US6240423B1 - Method and system for image querying using region based and boundary based image matching - Google Patents
Method and system for image querying using region based and boundary based image matching Download PDFInfo
- Publication number
- US6240423B1 US6240423B1 US09/064,061 US6406198A US6240423B1 US 6240423 B1 US6240423 B1 US 6240423B1 US 6406198 A US6406198 A US 6406198A US 6240423 B1 US6240423 B1 US 6240423B1
- Authority
- US
- United States
- Prior art keywords
- images
- similarity
- image
- calculating
- local
- Prior art date
- Legal status (The legal status is an assumption and is not a legal conclusion. Google has not performed a legal analysis and makes no representation as to the accuracy of the status listed.)
- Expired - Lifetime
Links
Images
Classifications
-
- G—PHYSICS
- G06—COMPUTING OR CALCULATING; COUNTING
- G06F—ELECTRIC DIGITAL DATA PROCESSING
- G06F16/00—Information retrieval; Database structures therefor; File system structures therefor
- G06F16/50—Information retrieval; Database structures therefor; File system structures therefor of still image data
- G06F16/58—Retrieval characterised by using metadata, e.g. metadata not derived from the content or metadata generated manually
- G06F16/583—Retrieval characterised by using metadata, e.g. metadata not derived from the content or metadata generated manually using metadata automatically derived from the content
- G06F16/5854—Retrieval characterised by using metadata, e.g. metadata not derived from the content or metadata generated manually using metadata automatically derived from the content using shape and object relationship
-
- G—PHYSICS
- G06—COMPUTING OR CALCULATING; COUNTING
- G06F—ELECTRIC DIGITAL DATA PROCESSING
- G06F16/00—Information retrieval; Database structures therefor; File system structures therefor
- G06F16/50—Information retrieval; Database structures therefor; File system structures therefor of still image data
- G06F16/54—Browsing; Visualisation therefor
-
- Y—GENERAL TAGGING OF NEW TECHNOLOGICAL DEVELOPMENTS; GENERAL TAGGING OF CROSS-SECTIONAL TECHNOLOGIES SPANNING OVER SEVERAL SECTIONS OF THE IPC; TECHNICAL SUBJECTS COVERED BY FORMER USPC CROSS-REFERENCE ART COLLECTIONS [XRACs] AND DIGESTS
- Y10—TECHNICAL SUBJECTS COVERED BY FORMER USPC
- Y10S—TECHNICAL SUBJECTS COVERED BY FORMER USPC CROSS-REFERENCE ART COLLECTIONS [XRACs] AND DIGESTS
- Y10S707/00—Data processing: database and file management or data structures
- Y10S707/99931—Database or file accessing
-
- Y—GENERAL TAGGING OF NEW TECHNOLOGICAL DEVELOPMENTS; GENERAL TAGGING OF CROSS-SECTIONAL TECHNOLOGIES SPANNING OVER SEVERAL SECTIONS OF THE IPC; TECHNICAL SUBJECTS COVERED BY FORMER USPC CROSS-REFERENCE ART COLLECTIONS [XRACs] AND DIGESTS
- Y10—TECHNICAL SUBJECTS COVERED BY FORMER USPC
- Y10S—TECHNICAL SUBJECTS COVERED BY FORMER USPC CROSS-REFERENCE ART COLLECTIONS [XRACs] AND DIGESTS
- Y10S707/00—Data processing: database and file management or data structures
- Y10S707/99941—Database schema or data structure
- Y10S707/99944—Object-oriented database structure
- Y10S707/99945—Object-oriented database structure processing
-
- Y—GENERAL TAGGING OF NEW TECHNOLOGICAL DEVELOPMENTS; GENERAL TAGGING OF CROSS-SECTIONAL TECHNOLOGIES SPANNING OVER SEVERAL SECTIONS OF THE IPC; TECHNICAL SUBJECTS COVERED BY FORMER USPC CROSS-REFERENCE ART COLLECTIONS [XRACs] AND DIGESTS
- Y10—TECHNICAL SUBJECTS COVERED BY FORMER USPC
- Y10S—TECHNICAL SUBJECTS COVERED BY FORMER USPC CROSS-REFERENCE ART COLLECTIONS [XRACs] AND DIGESTS
- Y10S707/00—Data processing: database and file management or data structures
- Y10S707/99941—Database schema or data structure
- Y10S707/99948—Application of database or data structure, e.g. distributed, multimedia, or image
Definitions
- the present invention relates generally to the field of querying a database of images and particularly to querying a database of images using a combination of region based image matching and boundary based image matching.
- the Virage Image Retrieval Engine is a system for image retrieval based on visual features, such as color, shape and texture. See J. R. Bach, et al., “The Virage Image Search Engine: An Open Framework for Image Management,” Proceedings of SPIE- The International Society for Optical Engineering: Storage and Retrieval for Still Image and Video Databases IV, pp. 76-87, February 1996.
- Virage creates feature vectors relating to color, composition, texture and structure.
- the Virage search engine calculates the distance of a feature vector for each potential result candidate with respect to the query. The result candidates are then presented. The approach presented by Virage focuses on the calculation of the vector and each element of the vector.
- Virage does not identify objects contained in the image. Rather, the feature vectors are extracted based on the whole image or a block of the image. Thus, it is hard to introduce analysis at an object level, such as object-based navigation and object-based clustering.
- QBIC a system developed at IBM, is another system that supports image retrieval using visual examples. See M. Flickner, et al, “Query by Image and Video Content: The QBIC System,” Intelligent Multimedia Information Retrieval edited by Mark T. Maybury, Chapter 1, Reprinted from IEEE Computer, 28(9): 23-31, September, 1995.
- the image matching in QBIC is based on features such as color, texture, and shape, similar to Virage.
- the instant inventor has assisted in developing a Content Oriented Information Retrieval engine (the COIR engine) to index and retrieve a large amount of image and video data.
- the COIR engine Content Oriented Information Retrieval engine
- K. Hirata, et al. “Media-based Navigation for Hypermedia Systems,” ACM Hypertext'93 pp. 159-173, November 1993
- K. Hirata, et al. “Content-oriented Integration in Hypermedia Systems”
- K. Hirata, et al. “Object-based Navigation: An Intuitive Navigation Style for Content-oriented Integration Environment”, ACM Hypertext'97 pp. 75-86, April 1997.
- Each of these three Hirata articles, as well as each of the references discussed throughout is hereby incorporated by reference herein.
- One of the major characteristics of the COIR engine is that visual and semantic attributes are assigned to an object in an image or video scene.
- the COIR engine divides the input image into several regions, assuming them to be meaningful objects.
- the COIR engine extracts visual attribute values, including color, shape and texture-related values, from each region automatically.
- the semantic attributes are assigned to each region. Both visual and semantic attributes are stored hierarchically based on object structure, which improves the precision of image searching compared with existing feature-based image processing approaches.
- the COIR engine provides flexible multimedia search capabilities based on metadata structure, the metadata being the resulting data from the registration phase extracting various features from the images.
- the COIR engine correlates objects contained in the query image with those in the target image, comparing attribute values at the object level.
- the COIR engine evaluates the position of the objects and overlapping areas in order to correlate the objects with each other.
- This matching process enables an intuitive search for users. Users can also integrate visual characteristics and semantics at the object level and can also focus on specific objects in the image or on a relationship between objects to get the images they are interested in. However, a one-to-one correlation between the visual features and semantic meanings does not always exist.
- the present invention is directed to a novel method and apparatus for content based image searching.
- a method and apparatus are described which provide a way to integrate region based image matching with boundary based image matching.
- Boundary based image matching requires precise evaluations of line correlation, and, therefore takes more time than region-based matching.
- the present invention provides the following steps for the search and matching process. First, image similarity is evaluated based upon region-based similarity criteria, i.e. region based image matching is performed. Second, a boundary based image matching technique is applied to the results of the region based image matching step. Finally, the results of the boundary based image matching step may be reordered based upon the similarities among the individual result candidates.
- This final step allows users of a search engine to visualize representative candidate images at a glance.
- the third step may be performed in conjunction with many different matching mechanisms, including those of the first and second steps.
- the object boundary based image matching capability of the present invention helps solve problems with prior systems.
- the COIR engine can improve retrieval accuracy.
- FIG. 1 shows an example of results of a search.
- the COIR engine retrieves more appropriate candidates from the image archive.
- FIG. 2 illustrates this situation.
- the image shown on the upper left side of FIG. 2 is a query image specified by the user. It is very hard to specify the object contained in the query image, but by evaluating the edges partially extracted from the image, the COIR engine provides similar images from the image database.
- FIG. 1 shows the results of a search using the COIR engine.
- FIG. 2 shows the results of a search using the COIR engine where it is difficult to correctly extract objects in an image.
- FIG. 3 shows the structure of metadata in the COIR engine.
- FIG. 4 shows the steps of an image matching process.
- FIG. 5 shows an embodiment of an object extraction procedure in accordance with the present invention.
- FIG. 6 shows the extended functions of the COIR engine.
- FIG. 7 shows extraction of boundary lines of images.
- FIG. 8 shows the ordering of result candidates based upon the distance among the search query and the candidates.
- FIG. 9 shows the ordering of result candidates based upon similarities among the candidates.
- FIG. 10 shows the result images and shows the result images grouped by similarities between the result images.
- FIG. 11 shows a matching procedure in accordance with an embodiment of the present invention.
- FIG. 12 shows a boundary based image matching procedure in accordance with an embodiment of the present invention.
- the COIR engine stores attribute values using the objects as a unit.
- the COIR engine extracts objects from the images.
- the COIR engine accomplishes this by dividing the original image into several regions based on visual characteristics including color, edge, position, texture, etc.
- the COIR engine considers these regions as the objects and stores attributes for the objects. A detailed flow of this process is described in Hirata et al, “Media-based Navigation for Hypermedia Systems.”
- the COIR engine extracts the visual attribute values from each region automatically.
- Semantic features are then assigned interactively using authoring tools if required. Users can also specify a hierarchical structure using the authoring tools.
- FIG. 3 shows an example of an image divided into four regions. Each region has a set of visual attributes assigned to it. Additionally, region 1 is further divided to define a second level of objects. When users specify such a second level of structure, the COIR engine also extracts the visual attribute values from the second-level regions. Users can also assign semantic features to the second-level regions as shown in FIG. 3 . Metadata in each level has similar granularity. Therefore, matching between different levels can be accomplished by using the same criteria.
- the COIR engine evaluates image similarity based on the object level entities.
- the matching process has to be flexible enough to address ambiguous queries and has to be executed at very high speed. Additionally, users sometimes require images which match the query partially (i.e. some, but not all, of the regions of the image match) or match the query with a shifted condition (i.e. regions are located at different positions in the images).
- FIG. 4 illustrates the flow of the matching step.
- the COIR engine merges the regions of the query image and the metadata in the system until each region of the query image and the metadata are adjusted.
- the attribute values of the merged region are inherited in the new region.
- the COIR engine evaluates the correlation of the objects based on their position and the overlapping area. Then, it measures the similarity of the shape, color or position of each region. Since the objects are correlated to each other, the system does not have to consider the positional difference in calculating the shape and color similarities.
- the COIR engine can retrieve the target images even if the query is ambiguous about the location or the size of the objects.
- the COIR engine evaluates the degree of correlation (location similarity) and the attribute values of objects, such as color, texture, etc., separately and then integrates them.
- the precise algorithm is described in Hirata et al, “Media-based Navigation for Hypermedia Systems.”
- the COIR engine can calculate similarity very rapidly, since the attribute values are evaluated one time after the objects are correlated with each other. This algorithm can process the condition stating that some of the objects are missing or shifted. It works well when the COIR engine can extract objects contained in the image as users expect.
- the present invention provides improved search capabilities. Again, while the following discussion is presented in the context of the COIR engine, the present invention is widely applicable to a variety of search engines and to a variety of databases of images, such as multimedia databases and the WWW.
- FIG. 5 shows one aspect of the object extraction procedure of the present invention.
- the images on the left are the original images, while the images on the right represent the extracted objects from the original images.
- the COIR engine successfully extracts the airplane from image 01 and also extracts the yacht from image 02 . Additionally, the COIR engine extracts the clouds and sky from the image 01 and extracts the clouds, sea and sky from the image 02 .
- the person in the image 03 is divided into two regions because of the different color elements. Also, in image 04 , two persons are merged into one region because of the closeness of the color, texture and position of each person.
- All attribute values are stored based on extracted objects. Gaps between the object extraction by the COIR engine and that from the semantic meaning can cause matching deviations.
- the present invention provides extended functions for the COIR engine and for other search engines to ameliorate the deficiencies in this region-based searching method.
- FIG. 6 shows the extended functions.
- One of the extended functions is a similarity calculation based on the boundary based, or edge based, image matching. See FIG. 6 ( 1 ). This step calculates the compositional similarity based on the boundary lines.
- the COIR engine extracts the boundary lines from the images, as shown in FIG. 7 . These lines are used to extract objects from the image with other visual characteristics.
- the COIR engine stores these lines in the metadata and uses them to calculate similarity based on composition.
- a correlation of the boundary lines is computed both in local scope and global scope.
- the calculation based on boundary line matching is applied to the search results of an initial search based upon region attributes.
- region based searching is known to those in this field and need not be discussed further.
- the boundary based matching step compares line segments directly and evaluates similarity even when the lines are only partially extracted.
- the boundary based matching of the present invention is designed to be flexible about object shifting and also supports global-level similarities.
- Another extended function is to display search results based on similarity among the result candidates. See FIG. 6 ( 2 ).
- the COIR engine has output the retrieval results in a one-dimensional way, based on similarity values between the results and the query.
- Most image retrieval systems operate in this manner. However, this sometimes confuses users. It is desirable to have multiple methods of outputting the retrieval results.
- the lower portion of FIG. 8 illustrates one of the problems caused by the one-dimensional display, resulting from the fact that there are many ways to measure the similarities, such as color, composition, the location of the main object, etc.
- the lower portion of FIG. 8 shows the images retrieved in order based upon the distance, dn, between the query and the result candidates, C 1 , C 4 , C 3 , C 5 and C 2 , where d 1 ⁇ d 4 ⁇ d 3 ⁇ d 5 ⁇ d 2 .
- this order of retrieval does not take into account the similarities between the result candidates themselves.
- similarity among result candidates is shown in a two-dimensional way. In FIG.
- result candidates C 1 and C 2 are close to each other, while result candidate C 4 is similar to result candidate C 5 .
- C 3 , C 4 , C 5 are located between C 1 and C 2 .
- the present invention forms groups based on the similarities among the candidates, as illustrated in FIG. 9, rather than based strictly on the similarity between the candidates and query. Looking at FIG. 9, because C 1 and C 2 are close to each other, C 1 and C 2 are grouped together. Additionally, because C 4 and C 5 are close to each other, C 4 and C 5 are grouped together. C 3 , being by itself, is grouped accordingly.
- FIG. 10 ( a ) show the result images in an order based on the similarity between the query and the result candidates. While the first and third and fourth candidates are similar to each other, the second candidate is retrieved between the first and third because of the value of dn.
- FIG. 10 ( b ) shows an example of the result display based on the similarity grouping in accordance with the present invention. In accordance with the second extended function of the present invention, similarities among the candidates are calculated to form groups and the order in which the search results are presented is changed based on the grouping.
- This categorization is also helpful to visualize the retrieval results by allowing the users to understand the retrieval result intuitively.
- this categorization is used to reduce the number of images, which have to be displayed at one time. This is done by grouping the candidates and selecting representative images from each group. This also helps users to understand the results at a glance.
- a matching procedure has three major steps, as shown in FIG. 11 .
- Step (1) image matching based on region, involves calculating similarity based primarily on the following three criteria.
- step (1) is first applied to the database of images to reduce the number of the images to be processed in step (2) and step (3). Once step (1) is completed, step (2) is applied to results of step (1) and step (3) is applied to the results of step (2). The number of results to be processed in step (2) and step (3) can be controlled by the user. Step (1) is described in detail in Hirata et al, “Media-based Navigation for Hypermedia Systems.” A detailed discussion of boundary based image matching and grouping and reordering based on similarity will now be presented.
- FIG. 12 illustrates the boundary based image matching process (step (2)) in accordance with the present invention.
- the system divides the metadata of the query image into local blocks.
- Each local block, of size f*g, is shifted in two-dimensions near the same position of the metadata of a candidate image in the database to find the best match position.
- the local block is shifted in the m*n pixel area. Even if the object in the metadata includes some noise and additional lines, or the size of the object is different, these errors may not affect any other local blocks because of this small matching size. Because of this two dimensional shifting, the system matches objects located in slightly different positions.
- the first interpretation is that “there are no boundary lines on the specific pixels.”
- the second interpretation is that “users do not care about the values on the specific pixels.” Users can specify one of the two interpretations as a criterion for retrieval.
- the following algorithm evaluates similarity using each line element as a unit. It is possible to evaluate the similarity even when the boundary lines are only partially detected.
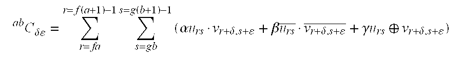
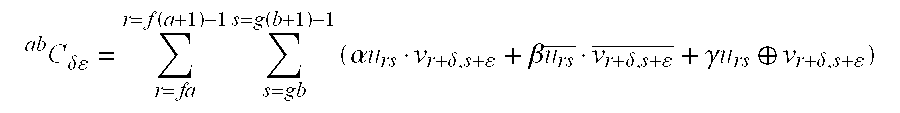
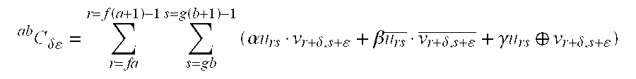
- a and b define the position of the local block within a particular metadata
- m and n define the area in which the local block may be shifted (See FIG. 12 ).
- coefficients ⁇ , ⁇ , ⁇ are control parameters used to estimate matching and mismatching patterns.
- the values of these parameters have to be controlled based on the query. They are calculated based on the ratio between boundary and non-boundary pixel numbers.
- local blocks are shifted by a maximum of 4 pixels, e.g. set ⁇ and ⁇ between ⁇ 4 and 4. This means that at most an 8.3% shifted error for all directions is considered in this matching.
- the local correlation between these two blocks is defined as follows.
- ab w is a weighting parameter which depends upon the position of local block ab U.
- step (3) the COIR engine calculates the similarities and categorizes the results based on the similarities.
- the algorithm for executing this step is as follows.
- the mutual similarities between candidates is extracted.
- the similarity of B from A is S AB
- the similarity of A from B is S BA
- the mutual similarity between A and B is calculated as (S AB +S BA )/2.
- the similarity is normalized based on the distribution of the raw similarities.
- the mutual similarity is evaluated by taking the average.
- retrieval results are sorted. According to the users' specification, the grouping and order of the output of the result candidates is decided. As illustrated above in FIG. 7, the images which are similar to each other are assumed to be under one group and are re-ordered based on the similarity. Users can specify the forms of the output.
- a new image search mechanism has been presented.
- the present invention efficiently integrates region based analysis with boundary analysis in matching steps in order to utilize the structural similarity. Additionally, a specific algorithm for boundary analysis is presented. Further, methods of classifying the results to enable to user to better visualize the results have also been presented.
Landscapes
- Engineering & Computer Science (AREA)
- Theoretical Computer Science (AREA)
- Data Mining & Analysis (AREA)
- Databases & Information Systems (AREA)
- Physics & Mathematics (AREA)
- General Engineering & Computer Science (AREA)
- General Physics & Mathematics (AREA)
- Library & Information Science (AREA)
- Processing Or Creating Images (AREA)
- Information Retrieval, Db Structures And Fs Structures Therefor (AREA)
- Image Analysis (AREA)
Abstract
Description
Claims (44)
Priority Applications (2)
| Application Number | Priority Date | Filing Date | Title |
|---|---|---|---|
| US09/064,061 US6240423B1 (en) | 1998-04-22 | 1998-04-22 | Method and system for image querying using region based and boundary based image matching |
| JP08629799A JP3522146B2 (en) | 1998-04-22 | 1999-03-29 | Image matching method and image inquiry device |
Applications Claiming Priority (1)
| Application Number | Priority Date | Filing Date | Title |
|---|---|---|---|
| US09/064,061 US6240423B1 (en) | 1998-04-22 | 1998-04-22 | Method and system for image querying using region based and boundary based image matching |
Publications (1)
| Publication Number | Publication Date |
|---|---|
| US6240423B1 true US6240423B1 (en) | 2001-05-29 |
Family
ID=22053309
Family Applications (1)
| Application Number | Title | Priority Date | Filing Date |
|---|---|---|---|
| US09/064,061 Expired - Lifetime US6240423B1 (en) | 1998-04-22 | 1998-04-22 | Method and system for image querying using region based and boundary based image matching |
Country Status (2)
| Country | Link |
|---|---|
| US (1) | US6240423B1 (en) |
| JP (1) | JP3522146B2 (en) |
Cited By (115)
| Publication number | Priority date | Publication date | Assignee | Title |
|---|---|---|---|---|
| US20020009286A1 (en) * | 2000-06-10 | 2002-01-24 | Nec Corporation | Image retrieving apparatus, image retrieving method and recording medium for recording program to implement the image retrieving method |
| US20020023084A1 (en) * | 2000-04-27 | 2002-02-21 | Aviv Eyal | Method and system for visual network searching |
| US6389467B1 (en) | 2000-01-24 | 2002-05-14 | Friskit, Inc. | Streaming media search and continuous playback system of media resources located by multiple network addresses |
| US6405198B1 (en) * | 1998-09-04 | 2002-06-11 | International Business Machines Corporation | Complex data query support in a partitioned database system |
| US6477269B1 (en) * | 1999-04-20 | 2002-11-05 | Microsoft Corporation | Method and system for searching for images based on color and shape of a selected image |
| US20020184229A1 (en) * | 2001-04-20 | 2002-12-05 | Mitsubishi Electric Research Laboratories, Inc. | Content-based visualization and user-modeling for interactive browsing and retrieval in multimedia databases |
| US20020188602A1 (en) * | 2001-05-07 | 2002-12-12 | Eastman Kodak Company | Method for associating semantic information with multiple images in an image database environment |
| US20020191016A1 (en) * | 2001-06-15 | 2002-12-19 | Olympus Optical Co., Ltd. | Method and apparatus for retrieving similar objects |
| US6512850B2 (en) * | 1998-12-09 | 2003-01-28 | International Business Machines Corporation | Method of and apparatus for identifying subsets of interrelated image objects from a set of image objects |
| US6519648B1 (en) | 2000-01-24 | 2003-02-11 | Friskit, Inc. | Streaming media search and continuous playback of multiple media resources located on a network |
| US20030033296A1 (en) * | 2000-01-31 | 2003-02-13 | Kenneth Rothmuller | Digital media management apparatus and methods |
| US20030084065A1 (en) * | 2001-10-31 | 2003-05-01 | Qian Lin | Method and system for accessing a collection of images in a database |
| US20030081145A1 (en) * | 2001-10-30 | 2003-05-01 | Seaman Mark D. | Systems and methods for generating digital images having image meta-data combined with the image data |
| US6564206B1 (en) * | 1998-10-05 | 2003-05-13 | Canon Kabushiki Kaisha | Information search apparatus and method, and storage medium |
| US20030093437A1 (en) * | 2001-07-16 | 2003-05-15 | Ullas Gargi | Hierarchical image feature-based visualization |
| US20030123737A1 (en) * | 2001-12-27 | 2003-07-03 | Aleksandra Mojsilovic | Perceptual method for browsing, searching, querying and visualizing collections of digital images |
| US20030174859A1 (en) * | 2002-03-14 | 2003-09-18 | Changick Kim | Method and apparatus for content-based image copy detection |
| US20030190090A1 (en) * | 2002-04-09 | 2003-10-09 | Beeman Edward S. | System and method for digital-image enhancement |
| US20030195883A1 (en) * | 2002-04-15 | 2003-10-16 | International Business Machines Corporation | System and method for measuring image similarity based on semantic meaning |
| US20030231806A1 (en) * | 1999-07-30 | 2003-12-18 | Vlad Troyanker | Perceptual similarity image retrieval |
| US20040002962A1 (en) * | 2002-06-27 | 2004-01-01 | International Business Machines Corporation | Iconic representation of linked site characteristics |
| US20040042663A1 (en) * | 2002-08-28 | 2004-03-04 | Fuji Photo Film Co., Ltd. | Method, apparatus, and program for similarity judgment |
| US6721741B1 (en) | 2000-01-24 | 2004-04-13 | Friskit, Inc. | Streaming media search system |
| US20040086203A1 (en) * | 2002-10-23 | 2004-05-06 | Olympus Corporation | Database registration system and database registration method |
| US6751363B1 (en) * | 1999-08-10 | 2004-06-15 | Lucent Technologies Inc. | Methods of imaging based on wavelet retrieval of scenes |
| US20040179735A1 (en) * | 2003-03-13 | 2004-09-16 | Aruna Kumar | Method and apparatus for characterizing objects within an image |
| US20040210575A1 (en) * | 2003-04-18 | 2004-10-21 | Bean Douglas M. | Systems and methods for eliminating duplicate documents |
| US20040258397A1 (en) * | 2003-06-23 | 2004-12-23 | Changick Kim | Method and apparatus for video copy detection |
| US20050105798A1 (en) * | 2003-09-25 | 2005-05-19 | Canon Research Center France | Method and device for verifying multimedia entities and in particular for verifying digital images |
| US20050149360A1 (en) * | 1999-08-09 | 2005-07-07 | Michael Galperin | Object based image retrieval |
| US20050185862A1 (en) * | 2004-02-20 | 2005-08-25 | Fujit Photo Film Co., Ltd. | Digital pictorial book system, a pictorial book searching method, and a machine readable medium storing thereon a pictorial book searching program |
| US20050234719A1 (en) * | 2004-03-26 | 2005-10-20 | Tatsuya Hosoda | Selection of images for image processing |
| US7003515B1 (en) * | 2001-05-16 | 2006-02-21 | Pandora Media, Inc. | Consumer item matching method and system |
| US7023446B1 (en) * | 1999-04-28 | 2006-04-04 | Ricoh Company, Ltd. | Presentation of images resembling each other |
| US20060182368A1 (en) * | 2005-01-21 | 2006-08-17 | Changick Kim | Efficient and robust algorithm for video sequence matching |
| US20060206478A1 (en) * | 2001-05-16 | 2006-09-14 | Pandora Media, Inc. | Playlist generating methods |
| US20060212444A1 (en) * | 2001-05-16 | 2006-09-21 | Pandora Media, Inc. | Methods and systems for utilizing contextual feedback to generate and modify playlists |
| EP1755067A1 (en) * | 2005-08-15 | 2007-02-21 | Mitsubishi Electric Information Technology Centre Europe B.V. | Mutual-rank similarity-space for navigating, visualising and clustering in image databases |
| US20070112852A1 (en) * | 2005-11-07 | 2007-05-17 | Nokia Corporation | Methods for characterizing content item groups |
| US7228305B1 (en) | 2000-01-24 | 2007-06-05 | Friskit, Inc. | Rating system for streaming media playback system |
| US7281034B1 (en) | 2000-01-24 | 2007-10-09 | Friskit, Inc. | System and method for media playback over a network using links that contain control signals and commands |
| US20070260639A1 (en) * | 2006-05-03 | 2007-11-08 | Tobin Kenneth W | Method for the reduction of image content redundancy in large image libraries |
| US20070269140A1 (en) * | 2006-05-09 | 2007-11-22 | Seiko Epson Corporation | Image management device |
| US20080059899A1 (en) * | 2003-10-14 | 2008-03-06 | Microsoft Corporation | System and process for presenting search results in a histogram/cluster format |
| US20080104032A1 (en) * | 2004-09-29 | 2008-05-01 | Sarkar Pte Ltd. | Method and System for Organizing Items |
| US20080285890A1 (en) * | 2007-05-15 | 2008-11-20 | Samsung Electronics Co., Ltd. | Method, apparatus, and system for searching for image and image-related information |
| US20080304735A1 (en) * | 2007-06-05 | 2008-12-11 | Microsoft Corporation | Learning object cutout from a single example |
| US20080306921A1 (en) * | 2000-01-31 | 2008-12-11 | Kenneth Rothmuller | Digital Media Management Apparatus and Methods |
| US20090082637A1 (en) * | 2007-09-21 | 2009-03-26 | Michael Galperin | Multi-modality fusion classifier with integrated non-imaging factors |
| US20090112864A1 (en) * | 2005-10-26 | 2009-04-30 | Cortica, Ltd. | Methods for Identifying Relevant Metadata for Multimedia Data of a Large-Scale Matching System |
| US7552139B2 (en) * | 2001-03-19 | 2009-06-23 | Xerox Corporation | Represented object groups |
| US20090161962A1 (en) * | 2007-12-20 | 2009-06-25 | Gallagher Andrew C | Grouping images by location |
| US20090313305A1 (en) * | 2005-10-26 | 2009-12-17 | Cortica, Ltd. | System and Method for Generation of Complex Signatures for Multimedia Data Content |
| US7636733B1 (en) | 2003-10-03 | 2009-12-22 | Adobe Systems Incorporated | Time-based image management |
| US20090319513A1 (en) * | 2006-08-03 | 2009-12-24 | Nec Corporation | Similarity calculation device and information search device |
| US20100010959A1 (en) * | 2008-07-09 | 2010-01-14 | Broder Andrei Z | Systems and methods for query expansion in sponsored search |
| US20100070527A1 (en) * | 2008-09-18 | 2010-03-18 | Tianlong Chen | System and method for managing video, image and activity data |
| US20100085381A1 (en) * | 2008-10-02 | 2010-04-08 | Blue Marble Group, Inc. | Coordinate system recovery tool and method |
| US7788258B1 (en) * | 2004-06-21 | 2010-08-31 | Google Inc. | Automatic determination of whether a document includes an image gallery |
| US20100262609A1 (en) * | 2005-10-26 | 2010-10-14 | Cortica, Ltd. | System and method for linking multimedia data elements to web pages |
| US7877382B1 (en) * | 2004-12-31 | 2011-01-25 | Google, Inc. | System and methods for detecting images distracting to a user |
| US7921111B1 (en) | 2001-05-17 | 2011-04-05 | Fotiva, Inc. | Digital media organization and access |
| US20120143857A1 (en) * | 2009-08-11 | 2012-06-07 | Someones Group Intellectual Property Holdings Pty Ltd | Method, system and controller for searching a database |
| US8266185B2 (en) | 2005-10-26 | 2012-09-11 | Cortica Ltd. | System and methods thereof for generation of searchable structures respective of multimedia data content |
| US20120294531A1 (en) * | 2007-11-01 | 2012-11-22 | Daisuke Matsubara | Human image retrieval system |
| US20130101218A1 (en) * | 2005-09-30 | 2013-04-25 | Fujifilm Corporation | Apparatus, method and program for image search |
| US20130104191A1 (en) * | 2002-10-30 | 2013-04-25 | Portauthority Technologies Inc. | Method and system for managing confidential information |
| US8571349B1 (en) * | 2009-04-27 | 2013-10-29 | Google Inc | Image enhancement through discrete patch optimization |
| US8583656B1 (en) | 2009-04-23 | 2013-11-12 | Google Inc. | Fast covariance matrix generation |
| US8611695B1 (en) | 2009-04-27 | 2013-12-17 | Google Inc. | Large scale patch search |
| US8660370B1 (en) | 2009-04-30 | 2014-02-25 | Google Inc. | Principal component analysis based seed generation for clustering analysis |
| US8751527B1 (en) | 2010-10-11 | 2014-06-10 | Paul Riggio | Information retrieval system |
| US8798393B2 (en) | 2010-12-01 | 2014-08-05 | Google Inc. | Removing illumination variation from images |
| US8867859B1 (en) | 2009-04-28 | 2014-10-21 | Google Inc. | Illumination estimation for images |
| US9031999B2 (en) | 2005-10-26 | 2015-05-12 | Cortica, Ltd. | System and methods for generation of a concept based database |
| US9256668B2 (en) | 2005-10-26 | 2016-02-09 | Cortica, Ltd. | System and method of detecting common patterns within unstructured data elements retrieved from big data sources |
| CN105678297A (en) * | 2015-12-29 | 2016-06-15 | 南京大学 | Portrait semantic analysis method and system based on label transfer and LSTM model |
| US9372940B2 (en) | 2005-10-26 | 2016-06-21 | Cortica, Ltd. | Apparatus and method for determining user attention using a deep-content-classification (DCC) system |
| US9396435B2 (en) | 2005-10-26 | 2016-07-19 | Cortica, Ltd. | System and method for identification of deviations from periodic behavior patterns in multimedia content |
| US9466068B2 (en) | 2005-10-26 | 2016-10-11 | Cortica, Ltd. | System and method for determining a pupillary response to a multimedia data element |
| US9477658B2 (en) | 2005-10-26 | 2016-10-25 | Cortica, Ltd. | Systems and method for speech to speech translation using cores of a natural liquid architecture system |
| US9529984B2 (en) | 2005-10-26 | 2016-12-27 | Cortica, Ltd. | System and method for verification of user identification based on multimedia content elements |
| US9558449B2 (en) | 2005-10-26 | 2017-01-31 | Cortica, Ltd. | System and method for identifying a target area in a multimedia content element |
| JP2017054552A (en) * | 2016-12-16 | 2017-03-16 | オリンパス株式会社 | Image retrieval device, image display device, image retrieval method, and image display method |
| US20170083543A1 (en) * | 2006-02-01 | 2017-03-23 | Sony Corporation | System, apparatus, method, program and recording medium for processing image |
| US9747420B2 (en) | 2005-10-26 | 2017-08-29 | Cortica, Ltd. | System and method for diagnosing a patient based on an analysis of multimedia content |
| US9767143B2 (en) | 2005-10-26 | 2017-09-19 | Cortica, Ltd. | System and method for caching of concept structures |
| US9953032B2 (en) | 2005-10-26 | 2018-04-24 | Cortica, Ltd. | System and method for characterization of multimedia content signals using cores of a natural liquid architecture system |
| US10180942B2 (en) | 2005-10-26 | 2019-01-15 | Cortica Ltd. | System and method for generation of concept structures based on sub-concepts |
| US10191976B2 (en) | 2005-10-26 | 2019-01-29 | Cortica, Ltd. | System and method of detecting common patterns within unstructured data elements retrieved from big data sources |
| US10193990B2 (en) | 2005-10-26 | 2019-01-29 | Cortica Ltd. | System and method for creating user profiles based on multimedia content |
| US10360253B2 (en) | 2005-10-26 | 2019-07-23 | Cortica, Ltd. | Systems and methods for generation of searchable structures respective of multimedia data content |
| US10380267B2 (en) | 2005-10-26 | 2019-08-13 | Cortica, Ltd. | System and method for tagging multimedia content elements |
| US10380623B2 (en) | 2005-10-26 | 2019-08-13 | Cortica, Ltd. | System and method for generating an advertisement effectiveness performance score |
| US10535192B2 (en) | 2005-10-26 | 2020-01-14 | Cortica Ltd. | System and method for generating a customized augmented reality environment to a user |
| US10585934B2 (en) | 2005-10-26 | 2020-03-10 | Cortica Ltd. | Method and system for populating a concept database with respect to user identifiers |
| US10614626B2 (en) | 2005-10-26 | 2020-04-07 | Cortica Ltd. | System and method for providing augmented reality challenges |
| US10621988B2 (en) | 2005-10-26 | 2020-04-14 | Cortica Ltd | System and method for speech to text translation using cores of a natural liquid architecture system |
| US10635640B2 (en) | 2005-10-26 | 2020-04-28 | Cortica, Ltd. | System and method for enriching a concept database |
| US10691642B2 (en) | 2005-10-26 | 2020-06-23 | Cortica Ltd | System and method for enriching a concept database with homogenous concepts |
| US10698939B2 (en) | 2005-10-26 | 2020-06-30 | Cortica Ltd | System and method for customizing images |
| US10733326B2 (en) | 2006-10-26 | 2020-08-04 | Cortica Ltd. | System and method for identification of inappropriate multimedia content |
| US10789288B1 (en) * | 2018-05-17 | 2020-09-29 | Shutterstock, Inc. | Relational model based natural language querying to identify object relationships in scene |
| US10848590B2 (en) | 2005-10-26 | 2020-11-24 | Cortica Ltd | System and method for determining a contextual insight and providing recommendations based thereon |
| US11003706B2 (en) | 2005-10-26 | 2021-05-11 | Cortica Ltd | System and methods for determining access permissions on personalized clusters of multimedia content elements |
| US11032017B2 (en) | 2005-10-26 | 2021-06-08 | Cortica, Ltd. | System and method for identifying the context of multimedia content elements |
| US11204957B2 (en) * | 2014-02-19 | 2021-12-21 | International Business Machines Corporation | Multi-image input and sequenced output based image search |
| US11216498B2 (en) | 2005-10-26 | 2022-01-04 | Cortica, Ltd. | System and method for generating signatures to three-dimensional multimedia data elements |
| US11314800B2 (en) * | 2019-01-30 | 2022-04-26 | Beijing Baidu Netcom Science And Technology Co., Ltd. | Method, apparatus, electronic device, and storage medium for image-based data processing |
| US11361014B2 (en) | 2005-10-26 | 2022-06-14 | Cortica Ltd. | System and method for completing a user profile |
| US11386143B2 (en) | 2019-08-30 | 2022-07-12 | International Business Machines Corporation | Searching for analogue subsurface structures based on topological knowledge representation (TKR) |
| US11403336B2 (en) | 2005-10-26 | 2022-08-02 | Cortica Ltd. | System and method for removing contextually identical multimedia content elements |
| US11604847B2 (en) | 2005-10-26 | 2023-03-14 | Cortica Ltd. | System and method for overlaying content on a multimedia content element based on user interest |
| US11620327B2 (en) | 2005-10-26 | 2023-04-04 | Cortica Ltd | System and method for determining a contextual insight and generating an interface with recommendations based thereon |
| US20230281241A1 (en) * | 2004-02-12 | 2023-09-07 | Intellectual Ventures I Llc | Method and apparatus for photograph finding |
Families Citing this family (15)
| Publication number | Priority date | Publication date | Assignee | Title |
|---|---|---|---|---|
| JP4234099B2 (en) * | 2002-05-22 | 2009-03-04 | コーニンクレッカ フィリップス エレクトロニクス エヌ ヴィ | How to extract a watermark |
| JP2004326245A (en) * | 2003-04-22 | 2004-11-18 | Hitachi Medical Corp | Electronic medical record system |
| JP2005030861A (en) * | 2003-07-10 | 2005-02-03 | Casio Comput Co Ltd | Person management apparatus and program |
| JP2006217545A (en) | 2005-02-07 | 2006-08-17 | Ricoh Co Ltd | Image processing system and image processing apparatus |
| JP4925093B2 (en) * | 2006-03-24 | 2012-04-25 | 富士フイルム株式会社 | Image classification apparatus and method, and program |
| US7755646B2 (en) * | 2006-10-17 | 2010-07-13 | Hewlett-Packard Development Company, L.P. | Image management through lexical representations |
| JP5062819B2 (en) * | 2007-03-07 | 2012-10-31 | 株式会社リコー | Image processing apparatus, image processing method, program, and recording medium |
| JP5282880B2 (en) * | 2008-12-11 | 2013-09-04 | 日本電気株式会社 | Search system, search method, and program |
| JP5284863B2 (en) * | 2009-04-30 | 2013-09-11 | 独立行政法人理化学研究所 | Image processing apparatus, image processing method, and program |
| JP2011227915A (en) * | 2011-06-07 | 2011-11-10 | Fujifilm Corp | Image classification device and method and program |
| JP6188370B2 (en) * | 2013-03-25 | 2017-08-30 | インターナショナル・ビジネス・マシーンズ・コーポレーションInternational Business Machines Corporation | Object classification method, apparatus and program. |
| CN103679702B (en) * | 2013-11-20 | 2016-08-31 | 华中科技大学 | A kind of matching process based on image border vector |
| JP7304221B2 (en) * | 2019-07-04 | 2023-07-06 | エヌ・ティ・ティ・コムウェア株式会社 | Search query generation device, search query generation method, program, material search system, and material search method |
| JP7304220B2 (en) * | 2019-07-04 | 2023-07-06 | エヌ・ティ・ティ・コムウェア株式会社 | MATERIAL SEARCH SYSTEM, MATERIAL SEARCH METHOD, MATERIAL SEARCH DEVICE, AND PROGRAM |
| JP2024120122A (en) * | 2021-07-09 | 2024-09-04 | パナソニックIpマネジメント株式会社 | IMAGE CHECKING DEVICE, IMAGE CHECKING METHOD, AND PROGRAM |
Citations (3)
| Publication number | Priority date | Publication date | Assignee | Title |
|---|---|---|---|---|
| US5647058A (en) | 1993-05-24 | 1997-07-08 | International Business Machines Corporation | Method for high-dimensionality indexing in a multi-media database |
| US5852823A (en) * | 1996-10-16 | 1998-12-22 | Microsoft | Image classification and retrieval system using a query-by-example paradigm |
| US5893095A (en) * | 1996-03-29 | 1999-04-06 | Virage, Inc. | Similarity engine for content-based retrieval of images |
Family Cites Families (3)
| Publication number | Priority date | Publication date | Assignee | Title |
|---|---|---|---|---|
| JP2806666B2 (en) * | 1991-12-13 | 1998-09-30 | 工業技術院長 | Schematic image creation method and device |
| JP2776295B2 (en) * | 1994-10-27 | 1998-07-16 | 日本電気株式会社 | Image index generation method and image index generation device |
| JPH09179707A (en) * | 1995-12-25 | 1997-07-11 | Nippon Telegr & Teleph Corp <Ntt> | Multi-page display information generator |
-
1998
- 1998-04-22 US US09/064,061 patent/US6240423B1/en not_active Expired - Lifetime
-
1999
- 1999-03-29 JP JP08629799A patent/JP3522146B2/en not_active Expired - Fee Related
Patent Citations (3)
| Publication number | Priority date | Publication date | Assignee | Title |
|---|---|---|---|---|
| US5647058A (en) | 1993-05-24 | 1997-07-08 | International Business Machines Corporation | Method for high-dimensionality indexing in a multi-media database |
| US5893095A (en) * | 1996-03-29 | 1999-04-06 | Virage, Inc. | Similarity engine for content-based retrieval of images |
| US5852823A (en) * | 1996-10-16 | 1998-12-22 | Microsoft | Image classification and retrieval system using a query-by-example paradigm |
Non-Patent Citations (13)
| Title |
|---|
| "12Cnet: Content-based Similarity Search in Geographically Distributed Repositories of Medical Images," Orphanoudakis et al., Computerized Mediacl Imaging and Graphics, vol. 20, No. 4, pp. 193-207, Jul. 1996.* |
| "A Flexible Image Retrival Using Explicit Visual Instruction," Kanahara et al., Proceedings of the 1995 Third Int'l Conference on Document Analysis and recognition, vol. 1, Aug. 1995, IEEE, pp. 175-178.* |
| "Geographical Image Classificationand Retrieval," Shiekholeslami et al., Proceedings of the 5th International Workshop on Advances in geographic Information, pp. 58-61, Nov. 1997.* |
| "Region-Based Image Querying," Carson et al., Proceedings of the IEEE 1997 Workshop on Content-Based Access of Imag and Video Libraries, pp. 42-49, Jun. 1997.* |
| "SaFe: A Genarl Framework for Integrated Spatial and Feature Image Search," IEEE First Workshop on Multimedia Processing, Jun. 1997, pp. 301-306.* |
| "Visually Searching the Web for Content," Smith et al., IEEE Multimedia, vol. 4, No. 3, pp. 12-20, Jul. 1997.* |
| Jeffrey R. Bach, et al., "The Virage Image Searching Engine: An open framework for image management" Proceedings of SPIE-The International Society for Optical Engineering: Storage and Retrieval for Still Image and Video Databases IV, pp. 76-87, Feb., 1996. |
| Kyoji Hirata, et al., "Content-oriented Integration in Hypermedia Systems" ACM Hypertext '96, pp. 11-26, Mar., 1996. |
| Kyoji Hirata, et al., "Media-based Navigation for Hypemedia Systems" ACM Hypertext'93, pp. 159-173, Nov., 1993. |
| Kyoji Hirata, et al., "Object-based Navigation: An Intuitive Navigation Style for Content-oriented Integration Environment" ACM Hypertext'97, pp. 75-86, Apr., 1997. |
| Microsoft Press Computer Dictionary, Second edition, 1994, p. 326, Dec. 1994.* |
| Myron Flickner, et al., "Query by Image and Video Content: The QBIC(TM) System" IEEE Computer, 28(9):23-31, Sep., 1995. |
| Myron Flickner, et al., "Query by Image and Video Content: The QBIC™ System" IEEE Computer, 28(9):23-31, Sep., 1995. |
Cited By (204)
| Publication number | Priority date | Publication date | Assignee | Title |
|---|---|---|---|---|
| US6405198B1 (en) * | 1998-09-04 | 2002-06-11 | International Business Machines Corporation | Complex data query support in a partitioned database system |
| US6823335B2 (en) | 1998-10-05 | 2004-11-23 | Canon Kabushiki Kaisha | Information search apparatus and method, and storage medium |
| US6564206B1 (en) * | 1998-10-05 | 2003-05-13 | Canon Kabushiki Kaisha | Information search apparatus and method, and storage medium |
| US20030187836A1 (en) * | 1998-10-05 | 2003-10-02 | Canon Kabushiki Kaisha | Information search apparatus and method, and storage medium |
| US6512850B2 (en) * | 1998-12-09 | 2003-01-28 | International Business Machines Corporation | Method of and apparatus for identifying subsets of interrelated image objects from a set of image objects |
| US7194127B2 (en) | 1999-04-20 | 2007-03-20 | Microsoft Corporation | Method and system for searching for images based on color and shape of a selected image |
| US6944332B1 (en) | 1999-04-20 | 2005-09-13 | Microsoft Corporation | Method and system for searching for images based on color and shape of a selected image |
| US20050265635A1 (en) * | 1999-04-20 | 2005-12-01 | Microsoft Corporation | Method and system for searching for images based on color and shape of a selected image |
| US6477269B1 (en) * | 1999-04-20 | 2002-11-05 | Microsoft Corporation | Method and system for searching for images based on color and shape of a selected image |
| US6606417B1 (en) | 1999-04-20 | 2003-08-12 | Microsoft Corporation | Method and system for searching for images based on color and shape of a selected image |
| US7023446B1 (en) * | 1999-04-28 | 2006-04-04 | Ricoh Company, Ltd. | Presentation of images resembling each other |
| US20030231806A1 (en) * | 1999-07-30 | 2003-12-18 | Vlad Troyanker | Perceptual similarity image retrieval |
| US7031555B2 (en) | 1999-07-30 | 2006-04-18 | Pixlogic Llc | Perceptual similarity image retrieval |
| US8775451B2 (en) | 1999-08-09 | 2014-07-08 | Almen Laboratories, Inc. | Object based image retrieval |
| US6941323B1 (en) * | 1999-08-09 | 2005-09-06 | Almen Laboratories, Inc. | System and method for image comparison and retrieval by enhancing, defining, and parameterizing objects in images |
| US7483919B2 (en) * | 1999-08-09 | 2009-01-27 | Almen Laboratories | Object based image retrieval |
| US20050149360A1 (en) * | 1999-08-09 | 2005-07-07 | Michael Galperin | Object based image retrieval |
| US6751363B1 (en) * | 1999-08-10 | 2004-06-15 | Lucent Technologies Inc. | Methods of imaging based on wavelet retrieval of scenes |
| US9405753B2 (en) | 2000-01-24 | 2016-08-02 | George Aposporos | Dynamic ratings-based streaming media playback system |
| US6721741B1 (en) | 2000-01-24 | 2004-04-13 | Friskit, Inc. | Streaming media search system |
| US7281034B1 (en) | 2000-01-24 | 2007-10-09 | Friskit, Inc. | System and method for media playback over a network using links that contain control signals and commands |
| US10318647B2 (en) | 2000-01-24 | 2019-06-11 | Bluebonnet Internet Media Services, Llc | User input-based play-list generation and streaming media playback system |
| US6519648B1 (en) | 2000-01-24 | 2003-02-11 | Friskit, Inc. | Streaming media search and continuous playback of multiple media resources located on a network |
| US9779095B2 (en) | 2000-01-24 | 2017-10-03 | George Aposporos | User input-based play-list generation and playback system |
| US9547650B2 (en) | 2000-01-24 | 2017-01-17 | George Aposporos | System for sharing and rating streaming media playlists |
| US20040199657A1 (en) * | 2000-01-24 | 2004-10-07 | Aviv Eyal | Streaming media search and playback system |
| US6725275B2 (en) | 2000-01-24 | 2004-04-20 | Friskit, Inc. | Streaming media search and continuous playback of multiple media resources located on a network |
| US6389467B1 (en) | 2000-01-24 | 2002-05-14 | Friskit, Inc. | Streaming media search and continuous playback system of media resources located by multiple network addresses |
| US6735628B2 (en) | 2000-01-24 | 2004-05-11 | Friskit, Inc. | Media search and continuous playback of multiple media resources distributed on a network |
| US7469283B2 (en) | 2000-01-24 | 2008-12-23 | Friskit, Inc. | Streaming media search and playback system |
| US20040167890A1 (en) * | 2000-01-24 | 2004-08-26 | Aviv Eyal | System and method for media search and playback |
| US6484199B2 (en) | 2000-01-24 | 2002-11-19 | Friskit Inc. | Streaming media search and playback system for continuous playback of media resources through a network |
| US7228305B1 (en) | 2000-01-24 | 2007-06-05 | Friskit, Inc. | Rating system for streaming media playback system |
| US8229931B2 (en) | 2000-01-31 | 2012-07-24 | Adobe Systems Incorporated | Digital media management apparatus and methods |
| US20080306921A1 (en) * | 2000-01-31 | 2008-12-11 | Kenneth Rothmuller | Digital Media Management Apparatus and Methods |
| US7415662B2 (en) * | 2000-01-31 | 2008-08-19 | Adobe Systems Incorporated | Digital media management apparatus and methods |
| US20030033296A1 (en) * | 2000-01-31 | 2003-02-13 | Kenneth Rothmuller | Digital media management apparatus and methods |
| US7010537B2 (en) | 2000-04-27 | 2006-03-07 | Friskit, Inc. | Method and system for visual network searching |
| US20060031240A1 (en) * | 2000-04-27 | 2006-02-09 | Aviv Eyal | Method and system for visual network searching |
| US20020023084A1 (en) * | 2000-04-27 | 2002-02-21 | Aviv Eyal | Method and system for visual network searching |
| US20020009286A1 (en) * | 2000-06-10 | 2002-01-24 | Nec Corporation | Image retrieving apparatus, image retrieving method and recording medium for recording program to implement the image retrieving method |
| US7248782B2 (en) * | 2000-10-06 | 2007-07-24 | Nec Corporation | Image retrieving apparatus, image retrieving method and recording medium for recording program to implement the image retrieving method |
| US7552139B2 (en) * | 2001-03-19 | 2009-06-23 | Xerox Corporation | Represented object groups |
| US20020184229A1 (en) * | 2001-04-20 | 2002-12-05 | Mitsubishi Electric Research Laboratories, Inc. | Content-based visualization and user-modeling for interactive browsing and retrieval in multimedia databases |
| US6792434B2 (en) * | 2001-04-20 | 2004-09-14 | Mitsubishi Electric Research Laboratories, Inc. | Content-based visualization and user-modeling for interactive browsing and retrieval in multimedia databases |
| US6804684B2 (en) * | 2001-05-07 | 2004-10-12 | Eastman Kodak Company | Method for associating semantic information with multiple images in an image database environment |
| US20020188602A1 (en) * | 2001-05-07 | 2002-12-12 | Eastman Kodak Company | Method for associating semantic information with multiple images in an image database environment |
| US7962482B2 (en) | 2001-05-16 | 2011-06-14 | Pandora Media, Inc. | Methods and systems for utilizing contextual feedback to generate and modify playlists |
| US7003515B1 (en) * | 2001-05-16 | 2006-02-21 | Pandora Media, Inc. | Consumer item matching method and system |
| US20060212444A1 (en) * | 2001-05-16 | 2006-09-21 | Pandora Media, Inc. | Methods and systems for utilizing contextual feedback to generate and modify playlists |
| US20060206478A1 (en) * | 2001-05-16 | 2006-09-14 | Pandora Media, Inc. | Playlist generating methods |
| US8306976B2 (en) | 2001-05-16 | 2012-11-06 | Pandora Media, Inc. | Methods and systems for utilizing contextual feedback to generate and modify playlists |
| US7921111B1 (en) | 2001-05-17 | 2011-04-05 | Fotiva, Inc. | Digital media organization and access |
| US8010548B1 (en) | 2001-05-17 | 2011-08-30 | Fotiva, Inc. | Digital media organization and access |
| US7206779B2 (en) * | 2001-06-15 | 2007-04-17 | Olympus Corporation | Method and apparatus for retrieving similar objects |
| US20020191016A1 (en) * | 2001-06-15 | 2002-12-19 | Olympus Optical Co., Ltd. | Method and apparatus for retrieving similar objects |
| US20030093437A1 (en) * | 2001-07-16 | 2003-05-15 | Ullas Gargi | Hierarchical image feature-based visualization |
| US7425963B2 (en) * | 2001-07-16 | 2008-09-16 | Hewlett-Packard Development Company, L.P. | Hierarchical image feature-based visualization |
| US20030081145A1 (en) * | 2001-10-30 | 2003-05-01 | Seaman Mark D. | Systems and methods for generating digital images having image meta-data combined with the image data |
| US7929808B2 (en) * | 2001-10-30 | 2011-04-19 | Hewlett-Packard Development Company, L.P. | Systems and methods for generating digital images having image meta-data combined with the image data |
| US7130864B2 (en) | 2001-10-31 | 2006-10-31 | Hewlett-Packard Development Company, L.P. | Method and system for accessing a collection of images in a database |
| US20030084065A1 (en) * | 2001-10-31 | 2003-05-01 | Qian Lin | Method and system for accessing a collection of images in a database |
| US20030123737A1 (en) * | 2001-12-27 | 2003-07-03 | Aleksandra Mojsilovic | Perceptual method for browsing, searching, querying and visualizing collections of digital images |
| US7167574B2 (en) | 2002-03-14 | 2007-01-23 | Seiko Epson Corporation | Method and apparatus for content-based image copy detection |
| US20030174859A1 (en) * | 2002-03-14 | 2003-09-18 | Changick Kim | Method and apparatus for content-based image copy detection |
| US20030190090A1 (en) * | 2002-04-09 | 2003-10-09 | Beeman Edward S. | System and method for digital-image enhancement |
| US7043474B2 (en) * | 2002-04-15 | 2006-05-09 | International Business Machines Corporation | System and method for measuring image similarity based on semantic meaning |
| US20030195883A1 (en) * | 2002-04-15 | 2003-10-16 | International Business Machines Corporation | System and method for measuring image similarity based on semantic meaning |
| US20040002962A1 (en) * | 2002-06-27 | 2004-01-01 | International Business Machines Corporation | Iconic representation of linked site characteristics |
| US6983273B2 (en) | 2002-06-27 | 2006-01-03 | International Business Machines Corporation | Iconic representation of linked site characteristics |
| US20040042663A1 (en) * | 2002-08-28 | 2004-03-04 | Fuji Photo Film Co., Ltd. | Method, apparatus, and program for similarity judgment |
| US20040086203A1 (en) * | 2002-10-23 | 2004-05-06 | Olympus Corporation | Database registration system and database registration method |
| US20130104191A1 (en) * | 2002-10-30 | 2013-04-25 | Portauthority Technologies Inc. | Method and system for managing confidential information |
| US20040179735A1 (en) * | 2003-03-13 | 2004-09-16 | Aruna Kumar | Method and apparatus for characterizing objects within an image |
| US20040210575A1 (en) * | 2003-04-18 | 2004-10-21 | Bean Douglas M. | Systems and methods for eliminating duplicate documents |
| US20040258397A1 (en) * | 2003-06-23 | 2004-12-23 | Changick Kim | Method and apparatus for video copy detection |
| US7532804B2 (en) | 2003-06-23 | 2009-05-12 | Seiko Epson Corporation | Method and apparatus for video copy detection |
| US20050105798A1 (en) * | 2003-09-25 | 2005-05-19 | Canon Research Center France | Method and device for verifying multimedia entities and in particular for verifying digital images |
| US7636733B1 (en) | 2003-10-03 | 2009-12-22 | Adobe Systems Incorporated | Time-based image management |
| US20100199205A1 (en) * | 2003-10-14 | 2010-08-05 | Microsoft Corporation | System and process for presenting search results in a histogram/cluster format |
| US7698657B2 (en) * | 2003-10-14 | 2010-04-13 | Microsoft Corporation | System and process for presenting search results in a histogram/cluster format |
| US8214764B2 (en) * | 2003-10-14 | 2012-07-03 | Microsoft Corporation | System and process for presenting search results in a histogram/cluster format |
| US20080059899A1 (en) * | 2003-10-14 | 2008-03-06 | Microsoft Corporation | System and process for presenting search results in a histogram/cluster format |
| US20230281241A1 (en) * | 2004-02-12 | 2023-09-07 | Intellectual Ventures I Llc | Method and apparatus for photograph finding |
| US20050185862A1 (en) * | 2004-02-20 | 2005-08-25 | Fujit Photo Film Co., Ltd. | Digital pictorial book system, a pictorial book searching method, and a machine readable medium storing thereon a pictorial book searching program |
| US7639899B2 (en) * | 2004-02-20 | 2009-12-29 | Fujifilm Corporation | Digital pictorial book system, a pictorial book searching method, and a machine readable medium storing thereon a pictorial book searching program |
| US7711210B2 (en) * | 2004-03-26 | 2010-05-04 | Seiko Epson Corporation | Selection of images for image processing |
| US20050234719A1 (en) * | 2004-03-26 | 2005-10-20 | Tatsuya Hosoda | Selection of images for image processing |
| US8732165B1 (en) * | 2004-06-21 | 2014-05-20 | Google Inc. | Automatic determination of whether a document includes an image gallery |
| US8312012B1 (en) * | 2004-06-21 | 2012-11-13 | Google Inc. | Automatic determination of whether a document includes an image gallery |
| US7788258B1 (en) * | 2004-06-21 | 2010-08-31 | Google Inc. | Automatic determination of whether a document includes an image gallery |
| US20080104032A1 (en) * | 2004-09-29 | 2008-05-01 | Sarkar Pte Ltd. | Method and System for Organizing Items |
| US7877382B1 (en) * | 2004-12-31 | 2011-01-25 | Google, Inc. | System and methods for detecting images distracting to a user |
| US20060182368A1 (en) * | 2005-01-21 | 2006-08-17 | Changick Kim | Efficient and robust algorithm for video sequence matching |
| US7486827B2 (en) | 2005-01-21 | 2009-02-03 | Seiko Epson Corporation | Efficient and robust algorithm for video sequence matching |
| EP1755067A1 (en) * | 2005-08-15 | 2007-02-21 | Mitsubishi Electric Information Technology Centre Europe B.V. | Mutual-rank similarity-space for navigating, visualising and clustering in image databases |
| JP2009509215A (en) * | 2005-08-15 | 2009-03-05 | ミツビシ・エレクトリック・インフォメイション・テクノロジー・センター・ヨーロッパ・ビーヴィ | Mutual rank similarity space for navigation, visualization, and clustering in image databases |
| WO2007020423A3 (en) * | 2005-08-15 | 2007-05-03 | Mitsubishi Electric Inf Tech | Mutual-rank similarity-space for navigating, visualising and clustering in image databases |
| US20090150376A1 (en) * | 2005-08-15 | 2009-06-11 | Mitsubishi Denki Kabushiki Kaisha | Mutual-Rank Similarity-Space for Navigating, Visualising and Clustering in Image Databases |
| US9881229B2 (en) | 2005-09-30 | 2018-01-30 | Facebook, Inc. | Apparatus, method and program for image search |
| US10810454B2 (en) | 2005-09-30 | 2020-10-20 | Facebook, Inc. | Apparatus, method and program for image search |
| US20130101218A1 (en) * | 2005-09-30 | 2013-04-25 | Fujifilm Corporation | Apparatus, method and program for image search |
| US9245195B2 (en) * | 2005-09-30 | 2016-01-26 | Facebook, Inc. | Apparatus, method and program for image search |
| US9009086B2 (en) | 2005-10-26 | 2015-04-14 | Cortica, Ltd. | Method for unsupervised clustering of multimedia data using a large-scale matching system |
| US10585934B2 (en) | 2005-10-26 | 2020-03-10 | Cortica Ltd. | Method and system for populating a concept database with respect to user identifiers |
| US11620327B2 (en) | 2005-10-26 | 2023-04-04 | Cortica Ltd | System and method for determining a contextual insight and generating an interface with recommendations based thereon |
| US11604847B2 (en) | 2005-10-26 | 2023-03-14 | Cortica Ltd. | System and method for overlaying content on a multimedia content element based on user interest |
| US11403336B2 (en) | 2005-10-26 | 2022-08-02 | Cortica Ltd. | System and method for removing contextually identical multimedia content elements |
| US11361014B2 (en) | 2005-10-26 | 2022-06-14 | Cortica Ltd. | System and method for completing a user profile |
| US20100262609A1 (en) * | 2005-10-26 | 2010-10-14 | Cortica, Ltd. | System and method for linking multimedia data elements to web pages |
| US8266185B2 (en) | 2005-10-26 | 2012-09-11 | Cortica Ltd. | System and methods thereof for generation of searchable structures respective of multimedia data content |
| US11216498B2 (en) | 2005-10-26 | 2022-01-04 | Cortica, Ltd. | System and method for generating signatures to three-dimensional multimedia data elements |
| US8312031B2 (en) | 2005-10-26 | 2012-11-13 | Cortica Ltd. | System and method for generation of complex signatures for multimedia data content |
| US11032017B2 (en) | 2005-10-26 | 2021-06-08 | Cortica, Ltd. | System and method for identifying the context of multimedia content elements |
| US11003706B2 (en) | 2005-10-26 | 2021-05-11 | Cortica Ltd | System and methods for determining access permissions on personalized clusters of multimedia content elements |
| US8386400B2 (en) | 2005-10-26 | 2013-02-26 | Cortica Ltd. | Unsupervised clustering of multimedia data using a large-scale matching system |
| US10848590B2 (en) | 2005-10-26 | 2020-11-24 | Cortica Ltd | System and method for determining a contextual insight and providing recommendations based thereon |
| US10831814B2 (en) | 2005-10-26 | 2020-11-10 | Cortica, Ltd. | System and method for linking multimedia data elements to web pages |
| US10706094B2 (en) | 2005-10-26 | 2020-07-07 | Cortica Ltd | System and method for customizing a display of a user device based on multimedia content element signatures |
| US10698939B2 (en) | 2005-10-26 | 2020-06-30 | Cortica Ltd | System and method for customizing images |
| US10691642B2 (en) | 2005-10-26 | 2020-06-23 | Cortica Ltd | System and method for enriching a concept database with homogenous concepts |
| US10635640B2 (en) | 2005-10-26 | 2020-04-28 | Cortica, Ltd. | System and method for enriching a concept database |
| US10621988B2 (en) | 2005-10-26 | 2020-04-14 | Cortica Ltd | System and method for speech to text translation using cores of a natural liquid architecture system |
| US10614626B2 (en) | 2005-10-26 | 2020-04-07 | Cortica Ltd. | System and method for providing augmented reality challenges |
| US10552380B2 (en) | 2005-10-26 | 2020-02-04 | Cortica Ltd | System and method for contextually enriching a concept database |
| US10535192B2 (en) | 2005-10-26 | 2020-01-14 | Cortica Ltd. | System and method for generating a customized augmented reality environment to a user |
| US10430386B2 (en) | 2005-10-26 | 2019-10-01 | Cortica Ltd | System and method for enriching a concept database |
| US10380623B2 (en) | 2005-10-26 | 2019-08-13 | Cortica, Ltd. | System and method for generating an advertisement effectiveness performance score |
| US10380267B2 (en) | 2005-10-26 | 2019-08-13 | Cortica, Ltd. | System and method for tagging multimedia content elements |
| US20090313305A1 (en) * | 2005-10-26 | 2009-12-17 | Cortica, Ltd. | System and Method for Generation of Complex Signatures for Multimedia Data Content |
| US8799196B2 (en) | 2005-10-26 | 2014-08-05 | Cortica, Ltd. | Method for reducing an amount of storage required for maintaining large-scale collection of multimedia data elements by unsupervised clustering of multimedia data elements |
| US8799195B2 (en) | 2005-10-26 | 2014-08-05 | Cortica, Ltd. | Method for unsupervised clustering of multimedia data using a large-scale matching system |
| US10360253B2 (en) | 2005-10-26 | 2019-07-23 | Cortica, Ltd. | Systems and methods for generation of searchable structures respective of multimedia data content |
| US8818916B2 (en) | 2005-10-26 | 2014-08-26 | Cortica, Ltd. | System and method for linking multimedia data elements to web pages |
| US8868619B2 (en) | 2005-10-26 | 2014-10-21 | Cortica, Ltd. | System and methods thereof for generation of searchable structures respective of multimedia data content |
| US10210257B2 (en) | 2005-10-26 | 2019-02-19 | Cortica, Ltd. | Apparatus and method for determining user attention using a deep-content-classification (DCC) system |
| US20090282218A1 (en) * | 2005-10-26 | 2009-11-12 | Cortica, Ltd. | Unsupervised Clustering of Multimedia Data Using a Large-Scale Matching System |
| US9031999B2 (en) | 2005-10-26 | 2015-05-12 | Cortica, Ltd. | System and methods for generation of a concept based database |
| US9104747B2 (en) | 2005-10-26 | 2015-08-11 | Cortica, Ltd. | System and method for signature-based unsupervised clustering of data elements |
| US10193990B2 (en) | 2005-10-26 | 2019-01-29 | Cortica Ltd. | System and method for creating user profiles based on multimedia content |
| US10191976B2 (en) | 2005-10-26 | 2019-01-29 | Cortica, Ltd. | System and method of detecting common patterns within unstructured data elements retrieved from big data sources |
| US9256668B2 (en) | 2005-10-26 | 2016-02-09 | Cortica, Ltd. | System and method of detecting common patterns within unstructured data elements retrieved from big data sources |
| US10180942B2 (en) | 2005-10-26 | 2019-01-15 | Cortica Ltd. | System and method for generation of concept structures based on sub-concepts |
| US9372940B2 (en) | 2005-10-26 | 2016-06-21 | Cortica, Ltd. | Apparatus and method for determining user attention using a deep-content-classification (DCC) system |
| US9396435B2 (en) | 2005-10-26 | 2016-07-19 | Cortica, Ltd. | System and method for identification of deviations from periodic behavior patterns in multimedia content |
| US20090112864A1 (en) * | 2005-10-26 | 2009-04-30 | Cortica, Ltd. | Methods for Identifying Relevant Metadata for Multimedia Data of a Large-Scale Matching System |
| US9449001B2 (en) | 2005-10-26 | 2016-09-20 | Cortica, Ltd. | System and method for generation of signatures for multimedia data elements |
| US9466068B2 (en) | 2005-10-26 | 2016-10-11 | Cortica, Ltd. | System and method for determining a pupillary response to a multimedia data element |
| US9477658B2 (en) | 2005-10-26 | 2016-10-25 | Cortica, Ltd. | Systems and method for speech to speech translation using cores of a natural liquid architecture system |
| US9529984B2 (en) | 2005-10-26 | 2016-12-27 | Cortica, Ltd. | System and method for verification of user identification based on multimedia content elements |
| US9953032B2 (en) | 2005-10-26 | 2018-04-24 | Cortica, Ltd. | System and method for characterization of multimedia content signals using cores of a natural liquid architecture system |
| US9558449B2 (en) | 2005-10-26 | 2017-01-31 | Cortica, Ltd. | System and method for identifying a target area in a multimedia content element |
| US9575969B2 (en) | 2005-10-26 | 2017-02-21 | Cortica, Ltd. | Systems and methods for generation of searchable structures respective of multimedia data content |
| US9940326B2 (en) | 2005-10-26 | 2018-04-10 | Cortica, Ltd. | System and method for speech to speech translation using cores of a natural liquid architecture system |
| US9886437B2 (en) | 2005-10-26 | 2018-02-06 | Cortica, Ltd. | System and method for generation of signatures for multimedia data elements |
| US9672217B2 (en) | 2005-10-26 | 2017-06-06 | Cortica, Ltd. | System and methods for generation of a concept based database |
| US9747420B2 (en) | 2005-10-26 | 2017-08-29 | Cortica, Ltd. | System and method for diagnosing a patient based on an analysis of multimedia content |
| US9767143B2 (en) | 2005-10-26 | 2017-09-19 | Cortica, Ltd. | System and method for caching of concept structures |
| US9798795B2 (en) | 2005-10-26 | 2017-10-24 | Cortica, Ltd. | Methods for identifying relevant metadata for multimedia data of a large-scale matching system |
| US20070112852A1 (en) * | 2005-11-07 | 2007-05-17 | Nokia Corporation | Methods for characterizing content item groups |
| US10324899B2 (en) * | 2005-11-07 | 2019-06-18 | Nokia Technologies Oy | Methods for characterizing content item groups |
| US11281712B2 (en) | 2006-02-01 | 2022-03-22 | Sony Group Corporation | System, apparatus, method, program and recording medium for processing image |
| US9805064B2 (en) * | 2006-02-01 | 2017-10-31 | Sony Corporation | System, apparatus, method, program and recording medium for processing image |
| US10579669B2 (en) | 2006-02-01 | 2020-03-03 | Sony Corporation | System, apparatus, method, program and recording medium for processing image |
| US20170083543A1 (en) * | 2006-02-01 | 2017-03-23 | Sony Corporation | System, apparatus, method, program and recording medium for processing image |
| US9965493B2 (en) | 2006-02-01 | 2018-05-08 | Sony Corporation | System, apparatus, method, program and recording medium for processing image |
| US10289698B2 (en) | 2006-02-01 | 2019-05-14 | Sony Corporation | System, apparatus, method, program and recording medium for processing image |
| US20070260639A1 (en) * | 2006-05-03 | 2007-11-08 | Tobin Kenneth W | Method for the reduction of image content redundancy in large image libraries |
| US7672976B2 (en) * | 2006-05-03 | 2010-03-02 | Ut-Battelle, Llc | Method for the reduction of image content redundancy in large image databases |
| US7903882B2 (en) * | 2006-05-09 | 2011-03-08 | Seiko Epson Corporation | Image management device |
| US20070269140A1 (en) * | 2006-05-09 | 2007-11-22 | Seiko Epson Corporation | Image management device |
| US8140530B2 (en) * | 2006-08-03 | 2012-03-20 | Nec Corporation | Similarity calculation device and information search device |
| US20090319513A1 (en) * | 2006-08-03 | 2009-12-24 | Nec Corporation | Similarity calculation device and information search device |
| US10733326B2 (en) | 2006-10-26 | 2020-08-04 | Cortica Ltd. | System and method for identification of inappropriate multimedia content |
| US9230151B2 (en) * | 2007-05-15 | 2016-01-05 | Samsung Electronics Co., Ltd. | Method, apparatus, and system for searching for image and image-related information using a fingerprint of a captured image |
| US20080285890A1 (en) * | 2007-05-15 | 2008-11-20 | Samsung Electronics Co., Ltd. | Method, apparatus, and system for searching for image and image-related information |
| EP2165313A4 (en) * | 2007-06-05 | 2012-01-04 | Microsoft Corp | LEARNING OBJECT SECTION FROM A SINGLE EXAMPLE |
| US8644600B2 (en) | 2007-06-05 | 2014-02-04 | Microsoft Corporation | Learning object cutout from a single example |
| US20080304735A1 (en) * | 2007-06-05 | 2008-12-11 | Microsoft Corporation | Learning object cutout from a single example |
| US20090082637A1 (en) * | 2007-09-21 | 2009-03-26 | Michael Galperin | Multi-modality fusion classifier with integrated non-imaging factors |
| US8620037B2 (en) * | 2007-11-01 | 2013-12-31 | Hitachi, Ltd. | Human image retrieval system |
| US20120294531A1 (en) * | 2007-11-01 | 2012-11-22 | Daisuke Matsubara | Human image retrieval system |
| US8150098B2 (en) * | 2007-12-20 | 2012-04-03 | Eastman Kodak Company | Grouping images by location |
| US20090161962A1 (en) * | 2007-12-20 | 2009-06-25 | Gallagher Andrew C | Grouping images by location |
| US8521731B2 (en) * | 2008-07-09 | 2013-08-27 | Yahoo! Inc. | Systems and methods for query expansion in sponsored search |
| US20100010959A1 (en) * | 2008-07-09 | 2010-01-14 | Broder Andrei Z | Systems and methods for query expansion in sponsored search |
| US20100070527A1 (en) * | 2008-09-18 | 2010-03-18 | Tianlong Chen | System and method for managing video, image and activity data |
| US8558850B2 (en) * | 2008-10-02 | 2013-10-15 | Blue Marble Group, Inc. | Coordinate system recovery tool and method |
| US20100085381A1 (en) * | 2008-10-02 | 2010-04-08 | Blue Marble Group, Inc. | Coordinate system recovery tool and method |
| US8583656B1 (en) | 2009-04-23 | 2013-11-12 | Google Inc. | Fast covariance matrix generation |
| US8611695B1 (en) | 2009-04-27 | 2013-12-17 | Google Inc. | Large scale patch search |
| US8571349B1 (en) * | 2009-04-27 | 2013-10-29 | Google Inc | Image enhancement through discrete patch optimization |
| US8867859B1 (en) | 2009-04-28 | 2014-10-21 | Google Inc. | Illumination estimation for images |
| US8660370B1 (en) | 2009-04-30 | 2014-02-25 | Google Inc. | Principal component analysis based seed generation for clustering analysis |
| US8775417B2 (en) * | 2009-08-11 | 2014-07-08 | Someones Group Intellectual Property Holdings Pty Ltd Acn 131 335 325 | Method, system and controller for searching a database |
| US20120143857A1 (en) * | 2009-08-11 | 2012-06-07 | Someones Group Intellectual Property Holdings Pty Ltd | Method, system and controller for searching a database |
| US8751527B1 (en) | 2010-10-11 | 2014-06-10 | Paul Riggio | Information retrieval system |
| US8798393B2 (en) | 2010-12-01 | 2014-08-05 | Google Inc. | Removing illumination variation from images |
| US11204957B2 (en) * | 2014-02-19 | 2021-12-21 | International Business Machines Corporation | Multi-image input and sequenced output based image search |
| CN105678297A (en) * | 2015-12-29 | 2016-06-15 | 南京大学 | Portrait semantic analysis method and system based on label transfer and LSTM model |
| JP2017054552A (en) * | 2016-12-16 | 2017-03-16 | オリンパス株式会社 | Image retrieval device, image display device, image retrieval method, and image display method |
| US10789288B1 (en) * | 2018-05-17 | 2020-09-29 | Shutterstock, Inc. | Relational model based natural language querying to identify object relationships in scene |
| US11314800B2 (en) * | 2019-01-30 | 2022-04-26 | Beijing Baidu Netcom Science And Technology Co., Ltd. | Method, apparatus, electronic device, and storage medium for image-based data processing |
| US11386143B2 (en) | 2019-08-30 | 2022-07-12 | International Business Machines Corporation | Searching for analogue subsurface structures based on topological knowledge representation (TKR) |
Also Published As
| Publication number | Publication date |
|---|---|
| JPH11316846A (en) | 1999-11-16 |
| JP3522146B2 (en) | 2004-04-26 |
Similar Documents
| Publication | Publication Date | Title |
|---|---|---|
| US6240423B1 (en) | Method and system for image querying using region based and boundary based image matching | |
| US7478091B2 (en) | System and method for measuring image similarity based on semantic meaning | |
| US6804684B2 (en) | Method for associating semantic information with multiple images in an image database environment | |
| US8027549B2 (en) | System and method for searching a multimedia database using a pictorial language | |
| US9424277B2 (en) | Methods and apparatus for automated true object-based image analysis and retrieval | |
| US20030123737A1 (en) | Perceptual method for browsing, searching, querying and visualizing collections of digital images | |
| Sheikholeslami et al. | Semantic clustering and querying on heterogeneous features for visual data | |
| CN101996191B (en) | Method and system for searching for two-dimensional cross-media element | |
| US20020168117A1 (en) | Image search method and apparatus | |
| JPH11328228A (en) | Retrieved result fining method and device | |
| Ciocca et al. | Quicklook2: An integrated multimedia system | |
| Ahmed et al. | A study on different image retrieval techniques in image processing | |
| Oussalah | Content based image retrieval: review of state of art and future directions | |
| Khotanzad et al. | Color image retrieval using multispectral random field texture model and color content features | |
| Celentano et al. | FFT-based technique for image-signature generation | |
| Rudinac et al. | Comparison of cbir systems with different number of feature vector components | |
| Kim et al. | A new region filtering and region weighting approach to relevance feedback in content-based image retrieval | |
| Azodinia et al. | A Novel combinational relevance feedback based method for content-based image retrieval | |
| Hermes et al. | Graphical search for images by PictureFinder | |
| KR100718586B1 (en) | Complex Estimation Method for Selecting Heterogeneous Image Databases on the Web and Retrieval System Using the Same | |
| Luth et al. | Syntactical and semantical description of video sequences | |
| Furht et al. | Content-based image retrieval | |
| Al-Oraiqat et al. | A modified image comparison algorithm using histogram features | |
| Hernandez et al. | An image retrieval system using multispectral random field models, color, and geometric features | |
| Patel et al. | Content Based Image Retrieval |
Legal Events
| Date | Code | Title | Description |
|---|---|---|---|
| AS | Assignment |
Owner name: NEC USA, INC., NEW JERSEY Free format text: ASSIGNMENT OF ASSIGNORS INTEREST;ASSIGNOR:HIRATA, KYOGI;REEL/FRAME:009144/0561 Effective date: 19980414 |
|
| AS | Assignment |
Owner name: NEC USA, INC., NEW JERSEY Free format text: RE-RECORD TO CORRECT ERROR IN INVENTORS NAME RECORDED AT REEL 9144, FRAME 0561.;ASSIGNOR:HIRATA, KYOJI;REEL/FRAME:009345/0562 Effective date: 19980414 |
|
| FEPP | Fee payment procedure |
Free format text: PAYOR NUMBER ASSIGNED (ORIGINAL EVENT CODE: ASPN); ENTITY STATUS OF PATENT OWNER: LARGE ENTITY |
|
| STCF | Information on status: patent grant |
Free format text: PATENTED CASE |
|
| AS | Assignment |
Owner name: NEC CORPORATION, JAPAN Free format text: ASSIGNMENT OF ASSIGNORS INTEREST;ASSIGNOR:NEC USA, INC.;REEL/FRAME:012745/0760 Effective date: 20020325 |
|
| FPAY | Fee payment |
Year of fee payment: 4 |
|
| FPAY | Fee payment |
Year of fee payment: 8 |
|
| FPAY | Fee payment |
Year of fee payment: 12 |





