US20220331296A1 - 1,2,5-Oxadiazoles As Inhibitors Of Indoleamine 2,3- Dioxygenase - Google Patents
1,2,5-Oxadiazoles As Inhibitors Of Indoleamine 2,3- Dioxygenase Download PDFInfo
- Publication number
- US20220331296A1 US20220331296A1 US17/527,833 US202117527833A US2022331296A1 US 20220331296 A1 US20220331296 A1 US 20220331296A1 US 202117527833 A US202117527833 A US 202117527833A US 2022331296 A1 US2022331296 A1 US 2022331296A1
- Authority
- US
- United States
- Prior art keywords
- compound
- amino
- formula
- oxadiazol
- salt
- Prior art date
- Legal status (The legal status is an assumption and is not a legal conclusion. Google has not performed a legal analysis and makes no representation as to the accuracy of the status listed.)
- Abandoned
Links
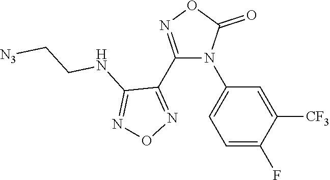
- 0 [1*]S(=O)(=O)NCCCc1nonc1C(=NO)Nc1ccc([3*])c([2*])c1 Chemical compound [1*]S(=O)(=O)NCCCc1nonc1C(=NO)Nc1ccc([3*])c([2*])c1 0.000 description 33
- PYBXLIRONOEPJM-UHFFFAOYSA-N CCCCc1nonc1-c1noc(=O)n1-c1ccc(F)c(Br)c1 Chemical compound CCCCc1nonc1-c1noc(=O)n1-c1ccc(F)c(Br)c1 PYBXLIRONOEPJM-UHFFFAOYSA-N 0.000 description 3
- PEQITGXUDIHFND-UHFFFAOYSA-N Cl.NCCCc1nonc1-c1noc(=O)n1-c1ccc(F)c(Br)c1 Chemical compound Cl.NCCCc1nonc1-c1noc(=O)n1-c1ccc(F)c(Br)c1 PEQITGXUDIHFND-UHFFFAOYSA-N 0.000 description 3
- RDAOFOPRGAVGDO-UHFFFAOYSA-N O=c1onc(-c2nonc2CCCO)n1-c1ccc(F)c(Br)c1 Chemical compound O=c1onc(-c2nonc2CCCO)n1-c1ccc(F)c(Br)c1 RDAOFOPRGAVGDO-UHFFFAOYSA-N 0.000 description 3
- FJVAGLLASWXVBJ-UHFFFAOYSA-N [N-]=[N+]=NCCCc1nonc1-c1noc(=O)n1-c1ccc(F)c(Br)c1 Chemical compound [N-]=[N+]=NCCCc1nonc1-c1noc(=O)n1-c1ccc(F)c(Br)c1 FJVAGLLASWXVBJ-UHFFFAOYSA-N 0.000 description 3
- VTZGJXDJIRTJCQ-UHFFFAOYSA-N CCCCc1nonc1-c1noc(=O)n1-c1ccc(F)c(C#N)c1 Chemical compound CCCCc1nonc1-c1noc(=O)n1-c1ccc(F)c(C#N)c1 VTZGJXDJIRTJCQ-UHFFFAOYSA-N 0.000 description 2
- FSOPKYIOVXENDD-UHFFFAOYSA-N CCCCc1nonc1-c1noc(=O)n1-c1ccc(F)c(C(F)(F)F)c1 Chemical compound CCCCc1nonc1-c1noc(=O)n1-c1ccc(F)c(C(F)(F)F)c1 FSOPKYIOVXENDD-UHFFFAOYSA-N 0.000 description 2
- WQOHWOMGAKILLC-UHFFFAOYSA-N COCCCc1nonc1-c1noc(=O)n1-c1ccc(F)c(Br)c1 Chemical compound COCCCc1nonc1-c1noc(=O)n1-c1ccc(F)c(Br)c1 WQOHWOMGAKILLC-UHFFFAOYSA-N 0.000 description 2
- NBEWBGMZVQUWJL-UHFFFAOYSA-N COCCCc1nonc1C(Cl)=NO Chemical compound COCCCc1nonc1C(Cl)=NO NBEWBGMZVQUWJL-UHFFFAOYSA-N 0.000 description 2
- WVOZLZOLVWCEDN-UHFFFAOYSA-N COCCCc1nonc1C(N)=NO Chemical compound COCCCc1nonc1C(N)=NO WVOZLZOLVWCEDN-UHFFFAOYSA-N 0.000 description 2
- FUIUKNNBHSKPKG-UHFFFAOYSA-N COCCNC(=NO)c1nonc1N Chemical compound COCCNC(=NO)c1nonc1N FUIUKNNBHSKPKG-UHFFFAOYSA-N 0.000 description 2
- MJQVTPKFAURWPN-UHFFFAOYSA-N CS(=O)(=O)CCCCCc1nonc1C(=NO)Nc1ccc(F)c(Cl)c1 Chemical compound CS(=O)(=O)CCCCCc1nonc1C(=NO)Nc1ccc(F)c(Cl)c1 MJQVTPKFAURWPN-UHFFFAOYSA-N 0.000 description 2
- ZFLUTZWMDIRZTO-UHFFFAOYSA-N CS(=O)(=O)NCCCc1nonc1-c1noc(=O)n1-c1ccc(F)c(Br)c1 Chemical compound CS(=O)(=O)NCCCc1nonc1-c1noc(=O)n1-c1ccc(F)c(Br)c1 ZFLUTZWMDIRZTO-UHFFFAOYSA-N 0.000 description 2
- HBCAKIQVUVOMKI-UHFFFAOYSA-N NS(=O)(=O)NCCCc1nonc1-c1noc(=O)n1-c1ccc(F)c(Br)c1 Chemical compound NS(=O)(=O)NCCCc1nonc1-c1noc(=O)n1-c1ccc(F)c(Br)c1 HBCAKIQVUVOMKI-UHFFFAOYSA-N 0.000 description 2
- SZUFCSJEVWPTKV-UHFFFAOYSA-N NS(=O)(=O)NCCCc1nonc1C(=NO)Nc1ccc(F)c(Br)c1 Chemical compound NS(=O)(=O)NCCCc1nonc1C(=NO)Nc1ccc(F)c(Br)c1 SZUFCSJEVWPTKV-UHFFFAOYSA-N 0.000 description 2
- ZUOAPVMVVRYGII-UHFFFAOYSA-N CC(=O)Cc1nonc1-c1noc(=O)n1-c1ccc(F)c(Br)c1 Chemical compound CC(=O)Cc1nonc1-c1noc(=O)n1-c1ccc(F)c(Br)c1 ZUOAPVMVVRYGII-UHFFFAOYSA-N 0.000 description 1
- IHLCHFDFWGNODB-UHFFFAOYSA-N CC(=O)Cc1nonc1-c1noc(=O)n1-c1ccc(F)c(Cl)c1 Chemical compound CC(=O)Cc1nonc1-c1noc(=O)n1-c1ccc(F)c(Cl)c1 IHLCHFDFWGNODB-UHFFFAOYSA-N 0.000 description 1
- UUVCGFDGXITDTC-UHFFFAOYSA-N CC(=O)Cc1nonc1-c1noc(=O)n1-c1cccc(C(F)(F)F)c1 Chemical compound CC(=O)Cc1nonc1-c1noc(=O)n1-c1cccc(C(F)(F)F)c1 UUVCGFDGXITDTC-UHFFFAOYSA-N 0.000 description 1
- HOTDKMXUFSTZMB-UHFFFAOYSA-N CC(=O)O.NCc1cc(Br)co1 Chemical compound CC(=O)O.NCc1cc(Br)co1 HOTDKMXUFSTZMB-UHFFFAOYSA-N 0.000 description 1
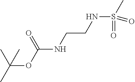
- MWYBZPFTXONDKL-UHFFFAOYSA-N CC(C)(C)OC(=O)NCCCNS(C)(=O)=O Chemical compound CC(C)(C)OC(=O)NCCCNS(C)(=O)=O MWYBZPFTXONDKL-UHFFFAOYSA-N 0.000 description 1
- WIJKCYOXXRKOCR-UHFFFAOYSA-N CC(C)(C)OC(=O)NCCCc1nonc1-c1noc(=O)n1-c1ccc(F)c(Br)c1 Chemical compound CC(C)(C)OC(=O)NCCCc1nonc1-c1noc(=O)n1-c1ccc(F)c(Br)c1 WIJKCYOXXRKOCR-UHFFFAOYSA-N 0.000 description 1
- HHRDGAKDKNAPGR-UHFFFAOYSA-N CC(C)(C)OC(=O)NCCNS(C)(=O)=O Chemical compound CC(C)(C)OC(=O)NCCNS(C)(=O)=O HHRDGAKDKNAPGR-UHFFFAOYSA-N 0.000 description 1
- PLFPMSHIXFTHPN-UHFFFAOYSA-N CC(C)(C)OC(=O)NCc1cc(Br)co1 Chemical compound CC(C)(C)OC(=O)NCc1cc(Br)co1 PLFPMSHIXFTHPN-UHFFFAOYSA-N 0.000 description 1
- ISODXQHKSJTHNQ-UHFFFAOYSA-N CC(C)(C)OC(=O)NCc1cc(Cl)co1 Chemical compound CC(C)(C)OC(=O)NCc1cc(Cl)co1 ISODXQHKSJTHNQ-UHFFFAOYSA-N 0.000 description 1
- VLKZOEOYAKHREP-UHFFFAOYSA-N CCCCCC Chemical compound CCCCCC VLKZOEOYAKHREP-UHFFFAOYSA-N 0.000 description 1
- UPSFOYJJZNHRKH-UHFFFAOYSA-N CCCCc1nonc1C(=NO)Nc1ccc(F)c(C#N)c1 Chemical compound CCCCc1nonc1C(=NO)Nc1ccc(F)c(C#N)c1 UPSFOYJJZNHRKH-UHFFFAOYSA-N 0.000 description 1
- RXADIJWOSBFZQC-UHFFFAOYSA-N CCCCc1nonc1C(=NO)Nc1ccc(F)c(C(F)(F)F)c1 Chemical compound CCCCc1nonc1C(=NO)Nc1ccc(F)c(C(F)(F)F)c1 RXADIJWOSBFZQC-UHFFFAOYSA-N 0.000 description 1
- FHZVORLVUGGTDD-UHFFFAOYSA-N COCCCCc1nonc1-c1noc(=O)n1-c1ccc(F)c(Br)c1 Chemical compound COCCCCc1nonc1-c1noc(=O)n1-c1ccc(F)c(Br)c1 FHZVORLVUGGTDD-UHFFFAOYSA-N 0.000 description 1
- PWNWACHKJGXECE-UHFFFAOYSA-N COCCCCc1nonc1-c1noc(=O)n1-c1ccc(F)c(C(F)(F)F)c1 Chemical compound COCCCCc1nonc1-c1noc(=O)n1-c1ccc(F)c(C(F)(F)F)c1 PWNWACHKJGXECE-UHFFFAOYSA-N 0.000 description 1
- RKSHWFJPWFEJHB-UHFFFAOYSA-N COCCCCc1nonc1-c1noc(=O)n1-c1cccc(C(F)(F)F)c1 Chemical compound COCCCCc1nonc1-c1noc(=O)n1-c1cccc(C(F)(F)F)c1 RKSHWFJPWFEJHB-UHFFFAOYSA-N 0.000 description 1
- VDBSSXUMKYZGCJ-UHFFFAOYSA-N COCCCCc1nonc1C(=NO)Nc1ccc(F)c(C(F)(F)F)c1 Chemical compound COCCCCc1nonc1C(=NO)Nc1ccc(F)c(C(F)(F)F)c1 VDBSSXUMKYZGCJ-UHFFFAOYSA-N 0.000 description 1
- FNQGZNBPHLLRDY-UHFFFAOYSA-N COCCCCc1nonc1C(Cl)=NO Chemical compound COCCCCc1nonc1C(Cl)=NO FNQGZNBPHLLRDY-UHFFFAOYSA-N 0.000 description 1
- IMXOMONZEPBREE-UHFFFAOYSA-N COCCCCc1nonc1C(N)=NO Chemical compound COCCCCc1nonc1C(N)=NO IMXOMONZEPBREE-UHFFFAOYSA-N 0.000 description 1
- KGRKLWBSFCAVTL-UHFFFAOYSA-N COCCCNC(=NO)c1nonc1N Chemical compound COCCCNC(=NO)c1nonc1N KGRKLWBSFCAVTL-UHFFFAOYSA-N 0.000 description 1
- HITGQKPHBZWNAP-UHFFFAOYSA-N COCCCc1nonc1-c1noc(=O)n1-c1cccc(C(F)(F)F)c1 Chemical compound COCCCc1nonc1-c1noc(=O)n1-c1cccc(C(F)(F)F)c1 HITGQKPHBZWNAP-UHFFFAOYSA-N 0.000 description 1
- JOWHCYZXBQWIHS-UHFFFAOYSA-N COCCCc1nonc1-c1noc(=O)n1Cc1cc(Br)co1 Chemical compound COCCCc1nonc1-c1noc(=O)n1Cc1cc(Br)co1 JOWHCYZXBQWIHS-UHFFFAOYSA-N 0.000 description 1
- NIQGLSZNCJPVLG-UHFFFAOYSA-N COCCCc1nonc1-c1noc(=O)n1Cc1cc(Cl)co1 Chemical compound COCCCc1nonc1-c1noc(=O)n1Cc1cc(Cl)co1 NIQGLSZNCJPVLG-UHFFFAOYSA-N 0.000 description 1
- BQQGBZDXNHMDAR-UHFFFAOYSA-N COCCCc1nonc1C(=NO)NCc1cc(Br)co1 Chemical compound COCCCc1nonc1C(=NO)NCc1cc(Br)co1 BQQGBZDXNHMDAR-UHFFFAOYSA-N 0.000 description 1
- GWHUTFLLWDYBHX-UHFFFAOYSA-N COCCCc1nonc1C(=NO)Nc1ccc(F)c(Br)c1 Chemical compound COCCCc1nonc1C(=NO)Nc1ccc(F)c(Br)c1 GWHUTFLLWDYBHX-UHFFFAOYSA-N 0.000 description 1
- RYWSUJFIZMTMOI-UHFFFAOYSA-N COCCCc1nonc1C(=NO)Nc1cccc(C(F)(F)F)c1 Chemical compound COCCCc1nonc1C(=NO)Nc1cccc(C(F)(F)F)c1 RYWSUJFIZMTMOI-UHFFFAOYSA-N 0.000 description 1
- YBIGXHYHPNUQQN-UHFFFAOYSA-N COCCCc1nonc1C(Cc1ccc(F)c(Br)c1)=NO Chemical compound COCCCc1nonc1C(Cc1ccc(F)c(Br)c1)=NO YBIGXHYHPNUQQN-UHFFFAOYSA-N 0.000 description 1
- BEILJVMQBOFRFL-UHFFFAOYSA-N COCCNc1nonc1C(=N)NCc1cc(Cl)co1.O Chemical compound COCCNc1nonc1C(=N)NCc1cc(Cl)co1.O BEILJVMQBOFRFL-UHFFFAOYSA-N 0.000 description 1
- AYUNKSAVWZPOMR-UHFFFAOYSA-N CS(=O)(=O)CCCCCc1nonc1C(=NO)Nc1cccc(C(F)(F)F)c1 Chemical compound CS(=O)(=O)CCCCCc1nonc1C(=NO)Nc1cccc(C(F)(F)F)c1 AYUNKSAVWZPOMR-UHFFFAOYSA-N 0.000 description 1
- VFSHLEHNCCVYOM-UHFFFAOYSA-N CS(=O)(=O)NCCCN.Cl Chemical compound CS(=O)(=O)NCCCN.Cl VFSHLEHNCCVYOM-UHFFFAOYSA-N 0.000 description 1
- FLKQRCDWKSNKBV-UHFFFAOYSA-N CS(=O)(=O)NCCCNC(=N)c1nonc1N.O Chemical compound CS(=O)(=O)NCCCNC(=N)c1nonc1N.O FLKQRCDWKSNKBV-UHFFFAOYSA-N 0.000 description 1
- AKAHHYVXFPVMIG-UHFFFAOYSA-N CS(=O)(=O)NCCCNc1nonc1C(=NO)Nc1ccc(F)c(Br)c1 Chemical compound CS(=O)(=O)NCCCNc1nonc1C(=NO)Nc1ccc(F)c(Br)c1 AKAHHYVXFPVMIG-UHFFFAOYSA-N 0.000 description 1
- PMEKQBVANYWJMQ-UHFFFAOYSA-N CS(=O)(=O)NCCCNc1nonc1C(N)=NO Chemical compound CS(=O)(=O)NCCCNc1nonc1C(N)=NO PMEKQBVANYWJMQ-UHFFFAOYSA-N 0.000 description 1
- PKXMMEDBEWUFEJ-UHFFFAOYSA-N CS(=O)(=O)NCCCc1nonc1C(=NO)Nc1ccc(F)c(Br)c1 Chemical compound CS(=O)(=O)NCCCc1nonc1C(=NO)Nc1ccc(F)c(Br)c1 PKXMMEDBEWUFEJ-UHFFFAOYSA-N 0.000 description 1
- ZCDHHGIHFJXOSA-UHFFFAOYSA-N CS(=O)(=O)NCCCc1nonc1C(=NO)Nc1ccc(F)c(C#N)c1 Chemical compound CS(=O)(=O)NCCCc1nonc1C(=NO)Nc1ccc(F)c(C#N)c1 ZCDHHGIHFJXOSA-UHFFFAOYSA-N 0.000 description 1
- ZIGDTWSWKIVHDT-UHFFFAOYSA-N CS(=O)(=O)NCCCc1nonc1C(=NO)Nc1ccc(F)c(C(F)(F)F)c1 Chemical compound CS(=O)(=O)NCCCc1nonc1C(=NO)Nc1ccc(F)c(C(F)(F)F)c1 ZIGDTWSWKIVHDT-UHFFFAOYSA-N 0.000 description 1
- ZZDIRGQKNMVFFR-UHFFFAOYSA-N CS(=O)(=O)NCCCc1nonc1C(=NO)Nc1cccc(C(F)(F)F)c1 Chemical compound CS(=O)(=O)NCCCc1nonc1C(=NO)Nc1cccc(C(F)(F)F)c1 ZZDIRGQKNMVFFR-UHFFFAOYSA-N 0.000 description 1
- UGKHNJOAQROSNG-UHFFFAOYSA-N CS(=O)(=O)NCCCc1nonc1C(N)=NO Chemical compound CS(=O)(=O)NCCCc1nonc1C(N)=NO UGKHNJOAQROSNG-UHFFFAOYSA-N 0.000 description 1
- GCDZDXVTDCMNMN-UHFFFAOYSA-N CS(=O)(=O)NCCN Chemical compound CS(=O)(=O)NCCN GCDZDXVTDCMNMN-UHFFFAOYSA-N 0.000 description 1
- PVKJGTNJKTUYJT-UHFFFAOYSA-N CS(=O)(=O)NCCNC(=NO)c1nonc1N Chemical compound CS(=O)(=O)NCCNC(=NO)c1nonc1N PVKJGTNJKTUYJT-UHFFFAOYSA-N 0.000 description 1
- WIHANXODBMGZHO-UHFFFAOYSA-N CS(=O)(=O)NCCNc1nonc1C(=NO)Nc1ccc(F)c(Cl)c1 Chemical compound CS(=O)(=O)NCCNc1nonc1C(=NO)Nc1ccc(F)c(Cl)c1 WIHANXODBMGZHO-UHFFFAOYSA-N 0.000 description 1
- LVOICQPCJMOIIT-UHFFFAOYSA-N CS(=O)(=O)OCCCc1nonc1-c1noc(=O)n1-c1cccc(C(F)(F)F)c1 Chemical compound CS(=O)(=O)OCCCc1nonc1-c1noc(=O)n1-c1cccc(C(F)(F)F)c1 LVOICQPCJMOIIT-UHFFFAOYSA-N 0.000 description 1
- ZRYPLUINBKVAFV-UHFFFAOYSA-N CS(=O)(=O)OCCCc1nonc1-c1noc(=O)n1Cc1cc(Br)co1 Chemical compound CS(=O)(=O)OCCCc1nonc1-c1noc(=O)n1Cc1cc(Br)co1 ZRYPLUINBKVAFV-UHFFFAOYSA-N 0.000 description 1
- WITTYSOWQIYRNP-UHFFFAOYSA-N CS(=O)(=O)OCCCc1nonc1-c1noc(=O)n1Cc1cc(Cl)co1 Chemical compound CS(=O)(=O)OCCCc1nonc1-c1noc(=O)n1Cc1cc(Cl)co1 WITTYSOWQIYRNP-UHFFFAOYSA-N 0.000 description 1
- DHGDAOLHEGDRSR-UHFFFAOYSA-N Cc1cc(NC(=NO)c2nonc2CCCNS(C)(=O)=O)ccc1F Chemical compound Cc1cc(NC(=NO)c2nonc2CCCNS(C)(=O)=O)ccc1F DHGDAOLHEGDRSR-UHFFFAOYSA-N 0.000 description 1
- ITQMUWJDOSTKSO-UHFFFAOYSA-N Cl.NCCNc1nonc1-c1noc(=O)n1-c1ccc(F)c(Cl)c1 Chemical compound Cl.NCCNc1nonc1-c1noc(=O)n1-c1ccc(F)c(Cl)c1 ITQMUWJDOSTKSO-UHFFFAOYSA-N 0.000 description 1
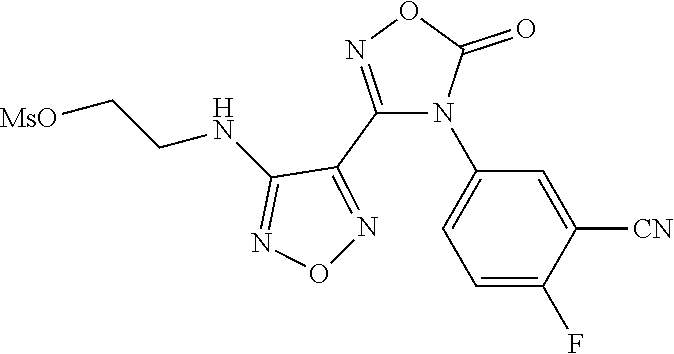
- LXIMXEZKTGKLHM-UHFFFAOYSA-N I.N#Cc1cc(-n2c(-c3nonc3CCCN)noc2=O)ccc1F Chemical compound I.N#Cc1cc(-n2c(-c3nonc3CCCN)noc2=O)ccc1F LXIMXEZKTGKLHM-UHFFFAOYSA-N 0.000 description 1
- DEKHIUQGXNSNOQ-UHFFFAOYSA-N I.NCCCCc1nonc1-c1noc(=O)n1-c1ccc(F)c(Br)c1 Chemical compound I.NCCCCc1nonc1-c1noc(=O)n1-c1ccc(F)c(Br)c1 DEKHIUQGXNSNOQ-UHFFFAOYSA-N 0.000 description 1
- UTBDBCTYVNSRPR-UHFFFAOYSA-N I.NCCCCc1nonc1-c1noc(=O)n1-c1ccc(F)c(C(F)(F)F)c1 Chemical compound I.NCCCCc1nonc1-c1noc(=O)n1-c1ccc(F)c(C(F)(F)F)c1 UTBDBCTYVNSRPR-UHFFFAOYSA-N 0.000 description 1
- RAMJOVGHQNTDLK-UHFFFAOYSA-N I.NCCCCc1nonc1-c1noc(=O)n1-c1cccc(C(F)(F)F)c1 Chemical compound I.NCCCCc1nonc1-c1noc(=O)n1-c1cccc(C(F)(F)F)c1 RAMJOVGHQNTDLK-UHFFFAOYSA-N 0.000 description 1
- GDKBUPNDJKWKIJ-UHFFFAOYSA-N I.NCCCc1nonc1-c1noc(=O)n1-c1ccc(F)c(C(F)(F)F)c1 Chemical compound I.NCCCc1nonc1-c1noc(=O)n1-c1ccc(F)c(C(F)(F)F)c1 GDKBUPNDJKWKIJ-UHFFFAOYSA-N 0.000 description 1
- ANYUOYAAQZWZPE-UHFFFAOYSA-N I.NCCCc1nonc1-c1noc(=O)n1-c1cccc(C(F)(F)F)c1 Chemical compound I.NCCCc1nonc1-c1noc(=O)n1-c1cccc(C(F)(F)F)c1 ANYUOYAAQZWZPE-UHFFFAOYSA-N 0.000 description 1
- LVKHRTULNNTQKB-UHFFFAOYSA-N I.NCCCc1nonc1-c1noc(=O)n1Cc1cc(Br)co1 Chemical compound I.NCCCc1nonc1-c1noc(=O)n1Cc1cc(Br)co1 LVKHRTULNNTQKB-UHFFFAOYSA-N 0.000 description 1
- JURJWMWXFSDEGW-UHFFFAOYSA-N N#Cc1cc(-n2c(-c3nonc3CCCN=[N+]=[N-])noc2=O)ccc1F Chemical compound N#Cc1cc(-n2c(-c3nonc3CCCN=[N+]=[N-])noc2=O)ccc1F JURJWMWXFSDEGW-UHFFFAOYSA-N 0.000 description 1
- BVRZVWHZWCXVGN-UHFFFAOYSA-N N#Cc1cc(-n2c(-c3nonc3CCCO)noc2=O)ccc1F Chemical compound N#Cc1cc(-n2c(-c3nonc3CCCO)noc2=O)ccc1F BVRZVWHZWCXVGN-UHFFFAOYSA-N 0.000 description 1
- UFLFMDWXQOJPAM-UHFFFAOYSA-N N#Cc1cc(NC(=NO)c2nonc2CCCNS(N)(=O)=O)ccc1F Chemical compound N#Cc1cc(NC(=NO)c2nonc2CCCNS(N)(=O)=O)ccc1F UFLFMDWXQOJPAM-UHFFFAOYSA-N 0.000 description 1
- VOCBPEOXKMEQIT-UHFFFAOYSA-N N=[N+]=NCCCc1nonc1-c1noc(=O)n1-c1cccc(C(F)(F)F)c1 Chemical compound N=[N+]=NCCCc1nonc1-c1noc(=O)n1-c1cccc(C(F)(F)F)c1 VOCBPEOXKMEQIT-UHFFFAOYSA-N 0.000 description 1
- PYJNVHIHXLOYIF-UHFFFAOYSA-N N=[N+]=NCCCc1nonc1-c1noc(=O)n1Cc1cc(Br)co1 Chemical compound N=[N+]=NCCCc1nonc1-c1noc(=O)n1Cc1cc(Br)co1 PYJNVHIHXLOYIF-UHFFFAOYSA-N 0.000 description 1
- WKTJAURYGJFRLF-UHFFFAOYSA-N N=[N+]=NCCCc1nonc1-c1noc(=O)n1Cc1cc(Cl)co1 Chemical compound N=[N+]=NCCCc1nonc1-c1noc(=O)n1Cc1cc(Cl)co1 WKTJAURYGJFRLF-UHFFFAOYSA-N 0.000 description 1
- DNFUTAVRGAVUKE-UHFFFAOYSA-N NC(=NO)c1nonc1N Chemical compound NC(=NO)c1nonc1N DNFUTAVRGAVUKE-UHFFFAOYSA-N 0.000 description 1
- ZBIKXGLKHIZDSA-UHFFFAOYSA-N NCCCCc1nonc1-c1noc(=O)n1-c1ccc(F)c(Cl)c1 Chemical compound NCCCCc1nonc1-c1noc(=O)n1-c1ccc(F)c(Cl)c1 ZBIKXGLKHIZDSA-UHFFFAOYSA-N 0.000 description 1
- UNDDBJJUVLEUNB-UHFFFAOYSA-N NCCCc1nonc1-c1noc(=O)n1Cc1cc(Cl)co1 Chemical compound NCCCc1nonc1-c1noc(=O)n1Cc1cc(Cl)co1 UNDDBJJUVLEUNB-UHFFFAOYSA-N 0.000 description 1
- HCNUSGQZCXEZIN-UHFFFAOYSA-N NCCNc1nonc1-c1noc(=O)n1-c1ccc(F)c(Br)c1 Chemical compound NCCNc1nonc1-c1noc(=O)n1-c1ccc(F)c(Br)c1 HCNUSGQZCXEZIN-UHFFFAOYSA-N 0.000 description 1
- BRMQXHBGKGGEIA-UHFFFAOYSA-N NCc1cc(Cl)co1.O=C(O)C(F)(F)F Chemical compound NCc1cc(Cl)co1.O=C(O)C(F)(F)F BRMQXHBGKGGEIA-UHFFFAOYSA-N 0.000 description 1
- DOYBZQMODFKJLU-UHFFFAOYSA-N NS(=O)(=O)CCCCCc1nonc1C(=NO)Nc1ccc(F)c(Br)c1 Chemical compound NS(=O)(=O)CCCCCc1nonc1C(=NO)Nc1ccc(F)c(Br)c1 DOYBZQMODFKJLU-UHFFFAOYSA-N 0.000 description 1
- CPZWTUBFJVDPLQ-UHFFFAOYSA-N NS(=O)(=O)CCCCCc1nonc1C(=NO)Nc1ccc(F)c(C(F)(F)F)c1 Chemical compound NS(=O)(=O)CCCCCc1nonc1C(=NO)Nc1ccc(F)c(C(F)(F)F)c1 CPZWTUBFJVDPLQ-UHFFFAOYSA-N 0.000 description 1
- HRTNUVFUKFRVOT-UHFFFAOYSA-N NS(=O)(=O)CCCCCc1nonc1C(=NO)Nc1cccc(C(F)(F)F)c1 Chemical compound NS(=O)(=O)CCCCCc1nonc1C(=NO)Nc1cccc(C(F)(F)F)c1 HRTNUVFUKFRVOT-UHFFFAOYSA-N 0.000 description 1
- LBZSTWMLTKWCAL-UHFFFAOYSA-N NS(=O)(=O)NCCCNc1nonc1-c1noc(=O)n1-c1ccc(F)c(Br)c1 Chemical compound NS(=O)(=O)NCCCNc1nonc1-c1noc(=O)n1-c1ccc(F)c(Br)c1 LBZSTWMLTKWCAL-UHFFFAOYSA-N 0.000 description 1
- GEEKZOQCGSPGBL-UHFFFAOYSA-N NS(=O)(=O)NCCCNc1nonc1C(=NO)Nc1ccc(F)c(Cl)c1 Chemical compound NS(=O)(=O)NCCCNc1nonc1C(=NO)Nc1ccc(F)c(Cl)c1 GEEKZOQCGSPGBL-UHFFFAOYSA-N 0.000 description 1
- LSVHBRLLADBWPB-UHFFFAOYSA-N NS(=O)(=O)NCCCc1nonc1C(=NO)NCc1cc(Br)co1 Chemical compound NS(=O)(=O)NCCCc1nonc1C(=NO)NCc1cc(Br)co1 LSVHBRLLADBWPB-UHFFFAOYSA-N 0.000 description 1
- FOUCRAXWYHPPLR-UHFFFAOYSA-N NS(=O)(=O)NCCCc1nonc1C(=NO)NCc1cc(Cl)co1 Chemical compound NS(=O)(=O)NCCCc1nonc1C(=NO)NCc1cc(Cl)co1 FOUCRAXWYHPPLR-UHFFFAOYSA-N 0.000 description 1
- SZPLTSIZRUWRGB-UHFFFAOYSA-N NS(=O)(=O)NCCCc1nonc1C(=NO)Nc1ccc(F)c(C(F)(F)F)c1 Chemical compound NS(=O)(=O)NCCCc1nonc1C(=NO)Nc1ccc(F)c(C(F)(F)F)c1 SZPLTSIZRUWRGB-UHFFFAOYSA-N 0.000 description 1
- SOUGAIMVMHEDFP-UHFFFAOYSA-N NS(=O)(=O)NCCCc1nonc1C(=NO)Nc1cccc(C(F)(F)F)c1 Chemical compound NS(=O)(=O)NCCCc1nonc1C(=NO)Nc1cccc(C(F)(F)F)c1 SOUGAIMVMHEDFP-UHFFFAOYSA-N 0.000 description 1
- RUDFSUUPEMIJNE-UHFFFAOYSA-N NS(=O)(=O)NCCNc1nonc1-c1noc(=O)n1-c1ccc(F)c(Cl)c1 Chemical compound NS(=O)(=O)NCCNc1nonc1-c1noc(=O)n1-c1ccc(F)c(Cl)c1 RUDFSUUPEMIJNE-UHFFFAOYSA-N 0.000 description 1
- OGQZJUFNXXNGST-UHFFFAOYSA-N NS(=O)(=O)NCCNc1nonc1C(=NO)NCc1cc(Br)co1 Chemical compound NS(=O)(=O)NCCNc1nonc1C(=NO)NCc1cc(Br)co1 OGQZJUFNXXNGST-UHFFFAOYSA-N 0.000 description 1
- RDUXAXXIUDRDCQ-UHFFFAOYSA-N NS(=O)(=O)NCCNc1nonc1C(=NO)NCc1cc(Cl)co1 Chemical compound NS(=O)(=O)NCCNc1nonc1C(=NO)NCc1cc(Cl)co1 RDUXAXXIUDRDCQ-UHFFFAOYSA-N 0.000 description 1
- WZVAULHJNFGOBR-UHFFFAOYSA-N NS(=O)(=O)NCCNc1nonc1C(=NO)Nc1ccc(F)c(Cl)c1 Chemical compound NS(=O)(=O)NCCNc1nonc1C(=NO)Nc1ccc(F)c(Cl)c1 WZVAULHJNFGOBR-UHFFFAOYSA-N 0.000 description 1
- ZSTVBWKWXBVZJB-UHFFFAOYSA-N Nc1nonc1-c1noc(=O)n1-c1ccc(F)c(Br)c1 Chemical compound Nc1nonc1-c1noc(=O)n1-c1ccc(F)c(Br)c1 ZSTVBWKWXBVZJB-UHFFFAOYSA-N 0.000 description 1
- WERBLSTTYYZKKS-UHFFFAOYSA-N Nc1nonc1-c1noc(=O)n1-c1ccc(F)c(Cl)c1 Chemical compound Nc1nonc1-c1noc(=O)n1-c1ccc(F)c(Cl)c1 WERBLSTTYYZKKS-UHFFFAOYSA-N 0.000 description 1
- KSPQRCXTMVWZFF-UHFFFAOYSA-N Nc1nonc1-c1noc(=O)n1-c1cccc(C(F)(F)F)c1 Chemical compound Nc1nonc1-c1noc(=O)n1-c1cccc(C(F)(F)F)c1 KSPQRCXTMVWZFF-UHFFFAOYSA-N 0.000 description 1
- LVNWHKAEEDWAGF-UHFFFAOYSA-N Nc1nonc1C(Cl)=NO Chemical compound Nc1nonc1C(Cl)=NO LVNWHKAEEDWAGF-UHFFFAOYSA-N 0.000 description 1
- IQJYRIQRKOWFBZ-UHFFFAOYSA-N O=c1onc(-c2nonc2CCCCO)n1-c1ccc(F)c(Br)c1 Chemical compound O=c1onc(-c2nonc2CCCCO)n1-c1ccc(F)c(Br)c1 IQJYRIQRKOWFBZ-UHFFFAOYSA-N 0.000 description 1
- NUVSGQRVKXKGPF-UHFFFAOYSA-N O=c1onc(-c2nonc2CCCCO)n1-c1ccc(F)c(C(F)(F)F)c1 Chemical compound O=c1onc(-c2nonc2CCCCO)n1-c1ccc(F)c(C(F)(F)F)c1 NUVSGQRVKXKGPF-UHFFFAOYSA-N 0.000 description 1
- SPXCJBNWIWEQCX-UHFFFAOYSA-N O=c1onc(-c2nonc2CCCCO)n1-c1cccc(C(F)(F)F)c1 Chemical compound O=c1onc(-c2nonc2CCCCO)n1-c1cccc(C(F)(F)F)c1 SPXCJBNWIWEQCX-UHFFFAOYSA-N 0.000 description 1
- KEFNHTFXYNAQQB-UHFFFAOYSA-N O=c1onc(-c2nonc2CCCO)n1-c1ccc(F)c(C(F)(F)F)c1 Chemical compound O=c1onc(-c2nonc2CCCO)n1-c1ccc(F)c(C(F)(F)F)c1 KEFNHTFXYNAQQB-UHFFFAOYSA-N 0.000 description 1
- LUSHPOQJOSQDPN-UHFFFAOYSA-N O=c1onc(-c2nonc2CCCO)n1-c1cccc(C(F)(F)F)c1 Chemical compound O=c1onc(-c2nonc2CCCO)n1-c1cccc(C(F)(F)F)c1 LUSHPOQJOSQDPN-UHFFFAOYSA-N 0.000 description 1
- NZJHLKJBGBVCPM-UHFFFAOYSA-N O=c1onc(-c2nonc2CCCO)n1Cc1cc(Br)co1 Chemical compound O=c1onc(-c2nonc2CCCO)n1Cc1cc(Br)co1 NZJHLKJBGBVCPM-UHFFFAOYSA-N 0.000 description 1
- NRAVNTTZVTXCJL-UHFFFAOYSA-N O=c1onc(-c2nonc2NCCNC(c2ccccc2)(c2ccccc2)c2ccccc2)n1-c1ccc(F)c(Cl)c1 Chemical compound O=c1onc(-c2nonc2NCCNC(c2ccccc2)(c2ccccc2)c2ccccc2)n1-c1ccc(F)c(Cl)c1 NRAVNTTZVTXCJL-UHFFFAOYSA-N 0.000 description 1
- KRATZBPQGMSEQS-UHFFFAOYSA-N O=c1onc(-c2nonc2NCCO)n1Cc1cc(Cl)co1 Chemical compound O=c1onc(-c2nonc2NCCO)n1Cc1cc(Cl)co1 KRATZBPQGMSEQS-UHFFFAOYSA-N 0.000 description 1
- FWYOMVJTKKFDER-UHFFFAOYSA-N OCCCN=C(c1ccccc1)c1ccccc1 Chemical compound OCCCN=C(c1ccccc1)c1ccccc1 FWYOMVJTKKFDER-UHFFFAOYSA-N 0.000 description 1
- LTVJHHMBKSDNBF-UHFFFAOYSA-N [H]C(=O)c1cc(Cl)co1 Chemical compound [H]C(=O)c1cc(Cl)co1 LTVJHHMBKSDNBF-UHFFFAOYSA-N 0.000 description 1
- XACJJZRVWDFESP-UHFFFAOYSA-N [N-]=[N+]=NCCCCc1nonc1-c1noc(=O)n1-c1ccc(F)c(Br)c1 Chemical compound [N-]=[N+]=NCCCCc1nonc1-c1noc(=O)n1-c1ccc(F)c(Br)c1 XACJJZRVWDFESP-UHFFFAOYSA-N 0.000 description 1
- ISAXFZOXFXLIRW-UHFFFAOYSA-N [N-]=[N+]=NCCCCc1nonc1-c1noc(=O)n1-c1ccc(F)c(C(F)(F)F)c1 Chemical compound [N-]=[N+]=NCCCCc1nonc1-c1noc(=O)n1-c1ccc(F)c(C(F)(F)F)c1 ISAXFZOXFXLIRW-UHFFFAOYSA-N 0.000 description 1
- VVNKMLGVPFWZJN-UHFFFAOYSA-N [N-]=[N+]=NCCCCc1nonc1-c1noc(=O)n1-c1cccc(C(F)(F)F)c1 Chemical compound [N-]=[N+]=NCCCCc1nonc1-c1noc(=O)n1-c1cccc(C(F)(F)F)c1 VVNKMLGVPFWZJN-UHFFFAOYSA-N 0.000 description 1
- PVNRYBCWOLXCHR-UHFFFAOYSA-N [N-]=[N+]=NCCCc1nonc1-c1noc(=O)n1-c1ccc(F)c(C(F)(F)F)c1 Chemical compound [N-]=[N+]=NCCCc1nonc1-c1noc(=O)n1-c1ccc(F)c(C(F)(F)F)c1 PVNRYBCWOLXCHR-UHFFFAOYSA-N 0.000 description 1
Images
Classifications
-
- A—HUMAN NECESSITIES
- A61—MEDICAL OR VETERINARY SCIENCE; HYGIENE
- A61K—PREPARATIONS FOR MEDICAL, DENTAL OR TOILETRY PURPOSES
- A61K31/00—Medicinal preparations containing organic active ingredients
- A61K31/33—Heterocyclic compounds
- A61K31/395—Heterocyclic compounds having nitrogen as a ring hetero atom, e.g. guanethidine or rifamycins
- A61K31/41—Heterocyclic compounds having nitrogen as a ring hetero atom, e.g. guanethidine or rifamycins having five-membered rings with two or more ring hetero atoms, at least one of which being nitrogen, e.g. tetrazole
- A61K31/4245—Oxadiazoles
-
- A—HUMAN NECESSITIES
- A61—MEDICAL OR VETERINARY SCIENCE; HYGIENE
- A61K—PREPARATIONS FOR MEDICAL, DENTAL OR TOILETRY PURPOSES
- A61K39/00—Medicinal preparations containing antigens or antibodies
- A61K39/395—Antibodies; Immunoglobulins; Immune serum, e.g. antilymphocytic serum
- A61K39/39533—Antibodies; Immunoglobulins; Immune serum, e.g. antilymphocytic serum against materials from animals
- A61K39/3955—Antibodies; Immunoglobulins; Immune serum, e.g. antilymphocytic serum against materials from animals against proteinaceous materials, e.g. enzymes, hormones, lymphokines
-
- A—HUMAN NECESSITIES
- A61—MEDICAL OR VETERINARY SCIENCE; HYGIENE
- A61K—PREPARATIONS FOR MEDICAL, DENTAL OR TOILETRY PURPOSES
- A61K45/00—Medicinal preparations containing active ingredients not provided for in groups A61K31/00 - A61K41/00
-
- A—HUMAN NECESSITIES
- A61—MEDICAL OR VETERINARY SCIENCE; HYGIENE
- A61P—SPECIFIC THERAPEUTIC ACTIVITY OF CHEMICAL COMPOUNDS OR MEDICINAL PREPARATIONS
- A61P1/00—Drugs for disorders of the alimentary tract or the digestive system
-
- A—HUMAN NECESSITIES
- A61—MEDICAL OR VETERINARY SCIENCE; HYGIENE
- A61P—SPECIFIC THERAPEUTIC ACTIVITY OF CHEMICAL COMPOUNDS OR MEDICINAL PREPARATIONS
- A61P11/00—Drugs for disorders of the respiratory system
-
- A—HUMAN NECESSITIES
- A61—MEDICAL OR VETERINARY SCIENCE; HYGIENE
- A61P—SPECIFIC THERAPEUTIC ACTIVITY OF CHEMICAL COMPOUNDS OR MEDICINAL PREPARATIONS
- A61P17/00—Drugs for dermatological disorders
-
- A—HUMAN NECESSITIES
- A61—MEDICAL OR VETERINARY SCIENCE; HYGIENE
- A61P—SPECIFIC THERAPEUTIC ACTIVITY OF CHEMICAL COMPOUNDS OR MEDICINAL PREPARATIONS
- A61P17/00—Drugs for dermatological disorders
- A61P17/02—Drugs for dermatological disorders for treating wounds, ulcers, burns, scars, keloids, or the like
-
- A—HUMAN NECESSITIES
- A61—MEDICAL OR VETERINARY SCIENCE; HYGIENE
- A61P—SPECIFIC THERAPEUTIC ACTIVITY OF CHEMICAL COMPOUNDS OR MEDICINAL PREPARATIONS
- A61P19/00—Drugs for skeletal disorders
-
- A—HUMAN NECESSITIES
- A61—MEDICAL OR VETERINARY SCIENCE; HYGIENE
- A61P—SPECIFIC THERAPEUTIC ACTIVITY OF CHEMICAL COMPOUNDS OR MEDICINAL PREPARATIONS
- A61P25/00—Drugs for disorders of the nervous system
-
- A—HUMAN NECESSITIES
- A61—MEDICAL OR VETERINARY SCIENCE; HYGIENE
- A61P—SPECIFIC THERAPEUTIC ACTIVITY OF CHEMICAL COMPOUNDS OR MEDICINAL PREPARATIONS
- A61P25/00—Drugs for disorders of the nervous system
- A61P25/18—Antipsychotics, i.e. neuroleptics; Drugs for mania or schizophrenia
-
- A—HUMAN NECESSITIES
- A61—MEDICAL OR VETERINARY SCIENCE; HYGIENE
- A61P—SPECIFIC THERAPEUTIC ACTIVITY OF CHEMICAL COMPOUNDS OR MEDICINAL PREPARATIONS
- A61P25/00—Drugs for disorders of the nervous system
- A61P25/24—Antidepressants
-
- A—HUMAN NECESSITIES
- A61—MEDICAL OR VETERINARY SCIENCE; HYGIENE
- A61P—SPECIFIC THERAPEUTIC ACTIVITY OF CHEMICAL COMPOUNDS OR MEDICINAL PREPARATIONS
- A61P25/00—Drugs for disorders of the nervous system
- A61P25/28—Drugs for disorders of the nervous system for treating neurodegenerative disorders of the central nervous system, e.g. nootropic agents, cognition enhancers, drugs for treating Alzheimer's disease or other forms of dementia
-
- A—HUMAN NECESSITIES
- A61—MEDICAL OR VETERINARY SCIENCE; HYGIENE
- A61P—SPECIFIC THERAPEUTIC ACTIVITY OF CHEMICAL COMPOUNDS OR MEDICINAL PREPARATIONS
- A61P27/00—Drugs for disorders of the senses
-
- A—HUMAN NECESSITIES
- A61—MEDICAL OR VETERINARY SCIENCE; HYGIENE
- A61P—SPECIFIC THERAPEUTIC ACTIVITY OF CHEMICAL COMPOUNDS OR MEDICINAL PREPARATIONS
- A61P27/00—Drugs for disorders of the senses
- A61P27/02—Ophthalmic agents
- A61P27/12—Ophthalmic agents for cataracts
-
- A—HUMAN NECESSITIES
- A61—MEDICAL OR VETERINARY SCIENCE; HYGIENE
- A61P—SPECIFIC THERAPEUTIC ACTIVITY OF CHEMICAL COMPOUNDS OR MEDICINAL PREPARATIONS
- A61P29/00—Non-central analgesic, antipyretic or antiinflammatory agents, e.g. antirheumatic agents; Non-steroidal antiinflammatory drugs [NSAID]
-
- A—HUMAN NECESSITIES
- A61—MEDICAL OR VETERINARY SCIENCE; HYGIENE
- A61P—SPECIFIC THERAPEUTIC ACTIVITY OF CHEMICAL COMPOUNDS OR MEDICINAL PREPARATIONS
- A61P31/00—Antiinfectives, i.e. antibiotics, antiseptics, chemotherapeutics
-
- A—HUMAN NECESSITIES
- A61—MEDICAL OR VETERINARY SCIENCE; HYGIENE
- A61P—SPECIFIC THERAPEUTIC ACTIVITY OF CHEMICAL COMPOUNDS OR MEDICINAL PREPARATIONS
- A61P31/00—Antiinfectives, i.e. antibiotics, antiseptics, chemotherapeutics
- A61P31/12—Antivirals
-
- A—HUMAN NECESSITIES
- A61—MEDICAL OR VETERINARY SCIENCE; HYGIENE
- A61P—SPECIFIC THERAPEUTIC ACTIVITY OF CHEMICAL COMPOUNDS OR MEDICINAL PREPARATIONS
- A61P31/00—Antiinfectives, i.e. antibiotics, antiseptics, chemotherapeutics
- A61P31/12—Antivirals
- A61P31/14—Antivirals for RNA viruses
- A61P31/18—Antivirals for RNA viruses for HIV
-
- A—HUMAN NECESSITIES
- A61—MEDICAL OR VETERINARY SCIENCE; HYGIENE
- A61P—SPECIFIC THERAPEUTIC ACTIVITY OF CHEMICAL COMPOUNDS OR MEDICINAL PREPARATIONS
- A61P35/00—Antineoplastic agents
-
- A—HUMAN NECESSITIES
- A61—MEDICAL OR VETERINARY SCIENCE; HYGIENE
- A61P—SPECIFIC THERAPEUTIC ACTIVITY OF CHEMICAL COMPOUNDS OR MEDICINAL PREPARATIONS
- A61P35/00—Antineoplastic agents
- A61P35/02—Antineoplastic agents specific for leukemia
-
- A—HUMAN NECESSITIES
- A61—MEDICAL OR VETERINARY SCIENCE; HYGIENE
- A61P—SPECIFIC THERAPEUTIC ACTIVITY OF CHEMICAL COMPOUNDS OR MEDICINAL PREPARATIONS
- A61P37/00—Drugs for immunological or allergic disorders
-
- A—HUMAN NECESSITIES
- A61—MEDICAL OR VETERINARY SCIENCE; HYGIENE
- A61P—SPECIFIC THERAPEUTIC ACTIVITY OF CHEMICAL COMPOUNDS OR MEDICINAL PREPARATIONS
- A61P37/00—Drugs for immunological or allergic disorders
- A61P37/02—Immunomodulators
- A61P37/04—Immunostimulants
-
- A—HUMAN NECESSITIES
- A61—MEDICAL OR VETERINARY SCIENCE; HYGIENE
- A61P—SPECIFIC THERAPEUTIC ACTIVITY OF CHEMICAL COMPOUNDS OR MEDICINAL PREPARATIONS
- A61P37/00—Drugs for immunological or allergic disorders
- A61P37/02—Immunomodulators
- A61P37/06—Immunosuppressants, e.g. drugs for graft rejection
-
- A—HUMAN NECESSITIES
- A61—MEDICAL OR VETERINARY SCIENCE; HYGIENE
- A61P—SPECIFIC THERAPEUTIC ACTIVITY OF CHEMICAL COMPOUNDS OR MEDICINAL PREPARATIONS
- A61P43/00—Drugs for specific purposes, not provided for in groups A61P1/00-A61P41/00
-
- C—CHEMISTRY; METALLURGY
- C07—ORGANIC CHEMISTRY
- C07D—HETEROCYCLIC COMPOUNDS
- C07D271/00—Heterocyclic compounds containing five-membered rings having two nitrogen atoms and one oxygen atom as the only ring hetero atoms
- C07D271/02—Heterocyclic compounds containing five-membered rings having two nitrogen atoms and one oxygen atom as the only ring hetero atoms not condensed with other rings
- C07D271/08—1,2,5-Oxadiazoles; Hydrogenated 1,2,5-oxadiazoles
-
- C—CHEMISTRY; METALLURGY
- C07—ORGANIC CHEMISTRY
- C07D—HETEROCYCLIC COMPOUNDS
- C07D307/00—Heterocyclic compounds containing five-membered rings having one oxygen atom as the only ring hetero atom
- C07D307/02—Heterocyclic compounds containing five-membered rings having one oxygen atom as the only ring hetero atom not condensed with other rings
- C07D307/04—Heterocyclic compounds containing five-membered rings having one oxygen atom as the only ring hetero atom not condensed with other rings having no double bonds between ring members or between ring members and non-ring members
-
- C—CHEMISTRY; METALLURGY
- C07—ORGANIC CHEMISTRY
- C07D—HETEROCYCLIC COMPOUNDS
- C07D413/00—Heterocyclic compounds containing two or more hetero rings, at least one ring having nitrogen and oxygen atoms as the only ring hetero atoms
- C07D413/02—Heterocyclic compounds containing two or more hetero rings, at least one ring having nitrogen and oxygen atoms as the only ring hetero atoms containing two hetero rings
- C07D413/04—Heterocyclic compounds containing two or more hetero rings, at least one ring having nitrogen and oxygen atoms as the only ring hetero atoms containing two hetero rings directly linked by a ring-member-to-ring-member bond
-
- C—CHEMISTRY; METALLURGY
- C07—ORGANIC CHEMISTRY
- C07D—HETEROCYCLIC COMPOUNDS
- C07D413/00—Heterocyclic compounds containing two or more hetero rings, at least one ring having nitrogen and oxygen atoms as the only ring hetero atoms
- C07D413/02—Heterocyclic compounds containing two or more hetero rings, at least one ring having nitrogen and oxygen atoms as the only ring hetero atoms containing two hetero rings
- C07D413/12—Heterocyclic compounds containing two or more hetero rings, at least one ring having nitrogen and oxygen atoms as the only ring hetero atoms containing two hetero rings linked by a chain containing hetero atoms as chain links
Definitions
- the present invention is directed to 1,2,5-oxadiazole derivatives which are inhibitors of indoleamine 2,3-dioxygenase and are useful in the treatment of cancer and other disorders, and to processes and intermediates for making the same.
- Trp Tryptophan
- IDO 5-hydroxytryptamine
- Trp is an essential amino acid required for the biosynthesis of proteins, niacin and the neurotransmitter 5-hydroxytryptamine (serotonin).
- the enzyme indoleamine 2,3-dioxygenase also known as INDO or IDO
- IDO indoleamine 2,3-dioxygenase
- a depletion of Trp resulting from IDO activity is a prominent gamma interferon (IFN- ⁇ )-inducible antimicrobial effector mechanism.
- IFN- ⁇ stimulation induces activation of IDO, which leads to a depletion of Trp, thereby arresting the growth of Trp-dependent intracellular pathogens such as Toxoplasma gondii and Chlamydia trachomatis.
- IDO activity also has an antiproliferative effect on many tumor cells, and IDO induction has been observed in vivo during rejection of allogeneic tumors, indicating a possible role for this enzyme in the tumor rejection process (Daubener, et al., 1999, Adv. Exp. Med. Biol., 467: 517-24; Taylor, et al., 1991, FASEB J., 5: 2516-22).
- HeLa cells co-cultured with peripheral blood lymphocytes acquire an immuno-inhibitory phenotype through up-regulation of IDO activity.
- a reduction in PBL proliferation upon treatment with interleukin-2 (IL2) was believed to result from IDO released by the tumor cells in response to IFNG secretion by the PBLs.
- IL2 interleukin-2
- This effect was reversed by treatment with 1-methyl-tryptophan (1MT), a specific IDO inhibitor. It was proposed that IDO activity in tumor cells may serve to impair antitumor responses (Logan, et al., 2002, Immunology, 105: 478-87).
- Trp depletion has received much attention.
- IDO is involved in induction of immune tolerance.
- Studies of mammalian pregnancy, tumor resistance, chronic infections and autoimmune diseases have shown that cells expressing IDO can suppress T-cell responses and promote tolerance.
- Accelerated Trp catabolism has been observed in diseases and disorders associated with cellular immune activation, such as infection, malignancy, autoimmune diseases and AIDS, as well as during pregnancy.
- increased levels of IFNs and elevated levels of urinary Trp metabolites have been observed in autoimmune diseases; it has been postulated that systemic or local depletion of Trp occurring in autoimmune diseases may relate to the degeneration and wasting symptoms of these diseases.
- IDO immunodeficiency virus
- IDO inhibition can enhance the levels of virus-specific T cells and, concomitantly, reduce the number of virally-infected macrophages in a mouse model of HIV (Portula et al., 2005, Blood, 106: 2382-90).
- IDO is believed to play a role in the immunosuppressive processes that prevent fetal rejection in utero. More than 40 years ago, it was observed that, during pregnancy, the genetically disparate mammalian conceptus survives in spite of what would be predicted by tissue transplantation immunology (Medawar, 1953, Symp. Soc. Exp. Biol. 7: 320-38). Anatomic separation of mother and fetus and antigenic immaturity of the fetus cannot fully explain fetal allograft survival. Recent attention has focused on immunologic tolerance of the mother.
- the mammalian conceptus appears to suppresses T-cell activity and defends itself against rejection, and blocking tryptophan catabolism during murine pregnancy allows maternal T cells to provoke fetal allograft rejection (Munn, et al., 1998, Science, 281: 1191-3).
- IDO inhibitor 1-MT
- chemotherapeutic agents to reduce tumor growth in mice, suggesting that IDO inhibition may also enhance the anti-tumor activity of conventional cytotoxic therapies (Muller et al., 2005, Nature Med., 11: 312-9).
- TDLNs mouse tumor-draining lymph nodes
- pDCs plasmacytoid dendritic cells
- IDO degrades the indole moiety of tryptophan, serotonin and melatonin, and initiates the production of neuroactive and immunoregulatory metabolites, collectively known as kynurenines.
- kynurenines neuroactive and immunoregulatory metabolites
- IDO expressed by dendritic cells (DCs) can greatly affect T-cell proliferation and survival. IDO induction in DCs could be a common mechanism of deletional tolerance driven by regulatory T cells.
- tryptophan metabolism and kynurenine production might represent a crucial interface between the immune and nervous systems (Grohmann, et al., 2003, Trends Immunol., 24: 242-8).
- availability of free serum Trp is diminished and, as a consequence of reduced serotonin production, serotonergic functions may also be affected (Wirleitner, et al., 2003, Curr. Med. Chem., 10: 1581-91).
- interferon-a has been observed to induce neuropsychiatric side effects, such as depressive symptoms and changes in cognitive function. Direct influence on serotonergic neurotransmission may contribute to these side effects.
- IDO activation leads to reduced levels of tryptophan, the precursor of serotonin (5-HT)
- IDO may play a role in these neuropsychiatric side effects by reducing central 5-HT synthesis.
- kynurenine metabolites such as 3-hydroxy-kynurenine (3-OH-KYN) and quinolinic acid (QUIN) have toxic effects on brain function.
- 3-OH-KYN is able to produce oxidative stress by increasing the production of reactive oxygen species (ROS), and QUIN may produce overstimulation of hippocampal N-methyl-D-aspartate (NMDA) receptors, which leads to apoptosis and hippocampal atrophy.
- ROS reactive oxygen species
- NMDA hippocampal N-methyl-D-aspartate
- Both ROS overproduction and hippocampal atrophy caused by NMDA overstimulation have been associated with depression (Wichers and Maes, 2004, J. Psychiatry Neurosci., 29: 11-17).
- IDO activity may play a role in depression.
- IDO small molecule inhibitors of IDO are being developed to treat or prevent IDO-related diseases such as those described above.
- oxadiazole and other heterocyclic IDO inhibitors are reported in US 2006/0258719 and US 2007/0185165.
- PCT Publication WO 99/29310 reports methods for altering T cell-mediated immunity comprising altering local extracellular concentrations of tryptophan and tryptophan metabolites, using an inhibitor of IDO such as 1-methyl-DL-tryptophan, p-(3-benzofuranyl)-DL-alanine, p-[3-benzo(b)thienyl]-DL-alanine, and 6-nitro-L-tryptophan) (Munn, 1999).
- IDO in immunosuppression, tumor resistance and/or rejection, chronic infections, HIV-infection, AIDS (including its manifestations such as cachexia, dementia and diarrhea), autoimmune diseases or disorders (such as rheumatoid arthritis), and immunologic tolerance and prevention of fetal rejection in utero
- therapeutic agents aimed at suppression of tryptophan degradation by inhibiting IDO activity are desirable.
- Inhibitors of IDO can be used to activate T cells and therefore enhance T cell activation when the T cells are suppressed by pregnancy, malignancy or a virus such as HIV. Inhibition of IDO may also be an important treatment strategy for patients with neurological or neuropsychiatric diseases or disorders such as depression.
- the compounds, compositions and methods herein help meet the current need for IDO modulators.
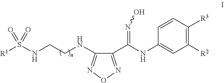
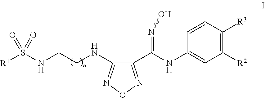
- the present invention provides, inter alia, IDO inhibitors of Formula I:
- the present invention further provides a pharmaceutical composition comprising a compound of Formula I, and at least one pharmaceutically acceptable carrier.
- the present invention further provides a method of inhibiting activity of indoleamine 2,3-dioxygenase comprising contacting the indoleamine 2,3-dioxygenase (IDO) with a compound of Formula I, or a pharmaceutically acceptable salt thereof.
- IDO indoleamine 2,3-dioxygenase
- the present invention further provides a method of inhibiting immunosuppression in a patient comprising administering to said patient an effective amount of a compound of Formula I, or a pharmaceutically acceptable salt thereof.
- the present invention further provides a method of treating cancer, viral infection, depression, a neurodegenerative disorder, trauma, age-related cataracts, organ transplant rejection, or an autoimmune disease in a patient comprising administering to said patient a therapeutically effective amount of a compound of Formula I, or a pharmaceutically acceptable salt thereof.
- the present invention further provides a method of treating melanoma in a patient comprising administering to said patient a therapeutically effective amount of a compound of Formula I, or a pharmaceutically acceptable salt thereof.
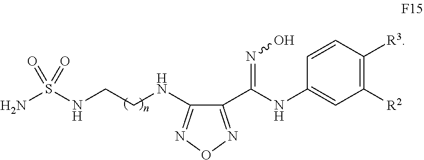
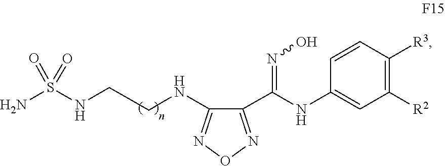
- the present invention further provides intermediates, processes of preparing the same, and compositions containing the same, which are useful in the preparation of a compound of Formula F15:
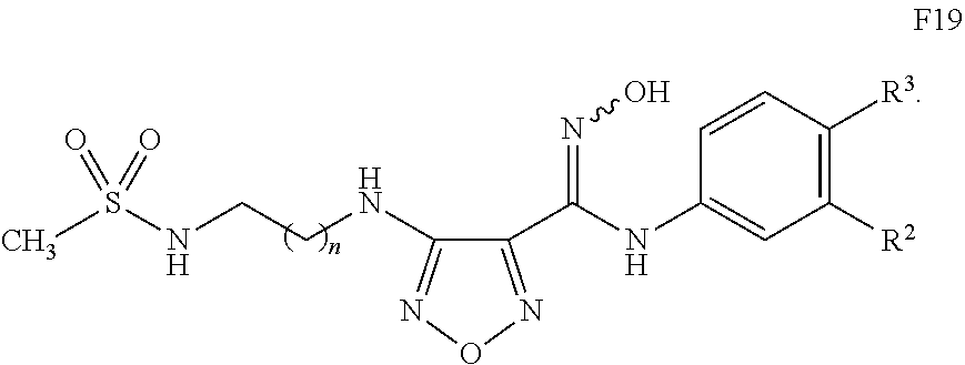
- the present invention further provides intermediates, processes of preparing the same, and compositions containing the same, which are useful in the preparation of a compound of Formula F19:
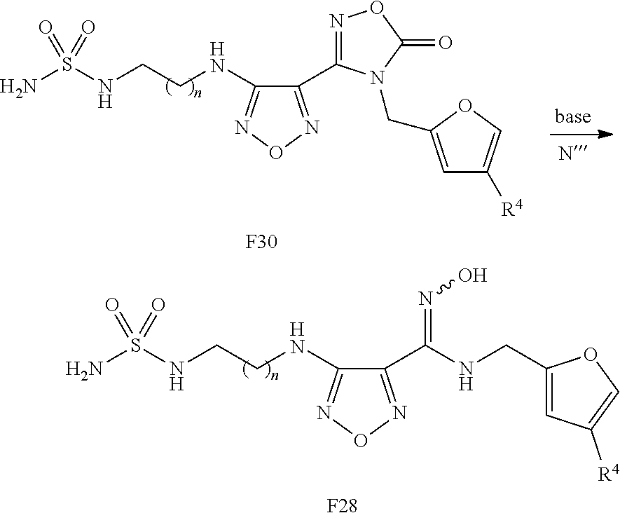
- the present invention further provides intermediates, processes of preparing the same, and compositions containing the same, which are useful in the preparation of a compound of Formula F28:
- FIG. 1 shows an XRPD pattern characteristic of the compound of the invention prepared in Example 1.
- FIG. 2 shows a DSC thermogram characteristic of the compound of the invention prepared in Example 1.
- FIG. 3 shows TGA data characteristic of the compound of the invention prepared in Example 1.
- the present invention provides, inter alia, IDO inhibitors of Formula I:
- R 1 is NH 2 or CH 3 ;
- R 2 is Cl, Br, CF 3 , CH 3 , or CN;
- R 3 is H or F
- n 1 or 2.
- R 1 is NH 2 .
- R 1 is CH 3 .
- R 2 is Cl
- R 2 is Br.
- R 2 is CF 3 .
- R 2 is CH 3 .
- R 2 is CN
- R 3 is H.
- R 3 is F.
- n 1
- n is 2.
- solid form is meant to refer to a solid characterized by one or more properties such as, for example, melting point, solubility, stability, crystallinity, hygroscopicity, water content, TGA features, DSC features, DVS features, XRPD features, etc.
- Solid forms for example, can be amorphous, crystalline, or mixtures thereof.
- Different crystalline solid forms typically have different crystalline lattices (e.g., unit cells) and, usually as a result, have different physical properties. In some instances, different crystalline solid forms have different water or solvent content.
- the different crystalline lattices can be identified by solid state characterization methods such as by X-ray powder diffraction (XRPD). Other characterization methods such as differential scanning calorimetry (DSC), thermogravimetric analysis (TGA), dynamic vapor sorption (DVS), and the like further help identify the solid form as well as help determine stability and solvent/water content.
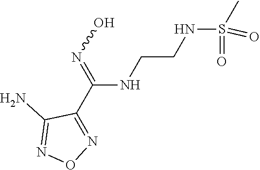
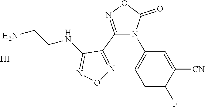
- the present invention provides various solid forms of 4-( ⁇ 2-[(aminosulfonyl)amino]ethyl ⁇ amino)-N-(3-bromo-4-fluorophenyl)-N′-hydroxy-1,2,5-oxadiazole-3-carboximidamide (see Example 1).
- the solid form is a crystalline solid.
- the solid form is substantially anhydrous (e.g., contains less than about 1% water, less than about 0.5% water, less than about 1.5% water, less than about 2% water,).
- the solid form is characterized by a melting point of, or a DSC endotherm centered at, about 162 to about 166° C.
- the solid form is characterized by a melting point of, or a DSC endotherm centered at, about 164° C. In some embodiments, the solid form has a DSC thermogram substantially as shown in FIG. 2 . In further embodiments, the solid form has at least one, two or three XRPD peaks, in terms of 2-theta, selected from about 18.4°, about 18.9°, about 21.8°, about 23.9°, about 29.2°, and about 38.7°. In further embodiments, the solid form has an XRPD pattern substantially as shown in FIG. 1 .
- the present invention further provides a composition comprising a solid form of 4-( ⁇ 2-[(amino sulfonyl)amino]ethyl ⁇ amino)-N-(3-bromo-4-fluorophenyl)-N′-hydroxy-1,2,5-oxadiazole-3-carboximidamide (see Example 1).
- the composition can comprise at least about 50%, at least about 75%, at least about 90%, at least about 95%, or at least about 99% by weight of the solid form.
- the composition can also contain a pharmaceutically acceptable excipient.
- the solid form is substantially purified.
- An XRPD pattern of reflections is typically considered a fingerprint of a particular crystalline form. It is well known that the relative intensities of the XRPD peaks can widely vary depending on, inter alia, the sample preparation technique, crystal size distribution, various filters used, the sample mounting procedure, and the particular instrument employed. In some instances, new peaks may be observed or existing peaks may disappear, depending on the type of the instrument or the settings. As used herein, the term “peak” refers to a reflection having a relative height/intensity of at least about 4% of the maximum peak height/intensity. Moreover, instrument variation and other factors can affect the 2-theta values. Thus, peak assignments, such as those reported herein, can vary by plus or minus about 0.2° (2-theta), and the term “substantially” as used in the context of XRPD herein is meant to encompass the above-mentioned variations.
- substituents of compounds of the invention may be disclosed in groups or in ranges. It is specifically intended that the invention include each and every individual subcombination of the members of such groups and ranges.
- stable refers to a compound that is sufficiently robust to survive isolation to a useful degree of purity from a reaction mixture, and preferably capable of formulation into an efficacious therapeutic agent.
- the compounds of the invention are further intended to include all possible geometric isomers. Cis and trans geometric isomers of the compounds of the present invention are described and may be isolated as a mixture of isomers or as separated isomeric forms. A bond in a structure diagram represented by a wavy line “ ” is intended to indicate that the structure represents the cis or the trans isomer, or a mixture of the cis and trans isomers in any proportion.
- Tautomeric forms result from the swapping of a single bond with an adjacent double bond together with the concomitant migration of a proton.
- Compounds of the invention can also include all isotopes of atoms occurring in the intermediates or final compounds.
- Isotopes include those atoms having the same atomic number but different mass numbers.
- isotopes of hydrogen include tritium and deuterium.
- the compounds of the invention, and salts thereof are substantially isolated.
- substantially isolated is meant that the compound is at least partially or substantially separated from the environment in which it was formed or detected.
- Partial separation can include, for example, a composition enriched in the compound of the invention.
- Substantial separation can include compositions containing at least about 50%, at least about 60%, at least about 70%, at least about 80%, at least about 90%, at least about 95%, at least about 97%, or at least about 99% by weight of the compound of the invention, or salt thereof. Methods for isolating compounds and their salts are routine in the art.
- salts refers to derivatives of the disclosed compounds wherein the parent compound is modified by converting an existing acid or base moiety to its salt form.
- salts include, but are not limited to, mineral acid (such as HCl, HBr, H 2 SO 4 ) or organic acid (such as acetic acid, benzoic acid, trifluoroacetic acid) salts of basic residues such as amines; alkali (such as Li, Na, K, Mg, Ca) or organic (such as trialkylammonium) salts of acidic residues such as carboxylic acids; and the like.
- the salts of the present invention can be synthesized from the parent compound which contains a basic or acidic moiety by conventional chemical methods.
- such salts can be prepared by reacting the free acid or base forms of these compounds with a stoichiometric amount of the appropriate base or acid in water or in an organic solvent, or in a mixture of the two; generally, nonaqueous media like ether, ethyl acetate, ethanol, isopropanol, or acetonitrile (ACN) are preferred.
- the “pharmaceutically acceptable salts” of the present invention include a subset of the “salts” described above which are, conventional non-toxic salts of the parent compound formed, for example, from non-toxic inorganic or organic acids. Lists of suitable salts are found in Remington's Pharmaceutical Sciences, 17 th ed., Mack Publishing Company, Easton, Pa., 1985, p. 1418 and Journal of Pharmaceutical Science, 66, 2 (1977), each of which is incorporated herein by reference in its entirety.
- phrases “pharmaceutically acceptable” is employed herein to refer to those compounds, materials, compositions, and/or dosage forms which are, within the scope of sound medical judgment, suitable for use in contact with the tissues of human beings and animals without excessive toxicity, irritation, allergic response, or other problem or complication, commensurate with a reasonable benefit/risk ratio.
- the compounds of the present invention can be prepared in a variety of ways known to one skilled in the art of organic synthesis.
- the compounds of the present invention can be synthesized using the methods as hereinafter described below, together with synthetic methods known in the art of synthetic organic chemistry or variations thereon as appreciated by those skilled in the art.
- the compounds of this invention can be prepared from readily available starting materials using the following general methods and procedures. It will be appreciated that where typical or preferred process conditions (i.e., reaction temperatures, times, mole ratios of reactants, solvents, pressures, etc.) are given; other process conditions can also be used unless otherwise stated. Optimum reaction conditions may vary with the particular reactants or solvent used, but such conditions can be determined by one skilled in the art by routine optimization procedures.
- the processes described herein can be monitored according to any suitable method known in the art.
- product formation can be monitored by spectroscopic means, such as nuclear magnetic resonance spectroscopy (e.g., 1 H or 13 C), infrared spectroscopy, spectrophotometry (e.g., UV-visible), or mass spectrometry; or by chromatography such as high performance liquid chromatography (HPLC) or thin layer chromatography.
- spectroscopic means such as nuclear magnetic resonance spectroscopy (e.g., 1 H or 13 C), infrared spectroscopy, spectrophotometry (e.g., UV-visible), or mass spectrometry; or by chromatography such as high performance liquid chromatography (HPLC) or thin layer chromatography.
- HPLC high performance liquid chromatography
- the compounds obtained by the reactions can be purified by any suitable method known in the art.
- adsorbent e.g., silica gel, alumina and the like
- HPLC high pressure
- adsorbent e.g., silica gel, alumina and the like
- preparative thin layer chromatography distillation; sublimation, trituration, or recrystallization.
- Preparation of compounds can involve the protection and deprotection of various chemical groups.
- the need for protection and deprotection, and the selection of appropriate protecting groups can be readily determined by one skilled in the art.
- the chemistry of protecting groups can be found, for example, in Wuts and Greene, Greene's Protective Groups in Organic Synthesis, 4 th Ed., John Wiley & Sons: New York, 2006, which is incorporated herein by reference in its entirety.
- Suitable solvents can be substantially non-reactive with the starting materials (reactants), the intermediates, or products at the temperatures at which the reactions are carried out, i.e., temperatures which can range from the solvent's freezing temperature to the solvent's boiling temperature.
- a given reaction can be carried out in one solvent or a mixture of more than one solvent.
- suitable solvent(s) for that particular reaction step can be selected.
- solvents include water, alkanes (such as pentanes, hexanes, heptanes, cyclohexane, etc., or a mixture thereof), aromatic solvents (such as benzene, toluene, xylene, etc.), alcohols (such as methanol, ethanol, isopropanol, etc.), ethers (such as dialkylethers, methyl tert-butyl ether (MTBE), tetrahydrofuran (THF), dioxane, etc.), esters (such as ethyl acetate, butyl acetate, etc.), halogenated solvents (such as dichloromethane (DCM), chloroform, dichloroethane, tetrachloroethane), dimethylformamide (DMF), dimethylsulfoxide (DMSO), acetone, acetonitrile (ACN), hexamethylphosphoramide (HMPA) and N
- Resolution of racemic mixtures of compounds can be carried out by any of numerous methods known in the art.
- An example method includes fractional recrystallization using a “chiral resolving acid” which is an optically active, salt-forming organic acid.
- Suitable resolving agents for fractional recrystallization methods are, for example, optically active acids, such as the D and L forms of tartaric acid, diacetyltartaric acid, dibenzoyltartaric acid, mandelic acid, malic acid, lactic acid or the various optically active camphorsulfonic acids.
- Resolution of racemic mixtures can also be carried out by elution on a column packed with an optically active resolving agent (e.g., dinitrobenzoylphenylglycine). Suitable elution solvent composition can be determined by one skilled in the art.
- the compounds of the invention can be prepared, for example, using the reaction pathways and techniques as described below.
- the invention provides a process for preparing a compound of Formula F15, or a salt thereof, wherein R 2 is Cl, Br, CF 3 , CH 3 , or CN; R 3 is H or F; and n is 1 or 2, by reacting a compound of Formula F13, or a salt thereof, wherein Pg 1 is an amino protecting group, with an amino deprotecting agent (Step M) to afford a compound of Formula F14, or a salt thereof; and reacting the compound of Formula F14 with a base (Step N) to afford the compound of Formula F15.
- the compound of Formula F15 can be purified by trituration or recrystallization using solvents such as water, ethanol, MTBE or a combination thereof.
- R 2 is Br
- R 3 is F
- n is 1.
- R 2 is Br
- R 3 is F
- n is 2.
- R 2 is Cl
- R 3 is F
- n is 1.
- R 2 is Cl
- R 3 is F
- n is 2.
- R 2 is CF 3
- R 3 is F
- n is 1.
- R 2 is CF 3
- R 3 is F
- n is 2.
- R 2 is CF 3
- R 3 is H
- n is 1.
- R 2 is CF 3
- R 3 is H
- n is 2.
- R 2 is CN
- R 3 is F
- n is 1.
- Amino protecting groups are regularly used in organic synthesis to prevent unwanted reactions of an amino group while performing a desired transformation. Amino protecting groups allow easy covalent attachment to a nitrogen atom as well as selective cleavage from the nitrogen atom.
- Various amino protecting groups classified broadly as alkoxycarbonyl (such as ethoxycarbonyl, tert-butoxycarbonyl (Boc), benzyloxycarbonyl (Cbz), 9-fluorenylmethyloxycarbonyl (Fmoc), and the like), acyl (such as acetyl (Ac), benzoyl (Bz), and the like), sulfonyl (such as methanesulfonyl, trifluoromethanesulfonyl, and the like), arylalkyl (such as benzyl, diphenylmethyl, triphenylmethyl (trityl), and the like), alkenylalkyl (such as allyl, prenyl, and the like
- Pg 1 can be alkoxycarbonyl (such as tert-butoxycarbonyl).
- the amino protecting groups described above can be conveniently removed using many available amino deprotecting agents that are specific to the various groups mentioned above without affecting other desired portions of the compound.
- the tert-butoxycarbonyl group can be removed (e.g., hydrolyzed) from the nitrogen atom, for example, by treatment with an acid (such as trifluoroacetic acid, toluenesulfonic acid, hydrochloric acid, and the like); a combination of reagents (e.g., mixture of acetyl chloride and methanol) known to generate an acid; or a Lewis acid (e.g., BF 3 .Et 2 O).
- an acid such as trifluoroacetic acid, toluenesulfonic acid, hydrochloric acid, and the like
- a combination of reagents e.g., mixture of acetyl chloride and methanol
- a Lewis acid e.g., BF 3 .Et 2 O
- the benzyloxycarbonyl group can be removed (e.g., hydrogenolyzed) from the nitrogen atom, for example, by treatment with hydrogen and a catalyst (such as palladium on carbon).
- the amino deprotecting agent can be trifluoroacetic acid.
- the amino deprotecting agent contains trifluoroacetic acid and >0.5% by volume of water, e.g., >1.0% by volume of water, >1.5% by volume of water, >2.0% by volume of water, from about 2% to about 10% by volume of water, from about 10% to about 20% by volume of water, or from about 20% to about 50% by volume of water.
- the amino deprotecting agent can be a mixture of trifluoroacetic acid and water in a volumetric ratio of about 98:2.
- the amino deprotecting agent can be hydrochloric acid, optionally in a solvent (such as water, THF, or dioxane).
- the hydrochloric acid can be present in a concentration of about 4 N, e.g., about 1 N, about 2 N, about 3 N, about 5 N, about 6 N, about 7 N, about 8 N, about 9 N, or about 10 N.
- the deprotection can be performed in an alcohol (such as isopropanol).
- the Step M (Scheme 1) can be performed at a temperature from about ⁇ 10° C. to about 60° C., e.g., from about ⁇ 10° C. to about 0° C., from about 0° C. to about 25° C., from about 25° C. to about 45° C., or from about 45° C. to about 60° C.
- a base can be used for the conversion (e.g., hydrolysis) of the oxadiazolone ring in F14 to reveal the amidoxime in F15, optionally in a solvent (Step N, Scheme 1).
- the protection of the amidoxime as the oxadiazolone can be useful to prevent adverse reactions of the hydroxyl group or that of the amidoxime as a whole.
- the base can be either an organic base such as an acyclic amine (e.g., triethylamine, diisopropylethylamine (DIPEA), etc.) or a cyclic amine (e.g., pyrrolidine, piperidine, etc.); or an inorganic base such as alkali (e.g., NaOH, LiOH, KOH, Mg(OH) 2 , etc.).
- the base can be made available in the form of a resin (such as Amberlite® and the like).
- the base can be provided in the form of a solution in water such as about 2N solution (e.g., about 0.5N solution, about 1N solution, about 1.5N solution, about 2.5N solution, from about 3N to about 5N solution, from about 5N to about 10N solution).
- the base is an alkali metal hydroxide (such as, sodium hydroxide).
- the base can be 2N NaOH solution in water.
- the solvent can be methanol or tetrahydrofuran (THF).
- the Step N (Scheme 1) can be performed at a temperature from about ⁇ 10° C. to about 60° C., e.g., from about ⁇ 10° C. to about 0° C., from about 0° C. to about 25° C., from about 25° C. to about 45° C., or from about 45° C. to about 60° C.
- Step L the compound of Formula F13 can be obtained by treating a compound of Formula F12, or a salt thereof, with Pg 1 -NH-sulfonyl chloride, optionally in a solvent, followed by treatment of the resulting mixture with an organic base to afford the compound of Formula F13.
- This Step L (Scheme 1) transforms a primary amine F12 to a sulfonyl urea F13 using a protected amino-sulfonyl chloride (Pg 1 -NH—SO 2 Cl).
- the protected amino-sulfonyl chloride can be prepared and immediately used in the reaction with F12.
- the protecting group could be selected from any of the protecting groups known in the art for protecting amines or sulfonamides (supra).
- Pg 1 can be an alkoxycarbonyl group (such as tert-butoxycarbonyl).
- the alkoxycarbonyl NH-sulfonyl chloride can be obtained by the reaction of an alcohol (such as, ethanol, tert-butyl alcohol and the like) with chlorosulfonyl isocyanate (ClS(O) 2 NCO).
- Appropriate solvents for this reaction include, but are not limited to, halogenated solvents such as dichloromethane and the like.
- the organic base can be any base that serves to neutralize the HCl generated during the reaction of the primary amine such as F12 and the protected amino-sulfonyl chloride.
- the organic base can include acyclic tertiary amines such as tri(C 1-6 )alkylamine (e.g., triethylamine, diisopropylethylamine (DIPEA) and the like), cyclic tertiary amines (e.g., N-methyl piperidine, 1,4-diazabicyclo[2.2.2]octane (DABCO) and the like).
- the organic base can be triethylamine.
- this step can be performed at a temperature from about ⁇ 10° C. to about 60° C., e.g., from about ⁇ 10° C. to about 0° C., from about 0° C. to about 25° C., from about 25° C. to about 45° C., or from about 45° C. to about 60° C.
- Organic compounds can be reduced to a lower oxidizing state by using reducing agents. Reduction usually involves addition of hydrogen atoms or removal of oxygen atoms from a group.
- Organic azides such as F11 can be reduced to amines such as F12 (Step K, Scheme 1) by the addition of hydrogen, either in the form of elemental hydrogen or using a hydride reagent (such as NaBH 4 , LiAlH 4 and the like); using triphenylphosphine; or using a combination of sodium iodide, chlorotrimethylsilane, and methanol.
- the compound of Formula F12 can be obtained by reducing a compound of Formula F11, or a salt thereof.
- the reducing can be carried out in the presence of sodium iodide, chlorotrimethylsilane, and methanol.
- the molar ratio of sodium iodide and chlorotrimethylsilane can be about 1.0, e.g., about 0.9, about 0.95, about 1.0, about 1.05, or about 1.1.
- chlorotrimethylsilane can be added to the mixture of F11, sodium iodide and methanol as a solution in methanol.
- Step K (Scheme 1) can be performed at about room temperature, e.g., from about 10° C. to about 50° C., from about 15° C. to about 40° C., from about 20° C. to about 30° C., or from about 25° C. to about 30° C.
- the amino compounds F12 may prove challenging to obtain in substantially pure form as determined by HPLC or NMR spectroscopy and the like. While not intending to be bound by theory, it is believed that some of these amines might be difficult to purify by silica gel chromatography due to increased high affinity to silica gel or due to unwanted degradation during purification.
- the compound of Formula F12 can be purified by reacting the compound of Formula F12 with an amino protecting agent to afford a compound of Formula F12′, or a salt thereof, wherein Pg 2 N is a protected amine.
- Step K′ can be followed by purifying the compound of Formula F12′ to provide a purified compound of Formula F12′ and reacting the purified compound of Formula F12′ with an amino deprotecting agent (Step K′′) to provide a purified compound of Formula F12.
- Amino protecting agents and amino deprotecting agents are known to one skilled in the art, such as those in Wuts and Greene (ibid).
- the amino protecting agent is di-t-butyl dicarbonate (Boc 2 O).
- Pg 2 N is tert-butoxy carbonyl-NH.
- the amino deprotecting agent is a reagent capable of removing the Boc protecting group (supra).
- the amino deprotecting agent is an acid (e.g., hydrochloric acid, trifluoroacetic acid and the like), optionally in a solvent (such as water, THF, or dioxane).
- a solvent such as water, THF, or dioxane.
- the hydrochloric acid can be present in a concentration of about 4N, e.g., about 1N, about 2N, about 3N, about 5N, about 6N, about 7N, about 8N, about 9N, or about 10N.
- the deprotection can be performed in an alcohol (such as isopropanol).
- step K′ or K′′ can be performed at a temperature from about ⁇ 10° C.
- purification can be performed by chromatography on silica gel.
- the purity of the compounds are determined by physical methods such as measuring the melting point (in case of a solid), obtaining a NMR spectrum, or performing a HPLC separation. If the melting point decreases, if unwanted signals in the NMR spectrum are decreased, or if extraneous peaks in an HPLC trace are removed, the compound can be said to have been purified. In some embodiments, the compounds are substantially purified.
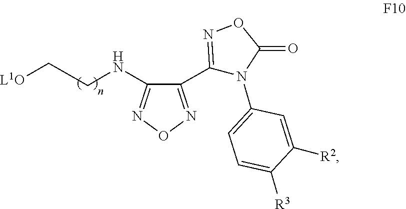
- the compound of Formula F11 (Scheme 1) can be obtained by treating a compound of Formula F10, or a salt thereof, wherein L 1 can be selected from alkylsulfonyl (such as methanesulfonyl), haloalkylsulfonyl (such as trifluoromethanesulfonyl), arylsulfonyl (such as toluenesulfonyl) and the like; with an azide reagent to afford the compound of Formula F11 (Step J).
- L 1 is alkylsulfonyl.
- Azide reagents include any reagent capable of producing a nucleophilic azide ion.
- azide reagents examples include alkali metal azides (such as sodium azide, potassium azide, etc.).
- the azide reagent such as sodium azide can be used in combination with sodium iodide.
- Appropriate solvents for this transformation are polar solvents including DMF, DMSO, NMP and the like.
- Step J can be carried out in DMF.
- Step J can be carried out at an elevated temperature e.g., from about 40° C. to about 100° C., from about 50° C. to about 90° C., or from about 60° C. to about 80° C.
- Step J can be carried out at about 50° C.
- Step J can be carried out at about 85° C.
- the compound of Formula F10 can be obtained in a sequence of steps shown in Scheme 3.
- the preparation of the intermediate, 4-amino-N′-hydroxy-1,2,5-oxadiazole-3-carboximidamide F2 has been described in J. Heterocycl. Chem. (1965), 2, 253, which is incorporated herein by reference in its entirety, and its conversion to the chloro oxime F3 has been described in Synth. Commun. (1988), 18, 1427, which is incorporated herein by reference in its entirety.
- Amines such as primary or secondary amines including amines that contain protected functionalities, e.g., ethyl amine, 2-methoxyethylamine or dimethylamine
- a solvent such as ethyl acetate
- an organic base such as triethylamine or DIPEA to quench the HCl generated in the reaction
- Rearrangement of the compounds such as F4, to transpose the amino group on the ring carbon and the amino group on the oxime carbon, to provide compounds F5 can be achieved by the treatment of F4 with a base (such as KOH, NaOH, LiOH, Mg(OH) 2 , Al(OH) 3 and the like), optionally in a solvent (such as water, ethanol, ethylene glycol and the like), and refluxing the reaction mixture at elevated temperature e.g., about 70° C., about 80° C., about 90° C., about 100° C., about 110° C., about 120° C., about 130° C., about 140° C., about 150° C., about 160° C., about 170° C., about 180° C., about 190° C., or about 200° C.
- a base such as KOH, NaOH, LiOH, Mg(OH) 2 , Al(OH) 3 and the like
- a solvent such as water, ethanol, ethylene glycol and the
- the amidoxime F5 can again be activated as a chloro oxime F6 by the addition of F5 to an aqueous acidic mixture containing hydrochloric acid, optionally including acetic acid.
- the acidic mixture of F5 can be heated to a temperature of about 45° C., such as about 30° C., about 40° C., about 50° C., or about 60° C. to achieve dissolution.
- Sodium chloride can be added to this solution and then treated with a nitrite reagent, which can optionally be provided as an aqueous solution, at a temperature below about 0° C., such as below about ⁇ 10° C., below about ⁇ 5° C., below about 5° C., or below about 10° C.
- the nitrite reagent is one capable of providing a nitrite anion.
- Nitrite reagents include alkali metal nitrite (e.g., sodium nitrite, potassium nitrite and the like) and organo nitrites (e.g., tetraethylammonium nitrite) which includes an organic cation.
- ethyl acetate, THF or dioxane can be used as a co-solvent.
- the chloro oxime F6 can be coupled with aromatic amines such as anilines, optionally in a polar solvent (such as methanol, water, ethanol and the like) at elevated temperatures such as about 50° C., about 60° C., about 70° C., about 80° C., about 90° C., about 100° C., about 110° C., or about 120° C., optionally in the presence of an inorganic base (such as KHCO 3 , NaHCO 3 ) to provide arylamidoxime F7.
- the inorganic base can be provided in the form of an aqueous solution.
- the inorganic base can be added to the reaction mixture at an elevated temperature.
- the amidoxime functionality of F7 can then be protected as an oxadiazolone using 1,1′-carbonyl diimidazole (CDI) in a solvent (such as ethyl acetate, dioxane, THF and the like) at elevated temperatures such as about 50° C., about 60° C., about 70° C., about 80° C., about 90° C., or about 100° C.
- a solvent such as ethyl acetate, dioxane, THF and the like
- the methoxy group of F8 can then be converted to a hydroxyl group in F9 using a methoxy deprotecting agent known to one skilled in the art, such as those in Wuts and Greene, Greene's Protective Groups in Organic Synthesis, 4 th Ed., pp 24-30, John Wiley & Sons: New York, 2006.
- a methoxy deprotecting agent known to one skilled in the art, such as those in Wuts and Greene, Greene's Protective Groups in Organic Synthesis, 4 th Ed., pp 24-30, John Wiley & Sons: New York, 2006.
- boron tribromide to a cold (such as from about ⁇ 78° C. to about 25° C., e.g., from about ⁇ 78° C. to about 10° C., from about ⁇ 78° C. to about 0° C., from about ⁇ 78° C. to about ⁇ 10° C., from about 0° C.
- F9 to about 25° C., or from about 0° C. to about 10° C. solution of F8, optionally in a solvent such as a halogenated solvent (e.g., DCM, chloroform and the like) or ethyl acetate.
- a solvent such as a halogenated solvent (e.g., DCM, chloroform and the like) or ethyl acetate.
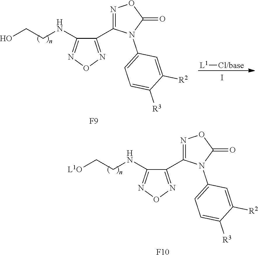
- the primary hydroxyl group in F9 can subsequently be activated as a leaving group L 1 O— (see F10) by sequential treatment with L 1 Cl, optionally in a solvent (such as ethyl acetate or DCM), and an organic base to mop up the generated HCl (such as triethylamine or DIPEA).
- L 1 for example, can be selected from alkylsulfonyl (e.g., methanesulfonyl), haloalkylsulfonyl (e.g., trifluoromethanesulfonyl), arylsulfonyl (e.g., toluenesulfonyl) and the like.
- the compound F10 can then be treated with any nucleophile for displacement (such as by S N 2 mechanism) of the leaving group L 1 O.
- the compound of Formula F12 can be obtained through a sequence of steps depicted in Scheme 4.
- the compound of Formula F12 can be obtained by reacting a compound of Formula F24, or a salt thereof, wherein Pg 3 N is a protected amine (e.g., (C 6 H 5 ) 3 C—NH, (C 6 H 5 ) 2 C ⁇ N and the like); with an amino deprotecting agent to afford the compound of Formula F12.
- Pg 3 N is a protected amine (e.g., (C 6 H 5 ) 3 C—NH, (C 6 H 5 ) 2 C ⁇ N and the like)
- Step Q Treatment of a compound F24 to replace Pg 3 N with NH 2 (Step Q) can be accomplished by methods for the deprotection of particular amine protecting groups known to one skilled in the art, such as those in Wuts and Greene, Greene's Protective Groups in Organic Synthesis, 4 th Ed., pp 696-926, John Wiley & Sons: New York, 2006.
- the deprotecting agent when the Pg 3 N is (C 6 H 5 ) 2 C ⁇ N, can be: an acid such as an organic acid (e.g., trifluoroacetic acid, methanesulfonic acid and the like) or an inorganic acid (e.g., hydrochloric acid); hydrogen and palladium; or acidic hydroxylamine (NH 2 OH).
- the deprotecting agent when the Pg 3 N is (C 6 H 5 ) 3 C—NH, can include an organic acid (such as trifluoroacetic acid methanesulfonic acid and the like) and optionally an organosilane; hydrogen and palladium; or sodium in liquid ammonia.
- Organosilanes are compounds that contain at least one Si—H bond and the rest of the groups attached to silicon are alkyl, aryl or a combination thereof.
- organosilanes include trialkylsilane (e.g., tri(isopropyl)silane)), triarylsilane (e.g., triphenylsilane) or diphenylmethylsilane.
- the step Q can be performed at a temperature from about ⁇ 10° C. to about 60° C., e.g., from about ⁇ 10° C. to about 0° C., from about 0° C. to about 25° C., from about 25° C. to about 45° C., or from about 45° C. to about 60° C.
- Compounds F24 which are protected secondary amines can be prepared by the Mitsunobu reaction of alcohols F25 with protected primary amines F22 in the presence of a coupling reagent (Step P).
- the coupling reagent can be a combination of a tertiary phosphine such as triarylphosphine (e.g., triphenylphosphine) or trialkylphosphine (e.g., tributylphosphine) and a dialkyl azodicarboxylate.
- Dialkyl azodicarboxylates possess a general structure: ROOC—N ⁇ N—COOR, where R can be an alkyl group (e.g., diisopropyl azodicarboxylate, diethyl azodicarboxylate, or di-p-chlorobenzyl azodicarboxylate). While not intending to be bound by theory, it is believed that amine protection with trifluoroacetyl moiety (such as in F22) prevents side reactions and improves the yield of the secondary amine F24.
- the hydroxyl group of alcohols such as F25 can be activated in the presence of the coupling reagent. The amine nucleophile can displace the activated hydroxyl group to form the secondary amine.
- the Mitsunobu reaction can be performed in a solvent such as an ether e.g., THF, dioxane, dialkyl ether and the like; halogenated solvents e.g., dichloromethane, chloroform and the like; non-polar solvents e.g., benzene, toluene and the like; polar-aprotic solvents such as DMF, HMPA and the like.
- the compound of Formula F24 can be obtained by treating a compound of Formula F22, or a salt thereof, with a compound of Formula F25, or a salt thereof, and a coupling reagent to provide the compound of Formula F24.
- this step can be performed at a temperature from about ⁇ 10° C. to about 60° C., e.g., from about ⁇ 10° C. to about 0° C., from about 0° C. to about 25° C., from about 25° C. to about 45° C., or from about 45° C. to about 60° C.
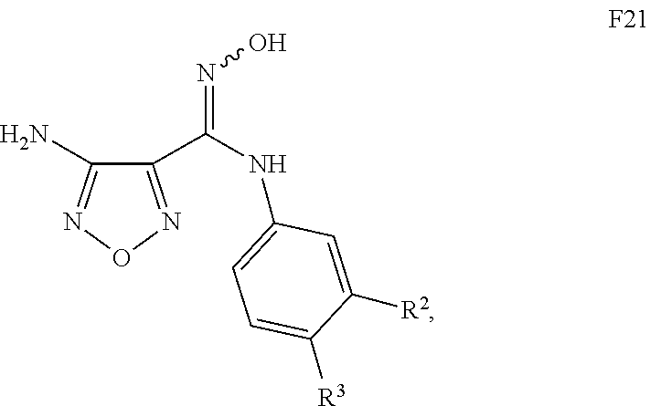
- Compounds F22 can be made by a two step process (Steps G′ and O) from compounds F21.
- Compounds F21 can be treated with 1,1′-carbonyl diimidazole (CDI), optionally in a solvent (such as ethyl acetate or THF), at an elevated temperature such as about 50° C., e.g., about 60° C., about 65° C., about 70° C., about 80° C., or about 90° C., to convert the amidoxime in compounds F21 to oxadiazolone present in compounds F26.
- CDI 1,1′-carbonyl diimidazole
- solvent such as ethyl acetate or THF
- These compounds F26 in turn can be treated with trifluoroacetic anhydride, optionally in a solvent (such as DCM, THF, dioxane, or ethyl acetate) in the presence of an organic base (such as pyridine, triethylamine, DIPEA and the like) to provide compounds F22.
- a solvent such as DCM, THF, dioxane, or ethyl acetate
- an organic base such as pyridine, triethylamine, DIPEA and the like
- the compound of Formula F22 can be obtained by treating a compound of Formula F21, or a salt thereof, with carbonyl diimidazole (CDI) to afford a compound of Formula F26, or a salt thereof, and treating the compound of Formula F26 with trifluoroacetic anhydride to afford the compound of Formula F22.
- CDI carbonyl diimidazole
- another aspect of the invention provides a process for preparing a compound of Formula F8, or a salt thereof, wherein, R 2 , R 3 , and n are defined herein; including reacting a compound of Formula F22, or a salt thereof, and a compound of Formula F25′, or a salt thereof, with a coupling reagent, optionally in a solvent (such as THF, dialkyl ether, or dichloromethane), to provide the compound of Formula F8.
- this step can be performed at a temperature from about ⁇ 10° C. to about 60° C., e.g., from about ⁇ 10° C. to about 0° C., from about 0° C. to about 25° C., from about 25° C. to about 45° C., or from about 45° C. to about 60° C.
- Scheme 6 delineates an alternative route for the introduction of the sulfonamide group to the amino compound F12.
- a base such as an organic base which can be a heterocyclic base (e.g., pyridine), or a trialkylamine (e.g., triethylamine, DIPEA and the like), each of which can optionally be used as a solvent for this transformation, can provide sulfonyl ureas such as F14.
- a base such as an organic base which can be a heterocyclic base (e.g., pyridine), or a trialkylamine (e.g., triethylamine, DIPEA and the like), each of which can optionally be used as a solvent for this transformation, can provide sulfonyl ureas such as F14.
- This reaction can be carried out at elevated temperatures such as about 130° C., e.g., about 100° C., about 110° C., about 120° C., about 130° C.
- microwave irradiation can be performed in a commercial microwave oven (e.g., the InitiatorTM, available from Biotage) operating in a single mode fashion.
- Compounds F14 containing the oxadiazolone ring can be deprotected (e.g., hydrolyzed) to the desired amidoximes F15 in the presence of a base (Step N′).
- the base can be either an organic base such as an acyclic amine (e.g., triethylamine, diisopropylethylamine (DIPEA), etc.) or a cyclic amine (e.g., pyrrolidine, piperidine, etc.); or an inorganic base such as alkali (e.g., NaOH, LiOH, KOH, Mg(OH) 2 , etc.).
- the base can be made available in the form of a resin (such as Amberlite® and the like).
- the base can be provided in the form of a solution in water such as about 2N solution (e.g., about 0.5N solution, about 1N solution, about 1.5N solution, about 2.5N solution, from about 3N to about 5N solution, from about 5N to about 10N solution).
- the base can be an alkali metal hydroxide (such as, sodium hydroxide).
- the base can be a 2N NaOH solution in water.
- the solvent can be methanol or tetrahydrofuran (THF).
- the deprotection can be performed at a temperature from about ⁇ 10° C. to about 60° C., e.g., from about ⁇ 10° C.
- this aspect of the invention provides a process for preparing a compound of Formula F15, or a salt thereof, wherein R 2 , R 3 , and n, are as defined herein; including reacting a compound of Formula F12, or a salt thereof, with sulfamide and an organic base to afford a compound of Formula F14, or a salt thereof, and reacting the compound of Formula F14, or a salt thereof, with a base to afford the compound of Formula F15.
- the present invention further provides a compound of Formula F9, F12, and F14, or a salt thereof, wherein R 2 is Cl, Br, CF 3 , CH 3 , or CN; R 3 is H or F; and n is 1 or 2.
- R 2 is Br
- R 3 is F
- n is 1.
- R 2 is Br
- R 3 is F
- n is 2.
- R 2 is Cl
- R 3 is F
- n is 1.
- R 2 is Cl
- R 3 is F
- n is 2.
- R 2 is CF 3
- R 3 is F
- n is 1.
- R 2 is CF 3
- R 3 is F
- n is 2.
- R 2 is CF 3
- R 3 is H
- n is 1.
- R 2 is CF 3
- R 3 is H
- n is 2.
- R 2 is CH 3
- R 3 is F
- n is 1.
- R 2 is CN
- R 3 is F
- n is 1.
- compounds F19 can be obtained from primary amino compounds F12 by treatment with methanesulfonyl chloride (Step S), optionally in a solvent such as ethyl acetate, halogenated solvents (e.g., dichloromethane, chloroform and the like) or ethereal solvents (THF, diethyl ether, dioxane and the like), in the presence of an organic base (to mop up the generated HCl) such as tri(C 1-6 )alkylamine (e.g., triethylamine, DIPEA and the like), or pyridine to afford sulfonamides F20.
- a solvent such as ethyl acetate, halogenated solvents (e.g., dichloromethane, chloroform and the like) or ethereal solvents (THF, diethyl ether, dioxane and the like)
- organic base to mop up the generated HCl
- the methanesulfonyl group can be replaced with other alkylsulfonyl (e.g., ethylsulfonyl), haloalkylsulfonyl (e.g., trifluoromethanesulfonyl), arylsulfonyl (e.g., toluenesulfonyl) and the like, without altering the procedures.
- this step can be performed at a temperature from about ⁇ 10° C. to about 60° C., e.g., from about ⁇ 10° C. to about 0° C., from about 0° C. to about 25° C., from about 25° C.
- the sulfonamide compounds F20 containing the oxadiazolone ring can be deprotected (e.g., hydrolyzed) to the desired amidoximes F19 in the presence of a base (Step N′′).
- the base can be either an organic base such as an acyclic amine (e.g., triethylamine, diisopropylethylamine (DIPEA), etc.) or a cyclic amine (e.g., pyrrolidine, piperidine, etc.); or an inorganic base such as alkali metal hydroxide or alkaline earth metal hydroxide (e.g., NaOH, LiOH, KOH, Mg(OH) 2 , etc.).
- the base can be made available in the form of a resin (such as Amberlite® and the like).
- the base can be provided in the form of a solution in water such as about 2N solution (e.g., about 0.5N solution, about 1N solution, about 1.5N solution, about 2.5N solution, from about 3N to about 5N solution, from about 5N to about 10N solution).
- the base is an alkali metal hydroxide (e.g., sodium hydroxide).
- the base can be 2N NaOH solution in water.
- the solvent can be methanol or tetrahydrofuran (THF).
- the deprotection can be performed at a temperature from about ⁇ 10° C. to about 60° C., e.g., from about ⁇ 10° C.
- another aspect of the invention provides a process for preparing a compound of Formula F19, or a salt thereof, wherein R 2 , R 3 , and n, are as defined herein; including reacting a compound of Formula F12, or a salt thereof, with methanesulfonyl chloride in the presence of an organic base to afford a compound of Formula F20, or a salt thereof, and reacting the compound of Formula F20 with a base to afford the compound of Formula F19.
- the base can be an alkali metal hydroxide such as sodium hydroxide (e.g., 2N NaOH).
- Aryl or alkylsulfonamides (e.g., methanesulfonamides F19) can be obtained by the sequence of steps shown in Scheme 8.
- Mono-protected 1,n-diamines such as F40 (e.g., commercially available N-(aminoalkyl)(t-butoxy)carboxamide) can be treated with sulfonyl chlorides such as arylsulfonyl chlorides or alkylsulfonyl chlorides (e.g., methanesulfonyl chloride), optionally in a solvent such as ethyl acetate, halogenated solvents (e.g., dichloromethane, chloroform and the like) or ethereal solvents (THF, diethyl ether, dioxane and the like), in the presence of an organic base (to mop up the generated HCl) such as triethylamine, pyridine, DIPEA and the like, to provide
- the protecting group on mono-protected 1,n-diamines F40 may be selected from the various amino protecting groups and a suitable deprotection conditions can be appropriately selected (supra) to afford amine F33 (Step M′).
- protecting group can be alkoxycarbonyl (such as tert-butoxycarbonyl, Boc).
- the amino deprotecting agent can be an acid e.g., hydrochloric acid or trifluoroacetic acid, optionally in a solvent (such as dioxane).
- this step can be performed at a temperature from about ⁇ 10° C. to about 60° C., e.g., from about ⁇ 10° C. to about 0° C., from about 0° C. to about 25° C., from about 25° C. to about 45° C., or from about 45° C. to about 60° C.
- Step D′ Rearrangement of the compounds such as F16 to transpose the amino group on the ring carbon and the amino group on the oxime carbon to provide compounds such as F17
- a base such as KOH, NaOH, LiOH, Mg(OH) 2 , Al(OH) 3 and the like
- a solvent such as water, ethanol, ethylene glycol and the like
- refluxing the reaction mixture at elevated temperature e.g., about 70° C., about 80° C., about 90° C., about 100° C., about 110° C., about 120° C., about 130° C., about 140° C., about 150° C., about 160° C., about 170° C., about 180° C., about 190° C., or about 200° C.
- the amidoxime F17 can again be activated as a chloro oxime F18 by the addition of F17 to an aqueous acidic mixture containing hydrochloric acid, optionally including acetic acid (Step E′).
- the acidic mixture of F17 can be heated to temperature about 45° C., such as about 30° C., about 40° C., about 50° C., or about 60° C. to achieve dissolution.
- Sodium chloride can be added to this solution and treated with a nitrite reagent, which can optionally be provided as an aqueous solution, at a temperature below about 0° C.
- the nitrite reagent is one capable of providing a nitrite anion.
- Nitrite reagents include alkali metal nitrite (e.g., sodium nitrite, potassium nitrite and the like) and organo nitrites (e.g., tetraethylammonium nitrite) which includes an organic cation.
- alkali metal nitrite e.g., sodium nitrite, potassium nitrite and the like
- organo nitrites e.g., tetraethylammonium nitrite
- ethyl acetate, THF or dioxane can be used as a co-solvent.
- Step F′ The substitution of the chloride in F18 with aromatic amines such as anilines F27, optionally in a polar solvent (such as methanol, water, ethanol and the like), at room temperature can afford methanesulfonamides F19 (Step F′).
- a polar solvent such as methanol, water, ethanol and the like
- temperatures such as about 10° C., about 20° C., about 30° C., about 40° C., or about 50° C. can be employed.
- This reaction can be optionally carried out in the presence of an inorganic base (such as KHCO 3 , NaHCO 3 ) which can be provided in the form of an aqueous solution.
- an inorganic base such as KHCO 3 , NaHCO 3
- a solvent such as dioxane
- a nitrite reagent such as, sodium nitrite
- the compound of Formula F17 can be obtained by treating a compound of Formula F16, or a salt thereof, with a base (such as potassium hydroxide) in a solvent (such as ethylene glycol) at a temperature sufficient to reflux the solvent (such as 130° C.), to provide a compound of Formula F17.
- a base such as potassium hydroxide
- a solvent such as ethylene glycol
- the present invention further provides a compound of Formula F18, or a salt thereof, wherein n is 1 or 2. In some embodiments, n is 1. In some embodiments, n is 2.
- the chloro oxime F6 (supra, Scheme 1) can be coupled with heterocyclic amines (such as compound of Formula F38), optionally in a polar solvent (such as methanol, water, ethanol and the like), in the presence of a base such as an inorganic base or an organic base (e.g., Et 3 N, pyridine or DIPEA) to provide arylamidoxime F36 (Step F′′).
- a base such as an inorganic base or an organic base (e.g., Et 3 N, pyridine or DIPEA)
- the conversion of F6 to F36 can be carried out at temperatures such as about 10° C., about 20° C., about 30° C., about 40° C., about 50° C., about 60° C., or about 90° C.
- the inorganic base can be provided in the form of an aqueous solution.
- the inorganic base can be added to the reaction mixture at an elevated temperature.
- the amidoxime functionality of F36 can then be protected as an oxadiazolone using 1,1′-carbonyl diimidazole (CDI) in a solvent (such as ethyl acetate, dioxane, THF and the like) at elevated temperatures such as about 50° C., about 60° C., about 70° C., about 80° C., about 90° C., or about 100° C. (Step G′′).
- CDI 1,1′-carbonyl diimidazole
- the methoxy group of F35 can then be converted to a hydroxyl group in F34 by methods known to one skilled in the art for the deprotecetion of methoxy group (Step H′), such as those in Wuts and Greene, Greene's Protective Groups in Organic Synthesis, 4 th Ed., pp 24-30, John Wiley & Sons: New York, 2006.
- Step H′ methoxy group
- boron tribromide to a cold (such as from about ⁇ 78° C. to about 25° C., e.g., from about ⁇ 78° C. to about 10° C., from about ⁇ 78° C. to about 0° C., from about ⁇ 78° C. to about ⁇ 10° C., from about 0° C.
- Step I′, F32 sequential treatment with L 1 Cl, optionally in a solvent (such as ethyl acetate or DCM), and an organic base to mop up the generated HCl (such as triethylamine or DIPEA).
- a solvent such as ethyl acetate or DCM
- L 1 can be selected from alkylsulfonyl (e.g., methanesulfonyl), haloalkylsulfonyl (e.g., trifluoromethanesulfonyl), arylsulfonyl (e.g., toluenesulfonyl) and the like.
- the compound F32 can then be treated with any nucleophile for S N 2 displacement of the leaving group L 1 O. In some embodiments, this step can be performed at a temperature from about ⁇ 10° C. to about 60° C., e.g., from about ⁇ 10° C. to about 0° C., from about 0° C. to about 25° C., from about 25° C. to about 45° C., or from about 45° C. to about 60° C.
- Azide reagents include any reagent capable of producing a nucleophilic azide ion.
- azide reagents include alkali metal azides (such as sodium azide, potassium azide).
- the azide reagent such as sodium azide can be used in combination with sodium iodide.
- Appropriate solvents for this transformation are polar solvents including DMF, DMSO, NMP and the like.
- this step can be carried out in DMF.
- this step can be carried out at an elevated temperature e.g., from about 40° C. to about 100° C., from about 50° C.
- Organic azides such as F31 can be reduced to organic amines such as F29 by the addition of hydrogen, either in the form of elemental hydrogen; using a hydride reagent (such as NaBH 4 , LiAlH 4 and the like); using triphenylphosphine; or using a combination of sodium iodide, chlorotrimethylsilane, and methanol (Step K′′′).
- the reducing can be carried out in the presence of sodium iodide, chlorotrimethylsilane, and methanol.
- the reduction can be performed at about room temperature e.g., from about 10° C. to about 50° C., from about 15° C. to about 40° C., from about 20° C. to about 30° C., or from about 25° C. to about 30° C.
- the molar ratio of sodium iodide and chlorotrimethylsilane can be about 1.0 e.g., about 0.9, about 0.95, about 1.0, about 1.05, or about 1.1.
- chlorotrimethylsilane can be added to the mixture of F31, sodium iodide and methanol as a solution in methanol.
- a base such as an organic base which can be a heterocyclic base (e.g., pyridine), or a trialkylamine (e.g., triethylamine,
- Step R′ This reaction can be carried out at elevated temperatures such as about 130° C., e.g., about 100° C., about 110° C., about 120° C., about 130° C., or about 140° C. Such heating can be favorably applied using microwave irradiation.
- Microwave irradiation can be performed in a commercial microwave oven (e.g., the InitiatorTM, available from Biotage) operating in a single mode fashion.
- the base can be either an organic base such as acyclic amines (e.g., triethylamine, diisopropylethylamine (DIPEA), etc.) or cyclic amines (e.g., pyrrolidine, piperidine, etc.); or an inorganic base such as alkali (e.g., NaOH, LiOH, KOH, Mg(OH) 2 , etc.).
- the base can be made available in the form of a resin (such as Amberlite® and the like).
- the base can be provided in the form of a solution in water (an aqueous base) such as about 2N solution (e.g., about 0.5N solution, about 1N solution, about 1.5N solution, about 2.5N solution, from about 3N to about 5N solution, from about 5N to about 10N solution).
- the base can be an alkali metal hydroxide (e.g., sodium hydroxide).
- the base can be a 2N NaOH solution in water.
- the solvent can be methanol or tetrahydrofuran (THF).
- the deprotection can be performed at a temperature from about ⁇ 10° C.
- another aspect of the invention provides a process for preparing a compound of Formula F28, or a salt thereof, wherein R 4 is F, Cl, Br, or I; and n is 1 or 2; including reacting a compound of Formula F29, or a salt thereof, with sulfamide and an organic base to afford a compound of Formula F30, or a salt thereof, and reacting the compound of Formula F30 with a base to afford the compound of Formula F28.
- R 4 is Cl and n is 1.
- R 4 is Br and n is 1.
- reacting a compound of Formula F29 further includes heating the reaction (such as using microwave irradiation).
- the invention provides a process of obtaining the compound of Formula F29 by reducing a compound of Formula F31, or a salt thereof.
- the reducing can be carried out with a combination of sodium iodide, chlorotrimethylsilane, and methanol.
- the compound of Formula F31 can be obtained by treating a compound of Formula F32, or a salt thereof, wherein L 1 is selected from alkylsulfonyl, haloalkylsulfonyl, and arylsulfonyl; with an azide reagent to afford the compound of Formula F31.
- alkyl when used alone or together with additional moiety terms, refers to a straight-chained or branched, saturated hydrocarbon group having from 1 to 6 carbon atoms, 1 to 4 carbon atoms, or 1 to 3 carbon atoms.
- Example alkyl groups include methyl, ethyl, n-propyl, isopropyl, n-butyl, isobutyl, sec-butyl, and the like.
- alkenyl refers to an alkyl group having one or more double carbon-carbon bonds.
- Example alkenyl groups include ethenyl (vinyl), propenyl, and the like.
- aryl refers to an aromatic hydrocarbon group which can be mono- or polycyclic having from 6 to 14 carbon atoms.
- Example aryl groups include phenyl, naphthyl, anthracenyl, phenanthrenyl, indanyl, indenyl, and the like.
- haloalkyl when used alone or together with an additional moiety, refers to an alkyl group substituted by one or more halogen atoms independently selected from F, Cl, Br, and I.
- Example haloalkyl groups include CF 3 , CHF 2 , CH 2 CF 3 , and the like.
- alkoxy refers to an -O-alkyl group.
- Example alkoxy groups include methoxy, ethoxy, propoxy (e.g., n-propoxy and isopropoxy), t-butoxy, and the like.
- alkylamine refers to an amino (NH 2 ) group substituted by an alkyl group.
- Example alkylamine groups include methylamine, hexylamine, and the like.
- trialkylamine refers to a nitrogen atom substituted by three alkyl group.
- Example trialkylamine groups include trimethylamine, triethylamine,and the like.
- alkoxycarbonyl refers to CO substituted by an alkoxy group: -C(O)-O-alkyl.
- Example alkoxycarbonyl groups include ethoxycarbonyl, tert-butoxycarbonyl (Boc), benzyloxycarbonyl (Cbz), 9-fluorenylmethyloxycarbonyl (Fmoc), and the like.
- alkylsulfonyl refers to a sulfonyl group substituted by an alkyl group: alkylS(O) 2 -.
- Example alkylsulfonyl groups include, methanesulfonyl, ethanesulfonyl, and the like.
- haloalkylsulfonyl refers to a sulfonyl group substituted by a haloalkyl group.
- Example haloalkylsulfonyl groups include, trifluoromethanesulfonyl, 1,1,1-trifluoroethanesulfonyl, and the like.
- arylsulfonyl refers to a sulfonyl group substituted by an aryl group or a substituted aryl group, wherein the substituents on the aryl group are selected from halo, nitro, C 1-4 alkyl, and C 1-4 haloalkyl.
- heterocyclic base refers to a 4 to 14 membered, optionally substituted, heterocycle wherein at least one ring forming member is a nitrogen atom.
- the heterocyclic base can be aromatic or non-aromatic.
- Example heterocyclic bases include pyridine, pyrrolidine, piperidine, morpholine etc.
- Example substituents on the heterocycle include F, Cl, Br, C 1-4 alkyl, and C 1-4 haloalkyl.
- Compounds of the invention can inhibit activity of the enzyme indoleamine-2,3-dioxygenase (IDO).
- IDO indoleamine-2,3-dioxygenase
- the compounds of the invention can be used to inhibit activity of IDO in cell or in an individual in need of modulation of the enzyme by administering an inhibiting amount of a compound of the invention.
- the present invention further provides methods of inhibiting the degradation of tryptophan in a system containing cells expressing IDO such as a tissue, living organism, or cell culture.
- the present invention provides methods of altering (e.g., increasing) extracellular tryptophan levels in a mammal by administering an effective amount of a compound of composition provided herein. Methods of measuring tryptophan levels and tryptophan degradation are routine in the art.
- the present invention further provides methods of inhibiting immunosuppression such as IDO-mediated immunosuppression in a patient by administering to the patient an effective amount of a compound or composition recited herein.
- immunosuppression has been associated with, for example, cancers, tumor growth, metastasis, viral infection, viral replication, etc.
- the present invention further provides methods of treating diseases associated with activity or expression, including abnormal activity and/or overexpression, of IDO in an individual (e.g., patient) by administering to the individual in need of such treatment a therapeutically effective amount or dose of a compound of the present invention or a pharmaceutical composition thereof.
- Example diseases can include any disease, disorder or condition that is directly or indirectly linked to expression or activity of the IDO enzyme, such as over expression or abnormal activity.
- An IDO-associated disease can also include any disease, disorder or condition that can be prevented, ameliorated, or cured by modulating enzyme activity.
- IDO-associated diseases include cancer, viral infection such as HIV infection, HCV infection, depression, neurodegenerative disorders such as Alzheimer's disease and Huntington's disease, trauma, age-related cataracts, organ transplantation (e.g., organ transplant rejection), and autoimmune diseases including asthma, rheumatoid arthritis, multiple sclerosis, allergic inflammation, inflammatory bowel disease, psoriasis and systemic lupus erythematosusor.
- Example cancers treatable by the methods herein include cancer of the colon, pancreas, breast, prostate, lung, brain, ovary, cervix, testes, renal, head and neck, lymphoma, leukemia, melanoma, and the like.
- the compounds of the invention can also be useful in the treatment of obesity and ischemia.
- an ex vivo cell can be part of a tissue sample excised from an organism such as a mammal.
- an in vitro cell can be a cell in a cell culture.
- an in vivo cell is a cell living in an organism such as a mammal.
- contacting refers to the bringing together of indicated moieties in an in vitro system or an in vivo system.
- “contacting” the IDO enzyme with a compound of the invention includes the administration of a compound of the present invention to an individual or patient, such as a human, having IDO, as well as, for example, introducing a compound of the invention into a sample containing a cellular or purified preparation containing the IDO enzyme.
- the term “individual” or “patient,” used interchangeably, refers to any animal, including mammals, preferably mice, rats, other rodents, rabbits, dogs, cats, swine, cattle, sheep, horses, or primates, and most preferably humans.
- the phrase “therapeutically effective amount” refers to the amount of active compound or pharmaceutical agent that elicits the biological or medicinal response in a tissue, system, animal, individual or human that is being sought by a researcher, veterinarian, medical doctor or other clinician.
- treating refers to 1) preventing the disease; for example, preventing a disease, condition or disorder in an individual who may be predisposed to the disease, condition or disorder but does not yet experience or display the pathology or symptomatology of the disease; 2) inhibiting the disease; for example, inhibiting a disease, condition or disorder in an individual who is experiencing or displaying the pathology or symptomatology of the disease, condition or disorder (i.e., arresting further development of the pathology and/or symptomatology), or 3) ameliorating the disease; for example, ameliorating a disease, condition or disorder in an individual who is experiencing or displaying the pathology or symptomatology of the disease, condition or disorder (i.e., reversing the pathology and/or symptomatology).
- One or more additional pharmaceutical agents or treatment methods such as, for example, anti-viral agents, chemotherapeutics or other anti-cancer agents, immune enhancers, immunosuppressants, radiation, anti-tumor and anti-viral vaccines, cytokine therapy (e.g., IL2, GM-CSF, etc.), and/or tyrosine kinase inhibitors can be used in combination with the compounds of the present invention for treatment of IDO-associated diseases, disorders or conditions.
- the agents can be combined with the present compounds in a single dosage form, or the agents can be administered simultaneously or sequentially as separate dosage forms.
- Suitable antiviral agents contemplated for use in combination with the compounds of the present invention can comprise nucleoside and nucleotide reverse transcriptase inhibitors (NRTIs), non-nucleoside reverse transcriptase inhibitors (NNRTIs), protease inhibitors and other antiviral drugs.
- NRTIs nucleoside and nucleotide reverse transcriptase inhibitors
- NRTIs non-nucleoside reverse transcriptase inhibitors
- protease inhibitors and other antiviral drugs.
- Example suitable NRTIs include zidovudine (AZT); didanosine (ddl); zalcitabine (ddC); stavudine (d4T); lamivudine (3TC); abacavir (1592U89); adefovir dipivoxil [bis(POM)-PMEA]; lobucavir (BMS-180194); BCH-10652; emitricitabine [( ⁇ )-FTC]; beta-L-FD4 (also called beta-L-D4C and named beta-L-2′, 3′-dicleoxy-5-fluoro-cytidene); DAPD, (( ⁇ )-beta-D-2,6,-diamino-purine dioxolane); and lodenosine (FddA).
- ZT zidovudine
- ddl didanosine
- ddC zalcitabine
- stavudine d4T
- NNRTIs include nevirapine (BI-RG-587); delaviradine (BHAP, U-90152); efavirenz (DMP-266); PNU-142721; AG-1549; MKC-442 (1-(ethoxy-methyl)-5-(1-methylethyl)-6-(phenylmethyl)-(2,4(1H,3H)-pyrimidinedione); and (+)-calanolide A (NSC-675451) and B.
- Typical suitable protease inhibitors include saquinavir (Ro 31-8959); ritonavir (ABT-538); indinavir (MK-639); nelfnavir (AG-1343); amprenavir (141W94); lasinavir (BMS-234475); DMP-450; BMS-2322623; ABT-378; and AG-1 549.
- Other antiviral agents include hydroxyurea, ribavirin, IL-2, IL-12, pentafuside and Yissum Project No.11607.
- Suitable chemotherapeutic or other anti-cancer agents include, for example, alkylating agents (including, without limitation, nitrogen mustards, ethylenimine derivatives, alkyl sulfonates, nitrosoureas and triazenes) such as uracil mustard, chlormethine, cyclophosphamide (CytoxanTM), ifosfamide, melphalan, chlorambucil, pipobroman, triethylene-melamine, triethylenethiophosphoramine, busulfan, carmustine, lomustine, streptozocin, dacarbazine, and temozolomide.
- alkylating agents including, without limitation, nitrogen mustards, ethylenimine derivatives, alkyl sulfonates, nitrosoureas and triazenes
- alkylating agents including, without limitation, nitrogen mustards, ethylenimine derivatives, alkyl sulfonates, nitrosoure
- suitable agents for use in combination with the compounds of the present invention include: dacarbazine (DTIC), optionally, along with other chemotherapy drugs such as carmustine (BCNU) and cisplatin; the “Dartmouth regimen,” which consists of DTIC, BCNU, cisplatin and tamoxifen; a combination of cisplatin, vinblastine, and DTIC; or temozolomide.
- DTIC dacarbazine
- BCNU carmustine
- cisplatin the “Dartmouth regimen,” which consists of DTIC, BCNU, cisplatin and tamoxifen
- a combination of cisplatin, vinblastine, and DTIC or temozolomide.
- Compounds according to the invention may also be combined with immunotherapy drugs, including cytokines such as interferon alpha, interleukin 2, and tumor necrosis factor (TNF) in the treatment of melanoma.
- cytokines such as interferon alpha, inter
- Antimelanoma vaccines are, in some ways, similar to the anti-virus vaccines which are used to prevent diseases caused by viruses such as polio, measles, and mumps. Weakened melanoma cells or parts of melanoma cells called antigens may be injected into a patient to stimulate the body's immune system to destroy melanoma cells.
- Melanomas that are confined to the arms or legs may also be treated with a combination of agents including one or more compounds of the invention, using a hyperthermic isolated limb perfusion technique.
- This treatment protocol temporarily separates the circulation of the involved limb from the rest of the body and injects high doses of chemotherapy into the artery feeding the limb, thus providing high doses to the area of the tumor without exposing internal organs to these doses that might otherwise cause severe side effects.
- the fluid is warmed to 102° to 104° F.
- Melphalan is the drug most often used in this chemotherapy procedure. This can be given with another agent called tumor necrosis factor (TNF) (see section on cytokines).
- TNF tumor necrosis factor
- Suitable chemotherapeutic or other anti-cancer agents include, for example, antimetabolites (including, without limitation, folic acid antagonists, pyrimidine analogs, purine analogs and adenosine deaminase inhibitors) such as methotrexate, 5-fluorouracil, floxuridine, cytarabine, 6-mercaptopurine, 6-thioguanine, fludarabine phosphate, pentostatine, and gemcitabine.
- antimetabolites including, without limitation, folic acid antagonists, pyrimidine analogs, purine analogs and adenosine deaminase inhibitors
- methotrexate including, without limitation, folic acid antagonists, pyrimidine analogs, purine analogs and adenosine deaminase inhibitors
- methotrexate including, without limitation, folic acid antagonists, pyrimidine analogs, purine analogs and adenosine deaminase inhibitors
- Suitable chemotherapeutic or other anti-cancer agents further include, for example, certain natural products and their derivatives (for example, vinca alkaloids, antitumor antibiotics, enzymes, lymphokines and epipodophyllotoxins) such as vinblastine, vincristine, vindesine, bleomycin, dactinomycin, daunorubicin, doxorubicin, epirubicin, idarubicin, ara-C, paclitaxel (TAXOLTM), mithramycin, deoxycoformycin, mitomycin-C, L-asparaginase, interferons (especially IFN-a), etoposide, and teniposide.
- certain natural products and their derivatives for example, vinca alkaloids, antitumor antibiotics, enzymes, lymphokines and epipodophyllotoxins
- vinblastine vincristine, vindesine
- bleomycin dactinomycin
- daunorubicin daunor
- cytotoxic agents include navelbene, CPT-11, anastrazole, letrazole, capecitabine, reloxafine, cyclophosphamide, ifosamide, and droloxafine.
- cytotoxic agents such as epidophyllotoxin; an antineoplastic enzyme; a topoisomerase inhibitor; procarbazine; mitoxantrone; platinum coordination complexes such as cis-platin and carboplatin; biological response modifiers; growth inhibitors; antihormonal therapeutic agents; leucovorin; tegafur; and haematopoietic growth factors.
- anti-cancer agent(s) include antibody therapeutics such as trastuzumab (Herceptin), antibodies to costimulatory molecules such as CTLA-4, 4-1BB and PD-1, or antibodies to cytokines (IL-10, TGF- ⁇ , etc.).
- trastuzumab Herceptin
- costimulatory molecules such as CTLA-4, 4-1BB and PD-1
- cytokines IL-10, TGF- ⁇ , etc.
- anti-cancer agents also include those that block immune cell migration such as antagonists to chemokine receptors, including CCR2 and CCR4.
- anti-cancer agents also include those that augment the immune system such as adjuvants or adoptive T cell transfer.
- Anti-cancer vaccines include dendritic cells, synthetic peptides, DNA vaccines and recombinant viruses.
- the compounds of the invention can be administered in the form of pharmaceutical compositions which is a combination of a compound of the invention and a pharmaceutically acceptable carrier.
- These compositions can be prepared in a manner well known in the pharmaceutical art, and can be administered by a variety of routes, depending upon whether local or systemic treatment is desired and upon the area to be treated. Administration may be topical (including ophthalmic and to mucous membranes including intranasal, vaginal and rectal delivery), pulmonary (e.g., by inhalation or insufflation of powders or aerosols, including by nebulizer; intratracheal, intranasal, epidermal and transdermal), ocular, oral or parenteral.
- topical including ophthalmic and to mucous membranes including intranasal, vaginal and rectal delivery
- pulmonary e.g., by inhalation or insufflation of powders or aerosols, including by nebulizer; intratracheal, intranasal,
- Methods for ocular delivery can include topical administration (eye drops), subconjunctival, periocular or intravitreal injection or introduction by balloon catheter or ophthalmic inserts surgically placed in the conjunctival sac.
- Parenteral administration includes intravenous, intraarterial, subcutaneous, intraperitoneal, or intramuscular injection or infusion; or intracranial, e.g., intrathecal or intraventricular, administration.
- Parenteral administration can be in the form of a single bolus dose, or may be, for example, by a continuous perfusion pump.
- Pharmaceutical compositions and formulations for topical administration may include transdermal patches, ointments, lotions, creams, gels, drops, suppositories, sprays, liquids and powders. Conventional pharmaceutical carriers, aqueous, powder or oily bases, thickeners and the like may be necessary or desirable.
- compositions which contain, as the active ingredient, one or more of the compounds of the invention above in combination with one or more pharmaceutically acceptable carriers.
- the active ingredient is typically mixed with an excipient, diluted by an excipient or enclosed within such a carrier in the form of, for example, a capsule, sachet, paper, or other container.
- the excipient serves as a diluent, it can be a solid, semi-solid, or liquid material, which acts as a vehicle, carrier or medium for the active ingredient.
- compositions can be in the form of tablets, pills, powders, lozenges, sachets, cachets, elixirs, suspensions, emulsions, solutions, syrups, aerosols (as a solid or in a liquid medium), ointments containing, for example, up to 10% by weight of the active compound, soft and hard gelatin capsules, suppositories, sterile injectable solutions, and sterile packaged powders.
- the active compound can be milled to provide the appropriate particle size prior to combining with the other ingredients. If the active compound is substantially insoluble, it can be milled to a particle size of less than 200 mesh. If the active compound is substantially water soluble, the particle size can be adjusted by milling to provide a substantially uniform distribution in the formulation, e.g. about 40 mesh.
- excipients include lactose, dextrose, sucrose, sorbitol, mannitol, starches, gum acacia, calcium phosphate, alginates, tragacanth, gelatin, calcium silicate, microcrystalline cellulose, polyvinylpyrrolidone, cellulose, water, syrup, and methyl cellulose.
- the formulations can additionally include: lubricating agents such as talc, magnesium stearate, and mineral oil; wetting agents; emulsifying and suspending agents; preserving agents such as methyl- and propylhydroxy-benzoates; sweetening agents; and flavoring agents.
- the compositions of the invention can be formulated so as to provide quick, sustained or delayed release of the active ingredient after administration to the patient by employing procedures known in the art.
- compositions can be formulated in a unit dosage form, each dosage containing from about 5 to about 100 mg, more usually about 10 to about 30 mg, of the active ingredient.
- unit dosage forms refers to physically discrete units suitable as unitary dosages for human subjects and other mammals, each unit containing a predetermined quantity of active material calculated to produce the desired therapeutic effect, in association with a suitable pharmaceutical excipient.
- the active compound can be effective over a wide dosage range and is generally administered in a pharmaceutically effective amount. It will be understood, however, that the amount of the compound actually administered will usually be determined by a physician, according to the relevant circumstances, including the condition to be treated, the chosen route of administration, the actual compound administered, the age, weight, and response of the individual patient, the severity of the patient's symptoms, and the like.
- the principal active ingredient is mixed with a pharmaceutical excipient to form a solid pre-formulation composition containing a homogeneous mixture of a compound of the present invention.
- a solid pre-formulation composition containing a homogeneous mixture of a compound of the present invention.
- the active ingredient is typically dispersed evenly throughout the composition so that the composition can be readily subdivided into equally effective unit dosage forms such as tablets, pills and capsules.
- This solid pre-formulation is then subdivided into unit dosage forms of the type described above containing from, for example, 0.1 to about 500 mg of the active ingredient of the present invention.
- the tablets or pills of the present invention can be coated or otherwise compounded to provide a dosage form affording the advantage of prolonged action.
- the tablet or pill can comprise an inner dosage and an outer dosage component, the latter being in the form of an envelope over the former.
- the two components can be separated by an enteric layer which serves to resist disintegration in the stomach and permit the inner component to pass intact into the duodenum or to be delayed in release.
- enteric layers or coatings such materials including a number of polymeric acids and mixtures of polymeric acids with such materials as shellac, cetyl alcohol, and cellulose acetate.
- liquid forms in which the compounds and compositions of the present invention can be incorporated for administration orally or by injection include aqueous solutions, suitably flavored syrups, aqueous or oil suspensions, and flavored emulsions with edible oils such as cottonseed oil, sesame oil, coconut oil, or peanut oil, as well as elixirs and similar pharmaceutical vehicles.
- compositions for inhalation or insufflation include solutions and suspensions in pharmaceutically acceptable, aqueous or organic solvents, or mixtures thereof, and powders.
- the liquid or solid compositions may contain suitable pharmaceutically acceptable excipients as described supra.
- the compositions are administered by the oral or nasal respiratory route for local or systemic effect.
- Compositions in can be nebulized by use of inert gases. Nebulized solutions may be breathed directly from the nebulizing device or the nebulizing device can be attached to a face masks tent, or intermittent positive pressure breathing machine. Solution, suspension, or powder compositions can be administered orally or nasally from devices which deliver the formulation in an appropriate manner.
- compositions can be administered to a patient already suffering from a disease in an amount sufficient to cure or at least partially arrest the symptoms of the disease and its complications. Effective doses will depend on the disease condition being treated as well as by the judgment of the attending clinician depending upon factors such as the severity of the disease, the age, weight and general condition of the patient, and the like.
- compositions administered to a patient can be in the form of pharmaceutical compositions described above. These compositions can be sterilized by conventional sterilization techniques, or may be sterile filtered. Aqueous solutions can be packaged for use as is, or lyophilized, the lyophilized preparation being combined with a sterile aqueous carrier prior to administration.
- the pH of the compound preparations typically will be between 3 and 11, more preferably from 5 to 9 and most preferably from 7 to 8. It will be understood that use of certain of the foregoing excipients, carriers, or stabilizers will result in the formation of pharmaceutical salts.
- the therapeutic dosage of the compounds of the present invention can vary according to, for example, the particular use for which the treatment is made, the manner of administration of the compound, the health and condition of the patient, and the judgment of the prescribing physician.
- the proportion or concentration of a compound of the invention in a pharmaceutical composition can vary depending upon a number of factors including dosage, chemical characteristics (e.g., hydrophobicity), and the route of administration.
- the compounds of the invention can be provided in an aqueous physiological buffer solution containing about 0.1 to about 10% w/v of the compound for parenteral administration. Some typical dose ranges are from about 1 ⁇ g/kg to about 1 g/kg of body weight per day.
- the dose range is from about 0.01 mg/kg to about 100 mg/kg of body weight per day.
- the dosage is likely to depend on such variables as the type and extent of progression of the disease or disorder, the overall health status of the particular patient, the relative biological efficacy of the compound selected, formulation of the excipient, and its route of administration. Effective doses can be extrapolated from dose-response curves derived from in vitro or animal model test systems.
- the compounds of the invention can also be formulated in combination with one or more additional active ingredients which can include any pharmaceutical agent such as anti-viral agents, vaccines, antibodies, immune enhancers, immune suppressants, anti-inflammatory agents and the like.
- Another aspect of the present invention relates to fluorescent dye, spin label, heavy metal or radio-labeled compounds of the invention that would be useful not only in imaging but also in assays, both in vitro and in vivo, for localizing and quantitating the IDO enzyme in tissue samples, including human, and for identifying IDO enzyme ligands by inhibition binding of a labeled compound. Accordingly, the present invention includes IDO enzyme assays that contain such labeled compounds.
- the present invention further includes isotopically-labeled compounds of Formula I.
- An “isotopically” or “radio-labeled” compound is a compound of the invention where one or more atoms are replaced or substituted by an atom having an atomic mass or mass number different from the atomic mass or mass number typically found in nature (i.e., naturally occurring).
- Suitable radionuclides that may be incorporated in compounds of the present invention include but are not limited to 2 H (also written as D for deuterium), 3 H (also written as T for tritium), 11 C, 13 C, 14 C, 13 N, 15 N, 15 O, 17 O, 18 O, 18 F, 35 S, 36 Cl, 82 Br, 75 Br, 76 Br, 77 Br, 123 I, 124 I, 125 I and 131 I.
- the radionuclide that is incorporated in the instant radio-labeled compounds will depend on the specific application of that radio-labeled compound.
- radio-labeled or “labeled compound” is a compound that has incorporated at least one radionuclide.
- the radionuclide is selected from the group consisting of 3 H, 14 C, 125 I, 35 S and 82 Br.
- Synthetic methods for incorporating radio-isotopes into organic compounds are applicable to compounds of the invention and are well known in the art.
- a radio-labeled compound of the invention can be used in a screening assay to identify/evaluate compounds.
- a newly synthesized or identified compound i.e., test compound
- kits useful for example, in the treatment or prevention of IDO-associated diseases or disorders, obesity, diabetes and other diseases referred to herein which include one or more containers containing a pharmaceutical composition comprising a therapeutically effective amount of a compound of the invention.
- kits can further include, if desired, one or more of various conventional pharmaceutical kit components, such as, for example, containers with one or more pharmaceutically acceptable carriers, additional containers, etc., as will be readily apparent to those skilled in the art.
- Instructions, either as inserts or as labels, indicating quantities of the components to be administered, guidelines for administration, and/or guidelines for mixing the components, can also be included in the kit.
- Step A 4-Amino-N′-hydroxy-1,2,5-oxadiazole-3-carboximidamide
- Step B 4-Amino-N-hydroxy-1,2,5-oxadiazole-3-carboximidoyl chloride
- Step C 4-Amino-N′-hydroxy-N-(2-methoxyethyl)-1,2,5-oxadiazole-3-carboximidamide
- Step D N′-Hydroxy-4-[(2-methoxyethyl)amino]-1,2,5-oxadiazole-3-carboximidamide
- Step E N-Hydroxy-4-[(2-methoxyethyl)amino]-1,2,5-oxadiazole-3-carboximidoyl chloride
- N′-hydroxy-4-[(2-methoxyethyl)amino]-1,2,5-oxadiazole-3-carboximidamide was dissolved in 6.0 M hydrochloric acid aqueous solution (250 mL, 1.5 mol).
- Sodium chloride (39.5 g, 0.676 mol) was added followed by water (250 mL) and ethyl acetate (250 mL).
- a previously prepared aqueous solution (100 mL) of sodium nitrite (15.0 g, 0.217 mol) was added slowly over 1 hr. The reaction was stirred at 3-8° C. for 2 hours and then room temperature over the weekend.
- Step F N-(3-Bromo-4-fluorophenyl)-N′-hydroxy-4-[(2-methoxyethyDamino]-1,2,5-oxadiazole-3-carboximidamide
- N-Hydroxy-4-[(2-methoxyethyl)amino]-1,2,5-oxadiazole-3-carboximidoyl chloride (46.0 g, 0.208 mol) was mixed with water (300 mL). The mixture was heated to 60° C. 3-Bromo-4-fluoroaniline [Oakwood products, product #013091] (43.6 g, 0.229 mol) was added and stirred for 10 min. A warm sodium bicarbonate (26.3 g, 0.313 mol) solution (300 mL water) was added over 15 min. The reaction was stirred at 60° C. for 20 min. LCMS indicated reaction completion.
- Step G 4-(3-Bromo-4-fluorophenyl)-3- ⁇ 4-[(2-methoxyethyl)amino]-1,2,5-oxadiazol-3-yl ⁇ -1,2,4-oxadiazol-5(4H)-one
- Step H 4-(3-Bromo-4-fluorophenyl)-3- ⁇ 4-[(2-hydroxyethyl)amino]-1,2,5-oxadiazol-3-yl ⁇ -1,2,4-oxadiazol-5(4H)-one
- Step I 2-( ⁇ 4-[4-(3-Bromo-4-fluorophenyl)-5-oxo-4,5-dihydro-1,2,4-oxadiazol-3-yl]-1,2,5-oxadiazol-3-yl ⁇ amino)ethyl methanesulfonate
- Step J 3- ⁇ 4-[(2-Azidoethyl)amino]-1,2,5-oxadiazol-3-yl ⁇ -4-(3-bromo-4-fluorophenyl)-1,2,4-oxadiazol-5(4H)-one
- Step K 3- ⁇ 4-[(2-Aminoethyl)amino]-1,2,5-oxadiazol-3-yl ⁇ -4-(3-bromo-4-fluorophenyl)-1,2,4-oxadiazol-5(4H)-one hydrochloride
- the reaction was neutralized with 33 wt % solution of sodium thiosulfate pentahydrate in water ( ⁇ 1.5 L), diluted with water (4 L), and the pH adjusted to 9 carefully with solid potassium carbonate (250 g—added in small portions: watch foaming).
- Di-tert-butyl dicarbonate (318 g, 1.45 mol) was added and the reaction was allowed to stir at room temperature. Additional potassium carbonate (200 g) was added in 50 g portions over 4 h to ensure that the pH was still at or above 9. After stirring at room temperature overnight, the solid was filtered, triturated with water (2 L), and then MTBE (1.5 L). A total of 11 runs were performed (5.5 kg, 13.38 mol).
- Step L tert-Butyl ( ⁇ [2-( ⁇ 4-[4-(3-bromo-4-fluorophenyl)-5-oxo-4,5-dihydro-1,2,4-oxadiazol-3-yl]-1,2,5-oxadiazol-3-yl ⁇ amino)ethyl]amino ⁇ sulfonyl)carbamate
- Step M N-[2-( ⁇ 4-[4-(3-Bromo-4-fluorophenyl)-5-oxo-4,5-dihydro-1,2,4-oxadiazol-3-yl]-1,2,5-oxadiazol-3-yl ⁇ amino)ethyl]sulfamide
- Step N 4-( ⁇ 2-[(Aminosulfonyl)amino]ethyl ⁇ amino)-N-(3-bromo-4-fluorophenyl)-N′-hydroxy-1,2,5-oxadiazole-3-carboximidamide
- the final product was an anhydrous crystalline solid.
- the water content was determined to be less than 0.1% by Karl Fischer titration.
- a list of 2-theta peaks is provided in Table 1 below.
- the melting range of the solid was determined on a Mettler Toledo Differential Scanning Caloimetry (DSC) 822 instrument. The sample was heated from 40° C. to 240° C. at a heating rate of 10° C. per min.
- the DSC thermogram FIG.
- TGA Thermogravimetric analysis
- Step A 3-(4-Amino-1,2,5-oxadiazol-3-yl)-4-(3-bromo-4-fluorophenyl)-1,2,4-oxadiazol-5(4M-one
- the desired compound was prepared according to the procedure of Example 5, step A, using 4-amino-N-(3-bromo-4-fluorophenyl)-N′-hydroxy-1,2,5-oxadiazole-3-carboximidamide [see U. S. Pat. App. Pub. No. 2006/0258719] as the starting material in 98% yield.
- LCMS for C 10 H 6 BrFN 5 O 3 (M+H) + : m/z 342.0, 344.0.
- Step B N- ⁇ 4-[4-(3-Bromo-4-fluorophenyl)-5-oxo-4,5-dihydro-1,2,4-oxadiazol-3-yl]-1,2,5-oxadiazol-3-yl ⁇ -2,2,2-trifluoroacetamide
- the desired compound was prepared according to the procedure of Example 5, step B, using 3-(4-amino-1,2,5-oxadiazol-3-yl)-4-(3-bromo-4-fluorophenyl)-1,2,4-oxadiazol-5(4H)-one as the starting material in 81% yield.
- LCMS for C 12 H 5 BrF 4 N 5 O 4 (M+H) + : m/z 437.9, 439.9.
- 1 H NMR 400 MHz, DMSO-d 6 ): ⁇ 7.92-7.89 (m, 1H), 7.54-7.52 (m, 2H).
- Step C 4-(3-Bromo-4-fluorophenyl)-3- ⁇ 4-[(3-methoxypropyl)amino]-1,2,5-oxadiazol-3-yl ⁇ -1,2,4-oxadiazol-5(4H)-one
- Step D 4-(3-Bromo-4-fluorophenyl)-3- ⁇ 4-[(3-hydroxypropyl)amino]-1,2,5-oxadiazol-3-yl ⁇ -1,2,4-oxadiazol-5(4H)-one
- Step E 3- ⁇ 4-[(3-Azidopropyl)amino]-1,2,5-oxadiazol-3-yl ⁇ -4-(3-bromo-4-fluorophenyl)-1,2,4-oxadiazol-5(4H)-one
- Step F 3- ⁇ 4-[(3-Aminopropyl)amino]-1,2,5-oxadiazol-3-yl ⁇ -4-(3-bromo-4-fluorophenyl)-1,2,4-oxadiazol-5(4H)-one hydroiodide
- Step G N-[3-( ⁇ 4-[4-(3-Bromo-4-fluorophenyl)-5-oxo-4,5-dihydro-1,2,4-oxadiazol-3-yl]-1,2,5-oxadiazol-3-yl ⁇ amino)propyl]sulfamide
- Step H 4-( ⁇ 3-[(Aminosulfonyl)amino]propyl ⁇ amino)-N-(3-bromo-4-fluorophenyl)-N′-hydroxy-1,2,5-oxadiazole-3-carboximidamide
- Step A tert-Butyl ⁇ 3-[(methylsulfonyl)amino]propyl ⁇ carbamate
- Step B N-(3-Aminopropyl)methanesulfonamide hydrochloride
- the desired compound was prepared according to the procedure of Example 17, step B, using tert-butyl ⁇ 3-[(methylsulfonyl)amino]propyl ⁇ carbamate as the starting material.
- LCMS for C 4 H 13 N 2 O 2 S (M+H) + : m/z 153.1.
- Step C 4-Amino-N′-hydroxy-N- ⁇ 3-[(methylsulfonyl)amino]propyl ⁇ -1,2,5-oxadiazole-3-arboximidamide
- the desired compound was prepared according to the procedure of Example 17, step C, using N-(3-aminopropyOmethanesulfonamide hydrochloride and 4-amino-N-hydroxy-1,2,5-oxadiazole-3-carboximidoyl chloride [made according to Example 1, steps A through B] as the starting materials in 19% yield.
- Step D N′-Hydroxy-4-( ⁇ 3-[(methylsulfonyl)amino]propyl ⁇ amino)-1,2,5-oxadiazole-3-carboximidamide
- the desired compound was prepared according to the procedure of Example 17, step D, using 4-amino-N′-hydroxy-N- ⁇ 3-[(methylsulfonyl)amino]propyl ⁇ -1,2,5-oxadiazole-3-carboximidamide as the starting material.
- LCMS for C 7 H 15 N 6 O 4 S (M+H) + : m/z 279.0.
- Step E N-(3-Bromo-4-fluorophenyl)-N′-hydroxy-4-( ⁇ 3-[(methylsulfonyl)amino]propyl ⁇ amino)-1,2,5-oxadiazole-3-carboximidamide
- Step A 3-(4-Amino-1,2,5-oxadiazol-3-yl)-4-(3-chloro-4-fluorophenyl)-1,2,4-oxadiazol-5(4H)-one
- Step B N- ⁇ 4-[4-(3-Chloro-4-fluorophenyl)-5-oxo-4,5-dihydro-1,2,4-oxadiazol-3-yl]-1,2,5-oxadiazol-3-yl ⁇ -2,2,2-trifluoroacetamide
- the reaction mixture was diluted with ethyl acetate (500 mL) and washed with 1 N HCl (300 mL), water (2 ⁇ 200 mL), and brine (200 mL).
- the organic layer was separated, dried over anhydrous sodium sulfate, filtered, and concentrated to ⁇ 50 mL volume.
- This solution was warmed ( ⁇ 40-50° C.) and treated with hexanes (600 mL) under vigorous stirring, followed by petroleum ether (200 mL). The mixture was stirred at 0° C. for 30 min and the solid was collected by filtration, washed with hexanes, and dried to give the desired product (19.7 g, 99%) as a white solid.
- Step C 4-(3-Chloro-4-fluorophenyl)-3-(4- ⁇ [2-(tritylamino)ethyl]amino ⁇ -1,2,5-oxadiazol-3-yl)-1,2,4-oxadiazol-5(4H)-one
- the reaction mixture was treated with additional 1 N HCl (150 mL) and stirred at 25° C. for 3 h.
- the organic layer was separated, washed with saturated sodium bicarbonate (200 mL) and brine (100 mL), dried over anhydrous sodium sulfate, filtered, and concentrated to a yellow foam which was reconcentrated from hexanes to give an oily solid.
- the oily solid was treated with methyl tert-butyl ether (50 mL) and stirred to give a heterogeneous mixture.
- the solid was filtered, washed with methyl tert-butyl ether (30 mL), and dried to give the desired product (10 g, 74%) as a white solid.
- Step D 3- ⁇ 4-[(2-Aminoethyl)amino]-1,2,5-oxadiazol-3-yl ⁇ -4-(3-chloro-4-fluorophenyl)-1,2,4-oxadiazol-5(4H)-one hydrochloride
- Step E N-[2-( ⁇ 4-[4-(3-Chloro-4-fluorophenyl)-5-oxo-4,5-dihydro-1,2,4-oxadiazol-3-yl]-1,2,5-oxadiazol-3-yl ⁇ amino)ethyl]sulfamide
- the reaction mixture was treated with a solution of triethylamine (6.3 mL, 45 mmol) in dichloromethane (20 mL) at 0° C. and stirred at 25° C. for 3 h.
- the reaction mixture was diluted with 0.1 N HCl and extracted with ethyl acetate (2 ⁇ 100 mL). The combined organic layers were washed with brine (100 mL), dried over anhydrous sodium sulfate, filtered, and concentrated to a white solid.
- the white solid was diluted with dichloromethane (100 mL), treated with trifluoroacetic acid (20 mL), and stirred at 25° C. for 3 h.
- Step F 4-( ⁇ 2-[(Aminosulfonyl)amino]ethyl ⁇ amino)-N-(3-chloro-4-fluorophenyl)-N′-hydroxy-1,2,5-oxadiazole-3-carboximidamide
- Step B 3- ⁇ 4-[(3-Aminopropyl)amino]-1,2,5-oxadiazol-3-yl ⁇ -4-(3-chloro-4-fluorophenyl)-1,2,4-oxadiazol-5(4H)-one trifluoroacetate
- Step C 4-( ⁇ 3-[(Aminosulfonyl)amino]propyl ⁇ amino)-N-(3-chloro-4-fluorophenyl)-N′-hydroxy-1,2,5-oxadiazole-3-carboximidamide
- the desired compound was prepared according to the procedure of Example 15, step G, using 3- ⁇ 4-[(3-aminopropyl)amino]-1,2,5-oxadiazol-3-yl ⁇ -4-(3-chloro-4-fluorophenyl)-1,2,4-oxadiazol-5(4H)-one trifluoroacetate as the starting material in 34% yield.
- LCMS for C 12 H 16 ClFN 7 O 4 S (M+H) + : m/z 408.1.
- Step A N-[4-Fluoro-3-(trifluoromethyl)phenyl]-N′-hydroxy-4-[(2-methoxyethyl)amino]-1,2,5-oxadiazole-3-carboximidamide
- the desired compound was prepared according to the procedure of Example 13, step A, using N-hydroxy-4-[(2-methoxyethyl)amino]-1,2,5-oxadiazole-3-carboximidoyl chloride [made according to Example 1, steps A through E] and 3-trifluoromethyl-4-fluoroaniline [Aldrich, product #217778] as the starting materials in quantitative yield.
- LCMS for C 13 H 14 F 4 N 5 O 3 (M+H) + : m/z 364.0.
- Step B 4-[4-Fluoro-3-(trifluoromethyl)phenyl]-3- ⁇ 4-[(2-methoxyethyl)amino]-1,2,5-oxadiazol-3-yl ⁇ -1,2,4-oxadiazol-5(4H)-one
- the desired compound was prepared according to the procedure of Example 13, step B, using N-[4-fluoro-3-(trifluoromethyl)phenyl]-N′-hydroxy-4-[(2-methoxyethyl)amino]-1,2,5-oxadiazole-3-carboximidamide as the starting material in 79% yield.
- LCMS for C 14 H 12 F 4 N 5 O 4 (M+H) + : m/z 390.0.
- Step C 4-[4-Fluoro-3-(trifluoromethyl)phenyl]-3- ⁇ 4-[(2-hydroxyethyl)amino]-1,2,5-oxadiazol-3-yl ⁇ -1,2,4-oxadiazol-5(4H)-one
- the desired compound was prepared according to the procedure of Example 13, step C, using 4-[4-fluoro-3-(trifluoromethyl)phenyl]-3- ⁇ 4-[(2-methoxyethyl)amino]-1,2,5-oxadiazol-3-yl ⁇ -1,2,4-oxadiazol-5(4H)-one as the starting material in 99% yield.
- LCMS for C 13 H 10 F 4 N 5 O 4 (M+H) + : m/z 376.0.
- Step D 2-[(4- ⁇ 4-[4-Fluoro-3-(trifluoromethyl)phenyl]-5-oxo-4,5-dihydro-1,2,4-oxadiazol-3-yl ⁇ -1,2,5-oxadiazol-3-yl)amino]ethyl methanesulfonate
- the desired compound was prepared according to the procedure of Example 13, step D, using 4-[4-fluoro-3-(trifluoromethyl)phenyl]-3- ⁇ 4-[(2-hydroxyethyl)amino]-1,2,5-oxadiazol-3-yl ⁇ -1,2,4-oxadiazol-5(4H)-one as the starting material in 95% yield.
- LCMS for C 14 H 12 F 4 N 5 O 6 S (M+H) + : m/z 454.0.
- Step E 3- ⁇ 4-[(2-Azidoethyl)amino]-1,2,5-oxadiazol-3-yl ⁇ -4-[4-fluoro-3-(trifluoromethyl)phenyl]-1,2,4-oxadiazol-5(4H)-one
- the desired compound was prepared according to the procedure of Example 13, step E, using 2-[(4- ⁇ 4-[4-fluoro-3-(trifluoromethyl)phenyl]-5-oxo-4,5-dihydro-1,2,4-oxadiazol-3-yl ⁇ -1,2,5-oxadiazol-3-yl)amino]ethyl methanesulfonate as the starting material in 100% yield.
- LCMS for C 13 H 9 F 4 N 6 O 3 (M ⁇ N 2 +H) + : m/z 372.8.
- Step F 3- ⁇ 4-[(2-Aminoethyl)amino]-1,2,5-oxadiazol-3-yl ⁇ -4-[4-fluoro-3-(trifluoromethyl)phenyl]-1,2,4-oxadiazol-5(4H)-one hydroiodide
- the desired compound was prepared according to the procedure of Example 13, step F, using 3- ⁇ 4-[(2-azidoethyl)amino]-1,2,5-oxadiazol-3-yl ⁇ -4-[4-fluoro-3-(trifluoromethyl)phenyl]-1,2,4-oxadiazol-5(4H)-one as the starting material in 80% yield.
- LCMS for C 13 H 11 F 4 N 6 O 3 (M+H) + : m/z 375.0.
- Step G 4-( ⁇ 2-[(Aminosulfonyl)amino]ethyl ⁇ amino)-N-[4-fluoro-3-(trifluoromethyl)phenyl]-N′-hydroxy-1,2,5-oxadiazole-3-carboximidamide
- Step A 4-Amino-N′-hydroxy-N-(3-methoxypropyl)-1,2,5-oxadiazole-3-carboximidamide
- Step B N′-Hydroxy-4-[(3-methoxypropyl)amino]-1,2,5-oxaliazole-3-carboximidamide
- Step C N-Hydroxy-4-[(3-methoxypropyl)amino]-1,2,5-oxadiazole-3-carboximidoyl chloride
- Step D N-[4-Fluoro-3-(trifluoromethyl)phenyl]-N′-hydroxy-4-[(3-methoxypropyl)amino]-1,2,5-oxadiazole-3-carboximidamide
- the desired compound was prepared according to the procedure of Example 1, step F, using N-hydroxy-4-[(3-methoxypropyl)amino]-1,2,5-oxadiazole-3-carboximidoyl chloride and 4-fluoro-3-(trifluoromethyl)benzeneamine as the starting materials in 87% yield.
- LCMS for C 14 H 16 F 4 N 5 O 3 (M+H) + : m/z 378.1.
- Step E 4-[4-Fluoro-3-(trifluoromethyl)phenyl]-3- ⁇ 4-[(3-methoxypropyl)amino]-1,2,5-oxadiazol-3-yl ⁇ -1,2,4-oxadiazol-5(4H)-one
- the desired compound was prepared according to the procedure of Example 1, step G, using N-[4-fluoro-3-(trifluoromethyl)phenyl]-N′-hydroxy-4-[(3-methoxypropyl)amino]-1,2,5-oxadiazole-3-carboximidamide as the starting material in quantitative yield.
- LCMS for C 15 H 14 F 4 N 5 O 4 (M+H) + : m/z 404.0.
- Step F 4-[4-Fluoro-3-(trifluoromethyl)phenyl]-3- ⁇ 4-[(3-hydroxypropyl)amino]-1,2,5-oxadiazol-3-yl ⁇ -1,2,4-oxadiazol-5(4H)-one
- the desired compound was prepared according to the procedure of Example 3, step D, using 4-[4-fluoro-3-(trifluoromethyl)phenyl]-3- ⁇ 4-[(3-methoxypropyl)amino]-1,2,5-oxadiazol-3-yl ⁇ -1,2,4-oxadiazol-5(4H)-one as the starting material in 97% yield.
- LCMS for C 14 H 12 F 4 N 5 O 4 (M+H) + : m/z 390.0.
- Step G 3- ⁇ 4-[(3-Azidopropyl)amino]-1,2,5-oxadiazol-3-yl ⁇ -4-[4-fluoro-3-(trifluoromethyl)phenyl]-1,2,4-oxadiazol-5(4H)-one
- the desired compound was prepared according to the procedure of Example 3, step E, using 4-[4-fluoro-3-(trifluoromethyl)phenyl]-3- ⁇ 4-[(3-hydroxypropyl)amino]-1,2,5-oxadiazol-3-yl ⁇ -1,2,4-oxadiazol-5(4H)-one as the starting material in quantitative yield.
- LCMS for C 14 H 10 F 4 N 8 O 3 Na (M+Na) + : m/z 437.0.
- Step H 3- ⁇ 4-[(3-Aminopropyl)amino]-1,2,5-oxadiazol-3-yl ⁇ -4-[4-fluoro-3-(trifluoromethyl)phenyl]-1,2,4-oxadiazol-5(4H)-one hydroiodide
- the desired compound was prepared according to the procedure of Example 3, step F, using 3- ⁇ 4-[(3-azidopropyl)amino]-1,2,5-oxadiazol-3-yl ⁇ -4-[4-fluoro-3-(trifluoromethyl)phenyl]-1,2,4-oxadiazol-5(4H)-one as the starting material in 81% yield.
- LCMS for C 14 H 13 F 4 N 6 O 3 (M+H) + : m/z 389.1.
- Step I 4-( ⁇ 3-[(Aminosulfonyl)amino]propyl ⁇ amino)-N-[4-fluoro-3-(trifluoromethyl)phenyl]-N′-hydroxy-1,2,5-oxadiazole-3-carboximidamide
- the desired compound was prepared according to the procedure of Example 15, step G, using 3- ⁇ 4-[(3-aminopropyl)amino]-oxadiazol-3-yl ⁇ -4-[4-fluoro-3-(trifluoromethyl)phenyl]-1,2,4-oxadiazol-5(4H)-one hydroiodide as the starting material in 60% yield.
- LCMS for C 13 H 16 F 4 N 7 O 4 S (M+H) + : m/z 442.0.
- the desired compound was prepared according to the procedure of Example 16 using 3- ⁇ 4-[(3-aminopropyl)amino]-oxadiazol-3-yl ⁇ -4-[4-fluoro-3-(trifluoromethyl)phenyl]-1,2,4-oxadiazol-5(4H)-one hydroiodide as the starting material in 70% yield.
- LCMS for C 14 H 17 F 4 N 6 O 4 S (M+H) + : m/z 441.1.
- Step A N′-hydroxy-4-[(2-methoxyethyl)amino]-N-[3-(trifluoromethyl)phenyl]-1,2,5-oxadiazole-3-carboximidamide
- N-Hydroxy-4-[(2-methoxyethyl)amino]-1,2,5-oxadiazole-3-carboximidoyl chloride (1.3 g, 5.0 mmol) [made according to Example 1, steps A through E] was stirred in water (10 mL) and warmed to 60° C. for 5 minutes.
- 3-(trifluoromethyl)aniline [Aldrich, product #A41801] (880 mg, 5.5 mmol) was added in one portion and the reaction stirred for 15 minutes. While remaining at 60° C., a solution of sodium bicarbonate (630 mg, 7.5 mmol) in water (10 mL) was added dropwise over 5 minutes. The reaction was stirred at 60° C.
- Step B 3- ⁇ 4-[(2-Methoxyethyl)amino]-1,2,5-oxadiazol-3-yl ⁇ -4-[3-(trifluoromethyl)phenyl]-1,2,4-oxadiazol-5(4H)-one
- Step C 3- ⁇ 4-[(2-Hydroxyethyl)amino]-1,2,5-oxadiazol-3-yl ⁇ -4-[3-(trifluoromethyl)phenyl]-1,2,4-oxadiazol-5(4H)-one
- Step D 2-[(4- ⁇ 5-Oxo-4-[3-(trifluoromethyl)phenyl]-4,5-dihydro-1,2,4-oxadiazol-3-yl ⁇ -1,2,5-oxadiazol-3-yl)amino]ethyl methanesulfonate
- Step E 3- ⁇ 4-[(2-Azidoethyl)amino]-1,2,5-oxadiazol-3-yl ⁇ -4-[3-(trifluoromethyl)phenyl]-1,2,4-oxadiazol-5(4H)-one
- Step F 3- ⁇ 4-[(2-Aminoethyl)amino]-1,2,5-oxadiazol-3-yl ⁇ -4-[3-(trifluoromethyl)phenyl]-1,2,4-oxadiazol-5(4H)-one hydroiodide
- Step G 4-( ⁇ 2-[(Aminosulfonyl)amino]ethyl ⁇ amino)-N′-hydroxy-N-[3-(trifluoromethyl)phenyl]-1,2,5-oxadiazole-3-carboximidamide
- the reaction mixture was stirred at room temperature for 1.5 hours. After concentrating in vacuo, the residue was treated with trifluoroacetic acid (0.5 mL, 6 mmol). This was stirred for 1 hour and the mixture was again concentrated to dryness in vacuo. The dried solids were suspended in methanol (0.5 mL) and a 2.0 N NaOH in water (0.53 mL, 1.1 mmol) was added in one portion. The reaction was heated to 45° C. and stirred for 30 minutes. After neutralization with acetic acid (60 ⁇ L, 1.1 mmol), the product was purified by preparative LCMS to give the desired product (8.5 mg, 39%).
- Step A 3-(4-Amino-1,2,5-oxadiazol-3-yl)-4-[3-(trifluoromethyl)phenyl]-1,2,4-oxadiazol-5(4H)-one
- the desired compound was prepared according to the procedure of Example 5, step A, using 4-amino-N′-hydroxy-N-[3-(trifluoromethyl)phenyl]-1,2,5-oxadiazole-3-carboximidamide [see US Pat. App. Pub. No. 2006/0258719] as the starting material in 97% yield.
- LCMS for C 11 H 7 F 3 N 5 O 3 (M+H) + : m/z 314.1.
- Step B 2,2,2-Trifluoro-N-(4- ⁇ 5-oxo-4-[3-(trifluoromethyl)phenyl]-4,5-dihydro-1,2,4-oxadiazol-3-yl ⁇ -1,2,5-oxadiazol-3-yl)acetamide
- Step C 3- ⁇ 4-[(3-Methoxypropyl)amino]-1,2,5-oxadiazol-3-yl ⁇ -4-[3-(trifluoromethyl)phenyl]-1,2,4-oxadiazol-5(4H)-one
- the desired compound was prepared according to the procedure of Example 3, step C, using 2,2,2-trifluoro-N-(4- ⁇ 5-oxo-4-[3-(trifluoromethyl)phenyl]-4,5-dihydro-1,2,4-oxadiazol-3-yl ⁇ -1,2,5-oxadiazol-3-yl)acetamide as the starting material in 49% yield.
- LCMS for C 15 H 15 F 3 N 5 O 4 (M+H) + : m/z 386.1.
- Step D 3- ⁇ 4-[(3-Hydroxypropyl)amino]-1,2,5-oxadiazol-3-yl ⁇ -4-[3-(trifluoromethyl)phenyl]-1,2,4-oxadiazol-5(4H)-one
- the desired compound was prepared according to the procedure of Example 3, step D, using 3- ⁇ 4-[(3-methoxypropyl)amino]-1,2,5-oxadiazol-3-yl ⁇ -4-[3-(trifluoromethyl)phenyl]-1,2,4-oxadiazol-5(4H)-one as the starting material in 69% yield.
- LCMS for C 14 H 13 F 3 N 5 O 4 (M+H) + : m/z 372.1.
- Step E 3- ⁇ 4-[(3-Azidopropyl)amino]-1,2,5-oxadiazol-3-yl ⁇ -4-[3-(trifluoromethyl)phenyl]-1,2,4-oxadiazol-5(4H)-one
- the desired compound was prepared according to the procedure of Example 3, step E, using 3- ⁇ 4-[(3-hydroxypropyl)amino]-1,2,5-oxadiazol-3-yl ⁇ -4-[3-(trifluoromethyl)phenyl]-1,2,4-oxadiazol-5(4H)-one as the starting material in 92% yield.
- LCMS for C 14 H 11 F 3 N 8 O 3 Na (M+Na) + : m/z 419.0.
- Step F 3- ⁇ 4-[(3-Aminopropyl)amino]-1,2,5-oxadiazol-3-yl ⁇ -4-[3-(trifluoromethyl)phenyl]-1,2,4-oxadiazol-5(4H)-one hydroiodide
- the desired compound was prepared according to the procedure of Example 3, step F, using 3- ⁇ 4-[(3-azidopropyl)amino]-1,2,5-oxadiazol-3-yl ⁇ -4-[3-(trifluoromethyl)phenyl]-1,2,4-oxadiazol-5(4H)-one as the starting material in 92% yield.
- LCMS for C 14 H 14 F 3 N 6 O 3 (M+H) + : m/z 371.1.
- Step G 4-( ⁇ 3-[(Aminosulfonyl)amino]propyl ⁇ amino)-N′-hydroxy-N-[3-(trifluoromethyl)phenyl]-1,2,5-oxadiazole-3-carboximidamide
- Step A tert-Butyl ⁇ 2-[(methylsulfonyl)amino]ethyl ⁇ carbamate
- Step C 4-Amino-N′-hydroxy-N- ⁇ 2-[(methylsulfonyl)amino]ethyl ⁇ -1,2,5-oxadiazole-3-carboximidamide
- Step D N′-Hydroxy-4-( ⁇ 2-[(methylsulfonyl)amino]ethyl ⁇ amino)-1,2,5-oxadiazole-3-carboximidamide
- Step E N-(4-Fluoro-3-methylphenyl)-N′-hydroxy-4-( ⁇ 2-[(methylsulfonyl)amino]ethyl ⁇ amino)-1,2,5-oxadiazole-3-carboximidamide
- N -Hydroxy-4-( ⁇ 2-[(methylsulfonyl)amino]ethyl ⁇ amino)-1,2,5-oxadiazole-3-carboximidamide 35 mg, 0.13 mmol was stirred in 1,4-dioxane (2 mL) and 6 N hydrogen chloride solution (4 mL) was added. The solution was cooled to 0° C. and a solution of sodium nitrite (11 mg, 0.16 mmol) in water (3 mL) was slowly added. The mixture was stirred for 1 hour at 0° C. and evaporated. Dry 1,4-dioxane (2 mL) was added and the mixture evaporated two more times.
- Step A N-(3-Cyano-4-fluorophenyl)-N′-hydroxy-4-[(2-methoxyethyl)amino]-1,2,5-oxadiazole-3-carboximidamide
- the desired compound was prepared according to the procedure of Example 13, step A, using N-hydroxy-4-[(2-methoxyethyl)amino]-1,2,5-oxadiazole-3-carboximidoyl chloride [made according to Example 1, steps A through E] and 5-amino-2-fluorobenzonitrile [Aldrich, product #639877] as the starting materials in 100% yield.
- LCMS for C 13 H 14 FN 6 O 3 (M+H) + : m/z 321.0.
- Step B 2-Fluoro-5-[3- ⁇ 4-[(2-methoxyethyl)amino]-1,2,5-oxadiazol-3-yl ⁇ -5-oxo-1,2,4-oxadiazol-4(5H)-yl]benzonitrile
- the desired compound was prepared according to the procedure of Example 13, step B, using N-(3-cyano-4-fluorophenyl)-N′-hydroxy-4-[(2-methoxyethyl)amino]-1,2,5-oxadiazole-3-carboximidamide as the starting material in 91% yield.
- LCMS for C 14 H 12 FN 6 O 4 (M+H) + : m/z 347.0.
- Step C 2-Fluoro-5-[3- ⁇ 4-[(2-hydroxyethyl)amino]-1,2,5-oxadiazol-3-yl ⁇ -5-oxo-1,2,4-oxadiazol-4(5H)-yl]benzonitrile
- the desired compound was prepared according to the procedure of Example 13, step C, using 2-fluoro-5-[3- ⁇ 4-[(2-methoxyethyl)amino]-1,2,5-oxadiazol-3-yl ⁇ -5-oxo-1,2,4-oxadiazol-4(5H)-yl]benzonitrile as the starting material in quantitative yield.
- LCMS for C 13 H 10 FN 6 O 4 (M+H) + : m/z 333.0.
- Step D 2-( ⁇ 4-[4-(3-Cyano-4-fluorophenyl)-5-oxo-4,5-dihydro-1,2,4-oxadiazol-3-yl]-1,2,5-oxadiazol-3-yl ⁇ amino)ethyl methanesulfonate
- the desired compound was prepared according to the procedure of Example 13, step D, using 2-fluoro-5-[3- ⁇ 4-[(2-hydroxyethyl)amino]-1,2,5-oxadiazol-3-yl ⁇ -5-oxo-1,2,4-oxadiazol-4(5H)-yl]benzonitrile as the starting material in 88% yield.
- LCMS for C 14 H 12 FN 6 O 6 S (M+H) + : m/z 411.0.
- Step E 5-[3- ⁇ 4-[(2-Azidoethyl)amino]-1,2,5-oxadiazol-3-yl ⁇ -5-oxo-1,2,4-oxadiazol-4(5H)-yl]-2-fluorobenzonitrile
- the desired compound was prepared according to the procedure of Example 13, step E, using 2-( ⁇ 4-[4-(3-cyano-4-fluorophenyl)-5-oxo-4,5-dihydro-1,2,4-oxadiazol-3-yl]-1,2,5-oxadiazol-3-yl ⁇ amino)ethyl methanesulfonate as the starting material in 95% yield.
- Step F 5-[3- ⁇ 4-[(2-Aminoethyl)amino]-1,2,5-oxadiazol-3-yl ⁇ -5-oxo-1,2,4-oxadiazol-4(5H)-yl]-2-fluorobenzonitrile hydroiodide
- the desired compound was prepared according to the procedure of Example 13, step F, using 5-[3- ⁇ 4-[(2-azidoethyl)amino]-1,2,5-oxadiazol-3-yl ⁇ -5-oxo-1,2,4-oxadiazol-4(5H)-yl]-2-fluorobenzonitrile as the starting material in 57% yield.
- LCMS for C 13 H 11 FN 7 O 3 (M+H) + : m/z 332.0.
- Step G 4-( ⁇ 2-[(Aminosulfonyl)amino]ethyl ⁇ amino)-N-(3-cyano-4-fluorophenyl)-N′-hydroxy-1,2,5-oxadiazole-3-carboximidamide
- Step B 1-(4-Bromo-2-furyl)methanamine trifluoroacetate
- Step C N-[(4-Bromo-2-furyl)methyl]-N′-hydroxy-4-[(2-methoxyethyl)amino]-1,2,5-oxadiazole-3-carboximidamide
- N-Hydroxy-4-(2-methoxyethylamino)-1,2,5-oxadiazole-3-carbimidoyl chloride [prepared according to the procedure of Example 1, steps A through E] (4.5 g, 20.3 mmol) was stirred in ethanol (20 mL) at room temperature. To this, a solution of 1-(4-bromo-2-furyl)methanamine trifluoroacetate (6.5 g, 22.4 mmol) in ethanol (24 mL) was added and the mixture was stirred for 15 minutes. Triethylamine (6.3 mL, 44.8 mmol) was added dropwise over 10 minutes and the reaction was stirred for an additional 15 minutes.
- Step D 4-[(4-Bromo-2-furyl)methyl]-3- ⁇ 4-[(2-methoxyethyl)amino]-1,2,5-oxadiazol-3-yl ⁇ -1,2,4-oxadiazol-5(4H)-one
- Step E 4-[(4-Bromo-2-furyl)methyl]-3- ⁇ 4-[(2-hydroxyethyl)amino]-1,2,5-oxadiazol-3-yl ⁇ -1,2,4-oxadiazol-5(4H)-one
- Step F 2-[(4- ⁇ 4-[(4-Bromo-2-furyl)methyl]-5-oxo-4,5-dihydro-1,2,4-oxadiazol-3-yl ⁇ -1,2,5-oxadiazol-3-yl)amino]ethyl methanesulfonate
- Step G 3- ⁇ 4-[(2-Azidoethyl)amino]-1,2,5-oxadiazol-3-yl ⁇ -4-[(4-bromo-2-furyl)methyl]-1,2,4-oxadiazol-5(4H)-one
- Step H 3- ⁇ 4-[(2-Aminoethyl)amino]-1,2,5-oxadiazol-3-yl ⁇ -4-[(4-bromo-2-furyl)methyl]-1,2,4-oxadiazol-5(4H)-one hydroiodide
- Step I 4-( ⁇ 2-[(Aminosulfonyl)amino]ethyl ⁇ amino)-N-[(4-bromo-2-furyl)methyl]-N′-hydroxy-1,2,5-oxadiazole-3-carboximidamide
- Step B tert-Butyl [(4-chloro-2-furyl)methyl]carbamate
- Step D N-[(4-Chloro-2-furyl)methyl]-N′-hydroxy-4-[(2-methoxyethyl)amino]-1,2,5-oxadiazole-3-carboximidamide
- the desired compound was prepared according to the procedure of Example 20, step C, using N-hydroxy-4-(2-methoxyethylamino)-1,2,5-oxadiazole-3-carbimidoyl chloride and 1-(4-chloro-2-furyl)methanamine trifluoroacetate as the starting material in quantitative yield.
- LCMS calculated for C 11 H 15 ClN 5 O 4 (M+H) + : m/z 316.0.
- Step E 4-[(4-Chloro-2-furyl)methyl]-3- ⁇ 4-[(2-methoxyethyl)amino]-1,2,5-oxadiazol-3-yl ⁇ -1,2,4-oxadiazol-5(4H)-one
- Step F 4-[(4-Chloro-2-furyl)methyl]-3- ⁇ 4-[(2-hydroxyethyl)amino]-1,2,5-oxadiazol-3-yl ⁇ -1,2,4-oxadiazol-5(4H)-one
- the desired compound was prepared according to the procedure of Example 20, step E, using 4-[(4-chloro-2-furyl)methyl]-3- ⁇ 4-[(2-methoxyethyl)amino]-1,2,5-oxadiazol-3-yl ⁇ -1,2,4-oxadiazol-5(4H)-one as the starting material in quantitative yield.
- LCMS calculated for C 11 H 10 ClN 5 NaO 5 (M+Na) + : m/z 349.9.
- Step G 2-[(4- ⁇ 4-[(4-Chloro-2-furyl)methyl]-5-oxo-4,5-dihydro-1,2,4-oxadiazol-3-yl ⁇ -1,2,5-oxadiazol-3-yl)amino]ethyl methanesulfonate
- the desired compound was prepared according to the procedure of Example 20, step F, using 4-[(4-chloro-2-furyl)methyl]-3- ⁇ 4-[(2-hydroxyethyl)amino]-1,2,5-oxadiazol-3-yl ⁇ -1,2,4-oxadiazol-5(4H)-one as the starting material in 69% yield.
- LCMS calculated for C 12 H 13 ClN 5 O 7 S (M+H) + : m/z 405.8.
- Step H 3- ⁇ 4-[(2-Azidoethyl)amino]-1,2,5-oxadiazol-3-yl ⁇ -4-[(4-chloro-2-furyl)methyl]-1,2,4-oxadiazol-5(4H)-one
- the desired compound was prepared according to the procedure of Example 20, step G, using 2-[(4- ⁇ 4-[(4-chloro-2-furyl)methyl]-5-oxo-4,5-dihydro-1,2,4-oxadiazol-3-yl ⁇ -1,2,5-oxadiazol-3-yl)amino]ethyl methanesulfonate as the starting material in quantitative yield.
- Step I 3- ⁇ 4-[(2-Aminoethyl)amino]-1,2,5-oxadiazol-3-yl ⁇ -4-[(4-chloro-2-furyl)methyl]-1,2,4-oxadiazol-5(4H)-one hydroiodide
- the desired compound was prepared according to the procedure of Example 20, step H, using 3- ⁇ 4-[(2-azidoethyl)amino]-1,2,5-oxadiazol-3-yl ⁇ -4-[(4-chloro-2-furyl)methyl]-1,2,4-oxadiazol-5(4H)-one as the starting material in 57% yield.
- LCMS calculated for C 11 H 12 ClN 6 O 4 (M+H) + : m/z 326.9.
- Step J 4-( ⁇ 2-[(Aminosulfonyl)amino]ethyl ⁇ amino)-N-[(4-chloro-2-furyl)methyl]-N′-hydroxy-1,2,5-oxadiazole-3-carboximidamide
- the desired compound was prepared according to the procedure of Example 20, step I, using 3- ⁇ 4-[(2-aminoethyl)amino]-1,2,5-oxadiazol-3-yl ⁇ -4-[(4-chloro-2-furyl)methyl]-1,2,4-oxadiazol-5(4H)-one hydroiodide as the starting material in 53% yield.
- LCMS calculated for C 10 H 15 ClN 7 O 5 S (M+H) + : m/z 379.9.
- Step A 4-Amino-N′-hydroxy-N-(2-methoxyethyl)-1,2,5-oxadiazole-3-carboximidamide
- Step B N′-Hydroxy-4-[(2-methoxyethyl)amino]-1,2,5-oxadiazole-3-carboximidamide
- Step C N-Hydroxy-4-[(2-methoxyethyl)amino]-1,2,5-oxadiazole-3-carboximidoyl chloride
- N′-hydroxy-4-[(2-methoxyethyl)amino]-1,2,5-oxadiazole-3-carboximidamide was dissolved in 6.0 M hydrochloric acid aqueous solution (250 mL, 1.5 mol).
- Sodium chloride (39.5 g, 0.676 mol) was added followed by water (250 mL) and ethyl acetate (250 mL).
- a previously prepared aqueous solution (100 mL) of sodium nitrite (15.0 g, 0.217 mol) was added slowly over 1 hr. The reaction was stirred at 3-8° C. for 2 hours and then room temperature over the weekend.
- Step D N-(3-Bromo-4-fluorophenyl)-N′-hydroxy-4-[(2-methoxyethyl)amino]-1,2,5-oxadiazole-3-carboximidamide
- N-Hydroxy-4-[(2-methoxyethyl)amino]-1,2,5-oxadiazole-3-carboximidoyl chloride (46.0 g, 0.208 mol) was mixed with water (300 mL). The mixture was heated to 60° C. 3-Bromo-4-fluoroaniline [Oakwood products, product #013091] (43.6 g, 0.229 mol) was added and stirred for 10 min. A warm sodium bicarbonate (26.3 g, 0.313 mol) solution (300 mL water) was added over 15 min. The reaction was stirred at 60° C. for 20 min. LCMS indicated reaction completion.
- Step E 4-(3-Bromo-4-fluorophenyl)-3- ⁇ 4-[(2-methoxyethyl)amino]-1,2,5-oxadiazol-3-yl ⁇ -1,2,4-oxadiazol-5(4H)-one
- Step F 4-(3-Bromo-4-fluorophenyl)-3- ⁇ 4-[(2-hydroxyethyl)amino]-1,2,5-oxadiazol-3-yl ⁇ -1,2,4-oxadiazol-5(4H)-one
- Step G 2-( ⁇ 4-[4-(3-Bromo-4-fluorophenyl)-5-oxo-4,5-dihydro-1,2,4-oxadiazol-3-yl]-1,2,5-oxadiazol-3-yl ⁇ amino)ethyl methanesulfonate
- Step H 3- ⁇ 4-[(2-Azidoethyl)amino]-1,2,5-oxadiazol-3-yl ⁇ -4-(3-bromo-4-fluorophenyl)-1,2,4-oxadiazol-5(4H)-one
- Step I 3-(4-(2-aminoethylamino)-1,2,5-oxadiazol-3-yl)-4-(3-bromo-4-fluorophenyl)-1,2,4-oxadiazol-5(4H)-one hydroiodide
- Step A 4-(3-bromo-4-fluorophenyl)-3-(4-(2-hydroxyethylamino)-1,2,5-oxadiazol-3-yl)-1,2,4-oxadiazol-5(4H)-one
- the material was slurried in 4 volumes of 7:1 heptane:ethyl acetate (4 ⁇ 22 L flasks), filtered, and dried to furnish the title compound as a tan solid (8679 g, 94%).
- the product was a mixture of the hydroxy- and the corresponding bromo-species.
- Step B 2-(4-(4-(3-bromo-4-fluorophenyl)-5-oxo-4,5-dihydro-1,2,4-oxadiazol-3-yl)-1,2,5-oxadiazol-3-ylamino)ethyl methanesulfonate
- Step C 3-(4-(2-azidoethylamino)-1,2,5-oxadiazol-3-yl)-4-(3-bromo-4-fluorophenyl)-1,2,4-oxadiazol-5(4H)-one
- Step D 3- ⁇ 4-[(2-Aminoethyl)amino]-1,2,5-oxadiazol-3-yl ⁇ -4-(3-bromo-4-fluorophenyl)-1,2,4-oxadiazol-5(4H)-one hydrochloride
- Step D Part 1: tert-Butyl 2-(4-(4-(3-bromo-4-fluorophenyl)-5-oxo-4,5-dihydro-1,2,4-oxadiazol-3-yl)-1,2,5-oxadiazol-3-ylamino)ethylcarbamate
- the reaction was neutralized with 33 wt % solution of sodium thiosulfate pentahydrate in water ( ⁇ 1.5 L), diluted with water (4 L), and the pH adjusted to 9 carefully with solid potassium carbonate (250 g—added in small portions: watch foaming).
- Di-tert-butyl dicarbonate (318 g, 1.45 mol) was added and the reaction was allowed to stir at room temperature. Additional potassium carbonate (200 g) was added in 50 g portions over 4 h to ensure that the pH was still at or above 9. After stirring at room temperature overnight, the solid was filtered, triturated with water (2 L), and then MTBE (1.5 L). A total of 11 runs were performed (5.5 kg, 13.38 mol).
- Step D Part 2: 3- ⁇ 4-[(2-Aminoethyl)amino]-1,2,5-oxadiazol-3-yl ⁇ -4-(3-bromo-4-fluorophenyl)-1,2,4-oxadiazol-5(4H)-one hydrochloride
- Step E tert-Butyl ( ⁇ [2-( ⁇ 4-[4-(3-bromo-4-fluorophenyl)-5-oxo-4,5-dihydro-1,2,4-oxadiazol-3-yl]-1,2,5-oxadiazol-3-yl ⁇ amino)ethyl]amino ⁇ sulfonyl)carbamate
- Step F N-[2-( ⁇ 4-[4-(3-Bromo-4-fluorophenyl)-5-oxo-4,5-dihydro-1,2,4-oxadiazol-3-yl]-1,2,5-oxadiazol-3-yl ⁇ amino)ethyl]sulfamide
- the resultant mixture was heated to 68° C. and held at this temperature for 1 h.
- the batch was allowed to cool to about 23° C.
- the solid product was collected by filtration.
- the wet cake was washed with a mixture of heptane (16 L) and isopropanol (1.2 L) and dried under suction on a filter funnel.
- the crude product was dissolved in ethyl acetate (10.8 L) at about 43° C.
- Heptane (32.4 L) was added to the ethyl acetate solution over 15 min.
- the batch was heated to 70° C. and held at this temperature for 1 h.
- the batch was cooled to 21° C. and solid product was collected by filtration.
- Step G (Z)-4-( ⁇ 2-[(Aminosulfonyl)amino]ethyl ⁇ amino)-N-(3-bromo-4-fluorophenyl)-N′-hydroxy-1,2,5-oxadiazole-3-carboximidamide
- N-[2-( ⁇ 4-[4-(3-bromo-4-fluorophenyl)-5-oxo-4,5-dihydro-1,2,4-oxadiazol-3-yl]-1,2,5-oxadiazol-3-yl ⁇ amino)ethyl]sulfamide (1500 g) was added to THF (6.0 L) and the batch was cooled to 2° C.
- Trifluoroacetic acid (0.006 L) was added to the batch at 2° C. followed by addition of aqueous sodium hydroxide solution (384 g of solid NaOH in 4.8 L of water) at 0-2° C. The batch was warmed up to about 16° C. and held for 5 h.
- the filter cake was washed with MTBE (1.2 L) and heptane (1.2 L) sequentially.
- the solid was dried on the filter funnel under suction to give 1416 g (87.9%) of the product.
- the product (2440 g, obtained in two batches) was further purified by re-slurrying in MTBE (9.6 L) at 17° C. for 2 h.
- the batch was cooled to 6° C. for 30 min.
- the solid product was collected by filtration and the wet cake was washed with MTBE (3.6 L) and heptane (1.2 L) sequentially.
- the product was dried in a vaccum oven at 20° C. to give 1962 g of the title compound in 81.7% yield.
- LC-MS, 1 H and 13 C NMR, and HPLC data of this lot were identical to those of the product prepared by Method A.
- IC50 data are from the assay provided in Example A.
- IDO Human indoleamine 2,3-dioxygenasae with an N-terminal His tag was expressed in E. coli and purified to homogeneity. IDO catalyzes the oxidative cleavage of the pyrrole ring of the indole nucleus of tryptophan to yield N′-formylkynurenine.
- the assays were performed at room temperature as described in the literature using 95 nM IDO and 2 mM D-Trp in the presence of 20 mM ascorbate, 5 ⁇ M methylene blue and 0.2 mg/mL catalase in 50 mM potassium phosphate buffer (pH 6.5).
- HeLa cells (#CCL-2) were obtained from the American Type Tissue Culture Collection (ATCC, Manassas, Va.) and routinely maintained in minimum essential medium (eagle) with 2 mM L-glutamine and Earle's BSS adjusted to contain 1.5 g/L sodium bicarbonate, 0.1 mM non-essential amino acids, 1 mM sodium pyruvate and 10% fetal bovine serum (all from Invitrogen). Cells were kept at 37° C. in a humidified incubator supplied with 5% CO 2 . The assay was performed as follows: HeLa cells were seeded in a 96 well culture plate at a density of 5 ⁇ 10 3 per well and grown overnight.
- IFN- ⁇ 50 ng/mL final concentration
- serial dilutions of compounds in total volume of 200 ⁇ L culture medium
- 140 ⁇ L of the supernatant per well was transferred to a new 96 well plate.
- 10 ⁇ L of 6.1 N trichloroacetic acid (#T0699, Sigma) was mixed into each well and incubated at 50° C. for 30 min to hydrolyze N-formylkynurenine produced by indoleamine 2,3-dioxygenase to kynurenine.
- the reaction mixture was then centrifuged for 10 min at 2500 rpm to remove sediments.
- Monocytes were collected from human peripheral mononuclear cells by leukophoresis. Monocytes were then seeded at a density of 1 ⁇ 10 6 cells/well in a 96 well plate, using RPMI 1640 medium supplemented with 10% fetal bovine serum and 2 mM L-glutamine (all from Invitrogen). Adherent cells were retained on the plate after overnight culture at 37° C.
- Adherent monocytes were then stimulated for 5-7 days with 100 ng/ml GM-CSF (#300-03, PeproTech) and 250 ng/ml IL-4 (#200-04, PeproTech), followed by activation with 5 ⁇ g/mL LPS from Salmonella typhimurium (#437650, Sigma) and 50 ng/mL IFN- ⁇ (#285-IF, R&D Systems) for additional 2 days to induce dendritic cell maturation.
- T cell proliferation was measured by BrdU incorporation assay, using a colorimetric Cell Proliferation ELISA kit per manufacturer's instruction (#1647229, Roche Molecular Biochemicals). Cells were continuously cultured for 16-18 hrs in presence of 10 ⁇ M BrdU labeling solution.
- In vivo anti-tumor efficacy can be tested using modified tumor allograft/xenograft protocols. For instance, it has been described in the literature that IDO inhibition can syngerize with cytotoxic chemotherapy in immune-competent mice (Muller, A. J., et al. 2005, Nat. Med. 11:312-319). This synergy was shown to be dependent on T-cells by comparison of the synergistic effects of an investigational IDO inhibitor in murine tumor xenograft models (e.g. B16 and related variants, CT-26, LLC) grown in immune competent syngenic mice to that observed in syngenic mice treated with neutralizing anti-CD4 antibodies, or the same tumors grown in immune-compromised mice (e.g. nu/nu).
- murine tumor xenograft models e.g. B16 and related variants, CT-26, LLC
- tumor models e.g. B16.F10
- immune stimulatory proteins such as GM-CSF
- IDO inhibitors against tumors established from these tumor cells in both immune-competent and -compromised mice.
- a third avenue for assessing the efficacy of IDO inhibitors in vivo employs ‘pre-immunization’ murine tumor allograft/xenograft models.
- immune-competent mice are sensitized to a specific tumor antigen or antigens to mimic a therapeutic anti-tumor vaccination. This primes the mice for an anti-tumor response mediated by the immune system when mice are subsequently challenged with murine tumor cell lines (possessing similar tumor antigens to those used for immunization) in xenograft experiments.
- Expression of IDO has been shown to blunt the anti-tumor response and allow xenografts to grow more rapidly.
- IDO inhibitor 1-MT Uyttenhove, C., et al. 2003, Nat. Med. 9:1269-1274.
- This model is particularly attractive as IDO activity is permissive for P815 tumor growth and specific inhibition of IDO should therefore growth inhibitory.
- therapeutic immunization may be used to evaluate the impact of IDO inhibitors in vivo.
- IDO inhibitors in vivo.
- TRP-2 immunogenic peptide
- immune system modifiers such as anti-CTL-4 antibody, can improve responses to such therapeutic immunizations.
- the impact of IDO inhibitors may be evaluated in a similar manner—tumor peptide immunization with or without IDO inhibitor. Efficacy is assess by animal survival (time to morbidity) or by the measurement of tumor metastases to the lungs and/or other organs at defined timepoints.
- any/all of the above mentioned models it may also be possible to directly and/or indirectly measure the number and/or activity of tumor reactive immune cells.
- Methods for measuring the number and/or activity of tumor reactive immune cells are well established and can be performed using techniques familiar to those schooled in the art (Current Protocols in Immunology, Vol. 4, Coligan, J. E., et al.; Immunotherapy of Cancer, Human Press, 2006, Disis, M. L. and references therein).
- a reduction in the immune suppressive effects of IDO may result in increased numbers or reactivity of tumor specific immune cells.
- IDO inhibition may further increase the number or reactivity of tumor reactive immune cells when combined with other therapeutics, for example chemotherapeutics and/or immune modulators (e.g. anti-CTLA4 antibody).
- All allograft/xenograft experiments can be performed using standard tumor techniques (reviewed by Corbett, et al., In Cancer Drug Discovery and Development: Anticancer Drug Development Guide: Preclinical Screening, Clinical Trials, and Approval, 2 nd Ed. Teicher, B. A. and Andrews, P. A., Gumana Press Inc.: Totowa, N.J., 2004).
- the cloning and introduction of genes (e.g. IDO, GM-CSF) into tumor cell lines can be performed using techniques familiar to those schooled in the art (reviewed in Sambrook, J. and Russel, D., Molecular Cloning: A laboratory Manual (3 rd edition), Cold Spring Harbor Laboratory Press: Cold Spring Harbor, N.Y., 2001).
- Monocytes and PBL can be obtained by countercurrent centrifugal elutriation of leukopheresis packs from HIV-1, 2 and hepatitis B seronegative donors.
- Monocytes are cultivated in suspension culture using Teflon flasks in Dulbecco's Modified Eagle's Medium (DMEM, Sigma-Aldrich) supplemented with 10% heat-inactivated pooled human serum, 1% glutamine, 50 ⁇ g/mL gentamicin, 10 ⁇ g/mL ciprofloxacin (Sigma), and 1000 U/mL highly purified recombinant human macrophage colony stimulating factor. After seven days in culture, MDM are infected with HIV-1ADA at multiplicity of infection of 0.01.
- DMEM Dulbecco's Modified Eagle's Medium
- mice Four-wk old male NOD/C.B-17 SCID mice can be purchased (Jackson Laboratory). Animals are maintained in sterile microisolator cages under pathogen-free conditions. All animals are injected intraperitoneally with rat anti-CD122 (0.25 mg/mouse) three days before PBL transplantation and twice with rabbit asialo-GM1 antibodies (0.2 mg/mouse) (Wako) one day before and three days after PBL injection (20 ⁇ 10 6 cells/mouse). HIV-1 ADA -infected MDM (3 ⁇ 10 5 cells in 10 ⁇ L) are injected intracranially (i.c.) eight days following PBL reconstitution generating hu-PBL-NOD/SCID HIVE mice. Immediately following i.c.
- mice injection of HIV-1 infected MDM the hu-PBL-NOD/SCID HIVE mice are subcutaneously (s.c) implanted with control (vehicle) or compound pellets (14 or 28 day slow release, Innovative Research).
- Initial experiments are designed to confirm the induction of virus-specific CTL in the hu PBL-NOD/SCID HIVE animals treated with IDO compounds. This is confirmed by tetramer staining and neuropathologic analyses of MDM elimination from the brain tissue. Then, the experiment is designed to analyze human lymphocyte reconstitution, humoral immune responses, and neuropathological alterations. In these experiments, animals are bled on day 7 and sacrificed at 14 and 21 days after i.c. injection of human MDM.
- HIV-1-specific antibodies are detected by Western blot tests according to the manufacturer instructions (Cambridge Biotech HIV-1 Western blot kit, Calypte Biomedical). Similar amount of virus-specific antibodies are detected in control and compound-treated animals. A total of three independent experiments can be performed using three different human leukocyte donors.
- Two-color FACS analysis can be performed on peripheral blood at wk 1-3 and splenocytes at wk 2 and 3 after i.c. injection of human MDM.
- Cells are incubated with fluorochrome-conjugated monoclonal Abs (mAbs) to human CD4, CD8, CD56, CD3, IFN- ⁇ (eBioscience) for 30 min at 4° C.
- mAbs monoclonal Abs
- eBioscience IFN- ⁇ intracellular staining is performed in combination with anti-human CD8 and FITC-conjugated anti-mouse CD45 to exclude murine cells.
- Brain tissue is collected at days 14 and 21 after i.c. injection of MDM, fixed in 4% phosphate-buffered paraformaldehyde and embedded in paraffin or frozen at ⁇ 80° C. for later use. Coronal sections from the embedded blocks are cut in order to identify the injection site. For each mouse, 30-100 (5- ⁇ m-thick) serial sections are cut from the human MDM injection site and 3-7 slides (10 sections apart) are analyzed. Brain sections are deparaffinized with xylene and hydrated in gradient alcohols. Immunohistochemical staining follows a basic indirect protocol, using antigen retrieval by heating to 95° C. in 0.01 mol/L citrate buffer for 30 min for antigen retrieval.
- mAb to vimentin (1:50, clone 3B4, Dako Corporation), which identifies all human leukocytes is used.
- Human MDM and CD8 + lymphocytes are detected with CD68 (1:50 dilution, clone KP 1) and CD8 (1:50 dilution, clone 144B) antibodies, respectively.
- Virus-infected cells are labeled with mAb to HIV-1 p24 (1:10, clone Kal-1, all from Dako).
- Reactive murine microglial cells are detected with Iba-1 antibody (1:500, Wako).
- huIDO human IDO
- Abs obtained from the Department of Cell Pharmacology, Central Research Institute, graduate School of Medicine, Hokkaido University, Sapporo, Japan.
- Primary antibodies are detected with the appropriate biotinylated secondary antibodies and visualized with avidin-biotin complexes (Vectastain Elite ABC kit, Vector Laboratories) and horseradish peroxidase (HRP) coupled dextran polymer (EnVision, Dako Corporation). Immunostained sections are counterstained with Mayer's hematoxylin. Sections from which primary antibody is deleted or irrelevant IgG isotype is incorporated served as controls.
Landscapes
- Health & Medical Sciences (AREA)
- Chemical & Material Sciences (AREA)
- Organic Chemistry (AREA)
- Life Sciences & Earth Sciences (AREA)
- Medicinal Chemistry (AREA)
- Pharmacology & Pharmacy (AREA)
- Animal Behavior & Ethology (AREA)
- General Health & Medical Sciences (AREA)
- Public Health (AREA)
- Veterinary Medicine (AREA)
- Nuclear Medicine, Radiotherapy & Molecular Imaging (AREA)
- Chemical Kinetics & Catalysis (AREA)
- General Chemical & Material Sciences (AREA)
- Engineering & Computer Science (AREA)
- Bioinformatics & Cheminformatics (AREA)
- Immunology (AREA)
- Epidemiology (AREA)
- Neurosurgery (AREA)
- Biomedical Technology (AREA)
- Neurology (AREA)
- Oncology (AREA)
- Virology (AREA)
- Psychiatry (AREA)
- Communicable Diseases (AREA)
- Ophthalmology & Optometry (AREA)
- Dermatology (AREA)
- Pain & Pain Management (AREA)
- Mycology (AREA)
- Microbiology (AREA)
- Endocrinology (AREA)
- Hospice & Palliative Care (AREA)
- Molecular Biology (AREA)
- Tropical Medicine & Parasitology (AREA)
- AIDS & HIV (AREA)
- Physical Education & Sports Medicine (AREA)
- Transplantation (AREA)
- Pulmonology (AREA)
- Rheumatology (AREA)
- Hematology (AREA)
- Pharmaceuticals Containing Other Organic And Inorganic Compounds (AREA)
Abstract
Description
- This application is a continuation of U.S. Ser. No. 16/849,610, filed Apr. 15, 2020, which is a continuation of U.S. Ser. No. 16/446,253, filed Jun. 19, 2019, which is a continuation of U.S. Ser. No. 15/903,414, filed Feb. 23, 2018, which is a continuation of U.S. Ser. No. 15/422,876, filed Feb. 27, 2017, which is a continuation of U.S. Ser. No. 15/093,420, filed Apr. 7, 2016, which is a continuation of U.S. Ser. No. 14/661,191, filed Mar. 18, 2015, which is a continuation of U.S. Ser. No. 14/322,362, filed Jul. 2, 2014, which is a continuation of U.S. Ser. No. 13/294,711, filed Nov. 11, 2011, which is a divisional of U.S. Ser. No. 12/498,782, filed Jul. 7, 2009, which claims the benefit of U.S. Ser. No. 61/078,876, filed Jul. 8, 2008 and U.S. Ser. No. 61/150,873, filed Feb. 9, 2009, the disclosures of each of which are incorporated herein by reference in their entireties.
- The present invention is directed to 1,2,5-oxadiazole derivatives which are inhibitors of
indoleamine 2,3-dioxygenase and are useful in the treatment of cancer and other disorders, and to processes and intermediates for making the same. - Tryptophan (Trp) is an essential amino acid required for the biosynthesis of proteins, niacin and the neurotransmitter 5-hydroxytryptamine (serotonin). The
enzyme indoleamine 2,3-dioxygenase (also known as INDO or IDO) catalyzes the first and rate limiting step in the degradation of L-tryptophan to N-formyl-kynurenine. In human cells, a depletion of Trp resulting from IDO activity is a prominent gamma interferon (IFN-γ)-inducible antimicrobial effector mechanism. IFN-γ stimulation induces activation of IDO, which leads to a depletion of Trp, thereby arresting the growth of Trp-dependent intracellular pathogens such as Toxoplasma gondii and Chlamydia trachomatis. IDO activity also has an antiproliferative effect on many tumor cells, and IDO induction has been observed in vivo during rejection of allogeneic tumors, indicating a possible role for this enzyme in the tumor rejection process (Daubener, et al., 1999, Adv. Exp. Med. Biol., 467: 517-24; Taylor, et al., 1991, FASEB J., 5: 2516-22). - It has been observed that HeLa cells co-cultured with peripheral blood lymphocytes (PBLs) acquire an immuno-inhibitory phenotype through up-regulation of IDO activity. A reduction in PBL proliferation upon treatment with interleukin-2 (IL2) was believed to result from IDO released by the tumor cells in response to IFNG secretion by the PBLs. This effect was reversed by treatment with 1-methyl-tryptophan (1MT), a specific IDO inhibitor. It was proposed that IDO activity in tumor cells may serve to impair antitumor responses (Logan, et al., 2002, Immunology, 105: 478-87).
- Recently, an immunoregulatory role of Trp depletion has received much attention. Several lines of evidence suggest that IDO is involved in induction of immune tolerance. Studies of mammalian pregnancy, tumor resistance, chronic infections and autoimmune diseases have shown that cells expressing IDO can suppress T-cell responses and promote tolerance. Accelerated Trp catabolism has been observed in diseases and disorders associated with cellular immune activation, such as infection, malignancy, autoimmune diseases and AIDS, as well as during pregnancy. For example, increased levels of IFNs and elevated levels of urinary Trp metabolites have been observed in autoimmune diseases; it has been postulated that systemic or local depletion of Trp occurring in autoimmune diseases may relate to the degeneration and wasting symptoms of these diseases. In support of this hypothesis, high levels of IDO were observed in cells isolated from the synovia of arthritic joints. IFNs are also elevated in human immunodeficiency virus (HIV) patients and increasing IFN levels are associated with a worsening prognosis. Thus, it was proposed that IDO is induced chronically by HIV infection, and is further increased by opportunistic infections, and that the chronic loss of Trp initiates mechanisms responsible for cachexia, dementia and diarrhea and possibly immunosuppression of AIDS patients (Brown, et al., 1991, Adv. Exp. Med. Biol., 294: 425-35). To this end, it has recently been shown that IDO inhibition can enhance the levels of virus-specific T cells and, concomitantly, reduce the number of virally-infected macrophages in a mouse model of HIV (Portula et al., 2005, Blood, 106: 2382-90).
- IDO is believed to play a role in the immunosuppressive processes that prevent fetal rejection in utero. More than 40 years ago, it was observed that, during pregnancy, the genetically disparate mammalian conceptus survives in spite of what would be predicted by tissue transplantation immunology (Medawar, 1953, Symp. Soc. Exp. Biol. 7: 320-38). Anatomic separation of mother and fetus and antigenic immaturity of the fetus cannot fully explain fetal allograft survival. Recent attention has focused on immunologic tolerance of the mother. Because IDO is expressed by human syncytiotrophoblast cells and systemic tryptophan concentration falls during normal pregnancy, it was hypothesized that IDO expression at the maternal-fetal interface is necessary to prevent immunologic rejection of the fetal allografts. To test this hypothesis, pregnant mice (carrying syngeneic or allogeneic fetuses) were exposed to 1 MT, and a rapid, T cell-induced rejection of all allogeneic concepti was observed. Thus, by catabolizing tryptophan, the mammalian conceptus appears to suppresses T-cell activity and defends itself against rejection, and blocking tryptophan catabolism during murine pregnancy allows maternal T cells to provoke fetal allograft rejection (Munn, et al., 1998, Science, 281: 1191-3).
- Further evidence for a tumoral immune resistance mechanism based on tryptophan degradation by IDO comes from the observation that most human tumors constitutively express IDO, and that expression of IDO by immunogenic mouse tumor cells prevents their rejection by preimmunized mice. This effect is accompanied by a lack of accumulation of specific T cells at the tumor site and can be partly reverted by systemic treatment of mice with an inhibitor of IDO, in the absence of noticeable toxicity. Thus, it was suggested that the efficacy of therapeutic vaccination of cancer patients might be improved by concomitant administration of an IDO inhibitor (Uyttenhove et al., 2003, Nature Med., 9: 1269-74). It has also been shown that the IDO inhibitor, 1-MT, can synergize with chemotherapeutic agents to reduce tumor growth in mice, suggesting that IDO inhibition may also enhance the anti-tumor activity of conventional cytotoxic therapies (Muller et al., 2005, Nature Med., 11: 312-9).
- One mechanism contributing to immunologic unresponsiveness toward tumors may be presentation of tumor antigens by tolerogenic host APCs. A subset of human IDO-expressing antigen-presenting cells (APCs) that coexpressed CD123 (IL3RA) and CCR6 and inhibited T-cell proliferation have also been described. Both mature and immature CD123-positive dendritic cells suppressed T-cell activity, and this IDO suppressive activity was blocked by 1 MT (Munn, et al., 2002, Science, 297: 1867-70). It has also been demonstrated that mouse tumor-draining lymph nodes (TDLNs) contain a subset of plasmacytoid dendritic cells (pDCs) that constitutively express immunosuppressive levels of IDO. Despite comprising only 0.5% of lymph node cells, in vitro, these pDCs potently suppressed T cell responses to antigens presented by the pDCs themselves and also, in a dominant fashion, suppressed T cell responses to third-party antigens presented by nonsuppressive APCs. Within the population of pDCs, the majority of the functional IDO-mediated suppressor activity segregated with a novel subset of pDCs coexpressing the B-lineage marker CD19. Thus, it was hypothesized that IDO-mediated suppression by pDCs in TDLNs creates a local microenvironment that is potently suppressive of host antitumor T cell responses (Munn, et al., 2004, J. Clin. Invest., 114(2): 280-90).
- IDO degrades the indole moiety of tryptophan, serotonin and melatonin, and initiates the production of neuroactive and immunoregulatory metabolites, collectively known as kynurenines. By locally depleting tryptophan and increasing proapoptotic kynurenines, IDO expressed by dendritic cells (DCs) can greatly affect T-cell proliferation and survival. IDO induction in DCs could be a common mechanism of deletional tolerance driven by regulatory T cells. Because such tolerogenic responses can be expected to operate in a variety of physiopathological conditions, tryptophan metabolism and kynurenine production might represent a crucial interface between the immune and nervous systems (Grohmann, et al., 2003, Trends Immunol., 24: 242-8). In states of persistent immune activation, availability of free serum Trp is diminished and, as a consequence of reduced serotonin production, serotonergic functions may also be affected (Wirleitner, et al., 2003, Curr. Med. Chem., 10: 1581-91).
- Interestingly, administration of interferon-a has been observed to induce neuropsychiatric side effects, such as depressive symptoms and changes in cognitive function. Direct influence on serotonergic neurotransmission may contribute to these side effects. In addition, because IDO activation leads to reduced levels of tryptophan, the precursor of serotonin (5-HT), IDO may play a role in these neuropsychiatric side effects by reducing central 5-HT synthesis. Furthermore, kynurenine metabolites such as 3-hydroxy-kynurenine (3-OH-KYN) and quinolinic acid (QUIN) have toxic effects on brain function. 3-OH-KYN is able to produce oxidative stress by increasing the production of reactive oxygen species (ROS), and QUIN may produce overstimulation of hippocampal N-methyl-D-aspartate (NMDA) receptors, which leads to apoptosis and hippocampal atrophy. Both ROS overproduction and hippocampal atrophy caused by NMDA overstimulation have been associated with depression (Wichers and Maes, 2004, J. Psychiatry Neurosci., 29: 11-17). Thus, IDO activity may play a role in depression.
- Small molecule inhibitors of IDO are being developed to treat or prevent IDO-related diseases such as those described above. For example, oxadiazole and other heterocyclic IDO inhibitors are reported in US 2006/0258719 and US 2007/0185165. PCT Publication WO 99/29310 reports methods for altering T cell-mediated immunity comprising altering local extracellular concentrations of tryptophan and tryptophan metabolites, using an inhibitor of IDO such as 1-methyl-DL-tryptophan, p-(3-benzofuranyl)-DL-alanine, p-[3-benzo(b)thienyl]-DL-alanine, and 6-nitro-L-tryptophan) (Munn, 1999). Reported in WO 03/087347, also published as European Patent 1501918, are methods of making antigen-presenting cells for enhancing or reducing T cell tolerance (Munn, 2003). Compounds having indoleamine-2,3-dioxygenase (IDO) inhibitory activity are further reported in WO 2004/094409; and U.S. Patent Application Publication No. 2004/0234623 is directed to methods of treating a subject with a cancer or an infection by the administration of an inhibitor of indoleamine-2,3-dioxygenase in combination with other therapeutic modalities.
- In light of the experimental data indicating a role for IDO in immunosuppression, tumor resistance and/or rejection, chronic infections, HIV-infection, AIDS (including its manifestations such as cachexia, dementia and diarrhea), autoimmune diseases or disorders (such as rheumatoid arthritis), and immunologic tolerance and prevention of fetal rejection in utero, therapeutic agents aimed at suppression of tryptophan degradation by inhibiting IDO activity are desirable. Inhibitors of IDO can be used to activate T cells and therefore enhance T cell activation when the T cells are suppressed by pregnancy, malignancy or a virus such as HIV. Inhibition of IDO may also be an important treatment strategy for patients with neurological or neuropsychiatric diseases or disorders such as depression. The compounds, compositions and methods herein help meet the current need for IDO modulators.
- The present invention provides, inter alia, IDO inhibitors of Formula I:
- or pharmaceutically acceptable salts thereof, wherein constituent variables are defined herein.
- The present invention further provides a pharmaceutical composition comprising a compound of Formula I, and at least one pharmaceutically acceptable carrier.
- The present invention further provides a method of inhibiting activity of
indoleamine 2,3-dioxygenase comprising contacting theindoleamine 2,3-dioxygenase (IDO) with a compound of Formula I, or a pharmaceutically acceptable salt thereof. - The present invention further provides a method of inhibiting immunosuppression in a patient comprising administering to said patient an effective amount of a compound of Formula I, or a pharmaceutically acceptable salt thereof.
- The present invention further provides a method of treating cancer, viral infection, depression, a neurodegenerative disorder, trauma, age-related cataracts, organ transplant rejection, or an autoimmune disease in a patient comprising administering to said patient a therapeutically effective amount of a compound of Formula I, or a pharmaceutically acceptable salt thereof.
- The present invention further provides a method of treating melanoma in a patient comprising administering to said patient a therapeutically effective amount of a compound of Formula I, or a pharmaceutically acceptable salt thereof.
- The present invention further provides intermediates, processes of preparing the same, and compositions containing the same, which are useful in the preparation of a compound of Formula F15:
- The present invention further provides intermediates, processes of preparing the same, and compositions containing the same, which are useful in the preparation of a compound of Formula F19:
- The present invention further provides intermediates, processes of preparing the same, and compositions containing the same, which are useful in the preparation of a compound of Formula F28:
-
FIG. 1 shows an XRPD pattern characteristic of the compound of the invention prepared in Example 1. -
FIG. 2 shows a DSC thermogram characteristic of the compound of the invention prepared in Example 1. -
FIG. 3 shows TGA data characteristic of the compound of the invention prepared in Example 1. - The present invention provides, inter alia, IDO inhibitors of Formula I:
- or pharmaceutically acceptable salts thereof, wherein:
- R1 is NH2 or CH3;
- R2 is Cl, Br, CF3, CH3, or CN;
- R3 is H or F; and
- n is 1 or 2.
- In some embodiments, R1 is NH2.
- In some embodiments, R1 is CH3.
- In some embodiments, R2 is Cl.
- In some embodiments, R2 is Br.
- In some embodiments, R2 is CF3.
- In some embodiments, R2 is CH3.
- In some embodiments, R2 is CN.
- In some embodiments, R3 is H.
- In some embodiments, R3 is F.
- In some embodiments, n is 1.
- In some embodiments, n is 2.
- The compounds of the present invention can exist in various solid forms. As used herein “solid form” is meant to refer to a solid characterized by one or more properties such as, for example, melting point, solubility, stability, crystallinity, hygroscopicity, water content, TGA features, DSC features, DVS features, XRPD features, etc. Solid forms, for example, can be amorphous, crystalline, or mixtures thereof.
- Different crystalline solid forms typically have different crystalline lattices (e.g., unit cells) and, usually as a result, have different physical properties. In some instances, different crystalline solid forms have different water or solvent content. The different crystalline lattices can be identified by solid state characterization methods such as by X-ray powder diffraction (XRPD). Other characterization methods such as differential scanning calorimetry (DSC), thermogravimetric analysis (TGA), dynamic vapor sorption (DVS), and the like further help identify the solid form as well as help determine stability and solvent/water content.
- In one aspect, the present invention provides various solid forms of 4-({2-[(aminosulfonyl)amino]ethyl}amino)-N-(3-bromo-4-fluorophenyl)-N′-hydroxy-1,2,5-oxadiazole-3-carboximidamide (see Example 1). In some embodiments, the solid form is a crystalline solid. In some embodiments, the solid form is substantially anhydrous (e.g., contains less than about 1% water, less than about 0.5% water, less than about 1.5% water, less than about 2% water,). In some embodiments, the solid form is characterized by a melting point of, or a DSC endotherm centered at, about 162 to about 166° C. In some embodiments, the solid form is characterized by a melting point of, or a DSC endotherm centered at, about 164° C. In some embodiments, the solid form has a DSC thermogram substantially as shown in
FIG. 2 . In further embodiments, the solid form has at least one, two or three XRPD peaks, in terms of 2-theta, selected from about 18.4°, about 18.9°, about 21.8°, about 23.9°, about 29.2°, and about 38.7°. In further embodiments, the solid form has an XRPD pattern substantially as shown inFIG. 1 . - The present invention further provides a composition comprising a solid form of 4-({2-[(amino sulfonyl)amino]ethyl}amino)-N-(3-bromo-4-fluorophenyl)-N′-hydroxy-1,2,5-oxadiazole-3-carboximidamide (see Example 1). The composition can comprise at least about 50%, at least about 75%, at least about 90%, at least about 95%, or at least about 99% by weight of the solid form. The composition can also contain a pharmaceutically acceptable excipient. In some embodiments, the solid form is substantially purified.
- An XRPD pattern of reflections (peaks) is typically considered a fingerprint of a particular crystalline form. It is well known that the relative intensities of the XRPD peaks can widely vary depending on, inter alia, the sample preparation technique, crystal size distribution, various filters used, the sample mounting procedure, and the particular instrument employed. In some instances, new peaks may be observed or existing peaks may disappear, depending on the type of the instrument or the settings. As used herein, the term “peak” refers to a reflection having a relative height/intensity of at least about 4% of the maximum peak height/intensity. Moreover, instrument variation and other factors can affect the 2-theta values. Thus, peak assignments, such as those reported herein, can vary by plus or minus about 0.2° (2-theta), and the term “substantially” as used in the context of XRPD herein is meant to encompass the above-mentioned variations.
- In the same way, temperature readings in connection with DSC, TGA, or other thermal experiments can vary about ±3° C. depending on the instrument, particular settings, sample preparation, etc. Accordingly, a crystalline form reported herein having a DSC thermogram “substantially” as shown in any of the Figures is understood to accommodate such variation.
- At various places in the present specification, substituents of compounds of the invention may be disclosed in groups or in ranges. It is specifically intended that the invention include each and every individual subcombination of the members of such groups and ranges.
- It is intended that the compounds of the invention are stable. As used herein “stable” refers to a compound that is sufficiently robust to survive isolation to a useful degree of purity from a reaction mixture, and preferably capable of formulation into an efficacious therapeutic agent.
- It is further appreciated that certain features of the invention, which are, for clarity, described in the context of separate embodiments, can also be provided in combination in a single embodiment. Conversely, various features of the invention which are, for brevity, described in the context of a single embodiment, can also be provided separately or in any suitable subcombination.
- The compounds of the invention are further intended to include all possible geometric isomers. Cis and trans geometric isomers of the compounds of the present invention are described and may be isolated as a mixture of isomers or as separated isomeric forms. A bond in a structure diagram represented by a wavy line “ ” is intended to indicate that the structure represents the cis or the trans isomer, or a mixture of the cis and trans isomers in any proportion.
- Compounds of the invention also include tautomeric forms. Tautomeric forms result from the swapping of a single bond with an adjacent double bond together with the concomitant migration of a proton.
- Compounds of the invention can also include all isotopes of atoms occurring in the intermediates or final compounds. Isotopes include those atoms having the same atomic number but different mass numbers. For example, isotopes of hydrogen include tritium and deuterium.
- In some embodiments, the compounds of the invention, and salts thereof, are substantially isolated. By “substantially isolated” is meant that the compound is at least partially or substantially separated from the environment in which it was formed or detected. Partial separation can include, for example, a composition enriched in the compound of the invention. Substantial separation can include compositions containing at least about 50%, at least about 60%, at least about 70%, at least about 80%, at least about 90%, at least about 95%, at least about 97%, or at least about 99% by weight of the compound of the invention, or salt thereof. Methods for isolating compounds and their salts are routine in the art.
- The present invention also includes salts of the compounds described herein. As used herein, “salts” refers to derivatives of the disclosed compounds wherein the parent compound is modified by converting an existing acid or base moiety to its salt form. Examples of salts include, but are not limited to, mineral acid (such as HCl, HBr, H2SO4) or organic acid (such as acetic acid, benzoic acid, trifluoroacetic acid) salts of basic residues such as amines; alkali (such as Li, Na, K, Mg, Ca) or organic (such as trialkylammonium) salts of acidic residues such as carboxylic acids; and the like. The salts of the present invention can be synthesized from the parent compound which contains a basic or acidic moiety by conventional chemical methods. Generally, such salts can be prepared by reacting the free acid or base forms of these compounds with a stoichiometric amount of the appropriate base or acid in water or in an organic solvent, or in a mixture of the two; generally, nonaqueous media like ether, ethyl acetate, ethanol, isopropanol, or acetonitrile (ACN) are preferred.
- The “pharmaceutically acceptable salts” of the present invention include a subset of the “salts” described above which are, conventional non-toxic salts of the parent compound formed, for example, from non-toxic inorganic or organic acids. Lists of suitable salts are found in Remington's Pharmaceutical Sciences, 17th ed., Mack Publishing Company, Easton, Pa., 1985, p. 1418 and Journal of Pharmaceutical Science, 66, 2 (1977), each of which is incorporated herein by reference in its entirety. The phrase “pharmaceutically acceptable” is employed herein to refer to those compounds, materials, compositions, and/or dosage forms which are, within the scope of sound medical judgment, suitable for use in contact with the tissues of human beings and animals without excessive toxicity, irritation, allergic response, or other problem or complication, commensurate with a reasonable benefit/risk ratio.
- The compounds of the present invention can be prepared in a variety of ways known to one skilled in the art of organic synthesis. The compounds of the present invention can be synthesized using the methods as hereinafter described below, together with synthetic methods known in the art of synthetic organic chemistry or variations thereon as appreciated by those skilled in the art.
- The compounds of this invention can be prepared from readily available starting materials using the following general methods and procedures. It will be appreciated that where typical or preferred process conditions (i.e., reaction temperatures, times, mole ratios of reactants, solvents, pressures, etc.) are given; other process conditions can also be used unless otherwise stated. Optimum reaction conditions may vary with the particular reactants or solvent used, but such conditions can be determined by one skilled in the art by routine optimization procedures.
- The processes described herein can be monitored according to any suitable method known in the art. For example, product formation can be monitored by spectroscopic means, such as nuclear magnetic resonance spectroscopy (e.g., 1H or 13C), infrared spectroscopy, spectrophotometry (e.g., UV-visible), or mass spectrometry; or by chromatography such as high performance liquid chromatography (HPLC) or thin layer chromatography. The compounds obtained by the reactions can be purified by any suitable method known in the art. For example, chromatography (medium pressure) on a suitable adsorbent (e.g., silica gel, alumina and the like) HPLC, or preparative thin layer chromatography; distillation; sublimation, trituration, or recrystallization.
- Preparation of compounds can involve the protection and deprotection of various chemical groups. The need for protection and deprotection, and the selection of appropriate protecting groups can be readily determined by one skilled in the art. The chemistry of protecting groups can be found, for example, in Wuts and Greene, Greene's Protective Groups in Organic Synthesis, 4th Ed., John Wiley & Sons: New York, 2006, which is incorporated herein by reference in its entirety.
- The reactions of the processes described herein can be carried out in suitable solvents which can be readily selected by one of skill in the art of organic synthesis. Suitable solvents can be substantially non-reactive with the starting materials (reactants), the intermediates, or products at the temperatures at which the reactions are carried out, i.e., temperatures which can range from the solvent's freezing temperature to the solvent's boiling temperature. A given reaction can be carried out in one solvent or a mixture of more than one solvent. Depending on the reaction step, suitable solvent(s) for that particular reaction step can be selected. Appropriate solvents include water, alkanes (such as pentanes, hexanes, heptanes, cyclohexane, etc., or a mixture thereof), aromatic solvents (such as benzene, toluene, xylene, etc.), alcohols (such as methanol, ethanol, isopropanol, etc.), ethers (such as dialkylethers, methyl tert-butyl ether (MTBE), tetrahydrofuran (THF), dioxane, etc.), esters (such as ethyl acetate, butyl acetate, etc.), halogenated solvents (such as dichloromethane (DCM), chloroform, dichloroethane, tetrachloroethane), dimethylformamide (DMF), dimethylsulfoxide (DMSO), acetone, acetonitrile (ACN), hexamethylphosphoramide (HMPA) and N-methyl pyrrolidone (NMP). Such solvents can be used in either their wet or anhydrous forms.
- Resolution of racemic mixtures of compounds can be carried out by any of numerous methods known in the art. An example method includes fractional recrystallization using a “chiral resolving acid” which is an optically active, salt-forming organic acid. Suitable resolving agents for fractional recrystallization methods are, for example, optically active acids, such as the D and L forms of tartaric acid, diacetyltartaric acid, dibenzoyltartaric acid, mandelic acid, malic acid, lactic acid or the various optically active camphorsulfonic acids. Resolution of racemic mixtures can also be carried out by elution on a column packed with an optically active resolving agent (e.g., dinitrobenzoylphenylglycine). Suitable elution solvent composition can be determined by one skilled in the art.
- The compounds of the invention can be prepared, for example, using the reaction pathways and techniques as described below.
- The processes and intermediates of the present invention are useful in the preparation of IDO inhibitors. A general scheme for the preparation of compounds F15 of the invention are described in
Scheme 1. - Referring now to
Scheme 1, the invention provides a process for preparing a compound of Formula F15, or a salt thereof, wherein R2 is Cl, Br, CF3, CH3, or CN; R3 is H or F; and n is 1 or 2, by reacting a compound of Formula F13, or a salt thereof, wherein Pg1 is an amino protecting group, with an amino deprotecting agent (Step M) to afford a compound of Formula F14, or a salt thereof; and reacting the compound of Formula F14 with a base (Step N) to afford the compound of Formula F15. The compound of Formula F15 can be purified by trituration or recrystallization using solvents such as water, ethanol, MTBE or a combination thereof. - In some embodiments, R2 is Br, R3 is F, and n is 1.
- In some embodiments, R2 is Br, R3 is F, and n is 2.
- In some embodiments, R2 is Cl, R3 is F, and n is 1.
- In some embodiments, R2 is Cl, R3 is F, and n is 2.
- In some embodiments, R2 is CF3, R3 is F, and n is 1.
- In some embodiments, R2 is CF3, R3 is F, and n is 2.
- In some embodiments, R2 is CF3, R3 is H, and n is 1.
- In some embodiments, R2 is CF3, R3 is H, and n is 2.
- In some embodiments, R2 is CN, R3 is F, and n is 1.
- Amino protecting groups are regularly used in organic synthesis to prevent unwanted reactions of an amino group while performing a desired transformation. Amino protecting groups allow easy covalent attachment to a nitrogen atom as well as selective cleavage from the nitrogen atom. Various amino protecting groups, classified broadly as alkoxycarbonyl (such as ethoxycarbonyl, tert-butoxycarbonyl (Boc), benzyloxycarbonyl (Cbz), 9-fluorenylmethyloxycarbonyl (Fmoc), and the like), acyl (such as acetyl (Ac), benzoyl (Bz), and the like), sulfonyl (such as methanesulfonyl, trifluoromethanesulfonyl, and the like), arylalkyl (such as benzyl, diphenylmethyl, triphenylmethyl (trityl), and the like), alkenylalkyl (such as allyl, prenyl, and the like), diarylmethyleneyl (such as (C6H5)2C═N, and the like), and silyl (such as tert-butyldimethylsilyl, triisopropylsilyl, and the like), are known to one skilled in the art. The chemistry of amino protecting groups can be found in Wuts and Greene, Greene's Protective Groups in Organic Synthesis, 4th Ed., pp 696-926, John Wiley & Sons: New York, 2006. In some embodiments, Pg1 can be alkoxycarbonyl (such as tert-butoxycarbonyl).
- The amino protecting groups described above can be conveniently removed using many available amino deprotecting agents that are specific to the various groups mentioned above without affecting other desired portions of the compound. The tert-butoxycarbonyl group can be removed (e.g., hydrolyzed) from the nitrogen atom, for example, by treatment with an acid (such as trifluoroacetic acid, toluenesulfonic acid, hydrochloric acid, and the like); a combination of reagents (e.g., mixture of acetyl chloride and methanol) known to generate an acid; or a Lewis acid (e.g., BF3.Et2O). The benzyloxycarbonyl group can be removed (e.g., hydrogenolyzed) from the nitrogen atom, for example, by treatment with hydrogen and a catalyst (such as palladium on carbon). In some embodiments, the amino deprotecting agent can be trifluoroacetic acid. In some embodiments, the amino deprotecting agent contains trifluoroacetic acid and >0.5% by volume of water, e.g., >1.0% by volume of water, >1.5% by volume of water, >2.0% by volume of water, from about 2% to about 10% by volume of water, from about 10% to about 20% by volume of water, or from about 20% to about 50% by volume of water. In some embodiments, the amino deprotecting agent can be a mixture of trifluoroacetic acid and water in a volumetric ratio of about 98:2. In some embodiments, the amino deprotecting agent can be hydrochloric acid, optionally in a solvent (such as water, THF, or dioxane). In such embodiments, the hydrochloric acid can be present in a concentration of about 4 N, e.g., about 1 N, about 2 N, about 3 N, about 5 N, about 6 N, about 7 N, about 8 N, about 9 N, or about 10 N. In some embodiments, the deprotection can be performed in an alcohol (such as isopropanol). In some embodiments, the Step M (Scheme 1) can be performed at a temperature from about −10° C. to about 60° C., e.g., from about −10° C. to about 0° C., from about 0° C. to about 25° C., from about 25° C. to about 45° C., or from about 45° C. to about 60° C.
- A base can be used for the conversion (e.g., hydrolysis) of the oxadiazolone ring in F14 to reveal the amidoxime in F15, optionally in a solvent (Step N, Scheme 1). The protection of the amidoxime as the oxadiazolone can be useful to prevent adverse reactions of the hydroxyl group or that of the amidoxime as a whole. The base can be either an organic base such as an acyclic amine (e.g., triethylamine, diisopropylethylamine (DIPEA), etc.) or a cyclic amine (e.g., pyrrolidine, piperidine, etc.); or an inorganic base such as alkali (e.g., NaOH, LiOH, KOH, Mg(OH)2, etc.). The base can be made available in the form of a resin (such as Amberlite® and the like). In some further embodiments, the base can be provided in the form of a solution in water such as about 2N solution (e.g., about 0.5N solution, about 1N solution, about 1.5N solution, about 2.5N solution, from about 3N to about 5N solution, from about 5N to about 10N solution). In some embodiments, the base is an alkali metal hydroxide (such as, sodium hydroxide). In some embodiments, the base can be 2N NaOH solution in water. In some embodiments, the solvent can be methanol or tetrahydrofuran (THF). In some embodiments, the Step N (Scheme 1) can be performed at a temperature from about −10° C. to about 60° C., e.g., from about −10° C. to about 0° C., from about 0° C. to about 25° C., from about 25° C. to about 45° C., or from about 45° C. to about 60° C.
- In Step L (Scheme 1), the compound of Formula F13 can be obtained by treating a compound of Formula F12, or a salt thereof, with Pg1-NH-sulfonyl chloride, optionally in a solvent, followed by treatment of the resulting mixture with an organic base to afford the compound of Formula F13. This Step L (Scheme 1) transforms a primary amine F12 to a sulfonyl urea F13 using a protected amino-sulfonyl chloride (Pg1-NH—SO2Cl). The protected amino-sulfonyl chloride can be prepared and immediately used in the reaction with F12. The protecting group could be selected from any of the protecting groups known in the art for protecting amines or sulfonamides (supra). In some embodiments, Pg1 can be an alkoxycarbonyl group (such as tert-butoxycarbonyl). In such embodiments, the alkoxycarbonyl NH-sulfonyl chloride can be obtained by the reaction of an alcohol (such as, ethanol, tert-butyl alcohol and the like) with chlorosulfonyl isocyanate (ClS(O)2NCO). Appropriate solvents for this reaction include, but are not limited to, halogenated solvents such as dichloromethane and the like. The organic base can be any base that serves to neutralize the HCl generated during the reaction of the primary amine such as F12 and the protected amino-sulfonyl chloride. The organic base can include acyclic tertiary amines such as tri(C1-6)alkylamine (e.g., triethylamine, diisopropylethylamine (DIPEA) and the like), cyclic tertiary amines (e.g., N-methyl piperidine, 1,4-diazabicyclo[2.2.2]octane (DABCO) and the like). In some embodiments, the organic base can be triethylamine. In some embodiments, this step can be performed at a temperature from about −10° C. to about 60° C., e.g., from about −10° C. to about 0° C., from about 0° C. to about 25° C., from about 25° C. to about 45° C., or from about 45° C. to about 60° C.
- Organic compounds can be reduced to a lower oxidizing state by using reducing agents. Reduction usually involves addition of hydrogen atoms or removal of oxygen atoms from a group. Organic azides such as F11 can be reduced to amines such as F12 (Step K, Scheme 1) by the addition of hydrogen, either in the form of elemental hydrogen or using a hydride reagent (such as NaBH4, LiAlH4 and the like); using triphenylphosphine; or using a combination of sodium iodide, chlorotrimethylsilane, and methanol. In some embodiments, the compound of Formula F12 can be obtained by reducing a compound of Formula F11, or a salt thereof. In some embodiments, the reducing can be carried out in the presence of sodium iodide, chlorotrimethylsilane, and methanol. In some embodiments, the molar ratio of sodium iodide and chlorotrimethylsilane can be about 1.0, e.g., about 0.9, about 0.95, about 1.0, about 1.05, or about 1.1. In some embodiments, chlorotrimethylsilane can be added to the mixture of F11, sodium iodide and methanol as a solution in methanol. In some embodiments, Step K (Scheme 1) can be performed at about room temperature, e.g., from about 10° C. to about 50° C., from about 15° C. to about 40° C., from about 20° C. to about 30° C., or from about 25° C. to about 30° C.
- The amino compounds F12, in some cases, may prove challenging to obtain in substantially pure form as determined by HPLC or NMR spectroscopy and the like. While not intending to be bound by theory, it is believed that some of these amines might be difficult to purify by silica gel chromatography due to increased high affinity to silica gel or due to unwanted degradation during purification. In such embodiments, referring now to
Scheme 2, the compound of Formula F12 can be purified by reacting the compound of Formula F12 with an amino protecting agent to afford a compound of Formula F12′, or a salt thereof, wherein Pg2N is a protected amine. This protection (Step K′) can be followed by purifying the compound of Formula F12′ to provide a purified compound of Formula F12′ and reacting the purified compound of Formula F12′ with an amino deprotecting agent (Step K″) to provide a purified compound of Formula F12. Amino protecting agents and amino deprotecting agents are known to one skilled in the art, such as those in Wuts and Greene (ibid). In some embodiments, the amino protecting agent is di-t-butyl dicarbonate (Boc2O). In such embodiments, Pg2N is tert-butoxy carbonyl-NH. In such embodiments, the amino deprotecting agent is a reagent capable of removing the Boc protecting group (supra). In such embodiments, the amino deprotecting agent is an acid (e.g., hydrochloric acid, trifluoroacetic acid and the like), optionally in a solvent (such as water, THF, or dioxane). In some embodiments, the hydrochloric acid can be present in a concentration of about 4N, e.g., about 1N, about 2N, about 3N, about 5N, about 6N, about 7N, about 8N, about 9N, or about 10N. In some embodiments, the deprotection can be performed in an alcohol (such as isopropanol). In some embodiments, step K′ or K″ can be performed at a temperature from about −10° C. to about 60° C., e.g., from about −10° C. to about 0° C., from about 0° C. to about 25° C., from about 25° C. to about 45° C., or from about 45° C. to about 60° C. Appropriate purification methods are known to one skilled in the art and can include chromatography, crystallization, sublimation and the like. In some embodiments, purification can be performed by chromatography on silica gel. The purity of the compounds, in general, are determined by physical methods such as measuring the melting point (in case of a solid), obtaining a NMR spectrum, or performing a HPLC separation. If the melting point decreases, if unwanted signals in the NMR spectrum are decreased, or if extraneous peaks in an HPLC trace are removed, the compound can be said to have been purified. In some embodiments, the compounds are substantially purified. - In some embodiments, the compound of Formula F11 (Scheme 1) can be obtained by treating a compound of Formula F10, or a salt thereof, wherein L1 can be selected from alkylsulfonyl (such as methanesulfonyl), haloalkylsulfonyl (such as trifluoromethanesulfonyl), arylsulfonyl (such as toluenesulfonyl) and the like; with an azide reagent to afford the compound of Formula F11 (Step J). In some embodiments, L1 is alkylsulfonyl. Azide reagents include any reagent capable of producing a nucleophilic azide ion. Examples of azide reagents include alkali metal azides (such as sodium azide, potassium azide, etc.). In some optional embodiments, the azide reagent such as sodium azide can be used in combination with sodium iodide. Appropriate solvents for this transformation are polar solvents including DMF, DMSO, NMP and the like. In some embodiments, Step J can be carried out in DMF. Step J can be carried out at an elevated temperature e.g., from about 40° C. to about 100° C., from about 50° C. to about 90° C., or from about 60° C. to about 80° C. In some embodiments, Step J can be carried out at about 50° C. In some embodiments, Step J can be carried out at about 85° C.
- The compound of Formula F10, or a salt thereof, can be obtained in a sequence of steps shown in Scheme 3. The preparation of the intermediate, 4-amino-N′-hydroxy-1,2,5-oxadiazole-3-carboximidamide F2, has been described in J. Heterocycl. Chem. (1965), 2, 253, which is incorporated herein by reference in its entirety, and its conversion to the chloro oxime F3 has been described in Synth. Commun. (1988), 18, 1427, which is incorporated herein by reference in its entirety. Amines (such as primary or secondary amines including amines that contain protected functionalities, e.g., ethyl amine, 2-methoxyethylamine or dimethylamine) can be coupled to the chloro oxime F3, optionally in a solvent (such as ethyl acetate), followed by addition of an organic base (such as triethylamine or DIPEA to quench the HCl generated in the reaction) to provide amidoxime compounds F4. Rearrangement of the compounds such as F4, to transpose the amino group on the ring carbon and the amino group on the oxime carbon, to provide compounds F5 can be achieved by the treatment of F4 with a base (such as KOH, NaOH, LiOH, Mg(OH)2, Al(OH)3 and the like), optionally in a solvent (such as water, ethanol, ethylene glycol and the like), and refluxing the reaction mixture at elevated temperature e.g., about 70° C., about 80° C., about 90° C., about 100° C., about 110° C., about 120° C., about 130° C., about 140° C., about 150° C., about 160° C., about 170° C., about 180° C., about 190° C., or about 200° C. The amidoxime F5 can again be activated as a chloro oxime F6 by the addition of F5 to an aqueous acidic mixture containing hydrochloric acid, optionally including acetic acid. In this process for the conversion of F5 to F6, the acidic mixture of F5 can be heated to a temperature of about 45° C., such as about 30° C., about 40° C., about 50° C., or about 60° C. to achieve dissolution. Sodium chloride can be added to this solution and then treated with a nitrite reagent, which can optionally be provided as an aqueous solution, at a temperature below about 0° C., such as below about −10° C., below about −5° C., below about 5° C., or below about 10° C. The nitrite reagent is one capable of providing a nitrite anion. Nitrite reagents include alkali metal nitrite (e.g., sodium nitrite, potassium nitrite and the like) and organo nitrites (e.g., tetraethylammonium nitrite) which includes an organic cation. In some embodiments, ethyl acetate, THF or dioxane can be used as a co-solvent. The chloro oxime F6 can be coupled with aromatic amines such as anilines, optionally in a polar solvent (such as methanol, water, ethanol and the like) at elevated temperatures such as about 50° C., about 60° C., about 70° C., about 80° C., about 90° C., about 100° C., about 110° C., or about 120° C., optionally in the presence of an inorganic base (such as KHCO3, NaHCO3) to provide arylamidoxime F7. In some embodiments, the inorganic base can be provided in the form of an aqueous solution. In some embodiments, the inorganic base can be added to the reaction mixture at an elevated temperature. The amidoxime functionality of F7 can then be protected as an oxadiazolone using 1,1′-carbonyl diimidazole (CDI) in a solvent (such as ethyl acetate, dioxane, THF and the like) at elevated temperatures such as about 50° C., about 60° C., about 70° C., about 80° C., about 90° C., or about 100° C. The methoxy group of F8 can then be converted to a hydroxyl group in F9 using a methoxy deprotecting agent known to one skilled in the art, such as those in Wuts and Greene, Greene's Protective Groups in Organic Synthesis, 4th Ed., pp 24-30, John Wiley & Sons: New York, 2006. For example, by addition of boron tribromide to a cold (such as from about −78° C. to about 25° C., e.g., from about −78° C. to about 10° C., from about −78° C. to about 0° C., from about −78° C. to about −10° C., from about 0° C. to about 25° C., or from about 0° C. to about 10° C.) solution of F8, optionally in a solvent such as a halogenated solvent (e.g., DCM, chloroform and the like) or ethyl acetate. The primary hydroxyl group in F9 can subsequently be activated as a leaving group L1O— (see F10) by sequential treatment with L1Cl, optionally in a solvent (such as ethyl acetate or DCM), and an organic base to mop up the generated HCl (such as triethylamine or DIPEA). L1, for example, can be selected from alkylsulfonyl (e.g., methanesulfonyl), haloalkylsulfonyl (e.g., trifluoromethanesulfonyl), arylsulfonyl (e.g., toluenesulfonyl) and the like. The compound F10 can then be treated with any nucleophile for displacement (such as by
S N2 mechanism) of the leaving group L1O. - Alternately, the compound of Formula F12 can be obtained through a sequence of steps depicted in
Scheme 4. - Referring now to
Scheme 4, in some embodiments, the compound of Formula F12 can be obtained by reacting a compound of Formula F24, or a salt thereof, wherein Pg3N is a protected amine (e.g., (C6H5)3C—NH, (C6H5)2C═N and the like); with an amino deprotecting agent to afford the compound of Formula F12. Treatment of a compound F24 to replace Pg3N with NH2 (Step Q) can be accomplished by methods for the deprotection of particular amine protecting groups known to one skilled in the art, such as those in Wuts and Greene, Greene's Protective Groups in Organic Synthesis, 4th Ed., pp 696-926, John Wiley & Sons: New York, 2006. In some embodiments, when the Pg3N is (C6H5)2C═N, the deprotecting agent can be: an acid such as an organic acid (e.g., trifluoroacetic acid, methanesulfonic acid and the like) or an inorganic acid (e.g., hydrochloric acid); hydrogen and palladium; or acidic hydroxylamine (NH2OH). In some embodiments, when the Pg3N is (C6H5)3C—NH, the deprotecting agent can include an organic acid (such as trifluoroacetic acid methanesulfonic acid and the like) and optionally an organosilane; hydrogen and palladium; or sodium in liquid ammonia. Organosilanes are compounds that contain at least one Si—H bond and the rest of the groups attached to silicon are alkyl, aryl or a combination thereof. Examples of organosilanes include trialkylsilane (e.g., tri(isopropyl)silane)), triarylsilane (e.g., triphenylsilane) or diphenylmethylsilane. The step Q can be performed at a temperature from about −10° C. to about 60° C., e.g., from about −10° C. to about 0° C., from about 0° C. to about 25° C., from about 25° C. to about 45° C., or from about 45° C. to about 60° C. - Compounds F24 which are protected secondary amines can be prepared by the Mitsunobu reaction of alcohols F25 with protected primary amines F22 in the presence of a coupling reagent (Step P). The coupling reagent can be a combination of a tertiary phosphine such as triarylphosphine (e.g., triphenylphosphine) or trialkylphosphine (e.g., tributylphosphine) and a dialkyl azodicarboxylate. Dialkyl azodicarboxylates possess a general structure: ROOC—N═N—COOR, where R can be an alkyl group (e.g., diisopropyl azodicarboxylate, diethyl azodicarboxylate, or di-p-chlorobenzyl azodicarboxylate). While not intending to be bound by theory, it is believed that amine protection with trifluoroacetyl moiety (such as in F22) prevents side reactions and improves the yield of the secondary amine F24. The hydroxyl group of alcohols such as F25 can be activated in the presence of the coupling reagent. The amine nucleophile can displace the activated hydroxyl group to form the secondary amine. The Mitsunobu reaction can be performed in a solvent such as an ether e.g., THF, dioxane, dialkyl ether and the like; halogenated solvents e.g., dichloromethane, chloroform and the like; non-polar solvents e.g., benzene, toluene and the like; polar-aprotic solvents such as DMF, HMPA and the like. In some embodiments, the compound of Formula F24 can be obtained by treating a compound of Formula F22, or a salt thereof, with a compound of Formula F25, or a salt thereof, and a coupling reagent to provide the compound of Formula F24. In some embodiments, this step can be performed at a temperature from about −10° C. to about 60° C., e.g., from about −10° C. to about 0° C., from about 0° C. to about 25° C., from about 25° C. to about 45° C., or from about 45° C. to about 60° C.
- Compounds F22 can be made by a two step process (Steps G′ and O) from compounds F21. Compounds F21 can be treated with 1,1′-carbonyl diimidazole (CDI), optionally in a solvent (such as ethyl acetate or THF), at an elevated temperature such as about 50° C., e.g., about 60° C., about 65° C., about 70° C., about 80° C., or about 90° C., to convert the amidoxime in compounds F21 to oxadiazolone present in compounds F26. These compounds F26 in turn can be treated with trifluoroacetic anhydride, optionally in a solvent (such as DCM, THF, dioxane, or ethyl acetate) in the presence of an organic base (such as pyridine, triethylamine, DIPEA and the like) to provide compounds F22. In some embodiments, the compound of Formula F22 can be obtained by treating a compound of Formula F21, or a salt thereof, with carbonyl diimidazole (CDI) to afford a compound of Formula F26, or a salt thereof, and treating the compound of Formula F26 with trifluoroacetic anhydride to afford the compound of Formula F22.
- Referring now to Scheme 5 (Step P′) and based on the above description of Mitsunobu reaction, another aspect of the invention provides a process for preparing a compound of Formula F8, or a salt thereof, wherein, R2, R3, and n are defined herein; including reacting a compound of Formula F22, or a salt thereof, and a compound of Formula F25′, or a salt thereof, with a coupling reagent, optionally in a solvent (such as THF, dialkyl ether, or dichloromethane), to provide the compound of Formula F8. In some embodiments, this step can be performed at a temperature from about −10° C. to about 60° C., e.g., from about −10° C. to about 0° C., from about 0° C. to about 25° C., from about 25° C. to about 45° C., or from about 45° C. to about 60° C.
-
Scheme 6 delineates an alternative route for the introduction of the sulfonamide group to the amino compound F12. Treatment of F12 with sulfamide in the presence of a base (Step R) such as an organic base which can be a heterocyclic base (e.g., pyridine), or a trialkylamine (e.g., triethylamine, DIPEA and the like), each of which can optionally be used as a solvent for this transformation, can provide sulfonyl ureas such as F14. This reaction can be carried out at elevated temperatures such as about 130° C., e.g., about 100° C., about 110° C., about 120° C., about 130° C., or about 140° C. Such heating can be favorably applied using microwave irradiation. Microwave irradiation can be performed in a commercial microwave oven (e.g., the Initiator™, available from Biotage) operating in a single mode fashion. Compounds F14 containing the oxadiazolone ring can be deprotected (e.g., hydrolyzed) to the desired amidoximes F15 in the presence of a base (Step N′). The base can be either an organic base such as an acyclic amine (e.g., triethylamine, diisopropylethylamine (DIPEA), etc.) or a cyclic amine (e.g., pyrrolidine, piperidine, etc.); or an inorganic base such as alkali (e.g., NaOH, LiOH, KOH, Mg(OH)2, etc.). The base can be made available in the form of a resin (such as Amberlite® and the like). In some further embodiments, the base can be provided in the form of a solution in water such as about 2N solution (e.g., about 0.5N solution, about 1N solution, about 1.5N solution, about 2.5N solution, from about 3N to about 5N solution, from about 5N to about 10N solution). In some embodiments, the base can be an alkali metal hydroxide (such as, sodium hydroxide). In some embodiments, the base can be a 2N NaOH solution in water. In some embodiments, the solvent can be methanol or tetrahydrofuran (THF). In some embodiments, the deprotection can be performed at a temperature from about −10° C. to about 60° C., e.g., from about −10° C. to about 0° C., from about 0° C. to about 25° C., from about 25° C. to about 45° C., or from about 45° C. to about 60° C. Hence, this aspect of the invention provides a process for preparing a compound of Formula F15, or a salt thereof, wherein R2, R3, and n, are as defined herein; including reacting a compound of Formula F12, or a salt thereof, with sulfamide and an organic base to afford a compound of Formula F14, or a salt thereof, and reacting the compound of Formula F14, or a salt thereof, with a base to afford the compound of Formula F15. - The present invention further provides a compound of Formula F9, F12, and F14, or a salt thereof, wherein R2 is Cl, Br, CF3, CH3, or CN; R3 is H or F; and n is 1 or 2.
- In some embodiments, R2 is Br, R3 is F, and n is 1.
- In some embodiments, R2 is Br, R3 is F, and n is 2.
- In some embodiments, R2 is Cl, R3 is F, and n is 1.
- In some embodiments, R2 is Cl, R3 is F, and n is 2.
- In some embodiments, R2 is CF3, R3 is F, and n is 1.
- In some embodiments, R2 is CF3, R3 is F, and n is 2.
- In some embodiments, R2 is CF3, R3 is H, and n is 1.
- In some embodiments, R2 is CF3, R3 is H, and n is 2.
- In some embodiments, R2 is CH3, R3 is F, and n is 1.
- In some embodiments, R2 is CN, R3 is F, and n is 1.
- Referring now to Scheme 7, compounds F19 can be obtained from primary amino compounds F12 by treatment with methanesulfonyl chloride (Step S), optionally in a solvent such as ethyl acetate, halogenated solvents (e.g., dichloromethane, chloroform and the like) or ethereal solvents (THF, diethyl ether, dioxane and the like), in the presence of an organic base (to mop up the generated HCl) such as tri(C1-6)alkylamine (e.g., triethylamine, DIPEA and the like), or pyridine to afford sulfonamides F20. The methanesulfonyl group can be replaced with other alkylsulfonyl (e.g., ethylsulfonyl), haloalkylsulfonyl (e.g., trifluoromethanesulfonyl), arylsulfonyl (e.g., toluenesulfonyl) and the like, without altering the procedures. In some embodiments, this step can be performed at a temperature from about −10° C. to about 60° C., e.g., from about −10° C. to about 0° C., from about 0° C. to about 25° C., from about 25° C. to about 45° C., or from about 45° C. to about 60° C. The sulfonamide compounds F20 containing the oxadiazolone ring can be deprotected (e.g., hydrolyzed) to the desired amidoximes F19 in the presence of a base (Step N″). The base can be either an organic base such as an acyclic amine (e.g., triethylamine, diisopropylethylamine (DIPEA), etc.) or a cyclic amine (e.g., pyrrolidine, piperidine, etc.); or an inorganic base such as alkali metal hydroxide or alkaline earth metal hydroxide (e.g., NaOH, LiOH, KOH, Mg(OH)2, etc.). The base can be made available in the form of a resin (such as Amberlite® and the like). In some further embodiments, the base can be provided in the form of a solution in water such as about 2N solution (e.g., about 0.5N solution, about 1N solution, about 1.5N solution, about 2.5N solution, from about 3N to about 5N solution, from about 5N to about 10N solution). In some embodiments, the base is an alkali metal hydroxide (e.g., sodium hydroxide). In some embodiments, the base can be 2N NaOH solution in water. In some embodiments, the solvent can be methanol or tetrahydrofuran (THF). In some embodiments, the deprotection can be performed at a temperature from about −10° C. to about 60° C., e.g., from about −10° C. to about 0° C., from about 0° C. to about 25° C., from about 25° C. to about 45° C., or from about 45° C. to about 60° C. Accordingly, another aspect of the invention provides a process for preparing a compound of Formula F19, or a salt thereof, wherein R2, R3, and n, are as defined herein; including reacting a compound of Formula F12, or a salt thereof, with methanesulfonyl chloride in the presence of an organic base to afford a compound of Formula F20, or a salt thereof, and reacting the compound of Formula F20 with a base to afford the compound of Formula F19. In some embodiments, the base can be an alkali metal hydroxide such as sodium hydroxide (e.g., 2N NaOH).
- Aryl or alkylsulfonamides (e.g., methanesulfonamides F19) can be obtained by the sequence of steps shown in
Scheme 8. Mono-protected 1,n-diamines such as F40 (e.g., commercially available N-(aminoalkyl)(t-butoxy)carboxamide) can be treated with sulfonyl chlorides such as arylsulfonyl chlorides or alkylsulfonyl chlorides (e.g., methanesulfonyl chloride), optionally in a solvent such as ethyl acetate, halogenated solvents (e.g., dichloromethane, chloroform and the like) or ethereal solvents (THF, diethyl ether, dioxane and the like), in the presence of an organic base (to mop up the generated HCl) such as triethylamine, pyridine, DIPEA and the like, to provide sulfonamides F41 (Step S′). The protecting group on mono-protected 1,n-diamines F40 may be selected from the various amino protecting groups and a suitable deprotection conditions can be appropriately selected (supra) to afford amine F33 (Step M′). In some embodiments, protecting group can be alkoxycarbonyl (such as tert-butoxycarbonyl, Boc). In such embodiments, the amino deprotecting agent can be an acid e.g., hydrochloric acid or trifluoroacetic acid, optionally in a solvent (such as dioxane). - The preparation of chloro oxime F3 has been described in Synth. Commun. (1988), 18, 1427, which is incorporated herein by reference in its entirety. Amines (such as primary or secondary amines including amines that contain protected functionalities, e.g., ethyl amine, 2-methoxyethylamine, dimethylamine or F33) can be coupled to the chloro oxime F3, optionally in a solvent (such as ethyl acetate or ethanol), followed by addition of an organic base (such as triethylamine or DIPEA to quench the HCl generated in the reaction) to provide amidoxime compounds F16 (Step C′). In some embodiments, this step can be performed at a temperature from about −10° C. to about 60° C., e.g., from about −10° C. to about 0° C., from about 0° C. to about 25° C., from about 25° C. to about 45° C., or from about 45° C. to about 60° C. Rearrangement of the compounds such as F16 to transpose the amino group on the ring carbon and the amino group on the oxime carbon to provide compounds such as F17 (Step D′) can be achieved by the treatment of F16 with a base (such as KOH, NaOH, LiOH, Mg(OH)2, Al(OH)3 and the like), optionally in a solvent (such as water, ethanol, ethylene glycol and the like), and refluxing the reaction mixture at elevated temperature e.g., about 70° C., about 80° C., about 90° C., about 100° C., about 110° C., about 120° C., about 130° C., about 140° C., about 150° C., about 160° C., about 170° C., about 180° C., about 190° C., or about 200° C. The amidoxime F17 can again be activated as a chloro oxime F18 by the addition of F17 to an aqueous acidic mixture containing hydrochloric acid, optionally including acetic acid (Step E′). In this process for the conversion of F17 to F18, the acidic mixture of F17 can be heated to temperature about 45° C., such as about 30° C., about 40° C., about 50° C., or about 60° C. to achieve dissolution. Sodium chloride can be added to this solution and treated with a nitrite reagent, which can optionally be provided as an aqueous solution, at a temperature below about 0° C. such as below about −10° C., below about −5° C., below about 5° C., or below about 10° C. The nitrite reagent is one capable of providing a nitrite anion. Nitrite reagents include alkali metal nitrite (e.g., sodium nitrite, potassium nitrite and the like) and organo nitrites (e.g., tetraethylammonium nitrite) which includes an organic cation. In some embodiments, ethyl acetate, THF or dioxane can be used as a co-solvent. The substitution of the chloride in F18 with aromatic amines such as anilines F27, optionally in a polar solvent (such as methanol, water, ethanol and the like), at room temperature can afford methanesulfonamides F19 (Step F′). In some embodiments, temperatures such as about 10° C., about 20° C., about 30° C., about 40° C., or about 50° C. can be employed. This reaction can be optionally carried out in the presence of an inorganic base (such as KHCO3, NaHCO3) which can be provided in the form of an aqueous solution.
- Accordingly, in another aspect of the invention provides a process for preparing a compound of Formula F19, or a salt thereof, wherein R2, R3, and n, are as defined herein; including reacting a compound of Formula F17, or a salt thereof, with hydrochloric acid, optionally in a solvent (such as dioxane), followed by treatment with a nitrite reagent (such as, sodium nitrite), optionally in the form of an aqueous solution, to afford a compound of Formula F18, or a salt thereof, and reacting the compound of Formula F18 with a compound of Formula F27, or a salt thereof, to afford the compound of Formula F19.
- In some embodiments, the compound of Formula F17 can be obtained by treating a compound of Formula F16, or a salt thereof, with a base (such as potassium hydroxide) in a solvent (such as ethylene glycol) at a temperature sufficient to reflux the solvent (such as 130° C.), to provide a compound of Formula F17.
- The present invention further provides a compound of Formula F18, or a salt thereof, wherein n is 1 or 2. In some embodiments, n is 1. In some embodiments, n is 2.
- Compounds F28 can be obtained as described in Scheme 9. The chloro oxime F6 (supra, Scheme 1) can be coupled with heterocyclic amines (such as compound of Formula F38), optionally in a polar solvent (such as methanol, water, ethanol and the like), in the presence of a base such as an inorganic base or an organic base (e.g., Et3N, pyridine or DIPEA) to provide arylamidoxime F36 (Step F″). In some embodiments, the conversion of F6 to F36 can be carried out at temperatures such as about 10° C., about 20° C., about 30° C., about 40° C., about 50° C., about 60° C., or about 90° C. In some embodiments, the inorganic base can be provided in the form of an aqueous solution. In some embodiments, the inorganic base can be added to the reaction mixture at an elevated temperature. The amidoxime functionality of F36 can then be protected as an oxadiazolone using 1,1′-carbonyl diimidazole (CDI) in a solvent (such as ethyl acetate, dioxane, THF and the like) at elevated temperatures such as about 50° C., about 60° C., about 70° C., about 80° C., about 90° C., or about 100° C. (Step G″). The methoxy group of F35 can then be converted to a hydroxyl group in F34 by methods known to one skilled in the art for the deprotecetion of methoxy group (Step H′), such as those in Wuts and Greene, Greene's Protective Groups in Organic Synthesis, 4th Ed., pp 24-30, John Wiley & Sons: New York, 2006. For example, by addition of boron tribromide to a cold (such as from about −78° C. to about 25° C., e.g., from about −78° C. to about 10° C., from about −78° C. to about 0° C., from about −78° C. to about −10° C., from about 0° C. to about 25° C., or from about 0° C. to about 10° C.) solution of F35, optionally in a solvent such as a halogenated solvent (e.g., DCM, chloroform and the like) or ethyl acetate. The primary hydroxyl group in F34 can then be subsequently activated as a leaving group L1O— (see Step I′, F32) by sequential treatment with L1Cl, optionally in a solvent (such as ethyl acetate or DCM), and an organic base to mop up the generated HCl (such as triethylamine or DIPEA). In compounds F32, L1 can be selected from alkylsulfonyl (e.g., methanesulfonyl), haloalkylsulfonyl (e.g., trifluoromethanesulfonyl), arylsulfonyl (e.g., toluenesulfonyl) and the like. The compound F32 can then be treated with any nucleophile for
S N2 displacement of the leaving group L1O. In some embodiments, this step can be performed at a temperature from about −10° C. to about 60° C., e.g., from about −10° C. to about 0° C., from about 0° C. to about 25° C., from about 25° C. to about 45° C., or from about 45° C. to about 60° C. - When the nucleophile is an azide ion, F32 provides F31 (Step J′). Azide reagents include any reagent capable of producing a nucleophilic azide ion. Examples of azide reagents include alkali metal azides (such as sodium azide, potassium azide). In some optional embodiments, the azide reagent such as sodium azide can be used in combination with sodium iodide. Appropriate solvents for this transformation are polar solvents including DMF, DMSO, NMP and the like. In some embodiments, this step can be carried out in DMF. In some embodiments, this step can be carried out at an elevated temperature e.g., from about 40° C. to about 100° C., from about 50° C. to about 90° C., or from about 60° C. to about 80° C. In some embodiments, this step can be carried out at 50° C. In some embodiments, this step can be carried out at 85° C. Organic azides such as F31 can be reduced to organic amines such as F29 by the addition of hydrogen, either in the form of elemental hydrogen; using a hydride reagent (such as NaBH4, LiAlH4 and the like); using triphenylphosphine; or using a combination of sodium iodide, chlorotrimethylsilane, and methanol (Step K′″). In some embodiments, the reducing can be carried out in the presence of sodium iodide, chlorotrimethylsilane, and methanol. In some embodiments, the reduction can be performed at about room temperature e.g., from about 10° C. to about 50° C., from about 15° C. to about 40° C., from about 20° C. to about 30° C., or from about 25° C. to about 30° C. In some embodiments, the molar ratio of sodium iodide and chlorotrimethylsilane can be about 1.0 e.g., about 0.9, about 0.95, about 1.0, about 1.05, or about 1.1. In some embodiments, chlorotrimethylsilane can be added to the mixture of F31, sodium iodide and methanol as a solution in methanol.
- Treatment of F29 with sulfamide in the presence of a base such as an organic base which can be a heterocyclic base (e.g., pyridine), or a trialkylamine (e.g., triethylamine,
- DIPEA and the like), each of which can optionally be used as a solvent for this transformation to provide the sulfonyl ureas such as F30 (Step R′). This reaction can be carried out at elevated temperatures such as about 130° C., e.g., about 100° C., about 110° C., about 120° C., about 130° C., or about 140° C. Such heating can be favorably applied using microwave irradiation. Microwave irradiation can be performed in a commercial microwave oven (e.g., the Initiator™, available from Biotage) operating in a single mode fashion. Compounds F30 containing the oxadiazolone ring can be deprotected (e.g., hydrolyzed) to the desired amidoximes F28 in the presence of a base (Step N′″). The base can be either an organic base such as acyclic amines (e.g., triethylamine, diisopropylethylamine (DIPEA), etc.) or cyclic amines (e.g., pyrrolidine, piperidine, etc.); or an inorganic base such as alkali (e.g., NaOH, LiOH, KOH, Mg(OH)2, etc.). The base can be made available in the form of a resin (such as Amberlite® and the like). In some further embodiments, the base can be provided in the form of a solution in water (an aqueous base) such as about 2N solution (e.g., about 0.5N solution, about 1N solution, about 1.5N solution, about 2.5N solution, from about 3N to about 5N solution, from about 5N to about 10N solution). In some embodiments, the base can be an alkali metal hydroxide (e.g., sodium hydroxide). In some embodiments, the base can be a 2N NaOH solution in water. In some embodiments, the solvent can be methanol or tetrahydrofuran (THF). In some embodiments, the deprotection can be performed at a temperature from about −10° C. to about 60° C., e.g., from about −10° C. to about 0° C., from about 0° C. to about 25° C., from about 25° C. to about 45° C., or from about 45° C. to about 60° C.
- Accordingly, another aspect of the invention provides a process for preparing a compound of Formula F28, or a salt thereof, wherein R4 is F, Cl, Br, or I; and n is 1 or 2; including reacting a compound of Formula F29, or a salt thereof, with sulfamide and an organic base to afford a compound of Formula F30, or a salt thereof, and reacting the compound of Formula F30 with a base to afford the compound of Formula F28.
- In some embodiments, R4 is Cl and n is 1.
- In some embodiments, R4 is Br and n is 1.
- In some embodiments, reacting a compound of Formula F29 further includes heating the reaction (such as using microwave irradiation).
- In another aspect, the invention provides a process of obtaining the compound of Formula F29 by reducing a compound of Formula F31, or a salt thereof. In some embodiments, the reducing can be carried out with a combination of sodium iodide, chlorotrimethylsilane, and methanol.
- In another aspect of the invention, the compound of Formula F31 can be obtained by treating a compound of Formula F32, or a salt thereof, wherein L1 is selected from alkylsulfonyl, haloalkylsulfonyl, and arylsulfonyl; with an azide reagent to afford the compound of Formula F31.
- As used herein, the term “alkyl,” when used alone or together with additional moiety terms, refers to a straight-chained or branched, saturated hydrocarbon group having from 1 to 6 carbon atoms, 1 to 4 carbon atoms, or 1 to 3 carbon atoms. Example alkyl groups include methyl, ethyl, n-propyl, isopropyl, n-butyl, isobutyl, sec-butyl, and the like.
- As used herein, “alkenyl” refers to an alkyl group having one or more double carbon-carbon bonds. Example alkenyl groups include ethenyl (vinyl), propenyl, and the like.
- As used herein, the term “aryl” refers to an aromatic hydrocarbon group which can be mono- or polycyclic having from 6 to 14 carbon atoms. Example aryl groups include phenyl, naphthyl, anthracenyl, phenanthrenyl, indanyl, indenyl, and the like.
- As used herein, the term “haloalkyl,” when used alone or together with an additional moiety, refers to an alkyl group substituted by one or more halogen atoms independently selected from F, Cl, Br, and I. Example haloalkyl groups include CF3, CHF2, CH2CF3, and the like.
- As used herein, the term “alkoxy” refers to an -O-alkyl group. Example alkoxy groups include methoxy, ethoxy, propoxy (e.g., n-propoxy and isopropoxy), t-butoxy, and the like.
- As used herein, “alkylamine” refers to an amino (NH2) group substituted by an alkyl group. Example alkylamine groups include methylamine, hexylamine, and the like.
- As used herein, “trialkylamine” refers to a nitrogen atom substituted by three alkyl group. Example trialkylamine groups include trimethylamine, triethylamine,and the like.
- As used herein, the term “alkoxycarbonyl” refers to CO substituted by an alkoxy group: -C(O)-O-alkyl. Example alkoxycarbonyl groups include ethoxycarbonyl, tert-butoxycarbonyl (Boc), benzyloxycarbonyl (Cbz), 9-fluorenylmethyloxycarbonyl (Fmoc), and the like. As used herein, the term “alkylsulfonyl” refers to a sulfonyl group substituted by an alkyl group: alkylS(O)2-. Example alkylsulfonyl groups include, methanesulfonyl, ethanesulfonyl, and the like.
- As used herein, the term “haloalkylsulfonyl” refers to a sulfonyl group substituted by a haloalkyl group. Example haloalkylsulfonyl groups include, trifluoromethanesulfonyl, 1,1,1-trifluoroethanesulfonyl, and the like.
- As used herein, the term “arylsulfonyl” refers to a sulfonyl group substituted by an aryl group or a substituted aryl group, wherein the substituents on the aryl group are selected from halo, nitro, C1-4 alkyl, and C1-4 haloalkyl.
- As used herein, the term “heterocyclic base” refers to a 4 to 14 membered, optionally substituted, heterocycle wherein at least one ring forming member is a nitrogen atom. The heterocyclic base can be aromatic or non-aromatic. Example heterocyclic bases include pyridine, pyrrolidine, piperidine, morpholine etc. Example substituents on the heterocycle include F, Cl, Br, C1-4 alkyl, and C1-4 haloalkyl.
- Compounds of the invention can inhibit activity of the enzyme indoleamine-2,3-dioxygenase (IDO). For example, the compounds of the invention can be used to inhibit activity of IDO in cell or in an individual in need of modulation of the enzyme by administering an inhibiting amount of a compound of the invention.
- The present invention further provides methods of inhibiting the degradation of tryptophan in a system containing cells expressing IDO such as a tissue, living organism, or cell culture. In some embodiments, the present invention provides methods of altering (e.g., increasing) extracellular tryptophan levels in a mammal by administering an effective amount of a compound of composition provided herein. Methods of measuring tryptophan levels and tryptophan degradation are routine in the art.
- The present invention further provides methods of inhibiting immunosuppression such as IDO-mediated immunosuppression in a patient by administering to the patient an effective amount of a compound or composition recited herein. IDO-mediated immunosuppression has been associated with, for example, cancers, tumor growth, metastasis, viral infection, viral replication, etc.
- The present invention further provides methods of treating diseases associated with activity or expression, including abnormal activity and/or overexpression, of IDO in an individual (e.g., patient) by administering to the individual in need of such treatment a therapeutically effective amount or dose of a compound of the present invention or a pharmaceutical composition thereof. Example diseases can include any disease, disorder or condition that is directly or indirectly linked to expression or activity of the IDO enzyme, such as over expression or abnormal activity. An IDO-associated disease can also include any disease, disorder or condition that can be prevented, ameliorated, or cured by modulating enzyme activity. Examples of IDO-associated diseases include cancer, viral infection such as HIV infection, HCV infection, depression, neurodegenerative disorders such as Alzheimer's disease and Huntington's disease, trauma, age-related cataracts, organ transplantation (e.g., organ transplant rejection), and autoimmune diseases including asthma, rheumatoid arthritis, multiple sclerosis, allergic inflammation, inflammatory bowel disease, psoriasis and systemic lupus erythematosusor. Example cancers treatable by the methods herein include cancer of the colon, pancreas, breast, prostate, lung, brain, ovary, cervix, testes, renal, head and neck, lymphoma, leukemia, melanoma, and the like. The compounds of the invention can also be useful in the treatment of obesity and ischemia.
- As used herein, the term “cell” is meant to refer to a cell that is in vitro, ex vivo or in vivo. In some embodiments, an ex vivo cell can be part of a tissue sample excised from an organism such as a mammal. In some embodiments, an in vitro cell can be a cell in a cell culture. In some embodiments, an in vivo cell is a cell living in an organism such as a mammal.
- As used herein, the term “contacting” refers to the bringing together of indicated moieties in an in vitro system or an in vivo system. For example, “contacting” the IDO enzyme with a compound of the invention includes the administration of a compound of the present invention to an individual or patient, such as a human, having IDO, as well as, for example, introducing a compound of the invention into a sample containing a cellular or purified preparation containing the IDO enzyme.
- As used herein, the term “individual” or “patient,” used interchangeably, refers to any animal, including mammals, preferably mice, rats, other rodents, rabbits, dogs, cats, swine, cattle, sheep, horses, or primates, and most preferably humans.
- As used herein, the phrase “therapeutically effective amount” refers to the amount of active compound or pharmaceutical agent that elicits the biological or medicinal response in a tissue, system, animal, individual or human that is being sought by a researcher, veterinarian, medical doctor or other clinician.
- As used herein the term “treating” or “treatment” refers to 1) preventing the disease; for example, preventing a disease, condition or disorder in an individual who may be predisposed to the disease, condition or disorder but does not yet experience or display the pathology or symptomatology of the disease; 2) inhibiting the disease; for example, inhibiting a disease, condition or disorder in an individual who is experiencing or displaying the pathology or symptomatology of the disease, condition or disorder (i.e., arresting further development of the pathology and/or symptomatology), or 3) ameliorating the disease; for example, ameliorating a disease, condition or disorder in an individual who is experiencing or displaying the pathology or symptomatology of the disease, condition or disorder (i.e., reversing the pathology and/or symptomatology).
- One or more additional pharmaceutical agents or treatment methods such as, for example, anti-viral agents, chemotherapeutics or other anti-cancer agents, immune enhancers, immunosuppressants, radiation, anti-tumor and anti-viral vaccines, cytokine therapy (e.g., IL2, GM-CSF, etc.), and/or tyrosine kinase inhibitors can be used in combination with the compounds of the present invention for treatment of IDO-associated diseases, disorders or conditions. The agents can be combined with the present compounds in a single dosage form, or the agents can be administered simultaneously or sequentially as separate dosage forms.
- Suitable antiviral agents contemplated for use in combination with the compounds of the present invention can comprise nucleoside and nucleotide reverse transcriptase inhibitors (NRTIs), non-nucleoside reverse transcriptase inhibitors (NNRTIs), protease inhibitors and other antiviral drugs.
- Example suitable NRTIs include zidovudine (AZT); didanosine (ddl); zalcitabine (ddC); stavudine (d4T); lamivudine (3TC); abacavir (1592U89); adefovir dipivoxil [bis(POM)-PMEA]; lobucavir (BMS-180194); BCH-10652; emitricitabine [(−)-FTC]; beta-L-FD4 (also called beta-L-D4C and named beta-L-2′, 3′-dicleoxy-5-fluoro-cytidene); DAPD, ((−)-beta-D-2,6,-diamino-purine dioxolane); and lodenosine (FddA). Typical suitable NNRTIs include nevirapine (BI-RG-587); delaviradine (BHAP, U-90152); efavirenz (DMP-266); PNU-142721; AG-1549; MKC-442 (1-(ethoxy-methyl)-5-(1-methylethyl)-6-(phenylmethyl)-(2,4(1H,3H)-pyrimidinedione); and (+)-calanolide A (NSC-675451) and B. Typical suitable protease inhibitors include saquinavir (Ro 31-8959); ritonavir (ABT-538); indinavir (MK-639); nelfnavir (AG-1343); amprenavir (141W94); lasinavir (BMS-234475); DMP-450; BMS-2322623; ABT-378; and AG-1 549. Other antiviral agents include hydroxyurea, ribavirin, IL-2, IL-12, pentafuside and Yissum Project No.11607.
- Suitable chemotherapeutic or other anti-cancer agents include, for example, alkylating agents (including, without limitation, nitrogen mustards, ethylenimine derivatives, alkyl sulfonates, nitrosoureas and triazenes) such as uracil mustard, chlormethine, cyclophosphamide (Cytoxan™), ifosfamide, melphalan, chlorambucil, pipobroman, triethylene-melamine, triethylenethiophosphoramine, busulfan, carmustine, lomustine, streptozocin, dacarbazine, and temozolomide.
- In the treatment of melanoma, suitable agents for use in combination with the compounds of the present invention include: dacarbazine (DTIC), optionally, along with other chemotherapy drugs such as carmustine (BCNU) and cisplatin; the “Dartmouth regimen,” which consists of DTIC, BCNU, cisplatin and tamoxifen; a combination of cisplatin, vinblastine, and DTIC; or temozolomide. Compounds according to the invention may also be combined with immunotherapy drugs, including cytokines such as interferon alpha,
interleukin 2, and tumor necrosis factor (TNF) in the treatment of melanoma. - Compounds of the invention may also be used in combination with vaccine therapy in the treatment of melanoma. Antimelanoma vaccines are, in some ways, similar to the anti-virus vaccines which are used to prevent diseases caused by viruses such as polio, measles, and mumps. Weakened melanoma cells or parts of melanoma cells called antigens may be injected into a patient to stimulate the body's immune system to destroy melanoma cells.
- Melanomas that are confined to the arms or legs may also be treated with a combination of agents including one or more compounds of the invention, using a hyperthermic isolated limb perfusion technique. This treatment protocol temporarily separates the circulation of the involved limb from the rest of the body and injects high doses of chemotherapy into the artery feeding the limb, thus providing high doses to the area of the tumor without exposing internal organs to these doses that might otherwise cause severe side effects. Usually the fluid is warmed to 102° to 104° F. Melphalan is the drug most often used in this chemotherapy procedure. This can be given with another agent called tumor necrosis factor (TNF) (see section on cytokines).
- Suitable chemotherapeutic or other anti-cancer agents include, for example, antimetabolites (including, without limitation, folic acid antagonists, pyrimidine analogs, purine analogs and adenosine deaminase inhibitors) such as methotrexate, 5-fluorouracil, floxuridine, cytarabine, 6-mercaptopurine, 6-thioguanine, fludarabine phosphate, pentostatine, and gemcitabine.
- Suitable chemotherapeutic or other anti-cancer agents further include, for example, certain natural products and their derivatives (for example, vinca alkaloids, antitumor antibiotics, enzymes, lymphokines and epipodophyllotoxins) such as vinblastine, vincristine, vindesine, bleomycin, dactinomycin, daunorubicin, doxorubicin, epirubicin, idarubicin, ara-C, paclitaxel (TAXOL™), mithramycin, deoxycoformycin, mitomycin-C, L-asparaginase, interferons (especially IFN-a), etoposide, and teniposide.
- Other cytotoxic agents include navelbene, CPT-11, anastrazole, letrazole, capecitabine, reloxafine, cyclophosphamide, ifosamide, and droloxafine.
- Also suitable are cytotoxic agents such as epidophyllotoxin; an antineoplastic enzyme; a topoisomerase inhibitor; procarbazine; mitoxantrone; platinum coordination complexes such as cis-platin and carboplatin; biological response modifiers; growth inhibitors; antihormonal therapeutic agents; leucovorin; tegafur; and haematopoietic growth factors.
- Other anti-cancer agent(s) include antibody therapeutics such as trastuzumab (Herceptin), antibodies to costimulatory molecules such as CTLA-4, 4-1BB and PD-1, or antibodies to cytokines (IL-10, TGF-β, etc.).
- Other anti-cancer agents also include those that block immune cell migration such as antagonists to chemokine receptors, including CCR2 and CCR4.
- Other anti-cancer agents also include those that augment the immune system such as adjuvants or adoptive T cell transfer.
- Anti-cancer vaccines include dendritic cells, synthetic peptides, DNA vaccines and recombinant viruses.
- Methods for the safe and effective administration of most of these chemotherapeutic agents are known to those skilled in the art. In addition, their administration is described in the standard literature. For example, the administration of many of the chemotherapeutic agents is described in the “Physicians' Desk Reference” (PDR, e.g., 1996 edition, Medical Economics Company, Montvale, N.J)., the disclosure of which is incorporated herein by reference as if set forth in its entirety.
- When employed as pharmaceuticals, the compounds of the invention can be administered in the form of pharmaceutical compositions which is a combination of a compound of the invention and a pharmaceutically acceptable carrier. These compositions can be prepared in a manner well known in the pharmaceutical art, and can be administered by a variety of routes, depending upon whether local or systemic treatment is desired and upon the area to be treated. Administration may be topical (including ophthalmic and to mucous membranes including intranasal, vaginal and rectal delivery), pulmonary (e.g., by inhalation or insufflation of powders or aerosols, including by nebulizer; intratracheal, intranasal, epidermal and transdermal), ocular, oral or parenteral. Methods for ocular delivery can include topical administration (eye drops), subconjunctival, periocular or intravitreal injection or introduction by balloon catheter or ophthalmic inserts surgically placed in the conjunctival sac. Parenteral administration includes intravenous, intraarterial, subcutaneous, intraperitoneal, or intramuscular injection or infusion; or intracranial, e.g., intrathecal or intraventricular, administration. Parenteral administration can be in the form of a single bolus dose, or may be, for example, by a continuous perfusion pump. Pharmaceutical compositions and formulations for topical administration may include transdermal patches, ointments, lotions, creams, gels, drops, suppositories, sprays, liquids and powders. Conventional pharmaceutical carriers, aqueous, powder or oily bases, thickeners and the like may be necessary or desirable.
- This invention also includes pharmaceutical compositions which contain, as the active ingredient, one or more of the compounds of the invention above in combination with one or more pharmaceutically acceptable carriers. In making the compositions of the invention, the active ingredient is typically mixed with an excipient, diluted by an excipient or enclosed within such a carrier in the form of, for example, a capsule, sachet, paper, or other container. When the excipient serves as a diluent, it can be a solid, semi-solid, or liquid material, which acts as a vehicle, carrier or medium for the active ingredient. Thus, the compositions can be in the form of tablets, pills, powders, lozenges, sachets, cachets, elixirs, suspensions, emulsions, solutions, syrups, aerosols (as a solid or in a liquid medium), ointments containing, for example, up to 10% by weight of the active compound, soft and hard gelatin capsules, suppositories, sterile injectable solutions, and sterile packaged powders.
- In preparing a formulation, the active compound can be milled to provide the appropriate particle size prior to combining with the other ingredients. If the active compound is substantially insoluble, it can be milled to a particle size of less than 200 mesh. If the active compound is substantially water soluble, the particle size can be adjusted by milling to provide a substantially uniform distribution in the formulation, e.g. about 40 mesh.
- Some examples of suitable excipients include lactose, dextrose, sucrose, sorbitol, mannitol, starches, gum acacia, calcium phosphate, alginates, tragacanth, gelatin, calcium silicate, microcrystalline cellulose, polyvinylpyrrolidone, cellulose, water, syrup, and methyl cellulose. The formulations can additionally include: lubricating agents such as talc, magnesium stearate, and mineral oil; wetting agents; emulsifying and suspending agents; preserving agents such as methyl- and propylhydroxy-benzoates; sweetening agents; and flavoring agents. The compositions of the invention can be formulated so as to provide quick, sustained or delayed release of the active ingredient after administration to the patient by employing procedures known in the art.
- The compositions can be formulated in a unit dosage form, each dosage containing from about 5 to about 100 mg, more usually about 10 to about 30 mg, of the active ingredient. The term “unit dosage forms” refers to physically discrete units suitable as unitary dosages for human subjects and other mammals, each unit containing a predetermined quantity of active material calculated to produce the desired therapeutic effect, in association with a suitable pharmaceutical excipient.
- The active compound can be effective over a wide dosage range and is generally administered in a pharmaceutically effective amount. It will be understood, however, that the amount of the compound actually administered will usually be determined by a physician, according to the relevant circumstances, including the condition to be treated, the chosen route of administration, the actual compound administered, the age, weight, and response of the individual patient, the severity of the patient's symptoms, and the like.
- For preparing solid compositions such as tablets, the principal active ingredient is mixed with a pharmaceutical excipient to form a solid pre-formulation composition containing a homogeneous mixture of a compound of the present invention. When referring to these pre-formulation compositions as homogeneous, the active ingredient is typically dispersed evenly throughout the composition so that the composition can be readily subdivided into equally effective unit dosage forms such as tablets, pills and capsules. This solid pre-formulation is then subdivided into unit dosage forms of the type described above containing from, for example, 0.1 to about 500 mg of the active ingredient of the present invention.
- The tablets or pills of the present invention can be coated or otherwise compounded to provide a dosage form affording the advantage of prolonged action. For example, the tablet or pill can comprise an inner dosage and an outer dosage component, the latter being in the form of an envelope over the former. The two components can be separated by an enteric layer which serves to resist disintegration in the stomach and permit the inner component to pass intact into the duodenum or to be delayed in release. A variety of materials can be used for such enteric layers or coatings, such materials including a number of polymeric acids and mixtures of polymeric acids with such materials as shellac, cetyl alcohol, and cellulose acetate.
- The liquid forms in which the compounds and compositions of the present invention can be incorporated for administration orally or by injection include aqueous solutions, suitably flavored syrups, aqueous or oil suspensions, and flavored emulsions with edible oils such as cottonseed oil, sesame oil, coconut oil, or peanut oil, as well as elixirs and similar pharmaceutical vehicles.
- Compositions for inhalation or insufflation include solutions and suspensions in pharmaceutically acceptable, aqueous or organic solvents, or mixtures thereof, and powders. The liquid or solid compositions may contain suitable pharmaceutically acceptable excipients as described supra. In some embodiments, the compositions are administered by the oral or nasal respiratory route for local or systemic effect. Compositions in can be nebulized by use of inert gases. Nebulized solutions may be breathed directly from the nebulizing device or the nebulizing device can be attached to a face masks tent, or intermittent positive pressure breathing machine. Solution, suspension, or powder compositions can be administered orally or nasally from devices which deliver the formulation in an appropriate manner.
- The amount of compound or composition administered to a patient will vary depending upon what is being administered, the purpose of the administration, such as prophylaxis or therapy, the state of the patient, the manner of administration, and the like. In therapeutic applications, compositions can be administered to a patient already suffering from a disease in an amount sufficient to cure or at least partially arrest the symptoms of the disease and its complications. Effective doses will depend on the disease condition being treated as well as by the judgment of the attending clinician depending upon factors such as the severity of the disease, the age, weight and general condition of the patient, and the like.
- The compositions administered to a patient can be in the form of pharmaceutical compositions described above. These compositions can be sterilized by conventional sterilization techniques, or may be sterile filtered. Aqueous solutions can be packaged for use as is, or lyophilized, the lyophilized preparation being combined with a sterile aqueous carrier prior to administration. The pH of the compound preparations typically will be between 3 and 11, more preferably from 5 to 9 and most preferably from 7 to 8. It will be understood that use of certain of the foregoing excipients, carriers, or stabilizers will result in the formation of pharmaceutical salts.
- The therapeutic dosage of the compounds of the present invention can vary according to, for example, the particular use for which the treatment is made, the manner of administration of the compound, the health and condition of the patient, and the judgment of the prescribing physician. The proportion or concentration of a compound of the invention in a pharmaceutical composition can vary depending upon a number of factors including dosage, chemical characteristics (e.g., hydrophobicity), and the route of administration. For example, the compounds of the invention can be provided in an aqueous physiological buffer solution containing about 0.1 to about 10% w/v of the compound for parenteral administration. Some typical dose ranges are from about 1 μg/kg to about 1 g/kg of body weight per day. In some embodiments, the dose range is from about 0.01 mg/kg to about 100 mg/kg of body weight per day. The dosage is likely to depend on such variables as the type and extent of progression of the disease or disorder, the overall health status of the particular patient, the relative biological efficacy of the compound selected, formulation of the excipient, and its route of administration. Effective doses can be extrapolated from dose-response curves derived from in vitro or animal model test systems.
- The compounds of the invention can also be formulated in combination with one or more additional active ingredients which can include any pharmaceutical agent such as anti-viral agents, vaccines, antibodies, immune enhancers, immune suppressants, anti-inflammatory agents and the like.
- Another aspect of the present invention relates to fluorescent dye, spin label, heavy metal or radio-labeled compounds of the invention that would be useful not only in imaging but also in assays, both in vitro and in vivo, for localizing and quantitating the IDO enzyme in tissue samples, including human, and for identifying IDO enzyme ligands by inhibition binding of a labeled compound. Accordingly, the present invention includes IDO enzyme assays that contain such labeled compounds.
- The present invention further includes isotopically-labeled compounds of Formula I. An “isotopically” or “radio-labeled” compound is a compound of the invention where one or more atoms are replaced or substituted by an atom having an atomic mass or mass number different from the atomic mass or mass number typically found in nature (i.e., naturally occurring). Suitable radionuclides that may be incorporated in compounds of the present invention include but are not limited to 2H (also written as D for deuterium), 3H (also written as T for tritium), 11C, 13C, 14C, 13N, 15N, 15O, 17O, 18O, 18F, 35S, 36Cl, 82Br, 75Br, 76Br, 77Br, 123I, 124I, 125I and 131I. The radionuclide that is incorporated in the instant radio-labeled compounds will depend on the specific application of that radio-labeled compound. For example, for in vitro IDO enzyme labeling and competition assays, compounds that incorporate 3H, 14C, 82Br, 125I, 131I, or 35S will generally be most useful. For radio-imaging applications 11C, 18F, 125I, 123I, 124I, 131I, 75Br, 76Br or 77Br will generally be most useful.
- It is understood that a “radio-labeled ” or “labeled compound” is a compound that has incorporated at least one radionuclide. In some embodiments the radionuclide is selected from the group consisting of 3H, 14C, 125I, 35S and 82Br.
- Synthetic methods for incorporating radio-isotopes into organic compounds are applicable to compounds of the invention and are well known in the art.
- A radio-labeled compound of the invention can be used in a screening assay to identify/evaluate compounds. In general terms, a newly synthesized or identified compound (i.e., test compound) can be evaluated for its ability to reduce binding of the radio-labeled compound of the invention to the IDO enzyme. Accordingly, the ability of a test compound to compete with the radio-labeled compound for binding to the IDO enzyme directly correlates to its binding affinity.
- The present invention also includes pharmaceutical kits useful, for example, in the treatment or prevention of IDO-associated diseases or disorders, obesity, diabetes and other diseases referred to herein which include one or more containers containing a pharmaceutical composition comprising a therapeutically effective amount of a compound of the invention. Such kits can further include, if desired, one or more of various conventional pharmaceutical kit components, such as, for example, containers with one or more pharmaceutically acceptable carriers, additional containers, etc., as will be readily apparent to those skilled in the art. Instructions, either as inserts or as labels, indicating quantities of the components to be administered, guidelines for administration, and/or guidelines for mixing the components, can also be included in the kit.
- The invention will be described in greater detail by way of specific examples. The following examples are offered for illustrative purposes, and are not intended to limit the invention in any manner. Those of skill in the art will readily recognize a variety of non-critical parameters which can be changed or modified to yield essentially the same results. The compounds of the Examples were found to be inhibitors of IDO according to one or more of the assays provided herein.
-
-
- Malononitrile [Aldrich, product #M1407] (320.5 g, 5 mol) was added to water (7 L) preheated to 45° C. and stirred for 5 min. The resulting solution was cooled in an ice bath and sodium nitrite (380 g, 5.5 mol) was added. When the temperature reached 10° C., 6 N hydrochloric acid (55 mL) was added. A mild exothermic reaction ensued with the temperature reaching 16° C. After 15 min the cold bath was removed and the reaction mixture was stirred for 1.5 hrs at 16-18° C. The reaction mixture was cooled to 13° C. and 50% aqueous hydroxylamine (990 g, 15 mol) was added all at once. The temperature rose to 26° C. When the exothermic reaction subsided the cold bath was removed and stirring was continued for 1 hr at 26-27° C., then it was slowly brought to reflux. Reflux was maintained for 2 hrs and then the reaction mixture was allowed to cool overnight. The reaction mixture was stirred in an ice bath and 6 N hydrochloric acid (800 mL) was added in portions over 40 min to pH 7.0. Stirring was continued in the ice bath at 5° C. The precipitate was collected by filtration, washed well with water and dried in a vacuum oven (50° C.) to give the desired product (644 g, 90%). LCMS for C3H6N5O2 (M+H)+: m/z=144.0. 13C NMR (75 MHz, CD3OD): δ 156.0, 145.9, 141.3.
-
- 4-Amino-N′-hydroxy-1,2,5-oxadiazole-3-carboximidamide (422 g, 2.95 mol) was added to a mixture of water (5.9 L), acetic acid (3 L) and 6 N hydrochloric acid (1.475 L, 3 eq.) and this suspension was stirred at 42-45° C. until complete solution was achieved. Sodium chloride (518 g, 3 eq.) was added and this solution was stirred in an ice/water/methanol bath. A solution of sodium nitrite (199.5 g, 0.98 eq.) in water (700 mL) was added over 3.5 hrs while maintaining the temperature below 0° C. After complete addition stirring was continued in the ice bath for 1.5 hrs and then the reaction mixture was allowed to warm to 15° C. The precipitate was collected by filtration, washed well with water, taken in ethyl acetate (3.4 L), treated with anhydrous sodium sulfate (500 g) and stirred for 1 hr. This suspension was filtered through sodium sulfate (200 g) and the filtrate was concentrated on a rotary evaporator. The residue was dissolved in methyl t-butyl ether (5.5 L), treated with charcoal (40 g), stirred for 40 min and filtered through Celite. The solvent was removed in a rotary evaporator and the resulting product was dried in a vacuum oven (45° C.) to give the desired product (256 g, 53.4%). LCMS for C3H4ClN4O2 (M+H)+: m/z=162.9. 13C NMR (100 MHz, CD3OD): δ 155.8, 143.4, 129.7.
-
- 4-Amino-N-hydroxy-1,2,5-oxadiazole-3-carboximidoyl chloride (200.0 g, 1.23 mol) was mixed with ethyl acetate (1.2 L). At 0-5° C. 2-methoxyethylamine [Aldrich, product #143693] (119.0 mL, 1.35 mol) was added in one portion while stirring. The reaction temperature rose to 41° C. The reaction was cooled to 0-5° C. Triethylamine (258 mL, 1.84 mol) was added. After stirring 5 min, LCMS indicated reaction completion. The reaction solution was washed with water (500 mL) and brine (500 mL), dried over sodium sulfate, and concentrated to give the desired product (294 g, 119%) as a crude dark oil. LCMS for C6H12N5O3 (M+H)+: m/z=202.3. 1H NMR (400 MHz, DMSO-d6): δ 10.65 (s, 1H), 6.27 (s, 2H), 6.10 (t, J=6.5 Hz, 1H), 3.50 (m, 2H), 3.35 (d, J=5.8 Hz, 2H), 3.08 (s, 3H).
-
- 4-Amino-N′-hydroxy-N-(2-methoxyethyl)-1,2,5-oxadiazole-3-carboximidamide (248.0 g, 1.23 mol) was mixed with water (1 L). Potassium hydroxide (210 g, 3.7 mol) was added. The reaction was refluxed at 100° C. overnight (15 hours). TLC with 50% ethyl acetate (containing 1% ammonium hydroxide) in hexane indicated reaction completed (product Rf=0.6, starting material Rf=0.5). LCMS also indicated reaction completion. The reaction was cooled to room temperature and extracted with ethyl acetate (3×1 L). The combined ethyl acetate solution was dried over sodium sulfate and concentrated to give the desired product (201 g, 81%) as a crude off-white solid. LCMS for C6H12N5O3 (M+H)+: m/z=202.3 1H NMR (400 MHz, DMSO-d6): δ 10.54 (s, 1H), 6.22 (s, 2H), 6.15 (t, J=5.8 Hz, 1H), 3.45 (t, J=5.3 Hz, 2H), 3.35 (m, 2H), 3.22 (s, 3H).
-
- At room temperature N′-hydroxy-4-[(2-methoxyethyl)amino]-1,2,5-oxadiazole-3-carboximidamide (50.0 g, 0.226 mol) was dissolved in 6.0 M hydrochloric acid aqueous solution (250 mL, 1.5 mol). Sodium chloride (39.5 g, 0.676 mol) was added followed by water (250 mL) and ethyl acetate (250 mL). At 3-5° C. a previously prepared aqueous solution (100 mL) of sodium nitrite (15.0 g, 0.217 mol) was added slowly over 1 hr. The reaction was stirred at 3-8° C. for 2 hours and then room temperature over the weekend. LCMS indicated reaction completed. The reaction solution was extracted with ethyl acetate (2×200 mL). The combined ethyl acetate solution was dried over sodium sulfate and concentrated to give the desired product (49.9 g, 126%) as a crude white solid. LCMS for C6H10ClN4O3 (M+H)+: m/z=221.0. 1H NMR (400 MHz, DMSO-d6): δ 13.43 (s, 1H), 5.85 (t, J=5.6 Hz, 1H), 3.50 (t, J=5.6 Hz, 2H), 3.37(dd, J=10.8, 5.6 Hz, 2H), 3.25 (s, 3H).
-
- N-Hydroxy-4-[(2-methoxyethyl)amino]-1,2,5-oxadiazole-3-carboximidoyl chloride (46.0 g, 0.208 mol) was mixed with water (300 mL). The mixture was heated to 60° C. 3-Bromo-4-fluoroaniline [Oakwood products, product #013091] (43.6 g, 0.229 mol) was added and stirred for 10 min. A warm sodium bicarbonate (26.3 g, 0.313 mol) solution (300 mL water) was added over 15 min. The reaction was stirred at 60° C. for 20 min. LCMS indicated reaction completion. The reaction solution was cooled to room temperature and extracted with ethyl acetate (2×300 mL). The combined ethyl acetate solution was dried over sodium sulfate and concentrated to give the desired product (76.7 g, 98%) as a crude brown solid. LCMS for C12H14BrFN5O3 (M+H)+: m/z=374.0, 376.0. 1H NMR (400 MHz, DMSO-d6): δ 11.55 (s, 1H), 8.85 (s, 1H), 7.16 (t, J=8.8 Hz, 1H), 7.08 (dd, J=6.1, 2.7 Hz, 1H), 6.75 (m, 1H), 6.14 (t, J=5.8 Hz, 1H), 3.48 (t, J=5.2 Hz, 2H), 3.35 (dd, J=10.8, 5.6 Hz, 2H), 3.22 (s, 3H).
-
- A mixture of N-(3-bromo-4-fluorophenyl)-N′-hydroxy-4-[(2-methoxyethyl)amino]-1,2,5-oxadiazole-3-carboximidamide (76.5 g, 0.204 mol), 1,1′-carbonyldiimidazole (49.7 g, 0.307 mol), and ethyl acetate (720 mL) was heated to 60° C. and stirred for 20 min. LCMS indicated reaction completed. The reaction was cooled to room temperature, washed with 1 N HCl (2×750 mL), dried over sodium sulfate, and concentrated to give the desired product (80.4 g, 98%) as a crude brown solid. LCMS for C13H12BrFN5O4 (M+H)+: m/z=400.0, 402.0. 1H NMR (400 MHz, DMSO-d6): δ 7.94 (t, J=8.2 Hz, 1H), 7.72 (dd, J=9.1, 2.3 Hz, 1H), 7.42 (m, 1H), 6.42 (t, J=5.7 Hz, 1H), 3.46 (t, J=5.4 Hz, 2H), 3.36 (t, J=5.8 Hz, 2H), 3.26 (s, 3H).
-
- 4-(3-Bromo-4-fluorophenyl)-3-{4-[(2-methoxyethyl)amino]-1,2,5-oxadiazol-3-yl}-1,2,4-oxadiazol-5(4H)-one (78.4 g, 0.196 mol) was dissolved in dichloromethane (600 mL). At −67° C. boron tribromide (37 mL, 0.392 mol) was added over 15 min. The reaction was warmed up to −10° C. in 30 min. LCMS indicated reaction completed. The reaction was stirred at room temperature for 1 hour. At 0-5° C. the reaction was slowly quenched with saturated sodium bicarbonate solution (1.5 L) over 30 min. The reaction temperature rose to 25° C. The reaction was extracted with ethyl acetate (2×500 mL, first extraction organic layer is on the bottom and second extraction organic lager is on the top). The combined organic layers were dried over sodium sulfate and concentrated to give the desired product (75 g, 99%) as a crude brown solid. LCMS for C12H10BrFN5O4 (M+H)+: m/z=386.0, 388.0. 1H NMR (400 MHz, DMSO-d6): δ 8.08 (dd, J=6.2, 2.5 Hz, 1H), 7.70 (m, 1H), 7.68 (t, J=8.7 Hz, 1H), 6.33 (t, J=5.6 Hz, 1H), 4.85 (t, J=5.0 Hz, 1H), 3.56 (dd, J=10.6, 5.6 Hz, 2H), 3.29 (dd, J=11.5, 5.9 Hz, 2H).
-
- To a solution of 4-(3-bromo-4-fluorophenyl)-3-{4-[(2-hydroxyethyl)amino]-1,2,5-oxadiazol-3-yl}-1,2,4-oxadiazol-5(4H)-one (1.5 kg, 3.9 mol, containing also some of the corresponding bromo-compound) in ethyl acetate (12 L) was added methanesulfonyl chloride (185 mL, 2.4 mol) dropwise over 1 h at room temperature. Triethylamine (325 mL, 2.3 mol) was added dropwise over 45 min, during which time the reaction temperature increased to 35° C. After 2 h, the reaction mixture was washed with water (5 L), brine (1 L), dried over sodium sulfate, combined with 3 more reactions of the same size, and the solvents removed in vacuo to afford the desired product (7600 g, quantitative yield) as a tan solid. LCMS for C13H11BrFN5O6SNa (M+Na)+: m/z=485.9, 487.9. 1H NMR (400 MHz, DMSO-d6): δ 8.08 (dd, J=6.2, 2.5 Hz, 1H), 7.72 (m, 1H), 7.58 (t, J=8.7 Hz, 1H), 6.75 (t, J=5.9 Hz, 1H), 4.36 (t, J=5.3 Hz, 2H), 3.58 (dd, J=11.2, 5.6 Hz, 2H), 3.18 (s, 3H).
-
- To a solution of 2-({4-[4-(3-bromo-4-fluorophenyl)-5-oxo-4,5-dihydro-1,2,4-oxadiazol-3-yl]-1,2,5-oxadiazol-3-yl}amino)ethyl methanesulfonate (2.13 kg, 4.6 mol, containing also some of the corresponding bromo-compound) in dimethylformamide (4 L) stirring in a 22 L flask was added sodium azide (380 g, 5.84 mol). The reaction was heated at 50° C. for 6 h, poured into ice/water (8 L), and extracted with 1:1 ethyl acetate:heptane (20 L). The organic layer was washed with water (5 L) and brine (5 L), and the solvents removed in vacuo to afford the desired product (1464 g, 77%) as a tan solid. LCMS for C12H8BrFN8O3Na (M+Na)+: m/z=433.0, 435.0. 1H NMR (400 MHz, DMSO-d6): δ 8.08 (dd, J=6.2, 2.5 Hz, 1H), 7.72 (m, 1H), 7.58 (t, J=8.7 Hz, 1H), 6.75 (t, J=5.7 Hz, 1H), 3.54 (t, J=5.3 Hz, 2H), 3.45 (dd, J=11.1, 5.2 Hz, 2H).
-
- Sodium iodide (1080 g, 7.2 mol) was added to 3-{4-[(2-azidoethyl)amino]-1,2,5-oxadiazol-3-yl}-4-(3-bromo-4-fluorophenyl)-1,2,4-oxadiazol-5(4H)-one (500 g, 1.22 mol) in methanol (6 L). The mixture was allowed to stir for 30 min during which time a mild exotherm was observed. Chlorotrimethylsilane (930 mL, 7.33 mol) was added as a solution in methanol (1 L) dropwise at a rate so that the temperature did not exceed 35° C., and the reaction was allowed to stir for 3.5 h at ambient temperature. The reaction was neutralized with 33 wt % solution of sodium thiosulfate pentahydrate in water (˜1.5 L), diluted with water (4 L), and the pH adjusted to 9 carefully with solid potassium carbonate (250 g—added in small portions: watch foaming). Di-tert-butyl dicarbonate (318 g, 1.45 mol) was added and the reaction was allowed to stir at room temperature. Additional potassium carbonate (200 g) was added in 50 g portions over 4 h to ensure that the pH was still at or above 9. After stirring at room temperature overnight, the solid was filtered, triturated with water (2 L), and then MTBE (1.5 L). A total of 11 runs were performed (5.5 kg, 13.38 mol). The combined solids were triturated with 1:1 THF:dichloromethane (24 L, 4 runs in a 20 L rotary evaporator flask, 50° C., 1 h), filtered, and washed with dichloromethane (3 L each run) to afford an off-white solid. The crude material was dissolved at 55° C. tetrahydrofuran (5 mL/g), treated with decolorizing carbon (2 wt %) and silica gel (2 wt %), and filtered hot through celite to afford the product as an off-white solid (5122 g). The combined MTBE, THF, and dichloromethane filtrates were concentrated in vacuo and chromatographed (2 kg silica gel, heptane with a 0-100% ethyl acetate gradient, 30 L) to afford more product (262 g). The combined solids were dried to a constant weight in a convection oven (5385 g, 83%).
- In a 22 L flask was charged hydrogen chloride (4 N solution in 1,4-dioxane, 4 L, 16 mol). tert-Butyl [2-({4-[4-(3-bromo-4-fluorophenyl)-5-oxo-4,5-dihydro-1,2,4-oxadiazol-3-yl]-1,2,5-oxadiazol-3-yl}amino)ethyl]carbamate (2315 g, 4.77 mol) was added as a solid in portions over 10 min. The slurry was stirred at room temperature and gradually became a thick paste that could not be stirred. After sitting overnight at room temperature, the paste was slurried in ethyl acetate (10 L), filtered, re-slurried in ethyl acetate (5 L), filtered, and dried to a constant weight to afford the desired product as a white solid (combined with other runs, 5 kg starting material charged, 4113 g, 95%). LCMS for C12H11BrFN6O3 (M+H)+: m/z=384.9, 386.9. 1H NMR (400 MHz, DMSO-d6): δ 8.12 (m, 4H), 7.76 (m, 1H), 7.58 (t, J=8.7 Hz, 1H), 6.78 (t, J=6.1 Hz, 1H), 3.51 (dd, J=11.8, 6.1 Hz, 2H), 3.02 (m, 2H).
-
- A 5 L round bottom flask was charged with chlorosulfonyl isocyanate [Aldrich, product #142662] (149 mL, 1.72 mol) and dichloromethane (1.5 L) and cooled using an ice bath to 2° C. tert-Butanol (162 mL, 1.73 mol) in dichloromethane (200 mL) was added dropwise at a rate so that the temperature did not exceed 10° C. The resulting solution was stirred at room temperature for 30-60 min to provide tert-butyl [chlorosulfonyl]carbamate.
- A 22 L flask was charged with 3-{4-[(2-aminoethyl)amino]-1,2,5-oxadiazol-3-yl}-4-(3-bromo-4-fluorophenyl)-1,2,4-oxadiazol-5(4H)-one hydrochloride (661 g, 1.57 mol) and 8.5 L dichloromethane. After cooling to −15° C. with an ice/salt bath, the solution of tert-butyl [chlorosulfonyl]carbamate (prepared as above) was added at a rate so that the temperature did not exceed −10° C. (addition time 7 min). After stirring for 10 min, triethylamine (1085 mL, 7.78 mol) was added at a rate so that the temperature did not exceed −5° C. (
addition time 10 min). The cold bath was removed, the reaction was allowed to warm to 10° C., split into two portions, and neutralized with 10% conc HCl (4.5 L each portion). Each portion was transferred to a 50 L separatory funnel and diluted with ethyl acetate to completely dissolve the white solid (˜25 L). The layers were separated, and the organic layer was washed with water (5 L), brine (5 L), and the solvents removed in vacuo to afford an off-white solid. The solid was triturated with MTBE (2×1.5 L) and dried to a constant weight to afford a white solid. A total of 4113 g starting material was processed in this manner (5409 g, 98%). 1H NMR (400 MHz, DMSO-d6): δ 10.90 (s, 1H), 8.08 (dd, J=6.2, 2.5 Hz, 1H), 7.72 (m, 1H), 7.59 (t, J=8.6 Hz, 1H), 6.58 (t, J=5.7 Hz, 1H), 3.38 (dd, J=12.7, 6.2 Hz, 2H), 3.10 (dd, J=12.1, 5.9 Hz, 2H), 1.41 (s, 9H). -
- To a 22 L flask containing 98:2 trifluoroacetic acid:water (8.9 L) was added tert-butyl ({[2-({4-[4-(3-bromo-4-fluorophenyl)-5-oxo-4,5-dihydro-1,2,4-oxadiazol-3-yl]-1,2,5-oxadiazol-3-yl}amino)ethyl]amino}sulfonyl)carbamate (1931 g, 3.42 mol) in portions over 10 minutes. The resulting mixture was stirred at room temperature for 1.5 h, the solvents removed in vacuo, and chased with dichloromethane (2 L). The resulting solid was treated a second time with fresh 98:2 trifluoroacetic acid:water (8.9 L), heated for 1 h at 40-50° C., the solvents removed in vacuo, and chased with dichloromethane (3×2 L). The resulting white solid was dried in a vacuum drying oven at 50° C. overnight. A total of 5409 g was processed in this manner (4990 g, quant. yield). LCMS for C12H12BrFN7O5S (M+H)+: m/z=463.9, 465.9. 1H NMR (400 MHz, DMSO-d6): δ 8.08 (dd, J=6.2, 2.5 Hz, 1H), 7.72 (m, 1H), 7.59 (t, J=8.7 Hz, 1H), 6.67 (t, J=5.9 Hz, 1H), 6.52 (t, J=6.0 Hz, 1H), 3.38 (dd, J=12.7, 6.3 Hz, 2H), 3.11 (dd, J=12.3, 6.3 Hz).
- To a crude mixture of N-[2-({4-[4-(3-bromo-4-fluorophenyl)-5-oxo-4,5-dihydro-1,2,4-oxadiazol-3-yl]-1,2,5-oxadiazol-3-yl}amino)ethyl]sulfamide (2.4 mol) containing residual amounts of trifluoroacetic acid stirring in a 22 L flask was added THF (5 L). The resulting solution was cooled to 0° C. using an ice bath and 2 N NaOH (4 L) was added at a rate so that the temperature did not exceed 10° C. After stirring at ambient temperature for 3 h (LCMS indicated no starting material remained), the pH was adjusted to 3-4 with concentrated HCl (˜500 mL). The THF was removed in vacuo, and the resulting mixture was extracted with ethyl acetate (15 L). The organic layer was washed with water (5 L), brine (5 L), and the solvents removed in vacuo to afford a solid. The solid was triturated with MTBE (2×2 L), combined with three other reactions of the same size, and dried overnight in a convection oven to afford a white solid (3535 g). The solid was recrystallized (3×22 L flasks, 2:1 water:ethanol, 14.1 L each flask) and dried in a 50° C. convection oven to a constant weight to furnish the title compound as an off-white solid (3290 g, 78%). LCMS for C11H14BrFN7O4S (M+H)+: m/z=437.9, 439.9. 1H NMR (400 MHz, DMSO-d6): δ 11.51 (s, 1H), 8.90 (s, 1H), 7.17 (t, J=8.8 Hz, 1H), 7.11 (dd, J=6.1, 2.7 Hz, 1H), 6.76 (m, 1H), 6.71 (t, J=6.0 Hz, 1H), 6.59 (s, 2H), 6.23 (t, J=6.1 Hz, 1H), 3.35 (dd, J=10.9, 7.0 Hz, 2H), 3.10 (dd, J=12.1, 6.2 Hz, 2H).
- The final product was an anhydrous crystalline solid. The water content was determined to be less than 0.1% by Karl Fischer titration. The X-ray powder diffraction (XRPD) pattern was determined (Rigaku MiniFlex Powder Diffractometer; Cu at 1.054056 Å with Kβ filter; start angle=3, stop angle=45, sampling=0.02, scan speed=2) and is shown in
FIG. 1 . A list of 2-theta peaks is provided in Table 1 below. The melting range of the solid was determined on a Mettler Toledo Differential Scanning Caloimetry (DSC) 822 instrument. The sample was heated from 40° C. to 240° C. at a heating rate of 10° C. per min. The DSC thermogram (FIG. 2 ) showed a Tonset at 162.7° C. and Tpeak at 163.8° C. Thermogravimetric analysis (TGA) (FIG. 3 ) showed weight loss of 0.3%, heating from 20° C. to 150° C. at a heating rate of 10° C./min using a TA Instrument Q500. -
TABLE 1 2-Theta Height H % 3.9 74 1.1 7.2 119 1.8 13.4 180 2.8 14.0 150 2.3 15.9 85 1.3 18.4 903 13.9 18.9 1469 22.7 21.3 519 8 21.8 6472 100 22.7 516 8 23.9 2515 38.9 24.8 804 12.4 25.3 182 2.8 27.4 476 7.4 28.6 354 5.5 29.2 1767 27.3 29.9 266 4.1 30.6 773 11.9 31.2 379 5.8 31.6 291 4.5 32.7 144 2.2 33.5 221 3.4 36.4 469 7.2 37.6 152 2.3 38.7 1381 21.3 41.0 153 2.4 42.1 382 5.9 43.6 527 8.1 44.4 1080 16.7 -
- The title compound was prepared according to the procedure of Example 17 step E, using N-hydroxy-4-({2-[(methylsulfonyl)amino]ethyl}amino)-1,2,5-oxadiazole-3-carboximidamide and 3-bromo-4-fluoroaniline [Oakwood Products, Inc., product #013091] as the starting materials. LCMS for C12H15BrFN6O4S (M+H)+: m/z=437.0, 439.0. 1H NMR (400 MHz, DMSO-d6): δ 11.49 (s, 1H), 8.90 (s, 1H), 7.17 (m, 2H), 7.09 (dd, J=6.3, 2.5 Hz, 1H), 6.26 (t, J=6.1 Hz, 1H), 3.33 (m, 2H), 3.13 (q, J=6.0 Hz, 2H), 2.89 (s, 3H).
-
-
- The desired compound was prepared according to the procedure of Example 5, step A, using 4-amino-N-(3-bromo-4-fluorophenyl)-N′-hydroxy-1,2,5-oxadiazole-3-carboximidamide [see U. S. Pat. App. Pub. No. 2006/0258719] as the starting material in 98% yield. LCMS for C10H6BrFN5O3 (M+H)+: m/z=342.0, 344.0. 1H NMR (400 MHz, DMSO-d6): δ 8.06 (dd, J=6.2, 2.5 Hz, 1H), 7.72-7.67 (m, 1H), 7.58 (dd, J=8.7, 8.7 Hz, 1H), 6.60 (s, 2H).
-
- The desired compound was prepared according to the procedure of Example 5, step B, using 3-(4-amino-1,2,5-oxadiazol-3-yl)-4-(3-bromo-4-fluorophenyl)-1,2,4-oxadiazol-5(4H)-one as the starting material in 81% yield. LCMS for C12H5BrF4N5O4 (M+H)+: m/z=437.9, 439.9. 1H NMR (400 MHz, DMSO-d6): δ 7.92-7.89 (m, 1H), 7.54-7.52 (m, 2H).
-
- A solution of 3-methoxypropan-1-ol [Fluka product #38457] (3.1 mL, 32 mmol) and triphenylphosphine (8.4 g, 32 mmol) in tetrahydrofuran (93 mL) at 0° C. was treated with diisopropyl azodicarboxylate (6.7 mL, 34 mmol) dropwise. The reaction mixture was stirred at 0° C. for 15 min, treated with a solution of N-{4-[4-(3-bromo-4-fluorophenyl)-5-oxo-4,5-dihydro-1,2,4-oxadiazol-3-yl]-1,2,5-oxadiazol-3-yl}-2,2,2-trifluoroacetamide (10 g, 23 mmol) in tetrahydrofuran (47 mL), and stirred at 25° C. for 72 h. The reaction mixture was concentrated, diluted with ethyl acetate (200 mL), treated with trifluoroacetic acid (20 mL) and water (20 mL), and heated at 50° C. for 6 h. The reaction mixture was concentrated, rediluted with ethyl acetate (200 mL) and washed with water (3×80 mL), saturated sodium bicarbonate (2×80 mL) and brine (80 mL), dried over anhydrous sodium sulfate, filtered, and concentrated to a crude residue. This material was purified on silica gel to give the desired product (6.4 g, 54%) as a white solid. LCMS for C14H14BrFN5O4 (M+H)+: m/z=414.0, 416.0.
-
- A solution of 4-(3-bromo-4-fluorophenyl)-3-{4-[(3-methoxypropyl)amino]-1,2,5-oxadiazol-3-yl}-1,2,4-oxadiazol-5(4H)-one (6.3 g, 14 mmol) in dichloromethane (60 mL) at −78° C. was treated with 1 M boron tribromide in dichloromethane (28 mL, 28 mmol) and stirred at 25° C. for 2 h. The reaction mixture was cooled to 0° C. and quenched with saturated sodium bicarbonate (100 mL). The aqueous layer was separated and extracted with dichloromethane (2×150 mL). The combined organic layers were washed with brine (100 mL), dried over anhydrous sodium sulfate, filtered, and concentrated to a crude off-white solid. This material was purified on silica gel to give the desired product (4.0 g, 73%) as a white solid. LCMS for C13H12BrFN5O4 (M+H)+: m/z=400.0, 402.0. 1H NMR (400 MHz, DMSO-d6): δ 8.07 (dd, J=6.2, 2.5 Hz, 1H), 7.72-7.68 (m, 1H), 7.59 (dd, J=8.8, 8.6 Hz, 1H), 6.54 (t, J=5.7 Hz, 1H), 4.60 (t, J=5.1 Hz, 1H), 3.48-3.43 (m, 2H), 3.32-3.26 (m, 2H), 1.74-1.67 (m, 2H).
-
- A solution of 4-(3-bromo-4-fluorophenyl)-3-{4-[(3-hydroxypropyl)amino]-1,2,5-oxadiazol-3-yl}-1,2,4-oxadiazol-5(4H)-one (3.0 g, 7.5 mmol) in dichloromethane (27 mL) was treated with methanesulfonyl chloride (0.75 mL, 9.7 mmol) and N,N-diisopropylethylamine (2.6 mL, 15 mmol) and stirred at 25° C. for 2 h. The reaction mixture was diluted with water (20 mL) and extracted with dichloromethane (20 mL). The organic layer was separated, dried over anhydrous sodium sulfate, filtered, and concentrated to give the mesylate which was used without further purification. A solution of the crude mesylate in N,N-dimethylformamide (24 mL) was treated with sodium azide (0.73 g, 11 mmol) and heated at 85° C. for 2 h. The reaction mixture was diluted with ethyl acetate (300 mL) and washed with water (100 mL), saturated sodium bicarbonate (100 mL), and brine (100 mL), dried over anhydrous sodium sulfate, filtered, and concentrated to give the desired product (3.2 g, 99%). This material was used without further purification. LCMS for C13H10BrFN8O3Na (M+Na)+: m/z=446.9, 448.9.
-
- A solution of 3-{4-[(3-azidopropyl)amino]-1,2,5-oxadiazol-3-yl}-4-(3-bromo-4-fluorophenyl)-1,2,4-oxadiazol-5(4H)-one (2.0 g, 4.7 mmol) in methanol (36 mL) was treated with sodium iodide (4.2 g, 28 mmol) and stirred at 25° C. for 5 min. The reaction mixture was treated with a solution of chlorotrimethylsilane (3.6 mL, 28 mmol) in methanol (7 mL) dropwise and stirred at 25° C. for 40 min. The reaction mixture was slowly poured into a solution of sodium thiosulfate (5.0 g, 32 mmol) in water (200 mL) that was cooled at 0° C. The solid that precipitated was filtered, washed with water, and dried to give the desired product (2.3 g, 93%) as a solid. LCMS for C13H13BrFN6O3 (M+H)+: m/z=399.0, 401.0. 1H NMR (400 MHz, DMSO-d6): δ 8.08 (dd, J=6.1, 2.3 Hz, 1H), 7.74-7.70 (m, 1H), 7.60 (dd, J=8.8, 8.6 Hz, 1H), 7.22 (br s, 2H), 6.69 (br s, 1H), 2.81-2.77 (m, 2H), 1.86-1.79 (m, 2H).
-
- A solution of 3-{4-[(3-aminopropyl)amino]-1,2,5-oxadiazol-3-yl}-4-(3-bromo-4-fluorophenyl)-1,2,4-oxadiazol-5(4H)-one hydroiodide (150 mg, 0.28 mmol) and sulfamide (160 mg, 1.7 mmol) in pyridine (2.5 mL) was heated in a microwave at 130° C. for 10 min. The reaction mixture was concentrated to give a crude residue. This material was purified by preparative LCMS to give the desired product (96 mg, 71%) as a solid. LCMS for C13H14BrFN7O5S (M+H)+: m/z=478.0, 480.0. 1H NMR (400 MHz, DMSO-d6): δ 8.07 (dd, J=6.2, 2.5 Hz, 1H), 7.73-7.69 (m, 1H), 7.59 (dd, J=8.8, 8.6 Hz, 1H), 6.57-6.51 (m, 4H), 3.31-3.26 (m, 2H), 2.92-2.87 (m, 2H), 1.79-1.72 (m, 2H).
- A solution of N-[3-({4-[4-(3-bromo-4-fluorophenyl)-5-oxo-4,5-dihydro-1,2,4-oxadiazol-3-yl]-1,2,5-oxadiazol-3-yl}amino)propyl]sulfamide (35 mg, 73 μmol) in methanol (1 mL) was treated with 2 M NaOH (0.3 mL, 0.6 mmol) and stirred at 25° C. for 30 min. The reaction mixture was treated with acetic acid (50 μL, 0.9 mmol), filtered, and purified by preparative LCMS to give the desired product (14 mg, 42%) as a solid. LCMS for C12H16BrFN7O4S (M+H)+: m/z=451.8, 453.9. 1H NMR (400 MHz, DMSO-d6): δ 11.5 (s, 1H), 8.89 (s, 1H), 7.17 (dd, J=8.8, 8.6 Hz, 1H), 7.09 (dd, J=6.1, 2.7 Hz, 1H), 6.76-6.72 (m, 1H), 6.56 (dd, J=6.1, 6.1 Hz, 1H), 6.51 (s, 2H), 6.17 (dd, J=5.9, 5.9 Hz, 1H), 3.27-3.21 (m, 2H), 2.94-2.88 (m, 2H), 1.78-1.71 (m, 2H).
-
-
- The desired compound was prepared according to the procedure of Example 17, step A, using N-(3-aminopropyl)(tert-butoxy)carboxamide [Aldrich product #436992] as the starting material in 70% yield. LCMS for C4H13N2O2S ([M-Boc+H]+H)+: m/z=153.1.
-
- The desired compound was prepared according to the procedure of Example 17, step B, using tert-butyl {3-[(methylsulfonyl)amino]propyl}carbamate as the starting material. LCMS for C4H13N2O2S (M+H)+: m/z=153.1.
-
- The desired compound was prepared according to the procedure of Example 17, step C, using N-(3-aminopropyOmethanesulfonamide hydrochloride and 4-amino-N-hydroxy-1,2,5-oxadiazole-3-carboximidoyl chloride [made according to Example 1, steps A through B] as the starting materials in 19% yield.
-
- The desired compound was prepared according to the procedure of Example 17, step D, using 4-amino-N′-hydroxy-N-{3-[(methylsulfonyl)amino]propyl}-1,2,5-oxadiazole-3-carboximidamide as the starting material. LCMS for C7H15N6O4S (M+H)+: m/z=279.0.
- The title compound was prepared according to the procedure of Example 17, step E, using N′-hydroxy-4-({3-[(methylsulfonyl)amino]propyl}amino)-1,2,5-oxadiazole-3-carboximidamide and 3-bromo-4-fluoroaniline [Oakwood Products, Inc., product #013091] as the starting materials in 12% yield. LCMS for C13H17BrFN6O4S (M+H)+: m/z=451.0, 453.0. 1H NMR (400 MHz, CD3OD): δ 7.12 (dd, J=5.9, 2.4 Hz, 1H), 7.05 (t, J=8.7 Hz, 1H), 6.83 (m, 1H), 3.39 (t, J=6.8 Hz, 2H), 3.14 (t, J=6.6 Hz, 2H), 2.94 (s, 3H), 1.87 (m, 2H).
-
-
- A solution of 4-amino-N-(3-chloro-4-fluorophenyl)-N′-hydroxy-1,2,5-oxadiazole-3-carboximidamide (80 g, 0.29 mol) [see US Pat. App. Pub. No. 2006/0258719] in tetrahydrofuran (500 mL) was treated with a solution of 1,1′-carbonyldiimidazole (53 g, 0.32 mol) in tetrahydrofuran (200 mL) and heated at reflux for 1 h. The reaction mixture was cooled to 25° C. and concentrated to the point where a large amount of solid precipitated. The heterogeneous mixture was diluted with ethyl acetate (1.5 L) and washed with 1 N HCl (2×300 mL), water (300 mL), and brine (200 mL). The organic layer was separated, dried over anhydrous sodium sulfate, filtered, and concentrated to give the desired product (88 g, quantitative) as an off-white solid. This material was used without further purification. LCMS for C10H6ClFN5O3 (M+H)+: m/z=298.0. 1H NMR (400 MHz, DMSO-d6): δ 7.96 (dd, J=6.6, 2.3 Hz, 1H), 7.69-7.60 (m, 2H), 6.60 (s, 2H).
-
- A solution of 3-(4-amino-1,2,5-oxadiazol-3-yl)-4-(3-chloro-4-fluorophenyl)-1,2,4-oxadiazol-5(4H)-one (15 g, 50 mmol) in dichloromethane (120 mL) was treated with trifluoroacetic anhydride (14 mL, 100 mmol), cooled to 0° C., and treated with pyridine (8.2 mL, 100 mmol). The reaction mixture was stirred at 25° C. for 10 min, cooled to 0° C., and quenched with water (10 mL). The reaction mixture was diluted with ethyl acetate (500 mL) and washed with 1 N HCl (300 mL), water (2×200 mL), and brine (200 mL). The organic layer was separated, dried over anhydrous sodium sulfate, filtered, and concentrated to ˜50 mL volume. This solution was warmed (˜40-50° C.) and treated with hexanes (600 mL) under vigorous stirring, followed by petroleum ether (200 mL). The mixture was stirred at 0° C. for 30 min and the solid was collected by filtration, washed with hexanes, and dried to give the desired product (19.7 g, 99%) as a white solid. LCMS for C12H5ClF4N5O4 (M+H)+: m/z=394.0. 1H NMR (400 MHz, DMSO-d6): δ 7.82 (dd, J=6.6, 2.5 Hz, 1H), 7.59 (dd, J=9.0, 9.0 Hz, 1H), 7.52-7.47 (m, 1H).
-
- A solution of 2-(tritylamino)ethanol (10 g, 33 mmol) [EP599220 and J. Org. Chem. (2001), 66, 7615] and triphenylphosphine (8.7 g, 33 mmol) in tetrahydrofuran (65 mL) at 0° C. was treated with diisopropyl azodicarboxylate (7.0 mL, 35 mmol) dropwise. The reaction mixture was stirred at 0° C. for 15 min, treated with a solution of N-{4-[4-(3-chloro-4-fluorophenyl)-5-oxo-4,5-dihydro-1,2,4-oxadiazol-3-yl]-1,2,5-oxadiazol-3-yl}-2,2,2-trifluoroacetamide (9.3 g, 24 mmol) in tetrahydrofuran (28 mL), and stirred at 25° C. for 16 h. The reaction mixture was concentrated, diluted with ethyl acetate (350 mL), cooled to 0° C., treated with 1 N HCl (200 mL), and stirred at 25° C. for 1 h. The reaction mixture was treated with additional 1 N HCl (150 mL) and stirred at 25° C. for 3 h. The organic layer was separated, washed with saturated sodium bicarbonate (200 mL) and brine (100 mL), dried over anhydrous sodium sulfate, filtered, and concentrated to a yellow foam which was reconcentrated from hexanes to give an oily solid. The oily solid was treated with methyl tert-butyl ether (50 mL) and stirred to give a heterogeneous mixture. The solid was filtered, washed with methyl tert-butyl ether (30 mL), and dried to give the desired product (10 g, 74%) as a white solid. LCMS for C31H24ClFN6O3Na (M+Na)+: m/z=605.2. 1H NMR (300 MHz, DMSO-d6): δ 7.97 (dd, J=6.7, 2.6 Hz, 1H), 7.71-7.66 (m, 1H), 7.60 (dd, J=9.1, 8.8 Hz, 1H), 7.40-7.37 (m, 6H), 7.28-7.23 (m, 6H), 7.18-7.12 (m, 3H), 6.59 (dd, J=5.9, 5.6 Hz, 1H), 3.37-3.31 (m, 2H), 2.96 (dd, J=7.6, 7.6 Hz, 1H), 2.27-2.19 (m, 2H).
-
- A premixed solution of triisopropylsilane (3.4 mL, 17 mmol) and trifluoroacetic acid (44 mL, 570 mmol) was added to 4-(3-chloro-4-fluorophenyl)-3-(4-{[2-(tritylamino)ethyl]amino}-1,2,5-oxadiazol-3-yl)-1,2,4-oxadiazol-5(4H)-one (6.5 g, 11 mmol) and the resulting suspension was stirred at 25° C. for 30 min. The reaction mixture was filtered and washed with trifluoroacetic acid. The filtrate was concentrated to an oil which was diluted with methanol (25 mL), cooled to 0° C., treated with 4 M HCl in 1,4-dioxane (14 mL), and stirred at 25° C. for 15 min. The mixture was concentrated to a solid that was treated with diethyl ether (50 mL) and filtered. The solid was washed with diethyl ether (50 mL) and dried to give the desired product (4.1 g, 98%) as a white solid. LCMS for C12H11ClFN6O3 (M+H)+: m/z=341.1. 1H NMR (300 MHz, DMSO-d6): δ 8.05-8.00 (m, 4H), 7.75-7.69 (m, 1H), 7.64 (dd, J=9.1, 8.8 Hz, 1H), 6.77 (dd, J=5.9, 5.9 Hz, 1H), 3.54-3.47 (m, 2H), 3.04-2.99 (m, 2H).
-
- A solution of chlorosulfonyl isocyanate (2.0 mL, 23 mmol) in dichloromethane (70 mL) was treated with t-butyl alcohol (2.2 mL, 23 mmol) at 0° C. and stirred at 25° C. for 1 h. This mixture was added to a suspension of 3-{4-[(2-aminoethyl)amino]-1,2,5-oxadiazol-3-yl}-4-(3-chloro-4-fluorophenyl)-1,2,4-oxadiazol-5(4H)-one hydrochloride (4.3 g, 11 mmol) in dichloromethane (70 mL). The reaction mixture was treated with a solution of triethylamine (6.3 mL, 45 mmol) in dichloromethane (20 mL) at 0° C. and stirred at 25° C. for 3 h. The reaction mixture was diluted with 0.1 N HCl and extracted with ethyl acetate (2×100 mL). The combined organic layers were washed with brine (100 mL), dried over anhydrous sodium sulfate, filtered, and concentrated to a white solid. The white solid was diluted with dichloromethane (100 mL), treated with trifluoroacetic acid (20 mL), and stirred at 25° C. for 3 h. The reaction mixture was concentrated to a crude residue that was purified by silica gel chromatography to give the desired product (3.7 g, 78%) as a white solid. LCMS for C12H12ClFN7O5S (M+H)+: m/z=420.0. 1H NMR (300 MHz, DMSO-d6): δ 7.98 (dd, J=6.4, 2.1 Hz, 1H), 7.70-7.60 (m, 2H), 6.66 (t, J=5.9 Hz, 1H), 6.57 (s, 2H), 6.52 (t, J=5.9 Hz, 1H), 3.42-3.35 (m, 2H), 3.13-3.06 (m, 2H).
- A solution of N-[2-({4-[4-(3-chloro-4-fluorophenyl)-5-oxo-4,5-dihydro-1,2,4-oxadiazol-3-yl]-1,2,5-oxadiazol-3-yl}amino)ethyl]sulfamide (3.7 g, 8.8 mmol) in methanol (70 mL) was treated with 2 M NaOH (18 mL, 35 mmol) and stirred at 25° C. for 2 h. The reaction mixture was quenched with 6 N HCl to pH-7 and the methanol was removed under reduced pressure. The solid that precipitated was filtered and washed with water to give the desired product (3.2 g, 92%) as a white solid. LCMS for C11H14ClFN7O4S (M+H)+: m/z=394.0. 1H NMR (400 MHz, DMSO-d6): δ 7.96 (dd, J=6.8, 2.1 Hz, 0.05H), 7.32-7.29 (m, 0.1H), 7.18 (dd, J=9.1, 9.1 Hz, 0.95H), 6.93 (dd, J=6.4, 2.7 Hz, 0.95H), 6.71-6.66 (m, 0.95H), 6.33 (br s, 1H), 3.35-3.27 (m, 2H), 3.10-3.06 (m, 2H).
-
- The title compound was prepared according to the procedure of Example 17 step E, using N-hydroxy-4-({2-[(methylsulfonyl)amino]ethyl}amino)-1,2,5-oxadiazole-3-carboximidamide and 3-chloro-4-fluoroaniline [Aldrich, product #228583] as the starting materials. LCMS for C12H15ClFN6O4S (M+H)+: m/z=393.0. 1H NMR (400 MHz, DMSO-d6): δ 11.50 (s, 1H), 8.91 (s, 1H), 7.19 (m, 2H), 6.96 (dd, J=6.7, 2.5 Hz, 1H), 6.71 (m, 1H), 6.26 (t, J=6.4 Hz, 1H), 3.32 (m, 2H), 3.13 (q, J=5.8 Hz, 2H), 2.89 (s, 3H).
-
-
- A solution of 3-amino-1-propanol [Aldrich product #A76400] (2.0 mL, 26 mmol) in dichloromethane (79 mL) was treated with benzophenone imine (4.4 mL, 26 mmol) and stirred at 25° C. for 16 h. The reaction mixture was filtered and the filtrate was concentrated to give the desired product (6.3 g, quantitative) as an oil. This material was used without further purification. LCMS for C16H18NO (M+H)+: m/z=240.2.
-
- A solution of 3-[(diphenylmethylene)amino]propan-1-ol (80 mg, 0.33 mmol) and triphenylphosphine (93 mg, 0.36 mmol) in tetrahydrofuran (1 mL) at 0° C. was treated with diisopropyl azodicarboxylate (75 μL, 0.38 mmol) dropwise. The reaction mixture was stirred at 0° C. for 15 min, treated with a solution of N-{4-[4-(3-chloro-4-fluorophenyl)-5-oxo-4,5-dihydro-1,2,4-oxadiazol-3-yl]-1,2,5-oxadiazol-3-yl}-2,2,2-trifluoroacetamide (100 mg, 0.25 mmol) in tetrahydrofuran (0.5 mL), and stirred at 25° C. for 16 h. The reaction mixture was treated with trifluoroacetic acid (1 mL), stirred at 25° C. for 3 h, and concentrated to a crude residue. This material was purified by preparative LCMS to give the desired product (18 mg, 15%). LCMS for C13H13ClFN6O3 (M+H)+: m/z=355.1
- The desired compound was prepared according to the procedure of Example 15, step G, using 3-{4-[(3-aminopropyl)amino]-1,2,5-oxadiazol-3-yl}-4-(3-chloro-4-fluorophenyl)-1,2,4-oxadiazol-5(4H)-one trifluoroacetate as the starting material in 34% yield. LCMS for C12H16ClFN7O4S (M+H)+: m/z=408.1. 1H NMR (400 MHz, DMSO-d6): δ 8.90 (s, 1H), 7.20 (dd, J=9.2, 9.0 Hz, 1H), 6.96 (dd, J=6.4, 2.7 Hz, 1H), 6.72-6.69 (m, 1H), 6.55 (t, J=6.0 Hz, 1H), 6.51 (s, 2H), 6.16 (t, J=5.9 Hz, 1H), 3.28-3.21 (m, 2H), 2.93-2.87 (m, 2H), 1.76-1.72 (m, 2H).
-
- The title compound was prepared according to the procedure of Example 4, step E, using N′-hydroxy-4-({3-[(methylsulfonyl)amino]propyl}amino)-1,2,5-oxadiazole-3-carboximidamide [made according to Example 4, steps A through D] and 3-chloro-4-fluoroaniline [Aldrich, product #228583] as the starting materials in 10% yield. LCMS for C13H17ClFN6O4S (M+H)+: m/z=407.1. 1H NMR (400 MHz, CD3OD): δ 7.06 (t, J=8.9 Hz, 1H), 6.98 (m, 1H), 6.80 (m, 1H), 3.73 (m, 2H), 3.28 (m, 2H), 2.94 (s, 3H), 1.28 (m, 2H).
-
-
- The desired compound was prepared according to the procedure of Example 13, step A, using N-hydroxy-4-[(2-methoxyethyl)amino]-1,2,5-oxadiazole-3-carboximidoyl chloride [made according to Example 1, steps A through E] and 3-trifluoromethyl-4-fluoroaniline [Aldrich, product #217778] as the starting materials in quantitative yield. LCMS for C13H14F4N5O3 (M+H)+: m/z=364.0. 1H NMR (400 MHz, CD3OD): δ 7.15 (m, 2H), 7.08 (m, 1H), 3.60 (t, J=5.3 Hz, 2H), 3.46 (t, J=5.3 Hz, 2H), 3.38 (s, 3H).
-
- The desired compound was prepared according to the procedure of Example 13, step B, using N-[4-fluoro-3-(trifluoromethyl)phenyl]-N′-hydroxy-4-[(2-methoxyethyl)amino]-1,2,5-oxadiazole-3-carboximidamide as the starting material in 79% yield. LCMS for C14H12F4N5O4 (M+H)+: m/z=390.0. 1H NMR (400 MHz, DMSO-d6): δ 8.20 (dd, J=6.3, 2.4 Hz, 1H), 8.03 (m, 1H), 7.76 (t, J=9.5 Hz, 1H), 6.41 (t, J=5.7 Hz, 1H), 3.49 (t, J=5.5 Hz, 2H), 3.39 (q, J=5.7 Hz, 2H), 3.25 (s, 3H).
-
- The desired compound was prepared according to the procedure of Example 13, step C, using 4-[4-fluoro-3-(trifluoromethyl)phenyl]-3-{4-[(2-methoxyethyl)amino]-1,2,5-oxadiazol-3-yl}-1,2,4-oxadiazol-5(4H)-one as the starting material in 99% yield. LCMS for C13H10F4N5O4 (M+H)+: m/z=376.0. 1H NMR (400 MHz, DMSO-d6): δ 8.22 (m, 1H), 8.05 (m, 1H), 7.76 (t, J=9.9 Hz, 1H), 6.34 (t, J=5.7 Hz, 1H), 4.87 (t, J=5.2 Hz, 1H), 3.56 (q, J=5.5 Hz, 2H), 3.29 (q, J=5.7 Hz, 2H).
-
- The desired compound was prepared according to the procedure of Example 13, step D, using 4-[4-fluoro-3-(trifluoromethyl)phenyl]-3-{4-[(2-hydroxyethyl)amino]-1,2,5-oxadiazol-3-yl}-1,2,4-oxadiazol-5(4H)-one as the starting material in 95% yield. LCMS for C14H12F4N5O6S (M+H)+: m/z=454.0. 1H NMR (400 MHz, DMSO-d6): δ 8.23 (dd, J=6.5, 2.5 Hz, 1H), 8.06 (m, 1H), 7.76 (t, J=9.6 Hz, 1H), 6.76 (t, J=5.8 Hz, 1H), 4.37 (t, J=5.4 Hz, 2H), 3.60 (q, J=5.5 Hz, 2H), 3.17 (s, 3H).
-
- The desired compound was prepared according to the procedure of Example 13, step E, using 2-[(4-{4-[4-fluoro-3-(trifluoromethyl)phenyl]-5-oxo-4,5-dihydro-1,2,4-oxadiazol-3-yl}-1,2,5-oxadiazol-3-yl)amino]ethyl methanesulfonate as the starting material in 100% yield. LCMS for C13H9F4N6O3 (M−N2+H)+: m/z=372.8. 1H NMR (400 MHz, DMSO-d6): δ 8.22 (dd, J=6.2, 2.4 Hz, 1H), 8.05 (m, 1H), 7.76 (t, J=9.6 Hz, 1H), 6.75 (t, J=5.9 Hz, 1H), 3.53 (t, J=5.9 Hz, 2H), 3.45 (q, J=5.6 Hz, 2H).
-
- The desired compound was prepared according to the procedure of Example 13, step F, using 3-{4-[(2-azidoethyl)amino]-1,2,5-oxadiazol-3-yl}-4-[4-fluoro-3-(trifluoromethyl)phenyl]-1,2,4-oxadiazol-5(4H)-one as the starting material in 80% yield. LCMS for C13H11F4N6O3 (M+H)+: m/z=375.0. 1H NMR (400 MHz, DMSO-d6): δ 8.20 (dd, J=6.2, 2.4 Hz, 1H), 8.03 (m, 1H), 7.74 (t, J=9.8 Hz, 1H), 7.10 (br s, 0.4H), 6.68 (t, J=5.5 Hz, 1H), 3.42 (q, J=5.8 Hz, 2H), 2.95 (t, J=6.5 Hz, 2H).
- The title compound was prepared according to the procedure of Example 13, step G, using 3-{4-[(2-aminoethyl)amino]-1,2,5-oxadiazol-3-yl}-4-[4-fluoro-3-(trifluoromethyl)phenyl]-1,2,4-oxadiazol-5(4H)-one hydroiodide as the starting material in 55% yield. LCMS for C12H14F4N7O4S (M+H)+: m/z=428.0. 1H NMR (400 MHz, DMSO-d6): δ 11.60 (s, 1H), 9.06 (s, 1H), 7.30 (t, J=10.1 Hz, 1H), 7.14 (dd, J=6.1, 2.7 Hz, 1H), 7.03 (m, 1H), 6.71 (t, J=5.3 Hz, 1H), 6.58 (s, 2H), 6.23 (t, J=6.2 Hz, 1H), 3.36 (q, J=6.5 Hz, 2H), 3.08 (m, 2H).
-
- The title compound was prepared according to the procedure of Example 17 step E, using N-hydroxy-4-({2-[(methylsulfonyl)amino]ethyl}amino)-1,2,5-oxadiazole-3-carboximidamide and 3-trifluoromethyl-4-fluoroaniline [Aldrich, product #217778] as the starting materials. LCMS for C13H15F4N6O4S (M+H)+: m/z=427.0. 1H NMR (400 MHz, DMSO-d6): δ 11.60 (s, 1H), 9.07 (s, 1H), 7.30 (t, J=10.1 Hz, 1H), 7.18 (t, J=6.0 Hz, 1H), 7.13 (dd, J=6.0, 2.7 Hz, 1H), 7.03 (m, 1H), 6.27 (t, J=6.3 Hz, 1H), 3.32 (m, 2H), 3.13 (q, J=6.0 Hz, 2H), 2.89 (s, 3H).
-
-
- The desired compound was prepared according to the procedure of Example 1, step C, using 3-methoxy-1-propanamine as the starting material in 93% yield. LCMS for C7H14N5O3 (M+H)+: m/z=216.1.
-
- The desired compound was prepared according to the procedure of Example 1, step D, using 4-amino-N′-hydroxy-N-(3-methoxypropyl)-1,2,5-oxadiazole-3-carboximidamide as the starting material in 72% yield. LCMS for C7H14N5O3 (M+H)+: m/z=216.1. 1H NMR (300 MHz, DMSO-d6): δ 10.4 (s, 1H), 6.21-6.13 (m, 3H), 3.37 (t, J=6.1 Hz, 2H), 3.28-3.21 (m, 5H), 1.82-1.74 (m, 2H).
-
- The desired compound was prepared according to the procedure of Example 1, step E, using N′-Hydroxy-4-[(3-methoxypropyl)amino]-1,2,5-oxadiazole-3-carboximidamide as the starting material in quantitative yield. LCMS for C7H12ClN4O3 (M+H)+: m/z=235.1.
-
- The desired compound was prepared according to the procedure of Example 1, step F, using N-hydroxy-4-[(3-methoxypropyl)amino]-1,2,5-oxadiazole-3-carboximidoyl chloride and 4-fluoro-3-(trifluoromethyl)benzeneamine as the starting materials in 87% yield. LCMS for C14H16F4N5O3 (M+H)+: m/z=378.1. 1H NMR (400 MHz, DMSO-d6): δ 11.5 (s, 1H), 9.05 (s, 1H), 7.30 (dd, J=10.0, 9.6 Hz, 1H), 7.13-7.11 (m, 1H), 7.05-7.00 (m, 1H), 6.22 (t, J=5.7 Hz, 1H), 3.35-3.32 (m, 2H), 3.25-3.19 (m, 5H), 1.79-1.72 (m, 2H).
-
- The desired compound was prepared according to the procedure of Example 1, step G, using N-[4-fluoro-3-(trifluoromethyl)phenyl]-N′-hydroxy-4-[(3-methoxypropyl)amino]-1,2,5-oxadiazole-3-carboximidamide as the starting material in quantitative yield. LCMS for C15H14F4N5O4 (M+H)+: m/z=404.0.
-
- The desired compound was prepared according to the procedure of Example 3, step D, using 4-[4-fluoro-3-(trifluoromethyl)phenyl]-3-{4-[(3-methoxypropyl)amino]-1,2,5-oxadiazol-3-yl}-1,2,4-oxadiazol-5(4H)-one as the starting material in 97% yield. LCMS for C14H12F4N5O4 (M+H)+: m/z=390.0. 1H NMR (300 MHz, DMSO-d6): δ 8.20 (dd, J=6.4, 2.6 Hz, 1H), 8.06-8.01 (m, 1H), 7.75 (dd, J=10.0, 9.4 Hz, 1H), 6.53 (t, J=5.7 Hz, 1H), 4.59 (t, J=5.0 Hz, 1H), 3.51-3.42 (m, 2H), 3.32-3.26 (m, 2H), 1.73-1.68 (m, 2H).
-
- The desired compound was prepared according to the procedure of Example 3, step E, using 4-[4-fluoro-3-(trifluoromethyl)phenyl]-3-{4-[(3-hydroxypropyl)amino]-1,2,5-oxadiazol-3-yl}-1,2,4-oxadiazol-5(4H)-one as the starting material in quantitative yield. LCMS for C14H10F4N8O3Na (M+Na)+: m/z=437.0.
-
- The desired compound was prepared according to the procedure of Example 3, step F, using 3-{4-[(3-azidopropyl)amino]-1,2,5-oxadiazol-3-yl}-4-[4-fluoro-3-(trifluoromethyl)phenyl]-1,2,4-oxadiazol-5(4H)-one as the starting material in 81% yield. LCMS for C14H13F4N6O3 (M+H)+: m/z=389.1. 1H NMR (300 MHz, DMSO-d6): δ 8.18 (dd, J=6.4, 2.3 Hz, 1H), 8.06-8.01 (m, 1H), 7.72 (dd, J=9.7, 9.4 Hz, 1H), 7.34 (br s, 2H), 6.71 (br s, 1H), 2.78-2.73 (m, 2H), 1.85-1.75 (m, 2H).
- The desired compound was prepared according to the procedure of Example 15, step G, using 3-{4-[(3-aminopropyl)amino]-oxadiazol-3-yl}-4-[4-fluoro-3-(trifluoromethyl)phenyl]-1,2,4-oxadiazol-5(4H)-one hydroiodide as the starting material in 60% yield. LCMS for C13H16F4N7O4S (M+H)+: m/z=442.0. 1H NMR (300 MHz, DMSO-d6): δ 11.6 (s, 1H), 9.08 (s, 1H), 7.31 (dd, J=10.0, 9.4 Hz, 1H), 7.13 (dd, J=6.4, 2.9 Hz, 1H), 7.05-6.99 (m, 1H), 6.58 (t, J=6.0 Hz, 1H), 6.52 (s, 2H), 6.17 (t, J=5.9 Hz, 1H), 3.28-3.21 (m, 2H), 2.94-2.87 (m, 2H), 1.79-1.72 (m, 2H).
-
- The desired compound was prepared according to the procedure of Example 16 using 3-{4-[(3-aminopropyl)amino]-oxadiazol-3-yl}-4-[4-fluoro-3-(trifluoromethyl)phenyl]-1,2,4-oxadiazol-5(4H)-one hydroiodide as the starting material in 70% yield. LCMS for C14H17F4N6O4S (M+H)+: m/z=441.1. 1H NMR (400 MHz, DMSO-d6): δ 11.6 (s, 1H), 9.07 (s, 1H), 7.30 (dd, J=10.0, 9.6 Hz, 1H), 7.13 (dd, J=6.2, 2.5 Hz, 1H), 7.05-7.02 (m, 2H), 6.19 (t, J=5.8 Hz, 1H), 3.27-3.21 (m, 2H), 2.99-2.94 (m, 2H), 2.87 (s, 3H), 1.76-1.72 (m, 2H).
-
-
- N-Hydroxy-4-[(2-methoxyethyl)amino]-1,2,5-oxadiazole-3-carboximidoyl chloride (1.3 g, 5.0 mmol) [made according to Example 1, steps A through E] was stirred in water (10 mL) and warmed to 60° C. for 5 minutes. 3-(trifluoromethyl)aniline [Aldrich, product #A41801] (880 mg, 5.5 mmol) was added in one portion and the reaction stirred for 15 minutes. While remaining at 60° C., a solution of sodium bicarbonate (630 mg, 7.5 mmol) in water (10 mL) was added dropwise over 5 minutes. The reaction was stirred at 60° C. for an additional 50 minutes, and then allowed to cool to room temperature. Ethyl acetate (20 mL) and brine (30 mL) were added to the flask and the organic layer was collected. The aqueous layer was extracted with ethyl acetate (2×20 mL) and the combined organics were dried over sodium sulfate. The solvent was removed in vacuo to give the desired product as an orange solid (1.4 g, 80%). LCMS calculated for C13H15F3N5O3 (M+H)+: m/z=346.1. 1H NMR (400 MHz, CD3OD): δ 7.36 (t, J=8.2 Hz, 1H), 7.23 (d, J=7.6 Hz, 1H), 7.09 (s, 1H), 7.02 (d, J=8.2 Hz, 1H), 3.60 (t, J=5.2 Hz, 2H), 3.46 (t, J=5.2 Hz, 2H), 3.38 (s, 3H).
-
- N′-Hydroxy-4-[(2-methoxyethyl)amino]-N-[3-(trifluoromethyl)phenyl]-1,2,5-oxadiazole-3-carboximidamide (1.4 g, 3.80 mmol) and 1,1′-carbonyldiimidazole (1.16 g, 7.16 mmol) were dissolved in ethyl acetate (20 mL). The reaction mixture was heated at 70° C. for 40 minutes. Additional 1,1′-carbonyldiimidazole (0.26 g, 1.16 mmol) was added. After stirring at 70° C. for another 50 minutes, the reaction was allowed to cool to room temperature. Ethyl acetate (20 mL) was added and the crude reaction was washed with 1 N HCl in water (2×20 mL). Brine was added to aid in the separation of the first wash. The organic layer was dried over sodium sulfate and concentrated in vacuo. Purification by flash chromatography on silica gel with an eluent of ethyl acetate in hexanes gave the desired product (1.3 g, 90%). LCMS calculated for C14H13F3N5O4 (M+H)+: m/z=372.0. 1H NMR (400 MHz, DMSO-d6): δ 8.07 (s, 1H), 7.92 (m, 2H), 7.79 (t, J=8.1 Hz, 1H), 6.42 (t, J=6.0 Hz, 1H), 3.47 (t, J=5.8 Hz, 2H), 3.38 (q, J=5.0 Hz, 2H), 3.24 (s, 3H).
-
- In a round bottom flask under nitrogen atmosphere, 3-{4-[(2-methoxyethyl)amino]-1,2,5-oxadiazol-3-yl}-4-[3-(trifluoromethyl)phenyl]-1,2,4-oxadiazol-5(4H)-one (1.3 g, 3.6 mmol) was stirred in dichloromethane (11 mL). The temperature was brought to −78° C. and a solution of 1.0 M boron tribromide in dichloromethane (7.9 mL, 7.9 mmol) was added dropwise over 15 minutes. The reaction was warmed to room temperature over 45 minutes and continued to stir at room temperature for an additional 45 minutes. The reaction was cooled to 0° C. and a saturated solution of sodium bicarbonate in water (25 mL) was added dropwise over 15 minutes. After warming to room temperature, ethyl acetate (10 mL) and water (10 mL) were added to the flask. The organic layer was collected and the aqueous layer was extracted with ethyl acetate (2×20 mL). After drying the combined organic layers over sodium sulfate, the solvent was removed in vacuo to give the desired product (1.0 g, 81%). LCMS calculated for C13H11F3N5O4 (M+H)+: m/z=358.0. 1H NMR (400 MHz, DMSO-d6): δ 8.08 (s, 1H), 7.93 (t, J=8.2 Hz, 2H), 7.79 (t, J=8.2 Hz, 1H), 6.35 (t, J=5.7 Hz, 1H), 4.86 (br s, 1H), 3.55 (t, J=6.0 Hz, 2H), 3.28 (m, 2H).
-
- To a solution of 3-{4-[(2-hydroxyethyl)amino]-1,2,5-oxadiazol-3-yl}-4-[3-(trifluoromethyl)phenyl]-1,2,4-oxadiazol-5(4H)-one (1.0 g, 2.9 mmol) in ethyl acetate (8.5 mL) was added methanesulfonyl chloride (0.29 mL, 3.7 mmol) in one portion. The reaction was stirred for 5 minutes and triethylamine (0.52 mL, 3.7 mmol) was added, also in one portion. After stirring for an additional 10 minutes, the reaction was quenched with the addition of water (5 mL). The product was extracted with ethyl acetate (2×5 mL), dried over sodium sulfate and concentrated in vacuo to give the desired product (1.2 g, 99%). LCMS calculated for C14H13F3N5O6S (M+H)+: m/z=436.0. 1H NMR (400 MHz, DMSO-d6): δ 8.10 (s, 1H), 7.92 (m, 2H), 7.80 (t, J=8.2 Hz, 1H), 6.77 (t, J=5.9 Hz, 1H), 4.36 (t, J=5.5 Hz, 2H), 3.58 (m, 2H), 3.17 (s, 3H).
-
- 2-[(4-{5-Oxo-4-[3-(trifluoromethyl)phenyl]-4,5-dihydro-1,2,4-oxadiazol-3-yl}-1,2,5-oxadiazol-3-yl)amino]ethyl methanesulfonate (1.2 g, 2.9 mmol) was dissolved in N,N-dimethylformamide (2.7 mL). After sodium azide (280 mg, 4.3 mmol) was added in one portion, the temperature was brought to 65° C. and the reaction stirred for 6 hours. After cooling back to room temperature, water (10 mL) was added to quench the reaction. The product was extracted with ethyl acetate (3×10 mL) and the combined organic layers were dried over sodium sulfate. The solvent was removed in vacuo to give the desired product (1.05 g, 96%). LCMS calculated for C13H10F3N6O3 (M−N2+H)+: m/z=355.0. 1H NMR (400 MHz, DMSO-d6): δ 8.09 (s, 1H), 7.93 (m, 2H), 7.79 (t, J=8.2 Hz, 1H), 6.75 (t, J=5.8 Hz, 1H), 3.52 (t, J=5.7 Hz, 2H), 3.44 (q, J=5.5 Hz, 2H).
-
- To a solution of 3-{4-[(2-azidoethyl)amino]-1,2,5-oxadiazol-3-yl}-4-[3-(trifluoromethyl)phenyl]-1,2,4-oxadiazol-5(4H)-one (1.05 g, 2.8 mmol) in methanol (12 mL) was added sodium iodide (2.5 g, 17 mmol). After stirring for 10 minutes, a solution of chlorotrimethylsilane (2.1 mL, 17 mmol) in methanol (1.41 mL) was added dropwise over 15 minutes. The reaction continued to stir for 40 minutes and then a solution of sodium thiosulfate (2.7 g, 17 mmol) in water (12.5 mL) was added in one portion. A beige solid precipitated upon addition of the sodium thiosulfate solution and it was collected by vacuum filtration. The solid was rinsed with water (2×10 mL) and was dried under vacuum overnight to give the desired product. A solid had also precipitated from the filtrate and it was collected by vacuum filtration. After washing with water (3×10 mL) in the funnel, the product was dried overnight under vacuum. The solid was slurry washed with ethyl acetate (3.8 mL) for 1 hour and recollected by filtration. After rinsing with ethyl acetate (2×2 mL) and drying overnight, additional product was obtained. In total, 760 mg of desired product (57%) was obtained as the hydroiodide salt. LCMS calculated for C13H12F3N6O3 (M+H)+: m/z=357.1. 1H NMR (400 MHz, DMSO-d6): δ 8.10 (s, 1H), 7.95 (m, 2H), 7.81 (t, J=8.1 Hz, 1H), 7.68 (br s, 2H), 6.74 (t, J=6.7 Hz, 1H), 3.49 (m, 2H), 3.03 (t, J=6.7 Hz, 2H).
- To a solution of chlorosulfonyl isocyanate (9.2 μL, 0.11 mmol) in dichloromethane (0.24 mL), at 0° C. and under a nitrogen atmosphere, was added tert-butyl alcohol (10 μL, 0.11 mmol) in a dropwise fashion. The solution was allowed to stir at room temperature for 1 hour to obtain a solution of tert-butyl [chlorosulfonyl]carbamate. In a separate flask, 3-{4-[(2-aminoethyl)amino]-1,2,5-oxadiazol-3-yl}-4-[3-(trifluoromethyl)phenyl]-1,2,4-oxadiazol-5(4H)-one hydroiodide (26 mg, 0.053 mmol) was suspended in dichloromethane (0.5 mL). A nitrogen atmosphere was established and the temperature brought to 0° C. The tert-butyl [chlorosulfonyl]carbamate solution (prepared as above) was added over 5 minutes to the stirred suspension of the amine salt. After 10 minutes, triethylamine (37 μL, 0.27 mmol) was added dropwise. The reaction mixture was stirred at room temperature for 1.5 hours. After concentrating in vacuo, the residue was treated with trifluoroacetic acid (0.5 mL, 6 mmol). This was stirred for 1 hour and the mixture was again concentrated to dryness in vacuo. The dried solids were suspended in methanol (0.5 mL) and a 2.0 N NaOH in water (0.53 mL, 1.1 mmol) was added in one portion. The reaction was heated to 45° C. and stirred for 30 minutes. After neutralization with acetic acid (60 μL, 1.1 mmol), the product was purified by preparative LCMS to give the desired product (8.5 mg, 39%). LCMS calculated for C12H15F3N7O4S (M+H)+: m/z=410.0. 1H NMR (400 MHz, CD3OD): δ 7.36 (t, J=7.8 Hz, 1H), 7.23 (d, J=7.8 Hz, 1H), 7.10 (s, 1H), 7.03 (d, J=7.8 Hz, 1H), 3.48 (m, 2H), 3.29 (m, 2H).
-
- The title compound was prepared according to the procedure of Example 17, step E, using N-hydroxy-4-({2-[(methylsulfonyl)amino]ethyl}amino)-1,2,5-oxadiazole-3-carboximidamide and 3-trifluoromethylaniline [Aldrich, product #A41801] as the starting materials. LCMS for C13H16F3N6O4S (M+H)+: m/z=409.1. 1H NMR (500 MHz, DMSO-d6): δ 11.63 (s, 1H), 9.08 (s, 1H), 7.39 (t, J=7.6 Hz, 1H), 7.21 (m, 2H), 7.10 (s, 1H), 6.99 (d, J=8.1 Hz, 1H), 6.28 (t, J=5.4 Hz, 1H), 3.36 (q, J=5.8 Hz, 2H), 3.17 (q, J=5.8 Hz, 2H), 2.91 (s, 3H).
-
-
- The desired compound was prepared according to the procedure of Example 5, step A, using 4-amino-N′-hydroxy-N-[3-(trifluoromethyl)phenyl]-1,2,5-oxadiazole-3-carboximidamide [see US Pat. App. Pub. No. 2006/0258719] as the starting material in 97% yield. LCMS for C11H7F3N5O3 (M+H)+: m/z=314.1.
-
- The desired compound was prepared according to the procedure of Example 5, step B, using 3-(4-amino-1,2,5-oxadiazol-3-yl)-4-[3-(trifluoromethyl)phenyl]-1,2,4-oxadiazol-5(4H)-one as the starting material in 90% yield. LCMS for C13H6F6N5O4 (M+H)+: m/z=410.0. 1H NMR (400 MHz, DMSO-d6): δ 7.91-7.88 (m, 2H), 7.76-7.69 (m, 2H).
-
- The desired compound was prepared according to the procedure of Example 3, step C, using 2,2,2-trifluoro-N-(4-{5-oxo-4-[3-(trifluoromethyl)phenyl]-4,5-dihydro-1,2,4-oxadiazol-3-yl}-1,2,5-oxadiazol-3-yl)acetamide as the starting material in 49% yield. LCMS for C15H15F3N5O4 (M+H)+: m/z=386.1. 1H NMR (300 MHz, CDCl3): δ 7.83 (d, J=8.1 Hz, 1H), 7.72-7.67 (m, 2H), 7.59 (d, J=7.5 Hz, 1H), 6.08-6.04 (m, 1H), 3.57 (t, J=5.6 Hz, 2H), 3.54-3.47 (m, 2H), 3.40 (s, 3H), 2.01-1.93 (m, 2H).
-
- The desired compound was prepared according to the procedure of Example 3, step D, using 3-{4-[(3-methoxypropyl)amino]-1,2,5-oxadiazol-3-yl}-4-[3-(trifluoromethyl)phenyl]-1,2,4-oxadiazol-5(4H)-one as the starting material in 69% yield. LCMS for C14H13F3N5O4 (M+H)+: m/z=372.1. 1H NMR (400 MHz, DMSO-d6): δ 8.07 (s, 1H), 7.95-7.90 (m, 2H), 7.79 (dd, J=7.9, 7.9 Hz, 1H), 6.55 (t, J=5.6 Hz, 1H), 4.59 (t, J=5.1 Hz, 1H), 3.47-3.42 (m, 2H), 3.30-3.25 (m, 2H), 1.72-1.65 (m, 2H).
-
- The desired compound was prepared according to the procedure of Example 3, step E, using 3-{4-[(3-hydroxypropyl)amino]-1,2,5-oxadiazol-3-yl}-4-[3-(trifluoromethyl)phenyl]-1,2,4-oxadiazol-5(4H)-one as the starting material in 92% yield. LCMS for C14H11F3N8O3Na (M+Na)+: m/z=419.0.
-
- The desired compound was prepared according to the procedure of Example 3, step F, using 3-{4-[(3-azidopropyl)amino]-1,2,5-oxadiazol-3-yl}-4-[3-(trifluoromethyl)phenyl]-1,2,4-oxadiazol-5(4H)-one as the starting material in 92% yield. LCMS for C14H14F3N6O3 (M+H)+: m/z=371.1. 1H NMR (400 MHz, DMSO-d6): δ 8.09 (s, 1H), 7.96-7.92 (m, 2H), 7.80 (dd, J=8.0, 7.8 Hz, 1H), 7.53 (br s, 2H), 6.70-6.65 (m, 1H), 4.10 (br s, 1H), 3.32-3.31 (m, 2H), 2.81-2.78 (m, 2H), 1.85-1.82 (m, 2H).
- A solution of 3-{4-[(3-aminopropyl)amino]-1,2,5-oxadiazol-3-yl}-4-[3-(trifluoromethyl)phenyl]-1,2,4-oxadiazol-5(4H)-one hydroiodide (1.5 g, 3.0 mmol) and sulfamide (1.7 g, 18 mmol) in pyridine (60 mL) was heated in a microwave at 130° C. for 10 min. The reaction mixture was concentrated to give the crude intermediate N-{3-[(4-{5-oxo-4-[3-(trifluoromethyl)phenyl]-4,5-dihydro-1,2,4-oxadiazol-3-yl}-1,2,5-oxadiazol-3-yl)amino]propyl}sulfamide. A solution of the crude intermediate in methanol (90 mL) was treated with 2 N NaOH (12 mL, 24 mmol) and stirred at 25° C. for 30 min. The reaction mixture was treated with 6 M HCl until the solution was acidic and extracted with ethyl acetate (250 mL). The organic layer was washed with water (100 mL) and brine (100 mL), dried over anhydrous sodium sulfate, filtered, and concentrated to give a crude residue. This material was purified by preparative LCMS to give the desired product (1.1 g, 82%) as a gummy solid. LCMS for C13H17F3N7O4S (M+H)+: m/z=424.0. 1H NMR (400 MHz, DMSO-d6): δ 11.6 (s, 1H), 9.12 (s, 1H), 7.37 (dd, J=8.0, 8.0 Hz, 1H), 7.21-7.18 (m, 1H), 7.07 (s, 1H), 6.95 (d, J=10.0 Hz, 1H), 6.52 (br s, 3H), 6.17 (t, J=6.0 Hz, 1H), 3.28-3.22 (m, 2H), 2.93-2.89 (m, 2H), 1.77-1.73 (m, 2H).
-
- A solution of 3-{4-[(3-aminopropyl)amino]-1,2,5-oxadiazol-3-yl}-4-[3-(trifluoromethyl)phenyl]-1,2,4-oxadiazol-5(4H)-one hydroiodide (from Example 15, Step F; 25 mg, 50 μmol) in dichloromethane (1 mL) was treated with triethylamine (17 μL, 0.12 mmol) and methanesulfonyl chloride (6 μL, 70 μmol) and stirred at 25° C. for 2 h. The reaction mixture was concentrated to give the intermediate, N-{3-[(4-{5-oxo-4-[3-(trifluoromethyl)phenyl]-4,5-dihydro-1,2,4-oxadiazol-3-yl}-1,2,5-oxadiazol-3-yl)amino]propyl}methanesulfonamide, as a crude residue which was used without further purification. A solution of the crude intermediate in methanol (1 mL) was treated with 2 N NaOH (0.25 mL, 0.5 mmol) and stirred at 25° C. for 30 min. The reaction mixture was treated with acetic acid (50 μL, 0.9 mmol), filtered and purified by preparative LCMS to give the desired product (13 mg, 65%) as a solid. LCMS for C14H18F3N6O4S (M+H)+: m/z=423.1. 1H NMR (400 MHz, DMSO-d6): δ 11.6 (s, 1H), 9.11 (s, 1H), 7.37 (dd, J=8.0, 8.0 Hz, 1H), 7.20 (d, J=7.8 Hz, 1H), 7.07-7.01 (m, 2H), 6.96 (d, J=8.0 Hz, 1H), 6.20 (t, J=5.9 Hz, 1H), 3.27-3.22 (m, 2H), 2.99-2.94 (m, 2H), 2.87 (s, 3H), 1.78-1.71 (m, 2H).
-
-
- N-(2-Aminoethyl)(tert-butoxy)carboxamide (17.5 mL, 0.11 mol) [Alfa #L19947] was stirred in dichloromethane (320 mL) and triethylamine (33 mL, 0.24 mol) was added. A solution of methanesulfonyl chloride (8.5 mL, 0.11 mol) in dichloromethane (10 mL) was added. The resulting mixture was stirred for 1 hour and water (30 mL) was added. The product was extracted with dichloromethane (3×30 mL), dried over sodium sulfate and concentrated in vacuo to give the desired product (21 g, 81%). LCMS calculated for C3H11N2O2S (M−Boc+H)+: m/z=139.1.
-
- tert-Butyl {2-[(methylsulfonyl)amino]ethyl}carbamate (21 g, 88 mmol) was stirred in a solution of 4 N hydrogen chloride in 1,4-dioxane (97 mL, 388 mmol) for 30 minutes. Trituration with ethyl acetate and hexanes followed by diethyl ether and hexanes gave the desired compound as a gum (19 g, 100%). LCMS calculated for C3H11N2O2S (M+H)+: m/z=139.0.
-
- 4-Amino-N-hydroxy-1,2,5-oxadiazole-3-carboximidoyl chloride (9.7 g, 60 mmol) was stirred in ethanol (460 mL) and N-(2-aminoethyl)methanesulfonamide dihydrochloride (19 g, 109 mmol) was added slowly in portions and the temperature rose to 25° C. After cooling back to 0° C., triethylamine (53 mL, 380 mmol) was added dropwise over 15 minutes and the reaction was stirred for an additional 15 minutes. The solution was washed with water (300 mL) and brine (300 mL). The organic layer was dried over sodium sulfate and concentrated in vacuo to give the desired product (16 g, 100%). LCMS calculated for C6H13N6O4S (M+H)+: m/z=265.1. 1H NMR (400 MHz, DMSO-d6): δ 10.16 (s, 1H), 9.07 (m, 1H), 7.18 (m, 1H), 6.37 (s, 2H), 3.36 (m, 2H), 3.15 (m, 2H), 2.87 (s, 3H).
-
- 4-Amino-N′-hydroxy-N-{2-[(methylsulfonyl)amino]ethyl}-1,2,5-oxadiazole-3-carboximidamide (0.47 g, 1.8 mmol) was stirred in 1,2-ethanediol (38 mL). Potassium hydroxide (600 g, 11 mmol) was added in one portion. The reaction was heated at 130° C. for 4 hours and allowed to cool to room temperature. 1 N HCl solution (60 mL) was added and the product was extracted with ethyl acetate (4×40 mL). The combined organics were dried over sodium sulfate and concentrated in vacuo to give the desired product (0.45 g, 96%). LCMS calculated for C6H12N6O4S (M+H)+: m/z=265.1. 1H NMR (400 MHz, DMSO-d6): δ 10.49 (s, 1H), 7.18 (m, 1H), 6.20 (m, 3H), 3.36 (m, 2H), 3.15 (m, 2H), 2.87 (s, 3H).
- N -Hydroxy-4-({2-[(methylsulfonyl)amino]ethyl}amino)-1,2,5-oxadiazole-3-carboximidamide (35 mg, 0.13 mmol) was stirred in 1,4-dioxane (2 mL) and 6 N hydrogen chloride solution (4 mL) was added. The solution was cooled to 0° C. and a solution of sodium nitrite (11 mg, 0.16 mmol) in water (3 mL) was slowly added. The mixture was stirred for 1 hour at 0° C. and evaporated. Dry 1,4-dioxane (2 mL) was added and the mixture evaporated two more times. A solution of 4-fluoro-3-methylaniline [Aldrich, product #559415] (25 mg, 0.20 mmol) in ethanol (2 mL) was added and the mixture was stirred for 1 hour. Purification by preparative LCMS (pH 2) gave the desired compound (17 mg, 27%). LCMS calculated for C13H18FN6O4S (M+H)+: m/z=373.1. 1H NMR (400 MHz, DMSO-d6): δ 11.25 (s, 1H), 8.61 (s, 1H), 7.18 (m, 1H), 6.91 (m, 1H), 6.72 (m, 1H), 6.58 (m, 1H), 6.24 (s, 1H), 3.32 (m, 2H), 3.11 (m, 2H), 2.89 (s, 3H), 2.05 (s, 3H).
-
-
- The desired compound was prepared according to the procedure of Example 13, step A, using N-hydroxy-4-[(2-methoxyethyl)amino]-1,2,5-oxadiazole-3-carboximidoyl chloride [made according to Example 1, steps A through E] and 5-amino-2-fluorobenzonitrile [Aldrich, product #639877] as the starting materials in 100% yield. LCMS for C13H14FN6O3 (M+H)+: m/z=321.0.
-
- The desired compound was prepared according to the procedure of Example 13, step B, using N-(3-cyano-4-fluorophenyl)-N′-hydroxy-4-[(2-methoxyethyl)amino]-1,2,5-oxadiazole-3-carboximidamide as the starting material in 91% yield. LCMS for C14H12FN6O4 (M+H)+: m/z=347.0. 1H NMR (400 MHz, DMSO-d6): δ 8.25 (dd, J=5.7, 2.6 Hz, 1H), 8.06 (m, 1H), 7.77 (t, J=9.2 Hz, 1H), 6.41 (t, J=5.7 Hz, 1H), 3.48 (m, 2H), 3.40 (q, J=5.4 Hz, 2H), 3.25 (s, 3H).
-
- The desired compound was prepared according to the procedure of Example 13, step C, using 2-fluoro-5-[3-{4-[(2-methoxyethyl)amino]-1,2,5-oxadiazol-3-yl}-5-oxo-1,2,4-oxadiazol-4(5H)-yl]benzonitrile as the starting material in quantitative yield. LCMS for C13H10FN6O4 (M+H)+: m/z=333.0.
-
- The desired compound was prepared according to the procedure of Example 13, step D, using 2-fluoro-5-[3-{4-[(2-hydroxyethyl)amino]-1,2,5-oxadiazol-3-yl}-5-oxo-1,2,4-oxadiazol-4(5H)-yl]benzonitrile as the starting material in 88% yield. LCMS for C14H12FN6O6S (M+H)+: m/z=411.0.
-
- The desired compound was prepared according to the procedure of Example 13, step E, using 2-({4-[4-(3-cyano-4-fluorophenyl)-5-oxo-4,5-dihydro-1,2,4-oxadiazol-3-yl]-1,2,5-oxadiazol-3-yl}amino)ethyl methanesulfonate as the starting material in 95% yield.
-
- The desired compound was prepared according to the procedure of Example 13, step F, using 5-[3-{4-[(2-azidoethyl)amino]-1,2,5-oxadiazol-3-yl}-5-oxo-1,2,4-oxadiazol-4(5H)-yl]-2-fluorobenzonitrile as the starting material in 57% yield. LCMS for C13H11FN7O3 (M+H)+: m/z=332.0. 1H NMR (400 MHz, DMSO-d6): δ 8.29 (dd, J=5.8, 2.7 Hz, 1H), 8.09 (m, 1H), 7.83 (br s, 3H), 7.79 (t, J=9.0 Hz, 1H), 6.77 (t, J=5.9 Hz, 1H), 3.50 (q, J=6.4 Hz, 2H), 3.04 (m, 2H).
- In a microwave vial, 5-[3-{4-[(2-aminoethyl)amino]-1,2,5-oxadiazol-3-yl}-5-oxo-1,2,4-oxadiazol-4(5H)-yl]-2-fluorobenzonitrile hydroiodide (20.0 mg, 0.044 mmol) and sulfamide (25 mg, 0.26 mmol) were suspended in pyridine (0.5 mL). The reaction was heated to 120° C. for 10 minutes in a microwave reactor. The solvent was removed and the residue dissolved in methanol (0.17 mL). A solution of 2.0 N NaOH in water (0.22 mL, 0.44 mmol) was added in one portion. The reaction was stirred at room temperature overnight. After neutralization with acetic acid (50 μL), the product was purified using preparative LCMS to give the title compound (4.9 mg, 29%). LCMS for C12H14FN8O4S (M+H)+: m/z=385.0. 1H NMR (400 MHz, DMSO-d6): δ 11.65 (s, 1H), 9.08 (s, 1H), 7.34 (t, J=9.1 Hz, 1H), 7.22 (dd, J=5.4, 2.8 Hz, 1H), 7.13 (m, 1H), 6.70 (t, J=5.9 Hz, 1H), 6.59 (s, 2H), 6.20 (t, J=6.1 Hz, 1H), 3.34 (m, 2H), 3.09 (m, 2H).
-
- The title compound was prepared according to the procedure of Example 17, step E, using N-hydroxy-4-({2-[(methylsulfonyl)amino]ethyl}amino)-1,2,5-oxadiazole-3-carboximidamide and 3-cyano-4-fluoroaniline [Aldrich, product #639877] as the starting materials. LCMS for C13H14FN7NaO4S (M+Na)+: m/z=406.0. 1H NMR (400 MHz, DMSO-d6): δ 11.65 (s, 1H), 9.08 (s, 1H), 7.35 (m, 1H), 7.18 (m, 3H), 6.56 (m, 1H), 6.23 (m, 1H), 6.24 (s, 2H), 3.32 (m, 2H), 3.14 (m, 2H), 2.89 (s, 3H).
-
-
- 4-Bromo-2-furaldehyde [Aldrich, product #666599] (10.0 g, 57.1 mmol) was dissolved in ethanol (50 mL) and water (50 mL). N-Hydroxyamine hydrochloride (7.15 g, 103 mmol) and sodium acetate (8.44 g, 103 mmol) were added sequentially and the reaction mixture was brought to reflux at 100° C. for 1 hour. The solution was partially concentrated and the precipitate was collected and washed with cold water (2×10 mL). The filtrate was extracted with ethyl acetate (3×25 mL) and the combined organic layers were washed with brine (50 mL). After drying over sodium sulfate, the solution was concentrated in vacuo. The residue was combined with the precipitate and dissolved in acetic acid (70 mL). After placing in an ice-bath, zinc (14.7 g, 225 mmol) was added portion-wise over 25 minutes. The reaction warmed to room temperature over 1.5 hours and was filtered through Celite. The solvent was removed in vacuo.
- The residue was stirred in tetrahydrofuran (72 mL). A solution of 2.0 N NaOH in water (179 mL, 358 mmol) was added dropwise over 45 minutes. After 5 minutes, di-tert-butyldicarbonate (16.9 g, 77.4 mmol) was added dropwise. The reaction was stirred for 2 hours and the tetrahydrofuran was removed in vacuo. Ethyl acetate (100 mL) was added and the suspension was filtered. The organic layer was collected and the product extracted with ethyl acetate (2×50 mL). The combined organic layers were washed with brine (100 mL) and water (100 mL), dried over sodium sulfate and concentrated in vacuo to give the desired product (15.3 g, 79%). LCMS calculated for C10H14BrNNaO3 (M+Na)+: m/z=298.0. 1H NMR (400 MHz, DMSO-d6): δ 7.79 (s, 1H), 7.37 (t, J=5.8 Hz, 1H), 6.33 (s, 1H), 4.06 (d, J=6.1 Hz, 2H), 1.36 (s, 9H).
-
- Under a nitrogen atmosphere, a solution of tert-butyl [(4-bromo-2-furyl)methyl]carbamate (15.3 g, 55.4 mmol) in dichloromethane (86 mL) at 0° C. was treated with trifluoroacetic acid (43 mL) over 15 minutes. The reaction mixture warmed to room temperature over 30 minutes. The solvent was removed in vacuo and chased with toluene (3×50 mL). The product was lyophilized for 18 hours to give the desired product as a brown solid (13.0 g, 81%). LCMS calculated for C5H4BrO (M-NH2)+: m/z=158.9, 160.9. 1H NMR (400 MHz, DMSO-d6): δ 8.34 (br s, 3H), 8.01 (s, 1H), 6.70 (s, 1H), 4.08 (s, 1H).
-
- N-Hydroxy-4-(2-methoxyethylamino)-1,2,5-oxadiazole-3-carbimidoyl chloride [prepared according to the procedure of Example 1, steps A through E] (4.5 g, 20.3 mmol) was stirred in ethanol (20 mL) at room temperature. To this, a solution of 1-(4-bromo-2-furyl)methanamine trifluoroacetate (6.5 g, 22.4 mmol) in ethanol (24 mL) was added and the mixture was stirred for 15 minutes. Triethylamine (6.3 mL, 44.8 mmol) was added dropwise over 10 minutes and the reaction was stirred for an additional 15 minutes. The solvent was removed in vacuo and after adding water (50 mL), the product was extracted with ethyl acetate (3×50 mL). The combined organic layers were washed with brine (50 mL), dried over sodium sulfate and concentrated to give the desired product (7.5 g, 100%). LCMS calculated for C11H15BrN5O4 (M+H)+: m/z=359.9, 361.9.
-
- N-[(4-Bromo-2-furyl)methyl]-N′-hydroxy-4-[(2-methoxyethyl)amino]-1,2,5-oxadiazole-3-carboximidamide (7.3 g, 20.4 mmol) and 1,1′-carbonyldiimidazole (5.0 g, 30.5 mmol) were dissolved in ethyl acetate (72 mL). The reaction mixture was heated at 65° C. for 15 minutes. Ethyl acetate (70 mL) was added and the crude reaction was washed with 0.1 N hydrogen chloride in water (2×70 mL). The organic layer was dried over sodium sulfate and concentrated in vacuo. Purification by flash chromatography on silica gel with an eluent of ethyl acetate in hexanes gave the desired product (4.1 g, 90%). LCMS calculated for C12H13BrN5O5 (M+H)+: m/z=386.0, 388.0. 1H NMR (400 MHz, CD3OD): δ 7.88 (s, 1H), 6.67 (s, 1H), 6.39 (t, J=5.7 Hz, 1H), 5.07 (s, 2H), 3.50 (m, 2H), 3.41 (q, J=5.7 Hz, 2H), 3.25 (s, 3H).
-
- In a round bottom flask under nitrogen atmosphere, 4-[(4-bromo-2-furyl)methyl]-3-{4-[(2-methoxyethyl)amino]-1,2,5-oxadiazol-3-yl}-1,2,4-oxadiazol-5(4H)-one (8.2 g, 21 mmol) was stirred in dichloromethane (68 mL). The temperature was brought to −78° C. and a solution of 1.0 M boron tribromide in dichloromethane (43 mL, 43 mmol) was added dropwise over 45 minutes. The reaction stirred at −78° C. for 45 minutes and continued to stir at 0° C. for an additional 30 minutes. While remaining at 0° C., a saturated solution of sodium bicarbonate in water (120 mL) was added dropwise over 25 minutes. After warming to room temperature, the organic layer was collected and the aqueous layer was extracted with ethyl acetate (2×50 mL). The combined organic layers were washed with brine (100 mL), dried over sodium sulfate and concentrated in vacuo to give the desired product (7.7 g, 97%) along with a small amount of 3-{4-[(2-bromoethyl)amino]-1,2,5-oxadiazol-3-yl}-4-[(4-bromo-2-furyl)methyl]-1,2,4-oxadiazol-5(4H)-one. LCMS calculated for C11H11BrN5O5 (M+H)+: m/z=371.7, 374.0. 1H NMR (400 MHz, DMSO-d6): δ 7.89 (s, 1H), 6.68 (s, 1H), 6.31 (t, J=5.8 Hz, 1H), 5.08 (s, 2H), 4.85 (br s, 1H), 3.56 (m, 2H), 3.30 (q, J=5.6 Hz, 2H).
-
- To a solution of 4-[(4-bromo-2-furyl)methyl]-3-{4-[(2-hydroxyethyl)amino]-1,2,5-oxadiazol-3-yl}-1,2,4-oxadiazol-5(4H)-one (7.7 g, 21 mmol, containing also some of the corresponding bromo-compound) in ethyl acetate (100 mL) was added methanesulfonyl chloride (0.96 mL, 12 mmol) in one portion. The reaction was stirred for 5 minutes and triethylamine (1.6 mL, 11 mmol) was added, also in one portion. After stirring for 30 minutes, additional methanesulfonyl chloride (0.4 mL, 5 mmol) was added, followed 5 minutes later by triethylamine (0.58 mL, 4.2 mmol). After 15 minutes, the reaction was quenched with the addition of water (100 mL). The product was extracted with ethyl acetate (3×50 mL) and the combined organic layers washed with brine (100 mL). After drying over sodium sulfate, the solvent was removed in vacuo to give the desired product (9.3 g, 100%). LCMS calculated for C12H13BrN5O7S (M+H)+: m/z=449.8, 451.8. 1H NMR (300 MHz, DMSO-d6): δ 7.88 (s, 1H), 6.73 (t, J=6.2 Hz, 1H), 6.68 (s, 1H), 5.08 (s, 2H), 4.37 (m, 2H), 3.59 (q, J=5.8 Hz, 2H), 3.16 (s, 3H).
-
- 2-[(4-{4-[(4-Bromo-2-furyl)methyl]-5-oxo-4,5-dihydro-1,2,4-oxadiazol-3-yl}-1,2,5-oxadiazol-3-yl)amino]ethyl methanesulfonate (9.1 g, 20 mmol, containing also some of the corresponding bromo-compound) was dissolved in dimethylformamide (90 mL). Sodium azide (1.97 g, 30.3 mmol) was added in one portion and after 5 minutes, the temperature was brought to 65° C. The reaction stirred for 2 hours and was allowed to cool back to room temperature. Water (200 mL) was added to quench the reaction. The product was extracted with ethyl acetate (3×100 mL) and the combined organic layers were washed with brine (2×150 mL) and water (150 mL). After drying over sodium sulfate, the solvent was removed in vacuo to give the desired product (7.7 g, 96%). LCMS calculated for C11H9BrN8NaO4 (M+Na)+: m/z=418.7, 421.0. 1H NMR (400 MHz, DMSO-d6): δ 7.88 (s, 1H), 6.71 (t, J=5.7 Hz, 1H), 6.68 (s, 1H), 5.08 (s, 2H), 3.54 (t, J=5.7 Hz, 2H), 3.47 (q, J=5.7 Hz, 2H).
-
- To a solution of 3-{4-[(2-azidoethyl)amino]-1,2,5-oxadiazol-3-yl}-4-[(4-bromo-2-furyl)methyl]-1,2,4-oxadiazol-5(4H)-one (7.7 g, 19 mmol) in methanol (80 mL) was added sodium iodide (17.4 g, 116 mmol). After stirring for 10 minutes, a solution of chlorotrimethylsilane (14.8 mL, 116 mmol) was added dropwise over 5 minutes. The reaction continued to stir for 1 hour, at which time it was slowly added to a solution of sodium thiosulfate (23.0 g, 145 mmol) in water (800 mL) at 0° C., resulting in a precipitate. The flask was rinsed with methanol (10 mL) and the precipitate was collected through vacuum filtration. The solid was rinsed with cold water (2×25 mL) and was dried under vacuum to give the desired product (5.8 g, 60%) as the hydroiodide salt. LCMS calculated for C11H12BrN6O4 (M+H)+: m/z=370.9, 372.8. 1H NMR (400 MHz, DMSO-d6): δ 7.86 (s, 1H), 7.36 (br s, 3H), 6.68 (t, J=5.8 Hz, 1H), 6.65 (s, 1H), 5.07 (s, 2H), 3.45 (q, J=5.8 Hz, 2H), 2.98 (t, J=5.8 Hz, 2H).
-
- In a microwave vial, 3-{4-[(2-aminoethyl)amino]-1,2,5-oxaliazol-3-yl}-4-[(4-bromo-2-furyl)methyl]-1,2,4-oxadiazol-5(4H)-one hydroiodide (30 mg, 0.060 mmol) and sulfamide (29 mg, 0.30 mmol) were suspended in pyridine (1 mL). The reaction mixture was flushed with nitrogen and heated at 130° C. for 3 minutes in a microwave reactor. The solvent was removed and the crude intermediate was suspended in methanol (1 mL). A 2.0 N solution of NaOH in water (0.30 mL, 0.60 mmol) was added in one portion and the reaction was heated to 45° C. for 30 minutes. After neutralization with acetic acid (68 μL, 1.2 mmol), the product was purified by preparative LCMS to give the desired product (10.4 mg, 41%). LCMS calculated for C10H15BrN7O5S (M+H)+: m/z=423.9, 426.0. 1H NMR (400 MHz, DMSO-d6): δ 10.87 (s, 1H), 7.75 (s, 1H), 6.83 (t, J=7.3 Hz, 1H), 6.68 (t, J=6.0 Hz, 1H), 6.56 (s, 2H), 6.30 (t, J=6.0 Hz, 1H), 6.23 (s, 1H), 4.56 (d, J=7.0 Hz, 2H), 3.32 (q, J=6.3 Hz, 2H), 3.07 (q, J=6.3 Hz, 2H).
-
-
- To a stirred suspension of aluminum trichloride (29.8 g, 0.223 mol) in dichloromethane (200 mL) under nitrogen atmosphere was added 2-furancarboxaldehyde (8.44 mL, 0.102 mol) over 15 minutes. After stirring for 30 minutes, chlorine was bubbled into the suspension using a pipette over a time period of 50 minutes. The flask was sealed and left to stir at room temperature for 90 hours. The reaction mixture was slowly added to a mixture of ice (500 mL) in a solution of 1.0 N hydrogen chloride in water (300 mL). The mixture was left to warm to room temperature over the next hour. The layers were separated and the organic layer collected. Additional product was extracted with dichloromethane (2×200 mL). The combined organic layers were washed with water (250 mL) and dried over sodium sulfate. The solvent was removed in vacuo to give a crude mixture containing the desired product (14.0 g, 100%, 60% purity). 1H NMR (400 MHz, DMSO-d6): δ 9.56 (s, 1H), 8.36 (s, 1H), 7.71 (s, 1H).
-
- 4-Chloro-2-furaldehyde (14.0 g, 60% purity, 64 mmol) was dissolved in ethanol (50 mL) and water (50 mL). N-Hydroxyamine hydrochloride (12.6 g, 182 mmol) and sodium acetate (14.9 g, 182 mmol) were added sequentially and the reaction mixture was brought to reflux at 100° C. for 1 hour. The solution was partially concentrated then water (25 mL) and ethyl acetate (50 mL) were added. The organic layer was collected and the aqueous was extracted with ethyl acetate (2×25 mL). The combined organic layers were washed with brine (50 mL) and water (50 mL). After drying over sodium sulfate, the solution was concentrated in vacuo. The intermediate was suspended in acetic acid (115 mL). The solution was cooled in an ice-bath and zinc (33.1 g, 506 mmol) was added portion-wise over 20 minutes. The reaction warmed to room temperature over 2 hours and was filtered through Celite. The solvent was removed in vacuo.
- The residue was stirred in tetrahydrofuran (100 mL). A solution of 2.0 M NaOH in water (152 mL, 304 mmol) was added dropwise over 30 minutes. The reaction mixture was placed in an ice-bath and after 5 minutes, di-tert-butyldicarbonate (24.3 g, 111 mmol) was added dropwise over 15 minutes. The reaction was allowed to warm to room temperature over the next 2 hours and the tetrahydrofuran was then removed in vacuo. Ethyl acetate (100 mL) was added and the suspension was filtered. The organic layer was collected and the aqueous layer extracted with ethyl acetate (2×100 mL). The combined organic layers were washed with a 1:1 mixture of water/brine (100 mL), dried over sodium sulfate and concentrated in vacuo. Purification by flash chromatography on silica gel with an eluent of ethyl acetate in hexanes gave the desired product (3.05 g, 22%). LCMS calculated for C10H14ClNNaO3 (M+Na)+: m/z=253.9. 1H NMR (400 MHz, DMSO-d6): δ 7.81 (s, 1H), 7.37 (t, J=5.3 Hz, 1H), 6.32 (s, 1H), 4.05 (d, J=6.0 Hz, 2H), 1.36 (s, 9H).
-
- The desired compound was prepared according to the procedure of Example 20, step B, using tert-butyl [(4-chloro-2-furyl)methyl]carbamate as the starting material in quantitative yield. LCMS calculated for C5H4ClO (M−NH2)+: m/z=115.0. 1H NMR (400 MHz, DMSO-d6): δ 8.29 (br s, 3H), 8.04 (s, 1H), 6.69 (s, 1H), 4.07 (s, 2H).
-
- The desired compound was prepared according to the procedure of Example 20, step C, using N-hydroxy-4-(2-methoxyethylamino)-1,2,5-oxadiazole-3-carbimidoyl chloride and 1-(4-chloro-2-furyl)methanamine trifluoroacetate as the starting material in quantitative yield. LCMS calculated for C11H15ClN5O4 (M+H)+: m/z=316.0.
-
- The desired compound was prepared according to the procedure of Example 20, step D, using N-[(4-chloro-2-furyl)methyl]-N′-hydroxy-4-[(2-methoxyethyl)amino]-1,2,5-oxadiazole-3-carboximidamide as the starting material in 51% yield. LCMS calculated for C12H13ClN5O5 (M+H)+: m/z=342.0.
-
- The desired compound was prepared according to the procedure of Example 20, step E, using 4-[(4-chloro-2-furyl)methyl]-3-{4-[(2-methoxyethyl)amino]-1,2,5-oxadiazol-3-yl}-1,2,4-oxadiazol-5(4H)-one as the starting material in quantitative yield. LCMS calculated for C11H10ClN5NaO5 (M+Na)+: m/z=349.9.
-
- The desired compound was prepared according to the procedure of Example 20, step F, using 4-[(4-chloro-2-furyl)methyl]-3-{4-[(2-hydroxyethyl)amino]-1,2,5-oxadiazol-3-yl}-1,2,4-oxadiazol-5(4H)-one as the starting material in 69% yield. LCMS calculated for C12H13ClN5O7S (M+H)+: m/z=405.8.
-
- The desired compound was prepared according to the procedure of Example 20, step G, using 2-[(4-{4-[(4-chloro-2-furyl)methyl]-5-oxo-4,5-dihydro-1,2,4-oxadiazol-3-yl}-1,2,5-oxadiazol-3-yl)amino]ethyl methanesulfonate as the starting material in quantitative yield. LCMS calculated for C11H9ClN8NaO4 (M+Na)+: m/z=374.9.
-
- The desired compound was prepared according to the procedure of Example 20, step H, using 3-{4-[(2-azidoethyl)amino]-1,2,5-oxadiazol-3-yl}-4-[(4-chloro-2-furyl)methyl]-1,2,4-oxadiazol-5(4H)-one as the starting material in 57% yield. LCMS calculated for C11H12ClN6O4 (M+H)+: m/z=326.9.
-
- The desired compound was prepared according to the procedure of Example 20, step I, using 3-{4-[(2-aminoethyl)amino]-1,2,5-oxadiazol-3-yl}-4-[(4-chloro-2-furyl)methyl]-1,2,4-oxadiazol-5(4H)-one hydroiodide as the starting material in 53% yield. LCMS calculated for C10H15ClN7O5S (M+H)+: m/z=379.9. 1H NMR (400 MHz, DMSO-d6): δ 10.88 (s, 1H), 7.77 (s, 1H), 6.83 (t, J=6.8 Hz, 1H), 6.68 (t, J=5.9 Hz, 1H), 6.56 (s, 2H), 6.30 (t, J=5.9 Hz, 1H), 6.22 (s, 1H), 4.55 (d, 2H), 3.32 (q, J=6.3 Hz, 2H), 3.06 (q, J=6.3 Hz, 2H).
-
-
- 4-Amino-N-hydroxy-1,2,5-oxadiazole-3-carboximidoyl chloride (can be prepared according to Example 1, steps A-B, 200.0 g, 1.23 mol) was mixed with ethyl acetate (1.2 L). At 0-5° C. 2-methoxyethylamine [Aldrich, product #143693] (119.0 mL, 1.35 mol) was added in one portion while stirring. The reaction temperature rose to 41° C. The reaction was cooled to 0-5° C. Triethylamine (258 mL, 1.84 mol) was added. After stirring 5 min, LCMS indicated reaction completion. The reaction solution was washed with water (500 mL) and brine (500 mL), dried over sodium sulfate, and concentrated to give the desired product (294 g, 119%) as a crude dark oil. LCMS for C6H12N5O3 (M+H)+: m/z=202.3. 1H NMR (400 MHz, DMSO-d6): δ 10.65 (s, 1H), 6.27 (s, 2H), 6.10 (t, J=6.5 Hz, 1H), 3.50 (m, 2H), 3.35 (d, J=5.8 Hz, 2H), 3.08 (s, 3H).
-
- 4-Amino-N′-hydroxy-N-(2-methoxyethyl)-1,2,5-oxadiazole-3-carboximidamide (248.0 g, 1.23 mol) was mixed with water (1 L). Potassium hydroxide (210 g, 3.7 mol) was added. The reaction was refluxed at 100° C. overnight (15 hours). TLC with 50% ethyl acetate (containing 1% ammonium hydroxide) in hexane indicated reaction completed (product Rf=0.6, starting material Rf=0.5). LCMS also indicated reaction completion. The reaction was cooled to room temperature and extracted with ethyl acetate (3×1 L). The combined ethyl acetate solution was dried over sodium sulfate and concentrated to give the desired product (201 g, 81%) as a crude off-white solid. LCMS for C6H12N5O3 (M+H)+: m/z=202.3 1H NMR (400 MHz, DMSO-d6): δ 10.54 (s, 1H), 6.22 (s, 2H), 6.15 (t, J=5.8 Hz, 1H), 3.45 (t, J=5.3 Hz, 2H), 3.35 (m, 2H), 3.22 (s, 3H).
-
- At room temperature N′-hydroxy-4-[(2-methoxyethyl)amino]-1,2,5-oxadiazole-3-carboximidamide (50.0 g, 0.226 mol) was dissolved in 6.0 M hydrochloric acid aqueous solution (250 mL, 1.5 mol). Sodium chloride (39.5 g, 0.676 mol) was added followed by water (250 mL) and ethyl acetate (250 mL). At 3-5° C. a previously prepared aqueous solution (100 mL) of sodium nitrite (15.0 g, 0.217 mol) was added slowly over 1 hr. The reaction was stirred at 3-8° C. for 2 hours and then room temperature over the weekend. LCMS indicated reaction completed. The reaction solution was extracted with ethyl acetate (2×200 mL). The combined ethyl acetate solution was dried over sodium sulfate and concentrated to give the desired product (49.9 g, 126%) as a crude white solid. LCMS for C6H10ClN4O3 (M+H)+: m/z=221.0. 1H NMR (400 MHz, DMSO-d6): δ 13.43 (s, 1H), 5.85 (t, J=5.6 Hz, 1H), 3.50 (t, J=5.6 Hz, 2H), 3.37(dd, J=10.8, 5.6 Hz, 2H), 3.25 (s, 3H).
-
- N-Hydroxy-4-[(2-methoxyethyl)amino]-1,2,5-oxadiazole-3-carboximidoyl chloride (46.0 g, 0.208 mol) was mixed with water (300 mL). The mixture was heated to 60° C. 3-Bromo-4-fluoroaniline [Oakwood products, product #013091] (43.6 g, 0.229 mol) was added and stirred for 10 min. A warm sodium bicarbonate (26.3 g, 0.313 mol) solution (300 mL water) was added over 15 min. The reaction was stirred at 60° C. for 20 min. LCMS indicated reaction completion. The reaction solution was cooled to room temperature and extracted with ethyl acetate (2×300 mL). The combined ethyl acetate solution was dried over sodium sulfate and concentrated to give the desired product (76.7 g, 98%) as a crude brown solid. LCMS for C12H14BrFN5O3 (M+H)+: m/z=374.0, 376.0. 1H NMR (400 MHz, DMSO-d6): δ 11.55 (s, 1H), 8.85 (s, 1H), 7.16 (t, J=8.8 Hz, 1H), 7.08 (dd, J=6.1, 2.7 Hz, 1H), 6.75 (m, 1H), 6.14 (t, J=5.8 Hz, 1H), 3.48 (t, J=5.2 Hz, 2H), 3.35 (dd, J=10.8, 5.6 Hz, 2H), 3.22 (s, 3H).
-
- A mixture of N-(3-bromo-4-fluorophenyl)-N′-hydroxy-4-[(2-methoxyethyl)amino]-1,2,5-oxadiazole-3-carboximidamide (76.5 g, 0.204 mol), 1,1′-carbonyldiimidazole (49.7 g, 0.307 mol), and ethyl acetate (720 mL) was heated to 60° C. and stirred for 20 min. LCMS indicated reaction completed. The reaction was cooled to room temperature, washed with 1 N HCl (2×750 mL), dried over sodium sulfate, and concentrated to give the desired product (80.4 g, 98%) as a crude brown solid. LCMS for C13H12BrFN5O4 (M+H)+: m/z=400.0, 402.0. 1H NMR (400 MHz, DMSO-d6): δ 7.94 (t, J=8.2 Hz, 1H), 7.72 (dd, J=9.1, 2.3 Hz, 1H), 7.42 (m, 1H), 6.42 (t, J=5.7 Hz, 1H), 3.46 (t, J=5.4 Hz, 2H), 3.36 (t, J=5.8 Hz, 2H), 3.26 (s, 3H).
-
- 4-(3-Bromo-4-fluorophenyl)-3-{4-[(2-methoxyethyl)amino]-1,2,5-oxadiazol-3-yl}-1,2,4-oxadiazol-5(4H)-one (78.4 g, 0.196 mol) was dissolved in dichloromethane (600 mL). At −67° C. boron tribromide (37 mL, 0.392 mol) was added over 15 min. The reaction was warmed up to −10° C. in 30 min. LCMS indicated reaction completed. The reaction was stirred at room temperature for 1 hour. At 0-5° C. the reaction was slowly quenched with saturated sodium bicarbonate solution (1.5 L) over 30 min. The reaction temperature rose to 25° C. The reaction was extracted with ethyl acetate (2×500 mL, first extraction organic layer is on the bottom and second extraction organic lager is on the top). The combined organic layers were dried over sodium sulfate and concentrated to give the desired product (75 g, 99%) as a crude brown solid. LCMS for C12H10BrFN5O4 (M+H)+: m/z=386.0, 388.0. 1H NMR (400 MHz, DMSO-d6): δ 8.08 (dd, J=6.2, 2.5 Hz, 1H), 7.70 (m, 1H), 7.68 (t, J=8.7 Hz, 1H), 6.33 (t, J=5.6 Hz, 1H), 4.85 (t, J=5.0 Hz, 1H), 3.56 (dd, J=10.6, 5.6 Hz, 2H), 3.29 (dd, J=11.5, 5.9 Hz, 2H).
-
- 4-(3-bromo-4-fluorophenyl)-3-(4-(2-hydroxyethylamino)-1,2,5-oxadiazol-3-yl)-1,2,4-oxadiazol-5(4H)-one (72.2 g, 0.188 mol) was mixed with ethyl acetate (600 mL). Methanesulfonyl chloride (19.2 mL, 0.248 mol) was added followed by triethylamine (34.9 mL, 0.250 mol). The reaction was stirred at room temperature for 5 min. When LCMS indicated completion of reaction (M+H=442), 500 mL of water was added into reaction. The reaction was extracted with ethyl acetate (2×500 mL). The combined ethyl acetate solution was washed with brine (500 mL), dried over sodium sulfate and concentrated to give 85.1 g crude brown solid. 1H NMR verified the structure. Crude yield was 97%. LCMS for C13H11BrFN5O6SNa (M+Na)+: m/z=485.9, 487.9. 1H NMR (400 MHz, DMSO-d6): δ 8.08 (dd, J=6.2, 2.5 Hz, 1H), 7.72 (m, 1H), 7.58 (t, J=8.7 Hz, 1H), 6.75 (t, J=5.9 Hz, 1H), 4.36 (t, J=5.3 Hz, 2H), 3.58 (dd, J=11.2, 5.6 Hz, 2H), 3.18 (s, 3H).
-
- 2-(4-(4-(3-bromo-4-fluorophenyl)-5-oxo-4,5-dihydro-1,2,4-oxadiazol-3-yl)-1,2,5-oxadiazol-3-ylamino)ethyl methanesulfonate (50.0 g, 0.108 mol) was dissolved in N, N-dimethylformamide (83 mL). Sodium azide (10.5 g, 0.162 mol) was added. The reaction was stirred at 65° C. for 5-6 hours. LCMS indicated reaction completed (M+Na=435). The reaction was quenched with water (250 mL) and extracted with ethyl acetate (2×250 mL). The combined ethyl acetate solution was washed with water (250 mL, layer separation was slow, 100 mL of brine was added to improve the separation), dried over sodium sulfate, and concentrated to give 49.7 g crude brown solid. Crude yield is 112%. LCMS for C12H8BrFN8O3Na (M+Na)+: m/z=433.0, 435.0. 1H NMR (400 MHz, DMSO-d6): δ 8.08 (dd, J=6.2, 2.5 Hz, 1H), 7.72 (m, 1H), 7.58 (t, J=8.7 Hz, 1H), 6.75 (t, J=5.7 Hz, 1H), 3.54 (t, J=5.3 Hz, 2H), 3.45 (dd, J=11.1, 5.2 Hz, 2H).
-
- 3-(4-(2-azidoethylamino)-1,2,5-oxadiazol-3-yl)-4-(3-bromo-4-fluorophenyl)-1,2,4-oxadiazol-5(4H)-one (80.0 g, 0.194 mol) was mixed with methanol (800 mL). Sodium iodide (175.0 g, 1.17 mol) was added. The reaction was stirred at room temperature for 10 min. Chlorotrimethylsilane (148 mL, 1.17 mol) was dissolved in methanol (100 mL) and added to the reaction over 30 min. The reaction temperature rose 42° C. The reaction was stirred at room temperature for 30 min. LCMS indicated reaction completed (M+H=386). The reaction was quenched with sodium thiosulfate (190.0 g, 1.20 mol) in water (900 mL). A large amount of solid precipitated. The product was collected by filtration (filtration speed was slow), rinsed with water (200 mL), and dried on vacuum overnight. The filter cake was slurried in ethyl acetate (500 mL) for 30 min. The product was filtered (filtration speed is slow) and dried under vacuum over weekend to give 95 g of an off-white solid. LCMS for C12H11BrFN6O3 (M+H)+: m/z=384.9, 386.9. 1H NMR (400 MHz, DMSO-d6): δ 8.12 (m, 4H), 7.76 (m, 1H), 7.58 (t, J=8.7 Hz, 1H), 6.78 (t, J=6.1 Hz, 1H), 3.51 (dd, J=11.8, 6.1 Hz, 2H), 3.02 (m, 2H).
-
-
- To a solution of 4-(3-bromo-4-fluorophenyl)-3-(4-(2-methoxyethylamino)-1,2,5-oxadiazol-3-yl)-1,2,4-oxadiazol-5(4H)-one (can be prepared according to Example 1, steps A-G; 1232 g, 3.08 mol) in dichloromethane (12 L) stirring in a 22 L flask at 0° C. was added boron tribromide (354 mL, 3.67 mL) dropwise at a rate so that the temperature did not exceed 10° C. After stirring on ice for 1 h, a solution of saturated aqueous sodium bicarbonate (2 L) was carefully added at a rate so that the temperature did not exceed 20° C. (
addition time 10 min). The resulting mixture was transferred to a 50 L separatory funnel, diluted with water (10 L), and the pH of the aqueous layer adjusted from 1 to 8 using solid sodium bicarbonate. The layers were separated, and the organic layer was washed with water (10 L), and the solvents removed in vacuo to afford a tan solid (24 mol processed in multiple runs, 9.54 kg, quant. yield). The material was slurried in 4 volumes of 7:1 heptane:ethyl acetate (4×22 L flasks), filtered, and dried to furnish the title compound as a tan solid (8679 g, 94%). The product was a mixture of the hydroxy- and the corresponding bromo-species. -
- To a solution of 4-(3-bromo-4-fluorophenyl)-3-{4-[(2-hydroxyethyl)amino]-1,2,5-oxadiazol-3-yl}-1,2,4-oxadiazol-5(4H)-one (1.5 kg, 3.9 mol, containing also some of the corresponding bromo-compound) in ethyl acetate (12 L) was added methanesulfonyl chloride (185 mL, 2.4 mol) dropwise over 1 h at room temperature. Triethylamine (325 mL, 2.3 mol) was added dropwise over 45 min, during which time the reaction temperature increased to 35° C. After 2 h, the reaction mixture was washed with water (5 L), brine (1 L), dried over sodium sulfate, combined with 3 more reactions of the same size, and the solvents removed in vacuo to afford the desired product (7600 g, quantitative yield, containing also some of the corresponding bromo-compound, Caution: irritating dust!) as a tan solid. LCMS for C13H11BrFN5O6SNa (M+Na)+: m/z=485.9, 487.9. 1H NMR (400 MHz, DMSO-d6): δ 8.08 (dd, J=6.2, 2.5 Hz, 1H), 7.72 (m, 1H), 7.58 (t, J=8.7 Hz, 1H), 6.75 (t, J=5.9 Hz, 1H), 4.36 (t, J=5.3 Hz, 2H), 3.58 (dd, J=11.2, 5.6 Hz, 2H), 3.18 (s, 3H).
-
- To a solution of 2-({4-[4-(3-bromo-4-fluorophenyl)-5-oxo-4,5-dihydro-1,2,4-oxadiazol-3-yl]-1,2,5-oxadiazol-3-yl}amino)ethyl methanesulfonate (2.13 kg, 4.6 mol, containing also some of the corresponding bromo-compound) in dimethylformamide (4 L) stirring in a 22 L flask was added sodium azide (380 g, 5.84 mol). The reaction was heated at 50° C. for 6 h, poured into ice/water (8 L), and extracted with 1:1 ethyl acetate:heptane (20 L). The organic layer was washed with water (5 L) and brine (5 L), and the solvents removed in vacuo to afford the desired product (1464 g, 77%) as a tan solid. LCMS for C12H8BrFN8O3Na (M+Na)+: m/z=433.0, 435.0. 1H NMR (DMSO-d6, 400 MHz): δ 8.08(dd, J=6.2, 2.5 Hz, 1H), 7.72(m, 1H), 7.58(t, J=8.7 Hz, 1H), 6.75(t, J=5.7 Hz, 1H), 3.54(t, J=5.3 Hz, 2H), 3.45(dd, J=11.1, 5.2 Hz, 2H).
-
-
- Sodium iodide (1080 g, 7.2 mol) was added to 3-{4-[(2-azidoethyl)amino]-1,2,5-oxadiazol-3-yl}-4-(3-bromo-4-fluorophenyl)-1,2,4-oxadiazol-5(4H)-one (500 g, 1.22 mol) in methanol (6 L). The mixture was allowed to stir for 30 min during which time a mild exotherm was observed. Chlorotrimethylsilane (930 mL, 7.33 mol) was added as a solution in methanol (1 L) dropwise at a rate so that the temperature did not exceed 35° C., and the reaction was allowed to stir for 3.5 h at ambient temperature. The reaction was neutralized with 33 wt % solution of sodium thiosulfate pentahydrate in water (˜1.5 L), diluted with water (4 L), and the pH adjusted to 9 carefully with solid potassium carbonate (250 g—added in small portions: watch foaming). Di-tert-butyl dicarbonate (318 g, 1.45 mol) was added and the reaction was allowed to stir at room temperature. Additional potassium carbonate (200 g) was added in 50 g portions over 4 h to ensure that the pH was still at or above 9. After stirring at room temperature overnight, the solid was filtered, triturated with water (2 L), and then MTBE (1.5 L). A total of 11 runs were performed (5.5 kg, 13.38 mol). The combined solids were triturated with 1:1 THF:dichloromethane (24 L, 4 runs in a 20 L rotary evaporator flask, 50° C., 1 h), filtered, and washed with dichloromethane (3 L each run) to afford an off-white solid. The crude material was dissolved at 55° C. tetrahydrofuran (5 mL/g), treated with decolorizing carbon (2 wt %) and silica gel (2 wt %), and filtered hot through celite to afford the product as an off-white solid (5122 g). The combined MTBE, THF, and dichloromethane filtrates were concentrated in vacuo and chromatographed (2 kg silica gel, heptane with a 0-100% ethyl acetate gradient, 30 L) to afford more product (262 g). The combined solids of tert-butyl 2-(4-(4-(3-bromo-4-fluorophenyl)-5-oxo-4,5-dihydro-1,2,4-oxadiazol-3-yl)-1,2,5-oxadiazol-3-ylamino)ethylcarbamate were dried to a constant weight in a convection oven (5385 g, 83%).
- Method A:
- In a 22 L flask was charged hydrogen chloride (4 N solution in 1,4-dioxane, 4 L, 16 mol). tert-Butyl [2-({4-[4-(3-bromo-4-fluorophenyl)-5-oxo-4,5-dihydro-1,2,4-oxadiazol-3-yl]-1,2,5-oxadiazol-3-yl}amino)ethyl]carbamate (2315 g, 4.77 mol) was added as a solid in portions over 10 min. The slurry was stirred at room temperature and gradually became a thick paste that could not be stirred. After sitting overnight at room temperature, the paste was slurried in ethyl acetate (10 L), filtered, re-slurried in ethyl acetate (5 L), filtered, and dried to a constant weight to afford the desired product as a white solid (combined with other runs, 5 kg starting material charged, 4113 g, 95%). LCMS for C12H11BrFN6O3 (M+H)+: m/z=384.9, 386.9. 1H NMR (400 MHz, DMSO-d6): δ 8.12 (m, 4H), 7.76 (m, 1H), 7.58 (t, J=8.7 Hz, 1H), 6.78 (t, J=6.1 Hz, 1H), 3.51 (dd, J=11.8, 6.1 Hz, 2H), 3.02 (m, 2H).
- Method B:
- tert-Butyl [2-({4-[4-(3-bromo-4-fluorophenyl)-5-oxo-4,5-dihydro-1,2,4-oxadiazol-3-yl]-1,2,5-oxadiazol-3-yl}amino)ethyl]carbamate (5000 g) was added to a mixture of isopropanol (20 L) and 4 N HCl in 1,4-dioxane (10 L) at room temperature. The batch was heated to 40-45° C. and held for 1 h. Ethyl acetate was added to the batch at 40-45° C. and held for 2.5 h. Upon reaction completion, as indicated by HPLC, heptane (10 L) was added to the batch. The batch was cooled to 25° C. The product was isolated by filtration and the wet cake was washed with ethyl acetate (3×5.0 L). The product was dried in a vacuum, oven at 20° C. to give 4344 g (93.4% yield) of the title compound. LC-MS, 1H and 13C NMR, and HPLC data of this lot were identical to those of the product prepared by Method A.
-
- A 5 L round bottom flask was charged with chlorosulfonyl isocyanate [Aldrich, product #142662] (149 mL, 1.72 mol) and dichloromethane (1.5 L) and cooled using an ice bath to 2° C. tert-Butanol (162 mL, 1.73 mol) in dichloromethane (200 mL) was added dropwise at a rate so that the temperature did not exceed 10° C. The resulting solution was stirred at room temperature for 30-60 min to provide tert-butyl [chlorosulfonyl]carbamate.
- A 22 L flask was charged with 3-{4-[(2-aminoethyl)amino]-1,2,5-oxadiazol-3-yl}-4-(3-bromo-4-fluorophenyl)-1,2,4-oxadiazol-5(4H)-one hydrochloride (661 g, 1.57 mol) and 8.5 L dichloromethane. After cooling to −15° C. with an ice/salt bath, the solution of tert-butyl [chlorosulfonyl]carbamate (prepared as above) was added at a rate so that the temperature did not exceed −10° C. (addition time 7 min). After stirring for 10 min, triethylamine (1085 mL, 7.78 mol) was added at a rate so that the temperature did not exceed −5° C. (
addition time 10 min). The cold bath was removed, the reaction was allowed to warm to 10° C., split into two portions, and neutralized with 10% conc HCl (4.5 L each portion). Each portion was transferred to a 50 L separatory funnel and diluted with ethyl acetate to completely dissolve the white solid (˜25 L). The layers were separated, and the organic layer was washed with water (5 L), brine (5 L), and the solvents removed in vacuo to afford an off-white solid. The solid was triturated with MTBE (2×1.5 L) and dried to a constant weight to afford a white solid. A total of 4113 g starting material was processed in this manner (5409 g, 98%). 1H NMR (400 MHz, DMSO-d6): δ 10.90 (s, 1H), 8.08 (dd, J=6.2, 2.5 Hz, 1H), 7.72 (m, 1H), 7.59 (t, J=8.6 Hz, 1H), 6.58 (t, J=5.7 Hz, 1H), 3.38 (dd, J=12.7, 6.2 Hz, 2H), 3.10 (dd, J=12.1, 5.9 Hz, 2H), 1.41 (s, 9H). -
- Method A: Using Trifluoroacetic Acid
- To a 22 L flask containing 98:2 trifluoroacetic acid:water (8.9 L) was added tert-butyl ({[2-({4-[4-(3-bromo-4-fluorophenyl)-5-oxo-4,5-dihydro-1,2,4-oxadiazol-3-yl]-1,2,5-oxadiazol-3-yl}amino)ethyl]amino}sulfonyl)carbamate (1931 g, 3.42 mol) in portions over 10 minutes. The resulting mixture was stirred at room temperature for 1.5 h, the solvents removed in vacuo, and chased with dichloromethane (2 L). The resulting solid was treated a second time with fresh 98:2 trifluoroacetic acid:water (8.9 L), heated for 1 h at 40-50° C., the solvents removed in vacuo, and chased with dichloromethane (3×2 L). The resulting white solid was dried in a vacuum drying oven at 50° C. overnight. A total of 5409 g was processed in this manner (4990 g, quant. yield). LCMS for C12H12BrFN7O5S (M+H)+: m/z=463.9, 465.9. 1H NMR (400 MHz, DMSO-d6): δ 8.08 (dd, J=6.2, 2.5 Hz, 1H), 7.72 (m, 1H), 7.59 (t, J=8.7 Hz, 1H), 6.67 (t, J=5.9 Hz, 1H), 6.52 (t, J=6.0 Hz, 1H), 3.38 (dd, J=12.7, 6.3 Hz, 2H), 3.11 (dd, J=12.3, 6.3 Hz).
- Method B: Using Hydrochloric Acid
- To solution of tert-butyl ({[2-({4-[4-(3-bromo-4-fluorophenyl)-5-oxo-4,5-dihydro-1,2,4-oxadiazol-3-yl]-1,2,5-oxadiazol-3-yl}amino)ethyl]amino}sulfonyl)carbamate (4500 g) in isopropanol (9 L) was added 4 N HCl in dioxane (8.0 L). The reaction mixture was heated to 40-45° C. and was held at this temperature for about 5 h. Upon completion of reaction (as indicated by HPLC analysis), heptane (72 L) was added to the reaction mixture. The resultant mixture was heated to 68° C. and held at this temperature for 1 h. The batch was allowed to cool to about 23° C. The solid product was collected by filtration. The wet cake was washed with a mixture of heptane (16 L) and isopropanol (1.2 L) and dried under suction on a filter funnel. The crude product was dissolved in ethyl acetate (10.8 L) at about 43° C. Heptane (32.4 L) was added to the ethyl acetate solution over 15 min. The batch was heated to 70° C. and held at this temperature for 1 h. The batch was cooled to 21° C. and solid product was collected by filtration. The wet cake was washed with heptane (14.4 L) and dried under suction on the filter funnel. Yield of product was 3034 g. LC-MS, 1H and 13C NMR, and HPLC data of this lot were identical to those of the product prepared by Method A.
- Method A:
- To a crude mixture of N-[2-({4-[4-(3-bromo-4-fluorophenyl)-5-oxo-4,5-dihydro-1,2,4-oxadiazol-3-yl]-1,2,5-oxadiazol-3-yl}amino)ethyl]sulfamide (2.4 mol) containing residual amounts of trifluoroacetic acid stirring in a 22 L flask was added THF (5 L). The resulting solution was cooled to 0° C. using an ice bath and 2 N NaOH (4 L) was added at a rate so that the temperature did not exceed 10° C. After stirring at ambient temperature for 3 h (LCMS indicated no starting material remained), the pH was adjusted to 3-4 with concentrated HCl (˜500 mL). The THF was removed in vacuo, and the resulting mixture was extracted with ethyl acetate (15 L). The organic layer was washed with water (5 L), brine (5 L), and the solvents removed in vacuo to afford a solid. The solid was triturated with MTBE (2×2 L), combined with three other reactions of the same size, and dried overnight in a convection oven to afford a white solid (3535 g). The solid was recrystallized (3×22 L flasks, 2:1 deionized ultra-filtered water:ethanol, 14.1 L each flask) and dried in a 50° C. convection oven to a constant weight to furnish the title compound as an off-white solid (3290 g, 78%). LCMS for C11H14BrFN7O4S (M+H)+: m/z=437.9, 439.9. 1H NMR (400 MHz, DMSO-d6): δ 11.51 (s, 1H), 8.90 (s, 1H), 7.17 (t, J=8.8 Hz, 1H), 7.11 (dd, J=6.1, 2.7 Hz, 1H), 6.76 (m, 1H), 6.71 (t, J=6.0 Hz, 1H), 6.59 (s, 2H), 6.23 (t, J=6.1 Hz, 1H), 3.35 (dd, J=10.9, 7.0 Hz, 2H), 3.10 (dd, J=12.1, 6.2 Hz, 2H). X-ray crystallographic analysis determined that the title compound adopts a Z-configuration (Z-isomer) with respect to the carbon-nitrogen double bond (C═N) of oxime functionality.
- Method B:
- N-[2-({4-[4-(3-bromo-4-fluorophenyl)-5-oxo-4,5-dihydro-1,2,4-oxadiazol-3-yl]-1,2,5-oxadiazol-3-yl}amino)ethyl]sulfamide (1500 g) was added to THF (6.0 L) and the batch was cooled to 2° C. Trifluoroacetic acid (0.006 L) was added to the batch at 2° C. followed by addition of aqueous sodium hydroxide solution (384 g of solid NaOH in 4.8 L of water) at 0-2° C. The batch was warmed up to about 16° C. and held for 5 h. Upon completion of reaction, as indicated by HPLC, concentrated hydrochloric acid (0.7 L) was added to adjust the pH of the batch to 3-4. About 4 L of solvent was removed from the batch by distillation under reduced pressure. The batch was added to ethyl acetate (18.0 L) and the biphasic mixture was stirred for 15 min. The organic layer was washed with water (6.0 L) and brine (6.0 L) sequentially. The organic solution was dried over anhydrous magnesium sulfate. Magnesium sulfate was filtered and the filtrate was evaporated to dryness under reduced pressure. To the resultant solid, MTBE (3.0 L) was added and the slurry was stirred for 15 min. The solid product was isolated by filtration. The filter cake was washed with MTBE (1.2 L) and heptane (1.2 L) sequentially. The solid was dried on the filter funnel under suction to give 1416 g (87.9%) of the product. The product (2440 g, obtained in two batches) was further purified by re-slurrying in MTBE (9.6 L) at 17° C. for 2 h. The batch was cooled to 6° C. for 30 min. The solid product was collected by filtration and the wet cake was washed with MTBE (3.6 L) and heptane (1.2 L) sequentially. The product was dried in a vaccum oven at 20° C. to give 1962 g of the title compound in 81.7% yield. LC-MS, 1H and 13C NMR, and HPLC data of this lot were identical to those of the product prepared by Method A.
- Select physical and biological activity data for the compounds of Example 1-19 are summarized in Table 2 below. IC50 data are from the assay provided in Example A.
-
TABLE 2 Ex. IDO MS No. R1 R2 R3 n IC50 (nM) [M + H] 1 NH2 Br F 1 <200 437.9, 439.9 2 Me Br F 1 <200 437.0, 439.0 3 NH2 Br F 2 <100 451.8, 453.9 4 Me Br F 2 <100 451.0, 453.0 5 NH2 Cl F 1 <200 394.0 6 Me Cl F 1 <200 393.0 7 NH2 Cl F 2 <200 408.1 8 Me Cl F 2 <200 407.1 9 NH2 CF3 F 1 <100 428.0 10 Me CF3 F 1 <100 427.0 11 NH2 CF3 F 2 <100 442.0 12 Me CF3 F 2 <100 441.1 13 NH2 CF3 H 1 <500 410.0 14 Me CF3 H 1 <200 409.1 15 NH2 CF3 H 2 <200 424.0 16 Me CF3 H 2 <200 423.1 17 Me CH3 F 1 <500 373.1 18 NH2 CN F 1 <750 385.0 19 Me CN F 1 <500 406.0* *[M + Na] - Compound Data
- IDO IC50 data (see Example A) for the compounds of Examples 20 and 21 is provided below in Table 3.
-
TABLE 3 Ex. No. IDO IC50 (nM) 20 <500 21 <750 - NMR Data
- 1H NMR data (
Varian Inova 500 spectrometer, aMercury 400 spectrometer, or a Varian (or Mercury) 300 spectrometer) for the compounds of Examples 1-21 is provided below in Table 4. -
TABLE 4 Ex. No. Solvent MHz 1 H NMR Spectra 1 DMSO-d6 400 δ 11.5 (s, 1 H), 8.89 (s, 1 H), 7.17 (dd, J = 8.8, 8.6 Hz, 1 H), 7.09 (dd, J = 6.1, 2.7 Hz, 1 H), 6.76-6.72 (m, 1 H), 6.56 (dd, J = 6.1, 6.1 Hz, 1 H), 6.51 (s, 2 H), 6.17 (dd, J = 5.9, 5.9 Hz, 1 H), 3.27- 3.21 (m, 2 H), 2.94-2.88 (m, 2 H), 1.78-1.71 (m, 2 H) 2 DMSO-d6 400 δ 11.49 (s, 1H), 8.90 (s, 1H), 7.17 (m, 2H), 7.09 (dd, J = 6.3, 2.5 Hz, 1H), 6.26 (t, J = 6.1 Hz, 1H), 3.33 (m, 2H), 3.13 (q, J = 6.0 Hz, 2H), 2.89 (s, 3H) 3 DMSO-d6 400 δ 11.5 (s, 1 H), 8.89 (s, 1 H), 7.17 (dd, J = 8.8, 8.6 Hz, 1 H), 7.09 (dd, J = 6.1, 2.7 Hz, 1 H), 6.76-6.72 (m, 1 H), 6.56 (dd, J = 6.1, 6.1 Hz, 1 H), 6.51 (s, 2 H), 6.17 (dd, J = 5.9, 5.9 Hz, 1 H), 3.27- 3.21 (m, 2 H), 2.94-2.88 (m, 2 H), 1.78-1.71 (m, 2 H) 4 CD3OD 400 δ 7.12 (dd, J = 5.9, 2.4 Hz, 1H), 7.05 (t, J = 8.7 Hz, 1H), 6.83 (m, 1H), 3.39 (t, J = 6.8 Hz, 2H), 3.14 (t, J = 6.6 Hz, 2H), 2.94 (s, 3H), 1.87 (m, 2H) 5 DMSO-d6 400 δ 7.96 (dd, J = 6.8, 2.1 Hz, 0.05 H), 7.32-7.29 (m, 0.1 H), 7.18 (dd, J = 9.1, 9.1 Hz, 0.95 H), 6.93 (dd, J = 6.4, 2.7 Hz, 0.95 H), 6.71-6.66 (m, 0.95 H), 6.33 (br s, 1 H), 3.35-3.27 (m, 2 H), 3.10- 3.06 (m, 2 H) 6 DMSO-d6 400 δ 11.50 (s, 1H), 8.91 (s, 1H), 7.19 (m, 2H), 6.96 (dd, J = 6.7, 2.5 Hz, 1H), 6.71 (m, 1H), 6.26 (t, J = 6.4 Hz, 1H), 3.32 (m, 2H), 3.13 (q, J = 5.8 Hz, 2H), 2.89 (s, 3H) 7 DMSO-d6 400 δ 8.90 (s, 1 H), 7.20 (dd, J = 9.2, 9.0 Hz, 1 H), 6.96 (dd, J = 6.4, 2.7 Hz, 1 H), 6.72-6.69 (m, 1 H), 6.55 (t, J = 6.0 Hz, 1 H), 6.51 (s, 2 H), 6.16 (t, J = 5.9 Hz, 1 H), 3.28-3.21 (m, 2 H), 2.93-2.87 (m, 2 H), 1.76-1.72 (m, 2 H) 8 CD3OD 300 δ 7.06 (t, J = 8.9 Hz, 1H), 6.98 (m, 1H), 6.80 (m, 1H), 3.73 (m, 2H), 3.28 (m, 2H), 2.94 (s, 3H), 1.28 (m, 2H) 9 DMSO-d6 400 δ 11.60 (s, 1H), 9.06 (s, 1H), 7.30 (t, J = 10.1 Hz, 1H), 7.14 (dd, J = 6.1, 2.7 Hz, 1H), 7.03 (m, 1H), 6.71 (t, J = 5.3 Hz, 1H), 6.58 (s, 2H), 6.23 (t, J = 6.2 Hz, 1H), 3.36 (q, J = 6.5 Hz, 2H), 3.08 (m, 2H) 10 DMSO-d6 400 δ 11.60 (s, 1H), 9.07 (s, 1H), 7.30 (t, J = 10.1 Hz, 1H), 7.18 (t, J = 6.0 Hz, 1H), 7.13 (dd, J = 6.0, 2.7 Hz, 1H), 7.03 (m, 1H), 6.27 (t, J = 6.3 Hz, 1H), 3.32 (m, 2H), 3.13 (q, J = 6.0 Hz, 2H), 2.89 (s, 3H) 11 DMSO-d6 300 δ 11.6 (s, 1 H), 9.08 (s, 1 H), 7.31 (dd, J = 10.0, 9.4 Hz, 1 H), 7.13 (dd, J = 6.4, 2.9 Hz, 1 H), 7.05-6.99 (m, 1 H), 6.58 (t, J = 6.0 Hz, 1 H), 6.52 (s, 2 H), 6.17 (t, J = 5.9 Hz, 1 H), 3.28-3.21 (m, 2 H), 2.94-2.87 (m, 2 H), 1.79-1.72 (m, 2 H) 12 DMSO-d6 400 δ 11.6 (s, 1 H), 9.07 (s, 1 H), 7.30 (dd, J = 10.0, 9.6 Hz, 1 H), 7.13 (dd, J = 6.2, 2.5 Hz, 1 H), 7.05-7.02 (m, 2 H), 6.19 (t, J = 5.8 Hz, 1 H), 3.27-3.21 (m, 2 H), 2.99-2.94 (m, 2 H), 2.87 (s, 3 H), 1.76- 1.72 (m, 2 H) 13 CD3OD 400 δ 7.36 (t, J = 7.8 Hz, 1H), 7.23 (d, J = 7.8 Hz, 1H), 7.10 (s, 1H), 7.03 (d, J = 7.8 Hz, 1H), 3.48 (m, 2H), 3.29 (m, 2H) 14 DMSO-d6 500 δ 11.63 (s, 1H), 9.08 (s, 1H), 7.39 (t, J = 7.6 Hz, 1H), 7.21 (m, 2H), 7.10 (s, 1H), 6.99 (d, J = 8.1 Hz, 1H), 6.28 (t, J = 5.4 Hz, 1H), 3.36 (q, J = 5.8 Hz, 2H), 3.17 (q, J = 5.8 Hz, 2H), 2.91 (s, 3H) 15 DMSO-d6 400 δ 11.6 (s, 1 H), 9.12 (s, 1 H), 7.37 (dd, J = 8.0, 8.0 Hz, 1 H), 7.21- 7.18 (m, 1 H), 7.07 (s, 1 H), 6.95 (d, J = 10.0 Hz, 1 H), 6.52 (brs, 3 H), 6.17 (t, J = 6.0 Hz, 1 H), 3.28-3.22 (m, 2 H), 2.93-2.89 (m, 2 H), 1.77-1.73 (m, 2 H) 16 DMSO-d6 400 δ 11.6 (s, 1 H), 9.11 (s, 1 H), 7.37 (dd, J = 8.0, 8.0 Hz, 1 H), 7.20 (d, J = 7.8 Hz, 1 H), 7.07-7.01 (m, 2 H), 6.96 (d, J = 8.0 Hz, 1 H), 6.20 (t, J = 5.9 Hz, 1 H), 3.27-3.22 (m, 2 H), 2.99-2.94 (m, 2 H), 2.87 (s, 3 H), 1.78-1.71 (m, 2 H) 17 DMSO-d6 400 δ 11.25 (s, 1H), 8.61 (s, 1H), 7.18 (m, 1H), 6.91 (m, 1H), 6.72 (m, 1H), 6.58 (m, 1H), 6.24 (s, 2H), 3.32 (m, 2H), 3.11 (m, 2H), 2.89 (s, 3H), 2.05 (s, 3H). 18 DMSO- d 6400 δ 11.65 (s, 1H), 9.08 (s, 1H), 7.34 (t, J = 9.1 Hz, 1H), 7.22 (dd, J = 5.4, 2.8 Hz, 1H), 7.13 (m, 1H), 6.70 (t, J = 5.9 Hz, 1H), 6.59 (s, 2H), 6.20 (t, J = 6.1 Hz, 1H), 3.34 (m, 2H), 3.09 (m, 2H) 19 DMSO- d 6400 δ 11.65 (s, 1H), 9.08 (s, 1H), 7.35 (m, 1H), 7.18 (m, 3H), 6.56 (m, 1H), 6.23 (m, 1H), 6.24 (s, 2H), 3.32 (m, 2H), 3.14 (m, 2H), 2.89 (s, 3H). 20 DMSO- d 6400 δ 10.87 (s, 1 H), 7.75 (s, 1 H), 6.83 (t, J = I3 Hz, 1 H), 6.68 (t, J = 6.0 Hz, 1 H), 6.56 (s, 2 H), 6.30 (t, J = 6.0 Hz, 1 H), 6.23 (s, 1 H), 4.56 (d, J = 7.0 Hz, 2 H), 3.32 (q, J = 6.3 Hz, 2 H), 3.07 (q, J = 6.3 Hz, 2 H) 21 DMSO- d 6400 δ 10.88 (s, 1 H), 7.77 (s, 1 H), 6.83 (t, J = 6.8 Hz, 1 H), 6.68 (t, J = 5.9 Hz, 1 H), 6.56 (s, 2 H), 6.30 (t, J = 5.9 Hz, 1 H), 6.22 (s, 1 H), 4.55 (d, 2 H), 3.32 (q, J = 6.3 Hz, 2 H), 3.06 (q, J = 6.3 Hz, 2 H) -
Human indoleamine 2,3-dioxygenasae (IDO) with an N-terminal His tag was expressed in E. coli and purified to homogeneity. IDO catalyzes the oxidative cleavage of the pyrrole ring of the indole nucleus of tryptophan to yield N′-formylkynurenine. The assays were performed at room temperature as described in the literature using 95 nM IDO and 2 mM D-Trp in the presence of 20 mM ascorbate, 5 μM methylene blue and 0.2 mg/mL catalase in 50 mM potassium phosphate buffer (pH 6.5). The initial reaction rates were recorded by continuously following the absorbance increase at 321 nm due to the formation of N′-formlylkynurenine (See: Sono, M., et at, 1980, J. Biol. Chem. 255, 1339-1345). - HeLa cells (#CCL-2) were obtained from the American Type Tissue Culture Collection (ATCC, Manassas, Va.) and routinely maintained in minimum essential medium (eagle) with 2 mM L-glutamine and Earle's BSS adjusted to contain 1.5 g/L sodium bicarbonate, 0.1 mM non-essential amino acids, 1 mM sodium pyruvate and 10% fetal bovine serum (all from Invitrogen). Cells were kept at 37° C. in a humidified incubator supplied with 5% CO2. The assay was performed as follows: HeLa cells were seeded in a 96 well culture plate at a density of 5×103 per well and grown overnight. On the next day, IFN-γ (50 ng/mL final concentration) and serial dilutions of compounds (in total volume of 200 μL culture medium) were added into cells. After 48 hours of incubation, 140 μL of the supernatant per well was transferred to a new 96 well plate. 10 μL of 6.1 N trichloroacetic acid (#T0699, Sigma) was mixed into each well and incubated at 50° C. for 30 min to hydrolyze N-formylkynurenine produced by
indoleamine 2,3-dioxygenase to kynurenine. The reaction mixture was then centrifuged for 10 min at 2500 rpm to remove sediments. 100 μL of the supernatant per well was transferred to another 96 well plate and mixed with 100 μl of 2% (w/v) p-dimethylaminobenzaldehyde (#15647-7, Sigma-Aldrich) in acetic acid. The yellow color derived from Kynurenine was measured at 480 nm using a SPECTRAmax 250 microplate reader (Molecular Devices). L-kynurenine (#K8625, Sigma) was used as standard. The standards (240, 120, 60, 30, 15, 7.5, 3.75, 1.87 μM) were prepared in 100 μL culture media and mixed with equal volume of 2% (w/v) p-dimethylaminobenzaldehyde. The percent inhibition at individual concentrations was determined and the average values of duplicates were obtained. The data was analyzed by using nonlinear regression to generate IC50 values (Prism Graphpad). See: Takikawa O, et al., 1988, J. Biol. Chem., 263(4): 2041-8. - Monocytes were collected from human peripheral mononuclear cells by leukophoresis. Monocytes were then seeded at a density of 1×106 cells/well in a 96 well plate, using RPMI 1640 medium supplemented with 10% fetal bovine serum and 2 mM L-glutamine (all from Invitrogen). Adherent cells were retained on the plate after overnight culture at 37° C. Adherent monocytes were then stimulated for 5-7 days with 100 ng/ml GM-CSF (#300-03, PeproTech) and 250 ng/ml IL-4 (#200-04, PeproTech), followed by activation with 5 μg/mL LPS from Salmonella typhimurium (#437650, Sigma) and 50 ng/mL IFN-γ (#285-IF, R&D Systems) for additional 2 days to induce dendritic cell maturation.
- After dendritic cell activation, the medium was replaced with completed RPMI 1640 supplemented with 100-200 U/mL IL-2 (#CYT-209, ProSpec-Tany TechnoGene) and 100 ng/mL anti-CD3 antibody (#555336, PharMingen), T cells (2-3×105 cells/well), and serial dilutions of IDO compounds. After incubation for 2 more days, T cell proliferation was measured by BrdU incorporation assay, using a colorimetric Cell Proliferation ELISA kit per manufacturer's instruction (#1647229, Roche Molecular Biochemicals). Cells were continuously cultured for 16-18 hrs in presence of 10 μM BrdU labeling solution. Then, the labeling medium was removed, and 200 μL FixDenat per well was added to the cells and incubated for 30 minutes at room temperature. The FixDenat solution was removed and 100 μL/well anti-BrdU-POD antibody conjugate working solution was added. The reaction was carried out for 90 minutes at room temperature. The antibody conjugate was then removed, and cells were rinsed three times with 200 μL/well washing solution. Finally, 100 μL/well of substrate solution was added and the results were obtained using a microplate reader (Spectra Max PLUS, Molecular Devices) during color development. Multiple readings at various time points were obtained to ensure the data was within the linear range. The data was routinely obtained from replicated experiments, and appropriate controls were included. See: Terness P, et al. 2002, J. Exp. Med., 196(4): 447-57; and Hwu, P, et al. 2000, J. Immunol., 164(7): 3596-9.
- In vivo anti-tumor efficacy can be tested using modified tumor allograft/xenograft protocols. For instance, it has been described in the literature that IDO inhibition can syngerize with cytotoxic chemotherapy in immune-competent mice (Muller, A. J., et al. 2005, Nat. Med. 11:312-319). This synergy was shown to be dependent on T-cells by comparison of the synergistic effects of an investigational IDO inhibitor in murine tumor xenograft models (e.g. B16 and related variants, CT-26, LLC) grown in immune competent syngenic mice to that observed in syngenic mice treated with neutralizing anti-CD4 antibodies, or the same tumors grown in immune-compromised mice (e.g. nu/nu).
- The concept of differential anti-tumor effects in immune-competent versus immune-compromised mice may also permit testing of investigational IDO inhibitors as single agents. For instance, LLC tumors grow well in their syngenic host strain, C57Bl/6. However, if these mice are treated with the IDO inhibitor 1-MT (versus placebo) the formation of tumors is markedly delayed, implying that IDO inhibition was growth inhibitory (Friberg, M., et al. 2002, Int. J. Cancer 101:151-155). Following this logic, one can examine the efficacy of IDO inhibition in the LLC xenograft tumor model grown in C57Bl/6 immune competent mice and compare that to the effects of IDO inhibitors on LLC tumor growth in nude or SCID mice (or C57Bl/6 mice treated with antibodies that neutralize T-cell activity). As the effects of relieving the tumor-mediated immune suppressive activity of IDO will likely differ depending on the immunogenic potential of different tumor models, genetic modifications can be made to the tumor cells to increase their immunogenic potential. For instance, expression of GM-CSF in B16.F10 cells increases their immunogenic potential (Dranoff, G., et al. 1993, Proc. Natl. Acad. Sci., USA, 90:3539-3543). As such, in some tumor models (e.g. B16.F10) one can generate [poly]clones that express immune stimulatory proteins such as GM-CSF and test the growth inhibitory effects of IDO inhibitors against tumors established from these tumor cells in both immune-competent and -compromised mice.
- A third avenue for assessing the efficacy of IDO inhibitors in vivo employs ‘pre-immunization’ murine tumor allograft/xenograft models. In these models, immune-competent mice are sensitized to a specific tumor antigen or antigens to mimic a therapeutic anti-tumor vaccination. This primes the mice for an anti-tumor response mediated by the immune system when mice are subsequently challenged with murine tumor cell lines (possessing similar tumor antigens to those used for immunization) in xenograft experiments. Expression of IDO has been shown to blunt the anti-tumor response and allow xenografts to grow more rapidly. Importantly, the growth of tumors in this model is inhibited by the IDO inhibitor 1-MT (Uyttenhove, C., et al. 2003, Nat. Med. 9:1269-1274). This model is particularly attractive as IDO activity is permissive for P815 tumor growth and specific inhibition of IDO should therefore growth inhibitory.
- Lastly, therapeutic immunization may be used to evaluate the impact of IDO inhibitors in vivo. For example, it has been demonstrated using B16-BL6 cells that one can challenge Blk/6 mice with an intravenous injection of tumor cells followed by treatment with a well characterized immunogenic peptide (e.g. TRP-2) expressed by the tumor cells (Ji, et al., 2005, J. Immunol, 175: 1456-63). Importantly, immune system modifiers, such as anti-CTL-4 antibody, can improve responses to such therapeutic immunizations. The impact of IDO inhibitors may be evaluated in a similar manner—tumor peptide immunization with or without IDO inhibitor. Efficacy is assess by animal survival (time to morbidity) or by the measurement of tumor metastases to the lungs and/or other organs at defined timepoints.
- In any/all of the above mentioned models, it may also be possible to directly and/or indirectly measure the number and/or activity of tumor reactive immune cells. Methods for measuring the number and/or activity of tumor reactive immune cells are well established and can be performed using techniques familiar to those schooled in the art (Current Protocols in Immunology, Vol. 4, Coligan, J. E., et al.; Immunotherapy of Cancer, Human Press, 2006, Disis, M. L. and references therein). Conceptually, a reduction in the immune suppressive effects of IDO may result in increased numbers or reactivity of tumor specific immune cells. Further, IDO inhibition may further increase the number or reactivity of tumor reactive immune cells when combined with other therapeutics, for example chemotherapeutics and/or immune modulators (e.g. anti-CTLA4 antibody).
- All allograft/xenograft experiments can be performed using standard tumor techniques (reviewed by Corbett, et al., In Cancer Drug Discovery and Development: Anticancer Drug Development Guide: Preclinical Screening, Clinical Trials, and Approval, 2nd Ed. Teicher, B. A. and Andrews, P. A., Gumana Press Inc.: Totowa, N.J., 2004). The cloning and introduction of genes (e.g. IDO, GM-CSF) into tumor cell lines, can be performed using techniques familiar to those schooled in the art (reviewed in Sambrook, J. and Russel, D., Molecular Cloning: A laboratory Manual (3rd edition), Cold Spring Harbor Laboratory Press: Cold Spring Harbor, N.Y., 2001).
- Monocytes and PBL can be obtained by countercurrent centrifugal elutriation of leukopheresis packs from HIV-1, 2 and hepatitis B seronegative donors. Monocytes are cultivated in suspension culture using Teflon flasks in Dulbecco's Modified Eagle's Medium (DMEM, Sigma-Aldrich) supplemented with 10% heat-inactivated pooled human serum, 1% glutamine, 50 μg/mL gentamicin, 10 μg/mL ciprofloxacin (Sigma), and 1000 U/mL highly purified recombinant human macrophage colony stimulating factor. After seven days in culture, MDM are infected with HIV-1ADA at multiplicity of infection of 0.01.
- Four-wk old male NOD/C.B-17 SCID mice can be purchased (Jackson Laboratory). Animals are maintained in sterile microisolator cages under pathogen-free conditions. All animals are injected intraperitoneally with rat anti-CD122 (0.25 mg/mouse) three days before PBL transplantation and twice with rabbit asialo-GM1 antibodies (0.2 mg/mouse) (Wako) one day before and three days after PBL injection (20×106 cells/mouse). HIV-1ADA-infected MDM (3×105 cells in 10 μL) are injected intracranially (i.c.) eight days following PBL reconstitution generating hu-PBL-NOD/SCID HIVE mice. Immediately following i.c. injection of HIV-1 infected MDM the hu-PBL-NOD/SCID HIVE mice are subcutaneously (s.c) implanted with control (vehicle) or compound pellets (14 or 28 day slow release, Innovative Research). Initial experiments are designed to confirm the induction of virus-specific CTL in the hu PBL-NOD/SCID HIVE animals treated with IDO compounds. This is confirmed by tetramer staining and neuropathologic analyses of MDM elimination from the brain tissue. Then, the experiment is designed to analyze human lymphocyte reconstitution, humoral immune responses, and neuropathological alterations. In these experiments, animals are bled on day 7 and sacrificed at 14 and 21 days after i.c. injection of human MDM. Blood collected in EDTA-containing tubes is used for flow cytometry and plasma is used for detection of HIV-1 p24 using ELISA (Beckman Coulter™). HIV-1-specific antibodies are detected by Western blot tests according to the manufacturer instructions (Cambridge Biotech HIV-1 Western blot kit, Calypte Biomedical). Similar amount of virus-specific antibodies are detected in control and compound-treated animals. A total of three independent experiments can be performed using three different human leukocyte donors.
- Two-color FACS analysis can be performed on peripheral blood at wk 1-3 and splenocytes at
wk 2 and 3 after i.c. injection of human MDM. Cells are incubated with fluorochrome-conjugated monoclonal Abs (mAbs) to human CD4, CD8, CD56, CD3, IFN-γ (eBioscience) for 30 min at 4° C. To evaluate the cellular immune response, IFN-γ intracellular staining is performed in combination with anti-human CD8 and FITC-conjugated anti-mouse CD45 to exclude murine cells. To determine the Ag-specific CTL, allophycocyanin-conjugated tetramer staining for HIV-1gag (p17 (aa77-85) SLYNTVATL, SL-9) and HIV-1pol [(aa476-485) ILKEPVHGV, IL-9] is performed on phytohemaglutinin/interleukin-2 (PHA/IL-2)-stimulated splenocytes. Cells are stained following the recommendation of the NIH/National Institute of Allergy and Infections Disease, National Tetramer Core Facilities. Data were analyzed with a FACS Calibur™ using CellQuest software (Becton Dickinson Immunocytometry System). - Brain tissue is collected at days 14 and 21 after i.c. injection of MDM, fixed in 4% phosphate-buffered paraformaldehyde and embedded in paraffin or frozen at −80° C. for later use. Coronal sections from the embedded blocks are cut in order to identify the injection site. For each mouse, 30-100 (5-μm-thick) serial sections are cut from the human MDM injection site and 3-7 slides (10 sections apart) are analyzed. Brain sections are deparaffinized with xylene and hydrated in gradient alcohols. Immunohistochemical staining follows a basic indirect protocol, using antigen retrieval by heating to 95° C. in 0.01 mol/L citrate buffer for 30 min for antigen retrieval. To identify human cells in mouse brains, mAb to vimentin (1:50, clone 3B4, Dako Corporation), which identifies all human leukocytes is used. Human MDM and CD8+ lymphocytes are detected with CD68 (1:50 dilution, clone KP 1) and CD8 (1:50 dilution, clone 144B) antibodies, respectively. Virus-infected cells are labeled with mAb to HIV-1 p24 (1:10, clone Kal-1, all from Dako). Reactive murine microglial cells are detected with Iba-1 antibody (1:500, Wako). Expression of human IDO (huIDO) is visualized with Abs obtained from the Department of Cell Pharmacology, Central Research Institute, Graduate School of Medicine, Hokkaido University, Sapporo, Japan. Primary antibodies are detected with the appropriate biotinylated secondary antibodies and visualized with avidin-biotin complexes (Vectastain Elite ABC kit, Vector Laboratories) and horseradish peroxidase (HRP) coupled dextran polymer (EnVision, Dako Corporation). Immunostained sections are counterstained with Mayer's hematoxylin. Sections from which primary antibody is deleted or irrelevant IgG isotype is incorporated served as controls. Two independent observers in a blinded fashion count the numbers of CD8+ lymphocytes, CD68+ MDM and HIV-1 p24+ cells in each section from each mouse. Light microscopic examination is performed with a Nikon Eclipse 800 microscope (Nikon Instruments Inc). Semi-quantitative analysis for Ibal (percentage of area occupied by immunostaining) is carried out by computer-assisted image analysis (Image-Pro®Plus, Media Cybernetics) as previously described.
- Data can be analyzed using Prism (Graph Pad) with Student t-test for comparisons and ANOVA. P-values<0.05 were considered significant.
- Poluektova L Y, Munn D H, Persidsky Y, and Gendelman H E (2002). Generation of cytotoxic T cells against virus-infected human brain macrophages in a murine model of HIV-1 encephalitis. J. Immunol. 168(8):3941-9.
- Various modifications of the invention, in addition to those described herein, will be apparent to those skilled in the art from the foregoing description. Such modifications are also intended to fall within the scope of the appended claims. Each reference, including all patent, patent applications, and publications, cited in the present application is incorporated herein by reference in its entirety.
Claims (26)
Priority Applications (2)
| Application Number | Priority Date | Filing Date | Title |
|---|---|---|---|
| US17/527,833 US20220331296A1 (en) | 2008-07-08 | 2021-11-16 | 1,2,5-Oxadiazoles As Inhibitors Of Indoleamine 2,3- Dioxygenase |
| US18/213,019 US20240173303A1 (en) | 2008-07-08 | 2023-06-22 | 1,2,5-Oxadiazoles As Inhibitors Of Indoleamine 2,3- Dioxygenase |
Applications Claiming Priority (12)
| Application Number | Priority Date | Filing Date | Title |
|---|---|---|---|
| US7887608P | 2008-07-08 | 2008-07-08 | |
| US15087309P | 2009-02-09 | 2009-02-09 | |
| US12/498,782 US8088803B2 (en) | 2008-07-08 | 2009-07-07 | 1,2,5-oxadiazoles as inhibitors of indoleamine 2,3-dioxygenase |
| US13/294,711 US8796319B2 (en) | 2008-07-08 | 2011-11-11 | 1,2,5-oxadiazoles as inhibitors of indoleamine 2,3-dioxygenase |
| US14/322,362 US8993605B2 (en) | 2008-07-08 | 2014-07-02 | 1,2,5-oxadiazoles as inhibitors of indoleamine 2,3-dioxygenase |
| US14/661,191 US9320732B2 (en) | 2008-07-08 | 2015-03-18 | 1,2,5-oxadiazoles as inhibitors of indoleamine 2,3-dioxygenase |
| US15/093,420 US9789094B2 (en) | 2008-07-08 | 2016-04-07 | 1,2,5-oxadiazoles as inhibitors of indoleamine 2,3-dioxygenase |
| US15/442,876 US10034864B2 (en) | 2008-07-08 | 2017-02-27 | 1,2,5-oxadiazoles as inhibitors of indoleamine 2,3-dioxygenase |
| US15/903,414 US10369137B2 (en) | 2008-07-08 | 2018-02-23 | 1,2,5-Oxadiazoles as inhibitors of indoleamine 2,3-dioxygenase |
| US16/446,253 US10653677B2 (en) | 2008-07-08 | 2019-06-19 | 1,2,5-oxadiazoles as inhibitors of indoleamine 2,3-dioxygenase |
| US16/849,610 US11207302B2 (en) | 2008-07-08 | 2020-04-15 | 1,2,5-oxadiazoles as inhibitors of indoleamine 2,3-dioxygenase |
| US17/527,833 US20220331296A1 (en) | 2008-07-08 | 2021-11-16 | 1,2,5-Oxadiazoles As Inhibitors Of Indoleamine 2,3- Dioxygenase |
Related Parent Applications (1)
| Application Number | Title | Priority Date | Filing Date |
|---|---|---|---|
| US16/849,610 Continuation US11207302B2 (en) | 2008-07-08 | 2020-04-15 | 1,2,5-oxadiazoles as inhibitors of indoleamine 2,3-dioxygenase |
Related Child Applications (1)
| Application Number | Title | Priority Date | Filing Date |
|---|---|---|---|
| US18/213,019 Continuation US20240173303A1 (en) | 2008-07-08 | 2023-06-22 | 1,2,5-Oxadiazoles As Inhibitors Of Indoleamine 2,3- Dioxygenase |
Publications (1)
| Publication Number | Publication Date |
|---|---|
| US20220331296A1 true US20220331296A1 (en) | 2022-10-20 |
Family
ID=41128289
Family Applications (12)
| Application Number | Title | Priority Date | Filing Date |
|---|---|---|---|
| US12/498,782 Active US8088803B2 (en) | 2008-07-08 | 2009-07-07 | 1,2,5-oxadiazoles as inhibitors of indoleamine 2,3-dioxygenase |
| US13/294,711 Active US8796319B2 (en) | 2008-07-08 | 2011-11-11 | 1,2,5-oxadiazoles as inhibitors of indoleamine 2,3-dioxygenase |
| US14/033,117 Active US8822511B2 (en) | 2008-07-08 | 2013-09-20 | 1,2,5-oxadiazoles as inhibitors of indoleamine 2,3-dioxygenase |
| US14/322,362 Active US8993605B2 (en) | 2008-07-08 | 2014-07-02 | 1,2,5-oxadiazoles as inhibitors of indoleamine 2,3-dioxygenase |
| US14/661,191 Active US9320732B2 (en) | 2008-07-08 | 2015-03-18 | 1,2,5-oxadiazoles as inhibitors of indoleamine 2,3-dioxygenase |
| US15/093,420 Expired - Fee Related US9789094B2 (en) | 2008-07-08 | 2016-04-07 | 1,2,5-oxadiazoles as inhibitors of indoleamine 2,3-dioxygenase |
| US15/442,876 Active US10034864B2 (en) | 2008-07-08 | 2017-02-27 | 1,2,5-oxadiazoles as inhibitors of indoleamine 2,3-dioxygenase |
| US15/903,414 Active US10369137B2 (en) | 2008-07-08 | 2018-02-23 | 1,2,5-Oxadiazoles as inhibitors of indoleamine 2,3-dioxygenase |
| US16/446,253 Active US10653677B2 (en) | 2008-07-08 | 2019-06-19 | 1,2,5-oxadiazoles as inhibitors of indoleamine 2,3-dioxygenase |
| US16/849,610 Expired - Fee Related US11207302B2 (en) | 2008-07-08 | 2020-04-15 | 1,2,5-oxadiazoles as inhibitors of indoleamine 2,3-dioxygenase |
| US17/527,833 Abandoned US20220331296A1 (en) | 2008-07-08 | 2021-11-16 | 1,2,5-Oxadiazoles As Inhibitors Of Indoleamine 2,3- Dioxygenase |
| US18/213,019 Abandoned US20240173303A1 (en) | 2008-07-08 | 2023-06-22 | 1,2,5-Oxadiazoles As Inhibitors Of Indoleamine 2,3- Dioxygenase |
Family Applications Before (10)
| Application Number | Title | Priority Date | Filing Date |
|---|---|---|---|
| US12/498,782 Active US8088803B2 (en) | 2008-07-08 | 2009-07-07 | 1,2,5-oxadiazoles as inhibitors of indoleamine 2,3-dioxygenase |
| US13/294,711 Active US8796319B2 (en) | 2008-07-08 | 2011-11-11 | 1,2,5-oxadiazoles as inhibitors of indoleamine 2,3-dioxygenase |
| US14/033,117 Active US8822511B2 (en) | 2008-07-08 | 2013-09-20 | 1,2,5-oxadiazoles as inhibitors of indoleamine 2,3-dioxygenase |
| US14/322,362 Active US8993605B2 (en) | 2008-07-08 | 2014-07-02 | 1,2,5-oxadiazoles as inhibitors of indoleamine 2,3-dioxygenase |
| US14/661,191 Active US9320732B2 (en) | 2008-07-08 | 2015-03-18 | 1,2,5-oxadiazoles as inhibitors of indoleamine 2,3-dioxygenase |
| US15/093,420 Expired - Fee Related US9789094B2 (en) | 2008-07-08 | 2016-04-07 | 1,2,5-oxadiazoles as inhibitors of indoleamine 2,3-dioxygenase |
| US15/442,876 Active US10034864B2 (en) | 2008-07-08 | 2017-02-27 | 1,2,5-oxadiazoles as inhibitors of indoleamine 2,3-dioxygenase |
| US15/903,414 Active US10369137B2 (en) | 2008-07-08 | 2018-02-23 | 1,2,5-Oxadiazoles as inhibitors of indoleamine 2,3-dioxygenase |
| US16/446,253 Active US10653677B2 (en) | 2008-07-08 | 2019-06-19 | 1,2,5-oxadiazoles as inhibitors of indoleamine 2,3-dioxygenase |
| US16/849,610 Expired - Fee Related US11207302B2 (en) | 2008-07-08 | 2020-04-15 | 1,2,5-oxadiazoles as inhibitors of indoleamine 2,3-dioxygenase |
Family Applications After (1)
| Application Number | Title | Priority Date | Filing Date |
|---|---|---|---|
| US18/213,019 Abandoned US20240173303A1 (en) | 2008-07-08 | 2023-06-22 | 1,2,5-Oxadiazoles As Inhibitors Of Indoleamine 2,3- Dioxygenase |
Country Status (36)
| Country | Link |
|---|---|
| US (12) | US8088803B2 (en) |
| EP (3) | EP2315756B9 (en) |
| JP (2) | JP5465720B2 (en) |
| KR (5) | KR101847107B1 (en) |
| CN (2) | CN104042611B (en) |
| AR (1) | AR072490A1 (en) |
| AU (6) | AU2009268739B2 (en) |
| BR (2) | BR122019015876B8 (en) |
| CA (2) | CA2743975C (en) |
| CL (2) | CL2009001554A1 (en) |
| CO (1) | CO6341622A2 (en) |
| CR (1) | CR11871A (en) |
| CY (1) | CY1120617T1 (en) |
| DK (2) | DK2824100T3 (en) |
| EA (2) | EA022669B1 (en) |
| EC (1) | ECSP11010798A (en) |
| ES (2) | ES2665419T3 (en) |
| HR (2) | HRP20141094T1 (en) |
| HU (1) | HUE036813T2 (en) |
| IL (2) | IL210402A (en) |
| LT (1) | LT2824100T (en) |
| ME (1) | ME03065B (en) |
| MX (1) | MX2011000235A (en) |
| MY (3) | MY192633A (en) |
| NO (1) | NO2824100T3 (en) |
| NZ (1) | NZ590268A (en) |
| PE (1) | PE20110308A1 (en) |
| PH (1) | PH12014500947B1 (en) |
| PL (2) | PL2824100T3 (en) |
| PT (2) | PT2315756E (en) |
| RS (2) | RS57132B1 (en) |
| SG (2) | SG10201805844QA (en) |
| SI (2) | SI2824100T1 (en) |
| SM (2) | SMT201800206T1 (en) |
| TW (1) | TWI453204B (en) |
| WO (1) | WO2010005958A2 (en) |
Families Citing this family (180)
| Publication number | Priority date | Publication date | Assignee | Title |
|---|---|---|---|---|
| BR122020016659B8 (en) * | 2005-05-10 | 2021-07-27 | Incyte Holdings Corp | indoleamine 2,3-dioxygenase modulators and methods of modulating inhibition and immunosuppression activity |
| TWI382974B (en) | 2005-12-20 | 2013-01-21 | 英塞特公司 | N-hydroxymethyl hydrazine heterocyclic compound as a guanamine 2,3-dioxygenase modulator |
| CA2663057C (en) * | 2006-09-19 | 2015-12-08 | Incyte Corporation | N-hydroxyamidinoheterocycles as modulators of indoleamine 2,3-dioxygenase |
| CL2007002650A1 (en) | 2006-09-19 | 2008-02-08 | Incyte Corp | COMPOUNDS DERIVED FROM HETEROCICLO N-HIDROXIAMINO; PHARMACEUTICAL COMPOSITION, USEFUL TO TREAT CANCER, VIRAL INFECTIONS AND NEURODEGENERATIVE DISORDERS BETWEEN OTHERS. |
| BR122019015876B8 (en) | 2008-07-08 | 2021-07-27 | Incyte Holdings Corp | compounds derived from 1,2,5-oxadiazoles, composition, as well as their uses |
| GB0919757D0 (en) * | 2009-11-12 | 2009-12-30 | Johnson Matthey Plc | Polymorphs of bromfenac sodium and methods for preparing bromfenac sodium polymorphs |
| US8299295B2 (en) | 2009-10-15 | 2012-10-30 | Johnson Matthey Public Limited Company | Polymorphs of bromfenac sodium and methods for preparing bromfenac sodium polymorphs |
| NO2694640T3 (en) | 2011-04-15 | 2018-03-17 | ||
| EP2781517B1 (en) | 2011-11-09 | 2017-10-11 | Kyowa Hakko Kirin Co., Ltd. | Nitrogen-containing heterocyclic compound |
| GB201120860D0 (en) | 2011-12-05 | 2012-01-18 | Cambridge Entpr Ltd | Cancer immunotherapy |
| SG10201805807PA (en) | 2012-06-26 | 2018-08-30 | Del Mar Pharmaceuticals | Methods for treating tyrosine-kinase-inhibitor-resistant malignancies in patients with genetic polymorphisms or ahi1 dysregulations or mutations employing dianhydrogalactitol, diacetyldianhydrogalactitol, dibromodulcitol, or analogs or derivatives thereof |
| WO2014066834A1 (en) | 2012-10-26 | 2014-05-01 | The University Of Chicago | Synergistic combination of immunologic inhibitors for the treatment of cancer |
| EP2983674A4 (en) | 2013-04-08 | 2017-05-10 | Dennis M. Brown | Therapeutic benefit of suboptimally administered chemical compounds |
| DK3066085T3 (en) * | 2013-11-08 | 2020-06-02 | Incyte Holdings Corp | PROCEDURE FOR THE SYNTHESIS OF AN INDOLAMIN-2,3-DIOXYGENASE INHIBITOR |
| SG11201606428UA (en) | 2014-02-04 | 2016-09-29 | Incyte Corp | Combination of a pd-1 antagonist and an ido1 inhibitor for treating cancer |
| KR20160146747A (en) | 2014-03-31 | 2016-12-21 | 제넨테크, 인크. | Combination therapy comprising anti-angiogenesis agents and ox40 binding agonists |
| EP3126394B1 (en) | 2014-03-31 | 2019-10-30 | F.Hoffmann-La Roche Ag | Anti-ox40 antibodies and methods of use |
| SMT202100116T1 (en) | 2014-05-28 | 2021-05-07 | Agenus Inc | Anti-gitr antibodies and methods of use thereof |
| RU2016149812A (en) | 2014-06-06 | 2018-07-17 | Флексус Байосайенсиз, Инк. | IMMUNO REGULATORY MEANS |
| PE20170770A1 (en) * | 2014-07-17 | 2017-07-04 | Chdi Foundation Inc | METHODS AND COMPOSITIONS FOR TREATING HIV-RELATED DISORDERS |
| CN105481789B (en) * | 2014-09-15 | 2020-05-19 | 中国科学院上海有机化学研究所 | A kind of indoleamine-2,3-dioxygenase inhibitor and preparation method thereof |
| CA2964276A1 (en) | 2014-11-05 | 2016-05-12 | Flexus Biosciences, Inc. | Immunoregulatory agents |
| AR102537A1 (en) | 2014-11-05 | 2017-03-08 | Flexus Biosciences Inc | IMMUNOMODULATING AGENTS |
| UY36390A (en) | 2014-11-05 | 2016-06-01 | Flexus Biosciences Inc | MODULATING COMPOUNDS OF INDOLAMINE ENZYME 2,3-DIOXYGENASE (IDO), ITS SYNTHESIS METHODS AND PHARMACEUTICAL COMPOSITIONS CONTAINING THEM |
| US10525035B2 (en) | 2014-12-18 | 2020-01-07 | Lankenau Institute For Medical Research | Methods and compositions for the treatment of retinopathy and other ocular diseases |
| WO2016123573A1 (en) | 2015-01-30 | 2016-08-04 | President And Fellows Of Harvard College | Peritumoral and intratumoral materials for cancer therapy |
| EP3722297A1 (en) | 2015-03-04 | 2020-10-14 | Gilead Sciences, Inc. | Toll-like receptor modulating 4,6-diamino-pyrido[3,2-d]pyrimidine compounds |
| AU2016231832B2 (en) * | 2015-03-17 | 2019-09-19 | Pfizer Inc. | Novel 3-indol substituted derivatives, pharmaceutical compositions and methods for use |
| WO2016155545A1 (en) * | 2015-03-31 | 2016-10-06 | 江苏恒瑞医药股份有限公司 | Sulfamyl-containing 1,2,5-oxadiazole derivative, preparation method therefor and use thereof in pharmaceuticals |
| EP3280736A1 (en) | 2015-04-07 | 2018-02-14 | F. Hoffmann-La Roche AG | Antigen binding complex having agonistic activity and methods of use |
| JP6801159B2 (en) | 2015-04-21 | 2020-12-16 | ジエンス ヘンルイ メデイシンカンパニー リミテッドJiangsu Hengrui Medicine Co.,Ltd. | Imidazoisoindole derivative, its manufacturing method and its pharmaceutical use |
| DK3303394T3 (en) | 2015-05-29 | 2020-07-06 | Agenus Inc | ANTI-CTLA-4 ANTIBODIES AND PROCEDURES FOR USE THEREOF |
| US9891882B2 (en) * | 2015-06-01 | 2018-02-13 | Nagravision S.A. | Methods and systems for conveying encrypted data to a communication device |
| US20170000885A1 (en) | 2015-06-08 | 2017-01-05 | Genentech, Inc. | Methods of treating cancer using anti-ox40 antibodies and pd-1 axis binding antagonists |
| CA2985483A1 (en) | 2015-06-08 | 2016-12-15 | Genentech, Inc. | Methods of treating cancer using anti-ox40 antibodies |
| CN107709338A (en) * | 2015-07-02 | 2018-02-16 | 葛兰素史克知识产权开发有限公司 | Indoleamine 2, the inhibitor of 3 dioxygenases |
| WO2017010106A1 (en) | 2015-07-14 | 2017-01-19 | Kyowa Hakko Kirin Co., Ltd. | A therapeutic agent for a tumor comprising an ido inhibitor administered in combination with an antibody |
| AU2016291817A1 (en) | 2015-07-16 | 2018-02-22 | Biolinerx Ltd. | Compositions and methods for treating cancer |
| WO2017019175A1 (en) | 2015-07-24 | 2017-02-02 | Newlink Genetics Corporation | Salts and prodrugs of 1-methyl-d-tryptophan |
| WO2017024996A1 (en) * | 2015-08-07 | 2017-02-16 | 江苏恒瑞医药股份有限公司 | Hydroxy amidine derivative, preparation method and use in medicine thereof |
| JP2018525412A (en) | 2015-08-26 | 2018-09-06 | ギリアード サイエンシーズ, インコーポレイテッド | Deuterated toll-like receptor modulator |
| WO2017040790A1 (en) | 2015-09-01 | 2017-03-09 | Agenus Inc. | Anti-pd-1 antibodies and methods of use thereof |
| CN107396498B (en) | 2015-09-14 | 2019-07-23 | 昂宝电子(上海)有限公司 | System and method for the current regulation in LED illumination system |
| CN106565696B (en) * | 2015-10-09 | 2020-07-28 | 江苏恒瑞医药股份有限公司 | Oxadiazole derivative, preparation method and medical application thereof |
| US20180353483A1 (en) * | 2015-11-04 | 2018-12-13 | Incyte Corporation | Pharmaceutical compositions and methods for indoleamine, 2, 3-dioxygenase inhibition and indications therefor |
| EP3374517A1 (en) | 2015-11-09 | 2018-09-19 | H. Hoffnabb-La Roche Ag | Screening assay to identify id01 and/or tdo modulators |
| TW202134282A (en) | 2015-12-02 | 2021-09-16 | 美商艾吉納斯公司 | Antibodies and methods of use thereof |
| WO2017106062A1 (en) | 2015-12-15 | 2017-06-22 | Merck Sharp & Dohme Corp. | Novel compounds as indoleamine 2,3-dioxygenase inhibitors |
| CN106883193B (en) * | 2015-12-15 | 2021-10-15 | 上海翰森生物医药科技有限公司 | Indoleamine 2,3-dioxygenase inhibitor and preparation method and application thereof |
| MX2018008797A (en) | 2016-01-19 | 2018-11-29 | Pfizer | Cancer vaccines. |
| US9624185B1 (en) * | 2016-01-20 | 2017-04-18 | Yong Xu | Method for preparing IDO inhibitor epacadostat |
| CN105646389B (en) * | 2016-01-28 | 2019-06-28 | 中国科学院上海有机化学研究所 | A kind of sulfamic acid ester as indoleamine-2,3-dioxygenase inhibitor and its preparation method and use |
| JP7066186B2 (en) | 2016-02-19 | 2022-05-13 | アンスティチュ ナショナル ドゥ ラ サンテ エ ドゥ ラ ルシェルシュ メディカル | Methods and pharmaceutical compositions for the treatment of obesity |
| CN108602786B (en) * | 2016-02-25 | 2019-04-23 | 深圳市塔吉瑞生物医药有限公司 | A kind of substituted oxadiazoles compound and the composition comprising the compound and use thereof |
| CN107176933B (en) * | 2016-03-09 | 2020-10-09 | 中国科学院上海有机化学研究所 | Indoleamine-2,3-dioxygenase inhibitor of nitrogen-containing alkylated and arylated sulfoximines |
| CN107304191B (en) * | 2016-04-20 | 2023-09-29 | 上海翰森生物医药科技有限公司 | Indolylamine 2,3-dioxygenase inhibitor and preparation method and application thereof |
| WO2017181849A1 (en) * | 2016-04-20 | 2017-10-26 | 江苏豪森药业集团有限公司 | Indoleamine 2,3-dioxygenase inhibitor, preparation method therefor, and application |
| BR112018071602B1 (en) * | 2016-04-29 | 2024-02-27 | Iomet Pharma Ltd. | SUBSTITUTED IMIDAZOPYRIDINE COMPOUNDS, THEIR COMPOSITION AND THEIR USE AS INHIBITORS OF INDOLAMINE 2,3-DIOXYGENASE AND/OR TRYPTOPHAN-2,3-DIOXYGENASE |
| JP2019522627A (en) | 2016-05-04 | 2019-08-15 | ブリストル−マイヤーズ スクイブ カンパニーBristol−Myers Squibb Company | Indoleamine 2,3-dioxygenase inhibitor and method of use thereof |
| AU2017271990B2 (en) | 2016-05-27 | 2019-12-19 | Gilead Sciences, Inc. | Methods for treating Hepatitis B virus infections using NS5A, NS5B or NS3 inhibitors |
| CA3024508A1 (en) | 2016-05-27 | 2017-11-30 | Agenus Inc. | Anti-tim-3 antibodies and methods of use thereof |
| BR102017010009A2 (en) | 2016-05-27 | 2017-12-12 | Gilead Sciences, Inc. | COMPOUNDS FOR THE TREATMENT OF HEPATITIS B VIRUS INFECTION |
| JOP20170131B1 (en) | 2016-06-10 | 2021-08-17 | Lilly Co Eli | 1-tetrahydropyranylcarbonyl-2,3-dihydro-1H-indole compounds for cancer treatment |
| CN106109472A (en) * | 2016-06-13 | 2016-11-16 | 中山大学 | Chlordiazepoxide is as the purposes of indole amine 2,3-dioxygenase-1 inhibitor |
| KR20190034318A (en) * | 2016-08-02 | 2019-04-01 | 산동 루예 파마슈티칼 컴파니 리미티드 | IDO1 inhibitor, its preparation method and its application |
| WO2018027204A1 (en) | 2016-08-05 | 2018-02-08 | Genentech, Inc. | Multivalent and multiepitopic anitibodies having agonistic activity and methods of use |
| US20190185439A1 (en) * | 2016-08-24 | 2019-06-20 | H. Lee Moffitt Cancer Center & Research Institute, Inc. | Radiofluorinated carboximidamides as ido targeting pet tracer for cancer imaging |
| JP2019528300A (en) | 2016-08-26 | 2019-10-10 | ブリストル−マイヤーズ スクイブ カンパニーBristol−Myers Squibb Company | Indoleamine 2,3-dioxygenase inhibitors and methods of use thereof |
| JOP20190024A1 (en) | 2016-08-26 | 2019-02-19 | Gilead Sciences Inc | Substituted pyrrolizine compounds and uses thereof |
| PT3507276T (en) | 2016-09-02 | 2022-01-11 | Gilead Sciences Inc | TOLL-TYPE RECEIVER MODULATING COMPOUNDS |
| EP3507288B1 (en) | 2016-09-02 | 2020-08-26 | Gilead Sciences, Inc. | 4,6-diamino-pyrido[3,2-d]pyrimidine derivaties as toll like receptor modulators |
| EP4268838A3 (en) | 2016-09-19 | 2023-12-27 | University Of South Florida | Method of targeting oncolytic viruses to tumors |
| TWI773694B (en) | 2016-10-11 | 2022-08-11 | 美商艾吉納斯公司 | Anti-lag-3 antibodies and methods of use thereof |
| WO2018071873A2 (en) | 2016-10-13 | 2018-04-19 | Juno Therapeutics, Inc. | Immunotherapy methods and compositions involving tryptophan metabolic pathway modulators |
| US10662416B2 (en) | 2016-10-14 | 2020-05-26 | Precision Biosciences, Inc. | Engineered meganucleases specific for recognition sequences in the hepatitis B virus genome |
| CN107954999B (en) * | 2016-10-17 | 2023-01-24 | 上海医药集团股份有限公司 | Oxadiazole ring-containing compound, preparation method, intermediate, composition and application |
| CN110267678A (en) | 2016-10-29 | 2019-09-20 | 霍夫曼-拉罗奇有限公司 | Anti-MIC antibodies and methods of use |
| UY37466A (en) * | 2016-11-03 | 2018-01-31 | Phenex Discovery Verwaltungs Gmbh | N-HYDROXIAMIDINHETEROCICLES SUBSTITUTED AS MODULATORS OF INDOLAMINE 2,3-DIOXYGENASE |
| CA3041340A1 (en) | 2016-11-09 | 2018-05-17 | Agenus Inc. | Anti-ox40 antibodies, anti-gitr antibodies, and methods of use thereof |
| CN110139857B (en) * | 2016-11-28 | 2023-07-21 | 重庆复尚源创医药技术有限公司 | Sulfoximine, sulfoximine amides, sulfodiimide and imide sulfonamide compounds as indoleamine 2,3-dioxygenase inhibitors |
| MA50948A (en) | 2016-12-07 | 2020-10-14 | Agenus Inc | ANTIBODIES AND METHODS OF USING THE SAME |
| AU2017373944B2 (en) | 2016-12-07 | 2022-02-03 | Agenus Inc. | Anti-CTLA-4 antibodies and methods of use thereof |
| MX378460B (en) | 2016-12-22 | 2025-03-10 | Calithera Biosciences Inc | Compositions and methods for inhibiting arginase activity |
| CN108218807A (en) | 2016-12-22 | 2018-06-29 | 上海长森药业有限公司 | A kind of sulfone amidine as indoles amine -2,3- dioxygenase inhibitors and its preparation method and application |
| KR20190103226A (en) | 2017-01-13 | 2019-09-04 | 아게누스 인코포레이티드 | T cell receptor that binds to NY-ESO-1 and methods of use thereof |
| CN110191709A (en) | 2017-01-17 | 2019-08-30 | 德州大学系统董事会 | It can be used as the compound of indole amine 2,3-dioxygenase and/or tryptophan dioxygenase inhibitor |
| TW202510891A (en) | 2017-01-31 | 2025-03-16 | 美商基利科學股份有限公司 | Crystalline forms of tenofovir alafenamide |
| JOP20180008A1 (en) | 2017-02-02 | 2019-01-30 | Gilead Sciences Inc | Compounds for the treatment of hepatitis b virus infection |
| BR112019020080A2 (en) * | 2017-03-29 | 2020-04-28 | Merck Sharp & Dohme | new n? -hydroxycarbamimidoyl-1,2,5-oxadiazole compounds substituted as indoleamine 2,3-dioxigenase (acid) inhibitors |
| WO2018187479A1 (en) | 2017-04-04 | 2018-10-11 | Case Western Reserve University | Method of modulating ribonucleotide reductase |
| CN108689958B (en) * | 2017-04-05 | 2021-09-17 | 南京华威医药科技集团有限公司 | Indoleamine 2,3-dioxygenase inhibitor containing hydrazino |
| CN106967005B (en) * | 2017-04-07 | 2019-07-16 | 上海肇钰医药科技有限公司 | A kind of compound that can inhibit IDO, Its Preparation Method And Use |
| JP7297672B2 (en) | 2017-04-13 | 2023-06-26 | アジェナス インコーポレイテッド | ANTI-CD137 ANTIBODY AND METHODS OF USE THEREOF |
| JOP20180040A1 (en) | 2017-04-20 | 2019-01-30 | Gilead Sciences Inc | Pd-1/pd-l1 inhibitors |
| CN114920710B (en) * | 2017-04-27 | 2024-09-20 | 鲁南制药集团股份有限公司 | Imido urea derivatives |
| WO2018204363A1 (en) | 2017-05-01 | 2018-11-08 | Agenus Inc. | Anti-tigit antibodies and methods of use thereof |
| CN109081818B (en) * | 2017-06-14 | 2022-04-22 | 南京华威医药科技集团有限公司 | Novel indoleamine 2, 3-bis-oxidase inhibitors |
| CN109111438B (en) * | 2017-06-26 | 2021-11-02 | 正大天晴药业集团股份有限公司 | Amidine compounds for IDO inhibitors |
| JP7028953B2 (en) | 2017-07-11 | 2022-03-02 | ファイザー・インク | Immunogenic composition comprising CEA, MUC1 and TERT |
| EP3658172A4 (en) | 2017-07-25 | 2021-05-05 | TrueBinding, Inc. | CANCER TREATMENT BY BLOCKING THE INTERACTION OF TIM-3 AND ITS LIGAND |
| ES2902799T3 (en) | 2017-08-17 | 2022-03-29 | Idorsia Pharmaceuticals Ltd | Indoleamine 2,3-dioxygenase and/or tryptophan 2,3-dioxygenase inhibitors |
| CN107311956A (en) * | 2017-08-22 | 2017-11-03 | 合肥圣迪利克医药科技有限公司 | One kind Chinese mugwort card, which is stamped, takes charge of his synthetic method |
| WO2019046856A1 (en) | 2017-09-04 | 2019-03-07 | Agenus Inc. | T cell receptors that bind to mixed lineage leukemia (mll)-specific phosphopeptides and methods of use thereof |
| CN108863976B (en) * | 2017-09-11 | 2022-09-16 | 郑州泰基鸿诺医药股份有限公司 | Compounds useful as IDO modulators and uses thereof |
| EP3681491A4 (en) | 2017-09-11 | 2021-06-30 | Atossa Therapeutics, Inc. | PROCESS FOR MANUFACTURING AND USE OF ENDOXIFES |
| WO2019055786A1 (en) | 2017-09-14 | 2019-03-21 | Lankenau Institute For Medical Research | Methods and compositions for the treatment of cancer |
| CN110248931B (en) * | 2017-09-20 | 2022-12-23 | 上海翰森生物医药科技有限公司 | A kind of salt of dioxygenase inhibitor and its preparation method and application |
| CN109897011B (en) * | 2017-12-08 | 2023-10-31 | 上海华汇拓医药科技有限公司 | IDO inhibitor and application thereof |
| CN109928922A (en) * | 2017-12-18 | 2019-06-25 | 成都华健未来科技有限公司 | A kind of cyclohexanes compound |
| CN111566120B (en) | 2017-12-20 | 2023-09-29 | 捷克共和国有机化学与生物化学研究所 | 3’3’ cyclic dinucleotide with phosphonate bond that activates STING adapter protein |
| CN109942565B (en) | 2017-12-20 | 2021-03-26 | 海创药业股份有限公司 | Indoleamine-2, 3-dioxygenase inhibitor and preparation method and application thereof |
| US11203610B2 (en) | 2017-12-20 | 2021-12-21 | Institute Of Organic Chemistry And Biochemistry Ascr, V.V.I. | 2′3′ cyclic dinucleotides with phosphonate bond activating the sting adaptor protein |
| WO2019136157A2 (en) | 2018-01-05 | 2019-07-11 | Dicerna Pharmaceuticals, Inc. | Reducing beta-catenin and ido expression to potentiate immunotherapy |
| CN111601810A (en) | 2018-01-15 | 2020-08-28 | 爱杜西亚药品有限公司 | Inhibitors of indoleamine 2, 3-dioxygenase and/or tryptophan 2, 3-dioxygenase |
| CN108586378B (en) | 2018-01-22 | 2020-06-19 | 南京华威医药科技集团有限公司 | Indoleamine 2, 3-bis-oxidase inhibitor and preparation method and application thereof |
| US11369589B2 (en) | 2018-01-24 | 2022-06-28 | Nanjing Carephar Shenghui Pharmaceutical Co., Ltd. | Modulator of indoleamine 2,3-dioxygenase, preparation method and use thereof |
| CN110066253B (en) * | 2018-01-24 | 2023-06-23 | 江苏柯菲平医药股份有限公司 | 1,2, 5-oxadiazole derivative, preparation method thereof and application thereof in medicines |
| CN110577501A (en) * | 2018-06-07 | 2019-12-17 | 江苏柯菲平医药股份有限公司 | indoleamine 2, 3-dioxygenase modulators, method for the production and use thereof |
| JP7301856B2 (en) * | 2018-02-02 | 2023-07-03 | ヒノバ ファーマシューティカルズ インコーポレイテッド | Indoleamine-2,3-dioxygenase inhibitors and methods of preparation and use thereof |
| CN108101899B (en) * | 2018-02-11 | 2021-01-26 | 中国药科大学 | Preparation method of intermediate of IDO1 inhibitor Epacadostat |
| CR20200347A (en) | 2018-02-13 | 2020-09-23 | Gilead Sciences Inc | Pd-1/pd-l1 inhibitors |
| US10836769B2 (en) | 2018-02-26 | 2020-11-17 | Gilead Sciences, Inc. | Substituted pyrrolizine compounds and uses thereof |
| US10870691B2 (en) | 2018-04-05 | 2020-12-22 | Gilead Sciences, Inc. | Antibodies and fragments thereof that bind hepatitis B virus protein X |
| TW202005654A (en) | 2018-04-06 | 2020-02-01 | 捷克科學院有機化學與生物化學研究所 | 2'2'-cyclic dinucleotides |
| TWI818007B (en) | 2018-04-06 | 2023-10-11 | 捷克科學院有機化學與生物化學研究所 | 2'3'-cyclic dinucleotides |
| TWI833744B (en) | 2018-04-06 | 2024-03-01 | 捷克科學院有機化學與生物化學研究所 | 3'3'-cyclic dinucleotides |
| TW201945388A (en) | 2018-04-12 | 2019-12-01 | 美商精密生物科學公司 | Optimized engineered meganucleases having specificity for a recognition sequence in the hepatitis B virus genome |
| US20190314324A1 (en) | 2018-04-13 | 2019-10-17 | The University Of Chicago | Combination of micheliolide derivatives or nanoparticles with ionizing radiation and checkpoint inhibitors for cancer therapy |
| KR102591947B1 (en) | 2018-04-19 | 2023-10-25 | 길리애드 사이언시즈, 인코포레이티드 | PD-1/PD-L1 inhibitors |
| KR20210005646A (en) | 2018-04-26 | 2021-01-14 | 아게누스 인코포레이티드 | Heat shock protein-binding peptide composition and method for use thereof |
| CN110407765B (en) * | 2018-04-28 | 2022-12-06 | 上海挚盟医药科技有限公司 | 1,2,5-oxadiazole derivative, preparation method and medical application thereof |
| WO2019211799A1 (en) | 2018-05-03 | 2019-11-07 | Institute Of Organic Chemistry And Biochemistry Ascr, V.V.I. | 2'3'-cyclic dinucleotide analogue comprising a cyclopentanyl modified nucleotide |
| GB201809050D0 (en) | 2018-06-01 | 2018-07-18 | E Therapeutics Plc | Modulators of tryptophan catabolism |
| PT3820572T (en) | 2018-07-13 | 2023-11-10 | Gilead Sciences Inc | Pd-1/pd-l1 inhibitors |
| EP3823604A4 (en) | 2018-07-17 | 2022-03-16 | Board of Regents, The University of Texas System | COMPOUNDS USEFUL AS INDOLEAMINE 2,3-DIOXYGENASE AND/OR TRYPTOPHANE DIOXYGENASE INHIBITORS |
| WO2020028097A1 (en) | 2018-08-01 | 2020-02-06 | Gilead Sciences, Inc. | Solid forms of (r)-11-(methoxymethyl)-12-(3-methoxypropoxy)-3,3-dimethyl-8-0x0-2,3,8,13b-tetrahydro-1h-pyrido[2,1-a]pyrrolo[1,2-c] phthalazine-7-c arboxylic acid |
| CN109180603A (en) * | 2018-10-10 | 2019-01-11 | 中国药科大学 | The preparation method of Epacadostat key intermediate |
| JP7158577B2 (en) | 2018-10-24 | 2022-10-21 | ギリアード サイエンシーズ, インコーポレイテッド | PD-1/PD-L1 inhibitor |
| EP4371987B9 (en) | 2018-10-31 | 2025-11-26 | Gilead Sciences, Inc. | Substituted 6-azabenzimidazole compounds as hpk1 inhibitors |
| KR102658602B1 (en) | 2018-10-31 | 2024-04-19 | 길리애드 사이언시즈, 인코포레이티드 | Substituted 6-azabenzimidazole compounds with HPK1 inhibitory activity |
| CN120058944A (en) | 2019-01-30 | 2025-05-30 | 真和制药有限公司 | Anti-GAL3 antibodies and uses thereof |
| CN111617078B (en) * | 2019-02-28 | 2023-02-03 | 四川科伦博泰生物医药股份有限公司 | Pharmaceutical compositions, methods and uses thereof for the treatment and/or prevention of disease |
| US20220143061A1 (en) | 2019-03-07 | 2022-05-12 | Institute Of Organic Chemistry And Biochemistry Ascr, V.V.I. | 3'3'-cyclic dinucleotides and prodrugs thereof |
| CN113543851B (en) | 2019-03-07 | 2025-03-18 | 捷克共和国有机化学与生物化学研究所 | 2'3'-Cyclic dinucleotides and prodrugs thereof |
| EP3935065A1 (en) | 2019-03-07 | 2022-01-12 | Institute of Organic Chemistry and Biochemistry ASCR, V.V.I. | 3'3'-cyclic dinucleotide analogue comprising a cyclopentanyl modified nucleotide as sting modulator |
| TWI751517B (en) | 2019-04-17 | 2022-01-01 | 美商基利科學股份有限公司 | Solid forms of a toll-like receptor modulator |
| TW202210480A (en) | 2019-04-17 | 2022-03-16 | 美商基利科學股份有限公司 | Solid forms of a toll-like receptor modulator |
| WO2020237025A1 (en) | 2019-05-23 | 2020-11-26 | Gilead Sciences, Inc. | Substituted exo-methylene-oxindoles which are hpk1/map4k1 inhibitors |
| CA3140708A1 (en) | 2019-06-18 | 2020-12-24 | Helen Horton | Combination of hepatitis b virus (hbv) vaccines and pyridopyrimidine derivatives |
| WO2020263830A1 (en) | 2019-06-25 | 2020-12-30 | Gilead Sciences, Inc. | Flt3l-fc fusion proteins and methods of use |
| US12201591B2 (en) | 2019-07-03 | 2025-01-21 | Atossa Therapeutics, Inc. | Sustained release compositions of endoxifen |
| CN110204537B (en) * | 2019-07-10 | 2021-10-08 | 盛世泰科生物医药技术(苏州)有限公司 | 1,2, 5-oxadiazole derivatives as inhibitors of indoleamine 2, 3-dioxygenase |
| JP2022540146A (en) | 2019-07-11 | 2022-09-14 | イドーシア ファーマシューティカルズ リミテッド | Inhibitors of indoleamine 2,3-dioxygenase and/or tryptophan 2,3-dioxygenase |
| WO2021011891A1 (en) | 2019-07-18 | 2021-01-21 | Gilead Sciences, Inc. | Long-acting formulations of tenofovir alafenamide |
| WO2021022172A1 (en) | 2019-08-01 | 2021-02-04 | Incyte Corporation | A dosing regimen for an ido inhibitor |
| EP4017476A1 (en) | 2019-08-19 | 2022-06-29 | Gilead Sciences, Inc. | Pharmaceutical formulations of tenofovir alafenamide |
| MX2022002315A (en) | 2019-08-30 | 2022-03-25 | Agenus Inc | ANTI-CD96 ANTIBODIES AND THEIR METHODS OF USE. |
| TWI755055B (en) * | 2019-09-18 | 2022-02-11 | 台灣神隆股份有限公司 | Process for preparing elagolix sodium and intermediates thereof |
| CA3149557A1 (en) | 2019-09-30 | 2021-04-08 | Scott J. Balsitis | Hbv vaccines and methods treating hbv |
| JP2023502182A (en) | 2019-11-12 | 2023-01-20 | ナミ セラピューティクス, インコーポレイテッド | Formulated and/or co-formulated liposomal compositions containing IDO antagonist prodrugs useful in the treatment of cancer and methods thereof |
| WO2021113765A1 (en) | 2019-12-06 | 2021-06-10 | Precision Biosciences, Inc. | Optimized engineered meganucleases having specificity for a recognition sequence in the hepatitis b virus genome |
| CN113045655A (en) | 2019-12-27 | 2021-06-29 | 高诚生物医药(香港)有限公司 | anti-OX 40 antibodies and uses thereof |
| AR121620A1 (en) | 2020-03-20 | 2022-06-22 | Gilead Sciences Inc | 4-C-SUBSTITUTED-2-HALO-2-DEOXIADENOSINE NUCLEOSIDE PRODRUGS AND METHODS OF PREPARATION AND USE THEREOF |
| MX2022014786A (en) | 2020-05-26 | 2023-01-16 | Truebinding Inc | Methods of treating inflammatory diseases by blocking galectin-3. |
| ES3054072T3 (en) | 2020-08-07 | 2026-01-29 | Gilead Sciences Inc | Prodrugs of phosphonamide nucleotide analogues and their pharmaceutical use |
| WO2022064526A1 (en) * | 2020-09-25 | 2022-03-31 | Msn Laboratories Private Limited, R&D Center | Solid state forms of epacadostat and their processes for preparation thereof |
| TWI815194B (en) | 2020-10-22 | 2023-09-11 | 美商基利科學股份有限公司 | INTERLEUKIN-2-Fc FUSION PROTEINS AND METHODS OF USE |
| KR20230152715A (en) | 2021-03-05 | 2023-11-03 | 유니버시타트 바셀 | Composition for treatment of EBV-related disease or condition |
| EP4052705A1 (en) | 2021-03-05 | 2022-09-07 | Universität Basel Vizerektorat Forschung | Compositions for the treatment of ebv associated diseases or conditions |
| JP2024518558A (en) | 2021-05-13 | 2024-05-01 | ギリアード サイエンシーズ, インコーポレイテッド | Combination of TLR8 Modulating Compounds with Anti-HBV siRNA Therapeutics |
| US11932634B2 (en) | 2021-06-23 | 2024-03-19 | Gilead Sciences, Inc. | Diacylglycerol kinase modulating compounds |
| EP4359413A1 (en) | 2021-06-23 | 2024-05-01 | Gilead Sciences, Inc. | Diacylglyercol kinase modulating compounds |
| WO2022271659A1 (en) | 2021-06-23 | 2022-12-29 | Gilead Sciences, Inc. | Diacylglyercol kinase modulating compounds |
| US11976072B2 (en) | 2021-06-23 | 2024-05-07 | Gilead Sciences, Inc. | Diacylglycerol kinase modulating compounds |
| GB202303250D0 (en) | 2023-03-06 | 2023-04-19 | King S College London | Method and compounds |
| WO2025240246A1 (en) | 2024-05-13 | 2025-11-20 | Gilead Sciences, Inc. | Combination therapies with ribavirin |
| US20250345390A1 (en) | 2024-05-13 | 2025-11-13 | Gilead Sciences, Inc. | Combination therapies |
| WO2025240242A1 (en) | 2024-05-13 | 2025-11-20 | Gilead Sciences, Inc. | Combination therapies with ribavirin |
| US20250345389A1 (en) | 2024-05-13 | 2025-11-13 | Gilead Sciences, Inc. | Combination therapies |
| CN119841748B (en) * | 2025-03-21 | 2025-06-10 | 济南大学 | A kind of preparation method of toluenesulfonylurea |
Citations (3)
| Publication number | Priority date | Publication date | Assignee | Title |
|---|---|---|---|---|
| WO2006122150A1 (en) * | 2005-05-10 | 2006-11-16 | Incyte Corporation | Modulators of indoleamine 2,3-dioxygenase and methods of using the same |
| US8796319B2 (en) * | 2008-07-08 | 2014-08-05 | Incyte Corporation | 1,2,5-oxadiazoles as inhibitors of indoleamine 2,3-dioxygenase |
| US9321755B2 (en) * | 2013-11-08 | 2016-04-26 | Incyte Corporation | Process for the synthesis of an indoleamine 2,3-dioxygenase inhibitor |
Family Cites Families (125)
| Publication number | Priority date | Publication date | Assignee | Title |
|---|---|---|---|---|
| US3236855A (en) | 1964-01-17 | 1966-02-22 | Merck & Co Inc | Certain n-phenyl(thiazole-hydroxamidine) compounds and their preparation |
| US3354174A (en) | 1964-02-19 | 1967-11-21 | Sterling Drug Inc | 1-and 2-benzimidazolyl-lower-alkylamidoximes, amidines-, and guanidines |
| US3553228A (en) * | 1967-09-26 | 1971-01-05 | Colgate Palmolive Co | 3-substituted-4h(1)benzopyrano(3,4-d) isoxazoles |
| DE2040628A1 (en) | 1970-08-17 | 1972-02-24 | Fahlberg List Veb | Substd hydroxyguanidines prepn |
| US3948928A (en) * | 1972-03-17 | 1976-04-06 | Dainippon Pharmaceutical Co., Ltd. | 3-Substituted-1,2-benzisoxazoles and pharmaceutically acceptable acid addition salts thereof |
| JPS5621033B2 (en) | 1973-09-05 | 1981-05-16 | ||
| FR2323683A1 (en) | 1975-09-11 | 1977-04-08 | Philagro Sa | Phytohormonal and herbicidal amidoxime derivs. - prepd. by treatment of an imino ether with an O-amino oxy-acetate |
| GB1501529A (en) * | 1975-09-11 | 1978-02-15 | Philagro Sa | Derivatives of amidoximes |
| US4399216A (en) | 1980-02-25 | 1983-08-16 | The Trustees Of Columbia University | Processes for inserting DNA into eucaryotic cells and for producing proteinaceous materials |
| US4634665A (en) | 1980-02-25 | 1987-01-06 | The Trustees Of Columbia University In The City Of New York | Processes for inserting DNA into eucaryotic cells and for producing proteinaceous materials |
| US5179017A (en) | 1980-02-25 | 1993-01-12 | The Trustees Of Columbia University In The City Of New York | Processes for inserting DNA into eucaryotic cells and for producing proteinaceous materials |
| US4323681A (en) * | 1980-09-29 | 1982-04-06 | American Home Products Corporation | 4-Amino-2-substituted-5-pyrimidinecarboxamidoximes and carbothioamides |
| US5156840A (en) | 1982-03-09 | 1992-10-20 | Cytogen Corporation | Amine-containing porphyrin derivatives |
| JPS58208275A (en) | 1982-05-20 | 1983-12-03 | Lion Corp | 5-amino-pyrazole derivative and antitumor agent containing it |
| EP0132680B1 (en) * | 1983-07-22 | 1987-01-28 | Bayer Ag | Substituted furazans |
| US4507485A (en) | 1984-01-23 | 1985-03-26 | Bristol-Myers Company | 3,4-Disubstituted-1,2,5-oxadiazoles having histamine H2 -receptor antagonist activity |
| JPS60193968A (en) | 1984-03-13 | 1985-10-02 | Toyo Jozo Co Ltd | Imidazoleamidoxime having cyclopentene ring and its preparation |
| JPS6259283A (en) | 1985-09-10 | 1987-03-14 | Kaken Pharmaceut Co Ltd | Cephalosporin compound |
| US5057313A (en) | 1986-02-25 | 1991-10-15 | The Center For Molecular Medicine And Immunology | Diagnostic and therapeutic antibody conjugates |
| JPS6320710A (en) | 1986-07-11 | 1988-01-28 | Matsushita Electric Ind Co Ltd | Production of thin film magnetic head |
| WO1988007089A1 (en) | 1987-03-18 | 1988-09-22 | Medical Research Council | Altered antibodies |
| JP2696342B2 (en) | 1988-06-27 | 1998-01-14 | 日本曹達株式会社 | Amidine derivative, method for producing the same, acaricide and agricultural / horticultural fungicide |
| ES2051986T3 (en) | 1988-07-05 | 1994-07-01 | Akzo Nv | COMPOUNDS WITH BRONCHODILATING ACTIVITY. |
| US5530101A (en) | 1988-12-28 | 1996-06-25 | Protein Design Labs, Inc. | Humanized immunoglobulins |
| IL162181A (en) | 1988-12-28 | 2006-04-10 | Pdl Biopharma Inc | A method of producing humanized immunoglubulin, and polynucleotides encoding the same |
| DE3920358A1 (en) | 1989-06-22 | 1991-01-17 | Behringwerke Ag | BISPECIFIC AND OLIGO-SPECIFIC, MONO- AND OLIGOVALENT ANTI-BODY CONSTRUCTS, THEIR PRODUCTION AND USE |
| US5859205A (en) | 1989-12-21 | 1999-01-12 | Celltech Limited | Humanised antibodies |
| JPH04297449A (en) | 1991-03-27 | 1992-10-21 | Hokko Chem Ind Co Ltd | N-hydroxybenzylguanidine derivative and germicide for agriculture and horticulture |
| JPH05186458A (en) | 1991-04-26 | 1993-07-27 | Japan Tobacco Inc | Novel benzopyran derivative |
| FR2677019B1 (en) | 1991-05-27 | 1994-11-25 | Pf Medicament | NOVEL PIPERIDINES DISUBSTITUEES-1,4, THEIR PREPARATION AND THEIR THERAPEUTIC APPLICATION. |
| JP4124480B2 (en) | 1991-06-14 | 2008-07-23 | ジェネンテック・インコーポレーテッド | Immunoglobulin variants |
| WO1993011161A1 (en) | 1991-11-25 | 1993-06-10 | Enzon, Inc. | Multivalent antigen-binding proteins |
| US5714350A (en) | 1992-03-09 | 1998-02-03 | Protein Design Labs, Inc. | Increasing antibody affinity by altering glycosylation in the immunoglobulin variable region |
| US5521184A (en) | 1992-04-03 | 1996-05-28 | Ciba-Geigy Corporation | Pyrimidine derivatives and processes for the preparation thereof |
| JP2709677B2 (en) | 1992-06-19 | 1998-02-04 | 株式会社大塚製薬工場 | Phosphonic acid diester derivatives |
| SI9200344B (en) | 1992-11-26 | 1998-06-30 | Lek, | A process for the preparation of amlodipine benzenesulfonate |
| US5827690A (en) | 1993-12-20 | 1998-10-27 | Genzyme Transgenics Corporatiion | Transgenic production of antibodies in milk |
| FR2720396B1 (en) * | 1994-05-27 | 1996-06-28 | Adir | New N-pyridyl carboxamides and derivatives, their preparation process and the pharmaceutical compositions containing them. |
| US5731168A (en) | 1995-03-01 | 1998-03-24 | Genentech, Inc. | Method for making heteromultimeric polypeptides |
| US5869046A (en) | 1995-04-14 | 1999-02-09 | Genentech, Inc. | Altered polypeptides with increased half-life |
| US5731315A (en) | 1995-06-07 | 1998-03-24 | Rhone-Poulenc Rorer Pharmaceuticals Inc. | Substituted sulfonic acid n- (aminoiminomethyl)phenylalkyl!-azaheterocyclamide compounds |
| DK1143006T3 (en) | 1995-08-18 | 2008-07-14 | Morphosys Ip Gmbh | Vectors / DNA sequences from human combinatorial antibody libraries |
| HUP9900028A3 (en) | 1995-10-17 | 1999-11-29 | Astrazeneca Ab | Pharmaceutically active quinazoline compounds, their production, use thereof and medicament containing them |
| WO1997030047A1 (en) | 1996-02-17 | 1997-08-21 | Agrevo Uk Limited | Fungicidal 1,2,4-oxadiazoles and analogues |
| US5955495A (en) | 1996-05-03 | 1999-09-21 | Hoffmann-La Roche Inc. | Method of treating diseases of the CNS |
| JPH11171702A (en) | 1997-09-24 | 1999-06-29 | Takeda Chem Ind Ltd | Pest controlling method |
| AU1628599A (en) | 1997-12-05 | 1999-06-28 | Medical College Of Georgia Research Institute, Inc. | Regulation of t cell-mediated immunity by tryptophan |
| IL136282A (en) | 1997-12-10 | 2005-08-31 | Dainippon Ink & Chemicals | Oxime derivatives and pesticidal compositions containing the same |
| CN1131863C (en) | 1998-06-02 | 2003-12-24 | 住化武田农药株式会社 | Oxadiazoline derivatives and their use as insecticides |
| ES2342240T3 (en) | 1998-08-11 | 2010-07-02 | Novartis Ag | ISOQUINOLINE DERIVATIVES WITH ACTIVITY INHIBITED BY ANGIOGENIA. |
| FR2784678B1 (en) | 1998-09-23 | 2002-11-29 | Sod Conseils Rech Applic | NOVEL N- (IMINOMETHYL) AMINE DERIVATIVES, THEIR PREPARATION, THEIR USE AS MEDICAMENTS AND THE PHARMACEUTICAL COMPOSITIONS CONTAINING THEM |
| US6133031A (en) | 1999-08-19 | 2000-10-17 | Isis Pharmaceuticals Inc. | Antisense inhibition of focal adhesion kinase expression |
| CA2330942C (en) | 1999-03-03 | 2004-11-23 | Samjin Pharmaceutical Co., Ltd. | Piperazine derivatives and process for the preparation thereof |
| GB9905075D0 (en) | 1999-03-06 | 1999-04-28 | Zeneca Ltd | Chemical compounds |
| WO2000061609A2 (en) | 1999-04-09 | 2000-10-19 | Basf Aktiengesellschaft | Prodrugs of thrombin inhibitors |
| ES2244438T3 (en) | 1999-05-24 | 2005-12-16 | Mitsubishi Pharma Corporation | PHENOXYPROPYLAMINE COMPOUNDS. |
| JP2001158786A (en) | 1999-11-30 | 2001-06-12 | Takeda Chem Ind Ltd | Controller against mammalian ectoparasite |
| JP2001158785A (en) | 1999-11-30 | 2001-06-12 | Takeda Chem Ind Ltd | Agrochemical composition |
| WO2001051456A2 (en) | 2000-01-13 | 2001-07-19 | Tularik Inc. | Antibacterial agents |
| JP2001233861A (en) | 2000-02-22 | 2001-08-28 | Ube Ind Ltd | Pyrazole oxime compounds, their production and use |
| GB0004890D0 (en) | 2000-03-01 | 2000-04-19 | Astrazeneca Uk Ltd | Chemical compounds |
| KR100786927B1 (en) | 2000-06-28 | 2007-12-17 | 스미스클라인비이참피이엘시이 | Wet Grinding Method |
| AU2002227984B8 (en) * | 2000-12-18 | 2007-01-04 | Actelion Pharmaceuticals Ltd. | Novel sulfamides and their use as endothelin receptor antagonists |
| GB0108102D0 (en) | 2001-03-30 | 2001-05-23 | Pfizer Ltd | Compounds |
| ES2397305T3 (en) | 2001-06-18 | 2013-03-06 | Merck Serono Sa | Oxadiazole and thiadiazol-oxime derivatives of pyrrolidine that are antagonists of the oxytocin receptor |
| HUP0401982A3 (en) | 2001-09-19 | 2012-09-28 | Aventis Pharma Sa | Indolizine derivates, process for their preparation and pharmaceutical compositions containing the compounds |
| HU230798B1 (en) | 2001-10-30 | 2018-06-28 | Novartis Ag | Staurosporine derivatives as inhibitors of flt3 receptor tyrosine kinase activity |
| ES2251677T3 (en) | 2002-01-22 | 2006-05-01 | Warner-Lambert Company Llc | 2- (PIRIDIN-2-ILAMINO) -PIRIDO (2,3-D) PIRIMIDIN-7-ONAS. |
| JP2005529850A (en) | 2002-02-19 | 2005-10-06 | ファルマシア・イタリア・エス・ピー・エー | Tricyclic pyrazole derivatives, their preparation and their use as antitumor agents |
| JP4414232B2 (en) * | 2002-03-05 | 2010-02-10 | イーライ リリー アンド カンパニー | Kinase inhibitor |
| GB0208224D0 (en) | 2002-04-10 | 2002-05-22 | Celltech R&D Ltd | Chemical compounds |
| CA2483451C (en) | 2002-04-12 | 2014-07-29 | Medical College Of Georgia Research Institute, Inc. | Antigen-presenting cell populations and their use as reagents for enhancing or reducing immune tolerance |
| EP1549632A4 (en) | 2002-05-28 | 2005-11-09 | Dimensional Pharm Inc | Novel thiophene amidines, compositions thereof, and methods of treating complement-mediated diseases and conditions |
| PE20040522A1 (en) | 2002-05-29 | 2004-09-28 | Novartis Ag | DIARYLUREA DERIVATIVES DEPENDENT ON PROTEIN KINASE |
| GB0215676D0 (en) | 2002-07-05 | 2002-08-14 | Novartis Ag | Organic compounds |
| US7157462B2 (en) | 2002-09-24 | 2007-01-02 | Euro-Celtique S.A. | Therapeutic agents useful for treating pain |
| US7015321B2 (en) | 2002-10-12 | 2006-03-21 | The Scripps Research Institute | Synthesis of non-symmetrical sulfamides using burgess-type reagents |
| TWI335913B (en) | 2002-11-15 | 2011-01-11 | Vertex Pharma | Diaminotriazoles useful as inhibitors of protein kinases |
| UA80767C2 (en) | 2002-12-20 | 2007-10-25 | Pfizer Prod Inc | Pyrimidine derivatives for the treatment of abnormal cell growth |
| AU2004204494B2 (en) | 2003-01-09 | 2011-09-29 | Macrogenics, Inc. | Identification and engineering of antibodies with variant Fc regions and methods of using same |
| EP1585767A2 (en) | 2003-01-16 | 2005-10-19 | Genentech, Inc. | Synthetic antibody phage libraries |
| US20050008625A1 (en) | 2003-02-13 | 2005-01-13 | Kalobios, Inc. | Antibody affinity engineering by serial epitope-guided complementarity replacement |
| GB0305929D0 (en) | 2003-03-14 | 2003-04-23 | Novartis Ag | Organic compounds |
| JP2006521377A (en) | 2003-03-27 | 2006-09-21 | ランケナー インスティテュート フォー メディカル リサーチ | New IDO inhibitors and methods of use |
| US7598287B2 (en) | 2003-04-01 | 2009-10-06 | Medical College Of Georgia Research Institute, Inc. | Use of inhibitors of indoleamine-2,3-dioxygenase in combination with other therapeutic modalities |
| KR20120090094A (en) | 2003-06-13 | 2012-08-16 | 바이오겐 아이덱 엠에이 인코포레이티드 | Aglycosyl anti-cd154(cd-40 ligand) antibodies and uses thereof |
| JP2007512230A (en) | 2003-08-20 | 2007-05-17 | バーテックス ファーマシューティカルズ インコーポレイテッド | (4-Amino-1,2,5-oxadiazol-4-yl) -heteroaromatic compounds useful as protein kinase inhibitors |
| AU2004266159A1 (en) | 2003-08-22 | 2005-03-03 | Biogen Idec Ma Inc. | Improved antibodies having altered effector function and methods for making the same |
| AR045944A1 (en) | 2003-09-24 | 2005-11-16 | Novartis Ag | ISOQUINOLINE DERIVATIVES 1.4-DISPOSED |
| DE10348023A1 (en) * | 2003-10-15 | 2005-05-19 | Imtm Gmbh | New alanyl aminopeptidase inhibitors for the functional manipulation of different cells and for the treatment of immunological, inflammatory, neuronal and other diseases |
| DE10348022A1 (en) * | 2003-10-15 | 2005-05-25 | Imtm Gmbh | New dipeptidyl peptidase IV inhibitors for the functional influence of different cells and for the treatment of immunological, inflammatory, neuronal and other diseases |
| EP1758892B1 (en) | 2004-06-10 | 2012-10-17 | Irm Llc | Compounds and compositions as protein kinase inhibitors |
| IN2014CN03493A (en) * | 2004-09-08 | 2015-07-03 | Mitsubishi Tanabe Pharma Corp | |
| MX2007006204A (en) | 2004-11-24 | 2007-06-20 | Novartis Ag | Combinations of jak inhibitors and at least one of bcr-abl, flt-3, fak or raf kinase inhibitors. |
| EP1838706A1 (en) | 2004-12-24 | 2007-10-03 | Prosidion Limited | G-protein coupled receptor agonists |
| US7429667B2 (en) * | 2005-01-20 | 2008-09-30 | Ardea Biosciences, Inc. | Phenylamino isothiazole carboxamidines as MEK inhibitors |
| PL2161336T5 (en) * | 2005-05-09 | 2017-10-31 | Ono Pharmaceutical Co | Human monoclonal antibodies to programmed death 1(PD-1) and methods for treating cancer using anti-PD-1 antibodies alone or in combination with other immunotherapeutics |
| WO2006133417A1 (en) | 2005-06-07 | 2006-12-14 | Valeant Pharmaceuticals International | Phenylamino isothiazole carboxamidines as mek inhibitors |
| BRPI0612121A2 (en) | 2005-06-30 | 2016-09-06 | Anthrogenesis Corp | method of repairing a tympanic membrane that has a deformity, and collagen |
| DE102005060466A1 (en) * | 2005-12-17 | 2007-06-28 | Bayer Cropscience Ag | carboxamides |
| TWI382974B (en) * | 2005-12-20 | 2013-01-21 | 英塞特公司 | N-hydroxymethyl hydrazine heterocyclic compound as a guanamine 2,3-dioxygenase modulator |
| WO2007095050A2 (en) * | 2006-02-09 | 2007-08-23 | Incyte Corporation | N-hydroxyguanidines as modulators of indoleamine 2,3-dioxygenase |
| JP4297449B2 (en) | 2006-05-12 | 2009-07-15 | 株式会社サクラクレパス | India ink |
| US20080146624A1 (en) * | 2006-09-19 | 2008-06-19 | Incyte Corporation | Amidines as modulators of indoleamine 2,3-dioxygenase |
| CA2663057C (en) | 2006-09-19 | 2015-12-08 | Incyte Corporation | N-hydroxyamidinoheterocycles as modulators of indoleamine 2,3-dioxygenase |
| WO2008036643A2 (en) | 2006-09-19 | 2008-03-27 | Incyte Corporation | Amidinoheterocycles as modulators of indoleamine 2,3-dioxygenase |
| CL2007002650A1 (en) | 2006-09-19 | 2008-02-08 | Incyte Corp | COMPOUNDS DERIVED FROM HETEROCICLO N-HIDROXIAMINO; PHARMACEUTICAL COMPOSITION, USEFUL TO TREAT CANCER, VIRAL INFECTIONS AND NEURODEGENERATIVE DISORDERS BETWEEN OTHERS. |
| US20080182882A1 (en) * | 2006-11-08 | 2008-07-31 | Incyte Corporation | N-hydroxyamidinoheterocycles as modulators of indoleamine 2,3-dioxygenase |
| EP2121621B1 (en) | 2006-12-08 | 2014-05-07 | Exelixis Patent Company LLC | Lxr and fxr modulators |
| CL2008000066A1 (en) * | 2007-01-12 | 2008-08-01 | Smithkline Beecham Corp | COMPOUNDS DERIVED FROM (5-HYDROXY-3-OXO-2,3-DIHYDROPIRIDAZINE-4-CARBONYL) GLYCINE, HIFROXYLASE HYDROXYLASE HIF INHIBITORS; PREPARATION PROCEDURE; PHARMACEUTICAL COMPOSITION THAT INCLUDES SUCH COMPOUNDS; AND ITS USE IN THE TREATMENT OF THE ANEM |
| BRPI0821209A2 (en) | 2007-12-19 | 2019-09-24 | Amgen Inc | compound, pharmaceutical composition, methods of treating cancer, reducing tumor size, treating disorders, and reducing metastasis in a tumor. |
| WO2009086303A2 (en) * | 2007-12-21 | 2009-07-09 | University Of Rochester | Method for altering the lifespan of eukaryotic organisms |
| PA8852901A1 (en) | 2008-12-22 | 2010-07-27 | Lilly Co Eli | PROTEIN CINASE INHIBITORS |
| UY33227A (en) | 2010-02-19 | 2011-09-30 | Novartis Ag | PIRROLOPIRIMIDINE COMPOUNDS AS INHIBITORS OF THE CDK4 / 6 |
| PL2632467T3 (en) | 2010-10-25 | 2016-12-30 | Cdk inhibitors | |
| MX2013010871A (en) | 2011-03-23 | 2014-01-31 | Amgen Inc | FUSIONED DOUBLE TRICICLIC INHIBITORS OF CDK 4/6 AND FLT3. |
| WO2014066834A1 (en) | 2012-10-26 | 2014-05-01 | The University Of Chicago | Synergistic combination of immunologic inhibitors for the treatment of cancer |
| SG11201606428UA (en) | 2014-02-04 | 2016-09-29 | Incyte Corp | Combination of a pd-1 antagonist and an ido1 inhibitor for treating cancer |
| ES2774448T3 (en) | 2014-10-03 | 2020-07-21 | Novartis Ag | Combination therapies |
| SG10201906059VA (en) | 2015-07-30 | 2019-08-27 | Macrogenics Inc | Pd-1-binding molecules and methods of use thereof |
| EP3344274A4 (en) | 2015-09-01 | 2019-05-22 | First Wave Bio, Inc. | METHODS AND COMPOSITIONS FOR THE TREATMENT OF DISEASE CONDITIONS ASSOCIATED WITH ABNORMAL INFLAMMATORY RESPONSES |
| US20180353483A1 (en) | 2015-11-04 | 2018-12-13 | Incyte Corporation | Pharmaceutical compositions and methods for indoleamine, 2, 3-dioxygenase inhibition and indications therefor |
| JP2018020710A (en) | 2016-08-05 | 2018-02-08 | 三井造船株式会社 | Ship rudder and ship |
| WO2019136157A2 (en) | 2018-01-05 | 2019-07-11 | Dicerna Pharmaceuticals, Inc. | Reducing beta-catenin and ido expression to potentiate immunotherapy |
| WO2021022172A1 (en) | 2019-08-01 | 2021-02-04 | Incyte Corporation | A dosing regimen for an ido inhibitor |
-
2009
- 2009-07-07 BR BR122019015876A patent/BR122019015876B8/en active IP Right Grant
- 2009-07-07 SI SI200931815T patent/SI2824100T1/en unknown
- 2009-07-07 SG SG10201805844QA patent/SG10201805844QA/en unknown
- 2009-07-07 CA CA2743975A patent/CA2743975C/en active Active
- 2009-07-07 RS RS20180471A patent/RS57132B1/en unknown
- 2009-07-07 JP JP2011517520A patent/JP5465720B2/en not_active Expired - Fee Related
- 2009-07-07 EA EA201170161A patent/EA022669B1/en unknown
- 2009-07-07 BR BRPI0915692A patent/BRPI0915692B8/en active IP Right Grant
- 2009-07-07 HR HRP20141094AT patent/HRP20141094T1/en unknown
- 2009-07-07 MY MYPI2019006844A patent/MY192633A/en unknown
- 2009-07-07 EP EP09790108.6A patent/EP2315756B9/en active Active
- 2009-07-07 US US12/498,782 patent/US8088803B2/en active Active
- 2009-07-07 RS RS20140655A patent/RS53688B9/en unknown
- 2009-07-07 PL PL14175271T patent/PL2824100T3/en unknown
- 2009-07-07 PT PT97901086T patent/PT2315756E/en unknown
- 2009-07-07 DK DK14175271.7T patent/DK2824100T3/en active
- 2009-07-07 CN CN201410287499.9A patent/CN104042611B/en active Active
- 2009-07-07 ES ES14175271.7T patent/ES2665419T3/en active Active
- 2009-07-07 PT PT141752717T patent/PT2824100T/en unknown
- 2009-07-07 AU AU2009268739A patent/AU2009268739B2/en not_active Ceased
- 2009-07-07 CA CA3012229A patent/CA3012229C/en active Active
- 2009-07-07 DK DK09790108.6T patent/DK2315756T5/en active
- 2009-07-07 TW TW098122966A patent/TWI453204B/en active
- 2009-07-07 WO PCT/US2009/049794 patent/WO2010005958A2/en not_active Ceased
- 2009-07-07 EP EP17211181.7A patent/EP3360873A1/en not_active Withdrawn
- 2009-07-07 KR KR1020177026919A patent/KR101847107B1/en not_active Expired - Fee Related
- 2009-07-07 MX MX2011000235A patent/MX2011000235A/en active IP Right Grant
- 2009-07-07 ME MEP-2018-108A patent/ME03065B/en unknown
- 2009-07-07 PE PE2011000008A patent/PE20110308A1/en active IP Right Grant
- 2009-07-07 EP EP14175271.7A patent/EP2824100B1/en active Active
- 2009-07-07 PL PL09790108T patent/PL2315756T3/en unknown
- 2009-07-07 NZ NZ590268A patent/NZ590268A/en unknown
- 2009-07-07 CN CN200980134351.9A patent/CN102164902B/en active Active
- 2009-07-07 KR KR1020167022154A patent/KR101783004B1/en active Active
- 2009-07-07 SG SG2013052485A patent/SG192485A1/en unknown
- 2009-07-07 KR KR1020117002993A patent/KR101649548B1/en active Active
- 2009-07-07 SI SI200931066T patent/SI2315756T1/en unknown
- 2009-07-07 MY MYPI2016001235A patent/MY177058A/en unknown
- 2009-07-07 HU HUE14175271A patent/HUE036813T2/en unknown
- 2009-07-07 KR KR1020187035102A patent/KR102031538B1/en active Active
- 2009-07-07 NO NO14175271A patent/NO2824100T3/no unknown
- 2009-07-07 EA EA201500530A patent/EA029781B1/en unknown
- 2009-07-07 LT LTEP14175271.7T patent/LT2824100T/en unknown
- 2009-07-07 KR KR1020187009436A patent/KR101927291B1/en not_active Expired - Fee Related
- 2009-07-07 MY MYPI2011000042A patent/MY171866A/en unknown
- 2009-07-07 ES ES09790108.6T patent/ES2524266T3/en active Active
- 2009-07-07 SM SM20180206T patent/SMT201800206T1/en unknown
- 2009-07-08 CL CL2009001554A patent/CL2009001554A1/en unknown
- 2009-07-08 AR ARP090102608A patent/AR072490A1/en active IP Right Grant
-
2010
- 2010-12-23 CR CR11871A patent/CR11871A/en unknown
- 2010-12-30 IL IL210402A patent/IL210402A/en active IP Right Grant
- 2010-12-30 CO CO10165103A patent/CO6341622A2/en active IP Right Grant
-
2011
- 2011-02-02 EC EC2011010798A patent/ECSP11010798A/en unknown
- 2011-11-11 US US13/294,711 patent/US8796319B2/en active Active
-
2013
- 2013-09-20 US US14/033,117 patent/US8822511B2/en active Active
-
2014
- 2014-01-22 JP JP2014009612A patent/JP5819451B2/en active Active
- 2014-02-13 CL CL2014000363A patent/CL2014000363A1/en unknown
- 2014-04-29 PH PH12014500947A patent/PH12014500947B1/en unknown
- 2014-07-02 US US14/322,362 patent/US8993605B2/en active Active
- 2014-08-08 AU AU2014210662A patent/AU2014210662A1/en not_active Abandoned
- 2014-11-24 IL IL235870A patent/IL235870A/en active IP Right Grant
- 2014-11-25 SM SM201400179T patent/SMT201400179B/en unknown
-
2015
- 2015-03-18 US US14/661,191 patent/US9320732B2/en active Active
-
2016
- 2016-04-07 US US15/093,420 patent/US9789094B2/en not_active Expired - Fee Related
- 2016-07-13 AU AU2016204914A patent/AU2016204914A1/en not_active Abandoned
-
2017
- 2017-02-27 US US15/442,876 patent/US10034864B2/en active Active
-
2018
- 2018-01-19 AU AU2018200457A patent/AU2018200457A1/en not_active Ceased
- 2018-02-23 US US15/903,414 patent/US10369137B2/en active Active
- 2018-04-25 HR HRP20180662TT patent/HRP20180662T1/en unknown
- 2018-05-02 CY CY181100453T patent/CY1120617T1/en unknown
- 2018-11-20 AU AU2018267589A patent/AU2018267589B2/en not_active Ceased
-
2019
- 2019-06-19 US US16/446,253 patent/US10653677B2/en active Active
-
2020
- 2020-04-15 US US16/849,610 patent/US11207302B2/en not_active Expired - Fee Related
- 2020-09-25 AU AU2020239772A patent/AU2020239772B2/en not_active Ceased
-
2021
- 2021-11-16 US US17/527,833 patent/US20220331296A1/en not_active Abandoned
-
2023
- 2023-06-22 US US18/213,019 patent/US20240173303A1/en not_active Abandoned
Patent Citations (3)
| Publication number | Priority date | Publication date | Assignee | Title |
|---|---|---|---|---|
| WO2006122150A1 (en) * | 2005-05-10 | 2006-11-16 | Incyte Corporation | Modulators of indoleamine 2,3-dioxygenase and methods of using the same |
| US8796319B2 (en) * | 2008-07-08 | 2014-08-05 | Incyte Corporation | 1,2,5-oxadiazoles as inhibitors of indoleamine 2,3-dioxygenase |
| US9321755B2 (en) * | 2013-11-08 | 2016-04-26 | Incyte Corporation | Process for the synthesis of an indoleamine 2,3-dioxygenase inhibitor |
Non-Patent Citations (2)
| Title |
|---|
| T. W. Green, P. G. M. Wuts, Protective Groups in Organic Synthesis, Wiley-Interscience, New York, 2007, 696-926 (Year: 2007) * |
| Takai et al. Chem. Pharm. Bull. 1985, 33, 1104-1115 (Year: 1985) * |
Also Published As
Similar Documents
| Publication | Publication Date | Title |
|---|---|---|
| US20240173303A1 (en) | 1,2,5-Oxadiazoles As Inhibitors Of Indoleamine 2,3- Dioxygenase | |
| US10280157B2 (en) | Process for the synthesis of an indoleamine 2,3-dioxygenase inhibitor | |
| HK1259687A1 (en) | 1,2,5-oxadiazoles as inhibitors of indoleamine 2,3-dioxygenase | |
| HK1206029B (en) | 1,2,5-oxadiazoles as inhibitors of indoleamine 2,3-dioxygenase | |
| HK1157692B (en) | 1,2,5-oxadiazoles as inhibitors of indoleamine 2,3-dioxygenase |
Legal Events
| Date | Code | Title | Description |
|---|---|---|---|
| AS | Assignment |
Owner name: INCYTE CORPORATION, DELAWARE Free format text: ASSIGNMENT OF ASSIGNORS INTEREST;ASSIGNORS:COMBS, ANDREW P.;YUE, EDDY W.;SPARKS, RICHARD B.;AND OTHERS;SIGNING DATES FROM 20090804 TO 20090817;REEL/FRAME:058468/0571 Owner name: INCYTE CORPORATION, DELAWARE Free format text: ASSIGNMENT OF ASSIGNORS INTEREST;ASSIGNOR:INCYTE CORPORATION;REEL/FRAME:058468/0646 Effective date: 20150107 Owner name: INCYTE HOLDINGS CORPORATION, DELAWARE Free format text: ASSIGNMENT OF ASSIGNORS INTEREST;ASSIGNOR:INCYTE CORPORATION;REEL/FRAME:058468/0646 Effective date: 20150107 |
|
| STPP | Information on status: patent application and granting procedure in general |
Free format text: DOCKETED NEW CASE - READY FOR EXAMINATION |
|
| AS | Assignment |
Owner name: INCYTE CORPORATION, DELAWARE Free format text: ASSIGNMENT OF ASSIGNORS INTEREST;ASSIGNORS:COMBS, ANDREW P.;YUE, EDDY W.;SPARKS, RICHARD B.;AND OTHERS;SIGNING DATES FROM 20090804 TO 20090817;REEL/FRAME:060427/0980 Owner name: INCYTE CORPORATION, DELAWARE Free format text: ASSIGNMENT OF ASSIGNORS INTEREST;ASSIGNOR:INCYTE CORPORATION;REEL/FRAME:060428/0081 Effective date: 20150107 Owner name: INCYTE HOLDINGS CORPORATION, DELAWARE Free format text: ASSIGNMENT OF ASSIGNORS INTEREST;ASSIGNOR:INCYTE CORPORATION;REEL/FRAME:060428/0081 Effective date: 20150107 Owner name: INCYTE HOLDINGS CORPORATION, DELAWARE Free format text: ASSIGNMENT OF ASSIGNOR'S INTEREST;ASSIGNOR:INCYTE CORPORATION;REEL/FRAME:060428/0081 Effective date: 20150107 Owner name: INCYTE CORPORATION, DELAWARE Free format text: ASSIGNMENT OF ASSIGNOR'S INTEREST;ASSIGNOR:INCYTE CORPORATION;REEL/FRAME:060428/0081 Effective date: 20150107 Owner name: INCYTE CORPORATION, DELAWARE Free format text: ASSIGNMENT OF ASSIGNOR'S INTEREST;ASSIGNORS:COMBS, ANDREW P.;YUE, EDDY W.;SPARKS, RICHARD B.;AND OTHERS;SIGNING DATES FROM 20090804 TO 20090817;REEL/FRAME:060427/0980 |
|
| STPP | Information on status: patent application and granting procedure in general |
Free format text: NON FINAL ACTION MAILED |
|
| STCB | Information on status: application discontinuation |
Free format text: ABANDONED -- FAILURE TO RESPOND TO AN OFFICE ACTION |



























































































































































