US20230270111A1 - Pyrrolidinones herbicides - Google Patents
Pyrrolidinones herbicides Download PDFInfo
- Publication number
- US20230270111A1 US20230270111A1 US18/159,265 US202318159265A US2023270111A1 US 20230270111 A1 US20230270111 A1 US 20230270111A1 US 202318159265 A US202318159265 A US 202318159265A US 2023270111 A1 US2023270111 A1 US 2023270111A1
- Authority
- US
- United States
- Prior art keywords
- ocf
- tms
- ochf
- ome
- formula
- Prior art date
- Legal status (The legal status is an assumption and is not a legal conclusion. Google has not performed a legal analysis and makes no representation as to the accuracy of the status listed.)
- Pending
Links
Classifications
-
- A—HUMAN NECESSITIES
- A01—AGRICULTURE; FORESTRY; ANIMAL HUSBANDRY; HUNTING; TRAPPING; FISHING
- A01N—PRESERVATION OF BODIES OF HUMANS OR ANIMALS OR PLANTS OR PARTS THEREOF; BIOCIDES, e.g. AS DISINFECTANTS, AS PESTICIDES OR AS HERBICIDES; PEST REPELLANTS OR ATTRACTANTS; PLANT GROWTH REGULATORS
- A01N43/00—Biocides, pest repellants or attractants, or plant growth regulators containing heterocyclic compounds
- A01N43/34—Biocides, pest repellants or attractants, or plant growth regulators containing heterocyclic compounds having rings with one nitrogen atom as the only ring hetero atom
- A01N43/36—Biocides, pest repellants or attractants, or plant growth regulators containing heterocyclic compounds having rings with one nitrogen atom as the only ring hetero atom five-membered rings
-
- C—CHEMISTRY; METALLURGY
- C07—ORGANIC CHEMISTRY
- C07D—HETEROCYCLIC COMPOUNDS
- C07D207/00—Heterocyclic compounds containing five-membered rings not condensed with other rings, with one nitrogen atom as the only ring hetero atom
- C07D207/02—Heterocyclic compounds containing five-membered rings not condensed with other rings, with one nitrogen atom as the only ring hetero atom with only hydrogen or carbon atoms directly attached to the ring nitrogen atom
- C07D207/18—Heterocyclic compounds containing five-membered rings not condensed with other rings, with one nitrogen atom as the only ring hetero atom with only hydrogen or carbon atoms directly attached to the ring nitrogen atom having one double bond between ring members or between a ring member and a non-ring member
- C07D207/22—Heterocyclic compounds containing five-membered rings not condensed with other rings, with one nitrogen atom as the only ring hetero atom with only hydrogen or carbon atoms directly attached to the ring nitrogen atom having one double bond between ring members or between a ring member and a non-ring member with hetero atoms or with carbon atoms having three bonds to hetero atoms with at the most one bond to halogen, e.g. ester or nitrile radicals, directly attached to ring carbon atoms
-
- C—CHEMISTRY; METALLURGY
- C07—ORGANIC CHEMISTRY
- C07D—HETEROCYCLIC COMPOUNDS
- C07D207/00—Heterocyclic compounds containing five-membered rings not condensed with other rings, with one nitrogen atom as the only ring hetero atom
- C07D207/02—Heterocyclic compounds containing five-membered rings not condensed with other rings, with one nitrogen atom as the only ring hetero atom with only hydrogen or carbon atoms directly attached to the ring nitrogen atom
- C07D207/18—Heterocyclic compounds containing five-membered rings not condensed with other rings, with one nitrogen atom as the only ring hetero atom with only hydrogen or carbon atoms directly attached to the ring nitrogen atom having one double bond between ring members or between a ring member and a non-ring member
- C07D207/22—Heterocyclic compounds containing five-membered rings not condensed with other rings, with one nitrogen atom as the only ring hetero atom with only hydrogen or carbon atoms directly attached to the ring nitrogen atom having one double bond between ring members or between a ring member and a non-ring member with hetero atoms or with carbon atoms having three bonds to hetero atoms with at the most one bond to halogen, e.g. ester or nitrile radicals, directly attached to ring carbon atoms
- C07D207/24—Oxygen or sulfur atoms
- C07D207/26—2-Pyrrolidones
- C07D207/273—2-Pyrrolidones with hetero atoms or with carbon atoms having three bonds to hetero atoms with at the most one bond to halogen, e.g. ester or nitrile radicals, directly attached to other ring carbon atoms
- C07D207/277—Carbon atoms having three bonds to hetero atoms with at the most one bond to halogen, e.g. ester or nitrile radicals
Definitions
- This invention relates to certain pyrrolidinones, their N-oxides and salts, and compositions and methods of their use for controlling undesirable vegetation.
- the control of undesired vegetation is extremely important in achieving high crop efficiency. Achievement of selective control of the growth of weeds especially in such useful crops as rice, soybean, sugar beet, maize, potato, wheat, barley, tomato and plantation crops, among others, is very desirable. Unchecked weed growth in such useful crops can cause significant reduction in productivity and thereby result in increased costs to the consumer. The control of undesired vegetation in noncrop areas is also important. Many products are commercially available for these purposes, but the need continues for new compounds that are more effective, less costly, less toxic, environmentally safer or have different sites of action.
- This invention is directed to compounds of Formula 1 (including all stereoisomers), including N-oxides and salts thereof, agricultural compositions containing them and their use as herbicides:
- this invention pertains to a compound of Formula 1 (including all stereoisomers), an N-oxide or a salt thereof.
- This invention also relates to a herbicidal composition comprising a compound of the invention (i.e. in a herbicidally effective amount) and at least one component selected from the group consisting of surfactants, solid diluents and liquid diluents, the composition optionally further comprising at least one additional active ingredient selected from the group consisting of other herbicides and herbicide safeners.
- This invention further relates to a method for controlling the growth of undesired vegetation comprising contacting the vegetation or its environment with a herbicidally effective amount of a compound of the invention (e.g., as a composition described herein).
- compositions comprising, “comprising,” “includes,” “including,” “has,” “having,” “contains”, “containing,” “characterized by” or any other variation thereof, are intended to cover a non-exclusive inclusion, subject to any limitation explicitly indicated.
- a composition, mixture, process or method that comprises a list of elements is not necessarily limited to only those elements but may include other elements not expressly listed or inherent to such composition, mixture, process, or method.
- transitional phrase “consisting essentially of” is used to define a composition, method that includes materials, steps, features, components, or elements, in addition to those literally disclosed, provided that these additional materials, steps, features, components, or elements do not materially affect the basic and novel characteristic(s) of the claimed invention.
- the term “consisting essentially of” occupies a middle ground between “comprising” and “consisting of”.
- seedling used either alone or in a combination of words means a young plant developing from the embryo of a seed.
- narrowleaf used either alone or in words such as “broadleaf weed” means dicot or dicotyledon, a term used to describe a group of angiosperms characterized by embryos having two cotyledons.
- alkylating agent refers to a chemical compound in which a carbon-containing radical is bound through a carbon atom to a leaving group such as halide or sulfonate, which is displaceable by bonding of a nucleophile to said carbon atom. Unless otherwise indicated, the term “alkylating” does not limit the carbon-containing radical to alkyl; the carbon-containing radicals in alkylating agents include the variety of carbon-bound substituent radicals specified for R 1 .
- alkyl used either alone or in compound words such as “alkylthio” or “haloalkyl” includes straight-chain or branched alkyl, such as, methyl, ethyl, n-propyl, i-propyl, or the different butyl, pentyl or hexyl isomers.
- Alkenyl includes straight-chain or branched alkenes such as ethenyl, 1-propenyl, 2-propenyl, and the different butenyl, pentenyl and hexenyl isomers.
- Alkenyl also includes polyenes such as 1,2-propadienyl and 2,4-hexadienyl.
- Alkynyl includes straight-chain or branched alkynes such as ethynyl, 1-propynyl, 2-propynyl and the different butynyl, pentynyl and hexynyl isomers.
- Alkynyl can also include moieties comprised of multiple triple bonds such as 2,5-hexadiynyl.
- Alkoxy includes, for example, methoxy, ethoxy, n-propyloxy, isopropyloxy and the different butoxy, pentoxy and hexyloxy isomers.
- Alkoxyalkyl denotes alkoxy substitution on alkyl. Examples of “alkoxyalkyl” include CH 3 OCH 2 , CH 3 OCH 2 CH 2 , CH 3 CH 2 OCH 2 , CH 3 CH 2 CH 2 CH 2 OCH 2 and CH 3 CH 2 OCH 2 CH 2 .
- Alkoxyalkoxyalkyl denotes at least alkoxy substitution on the alkoxy moiety of alkoxyalkyl moiety.
- alkoxyalkoxyalkyl examples include CH 3 OCH 2 OCH 2 —, CH 3 CH 2 O(CH 3 )CHOCH 2 — and (CH 3 O) 2 CHOCH 2 —.
- Alkoxyalkoxy denotes alkoxy substitution on alkoxy.
- Alkenyloxy includes straight-chain or branched alkenyloxy moieties. Examples of “alkenyloxy” include H 2 C ⁇ CHCH 2 O, (CH 3 ) 2 C ⁇ CHCH 2 O, (CH 3 )CH ⁇ CHCH 2 O, (CH 3 )CH ⁇ C(CH 3 )CH 2 O and CH 2 ⁇ CHCH 2 CH 2 O.
- Alkynyloxy includes straight-chain or branched alkynyloxy moieties. Examples of “alkynyloxy” include HC ⁇ CH 2 O, CH 2 C ⁇ CCH 2 O and CH 3 C ⁇ CCH 2 CH 2 O. “Alkylthio” includes branched or straight-chain alkylthio moieties such as methylthio, ethylthio, and the different propylthio, butylthio, pentylthio and hexylthio isomers. “Alkylsulfinyl” includes both enantiomers of an alkylsulfinyl group.
- alkylsulfinyl examples include CH 3 S(O)—, CH 3 CH 2 S(O)—, CH 3 CH 2 CH 2 S(O)—, (CH 3 ) 2 CHS(O)— and the different butylsulfinyl, pentylsulfinyl and hexylsulfinyl isomers.
- alkylsulfonyl examples include CH 3 S(O) 2 —, CH 3 CH 2 S(O) 2 —, CH 3 CH 2 CH 2 S(O) 2 —, (CH 3 ) 2 CHS(O) 2 —, and the different butylsulfonyl, pentylsulfonyl and hexylsulfonyl isomers.
- Alkylthioalkyl denotes alkylthio substitution on alkyl. Examples of “alkylthioalkyl” include CH 3 SCH 2 , CH 3 SCH 2 CH 2 , CH 3 CH 2 SCH 2 , CH 3 CH 2 CH 2 CH 2 SCH 2 and CH 3 CH 2 SCH 2 CH 2 .
- Alkylsulfinylalkyl denotes alkylsulfinyl substitution on alkyl.
- alkylsulfinylalkyl include CH 3 S( ⁇ O)CH 2 , CH 3 S( ⁇ O)CH 2 CH 2 , CH 3 CH 2 S( ⁇ O)CH 2 and CH 3 CH 2 S( ⁇ O)CH 2 CH 2 .
- Alkylsulfonylalkyl denotes alkylsulfinyl substitution on alkyl.
- alkylsulfinylalkyl examples include CH 3 S( ⁇ O) 2 CH 2 , CH 3 S( ⁇ O) 2 CH 2 CH 2 , CH 3 CH 2 S( ⁇ O) 2 CH 2 and CH 3 CH 2 S( ⁇ O) 2 CH 2 CH 2 .
- Alkylamino “dialkylamino”, and the like, are defined analogously to the above examples.
- alkylaminoalkyl examples include CH 3 NHCH 2 —, (CH 3 ) 2 CHNHCH 2 — and CH 3 NHCH(CH 3 )—.
- dialkylaminoalkyl examples include (CH 3 ) 2 NCH 2 —, (CH 3 ) 2 NC(CH 3 )H— and (CH 3 )(CH 3 )NCH 2 —.
- dialkylaminocarbonyl examples include (CH 3 ) 2 NC(O)—.
- dialkylaminosulfonyl examples include (CH 3 ) 2 NS(O) 2 —.
- alkoxycarbonylamino denotes a straight-chain or branched alkoxy moieties bonded to a C( ⁇ O) moiety of carbonylamino group. Examples of “alkoxycarbonylamino” include CH 3 OC( ⁇ O)NH— and CH 3 CH 2 OC( ⁇ O)NH—.
- Cycloalkyl includes, for example, cyclopropyl, cyclobutyl, cyclopentyl and cyclohexyl.
- alkylcycloalkyl denotes alkyl substitution on a cycloalkyl moiety and includes, for example, ethylcyclopropyl, i-propylcyclobutyl, 3-methylcyclopentyl and 4-methylcyclohexyl.
- cycloalkylalkyl denotes cycloalkyl substitution on an alkyl moiety.
- cycloalkylalkyl examples include cyclopropylmethyl, cyclopentylethyl, and other cycloalkyl moieties bonded to straight-chain or branched alkyl groups.
- cycloalkoxy denotes cycloalkyl linked through an oxygen atom such as cyclopentyloxy and cyclohexyloxy.
- Cycloalkylalkoxy denotes cycloalkylalkyl linked through an oxygen atom attached to the alkyl chain.
- cycloalkylalkoxy examples include cyclopropylmethoxy, cyclopentylethoxy, and other cycloalkyl moieties bonded to straight-chain or branched alkoxy groups.
- Cycloalkenyl includes groups such as cyclopentenyl and cyclohexenyl as well as groups with more than one double bond such as 1,3- and 1,4-cyclohexadienyl.
- halogen either alone or in compound words such as “haloalkyl”, or when used in descriptions such as “alkyl substituted with halogen” includes fluorine, chlorine, bromine or iodine. Further, when used in compound words such as “haloalkyl”, or when used in descriptions such as “alkyl substituted with halogen” said alkyl may be partially or fully substituted with halogen atoms which may be the same or different. Examples of “haloalkyl” or “alkyl substituted with halogen” include F 3 C, ClCH 2 , CF 3 CH 2 and CF 3 CCl 2 .
- halocycloalkyl haloalkoxy
- haloalkylthio haloalkenyl
- haloalkynyl haloalkenyloxy
- haloalkylcarbonylamino haloalkylsulfonylamino
- haloalkylsulfonyloxy haloalkoxyalkyl
- haloalkylaminoalkyl and the like, are defined analogously to the term “haloalkyl”.
- haloalkoxy include CF 3 O—, CCl 3 CH 2 O—, HCF 2 CH 2 CH 2 O— and CF 3 CH 2 O—.
- haloalkylthio examples include CCl 3 S—, CF 3 S—, CCl 3 CH 2 S— and ClCH 2 CH 2 CH 2 S—.
- haloalkylsulfinyl examples include CF 3 S(O)—, CCl 3 S(O)—, CF 3 CH 2 S(O)— and CF 3 CF 2 S(O)—.
- haloalkylsulfonyl include CF 3 S(O) 2 —, CCl 3 S(O) 2 —, CF 3 CH 2 S(O) 2 — and CF 3 CF 2 S(O) 2 —.
- haloalkenyl examples include (Cl) 2 C ⁇ CHCH 2 — and CF 3 CH 2 CH ⁇ CHCH 2 —.
- haloalkenyloxy examples include (Cl) 2 C ⁇ CHCH 2 O— and CF 3 CH 2 CH ⁇ CHCH 2 O—.
- haloalkynyl examples include HC ⁇ CCHCl—, CF 3 C ⁇ C—, CCl 3 C ⁇ C— and FCH 2 C ⁇ CCH 2 —.
- haloalkoxyalkyl examples include CF 3 OCH 2 —, ClCH 2 CH 2 OCH 2 CH 2 —, Cl 3 CCH 2 OCH 2 — as well as branched alkyl derivatives.
- haloalkoxycarbonyl examples include CF 3 OC(O)—, ClCH 2 CH 2 OCH 2 CH 2 —, Cl 3 CCH 2 OCH 2 OC(O)— as well as branched alkyl derivatives.
- Alkylcarbonyl denotes a straight-chain or branched alkyl moieties bonded to a C( ⁇ O) moiety.
- alkylcarbonyl include CH 3 C( ⁇ O)—, CH 3 CH 2 CH 2 C( ⁇ O)— and (CH 3 ) 2 CHC( ⁇ O)—.
- alkoxycarbonyl include CH 3 OC( ⁇ O)—, CH 3 CH 2 OC( ⁇ O)—, CH 3 CH 2 CH 2 OC( ⁇ O)—, (CH 3 ) 2 CHOC( ⁇ O)— and the different butoxy- or pentoxycarbonyl isomers.
- Cycloalkylalkoxycarbonyl denotes a cycloalkylalkyl moieties bonded to an oxygen atom of alkoxycarbonyl moiety.
- Examples of “cycloalkylalkoxycarbonyl” include cyclopropyl-CH 2 OC( ⁇ O)—, cyclopropyl-CH(CH 3 )OC( ⁇ O)— and cyclopentyl-CH 2 OC( ⁇ O)—.
- C i -C j The total number of carbon atoms in a substituent group is indicated by the “C i -C j ” prefix where i and j are numbers from 1 to 12.
- C 1 -C 4 alkylsulfonyl designates methylsulfonyl through butylsulfonyl
- C 2 alkoxyalkyl designates CH 3 OCH 2 —
- C 3 alkoxyalkyl designates, for example, CH 3 CH(OCH 3 )—, CH 3 OCH 2 CH 2 — or CH 3 CH 2 OCH 2 —
- C 4 alkoxyalkyl designates the various isomers of an alkyl group substituted with an alkoxy group containing a total of four carbon atoms, examples including CH 3 CH 2 CH 2 OCH 2 — and CH 3 CH 2 OCH 2 CH 2 —.
- substituents When a compound is substituted with a substituent bearing a subscript that indicates the number of said substituents can exceed 1, said substituents (when they exceed 1) are independently selected from the group of defined substituents, e.g., [R 7) n ], n is 1, 2, 3, 4 or 5). Further, when the subscript indicates a range, e.g. (R) i-j , then the number of substituents may be selected from the integers between i and j inclusive. When a group contains a substituent which can be hydrogen, for example R 1 or R 2 , then when this substituent is taken as hydrogen, it is recognized that this is equivalent to said group being unsubstituted.
- variable group When a variable group is shown to be optionally attached to a position, for example [R (7) n ] wherein n may be 0, then hydrogen may be at the position even if not recited in the variable group definition.
- hydrogen atoms When one or more positions on a group are said to be “not substituted” or “unsubstituted”, then hydrogen atoms are attached to take up any free valency.
- the expression “fully saturated” in relation to a ring of atoms means that the bonds between the atoms of the ring are all single.
- the expression “fully unsaturated” in relation to a ring means that the bonds between the atoms in the ring are single or double bonds according to valence bond theory and furthermore the bonds between the atoms in the ring include as many double bonds as possible without double bonds being cumulative (i.e. no C ⁇ C ⁇ C, N ⁇ C ⁇ C, etc.).
- partially unsaturated in relation to a ring denotes a ring comprising at least one ring member bonded to an adjacent ring member though a double bond and which conceptually potentially accommodates a number of non-cumulated double bonds through adjacent ring members (i.e. in its fully unsaturated counterpart form) greater than the number of double bonds present (i.e. in its partially unsaturated form).
- Hückel's rule When a fully unsaturated ring satisfies Hückel's rule then it can also be described as aromatic.
- a “ring” or “ring system” as a component of Formula 1 is carbocyclic or heterocyclic.
- the term “ring system” denotes two or more fused rings.
- the terms “bicyclic ring system” and “fused bicyclic ring system” denote a ring system consisting of two fused rings, in which either ring can be saturated, partially unsaturated, or fully unsaturated unless otherwise indicated.
- the term “fused heterobicyclic ring system” denotes a fused bicyclic ring system in which at least one ring atom is not carbon.
- a “bridged bicyclic ring system” is formed by bonding a segment of one or more atoms to nonadjacent ring members of a ring.
- ring member refers to an atom or other moiety (e.g., C( ⁇ O), C( ⁇ S), S(O) or S(O) 2 ) forming the backbone of a ring or ring system.
- carbocyclic ring denotes a ring or ring system wherein the atoms forming the ring backbone are selected only from carbon.
- a carbocyclic ring can be a saturated, partially unsaturated, or fully unsaturated ring.
- saturated carbocyclic refers to a ring having a backbone consisting of carbon atoms linked to one another by single bonds; unless otherwise specified, the remaining carbon valences are occupied by hydrogen atoms.
- heterocyclic ring denotes a ring or ring system in which at least one atom forming the ring backbone is not carbon, e.g., nitrogen, oxygen or sulfur. Typically a heterocyclic ring contains no more than 4 nitrogens, no more than 2 oxygens and no more than 2 sulfurs. Unless otherwise indicated, a heterocyclic ring can be a saturated, partially unsaturated, or fully unsaturated ring. When a fully unsaturated heterocyclic ring satisfies Hückel's rule, then said ring is also called a “heteroaromatic ring” or “aromatic heterocyclic ring”. Unless otherwise indicated, heterocyclic rings and ring systems can be attached through any available carbon or nitrogen by replacement of a hydrogen on said carbon or nitrogen.
- Aromatic indicates that each of the ring atoms is essentially in the same plane and has a p-orbital perpendicular to the ring plane, and that (4n+2) ⁇ electrons, where n is a positive integer, are associated with the ring to comply with Hackel's rule.
- aromatic ring system denotes a carbocyclic or heterocyclic ring system in which at least one ring of the ring system is aromatic.
- aromatic carbocyclic ring system denotes a carbocyclic ring system in which at least one ring of the ring system is aromatic.
- aromatic heterocyclic ring system denotes a heterocyclic ring system in which at least one ring of the ring system is aromatic.
- nonaromatic ring system denotes a carbocyclic or heterocyclic ring system that may be fully saturated, as well as partially or fully unsaturated, provided that none of the rings in the ring system are aromatic.
- nonaromatic carbocyclic ring system in which no ring in the ring system is aromatic.
- nonaromatic heterocyclic ring system denotes a heterocyclic ring system in which no ring in the ring system is aromatic.
- optionally substituted in connection with the heterocyclic rings refers to groups which are unsubstituted or have at least one non-hydrogen substituent that does not extinguish the biological activity possessed by the unsubstituted analog. As used herein, the following definitions shall apply unless otherwise indicated.
- optionally substituted is used interchangeably with the phrase “substituted or unsubstituted” or with the term “(un)substituted.” Unless otherwise indicated, an optionally substituted group may have a substituent at each substitutable position of the group, and each substitution is independent of the other.
- Q 1 or Q 2 When Q 1 or Q 2 is 5- or 6-membered nitrogen-containing heterocyclic ring, it may be attached to the remainder of Formula 1 though any available carbon or nitrogen ring atom, unless otherwise described.
- Q 1 and Q 2 can be (among others) phenyl optionally substituted with one or more substituents selected from a group of substituents as defined in the Summary of the Invention.
- An example of phenyl optionally substituted with one to five substituents is the ring illustrated as U-1 in Exhibit 1, wherein, for example, R v is R 7 as defined in the Summary of the Invention for Q 1 , or R v is R 10 as defined in the Summary of the Invention for Q 2 , and r is an integer (from 0 to 5).
- Q 1 and Q 2 can be (among others) a 5- or 6-membered fully unsaturated heterocyclic ring, optionally substituted with one or more substituents selected from a group of substituents as defined in the Summary of the Invention.
- Examples of a 5- or 6-membered unsaturated aromatic heterocyclic ring optionally substituted with from one or more substituents include the rings U-2 through U-61 illustrated in Exhibit 1 wherein R v is any substituent as defined in the Summary of the Invention for Q 1 and Q 2 , and r is an integer from 0 to 4, limited by the number of available positions on each U group.
- U-29, U-30, U-36, U-37, U-38, U-39, U-40, U-41, U-42 and U-43 have only one available position, for these U groups r is limited to the integers 0 or 1, and r being 0 means that the U group is unsubstituted and a hydrogen is present at the position indicated by (R v ) r .
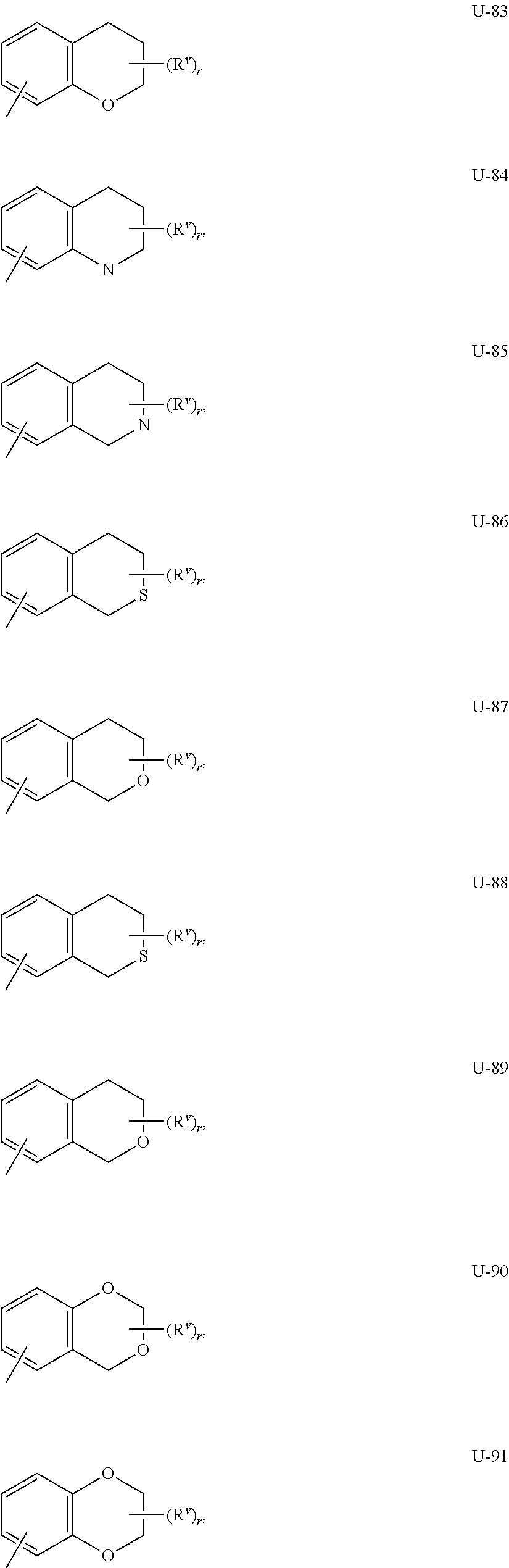
- Q 1 and Q 2 can be (among others) an 8-, 9- or 10-membered heteroaromatic bicyclic ring system optionally substituted with one or more substituents selected from a group of substituents as defined in the Summary of the Invention for Q 1 and Q 2 .
- Examples of 8-, 9- or 10-membered heteroaromatic bicyclic ring system optionally substituted with from one or more substituents include the rings U-62 through U-100 illustrated in Exhibit 2 wherein R v is any substituent as defined in the Summary of the Invention for Q 1 or Q 2 , and r is typically an integer from 0 to 4.
- R v groups are shown in the structures U-1 through U-100, it is noted that they do not need to be present since they are optional substituents. Note that when R v is H when attached to an atom, this is the same as if said atom is unsubstituted. The nitrogen atoms that require substitution to fill their valence are substituted with H or R v . Note that when the attachment point between (R v ) r and the U group is illustrated as floating, (R v ) r can be attached to any available carbon atom or nitrogen atom of the U group. Note that when the attachment point on the U group is illustrated as floating, the U group can be attached to the remainder of Formula 1 through any available carbon or nitrogen of the U group by replacement of a hydrogen atom.
- the U group is attached to the remainder of Formula 1 through an available carbon or nitrogen on a fully unsaturated ring of the U group.
- some U groups can only be substituted with less than 4 R v groups (e.g., U-2 through U-5, U-7 through U-48, and U-52 through U-61).
- pyrrolidinone and related terms such as “pyrrolidinone ring” refer to 2-oxo-pyrrolidine derivatives according to the Chemical Abstracts system of nomenclature, including derivatives in which the oxygen atom of the 2-oxo moiety is replaced by S or NR 12 as Y 1 , unless limited to oxygen by particular context.
- Stereoisomers are isomers of identical constitution but differing in the arrangement of their atoms in space and include enantiomers, diastereomers, cis-trans isomers (also known as geometric isomers) and atropisomers. Atropisomers result from restricted rotation about single bonds where the rotational barrier is high enough to permit isolation of the isomeric species.
- one stereoisomer may be more active and/or may exhibit beneficial effects when enriched relative to the other stereoisomer(s) or when separated from the other stereoisomer(s).
- the compounds of the invention may be present as a mixture of stereoisomers, individual stereoisomers or as an optically active form. Particularly when R 4 and R 5 are each H, the C(O)N(Q 2 )(R 6 ) and Q 1 substituents are typically mostly in the thermodynamically preferred trans configuration on the pyrrolidinone ring.
- the C(O)N(Q 2 )(R 6 ) moiety (bonded to the carbon at the 3-position of the pyrrolidinone ring) and Q 1 (bonded to the carbon at the 4-position of the pyrrolidinone ring) are generally found in the trans configuration.
- These two carbon atoms (i.e. at the 3- and 4-positions each possess the pyrroldinone ring of Formula 1) both possess a chiral center.
- the two most prevalent pairs of enantiomers are depicted as Formula 1′ and Formula 1′′ where the chiral centers are identified (i.e. as 3R,4S or as 3S,4R) wherein R 1 is hydrogen.
- the carbon atom at the 5-position of the pyrrolidinone ring i.e. the carbon atom to which both R 2 and R 3 are bonded
- a stereocenter indicated by a (*) as shown in Formula 1′′′ This invention pertains to all stereoisomers, and therefore, when either R 2 or R 3 are other than the same substituent, then a mixture of diastereomers is possible.
- This invention also comprises racemic mixtures, for example, equal amounts of the enantiomers of Formulae 1′ and 1′′ (and optionally 1′′′).
- this invention includes compounds that are enriched compared to the racemic mixture in an enantiomer of Formula 1. Also included are the essentially pure enantiomers of compounds of Formula 1, for example, Formula 1′ and Formula 1′′.
- enantiomeric ratio expressed as the relative area % of the two enantiomers determined by chiral high-performance liquid chromatography.
- compositions of this invention have at least a 50% ER; more preferably at least a 75% ER, still more preferably at least a 90% ER; and the most preferably at least a 94% ER of the more active isomer.
- ER a 50% ER
- 75% ER preferably at least a 75% ER
- 90% ER preferably at least a 90% ER
- 94% ER of the more active isomer.
- enantiomerically pure embodiments of the more active isomer are enantiomerically pure embodiments of the more active isomer.
- Compounds of Formula 1 can comprise additional chiral centers.
- substituents and other molecular constituents such as R 2 , R 3 and R 6 may themselves contain chiral centers.
- This invention comprises racemic mixtures as well as enriched and essentially pure stereoconfigurations at these additional chiral centers.
- Compounds of this invention can exist as one or more conformational isomers due to restricted rotation about the amide bond C(O)N(Q 2 )(R 6 ) in Formula 1.
- This invention comprises mixtures of conformational isomers.
- this invention includes compounds that are enriched in one conformer relative to others.
- Compounds of Formula 1 typically exist in more than one form, and Formula 1 thus include all crystalline and non-crystalline forms of the compounds they represent.
- Non-crystalline forms include embodiments which are solids such as waxes and gums as well as embodiments which are liquids such as solutions and melts.
- Crystalline forms include embodiments which represent essentially a single crystal type and embodiments which represent a mixture of polymorphs (i.e. different crystalline types).
- polymorph refers to a particular crystalline form of a chemical compound that can crystallize in different crystalline forms, these forms having different arrangements and/or conformations of the molecules in the crystal lattice. Although polymorphs can have the same chemical composition, they can also differ in composition due the presence or absence of co-crystallized water or other molecules, which can be weakly or strongly bound in the lattice. Polymorphs can differ in such chemical, physical and biological properties as crystal shape, density, hardness, color, chemical stability, melting point, hygroscopicity, suspensibility, dissolution rate and biological availability.
- a polymorph of a compound of Formula 1 can exhibit beneficial effects (e.g., suitability for preparation of useful formulations, improved biological performance) relative to another polymorph or a mixture of polymorphs of the same compound of Formula 1.
- Preparation and isolation of a particular polymorph of a compound of Formula 1 can be achieved by methods known to those skilled in the art including, for example, crystallization using selected solvents and temperatures.
- crystallization using selected solvents and temperatures.
- nitrogen-containing heterocycles can form N-oxides since the nitrogen requires an available lone pair for oxidation to the oxide; one skilled in the art will recognize those nitrogen-containing heterocycles which can form N-oxides.
- nitrogen-containing heterocycles which can form N-oxides.
- tertiary amines can form N-oxides.
- N-oxides of heterocycles and tertiary amines are very well known by one skilled in the art including the oxidation of heterocycles and tertiary amines with peroxy acids such as peracetic and m-chloroperbenzoic acid (MCPBA), hydrogen peroxide, alkyl hydroperoxides such as t-butyl hydroperoxide, sodium perborate, and dioxiranes such as dimethyldioxirane.
- MCPBA peroxy acids
- alkyl hydroperoxides such as t-butyl hydroperoxide
- sodium perborate sodium perborate
- dioxiranes such as dimethyldioxirane
- salts of chemical compounds are in equilibrium with their corresponding nonsalt forms, salts share the biological utility of the nonsalt forms.
- the salts of a compound of Formula 1 include acid-addition salts with inorganic or organic acids such as hydrobromic, hydrochloric, nitric, phosphoric, sulfuric, acetic, butyric, fumaric, lactic, maleic, malonic, oxalic, propionic, salicylic, tartaric, 4-toluenesulfonic or valeric acids.
- salts also include those formed with organic or inorganic bases such as pyridine, triethylamine or ammonia, or amides, hydrides, hydroxides or carbonates of sodium, potassium, lithium, calcium, magnesium or barium. Accordingly, the present invention comprises compounds selected from Formula 1, N-oxides and agriculturally suitable salts thereof.
- Embodiments of the present invention as described in the Summary of the Invention include (where Formula 1 as used in the following Embodiments includes N-oxides and salts thereof):
- Embodiments of this invention can be combined in any manner, and the descriptions of variables in the embodiments pertain not only to the compounds of Formula 1 but also to the starting compounds and intermediate compounds useful for preparing the compounds of Formula 1.
- embodiments of this invention including Embodiments 1-58 above as well as any other embodiments described herein, and any combination thereof, pertain to the compositions and methods of the present invention.
- Specific embodiments include compounds of Formula 1 selected from the group consisting of
- Specific Embodiments include a compound of Formula 1 selected from the group consisting of Compound Numbers (where the Compound Number refers to the compound in Index Tables A, B or C): 80, 202, 204, 206, 232, 263, 304, 306, 315 and 319; or 202, 206, 232, 304 and 306; or 202, 232 and 306.
- Embodiments include a compound of Formula 1 selected from the group consisting of Compound Numbers (where the Compound Number refers to the compound in Index Tables A, B or C): 3, 5, 17, 101, 103, 156, 204, 271, 323 and 351; or 3, 17, 103, 156, and 204; or 103, 204 and 351.
- This invention also relates to a method for controlling undesired vegetation comprising applying to the locus of the vegetation herbicidally effective amounts of the compounds of the invention (e.g., as a composition described herein).
- the compounds of the invention e.g., as a composition described herein.
- embodiments relating to methods of use are those involving the compounds of embodiments described above.
- Compounds of the invention are particularly useful for selective control of weeds in crops such as wheat, barley, maize, soybean, sunflower, cotton, oilseed rape and rice, and specialty crops such as sugarcane, citrus, fruit and nut crops.
- herbicidal compositions of the present invention comprising the compounds of embodiments described above.
- This invention also includes a herbicidal mixture comprising (a) a compound selected from Formula 1, N-oxides, and salts thereof, and (b) at least one additional active ingredient selected from (b1) photosystem II inhibitors, (b2) acetohydroxy acid synthase (AHAS) inhibitors, (b3) acetyl-CoA carboxylase (ACCase) inhibitors, (b4) auxin mimics, (b5) 5-enol-pyruvylshikimate-3-phosphate (EPSP) synthase inhibitors, (b6) photosystem I electron diverters, (b7) protoporphyrinogen oxidase (PPO) inhibitors, (b8) glutamine synthetase (GS) inhibitors, (b9) very long chain fatty acid (VLCFA) elongase inhibitors, (b10) auxin transport inhibitors, (b11) phytoene desaturase (PDS) inhibitors, (b12) 4-hydroxyphenyl-pyruvate dioxygenas
- Photosystem II inhibitors are chemical compounds that bind to the D-1 protein at the Q B -binding niche and thus block electron transport from Q A to Q B in the chloroplast thylakoid membranes. The electrons blocked from passing through photosystem II are transferred through a series of reactions to form toxic compounds that disrupt cell membranes and cause chloroplast swelling, membrane leakage, and ultimately cellular destruction.
- the Q B -binding niche has three different binding sites: binding site A binds the triazines such as atrazine, triazinones such as hexazinone, and uracils such as bromacil, binding site B binds the phenylureas such as diuron, and binding site C binds benzothiadiazoles such as bentazone, nitriles such as bromoxynil and phenyl-pyridazines such as pyridate.
- triazines such as atrazine
- triazinones such as hexazinone
- uracils such as bromacil
- binding site B binds the phenylureas such as diuron
- binding site C binds benzothiadiazoles such as bentazone
- nitriles such as bromoxynil and phenyl-pyridazines such as pyridate.
- photosystem II inhibitors include ametryn, amicarbazone, atrazine, bentazon, bromacil, bromofenoxim, bromoxynil, chlorbromuron, chloridazon, chlorotoluron, chloroxuron, cumyluron, cyanazine, daimuron, desmedipham, desmetryn, dimefuron, dimethametryn, diuron, ethidimuron, fenuron, fluometuron, hexazinone, ioxynil, isoproturon, isouron, lenacil, linuron, metamitron, methabenzthiazuron, metobromuron, metoxuron, metribuzin, monolinuron, neburon, pentanochlor, phenmedipham, prometon, prometryn, propanil, propazine, pyridafol, pyridate, siduron, simazine, simetryn,
- AHAS inhibitors are chemical compounds that inhibit acetohydroxy acid synthase (AHAS), also known as acetolactate synthase (ALS), and thus kill plants by inhibiting the production of the branched-chain aliphatic amino acids such as valine, leucine and isoleucine, which are required for protein synthesis and cell growth.
- AHAS acetohydroxy acid synthase
- ALS acetolactate synthase
- AHAS inhibitors include amidosulfuron, azimsulfuron, bensulfuron-methyl, bispyribac-sodium, cloransulam-methyl, chlorimuron-ethyl, chlorsulfuron, cinosulfuron, cyclosulfamuron, diclosulam, ethametsulfuron-methyl, ethoxysulfuron, flazasulfuron, florasulam, flucarbazone-sodium, flumetsulam, flupyrsulfuron-methyl, flupyrsulfuron-sodium, foramsulfuron, halosulfuron-methyl, imazamethabenz-methyl, imazamox, imazapic, imazapyr, imazaquin, imazethapyr, imazosulfuron, iodosulfuron-methyl (including sodium salt), iofensulfuron (2-iodo-N-[[(4-methoxy
- ACCase inhibitors are chemical compounds that inhibit the acetyl-CoA carboxylase enzyme, which is responsible for catalyzing an early step in lipid and fatty acid synthesis in plants. Lipids are essential components of cell membranes, and without them, new cells cannot be produced. The inhibition of acetyl CoA carboxylase and the subsequent lack of lipid production leads to losses in cell membrane integrity, especially in regions of active growth such as meristems. Eventually shoot and rhizome growth ceases, and shoot meristems and rhizome buds begin to die back.
- ACCase inhibitors include alloxydim, butroxydim, clethodim, clodinafop, cycloxydim, cyhalofop, diclofop, fenoxaprop, fluazifop, haloxyfop, pinoxaden, profoxydim, propaquizafop, quizalofop, sethoxydim, tepraloxydim and tralkoxydim, including resolved forms such as fenoxaprop-P, fluazifop-P, haloxyfop-P and quizalofop-P and ester forms such as clodinafop-propargyl, cyhalofop-butyl, diclofop-methyl and fenoxaprop-P-ethyl.
- auxin is a plant hormone that regulates growth in many plant tissues.
- auxin mimics are chemical compounds mimicking the plant growth hormone auxin, thus causing uncontrolled and disorganized growth leading to plant death in susceptible species.
- auxin mimics include aminocyclopyrachlor (6-amino-5-chloro-2-cyclopropyl-4-pyrimidinecarboxylic acid) and its methyl and ethyl esters and its sodium and potassium salts, aminopyralid, benazolin-ethyl, chloramben, clacyfos, clomeprop, clopyralid, dicamba, 2,4-D, 2,4-DB, dichlorprop, fluroxypyr, halauxifen (4-amino-3-chloro-6-(4-chloro-2-fluoro-3-methoxyphenyl)-2-pyridinecarboxylic acid), halauxifen-methyl (methyl 4-amino-3-chloro-6-(4-chloro-2-fluoro-3
- EEPSP (5-enol-pyruvylshikimate-3-phosphate) synthase inhibitors) are chemical compounds that inhibit the enzyme, 5-enol-pyruvylshikimate-3-phosphate synthase, which is involved in the synthesis of aromatic amino acids such as tyrosine, tryptophan and phenylalanine.
- EPSP inhibitor herbicides are readily absorbed through plant foliage and translocated in the phloem to the growing points.
- Glyphosate is a relatively nonselective postemergence herbicide that belongs to this group.
- Glyphosate includes esters and salts such as ammonium, isopropylammonium, potassium, sodium (including sesquisodium) and trimesium (alternatively named sulfosate).
- Photosystem I electron diverters are chemical compounds that accept electrons from Photosystem I, and after several cycles, generate hydroxyl radicals. These radicals are extremely reactive and readily destroy unsaturated lipids, including membrane fatty acids and chlorophyll. This destroys cell membrane integrity, so that cells and organelles “leak”, leading to rapid leaf wilting and desiccation, and eventually to plant death. Examples of this second type of photosynthesis inhibitor include diquat and paraquat.
- PPO inhibitors are chemical compounds that inhibit the enzyme protoporphyrinogen oxidase, quickly resulting in formation of highly reactive compounds in plants that rupture cell membranes, causing cell fluids to leak out.
- PPO inhibitors include acifluorfen-sodium, azafenidin, benzfendizone, bifenox, butafenacil, carfentrazone, carfentrazone-ethyl, chlomethoxyfen, cinidon-ethyl, fluazolate, flufenpyr-ethyl, flumiclorac-pentyl, flumioxazin, fluoroglycofen-ethyl, fluthiacet-methyl, fomesafen, halosafen, lactofen, oxadiargyl, oxadiazon, oxyfluorfen, pentoxazone, profluazol, pyraclonil, pyraflufen-ethyl
- GS (glutamine synthase) inhibitors are chemical compounds that inhibit the activity of the glutamine synthetase enzyme, which plants use to convert ammonia into glutamine. Consequently, ammonia accumulates and glutamine levels decrease. Plant damage probably occurs due to the combined effects of ammonia toxicity and deficiency of amino acids required for other metabolic processes.
- the GS inhibitors include glufosinate and its esters and salts, such as glufosinate-ammonium and other phosphinothricin derivatives, glufosinate-P ((2S)-2-amino-4-(hydroxymethylphosphinyl)butanoic acid) and bilanaphos.
- VLCFA very long chain fatty acid elongase inhibitors
- Elongase is one of the enzymes located in or near chloroplasts which are involved in biosynthesis of VLCFAs.
- very-long-chain fatty acids are the main constituents of hydrophobic polymers that prevent desiccation at the leaf surface and provide stability to pollen grains.
- Such herbicides include acetochlor, alachlor, anilofos, butachlor, cafenstrole, dimethachlor, dimethenamid, diphenamid, fenoxasulfone (3-[[(2,5-dichloro-4-ethoxyphenyl)methyl]sulfonyl]-4,5-dihydro-5,5-dimethylisoxazole), fentrazamide, flufenacet, indanofan, mefenacet, metazachlor, metolachlor, naproanilide, napropamide, napropamide-M ((2R)—N,N-diethyl-2-(1-naphthalenyloxy)propanamide), pethoxamid, piperophos, pretilachlor, propachlor, propisochlor, pyroxasulfone, and thenylchlor, including resolved forms such as S-metolachlor and chloroacetamides and oxyace
- auxin transport inhibitors are chemical substances that inhibit auxin transport in plants, such as by binding with an auxin-carrier protein.
- auxin transport inhibitors include diflufenzopyr, naptalam (also known as N-(1-naphthyl)phthalamic acid and 2-[(1-naphthalenylamino)carbonyl]benzoic acid).
- PDS phytoene desaturase inhibitors
- PDS inhibitors include beflubutamid, diflufenican, fluridone, flurochloridone, flurtamone norflurzon and picolinafen.
- HPPD (4-hydroxyphenyl-pyruvate dioxygenase) inhibitors are chemical substances that inhibit the biosynthesis of synthesis of 4-hydroxyphenyl-pyruvate dioxygenase.
- HPPD inhibitors include benzobicyclon, benzofenap, bicyclopyrone (4-hydroxy-3-[[2-[(2-methoxyethoxy)methyl]-6-(trifluoromethyl)-3-pyridinyl]carbonyl]bicyclo[3.2.1]oct-3-en-2-one), fenquinotrione (2-[[8-chloro-3,4-dihydro-4-(4-methoxyphenyl)-3-oxo-2-quinoxalinyl]carbonyl]-1,3-cyclohexanedione), isoxachlortole, isoxaflutole, mesotrione, pyrasulfotole, pyrazolynate, pyrazoxyfen, sul
- HST homogentisate solenesyltransererase inhibitors
- HST inhibitors include haloxydine, pyriclor, 3-(2-chloro-3,6-difluorophenyl)-4-hydroxy-1-methyl-1,5-naphthyridin-2(1H)-one, 7-(3,5-dichloro-4-pyridinyl)-5-(2,2-difluoroethyl)-8-hydroxypyrido[2,3-b]pyrazin-6(5H)-one and 4-(2,6-diethyl-4-methylphenyl)-5-hydroxy-2,6-dimethyl-3(2H)-pyridazinone.
- HST inhibitors also include compounds of Formulae A and B.
- Cellulose biosynthesis inhibitors inhibit the biosynthesis of cellulose in certain plants. They are most effective when using a pre-application or early post-application on young or rapidly growing plants.
- cellulose biosynthesis inhibitors include chlorthiamid, dichlobenil, flupoxam, indaziflam (N 2 -[(1R,2S)-2,3-dihydro-2,6-dimethyl-1H-inden-1-yl]-6-(1-fluoroethyl)-1,3,5-triazine-2,4-diamine), isoxaben and triaziflam.
- herbicides (b15) include herbicides that act through a variety of different modes of action such as mitotic disruptors (e.g., flamprop-M-methyl and flamprop-M-isopropyl) organic arsenicals (e.g., DSMA, and MSMA), 7,8-dihydropteroate synthase inhibitors, chloroplast isoprenoid synthesis inhibitors and cell-wall biosynthesis inhibitors.
- mitotic disruptors e.g., flamprop-M-methyl and flamprop-M-isopropyl
- organic arsenicals e.g., DSMA, and MSMA
- 7,8-dihydropteroate synthase inhibitors e.g., chloroplast isoprenoid synthesis inhibitors and cell-wall biosynthesis inhibitors.
- Other herbicides include those herbicides having unknown modes of action or do not fall into a specific category listed in (b1) through (b14) or act through a combination of modes of action
- herbicides examples include aclonifen, asulam, amitrole, bromobutide, cinmethylin, clomazone, cumyluron, cyclopyrimorate (6-chloro-3-(2-cyclopropyl-6-methylphenoxy)-4-pyridazinyl 4-morpholinecarboxylate), daimuron, difenzoquat, etobenzanid, fluometuron, flurenol, fosamine, fosamine-ammonium, dazomet, dymron, ipfencarbazone (1-(2,4-dichlorophenyl)-N-(2,4-difluorophenyl)-1,5-dihydro-N-(1-methylethyl)-5-oxo-4H-1,2,4-triazole-4-carboxamide), metam, methyldymron, oleic acid, oxaziclomefone, pelargonic acid,
- herbicide safeners are substances added to a herbicide formulation to eliminate or reduce phytotoxic effects of the herbicide to certain crops. These compounds protect crops from injury by herbicides but typically do not prevent the herbicide from controlling undesired vegetation.
- herbicide safeners include but are not limited to benoxacor, cloquintocet-mexyl, cumyluron, cyometrinil, cyprosulfamide, daimuron, dichlormid, dicyclonon, dimepiperate, fenchlorazole-ethyl, fenclorim, flurazole, fluxofenim, furilazole, isoxadifen-ethyl, mefenpyr-diethyl, mephenate, methoxyphenone, naphthalic anhydride, oxabetrinil, N-(aminocarbonyl)-2-methylbenzenesulfonamide and N-(aminocarbonyl)-2-fluor
- the compounds of Formula 1 can be prepared by general methods known in the art of synthetic organic chemistry. Of note are the following methods described in Schemes 1-15 and variations thereof.
- the definitions of R 1 , R 2 , R 3 , R 4 , R 5 , R 6 , Q 1 , Q 2 , Y 1 , and Y 2 in the compounds of Formulae 1 through 19 below are as defined above in the Summary of the Invention unless otherwise noted.
- Formulae 1a-1h and 5a and 10a are various subsets of a compound of Formulae 1, 5 and 10 respectively. Substituents for each subset formula are as defined for its parent formula unless otherwise noted.
- compounds of Formula 1a i.e. Formula 1 wherein R 1 , R 4 and R 5 are H, and Y 1 and Y 2 are O
- a dehydrative coupling reagent such as propylphosphonic anhydride, dicyclohexylcarbodiimide, N-(3-dimethylaminopropyl)-N′-ethylcarbodiimide, N,N′-carbonyldiimidazole, 2-chloro-1,3-dimethylimidazolium chloride or 2-chloro-1-methylpyridinium iodide.
- Polymer-supported reagents such as polymer-supported cyclohexylcarbodiimide, are also suitable. These reactions are typically run at temperatures ranging from 0-60° C. in a solvent such as dichloromethane, acetonitrile, N,N-dimethylformamide or ethyl acetate in the presence of a base such as triethylamine, N,N-diisopropylamine, or 1,8-diazabicyclo[5.4.0]undec-7-ene. See Organic Process Research & Development 2009, 13, 900-906 for coupling conditions employing propylphosphonic anhydride. The method of Scheme 1 utilizing propylphosphonic anhydride is illustrated by Step E of Synthesis Example 1.
- Substituents in the 3- and 4-positions of the pyrrolidinone ring of compounds of Formula 1a, i.e. C(O)N(Q 2 )(R 6 ) and Q 1 , respectively, are predominantly in the trans configuration. In some instances, the presence of minor amounts of the cis isomer can be detected by NMR.
- compounds of Formula 2 can be prepared by hydrolysis of esters of Formula 4 by methods well known to those skilled in the art. Hydrolysis is carried out with aqueous base or aqueous acid, typically in the presence of a co-solvent.
- Suitable bases for the reaction include, but are not limited to, hydroxides such as sodium and potassium hydroxide and carbonates such as sodium and potassium carbonate.
- Suitable acids for the reaction include, but are not limited to, inorganic acids such as hydrochloric acid, hydrobromic acid and sulfuric acid, and organic acids such as acetic acid and trifluoroacetic acid.
- co-solvents are suitable for the reaction including, but not limited to, methanol, ethanol and tetrahydrofuran. The reaction is conducted at temperatures ranging from ⁇ 20° C. to the boiling point of the solvent, and typically from 0 to 100° C.
- the method of Scheme 2 is illustrated by Step D of Synthesis Example 1.
- compounds of Formula 4 can be obtained by reduction of compounds of Formula 5 and subsequent in situ cyclization of the resulting intermediate amine.
- a wide variety of methods for reduction of the aliphatic nitro group in compounds of Formula 5 are known in the literature. Methods well known to those skilled in the art include catalytic hydrogenation in the presence of palladium on carbon or Raney nickel, iron or zinc metal in acidic medium (see, for example. Berichte der Deutschen Chemischenmaschine 1904, 37, 3520-3525), and lithium aluminum hydride. Reduction can also be achieved with samarium(II) iodide in the presence of a proton source such as methanol (see for example, Tetrahedron Letters 1991, 32 (14), 1699-1702).
- a proton source such as methanol
- compounds of Formula 5 can be prepared by reacting diesters of Formula 6 with nitroalkanes of Formula 7, typically in the presence of a base.
- Suitable bases for the reaction include alkali metal lower alkoxides such as sodium methoxide in methanol or sodium ethoxide in ethanol.
- the method of Scheme 4 is illustrated by Step B of Synthesis Example 1.
- Compounds of Formula 6 can readily be prepared by methods known to those skilled in the art, e.g., by Knoevenagel condensation of aldehydes and malonates (see for example G. Jones, Organic Reactions Volume 15, John Wiley and Sons, 1967).
- Compounds of Formula 5a can be prepared by reacting nitroalkenes of Formula 8 with malonates of Formula 9 in the presence of a base as shown in Scheme 5.
- Suitable bases for this reaction include, but are not limited to, alkali metal lower alkoxides such as sodium methoxide in methanol or sodium ethoxide in ethanol, or bases such as lithium bis(trimethylsilyl)amide, sodium bis(trimethylsilyl)amide and lithium diisopropylamide in solvents such as tetrahydrofuran.
- the reaction is carried out in the range of from ⁇ 78° C. to 23° C.
- Nitroalkenes of Formula 8 can readily be prepared from aldehydes and nitromethane by methods known to those skilled in the art.
- Compounds of Formula 5a′ and 5a′′ can be prepared stereoselectively by reacting nitroalkenes of Formula 8 with malonates of Formula 9 in the presence of a chiral catalyst and optionally in the presence of a suitable base as shown in Scheme 5A.
- Suitable catalysts include, but are not limited to Ni(II) with vicinal diamine ligands such as Ni(II) Bis[(R,R)—N,N′-dibenzylcyclohexane-1,2-diamine]dibromide, Ni(II) Bis[(S,S)—N,N′-dibenzylcyclohexane-1,2-diamine]dibromide or nickel(II) bromide with chiral 1,1′-bi(tetrahydroisoquinoline) type diamines.
- Ni(II) with vicinal diamine ligands such as Ni(II) Bis[(R,R)—N,N′-dibenzylcyclohexane-1,2-diamine]dibromide, Ni(II) Bis[(S,S)—N,N′-dibenzylcyclohexane-1,2-diamine]dibromide or nickel(II)
- Suitable organic bases for this reaction include, but are not limited to, piperidine, morpholine, triethylamine, 4-methylmorpholine or N,N-diisopropylethylamine.
- This transformation can be accomplished neat or in solvents such as tetrahydrofuran, toluene or dichloromethane.
- the reaction is carried out in the range of from ⁇ 78° C. to 80° C. using 0 to 1 equivalent of catalyst and optionally 0 to 1 equivalent of a base.
- Conditions for effecting this transformation have been reported in J. Am. Chem. Soc. 2005, 9958-9959 or Eur. J. Org. Chem. 2011, 5441-5446 for conditions.
- Nitroalkenes of Formula 8 can readily be prepared from aldehydes and nitromethane by methods known to those skilled in the art.
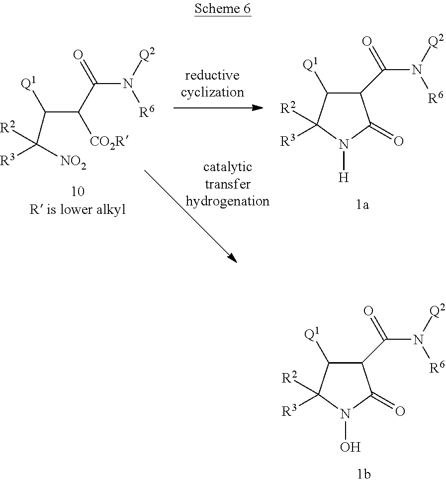
- compounds of Formula 1a can also be prepared by reductive cyclization of compounds of Formula 10 analogous to the method of Scheme 3.
- compounds of Formula 1b i.e. Formula 1 wherein R 1 is OH, R 4 and R 5 are H, and Y 1 and Y 2 are O
- compounds of Formula 10 can be prepared from compounds of Formula 10 by catalytic transfer hydrogenation with ammonium formate in the presence of palladium on carbon, and subsequent in situ cyclization of the intermediate hydroxylamine.
- the method of Scheme 6 for preparing N-hydroxypyrrolidinones is illustrated by Step D of Synthesis Example 3.
- compounds of Formula 10 can be prepared by reacting compounds of Formula 11 with nitroalkanes of Formula 7 in a solvent, in the presence of a base analogous to the method described in Scheme 4.
- the method of Scheme 7 is illustrated by Step C of Synthesis Example 3.
- compounds of Formula 11 can be prepared by reaction of malonic amide Formula 12 with aldehydes of Formula 14 by methods known to those skilled in the art.
- malonates of Formula 12 can readily be prepared from lower alkyl malonyl chlorides of Formula 13 such as methyl malonyl chloride and amines of Formula 3 by methods known to those skilled in the art.
- the method of Scheme 9 is illustrated by Steps A and B of Synthesis Example 3.
- mixtures of compounds of Formula 1c i.e. Formula 1 wherein R 1 and R 5 are H, R 4 is halogen and Y 1 and Y 2 are O
- Formula 1d i.e. Formula 1 wherein R 1 and R 4 are H, R 5 is halogen and Y 1 and Y 2 are O
- a halogen source in a solvent
- Separation of the regioisomers produced in this reaction can be achieved by standard methods such as chromatography or fractional crystallization.
- Suitable halogen sources for this reaction include bromine, chlorine, N-chlorosuccinimide, N-bromosuccinimide and N-iodosuccinimide.
- Suitable initiators for this reaction include 2,2′-azobisisobutyronitrile (AIBN) and benzoyl peroxide.
- AIBN 2,2′-azobisisobutyronitrile
- the reaction is carried out in solvents such as dichloromethane in the range of from 0° C. to the boiling point of the solvent.
- the method of Scheme 10 is illustrated by Synthesis Example 2.
- compounds of Formula 1e i.e. Formula 1 wherein R 1 is NH 2 , R 4 and R 5 are H and Y 1 and Y 2 are O
- an aminating reagent such as O-(diphenylphosphinyl)hydroxylamine and hydroxylamino-O-sulphonic acid.
- an aminating reagent such as O-(diphenylphosphinyl)hydroxylamine and hydroxylamino-O-sulphonic acid.
- compounds of Formula 1f can be produced by reaction of compounds of Formula 15 with isocyanates (i.e. Formula 16 wherein Y 2 is O) or isothiocyanates (i.e. Formula 16 wherein Y 2 is S) in the presence of base.
- isocyanates i.e. Formula 16 wherein Y 2 is O
- isothiocyanates i.e. Formula 16 wherein Y 2 is S
- the reaction temperature can be selected from the range of from ⁇ 78° C. to the boiling point of an inert solvent used. Typically, the reaction is carried out at temperatures ranging from ⁇ 78° C. to 100° C. in solvents such as toluene.
- compounds of Formula 15 can be prepared by reaction of compounds of Formula 17 with corresponding electrophiles of Formula 18 in the presence of base.
- G denotes a leaving group, i.e. a nucleofuge.
- suitable electrophiles for the reaction can include alkyl halides such as chlorides, bromides and iodides, alkylsulfonates, acid anhydrides such as tert-butoxycarbonyl anhydride and acetic anhydride, and haloalkylsilanes such as chlorotrimethylsilane.
- Suitable bases for the reaction include inorganic bases such as alkali or alkaline earth metal (e.g., lithium, sodium, potassium and cesium) hydroxides, alkoxides, carbonates, and phosphates, and organic bases such as triethylamine, N,N-diisopropylethylamine and 1,8-diazabicyclo[5.4.0]undec-7-ene.
- inorganic bases such as alkali or alkaline earth metal (e.g., lithium, sodium, potassium and cesium) hydroxides, alkoxides, carbonates, and phosphates
- organic bases such as triethylamine, N,N-diisopropylethylamine and 1,8-diazabicyclo[5.4.0]undec-7-ene.
- solvents are suitable for the reaction including, for example but not limited to, tetrahydrofuran, dichloromethane, N,N-dimethylformamide, N,N-dimethylacetamide, N-methylpyrrolidinone, acetonitrile, C 2 -C 6 alcohols and acetone as well as mixtures of these solvents.
- This reaction is conducted at temperatures ranging from ⁇ 20 to 200° C., and typically between 0 and 50° C.
- compounds of Formula 17 can be prepared by decarboxylation of acids of Formula 2 by methods well known to those skilled in the art.
- Decarboxylation is carried by heating compounds of Formula 2 in a solvent, typically in the presence of an acid.
- Suitable acids for the reaction include, but are not limited to, p-toluenesulfonic acid.
- a wide variety of co-solvents are suitable for the reaction including, but not limited to, toluene, isopropanol acetate and isobutyl methylketone.
- the reaction is conducted at temperatures ranging from ⁇ 20° C. and to the boiling point of the solvent, and typically from 0 to 150° C.
- the method of Scheme 14 is illustrated by Step A of Synthesis Example 6.
- compounds of Formula 1g i.e. Formula 1 wherein R 1 is H R 4 and R 5 are H, and Y 1 and Y 2 are S
- a thionation reagent such as Lawesson's reagent, tetraphosphorus decasulfide or diphosphorus pentasulfide in a solvent such as tetrahydrofuran or toluene.
- the reaction is carried out at temperatures ranging from 0 to 115° C.
- thionating reagent can provide mixtures comprising Formula 1 products wherein Y 1 is O and Y 2 is S, or Y 1 is S and Y 2 is O, which can be separated by conventional methods such as chromatography and crystallization.
- compounds of Formula 1h i.e. Formula 1 wherein R 1 , R 4 , R 5 are H, Y 2 is O and Y 1 is NH
- compounds of Formula 1a can be prepared by alkylation of compounds of Formula 1a triethyloxonium tetrafluoroborate (Meerwein's reagent) followed by treatment of the resulting imino ether of Formula 19 with aqueous ammonia.
- the method of Scheme 16 is illustrated by Steps A and B of Synthesis Example 4.
- Step A Preparation of 1,3-diethyl 2-(3-chloro-4-fluorophenyl)methylenepropanedioate
- Step B Preparation 1,3-diethyl 2-[1-(3-chloro-4-fluorophenyl)-2-nitroethyl]-propanedioate
- Step C Preparation of ethyl 4-(3-chloro-4-fluorophenyl)-2-oxo-3-pyrrolidinecarboxylate
- Step D Preparation of 4-(3-chloro-4-fluorophenyl)-2-oxo-3-pyrrolidinecarboxylic acid
- Step E Preparation of 4-(3-chloro-4-fluorophenyl)-2-oxo-N-[2-(trifluoromethyl)-phenyl]-3-pyrrolidinecarboxamide
- reaction mixture was then concentrated under reduced pressure, and the residue was chromatographed on silica gel, eluted with 0-30% ethyl acetate in hexanes, to afford a solid residue which on trituration with 1-chlorobutane afforded the title product, a compound of the present invention, as a light pink solid (0.2 g).
- Step A Preparation of ethyl 3-[(2-fluorophenyl)amino]-3-oxopropanoate
- Step B Preparation of ethyl 3-(3,4-difluorophenyl)-2-[[(2-fluorophenyl)amino]-carbonyl]-2-propenoate
- Step C Preparation of ethyl 3,4-difluoro- ⁇ -[[(2-fluorophenyl)amino]carbonyl]- ⁇ -(nitromethyl)benzenepropanoate
- Step D Preparation of 4-(3,4-difluorophenyl)-N-(2-fluorophenyl)-1-hydroxy-2-oxo-3-pyrrolidinecarboxamide
- Step A Preparation of 4-(3,4-difluorophenyl)-N-(2-fluorophenyl)-2-oxo-3-pyrrolidinecarboxamide
- the reaction mixture was concentrated under reduced pressure, dissolved in ethyl acetate (100 mL) and washed successively with saturated ammonium chloride solution (50 mL), water (2 ⁇ 25 mL) and saturated sodium chloride (20 mL). The organic layer was dried (MgSO 4 ) and concentrated under reduced pressure to provide a solid residue. The residue was chromatographed on silica gel, eluted with 0-100% ethyl acetate in hexane, to provide the title compound as a white solid (0.746 g).
- Step B Preparation of 4-(3,4-difluorophenyl)-N-(2-fluorophenyl)dihydro-2-methoxy-3H-pyrrole-3-carboxamide
- Step C Preparation of 2-amino-4-(3,4-difluorophenyl)-N-(2-fluorophenyl)dihydro-3H-pyrrole-3-carboxamide
- Step B Preparation of 1,3-diethyl 2-[(1S)-2-nitro-1-[3-(trifluoromethyl)phenyl]ethyl]propanedioate
- Step C Preparation of ethyl (3R,4,S)-2-oxo-4-[3-(trifluoromethyl)phenyl]-3-pyrrolidinecarboxylate
- Step D Preparation of (3R,4S)-2-oxo-4-[3-(trifluoromethyl)phenyl]-3-pyrrolidinecarboxylic acid
- Step E Preparation of (3R,4S)—N-(2-fluorophenyl)-2-oxo-4-[3-(trifluoromethyl)phenyl]-3-pyrrolidinecarboxamide
- reaction mixture was quenched with saturated aqueous ammonium chloride (10 mL), warmed to ambient temperature and the aqueous layer was extracted with ethyl acetate (3 ⁇ 25 mL). The organic layers were combined, washed with brine and then dried (MgSO 4 ), filtered and concentrated under reduced pressure onto silica gel. The crude residue was chromatographed on silica gel, eluting with 0 to 40% ethyl acetate in hexanes, to afford a light pink solid (0.223 g).
- Step A Preparation of 1,3-diethyl 2-[(1S)-1-(3,4-difluorophenyl)-2-nitro-ethyl]propanedioate
- t means tertiary, s means secondary, n means normal, i means iso, c means cyclo, Me means methyl, Et means ethyl, Pr means propyl, Bu means butyl, i-Pr means isopropyl, c-Pr cyclopropyl, t-Bu means tertiary butyl, c-Bu means cyclobutyl, Ph means phenyl, OMe means methoxy, OEt means ethoxy, SMe means methylthio, NHMe means methylamino, CN means cyano. NO 2 means nitro, TMS means trimethylsilyl, SOMe means methylsulfinyl, C 2 F 5 means CF 2 CF 3 and SO 2 Me means methylsulfonyl.
- Table 2 is constructed in the same manner except that the Row Heading “Y 1 is O; Y 2 is O; R 2 is H; R 4 is H; R 5 is H; Q 2 is Ph(2-F); and Q 1 is” is replaced with the Row Heading listed for Table 2 below (i.e. “Y 1 is O; Y 1 is O; R 2 is H; R 4 is H; R 5 is H; Q 2 is Ph(2,3-F); and Q 1 is”). Therefore the first entry in Table 2 is a compound of Formula 1 wherein Y 1 is O, R 2 is H, R 4 is H, R 5 is H, Q 2 is Ph(2.3-F); and Q 1 is Ph(3-Cl) (i.e. 3-chlorophenyl). Tables 3 through 1699 are constructed similarly.
- Y 1 is O; Y 2 is O; R 2 is H; R 4 is H; R 5 is H; Q 2 is Ph(2,3-di-F); and Q 1 is 3 Y 1 is O; Y 2 is O; R 2 is H; R 4 is H; R 5 is H; Q 2 is Ph(2,4-di-F); and Q 1 is 4 Y 1 is O; Y 2 is O; R 2 is H; R 4 is H; R 5 is H; Q 2 is Ph(2,5-di-F); and Q 1 is 5 Y 1 is O; Y 2 is O; R 2 is H; R 4 is H; R 5 is H; Q 2 is Ph(2,3,4-tri-F); and Q 1 is 6 Y 1 is O; Y 2 is O; R 2 is H; R 4 is H; R 5 is H; Q 2 is Ph(2,3,5-tri-F); and Q 1 is 7 Y 1 is O; Y 2 is O; R 2 is H; R 4 is H; R 5 is H; Q 2
- Table 1700 is constructed the same way as Table 1 above, except the structure is replaced with the following:
- This disclosure also includes Tables 1701 through 3399, each Table is constructed in the same fashion as Tables 2 through 1699 above, except that the structure is replaced with the structure in Table 1700 above.
- Table 3400 is constructed the same way as Table 1 above, except the structure is replaced with the following:
- This disclosure also includes Tables 3401 through 5099, each Table is constructed in the same fashion as Tables 2 through 1699 above, except that the structure is replaced with the structure in Table 3400 above.
- Table 5100 is constructed the same way as Table I above, except the structure is replaced with the following:
- Tables 5101 through 6799 each Table is constructed in the same fashion as Tables 2 through 1699 above, except that the structure is replaced with the structure in Table 5100 above.
- the present disclosure also includes the intermediate compounds listed in Table I.
- Table 1 is constructed using the above Table I structure, combined with the individual values listed for Q 1 from Table 1.
- the present disclosure also includes the intermediate compounds listed in Table II.
- Table II is constructed using the above Table II structure, combined with the individual values listed for Q from Table 1.
- the present disclosure also includes the intermediate compounds listed in Table 111.
- Table III is constructed using the above Table III structure, combined with the individual values listed for Q 1 from Table 1.
- Table IV is constructed using the above Table IV structure, combined with the individual values listed for Q 1 from Table 1.
- a compound of this invention will generally be used as a herbicidal active ingredient in a composition, i.e. formulation, with at least one additional component selected from the group consisting of surfactants, solid diluents and liquid diluents, which serves as a carrier.
- a composition i.e. formulation
- additional component selected from the group consisting of surfactants, solid diluents and liquid diluents, which serves as a carrier.
- the formulation or composition ingredients are selected to be consistent with the physical properties of the active ingredient, mode of application and environmental factors such as soil type, moisture and temperature.
- Liquid compositions include solutions (including emulsifiable concentrates), suspensions, emulsions (including microemulsions, oil-in-water emulsions, flowable concentrates and/or suspoemulsions) and the like, which optionally can be thickened into gels.
- aqueous liquid compositions are soluble concentrate, suspension concentrate, capsule suspension, concentrated emulsion, microemulsion, oil-in-water emulsion, flowable concentrate and suspo-emulsion.
- nonaqueous liquid compositions are emulsifiable concentrate, microemulsifiable concentrate, dispersible concentrate and oil dispersion.
- the general types of solid compositions are dusts, powders, granules, pellets, prills, pastilles, tablets, filled films (including seed coatings) and the like, which can be water-dispersible (“wettable”) or water-soluble. Films and coatings formed from film-forming solutions or flowable suspensions are particularly useful for seed treatment.
- Active ingredient can be (micro)encapsulated and further formed into a suspension or solid formulation; alternatively the entire formulation of active ingredient can be encapsulated (or “overcoated”). Encapsulation can control or delay release of the active ingredient.
- An emulsifiable granule combines the advantages of both an emulsifiable concentrate formulation and a dry granular formulation. High-strength compositions are primarily used as intermediates for further formulation.
- Sprayable formulations are typically extended in a suitable medium before spraying. Such liquid and solid formulations are formulated to be readily diluted in the spray medium, usually water, but occasionally another suitable medium like an aromatic or paraffinic hydrocarbon or vegetable oil. Spray volumes can range from about from about one to several thousand liters per hectare, but more typically are in the range from about ten to several hundred liters per hectare. Sprayable formulations can be tank mixed with water or another suitable medium for foliar treatment by aerial or ground application, or for application to the growing medium of the plant. Liquid and dry formulations can be metered directly into drip irrigation systems or metered into the furrow during planting.
- the formulations will typically contain effective amounts of active ingredient, diluent and surfactant within the following approximate ranges which add up to 100 percent by weight.
- Weight Percent Active Ingredient Diluent Surfactant Water-Dispersible and Water- 0.001-90 0-99.999 0-15 soluble Granules, Tablets and Powders Oil Dispersions, Suspensions, 1-50 40-99 0-50 Emulsions, Solutions (including Emulsifiable Concentrates) Dusts 1-25 70-99 0-5 Granules and Pellets 0.001-99 5-99.999 0-15 High Strength Compositions 90-99 0-10 0-2
- Solid diluents include, for example, clays such as bentonite, montmorillonite, attapulgite and kaolin, gypsum, cellulose, titanium dioxide, zinc oxide, starch, dextrin, sugars (e.g., lactose, sucrose), silica, talc, mica, diatomaceous earth, urea, calcium carbonate, sodium carbonate and bicarbonate, and sodium sulfate.
- Typical solid diluents are described in Watkins et al., Handbook of Insecticide Dust Diluents and Carriers, 2nd Ed., Dorland Books, Caldwell, N.J.
- Liquid diluents include, for example, water, N,N-dimethylalkanamides (e.g., N,N-dimethylformamide), limonene, dimethyl sulfoxide, N-alkylpyrrolidones (e.g., N-methylpyrrolidinone), alkyl phosphates (e.g., triethyl phosphate), ethylene glycol, triethylene glycol, propylene glycol, dipropylene glycol, polypropylene glycol, propylene carbonate, butylene carbonate, paraffins (e.g., white mineral oils, normal paraffins, isoparaffins), alkylbenzenes, alkylnaphthalenes, glycerine, glycerol triacetate, sorbitol, aromatic hydrocarbons, dearomatized aliphatics, alkylbenzenes, alkylnaphthalenes, ketones such as cyclohexanone
- Liquid diluents also include glycerol esters of saturated and unsaturated fatty acids (typically C 6 -C 22 ), such as plant seed and fruit oils (e.g., oils of olive, castor, linseed, sesame, corn (maize), peanut, sunflower, grapeseed, safflower, cottonseed, soybean, rapeseed, coconut and palm kernel), animal-sourced fats (e.g., beef tallow, pork tallow, lard, cod liver oil, fish oil), and mixtures thereof.
- plant seed and fruit oils e.g., oils of olive, castor, linseed, sesame, corn (maize), peanut, sunflower, grapeseed, safflower, cottonseed, soybean, rapeseed, coconut and palm kernel
- animal-sourced fats e.g., beef tallow, pork tallow, lard, cod liver oil, fish oil
- Liquid diluents also include alkylated fatty acids (e.g., methylated, ethylated, butylated) wherein the fatty acids may be obtained by hydrolysis of glycerol esters from plant and animal sources, and can be purified by distillation.
- alkylated fatty acids e.g., methylated, ethylated, butylated
- Typical liquid diluents are described in Marsden, Solvents Guide, 2nd Ed., Interscience, New York, 1950.
- the solid and liquid compositions of the present invention often include one or more surfactants.
- surfactants also known as “surface-active agents”
- surface-active agents generally modify, most often reduce, the surface tension of the liquid.
- surfactants can be useful as wetting agents, dispersants, emulsifiers or defoaming agents.
- Nonionic surfactants useful for the present compositions include, but are not limited to: alcohol alkoxylates such as alcohol alkoxylates based on natural and synthetic alcohols (which may be branched or linear) and prepared from the alcohols and ethylene oxide, propylene oxide, butylene oxide or mixtures thereof; amine ethoxylates, alkanolamides and ethoxylated alkanolamides; alkoxylated triglycerides such as ethoxylated soybean, castor and rapeseed oils; alkylphenol alkoxylates such as octylphenol ethoxylates, nonylphenol ethoxylates, dinonyl phenol ethoxylates and dodecyl phenol ethoxylates (prepared from the phenols and ethylene oxide, propylene oxide, butylene oxide or mixtures thereof); block polymers prepared from ethylene oxide or propylene
- Useful anionic surfactants include, but are not limited to: alkylaryl sulfonic acids and their salts; carboxylated alcohol or alkylphenol ethoxylates; diphenyl sulfonate derivatives; lignin and lignin derivatives such as lignosulfonates; maleic or succinic acids or their anhydrides; olefin sulfonates; phosphate esters such as phosphate esters of alcohol alkoxylates, phosphate esters of alkylphenol alkoxylates and phosphate esters of styryl phenol ethoxylates; protein-based surfactants; sarcosine derivatives; styryl phenol ether sulfate; sulfates and sulfonates of oils and fatty acids; sulfates and sulfonates of ethoxylated alkylphenols; sulfates of alcohols; sulfates of e
- Useful cationic surfactants include, but are not limited to: amides and ethoxylated amides; amines such as N-alkyl propanediamines, tripropylenetriamines and dipropylenetetramines, and ethoxylated amines, ethoxylated diamines and propoxylated amines (prepared from the amines and ethylene oxide, propylene oxide, butylene oxide or mixtures thereof); amine salts such as amine acetates and diamine salts; quaternary ammonium salts such as quaternary salts, ethoxylated quaternary salts and diquaternary salts; and amine oxides such as alkyldimethylamine oxides and bis-(2-hydroxyethyl)-alkylamine oxides.
- amines such as N-alkyl propanediamines, tripropylenetriamines and dipropylenetetramines, and ethoxylated amine
- Nonionic, anionic and cationic surfactants and their recommended uses are disclosed in a variety of published references including McCutcheon's Emulsifiers and Detergents, annual American and International Editions published by McCutcheon's Division, The Manufacturing Confectioner Publishing Co.; Sisely and Wood, Encyclopedia of Surface Active Agents , Chemical Publ. Co., Inc., New York, 1964; and A. S. Davidson and B. Milwidsky, Synthetic Detergents , Seventh Edition, John Wiley and Sons, New York, 1987.
- compositions of this invention may also contain formulation auxiliaries and additives, known to those skilled in the art as formulation aids (some of which may be considered to also function as solid diluents, liquid diluents or surfactants).
- formulation auxiliaries and additives may control: pH (buffers), foaming during processing (antifoams such polyorganosiloxanes), sedimentation of active ingredients (suspending agents), viscosity (thixotropic thickeners), in-container microbial growth (antimicrobials), product freezing (antifreezes), color (dyes/pigment dispersions), wash-off (film formers or stickers), evaporation (evaporation retardants), and other formulation attributes.
- Film formers include, for example, polyvinyl acetates, polyvinyl acetate copolymers, polyvinylpyrrolidone-vinyl acetate copolymer, polyvinyl alcohols, polyvinyl alcohol copolymers and waxes.
- formulation auxiliaries and additives include those listed in McCutcheon's Volume 2 : Functional Materials , annual International and North American editions published by McCutcheon's Division, The Manufacturing Confectioner Publishing Co.; and PCT Publication WO 03/024222.
- the compound of Formula 1 and any other active ingredients are typically incorporated into the present compositions by dissolving the active ingredient in a solvent or by grinding in a liquid or dry diluent.
- Solutions, including emulsifiable concentrates can be prepared by simply mixing the ingredients. If the solvent of a liquid composition intended for use as an emulsifiable concentrate is water-immiscible, an emulsifier is typically added to emulsify the active-containing solvent upon dilution with water.
- Active ingredient slurries, with particle diameters of up to 2,000 ⁇ m can be wet milled using media mills to obtain particles with average diameters below 3 ⁇ m.
- Aqueous slurries can be made into finished suspension concentrates (see, for example, U.S. Pat. No. 3,060,084) or further processed by spray drying to form water-dispersible granules. Dry formulations usually require dry milling processes, which produce average particle diameters in the 2 to 10 ⁇ m range. Dusts and powders can be prepared by blending and usually grinding (such as with a hammer mill or fluid-energy mill). Granules and pellets can be prepared by spraying the active material upon preformed granular carriers or by agglomeration techniques. See Browning, “Agglomeration”, Chemical Engineering , Dec.
- Pellets can be prepared as described in U.S. Pat. No. 4,172,714.
- Water-dispersible and water-soluble granules can be prepared as taught in U.S. Pat. Nos. 4,144,050, 3,920,442 and DE 3,246,493.
- Tablets can be prepared as taught in U.S. Pat. Nos. 5,180,587, 5,232,701 and 5,208,030.
- Films can be prepared as taught in GB 2,095,558 and U.S. Pat. No. 3,299,566.
- Example A High Strength Concentrate Compound 17 98.5% silica aerogel 0.5% synthetic amorphous fine silica 1.0%
- Example B Wettable Powder Compound 79 65.0% dodecylphenol polyethylene glycol ether 2.0% sodium ligninsulfonate 4.0% sodium silicoaluminate 6.0% montmorillonite (calcined) 23.0%
- Example C Granule Compound 80 10.0% attapulgite granules (low volatile matter, 0.71/0.30 mm; 90.0% U.S.S. No. 25-50 sieves)
- Example D Extruded Pellet Compound 5 25.0% anhydrous sodium sulfate 10.0% crude calcium ligninsulfonate 5.0% sodium alkylnaphthalenesulfonate 1.0% calcium/magnesium bentonite 59.0%
- Example E Emulsifiable Concentrate Compound 17 10.0% polyoxyethylene sorbitol hexoleate 20.0% C 6 -C 10 fatty acid methyl ester 70.0%
- Example F Microemulsion Compound 79 5.0% polyvinylpyrrolidone-vinyl acetate copolymer 30.0% alkylpolyglycoside 30.0% glyceryl monooleate 15.0% water 20.0%
- Example G Suspension Concentrate Compound 80 35% butyl polyoxyethylene/polypropylene block copolymer 4.0% stearic acid/polyethylene glycol copolymer 1.0% styrene acrylic polymer 1.0% xanthan gum 0.1% propylene glycol 5.0% silicone based defoamer 0.1% 1,2-benzisothiazolin-3-one 0.1% water 53.7%
- Example H Emulsion in Water Compound 5 10.0% butyl polyoxyethylene/polypropylene block copolymer 4.0% stearic acid/polyethylene glycol copolymer 1.0% styrene acrylic polymer 1.0% xanthan gum 0.1% propylene glycol 5.0% silicone based defoamer 0.1% 1,2-benzisothiazolin-3-one 0.1% aromatic petroleum based hydrocarbon 20.0 water 58.7%
- Example I Oil Dispersion Compound 17 25% polyoxyethylene sorbitol hexaoleate 15% organically modified bentonite clay 2.5% fatty acid methyl ester 57.5%
- Example J Suspoemulsion Compound 79 10.0% imidacloprid 5.0% butyl polyoxyethylene/polypropylene block copolymer 4.0% stearic acid/polyethylene glycol copolymer 1.0% styrene acrylic polymer 1.0% xanthan gum 0.1% propylene glycol 5.0% silicone based defoamer 0.1% 1,2-benzisothiazolin-3-one 0.1% aromatic petroleum based hydrocarbon 20.0% water 53.7%
- the compounds of the invention generally show highest activity for early postemergence weed control (i.e. applied soon after weed seedlings emerge from the soil) and preemergence weed control (i.e. applied before weed seedlings emerge from the soil). Many of them have utility for broad-spectrum pre- and/or postemergence weed control in areas where complete control of all vegetation is desired such as around fuel storage tanks, industrial storage areas, parking lots, drive-in theaters, air fields, river banks, irrigation and other waterways, around billboards and highway and railroad structures.
- Compounds of this invention may show tolerance to important agronomic crops including, but is not limited to, alfalfa, barley, cotton, wheat, rape, sugar beets, corn (maize), sorghum, soybeans, rice, oats, peanuts, vegetables, tomato, potato, perennial plantation crops including coffee, cocoa, oil palm, rubber, sugarcane, citrus, grapes, fruit trees, nut trees, banana, plantain, pineapple, hops, tea and forests such as eucalyptus and conifers (e.g., loblolly pine), and turf species (e.g., Kentucky bluegrass, St. Augustine grass, Kentucky fescue and Bermuda grass).
- important agronomic crops including, but is not limited to, alfalfa, barley, cotton, wheat, rape, sugar beets, corn (maize), sorghum, soybeans, rice, oats, peanuts, vegetables, tomato, potato, perennial plantation crops including coffee, cocoa
- Compounds of this invention can be used in crops genetically transformed or bred to incorporate resistance to herbicides, express proteins toxic to invertebrate pests (such as Bacillus thuringiensis toxin), and/or express other useful traits. Those skilled in the art will appreciate that not all compounds are equally effective against all weeds. Alternatively, the subject compounds are useful to modify plant growth.
- the compounds of the invention have (both preemergent and postemergent herbicidal) activity, to control undesired vegetation by killing or injuring the vegetation or reducing its growth
- the compounds can be usefully applied by a variety of methods involving contacting a herbicidally effective amount of a compound of the invention, or a composition comprising said compound and at least one of a surfactant, a solid diluent or a liquid diluent, to the foliage or other part of the undesired vegetation or to the environment of the undesired vegetation such as the soil or water in which the undesired vegetation is growing or which surrounds the seed or other propagule of the undesired vegetation.
- a herbicidally effective amount of the compounds of this invention is determined by a number of factors. These factors include: formulation selected, method of application, amount and type of vegetation present, growing conditions, etc. In general, a herbicidally effective amount of compounds of this invention is about 0.005 to 20 kg/ha with a preferred range of about 0.01 to 1 kg/ha. One skilled in the art can easily determine the herbicidally effective amount necessary for the desired level of weed control.
- Plant varieties and cultivars can be obtained by conventional propagation and breeding methods or by genetic engineering methods.
- Genetically modified plants are those in which a heterologous gene (transgene) has been stably integrated into the plant's genome.
- a transgene that is defined by its particular location in the plant genome is called a transformation or transgenic event.
- Genetically modified plant cultivars which can be treated according to the invention include those that are resistant against one or more biotic stresses (pests such as nematodes, insects, mites, fungi, etc.) or abiotic stresses (drought, cold temperature, soil salinity, etc.), or that contain other desirable characteristics. Plants can be genetically modified to exhibit traits of for example, herbicide tolerance, insect-resistance, modified oil profiles or drought tolerance. Useful genetically modified plants containing single gene transformation events or combinations of transformation events are listed in Table 3. Additional information for the genetic modifications listed in Table 3 can be obtained from publicly available databases maintained, for example, by the U.S. Department of Agriculture.
- T1 through T37 are used in Table 3 for traits. A means the entry is not available.
- Treatment of genetically modified plants with compounds of the invention may result in super-additive or synergistic effects. For example, reduction in application rates, broadening of the activity spectrum, increased tolerance to biotic/abiotic stresses or enhanced storage stability may be greater than expected from just simple additive effects of the application of compounds of the invention on genetically modified plants.
- Compounds of this invention can also be mixed with one or more other biologically active compounds or agents including herbicides, herbicide safeners, fungicides, insecticides, nematocides, bactericides, acaricides, growth regulators such as insect molting inhibitors and rooting stimulants, chemosterilants, semiochemicals, repellents, attractants, pheromones, feeding stimulants, plant nutrients, other biologically active compounds or entomopathogenic bacteria, virus or fungi to form a multi-component pesticide giving an even broader spectrum of agricultural protection.
- Mixtures of the compounds of the invention with other herbicides can broaden the spectrum of activity against additional weed species, and suppress the proliferation of any resistant biotypes.
- the present invention also pertains to a composition
- a composition comprising a compound of Formula 1 (in a herbicidally effective amount) and at least one additional biologically active compound or agent (in a biologically effective amount) and can further comprise at least one of a surfactant, a solid diluent or a liquid diluent.
- the other biologically active compounds or agents can be formulated in compositions comprising at least one of a surfactant, solid or liquid diluent.
- one or more other biologically active compounds or agents can be formulated together with a compound of Formula 1, to form a premix, or one or more other biologically active compounds or agents can be formulated separately from the compound of Formula 1, and the formulations combined together before application (e.g., in a spray tank) or, alternatively, applied in succession.
- a mixture of one or more of the following herbicides with a compound of this invention may be particularly useful for weed control: acetochlor, acifluorfen and its sodium salt, aclonifen, acrolein (2-propenal), alachlor, alloxydim, ametryn, amicarbazone, amidosulfuron, aminocyclopyrachlor and its esters (e.g., methyl, ethyl) and salts (e.g., sodium, potassium), aminopyralid, amitrole, ammonium sulfamate, anilofos, asulam, atrazine, azimsulfuron, beflubutamid, benazolin, benazolin-ethyl, bencarbazone, benfluralin, benfuresate, bensulfuron-methyl, bensulide, bentazone, benzobicyclon, benzofenap, bicyclopyrone, bifenox, bilana
- herbicides also include bioherbicides such as Alternaria destruens Simmons, Colletotrichum gloeosporioides (Penz.) Penz. & Sacc., Drechslera monoceras (MTB-951), Myrothecium verrucaria (Albertini & Schweinitz) Ditmar: Fries, Phytophthora palmivora (Butl.) Butl. and Puccinia thlaspeos Schub.
- bioherbicides such as Alternaria destruens Simmons, Colletotrichum gloeosporioides (Penz.) Penz. & Sacc., Drechslera monoceras (MTB-951), Myrothecium verrucaria (Albertini & Schweinitz) Ditmar: Fries, Phytophthora palmivora (Butl.) Butl. and Puccinia thlaspeos Schub.
- Compounds of this invention can also be used in combination with plant growth regulators such as aviglycine, N-(phenylmethyl)-1H-purin-6-amine, epocholeone, gibberellic acid, gibberellin A 4 and A 7 , harpin protein, mepiquat chloride, prohexadione calcium, prohydrojasmon, sodium nitrophenolate and trinexapac-methyl, and plant growth modifying organisms such as Bacillus cereus strain BP01.
- plant growth regulators such as aviglycine, N-(phenylmethyl)-1H-purin-6-amine, epocholeone, gibberellic acid, gibberellin A 4 and A 7 , harpin protein, mepiquat chloride, prohexadione calcium, prohydrojasmon, sodium nitrophenolate and trinexapac-methyl
- plant growth regulators such as aviglycine, N-(phenylmethyl)-1H-purin-6-amine,
- the weight ratio of these various mixing partners (in total) to the compound of Formula 1 is typically between about 1:3000 and about 3000:1. Of note are weight ratios between about 1:300 and about 300:1 (for example ratios between about 1:30 and about 30:1).
- weight ratios between about 1:300 and about 300:1 for example ratios between about 1:30 and about 30:1.
- One skilled in the art can easily determine through simple experimentation the biologically effective amounts of active ingredients necessary for the desired spectrum of biological activity. It will be evident that including these additional components may expand the spectrum of weeds controlled beyond the spectrum controlled by the compound of Formula 1 alone.
- combinations of a compound of this invention with other biologically active (particularly herbicidal) compounds or agents (i.e. active ingredients) can result in a greater-than-additive (i.e. synergistic) effect on weeds and/or a less-than-additive effect (i.e. safening) on crops or other desirable plants. Reducing the quantity of active ingredients released in the environment while ensuring effective pest control is always desirable. Ability to use greater amounts of active ingredients to provide more effective weed control without excessive crop injury is also desirable.
- synergism of herbicidal active ingredients occurs on weeds at application rates giving agronomically satisfactory levels of weed control, such combinations can be advantageous for reducing crop production cost and decreasing environmental load.
- safening of herbicidal active ingredients occurs on crops, such combinations can be advantageous for increasing crop protection by reducing weed competition.
- a composition of the present invention can further comprise (in a herbicidally effective amount) at least one additional herbicidal active ingredient having a similar spectrum of control but a different site of action.
- herbicide safeners such as allidochlor, benoxacor, cloquintocet-mexyl, cumyluron, cyometrinil, cyprosulfonamide, daimuron, dichlormid, dicyclonon, dietholate, dimepiperate, fenchlorazole-ethyl, fenclorim, flurazole, fluxofenim, furilazole, isoxadifen-ethyl, mefenpyr-diethyl, mephenate, methoxyphenone naphthalic anhydride (1,8-naphthalic anhydride), oxabetrinil, N-(aninocarbonyl)-2-methylbenzenesulfonamide, N-(aminocarbonyl)-2-fluorobenzenesulfonamide, 1-bromo-4-[(chloromethyl)sulfonyl]benzene (BC
- Antidotally effective amounts of the herbicide safeners can be applied at the same time as the compounds of this invention, or applied as seed treatments. Therefore an aspect of the present invention relates to a herbicidal mixture comprising a compound of this invention and an antidotally effective amount of a herbicide safener. Seed treatment is particularly useful for selective weed control, because it physically restricts antidoting to the crop plants. Therefore a particularly useful embodiment of the present invention is a method for selectively controlling the growth of undesired vegetation in a crop comprising contacting the locus of the crop with a herbicidally effective amount of a compound of this invention wherein seed from which the crop is grown is treated with an antidotally effective amount of safener. Antidotally effective amounts of safeners can be easily determined by one skilled in the art through simple experimentation.
- composition comprising a compound of the invention (in a herbicidally effective amount), at least one additional active ingredient selected from the group consisting of other herbicides and herbicide safeners (in an effective amount), and at least one component selected from the group consisting of surfactants, solid diluents and liquid diluents.
- Preferred for better control of undesired vegetation e.g., lower use rate such as from synergism, broader spectrum of weeds controlled, or enhanced crop safety
- for preventing the development of resistant weeds are mixtures of a compound of this invention with another herbicide.
- Table A1 lists particular combinations of Component (a) (i.e. a specific compound of the present invention) with another herbicide as Component (b) illustrative of the mixtures, compositions and methods of the present invention.
- Compound 17 in the Component (a) column is identified in Index Table A.
- the second column of Table A1 lists the specific Component (b) compound (e.g., “2,4-D” in the first line).
- the third, fourth and fifth columns of Table A1 lists ranges of weight ratios for rates at which the Component (a) compound is typically applied to a field-grown crop relative to Component (b) (i.e. (a):(b)).
- the first line of Table A1 specifically discloses the combination of Component (a) (i.e. Compound 17 in Index Table A) with 2:4-D is typically applied in a weight ratio between 1:192-6:1.
- the remaining lines of Table A1 are to be construed similarly.
- Table A2 is constructed the same as Table A1 above except that entries below the “Component (a)” column beading are replaced with the respective Component (a) Column Entry shown below.
- Compound 79 in the Component (a) column is identified in Index Table A.
- Table A2 the entries below the “Component (a)” column heading all recite “Compound 79” (i.e. Compound 79 identified in Index Table A), and the first line below the column headings in Table A2 specifically discloses a mixture of Compound 79 with 2,4-D.
- Tables A3 and A4 are constructed similarly.
- Preferred for better control of undesired vegetation e.g., lower use rate such as from synergism, broader spectrum of weeds controlled, or enhanced crop safety
- a herbicide selected from the group consisting of chlorimuron-ethyl, nicosulfuron, mesotrione, thifensulfuron-methyl, flupyrsulfuron-methyl, tribenuron, pyroxasulfone, pinoxaden, tembotrione, pyroxsulam, metolachlor and S-metolachlor.
- Mass spectra are reported as the molecular weight of the highest isotopic abundance parent ion (M+1) formed by addition of H + (molecular weight of 1) to the molecule, or (M ⁇ 1) formed by the loss of H+(molecular weight of 1) from the molecule, observed by using liquid chromatography coupled to a mass spectrometer (LCMS) using either atmospheric pressure chemical ionization (AP + ) or electrospray ionization (ESI + ).
- a1 H NMR data are in ppm downfield from tetramethylsilane. Couplings are designated by (s)—singlet, (d)—doublet, (t)—triplet, (m)—multiplet, (br s)—broad singlet.
- plants selected from these crop and weed species and also blackgrass ( Alopecurus myosuroides ), and galium (catchweed bedstraw, Galium aparine ) were planted in pots containing the same blend of loam soil and sand and treated with postemergence applications of test chemicals formulated in the same manner. Plants ranged in height from 2 to 10 cm and were in the one- to two-leaf stage for the postemergence treatment. Treated plants and untreated controls were maintained in a greenhouse for approximately 10 days, after which time all treated plants were compared to untreated controls and visually evaluated for injury. Plant response ratings, summarized in Table A, are based on a 0 to 100 scale where 0 is no effect and 100 is complete control. A dash (-) response means no test result.
- Plant species in the flooded paddy test selected from rice ( Oryza sativa ), sedge, umbrella (small-flower umbrella sedge, Cyperus difformis ), ducksalad ( Heteranthera limosa ), and barnyardgrass ( Echinochloa crus - galli ) were grown to the 2-leaf stage for testing.
- test pots were flooded to 3 cm above the soil surface, treated by application of test compounds directly to the paddy water, and then maintained at that water depth for the duration of the test.
- Treated plants and controls were maintained in a greenhouse for 13 to 15 days, after which time all species were compared to controls and visually evaluated.
- Plant response ratings, summarized in Table B are based on a scale of 0 to 100 where 0 is no effect and 100 is complete control. A dash (-) response means no test result.
- plants selected from these crop and weed species and also barley (winter barley, Hordeum vulgare ), windgrass ( Apera spica - venti ), chickweed (common chickweed, Stellaria media ), deadnettle (henbit deadnettle, Lamium amplexicaule ), and canarygrass (littleseed canarygrass, Phalaris minor ) were planted in pots containing Redi-Earth® planting medium (Scotts Company, 14111 Scottslawn Road, Marysville, Ohio 43041) comprising spaghnum peat moss, vermiculite, wetting agent and starter nutrients and treated with postemergence applications of test chemicals formulated in the same manner.
- Redi-Earth® planting medium (Scotts Company, 14111 Scottslawn Road, Marysville, Ohio 43041) comprising spaghnum peat moss, vermiculite, wetting agent and starter nutrients and treated with postemergence applications of test chemicals formulated in the same manner.
- Plants ranged in height from 2 to 18 cm (1- to 4-leaf stage) for postemergence treatments. Treated plants and controls were maintained in a greenhouse for 13 to 15 days, after which time all species were compared to controls and visually evaluated. Plant response ratings, summarized in Table C, are based on a scale of 0 to 100 where 0 is no effect and 100 is complete control. A dash (-) response means no test result.
- Plant species in the flooded paddy test consisted of rice ( Oryza sativa ), sedge, umbrella (small-flower umbrella sedge, Cyperus difformis ), ducksalad ( Heteranthera limosa ), and barnyardgrass ( Echinochloa crus - galli ) grown to the 2-leaf stage for testing.
- test pots were flooded to 3 cm above the soil surface, treated by application of test compounds directly to the paddy water, and then maintained at that water depth for the duration of the test.
- Treated plants and controls were maintained in a greenhouse for 13 to 15 days, after which time all species were compared to controls and visually evaluated.
- Plant response ratings, summarized in Table C are based on a scale of 0 to 100) where (0 is no effect and 100 is complete control. A dash (-) response means no test result.
- Plant response ratings summarized in Table E, are based on a scale of 0 to 100 where 0 is no effect and 100 is complete control. A dash (-) response means no test result.
- Three plastic pots (ca. 16-cm diameter) per rate were partially filled with sterilized Tama silt loam soil comprising a 35:50:15 ratio of sand, silt and clay and 2.6% organic matter.
- Separate plantings for each of the three pots were as follows. Seeds from the U.S. of monochoria ( Monochoria vaginalis ), sedge, umbrella (small-flower umbrella sedge, Cyperus difformis ), bulrush, hardstem (hardstem bulrush, Scirpus juncoides ), and redstem (purple redstem, Ammannia coccinea ), were planted into one 16-cm pot for each rate. Seeds from the U.S.
- barnyardgrass Echinochloa crus - galli
- waterplantain common waterplantain, Alisma plantago - aquatica
- watergrass, late late watergrass, Echinochloa oryzicola
- Potted plants were grown in a greenhouse with day/night temperature settings of 30/27° C., and supplemental balanced lighting was provided to maintain a 16-h photoperiod. Test pots were maintained in the greenhouse until test completion.
- test pots were flooded to 3 cm above the soil surface, treated by application of test compounds directly to the paddy water, and then maintained at that water depth for the duration of the test. Effects of treatments on rice and weeds were visually evaluated by comparison to untreated controls after 21 d. Plant response ratings, summarized in Table F, are based on a scale of 0 to 100 where 0 is no effect and 100 is complete control. A dash (-) response means no test result.
- Colby's Equation was used to determine the herbicidal effects expected from the mixtures.
- Colby's Equation (Colby, S. R. “Calculating Synergistic and Antagonistic Responses of Herbicide Combinations,” Weeds, 15(1), pp 20-22 (1967)) calculates the expected additive effect of herbicidal mixtures and for two active ingredients is of the form:
- This test evaluated the effect of mixtures of compound 80 with several commercial herbicides on four plant species. Seeds of plant species selected from corn (ZEAMD, Zea mays ), soybean (GLXMA, Glycine max ), waterhemp (common waterhemp, AMATA, Amaranthus rudis ), and giant foxtail (SETFA, Setaria faberii ) were planted into a silt loam soil and treated preemergence with test chemicals formulated in a non-phytotoxic solvent mixture which included a surfactant and applied using a volume of 281 L/ha. Each treatment was replicated three times. Treated plants and controls were maintained in a greenhouse using supplemental lighting to maintain a photoperiod of about 16 h; daytime and nighttime temperatures were about 24-30° C.
Landscapes
- Chemical & Material Sciences (AREA)
- Organic Chemistry (AREA)
- Life Sciences & Earth Sciences (AREA)
- Agronomy & Crop Science (AREA)
- Pest Control & Pesticides (AREA)
- Plant Pathology (AREA)
- Health & Medical Sciences (AREA)
- Engineering & Computer Science (AREA)
- Dentistry (AREA)
- General Health & Medical Sciences (AREA)
- Wood Science & Technology (AREA)
- Zoology (AREA)
- Environmental Sciences (AREA)
- Agricultural Chemicals And Associated Chemicals (AREA)
- Plural Heterocyclic Compounds (AREA)
Abstract
Description
- This invention relates to certain pyrrolidinones, their N-oxides and salts, and compositions and methods of their use for controlling undesirable vegetation.
- The control of undesired vegetation is extremely important in achieving high crop efficiency. Achievement of selective control of the growth of weeds especially in such useful crops as rice, soybean, sugar beet, maize, potato, wheat, barley, tomato and plantation crops, among others, is very desirable. Unchecked weed growth in such useful crops can cause significant reduction in productivity and thereby result in increased costs to the consumer. The control of undesired vegetation in noncrop areas is also important. Many products are commercially available for these purposes, but the need continues for new compounds that are more effective, less costly, less toxic, environmentally safer or have different sites of action.
- This invention is directed to compounds of Formula 1 (including all stereoisomers), including N-oxides and salts thereof, agricultural compositions containing them and their use as herbicides:
- wherein
-
- Q1 is a phenyl ring or a naphthalenyl ring system, each ring or ring system optionally substituted with up to 5 substituents independently selected from R7; or a 5- to 6-membered fully unsaturated heterocyclic ring or an 8- to 10-membered heteroaromatic bicyclic ring system, each ring or ring system containing ring members selected from carbon atoms and 1 to 4 heteroatoms independently selected from up to 2 O, up to 2 S and up to 4 N atoms, wherein up to 3 carbon ring members are independently selected from C(═O) and C(═S), and the sulfur atom ring members are independently selected from S(═O)u(═NR8)v, each ring or ring system optionally substituted with up to 5 substituents independently selected from R7 on carbon atom ring members and selected from R9 on nitrogen atom ring members;
- Q2 is a phenyl ring or a naphthalenyl ring system, each ring or ring system optionally substituted with up to 5 substituents independently selected from R10; or a 5- to 6-membered fully unsaturated heterocyclic ring or an 8- to 10-membered heteroaromatic bicyclic ring system, each ring or ring system containing ring members selected from carbon atoms and 1 to 4 heteroatoms independently selected from up to 2 O, up to 2 S and up to 4 N atoms, wherein up to 3 carbon ring members are independently selected from C(═O) and C(═S), and the sulfur atom ring members are independently selected from S(═O)u(═NR8)v, each ring or ring system optionally substituted with up to 5 substituents independently selected from R10 on carbon atom ring members and selected from R11 on nitrogen atom ring members;
- Y1 and Y2 are each independently O, S or NR12;
- R1 is H, hydroxy, amino, C1-C6 alkyl, C1-C6 haloalkyl, C2-C6 alkenyl, C3-C6 alkynyl, C4-C8 cycloalkylalkyl, C2-C8 alkoxyalkyl, C2-C8 haloalkoxyalkyl, C2-C8 alkylthioalkyl, C2-C8 alkylsulfinylalkyl, C2-C8 alkylsulfonylalkyl, C2-C8 alkylcarbonyl, C2-C8 haloalkylcarbonyl, C4-C10 cycloalkylcarbonyl, C2-C8 alkoxycarbonyl, C2-C8 haloalkoxycarbonyl, C4-C10 cycloalkoxycarbonyl, C2-C8 alkylaminocarbonyl, C3-C10 dialkylaminocarbonyl, C4-C10 cycloalkylaminocarbonyl, C1-C6 alkoxy, C1-C6 alkylthio, C1-C6 haloalkylthio, C3-C8 cycloalkylthio, C1-C6 alkylsulfinyl, C1-C6 haloalkylsulfinyl, C3-C8 cycloalkylsulfinyl, C1-C6 alkylsulfonyl, C1-C6 haloalkylsulfonyl, C3-C8 cycloalkylsulfonyl, C1-C6 alkylaminosulfonyl, C2-C8 dialkylaminosulfonyl, C3-C10 trialkylsilyl or G1;
- R2 and R3 are each independently H, halogen or C1-C4 alkyl; or
- R2 and R3 are taken together with the carbon atom to which they are bonded to form a C3-C7 cycloalkyl ring;
- R4 and R5 are each independently H, halogen or C1-C4 alkyl;
- R6 is H, hydroxy, amino, C1-C6 alkyl, C1-C6 haloalkyl, C2-C6 alkenyl, C3-C6 alkynyl, C2-C8 alkoxyalkyl, C2-C8 haloalkoxyalkyl, C2-C8 alkylthioalkyl, C2-C8 alkylsulfinylalkyl, C2-C8 alkylsulfonylalkyl, C2-C8 alkylcarbonyl, C2-C8 haloalkylcarbonyl, C4-C10 cycloalkylcarbonyl, C2-C8 alkoxycarbonyl, C2-C8 haloalkoxycarbonyl, C4-C10 cycloalkoxycarbonyl, C2-C8 alkylaminocarbonyl, C3-C10 dialkylaminocarbonyl, C4-C10 cycloalkylaminocarbonyl, C1-C6 alkoxy, C1-C6 alkylthio, C1-C6 haloalkylthio, C3-C8 cycloalkylthio, C1-C6 alkylsulfinyl, C1-C6 haloalkylsulfinyl, C3-C8 cycloalkylsulfinyl, C1-C6 alkylsulfonyl, C1-C6 haloalkylsulfonyl, C3-C8 cycloalkylsulfonyl, C1-C6 alkylaminosulfonyl, C2-C8 dialkylaminosulfonyl, C3-C10 trialkylsilyl or G1;
- each R7 and R10 is independently halogen, cyano, nitro, C1-C8 alkyl, C1-C8 haloalkyl, C1-C8 nitroalkyl, C2-C8 alkenyl, C2-C8 haloalkenyl, C2-C8 nitroalkenyl, C2-C8 alkynyl, C2-C8 haloalkynyl, C4-C10 cycloalkylalkyl, C4-C10 halocycloalkylalkyl, C5-C12 alkylcycloalkylalkyl, C5-C12 cycloalkylalkenyl, C5-C12 cycloalkylalkynyl, C3-C8 cycloalkyl, C3-C8 halocycloalkyl, C4-C10 alkylcycloalkyl, C6-C12 cycloalkylcycloalkyl, C3-C8 cycloalkenyl, C3-C8 halocycloalkenyl, C2-C8 alkoxyalkyl, C2-C8 haloalkoxyalkyl, C3-C8 haloalkoxyalkoxy, C3-C8 alkoxyalkoxy, C4-C10 cycloalkoxyalkyl, C3-C10 alkoxyalkoxyalkyl, C2-C8 alkylthioalkyl, C2-C8 alkylsulfinylalkyl, C2-C8 alkylsulfonylalkyl, C2-C8 alkylaminoalkyl, C2-C8 haloalkylaminoalkyl, C4-C10 cycloalkylaminoalkyl, C3-C10 dialkylaminoalkyl, —CHO, C2-C8 alkylcarbonyl, C2-C8 haloalkylcarbonyl, C4-C10 cycloalkylcarbonyl, —C(═O)OH, C2-C8 alkoxycarbonyl, C2-C8 haloalkoxycarbonyl, C4-C10 cycloalkoxycarbonyl, C5-C12 cycloalkylalkoxycarbonyl, —C(═O)NH2, C2-C8 alkylaminocarbonyl, C4-C10 cycloalkylaminocarbonyl, C3-C10 dialkylaminocarbonyl, C1-C8 alkoxy, C1-C8 haloalkoxy, C2-C8 alkoxyalkoxy, C2-C8 alkenyloxy, C2-C8 haloalkenyloxy, C3-C8 alkynyloxy, C3-C8 haloalkynyloxy, C3-C8 cycloalkoxy, C3-C8 halocycloalkoxy, C4-C10 cycloalkylalkoxy, C3-C10 alkylcarbonylalkoxy, C2-C8 alkylcarbonyloxy, C2-C8 haloalkylcarbonyloxy, C4-C10 cycloalkylcarbonyloxy, C1-C8 alkylsulfonyloxy, C1-C8 haloalkylsulfonyloxy, C1-C8 alkylthio, C1-C8 haloalkylthio, C3-C8 cycloalkylthio, C1-C8 alkylsulfinyl, C1-C8 haloalkylsulfinyl, C1-C8 alkylsulfonyl, C1-C8 haloalkylsulfonyl, C3-C8 cycloalkylsulfonyl, formylamino, C2-C8 alkylcarbonylamino, C2-C8 haloalkylcarbonylamino, C2-C8 alkoxycarbonylamino, C1-C6 alkylsulfonylamino, C1-C6 haloalkylsulfonylamino, —SF5, —SCN, SO2NH2, C3-C12 trialkylsilyl, C4-C12 trialkylsilylalkyl, C4-C12 trialkylsilylalkoxy or G2;
- each R8 is independently H, cyano, C2-C3 alkylcarbonyl or C2-C3 haloalkylcarbonyl;
- each R9 and R11 is independently cyano, C1-C3 alkyl, C2-C3 alkenyl, C2-C3 alkynyl, C3-C6 cycloalkyl, C2-C3 alkoxyalkyl, C1-C3 alkoxy, C2-C3 alkylcarbonyl, C2-C3 alkoxycarbonyl, C2-C3 alkylaminoalkyl or C3-C4 dialkylaminoalkyl;
- each R12 is independently H, cyano, C1-C4 alkyl, C1-C4 haloalkyl, —(C═O)CH3 or —(C═O)CF3;
- each G1 is independently phenyl, phenylmethyl (i.e. benzyl), pyridinylmethyl, phenylcarbonyl (i.e. benzoyl), phenoxy, phenylethynyl, phenylsulfonyl or a 5- or 6-membered heteroaromatic ring, each optionally substituted on ring members with up to 5 substituents independently selected from R13;
- each G2 is independently phenyl, phenylmethyl (i.e. benzyl), pyridinylmethyl, phenylcarbonyl (i.e. benzoyl), phenoxy, phenylethynyl, phenylsulfonyl or a 5- or 6-membered heteroaromatic ring, each optionally substituted on ring members with up to 5 substituents independently selected from R14;
- each R13 and R14 is independently halogen, cyano, hydroxy, amino, nitro, —CHO, —C(═O)OH, —C(═O)NH2, —SO2NH2, C1-C6 alkyl, C1-C6 haloalkyl, C2-C6 alkenyl, C2-C6 alkynyl, C2-C8 alkylcarbonyl, C2-C8 haloalkylcarbonyl, C2-C8 alkoxycarbonyl, C4-C10 cycloalkoxycarbonyl, C5-C12 cycloalkylalkoxycarbonyl, C2-C8 alkylaminocarbonyl, C3-C10 dialkylaminocarbonyl, C1-C6 alkoxy, C1-C6 haloalkoxy, C2-C8 alkylcarbonyloxy, C1-C6 alkylthio, C1-C6 haloalkylthio, C1-C6 alkylsulfinyl, C1-C6 haloalkylsulfinyl, C1-C6 alkylsulfonyl, C1-C6 haloalkylsulfonyl, C1-C6 alkylaminosulfonyl, C2-C8 dialkylaminosulfonyl, C3-C10 trialkylsilyl, C1-C6 alkylamino, C2-C8 dialkylamino, C2-C8 alkylcarbonylamino, C1-C6 alkylsulfonylamino, phenyl, pyridinyl or thienyl; and
- each u and v are independently 0, 1 or 2 in each instance of S(═O)u(═NR8)v, provided that the sum of u and v is 0, 1 or 2;
- provided that
- (a) the compound of Formula 1 is other than N-1H-benzotriazol-1-yl-2-oxo-4-phenyl-3-pyrrolidinecarboxamide;
- (b) when Q1 comprises a 3-furanyl or 3-pyridinyl ring directly bonded to the remainder of Formula 1, then said ring is substituted with at least one substituent selected from R7;
- (c) when Q1 is an unsubstituted phenyl ring, and Q2 comprises a phenyl ring directly bonded to the remainder of Formula 1, then said Q2 ring is substituted with R10 other than optionally substituted phenoxy or F at a 2-position, cyano or —CF3 at the 4-position and R5 is H or halogen;
- (d) when Q1 is unsubstituted phenyl, and Q2 comprises a pyridinyl ring directly bonded to the remainder of Formula 1, then said pyridinyl ring is substituted with at least one substituent selected from R10;
- (e) when Q1 is a phenyl ring substituted with 4-phenyl or 4-phenoxy, said Q1 ring is further substituted with and R7 substituent;
- (f) when Q1 comprises a phenyl ring directly bonded to the remainder of Formula 1 and said ring is substituted with R7 at both ortho positions (relative to the bond to the remainder of Formula 1), then said ring is also independently substituted with R7 on at least one additional position;
- (g) when Q1 is other than unsubstituted 1-naphthalenyl, then Q2 is other than 2,3-difluorophenyl or 2-CF3-phenyl;
- (h) Q2 is other than optionally substituted 1H-pyrazol-5-yl; and
- (i) when Q2 comprises a 1H-pyrazol-3-yl ring directly bonded to the remainder of Formula 1, said ring is substituted at the 1-position with R9.
- More particularly, this invention pertains to a compound of Formula 1 (including all stereoisomers), an N-oxide or a salt thereof. This invention also relates to a herbicidal composition comprising a compound of the invention (i.e. in a herbicidally effective amount) and at least one component selected from the group consisting of surfactants, solid diluents and liquid diluents, the composition optionally further comprising at least one additional active ingredient selected from the group consisting of other herbicides and herbicide safeners. This invention further relates to a method for controlling the growth of undesired vegetation comprising contacting the vegetation or its environment with a herbicidally effective amount of a compound of the invention (e.g., as a composition described herein).
- As used herein, the terms “comprises,” “comprising,” “includes,” “including,” “has,” “having,” “contains”, “containing,” “characterized by” or any other variation thereof, are intended to cover a non-exclusive inclusion, subject to any limitation explicitly indicated. For example, a composition, mixture, process or method that comprises a list of elements is not necessarily limited to only those elements but may include other elements not expressly listed or inherent to such composition, mixture, process, or method.
- The transitional phrase “consisting of” excludes any element, step, or ingredient not specified. If in the claim, such would close the claim to the inclusion of materials other than those recited except for impurities ordinarily associated therewith. When the phrase “consisting of” appears in a clause of the body of a claim, rather than immediately following the preamble, it limits only the element set forth in that clause; other elements are not excluded from the claim as a whole.
- The transitional phrase “consisting essentially of” is used to define a composition, method that includes materials, steps, features, components, or elements, in addition to those literally disclosed, provided that these additional materials, steps, features, components, or elements do not materially affect the basic and novel characteristic(s) of the claimed invention. The term “consisting essentially of” occupies a middle ground between “comprising” and “consisting of”.
- Where applicants have defined an invention or a portion thereof with an open-ended term such as “comprising,” it should be readily understood that (unless otherwise stated) the description should be interpreted to also describe such an invention using the terms “consisting essentially of” or “consisting of.”
- Further, unless expressly stated to the contrary, “or” refers to an inclusive or and not to an exclusive or. For example, a condition A or B is satisfied by any one of the following: A is true (or present) and B is false (or not present), A is false (or not present) and B is true (or present), and both A and B are true (or present).
- Also, the indefinite articles “a” and “an” preceding an element or component of the invention are intended to be nonrestrictive regarding the number of instances (i.e. occurrences) of the element or component. Therefore “a” or “an” should be read to include one or at least one, and the singular word form of the element or component also includes the plural unless the number is obviously meant to be singular.
- As referred to herein, the term “seedling”, used either alone or in a combination of words means a young plant developing from the embryo of a seed.
- As referred to herein, the term “broadleaf” used either alone or in words such as “broadleaf weed” means dicot or dicotyledon, a term used to describe a group of angiosperms characterized by embryos having two cotyledons.
- As used herein, the term “alkylating agent” refers to a chemical compound in which a carbon-containing radical is bound through a carbon atom to a leaving group such as halide or sulfonate, which is displaceable by bonding of a nucleophile to said carbon atom. Unless otherwise indicated, the term “alkylating” does not limit the carbon-containing radical to alkyl; the carbon-containing radicals in alkylating agents include the variety of carbon-bound substituent radicals specified for R1.
- In the above recitations, the term “alkyl”, used either alone or in compound words such as “alkylthio” or “haloalkyl” includes straight-chain or branched alkyl, such as, methyl, ethyl, n-propyl, i-propyl, or the different butyl, pentyl or hexyl isomers. “Alkenyl” includes straight-chain or branched alkenes such as ethenyl, 1-propenyl, 2-propenyl, and the different butenyl, pentenyl and hexenyl isomers. “Alkenyl” also includes polyenes such as 1,2-propadienyl and 2,4-hexadienyl. “Alkynyl” includes straight-chain or branched alkynes such as ethynyl, 1-propynyl, 2-propynyl and the different butynyl, pentynyl and hexynyl isomers. “Alkynyl” can also include moieties comprised of multiple triple bonds such as 2,5-hexadiynyl.
- “Alkoxy” includes, for example, methoxy, ethoxy, n-propyloxy, isopropyloxy and the different butoxy, pentoxy and hexyloxy isomers. “Alkoxyalkyl” denotes alkoxy substitution on alkyl. Examples of “alkoxyalkyl” include CH3OCH2, CH3OCH2CH2, CH3CH2OCH2, CH3CH2CH2CH2OCH2 and CH3CH2OCH2CH2. “Alkoxyalkoxyalkyl” denotes at least alkoxy substitution on the alkoxy moiety of alkoxyalkyl moiety. Examples of “alkoxyalkoxyalkyl” include CH3OCH2OCH2—, CH3CH2O(CH3)CHOCH2— and (CH3O)2CHOCH2—. “Alkoxyalkoxy” denotes alkoxy substitution on alkoxy. “Alkenyloxy” includes straight-chain or branched alkenyloxy moieties. Examples of “alkenyloxy” include H2C═CHCH2O, (CH3)2C═CHCH2O, (CH3)CH═CHCH2O, (CH3)CH═C(CH3)CH2O and CH2═CHCH2CH2O. “Alkynyloxy” includes straight-chain or branched alkynyloxy moieties. Examples of “alkynyloxy” include HC≡CH2O, CH2C≡CCH2O and CH3C≡CCH2CH2O. “Alkylthio” includes branched or straight-chain alkylthio moieties such as methylthio, ethylthio, and the different propylthio, butylthio, pentylthio and hexylthio isomers. “Alkylsulfinyl” includes both enantiomers of an alkylsulfinyl group. Examples of “alkylsulfinyl” include CH3S(O)—, CH3CH2S(O)—, CH3CH2CH2S(O)—, (CH3)2CHS(O)— and the different butylsulfinyl, pentylsulfinyl and hexylsulfinyl isomers. Examples of “alkylsulfonyl” include CH3S(O)2—, CH3CH2S(O)2—, CH3CH2CH2S(O)2—, (CH3)2CHS(O)2—, and the different butylsulfonyl, pentylsulfonyl and hexylsulfonyl isomers. “Alkylthioalkyl” denotes alkylthio substitution on alkyl. Examples of “alkylthioalkyl” include CH3SCH2, CH3SCH2CH2, CH3CH2SCH2, CH3CH2CH2CH2SCH2 and CH3CH2SCH2CH2. “Alkylsulfinylalkyl” denotes alkylsulfinyl substitution on alkyl. Examples of “alkylsulfinylalkyl” include CH3S(═O)CH2, CH3S(═O)CH2CH2, CH3CH2S(═O)CH2 and CH3CH2S(═O)CH2CH2. “Alkylsulfonylalkyl” denotes alkylsulfinyl substitution on alkyl. Examples of “alkylsulfinylalkyl” include CH3S(═O)2CH2, CH3S(═O)2CH2CH2, CH3CH2S(═O)2CH2 and CH3CH2S(═O)2CH2CH2. “Alkylamino”, “dialkylamino”, and the like, are defined analogously to the above examples. Examples of “alkylaminoalkyl” include CH3NHCH2—, (CH3)2CHNHCH2— and CH3NHCH(CH3)—. Examples of “dialkylaminoalkyl” include (CH3)2NCH2—, (CH3)2NC(CH3)H— and (CH3)(CH3)NCH2—. Examples of “dialkylaminocarbonyl” include (CH3)2NC(O)—. Examples of “dialkylaminosulfonyl” include (CH3)2NS(O)2—. The term “alkoxycarbonylamino” denotes a straight-chain or branched alkoxy moieties bonded to a C(═O) moiety of carbonylamino group. Examples of “alkoxycarbonylamino” include CH3OC(═O)NH— and CH3CH2OC(═O)NH—.
- “Cycloalkyl” includes, for example, cyclopropyl, cyclobutyl, cyclopentyl and cyclohexyl. The term “alkylcycloalkyl” denotes alkyl substitution on a cycloalkyl moiety and includes, for example, ethylcyclopropyl, i-propylcyclobutyl, 3-methylcyclopentyl and 4-methylcyclohexyl. The term “cycloalkylalkyl” denotes cycloalkyl substitution on an alkyl moiety. Examples of “cycloalkylalkyl” include cyclopropylmethyl, cyclopentylethyl, and other cycloalkyl moieties bonded to straight-chain or branched alkyl groups. The term “cycloalkoxy” denotes cycloalkyl linked through an oxygen atom such as cyclopentyloxy and cyclohexyloxy. “Cycloalkylalkoxy” denotes cycloalkylalkyl linked through an oxygen atom attached to the alkyl chain. Examples of “cycloalkylalkoxy” include cyclopropylmethoxy, cyclopentylethoxy, and other cycloalkyl moieties bonded to straight-chain or branched alkoxy groups. “Cycloalkenyl” includes groups such as cyclopentenyl and cyclohexenyl as well as groups with more than one double bond such as 1,3- and 1,4-cyclohexadienyl.
- The term “halogen”, either alone or in compound words such as “haloalkyl”, or when used in descriptions such as “alkyl substituted with halogen” includes fluorine, chlorine, bromine or iodine. Further, when used in compound words such as “haloalkyl”, or when used in descriptions such as “alkyl substituted with halogen” said alkyl may be partially or fully substituted with halogen atoms which may be the same or different. Examples of “haloalkyl” or “alkyl substituted with halogen” include F3C, ClCH2, CF3CH2 and CF3CCl2. The terms “halocycloalkyl”, “haloalkoxy”, “haloalkylthio”, “haloalkenyl”, “haloalkynyl”, “haloalkenyloxy”, “haloalkylcarbonylamino”, “haloalkylsulfonylamino”, “haloalkylsulfonyloxy”, “haloalkoxyalkyl”, “haloalkylcarbonyloxy”, “haloalkylaminoalkyl” and the like, are defined analogously to the term “haloalkyl”. Examples of “haloalkoxy” include CF3O—, CCl3CH2O—, HCF2CH2CH2O— and CF3CH2O—. Examples of “haloalkylthio” include CCl3S—, CF3S—, CCl3CH2S— and ClCH2CH2CH2S—. Examples of “haloalkylsulfinyl” include CF3S(O)—, CCl3S(O)—, CF3CH2S(O)— and CF3CF2S(O)—. Examples of “haloalkylsulfonyl” include CF3S(O)2—, CCl3S(O)2—, CF3CH2S(O)2— and CF3CF2S(O)2—. Examples of “haloalkenyl” include (Cl)2C═CHCH2— and CF3CH2CH═CHCH2—. Examples of “haloalkenyloxy” include (Cl)2C═CHCH2O— and CF3CH2CH═CHCH2O—. Examples of “haloalkynyl” include HC≡CCHCl—, CF3C≡C—, CCl3C≡C— and FCH2C≡CCH2—. Examples of “haloalkoxyalkyl” include CF3OCH2—, ClCH2CH2OCH2CH2—, Cl3CCH2OCH2— as well as branched alkyl derivatives. Examples of “haloalkoxycarbonyl” include CF3OC(O)—, ClCH2CH2OCH2CH2—, Cl3CCH2OCH2OC(O)— as well as branched alkyl derivatives.
- “Alkylcarbonyl” denotes a straight-chain or branched alkyl moieties bonded to a C(═O) moiety. Examples of “alkylcarbonyl” include CH3C(═O)—, CH3CH2CH2C(═O)— and (CH3)2CHC(═O)—. Examples of “alkoxycarbonyl” include CH3OC(═O)—, CH3CH2OC(═O)—, CH3CH2CH2OC(═O)—, (CH3)2CHOC(═O)— and the different butoxy- or pentoxycarbonyl isomers. “Cycloalkylalkoxycarbonyl” denotes a cycloalkylalkyl moieties bonded to an oxygen atom of alkoxycarbonyl moiety. Examples of “cycloalkylalkoxycarbonyl” include cyclopropyl-CH2OC(═O)—, cyclopropyl-CH(CH3)OC(═O)— and cyclopentyl-CH2OC(═O)—.
- The total number of carbon atoms in a substituent group is indicated by the “Ci-Cj” prefix where i and j are numbers from 1 to 12. For example, C1-C4 alkylsulfonyl designates methylsulfonyl through butylsulfonyl; C2 alkoxyalkyl designates CH3OCH2—; C3 alkoxyalkyl designates, for example, CH3CH(OCH3)—, CH3OCH2CH2— or CH3CH2OCH2—; and C4 alkoxyalkyl designates the various isomers of an alkyl group substituted with an alkoxy group containing a total of four carbon atoms, examples including CH3CH2CH2OCH2— and CH3CH2OCH2CH2—.
- When a compound is substituted with a substituent bearing a subscript that indicates the number of said substituents can exceed 1, said substituents (when they exceed 1) are independently selected from the group of defined substituents, e.g., [R7) n], n is 1, 2, 3, 4 or 5). Further, when the subscript indicates a range, e.g. (R)i-j, then the number of substituents may be selected from the integers between i and j inclusive. When a group contains a substituent which can be hydrogen, for example R1 or R2, then when this substituent is taken as hydrogen, it is recognized that this is equivalent to said group being unsubstituted. When a variable group is shown to be optionally attached to a position, for example [R(7) n] wherein n may be 0, then hydrogen may be at the position even if not recited in the variable group definition. When one or more positions on a group are said to be “not substituted” or “unsubstituted”, then hydrogen atoms are attached to take up any free valency.
- The expression “fully saturated” in relation to a ring of atoms means that the bonds between the atoms of the ring are all single. The expression “fully unsaturated” in relation to a ring means that the bonds between the atoms in the ring are single or double bonds according to valence bond theory and furthermore the bonds between the atoms in the ring include as many double bonds as possible without double bonds being cumulative (i.e. no C═C═C, N═C═C, etc.). The term “partially unsaturated” in relation to a ring denotes a ring comprising at least one ring member bonded to an adjacent ring member though a double bond and which conceptually potentially accommodates a number of non-cumulated double bonds through adjacent ring members (i.e. in its fully unsaturated counterpart form) greater than the number of double bonds present (i.e. in its partially unsaturated form). When a fully unsaturated ring satisfies Hückel's rule then it can also be described as aromatic.
- Unless otherwise indicated, a “ring” or “ring system” as a component of Formula 1 (e.g., substituent Q1) is carbocyclic or heterocyclic. The term “ring system” denotes two or more fused rings. The terms “bicyclic ring system” and “fused bicyclic ring system” denote a ring system consisting of two fused rings, in which either ring can be saturated, partially unsaturated, or fully unsaturated unless otherwise indicated. The term “fused heterobicyclic ring system” denotes a fused bicyclic ring system in which at least one ring atom is not carbon. A “bridged bicyclic ring system” is formed by bonding a segment of one or more atoms to nonadjacent ring members of a ring. The term “ring member” refers to an atom or other moiety (e.g., C(═O), C(═S), S(O) or S(O)2) forming the backbone of a ring or ring system.
- The terms “carbocyclic ring”, “carbocycle” or “carbocyclic ring system” denote a ring or ring system wherein the atoms forming the ring backbone are selected only from carbon. Unless otherwise indicated, a carbocyclic ring can be a saturated, partially unsaturated, or fully unsaturated ring. When a fully unsaturated carbocyclic ring satisfies Hückel's rule, then said ring is also called an “aromatic ring”. “Saturated carbocyclic” refers to a ring having a backbone consisting of carbon atoms linked to one another by single bonds; unless otherwise specified, the remaining carbon valences are occupied by hydrogen atoms.
- The terms “heterocyclic ring”, “heterocycle” or “heterocyclic ring system” denote a ring or ring system in which at least one atom forming the ring backbone is not carbon, e.g., nitrogen, oxygen or sulfur. Typically a heterocyclic ring contains no more than 4 nitrogens, no more than 2 oxygens and no more than 2 sulfurs. Unless otherwise indicated, a heterocyclic ring can be a saturated, partially unsaturated, or fully unsaturated ring. When a fully unsaturated heterocyclic ring satisfies Hückel's rule, then said ring is also called a “heteroaromatic ring” or “aromatic heterocyclic ring”. Unless otherwise indicated, heterocyclic rings and ring systems can be attached through any available carbon or nitrogen by replacement of a hydrogen on said carbon or nitrogen.
- “Aromatic” indicates that each of the ring atoms is essentially in the same plane and has a p-orbital perpendicular to the ring plane, and that (4n+2) π electrons, where n is a positive integer, are associated with the ring to comply with Hackel's rule. The term “aromatic ring system” denotes a carbocyclic or heterocyclic ring system in which at least one ring of the ring system is aromatic. The term “aromatic carbocyclic ring system” denotes a carbocyclic ring system in which at least one ring of the ring system is aromatic. The term “aromatic heterocyclic ring system” denotes a heterocyclic ring system in which at least one ring of the ring system is aromatic. The term “nonaromatic ring system” denotes a carbocyclic or heterocyclic ring system that may be fully saturated, as well as partially or fully unsaturated, provided that none of the rings in the ring system are aromatic. The term “nonaromatic carbocyclic ring system” in which no ring in the ring system is aromatic. The term “nonaromatic heterocyclic ring system” denotes a heterocyclic ring system in which no ring in the ring system is aromatic.
- The term “optionally substituted” in connection with the heterocyclic rings refers to groups which are unsubstituted or have at least one non-hydrogen substituent that does not extinguish the biological activity possessed by the unsubstituted analog. As used herein, the following definitions shall apply unless otherwise indicated. The term “optionally substituted” is used interchangeably with the phrase “substituted or unsubstituted” or with the term “(un)substituted.” Unless otherwise indicated, an optionally substituted group may have a substituent at each substitutable position of the group, and each substitution is independent of the other.
- When Q1 or Q2 is 5- or 6-membered nitrogen-containing heterocyclic ring, it may be attached to the remainder of Formula 1 though any available carbon or nitrogen ring atom, unless otherwise described. As noted above, Q1 and Q2 can be (among others) phenyl optionally substituted with one or more substituents selected from a group of substituents as defined in the Summary of the Invention. An example of phenyl optionally substituted with one to five substituents is the ring illustrated as U-1 in Exhibit 1, wherein, for example, Rv is R7 as defined in the Summary of the Invention for Q1, or Rv is R10 as defined in the Summary of the Invention for Q2, and r is an integer (from 0 to 5).
- As noted above, Q1 and Q2 can be (among others) a 5- or 6-membered fully unsaturated heterocyclic ring, optionally substituted with one or more substituents selected from a group of substituents as defined in the Summary of the Invention. Examples of a 5- or 6-membered unsaturated aromatic heterocyclic ring optionally substituted with from one or more substituents include the rings U-2 through U-61 illustrated in Exhibit 1 wherein Rv is any substituent as defined in the Summary of the Invention for Q1 and Q2, and r is an integer from 0 to 4, limited by the number of available positions on each U group. As U-29, U-30, U-36, U-37, U-38, U-39, U-40, U-41, U-42 and U-43 have only one available position, for these U groups r is limited to the integers 0 or 1, and r being 0 means that the U group is unsubstituted and a hydrogen is present at the position indicated by (Rv)r.
- As noted above, Q1 and Q2 can be (among others) an 8-, 9- or 10-membered heteroaromatic bicyclic ring system optionally substituted with one or more substituents selected from a group of substituents as defined in the Summary of the Invention for Q1 and Q2. Examples of 8-, 9- or 10-membered heteroaromatic bicyclic ring system optionally substituted with from one or more substituents include the rings U-62 through U-100 illustrated in Exhibit 2 wherein Rv is any substituent as defined in the Summary of the Invention for Q1 or Q2, and r is typically an integer from 0 to 4.
- Although Rv groups are shown in the structures U-1 through U-100, it is noted that they do not need to be present since they are optional substituents. Note that when Rv is H when attached to an atom, this is the same as if said atom is unsubstituted. The nitrogen atoms that require substitution to fill their valence are substituted with H or Rv. Note that when the attachment point between (Rv)r and the U group is illustrated as floating, (Rv)r can be attached to any available carbon atom or nitrogen atom of the U group. Note that when the attachment point on the U group is illustrated as floating, the U group can be attached to the remainder of Formula 1 through any available carbon or nitrogen of the U group by replacement of a hydrogen atom. Preferably for greatest herbicidal activity, the U group is attached to the remainder of Formula 1 through an available carbon or nitrogen on a fully unsaturated ring of the U group. Note that some U groups can only be substituted with less than 4 Rv groups (e.g., U-2 through U-5, U-7 through U-48, and U-52 through U-61).
- In the present disclosure and claims, the term “pyrrolidinone” and related terms such as “pyrrolidinone ring” refer to 2-oxo-pyrrolidine derivatives according to the Chemical Abstracts system of nomenclature, including derivatives in which the oxygen atom of the 2-oxo moiety is replaced by S or NR12 as Y1, unless limited to oxygen by particular context.
- A wide variety of synthetic methods are known in the art to enable preparation of aromatic and nonaromatic heterocyclic rings and ring systems; for extensive reviews see the eight volume set of Comprehensive Heterocyclic Chemistry, A R. Katritzky and C. W. Rees editors-in-chief, Pergamon Press, Oxford, 1984 and the twelve volume set of Comprehensive Heterocyclic Chemistry II, A. R. Katritzky, C. W. Rees and E. F. V. Scriven editors-in-chief, Pergamon Press, Oxford, 1996.
- Compounds of this invention can exist as one or more stereoisomers. The various stereoisomers include enantiomers, diastereomers, atropisomers and geometric isomers. Stereoisomers are isomers of identical constitution but differing in the arrangement of their atoms in space and include enantiomers, diastereomers, cis-trans isomers (also known as geometric isomers) and atropisomers. Atropisomers result from restricted rotation about single bonds where the rotational barrier is high enough to permit isolation of the isomeric species. One skilled in the art will appreciate that one stereoisomer may be more active and/or may exhibit beneficial effects when enriched relative to the other stereoisomer(s) or when separated from the other stereoisomer(s). Additionally, the skilled artisan knows how to separate, enrich, and/or to selectively prepare said stereoisomers. The compounds of the invention may be present as a mixture of stereoisomers, individual stereoisomers or as an optically active form. Particularly when R4 and R5 are each H, the C(O)N(Q2)(R6) and Q1 substituents are typically mostly in the thermodynamically preferred trans configuration on the pyrrolidinone ring.
- For example the C(O)N(Q2)(R6) moiety (bonded to the carbon at the 3-position of the pyrrolidinone ring) and Q1 (bonded to the carbon at the 4-position of the pyrrolidinone ring) are generally found in the trans configuration. These two carbon atoms (i.e. at the 3- and 4-positions each possess the pyrroldinone ring of Formula 1) both possess a chiral center. The two most prevalent pairs of enantiomers are depicted as Formula 1′ and Formula 1″ where the chiral centers are identified (i.e. as 3R,4S or as 3S,4R) wherein R1 is hydrogen. While this invention pertains to all stereoisomers, the preferred enantiomeric pair for biological operability is identified as Formula 1′ (i.e. the 3R,4S configuration) wherein R1 is hydrogen. For a comprehensive discussion of all aspects of stereoisomerism, see Ernest L. Eliel and Samuel H. Wilen, Stereochemistry of Organic Compounds, John Wiley & Sons, 1994.
- The skilled artisan will also recognize that the carbon atom at the 5-position of the pyrrolidinone ring (i.e. the carbon atom to which both R2 and R3 are bonded) also contains a stereocenter indicated by a (*) as shown in Formula 1′″. This invention pertains to all stereoisomers, and therefore, when either R2 or R3 are other than the same substituent, then a mixture of diastereomers is possible.
- Molecular depictions drawn herein follow standard conventions for depicting stereochemistry. To indicate stereoconfiguration, bonds rising from the plane of the drawing and towards the viewer are denoted by solid wedges wherein the broad end of the wedge is attached to the atom rising from the plane of the drawing towards the viewer. Bonds going below the plane of the drawing and away from the viewer are denoted by dashed wedges wherein the narrow end of the wedge is attached to the atom further away from the viewer. Constant width lines indicate bonds with a direction opposite or neutral relative to bonds shown with solid or dashed wedges; constant width lines also depict bonds in molecules or parts of molecules in which no particular stereoconfiguration is intended to be specified.
- This invention also comprises racemic mixtures, for example, equal amounts of the enantiomers of Formulae 1′ and 1″ (and optionally 1′″). In addition, this invention includes compounds that are enriched compared to the racemic mixture in an enantiomer of Formula 1. Also included are the essentially pure enantiomers of compounds of Formula 1, for example, Formula 1′ and Formula 1″.
- When enantiomerically enriched, one enantiomer is present in greater amounts than the other, and the extent of enrichment can be defined by an expression of enantiomeric ratio (ER) expressed as the relative area % of the two enantiomers determined by chiral high-performance liquid chromatography.
- Preferably the compositions of this invention have at least a 50% ER; more preferably at least a 75% ER, still more preferably at least a 90% ER; and the most preferably at least a 94% ER of the more active isomer. Of particular note are enantiomerically pure embodiments of the more active isomer.
- Compounds of Formula 1 can comprise additional chiral centers. For example, substituents and other molecular constituents such as R2, R3 and R6 may themselves contain chiral centers. This invention comprises racemic mixtures as well as enriched and essentially pure stereoconfigurations at these additional chiral centers.
- Compounds of this invention can exist as one or more conformational isomers due to restricted rotation about the amide bond C(O)N(Q2)(R6) in Formula 1. This invention comprises mixtures of conformational isomers. In addition, this invention includes compounds that are enriched in one conformer relative to others. Compounds of Formula 1 typically exist in more than one form, and Formula 1 thus include all crystalline and non-crystalline forms of the compounds they represent. Non-crystalline forms include embodiments which are solids such as waxes and gums as well as embodiments which are liquids such as solutions and melts. Crystalline forms include embodiments which represent essentially a single crystal type and embodiments which represent a mixture of polymorphs (i.e. different crystalline types). The term “polymorph” refers to a particular crystalline form of a chemical compound that can crystallize in different crystalline forms, these forms having different arrangements and/or conformations of the molecules in the crystal lattice. Although polymorphs can have the same chemical composition, they can also differ in composition due the presence or absence of co-crystallized water or other molecules, which can be weakly or strongly bound in the lattice. Polymorphs can differ in such chemical, physical and biological properties as crystal shape, density, hardness, color, chemical stability, melting point, hygroscopicity, suspensibility, dissolution rate and biological availability. One skilled in the art will appreciate that a polymorph of a compound of Formula 1 can exhibit beneficial effects (e.g., suitability for preparation of useful formulations, improved biological performance) relative to another polymorph or a mixture of polymorphs of the same compound of Formula 1. Preparation and isolation of a particular polymorph of a compound of Formula 1 can be achieved by methods known to those skilled in the art including, for example, crystallization using selected solvents and temperatures. For a comprehensive discussion of polymorphism see R. Hilfiker, Ed., Polymorphism in the Pharmaceutical Industry, Wiley-VCH, Weinheim, 2006.
- One skilled in the art will appreciate that not all nitrogen-containing heterocycles can form N-oxides since the nitrogen requires an available lone pair for oxidation to the oxide; one skilled in the art will recognize those nitrogen-containing heterocycles which can form N-oxides. One skilled in the art will also recognize that tertiary amines can form N-oxides. Synthetic methods for the preparation of N-oxides of heterocycles and tertiary amines are very well known by one skilled in the art including the oxidation of heterocycles and tertiary amines with peroxy acids such as peracetic and m-chloroperbenzoic acid (MCPBA), hydrogen peroxide, alkyl hydroperoxides such as t-butyl hydroperoxide, sodium perborate, and dioxiranes such as dimethyldioxirane. These methods for the preparation of N-oxides have been extensively described and reviewed in the literature, see for example: T. L. Gilchrist in Comprehensive Organic Synthesis, vol. 7, pp 748-750, S. V. Ley, Ed., Pergamon Press; M. Tisler and B. Stanovnik in Comprehensive Heterocyclic Chemistry, vol. 3, pp 18-20, A. J. Boulton and A. McKillop, Eds., Pergamon Press; M. R. Grimmett and B. R. T. Keene in Advances in Heterocyclic Chemistry, vol. 43, pp 149-161, A. R. Katritzky, Ed., Academic Press; M. Tisler and B. Stanovnik in Advances in Heterocyclic Chemistry, vol. 9, pp 285-291, A. R. Katritzky and A. J. Boulton, Eds., Academic Press; and G. W. H. Cheeseman and E. S. G. Werstiuk in Advances in Heterocyclic Chemistry, vol. 22, pp 390-392, A. R. Katritzky and A. J. Boulton, Eds., Academic Press.
- One skilled in the art recognizes that because in the environment and under physiological conditions salts of chemical compounds are in equilibrium with their corresponding nonsalt forms, salts share the biological utility of the nonsalt forms. Thus a wide variety of salts of a compound of Formula 1 are useful for control of undesired vegetation (i.e. are agriculturally suitable). The salts of a compound of Formula 1 include acid-addition salts with inorganic or organic acids such as hydrobromic, hydrochloric, nitric, phosphoric, sulfuric, acetic, butyric, fumaric, lactic, maleic, malonic, oxalic, propionic, salicylic, tartaric, 4-toluenesulfonic or valeric acids. When a compound of Formula 1 contains an acidic moiety such as a carboxylic acid or phenol, salts also include those formed with organic or inorganic bases such as pyridine, triethylamine or ammonia, or amides, hydrides, hydroxides or carbonates of sodium, potassium, lithium, calcium, magnesium or barium. Accordingly, the present invention comprises compounds selected from Formula 1, N-oxides and agriculturally suitable salts thereof.
- Embodiments of the present invention as described in the Summary of the Invention include (where Formula 1 as used in the following Embodiments includes N-oxides and salts thereof):
-
- Embodiment 1. A compound of Formula 1 wherein when Q1 is an 8- to 10-membered heteroaromatic bicyclic ring system optionally substituted with R7 and R9, the remainder of Formula 1 is bonded to a fully unsaturated ring of said bicyclic ring system.
- Embodiment 2. A compound of Formula 1 or Embodiment 1 wherein Q1 is a phenyl ring optionally substituted with up to 5 substituents independently selected from R7.
- Embodiment 3. A compound of Embodiment 2 wherein Q1 is a phenyl ring substituted with 1 to 3 substituents independently selected from R7.
- Embodiment 4. A compound of Embodiment 3 wherein Q1 is a phenyl ring substituted with 1 to 2 substituents independently selected from R7.
- Embodiment 5. A compound of Formula 1 or any one of Embodiments 1 through 4 wherein Q1 is a phenyl ring having a substituent selected from R7 at the para (4-) position (and optionally other substituents).
- Embodiment 6. A compound of Formula 1 or any one of Embodiments 1 through 5 wherein when Q1 is a phenyl ring substituted with at least two substituents selected from R7, then one substituent is at the para (4-) position and at least one other substituent is at a meta position (of the phenyl ring).
- Embodiment 7. A compound of Formula 1 or any one of Embodiments 1 through 6 wherein when Q2 is an 8- to 10-membered heteroaromatic bicyclic ring system optionally substituted with R10 and R11, the remainder of Formula 1 is bonded to a fully unsaturated ring of said bicyclic ring system.
- Embodiment 8. A compound of Formula 1 or any one of Embodiments 1 through 7 wherein Q2 is a phenyl ring substituted with up to 5 substituents independently selected from R10.
- Embodiment 9. A compound of Embodiment 8 wherein Q2 is a phenyl ring substituted with 1 to 3 substituents independently selected from R10.
- Embodiment 10. A compound of Embodiment 9 wherein Q2 is a phenyl ring substituted with 1 to 2 substituents independently selected from R10.
- Embodiment 11. A compound of Formula 1 or any one of Embodiments 1 through 10 wherein Q2 is a phenyl ring having at least one substituent selected from R10 at an ortho (e.g., 2-) position (and optionally other substituents).
- Embodiment 12. A compound of Formula 1 or any one of Embodiments 1 through 11 wherein when Q2 is a phenyl ring substituted with at least two substituents selected from R10, then at least one substituent is at an ortho (e.g., 2-) position and at least one substituent is at an adjacent meta (e.g., 3-) position (of the phenyl ring).
- Embodiment 13. A compound of Formula 1 or any one of Embodiments 1 through 12 wherein, independently, each R7 and R10 is independently halogen, cyano, nitro, C1-C4 alkyl, C1-C4 haloalkyl, C2-C4 alkenyl, C2-C4 haloalkenyl C2-C4 alkynyl, C2-C4 haloalkynyl, C1-C4 nitroalkyl, C2-C4 nitroalkenyl, C2-C4 alkoxyalkyl, C2-C4 haloalkoxyalkyl, C3-C4 cycloalkyl, C3-C4 halocycloalkyl, cyclopropylmethyl, methylcyclopropyl, C1-C4 alkoxy, C1-C4 haloalkoxy, C2-C4 alkenyloxy, C2-C4 haloalkenyloxy, C3-C4 alkynyloxy, C3-C4 haloalkynyloxy, C3-C4 cycloalkoxy, C1-C4 alkylthio, C1-C4 haloalkylthio, C1-C4 alkylsulfinyl, C1-C4 haloalkylsulfinyl, C1-C4 alkylsulfonyl, C1-C4 haloalkylsulfonyl, hydroxy, formyl, C2-C4 alkylcarbonyl, C2-C4 alkylcarbonyloxy, C1-C4 alkylsulfonyloxy, C1-C4 haloalkylsulfonyloxy, amino, C1-C4 alkylamino, C2-C4 dialkylamino, formylamino, C2-C4 alkylcarbonylamino, —SF5, —SCN, C3-C4 trialkylsilyl, trimethylsilylmethyl or trimethylsilylmethoxy.
- Embodiment 14. A compound of Embodiment 13 wherein each R7 is independently halogen, cyano, C1-C2 alkyl, C1-C3 haloalkyl or C1-C3 alkylsulfonyl.
- Embodiment 15. A compound of Embodiment 14 wherein each R7 is independently halogen or C1-C2 haloalkyl.
- Embodiment 16. A compound of Embodiment 15 wherein each R7 is independently halogen or C1 haloalkyl.
- Embodiment 17. A compound of Embodiment 16 wherein each R7 is independently halogen or C1 fluoroalkyl.
- Embodiment 18. A compound of Embodiment 17 wherein each R7 is independently halogen or CF3.
- Embodiment 19. A compound of Embodiment 18 wherein each R7 is independently F, Cl, Br or CF3.
- Embodiment 20. A compound of Embodiment 19 wherein each R7 is independently F or CF3.
- Embodiment 21. A compound of Embodiment 19 or 20 wherein at most only one CF3 substituent is present and is at the para position of the Q1 phenyl ring.
- Embodiment 22. A compound of any one of Embodiments 13 through 21 wherein each R10 is independently halogen, cyano, nitro, C1-C2 alkyl, C1-C3 haloalkyl or C1-C3 alkylsulfonyl.
- Embodiment 23. A compound of Embodiment 22 wherein each R10 is independently halogen or C1-C2 haloalkyl.
- Embodiment 24. A compound of Embodiment 23 wherein each R10 is independently halogen or C1 haloalkyl.
- Embodiment 25. A compound of Embodiment 24 wherein each R10 is independently halogen or C1 fluoroalkyl.
- Embodiment 26. A compound of Embodiment 25 wherein each R10 is independently halogen or CF3.
- Embodiment 27. A compound of Embodiment 26 wherein each R10 is independently F, Cl, Br or CF3.
- Embodiment 28. A compound of Embodiment 27 wherein each R10 is independently F or CF3.
- Embodiment 29. A compound of Embodiment 28 wherein each R10 is F.
- Embodiment 30. A compound of Formula 1 or any one of Embodiments 1 through 29 wherein, independently, each R9 and R11 is independently H or C1-C2 alkyl.
- Embodiment 31. A compound of Embodiment 28 wherein, independently, each R9 and R11 is CH3.
- Embodiment 32. A compound of Formula 1 or any one of Embodiments 1 through 31 wherein Y1 is O.
- Embodiment 33. A compound of Formula 1 or any one of Embodiments 1 through 32 wherein Y2 is O.
- Embodiment 33a. A compound of Formula 1 or any one of Embodiments 1 through 33 wherein R1 is H, C1-C6 alkyl, C1-C6 haloalkyl or C4-C8 cycloalkylalkyl.
- Embodiment 33b. A compound of Formula 1 or any one of Embodiments 1 through 33a wherein R1 is H, C1-C6 alkyl or C1-C6 haloalkyl.
- Embodiment 33c. A compound of Formula 1 or any one of Embodiments 1 through 33b wherein R1 is H, Me, Et or CHF2.
- Embodiment 33d. A compound of Formula 1 or any one of Embodiments 1 through 33c wherein R1 is H, Me or Et.
- Embodiment 34. A compound of Formula 1 or any one of Embodiments 1 through 33 wherein R1 is H or CH3.
- Embodiment 34a. A compound of Formula 1 or any one of Embodiments 1 through 34 wherein R1 is CH3.
- Embodiment 35. A compound of Embodiment 34 wherein R1 is H.
- Embodiment 36. A compound of Formula 1 or any one of Embodiments 1 through 35 wherein R2 is H or CH3.
- Embodiment 37. A compound of Embodiment 36 wherein R2 is H.
- Embodiment 38. A compound of Formula 1 or any one of Embodiments 1 through 37 wherein R3 is H or CH3.
- Embodiment 39. A compound of Embodiment 38 wherein R3 is H.
- Embodiment 40. A compound of Formula 1 or any one of Embodiments 1 through 39 wherein R4 is H or CH3.
- Embodiment 41. A compound of Embodiment 40 wherein R4 is H.
- Embodiment 42. A compound of Formula 1 or any one of Embodiments 1 through 41 wherein R5 is H or CH3.
- Embodiment 43. A compound of Embodiment 42 wherein R5 is H.
- Embodiment 44. A compound of Formula 1 or any one of Embodiments 1 through 43 wherein R6 is H or CH3.
- Embodiment 45. A compound of Embodiment 44 wherein R6 is H.
- Embodiment 46. A compound of Formula 1 or any one of Embodiments 1 through 45 wherein Q2 is other than 1H-indazol-5-yl optionally substituted at the 3-position.
- Embodiment 47. A compound of Embodiment 46 wherein Q2 is other than 1H-indazol-5-yl optionally substituted at the 1- and 3-positions.
- Embodiment 48. A compound of Embodiment 47 wherein Q2 is other than optionally substituted 1H-indazol-5-yl.
- Embodiment 49. A compound of any one of Embodiments 1 through 48 wherein Q1 is other than unsubstituted phenyl.
- Embodiment 50. A compound of any one of Embodiments 1 through 49 wherein Q2 is other than unsubstituted pyridinyl.
- Embodiment 51. A compound of any one of Embodiments 1 through 50 wherein Q1 is other than optionally substituted naphthalenyl.
- Embodiment 52. A compound of any one of Embodiments 1 through 51 wherein G2 is other than optionally substituted phenyl.
- Embodiment 53. A compound of any one of Embodiments 1 through 51 wherein G2 is other then optionally substituted phenyl at the 4 position (of Q1).
- Embodiment 54. A compound of any one of Embodiments 1 through 52 wherein G2 is other than optionally substituted phenoxy
- Embodiment 55. A compound of any one of Embodiments 1 through 54 wherein G2 is other than optionally substituted phenoxy at the 4-position (of Q1).
- Embodiment 56. A compound of Formula 1 or any one of Embodiments 1 through 55 wherein the stereochemistry is (3R,4S) or (3S,4R).
- Embodiment 57. A compound of Embodiment 54 wherein the stereochemistry is (3R,4S)
- Embodiment 58. A compound of Embodiment 54 wherein the stereochemistry is (3S,4R).
- Embodiments of this invention, including Embodiments 1-58 above as well as any other embodiments described herein, can be combined in any manner, and the descriptions of variables in the embodiments pertain not only to the compounds of Formula 1 but also to the starting compounds and intermediate compounds useful for preparing the compounds of Formula 1. In addition, embodiments of this invention, including Embodiments 1-58 above as well as any other embodiments described herein, and any combination thereof, pertain to the compositions and methods of the present invention.
- Combinations of Embodiments 1-58 are illustrated by:
-
- Embodiment A. A compound of Formula 1 wherein
- each R7 and R10 is independently halogen, cyano, nitro, C1-C4 alkyl, C1-C4 haloalkyl, C2-C4 alkenyl, C2-C4 haloalkenyl C2-C4 alkynyl, C2-C4 haloalkynyl, C1-C4 nitroalkyl, C2-C4 nitroalkenyl, C2-C4 alkoxyalkyl, C2-C4 haloalkoxyalkyl, C3-C4 cycloalkyl, C3-C4 halocycloalkyl, cyclopropylmethyl, methylcyclopropyl, C1-C4 alkoxy, C1-C4 haloalkoxy, C2-C4 alkenyloxy, C2-C4 haloalkenyloxy, C3-C4 alkynyloxy, C3-C4 haloalkynyloxy, C3-C4 cycloalkoxy, C1-C4 alkylthio, C1-C4 haloalkylthio, C1-C4 alkylsulfinyl, C1-C4 haloalkylsulfinyl, C1-C4 alkylsulfonyl, C1-C4 haloalkylsulfonyl, hydroxy, formyl, C2-C4 alkylcarbonyl, C2-C4 alkylcarbonyloxy, C1-C4 alkylsulfonyloxy, C1-C4 haloalkylsulfonyloxy, amino, C1-C4 alkylamino, C2-C4 dialkylamino, formylamino, C2-C4 alkylcarbonylamino, —SF5, —SCN, C3-C4 trialkylsilyl, trimethylsilylmethyl or trimethylsilylmethoxy; and
- each R9 and R11 is independently H or C1-C2 alkyl.
- Embodiment B. A compound of Embodiment A wherein
- Y1 and Y2 are each O; and
- R1, R2, R3, R4, R5 and R6 are each H.
- Embodiment C. A compound of Embodiment B wherein
- Q1 is a phenyl ring substituted with 1 to 3 substituents independently selected from R7; and
- Q2 is a phenyl ring substituted with 1 to 3 substituents independently selected from R10.
- Embodiment D. A compound of Embodiment C wherein
- each R7 is independently halogen, cyano, C1-C2 alkyl, C1-C3 haloalkyl or C1-C3 alkylsulfonyl; and
- each R10 is independently halogen, cyano, nitro, C1-C2 alkyl, C1-C3 haloalkyl or C1-C3 alkylsulfonyl.
- Embodiment E. A compound of Embodiment D wherein
- Q1 is a phenyl ring substituted with 1 substituent selected from R7 at the para position or substituted with 2 substituents independently selected from R7 wherein one substituent is at the para position and the other substituent is at a meta position; and
- Q2 is a phenyl ring substituted with 1 substituent selected from R10 at an ortho position or substituted with 2 substituents independently selected from R10 wherein one substituent is at an ortho position and the other substituent is at the adjacent meta position.
- Embodiment F. A compound of Embodiment E wherein
- each R7 is independently F or CF3; and
- each R10 is F.
- Embodiment A. A compound of Formula 1 wherein
- Specific embodiments include compounds of Formula 1 selected from the group consisting of
- N-(2,3-difluorophenyl)-4-(3,4-difluorophenyl)-2-oxo-3-pyrrolidinecarboxamide (Compound 17);
- N-(2-fluorophenyl)-2-oxo-4-[4-(trifluoromethyl)phenyl]-3-pyrrolidinecarboxamide (Compound 79):
- N-(2,3-difluorophenyl)-2-oxo-4-[4-(trifluoromethyl)phenyl]-3-pyrrolidinecarboxamide (Compound 80);
- N-(3,4-difluorophenyl)-N-(2-fluorophenyl)-2-oxo-3-pyrrolidinecarboxamide (Compound 5); and
- (3R,4S)—N-(2-fluorophenyl)-2-oxo-4-[3-(trifluoromethyl)phenyl]-3-pyrrolidinecarboxamide (Compound 204).
- Specific Embodiments include a compound of Formula 1 selected from the group consisting of Compound Numbers (where the Compound Number refers to the compound in Index Tables A, B or C): 80, 202, 204, 206, 232, 263, 304, 306, 315 and 319; or 202, 206, 232, 304 and 306; or 202, 232 and 306.
- Specific Embodiments include a compound of Formula 1 selected from the group consisting of Compound Numbers (where the Compound Number refers to the compound in Index Tables A, B or C): 3, 5, 17, 101, 103, 156, 204, 271, 323 and 351; or 3, 17, 103, 156, and 204; or 103, 204 and 351.
- This invention also relates to a method for controlling undesired vegetation comprising applying to the locus of the vegetation herbicidally effective amounts of the compounds of the invention (e.g., as a composition described herein). Of note as embodiments relating to methods of use are those involving the compounds of embodiments described above. Compounds of the invention are particularly useful for selective control of weeds in crops such as wheat, barley, maize, soybean, sunflower, cotton, oilseed rape and rice, and specialty crops such as sugarcane, citrus, fruit and nut crops.
- Also noteworthy as embodiments are herbicidal compositions of the present invention comprising the compounds of embodiments described above.
- This invention also includes a herbicidal mixture comprising (a) a compound selected from Formula 1, N-oxides, and salts thereof, and (b) at least one additional active ingredient selected from (b1) photosystem II inhibitors, (b2) acetohydroxy acid synthase (AHAS) inhibitors, (b3) acetyl-CoA carboxylase (ACCase) inhibitors, (b4) auxin mimics, (b5) 5-enol-pyruvylshikimate-3-phosphate (EPSP) synthase inhibitors, (b6) photosystem I electron diverters, (b7) protoporphyrinogen oxidase (PPO) inhibitors, (b8) glutamine synthetase (GS) inhibitors, (b9) very long chain fatty acid (VLCFA) elongase inhibitors, (b10) auxin transport inhibitors, (b11) phytoene desaturase (PDS) inhibitors, (b12) 4-hydroxyphenyl-pyruvate dioxygenase (HPPD) inhibitors, (b13) homogentisate solenesyltransererase (HST) inhibitors, (b14) cellulose biosynthesis inhibitors, (b15) other herbicides including mitotic disruptors, organic arsenicals, asulam, bromobutide, cinmethylin, cumyluron, dazomet, difenzoquat, dymron, etobenzanid, flurenol, fosamine, fosamine-ammonium, metam, methyldymron, oleic acid, oxaziclomefone, pelargonic acid and pyributicarb, and (b16) herbicide safeners; and salts of compounds of (b1) through (b16).
- “Photosystem II inhibitors” (b1) are chemical compounds that bind to the D-1 protein at the QB-binding niche and thus block electron transport from QA to QB in the chloroplast thylakoid membranes. The electrons blocked from passing through photosystem II are transferred through a series of reactions to form toxic compounds that disrupt cell membranes and cause chloroplast swelling, membrane leakage, and ultimately cellular destruction. The QB-binding niche has three different binding sites: binding site A binds the triazines such as atrazine, triazinones such as hexazinone, and uracils such as bromacil, binding site B binds the phenylureas such as diuron, and binding site C binds benzothiadiazoles such as bentazone, nitriles such as bromoxynil and phenyl-pyridazines such as pyridate. Examples of photosystem II inhibitors include ametryn, amicarbazone, atrazine, bentazon, bromacil, bromofenoxim, bromoxynil, chlorbromuron, chloridazon, chlorotoluron, chloroxuron, cumyluron, cyanazine, daimuron, desmedipham, desmetryn, dimefuron, dimethametryn, diuron, ethidimuron, fenuron, fluometuron, hexazinone, ioxynil, isoproturon, isouron, lenacil, linuron, metamitron, methabenzthiazuron, metobromuron, metoxuron, metribuzin, monolinuron, neburon, pentanochlor, phenmedipham, prometon, prometryn, propanil, propazine, pyridafol, pyridate, siduron, simazine, simetryn, tebuthiuron, terbacil, terbumeton, terbuthylazine, terbutryn and trietazine.
- “AHAS inhibitors” (b2) are chemical compounds that inhibit acetohydroxy acid synthase (AHAS), also known as acetolactate synthase (ALS), and thus kill plants by inhibiting the production of the branched-chain aliphatic amino acids such as valine, leucine and isoleucine, which are required for protein synthesis and cell growth. Examples of AHAS inhibitors include amidosulfuron, azimsulfuron, bensulfuron-methyl, bispyribac-sodium, cloransulam-methyl, chlorimuron-ethyl, chlorsulfuron, cinosulfuron, cyclosulfamuron, diclosulam, ethametsulfuron-methyl, ethoxysulfuron, flazasulfuron, florasulam, flucarbazone-sodium, flumetsulam, flupyrsulfuron-methyl, flupyrsulfuron-sodium, foramsulfuron, halosulfuron-methyl, imazamethabenz-methyl, imazamox, imazapic, imazapyr, imazaquin, imazethapyr, imazosulfuron, iodosulfuron-methyl (including sodium salt), iofensulfuron (2-iodo-N-[[(4-methoxy-6-methyl-1,3,5-triazin-2-yl)amino]carbonyl]-benzenesulfonamide), mesosulfuron-methyl, metazosulfuron (3-chloro-4-(5,6-dihydro-5-methyl-1,4,2-dioxazin-3-yl)-N-[[(4,6-dimethoxy-2-pyrimidinyl)amino]carbonyl]-1-methyl-1H-pyrazole-5-sulfonamide), metosulam, metsulfuron-methyl, nicosulfuron, oxasulfuron, penoxsulam, primisulfuron-methyl, propoxycarbazone-sodium, propyrisulfuron (2-chloro-N-[[(4,6-dimethoxy-2-pyrimidinyl)amino]carbonyl]-6-propylimidazo[1,2-b]pyridazine-3-sulfonamide), prosulfuron, pyrazosulfuron-ethyl, pyribenzoxim, pyriftalid, pyriminobac-methyl, pyrithiobac-sodium, rimsulfuron, sulfometuron-methyl, sulfosulfuron, thiencarbazone, thifensulfuron-methyl, triafamone (N-[2-[(4,6-dimethoxy-1,3,5-triazin-2-yl)carbonyl]-6-fluorophenyl]-1,1-difluoro-N-methylmethanesulfonamide), triasulfuron, tribenuron-methyl, trifloxysulfuron (including sodium salt), triflusulfuron-methyl and tritosulfuron.
- “ACCase inhibitors” (b3) are chemical compounds that inhibit the acetyl-CoA carboxylase enzyme, which is responsible for catalyzing an early step in lipid and fatty acid synthesis in plants. Lipids are essential components of cell membranes, and without them, new cells cannot be produced. The inhibition of acetyl CoA carboxylase and the subsequent lack of lipid production leads to losses in cell membrane integrity, especially in regions of active growth such as meristems. Eventually shoot and rhizome growth ceases, and shoot meristems and rhizome buds begin to die back. Examples of ACCase inhibitors include alloxydim, butroxydim, clethodim, clodinafop, cycloxydim, cyhalofop, diclofop, fenoxaprop, fluazifop, haloxyfop, pinoxaden, profoxydim, propaquizafop, quizalofop, sethoxydim, tepraloxydim and tralkoxydim, including resolved forms such as fenoxaprop-P, fluazifop-P, haloxyfop-P and quizalofop-P and ester forms such as clodinafop-propargyl, cyhalofop-butyl, diclofop-methyl and fenoxaprop-P-ethyl.
- Auxin is a plant hormone that regulates growth in many plant tissues. “Auxin mimics” (b4) are chemical compounds mimicking the plant growth hormone auxin, thus causing uncontrolled and disorganized growth leading to plant death in susceptible species. Examples of auxin mimics include aminocyclopyrachlor (6-amino-5-chloro-2-cyclopropyl-4-pyrimidinecarboxylic acid) and its methyl and ethyl esters and its sodium and potassium salts, aminopyralid, benazolin-ethyl, chloramben, clacyfos, clomeprop, clopyralid, dicamba, 2,4-D, 2,4-DB, dichlorprop, fluroxypyr, halauxifen (4-amino-3-chloro-6-(4-chloro-2-fluoro-3-methoxyphenyl)-2-pyridinecarboxylic acid), halauxifen-methyl (methyl 4-amino-3-chloro-6-(4-chloro-2-fluoro-3-methoxyphenyl)-2-pyridinecarboxylate), MCPA, MCPB, mecoprop, picloram, quinclorac, quinmerac, 2,3,6-TBA, triclopyr, and methyl 4-amino-3-chloro-6-(4-chloro-2-fluoro-3-methoxyphenyl)-5-fluoro-2-pyridinecarboxylate.
- “EPSP (5-enol-pyruvylshikimate-3-phosphate) synthase inhibitors” (b5) are chemical compounds that inhibit the enzyme, 5-enol-pyruvylshikimate-3-phosphate synthase, which is involved in the synthesis of aromatic amino acids such as tyrosine, tryptophan and phenylalanine. EPSP inhibitor herbicides are readily absorbed through plant foliage and translocated in the phloem to the growing points. Glyphosate is a relatively nonselective postemergence herbicide that belongs to this group. Glyphosate includes esters and salts such as ammonium, isopropylammonium, potassium, sodium (including sesquisodium) and trimesium (alternatively named sulfosate).
- “Photosystem I electron diverters” (b6) are chemical compounds that accept electrons from Photosystem I, and after several cycles, generate hydroxyl radicals. These radicals are extremely reactive and readily destroy unsaturated lipids, including membrane fatty acids and chlorophyll. This destroys cell membrane integrity, so that cells and organelles “leak”, leading to rapid leaf wilting and desiccation, and eventually to plant death. Examples of this second type of photosynthesis inhibitor include diquat and paraquat.
- “PPO inhibitors” (b7) are chemical compounds that inhibit the enzyme protoporphyrinogen oxidase, quickly resulting in formation of highly reactive compounds in plants that rupture cell membranes, causing cell fluids to leak out. Examples of PPO inhibitors include acifluorfen-sodium, azafenidin, benzfendizone, bifenox, butafenacil, carfentrazone, carfentrazone-ethyl, chlomethoxyfen, cinidon-ethyl, fluazolate, flufenpyr-ethyl, flumiclorac-pentyl, flumioxazin, fluoroglycofen-ethyl, fluthiacet-methyl, fomesafen, halosafen, lactofen, oxadiargyl, oxadiazon, oxyfluorfen, pentoxazone, profluazol, pyraclonil, pyraflufen-ethyl, saflufenacil, sulfentrazone, thidiazimin, tiafenacil (methyl N-[2-[[2-chloro-5-[3,6-dihydro-3-methyl-2,6-dioxo-4-(trifluoromethyl)-1(2H)-pyrimidinyl]-4-fluorophenyl]thio]-1-oxopropyl]-β-alaninate) and 3-[7-fluoro-3,4-dihydro-3-oxo-4-(2-propyn-1-yl)-2H-1,4-benzoxazin-6-yl]dihydro-1,5-dimethyl-6-thioxo-1,3,5-triazine-2,4(1H,3H)-dione.
- “GS (glutamine synthase) inhibitors” (b8) are chemical compounds that inhibit the activity of the glutamine synthetase enzyme, which plants use to convert ammonia into glutamine. Consequently, ammonia accumulates and glutamine levels decrease. Plant damage probably occurs due to the combined effects of ammonia toxicity and deficiency of amino acids required for other metabolic processes. The GS inhibitors include glufosinate and its esters and salts, such as glufosinate-ammonium and other phosphinothricin derivatives, glufosinate-P ((2S)-2-amino-4-(hydroxymethylphosphinyl)butanoic acid) and bilanaphos.
- “VLCFA (very long chain fatty acid) elongase inhibitors” (b9) are herbicides having a wide variety of chemical structures, which inhibit the elongase. Elongase is one of the enzymes located in or near chloroplasts which are involved in biosynthesis of VLCFAs. In plants, very-long-chain fatty acids are the main constituents of hydrophobic polymers that prevent desiccation at the leaf surface and provide stability to pollen grains. Such herbicides include acetochlor, alachlor, anilofos, butachlor, cafenstrole, dimethachlor, dimethenamid, diphenamid, fenoxasulfone (3-[[(2,5-dichloro-4-ethoxyphenyl)methyl]sulfonyl]-4,5-dihydro-5,5-dimethylisoxazole), fentrazamide, flufenacet, indanofan, mefenacet, metazachlor, metolachlor, naproanilide, napropamide, napropamide-M ((2R)—N,N-diethyl-2-(1-naphthalenyloxy)propanamide), pethoxamid, piperophos, pretilachlor, propachlor, propisochlor, pyroxasulfone, and thenylchlor, including resolved forms such as S-metolachlor and chloroacetamides and oxyacetamides.
- “Auxin transport inhibitors” (b10) are chemical substances that inhibit auxin transport in plants, such as by binding with an auxin-carrier protein. Examples of auxin transport inhibitors include diflufenzopyr, naptalam (also known as N-(1-naphthyl)phthalamic acid and 2-[(1-naphthalenylamino)carbonyl]benzoic acid).
- “PDS (phytoene desaturase inhibitors) (b11) are chemical compounds that inhibit carotenoid biosynthesis pathway at the phytoene desaturase step. Examples of PDS inhibitors include beflubutamid, diflufenican, fluridone, flurochloridone, flurtamone norflurzon and picolinafen.
- “HPPD (4-hydroxyphenyl-pyruvate dioxygenase) inhibitors” (b12) are chemical substances that inhibit the biosynthesis of synthesis of 4-hydroxyphenyl-pyruvate dioxygenase. Examples of HPPD inhibitors include benzobicyclon, benzofenap, bicyclopyrone (4-hydroxy-3-[[2-[(2-methoxyethoxy)methyl]-6-(trifluoromethyl)-3-pyridinyl]carbonyl]bicyclo[3.2.1]oct-3-en-2-one), fenquinotrione (2-[[8-chloro-3,4-dihydro-4-(4-methoxyphenyl)-3-oxo-2-quinoxalinyl]carbonyl]-1,3-cyclohexanedione), isoxachlortole, isoxaflutole, mesotrione, pyrasulfotole, pyrazolynate, pyrazoxyfen, sulcotrione, tefuryltrione, tembotrione, topramezone, 5-chloro-3-[(2-hydroxy-6-oxo-1-cyclohexen-1-yl)carbonyl]-1-(4-methoxyphenyl)-2(1H)-quinoxalinone, 4-(2,6-diethyl-4-methylphenyl)-5-hydroxy-2,6-dimethyl-3(2H)-pyridazinone, 4-(4-fluorophenyl)-6-[(2-hydroxy-6-oxo-1-cyclohexen-1-yl)carbonyl]-2-methyl-1,2,4-triazine-3,5(2H,4H)-dione, 5-[(2-hydroxy-6-oxo-1-cyclohexen-1-yl)carbonyl]-2-(3-methoxyphenyl)-3-(3-methoxy-propyl)-4(3H)-pyrimidinone, 2-methyl-N-(4-methyl-1,2,5-oxadiazol-3-yl)-3-(methyl-sulfinyl)-4-(trifluoromethyl)benzamide and 2-methyl-3-(methylsulfonyl)-N-(1-methyl-1H-tetrazol-5-yl)-4-(trifluoromethyl)benzamide.
- HST (homogentisate solenesyltransererase) inhibitors (b13) disrupt a plant's ability to convert homogentisate to 2-methyl-6-solanyl-1,4-benzoquinone, thereby disrupting carotenoid biosynthesis. Examples of HST inhibitors include haloxydine, pyriclor, 3-(2-chloro-3,6-difluorophenyl)-4-hydroxy-1-methyl-1,5-naphthyridin-2(1H)-one, 7-(3,5-dichloro-4-pyridinyl)-5-(2,2-difluoroethyl)-8-hydroxypyrido[2,3-b]pyrazin-6(5H)-one and 4-(2,6-diethyl-4-methylphenyl)-5-hydroxy-2,6-dimethyl-3(2H)-pyridazinone.
- HST inhibitors also include compounds of Formulae A and B.
-
- wherein Rd1 is H, Cl or CF3; Rd2 is H, Cl or Br; Rd3 is H or Cl; Rd4 is H, Cl or CF3; Rd5 is CH3, CH2CH3 or CH2CHF2; and Rd6 is OH, or —OC(═O)-i-Pr; and Re1 is H, F, Cl, CH3 or CH2CH3; Re2 is H or CF3; Re3 is H, CH3 or CH2CH3; Re4 is H, F or Br; Re5 is Cl, CH3, CF3, OCF3 or CH2CH3; Re6 is H, CH3, CH2CHF2 or C≡CH; Re7 is OH, —OC(═O)Et, —OC(═O)-i-Pr or —OC(═O)-t-Bu; and Ae8 is N or CH.
- Cellulose biosynthesis inhibitors (b14) inhibit the biosynthesis of cellulose in certain plants. They are most effective when using a pre-application or early post-application on young or rapidly growing plants. Examples of cellulose biosynthesis inhibitors include chlorthiamid, dichlobenil, flupoxam, indaziflam (N2-[(1R,2S)-2,3-dihydro-2,6-dimethyl-1H-inden-1-yl]-6-(1-fluoroethyl)-1,3,5-triazine-2,4-diamine), isoxaben and triaziflam.
- Other herbicides (b15) include herbicides that act through a variety of different modes of action such as mitotic disruptors (e.g., flamprop-M-methyl and flamprop-M-isopropyl) organic arsenicals (e.g., DSMA, and MSMA), 7,8-dihydropteroate synthase inhibitors, chloroplast isoprenoid synthesis inhibitors and cell-wall biosynthesis inhibitors. Other herbicides include those herbicides having unknown modes of action or do not fall into a specific category listed in (b1) through (b14) or act through a combination of modes of action listed above. Examples of other herbicides include aclonifen, asulam, amitrole, bromobutide, cinmethylin, clomazone, cumyluron, cyclopyrimorate (6-chloro-3-(2-cyclopropyl-6-methylphenoxy)-4-pyridazinyl 4-morpholinecarboxylate), daimuron, difenzoquat, etobenzanid, fluometuron, flurenol, fosamine, fosamine-ammonium, dazomet, dymron, ipfencarbazone (1-(2,4-dichlorophenyl)-N-(2,4-difluorophenyl)-1,5-dihydro-N-(1-methylethyl)-5-oxo-4H-1,2,4-triazole-4-carboxamide), metam, methyldymron, oleic acid, oxaziclomefone, pelargonic acid, pyributicarb and 5-[[(2,6-difluorophenyl)methoxy]methyl]-4,5-dihydro-5-methyl-3-(3-methyl-2-thienyl)isoxazole.
- “Herbicide safeners” (b16) are substances added to a herbicide formulation to eliminate or reduce phytotoxic effects of the herbicide to certain crops. These compounds protect crops from injury by herbicides but typically do not prevent the herbicide from controlling undesired vegetation. Examples of herbicide safeners include but are not limited to benoxacor, cloquintocet-mexyl, cumyluron, cyometrinil, cyprosulfamide, daimuron, dichlormid, dicyclonon, dimepiperate, fenchlorazole-ethyl, fenclorim, flurazole, fluxofenim, furilazole, isoxadifen-ethyl, mefenpyr-diethyl, mephenate, methoxyphenone, naphthalic anhydride, oxabetrinil, N-(aminocarbonyl)-2-methylbenzenesulfonamide and N-(aminocarbonyl)-2-fluorobenzenesulfonamide, 1-bromo-4-[(chloromethyl)sulfonyl]benzene, 2-(dichloromethyl)-2-methyl-1,3-dioxolane (MG 191), 4-(dichloroacetyl)-1-oxa-4-azospiro-[4.5]decane (MON 4660).
- The compounds of Formula 1 can be prepared by general methods known in the art of synthetic organic chemistry. Of note are the following methods described in Schemes 1-15 and variations thereof. The definitions of R1, R2, R3, R4, R5, R6, Q1, Q2, Y1, and Y2 in the compounds of Formulae 1 through 19 below are as defined above in the Summary of the Invention unless otherwise noted. Formulae 1a-1h and 5a and 10a are various subsets of a compound of Formulae 1, 5 and 10 respectively. Substituents for each subset formula are as defined for its parent formula unless otherwise noted.
- As shown in Scheme 1 compounds of Formula 1a (i.e. Formula 1 wherein R1, R4 and R5 are H, and Y1 and Y2 are O) can be prepared by reaction of acids of Formula 2 with amines of Formula 3 in the presence of a dehydrative coupling reagent such as propylphosphonic anhydride, dicyclohexylcarbodiimide, N-(3-dimethylaminopropyl)-N′-ethylcarbodiimide, N,N′-carbonyldiimidazole, 2-chloro-1,3-dimethylimidazolium chloride or 2-chloro-1-methylpyridinium iodide. Polymer-supported reagents, such as polymer-supported cyclohexylcarbodiimide, are also suitable. These reactions are typically run at temperatures ranging from 0-60° C. in a solvent such as dichloromethane, acetonitrile, N,N-dimethylformamide or ethyl acetate in the presence of a base such as triethylamine, N,N-diisopropylamine, or 1,8-diazabicyclo[5.4.0]undec-7-ene. See Organic Process Research & Development 2009, 13, 900-906 for coupling conditions employing propylphosphonic anhydride. The method of Scheme 1 utilizing propylphosphonic anhydride is illustrated by Step E of Synthesis Example 1. Substituents in the 3- and 4-positions of the pyrrolidinone ring of compounds of Formula 1a, i.e. C(O)N(Q2)(R6) and Q1, respectively, are predominantly in the trans configuration. In some instances, the presence of minor amounts of the cis isomer can be detected by NMR.
- As shown in Scheme 2 compounds of Formula 2 can be prepared by hydrolysis of esters of Formula 4 by methods well known to those skilled in the art. Hydrolysis is carried out with aqueous base or aqueous acid, typically in the presence of a co-solvent. Suitable bases for the reaction include, but are not limited to, hydroxides such as sodium and potassium hydroxide and carbonates such as sodium and potassium carbonate. Suitable acids for the reaction include, but are not limited to, inorganic acids such as hydrochloric acid, hydrobromic acid and sulfuric acid, and organic acids such as acetic acid and trifluoroacetic acid. A wide variety of co-solvents are suitable for the reaction including, but not limited to, methanol, ethanol and tetrahydrofuran. The reaction is conducted at temperatures ranging from −20° C. to the boiling point of the solvent, and typically from 0 to 100° C. The method of Scheme 2 is illustrated by Step D of Synthesis Example 1.
- As shown in Scheme 3, compounds of Formula 4 can be obtained by reduction of compounds of Formula 5 and subsequent in situ cyclization of the resulting intermediate amine. A wide variety of methods for reduction of the aliphatic nitro group in compounds of Formula 5 are known in the literature. Methods well known to those skilled in the art include catalytic hydrogenation in the presence of palladium on carbon or Raney nickel, iron or zinc metal in acidic medium (see, for example. Berichte der Deutschen Chemischen Gesellschaft 1904, 37, 3520-3525), and lithium aluminum hydride. Reduction can also be achieved with samarium(II) iodide in the presence of a proton source such as methanol (see for example, Tetrahedron Letters 1991, 32 (14), 1699-1702). Alternatively sodium borohydride in the presence of a nickel catalyst such as nickel(II) acetate or nickel(II) chloride can be used (see for example, Tetrahedron Letters 1985, 26 (52), 6413-6416). The method of Scheme 3 utilizing sodium borohydride in the presence of nickel(11) acetate is illustrated by Step C of Synthesis Example 1. Specific examples of a compound of Formula 4 that is useful in the preparation of a compound of Formula 1 can be found in Tables I through IV.
- As shown in Scheme 4, compounds of Formula 5 can be prepared by reacting diesters of Formula 6 with nitroalkanes of Formula 7, typically in the presence of a base. Suitable bases for the reaction include alkali metal lower alkoxides such as sodium methoxide in methanol or sodium ethoxide in ethanol. The method of Scheme 4 is illustrated by Step B of Synthesis Example 1. Compounds of Formula 6 can readily be prepared by methods known to those skilled in the art, e.g., by Knoevenagel condensation of aldehydes and malonates (see for example G. Jones, Organic Reactions Volume 15, John Wiley and Sons, 1967).
- Compounds of Formula 5a (i.e. Formula 5 wherein R2 and R3 are H) can be prepared by reacting nitroalkenes of Formula 8 with malonates of Formula 9 in the presence of a base as shown in Scheme 5. Suitable bases for this reaction include, but are not limited to, alkali metal lower alkoxides such as sodium methoxide in methanol or sodium ethoxide in ethanol, or bases such as lithium bis(trimethylsilyl)amide, sodium bis(trimethylsilyl)amide and lithium diisopropylamide in solvents such as tetrahydrofuran. Typically, the reaction is carried out in the range of from −78° C. to 23° C. See Synthesis 2005, 2239-2245 for conditions for effecting this transformation. Conditions for effecting this transformation in refluxing water in the absence of a catalyst have been reported in Synthetic Communications 2013, 43, 744-748. Nitroalkenes of Formula 8 can readily be prepared from aldehydes and nitromethane by methods known to those skilled in the art.
- Compounds of Formula 5a′ and 5a″ can be prepared stereoselectively by reacting nitroalkenes of Formula 8 with malonates of Formula 9 in the presence of a chiral catalyst and optionally in the presence of a suitable base as shown in Scheme 5A. Suitable catalysts include, but are not limited to Ni(II) with vicinal diamine ligands such as Ni(II) Bis[(R,R)—N,N′-dibenzylcyclohexane-1,2-diamine]dibromide, Ni(II) Bis[(S,S)—N,N′-dibenzylcyclohexane-1,2-diamine]dibromide or nickel(II) bromide with chiral 1,1′-bi(tetrahydroisoquinoline) type diamines. Suitable organic bases for this reaction include, but are not limited to, piperidine, morpholine, triethylamine, 4-methylmorpholine or N,N-diisopropylethylamine. This transformation can be accomplished neat or in solvents such as tetrahydrofuran, toluene or dichloromethane. Typically, the reaction is carried out in the range of from −78° C. to 80° C. using 0 to 1 equivalent of catalyst and optionally 0 to 1 equivalent of a base. Conditions for effecting this transformation have been reported in J. Am. Chem. Soc. 2005, 9958-9959 or Eur. J. Org. Chem. 2011, 5441-5446 for conditions. Nitroalkenes of Formula 8 can readily be prepared from aldehydes and nitromethane by methods known to those skilled in the art.
- As shown in Scheme 6, compounds of Formula 1a can also be prepared by reductive cyclization of compounds of Formula 10 analogous to the method of Scheme 3. As also shown in Scheme 6, compounds of Formula 1b (i.e. Formula 1 wherein R1 is OH, R4 and R5 are H, and Y1 and Y2 are O) can be prepared from compounds of Formula 10 by catalytic transfer hydrogenation with ammonium formate in the presence of palladium on carbon, and subsequent in situ cyclization of the intermediate hydroxylamine. See J. Med. Chem. 1993, 36, 1041-1047 for catalytic transfer hydrogenation/cyclization conditions to produce N-hydroxypyrrolidinones. The method of Scheme 6 for preparing N-hydroxypyrrolidinones is illustrated by Step D of Synthesis Example 3.
- As shown in Scheme 7, compounds of Formula 10 can be prepared by reacting compounds of Formula 11 with nitroalkanes of Formula 7 in a solvent, in the presence of a base analogous to the method described in Scheme 4. The method of Scheme 7 is illustrated by Step C of Synthesis Example 3.
- As shown in Scheme 8, compounds of Formula 10a (i.e. Formula 10 wherein R2 and R3 are H) can be prepared, analogous to the method of Scheme 5, by reacting nitroalkenes of Formula 8 with malonates of Formula 12.
- As shown in Scheme 9, compounds of Formula 11 can be prepared by reaction of malonic amide Formula 12 with aldehydes of Formula 14 by methods known to those skilled in the art. As also shown in Scheme 9, malonates of Formula 12 can readily be prepared from lower alkyl malonyl chlorides of Formula 13 such as methyl malonyl chloride and amines of Formula 3 by methods known to those skilled in the art. The method of Scheme 9 is illustrated by Steps A and B of Synthesis Example 3.
- As shown in Scheme 10, mixtures of compounds of Formula 1c (i.e. Formula 1 wherein R1 and R5 are H, R4 is halogen and Y1 and Y2 are O) and Formula 1d (i.e. Formula 1 wherein R1 and R4 are H, R5 is halogen and Y1 and Y2 are O) can be prepared by reacting compounds of Formula 1a with a halogen source in a solvent, in the presence or absence of an initiator. Separation of the regioisomers produced in this reaction can be achieved by standard methods such as chromatography or fractional crystallization. Suitable halogen sources for this reaction include bromine, chlorine, N-chlorosuccinimide, N-bromosuccinimide and N-iodosuccinimide. Suitable initiators for this reaction include 2,2′-azobisisobutyronitrile (AIBN) and benzoyl peroxide. Typically, the reaction is carried out in solvents such as dichloromethane in the range of from 0° C. to the boiling point of the solvent. The method of Scheme 10 is illustrated by Synthesis Example 2.
- As shown in Scheme 11, compounds of Formula 1e (i.e. Formula 1 wherein R1 is NH2, R4 and R5 are H and Y1 and Y2 are O) can be prepared by reacting compounds of Formula 1a with an aminating reagent such as O-(diphenylphosphinyl)hydroxylamine and hydroxylamino-O-sulphonic acid. For procedures, conditions and reagents see Bioorganic & Medicinal Chemistry Letters 2009, 19, 5924-5926 and Journal of Organic Chemistry 2002, 67, 6236-6239.
- As shown in Scheme 12, compounds of Formula 1f (i.e. Formula 1 wherein R4, R5 and R6 are H and Y1 is O) can be produced by reaction of compounds of Formula 15 with isocyanates (i.e. Formula 16 wherein Y2 is O) or isothiocyanates (i.e. Formula 16 wherein Y2 is S) in the presence of base. Examples of the base which can be used for the present process include those listed for the method of Scheme 4. The reaction temperature can be selected from the range of from −78° C. to the boiling point of an inert solvent used. Typically, the reaction is carried out at temperatures ranging from −78° C. to 100° C. in solvents such as toluene.
- As shown in Scheme 13, compounds of Formula 15 can be prepared by reaction of compounds of Formula 17 with corresponding electrophiles of Formula 18 in the presence of base. In Formula 18, G denotes a leaving group, i.e. a nucleofuge. Depending upon selection of R1, suitable electrophiles for the reaction can include alkyl halides such as chlorides, bromides and iodides, alkylsulfonates, acid anhydrides such as tert-butoxycarbonyl anhydride and acetic anhydride, and haloalkylsilanes such as chlorotrimethylsilane. Suitable bases for the reaction include inorganic bases such as alkali or alkaline earth metal (e.g., lithium, sodium, potassium and cesium) hydroxides, alkoxides, carbonates, and phosphates, and organic bases such as triethylamine, N,N-diisopropylethylamine and 1,8-diazabicyclo[5.4.0]undec-7-ene. A wide variety of solvents are suitable for the reaction including, for example but not limited to, tetrahydrofuran, dichloromethane, N,N-dimethylformamide, N,N-dimethylacetamide, N-methylpyrrolidinone, acetonitrile, C2-C6 alcohols and acetone as well as mixtures of these solvents. This reaction is conducted at temperatures ranging from −20 to 200° C., and typically between 0 and 50° C.
- As shown in Scheme 14, compounds of Formula 17 can be prepared by decarboxylation of acids of Formula 2 by methods well known to those skilled in the art. Decarboxylation is carried by heating compounds of Formula 2 in a solvent, typically in the presence of an acid. Suitable acids for the reaction include, but are not limited to, p-toluenesulfonic acid. A wide variety of co-solvents are suitable for the reaction including, but not limited to, toluene, isopropanol acetate and isobutyl methylketone. The reaction is conducted at temperatures ranging from −20° C. and to the boiling point of the solvent, and typically from 0 to 150° C. The method of Scheme 14 is illustrated by Step A of Synthesis Example 6.
- As shown in Scheme 15, compounds of Formula 1g (i.e. Formula 1 wherein R1 is H R4 and R5 are H, and Y1 and Y2 are S) can be prepared by reacting compounds of Formula 1a with at least two equivalents of a thionation reagent such as Lawesson's reagent, tetraphosphorus decasulfide or diphosphorus pentasulfide in a solvent such as tetrahydrofuran or toluene. Typically, the reaction is carried out at temperatures ranging from 0 to 115° C. One skilled in the art recognizes that using less than two equivalents of the thionating reagent can provide mixtures comprising Formula 1 products wherein Y1 is O and Y2 is S, or Y1 is S and Y2 is O, which can be separated by conventional methods such as chromatography and crystallization.
- As shown in Scheme 16, compounds of Formula 1h (i.e. Formula 1 wherein R1, R4, R5 are H, Y2 is O and Y1 is NH) can be prepared by alkylation of compounds of Formula 1a triethyloxonium tetrafluoroborate (Meerwein's reagent) followed by treatment of the resulting imino ether of Formula 19 with aqueous ammonia. The method of Scheme 16 is illustrated by Steps A and B of Synthesis Example 4.
- It is recognized by one skilled in the art that various functional groups can be converted into others to provide different compounds of Formula 1. For a valuable resource that illustrates the interconversion of functional groups in a simple and straightforward fashion, see Larock, R. C., Comprehensive Organic Transformations: A Guide to Functional Group Preparations, 2nd Ed., Wiley-VCH, New York, 1999. For example, intermediates for the preparation of compounds of Formula 1 may contain aromatic nitro groups, which can be reduced to amino groups, and then be converted via reactions well known in the art such as the Sandmeyer reaction, to various halides, providing compounds of Formula 1. The above reactions can also in many cases be performed in alternate order
- It is recognized that some reagents and reaction conditions described above for preparing compounds of Formula 1 may not be compatible with certain functionalities present in the intermediates. In these instances, the incorporation of protection/deprotection sequences or functional group interconversions into the synthesis will aid in obtaining the desired products. The use and choice of the protecting groups will be apparent to one skilled in chemical synthesis (see, for example, Greene, T. W.; Wuts, P. G. M. Protective Groups in Organic Synthesis. 2nd ed.; Wiley: New York, 1991). One skilled in the art will recognize that, in some cases, after the introduction of a given reagent as it is depicted in any individual scheme, it may be necessary to perform additional routine synthetic steps not described in detail to complete the synthesis of compounds of Formula 1. One skilled in the art will also recognize that it may be necessary to perform a combination of the steps illustrated in the above schemes in an order other than that implied by the particular presented to prepare the compounds of Formula 1.
- One skilled in the art will also recognize that compounds of Formula 1 and the intermediates described herein can be subjected to various electrophilic, nucleophilic, radical, organometallic, oxidation, and reduction reactions to add substituents or modify existing substituents.
- Without further elaboration, it is believed that one skilled in the art using the preceding description can utilize the present invention to its fullest extent. The following Examples are, therefore, to be construed as merely illustrative, and not limiting of the disclosure in any way whatsoever. Steps in the following Examples illustrate a procedure for each step in an overall synthetic transformation, and the starting material for each step may not have necessarily been prepared by a particular preparative run whose procedure is described in other Examples or Steps. Percentages are by weight except for chromatographic solvent mixtures or where otherwise indicated. Parts and percentages for chromatographic solvent mixtures are by volume unless otherwise indicated. 1H NMR spectra are reported in ppm downfield from tetramethylsilane in CDCl3 solution unless indicated otherwise; “s” means singlet, “d” means doublet, “t” means triplet, “q” means quartet, “m” means multiplet and “br s” means broad singlet. 19F NMR spectra are reported in ppm downfield from CFCl3 in CDCl3 unless indicated otherwise. The enantiomeric ratio (ER) was determined by chiral high performance liquid chromatography analysis using a Chiralpak AD-RH column and eluting with a 50:50 isopropanol/water mixture at 40° C. at 0.3 mL/min.
- A mixture of 3-chloro-4-fluorobenzaldehyde (3 g, 18.9 mmol), diethyl malonate (3.16 mL, 20.8 mmol), piperidine (0.37 mL, 3.8 mmol) and toluene (40 mL) was refluxed for 18 h with continuous removal of water (Dean-Stark trap). The cooled reaction mixture was concentrated under reduced pressure, and the residue was chromatographed on silica gel, eluted with 0% to 10% ethyl acetate in hexanes, to afford the title compound as a yellow oil (5 g).
- 1H NMR δ 7.61 (m, 1H), 7.61 (m, 1H), 7.53 (m, 1H), 7.35 (m, 1H), 7.15 (m, 1H), 4.33 (m, 4H), 1.33 (m, 6H).
- A mixture of 1,3-diethyl 2-(3-chloro-4-fluorophenyl)methylenepropanedioate (i.e. the product of Step A, 5 g, 16.7 mmol), nitromethane (8.9 mL, 166 mmol) and a methanol solution of sodium methoxide (25 wt %, 0.36 g, 1.67 mmol) in ethanol (60 mL) was stirred at 23° C. for 18 h. The reaction mixture was then concentrated under reduced pressure to afford a thick oil, which was diluted with 25% ethyl acetate in hexanes and filtered through a pad of Celite® diatomaceous filter aid to remove insoluble particulates. The filtrate was concentrated under reduced pressure to afford the title compound as a yellow oil (5.3 g).
- 1H NMR δ 7.32 (m, 1H), 7.15 (m, 1H), 7.10 (m, 1H), 4.87 (m, 2H), 4.22 (m, 3H), 4.07 (m, 2H), 3.76 (d, 1H), 1.27 (m, 3H), 1.12 (m, 3H).
- A stirred mixture of 1,3-diethyl 2-[1-(3-chloro-4-fluorophenyl)-2-nitroethyl]-propanedioate (i.e. the product of Step B, 5.3 g, 14.7 mmol), nickel(II) acetate tetrahydrate (18.3 g, 73.4 mmol) and ethanol (120 mL) was cooled in an ice bath and treated with sodium borohydride (2.8 g, 73.4 mmol) in 0.5 g portions added over 5 minutes. The resulting mixture was stirred at 26° C. for 18 h. Saturated ammonium chloride solution (120 mL) and ethyl acetate (120 mL) were then added, the mixture was stirred for 1 h and then filtered through a pad of Celite® diatomaceous filter aid to remove insoluble particulates. The layers of the filtrate were separated, and the aqueous layer was extracted with ethyl acetate (2×100 mL). The combined organic extracts were washed with saturated ammonium chloride solution (100 mL), brine (100 mL), dried (MgSO4) and concentrated under reduced pressure to afford the title compound as a yellow-orange solid (4.73 g) which was used without purification.
- 1H NMR δ 7.31 (m, 1H), 7.12 (m, 2H), 6.93 (br s, 1H), 4.24 (m, 2H), 4.06 (m, 1H), 3.82 (m, 1H), 3.49 (d, 1H), 3.39 (m, 1H), 1.29 (m, 3H).
- A mixture of ethyl 4-(3-chloro-4-fluorophenyl)-2-oxo-3-pyrrolidinecarboxylate (i.e. the product of Step C, 4.73 g, 16.5 mmol) and aqueous sodium hydroxide (50 wt %, 1.98 g, 49.5 mmol) in ethanol (50 mL) was stirred at 26° C. for 18 h. The reaction mixture was then diluted with water (50 mL) and extracted with diethyl ether (2×50 mL). The aqueous phase was acidified with concentrated hydrochloric acid to pH 2 and extracted with dichloromethane (3×50 mL). The combined dichloromethane extracts were washed with brine, dried (MgSO4), and concentrated under reduced pressure to afford the title compound as a white solid (2.37 g).
- 1H NMR (acetone-d6) δ 7.63 (m, 1H), 7.46 (m, 1H), 7.31 (m, 1H), 4.05 (m, 1H), 3.82 (m, 1H), 3.70 (d, 1H), 3.45 (m, 1H).
- A mixture of 4-(3-chloro-4-fluorophenyl)-2-oxo-3-pyrrolidinecarboxylic acid (i.e. the product of Step D, 0.3 g, 1.17 mmol), triethylamine (0.49 mL, 3.5 mmol) and 2-(trifluoromethyl)aniline (0.16 mL, 1.28 mmol) in dichloromethane (8 mL) was stirred at ambient temperature for 30 minutes, and then treated with propylphosphonic anhydride in ethyl acetate (50%, 1.26 g, 1.98 mmol). The resulting mixture was stirred at ambient temperature for 18 h. The reaction mixture was then concentrated under reduced pressure, and the residue was chromatographed on silica gel, eluted with 0-30% ethyl acetate in hexanes, to afford a solid residue which on trituration with 1-chlorobutane afforded the title product, a compound of the present invention, as a light pink solid (0.2 g).
- 1H NMR δ 9.85 (s, 1H), 8.15 (m, 1H), 7.62 (m, 1H), 7.52 (m, 1H), 7.43 (m, 1H), 7.27 (m, 1H), 7.22 (m, 1H), 7.14 (m, 1H), 6.93 (s, 1H), 4.15 (m, 1H), 3.82 (m, 1H), 3.55 (d, 1H), 3.44 (m, 1H).
- A mixture of 4-phenyl-2-oxo-N-(2-fluorophenyl)-3-pyrrolidinecarboxamide (prepared by the method of Example 1, 0.75 g, 2.5 mmol) in dichloromethane (25 mL) at room temperature was treated with bromine (0.16 mL, 3.0 mmol), and the resulting mixture was stirred for 18 h. The reaction mixture was then concentrated under reduced pressure, and the residue was chromatographed on silica gel, eluted with 0-2% methanol in dichloromethane, to give as the faster eluting product, 4-bromo-N-(2-fluorophenyl)-2-oxo-4-phenyl-3-pyrrolidinecarboxamide, a compound of the present invention, as a white solid (90 mg):
- 1H NMR δ 10.2 (br s, 1H), 8.00 (m, 1H), 7.28 (m, 5H), 7.02 (m, 3H), 6.45 (br s, 1H), 4.15 (d, 1H), 4.05 (m, 1H), 3.55 (d, 1H);
- and the slower eluting product, 3-bromo-N-(2-fluorophenyl)-2-oxo-4-phenyl-3-pyrrolidinecarboxamide, a compound of the present invention, as a clear yellow oil (0.31 g):
- 1H NMR δ 9.55 (br s, 1H), 8.25 (t, 1H), 7.48 (d, 2H), 7.38 (m, 3H), 7.11 (m, 3H), 6.85 (br s, 1H), 4.45 (m, 1H), 3.77 (m, 1H), 3.65 (m, 1H).
- To a stirred solution of 2-fluoroaniline (10 g, 90.0 mmol) and triethylamine (9.1 g, 90.0 mmol) in dichloromethane (50 mL) at 0° C. was added dropwise over 10 minutes a solution of ethyl malonyl chloride (15.5 g, 90.0 mmol) in dichloromethane (30 mL). The resulting mixture was stirred at room temperature for 24 h. The reaction mixture was then poured into water (100 mL), and the organic layer was separated, washed with water (50 mL) and brine (50 mL), dried (MgSO4) and concentrated under reduced pressure to provide the title compound as an amber oil (19.0 g).
- 1H NMR δ 9.46 (br s, 1H), 8.28 (m, 1H), 7.1 (m, 2H), 4.26 (m, 2H), 3.51 (s, 2H), 1.32 (t, 3H).
- A solution of ethyl 3-[(2-fluorophenyl)amino]-3-oxopropanoate (i.e. the product of Step A, 20.27 g, 90.0 mmol), 3,4-difluorobenzaldehyde (16.62 g, 117 mmol), acetic acid (2.6 mL, mmol) and piperidine (0.89 mL, 9.0 mmol) in toluene (150 mL) was refluxed for 10 h with continuous removal of water (Dean-Stark trap). The reaction mixture was then cooled to room temperature and poured into water (100 mL). The organic layer was separated, and the water layer was extracted with ethyl acetate (3×50 mL). The combined organic extracts were washed with aqueous hydrochloric acid (1 N, 100 mL), dried (MgSO4) and concentrated under reduced pressure to give a solid residue. Recrystallization of the solid from diethyl ether (100 mL) afforded the title compound as a white solid (10.5 g).
- 1H NMR δ 8.26-8.48 (m, 1H), 8.15 (m, 1H), 7.74 (s, 1H), 7.51 (m, 1H), 7.35 (m, 1H), 7.11 (m, 4H), 4.35 (m, 2H), 1.36 (t, 3H).
- To a stirred suspension of ethyl 3-(3,4-difluorophenyl)-2-[[(2-fluorophenyl)amino]-carbonyl]-2-propenoate (i.e. the product of Step B, 4.42 g, 12.7 mmol) and nitromethane (17 mL, 317.5 mmol) at −20° C. was added 1,1,3,3-tetramethylguanidine (0.288 mL, 2.3 mmol). The mixture was stirred at −20° C. for 30 minutes, and then allowed to come to room temperature and stirred for an additional 2 h. The reaction mixture was diluted with dichloromethane (50 mL) and extracted with water (3×25 mL). The organic layer was dried (MgSO4) and concentrated under reduced pressure to provide a solid residue. The solid was chromatographed on silica gel, eluted with 0-100% ethyl acetate in hexane, to provide the title compound as a white solid (4.42 g).
- 1H NMR δ 8.6 (br s, 1H), 8.00-8.30 (m, 3H), 7.23 (m, 4H), 5.41 (m, 1H), 4.6 (m, 1H), 4.35 (m, 2H), 3.77-4.00 (m, 2H), 1.45 (m, 3H).
- A mixture of ethyl 3,4-difluoro-α-[[(2-fluorophenyl)amino]carbonyl]-p-(nitromethyl)-benzenepropanoate (i.e. the product of Step C, 0.50 g, 1.22 mmol), 5% palladium on carbon (0.25 g) and methanol-ethyl acetate (1:1 by volume, 10 mL) was stirred at room temperature for 30 minutes, then cooled to at 0° C. and treated with ammonium formate (0.5 g). The resulting mixture was stirred for 1 h at room temperature. Additional 5% palladium on carbon (0.25 g) and ammonium formate (0.5 g) were added, and stirring at room temperature was continued for an additional 4 h. The reaction mixture was then filtered, and the filtrate was concentrated under reduced pressure to provide a residue, which was suspended in water (10 mL) and extracted with ethyl acetate (3×20 mL). The combined organic extracts were dried (MgSO4) and concentrated under reduced pressure to provide an oil, which on recrystallization from dichloromethane afforded the title product, a compound of the present invention, as a white solid (0.1 g).
- 1H NMR (DMSO-d6) δ 10.11 (br s, 2H), 8.00 (m, 1H), 7.71 (m, 1H), 7.42 (m, 1H), 7.33 (m, 3H), 7.1 (m, 1H), 4.25-3.61 (m, 4H).
- To a stirred mixture of ethyl 3,4-difluoro-α-[[(2-fluorophenyl)amino]carbonyl]-β-(nitromethyl)benzenepropanoate (i.e. the product of Example 3 Step C, 3.346 g, 8.16 mmol) and nickel(II) acetate tetrahydrate (10.15 g, 40.8 mmol) in ethanol (50 mL) at 0° C., was added portionwise sodium borohydride (1.54 g, 40.8 mmol), and the resulting mixture was stirred at room temperature for 24 h. The reaction mixture was concentrated under reduced pressure, dissolved in ethyl acetate (100 mL) and washed successively with saturated ammonium chloride solution (50 mL), water (2×25 mL) and saturated sodium chloride (20 mL). The organic layer was dried (MgSO4) and concentrated under reduced pressure to provide a solid residue. The residue was chromatographed on silica gel, eluted with 0-100% ethyl acetate in hexane, to provide the title compound as a white solid (0.746 g).
- 1H NMR δ 9.67 (br s, 1H), 8.21 (m, 1H), 7.09 (m, 6H), 4.75 (br s, 1H), 4.21 (m, 1H), 3.82 (m, 1H) 3.52 (m, 1H), 3.43 (m, 1H).
- A mixture of 4-(3,4-difluorophenyl)-N-(2-fluorophenyl)-2-oxo-3-pyrrolidinecarboxamide (i.e. the product of Step A, 0.187 g, 0.56 mmol) and trimethyloxonium tetrafluoroborate (0.083 g, 0.56 mmol) in dichloromethane (5 mL) was stirred under an atmosphere of nitrogen for 2 days. The reaction mixture was then treated with 1 N aqueous sodium hydroxide until basic (pH 10) and extracted with dichloromethane (3×5 mL). The organic layer was dried (MgSO4) and concentrated under reduced pressure to provide title compound as light yellow oil (0.138 g).
- 1H NMR δ 9.7 (br s, 1H), 8.62 (m, 1H), 8.25 (s, 1H), 7.26 (m, 4H), 7.00 (m, 1H), 4.26 (m, 2H), 4.00 (s, 3H), 3.42 (m, 2H).
- A mixture of 4-(3,4-difluorophenyl)-N-(2-fluorophenyl)dihydro-2-methoxy-3H-pyrrole-3-carboxamide (i.e. the product Step B, 0.10 g, 0.287 mmol) and aqueous ammonium hydroxide (50%, 0.5 mL) in ethanol (2 mL) was heated in microwave apparatus for 10 minutes. The reaction mixture was concentrated under reduced pressure and the residue chromatographed on silica gel, eluted with 0-100% ethyl acetate/hexane, to afford the title product, a compound of the present invention, as a solid (0.016 g).
- 1H NMR δ 9.67 (br s, 1H), 8.21 (m, 1H), 7.27-7.01 (m, 6H), 6.50 (br s, 1H), 5.00 (br s, 1H), 4.26 (m, 1H), 3.82 (m, 1H), 3.55 (m, 1H), 3.43 (m, 1H).
- To a stirred solution of 3-(trifluoromethyl)benzaldehyde (12.2 g, 70.1 mmol) in methanol (50 mL) was added nitromethane (4.34 g, 71.1 mmol). The mixture was cooled to 2° C. and sodium hydroxide (5.65 g, 70.6 mmol) was added as a 50% solution in 24.3 mL of water dropwise over 15 min. An exotherm was noted and additional ice was added to maintain the temperature below 10° C. while stirring for an additional 1 h. The reaction mixture was poured into 75 mL (75 mmol) of 1 N hydrochloric acid, rinsing the flask with 10 mL of methanol/water. The quenched reaction mixture was transferred to a separatory funnel and extracted with 150 mL of toluene. The aqueous layer was separated and concentrated under vacuum to yield 15.84 g of a yellow oil.
- The intermediate thus obtained (15.84 g, 67.3 mmol) was taken up in 160 mL dichloromethane. The solution was cooled to 3° C. and methanesulfonyl chloride (8.03 g, 71.1 mmol) was added via pipette as a solution in 50 mL of dichloromethane. A solution of triethylamine (14.2 g, 140 mmol) in 50 mL of dichloromethane was then added dropwise over 50 min, and the resulting solution was stirred for 2 h. The reaction mixture was poured into 150 mL (150 mmol) of 1 N hydrochloric acid and transferred to a separatory funnel. The layers were separated and the organic layer was washed with 150 mL water and then filtered. The organic layer was concentrated under reduced pressure and the crude solid was titrated with hexanes to yield 12.09 g of product as a yellow solid.
- 1H NMR (500 MHz) δ 7.54-7.66 (m, 2H) 7.69-7.84 (m, 3H) 7.96-8.08 (m, 1H).
- To a stirred mixture of 1-[(E)-2-nitroethenyl]-3-(trifluoromethyl)benzene (i.e. the product of Step A, 3 g, 13.8 mmol) and diethyl malonate (3.319 g, 20.7 mmol) in toluene (1.5 mL) was added Ni(II) bis[(R,R)—N,N′-dibenzylcyclohexane-1,2-diamine]bromide (prepared as described in J. Am. Chem. Soc. 2005, 127, 9958-9959; 0.111 g, 0.1 mmol). The resulting solution was stirred at 55° C. for 16 h. The solution was diluted with dichloromethane (20 mL) and concentrated under reduced pressure onto silica gel and purified by chromatography eluting with a gradient of ethyl acetate in hexanes (0 to 50%) to give 3.6 g of a light yellow oil. ER 94:6 (major eluting at 26.5 min, minor eluting at 20.3 min).
- 1H NMR (500 MHz) δ 7.54-7.60 (m, 1H), 7.43-7.48 (m, 2H), 7.51 (s, 1H), 4.83-5.00 (m, 2H), 4.17-4.35 (m, 3H), 3.98-4.06 (m, 2H), 3.77-3.85 (m, 1H), 1.20-1.29 (m, 3H), 0.99-1.10 (m, 3H), 19F NMR (471 MHz) δ −62.78 (s, 3F). ESI [M−1] 376.3.
- A stirred mixture of 1,3-diethyl 2-[(1S)-2-nitro-1-[3-(trifluoromethyl)phenyl]ethyl]propanedioate (i.e. the product of Step B, 3.24 g, 8.48 mmol), nickel(II) chloride hexahydrate (2.01 g, 8.48 mmol) and ethanol (60 mL) was cooled in an ice bath and treated with sodium borohydride (0.97 g, 25.8 mmol) in 0.5 g portions added over 5 min. The resulting mixture was stirred at 26° C. for 18 h. Saturated ammonium chloride solution (120 mL) and ethyl acetate (120 mL) were then added, the mixture was stirred for 1 h and then filtered through a pad of Celite® diatomaceous filter aid to remove insoluble particulates. The layers of the filtrate were separated, and the aqueous layer was extracted with ethyl acetate (2×100 mL). The combined organic extracts were washed with saturated ammonium chloride solution (100 mL), brine (100 mL), dried (MgSO4) and concentrated under reduced pressure to afford the title compound as a thick yellow oil (2.66 g) which was used without purification.
- 1H NMR (500 MHz) δ 7.38-7.62 (m, 4H), 6.50 (br s, 1H), 4.21-4.31 (m, 2H), 4.15-4.21 (m, 1H), 3.82-3.92 (m, 1H), 3.51-3.58 (m, 1H), 3.37-3.50 (m, 1H), 1.27-1.34 (m, 3H). 19F NMR (471 MHz) δ −62.70 (s, 3F). ESI; [M+1]=302.0.
- A mixture of ethyl (3R,4S)-2-oxo-4-[3-(trifluoromethyl)phenyl]-3-pyrrolidinecarboxylate (i.e. the product of Step C, 2.66 g, 8.8 mmol) and aqueous sodium hydroxide (50 wt %, 2.12 g, 26.5 mmol) in ethanol (30 mL) was stirred at 26° C. for 18 h. The reaction mixture was then diluted with water (50 mL) and extracted with diethyl ether (2×50 mL). The aqueous phase was acidified with concentrated hydrochloric acid to pH 2 and extracted with dichloromethane (3×50 mL). The combined dichloromethane extracts were washed with brine, dried (MgSO4), and concentrated under reduced pressure to afford the title compound as a white solid (2.05 g).
- 1H NMR (500 MHz, acetone-d6) δ 11.50 (br s, 1H), 7.70-7.89 (m, 2H), 7.56-7.68 (m, 2H), 7.45 (br s, 1H), 4.09-4.21 (m, 1H), 3.83-3.92 (m, 1H), 3.73-3.81 (m, 1H), 3.42-3.55 (m, 1H). 19F NMR (471 MHz, acetone-d6) δ −63.03 (s, 3F). ESI [M+1] 274.0.
- A mixture of (3R,4S)-2-oxo-4-[3-(trifluoromethyl)phenyl]-3-pyrrolidinecarboxylic acid (i.e. the product of Step D, 2.0 g, 7.32 mmol), triethylamine (3.06 mL, 21.96 mmol) and 2-fluoroaniline (0.85 mL, 8.78 mmol) in dichloromethane (50 mL) was stirred at ambient temperature for 30 min, and then treated with propylphosphonic anhydride in ethyl acetate (50%, 7.92 g, 12.44 mmol). The resulting mixture was stirred at ambient temperature for 18 h. The reaction mixture was then concentrated under reduced pressure, and the residue was chromatographed on silica gel, eluted with 0-100% ethyl acetate in hexanes, to afford a solid residue which on trituration with 1-chlorobutane afforded the title product, a compound of the present invention, as a white solid (1.9 g). ER 88:12 (major eluting at 25.86 min, minor eluting at 17.66 min). Specific Rotation +74.71 at 23.4° C. at 589 nm, as a 1% solution (1 g/100 mL) in CHCl3.
- 1H NMR (500 MHz, acetone-d6) δ 10.05 (br s, 1H), 8.21-8.35 (m, 1H), 7.77-7.91 (m, 2H), 7.58-7.66 (m, 2H), 7.51 (br s, 1H), 7.02-7.22 (m, 3H), 4.18-4.30 (m, 1H), 3.94-4.04 (m, 1H), 3.84-3.93 (m, 1H), 3.42-3.53 (m, 1H). 19F NMR (471 MHz, acetone-d6) δ −62.93 (s, 3F), −131.13-−131.02 (m, 1F).
- A mixture of (3R,4S)-2-oxo-4-[3-(trifluoromethyl)phenyl]-3-pyrrolidinecarboxylic acid (i.e. the product of Example 5, Step D, 1.5 g, 5.5 mmol) and toluene-4-sulfonic acid (0.010 g, 0.055 mmol) in toluene (12 mL) was stirred at 90° C. overnight. The reaction mixture was then concentrated under reduced pressure to afford a clear oil (1.29 g). The crude product was used without further purification.
- 1H NMR (500 MHz) δ 7.36-7.59 (m, 4H), 6.84 (br s, 1H), 3.70-3.88 (m, 2H), 3.35-3.50 (m, 1H), 2.72-2.87 (m, 1H), 2.44-2.58 (m, 1H). 19F NMR (471 MHz) δ −62.66 (s, 3F).
- To a solution of (4S)-4-[3-(trifluoromethyl)phenyl]-2-pyrrolidinone (i.e. the product of Step A, 1.29 g, 5.6 mmol) in N,N-dimethylformamide (7 mL) was added sodium hydride (60% dispersion in mineral oil, 0.25 g, 6.2 mmol) in portions. The mixture was stirred for 10 min and then iodomethane (0.88 mL, 14.1 mmol) was added. The solution was stirred overnight at ambient temperature. The reaction mixture was diluted with water and extracted with diethyl ether (2×50 mL). The organic layer was washed with water, brine and then dried (MgSO4), filtered and concentrated under reduced pressure. The crude residue was chromatographed on silica gel, eluted with 0-20% ethyl acetate in dichloromethane, to afford a light brown oil (0.775 g).
- 1H NMR (500 MHz) δ 7.38-7.57 (m, 4H), 3.75-3.83 (m, 1H), 3.59-3.70 (m, 1H), 3.38-3.45 (m, 1H), 2.90-2.94 (m, 3H), 2.80-2.89 (m, 1H), 2.48-2.58 (m, 1H). 19F NMR (471 MHz) δ −62.67 (s, 3F).
- A solution of (4S)-1-methyl-4-[3-(trifluoromethyl)phenyl]-2-pyrrolidinone (i.e. the product of Step B, 0.350 g, 1.44 mmol) in tetrahydrofuran (5 mL) was cooled to −78° C. To this mixture lithium bis(trimethylsilyl)amide (1.6 mL, 1.6 mmol as a 1 M solution in tetrahydrofuran) was added dropwise and the resulting solution was stirred for 30 min. Then 1-fluoro-2-isocyanatobenzene (0.17 mL, 1.44 mmol) was added dropwise and the solution was stirred for 2 h at −78° C. The reaction mixture was quenched with saturated aqueous ammonium chloride (10 mL), warmed to ambient temperature and the aqueous layer was extracted with ethyl acetate (3×25 mL). The organic layers were combined, washed with brine and then dried (MgSO4), filtered and concentrated under reduced pressure onto silica gel. The crude residue was chromatographed on silica gel, eluting with 0 to 40% ethyl acetate in hexanes, to afford a light pink solid (0.223 g).
- 1H NMR (500 MHz) δ 9.93 (br s, 1H), 8.15-8.27 (m, 1H), 7.38-7.65 (m, 4H), 6.93-7.15 (m, 3H), 4.10-4.23 (m, 1H), 3.72-3.88 (m, 1H), 3.56-3.68 (m, 1H), 3.39-3.53 (m, 1H), 2.90-3.06 (m, 3H). 19F NMR (471 MHz) δ −62.55 (s, 3F), −129.83-−129.50 (m, 1F). ESI [M+1] 381.0.
- To a stirred mixture of 1-[(E)-2-nitroethenyl]-3,4-difluorobenzene (prepared as described generally in WO2008/39882 A1, 1.67 g, 9.0 mmol) and diethyl malonate (1.73 g, 10.8 mmol) in toluene (10 mL) was added Ni(II) bis[(R,R)—N,N′-dibenzylcyclohexane-1,2-diamine]bromide (prepared as described in J. Am. Chem. Soc. 2005, 127, 9958-9959; 0.072 g, 0.1 mmol). The resulting solution was stirred at ambient temperature for 72 h. The solution was diluted with dichloromethane (20 mL) and concentrated under reduced pressure onto silica gel and purified by silica gel chromatography eluting with a gradient of ethyl acetate in hexanes (0 to 50%) to provide 2.18 g of a light yellow waxy solid. ER 96:4 (major eluting at 37.05 min, minor eluting at 27.09 min).
- 1H NMR (500 MHz) δ 7.06-7.16 (m, 2H), 6.95-7.03 (m, 1H), 4.73-4.94 (m, 2H), 4.16-4.29 (m, 3H), 4.01-4.10 (m, 2H), 3.71-3.79 (m, 1H), 1.22-1.30 (m, 3H), 1.07-1.15 (m, 3H). 19F NMR (471 MHz) δ −137.66-−137.47 (m, 1F) −136.10-−135.87 (m, 1F). ESI [M+1]; 346.4
- By the procedures described herein together with methods known in the art, the following compounds of Tables 1 to 6800 can be prepared. The following abbreviations are used in the Tables which follow: t means tertiary, s means secondary, n means normal, i means iso, c means cyclo, Me means methyl, Et means ethyl, Pr means propyl, Bu means butyl, i-Pr means isopropyl, c-Pr cyclopropyl, t-Bu means tertiary butyl, c-Bu means cyclobutyl, Ph means phenyl, OMe means methoxy, OEt means ethoxy, SMe means methylthio, NHMe means methylamino, CN means cyano. NO2 means nitro, TMS means trimethylsilyl, SOMe means methylsulfinyl, C2F5 means CF2CF3 and SO2Me means methylsulfonyl.
-
TABLE 1 Y1 is O; Y2 is O; R2 is H; R4 is H; R5 is H; Q2 is Ph(2-F); and Q1 is Q1 Q1 Q1 Ph(3-Cl) Ph(3-NO2) 2-Thienyl(4-F) Ph(3-F) Ph(3-Ph) 2-Thienyl(4-Cl) Ph(3-Br) Ph(3-COMe) 2-Thienyl(4-CF3) Ph(3-Me) Ph(3-OCOMe) 2-Thienyl(5-F) Ph(3-Et) Ph(3-CO2Me) 2-Thienyl(5-Cl) Ph(3-t-Bu) Ph(3-OCO2Me) 2-Thienyl(5-CF3) Ph(3-i-Pr) Ph(3-TMS) Ph(4-Cl) Ph(3-c-Pr) Ph(3-SF5) Ph(4-F) Ph(3-cyclohexyl) Ph[3-(1H-pyrazol-1-yl)] Ph(4-Br) Ph(3-CH═CH2) Ph[3-(2H-1,2,3-triazol-2-yl)] Ph(4-Me) Ph(3-CF3) Ph[3-(1H-imidazol-1-yl)] Ph(4-Et) Ph(3-CH2CF3) Ph[3-(3-pyridinyl)] Ph(4-t-Bu) Ph(3-CHF2) Ph[3-(4-pyridinyl)] Ph(4-i-Pr) Ph(3-CH2F) Ph[3-(2-pyridinyl)] Ph(4-c-Pr) Ph(3-OCF3) 4-Pyridinyl(2-CF3) Ph(4-cyclohexyl) Ph(3-OCH2F) 4-Pyridinyl(2-Cl) Ph(4-CH═CH2) Ph(3-SCF3) 4-Pyridinyl(2-F) Ph(4-CF3) Ph(3-SMe) 4-Pyridinyl(2-OCF3) Ph(4-CH2CF3) Ph(3-SOMe) 4-Pyridinyl(2-Me) Ph(4-CHF2) 3-SO2Me 4-Pyridinyl(2-Br) Ph(4-CH2F) Ph(3-OSO2Me) 4-Pyridinyl Ph(4-OCF3) Ph(3-C≡CH) 1H-Pyrazol-4-yl(1-Me) Ph(4-OCH2F) Ph(3-OMe) 1H-Pyrazol-4-yl(1-CH2CF3) Ph(4-SCF3) Ph(3-OEt) 1H-Imidazol-2-yl(1-Me) Ph(4-SMe) Ph(3-NHCO2-t-Bu) 1H-Imidazol-2-yl(1-CH2CF3) Ph(4-SOMe) Ph(3-NHCOMe) 1H-Imidazol-2-yl(1-Me,5-Cl) Ph(4-SO2Me) Ph(3-NHCOCF3) 1H-Imidazol-2-yl(1-Me,5-F) Ph(4-OSO2Me) Ph(3-CN) 2-Thienyl Ph(4-C≡CH) Ph(4-OMe) 3-Thienyl(5-Cl) Ph(3-Br,4-OCHF2) Ph(4-OEt) 3-Thienyl(5-CF3) Ph(3-Br,4-SO2Me) Ph(4-NHCO2-t-Bu) Ph(3,4-di-Cl) Ph(3-Br,4-TMS) Ph(4-NHCOMe) Ph(3-Cl,4-F) Ph(3-Br,4-CN) Ph(4-NHCOCF3) Ph(3-Cl,4-Br) Ph(3-Me,4-Cl) Ph(4-CN) Ph(3-Cl,4-Me) Ph(3-Me,4-F) Ph(4-NO2) Ph(3-Cl,4-t-Bu) Ph(3-Me,4-Br) Ph(4-Ph) Ph(3-Cl,4-c-Pr) Ph(3,4-di-Me) Ph(4-COMe) Ph(3-Cl,4-CF3) Ph(3-Me,4-t-Bu) Ph(4-OCOMe) Ph(3-Cl,4-CHF2) Ph(3-Me,4-c-Pr) Ph(4-CO2Me) Ph(3-Cl,4-OCF3) Ph(3-Me,4-CF3) Ph(4-OCO2Me) Ph(3-Cl,4-OCHF2) Ph(3-Me,4-OCF3) Ph(4-TMS) Ph(3-Cl,4-SO2Me) Ph(3-Me,4-OCHF2) Ph(4-SF5) Ph(3-Cl,4-TMS) Ph(3-Me,4-SO2Me) Ph(1H-pyrazol-1-yl) Ph(3-Cl,4-CN) Ph(3-Me,4-TMS) Ph(2H-1,2,3-triazol-2-yl) Ph(3-F,4-Cl) Ph(3-Me,4-CN) Ph(1H-imidazol-1-yl) Ph(3,4-di-F)* Ph(3-t-Bu,4-Cl) Ph[4-(3-pyridinyl)] Ph(3-F,4-Br) Ph(3-t-Bu,4-F) Ph[4-(4-pyridinyl] Ph(3-F,4-Me) Ph(3-t-Bu,4-Br) Ph[4-(2-pyridinyl)] Ph(3-F,4-t-Bu) Ph(3-t-Bu,4-Me) 3-Pyridinyl(5-CF3) Ph(3-F,4-c-Pr) Ph(3,4-di-t-Bu) 3-Pyridinyl(5-Cl) Ph(3-F,4-CF3) Ph(3-t-Bu,4-c-Pr) 3-Pyridinyl(5-F) Ph(3-F,4-CHF2) Ph(3-t-Bu,4-CF3) 3-Pyridinyl(5-OCF3) Ph(3-F,4-OCF3) Ph(3-t-Bu,4-CHF2) 3-Pyridinyl(5-Me) Ph(3-F,4-OCHF2) Ph(3-t-Bu,4-OCF3) 3-Pyridinyl(5-Br) Ph(3-F,4-SO2Me) Ph(3-t-Bu,4-OCHF2) 3-Pyridinyl Ph(3-F,4-TMS) Ph(3-t-Bu,4-SO2Me) 1H-Pyrazol-3-yl(1-Me) Ph(3-F,4-CN) Ph(3-t-Bu,4-TMS) 1H-Pyrazol-3-yl(1-CH2CF3) Ph(3-F,4-SF5) Ph(3-t-Bu,4-CN) 1H-Pyrazol-3-yl(1-Me,4-F) Ph(3-Br,4-Cl) Ph(3-c-Pr,4-Cl) 1H-Pyrazol-3-yl(1-Me,4-Cl) Ph(3-Br,4-F) Ph(3-c-Pr,4-F) 1H-Imidazol-5-yl(1-Me) Ph(3,4-di-Br) Ph(3-c-Pr,4-Br) 1H-Imidazol-5-yl(1-CH2CF3) Ph(3-Br,4-Me) Ph(3-c-Pr,4-Me) 1H-Imidazol-4-yl(1-Me) Ph(3-Br,4-c-Pr) Ph(3-c-Pr,4-t-Bu) 1H-Imidazol-4-yl(1-CH2CF3) Ph(3-Br,4-CF3) Ph(3,4-di-c-Pr) 3-Thienyl Ph(3-Br,4-CHF2) Ph(3-c-Pr,4-CF3) 3-Thienyl(5-F) Ph(3-Br,4-OCF3) Ph(3-c-Pr,4-CHF2) Ph(3-c-Pr,4-OCF3) Ph(3-SO2Me,4-CF3) Ph(2-F,3-Cl,4-Me) Ph(3-c-Pr,4-OCHF2) Ph(3-SO2Me,4-CHF2) Ph(2-F,3-Cl,4-t-Bu) Ph(3-c-Pr,4-SO2Me) Ph(3-SO2Me,4-OCF3) Ph(2-F,3-Cl,4-c-Pr) Ph(3-c-Pr,4-TMS) Ph(3-SO2Me,4-OCHF2) Ph(2-F,3-Cl,4-CF3) Ph(3-c-Pr,4-CN) Ph(3,4-di-SO2Me) Ph(2-F,3-Cl,4-CHF2) Ph(3-CF3,4-Cl) Ph(3-SO2Me,4-TMS) Ph(2-F,3-Cl,4-OCF3) Ph(3-CF3,4-F) Ph(3-SO2Me,4-CN) Ph(2-F,3-Cl,4-OCHF2) Ph(3-CF3,4-Br) Ph(3-CHF2,4-Cl) Ph(2-F,3-Cl,4-SO2Me) Ph(3-CF3,4-Me) Ph(3-CHF2,4-F) Ph(2-F,3-Cl,4-TMS) Ph(3-CF3,4-t-Bu) Ph(3-CHF2,4-Br) Ph(2-F,3-Cl,4-CN) Ph(3-CF3,4-c-Pr) Ph(3-CHF2,4-Me) Ph(2-F,3-F,4-Cl) Ph(3,4-di-CF3) Ph(3-CHF2,4-t-Bu) Ph(2-F,3-F,4-F) Ph(3-CF3,4-CHF2) Ph(3-CHF2,4-c-Pr) Ph(2-F,3-F,4-Br) Ph(3-CF3,4-OCF3) Ph(3-CHF2,4-CF3) Ph(2-F,3-F,4-Me) Ph(3-CF3,4-OCHF2) Ph(3-CHF2,4-CHF2) Ph(2-F,3-F,4-t-Bu) Ph(3-CF3,4-SO2Me) Ph(3-CHF2,4-OCF3) Ph(2-F,3-F,4-c-Pr) Ph(3-CF3,4-TMS) Ph(3-CHF2,4-OCHF2) Ph(2-F,3-F,4-CF3) Ph(3-CF3,4-CN) Ph(3-CHF2,4-SO2Me) Ph(2-F,3-F,4-CHF2) Ph(3-OCF3,4-Cl) Ph(3-CHF2,4-TMS) Ph(2-F,3-F,4-OCF3) Ph(3-OCF3,4-F) Ph(3-CHF2,4-CN) Ph(2-F,3-F,4-OCHF2) Ph(3-OCF3,4-Br) Ph(3-CN,4-Cl) Ph(2-F,3-F,4-SO2Me) Ph(3-OCF3,4-Me) Ph(3-CN,4-F) Ph(2-F,3-F,4-TMS) Ph(3-OCF3,4-t-Bu) Ph(3-CN,4-Br) Ph(2-F,3-F,4-CN) Ph(3-OCF3,4-c-Pr) Ph(3-CN,4-Me) Ph(2-F,3-Br,4-Cl) Ph(3-OCF3-4-CF3) Ph(3-CN,4-t-Bu) Ph(2-F,3-Br,4-F) Ph(3-OCF3,4-CHF2) Ph(3-CN,4-c-Pr) Ph(2-F,3-Br,4-Br) Ph(3,4-di-OCF3) Ph(3-CN,4-CF3) Ph(2-F,3-Br,4-Me) Ph(3-OCF3,4-OCHF2) Ph(3-CN,4-CHF2) Ph(2-F,3-Br,4-t-Bu) Ph(3-OCF3,4-SO2Me) Ph(3-CN,4-OCF3) Ph(2-F,3-Br,4-c-Pr) Ph(3-OCF3,4-TMS) Ph(3-CN,4-OCHF2) Ph(2-F,3-Br,4-CF3) Ph(3-OCF3,4-CN) Ph(3-CN,4-SO2Me) Ph(2-F,3-Br,4-CHF2) Ph(3-SO2Me,4-Cl) Ph(3-CN,4-TMS) Ph(2-F,3-Br,4-OCF3) Ph(3-SO2Me,4-F) Ph(3,4-di-CN) Ph(2-F,3-Br,4-OCHF2) Ph(3-SO2Me,4-Br) Ph(3-SF5,4-F) Ph(2-F,3-Br,4-SO2Me) Ph(3-SO2Me,4-Me) Ph(2-F,3-Cl,4-Cl) Ph(2-F,3-Br,4-TMS) Ph(3-SO2Me,4-t-Bu) Ph(2-F,3-Cl,4-F) Ph(2-F,3-Br,4-CN) Ph(3-SO2Me,4-c-Pr) Ph(2-F,3-Cl,4-Br) Ph(2-F,3-Me,4-Cl) Ph(2-F,3-Me,4-F) Ph(2-F,3-CF3,4-Cl) Ph(2-F,3-SO2Me,4-TMS) Ph(2-F,3-Me,4-Br) Ph(2-F,3-CF3,4-F) Ph(2-F,3-SO2Me,4-CN) Ph(2-F,3-Me,4-Me) Ph(2-F,3-CF3,4-Br) Ph(2-F,3-CHF2,4-Cl) Ph(2-F,3-Me,4-t-Bu) Ph(2-F,3-CF3,4-Me) Ph(2-F,3-CHF2,4-F) Ph(2-F,3-Me,4-CF3) Ph(2-F,3-CF3,4-t-Bu) Ph(2-F,3-CHF2,4-Br) Ph(2-F,3-Me,4-CHF2) Ph(2-F,3-CF3,4-c-Pr) Ph(2-F,3-CHF2,4-Me) Ph(2-F,3-Me,4-OCF3) Ph(2-F,CF3,4-CF3) Ph(2-F,3-CHF2,4-t-Bu) Ph(2-F,3-Me,4-OCHF2) Ph(2-F,3-CF3,4-CHF2) Ph(2-F,3-CHF2,4-c-Pr) Ph(2-F,3-Me,4-SO2Me) Ph(2-F,3-CF3,4-OCF3) Ph(2-F,3-CHF2,4-CF3) Ph(2-F,3-Me,4-TMS) Ph(2-F,3-CF3,4-OCHF2) Ph(2-F,3-CHF2,4-CHF2) Ph(2-F,3-Me,4-CN) Ph(2-F,3-CF3,4-SO2Me) Ph(2-F,3-CHF2,4-OCF3) Ph(2-F,3-t-Bu,4-Cl) Ph(2-F,3-CF3,4-TMS) Ph(2-F,3-CHF2,4-OCHF2) Ph(2-F,3-t-Bu,4-F) Ph(2-F,3-CF3,4-CN) Ph(2-F,3-CHF2,4-SO2Me) Ph(2-F,3-t-Bu,4-Br) Ph(2-F,3-OCF3,4-Cl) Ph(2-F,3-CHF2,4-TMS) Ph(2-F,3-t-Bu,4-Me) Ph(2-F,3-OCF3,4-F) Ph(2-F,3-CHF2,4-CN) Ph(2-F,3-t-Bu,4-t-Bu) Ph(2-F,3-OCF3,4-Br) Ph(2-F,3-CN,4-Cl) Ph(2-F,3-t-Bu,4-c-Pr) Ph(2-F,3-OCF3,4-Me) Ph(2-F,3-CN,4-F) Ph(2-F,3-t-Bu,4-CF3) Ph(2-F,3-OCF3,4-t-Bu) Ph(2-F,3-CN,4-Br) Ph(2-F,3-t-Bu,4-CHF2) Ph(2-F,3-OCF3,4-c-Pr) Ph(2-F,3-CN,4-Me) Ph(2-F,3-t-Bu,4-OCF3) Ph(2-F,3-OCF3,4-CF3) Ph(2-F,3-CN,4-t-Bu) Ph(2-F,3-t-Bu,4-OCHF2) Ph(2-F,3-OCF3,4-CHF2) Ph(2-F,3-CN,4-c-Pr) Ph(2-F,3-t-Bu,4-SO2Me) Ph(2-F,3-OCF3,4-OCF3) Ph(2-F,3-CN,4-CF3) Ph(2-F,3-t-Bu,4-TMS) Ph(2-F,3-OCF3,4-OCHF2) Ph(2-F,3-CN,4-CHF2) Ph(2-F,3-t-Bu,4-CN) Ph(2-F,3-OCF3,4-SO2Me) Ph(2-F,3-CN,4-OCF3) Ph(2-F,3-c-Pr,4-Cl) Ph(2-F,3-OCF3,4-TMS) Ph(2-F,3-CN,4-OCHF2) Ph(2-F,3-c-Pr,4-F) Ph(2-F,3-OCF3,4-CN) Ph(2-F,3-CN,4-SO2Me) Ph(2-F,3-c-Pr,4-Br) Ph(2-F,3-SO2Me,4-Cl) Ph(2-F,3-CN,4-TMS) Ph(2-F,3-c-Pr,4-Me) Ph(2-F,3-SO2Me,4-F) Ph(2-F,3-CN,4-CN) Ph(2-F,3-c-Pr,4-t-Bu) Ph(2-F,3-SO2Me,4-Br) Ph(2-F,4-Cl) Ph(2-F,3,4-di-c-Pr) Ph(2-F,3-SO2Me,4-Me) Ph(2-F,4-F) Ph(2-F,3-c-Pr,4-CF3) Ph(2-F,3-SO2Me,4-t-Bu) Ph(2-F,4-Br) Ph(2-F,3-c-Pr,4-CHF2) Ph(2-F,3-SO2Me,4-c-Pr) Ph(2-F,4-Me) Ph(2-F,3-c-Pr,4-OCF3) Ph(2-F,3-SO2Me,4-CF3) Ph(2-F,4-t-Bu) Ph(2-F,3-c-Pr,4-OCHF2) Ph(2-F,3-SO2Me,4-CHF2) Ph(2-F,4-c-Pr) Ph(2-F,3-c-Pr,4-SO2Me) Ph(2-F,3-SO2Me,4-OCF3) Ph(2-F,4-CF3) Ph(2-F,3-c-Pr,4-TMS) Ph(2-F,3-SO2Me,4-OCHF2) Ph(2-F,4-CHF2) Ph(2-F,3-c-Pr,4-CN) Ph(2-F,3,4-di-SO2Me) Ph(2-F,4-OCF3) Ph(2-F,4-OCHF2) Ph(2-SMe) Ph(2-OPh) Ph(2-F,4-SO2Me) Ph(2-SOMe) Ph(2-C≡CCF3) Ph(2-F,4-TMS) Ph(2-SO2Me) Ph(2-CH═CF2) Ph(2-F,4-CN) Ph(2-OSO2Me) Ph(2-CH═CCl2) Ph(2-F,3-Cl) Ph(2-C≡CH) Ph(2-CH═CBr2) Ph(2-F,3-F) Ph(2-OMe) Ph(2-OCH═CH2) Ph(2-F,3-Br) Ph(2-OEt) Ph(2-OCH═CF2) Ph(2-F,3-Me) Ph(2-NHCO2-t-Bu) Ph(2-OCH═CCl2) Ph(2-F,3-t-Bu) Ph(2-NHCOMe) Ph(2-OCH═CBr2) Ph(2-F,3-c-Pr) Ph(2-NHCOCF3) Ph(2-CH2CH═CH2) Ph(2-F,3-CF3) Ph(2-CN) Ph(2-CH2CH═CF2) Ph(2-F,3-CHF2) Ph(2-NO2) Ph(2-CH2CH═CCl2) Ph(2-F,3-OCF3) Ph(2-Ph) Ph(2-CH2CH═CBr2) Ph(2-F,3-OCHF2) Ph(2-COMe) Ph(2-OCH2CH═CH2) Ph(2-F,3-SO2Me) Ph(2-OCOMe) Ph(2-OCH2CH═CF2) Ph(2-F,3-TMS) Ph(2-CO2Me) Ph(2-OCH2CH═CCl2) Ph(2-F,3-CN) Ph(2-OCO2Me) Ph(2-OCH2CH═CBr2) Ph(2-Cl) Ph(2-TMS) Ph(2-SCF2H) Ph(2-F) Ph[2-(1H-pyrazol-1yl)] Ph(2-SCF2CF2H) Ph(2-Br) Ph[2-(2H-1,2,3-triazol-2-yl)] Ph(3-I) Ph(2-I) Ph[2-(1H-imidazol-1-yl)] Ph(3-n-Pr) Ph(2-Me) Ph[2-(3-pyridinyl)] Ph(3-CF2H) Ph(2-Et) Ph[2-(4-pyridinyl)] Ph(3-OCF2H) Ph(2-n-Pr) Ph[2-(2-pyridinyl)] Ph(3-SO2Me) Ph(2-t-Bu) Ph(2-C2F5) Ph(3-C2F5) Ph(2-i-Pr) Ph(2-CF2CF2H) Ph(3-CF2CF2H) Ph(2-c-Pr) Ph(2-OCF2CF2H) Ph(3-OCF2CF2H) Ph(2-cyclohexyl) Ph(2-OC2F5) Ph(3-OC2F5) Ph(2-CH═CH2) Ph(2-OCH2CF3) Ph(3-OCH2CF3) Ph(2-CF3) Ph(2-OCH2C≡CH) Ph(3-OCH2C≡CH) Ph(2-CH2CF3) Ph(2-OCH2C≡CCF3) Ph(3-OCH2C≡CCF3) Ph(2-CF2H) Ph(2-OCH2C≡CCF2H) Ph(3-OCH2C≡CCF2H) Ph(2-CH2F) Ph(2-OCH2C≡CCH3) Ph(3-OCH2C≡CCH3) Ph(2-OCF3) Ph(2-OCH2C≡C-c-Pr) Ph(3-OCH2C≡C-c-Pr) Ph(2-OCH2F) Ph(2-C≡CCF2H) Ph(3-C≡CCF2H) Ph(2-OCF2H) Ph(2-C≡CCH3) Ph(3-C≡CCH3) Ph(2-SCF3) Ph(2-C≡C-c-Pr) Ph(3-C≡C-c-Pr) Ph(3-OPh) Ph(2-Cl,3-OCF2H) Ph(2-Cl,3-C≡CCH3) Ph(3-C≡CCF3) Ph(2-Cl,3-SCF3) Ph(2-Cl,3-C≡C-c-Pr) Ph(3-CH═CF2) Ph(2-Cl,3-SMe) Ph(2-Cl,3-OPh) Ph(3-CH═CCl2) Ph(2-Cl,3-SOMe) Ph(2-Cl,3-C≡CCF3) Ph(3-CH═CBr2) Ph(2-Cl,3-SO2Me) Ph(2-Cl,3-CH═CF2) Ph(3-OCH═CH2) Ph(2-Cl,3-OSO2Me) Ph(2-Cl,3-CH═CCl2) Ph(3-OCH═CF2) Ph(2-Cl,3-C≡CH) Ph(2-Cl,3-CH═CBr2) Ph(3-OCH═CCl2) Ph(2-Cl,3-OMe) Ph(2-Cl,3-OCH═CH2) Ph(3-OCH═CBr2) Ph(2-Cl,3-OEt) Ph(2-Cl,3-OCH═CF2) Ph(3-CH2CH═CH2) Ph(2-Cl,3-NHCO2-t-Bu) Ph(2-Cl,3-OCH═CCl2) Ph(3-CH2CH═CF2) Ph(2-Cl,3-NHCOMe) Ph(2-Cl,3-OCH═CBr2) Ph(3-CH2CH═CCl2) Ph(2-Cl,3-NHCOCF3) Ph(2-Cl,3-CH2CH═CH2) Ph(3-CH2CH═CBr2) Ph(2-Cl,3-CN) Ph(2-Cl,3-CH2CH═CF2) Ph(3-OCH2CH═CH2) Ph(2-Cl,3-NO2) Ph(2-Cl,3-CH2CH═CCl2) Ph(3-OCH2CH═CF2 Ph(2-Cl,3-Ph) Ph(2-Cl,3-CH2CH═CBr2) Ph(3-OCH2CH═CCl2) Ph(2-Cl,3-COMe) Ph(2-Cl,3-OCH2CH═CH2) Ph(3-OCH2CH═CBr2) Ph(2-Cl,3-OCOMe) Ph(2-Cl,3-OCH2CH═CF2) Ph(3-SCF2H) Ph(2-Cl,3-CO2Me) Ph(2-Cl,3-OCH2CH═CCl2) Ph(3-SCF2CF2H) Ph(2-Cl,3-OCO2Me) Ph(2-Cl,3-OCH2CH═CBr2) Ph(2-Cl,3-Cl) Ph(2-Cl,3-TMS) Ph(2-Cl,3-SCF2H) Ph(2-Cl,3-F) Ph[3-(2-Cl,1H-pyrazol-1-yl)] Ph(2-Cl,3-SCF2CF2H) Ph(2-Cl,3-Br) Ph[3-(2-Cl,2H-1,2,3-triazol-2-yl)] Ph(2-F,3-F) Ph(2-Cl,3-I) Ph[3-(2-Cl,1H-imidazol-1-yl)] Ph(2-F,3-Br) Ph(2-Cl,3-Me) Ph[3-(2-Cl,3-pyridinyl)] Ph(2-F,3-I) Ph(2-Cl,3-Et) Ph[3-(2-Cl,4-pyridinyl)] Ph(2-F,3-Me) Ph(2-Cl,3-n-Pr) Ph[3-(2-Cl,2-pyridinyl)] Ph(2-F,3-Et) Ph(2-Cl,3-t-Bu) Ph(2-Cl,3-C2F5) Ph(2-F,3-n-Pr) Ph(2-Cl,3-i-Pr) Ph(2-Cl,3-CF2CF2H) Ph(2-F,3-t-Bu) Ph(2-Cl,3-c-Pr) Ph(2-Cl,3-OCF2CF2H) Ph(2-F,3-i-Pr) Ph(2-Cl,3-cyclohexyl) Ph(2-Cl,3-OC2F5) Ph(2-F,3-cyclohexyl) Ph(2-Cl,3-CH═CH2) Ph(2-Cl,3-OCH2CF3) Ph(2-F,3-CH═CH2) Ph(2-Cl,3-CF3) Ph(2-Cl,3-OCH2C≡CH) Ph(2-F,3-CF3) Ph(2-Cl,3-CH2CF3) Ph(2-Cl,3-OCH2C≡CCF3) Ph(2-F,3-CH2CF3) Ph(2-Cl,3-CF2H) Ph(2-Cl,3-OCH2C≡CCF2H) Ph(2-F,3-CF2H) Ph(2-Cl,3-CH2F) Ph(2-Cl,3-OCH2C≡CCH3) Ph(2-F,3-CH2F) Ph(2-Cl,3-OCF3) Ph(2-Cl,3-OCH2C≡C-c-Pr) Ph(2-F,3-OCH2F) Ph(2-Cl,3-OCH2F) Ph(2-Cl,3-C≡CCF2H) Ph(2-F,3-OCF2H) Ph(2-F,3-SCF3) Ph(2-F,3-CH═CCl2) 2-Furanyl(4-CF3) Ph(2-F,3-SMe) Ph(2-F,3-CH═CBr2) 2-Furanyl(5-F) Ph(2-F,3-SOMe) Ph(2-F,3-OCH═CH2) 2-Furanyl(5-Cl) Ph(2-F,3-SO2Me) Ph(2-F,3-OCH═CF2) 2-Furanyl(5-CF3) Ph(2-F,3-OSO2Me) Ph(2-F,3-OCH═CCl2) 2-Furanyl(4-Me) Ph(2-F,3-C≡CH) Ph(2-F,3-OCH═CBr2) 2-Furanyl(4-Et) Ph(2-F,3-OMe) Ph(2-F,3-CH2CH═CH2) 2-Furanyl(4-i-Pr) Ph(2-F,3-OEt) Ph(2-F,3-CH2CH═CF2) 2-Furanyl(4-c-Pr) Ph(2-F,3-NHCO2-t-Bu) Ph(2-F,3-CH2CH═CCl2) 2-Furanyl(4-CF2H) Ph(2-F,3-NHCOMe) Ph(2-F,3-CH2CH═CBr2) 2-Furanyl(4-OCF2H) Ph(2-F,3-NHCOCF3) Ph(2-F,3-OCH2CH═CH2) 2-Furanyl(4-OCF2CF2H) Ph(2-F,3-NO2) Ph(2-F,3-OCH2CH═CF2) 2-Furanyl(5-Me) Ph(2-F,3-Ph) Ph(2-F,3-OCH2CH═CCl2) 2-Furanyl(5-Et) Ph(2-F,3-COMe) Ph(2-F,3-OCH2CH═CBr2) 2-Furanyl(5-i-Pr) Ph(2-F,3-OCOMe) Ph(2-F,3-SCF2H) 2-Furanyl(5-c-Pr) Ph(2-F,3-CO2Me) Ph(2-F,3-SCF2CF2H) 2-Furanyl(5-CF2H) Ph(2-F,3-OCO2Me) Ph(2-F,3-SF5) 2-Furanyl(5-OCF2H) Ph[3-(2-F,1H-imidazol-1-yl)] 4-Pyridinyl(5-OCF2H) 2-Furanyl(5-OCF2CF2H) Ph[3-(2-F,3-pyridinyl)] 4-Pyridinyl(5-CF2H) 2-Furanyl(5-OC2F5) Ph[3-(2-F,4-pyridinyl)] 4-Pyridinyl(5-OCF2CF2H) Ph(4-I) Ph[3-(2-F,2-pyridinyl)] 2-Thienyl(4-Me) Ph(4-n-Pr) Ph(2-F,3-C2F5) 2-Thienyl(4-Et) Ph(4-OCHF2) Ph(2-F,3-CF2CF2H) 2-Thienyl(4-i-Pr) Ph(4-C2F5) Ph(2-F,3-OCF2CF2H) 2-Thienyl(4-c-Pr) Ph(4-CF2CF2H) Ph(2-F,3-OC2F5) 2-Thienyl(4-CF2H) Ph(4-OCF2CF2H) Ph(2-F,3-OCH2CF3) 2-Thienyl(4-OCF2H) Ph(4-OC2F5) Ph(2-F,3-OCH2C≡CH) 2-Thienyl(4-OCF2CF2H) Ph(4-OCH2CF3) Ph(2-F,3-OCH2C≡CCF3) 2-Thienyl(5-Me) Ph(4-OCH2C≡CH) Ph(2-F,3-OCH2C≡CCF2H) 2-Thienyl(5-Et) Ph(4-OCH2C≡CCF3) Ph(2-F,3-OCH2C≡CCH3) 2-Thienyl(5-i-Pr) Ph(4-OCH2C≡CCF2H) Ph(2-F,3-OCH2C≡C-c-Pr) 2-Thienyl(5-c-Pr) Ph(4-OCH2C≡CCH3) Ph(2-F,3-C≡CCF2H) 2-Thienyl(5-CF2H) Ph(4-OCH2C≡C-c-Pr) Ph(2-F,3-C≡CCH3) 2-Thienyl(5-OCF2H) Ph(4-C≡CCF2H) Ph(2-F,3-C≡C-c-Pr) 2-Thienyl(5-OCF2CF2H) Ph(4-C≡CCH3) Ph(2-F,3-OPh) 2-Thienyl(5-OC2F5) Ph(4-C≡C-c-Pr) Ph(2-F,3-C≡CCF3) 2-Furanyl(4-F) Ph(4-OPh) Ph(2-F,3-CH═CF2) 2-Furanyl(4-Cl) Ph(4-C≡CCF3) Ph(4-CH═CF2) Ph(2-Cl,4-SMe) Ph(2-Cl,4-OCH═CF2) Ph(4-CH═CCl2) Ph(2-Cl,4-SOMe) Ph(2-Cl,4-OCH═CCl2) Ph(4-CH═CBr2) Ph(2-Cl,4-SO2Me) Ph(2-Cl,4-OCH═CBr2) Ph(4-OCH═CH2) Ph(2-Cl,4-OSO2Me) Ph(2-Cl,4-CH2CH═CH2) Ph(4-OCH═CF2) Ph(2-Cl,4-C≡CH) Ph(2-Cl,4-CH2CH═CF2) Ph(4-OCH═CCl2) Ph(2-Cl,4-OMe) Ph(2-Cl,4-CH2CH═CCl2) Ph(4-OCH═CBr2) Ph(2-Cl,4-OEt) Ph(2-Cl,4-CH2CH═CBr2) Ph(4-CH2CH═CH) Ph(2-Cl,4-NHCO2-t-Bu) Ph(2-Cl,4-OCH2CH═CH2) Ph(4-CH2CH═CF2) Ph(2-Cl,4-NHCOMe) Ph(2-Cl,4-OCH2CH═CF2) Ph(4-CH2CH═CCl2) Ph(2-Cl,4-NHCOCF3) Ph(2-Cl,4-OCH2CH═CCl2) Ph(4-CH2CH═CBr2) Ph(2-Cl,4-CN) Ph(2-Cl,4-OCH2CH═CBr2) Ph(4-OCH2CH═CH2) Ph(2-Cl,4-NO2) Ph(2-Cl,4-SCF2H) Ph(4-OCH2CH═CF2) Ph(2-Cl,4-Ph) Ph(2-Cl,4-SCF2CF2H) Ph(4-OCH2CH═CCl2) Ph(2-Cl,4-COMe) Ph(2-F,4-Cl) Ph(4-OCH2CH═CBr2) Ph(2-Cl,4-OCOMe) Ph(2,4-di-F) Ph(4-SCF2H) Ph(2-Cl,4-CO2Me) Ph(2-F,4-Br) Ph(4-SCF2CF2H) Ph(2-Cl,4-OCO2Me) Ph(2-F,4-I) Ph(2,4-di-Cl) Ph(2-Cl,4-TMS) Ph(2-F,4-Me) Ph(2-Cl,4-F) Ph(2-Cl,4-C2F5) Ph(2-F,4-Et) Ph(2-Cl,4-Br) Ph(2-Cl,4-CF2CF2H) Ph(2-F,4-n-Pr) Ph(2-Cl,4-I) Ph(2-Cl,4-OCF2CF2H) Ph(2-F,4-t-Bu) Ph(2-Cl,4-Me) Ph(2-Cl,4-OC2F5) Ph(2-F,4-i-Pr) Ph(2-Cl,4-Et) Ph(2-Cl,4-OCH2CF3) Ph(2-F,4-cyclohexyl) Ph(2-Cl,4-n-Pr) Ph(2-Cl,4-OCH2C≡CH) Ph(2-F,4-CH═CH2) Ph(2-Cl,4-t-Bu) Ph(2-Cl,4-OCH2C≡CCF3) Ph(2-F,4-CF3) Ph(2-Cl,4-i-Pr) Ph(2-Cl,4-OCH2C≡CF2H) Ph(2-F,4-CH2CF3) Ph(2-Cl,4-c-Pr) Ph(2-Cl,4-OCH2C≡CCH3) Ph(2-F,4-CHF2) Ph(2-Cl,4-cyclohexyl) Ph(2-Cl,4-OCH2C≡C-c-Pr) Ph(2-F,4-CH2F) Ph(2-Cl,4-CH═CH2) Ph(2-Cl,4-C≡CCF2H) Ph(2-F,4-OCF3) Ph(2-Cl,4-CF3) Ph(2-Cl,4-C≡CCH3) Ph(2-F,4-OCH2F) Ph(2-Cl,4-CH2CF3) Ph(2-Cl,4-C≡C-c-Pr) Ph(2-F,4-OCHF2) Ph(2-Cl,4-CHF2) Ph(2-Cl,4-OPh) Ph(2-F,4-SCF3) Ph(2-Cl,4-CH2F) Ph(2-Cl,4-C≡CCF3) Ph(2-F,4-SMe) Ph(2-Cl,4-OCF3) Ph(2-Cl,4-CH═CF2) Ph(2-F,4-SOMe) Ph(2-Cl,4-OCH2F) Ph(2-Cl,4-CH═CCl2) Ph(2-F,4-SO2Me) Ph(2-Cl,4-OCHF2) Ph(2-Cl,4-CH═CBr2) Ph(2-F,4-OSO2Me) Ph(2-Cl,4-SCF3) Ph(2-Cl,4-OCH═CH2) Ph(2-F,4-C≡CH) Ph(2-F,4-OMe) Ph(2-F,4-CH2CH═CBr2) Ph(3-Cl,4-OMe) Ph(2-F,4-OEt) Ph(2-F,4-OCH2CH═CH2) Ph(3-Cl,4-OCF2CF2H) Ph(2-F,4-NHCO2-t-Bu) Ph(2-F,4-OCH2CH═CF2) Ph(3-Cl,4-OC2F5) Ph(2-F,4-NHCOMe) Ph(2-F,4-OCH2CH═CCl2) Ph(3,4-di-F) Ph(2-F,4-NHCOCF3) Ph(2-F,4-OCH2CH═CBr2) Ph(3-F,4-I) Ph(2-F,4-CN) Ph(2-F,4-SCF2H) Ph(3-F,4-Et) Ph(2-F,4-NO2) Ph(2-F,4-SCF2CF2H) Ph(3-F,4-n-Pr) Ph(2-F,4-Ph) Ph(2-F,4-SF5) Ph(3-F,4-i-Pr) Ph(2-F,4-COMe) 3-Pyridinyl(5-OCF2H) Ph(3-F,4-C2F5) Ph(2-F,4-OCOMe) 3-Pyridinyl(5-CF2H) Ph(3-F,4-CF2CF2H) Ph(2-F,4-CO2Me) 3-Pyridinyl(5-OCF2CF2H) Ph(3-F,4-CF2H) Ph(2-F,4-OCO2Me) 3-Thienyl(4-Me) Ph(3-F,4-OMe) Ph(2-F,4-C2F5) 3-Thienyl(4-Et) Ph(3-F,4-OCF2CF2H) Ph(2-F,4-CF2CF2H) 3-Thienyl(4-i-Pr) Ph(3-F,4-OC2F5) Ph(2-F,4-OCF2CF2H) 3-Thienyl(4-c-Pr) Ph(3-Br,4-I) Ph(2-F,4-OC2F5) 3-Thienyl(4-CF2H) Ph(3-Br,4-Et) Ph(2-F,4-OCH2CF3) 3-Thienyl(4-OCF2H) Ph(3-Br,4-n-Pr) Ph(2-F,4-OCH2C≡CH) 3-Thienyl(4-OCF2CF2H) Ph(3-Br,4-t-Bu) Ph(2-F,4-OCH2C≡CCF3) 3-Thienyl(4-OC2F5) Ph(3-Br,4-i-Pr) Ph(2-F,4-OCH2C≡CCF2H) 3-Furanyl(5-F) Ph(3-Br,4-C2F5) Ph(2-F,4-OCH2C≡CCH3) 3-Furanyl(5-Cl) Ph(3-Br,4-CF2CF2H) Ph(2-F,4-OCH2C≡C-c-Pr) 3-Furanyl(5-CF3) Ph(3-Br,4-CF2H) Ph(2-F,4-C≡CCF2H) 3-Furanyl(4-Me) Ph(3-Br,4-OMe) Ph(2-F,4-C≡CCH3) 3-Furanyl(4-Et) Ph(3-Br,4-OCF2CF2H) Ph(2-F,4-C≡C-c-Pr) 3-Furanyl(4-i-Pr) Ph(3-Br,4-OC2F5) Ph(2-F,4-OPh) 3-Furanyl(4-c-Pr) Ph(3-I,4-Cl) Ph(2-F,4-C≡CCF3) 3-Furanyl(4-CF2H) Ph(3-I,4-F) Ph(2-F,4-CH═CF2) 3-Furanyl(4-OCF2H) Ph(3-I,4-Br) Ph(2-F,4-CH═CCl2) 3-Furanyl(4-OCF2CF2H) Ph(3,4-di-I) Ph(2-F,4-CH═CBr2) 3-Furanyl(4-OC2F5) Ph(3-I,4-Me) Ph(2-F,4-OCH═CH2) Ph(3-Cl,4-I) Ph(3-I,4-Et) Ph(2-F,4-OCH═CF2) Ph(3-Cl,4-Et) Ph(3-I,4-n-Pr) Ph(2-F,4-OCH═CCl2) Ph(3-Cl,4-n-Pr) Ph(3-I,4-t-Bu) Ph(2-F,4-OCH═CBr2) Ph(3-Cl,4-i-Pr) Ph(3-I,4-i-Pr) Ph(2-F,4-CH2CH═CH2) Ph(3-Cl,4-C2F5) Ph(3-I,4-c-Pr) Ph(2-F,4-CH2CH═CF2) Ph(3-Cl,4-CF2CF2H) Ph(3-I,4-CF3) Ph(2-F,4-CH2CH═CCl2) Ph(3-Cl,4-CF2H) Ph(3-I,4-C2F5) Ph(3-I,4-CF2CF2H) Ph(3-Et,4-OCF2CF2H) Ph(3-i-Pr,4-Cl) Ph(3-I,4-CF2H) Ph(3-Et,4-OC2F5) Ph(3-i-Pr,4-F) Ph(3-I,4-OMe) Ph(3-Et,4-SO2Me) Ph(3-i-Pr,4-Br) Ph(3-I,4-OCF3) Ph(3-Et,4-TMS) Ph(3-i-Pr,4-I) Ph(3-I,4-OCHF2) Ph(3-Et,4-CN) Ph(3-i-Pr,4-Me) Ph(3-I,4-OCF2CF2H) Ph(3-n-Pr,4-Cl) Ph(3-i-Pr,4-Et) Ph(3-I,4-OC2F5) Ph(3-n-Pr,4-F) Ph(3-i-Pr,4-n-Pr) Ph(3-I,4-SO2Me) Ph(3-n-Pr,4-Br) Ph(3-i-Pr,4-t-Bu) Ph(3-I,4-TMS) Ph(3-n-Pr,4-I) Ph(3,4,-di-i-Pr) Ph(3-I,4-CN) Ph(3-n-Pr,4-Me) Ph(3-i-Pr,4-c-Pr) Ph(3-Me,4-I) Ph(3-n-Pr,4-Et) Ph(3-i-Pr,CF3) Ph(3-Me,4-Et) Ph(3,4-di-n-Pr) Ph(3-i-Pr,4-C2F5) Ph(3-Me,4-n-Pr) Ph(3-n-Pr,4-t-Bu) Ph(3-i-Pr,4-CF2CF2H) Ph(3-Me,4-i-Pr) Ph(3-n-Pr,4-i-Pr) Ph(3-i-Pr,4-CF2H) Ph(3-Me,4-C2F5) Ph(3-n-Pr,4-c-Pr) Ph(3-i-Pr,4-OMe) Ph(3-Me,4-CF2CF2H) Ph(3-n-Pr,4-CF3) Ph(3-i-Pr,4-OCF3) Ph(3-Me,4-CF2H Ph(3-n-Pr,4-C2F5) Ph(3-i-Pr,4-OCHF2) Ph(3-Me,4-OMe) Ph(3-n-Pr,4-CF2CF2H) Ph(3-i-Pr,4-OCF2CF2H) Ph(3-Me,4-OCF2CF2H) Ph(3-n-Pr,4-CF2H) Ph(3-i-Pr,4-OC2F5) Ph(3-Me,4-OC2F5) Ph(3-n-Pr,4-OMe) Ph(3-i-Pr,4-SO2Me) Ph(3-Et,4-Cl) Ph(3-n-Pr,4-OCF3) Ph(3-i-Pr,4-TMS) Ph(3-Et,4-F) Ph(3-n-Pr,4-OCHF2) Ph(3-i-Pr,4-CN) Ph(3-Et,4-Br) Ph(3-n-Pr,4-OCF2CF2H) Ph(3-c-Pr,4-I) Ph(3-Et,4-I) Ph(3-n-Pr,4-OC2F5) Ph(3-c-Pr,4-Et) Ph(3-Et,4-Me) Ph(3-n-Pr,4-SO2Me) Ph(3-c-Pr,4-n-Pr) Ph(3,4-di-Et) Ph(3-n-Pr,4-TMS) Ph(3-c-Pr,4-i-Pr) Ph(3-Et,4-n-Pr) Ph(3-n-Pr,4-CN) Ph(3-c-Pr,4-C2F5) Ph(3-Et,4-t-Bu) Ph(3-t-Bu,4-I) Ph(3-c-Pr,4-CF2CF2H) Ph(3-Et,4-i-Pr) Ph(3-t-Bu,4-Et) Ph(3-c-Pr,4-CF2H) Ph(3-Et,4-c-Pr) Ph(3-t-Bu,4-n-Pr) Ph(3-c-Pr,4-OMe) Ph(3-Et,4-CF3) Ph(3-t-Bu,4-i-Pr) Ph(3-c-Pr,4-OCF2CF2H) Ph(3-Et,4-C2F5) Ph(3-t-Bu,4-C2F5) Ph(3-c-Pr,4-OC2F5) Ph(3-Et,4-CF2CF2H) Ph(3-t-Bu,4-CF2CF2H) Ph(3-CF3,4-I) Ph(3-Et,4-CF2H) Ph(3-t-Bu,4-CF2H) Ph(3-CF3,4-Et) Ph(3-Et,4-OMe) Ph(3-t-Bu,4-OMe) Ph(3-CF3,4-n-Pr) Ph(3-Et,4-OCF3) Ph(3-t-Bu,4-OCF2CF2H) Ph(3-CF3,4-i-Pr) Ph(3-Et,4-OCHF2) Ph(3-t-Bu,4-OC2F5) Ph(3-CF3,4-C2F5) Ph(3-CF3,4-CF2CF2H) Ph(3-CF2CF2H,4-c-Pr) Ph(3-OMe,4-Br) Ph(3-CF3,4-CF2H) Ph(3-CF2CF2H,4-CF3) Ph(3-OMe,4-I) Ph(3-CF3,4-OMe) Ph(3-CF2CF2H,4-C2F5) Ph(3-OMe,4-Me) Ph(3-CF3,4-OCF2CF2H) Ph(3,4-di-CF2CF2H) Ph(3-OMe,4-Et) Ph(3-CF3,4-OC2F5) Ph(3-CF2CF2H,4-CF2H) Ph(3-OMe,4-n-Pr) Ph(3-CF3,4-TMS) Ph(3-CF2CF2H,4-OMe) Ph(3-OMe,4-t-Bu) Ph(3-C2F5,4-Cl) Ph(3-CF2CF2H,4-OCF3) Ph(3-OMe,4-i-Pr) Ph(3-C2F5,4-F) Ph(3-CF2CF2H,4-OCHF2) Ph(3-OMe,4-c-Pr) Ph(3-C2F5,4-Br) Ph93-CF2CF2H,4-OCF2CF2H) Ph(3-OMe,4-CF3) Ph(3-C2F5,4-I) Ph(3-CF2CF2H,4-OC2F5) Ph(3-OMe,4-C2F5) Ph(3-C2F5,4-Me) Ph(3-CF2CF2H,4-SO2Me) Ph(3-OMe,4-CF2CF2H) Ph(3-C2F5,4-Et) Ph(3-CF2CF2H,4-TMS) Ph(3-OMe,4-CF2H) Ph(3-C2F5,4-n-Pr) Ph(3-CF2CF2H,4-CN) Ph(3,4-di-OMe) Ph(3-C2F5,4-t-Bu) Ph(3-CF2H,4-Cl) Ph(3-OMe,4-OCF3) Ph(3-C2F5,4-i-Pr) Ph(3-CF2H,4-F) Ph(3-OMe,4-OCHF2) Ph(3-C2F5,4-c-Pr) Ph(3-CF2H,4-Br) Ph(3-OMe,4-OCF2CF2H) Ph(3-C2F5CF3,4-CF3) Ph(3-CF2H,4-I) Ph(3-OMe,4-OC2F5) Ph(3,4-di-C2F5) Ph(3-CF2H,4-Me) Ph(3-OMe,4-SO2Me) Ph(3-C2F5,4-CF2CF2H) Ph(3-CF2H,4-Et) Ph(3-OMe,4-TMS) Ph(3-C2F5,4-CF2H) Ph(3-CF2H,4-n-Pr) Ph(3-OMe,4-CN) Ph(3-C2F5,4-OMe) Ph(3-CF2H,4-t-Bu) Ph(3-OCF3,4-I) Ph(3-C2F5,4-OCF3) Ph(3-CF2H,4-i-Pr) Ph(3-OCF3,4-Et) Ph(3-C2F5,4-OCHF2) Ph(3-CF2H,4-c-Pr) Ph(3-OCF3,4-n-Pr) Ph(3-C2F5,4-OCF2CF2H) Ph(3-CF2H,4-CF3) Ph(3-OCF3,4-i-Pr) Ph(3-C2F5,4-OC2F5) Ph(3-CF2H,4-C2F5) Ph(3-OCF3,4-CF3) Ph(3-C2F5,4-SO2Me) Ph(3-CF2H,4-CF2CF2H) Ph(3-OCF3,4-C2F5) Ph(3-C2F5,4-TMS) Ph(3,4-di-CF2H) Ph(3-OCF3,4-CF2CF2H) Ph(3-C2F5,4-CN) Ph(3-CF2H,4-OMe) Ph(3-OCF3,4-CF2H) Ph(3-CF2CF2H,4-Cl) Ph(3-CF2H,4-OCF3) Ph(3-OCF3,4-OMe) Ph(3-CF2CF2H,4-F) Ph(3-CF2H,4-OCHF2) Ph(3-OCF3,4-OCF2CF2H) Ph(3-CF2CF2H,4-Br) Ph(3-CF2H,4-OCF2CF2H) Ph(3-OCF3,4-OC2F5) Ph(3-CF2CF2H,4-I) Ph(3-CF2H,4-OC2F5) Ph(3-OCHF2,4-Cl) Ph(3-CF2CF2H,4-Me) Ph(3-CF2H,4-SO2Me) Ph(3-OCHF2,4-F) Ph(3-CF2CF2H,4-Et) Ph(3-CF2H,4-TMS) Ph(3-OCHF2,4-Br) Ph(3-CF2CF2H,4-n-Pr) Ph(3-CF2H,4-CN) Ph(3-OCHF2,4-I) Ph(3-CF2CF2H,4-t-Bu) Ph(3-OMe,4-Cl) Ph(3-OCHF2,4-Me) Ph(3-CF2CF2H,4-i-Pr) Ph(3-OMe,4-F) Ph(3-OCHF2,4-Et) Ph(3-OCHF2,4-n-Pr) Ph(3-OCF2CF2H,4-CN) Ph(3-TMS,4-Me) Ph(3-OCHF2,4-t-Bu) Ph(3-OC2F5,4-Cl) Ph(3-TMS,4-Et) Ph(3-OCHF2,4-i-Pr) Ph(3-OC2F5,4-F) Ph(3-TMS,4-n-Pr) Ph(3-OCHF2,4-c-Pr) Ph(3-OC2F5,4-Br) Ph(3-TMS,4-t-Bu) Ph(3-OCHF2CF3,4-CF3) Ph(3-OC2F5,4-I) Ph(3-TMS,4-i-Pr) Ph(3-OC2F5,4-C2F5) Ph(3-OC2F5,4-Me) Ph(3-TMS,4-c-Pr) Ph(3-OCHF2,4-CF2CF2H) Ph(3-OC2F5,4-Et) Ph(3-TMS,4-CF3) Ph(3-OCHF2,4-CF2H) Ph(3-OC2F5,4-n-Pr) Ph(3-TMS,4-C2F5) Ph(3-OCHF2,4-OMe) Ph(3-OC2F5,4-t-Bu) Ph(3-TMS,4-CF2CF2H) Ph(3-OCHF2,4-OCF3) Ph(3-OC2F5,4-i-Pr) Ph(3-TMS,4-CF2H) Ph(3,4-di-OCHF2) Ph(3-OC2F5,4-c-Pr) Ph(3-TMS,4-OMe) Ph(3-OCHF2,4-OCF2CF2H) Ph(3-OC2F5CF3,4-CF3) Ph(3-TMS,4-OCF3) Ph(3-OCHF2,4-OC2F5) Ph(3-OC2F5,4-CF2CF2H) Ph(3-TMS,4-OCHF2) Ph(3-OCHF2,4-SO2Me) Ph(3-OC2F5,4-CF2H) Ph(3-TMS,4-OCF2CF2H) Ph(3-OCHF2,4-TMS) Ph(3-OC2F5,4-OMe) Ph(3-TMS,4-OC2F5) Ph(3-OCHF2,4-CN) Ph(3-OC2F5,4-OCF3) Ph(3-TMS,4-SO2Me) Ph(3-OCF2CF2H,4-Cl) Ph(3-OC2F5,4-OCHF2) Ph(3,4-di-TMS) Ph(3-OCF2CF2H,4-F) Ph(3-OC2F5,4-OCF2CF2H) Ph(3-TMS,4-CN) Ph(3-OCF2CF2H,4-Br) Ph(3,4-di-OC2F5) Ph(3-CN,4-I) Ph(3-OCF2CF2H,4-I) Ph(3-OC2F5,4-SO2Me) Ph(3-CN,4-Et) Ph(3-OCF2CF2H,4-Me) Ph(3-OC2F5,4-TMS) Ph(3-CN,4-n-Pr) Ph(3-OCF2CF2H,4-Et) Ph(3-OC2F5,4-CN) Ph(3-CN,4-i-Pr) Ph(3-OCF2CF2H,4-n-Pr) Ph(3-SO2Me,4-I) Ph(3-CN,4-C2F5) Ph(3-OCF2CF2H,4-t-Bu) Ph(3-SO2Me,4-Et) Ph(3-CN,4-CF2CF2H) Ph(3-OCF2CF2H,4-i-Pr) Ph(3-SO2Me,4-n-Pr) Ph(3-CN,4-CF2H) Ph(3-OCF2CF2H,4-c-Pr) Ph(3-SO2Me,4-i-Pr) Ph(3-CN,4-OMe) Ph(3-OCF2CF2H,4-CF3) Ph(3-SO2MeCF3,4-CF3) Ph(3-CN,4-OCF2CF2H) Ph(3-OCF2CF2H,4-C2F5) Ph(3-SO2Me,4-C2F5) Ph(3-CN,4-OC2F5) Ph(3-OCF2CF2H,4-CF2CF2H) Ph(3-SO2Me,4-CF2CF2H) Ph(3,5-di-Cl) Ph(3-OCF2CF2H,4-CF2H) Ph(3-SO2Me,4-CF2H) Ph(3-Cl,5-F) Ph(3-OCF2CF2H,4-OMe) Ph(3-SO2Me,4-OMe) Ph(3-Cl,5-Br) Ph(3-OCF2CF2H,4-OCF3) Ph(3-SO2Me,4-OCF2CF2H) Ph(3-Cl,5-I) Ph(3-OCF2CF2H,4-OCHF2) Ph(3-SO2Me,4-OC2F5) Ph(3-Cl,5-Me) Ph(3,4-di-OCF2CF2H) Ph(3-TMS,4-Cl) Ph(3-Cl,5-Et) Ph(3-OCF2CF2H,4-OC2F5) Ph(3-TMS,4-F) Ph(3-Cl,5-n-Pr) Ph(3-OCF2CF2H,4-SO2Me) Ph(3-TMS,4-Br) Ph(3-Cl,5-t-Bu) Ph(3-OCF2CF2H,4-TMS) Ph(3-TMS,4-I) Ph(3-Cl,5-i-Pr) Ph(3-Cl,5-c-Pr) Ph(3,5-di-Br) Ph(3-I,5-OCF2CF2H) Ph(3-Cl,5-CF3) Ph(3-Br,5-I) Ph(3-I,5-OC2F5) Ph(3-Cl,5-C2F5) Ph(3-Br,5-Me) Ph(3-I,5-SO2Me) Ph(3-Cl,5-CF2CF2H) Ph(3-Br,5-Et) Ph(3-I,5-TMS) Ph(3-Cl,5-CF2H) Ph(3-Br,5-n-Pr) Ph(3-I,5-CN) Ph(3-Cl,5-OMe) Ph(3-Br,5-t-Bu) Ph(3-Me,5-Cl) Ph(3-Cl,5-OCF3) Ph(3-Br,5-i-Pr) Ph(3-Me,5-F) Ph(3-Cl,5-OCHF2) Ph(3-Br,5-c-Pr) Ph(3-Me,5-Br) Ph(3-Cl,5-OCF2CF2H) Ph(3-Br,5-CF3) Ph(3-Me,5-I) Ph(3-Cl,5-OC2F5) Ph(3-Br,5-C2F5) Ph(3,5-di-Me) Ph(3-Cl,5-SO2Me) Ph(3-Br,5-CF2CF2H) Ph(3-Me,5-Et) Ph(3-Cl,5-TMS) Ph(3-Br,5-CF2H) Ph(3-Me,5-n-Pr) Ph(3-Cl,5-CN) Ph(3-Br,5-OMe) Ph(3-Me,5-t-Bu) Ph(3-F,5-Cl) Ph(3-Br,5-OCF3) Ph(3-Me,5-i-Pr) Ph(3,5-di-F) Ph(3-Br,5-OCHF2) Ph(3-Me,5-c-Pr) Ph(3-F,5-Br) Ph(3-Br,5-OCF2CF2H) Ph(3-Me,5-CF3) Ph(3-F,5-I) Ph(3-Br,5-C2F5) Ph(3-Me,5-C2F5) Ph(3-F,5-Me) Ph(3-Br,5-SO2Me) Ph(3-Me,5-CF2CF2H) Ph(3-F,5-Et) Ph(3-Br,5-TMS) Ph(3-Me,5-CF2H) Ph(3-F,5-n-Pr) Ph(3-Br,5-CN) Ph(3-Me,5-OMe) Ph(3-F,5-t-Bu) Ph(3-I,5-Cl) Ph(3-Me,5-OCF3) Ph(3-F,5-i-Pr) Ph(3-I,5-F) Ph(3-Me,5-OCHF2) Ph(3-F,5-c-Pr) Ph(3-I,5-Br) Ph(3-Me,5-OCF2CF2H) Ph(3-F,5-CF3) Ph(3,5-di-I) Ph(3-Me,5-OC2F5) Ph(3-F,5-C2F5) Ph(3-I,5-Me) Ph(3-Me,5-SO2Me) Ph(3-F,5-CF2CF2H) Ph(3-I,5-Et) Ph(3-Me,5-TMS) Ph(3-F,5-CF2H) Ph(3-I,5-n-Pr) Ph(3-Me,5-CN) Ph(3-F,5-OMe) Ph(3-I,5-t-Bu) Ph(3-Et,5-Cl) Ph(3-F,5-OCF3) Ph(3-I,5-i-Pr) Ph(3-Et,5-F) Ph(3-F,5-OCHF2) Ph(3-I,5-c-Pr) Ph(3-Et,5-Br) Ph(3-F,5-OCF2CF2H) Ph(3-I,5-CF3) Ph(3-Et,5-I) Ph(3-F,5-OC2F5) Ph(3-I,5-C2F5) Ph(3-Et,5-Me) Ph(3-F,5-SO2Me) Ph(3-I,5-CF2CF2H) Ph(3,5-di-Et) Ph(3-F,5-TMS) Ph(3-I,5-CF2H) Ph(3-Et,5-n-Pr) Ph(3-F,5-CN) Ph(3-I,5-OMe) Ph(3-Et,5-t-Bu) Ph(3-Br,5-Cl) Ph(3-I,5-OCF3) Ph(3-Et,5-i-Pr) Ph(3-Br,5-F) Ph(3-I,5-OCHF2) Ph(3-Et,5-c-Pr) Ph(3-Et,5-CF3) Ph(3-t-Bu,5-I) Ph(3-i-Pr,5-OC2F5) Ph(3-Et,5-C2F5) Ph(3-t-Bu,5-Me) Ph(3-i-Pr,5-SO2Me) Ph(3-Et,5-CF2CF2H) Ph(3-t-Bu,5-Et) Ph(3-i-Pr,5-TMS) Ph(3-Et,5-CF2H) Ph(3-t-Bu,5-n-Pr) Ph(3-i-Pr,5-CN) Ph(3-Et,5-OMe) Ph(3,5-di-t-Bu) Ph(3-c-Pr,5-Cl) Ph(3-Et,5-OCF3) Ph(3-t-Bu,5-i-Pr) Ph(3-c-Pr,5-F) Ph(3-Et,5-OCHF2) Ph(3-t-Bu,5-c-Pr) Ph(3-c-Pr,5-Br) Ph(3-Et,5-OCF2CF2H) Ph(3-t-Bu,5-CF3) Ph(3-c-Pr,5-I) Ph(3-Et,5-OC2F5) Ph(3-t-Bu,5-C2F5) Ph(3-c-Pr,5-Me) Ph(3-Et,5-SO2Me) Ph(3-t-Bu,5-CF2CF2H) Ph(3-c-Pr,5-Et) Ph(3-Et,5-TMS) Ph(3-t-Bu,5-CF2H) Ph(3-c-Pr,5-n-Pr) Ph(3-Et,5-CN) Ph(3-t-Bu,5-OMe) Ph(3-c-Pr,5-t-Bu) Ph(3-n-Pr,5-Cl) Ph(3-t-Bu,5-OCF3) Ph(3-c-Pr,5-i-Pr) Ph(3-n-Pr,5-F) Ph(3-t-Bu,5-OCHF2) Ph(3,5-di-c-Pr) Ph(3-n-Pr,5-Br) Ph(3-t-Bu,5-OCF2CF2H) Ph(3-c-Pr,5-CF3) Ph(3-n-Pr,5-I) Ph(3-t-Bu,5-OC2F5) Ph(3-c-Pr,5-C2F5) Ph(3-n-Pr,5-Me) Ph(3-t-Bu,5-SO2Me) Ph(3-c-Pr,5-CF2CF2H) Ph(3-n-Pr,5-Et) Ph(3-t-Bu,5-TMS) Ph(3-c-Pr,5-CF2H) Ph(3,5-di-n-Pr) Ph(3-t-Bu,5-CN) Ph(3-c-Pr,5-OMe) Ph(3-n-Pr,5-t-Bu) Ph(3-i-Pr,5-Cl) Ph(3-c-Pr,5-OCF3) Ph(3-n-Pr,5-i-Pr) Ph(3-i-Pr,5-F) Ph(3-c-Pr,5-OCHF2) Ph(3-n-Pr,5-c-Pr) Ph(3-i-Pr,5-Br) Ph(3-c-Pr,5-OCF2CF2H) Ph(3-n-Pr,5-CF3) Ph(3-i-Pr,5-I) Ph(3-c-Pr,5-OC2F5) Ph(3-n-Pr,5-C2F5) Ph(3-i-Pr,5-Me) Ph(3-c-Pr,5-SO2Me) Ph(3-n-Pr,5-CF2CF2H) Ph(3-i-Pr,5-Et) Ph(3-c-Pr,5-TMS) Ph(3-n-Pr,5-CF2H) Ph(3-i-Pr,5-n-Pr) Ph(3-c-Pr,5-CN) Ph(3-n-Pr,5-OMe) Ph(3-i-Pr,5-t-Bu) Ph(3-CF3,5-Cl) Ph(3-n-Pr,5-OCF3) Ph(3,5-di-i-Pr) Ph(3-CF3,5-F) Ph(3-n-Pr,5-OCHF2) Ph(3-i-Pr,5-c-Pr) Ph(3-CF3,5-Br) Ph(3-n-Pr,5-OCF2CF2H) Ph(3-i-Pr,5-CF3) Ph(3-CF3,5-I) Ph(3-n-Pr,5-OC2F5) Ph(3-i-Pr,5-C2F5) Ph(3-CF3,5-Me) Ph(3-n-Pr,5-SO2Me) Ph(3-i-Pr,5-CF2CF2H) Ph(3-CF3,5-Et) Ph(3-n-Pr,5-TMS) Ph(3-i-Pr,5-CF2H) Ph(3-CF3,5-n-Pr) Ph(3-n-Pr,5-CN) Ph(3-i-Pr,5-OMe) Ph(3-CF3,5-t-Bu) Ph(3-t-Bu,5-Cl) Ph(3-i-Pr,5-OCF3) Ph(3-CF3,5-i-Pr) Ph(3-t-Bu,5-F) Ph(3-i-Pr,5-OCHF2) Ph(3-CF3,5-c-Pr) Ph(3-t-Bu,5-Br) Ph(3-i-Pr,5-OCF2CF2H) Ph(3,5-di-CF3) Ph(3-CF3,5-C2F5) Ph(3-CF2CF2H,5-Me) Ph(3-CF2H,5-SO2Me) Ph(3-CF3,5-CF2CF2H) Ph(3-CF2CF2H,5-Et) Ph(3-CF2H,5-TMS) Ph(3-CF3,5-CF2H) Ph(3-CF2CF2H,5-n-Pr) Ph(3-CF2H,5-CN) Ph(3-CF3,5-OMe) Ph(3-CF2CF2H,5-t-Bu) Ph(3-OMe,5-Cl) Ph(3-CF3,5-OCF3) Ph(3-CF2CF2H,5-i-Pr) Ph(3-OMe,5-F) Ph(3-CF3,5-OCHF2) Ph(3-CF2CF2H,5-c-Pr) Ph(3-OMe,5-Br) Ph(3-CF3,5-OCF2CF2H) Ph(3-CF2CF2H,5-CF3) Ph(3-OMe,5-I) Ph(3-CF3,5-OC2F5) Ph(3-CF2CF2H,5-C2F5) Ph(3-OMe,5-Me) Ph(3-CF3,5-SO2Me) Ph(3,5-di-CF2CF2H) Ph(3-OMe,5-Et) Ph(3-CF3,5-TMS) Ph(3-CF2CF2H,5-CF2H) Ph(3-OMe,5-n-Pr) Ph(3-CF3,5-CN) Ph(3-CF2CF2H,5-OMe) Ph(3-OMe,5-t-Bu) Ph(3-C2F5,5-Cl) Ph(3-CF2CF2H,5-OCF3) Ph(3-OMe,5-i-Pr) Ph(3-C2F5,5-F) Ph(3-CF2CF2H,5-OCHF2) Ph(3-OMe,5-c-Pr) Ph(3-C2F5,5-Br) Ph(3-CF2CF2H,5-OCF2CF2H Ph(3-OMeCF3,5-CF3) Ph(3-C2F5,5-I) Ph(3-CF2CF2H,5-OC2F5) Ph(3-OMe,5-C2F5) Ph(3-C2F5,5-Me) Ph(3-CF2CF2H,5-SO2Me) Ph(3-OMe,5-CF2CF2H) Ph(3-C2F5,5-Et) Ph(3-CF2CF2H,5-TMS) Ph(3-OMe,5-CF2H) Ph(3-C2F5,5-n-Pr) Ph(3-CF2CF2H,5-CN) Ph(3,5-di-OMe) Ph(3-C2F5,5-t-Bu) Ph(3-CF2H,5-Cl) Ph(3-OMe,5-OCF3) Ph(3-C2F5,5-i-Pr) Ph(3-CF2H,5-F) Ph(3-OMe,5-OCHF2) Ph(3-C2F5,5-c-Pr) Ph(3-CF2H,5-Br) Ph(3-OMe,5-OCF2CF2H) Ph(3-C2F5CF3,5-CF3) Ph(3-CF2H,5-I) Ph(3-OMe,5-OC2F5) Ph(3,5-di-C2F5) Ph(3-CF2H,5-Me) Ph(3-OMe,5-SO2Me) Ph(3-C2F5,5-CF2CF2H) Ph(3-CF2H,5-Et) Ph(3-OMe,5-TMS) Ph(3-C2F5,5-CF2H) Ph(3-CF2H,5-n-Pr) Ph(3-OMe,5-CN) Ph(3-C2F5,5-OMe) Ph(3-CF2H,5-t-Bu) Ph(3-OCF3,5-Cl) Ph(3-C2F5,5-OCF3) Ph(3-CF2H,5-i-Pr) Ph(3-OCF3,5-F) Ph(3-C2F5,5-OCHF2) Ph(3-CF2H,5-c-Pr) Ph(3-OCF3,5-Br) Ph(3-C2F5,5-OCF2CF2H) Ph(3-CF2H,5-CF3) Ph(3-OCF3,5-I) Ph(3-C2F5,5-OC2F5) Ph(3-CF2H,5-C2F5) Ph(3-OCF3,5-Me) Ph(3-C2F5,5-SO2Me) Ph(3-CF2H,5-CF2CF2H) Ph(3-OCF3,5-Et) Ph(3-C2F5,5-TMS) Ph(3,5-di-CF2H) Ph(3-OCF3,5-n-Pr) Ph(3-C2F5,5-CN) Ph(3-CF2H,5-OMe) Ph(3-OCF3,5-t-Bu) Ph(3-CF2CF2H,5-Cl) Ph(3-CF2H,5-OCF3) Ph(3-OCF3,5-i-Pr) Ph(3-CF2CF2H,5-F) Ph(3-CF2H,5-OCHF2) Ph(3-OCF3,5-c-Pr) Ph(3-CF2CF2H,5-Br) Ph(3-CF2H,5-OCF2CF2H) Ph(3-OCF3,5-CF3) Ph(3-CF2CF2H,5-I) Ph(3-CF2H,5-OC2F5) Ph(3-OCF3,5-C2F5) Ph(3-OCF3,5-CF2CF2H) Ph(3-OCF2CF2H,5-Et) Ph(3-OC2F5,5-CN) Ph(3-OCF3,5-CF2H) Ph(3-OCF2CF2H,5-n-Pr) Ph(3-SO2Me,5-Cl) Ph(3-OCF3,5-OMe) Ph(3-OCF2CF2H,5-t-Bu) Ph(3-SO2Me,5-F) Ph(3,5-di-OCF3) Ph(3-OCF2CF2H,5-i-Pr) Ph(3-SO2Me,5-Br) Ph(3-OCF3,5-OCHF2) Ph(3-OCF2CF2H,5-c-Pr) Ph(3-SO2Me,5-I) Ph(3-OCF3,5-OCF2CF2H) Ph(3-OCF2CF2H,5-CF3) Ph(3-SO2Me,5-Me) Ph(3-OCF3,5-OC2F5) Ph(3-OCF2CF2H,5-C2F5) Ph(3-SO2Me,5-Et) Ph(3-OCF3,5-SO2Me) Ph(3-OCF2CF2H,5-CF2CF2H) Ph(3-SO2Me,5-n-Pr) Ph(3-OCF3,5-TMS) Ph(3-OCF2CF2H,5-CF2H) Ph(3-SO2Me,5-t-Bu) Ph(3-OCF3,5-CN) Ph(3-OCF2CF2H,5-OMe) Ph(3-SO2Me,5-i-Pr) Ph(3-OCHF2,5-Cl) Ph(3-OCF2CF2H,5-OCF3) Ph(3-SO2Me,5-c-Pr) Ph(3-OCHF2,5-F) Ph(3-OCF2CF2H,5-OCHF2) Ph(3-SO2MeCF3,5-CF3) Ph(3-OCHF2,5-Br) Ph(3,5-di-OCF2CF2H) Ph(3-SO2Me,5-C2F5) Ph(3-OCHF2,5-I) Ph(3-OCF2CF2H,5-OC2F5) Ph(3-SO2Me,5-CF2CF2H) Ph(3-OCHF2,5-Me) Ph(3-OCF2CF2H,5-SO2Me) Ph(3-SO2Me,5-CF2H) Ph(3-OCHF2,5-Et) Ph(3-OCF2CF2H,5-TMS) Ph(3-SO2Me,5-OMe) Ph(3-OCHF2,5-n-Pr) Ph(3-OCF2CF2H,5-CN) Ph(3-SO2Me,5-OCF3) Ph(3-OCHF2,5-t-Bu) Ph(3-OC2F5,5-Cl) Ph(3-SO2Me,5-OCHF2) Ph(3-OCHF2,5-i-Pr) Ph(3-OC2F5,5-F) Ph(3-SO2Me,5-OCF2CF2H) Ph(3-OCHF2,5-c-Pr) Ph(3-OC2F5,5-Br) Ph(3-SO2Me,5-OC2F5) Ph(3-OCHF2CF3,5-CF3) Ph(3-OC2F5,5-I) Ph(3,5-di-SO2Me) Ph(3-OC2F5,5-C2F5) Ph(3-OC2F5,5-Me) Ph(3-SO2Me,5-TMS) Ph(3-OCHF2,5-CF2CF2H) Ph(3-OC2F5,5-Et) Ph(3-SO2Me,5-CN) Ph(3-OCHF2,5-CF2H) Ph(3-OC2F5,5-n-Pr) Ph(3-TMS,5-Cl) Ph(3-OCHF2,5-OMe) Ph(3-OC2F5,5-t-Bu) Ph(3-TMS,5-F) Ph(3-OCHF2,5-OCF3) Ph(3-OC2F5,5-i-Pr) Ph(3-TMS,5-Br) Ph(3,5-di-OCHF2) Ph(3-OC2F5,5-c-Pr) Ph(3-TMS,5-I) Ph(3-OCHF2,5-OCF2CF2H) Ph(3-OC2F5CF3,5-CF3) Ph(3-TMS,5-Me) Ph(3-OCHF2,5-OC2F5) Ph(3-OC2F5,5-CF2CF2H) Ph(3-TMS,5-Et) Ph(3-OCHF2,5-SO2Me) Ph(3-OC2F5,5-CF2H) Ph(3-TMS,5-n-Pr) Ph(3-OCHF2,5-TMS) Ph(3-OC2F5,5-OMe) Ph(3-TMS,5-t-Bu) Ph(3-OCHF2,5-CN) Ph(3-OC2F5,5-OCF3) Ph(3-TMS,5-i-Pr) Ph(3-OCF2CF2H,5-Cl) Ph(3-OC2F5,5-OCHF2) Ph(3-TMS,5-c-Pr) Ph(3-OCF2CF2H,5-F) Ph(3,5-di-OC2F5) Ph(3-TMS,5-CF3) Ph(3-OCF2CF2H,5-Br) Ph(3,5-di-OC2F5) Ph(t-TMS,5-C2F5) Ph(3-OCF2CF2H,5-I) Ph(3-OC2F5,5-SO2Me) Ph(3-TMS,5-CF2CF2H) Ph(3-OCF2CF2H,5-Me) Ph(3-OC2F5,5-TMS) Ph(3-TMS,5-CF2H) Ph(3-TMS,5-OMe) Ph(2-Cl,3-Cl,4-t-Bu) Ph(2-Cl,3-Br,4-Cl) Ph(3-TMS,5-OCF3) Ph(2-Cl,3-Cl,4-i-Pr) Ph(2-Cl,3-Br,4-F) Ph(3-TMS,OCHF2) Ph(2-Cl,3-Cl,4-c-Pr) Ph(2-Cl,3,4-di-Br) Ph(3-TMS,5-OCF2CF2H) Ph(2-Cl,3-Cl,4-CF3) Ph(2-Cl,3-Br,4-I) Ph(3-TMS,5-OC2F5) Ph(2-Cl,3-Cl,4-C2F5) Ph(2-Cl,3-Br,4-Me) Ph(3-TMS,5-SO2Me) Ph(2-Cl,3-Cl,4-CF2CF2H) Ph(2-Cl,3-Br,4-Et) Ph(3,5-di-TMS) Ph(2-Cl,3-Cl,4-CF2H) Ph(2-Cl,3-Br,4-n-Pr) Ph(3-TMS,5-CN) Ph(2-Cl,3-Cl,4-OMe) Ph(2-Cl,3-Br,4-t-Bu) Ph(3-CN,5-Cl) Ph(2-Cl,3-Cl,4-OCF3) Ph(2-Cl,3-Br,4-i-Pr) Ph(3-CN,5-F) Ph(2-Cl,3-Cl,4-OCHF2) Ph(2-Cl,3-Br,4-c-Pr) Ph(3-CN,5-Br) Ph(2-Cl,3-Cl,4-OCF2CF2H) Ph(2-Cl,3-Br,4-CF3) Ph(3-CN,5-I) Ph(2-Cl,3-Cl,4-OC2F5) Ph(2-Cl,3-Br,4-C2F5) Ph(3-CN,5-Me) Ph(2-Cl,3-Cl,4-SO2Me) Ph(2-Cl,3-Br,4-CF2CF2H) Ph(3-CN,5-Et) Ph(2-Cl,3-Cl,4-TMS) Ph(2-Cl,3-Br,4-CF2H) Ph(3-CN,5-n-Pr) Ph(2-Cl,3-Cl,4-CN) Ph(2-Cl,3-Br,4-OMe) Ph(3-CN,5-t-Bu) Ph(2-Cl,3-F,4-Cl) Ph(2-Cl,3-Br,4-OCF3) Ph(3-CN,5-i-Pr) Ph(2-Cl,3,4-di-F) Ph(2-Cl,3-Br,4-OCHF2) Ph(3-CN,5-c-Pr) Ph(2-Cl,3-F,4-Br) Ph(2-Cl,3-Br,4-OCF2CF2H) Ph(3-CN,5-CF3) Ph(2-Cl,3-F,4-I) Ph(2-Cl,3-Br,4-OC2F5) Ph(3-CN,5-C2F5) Ph(2-Cl,3-F,4-Me) Ph(2-Cl,3-Br,4-SO2Me) Ph(3-CN,5-CF2CF2H) Ph(2-Cl,3-F,4-Et) Ph(2-Cl,3-Br,4-TMS) Ph(3-CN,5-CF2H) Ph(2-Cl,3-F,4-n-Pr) Ph(2-Cl,3-Br,4-CN) Ph(3-CN,5-OMe) Ph(2-Cl,3-F,4-t-Bu) Ph(2-Cl,3-I,4-Cl) Ph(3-CN,5-OCF3) Ph(2-Cl,3-F,4-i-Pr) Ph(2-Cl,3-I,4-F) Ph(3-CN,5-OCHF2) Ph(2-Cl,3-F,4-c-Pr) Ph(2-Cl,3-I,4-Br) Ph(3-CN,5-OCF2CF2H) Ph(2-Cl,3-F,4-CF3) Ph(2-Cl,3,4-di-I) Ph(3-CN,5-OC2F5) Ph(2-Cl,3-F,4-C2F5) Ph(2-Cl,3-I,4-Me) Ph(3-CN,5-SO2Me) Ph(2-Cl,3-F,4-CF2CF2H) Ph(2-Cl,3-I,4-Et) Ph(3-CN,5-TMS) Ph(2-Cl,3-F,4-CF2H) Ph(2-Cl,3-I,4-n-Pr) Ph(3,5-di-CN) Ph(2-Cl,3-F,4-OMe) Ph(2-Cl,3-I,4-t-Bu) Ph(2,3,4-tri-Cl) Ph(2-Cl,3-F,4-OCF3) Ph(2-Cl,3-I,4-i-Pr) Ph(2-Cl,3-Cl,4-F) Ph(2-Cl,3-F,4-OCHF2) Ph(2-Cl,3-I,4-c-Pr) Ph(2-Cl,3-Cl,4-Br) Ph(2-Cl,3-F,4-OCF2CF2H) Ph(2-Cl,3-I,4-CF3) Ph(2-Cl,3-Cl,4-I) Ph(2-Cl,3-F,4-OC2F5) Ph(2-Cl,3-I,4-C2F5) Ph(2-Cl,3-Cl,4-Me) Ph(2-Cl,3-F,4-SO2Me) Ph(2-Cl,3-I,4-CF2CF2H) Ph(2-Cl,3-Cl,4-Et) Ph(2-Cl,3-F,4-TMS) Ph(2-Cl,3-I,4-CF2H) Ph(2-Cl,3-Cl,4-n-Pr) Ph(2-Cl,3-F,4-CN) Ph(2-Cl,3-I,4-OMe) Ph(2-Cl,3-I,4-OCF3) Ph(2-Cl,3-Et,4-i-Pr) Ph(2-Cl,3-t-Bu,4-F) Ph(2-Cl,3-I,4-OCHF2) Ph(2-Cl,3-Et,4-c-Pr) Ph(2-Cl,3-t-Bu,4-Br) Ph(2-Cl,3-I,4-OCF2CF2H) Ph(2-Cl,3-Et,4-CF3) Ph(2-Cl,3-t-Bu,4-I) Ph(2-Cl,3-I,4-OC2F5) Ph(2-Cl,3-Et,4-C2F5) Ph(2-Cl,3-t-Bu,4-Me) Ph(2-Cl,3-I,4-SO2Me) Ph(2-Cl,3Et,4-CF2CF2H) Ph(2-Cl,3-t-Bu,4-Et) Ph(2-Cl,3-I,4-TMS) Ph(2-Cl,3-Et,4-CF2H) Ph(2-Cl,3-t-Bu,4-n-Pr) Ph(2-Cl,3-I,4-CN) Ph(2-Cl,3-Et,4-OMe) Ph(2-Cl,3,4-di-t-Bu) Ph(2-Cl,3-Me,4-Cl) Ph(2-Cl,3-Et,4-OCF3) Ph(2-Cl,3-t-Bu,4-i-Pr) Ph(2-Cl,3-Me,4-F) Ph(2-Cl,3-Et,4-OCHF2) Ph(2-Cl,3-t-Bu,4-c-Pr) Ph(2-Cl,3-Me,4-Br) Ph(2-Cl,3-Et,4-OCF2CF2H) Ph(2-Cl,3-t-Bu,4-CF3) Ph(2-Cl,3-Me,4-I) Ph(2-Cl,3-Et,4-OC2F5) Ph(2-Cl,3-t-Bu,4-C2F5) Ph(2-Cl,3,4-di-Me) Ph(2-Cl,3-Et,4-SO2Me) Ph(2-Cl,3-t-Bu,4-CF2CF2H) Ph(2-Cl,3-Me,4-Et) Ph(2-Cl,3-Et,4-TMS) Ph(2-Cl,3-t-Bu,4-CF2H) Ph(2-Cl,3-Me,4-n-Pr) Ph(2-Cl,3-Et,4-CN) Ph(2-Cl,3-t-Bu,4-OMe) Ph(2-Cl,3-Me,4-t-Bu) Ph(2-Cl,3-n-Pr,4-Cl) Ph(2-Cl,3-t-Bu,4-OCF3) Ph(2-Cl,3-Me,4-i-Pr) Ph(2-Cl,3-n-Pr,4-F) Ph(2-Cl,3-t-Bu,4-OCHF2) Ph(2-Cl,3-Me,4-c-Pr) Ph(2-Cl,3-n-Pr,4-Br) Ph(2-Cl,3-t-Bu,4-OCF2CF2H) Ph(2-Cl,3-Me,4-CF3) Ph(2-Cl,3-n-Pr,4-I) Ph(2-Cl,3-t-Bu,4-OC2F5) Ph(2-Cl,3-Me,4-C2F5) Ph(2-Cl,3-n-Pr,4-Me) Ph(2-Cl,3-t-Bu,4-SO2Me) Ph(2-Cl,3-Me,4-CF2CF2H) Ph(2-Cl,3-n-Pr,4-Et) Ph(2-Cl,3-t-Bu,4-TMS) Ph(2-Cl,3-Me,4-CF2H) Ph(2-Cl,3,4-di-n-Pr) Ph(2-Cl,3-t-Bu,4-CN) Ph(2-Cl,3-Me,4-OMe) Ph(2-Cl,3-n-Pr,4-t-Bu) Ph(2-Cl,3-i-Pr,4-Cl) Ph(2-Cl,3-Me,4-OCF3) Ph(2-Cl,3-n-Pr,4-i-Pr) Ph(2-Cl,3-i-Pr,4-F) Ph(2-Cl,3-Me,4-OCHF2) Ph(2-Cl,3-n-Pr,4-c-Pr) Ph(2-Cl,3-i-Pr,4-Br) Ph(2-Cl,3-Me,4-OCF2CF2H) Ph(2-Cl,3-n-Pr,4-CF3) Ph(2-Cl,3-i-Pr,4-I) Ph(2-Cl,3-Me,4-OC2F5) Ph(2-Cl,3-n-Pr,4-C2F5) Ph(2-Cl,3-i-Pr,4-Me) Ph(2-Cl,3-Me,4-SO2Me) Ph(2-Cl,3-n-Pr,4-CF2CF2H) Ph(2-Cl,3-i-Pr,4-Et) Ph(2-Cl,3-Me,4-TMS) Ph(2-Cl,3-n-Pr,4-CF2H) Ph(2-Cl,3-i-Pr,4-n-Pr) Ph(2-Cl,3-Me,4-CN) Ph(2-Cl,3-n-Pr,4-OMe) Ph(2-Cl,3-i-Pr,4-t-Bu) Ph(2-Cl,3-Et,4-Cl) Ph(2-Cl,3-n-Pr,4-OCF3) Ph(2-Cl,3,4-di-i-Pr) Ph(2-Cl,3-Et,4-F) Ph(2-Cl,3-n-Pr,4-OCHF2) Ph(2-Cl,3-i-Pr,4-c-Pr) Ph(2-Cl,3-Et,4-Br) Ph(2-Cl,3-n-Pr,4-OCF2CF2H) Ph(2-Cl,3-i-Pr,4-CF3) Ph(2-Cl,3-Et,4-I) Ph(2-Cl,3-n-Pr,4-OC2F5) Ph(2-Cl,3-i-Pr,4-C2F5) Ph(2-Cl,3-Et,4-Me) Ph(2-Cl,3-n-Pr,4-SO2Me) Ph(2-Cl,3-i-Pr,4-CF2CF2H) Ph(2-Cl,3,4-di-Et) Ph(2-Cl,3-n-Pr,4-TMS) Ph(2-Cl,3-i-Pr,4-CF2H) Ph(2-Cl,3-Et,4-n-Pr) Ph(2-Cl,3-n-Pr,4-CN) Ph(2-Cl,3-i-Pr,4-OMe) Ph(2-Cl,3-Et,4-t-Bu) Ph(2-Cl,3-t-Bu,4-Cl) Ph(2-Cl,3-i-Pr,4-OCF3) Ph(2-Cl,3-i-Pr,4-OCHF2) Ph(2-Cl,3-CF3,4-c-Pr) Ph(2-Cl,3-CF2CF2H),4-Br) Ph(2-Cl,3-i-Pr,4-OCF2CF2H) Ph(2-Cl,3,4-di-CF3) Ph(2-Cl,3-CF2CF2H,4-I) Ph(2-Cl,3-i-Pr,4-OC2F5) Ph(2-Cl,3-CF3,4-C2F5) Ph(2-Cl,3-CF2CF2H,4-Me) Ph(2-Cl,3-i-Pr,4-SO2Me) Ph(2-Cl,3-CF3,4-CF2CF2H) Ph(2-Cl,3-CF2CF2H,4-Et) Ph(2-Cl,3-i-Pr,4-TMS) Ph(2-Cl,3-CF3,4-CF2H) Ph(2-Cl,3-CF2CF2H,4-n-Pr) Ph(2-Cl,3-i-Pr,4-CN) Ph(2-Cl,3-CF3,4-OMe) Ph(2-Cl,3-CF2CF2H,4-t-Bu) Ph(2-Cl,3-c-Pr,4-Cl) Ph(2-Cl,3-CF3,4-OCF3) Ph(2-Cl,3-CF2CF2H,4-i-Pr) Ph(2-Cl,3-c-Pr,4-F) Ph(2-Cl,3-CF3,4-OCHF2) Ph(2-Cl,3-CF2CF2H,4-c-Pr) Ph(2-Cl,3-c-Pr,4-Br) Ph(2-Cl,3-CF3,4-OCF2CF2H) Ph(2-Cl,3-CF2CF2H,4-CF3) Ph(2-Cl,3-c-Pr,4-I) Ph(2-Cl,3-CF3,4-OC2F5) Ph(2-Cl,3-CF2CF2H,4-C2F5) Ph(2-Cl,3-c-Pr,4-Me) Ph(2-Cl,3-CF3,4-SO2Me) Ph(2-Cl,3,4-di-CF2CF2H) Ph(2-Cl,3-c-Pr,4-Et) Ph(2-Cl,3-CF3,4-TMS) Ph(2-Cl,3-CF2CF2H,4-CF2H) Ph(2-Cl,3-c-Pr,4-n-Pr) Ph(2-Cl,3-CF3,4-CN) Ph(2-Cl,3-CF2CF2H,4-OMe) Ph(2-Cl,3-c-Pr,4,-t-Bu) Ph(2-Cl,3-C2F5,4-Cl) Ph(2-Cl,3-CF2CF2H,4-OCF3) Ph(2-Cl,3-c-Pr,4-i-Pr) Ph(2-Cl,3-C2F5,4-F) Ph(2-Cl,3-CF2CF2H,4-OCHF2) Ph(2-Cl,3,4-di-c-Pr) Ph(2-Cl,3-C2F5,4-Br) Ph(2-Cl,3-CF2CF2H,4- Ph(2-Cl,3-c-Pr,4-CF3) Ph(2-Cl,3-C2F5,4-I) OCF2CF2H) Ph(2-Cl,3-c-Pr,4-C2F5) Ph(2-Cl,3-C2F5,4-Me) Ph(2-Cl,3-CF2CF2H,4-OC2F5) Ph(2-Cl,3-c-Pr,4-CF2CF2H) Ph(2-Cl,3-C2F5,4-Et) Ph(2-Cl,3-CF2CF2H,4-SO2Me) Ph(2-Cl,3-c-Pr,4-CF2H) Ph(2-Cl,3-C2F5,4-n-Pr) Ph(2-Cl,3-CF2CF2H,4-TMS) Ph(2-Cl,3-c-Pr,4-OMe) Ph(2-Cl,3-C2F5,4-i-Bu) Ph(2-Cl,3-CF2CF2H,4-CN) Ph(2-Cl,3-c-Pr,4-OCF3) Ph(2-Cl,3-C2F5,4-i-Pr) Ph(2-Cl,3-CF2H,4-Cl) Ph(2-Cl,3-c-Pr,4-OCHF2) Ph(2-Cl,3-C2F5,4-c-Pr) Ph(2-Cl,3-CF2H,4-F) Ph(2-Cl,3-c-Pr,4-OCF2CF2H) Ph(2-Cl,3-C2F5CF3,4-CF3) Ph(2-Cl,3-CF2H,4-Br) Ph(2-Cl,3-c-Pr,4-OC2F5) Ph(2-Cl,3,4-di-C2F5) Ph(2-Cl,3-CF2H,4-I) Ph(2-Cl,3-c-Pr,4-SO2Me) Ph(2-Cl,3-C2F5,4-CF2CF2H) Ph(2-Cl,3-CF2H,4-Me) Ph(2-Cl,3-c-Pr,4-TMS) Ph(2-Cl,3-C2F5,4-CF2H) Ph(2-Cl,3-CF2H,4-Et) Ph(2-Cl,3-c-Pr,4-CN) Ph(2-Cl,3-C2F5,4-OMe) Ph(2-Cl,3-CF2H,4-n-Pr) Ph(2-Cl,3-CF3,4-Cl) Ph(2-Cl,3-C2F5,4-OCF3) Ph(2-Cl,3-CF2H,4-t-Bu) Ph(2-Cl,3-CF3,4-F) Ph(2-Cl,3-C2F5,4-OCHF2) Ph(2-Cl,3-CF2H,4-i-Pr) Ph(2-Cl,3-CF3,4-Br) Ph(2-Cl,3-C2F5,4-OCF2CF2H) Ph(2-Cl,3-CF2H,4-c-Pr) Ph(2-Cl,3-CF3,4-I) Ph(2-Cl,3-C2F5,4-OC2F5) Ph(2-Cl,3-CF2H,4-CF3) Ph(2-Cl,3-CF3,4-Me) Ph(2-Cl,3-C2F5,4-SO2Me) Ph(2-Cl,3-CF2H,4-C2F5) Ph(2-Cl,3-CF3,4-Et) Ph(2-Cl,3-C2F5,4-TMS) Ph(2-Cl,3-CF2H,4-CF2CF2H) Ph(2-Cl,3-CF3-4-n-Pr) Ph(2-Cl,3-C2F5,4-CN) Ph(2-Cl,3,4-di-CF2H) Ph(2-Cl,3-CF3,4-t-Bu) Ph(2-Cl,3-CF2CF2H,4-Cl) Ph(2-Cl,3-CF2H,4-OMe) Ph(2-Cl,3-CF3,4-i-Pr) Ph(2-Cl,3-CF2CF2H,4-F) Ph(2-Cl,3-CF2H,4-OCF3) Ph(2-Cl,3-CF2H,4-OCHF2) Ph(2-Cl,3-OCF3,4-c-Pr) Ph(2-Cl,3-OCF2CF2H,4-Br) Ph(2-Cl,3-CF2H,4-OCF2CF2H) Ph(2-Cl,3-OCF3,4-CF3) Ph(2-Cl,3-OCF2CF2H,4-I) Ph(2-Cl,3-CF2H,4-OC2F5) Ph(2-Cl,3-OCF3,4-C2F5) Ph(2-Cl,3-OCF2CF2H,4-Me) Ph(2-Cl,3-CF2H,4-SO2Me) Ph(2-Cl,3-OCF3,4-CF2CF2H) Ph(2-Cl,3-OCF2CF2H,4-Et) Ph(2-Cl,3-CF2H,4-TMS) Ph(2-Cl,3-OCF3,4-CF2H) Ph(2-Cl,3-OCF2CF2H,4-n-Pr) Ph(2-Cl,3-CF2H,4-CN) Ph(2-Cl,3-OCF3,4-OMe) Ph(2-Cl,3-OCF2CF2H,4-t-Bu) Ph(2-Cl,3-OMe,4-Cl) Ph(2-Cl,3,4-di-OCF3) Ph(2-Cl,3-OCF2CF2H,4-i-Pr) Ph(2-Cl,3-OMe,4-F) Ph(2-Cl,3-OCF3,4-OCHF2) Ph(2-Cl,3-OCF2CF2H,4-c-Pr) Ph(2-Cl,3-OMe,4-Br) Ph(2-Cl,3-OCF3,4-OCF2CF2H) Ph(2-Cl,3-OCF2CF2H,4-CF3) Ph(2-Cl,3-OMe,4-I) Ph(2-Cl,3-OCF3,4-OC2F5) Ph(2-Cl,3-OCF2CF2H,4-C2F5) Ph(2-Cl,3-OMe,4-Me) Ph(2-Cl,3-OCF3,4-SO2Me) Ph(2-Cl,3-OCF2CF2H,4- Ph(2-Cl,3-OMe,4-Et) Ph(2-Cl,3-OCF3,4-TMS) CF2CF2H) Ph(2-Cl,3-OMe,4-n-Pr) Ph(2-Cl,3-OCF3,4-CN) Ph(2-Cl,3-OCF2CF2H,4-CF2H) Ph(2-Cl,3-OMe,4-t-Bu) Ph(2-Cl,3-OCHF2,4-Cl) Ph(2-Cl,3-OCF2CF2H,4-OMe) Ph(2-Cl,3-OMe,4-i-Pr) Ph(2-Cl,3-OCHF2,4-F) Ph(2-Cl,3-OCF2CF2H,4-OCF3) Ph(2-Cl,3-OMe,4-c-Pr) Ph(2-Cl,3-OCHF2,4-Br) Ph(2-Cl,3-OCF2CF2H,4-OCHF2) Ph(2-Cl,3-OMe,4-CF3) Ph(2-Cl,3-OCHF2,4-I) Ph(2-Cl,3,4-di-OCF2CF2H) Ph(2-Cl,3-OMe,4-C2F5) Ph(2-Cl,3-OCHF2,4-Me) Ph(2-Cl,3-OCF2CF2H,4-OC2F5) Ph(2-Cl,3-OMe,4-CF2CF2H) Ph(2-Cl,3-OCHF2,4-Et) Ph(2-Cl,3-OCF2CF2H,4-SO2Me) Ph(2-Cl,3-OMe,4-CF2H) Ph(2-Cl,3-OCHF2,4-n-Pr) Ph(2-Cl,3-OCF2CF2H,4-TMS) Ph(2-Cl,3,4-di-OMe) Ph(2-Cl,3-OCHF2,4-t-Bu) Ph(2-Cl,3-OCF2CF2H,4-CN) Ph(2-Cl,3-OMe,4-OCF3) Ph(2-Cl,3-OCHF2,4-i-Pr) Ph(2-Cl,3-OC2F5,4-Cl) Ph(2-Cl,3-OMe,4-OCHF2) Ph(2-Cl,3-OCHF2,4-c-Pr) Ph(2-Cl,3-OC2F5,4-F) Ph(2-Cl,3-OMe,4-OCF2CF2H) Ph(2-Cl,3-OCHF2CF3,4-CF3) Ph(2-Cl,3-OC2F5,4-Br) Ph(2-Cl,3-OMe,4-OC2F5) Ph(2-Cl,3-OC2F5,4-C2F5) Ph(2-Cl,3-OC2F5,4-I) Ph(2-Cl,3-OMe,4-SO2Me) Ph(2-Cl,3-OCHF2,4-CF2CF2H) Ph(2-Cl,3-OC2F5,4-Me) Ph(2-Cl,3-OMe,4-TMS) Ph(2-Cl,3-OCHF2,4-CF2H) Ph(2-Cl,3-OC2F5,4-Et) Ph(2-Cl,3-OMe,4-CN) Ph(2-Cl,3-OCHF2,4-OMe) Ph(2-Cl,3-OC2F5,4-n-Pr) Ph(2-Cl,3-OCF3,4-Cl) Ph(2-Cl,3-OCHF2,4-OCF3) Ph(2-Cl,3-OC2F5,4-t-Bu) Ph(2-Cl,3-OCF3,4-F) Ph(2-Cl,3,4-di-OCHF2) Ph(2-Cl,3-OC2F5,4-i-Pr) Ph(2-Cl,3-OCF3,4-Br) Ph(2-Cl,3-OCHF2,4-OCF2CF2H) Ph(2-Cl,3-OC2F5,4-c-Pr) Ph(2-Cl,3-OCF3,4-I) Ph(2-Cl,3-OCHF2,4-OC2F5) Ph(2-Cl,3-OC2F5CF3,4-CF3) Ph(2-Cl,3-OCF3,4-Me) Ph(2-Cl,3-OCHF2,4-SO2Me) Ph(2-Cl,3-OC2F5,4-CF2CF2H) Ph(2-Cl,3-OCF3,4-Et) Ph(2-Cl,3-OCHF2,4-TMS) Ph(2-Cl,3-OC2F5,4-CF2H) Ph(2-Cl,3-OCF3,4-n-Pr) Ph(2-Cl,3-OCHF2,4-CN) Ph(2-Cl,3-OC2F5,4-OMe) Ph(2-Cl,3-OCF3,4-t-Bu) Ph(2-Cl,3-OCF2CF2H,4-Cl) Ph(2-Cl,3-OC2F5,4-OCF3) Ph(2-Cl,3-OCF3,4-i-Pr) Ph(2-Cl,3-OCF2CF2H,4-F) Ph(2-Cl,3-OC2F5,4-OCHF2) Ph(2-Cl,3-OC2F5,4-OCF2CF2H) Ph(2-Cl,3-TMS,4-CF3) Ph(2-Cl,3-Cl,5-I) Ph(2-Cl,3,4-di-OC2F5) Ph(2-Cl,3-TMS,4-C2F5) Ph(2-Cl,3-Cl,5-Me) Ph(2-Cl,3-OC2F5,4-SO2Me) Ph(2-Cl,3-TMS,4-CF2CF2H) Ph(2-Cl,3-Cl,5-Et) Ph(2-Cl,3-OC2F5,4-TMS) Ph(2-Cl,3-TMS,4-CF2H) Ph(2-Cl,3-Cl,5-n-Pr) Ph(2-Cl,3-OC2F5,4-CN) Ph(2-Cl,3-TMS,4-OMe) Ph(2-Cl,3-Cl,5-t-Bu) Ph(2-Cl,3-SO2Me,4-Cl) Ph(2-Cl,3-TMS,4-OCF3) Ph(2-Cl,3-Cl,5-i-Pr) Ph(2-Cl,3-SO2Me,4-F) Ph(2-Cl,3-TMS,4-OCHF2) Ph(2-Cl,3-Cl,5-c-Pr) Ph(2-Cl,3-SO2Me,4-Br) Ph(2-Cl,3-TMS,4-OCF2CF2H) Ph(2-Cl,3-Cl,5-CF3) Ph(2-Cl,3-SO2Me,4-I) Ph(2-Cl,3-TMS,4-OC2F5) Ph(2-Cl,3-Cl,5-C2F5) Ph(2-Cl,3-SO2Me,4-Me) Ph(2-Cl,3-TMS,4-SO2Me) Ph(2-Cl,3-Cl,5-CF2CF2H) Ph(2-Cl,3-SO2Me,4-Et) Ph92-Cl,3,4-di-TMS) Ph(2-Cl,3-Cl,5-CF2H) Ph(2-Cl,3-SO2Me,4-n-Pr) Ph(2-Cl,3-TMS,4-CN) Ph(2-Cl,3-Cl,5-OMe) Ph(2-Cl,3-SO2Me,4-t-Bu) Ph(2-Cl,3-CN,4-Cl) Ph(2-Cl,3-Cl,5-OCF3) Ph(2-Cl,3-SO2Me,4-i-Pr) Ph(2-Cl,3-CN,4-F) Ph(2-Cl,3-Cl,5-OCHF2) Ph(2-Cl,3-SO2Me,4-c-Pr) Ph(2-Cl,3-CN,4-Br) Ph(2-Cl,3-Cl,5-OCF2CF2H) Ph(2-Cl,3-SO2MeCF3,4-CF3) Ph(2-Cl,3-CN,4-I) Ph(2-Cl,3-Cl,5-OC2F5) Ph(2-Cl,3-SO2Me,4-C2F5) Ph(2-Cl,3-CN,4-Me) Ph(2-Cl,3-Cl,5-SO2Me) Ph(2-Cl,3-SO2Me,4-CF2CF2H) Ph(2-Cl,3-CN,4-Et) Ph(2-Cl,3-Cl,5-TMS) Ph(2-Cl,3-SO2Me,4-CF2H) Ph(2-Cl,3-CN,4-n-Pr) Ph(2-Cl,3-Cl,5-CN) Ph(2-Cl,3-SO2Me,4-OMe) Ph(2-Cl,3-CN,4-t-Bu) Ph(2-Cl,3-F,5-Cl) Ph(2-Cl,3-SO2Me,4-OCF3) Ph(2-Cl,3-CN,4-i-Pr) Ph(2-Cl,3,5-di-F) Ph(2-Cl,3-SO2Me,4-OCHF2) Ph(2-Cl,3-CN,4-c-Pr) Ph(2-Cl,3-F,5-Br) Ph(2-Cl,3-SO2Me,4-OCF2CF2H) Ph(2-Cl,3-CN,4-CF3) Ph(2-Cl,3-F,5-I) Ph(2-Cl,3-SO2Me,4-OC2F5) Ph(2-Cl,3-CN,4-C2F5) Ph(2-Cl,3-F,5-Me) Ph(2-Cl,3,4-di-SO2Me) Ph(2-Cl,3-CN,4-CF2CF2H) Ph(2-Cl,3-F,5-Et) Ph(2-Cl,3-SO2Me,4-TMS) Ph(2-Cl,3-CN,4-CF2H) Ph(2-Cl,3-F,5-n-Pr) Ph(2-Cl,3-SO2Me,4-CN) Ph(2-Cl,3-CN,4-OMe) Ph(2-Cl,3-F,5,t-Bu) Ph(2-Cl,3-TMS,4-Cl) Ph(2-Cl,3-CN,4-OCF3) Ph(2-Cl,3-F,5-i-Pr) Ph(2-Cl,3-TMS,4-F) Ph(2-Cl,3-CN,4-OCHF2) Ph(2-Cl,3-F,5-c-Pr) Ph(2-Cl,3-TMS,4-Br) Ph(2-Cl,3-CN,4-OCF2CF2H) Ph(2-Cl,3-F,5-CF3) Ph(2-Cl,3-TMS,4-I) Ph(2-Cl,3-CN,4-OC2F5) Ph(2-Cl,3-F,5-C2F5) Ph(2-Cl,3-TMS,4-Me) Ph(2-Cl,3-CN,4-SO2Me) Ph(2-Cl,3-F,5-CF2CF2H) Ph(2-Cl,3-TMS,4-Et) Ph(2-Cl,3-CN,4-TMS) Ph(2-Cl,3-F,5-CF2H) Ph(2-Cl,3-TMS,4-n-Pr) Ph(2-Cl,3,4-di-CN) Ph(2-Cl,3-F,5-OMe) Ph(2-Cl,3-TMS,4-t-Bu) Ph(2,3,5-tri-Cl) Ph(2-Cl,3-F,5-OCF3) Ph(2-Cl,3-TMS,4-i-Pr) Ph(2-Cl,3-Cl,5-F) Ph(2-Cl,3-F,5-OCHF2) Ph(2-Cl,3-TMS,4-c-Pr) Ph(2-Cl,3-Cl,5-Br) Ph(2-Cl,3-F,5-OCF2CF2H) Ph(2-Cl,3-F,5-OC2F5) Ph(2-Cl,3-I,5-C2F5) Ph(2-Cl,3-Et,5-Me) Ph(2-Cl,3-F,5-SO2Me) Ph(2-Cl,3-I,5-CF2CF2H) Ph(2-Cl,3,5-di-Et) Ph(2-Cl,3-F,5-TMS) Ph(2-Cl,3-I,5-CF2H) Ph(2-Cl,3-Et,5-n-Pr) Ph(2-Cl,3-F,5-CN) Ph(2-Cl,3-I,5-OMe) Ph(2-Cl,3-Et,5-t-Bu) Ph(2-Cl,3-Br,5-Cl) Ph(2-Cl,3-I,5-OCF3) Ph(2-Cl,3-Et,5-i-Pr) Ph(2-Cl,3-Br,5-F) Ph(2-Cl,3-I,5-OCHF2) Ph(2-Cl,3-Et,5-c-Pr) Ph(2-Cl,3,5-di-Br) Ph(2-Cl,3-I,5-OCF2CF2H) Ph(2-Cl,3-Et,5-CF3) Ph(2-Cl,3-Br,5-I) Ph(2-Cl,3-I,5-OC2F5) Ph(2-Cl,3-Et,5-C2F5) Ph(2-Cl,3-Br,5-Me) Ph(2-Cl,3-I,5-SO2Me) Ph(2-Cl,3-Et,5-CF2CF2H) Ph(2-Cl,3-Br,5-Et) Ph(2-Cl,3-I,5-TMS) Ph(2-Cl,3-Et,5-CF2H) Ph(2-Cl,3-Br,5-n-Pr) Ph(2-Cl,3-I,5-CN) Ph(2-Cl,3-Et,5-OMe) Ph(2-Cl,3-Br,5-t-Bu) Ph(2-Cl,3-Me,5-Cl) Ph(2-Cl,3-Et,5-OCF3) Ph(2-Cl,3-Br,5-i-Pr) Ph(2-Cl,3-Me,5-F) Ph(2-Cl,3-Et,5-OCHF2) Ph(2-Cl,3-Br,5-c-Pr) Ph(2-Cl,3-Me,5-Br) Ph(2-Cl,3-Et,5-OCF2CF2H) Ph(2-Cl,3-Br,5-CF3) Ph(2-Cl,3-Me,5-I) Ph(2-Cl,3-Et,5-OC2F5) Ph(2-Cl,3-Br,5-C2F5) Ph(2-Cl,3,5-di-Me) Ph(2-Cl,3-Et,5-SO2Me) Ph(2-Cl,3-Br,5-CF2CF2H) Ph(2-Cl,3-Me,5-Et) Ph(2-Cl,3-Et,5-TMS) Ph(2-Cl,3-Br,5-CF2H) Ph(2-Cl,3-Me,5-n-Pr) Ph(2-Cl,3-Et,5-CN) Ph(2-Cl,3-Br,5-OMe) Ph(2-Cl,3-Me,5-t-Bu) Ph(2-Cl,3-n-Pr,5-Cl) Ph(2-Cl,3-Br,5-OCF3) Ph(2-Cl,3-Me,5-i-Pr) Ph(2-Cl,3-n-Pr,5-F) Ph(2-Cl,3-Br,5-OCHF2) Ph(2-Cl,3-Me,5-c-Pr) Ph(2-Cl,3-n-Pr,5-Br) Ph(2-Cl,3-Br,5-OCF2CF2H) Ph(2-Cl,3-Me,5-CF3) Ph(2-Cl,3-n-Pr,5-I) Ph(2-Cl,3-Br,5-OC2F5) Ph(2-Cl,3-Me,5-C2F5) Ph(2-Cl,3-n-Pr,5-Me) Ph(2-Cl,3-Br,5-SO2Me) Ph(2-Cl,3-Me,5-CF2CF2H) Ph(2-Cl,3-n-Pr,5-Et) Ph(2-Cl,3-Br,5-TMS) Ph(2-Cl,3-Me,5-CF2H) Ph(2-Cl,3,5-di-n-Pr) Ph(2-Cl,3-Br,5-CN) Ph(2-Cl,3-Me,5-OMe) Ph(2-Cl,3-n-Pr,5,t,Bu) Ph(2-Cl,3-I,5-Cl) Ph(2-Cl,3-Me,5-OCF3) Ph(2-Cl,3-n-Pr,5-i-Pr) Ph(2-Cl,3-I,5-F) Ph(2-Cl,3-Me,5-OCHF2) Ph(2-Cl,3-n-Pr,5-c-Pr) Ph(2-Cl,3-I,5-Br) Ph(2-Cl,3-Me,5-OCF2CF2H) Ph(2-Cl,3-n-Pr,5-CF3) Ph(2-Cl,3,5-di-I) Ph(2-Cl,3-Me,5-OC2F5) Ph(2-Cl,3-n-Pr,5-C2F5) Ph(2-Cl,3-I,5-Me) Ph(2-Cl,3-Me,5-SO2Me) Ph(2-Cl,3-n-Pr,5-CF2CF2H) Ph(2-Cl,3-I,5-Et) Ph(2-Cl,3-Me,5-TMS) Ph(2-Cl,3-n-Pr,5-CF2H) Ph(2-Cl,3-I,5-n-Pr) Ph(2-Cl,3-Me,5-CN) Ph(2-Cl,3-n-Pr,5-OMe) Ph(2-Cl,3-I,5-t-Bu) Ph(2-Cl,3-Et,5-Cl) Ph(2-Cl,3-n-Pr,5-OCF3) Ph(2-Cl,3-I,5-i-Pr) Ph(2-Cl,3-Et,5-F) Ph(2-Cl,3-n-Pr,5-OCHF2) Ph(2-Cl,3-I,5-c-Pr) Ph(2-Cl,3-Et,5-Br) Ph(2-Cl,3-n-Pr,5-OCF2CF2H) Ph(2-Cl,3-I,5-CF3) Ph(2-Cl,3-Et,5-I) Ph(2-Cl,3-n-Pr,5-OC2F5) Ph(2-Cl,3-n-Pr,5-SO2Me) Ph(2-Cl,3-i-Pr,5-CF2CF2H) Ph(2-Cl,3-CF3,5-Et) Ph(2-Cl,3-n-Pr,5-TMS) Ph(2-Cl,3-i-Pr,5-CF2H) Ph(2-Cl,3-CF3,5-n-Pr) Ph(2-Cl,3-n-Pr,5-CN) Ph(2-Cl,3-i-Pr,5-OMe) Ph(2-Cl,3-CF3,5-t-Bu) Ph(2-Cl,3-t-Bu,5-Cl) Ph(2-Cl,3-i-Pr,5-OCF3) Ph(2-Cl,3-CF3,5-i-Pr) Ph(2-Cl,3-t-But,5-F) Ph(2-Cl,3-i-Pr,5-OCHF2) Ph(2-Cl,3-CF3,5-c-Pr) Ph(2-Cl,3-t-Bu,5-Br) Ph(2-Cl,3-i-Pr,5-OCF2CF2H) Ph(2-Cl,3,5-di-CF3) Ph(2-Cl,3-t-Bu,5-I) Ph(2-Cl,3-i-Pr,5-OC2F5) Ph(2-Cl,3-CF3,5-C2F5) Ph(2-Cl,3-t-Bu,5-Me) Ph(2-Cl,3-i-Pr,5-SO2Me) Ph(2-Cl,3-CF3,5-CF2CF2H) Ph(2-Cl,3-t-Bu,5-Et) Ph(2-Cl,3-i-Pr,5-TMS) Ph(2-Cl,3-CF3,5-CF2H) Ph(2-Cl,3-t-Bu,5-n-Pr) Ph(2-Cl,3-i-Pr,5-CN) Ph(2-Cl,3-CF3,5-OMe) Ph(2-Cl,3,5-di-t-Bu) Ph(2-Cl,3-c-Pr,5-Cl) Ph(2-Cl,3-CF3,5-OCF3) Ph(2-Cl,3-t-Bu,5-i-Pr) Ph(2-Cl,3-c-Pr,5-F) Ph(2-Cl,3-CF3,5-OCHF2) Ph(2-Cl,3-t-Bu,5-c-Pr) Ph(2-Cl,3-c-Pr,5-Br) Ph(2-Cl,3-CF3,5-OCF2CF2H) Ph(2-Cl,3-t-Bu,5-CF3) Ph(2-Cl,3-c-Pr,5-I) Ph(2-Cl,3-CF3,5-OC2F5) Ph(2-Cl,3-t-Bu,5-C2F5) Ph(2-Cl,3-c-Pr,5-Me) Ph(2-Cl,3-CF3,5-SO2Me) Ph(2-Cl,3-t-Bu,5-CF2CF2H) Ph(2-Cl,3-c-Pr,5-Et) Ph(2-Cl,3-CF3,5-TMS) Ph(2-Cl,3-t-Bu,5-CF2H) Ph(2-Cl,3-c-Pr,5-n-Pr) Ph(2-Cl,3-CF3,5-CN) Ph(2-Cl,3-t-Bu,5-OMe) Ph(2-Cl,3-c-Pr,5-t-Bu) Ph(2-Cl,3-C2F5,5-Cl) Ph(2-Cl,3-t-Bu,5-OCF3) Ph(2-Cl,3-c-Pr,5-i-Pr) Ph(2-Cl,3-C2F5,5-F) Ph(2-Cl,3-t-Bu,5-OCHF2) Ph(2-Cl,3,5-di-c-Pr) Ph(2-Cl,3-C2F5,5-Br) Ph(2-Cl,3-t-Bu,5-OCF2CF2H) Ph(2-Cl,3-c-Pr,5-CF3) Ph(2-Cl,3-C2F5,5-I) Ph(2-Cl,3-t-Bu,5-OC2F5) Ph(2-Cl,3-c-Pr,5-C2F5) Ph(2-Cl,3-C2F5,5-Me) Ph(2-Cl,3-t-Bu,5-SO2Me) Ph(2-Cl,3-c-Pr,5-CF2CF2H) Ph(2-Cl,3-C2F5,5-Et) Ph(2-Cl,3-t-Bu,5-TMS) Ph(2-Cl,3-c-Pr,5-CF2H) Ph(2-Cl,3-C2F5,5-n-Pr) Ph(2-Cl,3-t-Bu,5-CN) Ph(2-Cl,3-c-Pr,5-OMe) Ph92-Cl,3-C2F5,5-t-Bu) Ph(2-Cl,3-i-Pr,5-Cl) Ph(2-Cl,3-c-Pr,5-OCF3) Ph(2-Cl,3-C2F5,5-i-Pr) Ph(2-Cl,3-i-Pr,5-F) Ph(2-Cl,3-c-Pr,5-OCFH2) Ph(2-Cl,3-C2F5,5-c-Pr) Ph(2-Cl,3-i-Pr,5-Br) Ph(2-Cl,3-c-Pr,5-OCF2CF2H) Ph(2-Cl,3-C2F5CF3,5-CF3) Ph(2-Cl,3-i-Pr,5-I) Ph(2-Cl,3-c-Pr,5-OC2F5) Ph(2-Cl,3,5-di-C2F5) Ph(2-Cl,3-i-Pr,5-Me) Ph(2-Cl,3-c-Pr,5-SO2Me) Ph(2-Cl,3-C2F5,5-CF2CF2H) Ph(2-Cl,3-i-Pr,5-Et) Ph(2-Cl,3-c-Pr,5-TMS) Ph(2-Cl,3-C2F5,5-CF2H) Ph(2-Cl,3-i-Pr,5-n-Pr) Ph(2-Cl,3-c-Pr,5-CN) Ph(2-Cl,3-C2F5,5-OMe) Ph(2-Cl,3-i-Pr,5-t-Bu) Ph(2-Cl,3-CF3,5-Cl) Ph(2-Cl,3-C2F5,5-OCF3) Ph(2-Cl,3,5-di-i-Pr) Ph(2-Cl,3-CF3,5-F) Ph(2-Cl,3-C2F5,5-OCHF2) Ph(2-Cl,3-i-Pr,5-c-Pr) Ph(2-Cl,3-CF3,5-Br) Ph(2-Cl,3-C2F5,5-OCF2CF2H) Ph(2-Cl,3-i-Pr,5-CF3) Ph(2-Cl,3-CF3,5-I) Ph(2-Cl,3-C2F5,5-OC2F5) Ph(2-Cl,3-i-Pr,5-C2F5) Ph(2-Cl,3-CF3,5-Me) Ph(2-Cl,3-C2F5,5-SO2Me) Ph(2-Cl,3-C2F5,5-TMS) Ph(2-Cl,3-CF2H,5-CF2CF2H) Ph(2-Cl,3-OCF3,5-Et) Ph(2-Cl,3-C2F5,5-CN) Ph(2-Cl,3,5-di-CF2H) Ph(2-Cl,3-OCF3,5-n-Pr) Ph(2-Cl,3-CF2CF2H,5-Cl) Ph(2-Cl,3-CF2H,5-OMe) Ph(2-Cl,3-OCF3,5-t-Bu) Ph(2-Cl,3-CF2CF2H,5-F) Ph(2-Cl,3-CF2H,5-OCF3) Ph(2-Cl,3-OCF3,5-i-Pr) Ph(2-Cl,3-CF2CF2H,5-Br) Ph(2-Cl,3-CF2H,5-OCHF2) Ph(2-Cl,3-OCF3,5-c-Pr) Ph(2-Cl,3-CF2CF2H,5-I) Ph(2-Cl,3-CF2H,5-OCF2CF2H) Ph(2-Cl,3-OCF3,5-CF3) Ph(2-Cl,3-CF2CF2H,5-Me) Ph(2-Cl,3-CF2H,5-OC2F5) Ph(2-Cl,3-OCF3,5-C2F5) Ph(2-Cl,3-CF2CF2H,5-Et) Ph(2-Cl,3-CF2H,5-SO2Me) Ph(2-Cl,3-OCF3,5-CF2CF2H) Ph(2-Cl,3-CF2CF2H,5-n-Pr) Ph(2-Cl,3-CF2H,5-TMS) Ph(2-Cl,3-OCF3,5-CF2H) Ph(2-Cl,3-CF2CF2H,5-t-Bu) Ph(2-Cl,3-CF2H,5-CN) Ph(2-Cl,3-OCF3,5-OMe) Ph(2-Cl,3-CF2CF2H,5-i-Pr) Ph(2-Cl,3-OMe,5-Cl) Ph(2-Cl,3,5-di-OCF3) Ph(2-Cl,3-CF2CF2H,5-c-Pr) Ph(2-Cl,3-OMe,5-F) Ph(2-Cl,3-OCF3,5-OCHF2) Ph(2-Cl,3-CF2CF2H,5-CF3) Ph(2-Cl,3-OMe,5-Br) Ph(2-Cl,3-OCF3,5-OCF2CF2H) Ph(2-Cl,3-CF2CF2H,5-C2F5) Ph(2-Cl,3-OMe,5-I) Ph(2-Cl,3-OCF3,-5-OC2F5) Ph(2-Cl,3,5-di-CF2CF2H) Ph(2-Cl,3-OMe,5-Me) Ph(2-Cl,3-OCF3,5-SO2Me) Ph(2-Cl,3-CF2CF2H,5-CF2H) Ph(2-Cl,3-OMe,5-Et) Ph(2-Cl,3-OCF3,5-TMS) Ph(2-Cl,3-CF2CF2H,5-OMe) Ph(2-Cl,3-OMe,5-n-Pr) Ph(2-Cl,3-OCF3,5-CN) Ph(2-Cl,3-CF2CF2H,5-OCF3) Ph(2-Cl,3-OMe,5-t-Bu) Ph(2-Cl,3-OCHF2,5-Cl) Ph(2-Cl,3-CF2CF2H,5-OCHF2) Ph(2-Cl,3-OMe,5-i-Pr) Ph(2-Cl,3-OCHF2,5-F) Ph(2-Cl3-CF2CF2H,5- Ph(2-Cl,3-OMe,5-c-Pr) Ph(2-Cl,3-OCHF2,5-F) OCF2CF2H) Ph(2-Cl,3-OMe,5-CF3) Ph(23-Cl,3-OCHF2,5-I) Ph(2-Cl,3-CF2CF2H,5-OC2F5) Ph(2-Cl,3-OMe,5-C2F5) Ph(2-Cl,3-OCHF2,5-Me) Ph(2-Cl,3-CF2CF2H,5-SO2Me) Ph(2-Cl,3-OMe,5-CF2CF2H) Ph(2-Cl,3-OCHF2,5-Et) Ph(2-Cl,3-CF2CF2H,5-TMS) Ph(2-Cl,3-OMe,5-CF2H) Ph(2-Cl,3-OCHF2,5-n-Pr) Ph(2-Cl,3-CF2CF2H,5-CN) Ph(2-Cl,3,5-di-OMe) Ph(2-Cl,3-OCHF2,5-t-Bu) Ph(2-Cl,3-CF2H,5-Cl) Ph(2-Cl,3-OMe,5-OCF3) Ph(2-Cl,3-OCHF2,5-i-Pr) Ph(2-Cl,3-CF2H,5-F) Ph(2-Cl,3-OMe,5-OCHF2) Ph(2-Cl,3-OCHF2,5-c-Pr) Ph(2-Cl,3-CF2H,5-Br) Ph(2-Cl,3-OMe,5-OCF2CF2H) Ph(2-Cl,3-OCHF2CF3,5-CF3) Ph(2-Cl,3-CF2H,5-I) Ph(2-Cl,3-OMe,5-OC2F5) Ph(2-Cl,3-OC2F5,5-C2F5) Ph(2-Cl,3-CF2H,5-Me) Ph(2-Cl,3-OMe,5-SO2Me) Ph(2-Cl,3-OCHF2,5-CF2CF2H) Ph(2-Cl,3-CF2H,5-Et) Ph(2-Cl,3-OMe,5-TMS) Ph(2-Cl,3-OCHF2,5-CF2H) Ph(2-Cl,3-CF2H,5-n-Pr) Ph(2-Cl,3-OMe,5-CN) Ph(2-Cl,3-OCHF2,5-OMe) Ph(2-Cl,3-CF2H,5-t-Bu) Ph(2-Cl,3-OCF3,5-Cl) Ph(2-Cl,3-OCHF2,5-OCF3) Ph(2-Cl,3-CF2H,5-i-Pr) Ph(2-Cl,3-OCF3,5-F) Ph(2-Cl,3,5-di-OCHF2) Ph(2-Cl,3-CF2H,5-c-Pr) Ph(2-Cl,3-OCF3,5-Br) Ph(2-Cl,3-OCHF2,5-OCF2CF2H) Ph(2-Cl,3-CF2H,5-CF3) Ph(2-Cl,3-OCF3,5-I) Ph(2-Cl,3-OCHF2,5-OC2F5) Ph(2-Cl,3-CF2H,5-C2F5) Ph(2-Cl,3-OCF3,5-Me) Ph(2-Cl,3-OCHF2,5-SO2Me) Ph(2-Cl,3-OCHF2,5-TMS) Ph(2-Cl,3-OC2F5,5-CF2H) Ph(2-Cl,3-TMS,5-n-Pr) Ph(2-Cl,3-OCHF2,5-CN) Ph(2-Cl,3-OC2F5,5-OMe) Ph(2-Cl,3-TMS,5-t-Bu) Ph(2-Cl,3-OCF2CF2H,5-Cl) Ph(2-Cl,3-OC2F5,5-OCF3) Ph(2-Cl,3-TMS,5-i-Pr) Ph(2-Cl,3-OCF2CF2H,5-F) Ph(2-Cl,3-OC2F5,5-OCHF2) Ph(2-Cl,3-TMS,5-c-Pr) Ph(2-Cl,3-OCF2CF2H,5-Br) Ph(2-Cl,3-OC2F5,5-OCF2CF2H) Ph(2-Cl,3-TMS,5-CF3) Ph(2-Cl,3-OCF2CF2H,5-I) Ph(2-Cl,3,5-di-OC2F5) Ph(2-Cl,3-TMS,5-C2F5) Ph(2-Cl,3-OCF2CF2H,5-Me) Ph(2-Cl,3-OC2F5,5-SO2Me) Ph(2-Cl,3-TMS,5-CF2CF2H) Ph(2-Cl,3-OCF2CF2H,5-Et) Ph(2-Cl,3-OC2F5,5-TMS) Ph(2-Cl,3-TMS,5-CF2H) Ph(2-Cl,3-OCF2CF2H,5-n-Pr) Ph(2-Cl,3-OC2F5,5-CN) Ph(2-Cl,3-TMS,5-OMe) Ph(2-Cl,3-OCF2CF2H,5-t-Bu) Ph(2-Cl,3-SO2Me,5-Cl) Ph(2-Cl,3-TMS,5-OCF3) Ph(2-Cl,3-OCF2CF2H,5-i-Pr) Ph(2-Cl,3-SO2Me,5-F) Ph(2-Cl,3-TMS,5-OCHF2) Ph(2-Cl,3-OCF2CF2H,5-c-Pr) Ph(2-Cl,3-SO2Me,5-Br) Ph(2-Cl,3-TMS,5-OCF2CF2H) Ph(2-Cl,3-OCF2CF2H,5-CF3) Ph(2-Cl,3-SO2Me,5-I) Ph(2-Cl,3-TMS,5-OC2F5) Ph(2-Cl,3-OCF2CF2H,5-C2F5) Ph(2-Cl,3-SO2Me,5-Me) Ph(2-Cl,3-TMS,5-SO2Me) Ph(2-Cl,3-OCF2CF2H,5- Ph(2-Cl,3-S2Me,5-Et) Ph(2-Cl,3,5-di-TMS) CF2CF2H) Ph(2-Cl,3-SO2Me,5-n-Pr) Ph(2-Cl,3-TMS,5-CN) Ph(2-Cl,3-OCF2CF2H,5-CF2H) Ph(23-Cl,3-SO2Me,5-t-Bu) Ph(2-Cl,3-CN,5-Cl) Ph(2-Cl,3-OCF2CF2H,5-OMe) Ph(2-Cl,3-SO2Me,5-i-Pr) Ph(2-Cl,3-CN,5-F) Ph(2-Cl,3-OCF2CF2H,5-OCF3) Ph(2-Cl,3-SO2Me,5-c-Pr) Ph(2-Cl,3-CN,5-Br) Ph(2-Cl,3-OCF2CF2H,5-OCHF2) Ph(2-Cl,3-SO2MeCF3,5-CF3) Ph(2-Cl,3-CN,5-I) Ph(2-Cl,3,5-di-OCF2CF2H) Ph(2-Cl,3-SO2Me,5-C2F5) Ph(2-Cl,3-CN,5-Me) Ph(2-Cl,3-OCF2CF2H,5-OC2F5) Ph(2-Cl,3-SO2Me,5-CF2CF2H) Ph(2-Cl,3-CN,5-Et) Ph(2-Cl,3-OCF2CF2H,5-SO2Me) Ph(2-Cl,3-SO2Me,5-CF2H) Ph(2-Cl,3-CN,5-n-Pr) Ph(2-Cl,3-OCF2CF2H,5-TMS) Ph(2-Cl,3-SO2Me,5-OMe) Ph(2-Cl,3-CN,5-t-Bu) Ph(2-Cl,3-OCF2CF2H,5-CN) Ph(2-Cl,3-SO2Me,5-OCF3) Ph(2-Cl,3-CN,5-i-Pr) Ph(2-Cl,3-OC2F5,5-Cl) Ph(2-Cl,3-SO2Me,5-OCHF2) Ph(2-Cl,3-CN,5-c-Pr) Ph(2-Cl,3-OC2F5,5-F) Ph(2-Cl,3-SO2Me,5-OCF2CF2H) Ph(2-Cl,3-CN,5-CF3) Ph(2-Cl,3-OC2F5,5-Br) Ph(2-Cl,3-SO2Me,5-OC2F5) Ph(2-Cl,3-CN,5-C2F5) Ph(2-Cl,3-OC2F5,5-I) Ph(2-Cl,3,5-di-SO2Me) Ph(2-Cl,3-CN,5-CF2CF2H) Ph(2-Cl,3-OC2F5,5-Me) Ph(2-Cl,3-SO2Me,5-TMS) Ph(2-Cl,3-CN,5-CF2H) Ph(2-Cl,3-OC2F5,5-Et) Ph(2-Cl,3-SO2Me,5-CN) Ph(2-Cl,3-CN,5-OMe) Ph(2-Cl,3-OC2F5,5-n-Pr) Ph(2-Cl,3-TMS,5-Cl) Ph(2-Cl,3-CN,5-OCF3) Ph(2-Cl,3-OC2F5,5-t-Bu) Ph(2-Cl,3-TMS,5-F) Ph(2-Cl,3-CN,5-OCHF2) Ph(2-Cl,3-OC2F5,5-i-Pr) Ph(2-Cl,3-TMS,5-Br) Ph(2-Cl,3-CN,5-OCF2CF2H) Ph(2-Cl,3-OC2F5,5-c-Pr) Ph(2-Cl,3-TMS,5-I) Ph(2-Cl,3-CN,5-OC2F5) Ph(2-Cl,3-OC2F5CF3,5-CF3) Ph(2-Cl,3-TMS,5-Me) Ph(2-Cl,3-CN,5-SO2Me) Ph(2-Cl,3-OC2F5,5-CF2CF2H) Ph(2-Cl,3-TMS,5-Et) Ph(2-Cl,3-CN,5-TMS) Ph(2-Cl,3,5-di-CN) Ph(2-Cl,4-F,5-OMe) Ph(2-Cl,4-I,5-t-Bu) Ph(2,4,5-tri-Cl) Ph(2-Cl,4-F,5-OCF3) Ph(2-Cl,4-I,5-i-Pr) Ph(2-Cl,4-Cl,5-F) Ph(2-Cl,4-F,5-OCHF2) Ph(2-Cl,4-I,5-c-Pr) Ph(2-Cl,4-Cl,5-Br) Ph(2-Cl,4-F,5-OCF2CF2H) Ph(2-Cl,4-I,5-CF3) Ph(2-Cl,4-Cl,5-I) Ph(2-Cl,4-F,5-OC2F5) Ph(2-Cl,4-I,5-C2F5) Ph(2-Cl,4-Cl,5-Me) Ph(2-Cl,4-F,5-SO2Me) Ph(2-Cl,4-I,5-CF2CF2H) Ph(2-Cl,4-C,5-Et) Ph(2-Cl,4-F,5-TMS) Ph(2-Cl,4-I,5-CF2H) Ph(2-Cl,4-Cl,5-n-Pr) Ph(2-Cl,4-F,5-CN) Ph(2-Cl,4-I,5-OMe Ph(2-Cl,4-Cl,5-t-Bu) Ph(2-Cl,4-Br,5-Cl) Ph(2-Cl,4-I,5-OCF3) Ph(2-Cl,4-Cl,5-i-Pr) Ph(2-Cl,4-Br,5-F) Ph(2-Cl,4-I,5-OCHF2) Ph(2-Cl,4-Cl,5-c-Pr) Ph(2-Cl,4,5-di-Br) Ph(2-Cl,4-I,5-OCF2CF2H) Ph(2-Cl,4-Cl,5-CF3) Ph(2-Cl,4-Br,5-I) Ph(2-Cl,4-I,5-OC2F5) Ph(2-Cl,4-Cl,5-C2F5) Ph(2-Cl,4-Br,5-Me) Ph(2-Cl,4-I,5-SO2Me) Ph(2-Cl,4-Cl,5-CF2CF2H) Ph(2-Cl,4-Br,5-Et) Ph(2-Cl,4-I,5-TMS) Ph(2-Cl,4-Cl,5-CF2H) Ph(2-Cl,4-Br,5-n-Pr) Ph(2-Cl,4-I,5-CN) Ph(2-Cl,4-Cl,5-OMe) Ph(2-Cl,4-Br,5-t-Bu) Ph(2-Cl,4-Me,5-Cl) Ph(2-Cl,4-Cl,5-OCF3) Ph(2-Cl,4-Br,5-i-Pr) Ph(2-Cl,4-Me,5-F) Ph(2-Cl,4-Cl,5-OCHF2) Ph(2-Cl,4-Br,5-c-Pr) Ph(2-Cl,4-Me,5-Br) Ph(2-Cl,4-Cl,5-OCF2CF2H) Ph(2-Cl,4-Br,5-CF3) Ph(2-Cl,4-Me,5-I) Ph(2-Cl,4-Cl,5-OC2F5) Ph(2-Cl,4-Br,5-C2F5) Ph(2-Cl,4,5-di-Me) Ph(2-Cl,4-Cl,5-SO2Me) Ph(2-Cl,4-Br,5-CF2CF2H) Ph(2-Cl,4-Me,5-Et) Ph(2-Cl,4-Cl,5-TMS) Ph(2-Cl,4-Br,5-CF2H) Ph(2-Cl,4-Me,5-n-Pr) Ph(2-Cl,4-Cl,5-CN) Ph(2-Cl,4-Br,5-OMe) Ph(2-Cl,4-Me,5-t-Bu) Ph(2-Cl,4-F,5-Cl) Ph(2-Cl,4-Br,5-OCF3) Ph(2-Cl,4-Me,5-i-Pr) Ph(2-Cl,4,5-di-F) Ph(2-Cl,4-Br,5-OCHF2) Ph(2-Cl,4-Me,5-c-Pr) Ph(2-Cl,4-F,5-Br) Ph(2-Cl,4-Br,5-OCF2CF2H) Ph(2-Cl,4-Me,5-CF3) Ph(2-Cl,4-F,5-I) Ph(2-Cl,4-Br,5-OC2F5) Ph(2-Cl,4-Me,5-C2F5) Ph(2-Cl,4-F,5-Me) Ph(2-Cl,4-Br,5-SO2Me) Ph(2-Cl,4-Me,5-CF2CF2H) Ph(2-Cl,4-F,5-Et) Ph(2-Cl,4-Br,5-TMS) Ph(2-Cl,4-Me,5-CF2H) Ph(2-Cl,4-F,5-n-Pr) Ph(2-Cl,4-Br,5-CN) Ph(2-Cl,4-Me,5-OMe) Ph(2-Cl,4-F,5-t-Bu) Ph(2-Cl,4-I,5-Cl) Ph(2-Cl,4-Me,5-OCF3) Ph(2-Cl,4-F,5-i-Pr) Ph(2-Cl,4-I,5-F) Ph(2-Cl,4-Me,5-OCHF2) Ph(2-Cl,4-F,5-c-Pr) Ph(2-Cl,4-I,5-Br) Ph(2-Cl,4-Me,5-OCF2CF2H) Ph(2-Cl,4-F,5-CF3) Ph(2-Cl,4,5-di-I) Ph(2-Cl,4-Me,5-OC2F5) Ph(2-Cl,4-F,5-C2F5) Ph(2-Cl,4-I,5-Me) Ph(2-Cl,4-Me,5-SO2Me) Ph(2-Cl,4-F,5-CF2CF2H) Ph(2-Cl,4-I,5-Et) Ph(2-Cl,4-Me,5-TMS) Ph(2-Cl,4-F,5-CF2H) Ph(2-Cl,4-I,5-n-Pr) Ph(2-Cl,4-Me,5-CN) Ph(2-Cl,4-Et,5-Cl) Ph(2-Cl,4-n-Pr,5-OCF3) Ph(2-Cl,4,5-di-i-Pr) Ph(2-Cl,4-Et,5-F) Ph(2-Cl,4-n-Pr,5-OCHF2) Ph(2-Cl,4-i-Pr,5-c-Pr) Ph(2-Cl,4-Et,5-Br) Ph(2-Cl,4-n-Pr,5-OCF2CF2H) Ph(2-Cl,4-i-Pr,5-CF3) Ph(2-Cl,4-Et,5-I) Ph(2-Cl,4-n-Pr,5-OC2F5) Ph(2-Cl,4-i-Pr,5-C2F5) Ph(2-Cl,4-Et,5-Me) Ph(2-Cl,4-n-Pr,5-SO2Me) Ph(2-Cl,4-i-Pr,5-CF2CF2H) Ph(2-Cl,4,5-di-Et) Ph(2-Cl,4-n-Pr,5-TMS) Ph(2-Cl,4-i-Pr,5-CF2H) Ph(2-Cl,4-Et,5-n-Pr) Ph(2-Cl,4-n-Pr,5-CN) Ph(2-Cl,4-i-Pr,5-OMe) Ph(2-Cl,4-Et,5-t-Bu) Ph(2-Cl,4-t-Bu,5-Cl) Ph(2-Cl,4-i-Pr,5-OCF3) Ph(2-Cl,4-Et,5-i-Pr) Ph(2-Cl,4-t-Bu,5-F) Ph(2-Cl,4-i-Pr,5-OCHF2) Ph(2-Cl,4-Et,5-c-Pr) Ph(2-Cl,4-t-Bu,5-Br) Ph(2-Cl,4-i-Pr,5-OCF2CF2H) Ph(2-Cl,4-Et,5-CF3) Ph(2-Cl,4-t-Bu,5-I) Ph(2-Cl,4-i-Pr,5-OC2F5) Ph(2-Cl,4-Et,5-C2F5) Ph(2-Cl,4-t-Bu,5-Me) Ph(2-Cl,4-i-Pr,5-SO2Me) Ph(2-Cl,4-Et,5-CF2CF2H) Ph(2-Cl,4-t-Bu,5-Et) Ph(2-Cl,4-i-Pr,5-TMS) Ph(2-Cl,4-Et,5-CF2H) Ph(2-Cl,4-t-Bu,5-n-Pr) Ph(2-Cl,4-i-Pr,5-CN) Ph(2-Cl,4-Et,5-OMe) Ph(2-Cl,4-5-di-t-Bu) Ph(2-Cl,4-c-Pr,5-Cl) Ph(2-Cl,4-Et,5-OCF3) Ph(2-Cl,4-t-Bu,5-i-Pr) Ph(2-Cl,4-c-Pr,5-F) Ph(2-Cl,4-Et,5-OCHF2) Ph(2-Cl,4-t-Bu,5-c-Pr) Ph(2-Cl,-4-c-Pr,5-Br) Ph(2-Cl,4-Et,5-OCF2CF2H) Ph(2-Cl,4-t-Bu,5-CF3) Ph(2-Cl,4-c-Pr,5-I) Ph(2-Cl,4-Et,5-OC2F5) Ph(2-Cl,4-t-Bu,5-C2F5) Ph(2-Cl,4-c-Pr,5-Me) Ph(2-Cl,4-Et,5-SO2Me) Ph(2-Cl,4-t-Bu,5-CF2CF2H) Ph(2-Cl,4-c-Pr,5-Et) Ph(2-Cl,4-Et,5-TMS) Ph(2-Cl,4-t-Bu,5-CF2H) Ph(2-Cl,4-c-Pr,5-n-Pr) Ph(2-Cl,4-Et,5-CN) Ph(2-Cl,4-t-Bu,5-OMe) Ph(2-Cl,4-c-Pr,5-t-Bu) Ph(2-Cl,4-n-Pr,5-Cl) Ph(2-Cl,4-t-Bu,5-OCF3) Ph(2-Cl,4-c-Pr,5-i-Pr) Ph(2-Cl,4-n-Pr,5-F) Ph(2-Cl,4-t-Bu,5-OCHF2) Ph(2-Cl,4,5-di-c-Pr) Ph(2-Cl,4-n-Pr,5-Br) Ph(2-Cl,4-t-Bu,5-OCF2CF2H) Ph(2-Cl,4-c-Pr,5-CF3) Ph(2-Cl,4-n-Pr,5-I) Ph(2-Cl,4-t-Bu,5-OC2F5) Ph(2-Cl,4-c-Pr,5-C2F5) Ph(2-Cl,4-n-Pr,5-Me) Ph(2-Cl,4-t-Bu,5-SO2Me) Ph(2-Cl,4-c-Pr,5-CF2CF2H) Ph(2-Cl,4-n-Pr,5-Et) Ph(2-Cl,4-t-Bu,5-TMS) Ph(2-Cl,4-c-Pr,5-CF2H) Ph(2-Cl,4,5-di-n-Pr) Ph(2-Cl,4-t-Bu,5-CN) Ph(2-Cl,4-c-Pr,5-OMe) Ph(2-Cl,4-n-Pr,5-t-Bu) Ph(2-Cl,4-i-Pr,5-Cl) Ph(2-Cl,4-c-Pr,5-OCF3) Ph(2-Cl,4-n-Pr,5-i-Pr) Ph(2-Cl,4-i-Pr,5-F) Ph(-Cl,4-c-Pr,5-OCHF2) Ph(2-Cl,4-n-Pr,5-c-Pr) Ph(2-Cl,4-t-Pr,5-Br) Ph(2-Cl,4-c-Pr,5-OCF2CF2H) Ph(2-Cl,4-n-Pr,5-CF3) Ph(2-Cl,4-i-Pr,5-I) Ph(2-Cl,4-c-Pr,5-OC2F5) Ph(2-Cl,4-n-Pr,5-C2F5) Ph(2-Cl,4-i-Pr,5-Me) Ph(2-Cl,4-c-Pr,5-SO2Me) Ph(2-Cl,4-n-Pr,5-CF2CF2H) Ph(2-Cl,4-i-Pr,5-Et) Ph(2-Cl,4-c-Pr,5-TMS) Ph(2-Cl,4-n-Pr,5-CF2H) Ph(2-Cl,4-i-Pr,5-n-Pr) Ph(2-Cl,4-c-Pr,5-CN) Ph(2-Cl,4-n-Pr,5-OMe) Ph(2-Cl,4-i-Pr,5-t-Bu) Ph(2-Cl,4-CF3,5-Cl) Ph(2-Cl,4-CF3,5-F) Ph(2-Cl,4-CF2CF3,5-OCHF2) Ph(2-Cl,4-CF2H,5-t-Bu) Ph(2-Cl,4-CF3,5-Br) Ph(2-Cl,4-CF2CF3,5- Ph(2-Cl,4-CF2H,5-i-Pr) Ph(2-Cl,4-CF3,5-I) OCF2CF2H) Ph(2-Cl,4-CF2H,5-c-Pr) Ph(2-Cl,4-CF3,5-Me) Ph(2-Cl,4-CF2CF3,5-OC2F5) Ph(2-Cl,4-CF2H,5-CF3) Ph(2-Cl,4-CF3,5-Et) Ph(2-Cl,4-CF2CF3,5-SO2Me) Ph(2-Cl,4-CF2H,5-C2F5) Ph(2-Cl,4-CF3,5-n-Pr) Ph(2-Cl,4-CF2CF3,5-TMS) Ph(2-Cl,4-CF2H,5-CF2CF2H) Ph(2-Cl,4-CF3,5-t-Bu) Ph(2-Cl,4-CF2CF3,5-CN) Ph(2-Cl,4,5-di-CF2H) Ph(2-Cl,4-CF3,5-i-Pr) Ph(2-Cl,4-CF2CF2H,5-Cl) Ph(2-Cl,4-CF2H,5-OMe) Ph(2-Cl,4-CF3,5-c-Pr) Ph(2-Cl,4-CF2CF2H,5-F) Ph(2-Cl,4-CF2H,5-OCF3) Ph(2-Cl,4,5-di-CF3) Ph(2-Cl,4-CF2CF2H,5-Br) Ph(2-Cl,4-CF2H,5-OCHF2) Ph(2-Cl,4-CF3,5-C2F5) Ph(2-Cl,4-CF2CF2H,5-I) Ph(2-Cl,4-CF2H,5-OCF2CF2H) Ph(2-Cl,4-CF3,5-CF2CF2H) Ph(2-Cl,4-CF2CF2H,5-Me) Ph(2-Cl,4-CF2H,5-OC2F5) Ph(2-Cl,4-CF3,5-CF2H) Ph(2-Cl,4-CF2CF2H,5-Et) Ph(2-Cl,4-CF2H,5-SO2Me) Ph(2-Cl,4-CF3,5-OMe) Ph(2-Cl,4-CF2CF2H,5-n-Pr) Ph(2-Cl,4-CF2H,5-TMS) Ph(2-Cl,4-CF3,5-OCF3) Ph(23-Cl,4-CF2CF2H,5-t-Bu) Ph(2-Cl,4-CF2H,5-CN) Ph(2-Cl,4-CF3,5-OCHF2) Ph(2-Cl,4-CF2CF2H,5-i-Pr) Ph(2-Cl,4-OMe,5-Cl) Ph(2-Cl,4-CF3,5-OCF2CF2H) Ph(2-Cl,4-CF2CF2H,5-c-Pr) Ph(2-Cl,4-OMe,5-F) Ph(2-Cl,4-CF3,5-OC2F5) Ph(2-Cl,4-CF2CF2CF3H,5-CF3) Ph(2-Cl,4-OMe,5-Br) Ph(2-Cl,4-CF3,5-SO2Me) Ph(2-Cl,4-CF2CF2H,5-C2F5) Ph(2-Cl,4-OMe,5-I) Ph(2-Cl,4-CF3,5-TMS) Ph(2-Cl,4,5-di-CF2CF2H) Ph(2-Cl,4-OMe,5-Me) Ph(2-Cl,4-CF3,5-CN) Ph(2-Cl,4-CF2CF2H,5-CF2H) Ph(2-Cl,4-OMe,5-Et) Ph(2-Cl,4-CF2CF3,5-Cl) Ph(2-Cl,4-CF2CF2H,5-OMe), Ph(2-Cl,4-OMe,5-n-Pr) Ph(2-Cl,4-CF2CF3,5-F) Ph(2-Cl,4-CF2CF2H,5-OCF3) Ph(2-Cl,4-OMe,5-t-Bu) Ph(2-Cl,4-CF2CF3,5-Br) Ph(2-Cl,4-CF2CF2H,5-OCHF2) Ph(2-Cl,4-OMe,5-i-Pr) Ph(2-Cl,4-CF2CF3,5-I) Ph(2-Cl,4-CF2CF2H,5- Ph(2-Cl,4-OMe,5-c-Pr) Ph(2-Cl,4-CF2CF3,5-Me) OCF2CF2H) Ph(2-Cl,4-OMeCF3,5-CF3) Ph(2-Cl,4-CF2CF3,5-Et) Ph(2-Cl,4-CF2CF2H,5-OC2F5) Ph(2-Cl,4-OMe,5-C2F5) Ph(2-Cl,4-CF2CF3,5-n-Pr) Ph(2-Cl,4-CF2CF2H,5-SO2Me) Ph(2-Cl,4-OMe,5-CF2CF2H) Ph(2-Cl,4-CF2CF3,5-t-Bu) Ph(2-Cl,4-CF2CF2H,5-TMS) Ph(2-Cl,4-OMe,5-CF2H) Ph(2-Cl,4-CF2CF3,5-i-Pr) Ph(2-Cl,4-CF2CF2H,5-CN) Ph(2-Cl,4,5-di-OMe) Ph(2-Cl,4-CF2CF3,5-c-Pr) Ph(2-Cl,4-CF2H,5-Cl) Ph(2-Cl,4-OMe,5-OCF3) Ph(2-Cl,4-C2F5CF3,5-CF3) Ph(2-Cl,4-CF2H,5-F) Ph(2-Cl,4-OMe,5-OCHF2) Ph(2-Cl,4,5-di-C2F5) Ph(2-Cl,4-CF2H,5-Br) Ph(2-Cl,4-OMe,5-OCF2CF2H) Ph(2-Cl,4-CF2CF3,5-CF2CF2H) Ph(2-Cl,4-CF2H,5-I) Ph(2-Cl,4-Me,5-OC2F5) Ph(2-Cl,4-CF2CF3,5-CF2H) Ph(2-Cl,4-CF2H,5-Me) Ph(2-Cl,4-OMe,5-SO2Me) Ph(2-Cl,4-CF2CF3,5-OMe) Ph(2-Cl,4-CF2H,5-Et) Ph(2-Cl,4-OMe,5-TMS) Ph(2-Cl,4-CF2CF3,5-OCF3) Ph(2-Cl,4-CF2H,5-n-Pr) Ph(2-Cl,4-OMe,5-CN) Ph(2-Cl,4-OCF3,5-Cl) Ph(2-Cl,4-OCHF2,5-OCF3) Ph(2-Cl,4-OCF2CF3,5-n-Pr) Ph(2-Cl,4-OCF3,5-F) Ph(2-Cl,4,5-di-OCHF2) Ph(2-Cl,4-OCF2CF3,5-t-Bu) Ph(2-Cl,4-OCF3,5-Br) Ph(2-Cl,4-OCHF2,5-OCF2CF2H) Ph(2-Cl,4-OCF2CF3,5-i-Pr) Ph(2-Cl,4-OCF3,5-I) Ph(2-Cl,4-OCHF2,5-OC2F5) Ph(2-Cl,4-OCF2CF3,5-c-Pr) Ph(2-Cl,4-OCF3,5-Me) Ph(2-Cl,4-OCHF2,5-SO2Me) Ph(2-Cl,4-OC2F5CF3,5-CF3) Ph(2-Cl,4-OCF3,5-Et) Ph(2-Cl,4-OCHF2,5-TMS) Ph(2-Cl,4-OCF2CF3,5- Ph(2-Cl,4-OCF3,5-n-Pr) Ph(2-Cl,4-OCHF2,5-CN) CF2CF2H) Ph(2-Cl,4-OCF3,5-t-Bu) Ph(2-Cl,4-OCF2CF2H,5-Cl) Ph(2-Cl,4-OCF2CF3,5-CF2H) Ph(2-Cl,4-OCF3,5-i-Pr) Ph(2-Cl,4-OCF2CF2H,5-F) Ph(2-Cl,4-OCF2CF3,5-OMe) Ph(2-Cl,4-OCF3,5-c-Pr) Ph(2-Cl,4-OCF2CF2H,5-Br) Ph(2-Cl,4-OCF2CF3,5-OCF3) Ph(2-Cl,4-OCF3,5-CF3) Ph(2-Cl,4-OCF2CF2H,5-I) Ph(2-Cl,4-OCF2CF3,5-OCHF2) Ph(2-Cl,4-OCF3,5-C2F5) Ph(2-Cl,4-CF2CF2H,5-Me) Ph(2-Cl,4-OCF2CF3,5- Ph(2-Cl,4-OCF3,5-CF2CF2H) Ph(2-Cl,4-OCF2CF2H,5-Et) OCF2CF2H) Ph(2-Cl,4-OCF3,5-CF2H) Ph(2-Cl,4-OCF2CF2H,5-n-Pr) Ph(2-Cl,4,5-di-OC2F5) Ph(2-Cl,4-OCF3,5-OMe) Ph(2-Cl,4-OCF2CF2H,5-t-Bu) Ph(2-Cl,4-OCF2CF3,5-SO2Me) Ph(2-Cl,4,5-di-OCF3) Ph(2-Cl,4-OCF2CF2H,5-i-Pr) Ph(2-Cl,4-OCF2CF3,5-TMS) Ph(2-Cl,4-OCF3,5-OCHF2) Ph(2-Cl,4-OCF2CF2H,5-c-Pr) Ph(2-Cl,4-OCF2CF3,5-CN) Ph(2-Cl,4-OCF3,5-OCF2CF2H) Ph(2-Cl,4-OCF2CF2CF3H,5- Ph(2-Cl,4-SO2Me,5-Cl) Ph(2-Cl,4-OCF3,5-OC2F5) CF3) Ph(2-Cl,4-SO2Me,5-F) Ph(2-Cl,4-OCF3,5-SO2Me) Ph(2-Cl,4-OCF2CF2H,5-C2F5) Ph(2-Cl,4-SO2Me,5-Br) Ph(2-Cl,4-OCF3,5-TMS) Ph(2-Cl,4-OCF2CF2H,5- Ph(2-Cl,4-SO2Me,5-I) Ph(2-Cl,4-OCF3,5-CN) CF2CF2H) Ph(2-Cl,4-SO2Me,5-Me) Ph(2-Cl,4-OCHF2,5-Cl) Ph(2-Cl,4-OCF2CF2H,5-CF2H) Ph(2-Cl,4-SO2Me,5-Et) Ph(2-Cl,4-OCHF2,5-F) Ph(2-Cl,4-OCF2CF2H,5-OMe) Ph(2-Cl,4-SO2Me,5-n-Pr) Ph(2-Cl,4-OCHF2,5-Br) Ph(2-Cl,4-OCF2CF2H,5-OCF3) Ph(2-Cl,4-SO2Me,5-t-Bu) Ph(2-Cl,4-OCHF2,5-I) Ph(2-Cl,4-OCF2CF2H,5-OCHF2) Ph(2-Cl,4-SO2Me,5-i-Pr) Ph(2-Cl,4-OCHF2,5-Me) Ph(2-Cl,4,5-di-OCF2CF2H) Ph(2-Cl,4-SO2Me,5-c-Pr) Ph(2-Cl,4-OCHF2,5-Et) Ph(2-Cl,4-OCF2CF2H,5-OC2F5) Ph(2-Cl,4-SO2MeCF3,5-CF3) Ph(2-Cl,4-OCHF2,5-n-Pr) Ph(2-Cl,4-OCF2CF2H,5-SO2Me) Ph(2-Cl,4-SO2Me,5-C2F5) Ph(2-Cl,4-OCHF2,5-t-Bu) Ph(2-Cl,4-OCF2CF2H,5-TMS) Ph(2-Cl,4-SO2Me,5-CF2CF2H) Ph(2-Cl,4-OCHF2,5-i-Pr) Ph(2-Cl,4-OCF2CF2H,5-CN) Ph(2-Cl,4-SO2Me,5-CF2H) Ph(2-Cl,4-OCHF2,5-c-Pr) Ph(2-Cl,4-OCF2CF3,5-Cl) Ph(2-Cl,4-SO2Me,5-OMe) Ph(2-Cl,4-OCHF2CF3,5-CF3) Ph(2-Cl,4-OCF2CF3,5-F) Ph(2-Cl,4-SO2Me,5-OCF3) Ph(2-Cl,4-OCF2CF3,5-C2F5) Ph(2-Cl,4-OCF2CF3,5-Br) Ph92-Cl,4-SO2me,5-OCHF2) Ph(2-Cl,4-OCHF2,5-CF2CF2H) Ph(2-Cl,4-OCF2CF3,5-I) Ph(2-Cl,4-SO2Me,5-OCF2CF2H) Ph(2-Cl,4-OCHF2,5-CF2H) Ph(2-Cl,4-OCF2CF3,5-Me) Ph(2-Cl,4-SO2Me,5-OC2F5) Ph(2-Cl,4-OCHF2,5-OMe) Ph(2-Cl,4-OCF2CF3,5-Et) Ph(2-Cl,4,5-di-SO2Me) Ph(2-Cl,4-SO2Me,5-TMS) Ph(2-Cl,4-CN,5-CF2H) Ph(2-F,3-F,4-OC2F5) Ph(2-Cl,4-SO2Me,5-CN) Ph(2-Cl,4-CN,5-OMe) Ph(2-F,3-Br,5-Cl) Ph(2-Cl,4-TMS,5-Cl) Ph(2-Cl,4-CN,5-OCF3) Ph(2-F,3,4-di-Br) Ph(2-Cl,4-TMS,5-F) Ph(2-Cl,4-CN,5-OCHF2) Ph(2-F,3-Br,4-I) Ph(2-Cl,4-TMS,5-Br) Ph(2-Cl,4-CN,5-OCF2CF2H) Ph(2-F,3-Br,4-Me) Ph(2-Cl,4-TMS,5-I) Ph(2-Cl,4-CN,5-OC2F5) Ph(2-F,3-Br,4-Et) Ph(2-Cl,4-TMS,5-Me) Ph(2-Cl,4-CN,5-SO2Me) Ph(2-F,3-Br,4-n-Pr) Ph(2-Cl,4-TMS,5-Et) Ph(2-Cl,4-CN,5-TMS) Ph(2-F,3-Br,4-t-Bu) Ph(2-Cl,4-TMS,5-n-Pr) Ph(2-Cl,4,5-di-CN) Ph(2-F,3-Br,4-i-Pr) Ph(2-Cl,4-TMS,5-t-Bu) Ph(2-F,3,4-di-Cl) Ph(2-F,3-Br,4-CF3) Ph(2-Cl,4-TMS,5-i-Pr) Ph(2-F,3-Cl,4-I) Ph(2-F,3-Br,4-C2F5) Ph(2-Cl,4-TMS,5-c-Pr) Ph(2-F,3-Cl,4-Me) Ph(2-F,3-Br,4-CF2CF2H) Ph(2-Cl,4-TMS,5-CF3) Ph(2-F,3-Cl,4-Et) Ph(2-F,3-Br,4-CF2H) Ph(2-Cl,4-TMS,5-C2F5) Ph(2-F,3-Cl,4-n-Pr) Ph(2-F,3-Br,4-OMe) Ph(2-Cl,4-TMS,5-CF2CF2H) Ph(2-F,3-Cl,4-i-Pr) Ph(2-F,3-Br,4-OCF2CF2H) Ph(2-Cl,4-TMS,5-CF2H) Ph(2-F,3-Cl,4-CF3) Ph(2-F,3-Br,4-OC2F5) Ph(2-Cl,4-TMS,5-OMe) Ph(2-F,3-Cl,4-C2F5) Ph(2-F,3-I,4-Cl) Ph(2-Cl,4-TMS,5-OCF3) Ph(2-F,3-Cl,4-CF2CF2H) Ph(2-F,3-I,4-F) Ph(2-Cl,4-TMS,5-OCHF2) Ph(2-F,3-Cl,4-CF2H) Ph(2-F,3-I,4-Br) Ph(2-Cl,4-TMS,5-OCF2CF2H) Ph(2-F,3-Cl,4-OMe) Ph(2-F,3,4-di-I) Ph(2-Cl,4-TMS,5-OC2F5) Ph(2-F,3-Cl,4-OCHF2) Ph(2-F,3-I,4-Me) Ph(2-Cl,4-TMS,5-SO2Me) Ph(2-F,3-Cl,4-OCF2CF2H) Ph(2-F,3-I,4-Et) Ph(2-Cl,4,5-di-TMS) Ph(2-F,3-Cl,4-OC2F5) Ph(2-F,3-I,4-n-Pr) Ph(2-Cl,4-TMS,5-CN) Ph(2,3,4-tri-F) Ph(2-F,3-I,4-t-Bu) Ph(2-Cl,4-CN,5-Cl) Ph(2-F,3-F,4-Br) Ph(2-F,3-I,4-i-Pr) Ph(2-Cl,4-CN,5-F) Ph(2-F,3-F,4-I) Ph(2-F,3-I,4-c-Pr) Ph(2-Cl,4-CN,5-Br) Ph(2-F,3-F,4-Et) Ph(2-F,3-I,4-CF3) Ph(2-Cl,4-CN,5-I) Ph(2-F,3-F,4-n-Pr) Ph(2-F,3-I,4-C2F5) Ph(2-Cl,4-CN,5-Me) Ph(2-F,3-F,4-t-Bu) Ph(2-F,3-I,4-CF2CF2H) Ph(2-Cl,4-CN,5-Et) Ph(2-F,3-F,4-i-Pr) Ph(2-F,3-I,4-CF2H) Ph(2-Cl,4-CN,5-n-Pr) Ph(2-F,3-F,4-CF3) Ph(2-F,3-I,4-OMe) Ph(2-Cl,4-CN,5-t-Bu) Ph(2-F,3-F,4-C2F5) Ph(2-F,3-I,4-OCF3) Ph(2-Cl,4-CN,5-i-Pr) Ph(2-F,3-F,4-CF2CF2H) Ph(2-F,3-I,4-OCHF2) Ph(2-Cl,4-CN,5-c-Pr) Ph(2-F,3-F,4-CF2H) Ph(2-F,3-I,4-OCF2CF2H) Ph(2-Cl,4-CN,5-CF3) Ph(2-F,3-F,4-OMe) Ph(2-F,3-I,4-OC2F5) Ph(2-Cl,4-CN,5-C2F5) Ph(2-F,3-F,4-OCHF2) Ph(2-F,3-I,4-SO2Me) Ph(2-Cl,4-CN,5-CF2CF2H) Ph(2-F,3-F,4-OCF2CF2H) Ph(2-F,3-I,4-TMS) Ph(2-F,3-I,4-CN) Ph(2-F,3-n-Pr,4-Br) Ph(2-F,3-i-Pr,4-n-Pr) Ph(2-F,3-Me,4-I) Ph(2-F,3-n-Pr,4-I) Ph(2-F,3-i-Pr,4-t-Bu) Ph(2-F,3,4-di-Me) Ph(2-F,3-n-Pr,4-Me) Ph(2-F,3,4-di-i-Pr) Ph(2-F,3-Me,4-Et) Ph(2-F,3-n-Pr,4-Et) Ph(2-F,3-i-Pr,4-c-Pr) Ph(2-F,3-Me,4-n-Pr) Ph(2-F,3,4-di-n-Pr) Ph(2-F,3-i-Pr,4-CF3) Ph(2-F,3-Me,4-i-Pr) Ph(2-F,3-n-Pr,4-t-Bu) Ph(2-F,3-i-Pr,4-C2F5) Ph(2-F,3-Me,4-c-Pr) Ph(2-F,3-n-Pr,4-i-Pr) Ph(2-F,3-i-Pr,4-CF2CF2H) Ph(2-F,3-Me,4-C2F5) Ph(2-F,3-n-Pr,4-c-Pr) Ph(2-F,3-i-Pr,4-CF2H) Ph(2-F,3-Me,4-CF2CF2H) Ph(2-F,3-n-Pr,4-CF3) Ph(2-F,3-i-Pr,4-OMe) Ph(2-F,3-Me,4-CF2H) Ph(2-F,3-n-Pr,4-C2F5) Ph(2-F,3-i-Pr,4-OCF3) Ph(2-F,3-Me,4-OMe) Ph(2-F,3-n-Pr,4-CF2CF2H) Ph(2-F,3-i-Pr,4-OCHF2) Ph(2-F,3-Me,4-OCF2CF2H) Ph(2-F,3-n-Pr,4-CF2H) Ph(2-F,3-i-Pr,4-OCF2CF2H) Ph(2-F,3-Me,4-OC2F5) Ph(2-F,3-n-Pr,4-OMe) Ph(2-F,3-i-Pr,4-OC2F5) Ph(2-F,3-Et,4-Cl) Ph(2-F,3-n-Pr,4-OCF3) Ph(2-F,3-i-Pr,4-SO2Me) Ph(2-F,3-Et,4-F) Ph(2-F,3-n-Pr,4-OCHF2) Ph(2-F,3-i-Pr,4-TMS) Ph(2-F,3-Et,4-Br) Ph(2-F,3-n-Pr,4-OCF2CF2H) Ph(2-F,3-i-Pr,4-CN) Ph(2-F,3-Et,4-I) Ph(2-F,3-n-Pr,4-OC2F5) Ph(2-F,3-c-Pr,4-I) Ph(2-F,3-Et,4-Me) Ph(2-F,3-n-Pr,4-SO2Me) Ph(2-F,3-c-Pr,4-Et) Ph(2-F,3,4-di-Et) Ph(2-F,3-n-Pr,4-TMS) Ph(2-F,3-c-Pr,4-n-Pr) Ph(2-F,3-Et,4-n-Pr) Ph(2-F,3-n-Pr,4-CN) Ph(2-F,3-c-Pr,4-i-Pr) Ph(2-F,3-Et,4-t-Bu) Ph(2-F,3-t-Bu,4-I) Ph(2-F,3-c-Pr,4-C2F5) Ph(2-F,3-Et,4-i-Pr) Ph(2-F,3-t-Bu,4-Et) Ph(2-F,3-c-Pr,4-CF2CF2H) Ph(2-F,3-Et,4-c-Pr) Ph(2-F,3-t-Bu,4-n-Pr) Ph(2-F,3-c-Pr,4-CF2H) Ph(2-F,3-Et,4-CF3) Ph(2-F,3,4-di-t-Bu) Ph(2-F,3-c-Pr,4-OMe) Ph(2-F,3-Et,4-C2F5) Ph(2-F,3-t-Bu,4-i-Pr) Ph(2-F,3-c-Pr,4-OCF2CF2H) Ph(2-F,3-Et,4-CF2CF2H) Ph(2-F,3-t-Bu,4-C2F5) Ph(2-F,3-c-Pr,4-OC2F5) Ph(2-F,3-Et,4-CF2H) Ph(2-F,3-t-Bu,4-CF2CF2H) Ph(2-F,3-CF3,4-I) Ph(2-F,3-Et,4-OMe) Ph(2-F,3-t-Bu,4-CF2H) Ph(2-F,3-CF3,4-Et) Ph(2-F,3-Et,4-OCF3) Ph(2-F,3-t-Bu,4-OMe) Ph(2-F,3-CF3,4-n-Pr) Ph(2-F,3-Et,4-OCHF2) Ph(2-F,3-t-Bu,4-OCF2CF2H) Ph(2-F,3-CF3,4-i-Pr) Ph(2-F,3-Et,4-OCF2CF2H) Ph(2-F,3-t-Bu,4-OC2F5) Ph(2-F,3,4-di-CF3) Ph(2-F,3-Et,4-OC2F5) Ph(2-F,3-i-Pr,4-Cl) Ph(2-F,3-CF3,4-C2F5) Ph(2-F,3-Et,4-SO2Me) Ph(2-F,3-i-Pr,4-F) Ph(2-F,3-CF3,4-CF2CF2H) Ph(2-F,3-Et,4-TMS) Ph(2-F,3-i-Pr,4-Br) Ph(2-F,3-CF3,4-CF2H) Ph(2-F,3-Et,4-CN) Ph(2-F,3-i-Pr,4-I) Ph(2-F,3-CF3,4-OMe) Ph(2-F,3-n-Pr,4-Cl) Ph(2-F,3-i-Pr,4-Me) Ph(2-F,3-CF3,4-OCF3) Ph(2-F,3-n-Pr,4-F) Ph(2-F,3-i-Pr,4-Et) Ph(2-F,3-CF3,4-OCHF2) Ph(2-F,3-CF3,4-OCF2CF2H) Ph(2-F,3-CF2CF2H,4-C2F5) Ph(2-F,3-OMe,4-I) Ph(2-F,3-CF3,4-OC2F5) Ph(2-F,3,4-di-CF2CF2H Ph(2-F,3-OMe,4-Me) Ph(2-F,3-CF3,4-TMS) Ph(2-F,3-CF2CF2H,4-CF2H) Ph(2-F,3-OMe,4-Et) Ph(2-F,3-CF3,4-CN) Ph(2-F,3-CF2CF2H,4-OMe) Ph(2-F,3-OMe,4-n-Pr) Ph(2-F,3-C2F5,4-Cl) Ph(2-F,3-CF2CF2H,4-OCF3) Ph(2-F,3-OMe,4-t-Bu) Ph(2-F,3-C2F5,4-F) Ph(2-F,3-CF2CF2H,4-OCHF2) Ph(2-F,3-OMe,4-i-Pr) Ph(2-F,3-C2F5,4-Br) Ph(2-F,3-CF2CF2H,4- Ph(2-F,3-OMe,4-c-Pr) Ph(2-F,3-C2F5,4-I) OCF2CF2H) Ph(2-F,3-OMe,4-CF3) Ph(2-F,3-C2F5,4-Me) Ph(2-F,3-CF2CF2H,4-OC2F5) Ph(2-F,3-OMe,4-C2F5) Ph(2-F,3-C2F5,4-Et) Ph(2-F,3-CF2CF2H,4-SO2Me) Ph(2-F,3-OMe,4-CF2CF2H) Ph(2-F,3-C2F5,4-n-Pr) Ph(2-F,3-CF2CF2H,4-TMS) Ph(2-F,3-OMe,4-CF2H) Ph(2-F,3-C2F5,4-t-Bu) Ph(2-F,3-CF2CF2H,4-CN) Ph(2-F,3,4-di-OMe) Ph(2-F,3-C2F5,4-i-Pr) Ph(2-F,3-CF2H,4-Cl) Ph(2-F,3-OMe,4-OCF3) Ph(2-F,3-C2F5,4-c-Pr) Ph(2-F,3-CF2H,4-F) Ph(2-F,3-OMe,4-OCHF2) Ph(2-F,3-C2F5CF3,4-CF3) Ph(2-F,3-CF2H,4-Br) Ph(2-F,3-OMe,4-OCF2CF2H) Ph(2-F,3,4-di-C2F5) Ph(2-F,3-CF2H,4-I) Ph(2-F,3-OMe,4-OC2F5) Ph(2-F,3-C2F5,4-CF2CF2H) Ph(2-F,3-CF2H,4-Me) Ph(2-F,3-OMe,4-SO2Me) Ph(2-F,3-C2F5,4-CF2H) Ph(2-F,3-CF2H,4-Et) Ph(2-F,3-OMe,4-TMS) Ph(2-F,3-C2F5,4-OMe) Ph(2-F,3-CF2H,4-n-Pr) Ph(2-F,3-OMe,4-CN Ph(2-F,3-C2F5,4-OCF3) Ph(2-F,3-CF2H,4-t-Bu) Ph(2-F,3-OCF3,4-Cl) Ph(2-F,3-C2F5,4-OCHF2) Ph(2-F,3-CF2H,4-i-Pr) Ph(2-F,3-OCF3,4-F) Ph(2-F,3-C2F5,4-OCF2CF2H) Ph(2-F,3-CF2H,4-c-Pr) Ph(2-F,3-OCF3,4-Br) Ph(2-F,3-C2F5,4-OC2F5) Ph(2-F,3-CF2H,4-CF3) Ph(2-F,3-OCF3,4-I) Ph(2-F,3-C2F5,4-SO2Me) Ph(2-F,3-CF2H,4-C2F5) Ph(2-F,3-OCF3,4-Me) Ph(2-F,3-C2F5,4-TMS) Ph(2-F,3-CF2H,4-CF2CF2H) Ph(2-F,3-OCF3,4-Et) Ph(2-F,3-C2F5,4-CN) Ph(2-F,3,4-di-CF2H) Ph(2-F,3-OCF3,4-n-Pr) Ph(2-F,3-CF2CF2H,4-Cl) Ph(2-F,3-CF2H,4-OMe) Ph(2-F,3-OCF3,4-t-Bu) Ph(2-F,3-CF2CF2H,4-F) Ph(2-F,3-CF2H,4-OCF3) Ph(2-F,3-OCF3,4-i-Pr) Ph(2-F,3-CF2CF2H,4-Br) Ph(2-F,3-CF2H,4-OCHF2) Ph(2-F,3-OCF3,4-CF3) Ph(2-F,3-CF2CF2H,4-I) Ph(2-F,3-CF2H,4-OCF2CF2H) Ph(2-F,3-OCF3,4-C2F5) Ph(2-F,3-CF2CF2H,4-Me) Ph(2-F,3-CF2H,4-OC2F5) Ph(2-F,3-OCF3,4-CF2CF2H) Ph(2-F,3-CF2CF2H,4-Et) Ph(2-F,3-CF2H,4-SO2Me) Ph(2-F,3-OCF3,4-CF2H) Ph(2-F,3-CF2CF2H,4-n-Pr) Ph(2-F,3-CF2H,4-TMS) Ph(2-F,3-OCF3,4-OMe) Ph(2-F,3-CF2CF2H,4-t-Bu) Ph(2-F,3-CF2H,4-CN) Ph(2-F,3,4-di-OCF3) Ph(2-F,3-CF2CF2H,4-i-Pr) Ph(2-F,3-OMe,4-Cl) Ph(2-F,3-OCF3,4-OCF2CF2H) Ph(2-F,3-CF2CF2H,4-c-Pr) Ph(2-F,3-OMe,4-F) Ph(2-F,3-OCF3,4-OC2F5) Ph(2-F,3-CF2CF2H,4-CF3) Ph(2-F,3-OMe,4-Br) Ph(2-F,3-OCHF2,4-Cl) Ph(2-F,3-OCHF2,4-F) Ph(2-F,3-OCF2CF2H,4-OCF3) Ph(2-F,3-SO2Me,4-C2F5) Ph(2-F,3-OCHF2,4-Br) Ph(2-F,3-OCF2CF2CF2H),4-OCHF2) Ph(2-F,3-SO2Me,4-CF2CF2H) Ph(2-F,3-OCHF2,4-I) Ph(2-F,3,4-di-OCF2CF2H) Ph(2-F,3-SO2Me,4-CF2H) Ph(2-F,3-OCHF2,4-Me) Ph(2-F,3-OCF2CF2H,4-OC2F5) Ph(2-F,3-SO2Me,4-OMe) Ph(2-F,3-OCHF2,4-Et) Ph(2-F,3-OCF2CF2H,4-SO2Me) Ph(2-F,3-SO2Me,4-OCHF2) Ph(2-F,3-OCHF2,4-n-Pr) Ph(2-F,3-OCF2CF2H,4-TMS) Ph(2-F,3-SO2Me,4-OCF2CF2H) Ph(2-F,3-OCHF2,4-t-Bu) Ph(2-F,3-OCF2CF2H,4-CN) Ph(2-F,3-SO2Me,4-OC2F5) Ph(2-F,3-OCHF2,4-i-Pr) Ph(2-F,3-OC2F5,4-Cl) Ph(2-F,3-TMS,4-Cl) Ph(2-F,3-OCHF2,4-c-Pr) Ph(2-F,3-OC2F5,4-F) Ph(2-F,3-TMS,4-F) Ph(2-F,3-OCHF2CF3,4-CF3) Ph(2-F,3-OC2F5,4-Br) Ph(2-F,3-TMS,4-Br) Ph(2-F,3-OC2F5,4-C2F5) Ph(2-F,3-OC2F5,4-I) Ph(2-F,3-TMS,4-I) Ph(2-F,3-OCHF2,4-CF2CF2H) Ph(2-F,3-OC2F5,4-Me) Ph(2-F,3-TMS,4-Me) Ph(2-F,3-OCHF2,4-CF2H) Ph(2-F,3-OC2F5,4-Et) Ph(2-F,3-TMS,4-Et) Ph(2-F,3-OCHF2,4-OMe) Ph(2-F,3-OC2F5,4-n-Pr) Ph(2-F,3-TMS,4-n-Pr) Ph(2-F,3-OCHF2,4-OCF3) Ph(2-F,3-OC2F5,4-t-Bu) Ph(2-F,3-TMS,4-t-Bu) Ph(2-F,3,4-di-OCHF2) Ph(2-F,3-OC2F5,4-i-Pr) Ph(2-F,3-TMS,4-i-Pr) Ph(2-F,3-OCHF2,4-OCF2CF2H) Ph(2-F,3-OC2F5,4-c-Pr) Ph(2-F,3-TMS,4-c-Pr) Ph(2-F,3-OCHF2,4-OC2F5) Ph(2-F,3-OC2F5CF3,4-CF3) Ph(2-F,3-TMS,4-CF3) Ph(2-F,3-OCHF2,4-SO2Me) Ph(2-F,3-OC2F5,4-CF2CF2H) Ph(2-F,3-TMS,4-C2F5) Ph(2-F,3-OCHF2,4-TMS) Ph(2-F,3-OC2F5,4-CF2H) Ph(2-F,3-TMS,4-CF2CF2H) Ph(2-F,3-OCHF2,4-CN) Ph(2-F,3-OC2F5,4-OMe) Ph(2-F,3-TMS,4-CF2H) Ph(2-F,3-OCF2CF2H,4-Cl) Ph(2-F,3-OC2F5,4-OCF3) Ph(2-F,3-TMS,4-OMe Ph(2-F,3-OCF2CF2H,4-F) Ph(2-F,3-OC2F5,4-OCHF2) Ph(2-F,3-TMS,4-OCF3) Ph(2-F,3-OCF2CF2H,4-Br) Ph(2-F,3-OC2F5,4-OCF2CF2H) Ph(2-F,3-TMS,4-OCHF2) Ph(2-F,3-OCF2CF2H,4-I) Ph(2-F,3,4-di-OC2F5) Ph(2-F,3-TMS,4-OCF2CF2H) Ph(2-F,3-OCF2CF2H,4-Me) Ph(2-F,3-OC2F5,4-SO2Me) Ph(2-F,3-TMS,4-OC2F5) Ph(2-F,3-OCF2CF2H,4-Et) Ph(2-F,3-OC2F5,4-TMS) Ph(2-F,3-TMS,4-SO2Me) Ph(2-F,3-OCF2CF2H,4-n-Pr) Ph(2-F,3-OC2F5,4-CN) Ph(2-F,3,4,-di-TMS) Ph(2-F,3-OCF2CF2H,4-t-Bu) Ph(2-F,3-SO2Me,4-Cl) Ph(2-F,3-TMS,4-CN) Ph(2-F,3-OCF2CF2H,4-i-Pr) Ph(2-F,3-SO2Me,4-Br) Ph(2-F,3-CN,4-F) Ph(2-F,3-OCF2CF2H,4-c-Pr) Ph(2-F,3-SO2Me,4-I) Ph(2-F,3-CN,4-Br) Ph(2-F,3-OCF2CF2H,4-CF3) Ph(2-F,3-SO2Me,4-Me) Ph(2-F,3-CN,4-I) Ph(2-F,3-OCF2CF2H,4-C2F5) Ph(2-F,3-SO2Me,4-Et) Ph(2-F,3-CN,4-Me) Ph(2-F,3-OCF2CF2H,4- Ph(2-F,3-SO2Me,4-n-Pr) Ph(2-F,3-CN,4-Et) CF2CF2H) Ph(2-F,3-SO2Me,4-t-Bu) Ph(2-F,3-CN,4-n-Pr) Ph(2-F,3-OCF2CF2H,4-CF2H) Ph(2-F,3-SO2Me,4-i-Pr) Ph(2-F,3-CN,4-t-Bu) Ph(2-F,3-OCF2CF2H,4-OMe) Ph(2-F,3-SO2MeCF3,4-CF3) Ph(2-F,3-CN,4-i-Pr) Ph(2-F,3-CN,4-c-Pr) Ph(2-F,3-F,5-I) Ph(2-F,3-Br,5-OC2F5) Ph(2-F,3-CN,4-CF3) Ph(2-F,3-F,5-Me) Ph(2-F,3-Br,5-SO2Me) Ph(2-F,3-CN,4-C2F5) Ph(2-F,3-F,5-Et) Ph(2-F,3-Br,5-TMS) Ph(2-F,3-CN,4-CF2CF2H) Ph(2-F,3-F,5-n-Pr) Ph(2-F,3-Br,5-CN) Ph(2-F,3-CN,4-CF2H) Ph(2-F,3-F,5-t-Bu) Ph(2-F,3-I,5-Cl) Ph(2-F,3-CN,4-OMe) Ph(2-F,3-F,5-i-Pr) Ph(2-F,3-I,5-F) Ph(2-F,3-CN,4-OCF3) Ph(2-F,3-F,5-c-Pr) Ph(2-F,3-I,5-Br) Ph(2-F,3-CN,4-OCHF2) Ph(2-F,3-F,5-CF3) Ph(2-F,3,5-di-I) Ph(2-F,3-CN,4-OCF2CF2H) Ph(2-F,3-F,5-C2F5) Ph(2-F,3-I,5-Me) Ph(2-F,3-CN,4-OC2F5) Ph(2-F,3-F,5-CF2CF2H) Ph(2-F,3-I,5-Et) Ph(2-F,3-CN,4-TMS) Ph(2-F,3-F,5-CF2H) Ph(2-F,3-I,5-n-Pr) Ph(2-F,3,4-di-CN) Ph(2-F,3-F,5-OMe) Ph(2-F,3-I,5-t-Bu) Ph(2-F,3,5-di-Cl) Ph(2-F,3-F,5-OCF3) Ph(2-F,3-I,5-i-Pr) Ph(2-F,3-Cl,5-F) Ph(2-F,3-F,5-OCHF2) Ph(2-F,3-I,5-c-Pr) Ph(2-F,3-Cl,5-Br) Ph(2-F,3-F,5-OCF2CF2H) Ph(2-F,3-I,5-CF3) Ph(2-F,3-Cl,5-I) Ph(2-F,3-F,5-OC2F5) Ph(2-F,3-I,5-C2F5) Ph(2-F,3-Cl,5-Me) Ph(2-F,3-F,5-SO2Me) Ph(2-F,3-I,5-CF2CF2H) Ph(2-F,3-Cl,5-Et) Ph(2-F,3-F,5-TMS) Ph(2-F,3-I,5-CF2H) Ph(2-F,3-Cl,5-n-Pr) Ph(2-F,3-F,5-CN) Ph(2-F,3-I,5-OMe) Ph(2-F,3-Cl,5-t-Bu) Ph(2-F,3-Br,5-Cl) Ph(2-F,3-I,5-OCF3) Ph(2-F,3-Cl,5-i-Pr) Ph(2-F,3-Br,5-F) Ph(2-F,3-I,5-OCHF2) Ph(2-F,3-Cl,5-c-Pr) Ph(2-F,3,5-di-Br) Ph(2-F,3-I,5-OCF2CF2H) Ph(2-F,3-Cl,5-CF3) Ph(2-F,3-Br,5-I) Ph(2-F,3-I,5-OC2F5) Ph(2-F,3-Cl,5-C2F5) Ph(2-F,3-Br,5-Me) Ph(2-F,3-I,5-SO2Me) Ph(2-F,3-Cl,5-CF2CF2H) Ph(2-F,3-Br,5-Et) Ph(2-F,3-I,5-TMS) Ph(2-F,3-Cl,5-CF2H) Ph(2-F,3-Br,5-n-Pr) Ph(2-F,3-I,5-CN) Ph(2-F,3-Cl,5-OMe) Ph(2-F,3-Br,5-t-Bu) Ph(2-F,3-Me,5-Cl) Ph(2-F,3-Cl,5-OCF3) Ph(2-F,3-Br,5-i-Pr) Ph(2-F,3-Me,5-F) Ph(2-F,3-Cl,5-OCHF2) Ph(2-F,3-Br,5-c-Pr) Ph(2-F,3-Me,5-Br) Ph(2-F,3-Cl,5-OCF2CF2H) Ph(2-F,3-Br,5-CF3) Ph(2-F,3-Me,5-I) Ph(2-F,3-Cl,5-OC2F5) Ph(2-F,3-Br,5-C2F5) Ph(2-F,3,5,-di-Me) Ph(2-F,3-Cl,5-SO2Me) Ph(2-F,3-Br,5-CF2CF2H) Ph(2-F,3-Me,5-Et) Ph(2-F,3-Cl,5-TMS) Ph(2-F,3-Br,5-CF2H) Ph(2-F,3-Me,5-n-Pr) Ph(2-F,3-Cl,5-CN) Ph(2-F,3-Br,5-OMe) Ph(2-F,3-Me,5-t-Bu) Ph(2-F,3-F,5-Cl) Ph(2-F,3-Br,5-OCF3) Ph(2-F,3-Me,5-i-Pr) Ph(2,3,5-tri-F) Ph(2-F,3-Br,5-OCHF2) Ph(2-F,3-Me,5-c-Pr) Ph(2-F,3-F,5-Br) Ph(2-F,3-Br,5-OCF2CF2H) Ph(2-F,3-Me,5-CF3) Ph(2-F,3-Me,5-C2F5) Ph(2-F,3-n-Pr,5-Me) Ph(2-F,3-t-Bu,5-SO2Me) Ph(2-F,3-Me,5-CF2CF2H) Ph(2-F,3-n-Pr,5-Et) Ph(2-F,3-t-Bu,5-TMS) Ph(2-F,3-Me,5-CF2H) Ph(2-F,3,5-di-n-Pr) Ph(2-F,3-t-Bu,5-CN) Ph(2-F,3-Me,5-OMe) Ph(2-F,3-n-Pr,5-t-Bu) Ph(2-F,3-i-Pr,5-Cl) Ph(2-F,3-Me,5-OCF3) Ph(2-F,3-n-Pr,5-i-Pr) Ph(2-F,3-i-Pr,5-F) Ph(2-F,3-Me,5-OCHF2) Ph(2-F,3-n-Pr,5-c-Pr) Ph(2-F,3-i-Pr,5-Br) Ph(2-F,3-Me,5-OCF2CF2H) Ph(2-F,3-n-Pr,5-CF3) Ph(2-F,3-i-Pr,5-I) Ph(2-F,3-Me,5-OC2F5) Ph(2-F,3-n-Pr,5-C2F5) Ph(2-F,3-i-Pr,5-Me) Ph(2-F,3-Me,5-SO2Me) Ph(2-F,3-n-Pr,5-CF2CF2H) Ph(2-F,3-i-Pr,5-Et) Ph(2-F,3-Me,5-TMS) Ph(2-F,3-n-Pr,5-CF2H) Ph(2-F,3-i-Pr,5-n-Pr) Ph(2-F,3-Me,5-CN) Ph(2-F,3-n-Pr,5-OMe) Ph(2-F,3-i-Pr,5-t-Bu) Ph(2-F,3-Et,5-Cl) Ph(2-F,3-n-Pr,5-OCF3) Ph(2-F,3,5-di-i-Pr) Ph(2-F,3-Et,5-F) Ph(2-F,3-n-Pr,5-OCHF2) Ph(2-F,3-i-Pr,5-c-Pr) Ph(2-F,3-Et,5-Br) Ph(2-F,3-n-Pr,5-OCF2CF2H) Ph(2-F,3-i-Pr,5-CF3) Ph(2-F,3-Et,5-I) Ph(2-F,3-n-Pr,5-OC2F5) Ph(2-F,3-i-Pr,5-C2F5) Ph(2-F,3-Et,5-Me) Ph(2-F,3-n-Pr,5-SO2Me) Ph(2-F,3-i-Pr,5-CF2CF2H) Ph(2-F,3,5-di-Et) Ph(2-F,3-n-Pr,5-TMS) Ph(2-F,3-i-Pr,5-CF2H) Ph(2-F,3-Et,5-n-Pr) Ph(2-F,3-n-Pr,5-CN) Ph(2-F,3-i-Pr,5-OMe) Ph(2-F,3-Et,5-t-Bu) Ph(2-F,3-t-Bu,5-Cl) Ph(2-F,3-i-Pr,5-OCF3) Ph(2-F,3-Et,5-i-Pr) Ph(2-F,3-t-Bu,5-F) Ph(2-F,3-i-Pr,5-OCFH2) Ph(2-F,3-Et,5-c-Pr) Ph(2-F,3-t-Bu,5-Br) Ph(2-F,3-i-Pr,5-OCF2CF2H) Ph(2-F,3-Et,5-CF3) Ph(2-F,3-t-Bu,5-I) Ph(2-F,3-i-Pr,5-OC2F5) Ph(2-F,3-Et,5-C2F5) Ph(2-F,3-t-Bu,5-Me) Ph(2-F,3-i-Pr,5-SO2Me) Ph(2-F,3-Et,5-CF2CF2H) Ph(2-F,3-t-Bu,5-Et) Ph(2-F,3-i-Pr,5-TMS) Ph(2-F,3-Et,5-CF2H) Ph(2-F,3-i-Bu,5-n-Pr) Ph(2-F,3-i-Pr,5-CN) Ph(2-F,3-Et,5-OMe) Ph(2-F,3,5-di-t-Bu) Ph(2-F,3-c-Pr,5-Cl) Ph(2-F,3-Et,5-OCF3) Ph(2-F,3-t-Bu,5-i-Pr) Ph(2-F,3-c-Pr,5-F) Ph(2-F,3-Et,5-OCHF2) Ph(2-F,3-t-Bu,5-c-Pr) Ph(2-F,3-c-Pr,5-Br) Ph(2-F,3-Et,5-OCF2CF2H) Ph(2-F,3-t-Bu,5-CF3) Ph(2-F,3-c-Pr,5-I) Ph(2-F,3-Et,5-OC2F5) Ph(2-F,3-t-Bu,.5-C2F5) Ph(2-F,3-c-Pr,5-Me) Ph(2-F,3-Et,5-SO2Me) Ph(2-F,3-t-Bu,5-CF2CF2H) Ph(2-F,3-c-Pr,5-Et) Ph(2-F,3-Et,5-TMS) Ph(2-F,3-t-Bu,5-CF2H) Ph(2-F,3-c-Pr,5-n-Pr) Ph(2-F,3-Et,5-CN) Ph(2-F,3-t-Bu,5-OMe) Ph(2-F,3-c-Pr,5-t-Bu) Ph(2-F,3-n-Pr,5-Cl) Ph(2-F,3-t-Bu,5-OCF3) Ph(2-F,3-c-Pr,5-i-Pr) Ph(2-F,3-n-Pr,5-F) Ph(2-F,3-t-Bu,5-OCHF2) Ph(2-F,3,5-di-c-Pr) Ph(2-F,3-n-Pr,5-Br) Ph(2-F,3-t-Bu,5-OCF2CF2H) Ph(2-F,3-c-Pr,5-CF3) Ph(2-F,3-n-Pr,5-I) Ph(2-F,3-t-Bu,5-OC2F5) Ph(2-F,3-c-Pr,5-C2F5) Ph(2-F,3-c-Pr,5-CF2CF2H) Ph(2-F,3-C2F5,5-Et) Ph(2-F,3-CF2CF2H,5-SO2Me) Ph(2-F,3-c-Pr,5-CF2H) Ph(2-F,3-C2F5,5-n-Pr) Ph(2-F,3-CF2CF2H,5-TMS) Ph(2-F,3-c-Pr,5-OMe) Ph(2-F,3-C2F5,5-t-Bu) Ph(2-F,3-CF2CF2H,5-CN) Ph(2-F,3-c-Pr,5-OCF3) Ph(2-F,3-C2F5,t-i-Pr) Ph(2-F,3-CF2H,5-Cl) Ph(2-F,3-c-Pr,5-OCHF2) Ph(2-F,3-C2F5,5-c-Pr) Ph(2-F,3-CF2H,5-F) Ph(2-F,3-c-Pr,5-OCF2CF2H) Ph(2-F,3-C2F5CF3,5-CF3) Ph(2-F,3-CF2H,5-Br) Ph(2-F,3-c-Pr,5-OC2F5) Ph(2-F,3,5-di-C2F5) Ph(2-F,3-CF2H,5-I) Ph(2-F,3-c-Pr,5-SO2Me) Ph(2-F,3-C2F5,5-CF2CF2H) Ph(2-F,3-CF2H,5-Me) Ph(2-F,3-c-Pr,5-TMS) Ph(2-F,3-C2F5,5-CF2H) Ph(2-F,3-CF2H,5-Et) Ph(2-F,3-c-Pr,5-CN) Ph(2-F,3-C2F5,5-OMe) Ph(2-F,3-CF2H,5-n-Pr) Ph(2-F,3-CF3,5-Cl) Ph(2-F,3-C2F5,5-OCF3) Ph(2-F,3-CF2H,5-t-Bu) Ph(2-F,3-CF3,5-F) Ph(2-F,3-C2F5,5-OCHF2) Ph(2-F,3-CF2H,5-i-Pr) Ph(2-F,3-CF3,5-Br) Ph(2-F,3-C2F5,5-OCF2CF2H) Ph(2-F,3-CF2H,5-c-Pr) Ph(2-F,3-CF3,5-I) Ph(2-F,3-C2F5,5-OC2F5) Ph(2-F,3-CF2H,5-CF3) Ph(2-F,3-CF3,5-Me) Ph(2-F,3-C2F5,5-SO2Me) Ph(2-F,3-CF2H,5-C2F5) Ph(2-F,3-CF3,5-Et) Ph(2-F,3-C2F5,5-TMS) Ph(2-F,3-CF2H,5-CF2CF2H) Ph92-F,3-CF3,5-n-Pr) Ph(2-F,3-C2F5,5-CN) Ph(2-F,3,5-di-CF2H) Ph(2-F,3-CF3,5-t-Bu) Ph(2-F,3-CF2CF2H,5-Cl) Ph(2-F,3-CF2H,5-OMe) Ph(2-F,3-CF3,5-i-Pr) Ph(2-F,3-CF2CF2H,5-F) Ph(2-F,3-CF2H,5-OCF3) Ph(2-F,3-CF3,5-c-Pr) Ph(2-F,3-CF2CF2H,5-Br) Ph(2-F,3-CF2H,5-OCHF2) Ph(2-F,3,5-di-CF3) Ph(2-F,3-CF2CF2H,5-I) Ph(2-F,3-CF2H,5-OCF2CF2H) Ph(2-F,3-CF3,5-C2F5) Ph(2-F,3-CF2CF2H,5-Me) Ph(2-F,3-CF2H,5-OC2F5) Ph(2-F,3-CF3,5-CF2CF2H) Ph(2-F,3-CF2CF2H,5-Et) Ph(2-F,3-CF2H,5-SO2Me) Ph(2-F,3-CF3,5-CF2H) Ph(2-F,3-CF2CF2H,5-n-Pr) Ph(2-F,3-CF2H,5-TMS) Ph(2-F,3-CF3,5-OMe) Ph(2-F,3-CF2CF2H,5-t-Bu) Ph(2-F,3-CF2H,5-CN) Ph(2-F,3-CF3,5-OCF3) Ph(2-F,3-CF2CF2H,5-i-Pr) Ph(2-F,3-OMe,5-Cl) Ph(2-F,3-CF3,5-OCHF2) Ph(2-F,3-CF2CF2H,5-c-Pr) Ph(2-F,3-OMe,5-F) Ph(2-F,3-CF3,5-OCF2CF2H) Ph(2-F,3-CF2CF2H,5-CF3) Ph(2-F,3-OMe,5-Br) Ph(2-F,3-CF3,5-OC2F5) Ph(2-F,3-CF2CF2H,5-C2F5) Ph(2-F,3-OMe,5-I) Ph(2-F,3-CF3,5-SO2Me) Ph(2-F,3,5-di-CF2CF2H) Ph(2-F,3-OMe,5-Me) Ph(2-F,3-CF3,5-TMS) Ph(2-F,3-CF2CF2H,5-CF2H) Ph(2-F,3-OMe,5-Et) Ph(2-F,3-CF3,5-CN) Ph(2-F,3-CF2CF2H,5-OMe) Ph(2-F,3-OMe,5-n-Pr) Ph(2-F,3-C2F5,5-Cl) Ph(2-F,3-CF2CF2H,5-OCF3) Ph(2-F,3-OMe,5-t-Bu) Ph(2-F,3-C2F5,5-F) Ph(2-F,3-CF2CF2H,5-OCHF2) Ph(2-F,3-OMe,5-i-Pr) Ph(2-F,3-C2F5,5-Br) Ph(2-F,3-CF2CF2H,5- Ph(2F,3-OMe,5-c-Pr) Ph(2-F,3-C2F5,5-I) OCF2CF2H) Ph(2-F,3-OMe,5-CF3) Ph(2-F,3-C2F5,5-Me) Ph(2-F,3-CF2CF2H,5-OC2F5) Ph(2-F,3-OMe,5-C2F5) Ph(2-F,3-OMe,5-CF2CF2H) Ph(2-F,3-OCHF2,5-Et) Ph(2-F,3-OCF2CF2H,5-SO2Me) Ph(2-F,3-OMe,5-CF2H) Ph(2-F,3-OCHF2,5-n-Pr) Ph(2-F,3-OCF2CF2H,5-TMS) Ph(2-F,3,5-di-OMe) Ph(2-F,3-OCFH2,5-t-Bu) Ph(2-F,3-OCF2CF2H,5-CN) Ph(2-F,3-OMe,5-OCF3) Ph(2-F,3-OCHF2,5-i-Pr) Ph(2-F,3-OC2F5,5-Cl) Ph(2-F,3-OMe,5-OCHF2) Ph(2-F,3-OCHF2,5-c-Pr) Ph(2-F,3-OC2F5,5-F) Ph(2-F,3-OMe,5-OCF2CF2H) Ph(2-F,3-OCHF2CF3,5-CF3) Ph(2-F,3-OC2F5,5-Br) Ph(2-F,3-OMe,5-OC2F5) Ph(2-F,3-OC2F5,5-C2F5) Ph(2-F,3-OC2F5,5-I) Ph(2-F,3-OMe,5-SO2Me) Ph(2-F,3-OCHF2,5-CF2CF2H) Ph(2-F,3-OC2F5,5-Me) Ph(2-F,3-OMe,5-TMS) Ph(2-F,3-OCHF2,5-CF2H) Ph(2-F,3-OC2F5,5-Et) Ph(2-F,3-OMe,5-CN) Ph(2-F,3-OCHF2,5-OMe) Ph(2-F,3-OC2F5,5-n-Pr) Ph(2-F,3-OCF3,5-Cl) Ph(2-F,3-OCHF2,5-OCF3) Ph(2-F,3-OC2F5,5-t-Bu) Ph(2-F,3-OCF3,5-F) Ph(2-F,3,5-di-OCHF2) Ph(2-F,3-OC2F5,5-i-Pr) Ph(2-F,3-OCF3,5-Br) Ph(2-F,3-OCHF2,5-OCF2CF2H) Ph(2-F,3-OC2F5,5-c-Pr) Ph(2-F,3-OCF3,5-I) Ph(2-F,3-OCHF2,5-OC2F5) Ph(2-F,3-OC2F5CF3,5-CF3) Ph(2-F,3-OCF3,5-Me) Ph(2-F,3-OCHF2,5-SO2Me) Ph(2-F,3-OC2F5,5-CF2CF2H) Ph(2-F,3-OCF3,5-Et) Ph(2-F,3-OCHF2,5-TMS) Ph(2-F,3-OC2F5,5-CF2H) Ph(2-F,3-OCF3,5-n-Pr) Ph(2-F,3-OCHF2,5-CN) Ph(2-F,3-OC2F5,5-OMe) Ph(2-F,3-OCF3,5-t-Bu) Ph(2-F,3-OCF2CF2H,5-Cl) Ph(2-F,3-OC2F5,5-OCF3) Ph(2-F,3-OCF3,5-i-Pr) Ph(2-F,3-OCF2CF2H,5-F) Ph(2-F,3-OC2F5,5-OCHF2) Ph(2-F,3-OCF3,5-c-Pr) Ph(2-F,3-OCF2CF2H,5-Br) Ph(2-F,3-OC2F5,5-OCF2CF2H) Ph(2-F,3-OCF3,5-CF3) Ph(2-F,3-OCF2CF2H,5-I) Ph(2-F,3,5-di-OC2F5) Ph(2-F,3-OCF3,5-C2F5) Ph(2-F,3-OCF2CF2H,5-Me) Ph(2-F,3-OC2F5,5-SO2Me) Ph(2-F,3-OCF3,5-CF2CF2H) Ph(2-F,3-OCF2CF2H,5-Et) Ph(2-F,3-OC2F5,5-TMS) Ph(2-F,3-OCF3,5-CF2H) Ph(2-F,3-OCF2CF2H,5-n-Pr) Ph(2-F,3-OC2F5,5-CN) Ph(2-F,3-OCF3,5-OMe) Ph(2-F,3-OCF2CF2H,5-t-Bu) Ph(2-F,3-SO2Me,5-Cl) Ph(2-F,3,5-di-OCF3) Ph(2-F,3-OCF2CF2H,5-i-Pr) Ph(2-F,3-SO2Me,5-F) Ph(2-F,3-OCF3,5-OCHF2) Ph(2-F,3-OCF2CF2H,5-c-Pr) Ph(2-F,3-SO2Me,5-Br) Ph(2-F,3-OCF3,5-OCF2CF2H) Ph(2-F,3-OCF2CF2H,5-CF3) Ph(2-F,3-SO2Me,5-I) Ph(2-F,3-OCF3,5-OC2F5) Ph(2-F,3-OCF2CF2H,5-C2F5) Ph(2-F,3-SO2Me,5-Me) Ph(2-F,3-OCF3,5-SO2Me) Ph(2-F,3-OCF2CF2H,5- Ph(2-F,3-SO2Me,5-Et) Ph(2-F,3-OCF3,5-TMS) CF2CF2H) Ph(2-F,3-SO2Me,5-n-Pr) Ph(2-F,3-OCF3,5-CN) Ph(2-F,3-OCF2CF2H,5-CF2H) Ph(2-F,3-SO2Me,5-t-Bu) Ph(2-F,3-OCHF2,5-Cl) Ph(2-F,3-OCF2CF2H,5-OMe) Ph(2-F,3-SO2Me,5-i-Pr) Ph(2-F,3-OCHF2,5-F) Ph(2-F,3-OCF2CF2H,5-OCF3) Ph(2-F,3-SO2Me,5-c-Pr) Ph(2-F,3-OCHF2,5-Br) Ph(2-F,3-OCF2CF2H,5-OCHF2) Ph(2-F,3-SO2MeCF3,5-CF3) Ph(2-F,3-OCHF2,5-I) Ph(2-F,3,5-di-OCF2CF2H) Ph(2-F,3-SO2Me,5-C2F5) Ph(2-F,3-OCHF2,5-Me) Ph(2-F,3-OCF2CF2H,5-OC2F5) Ph(2-F,3-SO2Me,5-CF2CF2H) Ph(2-F,3-SO2Me,5-CF2H) Ph(2-F,3-CN,5-n-Pr) Ph(2-F,4-Cl,5-CN) Ph(2-F,3-SO2Me,5-OMe) Ph(2-F,3-CN,5-t-Bu) Ph(2-F,4-F,5-Cl) Ph(2-F,3-SO2Me,5-OCF3) Ph(2-F,3-CN,5-i-Pr) Ph(2,4,5-tri-F) Ph(2-F,3-SO2Me,5-OCHF2) Ph(2-F,3-CN,5-c-Pr) Ph(2-F,4-F,5-Br) Ph(2-F,3-SO2Me,5-OCF2CF2H) Ph(2-F,3-CN,5-CF3) Ph(2-F,4-F,5-I) Ph(2-F,3-SO2Me,5-OC2F5) Ph(2-F,3-CN,5-C2F5) Ph(2-F,4-F,5-Me) Ph(2-F,3,5-di-SO2Me) Ph(2-F,3-CN,5-CF2CF2H) Ph(2-F,4-F,5-Et) Ph(2-F,3-SO2Me,5-TMS) Ph(2-F,3-CN,5-CF2H) Ph(2-F,4-F,5-n-Pr) Ph(2-F,3-SO2Me,5-CN) Ph(2-F,3-CN,5-OMe) Ph(2-F,4-F,5-t-Bu) Ph(2-F,3-TMS,5-Cl) Ph(2-F,3-CN,5-OCF3) Ph(2-F,4-F,5-i-Pr) Ph(2-F,3-TMS,5-F) Ph(2-F,3-CN,5-OCHF2) Ph(2-F,4-F,5-c-Pr) Ph(2-F,3-TMS,5-Br) Ph(2-F,3-CN,5-OCF2CF2H) Ph(2-F,4-F,5-CF3) Ph(2-F,3-TMS,5-I) Ph(2-F,3-CN,5-OC2F5) Ph(2-F,4-F,5-C2F5) Ph(2-F,3-TMS,5-Me) Ph(2-F,3-CN,5-SO2Me) Ph(2-F,4-F,5-CF2CF2H) Ph(2-F,3-TMS,5-Et) Ph(2-F,3-CN,5-TMS) Ph(2-F,4-F,5-CF2H) Ph(2-F,3-TMS,5-n-Pr) Ph(2-F,3,5-di-CN) Ph(2-F,4-F,5-OMe) Ph(2-F,3-TMS,5-t-Bu) Ph(2-F,4,5-di-Cl) Ph(2-F,4-F,5-OCF3) Ph(2-F,3-TMS,5-i-Pr) Ph(2-F,4-Cl,5-F) Ph(2-F,4-F,5-OCHF2) Ph(2-F,3-TMS,5-c-Pr) Ph(2-F,4-Cl,5-Br) Ph(2-F,4-F,5-OCF2CF2H) Ph(2-F,3-TMS,5-CF3) Ph(2-F,4-Cl,5-I) Ph(2-F,4-F,5-OC2F5) Ph(2-F,3-TMS,5-C2F5) Ph(2-F,4-Cl,5-Me) Ph(2-F,4-F,5-SO2Me) Ph(2-F,3-TMS,5-CF2CF2H) Ph(2-F,4-Cl,5-Et) Ph(2-F,4-F,5-TMS) Ph(2-F,3-TMS,5-CF2H) Ph(2-F,4-Cl,5-n-Pr) Ph(2-F,4-F,5-CN) Ph(2-F,3-TMS,5-OMe) Ph(2-F,4-Cl,5-t-Bu) Ph(2-F,4-Br,5-Cl) Ph(2-F,3-TMS,5-OCF3) Ph(2-F,4-Cl,5-i-Pr) Ph(2-F,4-Br,5-F) Ph(2-F,3-TMS,5-OCHF2) Ph(2-F,4-Cl,5-c-Pr) Ph(2-F,4,5-di-Br) Ph(2-F,3-TMS,5-OCF2CF2H) Ph(2-F,4-Cl,5-CF3) Ph(2-F,4-Br,5-I) Ph(2-F,3-TMS,5-OC2F5) Ph(2-F,4-Cl,5-C2F5) Ph(2-F,4-Br,5-Me) Ph(2-F,3-TMS,5-SO2Me) Ph(2-F,4-Cl,5-CF2CF2H) Ph(2-F,4-Br,5-Et) Ph(2-F,3,5-di-TMS) Ph(2-F,4-Cl,5-CF2H) Ph(2-F,4-Br,5-n-Pr) Ph(2-F,3-TMS,5-CN) Ph(2-F,4-Cl,5-OMe) Ph(2-F,4-Br,5-t-Bu) Ph(2-F,3-CN,5-Cl) Ph(2-F,4-Cl,5-OCF3) Ph(2-F,4-Br,5-i-Pr) Ph(2-F,3-CN,5-F) Ph(2-F,4-Cl,5-OCHF2) Ph(2-F,4-Br,5-c-Pr) Ph(2-F,3-CN,5-Br) Ph(2-F,4-Cl,5-OCF2CF2H) Ph(2-F,4-Br,5-CF3) Ph(2-F,3-CN,5-I) Ph(2-F,4-Cl,5-OC2F5) Ph(2-F,4-Br,5-C2F5) Ph(2-F,3-CN,5-Me) Ph(2-F,4-Cl,5-SO2Me) Ph(2-F,4-Br,5-CF2CF2H) Ph(2-F,3-CN,5-Et) Ph(2-F,4-Cl,5-TMS) Ph(2-F,4-Br,5-CF2H) Ph(2-F,4-Br,5-OMe) Ph(2-F,4-Me,5-t-Bu) Ph(2-F,4-n-Pr,5-Cl) Ph(2-F,4-Br,5-OCF3) Ph(2-F,4-Me,5-i-Pr) Ph(2-F,4-n-Pr,5-F) Ph(2-F,4-Br,5-OCHF2) Ph(2-F,4-Me,5-c-Pr) Ph(2-F,4-n-Pr,5-Br) Ph(2-F,4-Br,5-OCF2CF2H) Ph(2-F,4-Me,5-CF3) Ph(2-F,4-n-Pr,5-I) Ph(2-F,4-Br,5-OC2F5) Ph(2-F,4-Me,5-C2F5) Ph(2-F,4-n-Pr,5-Me) Ph(2-F,4-Br,5-SO2Me) Ph(2-F,4-Me,5-CF2CF2H) Ph(2-F,4-n-Pr,5-Et) Ph(2-F,4-Br,5-TMS) Ph(2-F,4-Me,5-CF2H) Ph(2-F,4,5-di-n-Pr) Ph(2-F,4-Br,5-CN) Ph(2-F,4-Me,5-OMe) Ph(2-F,4-n-Pr,5-t-Bu) Ph(2-F,4-I,5-Cl) Ph(2-F,4-Me,5-OCF3) Ph(2-F,4-n-Pr,,5-i-Pr) Ph(2-F,4-I,5-F) Ph(2-F,4-Me,5-OCHF2) Ph(2-F,4-n-Pr,5-c-Pr) Ph(2-F,4-I,5-Br) Ph(2-F,4-Me,5-OCF2CF2H) Ph(2-F,4-n-Pr,5-CF3) Ph(2-F,4,5-di-I) Ph(2-F,4-Me,5-OC2F5) Ph(2-F,4-n-Pr,5-C2F5) Ph(2-F,4-I,5-Me) Ph(2-F,4-Me,5-SO2Me) Ph(2-F,4-n-Pr,5-CF2CF2H) Ph(2-F,4-I,5-Et) Ph(2-F,4-Me,5-TMS) Ph(2-F,4-n-Pr,5-CF2H) Ph(2-F,4-I,5-n-Pr) Ph(2-F,4-Me,5-CN) Ph(2-F,4-n-Pr,5-OMe) Ph(2-F,4-I,5-t-Bu) Ph(2-F,4-Et,5-Cl) Ph(2-F,4-n-Pr,5-OCF3) Ph(2-F,4-I,5-i-Pr) Ph(2-F,4-Et,5-F) Ph(2-F,4-n-Pr,5-OCHF2) Ph(2-F,4-I,5-c-Pr) Ph(2-F,4-Et,5-Br) Ph(2-F,4-n-Pr,5-OCF2CF2H) Ph(2-F,4-I,5-CF3) Ph(2-F,4-Et,5-I) Ph(2-F,4-n-Pr,5-OC2F5) Ph(2-F,4-I,5-C2F5) Ph(2-F,4-Et,5-Me) Ph(2-F,4-n-Pr,5-SO2Me) Ph(2-F,4-I,5-CF2CF2H) Ph(2-F,4,5-di-Et) Ph(2-F,4-n-Pr,5-TMS) Ph(2-F,4-I,5-CF2H) Ph(2-F,4-Et,5-n-Pr) Ph(2-F,4-n-Pr,5-CN) Ph(2-F,4-I,5-OMe) Ph(2-F,4-Et,5-t-Bu) Ph(2-F,4-t-Bu,5-Cl) Ph(2-F,4-I,5-OCF3) Ph(2-F,4-Et,5-i-Pr) Ph(2-F,4-t-Bu,5-F) Ph(2-F,4-I,5-OCHF2) Ph(2-F,4-Et,5-c-Pr) Ph(2-F,4-t-Bu,5-Br) Ph(2-F,4-I,5-OCF2CF2H) Ph(2-F,4-Et,5-CF3) Ph(2-F,4-t-Bu,5-I) Ph(2-F,4-I,5-OC2F5) Ph(2-F,4-Et,5-C2F5) Ph(2-F,4-t-Bu,5-Me) Ph(2-F,4-I,5-SO2Me) Ph(2-F,4-Et,5-CF2CF2H) Ph(2-F,4-t-Bu,5-Et) Ph(2-F,4-I,5-TMS) Ph(2-F,4-Et,5-CF2H) Ph(2-F,4-t-Bu,5-n-Pr) Ph(2-F,4-I,5-CN) Ph(2-F,4-Et,5-OMe) Ph(2-F,4,5-di-t-Bu) Ph(2-F,4-Me,5-Cl) Ph(2-F,4-Et,5-OCF3) Ph(2-F,4-t-Bu,5-i-Pr) Ph(2-F,4-Me,5-F) Ph(2-F,4-Et,5-OCHF2) Ph(2-F,4-t-Bu,5-c-Pr) Ph(2-F,4-Me,5-Br) Ph(2-F,4-Et,5-OCF2CF2H) Ph(2-F,4-t-Bu,5-CF3) Ph(2-F,4-Me,5-I) Ph(2-F,4-Et,5-OC2F5) Ph(2-F,4-t-Bu,5-C2F5) Ph(2-F,4,5-di-Me) Ph(2-F,4-Et,5-SO2Me) Ph(2-F,4-t-Bu,5-CF2CF2H) Ph(2-F,4-Me,5-Et) Ph(2-F,4-Et,5-TMS) Ph(2-F,4-t-Bu,5-CF2H) Ph(2-F,4-Me,5-n-Pr) Ph(2-F,4-Et,5-CN) Ph(2-F,4-t-Bu,5-OMe) Ph(2-F,4-t-Bu,5-OCF3) Ph(2-F,4-c-Pr,5-i-Pr) Ph(2-F,4-CF2CF3,5-F) Ph(2-F,4-t-Bu,5-OCHF2) Ph(2-F,4,5-di-c-Pr) Ph(2-F,4-CF2CF3,5-Br) Ph(2-F,4-t-Bu,5-OCF2CF2H) Ph(2-F,4-c-Pr,5-CF3) Ph(2-F,4-CF2CF3,5-I) Ph(2-F,4-t-Bu,5-OC2F5) Ph(2-F,4-c-Pr,5-C2F5) Ph(2-F,4-CF2CF3,5-Me) Ph(2-F,4-t-Bu,5-SO2Me) Ph(2-F,4-c-Pr,5-CF2CF2H) Ph(2-F,4-CF2CF3,5-Et) Ph(2-F,4-t-Bu,5-TMS) Ph(2-F,4-c-Pr,5-CF2H) Ph(2-F,4-CF2CF3,5-n-Pr) Ph(2-F,4-t-Bu,5-CN) Ph(2-F,4-c-Pr,5-OMe) Ph(2-F,4-CF2CF3,5-t-Bu) Ph(2-F,4-i-Pr,5-Cl) Ph(2-F,4-c-Pr,5-OCF3) Ph(2-F,4-CF2CF3,5-i-Pr) Ph(2-F,4-i-Pr,5-F) Ph(2-F,4-c-Pr,5-OCHF2) Ph(2-F,4-CF2CF3,5-c-Pr) Ph(2-F,4-i-Pr,5-Br) Ph(2-F,4-c-Pr,5-OCF2CF2H) Ph(2-F,4-C2F5CF3,5-CF3) Ph(2-F,4-i-Pr,5-I) Ph(2-F,4-c-Pr,5-OC2F5) Ph(2-F,4,5-di-C2F5) Ph(2-F,4-i-Pr,5-Me) Ph(2-F,4-c-Pr,5-SO2Me) Ph(2-F,4-CF2CF3,5-CF2CF2H) Ph(2-F,4-i-Pr,5-Et) Ph(2-F,4-c-Pr,5-TMS) Ph(2-F,4-CF2CF3,5-CF2H) Ph(2-F,4-i-Pr,5-n-Pr) Ph(2-F,4-c-Pr,5-CN) Ph(2-F,4-CF2CF3,5-OMe) Ph(2-F,4-i-Pr,5-t-Bu) Ph(2-F,4-CF3,5-Cl) Ph(2-F,4-CF2CF3,5-OCF3) Ph(2-F,4,5-di-i-Pr) Ph(2-F,4-CF3,5-F) Ph(2-F,4-CF2CF3,5-OCHF2) Ph(2-F,4-i-Pr,5-c-Pr) Ph(2-F,4-CF3,5-Br) Ph(2-F,4-CF2CF3,5-OCF2CF2H) Ph(2-F,4-i-Pr,5-CF3) Ph(2-F,4-CF3,5-I) Ph(2-F,4-CF2CF3,5-OC2F5) Ph(2-F,4-i-Pr,5-C2F5) Ph(2-F,4-CF3,5-Me) Ph(2-F,4-CF2CF3,5-SO2Me) Ph(2-F,4-i-Pr,5-CF2CF2H) Ph(2-F,4-CF3,5-Et) Ph(2-F,4-CF2CF3,5-TMS) Ph(2-F,4-i-Pr,5-CF2H) Ph(2-F,4-CF3,5-n-Pr) Ph(2-F,4-CF2CF3,5-CN) Ph(2-F,4-i-Pr,5-OMe) Ph(2-F,4-CF3,5-t-Bu) Ph(2-F,4-CF2CF2H,5-Cl) Ph(2-F,4-i-Pr,5-OCF3) Ph(2-F,4-CF3,5-i-Pr) Ph(2-F,4-CF2CF2H,5-F) Ph(2-F,4-i-Pr,5-OCHF2) Ph(2-F,4-CF3,5-c-Pr) Ph(2-F,4-CF2CF2H,5-Br) Ph(2-F,4-i-Pr,5-OCF2CF2H) Ph(2-F,4,5-di-CF3) Ph(2-F,4-CF2CF2H,5-I) Ph(2-F,4-i-Pr,5-OC2F5) Ph(2-F,4-CF3,5-C2F5) Ph(2-F,4-CF2CF2H,5-Me) Ph(2-F,4-i-Pr,5-SO2Me) Ph(2-F,4-CF3,5-CF2CF2H) Ph(2-F,4-CF2CF2H,5-Et) Ph(2-F,4-i-Pr,5-TMS) Ph(2-F,4-CF3,5-CF2H) Ph(2-F,4-CF2CF2H,5-n-Pr) Ph(2-F,4-i-Pr,5-CN) Ph(2-F,4-CF3,5-OMe) Ph(2-F,4-CF2CF2H,5-t-Bu) Ph(2-F,4-c-Pr,5-Cl) Ph(2-F,4-CF3,5-OCF3) Ph(2-F,4-CF2CF2H,5-i-Pr) Ph(2-F,4-c-Pr,5-F) Ph(2-F,4-CF3,5-OCHF2) Ph(2-F,4-CF2CF2H,5-c-Pr) Ph(2-F,4-c-Pr,5-Br) Ph(2-F,4-CF3,5-OCF2CF2H) Ph(2-F,4-CF2CF2CF3H,5-CF3) Ph(2-F,4-c-Pr,5-I) Ph(2-F,4-CF3,5-OC2F5) Ph(2-F,4-CF2CF2H,5-C2F5) Ph(2-F,4-c-Pr,5-Me) Ph(2-F,4-CF3,5-SO2Me) Ph(2-F,4,5-di-CF2CF2H) Ph(2-F,4-c-Pr,5-Et) Ph(2-F,4-CF3,5-TMS) Ph(2-F,4-CF2CF2H,5-CF2H) Ph(2-F,4-c-Pr,5-n-Pr) Ph(2-F,4-CF3,5-CN) Ph(2-F,4-CF2CF2H,5-OMe) Ph(2-F,4-c-Pr,5-t-Bu) Ph(2-F,4-CF2CF3,5-Cl) Ph(2-F,4-CF2CF2H,5-OCF3) Ph(2-F,4-CF2CF2H,5-OCHF2) Ph(2-F,4-OMe,5-i-Pr) Ph(2-F,4-OCHF2,5-F) Ph(2-F,4-CF2CF2H,5- Ph(2-F,4-OMe,5-c-Pr) Ph(2-F,4-OCHF2,5-Br) OCF2CF2H) Ph(2-F,4-OMe,5-CF3) Ph(2-F,4-OCHF2,5-I) Ph(2-F,4-CF2CF2H,5-OC2F5) Ph(2-F,4-OMe,5-C2F5) Ph(2-F,4-OCHF2,5-Me) Ph(2-F,4-CF2CF2H,5-SO2Me) Ph(2-F,4-OMe,5-CF2CF2H) Ph(2-F,4-OCHF2,5-Et) Ph(2-F,4-CF2CF2H,5-TMS) Ph(2-F,4-OMe,5-CF2H) Ph(2-F,4-OCHF2,5-n-Pr) Ph(2-F,4-CF2CF2H,5-CN) Ph(2-F,4,5-di-OMe) Ph(2-F,4-OCHF2,5-t-Bu) Ph(2-F,4-CF2H,5-Cl) Ph(2-F,4-OMe,5-OCF3) Ph(2-F,4-OCHF2,5-i-Pr) Ph(2-F,4-CF2H,5-F) Ph(2-F,4-OMe,5-OCHF2) Ph(2-F,4-OCHF2,5-c-Pr) Ph(2-F,4-CF2H,5-Br) Ph(2-F,4-OMe,5-OCF2CF2H) Ph(2-F,4-OCHF2CF3,5-CF3) Ph(2-F,4-CF2H,5-I) Ph(2-F,4-OMe,5-OC2F5) Ph(2-F,4-OCF2CF3,5-C2F5) Ph(2-F,4-CF2H,5-Me) Ph(2-F,4-OMe,5-SO2Me) Ph(2-F,4-OCHF2,5-CF2CF2H) Ph(2-F,4-CF2H,5-Et) Ph(2-F,4-OMe,5-TMS) Ph(2-F,4-OCHF2,5-CF2H) Ph(2-F,4-CF2H,5-n-Pr) Ph(2-F,4-OMe,5-CN) Ph(2-F,4-OCHF2,5-OMe) Ph(2-F,4-CF2H,5-t-Bu) Ph(2-F,4-OCF3,5-Cl) Ph(2-F,4-OCHF2,5-OCF3) Ph(2-F,4-CF2H,5-i-Pr) Ph(2-F,4-OCF3,5-F) Ph(2-F,4,5-di-OCHF2) Ph(2-F,4-CF2H,5-c-Pr) Ph(2-F,4-OCF3,5-Br) Ph(2-F,4-OCHF2,5-OCF2CF2H) Ph(2-F,4-CF2H,5-CF3) Ph(2-F,4-OCF3,5-I) Ph(2-F,4-OCHF2,5-OC2F5) Ph(2-F,4-CF2H,5-C2F5) Ph(2-F,4-OCF3,5-Me) Ph(2-F,4-OCHF2,5-SO2Me) Ph(2-F,4-CF2H,5-CF2CF2H) Ph(2-F,4-OCF3,5-Et) Ph(2-F,4-OCHF2,5-TMS) Ph(2-F,4,5-di-CF2H Ph(2-F,4-OCF3,5-n-Pr) Ph(2-F,4-OCHF2,5-CN) Ph(2-F,4-CF2H,5-OMe) Ph(2-F,4-OCF3,5-t-Bu) Ph(2-F,4-OCF2CF2H,5-Cl) Ph(2-F,4-CF2H,5-OCF3) Ph(2-F,4-OCF3,5-i-Pr) Ph(2-F,4-OCF2CF2H,5-F) Ph(2-F,4-CF2H,5-OCHF2) Ph(2-F,4-OCF3,5-c-Pr) Ph(2-F,4-OCF2CF2H,5-Br) Ph(2-F,4-CF2H,5-OCF2CF2H) Ph(2-F,4-OCF3,5-CF3) Ph(2-F,4-OCF2CF2H,5-I) Ph(2-F,4-CF2H,5-OC2F5) Ph(2-F,4-OCF3,5-C2F5) Ph(2-F,4-OCF2CF2H,5-Me) Ph(2-F,4-CF2H,5-SO2Me) Ph(2-F,4-OCF3,5-CF2CF2H) Ph(2-F,4-OCF2CF2H,5-Et) Ph(2-F,4-CF2H,5-TMS) Ph(2-F,4-OCF3,5-CF2H) Ph(2-F,4-OCF2CF2H,5-n-Pr) Ph(2-F,4-CF2H,5-CN) Ph(2-F,4-OCF3,5-OMe) Ph(2-F,4-OCF2CF2H,5-t-Bu) Ph(2-F,4-OMe,5-Cl) Ph(2-F,4,5-di-OCF3) Ph(2-F,4-OCF2CF2H,5-i-Pr) Ph(2-F,4-OMe,5-F) Ph(2-F,4-OCF3,5-OCHF2) Ph(2-F,4-OCF2CF2H,5-c-Pr) Ph(2-F,4-OMe,5-Br) Ph(2-F,4-OCF3,5-OCF2CF2H) Ph(2-F,4-OCF2CF2CF3H,5-CF3) Ph(2-F,4-OMe,5-I) Ph(2-F,4-OCF3,5-OC2F5) Ph(2-F,4-OCF2CF2H,5-C2F5) Ph(2-F,4-OMe,5-Me) Ph(2-F,4-OCF3,5-SO2Me) Ph(2-F,4-OCF2CF2H,5- Ph(2-F,4-OMe,5-Et) Ph(2-F,4-OCF3,5-TMS) CF2CF2H) Ph(2-F,4-OMe,5-n-Pr) Ph(2-F,4-OCF3,5-CN) Ph(2-F,4-OCF2CF2H,5-CF2H) Ph(2-F,4-OMe,5-t-Bu) Ph(2-F,4-OCHF2,5-Cl) Ph(2-F,4-OCF2CF2H,5-OMe) Ph(2-F,4-OCF2CF2H,5-OCF3) Ph(2-F,SO2Me,5-i-Pr) Ph(2-F,4-CN,5-F) Ph(2-F,4-OCF2CF2H,5-OCHF2) Ph(2-F,4-SO2Me,5-c-Pr) Ph(2-F,4-CN,5-Br) Ph(2-F,4,5-di-OCF2CF2H) Ph(2-F,4-SO2MeCF3,5-CF3) Ph(-F,4-CN,5-I) Ph(2-F,4-OCF2CF2H,5-OC2F5) Ph(2-F,4-SO2Me,5-C2F5) Ph(2-F,4-CN,5-Me) Ph(2-F,4-OCF2CF2H,5-SO2Me) Ph(2-F,4-SO2Me,5-CF2CF2H) Ph(2-F,4-CN,5-Et) Ph(2-F,4-OCF2CF2H,5-TMS) Ph(2-F,4-SO2Me,5-CF2H) Ph(2-F,4-CN,5-n-Pr) Ph(2-F,4-OCF2CF2H,5-CN) Ph(2-F,4-SO2Me,5-OMe) Ph(2-F,4-CN,5-t-Bu) Ph(2-F,4-OCF2CF3,5-Cl) Ph(2-F,4-SO2Me,5-OCF3) Ph(2-F,4-CN,5-i-Pr) Ph(2-F,4-OCF2CF3,5-F) Ph(2-F,4-SO2Me,5-OCHF2) Ph(2-F,4-CN,5-c-Pr) Ph(2-F,4-OCF2CF3,5-Br) Ph(2-F,4-SO2Me,5-OCF2CF2H) Ph(2-F,4-CN,5-CF3) Ph(2-F,4-OCF2CF3,5-I) Ph(2-F,4-SO2Me,5-OC2F5) Ph(2-F,4-CN,5-C2F5) Ph(2-F,4-OCF2CF3,5-Me) Ph(2-F,4,5-di-SO2Me) Ph(2-F,4-CN,5-CF2CF2H) Ph(2-F,4-OCF2CF3,5-Et) Ph(2-F,4-SO2Me,5-TMS) Ph(2-F,4-CN,5-CF2H) Ph(2-F,4-OCF2CF3,5-n-Pr) Ph(2-F,4-SO2Me,5-CN) Ph(2-F,4-CN,5-OMe) Ph(2-F,4-OCF2CF3,5-t-Bu) Ph(2-F,4-TMS,5-Cl) Ph(2-F,4-CN,5-OCF3) Ph(2-F,4-OCF2CF3,5-i-Pr) Ph(2-F,4-TMS,5-F) Ph(2-F,4-CN,5-OCHF2) Ph(2-F,4-OCF2CF3,5-c-Pr) Ph(2-F,4-TMS,5-Br) Ph(2-F,4-CN,5-OCF2CF2H) Ph(2-F,4-OC2F5CF3,5-CF3) Ph(2-F,4-TMS,5-I) Ph(2-F,4-CN,5-OC2F5) Ph(2-F,4-OCF2CF3,5-CF2CF2H) Ph(2-F,4-TMS,5-Me) Ph(2-F,4-CN,5-SO2Me) Ph(2-F,4-OCF2CF3,5-CF2H) Ph(2-F,4-TMS,5-Et) Ph(2-F,4-CN,5-TMS) Ph(2-F,4-OCF2CF3,5-OMe) Ph(2-F,4-TMS,5-n-Pr) Ph(2-F,4,5-di-CN) Ph(2-F,4-OCF2CF3,5-OCF3) Ph(2-F,4-TMS,5-t-Bu) Ph(3,4,5-tri-Cl) Ph(2-F,4-OCF2CF3,5-OCHF2) Ph(2-F,4-TMS,5-i-Pr) Ph(3-Cl,4-F,5-Cl) Ph(2-F,4-OCF2CF3,5- Ph(2-F,4-TMS,5-c-Pr) Ph(3-Cl,4-Br,5-Cl) OCF2CF2H) Ph(2-F,4-TMS,5-CF3) Ph(3-Cl,4-I,5-Cl) Ph(2-F,4,5-di-OC2F5) Ph(2-F,4-TMS,5-C2F5) Ph(3-Cl,4-Me,5-Cl) Ph(2-F,4-OCF2CF3,5-SO2Me) Ph(2-F,4-TMS,5-CF2CF2H) Ph(3-Cl,4-Et,5-Cl) Ph(2-F,4-OCF2CF3,5-TMS) Ph(2-F,4-TMS,5-CF2H) Ph(3-Cl,4-n-Pr,5-Cl) Ph(2-F,4-OCF2CF3,5-CN) Ph(2-F,4-TMS,5-OMe) Ph(3-Cl,4-t-Bu,5-Cl) Ph(2-F,4-SO2Me,5-Cl) Ph(2-F,4-TMS,5-OCF3) Ph(3-Cl,4-i-Pr,5-Cl) Ph(2-F,4-SO2Me,5-F) Ph(2-F,5-TMS,5-OCHF2) Ph(3-Cl,4-c-Pr,5-Cl) Ph(2-F,4-SO2Me,5-Br) Ph(2-F,4-TMS,5-OCF2CF2H) Ph(3-Cl,4-CF3,5-Cl) Ph(2-F,4-SO2Me,5-I) Ph(2-F,4-TMS,5-OC2F5) Ph(3-Cl,4-C2F5,5-Cl) Ph(2-F,4-SO2Me,5-Me) Ph(2-F,4-TMS,5-SO2Me) Ph(3-Cl,4-CF2CF2H,5-Cl) Ph(2-F,4-SO2Me,5-Et) Ph(2-F,4,5-di-TMS) Ph(3-Cl,4-CF2H,5-Cl) Ph(2-F,4-SO2Me,5-n-Pr) Ph(2-F,4-TMS,5-CN) Ph(3-Cl,4-OMe,5-Cl) Ph(2-F,4-SO2Me,5-t-Bu) Ph(2-F,4-CN,5-Cl) Ph(3-Cl,4-OCF3,5-Cl) Ph(3-Cl,4-OCHF2,5-Cl) Ph(3-Br,4-c-Pr,5-Br) Ph(3-CF3,4-Br,5-CF3) Ph(3-Cl,4-OCF2CF2H,5-Cl) Ph(3-Br,4-CF3,5-Br) Ph(3-CF3,4-I,5-CF3) Ph(3-Cl,4-OC2F5,5-Cl) Ph(3-Br,4-C2F5,5-Br) Ph(3-CF3,4-Me,5-CF3) Ph(3-Cl,4-SO2Me,5-Cl) Ph(3-Br,4-CF2CF2H,5-Br) Ph(3-CF3,4-Et,5-CF3) Ph(3-Cl,4-TMS,5-Cl) Ph(3-Br,4-CF2H,5-Br) Ph(3-CF3,4-n-Pr,5-CF3) Ph(3-Cl,4-CN,5-Cl) Ph(3-Br,4-OMe,5-Br) Ph(3-CF3,4-t-Bu,5-CF3) Ph(3-F,4-Cl,5-F) Ph(3-Br,4-OCF3,5-Br) Ph(3-CF3,4-i-Pr,5-CF3) Ph(3,4,5-tri-F) Ph(3-Br,4-OCHF2,5-Br) Ph(3-CF3,4-c-Pr,5-CF3) Ph(3-F,4-Br,5-F) Ph(3-Br,4-OCF2CF2H,5-Br) Ph(3,4,5-tri-CF3) Ph(3-F,4-I,5-F) Ph(3-Br,4-OC2F5,5-Br) Ph(3-CF3,4-C2F5,5-CF3) Ph(3-F,4-Me,5-F) Ph(3-Br,4-SO2Me,5-Br) Ph(3-CF3,4-CF2CF2H,5-CF3) Ph(3-F,4-Et,5-F) Ph(3-Br,4-TMS,5-Br) Ph(3-CF3,4-CF2H,5-CF3) Ph(3-F,4-n-Pr,5-F) Ph(3-Br,4-CN,5-Br) Ph(3-CF3,4-OMe,5-CF3) Ph(3-F,4-t-Bu,5-F) Ph(3-Me,4-Cl,5-Me) Ph(3-CF3,4-OCF3,5-CF3) Ph(3-F,4-i-Pr,5-F) Ph(3-Me,4-F,5-Me) Ph(3-CF3,4-OCHF2,5-CF3) Ph(3-F,4-c-Pr,5-F) Ph(3-Me,4-Br,5-Me) Ph(3-CF3,4-OCF2CF2H,5-CF3) Ph(3-F,4-CF3,5-F) Ph(3-Me,4-I,5-Me) Ph(3,5-di-CF3,4-OC2F5) Ph(3-F,4-C2F5,5-F) Ph(3,4-tri-Me) Ph(3-CF3,4-SO2Me,5-CF3) Ph(3-F,4-CF2CF2H,5-F) Ph(3-Me,4-Et,5-Me) Ph(3-CF3,4-TMS,4-CF3) Ph(3-F,4-CF2H,5-F) Ph(3-Me,4-n-Pr,5-Me) Ph(3-CF3,4-CN,5-CF3) Ph(3-F,4-OMe,5-F) Ph(3-Me,4-t-Bu,5-Me) Ph(3-OCHF2,4-Cl,5-OCHF2) Ph(3-F,4-OCF3,5-F) Ph(3-Me,4-i-Pr,5-Me) Ph(3-OCHF2,4-F,5-OCHF2) Ph(3-F,4-OCHF2,5-F) Ph(3-Me,4-c-Pr,5-Me) Ph(3-OCHF2,4-Br,5-OCHF2) Ph(3-F,4-OCF2CF2H,5-F) Ph(3-Me,4-CF3,5-Me) Ph(3-OCHF2,4-I,5-OCFH2) Ph(3-F,4-OC2F5,5-F) Ph(3-Me,4-C2F5,5-Me) Ph(3-OCHF2,4-Me,5-OCHF2) Ph(3-F,4-SO2Me,5-F) Ph(3-Me,4-CF2CF2H,5-Me) Ph(3-OCHF2,4-Et,5-OCHF2) Ph(3-F,4-TMS,5-F) Ph(3-Me,4-CF2H,5-Me) Ph(3-OCHF2,4-n-Pr,5-OCHF2) Ph(3-F,4-CN,5-F) Ph(3-Me,4-OMe,5-Me) Ph(3-OCHF2,4-t-Bu,5-OCHF2) Ph(3-Br,4-Cl,5-Br) Ph(3-Me,4-OCF3,5-Me) Ph(3-OCHF2,4-i-Pr,5-OCHF2) Ph(3-Br,4-F,5-Br) Ph(3-Me,4-OCHF2,5-Me) Ph(3-OCHF2,4-c-Pr,5-OCHF2) Ph(3,4,5-tri-Br) Ph(3-Me,4-OCF2CF2H,5-Me) Ph(3,5-di-OCHF2CF3,4-CF3,) Ph(3-Br,4-I,5-Br) Ph(3-Me,4-OC2F5,5-Me) Ph(3-OC2F5,4-C2F5,5-OCHF2) Ph(3-Br,4-Me,5-Br) Ph(3-Me,4-SO2Me,5-Me) Ph(3,5-di-OCHF2,4-CF2CF2H) Ph(3-Br,4-Et,5-Br) Ph(3-Me,4-TMS,5-Me) Ph(3-OCHF2,4-CF2H,5-OCHF2) Ph(3-Br,4-n-Pr,5-Br) Ph(3-Me,4-CN,5-Me) Ph(3-OCHF2,4-OMe,5-OCHF2) Ph(3-Br,4-t-Bu,5-Br) Ph(3-CF3,4-Cl,5-CF3) Ph(3-OCHF2,4-OCF3,5-OCHF2) Ph(3-Br,4-i-Pr,5-Br) Ph(3-CF3,4-F,5-CF3) Ph(3,4,5-tri-OCHF2) Ph(3,5-di-OCHF2,4-OCF2CF2H) Ph(2-Cl,4-F,4-CF3,5-F) Ph(2-Cl,3-Me,4-I,5-Me) Ph(3,5-di-OCHF2,4-OC2F5) Ph(2-Cl,3-F,4-C2F5,5-F) Ph(2-Cl,3,4-tri-Me) Ph(3,5-di-OCHF2,4-SO2Me) Ph(2-Cl,3-F,4-CF2CF2H,5-F) Ph(2-Cl,3-Me,4-Et,5-Me) Ph(3-OCHF2,4-TMS,5-OCHF2) Ph(2-Cl,3-F,4-CF2H,5-F) Ph(2-Cl,3-Me,4-n-Pr,5-Me) Ph(3-OCHF2,4-CN,5-OCHF2) Ph(2-Cl,3-F,4-OMe,5-F) Ph(2-Cl,3-Me,4-t-Bu,5-Me) Ph(2,3,4,5-tetra-Cl) Ph(2-Cl,3-F,4-OCF3,5-F) Ph(2-Cl,3-Me,4-i-Pr,5-Me) Ph(2-Cl,3-Cl,4-F,5-Cl) Ph(2-Cl,3-F,4-OCHF2,5-F) Ph(2-Cl,3-Me,4-c-Pr,5-Me) Ph(2-Cl,3-Cl,4-Br,5-Cl) Ph(2-Cl,3-F,4-OCF2CF2H,5-F) Ph(2-Cl,3-Me,4-CF3,5-Me) Ph(2-Cl,3-Cl,4-I,5-Cl) Ph(2-Cl,3,5-di-F,4-OC2F5,) Ph(2-Cl,3,5-di-Me,4-C2F5) Ph(2-Cl,3-Cl,4-Me,5-Cl) Ph(2-Cl,3-F,4-SO2Me,5-F) Ph(2-Cl,3-Me,4-CF2CF2H,5-Me) Ph(2-Cl,3-Cl,4-Et,5-Cl) Ph(2-Cl,3-F,4-TMS,5-F) Ph(2-Cl,3-Me,4-CF2H,5-Me) Ph(2-Cl,3-Cl,4-n-Pr,5-Cl) Ph(2-Cl,3-F,4-CN,5-F) Ph(2-Cl,3-Me,4-OMe,5-Me) Ph(2-Cl,3-Cl,4-t-Bu,5-Cl) Ph(2-Cl,3-Br,4-Cl,5-Br) Ph(2-Cl,3-Me,4-OCF3,5-Me) Ph(2-Cl,3-Cl,4-i-Pr,5-Cl) Ph(2-Cl,3-Br,4-F,5-Br) Ph(2-Cl,3-Me,4-OCHF2,5-Me) Ph(2-Cl,3-Cl,4-c-Pr,5-Cl) Ph(2-Cl,3,4,5-tri-Br) Ph(2-Cl,3,5-di-Me,4-OCF2CF2H) Ph(2-Cl,3-Cl,4-CF3,5-Cl) Ph(2-Cl,3-Br,4-I,5-Br) Ph(2-Cl,3-Me,4-OC2F5,5-Me) Ph(2-Cl,3,5-di-Cl,4-C2F5) Ph(2-Cl,3-br,4-Me,5-Br) Ph(2-Cl,3,5-di-Me,4-SO2Me) Ph(2-Cl,3-Cl,4-CF2CF2H,5-Cl) Ph(2-Cl,3-Br,4-Et,5-Br) Ph(2-Cl,3-Me,4-TMS,5-Me) Ph(2-Cl,3-Cl,4-CF2H,5-Cl) Ph(2-Cl,3-Br,4-n-Pr,5-Br) Ph(2-Cl,3-Me,4-CN,5-Me) Ph(2-Cl,3-Cl,4-OMe,5-Cl) Ph(2-Cl,3-Br,4-t-Bu,5-Br) Ph(2-Cl,3-CF3,4-Cl,5-CF3) Ph(2-Cl,3-Cl,4-OCF3,5-Cl) Ph(2-Cl,3-Br,4-i-Pr,5-Br) Ph(2-Cl,3-CF3,4-F,5-CF3) Ph(2-Cl,3-Cl,4-OCHF2,5-Cl) Ph(2-Cl,3-Br,4-c-Pr,5-Br) Ph(2-Cl,3-CF3,4-Br,5-CF3) Ph(2-Cl,3-Cl,4-OCF2CF2H,5-Cl) Ph(2-Cl,3-Br,4-CF3,5-Br) Ph(2-Cl,3-CF3,4-I,5-CF3) Ph(2-Cl,3,5-di-Cl,4-OC2F5) Ph(2-Cl,3,5-di-Br,4-C2F5) Ph(2-Cl,3-CF3,4-Me,5-CF3) Ph(2-Cl,3-Cl,4-SO2Me,5-Cl) Ph(2-Cl,3-Br,4-CF2CF2H,5-Br) Ph(2-Cl,3-CF3,4-Et,5-CF3) Ph(2-Cl,3-Cl,4-TMS,5-Cl) Ph(2-Cl,3-Br,4-CF2H,5-Br) Ph(2-Cl,3-CF3,4-n-Pr,5-CF3) Ph(2-Cl,3-Cl,4-CN,5-Cl) Ph(2-Cl,3-Br,4-OMe,5-Br) Ph(2-Cl,3-CF3,4-t-Bu,5-CF3) Ph(2-Cl,3-F,4-Cl,5-F) Ph(2-Cl,3-Br,4-OCF3,5-Br) Ph(2-Cl,3-CF3,4-i-Pr,5-CF3) Ph(2-Cl,3,4,5-tri-F) Ph(2-Cl,3-Br,4-OCHF2,5-Br) Ph(2-Cl,3-CF3,4-c-Pr,5-CF3) Ph(2-Cl,3-F,4-Br,5-F) Ph(2-Cl,3-Br,4-OCF2CF2H,5-Br) Ph(2-Cl,3,4,5-tri-CF3) Ph(2-Cl,3-F,4-I,5-F) Ph(2-Cl,3,5-di-Br,4-OC2F5) Ph(2-Cl,3,5-di-CF3,4-C2F5) Ph(2-Cl,3-F,4-Me,5-F) Ph(2-Cl,3-Br,4-SO2Me,5-Br) Ph(2-Cl,3,5-di-CF3,4-CF2CF2H) Ph(2-Cl,3-F,4-Et,5-F) Ph(2-Cl,3-Br,4-TMS,5-Br) Ph(2-Cl,3-CF3,4-CF2H,5-CF3) Ph(2-Cl,3-F,4-n-Pr,5-F) Ph(2-Cl,3-Br,4-CN,5-Br) Ph(2-Cl,3-CF3,4-OMe,5-CF3) Ph(2-Cl,3-F,4-t-Bu,5-F) Ph(2-Cl,3-Me,4-Cl,5-Me) Ph(2-Cl,3-CF3,4-OCF3,5-CF3) Ph(2-Cl,3-F,4-i-Pr,5-F) Ph(2-Cl,3-Me,4-F,5-Me) Ph(2-Cl,3-CF3,4-OCHF2,5-CF3) Ph(2-Cl,3-F,4-c-Pr,5-F) Ph(2-Cl,3-Me,4-Br,5-Me) Ph(2-Cl,3,5-di-CF3,4- OCF2CF2H—) Ph(2-F,3-Cl,4-Me,5-Cl) Ph(2-F,3-F,4-SO2Me,5-F) Ph(2-Cl,3,5-di-CF3,4-OC2F5) Ph(2-F,3-Cl,4-Et,5-Cl) Ph(2-F,3-F,4-TMS,5-F) Ph(2-Cl,3,5-di-CF3,4-SO2Me) Ph(2-F,3-Cl,4-n-Pr,5-Cl) Ph(2-F,3-F,4-CN,5-F) Ph(2-Cl,3,5-di-CF3,4-TMS) Ph(2-F,3-Cl,4-t-Bu,5-Cl) Ph(2-F,3-Br,4-Cl,5-Br) Ph(2-Cl,3-CF3,4-CN,5-CF3) Ph(2-F,3-Cl,4-i-Pr,5-Cl) Ph(2-F,3-Br,4-F,5-Br) Ph(2-Cl,3,5-di-OCHF2,4-Cl) Ph(2-F,3-Cl,4-c-Pr,5-Cl) Ph(2-F,3,4,5-tri-Br) Ph(2-Cl,3-OCHF2,4-F,5-OCHF2) Ph(2-F,3-Cl,4-CF3,5-Cl) Ph(2-F,3-Br,4-I,5-Br) Ph(2-Cl,3,5-di-OCHF2,4-Br) Ph(2-F,3-Cl,4-C2F5,5-Cl) Ph(2-F,3-Br,4-Me,5-Br) Ph(2-Cl,3-OCHF2,4-I,5-OCHF2) Ph(2-F,3-Cl,4-CF2CF2H,5-Cl) Ph(2-F,3-Br,4-Et,5-Br) Ph(2-Cl,3,5-di-OCHF2,4-Me) Ph(2-F,3-Cl,4-CF2H,5-Cl) Ph(2-F,3-Br,4-n-Pr,5-Br) Ph(2-Cl,3,5-di-OCHF2,4-Et) Ph(2-F,3-Cl,4-OMe,5-Cl) Ph(2-F,3-Br,4-t-Bu,5-Br) Ph(2-Cl,3,5-di-OCHF2,4-n-Pr) Ph(2-F,3-Cl,4-OCF3,5-Cl) Ph(2-F,3-Br,4-i-Pr,5-Br) Ph(2-Cl,3,5-di-OCHF2,4-t-Bu) Ph(2-F,3-Cl,4-OCHF2,5-Cl) Ph(2-F,3-Br,4-c-Pr,5-Br) Ph(2-Cl,3,5-di-OCHF2,4-i-Pr) Ph(2-F,3-Cl,4-OCF2CF2H,5-Cl) Ph(2-F,3-Br,4-CF3,5-Br) Ph(2-Cl,3,5-di-OCHF2,4-c-Pr) Ph(2-F,3,5-di-Cl,4-OC2F5) Ph(2-F,3,5-di-Br,4-C2F5) Ph(2-Cl,3,5-di-OCHF2CF3,4- Ph(2-F,3-Cl,4-SO2Me,5-Cl) Ph(2-F,3-B,4-CF2CF2H,5-Br) CF3) Ph(2-F,3-Cl,4-TMS,5-Cl) Ph(2-F,3-Br,4-CF2H,5-Br) Ph(2-Cl,3-OC2F5,4-C2F5,5- Ph(2-F,3-Cl,4-CN,5-Cl) Ph(2-F,3-Br,4-OMe,5-Br) OCHF2) Ph(2-F,3-F,4-Cl,5-F) Ph(2-F,3-Br,4-OCF3,5-Br) Ph(2-Cl,3,5-di-OCHF2,4- Ph(2,3,4,5-tetra-F) Ph(2-F,3-Br,4-OCHF2,5-Br) CF2CF2H) Ph(2-F,3-F,4-Br,5-F) Ph(2-F,3-Br,4-OCF2CF2H,5-Br) Ph(2-Cl,3-OCHF2,4-CF2H,5- Ph(2-F,3-F,4-I,5-F) Ph(2-F,3-Br,4-OC2F5,5-Br) OCHF2) Ph(2-F,3-F,4-Me,5-F) Ph(2-F,3-Br,4-SO2Me,5-Br) Ph(2-Cl,3,5-di OCHF2,4-OMe) Ph(2-F,3-F,4-Et,5-F) Ph(2-F,3-Br,4-TMS,5-Br) Ph(2-Cl,3,5-di-OCHF2,4-OCF3) Ph(2-F,3-F,4-n-Pr,5-F) Ph(2-F,3-Br,4-CN,5-Br) Ph(2-Cl,3,4,5-tri-OCHF2) Ph(2-F,3-F,4-t-Bu,5-F) Ph(2-F,3-Me,4-Cl,5-Me) Ph(2-Cl,3-OCHF2,4- Ph(2-F,3-F,4-i-Pr,5-F) Ph(2-F,3-Me,4-F,5-Me) OCF2CF2H,5-OCHF2) Ph(2-F,3-F,4-c-Pr,5-F) Ph(2-F,3-Me,4-Br,5-Me) Ph(2-Cl,3-OCHF2,4-OC2F5,5- Ph(2-F,3-F,4-CF3,5-F) Ph(2-F,3-Me,4-I,5-Me) OCHF2) Ph(2-F,3-F,4-C2F5,5-F) Ph(2-F,3,4-tri-Me) Ph(2-Cl,3,5-di-OCHF2,4-SO2Me) Ph(2-F,3-F,4-CF2CF2H,5-F) Ph(2-F,3-Me,4-Et,5-Me) Ph(2-Cl,3,5-di-OCHF2,4-TMS) Ph(2-F,3-F,4-CF2H,5-F) Ph(2-F,3-Me,4-n-Pr,5-Me) Ph(2-Cl,3,5-di-OCHF2,4-CN) Ph(2-F,3-F,4-OMe,5-F) Ph(2-F,3-Me,4-t-Bu,5-Me) Ph(2-F,3,4,5-tri-Cl) Ph(2-F,3-F,4-OCF3,5-F) Ph(2-F,3-Me,4-i-Pr,5-Me) Ph(2-F,3-Cl,4-F,5-Cl) Ph(2-F,3-F,4-OCHF2,5-F) Ph(2-F,3-Me,4-c-Pr,5-Me) Ph(2-F,3-Cl,4-Br,5-Cl) Ph(2-F,3-F,4-OCF2CF2H,5-F) Ph(2-F,3-Me,4-CF3,5-Me) Ph(2-F,3-Cl,4-I,5-Cl) Ph(2-F,3-F,4-OC2F5,5-F) Ph(2-F,3-Me,4-C2F5,5-Me) Ph(2-F,3-Me,4-CF2CF2H,5-Me) Ph(2-F,3-OCHF2,4-Cl,5-OCHF2) Ph(2-F,3-OCHF2,4-TMS,5- Ph(2-F,3-Me,4-CF2H,5-Me) Ph(2-F,3-OCHF2,4-F,5-OCHF2) OCHF2) Ph(2-F,3-Me,4-OMe,5-Me) Ph(2-F,3-OCHF2,4-Br,5-OCHF2) Ph(2-F,3-OCHF2,4-CN,5- Ph(2-F,3-Me,4-OCF3,5-Me) Ph(2-F,3-OCHF2,4-I,5-OCHF2) OCHF2) Ph(2-F,3-Me,4-OCHF2,5-Me) Ph(2-F,3-OCHF2,4-Me,5- 1H-Imidazol-2-yl(1-CF2CF2H,5- Ph(2-F,3-Me,4-OCF2CF2H,5-Me) OCHF2) Cl) Ph(2-F,3-Me,4-OC2F5,5-Me) Ph(2-F,3-OCHF2,4-Et,5-OCHF2) 1H-Imidazol-2-yl(1-CF2CF2H,5- Ph(2-F,3-Me,4-SO2Me,5-Me) Ph(2-F,3-OCHF2,4-n-Pr,5- F) Ph(2-F,3-Me,4-TMS,5-Me) OCHF2) 1H-Imidazol-2-yl(1-CH2CF3,5- Ph(2-F,3-Me,4-CN,5-Me) Ph(2-F,3-OCHF2,4-t-Bu,5- Cl) Ph(2-F,3-CF3,4-Cl,5-CF3) OCHF2) 1H-Imidazol-2-yl(1-CH2CF3,5-F) Ph(2-F,3-CF3,4-F,5-CF3) Ph(2-F,3-OCHF2,4-i-Pr,5- 1H-Imidazol-2-yl(1-Me,5-CF2H) Ph(2-F,3-CF3,4-Br,5-CF3) OCHF2) 1H-Imidazol-2-yl(1-CF2CF2H,5- Ph(2-F,3-CF3,4-I,5-CF3) Ph(2-F,3,5-di-OCHF2,4-c-Pr) CF2H) Ph(2-F,3-CF3,4-Me,5-CF3) Ph(2-F,3-OCHF2CF3,4-CF3,5- 1H-Imidazol-2-yl(1-CH2CF3,5- Ph(2-F,3-CF3,4-Et,5-CF3) OCHF2) CF2H) Ph(2-F,3-CF3,4-n-Pr,5-CF3) Ph(2-F,3-OC2F5,4-C2F5,5- 1H-Imidazol-2-yl(1-Me,5-CF3) Ph(2-F,3-CF3,4-t-Bu,5-CF3) OCHF2) 1H-Imidazol-2-yl(1-CF2CF2H,5- Ph(2-F,3-CF3,4-i-Pr,5-CF3) Ph(2-F,3,5-di-OCHF2,4- CF3) Ph(2-F,3-CF3,4-c-Pr,5-CF3) CF2CF2H) 1H-Imidazol-2-yl(1-CH2CF3,5- Ph(2-F,3,4,5-tri-CF3) Ph(2-F,3-OCHF2,4-CF2H,5- CF3) Ph(2-F,3-CF3,4-C2F5,5-CF3) OCHF2) 1,3-Benzodioxol-4-yl Ph(2-F,3-CF3,4-CF2CF2H,5-CF3) Ph(2-F,3-OCHF2,4-OMe,5- 1,3-Benzodioxol-4-yl(2,2-di-Me) Ph(2-F,3-CF3,4-CF2H,5-CF3) OCHF2) 1,4-Benzodioxol-4-yl(2,3- Ph(2-F,3-CF3,4-OMe,5-CF3) Ph(2-F,3-OCHF2,4-OCF3,5- dihydro) Ph(2-F,3-CF3,4-OCF3,5-CF3) OCHF2) 1,4-Benzodioxol-4-yl(2,2,3,3- Ph(2-F,3-CF3,4-OCHF2,5-CF3) Ph(2-F,3,4,5-tri-OCHF2) tetrafluoro) Ph(2-F,3-CF3,4-OCF2CF2H,5- Ph(2-F,3-OCHF2,4- 1H-Pyrazol-3-yl(1-CH2CF3,4-F) CF3) OCF2CF2H,5-OCHF2) 1H-Pyrazol-3-yl(1-CH2CF3,4-Cl) Ph(2-F,3-CF3,4-OC2F5,5-CF3) Ph(2-F,3-OCHF2,4-OC2F5,5- 1H-Pyrazol-3-yl(1-CF2CF2H,4-F) Ph(2-F,3-CF3,4-SO2Me,5-CF3) OCHF2) 1H-Pyrazol-3-yl(1-CF2CF2H,4- Ph(2-F,3-CF3,4-TMS,5-CF3) Ph(2-F,3-OCHF2,4-SO2Me,5- Cl) Ph(2-F,3-CF3,4-CN,5-CF3) OCHF2) 1,3-Benzodioxol-4-yl(2,2-di-F) - Table 2 is constructed in the same manner except that the Row Heading “Y1 is O; Y2 is O; R2 is H; R4 is H; R5 is H; Q2 is Ph(2-F); and Q1 is” is replaced with the Row Heading listed for Table 2 below (i.e. “Y1 is O; Y1 is O; R2 is H; R4 is H; R5 is H; Q2 is Ph(2,3-F); and Q1 is”). Therefore the first entry in Table 2 is a compound of Formula 1 wherein Y1 is O, R2 is H, R4 is H, R5 is H, Q2 is Ph(2.3-F); and Q1 is Ph(3-Cl) (i.e. 3-chlorophenyl). Tables 3 through 1699 are constructed similarly.
-
Table Row Heading 2 Y1 is O; Y2 is O; R2 is H; R4 is H; R5 is H; Q2 is Ph(2,3-di-F); and Q1 is 3 Y1 is O; Y2 is O; R2 is H; R4 is H; R5 is H; Q2 is Ph(2,4-di-F); and Q1 is 4 Y1 is O; Y2 is O; R2 is H; R4 is H; R5 is H; Q2 is Ph(2,5-di-F); and Q1 is 5 Y1 is O; Y2 is O; R2 is H; R4 is H; R5 is H; Q2 is Ph(2,3,4-tri-F); and Q1 is 6 Y1 is O; Y2 is O; R2 is H; R4 is H; R5 is H; Q2 is Ph(2,3,5-tri-F); and Q1 is 7 Y1 is O; Y2 is O; R2 is H; R4 is H; R5 is H; Q2 is Ph(2,3,4,5-tetra-F); and Q1 is 8 Y1 is O; Y2 is O; R2 is H; R4 is H; R5 is H; Q2 is Ph(2-F,3-Cl,4-Br); and Q1 is 9 Y1 is O; Y2 is O; R2 is H; R4 is H; R5 is H; Q2 is Ph(2-F,3-Cl,4-F); and Q1 is 10 Y1 is O; Y2 is O; R2 is H; R4 is H; R5 is H; Q2 is Ph(2-F,3-Br,4-F); and Q1 is 11 Y1 is O; Y2 is O; R2 is H; R4 is H; R5 is H; Q2 is Ph(2-F,3-Me); and Q1 is 12 Y1 is O; Y2 is O; R2 is H; R4 is H; R5 is H; Q2 is Ph(2-F,3-Me,4-F); and Q1 is 13 Y1 is O; Y2 is O; R2 is H; R4 is H; R5 is H; Q2 is Ph(2-F,3-Me,4-Cl); and Q1 is 14 Y1 is O; Y2 is O; R2 is H; R4 is H; R5 is H; Q2 is Ph(2-F,3-Cl); and Q1 is 15 Y1 is O; Y2 is O; R2 is H; R4 is H; R5 is H; Q2 is Ph(2-F,4-Cl); and Q1 is 16 Y1 is O; Y2 is O; R2 is H; R4 is H; R5 is H; Q2 is Ph(2-F,3,4-di-Cl); and Q1 is 17 Y1 is O; Y2 is O; R2 is H; R4 is H; R5 is H; Q2 is Ph(2-F,4-Br); and Q1 is 18 Y1 is O; Y2 is O; R2 is H; R4 is H; R5 is H; Q2 is Ph(2-F,3-OMe); and Q1 is 19 Y1 is O; Y2 is O; R2 is H; R4 is H; R5 is H; Q2 is Ph(2-F,3-OMe,4-F); and Q1 is 20 Y1 is O; Y2 is O; R2 is H; R4 is H; R5 is H; Q2 is Ph(2-F,3-OMe,4-Cl); and Q1 is 21 Y1 is O; Y2 is O; R2 is H; R4 is H; R5 is H; Q2 is Ph(2-F,3-CF2H); and Q1 is 22 Y1 is O; Y2 is O; R2 is H; R4 is H; R5 is H; Q2 is Ph(2-F,3-CF3); and Q1 is 23 Y1 is O; Y2 is O; R2 is H; R4 is H; R5 is H; Q2 is Ph(2-F,3-CF3,4-F); and Q1 is 24 Y1 is O; Y2 is O; R2 is H; R4 is H; R5 is H; Q2 is Ph(2-F,3-NO2); and Q1 is 25 Y1 is O; Y2 is O; R2 is H; R4 is H; R5 is H; Q2 is Ph(2-F,3-NO2,4-F); and Q1 is 26 Y1 is O; Y2 is O; R2 is H; R4 is H; R5 is H; Q2 is Ph(2-F,3-SO2Me); and Q1 is 27 Y1 is O; Y2 is O; R2 is H; R4 is H; R5 is H; Q2 is Ph(2-F,3-SO2Me,4-F); and Q1 is 28 Y1 is O; Y2 is O; R2 is H; R4 is H; R5 is H; Q2 is Ph(2-CF3); and Q1 is 29 Y1 is O; Y2 is O; R2 is H; R4 is H; R5 is H; Q2 is Ph(2-CF3,3-F); and Q1 is 30 Y1 is O; Y2 is O; R2 is H; R4 is H; R5 is H; Q2 is Ph(2-CF3,3-Me); and Q1 is 31 Y1 is O; Y2 is O; R2 is H; R4 is H; R5 is H; Q2 is Ph(2-CF3,4-F); and Q1 is 32 Y1 is O; Y2 is O; R2 is H; R4 is H; R5 is H; Q2 is Ph(2-CF3,3-Cl); and Q1 is 33 Y1 is O; Y2 is O; R2 is H; R4 is H; R5 is H; Q2 is Ph(2-CF3,4-Cl); and Q1 is 34 Y1 is O; Y2 is O; R2 is H; R4 is H; R5 is H; Q2 is Ph(2-CF3,3,4-di-F); and Q1 is 35 Y1 is O; Y2 is O; R2 is H; R4 is H; R5 is H; Q2 is Ph(2-CF2H); and Q1 is 36 Y1 is O; Y2 is O; R2 is H; R4 is H; R5 is H; Q2 is Ph(2-CF2H,3-F); and Q1 is 37 Y1 is O; Y2 is O; R2 is H; R4 is H; R5 is H; Q2 is Ph(2-CF2H,3-Me); and Q1 is 38 Y1 is O; Y2 is O; R2 is H; R4 is H; R5 is H; Q2 is Ph(2-CF2H,4-F); and Q1 is 39 Y1 is O; Y2 is O; R2 is H; R4 is H; R5 is H; Q2 is Ph(2-CF2H,3-Cl); and Q1 is 40 Y1 is O; Y2 is O; R2 is H; R4 is H; R5 is H; Q2 is Ph(2-CF2H,4-Cl); and Q1 is 41 Y1 is O; Y2 is O; R2 is H; R4 is H; R5 is H; Q2 is Ph(2-CF2H,3,4-di-F); and Q1 is 42 Y1 is O; Y2 is O; R2 is H; R4 is H; R5 is H; Q2 is Ph(2-Me); and Q1 is 43 Y1 is O; Y2 is O; R2 is H; R4 is H; R5 is H; Q2 is Ph(2,3-di-Me); and Q1 is 44 Y1 is O; Y2 is O; R2 is H; R4 is H; R5 is H; Q2 is Ph(2-Me,3-F); and Q1 is 45 Y1 is O; Y2 is O; R2 is H; R4 is H; R5 is H; Q2 is Ph(2-Me,3-Cl); and Q1 is 46 Y1 is O; Y2 is O; R2 is H; R4 is H; R5 is H; Q2 is Ph(2-Me,3-CF3); and Q1 is 47 Y1 is O; Y2 is O; R2 is H; R4 is H; R5 is H; Q2 is Ph(2-Me,3,4-di-Cl); and Q1 is 48 Y1 is O; Y2 is O; R2 is H; R4 is H; R5 is H; Q2 is Ph(2-Me,3-Cl,4-F); and Q1 is 49 Y1 is O; Y2 is O; R2 is H; R4 is H; R5 is H; Q2 is Ph(2-Me,4-Cl); and Q1 is 50 Y1 is O; Y2 is O; R2 is H; R4 is H; R5 is H; Q2 is Ph(2-Me,4-F); and Q1 is 51 Y1 is O; Y2 is O; R2 is H; R4 is H; R5 is H; Q2 is Ph(2-Me,5-F); and Q1 is 52 Y1 is O; Y2 is O; R2 is H; R4 is H; R5 is H; Q2 is Ph(2-Me,3,4-di-F); and Q1 is 53 Y1 is O; Y2 is O; R2 is H; R4 is H; R5 is H; Q2 is Ph(2-Me,3,5-di-F); and Q1 is 54 Y1 is O; Y2 is O; R2 is H; R4 is H; R5 is H; Q2 is Ph(2-Et); and Q1 is 55 Y1 is O; Y2 is O; R2 is H; R4 is H; R5 is H; Q2 is Ph(2-Et,3-F); and Q1 is 56 Y1 is O; Y2 is O; R2 is H; R4 is H; R5 is H; Q2 is Ph(2-Et,3-Cl); and Q1 is 57 Y1 is O; Y2 is O; R2 is H; R4 is H; R5 is H; Q2 is Ph(2-Et,4-F); and Q1 is 58 Y1 is O; Y2 is O; R2 is H; R4 is H; R5 is H; Q2 is Ph(2-Et,3,4-di-F); and Q1 is 59 Y1 is O; Y2 is O; R2 is H; R4 is H; R5 is H; Q2 is Ph(2-i-Pr); and Q1 is 60 Y1 is O; Y2 is O; R2 is H; R4 is H; R5 is H; Q2 is Ph(2-i-Pr,3-F); and Q1 is 61 Y1 is O; Y2 is O; R2 is H; R4 is H; R5 is H; Q2 is Ph(2-i-Pr,3-Cl); and Q1 is 62 Y1 is O; Y2 is O; R2 is H; R4 is H; R5 is H; Q2 is Ph(2-i-Pr,4-F); and Q1 is 63 Y1 is O; Y2 is O; R2 is H; R4 is H; R5 is H; Q2 is Ph(2-i-Pr,3,4-di-F); and Q1 is 64 Y1 is O; Y2 is O; R2 is H; R4 is H; R5 is H; Q2 is Ph(2-c-Pr); and Q1 is 65 Y1 is O; Y2 is O; R2 is H; R4 is H; R5 is H; Q2 is Ph(2-c-Pr,3-F); and Q1 is 66 Y1 is O; Y2 is O; R2 is H; R4 is H; R5 is H; Q2 is Ph(2-c-Pr,3-Cl); and Q1 is 67 Y1 is O; Y2 is O; R2 is H; R4 is H; R5 is H; Q2 is Ph(2-c-Pr,4-F); and Q1 is 68 Y1 is O; Y2 is O; R2 is H; R4 is H; R5 is H; Q2 is Ph(2-c-Pr,3,4-di-F); and Q1 is 69 Y1 is O; Y2 is O; R2 is H; R4 is H; R5 is H; Q2 is Ph(2-NO2); and Q1 is 70 Y1 is O; Y2 is O; R2 is H; R4 is H; R5 is H; Q2 is Ph(2-NO2,3-F); and Q1 is 71 Y1 is O; Y2 is O; R2 is H; R4 is H; R5 is H; Q2 is Ph(2-NO2,3-Cl); and Q1 is 72 Y1 is O; Y2 is O; R2 is H; R4 is H; R5 is H; Q2 is Ph(2-NO2,4-F); and Q1 is 73 Y1 is O; Y2 is O; R2 is H; R4 is H; R5 is H; Q2 is Ph(2-NO2,3,4-di-F); and Q1 is 74 Y1 is O; Y2 is O; R2 is H; R4 is H; R5 is H; Q2 is Ph(2-OCF3); and Q1 is 75 Y1 is O; Y2 is O; R2 is H; R4 is H; R5 is H; Q2 is Ph(2-OCF3,3-F); and Q1 is 76 Y1 is O; Y2 is O; R2 is H; R4 is H; R5 is H; Q2 is Ph(2-OCF3,4-F); and Q1 is 77 Y1 is O; Y2 is O; R2 is H; R4 is H; R5 is H; Q2 is Ph(2-Cl); and Q1 is 78 Y1 is O; Y2 is O; R2 is H; R4 is H; R5 is H; Q2 is Ph(2-Cl,3-Me); and Q1 is 79 Y1 is O; Y2 is O; R2 is H; R4 is H; R5 is H; Q2 is Ph(2-Cl,3-Me,4-F); and Q1 is 80 Y1 is O; Y2 is O; R2 is H; R4 is H; R5 is H; Q2 is Ph(2,3-di-Cl); and Q1 is 81 Y1 is O; Y2 is O; R2 is H; R4 is H; R5 is H; Q2 is Ph(2,4-di-Cl); and Q1 is 82 Y1 is O; Y2 is O; R2 is H; R4 is H; R5 is H; Q2 is Ph(2-Cl,3-F); and Q1 is 83 Y1 is O; Y2 is O; R2 is H; R4 is H; R5 is H; Q2 is Ph(2-Cl,4-F); and Q1 is 84 Y1 is O; Y2 is O; R2 is H; R4 is H; R5 is H; Q2 is Ph(2-Cl,5-F); and Q1 is 85 Y1 is O; Y2 is O; R2 is H; R4 is H; R5 is H; Q2 is Ph(2-Cl,3,4-di-F); and Q1 is 86 Y1 is O; Y2 is O; R2 is H; R4 is H; R5 is H; Q2 is Ph(2-Cl,3,5-di-F); and Q1 is 87 Y1 is O; Y2 is O; R2 is H; R4 is H; R5 is H; Q2 is Ph(2-OCF2H); and Q1 is 88 Y1 is O; Y2 is O; R2 is H; R4 is H; R5 is H; Q2 is Ph(2-OCF2H,3-Me); and Q1 is 89 Y1 is O; Y2 is O; R2 is H; R4 is H; R5 is H; Q2 is Ph(2-OCF2H,3-Cl); and Q1 is 90 Y1 is O; Y2 is O; R2 is H; R4 is H; R5 is H; Q2 is Ph(2-OCF2H,3-F); and Q1 is 91 Y1 is O; Y2 is O; R2 is H; R4 is H; R5 is H; Q2 is Ph(2-OCF2H,4-F); and Q1 is 92 Y1 is O; Y2 is O; R2 is H; R4 is H; R5 is H; Q2 is Ph(2-OCF2CF2H); and Q1 is 93 Y1 is O; Y2 is O; R2 is H; R4 is H; R5 is H; Q2 is Ph(2-OCF2CF2H,3-F); and Q1 is 94 Y1 is O; Y2 is O; R2 is H; R4 is H; R5 is H; Q2 is Ph(2-OCF2CF2H,4-F); and Q1 is 95 Y1 is O; Y2 is O; R2 is H; R4 is H; R5 is H; Q2 is Ph(2-Br); and Q1 is 96 Y1 is O; Y2 is O; R2 is H; R4 is H; R5 is H; Q2 is Ph(2-Br,3-F); and Q1 is 97 Y1 is O; Y2 is O; R2 is H; R4 is H; R5 is H; Q2 is Ph(2-Br,4-F); and Q1 is 98 Y1 is O; Y2 is O; R2 is H; R4 is H; R5 is H; Q2 is Ph(2-Br,3,4-di-F); and Q1 is 99 Y1 is O; Y2 is O; R2 is H; R4 is H; R5 is H; Q2 is Ph(2-I); and Q1 is 100 Y1 is O; Y2 is O; R2 is H; R4 is H; R5 is H; Q2 is Ph(2-I,3-F); and Q1 is 101 Y1 is O; Y2 is O; R2 is H; R4 is H; R5 is H; Q2 is Ph(2-I,4-F); and Q1 is 102 Y1 is O; Y2 is O; R2 is H; R4 is H; R5 is H; Q2 is Ph(2-I,3,4-di-F); and Q1 is 103 Y1 is O; Y2 is O; R2 is H; R4 is H; R5 is H; Q2 is Ph(2-CN); and Q1 is 104 Y1 is O; Y2 is O; R2 is H; R4 is H; R5 is H; Q2 is Ph(2-CN,3-Me); and Q1 is 105 Y1 is O; Y2 is O; R2 is H; R4 is H; R5 is H; Q2 is Ph(2-CN,3-F); and Q1 is 106 Y1 is O; Y2 is O; R2 is H; R4 is H; R5 is H; Q2 is Ph(2-CN,4-F); and Q1 is 107 Y1 is O; Y2 is O; R2 is H; R4 is H; R5 is H; Q2 is Ph(2-CN,3-Cl); and Q1 is 108 Y1 is O; Y2 is O; R2 is H; R4 is H; R5 is H; Q2 is Ph(2-CN,4-Cl); and Q1 is 109 Y1 is O; Y2 is O; R2 is H; R4 is H; R5 is H; Q2 is Ph(2-CN,3,4-di-F); and Q1 is 110 Y1 is O; Y2 is O; R2 is H; R4 is H; R5 is H; Q2 is 2-Pyridinyl; and Q1 is 111 Y1 is O; Y2 is O; R2 is H; R4 is H; R5 is H; Q2 is 2-Pyridinyl,3-F; and Q1 is 112 Y1 is O; Y2 is O; R2 is H; R4 is H; R5 is H; Q2 is 2-Pyridinyl,4-F; and Q1 is 113 Y1 is O; Y2 is O; R2 is H; R4 is H; R5 is H; Q2 is 2-Pyridinyl,3,4-di-F; and Q1 is 114 Y1 is O; Y2 is O; R2 is H; R4 is H; R5 is H; Q2 is 2-Pyridinyl,3-Cl; and Q1 is 115 Y1 is O; Y2 is O; R2 is H; R4 is H; R5 is H; Q2 is 2-Pyridinyl,4-Cl; and Q1 is 116 Y1 is O; Y2 is O; R2 is H; R4 is H; R5 is H; Q2 is 2-Pyridinyl,3-Cl,4-F; and Q1 is 117 Y1 is O; Y2 is O; R2 is H; R4 is H; R5 is H; Q2 is Ph(2-SO2Me); and Q1 is 118 Y1 is O; Y2 is O; R2 is H; R4 is H; R5 is H; Q2 is Ph(2-SO2Me, 3-F); and Q1 is 119 Y1 is O; Y2 is O; R2 is H; R4 is H; R5 is H; Q2 is Ph(2-SO2Me, 3-Me); and Q1 is 120 Y1 is O; Y2 is O; R2 is H; R4 is H; R5 is H; Q2 is Ph(2-SO2Me, 4-F); and Q1 is 121 Y1 is O; Y2 is O; R2 is H; R4 is H; R5 is H; Q2 is Ph(2-SO2Me, 5-F); and Q1 is 122 Y1 is O; Y2 is O; R2 is H; R4 is H; R5 is H; Q2 is Ph(2-SO2Me,3,4-di-F); and Q1 is 123 Y1 is O; Y2 is O; R2 is H; R4 is H; R5 is H; Q2 is Ph(2-SO2Me, 3-Cl); and Q1 is 124 Y1 is O; Y2 is O; R2 is H; R4 is H; R5 is H; Q2 is Ph(2-SO2Me, 4-Cl); and Q1 is 125 Y1 is O; Y2 is O; R2 is H; R4 is H; R5 is H; Q2 is Ph(2-SO2Me,3-Cl,4-F); and Q1 is 126 Y1 is O; Y2 is O; R2 is H; R4 is H; R5 is H; Q2 is Ph(2-SO2NH2); and Q1 is 127 Y1 is O; Y2 is O; R2 is H; R4 is H; R5 is H; Q2 is Ph(2-SO2NH2, 3-F); and Q1 is 128 Y1 is O; Y2 is O; R2 is H; R4 is H; R5 is H; Q2 is Ph(2-SO2NH2, 3-Cl); and Q1 is 129 Y1 is O; Y2 is O; R2 is H; R4 is H; R5 is H; Q2 is Ph(2-SO2NH2, 4-F); and Q1 is 130 Y1 is O; Y2 is O; R2 is H; R4 is H; R5 is H; Q2 is Ph(2-SO2NH2, 5-F); and Q1 is 131 Y1 is O; Y2 is O; R2 is H; R4 is H; R5 is H; Q2 is Ph(2-SO2NH2,3,4-di-F); and Q1 is 132 Y1 is O; Y2 is O; R2 is H; R4 is H; R5 is H; Q2 is Ph(3-F); and Q1 is 133 Y1 is O; Y2 is O; R2 is H; R4 is H; R5 is H; Q2 is Ph(3,4-di-F); and Q1 is 134 Y1 is O; Y2 is O; R2 is H; R4 is H; R5 is H; Q2 is Ph(3,5-di-F); and Q1 is 135 Y1 is O; Y2 is O; R2 is H; R4 is H; R5 is H; Q2 is Ph(3,4,5-tri-F); and Q1 is 136 Y1 is O; Y2 is O; R2 is H; R4 is H; R5 is H; Q2 is Ph(3-F,4-Cl); and Q1 is 137 Y1 is O; Y2 is O; R2 is H; R4 is H; R5 is H; Q2 is Ph(3-CF3); and Q1 is 138 Y1 is O; Y2 is O; R2 is H; R4 is H; R5 is H; Q2 is Ph(3-CF3,4-F); and Q1 is 139 Y1 is O; Y2 is O; R2 is H; R4 is H; R5 is H; Q2 is Ph(3-CF3,4-Cl); and Q1 is 140 Y1 is O; Y2 is O; R2 is H; R4 is H; R5 is H; Q2 is Ph(3-CF3,5-F); and Q1 is 141 Y1 is O; Y2 is O; R2 is H; R4 is H; R5 is H; Q2 is Ph(3-CF3,4,5-di-F); and Q1 is 142 Y1 is O; Y2 is O; R2 is H; R4 is H; R5 is H; Q2 is Ph(3-SO2Me); and Q1 is 143 Y1 is O; Y2 is O; R2 is H; R4 is H; R5 is H; Q2 is Ph(3-SO2Me,4-Cl); and Q1 is 144 Y1 is O; Y2 is O; R2 is H; R4 is H; R5 is H; Q2 is Ph(3-SO2Me,4-F); and Q1 is 145 Y1 is O; Y2 is O; R2 is H; R4 is H; R5 is H; Q2 is Ph(3-SO2Me,4,5-di-F); and Q1 is 146 Y1 is O; Y2 is O; R2 is H; R4 is H; R5 is H; Q2 is Ph(3-SO2Me,5-F); and Q1 is 147 Y1 is O; Y2 is O; R2 is H; R4 is H; R5 is H; Q2 is Ph(3-SO2NH2); and Q1 is 148 Y1 is O; Y2 is O; R2 is H; R4 is H; R5 is H; Q2 is Ph(3-SO2NH2,4-F); and Q1 is 149 Y1 is O; Y2 is O; R2 is H; R4 is H; R5 is H; Q2 is Ph(3-SO2NH2,4,5-di-F); and Q1 is 150 Y1 is O; Y2 is O; R2 is H; R4 is H; R5 is H; Q2 is Ph(3-SO2NH2,4-Cl); and Q1 is 151 Y1 is O; Y2 is O; R2 is H; R4 is H; R5 is H; Q2 is Ph(3-SO2NH2,5-F); and Q1 is 152 Y1 is O; Y2 is O; R2 is H; R4 is H; R5 is H; Q2 is Ph(3-Me); and Q1 is 153 Y1 is O; Y2 is O; R2 is H; R4 is H; R5 is H; Q2 is Ph(3-Me,4-F); and Q1 is 154 Y1 is O; Y2 is O; R2 is H; R4 is H; R5 is H; Q2 is Ph(3-Me,4-Cl); and Q1 is 155 Y1 is O; Y2 is O; R2 is H; R4 is H; R5 is H; Q2 is Ph(3-Me,5-F); and Q1 is 156 Y1 is O; Y2 is O; R2 is H; R4 is H; R5 is H; Q2 is Ph(3-Me,4,5-di-F); and Q1 is 157 Y1 is O; Y2 is O; R2 is H; R4 is H; R5 is H; Q2 is Ph(3-Cl); and Q1 is 158 Y1 is O; Y2 is O; R2 is H; R4 is H; R5 is H; Q2 is Ph(3-Cl,4-F); and Q1 is 159 Y1 is O; Y2 is O; R2 is H; R4 is H; R5 is H; Q2 is Ph(3,4-di-Cl); and Q1 is 160 Y1 is O; Y2 is O; R2 is H; R4 is H; R5 is H; Q2 is Ph(3-Cl,5-F); and Q1 is 161 Y1 is O; Y2 is O; R2 is H; R4 is H; R5 is H; Q2 is Ph(3-Cl,4,5-di-F); and Q1 is 162 Y1 is O; Y2 is O; R2 is H; R4 is H; R5 is H; Q2 is Ph(3,5-di-Cl); and Q1 is 163 Y1 is O; Y2 is O; R2 is H; R4 is H; R5 is H; Q2 is Ph(4-F); and Q1 is 164 Y1 is O; Y2 is O; R2 is H; R4 is H; R5 is H; Q2 is Ph(4-Cl); and Q1 is 165 Y1 is O; Y2 is O; R2 is H; R4 is H; R5 is H; Q2 is 2,2-di-F-1,3-benzodioxol-4-yl; and Q1 is 166 Y1 is O; Y2 is O; R2 is H; R4 is H; R5 is H; Q2 is 2,2-di-F-1,3-benzodioxol-5-yl; and Q1 is 167 Y1 is O; Y2 is O; R2 is H; R4 is H; R5 is H; Q2 is 2,2-di-Me-1,3-benzodioxol-4-yl; and Q1 is 168 Y1 is O; Y2 is O; R2 is H; R4 is H; R5 is H; Q2 is 2,2-di-Me-1,3-benzodioxol-5-yl; and Q1 is 169 Y1 is O; Y2 is O; R2 is H; R4 is H; R5 is H; Q2 is 1,3-benzodioxol-4-yl; and Q1 is 170 Y1 is O; Y2 is O; R2 is H; R4 is H; R5 is H; Q2 is 1,3-benzodioxol-5-yl; and Q1 is 171 Y1 is S; Y2 is O; R2 is H; R4 is H; R5 is H; Q2 is Ph(2-F); and Q1 is 172 Y1 is S; Y2 is O; R2 is H; R4 is H; R5 is H; Q2 is Ph(2,3-di-F); and Q1 is 173 Y1 is S; Y2 is O; R2 is H; R4 is H; R5 is H; Q2 is Ph(2,4-di-F); and Q1 is 174 Y1 is S; Y2 is O; R2 is H; R4 is H; R5 is H; Q2 is Ph(2,5-di-F); and Q1 is 175 Y1 is S; Y2 is O; R2 is H; R4 is H; R5 is H; Q2 is Ph(2,3,4-tri-F); and Q1 is 176 Y1 is S; Y2 is O; R2 is H; R4 is H; R5 is H; Q2 is Ph(2,3,5-tri-F); and Q1 is 177 Y1 is S; Y2 is O; R2 is H; R4 is H; R5 is H; Q2 is Ph(2,3,4,5-tetra-F); and Q1 is 178 Y1 is S; Y2 is O; R2 is H; R4 is H; R5 is H; Q2 is Ph(2-F,3-Cl,4-Br); and Q1 is 179 Y1 is S; Y2 is O; R2 is H; R4 is H; R5 is H; Q2 is Ph(2-F,3-Cl,4-F); and Q1 is 180 Y1 is S; Y2 is O; R2 is H; R4 is H; R5 is H; Q2 is Ph(2-F,3-Br,4-F); and Q1 is 181 Y1 is S; Y2 is O; R2 is H; R4 is H; R5 is H; Q2 is Ph(2-F,3-Me); and Q1 is 182 Y1 is S; Y2 is O; R2 is H; R4 is H; R5 is H; Q2 is Ph(2-F,3-Me,4-F); and Q1 is 183 Y1 is S; Y2 is O; R2 is H; R4 is H; R5 is H; Q2 is Ph(2-F,3-Me,4-Cl); and Q1 is 184 Y1 is S; Y2 is O; R2 is H; R4 is H; R5 is H; Q2 is Ph(2-F,3-Cl); and Q1 is 185 Y1 is S; Y2 is O; R2 is H; R4 is H; R5 is H; Q2 is Ph(2-F,4-Cl); and Q1 is 186 Y1 is S; Y2 is O; R2 is H; R4 is H; R5 is H; Q2 is Ph(2-F,3,4-di-Cl); and Q1 is 187 Y1 is S; Y2 is O; R2 is H; R4 is H; R5 is H; Q2 is Ph(2-F,4-Br); and Q1 is 188 Y1 is S; Y2 is O; R2 is H; R4 is H; R5 is H; Q2 is Ph(2-F,3-OMe); and Q1 is 189 Y1 is S; Y2 is O; R2 is H; R4 is H; R5 is H; Q2 is Ph(2-F,3-OMe,4-F); and Q1 is 190 Y1 is S; Y2 is O; R2 is H; R4 is H; R5 is H; Q2 is Ph(2-F,3-OMe,4-Cl); and Q1 is 191 Y1 is S; Y2 is O; R2 is H; R4 is H; R5 is H; Q2 is Ph(2-F,3-CF2H); and Q1 is 192 Y1 is S; Y2 is O; R2 is H; R4 is H; R5 is H; Q2 is Ph(2-F,3-CF3); and Q1 is 193 Y1 is S; Y2 is O; R2 is H; R4 is H; R5 is H; Q2 is Ph(2-F,3-CF3,4-F); and Q1 is 194 Y1 is S; Y2 is O; R2 is H; R4 is H; R5 is H; Q2 is Ph(2-F,3-NO2); and Q1 is 195 Y1 is S; Y2 is O; R2 is H; R4 is H; R5 is H; Q2 is Ph(2-F,3-NO2,4-F); and Q1 is 196 Y1 is S; Y2 is O; R2 is H; R4 is H; R5 is H; Q2 is Ph(2-F,3-SO2Me); and Q1 is 197 Y1 is S; Y2 is O; R2 is H; R4 is H; R5 is H; Q2 is Ph(2-F,3-SO2Me,4-F); and Q1 is 198 Y1 is S; Y2 is O; R2 is H; R4 is H; R5 is H; Q2 is Ph(2-CF3); and Q1 is 199 Y1 is S; Y2 is O; R2 is H; R4 is H; R5 is H; Q2 is Ph(2-CF3,3-F); and Q1 is 200 Y1 is S; Y2 is O; R2 is H; R4 is H; R5 is H; Q2 is Ph(2-CF3,3-Me); and Q1 is 201 Y1 is S; Y2 is O; R2 is H; R4 is H; R5 is H; Q2 is Ph(2-CF3,4-F); and Q1 is 202 Y1 is S; Y2 is O; R2 is H; R4 is H; R5 is H; Q2 is Ph(2-CF3,3-Cl); and Q1 is 203 Y1 is S; Y2 is O; R2 is H; R4 is H; R5 is H; Q2 is Ph(2-CF3,4-Cl); and Q1 is 204 Y1 is S; Y2 is O; R2 is H; R4 is H; R5 is H; Q2 is Ph(2-CF3,3,4-di-F); and Q1 is 205 Y1 is S; Y2 is O; R2 is H; R4 is H; R5 is H; Q2 is Ph(2-CF2H); and Q1 is 206 Y1 is S; Y2 is O; R2 is H; R4 is H; R5 is H; Q2 is Ph(2-CF2H,3-F); and Q1 is 207 Y1 is S; Y2 is O; R2 is H; R4 is H; R5 is H; Q2 is Ph(2-CF2H,3-Me); and Q1 is 208 Y1 is S; Y2 is O; R2 is H; R4 is H; R5 is H; Q2 is Ph(2-CF2H,4-F); and Q1 is 209 Y1 is S; Y2 is O; R2 is H; R4 is H; R5 is H; Q2 is Ph(2-CF2H,3-Cl); and Q1 is 210 Y1 is S; Y2 is O; R2 is H; R4 is H; R5 is H; Q2 is Ph(2-CF2H,4-Cl); and Q1 is 211 Y1 is S; Y2 is O; R2 is H; R4 is H; R5 is H; Q2 is Ph(2-CF2H,3,4-di-F); and Q1 is 212 Y1 is S; Y2 is O; R2 is H; R4 is H; R5 is H; Q2 is Ph(2-Me); and Q1 is 213 Y1 is S; Y2 is O; R2 is H; R4 is H; R5 is H; Q2 is Ph(2,3-di-Me); and Q1 is 214 Y1 is S; Y2 is O; R2 is H; R4 is H; R5 is H; Q2 is Ph(2-Me,3-F); and Q1 is 215 Y1 is S; Y2 is O; R2 is H; R4 is H; R5 is H; Q2 is Ph(2-Me,3-Cl); and Q1 is 216 Y1 is S; Y2 is O; R2 is H; R4 is H; R5 is H; Q2 is Ph(2-Me,3-CF3); and Q1 is 217 Y1 is S; Y2 is O; R2 is H; R4 is H; R5 is H; Q2 is Ph(2-Me,3,4-di-Cl); and Q1 is 218 Y1 is S; Y2 is O; R2 is H; R4 is H; R5 is H; Q2 is Ph(2-Me,3-Cl,4-F); and Q1 is 219 Y1 is S; Y2 is O; R2 is H; R4 is H; R5 is H; Q2 is Ph(2-Me,4-Cl); and Q1 is 220 Y1 is S; Y2 is O; R2 is H; R4 is H; R5 is H; Q2 is Ph(2-Me,4-F); and Q1 is 221 Y1 is S; Y2 is O; R2 is H; R4 is H; R5 is H; Q2 is Ph(2-Me,5-F); and Q1 is 222 Y1 is S; Y2 is O; R2 is H; R4 is H; R5 is H; Q2 is Ph(2-Me,3,4-di-F); and Q1 is 223 Y1 is S; Y2 is O; R2 is H; R4 is H; R5 is H; Q2 is Ph(2-Me,3,5-di-F); and Q1 is 224 Y1 is S; Y2 is O; R2 is H; R4 is H; R5 is H; Q2 is Ph(2-Et); and Q1 is 225 Y1 is S; Y2 is O; R2 is H; R4 is H; R5 is H; Q2 is Ph(2-Et,3-F); and Q1 is 226 Y1 is S; Y2 is O; R2 is H; R4 is H; R5 is H; Q2 is Ph(2-Et,3-Cl); and Q1 is 227 Y1 is S; Y2 is O; R2 is H; R4 is H; R5 is H; Q2 is Ph(2-Et,4-F); and Q1 is 228 Y1 is S; Y2 is O; R2 is H; R4 is H; R5 is H; Q2 is Ph(2-Et,3,4-di-F); and Q1 is 229 Y1 is S; Y2 is O; R2 is H; R4 is H; R5 is H; Q2 is Ph(2-i-Pr); and Q1 is 230 Y1 is S; Y2 is O; R2 is H; R4 is H; R5 is H; Q2 is Ph(2-i-Pr,3-F); and Q1 is 231 Y1 is S; Y2 is O; R2 is H; R4 is H; R5 is H; Q2 is Ph(2-i-Pr,3-Cl); and Q1 is 232 Y1 is S; Y2 is O; R2 is H; R4 is H; R5 is H; Q2 is Ph(2-i-Pr,4-F); and Q1 is 233 Y1 is S; Y2 is O; R2 is H; R4 is H; R5 is H; Q2 is Ph(2-i-Pr,3,4-di-F); and Q1 is 234 Y1 is S; Y2 is O; R2 is H; R4 is H; R5 is H; Q2 is Ph(2-c-Pr); and Q1 is 235 Y1 is S; Y2 is O; R2 is H; R4 is H; R5 is H; Q2 is Ph(2-c-Pr,3-F); and Q1 is 236 Y1 is S; Y2 is O; R2 is H; R4 is H; R5 is H; Q2 is Ph(2-c-Pr,3-Cl); and Q1 is 237 Y1 is S; Y2 is O; R2 is H; R4 is H; R5 is H; Q2 is Ph(2-c-Pr,4-F); and Q1 is 238 Y1 is S; Y2 is O; R2 is H; R4 is H; R5 is H; Q2 is Ph(2-c-Pr,3,4-di-F); and Q1 is 239 Y1 is S; Y2 is O; R2 is H; R4 is H; R5 is H; Q2 is Ph(2-NO2); and Q1 is 240 Y1 is S; Y2 is O; R2 is H; R4 is H; R5 is H; Q2 is Ph(2-NO2,3-F); and Q1 is 241 Y1 is S; Y2 is O; R2 is H; R4 is H; R5 is H; Q2 is Ph(2-NO2,3-Cl); and Q1 is 242 Y1 is S; Y2 is O; R2 is H; R4 is H; R5 is H; Q2 is Ph(2-NO2,4-F); and Q1 is 243 Y1 is S; Y2 is O; R2 is H; R4 is H; R5 is H; Q2 is Ph(2-NO2,3,4-di-F); and Q1 is 244 Y1 is S; Y2 is O; R2 is H; R4 is H; R5 is H; Q2 is Ph(2-OCF3); and Q1 is 245 Y1 is S; Y2 is O; R2 is H; R4 is H; R5 is H; Q2 is Ph(2-OCF3,3-F); and Q1 is 246 Y1 is S; Y2 is O; R2 is H; R4 is H; R5 is H; Q2 is Ph(2-OCF3,4-F); and Q1 is 247 Y1 is S; Y2 is O; R2 is H; R4 is H; R5 is H; Q2 is Ph(2-Cl); and Q1 is 248 Y1 is S; Y2 is O; R2 is H; R4 is H; R5 is H; Q2 is Ph(2-Cl,3-Me); and Q1 is 249 Y1 is S; Y2 is O; R2 is H; R4 is H; R5 is H; Q2 is Ph(2-Cl,3-Me,4-F); and Q1 is 250 Y1 is S; Y2 is O; R2 is H; R4 is H; R5 is H; Q2 is Ph(2,3-di-Cl); and Q1 is 251 Y1 is S; Y2 is O; R2 is H; R4 is H; R5 is H; Q2 is Ph(2,4-di-Cl); and Q1 is 252 Y1 is S; Y2 is O; R2 is H; R4 is H; R5 is H; Q2 is Ph(2-Cl,3-F); and Q1 is 253 Y1 is S; Y2 is O; R2 is H; R4 is H; R5 is H; Q2 is Ph(2-Cl,4-F); and Q1 is 254 Y1 is S; Y2 is O; R2 is H; R4 is H; R5 is H; Q2 is Ph(2-Cl,5-F); and Q1 is 255 Y1 is S; Y2 is O; R2 is H; R4 is H; R5 is H; Q2 is Ph(2-Cl,3,4-di-F); and Q1 is 256 Y1 is S; Y2 is O; R2 is H; R4 is H; R5 is H; Q2 is Ph(2-Cl,3,5-di-F); and Q1 is 257 Y1 is S; Y2 is O; R2 is H; R4 is H; R5 is H; Q2 is Ph(2-OCF2H); and Q1 is 258 Y1 is S; Y2 is O; R2 is H; R4 is H; R5 is H; Q2 is Ph(2-OCF2H,3-Me); and Q1 is 259 Y1 is S; Y2 is O; R2 is H; R4 is H; R5 is H; Q2 is Ph(2-OCF2H,3-Cl); and Q1 is 260 Y1 is S; Y2 is O; R2 is H; R4 is H; R5 is H; Q2 is Ph(2-OCF2H,3-F); and Q1 is 261 Y1 is S; Y2 is O; R2 is H; R4 is H; R5 is H; Q2 is Ph(2-OCF2H,4-F); and Q1 is 262 Y1 is S; Y2 is O; R2 is H; R4 is H; R5 is H; Q2 is Ph(2-OCF2CF2H); and Q1 is 263 Y1 is S; Y2 is O; R2 is H; R4 is H; R5 is H; Q2 is Ph(2-OCF2CF2H,3-F); and Q1 is 264 Y1 is S; Y2 is O; R2 is H; R4 is H; R5 is H; Q2 is Ph(2-OCF2CF2H,4-F); and Q1 is 265 Y1 is S; Y2 is O; R2 is H; R4 is H; R5 is H; Q2 is Ph(2-Br); and Q1 is 266 Y1 is S; Y2 is O; R2 is H; R4 is H; R5 is H; Q2 is Ph(2-Br,3-F); and Q1 is 267 Y1 is S; Y2 is O; R2 is H; R4 is H; R5 is H; Q2 is Ph(2-Br,4-F); and Q1 is 268 Y1 is S; Y2 is O; R2 is H; R4 is H; R5 is H; Q2 is Ph(2-Br,3,4-di-F); and Q1 is 269 Y1 is S; Y2 is O; R2 is H; R4 is H; R5 is H; Q2 is Ph(2-I); and Q1 is 270 Y1 is S; Y2 is O; R2 is H; R4 is H; R5 is H; Q2 is Ph(2-I,3-F); and Q1 is 271 Y1 is S; Y2 is O; R2 is H; R4 is H; R5 is H; Q2 is Ph(2-I,4-F); and Q1 is 272 Y1 is S; Y2 is O; R2 is H; R4 is H; R5 is H; Q2 is Ph(2-I,3,4-di-F); and Q1 is 273 Y1 is S; Y2 is O; R2 is H; R4 is H; R5 is H; Q2 is Ph(2-CN); and Q1 is 274 Y1 is S; Y2 is O; R2 is H; R4 is H; R5 is H; Q2 is Ph(2-CN,3-Me); and Q1 is 275 Y1 is S; Y2 is O; R2 is H; R4 is H; R5 is H; Q2 is Ph(2-CN,3-F); and Q1 is 276 Y1 is S; Y2 is O; R2 is H; R4 is H; R5 is H; Q2 is Ph(2-CN,4-F); and Q1 is 277 Y1 is S; Y2 is O; R2 is H; R4 is H; R5 is H; Q2 is Ph(2-CN,3-Cl); and Q1 is 278 Y1 is S; Y2 is O; R2 is H; R4 is H; R5 is H; Q2 is Ph(2-CN,4-Cl); and Q1 is 279 Y1 is S; Y2 is O; R2 is H; R4 is H; R5 is H; Q2 is Ph(2-CN,3,4-di-F); and Q1 is 280 Y1 is S; Y2 is O; R2 is H; R4 is H; R5 is H; Q2 is 2-Pyridinyl; and Q1 is 281 Y1 is S; Y2 is O; R2 is H; R4 is H; R5 is H; Q2 is 2-Pyridinyl,3-F; and Q1 is 282 Y1 is S; Y2 is O; R2 is H; R4 is H; R5 is H; Q2 is 2-Pyridinyl,4-F; and Q1 is 283 Y1 is S; Y2 is O; R2 is H; R4 is H; R5 is H; Q2 is 2-Pyridinyl,3,4-di-F; and Q1 is 284 Y1 is S; Y2 is O; R2 is H; R4 is H; R5 is H; Q2 is 2-Pyridinyl,3-Cl; and Q1 is 285 Y1 is S; Y2 is O; R2 is H; R4 is H; R5 is H; Q2 is 2-Pyridinyl,4-Cl; and Q1 is 286 Y1 is S; Y2 is O; R2 is H; R4 is H; R5 is H; Q2 is 2-Pyridinyl,3-Cl,4-F; and Q1 is 287 Y1 is S; Y2 is O; R2 is H; R4 is H; R5 is H; Q2 is Ph(2-SO2Me); and Q1 is 288 Y1 is S; Y2 is O; R2 is H; R4 is H; R5 is H; Q2 is Ph(2-SO2Me, 3-F); and Q1 is 289 Y1 is S; Y2 is O; R2 is H; R4 is H; R5 is H; Q2 is Ph(2-SO2Me, 3-Me); and Q1 is 290 Y1 is S; Y2 is O; R2 is H; R4 is H; R5 is H; Q2 is Ph(2-SO2Me, 4-F); and Q1 is 291 Y1 is S; Y2 is O; R2 is H; R4 is H; R5 is H; Q2 is Ph(2-SO2Me, 5-F); and Q1 is 292 Y1 is S; Y2 is O; R2 is H; R4 is H; R5 is H; Q2 is Ph(2-SO2Me,3,4-di-F); and Q1 is 293 Y1 is S; Y2 is O; R2 is H; R4 is H; R5 is H; Q2 is Ph(2-SO2Me, 3-Cl); and Q1 is 294 Y1 is S; Y2 is O; R2 is H; R4 is H; R5 is H; Q2 is Ph(2-SO2Me, 4-Cl); and Q1 is 295 Y1 is S; Y2 is O; R2 is H; R4 is H; R5 is H; Q2 is Ph(2-SO2Me,3-Cl,4-F); and Q1 is 296 Y1 is S; Y2 is O; R2 is H; R4 is H; R5 is H; Q2 is Ph(2-SO2NH2); and Q1 is 297 Y1 is S; Y2 is O; R2 is H; R4 is H; R5 is H; Q2 is Ph(2-SO2NH2, 3-F); and Q1 is 298 Y1 is S; Y2 is O; R2 is H; R4 is H; R5 is H; Q2 is Ph(2-SO2NH2, 3-Cl); and Q1 is 299 Y1 is S; Y2 is O; R2 is H; R4 is H; R5 is H; Q2 is Ph(2-SO2NH2, 4-F); and Q1 is 300 Y1 is S; Y2 is O; R2 is H; R4 is H; R5 is H; Q2 is Ph(2-SO2NH2, 5-F); and Q1 is 301 Y1 is S; Y2 is O; R2 is H; R4 is H; R5 is H; Q2 is Ph(2-SO2NH2,3,4-di-F); and Q1 is 302 Y1 is S; Y2 is O; R2 is H; R4 is H; R5 is H; Q2 is Ph(3-F); and Q1 is 303 Y1 is S; Y2 is O; R2 is H; R4 is H; R5 is H; Q2 is Ph(3,4-di-F); and Q1 is 304 Y1 is S; Y2 is O; R2 is H; R4 is H; R5 is H; Q2 is Ph(3,5-di-F); and Q1 is 305 Y1 is S; Y2 is O; R2 is H; R4 is H; R5 is H; Q2 is Ph(3,4,5-tri-F); and Q1 is 306 Y1 is S; Y2 is O; R2 is H; R4 is H; R5 is H; Q2 is Ph(3-F,4-Cl); and Q1 is 307 Y1 is S; Y2 is O; R2 is H; R4 is H; R5 is H; Q2 is Ph(3-CF3); and Q1 is 308 Y1 is S; Y2 is O; R2 is H; R4 is H; R5 is H; Q2 is Ph(3-CF3,4-F); and Q1 is 309 Y1 is S; Y2 is O; R2 is H; R4 is H; R5 is H; Q2 is Ph(3-CF3,4-Cl); and Q1 is 310 Y1 is S; Y2 is O; R2 is H; R4 is H; R5 is H; Q2 is Ph(3-CF3,5-F); and Q1 is 311 Y1 is S; Y2 is O; R2 is H; R4 is H; R5 is H; Q2 is Ph(3-CF3,4,5-di-F); and Q1 is 312 Y1 is S; Y2 is O; R2 is H; R4 is H; R5 is H; Q2 is Ph(3-SO2Me); and Q1 is 313 Y1 is S; Y2 is O; R2 is H; R4 is H; R5 is H; Q2 is Ph(3-SO2Me,4-Cl); and Q1 is 314 Y1 is S; Y2 is O; R2 is H; R4 is H; R5 is H; Q2 is Ph(3-SO2Me,4-F); and Q1 is 315 Y1 is S; Y2 is O; R2 is H; R4 is H; R5 is H; Q2 is Ph(3-SO2Me,4,5-di-F); and Q1 is 316 Y1 is S; Y2 is O; R2 is H; R4 is H; R5 is H; Q2 is Ph(3-SO2Me,5-F); and Q1 is 317 Y1 is S; Y2 is O; R2 is H; R4 is H; R5 is H; Q2 is Ph(3-SO2NH2); and Q1 is 318 Y1 is S; Y2 is O; R2 is H; R4 is H; R5 is H; Q2 is Ph(3-SO2NH2,4-F); and Q1 is 319 Y1 is S; Y2 is O; R2 is H; R4 is H; R5 is H; Q2 is Ph(3-SO2NH2,4,5-di-F); and Q1 is 320 Y1 is S; Y2 is O; R2 is H; R4 is H; R5 is H; Q2 is Ph(3-SO2NH2,4-Cl); and Q1 is 321 Y1 is S; Y2 is O; R2 is H; R4 is H; R5 is H; Q2 is Ph(3-SO2NH2,5-F); and Q1 is 322 Y1 is S; Y2 is O; R2 is H; R4 is H; R5 is H; Q2 is Ph(3-Me); and Q1 is 323 Y1 is S; Y2 is O; R2 is H; R4 is H; R5 is H; Q2 is Ph(3-Me,4-F); and Q1 is 324 Y1 is S; Y2 is O; R2 is H; R4 is H; R5 is H; Q2 is Ph(3-Me,4-Cl); and Q1 is 325 Y1 is S; Y2 is O; R2 is H; R4 is H; R5 is H; Q2 is Ph(3-Me,5-F); and Q1 is 326 Y1 is S; Y2 is O; R2 is H; R4 is H; R5 is H; Q2 is Ph(3-Me,4,5-di-F); and Q1 is 327 Y1 is S; Y2 is O; R2 is H; R4 is H; R5 is H; Q2 is Ph(3-Cl); and Q1 is 328 Y1 is S; Y2 is O; R2 is H; R4 is H; R5 is H; Q2 is Ph(3-Cl,4-F); and Q1 is 329 Y1 is S; Y2 is O; R2 is H; R4 is H; R5 is H; Q2 is Ph(3,4-di-Cl); and Q1 is 330 Y1 is S; Y2 is O; R2 is H; R4 is H; R5 is H; Q2 is Ph(3-Cl,5-F); and Q1 is 331 Y1 is S; Y2 is O; R2 is H; R4 is H; R5 is H; Q2 is Ph(3-Cl,4,5-di-F); and Q1 is 332 Y1 is S; Y2 is O; R2 is H; R4 is H; R5 is H; Q2 is Ph(3,5-di-Cl); and Q1 is 333 Y1 is S; Y2 is O; R2 is H; R4 is H; R5 is H; Q2 is Ph(4-F); and Q1 is 334 Y1 is S; Y2 is O; R2 is H; R4 is H; R5 is H; Q2 is Ph(4-Cl); and Q1 is 335 Y1 is S; Y2 is O; R2 is H; R4 is H; R5 is H; Q2 is 2,2-di-F-1,3-benzodioxol-4-yl; and Q1 is 336 Y1 is S; Y2 is O; R2 is H; R4 is H; R5 is H; Q2 is 2,2-di-F-1,3-benzodioxol-5-yl; and Q1 is 337 Y1 is S; Y2 is O; R2 is H; R4 is H; R5 is H; Q2 is 2,2-di-Me-1,3-benzodioxol-4-yl; and Q1 is 338 Y1 is S; Y2 is O; R2 is H; R4 is H; R5 is H; Q2 is 2,2-di-Me-1,3-benzodioxol-5-yl; and Q1 is 339 Y1 is S; Y2 is O; R2 is H; R4 is H; R5 is H; Q2 is 1,3-benzodioxol-4-yl; and Q1 is 340 Y1 is S; Y2 is O; R2 is H; R4 is H; R5 is H; Q2 is 1,3-benzodioxol-5-yl; and Q1 is 341 Y1 is O; Y2 is S; R2 is H; R4 is H; R5 is H; Q2 is Ph(2-F); and Q1 is 342 Y1 is O; Y2 is S; R2 is H; R4 is H; R5 is H; Q2 is Ph(2,3-di-F); and Q1 is 343 Y1 is O; Y2 is S; R2 is H; R4 is H; R5 is H; Q2 is Ph(2,4-di-F); and Q1 is 344 Y1 is O; Y2 is S; R2 is H; R4 is H; R5 is H; Q2 is Ph(2,5-di-F); and Q1 is 345 Y1 is O; Y2 is S; R2 is H; R4 is H; R5 is H; Q2 is Ph(2,3,4-tri-F); and Q1 is 346 Y1 is O; Y2 is S; R2 is H; R4 is H; R5 is H; Q2 is Ph(2,3,5-tri-F); and Q1 is 347 Y1 is O; Y2 is S; R2 is H; R4 is H; R5 is H; Q2 is Ph(2,3,4,5-tetra-F); and Q1 is 348 Y1 is O; Y2 is S; R2 is H; R4 is H; R5 is H; Q2 is Ph(2-F,3-Cl,4-Br); and Q1 is 349 Y1 is O; Y2 is S; R2 is H; R4 is H; R5 is H; Q2 is Ph(2-F,3-Cl,4-F); and Q1 is 350 Y1 is O; Y2 is S; R2 is H; R4 is H; R5 is H; Q2 is Ph(2-F,3-Br,4-F); and Q1 is 351 Y1 is O; Y2 is S; R2 is H; R4 is H; R5 is H; Q2 is Ph(2-F,3-Me); and Q1 is 352 Y1 is O; Y2 is S; R2 is H; R4 is H; R5 is H; Q2 is Ph(2-F,3-Me,4-F); and Q1 is 353 Y1 is O; Y2 is S; R2 is H; R4 is H; R5 is H; Q2 is Ph(2-F,3-Me,4-Cl); and Q1 is 354 Y1 is O; Y2 is S; R2 is H; R4 is H; R5 is H; Q2 is Ph(2-F,3-Cl); and Q1 is 355 Y1 is O; Y2 is S; R2 is H; R4 is H; R5 is H; Q2 is Ph(2-F,4-Cl); and Q1 is 356 Y1 is O; Y2 is S; R2 is H; R4 is H; R5 is H; Q2 is Ph(2-F,3,4-di-Cl); and Q1 is 357 Y1 is O; Y2 is S; R2 is H; R4 is H; R5 is H; Q2 is Ph(2-F,4-Br); and Q1 is 358 Y1 is O; Y2 is S; R2 is H; R4 is H; R5 is H; Q2 is Ph(2-F,3-OMe); and Q1 is 359 Y1 is O; Y2 is S; R2 is H; R4 is H; R5 is H; Q2 is Ph(2-F,3-OMe,4-F); and Q1 is 360 Y1 is O; Y2 is S; R2 is H; R4 is H; R5 is H; Q2 is Ph(2-F,3-OMe,4-Cl); and Q1 is 361 Y1 is O; Y2 is S; R2 is H; R4 is H; R5 is H; Q2 is Ph(2-F,3-CF2H); and Q1 is 362 Y1 is O; Y2 is S; R2 is H; R4 is H; R5 is H; Q2 is Ph(2-F,3-CF3); and Q1 is 363 Y1 is O; Y2 is S; R2 is H; R4 is H; R5 is H; Q2 is Ph(2-F,3-CF3,4-F); and Q1 is 364 Y1 is O; Y2 is S; R2 is H; R4 is H; R5 is H; Q2 is Ph(2-F,3-NO2); and Q1 is 365 Y1 is O; Y2 is S; R2 is H; R4 is H; R5 is H; Q2 is Ph(2-F,3-NO2,4-F); and Q1 is 366 Y1 is O; Y2 is S; R2 is H; R4 is H; R5 is H; Q2 is Ph(2-F,3-SO2Me); and Q1 is 367 Y1 is O; Y2 is S; R2 is H; R4 is H; R5 is H; Q2 is Ph(2-F,3-SO2Me,4-F); and Q1 is 368 Y1 is O; Y2 is S; R2 is H; R4 is H; R5 is H; Q2 is Ph(2-CF3); and Q1 is 369 Y1 is O; Y2 is S; R2 is H; R4 is H; R5 is H; Q2 is Ph(2-CF3,3-F); and Q1 is 370 Y1 is O; Y2 is S; R2 is H; R4 is H; R5 is H; Q2 is Ph(2-CF3,3-Me); and Q1 is 371 Y1 is O; Y2 is S; R2 is H; R4 is H; R5 is H; Q2 is Ph(2-CF3,4-F); and Q1 is 372 Y1 is O; Y2 is S; R2 is H; R4 is H; R5 is H; Q2 is Ph(2-CF3,3-Cl); and Q1 is 373 Y1 is O; Y2 is S; R2 is H; R4 is H; R5 is H; Q2 is Ph(2-CF3,4-Cl); and Q1 is 374 Y1 is O; Y2 is S; R2 is H; R4 is H; R5 is H; Q2 is Ph(2-CF3,3,4-di-F); and Q1 is 375 Y1 is O; Y2 is S; R2 is H; R4 is H; R5 is H; Q2 is Ph(2-CF2H); and Q1 is 376 Y1 is O; Y2 is S; R2 is H; R4 is H; R5 is H; Q2 is Ph(2-CF2H,3-F); and Q1 is 377 Y1 is O; Y2 is S; R2 is H; R4 is H; R5 is H; Q2 is Ph(2-CF2H,3-Me); and Q1 is 378 Y1 is O; Y2 is S; R2 is H; R4 is H; R5 is H; Q2 is Ph(2-CF2H,4-F); and Q1 is 379 Y1 is O; Y2 is S; R2 is H; R4 is H; R5 is H; Q2 is Ph(2-CF2H,3-Cl); and Q1 is 380 Y1 is O; Y2 is S; R2 is H; R4 is H; R5 is H; Q2 is Ph(2-CF2H,4-Cl); and Q1 is 381 Y1 is O; Y2 is S; R2 is H; R4 is H; R5 is H; Q2 is Ph(2-CF2H,3,4-di-F); and Q1 is 382 Y1 is O; Y2 is S; R2 is H; R4 is H; R5 is H; Q2 is Ph(2-Me); and Q1 is 383 Y1 is O; Y2 is S; R2 is H; R4 is H; R5 is H; Q2 is Ph(2,3-di-Me); and Q1 is 384 Y1 is O; Y2 is S; R2 is H; R4 is H; R5 is H; Q2 is Ph(2-Me,3-F); and Q1 is 385 Y1 is O; Y2 is S; R2 is H; R4 is H; R5 is H; Q2 is Ph(2-Me,3-Cl); and Q1 is 386 Y1 is O; Y2 is S; R2 is H; R4 is H; R5 is H; Q2 is Ph(2-Me,3-CF3); and Q1 is 387 Y1 is O; Y2 is S; R2 is H; R4 is H; R5 is H; Q2 is Ph(2-Me,3,4-di-Cl); and Q1 is 388 Y1 is O; Y2 is S; R2 is H; R4 is H; R5 is H; Q2 is Ph(2-Me,3-Cl,4-F); and Q1 is 389 Y1 is O; Y2 is S; R2 is H; R4 is H; R5 is H; Q2 is Ph(2-Me,4-Cl); and Q1 is 390 Y1 is O; Y2 is S; R2 is H; R4 is H; R5 is H; Q2 is Ph(2-Me,4-F); and Q1 is 391 Y1 is O; Y2 is S; R2 is H; R4 is H; R5 is H; Q2 is Ph(2-Me,5-F); and Q1 is 392 Y1 is O; Y2 is S; R2 is H; R4 is H; R5 is H; Q2 is Ph(2-Me,3,4-di-F); and Q1 is 393 Y1 is O; Y2 is S; R2 is H; R4 is H; R5 is H; Q2 is Ph(2-Me,3,5-di-F); and Q1 is 394 Y1 is O; Y2 is S; R2 is H; R4 is H; R5 is H; Q2 is Ph(2-Et); and Q1 is 395 Y1 is O; Y2 is S; R2 is H; R4 is H; R5 is H; Q2 is Ph(2-Et,3-F); and Q1 is 396 Y1 is O; Y2 is S; R2 is H; R4 is H; R5 is H; Q2 is Ph(2-Et,3-Cl); and Q1 is 397 Y1 is O; Y2 is S; R2 is H; R4 is H; R5 is H; Q2 is Ph(2-Et,4-F); and Q1 is 398 Y1 is O; Y2 is S; R2 is H; R4 is H; R5 is H; Q2 is Ph(2-Et,3,4-di-F); and Q1 is 399 Y1 is O; Y2 is S; R2 is H; R4 is H; R5 is H; Q2 is Ph(2-i-Pr); and Q1 is 400 Y1 is O; Y2 is S; R2 is H; R4 is H; R5 is H; Q2 is Ph(2-i-Pr,3-F); and Q1 is 401 Y1 is O; Y2 is S; R2 is H; R4 is H; R5 is H; Q2 is Ph(2-i-Pr,3-Cl); and Q1 is 402 Y1 is O; Y2 is S; R2 is H; R4 is H; R5 is H; Q2 is Ph(2-i-Pr,4-F); and Q1 is 403 Y1 is O; Y2 is S; R2 is H; R4 is H; R5 is H; Q2 is Ph(2-i-Pr,3,4-di-F); and Q1 is 404 Y1 is O; Y2 is S; R2 is H; R4 is H; R5 is H; Q2 is Ph(2-c-Pr); and Q1 is 405 Y1 is O; Y2 is S; R2 is H; R4 is H; R5 is H; Q2 is Ph(2-c-Pr,3-F); and Q1 is 406 Y1 is O; Y2 is S; R2 is H; R4 is H; R5 is H; Q2 is Ph(2-c-Pr,3-Cl); and Q1 is 407 Y1 is O; Y2 is S; R2 is H; R4 is H; R5 is H; Q2 is Ph(2-c-Pr,4-F); and Q1 is 408 Y1 is O; Y2 is S; R2 is H; R4 is H; R5 is H; Q2 is Ph(2-c-Pr,3,4-di-F); and Q1 is 409 Y1 is O; Y2 is S; R2 is H; R4 is H; R5 is H; Q2 is Ph(2-NO2); and Q1 is 410 Y1 is O; Y2 is S; R2 is H; R4 is H; R5 is H; Q2 is Ph(2-NO2,3-F); and Q1 is 411 Y1 is O; Y2 is S; R2 is H; R4 is H; R5 is H; Q2 is Ph(2-NO2,3-Cl); and Q1 is 412 Y1 is O; Y2 is S; R2 is H; R4 is H; R5 is H; Q2 is Ph(2-NO2,4-F); and Q1 is 413 Y1 is O; Y2 is S; R2 is H; R4 is H; R5 is H; Q2 is Ph(2-NO2,3,4-di-F); and Q1 is 414 Y1 is O; Y2 is S; R2 is H; R4 is H; R5 is H; Q2 is Ph(2-OCF3); and Q1 is 415 Y1 is O; Y2 is S; R2 is H; R4 is H; R5 is H; Q2 is Ph(2-OCF3,3-F); and Q1 is 416 Y1 is O; Y2 is S; R2 is H; R4 is H; R5 is H; Q2 is Ph(2-OCF3,4-F); and Q1 is 417 Y1 is O; Y2 is S; R2 is H; R4 is H; R5 is H; Q2 is Ph(2-Cl); and Q1 is 418 Y1 is O; Y2 is S; R2 is H; R4 is H; R5 is H; Q2 is Ph(2-Cl,3-Me); and Q1 is 419 Y1 is O; Y2 is S; R2 is H; R4 is H; R5 is H; Q2 is Ph(2-Cl,3-Me,4-F); and Q1 is 420 Y1 is O; Y2 is S; R2 is H; R4 is H; R5 is H; Q2 is Ph(2,3-di-Cl); and Q1 is 421 Y1 is O; Y2 is S; R2 is H; R4 is H; R5 is H; Q2 is Ph(2,4-di-Cl); and Q1 is 422 Y1 is O; Y2 is S; R2 is H; R4 is H; R5 is H; Q2 is Ph(2-Cl,3-F); and Q1 is 423 Y1 is O; Y2 is S; R2 is H; R4 is H; R5 is H; Q2 is Ph(2-Cl,4-F); and Q1 is 424 Y1 is O; Y2 is S; R2 is H; R4 is H; R5 is H; Q2 is Ph(2-Cl,5-F); and Q1 is 425 Y1 is O; Y2 is S; R2 is H; R4 is H; R5 is H; Q2 is Ph(2-Cl,3,4-di-F); and Q1 is 426 Y1 is O; Y2 is S; R2 is H; R4 is H; R5 is H; Q2 is Ph(2-Cl,3,5-di-F); and Q1 is 427 Y1 is O; Y2 is S; R2 is H; R4 is H; R5 is H; Q2 is Ph(2-OCF2H); and Q1 is 428 Y1 is O; Y2 is S; R2 is H; R4 is H; R5 is H; Q2 is Ph(2-OCF2H,3-Me); and Q1 is 429 Y1 is O; Y2 is S; R2 is H; R4 is H; R5 is H; Q2 is Ph(2-OCF2H,3-Cl); and Q1 is 430 Y1 is O; Y2 is S; R2 is H; R4 is H; R5 is H; Q2 is Ph(2-OCF2H,3-F); and Q1 is 431 Y1 is O; Y2 is S; R2 is H; R4 is H; R5 is H; Q2 is Ph(2-OCF2H,4-F); and Q1 is 432 Y1 is O; Y2 is S; R2 is H; R4 is H; R5 is H; Q2 is Ph(2-OCF2CF2H); and Q1 is 433 Y1 is O; Y2 is S; R2 is H; R4 is H; R5 is H; Q2 is Ph(2-OCF2CF2H,3-F); and Q1 is 434 Y1 is O; Y2 is S; R2 is H; R4 is H; R5 is H; Q2 is Ph(2-OCF2CF2H,4-F); and Q1 is 435 Y1 is O; Y2 is S; R2 is H; R4 is H; R5 is H; Q2 is Ph(2-Br); and Q1 is 436 Y1 is O; Y2 is S; R2 is H; R4 is H; R5 is H; Q2 is Ph(2-Br,3-F); and Q1 is 437 Y1 is O; Y2 is S; R2 is H; R4 is H; R5 is H; Q2 is Ph(2-Br,4-F); and Q1 is 438 Y1 is O; Y2 is S; R2 is H; R4 is H; R5 is H; Q2 is Ph(2-Br,3,4-di-F); and Q1 is 439 Y1 is O; Y2 is S; R2 is H; R4 is H; R5 is H; Q2 is Ph(2-I); and Q1 is 440 Y1 is O; Y2 is S; R2 is H; R4 is H; R5 is H; Q2 is Ph(2-I,3-F); and Q1 is 441 Y1 is O; Y2 is S; R2 is H; R4 is H; R5 is H; Q2 is Ph(2-I,4-F); and Q1 is 442 Y1 is O; Y2 is S; R2 is H; R4 is H; R5 is H; Q2 is Ph(2-I,3,4-di-F); and Q1 is 443 Y1 is O; Y2 is S; R2 is H; R4 is H; R5 is H; Q2 is Ph(2-CN); and Q1 is 444 Y1 is O; Y2 is S; R2 is H; R4 is H; R5 is H; Q2 is Ph(2-CN,3-Me); and Q1 is 445 Y1 is O; Y2 is S; R2 is H; R4 is H; R5 is H; Q2 is Ph(2-CN,3-F); and Q1 is 446 Y1 is O; Y2 is S; R2 is H; R4 is H; R5 is H; Q2 is Ph(2-CN,4-F); and Q1 is 447 Y1 is O; Y2 is S; R2 is H; R4 is H; R5 is H; Q2 is Ph(2-CN,3-Cl); and Q1 is 448 Y1 is O; Y2 is S; R2 is H; R4 is H; R5 is H; Q2 is Ph(2-CN,4-Cl); and Q1 is 449 Y1 is O; Y2 is S; R2 is H; R4 is H; R5 is H; Q2 is Ph(2-CN,3,4-di-F); and Q1 is 450 Y1 is O; Y2 is S; R2 is H; R4 is H; R5 is H; Q2 is 2-Pyridinyl; and Q1 is 451 Y1 is O; Y2 is S; R2 is H; R4 is H; R5 is H; Q2 is 2-Pyridinyl,3-F; and Q1 is 452 Y1 is O; Y2 is S; R2 is H; R4 is H; R5 is H; Q2 is 2-Pyridinyl,4-F; and Q1 is 453 Y1 is O; Y2 is S; R2 is H; R4 is H; R5 is H; Q2 is 2-Pyridinyl,3,4-di-F; and Q1 is 454 Y1 is O; Y2 is S; R2 is H; R4 is H; R5 is H; Q2 is 2-Pyridinyl,3-Cl; and Q1 is 455 Y1 is O; Y2 is S; R2 is H; R4 is H; R5 is H; Q2 is 2-Pyridinyl,4-Cl; and Q1 is 456 Y1 is O; Y2 is S; R2 is H; R4 is H; R5 is H; Q2 is 2-Pyridinyl,3-Cl,4-F; and Q1 is 457 Y1 is O; Y2 is S; R2 is H; R4 is H; R5 is H; Q2 is Ph(2-SO2Me); and Q1 is 458 Y1 is O; Y2 is S; R2 is H; R4 is H; R5 is H; Q2 is Ph(2-SO2Me, 3-F); and Q1 is 459 Y1 is O; Y2 is S; R2 is H; R4 is H; R5 is H; Q2 is Ph(2-SO2Me, 3-Me); and Q1 is 460 Y1 is O; Y2 is S; R2 is H; R4 is H; R5 is H; Q2 is Ph(2-SO2Me, 4-F); and Q1 is 461 Y1 is O; Y2 is S; R2 is H; R4 is H; R5 is H; Q2 is Ph(2-SO2Me, 5-F); and Q1 is 462 Y1 is O; Y2 is S; R2 is H; R4 is H; R5 is H; Q2 is Ph(2-SO2Me,3,4-di-F); and Q1 is 463 Y1 is O; Y2 is S; R2 is H; R4 is H; R5 is H; Q2 is Ph(2-SO2Me, 3-Cl); and Q1 is 464 Y1 is O; Y2 is S; R2 is H; R4 is H; R5 is H; Q2 is Ph(2-SO2Me, 4-Cl); and Q1 is 465 Y1 is O; Y2 is S; R2 is H; R4 is H; R5 is H; Q2 is Ph(2-SO2Me,3-Cl,4-F); and Q1 is 466 Y1 is O; Y2 is S; R2 is H; R4 is H; R5 is H; Q2 is Ph(2-SO2NH2); and Q1 is 467 Y1 is O; Y2 is S; R2 is H; R4 is H; R5 is H; Q2 is Ph(2-SO2NH2, 3-F); and Q1 is 468 Y1 is O; Y2 is S; R2 is H; R4 is H; R5 is H; Q2 is Ph(2-SO2NH2, 3-Cl); and Q1 is 469 Y1 is O; Y2 is S; R2 is H; R4 is H; R5 is H; Q2 is Ph(2-SO2NH2, 4-F); and Q1 is 470 Y1 is O; Y2 is S; R2 is H; R4 is H; R5 is H; Q2 is Ph(2-SO2NH2, 5-F); and Q1 is 471 Y1 is O; Y2 is S; R2 is H; R4 is H; R5 is H; Q2 is Ph(2-SO2NH2,3,4-di-F); and Q1 is 472 Y1 is O; Y2 is S; R2 is H; R4 is H; R5 is H; Q2 is Ph(3-F); and Q1 is 473 Y1 is O; Y2 is S; R2 is H; R4 is H; R5 is H; Q2 is Ph(3,4-di-F); and Q1 is 474 Y1 is O; Y2 is S; R2 is H; R4 is H; R5 is H; Q2 is Ph(3,5-di-F); and Q1 is 475 Y1 is O; Y2 is S; R2 is H; R4 is H; R5 is H; Q2 is Ph(3,4,5-tri-F); and Q1 is 476 Y1 is O; Y2 is S; R2 is H; R4 is H; R5 is H; Q2 is Ph(3-F,4-Cl); and Q1 is 477 Y1 is O; Y2 is S; R2 is H; R4 is H; R5 is H; Q2 is Ph(3-CF3); and Q1 is 478 Y1 is O; Y2 is S; R2 is H; R4 is H; R5 is H; Q2 is Ph(3-CF3,4-F); and Q1 is 479 Y1 is O; Y2 is S; R2 is H; R4 is H; R5 is H; Q2 is Ph(3-CF3,4-Cl); and Q1 is 480 Y1 is O; Y2 is S; R2 is H; R4 is H; R5 is H; Q2 is Ph(3-CF3,5-F); and Q1 is 481 Y1 is O; Y2 is S; R2 is H; R4 is H; R5 is H; Q2 is Ph(3-CF3,4,5-di-F); and Q1 is 482 Y1 is O; Y2 is S; R2 is H; R4 is H; R5 is H; Q2 is Ph(3-SO2Me); and Q1 is 483 Y1 is O; Y2 is S; R2 is H; R4 is H; R5 is H; Q2 is Ph(3-SO2Me,4-Cl); and Q1 is 484 Y1 is O; Y2 is S; R2 is H; R4 is H; R5 is H; Q2 is Ph(3-SO2Me,4-F); and Q1 is 485 Y1 is O; Y2 is S; R2 is H; R4 is H; R5 is H; Q2 is Ph(3-SO2Me,4,5-di-F); and Q1 is 486 Y1 is O; Y2 is S; R2 is H; R4 is H; R5 is H; Q2 is Ph(3-SO2Me,5-F); and Q1 is 487 Y1 is O; Y2 is S; R2 is H; R4 is H; R5 is H; Q2 is Ph(3-SO2NH2); and Q1 is 488 Y1 is O; Y2 is S; R2 is H; R4 is H; R5 is H; Q2 is Ph(3-SO2NH2,4-F); and Q1 is 489 Y1 is O; Y2 is S; R2 is H; R4 is H; R5 is H; Q2 is Ph(3-SO2NH2,4,5-di-F); and Q1 is 490 Y1 is O; Y2 is S; R2 is H; R4 is H; R5 is H; Q2 is Ph(3-SO2NH2,4-Cl); and Q1 is 491 Y1 is O; Y2 is S; R2 is H; R4 is H; R5 is H; Q2 is Ph(3-SO2NH2,5-F); and Q1 is 492 Y1 is O; Y2 is S; R2 is H; R4 is H; R5 is H; Q2 is Ph(3-Me); and Q1 is 493 Y1 is O; Y2 is S; R2 is H; R4 is H; R5 is H; Q2 is Ph(3-Me,4-F); and Q1 is 494 Y1 is O; Y2 is S; R2 is H; R4 is H; R5 is H; Q2 is Ph(3-Me,4-Cl); and Q1 is 495 Y1 is O; Y2 is S; R2 is H; R4 is H; R5 is H; Q2 is Ph(3-Me,5-F); and Q1 is 496 Y1 is O; Y2 is S; R2 is H; R4 is H; R5 is H; Q2 is Ph(3-Me,4,5-di-F); and Q1 is 497 Y1 is O; Y2 is S; R2 is H; R4 is H; R5 is H; Q2 is Ph(3-Cl); and Q1 is 498 Y1 is O; Y2 is S; R2 is H; R4 is H; R5 is H; Q2 is Ph(3-Cl,4-F); and Q1 is 499 Y1 is O; Y2 is S; R2 is H; R4 is H; R5 is H; Q2 is Ph(3,4-di-Cl); and Q1 is 500 Y1 is O; Y2 is S; R2 is H; R4 is H; R5 is H; Q2 is Ph(3-Cl,5-F); and Q1 is 501 Y1 is O; Y2 is S; R2 is H; R4 is H; R5 is H; Q2 is Ph(3-Cl,4,5-di-F); and Q1 is 502 Y1 is O; Y2 is S; R2 is H; R4 is H; R5 is H; Q2 is Ph(3,5-di-Cl); and Q1 is 503 Y1 is O; Y2 is S; R2 is H; R4 is H; R5 is H; Q2 is Ph(4-F); and Q1 is 504 Y1 is O; Y2 is S; R2 is H; R4 is H; R5 is H; Q2 is Ph(4-Cl); and Q1 is 505 Y1 is O; Y2 is S; R2 is H; R4 is H; R5 is H; Q2 is 2,2-di-F-1,3-benzodioxol-4-yl; and Q1 is 506 Y1 is O; Y2 is S; R2 is H; R4 is H; R5 is H; Q2 is 2,2-di-F-1,3-benzodioxol-5-yl; and Q1 is 507 Y1 is O; Y2 is S; R2 is H; R4 is H; R5 is H; Q2 is 2,2-di-Me-1,3-benzodioxol-4-yl; and Q1 is 508 Y1 is O; Y2 is S; R2 is H; R4 is H; R5 is H; Q2 is 2,2-di-Me-1,3-benzodioxol-5-yl; and Q1 is 509 Y1 is O; Y2 is S; R2 is H; R4 is H; R5 is H; Q2 is 1,3-benzodioxol-4-yl; and Q1 is 510 Y1 is O; Y2 is S; R2 is H; R4 is H; R5 is H; Q2 is 1,3-benzodioxol-5-yl; and Q1 is 511 Y1 is S; Y2 is S; R2 is H; R4 is H; R5 is H; Q2 is Ph(2-F); and Q1 is 512 Y1 is S; Y2 is S; R2 is H; R4 is H; R5 is H; Q2 is Ph(2,3-di-F); and Q1 is 513 Y1 is S; Y2 is S; R2 is H; R4 is H; R5 is H; Q2 is Ph(2,4-di-F); and Q1 is 514 Y1 is S; Y2 is S; R2 is H; R4 is H; R5 is H; Q2 is Ph(2,5-di-F); and Q1 is 515 Y1 is S; Y2 is S; R2 is H; R4 is H; R5 is H; Q2 is Ph(2,3,4-tri-F); and Q1 is 516 Y1 is S; Y2 is S; R2 is H; R4 is H; R5 is H; Q2 is Ph(2,3,5-tri-F); and Q1 is 517 Y1 is S; Y2 is S; R2 is H; R4 is H; R5 is H; Q2 is Ph(2,3,4,5-tetra-F); and Q1 is 518 Y1 is S; Y2 is S; R2 is H; R4 is H; R5 is H; Q2 is Ph(2-F,3-Cl,4-Br); and Q1 is 519 Y1 is S; Y2 is S; R2 is H; R4 is H; R5 is H; Q2 is Ph(2-F,3-Cl,4-F); and Q1 is 520 Y1 is S; Y2 is S; R2 is H; R4 is H; R5 is H; Q2 is Ph(2-F,3-Br,4-F); and Q1 is 521 Y1 is S; Y2 is S; R2 is H; R4 is H; R5 is H; Q2 is Ph(2-F,3-Me); and Q1 is 522 Y1 is S; Y2 is S; R2 is H; R4 is H; R5 is H; Q2 is Ph(2-F,3-Me,4-F); and Q1 is 523 Y1 is S; Y2 is S; R2 is H; R4 is H; R5 is H; Q2 is Ph(2-F,3-Me,4-Cl); and Q1 is 524 Y1 is S; Y2 is S; R2 is H; R4 is H; R5 is H; Q2 is Ph(2-F,3-Cl); and Q1 is 525 Y1 is S; Y2 is S; R2 is H; R4 is H; R5 is H; Q2 is Ph(2-F,4-Cl); and Q1 is 526 Y1 is S; Y2 is S; R2 is H; R4 is H; R5 is H; Q2 is Ph(2-F,3,4-di-Cl); and Q1 is 527 Y1 is S; Y2 is S; R2 is H; R4 is H; R5 is H; Q2 is Ph(2-F,4-Br); and Q1 is 528 Y1 is S; Y2 is S; R2 is H; R4 is H; R5 is H; Q2 is Ph(2-F,3-OMe); and Q1 is 529 Y1 is S; Y2 is S; R2 is H; R4 is H; R5 is H; Q2 is Ph(2-F,3-OMe,4-F); and Q1 is 530 Y1 is S; Y2 is S; R2 is H; R4 is H; R5 is H; Q2 is Ph(2-F,3-OMe,4-Cl); and Q1 is 531 Y1 is S; Y2 is S; R2 is H; R4 is H; R5 is H; Q2 is Ph(2-F,3-CF2H); and Q1 is 532 Y1 is S; Y2 is S; R2 is H; R4 is H; R5 is H; Q2 is Ph(2-F,3-CF3); and Q1 is 533 Y1 is S; Y2 is S; R2 is H; R4 is H; R5 is H; Q2 is Ph(2-F,3-CF3,4-F); and Q1 is 534 Y1 is S; Y2 is S; R2 is H; R4 is H; R5 is H; Q2 is Ph(2-F,3-NO2); and Q1 is 535 Y1 is S; Y2 is S; R2 is H; R4 is H; R5 is H; Q2 is Ph(2-F,3-NO2,4-F); and Q1 is 536 Y1 is S; Y2 is S; R2 is H; R4 is H; R5 is H; Q2 is Ph(2-F,3-SO2Me); and Q1 is 537 Y1 is S; Y2 is S; R2 is H; R4 is H; R5 is H; Q2 is Ph(2-F,3-SO2Me,4-F); and Q1 is 538 Y1 is S; Y2 is S; R2 is H; R4 is H; R5 is H; Q2 is Ph(2-CF3); and Q1 is 539 Y1 is S; Y2 is S; R2 is H; R4 is H; R5 is H; Q2 is Ph(2-CF3,3-F); and Q1 is 540 Y1 is S; Y2 is S; R2 is H; R4 is H; R5 is H; Q2 is Ph(2-CF3,3-Me); and Q1 is 541 Y1 is S; Y2 is S; R2 is H; R4 is H; R5 is H; Q2 is Ph(2-CF3,4-F); and Q1 is 542 Y1 is S; Y2 is S; R2 is H; R4 is H; R5 is H; Q2 is Ph(2-CF3,3-Cl); and Q1 is 543 Y1 is S; Y2 is S; R2 is H; R4 is H; R5 is H; Q2 is Ph(2-CF3,4-Cl); and Q1 is 544 Y1 is S; Y2 is S; R2 is H; R4 is H; R5 is H; Q2 is Ph(2-CF3,3,4-di-F); and Q1 is 545 Y1 is S; Y2 is S; R2 is H; R4 is H; R5 is H; Q2 is Ph(2-CF2H); and Q1 is 546 Y1 is S; Y2 is S; R2 is H; R4 is H; R5 is H; Q2 is Ph(2-CF2H,3-F); and Q1 is 547 Y1 is S; Y2 is S; R2 is H; R4 is H; R5 is H; Q2 is Ph(2-CF2H,3-Me); and Q1 is 548 Y1 is S; Y2 is S; R2 is H; R4 is H; R5 is H; Q2 is Ph(2-CF2H,4-F); and Q1 is 549 Y1 is S; Y2 is S; R2 is H; R4 is H; R5 is H; Q2 is Ph(2-CF2H,3-Cl); and Q1 is 550 Y1 is S; Y2 is S; R2 is H; R4 is H; R5 is H; Q2 is Ph(2-CF2H,4-Cl); and Q1 is 551 Y1 is S; Y2 is S; R2 is H; R4 is H; R5 is H; Q2 is Ph(2-CF2H,3,4-di-F); and Q1 is 552 Y1 is S; Y2 is S; R2 is H; R4 is H; R5 is H; Q2 is Ph(2-Me); and Q1 is 553 Y1 is S; Y2 is S; R2 is H; R4 is H; R5 is H; Q2 is Ph(2,3-di-Me); and Q1 is 554 Y1 is S; Y2 is S; R2 is H; R4 is H; R5 is H; Q2 is Ph(2-Me,3-F); and Q1 is 555 Y1 is S; Y2 is S; R2 is H; R4 is H; R5 is H; Q2 is Ph(2-Me,3-Cl); and Q1 is 556 Y1 is S; Y2 is S; R2 is H; R4 is H; R5 is H; Q2 is Ph(2-Me,3-CF3); and Q1 is 557 Y1 is S; Y2 is S; R2 is H; R4 is H; R5 is H; Q2 is Ph(2-Me,3,4-di-Cl); and Q1 is 558 Y1 is S; Y2 is S; R2 is H; R4 is H; R5 is H; Q2 is Ph(2-Me,3-Cl,4-F); and Q1 is 559 Y1 is S; Y2 is S; R2 is H; R4 is H; R5 is H; Q2 is Ph(2-Me,4-Cl); and Q1 is 560 Y1 is S; Y2 is S; R2 is H; R4 is H; R5 is H; Q2 is Ph(2-Me,4-F); and Q1 is 561 Y1 is S; Y2 is S; R2 is H; R4 is H; R5 is H; Q2 is Ph(2-Me,5-F); and Q1 is 562 Y1 is S; Y2 is S; R2 is H; R4 is H; R5 is H; Q2 is Ph(2-Me,3,4-di-F); and Q1 is 563 Y1 is S; Y2 is S; R2 is H; R4 is H; R5 is H; Q2 is Ph(2-Me,3,5-di-F); and Q1 is 564 Y1 is S; Y2 is S; R2 is H; R4 is H; R5 is H; Q2 is Ph(2-Et); and Q1 is 565 Y1 is S; Y2 is S; R2 is H; R4 is H; R5 is H; Q2 is Ph(2-Et,3-F); and Q1 is 566 Y1 is S; Y2 is S; R2 is H; R4 is H; R5 is H; Q2 is Ph(2-Et,3-Cl); and Q1 is 567 Y1 is S; Y2 is S; R2 is H; R4 is H; R5 is H; Q2 is Ph(2-Et,4-F); and Q1 is 568 Y1 is S; Y2 is S; R2 is H; R4 is H; R5 is H; Q2 is Ph(2-Et,3,4-di-F); and Q1 is 569 Y1 is S; Y2 is S; R2 is H; R4 is H; R5 is H; Q2 is Ph(2-i-Pr); and Q1 is 570 Y1 is S; Y2 is S; R2 is H; R4 is H; R5 is H; Q2 is Ph(2-i-Pr,3-F); and Q1 is 571 Y1 is S; Y2 is S; R2 is H; R4 is H; R5 is H; Q2 is Ph(2-i-Pr,3-Cl); and Q1 is 572 Y1 is S; Y2 is S; R2 is H; R4 is H; R5 is H; Q2 is Ph(2-i-Pr,4-F); and Q1 is 573 Y1 is S; Y2 is S; R2 is H; R4 is H; R5 is H; Q2 is Ph(2-i-Pr,3,4-di-F); and Q1 is 574 Y1 is S; Y2 is S; R2 is H; R4 is H; R5 is H; Q2 is Ph(2-c-Pr); and Q1 is 575 Y1 is S; Y2 is S; R2 is H; R4 is H; R5 is H; Q2 is Ph(2-c-Pr,3-F); and Q1 is 576 Y1 is S; Y2 is S; R2 is H; R4 is H; R5 is H; Q2 is Ph(2-c-Pr,3-Cl); and Q1 is 577 Y1 is S; Y2 is S; R2 is H; R4 is H; R5 is H; Q2 is Ph(2-c-Pr,4-F); and Q1 is 578 Y1 is S; Y2 is S; R2 is H; R4 is H; R5 is H; Q2 is Ph(2-c-Pr,3,4-di-F); and Q1 is 579 Y1 is S; Y2 is S; R2 is H; R4 is H; R5 is H; Q2 is Ph(2-NO2); and Q1 is 580 Y1 is S; Y2 is S; R2 is H; R4 is H; R5 is H; Q2 is Ph(2-NO2,3-F); and Q1 is 581 Y1 is S; Y2 is S; R2 is H; R4 is H; R5 is H; Q2 is Ph(2-NO2,3-Cl); and Q1 is 582 Y1 is S; Y2 is S; R2 is H; R4 is H; R5 is H; Q2 is Ph(2-NO2,4-F); and Q1 is 583 Y1 is S; Y2 is S; R2 is H; R4 is H; R5 is H; Q2 is Ph(2-NO2,3,4-di-F); and Q1 is 584 Y1 is S; Y2 is S; R2 is H; R4 is H; R5 is H; Q2 is Ph(2-OCF3); and Q1 is 585 Y1 is S; Y2 is S; R2 is H; R4 is H; R5 is H; Q2 is Ph(2-OCF3,3-F); and Q1 is 586 Y1 is S; Y2 is S; R2 is H; R4 is H; R5 is H; Q2 is Ph(2-OCF3,4-F); and Q1 is 587 Y1 is S; Y2 is S; R2 is H; R4 is H; R5 is H; Q2 is Ph(2-Cl); and Q1 is 588 Y1 is S; Y2 is S; R2 is H; R4 is H; R5 is H; Q2 is Ph(2-Cl,3-Me); and Q1 is 589 Y1 is S; Y2 is S; R2 is H; R4 is H; R5 is H; Q2 is Ph(2-Cl,3-Me,4-F); and Q1 is 590 Y1 is S; Y2 is S; R2 is H; R4 is H; R5 is H; Q2 is Ph(2,3-di-Cl); and Q1 is 591 Y1 is S; Y2 is S; R2 is H; R4 is H; R5 is H; Q2 is Ph(2,4-di-Cl); and Q1 is 592 Y1 is S; Y2 is S; R2 is H; R4 is H; R5 is H; Q2 is Ph(2-Cl,3-F); and Q1 is 593 Y1 is S; Y2 is S; R2 is H; R4 is H; R5 is H; Q2 is Ph(2-Cl,4-F); and Q1 is 594 Y1 is S; Y2 is S; R2 is H; R4 is H; R5 is H; Q2 is Ph(2-Cl,5-F); and Q1 is 595 Y1 is S; Y2 is S; R2 is H; R4 is H; R5 is H; Q2 is Ph(2-Cl,3,4-di-F); and Q1 is 596 Y1 is S; Y2 is S; R2 is H; R4 is H; R5 is H; Q2 is Ph(2-Cl,3,5-di-F); and Q1 is 597 Y1 is S; Y2 is S; R2 is H; R4 is H; R5 is H; Q2 is Ph(2-OCF2H); and Q1 is 598 Y1 is S; Y2 is S; R2 is H; R4 is H; R5 is H; Q2 is Ph(2-OCF2H,3-Me); and Q1 is 599 Y1 is S; Y2 is S; R2 is H; R4 is H; R5 is H; Q2 is Ph(2-OCF2H,3-Cl); and Q1 is 600 Y1 is S; Y2 is S; R2 is H; R4 is H; R5 is H; Q2 is Ph(2-OCF2H,3-F); and Q1 is 601 Y1 is S; Y2 is S; R2 is H; R4 is H; R5 is H; Q2 is Ph(2-OCF2H,4-F); and Q1 is 602 Y1 is S; Y2 is S; R2 is H; R4 is H; R5 is H; Q2 is Ph(2-OCF2CF2H); and Q1 is 603 Y1 is S; Y2 is S; R2 is H; R4 is H; R5 is H; Q2 is Ph(2-OCF2CF2H,3-F); and Q1 is 604 Y1 is S; Y2 is S; R2 is H; R4 is H; R5 is H; Q2 is Ph(2-OCF2CF2H,4-F); and Q1 is 605 Y1 is S; Y2 is S; R2 is H; R4 is H; R5 is H; Q2 is Ph(2-Br); and Q1 is 606 Y1 is S; Y2 is S; R2 is H; R4 is H; R5 is H; Q2 is Ph(2-Br,3-F); and Q1 is 607 Y1 is S; Y2 is S; R2 is H; R4 is H; R5 is H; Q2 is Ph(2-Br,4-F); and Q1 is 608 Y1 is S; Y2 is S; R2 is H; R4 is H; R5 is H; Q2 is Ph(2-Br,3,4-di-F); and Q1 is 609 Y1 is S; Y2 is S; R2 is H; R4 is H; R5 is H; Q2 is Ph(2-I); and Q1 is 610 Y1 is S; Y2 is S; R2 is H; R4 is H; R5 is H; Q2 is Ph(2-I,3-F); and Q1 is 611 Y1 is S; Y2 is S; R2 is H; R4 is H; R5 is H; Q2 is Ph(2-I,4-F); and Q1 is 612 Y1 is S; Y2 is S; R2 is H; R4 is H; R5 is H; Q2 is Ph(2-I,3,4-di-F); and Q1 is 613 Y1 is S; Y2 is S; R2 is H; R4 is H; R5 is H; Q2 is Ph(2-CN); and Q1 is 614 Y1 is S; Y2 is S; R2 is H; R4 is H; R5 is H; Q2 is Ph(2-CN,3-Me); and Q1 is 615 Y1 is S; Y2 is S; R2 is H; R4 is H; R5 is H; Q2 is Ph(2-CN,3-F); and Q1 is 616 Y1 is S; Y2 is S; R2 is H; R4 is H; R5 is H; Q2 is Ph(2-CN,4-F); and Q1 is 617 Y1 is S; Y2 is S; R2 is H; R4 is H; R5 is H; Q2 is Ph(2-CN,3-Cl); and Q1 is 618 Y1 is S; Y2 is S; R2 is H; R4 is H; R5 is H; Q2 is Ph(2-CN,4-Cl); and Q1 is 619 Y1 is S; Y2 is S; R2 is H; R4 is H; R5 is H; Q2 is Ph(2-CN,3,4-di-F); and Q1 is 620 Y1 is S; Y2 is S; R2 is H; R4 is H; R5 is H; Q2 is 2-Pyridinyl; and Q1 is 621 Y1 is S; Y2 is S; R2 is H; R4 is H; R5 is H; Q2 is 2-Pyridinyl,3-F; and Q1 is 622 Y1 is S; Y2 is S; R2 is H; R4 is H; R5 is H; Q2 is 2-Pyridinyl,4-F; and Q1 is 623 Y1 is S; Y2 is S; R2 is H; R4 is H; R5 is H; Q2 is 2-Pyridinyl,3,4-di-F; and Q1 is 624 Y1 is S; Y2 is S; R2 is H; R4 is H; R5 is H; Q2 is 2-Pyridinyl,3-Cl; and Q1 is 625 Y1 is S; Y2 is S; R2 is H; R4 is H; R5 is H; Q2 is 2-Pyridinyl,4-Cl; and Q1 is 626 Y1 is S; Y2 is S; R2 is H; R4 is H; R5 is H; Q2 is 2-Pyridinyl,3-Cl,4-F; and Q1 is 627 Y1 is S; Y2 is S; R2 is H; R4 is H; R5 is H; Q2 is Ph(2-SO2Me); and Q1 is 628 Y1 is S; Y2 is S; R2 is H; R4 is H; R5 is H; Q2 is Ph(2-SO2Me, 3-F); and Q1 is 629 Y1 is S; Y2 is S; R2 is H; R4 is H; R5 is H; Q2 is Ph(2-SO2Me, 3-Me); and Q1 is 630 Y1 is S; Y2 is S; R2 is H; R4 is H; R5 is H; Q2 is Ph(2-SO2Me, 4-F); and Q1 is 631 Y1 is S; Y2 is S; R2 is H; R4 is H; R5 is H; Q2 is Ph(2-SO2Me, 5-F); and Q1 is 632 Y1 is S; Y2 is S; R2 is H; R4 is H; R5 is H; Q2 is Ph(2-SO2Me,3,4-di-F); and Q1 is 633 Y1 is S; Y2 is S; R2 is H; R4 is H; R5 is H; Q2 is Ph(2-SO2Me, 3-Cl); and Q1 is 634 Y1 is S; Y2 is S; R2 is H; R4 is H; R5 is H; Q2 is Ph(2-SO2Me, 4-Cl); and Q1 is 635 Y1 is S; Y2 is S; R2 is H; R4 is H; R5 is H; Q2 is Ph(2-SO2Me,3-Cl,4-F); and Q1 is 636 Y1 is S; Y2 is S; R2 is H; R4 is H; R5 is H; Q2 is Ph(2-SO2NH2); and Q1 is 637 Y1 is S; Y2 is S; R2 is H; R4 is H; R5 is H; Q2 is Ph(2-SO2NH2, 3-F); and Q1 is 638 Y1 is S; Y2 is S; R2 is H; R4 is H; R5 is H; Q2 is Ph(2-SO2NH2, 3-Cl); and Q1 is 639 Y1 is S; Y2 is S; R2 is H; R4 is H; R5 is H; Q2 is Ph(2-SO2NH2, 4-F); and Q1 is 640 Y1 is S; Y2 is S; R2 is H; R4 is H; R5 is H; Q2 is Ph(2-SO2NH2, 5-F); and Q1 is 641 Y1 is S; Y2 is S; R2 is H; R4 is H; R5 is H; Q2 is Ph(2-SO2NH2,3,4-di-F); and Q1 is 642 Y1 is S; Y2 is S; R2 is H; R4 is H; R5 is H; Q2 is Ph(3-F); and Q1 is 643 Y1 is S; Y2 is S; R2 is H; R4 is H; R5 is H; Q2 is Ph(3,4-di-F); and Q1 is 644 Y1 is S; Y2 is S; R2 is H; R4 is H; R5 is H; Q2 is Ph(3,5-di-F); and Q1 is 645 Y1 is S; Y2 is S; R2 is H; R4 is H; R5 is H; Q2 is Ph(3,4,5-tri-F); and Q1 is 646 Y1 is S; Y2 is S; R2 is H; R4 is H; R5 is H; Q2 is Ph(3-F,4-Cl); and Q1 is 647 Y1 is S; Y2 is S; R2 is H; R4 is H; R5 is H; Q2 is Ph(3-CF3); and Q1 is 648 Y1 is S; Y2 is S; R2 is H; R4 is H; R5 is H; Q2 is Ph(3-CF3,4-F); and Q1 is 649 Y1 is S; Y2 is S; R2 is H; R4 is H; R5 is H; Q2 is Ph(3-CF3,4-Cl); and Q1 is 650 Y1 is S; Y2 is S; R2 is H; R4 is H; R5 is H; Q2 is Ph(3-CF3,5-F); and Q1 is 651 Y1 is S; Y2 is S; R2 is H; R4 is H; R5 is H; Q2 is Ph(3-CF3,4,5-di-F); and Q1 is 652 Y1 is S; Y2 is S; R2 is H; R4 is H; R5 is H; Q2 is Ph(3-SO2Me); and Q1 is 653 Y1 is S; Y2 is S; R2 is H; R4 is H; R5 is H; Q2 is Ph(3-SO2Me,4-Cl); and Q1 is 654 Y1 is S; Y2 is S; R2 is H; R4 is H; R5 is H; Q2 is Ph(3-SO2Me,4-F); and Q1 is 655 Y1 is S; Y2 is S; R2 is H; R4 is H; R5 is H; Q2 is Ph(3-SO2Me,4,5-di-F); and Q1 is 656 Y1 is S; Y2 is S; R2 is H; R4 is H; R5 is H; Q2 is Ph(3-SO2Me,5-F); and Q1 is 657 Y1 is S; Y2 is S; R2 is H; R4 is H; R5 is H; Q2 is Ph(3-SO2NH2); and Q1 is 658 Y1 is S; Y2 is S; R2 is H; R4 is H; R5 is H; Q2 is Ph(3-SO2NH2,4-F); and Q1 is 659 Y1 is S; Y2 is S; R2 is H; R4 is H; R5 is H; Q2 is Ph(3-SO2NH2,4,5-di-F); and Q1 is 660 Y1 is S; Y2 is S; R2 is H; R4 is H; R5 is H; Q2 is Ph(3-SO2NH2,4-Cl); and Q1 is 661 Y1 is S; Y2 is S; R2 is H; R4 is H; R5 is H; Q2 is Ph(3-SO2NH2,5-F); and Q1 is 662 Y1 is S; Y2 is S; R2 is H; R4 is H; R5 is H; Q2 is Ph(3-Me); and Q1 is 663 Y1 is S; Y2 is S; R2 is H; R4 is H; R5 is H; Q2 is Ph(3-Me,4-F); and Q1 is 664 Y1 is S; Y2 is S; R2 is H; R4 is H; R5 is H; Q2 is Ph(3-Me,4-Cl); and Q1 is 665 Y1 is S; Y2 is S; R2 is H; R4 is H; R5 is H; Q2 is Ph(3-Me,5-F); and Q1 is 666 Y1 is S; Y2 is S; R2 is H; R4 is H; R5 is H; Q2 is Ph(3-Me,4,5-di-F); and Q1 is 667 Y1 is S; Y2 is S; R2 is H; R4 is H; R5 is H; Q2 is Ph(3-Cl); and Q1 is 668 Y1 is S; Y2 is S; R2 is H; R4 is H; R5 is H; Q2 is Ph(3-Cl,4-F); and Q1 is 669 Y1 is S; Y2 is S; R2 is H; R4 is H; R5 is H; Q2 is Ph(3,4-di-Cl); and Q1 is 670 Y1 is S; Y2 is S; R2 is H; R4 is H; R5 is H; Q2 is Ph(3-Cl,5-F); and Q1 is 671 Y1 is S; Y2 is S; R2 is H; R4 is H; R5 is H; Q2 is Ph(3-Cl,4,5-di-F); and Q1 is 672 Y1 is S; Y2 is S; R2 is H; R4 is H; R5 is H; Q2 is Ph(3,5-di-Cl); and Q1 is 673 Y1 is S; Y2 is S; R2 is H; R4 is H; R5 is H; Q2 is Ph(4-F); and Q1 is 674 Y1 is S; Y2 is S; R2 is H; R4 is H; R5 is H; Q2 is Ph(4-Cl); and Q1 is 675 Y1 is S; Y2 is S; R2 is H; R4 is H; R5 is H; Q2 is 2,2-di-F-1,3-benzodioxol-4-yl; and Q1 is 676 Y1 is S; Y2 is S; R2 is H; R4 is H; R5 is H; Q2 is 2,2-di-F-1,3-benzodioxol-5-yl; and Q1 is 677 Y1 is S; Y2 is S; R2 is H; R4 is H; R5 is H; Q2 is 2,2-di-Me-1,3-benzodioxol-4-yl; and Q1 is 678 Y1 is S; Y2 is S; R2 is H; R4 is H; R5 is H; Q2 is 2,2-di-Me-1,3-benzodioxol-5-yl; and Q1 is 679 Y1 is S; Y2 is S; R2 is H; R4 is H; R5 is H; Q2 is 1,3-benzodioxol-4-yl; and Q1 is 680 Y1 is S; Y2 is S; R2 is H; R4 is H; R5 is H; Q2 is 1,3-benzodioxol-5-yl; and Q1 is 681 Y1 is NH; Y2 is O; R2 is H; R4 is H; R5 is H; Q2 is Ph(2-F); and Q1 is 682 Y1 is NH; Y2 is O; R2 is H; R4 is H; R5 is H; Q2 is Ph(2,3-di-F); and Q1 is 683 Y1 is NH; Y2 is O; R2 is H; R4 is H; R5 is H; Q2 is Ph(2,4-di-F); and Q1 is 684 Y1 is NH; Y2 is O; R2 is H; R4 is H; R5 is H; Q2 is Ph(2,5-di-F); and Q1 is 685 Y1 is NH; Y2 is O; R2 is H; R4 is H; R5 is H; Q2 is Ph(2,3,4-tri-F); and Q1 is 686 Y1 is NH; Y2 is O; R2 is H; R4 is H; R5 is H; Q2 is Ph(2,3,5-tri-F); and Q1 is 687 Y1 is NH; Y2 is O; R2 is H; R4 is H; R5 is H; Q2 is Ph(2,3,4,5-tetra-F); and Q1 is 688 Y1 is NH; Y2 is O; R2 is H; R4 is H; R5 is H; Q2 is Ph(2-F,3-Cl,4-Br); and Q1 is 689 Y1 is NH; Y2 is O; R2 is H; R4 is H; R5 is H; Q2 is Ph(2-F,3-Cl,4-F); and Q1 is 690 Y1 is NH; Y2 is O; R2 is H; R4 is H; R5 is H; Q2 is Ph(2-F,3-Br,4-F); and Q1 is 691 Y1 is NH; Y2 is O; R2 is H; R4 is H; R5 is H; Q2 is Ph(2-F,3-Me); and Q1 is 692 Y1 is NH; Y2 is O; R2 is H; R4 is H; R5 is H; Q2 is Ph(2-F,3-Me,4-F); and Q1 is 693 Y1 is NH; Y2 is O; R2 is H; R4 is H; R5 is H; Q2 is Ph(2-F,3-Me,4-Cl); and Q1 is 694 Y1 is NH; Y2 is O; R2 is H; R4 is H; R5 is H; Q2 is Ph(2-F,3-Cl); and Q1 is 695 Y1 is NH; Y2 is O; R2 is H; R4 is H; R5 is H; Q2 is Ph(2-F,4-Cl); and Q1 is 696 Y1 is NH; Y2 is O; R2 is H; R4 is H; R5 is H; Q2 is Ph(2-F,3,4-di-Cl); and Q1 is 697 Y1 is NH; Y2 is O; R2 is H; R4 is H; R5 is H; Q2 is Ph(2-F,4-Br); and Q1 is 698 Y1 is NH; Y2 is O; R2 is H; R4 is H; R5 is H; Q2 is Ph(2-F,3-OMe); and Q1 is 699 Y1 is NH; Y2 is O; R2 is H; R4 is H; R5 is H; Q2 is Ph(2-F,3-OMe,4-F); and Q1 is 700 Y1 is NH; Y2 is O; R2 is H; R4 is H; R5 is H; Q2 is Ph(2-F,3-OMe,4-Cl); and Q1 is 701 Y1 is NH; Y2 is O; R2 is H; R4 is H; R5 is H; Q2 is Ph(2-F,3-CF2H); and Q1 is 702 Y1 is NH; Y2 is O; R2 is H; R4 is H; R5 is H; Q2 is Ph(2-F,3-CF3); and Q1 is 703 Y1 is NH; Y2 is O; R2 is H; R4 is H; R5 is H; Q2 is Ph(2-F,3-CF3,4-F); and Q1 is 704 Y1 is NH; Y2 is O; R2 is H; R4 is H; R5 is H; Q2 is Ph(2-F,3-NO2); and Q1 is 705 Y1 is NH; Y2 is O; R2 is H; R4 is H; R5 is H; Q2 is Ph(2-F,3-NO2,4-F); and Q1 is 706 Y1 is NH; Y2 is O; R2 is H; R4 is H; R5 is H; Q2 is Ph(2-F,3-SO2Me); and Q1 is 707 Y1 is NH; Y2 is O; R2 is H; R4 is H; R5 is H; Q2 is Ph(2-F,3-SO2Me,4-F); and Q1 is 708 Y1 is NH; Y2 is O; R2 is H; R4 is H; R5 is H; Q2 is Ph(2-CF3); and Q1 is 709 Y1 is NH; Y2 is O; R2 is H; R4 is H; R5 is H; Q2 is Ph(2-CF3,3-F); and Q1 is 710 Y1 is NH; Y2 is O; R2 is H; R4 is H; R5 is H; Q2 is Ph(2-CF3,3-Me); and Q1 is 711 Y1 is NH; Y2 is O; R2 is H; R4 is H; R5 is H; Q2 is Ph(2-CF3,4-F); and Q1 is 712 Y1 is NH; Y2 is O; R2 is H; R4 is H; R5 is H; Q2 is Ph(2-CF3,3-Cl); and Q1 is 713 Y1 is NH; Y2 is O; R2 is H; R4 is H; R5 is H; Q2 is Ph(2-CF3,4-Cl); and Q1 is 714 Y1 is NH; Y2 is O; R2 is H; R4 is H; R5 is H; Q2 is Ph(2-CF3,3,4-di-F); and Q1 is 715 Y1 is NH; Y2 is O; R2 is H; R4 is H; R5 is H; Q2 is Ph(2-CF2H); and Q1 is 716 Y1 is NH; Y2 is O; R2 is H; R4 is H; R5 is H; Q2 is Ph(2-CF2H,3-F); and Q1 is 717 Y1 is NH; Y2 is O; R2 is H; R4 is H; R5 is H; Q2 is Ph(2-CF2H,3-Me); and Q1 is 718 Y1 is NH; Y2 is O; R2 is H; R4 is H; R5 is H; Q2 is Ph(2-CF2H,4-F); and Q1 is 719 Y1 is NH; Y2 is O; R2 is H; R4 is H; R5 is H; Q2 is Ph(2-CF2H,3-Cl); and Q1 is 720 Y1 is NH; Y2 is O; R2 is H; R4 is H; R5 is H; Q2 is Ph(2-CF2H,4-Cl); and Q1 is 721 Y1 is NH; Y2 is O; R2 is H; R4 is H; R5 is H; Q2 is Ph(2-CF2H,3,4-di-F); and Q1 is 722 Y1 is NH; Y2 is O; R2 is H; R4 is H; R5 is H; Q2 is Ph(2-Me); and Q1 is 723 Y1 is NH; Y2 is O; R2 is H; R4 is H; R5 is H; Q2 is Ph(2,3-di-Me); and Q1 is 724 Y1 is NH; Y2 is O; R2 is H; R4 is H; R5 is H; Q2 is Ph(2-Me,3-F); and Q1 is 725 Y1 is NH; Y2 is O; R2 is H; R4 is H; R5 is H; Q2 is Ph(2-Me,3-Cl); and Q1 is 726 Y1 is NH; Y2 is O; R2 is H; R4 is H; R5 is H; Q2 is Ph(2-Me,3-CF3); and Q1 is 727 Y1 is NH; Y2 is O; R2 is H; R4 is H; R5 is H; Q2 is Ph(2-Me,3,4-di-Cl); and Q1 is 728 Y1 is NH; Y2 is O; R2 is H; R4 is H; R5 is H; Q2 is Ph(2-Me,3-Cl,4-F); and Q1 is 729 Y1 is NH; Y2 is O; R2 is H; R4 is H; R5 is H; Q2 is Ph(2-Me,4-Cl); and Q1 is 730 Y1 is NH; Y2 is O; R2 is H; R4 is H; R5 is H; Q2 is Ph(2-Me,4-F); and Q1 is 731 Y1 is NH; Y2 is O; R2 is H; R4 is H; R5 is H; Q2 is Ph(2-Me,5-F); and Q1 is 732 Y1 is NH; Y2 is O; R2 is H; R4 is H; R5 is H; Q2 is Ph(2-Me,3,4-di-F); and Q1 is 733 Y1 is NH; Y2 is O; R2 is H; R4 is H; R5 is H; Q2 is Ph(2-Me,3,5-di-F); and Q1 is 734 Y1 is NH; Y2 is O; R2 is H; R4 is H; R5 is H; Q2 is Ph(2-Et); and Q1 is 735 Y1 is NH; Y2 is O; R2 is H; R4 is H; R5 is H; Q2 is Ph(2-Et,3-F); and Q1 is 736 Y1 is NH; Y2 is O; R2 is H; R4 is H; R5 is H; Q2 is Ph(2-Et,3-Cl); and Q1 is 737 Y1 is NH; Y2 is O; R2 is H; R4 is H; R5 is H; Q2 is Ph(2-Et,4-F); and Q1 is 738 Y1 is NH; Y2 is O; R2 is H; R4 is H; R5 is H; Q2 is Ph(2-Et,3,4-di-F); and Q1 is 739 Y1 is NH; Y2 is O; R2 is H; R4 is H; R5 is H; Q2 is Ph(2-i-Pr); and Q1 is 740 Y1 is NH; Y2 is O; R2 is H; R4 is H; R5 is H; Q2 is Ph(2-i-Pr,3-F); and Q1 is 741 Y1 is NH; Y2 is O; R2 is H; R4 is H; R5 is H; Q2 is Ph(2-i-Pr,3-Cl); and Q1 is 742 Y1 is NH; Y2 is O; R2 is H; R4 is H; R5 is H; Q2 is Ph(2-i-Pr,4-F); and Q1 is 743 Y1 is NH; Y2 is O; R2 is H; R4 is H; R5 is H; Q2 is Ph(2-i-Pr,3,4-di-F); and Q1 is 744 Y1 is NH; Y2 is O; R2 is H; R4 is H; R5 is H; Q2 is Ph(2-c-Pr); and Q1 is 745 Y1 is NH; Y2 is O; R2 is H; R4 is H; R5 is H; Q2 is Ph(2-c-Pr,3-F); and Q1 is 746 Y1 is NH; Y2 is O; R2 is H; R4 is H; R5 is H; Q2 is Ph(2-c-Pr,3-Cl); and Q1 is 747 Y1 is NH; Y2 is O; R2 is H; R4 is H; R5 is H; Q2 is Ph(2-c-Pr,4-F); and Q1 is 748 Y1 is NH; Y2 is O; R2 is H; R4 is H; R5 is H; Q2 is Ph(2-c-Pr,3,4-di-F); and Q1 is 749 Y1 is NH; Y2 is O; R2 is H; R4 is H; R5 is H; Q2 is Ph(2-NO2); and Q1 is 750 Y1 is NH; Y2 is O; R2 is H; R4 is H; R5 is H; Q2 is Ph(2-NO2,3-F); and Q1 is 751 Y1 is NH; Y2 is O; R2 is H; R4 is H; R5 is H; Q2 is Ph(2-NO2,3-Cl); and Q1 is 752 Y1 is NH; Y2 is O; R2 is H; R4 is H; R5 is H; Q2 is Ph(2-NO2,4-F); and Q1 is 753 Y1 is NH; Y2 is O; R2 is H; R4 is H; R5 is H; Q2 is Ph(2-NO2,3,4-di-F); and Q1 is 754 Y1 is NH; Y2 is O; R2 is H; R4 is H; R5 is H; Q2 is Ph(2-OCF3); and Q1 is 755 Y1 is NH; Y2 is O; R2 is H; R4 is H; R5 is H; Q2 is Ph(2-OCF3,3-F); and Q1 is 756 Y1 is NH; Y2 is O; R2 is H; R4 is H; R5 is H; Q2 is Ph(2-OCF3,4-F); and Q1 is 757 Y1 is NH; Y2 is O; R2 is H; R4 is H; R5 is H; Q2 is Ph(2-Cl); and Q1 is 758 Y1 is NH; Y2 is O; R2 is H; R4 is H; R5 is H; Q2 is Ph(2-Cl,3-Me); and Q1 is 759 Y1 is NH; Y2 is O; R2 is H; R4 is H; R5 is H; Q2 is Ph(2-Cl,3-Me,4-F); and Q1 is 760 Y1 is NH; Y2 is O; R2 is H; R4 is H; R5 is H; Q2 is Ph(2,3-di-Cl); and Q1 is 761 Y1 is NH; Y2 is O; R2 is H; R4 is H; R5 is H; Q2 is Ph(2,4-di-Cl); and Q1 is 762 Y1 is NH; Y2 is O; R2 is H; R4 is H; R5 is H; Q2 is Ph(2-Cl,3-F); and Q1 is 763 Y1 is NH; Y2 is O; R2 is H; R4 is H; R5 is H; Q2 is Ph(2-Cl,4-F); and Q1 is 764 Y1 is NH; Y2 is O; R2 is H; R4 is H; R5 is H; Q2 is Ph(2-Cl,5-F); and Q1 is 765 Y1 is NH; Y2 is O; R2 is H; R4 is H; R5 is H; Q2 is Ph(2-Cl,3,4-di-F); and Q1 is 766 Y1 is NH; Y2 is O; R2 is H; R4 is H; R5 is H; Q2 is Ph(2-Cl,3,5-di-F); and Q1 is 767 Y1 is NH; Y2 is O; R2 is H; R4 is H; R5 is H; Q2 is Ph(2-OCF2H); and Q1 is 768 Y1 is NH; Y2 is O; R2 is H; R4 is H; R5 is H; Q2 is Ph(2-OCF2H,3-Me); and Q1 is 769 Y1 is NH; Y2 is O; R2 is H; R4 is H; R5 is H; Q2 is Ph(2-OCF2H,3-Cl); and Q1 is 770 Y1 is NH; Y2 is O; R2 is H; R4 is H; R5 is H; Q2 is Ph(2-OCF2H,3-F); and Q1 is 771 Y1 is NH; Y2 is O; R2 is H; R4 is H; R5 is H; Q2 is Ph(2-OCF2H,4-F); and Q1 is 772 Y1 is NH; Y2 is O; R2 is H; R4 is H; R5 is H; Q2 is Ph(2-OCF2CF2H); and Q1 is 773 Y1 is NH; Y2 is O; R2 is H; R4 is H; R5 is H; Q2 is Ph(2-OCF2CF2H,3-F); and Q1 is 774 Y1 is NH; Y2 is O; R2 is H; R4 is H; R5 is H; Q2 is Ph(2-OCF2CF2H,4-F); and Q1 is 775 Y1 is NH; Y2 is O; R2 is H; R4 is H; R5 is H; Q2 is Ph(2-Br); and Q1 is 776 Y1 is NH; Y2 is O; R2 is H; R4 is H; R5 is H; Q2 is Ph(2-Br,3-F); and Q1 is 777 Y1 is NH; Y2 is O; R2 is H; R4 is H; R5 is H; Q2 is Ph(2-Br,4-F); and Q1 is 778 Y1 is NH; Y2 is O; R2 is H; R4 is H; R5 is H; Q2 is Ph(2-Br,3,4-di-F); and Q1 is 779 Y1 is NH; Y2 is O; R2 is H; R4 is H; R5 is H; Q2 is Ph(2-I); and Q1 is 780 Y1 is NH; Y2 is O; R2 is H; R4 is H; R5 is H; Q2 is Ph(2-I,3-F); and Q1 is 781 Y1 is NH; Y2 is O; R2 is H; R4 is H; R5 is H; Q2 is Ph(2-I,4-F); and Q1 is 782 Y1 is NH; Y2 is O; R2 is H; R4 is H; R5 is H; Q2 is Ph(2-I,3,4-di-F); and Q1 is 783 Y1 is NH; Y2 is O; R2 is H; R4 is H; R5 is H; Q2 is Ph(2-CN); and Q1 is 784 Y1 is NH; Y2 is O; R2 is H; R4 is H; R5 is H; Q2 is Ph(2-CN,3-Me); and Q1 is 785 Y1 is NH; Y2 is O; R2 is H; R4 is H; R5 is H; Q2 is Ph(2-CN,3-F); and Q1 is 786 Y1 is NH; Y2 is O; R2 is H; R4 is H; R5 is H; Q2 is Ph(2-CN,4-F); and Q1 is 787 Y1 is NH; Y2 is O; R2 is H; R4 is H; R5 is H; Q2 is Ph(2-CN,3-Cl); and Q1 is 788 Y1 is NH; Y2 is O; R2 is H; R4 is H; R5 is H; Q2 is Ph(2-CN,4-Cl); and Q1 is 789 Y1 is NH; Y2 is O; R2 is H; R4 is H; R5 is H; Q2 is Ph(2-CN,3,4-di-F); and Q1 is 790 Y1 is NH; Y2 is O; R2 is H; R4 is H; R5 is H; Q2 is 2-Pyridinyl; and Q1 is 791 Y1 is NH; Y2 is O; R2 is H; R4 is H; R5 is H; Q2 is 2-Pyridinyl,3-F; and Q1 is 792 Y1 is NH; Y2 is O; R2 is H; R4 is H; R5 is H; Q2 is 2-Pyridinyl,4-F; and Q1 is 793 Y1 is NH; Y2 is O; R2 is H; R4 is H; R5 is H; Q2 is 2-Pyridinyl,3,4-di-F; and Q1 is 794 Y1 is NH; Y2 is O; R2 is H; R4 is H; R5 is H; Q2 is 2-Pyridinyl,3-Cl; and Q1 is 795 Y1 is NH; Y2 is O; R2 is H; R4 is H; R5 is H; Q2 is 2-Pyridinyl,4-Cl; and Q1 is 796 Y1 is NH; Y2 is O; R2 is H; R4 is H; R5 is H; Q2 is 2-Pyridinyl,3-Cl,4-F; and Q1 is 797 Y1 is NH; Y2 is O; R2 is H; R4 is H; R5 is H; Q2 is Ph(2-SO2Me); and Q1 is 798 Y1 is NH; Y2 is O; R2 is H; R4 is H; R5 is H; Q2 is Ph(2-SO2Me, 3-F); and Q1 is 799 Y1 is NH; Y2 is O; R2 is H; R4 is H; R5 is H; Q2 is Ph(2-SO2Me, 3-Me); and Q1 is 800 Y1 is NH; Y2 is O; R2 is H; R4 is H; R5 is H; Q2 is Ph(2-SO2Me, 4-F); and Q1 is 801 Y1 is NH; Y2 is O; R2 is H; R4 is H; R5 is H; Q2 is Ph(2-SO2Me, 5-F); and Q1 is 802 Y1 is NH; Y2 is O; R2 is H; R4 is H; R5 is H; Q2 is Ph(2-SO2Me,3,4-di-F); and Q1 is 803 Y1 is NH; Y2 is O; R2 is H; R4 is H; R5 is H; Q2 is Ph(2-SO2Me, 3-Cl); and Q1 is 804 Y1 is NH; Y2 is O; R2 is H; R4 is H; R5 is H; Q2 is Ph(2-SO2Me, 4-Cl); and Q1 is 805 Y1 is NH; Y2 is O; R2 is H; R4 is H; R5 is H; Q2 is Ph(2-SO2Me,3-Cl,4-F); and Q1 is 806 Y1 is NH; Y2 is O; R2 is H; R4 is H; R5 is H; Q2 is Ph(2-SO2NH2); and Q1 is 807 Y1 is NH; Y2 is O; R2 is H; R4 is H; R5 is H; Q2 is Ph(2-SO2NH2, 3-F); and Q1 is 808 Y1 is NH; Y2 is O; R2 is H; R4 is H; R5 is H; Q2 is Ph(2-SO2NH2, 3-Cl); and Q1 is 809 Y1 is NH; Y2 is O; R2 is H; R4 is H; R5 is H; Q2 is Ph(2-SO2NH2, 4-F); and Q1 is 810 Y1 is NH; Y2 is O; R2 is H; R4 is H; R5 is H; Q2 is Ph(2-SO2NH2, 5-F); and Q1 is 811 Y1 is NH; Y2 is O; R2 is H; R4 is H; R5 is H; Q2 is Ph(2-SO2NH2,3,4-di-F); and Q1 is 812 Y1 is NH; Y2 is O; R2 is H; R4 is H; R5 is H; Q2 is Ph(3-F); and Q1 is 813 Y1 is NH; Y2 is O; R2 is H; R4 is H; R5 is H; Q2 is Ph(3,4-di-F); and Q1 is 814 Y1 is NH; Y2 is O; R2 is H; R4 is H; R5 is H; Q2 is Ph(3,5-di-F); and Q1 is 815 Y1 is NH; Y2 is O; R2 is H; R4 is H; R5 is H; Q2 is Ph(3,4,5-tri-F); and Q1 is 816 Y1 is NH; Y2 is O; R2 is H; R4 is H; R5 is H; Q2 is Ph(3-F,4-Cl); and Q1 is 817 Y1 is NH; Y2 is O; R2 is H; R4 is H; R5 is H; Q2 is Ph(3-CF3); and Q1 is 818 Y1 is NH; Y2 is O; R2 is H; R4 is H; R5 is H; Q2 is Ph(3-CF3,4-F); and Q1 is 819 Y1 is NH; Y2 is O; R2 is H; R4 is H; R5 is H; Q2 is Ph(3-CF3,4-Cl); and Q1 is 820 Y1 is NH; Y2 is O; R2 is H; R4 is H; R5 is H; Q2 is Ph(3-CF3,5-F); and Q1 is 821 Y1 is NH; Y2 is O; R2 is H; R4 is H; R5 is H; Q2 is Ph(3-CF3,4,5-di-F); and Q1 is 822 Y1 is NH; Y2 is O; R2 is H; R4 is H; R5 is H; Q2 is Ph(3-SO2Me); and Q1 is 823 Y1 is NH; Y2 is O; R2 is H; R4 is H; R5 is H; Q2 is Ph(3-SO2Me,4-Cl); and Q1 is 824 Y1 is NH; Y2 is O; R2 is H; R4 is H; R5 is H; Q2 is Ph(3-SO2Me,4-F); and Q1 is 825 Y1 is NH; Y2 is O; R2 is H; R4 is H; R5 is H; Q2 is Ph(3-SO2Me,4,5-di-F); and Q1 is 826 Y1 is NH; Y2 is O; R2 is H; R4 is H; R5 is H; Q2 is Ph(3-SO2Me,5-F); and Q1 is 827 Y1 is NH; Y2 is O; R2 is H; R4 is H; R5 is H; Q2 is Ph(3-SO2NH2); and Q1 is 828 Y1 is NH; Y2 is O; R2 is H; R4 is H; R5 is H; Q2 is Ph(3-SO2NH2,4-F); and Q1 is 829 Y1 is NH; Y2 is O; R2 is H; R4 is H; R5 is H; Q2 is Ph(3-SO2NH2,4,5-di-F); and Q1 is 830 Y1 is NH; Y2 is O; R2 is H; R4 is H; R5 is H; Q2 is Ph(3-SO2NH2,4-Cl); and Q1 is 831 Y1 is NH; Y2 is O; R2 is H; R4 is H; R5 is H; Q2 is Ph(3-SO2NH2,5-F); and Q1 is 832 Y1 is NH; Y2 is O; R2 is H; R4 is H; R5 is H; Q2 is Ph(3-Me); and Q1 is 833 Y1 is NH; Y2 is O; R2 is H; R4 is H; R5 is H; Q2 is Ph(3-Me,4-F); and Q1 is 834 Y1 is NH; Y2 is O; R2 is H; R4 is H; R5 is H; Q2 is Ph(3-Me,4-Cl); and Q1 is 835 Y1 is NH; Y2 is O; R2 is H; R4 is H; R5 is H; Q2 is Ph(3-Me,5-F); and Q1 is 836 Y1 is NH; Y2 is O; R2 is H; R4 is H; R5 is H; Q2 is Ph(3-Me,4,5-di-F); and Q1 is 837 Y1 is NH; Y2 is O; R2 is H; R4 is H; R5 is H; Q2 is Ph(3-Cl); and Q1 is 838 Y1 is NH; Y2 is O; R2 is H; R4 is H; R5 is H; Q2 is Ph(3-Cl,4-F); and Q1 is 839 Y1 is NH; Y2 is O; R2 is H; R4 is H; R5 is H; Q2 is Ph(3,4-di-Cl); and Q1 is 840 Y1 is NH; Y2 is O; R2 is H; R4 is H; R5 is H; Q2 is Ph(3-Cl,5-F); and Q1 is 841 Y1 is NH; Y2 is O; R2 is H; R4 is H; R5 is H; Q2 is Ph(3-Cl,4,5-di-F); and Q1 is 842 Y1 is NH; Y2 is O; R2 is H; R4 is H; R5 is H; Q2 is Ph(3,5-di-Cl); and Q1 is 843 Y1 is NH; Y2 is O; R2 is H; R4 is H; R5 is H; Q2 is Ph(4-F); and Q1 is 844 Y1 is NH; Y2 is O; R2 is H; R4 is H; R5 is H; Q2 is Ph(4-Cl); and Q1 is 845 Y1 is NH; Y2 is O; R2 is H; R4 is H; R5 is H; Q2 is 2,2-di-F-1,3-benzodioxol-4-yl; and Q1 is 846 Y1 is NH; Y2 is O; R2 is H; R4 is H; R5 is H; Q2 is 2,2-di-F-1,3-benzodioxol-5-yl; and Q1 is 847 Y1 is NH; Y2 is O; R2 is H; R4 is H; R5 is H; Q2 is 2,2-di-Me-1,3-benzodioxol-4-yl; and Q1 is 848 Y1 is NH; Y2 is O; R2 is H; R4 is H; R5 is H; Q2 is 2,2-di-Me-1,3-benzodioxol-5-yl; and Q1 is 849 Y1 is NH; Y2 is O; R2 is H; R4 is H; R5 is H; Q2 is 1,3-benzodioxol-4-yl; and Q1 is 850 Y1 is NH; Y2 is O; R2 is H; R4 is H; R5 is H; Q2 is 1,3-benzodioxol-5-yl; and Q1 is 851 Y1 is O; Y2 is O; R2 is Me; R4 is H; R5 is H; Q2 is Ph(2-F); and Q1 is 852 Y1 is O; Y2 is O; R2 is Me; R4 is H; R5 is H; Q2 is Ph(2,3-di-F); and Q1 is 853 Y1 is O; Y2 is O; R2 is Me; R4 is H; R5 is H; Q2 is Ph(2,4-di-F); and Q1 is 854 Y1 is O; Y2 is O; R2 is Me; R4 is H; R5 is H; Q2 is Ph(2,5-di-F); and Q1 is 855 Y1 is O; Y2 is O; R2 is Me; R4 is H; R5 is H; Q2 is Ph(2,3,4-tri-F); and Q1 is 856 Y1 is O; Y2 is O; R2 is Me; R4 is H; R5 is H; Q2 is Ph(2,3,5-tri-F); and Q1 is 857 Y1 is O; Y2 is O; R2 is Me; R4 is H; R5 is H; Q2 is Ph(2,3,4,5-tetra-F); and Q1 is 858 Y1 is O; Y2 is O; R2 is Me; R4 is H; R5 is H; Q2 is Ph(2-F,3-Cl,4-Br); and Q1 is 859 Y1 is O; Y2 is O; R2 is Me; R4 is H; R5 is H; Q2 is Ph(2-F,3-Cl,4-F); and Q1 is 860 Y1 is O; Y2 is O; R2 is Me; R4 is H; R5 is H; Q2 is Ph(2-F,3-Br,4-F); and Q1 is 861 Y1 is O; Y2 is O; R2 is Me; R4 is H; R5 is H; Q2 is Ph(2-F,3-Me); and Q1 is 862 Y1 is O; Y2 is O; R2 is Me; R4 is H; R5 is H; Q2 is Ph(2-F,3-Me,4-F); and Q1 is 863 Y1 is O; Y2 is O; R2 is Me; R4 is H; R5 is H; Q2 is Ph(2-F,3-Me,4-Cl); and Q1 is 864 Y1 is O; Y2 is O; R2 is Me; R4 is H; R5 is H; Q2 is Ph(2-F,3-Cl); and Q1 is 865 Y1 is O; Y2 is O; R2 is Me; R4 is H; R5 is H; Q2 is Ph(2-F,4-Cl); and Q1 is 866 Y1 is O; Y2 is O; R2 is Me; R4 is H; R5 is H; Q2 is Ph(2-F,3,4-di-Cl); and Q1 is 867 Y1 is O; Y2 is O; R2 is Me; R4 is H; R5 is H; Q2 is Ph(2-F,4-Br); and Q1 is 868 Y1 is O; Y2 is O; R2 is Me; R4 is H; R5 is H; Q2 is Ph(2-F,3-OMe); and Q1 is 869 Y1 is O; Y2 is O; R2 is Me; R4 is H; R5 is H; Q2 is Ph(2-F,3-OMe,4-F); and Q1 is 870 Y1 is O; Y2 is O; R2 is Me; R4 is H; R5 is H; Q2 is Ph(2-F,3-OMe,4-Cl); and Q1 is 871 Y1 is O; Y2 is O; R2 is Me; R4 is H; R5 is H; Q2 is Ph(2-F,3-CF2H); and Q1 is 872 Y1 is O; Y2 is O; R2 is Me; R4 is H; R5 is H; Q2 is Ph(2-F,3-CF3); and Q1 is 873 Y1 is O; Y2 is O; R2 is Me; R4 is H; R5 is H; Q2 is Ph(2-F,3-CF3,4-F); and Q1 is 874 Y1 is O; Y2 is O; R2 is Me; R4 is H; R5 is H; Q2 is Ph(2-F,3-NO2); and Q1 is 875 Y1 is O; Y2 is O; R2 is Me; R4 is H; R5 is H; Q2 is Ph(2-F,3-NO2,4-F); and Q1 is 876 Y1 is O; Y2 is O; R2 is Me; R4 is H; R5 is H; Q2 is Ph(2-F,3-SO2Me); and Q1 is 877 Y1 is O; Y2 is O; R2 is Me; R4 is H; R5 is H; Q2 is Ph(2-F,3-SO2Me,4-F); and Q1 is 878 Y1 is O; Y2 is O; R2 is Me; R4 is H; R5 is H; Q2 is Ph(2-CF3); and Q1 is 879 Y1 is O; Y2 is O; R2 is Me; R4 is H; R5 is H; Q2 is Ph(2-CF3,3-F); and Q1 is 880 Y1 is O; Y2 is O; R2 is Me; R4 is H; R5 is H; Q2 is Ph(2-CF3,3-Me); and Q1 is 881 Y1 is O; Y2 is O; R2 is Me; R4 is H; R5 is H; Q2 is Ph(2-CF3,4-F); and Q1 is 882 Y1 is O; Y2 is O; R2 is Me; R4 is H; R5 is H; Q2 is Ph(2-CF3,3-Cl); and Q1 is 883 Y1 is O; Y2 is O; R2 is Me; R4 is H; R5 is H; Q2 is Ph(2-CF3,4-Cl); and Q1 is 884 Y1 is O; Y2 is O; R2 is Me; R4 is H; R5 is H; Q2 is Ph(2-CF3,3,4-di-F); and Q1 is 885 Y1 is O; Y2 is O; R2 is Me; R4 is H; R5 is H; Q2 is Ph(2-CF2H); and Q1 is 886 Y1 is O; Y2 is O; R2 is Me; R4 is H; R5 is H; Q2 is Ph(2-CF2H,3-F); and Q1 is 887 Y1 is O; Y2 is O; R2 is Me; R4 is H; R5 is H; Q2 is Ph(2-CF2H,3-Me); and Q1 is 888 Y1 is O; Y2 is O; R2 is Me; R4 is H; R5 is H; Q2 is Ph(2-CF2H,4-F); and Q1 is 889 Y1 is O; Y2 is O; R2 is Me; R4 is H; R5 is H; Q2 is Ph(2-CF2H,3-Cl); and Q1 is 890 Y1 is O; Y2 is O; R2 is Me; R4 is H; R5 is H; Q2 is Ph(2-CF2H,4-Cl); and Q1 is 891 Y1 is O; Y2 is O; R2 is Me; R4 is H; R5 is H; Q2 is Ph(2-CF2H,3,4-di-F); and Q1 is 892 Y1 is O; Y2 is O; R2 is Me; R4 is H; R5 is H; Q2 is Ph(2-Me); and Q1 is 893 Y1 is O; Y2 is O; R2 is Me; R4 is H; R5 is H; Q2 is Ph(2,3-di-Me); and Q1 is 894 Y1 is O; Y2 is O; R2 is Me; R4 is H; R5 is H; Q2 is Ph(2-Me,3-F); and Q1 is 895 Y1 is O; Y2 is O; R2 is Me; R4 is H; R5 is H; Q2 is Ph(2-Me,3-Cl); and Q1 is 896 Y1 is O; Y2 is O; R2 is Me; R4 is H; R5 is H; Q2 is Ph(2-Me,3-CF3); and Q1 is 897 Y1 is O; Y2 is O; R2 is Me; R4 is H; R5 is H; Q2 is Ph(2-Me,3,4-di-Cl); and Q1 is 898 Y1 is O; Y2 is O; R2 is Me; R4 is H; R5 is H; Q2 is Ph(2-Me,3-Cl,4-F); and Q1 is 899 Y1 is O; Y2 is O; R2 is Me; R4 is H; R5 is H; Q2 is Ph(2-Me,4-Cl); and Q1 is 900 Y1 is O; Y2 is O; R2 is Me; R4 is H; R5 is H; Q2 is Ph(2-Me,4-F); and Q1 is 901 Y1 is O; Y2 is O; R2 is Me; R4 is H; R5 is H; Q2 is Ph(2-Me,5-F); and Q1 is 902 Y1 is O; Y2 is O; R2 is Me; R4 is H; R5 is H; Q2 is Ph(2-Me,3,4-di-F); and Q1 is 903 Y1 is O; Y2 is O; R2 is Me; R4 is H; R5 is H; Q2 is Ph(2-Me,3,5-di-F); and Q1 is 904 Y1 is O; Y2 is O; R2 is Me; R4 is H; R5 is H; Q2 is Ph(2-Et); and Q1 is 905 Y1 is O; Y2 is O; R2 is Me; R4 is H; R5 is H; Q2 is Ph(2-Et,3-F); and Q1 is 906 Y1 is O; Y2 is O; R2 is Me; R4 is H; R5 is H; Q2 is Ph(2-Et,3-Cl); and Q1 is 907 Y1 is O; Y2 is O; R2 is Me; R4 is H; R5 is H; Q2 is Ph(2-Et,4-F); and Q1 is 908 Y1 is O; Y2 is O; R2 is Me; R4 is H; R5 is H; Q2 is Ph(2-Et,3,4-di-F); and Q1 is 909 Y1 is O; Y2 is O; R2 is Me; R4 is H; R5 is H; Q2 is Ph(2-i-Pr); and Q1 is 910 Y1 is O; Y2 is O; R2 is Me; R4 is H; R5 is H; Q2 is Ph(2-i-Pr,3-F); and Q1 is 911 Y1 is O; Y2 is O; R2 is Me; R4 is H; R5 is H; Q2 is Ph(2-i-Pr,3-Cl); and Q1 is 912 Y1 is O; Y2 is O; R2 is Me; R4 is H; R5 is H; Q2 is Ph(2-i-Pr,4-F); and Q1 is 913 Y1 is O; Y2 is O; R2 is Me; R4 is H; R5 is H; Q2 is Ph(2-i-Pr,3,4-di-F); and Q1 is 914 Y1 is O; Y2 is O; R2 is Me; R4 is H; R5 is H; Q2 is Ph(2-c-Pr); and Q1 is 915 Y1 is O; Y2 is O; R2 is Me; R4 is H; R5 is H; Q2 is Ph(2-c-Pr,3-F); and Q1 is 916 Y1 is O; Y2 is O; R2 is Me; R4 is H; R5 is H; Q2 is Ph(2-c-Pr,3-Cl); and Q1 is 917 Y1 is O; Y2 is O; R2 is Me; R4 is H; R5 is H; Q2 is Ph(2-c-Pr,4-F); and Q1 is 918 Y1 is O; Y2 is O; R2 is Me; R4 is H; R5 is H; Q2 is Ph(2-c-Pr,3,4-di-F); and Q1 is 919 Y1 is O; Y2 is O; R2 is Me; R4 is H; R5 is H; Q2 is Ph(2-NO2); and Q1 is 920 Y1 is O; Y2 is O; R2 is Me; R4 is H; R5 is H; Q2 is Ph(2-NO2,3-F); and Q1 is 921 Y1 is O; Y2 is O; R2 is Me; R4 is H; R5 is H; Q2 is Ph(2-NO2,3-Cl); and Q1 is 922 Y1 is O; Y2 is O; R2 is Me; R4 is H; R5 is H; Q2 is Ph(2-NO2,4-F); and Q1 is 923 Y1 is O; Y2 is O; R2 is Me; R4 is H; R5 is H; Q2 is Ph(2-NO2,3,4-di-F); and Q1 is 924 Y1 is O; Y2 is O; R2 is Me; R4 is H; R5 is H; Q2 is Ph(2-OCF3); and Q1 is 925 Y1 is O; Y2 is O; R2 is Me; R4 is H; R5 is H; Q2 is Ph(2-OCF3,3-F); and Q1 is 926 Y1 is O; Y2 is O; R2 is Me; R4 is H; R5 is H; Q2 is Ph(2-OCF3,4-F); and Q1 is 927 Y1 is O; Y2 is O; R2 is Me; R4 is H; R5 is H; Q2 is Ph(2-Cl); and Q1 is 928 Y1 is O; Y2 is O; R2 is Me; R4 is H; R5 is H; Q2 is Ph(2-Cl,3-Me); and Q1 is 929 Y1 is O; Y2 is O; R2 is Me; R4 is H; R5 is H; Q2 is Ph(2-Cl,3-Me,4-F); and Q1 is 930 Y1 is O; Y2 is O; R2 is Me; R4 is H; R5 is H; Q2 is Ph(2,3-di-Cl); and Q1 is 931 Y1 is O; Y2 is O; R2 is Me; R4 is H; R5 is H; Q2 is Ph(2,4-di-Cl); and Q1 is 932 Y1 is O; Y2 is O; R2 is Me; R4 is H; R5 is H; Q2 is Ph(2-Cl,3-F); and Q1 is 933 Y1 is O; Y2 is O; R2 is Me; R4 is H; R5 is H; Q2 is Ph(2-Cl,4-F); and Q1 is 934 Y1 is O; Y2 is O; R2 is Me; R4 is H; R5 is H; Q2 is Ph(2-Cl,5-F); and Q1 is 935 Y1 is O; Y2 is O; R2 is Me; R4 is H; R5 is H; Q2 is Ph(2-Cl,3,4-di-F); and Q1 is 936 Y1 is O; Y2 is O; R2 is Me; R4 is H; R5 is H; Q2 is Ph(2-Cl,3,5-di-F); and Q1 is 937 Y1 is O; Y2 is O; R2 is Me; R4 is H; R5 is H; Q2 is Ph(2-OCF2H); and Q1 is 938 Y1 is O; Y2 is O; R2 is Me; R4 is H; R5 is H; Q2 is Ph(2-OCF2H,3-Me); and Q1 is 939 Y1 is O; Y2 is O; R2 is Me; R4 is H; R5 is H; Q2 is Ph(2-OCF2H,3-Cl); and Q1 is 940 Y1 is O; Y2 is O; R2 is Me; R4 is H; R5 is H; Q2 is Ph(2-OCF2H,3-F); and Q1 is 941 Y1 is O; Y2 is O; R2 is Me; R4 is H; R5 is H; Q2 is Ph(2-OCF2H,4-F); and Q1 is 942 Y1 is O; Y2 is O; R2 is Me; R4 is H; R5 is H; Q2 is Ph(2-OCF2CF2H); and Q1 is 943 Y1 is O; Y2 is O; R2 is Me; R4 is H; R5 is H; Q2 is Ph(2-OCF2CF2H,3-F); and Q1 is 944 Y1 is O; Y2 is O; R2 is Me; R4 is H; R5 is H; Q2 is Ph(2-OCF2CF2H,4-F); and Q1 is 945 Y1 is O; Y2 is O; R2 is Me; R4 is H; R5 is H; Q2 is Ph(2-Br); and Q1 is 946 Y1 is O; Y2 is O; R2 is Me; R4 is H; R5 is H; Q2 is Ph(2-Br,3-F); and Q1 is 947 Y1 is O; Y2 is O; R2 is Me; R4 is H; R5 is H; Q2 is Ph(2-Br,4-F); and Q1 is 948 Y1 is O; Y2 is O; R2 is Me; R4 is H; R5 is H; Q2 is Ph(2-Br,3,4-di-F); and Q1 is 949 Y1 is O; Y2 is O; R2 is Me; R4 is H; R5 is H; Q2 is Ph(2-I); and Q1 is 950 Y1 is O; Y2 is O; R2 is Me; R4 is H; R5 is H; Q2 is Ph(2-I,3-F); and Q1 is 951 Y1 is O; Y2 is O; R2 is Me; R4 is H; R5 is H; Q2 is Ph(2-I,4-F); and Q1 is 952 Y1 is O; Y2 is O; R2 is Me; R4 is H; R5 is H; Q2 is Ph(2-I,3,4-di-F); and Q1 is 953 Y1 is O; Y2 is O; R2 is Me; R4 is H; R5 is H; Q2 is Ph(2-CN); and Q1 is 954 Y1 is O; Y2 is O; R2 is Me; R4 is H; R5 is H; Q2 is Ph(2-CN,3-Me); and Q1 is 955 Y1 is O; Y2 is O; R2 is Me; R4 is H; R5 is H; Q2 is Ph(2-CN,3-F); and Q1 is 956 Y1 is O; Y2 is O; R2 is Me; R4 is H; R5 is H; Q2 is Ph(2-CN,4-F); and Q1 is 957 Y1 is O; Y2 is O; R2 is Me; R4 is H; R5 is H; Q2 is Ph(2-CN,3-Cl); and Q1 is 958 Y1 is O; Y2 is O; R2 is Me; R4 is H; R5 is H; Q2 is Ph(2-CN,4-Cl); and Q1 is 959 Y1 is O; Y2 is O; R2 is Me; R4 is H; R5 is H; Q2 is Ph(2-CN,3,4-di-F); and Q1 is 960 Y1 is O; Y2 is O; R2 is Me; R4 is H; R5 is H; Q2 is 2-Pyridinyl; and Q1 is 961 Y1 is O; Y2 is O; R2 is Me; R4 is H; R5 is H; Q2 is 2-Pyridinyl,3-F; and Q1 is 962 Y1 is O; Y2 is O; R2 is Me; R4 is H; R5 is H; Q2 is 2-Pyridinyl,4-F; and Q1 is 963 Y1 is O; Y2 is O; R2 is Me; R4 is H; R5 is H; Q2 is 2-Pyridinyl,3,4-di-F; and Q1 is 964 Y1 is O; Y2 is O; R2 is Me; R4 is H; R5 is H; Q2 is 2-Pyridinyl,3-Cl; and Q1 is 965 Y1 is O; Y2 is O; R2 is Me; R4 is H; R5 is H; Q2 is 2-Pyridinyl,4-Cl; and Q1 is 966 Y1 is O; Y2 is O; R2 is Me; R4 is H; R5 is H; Q2 is 2-Pyridinyl,3-Cl,4-F; and Q1 is 967 Y1 is O; Y2 is O; R2 is Me; R4 is H; R5 is H; Q2 is Ph(2-SO2Me); and Q1 is 968 Y1 is O; Y2 is O; R2 is Me; R4 is H; R5 is H; Q2 is Ph(2-SO2Me, 3-F); and Q1 is 969 Y1 is O; Y2 is O; R2 is Me; R4 is H; R5 is H; Q2 is Ph(2-SO2Me, 3-Me); and Q1 is 970 Y1 is O; Y2 is O; R2 is Me; R4 is H; R5 is H; Q2 is Ph(2-SO2Me, 4-F); and Q1 is 971 Y1 is O; Y2 is O; R2 is Me; R4 is H; R5 is H; Q2 is Ph(2-SO2Me, 5-F); and Q1 is 972 Y1 is O; Y2 is O; R2 is Me; R4 is H; R5 is H; Q2 is Ph(2-SO2Me,3,4-di-F); and Q1 is 973 Y1 is O; Y2 is O; R2 is Me; R4 is H; R5 is H; Q2 is Ph(2-SO2Me, 3-Cl); and Q1 is 974 Y1 is O; Y2 is O; R2 is Me; R4 is H; R5 is H; Q2 is Ph(2-SO2Me, 4-Cl); and Q1 is 975 Y1 is O; Y2 is O; R2 is Me; R4 is H; R5 is H; Q2 is Ph(2-SO2Me,3-Cl,4-F); and Q1 is 976 Y1 is O; Y2 is O; R2 is Me; R4 is H; R5 is H; Q2 is Ph(2-SO2NH2); and Q1 is 977 Y1 is O; Y2 is O; R2 is Me; R4 is H; R5 is H; Q2 is Ph(2-SO2NH2, 3-F); and Q1 is 978 Y1 is O; Y2 is O; R2 is Me; R4 is H; R5 is H; Q2 is Ph(2-SO2NH2, 3-Cl); and Q1 is 979 Y1 is O; Y2 is O; R2 is Me; R4 is H; R5 is H; Q2 is Ph(2-SO2NH2, 4-F); and Q1 is 980 Y1 is O; Y2 is O; R2 is Me; R4 is H; R5 is H; Q2 is Ph(2-SO2NH2, 5-F); and Q1 is 981 Y1 is O; Y2 is O; R2 is Me; R4 is H; R5 is H; Q2 is Ph(2-SO2NH2,3,4-di-F); and Q1 is 982 Y1 is O; Y2 is O; R2 is Me; R4 is H; R5 is H; Q2 is Ph(3-F); and Q1 is 983 Y1 is O; Y2 is O; R2 is Me; R4 is H; R5 is H; Q2 is Ph(3,4-di-F); and Q1 is 984 Y1 is O; Y2 is O; R2 is Me; R4 is H; R5 is H; Q2 is Ph(3,5-di-F); and Q1 is 985 Y1 is O; Y2 is O; R2 is Me; R4 is H; R5 is H; Q2 is Ph(3,4,5-tri-F); and Q1 is 986 Y1 is O; Y2 is O; R2 is Me; R4 is H; R5 is H; Q2 is Ph(3-F,4-Cl); and Q1 is 987 Y1 is O; Y2 is O; R2 is Me; R4 is H; R5 is H; Q2 is Ph(3-CF3); and Q1 is 988 Y1 is O; Y2 is O; R2 is Me; R4 is H; R5 is H; Q2 is Ph(3-CF3,4-F); and Q1 is 989 Y1 is O; Y2 is O; R2 is Me; R4 is H; R5 is H; Q2 is Ph(3-CF3,4-Cl); and Q1 is 990 Y1 is O; Y2 is O; R2 is Me; R4 is H; R5 is H; Q2 is Ph(3-CF3,5-F); and Q1 is 991 Y1 is O; Y2 is O; R2 is Me; R4 is H; R5 is H; Q2 is Ph(3-CF3,4,5-di-F); and Q1 is 992 Y1 is O; Y2 is O; R2 is Me; R4 is H; R5 is H; Q2 is Ph(3-SO2Me); and Q1 is 993 Y1 is O; Y2 is O; R2 is Me; R4 is H; R5 is H; Q2 is Ph(3-SO2Me,4-Cl); and Q1 is 994 Y1 is O; Y2 is O; R2 is Me; R4 is H; R5 is H; Q2 is Ph(3-SO2Me,4-F); and Q1 is 995 Y1 is O; Y2 is O; R2 is Me; R4 is H; R5 is H; Q2 is Ph(3-SO2Me,4,5-di-F); and Q1 is 996 Y1 is O; Y2 is O; R2 is Me; R4 is H; R5 is H; Q2 is Ph(3-SO2Me,5-F); and Q1 is 997 Y1 is O; Y2 is O; R2 is Me; R4 is H; R5 is H; Q2 is Ph(3-SO2NH2); and Q1 is 998 Y1 is O; Y2 is O; R2 is Me; R4 is H; R5 is H; Q2 is Ph(3-SO2NH2,4-F); and Q1 is 999 Y1 is O; Y2 is O; R2 is Me; R4 is H; R5 is H; Q2 is Ph(3-SO2NH2,4,5-di-F); and Q1 is 1000 Y1 is O; Y2 is O; R2 is Me; R4 is H; R5 is H; Q2 is Ph(3-SO2NH2,4-Cl); and Q1 is 1001 Y1 is O; Y2 is O; R2 is Me; R4 is H; R5 is H; Q2 is Ph(3-SO2NH2,5-F); and Q1 is 1002 Y1 is O; Y2 is O; R2 is Me; R4 is H; R5 is H; Q2 is Ph(3-Me); and Q1 is 1003 Y1 is O; Y2 is O; R2 is Me; R4 is H; R5 is H; Q2 is Ph(3-Me,4-F); and Q1 is 1004 Y1 is O; Y2 is O; R2 is Me; R4 is H; R5 is H; Q2 is Ph(3-Me,4-Cl); and Q1 is 1005 Y1 is O; Y2 is O; R2 is Me; R4 is H; R5 is H; Q2 is Ph(3-Me,5-F); and Q1 is 1006 Y1 is O; Y2 is O; R2 is Me; R4 is H; R5 is H; Q2 is Ph(3-Me,4,5-di-F); and Q1 is 1007 Y1 is O; Y2 is O; R2 is Me; R4 is H; R5 is H; Q2 is Ph(3-Cl); and Q1 is 1008 Y1 is O; Y2 is O; R2 is Me; R4 is H; R5 is H; Q2 is Ph(3-Cl,4-F); and Q1 is 1009 Y1 is O; Y2 is O; R2 is Me; R4 is H; R5 is H; Q2 is Ph(3,4-di-Cl); and Q1 is 1010 Y1 is O; Y2 is O; R2 is Me; R4 is H; R5 is H; Q2 is Ph(3-Cl,5-F); and Q1 is 1011 Y1 is O; Y2 is O; R2 is Me; R4 is H; R5 is H; Q2 is Ph(3-Cl,4,5-di-F); and Q1 is 1012 Y1 is O; Y2 is O; R2 is Me; R4 is H; R5 is H; Q2 is Ph(3,5-di-Cl); and Q1 is 1013 Y1 is O; Y2 is O; R2 is Me; R4 is H; R5 is H; Q2 is Ph(4-F); and Q1 is 1014 Y1 is O; Y2 is O; R2 is Me; R4 is H; R5 is H; Q2 is Ph(4-Cl); and Q1 is 1015 Y1 is O; Y2 is O; R2 is Me; R4 is H; R5 is H; Q2 is 2,2-di-F-1,3-benzodioxol-4-yl; and Q1 is 1016 Y1 is O; Y2 is O; R2 is Me; R4 is H; R5 is H; Q2 is 2,2-di-F-1,3-benzodioxol-5-yl; and Q1 is 1017 Y1 is O; Y2 is O; R2 is Me; R4 is H; R5 is H; Q2 is 2,2-di-Me-1,3-benzodioxol-4-yl; and Q1 is 1018 Y1 is O; Y2 is O; R2 is Me; R4 is H; R5 is H; Q2 is 2,2-di-Me-1,3-benzodioxol-5-yl; and Q1 is 1019 Y1 is O; Y2 is O; R2 is Me; R4 is H; R5 is H; Q2 is 1,3-benzodioxol-4-yl; and Q1 is 1020 Y1 is O; Y2 is O; R2 is Me; R4 is H; R5 is H; Q2 is 1,3-benzodioxol-5-yl; and Q1 is 1021 Y1 is O; Y2 is O; R2 is H; R4 is Br; R5 is H; Q2 is Ph(2-F); and Q1 is 1022 Y1 is O; Y2 is O; R2 is H; R4 is Br; R5 is H; Q2 is Ph(2,3-di-F); and Q1 is 1023 Y1 is O; Y2 is O; R2 is H; R4 is Br; R5 is H; Q2 is Ph(2,4-di-F); and Q1 is 1024 Y1 is O; Y2 is O; R2 is H; R4 is Br; R5 is H; Q2 is Ph(2,5-di-F); and Q1 is 1025 Y1 is O; Y2 is O; R2 is H; R4 is Br; R5 is H; Q2 is Ph(2,3,4-tri-F); and Q1 is 1026 Y1 is O; Y2 is O; R2 is H; R4 is Br; R5 is H; Q2 is Ph(2,3,5-tri-F); and Q1 is 1027 Y1 is O; Y2 is O; R2 is H; R4 is Br; R5 is H; Q2 is Ph(2,3,4,5-tetra-F); and Q1 is 1028 Y1 is O; Y2 is O; R2 is H; R4 is Br; R5 is H; Q2 is Ph(2-F,3-Cl,4-Br); and Q1 is 1029 Y1 is O; Y2 is O; R2 is H; R4 is Br; R5 is H; Q2 is Ph(2-F,3-Cl,4-F); and Q1 is 1030 Y1 is O; Y2 is O; R2 is H; R4 is Br; R5 is H; Q2 is Ph(2-F,3-Br,4-F); and Q1 is 1031 Y1 is O; Y2 is O; R2 is H; R4 is Br; R5 is H; Q2 is Ph(2-F,3-Me); and Q1 is 1032 Y1 is O; Y2 is O; R2 is H; R4 is Br; R5 is H; Q2 is Ph(2-F,3-Me,4-F); and Q1 is 1033 Y1 is O; Y2 is O; R2 is H; R4 is Br; R5 is H; Q2 is Ph(2-F,3-Me,4-Cl); and Q1 is 1034 Y1 is O; Y2 is O; R2 is H; R4 is Br; R5 is H; Q2 is Ph(2-F,3-Cl); and Q1 is 1035 Y1 is O; Y2 is O; R2 is H; R4 is Br; R5 is H; Q2 is Ph(2-F,4-Cl); and Q1 is 1036 Y1 is O; Y2 is O; R2 is H; R4 is Br; R5 is H; Q2 is Ph(2-F,3,4-di-Cl); and Q1 is 1037 Y1 is O; Y2 is O; R2 is H; R4 is Br; R5 is H; Q2 is Ph(2-F,4-Br); and Q1 is 1038 Y1 is O; Y2 is O; R2 is H; R4 is Br; R5 is H; Q2 is Ph(2-F,3-OMe); and Q1 is 1039 Y1 is O; Y2 is O; R2 is H; R4 is Br; R5 is H; Q2 is Ph(2-F,3-OMe,4-F); and Q1 is 1040 Y1 is O; Y2 is O; R2 is H; R4 is Br; R5 is H; Q2 is Ph(2-F,3-OMe,4-Cl); and Q1 is 1041 Y1 is O; Y2 is O; R2 is H; R4 is Br; R5 is H; Q2 is Ph(2-F,3-CF2H); and Q1 is 1042 Y1 is O; Y2 is O; R2 is H; R4 is Br; R5 is H; Q2 is Ph(2-F,3-CF3); and Q1 is 1043 Y1 is O; Y2 is O; R2 is H; R4 is Br; R5 is H; Q2 is Ph(2-F,3-CF3,4-F); and Q1 is 1044 Y1 is O; Y2 is O; R2 is H; R4 is Br; R5 is H; Q2 is Ph(2-F,3-NO2); and Q1 is 1045 Y1 is O; Y2 is O; R2 is H; R4 is Br; R5 is H; Q2 is Ph(2-F,3-NO2,4-F); and Q1 is 1046 Y1 is O; Y2 is O; R2 is H; R4 is Br; R5 is H; Q2 is Ph(2-F,3-SO2Me); and Q1 is 1047 Y1 is O; Y2 is O; R2 is H; R4 is Br; R5 is H; Q2 is Ph(2-F,3-SO2Me,4-F); and Q1 is 1048 Y1 is O; Y2 is O; R2 is H; R4 is Br; R5 is H; Q2 is Ph(2-CF3); and Q1 is 1049 Y1 is O; Y2 is O; R2 is H; R4 is Br; R5 is H; Q2 is Ph(2-CF3,3-F); and Q1 is 1050 Y1 is O; Y2 is O; R2 is H; R4 is Br; R5 is H; Q2 is Ph(2-CF3,3-Me); and Q1 is 1051 Y1 is O; Y2 is O; R2 is H; R4 is Br; R5 is H; Q2 is Ph(2-CF3,4-F); and Q1 is 1052 Y1 is O; Y2 is O; R2 is H; R4 is Br; R5 is H; Q2 is Ph(2-CF3,3-Cl); and Q1 is 1053 Y1 is O; Y2 is O; R2 is H; R4 is Br; R5 is H; Q2 is Ph(2-CF3,4-Cl); and Q1 is 1054 Y1 is O; Y2 is O; R2 is H; R4 is Br; R5 is H; Q2 is Ph(2-CF3,3,4-di-F); and Q1 is 1055 Y1 is O; Y2 is O; R2 is H; R4 is Br; R5 is H; Q2 is Ph(2-CF2H); and Q1 is 1056 Y1 is O; Y2 is O; R2 is H; R4 is Br; R5 is H; Q2 is Ph(2-CF2H,3-F); and Q1 is 1057 Y1 is O; Y2 is O; R2 is H; R4 is Br; R5 is H; Q2 is Ph(2-CF2H,3-Me); and Q1 is 1058 Y1 is O; Y2 is O; R2 is H; R4 is Br; R5 is H; Q2 is Ph(2-CF2H,4-F); and Q1 is 1059 Y1 is O; Y2 is O; R2 is H; R4 is Br; R5 is H; Q2 is Ph(2-CF2H,3-Cl); and Q1 is 1060 Y1 is O; Y2 is O; R2 is H; R4 is Br; R5 is H; Q2 is Ph(2-CF2H,4-Cl); and Q1 is 1061 Y1 is O; Y2 is O; R2 is H; R4 is Br; R5 is H; Q2 is Ph(2-CF2H,3,4-di-F); and Q1 is 1062 Y1 is O; Y2 is O; R2 is H; R4 is Br; R5 is H; Q2 is Ph(2-Me); and Q1 is 1063 Y1 is O; Y2 is O; R2 is H; R4 is Br; R5 is H; Q2 is Ph(2,3-di-Me); and Q1 is 1064 Y1 is O; Y2 is O; R2 is H; R4 is Br; R5 is H; Q2 is Ph(2-Me,3-F); and Q1 is 1065 Y1 is O; Y2 is O; R2 is H; R4 is Br; R5 is H; Q2 is Ph(2-Me,3-Cl); and Q1 is 1066 Y1 is O; Y2 is O; R2 is H; R4 is Br; R5 is H; Q2 is Ph(2-Me,3-CF3); and Q1 is 1067 Y1 is O; Y2 is O; R2 is H; R4 is Br; R5 is H; Q2 is Ph(2-Me,3,4-di-Cl); and Q1 is 1068 Y1 is O; Y2 is O; R2 is H; R4 is Br; R5 is H; Q2 is Ph(2-Me,3-Cl,4-F); and Q1 is 1069 Y1 is O; Y2 is O; R2 is H; R4 is Br; R5 is H; Q2 is Ph(2-Me,4-Cl); and Q1 is 1070 Y1 is O; Y2 is O; R2 is H; R4 is Br; R5 is H; Q2 is Ph(2-Me,4-F); and Q1 is 1071 Y1 is O; Y2 is O; R2 is H; R4 is Br; R5 is H; Q2 is Ph(2-Me,5-F); and Q1 is 1072 Y1 is O; Y2 is O; R2 is H; R4 is Br; R5 is H; Q2 is Ph(2-Me,3,4-di-F); and Q1 is 1073 Y1 is O; Y2 is O; R2 is H; R4 is Br; R5 is H; Q2 is Ph(2-Me,3,5-di-F); and Q1 is 1074 Y1 is O; Y2 is O; R2 is H; R4 is Br; R5 is H; Q2 is Ph(2-Et); and Q1 is 1075 Y1 is O; Y2 is O; R2 is H; R4 is Br; R5 is H; Q2 is Ph(2-Et,3-F); and Q1 is 1076 Y1 is O; Y2 is O; R2 is H; R4 is Br; R5 is H; Q2 is Ph(2-Et,3-Cl); and Q1 is 1077 Y1 is O; Y2 is O; R2 is H; R4 is Br; R5 is H; Q2 is Ph(2-Et,4-F); and Q1 is 1078 Y1 is O; Y2 is O; R2 is H; R4 is Br; R5 is H; Q2 is Ph(2-Et,3,4-di-F); and Q1 is 1079 Y1 is O; Y2 is O; R2 is H; R4 is Br; R5 is H; Q2 is Ph(2-i-Pr); and Q1 is 1080 Y1 is O; Y2 is O; R2 is H; R4 is Br; R5 is H; Q2 is Ph(2-i-Pr,3-F); and Q1 is 1081 Y1 is O; Y2 is O; R2 is H; R4 is Br; R5 is H; Q2 is Ph(2-i-Pr,3-Cl); and Q1 is 1082 Y1 is O; Y2 is O; R2 is H; R4 is Br; R5 is H; Q2 is Ph(2-i-Pr,4-F); and Q1 is 1083 Y1 is O; Y2 is O; R2 is H; R4 is Br; R5 is H; Q2 is Ph(2-i-Pr,3,4-di-F); and Q1 is 1084 Y1 is O; Y2 is O; R2 is H; R4 is Br; R5 is H; Q2 is Ph(2-c-Pr); and Q1 is 1085 Y1 is O; Y2 is O; R2 is H; R4 is Br; R5 is H; Q2 is Ph(2-c-Pr,3-F); and Q1 is 1086 Y1 is O; Y2 is O; R2 is H; R4 is Br; R5 is H; Q2 is Ph(2-c-Pr,3-Cl); and Q1 is 1087 Y1 is O; Y2 is O; R2 is H; R4 is Br; R5 is H; Q2 is Ph(2-c-Pr,4-F); and Q1 is 1088 Y1 is O; Y2 is O; R2 is H; R4 is Br; R5 is H; Q2 is Ph(2-c-Pr,3,4-di-F); and Q1 is 1089 Y1 is O; Y2 is O; R2 is H; R4 is Br; R5 is H; Q2 is Ph(2-NO2); and Q1 is 1090 Y1 is O; Y2 is O; R2 is H; R4 is Br; R5 is H; Q2 is Ph(2-NO2,3-F); and Q1 is 1091 Y1 is O; Y2 is O; R2 is H; R4 is Br; R5 is H; Q2 is Ph(2-NO2,3-Cl); and Q1 is 1092 Y1 is O; Y2 is O; R2 is H; R4 is Br; R5 is H; Q2 is Ph(2-NO2,4-F); and Q1 is 1093 Y1 is O; Y2 is O; R2 is H; R4 is Br; R5 is H; Q2 is Ph(2-NO2,3,4-di-F); and Q1 is 1094 Y1 is O; Y2 is O; R2 is H; R4 is Br; R5 is H; Q2 is Ph(2-OCF3); and Q1 is 1095 Y1 is O; Y2 is O; R2 is H; R4 is Br; R5 is H; Q2 is Ph(2-OCF3,3-F); and Q1 is 1096 Y1 is O; Y2 is O; R2 is H; R4 is Br; R5 is H; Q2 is Ph(2-OCF3,4-F); and Q1 is 1097 Y1 is O; Y2 is O; R2 is H; R4 is Br; R5 is H; Q2 is Ph(2-Cl); and Q1 is 1098 Y1 is O; Y2 is O; R2 is H; R4 is Br; R5 is H; Q2 is Ph(2-Cl,3-Me); and Q1 is 1099 Y1 is O; Y2 is O; R2 is H; R4 is Br; R5 is H; Q2 is Ph(2-Cl,3-Me,4-F); and Q1 is 1100 Y1 is O; Y2 is O; R2 is H; R4 is Br; R5 is H; Q2 is Ph(2,3-di-Cl); and Q1 is 1101 Y1 is O; Y2 is O; R2 is H; R4 is Br; R5 is H; Q2 is Ph(2,4-di-Cl); and Q1 is 1102 Y1 is O; Y2 is O; R2 is H; R4 is Br; R5 is H; Q2 is Ph(2-Cl,3-F); and Q1 is 1103 Y1 is O; Y2 is O; R2 is H; R4 is Br; R5 is H; Q2 is Ph(2-Cl,4-F); and Q1 is 1104 Y1 is O; Y2 is O; R2 is H; R4 is Br; R5 is H; Q2 is Ph(2-Cl,5-F); and Q1 is 1105 Y1 is O; Y2 is O; R2 is H; R4 is Br; R5 is H; Q2 is Ph(2-Cl,3,4-di-F); and Q1 is 1106 Y1 is O; Y2 is O; R2 is H; R4 is Br; R5 is H; Q2 is Ph(2-Cl,3,5-di-F); and Q1 is 1107 Y1 is O; Y2 is O; R2 is H; R4 is Br; R5 is H; Q2 is Ph(2-OCF2H); and Q1 is 1108 Y1 is O; Y2 is O; R2 is H; R4 is Br; R5 is H; Q2 is Ph(2-OCF2H,3-Me); and Q1 is 1109 Y1 is O; Y2 is O; R2 is H; R4 is Br; R5 is H; Q2 is Ph(2-OCF2H,3-Cl); and Q1 is 1110 Y1 is O; Y2 is O; R2 is H; R4 is Br; R5 is H; Q2 is Ph(2-OCF2H,3-F); and Q1 is 1111 Y1 is O; Y2 is O; R2 is H; R4 is Br; R5 is H; Q2 is Ph(2-OCF2H,4-F); and Q1 is 1112 Y1 is O; Y2 is O; R2 is H; R4 is Br; R5 is H; Q2 is Ph(2-OCF2CF2H); and Q1 is 1113 Y1 is O; Y2 is O; R2 is H; R4 is Br; R5 is H; Q2 is Ph(2-OCF2CF2H,3-F); and Q1 is 1114 Y1 is O; Y2 is O; R2 is H; R4 is Br; R5 is H; Q2 is Ph(2-OCF2CF2H,4-F); and Q1 is 1115 Y1 is O; Y2 is O; R2 is H; R4 is Br; R5 is H; Q2 is Ph(2-Br); and Q1 is 1116 Y1 is O; Y2 is O; R2 is H; R4 is Br; R5 is H; Q2 is Ph(2-Br,3-F); and Q1 is 1117 Y1 is O; Y2 is O; R2 is H; R4 is Br; R5 is H; Q2 is Ph(2-Br,4-F); and Q1 is 1118 Y1 is O; Y2 is O; R2 is H; R4 is Br; R5 is H; Q2 is Ph(2-Br,3,4-di-F); and Q1 is 1119 Y1 is O; Y2 is O; R2 is H; R4 is Br; R5 is H; Q2 is Ph(2-I); and Q1 is 1120 Y1 is O; Y2 is O; R2 is H; R4 is Br; R5 is H; Q2 is Ph(2-I,3-F); and Q1 is 1121 Y1 is O; Y2 is O; R2 is H; R4 is Br; R5 is H; Q2 is Ph(2-I,4-F); and Q1 is 1122 Y1 is O; Y2 is O; R2 is H; R4 is Br; R5 is H; Q2 is Ph(2-I,3,4-di-F); and Q1 is 1123 Y1 is O; Y2 is O; R2 is H; R4 is Br; R5 is H; Q2 is Ph(2-CN); and Q1 is 1124 Y1 is O; Y2 is O; R2 is H; R4 is Br; R5 is H; Q2 is Ph(2-CN,3-Me); and Q1 is 1125 Y1 is O; Y2 is O; R2 is H; R4 is Br; R5 is H; Q2 is Ph(2-CN,3-F); and Q1 is 1126 Y1 is O; Y2 is O; R2 is H; R4 is Br; R5 is H; Q2 is Ph(2-CN,4-F); and Q1 is 1127 Y1 is O; Y2 is O; R2 is H; R4 is Br; R5 is H; Q2 is Ph(2-CN,3-Cl); and Q1 is 1128 Y1 is O; Y2 is O; R2 is H; R4 is Br; R5 is H; Q2 is Ph(2-CN,4-Cl); and Q1 is 1129 Y1 is O; Y2 is O; R2 is H; R4 is Br; R5 is H; Q2 is Ph(2-CN,3,4-di-F); and Q1 is 1130 Y1 is O; Y2 is O; R2 is H; R4 is Br; R5 is H; Q2 is 2-Pyridinyl; and Q1 is 1131 Y1 is O; Y2 is O; R2 is H; R4 is Br; R5 is H; Q2 is 2-Pyridinyl,3-F; and Q1 is 1132 Y1 is O; Y2 is O; R2 is H; R4 is Br; R5 is H; Q2 is 2-Pyridinyl,4-F; and Q1 is 1133 Y1 is O; Y2 is O; R2 is H; R4 is Br; R5 is H; Q2 is 2-Pyridinyl,3,4-di-F; and Q1 is 1134 Y1 is O; Y2 is O; R2 is H; R4 is Br; R5 is H; Q2 is 2-Pyridinyl,3-Cl; and Q1 is 1135 Y1 is O; Y2 is O; R2 is H; R4 is Br; R5 is H; Q2 is 2-Pyridinyl,4-Cl; and Q1 is 1136 Y1 is O; Y2 is O; R2 is H; R4 is Br; R5 is H; Q2 is 2-Pyridinyl,3-Cl,4-F; and Q1 is 1137 Y1 is O; Y2 is O; R2 is H; R4 is Br; R5 is H; Q2 is Ph(2-SO2Me); and Q1 is 1138 Y1 is O; Y2 is O; R2 is H; R4 is Br; R5 is H; Q2 is Ph(2-SO2Me, 3-F); and Q1 is 1139 Y1 is O; Y2 is O; R2 is H; R4 is Br; R5 is H; Q2 is Ph(2-SO2Me, 3-Me); and Q1 is 1140 Y1 is O; Y2 is O; R2 is H; R4 is Br; R5 is H; Q2 is Ph(2-SO2Me, 4-F); and Q1 is 1141 Y1 is O; Y2 is O; R2 is H; R4 is Br; R5 is H; Q2 is Ph(2-SO2Me, 5-F); and Q1 is 1142 Y1 is O; Y2 is O; R2 is H; R4 is Br; R5 is H; Q2 is Ph(2-SO2Me,3,4-di-F); and Q1 is 1143 Y1 is O; Y2 is O; R2 is H; R4 is Br; R5 is H; Q2 is Ph(2-SO2Me, 3-Cl); and Q1 is 1144 Y1 is O; Y2 is O; R2 is H; R4 is Br; R5 is H; Q2 is Ph(2-SO2Me, 4-Cl); and Q1 is 1145 Y1 is O; Y2 is O; R2 is H; R4 is Br; R5 is H; Q2 is Ph(2-SO2Me,3-Cl,4-F); and Q1 is 1146 Y1 is O; Y2 is O; R2 is H; R4 is Br; R5 is H; Q2 is Ph(2-SO2NH2); and Q1 is 1147 Y1 is O; Y2 is O; R2 is H; R4 is Br; R5 is H; Q2 is Ph(2-SO2NH2, 3-F); and Q1 is 1148 Y1 is O; Y2 is O; R2 is H; R4 is Br; R5 is H; Q2 is Ph(2-SO2NH2, 3-Cl); and Q1 is 1149 Y1 is O; Y2 is O; R2 is H; R4 is Br; R5 is H; Q2 is Ph(2-SO2NH2, 4-F); and Q1 is 1150 Y1 is O; Y2 is O; R2 is H; R4 is Br; R5 is H; Q2 is Ph(2-SO2NH2, 5-F); and Q1 is 1151 Y1 is O; Y2 is O; R2 is H; R4 is Br; R5 is H; Q2 is Ph(2-SO2NH2,3,4-di-F); and Q1 is 1152 Y1 is O; Y2 is O; R2 is H; R4 is Br; R5 is H; Q2 is Ph(3-F); and Q1 is 1153 Y1 is O; Y2 is O; R2 is H; R4 is Br; R5 is H; Q2 is Ph(3,4-di-F); and Q1 is 1154 Y1 is O; Y2 is O; R2 is H; R4 is Br; R5 is H; Q2 is Ph(3,5-di-F); and Q1 is 1155 Y1 is O; Y2 is O; R2 is H; R4 is Br; R5 is H; Q2 is Ph(3,4,5-tri-F); and Q1 is 1156 Y1 is O; Y2 is O; R2 is H; R4 is Br; R5 is H; Q2 is Ph(3-F,4-Cl); and Q1 is 1157 Y1 is O; Y2 is O; R2 is H; R4 is Br; R5 is H; Q2 is Ph(3-CF3); and Q1 is 1158 Y1 is O; Y2 is O; R2 is H; R4 is Br; R5 is H; Q2 is Ph(3-CF3,4-F); and Q1 is 1159 Y1 is O; Y2 is O; R2 is H; R4 is Br; R5 is H; Q2 is Ph(3-CF3,4-Cl); and Q1 is 1160 Y1 is O; Y2 is O; R2 is H; R4 is Br; R5 is H; Q2 is Ph(3-CF3,5-F); and Q1 is 1161 Y1 is O; Y2 is O; R2 is H; R4 is Br; R5 is H; Q2 is Ph(3-CF3,4,5-di-F); and Q1 is 1162 Y1 is O; Y2 is O; R2 is H; R4 is Br; R5 is H; Q2 is Ph(3-SO2Me); and Q1 is 1163 Y1 is O; Y2 is O; R2 is H; R4 is Br; R5 is H; Q2 is Ph(3-SO2Me,4-Cl); and Q1 is 1164 Y1 is O; Y2 is O; R2 is H; R4 is Br; R5 is H; Q2 is Ph(3-SO2Me,4-F); and Q1 is 1165 Y1 is O; Y2 is O; R2 is H; R4 is Br; R5 is H; Q2 is Ph(3-SO2Me,4,5-di-F); and Q1 is 1166 Y1 is O; Y2 is O; R2 is H; R4 is Br; R5 is H; Q2 is Ph(3-SO2Me,5-F); and Q1 is 1167 Y1 is O; Y2 is O; R2 is H; R4 is Br; R5 is H; Q2 is Ph(3-SO2NH2); and Q1 is 1168 Y1 is O; Y2 is O; R2 is H; R4 is Br; R5 is H; Q2 is Ph(3-SO2NH2,4-F); and Q1 is 1169 Y1 is O; Y2 is O; R2 is H; R4 is Br; R5 is H; Q2 is Ph(3-SO2NH2,4,5-di-F); and Q1 is 1170 Y1 is O; Y2 is O; R2 is H; R4 is Br; R5 is H; Q2 is Ph(3-SO2NH2,4-Cl); and Q1 is 1171 Y1 is O; Y2 is O; R2 is H; R4 is Br; R5 is H; Q2 is Ph(3-SO2NH2,5-F); and Q1 is 1172 Y1 is O; Y2 is O; R2 is H; R4 is Br; R5 is H; Q2 is Ph(3-Me); and Q1 is 1173 Y1 is O; Y2 is O; R2 is H; R4 is Br; R5 is H; Q2 is Ph(3-Me,4-F); and Q1 is 1174 Y1 is O; Y2 is O; R2 is H; R4 is Br; R5 is H; Q2 is Ph(3-Me,4-Cl); and Q1 is 1175 Y1 is O; Y2 is O; R2 is H; R4 is Br; R5 is H; Q2 is Ph(3-Me,5-F); and Q1 is 1176 Y1 is O; Y2 is O; R2 is H; R4 is Br; R5 is H; Q2 is Ph(3-Me,4,5-di-F); and Q1 is 1177 Y1 is O; Y2 is O; R2 is H; R4 is Br; R5 is H; Q2 is Ph(3-Cl); and Q1 is 1178 Y1 is O; Y2 is O; R2 is H; R4 is Br; R5 is H; Q2 is Ph(3-Cl,4-F); and Q1 is 1179 Y1 is O; Y2 is O; R2 is H; R4 is Br; R5 is H; Q2 is Ph(3,4-di-Cl); and Q1 is 1180 Y1 is O; Y2 is O; R2 is H; R4 is Br; R5 is H; Q2 is Ph(3-Cl,5-F); and Q1 is 1181 Y1 is O; Y2 is O; R2 is H; R4 is Br; R5 is H; Q2 is Ph(3-Cl,4,5-di-F); and Q1 is 1182 Y1 is O; Y2 is O; R2 is H; R4 is Br; R5 is H; Q2 is Ph(3,5-di-Cl); and Q1 is 1183 Y1 is O; Y2 is O; R2 is H; R4 is Br; R5 is H; Q2 is Ph(4-F); and Q1 is 1184 Y1 is O; Y2 is O; R2 is H; R4 is Br; R5 is H; Q2 is Ph(4-Cl); and Q1 is 1185 Y1 is O; Y2 is O; R2 is H; R4 is Br; R5 is H; Q2 is 2,2-di-F-1,3-benzodioxol-4-yl; and Q1 is 1186 Y1 is O; Y2 is O; R2 is H; R4 is Br; R5 is H; Q2 is 2,2-di-F-1,3-benzodioxol-5-yl; and Q1 is 1187 Y1 is O; Y2 is O; R2 is H; R4 is Br; R5 is H; Q2 is 2,2-di-Me-1,3-benzodioxol-4-yl; and Q1 is 1188 Y1 is O; Y2 is O; R2 is H; R4 is Br; R5 is H; Q2 is 2,2-di-Me-1,3-benzodioxol-5-yl; and Q1 is 1189 Y1 is O; Y2 is O; R2 is H; R4 is Br; R5 is H; Q2 is 1,3-benzodioxol-4-yl; and Q1 is 1190 Y1 is O; Y2 is O; R2 is H; R4 is Br; R5 is H; Q2 is 1,3-benzodioxol-5-yl; and Q1 is 1191 Y1 is O; Y2 is O; R2 is H; R4 is Cl; R5 is H; Q2 is Ph(2-F); and Q1 is 1192 Y1 is O; Y2 is O; R2 is H; R4 is Cl; R5 is H; Q2 is Ph(2,3-di-F); and Q1 is 1193 Y1 is O; Y2 is O; R2 is H; R4 is Cl; R5 is H; Q2 is Ph(2,4-di-F); and Q1 is 1194 Y1 is O; Y2 is O; R2 is H; R4 is Cl; R5 is H; Q2 is Ph(2,5-di-F); and Q1 is 1195 Y1 is O; Y2 is O; R2 is H; R4 is Cl; R5 is H; Q2 is Ph(2,3,4-tri-F); and Q1 is 1196 Y1 is O; Y2 is O; R2 is H; R4 is Cl; R5 is H; Q2 is Ph(2,3,5-tri-F); and Q1 is 1197 Y1 is O; Y2 is O; R2 is H; R4 is Cl; R5 is H; Q2 is Ph(2,3,4,5-tetra-F); and Q1 is 1198 Y1 is O; Y2 is O; R2 is H; R4 is Cl; R5 is H; Q2 is Ph(2-F,3-Cl,4-Br); and Q1 is 1199 Y1 is O; Y2 is O; R2 is H; R4 is Cl; R5 is H; Q2 is Ph(2-F,3-Cl,4-F); and Q1 is 1200 Y1 is O; Y2 is O; R2 is H; R4 is Cl; R5 is H; Q2 is Ph(2-F,3-Br,4-F); and Q1 is 1201 Y1 is O; Y2 is O; R2 is H; R4 is Cl; R5 is H; Q2 is Ph(2-F,3-Me); and Q1 is 1202 Y1 is O; Y2 is O; R2 is H; R4 is Cl; R5 is H; Q2 is Ph(2-F,3-Me,4-F); and Q1 is 1203 Y1 is O; Y2 is O; R2 is H; R4 is Cl; R5 is H; Q2 is Ph(2-F,3-Me,4-Cl); and Q1 is 1204 Y1 is O; Y2 is O; R2 is H; R4 is Cl; R5 is H; Q2 is Ph(2-F,3-Cl); and Q1 is 1205 Y1 is O; Y2 is O; R2 is H; R4 is Cl; R5 is H; Q2 is Ph(2-F,4-Cl); and Q1 is 1206 Y1 is O; Y2 is O; R2 is H; R4 is Cl; R5 is H; Q2 is Ph(2-F,3,4-di-Cl); and Q1 is 1207 Y1 is O; Y2 is O; R2 is H; R4 is Cl; R5 is H; Q2 is Ph(2-F,4-Br); and Q1 is 1208 Y1 is O; Y2 is O; R2 is H; R4 is Cl; R5 is H; Q2 is Ph(2-F,3-OMe); and Q1 is 1209 Y1 is O; Y2 is O; R2 is H; R4 is Cl; R5 is H; Q2 is Ph(2-F,3-OMe,4-F); and Q1 is 1210 Y1 is O; Y2 is O; R2 is H; R4 is Cl; R5 is H; Q2 is Ph(2-F,3-OMe,4-Cl); and Q1 is 1211 Y1 is O; Y2 is O; R2 is H; R4 is Cl; R5 is H; Q2 is Ph(2-F,3-CF2H); and Q1 is 1212 Y1 is O; Y2 is O; R2 is H; R4 is Cl; R5 is H; Q2 is Ph(2-F,3-CF3); and Q1 is 1213 Y1 is O; Y2 is O; R2 is H; R4 is Cl; R5 is H; Q2 is Ph(2-F,3-CF3,4-F); and Q1 is 1214 Y1 is O; Y2 is O; R2 is H; R4 is Cl; R5 is H; Q2 is Ph(2-F,3-NO2); and Q1 is 1215 Y1 is O; Y2 is O; R2 is H; R4 is Cl; R5 is H; Q2 is Ph(2-F,3-NO2,4-F); and Q1 is 1216 Y1 is O; Y2 is O; R2 is H; R4 is Cl; R5 is H; Q2 is Ph(2-F,3-SO2Me); and Q1 is 1217 Y1 is O; Y2 is O; R2 is H; R4 is Cl; R5 is H; Q2 is Ph(2-F,3-SO2Me,4-F); and Q1 is 1218 Y1 is O; Y2 is O; R2 is H; R4 is Cl; R5 is H; Q2 is Ph(2-CF3); and Q1 is 1219 Y1 is O; Y2 is O; R2 is H; R4 is Cl; R5 is H; Q2 is Ph(2-CF3,3-F); and Q1 is 1220 Y1 is O; Y2 is O; R2 is H; R4 is Cl; R5 is H; Q2 is Ph(2-CF3,3-Me); and Q1 is 1221 Y1 is O; Y2 is O; R2 is H; R4 is Cl; R5 is H; Q2 is Ph(2-CF3,4-F); and Q1 is 1222 Y1 is O; Y2 is O; R2 is H; R4 is Cl; R5 is H; Q2 is Ph(2-CF3,3-Cl); and Q1 is 1223 Y1 is O; Y2 is O; R2 is H; R4 is Cl; R5 is H; Q2 is Ph(2-CF3,4-Cl); and Q1 is 1224 Y1 is O; Y2 is O; R2 is H; R4 is Cl; R5 is H; Q2 is Ph(2-CF3,3,4-di-F); and Q1 is 1225 Y1 is O; Y2 is O; R2 is H; R4 is Cl; R5 is H; Q2 is Ph(2-CF2H); and Q1 is 1226 Y1 is O; Y2 is O; R2 is H; R4 is Cl; R5 is H; Q2 is Ph(2-CF2H,3-F); and Q1 is 1227 Y1 is O; Y2 is O; R2 is H; R4 is Cl; R5 is H; Q2 is Ph(2-CF2H,3-Me); and Q1 is 1228 Y1 is O; Y2 is O; R2 is H; R4 is Cl; R5 is H; Q2 is Ph(2-CF2H,4-F); and Q1 is 1229 Y1 is O; Y2 is O; R2 is H; R4 is Cl; R5 is H; Q2 is Ph(2-CF2H,3-Cl); and Q1 is 1230 Y1 is O; Y2 is O; R2 is H; R4 is Cl; R5 is H; Q2 is Ph(2-CF2H,4-Cl); and Q1 is 1231 Y1 is O; Y2 is O; R2 is H; R4 is Cl; R5 is H; Q2 is Ph(2-CF2H,3,4-di-F); and Q1 is 1232 Y1 is O; Y2 is O; R2 is H; R4 is Cl; R5 is H; Q2 is Ph(2-Me); and Q1 is 1233 Y1 is O; Y2 is O; R2 is H; R4 is Cl; R5 is H; Q2 is Ph(2,3-di-Me); and Q1 is 1234 Y1 is O; Y2 is O; R2 is H; R4 is Cl; R5 is H; Q2 is Ph(2-Me,3-F); and Q1 is 1235 Y1 is O; Y2 is O; R2 is H; R4 is Cl; R5 is H; Q2 is Ph(2-Me,3-Cl); and Q1 is 1236 Y1 is O; Y2 is O; R2 is H; R4 is Cl; R5 is H; Q2 is Ph(2-Me,3-CF3); and Q1 is 1237 Y1 is O; Y2 is O; R2 is H; R4 is Cl; R5 is H; Q2 is Ph(2-Me,3,4-di-Cl); and Q1 is 1238 Y1 is O; Y2 is O; R2 is H; R4 is Cl; R5 is H; Q2 is Ph(2-Me,3-Cl,4-F); and Q1 is 1239 Y1 is O; Y2 is O; R2 is H; R4 is Cl; R5 is H; Q2 is Ph(2-Me,4-Cl); and Q1 is 1240 Y1 is O; Y2 is O; R2 is H; R4 is Cl; R5 is H; Q2 is Ph(2-Me,4-F); and Q1 is 1241 Y1 is O; Y2 is O; R2 is H; R4 is Cl; R5 is H; Q2 is Ph(2-Me,5-F); and Q1 is 1242 Y1 is O; Y2 is O; R2 is H; R4 is Cl; R5 is H; Q2 is Ph(2-Me,3,4-di-F); and Q1 is 1243 Y1 is O; Y2 is O; R2 is H; R4 is Cl; R5 is H; Q2 is Ph(2-Me,3,5-di-F); and Q1 is 1244 Y1 is O; Y2 is O; R2 is H; R4 is Cl; R5 is H; Q2 is Ph(2-Et); and Q1 is 1245 Y1 is O; Y2 is O; R2 is H; R4 is Cl; R5 is H; Q2 is Ph(2-Et,3-F); and Q1 is 1246 Y1 is O; Y2 is O; R2 is H; R4 is Cl; R5 is H; Q2 is Ph(2-Et,3-Cl); and Q1 is 1247 Y1 is O; Y2 is O; R2 is H; R4 is Cl; R5 is H; Q2 is Ph(2-Et,4-F); and Q1 is 1248 Y1 is O; Y2 is O; R2 is H; R4 is Cl; R5 is H; Q2 is Ph(2-Et,3,4-di-F); and Q1 is 1249 Y1 is O; Y2 is O; R2 is H; R4 is Cl; R5 is H; Q2 is Ph(2-i-Pr); and Q1 is 1250 Y1 is O; Y2 is O; R2 is H; R4 is Cl; R5 is H; Q2 is Ph(2-i-Pr,3-F); and Q1 is 1251 Y1 is O; Y2 is O; R2 is H; R4 is Cl; R5 is H; Q2 is Ph(2-i-Pr,3-Cl); and Q1 is 1252 Y1 is O; Y2 is O; R2 is H; R4 is Cl; R5 is H; Q2 is Ph(2-i-Pr,4-F); and Q1 is 1253 Y1 is O; Y2 is O; R2 is H; R4 is Cl; R5 is H; Q2 is Ph(2-i-Pr,3,4-di-F); and Q1 is 1254 Y1 is O; Y2 is O; R2 is H; R4 is Cl; R5 is H; Q2 is Ph(2-c-Pr); and Q1 is 1255 Y1 is O; Y2 is O; R2 is H; R4 is Cl; R5 is H; Q2 is Ph(2-c-Pr,3-F); and Q1 is 1256 Y1 is O; Y2 is O; R2 is H; R4 is Cl; R5 is H; Q2 is Ph(2-c-Pr,3-Cl); and Q1 is 1257 Y1 is O; Y2 is O; R2 is H; R4 is Cl; R5 is H; Q2 is Ph(2-c-Pr,4-F); and Q1 is 1258 Y1 is O; Y2 is O; R2 is H; R4 is Cl; R5 is H; Q2 is Ph(2-c-Pr,3,4-di-F); and Q1 is 1259 Y1 is O; Y2 is O; R2 is H; R4 is Cl; R5 is H; Q2 is Ph(2-NO2); and Q1 is 1260 Y1 is O; Y2 is O; R2 is H; R4 is Cl; R5 is H; Q2 is Ph(2-NO2,3-F); and Q1 is 1261 Y1 is O; Y2 is O; R2 is H; R4 is Cl; R5 is H; Q2 is Ph(2-NO2,3-Cl); and Q1 is 1262 Y1 is O; Y2 is O; R2 is H; R4 is Cl; R5 is H; Q2 is Ph(2-NO2,4-F); and Q1 is 1263 Y1 is O; Y2 is O; R2 is H; R4 is Cl; R5 is H; Q2 is Ph(2-NO2,3,4-di-F); and Q1 is 1264 Y1 is O; Y2 is O; R2 is H; R4 is Cl; R5 is H; Q2 is Ph(2-OCF3); and Q1 is 1265 Y1 is O; Y2 is O; R2 is H; R4 is Cl; R5 is H; Q2 is Ph(2-OCF3,3-F); and Q1 is 1266 Y1 is O; Y2 is O; R2 is H; R4 is Cl; R5 is H; Q2 is Ph(2-OCF3,4-F); and Q1 is 1267 Y1 is O; Y2 is O; R2 is H; R4 is Cl; R5 is H; Q2 is Ph(2-Cl); and Q1 is 1268 Y1 is O; Y2 is O; R2 is H; R4 is Cl; R5 is H; Q2 is Ph(2-Cl,3-Me); and Q1 is 1269 Y1 is O; Y2 is O; R2 is H; R4 is Cl; R5 is H; Q2 is Ph(2-Cl,3-Me,4-F); and Q1 is 1270 Y1 is O; Y2 is O; R2 is H; R4 is Cl; R5 is H; Q2 is Ph(2,3-di-Cl); and Q1 is 1271 Y1 is O; Y2 is O; R2 is H; R4 is Cl; R5 is H; Q2 is Ph(2,4-di-Cl); and Q1 is 1272 Y1 is O; Y2 is O; R2 is H; R4 is Cl; R5 is H; Q2 is Ph(2-Cl,3-F); and Q1 is 1273 Y1 is O; Y2 is O; R2 is H; R4 is Cl; R5 is H; Q2 is Ph(2-Cl,4-F); and Q1 is 1274 Y1 is O; Y2 is O; R2 is H; R4 is Cl; R5 is H; Q2 is Ph(2-Cl,5-F); and Q1 is 1275 Y1 is O; Y2 is O; R2 is H; R4 is Cl; R5 is H; Q2 is Ph(2-Cl,3,4-di-F); and Q1 is 1276 Y1 is O; Y2 is O; R2 is H; R4 is Cl; R5 is H; Q2 is Ph(2-Cl,3,5-di-F); and Q1 is 1277 Y1 is O; Y2 is O; R2 is H; R4 is Cl; R5 is H; Q2 is Ph(2-OCF2H); and Q1 is 1278 Y1 is O; Y2 is O; R2 is H; R4 is Cl; R5 is H; Q2 is Ph(2-OCF2H,3-Me); and Q1 is 1279 Y1 is O; Y2 is O; R2 is H; R4 is Cl; R5 is H; Q2 is Ph(2-OCF2H,3-Cl); and Q1 is 1280 Y1 is O; Y2 is O; R2 is H; R4 is Cl; R5 is H; Q2 is Ph(2-OCF2H,3-F); and Q1 is 1281 Y1 is O; Y2 is O; R2 is H; R4 is Cl; R5 is H; Q2 is Ph(2-OCF2H,4-F); and Q1 is 1282 Y1 is O; Y2 is O; R2 is H; R4 is Cl; R5 is H; Q2 is Ph(2-OCF2CF2H); and Q1 is 1283 Y1 is O; Y2 is O; R2 is H; R4 is Cl; R5 is H; Q2 is Ph(2-OCF2CF2H,3-F); and Q1 is 1284 Y1 is O; Y2 is O; R2 is H; R4 is Cl; R5 is H; Q2 is Ph(2-OCF2CF2H,4-F); and Q1 is 1285 Y1 is O; Y2 is O; R2 is H; R4 is Cl; R5 is H; Q2 is Ph(2-Br); and Q1 is 1286 Y1 is O; Y2 is O; R2 is H; R4 is Cl; R5 is H; Q2 is Ph(2-Br,3-F); and Q1 is 1287 Y1 is O; Y2 is O; R2 is H; R4 is Cl; R5 is H; Q2 is Ph(2-Br,4-F); and Q1 is 1288 Y1 is O; Y2 is O; R2 is H; R4 is Cl; R5 is H; Q2 is Ph(2-Br,3,4-di-F); and Q1 is 1289 Y1 is O; Y2 is O; R2 is H; R4 is Cl; R5 is H; Q2 is Ph(2-I); and Q1 is 1290 Y1 is O; Y2 is O; R2 is H; R4 is Cl; R5 is H; Q2 is Ph(2-I,3-F); and Q1 is 1291 Y1 is O; Y2 is O; R2 is H; R4 is Cl; R5 is H; Q2 is Ph(2-I,4-F); and Q1 is 1292 Y1 is O; Y2 is O; R2 is H; R4 is Cl; R5 is H; Q2 is Ph(2-I,3,4-di-F); and Q1 is 1293 Y1 is O; Y2 is O; R2 is H; R4 is Cl; R5 is H; Q2 is Ph(2-CN); and Q1 is 1294 Y1 is O; Y2 is O; R2 is H; R4 is Cl; R5 is H; Q2 is Ph(2-CN,3-Me); and Q1 is 1295 Y1 is O; Y2 is O; R2 is H; R4 is Cl; R5 is H; Q2 is Ph(2-CN,3-F); and Q1 is 1296 Y1 is O; Y2 is O; R2 is H; R4 is Cl; R5 is H; Q2 is Ph(2-CN,4-F); and Q1 is 1297 Y1 is O; Y2 is O; R2 is H; R4 is Cl; R5 is H; Q2 is Ph(2-CN,3-Cl); and Q1 is 1298 Y1 is O; Y2 is O; R2 is H; R4 is Cl; R5 is H; Q2 is Ph(2-CN,4-Cl); and Q1 is 1299 Y1 is O; Y2 is O; R2 is H; R4 is Cl; R5 is H; Q2 is Ph(2-CN,3,4-di-F); and Q1 is 1300 Y1 is O; Y2 is O; R2 is H; R4 is Cl; R5 is H; Q2 is 2-Pyridinyl; and Q1 is 1301 Y1 is O; Y2 is O; R2 is H; R4 is Cl; R5 is H; Q2 is 2-Pyridinyl,3-F; and Q1 is 1302 Y1 is O; Y2 is O; R2 is H; R4 is Cl; R5 is H; Q2 is 2-Pyridinyl,4-F; and Q1 is 1303 Y1 is O; Y2 is O; R2 is H; R4 is Cl; R5 is H; Q2 is 2-Pyridinyl,3,4-di-F; and Q1 is 1304 Y1 is O; Y2 is O; R2 is H; R4 is Cl; R5 is H; Q2 is 2-Pyridinyl,3-Cl; and Q1 is 1305 Y1 is O; Y2 is O; R2 is H; R4 is Cl; R5 is H; Q2 is 2-Pyridinyl,4-Cl; and Q1 is 1306 Y1 is O; Y2 is O; R2 is H; R4 is Cl; R5 is H; Q2 is 2-Pyridinyl,3-Cl,4-F; and Q1 is 1307 Y1 is O; Y2 is O; R2 is H; R4 is Cl; R5 is H; Q2 is Ph(2-SO2Me); and Q1 is 1308 Y1 is O; Y2 is O; R2 is H; R4 is Cl; R5 is H; Q2 is Ph(2-SO2Me, 3-F); and Q1 is 1309 Y1 is O; Y2 is O; R2 is H; R4 is Cl; R5 is H; Q2 is Ph(2-SO2Me, 3-Me); and Q1 is 1310 Y1 is O; Y2 is O; R2 is H; R4 is Cl; R5 is H; Q2 is Ph(2-SO2Me, 4-F); and Q1 is 1311 Y1 is O; Y2 is O; R2 is H; R4 is Cl; R5 is H; Q2 is Ph(2-SO2Me, 5-F); and Q1 is 1312 Y1 is O; Y2 is O; R2 is H; R4 is Cl; R5 is H; Q2 is Ph(2-SO2Me,3,4-di-F); and Q1 is 1313 Y1 is O; Y2 is O; R2 is H; R4 is Cl; R5 is H; Q2 is Ph(2-SO2Me, 3-Cl); and Q1 is 1314 Y1 is O; Y2 is O; R2 is H; R4 is Cl; R5 is H; Q2 is Ph(2-SO2Me, 4-Cl); and Q1 is 1315 Y1 is O; Y2 is O; R2 is H; R4 is Cl; R5 is H; Q2 is Ph(2-SO2Me,3-Cl,4-F); and Q1 is 1316 Y1 is O; Y2 is O; R2 is H; R4 is Cl; R5 is H; Q2 is Ph(2-SO2NH2); and Q1 is 1317 Y1 is O; Y2 is O; R2 is H; R4 is Cl; R5 is H; Q2 is Ph(2-SO2NH2, 3-F); and Q1 is 1318 Y1 is O; Y2 is O; R2 is H; R4 is Cl; R5 is H; Q2 is Ph(2-SO2NH2, 3-Cl); and Q1 is 1319 Y1 is O; Y2 is O; R2 is H; R4 is Cl; R5 is H; Q2 is Ph(2-SO2NH2, 4-F); and Q1 is 1320 Y1 is O; Y2 is O; R2 is H; R4 is Cl; R5 is H; Q2 is Ph(2-SO2NH2, 5-F); and Q1 is 1321 Y1 is O; Y2 is O; R2 is H; R4 is Cl; R5 is H; Q2 is Ph(2-SO2NH2,3,4-di-F); and Q1 is 1322 Y1 is O; Y2 is O; R2 is H; R4 is Cl; R5 is H; Q2 is Ph(3-F); and Q1 is 1323 Y1 is O; Y2 is O; R2 is H; R4 is Cl; R5 is H; Q2 is Ph(3,4-di-F); and Q1 is 1324 Y1 is O; Y2 is O; R2 is H; R4 is Cl; R5 is H; Q2 is Ph(3,5-di-F); and Q1 is 1325 Y1 is O; Y2 is O; R2 is H; R4 is Cl; R5 is H; Q2 is Ph(3,4,5-tri-F); and Q1 is 1326 Y1 is O; Y2 is O; R2 is H; R4 is Cl; R5 is H; Q2 is Ph(3-F,4-Cl); and Q1 is 1327 Y1 is O; Y2 is O; R2 is H; R4 is Cl; R5 is H; Q2 is Ph(3-CF3); and Q1 is 1328 Y1 is O; Y2 is O; R2 is H; R4 is Cl; R5 is H; Q2 is Ph(3-CF3,4-F); and Q1 is 1329 Y1 is O; Y2 is O; R2 is H; R4 is Cl; R5 is H; Q2 is Ph(3-CF3,4-Cl); and Q1 is 1330 Y1 is O; Y2 is O; R2 is H; R4 is Cl; R5 is H; Q2 is Ph(3-CF3,5-F); and Q1 is 1331 Y1 is O; Y2 is O; R2 is H; R4 is Cl; R5 is H; Q2 is Ph(3-CF3,4,5-di-F); and Q1 is 1332 Y1 is O; Y2 is O; R2 is H; R4 is Cl; R5 is H; Q2 is Ph(3-SO2Me); and Q1 is 1333 Y1 is O; Y2 is O; R2 is H; R4 is Cl; R5 is H; Q2 is Ph(3-SO2Me,4-Cl); and Q1 is 1334 Y1 is O; Y2 is O; R2 is H; R4 is Cl; R5 is H; Q2 is Ph(3-SO2Me,4-F); and Q1 is 1335 Y1 is O; Y2 is O; R2 is H; R4 is Cl; R5 is H; Q2 is Ph(3-SO2Me,4,5-di-F); and Q1 is 1336 Y1 is O; Y2 is O; R2 is H; R4 is Cl; R5 is H; Q2 is Ph(3-SO2Me,5-F); and Q1 is 1337 Y1 is O; Y2 is O; R2 is H; R4 is Cl; R5 is H; Q2 is Ph(3-SO2NH2); and Q1 is 1338 Y1 is O; Y2 is O; R2 is H; R4 is Cl; R5 is H; Q2 is Ph(3-SO2NH2,4-F); and Q1 is 1339 Y1 is O; Y2 is O; R2 is H; R4 is Cl; R5 is H; Q2 is Ph(3-SO2NH2,4,5-di-F); and Q1 is 1340 Y1 is O; Y2 is O; R2 is H; R4 is Cl; R5 is H; Q2 is Ph(3-SO2NH2,4-Cl); and Q1 is 1341 Y1 is O; Y2 is O; R2 is H; R4 is Cl; R5 is H; Q2 is Ph(3-SO2NH2,5-F); and Q1 is 1342 Y1 is O; Y2 is O; R2 is H; R4 is Cl; R5 is H; Q2 is Ph(3-Me); and Q1 is 1343 Y1 is O; Y2 is O; R2 is H; R4 is Cl; R5 is H; Q2 is Ph(3-Me,4-F); and Q1 is 1344 Y1 is O; Y2 is O; R2 is H; R4 is Cl; R5 is H; Q2 is Ph(3-Me,4-Cl); and Q1 is 1345 Y1 is O; Y2 is O; R2 is H; R4 is Cl; R5 is H; Q2 is Ph(3-Me,5-F); and Q1 is 1346 Y1 is O; Y2 is O; R2 is H; R4 is Cl; R5 is H; Q2 is Ph(3-Me,4,5-di-F); and Q1 is 1347 Y1 is O; Y2 is O; R2 is H; R4 is Cl; R5 is H; Q2 is Ph(3-Cl); and Q1 is 1348 Y1 is O; Y2 is O; R2 is H; R4 is Cl; R5 is H; Q2 is Ph(3-Cl,4-F); and Q1 is 1349 Y1 is O; Y2 is O; R2 is H; R4 is Cl; R5 is H; Q2 is Ph(3,4-di-Cl); and Q1 is 1350 Y1 is O; Y2 is O; R2 is H; R4 is Cl; R5 is H; Q2 is Ph(3-Cl,5-F); and Q1 is 1351 Y1 is O; Y2 is O; R2 is H; R4 is Cl; R5 is H; Q2 is Ph(3-Cl,4,5-di-F); and Q1 is 1352 Y1 is O; Y2 is O; R2 is H; R4 is Cl; R5 is H; Q2 is Ph(3,5-di-Cl); and Q1 is 1353 Y1 is O; Y2 is O; R2 is H; R4 is Cl; R5 is H; Q2 is Ph(4-F); and Q1 is 1354 Y1 is O; Y2 is O; R2 is H; R4 is Cl; R5 is H; Q2 is Ph(4-Cl); and Q1 is 1355 Y1 is O; Y2 is O; R2 is H; R4 is Cl; R5 is H; Q2 is 2,2-di-F-1,3-benzodioxol-4-yl; and Q1 is 1356 Y1 is O; Y2 is O; R2 is H; R4 is Cl; R5 is H; Q2 is 2,2-di-F-1,3-benzodioxol-5-yl; and Q1 is 1357 Y1 is O; Y2 is O; R2 is H; R4 is Cl; R5 is H; Q2 is 2,2-di-Me-1,3-benzodioxol-4-yl; and Q1 is 1358 Y1 is O; Y2 is O; R2 is H; R4 is Cl; R5 is H; Q2 is 2,2-di-Me-1,3-benzodioxol-5-yl; and Q1 is 1359 Y1 is O; Y2 is O; R2 is H; R4 is Cl; R5 is H; Q2 is 1,3-benzodioxol-4-yl; and Q1 is 1360 Y1 is O; Y2 is O; R2 is H; R4 is Cl; R5 is H; Q2 is 1,3-benzodioxol-5-yl; and Q1 is 1361 Y1 is O; Y2 is O; R2 is H; R4 is H; R5 is Br; Q2 is Ph(2-F); and Q1 is 1362 Y1 is O; Y2 is O; R2 is H; R4 is H; R5 is Br; Q2 is Ph(2,3-di-F); and Q1 is 1363 Y1 is O; Y2 is O; R2 is H; R4 is H; R5 is Br; Q2 is Ph(2,4-di-F); and Q1 is 1364 Y1 is O; Y2 is O; R2 is H; R4 is H; R5 is Br; Q2 is Ph(2,5-di-F); and Q1 is 1365 Y1 is O; Y2 is O; R2 is H; R4 is H; R5 is Br; Q2 is Ph(2,3,4-tri-F); and Q1 is 1366 Y1 is O; Y2 is O; R2 is H; R4 is H; R5 is Br; Q2 is Ph(2,3,5-tri-F); and Q1 is 1367 Y1 is O; Y2 is O; R2 is H; R4 is H; R5 is Br; Q2 is Ph(2,3,4,5-tetra-F); and Q1 is 1368 Y1 is O; Y2 is O; R2 is H; R4 is H; R5 is Br; Q2 is Ph(2-F,3-Cl,4-Br); and Q1 is 1369 Y1 is O; Y2 is O; R2 is H; R4 is H; R5 is Br; Q2 is Ph(2-F,3-Cl,4-F); and Q1 is 1370 Y1 is O; Y2 is O; R2 is H; R4 is H; R5 is Br; Q2 is Ph(2-F,3-Br,4-F); and Q1 is 1371 Y1 is O; Y2 is O; R2 is H; R4 is H; R5 is Br; Q2 is Ph(2-F,3-Me); and Q1 is 1372 Y1 is O; Y2 is O; R2 is H; R4 is H; R5 is Br; Q2 is Ph(2-F,3-Me,4-F); and Q1 is 1373 Y1 is O; Y2 is O; R2 is H; R4 is H; R5 is Br; Q2 is Ph(2-F,3-Me,4-Cl); and Q1 is 1374 Y1 is O; Y2 is O; R2 is H; R4 is H; R5 is Br; Q2 is Ph(2-F,3-Cl); and Q1 is 1375 Y1 is O; Y2 is O; R2 is H; R4 is H; R5 is Br; Q2 is Ph(2-F,4-Cl); and Q1 is 1376 Y1 is O; Y2 is O; R2 is H; R4 is H; R5 is Br; Q2 is Ph(2-F,3,4-di-Cl); and Q1 is 1377 Y1 is O; Y2 is O; R2 is H; R4 is H; R5 is Br; Q2 is Ph(2-F,4-Br); and Q1 is 1378 Y1 is O; Y2 is O; R2 is H; R4 is H; R5 is Br; Q2 is Ph(2-F,3-OMe); and Q1 is 1379 Y1 is O; Y2 is O; R2 is H; R4 is H; R5 is Br; Q2 is Ph(2-F,3-OMe,4-F); and Q1 is 1380 Y1 is O; Y2 is O; R2 is H; R4 is H; R5 is Br; Q2 is Ph(2-F,3-OMe,4-Cl); and Q1 is 1381 Y1 is O; Y2 is O; R2 is H; R4 is H; R5 is Br; Q2 is Ph(2-F,3-CF2H); and Q1 is 1382 Y1 is O; Y2 is O; R2 is H; R4 is H; R5 is Br; Q2 is Ph(2-F,3-CF3); and Q1 is 1383 Y1 is O; Y2 is O; R2 is H; R4 is H; R5 is Br; Q2 is Ph(2-F,3-CF3,4-F); and Q1 is 1384 Y1 is O; Y2 is O; R2 is H; R4 is H; R5 is Br; Q2 is Ph(2-F,3-NO2); and Q1 is 1385 Y1 is O; Y2 is O; R2 is H; R4 is H; R5 is Br; Q2 is Ph(2-F,3-NO2,4-F); and Q1 is 1386 Y1 is O; Y2 is O; R2 is H; R4 is H; R5 is Br; Q2 is Ph(2-F,3-SO2Me); and Q1 is 1387 Y1 is O; Y2 is O; R2 is H; R4 is H; R5 is Br; Q2 is Ph(2-F,3-SO2Me,4-F); and Q1 is 1388 Y1 is O; Y2 is O; R2 is H; R4 is H; R5 is Br; Q2 is Ph(2-CF3); and Q1 is 1389 Y1 is O; Y2 is O; R2 is H; R4 is H; R5 is Br; Q2 is Ph(2-CF3,3-F); and Q1 is 1390 Y1 is O; Y2 is O; R2 is H; R4 is H; R5 is Br; Q2 is Ph(2-CF3,3-Me); and Q1 is 1391 Y1 is O; Y2 is O; R2 is H; R4 is H; R5 is Br; Q2 is Ph(2-CF3,4-F); and Q1 is 1392 Y1 is O; Y2 is O; R2 is H; R4 is H; R5 is Br; Q2 is Ph(2-CF3,3-Cl); and Q1 is 1393 Y1 is O; Y2 is O; R2 is H; R4 is H; R5 is Br; Q2 is Ph(2-CF3,4-Cl); and Q1 is 1394 Y1 is O; Y2 is O; R2 is H; R4 is H; R5 is Br; Q2 is Ph(2-CF3,3,4-di-F); and Q1 is 1395 Y1 is O; Y2 is O; R2 is H; R4 is H; R5 is Br; Q2 is Ph(2-CF2H); and Q1 is 1396 Y1 is O; Y2 is O; R2 is H; R4 is H; R5 is Br; Q2 is Ph(2-CF2H,3-F); and Q1 is 1397 Y1 is O; Y2 is O; R2 is H; R4 is H; R5 is Br; Q2 is Ph(2-CF2H,3-Me); and Q1 is 1398 Y1 is O; Y2 is O; R2 is H; R4 is H; R5 is Br; Q2 is Ph(2-CF2H,4-F); and Q1 is 1399 Y1 is O; Y2 is O; R2 is H; R4 is H; R5 is Br; Q2 is Ph(2-CF2H,3-Cl); and Q1 is 1400 Y1 is O; Y2 is O; R2 is H; R4 is H; R5 is Br; Q2 is Ph(2-CF2H,4-Cl); and Q1 is 1401 Y1 is O; Y2 is O; R2 is H; R4 is H; R5 is Br; Q2 is Ph(2-CF2H,3,4-di-F); and Q1 is 1402 Y1 is O; Y2 is O; R2 is H; R4 is H; R5 is Br; Q2 is Ph(2-Me); and Q1 is 1403 Y1 is O; Y2 is O; R2 is H; R4 is H; R5 is Br; Q2 is Ph(2,3-di-Me); and Q1 is 1404 Y1 is O; Y2 is O; R2 is H; R4 is H; R5 is Br; Q2 is Ph(2-Me,3-F); and Q1 is 1405 Y1 is O; Y2 is O; R2 is H; R4 is H; R5 is Br; Q2 is Ph(2-Me,3-Cl); and Q1 is 1406 Y1 is O; Y2 is O; R2 is H; R4 is H; R5 is Br; Q2 is Ph(2-Me,3-CF3); and Q1 is 1407 Y1 is O; Y2 is O; R2 is H; R4 is H; R5 is Br; Q2 is Ph(2-Me,3,4-di-Cl); and Q1 is 1408 Y1 is O; Y2 is O; R2 is H; R4 is H; R5 is Br; Q2 is Ph(2-Me,3-Cl,4-F); and Q1 is 1409 Y1 is O; Y2 is O; R2 is H; R4 is H; R5 is Br; Q2 is Ph(2-Me,4-Cl); and Q1 is 1410 Y1 is O; Y2 is O; R2 is H; R4 is H; R5 is Br; Q2 is Ph(2-Me,4-F); and Q1 is 1411 Y1 is O; Y2 is O; R2 is H; R4 is H; R5 is Br; Q2 is Ph(2-Me,5-F); and Q1 is 1412 Y1 is O; Y2 is O; R2 is H; R4 is H; R5 is Br; Q2 is Ph(2-Me,3,4-di-F); and Q1 is 1413 Y1 is O; Y2 is O; R2 is H; R4 is H; R5 is Br; Q2 is Ph(2-Me,3,5-di-F); and Q1 is 1414 Y1 is O; Y2 is O; R2 is H; R4 is H; R5 is Br; Q2 is Ph(2-Et); and Q1 is 1415 Y1 is O; Y2 is O; R2 is H; R4 is H; R5 is Br; Q2 is Ph(2-Et,3-F); and Q1 is 1416 Y1 is O; Y2 is O; R2 is H; R4 is H; R5 is Br; Q2 is Ph(2-Et,3-Cl); and Q1 is 1417 Y1 is O; Y2 is O; R2 is H; R4 is H; R5 is Br; Q2 is Ph(2-Et,4-F); and Q1 is 1418 Y1 is O; Y2 is O; R2 is H; R4 is H; R5 is Br; Q2 is Ph(2-Et,3,4-di-F); and Q1 is 1419 Y1 is O; Y2 is O; R2 is H; R4 is H; R5 is Br; Q2 is Ph(2-i-Pr); and Q1 is 1420 Y1 is O; Y2 is O; R2 is H; R4 is H; R5 is Br; Q2 is Ph(2-i-Pr,3-F); and Q1 is 1421 Y1 is O; Y2 is O; R2 is H; R4 is H; R5 is Br; Q2 is Ph(2-i-Pr,3-Cl); and Q1 is 1422 Y1 is O; Y2 is O; R2 is H; R4 is H; R5 is Br; Q2 is Ph(2-i-Pr,4-F); and Q1 is 1423 Y1 is O; Y2 is O; R2 is H; R4 is H; R5 is Br; Q2 is Ph(2-i-Pr,3,4-di-F); and Q1 is 1424 Y1 is O; Y2 is O; R2 is H; R4 is H; R5 is Br; Q2 is Ph(2-c-Pr); and Q1 is 1425 Y1 is O; Y2 is O; R2 is H; R4 is H; R5 is Br; Q2 is Ph(2-c-Pr,3-F); and Q1 is 1426 Y1 is O; Y2 is O; R2 is H; R4 is H; R5 is Br; Q2 is Ph(2-c-Pr,3-Cl); and Q1 is 1427 Y1 is O; Y2 is O; R2 is H; R4 is H; R5 is Br; Q2 is Ph(2-c-Pr,4-F); and Q1 is 1428 Y1 is O; Y2 is O; R2 is H; R4 is H; R5 is Br; Q2 is Ph(2-c-Pr,3,4-di-F); and Q1 is 1429 Y1 is O; Y2 is O; R2 is H; R4 is H; R5 is Br; Q2 is Ph(2-NO2); and Q1 is 1430 Y1 is O; Y2 is O; R2 is H; R4 is H; R5 is Br; Q2 is Ph(2-NO2,3-F); and Q1 is 1431 Y1 is O; Y2 is O; R2 is H; R4 is H; R5 is Br; Q2 is Ph(2-NO2,3-Cl); and Q1 is 1432 Y1 is O; Y2 is O; R2 is H; R4 is H; R5 is Br; Q2 is Ph(2-NO2,4-F); and Q1 is 1433 Y1 is O; Y2 is O; R2 is H; R4 is H; R5 is Br; Q2 is Ph(2-NO2,3,4-di-F); and Q1 is 1434 Y1 is O; Y2 is O; R2 is H; R4 is H; R5 is Br; Q2 is Ph(2-OCF3); and Q1 is 1435 Y1 is O; Y2 is O; R2 is H; R4 is H; R5 is Br; Q2 is Ph(2-OCF3,3-F); and Q1 is 1436 Y1 is O; Y2 is O; R2 is H; R4 is H; R5 is Br; Q2 is Ph(2-OCF3,4-F); and Q1 is 1437 Y1 is O; Y2 is O; R2 is H; R4 is H; R5 is Br; Q2 is Ph(2-Cl); and Q1 is 1438 Y1 is O; Y2 is O; R2 is H; R4 is H; R5 is Br; Q2 is Ph(2-Cl,3-Me); and Q1 is 1439 Y1 is O; Y2 is O; R2 is H; R4 is H; R5 is Br; Q2 is Ph(2-Cl,3-Me,4-F); and Q1 is 1440 Y1 is O; Y2 is O; R2 is H; R4 is H; R5 is Br; Q2 is Ph(2,3-di-Cl); and Q1 is 1441 Y1 is O; Y2 is O; R2 is H; R4 is H; R5 is Br; Q2 is Ph(2,4-di-Cl); and Q1 is 1442 Y1 is O; Y2 is O; R2 is H; R4 is H; R5 is Br; Q2 is Ph(2-Cl,3-F); and Q1 is 1443 Y1 is O; Y2 is O; R2 is H; R4 is H; R5 is Br; Q2 is Ph(2-Cl,4-F); and Q1 is 1444 Y1 is O; Y2 is O; R2 is H; R4 is H; R5 is Br; Q2 is Ph(2-Cl,5-F); and Q1 is 1445 Y1 is O; Y2 is O; R2 is H; R4 is H; R5 is Br; Q2 is Ph(2-Cl,3,4-di-F); and Q1 is 1446 Y1 is O; Y2 is O; R2 is H; R4 is H; R5 is Br; Q2 is Ph(2-Cl,3,5-di-F); and Q1 is 1447 Y1 is O; Y2 is O; R2 is H; R4 is H; R5 is Br; Q2 is Ph(2-OCF2H); and Q1 is 1448 Y1 is O; Y2 is O; R2 is H; R4 is H; R5 is Br; Q2 is Ph(2-OCF2H,3-Me); and Q1 is 1449 Y1 is O; Y2 is O; R2 is H; R4 is H; R5 is Br; Q2 is Ph(2-OCF2H,3-Cl); and Q1 is 1450 Y1 is O; Y2 is O; R2 is H; R4 is H; R5 is Br; Q2 is Ph(2-OCF2H,3-F); and Q1 is 1451 Y1 is O; Y2 is O; R2 is H; R4 is H; R5 is Br; Q2 is Ph(2-OCF2H,4-F); and Q1 is 1452 Y1 is O; Y2 is O; R2 is H; R4 is H; R5 is Br; Q2 is Ph(2-OCF2CF2H); and Q1 is 1453 Y1 is O; Y2 is O; R2 is H; R4 is H; R5 is Br; Q2 is Ph(2-OCF2CF2H,3-F); and Q1 is 1454 Y1 is O; Y2 is O; R2 is H; R4 is H; R5 is Br; Q2 is Ph(2-OCF2CF2H,4-F); and Q1 is 1455 Y1 is O; Y2 is O; R2 is H; R4 is H; R5 is Br; Q2 is Ph(2-Br); and Q1 is 1456 Y1 is O; Y2 is O; R2 is H; R4 is H; R5 is Br; Q2 is Ph(2-Br,3-F); and Q1 is 1457 Y1 is O; Y2 is O; R2 is H; R4 is H; R5 is Br; Q2 is Ph(2-Br,4-F); and Q1 is 1458 Y1 is O; Y2 is O; R2 is H; R4 is H; R5 is Br; Q2 is Ph(2-Br,3,4-di-F); and Q1 is 1459 Y1 is O; Y2 is O; R2 is H; R4 is H; R5 is Br; Q2 is Ph(2-I); and Q1 is 1460 Y1 is O; Y2 is O; R2 is H; R4 is H; R5 is Br; Q2 is Ph(2-I,3-F); and Q1 is 1461 Y1 is O; Y2 is O; R2 is H; R4 is H; R5 is Br; Q2 is Ph(2-I,4-F); and Q1 is 1462 Y1 is O; Y2 is O; R2 is H; R4 is H; R5 is Br; Q2 is Ph(2-I,3,4-di-F); and Q1 is 1463 Y1 is O; Y2 is O; R2 is H; R4 is H; R5 is Br; Q2 is Ph(2-CN); and Q1 is 1464 Y1 is O; Y2 is O; R2 is H; R4 is H; R5 is Br; Q2 is Ph(2-CN,3-Me); and Q1 is 1465 Y1 is O; Y2 is O; R2 is H; R4 is H; R5 is Br; Q2 is Ph(2-CN,3-F); and Q1 is 1466 Y1 is O; Y2 is O; R2 is H; R4 is H; R5 is Br; Q2 is Ph(2-CN,4-F); and Q1 is 1467 Y1 is O; Y2 is O; R2 is H; R4 is H; R5 is Br; Q2 is Ph(2-CN,3-Cl); and Q1 is 1468 Y1 is O; Y2 is O; R2 is H; R4 is H; R5 is Br; Q2 is Ph(2-CN,4-Cl); and Q1 is 1469 Y1 is O; Y2 is O; R2 is H; R4 is H; R5 is Br; Q2 is Ph(2-CN,3,4-di-F); and Q1 is 1470 Y1 is O; Y2 is O; R2 is H; R4 is H; R5 is Br; Q2 is 2-Pyridinyl; and Q1 is 1471 Y1 is O; Y2 is O; R2 is H; R4 is H; R5 is Br; Q2 is 2-Pyridinyl,3-F; and Q1 is 1472 Y1 is O; Y2 is O; R2 is H; R4 is H; R5 is Br; Q2 is 2-Pyridinyl,4-F; and Q1 is 1473 Y1 is O; Y2 is O; R2 is H; R4 is H; R5 is Br; Q2 is 2-Pyridinyl,3,4-di-F; and Q1 is 1474 Y1 is O; Y2 is O; R2 is H; R4 is H; R5 is Br; Q2 is 2-Pyridinyl,3-Cl; and Q1 is 1475 Y1 is O; Y2 is O; R2 is H; R4 is H; R5 is Br; Q2 is 2-Pyridinyl,4-Cl; and Q1 is 1476 Y1 is O; Y2 is O; R2 is H; R4 is H; R5 is Br; Q2 is 2-Pyridinyl,3-Cl,4-F; and Q1 is 1477 Y1 is O; Y2 is O; R2 is H; R4 is H; R5 is Br; Q2 is Ph(2-SO2Me); and Q1 is 1478 Y1 is O; Y2 is O; R2 is H; R4 is H; R5 is Br; Q2 is Ph(2-SO2Me, 3-F); and Q1 is 1479 Y1 is O; Y2 is O; R2 is H; R4 is H; R5 is Br; Q2 is Ph(2-SO2Me, 3-Me); and Q1 is 1480 Y1 is O; Y2 is O; R2 is H; R4 is H; R5 is Br; Q2 is Ph(2-SO2Me, 4-F); and Q1 is 1481 Y1 is O; Y2 is O; R2 is H; R4 is H; R5 is Br; Q2 is Ph(2-SO2Me, 5-F); and Q1 is 1482 Y1 is O; Y2 is O; R2 is H; R4 is H; R5 is Br; Q2 is Ph(2-SO2Me,3,4-di-F); and Q1 is 1483 Y1 is O; Y2 is O; R2 is H; R4 is H; R5 is Br; Q2 is Ph(2-SO2Me, 3-Cl); and Q1 is 1484 Y1 is O; Y2 is O; R2 is H; R4 is H; R5 is Br; Q2 is Ph(2-SO2Me, 4-Cl); and Q1 is 1485 Y1 is O; Y2 is O; R2 is H; R4 is H; R5 is Br; Q2 is Ph(2-SO2Me,3-Cl,4-F); and Q1 is 1486 Y1 is O; Y2 is O; R2 is H; R4 is H; R5 is Br; Q2 is Ph(2-SO2NH2); and Q1 is 1487 Y1 is O; Y2 is O; R2 is H; R4 is H; R5 is Br; Q2 is Ph(2-SO2NH2, 3-F); and Q1 is 1488 Y1 is O; Y2 is O; R2 is H; R4 is H; R5 is Br; Q2 is Ph(2-SO2NH2, 3-Cl); and Q1 is 1489 Y1 is O; Y2 is O; R2 is H; R4 is H; R5 is Br; Q2 is Ph(2-SO2NH2, 4-F); and Q1 is 1490 Y1 is O; Y2 is O; R2 is H; R4 is H; R5 is Br; Q2 is Ph(2-SO2NH2, 5-F); and Q1 is 1491 Y1 is O; Y2 is O; R2 is H; R4 is H; R5 is Br; Q2 is Ph(2-SO2NH2,3,4-di-F); and Q1 is 1492 Y1 is O; Y2 is O; R2 is H; R4 is H; R5 is Br; Q2 is Ph(3-F); and Q1 is 1493 Y1 is O; Y2 is O; R2 is H; R4 is H; R5 is Br; Q2 is Ph(3,4-di-F); and Q1 is 1494 Y1 is O; Y2 is O; R2 is H; R4 is H; R5 is Br; Q2 is Ph(3,5-di-F); and Q1 is 1495 Y1 is O; Y2 is O; R2 is H; R4 is H; R5 is Br; Q2 is Ph(3,4,5-tri-F); and Q1 is 1496 Y1 is O; Y2 is O; R2 is H; R4 is H; R5 is Br; Q2 is Ph(3-F,4-Cl); and Q1 is 1497 Y1 is O; Y2 is O; R2 is H; R4 is H; R5 is Br; Q2 is Ph(3-CF3); and Q1 is 1498 Y1 is O; Y2 is O; R2 is H; R4 is H; R5 is Br; Q2 is Ph(3-CF3,4-F); and Q1 is 1499 Y1 is O; Y2 is O; R2 is H; R4 is H; R5 is Br; Q2 is Ph(3-CF3,4-Cl); and Q1 is 1500 Y1 is O; Y2 is O; R2 is H; R4 is H; R5 is Br; Q2 is Ph(3-CF3,5-F); and Q1 is 1501 Y1 is O; Y2 is O; R2 is H; R4 is H; R5 is Br; Q2 is Ph(3-CF3,4,5-di-F); and Q1 is 1502 Y1 is O; Y2 is O; R2 is H; R4 is H; R5 is Br; Q2 is Ph(3-SO2Me); and Q1 is 1503 Y1 is O; Y2 is O; R2 is H; R4 is H; R5 is Br; Q2 is Ph(3-SO2Me,4-Cl); and Q1 is 1504 Y1 is O; Y2 is O; R2 is H; R4 is H; R5 is Br; Q2 is Ph(3-SO2Me,4-F); and Q1 is 1505 Y1 is O; Y2 is O; R2 is H; R4 is H; R5 is Br; Q2 is Ph(3-SO2Me,4,5-di-F); and Q1 is 1506 Y1 is O; Y2 is O; R2 is H; R4 is H; R5 is Br; Q2 is Ph(3-SO2Me,5-F); and Q1 is 1507 Y1 is O; Y2 is O; R2 is H; R4 is H; R5 is Br; Q2 is Ph(3-SO2NH2); and Q1 is 1508 Y1 is O; Y2 is O; R2 is H; R4 is H; R5 is Br; Q2 is Ph(3-SO2NH2,4-F); and Q1 is 1509 Y1 is O; Y2 is O; R2 is H; R4 is H; R5 is Br; Q2 is Ph(3-SO2NH2,4,5-di-F); and Q1 is 1510 Y1 is O; Y2 is O; R2 is H; R4 is H; R5 is Br; Q2 is Ph(3-SO2NH2,4-Cl); and Q1 is 1511 Y1 is O; Y2 is O; R2 is H; R4 is H; R5 is Br; Q2 is Ph(3-SO2NH2,5-F); and Q1 is 1512 Y1 is O; Y2 is O; R2 is H; R4 is H; R5 is Br; Q2 is Ph(3-Me); and Q1 is 1513 Y1 is O; Y2 is O; R2 is H; R4 is H; R5 is Br; Q2 is Ph(3-Me,4-F); and Q1 is 1514 Y1 is O; Y2 is O; R2 is H; R4 is H; R5 is Br; Q2 is Ph(3-Me,4-Cl); and Q1 is 1515 Y1 is O; Y2 is O; R2 is H; R4 is H; R5 is Br; Q2 is Ph(3-Me,5-F); and Q1 is 1516 Y1 is O; Y2 is O; R2 is H; R4 is H; R5 is Br; Q2 is Ph(3-Me,4,5-di-F); and Q1 is 1517 Y1 is O; Y2 is O; R2 is H; R4 is H; R5 is Br; Q2 is Ph(3-Cl); and Q1 is 1518 Y1 is O; Y2 is O; R2 is H; R4 is H; R5 is Br; Q2 is Ph(3-Cl,4-F); and Q1 is 1519 Y1 is O; Y2 is O; R2 is H; R4 is H; R5 is Br; Q2 is Ph(3,4-di-Cl); and Q1 is 1520 Y1 is O; Y2 is O; R2 is H; R4 is H; R5 is Br; Q2 is Ph(3-Cl,5-F); and Q1 is 1521 Y1 is O; Y2 is O; R2 is H; R4 is H; R5 is Br; Q2 is Ph(3-Cl,4,5-di-F); and Q1 is 1522 Y1 is O; Y2 is O; R2 is H; R4 is H; R5 is Br; Q2 is Ph(3,5-di-Cl); and Q1 is 1523 Y1 is O; Y2 is O; R2 is H; R4 is H; R5 is Br; Q2 is Ph(4-F); and Q1 is 1524 Y1 is O; Y2 is O; R2 is H; R4 is H; R5 is Br; Q2 is Ph(4-Cl); and Q1 is 1525 Y1 is O; Y2 is O; R2 is H; R4 is H; R5 is Br; Q2 is 2,2-di-F-1,3-benzodioxol-4-yl; and Q1 is 1526 Y1 is O; Y2 is O; R2 is H; R4 is H; R5 is Br; Q2 is 2,2-di-F-1,3-benzodioxol-5-yl; and Q1 is 1527 Y1 is O; Y2 is O; R2 is H; R4 is H; R5 is Br; Q2 is 2,2-di-Me-1,3-benzodioxol-4-yl; and Q1 is 1528 Y1 is O; Y2 is O; R2 is H; R4 is H; R5 is Br; Q2 is 2,2-di-Me-1,3-benzodioxol-5-yl; and Q1 is 1529 Y1 is O; Y2 is O; R2 is H; R4 is H; R5 is Br; Q2 is 1,3-benzodioxol-4-yl; and Q1 is 1530 Y1 is O; Y2 is O; R2 is H; R4 is H; R5 is Br; Q2 is 1,3-benzodioxol-5-yl; and Q1 is 1531 Y1 is O; Y2 is O; R2 is H; R4 is H; R5 is Cl; Q2 is Ph(2-F); and Q1 is 1532 Y1 is O; Y2 is O; R2 is H; R4 is H; R5 is Cl; Q2 is Ph(2,3-di-F); and Q1 is 1533 Y1 is O; Y2 is O; R2 is H; R4 is H; R5 is Cl; Q2 is Ph(2,4-di-F); and Q1 is 1534 Y1 is O; Y2 is O; R2 is H; R4 is H; R5 is Cl; Q2 is Ph(2,5-di-F); and Q1 is 1535 Y1 is O; Y2 is O; R2 is H; R4 is H; R5 is Cl; Q2 is Ph(2,3,4-tri-F); and Q1 is 1536 Y1 is O; Y2 is O; R2 is H; R4 is H; R5 is Cl; Q2 is Ph(2,3,5-tri-F); and Q1 is 1537 Y1 is O; Y2 is O; R2 is H; R4 is H; R5 is Cl; Q2 is Ph(2,3,4,5-tetra-F); and Q1 is 1538 Y1 is O; Y2 is O; R2 is H; R4 is H; R5 is Cl; Q2 is Ph(2-F,3-Cl,4-Br); and Q1 is 1539 Y1 is O; Y2 is O; R2 is H; R4 is H; R5 is Cl; Q2 is Ph(2-F,3-Cl,4-F); and Q1 is 1540 Y1 is O; Y2 is O; R2 is H; R4 is H; R5 is Cl; Q2 is Ph(2-F,3-Br,4-F); and Q1 is 1541 Y1 is O; Y2 is O; R2 is H; R4 is H; R5 is Cl; Q2 is Ph(2-F,3-Me); and Q1 is 1542 Y1 is O; Y2 is O; R2 is H; R4 is H; R5 is Cl; Q2 is Ph(2-F,3-Me,4-F); and Q1 is 1543 Y1 is O; Y2 is O; R2 is H; R4 is H; R5 is Cl; Q2 is Ph(2-F,3-Me,4-Cl); and Q1 is 1544 Y1 is O; Y2 is O; R2 is H; R4 is H; R5 is Cl; Q2 is Ph(2-F,3-Cl); and Q1 is 1545 Y1 is O; Y2 is O; R2 is H; R4 is H; R5 is Cl; Q2 is Ph(2-F,4-Cl); and Q1 is 1546 Y1 is O; Y2 is O; R2 is H; R4 is H; R5 is Cl; Q2 is Ph(2-F,3,4-di-Cl); and Q1 is 1547 Y1 is O; Y2 is O; R2 is H; R4 is H; R5 is Cl; Q2 is Ph(2-F,4-Br); and Q1 is 1548 Y1 is O; Y2 is O; R2 is H; R4 is H; R5 is Cl; Q2 is Ph(2-F,3-OMe); and Q1 is 1549 Y1 is O; Y2 is O; R2 is H; R4 is H; R5 is Cl; Q2 is Ph(2-F,3-OMe,4-F); and Q1 is 1550 Y1 is O; Y2 is O; R2 is H; R4 is H; R5 is Cl; Q2 is Ph(2-F,3-OMe,4-Cl); and Q1 is 1551 Y1 is O; Y2 is O; R2 is H; R4 is H; R5 is Cl; Q2 is Ph(2-F,3-CF2H); and Q1 is 1552 Y1 is O; Y2 is O; R2 is H; R4 is H; R5 is Cl; Q2 is Ph(2-F,3-CF3); and Q1 is 1553 Y1 is O; Y2 is O; R2 is H; R4 is H; R5 is Cl; Q2 is Ph(2-F,3-CF3,4-F); and Q1 is 1554 Y1 is O; Y2 is O; R2 is H; R4 is H; R5 is Cl; Q2 is Ph(2-F,3-NO2); and Q1 is 1555 Y1 is O; Y2 is O; R2 is H; R4 is H; R5 is Cl; Q2 is Ph(2-F,3-NO2,4-F); and Q1 is 1556 Y1 is O; Y2 is O; R2 is H; R4 is H; R5 is Cl; Q2 is Ph(2-F,3-SO2Me); and Q1 is 1557 Y1 is O; Y2 is O; R2 is H; R4 is H; R5 is Cl; Q2 is Ph(2-F,3-SO2Me,4-F); and Q1 is 1558 Y1 is O; Y2 is O; R2 is H; R4 is H; R5 is Cl; Q2 is Ph(2-CF3); and Q1 is 1559 Y1 is O; Y2 is O; R2 is H; R4 is H; R5 is Cl; Q2 is Ph(2-CF3,3-F); and Q1 is 1560 Y1 is O; Y2 is O; R2 is H; R4 is H; R5 is Cl; Q2 is Ph(2-CF3,3-Me); and Q1 is 1561 Y1 is O; Y2 is O; R2 is H; R4 is H; R5 is Cl; Q2 is Ph(2-CF3,4-F); and Q1 is 1562 Y1 is O; Y2 is O; R2 is H; R4 is H; R5 is Cl; Q2 is Ph(2-CF3,3-Cl); and Q1 is 1563 Y1 is O; Y2 is O; R2 is H; R4 is H; R5 is Cl; Q2 is Ph(2-CF3,4-Cl); and Q1 is 1564 Y1 is O; Y2 is O; R2 is H; R4 is H; R5 is Cl; Q2 is Ph(2-CF3,3,4-di-F); and Q1 is 1565 Y1 is O; Y2 is O; R2 is H; R4 is H; R5 is Cl; Q2 is Ph(2-CF2H); and Q1 is 1566 Y1 is O; Y2 is O; R2 is H; R4 is H; R5 is Cl; Q2 is Ph(2-CF2H,3-F); and Q1 is 1567 Y1 is O; Y2 is O; R2 is H; R4 is H; R5 is Cl; Q2 is Ph(2-CF2H,3-Me); and Q1 is 1568 Y1 is O; Y2 is O; R2 is H; R4 is H; R5 is Cl; Q2 is Ph(2-CF2H,4-F); and Q1 is 1569 Y1 is O; Y2 is O; R2 is H; R4 is H; R5 is Cl; Q2 is Ph(2-CF2H,3-Cl); and Q1 is 1570 Y1 is O; Y2 is O; R2 is H; R4 is H; R5 is Cl; Q2 is Ph(2-CF2H,4-Cl); and Q1 is 1571 Y1 is O; Y2 is O; R2 is H; R4 is H; R5 is Cl; Q2 is Ph(2-CF2H,3,4-di-F); and Q1 is 1572 Y1 is O; Y2 is O; R2 is H; R4 is H; R5 is Cl; Q2 is Ph(2-Me); and Q1 is 1573 Y1 is O; Y2 is O; R2 is H; R4 is H; R5 is Cl; Q2 is Ph(2,3-di-Me); and Q1 is 1574 Y1 is O; Y2 is O; R2 is H; R4 is H; R5 is Cl; Q2 is Ph(2-Me,3-F); and Q1 is 1575 Y1 is O; Y2 is O; R2 is H; R4 is H; R5 is Cl; Q2 is Ph(2-Me,3-Cl); and Q1 is 1576 Y1 is O; Y2 is O; R2 is H; R4 is H; R5 is Cl; Q2 is Ph(2-Me,3-CF3); and Q1 is 1577 Y1 is O; Y2 is O; R2 is H; R4 is H; R5 is Cl; Q2 is Ph(2-Me,3,4-di-Cl); and Q1 is 1578 Y1 is O; Y2 is O; R2 is H; R4 is H; R5 is Cl; Q2 is Ph(2-Me,3-Cl,4-F); and Q1 is 1579 Y1 is O; Y2 is O; R2 is H; R4 is H; R5 is Cl; Q2 is Ph(2-Me,4-Cl); and Q1 is 1580 Y1 is O; Y2 is O; R2 is H; R4 is H; R5 is Cl; Q2 is Ph(2-Me,4-F); and Q1 is 1581 Y1 is O; Y2 is O; R2 is H; R4 is H; R5 is Cl; Q2 is Ph(2-Me,5-F); and Q1 is 1582 Y1 is O; Y2 is O; R2 is H; R4 is H; R5 is Cl; Q2 is Ph(2-Me,3,4-di-F); and Q1 is 1583 Y1 is O; Y2 is O; R2 is H; R4 is H; R5 is Cl; Q2 is Ph(2-Me,3,5-di-F); and Q1 is 1584 Y1 is O; Y2 is O; R2 is H; R4 is H; R5 is Cl; Q2 is Ph(2-Et); and Q1 is 1585 Y1 is O; Y2 is O; R2 is H; R4 is H; R5 is Cl; Q2 is Ph(2-Et,3-F); and Q1 is 1586 Y1 is O; Y2 is O; R2 is H; R4 is H; R5 is Cl; Q2 is Ph(2-Et,3-Cl); and Q1 is 1587 Y1 is O; Y2 is O; R2 is H; R4 is H; R5 is Cl; Q2 is Ph(2-Et,4-F); and Q1 is 1588 Y1 is O; Y2 is O; R2 is H; R4 is H; R5 is Cl; Q2 is Ph(2-Et,3,4-di-F); and Q1 is 1589 Y1 is O; Y2 is O; R2 is H; R4 is H; R5 is Cl; Q2 is Ph(2-i-Pr); and Q1 is 1590 Y1 is O; Y2 is O; R2 is H; R4 is H; R5 is Cl; Q2 is Ph(2-i-Pr,3-F); and Q1 is 1591 Y1 is O; Y2 is O; R2 is H; R4 is H; R5 is Cl; Q2 is Ph(2-i-Pr,3-Cl); and Q1 is 1592 Y1 is O; Y2 is O; R2 is H; R4 is H; R5 is Cl; Q2 is Ph(2-i-Pr,4-F); and Q1 is 1593 Y1 is O; Y2 is O; R2 is H; R4 is H; R5 is Cl; Q2 is Ph(2-i-Pr,3,4-di-F); and Q1 is 1594 Y1 is O; Y2 is O; R2 is H; R4 is H; R5 is Cl; Q2 is Ph(2-c-Pr); and Q1 is 1595 Y1 is O; Y2 is O; R2 is H; R4 is H; R5 is Cl; Q2 is Ph(2-c-Pr,3-F); and Q1 is 1596 Y1 is O; Y2 is O; R2 is H; R4 is H; R5 is Cl; Q2 is Ph(2-c-Pr,3-Cl); and Q1 is 1597 Y1 is O; Y2 is O; R2 is H; R4 is H; R5 is Cl; Q2 is Ph(2-c-Pr,4-F); and Q1 is 1598 Y1 is O; Y2 is O; R2 is H; R4 is H; R5 is Cl; Q2 is Ph(2-c-Pr,3,4-di-F); and Q1 is 1599 Y1 is O; Y2 is O; R2 is H; R4 is H; R5 is Cl; Q2 is Ph(2-NO2); and Q1 is 1600 Y1 is O; Y2 is O; R2 is H; R4 is H; R5 is Cl; Q2 is Ph(2-NO2,3-F); and Q1 is 1601 Y1 is O; Y2 is O; R2 is H; R4 is H; R5 is Cl; Q2 is Ph(2-NO2,3-Cl); and Q1 is 1602 Y1 is O; Y2 is O; R2 is H; R4 is H; R5 is Cl; Q2 is Ph(2-NO2,4-F); and Q1 is 1603 Y1 is O; Y2 is O; R2 is H; R4 is H; R5 is Cl; Q2 is Ph(2-NO2,3,4-di-F); and Q1 is 1604 Y1 is O; Y2 is O; R2 is H; R4 is H; R5 is Cl; Q2 is Ph(2-OCF3); and Q1 is 1605 Y1 is O; Y2 is O; R2 is H; R4 is H; R5 is Cl; Q2 is Ph(2-OCF3,3-F); and Q1 is 1606 Y1 is O; Y2 is O; R2 is H; R4 is H; R5 is Cl; Q2 is Ph(2-OCF3,4-F); and Q1 is 1607 Y1 is O; Y2 is O; R2 is H; R4 is H; R5 is Cl; Q2 is Ph(2-Cl); and Q1 is 1608 Y1 is O; Y2 is O; R2 is H; R4 is H; R5 is Cl; Q2 is Ph(2-Cl,3-Me); and Q1 is 1609 Y1 is O; Y2 is O; R2 is H; R4 is H; R5 is Cl; Q2 is Ph(2-Cl,3-Me,4-F); and Q1 is 1610 Y1 is O; Y2 is O; R2 is H; R4 is H; R5 is Cl; Q2 is Ph(2,3-di-Cl); and Q1 is 1611 Y1 is O; Y2 is O; R2 is H; R4 is H; R5 is Cl; Q2 is Ph(2,4-di-Cl); and Q1 is 1612 Y1 is O; Y2 is O; R2 is H; R4 is H; R5 is Cl; Q2 is Ph(2-Cl,3-F); and Q1 is 1613 Y1 is O; Y2 is O; R2 is H; R4 is H; R5 is Cl; Q2 is Ph(2-Cl,4-F); and Q1 is 1614 Y1 is O; Y2 is O; R2 is H; R4 is H; R5 is Cl; Q2 is Ph(2-Cl,5-F); and Q1 is 1615 Y1 is O; Y2 is O; R2 is H; R4 is H; R5 is Cl; Q2 is Ph(2-Cl,3,4-di-F); and Q1 is 1616 Y1 is O; Y2 is O; R2 is H; R4 is H; R5 is Cl; Q2 is Ph(2-Cl,3,5-di-F); and Q1 is 1617 Y1 is O; Y2 is O; R2 is H; R4 is H; R5 is Cl; Q2 is Ph(2-OCF2H); and Q1 is 1618 Y1 is O; Y2 is O; R2 is H; R4 is H; R5 is Cl; Q2 is Ph(2-OCF2H,3-Me); and Q1 is 1619 Y1 is O; Y2 is O; R2 is H; R4 is H; R5 is Cl; Q2 is Ph(2-OCF2H,3-Cl); and Q1 is 1620 Y1 is O; Y2 is O; R2 is H; R4 is H; R5 is Cl; Q2 is Ph(2-OCF2H,3-F); and Q1 is 1621 Y1 is O; Y2 is O; R2 is H; R4 is H; R5 is Cl; Q2 is Ph(2-OCF2H,4-F); and Q1 is 1622 Y1 is O; Y2 is O; R2 is H; R4 is H; R5 is Cl; Q2 is Ph(2-OCF2CF2H); and Q1 is 1623 Y1 is O; Y2 is O; R2 is H; R4 is H; R5 is Cl; Q2 is Ph(2-OCF2CF2H,3-F); and Q1 is 1624 Y1 is O; Y2 is O; R2 is H; R4 is H; R5 is Cl; Q2 is Ph(2-OCF2CF2H,4-F); and Q1 is 1625 Y1 is O; Y2 is O; R2 is H; R4 is H; R5 is Cl; Q2 is Ph(2-Br); and Q1 is 1626 Y1 is O; Y2 is O; R2 is H; R4 is H; R5 is Cl; Q2 is Ph(2-Br,3-F); and Q1 is 1627 Y1 is O; Y2 is O; R2 is H; R4 is H; R5 is Cl; Q2 is Ph(2-Br,4-F); and Q1 is 1628 Y1 is O; Y2 is O; R2 is H; R4 is H; R5 is Cl; Q2 is Ph(2-Br,3,4-di-F); and Q1 is 1629 Y1 is O; Y2 is O; R2 is H; R4 is H; R5 is Cl; Q2 is Ph(2-I); and Q1 is 1630 Y1 is O; Y2 is O; R2 is H; R4 is H; R5 is Cl; Q2 is Ph(2-I,3-F); and Q1 is 1631 Y1 is O; Y2 is O; R2 is H; R4 is H; R5 is Cl; Q2 is Ph(2-I,4-F); and Q1 is 1632 Y1 is O; Y2 is O; R2 is H; R4 is H; R5 is Cl; Q2 is Ph(2-I,3,4-di-F); and Q1 is 1633 Y1 is O; Y2 is O; R2 is H; R4 is H; R5 is Cl; Q2 is Ph(2-CN); and Q1 is 1634 Y1 is O; Y2 is O; R2 is H; R4 is H; R5 is Cl; Q2 is Ph(2-CN,3-Me); and Q1 is 1635 Y1 is O; Y2 is O; R2 is H; R4 is H; R5 is Cl; Q2 is Ph(2-CN,3-F); and Q1 is 1636 Y1 is O; Y2 is O; R2 is H; R4 is H; R5 is Cl; Q2 is Ph(2-CN,4-F); and Q1 is 1637 Y1 is O; Y2 is O; R2 is H; R4 is H; R5 is Cl; Q2 is Ph(2-CN,3-Cl); and Q1 is 1638 Y1 is O; Y2 is O; R2 is H; R4 is H; R5 is Cl; Q2 is Ph(2-CN,4-Cl); and Q1 is 1639 Y1 is O; Y2 is O; R2 is H; R4 is H; R5 is Cl; Q2 is Ph(2-CN,3,4-di-F); and Q1 is 1640 Y1 is O; Y2 is O; R2 is H; R4 is H; R5 is Cl; Q2 is 2-Pyridinyl; and Q1 is 1641 Y1 is O; Y2 is O; R2 is H; R4 is H; R5 is Cl; Q2 is 2-Pyridinyl,3-F; and Q1 is 1642 Y1 is O; Y2 is O; R2 is H; R4 is H; R5 is Cl; Q2 is 2-Pyridinyl,4-F; and Q1 is 1643 Y1 is O; Y2 is O; R2 is H; R4 is H; R5 is Cl; Q2 is 2-Pyridinyl,3,4-di-F; and Q1 is 1644 Y1 is O; Y2 is O; R2 is H; R4 is H; R5 is Cl; Q2 is 2-Pyridinyl,3-Cl; and Q1 is 1645 Y1 is O; Y2 is O; R2 is H; R4 is H; R5 is Cl; Q2 is 2-Pyridinyl,4-Cl; and Q1 is 1646 Y1 is O; Y2 is O; R2 is H; R4 is H; R5 is Cl; Q2 is 2-Pyridinyl,3-Cl,4-F; and Q1 is 1647 Y1 is O; Y2 is O; R2 is H; R4 is H; R5 is Cl; Q2 is Ph(2-SO2Me); and Q1 is 1648 Y1 is O; Y2 is O; R2 is H; R4 is H; R5 is Cl; Q2 is Ph(2-SO2Me, 3-F); and Q1 is 1649 Y1 is O; Y2 is O; R2 is H; R4 is H; R5 is Cl; Q2 is Ph(2-SO2Me, 3-Me); and Q1 is 1650 Y1 is O; Y2 is O; R2 is H; R4 is H; R5 is Cl; Q2 is Ph(2-SO2Me, 4-F); and Q1 is 1651 Y1 is O; Y2 is O; R2 is H; R4 is H; R5 is Cl; Q2 is Ph(2-SO2Me, 5-F); and Q1 is 1652 Y1 is O; Y2 is O; R2 is H; R4 is H; R5 is Cl; Q2 is Ph(2-SO2Me,3,4-di-F); and Q1 is 1653 Y1 is O; Y2 is O; R2 is H; R4 is H; R5 is Cl; Q2 is Ph(2-SO2Me, 3-Cl); and Q1 is 1654 Y1 is O; Y2 is O; R2 is H; R4 is H; R5 is Cl; Q2 is Ph(2-SO2Me, 4-Cl); and Q1 is 1655 Y1 is O; Y2 is O; R2 is H; R4 is H; R5 is Cl; Q2 is Ph(2-SO2Me,3-Cl,4-F); and Q1 is 1656 Y1 is O; Y2 is O; R2 is H; R4 is H; R5 is Cl; Q2 is Ph(2-SO2NH2); and Q1 is 1657 Y1 is O; Y2 is O; R2 is H; R4 is H; R5 is Cl; Q2 is Ph(2-SO2NH2, 3-F); and Q1 is 1658 Y1 is O; Y2 is O; R2 is H; R4 is H; R5 is Cl; Q2 is Ph(2-SO2NH2, 3-Cl); and Q1 is 1659 Y1 is O; Y2 is O; R2 is H; R4 is H; R5 is Cl; Q2 is Ph(2-SO2NH2, 4-F); and Q1 is 1660 Y1 is O; Y2 is O; R2 is H; R4 is H; R5 is Cl; Q2 is Ph(2-SO2NH2, 5-F); and Q1 is 1661 Y1 is O; Y2 is O; R2 is H; R4 is H; R5 is Cl; Q2 is Ph(2-SO2NH2,3,4-di-F); and Q1 is 1662 Y1 is O; Y2 is O; R2 is H; R4 is H; R5 is Cl; Q2 is Ph(3-F); and Q1 is 1663 Y1 is O; Y2 is O; R2 is H; R4 is H; R5 is Cl; Q2 is Ph(3,4-di-F); and Q1 is 1664 Y1 is O; Y2 is O; R2 is H; R4 is H; R5 is Cl; Q2 is Ph(3,5-di-F); and Q1 is 1665 Y1 is O; Y2 is O; R2 is H; R4 is H; R5 is Cl; Q2 is Ph(3,4,5-tri-F); and Q1 is 1666 Y1 is O; Y2 is O; R2 is H; R4 is H; R5 is Cl; Q2 is Ph(3-F,4-Cl); and Q1 is 1667 Y1 is O; Y2 is O; R2 is H; R4 is H; R5 is Cl; Q2 is Ph(3-CF3); and Q1 is 1668 Y1 is O; Y2 is O; R2 is H; R4 is H; R5 is Cl; Q2 is Ph(3-CF3,4-F); and Q1 is 1669 Y1 is O; Y2 is O; R2 is H; R4 is H; R5 is Cl; Q2 is Ph(3-CF3,4-Cl); and Q1 is 1670 Y1 is O; Y2 is O; R2 is H; R4 is H; R5 is Cl; Q2 is Ph(3-CF3,5-F); and Q1 is 1671 Y1 is O; Y2 is O; R2 is H; R4 is H; R5 is Cl; Q2 is Ph(3-CF3,4,5-di-F); and Q1 is 1672 Y1 is O; Y2 is O; R2 is H; R4 is H; R5 is Cl; Q2 is Ph(3-SO2Me); and Q1 is 1673 Y1 is O; Y2 is O; R2 is H; R4 is H; R5 is Cl; Q2 is Ph(3-SO2Me,4-Cl); and Q1 is 1674 Y1 is O; Y2 is O; R2 is H; R4 is H; R5 is Cl; Q2 is Ph(3-SO2Me,4-F); and Q1 is 1675 Y1 is O; Y2 is O; R2 is H; R4 is H; R5 is Cl; Q2 is Ph(3-SO2Me,4,5-di-F); and Q1 is 1676 Y1 is O; Y2 is O; R2 is H; R4 is H; R5 is Cl; Q2 is Ph(3-SO2Me,5-F); and Q1 is 1677 Y1 is O; Y2 is O; R2 is H; R4 is H; R5 is Cl; Q2 is Ph(3-SO2NH2); and Q1 is 1678 Y1 is O; Y2 is O; R2 is H; R4 is H; R5 is Cl; Q2 is Ph(3-SO2NH2,4-F); and Q1 is 1679 Y1 is O; Y2 is O; R2 is H; R4 is H; R5 is Cl; Q2 is Ph(3-SO2NH2,4,5-di-F); and Q1 is 1680 Y1 is O; Y2 is O; R2 is H; R4 is H; R5 is Cl; Q2 is Ph(3-SO2NH2,4-Cl); and Q1 is 1681 Y1 is O; Y2 is O; R2 is H; R4 is H; R5 is Cl; Q2 is Ph(3-SO2NH2,5-F); and Q1 is 1682 Y1 is O; Y2 is O; R2 is H; R4 is H; R5 is Cl; Q2 is Ph(3-Me); and Q1 is 1683 Y1 is O; Y2 is O; R2 is H; R4 is H; R5 is Cl; Q2 is Ph(3-Me,4-F); and Q1 is 1684 Y1 is O; Y2 is O; R2 is H; R4 is H; R5 is Cl; Q2 is Ph(3-Me,4-Cl); and Q1 is 1685 Y1 is O; Y2 is O; R2 is H; R4 is H; R5 is Cl; Q2 is Ph(3-Me,5-F); and Q1 is 1686 Y1 is O; Y2 is O; R2 is H; R4 is H; R5 is Cl; Q2 is Ph(3-Me,4,5-di-F); and Q1 is 1687 Y1 is O; Y2 is O; R2 is H; R4 is H; R5 is Cl; Q2 is Ph(3-Cl); and Q1 is 1688 Y1 is O; Y2 is O; R2 is H; R4 is H; R5 is Cl; Q2 is Ph(3-Cl,4-F); and Q1 is 1689 Y1 is O; Y2 is O; R2 is H; R4 is H; R5 is Cl; Q2 is Ph(3,4-di-Cl); and Q1 is 1690 Y1 is O; Y2 is O; R2 is H; R4 is H; R5 is Cl; Q2 is Ph(3-Cl,5-F); and Q1 is 1691 Y1 is O; Y2 is O; R2 is H; R4 is H; R5 is Cl; Q2 is Ph(3-Cl,4,5-di-F); and Q1 is 1692 Y1 is O; Y2 is O; R2 is H; R4 is H; R5 is Cl; Q2 is Ph(3,5-di-Cl); and Q1 is 1693 Y1 is O; Y2 is O; R2 is H; R4 is H; R5 is Cl; Q2 is Ph(4-F); and Q1 is 1694 Y1 is O; Y2 is O; R2 is H; R4 is H; R5 is Cl; Q2 is Ph(4-Cl); and Q1 is 1695 Y1 is O; Y2 is O; R2 is H; R4 is H; R5 is Cl; Q2 is 2,2-di-F-1,3-benzodioxol-4-yl; and Q1 is 1696 Y1 is O; Y2 is O; R2 is H; R4 is H; R5 is Cl; Q2 is 2,2-di-F-1,3-benzodioxol-5-yl; and Q1 is 1697 Y1 is O; Y2 is O; R2 is H; R4 is H; R5 is Cl; Q2 is 2,2-di-Me-1,3-benzodioxol-4-yl; and Q1 is 1698 Y1 is O; Y2 is O; R2 is H; R4 is H; R5 is Cl; Q2 is 2,2-di-Me-1,3-benzodioxol-5-yl; and Q1 is 1699 Y1 is O; Y2 is O; R2 is H; R4 is H; R5 is Cl; Q2 is 1,3-benzodioxol-4-yl; and Q1 is - Table 1700 is constructed the same way as Table 1 above, except the structure is replaced with the following:
- This disclosure also includes Tables 1701 through 3399, each Table is constructed in the same fashion as Tables 2 through 1699 above, except that the structure is replaced with the structure in Table 1700 above.
- Table 3400 is constructed the same way as Table 1 above, except the structure is replaced with the following:
- This disclosure also includes Tables 3401 through 5099, each Table is constructed in the same fashion as Tables 2 through 1699 above, except that the structure is replaced with the structure in Table 3400 above.
- Table 5100 is constructed the same way as Table I above, except the structure is replaced with the following:
- This disclosure also includes Tables 5101 through 6799, each Table is constructed in the same fashion as Tables 2 through 1699 above, except that the structure is replaced with the structure in Table 5100 above.
- The present disclosure also includes the intermediate compounds listed in Table I. Table 1 is constructed using the above Table I structure, combined with the individual values listed for Q1 from Table 1.
- The present disclosure also includes the intermediate compounds listed in Table II. Table II is constructed using the above Table II structure, combined with the individual values listed for Q from Table 1.
- The present disclosure also includes the intermediate compounds listed in Table 111. Table III is constructed using the above Table III structure, combined with the individual values listed for Q1 from Table 1.
- The present disclosure also includes the intermediate compounds listed in Table IV. Table IV is constructed using the above Table IV structure, combined with the individual values listed for Q1 from Table 1.
- A compound of this invention will generally be used as a herbicidal active ingredient in a composition, i.e. formulation, with at least one additional component selected from the group consisting of surfactants, solid diluents and liquid diluents, which serves as a carrier. The formulation or composition ingredients are selected to be consistent with the physical properties of the active ingredient, mode of application and environmental factors such as soil type, moisture and temperature.
- Useful formulations include both liquid and solid compositions. Liquid compositions include solutions (including emulsifiable concentrates), suspensions, emulsions (including microemulsions, oil-in-water emulsions, flowable concentrates and/or suspoemulsions) and the like, which optionally can be thickened into gels. The general types of aqueous liquid compositions are soluble concentrate, suspension concentrate, capsule suspension, concentrated emulsion, microemulsion, oil-in-water emulsion, flowable concentrate and suspo-emulsion. The general types of nonaqueous liquid compositions are emulsifiable concentrate, microemulsifiable concentrate, dispersible concentrate and oil dispersion.
- The general types of solid compositions are dusts, powders, granules, pellets, prills, pastilles, tablets, filled films (including seed coatings) and the like, which can be water-dispersible (“wettable”) or water-soluble. Films and coatings formed from film-forming solutions or flowable suspensions are particularly useful for seed treatment. Active ingredient can be (micro)encapsulated and further formed into a suspension or solid formulation; alternatively the entire formulation of active ingredient can be encapsulated (or “overcoated”). Encapsulation can control or delay release of the active ingredient. An emulsifiable granule combines the advantages of both an emulsifiable concentrate formulation and a dry granular formulation. High-strength compositions are primarily used as intermediates for further formulation.
- Sprayable formulations are typically extended in a suitable medium before spraying. Such liquid and solid formulations are formulated to be readily diluted in the spray medium, usually water, but occasionally another suitable medium like an aromatic or paraffinic hydrocarbon or vegetable oil. Spray volumes can range from about from about one to several thousand liters per hectare, but more typically are in the range from about ten to several hundred liters per hectare. Sprayable formulations can be tank mixed with water or another suitable medium for foliar treatment by aerial or ground application, or for application to the growing medium of the plant. Liquid and dry formulations can be metered directly into drip irrigation systems or metered into the furrow during planting.
- The formulations will typically contain effective amounts of active ingredient, diluent and surfactant within the following approximate ranges which add up to 100 percent by weight.
-
Weight Percent Active Ingredient Diluent Surfactant Water-Dispersible and Water- 0.001-90 0-99.999 0-15 soluble Granules, Tablets and Powders Oil Dispersions, Suspensions, 1-50 40-99 0-50 Emulsions, Solutions (including Emulsifiable Concentrates) Dusts 1-25 70-99 0-5 Granules and Pellets 0.001-99 5-99.999 0-15 High Strength Compositions 90-99 0-10 0-2 - Solid diluents include, for example, clays such as bentonite, montmorillonite, attapulgite and kaolin, gypsum, cellulose, titanium dioxide, zinc oxide, starch, dextrin, sugars (e.g., lactose, sucrose), silica, talc, mica, diatomaceous earth, urea, calcium carbonate, sodium carbonate and bicarbonate, and sodium sulfate. Typical solid diluents are described in Watkins et al., Handbook of Insecticide Dust Diluents and Carriers, 2nd Ed., Dorland Books, Caldwell, N.J.
- Liquid diluents include, for example, water, N,N-dimethylalkanamides (e.g., N,N-dimethylformamide), limonene, dimethyl sulfoxide, N-alkylpyrrolidones (e.g., N-methylpyrrolidinone), alkyl phosphates (e.g., triethyl phosphate), ethylene glycol, triethylene glycol, propylene glycol, dipropylene glycol, polypropylene glycol, propylene carbonate, butylene carbonate, paraffins (e.g., white mineral oils, normal paraffins, isoparaffins), alkylbenzenes, alkylnaphthalenes, glycerine, glycerol triacetate, sorbitol, aromatic hydrocarbons, dearomatized aliphatics, alkylbenzenes, alkylnaphthalenes, ketones such as cyclohexanone, 2-heptanone, isophorone and 4-hydroxy-4-methyl-2-pentanone, acetates such as isoamyl acetate, hexyl acetate, heptyl acetate, octyl acetate, nonyl acetate, tridecyl acetate and isobornyl acetate, other esters such as alkylated lactate esters, dibasic esters, alkyl and aryl benzoates and γ-butyrolactone, and alcohols, which can be linear, branched, saturated or unsaturated, such as methanol, ethanol, n-propanol, isopropyl alcohol, n-butanol, isobutyl alcohol, n-hexanol, 2-ethylhexanol, n-octanol, decanol, isodecyl alcohol, isooctadecanol, cetyl alcohol, lauryl alcohol, tridecyl alcohol, oleyl alcohol, cyclohexanol, tetrahydrofurfuryl alcohol, diacetone alcohol, cresol and benzyl alcohol. Liquid diluents also include glycerol esters of saturated and unsaturated fatty acids (typically C6-C22), such as plant seed and fruit oils (e.g., oils of olive, castor, linseed, sesame, corn (maize), peanut, sunflower, grapeseed, safflower, cottonseed, soybean, rapeseed, coconut and palm kernel), animal-sourced fats (e.g., beef tallow, pork tallow, lard, cod liver oil, fish oil), and mixtures thereof. Liquid diluents also include alkylated fatty acids (e.g., methylated, ethylated, butylated) wherein the fatty acids may be obtained by hydrolysis of glycerol esters from plant and animal sources, and can be purified by distillation. Typical liquid diluents are described in Marsden, Solvents Guide, 2nd Ed., Interscience, New York, 1950.
- The solid and liquid compositions of the present invention often include one or more surfactants. When added to a liquid, surfactants (also known as “surface-active agents”) generally modify, most often reduce, the surface tension of the liquid. Depending on the nature of the hydrophilic and lipophilic groups in a surfactant molecule, surfactants can be useful as wetting agents, dispersants, emulsifiers or defoaming agents.
- Surfactants can be classified as nonionic, anionic or cationic. Nonionic surfactants useful for the present compositions include, but are not limited to: alcohol alkoxylates such as alcohol alkoxylates based on natural and synthetic alcohols (which may be branched or linear) and prepared from the alcohols and ethylene oxide, propylene oxide, butylene oxide or mixtures thereof; amine ethoxylates, alkanolamides and ethoxylated alkanolamides; alkoxylated triglycerides such as ethoxylated soybean, castor and rapeseed oils; alkylphenol alkoxylates such as octylphenol ethoxylates, nonylphenol ethoxylates, dinonyl phenol ethoxylates and dodecyl phenol ethoxylates (prepared from the phenols and ethylene oxide, propylene oxide, butylene oxide or mixtures thereof); block polymers prepared from ethylene oxide or propylene oxide and reverse block polymers where the terminal blocks are prepared from propylene oxide; ethoxylated fatty acids; ethoxylated fatty esters and oils; ethoxylated methyl esters; ethoxylated tristyrylphenol (including those prepared from ethylene oxide, propylene oxide, butylene oxide or mixtures thereof); fatty acid esters, glycerol esters, lanolin-based derivatives, polyethoxylate esters such as polyethoxylated sorbitan fatty acid esters, polyethoxylated sorbitol fatty acid esters and polyethoxylated glycerol fatty acid esters; other sorbitan derivatives such as sorbitan esters; polymeric surfactants such as random copolymers, block copolymers, alkyd peg (polyethylene glycol) resins, graft or comb polymers and star polymers; polyethylene glycols (pegs); polyethylene glycol fatty acid esters; silicone-based surfactants; and sugar-derivatives such as sucrose esters, alkyl polyglycosides and alkyl polysaccharides.
- Useful anionic surfactants include, but are not limited to: alkylaryl sulfonic acids and their salts; carboxylated alcohol or alkylphenol ethoxylates; diphenyl sulfonate derivatives; lignin and lignin derivatives such as lignosulfonates; maleic or succinic acids or their anhydrides; olefin sulfonates; phosphate esters such as phosphate esters of alcohol alkoxylates, phosphate esters of alkylphenol alkoxylates and phosphate esters of styryl phenol ethoxylates; protein-based surfactants; sarcosine derivatives; styryl phenol ether sulfate; sulfates and sulfonates of oils and fatty acids; sulfates and sulfonates of ethoxylated alkylphenols; sulfates of alcohols; sulfates of ethoxylated alcohols; sulfonates of amines and amides such as N,N-alkyltaurates; sulfonates of benzene, cumene, toluene, xylene, and dodecyl and tridecylbenzenes; sulfonates of condensed naphthalenes; sulfonates of naphthalene and alkyl naphthalene; sulfonates of fractionated petroleum; sulfosuccinamates; and sulfosuccinates and their derivatives such as dialkyl sulfosuccinate salts.
- Useful cationic surfactants include, but are not limited to: amides and ethoxylated amides; amines such as N-alkyl propanediamines, tripropylenetriamines and dipropylenetetramines, and ethoxylated amines, ethoxylated diamines and propoxylated amines (prepared from the amines and ethylene oxide, propylene oxide, butylene oxide or mixtures thereof); amine salts such as amine acetates and diamine salts; quaternary ammonium salts such as quaternary salts, ethoxylated quaternary salts and diquaternary salts; and amine oxides such as alkyldimethylamine oxides and bis-(2-hydroxyethyl)-alkylamine oxides.
- Also useful for the present compositions are mixtures of nonionic and anionic surfactants or mixtures of nonionic and cationic surfactants. Nonionic, anionic and cationic surfactants and their recommended uses are disclosed in a variety of published references including McCutcheon's Emulsifiers and Detergents, annual American and International Editions published by McCutcheon's Division, The Manufacturing Confectioner Publishing Co.; Sisely and Wood, Encyclopedia of Surface Active Agents, Chemical Publ. Co., Inc., New York, 1964; and A. S. Davidson and B. Milwidsky, Synthetic Detergents, Seventh Edition, John Wiley and Sons, New York, 1987.
- Compositions of this invention may also contain formulation auxiliaries and additives, known to those skilled in the art as formulation aids (some of which may be considered to also function as solid diluents, liquid diluents or surfactants). Such formulation auxiliaries and additives may control: pH (buffers), foaming during processing (antifoams such polyorganosiloxanes), sedimentation of active ingredients (suspending agents), viscosity (thixotropic thickeners), in-container microbial growth (antimicrobials), product freezing (antifreezes), color (dyes/pigment dispersions), wash-off (film formers or stickers), evaporation (evaporation retardants), and other formulation attributes. Film formers include, for example, polyvinyl acetates, polyvinyl acetate copolymers, polyvinylpyrrolidone-vinyl acetate copolymer, polyvinyl alcohols, polyvinyl alcohol copolymers and waxes. Examples of formulation auxiliaries and additives include those listed in McCutcheon's Volume 2: Functional Materials, annual International and North American editions published by McCutcheon's Division, The Manufacturing Confectioner Publishing Co.; and PCT Publication WO 03/024222.
- The compound of Formula 1 and any other active ingredients are typically incorporated into the present compositions by dissolving the active ingredient in a solvent or by grinding in a liquid or dry diluent. Solutions, including emulsifiable concentrates, can be prepared by simply mixing the ingredients. If the solvent of a liquid composition intended for use as an emulsifiable concentrate is water-immiscible, an emulsifier is typically added to emulsify the active-containing solvent upon dilution with water. Active ingredient slurries, with particle diameters of up to 2,000 μm can be wet milled using media mills to obtain particles with average diameters below 3 μm. Aqueous slurries can be made into finished suspension concentrates (see, for example, U.S. Pat. No. 3,060,084) or further processed by spray drying to form water-dispersible granules. Dry formulations usually require dry milling processes, which produce average particle diameters in the 2 to 10 μm range. Dusts and powders can be prepared by blending and usually grinding (such as with a hammer mill or fluid-energy mill). Granules and pellets can be prepared by spraying the active material upon preformed granular carriers or by agglomeration techniques. See Browning, “Agglomeration”, Chemical Engineering, Dec. 4, 1967, pp 147-48, Perry's Chemical Engineer's Handbook, 4th Ed., McGraw-Hill, New York, 1963, pages 8-57 and following, and WO 91/13546. Pellets can be prepared as described in U.S. Pat. No. 4,172,714. Water-dispersible and water-soluble granules can be prepared as taught in U.S. Pat. Nos. 4,144,050, 3,920,442 and DE 3,246,493. Tablets can be prepared as taught in U.S. Pat. Nos. 5,180,587, 5,232,701 and 5,208,030. Films can be prepared as taught in GB 2,095,558 and U.S. Pat. No. 3,299,566.
- For further information regarding the art of formulation, see T. S. Woods, “The Formulator's Toolbox—Product Forms for Modern Agriculture” in Pesticide Chemistry and Bioscience. The Food-Environment Challenge, T. Brooks and T. R. Roberts, Eds., Proceedings of the 9th International Congress on Pesticide Chemistry, The Royal Society of Chemistry, Cambridge, 1999, pp. 120-133. See also U.S. Pat. No. 3,235,361, Col. 6, line 16 through Col. 7, line 19 and Examples 10-41: U.S. Pat. No. 3,309,192, Col. 5, line 43 through Col. 7, line 62 and Examples 8, 12, 15, 39, 41, 52, 53, 58, 132, 138-140, 162-164, 166, 167 and 169-182; U.S. Pat. No. 2,891,855, Col. 3, line 66 through Col. 5, line 17 and Examples 1-4; Klingman, Weed Control as a Science, John Wiley and Sons, Inc., New York, 1961, pp 81-96; Hance et al., Weed Control Handbook, 8th Ed., Blackwell Scientific Publications, Oxford, 1989; and Developments in formulation technology, PJB Publications, Richmond, U K, 2000.
- In the following Examples, all percentages are by weight and all formulations are prepared in conventional ways. Compound numbers refer to compounds in Index Tables A-C. Without further elaboration, it is believed that one skilled in the art using the preceding description can utilize the present invention to its fullest extent. The following Examples are, therefore, to be construed as merely illustrative, and not limiting of the disclosure in any way whatsoever. Percentages are by weight except where otherwise indicated.
-
Example A High Strength Concentrate Compound 17 98.5% silica aerogel 0.5% synthetic amorphous fine silica 1.0% -
Example B Wettable Powder Compound 79 65.0% dodecylphenol polyethylene glycol ether 2.0% sodium ligninsulfonate 4.0% sodium silicoaluminate 6.0% montmorillonite (calcined) 23.0% -
Example C Granule Compound 80 10.0% attapulgite granules (low volatile matter, 0.71/0.30 mm; 90.0% U.S.S. No. 25-50 sieves) -
Example D Extruded Pellet Compound 5 25.0% anhydrous sodium sulfate 10.0% crude calcium ligninsulfonate 5.0% sodium alkylnaphthalenesulfonate 1.0% calcium/magnesium bentonite 59.0% -
Example E Emulsifiable Concentrate Compound 17 10.0% polyoxyethylene sorbitol hexoleate 20.0% C6-C10 fatty acid methyl ester 70.0% -
Example F Microemulsion Compound 79 5.0% polyvinylpyrrolidone-vinyl acetate copolymer 30.0% alkylpolyglycoside 30.0% glyceryl monooleate 15.0% water 20.0% -
Example G Suspension Concentrate Compound 80 35% butyl polyoxyethylene/polypropylene block copolymer 4.0% stearic acid/polyethylene glycol copolymer 1.0% styrene acrylic polymer 1.0% xanthan gum 0.1% propylene glycol 5.0% silicone based defoamer 0.1% 1,2-benzisothiazolin-3-one 0.1% water 53.7% -
Example H Emulsion in Water Compound 5 10.0% butyl polyoxyethylene/polypropylene block copolymer 4.0% stearic acid/polyethylene glycol copolymer 1.0% styrene acrylic polymer 1.0% xanthan gum 0.1% propylene glycol 5.0% silicone based defoamer 0.1% 1,2-benzisothiazolin-3-one 0.1% aromatic petroleum based hydrocarbon 20.0 water 58.7% -
Example I Oil Dispersion Compound 17 25% polyoxyethylene sorbitol hexaoleate 15% organically modified bentonite clay 2.5% fatty acid methyl ester 57.5% -
Example J Suspoemulsion Compound 79 10.0% imidacloprid 5.0% butyl polyoxyethylene/polypropylene block copolymer 4.0% stearic acid/polyethylene glycol copolymer 1.0% styrene acrylic polymer 1.0% xanthan gum 0.1% propylene glycol 5.0% silicone based defoamer 0.1% 1,2-benzisothiazolin-3-one 0.1% aromatic petroleum based hydrocarbon 20.0% water 53.7% - Test results indicate that the compounds of the present invention are highly active preemergent and/or postemergent herbicides and/or plant growth regulants. The compounds of the invention generally show highest activity for early postemergence weed control (i.e. applied soon after weed seedlings emerge from the soil) and preemergence weed control (i.e. applied before weed seedlings emerge from the soil). Many of them have utility for broad-spectrum pre- and/or postemergence weed control in areas where complete control of all vegetation is desired such as around fuel storage tanks, industrial storage areas, parking lots, drive-in theaters, air fields, river banks, irrigation and other waterways, around billboards and highway and railroad structures. Many of the compounds of this invention, by virtue of selective metabolism in crops versus weeds, or by selective activity at the locus of physiological inhibition in crops and weeds, or by selective placement on or within the environment of a mixture of crops and weeds, are useful for the selective control of grass and broadleaf weeds within a crop/weed mixture. One skilled in the art will recognize that the preferred combination of these selectivity factors within a compound or group of compounds can readily be determined by performing routine biological and/or biochemical assays. Compounds of this invention may show tolerance to important agronomic crops including, but is not limited to, alfalfa, barley, cotton, wheat, rape, sugar beets, corn (maize), sorghum, soybeans, rice, oats, peanuts, vegetables, tomato, potato, perennial plantation crops including coffee, cocoa, oil palm, rubber, sugarcane, citrus, grapes, fruit trees, nut trees, banana, plantain, pineapple, hops, tea and forests such as eucalyptus and conifers (e.g., loblolly pine), and turf species (e.g., Kentucky bluegrass, St. Augustine grass, Kentucky fescue and Bermuda grass). Compounds of this invention can be used in crops genetically transformed or bred to incorporate resistance to herbicides, express proteins toxic to invertebrate pests (such as Bacillus thuringiensis toxin), and/or express other useful traits. Those skilled in the art will appreciate that not all compounds are equally effective against all weeds. Alternatively, the subject compounds are useful to modify plant growth.
- As the compounds of the invention have (both preemergent and postemergent herbicidal) activity, to control undesired vegetation by killing or injuring the vegetation or reducing its growth, the compounds can be usefully applied by a variety of methods involving contacting a herbicidally effective amount of a compound of the invention, or a composition comprising said compound and at least one of a surfactant, a solid diluent or a liquid diluent, to the foliage or other part of the undesired vegetation or to the environment of the undesired vegetation such as the soil or water in which the undesired vegetation is growing or which surrounds the seed or other propagule of the undesired vegetation.
- A herbicidally effective amount of the compounds of this invention is determined by a number of factors. These factors include: formulation selected, method of application, amount and type of vegetation present, growing conditions, etc. In general, a herbicidally effective amount of compounds of this invention is about 0.005 to 20 kg/ha with a preferred range of about 0.01 to 1 kg/ha. One skilled in the art can easily determine the herbicidally effective amount necessary for the desired level of weed control.
- Compounds of the invention are useful in treating all plants and plant parts. Plant varieties and cultivars can be obtained by conventional propagation and breeding methods or by genetic engineering methods. Genetically modified plants (transgenic plants) are those in which a heterologous gene (transgene) has been stably integrated into the plant's genome. A transgene that is defined by its particular location in the plant genome is called a transformation or transgenic event.
- Genetically modified plant cultivars which can be treated according to the invention include those that are resistant against one or more biotic stresses (pests such as nematodes, insects, mites, fungi, etc.) or abiotic stresses (drought, cold temperature, soil salinity, etc.), or that contain other desirable characteristics. Plants can be genetically modified to exhibit traits of for example, herbicide tolerance, insect-resistance, modified oil profiles or drought tolerance. Useful genetically modified plants containing single gene transformation events or combinations of transformation events are listed in Table 3. Additional information for the genetic modifications listed in Table 3 can be obtained from publicly available databases maintained, for example, by the U.S. Department of Agriculture.
- The following abbreviations, T1 through T37 are used in Table 3 for traits. A means the entry is not available.
-
Trait Description T1 Glyphosate tolerance T2 High lauric acid oil T3 Glufosinate tolerance T4 Phytate breakdown T5 Oxynil tolerance T6 Disease resistance T7 Insect resistance T9 Modified flower color T11 ALS Herbicide Tol. T12 Dicamba Tolerance T13 Anti-allergy T14 Salt tolerance T15 Cold tolerance T16 Imidazolinone herb. tol. T17 Modified alpha-amylase T18 Pollination control T19 2,4-D tolerance T20 Increased lysine T21 Drought tolerance T22 Delayed ripening/senescence T23 Modified product quality T24 High cellulose T25 Modified starch/carbohydrate T26 Insect & disease resist. T27 High tryptophan T28 Erect leaves semidwarf T29 Semidwarf T30 Low iron tolerance T31 Modified oil/fatty acid T32 HPPD tolerance T33 High oil T34 Aryloxyalkanoate tol. T35 Mesotrione tolerance T36 Reduced nicotine T37 Modified product -
TABLE 3 Crop Event Name Event Code Trait(s) Gene(s) Alfalfa J101 MON-00101-8 T1 cp4 epsps (aroA:CP4) Alfalfa J163 MON-ØØ163-7 T1 cp4 epsps (aroA:CP4) Canola* 23-18-17 (Event 18) CGN-89465-2 T2 te Canola* 23-198 (Event 23) CGN-89465-2 T2 te Canola* 61061 DP-Ø61Ø61-7 T1 gat4621 Canola* 73496 DP-Ø73496-4 T1 gat4621 Canola* GT200 (RT200) MON-89249-2 T1 cp4 epsps (aroA:CP4); goxv247 Canola* GT73 (RT73) MON-ØØØ73-7 T1 cp4 epsps (aroA:CP4); goxv247 Canola* HCN10 (Topas 19/2) — T3 bar Canola* HCN28 (T45) ACS-BNØØ8-2 T3 pat (syn) Canola* HCN92 (Topas 19/2) ACS-BNØØ7-1 T3 bar Canola* MON88302 MON-883Ø2-9 T1 cp4 epsps (aroA:CP4) Canola* MPS961 — T4 phyA Canola* MPS962 — T4 phyA Canola* MPS963 — T4 phyA Canola* MPS964 — T4 phyA Canola* MPS965 — T4 phyA Canola* MS1 (B91-4) ACS-BNØØ4-7 T3 bar Canola* MS8 ACS-BNØØ5-8 T3 bar Canola* OXY-235 ACS-BNØ11-5 T5 bxn Canola* PHY14 — T3 bar Canola* PHY23 — T3 bar Canola* PHY35 — T3 bar Canola* PHY36 — T3 bar Canola* RF1 (B93-101) ACS-BNØØ1-4 T3 bar Canola* RF2 (B94-2) ACS-BNØØ2-5 T3 bar Canola* RF3 ACS-BNØØ3-6 T3 bar Bean EMBRAPA 5.1 EMB-PV051-1 T6 ac1 (sense and antisense) Brinjal # EE-1 — T7 cry1Ac Cotton 19-51a DD-Ø1951A-7 T11 S4-HrA Cotton 281-24-236 DAS-24236-5 T3, T7 pat (syn); cry1F Cotton 3006-210-23 DAS-21Ø23-5 T3, T7 pat (syn); cry1Ac Cotton 31707 — T5, T7 bxn; cry1Ac Cotton 31803 — T5, T7 bxn; cry1Ac Cotton 31807 — T5, T7 bxn; cry1Ac Cotton 31808 — T5, T7 bxn; cry1Ac Cotton 42317 — T5, T7 bxn; cry1Ac Cotton BNLA-601 — T7 cry1Ac Cotton BXN10211 BXN10211-9 T5 bxn; cry1Ac Cotton BXN10215 BXN10215-4 T5 bxn; cry1Ac Cotton BXN10222 BXN10222-2 T5 bxn; cry1Ac Cotton BXN10224 BXN10224-4 T5 bxn; cry1Ac Cotton COT102 SYN-IR102-7 T7 vip3A(a) Cotton COT67B SYN-IR67B-1 T7 cry1Ab Cotton COT202 — T7 vip3A Cotton Event 1 — T7 cry1Ac Cotton GMF Cry1A GTL- T7 cry1Ab-Ac GMF311-7 Cotton GHB119 BCS-GH005-8 T7 cry2Ae Cotton GHB614 BCS-GH002-5 T1 2mepsps Cotton GK12 — T7 cry1Ab-Ac Cotton LLCotton25 ACS-GH001-3 T3 bar Cotton MLS 9124 — T7 cry1C Cotton MON1076 MON-89924-2 T7 cry1Ac Cotton MON1445 MON-01445-2 T1 cp4 epsps (aroA:CP4) Cotton MON15985 MON-15985-7 T7 cry1Ac; cry2Ab2 Cotton MON1698 MON-89383-1 T7 cp4 epsps (aroA:CP4) Cotton MON531 MON-00531-6 T7 cry1Ac Cotton MON757 MON-00757-7 T7 cry1Ac Cotton MON88913 MON-88913-8 T1 cp4 epsps (aroA:CP4) Cotton Nqwe Chi 6 Bt — T7 — Cotton SKG321 — T7 cry1A; CpTI Cotton T303-3 BCS-GH003-6 T3, T7 cry1Ab; bar Cotton T304-40 BCS-GH004-7 T3, T7 cry1Ab; bar Cotton CE43-67B — T7 cry1Ab Cotton CE46-02A — T7 cry1Ab Cotton CE44-69D — T7 cry1Ab Cotton 1143-14A — T7 cry1Ab Cotton 1143-51B — T7 cry1Ab Cotton T342-142 — T7 cry1Ab Cotton PV-GHGT07 (1445) — T1 cp4 epsps (aroA:CP4) Cotton EE-GH3 — T1 mepsps Cotton EE-GH5 — T7 cry1Ab Cotton MON88701 MON-88701-3 T3, T12 Modified dmo; bar Cotton OsCr11 — T13 Modified Cry j Flax FP967 CDC-FL001-2 T11 als Lentil RH44 — T16 als Maize 3272 SYN-E3272-5 T17 amy797E Maize 5307 SYN-05307-1 T7 ecry3.1Ab Maize 59122 DAS-59122-7 T3, T7 cry34Ab1; cry35Ab1; pat Maize 676 PH-000676-7 T3, T18 pat; dam Maize 678 PH-000678-9 T3, T18 pat; dam Maize 680 PH-000680-2 T3, T18 pat; dam Maize 98140 DP-098140-6 T1, T11 gat4621; zm-hra Maize Bt10 — T3, T7 cry1Ab; pat Maize Bt176 (176) SYN-EV176-9 T3, T7 cry1Ab; bar Maize BVLA430101 — T4 phyA2 Maize CBH-351 ACS-ZM004-3 T3, T7 cry9C; bar Maize DAS40278-9 DAS40278-9 T19 aad-1 Maize DBT418 DKB-89614-9 T3, T7 cry1Ac; pinII; bar Maize DLL25 (B16) DKB-89790-5 T3 bar Maize GA21 MON-00021-9 T1 mepsps Maize GG25 — T1 mepsps Maize GJ11 — T1 mepsps Maize Fl117 — T1 mepsps Maize GAT-ZM1 — T3 pat Maize LY038 REN-00038-3 T20 cordapA Maize MIR162 SYN-IR162-4 T7 vip3Aa20 Maize MIR604 SYN-IR604-5 T7 mcry3A Maize MON801 (MON80100) MON801 T1, T7 cry1Ab; cp4 epsps (aroA:CP4); goxv247 Maize MON802 MON-80200-7 T1, T7 cry1Ab; cp4 epsps (aroA:CP4); goxv247 Maize MON809 PH-MON-809-2 T1, T7 cry1Ab; cp4 epsps (aroA:CP4); goxv247 Maize MON810 MON-00810-6 T1, T7 cry1Ab; cp4 epsps (aroA:CP4); goxv247 Maize MON832 — T1 cp4 epsps (aroA:CP4); goxv247 Maize MON863 MON-00863-5 T7 cry3Bb1 Maize MON87427 MON-87427-7 T1 cp4 epsps (aroA:CP4) Maize MON87460 MON-87460-4 T21 cspB Maize MON88017 MON-88017-3 T1, T7 cry3Bb1; cp4 epsps (aroA:CP4) Maize MON89034 MON-89034-3 T7 cry2Ab2; cry1A.105 Maize MS3 ACS-ZM001-9 T3, T18 bar; barnase Maize MS6 ACS-ZM005-4 T3, T18 bar; barnase Maize NK603 MON-00603-6 T1 cp4 epsps (aroA:CP4) Maize T14 ACS-ZM002-1 T3 pat (syn) Maize T25 ACS-ZM003-2 T3 pat (syn) Maize TC1507 DAS-01507-1 T3, T7 cry1Fa2; pat Maize TC6275 DAS-06275-8 T3, T7 mocry1F; bar Maize VIP1034 — T3, T7 vip3A; pat Maize 43A47 DP-043A47-3 T3, T7 cry1F; cry34Ab1; cry35Ab1; pat Maize 40416 DP-040416-8 T3, T7 cry1F; cry34Ab1; cry35Ab1; pat Maize 32316 DP-032316-8 T3, T7 cry1F; cry34Ab1; cry35Ab1; pat Maize 4114 DP-004114-3 T3, T7 cry1F; cry34Ab1; cry35Ab1; pat Melon Melon A — T22 sam-k Melon Melon B — T22 sam-k Papaya 55-1 CUH-CP551-8 T6 prsv cp Papaya 63-1 CUH-CP631-7 T6 prsv cp Papaya Huanong No. 1 — T6 prsv rep Papaya X17-2 UFL-X17CP-6 T6 prsv cp Plum C-5 ARS-PLMC5-6 T6 ppv cp Canola** ZSR500 — T1 cp4 epsps (aroA:CP4); goxv247 Canola** ZSR502 — T1 cp4 epsps (aroA:CP4); goxv247 Canola** ZSR503 — T1 cp4 epsps (aroA:CP4); goxv247 Rice 7Crp#242-95-7 — T13 7crp Rice 7Crp#10 — T13 7crp Rice GM Shanyou 63 — T7 cry1Ab; cry1Ac Rice Huahui-1/TT51-1 — T7 cry1Ab; cry1Ac Rice LLRICE06 ACS-OS001-4 T3 bar Rice LLRICE601 BCS-OS003-7 T3 bar Rice LLRICE62 ACS-OS002-5 T3 bar Rice Tarom molaii + cry1Ab — T7 cry1Ab (truncated) Rice GAT-OS2 — T3 bar Rice GAT-OS3 — T3 bar Rice PE-7 — T7 Cry1Ac Rice 7Crp#10 — T13 7crp Rice KPD627-8 — T27 OASA1D Rice KPD722-4 — T27 OASA1D Rice KA317 — T27 OASA1D Rice HW5 — T27 OASA1D Rice HW1 — T27 OASA1D Rice B-4-1-18 — T28 Δ OsBRI1 Rice G-3-3-22 — T29 OSGA2ox1 Rice AD77 — T6 DEF Rice AD51 — T6 DEF Rice AD48 — T6 DEF Rice AD41 — T6 DEF Rice 13pNasNa800725atAprt1 — T30 HvNAS1; HvNAAT-A; APRT Rice 13pAprt1 — T30 APRT Rice gHvNAS1-gHvNAAT-1 — T30 HvNAS1; HvNAAT-A; HvNAAT-B Rice gHvIDS3-1 — T30 HvIDS3 Rice gHvNAAT1 — T30 HvNAAT-A; HvNAAT-B Rice gHvNAS1-1 — T30 HvNAS1 Rice NIA-OS006-4 — T6 WRKY45 Rice NIA-OS005-3 — T6 WRKY45 Rice NIA-OS004-2 — T6 WRKY45 Rice NIA-OS003-1 — T6 WRKY45 Rice NIA-OS002-9 — T6 WRKY45 Rice NIA-OS001-8 — T6 WRKY45 Rice OsCr11 — T13 Modified Cry j Rice 17053 — T1 cp4 epsps (aroA:CP4) Rice 17314 — T1 cp4 epsps (aroA:CP4) Rose WKS82/130-4-1 IFD-52401-4 T9 5AT; bp40 (f3′5′h) Rose WKS92/130-9-1 IFD-52901-9 T9 5AT; bp40 (f3′5′h) Soybean 260-05 (G94-1, G94-19, — T9 gm-fad2-1 (silencing locus) G168) Soybean A2704-12 ACS-GM005-3 T3 pat Soybean A2704-21 ACS-GM004-2 T3 pat Soybean A5547-127 ACS-GM006-4 T3 pat Soybean A5547-35 ACS-GM008-6 T3 pat Soybean CV127 BPS-CV127-9 T16 csr1-2 Soybean DAS68416-4 DAS68416-4 T3 pat Soybean DP305423 DP-305423-1 T11, T31 gm-fad2-1 (silencing locus); gm-hra Soybean DP356043 DP-356043-5 T1, T31 gm-fad2-1 (silencing locus); gat4601 Soybean FG72 MST-FG072-3 T32, T1 2mepsps; hppdPF W336 Soybean GTS 40-3-2 (40-3-2) MON-04032-6 T1 cp4 epsps (aroA:CP4) Soybean GU262 ACS-GM003-1 T3 pat Soybean MON87701 MON-87701-2 T7 cry1Ac Soybean MON87705 MON-87705-6 T1, T31 fatb1-A (sense & antisense); fad2- 1A (sense & antisense); cp4 epsps (aroA:CP4) Soybean MON87708 MON-87708-9 T1, T12 dmo; cp4 epsps (aroA:CP4) Soybean MON87769 MON-87769-7 T1, T31 Pj.D6D; Nc.Fad3; cp4 epsps (aroA:CP4) Soybean MON89788 MON-89788-1 T1 cp4 epsps (aroA:CP4) Soybean W62 ACS-GM002-9 T3 bar Soybean W98 ACS-GM001-8 T3 bar Soybean MON87754 MON-87754-1 T33 dgat2A Soybean DAS21606 DAS-21606 T34, T3 Modified aad-12; pat Soybean DAS44406 DAS-44406-6 T1, T3, T34 Modified aad-12; 2mepsps; pat Soybean SYHT04R SYN-0004R-8 T35 Modified avhppd Soybean 9582.814.19.1 — T3, T7 cry1Ac, cry1F, PAT Squash CZW3 SEM-ØCZW3-2 T6 cmv cp, zymv cp, wmv cp Squash ZW20 SEM-0ZW20-7 T6 zymv cp, wmv cp Sugar Beet GTSB77 (T9100152) SY-GTSB77-8 T1 cp4 epsps (aroA:CP4); goxv247 Sugar Beet H7-1 KM-000H71-4 T1 cp4 epsps (aroA:CP4) Sugar Beet T120-7 ACS-BV001-3 T3 pat Sugar Beet T227-1 — T1 cp4 epsps (aroA:CP4) Sugarcane NXI-1T — T21 EcbetA Sunflower X81359 — T16 als Pepper PK-SP01 — T6 cmv cp Tobacco C/F/93/08-02 — T5 bxn Tobacco Vector 21-41 — T36 NtQPT1 (antisense) Sunflower X81359 — T16 als Wheat MON71800 MON-718ØØ-3 T1 cp4 epsps (aroA:CP4) *Argentine (Brassica napus), **Polish (B. rapa), # Eggplant - Treatment of genetically modified plants with compounds of the invention may result in super-additive or synergistic effects. For example, reduction in application rates, broadening of the activity spectrum, increased tolerance to biotic/abiotic stresses or enhanced storage stability may be greater than expected from just simple additive effects of the application of compounds of the invention on genetically modified plants.
- Compounds of this invention can also be mixed with one or more other biologically active compounds or agents including herbicides, herbicide safeners, fungicides, insecticides, nematocides, bactericides, acaricides, growth regulators such as insect molting inhibitors and rooting stimulants, chemosterilants, semiochemicals, repellents, attractants, pheromones, feeding stimulants, plant nutrients, other biologically active compounds or entomopathogenic bacteria, virus or fungi to form a multi-component pesticide giving an even broader spectrum of agricultural protection. Mixtures of the compounds of the invention with other herbicides can broaden the spectrum of activity against additional weed species, and suppress the proliferation of any resistant biotypes. Thus the present invention also pertains to a composition comprising a compound of Formula 1 (in a herbicidally effective amount) and at least one additional biologically active compound or agent (in a biologically effective amount) and can further comprise at least one of a surfactant, a solid diluent or a liquid diluent. The other biologically active compounds or agents can be formulated in compositions comprising at least one of a surfactant, solid or liquid diluent. For mixtures of the present invention, one or more other biologically active compounds or agents can be formulated together with a compound of Formula 1, to form a premix, or one or more other biologically active compounds or agents can be formulated separately from the compound of Formula 1, and the formulations combined together before application (e.g., in a spray tank) or, alternatively, applied in succession.
- A mixture of one or more of the following herbicides with a compound of this invention may be particularly useful for weed control: acetochlor, acifluorfen and its sodium salt, aclonifen, acrolein (2-propenal), alachlor, alloxydim, ametryn, amicarbazone, amidosulfuron, aminocyclopyrachlor and its esters (e.g., methyl, ethyl) and salts (e.g., sodium, potassium), aminopyralid, amitrole, ammonium sulfamate, anilofos, asulam, atrazine, azimsulfuron, beflubutamid, benazolin, benazolin-ethyl, bencarbazone, benfluralin, benfuresate, bensulfuron-methyl, bensulide, bentazone, benzobicyclon, benzofenap, bicyclopyrone, bifenox, bilanafos, bispyribac and its sodium salt, bromacil, bromobutide, bromofenoxim, bromoxynil, bromoxynil octanoate, butachlor, butafenacil, butamifos, butralin, butroxydim, butylate, cafenstrole, carbetamide, carfentrazone-ethyl, catechin, chlomethoxyfen, chloramben, chlorbromuron, chlorflurenol-methyl, chloridazon, chlorimuron-ethyl, chlorotoluron, chlorpropham, chlorsulfuron, chlorthal-dimethyl, chlorthiamid, cinidon-ethyl, cinmethylin, cinosulfuron, clacyfos, clefoxydim, clethodim, cyclopyrimorate, clodinafop-propargyl, clomazone, clomeprop, clopyralid, clopyralid-olamine, cloransulam-methyl, cumyluron, cyanazine, cycloate, cyclopyrimorate, cyclosulfamuron, cycloxydim, cyhalofop-butyl, 2,4-D and its butotyl, butyl, isoctyl and isopropyl esters and its dimethylammonium, diolamine and trolamine salts, daimuron, dalapon, dalapon-sodium, dazomet, 2,4-DB and its dimethylammonium, potassium and sodium salts, desmedipham, desmetryn, dicamba and its diglycolammonium, dimethylammonium, potassium and sodium salts, dichlobenil, dichlorprop, diclofop-methyl, diclosulam, difenzoquat metilsulfate, diflufenican, diflufenzopyr, dimefuron, dimepiperate, dimethachlor, dimethametryn, dimethenamid, dimethenamid-P, dimethipin, dimethylarsinic acid and its sodium salt, dinitramine, dinoterb, diphenamid, diquat dibromide, dithiopyr, diuron, DNOC, endothal, EPTC, esprocarb, ethalfluralin, ethametsulfuron-methyl, ethiozin, ethofumesate, ethoxyfen, ethoxysulfuron, etobenzanid, fenoxaprop-ethyl, fenoxaprop-P-ethyl, fenoxasulfone, fenquinotrione, fentrazamide, fenuron, fenuron-TCA, flamprop-methyl, flamprop-M-isopropyl, flamprop-M-methyl, flazasulfuron, florasulam, fluazifop-butyl, fluazifop-P-butyl, fluazolate, flucarbazone, flucetosulfuron, fluchloralin, flufenacet, flufenpyr, flufenpyr-ethyl, flumetsulam, flumiclorac-pentyl, flumioxazin, fluometuron, fluoroglycofen-ethyl, flupoxam, flupyrsulfuron-methyl and its sodium salt, flurenol, flurenol-butyl, fluridone, flurochloridone, fluroxypyr, flurtamone, fluthiacet-methyl, fomesafen, foramsulfuron, fosamine-ammonium, glufosinate, glufosinate-ammonium, glufosinate-P, glyphosate and its salts such as ammonium, isopropylammonium, potassium, sodium (including sesquisodium) and trimesium (alternatively named sulfosate), halauxifen, halauxifen-methyl, halosulfuron-methyl, haloxyfop-etotyl, haloxyfop-methyl, hexazinone, imazamethabenz-methyl, imazamox, imazapic, imazapyr, imazaquin, imazaquin-ammonium, imazethapyr, imazethapyr-ammonium, imazosulfuron, indanofan, indaziflam, iofensulfuron, iodosulfuron-methyl, ioxynil, ioxynil octanoate, ioxynil-sodium, ipfencarbazone, isoproturon, isouron, isoxaben, isoxaflutole, isoxachlortole, lactofen, lenacil, linuron, maleic hydrazide, MCPA and its salts (e.g., MCPA-dimethylammonium, MCPA-potassium and MCPA-sodium, esters (e.g., MCPA-2-ethylhexyl, MCPA-butotyl) and thioesters (e.g., MCPA-thioethyl), MCPB and its salts (e.g., MCPB-sodium) and esters (e.g., MCPB-ethyl), mecoprop, mecoprop-P, mefenacet, mefluidide, mesosulfuron-methyl, mesotrione, metam-sodium, metamifop, metamitron, metazachlor, metazosulfuron, methabenzthiazuron, methylarsonic acid and its calcium, monoammonium, monosodium and disodium salts, methyldymron, metobenzuron, metobromuron, metolachlor, S-metolachlor, metosulam, metoxuron, metribuzin, metsulfuron-methyl, molinate, monolinuron, naproanilide, napropamide, napropamide-M, naptalam, neburon, nicosulfuron, norflurazon, orbencarb, orthosulfamuron, oryzalin, oxadiargyl, oxadiazon, oxasulfuron, oxaziclomefone, oxyfluorfen, paraquat dichloride, pebulate, pelargonic acid, pendimethalin, penoxsulam, pentanochlor, pentoxazone, perfluidone, pethoxamid, pethoxyamid, phenmedipham, picloram, picloram-potassium, picolinafen, pinoxaden, piperophos, pretilachlor, primisulfuron-methyl, prodiamine, profoxydim, prometon, prometryn, propachlor, propanil, propaquizafop, propazine, propham, propisochlor, propoxycarbazone, propyrisulfuron, propyzamide, prosulfocarb, prosulfuron, pyraclonil, pyraflufen-ethyl, pyrasulfotole, pyrazogyl, pyrazolynate, pyrazoxyfen, pyrazosulfuron-ethyl, pyribenzoxim, pyributicarb, pyridate, pyriftalid, pyriminobac-methyl, pyrimisulfan, pyrithiobac, pyrithiobac-sodium, pyroxasulfone, pyroxsulam, quinclorac, quinmerac, quinoclamine, quizalofop-ethyl, quizalofop-P-ethyl, quizalofop-P-tefiuryl, rimsulfuron, saflufenacil, sethoxydim, siduron, simazine, simetryn, sulcotrione, sulfentrazone, sulfometuron-methyl, sulfosulfuron, 2,3,6-TBA, TCA, TCA-sodium, tebutam, tebuthiuron, tefuryltrione, tembotrione, tepraloxydim, terbacil, terbumeton, terbuthylazine, terbutryn, thenylchlor, thiazopyr, thiencarbazone, thifensulfuron-methyl, thiobencarb, tiafenacil, tiocarbazil, topramezone, tralkoxydim, tri-allate, triafamone, triasulfuron, triaziflam, tribenuron-methyl, triclopyr, triclopyr-butotyl, triclopyr-triethylammonium, tridiphane, trietazine, trifloxysulfuron, trifluralin, triflusulfuron-methyl, tritosulfuron, vernolate, 3-(2-chloro-3,6-difluorophenyl)-4-hydroxy-1-methyl-1,5-naphthyridin-2(1H)-one, 5-chloro-3-[(2-hydroxy-6-oxo-1-cyclohexen-1-yl)carbonyl]-1-(4-methoxyphenyl)-2(1H)-quinoxalinone, 2-chloro-N-(1-methyl-1H-tetrazol-5-yl)-6-(trifluoromethyl)-3-pyridinecarboxamide, 7-(3,5-dichloro-4-pyridinyl)-5-(2,2-difluoroethyl)-8-hydroxypyrido[2,3-b]pyrazin-6(5H)-one), 4-(2,6-diethyl-4-methylphenyl)-5-hydroxy-2,6-dimethyl-3(2H)-pyridazinone), 5-[[(2,6-difluorophenyl)methoxy]methyl]-4,5-dihydro-5-methyl-3-(3-methyl-2-thienyl)isoxazole (previously methioxolin), 3-[7-fluoro-3,4-dihydro-3-oxo-4-(2-propyn-1-yl)-2H-1,4-benzoxazin-6-yl]dihydro-1,5-dimethyl-6-thioxo-1,3,5-triazine-2,4(1H,3H)-dione, 4-(4-fluorophenyl)-6-[(2-hydroxy-6-oxo-1-cyclohexen-1-yl)carbonyl]-2-methyl-1,2,4-triazine-3,5(2H,4H)-dione, methyl 4-amino-3-chloro-6-(4-chloro-2-fluoro-3-methoxyphenyl)-5-fluoro-2-pyridinecarboxylate, 2-methyl-3-(methylsulfonyl)-N-(1-methyl-1H-tetrazol-5-yl)-4-(trifluoromethyl)benzamide, and 2-methyl-N-(4-methyl-1,2,5-oxadiazol-3-yl)-3-(methylsulflmyl)-4-(trifluoromethyl)benzamide. Other herbicides also include bioherbicides such as Alternaria destruens Simmons, Colletotrichum gloeosporioides (Penz.) Penz. & Sacc., Drechslera monoceras (MTB-951), Myrothecium verrucaria (Albertini & Schweinitz) Ditmar: Fries, Phytophthora palmivora (Butl.) Butl. and Puccinia thlaspeos Schub.
- Compounds of this invention can also be used in combination with plant growth regulators such as aviglycine, N-(phenylmethyl)-1H-purin-6-amine, epocholeone, gibberellic acid, gibberellin A4 and A7, harpin protein, mepiquat chloride, prohexadione calcium, prohydrojasmon, sodium nitrophenolate and trinexapac-methyl, and plant growth modifying organisms such as Bacillus cereus strain BP01.
- General references for agricultural protectants (i.e. herbicides, herbicide safeners, insecticides, fungicides, nematocides, acaricides and biological agents) include The Pesticide Manual. 13th Edition, C. D. S. Tomlin, Ed., British Crop Protection Council, Farnham. Surrey, U. K., 2003 and The BioPesticide Manual, 2nd Edition, L. G. Copping, Ed., British Crop Protection Council, Farnham, Surrey, U K., 2001.
- For embodiments where one or more of these various mixing partners are used, the weight ratio of these various mixing partners (in total) to the compound of Formula 1 is typically between about 1:3000 and about 3000:1. Of note are weight ratios between about 1:300 and about 300:1 (for example ratios between about 1:30 and about 30:1). One skilled in the art can easily determine through simple experimentation the biologically effective amounts of active ingredients necessary for the desired spectrum of biological activity. It will be evident that including these additional components may expand the spectrum of weeds controlled beyond the spectrum controlled by the compound of Formula 1 alone.
- In certain instances, combinations of a compound of this invention with other biologically active (particularly herbicidal) compounds or agents (i.e. active ingredients) can result in a greater-than-additive (i.e. synergistic) effect on weeds and/or a less-than-additive effect (i.e. safening) on crops or other desirable plants. Reducing the quantity of active ingredients released in the environment while ensuring effective pest control is always desirable. Ability to use greater amounts of active ingredients to provide more effective weed control without excessive crop injury is also desirable. When synergism of herbicidal active ingredients occurs on weeds at application rates giving agronomically satisfactory levels of weed control, such combinations can be advantageous for reducing crop production cost and decreasing environmental load. When safening of herbicidal active ingredients occurs on crops, such combinations can be advantageous for increasing crop protection by reducing weed competition.
- Of note is a combination of a compound of the invention with at least one other herbicidal active ingredient. Of particular note is such a combination where the other herbicidal active ingredient has different site of action from the compound of the invention. In certain instances, a combination with at least one other herbicidal active ingredient having a similar spectrum of control but a different site of action will be particularly advantageous for resistance management. Thus, a composition of the present invention can further comprise (in a herbicidally effective amount) at least one additional herbicidal active ingredient having a similar spectrum of control but a different site of action.
- Compounds of this invention can also be used in combination with herbicide safeners such as allidochlor, benoxacor, cloquintocet-mexyl, cumyluron, cyometrinil, cyprosulfonamide, daimuron, dichlormid, dicyclonon, dietholate, dimepiperate, fenchlorazole-ethyl, fenclorim, flurazole, fluxofenim, furilazole, isoxadifen-ethyl, mefenpyr-diethyl, mephenate, methoxyphenone naphthalic anhydride (1,8-naphthalic anhydride), oxabetrinil, N-(aninocarbonyl)-2-methylbenzenesulfonamide, N-(aminocarbonyl)-2-fluorobenzenesulfonamide, 1-bromo-4-[(chloromethyl)sulfonyl]benzene (BCS), 4-(dichloroacetyl)-1-oxa-4-azospiro[4.5]decane (MON 4660), 2-(dichloromethyl)-2-methyl-1,3-dioxolane (MG 191), ethyl 1,6-dihydro-1-(2-methoxyphenyl)-6-oxo-2-phenyl-5-pyrimidinecarboxylate, 2-hydroxy-N,N-dimethyl-6-(trifluoromethyl)pyridine-3-carboxamide, and 3-oxo-1-cyclohexen-1-yl 1-(3,4-dimethylphenyl)-1,6-dihydro-6-oxo-2-phenyl-5-pyrimidinecarboxylate to increase safety to certain crops. Antidotally effective amounts of the herbicide safeners can be applied at the same time as the compounds of this invention, or applied as seed treatments. Therefore an aspect of the present invention relates to a herbicidal mixture comprising a compound of this invention and an antidotally effective amount of a herbicide safener. Seed treatment is particularly useful for selective weed control, because it physically restricts antidoting to the crop plants. Therefore a particularly useful embodiment of the present invention is a method for selectively controlling the growth of undesired vegetation in a crop comprising contacting the locus of the crop with a herbicidally effective amount of a compound of this invention wherein seed from which the crop is grown is treated with an antidotally effective amount of safener. Antidotally effective amounts of safeners can be easily determined by one skilled in the art through simple experimentation.
- Of note is a composition comprising a compound of the invention (in a herbicidally effective amount), at least one additional active ingredient selected from the group consisting of other herbicides and herbicide safeners (in an effective amount), and at least one component selected from the group consisting of surfactants, solid diluents and liquid diluents.
- Preferred for better control of undesired vegetation (e.g., lower use rate such as from synergism, broader spectrum of weeds controlled, or enhanced crop safety) or for preventing the development of resistant weeds are mixtures of a compound of this invention with another herbicide. Table A1 lists particular combinations of Component (a) (i.e. a specific compound of the present invention) with another herbicide as Component (b) illustrative of the mixtures, compositions and methods of the present invention. Compound 17 in the Component (a) column is identified in Index Table A. The second column of Table A1 lists the specific Component (b) compound (e.g., “2,4-D” in the first line). The third, fourth and fifth columns of Table A1 lists ranges of weight ratios for rates at which the Component (a) compound is typically applied to a field-grown crop relative to Component (b) (i.e. (a):(b)). Thus, for example, the first line of Table A1 specifically discloses the combination of Component (a) (i.e. Compound 17 in Index Table A) with 2:4-D is typically applied in a weight ratio between 1:192-6:1. The remaining lines of Table A1 are to be construed similarly.
-
TABLE A1 Component (a) Typical More Typical Most Typical (Compound #) Component (b) Weight Ratio Weight Ratio Weight Ratio 17 2,4-D 1:192-6:1 1:64-2:1 1:24-1:3 17 Acetochlor 1:768-2:1 1:256-1:2 1:96-1:11 17 Acifluorfen 1:96-12:1 1:32-4:1 1:12-1:2 17 Aclonifen 1:857-2:1 1:285-1:3 1:107-1:12 17 Alachlor 1:768-2:1 1:256-1:2 1:96-1:11 17 Ametryn 1:384-3:1 1:128-1:1 1:48-1:6 17 Amicarbazone 1:192-6:1 1:64-2:1 1:24-1:3 17 Amidosulfuron 1:6-168:1 1:2-56:1 1:1-11:1 17 Aminocyclopyrachlor 1:48-24:1 1:16-8:1 1:6-2:1 17 Aminopyralid 1:20-56:1 1:6-19:1 1:2-4:1 17 Amitrole 1:768-2:1 1:256-1:2 1:96-1:11 17 Anilofos 1:96-12:1 1:32-4:1 1:12-1:2 17 Asulam 1:960-2:1 1:320-1:3 1:120-1:14 17 Atrazine 1:192-6:1 1:64-2:1 1:24-1:3 17 Azimsulfuron 1:6-168:1 1:2-56:1 1:1-11:1 17 Beflubutamid 1:342-4:1 1:114-2:1 1:42-1:5 17 Benfuresate 1:617-2:1 1:205-1:2 1:77-1:9 17 Bensulfuron-methyl 1:25-45:1 1:8-15:1 1:3-3:1 17 Bentazone 1:192-6:1 1:64-2:1 1:24-1:3 17 Benzobicyclon 1:85-14:1 1:28-5:1 1:10-1:2 17 Benzofenap 1:257-5:1 1:85-2:1 1:32-1:4 17 Bicyclopyrone 1:42-27:1 1:14-9:1 1:5-2:1 17 Bifenox 1:257-5:1 1:85-2:1 1:32-1:4 17 Bispyribac-sodium 1:10-112:1 1:3-38:1 1:1-7:1 17 Bromacil 1:384-3:1 1:128-1:1 1:48-1:6 17 Bromobutide 1:384-3:1 1:128-1:1 1:48-1:6 17 Bromoxynil 1:96-12:1 1:32-4:1 1:12-1:2 17 Butachlor 1:768-2:1 1:256-1:2 1:96-1:11 17 Butafenacil 1:42-27:1 1:14-9:1 1:5-2:1 17 Butylate 1:1542-1:2 1:514-1:5 1:192-1:22 17 Cafenstrole 1:192-6:1 1:64-2:1 1:24-1:3 17 Carfentrazone-ethyl 1:128-9:1 1:42-3:1 1:16-1:2 17 Chlorimuron-ethyl 1:8-135:1 1:2-45:1 1:1-9:1 17 Chlorotoluron 1:768-2:1 1:256-1:2 1:96-1:11 17 Chlorsulfuron 1:6-168:1 1:2-56:1 1:1-11:1 17 Cinosulfuron 1:17-68:1 1:5-23:1 1:2-5:1 17 Cinidon-ethyl 1:384-3:1 1:128-1:1 1:48-1:6 17 Cinmethylin 1:34-34:1 1:11-12:1 1:4-3:1 17 Clacyfos 1:34-34:1 1:11-12:1 1:4-3:1 17 Clethodim 1:48-24:1 1:16-8:1 1:6-2:1 17 Clodinafop-propargyl 1:20-56:1 1:6-19:1 1:2-4:1 17 Clomazone 1:384-3:1 1:128-1:1 1:48-1:6 17 Clomeprop 1:171-7:1 1:57-3:1 1:21-1:3 17 Clopyralid 1:192-6:1 1:64-2:1 1:24-1:3 17 Cloransulam-methyl 1:12-96:1 1:4-32:1 1:1-6:1 17 Cumyluron 1:384-3:1 1:128-1:1 1:48-1:6 17 Cyanazine 1:384-3:1 1:128-1:1 1:48-1:6 17 Cyclopyrimorate 1:17-68:1 1:5-23:1 1:2-5:1 17 Cyclosulfamuron 1:17-68:1 1:5-23:1 1:2-5:1 17 Cycloxydim 1:96-12:1 1:32-4:1 1:12-1:2 17 Cyhalofop 1:25-45:1 1:8-15:1 1:3-3:1 17 Daimuron 1:192-6:1 1:64-2:1 1:24-1:3 17 Desmedipham 1:322-4:1 1:107-2:1 1:40-1:5 17 Dicamba 1:192-6:1 1:64-2:1 1:24-1:3 17 Dichlobenil 1:1371-1:2 1:457-1:4 1:171-1:20 17 Dichlorprop 1:925-2:1 1:308-1:3 1:115-1:13 17 Diclofop-methyl 1:384-3:1 1:128-1:1 1:48-1:6 17 Diclosulam 1:10-112:1 1:3-38:1 1:1-7:1 17 Difenzoquat 1:288-4:1 1:96-2:1 1:36-1:4 17 Diflufenican 1:857-2:1 1:285-1:3 1:107-1:12 17 Diflufenzopyr 1:12-96:1 1:4-32:1 1:1-6:1 17 Dimethachlor 1:768-2:1 1:256-1:2 1:96-1:11 17 Dimethametryn 1:192-6:1 1:64-2:1 1:24-1:3 17 Dimethenamid-P 1:384-3:1 1:128-1:1 1:48-1:6 17 Dithiopyr 1:192-6:1 1:64-2:1 1:24-1:3 17 Diuron 1:384-3:1 1:128-1:1 1:48-1:6 17 EPTC 1:768-2:1 1:256-1:2 1:96-1:11 17 Esprocarb 1:1371-1:2 1:457-1:4 1:171-1:20 17 Ethalfluralin 1:384-3:1 1:128-1:1 1:48-1:6 17 Ethametsulfuron-methyl 1:17-68:1 1:5-23:1 1:2-5:1 17 Ethoxyfen 1:8-135:1 1:2-45:1 1:1-9:1 17 Ethoxysulfuron 1:20-56:1 1:6-19:1 1:2-4:1 17 Etobenzanid 1:257-5:1 1:85-2:1 1:32-1:4 17 Fenoxaprop-ethyl 1:120-10:1 1:40-4:1 1:15-1:2 17 Fenoxasulfone 1:85-14:1 1:28-5:1 1:10-1:2 17 Fenquinotrione 1:17-68:1 1:5-23:1 1:2-5:1 17 Fentrazamide 1:17-68:1 1:5-23:1 1:2-5:1 17 Flazasulfuron 1:17-68:1 1:5-23:1 1:2-5:1 17 Florasulam 1:2-420:1 1:1-140:1 2:1-27:1 17 Fluazifop-butyl 1:192-6:1 1:64-2:1 1:24-1:3 17 Flucarbazone 1:8-135:1 1:2-45:1 1:1-9:1 17 Flucetosulfuron 1:8-135:1 1:2-45:1 1:1-9:1 17 Flufenacet 1:257-5:1 1:85-2:1 1:32-1:4 17 Flumetsulam 1:24-48:1 1:8-16:1 1:3-3:1 17 Flumiclorac-pentyl 1:10-112:1 1:3-38:1 1:1-7:1 17 Flumioxazin 1:25-45:1 1:8-15:1 1:3-3:1 17 Fluometuron 1:384-3:1 1:128-1:1 1:48-1:6 17 Flupyrsulfuron-methyl 1:3-336:1 1:1-112:1 2:1-21:1 17 Fluridone 1:384-3:1 1:128-1:1 1:48-1:6 17 Fluroxypyr 1:96-12:1 1:32-4:1 1:12-1:2 17 Flurtamone 1:857-2:1 1:285-1:3 1:107-1:12 17 Fluthiacet-methyl 1:48-42:1 1:16-14:1 1:3-3:1 17 Fomesafen 1:96-12:1 1:32-4:1 1:12-1:2 17 Foramsulfuron 1:13-84:1 1:4-28:1 1:1-6:1 17 Glufosinate 1:288-4:1 1:96-2:1 1:36-1:4 17 Glyphosate 1:288-4:1 1:96-2:1 1:36-1:4 17 Halauxifen 1:20-56:1 1:6-19:1 1:2-4:1 17 Halauxifen-methyl 1:20-56:1 1:6-19:1 1:2-4:1 17 Halosulfuron-methyl 1:17-68:1 1:5-23:1 1:2-5:1 17 Haloxyfop-methyl 1:34-34:1 1:11-12:1 1:4-3:1 17 Hexazinone 1:192-6:1 1:64-2:1 1:24-1:3 17 Imazamox 1:13-84:1 1:4-28:1 1:1-6:1 17 Imazapic 1:20-56:1 1:6-19:1 1:2-4:1 17 Imazapyr 1:85-14:1 1:28-5:1 1:10-1:2 17 Imazaquin 1:34-34:1 1:11-12:1 1:4-3:1 17 Imazethabenz-methyl 1:171-7:1 1:57-3:1 1:21-1:3 17 Imazethapyr 1:24-48:1 1:8-16:1 1:3-3:1 17 Imazosulfuron 1:27-42:1 1:9-14:1 1:3-3:1 17 Indanofan 1:342-4:1 1:114-2:1 1:42-1:5 17 Indaziflam 1:25-45:1 1:8-15:1 1:3-3:1 17 Iodosulfuron-methyl 1:3-336:1 1:1-112:1 2:1-21:1 17 Ioxynil 1:192-6:1 1:64-2:1 1:24-1:3 17 Ipfencarbazone 1:85-14:1 1:28-5:1 1:10-1:2 17 Isoproturon 1:384-3:1 1:128-1:1 1:48-1:6 17 Isoxaben 1:288-4:1 1:96-2:1 1:36-1:4 17 Isoxaflutole 1:60-20:1 1:20-7:1 1:7-2:1 17 Lactofen 1:42-27:1 1:14-9:1 1:5-2:1 17 Lenacil 1:384-3:1 1:128-1:1 1:48-1:6 17 Linuron 1:384-3:1 1:128-1:1 1:48-1:6 17 MCPA 1:192-6:1 1:64-2:1 1:24-1:3 17 MCPB 1:288-4:1 1:96-2:1 1:36-1:4 17 Mecoprop 1:768-2:1 1:256-1:2 1:96-1:11 17 Mefenacet 1:384-3:1 1:128-1:1 1:48-1:6 17 Mefluidide 1:192-6:1 1:64-2:1 1:24-1:3 17 Mesosulfuron-methyl 1:5-224:1 1:1-75:1 1:1-14:1 17 Mesotrione 1:42-27:1 1:14-9:1 1:5-2:1 17 Metamifop 1:42-27:1 1:14-9:1 1:5-2:1 17 Metazachlor 1:384-3:1 1:128-1:1 1:48-1:6 17 Metazosulfuron 1:25-45:1 1:8-15:1 1:3-3:1 17 Methabenzthiazuron 1:768-2:1 1:256-1:2 1:96-1:11 17 Metolachlor 1:768-2:1 1:256-1:2 1:96-1:11 17 Metosulam 1:8-135:1 1:2-45:1 1:1-9:1 17 Metribuzin 1:192-6:1 1:64-2:1 1:24-1:3 17 Metsulfuron-methyl 1:2-560:1 1:1-187:1 3:1-35:1 17 Molinate 1:1028-2:1 1:342-1:3 1:128-1:15 17 Napropamide 1:384-3:1 1:128-1:1 1:48-1:6 17 Napropamide-M 1:192-6:1 1:64-2:1 1:24-1:3 17 Naptalam 1:192-6:1 1:64-2:1 1:24-1:3 17 Nicosulfuron 1:12-96:1 1:4-32:1 1:1-6:1 17 Norflurazon 1:1152-1:1 1:384-1:3 1:144-1:16 17 Orbencarb 1:1371-1:2 1:457-1:4 1:171-1:20 17 Orthosulfamuron 1:20-56:1 1:6-19:1 1:2-4:1 17 Oryzalin 1:514-3:1 1:171-1:2 1:64-1:8 17 Oxadiargyl 1:384-3:1 1:128-1:1 1:48-1:6 17 Oxadiazon 1:548-3:1 1:182-1:2 1:68-1:8 17 Oxasulfuron 1:27-42:1 1:9-14:1 1:3-3:1 17 Oxaziclomefone 1:42-27:1 1:14-9:1 1:5-2:1 17 Oxyfluorfen 1:384-3:1 1:128-1:1 1:48-1:6 17 Paraquat 1:192-6:1 1:64-2:1 1:24-1:3 17 Pendimethalin 1:384-3:1 1:128-1:1 1:48-1:6 17 Penoxsulam 1:10-112:1 1:3-38:1 1:1-7:1 17 Penthoxamid 1:384-3:1 1:128-1:1 1:48-1:6 17 Pentoxazone 1:102-12:1 1:34-4:1 1:12-1:2 17 Phenmedipham 1:102-12:1 1:34-4:1 1:12-1:2 17 Picloram 1:96-12:1 1:32-4:1 1:12-1:2 17 Picolinafen 1:34-34:1 1:11-12:1 1:4-3:1 17 Pinoxaden 1:25-45:1 1:8-15:1 1:3-3:1 17 Pretilachlor 1:192-6:1 1:64-2:1 1:24-1:3 17 Primisulfuron-methyl 1:8-135:1 1:2-45:1 1:1-9:1 17 Prodiamine 1:384-3:1 1:128-1:1 1:48-1:6 17 Profoxydim 1:42-27:1 1:14-9:1 1:5-2:1 17 Prometryn 1:384-3:1 1:128-1:1 1:48-1:6 17 Propachlor 1:1152-1:1 1:384-1:3 1:144-1:16 17 Propanil 1:384-3:1 1:128-1:1 1:48-1:6 17 Propaquizafop 1:48-24:1 1:16-8:1 1:6-2:1 17 Propoxycarbazone 1:17-68:1 1:5-23:1 1:2-5:1 17 Propyrisulfuron 1:17-68:1 1:5-23:1 1:2-5:1 17 Propyzamide 1:384-3:1 1:128-1:1 1:48-1:6 17 Prosulfocarb 1:1200-1:2 1:400-1:4 1:150-1:17 17 Prosulfuron 1:6-168:1 1:2-56:1 1:1-11:1 17 Pyraclonil 1:42-27:1 1:14-9:1 1:5-2:1 17 Pyraflufen-ethyl 1:5-224:1 1:1-75:1 1:1-14:1 17 Pyrasulfotole 1:13-84:1 1:4-28:1 1:1-6:1 17 Pyrazolynate 1:857-2:1 1:285-1:3 1:107-1:12 17 Pyrazosulfuron-ethyl 1:10-112:1 1:3-38:1 1:1-7:1 17 Pyrazoxyfen 1:5-224:1 1:1-75:1 1:1-14:1 17 Pyribenzoxim 1:10-112:1 1:3-38:1 1:1-7:1 17 Pyributicarb 1:384-3:1 1:128-1:1 1:48-1:6 17 Pyridate 1:288-4:1 1:96-2:1 1:36-1:4 17 Pyriftalid 1:10-112:1 1:3-38:1 1:1-7:1 17 Pyriminobac-methyl 1:20-56:1 1:6-19:1 1:2-4:1 17 Pyrimisulfan 1:17-68:1 1:5-23:1 1:2-5:1 17 Pyrithiobac 1:24-48:1 1:8-16:1 1:3-3:1 17 Pyroxasulfone 1:85-14:1 1:28-5:1 1:10-1:2 17 Pyroxsulam 1:5-224:1 1:1-75:1 1:1-14:1 17 Quinclorac 1:192-6:1 1:64-2:1 1:24-1:3 17 Quizalofop-ethyl 1:42-27:1 1:14-9:1 1:5-2:1 17 Rimsulfuron 1:13-84:1 1:4-28:1 1:1-6:1 17 Saflufenacil 1:25-45:1 1:8-15:1 1:3-3:1 17 Sethoxydim 1:96-12:1 1:32-4:1 1:12-1:2 17 Simazine 1:384-3:1 1:128-1:1 1:48-1:6 17 Sulcotrione 1:120-10:1 1:40-4:1 1:15-1:2 17 Sulfentrazone 1:147-8:1 1:49-3:1 1:18-1:3 17 Sulfometuron-methyl 1:34-34:1 1:11-12:1 1:4-3:1 17 Sulfosulfuron 1:8-135:1 1:2-45:1 1:1-9:1 17 Tebuthiuron 1:384-3:1 1:128-1:1 1:48-1:6 17 Tefuryltrione 1:42-27:1 1:14-9:1 1:5-2:1 17 Tembotrione 1:31-37:1 1:10-13:1 1:3-3:1 17 Tepraloxydim 1:25-45:1 1:8-15:1 1:3-3:1 17 Terbacil 1:288-4:1 1:96-2:1 1:36-1:4 17 Terbuthylazine 1:857-2:1 1:285-1:3 1:107-1:12 17 Terbutryn 1:192-6:1 1:64-2:1 1:24-1:3 17 Thenylchlor 1:85-14:1 1:28-5:1 1:10-1:2 17 Thiazopyr 1:384-3:1 1:128-1:1 1:48-1:6 17 Thiencarbazone 1:3-336:1 1:1-112:1 2:1-21:1 17 Thifensulfuron-methyl 1:5-224:1 1:1-75:1 1:1-14:1 17 Tiafenacil 1:17-68:1 1:5-23:1 1:2-5:1 17 Thiobencarb 1:768-2:1 1:256-1:2 1:96-1:11 17 Topramezone 1:6-168:1 1:2-56:1 1:1-11:1 17 Tralkoxydim 1:68-17:1 1:22-6:1 1:8-2:1 17 Triallate 1:768-2:1 1:256-1:2 1:96-1:11 17 Triasulfuron 1:5-224:1 1:1-75:1 1:1-14:1 17 Triaziflam 1:171-7:1 1:57-3:1 1:21-1:3 17 Tribenuron-methyl 1:3-336:1 1:1-112:1 2:1-21:1 17 Triclopyr 1:192-6:1 1:64-2:1 1:24-1:3 17 Trifloxysulfuron 1:2-420:1 1:1-140:1 2:1-27:1 17 Trifluralin 1:288-4:1 1:96-2:1 1:36-1:4 17 Triflusulfuron-methyl 1:17-68:1 1:5-23:1 1:2-5:1 17 Tritosulfuron 1:13-84:1 1:4-28:1 1:1-6:1 - Table A2 is constructed the same as Table A1 above except that entries below the “Component (a)” column beading are replaced with the respective Component (a) Column Entry shown below. Compound 79 in the Component (a) column is identified in Index Table A. Thus, for example, in Table A2 the entries below the “Component (a)” column heading all recite “Compound 79” (i.e. Compound 79 identified in Index Table A), and the first line below the column headings in Table A2 specifically discloses a mixture of Compound 79 with 2,4-D. Tables A3 and A4 are constructed similarly.
-
Table Number Component (a) Column Entries A2 Compound 79 A3 Compound 80 A4 Compound 5 A5 Compound 3 A6 Compound 5 A7 Compound 80 A8 Compound 101 A9 Compound 103 A10 Compound 156 A11 Compound 202 A12 Compound 204 A13 Compound 206 A14 Compound 232 A15 Compound 263 A16 Compound 271 A17 Compound 304 A18 Compound 306 A19 Compound 315 A20 Compound 319 A21 Compound 323 A22 Compound 351 - Preferred for better control of undesired vegetation (e.g., lower use rate such as from synergism, broader spectrum of weeds controlled, or enhanced crop safety) or for preventing the development of resistant weeds are mixtures of a compound of this invention with a herbicide selected from the group consisting of chlorimuron-ethyl, nicosulfuron, mesotrione, thifensulfuron-methyl, flupyrsulfuron-methyl, tribenuron, pyroxasulfone, pinoxaden, tembotrione, pyroxsulam, metolachlor and S-metolachlor.
- The following Tests demonstrate the control efficacy of compounds of this invention on specific pathogens. The pathogen control protection afforded by the compounds is not limited, however, to these species. See Index Tables A-C for compound descriptions. The following abbreviations are used in the Index Tables which follow: Me is methyl, Ph is phenyl, OMe is methoxy, —CN is cyano, —NO2 is nitro, t-Boc is tertiary-butoxycarbonyl, and TMS is trimethylsilyl. The abbreviation “Ex.” stands for “Example” and is followed by a number indicating in which example the compound is prepared. Mass spectra are reported as the molecular weight of the highest isotopic abundance parent ion (M+1) formed by addition of H+ (molecular weight of 1) to the molecule, or (M−1) formed by the loss of H+(molecular weight of 1) from the molecule, observed by using liquid chromatography coupled to a mass spectrometer (LCMS) using either atmospheric pressure chemical ionization (AP+) or electrospray ionization (ESI+).
-
INDEX TABLE A(1) Cmpd. No. Q1 Q2 m.p. (° C.) M − 1 M + 1 1 Ph(3-F) Ph(2-F) 317 2 Ph(3-F) Ph(2-CF3) 367 3 Ph(3-CF3) Ph(2-F) 367 4 Ph(3-CF3) Ph(2-CF3) 417 5 Ph(3,4-di-F) Ph(2-F) 335 6 Ph(3,4-di-F) Ph(2-CF3) 385 12 Ph(3,4-di-F) Ph(3-F) 335 13 Ph(3,4-di-F) Ph(3-CF3) 385 14 Ph(3,4-di-F) Ph(2-F) 367 15 Ph(3,4-di-F) Ph(2-CN) 376 16 Ph(4-F) Ph(2-F) 317 17 Ph(3,4-di-F) Ph(2,3-di-F) 198-200 18 Ph(3,4-di-F) Ph(3-Cl) 165-167 19 Ph(3,4-di-F) Ph(2-Me) 158-160 20 Ph(3,4-di-F) Ph(2-NO2) 173-175 21 Ph(3,4-di-F) Ph(2-SO2Me) 203-205 22 Ph(3,4-di-F) 4-pyridinyl(2-F) 210-212 23 Ph(3,4-di-F) Ph(2,4-di-F) 188-190 25 Ph(3,4-di-Cl) Ph(2,3-di-F) 171-173 26 Ph(3,4-di-Cl) Ph(2-CF3) 170-172 27 Ph(3,4-di-Cl) Ph(3-F) 174-176 28 3-thienyl Ph(2-CF3) 146-148 29 3-thienyl Ph(2-F) ** 30 Ph(3,4-di-F) Ph 184-186 31 Ph(3,4-di-F) 1H-pyrazol-3-yl(1-Me) 181-183 32 Ph(3,4-di-Cl) Ph(2-OCF3) 432 33 Ph(3,4,5-tri-F) Ph(2-CF3) 160-162 34 Ph(3,4,5-tri-F) Ph(2-F) 196-198 35 Ph(3,4,5-tri-F) Ph(2-Me) 170-172 36 Ph(3-OMe) Ph(2-F) 329 38 Ph(3-Me) Ph(2-F) 313 39 Ph(3,4-di-Cl) Ph(2-NO2) 178-180 40 Ph(3,4-di-Cl) Ph(2-Me) 194-196 41 pyridin-3-yl(6-Cl) Ph(2-F) 200-204 42 pyridin-3-yl(6-Cl) Ph(2-CF3) 43 Ph(3,4-di-Cl) Ph(2-SO2Me) 219-221 45 Ph(3,4-di-F) 2-pyridinyl 316 318 46 Ph(3,4-di-F) 3-pyridinyl(2-OMe) 346 348 47 Ph(3,4-di-F) 2-pyridinyl(1-oxido) 334 48 Ph(3,4,5-tri-F) Ph(2,3-di-F) 371 49 Ph(3,4,5-tri-F) Ph(3-NO2) 380 50 Ph(2,4,5-tri-F) Ph(2,3-di-F) 371 51 Ph(2,4,5-tri-F) Ph(2-F) 353 52 Ph(3-F,4-Cl) Ph(2,3-di-F) 369 53 Ph(3-F,4-Cl) Ph(2-F) 351 54 Ph(3,4-di-F) Ph(2-OCF3) 399 401 55 Ph(3,4-di-F) Ph(2-Br) 393 395 56 Ph(3,4-di-F) Ph(3-Me) 329 331 57 Ph(3,4-di-F) 1,3-benzodioxol- 395 397 4-yl(2,2-di-F) 58 Ph(3,4-di-F) 2-pyridinyl(6-OMe) 346 348 59 Ph(3-Cl,4-F) Ph(2,3-di-F) 369 60 Ph(3-Cl,4-F) Ph(2-F) 351 62 1,3-benzodioxol- Ph(2,3-di-F) 397 5-yl(2,2-di-F) 63 1,3-benzodioxol- Ph(2-F) 379 5-yl(2,2-di-F) 64 Ph(3-Br) Ph(2,3-di-F) 395 65 Ph Ph(2,3-di-F) 317 66 Ph(3-Br) Ph(2-F) 377 67 Ph(3,4-di-F) Ph(2-CF3,3-F) 401 403 68 Ph(3-OCF3) Ph(2,3-di-F) 401 69 Ph(3-OCF3) Ph(2-F) 383 70 Ph(3-NH-t-Boc) Ph(2,3-di-F) 432 72 Ph(3-CN) Ph(2-F) 324 73 Ph(3-CN) Ph(2,3-di-F) 342 74 Ph(3-Cl,4-F) Ph(2-CF3) 401 (Ex. 1) 75 1,3-benzodioxol- Ph(2-CF3) 429 5-yl(2,2-di-F) 76 Ph(3-CF3,4-F) Ph(2-F) 385 77 Ph(3-CF3,4-F) Ph(2,3-di-F) 403 78 Ph(3-CF3,4-F) Ph(2-CF3) 435 79 Ph(4-CF3) Ph(2-F) 367 80 Ph(4-CF3) Ph(2,3-di-F) 385 81 Ph Ph(2-F) 158-159 82 Ph Ph(2-CF3) 159-160 83 Ph Ph(2-Cl) 154-155 84 Ph Ph(2-F,4-Br) 184-186 85 Ph(2-F) Ph(2-F) ** 86 Ph Ph(2-CN) ** 87 Ph(4-Cl) Ph(2-F) 189-192 88 Ph(2-Cl) Ph(2-F) 163-165 89 Ph(3-Cl) Ph(2-F) 164-166 90 Ph(3,5-di-Cl) Ph(2-F) 199-203 91 Ph(2,4-di-Cl) Ph(2-F) 192-194 96 Ph(3,4-F) 2-pyridin-6-one 334 97 Ph(3,4-F) 3-pyridin-2-one 334 98 Ph(3,4-F) 3-pyridinyl(2-CF3) 170-173 99 Ph(3,4-F) Ph(2-Cl) 155-158 100 Ph(3,4-F) Ph(3-Cl,2-Me) 198-201 101 Ph(3,4-F) Ph(2,3-di-F) 170-172 102 Ph(3,4-F) Ph(2-F) 180-182 (3S,4R) 103 Ph(3,4-F) Ph(2-F) 179-181 (3R,4S) 104 Ph(3,4-F) Ph(3-Cl,2-F) 196-198 105 Ph(3,4-F) 3-pyridinyl(2-F) 171-174 106 Ph(3,4-F) Ph(3-F,2-Me) 200-202 107 Ph(3,4-F) Ph(2,3-di-F) 171-173 108 Ph(3,4-F) Ph(2-Cl,3-F) 219-223 109 Ph(3-CF3) Ph(2-Me) 163-165 110 Ph(3-CF3) 2-pyridinyl 175-177 111 Ph(3-CF3) 1,3,4-thiadiazol-2-yl 357.3 112 Ph(3-CF3) 1,3,4-thiadiazol-2-yl(5- 425.3 CF3) 113 Ph(3-CF3) 1,3-thiazol-2-yl(5-Cl) 390.3 114 Ph(3-CF3) oxazol-2-yl(5-Cl) 408.4 115 2-naphthyl Ph(2-F) 349 116 2-naphthyl Ph(2,3-di-F) 367 117 2-naphthyl Ph(2-CF3) 399 118 Ph(4-F) Ph(2-OCHF2) 363.3 119 Ph(4-F) Ph(2,3-di-F) 335.3 120 Ph(4-F) Ph(2,3,4-tri-F) 353.5 121 Ph(3-OCF2CHF2) Ph(2-F) 415 122 Ph(3-OCF2CHF2) Ph(2,4-di-F) 433 123 Ph(3-OCF2CHF2) Ph(2,3-di-F) 433 124 Ph(3-OCF2CHF2) Ph(2,3,4-tri-F) 451 125 Ph(3-OCF2CHF2) Ph(2-Cl) 431 126 Ph(OCH2CF3) Ph(2-F) 397 127 Ph(OCH2CF3) Ph(2,4-di-F) 415 128 Ph(OCH2CF3) Ph(2,3-di-F) 415 129 Ph(OCH2CF3) Ph(2,3,4-tri-F) 433 130 Ph(OCH2CF3) Ph(2-Cl) 413 131 Ph(3-OMe,4-F) Ph(2,4-di-F) 365 132 Ph(3-OMe,4-F) Ph(2,3,4-tri-F) 383 133 Ph(3-OMe,4-F) Ph(2-Cl) 363 134 Ph(3-SO2Me) Ph(2-F) 377 135 Ph(3-SO2Me) Ph(2,3-di-F) 395 136 Ph(3-SO2Me) Ph(2,3-di-F) 395 137 Ph(3-SO2Me) Ph(2,3,4-tri-F) 413 138 Ph(3-SO2Me) Ph(2-Cl) 393 139 Ph(4-F,3-Me) Ph(2-F) 331 140 Ph(4-F,3-Me) Ph(2,4-di-F) 349 141 Ph(4-F,3-Me) Ph(2,3-di-F) 349 142 Ph(4-F,3-Me) Ph(2,3,4-tri-F) 367 143 Ph(4-F,3-Me) Ph(2-Cl) 347 144 Ph(3-F,4-Me) Ph(2-F) 331 145 Ph(3-F,4-Me) Ph(2,4-di-F) 349 146 Ph(3-F,4-Me) Ph(2,3-di-F) 349 147 Ph(3-F,4-Me) Ph(2,3,4-tri-F) 367 148 Ph(3-F,4-Me) Ph(2-Cl) 347 149 Ph(4-Me) Ph(2-F) 313 150 Ph(4-Me) Ph(2,4-di-F) 331 151 Ph(4-Me) Ph(2,3-di-F) 331 152 Ph(4-Me) Ph(2-Cl) 329 153 Ph(4-Me) Ph(3-F) 313 154 Ph(3-CF3) Ph(2-Cl) 397.5 155 Ph(3,5-di-F) Ph(2-F) 335 156 Ph(3,5-di-F) Ph(2,4-di-F) 353 157 Ph(3,5-di-F) Ph(2,3-di-F) 353 158 Ph(3,5-di-F) Ph(2,3,4-tri-F) 371 159 Ph(3,5-di-F) Ph(2-Cl) 351 160 Ph(3-CF3) Ph(2-SO2Me) 427 161 1,3-benzodioxol-5-yl(2,2- Ph(2-F) 379 di-F) 162 1,3-benzodioxol-5-yl(2,2- Ph(2,3,4-tri-F) 415 di-F) 163 Ph(3-CHF2) Ph(2-F) 349 164 Ph(3-CHF2) Ph(2,3-di-F) 367 165 Ph(3-CHF2) Ph(2,3,4-tri-F) 385 166 Ph(3-c-Pr) Ph(2-F) 339 167 Ph(3-c-Pr) Ph(2,3-di-F) 357 168 Ph(3-c-Pr) Ph(2,3,4-tri-F) 375 169 Ph(3-Et) Ph(2-F) 327 170 Ph(3-Et) Ph(2,3-di-F) 345 171 Ph(3-Et) Ph(2,3,4-tri-F) 363 172 Ph(4-OCF2CHF2) Ph(2,3-di-F) 433 173 Ph(4-OCF2CHF2) Ph(2,4-di-F) 433 174 Ph(4-OCF2CHF2) Ph(2,3,4-di-F) 451 176 Ph(4-Cl) Ph(2,3-di-F) 351 177 Ph(4-Cl) Ph(2,4-di-F) 351 178 Ph(4-Cl) Ph(2-F) 333 179 Ph(4-Cl) Ph(3-F) 333 180 Ph(4-Cl) Ph(2-Cl) 350 183 Ph(3-CF3) Ph(2-F,5-Me) 381 184 Ph(3-CF3) Ph(2-F,3-Me) 381 185 Ph(3-CF3) Ph(4-F,3-Me) 381 186 Ph(3-CF3) Ph(5-CF3,4-Me) 431 187 Ph(3-CF3) Ph(4-OMe,2-F) 397 188 Ph(3-CF3) Ph(4-OMe,3-F) 397 189 Ph(3-CF3) Ph(2-Cl) 383 190 Ph(3-CF3) Ph(2-Br) 428.9 191 1H-pyrazol-3-yl(1-Me) Ph(2-CF3) 141-143 192 1H-pyrazol-3-yl(1-Me) Ph(2,3-di-F) 188-190 193 Ph(3,4-di-F) Ph(4-F) 162-164 194 Ph(3-OMe,4-F) Ph(2-F) 347 195 Ph(3-OMe,4-F) Ph(2,3-di-F) 365 196 Ph(3-OMe,4-F) Ph(2-CF3) 397 197 Ph(4-OMe,3-F) Ph(2-F) 347 198 Ph(4-OMe,3-F) Ph(2,3-di-F) 365 199 Ph(4-OMe,3-F) Ph(2-CF3) 397 200 Ph(3-t-Bu) Ph(2,3-di-F) 373 201 Ph(3-t-Bu) Ph(2-CF3) 405 202 Ph(4-CF3) Ph(2,3-di-F) 385.5 203 Ph(3-CF3) Ph(2-F) 138-140 (3S,4R) 204 Ph(3-CF3) Ph(2-F) 135-137 (3R,4S) 205 Ph(3-CF3) Ph(2,3-di-F) 121-123 (3S,4R) 206 Ph(3-CF3) Ph(2,3-di-F) 120-122 (3R,4S) 207 Ph(3-CF3) Ph(2,4-di-F) 164-166 208 Ph(3-CF3) Ph(3-F) 123-125 209 Ph(3-CF3,4-OCH3) Ph(2-F) 397 210 Ph(3-CHF2) Ph(2-F) 349 211 Ph(3-CHF2) Ph(2,3-di-F) 367 212 Ph(3-CHF2) Ph(2-CF3) 399 213 Ph(3-SF5) Ph(2-F) 425 214 Ph(3-SF5) Ph(2,3-di-F) 443 215 Ph(3-SF5) Ph(2-CF3) 475 216 naphthalen-1-yl Ph(2-F) 349 217 Ph(4-Cl) Ph(2-F) 333 218 Ph(4-Cl) Ph(2,3-di-F) 351 219 Ph(4-Cl) Ph(2-CF3) 383 220 Ph(4-Cl) Ph(2-Cl) 349 221 Ph(4-Cl) Ph(2,3-di-Cl) 383 222 Ph(3-OCHF2) Ph(2-CF3) 415.1 223 Ph(3-OCHF2) Ph(2-F) 365.1 224 Ph(3-OCHF2) Ph(2,3-di-F) 383.1 225 Ph(4-OCHF2) Ph(2-Br) 427 226 Ph(4-OCHF2) Ph(2-Cl) 381 227 Ph(4-OCHF2) Ph(2-Me) 361.1 228 Ph(3-OCHF2) Ph(2-Br) 427 229 Ph(3-OCHF2) Ph(2-Cl) 381.1 230 Ph(3-OCHF2) Ph(2-Me) 361.1 231 Ph(4-CF3) Ph(2-F) 367.5 (3R,4S) 232 Ph(4-CF3) Ph(2,3,4-tri-F) 403.5 233 Ph(4-CF3) Ph(2-Cl) 383.5 234 Ph(3-CF3,4-OMe) Ph(2,3-di-F) 415 235 Ph(4-Ph(2-F)) Ph(2,3-di-F) 131.6-136.5 236 Ph(4-Ph(2-CF3)) Ph(2,3-di-F) 177.9-191.1 237 Ph(3-Ph(2-CF3)) Ph(2-CF3) 57.1-66.2 238 Ph(3-Ph(2-F)) Ph(2-CF3) 152.7-157.5 239 Ph(4-F) Ph(2-F) 317.4 240 Ph(3-CF3,4-OMe) Ph(2-CF3) 447 241 Ph(3-CF3) Ph(2,3-di-F) 385 242 Ph(3-CF3) Ph(2-CF3,3-F) 436 244 Ph(3,4-di-F) 2-pyridinyl(6-F) 337.3 245 Ph(3,4-di-F) 2-pyridinyl(6-CF3) 386.4 246 Ph(4-CF3,3-F) Ph(2-F) 385 247 Ph(4-CF3,3-F) Ph(2,3-di-F) 403 248 Ph(4-CF3,3-F) Ph(2-CF3) 435 249 Ph(4-CF3,3-Cl) Ph(2-F) 401 250 Ph(4-CF3,3-Cl) Ph(2,3-di-F) 419 251 Ph(4-CF3,3-Cl) Ph(2-CF3) 451 252 1H-imidazol-2-yl(1-Me) Ph(2,3-di-F) 170-174 253 1H-pyrazol-4-yl(1-Me) Ph(2,3-di-F) 165-168 254 1H-pyrazol-4-yl(1-Me) Ph(2-F) 189-193 255 1H-imidazol-2-yl(1-Me) Ph(2-F) 167-170 256 Ph(4-OCF3) Ph(2-F) 383 257 Ph(4-OCF3) Ph(2,3-di-F) 401 258 Ph(4-OCF3) Ph(2-CF3) 433 259 Ph(4-CF3,2-F) Ph(2-F) 385 260 Ph(4-CF3,2-F) Ph(2,3-di-F) 403 261 Ph(4-CF3,2-F) Ph(2-CF3) 435 262 3-pyridinyl(6-CF3) Ph(2-F) 368 263 3-pyridinyl(6-CF3) Ph(2,3-di-F) 386 264 3-pyridinyl(6-CF3) Ph(2-CF3) 418 267 Ph(3-CF3,4-Cl) Ph(2-F) 401 268 Ph(3-CF3,4-Cl) Ph(2,3-di-F) 419 269 Ph(3-CF3,4-Cl) Ph(2-CF3) 451 272 Ph(3,4-di-Cl) Ph(2,4-di-F) 385 273 Ph(3,4-di-Cl) Ph(2-Cl) 383 275 Ph(3-Cl) Ph(2,3-di-F) 351.4 278 Ph(3,5-di-F) Ph(2,4-di-F) 353 279 Ph(3,5-di-F) Ph(2,3-di-F) 353 280 Ph(3,5-di-F) Ph(2-Cl) 351 281 2-benzofuranyl Ph(2-F) 339 282 2-benzofuranyl Ph(2,3-di-F) 357 283 2-benzofuranyl Ph(2-CF3) 389 284 2-furanyl(5-Cl) Ph(2-F) 323 285 2-furanyl(5-Cl) Ph(2,3-di-F) 341 286 Ph(3,4-di-Cl) Ph(2,3,4-tri-F) 403 287 Ph(3-SMe) Ph(2-F) 345 288 Ph(3-SMe) Ph(2,4-di-F) 363 289 Ph(3-SMe) Ph(2,3-di-F) 363 290 Ph(3-SMe) Ph(2,3,4-tri-F) 381 291 Ph(3-SMe) Ph(2-Cl) 361 292 2-thienyl(5-Cl) Ph(2-F) 339 293 2-thienyl(5-Cl) Ph(2-CF3) 389 294 2-thienyl(5-Cl) Ph(2,3-di-F) 357 295 2-benzothiophenyl Ph(2-F) 355 296 2-benzothiophenyl Ph(2,3-di-F) 373 297 2-benzothiophenyl Ph(2-CF3) 405 298 1H-pyrazol-4-yl(1- Ph(2-F) 371 CH2CF3) 299 1H-pyrazol-4-yl(1- Ph(2,3-di-F) 389 CH2CF3) 300 1H-pyrazol-4-yl(1- Ph(2-CF3) 421 CH2CF3) 307 Ph(3-Br) Ph(2-F) 378 308 Ph(3-Br) Ph(2,4-di-F) 394 309 Ph(3-Br) Ph(2,3-di-F) 396 310 Ph(3-Br) Ph(2,3,4-tri-F) 412 311 Ph(3-Br) Ph(2-Cl) 394 312 Ph(3-CF3) Ph(2-Cl) 383 313 Ph(3-CF3) Ph(3-CF3) 417 314 Ph(3-CF3) Ph(2,5-di-F) 385 315 Ph(3-CF3) Ph(2,3,4-tri-F) 403 316 Ph(3-CF3) Ph(3-Cl,2-F) 401 317 Ph(3-CF3) Ph(3-Me) 363 318 Ph(3-i-Pr) Ph(2-F) 341 319 Ph(3-i-Pr) Ph(2,3-di-F) 359 320 Ph(3-i-Pr) Ph(2-CF3) 391 321 Ph(4-SCF3) Ph(2-F) 399 322 Ph(4-SCF3) Ph(2,3,4-tri-F) 435 323 Ph(3-OCHF2) Ph(2-F) 365 324 Ph(3-OCHF2) Ph(2,3-di-F) 383 325 Ph(3-OCHF2) Ph(2,3,4-tri-F) 401 326 Ph(3-(1H-pyrazol-1-yl(3- Ph(2,3-di-F) 190.8-193.9 CF3))) 327 Ph(3-I) Ph(2,3-di-F) 152.7-160.9 328 Ph(3-I) Ph(2-CF3) 106.8-110.4 329 Ph(3-(1H-pyrazol-1-yl(3- Ph(2-CF3) 174.8-179.8 CF3))) 330 Ph(3-OPh) Ph(2-F) 391 331 Ph(3-OPh) Ph(2,4-di-F) 409 332 Ph(3-OPh) Ph(2,3-di-F) 409 333 Ph(3-OPh) Ph(2,3,4-tri-F) 427 334 Ph(3-OPh) Ph(2-Cl) 407 337 Ph(3-(1H-pyrazol-1-yl)) Ph(2,3-di-F) 383.5 338 Ph(3-(1H-pyrazol-1-yl)) Ph(2-CF3) 415.5 339 Ph(3,4-di-Br) Ph(2-F) 457 340 Ph(3,4-di-Br) Ph(2,4-di-F) 475 341 Ph(3,4-di-Br) Ph(2,3-di-F) 475 342 Ph(3,4-di-Br) Ph(2,3,4-tri-F) 493 343 Ph(3,4-di-Br) Ph(2-Cl) 473 344 Ph(3-CF3) Ph(3-Cl,2-F) 155-156 345 Ph(3-CF3) Ph(2,3,4-tri-F) 156158 346 Ph(3,4-di-F) Ph(2,3,4-tri-F) 205-207 347 Ph(3-t-Bu) Ph(2-F) 355 348 Ph(4-OCHF2) Ph(2-CF3) 143-144 349 Ph(4-OCHF2) Ph(2-F) 161-162 350 Ph(4-OCHF2) Ph(2,3-di-F) 167-168 (1)Substituents in the 3 and 4 positions of the pyrrolidinone ring, i.e. C(O)N(Q2)(R6) and Q1, respectively, are predominately in the trans configuration. In some instances the presence of minor amounts of the cis isomer can be detected by NMR. * See synthesis example for 1H NMR data. ** See Index Table D for 1H NMR data. -
INDEX TABLE B Cmpd. No. R2 R3 Q1 Q2 M + 1 7 (Diastereomer Mixture A) Me H Ph(3,4-di-F) Ph(2-F) 349 8 (Diastereomer Mixture B) Me H Ph(3,4-di-F) Ph(2-F) 349 9 (Diastereomer Mixture A) Me H Ph(3,4-di-F) Ph(2-CF3) 399 10 (Diastereomer Mixture B) Me H Ph(3,4-di-F) Ph(2-CF3) 399 11 Me Me Ph(3,4-di-F) Ph(2-F) 363 -
INDEX TABLE C Cmpd. No. R1 Q1 R4 R5 R6 Q2 Y1 m.p. (° C.) M − 1 M + 1 24 H Ph(3,4-di-F) H H Me Ph(2-F) O 171-172 37 t-Boc Ph(3-Me) H H H Ph(2-F) O 70.2-73.4 44 OH Ph(3,4-di-F) H H H Ph(2-F) O 351 (Ex. 3) 61 H Ph(3-Cl,4-F) H Me H Ph(2,3-di-F) O 383 71 H Ph(3,4-di-F) H H OH Ph O 331 92 H Ph H Br H Ph(2-F) O * (Ex. 2) 93 H Ph Br H H Ph(2-F) O * (Ex. 2) 94 H Ph H Br H Ph(2-F,4-Br) O ** 95 H Ph(3,4-di-F) H H H Ph(2-F) NH * (Ex. 4) 175 H Ph(3,4-F) H H OMe Ph(2-F,5-NO2) O 170-175 181 n-Pr Ph(4-CF3) H H H Ph(2-F) O 409.5 182 n-Pr Ph(4-CF3) H H H Ph(2,3-di-F) O 427.5 243 H Ph(3,4-di-F) H H OMe Ph(2-NO2) O 155-159 265 H Ph(3,4-di-F) H H propargyl Ph(2-NO2) O 226-230 266 H Ph(3,4-di-F) H H allyl Ph(2-NO2) O 206-210 270 Me Ph(4-F) H H H Ph(2-F) O 331 271 Me Ph(4-F) H H H Ph(2,3-di-F) O 349 274 H Ph(3-CF3) H H H Ph(2-F) S 383 276 i-Pr Ph(4-F) H H H Ph(2,3-di-F) O 377.5 277 Me Ph(3-CF3) H H H Ph(2-F) O 381.5 301 H Ph CH3 H H Ph(2-F) O 313.1 302 Me Ph(3,4-di-F) H H H Ph(2-F) O 349.3 303 Me Ph(3,4-di-F) H H H Ph(2,3-di-F) O 367.3 304 Me Ph(4-CF3) H H H Ph(2-F) O 381.5 305 Me Ph(3-CF3) H H H Ph(2,3-di-F) O 399.5 306 Me Ph(4-CF3) H H H Ph(2,3-di-F) O 399.5 335 Et Ph(4-CF3) H H H Ph(2-F) O 395 336 Et Ph(4-CF3) H H H Ph(2,3-di-F) O 413 351 Me Ph(3-CF3) H H H Ph(2-F) O * (3S,4S) (Ex. 6) * See synthesis example for 1H NMR data. ** See Index Table D for 1H NMR data. -
INDEX TABLE D Cmpd. No. 1H NMR Data (CDCl3 solution unless indicated otherwise)a 29 δ 9.65 (br s, 1H), 8.28 (m, 1H), 7.37 (m, 1H), 7.25 (m, 1H), 7.10 (m, 4H), 6.18 (br s, 1H), 4.36 (m, 1H), 3.84 (m, 1H), 3.53 (m, 2H). 85 δ 9.80 (br s, 1H), 8.25 (t, 1H), 7.40 (t, 1H), 7.25 (m, 1H), 7.15 (m, 1H), 7.05 (m, 4H), 6.35 (br s, 1H), 4.10 (q, 1H), 3.80 (m, 2H), 3.50 (t, 1H). 86 δ 10.3 (br s, 1H), 8.20 (br s, 1H), 7.80 (d, 1H), 7.70 (d, 1H), 7.65 (t, 1H), 7.40-7.20 (m, 6H), 4.00 (q, 1H), 3.85 (d, 1H), 3.70 (t, 1H), 3.30 (t, 1H) 94 δ 9.55 (br s, 1H), 8.25 (t, 1H), 7.48 (d, 2H), 7.38 (m, 3H), 7.11 (m, 3H), 6.85 (br s, 1H), 4.45 (m, 1H), 3.77 (m, 1H), 3.65 (m, 1H). a1H NMR data are in ppm downfield from tetramethylsilane. Couplings are designated by (s)—singlet, (d)—doublet, (t)—triplet, (m)—multiplet, (br s)—broad singlet. - Seeds of plant species selected from barnyardgrass (Echinochloa crus-galli), kochia (Kochia scoparia), ragweed (common ragweed, Ambrosia elatior), ryegrass, Italian (Italian ryegrass, Lolium multiflorum), crabgrass, large (large crabgrass Digitaria sanguinalis), giant foxtail (Setaria faberii), morning glory (Ipomoea spp.), pigweed (Amaranthus retroflexus), velvetleaf (Abutilon theophrasti), wheat (Triticum aestivum), and corn (Zea mays) were planted into a blend of loam soil and sand and treated preemergence with a directed soil spray using test chemicals formulated in a non-phytotoxic solvent mixture which included a surfactant.
- At the same time, plants selected from these crop and weed species and also blackgrass (Alopecurus myosuroides), and galium (catchweed bedstraw, Galium aparine) were planted in pots containing the same blend of loam soil and sand and treated with postemergence applications of test chemicals formulated in the same manner. Plants ranged in height from 2 to 10 cm and were in the one- to two-leaf stage for the postemergence treatment. Treated plants and untreated controls were maintained in a greenhouse for approximately 10 days, after which time all treated plants were compared to untreated controls and visually evaluated for injury. Plant response ratings, summarized in Table A, are based on a 0 to 100 scale where 0 is no effect and 100 is complete control. A dash (-) response means no test result.
-
TABLE A Postemergence 1000 g ai/ha Compounds 17 18 19 20 21 22 23 24 25 26 27 30 31 33 34 35 39 40 43 44 71 96 98 99 100 104 Barnyardgrass 90 50 90 80 90 0 90 0 80 70 70 90 60 90 90 90 50 80 40 60 50 0 50 90 80 80 Blackgrass — — — — — — — — — — — — — — — — — — — — — — — — — — Corn 60 0 0 0 0 0 0 0 0 0 0 0 30 40 50 20 0 20 0 0 0 0 0 20 40 0 Crabgrass, Large 90 70 90 90 80 0 80 30 80 60 70 80 20 90 90 90 80 90 20 50 80 0 90 90 90 80 Foxtail, Giant 90 70 80 80 80 0 80 0 90 70 60 80 20 90 90 90 70 90 50 30 60 0 60 90 80 70 Galium — — — — — — — — — — — — — — — — — — — — — — — — — — Kochia — — — — — — — — — — — — — — — — — — — — — — — — — — Morningglory 0 0 0 0 0 0 0 0 10 0 0 0 0 20 20 0 10 10 10 0 — 0 0 10 0 0 Pigweed 40 0 0 0 — 0 0 0 0 0 0 0 0 0 0 0 50 0 20 0 0 0 0 0 0 0 Ragweed — — — — — — — — — — — — — — — — — — — — — — — — — — Ryegrass, Italian — — — — — — — — — — — — — — — — — — — — — — — — — — Velvetleaf 50 0 10 0 60 0 40 0 10 0 0 0 0 20 20 0 10 0 30 0 0 0 10 10 0 10 Wheat 60 0 30 20 30 0 0 0 0 0 0 0 0 60 70 40 40 20 0 0 0 0 20 20 30 0 1000 g ai/ha 500 g ai/ha Compounds Compounds 105 106 108 191 192 193 237 238 243 252 253 254 255 265 266 274 1 2 3 Barnyardgrass 90 90 90 0 0 90 20 30 60 0 0 0 0 0 0 90 80 60 80 Blackgrass — — — — — — 0 20 — — — — — — — 50 — — — Corn 0 50 0 0 0 0 0 0 0 0 0 0 0 0 0 70 0 0 60 Crabgrass, Large 90 90 90 0 0 90 — — 0 0 20 0 0 0 0 — 80 70 80 Foxtail, Giant 80 90 80 0 0 80 0 30 20 0 20 0 0 0 0 90 60 60 80 Galium — — — — — — 0 20 — — — — — — — 0 — — — Kochia — — — — — — 0 0 — — — — — — — 40 — — — Morningglory 10 20 10 0 0 0 — — 0 0 10 0 0 0 0 — 0 0 30 Pigweed 0 0 0 0 0 0 0 0 0 0 0 0 0 0 0 20 0 0 50 Ragweed — — — — — — 0 0 — — — — — — — 30 — — — Ryegrass, Italian — — — — — — 0 0 — — — — — — — 20 — — — Velvetleaf 10 40 10 0 0 0 — — 0 0 0 0 0 0 0 — 0 0 0 Wheat 0 30 0 0 0 0 0 0 0 0 0 0 0 0 0 40 0 0 50 500 g ai/ha Compounds 4 5 6 7 8 9 10 11 12 13 14 15 16 28 29 32 36 37 38 41 42 45 46 47 48 49 50 Barnyardgrass 70 90 80 70 60 50 40 50 90 30 80 0 90 0 0 0 80 50 30 50 40 80 0 0 90 20 80 Blackgrass — — — — — — — — — — — — — — — — — — — — — — — — — — — Corn 50 0 0 0 0 0 0 0 0 0 0 0 30 0 0 0 0 0 0 0 0 — — — 50 0 0 Crabgrass, Large 80 80 80 80 70 70 60 50 90 60 90 0 90 40 0 30 20 20 50 60 70 80 60 0 80 70 80 Foxtail, Giant 70 80 80 50 50 70 30 — 80 0 80 0 90 0 0 40 20 20 20 0 20 70 40 0 80 40 80 Galium — — — — — — — — — — — — — — — — — — — — — — — — — — — Kochia — — — — — — — — — — — — — — — — — — — — — — — — — — — Morningglory 30 10 0 0 0 0 0 0 0 0 0 0 10 0 0 0 0 0 0 0 0 50 0 20 20 0 0 Pigweed 50 0 10 0 0 0 0 0 0 0 0 0 0 0 0 0 0 0 0 30 0 0 0 0 0 0 0 Ragweed — — — — — — — — — — — — — — — — — — — — — — — — — — — Ryegrass, Italian — — — — — — — — — — — — — — — — — — — — — — — — — — — Velvetleaf 0 0 10 0 0 0 0 0 20 0 90 0 0 0 0 0 0 0 0 30 50 0 0 0 20 0 0 Wheat 50 0 0 0 0 0 0 0 20 0 0 0 50 0 0 0 0 0 0 0 0 0 0 0 40 0 0 500 g ai/ha Compounds 51 52 53 54 55 56 57 58 59 60 61 62 63 64 65 66 67 68 69 70 72 73 74 75 76 77 78 Barnyardgrass 20 80 80 0 90 50 80 0 90 90 20 80 80 80 70 80 60 80 80 60 60 80 80 70 90 80 70 Blackgrass — — — — — — — — — — — — — — — — — — — — — — — — — — — Corn 0 30 0 0 0 0 0 0 30 60 0 70 50 40 20 80 0 90 90 0 0 0 50 0 70 70 50 Crabgrass, Large 80 80 80 80 80 80 70 80 90 90 70 90 90 80 90 80 90 90 90 70 70 80 90 80 90 80 80 Foxtail, Giant 30 80 80 70 80 60 60 70 80 80 30 80 90 80 90 80 90 80 80 80 50 80 90 80 80 80 80 Galium — — — — — — — — — — — — — — — — — — — — — — — — — — — Kochia — — — — — — — — — — — — — — — — — — — — — — — — — — — Morningglory 0 0 0 0 0 0 0 0 0 0 0 0 0 0 20 0 0 0 0 0 10 20 0 0 40 30 0 Pigweed 0 40 0 0 0 0 0 0 40 0 0 70 0 30 0 0 20 60 30 20 0 0 0 0 60 50 50 Ragweed — — — — — — — — — — — — — — — — — — — — — — — — — — — Ryegrass, Italian — — — — — — — — — — — — — — — — — — — — — — — — — — — Velvetleaf 0 0 0 0 0 0 0 0 0 0 0 0 0 30 30 0 0 20 30 20 0 30 50 20 60 40 60 Wheat 0 30 0 0 0 0 0 0 60 50 0 60 30 40 20 30 0 20 40 40 0 0 60 30 60 60 50 500 g ai/ha Compounds 79 80 81 82 83 84 85 86 87 88 89 90 91 92 93 94 95 97 101 102 103 107 109 110 Barnyardgrass 90 80 80 50 60 0 20 20 80 40 80 70 20 70 60 0 90 0 90 0 90 80 90 90 Blackgrass — — — — — — — — — — — — — — — — — — — — — — 80 70 Corn 70 60 0 0 0 0 0 0 0 0 30 30 0 0 0 0 0 0 50 0 20 0 80 20 Crabgrass, Large 90 90 80 70 70 20 50 60 80 60 80 70 50 70 80 0 90 0 80 0 90 70 — — Foxtail, Giant 80 80 70 70 50 0 0 10 80 0 80 70 20 10 60 0 80 0 90 0 90 70 90 90 Galium — — — — — — — — — — — — — — — — — — — — — — 60 40 Kochia — — — — — — — — — — — — — — — — — — — — — — 0 0 Morningglory 10 0 0 10 0 0 0 0 10 0 10 0 0 0 0 0 0 0 60 0 0 40 — — Pigweed 70 70 0 0 0 0 0 0 20 0 20 20 0 0 0 0 0 0 70 0 20 30 0 0 Ragweed — — — — — — — — — — — — — — — — — — — — — — 0 0 Ryegrass, Italian — — — — — — — — — — — — — — — — — — — — — — 30 40 Velvetleaf 60 60 0 20 0 0 0 0 0 0 0 0 0 0 0 0 0 0 70 0 0 20 — — Wheat 50 50 0 10 0 0 0 0 20 0 20 0 0 0 0 0 0 0 60 0 20 0 60 20 500 g ai/ha Compounds 111 112 113 114 115 116 117 118 119 120 121 122 123 124 125 126 127 128 Barnyardgrass 0 0 0 60 50 40 30 60 90 90 80 80 80 70 70 80 70 60 Blackgrass 0 0 0 30 — — — 0 50 50 70 70 70 70 50 30 40 50 Corn 0 0 0 20 0 20 20 0 70 80 70 60 80 50 0 0 20 20 Crabgrass, Large — — — — 50 30 60 — — — — — — — — — — — Foxtail, Giant 0 0 0 70 10 20 50 80 90 90 90 80 90 90 80 80 80 80 Galium 0 0 0 20 — — — 60 50 60 70 80 70 80 60 30 60 0 Kochia 0 0 0 20 — — — 50 50 70 60 70 70 80 60 0 60 0 Morningglory — — — — 0 0 0 — — — — — — — — — — — Pigweed 0 0 0 0 0 0 0 0 30 50 0 80 90 70 20 0 0 50 Ragweed 0 0 0 0 — — — 0 30 50 30 70 70 70 0 0 0 0 Ryegrass, Italian 0 0 0 60 — — — 0 40 50 50 40 50 50 0 0 0 0 Velvetleaf — — — — 0 0 0 — — — — — — — — — — — Wheat 0 0 0 20 0 0 0 0 70 60 60 60 60 50 0 0 0 40 500 g ai/ha Compounds 129 130 131 132 133 139 140 141 142 143 144 145 146 147 148 149 150 151 Barnyardgrass 70 70 60 80 80 90 80 90 90 90 90 90 90 90 90 80 80 90 Blackgrass 50 0 0 0 0 20 20 50 30 0 30 30 70 60 0 40 10 70 Corn 30 0 0 0 0 0 0 50 0 0 20 0 50 50 0 70 30 50 Crabgrass, Large — — — — — — — — — — — — — — — — — — Foxtail, Giant 80 70 50 70 50 30 50 50 50 30 70 70 70 70 30 70 70 70 Galium 60 0 0 0 0 30 30 50 40 40 70 50 70 60 40 60 60 70 Kochia 0 0 0 10 0 0 0 20 0 0 0 20 70 60 0 60 60 80 Morningglory — — — — — — — — — — — — — — — — — — Pigweed 0 0 0 0 0 0 0 0 0 0 0 0 0 10 0 0 20 60 Ragweed 0 0 0 0 0 0 0 40 0 0 0 20 60 50 0 40 20 70 Ryegrass, Italian 50 0 0 0 0 0 0 40 20 0 40 0 60 50 0 50 0 50 Velvetleaf — — — — — — — — — — — — — — — — — — Wheat 40 0 0 0 0 0 0 30 20 0 0 0 70 40 0 20 0 60 500 g ai/ha Compounds 152 153 154 156 157 160 161 162 163 164 165 166 167 168 169 170 171 172 Barnyardgrass 80 80 80 80 80 80 90 90 90 90 90 80 90 90 90 90 90 20 Blackgrass 50 30 70 20 30 70 50 50 60 70 70 60 60 60 60 60 60 0 Corn 0 0 70 30 80 70 60 60 40 80 80 80 70 70 50 70 70 0 Crabgrass, Large — — — — — — — — — — — — — — — — — — Foxtail, Giant 60 60 80 80 80 90 90 90 80 90 90 90 90 90 90 90 80 30 Galium 70 60 60 30 40 70 60 70 60 60 50 60 60 70 50 60 70 0 Kochia 60 60 50 20 30 80 60 70 0 70 70 70 50 60 40 50 30 0 Morningglory — — — — — — — — — — — — — — — — — — Pigweed 20 50 30 20 30 80 60 70 20 60 50 50 0 40 0 30 40 0 Ragweed 50 10 0 30 40 60 30 40 20 50 50 0 50 20 0 50 30 0 Ryegrass, Italian 50 0 50 30 30 10 50 50 30 50 50 50 40 50 40 60 30 0 Velvetleaf — — — — — — — — — — — — — — — — — — Wheat 0 0 50 40 70 50 40 50 60 80 70 50 50 40 50 60 50 0 500 g ai/ha Compounds 174 175 181 182 183 184 185 186 188 189 190 194 195 196 197 198 199 200 Barnyardgrass 20 0 0 0 0 80 80 0 0 90 90 80 90 80 70 80 70 90 Blackgrass 0 0 50 0 0 20 20 0 0 — — — — — — — — 0 Corn 0 0 0 0 0 20 20 0 0 60 40 0 0 0 0 0 0 20 Crabgrass, Large — — — — — — — — — 80 90 80 80 80 70 80 80 — Foxtail, Giant 30 0 0 10 0 80 80 0 0 90 80 50 70 70 40 60 50 40 Galium 0 0 0 0 0 20 0 0 0 — — — — — — — — 0 Kochia 0 0 70 0 0 0 0 0 0 — — — — — — — — 0 Morningglory — — — — — — — — — 0 10 0 0 0 10 0 0 — Pigweed 0 0 50 0 0 0 0 0 0 0 0 0 0 0 0 0 0 0 Ragweed 0 0 0 0 0 0 0 0 0 — — — — — — — — 0 Ryegrass, Italian 0 0 0 0 0 20 0 0 0 — — — — — — — — 0 Velvetleaf — — — — — — — — — 0 10 0 0 0 0 0 40 — Wheat 0 0 0 0 0 40 20 0 0 0 0 0 30 0 0 0 0 20 500 g ai/ha Compounds 201 202 203 204 205 206 207 208 209 210 211 212 213 214 215 216 217 218 Barnyardgrass 30 90 80 90 70 90 90 80 80 90 90 90 70 70 60 0 90 90 Blackgrass 0 50 30 80 70 80 70 60 20 60 70 60 60 70 50 0 50 40 Corn 0 90 0 80 0 80 70 50 0 60 70 50 50 50 0 0 30 30 Crabgrass, Large — — — — — — — — — — — — — — — — — — Foxtail, Giant 0 90 70 90 90 90 90 90 70 90 90 90 90 90 80 10 90 90 Galium 0 60 0 60 60 80 50 50 0 60 70 60 0 70 60 0 50 60 Kochia 0 90 0 60 40 70 0 60 0 60 60 20 0 40 0 0 70 60 Morningglory — — — — — — — — — — — — — — — — — — Pigweed 0 80 0 20 30 70 0 0 0 20 50 0 0 50 60 0 0 40 Ragweed 0 50 20 0 0 50 0 20 0 0 30 20 30 0 10 0 30 50 Ryegrass, Italian 0 40 0 50 0 60 50 40 20 50 60 0 50 30 0 0 30 30 Velvetleaf — — — — — — — — — — — — — — — — — — Wheat 0 50 20 80 40 80 60 40 0 50 80 70 50 50 0 0 30 50 500 g ai/ha Compounds 219 220 221 222 223 224 225 226 227 228 229 230 231 232 233 234 235 236 Barnyardgrass 50 80 0 90 80 90 60 80 80 80 80 90 90 90 90 90 20 0 Blackgrass 50 40 0 60 70 70 30 30 40 40 70 50 60 50 60 30 20 0 Corn 0 20 0 60 50 80 20 0 0 30 0 40 40 80 20 60 20 0 Crabgrass, Large — — — — — — — — — — — — — — — — — — Foxtail, Giant 80 80 30 90 90 80 70 80 80 90 90 90 90 90 90 80 50 0 Galium 60 30 0 60 60 70 30 20 0 40 70 50 50 60 50 50 70 0 Kochia 10 40 0 40 70 90 0 50 40 30 60 40 90 90 80 30 20 0 Morningglory — — — — — — — — — — — — — — — — — — Pigweed 0 0 0 20 60 80 0 0 0 0 0 0 40 90 20 0 50 0 Ragweed 0 0 0 40 30 60 0 0 0 20 60 30 50 50 50 0 0 0 Ryegrass, Italian 0 20 0 30 40 60 0 20 20 20 40 20 40 50 40 30 0 0 Velvetleaf — — — — — — — — — — — — — — — — — — Wheat 0 20 0 30 50 60 20 0 0 20 0 20 30 50 20 40 0 0 500 g ai/ha Compounds 239 240 241 242 244 245 246 247 248 249 250 251 256 257 258 259 260 261 Barnyardgrass 90 90 90 80 90 50 70 80 50 50 50 30 20 80 80 70 80 50 Blackgrass 20 0 — — — — — — — — — — — — — — — — Corn 0 20 80 70 20 0 30 20 20 0 0 0 0 20 20 0 0 0 Crabgrass, Large — — 80 80 80 30 60 70 70 40 40 30 90 90 90 90 90 80 Foxtail, Giant 90 80 90 80 80 30 80 80 50 40 50 20 70 90 80 70 90 60 Galium 30 0 — — — — — — — — — — — — — — — — Kochia 20 0 — — — — — — — — — — — — — — — — Morningglory — — 30 30 0 0 0 0 0 0 0 0 0 0 0 0 50 0 Pigweed 0 0 20 20 40 40 0 0 0 0 0 20 0 0 0 0 70 40 Ragweed 0 0 — — — — — — — — — — — — — — — — Ryegrass, Italian 20 0 — — — — — — — — — — — — — — — — Velvetleaf — — 20 20 30 40 0 0 0 0 0 0 0 0 0 0 — 30 Wheat 20 20 70 20 20 40 30 30 0 0 0 0 20 30 30 0 0 0 500 g ai/ha Compounds 262 263 264 267 268 269 270 271 272 273 275 276 277 278 279 280 281 282 Barnyardgrass 70 80 80 80 70 70 90 90 80 30 90 0 90 90 90 90 70 90 Blackgrass — — — — — — 20 60 30 0 60 0 50 60 70 0 0 20 Corn 0 60 0 70 40 20 30 60 10 0 90 0 90 0 70 0 0 0 Crabgrass, Large 80 90 90 90 80 80 — — — — — — — — — — — — Foxtail, Giant 70 90 80 80 90 80 90 90 80 70 90 0 90 80 90 80 0 30 Galium — — — — — — 50 70 50 50 70 0 70 50 50 0 0 40 Kochia — — — — — — 30 80 60 0 80 0 30 0 40 0 0 0 Morningglory 0 60 0 60 0 0 — — — — — — — — — — — — Pigweed 0 70 60 60 80 60 0 20 20 0 40 0 30 10 0 0 0 0 Ragweed — — — — — — 0 60 0 0 30 0 30 0 0 0 0 0 Ryegrass, Italian — — — — — — 20 40 0 0 50 0 40 0 0 0 0 0 Velvetleaf — — 30 — — — — — — — — — — — — — — — Wheat 0 60 0 0 0 0 20 80 0 0 70 0 70 0 60 0 0 0 500 g ai/ha Compounds 283 284 285 286 287 288 289 290 291 292 293 294 295 296 297 298 299 300 Barnyardgrass 60 50 70 60 80 80 70 80 60 70 70 90 50 20 0 0 70 0 Blackgrass 0 0 0 0 0 0 0 0 0 0 10 30 0 0 10 0 0 0 Corn 0 0 0 0 0 0 0 0 0 0 0 0 0 0 0 0 0 0 Crabgrass, Large — — — — — — — — — — — — — — — — — — Foxtail, Giant 10 10 0 70 0 30 60 60 50 60 70 80 0 0 0 0 50 0 Galium 0 60 0 0 0 0 0 0 0 20 60 30 10 0 0 0 0 0 Kochia 0 0 0 20 0 20 0 0 0 0 0 50 0 0 0 0 0 0 Morningglory — — — — — — — — — — — — — — — — — — Pigweed 0 0 0 0 0 0 0 10 0 0 0 0 0 0 0 0 0 0 Ragweed 0 0 0 0 0 0 0 0 0 0 0 20 0 0 0 0 0 0 Ryegrass, Italian 0 0 0 20 0 0 0 0 0 0 0 20 0 0 0 0 0 0 Velvetleaf — — — — — — — — — — — — — — — — — — Wheat 0 0 0 0 0 0 0 0 0 0 0 20 0 0 0 0 0 0 500 g ai/ha Compounds 301 302 303 304 305 306 307 308 309 310 311 312 313 314 315 316 317 318 Barnyardgrass 0 90 90 90 90 80 90 70 90 90 80 90 80 80 90 90 90 90 Blackgrass 0 60 70 70 70 60 70 70 70 50 30 50 0 0 50 40 20 40 Corn 0 40 70 70 70 70 60 10 80 50 0 80 0 0 80 80 20 50 Crabgrass, Large — — — — — — — — — — — — — — — — — — Foxtail, Giant 0 80 80 80 80 80 80 80 90 90 70 90 70 80 90 90 90 70 Galium 0 60 70 60 70 70 0 0 70 20 0 50 0 0 50 40 0 40 Kochia 0 60 80 80 70 70 0 0 0 30 0 40 0 0 70 40 0 30 Morningglory — — — — — — — — — — — — — — — — — — Pigweed 0 10 60 60 70 80 0 0 0 0 0 30 0 0 50 20 0 20 Ragweed 0 0 40 20 0 40 0 0 0 30 0 40 0 0 40 30 0 30 Ryegrass, Italian 0 60 60 50 70 60 0 0 30 30 0 40 0 0 50 30 0 40 Velvetleaf — — — — — — — — — — — — — — — — — — Wheat 0 50 60 60 70 60 30 20 60 50 0 70 0 0 70 40 20 30 500 g ai/ha Compounds 319 320 321 322 323 324 325 326 327 328 329 330 331 332 333 334 335 336 Barnyardgrass 90 90 50 60 90 90 90 20 80 80 0 60 70 50 60 0 60 60 Blackgrass 50 20 0 0 60 70 50 0 40 40 0 0 30 0 30 0 20 0 Corn 80 0 0 20 90 90 80 0 30 0 0 0 0 0 20 0 0 0 Crabgrass, Large — — — — — — — — — — — — — — — — — — Foxtail, Giant 90 70 50 60 90 90 90 50 80 80 30 80 80 80 80 10 90 70 Galium 50 0 0 0 60 60 60 0 60 50 0 30 30 20 40 0 0 0 Kochia 50 20 0 0 90 80 80 30 40 20 0 0 20 20 20 0 0 0 Morningglory — — — — — — — — — — — — — — — — — — Pigweed 20 0 0 0 30 70 50 0 20 0 0 0 0 0 20 0 0 0 Ragweed 40 30 0 0 20 50 60 0 20 0 0 0 0 0 20 0 0 0 Ryegrass, Italian 50 30 0 0 30 50 50 0 20 20 0 0 0 20 30 0 0 0 Velvetleaf — — — — — — — — — — — — — — — — — — Wheat 50 0 0 0 80 80 80 0 20 0 0 0 0 20 20 0 20 0 500 g ai/ha 125 g ai/ha Compounds Compounds 337 338 339 340 341 342 343 344 345 346 347 348 349 350 1 2 3 4 5 6 Barnyardgrass 50 30 60 50 50 60 30 90 90 90 50 50 90 90 50 30 70 60 60 40 Blackgrass 0 0 0 20 0 0 0 0 60 50 0 30 40 50 — — — — — — Corn 0 0 0 0 30 40 0 0 90 40 0 0 20 40 0 0 0 0 0 0 Crabgrass, Large — — — — — — — — — — — — — — 30 50 70 60 70 60 Foxtail, Giant 40 60 60 90 70 50 60 90 90 90 20 90 90 90 20 30 60 60 80 70 Galium 0 0 0 30 30 20 0 0 70 50 0 40 50 70 — — — — — — Kochia 30 0 0 30 70 70 20 0 70 0 0 40 60 80 — — — — — — Morningglory — — — — — — — — — — — — — — 0 0 30 20 0 0 Pigweed 0 0 0 20 50 50 0 0 70 20 0 20 20 70 0 0 0 40 0 0 Ragweed 0 0 0 0 20 0 0 0 30 20 0 0 20 30 — — — — — — Ryegrass, Italian 0 0 0 20 20 0 0 0 70 30 0 0 0 30 — — — — — — Velvetleaf — — — — — — — — — — — — — — 0 0 0 0 0 0 Wheat 0 0 0 0 20 20 0 0 70 40 0 20 30 50 0 0 0 30 0 0 125 g ai/ha Compounds 7 8 9 10 11 12 13 14 15 16 28 29 32 36 37 38 41 42 45 46 47 48 49 50 51 52 53 Barnyardgrass 20 20 30 0 0 60 0 60 0 70 0 0 0 0 0 0 0 0 50 0 0 80 0 80 0 80 30 Blackgrass — — — — — — — — — — — — — — — — — — — — — — — — — — — Corn 0 0 0 0 0 0 0 0 0 0 0 0 0 0 0 0 0 0 — — — 0 0 0 0 0 0 Crabgrass, Large 30 60 40 20 0 80 0 80 0 90 20 0 0 0 0 0 30 0 60 30 0 80 20 80 20 80 80 Foxtail, Giant 0 0 0 0 0 60 0 60 0 60 0 0 0 0 0 0 0 0 20 0 0 80 0 80 0 80 30 Galium — — — — — — — — — — — — — — — — — — — — — — — — — — — Kochia — — — — — — — — — — — — — — — — — — — — — — — — — — — Morningglory 0 0 0 0 0 0 0 0 0 0 0 0 0 0 0 0 0 0 40 0 0 0 0 0 0 0 0 Pigweed 0 0 0 0 0 0 0 0 0 0 0 0 0 0 0 0 0 0 0 0 0 0 0 0 0 0 0 Ragweed — — — — — — — — — — — — — — — — — — — — — — — — — — — Ryegrass, Italian — — — — — — — — — — — — — — — — — — — — — — — — — — — Velvetleaf 0 0 0 0 0 0 0 0 0 0 — 0 0 0 0 0 0 30 0 0 0 0 0 0 0 0 0 Wheat 0 0 0 0 0 0 0 0 0 20 0 0 0 0 0 0 0 0 0 0 0 20 0 0 0 0 0 125 g ai/ha Compounds 54 55 56 57 58 59 60 61 62 63 64 65 66 67 68 69 70 72 73 74 75 76 77 78 79 80 81 Barnyardgrass 0 30 0 70 0 70 80 0 70 60 60 20 80 40 70 70 20 20 70 60 40 80 70 50 80 80 30 Blackgrass — — — — — — — — — — — — — — — — — — — — — — — — — — — Corn 0 0 0 0 0 0 0 0 40 0 30 0 20 0 20 20 0 0 0 0 0 40 50 20 20 30 0 Crabgrass, Large 70 80 50 50 40 70 80 0 80 80 80 90 80 50 90 70 20 30 50 80 60 90 80 70 80 80 50 Foxtail, Giant 60 70 20 50 20 80 80 0 80 70 70 50 70 80 80 80 20 10 30 80 70 80 80 80 80 80 20 Galium — — — — — — — — — — — — — — — — — — — — — — — — — — — Kochia — — — — — — — — — — — — — — — — — — — — — — — — — — — Morningglory 0 0 0 0 0 0 0 0 0 0 0 0 0 0 0 0 0 0 0 0 0 20 0 0 0 0 0 Pigweed 0 0 0 0 0 0 0 0 30 0 0 0 0 0 40 20 0 0 — 0 0 50 40 50 70 60 0 Ragweed — — — — — — — — — — — — — — — — — — — — — — — — — — — Ryegrass, Italian — — — — — — — — — — — — — — — — — — — — — — — — — — — Velvetleaf 0 0 0 0 0 0 0 0 0 0 0 0 0 0 20 20 0 0 0 30 10 20 20 20 10 10 0 Wheat 0 0 0 0 0 0 0 0 20 0 0 0 0 0 0 0 0 0 0 0 0 50 50 40 30 40 0 125 g ai/ha Compounds 82 83 84 85 86 87 88 89 90 91 92 93 94 95 97 101 102 103 107 109 110 111 Barnyardgrass 0 — 0 0 0 50 0 60 30 0 20 10 0 80 0 80 0 90 50 90 50 0 Blackgrass — — — — — — — — — — — — — — — — — — — 50 0 0 Corn 0 0 0 0 0 0 0 0 0 0 0 0 0 0 0 0 0 20 0 50 0 0 Crabgrass, Large 50 20 0 0 0 60 0 60 50 30 20 50 0 80 0 80 0 90 60 — — — Foxtail, Giant 0 0 0 0 0 50 0 60 40 0 0 10 0 70 0 80 0 90 10 90 80 0 Galium — — — — — — — — — — — — — — — — — — — 30 20 0 Kochia — — — — — — — — — — — — — — — — — — — 0 0 0 Morningglory 0 0 0 0 0 0 0 0 0 0 0 0 0 0 0 30 0 0 0 — — — Pigweed 0 0 0 0 0 0 0 0 0 0 0 0 0 0 0 20 0 20 0 0 0 0 Ragweed — — — — — — — — — — — — — — — — — — — 0 0 0 Ryegrass, Italian — — — — — — — — — — — — — — — — — — — 20 20 0 Velvetleaf 0 0 0 0 0 0 0 0 0 0 0 0 0 0 0 50 0 0 0 — — — Wheat 0 0 0 0 0 0 0 0 0 0 0 0 0 0 0 50 0 0 0 20 0 0 125 g ai/ha Compounds 112 113 114 115 116 117 118 119 120 121 122 123 124 125 126 127 128 129 Barnyardgrass 0 0 20 10 — 0 0 90 80 70 70 70 60 60 60 60 50 60 Blackgrass 0 0 20 — — — 0 30 40 60 50 60 40 20 0 30 30 30 Corn 0 0 0 0 0 0 0 30 20 50 40 50 0 0 0 0 0 0 Crabgrass, Large — — — 0 20 30 — — — — — — — — — — — — Foxtail, Giant 0 0 40 0 0 20 50 90 80 80 80 80 80 70 70 70 70 70 Galium 0 0 0 — — — 50 30 50 60 70 60 70 0 0 20 0 40 Kochia 0 0 0 — — — 10 40 60 50 70 60 70 20 0 20 0 0 Morningglory — — — 0 0 0 — — — — — — — — — — — — Pigweed 0 0 0 0 0 0 0 30 20 0 60 80 60 0 0 0 30 0 Ragweed 0 0 0 — — — 0 20 30 0 30 50 40 0 0 0 0 0 Ryegrass, Italian 0 0 0 — — — 0 20 30 40 0 40 30 0 0 0 0 30 Velvetleaf — — — 0 0 0 — — — — — — — — — — — — Wheat 0 0 0 0 0 0 0 20 20 50 50 50 30 0 0 0 0 0 125 g ai/ha Compounds 130 131 132 133 139 140 141 142 143 144 145 146 147 148 149 150 151 152 Barnyardgrass 50 50 60 30 80 70 80 80 50 90 70 90 90 50 70 80 80 70 Blackgrass 0 0 0 0 0 0 0 0 0 0 0 30 40 0 30 0 40 0 Corn 0 0 0 0 0 0 0 0 0 0 0 0 0 0 10 0 0 0 Crabgrass, Large — — — — — — — — — — — — — — — — — — Foxtail, Giant 60 50 50 20 30 0 0 0 20 40 40 0 40 20 40 30 60 50 Galium 0 0 0 0 0 0 20 0 0 10 20 40 50 0 50 50 60 60 Kochia 0 0 0 0 0 0 0 0 0 0 0 0 40 0 50 30 70 50 Morningglory — — — — — — — — — — — — — — — — — — Pigweed 0 0 0 0 0 0 0 0 0 0 0 0 0 0 0 0 50 0 Ragweed 0 0 0 0 0 0 0 0 0 0 0 0 0 0 30 0 60 40 Ryegrass, Italian 0 0 0 0 0 0 0 0 0 0 0 20 20 0 10 0 30 10 Velvetleaf — — — — — — — — — — — — — — — — — — Wheat 0 0 0 0 0 0 0 0 0 0 0 0 0 0 0 0 0 0 125 g ai/ha Compounds 153 154 156 157 160 161 162 163 164 165 166 167 168 169 170 171 172 174 Barnyardgrass 60 70 80 70 70 90 70 90 90 90 80 90 90 90 90 90 0 0 Blackgrass 40 60 0 30 60 50 50 50 50 60 50 50 40 30 50 50 0 0 Corn 0 60 20 50 40 10 30 10 50 60 30 0 30 0 20 20 0 0 Crabgrass, Large — — — — — — — — — — — — — — — — — — Foxtail, Giant 50 80 80 80 80 90 90 70 70 70 80 90 90 60 60 60 0 20 Galium 0 0 20 40 60 50 30 20 50 40 20 50 60 20 60 50 0 0 Kochia 60 40 0 20 70 20 40 0 60 50 30 30 40 0 20 0 0 0 Morningglory — — — — — — — — — — — — — — — — — — Pigweed 40 20 0 0 60 20 20 0 20 30 40 0 0 0 20 0 0 0 Ragweed 0 0 0 20 50 0 0 0 20 20 0 20 0 0 20 0 0 0 Ryegrass, Italian 0 30 20 30 0 20 0 0 40 40 0 20 20 20 20 20 0 0 Velvetleaf — — — — — — — — — — — — — — — — — — Wheat 0 0 0 40 0 20 0 20 40 30 20 0 0 0 0 0 0 0 125 g ai/ha Compounds 175 181 182 183 184 185 186 188 189 190 194 195 196 197 198 199 200 201 Barnyardgrass 0 0 0 0 70 40 0 0 90 70 50 80 30 30 50 50 70 0 Blackgrass 0 40 0 0 0 0 0 0 — — — — — — — — 0 0 Corn 0 0 0 0 0 0 0 0 0 0 0 0 0 0 0 0 0 0 Crabgrass, Large — — — — — — — — 60 70 60 80 70 50 50 60 — — Foxtail, Giant 0 0 0 0 70 20 0 0 70 70 10 30 20 0 10 0 20 0 Galium 0 0 0 0 0 0 0 0 — — — — — — — — 0 0 Kochia 0 10 0 0 0 0 0 0 — — — — — — — — 0 0 Morningglory — — — — — — — — 0 0 0 0 0 0 0 0 — — Pigweed 0 0 0 0 0 0 0 0 0 0 0 0 0 0 0 0 0 0 Ragweed 0 0 0 0 0 0 0 0 — — — — — — — — 0 0 Ryegrass, Italian 0 0 0 0 0 0 0 0 — — — — — — — — 0 0 Velvetleaf — — — — — — — — 0 0 0 0 0 0 0 0 — — Wheat 0 0 0 0 0 0 0 0 0 0 0 0 0 0 0 0 0 0 125 g ai/ha Compounds 202 203 204 205 206 207 208 209 210 211 212 213 214 215 216 217 218 219 Barnyardgrass 80 40 90 40 90 80 50 60 80 90 60 60 60 50 0 70 60 40 Blackgrass 50 0 70 0 70 70 20 0 30 50 40 50 40 30 0 20 20 40 Corn 80 0 60 0 60 50 0 0 0 30 0 0 30 0 0 20 20 0 Crabgrass, Large — — — — — — — — — — — — — — — — — — Foxtail, Giant 90 50 90 70 90 90 90 40 50 70 60 80 80 80 0 80 60 60 Galium 60 0 50 30 70 0 0 0 30 60 50 0 40 40 0 30 40 30 Kochia 80 0 20 0 70 0 0 0 20 40 0 0 0 0 0 20 50 0 Morningglory — — — — — — — — — — — — — — — — — — Pigweed 70 0 0 0 50 0 0 0 0 0 0 0 0 50 0 0 0 0 Ragweed 30 0 0 0 0 0 0 0 0 0 0 0 0 0 0 0 0 0 Ryegrass, Italian 30 0 30 0 50 0 0 0 0 30 0 40 10 0 0 0 0 0 Velvetleaf — — — — — — — — — — — — — — — — — — Wheat 40 0 60 0 70 0 0 0 0 30 0 0 0 0 0 20 20 0 125 g ai/ha Compounds 220 221 222 223 224 225 226 227 228 229 230 231 232 233 234 235 236 239 Barnyardgrass 40 0 70 80 80 30 30 20 60 70 60 80 80 70 60 10 0 50 Blackgrass 0 0 30 60 60 0 20 0 20 40 20 40 50 60 0 0 0 20 Corn 0 0 20 0 60 0 0 0 20 0 20 30 80 20 0 0 0 0 Crabgrass, Large — — — — — — — — — — — — — — — — — — Foxtail, Giant 50 0 80 80 80 40 70 30 70 80 70 70 90 90 40 10 0 50 Galium 0 0 30 50 70 20 20 0 30 60 20 40 60 20 30 50 0 0 Kochia 0 0 0 50 80 0 30 0 20 10 0 70 80 60 0 0 0 0 Morningglory — — — — — — — — — — — — — — — — — — Pigweed 0 0 0 40 60 0 0 0 0 0 0 0 80 0 0 0 0 0 Ragweed 0 0 0 0 40 0 0 0 0 20 0 20 20 30 0 0 0 0 Ryegrass, Italian 0 0 20 0 50 0 0 0 0 30 0 20 40 20 20 0 0 0 Velvetleaf — — — — — — — — — — — — — — — — — — Wheat 0 0 20 40 50 0 0 0 0 0 20 20 30 0 0 0 0 0 125 g ai/ha Compounds 240 241 242 244 245 246 247 248 249 250 251 256 257 258 259 260 261 262 Barnyardgrass 30 80 70 80 30 70 60 20 30 30 0 0 50 40 50 70 0 60 Blackgrass 0 — — — — — — — — — — — — — — — — — Corn 0 50 0 0 0 20 0 0 0 0 0 0 0 0 0 0 0 0 Crabgrass, Large — 70 70 80 20 50 50 50 0 0 0 70 90 80 80 90 70 70 Foxtail, Giant 40 80 80 80 20 40 50 30 20 30 0 40 80 60 50 80 0 60 Galium 0 — — — — — — — — — — — — — — — — — Kochia 0 — — — — — — — — — — — — — — — — — Morningglory — 20 0 20 0 0 0 0 0 0 0 0 0 0 0 0 0 0 Pigweed 0 0 0 20 40 0 0 0 0 0 0 0 0 0 0 60 0 0 Ragweed 0 — — — — — — — — — — — — — — — — — Ryegrass, Italian 0 — — — — — — — — — — — — — — — — — Velvetleaf — 0 0 30 20 0 0 0 0 0 0 0 0 0 0 — 0 — Wheat 0 30 0 20 0 0 0 0 0 0 0 0 20 0 0 0 0 0 125 g ai/ha Compounds 263 264 267 268 269 270 271 272 273 275 276 277 278 279 280 281 282 283 Barnyardgrass 70 30 70 50 50 90 90 50 10 90 0 90 80 80 80 40 50 0 Blackgrass — — — — — 0 50 0 0 50 0 50 30 60 0 0 0 0 Corn 40 0 40 0 0 0 20 0 0 40 0 90 0 40 0 0 0 0 Crabgrass, Large 80 80 80 70 60 — — — — — — — — — — — — — Foxtail, Giant 80 60 70 80 70 60 90 60 20 90 0 90 80 80 70 0 0 0 Galium — — — — — 20 40 30 0 60 0 70 40 40 0 0 0 0 Kochia — — — — — 0 60 20 0 50 0 30 0 0 0 0 0 0 Morningglory 20 0 20 0 0 — — — — — — — — — — — — — Pigweed 40 0 50 70 40 0 0 0 0 30 0 30 0 0 0 0 0 0 Ragweed — — — — — 0 40 0 0 30 0 30 0 0 0 0 0 0 Ryegrass, Italian — — — — — 0 0 0 0 30 0 30 0 0 0 0 0 0 Velvetleaf — 30 — — — — — — — — — — — — — — — — Wheat 40 0 0 0 0 0 0 0 0 40 0 60 0 40 0 0 0 0 125 g ai/ha Compounds 284 285 286 287 288 289 290 291 292 293 294 295 296 297 298 299 300 301 Barnyardgrass 0 20 60 50 20 50 50 40 50 50 60 0 0 0 0 30 0 0 Blackgrass 0 0 0 0 0 0 0 0 0 0 20 0 0 0 0 0 0 0 Corn 0 0 0 0 0 0 0 0 0 0 0 0 0 0 0 0 0 0 Crabgrass, Large — — — — — — — — — — — — — — — — — — Foxtail, Giant 0 0 60 0 20 30 30 20 50 50 30 0 0 0 0 0 0 0 Galium 0 0 0 0 0 0 0 20 10 20 0 0 0 0 0 0 0 0 Kochia 0 0 0 0 0 0 0 0 0 0 30 0 0 0 0 0 0 0 Morningglory — — — — — — — — — — — — — — — — — — Pigweed 0 0 0 0 0 0 0 0 0 0 0 0 0 0 0 0 0 0 Ragweed 0 0 0 0 0 0 0 0 0 0 0 0 0 0 0 0 0 0 Ryegrass, Italian 0 0 0 0 0 0 0 0 0 0 0 0 0 0 0 0 0 0 Velvetleaf — — — — — — — — — — — — — — — — — — Wheat 0 0 0 0 0 0 0 0 0 0 20 0 0 0 0 0 0 0 125 g ai/ha Compounds 302 303 304 305 306 307 308 309 310 311 312 313 314 315 316 317 318 319 Barnyardgrass 90 80 80 80 80 70 70 80 90 60 80 20 30 90 80 80 90 90 Blackgrass 40 60 50 60 50 30 50 60 30 0 40 0 0 40 30 0 30 40 Corn 0 50 30 70 50 0 0 30 20 0 60 0 0 70 60 0 20 40 Crabgrass, Large — — — — — — — — — — — — — — — — — — Foxtail, Giant 80 80 80 80 80 70 70 80 90 60 80 40 60 90 90 80 40 50 Galium 60 60 20 50 60 0 0 60 20 0 30 0 0 40 20 0 30 30 Kochia 10 50 10 30 30 0 0 0 30 0 20 0 0 50 30 0 20 30 Morningglory — — — — — — — — — — — — — — — — — — Pigweed 0 40 40 60 70 0 0 0 0 0 20 0 0 30 0 0 20 0 Ragweed 0 20 0 0 20 0 0 0 20 0 20 0 0 20 20 0 0 20 Ryegrass, Italian 0 40 50 60 50 0 0 10 30 0 20 0 0 20 20 0 20 30 Velvetleaf — — — — — — — — — — — — — — — — — — Wheat 0 50 40 60 50 0 0 40 30 0 40 0 0 60 20 0 20 20 125 g ai/ha Compounds 320 321 322 323 324 325 326 327 328 329 330 331 332 333 334 335 336 337 Barnyardgrass 50 0 0 90 90 90 0 40 30 0 60 20 40 20 0 20 30 0 Blackgrass 0 0 0 40 60 50 0 30 30 0 0 0 0 0 0 0 0 0 Corn 0 0 0 70 50 80 0 0 0 0 0 0 0 0 0 0 0 0 Crabgrass, Large — — — — — — — — — — — — — — — — — — Foxtail, Giant 30 0 0 90 90 90 20 40 70 0 80 20 30 50 0 70 70 0 Galium 0 0 0 40 40 50 0 40 20 0 20 0 0 0 0 0 0 0 Kochia 20 0 0 40 50 60 0 30 0 0 0 0 0 0 0 0 0 0 Morningglory — — — — — — — — — — — — — — — — — — Pigweed 0 0 0 20 40 40 0 0 0 0 0 0 0 0 0 0 0 0 Ragweed 0 0 0 0 20 20 0 0 0 0 0 0 0 0 0 0 0 0 Ryegrass, Italian 0 0 0 30 30 30 0 20 0 0 0 0 0 0 0 0 0 0 Velvetleaf — — — — — — — — — — — — — — — — — — Wheat 0 0 0 40 30 60 0 0 0 0 0 0 0 0 0 0 0 0 125 g ai/ha Compounds 338 339 340 341 342 343 344 345 346 347 348 349 350 Barnyardgrass 0 40 30 30 30 0 60 70 80 50 20 80 70 Blackgrass 0 0 0 0 0 0 0 50 20 0 20 20 50 Corn 0 0 0 0 0 0 0 80 20 0 0 0 20 Crabgrass, Large — — — — — — — — — — — — — Foxtail, Giant 20 60 30 50 40 30 80 90 80 20 70 60 80 Galium 0 0 0 0 0 0 0 60 30 0 0 20 60 Kochia 0 0 0 0 20 0 0 50 0 0 20 40 70 Morningglory — — — — — — — — — — — — — Pigweed 0 0 0 0 0 0 0 20 0 0 0 0 20 Ragweed 0 0 0 0 0 0 0 0 0 0 0 0 0 Ryegrass, Italian 0 0 0 0 0 0 0 50 20 0 0 0 0 Velvetleaf — — — — — — — — — — — — — Wheat 0 0 0 0 0 0 0 50 0 0 0 0 20 Preemergence 1000 g ai/ha Compounds 17 18 19 20 21 22 23 24 25 26 27 30 31 33 34 35 39 40 43 44 71 96 98 99 100 104 Barnyardgrass 90 80 90 90 90 0 90 0 80 70 70 90 50 90 90 90 70 90 20 40 50 0 50 90 90 80 Corn 60 0 0 0 0 0 0 0 0 0 0 0 20 0 30 20 0 30 0 0 0 0 20 20 20 20 Crabgrass, Large 90 80 90 90 90 70 90 70 90 90 90 90 80 90 90 90 90 90 90 90 80 0 90 90 90 90 Foxtail, Giant 90 80 90 90 90 30 90 40 90 90 90 90 80 90 90 90 80 90 80 70 60 0 90 90 90 90 Kochia — — — — — — — — — — — — — — — — — — — — — — — — — — Morningglory 30 0 0 0 40 0 0 0 0 0 0 0 — — — 0 0 0 0 0 — 0 0 0 0 0 Pigweed 50 0 0 0 40 — — 0 0 0 0 0 0 0 0 0 0 0 0 0 0 0 0 0 0 0 Ragweed — — — — — — — — — — — — — — — — — — — — — — — — — — Ryegrass, Italian — — — — — — — — — — — — — — — — — — — — — — — — — — Velvetleaf 40 0 0 30 50 0 40 60 0 0 0 0 0 0 0 0 0 0 0 0 0 0 0 0 0 0 Wheat 70 0 0 0 20 0 0 0 0 0 0 0 50 50 60 0 0 20 0 0 0 0 0 20 20 20 1000 g ai/ha 500 g ai/ha Compounds Compounds 105 106 108 191 192 193 237 238 243 252 253 254 255 265 266 274 1 2 3 Barnyardgrass 90 90 90 0 0 80 60 50 80 20 0 0 60 0 0 90 90 60 80 Corn 0 30 0 0 0 0 — — 0 0 0 0 0 0 0 — 20 0 50 Crabgrass, Large 90 90 90 0 0 100 — — 90 40 0 70 90 0 0 — 90 90 90 Foxtail, Giant 90 90 90 0 0 90 80 90 90 20 0 40 70 0 0 90 90 90 90 Kochia — — — — — — 0 0 — — — — — — — 40 — — — Morningglory 0 0 0 0 0 0 — — 0 0 0 0 0 0 0 — 0 0 0 Pigweed 0 0 0 0 0 0 0 0 0 — 0 0 0 0 0 0 0 0 0 Ragweed — — — — — — 0 0 — — — — — — — 20 — — — Ryegrass, Italian — — — — — — 0 0 — — — — — — — 40 — — — Velvetleaf 0 0 0 0 0 0 — — 0 0 0 0 0 0 0 — 0 0 0 Wheat 0 50 0 0 0 0 — — 0 0 0 0 0 0 0 — 0 0 60 500 g ai/ha Compounds 4 5 6 7 8 9 10 11 12 13 14 15 16 28 29 32 36 37 38 41 42 45 46 47 48 49 50 Barnyardgrass 80 90 80 80 60 60 40 20 90 50 90 0 90 20 50 0 80 80 80 60 60 80 50 0 90 20 90 Corn 0 0 0 0 20 0 0 0 0 0 0 0 30 0 0 0 0 0 0 0 0 0 0 0 20 0 0 Crabgrass, Large 90 90 90 90 90 90 90 90 90 80 90 80 90 80 70 80 80 80 80 90 90 90 90 60 90 90 90 Foxtail, Giant 90 100 90 90 90 90 90 50 90 30 90 50 90 20 0 80 70 20 30 70 80 80 80 0 90 70 90 Kochia — — — — — — — — — — — — — — — — — — — — — — — — — — — Morningglory 0 0 0 0 0 0 0 0 0 0 0 0 0 0 0 0 0 0 0 — — 0 0 0 0 0 0 Pigweed 0 0 0 0 0 0 0 0 0 0 20 0 0 0 0 0 0 0 0 0 30 0 0 0 0 0 0 Ragweed — — — — — — — — — — — — — — — — — — — — — — — — — — — Ryegrass, Italian — — — — — — — — — — — — — — — — — — — — — — — — — — — Velvetleaf 0 0 0 0 0 0 0 0 0 0 0 0 0 0 0 0 0 0 0 0 0 0 0 0 0 0 0 Wheat 70 0 0 0 0 0 0 0 20 0 0 0 0 0 0 0 20 30 0 0 0 0 0 0 50 0 0 500 g ai/ha Compounds 51 52 53 54 55 56 57 58 59 60 61 62 63 64 65 66 67 68 69 70 72 73 74 75 76 77 78 Barnyardgrass 0 90 90 20 80 40 80 20 90 90 0 80 80 90 90 90 70 90 90 90 50 80 90 70 80 90 90 Corn 0 0 0 0 0 0 0 0 0 0 0 0 0 20 0 20 0 0 0 0 0 0 0 0 40 30 0 Crabgrass, Large 90 90 90 90 90 90 90 90 90 90 80 90 90 90 90 90 90 90 90 90 90 90 90 90 90 90 90 Foxtail, Giant 90 90 90 90 90 50 80 80 90 90 0 90 90 90 90 90 90 90 90 90 80 90 90 90 90 90 90 Kochia — — — — — — — — — — — — — — — — — — — — — — — — — — — Morningglory 0 0 0 0 0 0 0 0 0 0 0 0 0 0 0 0 0 0 0 0 0 0 0 0 50 60 0 Pigweed 0 40 0 0 0 0 0 0 0 0 0 30 0 0 0 0 0 30 20 0 0 0 50 0 50 70 60 Ragweed — — — — — — — — — — — — — — — — — — — — — — — — — — — Ryegrass, Italian — — — — — — — — — — — — — — — — — — — — — — — — — — — Velvetleaf 0 20 0 0 0 0 0 0 0 0 0 0 0 0 0 0 0 0 0 0 0 0 0 0 0 0 30 Wheat 0 0 20 20 0 0 0 0 0 0 0 0 0 0 0 20 0 20 20 20 0 0 0 30 0 30 0 500 g ai/ha Compounds 79 80 81 82 83 84 85 86 87 88 89 90 91 92 93 94 95 97 101 102 103 107 109 110 Barnyardgrass 90 80 80 50 50 0 30 40 80 50 80 70 20 90 90 0 90 0 90 0 90 70 90 90 Corn 0 0 0 0 0 0 0 20 0 0 0 0 0 0 0 0 0 0 0 0 0 0 — — Crabgrass, Large 90 90 90 90 90 50 80 80 90 80 90 80 60 90 90 50 90 0 100 0 100 90 — — Foxtail, Giant 90 90 90 70 70 0 50 60 90 30 90 70 40 90 90 0 90 0 90 0 90 80 90 90 Kochia — — — — — — — — — — — — — — — — — — — — — — 0 0 Morningglory 0 0 20 0 0 0 0 0 0 0 0 0 0 0 0 0 0 0 50 0 0 0 — — Pigweed 80 80 0 0 0 0 0 0 0 30 0 0 0 0 0 — 0 0 70 0 20 20 0 0 Ragweed — — — — — — — — — — — — — — — — — — — — — — 0 0 Ryegrass, Italian — — — — — — — — — — — — — — — — — — — — — — 50 0 Velvetleaf 30 30 0 0 0 0 0 0 0 0 0 0 0 0 0 — 0 0 40 0 0 0 — — Wheat 20 20 20 0 0 0 0 0 10 0 10 0 0 0 0 0 0 0 70 0 0 0 — — 500 g ai/ha Compounds 111 112 113 114 115 116 117 118 119 120 121 122 123 124 125 126 127 128 Barnyardgrass 0 0 0 50 50 50 20 70 90 90 90 90 90 80 90 90 90 80 Corn — — — — 0 0 0 — — — — — — — — — — — Crabgrass, Large — — — — 80 80 80 — — — — — — — — — — — Foxtail, Giant 0 0 0 70 20 30 70 90 90 90 90 90 90 90 90 90 90 90 Kochia 0 0 0 0 — — — 0 60 80 70 70 90 70 70 10 60 60 Morningglory — — — — 0 0 0 — — — — — — — — — — — Pigweed 0 0 0 0 0 0 0 0 40 40 70 80 80 80 0 0 0 0 Ragweed 0 0 0 0 — — — 0 80 80 70 60 80 50 0 0 0 — Ryegrass, Italian 0 0 0 30 — — — 0 60 50 0 0 60 40 20 0 0 0 Velvetleaf — — — — 0 0 0 — — — — — — — — — — — Wheat — — — — 0 0 0 — — — — — — — — — — — 500 g ai/ha Compounds 129 130 131 132 133 139 140 141 142 143 144 145 146 147 148 149 150 151 Barnyardgrass 80 70 60 90 30 90 90 90 90 90 90 90 90 90 90 90 90 90 Corn — — — — — — — — — — — — — — — — — — Crabgrass, Large — — — — — — — — — — — — — — — — — — Foxtail, Giant 90 90 60 80 90 90 90 90 90 90 80 90 90 90 90 90 90 90 Kochia 70 0 0 0 0 30 0 20 0 30 0 0 30 80 30 70 90 90 Morningglory — — — — — — — — — — — — — — — — — — Pigweed 0 0 0 0 0 20 0 0 0 0 0 0 0 0 0 0 0 0 Ragweed 0 0 0 0 0 0 0 0 0 0 0 0 30 50 0 80 50 90 Ryegrass, Italian 60 0 0 0 0 0 0 20 0 0 20 0 40 40 0 70 50 60 Velvetleaf — — — — — — — — — — — — — — — — — — Wheat — — — — — — — — — — — — — — — — — — 500 g ai/ha Compounds 152 153 154 156 157 160 161 162 163 164 165 166 167 168 169 170 171 172 Barnyardgrass 90 90 80 90 90 90 90 90 90 90 90 90 90 90 90 90 90 20 Corn — — — — — — — — — — — — — — — — — — Crabgrass, Large — — — — — — — — — — — — — — — — — — Foxtail, Giant 90 80 90 90 90 90 90 90 90 90 90 90 90 90 90 90 90 30 Kochia 60 80 70 40 70 90 60 60 50 80 70 70 60 60 60 70 70 30 Morningglory — — — — — — — — — — — — — — — — — — Pigweed 10 0 30 0 50 90 70 80 40 70 70 10 50 50 20 50 40 0 Ragweed 70 80 0 0 50 80 70 60 40 60 80 50 50 50 20 60 30 0 Ryegrass, Italian 30 0 50 30 60 70 50 50 0 50 20 60 70 40 20 50 30 0 Velvetleaf — — — — — — — — — — — — — — — — — — Wheat — — — — — — — — — — — — — — — — — — 500 g ai/ha Compounds 174 175 181 182 183 184 185 186 188 189 190 194 195 196 197 198 199 200 Barnyardgrass 20 0 0 0 0 90 70 0 0 90 90 80 90 70 70 90 60 90 Corn — — — — — — — — — 0 0 0 0 0 0 0 0 — Crabgrass, Large — — — — — — — — — 90 90 100 90 100 100 100 100 — Foxtail, Giant 50 0 70 70 0 90 90 0 0 90 90 90 90 90 80 80 90 80 Kochia 20 0 80 0 0 20 40 0 0 — — — — — — — — 0 Morningglory — — — — — — — — — 0 0 0 0 0 0 0 0 — Pigweed 0 0 0 0 0 0 20 0 0 0 0 0 0 0 0 0 0 0 Ragweed 0 0 0 0 0 0 0 0 0 — — — — — — — — 0 Ryegrass, Italian 0 0 0 0 0 0 20 0 0 — — — — — — — — 0 Velvetleaf — — — — — — — — — 0 0 0 0 0 0 0 0 — Wheat — — — — — — — — — 20 30 0 0 0 0 0 0 — 500 g ai/ha Compounds 201 202 203 204 205 206 207 208 209 210 211 212 213 214 215 216 217 218 Barnyardgrass 20 90 60 90 80 90 90 90 60 90 90 90 80 80 80 60 90 90 Corn — — — — — — — — — — — — — — — — — — Crabgrass, Large — — — — — — — — — — — — — — — — — — Foxtail, Giant 30 90 80 90 90 90 90 90 90 90 90 90 90 90 90 50 90 90 Kochia 0 80 0 80 50 80 30 20 20 30 70 20 0 80 0 0 70 70 Morningglory — — — — — — — — — — — — — — — — — — Pigweed 0 70 0 50 20 80 20 0 20 50 70 0 0 70 50 0 40 70 Ragweed 0 90 0 80 30 70 20 0 0 30 80 50 0 0 0 0 50 50 Ryegrass, Italian 0 60 0 50 20 80 40 20 20 50 40 30 40 0 10 0 60 60 Velvetleaf — — — — — — — — — — — — — — — — — — Wheat — — — — — — — — — — — — — — — — — — 500 g ai/ha Compounds 219 220 221 222 223 224 225 226 227 228 229 230 231 232 233 234 235 236 Barnyardgrass 60 80 0 90 90 90 30 90 50 80 90 90 90 90 90 90 60 0 Corn — — — — — — — — — — — — — — — — — — Crabgrass, Large — — — — — — — — — — — — — — — — — — Foxtail, Giant 90 90 80 90 90 90 90 90 90 90 90 90 90 90 90 90 80 0 Kochia 70 40 0 50 80 90 30 30 20 20 70 30 90 80 80 50 0 0 Morningglory — — — — — — — — — — — — — — — — — — Pigweed 0 20 0 30 50 80 0 30 20 0 0 20 70 60 30 20 0 0 Ragweed 0 0 0 20 50 90 0 0 0 20 — 20 90 90 50 20 0 30 Ryegrass, Italian 0 30 0 50 60 70 40 20 30 40 20 30 60 80 60 30 0 50 Velvetleaf — — — — — — — — — — — — — — — — — — Wheat — — — — — — — — — — — — — — — — — — 500 g ai/ha Compounds 239 240 241 242 244 245 246 247 248 249 250 251 256 257 258 259 260 261 Barnyardgrass 90 50 90 90 90 20 90 90 80 80 80 80 20 80 90 80 80 0 Corn — — 50 20 0 0 0 0 0 0 0 0 0 0 0 0 10 0 Crabgrass, Large — — 90 90 100 80 90 90 90 90 90 90 90 90 90 90 90 90 Foxtail, Giant 90 90 90 90 90 70 90 90 90 90 80 80 60 90 90 90 90 70 Kochia 70 0 — — — — — — — — — — — — — — — — Morningglory — — 0 0 0 0 0 0 0 0 0 0 0 0 0 0 50 0 Pigweed 0 0 30 20 50 30 0 0 0 0 0 30 0 0 0 0 80 0 Ragweed 90 0 — — — — — — — — — — — — — — — — Ryegrass, Italian 0 0 — — — — — — — — — — — — — — — — Velvetleaf — — 0 0 0 0 0 0 0 0 0 0 0 0 0 0 40 0 Wheat — — 30 30 0 0 — 0 0 0 0 0 0 0 0 0 0 0 500 g ai/ha Compounds 262 263 264 267 268 269 270 271 272 273 275 276 277 278 279 280 281 282 Barnyardgrass 90 90 90 80 80 80 90 90 90 80 90 0 90 90 90 80 70 90 Corn 0 70 0 0 80 0 — — — — — — — — — — — — Crabgrass, Large 90 100 100 90 90 90 — — — — — — — — — — — — Foxtail, Giant 90 100 90 90 80 80 90 90 90 90 90 0 90 90 90 90 70 70 Kochia — — — — — — 80 80 20 70 80 0 60 0 80 0 0 50 Morningglory 0 0 0 0 60 0 — — — — — — — — — — — — Pigweed 70 100 80 50 60 70 20 80 30 0 30 0 30 0 40 0 0 0 Ragweed — — — — — — 20 80 0 0 40 0 20 0 0 0 0 0 Ryegrass, Italian — — — — — — 0 30 0 0 60 0 30 0 60 0 0 0 Velvetleaf 0 50 0 0 0 0 — — — — — — — — — — — — Wheat 0 60 0 0 0 0 — — — — — — — — — — — — 500 g ai/ha Compounds 283 284 285 286 287 288 289 290 291 292 293 294 295 296 297 298 299 300 Barnyardgrass 0 60 0 60 80 70 80 80 60 80 70 90 70 0 50 0 70 0 Corn — — — — — — — — — — — — — — — — — — Crabgrass, Large — — — — — — — — — — — — — — — — — — Foxtail, Giant 0 70 10 80 80 90 90 80 80 60 90 90 20 0 70 0 80 0 Kochia 0 30 0 40 0 50 0 0 20 80 0 90 0 0 0 0 0 0 Morningglory — — — — — — — — — — — — — — — — — — Pigweed 0 40 0 30 0 0 0 0 0 0 0 20 0 0 0 0 0 0 Ragweed 0 0 0 0 0 0 0 0 0 0 — 0 0 0 0 0 0 0 Ryegrass, Italian 0 0 0 20 0 20 0 0 30 0 0 30 0 0 0 0 0 0 Velvetleaf — — — — — — — — — — — — — — — — — — Wheat — — — — — — — — — — — — — — — — — — 500 g ai/ha Compounds 301 302 303 304 305 306 307 308 309 310 311 312 313 314 315 316 317 318 Barnyardgrass 0 90 90 90 90 90 90 80 80 90 80 90 80 80 90 90 90 90 Corn — — — — — — — — — — — — — — — — — — Crabgrass, Large — — — — — — — — — — — — — — — — — — Foxtail, Giant 0 90 90 90 90 90 90 90 90 90 90 90 80 90 90 90 90 90 Kochia 0 70 80 70 70 80 0 0 0 70 0 70 0 0 60 30 0 70 Morningglory — — — — — — — — — — — — — — — — — — Pigweed 0 60 50 80 40 90 0 0 0 40 0 20 0 0 30 20 0 20 Ragweed 0 30 — — 50 80 0 0 — 0 0 30 0 0 30 30 0 40 Ryegrass, Italian 0 60 40 0 90 80 0 0 20 40 0 60 0 0 70 50 0 60 Velvetleaf — — — — — — — — — — — — — — — — — — Wheat — — — — — — — — — — — — — — — — — — 500 g ai/ha Compounds 319 320 321 322 323 324 325 326 327 328 329 330 331 332 333 334 335 336 Barnyardgrass 90 80 30 40 90 90 90 30 80 80 0 70 80 80 90 0 50 60 Corn — — — — — — — — — — — — — — — — — — Crabgrass, Large — — — — — — — — — — — — — — — — — — Foxtail, Giant 90 90 50 70 90 90 90 60 90 90 60 80 90 90 90 50 90 90 Kochia 80 20 0 0 80 80 80 50 70 20 0 20 0 0 0 0 60 60 Morningglory — — — — — — — — — — — — — — — — — — Pigweed 20 0 0 0 30 60 60 0 20 0 0 20 20 0 0 0 30 20 Ragweed 40 30 0 0 80 60 50 0 30 0 0 0 20 0 0 0 0 0 Ryegrass, Italian 60 50 0 0 30 40 50 40 40 40 0 40 20 0 20 0 0 20 Velvetleaf — — — — — — — — — — — — — — — — — — Wheat — — — — — — — — — — — — — — — — — — 500 g ai/ha 125 g ai/ha Compounds Compounds 337 338 339 340 341 342 343 344 345 346 347 348 349 350 1 2 3 4 5 6 Barnyardgrass 20 20 80 80 80 80 80 90 90 90 90 60 90 90 30 30 60 60 70 50 Corn — — — — — — — — — — — — — — 0 0 0 0 0 0 Crabgrass, Large — — — — — — — — — — — — — — 90 90 90 90 80 80 Foxtail, Giant 30 80 80 90 90 90 80 90 90 90 40 90 90 90 70 90 90 80 90 90 Kochia 0 20 0 0 0 0 0 0 80 80 0 70 80 80 — — — — — — Morningglory — — — — — — — — — — — — — — 0 0 0 0 0 0 Pigweed 0 0 0 0 0 50 0 0 70 30 0 50 40 80 0 0 0 0 0 0 Ragweed 0 0 0 0 0 0 0 0 0 0 0 30 40 30 — — — — — — Ryegrass, Italian 0 0 20 20 0 20 0 30 40 30 0 0 0 0 — — — — — — Velvetleaf — — — — — — — — — — — — — — 0 0 0 0 0 0 Wheat — — — — — — — — — — — — — — 0 0 40 60 0 0 125 g ai/ha Compounds 7 8 9 10 11 12 13 14 15 16 28 29 32 36 37 38 41 42 45 46 47 48 49 50 51 52 53 Barnyardgrass 20 20 20 0 0 60 0 80 0 80 0 0 0 40 0 0 30 0 10 0 0 80 0 30 0 80 80 Corn 0 0 0 0 0 0 0 0 0 0 0 0 0 0 0 0 0 0 0 0 0 0 0 0 0 0 0 Crabgrass, Large 80 80 80 90 70 90 50 90 60 90 30 30 80 20 0 70 60 80 80 70 10 90 70 90 90 90 90 Foxtail, Giant 70 60 70 60 20 70 0 80 20 90 0 0 70 20 0 0 10 20 50 40 0 80 20 90 30 80 90 Kochia — — — — — — — — — — — — — — — — — — — — — — — — — — — Morningglory 0 0 0 0 0 0 0 0 0 0 0 0 0 0 0 0 — — 0 0 0 0 0 0 0 0 0 Pigweed 0 0 0 0 0 0 0 0 0 0 0 0 0 0 0 0 0 0 0 0 0 0 0 0 0 0 0 Ragweed — — — — — — — — — — — — — — — — — — — — — — — — — — — Ryegrass, Italian — — — — — — — — — — — — — — — — — — — — — — — — — — — Velvetleaf 0 0 0 0 0 0 0 0 0 0 0 0 0 0 0 0 0 0 0 0 0 0 0 0 0 0 0 Wheat 0 0 0 0 0 0 0 0 0 0 0 0 0 0 0 0 0 0 0 0 0 0 0 0 0 0 0 125 g ai/ha Compounds 54 55 56 57 58 59 60 61 62 63 64 65 66 67 68 69 70 72 73 74 75 76 77 78 79 80 81 Barnyardgrass 0 20 0 40 0 80 80 0 80 50 80 40 80 30 80 80 20 0 50 60 50 80 80 80 80 80 40 Corn 0 0 0 0 0 0 0 0 0 0 20 0 20 0 0 0 0 0 0 0 0 0 0 0 0 0 0 Crabgrass, Large 90 80 60 80 70 90 90 0 90 90 80 90 80 90 90 90 80 80 80 90 90 90 90 90 90 90 80 Foxtail, Giant 90 70 20 60 20 80 90 0 80 70 80 80 80 80 90 90 70 60 80 90 80 90 90 90 90 90 30 Kochia — — — — — — — — — — — — — — — — — — — — — — — — — — — Morningglory 0 0 0 0 0 0 0 0 0 0 0 0 0 0 0 0 0 0 0 0 0 0 20 0 0 0 0 Pigweed 0 0 0 0 0 0 0 0 0 0 0 0 0 0 0 0 0 0 0 0 0 0 40 10 80 60 0 Ragweed — — — — — — — — — — — — — — — — — — — — — — — — — — — Ryegrass, Italian — — — — — — — — — — — — — — — — — — — — — — — — — — — Velvetleaf 0 0 0 0 0 0 0 0 0 0 0 0 0 0 0 0 0 0 0 0 0 0 0 0 0 0 0 Wheat 0 0 0 0 0 0 0 0 0 0 0 0 0 0 0 0 0 0 0 0 0 0 0 0 0 0 0 125 g ai/ha Compounds 82 83 84 85 86 87 88 89 90 91 92 93 94 95 97 101 102 103 107 109 110 111 112 Barnyardgrass 0 0 0 0 0 20 0 60 30 0 60 50 0 60 0 90 0 80 20 80 70 0 0 Corn 0 0 0 0 0 0 0 0 0 0 0 0 0 0 0 0 0 0 0 — — — — Crabgrass, Large 80 70 0 30 60 80 40 80 70 40 80 90 0 90 0 90 0 90 80 — — — — Foxtail, Giant 20 0 0 0 20 60 0 80 60 0 0 80 0 80 0 90 0 90 70 90 60 0 0 Kochia — — — — — — — — — — — — — — — — — — — 0 0 0 0 Morningglory — 0 0 0 0 0 0 0 0 0 0 0 0 0 0 0 0 0 0 — — — — Pigweed 0 0 0 0 0 0 0 0 0 0 0 0 0 0 0 10 0 0 0 0 0 0 0 Ragweed — — — — — — — — — — — — — — — — — — — 0 0 0 0 Ryegrass, Italian — — — — — — — — — — — — — — — — — — — 0 0 0 0 Velvetleaf 0 0 0 0 0 0 0 0 0 0 0 0 0 0 0 30 0 0 0 — — — — Wheat 0 0 0 0 0 0 0 0 0 0 0 0 0 0 0 60 0 0 0 — — — — 125 g ai/ha Compounds 113 114 115 116 117 118 119 120 121 122 123 124 125 126 127 128 129 130 Barnyardgrass 0 20 0 0 0 50 90 90 80 80 80 70 80 70 70 60 80 60 Corn — — 0 0 0 — — — — — — — — — — — — — Crabgrass, Large — — 70 70 60 — — — — — — — — — — — — — Foxtail, Giant 0 20 20 0 20 90 90 90 90 90 90 80 80 90 90 80 80 80 Kochia 0 0 — — — 0 40 60 60 60 80 60 30 0 40 10 50 0 Morningglory — — 0 0 0 — — — — — — — — — — — — — Pigweed 0 0 0 0 0 0 30 30 50 50 70 70 0 0 0 0 0 0 Ragweed 0 0 — — — 0 70 60 70 0 70 40 0 0 0 0 0 0 Ryegrass, Italian 0 0 — — — 0 20 30 0 0 40 0 0 0 0 0 0 0 Velvetleaf — — 0 0 0 — — — — — — — — — — — — — Wheat — — 0 0 0 — — — — — — — — — — — — — 125 g ai/ha Compounds 131 132 133 139 140 141 142 143 144 145 146 147 148 149 150 151 152 153 Barnyardgrass 50 70 20 70 80 90 90 60 90 80 90 90 30 90 80 90 90 80 Corn — — — — — — — — — — — — — — — — — — Crabgrass, Large — — — — — — — — — — — — — — — — — — Foxtail, Giant 50 70 30 50 50 50 70 30 60 70 80 80 40 70 70 80 70 60 Kochia 0 0 0 0 0 0 0 30 0 0 0 30 30 10 60 90 30 60 Morningglory — — — — — — — — — — — — — — — — — — Pigweed 0 0 0 0 0 0 0 0 0 0 0 0 0 0 0 0 0 0 Ragweed 0 0 0 0 0 0 0 0 0 0 0 0 0 60 0 90 50 0 Ryegrass, Italian 0 0 0 0 0 0 0 0 0 0 0 0 0 20 0 10 0 0 Velvetleaf — — — — — — — — — — — — — — — — — — Wheat — — — — — — — — — — — — — — — — — — 125 g ai/ha Compounds 154 156 157 160 161 162 163 164 165 166 167 168 169 170 171 172 174 175 Barnyardgrass 80 90 90 80 90 90 80 90 90 80 90 90 90 90 90 0 0 0 Corn — — — — — — — — — — — — — — — — — — Crabgrass, Large — — — — — — — — — — — — — — — — — — Foxtail, Giant 90 90 90 80 90 80 90 90 90 90 90 90 80 80 90 20 30 0 Kochia 40 20 50 80 20 50 0 60 70 30 20 40 40 50 60 30 0 0 Morningglory — — — — — — — — — — — — — — — — — — Pigweed 0 0 0 70 20 60 40 50 50 0 50 40 0 50 20 0 0 0 Ragweed 0 0 30 70 20 0 0 20 0 0 0 0 0 0 0 0 0 0 Ryegrass, Italian 40 0 30 60 0 0 0 20 0 20 20 0 0 0 0 0 0 0 Velvetleaf — — — — — — — — — — — — — — — — — — Wheat — — — — — — — — — — — — — — — — — — 125 g ai/ha Compounds 181 182 183 184 185 186 188 189 190 194 195 196 197 198 199 200 201 202 Barnyardgrass 0 0 0 70 40 0 0 80 60 0 30 0 0 50 0 60 0 90 Corn — — — — — — — 0 0 0 0 0 0 0 0 — — — Crabgrass, Large — — — — — — — 90 90 90 90 90 80 90 90 — — — Foxtail, Giant 10 50 0 90 70 0 0 90 80 50 80 80 30 50 50 30 20 90 Kochia 50 0 0 0 0 0 0 — — — — — — — — 0 0 70 Morningglory — — — — — — — 0 0 0 0 0 0 0 0 — — — Pigweed 0 0 0 0 0 0 0 0 0 0 0 0 0 0 0 0 0 60 Ragweed 0 0 0 0 0 0 0 — — — — — — — — 0 0 50 Ryegrass, Italian 0 0 0 0 0 0 0 — — — — — — — — 0 0 60 Velvetleaf — — — — — — — 0 0 0 0 0 0 0 0 — — — Wheat — — — — — — — 0 0 0 0 0 0 0 0 — — — 125 g ai/ha Compounds 203 204 205 206 207 208 209 210 211 212 213 214 215 216 217 218 219 220 Barnyardgrass 20 90 30 90 90 40 30 60 80 60 50 70 60 20 70 80 30 30 Corn — — — — — — — — — — — — — — — — — — Crabgrass, Large — — — — — — — — — — — — — — — — — — Foxtail, Giant 30 90 60 90 90 80 50 80 80 70 80 80 80 40 90 90 90 80 Kochia 0 0 20 70 20 0 0 0 40 0 0 0 0 0 30 30 10 0 Morningglory — — — — — — — — — — — — — — — — — — Pigweed 0 0 0 30 0 0 0 0 20 0 0 0 0 0 20 30 0 0 Ragweed 0 0 0 60 0 0 0 0 30 0 0 0 0 0 0 0 0 0 Ryegrass, Italian 0 20 0 40 20 0 0 0 0 0 0 0 0 0 40 40 0 0 Velvetleaf — — — — — — — — — — — — — — — — — — Wheat — — — — — — — — — — — — — — — — — — 125 g ai/ha Compounds 221 222 223 224 225 226 227 228 229 230 231 232 233 234 235 236 239 240 Barnyardgrass 0 70 90 90 20 50 20 50 70 30 90 90 80 60 0 0 50 20 Corn — — — — — — — — — — — — — — — — — — Crabgrass, Large — — — — — — — — — — — — — — — — — — Foxtail, Giant 60 90 90 90 80 70 80 80 90 90 90 90 90 70 40 0 80 70 Kochia 0 0 30 80 0 0 20 0 0 0 70 70 50 20 0 0 0 0 Morningglory — — — — — — — — — — — — — — — — — — Pigweed 0 0 20 80 0 0 0 0 0 0 70 50 30 0 0 0 0 0 Ragweed 0 0 30 90 0 0 0 0 0 0 70 30 40 0 0 0 0 0 Ryegrass, Italian 0 20 30 60 0 0 0 30 10 0 40 40 30 30 0 0 0 0 Velvetleaf — — — — — — — — — — — — — — — — — — Wheat — — — — — — — — — — — — — — — — — — 125 g ai/ha Compounds 241 242 244 245 246 247 248 249 250 251 256 257 258 259 260 261 262 263 Barnyardgrass 80 60 40 20 80 90 30 50 20 20 0 40 20 10 70 0 80 80 Corn 20 0 0 0 0 0 0 0 0 0 0 0 0 0 0 0 0 0 Crabgrass, Large 90 90 90 60 90 90 90 80 80 80 80 90 90 — 90 80 90 90 Foxtail, Giant 90 90 90 60 80 80 80 50 50 40 20 80 50 60 80 10 80 90 Kochia — — — — — — — — — — — — — — — — — — Morningglory 0 0 0 0 0 0 0 0 0 0 0 0 0 0 20 0 0 0 Pigweed 0 0 30 0 0 0 0 0 0 0 0 0 0 0 60 0 50 60 Ragweed — — — — — — — — — — — — — — — — — — Ryegrass, Italian — — — — — — — — — — — — — — — — — — Velvetleaf 0 0 0 0 0 0 0 0 0 0 0 0 0 0 — 0 0 50 Wheat 20 20 0 0 0 0 0 0 0 0 0 0 0 0 0 0 0 0 125 g ai/ha Compounds 264 267 268 269 270 271 272 273 275 276 277 278 279 280 281 282 283 284 Barnyardgrass 50 70 70 70 60 90 70 50 90 0 90 80 80 80 50 60 0 0 Corn 0 0 0 0 — — — — — — — — — — — — — — Crabgrass, Large 100 90 80 80 — — — — — — — — — — — — — — Foxtail, Giant 80 80 70 80 80 90 90 90 90 0 90 90 90 90 10 20 0 40 Kochia — — — — 0 50 0 0 60 0 30 0 40 0 0 0 0 0 Morningglory 0 0 0 0 — — — — — — — — — — — — — — Pigweed 50 0 30 50 0 40 0 0 20 0 20 0 0 0 0 0 0 0 Ragweed — — — — 0 20 0 0 20 0 20 0 0 0 0 0 0 0 Ryegrass, Italian — — — — 0 0 0 0 30 0 30 0 0 0 0 0 0 0 Velvetleaf 0 0 0 0 — — — — — — — — — — — — — — Wheat 0 0 0 0 — — — — — — — — — — — — — — 125 g ai/ha Compounds 285 286 287 288 289 290 291 292 293 294 295 296 297 298 299 300 301 302 Barnyardgrass 0 60 50 30 50 60 20 70 20 70 0 0 0 0 10 0 0 90 Corn — — — — — — — — — — — — — — — — — — Crabgrass, Large — — — — — — — — — — — — — — — — — — Foxtail, Giant 0 80 50 30 60 60 20 50 80 70 0 0 30 0 50 0 0 90 Kochia 0 30 0 30 0 0 20 30 0 40 0 0 0 0 0 0 0 50 Morningglory — — — — — — — — — — — — — — — — — — Pigweed 0 20 0 0 — 0 0 0 0 0 0 0 0 0 0 0 0 10 Ragweed 0 0 0 0 0 0 0 0 — 0 0 0 0 0 0 0 0 0 Ryegrass, Italian 0 0 0 0 0 0 0 0 0 0 0 0 0 0 0 0 0 0 Velvetleaf — — — — — — — — — — — — — — — — — — Wheat — — — — — — — — — — — — — — — — — — 125 g ai/ha Compounds 303 304 305 306 307 308 309 310 311 312 313 314 315 316 317 318 319 320 Barnyardgrass 90 90 80 90 80 70 80 90 70 80 50 20 90 80 90 90 90 20 Corn — — — — — — — — — — — — — — — — — — Crabgrass, Large — — — — — — — — — — — — — — — — — — Foxtail, Giant 90 90 90 90 80 80 90 90 80 90 30 30 90 90 90 90 90 30 Kochia 70 — 70 70 0 0 0 30 0 20 0 0 40 0 0 20 60 0 Morningglory — — — — — — — — — — — — — — — — — — Pigweed 20 70 0 80 0 0 0 40 0 0 0 0 30 20 0 0 0 0 Ragweed 0 0 30 — 0 0 0 0 0 0 0 0 20 20 0 20 30 0 Ryegrass, Italian 30 0 70 40 0 0 0 30 0 20 0 0 40 20 0 20 30 20 Velvetleaf — — — — — — — — — — — — — — — — — — Wheat — — — — — — — — — — — — — — — — — — 125 g ai/ha Compounds 321 322 323 324 325 326 327 328 329 330 331 332 333 334 335 336 337 338 Barnyardgrass 0 0 90 90 90 0 70 40 0 60 20 70 50 0 0 50 0 0 Corn — — — — — — — — — — — — — — — — — — Crabgrass, Large — — — — — — — — — — — — — — — — — — Foxtail, Giant 0 0 90 90 90 50 80 80 0 50 50 80 80 0 70 80 0 30 Kochia 0 0 50 70 70 40 30 0 0 20 0 0 0 0 40 0 0 0 Morningglory — — — — — — — — — — — — — — — — — — Pigweed 0 0 20 30 30 0 0 0 0 0 0 0 0 0 0 0 0 0 Ragweed 0 0 20 30 30 0 20 0 0 0 0 0 0 0 0 0 0 0 Ryegrass, Italian 0 0 20 30 30 0 40 0 0 30 0 0 0 0 0 0 0 0 Velvetleaf — — — — — — — — — — — — — — — — — — Wheat — — — — — — — — — — — — — — — — — — 125 g ai/ha Compounds 339 340 341 342 343 344 345 346 347 348 349 350 Barnyardgrass 60 60 50 50 20 50 80 80 50 30 70 90 Corn — — — — — — — — — — — — Crabgrass, Large — — — — — — — — — — — — Foxtail, Giant 70 80 80 70 60 80 90 90 20 90 80 90 Kochia 0 0 0 0 0 0 10 0 0 0 50 80 Morningglory — — — — — — — — — — — — Pigweed 0 0 0 0 0 0 0 20 0 20 0 50 Ragweed 0 0 0 0 0 0 0 0 0 — 0 30 Ryegrass, Italian 0 0 0 0 0 0 0 0 0 0 0 0 Velvetleaf — — — — — — — — — — — — Wheat — — — — — — — — — — — — - Plant species in the flooded paddy test selected from rice (Oryza sativa), sedge, umbrella (small-flower umbrella sedge, Cyperus difformis), ducksalad (Heteranthera limosa), and barnyardgrass (Echinochloa crus-galli) were grown to the 2-leaf stage for testing. At time of treatment, test pots were flooded to 3 cm above the soil surface, treated by application of test compounds directly to the paddy water, and then maintained at that water depth for the duration of the test. Treated plants and controls were maintained in a greenhouse for 13 to 15 days, after which time all species were compared to controls and visually evaluated. Plant response ratings, summarized in Table B, are based on a scale of 0 to 100 where 0 is no effect and 100 is complete control. A dash (-) response means no test result.
-
TABLE B Flood 1000 g ai/ha Compounds 98 99 100 104 105 106 108 109 110 115 116 117 193 194 195 196 197 198 Barnyardgrass 0 80 25 70 25 60 50 0 0 20 20 40 0 65 70 20 30 65 Ducksalad 90 95 75 95 90 90 95 95 95 90 80 90 60 80 100 90 75 95 Rice 0 10 0 0 10 15 0 0 0 0 15 0 20 20 15 0 10 15 Sedge, Umbrella 0 0 0 0 0 0 0 80 50 0 0 0 20 0 0 0 0 0 1000 g ai/ha Compounds 199 200 201 209 213 214 215 234 235 236 240 241 242 244 245 246 247 248 Barnyardgrass 20 85 20 45 60 75 60 75 45 40 70 75 55 30 20 60 85 55 Ducksalad 80 95 70 95 85 90 80 85 50 70 85 100 100 100 90 95 95 95 Rice 0 15 0 0 0 20 0 0 0 0 0 10 0 0 0 20 0 0 Sedge, Umbrella 0 0 0 0 0 0 0 0 0 0 0 20 0 0 0 20 0 0 1000 g ai/ha 500 g ai/ha Compounds Compounds 249 250 251 259 260 261 262 263 264 267 268 269 344 345 346 103 118 119 Barnyardgrass 55 0 45 20 0 0 20 0 0 20 0 0 85 0 85 85 20 80 Ducksalad 85 80 90 90 95 90 100 90 100 100 100 100 90 30 100 100 100 100 Rice 15 0 0 10 0 0 0 0 0 15 20 0 10 0 0 0 0 10 Sedge, Umbrella 40 0 0 10 0 0 0 0 0 0 0 0 0 0 0 0 0 0 500 g ai/ha Compounds 120 121 122 123 124 125 126 127 128 129 130 131 132 133 139 140 141 142 Barnyardgrass 80 70 65 60 40 30 60 40 60 60 40 40 40 30 60 70 50 75 Ducksalad 100 100 100 100 100 85 80 40 95 100 40 70 85 60 100 100 100 100 Rice 20 35 15 0 0 0 0 20 20 15 20 0 0 0 0 0 0 0 Sedge, Umbrella 0 0 0 0 0 0 0 30 0 0 0 30 0 0 0 0 0 0 500 g ai/ha Compounds 143 144 146 147 148 149 150 151 152 153 154 160 161 162 163 164 165 166 Barnyardgrass 35 65 80 70 40 70 80 90 60 60 70 60 65 75 90 80 75 75 Ducksalad 100 100 100 100 100 100 100 100 100 100 90 100 100 100 100 100 100 100 Rice 0 0 0 0 0 0 0 0 15 10 0 10 10 0 15 20 10 0 Sedge, Umbrella 0 0 0 0 0 0 0 0 0 0 0 0 0 0 0 0 0 0 500 g ai/ha Compounds 167 168 169 170 171 175 181 182 202 216 217 218 219 220 221 222 223 224 Barnyardgrass 75 65 80 85 70 0 0 0 65 0 40 70 40 0 0 60 75 70 Ducksalad 100 100 100 100 100 30 0 30 100 0 100 100 100 100 0 100 100 100 Rice 10 0 0 15 0 0 0 0 15 0 0 0 0 0 0 0 0 0 Sedge, Umbrella 0 0 0 0 0 0 0 0 0 0 0 0 0 0 0 0 0 0 500 g ai/ha Compounds 225 226 227 228 229 230 231 232 233 239 272 273 274 275 276 277 278 279 Barnyardgrass 0 0 0 0 50 60 0 85 60 50 20 0 0 85 0 90 60 75 Ducksalad 90 100 90 90 100 75 0 100 100 100 100 70 35 100 30 100 100 100 Rice 0 0 0 0 0 0 0 20 0 0 0 0 0 0 0 0 0 10 Sedge, Umbrella 0 0 0 0 0 0 0 0 0 0 0 0 0 30 0 0 0 0 500 g ai/ha Compounds 280 281 282 283 284 285 286 287 288 289 290 291 292 293 294 295 296 297 Barnyardgrass 65 20 30 20 0 20 15 30 20 30 40 0 50 35 20 30 30 0 Ducksalad 100 75 95 85 80 100 75 75 65 90 75 0 100 95 98 40 60 0 Rice 0 0 0 0 10 0 10 0 0 20 0 20 0 0 0 0 0 0 Sedge, Umbrella 0 0 30 0 0 0 0 0 0 0 0 0 0 0 0 0 0 0 500 g ai/ha Compounds 298 299 300 301 302 303 304 305 306 307 308 309 310 311 312 313 314 315 Barnyardgrass 0 30 0 0 80 80 80 75 75 65 70 65 60 50 75 60 25 70 Ducksalad 0 50 0 0 98 100 100 100 100 98 90 100 100 98 100 0 40 100 Rice 0 0 0 0 0 30 35 15 50 0 0 0 0 0 20 0 15 15 Sedge, Umbrella 0 0 0 0 0 0 0 0 0 0 0 0 0 0 0 0 0 0 500 g ai/ha Compounds 316 317 318 319 320 321 322 323 324 325 326 327 328 329 330 331 332 333 Barnyardgrass 60 75 75 70 45 20 0 80 80 70 0 0 0 0 0 40 40 0 Ducksalad 100 80 100 100 100 40 100 100 100 100 0 60 35 0 100 65 75 20 Rice 0 0 15 0 0 15 0 20 30 20 0 0 0 0 0 0 0 0 Sedge, Umbrella 0 0 0 0 0 0 0 0 0 40 0 0 0 0 0 0 0 0 500 g ai/ha 250 g ai/ha Compounds Compounds 334 335 336 337 338 339 340 341 342 343 348 349 350 30 31 32 33 34 Barnyardgrass 30 0 50 0 0 40 0 0 0 0 40 40 60 0 0 0 0 0 Ducksalad 40 65 60 0 0 65 50 0 0 0 100 90 100 0 0 50 100 5 Rice 0 0 0 0 0 0 0 0 0 0 0 0 0 0 0 0 0 0 Sedge, Umbrella 0 0 0 0 0 0 0 0 0 0 0 0 0 0 0 0 0 0 250 g ai/ha Compounds 35 36 37 38 39 40 41 42 43 45 46 47 48 49 50 51 52 53 Barnyardgrass 0 0 0 0 0 0 0 0 0 0 0 0 40 0 0 20 55 0 Ducksalad 80 60 0 0 0 0 70 60 0 80 0 0 100 70 90 80 90 100 Rice 0 0 0 0 0 0 0 0 0 20 0 0 20 0 0 15 25 0 Sedge, Umbrella 0 40 20 0 0 0 20 0 0 40 0 0 60 40 55 45 85 20 250 g ai/ha Compounds 54 55 56 57 58 59 60 61 62 63 64 65 66 67 68 69 70 72 Barnyardgrass 0 50 0 0 0 40 30 0 20 20 0 0 0 0 40 40 40 0 Ducksalad 70 75 0 0 0 75 90 0 75 60 80 80 75 70 90 85 85 60 Rice 20 50 0 0 0 20 0 0 0 0 15 0 0 0 25 30 35 0 Sedge, Umbrella 0 70 0 0 0 60 60 30 80 0 40 40 50 50 70 65 70 0 250 g ai/ha Compounds 73 74 75 76 77 78 79 80 81 82 83 84 87 89 95 97 194 195 Barnyardgrass 0 0 0 0 20 0 0 30 20 0 30 0 60 60 0 50 0 30 Ducksalad 60 90 0 90 100 85 90 75 70 70 50 0 80 70 90 70 45 35 Rice 0 0 0 0 10 0 0 0 — — 0 0 0 20 0 50 0 0 Sedge, Umbrella 0 0 0 0 0 0 0 0 0 80 0 0 0 0 0 75 0 0 250 g ai/ha Compounds 196 197 198 199 235 241 242 243 256 257 258 Barnyardgrass 0 0 0 20 0 55 40 0 0 0 0 Ducksalad 0 0 70 90 0 100 90 0 60 70 60 Rice 0 0 0 0 0 0 20 0 0 15 0 Sedge, Umbrella 0 0 0 0 0 0 0 0 50 0 40 - Seeds of plant species selected from blackgrass (Alopecurus myosuroides), ryegrass, Italian (Italian ryegrass, Lolium multiflorum), wheat (winter wheat, Triticum aestivum), galium (catchweed bedstraw, Galium aparine), corn (Zea mays), crabgrass, large (large crabgrass, Digitaria sanguinalis), foxtail, giant (giant foxtail, Setaria faberii), johnsongrass (Sorghum halepense), lambsquarters (Chenopodium album), morning glory (Ipomoea coccinea), nutsedge, yellow (yellow nutsedge, Cyperus esculentus), pigweed (Amaranthus retroflexus), ragweed (common ragweed, Ambrosia elatior), soybean (Glycine max), barnyardgrass (Echinochloa crus-galli), oilseed rape (Brassica napus), waterhemp (common waterhemp, Amaranthus rudis), kochia (Kochia scoparia), oat, wild (wild oat, Avena fatua), surinam grass (Brachiaria decumbens), foxtail, green (green foxtail, Setaria viridis), goosegrass (Eleusine indica), bromegrass, downy (downy bromegrass, Bromus tectorum), nightshade (eastern black nightshade, Solanum ptycanthum), cocklebur (common cocklebur, Xanthium strumarium), cupgrass, woolly (woolly cupgrass, Eriochloa villosa), bermudagrass (Cynodon dactylon), sunflower, (common oilseed sunflower, Helianthus annuus), Russian thistle (Salsola kali) and velvetleaf (Abutilon theophrasti) were planted into a blend of loam soil and sand and treated preemergence with test chemicals formulated in a non-phytotoxic solvent mixture which included a surfactant.
- At the same time, plants selected from these crop and weed species and also barley (winter barley, Hordeum vulgare), windgrass (Apera spica-venti), chickweed (common chickweed, Stellaria media), deadnettle (henbit deadnettle, Lamium amplexicaule), and canarygrass (littleseed canarygrass, Phalaris minor) were planted in pots containing Redi-Earth® planting medium (Scotts Company, 14111 Scottslawn Road, Marysville, Ohio 43041) comprising spaghnum peat moss, vermiculite, wetting agent and starter nutrients and treated with postemergence applications of test chemicals formulated in the same manner. Plants ranged in height from 2 to 18 cm (1- to 4-leaf stage) for postemergence treatments. Treated plants and controls were maintained in a greenhouse for 13 to 15 days, after which time all species were compared to controls and visually evaluated. Plant response ratings, summarized in Table C, are based on a scale of 0 to 100 where 0 is no effect and 100 is complete control. A dash (-) response means no test result.
- Plant species in the flooded paddy test consisted of rice (Oryza sativa), sedge, umbrella (small-flower umbrella sedge, Cyperus difformis), ducksalad (Heteranthera limosa), and barnyardgrass (Echinochloa crus-galli) grown to the 2-leaf stage for testing. At time of treatment, test pots were flooded to 3 cm above the soil surface, treated by application of test compounds directly to the paddy water, and then maintained at that water depth for the duration of the test. Treated plants and controls were maintained in a greenhouse for 13 to 15 days, after which time all species were compared to controls and visually evaluated. Plant response ratings, summarized in Table C, are based on a scale of 0 to 100) where (0 is no effect and 100 is complete control. A dash (-) response means no test result.
-
TABLE C Postemergence 250 g ai/ha Compounds 17 34 50 52 76 79 80 81 101 103 106 109 Barley 0 0 0 15 — — — 0 — — — — Barnyardgrass — — — — 90 60 70 — 90 65 30 45 Bermudagrass 0 0 0 10 — — — 0 — — — — Blackgrass 0 0 0 0 10 5 5 0 5 0 0 0 Bromegrass, Downy 0 0 0 10 — — — 7 — — — — Canarygrass 0 0 0 0 — — — 0 — — — — Chickweed 10 5 5 60 80 90 90 0 80 5 30 0 Cocklebur 0 25 5 5 — — — 0 — — — — Corn 0 0 5 5 0 0 10 0 0 0 0 5 Crabgrass, Large 70 60 75 75 75 75 75 7 85 85 60 70 Cupgrass, Woolly 0 30 10 10 — — — 0 — — — — Deadnettle 0 0 — — — — — — — — — — Foxtail, Giant 10 35 10 25 70 15 45 7 90 80 50 70 Foxtail, Green 0 60 30 80 — — — 48 — — — — Galium 0 10 — — 65 — 65 — 70 50 — 30 Goosegrass 0 25 25 20 — — — 0 — — — — Johnsongrass 0 0 10 0 0 5 10 0 0 0 0 0 Kochia 5 5 0 50 65 — 65 0 50 40 35 0 Lambsquarters 0 55 15 40 50 85 70 3 70 30 0 5 Morningglory 0 10 10 30 40 5 5 0 55 40 5 15 Nutsedge, Yellow 0 10 5 10 0 0 0 0 5 0 0 0 Oat, Wild 0 0 0 0 0 0 0 0 0 0 0 0 Oilseed Rape — — — — 10 0 60 — 35 5 0 5 Pigweed 0 10 20 60 30 35 75 0 45 10 30 10 Ragweed 0 5 10 55 55 45 30 0 45 10 5 5 Ryegrass, Italian 5 0 0 0 5 0 0 0 0 0 5 0 Soybean 0 10 20 5 10 10 25 8 5 0 5 5 Surinam Grass 60 60 15 30 — — — 0 — — — — Velvetleaf 0 5 45 35 0 0 25 0 30 0 5 5 Waterhemp — — — — 10 30 65 — 35 10 20 0 Wheat 0 0 0 0 5 0 0 0 0 0 0 0 Windgrass 0 5 0 20 — — — 20 — — — — 250 g ai/ha Compounds 119 120 202 204 206 207 223 224 232 244 275 278 Barley — — — — — — — — — — — — Barnyardgrass 80 65 85 90 80 65 60 75 75 5 85 75 Bermudagrass — — — — — — — — — — — — Blackgrass 0 0 10 50 60 0 0 0 0 0 40 0 Bromegrass, Downy — — — — — — — — — — — — Canarygrass — — — — — — — — — — — — Chickweed — — 85 65 85 90 80 85 85 65 85 0 Cocklebur — — — — — — — — — — — — Corn 5 0 35 40 50 5 5 10 0 0 55 0 Crabgrass, Large 90 75 75 80 80 65 80 75 75 40 85 75 Cupgrass, Woolly — — — — — — — — — — — — Deadnettle — — — — — — — — — — — — Foxtail, Giant 90 85 85 90 85 75 35 35 70 5 90 75 Foxtail, Green — — — — — — — — — — — — Galium — — 80 60 75 50 70 85 80 65 80 20 Goosegrass — — — — — — — — — — — — Johnsongrass 5 0 25 0 35 0 0 25 25 5 25 0 Kochia — — 80 40 70 30 60 70 75 50 85 5 Lambsquarters 70 70 85 30 20 15 60 60 85 35 75 20 Morningglory 5 5 10 35 45 20 35 35 60 5 20 0 Nutsedge, Yellow 0 0 0 0 0 0 0 0 5 5 20 15 Oat, Wild 0 0 10 5 50 0 0 15 30 0 5 0 Oilseed Rape 5 0 50 45 55 30 10 5 40 10 45 0 Pigweed 25 60 85 10 30 20 60 65 85 10 35 15 Ragweed 25 45 85 0 5 15 35 80 75 0 70 0 Ryegrass, Italian 5 10 35 15 35 0 0 5 40 0 25 0 Soybean 5 0 10 5 5 5 30 5 20 5 10 15 Surinam Grass — — — — — — — — — — — — Velvetleaf 20 25 55 10 15 0 20 35 60 5 50 20 Waterhemp 40 20 85 5 30 10 10 30 80 5 20 5 Wheat 0 0 5 0 45 0 0 5 5 0 0 0 Windgrass — — — — — — — — — — — — 250 g ai/ha Compounds 279 302 303 305 306 309 310 312 315 316 317 323 Barley — — — — — — — — — — — — Barnyardgrass 85 90 70 80 85 60 7 75 85 70 70 70 Bermudagrass — — — — — — — — — — — — Blackgrass 0 5 0 10 5 5 5 0 25 0 0 15 Bromegrass, Downy — — — — — — — — — — — — Canarygrass — — — — — — — — — — — — Chickweed 5 70 — — — 70 85 — — — — — Cocklebur — — — — — — — — — — — — Corn 0 0 15 45 20 20 30 10 60 0 0 10 Crabgrass, Large 80 85 90 80 85 65 70 90 75 70 50 80 Cupgrass, Woolly — — — — — — — — — — — — Deadnettle — — — — — — — — — — — — Foxtail, Giant 90 80 90 90 85 80 70 80 85 85 50 70 Foxtail, Green — — — — — — — — — — — — Galium 30 45 — — — 60 65 — — — — — Goosegrass — — — — — — — — — — — — Johnsongrass 0 10 5 20 0 15 5 0 35 0 5 10 Kochia 35 60 — — — 75 80 — — — — — Lambsquarters 45 70 80 65 75 70 70 55 80 65 25 65 Morningglory 25 25 0 20 5 10 70 20 10 10 10 25 Nutsedge, Yellow 0 20 0 0 0 0 25 0 0 0 0 0 Oat, Wild 0 0 0 30 5 0 0 0 0 30 0 0 Oilseed Rape 0 0 30 0 70 5 40 0 10 0 0 0 Pigweed 20 30 25 65 90 60 70 45 80 75 5 25 Ragweed 35 55 55 45 85 40 60 55 70 65 40 20 Ryegrass, Italian 0 0 5 45 20 5 5 10 45 5 0 5 Soybean 10 65 0 0 5 0 0 0 15 0 0 0 Surinam Grass — — — — — — — — — — — — Velvetleaf 10 20 35 65 65 15 40 35 55 35 0 0 Waterhemp 15 25 25 40 80 10 10 20 65 55 0 20 Wheat 0 0 0 5 0 0 0 0 5 0 0 0 Windgrass — — — — — — — — — — — — 250 g ai/ha 125 g ai/ha Compounds Compounds 324 325 345 346 17 34 48 50 52 60 76 79 Barley — — — — 0 0 0 0 0 20 — — Barnyardgrass 65 80 — 60 — — — — — — 85 35 Bermudagrass — — — — 0 0 10 0 0 0 — — Blackgrass 0 35 — 5 0 0 0 0 0 0 0 0 Bromegrass, Downy — — — — 0 0 0 0 0 5 — — Canarygrass — — — — 0 0 0 0 0 0 — — Chickweed — — 30 85 0 5 30 0 45 30 65 90 Cocklebur — — — — 0 5 10 5 5 0 — — Corn 0 35 — 0 0 0 5 5 5 0 0 0 Crabgrass, Large 75 85 — 75 45 40 7 40 55 75 70 65 Cupgrass, Woolly — — — — 0 0 5 0 5 5 — — Deadnettle — — — — 0 0 — — — — — — Foxtail, Giant 60 75 — 85 0 5 40 5 0 30 20 15 Foxtail, Green — — — — 0 60 65 0 30 45 — — Galium — — — 70 0 0 — — — — 50 60 Goosegrass — — — — 0 15 10 25 20 0 — — Johnsongrass 10 0 — 0 0 0 0 0 0 5 0 0 Kochia — — — 40 0 5 20 0 40 45 50 55 Lambsquarters 65 65 — 65 0 10 10 10 40 20 40 85 Morningglory 15 50 — 5 0 5 10 10 10 10 40 5 Nutsedge, Yellow 0 0 — 5 0 10 0 0 10 5 0 0 Oat, Wild 5 15 — 0 0 0 0 0 0 0 0 0 Oilseed Rape 0 60 — 0 — — — — — — 0 0 Pigweed 55 65 — 40 0 0 40 20 50 20 10 35 Ragweed 40 35 — 20 0 5 35 0 50 35 40 20 Ryegrass, Italian 0 30 — 0 0 0 0 0 0 0 0 0 Soybean 0 0 — 5 0 5 10 15 5 5 5 10 Surinam Grass — — — — 45 55 25 5 — 0 — — Velvetleaf 55 40 — 20 0 5 35 25 20 5 0 0 Waterhemp 40 35 — 40 — — — — — — 5 10 Wheat 0 5 — 0 0 0 5 0 0 5 0 0 Windgrass — — — — 0 0 0 0 20 0 — — 125 g ai/ha Compounds 80 81 101 103 106 109 119 120 202 204 206 207 Barley — 0 — — — — — — — — — — Barnyardgrass 35 — 65 35 0 0 65 40 65 80 80 35 Bermudagrass — 0 — — — — — — — — — — Blackgrass 0 0 10 0 0 0 0 0 5 0 40 0 Bromegrass, Downy — 0 — — — — — — — — — — Canarygrass — 0 — — — — — — — — — — Chickweed 90 0 70 5 5 0 — — 85 55 85 60 Cocklebur — 0 — — — — — — — — — — Corn 5 0 0 0 0 0 0 0 10 0 30 0 Crabgrass, Large 65 3 80 75 25 40 80 70 60 70 70 40 Cupgrass, Woolly — 0 — — — — — — — — — — Deadnettle — — — — — — — — — — — — Foxtail, Giant 45 0 75 45 45 50 85 75 70 90 50 65 Foxtail, Green — 20 — — — — — — — — — — Galium 6.5 — 30 40 50 30 — — 80 60 75 0 Goosegrass — 0 — — — — — — — — — — Johnsongrass 5 0 0 0 0 0 0 0 25 0 0 0 Kochia 65 0 50 35 30 0 — — 80 40 30 0 Lambsquarters 60 0 35 40 0 0 75 60 80 75 10 35 Morningglory 5 0 25 10 10 5 5 0 70 15 35 5 Nutsedge, Yellow 0 0 0 0 0 0 0 0 0 0 0 0 Oat, Wild 0 0 0 0 0 0 0 0 30 0 45 0 Oilseed Rape 20 — 50 0 0 5 0 0 50 0 50 10 Pigweed 60 0 15 5 5 5 15 40 85 10 50 10 Ragweed 30 0 5 10 0 0 45 40 80 0 25 0 Ryegrass, Italian 0 0 0 0 0 0 0 0 5 0 10 0 Soybean 5 3 5 0 5 5 0 0 5 0 5 5 Surinam Grass — 0 — — — — — — — — — — Velvetleaf — 0 10 0 5 0 15 5 30 0 15 0 Waterhemp 45 — 20 5 10 0 0 15 75 0 35 0 Wheat 0 0 0 0 0 0 0 0 0 0 30 0 Windgrass — 20 — — — — — — — — — — 125 g ai/ha Compounds 223 224 232 244 275 277 278 279 302 303 304 305 Barley — — — — — — — — — — — — Barnyardgrass 45 50 70 5 75 80 55 85 40 70 40 70 Bermudagrass — — — — — — — — — — — — Blackgrass 0 0 0 0 5 0 0 0 0 0 0 30 Bromegrass, Downy — — — — — — — — — — — — Canarygrass — — — — — — — — — — — — Chickweed 50 70 85 20 85 40 0 30 5 — — — Cocklebur — — — — — — — — — — — — Corn 0 10 0 0 0 10 0 0 0 0 5 40 Crabgrass, Large 55 55 60 5 65 70 65 70 70 65 80 75 Cupgrass, Woolly — — — — — — — — — — — — Deadnettle — — — — — — — — — — — — Foxtail, Giant 30 60 15 5 35 85 40 90 80 85 45 85 Foxtail, Green — — — — — — — — — — — — Galium 45 60 80 55 75 75 5 30 10 — — — Goosegrass — — — — — — — — — — — — Johnsongrass 0 15 20 0 0 10 0 0 0 0 0 20 Kochia 30 50 70 40 85 60 0 85 0 — — — Lambsquarters 35 70 85 10 75 40 20 45 60 65 70 50 Morningglory 0 35 25 5 20 40 45 30 50 0 45 75 Nutsedge, Yellow 0 0 5 5 0 0 0 0 0 0 0 0 Oat, Wild 0 5 0 0 0 5 0 0 0 0 0 0 Oilseed Rape 0 20 65 5 35 0 5 0 40 0 0 0 Pigweed 10 60 85 5 30 30 15 30 20 10 55 65 Ragweed 35 45 85 0 70 40 10 35 20 40 35 40 Ryegrass, Italian 0 5 0 0 5 35 0 0 0 0 0 0 Soybean 0 5 10 5 0 0 40 0 0 0 10 0 Surinam Grass — — — — — — — — — — — — Velvetleaf 0 25 30 5 10 15 10 10 0 25 15 40 Waterhemp 10 30 80 5 0 5 5 15 20 0 80 35 Wheat 0 5 5 0 0 0 0 0 0 0 0 0 Windgrass — — — — — — — — — — — — 125 g ai/ha 62 g ai/ha Compounds Compounds 306 309 310 312 315 316 317 323 324 325 346 17 Barley — — — — — — — — — — — 0 Barnyardgrass 85 55 50 70 70 60 25 35 55 70 30 — Bermudagrass — — — — — — — — — — — 0 Blackgrass 5 5 5 0 30 0 0 0 0 0 0 0 Bromegrass, Downy — — — — — — — — — — — 0 Canarygrass — — — — — — — — — — — 0 Chickweed — 65 90 — — — — — — — 40 0 Cocklebur — — — — — — — — — — — 0 Corn 0 0 60 10 10 0 0 5 55 10 0 0 Crabgrass, Large 75 60 70 80 70 60 45 70 70 65 60 0 Cupgrass, Woolly — — — — — — — — — — — 0 Deadnettle — — — — — — — — — — — 0 Foxtail, Giant 60 40 30 75 85 85 0 35 75 65 40 0 Foxtail, Green — — — — — — — — — — — 0 Galium — 55 50 — — — — — — — 40 0 Goosegrass — — — — — — — — — — — 0 Johnsongrass 0 0 0 25 0 0 0 0 0 0 0 0 Kochia — 75 90 — — — — — — — 45 0 Lambsquarters 90 65 65 95 65 40 25 65 70 70 5 0 Morningglory 65 25 10 10 35 10 0 5 10 35 15 0 Nutsedge, Yellow — 30 0 0 0 0 0 0 0 0 0 0 Oat, Wild 0 0 0 0 0 5 0 0 0 5 0 0 Oilseed Rape 40 40 0 0 0 0 0 0 0 50 0 — Pigweed 85 50 60 25 65 60 5 25 65 50 20 0 Ragweed 80 35 20 45 65 35 25 15 25 25 0 0 Ryegrass, Italian 5 0 0 35 15 0 0 0 0 0 0 0 Soybean 5 15 0 0 0 0 0 0 0 0 0 0 Surinam Grass — — — — — — — — — — — 0 Velvetleaf 50 0 0 0 30 45 0 0 50 20 5 0 Waterhemp 80 10 10 20 60 10 20 0 20 25 15 — Wheat 0 0 0 0 0 0 0 0 0 0 0 0 Windgrass — — — — — — — — — — — 0 62 g ai/ha Compounds 34 48 50 52 60 76 79 80 81 101 103 106 Barley 0 0 0 0 0 — — — 0 — — — Barnyardgrass — — — — — 35 0 20 — 35 10 0 Bermudagrass 0 0 0 0 0 — — — 0 — — — Blackgrass 0 0 0 0 0 0 0 0 0 0 0 0 Bromegrass, Downy 0 0 0 0 0 — — — 0 — — — Canarygrass 0 0 0 0 0 — — — 0 — — — Chickweed 0 30 0 25 10 40 80 85 0 60 5 0 Cocklebur 5 10 5 5 0 — — — 0 — — — Corn 0 5 0 0 0 0 0 5 0 0 0 0 Crabgrass, Large 30 65 25 55 50 50 5 40 0 50 15 10 Cupgrass, Woolly 0 5 0 5 0 — — — 0 — — — Deadnettle 0 — — — — — — — — — — — Foxtail, Giant 5 20 5 0 15 5 15 0 0 20 0 35 Foxtail, Green 60 0 0 10 35 — — — 5 — — — Galium 0 — — — — 50 60 55 — 50 0 0 Goosegrass 15 10 25 0 0 — — — 0 — — — Johnsongrass 0 0 0 0 5 0 0 5 0 0 0 0 Kochia 5 10 0 35 10 50 55 55 0 30 30 40 Lambsquarters 0 — 10 10 20 40 50 55 0 25 0 25 Morningglory 5 10 0 10 10 10 0 5 0 15 0 5 Nutsedge, Yellow 5 0 0 10 0 0 0 0 0 0 0 0 Oat, Wild 0 0 0 0 0 0 0 0 0 0 0 0 Oilseed Rape — — — — — 0 0 0 — 10 0 0 Pigweed 0 30 10 40 20 10 35 40 0 10 0 0 Ragweed 5 5 0 10 25 40 20 30 0 0 0 0 Ryegrass, Italian 0 0 0 0 0 0 0 0 0 0 0 0 Soybean 0 10 15 0 0 0 0 5 3 0 0 0 Surinam Grass 0 25 5 5 0 — — — 0 — — — Velvetleaf 5 15 15 20 0 0 0 15 0 0 0 0 Waterhemp — — — — — 5 10 45 — 5 5 0 Wheat 0 0 0 0 0 0 0 0 0 0 0 0 Windgrass 0 0 0 0 0 — — — 0 — — — 62 g ai/ha Compounds 109 119 120 202 204 206 207 223 224 232 244 271 Barley — — — — — — — — — — — — Barnyardgrass 0 40 30 65 55 40 10 0 30 55 0 0 Bermudagrass — — — — — — — — — — — — Blackgrass 0 0 0 0 0 0 0 0 0 0 0 0 Bromegrass, Downy — — — — — — — — — — — — Canarygrass — — — — — — — — — — — — Chickweed 0 — — 80 30 60 50 45 70 85 50 50 Cocklebur — — — — — — — — — — — — Corn 0 0 0 0 0 0 0 0 0 0 0 0 Crabgrass, Large 10 65 70 50 50 50 15 10 35 35 5 5 Cupgrass, Woolly — — — — — — — — — — — — Deadnettle — — — — — — — — — — — — Foxtail, Giant 15 25 65 25 10 50 0 35 0 5 0 0 Foxtail, Green — — — — — — — — — — — — Galium 0 — — 80 45 75 0 5 45 80 30 30 Goosegrass — — — — — — — — — — — — Johnsongrass 0 0 0 20 0 0 0 0 0 20 0 10 Kochia 0 — — 75 30 70 0 5 40 70 10 10 Lambsquarters 0 50 55 80 65 75 10 5 50 85 20 55 Morningglory 0 0 5 10 5 20 5 0 5 0 0 45 Nutsedge, Yellow 0 0 0 0 0 20 0 0 0 0 10 0 Oat, Wild 0 0 0 0 0 5 0 0 0 0 0 0 Oilseed Rape 0 0 0 0 0 30 0 0 15 50 0 20 Pigweed 5 10 20 80 10 40 10 10 55 85 5 30 Ragweed 0 0 45 75 0 0 0 0 65 80 0 40 Ryegrass, Italian 0 0 0 0 0 0 0 0 0 0 0 0 Soybean 0 5 0 0 0 5 5 0 10 10 5 60 Surinam Grass — — — — — — — — — — — — Velvetleaf 0 0 0 20 0 0 0 0 0 15 5 5 Waterhemp 0 0 0 65 0 0 0 0 35 75 5 5 Wheat 0 0 0 0 0 0 0 0 0 0 0 0 Windgrass — — — — — — — — — — — — 62 g ai/ha Compounds 275 277 278 279 302 303 304 305 306 309 310 312 Barley — — — — — — — — — — — — Barnyardgrass 60 70 10 55 20 60 0 55 45 15 25 70 Bermudagrass — — — — — — — — — — — — Blackgrass 0 0 0 0 0 0 0 0 0 0 0 0 Bromegrass, Downy — — — — — — — — — — — — Canarygrass — — — — — — — — — — — — Chickweed 60 0 0 75 0 — — — — 50 45 — Cocklebur — — — — — — — — — — — — Corn 0 20 0 0 0 0 0 5 0 0 0 15 Crabgrass, Large 40 65 30 65 50 40 60 55 45 30 10 50 Cupgrass, Woolly — — — — — — — — — — — — Deadnettle — — — — — — — — — — — — Foxtail, Giant 75 85 10 30 45 80 10 65 75 0 5 75 Foxtail, Green — — — — — — — — — — — — Galium 55 60 0 15 15 — — — — 40 50 — Goosegrass — — — — — — — — — — — — Johnsongrass 0 0 0 0 0 0 0 0 0 0 0 0 Kochia 85 5 0 30 0 — — — — 5 50 — Lambsquarters 60 40 0 0 20 85 75 35 70 65 65 75 Morningglory 10 30 0 60 15 60 20 20 35 10 0 0 Nutsedge, Yellow 0 0 0 0 0 0 0 0 0 5 0 0 Oat, Wild 0 0 0 0 0 0 0 0 0 0 0 0 Oilseed Rape 5 0 0 30 0 0 0 0 50 30 0 0 Pigweed 5 10 5 10 20 0 55 60 85 50 40 20 Ragweed 65 35 0 20 20 0 0 0 55 0 10 35 Ryegrass, Italian 0 5 0 0 0 0 5 0 0 0 0 0 Soybean 0 0 55 10 0 0 5 0 5 0 10 0 Surinam Grass — — — — — — — — — — — — Velvetleaf 10 0 0 10 0 0 15 40 10 5 0 0 Waterhemp 0 5 0 20 20 35 65 10 65 5 10 45 Wheat 0 0 0 0 0 0 0 0 0 0 0 0 Windgrass — — — — — — — — — — — — 62 g ai/ha 31 g ai/ha Compounds Compounds 315 316 317 323 324 325 346 17 34 48 50 52 Barley — — — — — — — 0 0 0 0 0 Barnyardgrass 65 35 0 10 35 25 0 — — — — — Bermudagrass — — 0 0 0 0 0 Blackgrass 0 0 0 0 0 0 0 0 0 0 0 0 Bromegrass, Downy — — — — — — — 0 0 0 0 0 Canarygrass — — 0 0 0 0 0 Chickweed — — — — — — 65 0 0 0 0 — Cocklebur — — — — — — — 0 0 5 5 5 Corn 0 0 0 0 0 0 0 0 0 5 0 0 Crabgrass, Large 65 50 25 40 60 65 25 0 0 40 10 50 Cupgrass, Woolly — — — — — — — 0 0 0 0 0 Deadnettle — — — — — — — 0 0 — — — Foxtail, Giant 40 5 0 0 10 35 0 0 0 5 0 0 Foxtail, Green — — — — — — — 0 0 0 0 0 Galium — — — — — — 25 0 0 — — — Goosegrass — — — — — — — 0 10 10 25 0 Johnsongrass 0 0 0 0 0 0 0 0 0 0 0 0 Kochia — — — — — — 50 0 5 10 0 30 Lambsquarters 60 65 0 10 55 45 5 0 0 10 5 — Morningglory 65 0 0 25 5 5 5 0 0 10 0 5 Nutsedge, Yellow 0 0 0 0 0 0 0 0 5 0 0 10 Oat, Wild 0 0 0 0 0 0 0 0 0 0 0 0 Oilseed Rape 0 0 0 0 0 0 0 — — — — — Pigweed 65 50 5 5 35 55 5 0 0 25 10 25 Ragweed 20 0 0 0 20 10 0 0 5 5 0 10 Ryegrass, Italian 5 0 0 0 0 0 0 0 0 0 0 0 Soybean 0 0 0 0 5 0 5 0 0 10 10 0 Surinam Grass — — — — — — — 0 0 5 5 0 Velvetleaf 25 0 0 20 55 15 0 0 5 0 0 10 Waterhemp 60 10 0 0 10 0 0 — — — — — Wheat 0 0 0 0 0 0 0 0 0 0 0 0 Windgrass — — — — — — — 0 0 0 0 0 31 g ai/ha Compounds 60 76 79 80 81 101 103 106 109 119 120 202 Barley 0 — — — 0 — — — — — — — Barnyardgrass — 0 0 0 — 0 0 0 0 25 0 25 Bermudagrass 0 — — — 0 — — — — — — — Blackgrass 0 0 0 0 0 0 0 0 0 0 0 0 Bromegrass, Downy 0 — — — 0 — — — — — — — Canarygrass 0 — — — 0 — — — — — — — Chickweed 0 40 60 70 0 35 0 0 0 — — 80 Cocklebur 0 — — — 0 — — — — — — — Corn 0 0 0 0 0 0 0 0 0 0 0 0 Crabgrass, Large 20 0 5 5 0 25 0 10 10 55 55 30 Cupgrass, Woolly 0 — — — 0 — — — — — — — Deadnettle — — — — — — — — — — — — Foxtail, Giant 0 0 15 0 0 0 0 50 60 10 25 5 Foxtail, Green 20 — — — 5 — — — — — — — Galium — 30 30 5 — 50 0 0 0 — — 80 Goosegrass 0 — — — 0 — — — — — — — Johnsongrass 5 0 0 5 0 0 0 0 0 0 0 0 Kochia 0 40 5 30 0 45 30 0 0 — — 70 Lambsquarters 5 40 25 55 0 10 0 0 0 5 55 70 Morningglory 5 10 0 0 0 15 20 0 20 0 0 5 Nutsedge, Yellow 0 0 0 0 0 0 0 0 0 0 0 0 Oat, Wild 0 0 0 0 0 0 0 0 0 0 0 0 Oilseed Rape — 0 0 0 — 5 0 0 0 0 0 0 Pigweed — 5 35 40 0 0 0 0 5 10 5 80 Ragweed 10 25 20 30 0 0 0 25 0 20 20 70 Ryegrass, Italian 0 0 0 0 0 0 0 0 0 0 0 0 Soybean 0 0 0 0 0 0 0 0 0 5 0 0 Surinam Grass 0 — — — 0 — — — — — — — Velvetleaf 0 0 0 15 0 0 0 0 0 0 25 10 Waterhemp — 0 10 30 — 0 0 0 0 0 0 60 Wheat 0 0 0 0 0 0 0 0 0 0 0 0 Windgrass 0 — — — 0 — — — — — — — 31 g ai/ha Compounds 204 206 207 223 224 232 244 271 275 277 278 279 Barley — — — — — — — — — — — — Barnyardgrass 5 25 0 0 0 5 0 0 30 15 0 15 Bermudagrass — — — — — — — — — — — — Blackgrass 0 0 0 0 0 0 0 0 0 0 0 0 Bromegrass, Downy — — — — — — — — — — — — Canarygrass — — — — — — — — — — — — Chickweed 0 85 30 40 70 70 45 5 50 40 0 5 Cocklebur — — — — — — — — — — — — Corn 0 0 0 0 0 0 0 0 0 0 0 0 Crabgrass, Large 0 45 10 0 0 25 5 5 15 15 0 25 Cupgrass, Woolly — — — — — — — — — — — — Deadnettle — — — — — — — — — — — — Foxtail, Giant 0 0 20 0 0 0 0 0 10 10 10 0 Foxtail, Green — — — — — — — — — — — — Galium 10 60 0 5 5 75 30 30 50 45 0 0 Goosegrass — — — — — — — — — — — — Johnsongrass 0 0 0 0 0 0 0 10 0 0 0 0 Kochia 10 50 0 0 0 60 0 0 70 0 0 0 Lambsquarters 35 50 0 0 5 80 10 50 10 30 0 0 Morningglory 5 20 5 0 5 15 0 10 10 30 0 5 Nutsedge, Yellow 0 0 10 0 0 0 0 0 0 10 0 0 Oat, Wild 0 0 0 0 0 0 0 0 0 0 0 0 Oilseed Rape 0 0 0 0 0 0 0 0 5 0 0 0 Pigweed 20 30 0 5 40 80 5 10 5 10 0 30 Ragweed 0 5 0 0 20 75 0 25 20 40 0 15 Ryegrass, Italian 0 0 0 0 0 0 0 0 0 0 0 0 Soybean 0 5 0 10 0 0 5 15 0 0 50 40 Surinam Grass — — — — — — — — — — — — Velvetleaf 0 0 0 0 0 5 5 5 5 0 0 0 Waterhemp 0 0 0 0 25 75 5 0 0 5 0 5 Wheat 0 0 0 0 0 0 0 0 0 0 0 0 Windgrass — — — — — — — — — — — — 31 g ai/ha Compounds 302 303 304 305 306 309 310 312 315 316 317 323 Barley — — — — — — — — — — — — Barnyardgrass 0 10 0 20 0 0 5 40 25 10 0 0 Bermudagrass — — — — — — — — — — — — Blackgrass 0 0 0 0 0 0 0 0 0 0 0 0 Bromegrass, Downy — — — — — — — — — — — — Canarygrass — — — — — — — — — — — — Chickweed 0 — — — — 30 20 — — — — — Cocklebur — — — — — — — — — — — — Corn 0 0 0 0 0 0 0 0 0 0 0 0 Crabgrass, Large 0 0 10 40 10 0 0 25 55 0 0 0 Cupgrass, Woolly — — — — — — — — — — — — Deadnettle — — — — — — — — — — — — Foxtail, Giant 0 — 0 0 5 10 0 55 0 5 0 0 Foxtail, Green — — — — — — — — — — — — Galium 10 — — — — 30 35 — — — — — Goosegrass — — — — — — — — — — — — Johnsongrass 0 0 0 0 0 0 0 0 0 0 0 0 Kochia 0 — — — — 5 40 — — — — — Lambsquarters 10 35 35 60 60 10 25 65 60 55 0 10 Morningglory 10 10 50 25 0 60 10 0 25 55 0 0 Nutsedge, Yellow 0 0 0 0 0 0 0 0 0 0 0 0 Oat, Wild 0 0 0 0 0 0 0 0 0 0 0 0 Oilseed Rape 0 0 0 0 0 35 0 0 0 0 0 0 Pigweed 15 0 35 55 75 30 35 10 25 15 5 0 Ragweed 10 0 0 0 60 0 10 40 0 45 0 0 Ryegrass, Italian 0 0 0 0 0 0 0 0 0 0 0 0 Soybean 0 0 0 10 0 0 10 0 0 0 0 0 Surinam Grass — — — — — — — — — — — — Velvetleaf 0 35 5 10 0 5 35 30 10 0 0 0 Waterhemp 10 0 50 10 65 0 5 0 50 10 0 0 Wheat 0 0 0 0 0 0 0 0 0 0 0 0 Windgrass — — — — — — — — — — — — 31 g ai/ha 16 g ai/ha 8 g ai/ha Compounds Compounds Compound 324 325 346 48 271 277 304 271 Barley — — — 0 — — — Barnyardgrass 0 10 0 — 0 5 0 0 Bermudagrass — — — 0 — — — Blackgrass 0 0 0 0 0 0 0 0 Bromegrass, Downy — — — 0 — — — Canarygrass — — — 0 — — — Chickweed — — 40 0 5 0 — 0 Cocklebur — — — 0 — — — Corn 0 0 0 0 0 0 0 0 Crabgrass, Large 25 55 0 20 0 5 10 0 Cupgrass, Woolly — — — 0 — — — Deadnettle — — — 0 0 0 0 Foxtail, Giant 0 0 20 0 — — — 0 Foxtail, Green — — — 0 — — — Galium — — 30 — 5 40 — 0 Goosegrass — — — 10 — — — Johnsongrass 0 0 100 0 10 0 0 10 Kochia — — 45 0 0 0 — 0 Lambsquarters 0 20 45 — 45 25 65 10 Morningglory 10 5 0 10 0 15 20 0 Nutsedge, Yellow 0 0 0 0 0 0 0 0 Oat, Wild 0 0 0 0 0 0 0 0 Oilseed Rape 0 0 0 — 0 0 0 0 Pigweed 0 40 5 10 5 5 25 5 Ragweed 5 10 0 0 15 10 0 0 Ryegrass, Italian 0 0 0 0 0 0 0 0 Soybean 0 0 0 5 45 0 0 5 Surinam Grass — — — 0 — — — Velvetleaf 0 0 0 0 0 0 0 0 Waterhemp 0 0 0 — 0 5 40 0 Wheat 0 0 0 0 0 0 0 0 Windgrass — — — 0 — — — Preemergence 250 g ai/ha Compounds 5 14 16 17 33 34 35 52 53 59 62 64 Barnyardgrass — — — — — — — — — — — — Bermudagrass 45 95 95 90 98 45 75 65 50 50 60 55 Blackgrass 30 0 — 95 5 45 50 0 0 60 80 30 Bromegrass, Downy 0 0 35 65 55 30 40 0 0 20 0 50 Cocklebur 0 0 0 5 10 0 0 — 5 — 5 — Corn 0 0 10 70 30 10 5 10 20 45 55 60 Crabgrass, Large 100 100 100 100 100 100 100 95 90 100 98 95 Cupgrass, Woolly 95 80 95 95 90 95 90 85 80 80 85 90 Foxtail, Giant 100 95 95 100 98 98 98 85 85 90 85 98 Foxtail, Green 95 95 90 98 100 100 98 90 90 98 90 98 Galium 40 85 — 90 90 60 30 90 70 85 90 0 Goosegrass 80 55 80 95 85 45 25 80 40 80 80 50 Johnsongrass 0 40 25 75 15 20 45 15 10 5 40 75 Kochia 0 0 0 80 0 0 10 20 20 40 25 35 Lambsquarters 95 — — 100 25 80 20 75 65 35 85 35 Morningglory 0 0 0 0 0 5 20 0 0 25 20 30 Nightshade 98 0 0 40 15 0 0 40 70 30 70 5 Nutsedge, Yellow 0 0 45 0 40 0 0 25 20 35 20 40 Oat, Wild 20 0 15 80 90 85 75 10 0 80 50 70 Oilseed Rape — — — — — — — — — — — — Pigweed 0 0 0 60 20 40 5 70 25 55 95 30 Ragweed 0 0 0 50 20 15 0 10 15 35 45 30 Russian Thistle — 0 0 — — 95 — — — 0 85 0 Ryegrass, Italian 0 10 — 70 30 45 30 5 0 0 50 0 Soybean 0 0 0 0 5 5 0 15 20 20 35 40 Sunflower 0 0 0 50 10 0 10 20 20 40 60 25 Surinam Grass 95 95 100 95 95 100 100 80 75 80 85 80 Velvetleaf 0 0 0 10 10 0 20 5 10 25 30 25 Waterhemp — — — — — — — — — — — — Wheat 60 10 45 85 40 80 65 25 0 0 10 15 250 g ai/ha Compounds 66 68 69 76 77 78 79 80 81 101 103 109 Barnyardgrass — — — 98 95 95 98 95 — 95 95 98 Bermudagrass 0 85 55 — — — — — 0 — — — Blackgrass 20 80 35 80 95 85 85 90 0 90 0 95 Bromegrass, Downy 5 0 0 — — — — — 0 — — — Cocklebur — — 0 — — — — — 0 — — — Corn 20 50 30 65 70 60 30 65 0 65 10 75 Crabgrass, Large 98 95 95 100 98 98 100 100 95 100 100 100 Cupgrass, Woolly 85 90 90 — — — — — 82 — — — Foxtail, Giant 95 95 90 98 100 98 98 98 73 98 98 100 Foxtail, Green 98 95 95 — — — — — 90 — — — Galium 0 90 75 85 90 85 90 90 0 85 80 100 Goosegrass 10 85 75 — — — — — 0 — — — Johnsongrass 40 75 0 80 90 60 10 55 0 75 40 70 Kochia 10 35 25 — — — — — — — — — Lambsquarters 0 75 85 35 98 85 90 90 27 90 65 0 Morningglory 40 15 25 40 0 0 0 20 0 25 0 30 Nightshade 0 55 0 — — — — — 0 — — — Nutsedge, Yellow 10 10 10 55 0 0 0 10 0 0 0 5 Oat, Wild 5 30 5 — — — — — 0 — — — Oilseed Rape — — — 75 85 75 80 90 — 80 5 40 Pigweed 0 85 25 40 85 40 65 90 0 85 5 20 Ragweed 25 0 20 — — — — — 0 5 0 10 Russian Thistle 0 — — — — — — — 0 — — — Ryegrass, Italian 0 5 10 40 45 45 30 45 0 50 0 70 Soybean 20 15 0 0 0 0 0 0 0 10 0 0 Sunflower 5 15 15 — — — — — 0 — — — Surinam Grass 75 85 85 — — — — — 90 — — — Velvetleaf 25 25 30 35 40 20 35 50 0 70 0 10 Waterhemp — — — 60 85 85 85 90 — 85 40 20 Wheat 25 50 5 80 90 90 75 80 0 55 10 85 250 g ai/ha Compounds 119 120 202 204 206 207 211 218 223 224 231 232 Barnyardgrass 98 98 95 95 95 95 90 95 95 95 95 95 Bermudagrass — — — — — — — — — — — — Blackgrass 85 70 90 90 90 90 90 80 85 85 90 85 Bromegrass, Downy — — — — — — — — — — — — Cocklebur — — — — — — — — — — — — Corn 45 65 85 75 60 30 80 0 45 85 85 75 Crabgrass, Large 100 100 98 95 95 95 5 100 100 100 100 90 Cupgrass, Woolly — — — — — — — — — — — — Foxtail, Giant 98 98 98 95 95 98 95 95 98 98 95 95 Foxtail, Green — — — — — — — — — — — — Galium 90 90 90 90 85 90 100 90 90 85 90 90 Goosegrass — — — — — — — — — — — — Johnsongrass 70 65 85 85 85 60 65 40 55 85 60 70 Kochia — — — — — — — — — — — — Lambsquarters 85 90 100 100 100 70 100 85 90 95 100 90 Morningglory 35 40 40 40 10 0 0 20 20 30 20 20 Nightshade — — — — — — — — — — — — Nutsedge, Yellow 0 0 0 0 0 0 10 0 0 0 0 100 Oat, Wild — — — — — — — — — — — — Oilseed Rape 80 90 90 60 90 80 90 70 5 85 90 85 Pigweed 85 80 100 75 85 0 70 85 30 85 90 95 Ragweed 80 80 100 65 98 5 100 85 25 100 85 90 Russian Thistle — — — — — — — — — — — — Ryegrass, Italian 40 30 5 30 20 0 50 50 15 15 15 40 Soybean 0 0 10 10 0 0 0 20 15 5 5 5 Sunflower — — — — — — — — — — — — Surinam Grass — — — — — — — — — — — — Velvetleaf 50 40 65 30 60 0 35 40 35 40 60 75 Waterhemp 80 85 100 90 100 75 90 90 25 80 95 95 Wheat 90 85 60 90 70 45 45 10 35 45 80 5 250 g ai/ha Compounds 233 241 246 247 262 263 274 275 278 279 280 302 Barnyardgrass 90 95 90 90 95 98 90 98 100 98 95 100 Bermudagrass — — — — — — — — — — — — Blackgrass 90 85 70 70 0 70 90 80 0 85 0 85 Bromegrass, Downy — — — — — — — — — — — — Cocklebur — — — — — — — — — — — — Corn 35 90 0 60 10 10 45 75 5 65 5 50 Crabgrass, Large 90 100 98 100 100 100 100 100 100 100 100 100 Cupgrass, Woolly — — — — — — — — — — — — Foxtail, Giant 95 95 95 100 95 98 95 100 100 98 95 100 Foxtail, Green — — — — — — — — — — — — Galium 90 85 90 90 85 90 — 85 5 85 85 85 Goosegrass — — — — — — — — — — — — Johnsongrass 45 90 5 5 0 0 30 85 0 80 10 65 Kochia — — — — — — — — — — — — Lambsquarters 90 100 90 80 100 80 0 98 0 90 10 65 Morningglory 20 30 5 20 10 10 0 50 0 10 30 0 Nightshade — — — — — — — — — — — — Nutsedge, Yellow 0 0 0 0 0 0 0 100 5 55 100 10 Oat, Wild — — — — — — — — — — — — Oilseed Rape 85 85 30 80 70 90 30 90 5 60 0 10 Pigweed 70 70 100 90 5 95 0 40 0 75 20 0 Ragweed 85 70 40 98 75 100 0 85 0 65 60 10 Russian Thistle — — — — — — — — — — — — Ryegrass, Italian 40 55 10 50 0 35 30 60 0 60 5 40 Soybean 0 0 10 0 0 0 0 15 10 10 0 0 Sunflower — — — — — — — — — — — — Surinam Grass — — — — — — — — — — — — Velvetleaf 45 40 0 25 0 5 20 30 0 30 10 0 Waterhemp 95 60 90 85 50 100 0 60 0 80 35 55 Wheat 0 80 30 0 0 50 40 90 0 30 0 30 250 g ai/ha Compounds 303 305 306 307 309 310 312 315 316 317 318 319 Barnyardgrass 98 98 95 95 95 95 95 95 90 95 95 98 Bermudagrass — — — — — — — — — — — — Blackgrass 90 90 90 5 45 45 75 85 60 50 45 80 Bromegrass, Downy — — — — — — — — — — — — Cocklebur — — — — — — — — — — — — Corn 45 80 75 40 70 55 70 85 75 30 60 65 Crabgrass, Large 100 95 98 100 98 95 95 98 98 98 100 98 Cupgrass, Woolly — — — — — — — — — — — — Foxtail, Giant 100 95 100 95 95 90 95 98 95 95 90 95 Foxtail, Green — — — — — — — — — — — — Galium 85 90 90 85 85 70 80 90 90 0 100 85 Goosegrass — — — — — — — — — — — — Johnsongrass 80 90 85 45 80 75 85 90 85 30 60 75 Kochia — — — — — — — — — — — — Lambsquarters 80 75 80 85 50 80 60 80 65 10 60 75 Morningglory 45 65 35 0 10 5 55 45 35 0 40 40 Nightshade — — — — — — — — — — — — Nutsedge, Yellow 25 100 10 0 0 0 0 20 70 70 0 30 Oat, Wild — — — — — — — — — — — — Oilseed Rape 85 90 75 5 70 85 30 80 60 0 5 65 Pigweed 80 85 90 35 40 20 55 85 65 0 50 40 Ragweed 80 75 80 35 65 35 10 80 35 0 20 85 Russian Thistle — — — — — — — — — — — — Ryegrass, Italian 75 80 70 10 10 25 30 50 0 10 50 50 Soybean 20 0 0 0 0 0 0 0 0 10 0 0 Sunflower — — — — — — — — — — — — Surinam Grass — — — — — — — — — — — — Velvetleaf 55 55 65 0 15 35 40 50 30 5 35 65 Waterhemp 75 80 90 0 40 25 80 85 45 30 70 40 Wheat 90 90 85 15 0 10 65 90 45 35 5 35 250 g ai/ha 125 g ai/ha Compounds Compounds 323 324 325 345 346 350 5 14 16 17 33 34 Barnyardgrass 98 98 95 95 98 90 — — — — — — Bermudagrass — — — — — — 20 95 90 85 70 0 Blackgrass 85 95 85 90 85 55 0 0 10 80 0 10 Bromegrass, Downy — — — — — — 0 0 30 45 0 10 Cocklebur — — — — — — 0 — 0 5 10 0 Corn 75 85 85 85 5 40 0 0 5 30 20 0 Crabgrass, Large 100 98 100 98 100 90 100 98 100 100 100 100 Cupgrass, Woolly — — — — — — 90 0 95 90 90 95 Foxtail, Giant 98 95 95 98 98 90 100 90 90 100 98 98 Foxtail, Green — — — — — — 90 90 80 98 100 98 Galium 85 85 80 85 90 90 — 70 — 70 60 5 Goosegrass — — — — — — 0 0 0 85 40 10 Johnsongrass 60 85 75 90 60 30 0 0 0 65 0 10 Kochia — — — — — — 0 0 0 60 0 0 Lambsquarters 95 85 80 85 100 90 95 — — 60 25 80 Morningglory 30 55 40 35 0 100 0 0 0 — 0 5 Nightshade — — — — — — 45 — 0 40 0 0 Nutsedge, Yellow 75 35 0 0 0 0 0 0 0 0 — 0 Oat, Wild — — — — — — 0 0 15 0 20 60 Oilseed Rape 85 90 90 85 60 85 — — — — — — Pigweed 65 85 85 60 70 90 0 0 0 50 0 0 Ragweed 80 85 85 70 70 80 0 0 0 30 0 0 Russian Thistle — — — — — — — 0 0 — — 0 Ryegrass, Italian 70 60 50 55 70 35 0 0 — 35 0 20 Soybean 0 0 0 0 10 0 0 0 0 0 0 5 Sunflower — — — — — — 0 0 0 20 — 0 Surinam Grass — — — — — — 95 95 98 90 95 100 Velvetleaf 45 50 65 40 25 5 0 0 0 0 10 0 Waterhemp 75 90 85 45 40 90 — — — — — — Wheat 80 85 70 80 40 15 5 10 0 0 35 35 125 g ai/ha Compounds 35 48 52 53 59 60 62 64 66 68 69 76 Barnyardgrass — — — — — — — — — — — 95 Bermudagrass 0 0 40 50 40 0 50 25 0 85 50 — Blackgrass 5 50 0 0 30 40 80 5 0 60 30 80 Bromegrass, Downy 5 0 0 0 0 0 0 0 0 0 0 — Cocklebur 0 5 0 5 — 0 0 — — — — — Corn 5 20 10 20 10 20 30 55 10 25 25 40 Crabgrass, Large 100 95 90 90 90 95 95 95 98 95 95 100 Cupgrass, Woolly 85 85 75 80 80 75 80 85 80 85 85 — Foxtail, Giant 98 95 80 65 85 90 85 90 85 90 85 95 Foxtail, Green 98 90 90 90 90 90 90 90 90 95 95 — Galium 5 60 90 0 30 5 85 0 0 90 5 — Goosegrass 5 15 60 30 35 0 70 25 10 80 40 — Johnsongrass 0 20 10 0 0 20 30 75 — 40 0 45 Kochia 5 10 15 0 10 0 15 20 10 0 0 — Lambsquarters 0 65 70 40 0 10 70 30 0 65 65 0 Morningglory 10 15 0 0 15 10 15 20 35 15 25 40 Nightshade 0 0 0 40 25 0 — 0 0 55 0 — Nutsedge, Yellow 0 20 25 — 0 15 20 20 0 10 0 20 Oat, Wild 0 10 0 0 0 5 50 10 0 0 5 — Oilseed Rape — — — — — — — — — — — 30 Pigweed 0 0 55 25 — 20 70 30 0 85 25 0 Ragweed 0 10 0 10 0 25 45 30 25 0 0 — Russian Thistle — — — — 0 60 85 0 0 — — — Ryegrass, Italian 5 0 0 0 0 0 30 0 0 0 0 40 Soybean 0 15 15 15 20 25 35 40 20 10 0 0 Sunflower 10 0 0 20 15 0 25 0 0 10 10 — Surinam Grass 100 85 45 75 60 70 80 65 75 75 85 — Velvetleaf 20 0 5 0 0 0 25 10 25 10 30 25 Waterhemp — — — — — — — — — — — 50 Wheat 10 45 10 0 0 0 0 15 5 30 5 70 125 g ai/ha Compounds 77 78 79 80 81 101 103 109 119 120 189 202 Barnyardgrass 95 85 95 95 — 95 95 95 95 95 90 95 Bermudagrass — — — — 0 — — — — — — — Blackgrass 85 75 85 85 0 70 30 90 80 50 55 90 Bromegrass, Downy — — — — 0 — — — — — — — Cocklebur — — — — 0 — — — — — — — Corn 55 40 10 0 0 5 0 60 15 20 40 75 Crabgrass, Large 98 98 100 98 90 98 100 100 100 100 98 98 Cupgrass, Woolly — — — — 67 — — — — — — — Foxtail, Giant 95 95 95 98 37 98 95 98 98 98 95 95 Foxtail, Green — — — — 80 — — — — — — — Galium 80 60 85 90 0 90 40 50 85 50 80 90 Goosegrass — — — — 0 — — — — — — — Johnsongrass 75 15 10 30 0 55 15 40 30 25 15 70 Kochia — — — — — — — — — — — — Lambsquarters 85 85 90 90 0 90 55 5 85 85 5 90 Morningglory 0 0 0 20 0 30 0 5 35 35 0 25 Nightshade — — — — 0 — — — — — — — Nutsedge, Yellow 0 0 0 0 0 0 0 0 0 0 0 0 Oat, Wild — — — — 0 — — — — — — — Oilseed Rape 60 10 70 90 — 80 0 5 80 70 20 85 Pigweed 60 40 50 90 0 55 0 0 75 65 0 90 Ragweed — — — — 0 5 40 0 75 55 0 85 Russian Thistle — — — — 0 — — — — — — — Ryegrass, Italian 40 40 30 40 0 30 0 20 30 10 45 30 Soybean 0 0 0 0 0 0 0 55 0 0 0 0 Sunflower — — — — 0 — — — — — — — Surinam Grass — — — — 77 — — — — — — — Velvetleaf 30 20 20 35 0 5 0 0 40 35 0 50 Waterhemp 70 85 80 90 — 50 65 0 70 75 0 100 Wheat 80 60 60 80 0 50 0 50 60 30 0 55 125 g ai/ha Compounds 204 206 207 211 218 223 224 231 232 233 241 246 Barnyardgrass 95 95 85 85 95 90 90 95 95 85 95 75 Bermudagrass — — — — — — — — — — — — Blackgrass 90 90 85 85 50 85 70 85 70 60 80 5 Bromegrass, Downy — — — — — — — — — — — — Cocklebur — — — — — — — — — — — — Corn 55 65 55 0 0 0 85 70 70 10 80 5 Crabgrass, Large 100 95 95 95 100 95 90 100 90 90 98 95 Cupgrass, Woolly — — — — — — — — — — — — Foxtail, Giant 95 95 90 90 90 90 95 98 90 90 95 95 Foxtail, Green — — — — — — — — — — — — Galium 90 70 85 85 85 90 85 90 90 90 85 90 Goosegrass — — — — — — — — — — — — Johnsongrass 75 85 30 30 15 35 75 45 60 20 85 0 Kochia — — — — — — — — — — — — Lambsquarters 75 100 60 100 75 85 95 85 90 95 10 80 Morningglory 20 0 0 0 25 10 5 0 15 20 10 10 Nightshade — — — — — — — — — — — — Nutsedge, Yellow 0 0 0 0 0 0 0 0 0 0 0 100 Oat, Wild — — — — — — — — — — — — Oilseed Rape 0 75 0 90 20 0 70 85 50 80 70 0 Pigweed 0 100 0 0 75 20 60 85 85 60 25 75 Ragweed 100 70 0 85 50 10 100 80 85 40 30 0 Russian Thistle — — — — — — — — — — — — Ryegrass, Italian 50 45 0 40 0 10 0 15 20 30 30 10 Soybean 5 0 0 5 40 5 0 0 0 5 0 0 Sunflower — — — — — — — — — — — — Surinam Grass — — — — — — — — — — — — Velvetleaf 0 40 0 30 15 25 45 35 65 45 5 0 Waterhemp 80 100 85 100 90 0 70 100 90 85 45 90 Wheat 80 70 5 30 0 10 0 20 0 0 90 10 125 g ai/ha Compounds 247 262 263 274 275 277 278 279 280 302 303 304 Barnyardgrass 90 90 95 85 95 98 95 95 85 100 95 95 Bermudagrass — — — — — — — — — — — — Blackgrass 60 0 40 75 70 90 0 30 0 60 80 70 Bromegrass, Downy — — — — — — — — — — — — Cocklebur — — — — — — — — — — — — Corn 60 10 0 10 75 90 0 5 0 0 35 65 Crabgrass, Large 98 100 100 98 100 100 98 98 95 100 98 98 Cupgrass, Woolly — — — — — — — — — — — — Foxtail, Giant 98 95 98 90 98 98 95 98 90 100 98 95 Foxtail, Green — — — — — — — — — — — — Galium 90 60 85 80 30 100 0 85 0 85 85 85 Goosegrass — — — — — — — — — — — — Johnsongrass 10 0 0 0 75 85 0 70 10 45 65 35 Kochia — — — — — — — — — — — — Lambsquarters 70 80 70 — 85 80 0 65 10 60 65 80 Morningglory 5 10 20 0 0 45 0 10 0 0 15 40 Nightshade — — — — — — — — — — — — Nutsedge, Yellow 20 0 100 0 35 20 5 0 0 0 0 0 Oat, Wild — — — — — — — — — — — — Oilseed Rape 30 35 60 5 90 80 0 30 0 0 80 55 Pigweed 85 0 98 0 10 40 0 0 20 25 65 85 Ragweed 70 10 80 0 60 40 0 10 0 5 75 80 Russian Thistle — — — — — — — — — — — — Ryegrass, Italian 40 0 0 5 50 40 0 30 0 5 70 40 Soybean 0 0 100 5 0 5 10 0 0 0 0 0 Sunflower — — — — — — — — — — — — Surinam Grass — — — — — — — — — — — — Velvetleaf 30 0 20 20 25 35 0 0 0 0 50 50 Waterhemp 100 60 90 — 15 55 0 55 75 65 65 85 Wheat 5 0 15 0 50 80 0 30 0 15 80 85 125 g ai/ha Compounds 305 306 307 309 310 312 315 316 317 318 319 323 Barnyardgrass 95 90 85 90 90 90 90 90 95 95 95 98 Bermudagrass — — — — — — — — — — — — Blackgrass 70 60 10 50 50 70 65 30 50 30 30 45 Bromegrass, Downy — — — — — — — — — — — — Cocklebur — — — — — — — — — — — — Corn 75 80 40 65 55 55 80 65 25 10 60 10 Crabgrass, Large 90 95 95 95 95 95 95 95 95 98 95 98 Cupgrass, Woolly — — — — — — — — — — — — Foxtail, Giant 95 95 85 90 90 90 95 90 90 75 95 95 Foxtail, Green — — — — — — — — — — — — Galium 90 90 100 75 0 5 80 0 0 40 80 85 Goosegrass — — — — — — — — — — — — Johnsongrass 90 80 0 60 45 80 85 75 0 45 65 45 Kochia — — — — — — — — — — — — Lambsquarters 70 75 10 30 55 50 70 65 0 50 65 75 Morningglory 40 35 0 10 5 40 35 25 0 30 45 0 Nightshade — — — — — — — — — — — — Nutsedge, Yellow 0 0 0 0 0 0 20 0 20 0 0 25 Oat, Wild — — — — — — — — — — — — Oilseed Rape 80 75 0 50 40 15 85 20 0 5 60 70 Pigweed 80 85 40 0 20 45 7 45 0 20 40 55 Ragweed 35 75 0 25 5 50 50 10 0 0 40 40 Russian Thistle — — — — — — — — — — — — Ryegrass, Italian 50 55 5 0 20 35 50 10 0 0 20 0 Soybean 0 0 0 0 0 0 0 0 0 0 0 0 Sunflower — — — — — — — — — — — — Surinam Grass — — — — — — — — — — — — Velvetleaf 55 60 0 0 5 20 40 10 0 25 45 40 Waterhemp 80 85 0 30 25 65 85 35 10 10 35 60 Wheat 90 90 5 0 0 60 90 40 0 5 10 40 125 g ai/ha 62 g ai/ha Compounds Compounds 324 325 345 346 350 5 14 16 17 33 34 35 Barnyardgrass 95 95 95 95 90 — — — — — — — Bermudagrass — — — — — 0 90 0 45 0 0 0 Blackgrass 70 70 90 75 50 0 0 5 50 0 0 0 Bromegrass, Downy — — — — — 0 0 5 30 0 0 0 Cocklebur — — — — — 0 0 0 5 — 0 0 Corn 75 70 65 0 5 0 0 0 0 10 0 0 Crabgrass, Large 98 95 95 98 90 100 98 95 98 98 98 98 Cupgrass, Woolly — — — — — 85 0 95 85 85 85 80 Foxtail, Giant 95 98 95 98 90 100 85 70 95 95 95 90 Foxtail, Green — — — — — 90 90 35 95 98 98 98 Galium 85 50 90 90 90 5 0 0 70 0 0 0 Goosegrass — — — — — 0 0 0 50 5 5 0 Johnsongrass 80 75 85 20 0 0 0 0 5 0 10 0 Kochia — — — — — 0 0 0 50 0 0 0 Lambsquarters 80 80 85 100 90 95 — — 60 0 40 0 Morningglory 35 30 0 30 100 0 0 0 0 0 0 10 Nightshade — — — — — 45 0 0 20 0 0 0 Nutsedge, Yellow 0 0 0 0 0 0 0 0 0 10 0 0 Oat, Wild — — — — — 0 0 5 0 0 0 0 Oilseed Rape 85 85 85 50 80 — — — — — — — Pigweed 80 75 65 60 80 0 0 0 0 0 0 0 Ragweed 75 80 15 35 5 0 0 0 0 0 0 0 Russian Thistle — — — — — 0 0 0 — — 0 0 Ryegrass, Italian 35 50 10 5 5 0 0 0 5 0 0 5 Soybean 0 0 5 0 0 0 0 0 0 — 0 0 Sunflower — — — — — 0 0 0 10 10 0 0 Surinam Grass — — — — — 85 80 95 90 80 95 90 Velvetleaf 40 55 25 10 0 0 0 0 0 10 0 20 Waterhemp 80 80 40 10 90 — — — — — — — Wheat 65 65 70 0 0 0 10 0 0 0 0 0 62 g ai/ha Compounds 48 52 53 59 60 62 64 66 68 69 76 77 Barnyardgrass — — — — — — — — — — 85 95 Bermudagrass 0 40 40 20 0 30 0 0 50 35 — — Blackgrass 20 0 0 0 10 45 5 0 60 5 50 85 Bromegrass, Downy 0 0 0 0 0 0 0 0 0 0 — — Cocklebur 0 0 — 0 0 — 0 — — — — — Corn 20 10 20 10 10 20 0 0 25 15 10 20 Crabgrass, Large 90 90 85 85 95 90 90 95 90 90 98 95 Cupgrass, Woolly 70 70 65 70 75 75 70 75 75 85 — — Foxtail, Giant 85 80 65 85 85 80 80 75 90 85 95 90 Foxtail, Green 90 90 90 90 90 90 85 80 90 90 — — Galium 30 0 0 5 0 0 0 0 5 0 — 5 Goosegrass 10 20 10 25 0 25 20 5 75 40 — — Johnsongrass 10 0 0 0 20 10 40 — 35 0 45 55 Kochia 10 10 0 0 0 0 0 0 0 0 — — Lambsquarters 65 40 0 0 — 65 10 0 55 35 0 85 Morningglory 0 0 0 0 10 10 20 25 0 — 0 0 Nightshade 0 0 0 — 0 15 0 0 50 0 — — Nutsedge, Yellow 0 25 20 0 0 10 20 0 10 — 0 0 Oat, Wild 0 0 0 0 0 40 10 0 — 0 — — Oilseed Rape — — — — — — — — — — 0 30 Pigweed 0 20 25 35 10 40 0 0 75 25 0 60 Ragweed 10 0 10 0 10 15 0 20 0 0 — — Russian Thistle — — — 0 50 30 0 0 — — — — Ryegrass, Italian 0 0 0 0 0 0 0 0 0 0 25 40 Soybean 10 10 15 15 25 30 35 20 0 0 0 0 Sunflower 0 0 15 5 0 20 0 0 0 10 — — Surinam Grass 75 35 25 35 70 60 50 0 75 75 — — Velvetleaf 0 5 0 0 0 20 10 20 10 30 0 25 Waterhemp — — — — — — — — — — 50 40 Wheat 20 0 0 0 0 0 5 0 5 0 45 55 62 g ai/ha Compounds 78 79 80 81 101 103 109 119 120 189 202 204 Barnyardgrass 75 95 95 — 95 90 85 90 90 90 90 90 Bermudagrass — — — 0 — — — — — — — — Blackgrass 75 65 80 0 50 0 60 70 50 50 80 90 Bromegrass, Downy — — — 0 — — — — — — — — Cocklebur — — — 0 — — — — — — — — Corn 0 0 0 0 0 0 5 0 0 0 85 25 Crabgrass, Large 98 98 98 75 98 98 100 98 100 95 95 90 Cupgrass, Woolly — — — 32 — — — — — — — — Foxtail, Giant 95 90 95 17 95 95 95 90 95 90 90 90 Foxtail, Green — — — 67 — — — — — — — — Galium 50 5 90 0 40 80 100 80 95 0 90 90 Goosegrass — — — 0 — — — — — — — — Johnsongrass 0 0 0 0 15 10 10 0 0 0 60 40 Kochia — — — — — — — — — — — — Lambsquarters 40 90 85 0 85 0 0 60 70 0 90 100 Morningglory 0 0 0 0 0 0 0 0 0 0 25 0 Nightshade — — — 0 — — — — — — — — Nutsedge, Yellow 0 0 0 0 0 0 5 0 0 0 0 0 Oat, Wild — — — 0 — — — — — — — — Oilseed Rape 10 5 85 — 35 0 0 5 0 0 80 0 Pigweed 40 40 90 0 0 0 0 60 45 0 85 0 Ragweed — — — 0 0 0 0 35 20 0 85 30 Russian Thistle — — — 0 — — — — — — — — Ryegrass, Italian 40 5 40 0 15 0 40 15 5 30 30 0 Soybean 0 0 0 0 0 10 0 20 0 10 25 — Sunflower — — — 0 — — — — — — — — Surinam Grass — — — 53 — — — — — — — — Velvetleaf 15 0 30 0 0 0 0 15 20 0 30 0 Waterhemp 75 40 80 — 70 0 50 65 60 5 95 7 Wheat 30 40 5 0 20 0 10 5 35 0 30 70 62 g ai/ha Compounds 206 207 211 218 223 224 231 232 233 241 246 247 Barnyardgrass 90 85 65 90 85 85 90 85 75 95 75 85 Bermudagrass — — — — — — — — — — — — Blackgrass 90 80 20 10 35 65 85 70 45 70 0 50 Bromegrass, Downy — — — — — — — — — — — — Cocklebur — — — — — — — — — — — — Corn 60 0 25 0 0 0 5 35 0 65 0 15 Crabgrass, Large 90 90 95 90 90 90 95 90 90 95 95 95 Cupgrass, Woolly — — — — — — — — — — — — Foxtail, Giant 90 90 70 90 85 90 90 90 90 95 90 95 Foxtail, Green — — — — — — — — — — — — Galium 70 0 5 0 0 40 85 85 80 80 90 90 Goosegrass — — — — — — — — — — — — Johnsongrass 65 0 0 10 0 35 10 20 0 80 20 0 Kochia — — — — — — — — — — — — Lambsquarters 100 0 85 40 70 65 85 85 85 0 65 90 Morningglory 0 0 0 0 0 75 0 15 0 0 5 0 Nightshade — — — — — — — — — — — — Nutsedge, Yellow 0 0 0 0 0 10 0 0 0 0 100 20 Oat, Wild — — — — — — — — — — — — Oilseed Rape 70 0 35 60 0 5 55 30 40 0 30 30 Pigweed 100 0 0 50 5 75 70 85 50 0 75 55 Ragweed 10 0 10 35 0 40 100 85 40 25 0 85 Russian Thistle — — — — — — — — — — — — Ryegrass, Italian 40 0 35 0 0 0 10 0 0 20 0 35 Soybean 0 0 0 5 5 100 0 0 0 0 0 0 Sunflower — — — — — — — — — — — — Surinam Grass — — — — — — — — — — — — Velvetleaf 50 0 10 0 0 5 25 40 25 0 0 20 Waterhemp 100 0 75 7 0 5 85 90 80 40 98 100 Wheat 40 0 0 0 5 0 15 0 0 45 0 0 62 g ai/ha Compounds 262 263 271 274 275 277 278 279 280 302 303 304 Barnyardgrass 70 90 95 65 95 98 90 95 65 85 95 90 Bermudagrass — — — — — — — — — — — — Blackgrass 0 0 50 70 60 70 0 0 0 30 40 60 Bromegrass, Downy — — — — — — — — — — — — Cocklebur — — — — — — — — — — — — Corn 0 0 0 5 10 85 0 0 0 0 20 40 Crabgrass, Large 98 100 100 90 95 100 95 95 90 98 98 95 Cupgrass, Woolly — — — — — — — — — — — — Foxtail, Giant 70 95 98 85 95 98 90 95 80 95 95 95 Foxtail, Green — — — — — — — — — — — — Galium 40 85 — 0 90 90 0 0 0 5 0 95 Goosegrass — — — — — — — — — — — — Johnsongrass 0 0 10 0 50 65 0 25 0 15 55 35 Kochia — — — — — — — — — — — — Lambsquarters 70 100 20 0 75 75 0 0 0 0 60 70 Morningglory 0 0 10 0 0 0 0 0 25 0 0 9 Nightshade — — — — — — — — — — — — Nutsedge, Yellow 0 0 0 0 25 20 0 0 0 0 0 25 Oat, Wild — — — — — — — — — — — — Oilseed Rape 35 60 20 0 50 0 0 0 30 0 35 55 Pigweed 0 70 25 0 0 35 0 5 0 20 55 75 Ragweed 20 90 10 0 5 0 0 0 0 5 70 60 Russian Thistle — — — — — — — — — — — — Ryegrass, Italian 0 0 10 0 40 35 0 10 0 0 35 75 Soybean 0 0 0 0 0 0 0 0 5 30 0 0 Sunflower — — — — — — — — — — — — Surinam Grass — — — — — — — — — — — — Velvetleaf 0 5 10 20 0 0 0 0 0 0 25 35 Waterhemp 50 80 35 0 0 50 0 15 65 35 65 80 Wheat 0 10 0 0 45 70 0 15 0 5 75 50 62 g ai/ha Compounds 305 306 307 309 310 312 315 316 317 318 319 323 Barnyardgrass 95 90 70 90 90 90 90 85 90 95 95 85 Bermudagrass — — — — — — — — — — — — Blackgrass 75 30 0 0 5 45 60 0 40 0 0 0 Bromegrass, Downy — — — — — — — — — — — — Cocklebur — — — — — — — — — — — — Corn 75 60 0 0 0 60 80 75 0 0 30 0 Crabgrass, Large 95 95 95 90 90 95 95 95 95 98 98 98 Cupgrass, Woolly — — — — — — — — — — — — Foxtail, Giant 95 95 85 90 85 90 90 90 90 70 85 95 Foxtail, Green — — — — — — — — — — — — Galium 80 60 0 0 0 0 80 0 0 0 70 0 Goosegrass — — — — — — — — — — — — Johnsongrass 85 55 0 10 0 50 85 75 0 0 55 0 Kochia — — — — — — — — — — — — Lambsquarters 70 65 0 0 5 0 40 20 0 55 65 50 Morningglory 30 35 0 0 0 35 25 0 0 40 40 0 Nightshade — — — — — — — — — — — — Nutsedge, Yellow 0 0 0 0 0 35 0 0 0 0 0 25 Oat, Wild — — — — — — — — — — — — Oilseed Rape 60 70 0 0 5 0 30 0 0 0 5 10 Pigweed 70 85 0 0 5 40 60 25 0 20 25 35 Ragweed 15 75 0 10 0 0 20 0 0 0 15 10 Russian Thistle — — — — — — — — — — — — Ryegrass, Italian 50 40 0 0 0 30 50 0 0 0 10 10 Soybean 0 0 0 0 0 0 0 0 0 0 0 0 Sunflower — — — — — — — — — — — — Surinam Grass — — — — — — — — — — — — Velvetleaf 30 60 0 0 0 15 30 10 0 10 20 15 Waterhemp 65 85 0 0 0 45 75 35 0 30 35 50 Wheat 90 50 0 0 0 30 50 5 0 0 0 30 62 g ai/ha 31 g ai/ha Compounds Compounds 324 325 345 346 350 5 14 16 17 33 34 35 Barnyardgrass 95 90 95 70 90 — — — — — — — Bermudagrass — — — — — 0 75 0 0 0 0 0 Blackgrass 30 50 50 60 0 0 0 0 5 0 0 0 Bromegrass, Downy — — — — — 0 0 0 0 0 0 0 Cocklebur — — — — — 0 0 0 0 0 0 0 Corn 70 60 35 0 0 0 0 0 0 0 0 0 Crabgrass, Large 95 95 98 95 90 100 90 95 95 95 95 95 Cupgrass, Woolly — — — — — 30 0 55 80 60 50 55 Foxtail, Giant 90 95 90 90 90 95 85 0 90 75 90 80 Foxtail, Green — — — — — 85 25 5 95 95 98 90 Galium 60 20 90 20 85 0 0 0 0 0 0 0 Goosegrass — — — — — 0 0 0 0 5 0 0 Johnsongrass 65 35 75 0 0 0 0 0 0 0 10 0 Kochia — — — — — 0 0 0 0 0 0 0 Lambsquarters 70 70 75 35 90 5 — 0 60 0 0 0 Morningglory 0 30 0 0 100 0 0 0 0 0 0 5 Nightshade — — — — — 0 0 0 20 0 0 0 Nutsedge, Yellow 0 0 0 0 0 0 0 0 0 0 0 0 Oat, Wild — — — — — 0 0 0 0 0 0 0 Oilseed Rape 70 65 55 0 70 — — — — — — — Pigweed 75 65 30 55 10 0 0 0 0 0 0 0 Ragweed 60 60 40 35 0 0 0 0 0 0 0 0 Russian Thistle — — — — — — 0 0 — — 0 0 Ryegrass, Italian 10 40 45 10 0 0 0 0 0 0 0 0 Soybean 0 0 0 0 0 0 0 0 0 0 0 0 Sunflower — — — — — 0 0 0 0 0 0 0 Surinam Grass — — — — — 65 55 80 85 80 95 85 Velvetleaf 35 35 0 0 0 0 0 0 0 0 0 0 Waterhemp 70 75 5 25 50 — — — — — — — Wheat 25 40 10 0 0 0 5 0 0 0 0 0 31 g ai/ha Compounds 48 52 53 59 60 62 64 66 68 69 76 77 Barnyardgrass — — — — — — — — — — 80 90 Bermudagrass 0 0 40 20 0 0 0 0 30 35 — — Blackgrass 0 0 0 0 0 0 0 0 0 0 50 85 Bromegrass, Downy 0 0 0 0 0 0 0 0 0 0 — — Cocklebur 0 0 — — — 0 — 0 15 0 — — Corn 0 10 10 0 0 20 0 0 15 15 0 0 Crabgrass, Large 85 80 80 85 85 85 85 90 90 90 98 95 Cupgrass, Woolly 70 40 35 40 55 65 30 10 75 75 — — Foxtail, Giant 80 55 40 50 70 65 50 20 85 75 90 90 Foxtail, Green 80 80 30 85 90 75 70 50 90 90 — — Galium 0 0 0 0 0 0 0 0 0 0 5 — Goosegrass 0 10 0 15 0 10 20 5 55 20 — — Johnsongrass 0 0 0 0 0 0 — 30 0 0 20 20 Kochia 0 10 0 0 0 0 0 0 0 0 — — Lambsquarters 0 0 0 — 0 40 0 0 55 35 — 75 Morningglory 0 0 0 0 0 0 15 15 0 20 0 0 Nightshade 0 0 0 0 0 — 0 0 10 0 — — Nutsedge, Yellow 0 25 15 0 0 10 0 0 10 0 0 0 Oat, Wild 0 0 0 0 0 20 0 0 — — — — Oilseed Rape — — — — — — — — — — 0 0 Pigweed 0 20 25 35 0 40 0 0 45 15 — 0 Ragweed 0 0 0 0 10 15 0 10 0 0 — — Russian Thistle — — — 0 0 0 0 0 — — — — Ryegrass, Italian 0 0 0 0 0 0 0 0 0 0 0 40 Soybean 10 — 15 15 10 20 35 15 0 0 0 0 Sunflower 0 0 0 5 0 10 0 0 0 10 — — Surinam Grass 75 10 20 0 10 0 20 0 40 60 — — Velvetleaf 0 5 0 0 0 10 10 10 10 30 0 0 Waterhemp — — — — — — — — — — 50 40 Wheat 0 0 0 0 0 0 0 0 0 0 35 0 31 g ai/ha Compounds 78 79 80 81 101 103 109 119 120 189 202 204 Barnyardgrass 60 40 85 — 90 50 70 80 85 85 90 80 Bermudagrass — — — 0 — — — — — — — — Blackgrass 30 0 30 0 0 0 0 0 35 10 70 90 Bromegrass, Downy — — — 0 — — — — — — — — Cocklebur — — — 0 — — — — — — — — Corn 0 0 0 0 0 0 0 0 0 0 20 45 Crabgrass, Large 95 95 95 50 95 95 98 98 98 95 90 90 Cupgrass, Woolly — — — 0 — — — — — — — — Foxtail, Giant 85 80 90 0 95 85 90 90 90 80 90 90 Foxtail, Green — — — 20 — — — — — — — — Galium 50 0 5 0 0 0 60 80 5 0 85 — Goosegrass — — — 0 — — — — — — — — Johnsongrass 0 0 0 0 0 0 0 0 0 0 10 10 Kochia — — — — — — — — — — — — Lambsquarters — 90 40 0 30 0 0 25 35 0 80 100 Morningglory 0 0 0 0 0 0 0 0 0 0 15 0 Nightshade — — — 0 — — — — — — — — Nutsedge, Yellow 0 0 0 0 9 0 0 0 0 0 0 0 Oat, Wild — — — 0 — — — — — — — — Oilseed Rape 0 0 5 — 0 0 0 0 0 0 25 0 Pigweed 0 10 75 0 0 0 30 30 50 0 85 0 Ragweed — — — 0 15 40 0 60 0 0 65 30 Russian Thistle — — — 0 — — — — — — — — Ryegrass, Italian 0 0 0 0 30 0 0 0 10 0 0 0 Soybean 0 0 0 0 0 10 100 0 0 5 0 5 Sunflower — — — 0 — — — — — — — — Surinam Grass — — — 0 — — — — — — — — Velvetleaf 15 0 0 0 15 0 0 0 0 0 10 0 Waterhemp 50 25 15 — 50 0 0 20 0 0 85 100 Wheat 10 10 0 0 0 0 0 5 10 0 0 0 31 g ai/ha Compounds 206 207 211 218 223 224 231 232 233 241 246 247 Barnyardgrass 90 75 30 80 65 75 85 85 80 90 20 15 Bermudagrass — — — — — — — — — — — — Blackgrass 85 0 0 0 35 0 50 60 30 50 0 0 Bromegrass, Downy — — — — — — — — — — — — Cocklebur — — — — — — — — — — — — Corn 30 0 0 0 0 10 0 0 0 85 0 5 Crabgrass, Large 90 90 100 90 85 90 90 85 90 9 95 95 Cupgrass, Woolly — — — — — — — — — — — — Foxtail, Giant 90 85 0 85 70 80 90 85 85 90 85 95 Foxtail, Green — — — — — — — — — — — — Galium 20 0 — 0 0 0 0 85 0 20 10 90 Goosegrass — — — — — — — — — — — — Johnsongrass 25 0 0 0 0 0 0 0 0 85 0 0 Kochia — — — — — — — — — — — — Lambsquarters 75 0 100 10 70 55 40 75 85 0 65 0 Morningglory 0 0 0 0 0 5 0 0 0 0 5 0 Nightshade — — — — — — — — — — — — Nutsedge, Yellow 0 0 0 0 100 0 0 0 0 0 85 0 Oat, Wild — — — — — — — — — — — — Oilseed Rape 5 0 0 0 0 0 0 30 0 0 0 5 Pigweed 70 0 — 5 20 0 35 85 50 0 30 0 Ragweed 80 0 0 40 0 10 80 65 10 0 0 100 Russian Thistle — — — — — — — — — — — — Ryegrass, Italian 30 0 0 0 0 0 0 0 0 20 0 0 Soybean 0 0 0 0 0 0 0 0 0 0 0 0 Sunflower — — — — — — — — — — — — Surinam Grass — — — — — — — — — — — — Velvetleaf 0 0 0 0 0 0 10 25 15 0 0 0 Waterhemp 70 0 85 30 90 75 75 85 95 25 100 70 Wheat 35 0 0 0 0 0 0 0 0 0 0 0 31 g ai/ha Compounds 262 263 271 274 275 277 278 279 280 302 303 304 Barnyardgrass 45 75 90 55 80 95 65 80 55 90 90 85 Bermudagrass — — — — — — — — — — — — Blackgrass 0 0 0 0 45 70 0 0 0 0 0 35 Bromegrass, Downy — — — — — — — — — — — — Cocklebur — — — — — — — — — — — — Corn 0 0 0 0 0 25 0 0 0 0 10 0 Crabgrass, Large 95 100 95 85 90 98 90 95 85 95 95 95 Cupgrass, Woolly — — — — — — — — — — — — Foxtail, Giant 20 65 90 30 90 98 80 90 70 90 90 90 Foxtail, Green — — — — — — — — — — — — Galium 0 70 — 0 0 100 0 0 0 0 90 85 Goosegrass — — — — — — — — — — — — Johnsongrass 0 5 0 0 10 40 0 0 0 0 0 0 Kochia — — — — — — — — — — — — Lambsquarters 100 50 0 — 70 20 0 0 0 0 55 65 Morningglory 0 0 0 0 0 0 0 0 10 0 0 5 Nightshade — — — — — — — — — — — — Nutsedge, Yellow 75 0 0 0 45 0 0 0 0 0 0 0 Oat, Wild — — — — — — — — — — — — Oilseed Rape 0 40 0 0 0 0 0 0 0 0 0 50 Pigweed 0 70 0 0 0 10 5 0 10 0 35 55 Ragweed 0 0 0 — 5 0 0 0 0 35 5 60 Russian Thistle — — — — — — — — — — — — Ryegrass, Italian 0 0 0 0 15 40 0 0 0 0 30 30 Soybean 0 0 0 0 0 0 0 0 0 0 0 0 Sunflower — — — — — — — — — — — — Surinam Grass — — — — — — — — — — — — Velvetleaf 0 5 0 0 0 0 0 0 0 0 10 20 Waterhemp 0 7 0 0 0 35 0 0 0 30 40 75 Wheat 0 0 0 0 5 60 0 0 0 0 0 40 31 g ai/ha Compounds 305 306 307 309 310 312 315 316 317 318 319 323 Barnyardgrass 90 90 40 60 50 85 90 35 90 80 90 80 Bermudagrass — — — — — — — — — — — — Blackgrass 60 0 0 0 0 40 60 0 0 0 40 0 Bromegrass, Downy — — — — — — — — — — — — Cocklebur — — — — — — — — — — — — Corn 65 40 0 0 0 10 50 15 0 0 0 0 Crabgrass, Large 95 90 90 90 90 90 90 90 95 95 95 95 Cupgrass, Woolly — — — — — — — — — — — — Foxtail, Giant 95 90 65 90 80 90 90 85 80 10 70 90 Foxtail, Green — — — — — — — — — — — — Galium 80 90 0 0 0 90 90 0 0 0 95 0 Goosegrass — — — — — — — — — — — — Johnsongrass 80 33 0 10 0 30 75 50 0 0 40 0 Kochia — — — — — — — — — — — — Lambsquarters 60 55 0 0 0 0 40 0 0 10 60 40 Morningglory 0 0 0 0 0 0 20 0 25 30 55 0 Nightshade — — — — — — — — — — — — Nutsedge, Yellow 0 0 0 0 0 0 0 0 0 0 0 20 Oat, Wild — — — — — — — — — — — — Oilseed Rape 20 50 0 0 0 0 5 0 0 0 0 0 Pigweed 10 80 0 0 0 25 45 25 0 0 30 35 Ragweed 0 50 50 10 0 0 0 0 0 0 0 0 Russian Thistle — — — — — — — — — — — — Ryegrass, Italian 15 15 0 0 0 10 40 0 0 10 0 0 Soybean 0 0 0 0 0 0 0 0 0 0 0 0 Sunflower — — — — — — — — — — — — Surinam Grass — — — — — — — — — — — — Velvetleaf 25 25 0 0 5 10 30 0 0 0 30 15 Waterhemp 40 85 0 0 0 10 65 0 0 0 35 50 Wheat 45 5 0 0 0 30 50 0 0 0 0 5 31 g ai/ha 16 g ai/ha 8 g ai/ha Compounds Compounds Compound 324 325 345 346 350 48 189 271 277 304 271 Barnyardgrass 90 85 80 50 75 — 45 75 95 85 0 Bermudagrass — — — — — 0 — — — — Blackgrass 100 5 50 20 0 0 0 — 40 30 0 Bromegrass, Downy — — — — — 0 — — — — Cocklebur — — — — — 0 — — — — Corn 25 10 40 0 0 0 0 0 0 0 0 Crabgrass, Large 95 95 95 95 90 75 90 90 95 90 50 Cupgrass, Woolly — — — — — 25 — — — — Foxtail, Giant 90 90 85 90 85 40 85 75 95 90 55 Foxtail, Green — — — — — 70 — — — — Galium 0 0 20 10 30 0 0 — 0 100 Goosegrass — — — — — 0 — — — — Johnsongrass 40 20 35 0 0 0 0 0 0 0 0 Kochia — — — — — 0 — — — — Lambsquarters 50 45 100 35 — 0 0 0 0 30 0 Morningglory 0 0 25 0 100 0 0 0 0 0 0 Nightshade — — — — — 0 — — — — Nutsedge, Yellow 0 0 0 0 0 0 0 0 0 0 0 Oat, Wild — — — — — 0 — — — — Oilseed Rape 0 0 50 0 5 — 0 0 0 30 0 Pigweed 55 65 30 40 0 0 0 0 0 40 Ragweed 60 5 10 50 0 0 0 0 0 25 0 Russian Thistle — — — — — 0 0 0 30 10 Ryegrass, Italian 0 10 0 0 0 10 0 0 0 0 0 Soybean 0 0 0 0 0 0 — — — — 0 Sunflower — — — — — 10 — — — — Surinam Grass — — — — — 0 0 0 0 0 Velvetleaf 0 0 0 0 0 — 0 0 0 70 0 Waterhemp 55 70 0 7 0 0 0 0 40 5 0 Wheat 0 10 0 0 0 0 Flood 2000 g ai/ha 1000 ai/ha Compound Compounds 77 247 77 87 89 101 102 103 107 111 112 113 Barnyardgrass 70 80 40 40 75 75 0 85 20 0 0 0 Ducksalad 100 100 100 100 100 100 0 100 70 40 0 70 Rice 60 15 20 30 0 10 0 10 0 0 0 0 Sedge, Umbrella 40 0 20 0 0 0 0 0 0 0 0 0 1000 ai/ha Compounds 114 189 190 200 203 204 205 206 207 208 210 211 Barnyardgrass 0 75 65 55 40 80 45 85 7 65 75 80 Ducksalad 80 100 100 100 50 100 65 100 80 100 100 100 Rice 0 0 15 0 0 10 0 15 15 15 0 15 Sedge, Umbrella 0 0 0 0 0 0 0 0 0 0 0 30 1000 ai/ha 500 g ai/ha Compounds Compounds 212 247 270 271 344 346 77 87 89 101 102 103 Barnyardgrass 65 70 80 80 55 70 30 25 40 60 0 60 Ducksalad 100 100 100 100 85 100 100 100 100 100 0 95 Rice 0 0 0 0 0 0 0 0 0 0 0 0 Sedge, Umbrella 0 0 0 0 0 0 0 0 0 0 0 0 500 g ai/ha Compounds 107 111 112 113 114 120 189 190 200 203 204 205 Barnyardgrass 0 0 0 0 0 75 50 50 40 0 75 30 Ducksalad 60 30 0 50 70 100 95 85 100 20 100 50 Rice 0 0 0 0 0 0 0 0 0 0 0 0 Sedge, Umbrella 0 0 0 0 0 0 0 0 0 0 0 0 500 g ai/ha Compounds 206 207 208 210 211 212 247 270 271 275 277 344 Barnyardgrass 75 70 45 70 55 40 35 60 75 70 70 40 Ducksalad 100 100 45 100 75 75 85 100 100 100 05 65 Rice 15 15 0 0 15 0 0 0 0 10 0 0 Sedge, Umbrella 0 0 0 0 0 0 0 0 0 0 0 0 500 g ai/ha 250 g ai/ha Compounds Compounds 346 1 2 3 4 5 7 8 10 11 12 14 Barnyardgrass 65 0 0 55 40 55 0 0 0 0 65 0 Ducksalad 100 0 0 90 85 80 0 0 0 0 0 85 Rice 0 0 0 0 0 0 0 0 0 0 0 0 Sedge, Umbrella 0 0 0 50 0 0 0 0 0 0 0 20 250 g ai/ha Compounds 15 16 17 18 19 20 21 23 25 26 27 28 Barnyardgrass 0 15 25 0 0 0 0 0 0 0 0 0 Ducksalad 0 100 100 0 0 0 85 100 60 80 30 85 Rice 0 0 0 0 0 0 0 0 0 0 0 0 Sedge, Umbrella 0 0 40 0 0 0 0 30 0 0 0 0 250 g ai/ha Compounds 29 52 77 80 87 89 92 93 101 102 103 107 Barnyardgrass 0 0 20 20 0 20 10 40 55 0 40 0 Ducksalad 40 95 95 100 95 85 70 85 95 0 90 30 Rice 0 15 0 0 0 0 20 30 0 0 0 0 Sedge, Umbrella 0 75 0 65 0 0 0 100 0 0 0 0 250 g ai/ha Compounds 111 112 113 114 119 120 189 190 200 203 204 205 Barnyardgrass 0 0 0 0 75 60 30 25 25 0 70 20 Ducksalad 0 0 30 30 100 100 80 75 70 0 95 0 Rice 0 0 0 0 20 0 0 0 0 0 0 0 Sedge, Umbrella 0 0 0 0 0 0 0 0 0 0 0 0 250 g ai/ha Compounds 206 207 208 210 211 212 223 224 232 247 263 270 Barnyardgrass 60 60 20 45 50 15 0 60 60 25 80 30 Ducksalad 100 75 45 80 100 70 95 100 95 75 100 85 Rice 0 15 0 0 0 0 0 20 15 0 15 0 Sedge, Umbrella 0 0 0 0 0 0 0 0 0 0 0 0 250 g ai/ha 125 g ai/ha Compounds Compounds 271 275 277 303 312 317 318 323 324 344 346 1 Barnyardgrass 45 60 70 70 60 30 70 65 70 35 45 0 Ducksalad 100 100 85 100 95 0 100 100 100 60 100 0 Rice 0 10 0 0 0 0 15 30 0 0 0 0 Sedge, Umbrella 0 0 0 0 0 0 0 0 0 0 0 0 125 g ai/ha Compounds 2 3 4 5 7 8 10 11 12 16 17 18 Barnyardgrass 0 40 30 20 0 0 0 0 0 0 20 0 Ducksalad 0 85 80 70 0 0 0 0 0 85 100 0 Rice 0 0 0 0 0 0 0 0 0 0 0 0 Sedge, Umbrella 0 0 0 0 0 0 0 0 0 0 0 0 125 g ai/ha Compounds 19 20 21 28 29 52 80 87 89 92 93 101 Barnyardgrass 0 0 0 0 0 0 0 0 20 10 0 20 Ducksalad 0 0 50 40 0 75 100 75 70 20 0 90 Rice 0 0 0 0 0 10 0 0 0 20 20 0 Sedge, Umbrella 0 0 0 0 0 50 55 0 0 0 0 0 125 g ai/ha Compounds 102 103 107 111 112 113 114 119 120 189 190 200 Barnyardgrass 0 10 0 0 0 0 0 60 50 10 10 15 Ducksalad 0 85 0 0 0 20 20 100 100 75 50 70 Rice 0 0 9 0 0 0 0 10 0 0 0 0 Sedge, Umbrella 0 0 0 0 0 0 0 0 0 0 0 0 125 g ai/ha Compounds 203 204 205 206 207 208 210 211 212 223 224 232 Barnyardgrass 0 50 0 35 40 0 0 0 0 0 40 40 Ducksalad 0 50 0 90 60 0 0 60 0 65 80 75 Rice 0 0 0 0 15 0 0 0 0 0 0 0 Sedge, Umbrella 0 0 0 0 0 0 0 0 0 0 0 0 125 g ai/ha Compounds 263 270 271 275 277 303 312 317 318 323 324 344 Barnyardgrass 45 10 40 45 65 60 30 30 60 50 60 0 Ducksalad 100 75 70 100 80 70 65 0 100 90 95 50 Rice 0 0 0 0 0 0 0 0 10 0 0 0 Sedge, Umbrella 0 0 0 0 0 0 0 0 0 0 0 0 125 g ai/ha 62 g ai/ha Compounds Compounds 346 1 2 3 4 5 7 8 10 11 12 14 Barnyardgrass 30 0 0 20 0 0 0 0 0 0 0 0 Ducksalad 95 0 0 60 30 30 0 0 0 0 0 40 Rice 0 0 0 0 0 0 0 0 0 0 0 0 Sedge, Umbrella 0 0 0 0 0 0 0 0 0 0 0 0 62 g ai/ha Compounds 15 16 17 18 19 20 21 23 25 26 27 28 Barnyardgrass 0 0 0 0 0 0 0 0 0 0 0 0 Ducksalad 0 40 80 0 0 0 0 30 0 0 0 30 Rice 0 0 0 0 0 0 0 0 0 0 0 0 Sedge, Umbrella 0 0 0 0 0 0 0 0 0 0 0 0 62 g ai/ha Compounds 29 52 80 92 93 119 120 223 224 232 263 275 Barnyardgrass 0 0 0 10 0 50 40 0 20 30 35 35 Ducksalad 0 40 70 20 0 100 100 50 40 7 90 85 Rice 0 10 0 10 20 0 0 0 0 0 0 0 Sedge, Umbrella 0 40 35 0 0 0 0 0 0 0 0 0 62 g ai/ha 31 g ai/ha Compounds Compounds 277 303 312 317 318 323 324 1 2 3 4 7 Barnyardgrass 50 20 0 0 30 45 0 0 0 0 0 0 Ducksalad 65 60 60 0 60 75 70 0 0 40 20 0 Rice 0 0 0 0 0 0 0 0 0 0 0 0 Sedge, Umbrella 0 0 0 0 0 0 0 0 0 0 0 0 31 g ai/ha Compounds 8 10 11 12 16 17 18 19 20 21 28 29 Barnyardgrass 0 0 0 0 0 0 0 0 0 0 0 0 Ducksalad 0 0 0 0 0 40 0 0 0 0 20 0 Rice 0 0 0 0 0 0 0 0 0 0 0 0 Sedge, Umbrella 0 0 0 0 0 0 0 0 0 0 0 0 31 g ai/ha Compounds 52 80 92 93 119 223 224 232 263 303 312 317 Barnyardgrass 0 0 10 0 30 0 0 0 20 0 0 0 Ducksalad 40 70 0 0 100 30 0 50 70 50 50 0 Rice 10 0 10 10 0 0 0 0 0 0 0 0 Sedge, Umbrella 0 35 0 0 0 0 0 0 0 0 0 0 31 g ai/ha Compounds 318 323 324 Barnyardgrass 20 25 0 Ducksalad 50 50 40 Rice 0 0 0 Sedge, Umbrella 0 0 0 - Seeds of plant species selected from bluegrass (annual bluegrass, Poa annua), blackgrass (Alopecurus myosuroides), canarygrass (littleseed canarygrass. Phalaris minor), chickweed (common chickweed, Stellaria media), galium (catchweed bedstraw, Galium aparine), bromegrass, downy (downy bromegrass, Bromus tectorum), field poppy (Papaver rhoeas), field violet (Viola arvensis), foxtail, green (green foxtail, Setaria viridis), deadnettle (henbit deadnettle, Lamium amplexicaule), ryegrass, Italian (Italian ryegrass, Lolium multiflorum), kochia (Kochia scoparia), lambsquarters (Chenopodium album), oilseed rape (Brassica napus), pigweed (Amaranthus retroflexus), chamomile (scentless chamomile. Matricaria inodora), Russian thistle (Salsola kali), speedwell (bird's-eye speedwell, Veronica persica), barley, spring (spring barley, Hordeum vulgare), wheat, spring (spring wheat, Triticum aestivum), buckwheat, wild (wild buckwheat, Polygonum convolvulus), mustard, wild (wild mustard, Sinapis arvensis), oat, wild (wild oat, Avena fatua), radish, wild (wild radish, Raphanus raphanistrum), windgrass (Apera spica-venti), barley, winter (winter barley, Hordeum vulgare), and wheat, winter (winter wheat, Triticum aestivum) were planted into a silt loam soil and treated preemergence with test chemicals formulated in a non-phytotoxic solvent mixture which included a surfactant.
- At the same time, these species were planted in pots containing Redi-Earth® planting medium (Scotts Company, 14111 Scottslawn Road, Marysville, Ohio 43041) comprising spaghnum peat moss, vermiculite, wetting agent and starter nutrients and treated with postemergence applications of the test chemicals formulated in the same manner. Plants ranged in height from 2 to 18 cm (1- to 4-leaf stage). Treated plants and controls were maintained in a controlled growth environment for 7 to 21 days after which time all species were compared to controls and visually evaluated. Plant response ratings, summarized in Table D, are based on a scale of 0 to 100 where 0 is no effect and 100 is complete control. A dash (-) response means no test result.
-
TABLE D Postemergence 250 g ai/ha 125 g ai/ha 62 g ai/ha Compounds Compounds Compounds 6 12 17 33 34 52 80 202 231 6 12 17 33 34 50 52 80 202 231 6 12 17 33 34 Barley, Spring 0 5 0 0 0 0 0 5 0 0 5 0 0 0 0 0 0 0 0 0 5 0 0 0 Barley, Winter 0 0 0 0 0 0 0 0 0 0 0 0 0 0 0 0 0 0 0 0 0 0 0 0 Blackgrass 10 20 0 0 0 0 5 40 20 5 15 0 0 0 0 0 5 10 10 5 10 0 0 0 Bluegrass 0 10 0 0 0 0 10 15 10 0 10 0 0 0 0 0 15 10 10 0 0 0 0 0 Bromegrass, Downy 0 5 0 0 0 0 20 15 25 0 0 0 0 0 0 0 20 5 25 0 0 0 0 0 Buckwheat, Wild 10 10 20 10 0 0 0 10 0 0 10 10 0 0 10 0 0 0 0 0 10 0 0 0 Canarygrass 0 30 0 0 0 0 0 0 0 0 15 0 0 0 0 0 0 0 0 0 15 0 0 0 Chamomile 0 0 0 0 0 20 50 60 50 0 0 0 0 0 0 20 35 65 50 0 0 0 0 0 Chickweed 30 30 30 10 20 25 85 80 80 10 20 25 10 10 15 15 85 80 80 0 0 0 0 0 Deadnettle 10 20 10 10 0 25 40 70 70 10 15 10 0 0 0 20 70 60 35 0 10 0 0 0 Field Poppy 30 80 0 0 20 0 50 100 50 20 60 0 0 0 0 0 20 100 0 20 50 0 0 0 Field Violet 25 40 10 0 20 0 25 30 25 20 35 0 0 0 0 0 15 30 10 20 30 0 0 0 Foxtail, Green 20 25 0 0 0 0 65 70 70 0 20 0 0 0 0 0 65 70 70 0 10 0 0 0 Galium 0 25 30 0 0 35 60 70 55 0 20 10 0 0 0 25 55 70 55 0 15 0 0 0 Kochia 10 35 40 10 25 35 75 75 65 5 20 20 0 10 0 25 70 75 60 5 20 20 0 0 Lambsquarters 30 25 40 20 20 30 35 75 75 20 10 20 0 0 20 30 40 70 70 20 10 0 0 0 Mustard, Wild 0 — 30 0 20 25 85 85 75 0 100 30 0 10 40 20 85 80 65 — 40 10 0 0 Oat, Wild 5 20 0 0 0 0 10 15 10 0 15 0 0 0 0 0 5 10 10 0 10 0 0 0 Oilseed Rape 20 25 40 30 20 25 60 55 40 15 20 20 20 0 5 10 45 60 20 10 10 10 10 0 Pigweed 20 50 50 10 10 40 75 80 45 20 30 50 10 0 10 30 70 75 35 10 25 40 0 0 Radish, Wild 10 25 15 0 0 — 60 70 70 0 25 15 0 0 0 — 35 75 75 0 20 0 0 0 Russian Thistle 100 80 40 0 0 0 35 35 35 0 30 20 0 0 5 0 25 30 35 0 20 0 0 0 Ryegrass, Italian 0 15 0 0 0 0 0 15 0 0 10 0 0 0 0 0 0 10 0 0 0 0 0 0 Speedwell 15 25 0 10 30 70 65 90 75 0 10 0 0 0 — 40 70 85 75 0 10 0 0 0 Wheat, Spring 5 0 0 0 0 0 0 5 0 5 0 0 0 0 0 0 0 0 0 5 0 0 0 0 Wheat, Winter 0 0 0 0 0 0 5 0 0 0 0 0 0 0 0 0 10 0 0 0 0 0 0 0 Windgrass 0 5 0 0 0 0 25 45 15 0 0 0 0 0 0 0 10 35 0 0 0 0 0 0 62 g ai/ha 31 g ai/ha 16 g ai/ha Compounds Compounds Compounds 50 52 80 202 231 6 12 17 33 34 50 52 80 202 231 6 12 17 33 34 50 52 Barley, Spring 0 0 0 0 0 0 0 0 0 0 0 0 0 0 0 0 0 0 0 0 0 0 Barley, Winter 0 0 0 0 0 0 0 0 0 0 0 0 0 0 0 0 0 0 0 0 0 0 Blackgrass 0 0 5 5 10 0 10 0 0 0 0 0 5 0 0 0 5 0 0 0 0 0 Bluegrass 0 0 10 10 10 0 0 0 0 0 0 0 5 0 5 0 0 0 0 0 0 0 Bromegrass, Downy 0 0 15 0 20 0 0 0 0 0 0 0 15 0 15 0 0 0 0 0 0 0 Buckwheat, Wild 10 0 10 0 0 0 0 0 0 0 10 0 0 0 0 0 0 0 0 0 10 0 Canarygrass 0 0 0 0 0 0 0 0 0 0 0 0 0 0 0 0 0 0 0 0 0 0 Chamomile 0 0 30 60 25 0 0 0 0 0 0 0 20 5 20 0 0 0 0 0 0 0 Chickweed 20 10 45 75 80 0 0 0 0 0 15 0 35 75 25 0 0 0 0 0 10 0 Deadnettle 0 0 60 35 70 0 0 0 0 0 0 0 70 5 35 0 0 0 0 0 0 0 Field Poppy 0 0 55 75 20 0 0 0 0 0 0 0 25 0 0 0 0 0 0 0 0 0 Field Violet 0 0 20 30 20 0 0 0 0 0 0 0 15 40 20 0 0 0 0 0 0 0 Foxtail, Green 0 0 45 65 65 0 0 0 0 0 0 0 45 60 10 0 0 0 0 0 0 0 Galium 0 0 45 70 45 0 0 0 0 0 0 0 20 60 40 0 0 0 0 0 0 0 Kochia 15 20 75 70 60 5 5 0 0 — 15 0 65 70 55 0 5 0 0 0 10 0 Lambsquarters 5 0 45 60 50 10 0 0 0 0 5 0 45 65 55 0 0 0 0 0 5 0 Mustard, Wild — 20 80 80 65 0 10 0 0 0 60 10 70 85 35 0 0 0 0 0 40 0 Oat, Wild 0 0 10 10 10 0 0 0 0 0 0 0 10 5 5 0 0 0 0 0 0 0 Oilseed Rape 5 0 50 70 10 10 10 0 0 0 5 0 30 60 15 10 10 0 0 0 5 0 Pigweed 0 0 70 75 35 10 10 0 0 0 0 0 40 75 20 0 0 0 0 0 5 0 Radish, Wild 0 — 70 70 70 0 0 0 0 0 0 — 50 50 30 0 0 0 0 0 0 — Russian Thistle 10 0 30 30 35 0 0 0 0 0 0 0 20 30 20 0 0 0 0 0 5 0 Ryegrass, Italian 0 0 0 0 0 0 0 0 0 0 0 0 0 0 0 0 0 0 0 0 0 0 Speedwell — 25 70 75 70 0 0 0 0 0 — 20 60 60 60 0 0 0 0 0 0 20 Wheat, Spring 0 0 0 0 0 0 0 0 0 0 0 0 0 0 0 0 0 0 0 0 0 0 Wheat, Winter 0 0 0 0 0 0 0 0 0 0 0 0 0 0 0 0 0 0 0 0 0 0 Windgrass 0 0 10 10 5 0 0 0 0 0 0 0 0 0 0 0 0 0 0 0 0 0 Preemergence 250 g ai/ha 125 g ai/ha Compounds Compounds 6 12 52 77 80 202 204 206 207 231 241 6 12 50 52 77 80 202 Barley, Spring 10 0 5 25 30 30 45 55 25 35 35 0 0 0 0 25 15 25 Barley, Winter 20 0 25 55 25 25 35 65 45 20 65 0 0 0 0 45 15 20 Blackgrass 0 0 0 65 25 75 65 90 75 55 75 0 0 0 0 40 20 65 Bluegrass 0 40 20 55 45 70 35 70 30 25 70 0 20 0 0 45 20 65 Bromegrass, Downy 10 10 0 25 10 20 45 70 15 15 60 0 0 0 0 10 5 0 Buckwheat, Wild 0 100 10 55 15 15 25 55 35 10 80 0 0 — 10 55 5 10 Canarygrass 20 40 0 85 20 75 75 85 75 35 75 20 20 0 0 65 10 60 Chamomile 90 20 80 — 85 100 — — 85 100 — 70 0 5 75 — 80 75 Chickweed — 0 — 100 100 95 100 95 100 90 100 — 0 0 — 100 100 90 Deadnettle 40 50 30 75 70 85 35 75 20 85 45 40 0 100 0 60 65 80 Field Poppy 100 0 80 100 100 100 95 95 100 95 100 0 0 65 — 95 100 90 Field Violet 0 0 — 55 25 15 25 25 35 0 30 0 0 0 — 20 20 10 Foxtail, Green 10 0 60 85 80 95 100 98 90 98 90 0 0 40 0 70 75 98 Galium 100 10 20 85 75 85 25 80 20 40 80 100 0 0 0 85 65 80 Kochia 50 0 40 85 75 85 70 80 60 85 70 40 0 0 20 80 70 85 Lambsquarters 0 30 20 90 90 85 90 90 90 90 90 0 30 0 20 90 90 85 Mustard, Wild 20 70 10 45 70 75 20 75 30 15 25 10 20 80 0 25 65 20 Oat, Wild 0 0 0 45 20 40 40 55 20 30 55 0 0 0 0 20 10 35 Oilseed Rape 20 20 10 5 30 75 0 5 0 55 10 10 10 0 10 5 10 45 Pigweed 0 0 15 80 45 90 35 50 5 80 80 0 0 5 10 80 20 90 Radish, Wild — — — 30 70 80 0 30 15 0 0 — — — — 25 30 0 Russian Thistle 30 0 30 — — 40 — — — 30 — 10 0 0 20 — — 35 Ryegrass, Italian 0 0 0 35 15 10 60 75 15 0 50 0 0 0 0 25 5 5 Speedwell 50 100 100 100 100 100 70 90 30 100 85 30 0 0 100 35 85 90 Wheat, Spring 0 0 0 25 20 35 30 65 10 20 40 0 0 0 0 20 10 25 Wheat, Winter 0 0 10 55 10 25 20 30 20 25 25 0 0 0 0 25 10 25 Windgrass 100 0 60 95 90 90 95 90 65 85 98 100 0 0 40 90 75 90 125 g ai/ha 62 g ai/ha Compounds Compounds 204 206 207 231 241 6 12 50 52 77 80 202 204 206 207 231 241 Barley, Spring 20 40 20 5 20 0 0 0 0 5 10 25 15 35 5 5 10 Barley, Winter 25 40 25 0 30 0 0 0 0 0 5 20 20 30 10 0 10 Blackgrass 40 85 20 15 50 0 0 0 0 25 10 35 10 70 5 0 55 Bluegrass 15 35 15 15 45 0 0 0 0 5 10 25 0 30 15 0 15 Bromegrass, Downy 35 55 15 0 15 0 0 0 0 0 5 0 20 25 15 0 15 Buckwheat, Wild 25 50 25 0 20 0 0 0 0 75 0 10 25 65 15 0 15 Canarygrass 10 85 0 20 65 10 0 0 0 45 0 10 10 75 5 15 45 Chamomile — — 85 80 — 30 0 0 75 — 80 65 — — 80 75 — Chickweed 100 70 70 95 95 — 0 0 — 90 100 80 100 100 60 85 80 Deadnettle 25 40 20 60 35 0 0 100 0 65 0 65 25 35 0 75 30 Field Poppy 80 90 80 100 95 0 0 0 50 90 100 85 85 90 75 80 95 Field Violet 25 35 35 10 20 0 0 0 — 20 20 0 15 35 15 0 15 Foxtail, Green 98 98 75 95 90 0 0 50 0 80 65 90 98 95 60 80 90 Galium 10 50 45 35 35 50 0 0 0 55 45 70 10 40 60 40 25 Kochia 15 70 10 80 80 30 0 10 20 75 35 85 45 60 10 20 30 Lambsquarters 65 85 65 90 90 0 0 0 0 85 80 85 30 80 30 80 90 Mustard, Wild 20 0 25 0 15 0 0 0 0 20 25 0 20 0 25 10 15 Oat, Wild 60 40 5 25 20 0 0 0 0 15 5 20 25 35 0 20 15 Oilseed Rape 0 0 0 45 5 0 10 0 0 5 10 35 0 0 0 0 0 Pigweed 35 40 0 60 85 0 0 25 10 70 10 80 5 20 0 50 15 Radish, Wild 0 30 15 0 0 — — 0 — 10 30 0 0 25 10 0 0 Russian Thistle — — — 15 — 0 0 0 0 — — 20 — — — 5 — Ryegrass, Italian 45 55 5 0 20 0 0 0 0 15 5 5 15 30 5 0 20 Speedwell 10 65 25 100 70 10 0 0 90 25 85 90 10 25 20 80 35 Wheat, Spring 25 45 10 0 25 0 0 0 0 10 10 5 0 25 10 5 0 Wheat, Winter 15 25 10 15 10 0 0 0 0 0 5 10 15 0 15 10 5 Windgrass 85 90 20 75 95 0 0 5 0 85 20 85 65 75 20 70 90 31 g ai/ha 16 g ai/ha Compounds Compounds 6 12 50 52 77 80 202 204 206 207 231 241 6 12 50 52 Barley, Spring 0 0 0 0 5 0 0 0 5 0 0 0 0 0 0 0 Barley, Winter 0 0 0 0 0 0 20 0 15 5 0 10 0 0 0 0 Blackgrass 0 0 0 0 10 5 30 5 30 0 0 20 0 0 0 0 Bluegrass 0 0 0 0 0 0 10 0 0 0 5 15 0 0 0 0 Bromegrass, Downy 0 0 0 0 0 0 0 0 10 0 0 0 0 0 0 0 Buckwheat, Wild 0 0 0 0 0 0 0 20 45 0 0 15 0 0 0 0 Canarygrass 0 0 0 0 25 0 5 0 55 0 0 20 0 0 0 0 Chamomile 0 0 0 20 — 80 60 — — 75 75 — 0 0 0 20 Chickweed — — 0 — 75 85 45 100 30 60 75 90 — — 0 — Deadnettle 0 0 50 0 15 0 40 25 20 0 35 35 0 0 50 0 Field Poppy 0 0 50 50 75 90 85 75 80 55 80 90 — 0 0 30 Field Violet 0 0 0 — 15 0 0 10 15 10 0 15 0 0 0 — Foxtail, Green 0 0 0 0 15 20 90 90 85 15 45 35 0 0 0 0 Galium 0 0 0 0 35 0 75 0 10 55 20 20 0 0 0 0 Kochia 0 0 10 20 35 15 85 20 45 10 0 20 0 0 5 0 Lambsquarters 0 0 0 0 85 85 80 35 50 0 45 85 0 0 0 0 Mustard, Wild 0 0 — 0 0 0 0 0 0 10 0 10 0 0 50 0 Oat, Wild 0 0 0 0 10 0 5 0 25 0 20 15 0 0 0 0 Oilseed Rape 0 0 0 0 5 0 0 0 0 0 0 0 0 0 0 0 Pigweed 0 0 10 10 25 5 75 0 5 0 50 15 0 0 10 0 Radish, Wild — — — — 0 15 0 0 25 15 0 0 0 0 0 0 Russian Thistle 0 0 0 0 — — 15 — — — 0 — 0 0 0 0 Ryegrass, Italian 0 0 0 0 15 0 0 5 35 0 0 15 0 0 0 40 Speedwell 10 0 0 90 20 10 90 0 0 20 75 10 0 0 0 0 Wheat, Spring 0 0 0 0 10 0 0 0 10 5 0 0 0 0 0 0 Wheat, Winter 0 0 0 0 0 5 5 5 0 0 5 0 0 0 0 0 Windgrass 0 0 0 0 45 5 65 50 75 5 55 65 0 0 0 0 - Seeds of plant species selected from corn (Zea mays), soybean (Glycine max), velvetleaf (Abutilon theophrasti), lambsquarters (Chenopodium album), wild poinsettia (Euphorbia heterophylla), pigweed, palmer (palmer pigweed, Amaranthus palmeri), waterhemp (common waterhemp, Amaranthus rudis), surinam grass (Brachiaria decumbens), crabgrass, large (large crabgrass, Digitaria sanguinalis), crabgrass, Brazil (Brazilian crabgrass, Digitaria horizontalis), panicum, fall (fall panicum, Panicum dichotomiflorum), foxtail, giant (giant foxtail, Setaria faberii), foxtail, green (green foxtail, Setaria viridis), goosegrass (Eleusine indica), johnsongrass (Sorghum halepense), ragweed (common ragweed, Ambrosia elatior), barnyardgrass (Echinochloa crus-galli), sandbur (southern sandbur, Cenchrus echinatus), arrowleaf sida (Sida rhombifolia), ryegrass, Italian (Italian ryegrass, Lolium multiflorum), dayflower, VA (Virginia dayflower, Commelina virginica), field bindweed (Convolvulus arvensis), morning glory (Ipomoea coccinea), nightshade (eastern black nightshade, Solanum ptycanthum), kochia (Kochia scoparia), nutsedge, yellow (yellow nutsedge, Cyperus esculentus), cocklebur (common cocklebur, Xanthium strumarium), smartweed (ladysthumb snartweed, Polygonum Persicaria) and beggarticks (hairy beggarticks, Bidens pilosa), were planted into a silt loam soil and treated preemergence with test chemicals formulated in a non-phytotoxic solvent mixture which included a surfactant. Treated plants and controls were maintained in a greenhouse for 21 days, after which time all species were compared to controls and visually evaluated. Plant response ratings, summarized in Table E, are based on a scale of 0 to 100 where 0 is no effect and 100 is complete control. A dash (-) response means no test result.
-
TABLE E Preemergence 250 g ai/ha 125 g ai/ha Compounds Compounds 14 16 17 66 80 103 202 204 206 232 350 14 16 17 66 80 103 202 204 206 232 Arrowleaf Sida 0 0 0 0 10 65 80 0 50 90 50 0 0 0 0 0 0 70 0 10 65 Barnyardgrass 75 70 98 50 80 90 98 98 98 95 98 40 10 95 50 75 50 85 98 95 98 Beggarticks 0 0 — 0 60 15 80 0 0 60 20 0 0 — 0 20 0 35 0 0 20 Cocklebur 0 0 — — 0 — — — 0 — — 0 0 0 — 0 — — — 0 — Corn 0 0 0 0 30 0 60 40 70 0 0 0 0 0 0 0 0 40 0 40 0 Crabgrass, Brazil 95 98 98 98 95 98 98 98 98 98 98 95 80 95 98 70 95 98 98 98 98 Crabgrass, Large 90 98 95 98 95 98 98 98 100 98 98 90 75 75 90 95 98 98 98 98 98 Dayflower, VA 0 — 0 0 0 0 40 30 20 10 40 0 0 0 0 0 0 0 20 0 0 Field Bindweed 0 0 0 0 0 35 70 30 50 40 60 0 0 0 0 0 40 50 0 30 40 Foxtail, Giant 90 95 98 — 90 98 98 98 98 98 80 10 25 95 98 80 95 95 95 98 95 Foxtail, Green 70 95 95 60 90 98 98 98 98 98 85 10 25 70 35 80 95 98 95 98 98 Goosegrass 0 0 35 0 80 0 98 0 90 95 25 0 0 0 0 70 0 90 0 70 85 Johnsongrass 0 0 0 0 30 20 25 40 90 25 0 0 0 0 0 10 0 20 35 75 0 Kochia 0 0 50 0 90 0 98 40 80 98 90 0 0 25 0 80 0 95 90 50 98 Lambsquarters 70 0 0 0 90 98 98 65 98 98 95 50 — 0 0 90 65 98 90 95 100 Morningglory 0 0 — 0 40 10 30 30 0 35 0 0 0 — 0 20 0 0 20 0 0 Nightshade 70 0 0 0 70 0 80 100 10 — 80 50 0 0 — 70 0 90 100 5 98 Nutsedge, Yellow 0 0 15 0 0 15 0 0 75 0 15 0 0 0 0 0 0 0 0 20 0 Panicum, Fall 40 — 0 0 0 0 85 75 98 60 0 — 0 0 0 0 0 50 75 98 50 Pigweed, Palmer 0 0 0 — 90 25 80 0 0 65 35 0 0 0 — 65 0 85 0 0 80 Poinsettia, Wild 25 0 20 20 0 0 65 20 25 40 30 20 0 0 0 0 0 25 20 0 35 Ragweed 0 0 0 20 20 0 90 0 75 95 65 0 0 0 0 0 0 85 0 0 95 Ryegrass, Italian 0 30 0 0 60 0 50 30 65 40 35 0 0 0 0 45 0 25 25 80 20 Sandbur 30 95 95 35 70 95 80 80 98 90 85 0 70 65 0 65 75 85 75 95 90 Smartweed — — — — 40 — — — — — — 0 — — — — — — — — — Soybean 0 0 0 0 40 0 0 — 0 0 0 0 0 0 0 0 0 0 0 0 0 Surinam Grass 60 60 75 35 70 95 95 95 98 98 65 20 35 70 0 60 65 65 98 85 70 Velvetleaf 0 0 0 0 0 0 40 0 50 80 0 0 0 0 0 0 0 0 0 30 20 Waterhemp 0 0 0 0 60 0 95 0 50 95 35 0 0 0 0 50 0 95 0 50 85 125 g ai/ha 62 g ai/ha 31 g ai/ha Compounds Compounds Compounds 350 14 16 17 66 80 103 202 204 206 232 350 14 16 17 66 80 103 202 204 Arrowleaf Sida 20 0 0 0 0 0 0 30 0 0 20 0 0 0 0 0 0 0 0 0 Barnyardgrass 60 0 0 80 20 50 30 80 75 75 70 40 0 0 0 0 20 0 40 20 Beggarticks 20 0 — — 0 0 0 0 0 0 0 0 0 — — 0 0 0 0 0 Cocklebur — 0 0 0 0 0 — — — 0 — — — 0 0 0 — — — — Corn 0 0 0 0 0 0 0 0 0 50 0 0 0 0 0 0 0 0 0 0 Crabgrass, Brazil 95 80 65 95 95 — 95 98 95 98 98 75 65 25 65 85 — 70 80 95 Crabgrass, Large 98 25 30 70 75 95 98 98 98 98 98 70 — 20 20 10 90 65 98 95 Dayflower, VA 0 0 0 0 0 0 0 0 0 0 0 0 0 — 0 0 0 0 0 0 Field Bindweed 65 0 0 0 0 0 0 40 0 20 0 60 0 0 0 0 0 0 60 0 Foxtail, Giant 50 0 15 35 0 75 90 50 95 98 90 20 0 0 35 0 65 60 35 50 Foxtail, Green 80 0 10 40 0 70 60 75 98 98 95 35 0 0 25 0 60 20 10 40 Goosegrass 0 0 0 0 0 60 0 70 0 0 80 0 0 0 0 0 30 0 35 0 Johnsongrass 0 0 0 0 0 0 0 0 0 50 0 0 0 0 0 0 0 0 0 0 Kochia 75 0 — 0 0 60 0 95 0 0 95 40 0 0 0 0 60 0 95 0 Lambsquarters 98 0 0 0 0 85 0 98 98 65 98 60 0 0 0 0 80 0 0 98 Morningglory 0 — 0 — 0 0 0 0 0 0 0 0 0 0 — 0 0 0 0 0 Nightshade 50 30 0 0 0 60 0 50 20 0 75 0 0 0 — 0 — 0 0 0 Nutsedge, Yellow 0 0 0 0 0 0 0 0 0 15 0 0 0 0 0 0 0 0 0 0 Panicum, Fall 0 0 0 0 0 0 0 0 0 98 50 0 0 0 0 0 0 0 0 0 Pigweed, Palmer 35 0 0 0 — — 0 70 0 0 0 0 0 0 0 — 0 0 0 0 Poinsettia, Wild 0 15 0 0 0 0 0 0 0 10 0 0 0 0 0 0 0 0 0 0 Ragweed 60 0 0 0 0 0 0 80 0 0 75 0 0 — 0 0 0 0 20 0 Ryegrass, Italian 20 0 0 0 0 0 0 0 0 35 10 25 0 0 0 0 0 0 0 0 Sandbur 65 0 35 50 0 50 35 70 50 80 65 35 0 0 0 0 30 10 35 20 Smartweed — — — — — 20 — — — — — — — — — — 0 — — — Soybean 0 0 0 0 0 0 0 0 0 0 0 0 0 0 0 0 0 0 0 0 Surinam Grass 50 0 20 50 0 50 50 — 60 95 50 0 0 0 0 0 40 20 20 35 Velvetleaf 0 0 0 0 0 0 0 0 0 35 0 0 0 0 0 0 0 0 0 0 Waterhemp 0 0 0 0 0 30 0 60 0 — 80 0 0 0 0 0 20 0 50 0 31 g ai/ha 16 g ai/ha Compounds Compounds 206 232 350 14 16 17 66 80 Arrowleaf Sida 0 0 0 0 0 0 0 0 Barnyardgrass 70 60 15 0 0 0 0 0 Beggarticks 0 0 0 0 0 — 0 0 Cocklebur 0 — — — 0 0 0 0 Corn 0 0 0 0 0 0 0 0 Crabgrass, Brazil 80 95 0 0 25 40 85 — Crabgrass, Large 98 95 50 0 10 15 0 50 Dayflower, VA 0 0 0 0 0 0 0 0 Field Bindweed 20 0 40 0 0 0 0 0 Foxtail, Giant 90 35 0 0 0 0 0 0 Foxtail, Green 80 80 20 0 0 0 0 50 Goosegrass 0 35 0 0 0 0 0 10 Johnsongrass 30 0 0 0 0 0 0 0 Kochia 0 90 0 0 — 0 0 — Lambsquarters 35 95 80 0 0 0 0 50 Morningglory 0 0 0 0 0 — 0 0 Nightshade 0 25 0 0 0 0 0 50 Nutsedge, Yellow 15 0 0 0 0 0 0 0 Panicum, Fall 75 35 0 0 0 0 0 0 Pigweed, Palmer 0 0 0 0 0 0 — 0 Poinsettia, Wild 0 0 0 0 0 0 0 0 Ragweed 0 35 0 0 — 0 0 0 Ryegrass, Italian 0 0 0 0 0 0 0 0 Sandbur 65 35 15 0 0 0 0 20 Smartweed — — — — — — — 0 Soybean 0 0 0 0 0 0 0 0 Surinam Grass 50 40 0 0 0 0 0 30 Velvetleaf 0 0 0 0 0 0 0 0 Waterhemp 50 35 0 0 0 0 0 0 - Three plastic pots (ca. 16-cm diameter) per rate were partially filled with sterilized Tama silt loam soil comprising a 35:50:15 ratio of sand, silt and clay and 2.6% organic matter. Separate plantings for each of the three pots were as follows. Seeds from the U.S. of monochoria (Monochoria vaginalis), sedge, umbrella (small-flower umbrella sedge, Cyperus difformis), bulrush, hardstem (hardstem bulrush, Scirpus juncoides), and redstem (purple redstem, Ammannia coccinea), were planted into one 16-cm pot for each rate. Seeds from the U.S. of flatsedge, rice (rice flatsedge, Cyperus iria), sprangletop, Brdd. (bearded sprangletop, Leptochloa fascicularis), one stand of 9 or 10 water seeded rice seedlings (Rice, W. S. Jap. Oryza sativa cv. ‘Japonica—M202’ or Rice, W. S. Ind, ‘Indica’), and two stands of 3 or 4 seedlings of rice, transplanted (transplanted rice, Oryza sativa cv. ‘Japonica—M202’) were planted into one 16-cm pot for each rate. Seeds from the U.S. of barnyardgrass (Echinochloa crus-galli), waterplantain (common waterplantain, Alisma plantago-aquatica), and watergrass, late (late watergrass, Echinochloa oryzicola) were planted into one 16-cm pot for each rate. Plantings were sequential so that crop and weed species were at the 2.0 to 2.5-leaf stage at time of treatment.
- Potted plants were grown in a greenhouse with day/night temperature settings of 30/27° C., and supplemental balanced lighting was provided to maintain a 16-h photoperiod. Test pots were maintained in the greenhouse until test completion.
- At time of treatment, test pots were flooded to 3 cm above the soil surface, treated by application of test compounds directly to the paddy water, and then maintained at that water depth for the duration of the test. Effects of treatments on rice and weeds were visually evaluated by comparison to untreated controls after 21 d. Plant response ratings, summarized in Table F, are based on a scale of 0 to 100 where 0 is no effect and 100 is complete control. A dash (-) response means no test result.
-
TABLE F Flood 2000 g ai/ha 1000 g ai/ha Compounds Compounds 5 17 247 5 17 103 247 Barnyardgrass 90 100 75 90 95 100 70 Bulrush, Hardstem — 40 — — 0 — — Flatsedge, Rice 0 40 35 0 35 — 0 Monochoria 75 95 75 75 95 100 75 Redstem 45 40 55 45 35 — 50 Rice, Transplanted 0 10 15 0 10 0 10 Rice, W.S. Jap — 85 — — — 15 — Sedge, Umbrella 0 20 0 — 60 — — Sprangletop, Brdd. 90 100 98 0 0 — 0 Watergrass, Late 100 95 90 85 85 100 98 Waterplantain 90 — 90 100 90 100 85 500 g ai/ha Compounds 3 5 17 99 101 103 204 206 207 210 247 271 303 Barnyardgrass 90 75 90 80 90 100 100 100 100 100 70 100 100 Bulrush, Hardstem 30 — 0 — — — — — — — — — 80 Flatsedge, Rice 20 0 20 — — — — — — — 0 — 0 Monochoria 100 75 95 95 100 100 100 100 100 100 75 100 100 Redstem 20 40 0 — — — — — — — 0 — 30 Rice, Transplanted 0 0 10 0 0 0 0 40 0 0 0 15 30 Rice, W.S. Ind — — — 0 60 0 20 65 10 0 — 60 70 Rice, W.S. Jap 10 — 15 — — — — — — — — — — Sedge, Umbrella 0 0 0 — — — — — — — 0 — 0 Sprangletop, Brdd. 85 85 85 85 95 100 100 100 100 100 98 95 90 Watergrass, Late 85 75 90 50 85 98 98 100 90 90 70 100 100 Waterplantain — 80 — — — — — — — — 90 — — 250 g ai/ha Compounds 3 5 17 99 101 103 204 206 207 210 247 271 303 Barnyardgrass 90 65 90 50 85 100 100 100 100 100 65 100 100 Bulrush, Hardstem 0 — 0 — — — — — — — — — 70 Flatsedge, Rice 0 0 20 — — — — — — — 0 — 0 Monochoria 90 75 90 85 100 100 100 100 100 85 70 100 100 Redstem 0 0 0 — — — — — — — 0 — 0 Rice, Transplanted 0 0 10 0 0 0 0 10 0 0 0 0 15 Rice, W.S. Ind — — — 0 35 0 10 45 0 0 — 30 40 Rice, W.S. Jap 0 — 15 — — — — — — — — — — Sedge, Umbrella 0 0 0 — — — — — — — 0 — 0 Sprangletop, Brdd. 80 85 85 75 95 100 100 100 100 100 95 80 85 Watergrass, Late 80 70 85 40 85 98 98 100 85 75 65 100 100 Waterplantain — 70 — — — — — — — — 85 — — 125 g ai/ha Compounds 5 17 99 101 103 204 206 207 210 247 271 303 Barnyardgrass 55 90 25 85 60 100 100 60 75 60 75 100 Bulrush, Hardstem — 0 — — — — — — — — — 0 Flatsedge, Rice 0 20 — — — — — — — 0 — 0 Monochoria 75 90 50 100 100 95 90 65 65 70 100 100 Redstem 0 0 — — — — — — — 0 — 0 Rice, Transplanted 0 10 0 0 0 0 0 0 0 0 0 0 Rice, W.S. Ind — — 0 20 0 0 25 0 0 — 15 25 Rice, W.S. Jap — 0 — — — — — — — — — — Sedge, Umbrella 0 0 — — — — — — — 0 — 0 Sprangletop, Brdd. 85 85 0 85 80 98 95 100 100 90 30 80 Watergrass, Late 55 80 30 75 60 70 100 65 55 65 75 95 Waterplantain 55 — — — — — — — — 80 — — 64 g ai/ha 62 g ai/ha Compounds Compound 101 103 206 271 303 Barnyardgrass 60 60 90 55 Barnyardgrass 100 Monochoria 75 85 80 85 Bulrush, Hardstem 0 Rice, Transplanted 0 0 0 0 Flatsedge, Rice 0 Rice, W.S. Ind 0 0 15 0 Monochoria 100 Sprangletop, Brdd. 75 80 90 20 Redstem 0 Watergrass, Late 65 40 90 45 Rice, Transplanted 0 Rice, Water Seeded 0 Sedge, Umbrella 0 Sprangletop, Brdd. 70 Watergrass, Late 95 - Seeds of small-flower umbrella sedge (CYPDI, Cyperus difformis) and ducksalad (HETL1, Heteranthera limosa) were sown on the soil surface in two separate quadrants of 11-cm (4-inch) tubs filled with steam pasteurized Tama soil. Simultaneously, plantings of barnyardgrass (ECHCG, Echinochloa crus-galli) and transplanted japonica rice (ORYSA, Oryza sativa) were established in separate “plug” flats. Plants were grown in a greenhouse using supplemental lighting to maintain a photoperiod of approximately 16 h; daytime and nighttime temperatures were approximately 27-30° C. and 24-27° C., respectively. After 8 d, barnyardgrass plants were transplanted to one of the remaining quadrants of the tub, and the water level was adjusted to a final depth of 3-cm. Herbicide application timing was targeted at the 2.0 to 2.5 leaf stage and the plants were treated with test chemicals formulated in a non-phytotoxic solvent. Treated plants and controls were maintained in a greenhouse for 14 d, after which time all species were compared to controls and visually evaluated. Plant response ratings are summarized in Tables G1 through G12, and are based on a scale of 0 to 100 where 0 is no effect and 100 is complete control. A dash (-) response means no test result.
- Colby's Equation was used to determine the herbicidal effects expected from the mixtures. Colby's Equation (Colby, S. R. “Calculating Synergistic and Antagonistic Responses of Herbicide Combinations,” Weeds, 15(1), pp 20-22 (1967)) calculates the expected additive effect of herbicidal mixtures and for two active ingredients is of the form:
-
P a+b =P a +P b−(P a P b/100) -
- where
- Pa+b is the percentage effect of the mixture expected from additive contribution of the individual components:
- Pa is the observed percentage effect of the first active ingredient at the same use rate as in the mixture, and
- Pb is the observed percentage effect of the second active ingredient at the same use rate as in the mixture.
In the following Tables, rates are shown in grams of active ingredient per hectare (g a.i/ha); “Obsd.” is the observed effect. “Exp.” is the expected effect calculated from Colby's Equation.
-
TABLE G1 Observed and Expected Results from Compound 204 Alone and in Combination with Fentrazamide Application Rate (g a.i./ha) CYPDI HETLI ECHCG ORYSA Cmpd. 204 Fentrazamide Obsd. Exp. Obsd. Exp. Obsd. Exp. Obsd. Exp. 125 — 0 — 100 — 65 — 0 — 500 — 0 — 100 — 90 — 0 — — 100 90 — 85 — 50 — 0 — — 200 100 — 100 — 95 — 15 — 125 100 95 90 100 100 80 83 0 0 125 200 95 90 100 100 95 95 0 0 500 100 100 100 100 100 95 98 0 15 500 200 100 100 100 100 95 100 0 15 -
TABLE G2 Observed and Expected Results from Compound 103 Alone and in Combination with Fentrazamide Application Rate (g a.i./ha) CYPDI HETLI ECHCG ORYSA Cmpd. 103 Fentrazamide Obsd. Exp. Obsd. Exp. Obsd. Exp. Obsd. Exp. 125 — 0 — 100 — 60 — 0 — 500 — 0 — 100 — 80 — 15 — — 100 100 — 100 — 85 — 0 — — 200 100 — 100 — 85 — 0 — 125 100 70 100 100 100 50 94 0 0 125 200 100 100 100 100 75 97 0 15 500 100 100 100 100 100 80 94 10 0 500 200 100 100 100 100 80 97 10 15 -
TABLE G3 Observed and Expected Results from Compound 204 Alone and in Combination with Tefuryltrione Application Rate (g a.i./ha) CYPDI HETLI ECHCG ORYSA Cmpd. 204 Tefuryltrione Obsd. Exp. Obsd. Exp. Obsd. Exp. Obsd. Exp. 125 — 0 — 100 — 65 — 0 — 500 — 0 — 100 — 90 — 0 — — 100 100 — 100 — 40 — 0 — 125 100 100 100 100 100 95 79 0 0 500 100 100 100 100 100 95 94 0 0 -
TABLE G4 Observed and Expected Results from Compound 103 Alone and in Combination with Tefuryltrione Application Rate (g a.i./ha) CYPDI HETLI ECHCG ORYSA Cmpd. 103 Tefuryltrione Obsd. Exp. Obsd. Exp. Obsd. Exp. Obsd. Exp. 125 — 0 — 100 — 60 — 0 — 500 — 0 — 100 — 80 — 15 — — 100 90 — 90 — 0 — 0 — 125 100 98 90 100 100 55 60 0 0 500 100 98 90 100 100 90 80 0 15 -
TABLE G5 Observed and Expected Results from Compound 204 Alone and in Combination with Triafamone Application Rate (g a.i./ha) CYPDI HETLI ECHCG ORYSA Cmpd. 204 Triafamone Obsd. Exp. Obsd. Exp. Obsd. Exp. Obsd. Exp. 125 — 0 — 100 — 65 — 0 — 500 — 0 — 100 — 90 — 0 — — 20 0 — 0 — 90 — 0 — 125 20 0 0 98 100 85 97 0 0 500 20 45 0 100 100 90 99 0 0 -
TABLE G6 Observed and Expected Results from Compound 103 Alone and in Combination with Triafamone Application Rate (g a.i./ha) CYPDI HETLI ECHCG ORYSA Cmpd. 103 Triafamone Obsd. Exp. Obsd. Exp. Obsd. Exp. Obsd. Exp. 125 — 0 — 100 — 60 — 0 — 500 — 0 — 100 — 80 — 15 — — 20 0 — 0 — 85 — 0 — 125 20 0 0 100 100 85 94 0 0 500 20 0 0 100 100 90 97 0 15 -
TABLE G7 Observed and Expected Results from Compound 204 Alone and in Combination with Pyrimisulfan Application Rate (g a.i./ha) CYPDI HETLI ECHCG ORYSA Cmpd. 204 Pyrimisulfan Obsd. Exp. Obsd. Exp. Obsd. Exp. Obsd. Exp. 125 — 0 — 100 — 65 — 0 — 500 — 0 — 100 — 90 — 0 — — 20 98 — 100 — 75 — 25 — 125 20 100 98 100 100 85 91 25 25 500 20 100 98 100 100 95 98 25 25 -
TABLE G8 Observed and Expected Results from Compound 103 Alone and in Combination with Pyrimisulfan Application Rate (g a.i./ha) CYPDI HETLI ECHCG ORYSA Cmpd. 103 Pyrimisulfan Obsd. Exp. Obsd. Exp. Obsd. Exp. Obsd. Exp. 125 — 0 — 100 — 60 — 0 — 500 — 0 — 100 — 80 — 15 — — 20 100 — 100 — 80 — 20 — 125 20 100 100 100 100 85 92 20 20 500 20 100 100 100 100 85 96 0 32 -
TABLE G9 Observed and Expected Results from Compound 204 Alone and in Combination with Mefenecet Application Rate (g a.i./ha) CYPDI HETLI ECHCG ORYSA Cmpd. 204 Mefenecet Obsd. Exp. Obsd. Exp. Obsd. Exp. Obsd. Exp. 125 — 0 — 100 — 65 — 0 — 500 — 0 — 100 — 90 — 0 — — 300 100 — 100 — 30 — 0 — 125 300 100 98 100 100 60 76 0 0 500 300 100 98 100 100 90 93 0 0 -
TABLE G10 Observed and Expected Results from Compound 103 Alone and in Combination with Mefenecet Application Rate (g a.i./ha) CYPDI HETLI ECHCG ORYSA Cmpd. 103 Mefenecet Obsd. Exp. Obsd. Exp. Obsd. Exp. Obsd. Exp. 125 — 0 — 100 — 60 — 0 — 500 — 0 — 100 — 80 — 15 — — 300 100 — 100 — 65 — 10 — 125 300 100 98 100 100 70 86 10 10 500 300 100 98 100 100 80 93 20 24 -
TABLE G11 Observed and Expected Results from Compound 204 Alone and in Combination with Bensulfuron-methyl Application Rate (g a.i./ha) CYPDI HETLI ECHCG ORYSA Cmpd. 204 Bensulfuron-methyl Obsd. Exp. Obsd. Exp. Obsd. Exp. Obsd. Exp. 125 — 0 — 100 — 65 — 0 — 500 — 0 — 100 — 90 — 0 — — 20 100 — 100 — 65 — 10 — 125 20 100 100 100 100 70 88 0 10 500 20 100 100 100 100 90 97 0 10 -
TABLE G12 Observed and Expected Results from Compound 103 Alone and in Combination with Bensulfuron-methyl Application Rate (g a.i./ha) CYPDI HETLI ECHCG ORYSA Cmpd. 103 Bensulfuron-methyl Obsd. Exp. Obsd. Exp. Obsd. Exp. Obsd. Exp. 125 — 0 — 100 — 60 — 0 — 500 — 0 — 100 — 80 — 15 — — 20 98 — 100 — 65 — 0 — 125 20 98 98 100 100 65 86 0 0 500 20 100 98 100 100 85 93 10 15 - This test evaluated the effect of mixtures of compound 80 with several commercial herbicides on four plant species. Seeds of plant species selected from corn (ZEAMD, Zea mays), soybean (GLXMA, Glycine max), waterhemp (common waterhemp, AMATA, Amaranthus rudis), and giant foxtail (SETFA, Setaria faberii) were planted into a silt loam soil and treated preemergence with test chemicals formulated in a non-phytotoxic solvent mixture which included a surfactant and applied using a volume of 281 L/ha. Each treatment was replicated three times. Treated plants and controls were maintained in a greenhouse using supplemental lighting to maintain a photoperiod of about 16 h; daytime and nighttime temperatures were about 24-30° C. and 19-21° C., respectively. Nutrients were applied using a balanced fertilizer applied through the watering system. At 21 d after treatment, all species were compared to controls and visually evaluated. Plant response ratings were calculated as the means of the three replicates, are summarized in Tables H1 through H5, and are based on a scale of 0 to 100) where 0 is no effect and 100 is complete control. A dash (-) response means no test result. The Expected (Exp.) results were calculated using Colby's Equation as described for Test G above.
-
TABLE H1 Observed and Expected Results from Compound 80 Alone and in Combination with Chlorimuron-ethyl Application Rate (g a.i./ha) ZEAMD GLXMA AMATA SETFA Cmpd 80 Chlorimuron-ethyl Obsd. Exp. Obsd. Exp. Obsd. Exp. Obsd. Exp. 62 — 17 — 12 — 0 — 52 — 125 — 13 — 0 — 33 — 78 — — 1 22 — 0 — 47 — 0 — — 31 73 — 22 — 89 — 47 — 62 1 22 35 18 12 73 47 25 52 125 1 15 32 5 0 73 64 67 78 62 31 96 78 35 31 69 89 58 75 125 31 75 77 0 22 94 93 78 88 -
TABLE H2 Observed and Expected Results from Compound 80 Alone and in Combination with S-metolachlor Application Rate (g a.i./ha) ZEAMD GLXMA AMATA SETFA Cmpd 80 S-metolachlor Obsd. Exp. Obsd. Exp. Obsd. Exp. Obsd. Exp. 62 — 17 — 12 — 0 — 52 — 125 — 13 — 0 — 33 — 78 — — 31 13 — 18 — 0 — 73 — — 125 20 — 15 — 85 — 99 — 62 31 10 28 8 28 33 0 93 87 125 31 30 24 25 18 75 33 96 94 62 125 25 34 28 25 85 85 98 100 125 125 37 30 12 15 98 90 93 100 -
TABLE H3 Observed and Expected Results from Compound 80 Alone and in Combination with Saflufenacil Application Rate (g a.i./ha) ZEAMD GLXMA AMATA SETFA Cmpd 80 Saflufenacil Obsd. Exp. Obsd. Exp. Obsd. Exp. Obsd. Exp. 62 — 17 — 12 — 0 — 52 — 125 — 13 — 0 — 33 — 78 — — 1 20 — 0 — 0 — 0 — — 31 0 — 13 — 83 — 23 — 62 1 22 34 40 12 38 0 57 52 125 1 15 30 15 0 33 33 80 78 62 31 30 17 25 23 73 83 40 63 125 31 25 13 0 13 97 89 80 83 -
TABLE H4 Observed and Expected Results from Compound 80 Alone and in Combination with Atrazine Application Rate (g a.i./ha) ZEAMD GLXMA AMATA SETFA Cmpd 80 Atrazine Obsd. Exp. Obsd. Exp. Obsd. Exp. Obsd. Exp. 62 — 17 — 12 — 0 — 52 — 125 — 13 — 0 — 33 — 78 — — 62 0 — 13 — 33 — 0 — — 125 0 — 48 — 90 — 8 — 62 62 18 17 20 23 83 33 63 52 125 62 10 13 0 13 87 55 78 78 62 125 20 17 5 54 100 90 58 56 125 125 23 13 30 48 98 93 70 80 -
TABLE H5 Observed and Expected Results from Compound 80 Alone and in Combination with Mesotrione Application Rate (g a.i./ha) ZEAMD GLXMA AMATA SETFA Cmpd 80 Mesotrione Obsd. Exp. Obsd. Exp. Obsd. Exp. Obsd. Exp. 62 — 17 — 12 — 0 — 52 — 125 — 13 — 0 — 33 — 78 — — 16 12 — 25 — 96 — 0 — 62 16 20 27 28 34 93 96 25 52 125 16 32 23 83 25 93 97 48 78
Claims (8)
Priority Applications (1)
| Application Number | Priority Date | Filing Date | Title |
|---|---|---|---|
| US18/159,265 US20230270111A1 (en) | 2013-12-03 | 2023-01-25 | Pyrrolidinones herbicides |
Applications Claiming Priority (5)
| Application Number | Priority Date | Filing Date | Title |
|---|---|---|---|
| US201361911324P | 2013-12-03 | 2013-12-03 | |
| PCT/US2014/068073 WO2015084796A1 (en) | 2013-12-03 | 2014-12-02 | Pyrrolidinones as herbicides |
| US201615101615A | 2016-06-03 | 2016-06-03 | |
| US16/415,241 US11589583B2 (en) | 2013-12-03 | 2019-05-17 | Pyrrolidinones herbicides |
| US18/159,265 US20230270111A1 (en) | 2013-12-03 | 2023-01-25 | Pyrrolidinones herbicides |
Related Parent Applications (1)
| Application Number | Title | Priority Date | Filing Date |
|---|---|---|---|
| US16/415,241 Continuation US11589583B2 (en) | 2013-12-03 | 2019-05-17 | Pyrrolidinones herbicides |
Publications (1)
| Publication Number | Publication Date |
|---|---|
| US20230270111A1 true US20230270111A1 (en) | 2023-08-31 |
Family
ID=80002408
Family Applications (3)
| Application Number | Title | Priority Date | Filing Date |
|---|---|---|---|
| US16/415,241 Active US11589583B2 (en) | 2013-12-03 | 2019-05-17 | Pyrrolidinones herbicides |
| US17/577,564 Active 2034-12-02 US11528906B2 (en) | 2013-12-03 | 2022-01-18 | Pyrrolidinones as herbicides |
| US18/159,265 Pending US20230270111A1 (en) | 2013-12-03 | 2023-01-25 | Pyrrolidinones herbicides |
Family Applications Before (2)
| Application Number | Title | Priority Date | Filing Date |
|---|---|---|---|
| US16/415,241 Active US11589583B2 (en) | 2013-12-03 | 2019-05-17 | Pyrrolidinones herbicides |
| US17/577,564 Active 2034-12-02 US11528906B2 (en) | 2013-12-03 | 2022-01-18 | Pyrrolidinones as herbicides |
Country Status (1)
| Country | Link |
|---|---|
| US (3) | US11589583B2 (en) |
Citations (2)
| Publication number | Priority date | Publication date | Assignee | Title |
|---|---|---|---|---|
| US6329392B1 (en) * | 1994-08-25 | 2001-12-11 | Aventis Pharmaceuticals, Inc. | Substituted piperidines useful for the treatment of allergic diseases |
| US20110039893A1 (en) * | 2006-10-11 | 2011-02-17 | Takeda Pharmaceutical Company Limited | Gsk-3beta inhibitor |
Family Cites Families (65)
| Publication number | Priority date | Publication date | Assignee | Title |
|---|---|---|---|---|
| DE1262277B (en) | 1962-12-05 | 1968-03-07 | Basf Ag | Process for the preparation of pyrrolidones |
| US3959481A (en) | 1969-02-13 | 1976-05-25 | Uniroyal | Method of protecting plants from fungal diseases using furan-3-carboxamide derivatives |
| US3741989A (en) | 1970-10-27 | 1973-06-26 | Abbott Lab | Lactonic acetals |
| JPS51131870A (en) | 1975-01-20 | 1976-11-16 | Yoshitomi Pharmaceut Ind Ltd | A process for preparing novel amide compounds |
| JPS52156859U (en) | 1976-05-22 | 1977-11-29 | ||
| JPS52156859A (en) | 1976-06-18 | 1977-12-27 | Yoshitomi Pharmaceut Ind Ltd | Heterocyclic amide derivatives |
| JPS5436787Y2 (en) | 1976-10-15 | 1979-11-06 | ||
| JPS5356288A (en) | 1976-10-30 | 1978-05-22 | Matsushita Electric Works Ltd | Preparation of phenolic resin |
| JPS5718047Y2 (en) | 1977-12-01 | 1982-04-15 | ||
| JPS5488114A (en) | 1977-12-26 | 1979-07-13 | Fuji Photo Film Co Ltd | Manufacturing device for photograph seal |
| US4594094A (en) | 1983-04-04 | 1986-06-10 | Shell Oil Company | Oxacycloalkane-alpha-(thio)carboxylic acid derivatives and use as plant growth regulators and herbicides |
| JPH0770037B2 (en) | 1987-07-07 | 1995-07-31 | 株式会社クボタ | Metal thin film magnetic recording medium for in-plane magnetization recording |
| US4874422A (en) | 1988-12-27 | 1989-10-17 | Ici Americas Inc. | 1-Phenyl-3-carboxyamidopyrrolidones and their use as herbicides |
| GB9011469D0 (en) | 1990-05-23 | 1990-07-11 | Glaxo Group Ltd | Chemical process |
| GB9225377D0 (en) | 1992-12-04 | 1993-01-27 | Ici Plc | Herbicides |
| JP3241889B2 (en) | 1993-08-27 | 2001-12-25 | 富士写真フイルム株式会社 | Method for producing cyanoacylcyclopropane compound and 2-cyanoacyl-4-butanolide compound used therefor |
| JP3487669B2 (en) | 1995-03-28 | 2004-01-19 | 積水化学工業株式会社 | Unsaturated polyester resin composition |
| WO2000009481A1 (en) | 1998-08-11 | 2000-02-24 | Takeda Chemical Industries, Ltd. | Cyclic amide compounds, process for producing the same, intermediates thereof and herbicides |
| DE19851986A1 (en) * | 1998-11-11 | 2000-05-18 | Bayer Ag | Phenyl-substituted cyclic enaminones |
| IL153518A0 (en) | 2000-07-14 | 2003-07-06 | Basf Ag | Method for detecting uracil biosynthesis inhibitors and their use as herbicides |
| RU2004107485A (en) | 2001-08-15 | 2005-03-27 | Е.И.Дюпон де Немур энд Компани (US) | ORTHO-HETEROCYCLIC SUBSTITUTED ARYLAMIDES FOR THE FIGHT AGAINST INvertebrate Pests |
| TW200724033A (en) | 2001-09-21 | 2007-07-01 | Du Pont | Anthranilamide arthropodicide treatment |
| PL370529A1 (en) | 2001-10-08 | 2005-05-30 | Ucb, S.A. | Use of 2-oxo-1-pyrrolidine derivatives for the preparation of a drug |
| JP4398866B2 (en) | 2002-10-18 | 2010-01-13 | ビーエーエスエフ ソシエタス・ヨーロピア | 1-phenylpyrrolidin-2-one-3-carboxamide |
| KR100614422B1 (en) | 2002-11-15 | 2006-08-21 | 주식회사디엔에이링크 | Beta-nitrostyrene compound and anticancer composition comprising it |
| US7205318B2 (en) | 2003-03-18 | 2007-04-17 | Bristol-Myers Squibb Company | Lactam-containing cyclic diamines and derivatives as a factor Xa inhibitors |
| BRPI0607294A2 (en) | 2005-01-28 | 2009-08-25 | Irm Llc | processes for synthesis of aryl pyrrolidones as well as mixing |
| PT1882684E (en) | 2005-05-19 | 2015-02-10 | Astellas Pharma Inc | Pyrrolidine derivative or salt thereof |
| US20070123508A1 (en) | 2005-05-27 | 2007-05-31 | Roger Olsson | PAR2-modulating compounds and their use |
| US8293926B2 (en) | 2005-12-09 | 2012-10-23 | Sumitomo Chemical Company, Limited | Method of producing optically active 4-amino-3-substituted phenylbutanoic acid |
| RU2009106214A (en) | 2006-07-26 | 2010-09-10 | Новартис АГ (CH) | Undecaprenylpyrophosphate synthase inhibitors |
| ES2304220B1 (en) | 2007-03-02 | 2009-09-11 | Universidad De Zaragoza | COMPOSITION FOR THE TREATMENT OF INFECTIOUS DISEASES. |
| EP2065380A1 (en) | 2007-08-22 | 2009-06-03 | F.Hoffmann-La Roche Ag | Pyridoneamide derivatives as focal adhesion kinase (FAK) inhibitors and their use for the treatment of cancer |
| CN101412711A (en) | 2007-10-15 | 2009-04-22 | 上海恒瑞医药有限公司 | Carbamate derivatives and use thereof in medicine |
| US9446995B2 (en) | 2012-05-21 | 2016-09-20 | Illinois Institute Of Technology | Synthesis of therapeutic and diagnostic drugs centered on regioselective and stereoselective ring opening of aziridinium ions |
| EP2336104A4 (en) | 2008-09-02 | 2012-01-25 | Nissan Chemical Ind Ltd | ORTHO-SUBSTITUTED HALOGENOALKYLSULFONANILIDE DERIVATIVE AND HERBICIDE |
| KR101852215B1 (en) | 2010-08-10 | 2018-04-25 | 다케다 야쿠힌 고교 가부시키가이샤 | Heterocyclic compound and use thereof |
| WO2012030685A2 (en) | 2010-09-01 | 2012-03-08 | Schering Corporation | Indazole derivatives useful as erk inhibitors |
| JP2012062267A (en) | 2010-09-15 | 2012-03-29 | Bayer Cropscience Ag | Pesticidal pyrroline n-oxide derivative |
| CN102531918B (en) | 2012-01-18 | 2013-10-02 | 安阳工学院 | Method for synthesizing enantiomorphous pure symmetric trans-dialkyl cyclohexylamine |
| KR20130142477A (en) | 2012-06-19 | 2013-12-30 | 순천향대학교 산학협력단 | Method for preparation of nitrocyclopropane derivatives |
| US8846570B2 (en) | 2012-07-24 | 2014-09-30 | Dow Agrosciences, Llc. | Herbicidal compositions comprising 4-amino-3-chloro-5-fluoro-6-(4-chloro-2-fluoro-3-methoxyphenyl)pyridine-2-carboxylic acid or a derivative thereof and microtubule inhibiting herbicides |
| WO2014065413A1 (en) | 2012-10-26 | 2014-05-01 | 日本たばこ産業株式会社 | Triazole-isoxazole compound and medical use thereof |
| EP3077374B1 (en) * | 2013-12-03 | 2020-02-05 | FMC Corporation | Pyrrolidinones as herbicides |
| GB201321743D0 (en) | 2013-12-09 | 2014-01-22 | Ucb Pharma Sa | Therapeutic agents |
| US20150173371A1 (en) | 2013-12-20 | 2015-06-25 | Dow Agrosciences Llc | Synergistic herbicidal weed control from combinations of 2,4-d-choline and glyphosate |
| RU2555370C1 (en) | 2014-02-12 | 2015-07-10 | Федеральное государственное бюджетное образовательное учреждение высшего профессионального образования "Самарский государственный технический университет" | Method for enanthioselective synthesis of diethyl[3-methyl-(1s)-(nitromethyl)butyl]malonate of formula i |
| AR100785A1 (en) | 2014-06-09 | 2016-11-02 | Dow Agrosciences Llc | HERBICIDE CONTROL OF MALEZA FROM COMBINATIONS OF FLUROXIPIR AND INHIBITORS OF ALS |
| UA125012C2 (en) | 2014-07-02 | 2021-12-29 | ЕфЕмСі КОРПОРЕЙШН | PIPERIDINONE HERBICIDES |
| KR102542215B1 (en) | 2014-12-08 | 2023-06-12 | 에프엠씨 코포레이션 | 3-oxo-3-(arylamino)propanoates, a process for their preparation, and their use in preparing pyrrolidinones |
| EP3280709B1 (en) | 2015-04-10 | 2021-05-26 | FMC Corporation | Substituted cyclic amides as herbicides |
| RU2734932C2 (en) | 2015-04-27 | 2020-10-26 | ЭфЭмСи Корпорейшн | Butyrolactones as herbicides |
| CA2980643C (en) | 2015-05-12 | 2023-10-17 | E I Du Pont De Nemours And Company | Aryl substituted bicyclic compounds as herbicides |
| BR112017022743B1 (en) | 2015-05-29 | 2022-02-22 | Fmc Corporation | Compost, herbicide compositions, herbicide mixture and method for controlling the growth of unwanted vegetation |
| CN107709310B (en) | 2015-06-02 | 2021-09-24 | Fmc公司 | Substituted cyclic amides and their use as herbicides |
| US11178873B2 (en) | 2015-07-31 | 2021-11-23 | Fmc Corporation | Cyclic N-carboxamide compounds useful as herbicides |
| EP3368896A1 (en) | 2015-10-30 | 2018-09-05 | FMC Corporation | Dihydroorotate dehydrogenase inhibitor compositions effective as herbicides |
| GB201617050D0 (en) | 2016-10-07 | 2016-11-23 | Syngenta Participations Ag | Herbicidal mixtures |
| CA3047724A1 (en) | 2016-12-21 | 2018-06-28 | Fmc Corporation | Nitrone herbicides |
| KR102620213B1 (en) | 2017-03-21 | 2024-01-03 | 에프엠씨 코포레이션 | Pyrrolidinone and method for producing the same |
| UA126576C2 (en) | 2017-03-21 | 2022-11-02 | ЕфЕмСі КОРПОРЕЙШН | HERBICIDE MIXTURE, COMPOSITION AND METHOD |
| AR111967A1 (en) | 2017-05-30 | 2019-09-04 | Fmc Corp | AMIDES HERBICIDES |
| AR111839A1 (en) | 2017-05-30 | 2019-08-21 | Fmc Corp | LACTAMAS 3-REPLACED HERBICIDES |
| GB201901559D0 (en) | 2019-02-05 | 2019-03-27 | Syngenta Crop Protection Ag | Herbicidal compositions |
| SG11202112962UA (en) | 2019-05-24 | 2021-12-30 | Fmc Corp | Pyrazole-substituted pyrrolidinones as herbicides |
-
2019
- 2019-05-17 US US16/415,241 patent/US11589583B2/en active Active
-
2022
- 2022-01-18 US US17/577,564 patent/US11528906B2/en active Active
-
2023
- 2023-01-25 US US18/159,265 patent/US20230270111A1/en active Pending
Patent Citations (2)
| Publication number | Priority date | Publication date | Assignee | Title |
|---|---|---|---|---|
| US6329392B1 (en) * | 1994-08-25 | 2001-12-11 | Aventis Pharmaceuticals, Inc. | Substituted piperidines useful for the treatment of allergic diseases |
| US20110039893A1 (en) * | 2006-10-11 | 2011-02-17 | Takeda Pharmaceutical Company Limited | Gsk-3beta inhibitor |
Non-Patent Citations (2)
| Title |
|---|
| Langlois et al. Eur. J. Med. Chem. Chimica Therapeutica Mar-Apr 1978-13, pp. 161-169. Translated in Word. (Year: 1978) * |
| Zaichikov, A. M. Russian journal of general chemistry 76 (2006): 626-633. (Year: 2006) * |
Also Published As
| Publication number | Publication date |
|---|---|
| US20220132844A1 (en) | 2022-05-05 |
| US11589583B2 (en) | 2023-02-28 |
| US20200367494A1 (en) | 2020-11-26 |
| US20220030863A9 (en) | 2022-02-03 |
| US11528906B2 (en) | 2022-12-20 |
Similar Documents
| Publication | Publication Date | Title |
|---|---|---|
| AU2023202975B2 (en) | Pyrrolidinones as herbicides | |
| US11634421B2 (en) | Aryl substituted bicyclic compounds as herbicides | |
| US9944602B2 (en) | Piperidinone herbicides | |
| US10405547B2 (en) | Substituted cyclic amides as herbicides | |
| US10582709B2 (en) | Butyrolactones as herbicides | |
| US10906873B2 (en) | Substituted cyclic amides as herbicides | |
| US11498899B2 (en) | Nitrone herbicides | |
| US20180213788A1 (en) | Cyclic n-carboxamide compounds useful as herbicides | |
| US20160068509A1 (en) | Pyridazinones as herbicides | |
| US11528906B2 (en) | Pyrrolidinones as herbicides |
Legal Events
| Date | Code | Title | Description |
|---|---|---|---|
| STPP | Information on status: patent application and granting procedure in general |
Free format text: DOCKETED NEW CASE - READY FOR EXAMINATION |
|
| AS | Assignment |
Owner name: FMC CORPORATION, PENNSYLVANIA Free format text: ASSIGNMENT OF ASSIGNORS INTEREST;ASSIGNOR:E.I. DU PONT DE NEMOURS AND COMPANY;REEL/FRAME:063809/0628 Effective date: 20171101 Owner name: FMC CORPORATION, PENNSYLVANIA Free format text: ASSIGNMENT OF ASSIGNORS INTEREST;ASSIGNORS:SATTERFIELD, ANDREW DUNCAN;SELBY, THOMAS PAUL;TRAVIS, DAVID ANDREW;AND OTHERS;SIGNING DATES FROM 20160825 TO 20160826;REEL/FRAME:063810/0058 Owner name: FMC CORPORATION, PENNSYLVANIA Free format text: ASSIGNMENT OF ASSIGNOR'S INTEREST;ASSIGNOR:E.I. DU PONT DE NEMOURS AND COMPANY;REEL/FRAME:063809/0628 Effective date: 20171101 Owner name: FMC CORPORATION, PENNSYLVANIA Free format text: ASSIGNMENT OF ASSIGNOR'S INTEREST;ASSIGNORS:SATTERFIELD, ANDREW DUNCAN;SELBY, THOMAS PAUL;TRAVIS, DAVID ANDREW;AND OTHERS;SIGNING DATES FROM 20160825 TO 20160826;REEL/FRAME:063810/0058 |
|
| STPP | Information on status: patent application and granting procedure in general |
Free format text: NON FINAL ACTION MAILED |
|
| AS | Assignment |
Owner name: E.I. DU PONT DE NEMOURS AND COMPANY, DELAWARE Free format text: CORRECTIVE ASSIGNMENT TO CORRECT THE ASSIGNEE FROM FMC CORPORATION TO E.I. DU PONT DE NEMOURS AND COMPANY PREVIOUSLY RECORDED AT REEL: 63810 FRAME: 58. ASSIGNOR(S) HEREBY CONFIRMS THE ASSIGNMENT;ASSIGNORS:SATTERFIELD, ANDREW DUNCAN;SELBY, THOMAS PAUL;TRAVIS, DAVID ANDREW;AND OTHERS;SIGNING DATES FROM 20160825 TO 20160826;REEL/FRAME:068467/0859 |
|
| STPP | Information on status: patent application and granting procedure in general |
Free format text: RESPONSE TO NON-FINAL OFFICE ACTION ENTERED AND FORWARDED TO EXAMINER |
|
| STPP | Information on status: patent application and granting procedure in general |
Free format text: NON FINAL ACTION MAILED |
|
| STPP | Information on status: patent application and granting procedure in general |
Free format text: FINAL REJECTION MAILED |
|
| STPP | Information on status: patent application and granting procedure in general |
Free format text: DOCKETED NEW CASE - READY FOR EXAMINATION |
|
| STPP | Information on status: patent application and granting procedure in general |
Free format text: NON FINAL ACTION COUNTED, NOT YET MAILED |
|
| STPP | Information on status: patent application and granting procedure in general |
Free format text: NON FINAL ACTION MAILED |














































