOAUCAPLMDJ-UHFFFAOYSA-N n-(2,6-diethylphenyl)-9-[4-[4-(dimethylamino)piperidin-1-yl]-2-methoxyanilino]-1-[(4-methoxyphenyl)methyl]-5,6-dihydro-4h-pyrazolo[4,5]cyclohepta[1,2-d]pyrimidine-3-carboxamide Chemical compound CCC1=CC=CC(CC)=C1NC(=O)C(C1=C2C3=NC(NC=4C(=CC(=CC=4)N4CCC(CC4)N(C)C)OC)=NC=C3CCC1)=NN2CC1=CC=C(OC)C=C1 AFQHOAUCAPLMDJ-UHFFFAOYSA-N 0.000 claims description 5
- FOIAPNPSGUEOCQ-UHFFFAOYSA-N n-(2,6-diethylphenyl)-9-[4-[4-(dimethylamino)piperidin-1-yl]-2-methoxyanilino]-2,4,5,6-tetrahydropyrazolo[3,4]cyclohepta[1,3-d]pyrimidine-3-carboxamide Chemical compound CCC1=CC=CC(CC)=C1NC(=O)C1=NNC(C2=N3)=C1CCCC2=CN=C3NC1=CC=C(N2CCC(CC2)N(C)C)C=C1OC FOIAPNPSGUEOCQ-UHFFFAOYSA-N 0.000 claims description 5
- MQGPVQHTKNWNTA-UHFFFAOYSA-N n-(2,6-diethylphenyl)-9-[4-[4-(dimethylamino)piperidin-1-yl]-2-methoxyanilino]-5,6-dihydro-4h-[1,2]oxazolo[3,4]cyclohepta[1,3-d]pyrimidine-3-carboxamide Chemical compound CCC1=CC=CC(CC)=C1NC(=O)C1=C(CCCC=2C3=NC(NC=4C(=CC(=CC=4)N4CCC(CC4)N(C)C)OC)=NC=2)C3=NO1 MQGPVQHTKNWNTA-UHFFFAOYSA-N 0.000 claims description 5
- BAWBTHUTEGJHLR-UHFFFAOYSA-N n-(2,6-diethylphenyl)-9-[4-[4-(dimethylamino)piperidin-1-yl]-2-methoxyanilino]-5,6-dihydro-4h-[1,2]oxazolo[4,5]cyclohepta[1,2-d]pyrimidine-3-carboxamide Chemical compound CCC1=CC=CC(CC)=C1NC(=O)C1=NOC(C2=N3)=C1CCCC2=CN=C3NC1=CC=C(N2CCC(CC2)N(C)C)C=C1OC BAWBTHUTEGJHLR-UHFFFAOYSA-N 0.000 claims description 5
- LYPYNAQQJKYZIP-UHFFFAOYSA-N n-(2,6-diethylphenyl)-9-[4-[4-(dimethylamino)piperidine-1-carbonyl]-2-methoxyanilino]-1-methyl-5,6-dihydro-4h-pyrazolo[4,5]cyclohepta[1,2-d]pyrimidine-3-carboxamide Chemical compound CCC1=CC=CC(CC)=C1NC(=O)C1=NN(C)C(C2=N3)=C1CCCC2=CN=C3NC1=CC=C(C(=O)N2CCC(CC2)N(C)C)C=C1OC LYPYNAQQJKYZIP-UHFFFAOYSA-N 0.000 claims description 5
- IOXDPBFEIVLIKG-UHFFFAOYSA-N n-(2-ethylphenyl)-9-[2-methoxy-4-(4-methylpiperazin-1-yl)anilino]-1-methyl-5,6-dihydro-4h-pyrazolo[4,5]cyclohepta[1,2-d]pyrimidine-3-carboxamide Chemical compound CCC1=CC=CC=C1NC(=O)C1=NN(C)C(C2=N3)=C1CCCC2=CN=C3NC1=CC=C(N2CCN(C)CC2)C=C1OC IOXDPBFEIVLIKG-UHFFFAOYSA-N 0.000 claims description 5
- QJGQUHMNIGDVPM-UHFFFAOYSA-N nitrogen group Chemical group [N] QJGQUHMNIGDVPM-UHFFFAOYSA-N 0.000 claims description 5
- ACMMEMWMPLSEFY-UHFFFAOYSA-N 1-methyl-9-[4-(4-methylpiperazin-1-yl)anilino]-5,6-dihydro-4h-pyrazolo[4,5]cyclohepta[1,2-d]pyrimidine-3-carboxamide Chemical compound C1CN(C)CCN1C(C=C1)=CC=C1NC1=NC=C(CCCC2=C3N(C)N=C2C(N)=O)C3=N1 ACMMEMWMPLSEFY-UHFFFAOYSA-N 0.000 claims description 4
- MUKIDSGJVCMZNH-UHFFFAOYSA-N 1-methyl-9-methylsulfanyl-5,6-dihydro-4h-pyrazolo[4,5]cyclohepta[1,2-d]pyrimidine-3-carboxylic acid Chemical compound C12=NC(SC)=NC=C2CCCC2=C1N(C)N=C2C(O)=O MUKIDSGJVCMZNH-UHFFFAOYSA-N 0.000 claims description 4
- 206010058467 Lung neoplasm malignant Diseases 0.000 claims description 4
- 241000124008 Mammalia Species 0.000 claims description 4
- 206010061535 Ovarian neoplasm Diseases 0.000 claims description 4
- 239000002168 alkylating agent Substances 0.000 claims description 4
- 229940100198 alkylating agent Drugs 0.000 claims description 4
- 239000011230 binding agent Substances 0.000 claims description 4
- 239000000839 emulsion Substances 0.000 claims description 4
- 125000005842 heteroatom Chemical group 0.000 claims description 4
- 208000020816 lung neoplasm Diseases 0.000 claims description 4
- LZFWZKJKRIOIIQ-UHFFFAOYSA-N n-(2,6-diethylphenyl)-1-[2-(dimethylamino)ethyl]-9-[4-[4-(dimethylamino)piperidin-1-yl]-2-methoxyanilino]-5,6-dihydro-4h-pyrazolo[4,5]cyclohepta[1,2-d]pyrimidine-3-carboxamide Chemical compound CCC1=CC=CC(CC)=C1NC(=O)C1=NN(CCN(C)C)C(C2=N3)=C1CCCC2=CN=C3NC1=CC=C(N2CCC(CC2)N(C)C)C=C1OC LZFWZKJKRIOIIQ-UHFFFAOYSA-N 0.000 claims description 4
- DTNWMGMKTFVZTJ-UHFFFAOYSA-N n-(2,6-diethylphenyl)-1-ethyl-9-[2-methoxy-4-(4-methylpiperazin-1-yl)anilino]-5,6-dihydro-4h-pyrazolo[4,5]cyclohepta[1,2-d]pyrimidine-3-carboxamide Chemical compound CCC1=CC=CC(CC)=C1NC(=O)C1=NN(CC)C(C2=N3)=C1CCCC2=CN=C3NC1=CC=C(N2CCN(C)CC2)C=C1OC DTNWMGMKTFVZTJ-UHFFFAOYSA-N 0.000 claims description 4
- 239000000546 pharmaceutical excipient Substances 0.000 claims description 4
- 229910052717 sulfur Inorganic materials 0.000 claims description 4
- 239000005483 tyrosine kinase inhibitor Substances 0.000 claims description 4
- 229940121358 tyrosine kinase inhibitor Drugs 0.000 claims description 4
- RDYAYQSUYPKFHP-UHFFFAOYSA-N 1-[3-(dimethylamino)propyl]-9-methylsulfanyl-5,6-dihydro-4h-pyrazolo[4,5]cyclohepta[1,2-d]pyrimidine-3-carboxamide Chemical compound C12=NC(SC)=NC=C2CCCC2=C1N(CCCN(C)C)N=C2C(N)=O RDYAYQSUYPKFHP-UHFFFAOYSA-N 0.000 claims description 3
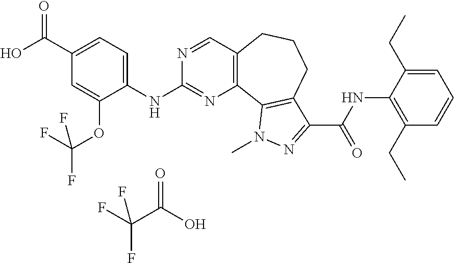
- LKKASGZNJHWXEH-UHFFFAOYSA-N 4-[[3-[(2,6-diethylphenyl)carbamoyl]-1-methyl-5,6-dihydro-4h-pyrazolo[4,5]cyclohepta[1,2-d]pyrimidin-9-yl]amino]-3-(trifluoromethoxy)benzoic acid Chemical compound CCC1=CC=CC(CC)=C1NC(=O)C1=NN(C)C(C2=N3)=C1CCCC2=CN=C3NC1=CC=C(C(O)=O)C=C1OC(F)(F)F LKKASGZNJHWXEH-UHFFFAOYSA-N 0.000 claims description 3
- 206010003571 Astrocytoma Diseases 0.000 claims description 3
- 229940123587 Cell cycle inhibitor Drugs 0.000 claims description 3
- 206010009944 Colon cancer Diseases 0.000 claims description 3
- 229940123780 DNA topoisomerase I inhibitor Drugs 0.000 claims description 3
- 229940124087 DNA topoisomerase II inhibitor Drugs 0.000 claims description 3
- CHJJGSNFBQVOTG-UHFFFAOYSA-N N-methyl-guanidine Natural products CNC(N)=N CHJJGSNFBQVOTG-UHFFFAOYSA-N 0.000 claims description 3
- 206010033128 Ovarian cancer Diseases 0.000 claims description 3
- 206010061902 Pancreatic neoplasm Diseases 0.000 claims description 3
- 239000000365 Topoisomerase I Inhibitor Substances 0.000 claims description 3
- 239000000317 Topoisomerase II Inhibitor Substances 0.000 claims description 3
- 102000004243 Tubulin Human genes 0.000 claims description 3
- 108090000704 Tubulin Proteins 0.000 claims description 3
- 229940121369 angiogenesis inhibitor Drugs 0.000 claims description 3
- 230000002942 anti-growth Effects 0.000 claims description 3
- 239000002256 antimetabolite Substances 0.000 claims description 3
- 229940111134 coxibs Drugs 0.000 claims description 3
- 239000003255 cyclooxygenase 2 inhibitor Substances 0.000 claims description 3
- 239000000824 cytostatic agent Substances 0.000 claims description 3
- 230000001085 cytostatic effect Effects 0.000 claims description 3
- 239000002254 cytotoxic agent Substances 0.000 claims description 3
- 231100000599 cytotoxic agent Toxicity 0.000 claims description 3
- SWSQBOPZIKWTGO-UHFFFAOYSA-N dimethylaminoamidine Natural products CN(C)C(N)=N SWSQBOPZIKWTGO-UHFFFAOYSA-N 0.000 claims description 3
- 239000003102 growth factor Substances 0.000 claims description 3
- 150000002357 guanidines Chemical class 0.000 claims description 3
- 229940125697 hormonal agent Drugs 0.000 claims description 3
- 239000000677 immunologic agent Substances 0.000 claims description 3
- 229940124541 immunological agent Drugs 0.000 claims description 3
- 150000002541 isothioureas Chemical class 0.000 claims description 3
- 150000002542 isoureas Chemical class 0.000 claims description 3
- 201000005202 lung cancer Diseases 0.000 claims description 3
- 201000001441 melanoma Diseases 0.000 claims description 3
- ZVTHYALJRAPPDN-UHFFFAOYSA-N n-(2,6-diethylphenyl)-9-[4-[4-(dimethylamino)piperidin-1-yl]-2-methoxyanilino]-1-ethyl-5,6-dihydro-4h-pyrazolo[4,5]cyclohepta[1,2-d]pyrimidine-3-carboxamide Chemical compound CCC1=CC=CC(CC)=C1NC(=O)C1=NN(CC)C(C2=N3)=C1CCCC2=CN=C3NC1=CC=C(N2CCC(CC2)N(C)C)C=C1OC ZVTHYALJRAPPDN-UHFFFAOYSA-N 0.000 claims description 3
- 239000002599 prostaglandin synthase inhibitor Substances 0.000 claims description 3
- 239000003528 protein farnesyltransferase inhibitor Substances 0.000 claims description 3
- 230000019491 signal transduction Effects 0.000 claims description 3
- 239000000829 suppository Substances 0.000 claims description 3
- 239000003277 telomerase inhibitor Substances 0.000 claims description 3
- 125000006570 (C5-C6) heteroaryl group Chemical group 0.000 claims description 2
- 238000011319 anticancer therapy Methods 0.000 claims description 2
- 239000002775 capsule Substances 0.000 claims description 2
- NNEYLIXVSGMBPF-UHFFFAOYSA-N n-(2,6-diethylphenyl)-1-(2-hydroxyethyl)-9-[2-methoxy-4-(4-methylpiperazin-1-yl)anilino]-5,6-dihydro-4h-pyrazolo[4,5]cyclohepta[1,2-d]pyrimidine-3-carboxamide Chemical compound CCC1=CC=CC(CC)=C1NC(=O)C1=NN(CCO)C(C2=N3)=C1CCCC2=CN=C3NC1=CC=C(N2CCN(C)CC2)C=C1OC NNEYLIXVSGMBPF-UHFFFAOYSA-N 0.000 claims description 2
- NAGOZOOVQLAGAY-HHHXNRCGSA-N n-[(1s)-2-amino-1-phenylethyl]-9-[2-methoxy-4-[(1-methylpiperidin-4-yl)carbamoyl]anilino]-1-methyl-5,6-dihydro-4h-pyrazolo[4,5]cyclohepta[1,2-d]pyrimidine-3-carboxamide Chemical compound C1([C@@H](CN)NC(=O)C=2C=3CCCC4=CN=C(N=C4C=3N(C)N=2)NC2=CC=C(C=C2OC)C(=O)NC2CCN(C)CC2)=CC=CC=C1 NAGOZOOVQLAGAY-HHHXNRCGSA-N 0.000 claims description 2
- 125000004433 nitrogen atom Chemical group N* 0.000 claims description 2
- 208000029742 colonic neoplasm Diseases 0.000 claims 2
- 208000015486 malignant pancreatic neoplasm Diseases 0.000 claims 2
- 201000002528 pancreatic cancer Diseases 0.000 claims 2
- 208000008443 pancreatic carcinoma Diseases 0.000 claims 2
- PJECDDABXXAIKU-UHFFFAOYSA-N 3-methyl-13-phenyl-3,4,12,14-tetrazatricyclo[8.4.0.02,6]tetradeca-1(14),2(6),4,10,12-pentaene-5-carboxylic acid Chemical compound Cn1nc(C(O)=O)c2CCCc3cnc(nc3-c12)-c1ccccc1 PJECDDABXXAIKU-UHFFFAOYSA-N 0.000 claims 1
- 239000003182 parenteral nutrition solution Substances 0.000 claims 1
- 102000001253 Protein Kinase Human genes 0.000 abstract description 17
- 108060006633 protein kinase Proteins 0.000 abstract description 17
- 230000000694 effects Effects 0.000 abstract description 13
- 238000011282 treatment Methods 0.000 abstract description 12
- 230000002401 inhibitory effect Effects 0.000 abstract description 8
- 238000002560 therapeutic procedure Methods 0.000 abstract description 3
- IAZDPXIOMUYVGZ-WFGJKAKNSA-N Dimethyl sulfoxide Chemical compound [2H]C([2H])([2H])S(=O)C([2H])([2H])[2H] IAZDPXIOMUYVGZ-WFGJKAKNSA-N 0.000 description 334
- 238000005160 1H NMR spectroscopy Methods 0.000 description 167
- 238000006243 chemical reaction Methods 0.000 description 89
- OKKJLVBELUTLKV-UHFFFAOYSA-N Methanol Chemical compound OC OKKJLVBELUTLKV-UHFFFAOYSA-N 0.000 description 84
- YMWUJEATGCHHMB-UHFFFAOYSA-N Dichloromethane Chemical compound ClCCl YMWUJEATGCHHMB-UHFFFAOYSA-N 0.000 description 80
- 239000000203 mixture Substances 0.000 description 66
- 239000002904 solvent Substances 0.000 description 55
- 0 [1*]CC1=N/C2=C(\C=N/1)CCCc1c(C([2*])=O)c[y]c12 Chemical compound [1*]CC1=N/C2=C(\C=N/1)CCCc1c(C([2*])=O)c[y]c12 0.000 description 49
- LFQSCWFLJHTTHZ-UHFFFAOYSA-N Ethanol Chemical compound CCO LFQSCWFLJHTTHZ-UHFFFAOYSA-N 0.000 description 43
- WYURNTSHIVDZCO-UHFFFAOYSA-N Tetrahydrofuran Chemical compound C1CCOC1 WYURNTSHIVDZCO-UHFFFAOYSA-N 0.000 description 43
- FJDQFPXHSGXQBY-UHFFFAOYSA-L caesium carbonate Chemical compound [Cs+].[Cs+].[O-]C([O-])=O FJDQFPXHSGXQBY-UHFFFAOYSA-L 0.000 description 42
- VLKZOEOYAKHREP-UHFFFAOYSA-N n-Hexane Chemical compound CCCCCC VLKZOEOYAKHREP-UHFFFAOYSA-N 0.000 description 42
- IAZDPXIOMUYVGZ-UHFFFAOYSA-N Dimethylsulphoxide Chemical compound CS(C)=O IAZDPXIOMUYVGZ-UHFFFAOYSA-N 0.000 description 40
- XKRFYHLGVUSROY-UHFFFAOYSA-N Argon Chemical compound [Ar] XKRFYHLGVUSROY-UHFFFAOYSA-N 0.000 description 36
- 210000004027 cell Anatomy 0.000 description 34
- 238000003556 assay Methods 0.000 description 28
- XEKOWRVHYACXOJ-UHFFFAOYSA-N Ethyl acetate Chemical compound CCOC(C)=O XEKOWRVHYACXOJ-UHFFFAOYSA-N 0.000 description 27
- XLYOFNOQVPJJNP-UHFFFAOYSA-N water Substances O XLYOFNOQVPJJNP-UHFFFAOYSA-N 0.000 description 27
- WEVYAHXRMPXWCK-UHFFFAOYSA-N Acetonitrile Chemical compound CC#N WEVYAHXRMPXWCK-UHFFFAOYSA-N 0.000 description 25
- ZMANZCXQSJIPKH-UHFFFAOYSA-N Triethylamine Chemical compound CCN(CC)CC ZMANZCXQSJIPKH-UHFFFAOYSA-N 0.000 description 24
- 238000004128 high performance liquid chromatography Methods 0.000 description 24
- BWHMMNNQKKPAPP-UHFFFAOYSA-L potassium carbonate Chemical compound [K+].[K+].[O-]C([O-])=O BWHMMNNQKKPAPP-UHFFFAOYSA-L 0.000 description 24
- RYHBNJHYFVUHQT-UHFFFAOYSA-N 1,4-Dioxane Chemical compound C1COCCO1 RYHBNJHYFVUHQT-UHFFFAOYSA-N 0.000 description 23
- 229910000024 caesium carbonate Inorganic materials 0.000 description 22
- 238000003818 flash chromatography Methods 0.000 description 22
- VYPSYNLAJGMNEJ-UHFFFAOYSA-N Silicium dioxide Chemical compound O=[Si]=O VYPSYNLAJGMNEJ-UHFFFAOYSA-N 0.000 description 21
- 239000000741 silica gel Substances 0.000 description 19
- 229910002027 silica gel Inorganic materials 0.000 description 19
- 125000000547 substituted alkyl group Chemical group 0.000 description 19
- JGFZNNIVVJXRND-UHFFFAOYSA-N N,N-Diisopropylethylamine (DIPEA) Chemical compound CCN(C(C)C)C(C)C JGFZNNIVVJXRND-UHFFFAOYSA-N 0.000 description 18
- 239000007832 Na2SO4 Substances 0.000 description 18
- PMZURENOXWZQFD-UHFFFAOYSA-L Sodium Sulfate Chemical compound [Na+].[Na+].[O-]S([O-])(=O)=O PMZURENOXWZQFD-UHFFFAOYSA-L 0.000 description 18
- 229910052786 argon Inorganic materials 0.000 description 18
- 239000000872 buffer Substances 0.000 description 18
- 229910052938 sodium sulfate Inorganic materials 0.000 description 18
- 239000003643 water by type Substances 0.000 description 18
- HEMHJVSKTPXQMS-UHFFFAOYSA-M Sodium hydroxide Chemical compound [OH-].[Na+] HEMHJVSKTPXQMS-UHFFFAOYSA-M 0.000 description 17
- 150000001412 amines Chemical class 0.000 description 17
- 239000002585 base Substances 0.000 description 17
- 238000010992 reflux Methods 0.000 description 17
- XTHFKEDIFFGKHM-UHFFFAOYSA-N Dimethoxyethane Chemical compound COCCOC XTHFKEDIFFGKHM-UHFFFAOYSA-N 0.000 description 16
- CDBYLPFSWZWCQE-UHFFFAOYSA-L Sodium Carbonate Chemical compound [Na+].[Na+].[O-]C([O-])=O CDBYLPFSWZWCQE-UHFFFAOYSA-L 0.000 description 16
- 125000002887 hydroxy group Chemical group [H]O* 0.000 description 16
- VEXZGXHMUGYJMC-UHFFFAOYSA-N Hydrochloric acid Chemical compound Cl VEXZGXHMUGYJMC-UHFFFAOYSA-N 0.000 description 15
- KDLHZDBZIXYQEI-UHFFFAOYSA-N Palladium Chemical compound [Pd] KDLHZDBZIXYQEI-UHFFFAOYSA-N 0.000 description 15
- 108091000080 Phosphotransferase Proteins 0.000 description 14
- 125000003545 alkoxy group Chemical group 0.000 description 14
- 102000020233 phosphotransferase Human genes 0.000 description 14
- 239000011541 reaction mixture Substances 0.000 description 14
- QTBSBXVTEAMEQO-UHFFFAOYSA-N Acetic acid Chemical compound CC(O)=O QTBSBXVTEAMEQO-UHFFFAOYSA-N 0.000 description 13
- 238000010790 dilution Methods 0.000 description 13
- 239000012895 dilution Substances 0.000 description 13
- YNESATAKKCNGOF-UHFFFAOYSA-N lithium bis(trimethylsilyl)amide Chemical compound [Li+].C[Si](C)(C)[N-][Si](C)(C)C YNESATAKKCNGOF-UHFFFAOYSA-N 0.000 description 13
- 101000595531 Homo sapiens Serine/threonine-protein kinase pim-1 Proteins 0.000 description 12
- 102100036077 Serine/threonine-protein kinase pim-1 Human genes 0.000 description 12
- 150000002500 ions Chemical class 0.000 description 12
- 239000012071 phase Substances 0.000 description 12
- 229910000027 potassium carbonate Inorganic materials 0.000 description 12
- 230000024355 spindle assembly checkpoint Effects 0.000 description 12
- 102000004190 Enzymes Human genes 0.000 description 11
- 108090000790 Enzymes Proteins 0.000 description 11
- 101001001648 Homo sapiens Serine/threonine-protein kinase pim-2 Proteins 0.000 description 11
- 102100036120 Serine/threonine-protein kinase pim-2 Human genes 0.000 description 11
- 229920001467 poly(styrenesulfonates) Polymers 0.000 description 11
- 238000012360 testing method Methods 0.000 description 11
- QOSSAOTZNIDXMA-UHFFFAOYSA-N Dicylcohexylcarbodiimide Chemical compound C1CCCCC1N=C=NC1CCCCC1 QOSSAOTZNIDXMA-UHFFFAOYSA-N 0.000 description 10
- 101001064870 Homo sapiens Lon protease homolog, mitochondrial Proteins 0.000 description 10
- 230000002378 acidificating effect Effects 0.000 description 10
- 230000005764 inhibitory process Effects 0.000 description 10
- 238000000746 purification Methods 0.000 description 10
- KWYUFKZDYYNOTN-UHFFFAOYSA-M Potassium hydroxide Chemical compound [OH-].[K+] KWYUFKZDYYNOTN-UHFFFAOYSA-M 0.000 description 9
- YXFVVABEGXRONW-UHFFFAOYSA-N Toluene Chemical compound CC1=CC=CC=C1 YXFVVABEGXRONW-UHFFFAOYSA-N 0.000 description 9
- DTQVDTLACAAQTR-UHFFFAOYSA-N Trifluoroacetic acid Chemical compound OC(=O)C(F)(F)F DTQVDTLACAAQTR-UHFFFAOYSA-N 0.000 description 9
- 125000002485 formyl group Chemical group [H]C(*)=O 0.000 description 9
- 239000012074 organic phase Substances 0.000 description 9
- 230000002829 reductive effect Effects 0.000 description 9
- 229910000029 sodium carbonate Inorganic materials 0.000 description 9
- 239000000758 substrate Substances 0.000 description 9
- RTZKZFJDLAIYFH-UHFFFAOYSA-N Diethyl ether Chemical compound CCOCC RTZKZFJDLAIYFH-UHFFFAOYSA-N 0.000 description 8
- TWRXJAOTZQYOKJ-UHFFFAOYSA-L Magnesium chloride Chemical compound [Mg+2].[Cl-].[Cl-] TWRXJAOTZQYOKJ-UHFFFAOYSA-L 0.000 description 8
- UIIMBOGNXHQVGW-UHFFFAOYSA-M Sodium bicarbonate Chemical compound [Na+].OC([O-])=O UIIMBOGNXHQVGW-UHFFFAOYSA-M 0.000 description 8
- 239000012317 TBTU Substances 0.000 description 8
- CLZISMQKJZCZDN-UHFFFAOYSA-N [benzotriazol-1-yloxy(dimethylamino)methylidene]-dimethylazanium Chemical compound C1=CC=C2N(OC(N(C)C)=[N+](C)C)N=NC2=C1 CLZISMQKJZCZDN-UHFFFAOYSA-N 0.000 description 8
- 238000002953 preparative HPLC Methods 0.000 description 8
- 229910000104 sodium hydride Inorganic materials 0.000 description 8
- CXNIUSPIQKWYAI-UHFFFAOYSA-N xantphos Chemical compound C=12OC3=C(P(C=4C=CC=CC=4)C=4C=CC=CC=4)C=CC=C3C(C)(C)C2=CC=CC=1P(C=1C=CC=CC=1)C1=CC=CC=C1 CXNIUSPIQKWYAI-UHFFFAOYSA-N 0.000 description 8
- 208000031261 Acute myeloid leukaemia Diseases 0.000 description 7
- ZHGNHOOVYPHPNJ-UHFFFAOYSA-N Amigdalin Chemical compound FC(F)(F)C(=O)OCC1OC(OCC2OC(OC(C#N)C3=CC=CC=C3)C(OC(=O)C(F)(F)F)C(OC(=O)C(F)(F)F)C2OC(=O)C(F)(F)F)C(OC(=O)C(F)(F)F)C(OC(=O)C(F)(F)F)C1OC(=O)C(F)(F)F ZHGNHOOVYPHPNJ-UHFFFAOYSA-N 0.000 description 7
- VHUUQVKOLVNVRT-UHFFFAOYSA-N Ammonium hydroxide Chemical compound [NH4+].[OH-] VHUUQVKOLVNVRT-UHFFFAOYSA-N 0.000 description 7
- NFHFRUOZVGFOOS-UHFFFAOYSA-N Pd(PPh3)4 Substances [Pd].C1=CC=CC=C1P(C=1C=CC=CC=1)C1=CC=CC=C1.C1=CC=CC=C1P(C=1C=CC=CC=1)C1=CC=CC=C1.C1=CC=CC=C1P(C=1C=CC=CC=1)C1=CC=CC=C1.C1=CC=CC=C1P(C=1C=CC=CC=1)C1=CC=CC=C1 NFHFRUOZVGFOOS-UHFFFAOYSA-N 0.000 description 7
- 239000002253 acid Substances 0.000 description 7
- 125000003342 alkenyl group Chemical group 0.000 description 7
- 125000000217 alkyl group Chemical group 0.000 description 7
- 125000000304 alkynyl group Chemical group 0.000 description 7
- 150000001408 amides Chemical class 0.000 description 7
- 239000000908 ammonium hydroxide Substances 0.000 description 7
- 235000011114 ammonium hydroxide Nutrition 0.000 description 7
- GDTBXPJZTBHREO-UHFFFAOYSA-N bromine Chemical compound BrBr GDTBXPJZTBHREO-UHFFFAOYSA-N 0.000 description 7
- 125000003917 carbamoyl group Chemical group [H]N([H])C(*)=O 0.000 description 7
- 125000003178 carboxy group Chemical group [H]OC(*)=O 0.000 description 7
- 239000003153 chemical reaction reagent Substances 0.000 description 7
- 125000004093 cyano group Chemical group *C#N 0.000 description 7
- 238000002347 injection Methods 0.000 description 7
- 239000007924 injection Substances 0.000 description 7
- 239000000543 intermediate Substances 0.000 description 7
- 125000002496 methyl group Chemical group [H]C([H])([H])* 0.000 description 7
- 125000000449 nitro group Chemical group [O-][N+](*)=O 0.000 description 7
- 239000012044 organic layer Substances 0.000 description 7
- YJVFFLUZDVXJQI-UHFFFAOYSA-L palladium(ii) acetate Chemical compound [Pd+2].CC([O-])=O.CC([O-])=O YJVFFLUZDVXJQI-UHFFFAOYSA-L 0.000 description 7
- 108090000623 proteins and genes Proteins 0.000 description 7
- GVPNXJHMJGHMNU-UHFFFAOYSA-N 1-methyl-9-[3-(trifluoromethyl)anilino]-5,6-dihydro-4h-pyrazolo[4,5]cyclohepta[1,2-d]pyrimidine-3-carboxamide Chemical compound N1=C2C=3N(C)N=C(C(N)=O)C=3CCCC2=CN=C1NC1=CC=CC(C(F)(F)F)=C1 GVPNXJHMJGHMNU-UHFFFAOYSA-N 0.000 description 6
- OAKJQQAXSVQMHS-UHFFFAOYSA-N Hydrazine Chemical compound NN OAKJQQAXSVQMHS-UHFFFAOYSA-N 0.000 description 6
- 206010025323 Lymphomas Diseases 0.000 description 6
- DNIAPMSPPWPWGF-UHFFFAOYSA-N Propylene glycol Chemical compound CC(O)CO DNIAPMSPPWPWGF-UHFFFAOYSA-N 0.000 description 6
- 125000004453 alkoxycarbonyl group Chemical group 0.000 description 6
- 125000004466 alkoxycarbonylamino group Chemical group 0.000 description 6
- 125000003282 alkyl amino group Chemical group 0.000 description 6
- 125000004414 alkyl thio group Chemical group 0.000 description 6
- 208000036878 aneuploidy Diseases 0.000 description 6
- 125000001769 aryl amino group Chemical group 0.000 description 6
- 125000004104 aryloxy group Chemical group 0.000 description 6
- 229910052794 bromium Inorganic materials 0.000 description 6
- XJHCXCQVJFPJIK-UHFFFAOYSA-M caesium fluoride Chemical compound [F-].[Cs+] XJHCXCQVJFPJIK-UHFFFAOYSA-M 0.000 description 6
- 230000003197 catalytic effect Effects 0.000 description 6
- 238000007796 conventional method Methods 0.000 description 6
- 125000005170 cycloalkyloxycarbonyl group Chemical group 0.000 description 6
- 125000004663 dialkyl amino group Chemical group 0.000 description 6
- MLOXOFWJUMLZFD-UHFFFAOYSA-N ethyl 9-(4-bromo-2-methoxyanilino)-2-methyl-5,6-dihydro-4h-pyrazolo[3,4]cyclohepta[1,3-d]pyrimidine-3-carboxylate Chemical compound N1=C2C3=NN(C)C(C(=O)OCC)=C3CCCC2=CN=C1NC1=CC=C(Br)C=C1OC MLOXOFWJUMLZFD-UHFFFAOYSA-N 0.000 description 6
- 238000001914 filtration Methods 0.000 description 6
- 230000006870 function Effects 0.000 description 6
- 125000006517 heterocyclyl carbonyl group Chemical group 0.000 description 6
- 125000005844 heterocyclyloxy group Chemical group 0.000 description 6
- 239000002207 metabolite Substances 0.000 description 6
- 230000000394 mitotic effect Effects 0.000 description 6
- 238000012545 processing Methods 0.000 description 6
- FVAUCKIRQBBSSJ-UHFFFAOYSA-M sodium iodide Chemical compound [Na+].[I-] FVAUCKIRQBBSSJ-UHFFFAOYSA-M 0.000 description 6
- 239000000126 substance Substances 0.000 description 6
- 125000003107 substituted aryl group Chemical group 0.000 description 6
- 239000006228 supernatant Substances 0.000 description 6
- LWIHDJKSTIGBAC-UHFFFAOYSA-K tripotassium phosphate Chemical compound [K+].[K+].[K+].[O-]P([O-])([O-])=O LWIHDJKSTIGBAC-UHFFFAOYSA-K 0.000 description 6
- LMDZBCPBFSXMTL-UHFFFAOYSA-N 1-Ethyl-3-(3-dimethylaminopropyl)carbodiimide Substances CCN=C=NCCCN(C)C LMDZBCPBFSXMTL-UHFFFAOYSA-N 0.000 description 5
- FPQQSJJWHUJYPU-UHFFFAOYSA-N 3-(dimethylamino)propyliminomethylidene-ethylazanium;chloride Chemical compound Cl.CCN=C=NCCCN(C)C FPQQSJJWHUJYPU-UHFFFAOYSA-N 0.000 description 5
- ZCYVEMRRCGMTRW-UHFFFAOYSA-N 7553-56-2 Chemical group [I] ZCYVEMRRCGMTRW-UHFFFAOYSA-N 0.000 description 5
- PEDCQBHIVMGVHV-UHFFFAOYSA-N Glycerine Chemical compound OCC(O)CO PEDCQBHIVMGVHV-UHFFFAOYSA-N 0.000 description 5
- 101100297651 Mus musculus Pim2 gene Proteins 0.000 description 5
- 208000033776 Myeloid Acute Leukemia Diseases 0.000 description 5
- 150000001204 N-oxides Chemical class 0.000 description 5
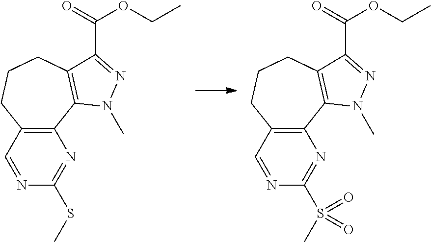
- CSYKUXNQVHZAFR-UHFFFAOYSA-N [3-[methoxy(methyl)carbamoyl]-1-methyl-5,6-dihydro-4h-pyrazolo[4,5]cyclohepta[1,2-d]pyrimidin-9-yl] trifluoromethanesulfonate Chemical compound C1CCC2=CN=C(OS(=O)(=O)C(F)(F)F)N=C2C2=C1C(C(=O)N(C)OC)=NN2C CSYKUXNQVHZAFR-UHFFFAOYSA-N 0.000 description 5
- 125000004457 alkyl amino carbonyl group Chemical group 0.000 description 5
- 125000004471 alkyl aminosulfonyl group Chemical group 0.000 description 5
- 125000003806 alkyl carbonyl amino group Chemical group 0.000 description 5
- 125000004448 alkyl carbonyl group Chemical group 0.000 description 5
- 125000005196 alkyl carbonyloxy group Chemical group 0.000 description 5
- 125000005600 alkyl phosphonate group Chemical group 0.000 description 5
- 125000004390 alkyl sulfonyl group Chemical group 0.000 description 5
- 125000004656 alkyl sulfonylamino group Chemical group 0.000 description 5
- 125000004397 aminosulfonyl group Chemical group NS(=O)(=O)* 0.000 description 5
- 125000005100 aryl amino carbonyl group Chemical group 0.000 description 5
- 125000005141 aryl amino sulfonyl group Chemical group 0.000 description 5
- 125000004658 aryl carbonyl amino group Chemical group 0.000 description 5
- 125000005129 aryl carbonyl group Chemical group 0.000 description 5
- 125000005199 aryl carbonyloxy group Chemical group 0.000 description 5
- 125000005161 aryl oxy carbonyl group Chemical group 0.000 description 5
- 125000004657 aryl sulfonyl amino group Chemical group 0.000 description 5
- 125000004391 aryl sulfonyl group Chemical group 0.000 description 5
- 125000005110 aryl thio group Chemical group 0.000 description 5
- MUALRAIOVNYAIW-UHFFFAOYSA-N binap Chemical compound C1=CC=CC=C1P(C=1C(=C2C=CC=CC2=CC=1)C=1C2=CC=CC=C2C=CC=1P(C=1C=CC=CC=1)C=1C=CC=CC=1)C1=CC=CC=C1 MUALRAIOVNYAIW-UHFFFAOYSA-N 0.000 description 5
- 230000004663 cell proliferation Effects 0.000 description 5
- SFJMFSWCBVEHBA-UHFFFAOYSA-M copper(i)-thiophene-2-carboxylate Chemical compound [Cu+].[O-]C(=O)C1=CC=CS1 SFJMFSWCBVEHBA-UHFFFAOYSA-M 0.000 description 5
- 125000004465 cycloalkenyloxy group Chemical group 0.000 description 5
- 125000006254 cycloalkyl carbonyl group Chemical group 0.000 description 5
- 125000004473 dialkylaminocarbonyl group Chemical group 0.000 description 5
- 125000004472 dialkylaminosulfonyl group Chemical group 0.000 description 5
- 125000004986 diarylamino group Chemical group 0.000 description 5
- 239000003814 drug Substances 0.000 description 5
- 125000002768 hydroxyalkyl group Chemical group 0.000 description 5
- NPZTUJOABDZTLV-UHFFFAOYSA-N hydroxybenzotriazole Substances O=C1C=CC=C2NNN=C12 NPZTUJOABDZTLV-UHFFFAOYSA-N 0.000 description 5
- 229910052740 iodine Inorganic materials 0.000 description 5
- 125000002346 iodo group Chemical group I* 0.000 description 5
- 230000011278 mitosis Effects 0.000 description 5
- UEZVMMHDMIWARA-UHFFFAOYSA-M phosphonate Chemical compound [O-]P(=O)=O UEZVMMHDMIWARA-UHFFFAOYSA-M 0.000 description 5
- 239000000651 prodrug Substances 0.000 description 5
- 229940002612 prodrug Drugs 0.000 description 5
- 102000004169 proteins and genes Human genes 0.000 description 5
- 125000000714 pyrimidinyl group Chemical group 0.000 description 5
- 125000000472 sulfonyl group Chemical group *S(*)(=O)=O 0.000 description 5
- 125000002023 trifluoromethyl group Chemical group FC(F)(F)* 0.000 description 5
- KZPYGQFFRCFCPP-UHFFFAOYSA-N 1,1'-bis(diphenylphosphino)ferrocene Chemical compound [Fe+2].C1=CC=C[C-]1P(C=1C=CC=CC=1)C1=CC=CC=C1.C1=CC=C[C-]1P(C=1C=CC=CC=1)C1=CC=CC=C1 KZPYGQFFRCFCPP-UHFFFAOYSA-N 0.000 description 4
- XRUXHDIALKHFSC-UHFFFAOYSA-N 1-(2-hydroxyethyl)-9-methylsulfanyl-5,6-dihydro-4h-pyrazolo[4,5]cyclohepta[1,2-d]pyrimidine-3-carboxamide Chemical compound C12=NC(SC)=NC=C2CCCC2=C1N(CCO)N=C2C(N)=O XRUXHDIALKHFSC-UHFFFAOYSA-N 0.000 description 4
- AQICBMSHLZLVMW-UHFFFAOYSA-N 1-methyl-9-[4-(4-methylpiperazin-1-yl)anilino]-5,6-dihydro-4h-pyrazolo[4,5]cyclohepta[1,2-d]pyrimidine-3-carboxamide;2,2,2-trifluoroacetic acid Chemical compound OC(=O)C(F)(F)F.C1CN(C)CCN1C(C=C1)=CC=C1NC1=NC=C(CCCC2=C3N(C)N=C2C(N)=O)C3=N1 AQICBMSHLZLVMW-UHFFFAOYSA-N 0.000 description 4
- JKMHFZQWWAIEOD-UHFFFAOYSA-N 2-[4-(2-hydroxyethyl)piperazin-1-yl]ethanesulfonic acid Chemical compound OCC[NH+]1CCN(CCS([O-])(=O)=O)CC1 JKMHFZQWWAIEOD-UHFFFAOYSA-N 0.000 description 4
- PVPHSDYKAKXHCV-UHFFFAOYSA-N 9-(benzylamino)-1-methyl-5,6-dihydro-4h-pyrazolo[4,5]cyclohepta[1,2-d]pyrimidine-3-carboxamide Chemical compound N1=C2C=3N(C)N=C(C(N)=O)C=3CCCC2=CN=C1NCC1=CC=CC=C1 PVPHSDYKAKXHCV-UHFFFAOYSA-N 0.000 description 4
- KSEBVSDOVDUCDD-UHFFFAOYSA-N 9-(benzylamino)-n-(2-methoxyethyl)-1-methyl-5,6-dihydro-4h-pyrazolo[4,5]cyclohepta[1,2-d]pyrimidine-3-carboxamide Chemical compound COCCNC(=O)C1=NN(C)C(C2=N3)=C1CCCC2=CN=C3NCC1=CC=CC=C1 KSEBVSDOVDUCDD-UHFFFAOYSA-N 0.000 description 4
- QGZKDVFQNNGYKY-UHFFFAOYSA-N Ammonia Chemical compound N QGZKDVFQNNGYKY-UHFFFAOYSA-N 0.000 description 4
- NLXLAEXVIDQMFP-UHFFFAOYSA-N Ammonia chloride Chemical compound [NH4+].[Cl-] NLXLAEXVIDQMFP-UHFFFAOYSA-N 0.000 description 4
- WKBOTKDWSSQWDR-UHFFFAOYSA-N Bromine atom Chemical compound [Br] WKBOTKDWSSQWDR-UHFFFAOYSA-N 0.000 description 4
- WTDHULULXKLSOZ-UHFFFAOYSA-N Hydroxylamine hydrochloride Chemical compound Cl.ON WTDHULULXKLSOZ-UHFFFAOYSA-N 0.000 description 4
- 108091034117 Oligonucleotide Proteins 0.000 description 4
- 229910002666 PdCl2 Inorganic materials 0.000 description 4
- NQRYJNQNLNOLGT-UHFFFAOYSA-N Piperidine Chemical compound C1CCNCC1 NQRYJNQNLNOLGT-UHFFFAOYSA-N 0.000 description 4
- 201000004681 Psoriasis Diseases 0.000 description 4
- 239000004280 Sodium formate Substances 0.000 description 4
- 229930006000 Sucrose Natural products 0.000 description 4
- CZMRCDWAGMRECN-UGDNZRGBSA-N Sucrose Chemical compound O[C@H]1[C@H](O)[C@@H](CO)O[C@@]1(CO)O[C@@H]1[C@H](O)[C@@H](O)[C@H](O)[C@@H](CO)O1 CZMRCDWAGMRECN-UGDNZRGBSA-N 0.000 description 4
- 101001001642 Xenopus laevis Serine/threonine-protein kinase pim-3 Proteins 0.000 description 4
- 125000000676 alkoxyimino group Chemical group 0.000 description 4
- 238000004458 analytical method Methods 0.000 description 4
- 230000003322 aneuploid effect Effects 0.000 description 4
- 206010003246 arthritis Diseases 0.000 description 4
- 210000000481 breast Anatomy 0.000 description 4
- 150000003857 carboxamides Chemical class 0.000 description 4
- 239000000969 carrier Substances 0.000 description 4
- 230000022131 cell cycle Effects 0.000 description 4
- 238000010367 cloning Methods 0.000 description 4
- 208000035475 disorder Diseases 0.000 description 4
- VQNBGOAVNKMRPD-UHFFFAOYSA-N ethyl 1-methyl-8-oxo-4,5,6,7-tetrahydrocyclohepta[c]pyrazole-3-carboxylate Chemical compound C1CCCC(=O)C2=C1C(C(=O)OCC)=NN2C VQNBGOAVNKMRPD-UHFFFAOYSA-N 0.000 description 4
- AYLWRYVPNUVYJX-UHFFFAOYSA-N ethyl 1-methyl-9-methylsulfanyl-5,6-dihydro-4h-pyrazolo[4,5]cyclohepta[1,2-d]pyrimidine-3-carboxylate Chemical compound C1CCC2=CN=C(SC)N=C2C2=C1C(C(=O)OCC)=NN2C AYLWRYVPNUVYJX-UHFFFAOYSA-N 0.000 description 4
- UDCRUNXYWIPRHX-UHFFFAOYSA-N ethyl 1-methyl-9-phenyl-5,6-dihydro-4h-pyrazolo[4,5]cyclohepta[1,2-d]pyrimidine-3-carboxylate Chemical compound CCOC(=O)C1=NN(C)C(C2=N3)=C1CCCC2=CN=C3C1=CC=CC=C1 UDCRUNXYWIPRHX-UHFFFAOYSA-N 0.000 description 4
- IGQVDQVVUTVGCV-UHFFFAOYSA-N ethyl 8-oxo-4,5,6,7-tetrahydro-2h-cyclohepta[c]pyrazole-3-carboxylate Chemical compound C1CCCC(=O)C2=C1C(C(=O)OCC)=NN2 IGQVDQVVUTVGCV-UHFFFAOYSA-N 0.000 description 4
- ZPZFPOPMKUSEDS-UHFFFAOYSA-N ethyl 9-(4-bromo-2-methoxyanilino)-1-methyl-5,6-dihydro-4h-pyrazolo[4,5]cyclohepta[1,2-d]pyrimidine-3-carboxylate Chemical compound CCOC(=O)C1=NN(C)C(C2=N3)=C1CCCC2=CN=C3NC1=CC=C(Br)C=C1OC ZPZFPOPMKUSEDS-UHFFFAOYSA-N 0.000 description 4
- 238000002474 experimental method Methods 0.000 description 4
- 125000005843 halogen group Chemical group 0.000 description 4
- 238000000338 in vitro Methods 0.000 description 4
- 239000011630 iodine Substances 0.000 description 4
- INQOMBQAUSQDDS-UHFFFAOYSA-N iodomethane Chemical compound IC INQOMBQAUSQDDS-UHFFFAOYSA-N 0.000 description 4
- 229910001629 magnesium chloride Inorganic materials 0.000 description 4
- 230000001404 mediated effect Effects 0.000 description 4
- 238000002156 mixing Methods 0.000 description 4
- QTHRXZKKCYBKLO-UHFFFAOYSA-N n-(2,6-diethylphenyl)-1-[(3-hydroxyphenyl)methyl]-9-[2-methoxy-4-(4-methylpiperazin-1-yl)anilino]-5,6-dihydro-4h-pyrazolo[4,5]cyclohepta[1,2-d]pyrimidine-3-carboxamide Chemical compound CCC1=CC=CC(CC)=C1NC(=O)C(C1=C2C3=NC(NC=4C(=CC(=CC=4)N4CCN(C)CC4)OC)=NC=C3CCC1)=NN2CC1=CC=CC(O)=C1 QTHRXZKKCYBKLO-UHFFFAOYSA-N 0.000 description 4
- HINDWZDZEIGJCK-UHFFFAOYSA-N n-methoxy-n,1-dimethyl-9-[3-(trifluoromethyl)anilino]-5,6-dihydro-4h-pyrazolo[4,5]cyclohepta[1,2-d]pyrimidine-3-carboxamide Chemical compound CON(C)C(=O)C1=NN(C)C(C2=N3)=C1CCCC2=CN=C3NC1=CC=CC(C(F)(F)F)=C1 HINDWZDZEIGJCK-UHFFFAOYSA-N 0.000 description 4
- 239000003960 organic solvent Substances 0.000 description 4
- 230000001590 oxidative effect Effects 0.000 description 4
- 229910052763 palladium Inorganic materials 0.000 description 4
- PIBWKRNGBLPSSY-UHFFFAOYSA-L palladium(II) chloride Chemical compound Cl[Pd]Cl PIBWKRNGBLPSSY-UHFFFAOYSA-L 0.000 description 4
- HXITXNWTGFUOAU-UHFFFAOYSA-N phenylboronic acid Chemical compound OB(O)C1=CC=CC=C1 HXITXNWTGFUOAU-UHFFFAOYSA-N 0.000 description 4
- 239000000047 product Substances 0.000 description 4
- 230000001105 regulatory effect Effects 0.000 description 4
- 238000007363 ring formation reaction Methods 0.000 description 4
- 150000003335 secondary amines Chemical class 0.000 description 4
- 238000013207 serial dilution Methods 0.000 description 4
- 150000003384 small molecules Chemical class 0.000 description 4
- 229910000030 sodium bicarbonate Inorganic materials 0.000 description 4
- HLBBKKJFGFRGMU-UHFFFAOYSA-M sodium formate Chemical compound [Na+].[O-]C=O HLBBKKJFGFRGMU-UHFFFAOYSA-M 0.000 description 4
- 235000019254 sodium formate Nutrition 0.000 description 4
- 239000012453 solvate Substances 0.000 description 4
- 229960004793 sucrose Drugs 0.000 description 4
- 230000004083 survival effect Effects 0.000 description 4
- ITMCEJHCFYSIIV-UHFFFAOYSA-M triflate Chemical compound [O-]S(=O)(=O)C(F)(F)F ITMCEJHCFYSIIV-UHFFFAOYSA-M 0.000 description 4
- WJKHJLXJJJATHN-UHFFFAOYSA-N triflic anhydride Chemical compound FC(F)(F)S(=O)(=O)OS(=O)(=O)C(F)(F)F WJKHJLXJJJATHN-UHFFFAOYSA-N 0.000 description 4
- PYOKUURKVVELLB-UHFFFAOYSA-N trimethyl orthoformate Chemical compound COC(OC)OC PYOKUURKVVELLB-UHFFFAOYSA-N 0.000 description 4
- 238000004704 ultra performance liquid chromatography Methods 0.000 description 4
- RJGDZXBTGLYZIM-UHFFFAOYSA-N 2,2-dimethoxycycloheptan-1-one Chemical compound COC1(OC)CCCCCC1=O RJGDZXBTGLYZIM-UHFFFAOYSA-N 0.000 description 3
- BKAGMXVPKZNJGA-UHFFFAOYSA-N 2,4,5,6-tetrahydropyrazolo[3,4]cyclohepta[1,3-b]pyrimidine-3-carboxamide Chemical compound C1CCC2=CN=CN=C2C2=NNC(C(=O)N)=C21 BKAGMXVPKZNJGA-UHFFFAOYSA-N 0.000 description 3
- FOYHNROGBXVLLX-UHFFFAOYSA-N 2,6-diethylaniline Chemical compound CCC1=CC=CC(CC)=C1N FOYHNROGBXVLLX-UHFFFAOYSA-N 0.000 description 3
- BZLYFIRXJJEDEN-UHFFFAOYSA-N 8-oxo-4,5,6,7-tetrahydro-2h-cyclohepta[c]pyrazole-3-carboxylic acid Chemical compound C1CCCC(=O)C2=C1C(C(=O)O)=NN2 BZLYFIRXJJEDEN-UHFFFAOYSA-N 0.000 description 3
- KSRKYXRFKIZSID-UHFFFAOYSA-N 9-(4-bromo-2-methoxyanilino)-n-(2-ethylphenyl)-1-methyl-5,6-dihydro-4h-pyrazolo[4,5]cyclohepta[1,2-d]pyrimidine-3-carboxamide Chemical compound CCC1=CC=CC=C1NC(=O)C1=NN(C)C(C2=N3)=C1CCCC2=CN=C3NC1=CC=C(Br)C=C1OC KSRKYXRFKIZSID-UHFFFAOYSA-N 0.000 description 3
- 201000001320 Atherosclerosis Diseases 0.000 description 3
- 206010004446 Benign prostatic hyperplasia Diseases 0.000 description 3
- XDTMQSROBMDMFD-UHFFFAOYSA-N Cyclohexane Chemical compound C1CCCCC1 XDTMQSROBMDMFD-UHFFFAOYSA-N 0.000 description 3
- RGSFGYAAUTVSQA-UHFFFAOYSA-N Cyclopentane Chemical compound C1CCCC1 RGSFGYAAUTVSQA-UHFFFAOYSA-N 0.000 description 3
- 206010018364 Glomerulonephritis Diseases 0.000 description 3
- 239000007995 HEPES buffer Substances 0.000 description 3
- 101001001645 Homo sapiens Serine/threonine-protein kinase pim-3 Proteins 0.000 description 3
- 101000610640 Homo sapiens U4/U6 small nuclear ribonucleoprotein Prp3 Proteins 0.000 description 3
- OUYCCCASQSFEME-QMMMGPOBSA-N L-tyrosine Chemical compound OC(=O)[C@@H](N)CC1=CC=C(O)C=C1 OUYCCCASQSFEME-QMMMGPOBSA-N 0.000 description 3
- 208000009905 Neurofibromatoses Diseases 0.000 description 3
- 208000031481 Pathologic Constriction Diseases 0.000 description 3
- 108091005804 Peptidases Proteins 0.000 description 3
- 239000004365 Protease Substances 0.000 description 3
- RWRDLPDLKQPQOW-UHFFFAOYSA-N Pyrrolidine Chemical compound C1CCNC1 RWRDLPDLKQPQOW-UHFFFAOYSA-N 0.000 description 3
- 102100033810 RAC-alpha serine/threonine-protein kinase Human genes 0.000 description 3
- 102000007056 Recombinant Fusion Proteins Human genes 0.000 description 3
- 108010008281 Recombinant Fusion Proteins Proteins 0.000 description 3
- 102100037486 Reverse transcriptase/ribonuclease H Human genes 0.000 description 3
- 101001110823 Saccharomyces cerevisiae (strain ATCC 204508 / S288c) 60S ribosomal protein L6-A Proteins 0.000 description 3
- 101000712176 Saccharomyces cerevisiae (strain ATCC 204508 / S288c) 60S ribosomal protein L6-B Proteins 0.000 description 3
- 102100036119 Serine/threonine-protein kinase pim-3 Human genes 0.000 description 3
- FAPWRFPIFSIZLT-UHFFFAOYSA-M Sodium chloride Chemical compound [Na+].[Cl-] FAPWRFPIFSIZLT-UHFFFAOYSA-M 0.000 description 3
- DTQVDTLACAAQTR-UHFFFAOYSA-M Trifluoroacetate Chemical compound [O-]C(=O)C(F)(F)F DTQVDTLACAAQTR-UHFFFAOYSA-M 0.000 description 3
- 102100040374 U4/U6 small nuclear ribonucleoprotein Prp3 Human genes 0.000 description 3
- 125000003277 amino group Chemical group 0.000 description 3
- 230000015572 biosynthetic process Effects 0.000 description 3
- 229910052799 carbon Inorganic materials 0.000 description 3
- 238000001311 chemical methods and process Methods 0.000 description 3
- 239000000460 chlorine Substances 0.000 description 3
- 229910052801 chlorine Inorganic materials 0.000 description 3
- 210000000349 chromosome Anatomy 0.000 description 3
- 239000012230 colorless oil Substances 0.000 description 3
- 238000011161 development Methods 0.000 description 3
- 230000018109 developmental process Effects 0.000 description 3
- 235000013681 dietary sucrose Nutrition 0.000 description 3
- WYACBZDAHNBPPB-UHFFFAOYSA-N diethyl oxalate Chemical compound CCOC(=O)C(=O)OCC WYACBZDAHNBPPB-UHFFFAOYSA-N 0.000 description 3
- 239000012154 double-distilled water Substances 0.000 description 3
- ANXKKMMOHDWIIV-MDZDMXLPSA-N ethyl (7e)-7-(dimethylaminomethylidene)-1-methyl-8-oxo-5,6-dihydro-4h-cyclohepta[c]pyrazole-3-carboxylate Chemical compound C1CC\C(=C/N(C)C)C(=O)C2=C1C(C(=O)OCC)=NN2C ANXKKMMOHDWIIV-MDZDMXLPSA-N 0.000 description 3
- UXZNMDFNTVAKQC-UHFFFAOYSA-N ethyl 2-(3,3-dimethoxy-2-oxocycloheptyl)-2-oxoacetate Chemical compound CCOC(=O)C(=O)C1CCCCC(OC)(OC)C1=O UXZNMDFNTVAKQC-UHFFFAOYSA-N 0.000 description 3
- SGHFBVUSGTVXPI-UHFFFAOYSA-N ethyl 2-methyl-8-oxo-4,5,6,7-tetrahydrocyclohepta[c]pyrazole-3-carboxylate Chemical compound C1CCCC(=O)C2=NN(C)C(C(=O)OCC)=C21 SGHFBVUSGTVXPI-UHFFFAOYSA-N 0.000 description 3
- KBZSOQWVPAVAIJ-UHFFFAOYSA-N ethyl 2-methyl-9-methylsulfanyl-5,6-dihydro-4h-pyrazolo[3,4]cyclohepta[1,3-d]pyrimidine-3-carboxylate Chemical compound C1CCC2=CN=C(SC)N=C2C2=NN(C)C(C(=O)OCC)=C21 KBZSOQWVPAVAIJ-UHFFFAOYSA-N 0.000 description 3
- HPJOHTZKCSURHZ-UHFFFAOYSA-N ethyl 9-(4-bromo-2-methoxyanilino)-2,4,5,6-tetrahydropyrazolo[3,4]cyclohepta[1,3-d]pyrimidine-3-carboxylate Chemical compound CCOC(=O)C1=NNC(C2=N3)=C1CCCC2=CN=C3NC1=CC=C(Br)C=C1OC HPJOHTZKCSURHZ-UHFFFAOYSA-N 0.000 description 3
- JNDZCYCSOBQNDX-UHFFFAOYSA-N ethyl 9-methylsulfanyl-2,4,5,6-tetrahydropyrazolo[3,4]cyclohepta[1,3-d]pyrimidine-3-carboxylate Chemical compound C1CCC2=CN=C(SC)N=C2C2=C1C(C(=O)OCC)=NN2 JNDZCYCSOBQNDX-UHFFFAOYSA-N 0.000 description 3
- 150000004677 hydrates Chemical class 0.000 description 3
- 230000003301 hydrolyzing effect Effects 0.000 description 3
- 238000001727 in vivo Methods 0.000 description 3
- 230000000670 limiting effect Effects 0.000 description 3
- 210000004072 lung Anatomy 0.000 description 3
- 238000004519 manufacturing process Methods 0.000 description 3
- 230000004048 modification Effects 0.000 description 3
- 238000012986 modification Methods 0.000 description 3
- 229910000402 monopotassium phosphate Inorganic materials 0.000 description 3
- ZAHBYRULLMVKOH-UHFFFAOYSA-N n,9-dimethoxy-n,1-dimethyl-5,6-dihydro-4h-pyrazolo[4,5]cyclohepta[1,2-d]pyrimidine-3-carboxamide Chemical compound C1CCC2=CN=C(OC)N=C2C2=C1C(C(=O)N(C)OC)=NN2C ZAHBYRULLMVKOH-UHFFFAOYSA-N 0.000 description 3
- PGFPXLZQHJNMOS-UHFFFAOYSA-N n-(2,6-diethylphenyl)-8-oxo-4,5,6,7-tetrahydro-2h-cyclohepta[c]pyrazole-3-carboxamide Chemical compound CCC1=CC=CC(CC)=C1NC(=O)C1=NNC2=C1CCCCC2=O PGFPXLZQHJNMOS-UHFFFAOYSA-N 0.000 description 3
- LIHSZJQHEIBJLY-UHFFFAOYSA-N n-(2-methoxyethyl)-1-methyl-9-[3-(trifluoromethyl)anilino]-5,6-dihydro-4h-pyrazolo[4,5]cyclohepta[1,2-d]pyrimidine-3-carboxamide Chemical compound COCCNC(=O)C1=NN(C)C(C2=N3)=C1CCCC2=CN=C3NC1=CC=CC(C(F)(F)F)=C1 LIHSZJQHEIBJLY-UHFFFAOYSA-N 0.000 description 3
- TWPZRYIFQUOFHG-KFSCGDPASA-N n-[(1s)-2-amino-1-phenylethyl]-9-[2-methoxy-4-[(1-methylpiperidin-4-yl)carbamoyl]anilino]-1-methyl-5,6-dihydro-4h-pyrazolo[4,5]cyclohepta[1,2-d]pyrimidine-3-carboxamide;dihydrochloride Chemical compound Cl.Cl.C1([C@@H](CN)NC(=O)C=2C=3CCCC4=CN=C(N=C4C=3N(C)N=2)NC2=CC=C(C=C2OC)C(=O)NC2CCN(C)CC2)=CC=CC=C1 TWPZRYIFQUOFHG-KFSCGDPASA-N 0.000 description 3
- BAIWJTVBKYXQTL-UHFFFAOYSA-N n-methoxy-n,1-dimethyl-8-oxo-4,5,6,7-tetrahydrocyclohepta[c]pyrazole-3-carboxamide Chemical compound C1CCCC(=O)C2=C1C(C(=O)N(C)OC)=NN2C BAIWJTVBKYXQTL-UHFFFAOYSA-N 0.000 description 3
- 208000015122 neurodegenerative disease Diseases 0.000 description 3
- 201000004931 neurofibromatosis Diseases 0.000 description 3
- 230000002246 oncogenic effect Effects 0.000 description 3
- 238000006366 phosphorylation reaction Methods 0.000 description 3
- 229910000160 potassium phosphate Inorganic materials 0.000 description 3
- 235000011009 potassium phosphates Nutrition 0.000 description 3
- 239000002244 precipitate Substances 0.000 description 3
- 150000003141 primary amines Chemical class 0.000 description 3
- 230000002062 proliferating effect Effects 0.000 description 3
- 108010083755 proto-oncogene proteins pim Proteins 0.000 description 3
- 208000005069 pulmonary fibrosis Diseases 0.000 description 3
- 229910052705 radium Inorganic materials 0.000 description 3
- 208000037803 restenosis Diseases 0.000 description 3
- 229910052701 rubidium Inorganic materials 0.000 description 3
- HRZFUMHJMZEROT-UHFFFAOYSA-L sodium disulfite Chemical compound [Na+].[Na+].[O-]S(=O)S([O-])(=O)=O HRZFUMHJMZEROT-UHFFFAOYSA-L 0.000 description 3
- AKHNMLFCWUSKQB-UHFFFAOYSA-L sodium thiosulfate Chemical compound [Na+].[Na+].[O-]S([O-])(=O)=S AKHNMLFCWUSKQB-UHFFFAOYSA-L 0.000 description 3
- 239000007858 starting material Substances 0.000 description 3
- 230000036262 stenosis Effects 0.000 description 3
- 208000037804 stenosis Diseases 0.000 description 3
- 230000008961 swelling Effects 0.000 description 3
- LUVQDPBKTWOQRQ-UHFFFAOYSA-N tert-butyl 4-[[3-[(2,6-diethylphenyl)carbamoyl]-1-methyl-5,6-dihydro-4h-pyrazolo[4,5]cyclohepta[1,2-d]pyrimidin-9-yl]amino]-3-methoxybenzoate Chemical compound CCC1=CC=CC(CC)=C1NC(=O)C1=NN(C)C(C2=N3)=C1CCCC2=CN=C3NC1=CC=C(C(=O)OC(C)(C)C)C=C1OC LUVQDPBKTWOQRQ-UHFFFAOYSA-N 0.000 description 3
- 125000000999 tert-butyl group Chemical group [H]C([H])([H])C(*)(C([H])([H])[H])C([H])([H])[H] 0.000 description 3
- JALLPSFAXSAANM-SSEXGKCCSA-N tert-butyl n-[(2s)-2-[[9-[2-methoxy-4-[(1-methylpiperidin-4-yl)carbamoyl]anilino]-1-methyl-5,6-dihydro-4h-pyrazolo[4,5]cyclohepta[1,2-d]pyrimidine-3-carbonyl]amino]-2-phenylethyl]carbamate Chemical compound C1([C@@H](CNC(=O)OC(C)(C)C)NC(=O)C=2C=3CCCC4=CN=C(N=C4C=3N(C)N=2)NC2=CC=C(C=C2OC)C(=O)NC2CCN(C)CC2)=CC=CC=C1 JALLPSFAXSAANM-SSEXGKCCSA-N 0.000 description 3
- JOXIMZWYDAKGHI-UHFFFAOYSA-N toluene-4-sulfonic acid Chemical compound CC1=CC=C(S(O)(=O)=O)C=C1 JOXIMZWYDAKGHI-UHFFFAOYSA-N 0.000 description 3
- 230000002792 vascular Effects 0.000 description 3
- FSYFFOUTUQVILB-UHFFFAOYSA-N 1-(2-aminoethyl)-n-(2,6-diethylphenyl)-9-[4-[4-(dimethylamino)piperidin-1-yl]-2-methoxyanilino]-5,6-dihydro-4h-pyrazolo[4,5]cyclohepta[1,2-d]pyrimidine-3-carboxamide Chemical compound CCC1=CC=CC(CC)=C1NC(=O)C1=NN(CCN)C(C2=N3)=C1CCCC2=CN=C3NC1=CC=C(N2CCC(CC2)N(C)C)C=C1OC FSYFFOUTUQVILB-UHFFFAOYSA-N 0.000 description 2
- WTQLJJLMLOVKIK-UHFFFAOYSA-N 1-[3-(dimethylamino)propyl]-9-methylsulfanyl-5,6-dihydro-4h-pyrazolo[4,5]cyclohepta[1,2-d]pyrimidine-3-carboxamide;2,2,2-trifluoroacetic acid Chemical compound OC(=O)C(F)(F)F.C12=NC(SC)=NC=C2CCCC2=C1N(CCCN(C)C)N=C2C(N)=O WTQLJJLMLOVKIK-UHFFFAOYSA-N 0.000 description 2
- 125000004973 1-butenyl group Chemical group C(=CCC)* 0.000 description 2
- 125000006039 1-hexenyl group Chemical group 0.000 description 2
- LPTAGKZRLOZANU-UHFFFAOYSA-N 1-methyl-8-oxo-n-propyl-4,5,6,7-tetrahydrocyclohepta[c]pyrazole-3-carboxamide Chemical compound C1CCCC(=O)C2=C1C(C(=O)NCCC)=NN2C LPTAGKZRLOZANU-UHFFFAOYSA-N 0.000 description 2
- GIZKHFKVSCNFES-UHFFFAOYSA-N 1-methyl-9-(3-nitroanilino)-5,6-dihydro-4h-pyrazolo[4,5]cyclohepta[1,2-d]pyrimidine-3-carboxamide Chemical compound N1=C2C=3N(C)N=C(C(N)=O)C=3CCCC2=CN=C1NC1=CC=CC([N+]([O-])=O)=C1 GIZKHFKVSCNFES-UHFFFAOYSA-N 0.000 description 2
- UBHVHHQOLWPBAU-UHFFFAOYSA-N 1-methyl-9-[3-(4-methylpiperidin-1-yl)propylamino]-5,6-dihydro-4h-pyrazolo[4,5]cyclohepta[1,2-d]pyrimidine-3-carboxamide Chemical compound C1CC(C)CCN1CCCNC1=NC=C(CCCC2=C3N(C)N=C2C(N)=O)C3=N1 UBHVHHQOLWPBAU-UHFFFAOYSA-N 0.000 description 2
- VFCZNTOQFWMXBY-UHFFFAOYSA-N 1-methyl-9-[3-(4-methylpiperidin-1-yl)propylamino]-5,6-dihydro-4h-pyrazolo[4,5]cyclohepta[1,2-d]pyrimidine-3-carboxamide;2,2,2-trifluoroacetic acid Chemical compound OC(=O)C(F)(F)F.C1CC(C)CCN1CCCNC1=NC=C(CCCC2=C3N(C)N=C2C(N)=O)C3=N1 VFCZNTOQFWMXBY-UHFFFAOYSA-N 0.000 description 2
- DSHMNZIYWUORCU-UHFFFAOYSA-N 1-methyl-9-[4-(4-methylpiperazin-1-yl)anilino]-n-(2-morpholin-4-ylethyl)-5,6-dihydro-4h-pyrazolo[4,5]cyclohepta[1,2-d]pyrimidine-3-carboxamide Chemical compound C1CN(C)CCN1C(C=C1)=CC=C1NC1=NC=C(CCCC2=C3N(C)N=C2C(=O)NCCN2CCOCC2)C3=N1 DSHMNZIYWUORCU-UHFFFAOYSA-N 0.000 description 2
- KQPRVASDUQGZBJ-UHFFFAOYSA-N 1-methyl-9-[4-(4-methylpiperazin-1-yl)anilino]-n-(2-morpholin-4-ylethyl)-5,6-dihydro-4h-pyrazolo[4,5]cyclohepta[1,2-d]pyrimidine-3-carboxamide;2,2,2-trifluoroacetic acid Chemical compound OC(=O)C(F)(F)F.C1CN(C)CCN1C(C=C1)=CC=C1NC1=NC=C(CCCC2=C3N(C)N=C2C(=O)NCCN2CCOCC2)C3=N1 KQPRVASDUQGZBJ-UHFFFAOYSA-N 0.000 description 2
- ZZEIOZKVDYPJBR-UHFFFAOYSA-N 1-methyl-9-oxo-n-propyl-4,5,6,10-tetrahydropyrazolo[1,2]cyclohepta[6,7-d]pyrimidine-3-carboxamide Chemical compound C1CCC2=CN=C(O)N=C2C2=C1C(C(=O)NCCC)=NN2C ZZEIOZKVDYPJBR-UHFFFAOYSA-N 0.000 description 2
- VAFMNFNLQXICGF-UHFFFAOYSA-N 1-methyl-n-(2-morpholin-4-ylethyl)-9-[3-(trifluoromethyl)anilino]-5,6-dihydro-4h-pyrazolo[4,5]cyclohepta[1,2-d]pyrimidine-3-carboxamide Chemical compound C1=2CCCC3=CN=C(NC=4C=C(C=CC=4)C(F)(F)F)N=C3C=2N(C)N=C1C(=O)NCCN1CCOCC1 VAFMNFNLQXICGF-UHFFFAOYSA-N 0.000 description 2
- PTIPOLYAXSOVEZ-UHFFFAOYSA-N 1-methyl-n-(2-morpholin-4-ylethyl)-9-[3-(trifluoromethyl)anilino]-5,6-dihydro-4h-pyrazolo[4,5]cyclohepta[1,2-d]pyrimidine-3-carboxamide;2,2,2-trifluoroacetic acid Chemical compound OC(=O)C(F)(F)F.C1=2CCCC3=CN=C(NC=4C=C(C=CC=4)C(F)(F)F)N=C3C=2N(C)N=C1C(=O)NCCN1CCOCC1 PTIPOLYAXSOVEZ-UHFFFAOYSA-N 0.000 description 2
- IIZPXYDJLKNOIY-JXPKJXOSSA-N 1-palmitoyl-2-arachidonoyl-sn-glycero-3-phosphocholine Chemical compound CCCCCCCCCCCCCCCC(=O)OC[C@H](COP([O-])(=O)OCC[N+](C)(C)C)OC(=O)CCC\C=C/C\C=C/C\C=C/C\C=C/CCCCC IIZPXYDJLKNOIY-JXPKJXOSSA-N 0.000 description 2
- 125000006017 1-propenyl group Chemical group 0.000 description 2
- 125000004974 2-butenyl group Chemical group C(C=CC)* 0.000 description 2
- 125000006024 2-pentenyl group Chemical group 0.000 description 2
- 125000003903 2-propenyl group Chemical group [H]C([*])([H])C([H])=C([H])[H] 0.000 description 2
- 125000001494 2-propynyl group Chemical group [H]C#CC([H])([H])* 0.000 description 2
- RIDNLKNJXYYWQG-UHFFFAOYSA-N 3-[[9-(benzylamino)-1-methyl-5,6-dihydro-4h-pyrazolo[4,5]cyclohepta[1,2-d]pyrimidine-3-carbonyl]amino]propyl-trimethylazanium;2,2,2-trifluoroacetate Chemical compound [O-]C(=O)C(F)(F)F.N1=C2C=3N(C)N=C(C(=O)NCCC[N+](C)(C)C)C=3CCCC2=CN=C1NCC1=CC=CC=C1 RIDNLKNJXYYWQG-UHFFFAOYSA-N 0.000 description 2
- 125000004975 3-butenyl group Chemical group C(CC=C)* 0.000 description 2
- SKSQKTVXXAXBLO-UHFFFAOYSA-N 4-[[3-[(2,6-diethylphenyl)carbamoyl]-1-methyl-5,6-dihydro-4h-pyrazolo[4,5]cyclohepta[1,2-d]pyrimidin-9-yl]amino]-3-(trifluoromethoxy)benzoic acid;2,2,2-trifluoroacetic acid Chemical compound OC(=O)C(F)(F)F.CCC1=CC=CC(CC)=C1NC(=O)C1=NN(C)C(C2=N3)=C1CCCC2=CN=C3NC1=CC=C(C(O)=O)C=C1OC(F)(F)F SKSQKTVXXAXBLO-UHFFFAOYSA-N 0.000 description 2
- CWBJOFIHOYZTNU-UHFFFAOYSA-N 4-[[3-[(2,6-diethylphenyl)carbamoyl]-1-methyl-5,6-dihydro-4h-pyrazolo[4,5]cyclohepta[1,2-d]pyrimidin-9-yl]amino]-3-methoxybenzoic acid;2,2,2-trifluoroacetic acid Chemical compound OC(=O)C(F)(F)F.CCC1=CC=CC(CC)=C1NC(=O)C1=NN(C)C(C2=N3)=C1CCCC2=CN=C3NC1=CC=C(C(O)=O)C=C1OC CWBJOFIHOYZTNU-UHFFFAOYSA-N 0.000 description 2
- WCCMTKAMLOCXLL-UHFFFAOYSA-N 9-(4-bromo-2-methoxyanilino)-1-methyl-n-phenyl-5,6-dihydro-4h-pyrazolo[4,5]cyclohepta[1,2-d]pyrimidine-3-carboxamide Chemical compound COC1=CC(Br)=CC=C1NC1=NC=C(CCCC2=C3N(C)N=C2C(=O)NC=2C=CC=CC=2)C3=N1 WCCMTKAMLOCXLL-UHFFFAOYSA-N 0.000 description 2
- ROTDBVDBLCZOCU-UHFFFAOYSA-N 9-(4-bromo-2-methoxyanilino)-2-methyl-5,6-dihydro-4h-pyrazolo[3,4]cyclohepta[1,3-d]pyrimidine-3-carboxylic acid Chemical compound COC1=CC(Br)=CC=C1NC1=NC=C(CCCC2=C(N(C)N=C22)C(O)=O)C2=N1 ROTDBVDBLCZOCU-UHFFFAOYSA-N 0.000 description 2
- KPQFITPZIYUJGE-UHFFFAOYSA-N 9-(4-bromo-2-methoxyanilino)-n-(2,6-diethylphenyl)-1-[(4-methoxyphenyl)methyl]-5,6-dihydro-4h-pyrazolo[4,5]cyclohepta[1,2-d]pyrimidine-3-carboxamide Chemical compound CCC1=CC=CC(CC)=C1NC(=O)C(C1=C2C3=NC(NC=4C(=CC(Br)=CC=4)OC)=NC=C3CCC1)=NN2CC1=CC=C(OC)C=C1 KPQFITPZIYUJGE-UHFFFAOYSA-N 0.000 description 2
- OVZVXTOMMRMVIO-UHFFFAOYSA-N 9-(4-bromo-2-methoxyanilino)-n-(2,6-diethylphenyl)-5,6-dihydro-4h-[1,2]oxazolo[3,4]cyclohepta[1,3-d]pyrimidine-3-carboxamide Chemical compound CCC1=CC=CC(CC)=C1NC(=O)C1=C(CCCC=2C3=NC(NC=4C(=CC(Br)=CC=4)OC)=NC=2)C3=NO1 OVZVXTOMMRMVIO-UHFFFAOYSA-N 0.000 description 2
- ALFHSKWXYMEIQP-UHFFFAOYSA-N 9-(4-bromo-2-methoxyanilino)-n-(2,6-diethylphenyl)-5,6-dihydro-4h-[1,2]oxazolo[4,5]cyclohepta[1,2-d]pyrimidine-3-carboxamide Chemical compound CCC1=CC=CC(CC)=C1NC(=O)C1=NOC(C2=N3)=C1CCCC2=CN=C3NC1=CC=C(Br)C=C1OC ALFHSKWXYMEIQP-UHFFFAOYSA-N 0.000 description 2
- NJAGTQAPDNVUIQ-UHFFFAOYSA-N 9-(4-bromo-2-methoxyanilino)-n-cyclohexyl-1-methyl-5,6-dihydro-4h-pyrazolo[4,5]cyclohepta[1,2-d]pyrimidine-3-carboxamide Chemical compound COC1=CC(Br)=CC=C1NC1=NC=C(CCCC2=C3N(C)N=C2C(=O)NC2CCCCC2)C3=N1 NJAGTQAPDNVUIQ-UHFFFAOYSA-N 0.000 description 2
- YJUFGZOHGLHBQB-UHFFFAOYSA-N 9-(4-methoxyphenyl)-n-(3-methoxypropyl)-1-methyl-5,6-dihydro-4h-pyrazolo[4,5]cyclohepta[1,2-d]pyrimidine-3-carboxamide Chemical compound COCCCNC(=O)C1=NN(C)C(C2=N3)=C1CCCC2=CN=C3C1=CC=C(OC)C=C1 YJUFGZOHGLHBQB-UHFFFAOYSA-N 0.000 description 2
- ZIJFUNWIVBPINU-UHFFFAOYSA-N 9-(dimethylamino)-n-methoxy-n,1-dimethyl-5,6-dihydro-4h-pyrazolo[4,5]cyclohepta[1,2-d]pyrimidine-3-carboxamide Chemical compound C1CCC2=CN=C(N(C)C)N=C2C2=C1C(C(=O)N(C)OC)=NN2C ZIJFUNWIVBPINU-UHFFFAOYSA-N 0.000 description 2
- PKGVATVLYPNPMV-UHFFFAOYSA-N 9-amino-1-methyl-n-[4-(4-methylpiperazin-1-yl)sulfonylphenyl]-5,6-dihydro-4h-pyrazolo[4,5]cyclohepta[1,2-d]pyrimidine-3-carboxamide Chemical compound C1CN(C)CCN1S(=O)(=O)C(C=C1)=CC=C1NC(=O)C1=NN(C)C2=C1CCCC1=CN=C(N)N=C21 PKGVATVLYPNPMV-UHFFFAOYSA-N 0.000 description 2
- LBPHNMWZKJXGCV-UHFFFAOYSA-N 9-amino-1-methyl-n-propyl-5,6-dihydro-4h-pyrazolo[4,5]cyclohepta[1,2-d]pyrimidine-3-carboxamide Chemical compound C1CCC2=CN=C(N)N=C2C2=C1C(C(=O)NCCC)=NN2C LBPHNMWZKJXGCV-UHFFFAOYSA-N 0.000 description 2
- JIIJTHLFMDETGR-UHFFFAOYSA-N 9-amino-n-methoxy-n,1-dimethyl-5,6-dihydro-4h-pyrazolo[4,5]cyclohepta[1,2-d]pyrimidine-3-carboxamide Chemical compound C1CCC2=CN=C(N)N=C2C2=C1C(C(=O)N(C)OC)=NN2C JIIJTHLFMDETGR-UHFFFAOYSA-N 0.000 description 2
- VFGMCUZPRVYSDS-UHFFFAOYSA-N 9-anilino-1-methyl-5,6-dihydro-4h-pyrazolo[4,5]cyclohepta[1,2-d]pyrimidine-3-carboxamide Chemical compound N1=C2C=3N(C)N=C(C(N)=O)C=3CCCC2=CN=C1NC1=CC=CC=C1 VFGMCUZPRVYSDS-UHFFFAOYSA-N 0.000 description 2
- SATRXZRPRRSVEW-UHFFFAOYSA-N 9-anilino-1-methyl-5,6-dihydro-4h-pyrazolo[4,5]cyclohepta[1,2-d]pyrimidine-3-carboxamide;2,2,2-trifluoroacetic acid Chemical compound OC(=O)C(F)(F)F.N1=C2C=3N(C)N=C(C(N)=O)C=3CCCC2=CN=C1NC1=CC=CC=C1 SATRXZRPRRSVEW-UHFFFAOYSA-N 0.000 description 2
- PXVJKVUMZQOZER-UHFFFAOYSA-N 9-anilino-1-methyl-n-(2-morpholin-4-ylethyl)-5,6-dihydro-4h-pyrazolo[4,5]cyclohepta[1,2-d]pyrimidine-3-carboxamide Chemical compound C1=2CCCC3=CN=C(NC=4C=CC=CC=4)N=C3C=2N(C)N=C1C(=O)NCCN1CCOCC1 PXVJKVUMZQOZER-UHFFFAOYSA-N 0.000 description 2
- NGVCOTYIFVTUKG-UHFFFAOYSA-N 9-anilino-1-methyl-n-(2-morpholin-4-ylethyl)-5,6-dihydro-4h-pyrazolo[4,5]cyclohepta[1,2-d]pyrimidine-3-carboxamide;2,2,2-trifluoroacetic acid Chemical compound OC(=O)C(F)(F)F.C1=2CCCC3=CN=C(NC=4C=CC=CC=4)N=C3C=2N(C)N=C1C(=O)NCCN1CCOCC1 NGVCOTYIFVTUKG-UHFFFAOYSA-N 0.000 description 2
- VHTGQSNQMHYQQK-UHFFFAOYSA-N 9-anilino-n-(2-methoxyethyl)-1-methyl-5,6-dihydro-4h-pyrazolo[4,5]cyclohepta[1,2-d]pyrimidine-3-carboxamide Chemical compound COCCNC(=O)C1=NN(C)C(C2=N3)=C1CCCC2=CN=C3NC1=CC=CC=C1 VHTGQSNQMHYQQK-UHFFFAOYSA-N 0.000 description 2
- VHXHHIQEQLAYFX-UHFFFAOYSA-N 9-anilino-n-(2-methoxyethyl)-1-methyl-5,6-dihydro-4h-pyrazolo[4,5]cyclohepta[1,2-d]pyrimidine-3-carboxamide;2,2,2-trifluoroacetic acid Chemical compound OC(=O)C(F)(F)F.COCCNC(=O)C1=NN(C)C(C2=N3)=C1CCCC2=CN=C3NC1=CC=CC=C1 VHXHHIQEQLAYFX-UHFFFAOYSA-N 0.000 description 2
- ZQNVWKOVJWTMKI-UHFFFAOYSA-N 9-iodo-n-methoxy-n,1-dimethyl-5,6-dihydro-4h-pyrazolo[4,5]cyclohepta[1,2-d]pyrimidine-3-carboxamide Chemical compound C1CCC2=CN=C(I)N=C2C2=C1C(C(=O)N(C)OC)=NN2C ZQNVWKOVJWTMKI-UHFFFAOYSA-N 0.000 description 2
- GEQHBEDGPXFBBI-UHFFFAOYSA-N 9-methoxy-1-methyl-n-propyl-5,6-dihydro-4h-pyrazolo[4,5]cyclohepta[1,2-d]pyrimidine-3-carboxamide Chemical compound C1CCC2=CN=C(OC)N=C2C2=C1C(C(=O)NCCC)=NN2C GEQHBEDGPXFBBI-UHFFFAOYSA-N 0.000 description 2
- 108010031677 Anaphase-Promoting Complex-Cyclosome Proteins 0.000 description 2
- 102000005446 Anaphase-Promoting Complex-Cyclosome Human genes 0.000 description 2
- 208000023275 Autoimmune disease Diseases 0.000 description 2
- 229920002134 Carboxymethyl cellulose Polymers 0.000 description 2
- 208000005623 Carcinogenesis Diseases 0.000 description 2
- ZAMOUSCENKQFHK-UHFFFAOYSA-N Chlorine atom Chemical compound [Cl] ZAMOUSCENKQFHK-UHFFFAOYSA-N 0.000 description 2
- 108091060290 Chromatid Proteins 0.000 description 2
- 229910021595 Copper(I) iodide Inorganic materials 0.000 description 2
- 108010060385 Cyclin B1 Proteins 0.000 description 2
- QUSNBJAOOMFDIB-UHFFFAOYSA-N Ethylamine Chemical compound CCN QUSNBJAOOMFDIB-UHFFFAOYSA-N 0.000 description 2
- 102100022466 Eukaryotic translation initiation factor 4E-binding protein 1 Human genes 0.000 description 2
- 108050000946 Eukaryotic translation initiation factor 4E-binding protein 1 Proteins 0.000 description 2
- 102100032340 G2/mitotic-specific cyclin-B1 Human genes 0.000 description 2
- 208000032612 Glial tumor Diseases 0.000 description 2
- 206010018338 Glioma Diseases 0.000 description 2
- 241000238631 Hexapoda Species 0.000 description 2
- 101000896657 Homo sapiens Mitotic checkpoint serine/threonine-protein kinase BUB1 Proteins 0.000 description 2
- 101000932478 Homo sapiens Receptor-type tyrosine-protein kinase FLT3 Proteins 0.000 description 2
- 101100315472 Homo sapiens TTK gene Proteins 0.000 description 2
- AVXURJPOCDRRFD-UHFFFAOYSA-N Hydroxylamine Chemical compound ON AVXURJPOCDRRFD-UHFFFAOYSA-N 0.000 description 2
- DGAQECJNVWCQMB-PUAWFVPOSA-M Ilexoside XXIX Chemical compound C[C@@H]1CC[C@@]2(CC[C@@]3(C(=CC[C@H]4[C@]3(CC[C@@H]5[C@@]4(CC[C@@H](C5(C)C)OS(=O)(=O)[O-])C)C)[C@@H]2[C@]1(C)O)C)C(=O)O[C@H]6[C@@H]([C@H]([C@@H]([C@H](O6)CO)O)O)O.[Na+] DGAQECJNVWCQMB-PUAWFVPOSA-M 0.000 description 2
- 208000022559 Inflammatory bowel disease Diseases 0.000 description 2
- 239000007836 KH2PO4 Substances 0.000 description 2
- 208000031671 Large B-Cell Diffuse Lymphoma Diseases 0.000 description 2
- 229910021380 Manganese Chloride Inorganic materials 0.000 description 2
- GLFNIEUTAYBVOC-UHFFFAOYSA-L Manganese chloride Chemical compound Cl[Mn]Cl GLFNIEUTAYBVOC-UHFFFAOYSA-L 0.000 description 2
- 208000025205 Mantle-Cell Lymphoma Diseases 0.000 description 2
- 206010027406 Mesothelioma Diseases 0.000 description 2
- AFVFQIVMOAPDHO-UHFFFAOYSA-N Methanesulfonic acid Chemical compound CS(O)(=O)=O AFVFQIVMOAPDHO-UHFFFAOYSA-N 0.000 description 2
- LOMVENUNSWAXEN-UHFFFAOYSA-N Methyl oxalate Chemical compound COC(=O)C(=O)OC LOMVENUNSWAXEN-UHFFFAOYSA-N 0.000 description 2
- BAVYZALUXZFZLV-UHFFFAOYSA-N Methylamine Chemical compound NC BAVYZALUXZFZLV-UHFFFAOYSA-N 0.000 description 2
- 102000029749 Microtubule Human genes 0.000 description 2
- 108091022875 Microtubule Proteins 0.000 description 2
- 102100021691 Mitotic checkpoint serine/threonine-protein kinase BUB1 Human genes 0.000 description 2
- YNAVUWVOSKDBBP-UHFFFAOYSA-N Morpholine Chemical compound C1COCCN1 YNAVUWVOSKDBBP-UHFFFAOYSA-N 0.000 description 2
- MZRVEZGGRBJDDB-UHFFFAOYSA-N N-Butyllithium Chemical compound [Li]CCCC MZRVEZGGRBJDDB-UHFFFAOYSA-N 0.000 description 2
- 229910004879 Na2S2O5 Inorganic materials 0.000 description 2
- 229910020700 Na3VO4 Inorganic materials 0.000 description 2
- 108700020796 Oncogene Proteins 0.000 description 2
- 102000043276 Oncogene Human genes 0.000 description 2
- 229930012538 Paclitaxel Natural products 0.000 description 2
- 102000004160 Phosphoric Monoester Hydrolases Human genes 0.000 description 2
- 108090000608 Phosphoric Monoester Hydrolases Proteins 0.000 description 2
- GLUUGHFHXGJENI-UHFFFAOYSA-N Piperazine Chemical compound C1CNCCN1 GLUUGHFHXGJENI-UHFFFAOYSA-N 0.000 description 2
- 208000000236 Prostatic Neoplasms Diseases 0.000 description 2
- 102100020718 Receptor-type tyrosine-protein kinase FLT3 Human genes 0.000 description 2
- 240000004808 Saccharomyces cerevisiae Species 0.000 description 2
- 235000014680 Saccharomyces cerevisiae Nutrition 0.000 description 2
- 102000012152 Securin Human genes 0.000 description 2
- 108010061477 Securin Proteins 0.000 description 2
- LDEBVRIURYMKQS-WISUUJSJSA-N Ser-Thr Chemical compound C[C@@H](O)[C@@H](C(O)=O)NC(=O)[C@@H](N)CO LDEBVRIURYMKQS-WISUUJSJSA-N 0.000 description 2
- 102100023085 Serine/threonine-protein kinase mTOR Human genes 0.000 description 2
- WQDUMFSSJAZKTM-UHFFFAOYSA-N Sodium methoxide Chemical compound [Na+].[O-]C WQDUMFSSJAZKTM-UHFFFAOYSA-N 0.000 description 2
- 229920002472 Starch Polymers 0.000 description 2
- 238000006069 Suzuki reaction reaction Methods 0.000 description 2
- 108010065917 TOR Serine-Threonine Kinases Proteins 0.000 description 2
- 229940123237 Taxane Drugs 0.000 description 2
- 208000007097 Urinary Bladder Neoplasms Diseases 0.000 description 2
- 208000036142 Viral infection Diseases 0.000 description 2
- JLCPHMBAVCMARE-UHFFFAOYSA-N [3-[[3-[[3-[[3-[[3-[[3-[[3-[[3-[[3-[[3-[[3-[[5-(2-amino-6-oxo-1H-purin-9-yl)-3-[[3-[[3-[[3-[[3-[[3-[[5-(2-amino-6-oxo-1H-purin-9-yl)-3-[[5-(2-amino-6-oxo-1H-purin-9-yl)-3-hydroxyoxolan-2-yl]methoxy-hydroxyphosphoryl]oxyoxolan-2-yl]methoxy-hydroxyphosphoryl]oxy-5-(5-methyl-2,4-dioxopyrimidin-1-yl)oxolan-2-yl]methoxy-hydroxyphosphoryl]oxy-5-(6-aminopurin-9-yl)oxolan-2-yl]methoxy-hydroxyphosphoryl]oxy-5-(6-aminopurin-9-yl)oxolan-2-yl]methoxy-hydroxyphosphoryl]oxy-5-(6-aminopurin-9-yl)oxolan-2-yl]methoxy-hydroxyphosphoryl]oxy-5-(6-aminopurin-9-yl)oxolan-2-yl]methoxy-hydroxyphosphoryl]oxyoxolan-2-yl]methoxy-hydroxyphosphoryl]oxy-5-(5-methyl-2,4-dioxopyrimidin-1-yl)oxolan-2-yl]methoxy-hydroxyphosphoryl]oxy-5-(4-amino-2-oxopyrimidin-1-yl)oxolan-2-yl]methoxy-hydroxyphosphoryl]oxy-5-(5-methyl-2,4-dioxopyrimidin-1-yl)oxolan-2-yl]methoxy-hydroxyphosphoryl]oxy-5-(5-methyl-2,4-dioxopyrimidin-1-yl)oxolan-2-yl]methoxy-hydroxyphosphoryl]oxy-5-(6-aminopurin-9-yl)oxolan-2-yl]methoxy-hydroxyphosphoryl]oxy-5-(6-aminopurin-9-yl)oxolan-2-yl]methoxy-hydroxyphosphoryl]oxy-5-(4-amino-2-oxopyrimidin-1-yl)oxolan-2-yl]methoxy-hydroxyphosphoryl]oxy-5-(4-amino-2-oxopyrimidin-1-yl)oxolan-2-yl]methoxy-hydroxyphosphoryl]oxy-5-(4-amino-2-oxopyrimidin-1-yl)oxolan-2-yl]methoxy-hydroxyphosphoryl]oxy-5-(6-aminopurin-9-yl)oxolan-2-yl]methoxy-hydroxyphosphoryl]oxy-5-(4-amino-2-oxopyrimidin-1-yl)oxolan-2-yl]methyl [5-(6-aminopurin-9-yl)-2-(hydroxymethyl)oxolan-3-yl] hydrogen phosphate Polymers Cc1cn(C2CC(OP(O)(=O)OCC3OC(CC3OP(O)(=O)OCC3OC(CC3O)n3cnc4c3nc(N)[nH]c4=O)n3cnc4c3nc(N)[nH]c4=O)C(COP(O)(=O)OC3CC(OC3COP(O)(=O)OC3CC(OC3COP(O)(=O)OC3CC(OC3COP(O)(=O)OC3CC(OC3COP(O)(=O)OC3CC(OC3COP(O)(=O)OC3CC(OC3COP(O)(=O)OC3CC(OC3COP(O)(=O)OC3CC(OC3COP(O)(=O)OC3CC(OC3COP(O)(=O)OC3CC(OC3COP(O)(=O)OC3CC(OC3COP(O)(=O)OC3CC(OC3COP(O)(=O)OC3CC(OC3COP(O)(=O)OC3CC(OC3COP(O)(=O)OC3CC(OC3COP(O)(=O)OC3CC(OC3COP(O)(=O)OC3CC(OC3CO)n3cnc4c(N)ncnc34)n3ccc(N)nc3=O)n3cnc4c(N)ncnc34)n3ccc(N)nc3=O)n3ccc(N)nc3=O)n3ccc(N)nc3=O)n3cnc4c(N)ncnc34)n3cnc4c(N)ncnc34)n3cc(C)c(=O)[nH]c3=O)n3cc(C)c(=O)[nH]c3=O)n3ccc(N)nc3=O)n3cc(C)c(=O)[nH]c3=O)n3cnc4c3nc(N)[nH]c4=O)n3cnc4c(N)ncnc34)n3cnc4c(N)ncnc34)n3cnc4c(N)ncnc34)n3cnc4c(N)ncnc34)O2)c(=O)[nH]c1=O JLCPHMBAVCMARE-UHFFFAOYSA-N 0.000 description 2
- 230000001154 acute effect Effects 0.000 description 2
- HSEMWALZGKQWLK-SWWIKBNJSA-N aktide-2t Chemical compound C([C@H](NC(=O)[C@@H](NC(=O)[C@H](CCCNC(N)=N)NC(=O)[C@H](CCC(O)=O)NC(=O)[C@H](CCCNC(N)=N)NC(=O)[C@H](CCCCN)NC(=O)[C@H](CCCNC(N)=N)NC(=O)[C@H](C)N)[C@H](O)C)C(=O)N[C@@H](CO)C(=O)N[C@@H](CC=1C=CC=CC=1)C(=O)NCC(=O)N[C@@H](CC=1N=CNC=1)C(=O)N[C@@H](CC=1N=CNC=1)C(=O)N[C@@H](C)C(O)=O)C1=CC=C(O)C=C1 HSEMWALZGKQWLK-SWWIKBNJSA-N 0.000 description 2
- 235000010443 alginic acid Nutrition 0.000 description 2
- 229920000615 alginic acid Polymers 0.000 description 2
- 229910052784 alkaline earth metal Inorganic materials 0.000 description 2
- HSFWRNGVRCDJHI-UHFFFAOYSA-N alpha-acetylene Natural products C#C HSFWRNGVRCDJHI-UHFFFAOYSA-N 0.000 description 2
- 229910021529 ammonia Inorganic materials 0.000 description 2
- 235000019270 ammonium chloride Nutrition 0.000 description 2
- 230000003321 amplification Effects 0.000 description 2
- 231100001075 aneuploidy Toxicity 0.000 description 2
- 238000011394 anticancer treatment Methods 0.000 description 2
- 229940045988 antineoplastic drug protein kinase inhibitors Drugs 0.000 description 2
- 239000012223 aqueous fraction Substances 0.000 description 2
- 239000007864 aqueous solution Substances 0.000 description 2
- 230000035578 autophosphorylation Effects 0.000 description 2
- WGQKYBSKWIADBV-UHFFFAOYSA-N benzylamine Chemical compound NCC1=CC=CC=C1 WGQKYBSKWIADBV-UHFFFAOYSA-N 0.000 description 2
- SUMDYPCJJOFFON-UHFFFAOYSA-N beta-hydroxyethanesulfonic acid Natural products OCCS(O)(=O)=O SUMDYPCJJOFFON-UHFFFAOYSA-N 0.000 description 2
- 238000010256 biochemical assay Methods 0.000 description 2
- 210000004369 blood Anatomy 0.000 description 2
- 239000008280 blood Substances 0.000 description 2
- 238000006664 bond formation reaction Methods 0.000 description 2
- XQPRBTXUXXVTKB-UHFFFAOYSA-M caesium iodide Chemical compound [I-].[Cs+] XQPRBTXUXXVTKB-UHFFFAOYSA-M 0.000 description 2
- 230000036952 cancer formation Effects 0.000 description 2
- 125000002837 carbocyclic group Chemical group 0.000 description 2
- 239000001768 carboxy methyl cellulose Substances 0.000 description 2
- 235000010948 carboxy methyl cellulose Nutrition 0.000 description 2
- 150000001732 carboxylic acid derivatives Chemical class 0.000 description 2
- 239000008112 carboxymethyl-cellulose Substances 0.000 description 2
- 231100000504 carcinogenesis Toxicity 0.000 description 2
- 238000012054 celltiter-glo Methods 0.000 description 2
- 238000009104 chemotherapy regimen Methods 0.000 description 2
- IJOOHPMOJXWVHK-UHFFFAOYSA-N chlorotrimethylsilane Chemical compound C[Si](C)(C)Cl IJOOHPMOJXWVHK-UHFFFAOYSA-N 0.000 description 2
- 210000004756 chromatid Anatomy 0.000 description 2
- 238000004587 chromatography analysis Methods 0.000 description 2
- 238000003776 cleavage reaction Methods 0.000 description 2
- 210000001072 colon Anatomy 0.000 description 2
- 238000012790 confirmation Methods 0.000 description 2
- 238000001816 cooling Methods 0.000 description 2
- 230000008878 coupling Effects 0.000 description 2
- 238000010168 coupling process Methods 0.000 description 2
- 238000005859 coupling reaction Methods 0.000 description 2
- MGNZXYYWBUKAII-UHFFFAOYSA-N cyclohexa-1,3-diene Chemical compound C1CC=CC=C1 MGNZXYYWBUKAII-UHFFFAOYSA-N 0.000 description 2
- HGCIXCUEYOPUTN-UHFFFAOYSA-N cyclohexene Chemical compound C1CCC=CC1 HGCIXCUEYOPUTN-UHFFFAOYSA-N 0.000 description 2
- LPIQUOYDBNQMRZ-UHFFFAOYSA-N cyclopentene Chemical compound C1CC=CC1 LPIQUOYDBNQMRZ-UHFFFAOYSA-N 0.000 description 2
- 238000010511 deprotection reaction Methods 0.000 description 2
- 230000003831 deregulation Effects 0.000 description 2
- 206010012818 diffuse large B-cell lymphoma Diseases 0.000 description 2
- ZUOUZKKEUPVFJK-UHFFFAOYSA-N diphenyl Chemical compound C1=CC=CC=C1C1=CC=CC=C1 ZUOUZKKEUPVFJK-UHFFFAOYSA-N 0.000 description 2
- CETRZFQIITUQQL-UHFFFAOYSA-N dmso dimethylsulfoxide Chemical compound CS(C)=O.CS(C)=O CETRZFQIITUQQL-UHFFFAOYSA-N 0.000 description 2
- HKSZLNNOFSGOKW-UHFFFAOYSA-N ent-staurosporine Natural products C12=C3N4C5=CC=CC=C5C3=C3CNC(=O)C3=C2C2=CC=CC=C2N1C1CC(NC)C(OC)C4(C)O1 HKSZLNNOFSGOKW-UHFFFAOYSA-N 0.000 description 2
- 230000002255 enzymatic effect Effects 0.000 description 2
- NKRWXFBKVQFULG-MDZDMXLPSA-N ethyl (7e)-7-(dimethylaminomethylidene)-2-methyl-8-oxo-5,6-dihydro-4h-cyclohepta[c]pyrazole-3-carboxylate Chemical compound C1CC\C(=C/N(C)C)C(=O)C2=NN(C)C(C(=O)OCC)=C21 NKRWXFBKVQFULG-MDZDMXLPSA-N 0.000 description 2
- BWVHIOGQRGLDSB-UHFFFAOYSA-N ethyl 1-(2-hydroxyethyl)-9-methylsulfanyl-5,6-dihydro-4h-pyrazolo[4,5]cyclohepta[1,2-d]pyrimidine-3-carboxylate Chemical compound C1CCC2=CN=C(SC)N=C2C2=C1C(C(=O)OCC)=NN2CCO BWVHIOGQRGLDSB-UHFFFAOYSA-N 0.000 description 2
- AMUXTXYCAJVCQT-UHFFFAOYSA-N ethyl 1-methyl-9-(3-nitroanilino)-5,6-dihydro-4h-pyrazolo[4,5]cyclohepta[1,2-d]pyrimidine-3-carboxylate Chemical compound CCOC(=O)C1=NN(C)C(C2=N3)=C1CCCC2=CN=C3NC1=CC=CC([N+]([O-])=O)=C1 AMUXTXYCAJVCQT-UHFFFAOYSA-N 0.000 description 2
- XPRPYZTVGDXCLF-UHFFFAOYSA-N ethyl 2-(2-hydroxyethyl)-9-methylsulfanyl-5,6-dihydro-4h-pyrazolo[3,4]cyclohepta[1,3-d]pyrimidine-3-carboxylate Chemical compound C1CCC2=CN=C(SC)N=C2C2=NN(CCO)C(C(=O)OCC)=C21 XPRPYZTVGDXCLF-UHFFFAOYSA-N 0.000 description 2
- VQJJDGKZXJZJDN-UHFFFAOYSA-N ethyl 2-methyl-9-[4-(4-methylpiperazin-1-yl)anilino]-5,6-dihydro-4h-pyrazolo[3,4]cyclohepta[1,3-d]pyrimidine-3-carboxylate Chemical compound N1=C2C3=NN(C)C(C(=O)OCC)=C3CCCC2=CN=C1NC(C=C1)=CC=C1N1CCN(C)CC1 VQJJDGKZXJZJDN-UHFFFAOYSA-N 0.000 description 2
- MPLJMPNUNAZBFJ-UHFFFAOYSA-N ethyl 8-oxo-4,5,6,7-tetrahydrocyclohepta[c][1,2]oxazole-3-carboxylate Chemical compound C1CCCC(=O)C=2C1=C(C(=O)OCC)ON=2 MPLJMPNUNAZBFJ-UHFFFAOYSA-N 0.000 description 2
- OHQGKIDJIDADOR-UHFFFAOYSA-N ethyl 8-oxo-4,5,6,7-tetrahydrocyclohepta[d][1,2]oxazole-3-carboxylate Chemical compound C1CCCC(=O)C2=C1C(C(=O)OCC)=NO2 OHQGKIDJIDADOR-UHFFFAOYSA-N 0.000 description 2
- YPGQBEANHIZVOG-UHFFFAOYSA-N ethyl 9-(4-bromo-2-methoxyanilino)-5,6-dihydro-4h-[1,2]oxazolo[3,4]cyclohepta[1,3-d]pyrimidine-3-carboxylate Chemical compound CCOC(=O)C=1ON=C(C2=N3)C=1CCCC2=CN=C3NC1=CC=C(Br)C=C1OC YPGQBEANHIZVOG-UHFFFAOYSA-N 0.000 description 2
- FLMUEGPYCGIOBF-UHFFFAOYSA-N ethyl 9-(4-bromo-2-methoxyanilino)-5,6-dihydro-4h-[1,2]oxazolo[4,5]cyclohepta[1,2-d]pyrimidine-3-carboxylate Chemical compound CCOC(=O)C1=NOC(C2=N3)=C1CCCC2=CN=C3NC1=CC=C(Br)C=C1OC FLMUEGPYCGIOBF-UHFFFAOYSA-N 0.000 description 2
- BFFYJYVCEKTEOR-UHFFFAOYSA-N ethyl 9-iodo-1-methyl-5,6-dihydro-4h-pyrazolo[4,5]cyclohepta[1,2-d]pyrimidine-3-carboxylate Chemical compound C1CCC2=CN=C(I)N=C2C2=C1C(C(=O)OCC)=NN2C BFFYJYVCEKTEOR-UHFFFAOYSA-N 0.000 description 2
- 125000002534 ethynyl group Chemical group [H]C#C* 0.000 description 2
- 238000011156 evaluation Methods 0.000 description 2
- 239000013604 expression vector Substances 0.000 description 2
- 229910052731 fluorine Inorganic materials 0.000 description 2
- 230000009368 gene silencing by RNA Effects 0.000 description 2
- 235000011187 glycerol Nutrition 0.000 description 2
- 230000005484 gravity Effects 0.000 description 2
- 201000005787 hematologic cancer Diseases 0.000 description 2
- 208000024200 hematopoietic and lymphoid system neoplasm Diseases 0.000 description 2
- 210000003958 hematopoietic stem cell Anatomy 0.000 description 2
- 229930195733 hydrocarbon Natural products 0.000 description 2
- 150000002443 hydroxylamines Chemical class 0.000 description 2
- 230000004968 inflammatory condition Effects 0.000 description 2
- 238000001802 infusion Methods 0.000 description 2
- PNDPGZBMCMUPRI-UHFFFAOYSA-N iodine Chemical compound II PNDPGZBMCMUPRI-UHFFFAOYSA-N 0.000 description 2
- 238000005342 ion exchange Methods 0.000 description 2
- OWFXIOWLTKNBAP-UHFFFAOYSA-N isoamyl nitrite Chemical compound CC(C)CCON=O OWFXIOWLTKNBAP-UHFFFAOYSA-N 0.000 description 2
- 125000000555 isopropenyl group Chemical group [H]\C([H])=C(\*)C([H])([H])[H] 0.000 description 2
- 239000010410 layer Substances 0.000 description 2
- 239000000787 lecithin Substances 0.000 description 2
- 235000010445 lecithin Nutrition 0.000 description 2
- 229940067606 lecithin Drugs 0.000 description 2
- YECIFGHRMFEPJK-UHFFFAOYSA-N lidocaine hydrochloride monohydrate Chemical compound O.[Cl-].CC[NH+](CC)CC(=O)NC1=C(C)C=CC=C1C YECIFGHRMFEPJK-UHFFFAOYSA-N 0.000 description 2
- 230000003211 malignant effect Effects 0.000 description 2
- 239000011565 manganese chloride Substances 0.000 description 2
- COTNUBDHGSIOTA-UHFFFAOYSA-N meoh methanol Chemical compound OC.OC COTNUBDHGSIOTA-UHFFFAOYSA-N 0.000 description 2
- 230000031864 metaphase Effects 0.000 description 2
- BDAGIHXWWSANSR-UHFFFAOYSA-N methanoic acid Natural products OC=O BDAGIHXWWSANSR-UHFFFAOYSA-N 0.000 description 2
- ZLJCVMCVWPDLNQ-UHFFFAOYSA-N methyl 1-methyl-9-[4-(4-methylpiperazin-1-yl)sulfonylanilino]-5,6-dihydro-4h-pyrazolo[4,5]cyclohepta[1,2-d]pyrimidine-3-carboxylate Chemical compound COC(=O)C1=NN(C)C(C2=N3)=C1CCCC2=CN=C3NC(C=C1)=CC=C1S(=O)(=O)N1CCN(C)CC1 ZLJCVMCVWPDLNQ-UHFFFAOYSA-N 0.000 description 2
- 229920000609 methyl cellulose Polymers 0.000 description 2
- 239000001923 methylcellulose Substances 0.000 description 2
- 235000010981 methylcellulose Nutrition 0.000 description 2
- 125000004170 methylsulfonyl group Chemical group [H]C([H])([H])S(*)(=O)=O 0.000 description 2
- 210000004688 microtubule Anatomy 0.000 description 2
- JLSUDRLAKDNRPR-UHFFFAOYSA-N n-(2,6-diethylphenyl)-1-(2-hydroxyethyl)-9-[2-methoxy-4-(4-methylpiperazin-1-yl)anilino]-5,6-dihydro-4h-pyrazolo[4,5]cyclohepta[1,2-d]pyrimidine-3-carboxamide;hydrochloride Chemical compound Cl.CCC1=CC=CC(CC)=C1NC(=O)C1=NN(CCO)C(C2=N3)=C1CCCC2=CN=C3NC1=CC=C(N2CCN(C)CC2)C=C1OC JLSUDRLAKDNRPR-UHFFFAOYSA-N 0.000 description 2
- GLVROEFEBFBIJL-UHFFFAOYSA-N n-(2,6-diethylphenyl)-9-[4-[4-(dimethylamino)piperidin-1-yl]-2-methoxyanilino]-1-(2-hydroxyethyl)-5,6-dihydro-4h-pyrazolo[4,5]cyclohepta[1,2-d]pyrimidine-3-carboxamide Chemical compound CCC1=CC=CC(CC)=C1NC(=O)C1=NN(CCO)C(C2=N3)=C1CCCC2=CN=C3NC1=CC=C(N2CCC(CC2)N(C)C)C=C1OC GLVROEFEBFBIJL-UHFFFAOYSA-N 0.000 description 2
- SNYDPYNPDJVHJT-UHFFFAOYSA-N n-(2,6-diethylphenyl)-9-[4-[4-(dimethylamino)piperidin-1-yl]-2-methoxyanilino]-1-(2-hydroxyethyl)-5,6-dihydro-4h-pyrazolo[4,5]cyclohepta[1,2-d]pyrimidine-3-carboxamide;2,2,2-trifluoroacetic acid Chemical compound OC(=O)C(F)(F)F.CCC1=CC=CC(CC)=C1NC(=O)C1=NN(CCO)C(C2=N3)=C1CCCC2=CN=C3NC1=CC=C(N2CCC(CC2)N(C)C)C=C1OC SNYDPYNPDJVHJT-UHFFFAOYSA-N 0.000 description 2
- PIABZSPWADKTBR-UHFFFAOYSA-N n-(2,6-diethylphenyl)-9-[4-[4-(dimethylamino)piperidin-1-yl]-2-methoxyanilino]-1-ethyl-5,6-dihydro-4h-pyrazolo[4,5]cyclohepta[1,2-d]pyrimidine-3-carboxamide;2,2,2-trifluoroacetic acid Chemical compound OC(=O)C(F)(F)F.CCC1=CC=CC(CC)=C1NC(=O)C1=NN(CC)C(C2=N3)=C1CCCC2=CN=C3NC1=CC=C(N2CCC(CC2)N(C)C)C=C1OC PIABZSPWADKTBR-UHFFFAOYSA-N 0.000 description 2
- OYBOSIHVGBSISF-UHFFFAOYSA-N n-(2-methoxyethyl)-1-methyl-9-[3-(4-methylpiperidin-1-yl)propylamino]-5,6-dihydro-4h-pyrazolo[4,5]cyclohepta[1,2-d]pyrimidine-3-carboxamide Chemical compound COCCNC(=O)C1=NN(C)C(C2=N3)=C1CCCC2=CN=C3NCCCN1CCC(C)CC1 OYBOSIHVGBSISF-UHFFFAOYSA-N 0.000 description 2
- NKBCDCWWGTXWKM-UHFFFAOYSA-N n-(2-methoxyethyl)-1-methyl-9-[3-(4-methylpiperidin-1-yl)propylamino]-5,6-dihydro-4h-pyrazolo[4,5]cyclohepta[1,2-d]pyrimidine-3-carboxamide;2,2,2-trifluoroacetic acid Chemical compound OC(=O)C(F)(F)F.COCCNC(=O)C1=NN(C)C(C2=N3)=C1CCCC2=CN=C3NCCCN1CCC(C)CC1 NKBCDCWWGTXWKM-UHFFFAOYSA-N 0.000 description 2
- WEHQAVYMJLPYFH-UHFFFAOYSA-N n-(2-methoxyethyl)-1-methyl-9-[4-(4-methylpiperazin-1-yl)anilino]-5,6-dihydro-4h-pyrazolo[4,5]cyclohepta[1,2-d]pyrimidine-3-carboxamide Chemical compound COCCNC(=O)C1=NN(C)C(C2=N3)=C1CCCC2=CN=C3NC(C=C1)=CC=C1N1CCN(C)CC1 WEHQAVYMJLPYFH-UHFFFAOYSA-N 0.000 description 2
- UYGYAPGEIXFOQT-UHFFFAOYSA-N n-(2-methoxyethyl)-1-methyl-9-[4-(4-methylpiperazin-1-yl)anilino]-5,6-dihydro-4h-pyrazolo[4,5]cyclohepta[1,2-d]pyrimidine-3-carboxamide;2,2,2-trifluoroacetic acid Chemical compound OC(=O)C(F)(F)F.COCCNC(=O)C1=NN(C)C(C2=N3)=C1CCCC2=CN=C3NC(C=C1)=CC=C1N1CCN(C)CC1 UYGYAPGEIXFOQT-UHFFFAOYSA-N 0.000 description 2
- QYNUAAXZHIVAOC-UHFFFAOYSA-N n-(3-methoxypropyl)-1-methyl-9-[4-(trifluoromethyl)phenyl]-5,6-dihydro-4h-pyrazolo[4,5]cyclohepta[1,2-d]pyrimidine-3-carboxamide Chemical compound COCCCNC(=O)C1=NN(C)C(C2=N3)=C1CCCC2=CN=C3C1=CC=C(C(F)(F)F)C=C1 QYNUAAXZHIVAOC-UHFFFAOYSA-N 0.000 description 2
- GHFCWEKCHBSHKR-UHFFFAOYSA-N n-(3-methoxypropyl)-1-methyl-9-methylsulfanyl-5,6-dihydro-4h-pyrazolo[4,5]cyclohepta[1,2-d]pyrimidine-3-carboxamide Chemical compound C1CCC2=CN=C(SC)N=C2C2=C1C(C(=O)NCCCOC)=NN2C GHFCWEKCHBSHKR-UHFFFAOYSA-N 0.000 description 2
- UZHGMCJRFJKMAY-UHFFFAOYSA-N n-benzyl-1-methyl-9-[4-(trifluoromethyl)phenyl]-5,6-dihydro-4h-pyrazolo[4,5]cyclohepta[1,2-d]pyrimidine-3-carboxamide Chemical compound C1=2CCCC3=CN=C(C=4C=CC(=CC=4)C(F)(F)F)N=C3C=2N(C)N=C1C(=O)NCC1=CC=CC=C1 UZHGMCJRFJKMAY-UHFFFAOYSA-N 0.000 description 2
- MWSLSHLWQCNWOP-UHFFFAOYSA-N n-benzyl-9-(4-methoxyphenyl)-1-methyl-5,6-dihydro-4h-pyrazolo[4,5]cyclohepta[1,2-d]pyrimidine-3-carboxamide Chemical compound C1=CC(OC)=CC=C1C1=NC=C(CCCC2=C3N(C)N=C2C(=O)NCC=2C=CC=CC=2)C3=N1 MWSLSHLWQCNWOP-UHFFFAOYSA-N 0.000 description 2
- LJRUZLMCDUQCJO-UHFFFAOYSA-N n-methoxy-n,1-dimethyl-9-oxo-4,5,6,10-tetrahydropyrazolo[1,2]cyclohepta[6,7-d]pyrimidine-3-carboxamide Chemical compound C1CCC2=CN=C(O)N=C2C2=C1C(C(=O)N(C)OC)=NN2C LJRUZLMCDUQCJO-UHFFFAOYSA-N 0.000 description 2
- 238000003199 nucleic acid amplification method Methods 0.000 description 2
- 231100000590 oncogenic Toxicity 0.000 description 2
- 238000011275 oncology therapy Methods 0.000 description 2
- 229960001592 paclitaxel Drugs 0.000 description 2
- 210000000496 pancreas Anatomy 0.000 description 2
- 230000037361 pathway Effects 0.000 description 2
- 238000003566 phosphorylation assay Methods 0.000 description 2
- 229920001223 polyethylene glycol Polymers 0.000 description 2
- 239000013316 polymer of intrinsic microporosity Substances 0.000 description 2
- 208000015768 polyposis Diseases 0.000 description 2
- 229920005990 polystyrene resin Polymers 0.000 description 2
- GNSKLFRGEWLPPA-UHFFFAOYSA-M potassium dihydrogen phosphate Chemical compound [K+].OP(O)([O-])=O GNSKLFRGEWLPPA-UHFFFAOYSA-M 0.000 description 2
- 108090000765 processed proteins & peptides Proteins 0.000 description 2
- 230000035755 proliferation Effects 0.000 description 2
- 210000002307 prostate Anatomy 0.000 description 2
- 125000006239 protecting group Chemical group 0.000 description 2
- 239000003909 protein kinase inhibitor Substances 0.000 description 2
- 150000003254 radicals Chemical class 0.000 description 2
- 230000002285 radioactive effect Effects 0.000 description 2
- 238000001959 radiotherapy Methods 0.000 description 2
- 108020003175 receptors Proteins 0.000 description 2
- 102000005962 receptors Human genes 0.000 description 2
- YGSDEFSMJLZEOE-UHFFFAOYSA-N salicylic acid Chemical compound OC(=O)C1=CC=CC=C1O YGSDEFSMJLZEOE-UHFFFAOYSA-N 0.000 description 2
- 229920006395 saturated elastomer Polymers 0.000 description 2
- 230000007017 scission Effects 0.000 description 2
- 238000012216 screening Methods 0.000 description 2
- 238000002805 secondary assay Methods 0.000 description 2
- 238000000926 separation method Methods 0.000 description 2
- 239000011734 sodium Substances 0.000 description 2
- 235000015424 sodium Nutrition 0.000 description 2
- 239000011780 sodium chloride Substances 0.000 description 2
- 235000009518 sodium iodide Nutrition 0.000 description 2
- 238000010532 solid phase synthesis reaction Methods 0.000 description 2
- 235000019698 starch Nutrition 0.000 description 2
- HKSZLNNOFSGOKW-FYTWVXJKSA-N staurosporine Chemical compound C12=C3N4C5=CC=CC=C5C3=C3CNC(=O)C3=C2C2=CC=CC=C2N1[C@H]1C[C@@H](NC)[C@@H](OC)[C@]4(C)O1 HKSZLNNOFSGOKW-FYTWVXJKSA-N 0.000 description 2
- CGPUWJWCVCFERF-UHFFFAOYSA-N staurosporine Natural products C12=C3N4C5=CC=CC=C5C3=C3CNC(=O)C3=C2C2=CC=CC=C2N1C1CC(NC)C(OC)C4(OC)O1 CGPUWJWCVCFERF-UHFFFAOYSA-N 0.000 description 2
- 239000008223 sterile water Substances 0.000 description 2
- 239000006188 syrup Substances 0.000 description 2
- 235000020357 syrup Nutrition 0.000 description 2
- RCINICONZNJXQF-MZXODVADSA-N taxol Chemical compound O([C@@H]1[C@@]2(C[C@@H](C(C)=C(C2(C)C)[C@H](C([C@]2(C)[C@@H](O)C[C@H]3OC[C@]3([C@H]21)OC(C)=O)=O)OC(=O)C)OC(=O)[C@H](O)[C@@H](NC(=O)C=1C=CC=CC=1)C=1C=CC=CC=1)O)C(=O)C1=CC=CC=C1 RCINICONZNJXQF-MZXODVADSA-N 0.000 description 2
- VOBDZXIBQMVXFI-UHFFFAOYSA-N tert-butyl 4-[[3-[(2,6-diethylphenyl)carbamoyl]-1-methyl-5,6-dihydro-4h-pyrazolo[4,5]cyclohepta[1,2-d]pyrimidin-9-yl]amino]-3-(trifluoromethoxy)benzoate Chemical compound CCC1=CC=CC(CC)=C1NC(=O)C1=NN(C)C(C2=N3)=C1CCCC2=CN=C3NC1=CC=C(C(=O)OC(C)(C)C)C=C1OC(F)(F)F VOBDZXIBQMVXFI-UHFFFAOYSA-N 0.000 description 2
- YLQBMQCUIZJEEH-UHFFFAOYSA-N tetrahydrofuran Natural products C=1C=COC=1 YLQBMQCUIZJEEH-UHFFFAOYSA-N 0.000 description 2
- 230000001225 therapeutic effect Effects 0.000 description 2
- 150000003573 thiols Chemical class 0.000 description 2
- 210000001685 thyroid gland Anatomy 0.000 description 2
- 125000002088 tosyl group Chemical group [H]C1=C([H])C(=C([H])C([H])=C1C([H])([H])[H])S(*)(=O)=O 0.000 description 2
- 231100000419 toxicity Toxicity 0.000 description 2
- 230000001988 toxicity Effects 0.000 description 2
- 230000009466 transformation Effects 0.000 description 2
- 125000000876 trifluoromethoxy group Chemical group FC(F)(F)O* 0.000 description 2
- IHIXIJGXTJIKRB-UHFFFAOYSA-N trisodium vanadate Chemical compound [Na+].[Na+].[Na+].[O-][V]([O-])([O-])=O IHIXIJGXTJIKRB-UHFFFAOYSA-N 0.000 description 2
- 230000001173 tumoral effect Effects 0.000 description 2
- 241000701447 unidentified baculovirus Species 0.000 description 2
- 210000003932 urinary bladder Anatomy 0.000 description 2
- 125000000391 vinyl group Chemical group [H]C([*])=C([H])[H] 0.000 description 2
- 229920002554 vinyl polymer Polymers 0.000 description 2
- 230000009385 viral infection Effects 0.000 description 2
- 230000003612 virological effect Effects 0.000 description 2
- UGOMMVLRQDMAQQ-UHFFFAOYSA-N xphos Chemical group CC(C)C1=CC(C(C)C)=CC(C(C)C)=C1C1=CC=CC=C1P(C1CCCCC1)C1CCCCC1 UGOMMVLRQDMAQQ-UHFFFAOYSA-N 0.000 description 2
- XFQNWPYGEGCIMF-HCUGAJCMSA-N (1e,4e)-1,5-diphenylpenta-1,4-dien-3-one;palladium Chemical compound [Pd].[Pd].[Pd].[Pd].C=1C=CC=CC=1\C=C\C(=O)\C=C\C1=CC=CC=C1.C=1C=CC=CC=1\C=C\C(=O)\C=C\C1=CC=CC=C1.C=1C=CC=CC=1\C=C\C(=O)\C=C\C1=CC=CC=C1.C=1C=CC=CC=1\C=C\C(=O)\C=C\C1=CC=CC=C1.C=1C=CC=CC=1\C=C\C(=O)\C=C\C1=CC=CC=C1.C=1C=CC=CC=1\C=C\C(=O)\C=C\C1=CC=CC=C1 XFQNWPYGEGCIMF-HCUGAJCMSA-N 0.000 description 1
- XINQFOMFQFGGCQ-UHFFFAOYSA-L (2-dodecoxy-2-oxoethyl)-[6-[(2-dodecoxy-2-oxoethyl)-dimethylazaniumyl]hexyl]-dimethylazanium;dichloride Chemical compound [Cl-].[Cl-].CCCCCCCCCCCCOC(=O)C[N+](C)(C)CCCCCC[N+](C)(C)CC(=O)OCCCCCCCCCCCC XINQFOMFQFGGCQ-UHFFFAOYSA-L 0.000 description 1
- NWZSZGALRFJKBT-KNIFDHDWSA-N (2s)-2,6-diaminohexanoic acid;(2s)-2-hydroxybutanedioic acid Chemical compound OC(=O)[C@@H](O)CC(O)=O.NCCCC[C@H](N)C(O)=O NWZSZGALRFJKBT-KNIFDHDWSA-N 0.000 description 1
- KZEDPVFJLQLDIZ-UHFFFAOYSA-N (5-diphenylphosphanyl-9,9-dimethylxanthen-4-yl)-diphenylphosphane Chemical compound C=12OC3=C(P(C=4C=CC=CC=4)C=4C=CC=CC=4)C=CC=C3C(C)(C)C2=CC=CC=1P(C=1C=CC=CC=1)C1=CC=CC=C1.C=12OC3=C(P(C=4C=CC=CC=4)C=4C=CC=CC=4)C=CC=C3C(C)(C)C2=CC=CC=1P(C=1C=CC=CC=1)C1=CC=CC=C1 KZEDPVFJLQLDIZ-UHFFFAOYSA-N 0.000 description 1
- BQONBNFGGNMQGP-BQYQJAHWSA-N (7e)-7-(dimethylaminomethylidene)-1-methyl-8-oxo-5,6-dihydro-4h-cyclohepta[c]pyrazole-3-carboxamide Chemical compound O=C1C(=C/N(C)C)/CCCC2=C1N(C)N=C2C(N)=O BQONBNFGGNMQGP-BQYQJAHWSA-N 0.000 description 1
- ZJPQGTHTCVUFFE-ZHACJKMWSA-N (7e)-7-(dimethylaminomethylidene)-1-methyl-8-oxo-n-propyl-5,6-dihydro-4h-cyclohepta[c]pyrazole-3-carboxamide Chemical compound C1CC\C(=C/N(C)C)C(=O)C2=C1C(C(=O)NCCC)=NN2C ZJPQGTHTCVUFFE-ZHACJKMWSA-N 0.000 description 1
- OUHHPUMNINTBSY-MDZDMXLPSA-N (7e)-7-(dimethylaminomethylidene)-n-methoxy-n,1-dimethyl-8-oxo-5,6-dihydro-4h-cyclohepta[c]pyrazole-3-carboxamide Chemical compound C1CC\C(=C/N(C)C)C(=O)C2=C1C(C(=O)N(C)OC)=NN2C OUHHPUMNINTBSY-MDZDMXLPSA-N 0.000 description 1
- DDCQPBFGGYQMAB-FCDQGJHFSA-N (7e)-n-(2,6-diethylphenyl)-7-(dimethylaminomethylidene)-1-[(4-methoxyphenyl)methyl]-8-oxo-5,6-dihydro-4h-cyclohepta[c]pyrazole-3-carboxamide Chemical compound CCC1=CC=CC(CC)=C1NC(=O)C(C1=C2C(C(=C/N(C)C)/CCC1)=O)=NN2CC1=CC=C(OC)C=C1 DDCQPBFGGYQMAB-FCDQGJHFSA-N 0.000 description 1
- BHCBXSDBBOYYLF-SAPNQHFASA-N (7e)-n-(2,6-diethylphenyl)-7-(dimethylaminomethylidene)-1-methyl-8-oxo-5,6-dihydro-4h-cyclohepta[c]pyrazole-3-carboxamide Chemical compound CCC1=CC=CC(CC)=C1NC(=O)C1=NN(C)C2=C1CCC\C(=C/N(C)C)C2=O BHCBXSDBBOYYLF-SAPNQHFASA-N 0.000 description 1
- 125000006528 (C2-C6) alkyl group Chemical group 0.000 description 1
- 125000005913 (C3-C6) cycloalkyl group Chemical group 0.000 description 1
- BJEPYKJPYRNKOW-REOHCLBHSA-N (S)-malic acid Chemical compound OC(=O)[C@@H](O)CC(O)=O BJEPYKJPYRNKOW-REOHCLBHSA-N 0.000 description 1
- DIOHEXPTUTVCNX-UHFFFAOYSA-N 1,1,1-trifluoro-n-phenyl-n-(trifluoromethylsulfonyl)methanesulfonamide Chemical compound FC(F)(F)S(=O)(=O)N(S(=O)(=O)C(F)(F)F)C1=CC=CC=C1 DIOHEXPTUTVCNX-UHFFFAOYSA-N 0.000 description 1
- WNXJIVFYUVYPPR-UHFFFAOYSA-N 1,3-dioxolane Chemical compound C1COCO1 WNXJIVFYUVYPPR-UHFFFAOYSA-N 0.000 description 1
- OGYGFUAIIOPWQD-UHFFFAOYSA-N 1,3-thiazolidine Chemical compound C1CSCN1 OGYGFUAIIOPWQD-UHFFFAOYSA-N 0.000 description 1
- ASOKPJOREAFHNY-UHFFFAOYSA-N 1-Hydroxybenzotriazole Chemical compound C1=CC=C2N(O)N=NC2=C1 ASOKPJOREAFHNY-UHFFFAOYSA-N 0.000 description 1
- PVOAHINGSUIXLS-UHFFFAOYSA-N 1-Methylpiperazine Chemical compound CN1CCNCC1 PVOAHINGSUIXLS-UHFFFAOYSA-N 0.000 description 1
- IXPNQXFRVYWDDI-UHFFFAOYSA-N 1-methyl-2,4-dioxo-1,3-diazinane-5-carboximidamide Chemical compound CN1CC(C(N)=N)C(=O)NC1=O IXPNQXFRVYWDDI-UHFFFAOYSA-N 0.000 description 1
- JYPXCNJPIJLLFJ-UHFFFAOYSA-N 1-methyl-8-oxo-4,5,6,7-tetrahydrocyclohepta[c]pyrazole-3-carboxylic acid Chemical compound C1CCCC(=O)C2=C1C(C(O)=O)=NN2C JYPXCNJPIJLLFJ-UHFFFAOYSA-N 0.000 description 1
- ZTKKSEWSLXUWDX-UHFFFAOYSA-N 1-methyl-9-(3-nitroanilino)-5,6-dihydro-4h-pyrazolo[4,5]cyclohepta[1,2-d]pyrimidine-3-carboxylic acid Chemical compound N1=C2C=3N(C)N=C(C(O)=O)C=3CCCC2=CN=C1NC1=CC=CC([N+]([O-])=O)=C1 ZTKKSEWSLXUWDX-UHFFFAOYSA-N 0.000 description 1
- ZSENTPBKCWOTFP-UHFFFAOYSA-N 1-methyl-9-[4-(4-methylpiperazin-1-yl)anilino]-5,6-dihydro-4h-pyrazolo[4,5]cyclohepta[1,2-d]pyrimidine-3-carboxylic acid Chemical compound C1CN(C)CCN1C(C=C1)=CC=C1NC1=NC=C(CCCC2=C3N(C)N=C2C(O)=O)C3=N1 ZSENTPBKCWOTFP-UHFFFAOYSA-N 0.000 description 1
- SDHDJROUCWWSJH-UHFFFAOYSA-N 1-methyl-9-oxo-n-[3-(trifluoromethyl)phenyl]-4,5,6,10-tetrahydropyrazolo[1,2]cyclohepta[6,7-d]pyrimidine-3-carboxamide Chemical compound C1=2CCCC3=CN=C(O)N=C3C=2N(C)N=C1C(=O)NC1=CC=CC(C(F)(F)F)=C1 SDHDJROUCWWSJH-UHFFFAOYSA-N 0.000 description 1
- ALOCUZOKRULSAA-UHFFFAOYSA-N 1-methylpiperidin-4-amine Chemical compound CN1CCC(N)CC1 ALOCUZOKRULSAA-UHFFFAOYSA-N 0.000 description 1
- YBYIRNPNPLQARY-UHFFFAOYSA-N 1H-indene Natural products C1=CC=C2CC=CC2=C1 YBYIRNPNPLQARY-UHFFFAOYSA-N 0.000 description 1
- SABYIMNAXDXCCO-UHFFFAOYSA-N 2,2,2-trifluoroacetate;trimethyl-[3-[[1-methyl-9-[3-(trifluoromethyl)anilino]-5,6-dihydro-4h-pyrazolo[4,5]cyclohepta[1,2-d]pyrimidine-3-carbonyl]amino]propyl]azanium Chemical compound [O-]C(=O)C(F)(F)F.N1=C2C=3N(C)N=C(C(=O)NCCC[N+](C)(C)C)C=3CCCC2=CN=C1NC1=CC=CC(C(F)(F)F)=C1 SABYIMNAXDXCCO-UHFFFAOYSA-N 0.000 description 1
- RPMITZJMOPAUMG-UHFFFAOYSA-N 2,3,4,4a-tetrahydro-1H-benzo[7]annulene Chemical class C1=CC=CC2CCCCC2=C1 RPMITZJMOPAUMG-UHFFFAOYSA-N 0.000 description 1
- ODZUWPAOKDWCFG-UHFFFAOYSA-N 2,3,4,4a-tetrahydro-1h-cyclohepta[d]pyrimidine Chemical class C1=CC=CC=C2NCNCC21 ODZUWPAOKDWCFG-UHFFFAOYSA-N 0.000 description 1
- JKTCBAGSMQIFNL-UHFFFAOYSA-N 2,3-dihydrofuran Chemical compound C1CC=CO1 JKTCBAGSMQIFNL-UHFFFAOYSA-N 0.000 description 1
- HFZWRUODUSTPEG-UHFFFAOYSA-N 2,4-dichlorophenol Chemical compound OC1=CC=C(Cl)C=C1Cl HFZWRUODUSTPEG-UHFFFAOYSA-N 0.000 description 1
- ZEMZPXWZVTUONV-UHFFFAOYSA-N 2-(2-dicyclohexylphosphanylphenyl)-n,n-dimethylaniline Chemical group CN(C)C1=CC=CC=C1C1=CC=CC=C1P(C1CCCCC1)C1CCCCC1 ZEMZPXWZVTUONV-UHFFFAOYSA-N 0.000 description 1
- WDSUSDFMERYGPN-UHFFFAOYSA-N 2-(4-bromo-2-methoxyphenyl)guanidine Chemical compound COC1=CC(Br)=CC=C1NC(N)=N WDSUSDFMERYGPN-UHFFFAOYSA-N 0.000 description 1
- BXOIKOHCQFAGJW-UHFFFAOYSA-N 2-(methylsulfanyl)-6,7,10,11-tetrahydropyrimido[5'',4'':6',7']cyclohepta[1',2':3,4]pyrazolo[5,1-c][1,4]oxazin-8(5h)-one Chemical compound C1CCC2=C3C(=O)OCCN3N=C2C2=NC(SC)=NC=C21 BXOIKOHCQFAGJW-UHFFFAOYSA-N 0.000 description 1
- OQVIOPIJLDSGNX-UHFFFAOYSA-N 2-[2,3-bis(cyclohexylphosphanyl)phenyl]-n,n-dimethylaniline Chemical group CN(C)C1=CC=CC=C1C1=CC=CC(PC2CCCCC2)=C1PC1CCCCC1 OQVIOPIJLDSGNX-UHFFFAOYSA-N 0.000 description 1
- UNZKIANEZWFDER-UHFFFAOYSA-N 2-[3-(trifluoromethyl)phenyl]guanidine Chemical compound NC(N)=NC1=CC=CC(C(F)(F)F)=C1 UNZKIANEZWFDER-UHFFFAOYSA-N 0.000 description 1
- NZCXQEXPZLLJNB-UHFFFAOYSA-N 2-methyl-9-[4-(4-methylpiperazin-1-yl)anilino]-5,6-dihydro-4h-pyrazolo[3,4]cyclohepta[1,3-d]pyrimidine-3-carboxylic acid Chemical compound C1CN(C)CCN1C(C=C1)=CC=C1NC1=NC=C(CCCC2=C(N(C)N=C22)C(O)=O)C2=N1 NZCXQEXPZLLJNB-UHFFFAOYSA-N 0.000 description 1
- RSEBUVRVKCANEP-UHFFFAOYSA-N 2-pyrroline Chemical compound C1CC=CN1 RSEBUVRVKCANEP-UHFFFAOYSA-N 0.000 description 1
- UMCMPZBLKLEWAF-BCTGSCMUSA-N 3-[(3-cholamidopropyl)dimethylammonio]propane-1-sulfonate Chemical compound C([C@H]1C[C@H]2O)[C@H](O)CC[C@]1(C)[C@@H]1[C@@H]2[C@@H]2CC[C@H]([C@@H](CCC(=O)NCCC[N+](C)(C)CCCS([O-])(=O)=O)C)[C@@]2(C)[C@@H](O)C1 UMCMPZBLKLEWAF-BCTGSCMUSA-N 0.000 description 1
- SMSFGFHTPOTRMT-UHFFFAOYSA-O 3-[[9-(benzylamino)-1-methyl-5,6-dihydro-4h-pyrazolo[4,5]cyclohepta[1,2-d]pyrimidine-3-carbonyl]amino]propyl-trimethylazanium Chemical compound N1=C2C=3N(C)N=C(C(=O)NCCC[N+](C)(C)C)C=3CCCC2=CN=C1NCC1=CC=CC=C1 SMSFGFHTPOTRMT-UHFFFAOYSA-O 0.000 description 1
- BMYNFMYTOJXKLE-UHFFFAOYSA-N 3-azaniumyl-2-hydroxypropanoate Chemical compound NCC(O)C(O)=O BMYNFMYTOJXKLE-UHFFFAOYSA-N 0.000 description 1
- 102100037263 3-phosphoinositide-dependent protein kinase 1 Human genes 0.000 description 1
- OSWFIVFLDKOXQC-UHFFFAOYSA-N 4-(3-methoxyphenyl)aniline Chemical compound COC1=CC=CC(C=2C=CC(N)=CC=2)=C1 OSWFIVFLDKOXQC-UHFFFAOYSA-N 0.000 description 1
- FZTIWOBQQYPTCJ-UHFFFAOYSA-N 4-[4-(4-carboxyphenyl)phenyl]benzoic acid Chemical compound C1=CC(C(=O)O)=CC=C1C1=CC=C(C=2C=CC(=CC=2)C(O)=O)C=C1 FZTIWOBQQYPTCJ-UHFFFAOYSA-N 0.000 description 1
- YLUTVQNHSCTUNU-UHFFFAOYSA-N 4-[[3-[(2,6-diethylphenyl)carbamoyl]-1-methyl-5,6-dihydro-4h-pyrazolo[4,5]cyclohepta[1,2-d]pyrimidin-9-yl]amino]-3-methoxybenzoic acid Chemical compound CCC1=CC=CC(CC)=C1NC(=O)C1=NN(C)C(C2=N3)=C1CCCC2=CN=C3NC1=CC=C(C(O)=O)C=C1OC YLUTVQNHSCTUNU-UHFFFAOYSA-N 0.000 description 1
- QISOBCMNUJQOJU-UHFFFAOYSA-N 4-bromo-1h-pyrazole-5-carboxylic acid Chemical compound OC(=O)C=1NN=CC=1Br QISOBCMNUJQOJU-UHFFFAOYSA-N 0.000 description 1
- FTBCOQFMQSTCQQ-UHFFFAOYSA-N 4-bromobenzenethiol Chemical compound SC1=CC=C(Br)C=C1 FTBCOQFMQSTCQQ-UHFFFAOYSA-N 0.000 description 1
- PHNDZBFLOPIMSM-UHFFFAOYSA-N 4-morpholin-4-ylaniline Chemical compound C1=CC(N)=CC=C1N1CCOCC1 PHNDZBFLOPIMSM-UHFFFAOYSA-N 0.000 description 1
- PXRKCOCTEMYUEG-UHFFFAOYSA-N 5-aminoisoindole-1,3-dione Chemical compound NC1=CC=C2C(=O)NC(=O)C2=C1 PXRKCOCTEMYUEG-UHFFFAOYSA-N 0.000 description 1
- ZVFGYVSOABWFCB-UHFFFAOYSA-N 5-prop-2-enyl-1h-pyrazole Chemical class C=CCC=1C=CNN=1 ZVFGYVSOABWFCB-UHFFFAOYSA-N 0.000 description 1
- RYTGHNMOSCSWJT-UHFFFAOYSA-N 6-imino-11-methyl-N-(3-morpholin-4-ylpropyl)-2-oxo-7-(2-phenylethyl)-1,7,9-triazatricyclo[8.4.0.03,8]tetradeca-3(8),4,9,11,13-pentaene-5-carboxamide Chemical compound Cc1cccn2c1nc1n(CCc3ccccc3)c(=N)c(cc1c2=O)C(=O)NCCCN1CCOCC1 RYTGHNMOSCSWJT-UHFFFAOYSA-N 0.000 description 1
- WDYVUKGVKRZQNM-UHFFFAOYSA-N 6-phosphonohexylphosphonic acid Chemical compound OP(O)(=O)CCCCCCP(O)(O)=O WDYVUKGVKRZQNM-UHFFFAOYSA-N 0.000 description 1
- HBAQYPYDRFILMT-UHFFFAOYSA-N 8-[3-(1-cyclopropylpyrazol-4-yl)-1H-pyrazolo[4,3-d]pyrimidin-5-yl]-3-methyl-3,8-diazabicyclo[3.2.1]octan-2-one Chemical class C1(CC1)N1N=CC(=C1)C1=NNC2=C1N=C(N=C2)N1C2C(N(CC1CC2)C)=O HBAQYPYDRFILMT-UHFFFAOYSA-N 0.000 description 1
- DHBDKVFIUNJBCE-UHFFFAOYSA-N 8-oxo-4,5,6,7-tetrahydro-2h-cyclohepta[c]pyrazole-3-carboxamide Chemical compound C1CCCC(=O)C2=C1C(C(=O)N)=NN2 DHBDKVFIUNJBCE-UHFFFAOYSA-N 0.000 description 1
- NGDLSLGHJWNPEB-UHFFFAOYSA-N 8-oxo-n-(pyridin-4-ylmethyl)-4,5,6,7-tetrahydro-2h-cyclohepta[c]pyrazole-3-carboxamide Chemical compound N=1NC(C(CCCC2)=O)=C2C=1C(=O)NCC1=CC=NC=C1 NGDLSLGHJWNPEB-UHFFFAOYSA-N 0.000 description 1
- LRMPWGMFPHYUKX-UHFFFAOYSA-N 9-(2,4-dichlorophenoxy)-n-methoxy-n,1-dimethyl-5,6-dihydro-4h-pyrazolo[4,5]cyclohepta[1,2-d]pyrimidine-3-carboxamide Chemical compound CON(C)C(=O)C1=NN(C)C(C2=N3)=C1CCCC2=CN=C3OC1=CC=C(Cl)C=C1Cl LRMPWGMFPHYUKX-UHFFFAOYSA-N 0.000 description 1
- CMXOEKSOAVFTIY-UHFFFAOYSA-N 9-(4-bromo-2-methoxyanilino)-2-methyl-5,6-dihydro-4h-pyrazolo[3,4]cyclohepta[1,3-d]pyrimidine-3-carboxylic acid;potassium Chemical compound [K].COC1=CC(Br)=CC=C1NC1=NC=C(CCCC2=C(N(C)N=C22)C(O)=O)C2=N1 CMXOEKSOAVFTIY-UHFFFAOYSA-N 0.000 description 1
- WSKIQIUVFDQJSP-UHFFFAOYSA-N 9-(4-bromo-2-methoxyanilino)-5,6-dihydro-4h-[1,2]oxazolo[3,4]cyclohepta[1,3-d]pyrimidine-3-carboxylic acid Chemical compound COC1=CC(Br)=CC=C1NC1=NC=C(CCCC2=C(ON=C22)C(O)=O)C2=N1 WSKIQIUVFDQJSP-UHFFFAOYSA-N 0.000 description 1
- OKOBYNGVLKYOAJ-UHFFFAOYSA-N 9-(4-bromo-2-methoxyanilino)-5,6-dihydro-4h-[1,2]oxazolo[4,5]cyclohepta[1,2-d]pyrimidine-3-carboxylic acid Chemical compound COC1=CC(Br)=CC=C1NC1=NC=C(CCCC2=C3ON=C2C(O)=O)C3=N1 OKOBYNGVLKYOAJ-UHFFFAOYSA-N 0.000 description 1
- NALGWWHXASOBAS-UHFFFAOYSA-N 9-(4-bromophenyl)sulfanyl-n-methoxy-n,1-dimethyl-5,6-dihydro-4h-pyrazolo[4,5]cyclohepta[1,2-d]pyrimidine-3-carboxamide Chemical compound CON(C)C(=O)C1=NN(C)C(C2=N3)=C1CCCC2=CN=C3SC1=CC=C(Br)C=C1 NALGWWHXASOBAS-UHFFFAOYSA-N 0.000 description 1
- SZCCRKLCXLPGLL-UHFFFAOYSA-N 9-[2-methoxy-4-[(1-methylpiperidin-4-yl)carbamoyl]anilino]-1-methyl-5,6-dihydro-4h-pyrazolo[4,5]cyclohepta[1,2-d]pyrimidine-3-carboxylic acid Chemical compound C=1C=C(NC=2N=C3C=4N(C)N=C(C=4CCCC3=CN=2)C(O)=O)C(OC)=CC=1C(=O)NC1CCN(C)CC1 SZCCRKLCXLPGLL-UHFFFAOYSA-N 0.000 description 1
- 208000030507 AIDS Diseases 0.000 description 1
- 102100033793 ALK tyrosine kinase receptor Human genes 0.000 description 1
- 101150064299 AUR1 gene Proteins 0.000 description 1
- 102100036409 Activated CDC42 kinase 1 Human genes 0.000 description 1
- 208000024893 Acute lymphoblastic leukemia Diseases 0.000 description 1
- 208000014697 Acute lymphocytic leukaemia Diseases 0.000 description 1
- 229920001817 Agar Polymers 0.000 description 1
- 101000783817 Agaricus bisporus lectin Proteins 0.000 description 1
- GUBGYTABKSRVRQ-XLOQQCSPSA-N Alpha-Lactose Chemical compound O[C@@H]1[C@@H](O)[C@@H](O)[C@@H](CO)O[C@H]1O[C@@H]1[C@@H](CO)O[C@H](O)[C@H](O)[C@H]1O GUBGYTABKSRVRQ-XLOQQCSPSA-N 0.000 description 1
- 208000024827 Alzheimer disease Diseases 0.000 description 1
- USFZMSVCRYTOJT-UHFFFAOYSA-N Ammonium acetate Chemical compound N.CC(O)=O USFZMSVCRYTOJT-UHFFFAOYSA-N 0.000 description 1
- 239000005695 Ammonium acetate Substances 0.000 description 1
- 208000001446 Anaplastic Thyroid Carcinoma Diseases 0.000 description 1
- 206010002240 Anaplastic thyroid cancer Diseases 0.000 description 1
- 206010002556 Ankylosing Spondylitis Diseases 0.000 description 1
- 101100381333 Arabidopsis thaliana AUR2 gene Proteins 0.000 description 1
- 101000995861 Arabidopsis thaliana Regulatory protein NPR1 Proteins 0.000 description 1
- 208000003950 B-cell lymphoma Diseases 0.000 description 1
- 208000032791 BCR-ABL1 positive chronic myelogenous leukemia Diseases 0.000 description 1
- BVKZGUZCCUSVTD-UHFFFAOYSA-M Bicarbonate Chemical class OC([O-])=O BVKZGUZCCUSVTD-UHFFFAOYSA-M 0.000 description 1
- 206010005003 Bladder cancer Diseases 0.000 description 1
- 108091003079 Bovine Serum Albumin Proteins 0.000 description 1
- COVZYZSDYWQREU-UHFFFAOYSA-N Busulfan Chemical compound CS(=O)(=O)OCCCCOS(C)(=O)=O COVZYZSDYWQREU-UHFFFAOYSA-N 0.000 description 1
- YOWWZQNSYJVCCB-UHFFFAOYSA-N C.CC(=O)OB[Na].CC(=O)OOC(C)=O.CCP.CN.O=CP Chemical compound C.CC(=O)OB[Na].CC(=O)OOC(C)=O.CCP.CN.O=CP YOWWZQNSYJVCCB-UHFFFAOYSA-N 0.000 description 1
- 125000000882 C2-C6 alkenyl group Chemical group 0.000 description 1
- 125000003601 C2-C6 alkynyl group Chemical group 0.000 description 1
- DVPSMAWPIXKEKU-UHFFFAOYSA-N CBr.CN(C)C.CN(C)C(=O)c1c[y]c2c1CCCC1=C2N=C(CC2=CC=CC=C2)N=C1.CN(C)C(=O)c1c[y]c2c1CCCC1=C2N=C(CC2=CC=CC=C2)N=C1.C[RaH].C[RaH].C[Rb].C[Rb].I.I Chemical compound CBr.CN(C)C.CN(C)C(=O)c1c[y]c2c1CCCC1=C2N=C(CC2=CC=CC=C2)N=C1.CN(C)C(=O)c1c[y]c2c1CCCC1=C2N=C(CC2=CC=CC=C2)N=C1.C[RaH].C[RaH].C[Rb].C[Rb].I.I DVPSMAWPIXKEKU-UHFFFAOYSA-N 0.000 description 1
- IMMOPJVGIQGPOK-UHFFFAOYSA-N CC(=O)N(C)C.CC(=O)O.CN(C)C(=O)c1c[y]c2c1CCCC1=C2N=C(CC2=CC=CC=C2)N=C1.CN(C)C(=O)c1c[y]c2c1CCCC1=C2N=C(CC2=CC=CC=C2)N=C1.C[RaH].C[RaH].C[Rb].C[Rb].I.I Chemical compound CC(=O)N(C)C.CC(=O)O.CN(C)C(=O)c1c[y]c2c1CCCC1=C2N=C(CC2=CC=CC=C2)N=C1.CN(C)C(=O)c1c[y]c2c1CCCC1=C2N=C(CC2=CC=CC=C2)N=C1.C[RaH].C[RaH].C[Rb].C[Rb].I.I IMMOPJVGIQGPOK-UHFFFAOYSA-N 0.000 description 1
- KZGKHKFIWKECLZ-UHFFFAOYSA-N CC.CC(=O)O.CN(C)C(=O)c1c[y]c2c1CCCC1=C2N=C(CC2=CC=CC=C2)N=C1.CN(C)C(=O)c1c[y]c2c1CCCC1=C2N=C(CC2=CC=CC=C2)N=C1.C[RaH].C[RaH].C[Rb].C[Rb].I.I Chemical compound CC.CC(=O)O.CN(C)C(=O)c1c[y]c2c1CCCC1=C2N=C(CC2=CC=CC=C2)N=C1.CN(C)C(=O)c1c[y]c2c1CCCC1=C2N=C(CC2=CC=CC=C2)N=C1.C[RaH].C[RaH].C[Rb].C[Rb].I.I KZGKHKFIWKECLZ-UHFFFAOYSA-N 0.000 description 1
- MNOGDKHUVOPKTL-UHFFFAOYSA-N CC.C[RaH].C[Rb].IC1=CC=CC=C1 Chemical compound CC.C[RaH].C[Rb].IC1=CC=CC=C1 MNOGDKHUVOPKTL-UHFFFAOYSA-N 0.000 description 1
- QMPMBVCWXSDDEW-UHFFFAOYSA-N CCC1=CC=CC(CC)=C1CC(=O)C1=NN(C)C2=C1CCCC1=C2N=C(N)N=C1.CCC1=CC=CC(CC)=C1CC(=O)C1=NN(C)C2=C1CCCC1=C2N=C(NC2=C(OC)C=C(C(=O)OC(C)(C)C)C=C2)N=C1 Chemical compound CCC1=CC=CC(CC)=C1CC(=O)C1=NN(C)C2=C1CCCC1=C2N=C(N)N=C1.CCC1=CC=CC(CC)=C1CC(=O)C1=NN(C)C2=C1CCCC1=C2N=C(NC2=C(OC)C=C(C(=O)OC(C)(C)C)C=C2)N=C1 QMPMBVCWXSDDEW-UHFFFAOYSA-N 0.000 description 1
- CYMBTKHUZWBORM-UHFFFAOYSA-N CCC1=CC=CC(CC)=C1CC(=O)C1=NN(C)C2=C1CCCC1=C2N=C(NC2=C(OC)C=C(Br)C=C2)N=C1.CCOC(=O)C1=NN(C)C2=C1CCCC1=C2N=C(NC2=C(OC)C=C(Br)C=C2)N=C1 Chemical compound CCC1=CC=CC(CC)=C1CC(=O)C1=NN(C)C2=C1CCCC1=C2N=C(NC2=C(OC)C=C(Br)C=C2)N=C1.CCOC(=O)C1=NN(C)C2=C1CCCC1=C2N=C(NC2=C(OC)C=C(Br)C=C2)N=C1 CYMBTKHUZWBORM-UHFFFAOYSA-N 0.000 description 1
- MYDIIMQPADUMSV-UHFFFAOYSA-N CCC1=CC=CC(CC)=C1CC(=O)C1=NN(C)C2=C1CCCC1=C2N=C(NC2=C(OC)C=C(C(=O)NC3CCN(C)CC3)C=C2)N=C1.CCC1=CC=CC(CC)=C1CC(=O)C1=NN(C)C2=C1CCCC1=C2N=C(NC2=C(OC)C=C(C(=O)O)C=C2)N=C1 Chemical compound CCC1=CC=CC(CC)=C1CC(=O)C1=NN(C)C2=C1CCCC1=C2N=C(NC2=C(OC)C=C(C(=O)NC3CCN(C)CC3)C=C2)N=C1.CCC1=CC=CC(CC)=C1CC(=O)C1=NN(C)C2=C1CCCC1=C2N=C(NC2=C(OC)C=C(C(=O)O)C=C2)N=C1 MYDIIMQPADUMSV-UHFFFAOYSA-N 0.000 description 1
- HWWRSKABEPJZCG-UHFFFAOYSA-N CCC1=CC=CC(CC)=C1CC(=O)C1=NN(C)C2=C1CCCC1=C2N=C(NC2=C(OC)C=C(C(=O)O)C=C2)N=C1.CCC1=CC=CC(CC)=C1CC(=O)C1=NN(C)C2=C1CCCC1=C2N=C(NC2=C(OC)C=C(C(=O)OC(C)(C)C)C=C2)N=C1 Chemical compound CCC1=CC=CC(CC)=C1CC(=O)C1=NN(C)C2=C1CCCC1=C2N=C(NC2=C(OC)C=C(C(=O)O)C=C2)N=C1.CCC1=CC=CC(CC)=C1CC(=O)C1=NN(C)C2=C1CCCC1=C2N=C(NC2=C(OC)C=C(C(=O)OC(C)(C)C)C=C2)N=C1 HWWRSKABEPJZCG-UHFFFAOYSA-N 0.000 description 1
- CXXGNGNLFCQORA-UHFFFAOYSA-N CCC1=CC=CC(CC)=C1CC(=O)C1=NN(CCN)C2=C1CCCC1=C2N=C(NC2=C(OC)C=C(N3CCC(N(C)C)CC3)C=C2)N=C1.CCC1=CC=CC(CC)=C1CC(=O)C1=NN(CCN2C(=O)C3=C(C=CC=C3)C2=O)C2=C1CCCC1=C2N=C(NC2=C(OC)C=C(N3CCC(N(C)C)CC3)C=C2)N=C1 Chemical compound CCC1=CC=CC(CC)=C1CC(=O)C1=NN(CCN)C2=C1CCCC1=C2N=C(NC2=C(OC)C=C(N3CCC(N(C)C)CC3)C=C2)N=C1.CCC1=CC=CC(CC)=C1CC(=O)C1=NN(CCN2C(=O)C3=C(C=CC=C3)C2=O)C2=C1CCCC1=C2N=C(NC2=C(OC)C=C(N3CCC(N(C)C)CC3)C=C2)N=C1 CXXGNGNLFCQORA-UHFFFAOYSA-N 0.000 description 1
- YAMQZHZHHMUSPG-UHFFFAOYSA-N CCC1=CC=CC(CC)=C1NC(=O)C1=NN(C)C2=C1CCCCC2=O.CCC1=CC=CC(CC)=C1NC(=O)C1=NNC2=C1CCCCC2=O Chemical compound CCC1=CC=CC(CC)=C1NC(=O)C1=NN(C)C2=C1CCCCC2=O.CCC1=CC=CC(CC)=C1NC(=O)C1=NNC2=C1CCCCC2=O YAMQZHZHHMUSPG-UHFFFAOYSA-N 0.000 description 1
- NHPOWWZRUPUZGI-UHFFFAOYSA-N CCC1=CC=CC(CC)=C1NC(=O)C1=NN(CC)C2=C1CCCC1=C2N=C(NC2=C(OC)C=C(N3CCN(C)CC3)C=C2)N=C1.CCC1=CC=CC(CC)=C1NC(=O)C1=NNC2=C1CCCC1=C2N=C(NC2=C(OC)C=C(N3CCN(C)CC3)C=C2)N=C1 Chemical compound CCC1=CC=CC(CC)=C1NC(=O)C1=NN(CC)C2=C1CCCC1=C2N=C(NC2=C(OC)C=C(N3CCN(C)CC3)C=C2)N=C1.CCC1=CC=CC(CC)=C1NC(=O)C1=NNC2=C1CCCC1=C2N=C(NC2=C(OC)C=C(N3CCN(C)CC3)C=C2)N=C1 NHPOWWZRUPUZGI-UHFFFAOYSA-N 0.000 description 1
- HREFSBNYIHOLMZ-UHFFFAOYSA-N CCC1=CC=CC(CC)=C1NC(=O)C1=NN(CC2=CC=C(OC)C=C2)C2=C1CCCC1=C2N=C(NC2=C(OC)C=C(N3CCN(C)CC3)C=C2)N=C1.CCC1=CC=CC(CC)=C1NC(=O)C1=NNC2=C1CCCC1=C2N=C(NC2=C(OC)C=C(N3CCN(C)CC3)C=C2)N=C1 Chemical compound CCC1=CC=CC(CC)=C1NC(=O)C1=NN(CC2=CC=C(OC)C=C2)C2=C1CCCC1=C2N=C(NC2=C(OC)C=C(N3CCN(C)CC3)C=C2)N=C1.CCC1=CC=CC(CC)=C1NC(=O)C1=NNC2=C1CCCC1=C2N=C(NC2=C(OC)C=C(N3CCN(C)CC3)C=C2)N=C1 HREFSBNYIHOLMZ-UHFFFAOYSA-N 0.000 description 1
- FYXSKPFTZROZEL-UHFFFAOYSA-N CCC1=CC=CC(CC)=C1NC(=O)C1=NN(CCN2C(=O)C3=C(C=CC=C3)C2=O)C2=C1CCCC1=C2N=C(NC2=C(OC)C=C(N3CCC(N(C)C)CC3)C=C2)N=C1 Chemical compound CCC1=CC=CC(CC)=C1NC(=O)C1=NN(CCN2C(=O)C3=C(C=CC=C3)C2=O)C2=C1CCCC1=C2N=C(NC2=C(OC)C=C(N3CCC(N(C)C)CC3)C=C2)N=C1 FYXSKPFTZROZEL-UHFFFAOYSA-N 0.000 description 1
- WNFGYLAGEIFXCX-UHFFFAOYSA-N CCC1=CC=CC(CC)=C1NC(=O)C1=NN(CCO)C2=C1CCCC1=C2N=C(NC2=C(OC)C=C(N3CCN(C)CC3)C=C2)N=C1.CCC1=CC=CC(CC)=C1NC(=O)C1=NN(CCOC2CCCCO2)C2=C1CCCC1=C2N=C(NC2=C(OC)C=C(N3CCN(C)CC3)C=C2)N=C1 Chemical compound CCC1=CC=CC(CC)=C1NC(=O)C1=NN(CCO)C2=C1CCCC1=C2N=C(NC2=C(OC)C=C(N3CCN(C)CC3)C=C2)N=C1.CCC1=CC=CC(CC)=C1NC(=O)C1=NN(CCOC2CCCCO2)C2=C1CCCC1=C2N=C(NC2=C(OC)C=C(N3CCN(C)CC3)C=C2)N=C1 WNFGYLAGEIFXCX-UHFFFAOYSA-N 0.000 description 1
- WBTRVOCOVHIRDT-UHFFFAOYSA-N CCC1=CC=CC(CC)=C1NC(=O)C1=NN(CCOC2CCCCO2)C2=C1CCCC1=C2N=C(NC2=CC=C(N3CCC(N(C)C)CC3)C=C2OC)N=C1 Chemical compound CCC1=CC=CC(CC)=C1NC(=O)C1=NN(CCOC2CCCCO2)C2=C1CCCC1=C2N=C(NC2=CC=C(N3CCC(N(C)C)CC3)C=C2OC)N=C1 WBTRVOCOVHIRDT-UHFFFAOYSA-N 0.000 description 1
- UURXFIRHQFQKDZ-UHFFFAOYSA-N CCC1=CC=CC(CC)=C1NC(=O)C1=NNC2=C1CCCCC2=O.CCOC(=O)C1=NNC2=C1CCCCC2=O Chemical compound CCC1=CC=CC(CC)=C1NC(=O)C1=NNC2=C1CCCCC2=O.CCOC(=O)C1=NNC2=C1CCCCC2=O UURXFIRHQFQKDZ-UHFFFAOYSA-N 0.000 description 1
- ONTGRXVTHNHWMJ-UHFFFAOYSA-N CCC1=CC=CC(CC)=C1NC(=O)C1=NNC2=C1CCCCC2=O.O=C(O)C1=NNC2=C1CCCCC2=O Chemical compound CCC1=CC=CC(CC)=C1NC(=O)C1=NNC2=C1CCCCC2=O.O=C(O)C1=NNC2=C1CCCCC2=O ONTGRXVTHNHWMJ-UHFFFAOYSA-N 0.000 description 1
- AJUXOHJDDWOSRD-UHFFFAOYSA-N CCC1=CC=CC=C1CC(=O)C1=NN(C)C2=C1CCCC1=C2N=C(NC2=C(OC)C=C(Br)C=C2)N=C1.CCC1=CC=CC=C1CC(=O)C1=NN(C)C2=C1CCCC1=C2N=C(NC2=C(OC)C=C(N3CCN(C)CC3)C=C2)N=C1 Chemical compound CCC1=CC=CC=C1CC(=O)C1=NN(C)C2=C1CCCC1=C2N=C(NC2=C(OC)C=C(Br)C=C2)N=C1.CCC1=CC=CC=C1CC(=O)C1=NN(C)C2=C1CCCC1=C2N=C(NC2=C(OC)C=C(N3CCN(C)CC3)C=C2)N=C1 AJUXOHJDDWOSRD-UHFFFAOYSA-N 0.000 description 1
- SRXGLUAAGXPNKV-GMOHPMBGSA-N CCOC(=O)/C1=N/N(C)C2=C1CCC/C(=C\N(C)C)C2=O.CCOC(=O)/C1=N/N(C)C2=C1CCCC1=C2N=C(NC2=C(OC)C=C(Br)C=C2)N=C1 Chemical compound CCOC(=O)/C1=N/N(C)C2=C1CCC/C(=C\N(C)C)C2=O.CCOC(=O)/C1=N/N(C)C2=C1CCCC1=C2N=C(NC2=C(OC)C=C(Br)C=C2)N=C1 SRXGLUAAGXPNKV-GMOHPMBGSA-N 0.000 description 1
- IKRSIWRBLMXIIA-UHFFFAOYSA-N CCOC(=O)C(=O)C1CCCCC(OC)(OC)C1=O.CCOC(=O)C1=C2CCCCC(=O)C2=NN1C Chemical compound CCOC(=O)C(=O)C1CCCCC(OC)(OC)C1=O.CCOC(=O)C1=C2CCCCC(=O)C2=NN1C IKRSIWRBLMXIIA-UHFFFAOYSA-N 0.000 description 1
- GLAMSHBPIOBHLU-UHFFFAOYSA-N CCOC(=O)C(=O)C1CCCCC(OC)(OC)C1=O.CCOC(=O)C1=C2CCCCC(=O)C2=NO1.CCOC(=O)C1=NOC2=C1CCCCC2=O Chemical compound CCOC(=O)C(=O)C1CCCCC(OC)(OC)C1=O.CCOC(=O)C1=C2CCCCC(=O)C2=NO1.CCOC(=O)C1=NOC2=C1CCCCC2=O GLAMSHBPIOBHLU-UHFFFAOYSA-N 0.000 description 1
- JLZVPTWFDNOJLC-UHFFFAOYSA-N CCOC(=O)C(=O)C1CCCCC(OC)(OC)C1=O.COC1(OC)CCCCCC1=O Chemical compound CCOC(=O)C(=O)C1CCCCC(OC)(OC)C1=O.COC1(OC)CCCCCC1=O JLZVPTWFDNOJLC-UHFFFAOYSA-N 0.000 description 1
- BMQPIRUSMRUOTD-GMOHPMBGSA-N CCOC(=O)C1=C2CCC/C(=C\N(C)C)C(=O)C2=NN1C.CCOC(=O)C1=C2CCCC3=C(/N=C(SC)\N=C/3)C2=NN1C Chemical compound CCOC(=O)C1=C2CCC/C(=C\N(C)C)C(=O)C2=NN1C.CCOC(=O)C1=C2CCCC3=C(/N=C(SC)\N=C/3)C2=NN1C BMQPIRUSMRUOTD-GMOHPMBGSA-N 0.000 description 1
- UVOPILXJLAOXIS-UHFFFAOYSA-N CCOC(=O)C1=C2CCCC3=C(N=C(NC4=C(OC)C=C(Br)C=C4)N=C3)C2=NN1C.CCOC(=O)C1=NN(C)C2=C1CCCC1=C2N=C(NC2=C(OC)C=C(Br)C=C2)N=C1.CCOC(=O)C1=NNC2=C1CCCC1=C2N=C(NC2=C(OC)C=C(Br)C=C2)N=C1 Chemical compound CCOC(=O)C1=C2CCCC3=C(N=C(NC4=C(OC)C=C(Br)C=C4)N=C3)C2=NN1C.CCOC(=O)C1=NN(C)C2=C1CCCC1=C2N=C(NC2=C(OC)C=C(Br)C=C2)N=C1.CCOC(=O)C1=NNC2=C1CCCC1=C2N=C(NC2=C(OC)C=C(Br)C=C2)N=C1 UVOPILXJLAOXIS-UHFFFAOYSA-N 0.000 description 1
- VZVNTYKCWRJPGE-UHFFFAOYSA-N CCOC(=O)C1=C2CCCC3=C(N=C(NC4=C(OC)C=C(Br)C=C4)N=C3)C2=NN1C.COC1=C(NC2=NC3=C(C=N2)CCCC2=C(C(=O)O)N(C)N=C23)C=CC(Br)=C1 Chemical compound CCOC(=O)C1=C2CCCC3=C(N=C(NC4=C(OC)C=C(Br)C=C4)N=C3)C2=NN1C.COC1=C(NC2=NC3=C(C=N2)CCCC2=C(C(=O)O)N(C)N=C23)C=CC(Br)=C1 VZVNTYKCWRJPGE-UHFFFAOYSA-N 0.000 description 1
- ITBCBPSQOJWDSF-UHFFFAOYSA-N CCOC(=O)C1=C2CCCC3=C(N=C(SC)N=C3)C2=NN1CCO.CSC1=NC2=C(C=N1)CCCC1=C3C(=O)OCCN3N=C12 Chemical compound CCOC(=O)C1=C2CCCC3=C(N=C(SC)N=C3)C2=NN1CCO.CSC1=NC2=C(C=N1)CCCC1=C3C(=O)OCCN3N=C12 ITBCBPSQOJWDSF-UHFFFAOYSA-N 0.000 description 1
- HYXRPSFXIOYZBH-UHFFFAOYSA-N CCOC(=O)C1=C2CCCCC(=O)C2=NN1C.CCOC(=O)C1=NN(C)C2=C1CCCCC2=O.CCOC(=O)C1=NNC2=C1CCCCC2=O Chemical compound CCOC(=O)C1=C2CCCCC(=O)C2=NN1C.CCOC(=O)C1=NN(C)C2=C1CCCCC2=O.CCOC(=O)C1=NNC2=C1CCCCC2=O HYXRPSFXIOYZBH-UHFFFAOYSA-N 0.000 description 1
- IOECHSRPLOGPLX-RRABGKBLSA-N CCOC(=O)C1=NN(C)C2=C1CCC/C(=C\N(C)C)C2=O.CCOC(=O)C1=NN(C)C2=C1CCCC1=C2N=C(N)N=C1 Chemical compound CCOC(=O)C1=NN(C)C2=C1CCC/C(=C\N(C)C)C2=O.CCOC(=O)C1=NN(C)C2=C1CCCC1=C2N=C(N)N=C1 IOECHSRPLOGPLX-RRABGKBLSA-N 0.000 description 1
- POJZDCAWMALVKL-RRABGKBLSA-N CCOC(=O)C1=NN(C)C2=C1CCC/C(=C\N(C)C)C2=O.CCOC(=O)C1=NN(C)C2=C1CCCCC2=O Chemical compound CCOC(=O)C1=NN(C)C2=C1CCC/C(=C\N(C)C)C2=O.CCOC(=O)C1=NN(C)C2=C1CCCCC2=O POJZDCAWMALVKL-RRABGKBLSA-N 0.000 description 1
- JJSWCKCUQFURLO-UHFFFAOYSA-N CCOC(=O)C1=NN(C)C2=C1CCCC1=C2N=C(C2=CC=CC=C2)N=C1.CCOC(=O)C1=NN(C)C2=C1CCCC1=C2N=C(SC)N=C1 Chemical compound CCOC(=O)C1=NN(C)C2=C1CCCC1=C2N=C(C2=CC=CC=C2)N=C1.CCOC(=O)C1=NN(C)C2=C1CCCC1=C2N=C(SC)N=C1 JJSWCKCUQFURLO-UHFFFAOYSA-N 0.000 description 1
- NVBRYFNQYLYUQS-UHFFFAOYSA-N CCOC(=O)C1=NN(C)C2=C1CCCC1=C2N=C(NC2=C(C)C=C(C(=O)NC3CCN(C)CC3)C=C2)N=C1 Chemical compound CCOC(=O)C1=NN(C)C2=C1CCCC1=C2N=C(NC2=C(C)C=C(C(=O)NC3CCN(C)CC3)C=C2)N=C1 NVBRYFNQYLYUQS-UHFFFAOYSA-N 0.000 description 1
- QXWISYMMKGUBAE-UHFFFAOYSA-N CCOC(=O)C1=NN(C)C2=C1CCCC1=C2N=C(NC2=CC=C(N3CCN(C)CC3)C=C2)N=C1.Cl Chemical compound CCOC(=O)C1=NN(C)C2=C1CCCC1=C2N=C(NC2=CC=C(N3CCN(C)CC3)C=C2)N=C1.Cl QXWISYMMKGUBAE-UHFFFAOYSA-N 0.000 description 1
- CYOFBFQTDXIXID-UHFFFAOYSA-N CCOC(=O)C1=NN(C)C2=C1CCCC1=C2N=C(S(C)(=O)=O)N=C1.CCOC(=O)C1=NN(C)C2=C1CCCC1=C2N=C(SC)N=C1 Chemical compound CCOC(=O)C1=NN(C)C2=C1CCCC1=C2N=C(S(C)(=O)=O)N=C1.CCOC(=O)C1=NN(C)C2=C1CCCC1=C2N=C(SC)N=C1 CYOFBFQTDXIXID-UHFFFAOYSA-N 0.000 description 1
- MWNUKLVBLRKHNV-UHFFFAOYSA-N CCOC(=O)C1=NN(C)C2=C1CCCCC2=O.CON(C)C(=O)C1=NN(C)C2=C1CCCCC2=O Chemical compound CCOC(=O)C1=NN(C)C2=C1CCCCC2=O.CON(C)C(=O)C1=NN(C)C2=C1CCCCC2=O MWNUKLVBLRKHNV-UHFFFAOYSA-N 0.000 description 1
- CFWHWFRXWYFXNS-UHFFFAOYSA-N CCOC(=O)C1=NNC2=C1CCCCC2=O.O=C(O)C1=NNC2=C1CCCCC2=O Chemical compound CCOC(=O)C1=NNC2=C1CCCCC2=O.O=C(O)C1=NNC2=C1CCCCC2=O CFWHWFRXWYFXNS-UHFFFAOYSA-N 0.000 description 1
- 102000043139 CK2 family Human genes 0.000 description 1
- 108091054872 CK2 family Proteins 0.000 description 1
- UBQOBXWJSKXQBP-UHFFFAOYSA-N CN(CP)C(=O)C1=NNC2=C1CCCCC2=O Chemical compound CN(CP)C(=O)C1=NNC2=C1CCCCC2=O UBQOBXWJSKXQBP-UHFFFAOYSA-N 0.000 description 1
- FIVWAVYWFJXITG-UHFFFAOYSA-N CN1N=C(C(=O)CC2=CC=CC(C(F)(F)F)=C2)C2=C1C1=C(C=NC(O)=N1)CCC2 Chemical compound CN1N=C(C(=O)CC2=CC=CC(C(F)(F)F)=C2)C2=C1C1=C(C=NC(O)=N1)CCC2 FIVWAVYWFJXITG-UHFFFAOYSA-N 0.000 description 1
- QLKIWGXWAAEWSZ-UHFFFAOYSA-N CN1N=C(C(=O)NCCCN(C)(C)C)C2=C1C1=C(C=NC(NCC3=CC=CC=C3)=N1)CCC2.O=C(O)C(F)(F)F Chemical compound CN1N=C(C(=O)NCCCN(C)(C)C)C2=C1C1=C(C=NC(NCC3=CC=CC=C3)=N1)CCC2.O=C(O)C(F)(F)F QLKIWGXWAAEWSZ-UHFFFAOYSA-N 0.000 description 1
- GJUIQXXMJMYEGH-UHFFFAOYSA-N CN1N=C(C(=O)O)C2=C1C(=O)CCCC2.CON(C)C(=O)C1=NN(C)C2=C1CCCCC2=O Chemical compound CN1N=C(C(=O)O)C2=C1C(=O)CCCC2.CON(C)C(=O)C1=NN(C)C2=C1CCCCC2=O GJUIQXXMJMYEGH-UHFFFAOYSA-N 0.000 description 1
- SIIQNXUPWUTZRC-UHFFFAOYSA-N COC1(OC)CCCCC(C(C)=O)C1=O Chemical compound COC1(OC)CCCCC(C(C)=O)C1=O SIIQNXUPWUTZRC-UHFFFAOYSA-N 0.000 description 1
- JTOYGERPRNIOQU-UHFFFAOYSA-N COC1=C(NC2=NC3=C(C=N2)CCCC2=C(C(=O)NCC4=CC=CC=C4)N(C)N=C23)C=CC(Br)=C1.COC1=C(NC2=NC3=C(C=N2)CCCC2=C(C(=O)O)N(C)N=C23)C=CC(Br)=C1 Chemical compound COC1=C(NC2=NC3=C(C=N2)CCCC2=C(C(=O)NCC4=CC=CC=C4)N(C)N=C23)C=CC(Br)=C1.COC1=C(NC2=NC3=C(C=N2)CCCC2=C(C(=O)O)N(C)N=C23)C=CC(Br)=C1 JTOYGERPRNIOQU-UHFFFAOYSA-N 0.000 description 1
- SXOFGZMUQCHDOG-NQTJOGDRSA-N COC1=C(NC2=NC=C3CCCC4=C(C3=N2)N(C)N=C4C(=O)N[C@H](CN)C2=CC=CC=C2)C=CC(C(=O)NC2CCN(C)CC2)=C1.COC1=C(NC2=NC=C3CCCC4=C(C3=N2)N(C)N=C4C(=O)N[C@H](CNC(=O)OC(C)(C)C)C2=CC=CC=C2)C=CC(C(=O)NC2CCN(C)CC2)=C1.Cl.Cl Chemical compound COC1=C(NC2=NC=C3CCCC4=C(C3=N2)N(C)N=C4C(=O)N[C@H](CN)C2=CC=CC=C2)C=CC(C(=O)NC2CCN(C)CC2)=C1.COC1=C(NC2=NC=C3CCCC4=C(C3=N2)N(C)N=C4C(=O)N[C@H](CNC(=O)OC(C)(C)C)C2=CC=CC=C2)C=CC(C(=O)NC2CCN(C)CC2)=C1.Cl.Cl SXOFGZMUQCHDOG-NQTJOGDRSA-N 0.000 description 1
- QXEAOXVCLKMHFQ-UHFFFAOYSA-N COC1=NC2=C(C=N1)CCCC1=C2N(C)N=C1C(=O)N(C)OC.COC1=NC2=C(C=N1)CCCC1=C2N(C)N=C1C(=O)O Chemical compound COC1=NC2=C(C=N1)CCCC1=C2N(C)N=C1C(=O)N(C)OC.COC1=NC2=C(C=N1)CCCC1=C2N(C)N=C1C(=O)O QXEAOXVCLKMHFQ-UHFFFAOYSA-N 0.000 description 1
- YLLHMBQUYMOLPD-GMOHPMBGSA-N COC1=NC2=C(C=N1)CCCC1=C2N(C)N=C1C(=O)N(C)OC.CON(C)C(=O)C1=NN(C)C2=C1CCC/C(=C\N(C)C)C2=O Chemical compound COC1=NC2=C(C=N1)CCCC1=C2N(C)N=C1C(=O)N(C)OC.CON(C)C(=O)C1=NN(C)C2=C1CCC/C(=C\N(C)C)C2=O YLLHMBQUYMOLPD-GMOHPMBGSA-N 0.000 description 1
- LUWSENDSKGONHM-UHFFFAOYSA-N COC1=NC2=C(C=N1)CCCC1=C2N(C)N=C1C(=O)N(C)OC.CON(C)C(=O)C1=NN(C)C2=C1CCCC1=C2N=C(O)N=C1 Chemical compound COC1=NC2=C(C=N1)CCCC1=C2N(C)N=C1C(=O)N(C)OC.CON(C)C(=O)C1=NN(C)C2=C1CCCC1=C2N=C(O)N=C1 LUWSENDSKGONHM-UHFFFAOYSA-N 0.000 description 1
- LPZCNVYLNDRYNX-UHFFFAOYSA-N COCCCCP.COCCN(CP)C(=O)C1=NNC2=C1CCCCC2=O.O=C(O)C1=NNC2=C1CCCCC2=O Chemical compound COCCCCP.COCCN(CP)C(=O)C1=NNC2=C1CCCCC2=O.O=C(O)C1=NNC2=C1CCCCC2=O LPZCNVYLNDRYNX-UHFFFAOYSA-N 0.000 description 1
- ARIPQFRFZMDDDH-VHPXAQPISA-N COCCN(CP)C(=O)C1=NN(C)C2=C1CCC/C(=C\N(C)C)C2=O.COCCN(CP)C(=O)C1=NN(C)C2=C1CCCCC2=O Chemical compound COCCN(CP)C(=O)C1=NN(C)C2=C1CCC/C(=C\N(C)C)C2=O.COCCN(CP)C(=O)C1=NN(C)C2=C1CCCCC2=O ARIPQFRFZMDDDH-VHPXAQPISA-N 0.000 description 1
- MUDMUKYWYCYVCA-XIKQHSBTSA-N COCCN(CP)C(=O)C1=NN(C)C2=C1CCC/C(=C\N(C)C)C2=O.COCCN(CP)C(=O)C1=NNC2=C1CCCC1=C2N=C(NC2=CC(C(F)(F)F)=CC=C2)N=C1 Chemical compound COCCN(CP)C(=O)C1=NN(C)C2=C1CCC/C(=C\N(C)C)C2=O.COCCN(CP)C(=O)C1=NNC2=C1CCCC1=C2N=C(NC2=CC(C(F)(F)F)=CC=C2)N=C1 MUDMUKYWYCYVCA-XIKQHSBTSA-N 0.000 description 1
- NTIQHHXNUKDZKQ-UHFFFAOYSA-N COCCN(CP)C(=O)C1=NN(C)C2=C1CCCCC2=O.COCCN(CP)C(=O)C1=NNC2=C1CCCCC2=O Chemical compound COCCN(CP)C(=O)C1=NN(C)C2=C1CCCCC2=O.COCCN(CP)C(=O)C1=NNC2=C1CCCCC2=O NTIQHHXNUKDZKQ-UHFFFAOYSA-N 0.000 description 1
- NEGRVEHEDKYOBQ-UHFFFAOYSA-N COCCN(CP)C(=O)C1=NNC2=C1CCCC1=C2N=C(NC2=CC(C(F)(F)F)=CC=C2)N=C1.COCCNC(=O)C1=NNC2=C1CCCC1=C2N=C(NC2=CC(C(F)(F)F)=CC=C2)N=C1 Chemical compound COCCN(CP)C(=O)C1=NNC2=C1CCCC1=C2N=C(NC2=CC(C(F)(F)F)=CC=C2)N=C1.COCCNC(=O)C1=NNC2=C1CCCC1=C2N=C(NC2=CC(C(F)(F)F)=CC=C2)N=C1 NEGRVEHEDKYOBQ-UHFFFAOYSA-N 0.000 description 1
- VAFJSOHYIGIUEY-UHFFFAOYSA-N CON(C)C(=O)C1=NN(C)C2=C1CCCC1=C2N=C(C2=CC=CC=C2)N=C1.CON(C)C(=O)C1=NN(C)C2=C1CCCC1=C2N=C(OS(=O)(=O)C(F)(F)F)N=C1 Chemical compound CON(C)C(=O)C1=NN(C)C2=C1CCCC1=C2N=C(C2=CC=CC=C2)N=C1.CON(C)C(=O)C1=NN(C)C2=C1CCCC1=C2N=C(OS(=O)(=O)C(F)(F)F)N=C1 VAFJSOHYIGIUEY-UHFFFAOYSA-N 0.000 description 1
- IYELEVAZCOVXFK-UHFFFAOYSA-N CON(C)C(=O)C1=NN(C)C2=C1CCCC1=C2N=C(I)N=C1.CON(C)C(=O)C1=NN(C)C2=C1CCCC1=C2N=C(N)N=C1 Chemical compound CON(C)C(=O)C1=NN(C)C2=C1CCCC1=C2N=C(I)N=C1.CON(C)C(=O)C1=NN(C)C2=C1CCCC1=C2N=C(N)N=C1 IYELEVAZCOVXFK-UHFFFAOYSA-N 0.000 description 1
- RNXPHMJNJFCDDP-UHFFFAOYSA-N CON(C)C(=O)C1=NN(C)C2=C1CCCC1=C2N=C(I)N=C1.CON(C)C(=O)C1=NN(C)C2=C1CCCC1=C2N=C(NC2=CC=C(CN3CCCCC3)C=C2)N=C1 Chemical compound CON(C)C(=O)C1=NN(C)C2=C1CCCC1=C2N=C(I)N=C1.CON(C)C(=O)C1=NN(C)C2=C1CCCC1=C2N=C(NC2=CC=C(CN3CCCCC3)C=C2)N=C1 RNXPHMJNJFCDDP-UHFFFAOYSA-N 0.000 description 1
- PSJBVLGHQIKURF-UHFFFAOYSA-N CON(C)C(=O)C1=NN(C)C2=C1CCCC1=C2N=C(NC2=CC=C(N3CCOCC3)C=C2)N=C1.CON(C)C(=O)C1=NN(C)C2=C1CCCC1=C2N=C(OS(=O)(=O)C(F)(F)F)N=C1 Chemical compound CON(C)C(=O)C1=NN(C)C2=C1CCCC1=C2N=C(NC2=CC=C(N3CCOCC3)C=C2)N=C1.CON(C)C(=O)C1=NN(C)C2=C1CCCC1=C2N=C(OS(=O)(=O)C(F)(F)F)N=C1 PSJBVLGHQIKURF-UHFFFAOYSA-N 0.000 description 1
- ROLJDEDBHHDBEU-UHFFFAOYSA-N CON(C)C(=O)C1=NN(C)C2=C1CCCC1=C2N=C(O)N=C1.CON(C)C(=O)C1=NN(C)C2=C1CCCC1=C2N=C(OS(=O)(=O)C(F)(F)F)N=C1 Chemical compound CON(C)C(=O)C1=NN(C)C2=C1CCCC1=C2N=C(O)N=C1.CON(C)C(=O)C1=NN(C)C2=C1CCCC1=C2N=C(OS(=O)(=O)C(F)(F)F)N=C1 ROLJDEDBHHDBEU-UHFFFAOYSA-N 0.000 description 1
- XXILRLVSKFCSGP-UHFFFAOYSA-N CON(C)C(=O)C1=NN(C)C2=C1CCCC1=C2N=C(OC2=CC=C(Cl)C=C2Cl)N=C1.CON(C)C(=O)C1=NN(C)C2=C1CCCC1=C2N=C(OS(=O)(=O)C(F)(F)F)N=C1 Chemical compound CON(C)C(=O)C1=NN(C)C2=C1CCCC1=C2N=C(OC2=CC=C(Cl)C=C2Cl)N=C1.CON(C)C(=O)C1=NN(C)C2=C1CCCC1=C2N=C(OS(=O)(=O)C(F)(F)F)N=C1 XXILRLVSKFCSGP-UHFFFAOYSA-N 0.000 description 1
- UFAOCFCKPWKQTO-UHFFFAOYSA-N CON(C)C(=O)C1=NN(C)C2=C1CCCC1=C2N=C(OS(=O)(=O)C(F)(F)F)N=C1.CON(C)C(=O)C1=NN(C)C2=C1CCCC1=C2N=C(SC2=CC=C(Br)C=C2)N=C1 Chemical compound CON(C)C(=O)C1=NN(C)C2=C1CCCC1=C2N=C(OS(=O)(=O)C(F)(F)F)N=C1.CON(C)C(=O)C1=NN(C)C2=C1CCCC1=C2N=C(SC2=CC=C(Br)C=C2)N=C1 UFAOCFCKPWKQTO-UHFFFAOYSA-N 0.000 description 1
- 101100439046 Caenorhabditis elegans cdk-2 gene Proteins 0.000 description 1
- 239000004215 Carbon black (E152) Substances 0.000 description 1
- 201000009030 Carcinoma Diseases 0.000 description 1
- ZEOWTGPWHLSLOG-UHFFFAOYSA-N Cc1ccc(cc1-c1ccc2c(n[nH]c2c1)-c1cnn(c1)C1CC1)C(=O)Nc1cccc(c1)C(F)(F)F Chemical compound Cc1ccc(cc1-c1ccc2c(n[nH]c2c1)-c1cnn(c1)C1CC1)C(=O)Nc1cccc(c1)C(F)(F)F ZEOWTGPWHLSLOG-UHFFFAOYSA-N 0.000 description 1
- 102100034744 Cell division cycle 7-related protein kinase Human genes 0.000 description 1
- 102000009410 Chemokine receptor Human genes 0.000 description 1
- 108050000299 Chemokine receptor Proteins 0.000 description 1
- KZBUYRJDOAKODT-UHFFFAOYSA-N Chlorine Chemical compound ClCl KZBUYRJDOAKODT-UHFFFAOYSA-N 0.000 description 1
- WBYWAXJHAXSJNI-SREVYHEPSA-N Cinnamic acid Chemical compound OC(=O)\C=C/C1=CC=CC=C1 WBYWAXJHAXSJNI-SREVYHEPSA-N 0.000 description 1
- 206010009900 Colitis ulcerative Diseases 0.000 description 1
- 229920002261 Corn starch Polymers 0.000 description 1
- 208000011231 Crohn disease Diseases 0.000 description 1
- 108010024986 Cyclin-Dependent Kinase 2 Proteins 0.000 description 1
- 102100032857 Cyclin-dependent kinase 1 Human genes 0.000 description 1
- 101710106279 Cyclin-dependent kinase 1 Proteins 0.000 description 1
- 102100036239 Cyclin-dependent kinase 2 Human genes 0.000 description 1
- 102100033270 Cyclin-dependent kinase inhibitor 1 Human genes 0.000 description 1
- PMPVIKIVABFJJI-UHFFFAOYSA-N Cyclobutane Chemical compound C1CCC1 PMPVIKIVABFJJI-UHFFFAOYSA-N 0.000 description 1
- FBPFZTCFMRRESA-FSIIMWSLSA-N D-Glucitol Natural products OC[C@H](O)[C@H](O)[C@@H](O)[C@H](O)CO FBPFZTCFMRRESA-FSIIMWSLSA-N 0.000 description 1
- IGXWBGJHJZYPQS-SSDOTTSWSA-N D-Luciferin Chemical compound OC(=O)[C@H]1CSC(C=2SC3=CC=C(O)C=C3N=2)=N1 IGXWBGJHJZYPQS-SSDOTTSWSA-N 0.000 description 1
- FBPFZTCFMRRESA-KVTDHHQDSA-N D-Mannitol Chemical compound OC[C@@H](O)[C@@H](O)[C@H](O)[C@H](O)CO FBPFZTCFMRRESA-KVTDHHQDSA-N 0.000 description 1
- FBPFZTCFMRRESA-JGWLITMVSA-N D-glucitol Chemical compound OC[C@H](O)[C@@H](O)[C@H](O)[C@H](O)CO FBPFZTCFMRRESA-JGWLITMVSA-N 0.000 description 1
- 101000876610 Dictyostelium discoideum Extracellular signal-regulated kinase 2 Proteins 0.000 description 1
- 206010013554 Diverticulum Diseases 0.000 description 1
- 108700035490 EC 2.7.11.- Proteins 0.000 description 1
- 102000054300 EC 2.7.11.- Human genes 0.000 description 1
- 239000006145 Eagle's minimal essential medium Substances 0.000 description 1
- LVGKNOAMLMIIKO-UHFFFAOYSA-N Elaidinsaeure-aethylester Natural products CCCCCCCCC=CCCCCCCCC(=O)OCC LVGKNOAMLMIIKO-UHFFFAOYSA-N 0.000 description 1
- 108010055196 EphA2 Receptor Proteins 0.000 description 1
- 102100030340 Ephrin type-A receptor 2 Human genes 0.000 description 1
- 102100031983 Ephrin type-B receptor 4 Human genes 0.000 description 1
- 208000000461 Esophageal Neoplasms Diseases 0.000 description 1
- 241000206602 Eukaryota Species 0.000 description 1
- 102100021808 Eukaryotic elongation factor 2 kinase Human genes 0.000 description 1
- 102100034174 Eukaryotic translation initiation factor 2-alpha kinase 3 Human genes 0.000 description 1
- 201000006107 Familial adenomatous polyposis Diseases 0.000 description 1
- 102100023593 Fibroblast growth factor receptor 1 Human genes 0.000 description 1
- 101710182386 Fibroblast growth factor receptor 1 Proteins 0.000 description 1
- 201000008808 Fibrosarcoma Diseases 0.000 description 1
- PXGOKWXKJXAPGV-UHFFFAOYSA-N Fluorine Chemical compound FF PXGOKWXKJXAPGV-UHFFFAOYSA-N 0.000 description 1
- 102100037813 Focal adhesion kinase 1 Human genes 0.000 description 1
- 101100273645 Gallus gallus CCNA2 gene Proteins 0.000 description 1
- 239000001828 Gelatine Substances 0.000 description 1
- 101100297762 Gibberella zeae (strain ATCC MYA-4620 / CBS 123657 / FGSC 9075 / NRRL 31084 / PH-1) PKS12 gene Proteins 0.000 description 1
- WQZGKKKJIJFFOK-GASJEMHNSA-N Glucose Natural products OC[C@H]1OC(O)[C@H](O)[C@@H](O)[C@@H]1O WQZGKKKJIJFFOK-GASJEMHNSA-N 0.000 description 1
- 102000019058 Glycogen Synthase Kinase 3 beta Human genes 0.000 description 1
- 108010051975 Glycogen Synthase Kinase 3 beta Proteins 0.000 description 1
- AEMRFAOFKBGASW-UHFFFAOYSA-N Glycolic acid Chemical compound OCC(O)=O AEMRFAOFKBGASW-UHFFFAOYSA-N 0.000 description 1
- 101150017137 Haspin gene Proteins 0.000 description 1
- 102100026122 High affinity immunoglobulin gamma Fc receptor I Human genes 0.000 description 1
- 102100035108 High affinity nerve growth factor receptor Human genes 0.000 description 1
- 208000017604 Hodgkin disease Diseases 0.000 description 1
- 208000021519 Hodgkin lymphoma Diseases 0.000 description 1
- 208000010747 Hodgkins lymphoma Diseases 0.000 description 1
- 241000282412 Homo Species 0.000 description 1
- 101000600756 Homo sapiens 3-phosphoinositide-dependent protein kinase 1 Proteins 0.000 description 1
- 101000779641 Homo sapiens ALK tyrosine kinase receptor Proteins 0.000 description 1
- 101000928956 Homo sapiens Activated CDC42 kinase 1 Proteins 0.000 description 1
- 101000945740 Homo sapiens Cell division cycle 7-related protein kinase Proteins 0.000 description 1
- 101000895759 Homo sapiens Eukaryotic elongation factor 2 kinase Proteins 0.000 description 1
- 101100066427 Homo sapiens FCGR1A gene Proteins 0.000 description 1
- 101000878536 Homo sapiens Focal adhesion kinase 1 Proteins 0.000 description 1
- 101000596894 Homo sapiens High affinity nerve growth factor receptor Proteins 0.000 description 1
- 101001000302 Homo sapiens Max-interacting protein 1 Proteins 0.000 description 1
- 101000588130 Homo sapiens Microsomal triglyceride transfer protein large subunit Proteins 0.000 description 1
- 101001052493 Homo sapiens Mitogen-activated protein kinase 1 Proteins 0.000 description 1
- 101000794228 Homo sapiens Mitotic checkpoint serine/threonine-protein kinase BUB1 beta Proteins 0.000 description 1
- 101000957259 Homo sapiens Mitotic spindle assembly checkpoint protein MAD2A Proteins 0.000 description 1
- 101000692455 Homo sapiens Platelet-derived growth factor receptor beta Proteins 0.000 description 1
- 101000721172 Homo sapiens Protein DBF4 homolog A Proteins 0.000 description 1
- 101001051767 Homo sapiens Protein kinase C beta type Proteins 0.000 description 1
- 101000606502 Homo sapiens Protein-tyrosine kinase 6 Proteins 0.000 description 1
- 101000686031 Homo sapiens Proto-oncogene tyrosine-protein kinase ROS Proteins 0.000 description 1
- 101000579425 Homo sapiens Proto-oncogene tyrosine-protein kinase receptor Ret Proteins 0.000 description 1
- 101000779418 Homo sapiens RAC-alpha serine/threonine-protein kinase Proteins 0.000 description 1
- 101000701393 Homo sapiens Serine/threonine-protein kinase 26 Proteins 0.000 description 1
- 101000777293 Homo sapiens Serine/threonine-protein kinase Chk1 Proteins 0.000 description 1
- 101001059454 Homo sapiens Serine/threonine-protein kinase MARK2 Proteins 0.000 description 1
- 101000600885 Homo sapiens Serine/threonine-protein kinase NIM1 Proteins 0.000 description 1
- 101000588540 Homo sapiens Serine/threonine-protein kinase Nek6 Proteins 0.000 description 1
- 101000987297 Homo sapiens Serine/threonine-protein kinase PAK 4 Proteins 0.000 description 1
- 101000637847 Homo sapiens Serine/threonine-protein kinase tousled-like 2 Proteins 0.000 description 1
- 101000823316 Homo sapiens Tyrosine-protein kinase ABL1 Proteins 0.000 description 1
- 101000997835 Homo sapiens Tyrosine-protein kinase JAK1 Proteins 0.000 description 1
- 101000997832 Homo sapiens Tyrosine-protein kinase JAK2 Proteins 0.000 description 1
- 101000934996 Homo sapiens Tyrosine-protein kinase JAK3 Proteins 0.000 description 1
- 101001047681 Homo sapiens Tyrosine-protein kinase Lck Proteins 0.000 description 1
- 101001054878 Homo sapiens Tyrosine-protein kinase Lyn Proteins 0.000 description 1
- 101000818543 Homo sapiens Tyrosine-protein kinase ZAP-70 Proteins 0.000 description 1
- 101000851007 Homo sapiens Vascular endothelial growth factor receptor 2 Proteins 0.000 description 1
- 101000851030 Homo sapiens Vascular endothelial growth factor receptor 3 Proteins 0.000 description 1
- 101001117146 Homo sapiens [Pyruvate dehydrogenase (acetyl-transferring)] kinase isozyme 1, mitochondrial Proteins 0.000 description 1
- 208000023105 Huntington disease Diseases 0.000 description 1
- 206010020751 Hypersensitivity Diseases 0.000 description 1
- WRYCSMQKUKOKBP-UHFFFAOYSA-N Imidazolidine Chemical compound C1CNCN1 WRYCSMQKUKOKBP-UHFFFAOYSA-N 0.000 description 1
- 101710205525 Inhibitor of nuclear factor kappa-B kinase subunit beta Proteins 0.000 description 1
- 102100021854 Inhibitor of nuclear factor kappa-B kinase subunit beta Human genes 0.000 description 1
- 208000003456 Juvenile Arthritis Diseases 0.000 description 1
- 206010059176 Juvenile idiopathic arthritis Diseases 0.000 description 1
- 208000007766 Kaposi sarcoma Diseases 0.000 description 1
- 238000005577 Kumada cross-coupling reaction Methods 0.000 description 1
- GUBGYTABKSRVRQ-QKKXKWKRSA-N Lactose Natural products OC[C@H]1O[C@@H](O[C@H]2[C@H](O)[C@@H](O)C(O)O[C@@H]2CO)[C@H](O)[C@@H](O)[C@H]1O GUBGYTABKSRVRQ-QKKXKWKRSA-N 0.000 description 1
- 108060001084 Luciferase Proteins 0.000 description 1
- 239000005089 Luciferase Substances 0.000 description 1
- 102100034069 MAP kinase-activated protein kinase 2 Human genes 0.000 description 1
- 102100033610 MAP kinase-interacting serine/threonine-protein kinase 2 Human genes 0.000 description 1
- 101710138999 MAP kinase-interacting serine/threonine-protein kinase 2 Proteins 0.000 description 1
- 108010041955 MAP-kinase-activated kinase 2 Proteins 0.000 description 1
- 101150062333 MPS1 gene Proteins 0.000 description 1
- FYYHWMGAXLPEAU-UHFFFAOYSA-N Magnesium Chemical compound [Mg] FYYHWMGAXLPEAU-UHFFFAOYSA-N 0.000 description 1
- OFOBLEOULBTSOW-UHFFFAOYSA-N Malonic acid Chemical compound OC(=O)CC(O)=O OFOBLEOULBTSOW-UHFFFAOYSA-N 0.000 description 1
- 229930195725 Mannitol Natural products 0.000 description 1
- 102100024299 Maternal embryonic leucine zipper kinase Human genes 0.000 description 1
- 101710154611 Maternal embryonic leucine zipper kinase Proteins 0.000 description 1
- 208000000172 Medulloblastoma Diseases 0.000 description 1
- 206010027476 Metastases Diseases 0.000 description 1
- 102100024193 Mitogen-activated protein kinase 1 Human genes 0.000 description 1
- 102100026907 Mitogen-activated protein kinase kinase kinase 8 Human genes 0.000 description 1
- 102100030144 Mitotic checkpoint serine/threonine-protein kinase BUB1 beta Human genes 0.000 description 1
- 102100038792 Mitotic spindle assembly checkpoint protein MAD2A Human genes 0.000 description 1
- 241000699670 Mus sp. Species 0.000 description 1
- 201000003793 Myelodysplastic syndrome Diseases 0.000 description 1
- 208000033761 Myelogenous Chronic BCR-ABL Positive Leukemia Diseases 0.000 description 1
- SECXISVLQFMRJM-UHFFFAOYSA-N N-Methylpyrrolidone Chemical compound CN1CCCC1=O SECXISVLQFMRJM-UHFFFAOYSA-N 0.000 description 1
- ZDZOTLJHXYCWBA-VCVYQWHSSA-N N-debenzoyl-N-(tert-butoxycarbonyl)-10-deacetyltaxol Chemical compound O([C@H]1[C@H]2[C@@](C([C@H](O)C3=C(C)[C@@H](OC(=O)[C@H](O)[C@@H](NC(=O)OC(C)(C)C)C=4C=CC=CC=4)C[C@]1(O)C3(C)C)=O)(C)[C@@H](O)C[C@H]1OC[C@]12OC(=O)C)C(=O)C1=CC=CC=C1 ZDZOTLJHXYCWBA-VCVYQWHSSA-N 0.000 description 1
- AXLRNASHFCVJIT-UHFFFAOYSA-N N-methoxy-N,2-dimethyl-8-oxo-4,5,6,7-tetrahydrocyclohepta[c]pyrazole-3-carboxamide N-methoxy-N-methyl-8-oxo-4,5,6,7-tetrahydro-2H-cyclohepta[c]pyrazole-3-carboxamide Chemical compound CON(C(=O)C=1C2=C(NN1)C(CCCC2)=O)C.CON(C(=O)C2=C1C(=NN2C)C(CCCC1)=O)C AXLRNASHFCVJIT-UHFFFAOYSA-N 0.000 description 1
- 229910017852 NH2NH2 Inorganic materials 0.000 description 1
- 238000005481 NMR spectroscopy Methods 0.000 description 1
- 229910019501 NaVO3 Inorganic materials 0.000 description 1
- 238000006411 Negishi coupling reaction Methods 0.000 description 1
- 206010029260 Neuroblastoma Diseases 0.000 description 1
- GRYLNZFGIOXLOG-UHFFFAOYSA-N Nitric acid Chemical compound O[N+]([O-])=O GRYLNZFGIOXLOG-UHFFFAOYSA-N 0.000 description 1
- KYRVNWMVYQXFEU-UHFFFAOYSA-N Nocodazole Chemical compound C1=C2NC(NC(=O)OC)=NC2=CC=C1C(=O)C1=CC=CS1 KYRVNWMVYQXFEU-UHFFFAOYSA-N 0.000 description 1
- 208000015914 Non-Hodgkin lymphomas Diseases 0.000 description 1
- MUBZPKHOEPUJKR-UHFFFAOYSA-N Oxalic acid Chemical compound OC(=O)C(O)=O MUBZPKHOEPUJKR-UHFFFAOYSA-N 0.000 description 1
- 108091008010 PERKs Proteins 0.000 description 1
- 206010033645 Pancreatitis Diseases 0.000 description 1
- 208000018737 Parkinson disease Diseases 0.000 description 1
- 206010057249 Phagocytosis Diseases 0.000 description 1
- NBIIXXVUZAFLBC-UHFFFAOYSA-N Phosphoric acid Chemical compound OP(O)(O)=O NBIIXXVUZAFLBC-UHFFFAOYSA-N 0.000 description 1
- 206010035226 Plasma cell myeloma Diseases 0.000 description 1
- 102100026547 Platelet-derived growth factor receptor beta Human genes 0.000 description 1
- 239000002202 Polyethylene glycol Substances 0.000 description 1
- 229920001214 Polysorbate 60 Polymers 0.000 description 1
- 239000004372 Polyvinyl alcohol Substances 0.000 description 1
- ZLMJMSJWJFRBEC-UHFFFAOYSA-N Potassium Chemical compound [K] ZLMJMSJWJFRBEC-UHFFFAOYSA-N 0.000 description 1
- 206010060862 Prostate cancer Diseases 0.000 description 1
- 102100025198 Protein DBF4 homolog A Human genes 0.000 description 1
- 102000001708 Protein Isoforms Human genes 0.000 description 1
- 108010029485 Protein Isoforms Proteins 0.000 description 1
- 102100024923 Protein kinase C beta type Human genes 0.000 description 1
- 108090000412 Protein-Tyrosine Kinases Proteins 0.000 description 1
- 102000004022 Protein-Tyrosine Kinases Human genes 0.000 description 1
- 102100039810 Protein-tyrosine kinase 6 Human genes 0.000 description 1
- 108700020978 Proto-Oncogene Proteins 0.000 description 1
- 102000052575 Proto-Oncogene Human genes 0.000 description 1
- 108010017121 Proto-Oncogene Proteins c-pim-1 Proteins 0.000 description 1
- 102000004433 Proto-Oncogene Proteins c-pim-1 Human genes 0.000 description 1
- 102100023347 Proto-oncogene tyrosine-protein kinase ROS Human genes 0.000 description 1
- 102100028286 Proto-oncogene tyrosine-protein kinase receptor Ret Human genes 0.000 description 1
- 101710113459 RAC-alpha serine/threonine-protein kinase Proteins 0.000 description 1
- 238000012228 RNA interference-mediated gene silencing Methods 0.000 description 1
- 108091030071 RNAI Proteins 0.000 description 1
- 239000012980 RPMI-1640 medium Substances 0.000 description 1
- 108091006627 SLC12A9 Proteins 0.000 description 1
- 206010039710 Scleroderma Diseases 0.000 description 1
- 201000010208 Seminoma Diseases 0.000 description 1
- 102100030617 Serine/threonine-protein kinase 26 Human genes 0.000 description 1
- 102100031081 Serine/threonine-protein kinase Chk1 Human genes 0.000 description 1
- 102100028904 Serine/threonine-protein kinase MARK2 Human genes 0.000 description 1
- 102100037345 Serine/threonine-protein kinase NIM1 Human genes 0.000 description 1
- 102100031401 Serine/threonine-protein kinase Nek6 Human genes 0.000 description 1
- 102100027940 Serine/threonine-protein kinase PAK 4 Human genes 0.000 description 1
- 102100031463 Serine/threonine-protein kinase PLK1 Human genes 0.000 description 1
- 102100032014 Serine/threonine-protein kinase tousled-like 2 Human genes 0.000 description 1
- 206010041067 Small cell lung cancer Diseases 0.000 description 1
- KEAYESYHFKHZAL-UHFFFAOYSA-N Sodium Chemical compound [Na] KEAYESYHFKHZAL-UHFFFAOYSA-N 0.000 description 1
- 235000021355 Stearic acid Nutrition 0.000 description 1
- 238000006619 Stille reaction Methods 0.000 description 1
- 208000005718 Stomach Neoplasms Diseases 0.000 description 1
- NINIDFKCEFEMDL-UHFFFAOYSA-N Sulfur Chemical group [S] NINIDFKCEFEMDL-UHFFFAOYSA-N 0.000 description 1
- QAOWNCQODCNURD-UHFFFAOYSA-N Sulfuric acid Chemical compound OS(O)(=O)=O QAOWNCQODCNURD-UHFFFAOYSA-N 0.000 description 1
- 101150110875 Syk gene Proteins 0.000 description 1
- 201000009594 Systemic Scleroderma Diseases 0.000 description 1
- 206010042953 Systemic sclerosis Diseases 0.000 description 1
- 206010042971 T-cell lymphoma Diseases 0.000 description 1
- 208000027585 T-cell non-Hodgkin lymphoma Diseases 0.000 description 1
- FEWJPZIEWOKRBE-UHFFFAOYSA-N Tartaric Acid Chemical compound [H+].[H+].[O-]C(=O)C(O)C(O)C([O-])=O FEWJPZIEWOKRBE-UHFFFAOYSA-N 0.000 description 1
- 206010052779 Transplant rejections Diseases 0.000 description 1
- 102100022596 Tyrosine-protein kinase ABL1 Human genes 0.000 description 1
- 102100033438 Tyrosine-protein kinase JAK1 Human genes 0.000 description 1
- 102100033444 Tyrosine-protein kinase JAK2 Human genes 0.000 description 1
- 102100025387 Tyrosine-protein kinase JAK3 Human genes 0.000 description 1
- 102100024036 Tyrosine-protein kinase Lck Human genes 0.000 description 1
- 102100026857 Tyrosine-protein kinase Lyn Human genes 0.000 description 1
- 102100021125 Tyrosine-protein kinase ZAP-70 Human genes 0.000 description 1
- 201000006704 Ulcerative Colitis Diseases 0.000 description 1
- 102100033177 Vascular endothelial growth factor receptor 2 Human genes 0.000 description 1
- 102100033179 Vascular endothelial growth factor receptor 3 Human genes 0.000 description 1
- 206010047115 Vasculitis Diseases 0.000 description 1
- JXLYSJRDGCGARV-WWYNWVTFSA-N Vinblastine Natural products O=C(O[C@H]1[C@](O)(C(=O)OC)[C@@H]2N(C)c3c(cc(c(OC)c3)[C@]3(C(=O)OC)c4[nH]c5c(c4CCN4C[C@](O)(CC)C[C@H](C3)C4)cccc5)[C@@]32[C@H]2[C@@]1(CC)C=CCN2CC3)C JXLYSJRDGCGARV-WWYNWVTFSA-N 0.000 description 1
- 229940122803 Vinca alkaloid Drugs 0.000 description 1
- 108020005202 Viral DNA Proteins 0.000 description 1
- 241000700605 Viruses Species 0.000 description 1
- 206010047642 Vitiligo Diseases 0.000 description 1
- 239000003875 Wang resin Substances 0.000 description 1
- 201000006083 Xeroderma Pigmentosum Diseases 0.000 description 1
- NERFNHBZJXXFGY-UHFFFAOYSA-N [4-[(4-methylphenyl)methoxy]phenyl]methanol Chemical compound C1=CC(C)=CC=C1COC1=CC=C(CO)C=C1 NERFNHBZJXXFGY-UHFFFAOYSA-N 0.000 description 1
- 230000001594 aberrant effect Effects 0.000 description 1
- 235000010489 acacia gum Nutrition 0.000 description 1
- 239000001785 acacia senegal l. willd gum Substances 0.000 description 1
- 238000005903 acid hydrolysis reaction Methods 0.000 description 1
- 150000007513 acids Chemical class 0.000 description 1
- YBCVMFKXIKNREZ-UHFFFAOYSA-N acoh acetic acid Chemical compound CC(O)=O.CC(O)=O YBCVMFKXIKNREZ-UHFFFAOYSA-N 0.000 description 1
- 230000004913 activation Effects 0.000 description 1
- 239000013543 active substance Substances 0.000 description 1
- 125000002015 acyclic group Chemical group 0.000 description 1
- 239000008272 agar Substances 0.000 description 1
- 235000010419 agar Nutrition 0.000 description 1
- 239000000783 alginic acid Substances 0.000 description 1
- 229960001126 alginic acid Drugs 0.000 description 1
- 150000004781 alginic acids Chemical class 0.000 description 1
- 239000003513 alkali Substances 0.000 description 1
- 150000001342 alkaline earth metals Chemical class 0.000 description 1
- 230000002152 alkylating effect Effects 0.000 description 1
- 208000026935 allergic disease Diseases 0.000 description 1
- 230000000172 allergic effect Effects 0.000 description 1
- 230000007815 allergy Effects 0.000 description 1
- 235000019257 ammonium acetate Nutrition 0.000 description 1
- 229940043376 ammonium acetate Drugs 0.000 description 1
- 230000031016 anaphase Effects 0.000 description 1
- 230000001093 anti-cancer Effects 0.000 description 1
- 229940041181 antineoplastic drug Drugs 0.000 description 1
- 230000006907 apoptotic process Effects 0.000 description 1
- 239000008346 aqueous phase Substances 0.000 description 1
- 239000012300 argon atmosphere Substances 0.000 description 1
- 150000004982 aromatic amines Chemical class 0.000 description 1
- 150000001543 aryl boronic acids Chemical class 0.000 description 1
- 208000006673 asthma Diseases 0.000 description 1
- 208000010668 atopic eczema Diseases 0.000 description 1
- 230000015097 attachment of spindle microtubules to kinetochore Effects 0.000 description 1
- 230000001363 autoimmune Effects 0.000 description 1
- 230000008335 axon cargo transport Effects 0.000 description 1
- 210000003719 b-lymphocyte Anatomy 0.000 description 1
- 230000008901 benefit Effects 0.000 description 1
- 125000002047 benzodioxolyl group Chemical group O1OC(C2=C1C=CC=C2)* 0.000 description 1
- 125000000499 benzofuranyl group Chemical group O1C(=CC2=C1C=CC=C2)* 0.000 description 1
- WXBLLCUINBKULX-UHFFFAOYSA-N benzoic acid Chemical compound OC(=O)C1=CC=CC=C1.OC(=O)C1=CC=CC=C1 WXBLLCUINBKULX-UHFFFAOYSA-N 0.000 description 1
- 125000004196 benzothienyl group Chemical group S1C(=CC2=C1C=CC=C2)* 0.000 description 1
- WQZGKKKJIJFFOK-VFUOTHLCSA-N beta-D-glucose Chemical compound OC[C@H]1O[C@@H](O)[C@H](O)[C@@H](O)[C@@H]1O WQZGKKKJIJFFOK-VFUOTHLCSA-N 0.000 description 1
- 230000004071 biological effect Effects 0.000 description 1
- 230000033228 biological regulation Effects 0.000 description 1
- 239000004305 biphenyl Substances 0.000 description 1
- 235000010290 biphenyl Nutrition 0.000 description 1
- 210000002798 bone marrow cell Anatomy 0.000 description 1
- 125000005620 boronic acid group Chemical class 0.000 description 1
- 125000001246 bromo group Chemical group Br* 0.000 description 1
- RDHPKYGYEGBMSE-UHFFFAOYSA-N bromoethane Chemical compound CCBr RDHPKYGYEGBMSE-UHFFFAOYSA-N 0.000 description 1
- CJZGTCYPCWQAJB-UHFFFAOYSA-L calcium stearate Chemical compound [Ca+2].CCCCCCCCCCCCCCCCCC([O-])=O.CCCCCCCCCCCCCCCCCC([O-])=O CJZGTCYPCWQAJB-UHFFFAOYSA-L 0.000 description 1
- 239000008116 calcium stearate Substances 0.000 description 1
- 235000013539 calcium stearate Nutrition 0.000 description 1
- DIOLOCSXUMYFJN-UHFFFAOYSA-N calcium;azane Chemical compound N.[Ca+2] DIOLOCSXUMYFJN-UHFFFAOYSA-N 0.000 description 1
- 208000035269 cancer or benign tumor Diseases 0.000 description 1
- 239000012830 cancer therapeutic Substances 0.000 description 1
- STIAPHVBRDNOAJ-UHFFFAOYSA-N carbamimidoylazanium;carbonate Chemical compound NC(N)=N.NC(N)=N.OC(O)=O STIAPHVBRDNOAJ-UHFFFAOYSA-N 0.000 description 1
- 125000004432 carbon atom Chemical group C* 0.000 description 1
- 239000011203 carbon fibre reinforced carbon Substances 0.000 description 1
- 150000004649 carbonic acid derivatives Chemical class 0.000 description 1
- 125000002915 carbonyl group Chemical group [*:2]C([*:1])=O 0.000 description 1
- 125000005518 carboxamido group Chemical group 0.000 description 1
- 230000015556 catabolic process Effects 0.000 description 1
- 239000003054 catalyst Substances 0.000 description 1
- 230000030833 cell death Effects 0.000 description 1
- 230000009087 cell motility Effects 0.000 description 1
- 238000001516 cell proliferation assay Methods 0.000 description 1
- 230000001413 cellular effect Effects 0.000 description 1
- 230000006364 cellular survival Effects 0.000 description 1
- 239000001913 cellulose Substances 0.000 description 1
- 229920002678 cellulose Polymers 0.000 description 1
- 210000003169 central nervous system Anatomy 0.000 description 1
- 238000005119 centrifugation Methods 0.000 description 1
- 210000003679 cervix uteri Anatomy 0.000 description 1
- 230000002759 chromosomal effect Effects 0.000 description 1
- 208000019069 chronic childhood arthritis Diseases 0.000 description 1
- 230000001684 chronic effect Effects 0.000 description 1
- 208000029664 classic familial adenomatous polyposis Diseases 0.000 description 1
- 229940110456 cocoa butter Drugs 0.000 description 1
- 235000019868 cocoa butter Nutrition 0.000 description 1
- 239000002131 composite material Substances 0.000 description 1
- 230000001010 compromised effect Effects 0.000 description 1
- LSXDOTMGLUJQCM-UHFFFAOYSA-M copper(i) iodide Chemical compound I[Cu] LSXDOTMGLUJQCM-UHFFFAOYSA-M 0.000 description 1
- 239000008120 corn starch Substances 0.000 description 1
- 238000006880 cross-coupling reaction Methods 0.000 description 1
- 239000013058 crude material Substances 0.000 description 1
- WZHCOOQXZCIUNC-UHFFFAOYSA-N cyclandelate Chemical compound C1C(C)(C)CC(C)CC1OC(=O)C(O)C1=CC=CC=C1 WZHCOOQXZCIUNC-UHFFFAOYSA-N 0.000 description 1
- NXQGGXCHGDYOHB-UHFFFAOYSA-L cyclopenta-1,4-dien-1-yl(diphenyl)phosphane;dichloropalladium;iron(2+) Chemical compound [Fe+2].Cl[Pd]Cl.[CH-]1C=CC(P(C=2C=CC=CC=2)C=2C=CC=CC=2)=C1.[CH-]1C=CC(P(C=2C=CC=CC=2)C=2C=CC=CC=2)=C1 NXQGGXCHGDYOHB-UHFFFAOYSA-L 0.000 description 1
- 125000001559 cyclopropyl group Chemical group [H]C1([H])C([H])([H])C1([H])* 0.000 description 1
- 238000007405 data analysis Methods 0.000 description 1
- DEZRYPDIMOWBDS-UHFFFAOYSA-N dcm dichloromethane Chemical compound ClCCl.ClCCl DEZRYPDIMOWBDS-UHFFFAOYSA-N 0.000 description 1
- 230000034994 death Effects 0.000 description 1
- 238000006731 degradation reaction Methods 0.000 description 1
- 230000001419 dependent effect Effects 0.000 description 1
- 238000011033 desalting Methods 0.000 description 1
- 230000000368 destabilizing effect Effects 0.000 description 1
- 238000001514 detection method Methods 0.000 description 1
- 239000008121 dextrose Substances 0.000 description 1
- 235000014113 dietary fatty acids Nutrition 0.000 description 1
- HPNMFZURTQLUMO-UHFFFAOYSA-N diethylamine Chemical compound CCNCC HPNMFZURTQLUMO-UHFFFAOYSA-N 0.000 description 1
- SBZXBUIDTXKZTM-UHFFFAOYSA-N diglyme Chemical compound COCCOCCOC SBZXBUIDTXKZTM-UHFFFAOYSA-N 0.000 description 1
- 125000005046 dihydronaphthyl group Chemical group 0.000 description 1
- 125000005044 dihydroquinolinyl group Chemical group N1(CC=CC2=CC=CC=C12)* 0.000 description 1
- NZZFYRREKKOMAT-UHFFFAOYSA-N diiodomethane Chemical compound ICI NZZFYRREKKOMAT-UHFFFAOYSA-N 0.000 description 1
- 125000002147 dimethylamino group Chemical group [H]C([H])([H])N(*)C([H])([H])[H] 0.000 description 1
- UXGNZZKBCMGWAZ-UHFFFAOYSA-N dimethylformamide dmf Chemical compound CN(C)C=O.CN(C)C=O UXGNZZKBCMGWAZ-UHFFFAOYSA-N 0.000 description 1
- 208000037765 diseases and disorders Diseases 0.000 description 1
- 239000006185 dispersion Substances 0.000 description 1
- UZZWBUYVTBPQIV-UHFFFAOYSA-N dme dimethoxyethane Chemical compound COCCOC.COCCOC UZZWBUYVTBPQIV-UHFFFAOYSA-N 0.000 description 1
- 229960003668 docetaxel Drugs 0.000 description 1
- MOTZDAYCYVMXPC-UHFFFAOYSA-N dodecyl hydrogen sulfate Chemical class CCCCCCCCCCCCOS(O)(=O)=O MOTZDAYCYVMXPC-UHFFFAOYSA-N 0.000 description 1
- 239000002552 dosage form Substances 0.000 description 1
- 239000008298 dragée Substances 0.000 description 1
- 229940079593 drug Drugs 0.000 description 1
- 230000009977 dual effect Effects 0.000 description 1
- 238000005516 engineering process Methods 0.000 description 1
- 210000003238 esophagus Anatomy 0.000 description 1
- OLAMWIPURJGSKE-UHFFFAOYSA-N et2o diethylether Chemical compound CCOCC.CCOCC OLAMWIPURJGSKE-UHFFFAOYSA-N 0.000 description 1
- LJQKCYFTNDAAPC-UHFFFAOYSA-N ethanol;ethyl acetate Chemical compound CCO.CCOC(C)=O LJQKCYFTNDAAPC-UHFFFAOYSA-N 0.000 description 1
- FNFWBLZYECESAJ-CMDGGOBGSA-N ethyl (7E)-7-(dimethylaminomethylidene)-8-oxo-5,6-dihydro-4H-cyclohepta[c][1,2]oxazole-3-carboxylate Chemical compound C1CC\C(=C/N(C)C)C(=O)C=2C1=C(C(=O)OCC)ON=2 FNFWBLZYECESAJ-CMDGGOBGSA-N 0.000 description 1
- SHAVOSCYJRYBSD-CMDGGOBGSA-N ethyl (7E)-7-(dimethylaminomethylidene)-8-oxo-5,6-dihydro-4H-cyclohepta[d][1,2]oxazole-3-carboxylate Chemical compound C1CC\C(=C/N(C)C)C(=O)C2=C1C(C(=O)OCC)=NO2 SHAVOSCYJRYBSD-CMDGGOBGSA-N 0.000 description 1
- IHXGEGMEVHFJRD-CMDGGOBGSA-N ethyl (7e)-7-(dimethylaminomethylidene)-8-oxo-2,4,5,6-tetrahydrocyclohepta[c]pyrazole-3-carboxylate Chemical compound C1CC\C(=C/N(C)C)C(=O)C2=C1C(C(=O)OCC)=NN2 IHXGEGMEVHFJRD-CMDGGOBGSA-N 0.000 description 1
- SJHVPTKINFZFLA-UHFFFAOYSA-N ethyl 1-[3-(dimethylamino)propyl]-8-oxo-4,5,6,7-tetrahydrocyclohepta[c]pyrazole-3-carboxylate Chemical compound C1CCCC(=O)C2=C1C(C(=O)OCC)=NN2CCCN(C)C SJHVPTKINFZFLA-UHFFFAOYSA-N 0.000 description 1
- GUNIFPIAWOWQQI-UHFFFAOYSA-N ethyl 1-[3-(dimethylamino)propyl]-9-methylsulfanyl-5,6-dihydro-4h-pyrazolo[4,5]cyclohepta[1,2-d]pyrimidine-3-carboxylate Chemical compound C1CCC2=CN=C(SC)N=C2C2=C1C(C(=O)OCC)=NN2CCCN(C)C GUNIFPIAWOWQQI-UHFFFAOYSA-N 0.000 description 1
- SHOVLRPKCSZMIQ-UHFFFAOYSA-N ethyl 1-methyl-9-[4-(4-methylpiperazin-1-yl)anilino]-5,6-dihydro-4h-pyrazolo[4,5]cyclohepta[1,2-d]pyrimidine-3-carboxylate;hydrochloride Chemical compound Cl.CCOC(=O)C1=NN(C)C(C2=N3)=C1CCCC2=CN=C3NC(C=C1)=CC=C1N1CCN(C)CC1 SHOVLRPKCSZMIQ-UHFFFAOYSA-N 0.000 description 1
- RCEYGABQCWQFNX-UHFFFAOYSA-N ethyl 2-methyl-9-methylsulfonyl-5,6-dihydro-4h-pyrazolo[3,4]cyclohepta[1,3-d]pyrimidine-3-carboxylate Chemical compound C1CCC2=CN=C(S(C)(=O)=O)N=C2C2=NN(C)C(C(=O)OCC)=C21 RCEYGABQCWQFNX-UHFFFAOYSA-N 0.000 description 1
- OJXFVEZWZSEIMF-NTMALXAHSA-N ethyl 5-acetyl-4-[(z)-5-(dimethylamino)pent-4-enyl]-1-(2-hydroxyethyl)pyrazole-3-carboxylate Chemical compound CCOC(=O)C1=NN(CCO)C(C(C)=O)=C1CCC\C=C/N(C)C OJXFVEZWZSEIMF-NTMALXAHSA-N 0.000 description 1
- CZKHGMYUMHWPSN-NTMALXAHSA-N ethyl 5-acetyl-4-[(z)-5-(dimethylamino)pent-4-enyl]-2-(2-hydroxyethyl)pyrazole-3-carboxylate Chemical compound CCOC(=O)C1=C(CCC\C=C/N(C)C)C(C(C)=O)=NN1CCO CZKHGMYUMHWPSN-NTMALXAHSA-N 0.000 description 1
- ILTBQFOTSFMJOF-UHFFFAOYSA-N ethyl 5-acetyl-4-butyl-1-(2-hydroxyethyl)pyrazole-3-carboxylate ethyl 2-(2-hydroxyethyl)-8-oxo-4,5,6,7-tetrahydrocyclohepta[c]pyrazole-3-carboxylate Chemical compound OCCN1N=C2C(=C1C(=O)OCC)CCCCC2=O.C(C)(=O)C2=C(C(=NN2CCO)C(=O)OCC)CCCC ILTBQFOTSFMJOF-UHFFFAOYSA-N 0.000 description 1
- ITOWVOWJGWEBBX-UHFFFAOYSA-N ethyl 9-[2-methoxy-4-[(1-methylpiperidin-4-yl)carbamoyl]anilino]-1-methyl-5,6-dihydro-4h-pyrazolo[4,5]cyclohepta[1,2-d]pyrimidine-3-carboxylate Chemical compound CCOC(=O)C1=NN(C)C(C2=N3)=C1CCCC2=CN=C3NC(C(=C1)OC)=CC=C1C(=O)NC1CCN(C)CC1 ITOWVOWJGWEBBX-UHFFFAOYSA-N 0.000 description 1
- FELNLQSRSDEKTO-UHFFFAOYSA-N ethyl 9-amino-1-methyl-5,6-dihydro-4h-pyrazolo[4,5]cyclohepta[1,2-d]pyrimidine-3-carboxylate Chemical compound C1CCC2=CN=C(N)N=C2C2=C1C(C(=O)OCC)=NN2C FELNLQSRSDEKTO-UHFFFAOYSA-N 0.000 description 1
- NVUGTVOGLIXDDS-UHFFFAOYSA-N ethyl 9-anilino-2-methyl-5,6-dihydro-4h-pyrazolo[3,4]cyclohepta[1,3-d]pyrimidine-3-carboxylate Chemical compound N1=C2C3=NN(C)C(C(=O)OCC)=C3CCCC2=CN=C1NC1=CC=CC=C1 NVUGTVOGLIXDDS-UHFFFAOYSA-N 0.000 description 1
- 235000019439 ethyl acetate Nutrition 0.000 description 1
- LVGKNOAMLMIIKO-QXMHVHEDSA-N ethyl oleate Chemical compound CCCCCCCC\C=C/CCCCCCCC(=O)OCC LVGKNOAMLMIIKO-QXMHVHEDSA-N 0.000 description 1
- 229940093471 ethyl oleate Drugs 0.000 description 1
- 239000000194 fatty acid Substances 0.000 description 1
- 229930195729 fatty acid Natural products 0.000 description 1
- 239000012091 fetal bovine serum Substances 0.000 description 1
- 239000007941 film coated tablet Substances 0.000 description 1
- 239000007888 film coating Substances 0.000 description 1
- 238000009501 film coating Methods 0.000 description 1
- 239000011737 fluorine Substances 0.000 description 1
- 125000001153 fluoro group Chemical group F* 0.000 description 1
- 230000003325 follicular Effects 0.000 description 1
- 235000003599 food sweetener Nutrition 0.000 description 1
- 235000019253 formic acid Nutrition 0.000 description 1
- 238000009472 formulation Methods 0.000 description 1
- 125000002541 furyl group Chemical group 0.000 description 1
- 210000000232 gallbladder Anatomy 0.000 description 1
- 229920000159 gelatin Polymers 0.000 description 1
- 235000019322 gelatine Nutrition 0.000 description 1
- 150000002334 glycols Chemical class 0.000 description 1
- 230000012010 growth Effects 0.000 description 1
- DMEGYFMYUHOHGS-UHFFFAOYSA-N heptamethylene Natural products C1CCCCCC1 DMEGYFMYUHOHGS-UHFFFAOYSA-N 0.000 description 1
- 125000001072 heteroaryl group Chemical group 0.000 description 1
- 125000000592 heterocycloalkyl group Chemical group 0.000 description 1
- IKDUDTNKRLTJSI-UHFFFAOYSA-N hydrazine monohydrate Substances O.NN IKDUDTNKRLTJSI-UHFFFAOYSA-N 0.000 description 1
- 150000002429 hydrazines Chemical class 0.000 description 1
- 230000007062 hydrolysis Effects 0.000 description 1
- 238000006460 hydrolysis reaction Methods 0.000 description 1
- USZLCYNVCCDPLQ-UHFFFAOYSA-N hydron;n-methoxymethanamine;chloride Chemical compound Cl.CNOC USZLCYNVCCDPLQ-UHFFFAOYSA-N 0.000 description 1
- MTNDZQHUAFNZQY-UHFFFAOYSA-N imidazoline Chemical compound C1CN=CN1 MTNDZQHUAFNZQY-UHFFFAOYSA-N 0.000 description 1
- 125000002883 imidazolyl group Chemical group 0.000 description 1
- 210000002865 immune cell Anatomy 0.000 description 1
- 208000026278 immune system disease Diseases 0.000 description 1
- 229940125721 immunosuppressive agent Drugs 0.000 description 1
- 239000003018 immunosuppressive agent Substances 0.000 description 1
- 238000011534 incubation Methods 0.000 description 1
- 125000003392 indanyl group Chemical group C1(CCC2=CC=CC=C12)* 0.000 description 1
- 125000003454 indenyl group Chemical group C1(C=CC2=CC=CC=C12)* 0.000 description 1
- 125000001041 indolyl group Chemical group 0.000 description 1
- 230000006698 induction Effects 0.000 description 1
- 208000015181 infectious disease Diseases 0.000 description 1
- 208000027866 inflammatory disease Diseases 0.000 description 1
- 230000002757 inflammatory effect Effects 0.000 description 1
- 150000007529 inorganic bases Chemical class 0.000 description 1
- 229940030980 inova Drugs 0.000 description 1
- 230000002452 interceptive effect Effects 0.000 description 1
- 239000007927 intramuscular injection Substances 0.000 description 1
- 238000010255 intramuscular injection Methods 0.000 description 1
- 238000007913 intrathecal administration Methods 0.000 description 1
- 238000001990 intravenous administration Methods 0.000 description 1
- 238000010253 intravenous injection Methods 0.000 description 1
- 208000002551 irritable bowel syndrome Diseases 0.000 description 1
- 229940045996 isethionic acid Drugs 0.000 description 1
- 125000000959 isobutyl group Chemical group [H]C([H])([H])C([H])(C([H])([H])[H])C([H])([H])* 0.000 description 1
- 125000000904 isoindolyl group Chemical group C=1(NC=C2C=CC=CC12)* 0.000 description 1
- 125000001449 isopropyl group Chemical group [H]C([H])([H])C([H])(*)C([H])([H])[H] 0.000 description 1
- 125000005956 isoquinolyl group Chemical group 0.000 description 1
- 125000001786 isothiazolyl group Chemical group 0.000 description 1
- 125000000842 isoxazolyl group Chemical group 0.000 description 1
- 201000002215 juvenile rheumatoid arthritis Diseases 0.000 description 1
- 210000003734 kidney Anatomy 0.000 description 1
- 238000000021 kinase assay Methods 0.000 description 1
- JVTAAEKCZFNVCJ-UHFFFAOYSA-N lactic acid Chemical compound CC(O)C(O)=O JVTAAEKCZFNVCJ-UHFFFAOYSA-N 0.000 description 1
- 239000008101 lactose Substances 0.000 description 1
- 229960004393 lidocaine hydrochloride Drugs 0.000 description 1
- 239000007788 liquid Substances 0.000 description 1
- 239000006193 liquid solution Substances 0.000 description 1
- 239000006194 liquid suspension Substances 0.000 description 1
- 210000004185 liver Anatomy 0.000 description 1
- 239000000314 lubricant Substances 0.000 description 1
- 201000005296 lung carcinoma Diseases 0.000 description 1
- 230000000527 lymphocytic effect Effects 0.000 description 1
- 239000006166 lysate Substances 0.000 description 1
- 239000012139 lysis buffer Substances 0.000 description 1
- 229910052749 magnesium Inorganic materials 0.000 description 1
- VTHJTEIRLNZDEV-UHFFFAOYSA-L magnesium dihydroxide Chemical class [OH-].[OH-].[Mg+2] VTHJTEIRLNZDEV-UHFFFAOYSA-L 0.000 description 1
- 235000012254 magnesium hydroxide Nutrition 0.000 description 1
- HQKMJHAJHXVSDF-UHFFFAOYSA-L magnesium stearate Substances [Mg+2].CCCCCCCCCCCCCCCCCC([O-])=O.CCCCCCCCCCCCCCCCCC([O-])=O HQKMJHAJHXVSDF-UHFFFAOYSA-L 0.000 description 1
- 235000019359 magnesium stearate Nutrition 0.000 description 1
- VZCYOOQTPOCHFL-UPHRSURJSA-N maleic acid Chemical compound OC(=O)\C=C/C(O)=O VZCYOOQTPOCHFL-UPHRSURJSA-N 0.000 description 1
- 230000036210 malignancy Effects 0.000 description 1
- 239000000594 mannitol Substances 0.000 description 1
- 235000010355 mannitol Nutrition 0.000 description 1
- BCVXHSPFUWZLGQ-UHFFFAOYSA-N mecn acetonitrile Chemical compound CC#N.CC#N BCVXHSPFUWZLGQ-UHFFFAOYSA-N 0.000 description 1
- 239000002609 medium Substances 0.000 description 1
- 230000037353 metabolic pathway Effects 0.000 description 1
- 230000009401 metastasis Effects 0.000 description 1
- 206010061289 metastatic neoplasm Diseases 0.000 description 1
- MDFRYRPNRLLJHT-UHFFFAOYSA-N methyl carbamimidate;sulfuric acid Chemical compound COC(N)=N.OS(O)(=O)=O MDFRYRPNRLLJHT-UHFFFAOYSA-N 0.000 description 1
- NNBBQNFHCVVQHZ-UHFFFAOYSA-N methyl carbamimidothioate;sulfuric acid Chemical compound CSC(N)=N.OS(O)(=O)=O NNBBQNFHCVVQHZ-UHFFFAOYSA-N 0.000 description 1
- GRVDJDISBSALJP-UHFFFAOYSA-N methyloxidanyl Chemical group [O]C GRVDJDISBSALJP-UHFFFAOYSA-N 0.000 description 1
- 230000005012 migration Effects 0.000 description 1
- 238000013508 migration Methods 0.000 description 1
- 150000007522 mineralic acids Chemical class 0.000 description 1
- 230000036456 mitotic arrest Effects 0.000 description 1
- 230000006618 mitotic catastrophe Effects 0.000 description 1
- 230000017205 mitotic cell cycle checkpoint Effects 0.000 description 1
- HDZGCSFEDULWCS-UHFFFAOYSA-N monomethylhydrazine Chemical compound CNN HDZGCSFEDULWCS-UHFFFAOYSA-N 0.000 description 1
- 235000019796 monopotassium phosphate Nutrition 0.000 description 1
- 238000010172 mouse model Methods 0.000 description 1
- 201000006417 multiple sclerosis Diseases 0.000 description 1
- 238000002703 mutagenesis Methods 0.000 description 1
- 231100000350 mutagenesis Toxicity 0.000 description 1
- 230000035772 mutation Effects 0.000 description 1
- 206010028417 myasthenia gravis Diseases 0.000 description 1
- 201000000050 myeloid neoplasm Diseases 0.000 description 1
- DBNQIOANXZVWIP-UHFFFAOYSA-N n,n-dimethyl-1,1-bis[(2-methylpropan-2-yl)oxy]methanamine Chemical compound CC(C)(C)OC(N(C)C)OC(C)(C)C DBNQIOANXZVWIP-UHFFFAOYSA-N 0.000 description 1
- XOZZATXWQMOVHL-UHFFFAOYSA-N n,n-dimethyl-1,1-di(propan-2-yloxy)methanamine Chemical compound CC(C)OC(N(C)C)OC(C)C XOZZATXWQMOVHL-UHFFFAOYSA-N 0.000 description 1
- FILXHOVQCBQBNX-UHFFFAOYSA-N n-(2,6-diethylphenyl)-1-[(4-methoxyphenyl)methyl]-8-oxo-4,5,6,7-tetrahydrocyclohepta[c]pyrazole-3-carboxamide Chemical compound CCC1=CC=CC(CC)=C1NC(=O)C(C1=C2C(CCCC1)=O)=NN2CC1=CC=C(OC)C=C1 FILXHOVQCBQBNX-UHFFFAOYSA-N 0.000 description 1
- CBQRZXGKJWNWJA-UHFFFAOYSA-N n-(2,6-diethylphenyl)-1-methyl-8-oxo-4,5,6,7-tetrahydrocyclohepta[c]pyrazole-3-carboxamide Chemical compound CCC1=CC=CC(CC)=C1NC(=O)C1=NN(C)C2=C1CCCCC2=O CBQRZXGKJWNWJA-UHFFFAOYSA-N 0.000 description 1
- UIMDZBQKRUTDNU-UHFFFAOYSA-N n-(2,6-diethylphenyl)-n,1-dimethyl-8-oxo-4,5,6,7-tetrahydrocyclohepta[c]pyrazole-3-carboxamide Chemical compound CCC1=CC=CC(CC)=C1N(C)C(=O)C1=NN(C)C2=C1CCCCC2=O UIMDZBQKRUTDNU-UHFFFAOYSA-N 0.000 description 1
- DTFDUIVYVHCCQG-UHFFFAOYSA-N n-benzyl-4-(4-formyl-3-methoxyphenoxy)butanamide Chemical compound C1=C(C=O)C(OC)=CC(OCCCC(=O)NCC=2C=CC=CC=2)=C1 DTFDUIVYVHCCQG-UHFFFAOYSA-N 0.000 description 1
- DHADFKYWCBGWBS-UHFFFAOYSA-N n-benzyl-9-(4-bromo-2-methoxyanilino)-1-methyl-5,6-dihydro-4h-pyrazolo[4,5]cyclohepta[1,2-d]pyrimidine-3-carboxamide Chemical compound COC1=CC(Br)=CC=C1NC1=NC=C(CCCC2=C3N(C)N=C2C(=O)NCC=2C=CC=CC=2)C3=N1 DHADFKYWCBGWBS-UHFFFAOYSA-N 0.000 description 1
- 125000004108 n-butyl group Chemical group [H]C([H])([H])C([H])([H])C([H])([H])C([H])([H])* 0.000 description 1
- WOOWBQQQJXZGIE-UHFFFAOYSA-N n-ethyl-n-propan-2-ylpropan-2-amine Chemical compound CCN(C(C)C)C(C)C.CCN(C(C)C)C(C)C WOOWBQQQJXZGIE-UHFFFAOYSA-N 0.000 description 1
- 125000001280 n-hexyl group Chemical group C(CCCCC)* 0.000 description 1
- GAKSTWOFAPTRHC-UHFFFAOYSA-N n-methoxy-n,1-dimethyl-9-(4-morpholin-4-ylanilino)-5,6-dihydro-4h-pyrazolo[4,5]cyclohepta[1,2-d]pyrimidine-3-carboxamide Chemical compound CON(C)C(=O)C1=NN(C)C(C2=N3)=C1CCCC2=CN=C3NC(C=C1)=CC=C1N1CCOCC1 GAKSTWOFAPTRHC-UHFFFAOYSA-N 0.000 description 1
- CLCXSLKPGPFOLX-UHFFFAOYSA-N n-methoxy-n,1-dimethyl-9-[4-(piperidin-1-ylmethyl)anilino]-5,6-dihydro-4h-pyrazolo[4,5]cyclohepta[1,2-d]pyrimidine-3-carboxamide;2,2,2-trifluoroacetic acid Chemical compound OC(=O)C(F)(F)F.CON(C)C(=O)C1=NN(C)C(C2=N3)=C1CCCC2=CN=C3NC(C=C1)=CC=C1CN1CCCCC1 CLCXSLKPGPFOLX-UHFFFAOYSA-N 0.000 description 1
- XHVCDWBITJAKQB-UHFFFAOYSA-N n-methoxy-n,1-dimethyl-9-phenyl-5,6-dihydro-4h-pyrazolo[4,5]cyclohepta[1,2-d]pyrimidine-3-carboxamide Chemical compound CON(C)C(=O)C1=NN(C)C(C2=N3)=C1CCCC2=CN=C3C1=CC=CC=C1 XHVCDWBITJAKQB-UHFFFAOYSA-N 0.000 description 1
- GIHDVLUKLVFLCI-UHFFFAOYSA-N n-methyl-4-piperidin-1-ylaniline Chemical compound C1=CC(NC)=CC=C1N1CCCCC1 GIHDVLUKLVFLCI-UHFFFAOYSA-N 0.000 description 1
- 125000000740 n-pentyl group Chemical group [H]C([H])([H])C([H])([H])C([H])([H])C([H])([H])C([H])([H])* 0.000 description 1
- 125000004123 n-propyl group Chemical group [H]C([H])([H])C([H])([H])C([H])([H])* 0.000 description 1
- 229920001206 natural gum Polymers 0.000 description 1
- 208000007538 neurilemmoma Diseases 0.000 description 1
- 229950006344 nocodazole Drugs 0.000 description 1
- 231100000252 nontoxic Toxicity 0.000 description 1
- 230000003000 nontoxic effect Effects 0.000 description 1
- 238000010899 nucleation Methods 0.000 description 1
- QIQXTHQIDYTFRH-UHFFFAOYSA-N octadecanoic acid Chemical compound CCCCCCCCCCCCCCCCCC(O)=O QIQXTHQIDYTFRH-UHFFFAOYSA-N 0.000 description 1
- OQCDKBAXFALNLD-UHFFFAOYSA-N octadecanoic acid Natural products CCCCCCCC(C)CCCCCCCCC(O)=O OQCDKBAXFALNLD-UHFFFAOYSA-N 0.000 description 1
- 239000004006 olive oil Substances 0.000 description 1
- 235000008390 olive oil Nutrition 0.000 description 1
- 108091008819 oncoproteins Proteins 0.000 description 1
- 102000027450 oncoproteins Human genes 0.000 description 1
- 210000000056 organ Anatomy 0.000 description 1
- 150000007524 organic acids Chemical class 0.000 description 1
- 235000005985 organic acids Nutrition 0.000 description 1
- 150000007530 organic bases Chemical class 0.000 description 1
- 125000002734 organomagnesium group Chemical group 0.000 description 1
- 201000008482 osteoarthritis Diseases 0.000 description 1
- 201000008968 osteosarcoma Diseases 0.000 description 1
- 230000002611 ovarian Effects 0.000 description 1
- 210000001672 ovary Anatomy 0.000 description 1
- 125000002971 oxazolyl group Chemical group 0.000 description 1
- 125000004043 oxo group Chemical group O=* 0.000 description 1
- 125000004430 oxygen atom Chemical group O* 0.000 description 1
- 150000002940 palladium Chemical class 0.000 description 1
- LXNAVEXFUKBNMK-UHFFFAOYSA-N palladium(II) acetate Substances [Pd].CC(O)=O.CC(O)=O LXNAVEXFUKBNMK-UHFFFAOYSA-N 0.000 description 1
- FJKROLUGYXJWQN-UHFFFAOYSA-N papa-hydroxy-benzoic acid Natural products OC(=O)C1=CC=C(O)C=C1 FJKROLUGYXJWQN-UHFFFAOYSA-N 0.000 description 1
- 244000045947 parasite Species 0.000 description 1
- 230000008506 pathogenesis Effects 0.000 description 1
- 239000001814 pectin Substances 0.000 description 1
- 229920001277 pectin Polymers 0.000 description 1
- 235000010987 pectin Nutrition 0.000 description 1
- 239000008188 pellet Substances 0.000 description 1
- VLTRZXGMWDSKGL-UHFFFAOYSA-N perchloric acid Chemical compound OCl(=O)(=O)=O VLTRZXGMWDSKGL-UHFFFAOYSA-N 0.000 description 1
- 210000001428 peripheral nervous system Anatomy 0.000 description 1
- 208000033808 peripheral neuropathy Diseases 0.000 description 1
- 230000008782 phagocytosis Effects 0.000 description 1
- 239000000825 pharmaceutical preparation Substances 0.000 description 1
- 230000000144 pharmacologic effect Effects 0.000 description 1
- 150000002989 phenols Chemical class 0.000 description 1
- PJNZPQUBCPKICU-UHFFFAOYSA-N phosphoric acid;potassium Chemical compound [K].OP(O)(O)=O PJNZPQUBCPKICU-UHFFFAOYSA-N 0.000 description 1
- 230000026731 phosphorylation Effects 0.000 description 1
- 125000000587 piperidin-1-yl group Chemical group [H]C1([H])N(*)C([H])([H])C([H])([H])C([H])([H])C1([H])[H] 0.000 description 1
- 239000013612 plasmid Substances 0.000 description 1
- 108010056274 polo-like kinase 1 Proteins 0.000 description 1
- 239000002952 polymeric resin Substances 0.000 description 1
- 229920000136 polysorbate Polymers 0.000 description 1
- 229940068965 polysorbates Drugs 0.000 description 1
- 229920002451 polyvinyl alcohol Polymers 0.000 description 1
- 235000019422 polyvinyl alcohol Nutrition 0.000 description 1
- 239000001267 polyvinylpyrrolidone Substances 0.000 description 1
- 229920000036 polyvinylpyrrolidone Polymers 0.000 description 1
- 235000013855 polyvinylpyrrolidone Nutrition 0.000 description 1
- 239000011591 potassium Substances 0.000 description 1
- 229910052700 potassium Inorganic materials 0.000 description 1
- LPNYRYFBWFDTMA-UHFFFAOYSA-N potassium tert-butoxide Chemical compound [K+].CC(C)(C)[O-] LPNYRYFBWFDTMA-UHFFFAOYSA-N 0.000 description 1
- 229920001592 potato starch Polymers 0.000 description 1
- 230000002265 prevention Effects 0.000 description 1
- 238000002810 primary assay Methods 0.000 description 1
- 230000001566 pro-viral effect Effects 0.000 description 1
- 230000002250 progressing effect Effects 0.000 description 1
- 230000001737 promoting effect Effects 0.000 description 1
- 238000001243 protein synthesis Methods 0.000 description 1
- 238000000425 proton nuclear magnetic resonance spectrum Methods 0.000 description 1
- 125000000561 purinyl group Chemical group N1=C(N=C2N=CNC2=C1)* 0.000 description 1
- 125000004309 pyranyl group Chemical group O1C(C=CC=C1)* 0.000 description 1
- 125000003373 pyrazinyl group Chemical group 0.000 description 1
- USPWKWBDZOARPV-UHFFFAOYSA-N pyrazolidine Chemical compound C1CNNC1 USPWKWBDZOARPV-UHFFFAOYSA-N 0.000 description 1
- DNXIASIHZYFFRO-UHFFFAOYSA-N pyrazoline Chemical compound C1CN=NC1 DNXIASIHZYFFRO-UHFFFAOYSA-N 0.000 description 1
- 125000003226 pyrazolyl group Chemical group 0.000 description 1
- 125000002098 pyridazinyl group Chemical group 0.000 description 1
- 125000004076 pyridyl group Chemical group 0.000 description 1
- ZVJHJDDKYZXRJI-UHFFFAOYSA-N pyrroline Natural products C1CC=NC1 ZVJHJDDKYZXRJI-UHFFFAOYSA-N 0.000 description 1
- 125000000168 pyrrolyl group Chemical group 0.000 description 1
- 238000011002 quantification Methods 0.000 description 1
- IUVKMZGDUIUOCP-BTNSXGMBSA-N quinbolone Chemical compound O([C@H]1CC[C@H]2[C@H]3[C@@H]([C@]4(C=CC(=O)C=C4CC3)C)CC[C@@]21C)C1=CCCC1 IUVKMZGDUIUOCP-BTNSXGMBSA-N 0.000 description 1
- 125000005493 quinolyl group Chemical group 0.000 description 1
- 125000001567 quinoxalinyl group Chemical group N1=C(C=NC2=CC=CC=C12)* 0.000 description 1
- ZAHRKKWIAAJSAO-UHFFFAOYSA-N rapamycin Natural products COCC(O)C(=C/C(C)C(=O)CC(OC(=O)C1CCCCN1C(=O)C(=O)C2(O)OC(CC(OC)C(=CC=CC=CC(C)CC(C)C(=O)C)C)CCC2C)C(C)CC3CCC(O)C(C3)OC)C ZAHRKKWIAAJSAO-UHFFFAOYSA-N 0.000 description 1
- 239000000376 reactant Substances 0.000 description 1
- 238000006268 reductive amination reaction Methods 0.000 description 1
- 239000013557 residual solvent Substances 0.000 description 1
- 230000002441 reversible effect Effects 0.000 description 1
- 201000009410 rhabdomyosarcoma Diseases 0.000 description 1
- 229960004889 salicylic acid Drugs 0.000 description 1
- 239000000523 sample Substances 0.000 description 1
- 125000002914 sec-butyl group Chemical group [H]C([H])([H])C([H])([H])C([H])(*)C([H])([H])[H] 0.000 description 1
- 238000005204 segregation Methods 0.000 description 1
- 239000000377 silicon dioxide Substances 0.000 description 1
- QFJCIRLUMZQUOT-HPLJOQBZSA-N sirolimus Chemical compound C1C[C@@H](O)[C@H](OC)C[C@@H]1C[C@@H](C)[C@H]1OC(=O)[C@@H]2CCCCN2C(=O)C(=O)[C@](O)(O2)[C@H](C)CC[C@H]2C[C@H](OC)/C(C)=C/C=C/C=C/[C@@H](C)C[C@@H](C)C(=O)[C@H](OC)[C@H](O)/C(C)=C/[C@@H](C)C(=O)C1 QFJCIRLUMZQUOT-HPLJOQBZSA-N 0.000 description 1
- 229960002930 sirolimus Drugs 0.000 description 1
- 210000003491 skin Anatomy 0.000 description 1
- 208000000587 small cell lung carcinoma Diseases 0.000 description 1
- 229910052708 sodium Inorganic materials 0.000 description 1
- 235000010413 sodium alginate Nutrition 0.000 description 1
- 239000000661 sodium alginate Substances 0.000 description 1
- 229940005550 sodium alginate Drugs 0.000 description 1
- 235000017557 sodium bicarbonate Nutrition 0.000 description 1
- 239000012312 sodium hydride Substances 0.000 description 1
- 239000004296 sodium metabisulphite Substances 0.000 description 1
- 235000010262 sodium metabisulphite Nutrition 0.000 description 1
- CMZUMMUJMWNLFH-UHFFFAOYSA-N sodium metavanadate Chemical compound [Na+].[O-][V](=O)=O CMZUMMUJMWNLFH-UHFFFAOYSA-N 0.000 description 1
- 229920003109 sodium starch glycolate Polymers 0.000 description 1
- 229940079832 sodium starch glycolate Drugs 0.000 description 1
- 239000008109 sodium starch glycolate Substances 0.000 description 1
- 235000019345 sodium thiosulphate Nutrition 0.000 description 1
- 239000012321 sodium triacetoxyborohydride Substances 0.000 description 1
- TYLCDTDVXWQWTM-UHFFFAOYSA-M sodium;9-(4-bromo-2-methoxyanilino)-1-methyl-5,6-dihydro-4h-pyrazolo[4,5]cyclohepta[1,2-d]pyrimidine-3-carboxylate Chemical compound [Na+].COC1=CC(Br)=CC=C1NC1=NC=C(CCCC2=C3N(C)N=C2C([O-])=O)C3=N1 TYLCDTDVXWQWTM-UHFFFAOYSA-M 0.000 description 1
- WGRULTCAYDOGQK-UHFFFAOYSA-M sodium;sodium;hydroxide Chemical compound [OH-].[Na].[Na+] WGRULTCAYDOGQK-UHFFFAOYSA-M 0.000 description 1
- 229940127198 soluble adenylyl cyclase inhibitor Drugs 0.000 description 1
- 239000000600 sorbitol Substances 0.000 description 1
- 230000020347 spindle assembly Effects 0.000 description 1
- 206010041823 squamous cell carcinoma Diseases 0.000 description 1
- 230000000087 stabilizing effect Effects 0.000 description 1
- 239000008107 starch Substances 0.000 description 1
- 229940032147 starch Drugs 0.000 description 1
- 239000008117 stearic acid Substances 0.000 description 1
- 238000003756 stirring Methods 0.000 description 1
- 210000002784 stomach Anatomy 0.000 description 1
- 125000001424 substituent group Chemical group 0.000 description 1
- 239000005720 sucrose Substances 0.000 description 1
- 235000000346 sugar Nutrition 0.000 description 1
- 239000007940 sugar coated tablet Substances 0.000 description 1
- 238000009495 sugar coating Methods 0.000 description 1
- 239000011593 sulfur Chemical group 0.000 description 1
- 239000004094 surface-active agent Substances 0.000 description 1
- 239000003765 sweetening agent Substances 0.000 description 1
- 238000003786 synthesis reaction Methods 0.000 description 1
- 230000002194 synthesizing effect Effects 0.000 description 1
- 229920003002 synthetic resin Polymers 0.000 description 1
- 201000000596 systemic lupus erythematosus Diseases 0.000 description 1
- 239000003826 tablet Substances 0.000 description 1
- 239000000454 talc Substances 0.000 description 1
- 229910052623 talc Inorganic materials 0.000 description 1
- 235000012222 talc Nutrition 0.000 description 1
- 238000002626 targeted therapy Methods 0.000 description 1
- 230000008685 targeting Effects 0.000 description 1
- 208000001608 teratocarcinoma Diseases 0.000 description 1
- 125000006633 tert-butoxycarbonylamino group Chemical group 0.000 description 1
- FQQPUUOSRSDHLR-UHFFFAOYSA-N tert-butyl 4-iodo-3-methoxybenzoate Chemical compound COC1=CC(C(=O)OC(C)(C)C)=CC=C1I FQQPUUOSRSDHLR-UHFFFAOYSA-N 0.000 description 1
- WHRNULOCNSKMGB-UHFFFAOYSA-N tetrahydrofuran thf Chemical compound C1CCOC1.C1CCOC1 WHRNULOCNSKMGB-UHFFFAOYSA-N 0.000 description 1
- PHCBRBWANGJMHS-UHFFFAOYSA-J tetrasodium;disulfate Chemical compound [Na+].[Na+].[Na+].[Na+].[O-]S([O-])(=O)=O.[O-]S([O-])(=O)=O PHCBRBWANGJMHS-UHFFFAOYSA-J 0.000 description 1
- WROMPOXWARCANT-UHFFFAOYSA-N tfa trifluoroacetic acid Chemical compound OC(=O)C(F)(F)F.OC(=O)C(F)(F)F WROMPOXWARCANT-UHFFFAOYSA-N 0.000 description 1
- 229940124597 therapeutic agent Drugs 0.000 description 1
- CBDKQYKMCICBOF-UHFFFAOYSA-N thiazoline Chemical compound C1CN=CS1 CBDKQYKMCICBOF-UHFFFAOYSA-N 0.000 description 1
- 125000000335 thiazolyl group Chemical group 0.000 description 1
- 125000001544 thienyl group Chemical group 0.000 description 1
- 125000004149 thio group Chemical group *S* 0.000 description 1
- 208000019179 thyroid gland undifferentiated (anaplastic) carcinoma Diseases 0.000 description 1
- 210000001519 tissue Anatomy 0.000 description 1
- 238000001890 transfection Methods 0.000 description 1
- 238000000844 transformation Methods 0.000 description 1
- 230000007704 transition Effects 0.000 description 1
- 230000014616 translation Effects 0.000 description 1
- 230000005945 translocation Effects 0.000 description 1
- 125000001425 triazolyl group Chemical group 0.000 description 1
- 125000004205 trifluoroethyl group Chemical group [H]C([H])(*)C(F)(F)F 0.000 description 1
- GRGCWBWNLSTIEN-UHFFFAOYSA-N trifluoromethanesulfonyl chloride Chemical compound FC(F)(F)S(Cl)(=O)=O GRGCWBWNLSTIEN-UHFFFAOYSA-N 0.000 description 1
- 125000001889 triflyl group Chemical group FC(F)(F)S(*)(=O)=O 0.000 description 1
- 125000002221 trityl group Chemical group [H]C1=C([H])C([H])=C([H])C([H])=C1C([*])(C1=C(C(=C(C(=C1[H])[H])[H])[H])[H])C1=C([H])C([H])=C([H])C([H])=C1[H] 0.000 description 1
- 230000005747 tumor angiogenesis Effects 0.000 description 1
- 210000004881 tumor cell Anatomy 0.000 description 1
- 230000004565 tumor cell growth Effects 0.000 description 1
- 230000004614 tumor growth Effects 0.000 description 1
- 231100000588 tumorigenic Toxicity 0.000 description 1
- 230000000381 tumorigenic effect Effects 0.000 description 1
- OUYCCCASQSFEME-UHFFFAOYSA-N tyrosine Natural products OC(=O)C(N)CC1=CC=C(O)C=C1 OUYCCCASQSFEME-UHFFFAOYSA-N 0.000 description 1
- 201000005112 urinary bladder cancer Diseases 0.000 description 1
- 229960003048 vinblastine Drugs 0.000 description 1
- JXLYSJRDGCGARV-XQKSVPLYSA-N vincaleukoblastine Chemical compound C([C@@H](C[C@]1(C(=O)OC)C=2C(=CC3=C([C@]45[C@H]([C@@]([C@H](OC(C)=O)[C@]6(CC)C=CCN([C@H]56)CC4)(O)C(=O)OC)N3C)C=2)OC)C[C@@](C2)(O)CC)N2CCC2=C1NC1=CC=CC=C21 JXLYSJRDGCGARV-XQKSVPLYSA-N 0.000 description 1
- OGWKCGZFUXNPDA-XQKSVPLYSA-N vincristine Chemical compound C([N@]1C[C@@H](C[C@]2(C(=O)OC)C=3C(=CC4=C([C@]56[C@H]([C@@]([C@H](OC(C)=O)[C@]7(CC)C=CCN([C@H]67)CC5)(O)C(=O)OC)N4C=O)C=3)OC)C[C@@](C1)(O)CC)CC1=C2NC2=CC=CC=C12 OGWKCGZFUXNPDA-XQKSVPLYSA-N 0.000 description 1
- 229960004528 vincristine Drugs 0.000 description 1
- OGWKCGZFUXNPDA-UHFFFAOYSA-N vincristine Natural products C1C(CC)(O)CC(CC2(C(=O)OC)C=3C(=CC4=C(C56C(C(C(OC(C)=O)C7(CC)C=CCN(C67)CC5)(O)C(=O)OC)N4C=O)C=3)OC)CN1CCC1=C2NC2=CC=CC=C12 OGWKCGZFUXNPDA-UHFFFAOYSA-N 0.000 description 1
- 239000003039 volatile agent Substances 0.000 description 1
- 239000000080 wetting agent Substances 0.000 description 1
Images
Classifications
-
- C—CHEMISTRY; METALLURGY
- C07—ORGANIC CHEMISTRY
- C07D—HETEROCYCLIC COMPOUNDS
- C07D487/00—Heterocyclic compounds containing nitrogen atoms as the only ring hetero atoms in the condensed system, not provided for by groups C07D451/00 - C07D477/00
- C07D487/02—Heterocyclic compounds containing nitrogen atoms as the only ring hetero atoms in the condensed system, not provided for by groups C07D451/00 - C07D477/00 in which the condensed system contains two hetero rings
- C07D487/04—Ortho-condensed systems
-
- A—HUMAN NECESSITIES
- A61—MEDICAL OR VETERINARY SCIENCE; HYGIENE
- A61K—PREPARATIONS FOR MEDICAL, DENTAL OR TOILETRY PURPOSES
- A61K31/00—Medicinal preparations containing organic active ingredients
- A61K31/33—Heterocyclic compounds
- A61K31/395—Heterocyclic compounds having nitrogen as a ring hetero atom, e.g. guanethidine or rifamycins
- A61K31/495—Heterocyclic compounds having nitrogen as a ring hetero atom, e.g. guanethidine or rifamycins having six-membered rings with two or more nitrogen atoms as the only ring heteroatoms, e.g. piperazine or tetrazines
- A61K31/505—Pyrimidines; Hydrogenated pyrimidines, e.g. trimethoprim
- A61K31/519—Pyrimidines; Hydrogenated pyrimidines, e.g. trimethoprim ortho- or peri-condensed with heterocyclic rings
-
- A—HUMAN NECESSITIES
- A61—MEDICAL OR VETERINARY SCIENCE; HYGIENE
- A61K—PREPARATIONS FOR MEDICAL, DENTAL OR TOILETRY PURPOSES
- A61K31/00—Medicinal preparations containing organic active ingredients
- A61K31/33—Heterocyclic compounds
- A61K31/395—Heterocyclic compounds having nitrogen as a ring hetero atom, e.g. guanethidine or rifamycins
- A61K31/535—Heterocyclic compounds having nitrogen as a ring hetero atom, e.g. guanethidine or rifamycins having six-membered rings with at least one nitrogen and one oxygen as the ring hetero atoms, e.g. 1,2-oxazines
- A61K31/5375—1,4-Oxazines, e.g. morpholine
- A61K31/5377—1,4-Oxazines, e.g. morpholine not condensed and containing further heterocyclic rings, e.g. timolol
-
- A—HUMAN NECESSITIES
- A61—MEDICAL OR VETERINARY SCIENCE; HYGIENE
- A61K—PREPARATIONS FOR MEDICAL, DENTAL OR TOILETRY PURPOSES
- A61K31/00—Medicinal preparations containing organic active ingredients
- A61K31/33—Heterocyclic compounds
- A61K31/395—Heterocyclic compounds having nitrogen as a ring hetero atom, e.g. guanethidine or rifamycins
- A61K31/535—Heterocyclic compounds having nitrogen as a ring hetero atom, e.g. guanethidine or rifamycins having six-membered rings with at least one nitrogen and one oxygen as the ring hetero atoms, e.g. 1,2-oxazines
- A61K31/5375—1,4-Oxazines, e.g. morpholine
- A61K31/5383—1,4-Oxazines, e.g. morpholine ortho- or peri-condensed with heterocyclic ring systems
-
- A—HUMAN NECESSITIES
- A61—MEDICAL OR VETERINARY SCIENCE; HYGIENE
- A61K—PREPARATIONS FOR MEDICAL, DENTAL OR TOILETRY PURPOSES
- A61K31/00—Medicinal preparations containing organic active ingredients
- A61K31/33—Heterocyclic compounds
- A61K31/395—Heterocyclic compounds having nitrogen as a ring hetero atom, e.g. guanethidine or rifamycins
- A61K31/55—Heterocyclic compounds having nitrogen as a ring hetero atom, e.g. guanethidine or rifamycins having seven-membered rings, e.g. azelastine, pentylenetetrazole
- A61K31/551—Heterocyclic compounds having nitrogen as a ring hetero atom, e.g. guanethidine or rifamycins having seven-membered rings, e.g. azelastine, pentylenetetrazole having two nitrogen atoms, e.g. dilazep
-
- A—HUMAN NECESSITIES
- A61—MEDICAL OR VETERINARY SCIENCE; HYGIENE
- A61K—PREPARATIONS FOR MEDICAL, DENTAL OR TOILETRY PURPOSES
- A61K45/00—Medicinal preparations containing active ingredients not provided for in groups A61K31/00 - A61K41/00
- A61K45/06—Mixtures of active ingredients without chemical characterisation, e.g. antiphlogistics and cardiaca
-
- A—HUMAN NECESSITIES
- A61—MEDICAL OR VETERINARY SCIENCE; HYGIENE
- A61P—SPECIFIC THERAPEUTIC ACTIVITY OF CHEMICAL COMPOUNDS OR MEDICINAL PREPARATIONS
- A61P1/00—Drugs for disorders of the alimentary tract or the digestive system
- A61P1/04—Drugs for disorders of the alimentary tract or the digestive system for ulcers, gastritis or reflux esophagitis, e.g. antacids, inhibitors of acid secretion, mucosal protectants
-
- A—HUMAN NECESSITIES
- A61—MEDICAL OR VETERINARY SCIENCE; HYGIENE
- A61P—SPECIFIC THERAPEUTIC ACTIVITY OF CHEMICAL COMPOUNDS OR MEDICINAL PREPARATIONS
- A61P1/00—Drugs for disorders of the alimentary tract or the digestive system
- A61P1/18—Drugs for disorders of the alimentary tract or the digestive system for pancreatic disorders, e.g. pancreatic enzymes
-
- A—HUMAN NECESSITIES
- A61—MEDICAL OR VETERINARY SCIENCE; HYGIENE
- A61P—SPECIFIC THERAPEUTIC ACTIVITY OF CHEMICAL COMPOUNDS OR MEDICINAL PREPARATIONS
- A61P11/00—Drugs for disorders of the respiratory system
- A61P11/06—Antiasthmatics
-
- A—HUMAN NECESSITIES
- A61—MEDICAL OR VETERINARY SCIENCE; HYGIENE
- A61P—SPECIFIC THERAPEUTIC ACTIVITY OF CHEMICAL COMPOUNDS OR MEDICINAL PREPARATIONS
- A61P13/00—Drugs for disorders of the urinary system
- A61P13/08—Drugs for disorders of the urinary system of the prostate
-
- A—HUMAN NECESSITIES
- A61—MEDICAL OR VETERINARY SCIENCE; HYGIENE
- A61P—SPECIFIC THERAPEUTIC ACTIVITY OF CHEMICAL COMPOUNDS OR MEDICINAL PREPARATIONS
- A61P13/00—Drugs for disorders of the urinary system
- A61P13/12—Drugs for disorders of the urinary system of the kidneys
-
- A—HUMAN NECESSITIES
- A61—MEDICAL OR VETERINARY SCIENCE; HYGIENE
- A61P—SPECIFIC THERAPEUTIC ACTIVITY OF CHEMICAL COMPOUNDS OR MEDICINAL PREPARATIONS
- A61P17/00—Drugs for dermatological disorders
-
- A—HUMAN NECESSITIES
- A61—MEDICAL OR VETERINARY SCIENCE; HYGIENE
- A61P—SPECIFIC THERAPEUTIC ACTIVITY OF CHEMICAL COMPOUNDS OR MEDICINAL PREPARATIONS
- A61P17/00—Drugs for dermatological disorders
- A61P17/06—Antipsoriatics
-
- A—HUMAN NECESSITIES
- A61—MEDICAL OR VETERINARY SCIENCE; HYGIENE
- A61P—SPECIFIC THERAPEUTIC ACTIVITY OF CHEMICAL COMPOUNDS OR MEDICINAL PREPARATIONS
- A61P19/00—Drugs for skeletal disorders
- A61P19/02—Drugs for skeletal disorders for joint disorders, e.g. arthritis, arthrosis
-
- A—HUMAN NECESSITIES
- A61—MEDICAL OR VETERINARY SCIENCE; HYGIENE
- A61P—SPECIFIC THERAPEUTIC ACTIVITY OF CHEMICAL COMPOUNDS OR MEDICINAL PREPARATIONS
- A61P21/00—Drugs for disorders of the muscular or neuromuscular system
- A61P21/04—Drugs for disorders of the muscular or neuromuscular system for myasthenia gravis
-
- A—HUMAN NECESSITIES
- A61—MEDICAL OR VETERINARY SCIENCE; HYGIENE
- A61P—SPECIFIC THERAPEUTIC ACTIVITY OF CHEMICAL COMPOUNDS OR MEDICINAL PREPARATIONS
- A61P25/00—Drugs for disorders of the nervous system
-
- A—HUMAN NECESSITIES
- A61—MEDICAL OR VETERINARY SCIENCE; HYGIENE
- A61P—SPECIFIC THERAPEUTIC ACTIVITY OF CHEMICAL COMPOUNDS OR MEDICINAL PREPARATIONS
- A61P25/00—Drugs for disorders of the nervous system
- A61P25/14—Drugs for disorders of the nervous system for treating abnormal movements, e.g. chorea, dyskinesia
-
- A—HUMAN NECESSITIES
- A61—MEDICAL OR VETERINARY SCIENCE; HYGIENE
- A61P—SPECIFIC THERAPEUTIC ACTIVITY OF CHEMICAL COMPOUNDS OR MEDICINAL PREPARATIONS
- A61P25/00—Drugs for disorders of the nervous system
- A61P25/14—Drugs for disorders of the nervous system for treating abnormal movements, e.g. chorea, dyskinesia
- A61P25/16—Anti-Parkinson drugs
-
- A—HUMAN NECESSITIES
- A61—MEDICAL OR VETERINARY SCIENCE; HYGIENE
- A61P—SPECIFIC THERAPEUTIC ACTIVITY OF CHEMICAL COMPOUNDS OR MEDICINAL PREPARATIONS
- A61P25/00—Drugs for disorders of the nervous system
- A61P25/28—Drugs for disorders of the nervous system for treating neurodegenerative disorders of the central nervous system, e.g. nootropic agents, cognition enhancers, drugs for treating Alzheimer's disease or other forms of dementia
-
- A—HUMAN NECESSITIES
- A61—MEDICAL OR VETERINARY SCIENCE; HYGIENE
- A61P—SPECIFIC THERAPEUTIC ACTIVITY OF CHEMICAL COMPOUNDS OR MEDICINAL PREPARATIONS
- A61P31/00—Antiinfectives, i.e. antibiotics, antiseptics, chemotherapeutics
- A61P31/12—Antivirals
-
- A—HUMAN NECESSITIES
- A61—MEDICAL OR VETERINARY SCIENCE; HYGIENE
- A61P—SPECIFIC THERAPEUTIC ACTIVITY OF CHEMICAL COMPOUNDS OR MEDICINAL PREPARATIONS
- A61P35/00—Antineoplastic agents
-
- A—HUMAN NECESSITIES
- A61—MEDICAL OR VETERINARY SCIENCE; HYGIENE
- A61P—SPECIFIC THERAPEUTIC ACTIVITY OF CHEMICAL COMPOUNDS OR MEDICINAL PREPARATIONS
- A61P35/00—Antineoplastic agents
- A61P35/02—Antineoplastic agents specific for leukemia
-
- A—HUMAN NECESSITIES
- A61—MEDICAL OR VETERINARY SCIENCE; HYGIENE
- A61P—SPECIFIC THERAPEUTIC ACTIVITY OF CHEMICAL COMPOUNDS OR MEDICINAL PREPARATIONS
- A61P37/00—Drugs for immunological or allergic disorders
- A61P37/02—Immunomodulators
-
- A—HUMAN NECESSITIES
- A61—MEDICAL OR VETERINARY SCIENCE; HYGIENE
- A61P—SPECIFIC THERAPEUTIC ACTIVITY OF CHEMICAL COMPOUNDS OR MEDICINAL PREPARATIONS
- A61P37/00—Drugs for immunological or allergic disorders
- A61P37/02—Immunomodulators
- A61P37/06—Immunosuppressants, e.g. drugs for graft rejection
-
- A—HUMAN NECESSITIES
- A61—MEDICAL OR VETERINARY SCIENCE; HYGIENE
- A61P—SPECIFIC THERAPEUTIC ACTIVITY OF CHEMICAL COMPOUNDS OR MEDICINAL PREPARATIONS
- A61P37/00—Drugs for immunological or allergic disorders
- A61P37/08—Antiallergic agents
-
- A—HUMAN NECESSITIES
- A61—MEDICAL OR VETERINARY SCIENCE; HYGIENE
- A61P—SPECIFIC THERAPEUTIC ACTIVITY OF CHEMICAL COMPOUNDS OR MEDICINAL PREPARATIONS
- A61P43/00—Drugs for specific purposes, not provided for in groups A61P1/00-A61P41/00
-
- A—HUMAN NECESSITIES
- A61—MEDICAL OR VETERINARY SCIENCE; HYGIENE
- A61P—SPECIFIC THERAPEUTIC ACTIVITY OF CHEMICAL COMPOUNDS OR MEDICINAL PREPARATIONS
- A61P9/00—Drugs for disorders of the cardiovascular system
- A61P9/10—Drugs for disorders of the cardiovascular system for treating ischaemic or atherosclerotic diseases, e.g. antianginal drugs, coronary vasodilators, drugs for myocardial infarction, retinopathy, cerebrovascula insufficiency, renal arteriosclerosis
-
- C—CHEMISTRY; METALLURGY
- C07—ORGANIC CHEMISTRY
- C07D—HETEROCYCLIC COMPOUNDS
- C07D498/00—Heterocyclic compounds containing in the condensed system at least one hetero ring having nitrogen and oxygen atoms as the only ring hetero atoms
- C07D498/02—Heterocyclic compounds containing in the condensed system at least one hetero ring having nitrogen and oxygen atoms as the only ring hetero atoms in which the condensed system contains two hetero rings
- C07D498/04—Ortho-condensed systems
-
- C—CHEMISTRY; METALLURGY
- C07—ORGANIC CHEMISTRY
- C07D—HETEROCYCLIC COMPOUNDS
- C07D498/00—Heterocyclic compounds containing in the condensed system at least one hetero ring having nitrogen and oxygen atoms as the only ring hetero atoms
- C07D498/12—Heterocyclic compounds containing in the condensed system at least one hetero ring having nitrogen and oxygen atoms as the only ring hetero atoms in which the condensed system contains three hetero rings
- C07D498/14—Ortho-condensed systems
Definitions
- the present invention relates to tricyclic derivatives, to a process for their preparation, to pharmaceutical compositions comprising them, and to their use as therapeutic agents, particularly in the treatment of cancer and cell proliferation disorders.
- the compounds of this invention are therefore useful in treating diseases caused by dysregulated protein kinase activity.
- the present invention also provides methods for preparing these compounds, pharmaceutical compositions comprising these compounds, and methods of treating diseases utilizing pharmaceutical compositions comprising these compounds.
- PKs protein kinases
- a large share of the oncogenes and proto-oncogenes involved in human cancers encode for PKs.
- the enhanced activities of PKs are also implicated in many non-malignant diseases, such as benign prostate hyperplasia, familial adenomatosis, polyposis, neurofibromatosis, psoriasis, vascular smooth cell proliferation associated with atherosclerosis, pulmonary fibrosis, arthritis glomerulonephritis and post-surgical stenosis and restenosis.
- PKs are also implicated in inflammatory conditions and in the multiplication of viruses and parasites. PKs may also play a major role in the pathogenesis and development of neurodegenerative disorders.
- Taxanes paclitaxel and docetaxel
- vinca alkaloids e.g. vincristine and vinblastine
- Taxanes are first line therapeutics for several tumour types and second line in cisplatin-refractory ovarian, breast, lung, bladder and esophagus cancers (taxanes).
- phagocytosis and axonal transport certain toxicities such as peripheral neuropathy are frequently observed with these agents.
- Progression through mitosis is a requirement of all proliferating cells and hence cancer therapies that have targets in mitosis are generally applicable to a wide range of tumour types.
- the Spindle Assembly Checkpoint (SAC) is specifically required for proper chromosomal segregation into the two daughter cells upon cellular division. It ensures that sister chromatids aligned at the metaphase plate do not separate prior to the bipolar attachment of all duplicated chromosomes to the mitotic spindle (Reviewed in Musacchio A. and Salmon D. Nat Rev Mol Cell Biol, May; 8(5): 379-93, 2007).
- MPS1 monopolar spindle 1 kinase
- TTK tumor necrosis factor 1
- MPS1 is a dual Tyrosine and Serine/Threonine kinase highly conserved from yeast to mammals.
- the human genome encodes for just one MPS1 gene family member, which does not have high sequence similarities with other protein kinases.
- MPS1 is a cell cycle regulating enzyme that is upregulated and activated in mitosis upon phosphorylation (Stucke V M, et al., Embo J. 21 (7): 1723, 002).
- MPS1 controls spindle-pole body duplication (Winey M. et al., J. Cell Biol 114:745, 1991), spindle assembly (Jones, M. H. et al., Curr. Biol. 15: 160, 2005) and the spindle assembly checkpoint (Weiss and Winey, J. Cell. Biol 132:111, 1996).
- the MPS1 kinase activity is mainly involved in SAC regulation and functions (Jelluma, N. et al., Cell 132: 233, 2008).
- RNA interference experiments indicate that in the absence of MPS1 the SAC functions are compromised: mitotic length is reduced and cells divide rapidly without metaphase plate alignment, which ultimately causes aberrant aneuploidization, mitotic catastrophe and is not anymore compatible with cellular survival (Jelluma N. et al., Cell 132: 233, 2008; Tighe A. et al., J Cell Biol 2008; Jelluma N. et al., Plos ONE 3 (6): e2415, 2008).
- MPS1 was never found to be mutated in cancer, instead, it has been found unregulated in a number of tumors of different origins like bladder, anaplastic thyroid, breast and prostate cancer (Yuan B. et al, Clin Cancer Res, 12(2): 405-410 2006). Moreover it was found in the signature of the top 25 genes over-expressed in CIN and aneuploid tumors which predict clinical outcome in breast and lung cancer, medulloblastoma, glioma, mesothelioma and lymphoma (Carter S L et al., Nat Genet. 38 (9): 1043, 2006). Finally, it is highly elevated in metastatic tumors and it was found to be over-expressed in p53-mutated breast cancers (Bertheau P. et al., Plos Med 4(3):e90, 2007).
- PIMs are protein-serine/threonine kinases. PIM kinases are poorly expressed in normal tissues, and overexpressed or even mutated in a discrete number of human cancers, including lymphoma, leukaemia, prostate, pancreas and gastric cancers [Shah et al. Eur. J. Cancer, 44, 2144-51, (2008)].
- PIM kinases are constitutively active and their activity supports in vitro and in vivo tumor cell growth and survival through modification of an increasing number of common as well as isoform-specific substrates including several cell cycle regulators and apoptosis mediators. PIM1 but not PIM2 seems also to mediate homing and migration of normal and malignant hematopoietic cells by regulating chemokine receptor surface expression [Brault et al. Haematologica 95 1004-1015 (2010)].
- PIM1 and PIM2 kinases may be involved in mediating the oncogenic effects of some acute myelogenous leukemias (AML)-associated oncogenes.
- AML acute myelogenous leukemias
- ITD and KD mut. present in 30% of AMLs
- translocations involving the MLL gene occuring in 20% of AMLs
- PIM1 is more expressed in FLT3-ITD-transformed AML cells than in WT bone marrow cells.
- CLL chronic lymphocytic
- DLBCL diffuse large B-cell lymphoma
- MCL mantle cell lymphoma
- myeloma Cohen et al., Leukemia & Lymphoma 45(5) 951-955 (2004), Huttmann et al. Leukemia 20 1774 (2006)].
- PIMs and AKT/PKB seem to play partly redundant roles in mediating growth and survival of hematopoietic cells most probably due to overlapping substrates like BAD, p21 WAF1/CIP1 , p27 KIP1 , or Cot/Tpl-2 [Choudhary et al., Mol. Cell. 36 326-39 (2009)].
- PIM kinases have been shown to control mTOR inhibition (rapamycin) resistant, proliferation and survival. Therefore, a combination of small molecule inhibitors targeting several survival kinases might be essential for a powerful cancer therapeutic platform [Amaravadi R., et al. J. Clin. Invest. 2005, 115 (10) 2618-24].
- Oncogenic protein synthesis through eIF4E binding protein 1 (4E-BP1) seems to be mTOR-independent and controlled by PIM-2. This observations suggest that the oncogenic eIF4F translation-initiating complex could be blocked with small molecules PIM2 inhibitors [Tamburini J. et al. Blood 2009, 114 (8), 1618-27 and; Brault L. et al. Haematologica 2010, 95 (6), 1004-1015].
- Tetrahydrobenzocycloheptene derivatives known in the art as immunosuppressive agents and for treating and preventing inflammatory conditions, allergic disorders and immune disorders are disclosed in WO2009/089305.
- Tetrahydrocycloheptapyrimidine derivatives known in the art as protein kinase inhibitors are disclosed in WO2005/037843.
- FIG. 1 illustrates the preparation of compounds of formula (Vab), (Va) and (Vb) that are intermediates for the preparation of a compound of formula (I) wherein one of Y and Z is nitrogen and the other is N—R3 wherein R3 is as defined in formula (I);
- FIG. 2 illustrates the preparation of compounds of formula (Vc) and (Vd), that are intermediates for the preparation of a compound of formula (I), wherein Y is oxygen and Z is nitrogen, or Y is nitrogen and Z is oxygen; and
- FIG. 3 illustrates the preparation of compounds of formula (I), starting from compounds of formula (Vab), (Va), (Vb), (Vc) or (Vd).
- a first object of the present invention is to provide a substituted tricyclic compound of formula (I)
- R1 is hydrogen, halogen or an optionally substituted group selected from amino, straight or branched C 1 -C 6 alkyl, C 3 -C 7 cycloalkyl, cycloalkyl-alkyl, aryl, arylalkyl, heterocyclyl and heterocyclylalkyl;
- X is a single bond or a divalent radical selected from —NR′—, —CONR′—, —NH—CO—NH—,
- R′ is hydrogen or an optionally substituted group selected from straight or branched C 1 -C 6 alkyl, C 3 -C 7 cycloalkyl, cycloalkyl-alkyl, aryl, arylalkyl, heterocyclyl and heterocyclylalkyl; one of Y and Z is nitrogen and the other is N—R3 wherein R3 is hydrogen or an optionally substituted group selected from straight or branched C 1 -C 6 alkyl, C 3 -C 7 cycloalkyl, cycloalkyl-alkyl, aryl, arylalkyl, heterocyclyl and heterocyclylalkyl or is a group —(CH 2 ) n —, wherein n is 2 or 3, forming a ring with R2, or
- Y is oxygen and Z is nitrogen, or
- Y is nitrogen and Z is oxygen
- R2 is a group selected from —NR′′R′′′, —N(OR′′′)R′′ and OR′′, wherein R′′ and R′′′ are, each independently, hydrogen or an optionally substituted group selected from straight or branched C 1 -C 6 alkyl, C 3 -C 7 cycloalkyl, cycloalkyl-alkyl, aryl, arylalkyl, heterocyclyl and heterocyclylalkyl or, together with the nitrogen atom to which they are bonded, R′′ and R′′′ may form a 5 to 6 membered heteroaryl or heterocyclyl group, optionally containing one additional heteroatom selected among N, O and S;
- the present invention also provides methods of synthesizing the substituted tricyclic derivatives, represented by formula (I), prepared through a process consisting of standard synthetic transformations and isomers, tautomers, hydrates, solvates, complexes, metabolites, prodrugs, carriers, N-oxides.
- the present invention also provides a method for treating diseases caused by and/or associated with dysregulated protein kinase activity, particularly ABL, ACK1, AKT1, ALK, AUR1, AUR2, BRK, BUB1, CDC7/DBF4, CDK2/CYCA, CHK1, CK2, EEF2K, EGFR1, EphA2, EphB4, ERK2, FAK, FGFR1, FLT3, GSK3beta, Haspin, IGFR1, IKK2, IR, JAK1, JAK2, JAK3, KIT, LCK, LYN, MAPKAPK2, MELK, MET, MNK2, MPS1, MST4, NEK6, NIM1, P38alpha, PAK4, PDGFR, PDK1, PERK, PIM1, PIM2, PIM3, PKAalpha, PKCbeta, PLK1, RET, ROS1, SULU1, Syk, TLK2, TRKA, TYK, VEGFR2, VEGFR3, ZAP70, more particularly MPS1, P
- a preferred method of the present invention is to treat a disease caused by and/or associated with dysregulated protein kinase activity selected from the group consisting of cancer, cell proliferative disorders, viral infections, autoimmune and neurodegenerative disorders.
- carcinoma such as bladder, breast, colon, kidney, liver, lung, including small cell lung cancer, esophagus, gall-bladder, ovary, pancreas, stomach, cervix, thyroid, prostate, and skin, including squamous cell carcinoma
- hematopoietic tumors of lymphoid lineage including leukaemia, acute lymphocitic leukaemia, acute lymphoblastic leukaemia, B-cell lymphoma, T-cell-lymphoma, Hodgkin's lymphoma, non-Hodgkin's lymphoma, hairy cell lymphoma and Burkett's lymphoma
- hematopoietic tumors of myeloid lineage including acute and chronic myelogenous leukemias, myelodysplastic syndrome and promyelocytic leukaemia
- tumors of mesenchymal origin including fibrosarcoma
- Another preferred method of the present invention is to treat specific cellular proliferation disorders such as, for example, benign prostate hyperplasia, familial adenomatous polyposis, neurofibromatosis, psoriasis, vascular smooth cell proliferation associated with atherosclerosis, pulmonary fibrosis, arthritis, glomerulonephritis and post-surgical stenosis and restenosis.
- specific cellular proliferation disorders such as, for example, benign prostate hyperplasia, familial adenomatous polyposis, neurofibromatosis, psoriasis, vascular smooth cell proliferation associated with atherosclerosis, pulmonary fibrosis, arthritis, glomerulonephritis and post-surgical stenosis and restenosis.
- Another preferred method of the present invention is to treat immune cell-associated diseases and disorders, such as inflammatory and autoimmune diseases, for examples multiple sclerosis, systemic lupus erythematosis, inflammatory bowel diseases (IBD), Crohn's disease, irritable bowel syndrome, pancreatitis, ulcerative colitis, diverticulosis, myasthenia gravis, vasculitis, psoriasis, scleroderma, asthma, allergy, systemic sclerosis, vitiligo, arthritis such as osteoarthritis, juvenile rheumatoid arthritis, ankylosing spondylitis.
- IBD inflammatory bowel diseases
- Crohn's disease irritable bowel syndrome
- pancreatitis ulcerative colitis
- diverticulosis myasthenia gravis
- vasculitis vasculitis
- psoriasis scleroderma
- asthma allergy
- systemic sclerosis vitiligo
- arthritis such
- Another preferred method of the present invention is to treat viral infections, in particular the prevention of AIDS development in HIV-infected individuals.
- Another preferred method of the present invention is to treat neurodegenerative disorders, such as Alzheimer's disease, Parkinson's disease and Huntington's disease.
- the method of the present invention also provides tumor angiogenesis and metastasis inhibition as well as the treatment of organ transplant rejection and host versus graft disease.
- the present invention also provides a pharmaceutical composition
- a pharmaceutical composition comprising a therapeutically effective amount of a compound of formula (I), as defined above, and one or more pharmaceutically acceptable excipient, carrier and/or diluent.
- the present invention further provides a pharmaceutical composition
- a pharmaceutical composition comprising a compound of formula (I) in combination with known anticancer treatments such as radiation therapy or chemotherapy regimen in combination with cytostatic or cytotoxic agents, antibiotic-type agents, alkylating agents, antimetabolite agents, hormonal agents, immunological agents, interferon-type agents, cyclooxygenase inhibitors (e.g. COX-2 inhibitors), matrixmetalloprotease inhibitors, telomerase inhibitors, tyrosine kinase inhibitors, anti-growth factor receptor agents, anti-HER agents, anti-EGFR agents, anti-angiogenesis agents (e.g.
- known anticancer treatments such as radiation therapy or chemotherapy regimen in combination with cytostatic or cytotoxic agents, antibiotic-type agents, alkylating agents, antimetabolite agents, hormonal agents, immunological agents, interferon-type agents, cyclooxygenase inhibitors (e.g. COX-2 inhibitors), matrixmetalloprotease inhibitors, telomerase inhibitor
- angiogenesis inhibitors farnesyl transferase inhibitors, ras-raf signal transduction pathway inhibitors, cell cycle inhibitors, other cdks inhibitors, tubulin binding agents, topoisomerase I inhibitors, topoisomerase II inhibitors, and the like.
- the present invention further provides an in vitro method for inhibiting protein kinase activity which comprises contacting the kinase with an effective amount of a compound of formula (I) as defined above.
- the invention provides a product or kit comprising a compound of formula (I) or a pharmaceutically acceptable salt thereof, as defined above, or pharmaceutical compositions thereof and one or more chemotherapeutic agents, as a combined preparation for simultaneous, separate or sequential use in anticancer therapy.
- the invention provides a compound of formula (I) or a pharmaceutically acceptable salt thereof, as defined above, for use as a medicament.
- the invention provides the use of a compound of formula (I) or a pharmaceutically acceptable salt thereof, as defined above, in the manufacture of a medicament with anticancer activity.
- the invention provides a compound of formula (I) or a pharmaceutically acceptable salt thereof, as defined above, for use in a method of treating cancer.
- the present invention includes all of the hydrates, solvates, complexes, metabolites, prodrugs, carriers, N-oxides and pharmaceutically acceptable salts of the compounds of this invention.
- a metabolite of a compound of formula (I) is any compound into which this same compound of formula (I) is converted in vivo, for instance upon administration to a mammal in need thereof.
- this same derivative may be converted into a variety of compounds, for instance including more soluble derivatives like hydroxylated derivatives, which are easily excreted.
- any of these hydroxylated derivatives may be regarded as a metabolite of the compounds of formula (I).
- Prodrugs are any covalently bonded compounds, which release in vivo the active parent drug according to formula (I).
- N-oxides are compounds of formula (I) wherein nitrogen and oxygen are tethered through a dative bond.
- stereogenic center or another form of an isomeric center is present in a compound of the present invention, all forms of such isomer or isomers, including enantiomers and diastereomers, are intended to be covered herein.
- Compounds containing a stereogenic center may be used as a racemic mixture, an enantiomerically enriched mixture, or the racemic mixture may be separated using well-known techniques and an individual enantiomer may be used alone. In cases in which compounds have unsaturated carbon-carbon double bonds, both the cis (Z) and trans (E) isomers are within the scope of this invention.
- each tautomeric form is contemplated as being included within this invention whether existing in equilibrium or predominantly in one form.
- the compound of the present invention has the general formula (Ia); in case wherein Y is N and Z is N—R3, the compound of the present invention has the general formula (Ib); in case wherein Y is O and Z is N, the compound of the present invention has the general formula (Ic); in case wherein Y is N and Z is O, the compound of the present invention has the general formula (Id), here below:
- R1, X, R2 and R3 are as defined above.
- aryl includes carbocyclic or heterocyclic hydrocarbons with from 1 to 2 ring moieties, either fused or linked to each other by single bonds, wherein at least one of the rings is aromatic; if present, any aromatic heterocyclic hydrocarbon also referred to as heteroaryl group, comprises a 5 to 6 membered ring with from 1 to 3 heteroatoms selected from N, O and S.
- aryl groups are, for instance, phenyl, biphenyl, ⁇ - or ⁇ -naphthyl, dihydronaphthyl, thienyl, benzothienyl, furyl, benzofuranyl, pyrrolyl, imidazolyl, pyrazolyl, thiazolyl, isothiazolyl, oxazolyl, isoxazolyl, pyridyl, pyrazinyl, pyrimidinyl, pyridazinyl, indolyl, isoindolyl, purinyl, quinolyl, isoquinolyl, dihydroquinolinyl, quinoxalinyl, benzodioxolyl, indanyl, indenyl, triazolyl, and the like.
- heterocyclyl also known as “heterocycloalkyl” we intend a 3- to 7-membered, saturated or partially unsaturated carbocyclic ring where one or more carbon atoms are replaced by heteroatoms such as nitrogen, oxygen and sulfur.
- heterocyclyl groups are, for instance, pyrane, pyrrolidine, pyrroline, imidazoline, imidazolidine, pyrazolidine, pyrazoline, thiazoline, thiazolidine, dihydrofuran, tetrahydrofuran, 1,3-dioxolane, piperidine, piperazine, morpholine and the like.
- C 3 -C 7 cycloalkyl we intend, unless otherwise provided, 3- to 7-membered all-carbon monocyclic ring, which may contain one or more double bonds but does not have a completely conjugated ⁇ -electron system.
- cycloalkyl groups without limitation, are cyclopropane, cyclobutane, cyclopentane, cyclopentene, cyclohexane, cyclohexene, cyclohexadiene, cycloeptane, cycloeptene, cycloeptadiene.
- straight or branched C 1 -C 6 alkyl hence comprehensive of C 1 -C 4 alkyl, we intend any of the groups such as, for instance, methyl, ethyl, n-propyl, isopropyl, n-butyl, isobutyl, tert-butyl, sec-butyl, n-pentyl, n-hexyl, and the like.
- straight or branched C 2 -C 6 alkenyl we intend any of the groups such as, for instance, vinyl, allyl, 1-propenyl, isopropenyl, 1-butenyl, 2-butenyl, 3-butenyl, 2-pentenyl, 1-hexenyl, and the like.
- straight or branched C 2 -C 6 alkynyl we intend any of the groups such as, for instance, ethynyl, 2-propynyl, 4-pentynyl, and the like.
- any of the above R1, R2, R3, R′, R′′ and R′′′ groups may be optionally substituted, in any of their free positions, by one or more groups, for instance 1 to 6 groups, independently selected from: halogen, nitro, oxo ( ⁇ O), cyano, C 1 -C 6 alkyl, polyfluorinated alkyl, polyfluorinated alkoxy, alkenyl, alkynyl, hydroxyalkyl, aryl, arylalkyl, heterocyclyl, C 3 -C 7 cycloalkyl, hydroxy, alkoxy, aryloxy, heterocyclyloxy, methylenedioxy, alkylcarbonyloxy, arylcarbonyloxy, cycloalkenyloxy, heterocyclylcarbonyloxy, alkylideneaminooxy, carboxy, alkoxycarbonyl, aryloxycarbonyl, cycloalkyloxycarbonyl, heterocycly
- each of the above substituent may be further substituted by one or more of the aforementioned groups.
- halogen we intend a fluorine, chlorine, bromine or iodine atom.
- alkenyl or “alkynyl” we intend any of the aforementioned straight or branched C 2 -C 6 alkyl groups further bearing a double or triple bond.
- alkenyl or alkynyl groups of the invention are, for instance, vinyl, allyl, 1-propenyl, isopropenyl, 1-butenyl, 2-butenyl, 3-butenyl, 2-pentenyl, 1-hexenyl, ethynyl, 2-propynyl, 4-pentynyl, and the like.
- polyfluorinated alkyl or “polyfluorinated alkoxy” we intend any of the above straight or branched C 1 -C 6 alkyl or alkoxy groups which are substituted by more than one fluorine atom such as, for instance, trifluoromethyl, trifluoroethyl, 1,1,1,3,3,3-hexafluoropropyl, trifluoromethoxy and the like.
- alkoxy alkoxy
- aryloxy aryloxy
- heterocyclyloxy and derivatives thereof we intend any of the above C 1 -C 6 alkyl, aryl or heterocyclyl groups linked to the rest of the molecule through an oxygen atom (—O—).
- any group which name is a composite name such as, for instance, arylamino, has to be intended as conventionally construed by the parts from which it derives, e.g. by an amino group which is further substituted by aryl, wherein aryl is as above defined.
- any of the terms such as, for instance, alkylthio, alkylamino, dialkylamino, alkoxycarbonyl, alkoxycarbonylamino, heterocyclylcarbonyl, heterocyclylcarbonylamino, cycloalkyloxycarbonyl and the like, include groups wherein the alkyl, alkoxy, aryl, C 3 -C 7 cycloalkyl and heterocyclyl moieties are as above defined.
- Pharmaceutically acceptable salts of the compounds of formula (I) include the acid addition salts with inorganic or organic acids, e.g., nitric, hydrochloric, hydrobromic, sulfuric, perchloric, phosphoric, acetic, trifluoroacetic, propionic, glycolic, fumaric, lactic, oxalic, malonic, malic, maleic, tartaric, citric, benzoic, cinnamic, mandelic, methanesulphonic, isethionic and salicylic acid.
- the acid addition salt of the compounds of the invention is selected between the hydrochloride or mesylate salts.
- Pharmaceutically acceptable salts of the compounds of formula (I) also include the salts with inorganic or organic bases, e.g., alkali or alkaline-earth metals, especially sodium, potassium, calcium ammonium or magnesium hydroxides, carbonates or bicarbonates, acyclic or cyclic amines, preferably methylamine, ethylamine, diethylamine, triethylamine, piperidine and the like.
- inorganic or organic bases e.g., alkali or alkaline-earth metals, especially sodium, potassium, calcium ammonium or magnesium hydroxides, carbonates or bicarbonates, acyclic or cyclic amines, preferably methylamine, ethylamine, diethylamine, triethylamine, piperidine and the like.
- Preferred compounds of formula (I) are the compounds wherein:
- X is a group —NH— and R2 is a group selected from —NHR′′, —N(OR′′′)R′′ and —OR′′, wherein R′′ is hydrogen or an optionally substituted group selected from straight or branched C 1 -C 6 alkyl, C 3 -C 7 cycloalkyl, cycloalkyl-alkyl, aryl, arylalkyl, heterocyclyl and heterocyclylalkyl; and R′′′, Y, Z, R1 and R3 are as above defined.
- R2 is a group selected from —NHR′′, —N(OR′′′)R′′ and —OR′′, wherein R′′ is hydrogen or an optionally substituted group selected from straight or branched C 1 -C 6 alkyl, C 3 -C 7 cycloalkyl, cycloalkyl-alkyl, aryl, arylalkyl, heterocyclyl and heterocyclylalkyl; and R′′′, Y, Z, R1 and R3 are as above defined.
- X is a group —S— and R2 is a group selected from —NHR′′, —N(OR′′′)R′′ and —OR′′, wherein R′′ is hydrogen or an optionally substituted group selected from straight or branched C 1 -C 6 alkyl, C 3 -C 7 cycloalkyl, cycloalkyl-alkyl, aryl, arylalkyl, heterocyclyl and heterocyclylalkyl; and R′′′, Y, Z, R1 and R3 are as above defined.
- R2 is a group selected from —NHR′′, —N(OR′′′)R′′ and —OR′′, wherein R′′ is hydrogen or an optionally substituted group selected from straight or branched C 1 -C 6 alkyl, C 3 -C 7 cycloalkyl, cycloalkyl-alkyl, aryl, arylalkyl, heterocyclyl and heterocyclylalkyl; and R′′′, Y, Z, R1 and R3 are as above defined.
- X is a group —NH— and R2 is a group —NHR′′ or —N(OR′′′)R′′ wherein R′′ is hydrogen or an optionally substituted group selected from straight or branched C 1 -C 4 alkyl and aryl; and R′′′, Y, Z, R1 and R3 are as above defined.
- R2 is a group —NHR′′ or —N(OR′′′)R′′ wherein R′′ is hydrogen or an optionally substituted group selected from straight or branched C 1 -C 4 alkyl and aryl; and R′′′, Y, Z, R1, R3 are as above defined.
- X is a group —S— and R2 is a group —NHR′′ or —N(OR′′′)R′′ wherein R′′ is hydrogen or an optionally substituted group selected from straight or branched C 1 -C 4 alkyl and aryl; and R′′′, Y, Z, R1, R3 are as above defined.
- R2 is a group —NHR′′ or —N(OR′′′)R′′ wherein R′′ is hydrogen or an optionally substituted group selected from straight or branched C 1 -C 4 alkyl and aryl; and R′′′, Y, Z, R1, R3 are as above defined.
- X and R1 have any of the meanings defined in formula (I).
- X and R1 have any of the meanings defined in formula (I).
- Preferred specific compounds of formula (I) are the compounds listed below:
- the present invention also provides a process for the preparation of a compound of formula (I) as defined above, by using the reaction routes and synthetic schemes described below, employing the techniques available in the art and starting materials readily available.
- the preparation of certain embodiments of the present invention is described in the examples that follow, but those of ordinary skill in the art will recognize that the preparations described may be readily adapted to prepare other embodiments of the present invention.
- the synthesis of non-exemplified compounds according to the invention may be performed by modifications apparent to those skilled in the art, for instance by appropriately protecting interfering groups, by changing to other suitable reagents known in the art, or by making routine modifications of reaction conditions.
- other reactions referred to herein or known in the art will be recognized as having adaptability for preparing other compounds of the invention.
- FIGS. 1 , 2 and 3 A detailed scheme implementing the above procedure is shown in FIGS. 1 , 2 and 3 .
- FIG. 1 illustrates the preparation of compounds of formula (Vab), (Va) and (Vb) that are intermediates for the preparation of a compound of formula (I) wherein one of Y and Z is nitrogen and the other is N—R3 wherein R3 is as defined in formula (I).
- FIG. 2 illustrates the preparation of compounds of formula (Vc) and (Vd), that are intermediates for the preparation of a compound of formula (I), wherein Y is oxygen and Z is nitrogen, or Y is nitrogen and Z is oxygen.
- FIG. 3 illustrates the preparation of compounds of formula (I), starting from compounds of formula (Vab), (Va), (Vb), (Vc) or (Vd) as defined above.
- a process of the present invention comprises:
- R2 is ethoxy or methoxy, according to any one of the alternative steps B1 and B1b: st. B1) with hydrazine NH 2 NH 2 (IVa) st. B1a) alkylating the resultant compound of formula (Vab):
- R2 is ethoxy or methoxy, with a compound of formula (VI): R3-L (VI) wherein L is a suitable leaving group, such as mesyl, tosyl and halogen, and R3 is as defined above but not hydrogen; so as to obtain a mixture of compounds of formula (Va) and (Vb):
- another process of the present invention comprises:
- the process of the present invention further comprises:
- R1 is hydrogen, X is amino, R2 is ethoxy or methoxy or a group NR′′R′′′ or N(OR′′′)R′′, wherein R′′ and R′′′ are as defined in formula (I), and Z and Y and are as defined above; and optionally converting them into other derivatives of formula (I); st.
- R1 is an optionally substituted alkyl, cycloalkyl, heterocyclyl, aryl, cycloalkyl-alkyl, arylalkyl or heterocyclylalkyl
- X is —S—
- R1 is an optionally substituted alkyl, cycloalkyl, heterocyclyl, aryl, cycloalkyl-alkyl, arylalkyl or heterocyclylalkyl
- X is —S—
- R1 is an aryl, i.e. phenyl, substituted by bromine, into the corresponding compound of formula (I) wherein R1 is an aryl, i.e. phenyl, substituted by NR′′R′′′, by treatment with an amine of formula R′′R′′′-NH (X), to give the corresponding compound wherein R1 is an aryl, i.e. phenyl, substituted by NR′′R′′′:
- Ra and Rb are independently halogen, except bromine, hydrogen, nitro, cyano, C 1 -C 6 alkyl, polyfluorinated alkyl, polyfluorinated alkoxy, alkenyl, alkynyl, hydroxyalkyl, aryl, arylalkyl, heterocyclyl, C 3 -C 7 cycloalkyl, hydroxy, alkoxy, aryloxy, heterocyclyloxy, methylenedioxy, alkylcarbonyloxy, arylcarbonyloxy, cycloalkenyloxy, heterocyclylcarbonyloxy, alkylideneaminooxy, carboxy, alkoxycarbonyl, aryloxycarbonyl, cycloalkyloxycarbonyl, heterocyclyloxycarbonyl, amino, ureido, alkylamino, dialkylamino, arylamino, diarylamino, heterocyclyamino, formylamino, alkylcarbonyla
- Ra and Rb are independently halogen, hydrogen, nitro, cyano, C 1 -C 6 alkyl, polyfluorinated alkyl, polyfluorinated alkoxy, alkenyl, alkynyl, hydroxyalkyl, aryl, arylalkyl, heterocyclyl, C 3 -C 7 cycloalkyl, hydroxy, alkoxy, aryloxy, heterocyclyloxy, methylenedioxy, alkylcarbonyloxy, arylcarbonyloxy, cycloalkenyloxy, heterocyclylcarbonyloxy, alkylideneaminooxy, carboxy, alkoxycarbonyl, aryloxycarbonyl, cycloalkyloxycarbonyl, heterocyclyloxycarbonyl, amino, ureido, alkylamino, dialkylamino, arylamino, diarylamino, heterocyclyamino, formylamino, alkylcarbonylamino,
- Ra and Rb are independently halogen atom, hydrogen, nitro, cyano, C 1 -C 6 alkyl, polyfluorinated alkyl, polyfluorinated alkoxy, alkenyl, alkynyl, hydroxyalkyl, aryl, arylalkyl, heterocyclyl, C 3 -C 7 cycloalkyl, hydroxy, alkoxy, aryloxy, heterocyclyloxy, methylenedioxy, alkylcarbonyloxy, arylcarbonyloxy, cycloalkenyloxy, heterocyclylcarbonyloxy, alkylideneaminooxy, carboxy, alkoxycarbonyl, aryloxycarbonyl, cycloalkyloxycarbonyl, heterocyclyloxycarbonyl, amino, ureido, alkylamino, dialkylamino, arylamino, diarylamino, heterocyclyamino, formylamino, alkylcarbonylamino
- Ra, Rb and Rc are independently hydrogen, nitro, cyano, C 1 -C 6 alkyl, polyfluorinated alkyl, polyfluorinated alkoxy, alkenyl, alkynyl, hydroxyalkyl, aryl, arylalkyl, heterocyclyl, C 3 -C 7 cycloalkyl, hydroxy, alkoxy, aryloxy, heterocyclyloxy, methylenedioxy, alkylcarbonyloxy, arylcarbonyloxy, cycloalkenyloxy, heterocyclylcarbonyloxy, alkylideneaminooxy, carboxy, alkoxycarbonyl, aryloxycarbonyl, cycloalkyloxycarbonyl, heterocyclyloxycarbonyl, amino, ureido, alkylamino, dialkylamino, arylamino, diarylamino, heterocyclyamino, formylamino, alkylcarbonylamino, aryl
- Ra, Rb and Rc are as defined above, in presence of palladium.
- conv. 18 converting a compound of formula (I) wherein R2, Y and Z are as defined in formula (I), R1 is methyl and X is O, first into the corresponding compounds of formula (I) wherein R1 is hydrogen, then by reacting the resultant compound with a triflating agent so as to obtain the corresponding trifluoromethanesulfonate and finally by reacting it with a compound of formula (XIII): R1-Q (XIII) wherein R1 is an optionally substituted alkyl, cycloalkyl, heterocyclyl, aryl, cycloalkyl-alkyl, arylalkyl or heterocyclylalkyl, and Q is a suitable group such as —B(OH) 2 , —B(OAlk) 2 , —Sn(Alk) 4 , ZnHal, or MgHal, which can undergo palladium mediated
- step (st.A) of the process 2,2-dimethoxycycloheptanone is reacted with diethyl oxalate or dimethyl oxalate in the presence of LiN(TMS) 2 and of a suitable solvent such as, for instance, dioxane, tetrahydrofurane (THF) or Et 2 O.
- a suitable solvent such as, for instance, dioxane, tetrahydrofurane (THF) or Et 2 O.
- step (st.B1) the compound of formula (III) is reacted with hydrazine (IVa), in the presence of AcOH or a lower alcohol such as MeOH, EtOH or admixtures thereof.
- hydrazine (IVa) a lower alcohol such as MeOH, EtOH or admixtures thereof.
- the above reaction is carried out in EtOH at room temperature, so as to obtain a compound of formula (Vab).
- step (st.B1a) the compound of formula (Vab) wherein R2 is ethoxy or methoxy, is reacted with a suitable compound of formula (VI) wherein R3 is not hydrogen, in the presence of a base such as NaH, Na 2 CO 3 or Cs 2 CO 3 in a suitable solvent, such as for instance THF, dioxane or dimethylformamide (DMF), at a temperature ranging from room temperature to 100° C., so as to obtain a mixture of compounds (Va) and (Vb), and by separating them under conventional methods, for instance through preparative HPLC.
- a base such as NaH, Na 2 CO 3 or Cs 2 CO 3
- a suitable solvent such as for instance THF, dioxane or dimethylformamide (DMF)
- step (st.B1b) the compound of formula (III) is reacted with a suitable hydrazine derivative of formula (IVb), in the presence of AcOH or a lower alcohol such as MeOH, EtOH or admixtures thereof.
- a suitable hydrazine derivative of formula (IVb) in the presence of AcOH or a lower alcohol such as MeOH, EtOH or admixtures thereof.
- the above reaction is carried out in EtOH at room temperature, so as to obtain a compound of formula (Vb).
- the compound of formula (Vab), (Va) or (Vb) wherein R2 is ethoxy or methoxy and R3 if present is hydrogen may be converted into a carboxylic acid derivative, by conditions widely known in the art and may comprise, for instance, the reaction with NaOH or KOH in the presence of a suitable solvent such as a lower alcohol, DMF or mixtures thereof; preferably the reaction is carried out with NaOH in a EtOH/DMF mixture, at a temperature ranging from about 25° C. to about 100° C.
- step (st.B3) of the process the compound of formula (Vab), (Va) or (Vb) wherein R3 is as defined above and R2 is hydroxy or the corresponding salt, may be converted into derivatives of formula (Vab), (Va) or (Vb) wherein R2 is a group NR′′R′′′ or N(OR′′′)R′′ and R3 is as defined above.
- reaction is carried out in the presence of an amine of formula either (X) or (XI) as defined above, under basic conditions, preferably with DIPEA or TEA, in a suitable solvent such as DCM, DMF, THF, or dioxane, and in the presence of a suitable condensing agent such as DCC, EDCI or TBTU; catalytic amounts of PyBOP or HOBt may be also required.
- a suitable solvent such as DCM, DMF, THF, or dioxane
- a suitable condensing agent such as DCC, EDCI or TBTU
- catalytic amounts of PyBOP or HOBt may be also required.
- step (st.B4) a compound of formula (Vab), wherein R2 is NR′′R′′′ or N(OR′′)R′′′ and R′′ and R′′′ are as defined above, is reacted with a suitable compound of formula (VI) wherein R3 is as defined above but not hydrogen, in the presence of a base such as NaH, Na 2 CO 3 or Cs 2 CO 3 in a suitable solvent, for instance THF, dioxane or DMF, at a temperature ranging from room temperature to 100° C., so as to obtain a compound (Va).
- a base such as NaH, Na 2 CO 3 or Cs 2 CO 3
- a suitable solvent for instance THF, dioxane or DMF
- reaction step (st.C) is carried out under the operative conditions set in step (st.B2) and lead to the desired compounds of formula (Va) or (Vb), respectively.
- a compound of formula (Vab), (Va) or (Vb) wherein R2 is ethoxy or methoxy and R3 is as defined above but not hydrogen may be converted into another compound of formula (Vab), (Va) or (Vb) wherein R2 is an amino group of formula —NR′′R′′′ or of formula —N(OR′′′)R′′ according to methods well-known in the art to convert carboxyester groups (—COOR′) into carboxamides (—CONH 2 ), N-substituted carboxamides (—CONHR′′), N,N-disubstituted carboxamides (—CONR′′R′′′) and Weinreb amides (—CON(OR′′′)R′′).
- R′′ and R′′′ are hydrogen
- the reaction is carried out with ammonium hydroxide in a MeOH/DMF mixture, at a temperature ranging from about 50° C. to about 100° C.
- Analogous operative conditions are applied in the preparation of N-substituted carboxamides or N,N-disubstituted carboxamides or Weinreib amides or wherein a suitable primary or secondary amine or substituted hydroxylamines are used in place of ammonia or ammonium hydroxide.
- carboxyester groups may be converted into carboxamide or N-substituted carboxamides or N,N-disubstituted carboxamides or Weinreib amides under basic conditions such as LiN(TMS) 2 1 N in THF, using ammonium chloride or a suitable primary or secondary amine; preferably the reaction is carried out in THF or Et 2 O at a temperature ranging from 20° C. to reflux.
- basic conditions such as LiN(TMS) 2 1 N in THF, using ammonium chloride or a suitable primary or secondary amine; preferably the reaction is carried out in THF or Et 2 O at a temperature ranging from 20° C. to reflux.
- step (st.E1) of the process ( FIG. 2 ) a compound of formula (III) is reacted with hydroxylamine or hydroxylamine hydrochloride.
- the above reaction is carried out in EtOH at a temperature ranging from room temperature to reflux, so as to obtain a mixture of both compounds of formula (Vc) and (Vd).
- Their separation into the single compounds (Vc) and (Vd) is carried out under conventional methods, for instance through preparative HPLC.
- step (st.E2) are carried out under the operative conditions set forth in step (st.D) and lead to the desired compounds of formula (Vc) or (Vd), respectively.
- step (st.G1) are carried out under the operative conditions set forth in step (st.B2) and lead to the desired compounds of formula (Vc) or (Vd), respectively.
- step (st.G2) are carried out under the operative conditions set forth in step (st.B3) and lead to the desired compounds of formula (Vc) or (Vd), respectively.
- a compound of formula (Vab) or (Va) or (Vb) or (Vc) or (Vd) is reacted with N,N-dimethylformamide-di-tert-butylacetale, N,N-dimethylformamide-diisopropylacetale, N,N-dimethylformamide-dimethylacetale or N,N-dimethylformamide-diethylacetale in a suitable solvent such as, for instance, DMF or toluene, so as to get the corresponding compound of formula (VII) as defined above.
- the reaction is carried out at a temperature ranging from room temperature to about 100° C.
- step (st.I1) of the process a compound of formula (VII) as defined above is reacted with guanidine or a salt thereof so as to obtain the corresponding compound of formula (I) as defined above wherein X is —NH— and R1 is hydrogen through pyrimidine ring formation.
- the reaction is carried out in DMF or EtOH at a temperature ranging from 80° C. to reflux.
- step (st.I2) of the process a compound of formula (VII) as defined above is reacted with a guanidine derivative or a salt thereof of formula (VIII) so as to obtain the corresponding compound of formula (I) as defined above wherein X is —NH— and R1 is as defined above through pyrimidine ring formation.
- the reaction is preferably carried out in DMF or EtOH at a temperature ranging from 80° C. to reflux, possibly in the presence of a base e.g. K 2 CO 3 .
- step (st.I3) of the process a compound of formula (VII) as defined above is reacted with an isothiourea derivative or a salt thereof of formula (IX), wherein R1 is as above reported, so as to obtain the corresponding compound of formula (I), wherein X is —S— and R1 is as defined above, through pyrimidine ring formation.
- the reaction is preferably carried out in DMF or EtOH at a temperature ranging from 80° C. to reflux.
- step (st.I4) of the process a compound of formula (VII) as defined above is reacted with an isourea derivative or a salt thereof of formula (XXV) so as to obtain a compound of formula (I), wherein X is —O— and R1 is as defined above, through pyrimidine ring formation.
- Reaction is preferably carried out operating in a suitable solvent such as dioxane, DMF or CH 3 CN in the presence of a base such as Na 2 CO 3 or K 2 CO 3 at a temperature ranging from 50° C. to 100° C.
- step (st.B1) or (st.B2) or (st.B3) of the process it is clear to the skilled person that both compounds of formula (Va) or (Vb) wherein R3 is a hydrogen atom are tautomeric forms of a given compound which can be conveniently identified as having formula (Vab)
- a compound of formula (Ia) or (Ib) wherein R3 is a group selected from p-methoxybenzyl, trytil or t-butyl may be converted into the corresponding compound of formula (I) wherein R3 is hydrogen atom by reaction in acidic conditions, for instance with TFA or HCl and in the presence of a suitable solvent such as DCM or dioxane, at a temperature ranging from room temperature to 70° C. and for a time ranging from about 1 to about 12 hours.
- a compound of formula (Ia) wherein R3 is hydrogen atom may be converted into a mixture of compounds of formula (Ia) and (Ib) wherein R3 is as defined above except hydrogen atom, by reaction with a suitable compound of formula (VI) as defined above wherein L is a suitable leaving group such as an halogen atom, preferably chlorine, bromine or iodine, in the presence of a base such as NaH or TEA or Cs 2 CO 3 , in a suitable solvent, for instance DCM, THF, dioxane or DMF, at a temperature ranging from room temperature to 100° C., so and for a time ranging from about 1 to about 12 hours.
- Compounds of formula (Ia) and (Ib) may then be obtained as single compounds separating their mixture into the single compounds (Ia) and (Ib) by conventional methods for instance through chromatography or preparative HPLC;
- a compound of formula (Ia) wherein R3 is hydrogen atom may be converted into a compound of formula (Ia) wherein R3 is as defined above except hydrogen atom, by reaction with a suitable compound of formula (VI) as defined above where L is a suitable leaving group, such as an halogen atom, preferably chlorine, bromine or iodine, in the presence of a base such as NaH or TEA or Cs 2 CO 3 , in a suitable solvent, for instance DCM, THF, dioxane or DMF, at a temperature ranging from room temperature to reflux, for a time ranging from about 1 to about 12 hours.
- a suitable compound of formula (VI) as defined above where L is a suitable leaving group, such as an halogen atom, preferably chlorine, bromine or iodine, in the presence of a base such as NaH or TEA or Cs 2 CO 3 , in a suitable solvent, for instance DCM, THF, dioxane or DMF, at
- the compounds of formula (I) wherein R2 is ethoxy or a group —N(OR′′′)R′′ may be converted into carboxylic acid derivatives of formula (I) as defined above or their corresponding salts through basic or acidic hydrolysis conditions, widely known in the art.
- the compounds of formula (I) wherein R2 is hydroxyl or a salt thereof may be converted into the corresponding derivatives of formula (I) wherein R2 is a group —NR′′R′′′ or —N(OR′′′)R′′ as defined above.
- the reaction is carried out in presence of an amine of formula (X) or (XI) as defined above, under basic conditions, preferably with DIPEA or TEA, in a suitable solvent such as DCM, DMF, THF or dioxane, and in the presence of a suitable condensing agent such as DCC, EDCI or TBTU; catalytic amounts of PyBOP or HOBt may also be required.
- a compound of formula (I) wherein R2 is ethoxy may be converted into another compound of formula (I) wherein R2 is an amino group of formula —NR′′R′′′ or —N(OR′′′)R′′ according to methods well-known in the art to convert carboxyester groups into carboxamides (—CONH 2 ), N-substituted carboxamides (—CONHR′′), N,N-disubstituted carboxamides (—CONR′′R′′′) and Weinreib amides (—CON(OR′′′)R′′′.
- R′′ and R′′′ are hydrogens
- the reaction is carried out with ammonium hydroxide or hydroxylamine in a MeOH/DMF mixture, at a temperature ranging from about 50° C. to about 100° C.
- Analogous operative conditions are applied in the preparation of N-substituted carboxamides, N,N-disubstituted carboxamides and Weinerib amides wherein a suitable primary, secondary amine or substituted hydroxylamines are used in place of ammonia or ammonium hydroxide.
- carboxyester groups may be converted into carboxamide or N-substituted carboxamides, N,N-disubstituted carboxamides or Weinreib amides under basic conditions such as LiN(TMS) 2 1 N in THF, using ammonium chloride or a suitable primary or secondary amine; preferably the reaction is carried out in THF or Et 2 O at a temperature ranging from 20° C. to reflux.
- basic conditions such as LiN(TMS) 2 1 N in THF, using ammonium chloride or a suitable primary or secondary amine; preferably the reaction is carried out in THF or Et 2 O at a temperature ranging from 20° C. to reflux.
- the above compound (Ib) is first converted into the free amino derivative by working according to conventional methods, for instance under acidic conditions, preferably with HCl, in a suitable solvent such as dioxane at refluxing temperature, and subsequently cyclised to the desired tetracyclic derivative in the presence of a base such as Cs 2 CO 3 and in a suitable solvent such as a lower alcohol, preferably MeOH, ranging from room temperature to reflux.
- a compound of formula (Ib) wherein R3 is —(CH 2 ) n —OH with n 2 or 3, is converted into to the desired tetracyclic compound of formula (Ib3) or (Ib4) under acidic conditions, preferably with HCl or p-toluensulfonic acid, in a suitable solvent such as dioxane or a lower alcohol, preferably MeOH, with a temperature ranging from room temperature to reflux.
- a suitable solvent such as dioxane or a lower alcohol, preferably MeOH
- compounds of formula (I) wherein R1 is an optionally substituted aryl and X is —NH can be obtained by the corresponding iodo derivatives which, in their turn, may be prepared by the corresponding compounds of formula (I) wherein R1 is hydrogen and X is —NH—.
- the preparation of the iodo derivatives may be carried out in a suitable solvent such as THF, Et 2 O or 1,2-dimethoxyethane (DME), at a temperature ranging from room temperature to about 70° C., and for a time of about 8 hours to about 48 hours.
- the subsequent conversion of the iododerivative may be carried out in a suitable solvent such as DMF, DME or CH 3 CN, and in the presence of catalytic amounts of Pd(OAc) 2 , BINAP or Xantphos and a base such as K 2 CO 3 , potassium phosphate or Cs 2 CO 3 , at a temperature ranging from room temperature to 110° C. and for a time ranging from about 2 to about 24 hours.
- a suitable solvent such as DMF, DME or CH 3 CN
- Pd(OAc) 2 , BINAP or Xantphos and a base such as K 2 CO 3 , potassium phosphate or Cs 2 CO 3
- organometal reagent such as for instance organoboron (Suzuki reaction), organotin (Stille reaction), organomagnesium (Kumada reaction), or organozinc (Negishi reaction) and the like.
- Preferred reaction is the Suzuki reaction where the appropriate aryl or heteroarylboronic derivative is used in the presence of a palladium based catalyst such as PdCl 2 (dppf).CH 2 Cl 2 or Pd 2 (dba) 3 or Pd(PPh 3 ) 4 , in a suitable solvent such as DMF, DCM, MeOH, CH 3 CN, or in a mixture of solvents, such as DME and water, optionally in the presence of a base such as sodium or cesium carbonate or cesium fluoride, at a temperature ranging from room temperature to 100° C.
- a palladium based catalyst such as PdCl 2 (dppf).CH 2 Cl 2 or Pd 2 (dba) 3 or Pd(PPh 3 ) 4
- a suitable solvent such as DMF, DCM, MeOH, CH 3 CN
- a mixture of solvents such as DME and water
- a base such as sodium or cesium carbonate or cesium fluoride
- compounds of formula (I), wherein R1 is an optionally substituted alkyl, cycloalkyl, heterocyclyl, aryl, cycloalkyl-alkyl, arylalkyl or heterocyclylalkyl group and X is —S— may be converted into compounds of formula (I), wherein X is —NH—, by first oxidizing the thio group to sulfonyl group and by replacing it with a R—NH— group.
- the oxidative step may be carried out with oxone in the presence of a suitable solvent, preferably DMF or DMSO at room temperature; the subsequent replacement of the sulfonyl group with a suitable amino derivative is preferably carried out in the presence of DMF, DME, dioxane, CH 3 CN, N-methyl-pyrrolidone or diglyme, at a temperature ranging from room temperature to about 100° C.
- a suitable solvent preferably DMF or DMSO at room temperature
- compounds of formula (I) wherein X is —O— may be easily obtained by reacting the sulfonyl derivative above mentioned with an alcohol or phenol derivative of formula (XIV) wherein R1 is an optionally substituted alkyl, cycloalkyl, heterocyclyl, aryl, cycloalkyl-alkyl, arylalkyl or heterocyclylalkyl.
- the reaction may be carried out in the presence of a base such as K 2 CO 3 or Na 2 CO 3 , butyl lithium, LiN(TMS) 2 , NaH or the like, in a suitable solvent such as DMF or THF, and at a temperature ranging from room temperature to about 100° C.
- compounds of formula (I) wherein X is —OSO 2 — and R1 is a trifluoromethyl group may be obtained by reacting the corresponding compounds of formula (I) wherein X is —O— and R1 is hydrogen with a triflating agent such as trifluoromethanesulfonic anhydride, trifluoromethanesulfonylchloride or N-phenyl-bis(trifluoromethanesulfonimide), optionally in the presence of a base such as TEA or DIPEA, in a suitable solvent such as DCM, THF or dioxane at a temperature ranging from ⁇ 78° C. to room temperature.
- a triflating agent such as trifluoromethanesulfonic anhydride, trifluoromethanesulfonylchloride or N-phenyl-bis(trifluoromethanesulfonimide
- the compounds of formula (I), wherein X is —O— and R1 an optionally substituted alkyl, cycloalkyl, heterocyclyl, aryl, cycloalkyl-alkyl, arylalkyl or heterocyclylalkyl group may be obtained by reacting the corresponding compounds of formula (I) wherein X is —OSO 2 — and R1 is a trifluoromethyl group with an alcohol of formula (XIV) wherein R1 is an optionally substituted alkyl, cycloalkyl, heterocyclyl, aryl, cycloalkyl-alkyl, arylalkyl or heterocyclylalkyl group, by operating in a suitable solvent such as dioxane, THF, DME, CH 3 CN, DMF or DMSO, at a temperature ranging from room temperature to about 90° C., optionally in the presence of a base such as K 2 CO 3 , potassium tertbutoxide or NaH.
- reaction may be carried out in a suitable solvent such as toluene, DMF, DME or CH 3 CN, in the presence of Pd(OAc) 2 , ( ⁇ )-BINAP and a base such as potassium phosphate or K 2 CO 3 or Cs 2 CO 3 at a temperature ranging from 0° C. to 100° C.
- a suitable solvent such as toluene, DMF, DME or CH 3 CN
- compounds of formula (I), wherein R1 is an optionally substituted alkyl, cycloalkyl, heterocyclyl, cycloalkyl-alkyl or a heterocyclylalkyl group and X is —NH— can be obtained from compounds of formula (I) wherein X is —OSO 2 — and R1 is a trifluoromethyl group by reaction with an amine of formula (XII), wherein R1 is an optionally substituted alkyl, cycloalkyl, heterocyclyl, aryl, cycloalkyl-alkyl, arylalkyl or heterocyclylalkyl group.
- the reaction is typically obtained by operating in a suitable solvent such as dioxane, THF, DME, CH 3 CN, DMF or DMSO, at a temperature ranging from room temperature to 90° C., optionally in the presence of a base such as K 2 CO 3 or TEA.
- a suitable solvent such as dioxane, THF, DME, CH 3 CN, DMF or DMSO, at a temperature ranging from room temperature to 90° C., optionally in the presence of a base such as K 2 CO 3 or TEA.
- deprotection of the carboxylic residue into the corresponding acid can be achieved using procedures well known in the art, involving acidic conditions, for example with HCl or TFA in a suitable solvent, such as, for instance, THF or dioxane, at a temperature ranging from room temperature to 60° C. and for a time ranging from about 1 to about 12 hours.
- a suitable solvent such as, for instance, THF or dioxane
- transformation of the acid residue into the corresponding amide derivatives —CONR′′R′′′, wherein R′′ and R′′′ are as defined above can be obtained by reaction of the acid derivatives with an amine of formula (X) as defined above, under basic conditions, preferably with DIPEA or TEA, in a suitable solvent such as DCM, DMF, THF, or dioxane, and in the presence of a suitable condensing agent such as DCC, EDCI or TBTU; catalytic amounts of PyBOP or HOBt may be also required, at a temperature ranging from room temperature to 60° C. and for a time ranging from about 1 to about 24 hours.
- a suitable solvent such as DCM, DMF, THF, or dioxane
- a suitable condensing agent such as DCC, EDCI or TBTU
- catalytic amounts of PyBOP or HOBt may be also required, at a temperature ranging from room temperature to 60° C. and for a time ranging from about
- the compound of formula (I) as defined above is reacted with compounds of formula (XVI) as defined above, according to conventional methods.
- the reaction can be carried out in a suitable solvent such as DMF, DME, dioxane or CH 3 CN, catalytic amounts of Pd 2 (dba) 3 , BINAP or 2-(dicyclohexylphosphino)-2′,4′,6′-triisopropyl-1,1′-biphenyl (X-phos) and a base such as K 2 CO 3 , potassium phosphate or Cs 2 CO 3 , at a temperature ranging from room temperature to 110° C. and for a time ranging from about 2 to about 24 hours.
- a suitable solvent such as DMF, DME, dioxane or CH 3 CN
- compounds of formula (I) wherein R1 is an optionally substituted alkyl, cycloalkyl, heterocyclyl, aryl, cycloalkyl-alkyl, arylalkyl or heterocyclylalkyl group and X is a single bond can be obtained by the corresponding compounds of formula (I) wherein X is —OSO 2 — and R1 is a trifluoromethyl group, by reaction with derivatives of formula (XIII), as defined above, in a suitable solvent such as DMF, DCM, MeOH, DME or CH 3 CN, in the presence of Pd 2 (dba) 3 , PdCl 2 (dppf) or Pd(PPh 3 ) 4 , optionally in the presence of cesium fluoride, at a temperature ranging from room temperature to 100° C.
- a suitable solvent such as DMF, DCM, MeOH, DME or CH 3 CN
- the conversion is carried out by reaction with a thiol of formula R1-SH (XXVI) wherein R1 is as defined above in a suitable solvent such as THF, DMF, DCM, MeOH, DME or CH 3 CN, at a temperature ranging from room temperature to 100° C.
- a suitable solvent such as THF, DMF, DCM, MeOH, DME or CH 3 CN
- the starting material and any other reactant are known or easily prepared according to known methods.
- the compounds of formula (I) may be advantageously prepared according to combinatorial chemistry techniques widely known in the art, by accomplishing the aforementioned reactions between the intermediates in a serial manner and by working under solid-phase-synthesis (SPS) conditions.
- SPS solid-phase-synthesis
- the intermediate derivatives of formula (Vab) wherein R2 is hydroxy being obtained in step B2 of the above processes, can be easily supported onto a polymeric resin, for instance through the formation of a carboxamido group.
- the resin is a commercially available polystyrenic resin including, for instance, Wang resin, Trityl resin, Cl-trityl resin, Rink amide resin, Tentagel OH resin and derivatives thereof;
- R1, X and R3 are as defined above and R2 is NHR′′, wherein R′′ is hydrogen or an optionally substituted group selected from straight or branched C 1 -C 6 alkyl, C 3 -C 7 cycloalkyl or cycloalkyl-alkyl, aryl, arylalkyl, heterocyclyl or heterocyclylalkyl.
- the polystyrenic resin is a derivatized formyl polystyrenic resin which may be obtained by reacting a commercially available formyl polystyrenic resin, e.g. 4-(4-formyl-3-methoxyphenoxy)butyryl AM resin, with a suitable amino derivative under reductive conditions, for instance in the presence of sodium triacetoxyborohydride and derivatives thereof, substantially as follows:
- the reaction may be carried out in a suitable solvent such as tetrahydrofuran and in the presence of AcOH.
- amines loaded onto formylpolystyrenic resins also known as Acid Sensitive Methoxyl)enzaldehyde polystyrene resins (AMEBA resin) are prepared by standard reductive amination in the presence of an excess of amine in trimethyl orthoformate (TMOF)/DCE and NaBH(OAc) 3 or AcOH/DMF and NaCNBH 3 , for instance as reported in Tetrahedron Letters (1997), 38, 7151-7154; J. Am. Chem. Soc. (1998), 120, 5441; and Chem. Eur. J. (1999), 5, 2787.
- TMOF trimethyl orthoformate
- OAc NaBH(OAc) 3
- AcOH/DMF and NaCNBH 3 AcOH/DMF and NaCNBH 3
- the reaction with the polystyrene resin is performed in a suitable solvent, for instance DMF, in the presence of DIPEA and of a suitable condensing agent such as, for instance, PyBOP, TBTU or 2-(1H-Benzotriazole-1-yl)-1,1,3,3-tetramethyluronium hexafluorophosphate (HBTU).
- a suitable solvent for instance DMF
- DIPEA a suitable condensing agent
- a suitable condensing agent such as, for instance, PyBOP, TBTU or 2-(1H-Benzotriazole-1-yl)-1,1,3,3-tetramethyluronium hexafluorophosphate (HBTU).
- step (st.M) of the process the supported compound of formula (XXIII) is alkylated to obtain the corresponding allylpyrazole derivative; the reaction is carried out in the presence of R3-L (VI), Cs 2 CO 3 in DMF at room temperature for a time ranging from 4 to 24 hours.
- step (st.N) the supported compound of formula (XXIV) is further reacted according to step st.H to give the corresponding enaminone, in the presence of dimethylformamide derivatives.
- step (st.O) the supported compound of formula (XXV) is further reacted to give a variety of compounds of general formula (I), as described in any of the steps st.I1, st.I2, st.I3 and st.I4.
- the cleavage of the resin is performed under acidic conditions in the presence of suitable acids such as, for instance, HCl, TFA, methanesulfonic or p-toluensulfonic acid.
- suitable acids such as, for instance, HCl, TFA, methanesulfonic or p-toluensulfonic acid.
- the reaction is carried out using TFA in DCM as solvent.
- R1 is hydrogen, or an optionally substituted group selected from amino, straight or branched C 1 -C 6 alkyl, C 3 -C 7 cycloalkyl, cycloalkyl-alkyl, aryl, arylalkyl, heterocyclyl and heterocyclylalkyl;
- X is a single bond or a divalent radical selected from —NR′—, —CONR—, —NH—CO—NH—, —O—, —S— and —SO 2 —, —OSO 2 —, wherein R′ is hydrogen or an optionally substituted group selected from straight or branched C 1 -C 6 alkyl, C 3 -C 7 cycloalkyl, cycloalkyl-alkyl, aryl, arylalkyl, heterocyclyl and heterocyclylalkyl;
- R2 is —NHR′′, wherein R′′ is hydrogen or an optionally substituted group selected from straight or branched C 1 -C 6 alkyl, C 3 -C 7 cycloalkyl, cycloalkyl-alkyl, aryl, arylalkyl, heterocyclyl and heterocyclylalkyl;
- R3 is hydrogen or an optionally substituted group selected from straight or branched C 1 -C 6 alkyl, C 3 -C 7 cycloalkyl, cycloalkyl-alkyl, aryl, arylalkyl, heterocyclyl and heterocyclylalkyl;
- the compounds of the present invention can be administered either as single agents or, alternatively, in combination with known anticancer treatments such as radiation therapy or chemotherapy regimen in combination with cytostatic or cytotoxic agents, antibiotic-type agents, alkylating agents, antimetabolite agents, hormonal agents, immunological agents, interferon-type agents, cyclooxygenase inhibitors (e.g. COX-2 inhibitors), matrixmetalloprotease inhibitors, telomerase inhibitors, tyrosine kinase inhibitors, anti-growth factor receptor agents, anti-HER agents, anti-EGFR agents, anti-angiogenesis agents (e.g.
- cytostatic or cytotoxic agents antibiotic-type agents, alkylating agents, antimetabolite agents, hormonal agents, immunological agents, interferon-type agents, cyclooxygenase inhibitors (e.g. COX-2 inhibitors), matrixmetalloprotease inhibitors, telomerase inhibitors, tyrosine kinase inhibitors, anti-growth factor receptor agents, anti
- angiogenesis inhibitors farnesyl transferase inhibitors, ras-raf signal transduction pathway inhibitors, cell cycle inhibitors, other cdks inhibitors, tubulin binding agents, topoisomerase I inhibitors, topoisomerase II inhibitors, and the like.
- such combination products employ the compounds of this invention within the dosage range described below and the other pharmaceutically active agent within the approved dosage range.
- the compounds of formula (I) of the present invention suitable for administration to a mammal, e.g., to humans, can be administered by the usual routes and the dosage level depends upon the age, weight, conditions of the patient and administration route.
- a suitable dosage adopted for oral administration of a compound of formula (I) may range from about 10 to about 500 mg per dose, from 1 to 5 times daily.
- the compounds of the invention can be administered in a variety of dosage forms, e.g., orally, in the form tablets, capsules, sugar or film coated tablets, liquid solutions or suspensions; rectally in the form suppositories; parenterally, e.g., intramuscularly, or through intravenous and/or intrathecal and/or intraspinal injection or infusion.
- the present invention also includes pharmaceutical compositions comprising a compound of formula (I) or a pharmaceutically acceptable salt thereof in association with a pharmaceutically acceptable excipient, which may be a carrier or a diluent.
- a pharmaceutically acceptable excipient which may be a carrier or a diluent.
- compositions containing the compounds of the invention are usually prepared following conventional methods and are administered in a suitable pharmaceutical form.
- the solid oral forms may contain, together with the active compound, diluents, e.g., lactose, dextrose saccharose, sucrose, cellulose, corn starch or potato starch; lubricants, e.g., silica, talc, stearic acid, magnesium or calcium stearate, and/or polyethylene glycols; binding agents, e.g., starches, arabic gum, gelatine methylcellulose, carboxymethylcellulose or polyvinyl pyrrolidone; disintegrating agents, e.g., starch, alginic acid, alginates or sodium starch glycolate; effervescing mixtures; dyestuffs; sweeteners; wetting agents such as lecithin, polysorbates, laurylsulphates; and, in general, non-toxic and pharmacologically inactive substances used in pharmaceutical formulations
- the liquid dispersions for oral administration may be, e.g., syrups, emulsions and suspensions.
- the syrups may contain, as carrier, saccharose or saccharose with glycerine and/or mannitol and sorbitol.
- the suspensions and the emulsions may contain, as examples of carriers, natural gum, agar, sodium alginate, pectin, methylcellulose, carboxymethylcellulose, or polyvinyl alcohol.
- the suspension or solutions for intramuscular injections may contain, together with the active compound, a pharmaceutically acceptable carrier, e.g., sterile water, olive oil, ethyl oleate, glycols, e.g., propylene glycol and, if desired, a suitable amount of lidocaine hydrochloride.
- the solutions for intravenous injections or infusions may contain, as a carrier, sterile water or preferably they may be in the form of sterile, aqueous, isotonic, saline solutions or they may contain propylene glycol as a carrier.
- the suppositories may contain, together with the active compound, a pharmaceutically acceptable carrier, e.g., cocoa butter, polyethylene glycol, a polyoxyethylene sorbitan fatty acid ester surfactant or lecithin.
- a pharmaceutically acceptable carrier e.g., cocoa butter, polyethylene glycol, a polyoxyethylene sorbitan fatty acid ester surfactant or lecithin.
- the HPLC equipment consisted of a Waters AcquityTM UPLC system equipped with a 2996 Waters PDA detector and Micromass mod. ZQ single quadrupole mass spectrometer, equipped with an electrospray (ESI) ion source. Instrument control, data acquisition and data processing were provided by Empower and MassLynx 4.0 software.
- HPLC HPLC was carried out at 45° C. at a flow rate of 0.8 mL/min using a BEH C18 1.7 microm Waters Acquity UPLC (2.1 ⁇ 50 mm) column.
- the injection volume was 2 microL.
- the mass spectrometer was operated in positive and in negative ion mode, the capillary voltage was set up at 3.5 KV (ES + ) and 28 V (ES ⁇ ); the source temperature was 120° C.; cone was 14 V (ES + ) and 2.8 KV (ES ⁇ ); full scan, mass range from 100 to 800 amu was set up.
- the HPLC equipment consisted of a Waters 2795 Alliance HT system equipped with a 2996 Waters PDA detector and Micromass mod. ZQ single quadrupole mass spectrometer, equipped with an electrospray (ESI) ion source. Instrument control, data acquisition and data processing were provided by Empower and MassLynx 4.0 software.
- HPLC HPLC was carried out at 30° C. at a flow rate of 1.0 mL/min using a C18, 3 microm Phenomenex (4.6 ⁇ 50 mm) column.
- the injection volume was 10 microL.
- the mass spectrometer was operated in positive and in negative ion mode, the capillary voltage was set up at 3.5 KV (ES + ) and 28 V (ES ⁇ ); the source temperature was 120° C.; cone was 14 V (ES + ) and 2.8 KV (ES ⁇ ); full scan, mass range from 100 to 800 amu was set up.
- the HPLC equipment consisted of a Waters AcquityTM UPLC system equipped with a 2996 Waters PDA detector and Micromass mod. ZQ single quadrupole mass spectrometer, equipped with an electrospray (ESI) ion source. Instrument control, data acquisition and data processing were provided by Empower and MassLynx 4.0 software.
- HPLC HPLC was carried out at 45° C. at a flow rate of 0.8 mL/min using a BEH C18 1.7 microm Waters Acquity UPLC (2.1 ⁇ 50 mm) column.
- the injection volume was 2 microL.
- the mass spectrometer was operated in positive and in negative ion mode, the capillary voltage was set up at 3.5 KV (ES + ) and 28 V (ES ⁇ ); the source temperature was 120° C.; cone was 14 V (ES + ) and 2.8 KV (ES ⁇ ); full scan, mass range from 100 to 800 amu was set up.
- the HPLC equipment consisted of a Waters 2790 HPLC system equipped with a 996 Waters PDA detector and Micromass mod. ZQ single quadrupole mass spectrometer, equipped with an electrospray (ESI) ion source. Instrument control, data acquisition and data processing were provided by Empower and MassLynx 4.0 software.
- HPLC HPLC was carried out at 25° C. at a flow rate of 1 mL/min using a RP18 Waters X Terra (3.0 ⁇ 20 mm) column.
- the injection volume was 10 microL.
- the mass spectrometer was operated in positive and in negative ion mode, the capillary voltage was set up at 2.5 KV; the source temperature was 120° C.; cone was 10 V; full scan, mass range from 100 to 800 amu was set up.
- the HPLC equipment consisted of a Waters 2790 HPLC system equipped with a 996 Waters PDA detector and Micromass mod. ZQ single quadrupole mass spectrometer, equipped with an electrospray (ESI) ion source. Instrument control, data acquisition and data processing were provided by Empower and MassLynx 4.0 software.
- HPLC HPLC was carried out at 25° C. at a flow rate of 20 mL/min using a RP18 Waters X Terra 10 microm (19 ⁇ 250 mm) column.
- the injection volume was 10 microL.
- the mass spectrometer was operated in positive and in negative ion mode, the capillary voltage was set up at 2.5 KV; the source temperature was 120° C.; cone was 10 V; full scan, mass range from 100 to 800 amu was set up.
- the HPLC equipment consisted of a Waters 2790 HPLC system equipped with a 996 Waters PDA detector and Micromass mod. ZQ single quadrupole mass spectrometer, equipped with an electrospray (ESI) ion source. Instrument control, data acquisition and data processing were provided by Empower and MassLynx 4.0 software.
- HPLC HPLC was carried out at 25° C. at a flow rate of 20 mL/min using a RP18 Waters X Terra 10 microm (19 ⁇ 250 mm) column.
- Mobile phase A was 0.1% TFA in water/CH 3 CN (95:5)
- mobile phase B was CH 3 CN; the gradient was from 10 to 90% B in 15 minutes then hold 90% B 3 minutes.
- the injection volume was 10 microL.
- the mass spectrometer was operated in positive and in negative ion mode, the capillary voltage was set up at 2.5 KV; the source temperature was 120° C.; cone was 10 V; full scan, mass range from 100 to 800 amu was set up.
- N,O-dimethylhydroxylamine hydrochloride 650 mg, 0.67 mmol
- 1M solution of LiN(TMS) 2 in THF (1.32 mL, 1.32 mmol) at 0° C. were added dropwise.
- the mixture was stirred at 0° C. for 0.5 h then ethyl 1-methyl-8-oxo-1,4,5,6,7,8-hexahydrocyclohepta[c]pyrazole-3-carboxylate (50 mg, 0.22 mmol) in 5 mL of anhydrous THF at 0° C. were added dropwise. Ice bath was removed and the mixture was stirred at room temperature overnight.
- Pd 2 (dba) 3 (0.002 g, 0.002 mmol), 2-dicyclohexylphosphino-2′-(N,N-dimethylamino)-biphenyl (0.002 g, 0.005 mmol), 9-[(4-bromo-2-methoxyphenyl)amino]-N-(2-ethylphenyl)-1-methyl-1,4,5,6-tetrahydropyrazolo[4′,3′:6,7]cyclohepta[1,2-d]pyrimidine-3-carboxamide (0.040 g, 0.07 mmol) in THF (1 mL) were charged in a round-bottomed flask flushed with argon.
Landscapes
- Health & Medical Sciences (AREA)
- Chemical & Material Sciences (AREA)
- Organic Chemistry (AREA)
- Life Sciences & Earth Sciences (AREA)
- Veterinary Medicine (AREA)
- Animal Behavior & Ethology (AREA)
- Public Health (AREA)
- General Health & Medical Sciences (AREA)
- Pharmacology & Pharmacy (AREA)
- Medicinal Chemistry (AREA)
- Bioinformatics & Cheminformatics (AREA)
- Engineering & Computer Science (AREA)
- Nuclear Medicine, Radiotherapy & Molecular Imaging (AREA)
- Chemical Kinetics & Catalysis (AREA)
- General Chemical & Material Sciences (AREA)
- Neurology (AREA)
- Immunology (AREA)
- Epidemiology (AREA)
- Biomedical Technology (AREA)
- Neurosurgery (AREA)
- Urology & Nephrology (AREA)
- Pulmonology (AREA)
- Oncology (AREA)
- Psychology (AREA)
- Dermatology (AREA)
- Physical Education & Sports Medicine (AREA)
- Orthopedic Medicine & Surgery (AREA)
- Transplantation (AREA)
- Virology (AREA)
- Communicable Diseases (AREA)
- Hospice & Palliative Care (AREA)
- Psychiatry (AREA)
- Hematology (AREA)
- Heart & Thoracic Surgery (AREA)
- Cardiology (AREA)
- Rheumatology (AREA)
- Vascular Medicine (AREA)
- Nitrogen Condensed Heterocyclic Rings (AREA)
- Pharmaceuticals Containing Other Organic And Inorganic Compounds (AREA)
- Nitrogen And Oxygen Or Sulfur-Condensed Heterocyclic Ring Systems (AREA)
Abstract
Description
- 1) 9-[(4-bromo-2-methoxyphenyl)amino]-1-methyl-1,4,5,6-tetrahydropyrazolo[4′,3′:6,7]cyclohepta[1,2-d]pyrimidine-3-carboxamide
- 2) 9-[(4-bromo-2-methoxyphenyl)amino]-N-(2,6-diethylphenyl)-1-methyl-1,4,5,6-tetrahydropyrazolo[4′,3′:6,7]cyclohepta[1,2-d]pyrimidine-3-carboxamide
- 3) 9-{[2-methoxy-4-(4-methylpiperazin-1-yl)phenyl]amino}-1-methyl-1,4,5,6-tetrahydropyrazolo[4′,3′:6,7]cyclohepta[1,2-d]pyrimidine-3-carboxamide
- 4) N-(2,6-diethylphenyl)-9-{[2-methoxy-4-(4-methylpiperazin-1-yl)phenyl]amino}-1-methyl-1,4,5,6-tetrahydropyrazolo[4′,3′:6,7]cyclohepta[1,2-d]pyrimidine-3-carboxamide
- 5) N-[(1S)-2-amino-1-phenylethyl]-9-({2-methoxy-4-[(1-methylpiperidin-4-yl)carbamoyl]phenyl}amino)-1-methyl-1,4,5,6-tetrahydropyrazolo[4′,3′:6,7]cyclohepta[1,2-d]pyrimidine-3-carboxamide
- 6) ethyl 9-{[2-methoxy-4-(4-methylpiperazin-1-yl)phenyl]amino}-1,4,5,6-tetrahydropyrazolo[4′,3′:6,7]cyclohepta[1,2-d]pyrimidine-3-carboxylate
- 7) N-benzyl-9-{[2-methoxy-4-(4-methylpiperazin-1-yl)phenyl]amino}-1-methyl-1,4,5,6-tetrahydropyrazolo[4′,3′:6,7]cyclohepta[1,2-d]pyrimidine-3-carboxamide
- 8) 9-{[2-methoxy-4-(4-methylpiperazin-1-yl)phenyl]amino}-1-methyl-N-phenyl-1,4,5,6-tetrahydropyrazolo[4′,3′:6,7]cyclohepta[1,2-d]pyrimidine-3-carboxamide
- 9) N-(2,6-diethylphenyl)-9-({4-[(4-hydroxycyclohexyl)amino]-2-methoxyphenyl}amino)-1-methyl-1,4,5,6-tetrahydropyrazolo[4′,3′:6,7]cyclohepta[1,2-d]pyrimidine-3-carboxamide
- 10) N-(2,6-diethylphenyl)-9-[(4-{[3-(dimethylamino)propyl](methyl)amino}-2-methoxyphenyl)amino]-1-methyl-1,4,5,6-tetrahydropyrazolo[4′,3′:6,7]cyclohepta[1,2-d]pyrimidine-3-carboxamide
- 11) N-(2,6-diethylphenyl)-9-({2-methoxy-4-[4-(pyrrolidin-1-yl)piperidin-1-yl]phenyl}amino)-1-methyl-1,4,5,6-tetrahydropyrazolo[4′,3′:6,7]cyclohepta[1,2-d]pyrimidine-3-carboxamide
- 12) N-(2,6-diethylphenyl)-9-({4-[(3R)-3-(dimethylamino)pyrrolidin-1-yl]-2-methoxyphenyl}amino)-1-methyl-1,4,5,6-tetrahydropyrazolo[4′,3′:6,7]cyclohepta[1,2-d]pyrimidine-3-carboxamide
- 13) N-(2,6-diethylphenyl)-9-[(4-{[2-(dimethylamino)ethyl](methyl)amino}-2-methoxyphenyl)amino]-1-methyl-1,4,5,6-tetrahydropyrazolo[4′,3′:6,7]cyclohepta[1,2-d]pyrimidine-3-carboxamide
- 14) N-(2,6-diethylphenyl)-9-({4-[4-(2-hydroxyethyl)piperazin-1-yl]-2-methoxyphenyl}amino)-1-methyl-1,4,5,6-tetrahydropyrazolo[4′,3′:6,7]cyclohepta[1,2-d]pyrimidine-3-carboxamide
- 15) N-(2-ethylphenyl)-9-{[2-methoxy-4-(4-methylpiperazin-1-yl)phenyl]amino}-1-methyl-1,4,5,6-tetrahydropyrazolo[4′,3′:6,7]cyclohepta[1,2-d]pyrimidine-3-carboxamide
- 16) 9-[(4-bromo-2-methoxyphenyl)amino]-1-methyl-N-[(1S)-2-(morpholin-4-yl)-1-phenylethyl]-1,4,5,6-tetrahydropyrazolo[4′,3′:6,7]cyclohepta[1,2-d]pyrimidine-3-carboxamide
- 17) 9-[(4-bromo-2-methoxyphenyl)amino]-N-(2,6-dimethylphenyl)-1-methyl-1,4,5,6-tetrahydropyrazolo[4′,3′:6,7]cyclohepta[1,2-d]pyrimidine-3-carboxamide
- 18) 9-{[2-methoxy-4-(4-methylpiperazin-1-yl)phenyl]amino}-1-methyl-N-[(1S)-2-(morpholin-4-yl)-1-phenyl ethyl]-1,4,5,6-tetrahydropyrazolo[4′,3′:6,7]cyclohepta[1,2-d]pyrimidine-3-carboxamide
- 19) 9-[(4-bromo-2-methoxyphenyl)amino]-N-(2-ethyl-6-methylphenyl)-1-methyl-1,4,5,6-tetrahydropyrazolo[4′,3′:6,7]cyclohepta[1,2-d]pyrimidine-3-carboxamide
- 20) N-(2,6-dimethylphenyl)-9-{[2-methoxy-4-(4-methylpiperazin-1-yl)phenyl]amino}-1-methyl-1,4,5,6-tetrahydropyrazolo[4′,3′:6,7]cyclohepta[1,2-d]pyrimidine-3-carboxamide
- 21) 9-{[4-(dimethylamino)-2-methoxyphenyl]amino}-N-(2,6-dimethylphenyl)-1-methyl-1,4,5,6-tetrahydropyrazolo[4′,3′:6,7]cyclohepta[1,2-d]pyrimidine-3-carboxamide
- 22) N-(2,6-diethylphenyl)-9-({4-[4-(dimethylamino)piperidin-1-yl]-2-methoxyphenyl}amino)-1-methyl-1,4,5,6-tetrahydropyrazolo[4′,3′:6,7]cyclohepta[1,2-d]pyrimidine-3-carboxamide
- 23) N-(2,6-diethylphenyl)-9-{[2-methoxy-4-(4-methyl-1,4-diazepan-1-yl)phenyl]amino}-1-methyl-1,4,5,6-tetrahydropyrazolo[4′,3′:6,7]cyclohepta[1,2-d]pyrimidine-3-carboxamide
- 24) N-(2,6-diethylphenyl)-9-[(2-methoxyphenyl)amino]-1-methyl-1,4,5,6-tetrahydropyrazolo[4′,3′:6,7]cyclohepta[1,2-d]pyrimidine-3-carboxamide
- 25) N-(2,6-diethylphenyl)-9-({2-methoxy-4-[(1-methylpiperidin-4-yl)amino]phenyl}amino)-1-methyl-1,4,5,6-tetrahydropyrazolo[4′,3′:6,7]cyclohepta[1,2-d]pyrimidine-3-carboxamide
- 26) 9-{[4-(1-azabicyclo[2.2.2]oct-3-ylamino)-2-methoxyphenyl]amino}-N-(2,6-diethylphenyl)-1-methyl-1,4,5,6-tetrahydropyrazolo[4′,3′:6,7]cyclohepta[1,2-d]pyrimidine-3-carboxamide
- 27) N-(2-ethyl-6-methylphenyl)-9-{[2-methoxy-4-(4-methylpiperazin-1-yl)phenyl]amino}-1-methyl-1,4,5,6-tetrahydropyrazolo[4′,3′:6,7]cyclohepta[1,2-d]pyrimidine-3-carboxamide
- 28) N-cyclohexyl-9-{[2-methoxy-4-(4-methylpiperazin-1-yl)phenyl]amino}-1-methyl-1,4,5,6-tetrahydropyrazolo[4′,3′:6,7]cyclohepta[1,2-d]pyrimidine-3-carboxamide
- 29) N-(2,6-diethylphenyl)-1-methyl-9-{[4-(4-methylpiperazin-1-yl)phenyl]amino}-1,4,5,6-tetrahydropyrazolo[4′,3′:6,7]cyclohepta[1,2-d]pyrimidine-3-carboxamide
- 30) 9-amino-N-(2,6-diethylphenyl)-1-methyl-1,4,5,6-tetrahydropyrazolo[4′,3′:6,7]cyclohepta[1,2-d]pyrimidine-3-carboxamide
- 31) 1-[3-(dimethylamino)propyl]-9-(methylsulfanyl)-1,4,5,6-tetrahydropyrazolo[4′,3′:6,7]cyclohepta[1,2-d]pyrimidine-3-carboxamide
- 32) 9-[(4-bromo-2-methoxyphenyl)amino]-N,1-dimethyl-1,4,5,6-tetrahydropyrazolo[4′,3′:6,7]cyclohepta[1,2-d]pyrimidine-3-carboxamide
- 33) 4-({3-[(2,6-diethylphenyl)carbamoyl]-1-methyl-1,4,5,6-tetrahydropyrazolo[4′,3′:6,7]cyclohepta[1,2-d]pyrimidin-9-yl}amino)-3-methoxybenzoic
- 34) 4-({3-[(2,6-diethylphenyl)carbamoyl]-1-methyl-1,4,5,6-tetrahydropyrazolo[4′,3′:6,7]cyclohepta[1,2-d]pyrimidin-9-yl}amino)-3-(trifluoromethoxy)benzoic acid
- 35) N-(2,6-diethylphenyl)-9-({2-methoxy-4-[(1-methylpiperidin-4-yl)carbamoyl]phenyl}amino)-1-methyl-1,4,5,6-tetrahydropyrazolo[4′,3′:6,7]cyclohepta[1,2-d]pyrimidine-3-carboxamide
- 36) N-(2,6-diethylphenyl)-9-[(2-methoxy-4-{[4-(pyrrolidin-1-yl)piperidin-1-yl]carbonyl}phenyl)amino]-1-methyl-1,4,5,6-tetrahydropyrazolo[4′,3′:6,7]cyclohepta[1,2-d]pyrimidine-3-carboxamide
- 37) N-(2,6-diethylphenyl)-9-[(4-{[4-(dimethylamino)piperidin-1-yl]carbonyl}-2-methoxyphenyl)amino]-1-methyl-1,4,5,6-tetrahydropyrazolo[4′,3′:6,7]cyclohepta[1,2-d]pyrimidine-3-carboxamide
- 38) N-(2,6-diethylphenyl)-9-({2-methoxy-4-[(4-methyl-1,4-diazepan-1-yl)carbonyl]phenyl}amino)-1-methyl-1,4,5,6-tetrahydropyrazolo[4′,3′:6,7]cyclohepta[1,2-d]pyrimidine-3-carboxamide
- 39) 9-{[2-methoxy-4-(4-methylpiperazin-1-yl)phenyl]amino}-N,1-dimethyl-1,4,5,6-tetrahydropyrazolo[4′,3′:6,7]cyclohepta[1,2-d]pyrimidine-3-carboxamide
- 40) N-(2,6-diethylphenyl)-1-methyl-9-({4-[(1-methylpiperidin-4-yl)carbamoyl]-2-(trifluoromethoxy)phenyl}amino)-1,4,5,6-tetrahydropyrazolo[4′,3′:6,7]cyclohepta[1,2-d]pyrimidine-3-carboxamide
- 41) N-(2,6-diethylphenyl)-1-methyl-9-{[4-{[4-(pyrrolidin-1-yl)piperidin-1-yl]carbonyl}-2-(trifluoromethoxy)phenyl]amino}-1,4,5,6-tetrahydropyrazolo[4′,3′:6,7]cyclohepta[1,2-d]pyrimidine-3-carboxamide
- 42) N-(2,6-diethylphenyl)-9-{[4-{[4-(dimethylamino)piperidin-1-yl]carbonyl}-2-(trifluoromethoxy)phenyl]amino}-1-methyl-1,4,5,6-tetrahydropyrazolo[4′,3′:6,7]cyclohepta[1,2-d]pyrimidine-3-carboxamide
- 43) N-(2,6-diethylphenyl)-1-methyl-9-({4-[(4-methyl-1,4-diazepan-1-yl)carbonyl]-2-(trifluoromethoxy)phenyl}amino)-1,4,5,6-tetrahydropyrazolo[4′,3′:6,7]cyclohepta[1,2-d]pyrimidine-3-carboxamide
- 44) 9-amino-1-methyl-1,4,5,6-tetrahydropyrazolo[4′,3′:6,7]cyclohepta[1,2-d]pyrimidine-3-carboxamide
- 45) 1-methyl-9-({4-[(4-methylpiperazin-1-yl)sulfonyl]phenyl}amino)-1,4,5,6-tetrahydropyrazolo[4′,3′:6,7]cyclohepta[1,2-d]pyrimidine-3-carboxamide
- 46) 1-methyl-9-[(4-nitrophenyl)amino]-N-propyl-1,4,5,6-tetrahydropyrazolo[4′,3′:6,7]cyclohepta[1,2-d]pyrimidine-3-carboxamide
- 47) 1-methyl-9-(methylsulfanyl)-1,4,5,6-tetrahydropyrazolo[4′,3′:6,7]cyclohepta[1,2-d]pyrimidine-3-carboxamide
- 48) N-(2,6-diethylphenyl)-1-(4-methoxybenzyl)-9-{[2-methoxy-4-(4-methylpiperazin-1-yl)phenyl]amino}-1,4,5,6-tetrahydropyrazolo[4′,3′:6,7]cyclohepta[1,2-d]pyrimidine-3-carboxamide
- 49) N-(2,6-diethylphenyl)-9-{[2-methoxy-4-(4-methylpiperazin-1-yl)phenyl]amino}-1,4,5,6-tetrahydropyrazolo[4′,3′:6,7]cyclohepta[1,2-d]pyrimidine-3-carboxamide
- 50) 1-methyl-9-({4-[(4-methylpiperazin-1-yl)sulfonyl]phenyl}amino)-N-propyl-1,4,5,6-tetrahydropyrazolo[4′,3′:6,7]cyclohepta[1,2-d]pyrimidine-3-carboxamide
- 51) 9-[(4-acetylphenyl)amino]-1-methyl-N-propyl-1,4,5,6-tetrahydropyrazolo[4′,3′:6,7]cyclohepta[1,2-d]pyrimidine-3-carboxamide
- 52) N-(2,6-diethylphenyl)-1-ethyl-9-{[2-methoxy-4-(4-methylpiperazin-1-yl)phenyl]amino}-1,4,5,6-tetrahydropyrazolo[4′,3′:6,7]cyclohepta[1,2-d]pyrimidine-3-carboxamide
- 53) N-(2,6-diethylphenyl)-9-{[2-methoxy-4-(4-methylpiperazin-1-yl)phenyl]amino}-1-(pyridin-4-ylmethyl)-1,4,5,6-tetrahydropyrazolo[4′,3′:6,7]cyclohepta[1,2-d]pyrimidine-3-carboxamide
- 54) N-(2,6-diethylphenyl)-9-{[2-methoxy-4-(4-methylpiperazin-1-yl)phenyl]amino}-1-(tetrahydro-2H-pyran-2-ylmethyl)-1,4,5,6-tetrahydropyrazolo[4′,3′:6,7]cyclohepta[1,2-d]pyrimidine-3-carboxamide
- 55) N-(2,6-diethylphenyl)-1-(3-hydroxypropyl)-9-{[2-methoxy-4-(4-methylpiperazin-1-yl)phenyl]amino}-1,4,5,6-tetrahydropyrazolo[4′,3′:6,7]cyclohepta[1,2-d]pyrimidine-3-carboxamide
- 56) N-(2,6-diethylphenyl)-9-{[2-methoxy-4-(4-methylpiperazin-1-yl)phenyl]amino}-1-(2,2,2-trifluoroethyl)-1,4,5,6-tetrahydropyrazolo[4′,3′:6,7]cyclohepta[1,2-d]pyrimidine-3-carboxamide
- 57) N-(2,6-diethylphenyl)-1-(3-hydroxybenzyl)-9-{[2-methoxy-4-(4-methylpiperazin-1-yl)phenyl]amino}-1,4,5,6-tetrahydropyrazolo[4′,3′:6,7]cyclohepta[1,2-d]pyrimidine-3-carboxamide
- 58) N-(2,6-diethylphenyl)-1-[3-(dimethylamino)propyl]-9-{[2-methoxy-4-(4-methylpiperazin-1-yl)phenyl]amino}-1,4,5,6-tetrahydropyrazolo[4′,3′:6,7]cyclohepta[1,2-d]pyrimidine-3-carboxamide
- 59) N-(2,6-diethylphenyl)-9-{[2-methoxy-4-(4-methylpiperazin-1-yl)phenyl]amino}-1-[2-(tetrahydro-2H-pyran-2-yloxy)ethyl]-1,4,5,6-tetrahydropyrazolo[4′,3′:6,7]cyclohepta[1,2-d]pyrimidine-3-carboxamide
- 60) N-(2,6-diethylphenyl)-1-(2-hydroxyethyl)-9-{[2-methoxy-4-(4-methylpiperazin-1-yl)phenyl]amino}-1,4,5,6-tetrahydropyrazolo[4′,3′:6,7]cyclohepta[1,2-d]pyrimidine-3-carboxamide
- 61) N-(2,6-diethylphenyl)-9-({4-[4-(dimethylamino)piperidin-1-yl]-2-methoxyphenyl}amino)-1-(4-methoxybenzyl)-1,4,5,6-tetrahydropyrazolo[4′,3′:6,7]cyclohepta[1,2-d]pyrimidine-3-carboxamide
- 62) N-(2,6-diethylphenyl)-9-({4-[4-(dimethylamino)piperidin-1-yl]-2-methoxyphenyl}amino)-1,4,5,6-tetrahydropyrazolo[4′,3′:6,7]cyclohepta[1,2-d]pyrimidine-3-carboxamide
- 63) N-(2,6-diethylphenyl)-9-({4-[4-(dimethylamino)piperidin-1-yl]-2-methoxyphenyl}amino)-1-ethyl-1,4,5,6-tetrahydropyrazolo[4′,3′:6,7]cyclohepta[1,2-d]pyrimidine-3-carboxamide
- 64) N-(2,6-diethylphenyl)-1-[2-(dimethylamino)ethyl]-9-({4-[4-(dimethylamino)piperidin-1-yl]-2-methoxyphenyl}amino)-1,4,5,6-tetrahydropyrazolo[4′,3′:6,7]cyclohepta[1,2-d]pyrimidine-3-carboxamide
- 65) 9-[(5-bromo-2-methylphenyl)amino]-1-methyl-1,4,5,6-tetrahydropyrazolo[4′,3′:6,7]cyclohepta[1,2-d]pyrimidine-3-carboxamide
- 66) 1-methyl-9-[(5-nitro-1H-benzimidazol-2-yl)amino]-1,4,5,6-tetrahydropyrazolo[4′,3′:6,7]cyclohepta[1,2-d]pyrimidine-3-carboxamide
- 67) 1-methyl-9-{[4-(4-methylpiperazin-1-yl)phenyl]amino}-1,4,5,6-tetrahydropyrazolo[4′,3′:6,7]cyclohepta[1,2-d]pyrimidine-3-carboxamide
- 68) 1-methyl-9-{[5-(4-methylpiperazin-1-yl)-2-(trifluoromethoxy)phenyl]amino}-1,4,5,6-tetrahydropyrazolo[4′,3′:6,7]cyclohepta[1,2-d]pyrimidine-3-carboxamide
- 69) N-(2,6-diethylphenyl)-9-({4-[4-(dimethylamino)piperidin-1-yl]-2-methoxyphenyl}amino)-1-[2-(1,3-dioxo-1,3-dihydro-2H-isoindol-2-yl)ethyl]-1,4,5,6-tetrahydropyrazolo[4′,3′:6,7]cyclohepta[1,2-d]pyrimidine-3-carboxamide
- 70) 1-(2-aminoethyl)-N-(2,6-diethylphenyl)-9-({4-[4-(dimethylamino)piperidin-1-yl]-2-methoxyphenyl}amino)-1,4,5,6-tetrahydropyrazolo[4′,3′:6,7]cyclohepta[1,2-d]pyrimidine-3-carboxamide
- 71) N-(2,6-diethylphenyl)-9-({4-[4-(dimethylamino)piperidin-1-yl]-2-methoxyphenyl}amino)-1-(2-hydroxyethyl)-1,4,5,6-tetrahydropyrazolo[4′,3′:6,7]cyclohepta[1,2-d]pyrimidine-3-carboxamide
- 72) N-methoxy-N,1-dimethyl-9-{[3-(trifluoromethyl)phenyl]amino}-1,4,5,6-tetrahydropyrazolo[4′,3′:6,7]cyclohepta[1,2-d]pyrimidine-3-carboxamide
- 73) 1-methyl-9-(phenylamino)-1,4,5,6-tetrahydropyrazolo[4′,3′:6,7]cyclohepta[1,2-d]pyrimidine-3-carboxamide
- 74) N-(2-methoxyethyl)-1-methyl-9-(phenylamino)-1,4,5,6-tetrahydropyrazolo[4′,3′:6,7]cyclohepta[1,2-d]pyrimidine-3-carboxamide
- 75) N-(2-methoxyethyl)-1-methyl-9-{[3-(trifluoromethyl)phenyl]amino}-1,4,5,6-tetrahydropyrazolo[4′,3′:6,7]cyclohepta[1,2-d]pyrimidine-3-carboxamide
- 76) 1-methyl-N-[2-(morpholin-4-yl)ethyl]-9-{[3-(trifluoromethyl)phenyl]amino}-1,4,5,6-tetrahydropyrazolo[4′,3′:6,7]cyclohepta[1,2-d]pyrimidine-3-carboxamide
- 77) 1-methyl-9-{[3-(trifluoromethyl)phenyl]amino}-1,4,5,6-tetrahydropyrazolo[4′,3′:6,7]cyclohepta[1,2-d]pyrimidine-3-carboxamide
- 78) 3-({[9-(benzylamino)-1-methyl-1,4,5,6-tetrahydropyrazolo[4′,3′:6,7]cyclohepta[1,2-d]pyrimidin-3-yl]carbonyl}amino)-N,N,N-trimethylpropan-1-aminium
- 79) 9-(benzylamino)-1-methyl-1,4,5,6-tetrahydropyrazolo[4′,3′:6,7]cyclohepta[1,2-d]pyrimidine-3-carboxamide
- 80) N-(2-methoxyethyl)-1-methyl-9-{[4-(4-methylpiperazin-1-yl)phenyl]amino}-1,4,5,6-tetrahydropyrazolo[4′,3′:6,7]cyclohepta[1,2-d]pyrimidine-3-carboxamide
- 81) 1-methyl-N-[2-(morpholin-4-yl)ethyl]-9-(phenylamino)-1,4,5,6-tetrahydropyrazolo[4′,3′:6,7]cyclohepta[1,2-d]pyrimidine-3-carboxamide
- 82) 9-(benzylamino)-N-(2-methoxyethyl)-1-methyl-1,4,5,6-tetrahydropyrazolo[4′,3′:6,7]cyclohepta[1,2-d]pyrimidine-3-carboxamide
- 83) 1-methyl-9-{[4-(4-methylpiperazin-1-yl)phenyl]amino}-N-[2-(morpholin-4-yl)ethyl]-1,4,5,6-tetrahydropyrazolo[4′,3′:6,7]cyclohepta[1,2-d]pyrimidine-3-carboxamide
- 84) 1-(2-hydroxyethyl)-9-(methylsulfanyl)-1,4,5,6-tetrahydropyrazolo[4′,3′:6,7]cyclohepta[1,2-d]pyrimidine-3-carboxamide
- 85) N-(2-methoxyethyl)-1-methyl-9-{[3-(4-methylpiperidin-1-yl)propyl]amino}-1,4,5,6-tetrahydropyrazolo[4′,3′:6,7]cyclohepta[1,2-d]pyrimidine-3-carboxamide
- 86) 1-methyl-9-{[3-(4-methylpiperidin-1-yl)propyl]amino}-1,4,5,6-tetrahydropyrazolo[4′,3′:6,7]cyclohepta[1,2-d]pyrimidine-3-carboxamide
- 87) ethyl 1-methyl-9-(methylsulfanyl)-1,4,5,6-tetrahydropyrazolo[4′,3′:6,7]cyclohepta[1,2-d]pyrimidine-3-carboxylate
- 88) ethyl 1-methyl-9-phenyl-1,4,5,6-tetrahydropyrazolo[4′,3′:6,7]cyclohepta[1,2-d]pyrimidine-3-carboxylate
- 89) ethyl 1-methyl-9-[4-(trifluoromethyl)phenyl]-1,4,5,6-tetrahydropyrazolo[4′,3′:6,7]cyclohepta[1,2-d]pyrimidine-3-carboxylate
- 90) ethyl 9-(4-methoxyphenyl)-1-methyl-1,4,5,6-tetrahydropyrazolo[4′,3′:6,7]cyclohepta[1,2-d]pyrimidine-3-carboxylate
- 91) ethyl 1-methyl-9-[4-(trifluoromethoxy)phenyl]-1,4,5,6-tetrahydropyrazolo[4′,3′:6,7]cyclohepta[1,2-d]pyrimidine-3-carboxylate
- 92) 1-methyl-9-(methylsulfanyl)-1,4,5,6-tetrahydropyrazolo[4′,3′:6,7]cyclohepta[1,2-d]pyrimidine-3-carboxylic acid
- 93) 2-methyl-9-{[4-(4-methylpiperazin-1-yl)phenyl]amino}-2,4,5,6-tetrahydropyrazolo[4′,3′:6,7]cyclohepta[1,2-d]pyrimidine-3-carboxamide
- 94) 9-[(4-bromo-2-methoxyphenyl)amino]-2-methyl-2,4,5,6-tetrahydropyrazolo[4′,3′:6,7]cyclohepta[1,2-d]pyrimidine-3-carboxamide
- 95) 9-{[2-methoxy-4-(4-methylpiperazin-1-yl)phenyl]amino}-2-methyl-2,4,5,6-tetrahydropyrazolo[4′,3′:6,7]cyclohepta[1,2-d]pyrimidine-3-carboxamide
- 96) 9-[(4-bromo-2-methoxyphenyl)amino]-N-(2,6-diethylphenyl)-2-methyl-2,4,5,6-tetrahydropyrazolo[4′,3′:6,7]cyclohepta[1,2-d]pyrimidine-3-carboxamide
- 97) N-(2,6-diethylphenyl)-9-{[2-methoxy-4-(4-methylpiperazin-1-yl)phenyl]amino}-2-methyl-2,4,5,6-tetrahydropyrazolo[4′,3′:6,7]cyclohepta[1,2-d]pyrimidine-3-carboxamide
- 98) N-(2,6-diethylphenyl)-9-({4-[4-(dimethylamino)piperidin-1-yl]-2-methoxyphenyl}amino)-5,6-dihydro-4H-isoxazolo[4′,5′:6,7]cyclohepta[1,2-d]pyrimidine-3-carboxamide
- 99) N-(2,6-diethylphenyl)-9-{[2-methoxy-4-(4-methylpiperazin-1-yl)phenyl]amino}-5,6-dihydro-4H-isoxazolo[4′,5′:6,7]cyclohepta[1,2-d]pyrimidine-3-carboxamide
- 100) N-(2,6-diethylphenyl)-9-({4-[4-(dimethylamino)piperidin-1-yl]-2-methoxyphenyl}amino)-5,6-dihydro-4H-isoxazolo[4′,3′:6,7]cyclohepta[1,2-d]pyrimidine-3-carboxamide and
- 101) N-(2,6-diethylphenyl)-9-{[2-methoxy-4-(4-methylpiperazin-1-yl)phenyl]amino}-5,6-dihydro-4H-isoxazolo[4′,3′:6,7]cyclohepta[1,2-d]pyrimidine-3-carboxamide.
with diethyl oxalate or dimethyl oxalate, in the presence of LiN(TMS)2;
st. B) reacting the resultant compound of formula (III):
wherein R2 is ethoxy or methoxy, according to any one of the alternative steps B1 and B1b:
st. B1) with hydrazine
NH2NH2 (IVa)
st. B1a) alkylating the resultant compound of formula (Vab):
wherein R2 is ethoxy or methoxy, with a compound of formula (VI):
R3-L (VI)
wherein L is a suitable leaving group, such as mesyl, tosyl and halogen, and R3 is as defined above but not hydrogen;
so as to obtain a mixture of compounds of formula (Va) and (Vb):
wherein R2 is ethoxy or methoxy, and R3 is as defined above but not hydrogen, and separating their mixture into the single compounds (Va) and (Vb);
alternatively,
st. B1b) compounds (Vb) wherein R2 is ethoxy or methoxy and R3 is as defined above except hydrogen, can be obtained reacting a compound of formula (III) wherein R2 is ethoxy or methoxy with a compound of formula (IVb)
R3-NHNH2 (IVb)
wherein R3 is defined above but not hydrogen;
st. B2) hydrolyzing in acidic or basic condition the resultant compound of formula (Vab), (Va) or (Vb), wherein R2 is ethoxy or methoxy and R3 is as defined above but not hydrogen, so as to obtain the corresponding compound of formula (Vab), (Va) or (Vb) respectively, wherein R2 is hydroxyl or its corresponding salt and R3 is as defined above but not hydrogen;
st. B3) reacting the resultant compound of formula (Vab), (Va) or (Vb), wherein R3 is as defined above but not hydrogen and R2 is hydroxyl, or the corresponding salt with an amine of formula (X) or (XI):
NHR″R′″(X)NH(OR′″)R″ (XI)
wherein R″ and R′″ are as defined above, in presence of the suitable condensing agents, to give a compound of formula (Vab), (Va) or (Vb) wherein R2 is a group NR″R′″ or N(OR′″)R″ and R3 is as defined above but not hydrogen;
if needed or desired,
st. B4) reacting the resultant compound of formula (Vab) wherein R2 is a group NR″R′″ or N(OR′″)R″ with a compound of formula (VI):
R3-L (VI)
wherein L is a suitable leaving group such as mesyl, tosyl, halogen atom, and R3 is as defined above but not hydrogen atom, so as to obtain a compound of formula (Va) wherein R2 is a group NR″R′″ or N(OR′″)R″ and R3 is as above reported but not hydrogen;
if needed or desired,
st. C) hydrolyzing a compound of formula (Va) or (Vb) wherein R2 is N(OR′″)R″ and R3 is as defined above but not hydrogen, so as to obtain a compound of formula (Va) or (Vb) respectively wherein R2 is hydroxyl or its corresponding salt and R3 is as defined above but not hydrogen; if needed or desired,
st. D) reacting a compound of formula (Vab), (Va) or (Vb) wherein R2 is ethoxy or methoxy and R3 is as defined above but not hydrogen, so as to obtain compound of formula (Vab), (Va) or (Vb) respectively wherein R2 is a group NR″R′″ or N(OR′″)R″, R3 is as defined above but not hydrogen and R″ and R′″ are as defined in formula (I).
HO—NH2 (IVc)
so as to obtain a mixture of compounds of formula (Vc) and (Vd)
wherein R2 is ethoxy or methoxy, and separating their mixture into the single compounds (Vc) and (Vd);
st. E2) reacting a compound of formula (Vc) or (Vd) wherein R2 is ethoxy or methoxy with an amine of formula (X) or (XI) so to obtain a compound of formula (Vc) or (Vd) wherein R2 is a group NR″R′″ or N(OR′″)R″; if needed or desired,
st. G1) hydrolyzing a compound of formula (Vc) or (Vd), wherein R2 is ethoxy or methoxy or N(OR′″)R″ as defined above so as to obtain a compound of formula (Vc) or (Vd) wherein R2 is hydroxy or its corresponding salt; if needed or desired,
st. G2) reacting the resultant compound of formula (Vc) or (Vd), wherein R2 is hydroxy or the corresponding salt, with an amine of formula (X) or (XI) wherein R″ and R′″ are as defined above, in the presence of the suitable condensing agents, to give a compound of formula (Vc) or (Vd) wherein R2 is a group NR″R′″ or N(OR′″)R″.
wherein R2 is ethoxy or methoxy or a group NR″R′″ or N(OR′″)R″, wherein R″ and R′″ are as defined in formula (I), and Y and Z are as defined in formula (I) reported above;
st. I) the compound of formula (VII) is then reacted according to any one of the alternative steps I1, I2, I3 or I4:
st. I1) with guanidine or a salt thereof so as to obtain a compound of formula (I):
wherein R1 is hydrogen, X is amino, R2 is ethoxy or methoxy or a group NR″R′″ or N(OR′″)R″, wherein R″ and R′″ are as defined in formula (I), and Z and Y and are as defined above; and optionally converting them into other derivatives of formula (I);
st. I2) with a guanidine derivative or a salt thereof of formula (VIII):
R1-NH—C(═NH)NH2 (VIII)
wherein R1 is as reported in formula (I) but not hydrogen, so as to obtain a compound of formula (I), wherein R1 is as reported in formula (I) but not hydrogen, X is NH, R2 is ethoxy or methoxy or a group NR″R′″ or N(OR′″)R″, wherein R″ and R′″ are as defined in formula (I), and Y and Z are as defined above; and optionally converting them into other derivatives of formula (I);
st. I3) with an isothiourea derivative or a salt thereof of formula (IX)
R1-S—C(═NH)NH2 (IX)
wherein R1 is as reported in formula (I) but not hydrogen, so as to obtain a compound of formula (I) wherein R1 is as reported in formula (I) but not hydrogen, X is S, R2 is ethoxy or methoxy or a group NR″R′″ or N(OR′″)R″, wherein R″ and R′″ are as defined in formula (I), and Y and Z are as defined above; and optionally converting them into other derivatives of formula (I);
st. I4) with an isourea derivative or a salt thereof of formula (XXV)
R1-O—C(═NH)NH2 (XXV)
wherein R1 is as reported in formula (I) but not hydrogen, so as to obtain a compound of formula (I) wherein R1 is as reported in formula (I) but not hydrogen, X is O, R2 is ethoxy or methoxy or a group NR″R′″ or N(OR′″)R″, wherein R″ and R′″ are as defined in formula (I), and Y and Z are as defined above; and optionally converting them into other derivatives of formula (I).
conv. 2) converting a compound of formula (Ia), wherein R3 is hydrogen, R2 is ethoxy or methoxy, R1 and X are as defined above, into the corresponding compounds of formula (Ia) and (Ib) wherein R3 is as defined above but not hydrogen, through reaction with a compound of formula R3-L (VI), wherein R3 is as defined above but not hydrogen and L is as defined above:
and separating their mixture into the single compounds (Ia) and (Ib);
conv. 3) converting a compound of formula (Ia) wherein R3 is hydrogen, R2 is —NR″R′″ or —N(OR′″)R″, R1 and X are as defined above into the corresponding compound of formula (Ia) wherein R3 is as defined above but not hydrogen atom, through reaction with a compound of formula R3-L (VI) as defined above:
conv. 4) converting a compound of formula (I) wherein R2 is ethoxy or methoxy or N(OR′″)R″, R1, X, Y and Z are as defined above into the corresponding compound of formula (I) wherein R2 is hydroxy or a salt thereof, through acidic or basic hydrolysis:
conv. 5) converting a compound of formula (I), wherein R2 is hydroxyl or a salt thereof, R1, X, Y and Z are as defined above into the corresponding compound of formula (I) wherein R2 is a group —NR″R′″ or —N(OR′″)R″, through reaction with a derivative of formula (X) or (XI)
R″R′″NH(X)R″NHOR′″ (XI)
wherein R″ and R′″ are as defined above, under basic conditions and in the presence of a suitable condensing agent:
conv. 6) converting a compound of formula (I) wherein R2 is ethoxy or methoxy, Y and Z are as defined above into the corresponding compound of formula (I) wherein R2 is a group —NR″R′″ or —N(OR′″)R″, through reaction with a derivative of formula (X) or (XI) as defined above:
conv. 7) converting a compound of formula (Ib) wherein R3 is —(CH2)n—NHBoc with n=2 or 3, R2 is ethoxy or methoxy, R1 and X are as defined above into a compound of formula (Ib) or (Ib2) wherein R1 and X are as defined above, under acidic conditions, so as to convert the tert-butoxycarbonylamino group into amino (deprotection) and reacting it with Cs2CO3 so as to obtain any one of the two compounds of formula (Ib) or (Ib2):
conv. 7a) converting a compound of formula (Ib) wherein R3 is —(CH2)n—OH with n=2 or 3, R2 is ethoxy or methoxy, R1 and X are as defined in formula (I) into the corresponding compound of formula (Ib3) or (Ib4):
conv. 8) converting a compound of formula (I) wherein R2, Y and Z are as defined in formula (I), R1 is hydrogen and X is —NH— into the corresponding compound of formula (I) wherein R1 is iodine and X is a single bond, by reaction with iso-amylnitrite and diiodomethane or cesium iodide, in the presence of iodine and CuI, and subsequently by reacting the iododerivative with an arylamine of formula R1-NH2 (XII) wherein R1 is an optionally substituted aryl, in the presence of palladium acetate and BINAP to give the corresponding compound wherein R1 is an optionally substituted aryl and X is —NH—:
conv. 9) converting a compound of formula (I) wherein R2, Y and Z are as defined in formula (I), R1 is hydrogen and X is —NH— into the corresponding compound of formula (I) wherein R1 is iodine and X is a single bond as described in conv. 8) st.1, and subsequently by reacting the iododerivative with a compound of formula (XIII):
R1-Q (XIll):
wherein R1 is an optionally substituted alkyl, cycloalkyl, heterocyclyl, aryl, cycloalkyl-alkyl, arylalkyl or heterocyclylalkyl, and Q is a suitable group such as —B(OH)2, —B(OAlk)2, —Sn(Alk)4, ZnHal, or MgHal, which can undergo palladium mediated carbon bond formation, to give a compound of formula (I), wherein R1 is an optionally substituted alkyl, cycloalkyl, heterocyclyl, aryl, cycloalkyl-alkyl, arylalkyl or heterocyclylalkyl group, and X is a single bond:
conv. 10) converting a compound of formula (I), wherein R2, Y and Z are as defined in formula (I), R1 is an optionally substituted alkyl, cycloalkyl, heterocyclyl, aryl, cycloalkyl-alkyl, arylalkyl or heterocyclylalkyl, and X is —S—, first into the corresponding compound of formula (I), wherein X is —SO2—, under oxidative conditions, and then reacting the sulfonyl derivative with an amine of formula R1-NH2 (XII), wherein R1 is an optionally substituted alkyl, cycloalkyl, heterocyclyl, aryl, cycloalkyl-alkyl, arylalkyl or heterocyclylalkyl group, to give the corresponding compound wherein R1 is as defined above and X is NH:
conv. 11) converting a compound of formula (I), wherein R2, Y and Z are as defined in formula (I), R1 is an optionally substituted alkyl, cycloalkyl, heterocyclyl, aryl, cycloalkyl-alkyl, arylalkyl or heterocyclylalkyl, and X is —S—, first into the corresponding compound of formula (I), wherein X is —SO2— under oxidative conditions, and then reacting the sulfonyl derivative with a compound of formula R1-OH (XIV), wherein R1 is an optionally substituted alkyl, cycloalkyl, heterocyclyl, aryl, cycloalkyl-alkyl, arylalkyl or heterocyclylalkyl group, to give the corresponding compound wherein R1 is as defined above and X is —O—:
conv. 12) converting a compound of formula (I), wherein R2, Y and Z are as defined in formula (I), R1 is methyl, and X is —O—, first into the corresponding compound of formula (I) wherein R1 is hydrogen, and then reacting the resultant compound with a triflating agent so as to obtain the corresponding trifluoromethanesulfonate and finally by reacting it with a compound of formula R1-OH (XIV) wherein R1 is optionally substituted alkyl, cycloalkyl, heterocyclyl, aryl, cycloalkyl-alkyl, arylalkyl or heterocyclylalkyl group, to give the corresponding compound wherein R1 is as defined above and X is —O—:
conv. 13) converting a compound of formula (I), wherein R2, Y and Z are as defined in formula (I), R1 is methyl, and X is —O—, first into the corresponding compound of formula (I) wherein R1 is hydrogen, then by reacting the resultant compound with a triflating agent so as to obtain the corresponding trifluoromethanesulfonate and finally by reacting it with an amine of formula R1-NH2 (XII) wherein R1 is an optionally substituted alkyl, cycloalkyl, heterocyclyl, aryl, cycloalkyl-alkyl, arylalkyl or heterocyclylalkyl group, to give the corresponding compound wherein R1 is as defined above and X is —NH—:
conv. 14) converting a compound of formula (I) wherein R2 is NR″R′″, X is as defined above except —SO2— and —OSO2—, Y and Z are as defined in formula (I), R1 is an aryl, i.e. phenyl, substituted by bromine, into the corresponding compound of formula (I) wherein R1 is an aryl, i.e. phenyl, substituted by NR″R′″, by treatment with an amine of formula R″R′″-NH (X), to give the corresponding compound wherein R1 is an aryl, i.e. phenyl, substituted by NR″R′″:
wherein Ra and Rb are independently halogen, except bromine, hydrogen, nitro, cyano, C1-C6 alkyl, polyfluorinated alkyl, polyfluorinated alkoxy, alkenyl, alkynyl, hydroxyalkyl, aryl, arylalkyl, heterocyclyl, C3-C7 cycloalkyl, hydroxy, alkoxy, aryloxy, heterocyclyloxy, methylenedioxy, alkylcarbonyloxy, arylcarbonyloxy, cycloalkenyloxy, heterocyclylcarbonyloxy, alkylideneaminooxy, carboxy, alkoxycarbonyl, aryloxycarbonyl, cycloalkyloxycarbonyl, heterocyclyloxycarbonyl, amino, ureido, alkylamino, dialkylamino, arylamino, diarylamino, heterocyclyamino, formylamino, alkylcarbonylamino, arylcarbonylamino, heterocyclylcarbonylamino, aminocarbonyl, alkylaminocarbonyl, dialkylaminocarbonyl, arylaminocarbonyl, heterocyclylaminocarbonyl, alkoxycarbonylamino, hydroxyaminocarbonyl, alkoxyimino, alkylsulfonylamino, arylsulfonylamino, heterocyclylsulfonylamino, formyl, alkylcarbonyl, arylcarbonyl, cycloalkylcarbonyl, heterocyclylcarbonyl, heterocyclylsulfonyl, alkylsulfonyl, arylsulfonyl, aminosulfonyl, alkylaminosulfonyl, dialkylaminosulfonyl, arylaminosulfonyl, heterocyclylaminosulfonyl, arylthio, alkylthio, phosphonate or alkylphosphonate;
conv. 15) converting a compound of formula (I) wherein R2 is NR″R′″, X, Y and Z are as defined in formula (I), and R1 is an aryl, i.e. phenyl, substituted by —COOPg, wherein Pg is a suitable protecting group, into the corresponding compound of formula (I) wherein R1 is an aryl, i.e. phenyl, substituted by —COOH, through conditions well known in the literature (see Teodora W. Green, Peter G. M. Wuts):
wherein Ra and Rb are independently halogen, hydrogen, nitro, cyano, C1-C6 alkyl, polyfluorinated alkyl, polyfluorinated alkoxy, alkenyl, alkynyl, hydroxyalkyl, aryl, arylalkyl, heterocyclyl, C3-C7 cycloalkyl, hydroxy, alkoxy, aryloxy, heterocyclyloxy, methylenedioxy, alkylcarbonyloxy, arylcarbonyloxy, cycloalkenyloxy, heterocyclylcarbonyloxy, alkylideneaminooxy, carboxy, alkoxycarbonyl, aryloxycarbonyl, cycloalkyloxycarbonyl, heterocyclyloxycarbonyl, amino, ureido, alkylamino, dialkylamino, arylamino, diarylamino, heterocyclyamino, formylamino, alkylcarbonylamino, arylcarbonylamino, heterocyclylcarbonylamino, aminocarbonyl, alkylaminocarbonyl, dialkylaminocarbonyl, arylaminocarbonyl, heterocyclylaminocarbonyl, alkoxycarbonylamino, hydroxyaminocarbonyl, alkoxyimino, alkylsulfonylamino, arylsulfonylamino, heterocyclylsulfonylamino, formyl, alkylcarbonyl, arylcarbonyl, cycloalkylcarbonyl, heterocyclylcarbonyl, heterocyclylsulfonyl, alkylsulfonyl, arylsulfonyl, aminosulfonyl, alkylaminosulfonyl, dialkylaminosulfonyl, arylaminosulfonyl, heterocyclylaminosulfonyl, arylthio, alkylthio, phosphonate or alkylphosphonate;
conv. 16) converting a compound of formula (I) wherein R2 is NR″R′″, X, Y and Z are as defined in formula (I), and R1 is an aryl, i.e. phenyl, substituted by —COOH, into the corresponding compound of formula (I) wherein R1 is an aryl, i.e. phenyl, substituted by —CONR″R′″, wherein R″ and R′″ are as defined above, by treatment with an amine of formula R″R′″-NH (X), in the presence of the suitable condensing agents:
wherein Ra and Rb are independently halogen atom, hydrogen, nitro, cyano, C1-C6 alkyl, polyfluorinated alkyl, polyfluorinated alkoxy, alkenyl, alkynyl, hydroxyalkyl, aryl, arylalkyl, heterocyclyl, C3-C7 cycloalkyl, hydroxy, alkoxy, aryloxy, heterocyclyloxy, methylenedioxy, alkylcarbonyloxy, arylcarbonyloxy, cycloalkenyloxy, heterocyclylcarbonyloxy, alkylideneaminooxy, carboxy, alkoxycarbonyl, aryloxycarbonyl, cycloalkyloxycarbonyl, heterocyclyloxycarbonyl, amino, ureido, alkylamino, dialkylamino, arylamino, diarylamino, heterocyclyamino, formylamino, alkylcarbonylamino, arylcarbonylamino, heterocyclylcarbonylamino, aminocarbonyl, alkylaminocarbonyl, dialkylaminocarbonyl, arylaminocarbonyl, heterocyclylaminocarbonyl, alkoxycarbonylamino, hydroxyaminocarbonyl, alkoxyimino, alkylsulfonylamino, arylsulfonylamino, heterocyclylsulfonylamino, formyl, alkylcarbonyl, arylcarbonyl, cycloalkylcarbonyl, heterocyclylcarbonyl, heterocyclylsulfonyl, alkylsulfonyl, arylsulfonyl, aminosulfonyl, alkylaminosulfonyl, dialkylaminosulfonyl, arylaminosulfonyl, heterocyclylaminosulfonyl, arylthio, alkylthio, phosphonate or alkylphosphonate;
conv. 17) converting a compound of formula (I) wherein X is —NH—, R1 is hydrogen, R2, Y and Z are as defined in formula (I), into the corresponding compound of formula (I) wherein X is —NH— and R1 is an aryl, i.e. phenyl, substituted by Ra, Rb, Rc:
wherein Ra, Rb and Rc are independently hydrogen, nitro, cyano, C1-C6 alkyl, polyfluorinated alkyl, polyfluorinated alkoxy, alkenyl, alkynyl, hydroxyalkyl, aryl, arylalkyl, heterocyclyl, C3-C7 cycloalkyl, hydroxy, alkoxy, aryloxy, heterocyclyloxy, methylenedioxy, alkylcarbonyloxy, arylcarbonyloxy, cycloalkenyloxy, heterocyclylcarbonyloxy, alkylideneaminooxy, carboxy, alkoxycarbonyl, aryloxycarbonyl, cycloalkyloxycarbonyl, heterocyclyloxycarbonyl, amino, ureido, alkylamino, dialkylamino, arylamino, diarylamino, heterocyclyamino, formylamino, alkylcarbonylamino, arylcarbonylamino, heterocyclylcarbonylamino, aminocarbonyl, alkylaminocarbonyl, dialkylaminocarbonyl, arylaminocarbonyl, heterocyclylaminocarbonyl, alkoxycarbonylamino, hydroxyaminocarbonyl, alkoxyimino, alkylsulfonylamino, arylsulfonylamino, heterocyclylsulfonylamino, formyl, alkylcarbonyl, arylcarbonyl, cycloalkylcarbonyl, heterocyclylcarbonyl, heterocyclylsulfonyl, alkylsulfonyl, arylsulfonyl, aminosulfonyl, alkylaminosulfonyl, dialkylaminosulfonyl, arylaminosulfonyl, heterocyclylaminosulfonyl, arylthio, alkylthio, phosphonate or alkylphosphonate;
by treatment with an iodo derivative of formula (XVI):
wherein Ra, Rb and Rc are as defined above, in presence of palladium.
conv. 18) converting a compound of formula (I) wherein R2, Y and Z are as defined in formula (I), R1 is methyl and X is O, first into the corresponding compounds of formula (I) wherein R1 is hydrogen, then by reacting the resultant compound with a triflating agent so as to obtain the corresponding trifluoromethanesulfonate and finally by reacting it with a compound of formula (XIII):
R1-Q (XIII)
wherein R1 is an optionally substituted alkyl, cycloalkyl, heterocyclyl, aryl, cycloalkyl-alkyl, arylalkyl or heterocyclylalkyl, and Q is a suitable group such as —B(OH)2, —B(OAlk)2, —Sn(Alk)4, ZnHal, or MgHal, which can undergo palladium mediated carbon bond formation, to give a compound of formula (I), wherein R1 is as defined above and X is a single bond:
conv. 19) converting a compound of formula (I) wherein R2, Y and Z are as defined in formula (I), R1 is methyl, and X is O first into the corresponding compound of formula (I) wherein R1 is hydrogen, then by reacting the resultant compound with a triflating agent so as to obtain the corresponding trifluoromethanesulfonate and finally by reacting it with a thiol of formula R1-SH (XXVI) wherein R1 is an optionally substituted alkyl, cycloalkyl, heterocyclyl, aryl, cycloalkyl-alkyl, arylalkyl or heterocyclylalkyl group, to give the corresponding compound wherein R1 is as defined above and X is S:
conv. 20) converting a compound of formula (I) wherein R2, Y and Z are as defined in formula (I), R1 is methyl, and X is —S— into compounds of formula (I) wherein R1 is an optionally substituted aryl and X is a single bond, by reacting it with an arylboronic acid of formula R1-B(OH)2 (XIIIa), wherein R1 is an optionally substituted aryl, in the presence of a palladium derivative:
wherein, the resin is a commercially available polystyrenic resin including, for instance, Wang resin, Trityl resin, Cl-trityl resin, Rink amide resin, Tentagel OH resin and derivatives thereof; R1, X and R3 are as defined above and R2 is NHR″, wherein R″ is hydrogen or an optionally substituted group selected from straight or branched C1-C6 alkyl, C3-C7 cycloalkyl or cycloalkyl-alkyl, aryl, arylalkyl, heterocyclyl or heterocyclylalkyl.
(P)—CH2—NHR″ (XXII)
wherein (P) is the resin and R″ is as defined above;
st.M) reacting the resultant compound of formula (XVII):
wherein (P) and R″ are as described above, with a suitable alkylating agent R3-L (VI) as defined above in the presence of a base such as Cs2CO3 in an appropriate solvent such as DMF; and
st.N) reacting the resultant compound of formula (XIX):
wherein R3, (P) and R″ are as described above, as described under step st.H;
st.O) reacting the resultant compound of formula (XX):
wherein (P), R″ and R3 are as defined above, as described under any one of steps st.I1, st.I2, st.I3 and st.I4;
st.P) cleaving the resin under acidic conditions from the resultant compound of formula (XXI):
to give a compound of formula (I), wherein X, R1, R3 are as defined above and R2 is NHR″ wherein R″ is hydrogen or an optionally substituted group selected from straight or branched C1-C6 alkyl, C3-C7 cycloalkyl or cycloalkyl-alkyl, aryl, arylalkyl, heterocyclyl or heterocyclylalkyl; optionally separating the resultant compound of formula (I) into the single isomers; converting the resultant compound of formula (I) into a different compound of formula (I) and/or into a pharmaceutically acceptable salt if desired.
| ABBREVIATIONS | |
| DCM | Dichloromethane |
| DIPEA | N,N-diisopropylethylamine |
| DMF | N,N-dimethylformamide |
| DCC | N,N′-dicyclohexylcarbodiimide |
| EDCI | N-ethyl-N′,N′-diisopropyl carbodiimide |
| hydrochloride | |
| AcOEt | Ethyl acetate |
| EtOH | Ethanol |
| Na2CO3 | Sodium carbonate |
| NaH | Sodium hydride |
| PyBOP | (Benzotriazol-1-yloxy)tripyrrolidinophosphonium |
| hexafluorophosphate | |
| HOBt | 1H-benzotriazol-1-ol |
| K2CO3 | Potassium carbonate |
| CH3CN | Acetonitrile |
| Na2SO4 | Sodium sulfate |
| MeOH | Methanol |
| Na2CO3 | Sodium carbonate |
| Pd2(dba)3 | Tris(dibenzylideneacetone)dipalladium(0) |
| TEA | Triethylamine |
| THF | Tetrahydrofurane |
| LiN(TMS)2 | Lithium bis(trimethylsilyl)amide |
| Et2O | Diethyl ether |
| KH2PO4 | Potassium dihydrogen phosphate |
| AcOH | Acetic acid |
| KOH | Potassium hydroxide |
| NaOH | Sodium hydroxide |
| HCl | Hydrochloric acid |
| Cs2CO3 | Cesium carbonate |
| DMSO | Dimethyl sulfoxide |
| NaHCO3 | Sodium hydrogen carbonate |
| MeOH | Methanol |
| TBTU | O-(benzotriazol-1-yl)-N,N,N′,N′-tetramethyluronium |
| tetrafluoroborate | |
| Na2S2O5 | Sodium metabisulphite |
| Na2S2O3 | Sodium thiosulfate |
| TFA | Trifluoro acetic acid |
| Xantphos | 4,5-Bis(diphenylphosphino)-9,9-dimethylxanthene |
| PdCl2(dppf) | [1,1′-bis(diphenylphosphino)ferrocene]palla- |
| dium(II) chloride | |
| DME | 1,2-Dimethoxyethane |
| Pd(OAc)2 | Palladium(II) acetate |
| Pd(PPh3)4 | Tetrakis (triphenylphosphine) Palladium |
| BINAP | (2,2′-Bis(diphenylphosphino)-1,1′-binaphtalene |
| CuTC | Copper(I) thiophene-2-carboxylate |
- ethyl (7E)-7-[(dimethylamino)methylidene]-8-oxo-1,4,5,6,7,8-hexahydrocyclohepta[c]pyrazole-3-carboxylate
- ethyl (7E)-7-[(dimethylamino)methylidene]-2-methyl-8-oxo-2,4,5,6,7,8-hexahydrocyclohepta[c]pyrazole-3-carboxylate
- (7E)-7-[(dimethylamino)methylidene]-1-methyl-8-oxo-N-propyl-1,4,5,6,7,8-hexahydrocyclohepta[c]pyrazole-3-carboxamide
- (7E)-7-[(dimethylamino)methylidene]-1-methyl-8-oxo-1,4,5,6,7,8-hexahydrocyclohepta[c]pyrazole-3-carboxamide
- ethyl 5-acetyl-4-[(4Z)-5-(dimethylamino)pent-4-en-1-yl]-1-(2-hydroxyethyl)-1H-pyrazole-3-carboxylate
- ethyl 3-acetyl-4-[(4Z)-5-(dimethylamino)pent-4-en-1-yl]-1-(2-hydroxyethyl)-1H-pyrazole-5-carboxylate
| Amplification was performed using the forward |
| oligonucleotide: |
| 5′ggggacaagtttgtacaaaaaagcaggcttactggaagttctgttc |
| caggggcccgaatccgaggatttaagtggcagag3′ |
| and the reverse oligonucleotide: |
| 5′ggggaccactttgtacaagaaagctgggttttatttttttcccctt |
| tttttttcaaaagtcttggaggatgaag3′]. |
b) for IC50 determination (KSS platform), 100 μl of each compound at 1 mM in 100% DMSO are transferred from the original plate into the first column of another 96 well plate (A1 to G1); well H1 is left empty for the internal standard inhibitor, usually staurosporine.
| TABLE A | ||||
| IC50 | IC50 | IC50 | ||
| Compound | MPS1 | PIM-1 | PIM-2 | |
| no. | Name | (microM) | (microM) | (microM) |
| 1 | 9-[(4-bromo-2-methoxyphenyl)amino]-1-methyl- | 0.421 | ||
| 1,4,5,6-tetrahydropyrazolo[4′,3′:6,7]cyclohepta[1,2- | ||||
| d]pyrimidine-3-carboxamide | ||||
| 3 | 9-{[2-methoxy-4-(4-methylpiperazin-1- | 0.194 | 1.321 | 5.913 |
| yl)phenyl]amino}-1-methyl-1,4,5,6- | ||||
| tetrahydropyrazolo[4′,3′:6,7]cyclohepta[1,2- | ||||
| d]pyrimidine-3-carboxamide | ||||
| 4 | N-(2,6-diethylphenyl)-9-{[2-methoxy-4-(4- | 0.184 | ||
| methylpiperazin-1-yl)phenyl]amino}-1-methyl- | ||||
| 1,4,5,6-tetrahydropyrazolo[4′,3′:6,7]cyclohepta[1,2- | ||||
| d]pyrimidine-3-carboxamide | ||||
| 5 | N-[(1S)-2-amino-1-phenylethyl]-9-({2-methoxy-4-[(1- | 0.469 | 0.497 | 3.761 |
| methylpiperidin-4-yl)carbamoyl]phenyl}amino)-1- | ||||
| methyl-1,4,5,6- | ||||
| tetrahydropyrazolo[4′,3′:6,7]cyclohepta[1,2- | ||||
| d]pyrimidine-3-carboxamide dihydrochloride | ||||
| 8 | 9-{[2-methoxy-4-(4-methylpiperazin-1- | 0.353 | ||
| yl)phenyl]amino}-1-methyl-N-phenyl-1,4,5,6- | ||||
| tetrahydropyrazolo[4′,3′:6,7]cyclohepta[1,2- | ||||
| d]pyrimidine-3-carboxamide | ||||
| 27 | N-(2-ethyl-6-methylphenyl)-9-{[2-methoxy-4-(4- | 0.189 | ||
| methylpiperazin-1-yl)phenyl]amino}-1-methyl- | ||||
| 1,4,5,6-tetrahydropyrazolo[4′,3′:6,7]cyclohepta[1,2- | ||||
| d]pyrimidine-3-carboxamide | ||||
| 28 | N-cyclohexyl-9-{[2-methoxy-4-(4-methylpiperazin-1- | 0.249 | ||
| yl)phenyl]amino}-1-methyl-1,4,5,6- | ||||
| tetrahydropyrazolo[4′,3′:6,7]cyclohepta[1,2- | ||||
| d]pyrimidine-3-carboxamide | ||||
| 32 | 9-[(4-bromo-2-methoxyphenyl)amino]-N,1-dimethyl- | 0.277 | ||
| 1,4,5,6-tetrahydropyrazolo[4′,3′:6,7]cyclohepta[1,2- | ||||
| d]pyrimidine-3-carboxamide | ||||
| 35 | N-(2,6-diethylphenyl)-9-({2-methoxy-4-[(1- | 0.066 | ||
| methylpiperidin-4-yl)carbamoyl]phenyl}amino)-1- | ||||
| methyl-1,4,5,6- | ||||
| tetrahydropyrazolo[4′,3′:6,7]cyclohepta[1,2- | ||||
| d]pyrimidine-3-carboxamide | ||||
| 43 | N-(2,6-diethylphenyl)-1-methyl-9-({4-[(4-methyl-1,4- | 0.199 | ||
| diazepan-1-yl)carbonyl]-2- | ||||
| (trifluoromethoxy)phenyl}amino)-1,4,5,6- | ||||
| tetrahydropyrazolo[4′,3′:6,7]cyclohepta[1,2- | ||||
| d]pyrimidine-3-carboxamide | ||||
| 56 | N-(2,6-diethylphenyl)-9-{[2-methoxy-4-(4- | 0.862 | ||
| methyl piperazin-1-yl)phenyl]amino}-1-(2,2,2- | ||||
| trifluoroethyl)-1,4,5,6- | ||||
| tetrahydropyrazolo[4′,3′:6,7]cyclohepta[1,2- | ||||
| d]pyrimidine-3-carboxamide | ||||
| 67 | 1-methyl-9-{[4-(4-methylpiperazin-1- | 1.196 | 2.454 | 3.599 |
| yl)phenyl]amino}-1,4,5,6- | ||||
| tetrahydropyrazolo[4′,3′:6,7]cyclohepta[1,2- | ||||
| d]pyrimidine-3-carboxamide trifluoroacetate | ||||
| 71 | N-(2,6-diethylphenyl)-9-({4-[4- | 0.174 | ||
| (dimethylamino)piperidin-1-yl]-2- | ||||
| methoxyphenyl}amino)-1-(2-hydroxyethyl)-1,4,5,6- | ||||
| tetrahydropyrazolo[4′,3′:6,7]cyclohepta[1,2- | ||||
| d]pyrimidine-3-carboxamide trifluoroacetate | ||||
| 97 | N-(2,6-diethylphenyl)-9-{[2-methoxy-4-(4- | 0.853 | ||
| methylpiperazin-1-yl)phenyl]amino}-2-methyl- | ||||
| 2,4,5,6-tetrahydropyrazolo[4′,3′:6,7]cyclohepta[1,2- | ||||
| d]pyrimidine-3-carboxamide | ||||
| 99 | N-(2,6-diethylphenyl)-9-{[2-methoxy-4-(4- | 0.134 | ||
| methylpiperazin-1-yl)phenyl]amino}-5,6-dihydro-4H- | ||||
| isoxazolo[4′,5′:6,7]cyclohepta[1,2-d]pyrimidine-3- | ||||
| carboxamide | ||||
| 101 | N-(2,6-diethylphenyl)-9-{[2-methoxy-4-(4- | 0.308 | ||
| methylpiperazin-1-yl)phenyl]amino}-5,6-dihydro-4H- | ||||
| isoxazolo[4′,3′:6,7]cyclohepta[1,2-d]pyrimidine-3- | ||||
| carboxamide | ||||
Claims (21)
R1-NH—C(═NH)NH2 (VIII)
R1-S—C(═NH)NH2 (IX)
R1-O—C(═NH)NH2 (XXV)
Applications Claiming Priority (4)
| Application Number | Priority Date | Filing Date | Title |
|---|---|---|---|
| EP11152189 | 2011-01-26 | ||
| EP11152189 | 2011-01-26 | ||
| EP11152189.4 | 2011-01-26 | ||
| PCT/EP2012/050765 WO2012101029A1 (en) | 2011-01-26 | 2012-01-19 | Tricyclic derivatives, process for their preparation and their use as kinase inhibitors |
Publications (2)
| Publication Number | Publication Date |
|---|---|
| US20130302416A1 US20130302416A1 (en) | 2013-11-14 |
| US8916577B2 true US8916577B2 (en) | 2014-12-23 |
Family
ID=45507697
Family Applications (1)
| Application Number | Title | Priority Date | Filing Date |
|---|---|---|---|
| US13/980,182 Active US8916577B2 (en) | 2011-01-26 | 2012-01-19 | Tricyclic derivatives, process for their preparation and their use as kinase inhibitors |
Country Status (5)
| Country | Link |
|---|---|
| US (1) | US8916577B2 (en) |
| EP (1) | EP2668188B1 (en) |
| JP (2) | JP5925808B2 (en) |
| ES (1) | ES2586588T3 (en) |
| WO (1) | WO2012101029A1 (en) |
Cited By (1)
| Publication number | Priority date | Publication date | Assignee | Title |
|---|---|---|---|---|
| US11203589B2 (en) | 2014-11-05 | 2021-12-21 | InventisBio Co., Ltd. | Pyrimidine or pyridine compounds, preparation method therefor and pharmaceutical uses thereof |
Families Citing this family (42)
| Publication number | Priority date | Publication date | Assignee | Title |
|---|---|---|---|---|
| AR077468A1 (en) | 2009-07-09 | 2011-08-31 | Array Biopharma Inc | PIRAZOLO COMPOUNDS (1,5-A) PYRIMIDINE SUBSTITUTED AS TRK-QUINASA INHIBITORS |
| JP5046404B2 (en) | 2009-09-25 | 2012-10-10 | 信越化学工業株式会社 | One-end reactive organopolysiloxane having a polyalkylene oxide group at the ω end and a method for producing the same. |
| WO2014110574A1 (en) | 2013-01-14 | 2014-07-17 | Incyte Corporation | Bicyclic aromatic carboxamide compounds useful as pim kinase inhibitors |
| ES2790419T3 (en) | 2013-01-15 | 2020-10-27 | Incyte Holdings Corp | Thiazolecarboxamide and pyridinecarboxamide compounds useful as PIM kinase inhibitors |
| US9556197B2 (en) | 2013-08-23 | 2017-01-31 | Incyte Corporation | Furo- and thieno-pyridine carboxamide compounds useful as pim kinase inhibitors |
| WO2016010897A1 (en) | 2014-07-14 | 2016-01-21 | Incyte Corporation | Bicyclic heteroaromatic carboxamide compounds useful as pim kinase inhibitors |
| US9580418B2 (en) | 2014-07-14 | 2017-02-28 | Incyte Corporation | Bicyclic aromatic carboxamide compounds useful as Pim kinase inhibitors |
| FI3283642T3 (en) | 2015-04-17 | 2024-01-11 | Crossfire Oncology Holding B V | Prognostic biomarkers for ttk inhibitor chemotherapy |
| US9540347B2 (en) | 2015-05-29 | 2017-01-10 | Incyte Corporation | Pyridineamine compounds useful as Pim kinase inhibitors |
| SI3322706T1 (en) | 2015-07-16 | 2021-04-30 | Array Biopharma, Inc. | Substituted pyrazolo(1,5-a)pyridine compounds as ret kinase inhibitors |
| ES2862727T3 (en) * | 2015-08-26 | 2021-10-07 | Fundacion Del Sector Publico Estatal Centro Nac De Investigaciones Oncologicas Carlos Iii F S P Cnio | Fused tricyclic compounds as protein kinase inhibitors |
| AR105967A1 (en) | 2015-09-09 | 2017-11-29 | Incyte Corp | SALTS OF A PIM QUINASA INHIBITOR |
| WO2017059251A1 (en) | 2015-10-02 | 2017-04-06 | Incyte Corporation | Heterocyclic compounds useful as pim kinase inhibitors |
| CA3003153A1 (en) | 2015-10-26 | 2017-05-04 | Loxo Oncology, Inc. | Point mutations in trk inhibitor-resistant cancer and methods relating to the same |
| PH12018502124B1 (en) | 2016-04-04 | 2024-04-12 | Loxo Oncology Inc | Liquid formulations of (s)-n-(5-((r)-2-(2,5-difluorophenyl)-pyrrolidin-1-yl)-pyrazolo[1,5-a]pyrimidin-3-yl)-3-hydroxypyrrolidine-1-carboxamide |
| JP7057343B2 (en) | 2016-04-04 | 2022-04-19 | ロクソ オンコロジー, インコーポレイテッド | How to treat childhood cancer |
| US10045991B2 (en) | 2016-04-04 | 2018-08-14 | Loxo Oncology, Inc. | Methods of treating pediatric cancers |
| PT3458456T (en) | 2016-05-18 | 2020-12-07 | Array Biopharma Inc | Preparation of (s)-n-(5-((r)-2-(2,5-difluorophenyl)pyrrolidin-1-yl)pyrazolo[1,5-a]pyrimidin-3-y l)-3-hydroxypyrrolidine-1-carboxamide |
| TWI704148B (en) | 2016-10-10 | 2020-09-11 | 美商亞雷生物製藥股份有限公司 | Substituted pyrazolo[1,5-a]pyridine compounds as ret kinase inhibitors |
| JOP20190077A1 (en) | 2016-10-10 | 2019-04-09 | Array Biopharma Inc | Substituted pyrazolo[1,5-a]pyridine compounds as ret kinase inhibitors |
| JOP20190092A1 (en) | 2016-10-26 | 2019-04-25 | Array Biopharma Inc | PROCESS FOR THE PREPARATION OF PYRAZOLO[1,5-a]PYRIMIDINES AND SALTS THEREOF |
| WO2018136663A1 (en) | 2017-01-18 | 2018-07-26 | Array Biopharma, Inc. | Ret inhibitors |
| CA3049136C (en) | 2017-01-18 | 2022-06-14 | Array Biopharma Inc. | Substituted pyrazolo[1,5-a]pyrazine compounds as ret kinase inhibitors |
| JOP20190213A1 (en) | 2017-03-16 | 2019-09-16 | Array Biopharma Inc | Macrocyclic compounds as ros1 kinase inhibitors |
| CN107383019B (en) * | 2017-07-28 | 2019-10-15 | 江苏艾凡生物医药有限公司 | Pyrazolo[4,3-h]quinazoline compounds and uses thereof |
| TWI791053B (en) | 2017-10-10 | 2023-02-01 | 美商亞雷生物製藥股份有限公司 | Crystalline forms of 6-(2-hydroxy-2-methylpropoxy)-4-(6-(6-((6-methoxypyridin-3-yl)methyl)-3,6-diazabicyclo[3.1.1]heptan-3-yl)pyridin-3-yl)pyrazolo[1,5-a]pyridine-3-carbonitrile and pharmaceutical composition thereof |
| TWI876442B (en) | 2017-10-10 | 2025-03-11 | 美商絡速藥業公司 | Formulations of 6-(2-hydroxy-2-methylpropoxy)-4-(6-(6-((6-methoxypyridin-3-yl)methyl)-3,6-diazabicyclo[3.1.1]heptan-3-yl)pyridin-3-yl)pyrazolo[1,5-a]pyridine-3-carbonitrile |
| TW201924683A (en) | 2017-12-08 | 2019-07-01 | 美商英塞特公司 | Low dose combination therapy for treatment of myeloproliferative neoplasms |
| EP3740491A1 (en) | 2018-01-18 | 2020-11-25 | Array Biopharma, Inc. | Substituted pyrrolo[2,3-d]pyrimidines compounds as ret kinase inhibitors |
| JP6997876B2 (en) | 2018-01-18 | 2022-02-04 | アレイ バイオファーマ インコーポレイテッド | Substituted pyrazolyl [4,3-C] pyridine compound as a RET kinase inhibitor |
| US11524963B2 (en) | 2018-01-18 | 2022-12-13 | Array Biopharma Inc. | Substituted pyrazolo[3,4-d]pyrimidines as RET kinase inhibitors |
| US12109193B2 (en) | 2018-07-31 | 2024-10-08 | Loxo Oncology Inc. | Spray-dried dispersions, formulations, and polymorphs of (s)-5-amino-3-(4-((5-fluoro-2-methoxybenzamido)methyl)phenyl)-1-(1,1,1-trifluoropropan-2-yl)-1H-pyrazole-4-carboxamide |
| ES2922314T3 (en) | 2018-09-10 | 2022-09-13 | Array Biopharma Inc | Fused Heterocyclic Compounds as RET Kinase Inhibitors |
| JP2022515198A (en) | 2018-12-19 | 2022-02-17 | アレイ バイオファーマ インコーポレイテッド | Substituted pyrazolo [1,5-a] pyridine compound as an inhibitor of FGFR tyrosine kinase |
| US12351571B2 (en) | 2018-12-19 | 2025-07-08 | Array Biopharma Inc. | Substituted quinoxaline compounds as inhibitors of FGFR tyrosine kinases |
| US20230101747A1 (en) | 2019-12-06 | 2023-03-30 | Schrödinger, Inc. | Cyclic compounds and methods of using same |
| KR20220123023A (en) | 2019-12-27 | 2022-09-05 | 슈뢰딩거, 인크. | Cyclic compounds and methods of use thereof |
| WO2022055963A1 (en) | 2020-09-10 | 2022-03-17 | Schrödinger, Inc. | Heterocyclic pericondensed cdc7 kinase inhibitors for the treatment of cancer |
| CN114685520B (en) * | 2020-12-25 | 2024-08-30 | 武汉誉祥医药科技有限公司 | Tri-fused ring compound and pharmaceutical composition and application thereof |
| US20240148732A1 (en) | 2021-01-26 | 2024-05-09 | Schrödinger, Inc. | Tricyclic compounds useful in the treatment of cancer, autoimmune and inflammatory disorders |
| TW202300150A (en) | 2021-03-18 | 2023-01-01 | 美商薛定諤公司 | Cyclic compounds and methods of using same |
| WO2025059027A1 (en) | 2023-09-11 | 2025-03-20 | Schrödinger, Inc. | Cyclopenta[e]pyrazolo[1,5-a]pyrimidine derivatives as malt1 inhibitors |
Citations (3)
| Publication number | Priority date | Publication date | Assignee | Title |
|---|---|---|---|---|
| WO2005037843A1 (en) | 2003-10-14 | 2005-04-28 | Vertex Pharmaceuticals Incorporated | Compositions useful as inhibitors of protein kinases |
| WO2008074788A1 (en) | 2006-12-21 | 2008-06-26 | Nerviano Medical Sciences S.R.L. | Substituted pyrazolo-quinazoline derivatives, process for their preparation and their use as kinase inhibitors |
| WO2009089305A1 (en) | 2008-01-07 | 2009-07-16 | Synta Pharmaceuticals Corp. | Compounds for inflammation and immune-related uses |
Family Cites Families (15)
| Publication number | Priority date | Publication date | Assignee | Title |
|---|---|---|---|---|
| WO2003070706A1 (en) * | 2002-02-19 | 2003-08-28 | Pharmacia Corporation | Tricyclic pyrazole derivatives for the treatment of inflammation |
| AU2004240772B2 (en) * | 2003-05-22 | 2011-04-28 | Nerviano Medical Sciences S.R.L. | Pyrazolo-quinazoline derivatives,process for their preparation and their use as kinase inhibitors |
| US8207180B2 (en) * | 2006-11-28 | 2012-06-26 | Nerviano Medical Sciences S.R.L. | Tricyclic indoles and (4,5-dihydro) indoles |
| PE20090480A1 (en) * | 2007-07-16 | 2009-05-24 | Novartis Ag | TETRACYCLIC LACTAM DERIVATIVES |
| WO2009137492A1 (en) * | 2008-05-05 | 2009-11-12 | Abbott Laboratories | Heteroaryl-fused macrocyclic pyrimidine derivatives |
| SI2303891T1 (en) * | 2008-06-26 | 2016-06-30 | Les Laboratoires Servier | Pyrazolo-quinazolines as protein kinase activity modulators |
| ES2532732T3 (en) * | 2008-07-29 | 2015-03-31 | Nerviano Medical Sciences S.R.L. | Use of a CDK inhibitor for the treatment of glioma |
| WO2010012777A1 (en) * | 2008-07-29 | 2010-02-04 | Nerviano Medical Sciences S.R.L. | THERAPEUTIC COMBINATION COMPRISING A CDKs INHIBITOR AND AN ANTINEOPLASTIC AGENT |
| CN102223885B (en) * | 2008-11-24 | 2013-04-03 | 内尔维阿诺医学科学有限公司 | CDK inhibitors for the treatment of mesothelioma |
| ES2445896T3 (en) * | 2009-03-20 | 2014-03-05 | Nerviano Medical Sciences S.R.L. | Use of a kinase inhibitor for thymoma treatment |
| ES2660146T3 (en) * | 2009-04-29 | 2018-03-21 | Nerviano Medical Sciences S.R.L. | Cdk inhibitor salts |
| AR076784A1 (en) * | 2009-05-26 | 2011-07-06 | Nerviano Medical Sciences Srl | THERAPEUTIC COMBINATION UNDERSTANDING A PLK1 INHIBITOR AND AN ANTINEOPLASTIC AGENT |
| JP5851990B2 (en) * | 2009-07-29 | 2016-02-03 | ネルビアーノ・メデイカル・サイエンシーズ・エツセ・エルレ・エルレ | PLK inhibitor salt |
| JP5997143B2 (en) * | 2010-07-30 | 2016-09-28 | ネルビアーノ・メデイカル・サイエンシーズ・エツセ・エルレ・エルレ | Isoxazolo-quinazolines as regulators of protein kinase activity |
| CN103298816A (en) * | 2010-12-17 | 2013-09-11 | 内尔维阿诺医学科学有限公司 | Substituted pyrazolo-quinazoline derivatives as kinase inhibitors |
-
2012
- 2012-01-19 US US13/980,182 patent/US8916577B2/en active Active
- 2012-01-19 JP JP2013550832A patent/JP5925808B2/en not_active Expired - Fee Related
- 2012-01-19 ES ES12700566.8T patent/ES2586588T3/en active Active
- 2012-01-19 WO PCT/EP2012/050765 patent/WO2012101029A1/en not_active Ceased
- 2012-01-19 EP EP12700566.8A patent/EP2668188B1/en active Active
-
2015
- 2015-10-15 JP JP2015203444A patent/JP2016053043A/en not_active Withdrawn
Patent Citations (3)
| Publication number | Priority date | Publication date | Assignee | Title |
|---|---|---|---|---|
| WO2005037843A1 (en) | 2003-10-14 | 2005-04-28 | Vertex Pharmaceuticals Incorporated | Compositions useful as inhibitors of protein kinases |
| WO2008074788A1 (en) | 2006-12-21 | 2008-06-26 | Nerviano Medical Sciences S.R.L. | Substituted pyrazolo-quinazoline derivatives, process for their preparation and their use as kinase inhibitors |
| WO2009089305A1 (en) | 2008-01-07 | 2009-07-16 | Synta Pharmaceuticals Corp. | Compounds for inflammation and immune-related uses |
Non-Patent Citations (34)
Cited By (2)
| Publication number | Priority date | Publication date | Assignee | Title |
|---|---|---|---|---|
| US11203589B2 (en) | 2014-11-05 | 2021-12-21 | InventisBio Co., Ltd. | Pyrimidine or pyridine compounds, preparation method therefor and pharmaceutical uses thereof |
| US11498921B1 (en) | 2014-11-05 | 2022-11-15 | InventisBio Co., Ltd. | Pyrimidine or pyridine compounds, preparation method therefor and pharmaceutical uses thereof |
Also Published As
| Publication number | Publication date |
|---|---|
| WO2012101029A1 (en) | 2012-08-02 |
| US20130302416A1 (en) | 2013-11-14 |
| EP2668188B1 (en) | 2016-05-18 |
| JP2014503566A (en) | 2014-02-13 |
| EP2668188A1 (en) | 2013-12-04 |
| ES2586588T3 (en) | 2016-10-17 |
| JP2016053043A (en) | 2016-04-14 |
| JP5925808B2 (en) | 2016-05-25 |
Similar Documents
| Publication | Publication Date | Title |
|---|---|---|
| US8916577B2 (en) | Tricyclic derivatives, process for their preparation and their use as kinase inhibitors | |
| US9309253B2 (en) | Tricyclic pyrrolo derivatives, process for their preparation and their use as kinase inhibitors | |
| US9284298B2 (en) | Pyrazolyl-pyrimidine derivatives as kinase inhibitors | |
| US9333205B2 (en) | Isoxazolo-quinazolines as modulators of protein kinase activity | |
| US8541576B2 (en) | Substituted pyrazolo-quinazoline derivatives as kinase inhibitors | |
| US8846701B2 (en) | Pyrazolo-quinazolines | |
| US8772280B2 (en) | N-aryl-2-(2-arylaminopyrimidin-4-yl)pyrrol-4-carboxamide derivatives as MPS1 kinase inhibitors |
Legal Events
| Date | Code | Title | Description |
|---|---|---|---|
| AS | Assignment |
Owner name: NERVIANO MEDICAL SCIENCES S.R.L., ITALY Free format text: ASSIGNMENT OF ASSIGNORS INTEREST;ASSIGNORS:CALDARELLI, MARINA;CASUSCELLI, FRANCESCO;DONATI, DANIELE;AND OTHERS;REEL/FRAME:030817/0221 Effective date: 20130618 |
|
| STCF | Information on status: patent grant |
Free format text: PATENTED CASE |
|
| MAFP | Maintenance fee payment |
Free format text: PAYMENT OF MAINTENANCE FEE, 4TH YEAR, LARGE ENTITY (ORIGINAL EVENT CODE: M1551) Year of fee payment: 4 |
|
| MAFP | Maintenance fee payment |
Free format text: PAYMENT OF MAINTENANCE FEE, 8TH YEAR, LARGE ENTITY (ORIGINAL EVENT CODE: M1552); ENTITY STATUS OF PATENT OWNER: LARGE ENTITY Year of fee payment: 8 |



























































































































































































































