US6278791B1 - Lossless recovery of an original image containing embedded data - Google Patents
Lossless recovery of an original image containing embedded data Download PDFInfo
- Publication number
- US6278791B1 US6278791B1 US09/074,282 US7428298A US6278791B1 US 6278791 B1 US6278791 B1 US 6278791B1 US 7428298 A US7428298 A US 7428298A US 6278791 B1 US6278791 B1 US 6278791B1
- Authority
- US
- United States
- Prior art keywords
- data
- original
- image
- meta
- embedded data
- Prior art date
- Legal status (The legal status is an assumption and is not a legal conclusion. Google has not performed a legal analysis and makes no representation as to the accuracy of the status listed.)
- Expired - Lifetime
Links
Images
Classifications
-
- G—PHYSICS
- G06—COMPUTING OR CALCULATING; COUNTING
- G06T—IMAGE DATA PROCESSING OR GENERATION, IN GENERAL
- G06T1/00—General purpose image data processing
- G06T1/0021—Image watermarking
- G06T1/005—Robust watermarking, e.g. average attack or collusion attack resistant
-
- G—PHYSICS
- G06—COMPUTING OR CALCULATING; COUNTING
- G06F—ELECTRIC DIGITAL DATA PROCESSING
- G06F21/00—Security arrangements for protecting computers, components thereof, programs or data against unauthorised activity
- G06F21/10—Protecting distributed programs or content, e.g. vending or licensing of copyrighted material ; Digital rights management [DRM]
- G06F21/16—Program or content traceability, e.g. by watermarking
-
- G—PHYSICS
- G06—COMPUTING OR CALCULATING; COUNTING
- G06F—ELECTRIC DIGITAL DATA PROCESSING
- G06F21/00—Security arrangements for protecting computers, components thereof, programs or data against unauthorised activity
- G06F21/60—Protecting data
- G06F21/64—Protecting data integrity, e.g. using checksums, certificates or signatures
-
- G—PHYSICS
- G06—COMPUTING OR CALCULATING; COUNTING
- G06T—IMAGE DATA PROCESSING OR GENERATION, IN GENERAL
- G06T1/00—General purpose image data processing
- G06T1/0021—Image watermarking
- G06T1/0028—Adaptive watermarking, e.g. Human Visual System [HVS]-based watermarking
-
- G—PHYSICS
- G06—COMPUTING OR CALCULATING; COUNTING
- G06T—IMAGE DATA PROCESSING OR GENERATION, IN GENERAL
- G06T2201/00—General purpose image data processing
- G06T2201/005—Image watermarking
- G06T2201/0065—Extraction of an embedded watermark; Reliable detection
-
- G—PHYSICS
- G06—COMPUTING OR CALCULATING; COUNTING
- G06T—IMAGE DATA PROCESSING OR GENERATION, IN GENERAL
- G06T2201/00—General purpose image data processing
- G06T2201/005—Image watermarking
- G06T2201/0203—Image watermarking whereby the image with embedded watermark is reverted to the original condition before embedding, e.g. lossless, distortion-free or invertible watermarking
-
- Y—GENERAL TAGGING OF NEW TECHNOLOGICAL DEVELOPMENTS; GENERAL TAGGING OF CROSS-SECTIONAL TECHNOLOGIES SPANNING OVER SEVERAL SECTIONS OF THE IPC; TECHNICAL SUBJECTS COVERED BY FORMER USPC CROSS-REFERENCE ART COLLECTIONS [XRACs] AND DIGESTS
- Y10—TECHNICAL SUBJECTS COVERED BY FORMER USPC
- Y10S—TECHNICAL SUBJECTS COVERED BY FORMER USPC CROSS-REFERENCE ART COLLECTIONS [XRACs] AND DIGESTS
- Y10S128/00—Surgery
- Y10S128/92—Computer assisted medical diagnostics
- Y10S128/922—Computer assisted medical diagnostics including image analysis
Definitions
- the invention relates generally to the field of digital image processing, and in particular to a technique for embedding digital data in an original image in such a manner that the combined image and embedded data are directly viewable with only minimal visible degradation, and the embedded data can be completely removed at a later time to allow loss less recovery of the original image.
- ancillary information In some digital imaging systems, it is desirable to convey ancillary information along with the actual data that comprises an original image.
- This ancillary information might be directly derived from the image, or it might represent additional information that is related to, but not directly derived from, the image itself. In either case, this ancillary information is called image “meta-data” throughout this text.
- a hash value is a very compact representation of the much larger original image data set, and it is generated using a hashing function.
- An example of a useful hashing function is found in U.S. Department of Commerce Technology Administration National Institute of Standards and Technology, FIPS PUB 180, “Secure Hash Standard,” May 11, 1993, pp. 1-20. This hashing function will produce a hash value of length 162 bits, irrespective of the number of pixel values that are input to the hashing function. Other hashing functions may produce hash values of lengths other than 162 bits.
- While a hash value is not entirely unique to a given image (i.e., the process is a many-to-one mapping), it can be chosen so as to represent the image with extremely high probability.
- a hash value can be appended to the original image and then used at a later time to verify that the image has not been modified in any way since the hash value was generated. To prevent tampering of the hash value by unauthorized individuals, it is necessary to encrypt the hash value, thus creating a secure digital signature for the original image data.
- the process of appending the encrypted hash value inhibits the use of standard image formats such as TIFF to convey the combined image and signature information.
- a signature that is merely appended to an image can be easily removed by deleting the portion of the file containing the signature.
- image meta-data examples include the date/time or geographical location of the point of capture, a unique ID associated with the camera and/or photographer, camera settings used during the capture process, etc. It is possible to merely append such meta-data to the image data, but as with the digital signatures this process inhibits the use of standard image file formats. Some file formats provide segments for user-defined information, but such data is unsecured from tampering and could be easily removed by unauthorized individuals. In present techniques, these issues are resolved by embedding the meta-data within the image itself.
- Standard image file formats such as TIFF can then be used to convey both image data and meta-data, and proper design of the embedding process allows the image containing the embedded data to be directly viewed with only a minimal loss in quality.
- the embedding process also provides some level of security in that the meta-data can only be recovered with some knowledge of the embedding process (such as a “key” value).
- a disadvantage of the embedding process is that the original image data is typically corrupted to the extent that exact recovery of the original values is impossible.
- the present technique is an improvement upon the technique of data embedding that is described in U.S. patent application Ser. No. 08/565,804, Filed Nov. 30, 1995, entitled, “Embedding Digital Information Within an Image Using Carrier Images and Filter Processes” by Daly, et al., and as modified in U.S. patent application Ser. No. 08/848,112, Filed Apr. 28, 1997, entided, “Method for Generating an Improved Carrier for use in an Image Data Embedding Application Secure Messaging System for use in the Data Hiding” by Honsinger, et al.
- the image meta-data associated with an original image is first converted to a spatial representation called the message data.
- the meta-data may also be encrypted for additional security.
- the message data is then embedded into the original image through the use of a carrier signal as described in U.S. patent application Ser. No. 08/848,112.
- the carrier used in the embedding process is generated using an embedding key value, which may be publicly known or may be held private in order to prevent unauthorized access to the message data. Since the embedding process produces only minor quality loss, users may display the image containing the embedded data just as they would without the embedding. However, knowledge of the key allows the message data to be extracted from the image containing the embedded data, and the meta-data can then be recovered from the message data. In the present invention, the embedded data can be completely removed, thus allowing the original image data to be recovered exactly.
- Meta-data information is embedded completely within the image data itself (no need for a separate data file or special image formats, e.g., TIFF could be used).
- the image containing the embedded data is immediately available for public viewing, without any additional processing.
- the embedded data can be removed completely, thus allowing the original image to be recovered exactly.
- FIG. 1 illustrates in block diagram form, means for embedding meta-data information in an original image so that the original image can later be recovered exactly;
- FIG. 2 illustrates in block diagram form, means for extracting meta-data information and recovering an original image from a digital image containing embedded data
- FIG. 3 illustrates in block diagram form, means for performing a dynamic adjustment of the embedded data amplitude to ensure exact recovery of the original image data
- FIG. 4 illustrates in block diagram form, means for embedding a digital signature in an image in a manner that allows exact recovery of the original image and subsequent authentication;
- FIG. 5 illustrates in block diagram form, means for authenticating an image containing an embedded digital signature
- FIG. 6 illustrates the redundant and the non-redundant parts of a Fourier transform subject to a conjugate symmetry constraint in the frequency domain
- FIG. 7 illustrates in block diagram form, means for generating a carrier signal
- FIG. 8 is a perspective view of a system on which the present method may be practiced.
- the message and a carrier signal are convolved to form a scrambled image.
- the scrambled image is then scaled to ensure that the amplitude of the resultant scrambled image is not visually perceptible.
- the scrambled image is added to the original image to complete the embedding process.
- I(x, y) denotes the original image
- I′(x, y) denotes the image containing the embedded data
- M(x, y) denotes the message that is to be embedded in the original image
- C(x, y) denotes the carrier signal
- M(x, y)*C(x, y) denotes the scrambled image
- ⁇ is an amplitude scaling factor
- * denotes the process of circular convolution.
- the convolution of the carrier with the message distributes the message information throughout the spatial extent of the scrambled image.
- the amplitude scaling ⁇ is chosen to be small enough so that the scrambled image is visually undetectable when combined with the original image, but large enough to be recoverable by the message extraction process.
- a maximum amplitude of 10 or less is adequate to recover an embedded message that does not perceptibly degrade an original image. In some cases, it is possible to use very small amplitudes, such as using only the values ⁇ 1.
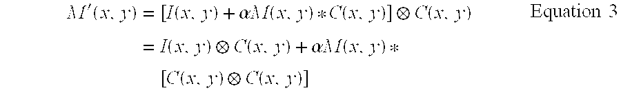
- the image I′(x, y) containing the embedded data is cross correlated with the carrier, C(x, y), as described by the following:
- M′(x, y) is the extracted message, and ⁇ circle around (x) ⁇ denotes the operation of circular cross correlation.
- Equation 3 simply states that the extracted message consists of the sum of two components: one term is the cross-correlation of the original image with the carrier signal; and the second term is the autocorrelation of the carrier signal convolved with a scaled version of the original message.
- the effect of the first term can be minimized by creating a random carrier that is uncorrelated with the original image. From examining the second term, it is clear that the resolvability of the recovered message is affected by the autocorrelation of the carrier signal C(x, y).
- the autocorrelation of the carrier signal should be a delta function, ⁇ (x, y), which from Fourier analysis theory is equivalent to suggesting that the carrier signal should contain all frequencies at equal amplitude.
- the original message M(x, y) can be recovered exactly. The design of the carrier is considered later in the section.
- Equation 1 the embedding process can be simplified to:
- the modified image I′(x, y) is typically constrained to the same range of values as the original image I(x, y), which requires the output of the summation process in Equation 4 to be clipped This clipping process leads to an irreversible loss of data, and the original image data can never be recovered exactly.
- the original image data can never be recovered exactly.
- One approach for exact recovery is to allow the modified image I′(x, y) containing the embedded data to have a greater range of values than the original image I(x, y). For example, if the original image is represented by n bits, then the modified image might be represented with n+1 bits. However, this approach is not preferred as it may render the modified image unusable in many applications, and it is also inefficient for storage and transmission. For example, an 8-bit original image would produce a 9-bit modified image, and many image file formats and image displays are not designed for bit depths greater than 8 bits/pixel per color.
- Another approach is to constrain the possible values of the original image to ensure that clipping does not occur when the embedded data is added to it.
- This approach may be viable in some systems as the original images may not contain any values at the low and high ends of the possible range (for example, in a digital camera system where the dynamic range is limited due to the sensor, etc.). More generally, the loss of a few code values in the bright and dark regions of an image will likely have limited visual impact. However, in a strict sense, this approach does not allow exact recovery of the original image as errors are being introduced even prior to the addition of embedded data.
- ⁇ x ⁇ is the largest integer ⁇ x.
- N is taken to be 2 n (e.g., for an 8-bit image, N is 256).
- Modulo-N addition ensures that the modified image values (produced by adding the original image values and the embedded data values) will always be in the same range as the original image values.
- the modulo-N addition process is a reversible transform when adding two n-bit values, and thus the original image I(x, y) can be exactly recovered with knowledge of the modified image I′(x, y) and the embedded data E(x, y).
- modulo-N addition does lead to one potential artifact in the modified image I′(x, y), namely, certain values in the light and dark portions of the image will be reversed in polarity. Depending on the original image values, this artifact may be completely absent or it may be noticeable when viewing the modified image containing the embedded data. To minimize the occurrence of this artifact, it is necessary to keep the amplitude of the embedded data to a minimum. As discussed previously, the embedded data amplitude also influences the ability to recover the message data exactly, so the choice of the amplitude is a trade-off between visual artifacts in the modified image and the ability to recover the message. A means for minimizing the embedded data amplitude while still allowing exact recovery of the message and hence exact recovery of the original image data is described later.
- implementation of the present invention is performed by providing as inputs to the data embedding apparatus the following values: 1) a string of n-bit original pixel values (derived by scanning an original image), denoted as I(x, y); 2) an embedded data amplitude scaling factor ⁇ ; 3) a string of bits m, representing meta-data information that is to be embedded within the original image values; and 4) a string of numbers called an embedding key k (which may be private or public).
- the amplitude scaling factor ⁇ is sent to a message generator 14 , where it is combined with the meta-data information m to produce a spatial domain message M(x, y). Embedding the amplitude scaling factor in the image itself eliminates the need to send it as separate side information. However, because the data embedding process can only embed a finite number of bits of total information, it is desirable to limit the number of bits used to represent ⁇ . As noted previously, it is generally sufficient to limit the maximum embedded data amplitude to a value of 10 or less, so it is entirely possible to use only 3 or 4 bits to represent ⁇ .
- a preferred embodiment is to place delta functions in a periodic array, where the amplitude of the delta functions is modulated by the string of binary values that represent the combined information.
- the generated message M(x, y) is then directed to a convolver 16 , where it is circularly convolved with a random spatial domain carrier signal C(x, y) to produce two-dimensional embedded data.
- the carrier signal C(x, y) is produced by a carrier generator 18 based upon a string of numbers representing the embedding key k that acts as a seed to a random number generator internal to carrier generator 18 and illustrated in detail in FIG. 7 . Because the carrier is based on a random number generator using an embedded key value, the process of embedding data with this method provides a certain level of security to the embedded information. That is, it is very difficult for an unauthorized individual to extract the embedded information without the key. As discussed later in this section, additional security could be provided by further encrypting the meta-data using a cryptographically strong system prior to the embedding process.
- the output of the convolver 16 is directed to an embedded data amplitude scaler 12 .
- the scaler 12 also receives as an input the amplitude scaling factor ⁇ .
- Scaler 12 scales the output of the convolver according to ⁇ , producing the spatial domain scaled embedded data E(x, y).
- the summation performed by the modulo-N summator 10 combines the two inputs at all corresponding spatial locations to provide a stream of original pixel values modified with corresponding embedded pixel values, denoted as I(x, y)+E(x, y). Each value in this modified stream is represented with n bits.
- the inputs to the embedded message extraction and image recovery apparatus are: 1) the n-bit per pixel stream representing the combination of the original image I(x, y) and its embedded data E(x, y); and 2) the string of values representing the same embedding key k used for the data embedding process in FIG. 1 . It is noted that the received image containing the embedded data is directly viewable at this point without any special processing.
- the image with its embedded data stream is directed to a frame buffer 20 and also to a cross-correlator 22 .
- the embedding key k is sent to a carrier generator 18 that is identical to that used in FIG. 1 .
- the resulting carrier signal C(x, y) is sent to cross-correlator 22 and a convolver 16 .
- the cross-correlator 22 performs a circular cross-correlation on the carrier signal C(x, y) and the image and embedded message stream I(x, y)+E(x, y) to produce the recovered message M′(x, y).
- the recovered message is then sent to recovery circuit 24 which recovers the meta-data information m and the amplitude scaling factor ⁇ .
- the recovered meta-data information and amplitude scaling factor are sent to message generator 14 , which is the same as that used in FIG. 1 .
- the output of message generator 14 is the same message M(x, y) produced in FIG. 1 .
- M(x, y) is convolved with the carrier signal C(x, y), and the output is sent to embedded data scaler 12 .
- Scaler 12 also receives the amplitude scaling factor a that was recovered by circuit 24 .
- the output of scaler 12 is the scaled embedded data E(x, y).
- the scaled embedded data is sent to a modulo-N summator 10 , where it is subtracted from the combined image data and embedded message data that has been stored in frame buffer 20 .
- the frame buffer 20 synchronizes the appearance of like pixels at the inputs of the modulo-N summator 10 .
- the output of the summation apparatus is a stream of n-bit pixel values that is identical to the original pixel values I(x, y).
- FIG. 3 a system is shown that iteratively adjusts the embedded data amplitude scaling factor ⁇ to produce the minimum value that ensures exact recovery of the original image. This system ensures exact recovery of the original image by ensuring the exact recovery of the meta-data that is embedded in the original image.
- the amplitude scaling factor is first set to some minimum value.
- This initial minimum value can be chosen based on prior experience. Alternatively, to fully ensure that the absolute minimum value is used, it can be chosen so as to produce embedded data containing only the values ⁇ 1 (or 0 and ⁇ 1).
- the initial minimum value for the amplitude scaling factor ⁇ , the original image I(x, y), the meta-data information m, and the embedding key k are then sent as inputs to the same functional components used in FIG. 1 to produce data representing the combined original image data and the embedded data I(x, y)+E(x, y).
- the original image I(x, y) is also sent to a frame buffer 30 in order to allow repeated access to this data.
- the combined original image data and the embedded data, I(x, y)+E(x, y) is sent to a frame buffer 32 in order to allow later access to this data.
- This data is also sent to a cross-correlator 22 , which performs a like function of that performed by cross-correlator 22 in FIG. 2 .
- the carrier signal produced by carrier generator 18 is also sent as input to the cross-correlator.
- the output of the cross-correlator is a recovered digital message M′(x, y).
- the recovered digital message is then sent to a recovery circuit 24 , which outputs recovered meta-data ⁇ tilde over (m) ⁇ and a recovered amplitude scaling factor ⁇ tilde over ( ⁇ ) ⁇ , where the ⁇ tilde over ( ) ⁇ indicates that these data may differ from the original meta-data mand amplitude scaling factor ⁇ .
- the recovered meta-data and recovered amplitude scaling factor are sent to comparison circuit 34 , where they are compared to the original meta-data and amplitude scaling factor.
- the amplitude scaling factor ⁇ was sufficiently large to ensure exact recovery of the original image data from the combined image and embedded data.
- a control signal is sent to control circuit 38 to allow the original image and embedded data to be removed from frame buffer 32 and sent as output. If ⁇ tilde over (m) ⁇ and ⁇ tilde over ( ⁇ ) ⁇ are different from m and ⁇ , then a control signal is sent to circuit 36 to increase the amplitude scaling factor ⁇ .
- the embedded data is processed using the increased amplitude scaling factor, and the resulting recovered meta-data and recovered amplitude scaling factor are again compared to the original meta-data and amplitude scaling factor. This process is repeated until the amplitude scaling factor is sufficiently large to ensure exact recovery of the original image data.
- FIG. 4 illustrates the use of the embedding apparatus of FIG. 1 for the specific case of embedding a digital signature.
- the original image I(x, y) is sent to a hash value generator 42 , which produces a string of bits representing the hash value h through the use of a hashing function.
- a hashing function is found in U.S. Department of Commerce Technology Administration National Institute of Standards and Technology, FIPS PUB 180, “Secure Hash Standard,” May 11, 1993, pp. 1-20.
- This hashing function will produce hash value of length 162 bits, irrespective of the number of pixel values that are input to the hashing function.
- Other hashing functions may produce hash values of lengths other than 162 bits.
- the hash value h is then directed to an encryption circuit 44 .
- a string of values called an encryption key is also directed to the encryption circuit 44 .
- the encrypted signal produced by circuit 44 resembles a random bit stream and is called the digital signature s of the original image I(x, y). In a cryptographically strong system, it is computationally infeasible to generate the correct signature without knowledge of the key. By making the encryption key available only to the authorized users (i.e., a private key), it can be assured that the signature cannot be duplicated by any unauthorized user.
- a variety of encryption methods are possible, including, a commercially available product from RSA Data Security Inc. called RC-4TM.
- the digital signature s is directed to a concatenator circuit 46 where the signature is combined with any additional meta-data that is to be embedded in the image. It is obvious that the additional meta-data could also be concatenated with the hash value prior to encryption, thus providing security for both the hash value and the meta-data, if desired.
- the combined signature and additional meta-data is then sent as the total meta-data input m to the FIG. 1 embedding apparatus.
- the FIG. 1 embedding apparatus shown in FIG. 4 also receives the original image as input, which has been stored in a frame buffer 40 to synchronize the arrival of the image data with the meta-data input.
- the FIG. 1 apparatus further receives the amplitude scaling factor ⁇ and the embedding key k as described previously.
- the output of the FIG. 1 embedding apparatus is the image containing the embedded data (including the digital signature and any additional meta-data). It is noted that the apparatus shown in FIG. 3 could also be used to embed the digital signature information while ensuring that the embedded data amplitude is kept to a minimum.
- FIG. 5 illustrates the recovery of the digital signature from the embedded image data and its subsequent use in verifying the authenticity of the received image.
- the image containing the embedded data ⁇ (x, y)+E(x, y) is directed as input to the FIG. 2 recovery apparatus, where ⁇ (x, y) indicates that the received image may be an altered version of the original image I(x, y).
- the embedding key k is also sent as input to the FIG. 2 apparatus.
- the outputs of the FIG. 2 apparatus are the recovered (and potentially altered) image ⁇ (x, y) and the total embedded meta-data information m, which includes the digital signature.
- the total meta-data information is directed to a separator circuit 50 that separates the meta-data information into the digital signature s and any additional meta-data.
- the signature is then sent to a decryption circuit 52 where the original hash value h is recovered.
- the decryption circuit also requires a string of values called a decryption key.
- a decryption key it is common for the encryption key to be held privately so that only authorized users can create valid signatures. However, the corresponding decryption key is often made public so that any individual can authenticate an image given its digital signature. Such a system is called a private/public key system.
- the recovered image ⁇ (x, y) is sent to a hash value generator 42 that is identical to that used in FIG. 4 .
- the resulting hash value ⁇ tilde over (h) ⁇ is directed to a hash value comparator circuit 54 where it is compared to the original hash value recovered from the meta-data. If the hash values are identical, then the recovered image is declared to be authentic. If they differ, the recovered image is declared to be altered.
- the design of the carrier signal C(x, y) used in the embedding process is crucial to the performance of the present invention. It is desirable to ensure that the carrier amplitude spectrum is constant or flat so that the auto-correlation of the carrier approximates a delta function. Because of this desired property, the carrier signal is constructed in the Fourier frequency domain. The Fourier phase of the spectrum should be random to simultaneously provide a basis for a cryptographically secure system and to ensure that the message data is spatially dispersed after convolution with the carrier.
- Source code for the carrier generation is provided in Appendix I in the computer language C++.
- F* denotes the operation of taking the complex conjugate of F
- L is the one-dimensional block length of the carrier signal (typically equal to 128 in a preferred embodiment)
- i, j 0, ⁇ 1, ⁇ 2, ⁇ 3, . . . .
- the conjugate symmetry constraint implies that only about half of the Fourier components need to be specified, and that the remaining half may be constructed based on the symmetry conditions. Conjugate symmetry is illustrated in FIG. 6, where the cross-hatched regions show the redundant components of the transform and the remaining region designates the non-redundant components. To generate a carrier with the desired properties, we need only specify the phase and the amplitude of the non-redundant portions of the Fourier transform and compute the rest of the components by using the appropriate values of the indices i and j in the conjugate symmetry relationship given in Equation 8.
- FIG. 7 illustrates the functional flow for carrier generator 18 of FIGS. 1 and 2.
- the embedding key k is directed to the input of a random number generator 70 .
- the embedding key is used in a private-key encryption system to generate a stream cipher that resembles a random bit stream. Examples of such systems can be found in the reference titled A PPLIED C RYPTOGRAPHY , S ECOND E DITION , P ROTOCOLS , A LGORITHMS , A ND S OURCE C ODE IN C, “Pseudo-Random-Sequence Generators and Stream Ciphers,” by Bruce Schneier, 1996, pp. 369-395.
- a portion of the random bit stream produced by random number generator 70 is converted into a random phase value for the carrier signal.
- the output of the random number generator 70 is normalized to ensure that it is between 0 and 360 degrees in phase, or equivalently, between 0 and 2 ⁇ radians.
- the cosine of the phase is placed into the real part of the transform 72
- Equation 8 To calculate values for the redundant part of the Fourier spectrum, the conjugate symmetry given in Equation 8 is used. This assumes that the non-redundant part of the transform has been calculated.
- FIG. 6 shows that the redundant part of the transform may be divided into three regions, Region I, Region II, and Region III.
- the values i and j in Equation 8 must be specified in advance and must ensure that the resultant arguments in the term, F*( ⁇ u+iL, ⁇ v+jL), correspond to a non-redundant region.
- F*( ⁇ u+iL, ⁇ v+jL) correspond to a non-redundant region.
- the following is a specification for i and j which works for all values of L.
- Region II appears on the middle right side of FIG. 6 .
- the Fourier amplitude spectrum of imagery is much larger in the very lowest frequencies when compared to their higher frequencies. Since the cross-correlation process (message extraction) may be described in the frequency domain as the product of two functions' amplitude spectra and the subtraction of their respective phases, the impact of the image on the recovered message may further be reduced by reducing the Fourier amplitude of the lowest frequencies of the carrier.
- the preferred embodiment of this improvement is to increase the amplitude from zero amplitude to a constant value (here the constant value is 1.0), starting at DC (or zero frequency) to ⁇ fraction (1/16) ⁇ th of the Nyquist frequency.
- the constant value is 1.0
- a system 200 on which the present invention is practiced scans an image 210 , via a scanner 212 , and converts the scanned image to a digital image using an analog-to digital converter 214 .
- the analog-to-digital converter 214 may be part of the scanner 212 .
- the digitized image is forwarded to a processor 216 wherein it is operated upon in accordance with the apparatus of the present invention.
- a monitor 230 and mouse 231 or other input device, enables an operator to interface with the image in its digital form.
- the processed image may be stored in a memory 218 and/or printed out using a printer 220 .
Landscapes
- Engineering & Computer Science (AREA)
- Theoretical Computer Science (AREA)
- Physics & Mathematics (AREA)
- General Physics & Mathematics (AREA)
- Computer Security & Cryptography (AREA)
- Software Systems (AREA)
- Computer Hardware Design (AREA)
- General Engineering & Computer Science (AREA)
- Bioethics (AREA)
- General Health & Medical Sciences (AREA)
- Health & Medical Sciences (AREA)
- Multimedia (AREA)
- Technology Law (AREA)
- Image Processing (AREA)
- Editing Of Facsimile Originals (AREA)
Abstract
Description
| APPENDIX I |
| Source Code To Produce An Improved Carrier Signal |
| #include “image.h” |
| double pi2=8.*atan(1.); |
| #define get_rand() (double)pi2*rand()/(RAND_MAX) |
| void main(int argc, char *argv[]) |
| { |
| if(argc<2) | |
| { |
| printf(“\n\nUsage: carrier random_seed block_size |
| [ramp_radius]\n”); |
| exit(1); |
| } | |
| else | |
| { |
| int random_seed = atoi( argv[1]); | |
| int block_size = atoi(argv[2]); | |
| double val,r,i,rl,i1; | |
| int p,1,pp=block_size,p2=block_size/2; | |
| int 11=block_size,12=block_size/2; | |
| // Initialize an image w/ 1 color plane, pp pixels wide, 11 lines long | |
| // and 32 bits per pixel deep (floating point) | |
| // This image will be used to store imaginary values | |
| image imaginary(1,pp,11,32); | |
| // Initialize an image w/ 1 color plane, pp pixels wide, 11 lines long | |
| // and 32 bits per pixel deep (floating point) | |
| // This image will be used to store real values | |
| image real(1,pp,11,32); | |
| //Initialize the random number generator | |
| srand(random_seed); | |
| // The Fourier amplitude spectrum of imagery is much larger in the | |
| // very lowest frequencies when compared to their higher | |
| //frequencies. Since the cross-correlation process (message | |
| //extraction) may be described in the Frequency domain as the | |
| // product of two functions' amplitude spectrums and the | |
| //subtraction of their respective phases, the impact of the image on | |
| //the recovered message may further reduced by making the | |
| //carriers' Fourier amplitude of the lowest frequencies smaller. | |
| // Initaiize the bounding radius | |
| double ramp_radius=0; | |
| if(argc==4) ramp_radius=atof(argv[3]); | |
| printf(“\nShall start zeroring frequencies at r=0.0 and end at r = | |
| % 15.5f\n”, ramp_radius); | |
| double x; | |
| int ix,iy; | |
| double vx,vy; | |
| // “1” represents line position | |
| // “p” represents pixel position | |
| // Fill in non-redundant upper quadrants | |
| // Go ahead an fill in small strip in upper right | |
| //quadrant which is redundant since it will be | |
| // overwritten anyway in the next loop | |
| for( 1=0;1<=12; 1++) | |
| { |
| for(p=0;p<block_size;p++) | |
| { |
| x=(double) pi2*rand()1/RAND_MAX); | |
| vx = cos(x); | |
| vy = sin(x); | |
| real.put_pixel(vx,0,p,1); | |
| imaginary.put.pixel(vy,0,p,1); |
| } |
| } | |
| // Fill in strip in upper right quadrant which is redundant | |
| // i.e. (block_size/2+1,0)->(block_size-1,0) | |
| // Set line number to zero | |
| 1=0; | |
| for(p=(block_size/2+1);p<block_size;p++) | |
| { |
| // Get a mirrored point from left | |
| vx=real.get_pixel(0,block size-p,0-1); | |
| vy=-imaginary.get_pixel(0,block_size-p,0-1); | |
| real.put_pixel(vx,0,p,1); | |
| imaginary.put_pixel(vy,0,p,1); |
| } | |
| // Fill in redundant lower two quadrants | |
| for( 1=(12+1);1<block_size; 1++) | |
| { |
| for(p=0;p<block_size;p++) |
| vx=real.get_pixel(0,block_size-p,block_size-1); | |
| vy=-imaginary.get_pixel(0,block_size-p,block_size- | |
| real.put_pixel(vx,0,p,1); | |
| imaginary.put_pixel(vy,0,p,1); |
| } |
| } |
| // Finish up by filling redundant strip (block_size/2+1,block_size/2)- |
| // >(block_size-1,block_size/2) |
| // Set line number to zero |
| 1=block_size/2; |
| for(p=(block_size/2+1);p<block_size;p++) | |
| { |
| vx=real.get_pixel(0,block_size-p,block_size-1); | |
| vy=imaginary.get_pixel(0,block_size-p,block_size- | |
| 1); | |
| real.put_pixel(vx,0,p,1); | |
| imaginary.put_pixel(vy,0,p,1); |
| } | |
| // Now orient the data so that DC appears at the center | |
| real.orient(); | |
| imaginary.orient(); | |
| double radius=0.0; | |
| if(ramp_radius>0) | |
| { |
| printf(“\nBuilding quadratic ramp\n”); | |
| for(1=0;1<11;1++) | |
| { | |
| for(int p=0;p<pp;p++) |
| { |
| radius = (p-p2)*(p-p2)+(1-12)*(1-12); | |
| radius = pow( radius, .5); | |
| if(radius <=ramp_radius) | |
| { |
| val = real.get_pixel( 0, p,1); | |
| val *= pow( (1.0-(ramp_radius - | |
| radius )/ramp_radius),2); | |
| real.put_pixel(val,0,p,1); | |
| val = imaginary.get_pixel( 0, | |
| p,1); | |
| val *= pow( (1.0-(ramp_radius - | |
| radius )/ramp_radius),2); | |
| imaginary.put_pixel(val,0,p,1); |
| } |
| } |
| } |
| } | |
| // Take the inverse fourier transform | |
| _fft(&real,&imaginary,-1); | |
| // Note that the above function_fft(&real,&imaginary,-1) | |
| // has replaced the images real and imaginary with the inverse | |
| // fourier transform -- so all we have to do is save the image real. | |
| char out[128]; | |
| sprintf(out,“carrier.tif”); | |
| real.save(out); |
| } |
| } |
Claims (26)
Priority Applications (1)
| Application Number | Priority Date | Filing Date | Title |
|---|---|---|---|
| US09/074,282 US6278791B1 (en) | 1998-05-07 | 1998-05-07 | Lossless recovery of an original image containing embedded data |
Applications Claiming Priority (1)
| Application Number | Priority Date | Filing Date | Title |
|---|---|---|---|
| US09/074,282 US6278791B1 (en) | 1998-05-07 | 1998-05-07 | Lossless recovery of an original image containing embedded data |
Publications (1)
| Publication Number | Publication Date |
|---|---|
| US6278791B1 true US6278791B1 (en) | 2001-08-21 |
Family
ID=22118747
Family Applications (1)
| Application Number | Title | Priority Date | Filing Date |
|---|---|---|---|
| US09/074,282 Expired - Lifetime US6278791B1 (en) | 1998-05-07 | 1998-05-07 | Lossless recovery of an original image containing embedded data |
Country Status (1)
| Country | Link |
|---|---|
| US (1) | US6278791B1 (en) |
Cited By (82)
| Publication number | Priority date | Publication date | Assignee | Title |
|---|---|---|---|---|
| US20010018740A1 (en) * | 2000-01-18 | 2001-08-30 | Katsumi Marukawa | Method and apparatus for secure data transmission via network |
| WO2002028007A1 (en) * | 2000-09-28 | 2002-04-04 | Curl Corporation | Securely extensible component meta-data |
| US20020136459A1 (en) * | 2001-02-01 | 2002-09-26 | Kazuyuki Imagawa | Image processing method and apparatus |
| US20020146123A1 (en) * | 2000-11-08 | 2002-10-10 | Jun Tian | Content authentication and recovery using digital watermarks |
| US20020175928A1 (en) * | 2001-05-22 | 2002-11-28 | Hideyuki Kanbayashi | Data display system, data transmission device, portable terminal, data display method, data display program and computer readable recording medium storing data display program |
| US20020180778A1 (en) * | 2001-06-04 | 2002-12-05 | Hewlett-Packard Company | Identifying a trusted computing entity |
| US20020199106A1 (en) * | 2001-02-09 | 2002-12-26 | Canon Kabushiki Kaisha | Information processing apparatus and its control method, computer program, and storage medium |
| US20030014363A1 (en) * | 2001-06-25 | 2003-01-16 | Vincent Sethi | Electronic vouchers and a system and method for issuing the same |
| US20030149879A1 (en) * | 2001-12-13 | 2003-08-07 | Jun Tian | Reversible watermarking |
| US20030179901A1 (en) * | 2001-12-13 | 2003-09-25 | Jun Tian | Progressive image quality control using watermarking |
| US20030179900A1 (en) * | 2001-12-13 | 2003-09-25 | Jun Tian | Image processing methods using reversible watermarking |
| US6641051B1 (en) * | 1999-09-24 | 2003-11-04 | Xerox Corporation | System for embedded digital data that allows embedding of data around known obstructions |
| WO2003107653A1 (en) * | 2002-06-17 | 2003-12-24 | Koninklijke Philips Electronics N.V. | Lossless data embedding |
| US20040003394A1 (en) * | 2002-07-01 | 2004-01-01 | Arun Ramaswamy | System for automatically matching video with ratings information |
| US20040001611A1 (en) * | 2002-06-28 | 2004-01-01 | Celik Mehmet Utku | System and method for embedding information in digital signals |
| US20040015362A1 (en) * | 1993-11-18 | 2004-01-22 | Rhoads Geoffrey B. | Methods for decoding watermark data from audio, and controlling audio devices in accordance therewith |
| US20040044894A1 (en) * | 2001-12-13 | 2004-03-04 | Lofgren Neil E. | Transforming data files into logical storage units for auxiliary data through reversible watermarks |
| US20040044893A1 (en) * | 2001-12-13 | 2004-03-04 | Alattar Adnan M. | Reversible watermarking using expansion, rate control and iterative embedding |
| US20040085342A1 (en) * | 2002-10-21 | 2004-05-06 | Williams Michael John | Audio and/or video generation apparatus |
| US20040223627A1 (en) * | 2003-05-06 | 2004-11-11 | Yun-Qing Shi | Methods and apparatus for reversible data hiding through histogram modification |
| US20040236828A1 (en) * | 2003-05-20 | 2004-11-25 | Canon Kabushiki Kaisha | Information processing system, information processing apparatus, information processing method, storage medium for information processing apparatus-readably storing program for practicing that method, and program therefor |
| US20050018057A1 (en) * | 2003-07-25 | 2005-01-27 | Bronstein Kenneth H. | Image capture device loaded with image metadata |
| WO2005031634A1 (en) * | 2003-08-29 | 2005-04-07 | Nielsen Media Research, Inc. | Methods and apparatus for embedding and recovering an image for use with video content |
| US20050129271A1 (en) * | 2003-12-05 | 2005-06-16 | Yun-Qing Shi | System and method for robust lossless data hiding and recovering from the integer wavelet representation |
| US20050141747A1 (en) * | 2003-12-05 | 2005-06-30 | Yun-Qing Shi | System and method for robust reversible data hiding and data recovery in the spatial domain |
| US20050154891A1 (en) * | 2004-01-08 | 2005-07-14 | Eastman Kodak Company | Metadata-based, anti-fraudulant identification card method and production system |
| US6961441B1 (en) * | 2000-09-29 | 2005-11-01 | General Electric Company | Method and apparatus for steganographic embedding of meta-data |
| US20050244032A1 (en) * | 2004-03-26 | 2005-11-03 | Yun-Qing Shi | System and method for reversible data hiding based on integer wavelet spread spectrum |
| US6963884B1 (en) | 1999-03-10 | 2005-11-08 | Digimarc Corporation | Recoverable digital content degradation: method and apparatus |
| US20050283609A1 (en) * | 2004-06-17 | 2005-12-22 | Langford Ronald N | Authenticating images identified by a software application |
| WO2004102464A3 (en) * | 2003-05-08 | 2006-03-09 | Digimarc Corp | Reversible watermarking and related applications |
| US20060093230A1 (en) * | 2004-10-29 | 2006-05-04 | Hochmuth Roland M | Compression of image regions according to graphics command type |
| US20060115112A1 (en) * | 2000-03-31 | 2006-06-01 | Intel Corporation | System and method for marking data and document distribution |
| US7058570B1 (en) * | 2000-02-10 | 2006-06-06 | Matsushita Electric Industrial Co., Ltd. | Computer-implemented method and apparatus for audio data hiding |
| US20060123250A1 (en) * | 1999-07-16 | 2006-06-08 | Intertrust Technologies Corporation | Trusted storage systems and methods |
| US20060126890A1 (en) * | 2002-12-17 | 2006-06-15 | Yun-Qing Shi | Methods and apparatus for lossless data hiding |
| US20060193491A1 (en) * | 1999-01-25 | 2006-08-31 | Takao Nakamura | Digital watermark embedding method, digital watermark embedding apparatus, and storage medium storing a digital watermark embedding program |
| US7197156B1 (en) | 1998-09-25 | 2007-03-27 | Digimarc Corporation | Method and apparatus for embedding auxiliary information within original data |
| US20070071280A1 (en) * | 2001-10-15 | 2007-03-29 | Jessica Fridrich | Lossless embedding of data in digital objects |
| US7287275B2 (en) | 2002-04-17 | 2007-10-23 | Moskowitz Scott A | Methods, systems and devices for packet watermarking and efficient provisioning of bandwidth |
| US7343492B2 (en) | 1996-07-02 | 2008-03-11 | Wistaria Trading, Inc. | Method and system for digital watermarking |
| US7346472B1 (en) | 2000-09-07 | 2008-03-18 | Blue Spike, Inc. | Method and device for monitoring and analyzing signals |
| US7373513B2 (en) | 1998-09-25 | 2008-05-13 | Digimarc Corporation | Transmarking of multimedia signals |
| US7409073B2 (en) | 1996-07-02 | 2008-08-05 | Wistaria Trading, Inc. | Optimization methods for the insertion, protection, and detection of digital watermarks in digitized data |
| US20080232547A1 (en) * | 2004-03-17 | 2008-09-25 | Wolfgang Schlegel | 3D Cone Beam Reconstruction |
| US7457962B2 (en) | 1996-07-02 | 2008-11-25 | Wistaria Trading, Inc | Optimization methods for the insertion, protection, and detection of digital watermarks in digitized data |
| US7475246B1 (en) | 1999-08-04 | 2009-01-06 | Blue Spike, Inc. | Secure personal content server |
| US20090010483A1 (en) * | 2007-07-02 | 2009-01-08 | The Hong Kong University Of Science And Technology | Block-based lossless data hiding in the delta domain |
| US7532725B2 (en) | 1999-12-07 | 2009-05-12 | Blue Spike, Inc. | Systems and methods for permitting open access to data objects and for securing data within the data objects |
| US7532740B2 (en) | 1998-09-25 | 2009-05-12 | Digimarc Corporation | Method and apparatus for embedding auxiliary information within original data |
| US20090141932A1 (en) * | 2007-11-29 | 2009-06-04 | Jones Paul W | Method for image quality assessment using quality vectors |
| US7565551B2 (en) * | 2003-02-19 | 2009-07-21 | Microsoft Corporation | Enhancing software integrity through installation and verification |
| US7568100B1 (en) | 1995-06-07 | 2009-07-28 | Wistaria Trading, Inc. | Steganographic method and device |
| EP1881441A3 (en) * | 2006-07-19 | 2009-10-28 | Secunet Security Networks Aktiengesellschaft | Method for graphical display of digital data and device for performing the method |
| US20100021001A1 (en) * | 2007-11-15 | 2010-01-28 | Honsinger Chris W | Method for Making an Assured Image |
| US7664263B2 (en) | 1998-03-24 | 2010-02-16 | Moskowitz Scott A | Method for combining transfer functions with predetermined key creation |
| US7664264B2 (en) | 1999-03-24 | 2010-02-16 | Blue Spike, Inc. | Utilizing data reduction in steganographic and cryptographic systems |
| US20100039663A1 (en) * | 2007-12-07 | 2010-02-18 | Hitachi Software Engineering Co., Ltd. | Printing management system, printing management method, and program |
| US7730317B2 (en) | 1996-12-20 | 2010-06-01 | Wistaria Trading, Inc. | Linear predictive coding implementation of digital watermarks |
| US7738659B2 (en) | 1998-04-02 | 2010-06-15 | Moskowitz Scott A | Multiple transform utilization and application for secure digital watermarking |
| US20100228999A1 (en) * | 1999-07-16 | 2010-09-09 | Intertrust Technologies Corporation | Trusted Storage Systems and Methods |
| WO2010110750A1 (en) * | 2009-03-27 | 2010-09-30 | Agency For Science, Technology And Research | Data embedding methods, embedded data extraction methods, truncation methods, data embedding devices, embedded data extraction devices and truncation devices |
| US20110087920A1 (en) * | 2009-10-13 | 2011-04-14 | Google Inc. | Computing device with recovery mode |
| US7983443B2 (en) | 1995-05-08 | 2011-07-19 | Digimarc Corporation | Methods for managing content using intentional degradation and insertion of steganographic codes |
| US7987371B2 (en) | 1996-07-02 | 2011-07-26 | Wistaria Trading, Inc. | Optimization methods for the insertion, protection, and detection of digital watermarks in digital data |
| CN101488214B (en) * | 2008-01-15 | 2011-07-27 | 中国科学院软件研究所 | Method for expanding anti-fake digital watermark and electronic seal information content |
| US8271795B2 (en) | 2000-09-20 | 2012-09-18 | Blue Spike, Inc. | Security based on subliminal and supraliminal channels for data objects |
| US20120326974A1 (en) * | 2010-03-11 | 2012-12-27 | Nec Corporation | Terminal device, method for setting same, and communication system |
| US20130011002A1 (en) * | 1998-09-25 | 2013-01-10 | Levy Kenneth L | Methods and Apparatus for Robust Embedded Data |
| US20130212274A1 (en) * | 2007-03-06 | 2013-08-15 | William K. Tiu | User Configuration File for Access Control for Embedded Resources |
| US8538011B2 (en) | 1999-12-07 | 2013-09-17 | Blue Spike, Inc. | Systems, methods and devices for trusted transactions |
| US10652127B2 (en) | 2014-10-03 | 2020-05-12 | The Nielsen Company (Us), Llc | Fusing online media monitoring data with secondary online data feeds to generate ratings data for online media exposure |
| US10943030B2 (en) | 2008-12-15 | 2021-03-09 | Ibailbonding.Com | Securable independent electronic document |
| WO2021124324A1 (en) * | 2019-12-16 | 2021-06-24 | De-Identification Ltd. | System and method for reconstruction of faces from anonymized media using neural network based steganography |
| US11276214B2 (en) | 2020-07-15 | 2022-03-15 | De-Ideniification Ltd. | System and a method for artificial neural-network based animation |
| US11436781B2 (en) | 2020-07-15 | 2022-09-06 | De-Identification Ltd. | System and method for artificial neural-network based animation with three-dimensional rendering |
| US11461948B2 (en) | 2020-07-15 | 2022-10-04 | De-Identification Ltd. | System and method for voice driven lip syncing and head reenactment |
| US11526626B2 (en) | 2020-07-10 | 2022-12-13 | De-Identification Ltd. | Facial anonymization with consistent facial attribute preservation in video |
| US11762998B2 (en) | 2019-10-23 | 2023-09-19 | De-Identification Ltd. | System and method for protection and detection of adversarial attacks against a classifier |
| US11893828B2 (en) | 2017-06-04 | 2024-02-06 | De-Identification Ltd. | System and method for image de-identification |
| US11954191B2 (en) | 2018-09-05 | 2024-04-09 | De-Identification Ltd. | System and method for performing identity authentication based on de-identified data |
| US12160409B2 (en) | 2019-08-19 | 2024-12-03 | De-Identification Ltd. | System and method for anonymization of a face in an image |
Citations (5)
| Publication number | Priority date | Publication date | Assignee | Title |
|---|---|---|---|---|
| US5646997A (en) * | 1994-12-14 | 1997-07-08 | Barton; James M. | Method and apparatus for embedding authentication information within digital data |
| US5881176A (en) * | 1994-09-21 | 1999-03-09 | Ricoh Corporation | Compression and decompression with wavelet style and binary style including quantization by device-dependent parser |
| US5966465A (en) * | 1994-09-21 | 1999-10-12 | Ricoh Corporation | Compression/decompression using reversible embedded wavelets |
| US6085198A (en) * | 1998-06-05 | 2000-07-04 | Sun Microsystems, Inc. | Integrated three-tier application framework with automated class and table generation |
| US6180312B1 (en) * | 2000-03-22 | 2001-01-30 | Eastman Kodak Company | Photographic imaging system incorporating metadata recording capability |
-
1998
- 1998-05-07 US US09/074,282 patent/US6278791B1/en not_active Expired - Lifetime
Patent Citations (6)
| Publication number | Priority date | Publication date | Assignee | Title |
|---|---|---|---|---|
| US5881176A (en) * | 1994-09-21 | 1999-03-09 | Ricoh Corporation | Compression and decompression with wavelet style and binary style including quantization by device-dependent parser |
| US5966465A (en) * | 1994-09-21 | 1999-10-12 | Ricoh Corporation | Compression/decompression using reversible embedded wavelets |
| US5646997A (en) * | 1994-12-14 | 1997-07-08 | Barton; James M. | Method and apparatus for embedding authentication information within digital data |
| US5912972A (en) * | 1994-12-14 | 1999-06-15 | Sony Corporation | Method and apparatus for embedding authentication information within digital data |
| US6085198A (en) * | 1998-06-05 | 2000-07-04 | Sun Microsystems, Inc. | Integrated three-tier application framework with automated class and table generation |
| US6180312B1 (en) * | 2000-03-22 | 2001-01-30 | Eastman Kodak Company | Photographic imaging system incorporating metadata recording capability |
Non-Patent Citations (7)
| Title |
|---|
| Bruce Schneier, "Applied Cryptography, Second Edition, protocols, Algorithms, and Source Code in C," 1996, Chapter 16, pp. 369-395, plus Errata. |
| U.S. application No. 08/565,804, Daly et al., filed Nov. 30, 1995. |
| U.S. application No. 08/596,818, Daly, filed Feb. 5, 1996. |
| U.S. application No. 08/768,679, Honsinger, et al., filed Dec. 18, 1996. |
| U.S. application No. 08/848,112, Honsinger, et al., filed Apr. 28, 1997. |
| U.S. Department of Commerce, Technology Administration, National Institute of Standards and Technology, Federal Information Processing Standards Publication (FIPS) No. 180, "Secure Hash Standard," May 11, 1993, pp. 1-20. |
| William K. Pratt, "Digital Image Processing," Second Edition, pp. 196-200. |
Cited By (238)
| Publication number | Priority date | Publication date | Assignee | Title |
|---|---|---|---|---|
| US7499564B2 (en) | 1993-11-18 | 2009-03-03 | Digimarc Corporation | Methods for decoding watermark data from audio, and controlling audio devices in accordance therewith |
| US20040015362A1 (en) * | 1993-11-18 | 2004-01-22 | Rhoads Geoffrey B. | Methods for decoding watermark data from audio, and controlling audio devices in accordance therewith |
| US7983443B2 (en) | 1995-05-08 | 2011-07-19 | Digimarc Corporation | Methods for managing content using intentional degradation and insertion of steganographic codes |
| US8238553B2 (en) | 1995-06-07 | 2012-08-07 | Wistaria Trading, Inc | Steganographic method and device |
| US8046841B2 (en) | 1995-06-07 | 2011-10-25 | Wistaria Trading, Inc. | Steganographic method and device |
| US7568100B1 (en) | 1995-06-07 | 2009-07-28 | Wistaria Trading, Inc. | Steganographic method and device |
| US7870393B2 (en) | 1995-06-07 | 2011-01-11 | Wistaria Trading, Inc. | Steganographic method and device |
| US8467525B2 (en) | 1995-06-07 | 2013-06-18 | Wistaria Trading, Inc. | Steganographic method and device |
| US8549305B2 (en) | 1995-06-07 | 2013-10-01 | Wistaria Trading, Inc. | Steganographic method and device |
| US7761712B2 (en) | 1995-06-07 | 2010-07-20 | Wistaria Trading, Inc. | Steganographic method and device |
| US9171136B2 (en) | 1996-01-17 | 2015-10-27 | Wistaria Trading Ltd | Data protection method and device |
| US9191205B2 (en) | 1996-01-17 | 2015-11-17 | Wistaria Trading Ltd | Multiple transform utilization and application for secure digital watermarking |
| US8930719B2 (en) | 1996-01-17 | 2015-01-06 | Scott A. Moskowitz | Data protection method and device |
| US8265276B2 (en) | 1996-01-17 | 2012-09-11 | Moskowitz Scott A | Method for combining transfer functions and predetermined key creation |
| US9191206B2 (en) | 1996-01-17 | 2015-11-17 | Wistaria Trading Ltd | Multiple transform utilization and application for secure digital watermarking |
| US9104842B2 (en) | 1996-01-17 | 2015-08-11 | Scott A. Moskowitz | Data protection method and device |
| US9021602B2 (en) | 1996-01-17 | 2015-04-28 | Scott A. Moskowitz | Data protection method and device |
| US7647503B2 (en) | 1996-07-02 | 2010-01-12 | Wistaria Trading, Inc. | Optimization methods for the insertion, projection, and detection of digital watermarks in digital data |
| US7953981B2 (en) | 1996-07-02 | 2011-05-31 | Wistaria Trading, Inc. | Optimization methods for the insertion, protection, and detection of digital watermarks in digital data |
| US8281140B2 (en) | 1996-07-02 | 2012-10-02 | Wistaria Trading, Inc | Optimization methods for the insertion, protection, and detection of digital watermarks in digital data |
| US7779261B2 (en) | 1996-07-02 | 2010-08-17 | Wistaria Trading, Inc. | Method and system for digital watermarking |
| US9843445B2 (en) | 1996-07-02 | 2017-12-12 | Wistaria Trading Ltd | System and methods for permitting open access to data objects and for securing data within the data objects |
| US9830600B2 (en) | 1996-07-02 | 2017-11-28 | Wistaria Trading Ltd | Systems, methods and devices for trusted transactions |
| US7770017B2 (en) | 1996-07-02 | 2010-08-03 | Wistaria Trading, Inc. | Method and system for digital watermarking |
| US7844074B2 (en) | 1996-07-02 | 2010-11-30 | Wistaria Trading, Inc. | Optimization methods for the insertion, protection, and detection of digital watermarks in digitized data |
| US8307213B2 (en) | 1996-07-02 | 2012-11-06 | Wistaria Trading, Inc. | Method and system for digital watermarking |
| US9258116B2 (en) | 1996-07-02 | 2016-02-09 | Wistaria Trading Ltd | System and methods for permitting open access to data objects and for securing data within the data objects |
| US7822197B2 (en) | 1996-07-02 | 2010-10-26 | Wistaria Trading, Inc. | Optimization methods for the insertion, protection, and detection of digital watermarks in digital data |
| US8175330B2 (en) | 1996-07-02 | 2012-05-08 | Wistaria Trading, Inc. | Optimization methods for the insertion, protection, and detection of digital watermarks in digitized data |
| US7877609B2 (en) | 1996-07-02 | 2011-01-25 | Wistaria Trading, Inc. | Optimization methods for the insertion, protection, and detection of digital watermarks in digital data |
| US7930545B2 (en) | 1996-07-02 | 2011-04-19 | Wistaria Trading, Inc. | Optimization methods for the insertion, protection, and detection of digital watermarks in digital data |
| US7343492B2 (en) | 1996-07-02 | 2008-03-11 | Wistaria Trading, Inc. | Method and system for digital watermarking |
| US8161286B2 (en) | 1996-07-02 | 2012-04-17 | Wistaria Trading, Inc. | Method and system for digital watermarking |
| US7987371B2 (en) | 1996-07-02 | 2011-07-26 | Wistaria Trading, Inc. | Optimization methods for the insertion, protection, and detection of digital watermarks in digital data |
| US8121343B2 (en) | 1996-07-02 | 2012-02-21 | Wistaria Trading, Inc | Optimization methods for the insertion, protection, and detection of digital watermarks in digitized data |
| US7664958B2 (en) | 1996-07-02 | 2010-02-16 | Wistaria Trading, Inc. | Optimization methods for the insertion, protection and detection of digital watermarks in digital data |
| US9070151B2 (en) | 1996-07-02 | 2015-06-30 | Blue Spike, Inc. | Systems, methods and devices for trusted transactions |
| US7457962B2 (en) | 1996-07-02 | 2008-11-25 | Wistaria Trading, Inc | Optimization methods for the insertion, protection, and detection of digital watermarks in digitized data |
| US7991188B2 (en) | 1996-07-02 | 2011-08-02 | Wisteria Trading, Inc. | Optimization methods for the insertion, protection, and detection of digital watermarks in digital data |
| US7362775B1 (en) | 1996-07-02 | 2008-04-22 | Wistaria Trading, Inc. | Exchange mechanisms for digital information packages with bandwidth securitization, multichannel digital watermarks, and key management |
| US7647502B2 (en) | 1996-07-02 | 2010-01-12 | Wistaria Trading, Inc. | Optimization methods for the insertion, protection, and detection of digital watermarks in digital data |
| US8774216B2 (en) | 1996-07-02 | 2014-07-08 | Wistaria Trading, Inc. | Exchange mechanisms for digital information packages with bandwidth securitization, multichannel digital watermarks, and key management |
| US7409073B2 (en) | 1996-07-02 | 2008-08-05 | Wistaria Trading, Inc. | Optimization methods for the insertion, protection, and detection of digital watermarks in digitized data |
| US8225099B2 (en) | 1996-12-20 | 2012-07-17 | Wistaria Trading, Inc. | Linear predictive coding implementation of digital watermarks |
| US7730317B2 (en) | 1996-12-20 | 2010-06-01 | Wistaria Trading, Inc. | Linear predictive coding implementation of digital watermarks |
| US7664263B2 (en) | 1998-03-24 | 2010-02-16 | Moskowitz Scott A | Method for combining transfer functions with predetermined key creation |
| US7738659B2 (en) | 1998-04-02 | 2010-06-15 | Moskowitz Scott A | Multiple transform utilization and application for secure digital watermarking |
| US8542831B2 (en) | 1998-04-02 | 2013-09-24 | Scott A. Moskowitz | Multiple transform utilization and application for secure digital watermarking |
| US7532740B2 (en) | 1998-09-25 | 2009-05-12 | Digimarc Corporation | Method and apparatus for embedding auxiliary information within original data |
| US8611589B2 (en) | 1998-09-25 | 2013-12-17 | Digimarc Corporation | Method and apparatus for embedding auxiliary information within original data |
| US8027507B2 (en) | 1998-09-25 | 2011-09-27 | Digimarc Corporation | Method and apparatus for embedding auxiliary information within original data |
| US20080279536A1 (en) * | 1998-09-25 | 2008-11-13 | Levy Kenneth L | Transmarking of multimedia signals |
| US20090279735A1 (en) * | 1998-09-25 | 2009-11-12 | Levy Kenneth L | Method and Apparatus for Embedding Auxiliary Information within Original Data |
| US7373513B2 (en) | 1998-09-25 | 2008-05-13 | Digimarc Corporation | Transmarking of multimedia signals |
| US8959352B2 (en) | 1998-09-25 | 2015-02-17 | Digimarc Corporation | Transmarking of multimedia signals |
| US7197156B1 (en) | 1998-09-25 | 2007-03-27 | Digimarc Corporation | Method and apparatus for embedding auxiliary information within original data |
| US20130011002A1 (en) * | 1998-09-25 | 2013-01-10 | Levy Kenneth L | Methods and Apparatus for Robust Embedded Data |
| US7792323B2 (en) * | 1999-01-25 | 2010-09-07 | Nippon Telegraph And Telephone Corporation | Digital watermark embedding method, digital watermark embedding apparatus, and storage medium storing a digital watermark embedding program |
| US7978877B2 (en) | 1999-01-25 | 2011-07-12 | Nippon Telegraph And Telephone Corporation | Digital watermark embedding method, digital watermark embedding apparatus, and storage medium storing a digital watermark embedding program |
| US20060204032A1 (en) * | 1999-01-25 | 2006-09-14 | Takao Nakamura | Digital watermark embedding method, digital watermark embedding apparatus, and storage medium storing a digital watermark embedding program |
| US20100119106A1 (en) * | 1999-01-25 | 2010-05-13 | Takao Nakamura | Digital watermark embedding method, digital watermark embedding apparatus, and storage medium storing a digital watermark embedding program |
| US20110116679A1 (en) * | 1999-01-25 | 2011-05-19 | Takao Nakamura | Digital watermark embedding method, digital watermark embedding apparatus, and storage medium storing a digital watermark embedding program |
| US20060193491A1 (en) * | 1999-01-25 | 2006-08-31 | Takao Nakamura | Digital watermark embedding method, digital watermark embedding apparatus, and storage medium storing a digital watermark embedding program |
| US7860270B2 (en) | 1999-01-25 | 2010-12-28 | Nippon Telegraph And Telephone Corporation | Digital watermark embedding method, digital watermark embedding apparatus, and storage medium storing a digital watermark embedding program |
| US7817818B2 (en) | 1999-01-25 | 2010-10-19 | Nippon Telegraph And Telephone Corporation | Digital watermark embedding method, digital watermark embedding apparatus, and storage medium storing a digital watermark embedding program |
| US7164778B1 (en) * | 1999-01-25 | 2007-01-16 | Nippon Telegraph And Telephone Corporation | Digital watermark embedding method, digital watermark embedding apparatus, and storage medium storing a digital watermark embedding program |
| US6963884B1 (en) | 1999-03-10 | 2005-11-08 | Digimarc Corporation | Recoverable digital content degradation: method and apparatus |
| US20110182564A1 (en) * | 1999-03-10 | 2011-07-28 | Levy Kenneth L | Recoverable Digital Content Degradation |
| US20050262162A1 (en) * | 1999-03-10 | 2005-11-24 | Levy Kenneth L | Recoverable digital content degradation: method and apparatus |
| US7876899B2 (en) | 1999-03-10 | 2011-01-25 | Digimarc Corporation | Recoverable digital content degradation: method and apparatus |
| US8681980B2 (en) | 1999-03-10 | 2014-03-25 | Digimarc Corporation | Recoverable digital content degradation |
| US8526611B2 (en) | 1999-03-24 | 2013-09-03 | Blue Spike, Inc. | Utilizing data reduction in steganographic and cryptographic systems |
| US7664264B2 (en) | 1999-03-24 | 2010-02-16 | Blue Spike, Inc. | Utilizing data reduction in steganographic and cryptographic systems |
| US8160249B2 (en) | 1999-03-24 | 2012-04-17 | Blue Spike, Inc. | Utilizing data reduction in steganographic and cryptographic system |
| US10461930B2 (en) | 1999-03-24 | 2019-10-29 | Wistaria Trading Ltd | Utilizing data reduction in steganographic and cryptographic systems |
| US8781121B2 (en) | 1999-03-24 | 2014-07-15 | Blue Spike, Inc. | Utilizing data reduction in steganographic and cryptographic systems |
| US9270859B2 (en) | 1999-03-24 | 2016-02-23 | Wistaria Trading Ltd | Utilizing data reduction in steganographic and cryptographic systems |
| US8904188B2 (en) | 1999-07-16 | 2014-12-02 | Intertrust Technologies Corporation | Trusted storage systems and methods |
| US20060123249A1 (en) * | 1999-07-16 | 2006-06-08 | Intertrust Technologies Corporation | Trusted storage systems and methods |
| US7152165B1 (en) * | 1999-07-16 | 2006-12-19 | Intertrust Technologies Corp. | Trusted storage systems and methods |
| US9641490B2 (en) | 1999-07-16 | 2017-05-02 | Intertrust Technologies Corporation | Trusted storage systems and methods |
| US7752455B2 (en) | 1999-07-16 | 2010-07-06 | Intertust Technologies Corp. | Trusted storage systems and methods |
| US9251365B2 (en) | 1999-07-16 | 2016-02-02 | Intertrust Technologies Corporation | Trusted storage systems and methods |
| US8464071B2 (en) | 1999-07-16 | 2013-06-11 | Intertrust Technologies Corporation | Trusted storage systems and methods |
| US10129222B2 (en) | 1999-07-16 | 2018-11-13 | Intertrust Technologies Corporation | Trusted storage systems and methods |
| US8209544B2 (en) | 1999-07-16 | 2012-06-26 | Intertrust Technologies Corp. | Trusted storage systems and methods |
| US7681240B2 (en) | 1999-07-16 | 2010-03-16 | Intertrust Technologies Corporation | Trusted storage systems and methods |
| US20100228999A1 (en) * | 1999-07-16 | 2010-09-09 | Intertrust Technologies Corporation | Trusted Storage Systems and Methods |
| US20060123250A1 (en) * | 1999-07-16 | 2006-06-08 | Intertrust Technologies Corporation | Trusted storage systems and methods |
| US8171561B2 (en) | 1999-08-04 | 2012-05-01 | Blue Spike, Inc. | Secure personal content server |
| US8739295B2 (en) | 1999-08-04 | 2014-05-27 | Blue Spike, Inc. | Secure personal content server |
| US8789201B2 (en) | 1999-08-04 | 2014-07-22 | Blue Spike, Inc. | Secure personal content server |
| US9710669B2 (en) | 1999-08-04 | 2017-07-18 | Wistaria Trading Ltd | Secure personal content server |
| US9934408B2 (en) | 1999-08-04 | 2018-04-03 | Wistaria Trading Ltd | Secure personal content server |
| US7475246B1 (en) | 1999-08-04 | 2009-01-06 | Blue Spike, Inc. | Secure personal content server |
| US6641051B1 (en) * | 1999-09-24 | 2003-11-04 | Xerox Corporation | System for embedded digital data that allows embedding of data around known obstructions |
| US10644884B2 (en) | 1999-12-07 | 2020-05-05 | Wistaria Trading Ltd | System and methods for permitting open access to data objects and for securing data within the data objects |
| US8798268B2 (en) | 1999-12-07 | 2014-08-05 | Blue Spike, Inc. | System and methods for permitting open access to data objects and for securing data within the data objects |
| US7532725B2 (en) | 1999-12-07 | 2009-05-12 | Blue Spike, Inc. | Systems and methods for permitting open access to data objects and for securing data within the data objects |
| US10110379B2 (en) | 1999-12-07 | 2018-10-23 | Wistaria Trading Ltd | System and methods for permitting open access to data objects and for securing data within the data objects |
| US8767962B2 (en) | 1999-12-07 | 2014-07-01 | Blue Spike, Inc. | System and methods for permitting open access to data objects and for securing data within the data objects |
| US8265278B2 (en) | 1999-12-07 | 2012-09-11 | Blue Spike, Inc. | System and methods for permitting open access to data objects and for securing data within the data objects |
| US7813506B2 (en) | 1999-12-07 | 2010-10-12 | Blue Spike, Inc | System and methods for permitting open access to data objects and for securing data within the data objects |
| US8538011B2 (en) | 1999-12-07 | 2013-09-17 | Blue Spike, Inc. | Systems, methods and devices for trusted transactions |
| US20010018740A1 (en) * | 2000-01-18 | 2001-08-30 | Katsumi Marukawa | Method and apparatus for secure data transmission via network |
| US7080252B2 (en) * | 2000-01-18 | 2006-07-18 | Hitachi, Ltd. | Method and apparatus for secure data transmission via network |
| US7058570B1 (en) * | 2000-02-10 | 2006-06-06 | Matsushita Electric Industrial Co., Ltd. | Computer-implemented method and apparatus for audio data hiding |
| US7440584B2 (en) | 2000-03-31 | 2008-10-21 | Intel Corporation | System and method for marking data and document distribution |
| US20060115112A1 (en) * | 2000-03-31 | 2006-06-01 | Intel Corporation | System and method for marking data and document distribution |
| US8712728B2 (en) | 2000-09-07 | 2014-04-29 | Blue Spike Llc | Method and device for monitoring and analyzing signals |
| US7346472B1 (en) | 2000-09-07 | 2008-03-18 | Blue Spike, Inc. | Method and device for monitoring and analyzing signals |
| US7660700B2 (en) | 2000-09-07 | 2010-02-09 | Blue Spike, Inc. | Method and device for monitoring and analyzing signals |
| US8214175B2 (en) | 2000-09-07 | 2012-07-03 | Blue Spike, Inc. | Method and device for monitoring and analyzing signals |
| US7949494B2 (en) | 2000-09-07 | 2011-05-24 | Blue Spike, Inc. | Method and device for monitoring and analyzing signals |
| US8612765B2 (en) | 2000-09-20 | 2013-12-17 | Blue Spike, Llc | Security based on subliminal and supraliminal channels for data objects |
| US8271795B2 (en) | 2000-09-20 | 2012-09-18 | Blue Spike, Inc. | Security based on subliminal and supraliminal channels for data objects |
| US6915433B1 (en) | 2000-09-28 | 2005-07-05 | Sumisho Computer Systems Corporation | Securely extensible component meta-data |
| WO2002028007A1 (en) * | 2000-09-28 | 2002-04-04 | Curl Corporation | Securely extensible component meta-data |
| US6961441B1 (en) * | 2000-09-29 | 2005-11-01 | General Electric Company | Method and apparatus for steganographic embedding of meta-data |
| US7389420B2 (en) | 2000-11-08 | 2008-06-17 | Digimarc Corporation | Content authentication and recovery using digital watermarks |
| US8032758B2 (en) | 2000-11-08 | 2011-10-04 | Digimarc Corporation | Content authentication and recovery using digital watermarks |
| US20080276089A1 (en) * | 2000-11-08 | 2008-11-06 | Jun Tian | Content Authentication and Recovery Using Digital Watermarks |
| US20020146123A1 (en) * | 2000-11-08 | 2002-10-10 | Jun Tian | Content authentication and recovery using digital watermarks |
| US7227996B2 (en) * | 2001-02-01 | 2007-06-05 | Matsushita Electric Industrial Co., Ltd. | Image processing method and apparatus for comparing edges between images |
| US20020136459A1 (en) * | 2001-02-01 | 2002-09-26 | Kazuyuki Imagawa | Image processing method and apparatus |
| US20060294385A1 (en) * | 2001-02-09 | 2006-12-28 | Canon Kabushiki Kaisha | Information processing apparatus and its control method, computer program and storage medium |
| US7639835B2 (en) | 2001-02-09 | 2009-12-29 | Canon Kabushiki Kaisha | Information processing apparatus and its control method, computer program and storage medium |
| US20020199106A1 (en) * | 2001-02-09 | 2002-12-26 | Canon Kabushiki Kaisha | Information processing apparatus and its control method, computer program, and storage medium |
| US7146502B2 (en) | 2001-02-09 | 2006-12-05 | Canon Kabushiki Kaisha | Information processing apparatus and its control method, computer program, and storage medium |
| EP1231767A3 (en) * | 2001-02-09 | 2004-10-06 | Canon Kabushiki Kaisha | Information processing apparatus and its control method, computer program, and storage medium |
| US20020175928A1 (en) * | 2001-05-22 | 2002-11-28 | Hideyuki Kanbayashi | Data display system, data transmission device, portable terminal, data display method, data display program and computer readable recording medium storing data display program |
| US7337397B2 (en) * | 2001-05-22 | 2008-02-26 | Minolta Co., Ltd. | Separation, transmission and display of character and non-character data |
| US8584245B2 (en) | 2001-06-04 | 2013-11-12 | Hewlett-Packard Development Company, L.P. | Identifying a trusted computing entity |
| US20020180778A1 (en) * | 2001-06-04 | 2002-12-05 | Hewlett-Packard Company | Identifying a trusted computing entity |
| US20030014363A1 (en) * | 2001-06-25 | 2003-01-16 | Vincent Sethi | Electronic vouchers and a system and method for issuing the same |
| US8266437B2 (en) | 2001-06-25 | 2012-09-11 | Jpmorgan Chase Bank, N.A. | Electronic vouchers and a system and method for issuing the same |
| US20080205780A1 (en) * | 2001-10-15 | 2008-08-28 | The Research Foundation Of State University Of New York | Lossless embedding of data in digital objects |
| US7787652B2 (en) * | 2001-10-15 | 2010-08-31 | Jessica Fridrich | Lossless embedding of data in digital objects |
| US7239717B2 (en) * | 2001-10-15 | 2007-07-03 | The Research Foundation Of Suny | Lossless embedding of data in digital objects |
| US20070071280A1 (en) * | 2001-10-15 | 2007-03-29 | Jessica Fridrich | Lossless embedding of data in digital objects |
| US20040044893A1 (en) * | 2001-12-13 | 2004-03-04 | Alattar Adnan M. | Reversible watermarking using expansion, rate control and iterative embedding |
| US8059815B2 (en) | 2001-12-13 | 2011-11-15 | Digimarc Corporation | Transforming data files into logical storage units for auxiliary data through reversible watermarks |
| US7561714B2 (en) * | 2001-12-13 | 2009-07-14 | Digimarc Corporation | Reversible watermarking |
| US7187780B2 (en) | 2001-12-13 | 2007-03-06 | Digimarc Corporation | Image processing methods using reversible watermarking |
| US20040044894A1 (en) * | 2001-12-13 | 2004-03-04 | Lofgren Neil E. | Transforming data files into logical storage units for auxiliary data through reversible watermarks |
| US8019116B2 (en) | 2001-12-13 | 2011-09-13 | Digimarc Corporation | Content processing methods using reversible watermarking |
| US7599518B2 (en) * | 2001-12-13 | 2009-10-06 | Digimarc Corporation | Reversible watermarking using expansion, rate control and iterative embedding |
| US20030179901A1 (en) * | 2001-12-13 | 2003-09-25 | Jun Tian | Progressive image quality control using watermarking |
| US7006662B2 (en) | 2001-12-13 | 2006-02-28 | Digimarc Corporation | Reversible watermarking using expansion, rate control and iterative embedding |
| US20030149879A1 (en) * | 2001-12-13 | 2003-08-07 | Jun Tian | Reversible watermarking |
| US8098883B2 (en) | 2001-12-13 | 2012-01-17 | Digimarc Corporation | Watermarking of data invariant to distortion |
| US20070053550A1 (en) * | 2001-12-13 | 2007-03-08 | Alattar Adnan M | Reversible watermarking using expansion, rate control and iterative embedding |
| US20100086170A1 (en) * | 2001-12-13 | 2010-04-08 | Jun Tian | Progressive Image Quality Control Using Watermarking |
| US7515730B2 (en) | 2001-12-13 | 2009-04-07 | Digimarc Corporation | Progressive image quality control using watermarking |
| US20100254566A1 (en) * | 2001-12-13 | 2010-10-07 | Alattar Adnan M | Watermarking of Data Invariant to Distortion |
| US20030179900A1 (en) * | 2001-12-13 | 2003-09-25 | Jun Tian | Image processing methods using reversible watermarking |
| US20100135525A1 (en) * | 2001-12-13 | 2010-06-03 | Jun Tian | Content Processing Methods Using Reversible Watermarking |
| US8194917B2 (en) | 2001-12-13 | 2012-06-05 | Digimarc Corporation | Progressive image quality control using watermarking |
| US8473746B2 (en) | 2002-04-17 | 2013-06-25 | Scott A. Moskowitz | Methods, systems and devices for packet watermarking and efficient provisioning of bandwidth |
| US9639717B2 (en) | 2002-04-17 | 2017-05-02 | Wistaria Trading Ltd | Methods, systems and devices for packet watermarking and efficient provisioning of bandwidth |
| US8104079B2 (en) | 2002-04-17 | 2012-01-24 | Moskowitz Scott A | Methods, systems and devices for packet watermarking and efficient provisioning of bandwidth |
| US8224705B2 (en) | 2002-04-17 | 2012-07-17 | Moskowitz Scott A | Methods, systems and devices for packet watermarking and efficient provisioning of bandwidth |
| US10735437B2 (en) | 2002-04-17 | 2020-08-04 | Wistaria Trading Ltd | Methods, systems and devices for packet watermarking and efficient provisioning of bandwidth |
| US7530102B2 (en) | 2002-04-17 | 2009-05-05 | Moskowitz Scott A | Methods, systems and devices for packet watermarking and efficient provisioning of bandwidth |
| US8706570B2 (en) | 2002-04-17 | 2014-04-22 | Scott A. Moskowitz | Methods, systems and devices for packet watermarking and efficient provisioning of bandwidth |
| US7287275B2 (en) | 2002-04-17 | 2007-10-23 | Moskowitz Scott A | Methods, systems and devices for packet watermarking and efficient provisioning of bandwidth |
| USRE44307E1 (en) | 2002-04-17 | 2013-06-18 | Scott Moskowitz | Methods, systems and devices for packet watermarking and efficient provisioning of bandwidth |
| USRE44222E1 (en) | 2002-04-17 | 2013-05-14 | Scott Moskowitz | Methods, systems and devices for packet watermarking and efficient provisioning of bandwidth |
| CN100344145C (en) * | 2002-06-17 | 2007-10-17 | 皇家飞利浦电子股份有限公司 | Lossless data embedding |
| US20050219080A1 (en) * | 2002-06-17 | 2005-10-06 | Koninklijke Philips Electronics N.V. | Lossless data embedding |
| WO2003107653A1 (en) * | 2002-06-17 | 2003-12-24 | Koninklijke Philips Electronics N.V. | Lossless data embedding |
| US20040001611A1 (en) * | 2002-06-28 | 2004-01-01 | Celik Mehmet Utku | System and method for embedding information in digital signals |
| US6895101B2 (en) * | 2002-06-28 | 2005-05-17 | University Of Rochester | System and method for embedding information in digital signals |
| WO2004003840A3 (en) * | 2002-06-28 | 2004-05-21 | Univ Rochester | System and method for embedding information in digital signals |
| US20040003394A1 (en) * | 2002-07-01 | 2004-01-01 | Arun Ramaswamy | System for automatically matching video with ratings information |
| US7269596B2 (en) * | 2002-10-21 | 2007-09-11 | Sony United Kingdom Limited | Audio and/or video generation apparatus |
| US20040085342A1 (en) * | 2002-10-21 | 2004-05-06 | Williams Michael John | Audio and/or video generation apparatus |
| US7356158B2 (en) * | 2002-12-17 | 2008-04-08 | New Jersey Institute Of Technology | Methods and apparatus for lossless data hiding |
| US20060126890A1 (en) * | 2002-12-17 | 2006-06-15 | Yun-Qing Shi | Methods and apparatus for lossless data hiding |
| US7565551B2 (en) * | 2003-02-19 | 2009-07-21 | Microsoft Corporation | Enhancing software integrity through installation and verification |
| US20040223627A1 (en) * | 2003-05-06 | 2004-11-11 | Yun-Qing Shi | Methods and apparatus for reversible data hiding through histogram modification |
| US7415155B2 (en) | 2003-05-06 | 2008-08-19 | New Jersey Institute Of Technology | Methods and apparatus for reversible data hiding through histogram modification |
| WO2004102464A3 (en) * | 2003-05-08 | 2006-03-09 | Digimarc Corp | Reversible watermarking and related applications |
| US20040236828A1 (en) * | 2003-05-20 | 2004-11-25 | Canon Kabushiki Kaisha | Information processing system, information processing apparatus, information processing method, storage medium for information processing apparatus-readably storing program for practicing that method, and program therefor |
| US20050018057A1 (en) * | 2003-07-25 | 2005-01-27 | Bronstein Kenneth H. | Image capture device loaded with image metadata |
| US20060193490A1 (en) * | 2003-08-29 | 2006-08-31 | Venugopal Srinivasan | Methods and apparatus for embedding and recovering an image for use with video content |
| WO2005031634A1 (en) * | 2003-08-29 | 2005-04-07 | Nielsen Media Research, Inc. | Methods and apparatus for embedding and recovering an image for use with video content |
| US7742618B2 (en) * | 2003-08-29 | 2010-06-22 | The Nielsen Company (Us), Llc | Methods and apparatus for embedding and recovering an image for use with video content |
| US20100246883A1 (en) * | 2003-08-29 | 2010-09-30 | Venugopal Srinivasan | Methods and apparatus for embedding and recovering an image for use with video content |
| US7848540B2 (en) * | 2003-08-29 | 2010-12-07 | The Neilson Company (US), LLC | Methods and apparatus for embedding and recovering an image for use with video content |
| US20080285793A1 (en) * | 2003-12-05 | 2008-11-20 | New Jersey Institute Of Technology | Methods and apparatus for lossless data hiding |
| US20050141747A1 (en) * | 2003-12-05 | 2005-06-30 | Yun-Qing Shi | System and method for robust reversible data hiding and data recovery in the spatial domain |
| US20050129271A1 (en) * | 2003-12-05 | 2005-06-16 | Yun-Qing Shi | System and method for robust lossless data hiding and recovering from the integer wavelet representation |
| US7457431B2 (en) | 2003-12-05 | 2008-11-25 | New Jersey Institute Of Technology | System and method for robust reversible data hiding and data recovery in the spatial domain |
| US7826638B2 (en) * | 2003-12-05 | 2010-11-02 | New Jersey Institute Of Technology | Methods and apparatus for lossless data hiding |
| US7720305B2 (en) | 2003-12-05 | 2010-05-18 | New Jersey Institute Of Technology | System and method for robust lossless data hiding and recovering from the integer wavelet representation |
| US20050154891A1 (en) * | 2004-01-08 | 2005-07-14 | Eastman Kodak Company | Metadata-based, anti-fraudulant identification card method and production system |
| US20080232547A1 (en) * | 2004-03-17 | 2008-09-25 | Wolfgang Schlegel | 3D Cone Beam Reconstruction |
| WO2005104011A1 (en) | 2004-03-26 | 2005-11-03 | New Jersey Institute Of Technology | System and method for reversible data hiding based on integer wavelet spread spectrum |
| US7706566B2 (en) | 2004-03-26 | 2010-04-27 | New Jersey Institute Of Technology | System and method for reversible data hiding based on integer wavelet spread spectrum |
| US20050244032A1 (en) * | 2004-03-26 | 2005-11-03 | Yun-Qing Shi | System and method for reversible data hiding based on integer wavelet spread spectrum |
| EP1610203A3 (en) * | 2004-06-17 | 2008-02-06 | Ronald N. Langford | Authenticating images identified by a software application |
| US7725718B2 (en) | 2004-06-17 | 2010-05-25 | Ronald Neville Langford | Authenticating images identified by a software application |
| US20050283609A1 (en) * | 2004-06-17 | 2005-12-22 | Langford Ronald N | Authenticating images identified by a software application |
| US20060093230A1 (en) * | 2004-10-29 | 2006-05-04 | Hochmuth Roland M | Compression of image regions according to graphics command type |
| US7903119B2 (en) * | 2004-10-29 | 2011-03-08 | Hewlett-Packard Development Company, L.P. | Compression of image regions according to graphics command type |
| EP1881441A3 (en) * | 2006-07-19 | 2009-10-28 | Secunet Security Networks Aktiengesellschaft | Method for graphical display of digital data and device for performing the method |
| US9037644B2 (en) * | 2007-03-06 | 2015-05-19 | Facebook, Inc. | User configuration file for access control for embedded resources |
| US20130212274A1 (en) * | 2007-03-06 | 2013-08-15 | William K. Tiu | User Configuration File for Access Control for Embedded Resources |
| US20090010483A1 (en) * | 2007-07-02 | 2009-01-08 | The Hong Kong University Of Science And Technology | Block-based lossless data hiding in the delta domain |
| US8488834B2 (en) * | 2007-11-15 | 2013-07-16 | Certifi-Media Inc. | Method for making an assured image |
| US20100021001A1 (en) * | 2007-11-15 | 2010-01-28 | Honsinger Chris W | Method for Making an Assured Image |
| US20090141932A1 (en) * | 2007-11-29 | 2009-06-04 | Jones Paul W | Method for image quality assessment using quality vectors |
| US8126197B2 (en) * | 2007-11-29 | 2012-02-28 | Certifi-Media Inc. | Method for image quality assessment using quality vectors |
| US20100039663A1 (en) * | 2007-12-07 | 2010-02-18 | Hitachi Software Engineering Co., Ltd. | Printing management system, printing management method, and program |
| US8284431B2 (en) * | 2007-12-07 | 2012-10-09 | Hitachi Solutions, Ltd. | Printing management system, printing management method, and program |
| CN101488214B (en) * | 2008-01-15 | 2011-07-27 | 中国科学院软件研究所 | Method for expanding anti-fake digital watermark and electronic seal information content |
| US10943030B2 (en) | 2008-12-15 | 2021-03-09 | Ibailbonding.Com | Securable independent electronic document |
| WO2010110750A1 (en) * | 2009-03-27 | 2010-09-30 | Agency For Science, Technology And Research | Data embedding methods, embedded data extraction methods, truncation methods, data embedding devices, embedded data extraction devices and truncation devices |
| US8473781B1 (en) | 2009-10-13 | 2013-06-25 | Google Inc. | Computing device with recovery mode |
| US9405611B1 (en) | 2009-10-13 | 2016-08-02 | Google Inc. | Computing device with recovery mode |
| US8612800B2 (en) * | 2009-10-13 | 2013-12-17 | Google Inc. | Computing device with recovery mode |
| US20110087920A1 (en) * | 2009-10-13 | 2011-04-14 | Google Inc. | Computing device with recovery mode |
| US9898368B1 (en) | 2009-10-13 | 2018-02-20 | Google Llc | Computing device with recovery mode |
| EP2547078A4 (en) * | 2010-03-11 | 2014-01-22 | Nec Corp | Terminal device, method for setting same, and communication system |
| US20120326974A1 (en) * | 2010-03-11 | 2012-12-27 | Nec Corporation | Terminal device, method for setting same, and communication system |
| US11757749B2 (en) | 2014-10-03 | 2023-09-12 | The Nielsen Company (Us), Llc | Fusing online media monitoring data with secondary online data feeds to generate ratings data for online media exposure |
| US10652127B2 (en) | 2014-10-03 | 2020-05-12 | The Nielsen Company (Us), Llc | Fusing online media monitoring data with secondary online data feeds to generate ratings data for online media exposure |
| US11893828B2 (en) | 2017-06-04 | 2024-02-06 | De-Identification Ltd. | System and method for image de-identification |
| US11954191B2 (en) | 2018-09-05 | 2024-04-09 | De-Identification Ltd. | System and method for performing identity authentication based on de-identified data |
| US12160409B2 (en) | 2019-08-19 | 2024-12-03 | De-Identification Ltd. | System and method for anonymization of a face in an image |
| US11762998B2 (en) | 2019-10-23 | 2023-09-19 | De-Identification Ltd. | System and method for protection and detection of adversarial attacks against a classifier |
| WO2021124324A1 (en) * | 2019-12-16 | 2021-06-24 | De-Identification Ltd. | System and method for reconstruction of faces from anonymized media using neural network based steganography |
| US12505251B2 (en) | 2019-12-16 | 2025-12-23 | De-Identification Ltd. | System and method for reconstruction of faces from anonymized media using neural network based steganography |
| US11526626B2 (en) | 2020-07-10 | 2022-12-13 | De-Identification Ltd. | Facial anonymization with consistent facial attribute preservation in video |
| US11276214B2 (en) | 2020-07-15 | 2022-03-15 | De-Ideniification Ltd. | System and a method for artificial neural-network based animation |
| US11436781B2 (en) | 2020-07-15 | 2022-09-06 | De-Identification Ltd. | System and method for artificial neural-network based animation with three-dimensional rendering |
| US11461948B2 (en) | 2020-07-15 | 2022-10-04 | De-Identification Ltd. | System and method for voice driven lip syncing and head reenactment |
Similar Documents
| Publication | Publication Date | Title |
|---|---|---|
| US6278791B1 (en) | Lossless recovery of an original image containing embedded data | |
| US6044156A (en) | Method for generating an improved carrier for use in an image data embedding application | |
| US6823076B2 (en) | Method for embedding digital information in a three dimensional image from a scannerless range imaging system | |
| Lin et al. | A robust image authentication method distinguishing JPEG compression from malicious manipulation | |
| US6611599B2 (en) | Watermarking of digital object | |
| Ruanaidh et al. | Rotation, scale and translation invariant spread spectrum digital image watermarking | |
| Chang et al. | Sharing secrets in stego images with authentication | |
| US7639835B2 (en) | Information processing apparatus and its control method, computer program and storage medium | |
| US20030048908A1 (en) | System and method for protecting the content of digital cinema products | |
| US6266429B1 (en) | Method for confirming the integrity of an image transmitted with a loss | |
| Shah et al. | Homomorphic encryption-based reversible data hiding for 3D mesh models | |
| CN110766596B (en) | An Optical Encryption Method Based on Correlation Imaging | |
| CN1838172A (en) | Method and apparatus for inlaying watermark in digital image and digital camera capable of adding watermark | |
| Ayyappan et al. | A secure reversible data hiding and encryption system for embedding EPR in medical images | |
| Manikandan et al. | Reversible data hiding for encrypted image | |
| Mahmood | Adaptive approaches for medical imaging security | |
| Jumaah | Embedded Reversibility Data in an Encrypted Photograph: A Case Study. | |
| Al-Halabi | A symmetric key based steganography calculation for anchored information | |
| Patra et al. | Data Protection Using Optical System and Steganography Tool | |
| Bulan et al. | Content authentication for printed images utilizing high capacity data hiding | |
| Blackledge | Information hiding using stochastic diffusion for the covert transmission of encrypted images | |
| Abd-alhakem et al. | Video Steganography Based on Modified Embedding Technique | |
| Tun et al. | RPC-Secret: Image Steganography Tool using Randomized GB-LSB and Parity Check | |
| Wulan et al. | Application Optimazion Of Fidelity Watermarking Digital Imegery Discrete Fourier Transform Method And Rivest Shamir Adleman Algorithm | |
| Yoo et al. | Invertible watermarking scheme for authentication and integrity |
Legal Events
| Date | Code | Title | Description |
|---|---|---|---|
| AS | Assignment |
Owner name: EASTMAN KODAK COMPANY, NEW YORK Free format text: ASSIGNMENT OF ASSIGNORS INTEREST;ASSIGNORS:HONSINGER, CHRIS W.;JONES, PAUL W.;RABBANI, MAJID;AND OTHERS;REEL/FRAME:009215/0734;SIGNING DATES FROM 19980421 TO 19980507 |
|
| FEPP | Fee payment procedure |
Free format text: PAYOR NUMBER ASSIGNED (ORIGINAL EVENT CODE: ASPN); ENTITY STATUS OF PATENT OWNER: LARGE ENTITY |
|
| REMI | Maintenance fee reminder mailed | ||
| REIN | Reinstatement after maintenance fee payment confirmed | ||
| FP | Lapsed due to failure to pay maintenance fee |
Effective date: 20050821 |
|
| FEPP | Fee payment procedure |
Free format text: PETITION RELATED TO MAINTENANCE FEES FILED (ORIGINAL EVENT CODE: PMFP); ENTITY STATUS OF PATENT OWNER: LARGE ENTITY |
|
| FEPP | Fee payment procedure |
Free format text: PETITION RELATED TO MAINTENANCE FEES GRANTED (ORIGINAL EVENT CODE: PMFG); ENTITY STATUS OF PATENT OWNER: LARGE ENTITY |
|
| FPAY | Fee payment |
Year of fee payment: 4 |
|
| SULP | Surcharge for late payment | ||
| PRDP | Patent reinstated due to the acceptance of a late maintenance fee |
Effective date: 20060214 |
|
| STCF | Information on status: patent grant |
Free format text: PATENTED CASE |
|
| FPAY | Fee payment |
Year of fee payment: 8 |
|
| AS | Assignment |
Owner name: CITICORP NORTH AMERICA, INC., AS AGENT, NEW YORK Free format text: SECURITY INTEREST;ASSIGNORS:EASTMAN KODAK COMPANY;PAKON, INC.;REEL/FRAME:028201/0420 Effective date: 20120215 |
|
| FPAY | Fee payment |
Year of fee payment: 12 |
|
| AS | Assignment |
Owner name: WILMINGTON TRUST, NATIONAL ASSOCIATION, AS AGENT, Free format text: PATENT SECURITY AGREEMENT;ASSIGNORS:EASTMAN KODAK COMPANY;PAKON, INC.;REEL/FRAME:030122/0235 Effective date: 20130322 Owner name: WILMINGTON TRUST, NATIONAL ASSOCIATION, AS AGENT, MINNESOTA Free format text: PATENT SECURITY AGREEMENT;ASSIGNORS:EASTMAN KODAK COMPANY;PAKON, INC.;REEL/FRAME:030122/0235 Effective date: 20130322 |
|
| AS | Assignment |
Owner name: BARCLAYS BANK PLC, AS ADMINISTRATIVE AGENT, NEW YO Free format text: INTELLECTUAL PROPERTY SECURITY AGREEMENT (SECOND LIEN);ASSIGNORS:EASTMAN KODAK COMPANY;FAR EAST DEVELOPMENT LTD.;FPC INC.;AND OTHERS;REEL/FRAME:031159/0001 Effective date: 20130903 Owner name: BANK OF AMERICA N.A., AS AGENT, MASSACHUSETTS Free format text: INTELLECTUAL PROPERTY SECURITY AGREEMENT (ABL);ASSIGNORS:EASTMAN KODAK COMPANY;FAR EAST DEVELOPMENT LTD.;FPC INC.;AND OTHERS;REEL/FRAME:031162/0117 Effective date: 20130903 Owner name: JPMORGAN CHASE BANK, N.A., AS ADMINISTRATIVE, DELAWARE Free format text: INTELLECTUAL PROPERTY SECURITY AGREEMENT (FIRST LIEN);ASSIGNORS:EASTMAN KODAK COMPANY;FAR EAST DEVELOPMENT LTD.;FPC INC.;AND OTHERS;REEL/FRAME:031158/0001 Effective date: 20130903 Owner name: BARCLAYS BANK PLC, AS ADMINISTRATIVE AGENT, NEW YORK Free format text: INTELLECTUAL PROPERTY SECURITY AGREEMENT (SECOND LIEN);ASSIGNORS:EASTMAN KODAK COMPANY;FAR EAST DEVELOPMENT LTD.;FPC INC.;AND OTHERS;REEL/FRAME:031159/0001 Effective date: 20130903 Owner name: PAKON, INC., NEW YORK Free format text: RELEASE OF SECURITY INTEREST IN PATENTS;ASSIGNORS:CITICORP NORTH AMERICA, INC., AS SENIOR DIP AGENT;WILMINGTON TRUST, NATIONAL ASSOCIATION, AS JUNIOR DIP AGENT;REEL/FRAME:031157/0451 Effective date: 20130903 Owner name: EASTMAN KODAK COMPANY, NEW YORK Free format text: RELEASE OF SECURITY INTEREST IN PATENTS;ASSIGNORS:CITICORP NORTH AMERICA, INC., AS SENIOR DIP AGENT;WILMINGTON TRUST, NATIONAL ASSOCIATION, AS JUNIOR DIP AGENT;REEL/FRAME:031157/0451 Effective date: 20130903 Owner name: JPMORGAN CHASE BANK, N.A., AS ADMINISTRATIVE, DELA Free format text: INTELLECTUAL PROPERTY SECURITY AGREEMENT (FIRST LIEN);ASSIGNORS:EASTMAN KODAK COMPANY;FAR EAST DEVELOPMENT LTD.;FPC INC.;AND OTHERS;REEL/FRAME:031158/0001 Effective date: 20130903 |
|
| AS | Assignment |
Owner name: KODAK REALTY, INC., NEW YORK Free format text: RELEASE BY SECURED PARTY;ASSIGNOR:JP MORGAN CHASE BANK, N.A., AS ADMINISTRATIVE AGENT;REEL/FRAME:049814/0001 Effective date: 20190617 Owner name: KODAK AMERICAS, LTD., NEW YORK Free format text: RELEASE BY SECURED PARTY;ASSIGNOR:JP MORGAN CHASE BANK, N.A., AS ADMINISTRATIVE AGENT;REEL/FRAME:049814/0001 Effective date: 20190617 Owner name: CREO MANUFACTURING AMERICA LLC, NEW YORK Free format text: RELEASE BY SECURED PARTY;ASSIGNOR:JP MORGAN CHASE BANK, N.A., AS ADMINISTRATIVE AGENT;REEL/FRAME:049814/0001 Effective date: 20190617 Owner name: QUALEX, INC., NEW YORK Free format text: RELEASE BY SECURED PARTY;ASSIGNOR:JP MORGAN CHASE BANK, N.A., AS ADMINISTRATIVE AGENT;REEL/FRAME:049814/0001 Effective date: 20190617 Owner name: KODAK PORTUGUESA LIMITED, NEW YORK Free format text: RELEASE BY SECURED PARTY;ASSIGNOR:JP MORGAN CHASE BANK, N.A., AS ADMINISTRATIVE AGENT;REEL/FRAME:049814/0001 Effective date: 20190617 Owner name: KODAK IMAGING NETWORK, INC., NEW YORK Free format text: RELEASE BY SECURED PARTY;ASSIGNOR:JP MORGAN CHASE BANK, N.A., AS ADMINISTRATIVE AGENT;REEL/FRAME:049814/0001 Effective date: 20190617 Owner name: PAKON, INC., NEW YORK Free format text: RELEASE BY SECURED PARTY;ASSIGNOR:JP MORGAN CHASE BANK, N.A., AS ADMINISTRATIVE AGENT;REEL/FRAME:049814/0001 Effective date: 20190617 Owner name: KODAK AVIATION LEASING LLC, NEW YORK Free format text: RELEASE BY SECURED PARTY;ASSIGNOR:JP MORGAN CHASE BANK, N.A., AS ADMINISTRATIVE AGENT;REEL/FRAME:049814/0001 Effective date: 20190617 Owner name: NPEC, INC., NEW YORK Free format text: RELEASE BY SECURED PARTY;ASSIGNOR:JP MORGAN CHASE BANK, N.A., AS ADMINISTRATIVE AGENT;REEL/FRAME:049814/0001 Effective date: 20190617 Owner name: EASTMAN KODAK COMPANY, NEW YORK Free format text: RELEASE BY SECURED PARTY;ASSIGNOR:JP MORGAN CHASE BANK, N.A., AS ADMINISTRATIVE AGENT;REEL/FRAME:049814/0001 Effective date: 20190617 Owner name: FAR EAST DEVELOPMENT LTD., NEW YORK Free format text: RELEASE BY SECURED PARTY;ASSIGNOR:JP MORGAN CHASE BANK, N.A., AS ADMINISTRATIVE AGENT;REEL/FRAME:049814/0001 Effective date: 20190617 Owner name: KODAK (NEAR EAST), INC., NEW YORK Free format text: RELEASE BY SECURED PARTY;ASSIGNOR:JP MORGAN CHASE BANK, N.A., AS ADMINISTRATIVE AGENT;REEL/FRAME:049814/0001 Effective date: 20190617 Owner name: LASER PACIFIC MEDIA CORPORATION, NEW YORK Free format text: RELEASE BY SECURED PARTY;ASSIGNOR:JP MORGAN CHASE BANK, N.A., AS ADMINISTRATIVE AGENT;REEL/FRAME:049814/0001 Effective date: 20190617 Owner name: FPC, INC., NEW YORK Free format text: RELEASE BY SECURED PARTY;ASSIGNOR:JP MORGAN CHASE BANK, N.A., AS ADMINISTRATIVE AGENT;REEL/FRAME:049814/0001 Effective date: 20190617 Owner name: KODAK PHILIPPINES, LTD., NEW YORK Free format text: RELEASE BY SECURED PARTY;ASSIGNOR:JP MORGAN CHASE BANK, N.A., AS ADMINISTRATIVE AGENT;REEL/FRAME:049814/0001 Effective date: 20190617 |
|
| AS | Assignment |
Owner name: FPC INC., NEW YORK Free format text: RELEASE BY SECURED PARTY;ASSIGNOR:BARCLAYS BANK PLC;REEL/FRAME:052773/0001 Effective date: 20170202 Owner name: NPEC INC., NEW YORK Free format text: RELEASE BY SECURED PARTY;ASSIGNOR:BARCLAYS BANK PLC;REEL/FRAME:052773/0001 Effective date: 20170202 Owner name: KODAK (NEAR EAST) INC., NEW YORK Free format text: RELEASE BY SECURED PARTY;ASSIGNOR:BARCLAYS BANK PLC;REEL/FRAME:052773/0001 Effective date: 20170202 Owner name: EASTMAN KODAK COMPANY, NEW YORK Free format text: RELEASE BY SECURED PARTY;ASSIGNOR:BARCLAYS BANK PLC;REEL/FRAME:052773/0001 Effective date: 20170202 Owner name: FAR EAST DEVELOPMENT LTD., NEW YORK Free format text: RELEASE BY SECURED PARTY;ASSIGNOR:BARCLAYS BANK PLC;REEL/FRAME:052773/0001 Effective date: 20170202 Owner name: KODAK REALTY INC., NEW YORK Free format text: RELEASE BY SECURED PARTY;ASSIGNOR:BARCLAYS BANK PLC;REEL/FRAME:052773/0001 Effective date: 20170202 Owner name: KODAK PHILIPPINES LTD., NEW YORK Free format text: RELEASE BY SECURED PARTY;ASSIGNOR:BARCLAYS BANK PLC;REEL/FRAME:052773/0001 Effective date: 20170202 Owner name: LASER PACIFIC MEDIA CORPORATION, NEW YORK Free format text: RELEASE BY SECURED PARTY;ASSIGNOR:BARCLAYS BANK PLC;REEL/FRAME:052773/0001 Effective date: 20170202 Owner name: KODAK AMERICAS LTD., NEW YORK Free format text: RELEASE BY SECURED PARTY;ASSIGNOR:BARCLAYS BANK PLC;REEL/FRAME:052773/0001 Effective date: 20170202 Owner name: QUALEX INC., NEW YORK Free format text: RELEASE BY SECURED PARTY;ASSIGNOR:BARCLAYS BANK PLC;REEL/FRAME:052773/0001 Effective date: 20170202 |


