US20220009956A1 - Preparation of oligo conjugates - Google Patents
Preparation of oligo conjugates Download PDFInfo
- Publication number
- US20220009956A1 US20220009956A1 US17/238,094 US202117238094A US2022009956A1 US 20220009956 A1 US20220009956 A1 US 20220009956A1 US 202117238094 A US202117238094 A US 202117238094A US 2022009956 A1 US2022009956 A1 US 2022009956A1
- Authority
- US
- United States
- Prior art keywords
- substituted
- nhr
- thio
- group
- conjugation
- Prior art date
- Legal status (The legal status is an assumption and is not a legal conclusion. Google has not performed a legal analysis and makes no representation as to the accuracy of the status listed.)
- Abandoned
Links
- 238000002360 preparation method Methods 0.000 title abstract description 3
- 230000021615 conjugation Effects 0.000 claims abstract description 142
- -1 carboxy ester Chemical class 0.000 claims description 147
- 125000000623 heterocyclic group Chemical group 0.000 claims description 89
- 125000001072 heteroaryl group Chemical group 0.000 claims description 83
- 239000007787 solid Substances 0.000 claims description 81
- 125000000446 sulfanediyl group Chemical group *S* 0.000 claims description 70
- 125000000392 cycloalkenyl group Chemical group 0.000 claims description 63
- 229910019142 PO4 Inorganic materials 0.000 claims description 62
- 239000010452 phosphate Substances 0.000 claims description 62
- 238000000034 method Methods 0.000 claims description 57
- 125000005843 halogen group Chemical group 0.000 claims description 55
- 125000003118 aryl group Chemical group 0.000 claims description 52
- 125000003178 carboxy group Chemical group [H]OC(*)=O 0.000 claims description 51
- 125000000217 alkyl group Chemical group 0.000 claims description 47
- 150000001875 compounds Chemical class 0.000 claims description 42
- 125000000304 alkynyl group Chemical group 0.000 claims description 39
- 125000000753 cycloalkyl group Chemical group 0.000 claims description 39
- 125000003107 substituted aryl group Chemical group 0.000 claims description 38
- 125000005346 substituted cycloalkyl group Chemical group 0.000 claims description 36
- 125000003342 alkenyl group Chemical group 0.000 claims description 34
- 125000000852 azido group Chemical group *N=[N+]=[N-] 0.000 claims description 34
- 125000000547 substituted alkyl group Chemical group 0.000 claims description 34
- 125000004356 hydroxy functional group Chemical group O* 0.000 claims description 33
- 125000005647 linker group Chemical group 0.000 claims description 33
- 125000005017 substituted alkenyl group Chemical group 0.000 claims description 33
- 125000004426 substituted alkynyl group Chemical group 0.000 claims description 33
- 229910052739 hydrogen Inorganic materials 0.000 claims description 32
- 239000001257 hydrogen Substances 0.000 claims description 32
- NBIIXXVUZAFLBC-UHFFFAOYSA-K phosphate Chemical compound [O-]P([O-])([O-])=O NBIIXXVUZAFLBC-UHFFFAOYSA-K 0.000 claims description 31
- 229920000642 polymer Polymers 0.000 claims description 22
- 230000000295 complement effect Effects 0.000 claims description 20
- 108091093037 Peptide nucleic acid Proteins 0.000 claims description 18
- 125000002924 primary amino group Chemical group [H]N([H])* 0.000 claims description 17
- WKBOTKDWSSQWDR-UHFFFAOYSA-N Bromine atom Chemical group [Br] WKBOTKDWSSQWDR-UHFFFAOYSA-N 0.000 claims description 16
- PXGOKWXKJXAPGV-UHFFFAOYSA-N Fluorine Chemical group FF PXGOKWXKJXAPGV-UHFFFAOYSA-N 0.000 claims description 16
- GDTBXPJZTBHREO-UHFFFAOYSA-N bromine Chemical group BrBr GDTBXPJZTBHREO-UHFFFAOYSA-N 0.000 claims description 16
- 229910052794 bromium Inorganic materials 0.000 claims description 16
- 229910052801 chlorine Inorganic materials 0.000 claims description 16
- 239000000460 chlorine Substances 0.000 claims description 16
- 229910052731 fluorine Inorganic materials 0.000 claims description 16
- 239000011737 fluorine Chemical group 0.000 claims description 16
- AFVFQIVMOAPDHO-UHFFFAOYSA-N Methanesulfonic acid Chemical group CS(O)(=O)=O AFVFQIVMOAPDHO-UHFFFAOYSA-N 0.000 claims description 15
- 239000000178 monomer Substances 0.000 claims description 15
- 125000001309 chloro group Chemical group Cl* 0.000 claims description 14
- JOXIMZWYDAKGHI-UHFFFAOYSA-N toluene-4-sulfonic acid Chemical group CC1=CC=C(S(O)(=O)=O)C=C1 JOXIMZWYDAKGHI-UHFFFAOYSA-N 0.000 claims description 14
- ITMCEJHCFYSIIV-UHFFFAOYSA-M triflate Chemical group [O-]S(=O)(=O)C(F)(F)F ITMCEJHCFYSIIV-UHFFFAOYSA-M 0.000 claims description 13
- 239000000463 material Substances 0.000 claims description 11
- 125000001797 benzyl group Chemical group [H]C1=C([H])C([H])=C(C([H])=C1[H])C([H])([H])* 0.000 claims description 10
- 229910052736 halogen Inorganic materials 0.000 claims description 10
- 150000002367 halogens Chemical class 0.000 claims description 10
- 125000006239 protecting group Chemical group 0.000 claims description 10
- UFHFLCQGNIYNRP-UHFFFAOYSA-N Hydrogen Chemical compound [H][H] UFHFLCQGNIYNRP-UHFFFAOYSA-N 0.000 claims description 9
- 125000004169 (C1-C6) alkyl group Chemical group 0.000 claims description 8
- 125000002221 trityl group Chemical group [H]C1=C([H])C([H])=C([H])C([H])=C1C([*])(C1=C(C(=C(C(=C1[H])[H])[H])[H])[H])C1=C([H])C([H])=C([H])C([H])=C1[H] 0.000 claims description 8
- 125000000391 vinyl group Chemical group [H]C([*])=C([H])[H] 0.000 claims description 8
- 125000002947 alkylene group Chemical group 0.000 claims description 7
- 125000000325 methylidene group Chemical group [H]C([H])=* 0.000 claims description 7
- 125000001475 halogen functional group Chemical group 0.000 claims description 4
- 125000002652 ribonucleotide group Chemical group 0.000 claims description 4
- 125000000008 (C1-C10) alkyl group Chemical group 0.000 claims description 3
- 125000006376 (C3-C10) cycloalkyl group Chemical group 0.000 claims description 3
- 150000002431 hydrogen Chemical class 0.000 claims 2
- 0 *C.C.C.CCC.CCC.S Chemical compound *C.C.C.CCC.CCC.S 0.000 description 137
- NQDOCLXQTQYUDH-UHFFFAOYSA-N CC(C)N1C(=O)C=CC1=O Chemical compound CC(C)N1C(=O)C=CC1=O NQDOCLXQTQYUDH-UHFFFAOYSA-N 0.000 description 33
- 239000000047 product Substances 0.000 description 31
- RWSOTUBLDIXVET-UHFFFAOYSA-N S Chemical compound S RWSOTUBLDIXVET-UHFFFAOYSA-N 0.000 description 28
- 230000015572 biosynthetic process Effects 0.000 description 27
- 238000006243 chemical reaction Methods 0.000 description 24
- 125000004435 hydrogen atom Chemical class [H]* 0.000 description 24
- 229920000140 heteropolymer Polymers 0.000 description 21
- 125000001424 substituent group Chemical group 0.000 description 21
- 239000003153 chemical reaction reagent Substances 0.000 description 20
- 108090000765 processed proteins & peptides Proteins 0.000 description 20
- ZMXDDKWLCZADIW-UHFFFAOYSA-N N,N-Dimethylformamide Chemical compound CN(C)C=O ZMXDDKWLCZADIW-UHFFFAOYSA-N 0.000 description 18
- 108091034117 Oligonucleotide Proteins 0.000 description 16
- 238000003786 synthesis reaction Methods 0.000 description 16
- IJGRMHOSHXDMSA-UHFFFAOYSA-N Atomic nitrogen Chemical compound N#N IJGRMHOSHXDMSA-UHFFFAOYSA-N 0.000 description 15
- AMHMNEQHNYAHPL-UHFFFAOYSA-N CC(C)N1C(=O)CC(SC(C)(C)C)C1=O Chemical compound CC(C)N1C(=O)CC(SC(C)(C)C)C1=O AMHMNEQHNYAHPL-UHFFFAOYSA-N 0.000 description 15
- 125000004432 carbon atom Chemical group C* 0.000 description 13
- 239000011347 resin Substances 0.000 description 13
- 229920005989 resin Polymers 0.000 description 13
- ZQPQQDDTFHGNJN-UHFFFAOYSA-N CC(C)SC1CC(=O)N(C(C)C)C1=O Chemical compound CC(C)SC1CC(=O)N(C(C)C)C1=O ZQPQQDDTFHGNJN-UHFFFAOYSA-N 0.000 description 12
- 125000004414 alkyl thio group Chemical group 0.000 description 12
- 125000005110 aryl thio group Chemical group 0.000 description 12
- 125000004104 aryloxy group Chemical group 0.000 description 12
- 210000004027 cell Anatomy 0.000 description 12
- 125000005366 cycloalkylthio group Chemical group 0.000 description 12
- 125000005553 heteroaryloxy group Chemical group 0.000 description 12
- 125000005368 heteroarylthio group Chemical group 0.000 description 12
- 125000005844 heterocyclyloxy group Chemical group 0.000 description 12
- 125000004468 heterocyclylthio group Chemical group 0.000 description 12
- 239000000203 mixture Substances 0.000 description 11
- 150000001408 amides Chemical class 0.000 description 10
- 238000003776 cleavage reaction Methods 0.000 description 10
- 230000007017 scission Effects 0.000 description 10
- 238000010168 coupling process Methods 0.000 description 9
- 238000005859 coupling reaction Methods 0.000 description 9
- 125000000524 functional group Chemical group 0.000 description 9
- 239000011541 reaction mixture Substances 0.000 description 9
- 150000003573 thiols Chemical class 0.000 description 9
- 210000004899 c-terminal region Anatomy 0.000 description 8
- 229910052799 carbon Inorganic materials 0.000 description 8
- 230000008878 coupling Effects 0.000 description 8
- 125000004465 cycloalkenyloxy group Chemical group 0.000 description 8
- 229910052757 nitrogen Inorganic materials 0.000 description 8
- 102000004196 processed proteins & peptides Human genes 0.000 description 8
- 239000000126 substance Substances 0.000 description 8
- 125000002252 acyl group Chemical group 0.000 description 7
- 125000003545 alkoxy group Chemical group 0.000 description 7
- 235000001014 amino acid Nutrition 0.000 description 7
- 150000001540 azides Chemical class 0.000 description 7
- 125000004093 cyano group Chemical group *C#N 0.000 description 7
- 238000010511 deprotection reaction Methods 0.000 description 7
- 235000018102 proteins Nutrition 0.000 description 7
- 102000004169 proteins and genes Human genes 0.000 description 7
- 108090000623 proteins and genes Proteins 0.000 description 7
- 125000000472 sulfonyl group Chemical group *S(*)(=O)=O 0.000 description 7
- LFQSCWFLJHTTHZ-UHFFFAOYSA-N Ethanol Chemical compound CCO LFQSCWFLJHTTHZ-UHFFFAOYSA-N 0.000 description 6
- 125000004442 acylamino group Chemical group 0.000 description 6
- 125000004423 acyloxy group Chemical group 0.000 description 6
- 150000001413 amino acids Chemical class 0.000 description 6
- 125000003277 amino group Chemical group 0.000 description 6
- 125000001246 bromo group Chemical group Br* 0.000 description 6
- 238000012512 characterization method Methods 0.000 description 6
- 125000000000 cycloalkoxy group Chemical group 0.000 description 6
- 239000000412 dendrimer Substances 0.000 description 6
- 229920000736 dendritic polymer Polymers 0.000 description 6
- 239000012467 final product Substances 0.000 description 6
- 230000010365 information processing Effects 0.000 description 6
- 125000002496 methyl group Chemical group [H]C([H])([H])* 0.000 description 6
- 125000000449 nitro group Chemical group [O-][N+](*)=O 0.000 description 6
- 125000005415 substituted alkoxy group Chemical group 0.000 description 6
- 125000005338 substituted cycloalkoxy group Chemical group 0.000 description 6
- 125000003441 thioacyl group Chemical group 0.000 description 6
- 150000003568 thioethers Chemical class 0.000 description 6
- 150000003852 triazoles Chemical group 0.000 description 6
- OAKJQQAXSVQMHS-UHFFFAOYSA-N Hydrazine Chemical group NN OAKJQQAXSVQMHS-UHFFFAOYSA-N 0.000 description 5
- 229910006069 SO3H Inorganic materials 0.000 description 5
- 125000000539 amino acid group Chemical group 0.000 description 5
- 125000004682 aminothiocarbonyl group Chemical group NC(=S)* 0.000 description 5
- 239000003638 chemical reducing agent Substances 0.000 description 5
- 239000003795 chemical substances by application Substances 0.000 description 5
- 230000001268 conjugating effect Effects 0.000 description 5
- 239000005289 controlled pore glass Substances 0.000 description 5
- 239000000543 intermediate Substances 0.000 description 5
- 108020004707 nucleic acids Proteins 0.000 description 5
- 150000007523 nucleic acids Chemical class 0.000 description 5
- 102000039446 nucleic acids Human genes 0.000 description 5
- 125000001820 oxy group Chemical group [*:1]O[*:2] 0.000 description 5
- 125000000020 sulfo group Chemical group O=S(=O)([*])O[H] 0.000 description 5
- KDCGOANMDULRCW-UHFFFAOYSA-N 7H-purine Chemical compound N1=CNC2=NC=NC2=C1 KDCGOANMDULRCW-UHFFFAOYSA-N 0.000 description 4
- ZAMOUSCENKQFHK-UHFFFAOYSA-N Chlorine atom Chemical compound [Cl] ZAMOUSCENKQFHK-UHFFFAOYSA-N 0.000 description 4
- BWGNESOTFCXPMA-UHFFFAOYSA-N Dihydrogen disulfide Chemical compound SS BWGNESOTFCXPMA-UHFFFAOYSA-N 0.000 description 4
- JGFZNNIVVJXRND-UHFFFAOYSA-N N,N-Diisopropylethylamine (DIPEA) Chemical compound CCN(C(C)C)C(C)C JGFZNNIVVJXRND-UHFFFAOYSA-N 0.000 description 4
- 239000004793 Polystyrene Substances 0.000 description 4
- DTQVDTLACAAQTR-UHFFFAOYSA-N Trifluoroacetic acid Chemical compound OC(=O)C(F)(F)F DTQVDTLACAAQTR-UHFFFAOYSA-N 0.000 description 4
- 125000004429 atom Chemical group 0.000 description 4
- 125000001183 hydrocarbyl group Chemical group 0.000 description 4
- PSHKMPUSSFXUIA-UHFFFAOYSA-N n,n-dimethylpyridin-2-amine Chemical compound CN(C)C1=CC=CC=N1 PSHKMPUSSFXUIA-UHFFFAOYSA-N 0.000 description 4
- 229920002223 polystyrene Polymers 0.000 description 4
- 230000008569 process Effects 0.000 description 4
- 239000000243 solution Substances 0.000 description 4
- 239000002904 solvent Substances 0.000 description 4
- WCKQPPQRFNHPRJ-UHFFFAOYSA-N 4-[[4-(dimethylamino)phenyl]diazenyl]benzoic acid Chemical compound C1=CC(N(C)C)=CC=C1N=NC1=CC=C(C(O)=O)C=C1 WCKQPPQRFNHPRJ-UHFFFAOYSA-N 0.000 description 3
- ZCYVEMRRCGMTRW-UHFFFAOYSA-N 7553-56-2 Chemical compound [I] ZCYVEMRRCGMTRW-UHFFFAOYSA-N 0.000 description 3
- QTBSBXVTEAMEQO-UHFFFAOYSA-N Acetic acid Chemical compound CC(O)=O QTBSBXVTEAMEQO-UHFFFAOYSA-N 0.000 description 3
- CREMABGTGYGIQB-UHFFFAOYSA-N C.C Chemical compound C.C CREMABGTGYGIQB-UHFFFAOYSA-N 0.000 description 3
- KOWXKIHEBFTVRU-UHFFFAOYSA-N CC.CC Chemical compound CC.CC KOWXKIHEBFTVRU-UHFFFAOYSA-N 0.000 description 3
- YMWUJEATGCHHMB-UHFFFAOYSA-N Dichloromethane Chemical compound ClCCl YMWUJEATGCHHMB-UHFFFAOYSA-N 0.000 description 3
- SIKJAQJRHWYJAI-UHFFFAOYSA-N Indole Chemical compound C1=CC=C2NC=CC2=C1 SIKJAQJRHWYJAI-UHFFFAOYSA-N 0.000 description 3
- RWRDLPDLKQPQOW-UHFFFAOYSA-N Pyrrolidine Chemical compound C1CCNC1 RWRDLPDLKQPQOW-UHFFFAOYSA-N 0.000 description 3
- HEMHJVSKTPXQMS-UHFFFAOYSA-M Sodium hydroxide Chemical compound [OH-].[Na+] HEMHJVSKTPXQMS-UHFFFAOYSA-M 0.000 description 3
- NINIDFKCEFEMDL-UHFFFAOYSA-N Sulfur Chemical compound [S] NINIDFKCEFEMDL-UHFFFAOYSA-N 0.000 description 3
- PZBFGYYEXUXCOF-UHFFFAOYSA-N TCEP Chemical compound OC(=O)CCP(CCC(O)=O)CCC(O)=O PZBFGYYEXUXCOF-UHFFFAOYSA-N 0.000 description 3
- 239000002253 acid Substances 0.000 description 3
- 150000007513 acids Chemical class 0.000 description 3
- 238000013459 approach Methods 0.000 description 3
- XSCHRSMBECNVNS-UHFFFAOYSA-N benzopyrazine Natural products N1=CC=NC2=CC=CC=C21 XSCHRSMBECNVNS-UHFFFAOYSA-N 0.000 description 3
- 125000002619 bicyclic group Chemical group 0.000 description 3
- 239000007853 buffer solution Substances 0.000 description 3
- 150000001721 carbon Chemical group 0.000 description 3
- 238000007796 conventional method Methods 0.000 description 3
- 125000004122 cyclic group Chemical group 0.000 description 3
- 125000005842 heteroatom Chemical group 0.000 description 3
- 150000004678 hydrides Chemical class 0.000 description 3
- RAXXELZNTBOGNW-UHFFFAOYSA-N imidazole Natural products C1=CNC=N1 RAXXELZNTBOGNW-UHFFFAOYSA-N 0.000 description 3
- 239000013067 intermediate product Substances 0.000 description 3
- 239000011630 iodine Substances 0.000 description 3
- 229910052740 iodine Inorganic materials 0.000 description 3
- 238000004519 manufacturing process Methods 0.000 description 3
- LRMQCJCMKQSEJD-UHFFFAOYSA-N oligo b Polymers O1C(N2C3=NC=NC(N)=C3N=C2)C(OC)C(OC(=O)C=2C=C3C4(OC(=O)C3=CC=2)C2=CC=C(O)C=C2OC2=CC(O)=CC=C24)C1COP(O)(=O)OC1C(C(O2)N3C(N=C(N)C(C)=C3)=O)OCC12COP(O)(=O)OC(C1OC)C(COP(O)(=O)OC2C3(COP(O)(=O)OC4C(C(OC4COP(O)(=O)OC4C(C(OC4COP(O)(=O)OC4C(C(OC4COP(O)(=O)OC4C5(COP(O)(=O)OC6C(C(OC6COP(O)(=O)OC6C7(COP(O)(=O)OC8C(C(OC8COP(O)(=O)OC8C9(CO)COC8C(O9)N8C(N=C(N)C(C)=C8)=O)N8C(NC(=O)C=C8)=O)OC)COC6C(O7)N6C(N=C(N)C(C)=C6)=O)N6C(N=C(N)C=C6)=O)OC)COC4C(O5)N4C(N=C(N)C(C)=C4)=O)N4C5=NC=NC(N)=C5N=C4)OC)N4C5=C(C(NC(N)=N5)=O)N=C4)OC)N4C5=C(C(NC(N)=N5)=O)N=C4)OC)COC2C(O3)N2C(N=C(N)C(C)=C2)=O)OC1N1C=CC(=O)NC1=O LRMQCJCMKQSEJD-UHFFFAOYSA-N 0.000 description 3
- XYFCBTPGUUZFHI-UHFFFAOYSA-O phosphonium Chemical compound [PH4+] XYFCBTPGUUZFHI-UHFFFAOYSA-O 0.000 description 3
- 239000007858 starting material Substances 0.000 description 3
- 229910052717 sulfur Inorganic materials 0.000 description 3
- 230000008685 targeting Effects 0.000 description 3
- 229920002554 vinyl polymer Polymers 0.000 description 3
- UWYZHKAOTLEWKK-UHFFFAOYSA-N 1,2,3,4-tetrahydroisoquinoline Chemical compound C1=CC=C2CNCCC2=C1 UWYZHKAOTLEWKK-UHFFFAOYSA-N 0.000 description 2
- MYRTYDVEIRVNKP-UHFFFAOYSA-N 1,2-Divinylbenzene Chemical compound C=CC1=CC=CC=C1C=C MYRTYDVEIRVNKP-UHFFFAOYSA-N 0.000 description 2
- FCEHBMOGCRZNNI-UHFFFAOYSA-N 1-benzothiophene Chemical compound C1=CC=C2SC=CC2=C1 FCEHBMOGCRZNNI-UHFFFAOYSA-N 0.000 description 2
- LMDZBCPBFSXMTL-UHFFFAOYSA-N 1-ethyl-3-(3-dimethylaminopropyl)carbodiimide Chemical compound CCN=C=NCCCN(C)C LMDZBCPBFSXMTL-UHFFFAOYSA-N 0.000 description 2
- FPIRBHDGWMWJEP-UHFFFAOYSA-N 1-hydroxy-7-azabenzotriazole Chemical compound C1=CN=C2N(O)N=NC2=C1 FPIRBHDGWMWJEP-UHFFFAOYSA-N 0.000 description 2
- PIINGYXNCHTJTF-UHFFFAOYSA-N 2-(2-azaniumylethylamino)acetate Chemical group NCCNCC(O)=O PIINGYXNCHTJTF-UHFFFAOYSA-N 0.000 description 2
- YWXCBLUCVBSYNJ-UHFFFAOYSA-N 2-(2-sulfanylethylsulfonyl)ethanethiol Chemical compound SCCS(=O)(=O)CCS YWXCBLUCVBSYNJ-UHFFFAOYSA-N 0.000 description 2
- ASSKVPFEZFQQNQ-UHFFFAOYSA-N 2-benzoxazolinone Chemical compound C1=CC=C2OC(O)=NC2=C1 ASSKVPFEZFQQNQ-UHFFFAOYSA-N 0.000 description 2
- UJOBWOGCFQCDNV-UHFFFAOYSA-N 9H-carbazole Chemical compound C1=CC=C2C3=CC=CC=C3NC2=C1 UJOBWOGCFQCDNV-UHFFFAOYSA-N 0.000 description 2
- QGZKDVFQNNGYKY-UHFFFAOYSA-N Ammonia Chemical compound N QGZKDVFQNNGYKY-UHFFFAOYSA-N 0.000 description 2
- YJRXBNGDPXLRLK-UHFFFAOYSA-N CC(C)CC(=O)ON1C(=O)CCC1=O Chemical compound CC(C)CC(=O)ON1C(=O)CCC1=O YJRXBNGDPXLRLK-UHFFFAOYSA-N 0.000 description 2
- PXJQUUBMKNTLHO-UHFFFAOYSA-N CC.S Chemical compound CC.S PXJQUUBMKNTLHO-UHFFFAOYSA-N 0.000 description 2
- CPELXLSAUQHCOX-UHFFFAOYSA-N Hydrogen bromide Chemical compound Br CPELXLSAUQHCOX-UHFFFAOYSA-N 0.000 description 2
- LRHPLDYGYMQRHN-UHFFFAOYSA-N N-Butanol Chemical compound CCCCO LRHPLDYGYMQRHN-UHFFFAOYSA-N 0.000 description 2
- 150000001204 N-oxides Chemical class 0.000 description 2
- PCNDJXKNXGMECE-UHFFFAOYSA-N Phenazine Natural products C1=CC=CC2=NC3=CC=CC=C3N=C21 PCNDJXKNXGMECE-UHFFFAOYSA-N 0.000 description 2
- GLUUGHFHXGJENI-UHFFFAOYSA-N Piperazine Chemical compound C1CNCCN1 GLUUGHFHXGJENI-UHFFFAOYSA-N 0.000 description 2
- NQRYJNQNLNOLGT-UHFFFAOYSA-N Piperidine Chemical compound C1CCNCC1 NQRYJNQNLNOLGT-UHFFFAOYSA-N 0.000 description 2
- KYQCOXFCLRTKLS-UHFFFAOYSA-N Pyrazine Chemical compound C1=CN=CC=N1 KYQCOXFCLRTKLS-UHFFFAOYSA-N 0.000 description 2
- JUJWROOIHBZHMG-UHFFFAOYSA-N Pyridine Chemical compound C1=CC=NC=C1 JUJWROOIHBZHMG-UHFFFAOYSA-N 0.000 description 2
- CZPWVGJYEJSRLH-UHFFFAOYSA-N Pyrimidine Chemical compound C1=CN=CN=C1 CZPWVGJYEJSRLH-UHFFFAOYSA-N 0.000 description 2
- KAESVJOAVNADME-UHFFFAOYSA-N Pyrrole Chemical compound C=1C=CNC=1 KAESVJOAVNADME-UHFFFAOYSA-N 0.000 description 2
- SMWDFEZZVXVKRB-UHFFFAOYSA-N Quinoline Chemical compound N1=CC=CC2=CC=CC=C21 SMWDFEZZVXVKRB-UHFFFAOYSA-N 0.000 description 2
- PXIPVTKHYLBLMZ-UHFFFAOYSA-N Sodium azide Chemical compound [Na+].[N-]=[N+]=[N-] PXIPVTKHYLBLMZ-UHFFFAOYSA-N 0.000 description 2
- PPBRXRYQALVLMV-UHFFFAOYSA-N Styrene Chemical compound C=CC1=CC=CC=C1 PPBRXRYQALVLMV-UHFFFAOYSA-N 0.000 description 2
- DKGAVHZHDRPRBM-UHFFFAOYSA-N Tert-Butanol Chemical compound CC(C)(C)O DKGAVHZHDRPRBM-UHFFFAOYSA-N 0.000 description 2
- 241001061127 Thione Species 0.000 description 2
- YTPLMLYBLZKORZ-UHFFFAOYSA-N Thiophene Chemical compound C=1C=CSC=1 YTPLMLYBLZKORZ-UHFFFAOYSA-N 0.000 description 2
- 239000007983 Tris buffer Substances 0.000 description 2
- JLCPHMBAVCMARE-UHFFFAOYSA-N [3-[[3-[[3-[[3-[[3-[[3-[[3-[[3-[[3-[[3-[[3-[[5-(2-amino-6-oxo-1H-purin-9-yl)-3-[[3-[[3-[[3-[[3-[[3-[[5-(2-amino-6-oxo-1H-purin-9-yl)-3-[[5-(2-amino-6-oxo-1H-purin-9-yl)-3-hydroxyoxolan-2-yl]methoxy-hydroxyphosphoryl]oxyoxolan-2-yl]methoxy-hydroxyphosphoryl]oxy-5-(5-methyl-2,4-dioxopyrimidin-1-yl)oxolan-2-yl]methoxy-hydroxyphosphoryl]oxy-5-(6-aminopurin-9-yl)oxolan-2-yl]methoxy-hydroxyphosphoryl]oxy-5-(6-aminopurin-9-yl)oxolan-2-yl]methoxy-hydroxyphosphoryl]oxy-5-(6-aminopurin-9-yl)oxolan-2-yl]methoxy-hydroxyphosphoryl]oxy-5-(6-aminopurin-9-yl)oxolan-2-yl]methoxy-hydroxyphosphoryl]oxyoxolan-2-yl]methoxy-hydroxyphosphoryl]oxy-5-(5-methyl-2,4-dioxopyrimidin-1-yl)oxolan-2-yl]methoxy-hydroxyphosphoryl]oxy-5-(4-amino-2-oxopyrimidin-1-yl)oxolan-2-yl]methoxy-hydroxyphosphoryl]oxy-5-(5-methyl-2,4-dioxopyrimidin-1-yl)oxolan-2-yl]methoxy-hydroxyphosphoryl]oxy-5-(5-methyl-2,4-dioxopyrimidin-1-yl)oxolan-2-yl]methoxy-hydroxyphosphoryl]oxy-5-(6-aminopurin-9-yl)oxolan-2-yl]methoxy-hydroxyphosphoryl]oxy-5-(6-aminopurin-9-yl)oxolan-2-yl]methoxy-hydroxyphosphoryl]oxy-5-(4-amino-2-oxopyrimidin-1-yl)oxolan-2-yl]methoxy-hydroxyphosphoryl]oxy-5-(4-amino-2-oxopyrimidin-1-yl)oxolan-2-yl]methoxy-hydroxyphosphoryl]oxy-5-(4-amino-2-oxopyrimidin-1-yl)oxolan-2-yl]methoxy-hydroxyphosphoryl]oxy-5-(6-aminopurin-9-yl)oxolan-2-yl]methoxy-hydroxyphosphoryl]oxy-5-(4-amino-2-oxopyrimidin-1-yl)oxolan-2-yl]methyl [5-(6-aminopurin-9-yl)-2-(hydroxymethyl)oxolan-3-yl] hydrogen phosphate Polymers Cc1cn(C2CC(OP(O)(=O)OCC3OC(CC3OP(O)(=O)OCC3OC(CC3O)n3cnc4c3nc(N)[nH]c4=O)n3cnc4c3nc(N)[nH]c4=O)C(COP(O)(=O)OC3CC(OC3COP(O)(=O)OC3CC(OC3COP(O)(=O)OC3CC(OC3COP(O)(=O)OC3CC(OC3COP(O)(=O)OC3CC(OC3COP(O)(=O)OC3CC(OC3COP(O)(=O)OC3CC(OC3COP(O)(=O)OC3CC(OC3COP(O)(=O)OC3CC(OC3COP(O)(=O)OC3CC(OC3COP(O)(=O)OC3CC(OC3COP(O)(=O)OC3CC(OC3COP(O)(=O)OC3CC(OC3COP(O)(=O)OC3CC(OC3COP(O)(=O)OC3CC(OC3COP(O)(=O)OC3CC(OC3COP(O)(=O)OC3CC(OC3CO)n3cnc4c(N)ncnc34)n3ccc(N)nc3=O)n3cnc4c(N)ncnc34)n3ccc(N)nc3=O)n3ccc(N)nc3=O)n3ccc(N)nc3=O)n3cnc4c(N)ncnc34)n3cnc4c(N)ncnc34)n3cc(C)c(=O)[nH]c3=O)n3cc(C)c(=O)[nH]c3=O)n3ccc(N)nc3=O)n3cc(C)c(=O)[nH]c3=O)n3cnc4c3nc(N)[nH]c4=O)n3cnc4c(N)ncnc34)n3cnc4c(N)ncnc34)n3cnc4c(N)ncnc34)n3cnc4c(N)ncnc34)O2)c(=O)[nH]c1=O JLCPHMBAVCMARE-UHFFFAOYSA-N 0.000 description 2
- VOJXWVNLAGSXBL-UHFFFAOYSA-N [H]C1=C(C(C)C)N=NN1C(C)C Chemical compound [H]C1=C(C(C)C)N=NN1C(C)C VOJXWVNLAGSXBL-UHFFFAOYSA-N 0.000 description 2
- 125000002777 acetyl group Chemical group [H]C([H])([H])C(*)=O 0.000 description 2
- DZBUGLKDJFMEHC-UHFFFAOYSA-N acridine Chemical compound C1=CC=CC2=CC3=CC=CC=C3N=C21 DZBUGLKDJFMEHC-UHFFFAOYSA-N 0.000 description 2
- 239000000654 additive Substances 0.000 description 2
- 150000001412 amines Chemical class 0.000 description 2
- QVGXLLKOCUKJST-UHFFFAOYSA-N atomic oxygen Chemical compound [O] QVGXLLKOCUKJST-UHFFFAOYSA-N 0.000 description 2
- 239000008366 buffered solution Substances 0.000 description 2
- 150000001718 carbodiimides Chemical class 0.000 description 2
- 125000002843 carboxylic acid group Chemical group 0.000 description 2
- HVYWMOMLDIMFJA-DPAQBDIFSA-N cholesterol Chemical compound C1C=C2C[C@@H](O)CC[C@]2(C)[C@@H]2[C@@H]1[C@@H]1CC[C@H]([C@H](C)CCCC(C)C)[C@@]1(C)CC2 HVYWMOMLDIMFJA-DPAQBDIFSA-N 0.000 description 2
- 125000006165 cyclic alkyl group Chemical group 0.000 description 2
- OPTASPLRGRRNAP-UHFFFAOYSA-N cytosine Chemical compound NC=1C=CNC(=O)N=1 OPTASPLRGRRNAP-UHFFFAOYSA-N 0.000 description 2
- 238000001514 detection method Methods 0.000 description 2
- 125000002147 dimethylamino group Chemical group [H]C([H])([H])N(*)C([H])([H])[H] 0.000 description 2
- 201000010099 disease Diseases 0.000 description 2
- 208000037265 diseases, disorders, signs and symptoms Diseases 0.000 description 2
- VHJLVAABSRFDPM-QWWZWVQMSA-N dithiothreitol Chemical compound SC[C@@H](O)[C@H](O)CS VHJLVAABSRFDPM-QWWZWVQMSA-N 0.000 description 2
- 238000005516 engineering process Methods 0.000 description 2
- 125000001495 ethyl group Chemical group [H]C([H])([H])C([H])([H])* 0.000 description 2
- 125000002534 ethynyl group Chemical group [H]C#C* 0.000 description 2
- 125000002541 furyl group Chemical group 0.000 description 2
- UYTPUPDQBNUYGX-UHFFFAOYSA-N guanine Chemical compound O=C1NC(N)=NC2=C1N=CN2 UYTPUPDQBNUYGX-UHFFFAOYSA-N 0.000 description 2
- 125000000592 heterocycloalkyl group Chemical group 0.000 description 2
- AWJUIBRHMBBTKR-UHFFFAOYSA-N isoquinoline Chemical compound C1=NC=CC2=CC=CC=C21 AWJUIBRHMBBTKR-UHFFFAOYSA-N 0.000 description 2
- 238000002372 labelling Methods 0.000 description 2
- 125000001624 naphthyl group Chemical group 0.000 description 2
- 230000001613 neoplastic effect Effects 0.000 description 2
- 229910052760 oxygen Inorganic materials 0.000 description 2
- 239000001301 oxygen Substances 0.000 description 2
- RDOWQLZANAYVLL-UHFFFAOYSA-N phenanthridine Chemical compound C1=CC=C2C3=CC=CC=C3C=NC2=C1 RDOWQLZANAYVLL-UHFFFAOYSA-N 0.000 description 2
- 125000001997 phenyl group Chemical group [H]C1=C([H])C([H])=C(*)C([H])=C1[H] 0.000 description 2
- 150000008300 phosphoramidites Chemical class 0.000 description 2
- 229920000962 poly(amidoamine) Polymers 0.000 description 2
- 229920002401 polyacrylamide Polymers 0.000 description 2
- 238000000746 purification Methods 0.000 description 2
- 125000004076 pyridyl group Chemical group 0.000 description 2
- 239000000376 reactant Substances 0.000 description 2
- 150000003839 salts Chemical class 0.000 description 2
- 229920006395 saturated elastomer Polymers 0.000 description 2
- 239000007790 solid phase Substances 0.000 description 2
- 238000010532 solid phase synthesis reaction Methods 0.000 description 2
- 238000006467 substitution reaction Methods 0.000 description 2
- 125000000475 sulfinyl group Chemical group [*:2]S([*:1])=O 0.000 description 2
- 239000011593 sulfur Substances 0.000 description 2
- 230000002194 synthesizing effect Effects 0.000 description 2
- 238000012360 testing method Methods 0.000 description 2
- 230000001225 therapeutic effect Effects 0.000 description 2
- 125000004568 thiomorpholinyl group Chemical group 0.000 description 2
- RWQNBRDOKXIBIV-UHFFFAOYSA-N thymine Chemical compound CC1=CNC(=O)NC1=O RWQNBRDOKXIBIV-UHFFFAOYSA-N 0.000 description 2
- 238000001890 transfection Methods 0.000 description 2
- XLYOFNOQVPJJNP-UHFFFAOYSA-N water Substances O XLYOFNOQVPJJNP-UHFFFAOYSA-N 0.000 description 2
- ZQTHSZGDMBOMCA-VKKIDBQXSA-N (2s,3s)-1,4-bis(sulfanyl)butane-2,3-diol;2-sulfanylethanol Chemical compound OCCS.SC[C@@H](O)[C@H](O)CS ZQTHSZGDMBOMCA-VKKIDBQXSA-N 0.000 description 1
- 125000003088 (fluoren-9-ylmethoxy)carbonyl group Chemical group 0.000 description 1
- LNOLJFCCYQZFBQ-BUHFOSPRSA-N (ne)-n-[(4-nitrophenyl)-phenylmethylidene]hydroxylamine Chemical compound C=1C=C([N+]([O-])=O)C=CC=1C(=N/O)/C1=CC=CC=C1 LNOLJFCCYQZFBQ-BUHFOSPRSA-N 0.000 description 1
- 125000005988 1,1-dioxo-thiomorpholinyl group Chemical group 0.000 description 1
- JYEUMXHLPRZUAT-UHFFFAOYSA-N 1,2,3-triazine Chemical group C1=CN=NN=C1 JYEUMXHLPRZUAT-UHFFFAOYSA-N 0.000 description 1
- BDNKZNFMNDZQMI-UHFFFAOYSA-N 1,3-diisopropylcarbodiimide Chemical compound CC(C)N=C=NC(C)C BDNKZNFMNDZQMI-UHFFFAOYSA-N 0.000 description 1
- OGYGFUAIIOPWQD-UHFFFAOYSA-N 1,3-thiazolidine Chemical compound C1CSCN1 OGYGFUAIIOPWQD-UHFFFAOYSA-N 0.000 description 1
- ASOKPJOREAFHNY-UHFFFAOYSA-N 1-Hydroxybenzotriazole Chemical compound C1=CC=C2N(O)N=NC2=C1 ASOKPJOREAFHNY-UHFFFAOYSA-N 0.000 description 1
- WJFKNYWRSNBZNX-UHFFFAOYSA-N 10H-phenothiazine Chemical compound C1=CC=C2NC3=CC=CC=C3SC2=C1 WJFKNYWRSNBZNX-UHFFFAOYSA-N 0.000 description 1
- TZMSYXZUNZXBOL-UHFFFAOYSA-N 10H-phenoxazine Chemical compound C1=CC=C2NC3=CC=CC=C3OC2=C1 TZMSYXZUNZXBOL-UHFFFAOYSA-N 0.000 description 1
- BAXOFTOLAUCFNW-UHFFFAOYSA-N 1H-indazole Chemical compound C1=CC=C2C=NNC2=C1 BAXOFTOLAUCFNW-UHFFFAOYSA-N 0.000 description 1
- KSXTUUUQYQYKCR-LQDDAWAPSA-M 2,3-bis[[(z)-octadec-9-enoyl]oxy]propyl-trimethylazanium;chloride Chemical compound [Cl-].CCCCCCCC\C=C/CCCCCCCC(=O)OCC(C[N+](C)(C)C)OC(=O)CCCCCCC\C=C/CCCCCCCC KSXTUUUQYQYKCR-LQDDAWAPSA-M 0.000 description 1
- VEPOHXYIFQMVHW-XOZOLZJESA-N 2,3-dihydroxybutanedioic acid (2S,3S)-3,4-dimethyl-2-phenylmorpholine Chemical compound OC(C(O)C(O)=O)C(O)=O.C[C@H]1[C@@H](OCCN1C)c1ccccc1 VEPOHXYIFQMVHW-XOZOLZJESA-N 0.000 description 1
- DYDBZMFMNBGTIP-UHFFFAOYSA-N 2-[3-(dimethylamino)-6-dimethylazaniumylidenexanthen-9-yl]-5-(prop-2-ynylcarbamoyl)benzoate Chemical compound C=12C=CC(=[N+](C)C)C=C2OC2=CC(N(C)C)=CC=C2C=1C1=CC=C(C(=O)NCC#C)C=C1C([O-])=O DYDBZMFMNBGTIP-UHFFFAOYSA-N 0.000 description 1
- VLRSADZEDXVUPG-UHFFFAOYSA-N 2-naphthalen-1-ylpyridine Chemical compound N1=CC=CC=C1C1=CC=CC2=CC=CC=C12 VLRSADZEDXVUPG-UHFFFAOYSA-N 0.000 description 1
- 125000003903 2-propenyl group Chemical group [H]C([*])([H])C([H])=C([H])[H] 0.000 description 1
- 125000001494 2-propynyl group Chemical group [H]C#CC([H])([H])* 0.000 description 1
- VHMICKWLTGFITH-UHFFFAOYSA-N 2H-isoindole Chemical compound C1=CC=CC2=CNC=C21 VHMICKWLTGFITH-UHFFFAOYSA-N 0.000 description 1
- 125000002774 3,4-dimethoxybenzyl group Chemical group [H]C1=C([H])C(=C([H])C(OC([H])([H])[H])=C1OC([H])([H])[H])C([H])([H])* 0.000 description 1
- LIUMHUXYBOKYGV-UHFFFAOYSA-N 3-[2,3-bis(3-hydroxypropyl)triazol-1-yl]propan-1-ol Chemical compound OCCCN1N(N(C=C1)CCCO)CCCO LIUMHUXYBOKYGV-UHFFFAOYSA-N 0.000 description 1
- ILBCSMHIEBDGJY-UHFFFAOYSA-N 3-[4-(3-aminopropylamino)butylamino]propylcarbamic acid Chemical compound NCCCNCCCCNCCCNC(O)=O ILBCSMHIEBDGJY-UHFFFAOYSA-N 0.000 description 1
- UGHJWGVLHKHOJJ-UHFFFAOYSA-N 3-azido-7-hydroxychromen-2-one 3-hydroxychromen-2-one azide Chemical compound [N-]=[N+]=[N-].C1=CC=C2OC(=O)C(O)=CC2=C1.C1=C(N=[N+]=[N-])C(=O)OC2=CC(O)=CC=C21 UGHJWGVLHKHOJJ-UHFFFAOYSA-N 0.000 description 1
- CBKDCOKSXCTDAA-UHFFFAOYSA-N 4,5,6,7-tetrahydro-1-benzothiophene Chemical compound C1CCCC2=C1C=CS2 CBKDCOKSXCTDAA-UHFFFAOYSA-N 0.000 description 1
- SKZQZGSPYYHTQG-UHFFFAOYSA-N 4-[2-[4-(3-phenylpyrazolo[1,5-a]pyrimidin-6-yl)phenoxy]ethyl]morpholine Chemical compound C=1C=C(C2=CN3N=CC(=C3N=C2)C=2C=CC=CC=2)C=CC=1OCCN1CCOCC1 SKZQZGSPYYHTQG-UHFFFAOYSA-N 0.000 description 1
- FZTIWOBQQYPTCJ-UHFFFAOYSA-N 4-[4-(4-carboxyphenyl)phenyl]benzoic acid Chemical compound C1=CC(C(=O)O)=CC=C1C1=CC=C(C=2C=CC(=CC=2)C(O)=O)C=C1 FZTIWOBQQYPTCJ-UHFFFAOYSA-N 0.000 description 1
- UDGUGZTYGWUUSG-UHFFFAOYSA-N 4-[4-[[2,5-dimethoxy-4-[(4-nitrophenyl)diazenyl]phenyl]diazenyl]-n-methylanilino]butanoic acid Chemical compound COC=1C=C(N=NC=2C=CC(=CC=2)N(C)CCCC(O)=O)C(OC)=CC=1N=NC1=CC=C([N+]([O-])=O)C=C1 UDGUGZTYGWUUSG-UHFFFAOYSA-N 0.000 description 1
- 125000004172 4-methoxyphenyl group Chemical group [H]C1=C([H])C(OC([H])([H])[H])=C([H])C([H])=C1* 0.000 description 1
- GDRVFDDBLLKWRI-UHFFFAOYSA-N 4H-quinolizine Chemical compound C1=CC=CN2CC=CC=C21 GDRVFDDBLLKWRI-UHFFFAOYSA-N 0.000 description 1
- NJYVEMPWNAYQQN-UHFFFAOYSA-N 5-carboxyfluorescein Chemical compound C12=CC=C(O)C=C2OC2=CC(O)=CC=C2C21OC(=O)C1=CC(C(=O)O)=CC=C21 NJYVEMPWNAYQQN-UHFFFAOYSA-N 0.000 description 1
- OQHKPJAZGYJYTB-UHFFFAOYSA-N 6-(bromomethyl)-3',6'-dihydroxyspiro[2-benzofuran-3,9'-xanthene]-1-one Chemical compound O1C(=O)C2=CC(CBr)=CC=C2C21C1=CC=C(O)C=C1OC1=CC(O)=CC=C21 OQHKPJAZGYJYTB-UHFFFAOYSA-N 0.000 description 1
- TZCYLJGNWDVJRA-UHFFFAOYSA-N 6-chloro-1-hydroxybenzotriazole Chemical compound C1=C(Cl)C=C2N(O)N=NC2=C1 TZCYLJGNWDVJRA-UHFFFAOYSA-N 0.000 description 1
- HBAQYPYDRFILMT-UHFFFAOYSA-N 8-[3-(1-cyclopropylpyrazol-4-yl)-1H-pyrazolo[4,3-d]pyrimidin-5-yl]-3-methyl-3,8-diazabicyclo[3.2.1]octan-2-one Chemical class C1(CC1)N1N=CC(=C1)C1=NNC2=C1N=C(N=C2)N1C2C(N(CC1CC2)C)=O HBAQYPYDRFILMT-UHFFFAOYSA-N 0.000 description 1
- 229930024421 Adenine Natural products 0.000 description 1
- GFFGJBXGBJISGV-UHFFFAOYSA-N Adenine Chemical compound NC1=NC=NC2=C1N=CN2 GFFGJBXGBJISGV-UHFFFAOYSA-N 0.000 description 1
- WEJVZSAYICGDCK-UHFFFAOYSA-N Alexa Fluor 430 Chemical compound CC[NH+](CC)CC.CC1(C)C=C(CS([O-])(=O)=O)C2=CC=3C(C(F)(F)F)=CC(=O)OC=3C=C2N1CCCCCC(=O)ON1C(=O)CCC1=O WEJVZSAYICGDCK-UHFFFAOYSA-N 0.000 description 1
- VHUUQVKOLVNVRT-UHFFFAOYSA-N Ammonium hydroxide Chemical compound [NH4+].[OH-] VHUUQVKOLVNVRT-UHFFFAOYSA-N 0.000 description 1
- IYMAXBFPHPZYIK-BQBZGAKWSA-N Arg-Gly-Asp Chemical compound NC(N)=NCCC[C@H](N)C(=O)NCC(=O)N[C@@H](CC(O)=O)C(O)=O IYMAXBFPHPZYIK-BQBZGAKWSA-N 0.000 description 1
- ITAJCOZXQQWRKR-WXFSVDFUSA-N B[C@H]1C[C@@H](O)[C@@H](COP(=O)(O)O[C@@H]2C[C@H](B)O[C@@H]2COP(=O)(O)O[C@@H]2C[C@H](B)O[C@@H]2COC)O1.C#CCCOP(=O)(O)C(C)(C)C.CC(C)(C)Br.CC(C)(C)I.CC(C)(C)P(=O)(O)O.CC(C)(C)P(=O)(O)OC1CCC(CC(=O)[C@H](N)CS)CC1.CC(C)(C)P(=O)(O)OCCBr.CC(C)(C)P(=O)(O)OCCC(=O)O.CC(C)(C)P(=O)(O)OCCC(=O)ON1C(=O)CCC1=O.CC(C)(C)P(=O)(O)OCCN.CC(C)(C)P(=O)(O)OCCN=[N+]=[N-].CC(C)(C)P(=O)(O)OCCOCCN.CC(C)(C)P(=O)(O)OCCOCCNC(=O)CCCCC(=O)N1CC2=C(C#CC3=C1C=CC=C3)C=CC=C2.CC(C)(C)P(=O)(O)OCCOCCON.CC(C)(C)P(=O)(O)OCCS.CC(C)(C)P(=O)(O)S.CC1=CC=C(S(=O)(=O)C(C)(C)C)C=C1.[H]C(=O)CCOP(=O)(O)C(C)(C)C Chemical compound B[C@H]1C[C@@H](O)[C@@H](COP(=O)(O)O[C@@H]2C[C@H](B)O[C@@H]2COP(=O)(O)O[C@@H]2C[C@H](B)O[C@@H]2COC)O1.C#CCCOP(=O)(O)C(C)(C)C.CC(C)(C)Br.CC(C)(C)I.CC(C)(C)P(=O)(O)O.CC(C)(C)P(=O)(O)OC1CCC(CC(=O)[C@H](N)CS)CC1.CC(C)(C)P(=O)(O)OCCBr.CC(C)(C)P(=O)(O)OCCC(=O)O.CC(C)(C)P(=O)(O)OCCC(=O)ON1C(=O)CCC1=O.CC(C)(C)P(=O)(O)OCCN.CC(C)(C)P(=O)(O)OCCN=[N+]=[N-].CC(C)(C)P(=O)(O)OCCOCCN.CC(C)(C)P(=O)(O)OCCOCCNC(=O)CCCCC(=O)N1CC2=C(C#CC3=C1C=CC=C3)C=CC=C2.CC(C)(C)P(=O)(O)OCCOCCON.CC(C)(C)P(=O)(O)OCCS.CC(C)(C)P(=O)(O)S.CC1=CC=C(S(=O)(=O)C(C)(C)C)C=C1.[H]C(=O)CCOP(=O)(O)C(C)(C)C ITAJCOZXQQWRKR-WXFSVDFUSA-N 0.000 description 1
- LQVARTLVXKUVOK-MGHBZXRMSA-N B[C@H]1C[C@@H](OC)[C@@H](COC(C2=CC=CC=C2)(C2=CC=C(OC)C=C2)C2=CC=C(OC)C=C2)O1.B[C@H]1C[C@@H](OC)[C@@H](COP(=O)(OCC[N+]#[C-])O[C@@H]2C[C@H](B)O[C@@H]2COP(=O)(OCC[N+]#[C-])O[C@@H]2C[C@H](B)O[C@@H]2COC(C2=CC=CC=C2)(C2=CC=C(OC)C=C2)C2=CC=C(OC)C=C2)O1.B[C@H]1C[C@@H](OC)[C@@H](COP(=O)(OCC[N+]#[C-])O[C@@H]2C[C@H](B)O[C@@H]2COP(=O)(OCC[N+]#[C-])O[C@@H]2C[C@H](B)O[C@@H]2COC)O1 Chemical compound B[C@H]1C[C@@H](OC)[C@@H](COC(C2=CC=CC=C2)(C2=CC=C(OC)C=C2)C2=CC=C(OC)C=C2)O1.B[C@H]1C[C@@H](OC)[C@@H](COP(=O)(OCC[N+]#[C-])O[C@@H]2C[C@H](B)O[C@@H]2COP(=O)(OCC[N+]#[C-])O[C@@H]2C[C@H](B)O[C@@H]2COC(C2=CC=CC=C2)(C2=CC=C(OC)C=C2)C2=CC=C(OC)C=C2)O1.B[C@H]1C[C@@H](OC)[C@@H](COP(=O)(OCC[N+]#[C-])O[C@@H]2C[C@H](B)O[C@@H]2COP(=O)(OCC[N+]#[C-])O[C@@H]2C[C@H](B)O[C@@H]2COC)O1 LQVARTLVXKUVOK-MGHBZXRMSA-N 0.000 description 1
- MMGKVHNEYXBCIQ-LBHJKBTJSA-N B[C@H]1C[C@@H](OP(=O)(O)OCC(CO)CC(=O)CCNC(=O)CCOCC#C)[C@@H](COP(=O)(OCC[N+]#[C-])O[C@@H]2C[C@H](B)O[C@@H]2COP(=O)(OCC[N+]#[C-])O[C@@H]2C[C@H](B)O[C@@H]2CO)O1.B[C@H]1C[C@@H](OP(=O)(OCC[N+]#[C-])OC[C@H]2O[C@@H](B)C[C@H]2OP(=O)(OCC[N+]#[C-])OC[C@H]2O[C@@H](B)C[C@H]2OP(=O)(OCCO)OCC(COC)CC(=O)CCNC(=O)CCOCC#C)[C@@H](CO)O1 Chemical compound B[C@H]1C[C@@H](OP(=O)(O)OCC(CO)CC(=O)CCNC(=O)CCOCC#C)[C@@H](COP(=O)(OCC[N+]#[C-])O[C@@H]2C[C@H](B)O[C@@H]2COP(=O)(OCC[N+]#[C-])O[C@@H]2C[C@H](B)O[C@@H]2CO)O1.B[C@H]1C[C@@H](OP(=O)(OCC[N+]#[C-])OC[C@H]2O[C@@H](B)C[C@H]2OP(=O)(OCC[N+]#[C-])OC[C@H]2O[C@@H](B)C[C@H]2OP(=O)(OCCO)OCC(COC)CC(=O)CCNC(=O)CCOCC#C)[C@@H](CO)O1 MMGKVHNEYXBCIQ-LBHJKBTJSA-N 0.000 description 1
- LXNBIKDJMZZHBU-UEODRQFXSA-N B[C@H]1C[C@@H](OP(=O)(O)OC[C@H]2O[C@@H](B)C[C@H]2OP(=O)(O)OC[C@H]2O[C@@H](B)C[C@H]2OP(=O)(O)OCC(CO)CCCCN)[C@@H](CO)O1.B[C@H]1C[C@@H](OP(=O)(OCC[N+]#[C-])OC[C@H]2O[C@@H](B)C[C@H]2OP(=O)(OCC[N+]#[C-])OC[C@H]2O[C@@H](B)C[C@H]2OP(=O)(OCCO)OCC(CCCCNC(=O)OCC2C3=C(C=CC=C3)C3=C2C=CC=C3)COC)[C@@H](CO)O1 Chemical compound B[C@H]1C[C@@H](OP(=O)(O)OC[C@H]2O[C@@H](B)C[C@H]2OP(=O)(O)OC[C@H]2O[C@@H](B)C[C@H]2OP(=O)(O)OCC(CO)CCCCN)[C@@H](CO)O1.B[C@H]1C[C@@H](OP(=O)(OCC[N+]#[C-])OC[C@H]2O[C@@H](B)C[C@H]2OP(=O)(OCC[N+]#[C-])OC[C@H]2O[C@@H](B)C[C@H]2OP(=O)(OCCO)OCC(CCCCNC(=O)OCC2C3=C(C=CC=C3)C3=C2C=CC=C3)COC)[C@@H](CO)O1 LXNBIKDJMZZHBU-UEODRQFXSA-N 0.000 description 1
- OKOKISKPLWOUJT-KZQZAPMQSA-N B[C@H]1C[C@@H](OP(=O)(O)OC[C@H]2O[C@@H](B)C[C@H]2OP(=O)(O)OC[C@H]2O[C@@H](B)C[C@H]2OP(=O)(OCCCS)OCC[N+]#[C-])[C@@H](CO)O1.B[C@H]1C[C@@H](OP(=O)(OCC[N+]#[C-])OC[C@H]2O[C@@H](B)C[C@H]2OP(=O)(OCC[N+]#[C-])OC[C@H]2O[C@@H](B)C[C@H]2OP(=O)(OCCCSSCCCOC)OCC[N+]#[C-])[C@@H](CO)O1 Chemical compound B[C@H]1C[C@@H](OP(=O)(O)OC[C@H]2O[C@@H](B)C[C@H]2OP(=O)(O)OC[C@H]2O[C@@H](B)C[C@H]2OP(=O)(OCCCS)OCC[N+]#[C-])[C@@H](CO)O1.B[C@H]1C[C@@H](OP(=O)(OCC[N+]#[C-])OC[C@H]2O[C@@H](B)C[C@H]2OP(=O)(OCC[N+]#[C-])OC[C@H]2O[C@@H](B)C[C@H]2OP(=O)(OCCCSSCCCOC)OCC[N+]#[C-])[C@@H](CO)O1 OKOKISKPLWOUJT-KZQZAPMQSA-N 0.000 description 1
- WCDIRGBKAMUOPA-LXCROZOBSA-N B[C@H]1C[C@@H](OP(=O)(OCCCSSCCCOC)OCC[N+]#[C-])[C@@H](COC(C2=CC=CC=C2)(C2=CC=C(OC)C=C2)C2=CC=C(OC)C=C2)O1.COCCCSSCCCO.COCCCSSCCCOC(C1=CC=CC=C1)(C1=CC=C(OC)C=C1)C1=CC=C(OC)C=C1 Chemical compound B[C@H]1C[C@@H](OP(=O)(OCCCSSCCCOC)OCC[N+]#[C-])[C@@H](COC(C2=CC=CC=C2)(C2=CC=C(OC)C=C2)C2=CC=C(OC)C=C2)O1.COCCCSSCCCO.COCCCSSCCCOC(C1=CC=CC=C1)(C1=CC=C(OC)C=C1)C1=CC=C(OC)C=C1 WCDIRGBKAMUOPA-LXCROZOBSA-N 0.000 description 1
- DKOALSDWQWTTJT-BNKNIXESSA-N B[C@H]1C[C@@H](OP(=O)(OCCO)OCC(CCCCNC(=O)OCC2C3=C(C=CC=C3)C3=C2C=CC=C3)COC)[C@@H](COC(C2=CC=CC=C2)(C2=CC=C(OC)C=C2)C2=CC=C(OC)C=C2)O1.COCC(CCCCNC(=O)OCC1C2=C(C=CC=C2)C2=C1C=CC=C2)COC(C1=CC=CC=C1)(C1=CC=C(OC)C=C1)C1=CC=C(OC)C=C1.COCC(CO)CCCCNC(=O)OCC1C2=C(C=CC=C2)C2=C1C=CC=C2 Chemical compound B[C@H]1C[C@@H](OP(=O)(OCCO)OCC(CCCCNC(=O)OCC2C3=C(C=CC=C3)C3=C2C=CC=C3)COC)[C@@H](COC(C2=CC=CC=C2)(C2=CC=C(OC)C=C2)C2=CC=C(OC)C=C2)O1.COCC(CCCCNC(=O)OCC1C2=C(C=CC=C2)C2=C1C=CC=C2)COC(C1=CC=CC=C1)(C1=CC=C(OC)C=C1)C1=CC=C(OC)C=C1.COCC(CO)CCCCNC(=O)OCC1C2=C(C=CC=C2)C2=C1C=CC=C2 DKOALSDWQWTTJT-BNKNIXESSA-N 0.000 description 1
- GDBQWPRQDHOQGW-RURSTVTMSA-M C#CC(=O)C1=CC(C(=O)[O-])=C(C2=C3C=C/C(=N/CC)C=C3OC3=C2C=CC(CNC)=C3)C=C1.C=N Chemical compound C#CC(=O)C1=CC(C(=O)[O-])=C(C2=C3C=C/C(=N/CC)C=C3OC3=C2C=CC(CNC)=C3)C=C1.C=N GDBQWPRQDHOQGW-RURSTVTMSA-M 0.000 description 1
- LORWMKUTRCZHSF-IOHMYKLYSA-N C#CCOCCC(=O)NCCC(=O)CC(CO)COC.C#CCOCCC(=O)NCCC(=O)CC(COC)COC(C1=CC=CC=C1)(C1=CC=C(OC)C=C1)C1=CC=C(OC)C=C1.[2H]C[C@H]1O[C@@H](B)C[C@H]1OP(=O)(OCCC#N)OCC(COC)CC(=O)CCNC(=O)CCOCC#C.[3H]OC Chemical compound C#CCOCCC(=O)NCCC(=O)CC(CO)COC.C#CCOCCC(=O)NCCC(=O)CC(COC)COC(C1=CC=CC=C1)(C1=CC=C(OC)C=C1)C1=CC=C(OC)C=C1.[2H]C[C@H]1O[C@@H](B)C[C@H]1OP(=O)(OCCC#N)OCC(COC)CC(=O)CCNC(=O)CCOCC#C.[3H]OC LORWMKUTRCZHSF-IOHMYKLYSA-N 0.000 description 1
- LQYFKUUKKBZMJW-UHFFFAOYSA-N C.C.C.C.C.C.C Chemical compound C.C.C.C.C.C.C LQYFKUUKKBZMJW-UHFFFAOYSA-N 0.000 description 1
- MIRZIRDXWIDUFD-UHFFFAOYSA-L C.C=P([O-])(O)O.[O-]P([O-])(O)=S Chemical compound C.C=P([O-])(O)O.[O-]P([O-])(O)=S MIRZIRDXWIDUFD-UHFFFAOYSA-L 0.000 description 1
- YQCIWBXEVYWRCW-UHFFFAOYSA-N C.S Chemical compound C.S YQCIWBXEVYWRCW-UHFFFAOYSA-N 0.000 description 1
- DRXXRDYKQULMOM-UHFFFAOYSA-N CC(C)C1CCC2(CCCC2)CC1 Chemical compound CC(C)C1CCC2(CCCC2)CC1 DRXXRDYKQULMOM-UHFFFAOYSA-N 0.000 description 1
- OBVICHFAYWUACT-UHFFFAOYSA-N CC(C)NC(=O)CCC(=O)CC1C(OP(=O)(O)OCCCCCCBr)C2OC1C1C(=O)N(C)C(=O)C21 Chemical compound CC(C)NC(=O)CCC(=O)CC1C(OP(=O)(O)OCCCCCCBr)C2OC1C1C(=O)N(C)C(=O)C21 OBVICHFAYWUACT-UHFFFAOYSA-N 0.000 description 1
- DLPBMTHCUQMCGR-UHFFFAOYSA-N CC.CCC.CCC.S Chemical compound CC.CCC.CCC.S DLPBMTHCUQMCGR-UHFFFAOYSA-N 0.000 description 1
- MLUWTGKWXYJUAE-UHFFFAOYSA-M CC1(C)C=C(CS(=O)(=O)[O-])C2=CC3=C(C=C2N1CCCCCC(=O)ON1C(=O)CCC1=O)OC(=O)C=C3C(F)(F)F.CCCC.CCN Chemical compound CC1(C)C=C(CS(=O)(=O)[O-])C2=CC3=C(C=C2N1CCCCCC(=O)ON1C(=O)CCC1=O)OC(=O)C=C3C(F)(F)F.CCCC.CCN MLUWTGKWXYJUAE-UHFFFAOYSA-M 0.000 description 1
- XKYYYHDEBATQGH-UHFFFAOYSA-N CN(C(C(C12)C(C3O4)OC1C3OP4(O)=O)=O)C2=O Chemical compound CN(C(C(C12)C(C3O4)OC1C3OP4(O)=O)=O)C2=O XKYYYHDEBATQGH-UHFFFAOYSA-N 0.000 description 1
- HHSHJGCKUBFZQW-UHFFFAOYSA-N CN1C(=O)C2C3OC(C4OP(=O)(O)OC43)C2C1=O.CNC(=O)CCC(=O)OC1C(OP(=O)(O)OC)C2OC1C1C(=O)N(C)C(=O)C21.CO.COP(=O)(O)OC1C(O)C2OC1C1C(=O)N(C)C(=O)C21.N.N.O.O Chemical compound CN1C(=O)C2C3OC(C4OP(=O)(O)OC43)C2C1=O.CNC(=O)CCC(=O)OC1C(OP(=O)(O)OC)C2OC1C1C(=O)N(C)C(=O)C21.CO.COP(=O)(O)OC1C(O)C2OC1C1C(=O)N(C)C(=O)C21.N.N.O.O HHSHJGCKUBFZQW-UHFFFAOYSA-N 0.000 description 1
- GEZBTMDDWFOHIT-UHFFFAOYSA-N CN1C2=C(C=CC=C2)C(C)(C)/C1=C/C=C/C1=[N+](CCCCCCN=[N+]=[N-])C2=CC=CC=C2C1(C)C.[Br-] Chemical compound CN1C2=C(C=CC=C2)C(C)(C)/C1=C/C=C/C1=[N+](CCCCCCN=[N+]=[N-])C2=CC=CC=C2C1(C)C.[Br-] GEZBTMDDWFOHIT-UHFFFAOYSA-N 0.000 description 1
- WGVJYDQIDOEMFM-UHFFFAOYSA-M CN1C2=C(C=CC=C2)C(C)(C)/C1=C\C=C(\C=C\C1=[N+](C)C2=CC=CC=C2C1(C)C)CCCN=[N+]=[N-].O=Cl(=O)(=O)[O-] Chemical compound CN1C2=C(C=CC=C2)C(C)(C)/C1=C\C=C(\C=C\C1=[N+](C)C2=CC=CC=C2C1(C)C)CCCN=[N+]=[N-].O=Cl(=O)(=O)[O-] WGVJYDQIDOEMFM-UHFFFAOYSA-M 0.000 description 1
- RVHNNWQIGIVKLP-UHFFFAOYSA-N CNCC1=CC=C(N=NC2=CC=C(C(=O)ON3C(=O)CCC3=O)C=C2)C=C1 Chemical compound CNCC1=CC=C(N=NC2=CC=C(C(=O)ON3C(=O)CCC3=O)C=C2)C=C1 RVHNNWQIGIVKLP-UHFFFAOYSA-N 0.000 description 1
- OKTJSMMVPCPJKN-UHFFFAOYSA-N Carbon Chemical compound [C] OKTJSMMVPCPJKN-UHFFFAOYSA-N 0.000 description 1
- 229920003043 Cellulose fiber Polymers 0.000 description 1
- RYGMFSIKBFXOCR-UHFFFAOYSA-N Copper Chemical compound [Cu] RYGMFSIKBFXOCR-UHFFFAOYSA-N 0.000 description 1
- 108010069514 Cyclic Peptides Proteins 0.000 description 1
- 102000001189 Cyclic Peptides Human genes 0.000 description 1
- QOSSAOTZNIDXMA-UHFFFAOYSA-N Dicylcohexylcarbodiimide Chemical compound C1CCCCC1N=C=NC1CCCCC1 QOSSAOTZNIDXMA-UHFFFAOYSA-N 0.000 description 1
- KRHYYFGTRYWZRS-UHFFFAOYSA-N Fluorane Chemical compound F KRHYYFGTRYWZRS-UHFFFAOYSA-N 0.000 description 1
- GYHNNYVSQQEPJS-OIOBTWANSA-N Gallium-67 Chemical compound [67Ga] GYHNNYVSQQEPJS-OIOBTWANSA-N 0.000 description 1
- 239000007821 HATU Substances 0.000 description 1
- WRYCSMQKUKOKBP-UHFFFAOYSA-N Imidazolidine Chemical compound C1CNCN1 WRYCSMQKUKOKBP-UHFFFAOYSA-N 0.000 description 1
- KFZMGEQAYNKOFK-UHFFFAOYSA-N Isopropanol Chemical compound CC(C)O KFZMGEQAYNKOFK-UHFFFAOYSA-N 0.000 description 1
- HWKNGGAIXUCYEG-UHFFFAOYSA-N N-(3-azidopropyl)-3',6'-dihydroxy-3-oxospiro[2-benzofuran-1,9'-xanthene]-5-carboxamide azide Chemical compound [N-]=[N+]=[N-].O1C(=O)C2=CC(C(=O)NCCCN=[N+]=[N-])=CC=C2C21C1=CC=C(O)C=C1OC1=CC(O)=CC=C21 HWKNGGAIXUCYEG-UHFFFAOYSA-N 0.000 description 1
- ITGODHVJRPEIPS-UHFFFAOYSA-N N-(3-azidopropyl)-4-pyren-1-ylbutanamide pyrene azide Chemical compound [N-]=[N+]=[N-].C1=CC=C2C=CC3=CC=CC4=CC=C1C2=C43.C1=C2C(CCCC(=O)NCCCN=[N+]=[N-])=CC=C(C=C3)C2=C2C3=CC=CC2=C1 ITGODHVJRPEIPS-UHFFFAOYSA-N 0.000 description 1
- QENDFXAAWUTRRV-UHFFFAOYSA-N N-(3-azidopropyl)-6-[(2E)-3,3-dimethyl-2-[(2E,4E)-5-(1,3,3-trimethylindol-1-ium-2-yl)penta-2,4-dienylidene]indol-1-yl]hexanamide chloride Chemical compound [Cl-].CN1\C(=C\C=C\C=C\C2=[N+](CCCCCC(=O)NCCCN=[N+]=[N-])C3=C(C=CC=C3)C2(C)C)C(C)(C)C2=CC=CC=C12 QENDFXAAWUTRRV-UHFFFAOYSA-N 0.000 description 1
- JWFYJJIXFMMPNH-UHFFFAOYSA-N N-(3-azidopropyl)-6-[(2E)-3,3-dimethyl-2-[(E)-3-(1,3,3-trimethylindol-1-ium-2-yl)prop-2-enylidene]indol-1-yl]hexanamide chloride Chemical compound [Cl-].CN1\C(=C\C=C\C2=[N+](CCCCCC(=O)NCCCN=[N+]=[N-])C3=C(C=CC=C3)C2(C)C)C(C)(C)C2=CC=CC=C12 JWFYJJIXFMMPNH-UHFFFAOYSA-N 0.000 description 1
- 238000005481 NMR spectroscopy Methods 0.000 description 1
- JCXJVPUVTGWSNB-UHFFFAOYSA-N Nitrogen dioxide Chemical compound O=[N]=O JCXJVPUVTGWSNB-UHFFFAOYSA-N 0.000 description 1
- YHTMLUJBXDCVND-UHFFFAOYSA-N O=C1C=CC2=C(C3=C(C(=O)O)C=C(CBr)C=C3)C3=C(C=C(O)C=C3)OC2=C1 Chemical compound O=C1C=CC2=C(C3=C(C(=O)O)C=C(CBr)C=C3)C3=C(C=C(O)C=C3)OC2=C1 YHTMLUJBXDCVND-UHFFFAOYSA-N 0.000 description 1
- 239000004952 Polyamide Substances 0.000 description 1
- 108010039918 Polylysine Proteins 0.000 description 1
- WTKZEGDFNFYCGP-UHFFFAOYSA-N Pyrazole Chemical compound C=1C=NNC=1 WTKZEGDFNFYCGP-UHFFFAOYSA-N 0.000 description 1
- BDJDTKYGKHEMFF-UHFFFAOYSA-M QSY7 succinimidyl ester Chemical compound [Cl-].C=1C=C2C(C=3C(=CC=CC=3)S(=O)(=O)N3CCC(CC3)C(=O)ON3C(CCC3=O)=O)=C3C=C\C(=[N+](\C)C=4C=CC=CC=4)C=C3OC2=CC=1N(C)C1=CC=CC=C1 BDJDTKYGKHEMFF-UHFFFAOYSA-M 0.000 description 1
- 239000012317 TBTU Substances 0.000 description 1
- FZWLAAWBMGSTSO-UHFFFAOYSA-N Thiazole Chemical compound C1=CSC=N1 FZWLAAWBMGSTSO-UHFFFAOYSA-N 0.000 description 1
- ZMZDMBWJUHKJPS-UHFFFAOYSA-M Thiocyanate anion Chemical compound [S-]C#N ZMZDMBWJUHKJPS-UHFFFAOYSA-M 0.000 description 1
- 239000003875 Wang resin Substances 0.000 description 1
- DGEZNRSVGBDHLK-UHFFFAOYSA-N [1,10]phenanthroline Chemical compound C1=CN=C2C3=NC=CC=C3C=CC2=C1 DGEZNRSVGBDHLK-UHFFFAOYSA-N 0.000 description 1
- HMNZFMSWFCAGGW-XPWSMXQVSA-N [3-[hydroxy(2-hydroxyethoxy)phosphoryl]oxy-2-[(e)-octadec-9-enoyl]oxypropyl] (e)-octadec-9-enoate Chemical compound CCCCCCCC\C=C\CCCCCCCC(=O)OCC(COP(O)(=O)OCCO)OC(=O)CCCCCCC\C=C\CCCCCCCC HMNZFMSWFCAGGW-XPWSMXQVSA-N 0.000 description 1
- NERFNHBZJXXFGY-UHFFFAOYSA-N [4-[(4-methylphenyl)methoxy]phenyl]methanol Chemical compound C1=CC(C)=CC=C1COC1=CC=C(CO)C=C1 NERFNHBZJXXFGY-UHFFFAOYSA-N 0.000 description 1
- KKJNQKVCZCNJDI-UHFFFAOYSA-N [N-]=[N+]=NC1=CC2=C(C=C(O)C=C2)OC1=O Chemical compound [N-]=[N+]=NC1=CC2=C(C=C(O)C=C2)OC1=O KKJNQKVCZCNJDI-UHFFFAOYSA-N 0.000 description 1
- FJQLLGFUUOOYKS-UHFFFAOYSA-N [N-]=[N+]=NCCCNC(=O)C1=CC2=C(C=C1)C1(OC2=O)C2=C(C=C(O)C=C2)OC2=C1C=CC(O)=C2 Chemical compound [N-]=[N+]=NCCCNC(=O)C1=CC2=C(C=C1)C1(OC2=O)C2=C(C=C(O)C=C2)OC2=C1C=CC(O)=C2 FJQLLGFUUOOYKS-UHFFFAOYSA-N 0.000 description 1
- BFKZFXLTOFLVKF-UHFFFAOYSA-N [N-]=[N+]=NCCCNC(=O)CCCC1=CC=C2C=CC3=C4C2=C1/C=C\C4=C\C=C/3 Chemical compound [N-]=[N+]=NCCCNC(=O)CCCC1=CC=C2C=CC3=C4C2=C1/C=C\C4=C\C=C/3 BFKZFXLTOFLVKF-UHFFFAOYSA-N 0.000 description 1
- CLZISMQKJZCZDN-UHFFFAOYSA-N [benzotriazol-1-yloxy(dimethylamino)methylidene]-dimethylazanium Chemical compound C1=CC=C2N(OC(N(C)C)=[N+](C)C)N=NC2=C1 CLZISMQKJZCZDN-UHFFFAOYSA-N 0.000 description 1
- 125000005073 adamantyl group Chemical group C12(CC3CC(CC(C1)C3)C2)* 0.000 description 1
- 229960000643 adenine Drugs 0.000 description 1
- 125000003158 alcohol group Chemical group 0.000 description 1
- 150000001298 alcohols Chemical class 0.000 description 1
- 125000003172 aldehyde group Chemical group 0.000 description 1
- 125000001931 aliphatic group Chemical group 0.000 description 1
- 150000001345 alkine derivatives Chemical class 0.000 description 1
- 125000000033 alkoxyamino group Chemical group 0.000 description 1
- 125000003282 alkyl amino group Chemical group 0.000 description 1
- 125000005012 alkyl thioether group Chemical group 0.000 description 1
- 125000003275 alpha amino acid group Chemical group 0.000 description 1
- 125000003368 amide group Chemical group 0.000 description 1
- 238000010640 amide synthesis reaction Methods 0.000 description 1
- 229910021529 ammonia Inorganic materials 0.000 description 1
- 239000000908 ammonium hydroxide Substances 0.000 description 1
- 238000004458 analytical method Methods 0.000 description 1
- 238000000137 annealing Methods 0.000 description 1
- 125000005428 anthryl group Chemical group [H]C1=C([H])C([H])=C2C([H])=C3C(*)=C([H])C([H])=C([H])C3=C([H])C2=C1[H] 0.000 description 1
- 108010072041 arginyl-glycyl-aspartic acid Proteins 0.000 description 1
- 238000003556 assay Methods 0.000 description 1
- HONIICLYMWZJFZ-UHFFFAOYSA-N azetidine Chemical compound C1CNC1 HONIICLYMWZJFZ-UHFFFAOYSA-N 0.000 description 1
- 239000011324 bead Substances 0.000 description 1
- 125000004196 benzothienyl group Chemical group S1C(=CC2=C1C=CC=C2)* 0.000 description 1
- 150000001565 benzotriazoles Chemical class 0.000 description 1
- 125000003236 benzoyl group Chemical group [H]C1=C([H])C([H])=C(C([H])=C1[H])C(*)=O 0.000 description 1
- 239000000872 buffer Substances 0.000 description 1
- 125000003739 carbamimidoyl group Chemical group C(N)(=N)* 0.000 description 1
- 125000003917 carbamoyl group Chemical group [H]N([H])C(*)=O 0.000 description 1
- 125000002837 carbocyclic group Chemical group 0.000 description 1
- 125000002915 carbonyl group Chemical group [*:2]C([*:1])=O 0.000 description 1
- 150000001732 carboxylic acid derivatives Chemical class 0.000 description 1
- 239000003054 catalyst Substances 0.000 description 1
- 210000000170 cell membrane Anatomy 0.000 description 1
- 238000010568 chiral column chromatography Methods 0.000 description 1
- 235000012000 cholesterol Nutrition 0.000 description 1
- 238000004587 chromatography analysis Methods 0.000 description 1
- WCZVZNOTHYJIEI-UHFFFAOYSA-N cinnoline Chemical compound N1=NC=CC2=CC=CC=C21 WCZVZNOTHYJIEI-UHFFFAOYSA-N 0.000 description 1
- 239000000470 constituent Substances 0.000 description 1
- 238000010276 construction Methods 0.000 description 1
- 150000004696 coordination complex Chemical class 0.000 description 1
- 229910052802 copper Inorganic materials 0.000 description 1
- 239000010949 copper Substances 0.000 description 1
- 229910000365 copper sulfate Inorganic materials 0.000 description 1
- ARUVKPQLZAKDPS-UHFFFAOYSA-L copper(II) sulfate Chemical compound [Cu+2].[O-][S+2]([O-])([O-])[O-] ARUVKPQLZAKDPS-UHFFFAOYSA-L 0.000 description 1
- 239000012043 crude product Substances 0.000 description 1
- 238000002425 crystallisation Methods 0.000 description 1
- 230000008025 crystallization Effects 0.000 description 1
- 125000001995 cyclobutyl group Chemical group [H]C1([H])C([H])([H])C([H])(*)C1([H])[H] 0.000 description 1
- 125000000640 cyclooctyl group Chemical group [H]C1([H])C([H])([H])C([H])([H])C([H])([H])C([H])(*)C([H])([H])C([H])([H])C1([H])[H] 0.000 description 1
- 125000001511 cyclopentyl group Chemical group [H]C1([H])C([H])([H])C([H])([H])C([H])(*)C1([H])[H] 0.000 description 1
- 125000001559 cyclopropyl group Chemical group [H]C1([H])C([H])([H])C1([H])* 0.000 description 1
- 125000000151 cysteine group Chemical group N[C@@H](CS)C(=O)* 0.000 description 1
- 229940104302 cytosine Drugs 0.000 description 1
- 238000006209 dephosphorylation reaction Methods 0.000 description 1
- 238000003745 diagnosis Methods 0.000 description 1
- 125000004663 dialkyl amino group Chemical group 0.000 description 1
- 230000004069 differentiation Effects 0.000 description 1
- MGHPNCMVUAKAIE-UHFFFAOYSA-N diphenylmethanamine Chemical compound C=1C=CC=CC=1C(N)C1=CC=CC=C1 MGHPNCMVUAKAIE-UHFFFAOYSA-N 0.000 description 1
- 238000004090 dissolution Methods 0.000 description 1
- 238000004821 distillation Methods 0.000 description 1
- 238000003379 elimination reaction Methods 0.000 description 1
- 230000002255 enzymatic effect Effects 0.000 description 1
- 238000001704 evaporation Methods 0.000 description 1
- 230000008020 evaporation Effects 0.000 description 1
- 230000005284 excitation Effects 0.000 description 1
- 230000005294 ferromagnetic effect Effects 0.000 description 1
- 238000001914 filtration Methods 0.000 description 1
- 239000007850 fluorescent dye Substances 0.000 description 1
- 125000001153 fluoro group Chemical group F* 0.000 description 1
- 229940006110 gallium-67 Drugs 0.000 description 1
- 230000008570 general process Effects 0.000 description 1
- 125000004438 haloalkoxy group Chemical group 0.000 description 1
- 125000001188 haloalkyl group Chemical group 0.000 description 1
- 125000004995 haloalkylthio group Chemical group 0.000 description 1
- 238000004128 high performance liquid chromatography Methods 0.000 description 1
- 229910000042 hydrogen bromide Inorganic materials 0.000 description 1
- 229910000040 hydrogen fluoride Inorganic materials 0.000 description 1
- ZMZDMBWJUHKJPS-UHFFFAOYSA-N hydrogen thiocyanate Natural products SC#N ZMZDMBWJUHKJPS-UHFFFAOYSA-N 0.000 description 1
- XLYOFNOQVPJJNP-UHFFFAOYSA-M hydroxide Chemical compound [OH-] XLYOFNOQVPJJNP-UHFFFAOYSA-M 0.000 description 1
- 125000002887 hydroxy group Chemical group [H]O* 0.000 description 1
- NPZTUJOABDZTLV-UHFFFAOYSA-N hydroxybenzotriazole Substances O=C1C=CC=C2NNN=C12 NPZTUJOABDZTLV-UHFFFAOYSA-N 0.000 description 1
- MTNDZQHUAFNZQY-UHFFFAOYSA-N imidazoline Chemical compound C1CN=CN1 MTNDZQHUAFNZQY-UHFFFAOYSA-N 0.000 description 1
- 229940055742 indium-111 Drugs 0.000 description 1
- APFVFJFRJDLVQX-AHCXROLUSA-N indium-111 Chemical compound [111In] APFVFJFRJDLVQX-AHCXROLUSA-N 0.000 description 1
- PZOUSPYUWWUPPK-UHFFFAOYSA-N indole Natural products CC1=CC=CC2=C1C=CN2 PZOUSPYUWWUPPK-UHFFFAOYSA-N 0.000 description 1
- RKJUIXBNRJVNHR-UHFFFAOYSA-N indolenine Natural products C1=CC=C2CC=NC2=C1 RKJUIXBNRJVNHR-UHFFFAOYSA-N 0.000 description 1
- LPAGFVYQRIESJQ-UHFFFAOYSA-N indoline Chemical compound C1=CC=C2NCCC2=C1 LPAGFVYQRIESJQ-UHFFFAOYSA-N 0.000 description 1
- HOBCFUWDNJPFHB-UHFFFAOYSA-N indolizine Chemical compound C1=CC=CN2C=CC=C21 HOBCFUWDNJPFHB-UHFFFAOYSA-N 0.000 description 1
- 125000003406 indolizinyl group Chemical group C=1(C=CN2C=CC=CC12)* 0.000 description 1
- 125000001041 indolyl group Chemical group 0.000 description 1
- 230000003834 intracellular effect Effects 0.000 description 1
- 125000002346 iodo group Chemical group I* 0.000 description 1
- 125000000959 isobutyl group Chemical group [H]C([H])([H])C([H])(C([H])([H])[H])C([H])([H])* 0.000 description 1
- 125000001449 isopropyl group Chemical group [H]C([H])([H])C([H])(*)C([H])([H])[H] 0.000 description 1
- ZLTPDFXIESTBQG-UHFFFAOYSA-N isothiazole Chemical compound C=1C=NSC=1 ZLTPDFXIESTBQG-UHFFFAOYSA-N 0.000 description 1
- CTAPFRYPJLPFDF-UHFFFAOYSA-N isoxazole Chemical compound C=1C=NOC=1 CTAPFRYPJLPFDF-UHFFFAOYSA-N 0.000 description 1
- 239000003446 ligand Substances 0.000 description 1
- 239000002502 liposome Substances 0.000 description 1
- 229920002521 macromolecule Polymers 0.000 description 1
- 125000005439 maleimidyl group Chemical group C1(C=CC(N1*)=O)=O 0.000 description 1
- 238000001819 mass spectrum Methods 0.000 description 1
- 230000008018 melting Effects 0.000 description 1
- 238000002844 melting Methods 0.000 description 1
- 229910021645 metal ion Inorganic materials 0.000 description 1
- 239000002082 metal nanoparticle Substances 0.000 description 1
- GPKUICFDWYEPTK-UHFFFAOYSA-N methoxycyclohexatriene Chemical compound COC1=CC=C=C[CH]1 GPKUICFDWYEPTK-UHFFFAOYSA-N 0.000 description 1
- 125000006357 methylene carbonyl group Chemical group [H]C([H])([*:1])C([*:2])=O 0.000 description 1
- 239000003068 molecular probe Substances 0.000 description 1
- 125000002757 morpholinyl group Chemical group 0.000 description 1
- 125000004108 n-butyl group Chemical group [H]C([H])([H])C([H])([H])C([H])([H])C([H])([H])* 0.000 description 1
- 125000003935 n-pentoxy group Chemical group [H]C([H])([H])C([H])([H])C([H])([H])C([H])([H])C([H])([H])O* 0.000 description 1
- 125000000740 n-pentyl group Chemical group [H]C([H])([H])C([H])([H])C([H])([H])C([H])([H])C([H])([H])* 0.000 description 1
- 125000004123 n-propyl group Chemical group [H]C([H])([H])C([H])([H])C([H])([H])* 0.000 description 1
- 229930014626 natural product Natural products 0.000 description 1
- 125000001971 neopentyl group Chemical group [H]C([*])([H])C(C([H])([H])[H])(C([H])([H])[H])C([H])([H])[H] 0.000 description 1
- QJGQUHMNIGDVPM-UHFFFAOYSA-N nitrogen group Chemical group [N] QJGQUHMNIGDVPM-UHFFFAOYSA-N 0.000 description 1
- 125000006574 non-aromatic ring group Chemical group 0.000 description 1
- 125000002868 norbornyl group Chemical group C12(CCC(CC1)C2)* 0.000 description 1
- 239000012038 nucleophile Substances 0.000 description 1
- 230000000269 nucleophilic effect Effects 0.000 description 1
- 239000012434 nucleophilic reagent Substances 0.000 description 1
- 239000002773 nucleotide Substances 0.000 description 1
- 125000003729 nucleotide group Chemical group 0.000 description 1
- 230000030648 nucleus localization Effects 0.000 description 1
- 238000002515 oligonucleotide synthesis Methods 0.000 description 1
- 238000005457 optimization Methods 0.000 description 1
- 150000007530 organic bases Chemical class 0.000 description 1
- 150000002894 organic compounds Chemical class 0.000 description 1
- 239000003960 organic solvent Substances 0.000 description 1
- 230000001590 oxidative effect Effects 0.000 description 1
- 150000002923 oximes Chemical class 0.000 description 1
- 230000005298 paramagnetic effect Effects 0.000 description 1
- 150000002972 pentoses Chemical class 0.000 description 1
- 238000010647 peptide synthesis reaction Methods 0.000 description 1
- 239000012071 phase Substances 0.000 description 1
- 229950000688 phenothiazine Drugs 0.000 description 1
- 125000000951 phenoxy group Chemical group [H]C1=C([H])C([H])=C(O*)C([H])=C1[H] 0.000 description 1
- 125000002467 phosphate group Chemical group [H]OP(=O)(O[H])O[*] 0.000 description 1
- 150000004714 phosphonium salts Chemical class 0.000 description 1
- PTMHPRAIXMAOOB-UHFFFAOYSA-L phosphoramidate Chemical compound NP([O-])([O-])=O PTMHPRAIXMAOOB-UHFFFAOYSA-L 0.000 description 1
- PTMHPRAIXMAOOB-UHFFFAOYSA-N phosphoramidic acid Chemical compound NP(O)(O)=O PTMHPRAIXMAOOB-UHFFFAOYSA-N 0.000 description 1
- 229940061584 phosphoramidic acid Drugs 0.000 description 1
- LFSXCDWNBUNEEM-UHFFFAOYSA-N phthalazine Chemical compound C1=NN=CC2=CC=CC=C21 LFSXCDWNBUNEEM-UHFFFAOYSA-N 0.000 description 1
- XKJCHHZQLQNZHY-UHFFFAOYSA-N phthalimide Chemical compound C1=CC=C2C(=O)NC(=O)C2=C1 XKJCHHZQLQNZHY-UHFFFAOYSA-N 0.000 description 1
- 125000003386 piperidinyl group Chemical group 0.000 description 1
- 239000002798 polar solvent Substances 0.000 description 1
- 229920002647 polyamide Polymers 0.000 description 1
- 229920000768 polyamine Polymers 0.000 description 1
- 108010011110 polyarginine Proteins 0.000 description 1
- 229920000656 polylysine Polymers 0.000 description 1
- 229920001184 polypeptide Polymers 0.000 description 1
- 229920001451 polypropylene glycol Polymers 0.000 description 1
- 238000001556 precipitation Methods 0.000 description 1
- 238000012545 processing Methods 0.000 description 1
- BDERNNFJNOPAEC-UHFFFAOYSA-N propan-1-ol Chemical compound CCCO BDERNNFJNOPAEC-UHFFFAOYSA-N 0.000 description 1
- CPNGPNLZQNNVQM-UHFFFAOYSA-N pteridine Chemical compound N1=CN=CC2=NC=CN=C21 CPNGPNLZQNNVQM-UHFFFAOYSA-N 0.000 description 1
- PBMFSQRYOILNGV-UHFFFAOYSA-N pyridazine Chemical compound C1=CC=NN=C1 PBMFSQRYOILNGV-UHFFFAOYSA-N 0.000 description 1
- UMJSCPRVCHMLSP-UHFFFAOYSA-N pyridine Natural products COC1=CC=CN=C1 UMJSCPRVCHMLSP-UHFFFAOYSA-N 0.000 description 1
- 125000000168 pyrrolyl group Chemical group 0.000 description 1
- 239000002096 quantum dot Substances 0.000 description 1
- JWVCLYRUEFBMGU-UHFFFAOYSA-N quinazoline Chemical compound N1=CN=CC2=CC=CC=C21 JWVCLYRUEFBMGU-UHFFFAOYSA-N 0.000 description 1
- 230000006340 racemization Effects 0.000 description 1
- 230000002285 radioactive effect Effects 0.000 description 1
- 239000012048 reactive intermediate Substances 0.000 description 1
- 238000004007 reversed phase HPLC Methods 0.000 description 1
- 238000012552 review Methods 0.000 description 1
- 239000002342 ribonucleoside Substances 0.000 description 1
- 125000002914 sec-butyl group Chemical group [H]C([H])([H])C([H])([H])C([H])(*)C([H])([H])[H] 0.000 description 1
- 239000012279 sodium borohydride Substances 0.000 description 1
- 229910000033 sodium borohydride Inorganic materials 0.000 description 1
- BEOOHQFXGBMRKU-UHFFFAOYSA-N sodium cyanoborohydride Chemical compound [Na+].[B-]C#N BEOOHQFXGBMRKU-UHFFFAOYSA-N 0.000 description 1
- 239000011343 solid material Substances 0.000 description 1
- 241000894007 species Species 0.000 description 1
- 230000003595 spectral effect Effects 0.000 description 1
- 238000010183 spectrum analysis Methods 0.000 description 1
- 230000000707 stereoselective effect Effects 0.000 description 1
- 238000003756 stirring Methods 0.000 description 1
- 230000004960 subcellular localization Effects 0.000 description 1
- 239000000758 substrate Substances 0.000 description 1
- 125000004434 sulfur atom Chemical group 0.000 description 1
- 238000010189 synthetic method Methods 0.000 description 1
- 229920001059 synthetic polymer Polymers 0.000 description 1
- 238000011191 terminal modification Methods 0.000 description 1
- 125000000999 tert-butyl group Chemical group [H]C([H])([H])C(*)(C([H])([H])[H])C([H])([H])[H] 0.000 description 1
- 125000005931 tert-butyloxycarbonyl group Chemical group [H]C([H])([H])C(OC(*)=O)(C([H])([H])[H])C([H])([H])[H] 0.000 description 1
- 125000003718 tetrahydrofuranyl group Chemical group 0.000 description 1
- 125000001544 thienyl group Chemical group 0.000 description 1
- 125000002813 thiocarbonyl group Chemical group *C(*)=S 0.000 description 1
- 125000003396 thiol group Chemical group [H]S* 0.000 description 1
- 229930192474 thiophene Natural products 0.000 description 1
- RYYWUUFWQRZTIU-UHFFFAOYSA-K thiophosphate Chemical compound [O-]P([O-])([O-])=S RYYWUUFWQRZTIU-UHFFFAOYSA-K 0.000 description 1
- 229940113082 thymine Drugs 0.000 description 1
- 125000005490 tosylate group Chemical group 0.000 description 1
- 230000007704 transition Effects 0.000 description 1
- YNJBWRMUSHSURL-UHFFFAOYSA-N trichloroacetic acid Chemical compound OC(=O)C(Cl)(Cl)Cl YNJBWRMUSHSURL-UHFFFAOYSA-N 0.000 description 1
- ITMCEJHCFYSIIV-UHFFFAOYSA-N triflic acid Chemical compound OS(=O)(=O)C(F)(F)F ITMCEJHCFYSIIV-UHFFFAOYSA-N 0.000 description 1
Images
Classifications
-
- C—CHEMISTRY; METALLURGY
- C07—ORGANIC CHEMISTRY
- C07H—SUGARS; DERIVATIVES THEREOF; NUCLEOSIDES; NUCLEOTIDES; NUCLEIC ACIDS
- C07H21/00—Compounds containing two or more mononucleotide units having separate phosphate or polyphosphate groups linked by saccharide radicals of nucleoside groups, e.g. nucleic acids
- C07H21/04—Compounds containing two or more mononucleotide units having separate phosphate or polyphosphate groups linked by saccharide radicals of nucleoside groups, e.g. nucleic acids with deoxyribosyl as saccharide radical
-
- A—HUMAN NECESSITIES
- A61—MEDICAL OR VETERINARY SCIENCE; HYGIENE
- A61K—PREPARATIONS FOR MEDICAL, DENTAL OR TOILETRY PURPOSES
- A61K47/00—Medicinal preparations characterised by the non-active ingredients used, e.g. carriers or inert additives; Targeting or modifying agents chemically bound to the active ingredient
- A61K47/50—Medicinal preparations characterised by the non-active ingredients used, e.g. carriers or inert additives; Targeting or modifying agents chemically bound to the active ingredient the non-active ingredient being chemically bound to the active ingredient, e.g. polymer-drug conjugates
- A61K47/51—Medicinal preparations characterised by the non-active ingredients used, e.g. carriers or inert additives; Targeting or modifying agents chemically bound to the active ingredient the non-active ingredient being chemically bound to the active ingredient, e.g. polymer-drug conjugates the non-active ingredient being a modifying agent
- A61K47/54—Medicinal preparations characterised by the non-active ingredients used, e.g. carriers or inert additives; Targeting or modifying agents chemically bound to the active ingredient the non-active ingredient being chemically bound to the active ingredient, e.g. polymer-drug conjugates the non-active ingredient being a modifying agent the modifying agent being an organic compound
- A61K47/549—Sugars, nucleosides, nucleotides or nucleic acids
-
- C—CHEMISTRY; METALLURGY
- C07—ORGANIC CHEMISTRY
- C07H—SUGARS; DERIVATIVES THEREOF; NUCLEOSIDES; NUCLEOTIDES; NUCLEIC ACIDS
- C07H21/00—Compounds containing two or more mononucleotide units having separate phosphate or polyphosphate groups linked by saccharide radicals of nucleoside groups, e.g. nucleic acids
-
- C—CHEMISTRY; METALLURGY
- C07—ORGANIC CHEMISTRY
- C07K—PEPTIDES
- C07K14/00—Peptides having more than 20 amino acids; Gastrins; Somatostatins; Melanotropins; Derivatives thereof
- C07K14/001—Peptides having more than 20 amino acids; Gastrins; Somatostatins; Melanotropins; Derivatives thereof by chemical synthesis
- C07K14/003—Peptide-nucleic acids (PNAs)
-
- Y—GENERAL TAGGING OF NEW TECHNOLOGICAL DEVELOPMENTS; GENERAL TAGGING OF CROSS-SECTIONAL TECHNOLOGIES SPANNING OVER SEVERAL SECTIONS OF THE IPC; TECHNICAL SUBJECTS COVERED BY FORMER USPC CROSS-REFERENCE ART COLLECTIONS [XRACs] AND DIGESTS
- Y10—TECHNICAL SUBJECTS COVERED BY FORMER USPC
- Y10S—TECHNICAL SUBJECTS COVERED BY FORMER USPC CROSS-REFERENCE ART COLLECTIONS [XRACs] AND DIGESTS
- Y10S977/00—Nanotechnology
- Y10S977/902—Specified use of nanostructure
- Y10S977/932—Specified use of nanostructure for electronic or optoelectronic application
Definitions
- the present technology relates generally to the preparation of oligo conjugates, which can be constituents of nano-scale information processing systems.
- the category of oligos encompasses polymers of 2′-deoxyribosenucleotide residues (DNA), ribonucleotide residues (RNA), or both DNA residues and RNA residues.
- the oligo category also includes polymers of peptide nucleic acids (PNAs) as well as heteropolymers that comprise both PNA monomers and RNA and/or DNA monomers.
- PNAs peptide nucleic acids
- Nucleic acids have been used to implement nano-scale information processing systems suitable for solving computational problems in a test tube or in a cell, as illustrated in U.S. patent application publications No. 20050112614, No. 20100069621 and No. 20110294687 and in U.S. Pat. No. 7,745,594.
- Such nano-scale systems typically must be compatible with a biological environment, particularly, if their potential for use in diagnostic assays or for treatment of diseases is to be realized.
- a nano-scale information processing system suitable for such uses requires several nucleic acid segments that can serve as computation units that are capable of performing logical operations.
- synthetic strategies that will permit the synthesis of a diverse array of oligos, at high purity, as well as strategies for conjugating or annealing such oligos in an efficient, well-controlled manner.
- the methodology of the invention accommodates various conjugation components, discussed in detail below, to yield conjugated molecules that comprise a predetermined number of the components, as desired.
- the inventive methodology thus can be used to develop nano-scale information processing systems, as described above.
- the invention is also suitable for producing biological transistors, which can be part of integrated circuits capable of executing compound logic functions, e.g., in diagnostic or therapeutic contexts that entail targeting of neoplastic or virus-infected cells.
- the invention provides a method for preparing a compound of the formula
- the inventive method comprises (i) attaching a conjugation component of formula
- R 2 is R 2a or R 2ap ,
- R 3 can be a protected conjugation functionality R 3ap or an unprotected conjugation functionality R 3a .
- R 3 is R 3a then (iv) the latter further reacts with an oligo.
- the oligo can comprise (a) a sequence of 2′-deoxyribosenucleotide residues (DNA), (b) a sequence of ribonucleotide residues (RNA), or (c) a sequence containing both 2′-deoxyribosenucleotide residues and ribosenucleotide residues.
- the oligo can be comprised of peptide nucleic acid monomers (PNAs), linked by amide bonds, or it can be a heteropolymer that has both PNA monomers and RNA and/or DNA monomeric units.
- PNAs peptide nucleic acid monomers
- An oligo may optionally comprise a label.
- ----- represents the point of connection to the part of the solid support-bound conjugated molecule that is closer to
- R 2 does not react with R 1a or R 1b and R 3 does not react with R 2a or R 2b as further described below.
- substituents R 1a and R 1b are complementary conjugation functionalities and L 1 is conjugate linker formed by reaction of R 1a and R 1b .
- selections of R 1a , R 1b and L 1 can be grouped as follows:
- R 1b is thio, and L 1 is
- R 1a and R 1b group X is selected from chlorine, bromine, fluorine, tosylate, mesylate, triflate, or dimethoxy triflate and n is 1, 2, 3, 4, 5, or 6.
- R 2a and R 2b are complementary conjugation functionalities and L 2 is conjugate linker formed by reaction of R 2a and R 2b , and they likewise can be groups as above.
- R 2b is thio, and L 2 is
- R 2a and R 2b group X is selected from chlorine, bromine, fluorine, tosylate, mesylate, triflate, or dimethoxy triflate.
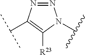
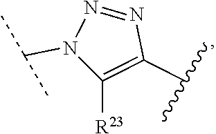
- R 23 is selected from the group consisting of hydrogen, alkyl, substituted alkyl, alkenyl, substituted alkenyl, alkynyl, substituted alkynyl, aryl, substituted aryl, cycloalkyl, substituted cycloalkyl, cycloalkenyl, substituted cycloalkenyl, cycloalkynyl, substituted cycloalkynyl, heteroaryl, substituted heteroaryl, heterocyclic, and substituted heterocyclic. It also is the case that:
- Pr is an amino protecting group
- R 24 is trityl or benzyl
- R 25 is hydrogen or C 1-6 alkyl
- s is an integer greater than 1;
- R 3ap is selected from the group consisting of halo, —NR 23 Pr, —O—P( ⁇ O)(OH)SR 24 , carboxy ester, phosphate and phosphate ester; and
- R 3a is selected from the group consisting of —X, azido, —C ⁇ C—R 23 , —NHR 23 , carboxy, hydroxy, —C( ⁇ O)OR 23 , —O—P( ⁇ O)(OH)SH and —O—P( ⁇ O)(OH)(X), and group X is selected from chlorine, bromine, fluorine, tosylate, mesylate, triflate, or dimethoxy triflate.
- the inventive methodology embodies an asymmetric conjugation strategy, illustrated in FIG. 1 .
- conjugation functionalities ⁇ , ⁇ are present at each end of a first oligo and conjugation functionalities ⁇ ′, ⁇ ′ at each end of a second oligo.
- FIG. 1 shows that (i) a reacts to form a new bond with ⁇ ′ and (ii) P reacts to form a new bond with ⁇ ′, but (iii) each of conjugation functionalities ⁇ or ⁇ ′ cannot react with ⁇ or ⁇ ′, respectively.
- two oligos, each having a different conjugation functionalities at their respective 5′-end and 3′-end are linked to obtain a di-oligo product.
- the asymmetric conjugation strategy of the invention permits the conjugation of components in a desired sequence and orientation, as exemplified by the product depicted in FIG. 1 .
- inventive methodology also can proceed in accordance with a symmetric conjugation strategy, depicted in FIG. 2 .
- every oligo has the same set of 5′- and 3′conjugation functionalities.
- oligo A and oligo B in FIG. 2 are shown to have the same set of ⁇ and ⁇ ′ functionalities at their respective termini.
- a polymer product containing oligo A and oligo B is obtained the by conjugating the unprotected ⁇ conjugation functionality of oligo A to solid support, the surface of which is functionalized with an ⁇ ′ group.
- the ⁇ ′ group at the other end of oligo A is protected, preventing unwanted conjugation between ⁇ and ⁇ ′ groups of separate oligo A molecules present in the reaction mixture.
- the tethered product is then allowed to come into contact with a molecule of oligo B, which has an unprotected ⁇ conjugation functionality at one end and a protected ⁇ ′ group at the other end.
- the present invention permits the “programmed” construction of a conjugated molecule of prescribed length and sequence. That is, production of a conjugated molecule pursuant to the invention can be designed beforehand and controlled in practice to determine, via the particular manner chosen by which the oligos are conjugated, the numbers and types of the oligos in the resultant conjugated molecule.
- R 1a and R 1b are complementary conjugation functionalities and L 1 is conjugate linker formed by reaction of R 1a and R 1b
- R 2a and R 2b are complementary conjugation functionalities
- L 2 is conjugate linker formed by reaction of R 2a and R 2b
- R 1a , R 1b , L 1 , R 2a , R 2b , L 2 , and R 3a are selected from
- X is selected from chlorine, bromine, fluorine, tosylate, mesylate, triflate, or dimethoxy triflate;
- R 23 is selected from the group consisting of hydrogen, alkyl, substituted alkyl, alkenyl, substituted alkenyl, alkynyl, substituted alkynyl, aryl, substituted aryl, cycloalkyl, substituted cycloalkyl, cycloalkenyl, substituted cycloalkenyl, cycloalkynyl, substituted cycloalkynyl, heteroaryl, substituted heteroaryl, heterocyclic, and substituted heterocyclic;
- R 25 is hydrogen or C 1-6 alkyl
- s is an integer of greater than 1;
- R ap is protected conjugation functionality which when deprotected is converted to R a
- R a and R b are complementary conjugation functionalities
- L is conjugate linker formed by reaction of R a and R b .
- R ap , R a , R b , and L are selected from
- X is selected from chlorine, bromine, fluorine, tosylate, mesylate, triflate, or dimethoxy triflate;
- Pr is an amino protecting group
- R 24 is trityl or benzyl
- the method of the invention entails preparing a compound of the formula
- the method comprises
- Z in the polymer product is selected from —OH, OH—(C 1 -C 10 )alkylene-, —COOH, NH 2 C(O)—, NH 2 NH—C(O)—, COOH—(C 1 -C 10 )alkylene-, NH 2 C(O)—(C 1 -C 10 )alkylene-, NH 2 NH—C(O)—(C 1 -C 10 )alkylene-, CH 2 ⁇ CH—(C 1 -C 10 )alkylene-, C ⁇ C—(C 1 -C 10 )alkylene- or HS—(C 1 -C 10 )alkylene- and the alkylene can be optionally substituted by one or more groups selected from —OH, halogen, —NHR′′, —NHC(O)—(C 1 -C 10 )alkylene-C ⁇ CH, or —NHC(O)—(C 1 -C 10 )alkylene-CH
- conjugation functionality R 3 can be labeled by converting a compound of the formula
- R 3 is brought into contact with an optically detectable group or a radiolabeled group, thereby to obtain a product that carries a detectable label.
- the labeled product can be cleaved from the solid support, in the manner described immediately above.
- the invention also provides a method for producing a conjugated molecule that is bound to a solid support, as represented by the formula
- R 2 is either a protected conjugation functionality R 2ap , or an unprotected conjugation functionality R 2a .
- R 2ap is selected from the group consisting of halo, NR 23 Pr, carboxy ester, phosphate, phosphate ester, and —O—P( ⁇ O)(OH)SR 24 .
- R 2ap is converted to R 2a .
- R 2a is a group selected from halo, azido, hydroxy, thio, —NHR 23 , carboxy,
- X is selected from chlorine, bromine, fluorine, tosylate, mesylate, triflate, or dimethoxy triflate.
- L 1 is selected from the group consisting of —C( ⁇ O)NR 23 —, —NR 23 C( ⁇ O)—, —(CR 25 R 25 )SC( ⁇ O)NR 23 —, —NR 23 C( ⁇ O)—(CR 25 R 25 )S—, —NR 23 —, —O—P( ⁇ O)(OH)—O—, —NR 23 —P( ⁇ O)(OH)—O—, —O—P( ⁇ O)(OH)—NR 23 —, —S—, —S—P( ⁇ O)(OH)—O—, and —O—P( ⁇ O)(OH)—S—,
- R 23 is selected from the group consisting of hydrogen, alkyl, substituted alkyl, alkenyl, C 1 substituted alkenyl, alkynyl, substituted alkynyl, aryl, substituted aryl, cycloalkyl, substituted cycloalkyl, cycloalkenyl, substituted cycloalkenyl, cycloalkynyl, substituted cycloalkynyl, heteroaryl, substituted heteroaryl, heterocyclic, and substituted heterocyclic,
- R 24 is trityl or benzyl
- R 25 is hydrogen or C 1-6 alkyl
- s is an integer of greater than 1,
- the invention provides a compound according formula:
- R 2 is a protected conjugation functionality R 2ap , or an unprotected conjugation functionality R 2a .
- substituent R 1b is selected from the group consisting of —C ⁇ C—R 23 , carboxy, —NHR 23 , halo, hydroxy, thio, azido, —O—P( ⁇ O)(OH)(X), —O—P( ⁇ O)(OH)SH, —(CR 25 R 25 ) s C( ⁇ O)OR 23 , and
- Group X is selected from chlorine, bromine, fluorine, tosylate, mesylate, triflate, or dimethoxy triflate.
- R 2ap is selected from the group consisting of halo, NR 23 Pr, carboxy ester, phosphate, phosphate ester, and —O—P( ⁇ O)(OH)SR 24 ,
- R 2a is selected from the group consisting of halo, azido, hydroxy, thio, —NHR 23 , carboxy, —NHR 23 , —O—P( ⁇ O)(OH)(X),
- R 23 is selected from the group consisting of hydrogen, alkyl, substituted alkyl, alkenyl, substituted alkenyl, alkynyl, substituted alkynyl, aryl, substituted aryl, cycloalkyl, substituted cycloalkyl, heteroaryl, substituted heteroaryl, heterocyclic, and substituted heterocyclic,
- R 24 is alkyl or benzyl
- Group X is as defined above.
- FIG. 1 illustrates an asymmetric conjugation strategy of the invention.
- FIG. 2 illustrates a symmetric conjugation strategy of the invention.
- FIGS. 3A and 3B Reagents for functionalizing the N-terminal of a PNA.
- FIG. 4 Reagents for functionalizing the C-terminal of a PNA
- Solid support refers to a solid material on which a compound can be attached during solid phase synthesis.
- This class of materials is exemplified as polystyrene, such as styrene cross-linked with 1-2% divinylbenzene, polyacrylamide, PEG-polystyrene (PEG-PS), PEG-based supports, which are composed of a PEG-polypropylene glycol network or PEG with polyamide or polystyrene, controlled pore glass, cellulose fibers, and highly cross-linked polystyrene, gel-type polymers supported by rigid matrices.
- polystyrene such as styrene cross-linked with 1-2% divinylbenzene, polyacrylamide, PEG-polystyrene (PEG-PS), PEG-based supports, which are composed of a PEG-polypropylene glycol network or PEG with polyamide or polystyrene, controlled pore glass, cellulose fibers, and highly
- oligo denotes a category, discussed above, that encompasses a polymer, having from 2 to about 150 covalently linked monomer units, that is characterized by (i) a sequence of 2′-deoxyribosenucleotide residues (DNA), (ii) a sequence of ribonucleotide residues (RNA), or (iii) a sequence containing both 2′-deoxyribosenucleotide residues and ribosenucleotide residues, which may be referred to as an oligonucleotide.
- DNA 2′-deoxyribosenucleotide residues
- RNA ribonucleotide residues
- oligonucleotide a sequence containing both 2′-deoxyribosenucleotide residues and ribosenucleotide residues
- the oligo category also encompasses polymers of peptide nucleic acid monomers (PNAs), in which the monomeric units are linked to each other by an amide bond.
- PNAs peptide nucleic acid monomers
- an oligo also can be a heteropolymer that has both PNA monomers and RNA and/or DNA monomeric units.
- the monomeric units of an oligonucleotide can be linked through a phosphodiester bond, a phosphorothioate bond, a methylphosphonate bond, or an amide (—C(O)—NH—) bond, as a function of the chemical nature of monomers used to synthesize the oligo.
- the oligo is functionalized through the conjugation of another group.
- the latter group also can be labeled with any manner of detectable group.
- “Peptide” refers to a polymer amino acid monomers (whether or not naturally occurring) linked by peptide bonds (also known as amide bonds) formed when the carboxyl carbon atom of the carboxylic acid group bonded to the alpha-carbon of one amino acid (or amino acid residue) becomes covalently bound to the amino nitrogen atom of the amino group bonded to the alpha-carbon of an adjacent amino acid (or amino acid residue).
- Amino acids which have been incorporated into a peptide are termed amino acid residues. Every peptide has an N-terminus and C-terminus residue on the ends of the peptide (except for cyclic peptides).
- Peptides typically have fewer than 50 amino acid residues.
- “Protein” refers polymers of amino acid monomers linked by peptide bonds that have more amino acid residues than peptides.
- PNA protein nucleic acid
- PNA refers to synthetic polymers comprising repeating N-(2-aminoethyl)-glycine units linked by amide bonds.
- the purine (adenine (A) guanine (G)) and pyrimidine (thymine (T) and cytosine (C)) bases are attached to the backbone through methylene carbonyl linkages.
- PNAs do not contain any pentose sugar moieties or phosphate groups. Examples of peptide nucleic acids are described in U.S. Pat. Nos. 5,539,082 and 6,395,474.
- “Peptide nucleic acid derivative” refers to a peptide nucleic acid wherein the N-(2-aminoethyl)-glycine backbone or one or more bases are modified, or which comprises additional moieties, as a metal complex or a detectable moiety.
- Illustrative of peptide nucleic acid derivatives are those described in Hudson et al., Pure Appl. Chem. 76: 1591-98 (2004), Imoto, Nucleic Acids Symp Ser 52: 391-92 (2008), Ferrer et al., Letters in Peptide Science 7: 195-206 (2000), Kramer et al., Metal Ions Life Sci. 10: 319-40 (2012), Verheijen et al., Bioconjugate Chem. 11: 741-43 (2000), and Ganesh, Current Organic Chem. 4: 931-43 (2000).
- Conjugation functionality refers to a functional group on a molecule that can react with a functional group on another molecule resulting in connection of the two molecules through the formation of one ore more covalent bonds.
- Conjugation functionalities are designated as ⁇ , ⁇ ′, ⁇ , ⁇ ′, R 1a , R 1b , R 2a , R 2b , etc. and described herein.
- the two conjugation functionalities that react with each other are referred to as complementary conjugation functionalities.
- ⁇ and ⁇ ′, ⁇ and ⁇ ′, R 1a and R 1b , R 2a and R 2b are pairs of complementary conjugation functionalities.
- Conjugation component refers to a molecule, such as an oligo, having at least one conjugation functionality.
- Conjugate linker refers to a linker formed by reaction of a conjugation functionality of one conjugation component with a complementary conjugation functionality of another conjugation component. Conjugate linkers are designated as L 2 and L 3 , etc., and are described herein.
- Conjugated molecule refers to a molecule having two or more conjugation components that are linked via a conjugate linker described herein.
- a conjugated molecule may be a conjugation component if it comprises a conjugation functionality.
- Alkyl refers to monovalent saturated aliphatic hydrocarbyl groups having from 1 to 10 carbon atoms and preferably 1 to 6 carbon atoms.
- C u-v alkyl refers to alkyl groups having from u to v carbon atoms, wherein u and v are integers.
- This term includes, by way of example, linear and branched hydrocarbyl groups such as methyl (CH 3 —), ethyl (CH 3 CH 2 —), n-propyl (CH 3 CH 2 CH 2 —), isopropyl ((CH 3 ) 2 CH—), n-butyl (CH 3 CH 2 CH 2 CH 2 —), isobutyl ((CH 3 ) 2 CHCH 2 —), sec-butyl ((CH 3 )(CH 3 CH 2 )CH—), t-butyl ((CH 3 ) 3 C—), n-pentyl (CH 3 CH 2 CH 2 CH 2 CH 2 —), and neopentyl ((CH 3 ) 3 CCH 2 —).
- linear and branched hydrocarbyl groups such as methyl (CH 3 —), ethyl (CH 3 CH 2 —), n-propyl (CH 3 CH 2 CH 2 —), isopropyl ((CH 3 ) 2 CH—),
- Alkenyl refers to straight or branched hydrocarbyl groups having from 2 to 6 carbon atoms and preferably 2 to 4 carbon atoms and having at least 1 and preferably from 1 to 2 sites of vinyl (>C ⁇ C ⁇ ) unsaturation. Such groups are exemplified, for example, by vinyl, allyl, and but-3-en-1-yl. Included within this term are the cis and trans isomers or mixtures of these isomers.
- Alkynyl refers to straight or branched monovalent hydrocarbyl groups having from 2 to 6 carbon atoms and preferably 2 to 3 carbon atoms and having at least 1 and preferably from 1 to 2 sites of acetylenic (—C ⁇ C—) unsaturation. Examples of such alkynyl groups include acetylenyl (—C ⁇ CH), and propargyl (—CH 2 C ⁇ CH).
- Substituted alkyl and “substituted C u-v alkyl” encompass an alkyl group having from 1 to 5 and, in some embodiments, 1 to 3 or 1 to 2 substituents selected from the group consisting of alkenyl, substituted alkenyl, alkynyl, substituted alkynyl, alkoxy, substituted alkoxy, acyl, acylamino, acyloxy, amino, substituted amino, aminocarbonyl, aminothiocarbonyl, aminocarbonylamino, aminocarbonyloxy, aminosulfonyl, aminosulfonyloxy, aminosulfonylamino, amidino, aryl, substituted aryl, aryloxy, substituted aryloxy, arylthio, substituted arylthio, azido, carboxyl, carboxyl ester, (carboxyl ester)amino, (carboxyl ester)oxy, cyano, cycloalkyl
- Substituted alkenyl refers to alkenyl groups having from 1 to 3 substituents, and preferably 1 to 2 substituents, selected from the group consisting of alkoxy, substituted alkoxy, acyl, acylamino, acyloxy, amino, substituted amino, aminocarbonyl, aminothiocarbonyl, aminocarbonylamino, aminocarbonyloxy, aminosulfonyl, aminosulfonyloxy, aminosulfonylamino, amidino, aryl, substituted aryl, aryloxy, substituted aryloxy, arylthio, substituted arylthio, carboxyl, carboxyl ester, (carboxyl ester)amino, (carboxyl ester)oxy, cyano, cycloalkyl, substituted cycloalkyl, cycloalkyloxy, substituted cycloalkyloxy, cycloalkylthio, substituted cycloalkyl
- Substituted alkynyl refers to alkynyl groups having from 1 to 3 substituents, and preferably 1 to 2 substituents, selected from the group consisting of alkoxy, substituted alkoxy, acyl, acylamino, acyloxy, amino, substituted amino, aminocarbonyl, aminothiocarbonyl, aminocarbonylamino, aminocarbonyloxy, aminosulfonyl, aminosulfonyloxy, aminosulfonylamino, amidino, aryl, substituted aryl, aryloxy, substituted aryloxy, arylthio, substituted arylthio, carboxyl, carboxyl ester, (carboxyl ester)amino, (carboxyl ester)oxy, cyano, cycloalkyl, substituted cycloalkyl, cycloalkyloxy, substituted cycloalkyloxy, cycloalkylthio, substituted cycloalky
- Alkoxy refers to the group —O-alkyl wherein alkyl is defined herein. Alkoxy includes, by way of example, methoxy, ethoxy, n-propoxy, isopropoxy, n-butoxy, t-butoxy, sec-butoxy, and n-pentoxy,
- Substituted alkoxy refers to the group —O-(substituted alkyl) wherein substituted alkyl is defined herein.
- “Acyl” refers to the groups H—C(O)—, alkyl-C(O)—, substituted alkyl-C(O)—, alkenyl-C(O)—, substituted alkenyl-C(O)—, alkynyl-C(O)—, substituted alkynyl-C(O)—, cycloalkyl-C(O)—, substituted cycloalkyl-C(O)—, cycloalkenyl-C(O)—, substituted cycloalkenyl-C(O)—, aryl-C(O)—, substituted aryl-C(O)—, heteroaryl-C(O)—, substituted heteroaryl-C(O)—, heterocyclic-C(O)—, and substituted heterocyclic-C(O)—, wherein alkyl, substituted alkyl, alkenyl, substituted alkenyl, alkynyl, substituted alkynyl,
- Acylamino refers to the groups —NR 15 C(O)alkyl, —NR 15 C(O)substituted alkyl, —NR 15 C(O)cycloalkyl, —NR 15 C(O)substituted cycloalkyl, —NR 15 C(O)cycloalkenyl, —NR 15 C(O)substituted cycloalkenyl, —NR 15 C(O)alkenyl, —NR 15 C(O)alkenyl, —NR 15 C(O)substituted alkenyl, —NR 15 C(O)alkynyl, —NR 15 C(O)substituted alkynyl, —NR 15 C(O)aryl, —NR 15 C(O)substituted aryl, —NR 15 C(O)heteroaryl, —NR 15 C(O)substituted heteroaryl, —NR 15 C(O)he
- “Acyloxy” refers to the groups alkyl-C(O)O—, substituted alkyl-C(O)O—, alkenyl-C(O)O—, substituted alkenyl-C(O)O—, alkynyl-C(O)O—, substituted alkynyl-C(O)O—, aryl-C(O)O—, substituted aryl-C(O)O—, cycloalkyl-C(O)O—, substituted cycloalkyl-C(O)O—, cycloalkenyl-C(O)O—, substituted cycloalkenyl-C(O)O—, heteroaryl-C(O)O—, substituted heteroaryl-C(O)O—, heterocyclic-C(O)O—, and substituted heterocyclic-C(O)O— wherein alkyl, substituted alkyl, alkenyl, substituted alkenyl, alkynyl,
- Amino refers to the group —NH 2 .
- “Substituted amino” refers to the group —NR′R′′ where R′ and R′′ are independently selected from the group consisting of hydrogen, alkyl, substituted alkyl, alkenyl, substituted alkenyl, alkynyl, substituted alkynyl, aryl, substituted aryl, cycloalkyl, substituted cycloalkyl, cycloalkenyl, substituted cycloalkenyl, heteroaryl, substituted heteroaryl, heterocyclic, substituted heterocyclic, —SO 2 -alkyl, —SO 2 -substituted alkyl, —SO 2 -alkenyl, —SO 2 -substituted alkenyl, —SO 2 -cycloalkyl, —SO 2 -substituted cycloalkyl, —SO 2 -cycloalkenyl, —SO 2 -substituted cycloalkenyl, —SO 2
- R′ is hydrogen and R′′ is alkyl
- the substituted amino group is sometimes referred to herein as alkylamino.
- R′ and R′′ are both alkyl
- the substituted amino group is sometimes referred to herein as dialkylamino.
- a monosubstituted amino it is meant that either R′ or R′′ is hydrogen but not both.
- a disubstituted amino it is meant that neither R′ nor R′′ are hydrogen.
- Aminocarbonyl refers to the group —C(O)NR 10 R 11 where R 10 and R 11 are independently selected from the group consisting of hydrogen, alkyl, substituted alkyl, alkenyl, substituted alkenyl, alkynyl, substituted alkynyl, aryl, substituted aryl, cycloalkyl, substituted cycloalkyl, cycloalkenyl, substituted cycloalkenyl, heteroaryl, substituted heteroaryl, heterocyclic, and substituted heterocyclic and where R 10 and R 11 are optionally joined together with the nitrogen bound thereto to form a heterocyclic or substituted heterocyclic group, and wherein alkyl, substituted alkyl, alkenyl, substituted alkenyl, alkynyl, substituted alkynyl, cycloalkyl, substituted cycloalkyl, cycloalkenyl, substituted cycloalkenyl, aryl, substituted aryl
- “Aminocarbonyloxy” refers to the group —OC(O)NR 10 R 11 where R 10 and R 11 are independently selected from the group consisting of hydrogen, alkyl, substituted alkyl, alkenyl, substituted alkenyl, alkynyl, substituted alkynyl, aryl, substituted aryl, cycloalkyl, substituted cycloalkyl, cycloalkenyl, substituted cycloalkenyl, heteroaryl, substituted heteroaryl, heterocyclic, and substituted heterocyclic and where R 10 and R 11 are optionally joined together with the nitrogen bound thereto to form a heterocyclic or substituted heterocyclic group, and wherein alkyl, substituted alkyl, alkenyl, substituted alkenyl, alkynyl, substituted alkynyl, cycloalkyl, substituted cycloalkyl, cycloalkenyl, substituted cycloalkenyl, aryl, substituted
- “Amidino” refers to the group —C( ⁇ NR 12 )NR 10 R 11 where R 10 , R 11 , and R 12 are independently selected from the group consisting of hydrogen, alkyl, substituted alkyl, alkenyl, substituted alkenyl, alkynyl, substituted alkynyl, aryl, substituted aryl, cycloalkyl, substituted cycloalkyl, cycloalkenyl, substituted cycloalkenyl, heteroaryl, substituted heteroaryl, heterocyclic, and substituted heterocyclic and where R 10 and R 11 are optionally joined together with the nitrogen bound thereto to form a heterocyclic or substituted heterocyclic group, and wherein alkyl, substituted alkyl, alkenyl, substituted alkenyl, alkynyl, substituted alkynyl, cycloalkyl, substituted cycloalkyl, cycloalkenyl, substituted cycloalkenyl,
- Aryl or “Ar” refers to a monovalent aromatic carbocyclic group of from 6 to 14 carbon atoms having a single ring (e.g., phenyl) or multiple condensed rings (e.g., naphthyl or anthryl) which condensed rings may or may not be aromatic (e.g., 2-benzoxazolinone, 2H-1,4-benzoxazin-3(4H)-one-7-yl, and the like) provided that the point of attachment is at an aromatic carbon atom.
- Preferred aryl groups include phenyl and naphthyl.
- “Substituted aryl” refers to aryl groups which are substituted with 1 to 5, preferably 1 to 3, or more preferably 1 to 2 substituents selected from the group consisting of alkyl, substituted alkyl, alkenyl, substituted alkenyl, alkynyl, substituted alkynyl, alkoxy, substituted alkoxy, acyl, acylamino, acyloxy, amino, substituted amino, aminocarbonyl, aminothiocarbonyl, aminocarbonylamino, aminocarbonyloxy, aminosulfonyl, aminosulfonyloxy, aminosulfonylamino, amidino, aryl, substituted aryl, aryloxy, substituted aryloxy, arylthio, substituted arylthio, carboxyl, carboxyl ester, (carboxyl ester)amino, (carboxyl ester)oxy, cyano, cycloalkyl, substituted cyclo
- Aryloxy refers to the group —O-aryl, where aryl is as defined herein, that includes, by way of example, phenoxy and naphthoxy.
- Substituted aryloxy refers to the group —O-(substituted aryl) where substituted aryl is as defined herein.
- Arylthio refers to the group —S-aryl, where aryl is as defined herein.
- Substituted arylthio refers to the group —S-(substituted aryl), where substituted aryl is as defined herein.
- Carbonyl refers to the divalent group —C(O)— which is equivalent to —C( ⁇ O)—.
- Carboxy or “carboxyl” refers to —COOH or a salt thereof.
- Carboxy ester refers to the groups —C(O)O-alkyl, —C(O)O-substituted alkyl, —C(O)O-alkenyl, —C(O)O-substituted alkenyl, —C(O)O-alkynyl, —C(O)O-substituted alkynyl, —C(O)O-aryl, —C(O)O-substituted aryl, —C(O)O-cycloalkyl, —C(O)O-substituted cycloalkyl, —C(O)O-heteroaryl, —C(O)O-substituted heteroaryl, —C(O)O-heterocyclic, and —C(O)O-substituted heterocyclic wherein alkyl, substituted alkyl, alkenyl, substituted alkenyl, alkyl
- (Carboxyl ester)amino refers to the group —NR 16 —C(O)O-alkyl, —NR 16 —C(O)O-substituted alkyl, —NR 16 —C(O)O-alkenyl, —NR 16 —C(O)O-substituted alkenyl, —NR 16 —C(O)O-alkynyl, —NR 16 —C(O)O— substituted alkynyl, —NR 16 —C(O)O-aryl, —NR 16 —C(O)O-substituted aryl, —NR 16 —C(O)O-cycloalkyl, —NR 16 —C(O)O-substituted cycloalkyl, —NR 16 —C(O)O-cycloalkenyl, —NR 16 —C(O)O-substituted cycloalkenyl, —
- Cyano refers to the group —CN.
- Cycloalkyl refers to cyclic alkyl groups of from 3 to 10 carbon atoms having single or multiple cyclic rings including fused, bridged, and spiro ring systems. One or more of the rings can be aryl, heteroaryl, or heterocyclic provided that the point of attachment is through the non-aromatic carbon.
- suitable cycloalkyl groups include, for instance, adamantyl, cyclopropyl, cyclobutyl, cyclopentyl, and cyclooctyl.
- Other examples of cycloalkyl groups include bicycle[2,2,2,]octanyl, norbornyl, and spirobicyclo groups such as spiro[4.5]dec-8-yl:
- Cycloalkenyl refers to non-aromatic cyclic alkyl groups of from 3 to 10 carbon atoms having single or multiple cyclic rings and having at least one >C ⁇ C ⁇ ring unsaturation and preferably from 1 to 2 sites of >C ⁇ C ⁇ ring unsaturation.
- Substituted cycloalkyl and “substituted cycloalkenyl” refers to a cycloalkyl or cycloalkenyl group having from 1 to 5 or preferably 1 to 3 substituents selected from the group consisting of oxo, thione, alkyl, substituted alkyl, alkenyl, substituted alkenyl, alkynyl, substituted alkynyl, alkoxy, substituted alkoxy, acyl, acylamino, acyloxy, amino, substituted amino, aminocarbonyl, aminothiocarbonyl, aminocarbonylamino, aminocarbonyloxy, aminosulfonyl, aminosulfonyloxy, aminosulfonylamino, amidino, aryl, substituted aryl, aryloxy, substituted aryloxy, arylthio, substituted arylthio, carboxyl, carboxyl ester, (carboxyl ester)
- Cycloalkyloxy refers to —O-cycloalkyl.
- Substituted cycloalkyloxy refers to —O-(substituted cycloalkyl).
- Cycloalkylthio refers to —S-cycloalkyl.
- Substituted cycloalkylthio refers to —S-(substituted cycloalkyl).
- Halo or “halogen” refers to fluoro, chloro, bromo and iodo.
- Haloalkyl refers to an alkyl group in which one or more hydrogen atoms are replaced by a halogen selected from chlorine, fluorine, bromine or iodine.
- Haloalkoxy refers to —O-alkyl group in which one or more hydrogen atoms of the alkyl group are replaced by a halogen selected from chlorine, fluorine, bromine or iodine.
- Haloalkylthio refers to —S-alkyl group in which one or more hydrogen atoms of the alkyl group are replaced by a halogen selected from chlorine, fluorine, bromine or iodine.
- “Hydroxy” or “hydroxyl” refers to the group —OH.
- Heteroaryl refers to a monocyclic aromatic group having 5 to 6 carbon atoms or a bicyclic ring having 8 to 10 carbon atoms containing 1 to 4 heteroatoms independently selected from the group consisting of oxygen, nitrogen and sulfur within the ring.
- Such heteroaryl groups can have a single ring (e.g., pyridinyl or furyl) or multiple condensed rings (e.g., indolizinyl or benzothienyl) wherein the condensed rings may or may not be aromatic and/or contain a heteroatom provided that the point of attachment is through an atom of the aromatic heteroaryl group.
- the nitrogen and/or the sulfur ring atom(s) of the heteroaryl group are optionally oxidized to provide for the N-oxide (N ⁇ O), sulfinyl, or sulfonyl moieties.
- Preferred heteroaryls include pyridinyl, pyrrolyl, indolyl, thiophenyl, and furanyl.
- Substituted heteroaryl refers to heteroaryl groups that are substituted with from 1 to 5, preferably 1 to 3, or more preferably 1 to 2 substituents selected from the group consisting of the same group of substituents defined for substituted aryl.
- Heteroaryloxy refers to —O-heteroaryl.
- Substituted heteroaryloxy refers to the group —O-(substituted heteroaryl).
- Heteroarylthio refers to the group —S-heteroaryl.
- Substituted heteroarylthio refers to the group —S-(substituted heteroaryl).
- Heterocycle or “heterocyclic” or “heterocycloalkyl” or “heterocyclyl” refers to a saturated or partially saturated, but not aromatic, group having from 1 to 10 ring carbon atoms and from 1 to 4 ring heteroatoms selected from the group consisting of nitrogen, sulfur, or oxygen. Heterocycle encompasses single ring or multiple condensed rings, including fused bridged and spiro ring systems. In fused ring systems, one or more the rings can be cycloalkyl, aryl, or heteroaryl provided that the point of attachment is through the non-aromatic ring. In one embodiment, the nitrogen and/or sulfur atom(s) of the heterocyclic group are optionally oxidized to provide for the N-oxide, sulfinyl, or sulfonyl moieties.
- Substituted heterocyclic or “substituted heterocycloalkyl” or “substituted heterocyclyl” refers to heterocyclyl groups that are substituted with from 1 to 5 or preferably 1 to 3 of the same substituents as defined for substituted cycloalkyl.
- Heterocyclyloxy refers to the group —O-heterocycyl.
- Substituted heterocyclyloxy refers to the group —O-(substituted heterocycyl).
- Heterocyclylthio refers to the group —S-heterocycyl.
- Substituted heterocyclylthio refers to the group —S-(substituted heterocycyl).
- heterocycle and heteroaryls include, but are not limited to, azetidine, pyrrole, imidazole, pyrazole, pyridine, pyrazine, pyrimidine, pyridazine, indolizine, isoindole, indole, dihydroindole, indazole, purine, quinolizine, isoquinoline, quinoline, phthalazine, naphthylpyridine, quinoxaline, quinazoline, cinnoline, pteridine, carbazole, carboline, phenanthridine, acridine, phenanthroline, isothiazole, phenazine, isoxazole, phenoxazine, phenothiazine, imidazolidine, imidazoline, piperidine, piperazine, indoline, phthalimide, 1,2,3,4-tetrahydroisoquinoline, 4,5,6,7
- Niro refers to the group —NO 2 .
- Oxo refers to the atom ( ⁇ O) or (—O′).
- “Spiro ring systems” refers to bicyclic ring systems that have a single ring carbon atom common to both rings.
- “Thioacyl” refers to the groups H—C(S)—, alkyl-C(S)—, substituted alkyl-C(S)—, alkenyl-C(S)—, substituted alkenyl-C(S)—, alkynyl-C(S)—, substituted alkynyl-C(S)—, cycloalkyl-C(S)—, substituted cycloalkyl-C(S)—, cycloalkenyl-C(S)—, substituted cycloalkenyl-C(S)—, aryl-C(S)—, substituted aryl-C(S)—, heteroaryl-C(S)—, substituted heteroaryl-C(S)—, heterocyclic-C(S)—, and substituted heterocyclic-C(S)—, wherein alkyl, substituted alkyl, alkenyl, substituted alkenyl, alkynyl, substituted alkynyl
- Thioether refers to the group —S—.
- Alkylthio refers to the group —S-alkyl wherein alkyl is as defined herein.
- Thiocarbonyl refers to the divalent group —C(S)— which is equivalent to —C( ⁇ S)—.
- Substituted alkylthio refers to the group —S-(substituted alkyl) wherein substituted alkyl is as defined herein.
- “Amino protecting” groups are known in the field and illustrated by N-tert-butoxycarbonyl (t-Boc), 9-fluorenylmethoxycarbonyl (Fmoc), carboxybenzyl (Cbz), acetyl (Ac), benzoyl (Bz), p-methoxybenzyl carbonyl (Moz or MeOZ), benzyl (Bn), p-methoxybenzyl (PMB), 3,4-dimethoxybenzyl (DMPM), p-methoxyphenyl (PMP), etc.
- Phosphate means —O—P( ⁇ O)(OH) 2 .
- Phosphate ester refers to —O—P( ⁇ O)(OH)(OR 23 ), wherein R 23 is selected from the group consisting of hydrogen, alkyl, substituted alkyl, alkenyl, substituted alkenyl, alkynyl, substituted alkynyl, aryl, substituted aryl, cycloalkyl, substituted cycloalkyl, heteroaryl, substituted heteroaryl, heterocyclic, and substituted heterocyclic.
- Phosphoramidate refers to the dianionic form of phosphoramidic acid [(OH) 2 P(O)NH 2 ].
- “Phosphonates” are organic compounds containing R 23 —PO(OH) 2 or R 23 —PO(OR) 2 groups where R is alkyl or aryl and R 23 is selected from the group consisting of hydrogen, alkyl, substituted alkyl, alkenyl, substituted alkenyl, alkynyl, substituted alkynyl, aryl, substituted aryl, cycloalkyl, substituted cycloalkyl, heteroaryl, substituted heteroaryl, heterocyclic, and substituted heterocyclic.
- tautomer denotes alternate forms of a compound that differ in the position of a proton.
- provided herewith is a method of preparing a solid support-bound conjugated molecule of the formula
- R 2 is R 2a or R 2ap ,
- R 3 is R 3a or R 3ap , or R 3 is selected from —OH, a detectable label, or another oligo;
- R 1a and R 1b are complementary conjugation functionalities
- L 1 is conjugate linker
- R 1a , R 1b , and L 1 are:
- R 1b is thio, and L 1 is
- R 1a and R 1b group X is selected from chlorine, bromine, fluorine, tosylate, mesylate, triflate, or dimethoxy triflate where n is 1, 2, 3, 4, 5, or 6.
- R 2a and R 2b are complementary conjugation functionalities
- L 2 is conjugate linker
- R 2ap , R 2a , R 2b , and L 2 are:
- R 2b is thio, and L 2 is
- R 1a and R 1b group X is selected from chlorine, bromine, fluorine, tosylate, mesylate, triflate, or dimethoxy triflate
- Substituent R 23 is selected from the group consisting of hydrogen, alkyl, substituted alkyl, alkenyl, substituted alkenyl, alkynyl, substituted alkynyl, aryl, substituted aryl, cycloalkyl, substituted cycloalkyl, cycloalkenyl, substituted cycloalkenyl, cycloalkynyl, substituted cycloalkynyl, heteroaryl, substituted heteroaryl, heterocyclic, and substituted heterocyclic, Pr is an amino protecting group, R 24 can be trityl or benzyl, substituent R 25 is hydrogen or C 1-6 alkyl and s is an integer greater than 1, for example, 2, 3, 4, 5, 6, 7, 8, 9, 10, 11, 12, 13, 14, 15, 16, 17, 18, 19, or 20.
- substituent R 3ap is a protected conjugation functionality selected from the group consisting of halo, —NR 23 Pr, —O—P( ⁇ O)(OH)SR 24 , carboxy ester, phosphate and phosphate ester; and R 3a is a conjugation functionality selected from the group consisting of azido, —C ⁇ C—R 23 , —NHR 23 , carboxy, halo, hydroxy, —(CR 25 R 25 ) s C( ⁇ O)OR 23 , —O—P( ⁇ O)(OH)SH and —O—P( ⁇ O)(OH)(X), where X is as defined above.
- R 2 is not permitted to react with R 1a or R 1b , nor is R 3 permitted to react with R 2a or R 2b .
- the symbol ----- represents the point of connection to the part of the solid support-bound conjugated molecule that is closer to
- the method is provided for preparing a solid support-bound conjugated molecule of the formula:
- R 3 is a protected conjugation functionality, such as the group R 3ap , deprotecting R 3ap to convert
- the deprotection step is followed by a conjugation step in which the solid support-bound conjugated molecule according to formula
- Substituent R 4 in the obtained product is a group selected from halo, —NR 23 Pr, —OH, —O—P( ⁇ O)(OH)SR 24 , carboxy ester, phosphate, phosphate ester, azido, —C ⁇ C—R 23 , —NHR 23 , carboxy, hydroxy, —(CR 25 R 25 ) s C( ⁇ O)OR 23 , —O—P( ⁇ O)(OH)SH, or —O—P( ⁇ O)(OH)(X).
- R 4 can also be a detectable label or another oligo selected from DNA, RNA, a polymer containing both DNA and RNA residues, or a polymer composed entirely of PNA monomers. In any event, R 4 does not react with R 3a or R 3b .
- the bond L 1 that binds the desired product to the solid support can be cleaved via a suitable cleavage method to give a conjugated molecule of the formula:
- the method used to cleave the oligo product from the resin support will depend on the type of resin used to synthesize the oligo product, the chemical structure of L 1 , the chemical identity of the other linkers (e.g., L 2 , L 3 ) in the product, as well as the stability of monomer groups in Oligos A, B and C to chemical reagents used to cleave the conjugated molecule from the solid support.
- the choice for using a particular resin will depend on protocols used for coupling the first monomer, the cleavage conditions to be used to obtain final product in high yield and the desired functionality, that is, the chemical nature of terminal group “Z” in the cleaved final product. Illustrative cleavage protocols are further described below.
- resin supports are commercially available. Exemplary of such supports without limitation are the controlled pore glass, PAM resin, benzhydrylamine resin (BHA), Wang resin, oxime resin (Kaiser), HMBA resin, Rink amide resin and PAL resin.
- Z in the cleaved product can be any one of the following groups —OH, OH—(C 1 -C 10 )alkylene-, —COOH, NH 2 C(O)—, NH 2 NH—C(O)—, COOH—(C 1 -C 10 )alkylene-, NH 2 C(O)—(C 1 -C 10 )alkylene-, NH 2 NH—C(O)—(C 1 -C 10 )alkylene-, CH 2 ⁇ CH—(C 1 -C 10 )alkylene-, C ⁇ C—(C 1 -C 10 )alkylene- or HS—(C 1 -C 10 )alkylene- and the alkylene can be optionally substituted by one or more groups selected from —OH, halogen, —NHR′′, —NHC(O)—(C 1 -C 10 )alkylene-C ⁇ CH, or —NHC(O)—
- Illustrative of reagents used to cleave the oligo product from the solid support include UV light, acids such as trifluoromethane sulfonic acid, trifluoroacetic acid, hydrogen bromide, acetic acid. Nucleophilic reagents such as sodium hydroxide, hydrazine, alcohols primary amines and hydrides can be used to cleave the oligo product off HMBA and oxime resins. If the oligo is conjugated to solid support “S” through a disulfide linkage, cleavage of the oligo product from the solid support can be facilitated using a reducing agents.
- acids such as trifluoromethane sulfonic acid, trifluoroacetic acid, hydrogen bromide, acetic acid.
- Nucleophilic reagents such as sodium hydroxide, hydrazine, alcohols primary amines and hydrides can be used to cleave the oligo product off HMBA and
- reagents suitable for cleaving a disulfide bond without limitation are ⁇ -mercaptoethanol dithiothreitol (DTT), tris-(2-carboxyethyl)phosphine (TCEP), or hydride reagents such as sodium borohydride and sodium cyanoborohydride.
- DTT ⁇ -mercaptoethanol dithiothreitol
- TCEP tris-(2-carboxyethyl)phosphine
- hydride reagents such as sodium borohydride and sodium cyanoborohydride.
- carboxylic acid group, alcohol group, aldehyde group or hydrazide group are obtained.
- the method further comprises repeating deprotection and conjugation steps described above “n” times to form a solid support-bound conjugated molecule of the formula:
- n is an integer equal to or greater than 1, for example, an integer of between 1 and 50, or 1 and 25, or 1 and 20, or 1 and 10, and each
- the intermediate product after each conjugation step has a terminal group R 4 .
- R 4 is a conjugation functionality selected from the group consisting of azido, —C ⁇ C—R 23 , —NHR 23 , carboxy, halo, hydroxy, —(CR 25 R 25 ) s C( ⁇ O)OR 23 , —O—P( ⁇ O)(OH)SH and —O—P( ⁇ O)(OH)Br
- R 4 is R 3a and the deprotection step of converting R 4 to R 3a may be omitted.
- the terminal protected conjugation functionality R 4 is first deprotected to obtain an intermediate that has the reactive conjugation functionality R 3a described above. This intermediate then can be contacted with the next conjugation component
- each set of R 3ap , R 3a , R 3b , and L 3 is independently selected from
- R 3b is thio, and L 3 is
- n is an integer starting from 1 and increasing by 1 after each optional deprotection and conjugation steps to a predetermined value “n”.
- subscript “n” in the resin bound conjugated molecule is an integer between 0 and 25, for example, “n” can be 0, 1, 2, 3, 4, 5, 6, 7, 8, 9, 10, 12, 14, 16, 18, 20, 22, or 24. Other variables are as defined above.
- R 3 is R 3a , a detectable label or an oligo.
- R 1a , R 1b and R 2a , R 2b are complementary conjugation functionalities, and L 1 and L 2 are conjugate linkers formed by reaction between R 1a and R 1b and between R 2a and R 2b , respectively.
- R 1a , R 1b , L 1 , R 2a , R 2b , L 2 , and R 3a are selected from:
- R 23 is selected from the group consisting of hydrogen, alkyl, substituted alkyl, alkenyl, substituted alkenyl, alkynyl, substituted alkynyl, aryl, substituted aryl, cycloalkyl, substituted cycloalkyl, cycloalkenyl, substituted cycloalkenyl, cycloalkynyl, substituted cycloalkynyl, heteroaryl, substituted heteroaryl, heterocyclic, and substituted heterocyclic; and
- R 4 in such as polymer can be a conjugation functionality selected from the definitions for conjugation functionalities R 1a , R 2a , or R 3a , provided above, a detectable label or a polymer encompassed by the category oligo described above, provided that R 4 does not react with R 3a or R 3b .
- the target polymer is cleaved from the solid support using a suitable cleavage method to give
- Z is selected from —OH, OH—(C 1 -C 10 )alkylene-, —COOH, NH 2 C(O)—, NH 2 NH—C(O)—, COOH—(C 1 -C 10 )alkylene-, NH 2 C(O)—(C 1 -C 10 )alkylene-, NH 2 NH—C(O)—(C 1 -C 10 )alkylene-, CH 2 ⁇ CH—(C 1 -C 10 )alkylene-, C ⁇ C—(C 1 -C 10 )alkylene- or HS—(C 1 -C 10 )alkylene- and the alkylene can be optionally substituted by one or more groups selected from —OH, halogen, —NHR′′, —NHC(O)—C 1 -C 10 )alkylene-C ⁇ CH, or —NHC(O)—(C 1 -C 10 )alkylene-CH ⁇ CH 2 .
- variable R′′ is selected from (C 1 -C 10 )alkyl, (C 3 -C 10 )cycloalkyl, or (C 3 -C 10 )aryl.
- Reagents that are useful for cleaving the oligo product from the solid support are similar to the ones described above.
- the method further comprises repeating the conjugation step “n” times to form a solid support-bound conjugated molecule according to the following formula:
- n is an integer of equal to or greater than 1, and each
- the intermediate product after each conjugation step has a terminal group R 4 .
- R 4 is a conjugation functionality R 3a
- this group permits the intermediate to react in subsequent conjugation steps with a complementary conjugation functionality R 3b that is present on one end of a conjugation component of the formula:
- the bond L 1 that binds the desired product to the solid support is cleaved under suitable cleavage conditions to give a conjugated molecule of the formula:
- terminal group Z is defined above.
- Each set of R 3a , R 3b , and L 3 is independently selected from
- R 3b is thio, and L 3 is
- n is an integer between 0 and 25, for example, “n” can be 0, 1, 2, 3, 4, 5, 6, 7, 8, 9, 10, 12, 14, 16, 18, 20, 22, or 24.
- R 1a , R 1b , R 2a , R 2b , R 3a , R 3b and R 4 are as defined above.
- R 3 can either be a protected conjugation functionality R ap , or R 3 is a group selected from a detectable label or a polymer of the category oligo.
- R a and R b are complementary conjugation functionalities and L is conjugate linker formed by reaction of R a and R b .
- R ap , R a , R b , and L are each independently selected from
- R 23 is selected from the group consisting of hydrogen, alkyl, substituted alkyl, alkenyl, substituted alkenyl, alkynyl, substituted alkynyl, aryl, substituted aryl, cycloalkyl, substituted cycloalkyl, cycloalkenyl, substituted cycloalkenyl, cycloalkynyl, substituted cycloalkynyl, heteroaryl, substituted heteroaryl, heterocyclic, and substituted heterocyclic;
- X is selected from chlorine, bromine, fluorine, tosylate, mesylate, triflate, or dimethoxy triflate;
- Pr is an amino protecting group
- R 24 is trityl or benzyl
- the present invention provides a method for preparing a solid support-bound conjugated molecule of the formula:
- R 4 is selected from the group consisting of R ap , a detectable label or a polymer from category oligo.
- the bond L that binds the desired product to the solid support can be cleaved under suitable cleavage conditions to give a conjugated molecule of the formula:
- the method further comprises repeating the deprotection and conjugation steps “n” times to form a solid support-bound conjugated molecule of the formula:
- Integer n in the product obtained using the described method can have a value equal to or greater than 1, and each
- the intermediate product after each conjugation step has a terminal group R 4 .
- R 4 is R ap
- R 4 is first converted to a conjugation functionality R a and then is contacted with a complementary conjugation functionality R b that is present on one end of the conjugation component of the formula:
- the bond L that binds the final product to the solid support is cleaved under suitable cleavage conditions to give a resin free conjugated molecule according to formula:
- terminal group Z in the resin free product is a group selected from —OH, OH—(C 1 -C 10 )alkylene-, —COOH, NH 2 C(O)—, NH 2 NH—C(O)—, COOH—(C 1 -C 10 )alkylene-, NH 2 C(O)—(C 1 -C 10 )alkylene-, NH 2 NH—CO—(C 1 -C 10 )alkylene-, CH 2 ⁇ CH—(C 1 -C 10 )alkylene-, C ⁇ C—(C 1 -C 10 )alkylene- or HS—(C 1 -C 10 )alkylene- and the alkylene can be optionally substituted by one or more groups selected from —OH, halogen, —NHR′′, —NHC(O)—(C 1 -C 10 )alkylene-C ⁇ CH, or —NHC(O)
- all R ap are the same, all R a are the same, R b are the same, and each L is the same, and these variables are as defined above.
- Scheme 3 An embodiment of this process is illustrated in Scheme 3.
- “m” is an integer that starts from 1 and increases by 1, after each pair of deprotection and conjugation steps, until a conjugated molecule having the prescribed number (“n”) of oligo units is obtained, where “n” is an integer between 0 and 25, for example, “n” can be 0, 1, 2, 3, 4, 5, 6, 7, 8, 9, 10, 12, 14, 16, 18, 20, 22, or 24. Other variables are as defined above.
- R 23 is hydrogen or C 1-6 alkyl.
- conjugation functionalities and the conjugate linker are:
- the invention provides a solid support represented by the formula:
- R 2 is R 2a or R 2ap ;
- R 2ap is selected from the group consisting of halo, NR 23 Pr, carboxy ester, —NR 23 Pr, —OH, phosphate, phosphate ester, and —O—P( ⁇ O)(OH)SR 24 ,
- R 2a is selected from the group consisting of halo, azido, hydroxy, thio, —NHR 23 , carboxy, —NHR 23 , —O—P( ⁇ O)(OH)(SH),
- R 23 is selected from the group consisting of hydrogen, alkyl, substituted alkyl, alkenyl, substituted alkenyl, alkynyl, substituted alkynyl, aryl, substituted aryl, cycloalkyl, substituted cycloalkyl, cycloalkenyl, substituted cycloalkenyl, cycloalkynyl, substituted cycloalkynyl, heteroaryl, substituted heteroaryl, heterocyclic, and substituted heterocyclic;
- Pr is an amino protecting group
- R 24 is trityl or benzyl
- R 25 is hydrogen or C 1-6 alkyl
- s is an integer of greater than 1;
- the invention provides a compound according to formula:
- R 2 is R 2a or R 2ap ,
- R 1b is selected from the group consisting of —C ⁇ C—R 23 , carboxy, —NHR 23 , halo, hydroxy, thio, azido, —O—P( ⁇ O)(OH)(X), —O—P( ⁇ O)(OH)SH, —(CR 25 R 25 ) s C( ⁇ O)OR 23 , and
- R 2ap is selected from the group consisting of halo, NR 23 Pr, carboxy ester, —OH, phosphate, phosphate ester, and —O—P( ⁇ O)(OH)SR 24 ;
- R 2a is selected from the group consisting of halo, azido, hydroxy, thio, —NHR 23 , carboxy, —O—P( ⁇ O)(OH)Br,
- R 23 is selected from the group consisting of hydrogen, alkyl, substituted alkyl, alkenyl, substituted alkenyl, alkynyl, substituted alkynyl, aryl, substituted aryl, cycloalkyl, substituted cycloalkyl, cycloalkenyl, substituted cycloalkenyl, cycloalkynyl, substituted cycloalkynyl, heteroaryl, substituted heteroaryl, heterocyclic, and substituted heterocyclic;
- R 24 is trityl or benzyl
- Pr is an amino protecting group
- R 2 does not react with R 1b .
- a conjugated molecule or a components of such molecule can comprise one or more labels that are attached directly or through a linker.
- labeling can permit detection of the presence, the whereabouts and/or the quantity of a certain conjugation component or of conjugated molecules.
- the labeling can allow differentiation of different conjugation components or conjugated molecules in a nano-scale information processing system as above.
- a “label” is a group that can be detected by any means. Accordingly, the category of suitable labels includes but is not limited to fluorescent moieties, bioluminescent moieties, chemiluminescent moieties, colorimetric moieties, enzymatic moieties that generate a detectable signal when contacted with a substrate, spectrally resolvable quantum dots, metal nanoparticles or nanoclusters, paramagnetic, superparamagnetic and ferromagnetic substances, fluorophores, quenchers, and the like.
- a label also can be a group that carries a radioactive atom, such as Gallium-67 and Indium-111.
- a label can be polypeptide or protein that acts as a receptor or as a ligand for a cognate molecule the binding of which generates a detectable signal.
- detectable moieties conjugated to another molecule are described in U.S. Pat. Nos. 4,855,225 and 5,188,934, in U.S. patent application publications No. 2005/0112065, No. 2007/0110798 and No. 2011/0077169, in published international application WO1991/005060, and in Lee et al., Nucleic Acids Res. 20: 2471-483 (1992). Additionally, multiple detectable groups can be attached to a single conjugation component or to a conjugated molecule to provide a combined signal that allows the conjugation component or conjugated molecule to be identified and distinguished from others to which are attached a different detectable moiety or a different set of detectable groups. That such combinations of detectable groups are known is evidenced, for example, those described in U.S. Pat. No. 6,632,609 and in Speicher et al., Nature Genetics 12: 368-75 (1996).
- Fluorophores also known as fluorescent dyes, are detectable groups that absorb light energy at a defined excitation wavelength and emit light energy at a different wavelength. Different fluorophores can be selected for use to give a mixture detectable groups that can be detected based on their spectral characteristics, particularly fluorescence emission wavelength and/or intensity, under certain detection conditions.
- Quenchers are detectable groups that are capable of absorbing the energy of an excited fluorescent detectable group when located in close proximity with the excited fluorescent detectable group and of dissipating that energy without the emission of visible light.
- quenchers include, but are not limited to, DABCYL (4-(4′-dimethylaminophenylazo)benzoic acid) succinimidyl ester, diarylrhodamine carboxylic acid, succinimidyl ester (QSY-7), and 4′,5′-dinitrofluorescein carboxylic acid, succinimidyl ester (QSY-33) (all available from Molecular Probes), quencherl (Q1; available from Epoch), or “black hole quenchers” BHQ-1, BHQ-2, and BHQ-3 (available from BioSearch, Inc.).
- the detectable group is selected from:
- conjugated molecules prepared by the methods described herein can be used to develop molecular processing networks, of different sizes and complexities, that are comprised of conditional nucleic acid-exchange reactions.
- the conjugated molecules also can be useful as biological transistors, which can constitute integrated circuits for executing compound logic functions, e.g., in diagnostic or therapeutic contexts that entail targeting of neoplastic or virus-infected cells.
- conjugated molecules of the invention can be employed to implement nano-scale information processing systems, suitable for solving computational problems in a test tube or in a cell. See U.S. patent application Ser. No. 13/072,438.
- such nano-scale systems can be compatible with biological environments and have the potential for use in the diagnosis and treatment of complex diseases, among other applications.
- conjugated molecules of the invention in the manner described here typically will entail transport of the molecules into cells. Any methodology suitable for such intracellular delivery can be employed. Illustrative of reagents that promote delivery into cells of macromolecules, such as the conjugated molecules of the invention, are transfecting agents, liposomes, dendrimers, cholesterol, see Percot et al., Int'l J. Pharm. 278: 143-63 (2004), and delivery peptides and proteins, including polyamines such as carboxy spermine, poly-Arginine, poly-Lysine and the RGD peptide.
- transport across a cell membrane could be achieved by coupling an inventive oligo covalently to a peptide that contains a cell internalization signal, a nuclear or sub-cellular localization signal, and/or a cell targeting and endocytosis-triggering signal.
- a peptide can be naturally-occurring or derived from synthetic or engineered proteins; e.g., the peptide can be a synthetic functional equivalent of naturally-occurring peptide. See Luo et al., Nature Biotechnology 18: 33-37 (2000), and U.S. Pat. No. 7,087,770.
- Cell delivery peptides and proteins can be covalently linked to the inventive oligo by a disulfide linkage.
- the cell delivery peptide containing a cysteine residue will be allowed to contact a free sulfhydryl containing oligo under oxidative conditions to facilitate the formation of the disulfide linkage.
- the progress of the conjugation reaction and eventual purification of the conjugated product can be performed by HPLC, using a C-18 reverse-phase column, and mass spectral analysis for identification of the product.
- a cell delivery peptide or protein will be first bound to the inventive oligo.
- the peptide- or protein-oligo complex then will be admixed with a transfection agent or mixture of agents, and the resulting mixture will be employed to deliver the oligo into cells.
- Suitable transfection agents include cationic lipid compositions, particularly monovalent and polyvalent cationic lipid compositions, more particularly LIPOFECTIN®, LIPOFECTAMINE®, CELLFECTIN®, DMRIE-C®, DOTAP®, and DOSPER®, and dendrimer compositions, particularly G5-G10 dendrimers, including dense star dendrimers, poly(amidoamine) dendrimers (PAMAM®), grafted dendrimers, and dendrimers known as dendrigrafts and SuperFect®.
- cationic lipid compositions particularly monovalent and polyvalent cationic lipid compositions, more particularly LIPOFECTIN®, LIPOFECTAMINE®, CELLFECTIN®, DMRIE-C®, DOTAP®, and DOSPER®
- dendrimer compositions particularly G5-G10 dendrimers, including dense star dendrimers, poly(amidoamine) dendrimers (PAMAM®), grafted den
- the starting materials for preparing conjugated molecules according to the present invention include but are limited to, oligonucleotides, nucleotide monomers, peptides, proteins, amino acids, peptide nucleic acids and peptide nucleic acid derivatives.
- the starting materials can be purchased from commercial vendors or synthesized prior to use.
- the inventive conjugation components are prepared by functionalizing a polymer within the category oligo to contain one or two conjugation functionalities.
- reaction temperatures i.e., reaction temperatures, times, mole ratios of reactants, solvents used and pressures.
- other process conditions can also be used unless otherwise stated.
- Optimum reaction conditions may vary depending on the reactants or solvents used, but such conditions can be determined by one skilled in the art by routine optimization procedures.
- Suitable protecting groups for various functional groups as well as suitable conditions for protecting and deprotecting particular functional groups are well known in the art. For instance, numerous protecting groups are described in T. W. Greene and G. M. Wuts, P ROTECTING G ROUPS IN O RGANIC S YNTHESIS , Third Edition (Wiley, New York, 1999), and publications cited there.
- oligos may contain one or more chiral centers.
- conjugated molecules can be prepared or isolated as pure stereoisomers, i.e., as individual enantiomers or diastereomers, or as mixtures of stereoisomer, such racemic mixtures. All such stereoisomers and mixtures of stereoisomers are within the scope of this invention.
- Such compounds can be prepared using optically active starting materials, for instance, or stereoselective reagents.
- a mixture of two or more stereoisomers can be resolved using chiral column chromatography or chiral resolving agents.
- Oligos that are oligonucleotides may be prepared by conventional solid-phase synthesis methodology, such as the phosphoramidite technique, which uses phosphoramidite building blocks derived from protected 2′-deoxynucleosides (dA, dC, dG, and T) and ribonucleosides (A, C, G, and U).
- the building blocks are sequentially coupled to the growing oligonucleotide chain in the order required by the sequence of the product.
- Peptides can be prepared from amino acids under amide coupling conditions, such as suing an amide coupling reagent.
- the peptides can be prepared using a solid-phase methodology as those described in F. F. Nord and R. B. Merrifield, S OLID -P HASE P EPTIDE S YNTHESIS (Wiley 2006).
- Peptide nucleic acids can be prepared according to conventional methods as described, for instance, in U.S. Pat. Nos. 5,539,082 and 6,395,474.
- conjugation components such as conjugation components, intermediates, and conjugated molecules
- conjugation components such as conjugation components, intermediates, and conjugated molecules
- characterization of these compounds may be performed using conventional methods such as by melting point, mass spectrum, nuclear magnetic resonance, and various other spectroscopic analyses.
- Example 1 A PNA Conjugation Component Conjugated with a DNA Conjugation Component
- Scheme 4 above illustrates a general protocol for conjugating a DNA to a peptide nucleic acid to obtain a heteropolymer.
- the 5′-terminal (5′-end) of an appropriately functionalized DNA is permitted to contact a reactive group on the C-terminus of a PNA moiety to synthesize a DNA-PNA heteropolymer (Scheme 4 path (A), 5′ to N-terminal conjugation).
- the conjugation reaction proceeds by providing a nucleophilic group, for example, a thiol, amine, or hydroxide at the 5-terminus of the DNA and a suitable leaving group such as halogen, mesylate, or tosylate at the N-terminus of the PNA.
- a nucleophilic group for example, a thiol, amine, or hydroxide
- conjugation can proceed by functionalizing the 5′-terminal of the Da to bear a suitable leaving group and allowing such a DNA moiety to react with a nucleophile attached to the N-terminus of a PNA.
- conjugation of the DNA to the PNA can proceed via the formation of a disulfide bond or the formation of an amide (peptide) bond.
- an alkyne functionalized DNA can be contacted with an azide functionalized PNA to form a triazole ring that connects the 5-terminus of the DNA to the N-terminus of the PNA.
- Protocols for conjugating a DNA to a PNA via an amide linkage, thioether linkage, or triazine moiety are further described below.
- the DNA-PNA heteropolymers thus obtained can be cleaved from the solid supports using a variety of cleaving reagent.
- cleaving reagent Depending on the type of solid support used and therefore, the nature of the bond conjugating the DNA or the PNA to a support, strong and weak acids such as hydrogen fluoride, trifluoroacetic acid, trichloroacetic acid, bases such as ammonia, amines, or other reagents such as hydrazine, uv light, and hydrides can be used to cleave the heteropolymer from the supports.
- the cleaving reagent is used along with scavengers to prevent racemization of the product.
- the conjugation product (X) is cleaved from the support through an elimination reaction under basic conditions (concentrated ammonium hydroxide).
- the specific support used in this case is a 1000 angstrom Controlled Pore Glass (CPG) bead functionalized with the UnySupport linker commercially available from GlenResearch.
- CPG Controlled Pore Glass
- a DNA-PNA heteropolymer that has a 3′ to C-terminal connectivity can be synthesized using a protocol similar to the one illustrated above in Scheme 4, path (B).
- the synthesis such a heteropolymer proceeds by introducing a functional group selected from one of the groups that define variable “A” in Scheme 5 above at the 3′-end of a DNA and contacting the functionalized DNA with a PNA whose C-terminus is separately functionalized to include a group that can react with the 3′-end of the DNA.
- FIGS. 3 and 4 illustrate reagents for N-terminal and C-terminal modifications of PNA's. Protocols for modifying the N- and C-termini of PNA's using these reagents are well known in the chemical art. See Andriy A. Mokhir et al., Bioconjugate Chem., (2003), 14 (5), pp 877-883; Brian D. Gildea et al., Tetrahedron Letters, (1998), Volume 39, Issue 40, pp 7255-7258
- Schemes 6-8 illustrate exemplary strategies for synthesizing a 3′-functionalized DNA.
- the product DNA's illustrated in each of Scheme 6-8 can be used to form the inventive DNA-PNA heteropolymer as further described below.
- Scheme 9 illustrates the synthesis of a DNA-PNA heteropolymer having a 5′ to C-terminal connectivity.
- the synthesis of the inventive conjugated molecule proceeds by contacting the amino group at 5′-end of the DNA (component 2-1) to the carboxyl group of a PNA (component 2-2).
- the product 2-3 is obtained through the formation of an amide bond using reaction conditions similar to those used for performing conventional amide-couplings.
- the numerical value of subscript “s” dictates the distance separating the PNA from the DNA in the final product and may influence the physical and/or biochemical properties of the heteropolymer.
- Suitable coupling reagents for forming an amide bond include carbodiimides, such as N—N′-dicyclohexylcarbodiimide (DCC), N—N′-diisopropylcarbodiimide (DIPCDI), and 1-ethyl-3-(3′-dimethylaminopropyl)carbodiimide (EDCI).
- the carbodiimides may be used alone or along with additives that promote and improve coupling efficiency.
- Such coupling additives include without limitation dimethylaminopyridine (DMAP) or compounds belonging to the class benzotriazoles, e.g., 7-aza-1-hydroxybenzotriazole (HOAt), 1-hydroxybenzotriazole (HOBt), and 6-chloro-1-hydroxybenzotriazole (Cl-HOBt).
- DMAP dimethylaminopyridine
- HOAt 7-aza-1-hydroxybenzotriazole
- HOBt 1-hydroxybenzotriazole
- Cl-HOBt 6-chloro-1-hydroxybenzotriazole
- Amide coupling reagents also include aminium and phosphonium based reagents.
- Aminium salts include N-[(dimethylamino)-1H-1,2,3-triazolo[4,5-b]pyridine-1-ylmethylene]-N-methylmethanaminium hexafluorophosphate N-oxide (HATU), N-[(1H-benzotriazol-1-yl)(dimethylamino)methylene]-N-methylmethanaminium hexafluorophosphate N-oxide (HBTU), N-[(1H-6-chlorobenzotriazol-1-yl)(dimethylamino)methylene]-N-methylmethanaminium hexafluorophosphate N-oxide (HCTU), N-[(1H-benzotriazol-1-yl)(dimethylamino)methylene]-N-methylmethanaminium tetrafluoroborate N-
- Phosphonium salts include 7-azabenzotriazol-1-yl-N-oxy-tris(pyrrolidino)phosphonium hexafluorophosphate (PyAOP) and benzotriazol-1-yl-N-oxy-tris(pyrrolidino)phosphonium hexafluorophosphate (PyBOP).
- An amide formation step may be conducted in a polar solvent such as dimethylformamide (DMF), where the solvent also may include an organic base such as diisopropylethylamine (DIEA) or dimethylaminopyridine (DMAP).
- DMF dimethylformamide
- DIEA diisopropylethylamine
- DMAP dimethylaminopyridine
- Heteropolymers having an amide linkage between the DNA and PNA units also are synthesized by permitting a PNA modified to have a free amino group at its C-terminus to contact a 5′-carboxyl DNA as illustrated below in Scheme 10.
- the final product having an amide conjugate linker is formed by contacting the amino group PNA conjugation component 2-2 with a (2,5-dioxopyrrolidin-1-yl)oxycarbonyl conjugation functionality of at the 5′-end of DNA conjugation component 3-1.
- Heteropolymers having a triazole linkage such as component 4-3 in Scheme 11 below are synthesized by contacting a 3′-alkynyl modified DNA (component 4-1) with a N-terminal azide modified PNA (component 4-2).
- the DNA can be functionalized to have an alkynyl group at its 5′-end and an azide at the C-terminal end of a PNA.
- synthesis proceeds as follows.
- the 5′-functionalized DNA is dissolved in a solution of water and alcohol.
- the ratio of water to alcohol is in the range from 3:1 to 1:3.
- alcohols include without limitation, ethanol, propanol, n-butanol, t-butanol and i-propanol.
- Other organic solvents such as dimethylformamide (DMF) can also be added to the aqueous-alcoholic DNA solution to enhance dissolution of DNA.
- DMF dimethylformamide
- a copper catalyst such as copper sulfate or CuI is added to the DNA solution, followed by the addition of a buffered solution of the PNA azide.
- cofactors such as tris-hydroxypropyltriazole can be added to the reaction mixture.
- the mole ratio of DNA to PNA in the reaction mixture can range from 1:1 to 1:3.
- the amount of DNA in the reaction mixture can be from about 1.0 nmoles to about 20 ⁇ moles, for example about 50 nmoles, 100 nmoles, 150 nmoles, 200 nmoles, 250 nmoles, 300 nmoles, 350 nmoles, 400 nmoles, 500 nmoles, 600 nmoles, 700 nmoles, 800 nmoles, 900 nmoles, 1 ⁇ mole, 2 ⁇ moles, 3 ⁇ moles, 4 ⁇ moles, 5 ⁇ moles, 6 ⁇ moles, 7 ⁇ moles, 8 ⁇ moles, 10 ⁇ moles, 12 ⁇ moles, 14 ⁇ moles, 16 ⁇ moles, 18 ⁇ moles, or 20 ⁇ moles.
- the amount of PNA is from about 1 nmoles to about 60 ⁇ moles such as about 1.0 nmoles, 3 nmoles, 6 nmoles, 9 nmoles, 12 nmoles, 15 nmoles, 18 nmoles, 21 nmoles, 24 nmoles, 27 nmoles, 30 nmoles, 40 nmoles, 50 nmoles, 100 nmoles, 150 nmoles, 200 nmoles, 250 nmoles, 300 nmoles, 350 nmoles, 400 nmoles, 500 nmoles, 600 nmoles, 700 nmoles, 800 nmoles, 900 nmoles, 1 ⁇ mole, 2 ⁇ moles, 3 ⁇ moles, 4 ⁇ moles, 5 ⁇ moles, 6 ⁇ moles, 7 ⁇ moles, 8 ⁇ mol
- the starting DNA or the PNA may be tethered to solid support.
- Solvents such as dichloromethane or DMF that hydrate and swell solid supports can be added to enhance conjugation.
- the final conjugated molecule i.e., DNA-PNA heteropolymer
- Scheme 12 illustrates the synthesis of a DNA-PNA heteropolymer (component 5-3) obtained by contacting a PNA having an alkynyl functionality at the C-terminal (component 5-2) with a 5′-azide functionalized DNA (component 5-1).
- the synthesis proceeds by contacting, a solid support 6-1 having an appropriate surface functional group, such as a bromo, a chloro, a tosylate, a mesylate, or any other suitable leaving group (a protected conjugation functionality) with an azide, (e.g., NaN 3 ), to form the azide functionalized solid support 6-2.
- an azide e.g., NaN 3
- the group “CL” conjugated to the solid support in the Scheme above can be a bicyclic molecule capable of undergoing a dephosphorylation reaction.
- Illustrative of a ‘CL’ moiety having a bicyclic core is the group illustrated below, where the indicates point to attachment to a solid support such as controlled pore glass.
- conjugation component 6-3 having the alkynyl conjugation functionality at one end and a bromo group at its other end to obtain a solid support conjugated component 6-4.
- conjugation functionality 6-5 can further react with a second conjugation component 6-3 to form a solid supported conjugated molecule which can be cleaved from the solid support to yield conjugated molecule 6-6.
- the solid supported conjugated molecule 6-5 can react with required number of conjugation components 6-3 prior to cleavage of the product from the solid support.
- the conjugation components 6-3 may be the same or different, but each of these conjugation components must have an alkynyl conjugation functionality and a bromo group at their respective termini.
- DNA-PNA heteropolymers having a 5′ to C-terminus connectivity via a thioether conjugate linker are synthesized by contacting a 5′-bromo modified DNA (component 7-1) with a C-terminal thiol modified PNA (component 7-2) as shown below in Scheme 14.
- the product is a conjugated molecule 7-3 that has an alkylthioether linkage.
- a thioether conjugate linker can be formed by contacting a thiol conjugation functionality of a DNA conjugation component 8-1 with a bromo conjugation functionality of a PNA conjugation component 8-2 under conditions to give conjugated molecule 8-3.
- the disulfide of a 3′-thiol functionalized DNA and a PNA having a N-terminal maleimide group can be used for synthesizing a DNA-PNA heteropolymer.
- the 3′-functionalized DNA is dissolved in a buffer and a reductant such as DTT, TCEP, [N,N′-dimethyl-N,N′-bis (mercaptoacetyl)hydrazine (DMH), bis(2-mercaptoethyl)sulfone (BMS) or meso-2,5-dimercapto-N,N,N′,N′-tetramethyladipamide (DTA) is added to the buffer solution.
- DTT dimethyl-N,N′-bis (mercaptoacetyl)hydrazine
- BMS bis(2-mercaptoethyl)sulfone
- DTA meso-2,5-dimercapto-N,N,N′,N′-tetramethyladip
- the amount of reductant added is greater than the amount of DNA present in the buffer solution and the reaction mixture is stirred at room temperature for about 1-2 hours.
- a solution of PNA in DMF is then added to the buffered solution of DNA and reductant. After stirring for 6-16 hours, the crude product is lyophilized, prior to purification using reverse-phase high performance liquid chromatography.
- the mole ratio of DNA to reductant in the buffer solution can range from 1:1.2 to 1:3.
- the mole ratio of DNA to PNA in the reaction mixture can range from 1:0.2 to 1:5.
- the amount of DNA in the reaction mixture can be in the range from about 5.0 nmoles to about 20 ⁇ moles both numbers inclusive, while the amount of PNA is from about 1 nmoles to about 100 ⁇ moles both numbers inclusive.
- the final volume of the reaction mixture can range from about 10 ⁇ l to about 1 mL.
- the conjugation reaction can be performed using a solid support bound DNA or a solid support bound PNA. In this case the final conjugated molecule (i.e., DNA-PNA heteropolymer) is cleaved from the support following synthesis.
Landscapes
- Chemical & Material Sciences (AREA)
- Health & Medical Sciences (AREA)
- Life Sciences & Earth Sciences (AREA)
- Biochemistry (AREA)
- Molecular Biology (AREA)
- Organic Chemistry (AREA)
- General Health & Medical Sciences (AREA)
- Engineering & Computer Science (AREA)
- Genetics & Genomics (AREA)
- Biotechnology (AREA)
- Medicinal Chemistry (AREA)
- Bioinformatics & Cheminformatics (AREA)
- Veterinary Medicine (AREA)
- Pharmacology & Pharmacy (AREA)
- Epidemiology (AREA)
- Animal Behavior & Ethology (AREA)
- Public Health (AREA)
- Biophysics (AREA)
- Proteomics, Peptides & Aminoacids (AREA)
- Gastroenterology & Hepatology (AREA)
- General Chemical & Material Sciences (AREA)
- Chemical Kinetics & Catalysis (AREA)
- Pharmaceuticals Containing Other Organic And Inorganic Compounds (AREA)
- Medicinal Preparation (AREA)
- Physics & Mathematics (AREA)
- Evolutionary Biology (AREA)
- Theoretical Computer Science (AREA)
- Saccharide Compounds (AREA)
- Bioinformatics & Computational Biology (AREA)
- General Engineering & Computer Science (AREA)
- Evolutionary Computation (AREA)
- Computing Systems (AREA)
- Artificial Intelligence (AREA)
- General Physics & Mathematics (AREA)
- Mathematical Physics (AREA)
- Software Systems (AREA)
- Data Mining & Analysis (AREA)
- Computational Linguistics (AREA)
- Biomedical Technology (AREA)
- Medicines Containing Antibodies Or Antigens For Use As Internal Diagnostic Agents (AREA)
Abstract
Conjugated molecules are prepared that comprise a predetermined number of oligo conjugation components. The conjugated molecules also may comprise one or more detectable labels. Preparation of these molecules can be implemented according to an asymmetric or a symmetric conjugation strategy.
Description
- This application is a continuation of U.S. application Ser. No. 16/381,831, filed Apr. 11, 2019, which is a continuation of U.S. application Ser. No. 15/042,064, filed Feb. 11, 2016, now abandoned, which is continuation of U.S. application Ser. No. 13/790,922, filed Mar. 8, 2013, now U.S. Pat. No. 9,289,502, issued Mar. 22, 2016, all of which are hereby incorporated by reference in their entireties.
- The present technology relates generally to the preparation of oligo conjugates, which can be constituents of nano-scale information processing systems. In this context, the category of oligos encompasses polymers of 2′-deoxyribosenucleotide residues (DNA), ribonucleotide residues (RNA), or both DNA residues and RNA residues. The oligo category also includes polymers of peptide nucleic acids (PNAs) as well as heteropolymers that comprise both PNA monomers and RNA and/or DNA monomers.
- Nucleic acids have been used to implement nano-scale information processing systems suitable for solving computational problems in a test tube or in a cell, as illustrated in U.S. patent application publications No. 20050112614, No. 20100069621 and No. 20110294687 and in U.S. Pat. No. 7,745,594. Such nano-scale systems typically must be compatible with a biological environment, particularly, if their potential for use in diagnostic assays or for treatment of diseases is to be realized.
- A nano-scale information processing system suitable for such uses requires several nucleic acid segments that can serve as computation units that are capable of performing logical operations. Thus, there exists a need to develop synthetic strategies that will permit the synthesis of a diverse array of oligos, at high purity, as well as strategies for conjugating or annealing such oligos in an efficient, well-controlled manner.
- The methodology of the invention accommodates various conjugation components, discussed in detail below, to yield conjugated molecules that comprise a predetermined number of the components, as desired. The inventive methodology thus can be used to develop nano-scale information processing systems, as described above. In particular, the invention is also suitable for producing biological transistors, which can be part of integrated circuits capable of executing compound logic functions, e.g., in diagnostic or therapeutic contexts that entail targeting of neoplastic or virus-infected cells.
- Accordingly, the invention provides a method for preparing a compound of the formula
- The inventive method comprises
(i) attaching a conjugation component of formula - wherein R2 is R2a or R2ap,
- to a solid support
- to form a compound of formula
- (ii) when R2 is R2ap, converting to
- to
- and
(iii) reacting - with a conjugation component of formula
- where R3 can be a protected conjugation functionality R3ap or an unprotected conjugation functionality R3a. When R3 is R3a then (iv) the latter further reacts with an oligo. As noted above, the oligo can comprise (a) a sequence of 2′-deoxyribosenucleotide residues (DNA), (b) a sequence of ribonucleotide residues (RNA), or (c) a sequence containing both 2′-deoxyribosenucleotide residues and ribosenucleotide residues. Alternatively, the oligo can be comprised of peptide nucleic acid monomers (PNAs), linked by amide bonds, or it can be a heteropolymer that has both PNA monomers and RNA and/or DNA monomeric units. An oligo may optionally comprise a label.
- The reaction (iv) forms
- where
- is a solid support material and
- are independently selected from the category of oligos, defined above. In addition, ----- represents the point of connection to the part of the solid support-bound conjugated molecule that is closer to
- The inventive methodology thus described is qualified in that R2 does not react with R1a or R1b and R3 does not react with R2a or R2b as further described below. Furthermore, substituents R1a and R1b are complementary conjugation functionalities and L1 is conjugate linker formed by reaction of R1a and R1b. In keeping with this characterization of their respective chemical roles, selections of R1a, R1b and L1 can be grouped as follows:
-
- (a) R1a is azido, R1b is —C≡C—R23, and L1 is
- or
-
- (b) R1a is —NHR23, R1b is carboxy, and L1 is —NR23C(═O)—, or
- (c) R1a is carboxy, R1b is —NHR23, and L1 is —C(═O)NR23—, or
- (d) R1a is —NHR23, R1b is halo, and L1 is —NR23—, or
- (e) R1a is —O—P(═O)(OH)(X), R1b is hydroxy, and L1 is —O—P(═O)(OH)—O—, or
- (f) R1a is —O—P(═O)(OH)(X), R1b is —NHR23, and L1 is —O—P(═O)(OH)—NR23—, or
- (g) R1a is —O—P(═O)(OH)(X), R1b is thio, and L1 is —O—P(═O)(OH)—S—, or
- (h) R1a is —X, R1b is thio, and L1 is —S—, or
- (i) R1a is
- R1b is thio, and L1 is
- r
-
- (j) R1a is —C≡C—R23, R1b is azido, and L1 is
- or
-
- (k) R1a is —X, R1b is —NHR23, and L1 is —NR23—, or
- (l) R1a is hydroxy, R1b is —O—P(═O)(OH)(X), and L1 is —O—P(═O)(OH)—O—, or
- (m) R1a is —NHR23, R1b is —O—P(═O)(OH)(X), and L1 is —NR23—P(═O)(OH)—O—, or
- (n) R1a is thio, R1b is —O—P(═O)(OH)(X), and L1 is —S—P(═O)(OH)—O—, or
- (o) R1a is —O—P(═O)(OH)SH, R1b is —X, and L1 is —O—P(═O)(OH)—S—, or
- (p) R1a is —X, R1b is —O—P(═O)(OH)SH, and L1 is —S—P(═O)(OH)—O—, or
- (q) R1a is —(CR25R25)SC(═O)OR23, R1b is —NHR23, L1 is —(CR25R25)sC(═O)NR23—, or
- (r) R1a is —NHR23, R1b is —(CR25R25)sC(═O)OR23, L1 is —NR23C(═O)—(CR25R25)s—, or
- (s) R1a is thio, R1b is —X, and L1 is —S—, or
- (t) R1a is thio, R1b is
-
- or
-
- (u) R1a is —SH, R1b is —O—P(═O)(OH)(O—(CH2)n—SH) and L1 is —S—S—(CH2)n—O—P(OH)(═O)—O—.
- In the above characterization of R1a and R1b group X is selected from chlorine, bromine, fluorine, tosylate, mesylate, triflate, or dimethoxy triflate and n is 1, 2, 3, 4, 5, or 6.
- Similarly, R2a and R2b are complementary conjugation functionalities and L2 is conjugate linker formed by reaction of R2a and R2b, and they likewise can be groups as above.
-
- (a′) R2ap is halo, R2a is azido, R2b is —C≡C—R23, and L2 is
- or
-
- (b′) R2ap is —NR23Pr, R2a is —NHR23, R2b is carboxy, and L2 is —NR23C(═O)—, or
- (c′) R2ap is carboxy ester, R2a is carboxy, R2b is —NHR23, and L2 is —C(═O)NR23—, or
- (d′) R2ap is —NR23Pr, R2a is —NHR23, R2b is halo, and L2 is —NR23—, or
- (e′) R2ap is —OH, phosphate or phosphate ester, R2a is —O—P(═O)(OH)(X), R2b is hydroxy, and L2 is —O—P(═O)(OH)—O—, or
- (f′) R2ap is —OH, phosphate or phosphate ester, R2a is —O—P(═O)(OH)(X), R2b is —NHR23, and L2 is —O—P(═O)(OH)—NR23—, or
- (g′) R2ap is —OH, phosphate or phosphate ester, R2a is —O—P(═O)(OH)(X), R2b is thio, and L2 is —O—P(═O)(OH)—S—, or
- (h′) R2a is halo, R2b is thio, and L2 is —S—, or
- (i′) R2a is
- R2b is thio, and L2 is
- or
-
- (j′) R2a is —C≡C—R23, R2b is azido, and L2 is
- or
-
- (k′) R2a is —X, R2b is —NHR23, and L2 is —NR23—, or
- (l′) R2a is hydroxy, R2b is —O—P(═O)(OH)(X), and L2 is —O—P(═O)(OH)—O—, or
- (m′) R2a is —NHR23, R2b is —O—P(═O)(OH)(X), and L2 is —NR23—P(═O)(OH)—O—, or
- (n′) R2a is thio, R2b is —O—P(═O)(OH)(X), and L2 is —S—P(═O)(OH)—O—, or (o′) R2ap is —O—P(═O)(OH)SR24, R2a is —O—P(═O)(OH)SH, R2b is —X, and L2 is —O—P(═O)(OH)—S—, or
- (p′) R2a is —X, R2b is —O—P(═O)(OH)SH, and L2 is —S—P(═O)(OH)—O—, or
- (q′) R2a is —(CR25R25)sC(═O)OR23, R2b is —NHR23, L2 is —(CR25R25)sC(═O)NR23—, or
- (r′) R2a is —NHR23, R2b is —(CR25R25)sC(═O)OR23, L2 is —NR23C(═O)—(CR25R25)s—, or
- (s′) R2a is thio, R2b is —X, and L2 is —S—, or
- (t′) R2a is thio, R2b is
-
- or
-
- (u′) R2a is —SH, R2b is —O—P(═O)(OH)(O—(CH2)n—SH) and L2 is —S—S—(CH2)n—O—P(OH)(═O)—O—.
- In the above characterization of R2a and R2b group X is selected from chlorine, bromine, fluorine, tosylate, mesylate, triflate, or dimethoxy triflate.
- In the foregoing description, R23 is selected from the group consisting of hydrogen, alkyl, substituted alkyl, alkenyl, substituted alkenyl, alkynyl, substituted alkynyl, aryl, substituted aryl, cycloalkyl, substituted cycloalkyl, cycloalkenyl, substituted cycloalkenyl, cycloalkynyl, substituted cycloalkynyl, heteroaryl, substituted heteroaryl, heterocyclic, and substituted heterocyclic. It also is the case that:
- Pr is an amino protecting group;
- R24 is trityl or benzyl;
- R25 is hydrogen or C1-6 alkyl;
- s is an integer greater than 1;
- R3ap is selected from the group consisting of halo, —NR23Pr, —O—P(═O)(OH)SR24, carboxy ester, phosphate and phosphate ester; and
- R3a is selected from the group consisting of —X, azido, —C≡C—R23, —NHR23, carboxy, hydroxy, —C(═O)OR23, —O—P(═O)(OH)SH and —O—P(═O)(OH)(X), and group X is selected from chlorine, bromine, fluorine, tosylate, mesylate, triflate, or dimethoxy triflate.
- In one of its aspects, the inventive methodology embodies an asymmetric conjugation strategy, illustrated in
FIG. 1 . As shown, conjugation functionalities α, β are present at each end of a first oligo and conjugation functionalities α′, β′ at each end of a second oligo.FIG. 1 shows that (i) a reacts to form a new bond with α′ and (ii) P reacts to form a new bond with β′, but (iii) each of conjugation functionalities α or α′ cannot react with β or β′, respectively. Thus, two oligos, each having a different conjugation functionalities at their respective 5′-end and 3′-end, are linked to obtain a di-oligo product. In this way the asymmetric conjugation strategy of the invention permits the conjugation of components in a desired sequence and orientation, as exemplified by the product depicted inFIG. 1 . - The inventive methodology also can proceed in accordance with a symmetric conjugation strategy, depicted in
FIG. 2 . Pursuant to this approach, every oligo has the same set of 5′- and 3′conjugation functionalities. Thus, oligo A and oligo B inFIG. 2 are shown to have the same set of α and α′ functionalities at their respective termini. - Pursuant to the symmetric strategy of the invention, a polymer product containing oligo A and oligo B is obtained the by conjugating the unprotected α conjugation functionality of oligo A to solid support, the surface of which is functionalized with an α′ group. The α′ group at the other end of oligo A is protected, preventing unwanted conjugation between α and α′ groups of separate oligo A molecules present in the reaction mixture. After oligo A is tethered to the solid support and the terminal α′ group is deprotected, the tethered product is then allowed to come into contact with a molecule of oligo B, which has an unprotected α conjugation functionality at one end and a protected α′ group at the other end.
- By either the asymmetric approach or the symmetric approach, the present invention permits the “programmed” construction of a conjugated molecule of prescribed length and sequence. That is, production of a conjugated molecule pursuant to the invention can be designed beforehand and controlled in practice to determine, via the particular manner chosen by which the oligos are conjugated, the numbers and types of the oligos in the resultant conjugated molecule.
- In a variation of inventive method, a compound of the formula
- is produced by steps that comprise:
(i) attaching a compound of formula - to a solid support
- to form a compound of the formula
- and
(iii) reacting - with a compound of the formula
- to form
- where:
- is a solid support material;
- are independently selected from the group oligo;
- R1a and R1b are complementary conjugation functionalities and L1 is conjugate linker formed by reaction of R1a and R1b, R2a and R2b are complementary conjugation functionalities and L2 is conjugate linker formed by reaction of R2a and R2b. R1a, R1b, L1, R2a, R2b, L2, and R3a are selected from
-
R1a, R2a, or R3a R1b or R2b L1 or L2 —C≡C—R23 azido azido —C≡C—R23 carboxy —NHR23 —C(═O)NR23— —NHR23 carboxy —NR23C(═O)— halo —NHR23 —NR23— —NR23Pr halo —NR23— hydroxy —O—P(═O)(OH)(X) —O—P(═O)(OH)—O— —O—P(═O)(OH)(X) hydroxy —O—P(═O)(OH)—O— —NHR23 —O—P(═O)(OH)(X) —NR23—P(═O)(OH)—O— —O—P(═O)(OH)(X) —NHR23 —O—P(═O)(OH)—NR23— thio —O—P(═O)(OH)(X) —S—P(═O)(OH)—O— —O—P(═O)(OH)(X) thio —O—P(═O)(OH)—S— thio —X —S— —X thio —S— —O—P(═O)(OH)SH —X —O—P(═O)(OH)—S— —X —O—P(═O)(OH)SH —S—P(═O)(OH)—O— —(CR25R25)sC(═O)OR23 —NHR23 —(CR25R25)sC(═O)NR23— —NHR23 —(CR25R25)sC(═O)OR23 —NR23C(═O)—(CR25R25)s— thio thio —SH —O—P(═O)(OH)(O—(CH2)n—SH) —S—S—(CH2)n—O—P(OH)(═O)—O—
where the selection of R1a, R2a, or R3a is independent of each other provided that L1 and L2 are different, R2a does not react with R1a or R1b, and R3a does not react with R2a or R2b; - X is selected from chlorine, bromine, fluorine, tosylate, mesylate, triflate, or dimethoxy triflate;
- R23 is selected from the group consisting of hydrogen, alkyl, substituted alkyl, alkenyl, substituted alkenyl, alkynyl, substituted alkynyl, aryl, substituted aryl, cycloalkyl, substituted cycloalkyl, cycloalkenyl, substituted cycloalkenyl, cycloalkynyl, substituted cycloalkynyl, heteroaryl, substituted heteroaryl, heterocyclic, and substituted heterocyclic;
- R25 is hydrogen or C1-6 alkyl;
- s is an integer of greater than 1;
- ----- represents the point of connection to the part of the solid support-bound conjugated molecule that is closer to
- Pursuant to another variation of the inventive methodology, a compound is produced of the formula
- by steps comprising
(i) attaching a compound of the formula - to a solid support
- to form a compound of the formula
- (ii) converting
- to
- and
(iii) reacting - with a compound of the formula
- to form
- where:
- is a solid support material;
- are each independently selected from the group oligo;
- Rap is protected conjugation functionality which when deprotected is converted to Ra, Ra and Rb are complementary conjugation functionalities and L is conjugate linker formed by reaction of Ra and Rb. Rap, Ra, Rb, and L are selected from
-
- (a) Rap is halo, Ra is azido, Rb is —C≡C—R23, and L is
- or
-
- (b) Rap is —NR23Pr, Ra is —NHR23, Rb is carboxy, and L is —NR23C(═O)—, or
- (c) Rap is carboxy ester, Ra is carboxy, Rb is —NHR23, and L is —C(═O)NR23—, or
- (d) Rap is —NR23Pr, Ra is —NHR23, Rb is halo, and L is —NR23—, or
- (e) Rap is —OH, phosphate or phosphate ester, Ra is —O—P(═O)(OH)(X), Rb is hydroxy, and L is —O—P(═O)(OH)—O—, or
- (f) Rap is —OH, phosphate or phosphate ester, Ra is —O—P(═O)(OH)(X), Rb is —NHR23, and L is —O—P(═O)(OH)—NR23—, or
- (g) Rap is —O—P(═O)(OH)SR24, Ra is —O—P(═O)(OH)SH, Rb is halo, and L is —O—P(═O)(OH)—S—, or
- (h) Rap is —OH, phosphate or phosphate ester, Ra is —O—P(═O)(OH)(X), Rb is thio, and L is —O—P(═O)(OH)—S— or
- (i) Rap is —SR24, Ra is —SH, Rb is —O—P(═O)(OH)SH and L is —O—P(═O)(OH)S—S—;
where R23 is selected from the group consisting of hydrogen, alkyl, substituted alkyl, alkenyl, substituted alkenyl, alkynyl, substituted alkynyl, aryl, substituted aryl, cycloalkyl, substituted cycloalkyl, cycloalkenyl, substituted cycloalkenyl, cycloalkynyl, substituted cycloalkynyl, heteroaryl, substituted heteroaryl, heterocyclic, and substituted heterocyclic;
- X is selected from chlorine, bromine, fluorine, tosylate, mesylate, triflate, or dimethoxy triflate;
- Pr is an amino protecting group;
- R24 is trityl or benzyl; and
- ----- represents the point of connection to the part of the solid support-bound conjugated molecule that is closer to
- In yet another variation, the method of the invention entails preparing a compound of the formula
- To this end the method comprises
- cleaving the bond between
- and L1 of the compound of the formula
- thereby obtaining
- Z in the polymer product is selected from —OH, OH—(C1-C10)alkylene-, —COOH, NH2C(O)—, NH2NH—C(O)—, COOH—(C1-C10)alkylene-, NH2C(O)—(C1-C10)alkylene-, NH2NH—C(O)—(C1-C10)alkylene-, CH2═CH—(C1-C10)alkylene-, C≡C—(C1-C10)alkylene- or HS—(C1-C10)alkylene- and the alkylene can be optionally substituted by one or more groups selected from —OH, halogen, —NHR″, —NHC(O)—(C1-C10)alkylene-C≡CH, or —NHC(O)—(C1-C10)alkylene-CH═CH2. When the alkylene is substituted with an —NHR″ group, variable R″ is selected from (C1-C10)alkyl, (C3-C10)cycloalkyl, or (C3-C10)aryl
- Pursuant to the present invention, conjugation functionality R3 can be labeled by converting a compound of the formula
- to a compound of the formula
- In this context R3 is brought into contact with an optically detectable group or a radiolabeled group, thereby to obtain a product that carries a detectable label. The labeled product can be cleaved from the solid support, in the manner described immediately above.
- The invention also provides a method for producing a conjugated molecule that is bound to a solid support, as represented by the formula
- In the formula
- is a solid support material,
- is selected from the category of oligo defined above; and
- R2 is either a protected conjugation functionality R2ap, or an unprotected conjugation functionality R2a. When R2 is R2ap then R2ap is selected from the group consisting of halo, NR23Pr, carboxy ester, phosphate, phosphate ester, and —O—P(═O)(OH)SR24. Following removal of the protection group, R2ap is converted to R2a. R2a is a group selected from halo, azido, hydroxy, thio, —NHR23, carboxy,
- —(CR25R25)sC(═O)OR23, and X is selected from chlorine, bromine, fluorine, tosylate, mesylate, triflate, or dimethoxy triflate. Furthermore,
- L1 is selected from the group consisting of —C(═O)NR23—, —NR23C(═O)—, —(CR25R25)SC(═O)NR23—, —NR23C(═O)—(CR25R25)S—, —NR23—, —O—P(═O)(OH)—O—, —NR23—P(═O)(OH)—O—, —O—P(═O)(OH)—NR23—, —S—, —S—P(═O)(OH)—O—, and —O—P(═O)(OH)—S—,
- R23 is selected from the group consisting of hydrogen, alkyl, substituted alkyl, alkenyl, C1 substituted alkenyl, alkynyl, substituted alkynyl, aryl, substituted aryl, cycloalkyl, substituted cycloalkyl, cycloalkenyl, substituted cycloalkenyl, cycloalkynyl, substituted cycloalkynyl, heteroaryl, substituted heteroaryl, heterocyclic, and substituted heterocyclic,
- R24 is trityl or benzyl,
- R25 is hydrogen or C1-6 alkyl,
- s is an integer of greater than 1,
- ----- represents the point of connection to the part of the solid support-bound conjugated molecule that is closer to
- In yet another aspect, the invention provides a compound according formula:
- where R2 is a protected conjugation functionality R2ap, or an unprotected conjugation functionality R2a.
- is selected from the oligo category defined above, and substituent R1b is selected from the group consisting of —C≡C—R23, carboxy, —NHR23, halo, hydroxy, thio, azido, —O—P(═O)(OH)(X), —O—P(═O)(OH)SH, —(CR25R25)sC(═O)OR23, and
- Group X is selected from chlorine, bromine, fluorine, tosylate, mesylate, triflate, or dimethoxy triflate.
- Furthermore, R2ap is selected from the group consisting of halo, NR23Pr, carboxy ester, phosphate, phosphate ester, and —O—P(═O)(OH)SR24,
- R2a is selected from the group consisting of halo, azido, hydroxy, thio, —NHR23, carboxy, —NHR23, —O—P(═O)(OH)(X),
- —C≡C—R23, —O—P(═O)(OH)SH and —(CR25R25)sC(═O)OR23,
- R23 is selected from the group consisting of hydrogen, alkyl, substituted alkyl, alkenyl, substituted alkenyl, alkynyl, substituted alkynyl, aryl, substituted aryl, cycloalkyl, substituted cycloalkyl, heteroaryl, substituted heteroaryl, heterocyclic, and substituted heterocyclic,
- R24 is alkyl or benzyl, and
-
- Group X is as defined above.
- These and other aspects and embodiments of the invention are further described in the text that follows.
- The invention will be more fully understood by reference to the following drawings, which are for illustrative purposes only:
-
FIG. 1 illustrates an asymmetric conjugation strategy of the invention. -
FIG. 2 illustrates a symmetric conjugation strategy of the invention. -
FIGS. 3A and 3B Reagents for functionalizing the N-terminal of a PNA. -
FIG. 4 Reagents for functionalizing the C-terminal of a PNA - In the following detailed description, reference is made to the accompanying drawings, which form a part hereof. In the drawings, similar symbols typically identify similar components, unless context dictates otherwise. The illustrative embodiments described in the detailed description, drawings, and claims are not meant to be limiting. Other embodiments may be utilized, and other changes may be made, without departing from the spirit or scope of the subject matter presented here.
- Certain terms employed in this description have the following defined meanings. Terms that are not defined have their art-recognized meanings.
- As used in the specification and claims, the singular form “a”, “an” and “the” include plural references unless the context clearly dictates otherwise.
- The term “comprising” is intended to mean that the devices and methods include the recited components or steps, but not excluding others. “Consisting essentially of” when used to define devices and methods, shall mean excluding other components or steps that would materially affect the basic and novel characteristics of the technology. “Consisting of” shall mean excluding any components or steps not specified in the claim. Embodiments defined by each of these transition terms are within the scope of this disclosure.
- “Solid support” refers to a solid material on which a compound can be attached during solid phase synthesis. This class of materials is exemplified as polystyrene, such as styrene cross-linked with 1-2% divinylbenzene, polyacrylamide, PEG-polystyrene (PEG-PS), PEG-based supports, which are composed of a PEG-polypropylene glycol network or PEG with polyamide or polystyrene, controlled pore glass, cellulose fibers, and highly cross-linked polystyrene, gel-type polymers supported by rigid matrices.
- The term “oligo” denotes a category, discussed above, that encompasses a polymer, having from 2 to about 150 covalently linked monomer units, that is characterized by (i) a sequence of 2′-deoxyribosenucleotide residues (DNA), (ii) a sequence of ribonucleotide residues (RNA), or (iii) a sequence containing both 2′-deoxyribosenucleotide residues and ribosenucleotide residues, which may be referred to as an oligonucleotide. The oligo category also encompasses polymers of peptide nucleic acid monomers (PNAs), in which the monomeric units are linked to each other by an amide bond. In the present context an oligo also can be a heteropolymer that has both PNA monomers and RNA and/or DNA monomeric units.
- The monomeric units of an oligonucleotide can be linked through a phosphodiester bond, a phosphorothioate bond, a methylphosphonate bond, or an amide (—C(O)—NH—) bond, as a function of the chemical nature of monomers used to synthesize the oligo. In a given embodiment the oligo is functionalized through the conjugation of another group. The latter group also can be labeled with any manner of detectable group.
- “Peptide” refers to a polymer amino acid monomers (whether or not naturally occurring) linked by peptide bonds (also known as amide bonds) formed when the carboxyl carbon atom of the carboxylic acid group bonded to the alpha-carbon of one amino acid (or amino acid residue) becomes covalently bound to the amino nitrogen atom of the amino group bonded to the alpha-carbon of an adjacent amino acid (or amino acid residue). Amino acids which have been incorporated into a peptide are termed amino acid residues. Every peptide has an N-terminus and C-terminus residue on the ends of the peptide (except for cyclic peptides). Peptides typically have fewer than 50 amino acid residues. “Protein” refers polymers of amino acid monomers linked by peptide bonds that have more amino acid residues than peptides.
- “Peptide nucleic acid” or PNA refers to synthetic polymers comprising repeating N-(2-aminoethyl)-glycine units linked by amide bonds. The purine (adenine (A) guanine (G)) and pyrimidine (thymine (T) and cytosine (C)) bases are attached to the backbone through methylene carbonyl linkages. PNAs do not contain any pentose sugar moieties or phosphate groups. Examples of peptide nucleic acids are described in U.S. Pat. Nos. 5,539,082 and 6,395,474.
- “Peptide nucleic acid derivative” refers to a peptide nucleic acid wherein the N-(2-aminoethyl)-glycine backbone or one or more bases are modified, or which comprises additional moieties, as a metal complex or a detectable moiety. Illustrative of peptide nucleic acid derivatives are those described in Hudson et al., Pure Appl. Chem. 76: 1591-98 (2004), Imoto, Nucleic Acids Symp Ser 52: 391-92 (2008), Ferrer et al., Letters in Peptide Science 7: 195-206 (2000), Kramer et al., Metal Ions Life Sci. 10: 319-40 (2012), Verheijen et al., Bioconjugate Chem. 11: 741-43 (2000), and Ganesh, Current Organic Chem. 4: 931-43 (2000).
- “Conjugation functionality” refers to a functional group on a molecule that can react with a functional group on another molecule resulting in connection of the two molecules through the formation of one ore more covalent bonds. Conjugation functionalities are designated as α, α′, β, β′, R1a, R1b, R2a, R2b, etc. and described herein. The two conjugation functionalities that react with each other are referred to as complementary conjugation functionalities. For example, in this specification α and α′, β and β′, R1a and R1b, R2a and R2b are pairs of complementary conjugation functionalities.
- “Conjugation component” refers to a molecule, such as an oligo, having at least one conjugation functionality.
- “Conjugate linker” refers to a linker formed by reaction of a conjugation functionality of one conjugation component with a complementary conjugation functionality of another conjugation component. Conjugate linkers are designated as L2 and L3, etc., and are described herein.
- “Conjugated molecule” refers to a molecule having two or more conjugation components that are linked via a conjugate linker described herein. A conjugated molecule may be a conjugation component if it comprises a conjugation functionality.
- “Alkyl” refers to monovalent saturated aliphatic hydrocarbyl groups having from 1 to 10 carbon atoms and preferably 1 to 6 carbon atoms. “Cu-v alkyl” refers to alkyl groups having from u to v carbon atoms, wherein u and v are integers. This term includes, by way of example, linear and branched hydrocarbyl groups such as methyl (CH3—), ethyl (CH3CH2—), n-propyl (CH3CH2CH2—), isopropyl ((CH3)2CH—), n-butyl (CH3CH2CH2CH2—), isobutyl ((CH3)2CHCH2—), sec-butyl ((CH3)(CH3CH2)CH—), t-butyl ((CH3)3C—), n-pentyl (CH3CH2CH2CH2CH2—), and neopentyl ((CH3)3CCH2—).
- “Alkenyl” refers to straight or branched hydrocarbyl groups having from 2 to 6 carbon atoms and preferably 2 to 4 carbon atoms and having at least 1 and preferably from 1 to 2 sites of vinyl (>C═C<) unsaturation. Such groups are exemplified, for example, by vinyl, allyl, and but-3-en-1-yl. Included within this term are the cis and trans isomers or mixtures of these isomers.
- “Alkynyl” refers to straight or branched monovalent hydrocarbyl groups having from 2 to 6 carbon atoms and preferably 2 to 3 carbon atoms and having at least 1 and preferably from 1 to 2 sites of acetylenic (—C≡C—) unsaturation. Examples of such alkynyl groups include acetylenyl (—C≡CH), and propargyl (—CH2C≡CH).
- “Substituted alkyl” and “substituted Cu-v alkyl” encompass an alkyl group having from 1 to 5 and, in some embodiments, 1 to 3 or 1 to 2 substituents selected from the group consisting of alkenyl, substituted alkenyl, alkynyl, substituted alkynyl, alkoxy, substituted alkoxy, acyl, acylamino, acyloxy, amino, substituted amino, aminocarbonyl, aminothiocarbonyl, aminocarbonylamino, aminocarbonyloxy, aminosulfonyl, aminosulfonyloxy, aminosulfonylamino, amidino, aryl, substituted aryl, aryloxy, substituted aryloxy, arylthio, substituted arylthio, azido, carboxyl, carboxyl ester, (carboxyl ester)amino, (carboxyl ester)oxy, cyano, cycloalkyl, substituted cycloalkyl, cycloalkyloxy, substituted cycloalkyloxy, cycloalkylthio, substituted cycloalkylthio, guanidino, substituted guanidino, halo, hydroxy, hydroxyamino, alkoxyamino, hydrazino, substituted hydrazino, heteroaryl, substituted heteroaryl, heteroaryloxy, substituted heteroaryloxy, heteroarylthio, substituted heteroarylthio, heterocyclic, substituted heterocyclic, heterocyclyloxy, substituted heterocyclyloxy, heterocyclylthio, substituted heterocyclylthio, nitro, spirocycloalkyl, SO3H, substituted sulfonyl, sulfonyloxy, thioacyl, thiocyanate, thiol, alkylthio, and substituted alkylthio, where such substituents are defined in this specification.
- “Substituted alkenyl” refers to alkenyl groups having from 1 to 3 substituents, and preferably 1 to 2 substituents, selected from the group consisting of alkoxy, substituted alkoxy, acyl, acylamino, acyloxy, amino, substituted amino, aminocarbonyl, aminothiocarbonyl, aminocarbonylamino, aminocarbonyloxy, aminosulfonyl, aminosulfonyloxy, aminosulfonylamino, amidino, aryl, substituted aryl, aryloxy, substituted aryloxy, arylthio, substituted arylthio, carboxyl, carboxyl ester, (carboxyl ester)amino, (carboxyl ester)oxy, cyano, cycloalkyl, substituted cycloalkyl, cycloalkyloxy, substituted cycloalkyloxy, cycloalkylthio, substituted cycloalkylthio, cycloalkenyl, substituted cycloalkenyl, cycloalkenyloxy, substituted cycloalkenyloxy, cycloalkenylthio, substituted cycloalkenylthio, guanidino, substituted guanidino, halo, hydroxy, heteroaryl, substituted heteroaryl, heteroaryloxy, substituted heteroaryloxy, heteroarylthio, substituted heteroarylthio, heterocyclic, substituted heterocyclic, heterocyclyloxy, substituted heterocyclyloxy, heterocyclylthio, substituted heterocyclylthio, nitro, SO3H, substituted sulfonyl, sulfonyloxy, thioacyl, thiol, alkylthio, and substituted alkylthio, wherein said substituents are defined herein and with the proviso that any hydroxy substitution is not attached to a vinyl (unsaturated) carbon atom.
- “Substituted alkynyl” refers to alkynyl groups having from 1 to 3 substituents, and preferably 1 to 2 substituents, selected from the group consisting of alkoxy, substituted alkoxy, acyl, acylamino, acyloxy, amino, substituted amino, aminocarbonyl, aminothiocarbonyl, aminocarbonylamino, aminocarbonyloxy, aminosulfonyl, aminosulfonyloxy, aminosulfonylamino, amidino, aryl, substituted aryl, aryloxy, substituted aryloxy, arylthio, substituted arylthio, carboxyl, carboxyl ester, (carboxyl ester)amino, (carboxyl ester)oxy, cyano, cycloalkyl, substituted cycloalkyl, cycloalkyloxy, substituted cycloalkyloxy, cycloalkylthio, substituted cycloalkylthio, cycloalkenyl, substituted cycloalkenyl, cycloalkenyloxy, substituted cycloalkenyloxy, cycloalkenylthio, substituted cycloalkenylthio, guanidino, substituted guanidino, halo, hydroxy, heteroaryl, substituted heteroaryl, heteroaryloxy, substituted heteroaryloxy, heteroarylthio, substituted heteroarylthio, heterocyclic, substituted heterocyclic, heterocyclyloxy, substituted heterocyclyloxy, heterocyclylthio, substituted heterocyclylthio, nitro, SO3H, substituted sulfonyl, sulfonyloxy, thioacyl, thiol, alkylthio, and substituted alkylthio, wherein said substituents are defined herein and with the proviso that any hydroxy substitution is not attached to an acetylenic carbon atom.
- “Alkoxy” refers to the group —O-alkyl wherein alkyl is defined herein. Alkoxy includes, by way of example, methoxy, ethoxy, n-propoxy, isopropoxy, n-butoxy, t-butoxy, sec-butoxy, and n-pentoxy,
- “Substituted alkoxy” refers to the group —O-(substituted alkyl) wherein substituted alkyl is defined herein.
- “Acyl” refers to the groups H—C(O)—, alkyl-C(O)—, substituted alkyl-C(O)—, alkenyl-C(O)—, substituted alkenyl-C(O)—, alkynyl-C(O)—, substituted alkynyl-C(O)—, cycloalkyl-C(O)—, substituted cycloalkyl-C(O)—, cycloalkenyl-C(O)—, substituted cycloalkenyl-C(O)—, aryl-C(O)—, substituted aryl-C(O)—, heteroaryl-C(O)—, substituted heteroaryl-C(O)—, heterocyclic-C(O)—, and substituted heterocyclic-C(O)—, wherein alkyl, substituted alkyl, alkenyl, substituted alkenyl, alkynyl, substituted alkynyl, cycloalkyl, substituted cycloalkyl, cycloalkenyl, substituted cycloalkenyl, aryl, substituted aryl, heteroaryl, substituted heteroaryl, heterocyclic, and substituted heterocyclic are as defined herein. Acyl includes the “acetyl” group CH3C(O)—.
- Acylamino” refers to the groups —NR15C(O)alkyl, —NR15C(O)substituted alkyl, —NR15C(O)cycloalkyl, —NR15C(O)substituted cycloalkyl, —NR15C(O)cycloalkenyl, —NR15C(O)substituted cycloalkenyl, —NR15C(O)alkenyl, —NR15C(O)substituted alkenyl, —NR15C(O)alkynyl, —NR15C(O)substituted alkynyl, —NR15C(O)aryl, —NR15C(O)substituted aryl, —NR15C(O)heteroaryl, —NR15C(O)substituted heteroaryl, —NR15C(O)heterocyclic, and —NR15C(O)substituted heterocyclic wherein R15 is hydrogen or alkyl and wherein alkyl, substituted alkyl, alkenyl, substituted alkenyl, alkynyl, substituted alkynyl, cycloalkyl, substituted cycloalkyl, cycloalkenyl, substituted cycloalkenyl, aryl, substituted aryl, heteroaryl, substituted heteroaryl, heterocyclic, and substituted heterocyclic are as defined herein.
- “Acyloxy” refers to the groups alkyl-C(O)O—, substituted alkyl-C(O)O—, alkenyl-C(O)O—, substituted alkenyl-C(O)O—, alkynyl-C(O)O—, substituted alkynyl-C(O)O—, aryl-C(O)O—, substituted aryl-C(O)O—, cycloalkyl-C(O)O—, substituted cycloalkyl-C(O)O—, cycloalkenyl-C(O)O—, substituted cycloalkenyl-C(O)O—, heteroaryl-C(O)O—, substituted heteroaryl-C(O)O—, heterocyclic-C(O)O—, and substituted heterocyclic-C(O)O— wherein alkyl, substituted alkyl, alkenyl, substituted alkenyl, alkynyl, substituted alkynyl, cycloalkyl, substituted cycloalkyl, cycloalkenyl, substituted cycloalkenyl, aryl, substituted aryl, heteroaryl, substituted heteroaryl, heterocyclic, and substituted heterocyclic are as defined herein.
- “Amino” refers to the group —NH2.
- “Substituted amino” refers to the group —NR′R″ where R′ and R″ are independently selected from the group consisting of hydrogen, alkyl, substituted alkyl, alkenyl, substituted alkenyl, alkynyl, substituted alkynyl, aryl, substituted aryl, cycloalkyl, substituted cycloalkyl, cycloalkenyl, substituted cycloalkenyl, heteroaryl, substituted heteroaryl, heterocyclic, substituted heterocyclic, —SO2-alkyl, —SO2-substituted alkyl, —SO2-alkenyl, —SO2-substituted alkenyl, —SO2-cycloalkyl, —SO2-substituted cycloalkyl, —SO2-cycloalkenyl, —SO2-substituted cycloalkenyl, —SO2-aryl, —SO2-substituted aryl, —SO2-heteroaryl, —SO2-substituted heteroaryl, —SO2-heterocyclic, and —SO2-substituted heterocyclic and wherein R′ and R″ are optionally joined, together with the nitrogen bound thereto to form a heterocyclic or substituted heterocyclic group, provided that R′ and R″ are both not hydrogen, and wherein alkyl, substituted alkyl, alkenyl, substituted alkenyl, alkynyl, substituted alkynyl, cycloalkyl, substituted cycloalkyl, cycloalkenyl, substituted cycloalkenyl, aryl, substituted aryl, heteroaryl, substituted heteroaryl, heterocyclic, and substituted heterocyclic are as defined herein. When R′ is hydrogen and R″ is alkyl, the substituted amino group is sometimes referred to herein as alkylamino. When R′ and R″ are both alkyl, the substituted amino group is sometimes referred to herein as dialkylamino. When referring to a monosubstituted amino, it is meant that either R′ or R″ is hydrogen but not both. When referring to a disubstituted amino, it is meant that neither R′ nor R″ are hydrogen.
- “Aminocarbonyl” refers to the group —C(O)NR10R11 where R10 and R11 are independently selected from the group consisting of hydrogen, alkyl, substituted alkyl, alkenyl, substituted alkenyl, alkynyl, substituted alkynyl, aryl, substituted aryl, cycloalkyl, substituted cycloalkyl, cycloalkenyl, substituted cycloalkenyl, heteroaryl, substituted heteroaryl, heterocyclic, and substituted heterocyclic and where R10 and R11 are optionally joined together with the nitrogen bound thereto to form a heterocyclic or substituted heterocyclic group, and wherein alkyl, substituted alkyl, alkenyl, substituted alkenyl, alkynyl, substituted alkynyl, cycloalkyl, substituted cycloalkyl, cycloalkenyl, substituted cycloalkenyl, aryl, substituted aryl, heteroaryl, substituted heteroaryl, heterocyclic, and substituted heterocyclic are as defined herein.
- “Aminocarbonyloxy” refers to the group —OC(O)NR10R11 where R10 and R11 are independently selected from the group consisting of hydrogen, alkyl, substituted alkyl, alkenyl, substituted alkenyl, alkynyl, substituted alkynyl, aryl, substituted aryl, cycloalkyl, substituted cycloalkyl, cycloalkenyl, substituted cycloalkenyl, heteroaryl, substituted heteroaryl, heterocyclic, and substituted heterocyclic and where R10 and R11 are optionally joined together with the nitrogen bound thereto to form a heterocyclic or substituted heterocyclic group, and wherein alkyl, substituted alkyl, alkenyl, substituted alkenyl, alkynyl, substituted alkynyl, cycloalkyl, substituted cycloalkyl, cycloalkenyl, substituted cycloalkenyl, aryl, substituted aryl, heteroaryl, substituted heteroaryl, heterocyclic, and substituted heterocyclic are as defined herein.
- “Amidino” refers to the group —C(═NR12)NR10R11 where R10, R11, and R12 are independently selected from the group consisting of hydrogen, alkyl, substituted alkyl, alkenyl, substituted alkenyl, alkynyl, substituted alkynyl, aryl, substituted aryl, cycloalkyl, substituted cycloalkyl, cycloalkenyl, substituted cycloalkenyl, heteroaryl, substituted heteroaryl, heterocyclic, and substituted heterocyclic and where R10 and R11 are optionally joined together with the nitrogen bound thereto to form a heterocyclic or substituted heterocyclic group, and wherein alkyl, substituted alkyl, alkenyl, substituted alkenyl, alkynyl, substituted alkynyl, cycloalkyl, substituted cycloalkyl, cycloalkenyl, substituted cycloalkenyl, aryl, substituted aryl, heteroaryl, substituted heteroaryl, heterocyclic, and substituted heterocyclic are as defined herein.
- “Aryl” or “Ar” refers to a monovalent aromatic carbocyclic group of from 6 to 14 carbon atoms having a single ring (e.g., phenyl) or multiple condensed rings (e.g., naphthyl or anthryl) which condensed rings may or may not be aromatic (e.g., 2-benzoxazolinone, 2H-1,4-benzoxazin-3(4H)-one-7-yl, and the like) provided that the point of attachment is at an aromatic carbon atom. Preferred aryl groups include phenyl and naphthyl.
- “Substituted aryl” refers to aryl groups which are substituted with 1 to 5, preferably 1 to 3, or more preferably 1 to 2 substituents selected from the group consisting of alkyl, substituted alkyl, alkenyl, substituted alkenyl, alkynyl, substituted alkynyl, alkoxy, substituted alkoxy, acyl, acylamino, acyloxy, amino, substituted amino, aminocarbonyl, aminothiocarbonyl, aminocarbonylamino, aminocarbonyloxy, aminosulfonyl, aminosulfonyloxy, aminosulfonylamino, amidino, aryl, substituted aryl, aryloxy, substituted aryloxy, arylthio, substituted arylthio, carboxyl, carboxyl ester, (carboxyl ester)amino, (carboxyl ester)oxy, cyano, cycloalkyl, substituted cycloalkyl, cycloalkyloxy, substituted cycloalkyloxy, cycloalkylthio, substituted cycloalkylthio, cycloalkenyl, substituted cycloalkenyl, cycloalkenyloxy, substituted cycloalkenyloxy, cycloalkenylthio, substituted cycloalkenylthio, guanidino, substituted guanidino, halo, hydroxy, heteroaryl, substituted heteroaryl, heteroaryloxy, substituted heteroaryloxy, heteroarylthio, substituted heteroarylthio, heterocyclic, substituted heterocyclic, heterocyclyloxy, substituted heterocyclyloxy, heterocyclylthio, substituted heterocyclylthio, nitro, SO3H, substituted sulfonyl, sulfonyloxy, thioacyl, thiol, alkylthio, and substituted alkylthio, wherein said substituents are defined herein.
- “Aryloxy” refers to the group —O-aryl, where aryl is as defined herein, that includes, by way of example, phenoxy and naphthoxy.
- “Substituted aryloxy” refers to the group —O-(substituted aryl) where substituted aryl is as defined herein.
- “Arylthio” refers to the group —S-aryl, where aryl is as defined herein.
- “Substituted arylthio” refers to the group —S-(substituted aryl), where substituted aryl is as defined herein.
- “Carbonyl” refers to the divalent group —C(O)— which is equivalent to —C(═O)—.
- “Carboxy” or “carboxyl” refers to —COOH or a salt thereof.
- “Carboxy ester” refers to the groups —C(O)O-alkyl, —C(O)O-substituted alkyl, —C(O)O-alkenyl, —C(O)O-substituted alkenyl, —C(O)O-alkynyl, —C(O)O-substituted alkynyl, —C(O)O-aryl, —C(O)O-substituted aryl, —C(O)O-cycloalkyl, —C(O)O-substituted cycloalkyl, —C(O)O-heteroaryl, —C(O)O-substituted heteroaryl, —C(O)O-heterocyclic, and —C(O)O-substituted heterocyclic wherein alkyl, substituted alkyl, alkenyl, substituted alkenyl, alkynyl, substituted alkynyl, cycloalkyl, substituted cycloalkyl, aryl, substituted aryl, heteroaryl, substituted heteroaryl, heterocyclic, and substituted heterocyclic are as defined herein.
- “(Carboxyl ester)amino” refers to the group —NR16—C(O)O-alkyl, —NR16—C(O)O-substituted alkyl, —NR16—C(O)O-alkenyl, —NR16—C(O)O-substituted alkenyl, —NR16—C(O)O-alkynyl, —NR16—C(O)O— substituted alkynyl, —NR16—C(O)O-aryl, —NR16—C(O)O-substituted aryl, —NR16—C(O)O-cycloalkyl, —NR16—C(O)O-substituted cycloalkyl, —NR16—C(O)O-cycloalkenyl, —NR16—C(O)O-substituted cycloalkenyl, —NR16—C(O)O-heteroaryl, —NR16—C(O)O-substituted heteroaryl, —NR16—C(O)O-heterocyclic, and —NR16—C(O)O-substituted heterocyclic wherein R16 is alkyl or hydrogen, and wherein alkyl, substituted alkyl, alkenyl, substituted alkenyl, alkynyl, substituted alkynyl, cycloalkyl, substituted cycloalkyl, cycloalkenyl, substituted cycloalkenyl, aryl, substituted aryl, heteroaryl, substituted heteroaryl, heterocyclic, and substituted heterocyclic are as defined herein.
- “Cyano” refers to the group —CN.
- “Cycloalkyl” refers to cyclic alkyl groups of from 3 to 10 carbon atoms having single or multiple cyclic rings including fused, bridged, and spiro ring systems. One or more of the rings can be aryl, heteroaryl, or heterocyclic provided that the point of attachment is through the non-aromatic carbon. Examples of suitable cycloalkyl groups include, for instance, adamantyl, cyclopropyl, cyclobutyl, cyclopentyl, and cyclooctyl. Other examples of cycloalkyl groups include bicycle[2,2,2,]octanyl, norbornyl, and spirobicyclo groups such as spiro[4.5]dec-8-yl:
- “Cycloalkenyl” refers to non-aromatic cyclic alkyl groups of from 3 to 10 carbon atoms having single or multiple cyclic rings and having at least one >C═C< ring unsaturation and preferably from 1 to 2 sites of >C═C< ring unsaturation.
- “Substituted cycloalkyl” and “substituted cycloalkenyl” refers to a cycloalkyl or cycloalkenyl group having from 1 to 5 or preferably 1 to 3 substituents selected from the group consisting of oxo, thione, alkyl, substituted alkyl, alkenyl, substituted alkenyl, alkynyl, substituted alkynyl, alkoxy, substituted alkoxy, acyl, acylamino, acyloxy, amino, substituted amino, aminocarbonyl, aminothiocarbonyl, aminocarbonylamino, aminocarbonyloxy, aminosulfonyl, aminosulfonyloxy, aminosulfonylamino, amidino, aryl, substituted aryl, aryloxy, substituted aryloxy, arylthio, substituted arylthio, carboxyl, carboxyl ester, (carboxyl ester)amino, (carboxyl ester)oxy, cyano, cycloalkyl, substituted cycloalkyl, cycloalkyloxy, substituted cycloalkyloxy, cycloalkylthio, substituted cycloalkylthio, cycloalkenyl, substituted cycloalkenyl, cycloalkenyloxy, substituted cycloalkenyloxy, cycloalkenylthio, substituted cycloalkenylthio, guanidino, substituted guanidino, halo, hydroxy, heteroaryl, substituted heteroaryl, heteroaryloxy, substituted heteroaryloxy, heteroarylthio, substituted heteroarylthio, heterocyclic, substituted heterocyclic, heterocyclyloxy, substituted heterocyclyloxy, heterocyclylthio, substituted heterocyclylthio, nitro, SO3H, substituted sulfonyl, sulfonyloxy, thioacyl, thiol, alkylthio, and substituted alkylthio, wherein said substituents are defined herein.
- “Cycloalkyloxy” refers to —O-cycloalkyl.
- “Substituted cycloalkyloxy refers to —O-(substituted cycloalkyl).
- “Cycloalkylthio” refers to —S-cycloalkyl.
- “Substituted cycloalkylthio” refers to —S-(substituted cycloalkyl).
- “Halo” or “halogen” refers to fluoro, chloro, bromo and iodo.
- “Haloalkyl” refers to an alkyl group in which one or more hydrogen atoms are replaced by a halogen selected from chlorine, fluorine, bromine or iodine.
- “Haloalkoxy” refers to —O-alkyl group in which one or more hydrogen atoms of the alkyl group are replaced by a halogen selected from chlorine, fluorine, bromine or iodine.
- “Haloalkylthio” refers to —S-alkyl group in which one or more hydrogen atoms of the alkyl group are replaced by a halogen selected from chlorine, fluorine, bromine or iodine.
- “Hydroxy” or “hydroxyl” refers to the group —OH.
- “Heteroaryl” refers to a monocyclic aromatic group having 5 to 6 carbon atoms or a bicyclic ring having 8 to 10 carbon atoms containing 1 to 4 heteroatoms independently selected from the group consisting of oxygen, nitrogen and sulfur within the ring. Such heteroaryl groups can have a single ring (e.g., pyridinyl or furyl) or multiple condensed rings (e.g., indolizinyl or benzothienyl) wherein the condensed rings may or may not be aromatic and/or contain a heteroatom provided that the point of attachment is through an atom of the aromatic heteroaryl group. In one embodiment, the nitrogen and/or the sulfur ring atom(s) of the heteroaryl group are optionally oxidized to provide for the N-oxide (N→O), sulfinyl, or sulfonyl moieties. Preferred heteroaryls include pyridinyl, pyrrolyl, indolyl, thiophenyl, and furanyl.
- “Substituted heteroaryl” refers to heteroaryl groups that are substituted with from 1 to 5, preferably 1 to 3, or more preferably 1 to 2 substituents selected from the group consisting of the same group of substituents defined for substituted aryl.
- “Heteroaryloxy” refers to —O-heteroaryl.
- “Substituted heteroaryloxy refers to the group —O-(substituted heteroaryl).
- “Heteroarylthio” refers to the group —S-heteroaryl.
- “Substituted heteroarylthio” refers to the group —S-(substituted heteroaryl).
- “Heterocycle” or “heterocyclic” or “heterocycloalkyl” or “heterocyclyl” refers to a saturated or partially saturated, but not aromatic, group having from 1 to 10 ring carbon atoms and from 1 to 4 ring heteroatoms selected from the group consisting of nitrogen, sulfur, or oxygen. Heterocycle encompasses single ring or multiple condensed rings, including fused bridged and spiro ring systems. In fused ring systems, one or more the rings can be cycloalkyl, aryl, or heteroaryl provided that the point of attachment is through the non-aromatic ring. In one embodiment, the nitrogen and/or sulfur atom(s) of the heterocyclic group are optionally oxidized to provide for the N-oxide, sulfinyl, or sulfonyl moieties.
- “Substituted heterocyclic” or “substituted heterocycloalkyl” or “substituted heterocyclyl” refers to heterocyclyl groups that are substituted with from 1 to 5 or preferably 1 to 3 of the same substituents as defined for substituted cycloalkyl.
- “Heterocyclyloxy” refers to the group —O-heterocycyl.
- “Substituted heterocyclyloxy refers to the group —O-(substituted heterocycyl).
- “Heterocyclylthio” refers to the group —S-heterocycyl.
- “Substituted heterocyclylthio” refers to the group —S-(substituted heterocycyl).
- Examples of heterocycle and heteroaryls include, but are not limited to, azetidine, pyrrole, imidazole, pyrazole, pyridine, pyrazine, pyrimidine, pyridazine, indolizine, isoindole, indole, dihydroindole, indazole, purine, quinolizine, isoquinoline, quinoline, phthalazine, naphthylpyridine, quinoxaline, quinazoline, cinnoline, pteridine, carbazole, carboline, phenanthridine, acridine, phenanthroline, isothiazole, phenazine, isoxazole, phenoxazine, phenothiazine, imidazolidine, imidazoline, piperidine, piperazine, indoline, phthalimide, 1,2,3,4-tetrahydroisoquinoline, 4,5,6,7-tetrahydrobenzo[b]thiophene, thiazole, thiazolidine, thiophene, benzo[b]thiophene, morpholinyl, thiomorpholinyl (also referred to as thiamorpholinyl), 1,1-dioxothiomorpholinyl, piperidinyl, pyrrolidine, and tetrahydrofuranyl.
- “Nitro” refers to the group —NO2.
- “Oxo” refers to the atom (═O) or (—O′).
- “Spiro ring systems” refers to bicyclic ring systems that have a single ring carbon atom common to both rings.
- “Thioacyl” refers to the groups H—C(S)—, alkyl-C(S)—, substituted alkyl-C(S)—, alkenyl-C(S)—, substituted alkenyl-C(S)—, alkynyl-C(S)—, substituted alkynyl-C(S)—, cycloalkyl-C(S)—, substituted cycloalkyl-C(S)—, cycloalkenyl-C(S)—, substituted cycloalkenyl-C(S)—, aryl-C(S)—, substituted aryl-C(S)—, heteroaryl-C(S)—, substituted heteroaryl-C(S)—, heterocyclic-C(S)—, and substituted heterocyclic-C(S)—, wherein alkyl, substituted alkyl, alkenyl, substituted alkenyl, alkynyl, substituted alkynyl, cycloalkyl, substituted cycloalkyl, cycloalkenyl, substituted cycloalkenyl, aryl, substituted aryl, heteroaryl, substituted heteroaryl, heterocyclic, and substituted heterocyclic are as defined herein.
- “Thiol” or “thio” refers to the group —SH.
- “Thioether” refers to the group —S—.
- “Alkylthio” refers to the group —S-alkyl wherein alkyl is as defined herein.
- “Thiocarbonyl” refers to the divalent group —C(S)— which is equivalent to —C(═S)—.
- “Thione” refers to the atom (═S).
- “Substituted alkylthio” refers to the group —S-(substituted alkyl) wherein substituted alkyl is as defined herein.
- “Azido” denotes the group —N3.
- “Amino protecting” groups are known in the field and illustrated by N-tert-butoxycarbonyl (t-Boc), 9-fluorenylmethoxycarbonyl (Fmoc), carboxybenzyl (Cbz), acetyl (Ac), benzoyl (Bz), p-methoxybenzyl carbonyl (Moz or MeOZ), benzyl (Bn), p-methoxybenzyl (PMB), 3,4-dimethoxybenzyl (DMPM), p-methoxyphenyl (PMP), etc.
- “Phosphate” means —O—P(═O)(OH)2.
- “Phosphate ester” refers to —O—P(═O)(OH)(OR23), wherein R23 is selected from the group consisting of hydrogen, alkyl, substituted alkyl, alkenyl, substituted alkenyl, alkynyl, substituted alkynyl, aryl, substituted aryl, cycloalkyl, substituted cycloalkyl, heteroaryl, substituted heteroaryl, heterocyclic, and substituted heterocyclic.
- “Phosphoramidate” refers to the dianionic form of phosphoramidic acid [(OH)2P(O)NH2].
- “Phosphonates” are organic compounds containing R23—PO(OH)2 or R23—PO(OR)2 groups where R is alkyl or aryl and R23 is selected from the group consisting of hydrogen, alkyl, substituted alkyl, alkenyl, substituted alkenyl, alkynyl, substituted alkynyl, aryl, substituted aryl, cycloalkyl, substituted cycloalkyl, heteroaryl, substituted heteroaryl, heterocyclic, and substituted heterocyclic.
- “Phosphorothioate” refers to
- as well as to tautomers of these species, where “tautomer” denotes alternate forms of a compound that differ in the position of a proton.
- In one aspect, provided herewith is a method of preparing a solid support-bound conjugated molecule of the formula
- wherein the method composes
(i) attaching a conjugation component of the formula - wherein R2 is R2a or R2ap,
- to a solid support
- to form a compound of the formula
- (ii) when R2 is R2ap, converting
- to
- and
(iii) reacting - with a conjugation component of the formula
- wherein R3 is R3a or R3ap, or R3 is selected from —OH, a detectable label, or another oligo;
- to form
- wherein:
- is a solid support material;
- are each independently selected from the group oligo;
- R1a and R1b are complementary conjugation functionalities, L1 is conjugate linker, and R1a, R1b, and L1 are:
-
- (a) R1a is azido, R1b is —C≡C—R23, and L1 is
- or
-
- (b) R1a is —NHR23, R1b is carboxy, and L1 is —NR23C(═O)—, or
- (c) R1a is carboxy, R1b is —NHR23, and L1 is —C(═O)NR23—, or
- (d) R1a is —NHR23, R1b is halo, and L1 is —NR23—, or
- (e) R1a is —O—P(═O)(OH)(X), R1b is hydroxy, and L1 is —O—P(═O)(OH)—O—, or
- (f) R1a is —O—P(═O)(OH)(X), R1b is —NHR23, and L1 is —O—P(═O)(OH)—NR13—, or
- (g) R1a is —O—P(═O)(OH)(X), R1b is thio, and L1 is —O—P(═O)(OH)—S—, or
- (h) R1a is —X, R1b is thio, and L1 is —S—, or
- (i) R1a is
- R1b is thio, and L1 is
- or
-
- (j) R1a is —C≡C—R23, R1b is azido, and L1 is
- or
-
- (k) R1a is halo, R1b is —NHR23, and L1 is —NR23—, or
- (l) R1a is hydroxy, R1b is —O—P(═O)(OH)(X), and L1 is —O—P(═O)(OH)—O—, or
- (m) R1a is —NHR23, R1b is —O—P(═O)(OH)(X), and L1 is —NR23—P(═O)(OH)—O—, or
- (n) R1a is thio, R1b is —O—P(═O)(OH)(X), and L1 is —S—P(═O)(OH)—O—, or
- (o) R1a is —O—P(═O)(OH)SH, R1b is —X, and L1 is —O—P(═O)(OH)—S—, or
- (p) R1a is —X, R1b is —O—P(═O)(OH)SH, and L1 is —S—P(═O)(OH)—O—, or
- (q) R1a is —(CR25R25)sC(═O)OR23, R1b is —NHR23, L1 is —(CR25R25)sC(═O)NR23—, or
- (r) R1a is —NHR23, R1b is —(CR25R25)sC(═O)OR23, L1 is —NR23C(═O)—(CR25R25)s—, or
- (s) R1a is thio, R1b is —X, and L1 is —S—, or
- (t) R1a is thio, R1b is
-
-
- (u) R1a is —SH, R1b is —O—P(═O)(OH)(—O—(CH2)n—SH), and L1 is —S—S—(CH2)n—O—P(OH)(═O)—O—.
- In the above characterization of R1a and R1b group X is selected from chlorine, bromine, fluorine, tosylate, mesylate, triflate, or dimethoxy triflate where n is 1, 2, 3, 4, 5, or 6.
- Similarly, R2a and R2b are complementary conjugation functionalities, L2 is conjugate linker, and R2ap, R2a, R2b, and L2 are:
-
- (a′) R2ap is halo, R2a is azido, R2b is —C≡C—R23, and L2 is
- or
-
- (b′) R2ap is —NR23Pr, R2a is —NHR23, R2b is carboxy, and L2 is —NR23C(═O)—, or
- (c′) R2ap is carboxy ester, R2a is carboxy, R2b is —NHR23, and L2 is —C(═O)NR23—, or
- (d′) R2ap is —NR23Pr, R2a is —NHR23, R2b is halo, and L2 is —NR23—, or
- (e′) R2ap is —OH, phosphate or phosphate ester, R2a is —O—P(═O)(OH)(X), R2b is hydroxy, and L2 is —O—P(═O)(OH)—O—, or
- (f′) R2ap is —OH, phosphate or phosphate ester, R2a is —O—P(═O)(OH)(X), R2b is —NHR23, and L2 is —O—P(═O)(OH)—NR23—, or
- (g′) R2ap is —OH, phosphate or phosphate ester, R2a is —O—P(═O)(OH)(X), R2b is thio, and L2 is —O—P(═O)(OH)—S—, or
- (h′) R2a is —X, R2b is thio, and L2 is —S—, or
- (i′) R2a is
- R2b is thio, and L2 is
- or
-
- (j′) R2a is —C≡C—R23, R2b is azido, and L2 is
- or
-
- (k′) R2a is —X, R2b is —NHR23, and L2 is —NR23—, or
- (l′) R2a is hydroxy, R2b is —O—P(═O)(OH)(X), and L2 is —O—P(═O)(OH)—O—, or
- (m′) R2a is —NHR23, R2b is —O—P(═O)(OH)(X), and L2 is —NR23—P(═O)(OH)—O—, or
- (n′) R2a is thio, R2b is —O—P(═O)(OH)(X), and L2 is —S—P(═O)(OH)—O—, or
- (o′) R2ap is —O—P(═O)(OH)SR24, R2a is —O—P(═O)(OH)SH, R2b is halo, and L2 is —O—P(═O)(OH)—S—, or
- (p′) R2a is —X, R2b is —O—P(═O)(OH)SH, and L2 is —S—P(═O)(OH)—O—, or
- (q′) R2a is —(CR25R25)sC(═O)OR23, R2b is —NHR23, L2 is —(CR25R25)sC(═O)NR23—, or
- (r′) R2a is —NHR23, R2b is —(CR25R25)sC(═O)OR23, L2 is —NR23C(═O)—(CR25R25)s—, or
- (s′) R2a is thio, R2b is —X, and L2 is —S—, or
- (t′) R2a is thio, R2b is
- or
-
- (u′) R2a is —SH, R2b is —O—P(═O)(OH)(—O—(CH2)n—SH), and L2 is —S—S—(CH2)n—O—P(OH)(═O)—O—.
- In the above characterization of R1a and R1b group X is selected from chlorine, bromine, fluorine, tosylate, mesylate, triflate, or dimethoxy triflate
- Substituent R23 is selected from the group consisting of hydrogen, alkyl, substituted alkyl, alkenyl, substituted alkenyl, alkynyl, substituted alkynyl, aryl, substituted aryl, cycloalkyl, substituted cycloalkyl, cycloalkenyl, substituted cycloalkenyl, cycloalkynyl, substituted cycloalkynyl, heteroaryl, substituted heteroaryl, heterocyclic, and substituted heterocyclic, Pr is an amino protecting group, R24 can be trityl or benzyl, substituent R25 is hydrogen or C1-6 alkyl and s is an integer greater than 1, for example, 2, 3, 4, 5, 6, 7, 8, 9, 10, 11, 12, 13, 14, 15, 16, 17, 18, 19, or 20.
- For polymeric compounds synthesized using the inventive methodology, substituent R3ap is a protected conjugation functionality selected from the group consisting of halo, —NR23Pr, —O—P(═O)(OH)SR24, carboxy ester, phosphate and phosphate ester; and R3a is a conjugation functionality selected from the group consisting of azido, —C≡C—R23, —NHR23, carboxy, halo, hydroxy, —(CR25R25)sC(═O)OR23, —O—P(═O)(OH)SH and —O—P(═O)(OH)(X), where X is as defined above. In accordance with the inventive methodology, R2 is not permitted to react with R1a or R1b, nor is R3 permitted to react with R2a or R2b. As discussed above, the symbol ----- represents the point of connection to the part of the solid support-bound conjugated molecule that is closer to
- In accordance with another aspect of the invention, the method is provided for preparing a solid support-bound conjugated molecule of the formula:
- where the method comprises the following steps. When R3 is a protected conjugation functionality, such as the group R3ap, deprotecting R3ap to convert
- to
- in a deprotection step. The deprotection step is followed by a conjugation step in which the solid support-bound conjugated molecule according to formula
- having a reactive conjugation functionality R3a is contacted with a conjugation component according to formula
- to form a solid support-bound conjugated molecule as illustrated below:
- Substituent R4 in the obtained product is a group selected from halo, —NR23Pr, —OH, —O—P(═O)(OH)SR24, carboxy ester, phosphate, phosphate ester, azido, —C≡C—R23, —NHR23, carboxy, hydroxy, —(CR25R25)sC(═O)OR23, —O—P(═O)(OH)SH, or —O—P(═O)(OH)(X). R4 can also be a detectable label or another oligo selected from DNA, RNA, a polymer containing both DNA and RNA residues, or a polymer composed entirely of PNA monomers. In any event, R4 does not react with R3a or R3b.
- The bond L1 that binds the desired product to the solid support can be cleaved via a suitable cleavage method to give a conjugated molecule of the formula:
- The method used to cleave the oligo product from the resin support will depend on the type of resin used to synthesize the oligo product, the chemical structure of L1, the chemical identity of the other linkers (e.g., L2, L3) in the product, as well as the stability of monomer groups in Oligos A, B and C to chemical reagents used to cleave the conjugated molecule from the solid support. The choice for using a particular resin will depend on protocols used for coupling the first monomer, the cleavage conditions to be used to obtain final product in high yield and the desired functionality, that is, the chemical nature of terminal group “Z” in the cleaved final product. Illustrative cleavage protocols are further described below. Several types of resin supports are commercially available. Exemplary of such supports without limitation are the controlled pore glass, PAM resin, benzhydrylamine resin (BHA), Wang resin, oxime resin (Kaiser), HMBA resin, Rink amide resin and PAL resin. Depending on the resin used, Z in the cleaved product can be any one of the following groups —OH, OH—(C1-C10)alkylene-, —COOH, NH2C(O)—, NH2NH—C(O)—, COOH—(C1-C10)alkylene-, NH2C(O)—(C1-C10)alkylene-, NH2NH—C(O)—(C1-C10)alkylene-, CH2═CH—(C1-C10)alkylene-, C≡C—(C1-C10)alkylene- or HS—(C1-C10)alkylene- and the alkylene can be optionally substituted by one or more groups selected from —OH, halogen, —NHR″, —NHC(O)—(C1-C10)alkylene-C≡CH, or —NHC(O)—(C1-C10)alkylene-CH═CH2 with R″ defined as above. Illustrative of reagents used to cleave the oligo product from the solid support include UV light, acids such as trifluoromethane sulfonic acid, trifluoroacetic acid, hydrogen bromide, acetic acid. Nucleophilic reagents such as sodium hydroxide, hydrazine, alcohols primary amines and hydrides can be used to cleave the oligo product off HMBA and oxime resins. If the oligo is conjugated to solid support “S” through a disulfide linkage, cleavage of the oligo product from the solid support can be facilitated using a reducing agents. Illustrative of reagents suitable for cleaving a disulfide bond without limitation are β-mercaptoethanol dithiothreitol (DTT), tris-(2-carboxyethyl)phosphine (TCEP), or hydride reagents such as sodium borohydride and sodium cyanoborohydride. Depending on the cleaving reagent used oligo products having a terminal amide group, carboxylic acid group, alcohol group, aldehyde group or hydrazide group are obtained.
- In some embodiments, the method further comprises repeating deprotection and conjugation steps described above “n” times to form a solid support-bound conjugated molecule of the formula:
- wherein n is an integer equal to or greater than 1, for example, an integer of between 1 and 50, or 1 and 25, or 1 and 20, or 1 and 10, and each
- is independently selected from the above-discussed oligo category.
- In the above method, the intermediate product after each conjugation step has a terminal group R4. When R4 is a conjugation functionality selected from the group consisting of azido, —C≡C—R23, —NHR23, carboxy, halo, hydroxy, —(CR25R25)sC(═O)OR23, —O—P(═O)(OH)SH and —O—P(═O)(OH)Br, R4 is R3a and the deprotection step of converting R4 to R3a may be omitted. When the R4 is a group selected from halo, —NR23Pr, —O—P(═O)(OH)SR24, carboxy ester, phosphate or phosphate ester, the terminal protected conjugation functionality R4 is first deprotected to obtain an intermediate that has the reactive conjugation functionality R3a described above. This intermediate then can be contacted with the next conjugation component
- so as to permit a reaction between complementary conjugation functionalities R3a and R3b, so as to covalently bond another
- to the solid support-bound conjugated molecule.
- After completion of the reaction sequence, the bond L1 is cleaved under suitable cleavage conditions to give a conjugated molecule of the formula:
- with Z being a group is as defined above.
- For conjugated molecules that comport with the above formula, each set of R3ap, R3a, R3b, and L3 is independently selected from
-
- (a″) R3ap is halo, R3a is azido, R3b is —C≡C—R23, and L3 is
- or
-
- (b″) R3ap is —NR23Pr, R3a is —NHR23, R3b is carboxy, and L3 is —NR23C(═O)—, or
- (c″) R3ap is carboxy ester, R3a is carboxy, R3b is —NHR23, and L3 is —C(═O)NR23—, or
- (d″) R3ap is —NR23Pr, R3a is —NHR23, R3b is halo, and L3 is —NR23—, or
- (e″) R3ap is —OH, phosphate or phosphate ester, R3a is —O—P(═O)(OH)(X), R3b is hydroxy, and L3 is —O—P(═O)(OH)—O—, or
- (f″) R3ap is —OH, phosphate or phosphate ester, R3a is —O—P(═O)(OH)(X), R3b is —NHR23, and L3 is —O—P(═O)(OH)—NR23—, or
- (g″) R3ap is —OH, phosphate or phosphate ester, R3a is —O—P(═O)(OH)(X), R3b is thio, and L3 is —O—P(═O)(OH)—S—, or
- (h″) R3a is —X, R3b is thio, and L3 is —S—, or
- (i″) R3a is
- R3b is thio, and L3 is
- or
-
- (j″) R3a is —C≡C—R23, R3b is azido, and L3 is
- or
-
- (k″) R3a is halo, R3b is —NHR23, and L3 is —NR23—, or
- (l″) R3a is hydroxy, R2b is —O—P(═O)(OH)(X), and L3 is —O—P(═O)(OH)—O—, or
- (m″) R3a is —NHR23, R3b is —O—P(═O)(OH)(X), and L3 is —NR23—P(═O)(OH)—O—, or
- (n″) R3a is thio, R3b is —O—P(═O)(OH)(X), and L3 is —S—P(═O)(OH)—O—, or
- (o″) R3ap is —O—P(═O)(OH)SR24, R3a is —O—P(═O)(OH)SH, R3b is —X, and L3 is —O—P(═O)(OH)—S—, or
- (p″) R3a is —X, R3b is —O—P(═O)(OH)SH, and L3 is —S—P(═O)(OH)—O—, or
- (q″) R3a is —(CR25R25)sC(═O)OR23, R3b is —NHR23, L3 is —(CR25R25)sC(═O)NR23—, or
- (r″) R3a is —NHR23, R3b is —(CR25R25)sC(═O)OR23, L3 is —NR23C(═O)—(CR25R25)s—, or
- (s″) R3a is thio, R3b is —X, and L3 is —S—, or
- (t″) R3a is thio, R3b is
-
- or
-
- (u″) R3a is —SH, R3b is —O—P(═O)(OH)(O—(CH2)n—SH) and L3 is —S—S—(CH2)n—O—P(OH)(═O)—O—.
- An embodiment of this general process is illustrated in
Scheme 1. - In
Scheme 1, m is an integer starting from 1 and increasing by 1 after each optional deprotection and conjugation steps to a predetermined value “n”. According to the protocol illustrated inScheme 1, subscript “n” in the resin bound conjugated molecule is an integer between 0 and 25, for example, “n” can be 0, 1, 2, 3, 4, 5, 6, 7, 8, 9, 10, 12, 14, 16, 18, 20, 22, or 24. Other variables are as defined above. - In another aspect, is provided a method of preparing a compound of the formula
- using an asymmetric conjugation strategy. According to this methodology, a conjugation component according to formula
- is attached
- to a solid support
- to form a compound of the formula
- This intermediate then is allowed to react with a conjugation component of the formula
- thereby to form
- A solid support material
- is used for synthesis, with each of
- being selected independently from the category oligo described above.
- R3 is R3a, a detectable label or an oligo. R1a, R1b and R2a, R2b are complementary conjugation functionalities, and L1 and L2 are conjugate linkers formed by reaction between R1a and R1b and between R2a and R2b, respectively. R1a, R1b, L1, R2a, R2b, L2, and R3a are selected from:
-
R1a, R2a, or R3a R1b or R2b L1 or L2 —C≡C—R23 azido azido —C≡C—R23 carboxy —NHR23 —C(═O)NR23— —NHR23 carboxy —NR23C(═O)— halo —NHR23 —NR23— —NR23 halo —NR23— hydroxy —O—P(═O)(OH)(X) —O—P(═O)(OH)—O— —O—P(═O)(OH)(X) hydroxy —O—P(═O)(OH)—O— —NHR23 —O—P(═O)(OH)(X) —NR23—P(═O)(OH)—O— —O—P(═O)(OH)(X) —NHR23 —O—P(═O)(OH)—NR23— thio —O—P(═O)(OH)(X) —S—P(═O)(OH)—O— —O—P(═O)(OH)(X) thio —O—P(═O)(OH)—S— thiol —X —S— —X thio —S— —O—P(═O)(OH)SH —X —O—P(═O)(OH)—S— —X —O—P(═O)(OH)SH —S—P(═O)(OH)—O— —(CR25R25)sC(═O)OR23 —NHR23 —(CR25R25)sC(═O)NR23— —NHR23 —(CR25R25)sC(═O)OR23 —NHR23C(═O)—(CR25R25)s— thio thio —SH —O—P(═O)(OH)(O—(CH2)n—SH) —O—P(═O)(OH)(O—(CH2)n—S—S—
X is a group selected from chlorine, bromine, fluorine, tosylate, mesylate, triflate, or dimethoxy triflate and the selection of R1a, R2a, or R3a are independent of each other provided that L1 and L2 are different, R2a does not react with R1a or R1b, and R3a does not react with R2a or R2b; - R23 is selected from the group consisting of hydrogen, alkyl, substituted alkyl, alkenyl, substituted alkenyl, alkynyl, substituted alkynyl, aryl, substituted aryl, cycloalkyl, substituted cycloalkyl, cycloalkenyl, substituted cycloalkenyl, cycloalkynyl, substituted cycloalkynyl, heteroaryl, substituted heteroaryl, heterocyclic, and substituted heterocyclic; and
- ----- represents the point of connection to the solid support-bound conjugated molecule that is closer to
- In accordance with the invention, a method also is provided for the manufacture of a solid support-bounded conjugated molecule according to the following formula:
- According to this method, a compound according to formula
- is reacted with a conjugation component
- to obtain the following polymer
- R4 in such as polymer can be a conjugation functionality selected from the definitions for conjugation functionalities R1a, R2a, or R3a, provided above, a detectable label or a polymer encompassed by the category oligo described above, provided that R4 does not react with R3a or R3b.
- Upon completion of the synthesis, the target polymer is cleaved from the solid support using a suitable cleavage method to give
- where Z is selected from —OH, OH—(C1-C10)alkylene-, —COOH, NH2C(O)—, NH2NH—C(O)—, COOH—(C1-C10)alkylene-, NH2C(O)—(C1-C10)alkylene-, NH2NH—C(O)—(C1-C10)alkylene-, CH2═CH—(C1-C10)alkylene-, C≡C—(C1-C10)alkylene- or HS—(C1-C10)alkylene- and the alkylene can be optionally substituted by one or more groups selected from —OH, halogen, —NHR″, —NHC(O)—C1-C10)alkylene-C≡CH, or —NHC(O)—(C1-C10)alkylene-CH═CH2. When the alkylene is substituted with an —NHR″ group, variable R″ is selected from (C1-C10)alkyl, (C3-C10)cycloalkyl, or (C3-C10)aryl. Reagents that are useful for cleaving the oligo product from the solid support are similar to the ones described above.
- In some embodiments, the method further comprises repeating the conjugation step “n” times to form a solid support-bound conjugated molecule according to the following formula:
- wherein n is an integer of equal to or greater than 1, and each
- is independently selected from the category oligo described above.
- In the above method, the intermediate product after each conjugation step has a terminal group R4. When the R4 is a conjugation functionality R3a, this group permits the intermediate to react in subsequent conjugation steps with a complementary conjugation functionality R3b that is present on one end of a conjugation component of the formula:
- to add
- to the solid support-bound conjugated molecule.
- After completion of the reaction sequence, the bond L1 that binds the desired product to the solid support is cleaved under suitable cleavage conditions to give a conjugated molecule of the formula:
- where the terminal group Z is defined above.
- Each set of R3a, R3b, and L3 is independently selected from
-
- (a″) R3a is azido, R3b is —C≡C—R23, and L3 is
- or
-
- (b″) R3a is —NHR23, R3b is carboxy, and L3 is —C(═O)NR23—, or
- (c″) R3a is carboxy, R3b is —NHR23, and L3 is —C(═O)NR23—, or
- (d″) R3a is —NHR23, R3b is halo, and L3 is —NR23—, or
- (e″) R3a is —O—P(═O)(OH)(X), R3b is hydroxy, and L3 is —O—P(═O)(OH)—O—, or
- (f″) R3a is —O—P(═O)(OH)(X), R3b is —NHR23, and L2 is —NR23—P(═O)(OH)—O—, or
- (g″) R3a is —O—P(═O)(OH)(X), R3b is thio, and L3 is —S—P(═O)(OH)—O—, or
- (h″) R3a is —X, R3b is thio, and L3 is —S—, or
- (i″) R3a is
- R3b is thio, and L3 is
- or
-
- (j″) R3a is —C≡C—R23, R3b is azido, and L3 is
- or
-
- (k″) R3a is halo, R3b is —NHR23, and L3 is —NR23—, or
- (l″) R3a is hydroxy, R3b is —O—P(═O)(OH)(X), and L3 is —O—P(═O)(OH)—O—, or
- (m″) R3a is —NHR23, R3b is —O—P(═O)(OH)(X), and L3 is —O—P(═O)(OH)—NR23—, or
- (n″) R3a is thio, R3b is —O—P(═O)(OH)(X), and L3 is —O—P(═O)(OH)—S—, or
- (o″) R3a is —O—P(═O)(OH)SH, R3b is —X, and L3 is —O—P(═O)(OH)—S—, or
- (p″) R3a is —X, R3b is —O—P(═O)(OH)SH, and L3 is —O—P(═O)(OH)—S—, or
- (q″) R3a is —(CR25R25)sC(═O)OR23, R3b is —NHR23, L3 is —C(═O)NR23—,
- (r″) R3a is —NHR23, R3b is —(CR25R25)sC(═O)OR23, L3 is —NR23C(═O)—, or
- (s″) R3a is thio, R3b is —X, and L3 is —S—, or
- (t″) R3a is thio, R3b is
-
- or
-
- (u″) R3a is —SH, R3b is —O—P(═O)(OH)(O—(CH2)n—SH) and L3 is —S—S—(CH2)n—O—P(OH)(═O)—O—, where group X in conjugation functionalities R3a and R3b is as defined above.
- An embodiment of this process is illustrated in
Scheme 2. InScheme 2, m is an integer starting from 1 and increasing by 1 after each conjugation step until a conjugated molecule having the prescribed number (“n”) of oligo units is obtained, where “n” is an integer between 0 and 25, for example, “n” can be 0, 1, 2, 3, 4, 5, 6, 7, 8, 9, 10, 12, 14, 16, 18, 20, 22, or 24. The definitions for variables R1a, R1b, R2a, R2b, R3a, R3b and R4 are as defined above. - Symmetric Conjugation Methodology
- In still another aspect, provided herewith is a method of preparing a compound of the formula
- comprising
(i) attaching a conjugation component of the formula - to a solid support
- to form a compound of the formula
- (ii) converting
- to
- and
(iii) reacting - with a conjugation component of the formula
- to form
- where:
- is a solid support material;
- are each independently selected from polymers encompassed by the category oligo defined above;
- According to this synthetic methodology, R3 can either be a protected conjugation functionality Rap, or R3 is a group selected from a detectable label or a polymer of the category oligo. Ra and Rb are complementary conjugation functionalities and L is conjugate linker formed by reaction of Ra and Rb. Rap, Ra, Rb, and L are each independently selected from
-
- (a) Rap is halo, Ra is azido, Rb is —C≡C—R23, and L is
- or
-
- (b) Rap is —NR23Pr, Ra is —NHR23, Rb is carboxy, and L is —NR23C(═O)—, or
- (c) Rap is carboxy ester, Ra is carboxy, Rb is —NHR23, and L is —C(═O)NR23—, or
- (d) Rap is —NR23Pr, Ra is —NHR23, Rb is halo, and L is —NR23—, or
- (e) Rap is —OH, phosphate or phosphate ester, Ra is —O—P(═O)(OH)(X), Rb is hydroxy, and L is —O—P(═O)(OH)—O—, or
- (f) Rap is —OH, phosphate or phosphate ester, Ra is —O—P(═O)(OH)(X), Rb is —NHR23, and L is —O—P(═O)(OH)—NR23—, or
- (g) Rap is —O—P(═O)(OH)SR24, Ra is —O—P(═O)(OH)SH, Rb is —X, and L2 is —O—P(═O)(OH)—S—, or
- (h) Rap is —OH, phosphate or phosphate ester, Ra is —O—P(═O)(OH)(X), Rb is thio, and L is —O—P(═O)(OH)—S—
- (i) Rap is —SR24, Ra is —SH, Rb is HS—(CH2)n—O—P(OH)(═O)—O— and L is —S—S—(CH2)n O—P(OH)(═O)—O—;
- R23 is selected from the group consisting of hydrogen, alkyl, substituted alkyl, alkenyl, substituted alkenyl, alkynyl, substituted alkynyl, aryl, substituted aryl, cycloalkyl, substituted cycloalkyl, cycloalkenyl, substituted cycloalkenyl, cycloalkynyl, substituted cycloalkynyl, heteroaryl, substituted heteroaryl, heterocyclic, and substituted heterocyclic;
- X is selected from chlorine, bromine, fluorine, tosylate, mesylate, triflate, or dimethoxy triflate;
- Pr is an amino protecting group;
- R24 is trityl or benzyl;
- ----- represents the point of connection to the part of the solid support-bound conjugated molecule that is closer to
- In another of its aspects, the present invention provides a method for preparing a solid support-bound conjugated molecule of the formula:
- where the compound of formula
- in which R3 is a protected functional group Rap is deprotected to obtain a reactive intermediate
- subsequently is contacted with a conjugation component according to formula:
- to form
- In this embodiment, R4 is selected from the group consisting of Rap, a detectable label or a polymer from category oligo.
- The bond L that binds the desired product to the solid support can be cleaved under suitable cleavage conditions to give a conjugated molecule of the formula:
- In some embodiments, the method further comprises repeating the deprotection and conjugation steps “n” times to form a solid support-bound conjugated molecule of the formula:
- Integer n in the product obtained using the described method can have a value equal to or greater than 1, and each
- is independently selected from polymers within the category oligo.
- According to the above-described method, the intermediate product after each conjugation step has a terminal group R4. When the R4 is Rap, R4 is first converted to a conjugation functionality Ra and then is contacted with a complementary conjugation functionality Rb that is present on one end of the conjugation component of the formula:
- to add a
- to the solid support-bound conjugated molecule.
- After completing the synthesis to obtain a solid support-bound conjugated molecule that has the specified number of
- groups, the bond L that binds the final product to the solid support is cleaved under suitable cleavage conditions to give a resin free conjugated molecule according to formula:
- Depending on the nature of the solid support used for synthesis, terminal group Z in the resin free product is a group selected from —OH, OH—(C1-C10)alkylene-, —COOH, NH2C(O)—, NH2NH—C(O)—, COOH—(C1-C10)alkylene-, NH2C(O)—(C1-C10)alkylene-, NH2NH—CO—(C1-C10)alkylene-, CH2═CH—(C1-C10)alkylene-, C≡C—(C1-C10)alkylene- or HS—(C1-C10)alkylene- and the alkylene can be optionally substituted by one or more groups selected from —OH, halogen, —NHR″, —NHC(O)—(C1-C10)alkylene-C≡CH, or —NHC(O)—(C1-C10)alkylene-CH═CH2. Reagents suitable for cleaving the oligo are as defined above.
- In this embodiment, all Rap are the same, all Ra are the same, Rb are the same, and each L is the same, and these variables are as defined above.
- An embodiment of this process is illustrated in
Scheme 3. InScheme 3, “m” is an integer that starts from 1 and increases by 1, after each pair of deprotection and conjugation steps, until a conjugated molecule having the prescribed number (“n”) of oligo units is obtained, where “n” is an integer between 0 and 25, for example, “n” can be 0, 1, 2, 3, 4, 5, 6, 7, 8, 9, 10, 12, 14, 16, 18, 20, 22, or 24. Other variables are as defined above. - In some embodiments of the inventive methodology, general, asymmetric or symmetric, R23 is hydrogen or C1-6 alkyl.
- In some embodiments of the inventive methodology, general, asymmetric or symmetric, the conjugation functionalities and the conjugate linker are:
-
Ra, R1a, R2a, or R3a Rb, R1b, R2b, or R3b L, L1, L2, or L3 —C≡C—H azido azido —C≡C—H carboxy —NH2 —C(═O)NH— —NH2 carboxy —NHC(═O)— halo —NH2 —NH— —NH2 halo —NH— hydroxy —O—P(═O)(OH)(X) —O—P(═O)(OH)—O— —O—P(═O)(OH)(X) hydroxy —O—P(═O)(OH)—O— —NH2 —O—P(═O)(OH)B(X) —NH—P(═O)(OH)—O— —O—P(═O)(OH)(X) —NH2 —O—P(═O)(OH)—NH— thio —O—P(═O)(OH)(X) —S—P(═O)(OH)—O— —O—P(═O)(OH)(X) thio —O—P(═O)(OH)—S— thio —X —S— —X thio —S— —O—P(═O)(OH)SH —X —O—P(═O)(OH)—S— —X —O—P(═O)(OH)SH —S—P(═O)(OH)—O— —NH2 —(CH2)sC(═O)NH— —NH2 —NHC(═O)—(CH2)s— thio thio —SH —O—P(═O)(OH)(O—(CH2)n—SH) —O—P(═O)(OH)(O—(CH2)n—S—S— - Conjugation Components
- In another aspect, the invention provides a solid support represented by the formula:
- wherein:
- is a solid support material;
- is selected from the category oligo;
- R2 is R2a or R2ap;
- R2ap is selected from the group consisting of halo, NR23Pr, carboxy ester, —NR23Pr, —OH, phosphate, phosphate ester, and —O—P(═O)(OH)SR24,
- R2a is selected from the group consisting of halo, azido, hydroxy, thio, —NHR23, carboxy, —NHR23, —O—P(═O)(OH)(SH),
- —C≡C—R23, and —(CR25R25)sC(═O)OR23; R23 is selected from the group consisting of hydrogen, alkyl, substituted alkyl, alkenyl, substituted alkenyl, alkynyl, substituted alkynyl, aryl, substituted aryl, cycloalkyl, substituted cycloalkyl, cycloalkenyl, substituted cycloalkenyl, cycloalkynyl, substituted cycloalkynyl, heteroaryl, substituted heteroaryl, heterocyclic, and substituted heterocyclic;
- Pr is an amino protecting group;
- R24 is trityl or benzyl;
- R25 is hydrogen or C1-6 alkyl;
- s is an integer of greater than 1; and
-
- In another aspect, the invention provides a compound according to formula:
- wherein R2 is R2a or R2ap,
- is selected from the category oligo;
- R1b is selected from the group consisting of —C≡C—R23, carboxy, —NHR23, halo, hydroxy, thio, azido, —O—P(═O)(OH)(X), —O—P(═O)(OH)SH, —(CR25R25)sC(═O)OR23, and
- R2ap is selected from the group consisting of halo, NR23Pr, carboxy ester, —OH, phosphate, phosphate ester, and —O—P(═O)(OH)SR24;
- R2a is selected from the group consisting of halo, azido, hydroxy, thio, —NHR23, carboxy, —O—P(═O)(OH)Br,
- —C≡C—R23, —(CR25R25)sC(═O)OR23 and —O—P(═O)(OH)SH;
- R23 is selected from the group consisting of hydrogen, alkyl, substituted alkyl, alkenyl, substituted alkenyl, alkynyl, substituted alkynyl, aryl, substituted aryl, cycloalkyl, substituted cycloalkyl, cycloalkenyl, substituted cycloalkenyl, cycloalkynyl, substituted cycloalkynyl, heteroaryl, substituted heteroaryl, heterocyclic, and substituted heterocyclic;
- R24 is trityl or benzyl;
- Pr is an amino protecting group;
-
- provided that R2 does not react with R1b.
- Pursuant to the invention, a conjugated molecule or a components of such molecule can comprise one or more labels that are attached directly or through a linker. Such labeling can permit detection of the presence, the whereabouts and/or the quantity of a certain conjugation component or of conjugated molecules. For instance, the labeling can allow differentiation of different conjugation components or conjugated molecules in a nano-scale information processing system as above.
- In this regard, a “label” is a group that can be detected by any means. Accordingly, the category of suitable labels includes but is not limited to fluorescent moieties, bioluminescent moieties, chemiluminescent moieties, colorimetric moieties, enzymatic moieties that generate a detectable signal when contacted with a substrate, spectrally resolvable quantum dots, metal nanoparticles or nanoclusters, paramagnetic, superparamagnetic and ferromagnetic substances, fluorophores, quenchers, and the like. A label also can be a group that carries a radioactive atom, such as Gallium-67 and Indium-111. In addition, a label can be polypeptide or protein that acts as a receptor or as a ligand for a cognate molecule the binding of which generates a detectable signal.
- Examples of detectable moieties conjugated to another molecule are described in U.S. Pat. Nos. 4,855,225 and 5,188,934, in U.S. patent application publications No. 2005/0112065, No. 2007/0110798 and No. 2011/0077169, in published international application WO1991/005060, and in Lee et al., Nucleic Acids Res. 20: 2471-483 (1992). Additionally, multiple detectable groups can be attached to a single conjugation component or to a conjugated molecule to provide a combined signal that allows the conjugation component or conjugated molecule to be identified and distinguished from others to which are attached a different detectable moiety or a different set of detectable groups. That such combinations of detectable groups are known is evidenced, for example, those described in U.S. Pat. No. 6,632,609 and in Speicher et al., Nature Genetics 12: 368-75 (1996).
- Fluorophores, also known as fluorescent dyes, are detectable groups that absorb light energy at a defined excitation wavelength and emit light energy at a different wavelength. Different fluorophores can be selected for use to give a mixture detectable groups that can be detected based on their spectral characteristics, particularly fluorescence emission wavelength and/or intensity, under certain detection conditions.
- Quenchers are detectable groups that are capable of absorbing the energy of an excited fluorescent detectable group when located in close proximity with the excited fluorescent detectable group and of dissipating that energy without the emission of visible light. Examples of quenchers include, but are not limited to, DABCYL (4-(4′-dimethylaminophenylazo)benzoic acid) succinimidyl ester, diarylrhodamine carboxylic acid, succinimidyl ester (QSY-7), and 4′,5′-dinitrofluorescein carboxylic acid, succinimidyl ester (QSY-33) (all available from Molecular Probes), quencherl (Q1; available from Epoch), or “black hole quenchers” BHQ-1, BHQ-2, and BHQ-3 (available from BioSearch, Inc.).
- In some embodiments, the detectable group is selected from:
-
Name Structure pyrene azide (N-(3-Azidopropyl)- 4-pyren-1-yl-butyramide) hydroxy-coumarin azide (3- Azido-7-hydroxycoumarin) 5-FAM azide (N-(3-azidopropyl)- 3′,6′-dihydroxy-3-oxo-3H- spiro[isobenzofuran-1,9′- xanthene]-5-carboxamide) Cy3 azide Cy5-azide TAMRA alkyne (5- Carboxytetramethylrhodamine, Propargylamide) 5-(Bromomethyl) Fluorescein Dabcyl Succinimidyl Ester (4-((4- (dimethylamino)phenyl)azo)benzoic Acid Alexa Fluor 430 Carboxylic Acid, Succinimidyl Ester - The conjugated molecules prepared by the methods described herein can be used to develop molecular processing networks, of different sizes and complexities, that are comprised of conditional nucleic acid-exchange reactions. The conjugated molecules also can be useful as biological transistors, which can constitute integrated circuits for executing compound logic functions, e.g., in diagnostic or therapeutic contexts that entail targeting of neoplastic or virus-infected cells. Thus, conjugated molecules of the invention can be employed to implement nano-scale information processing systems, suitable for solving computational problems in a test tube or in a cell. See U.S. patent application Ser. No. 13/072,438. As noted above, such nano-scale systems can be compatible with biological environments and have the potential for use in the diagnosis and treatment of complex diseases, among other applications.
- Use of conjugated molecules of the invention in the manner described here typically will entail transport of the molecules into cells. Any methodology suitable for such intracellular delivery can be employed. Illustrative of reagents that promote delivery into cells of macromolecules, such as the conjugated molecules of the invention, are transfecting agents, liposomes, dendrimers, cholesterol, see Percot et al., Int'l J. Pharm. 278: 143-63 (2004), and delivery peptides and proteins, including polyamines such as carboxy spermine, poly-Arginine, poly-Lysine and the RGD peptide.
- Thus, transport across a cell membrane could be achieved by coupling an inventive oligo covalently to a peptide that contains a cell internalization signal, a nuclear or sub-cellular localization signal, and/or a cell targeting and endocytosis-triggering signal. Such a peptide can be naturally-occurring or derived from synthetic or engineered proteins; e.g., the peptide can be a synthetic functional equivalent of naturally-occurring peptide. See Luo et al., Nature Biotechnology 18: 33-37 (2000), and U.S. Pat. No. 7,087,770.
- Cell delivery peptides and proteins can be covalently linked to the inventive oligo by a disulfide linkage. Typically, the cell delivery peptide containing a cysteine residue will be allowed to contact a free sulfhydryl containing oligo under oxidative conditions to facilitate the formation of the disulfide linkage. The progress of the conjugation reaction and eventual purification of the conjugated product can be performed by HPLC, using a C-18 reverse-phase column, and mass spectral analysis for identification of the product.
- According to one delivery strategy, a cell delivery peptide or protein will be first bound to the inventive oligo. The peptide- or protein-oligo complex then will be admixed with a transfection agent or mixture of agents, and the resulting mixture will be employed to deliver the oligo into cells. Suitable transfection agents include cationic lipid compositions, particularly monovalent and polyvalent cationic lipid compositions, more particularly LIPOFECTIN®, LIPOFECTAMINE®, CELLFECTIN®, DMRIE-C®, DOTAP®, and DOSPER®, and dendrimer compositions, particularly G5-G10 dendrimers, including dense star dendrimers, poly(amidoamine) dendrimers (PAMAM®), grafted dendrimers, and dendrimers known as dendrigrafts and SuperFect®.
- The starting materials for preparing conjugated molecules according to the present invention include but are limited to, oligonucleotides, nucleotide monomers, peptides, proteins, amino acids, peptide nucleic acids and peptide nucleic acid derivatives. The starting materials can be purchased from commercial vendors or synthesized prior to use. The inventive conjugation components are prepared by functionalizing a polymer within the category oligo to contain one or two conjugation functionalities.
- In the following examples preferred process conditions are given, i.e., reaction temperatures, times, mole ratios of reactants, solvents used and pressures. However, other process conditions can also be used unless otherwise stated. Optimum reaction conditions may vary depending on the reactants or solvents used, but such conditions can be determined by one skilled in the art by routine optimization procedures.
- In addition to the protected groups described here, other conventional protecting groups may be necessary to prevent certain functional groups from undergoing undesired reactions. Suitable protecting groups for various functional groups as well as suitable conditions for protecting and deprotecting particular functional groups are well known in the art. For instance, numerous protecting groups are described in T. W. Greene and G. M. Wuts, P
ROTECTING GROUPS IN ORGANIC SYNTHESIS , Third Edition (Wiley, New York, 1999), and publications cited there. - Furthermore, various oligos may contain one or more chiral centers. Accordingly, conjugated molecules can be prepared or isolated as pure stereoisomers, i.e., as individual enantiomers or diastereomers, or as mixtures of stereoisomer, such racemic mixtures. All such stereoisomers and mixtures of stereoisomers are within the scope of this invention. Such compounds can be prepared using optically active starting materials, for instance, or stereoselective reagents. Alternatively, a mixture of two or more stereoisomers can be resolved using chiral column chromatography or chiral resolving agents.
- Oligos that are oligonucleotides may be prepared by conventional solid-phase synthesis methodology, such as the phosphoramidite technique, which uses phosphoramidite building blocks derived from protected 2′-deoxynucleosides (dA, dC, dG, and T) and ribonucleosides (A, C, G, and U). To obtain a desired oligonucleotide, the building blocks are sequentially coupled to the growing oligonucleotide chain in the order required by the sequence of the product. Examples of such methods are described in Reese, Organic & Biomolecular Chemistry 3: 3851 (2005), Iyer et al., “Oligonucleotide synthesis” in C
OMPREHENSIVE NATURAL PRODUCTS CHEMISTRY , Vol. 7: DNA and Aspects of Molecular Biology; and Ogilvie; J. Amer. Chem. Soc. 99: 7741-43 (1997). - Peptides can be prepared from amino acids under amide coupling conditions, such as suing an amide coupling reagent. For example, the peptides can be prepared using a solid-phase methodology as those described in F. F. Nord and R. B. Merrifield, S
OLID -PHASE PEPTIDE SYNTHESIS (Wiley 2006). - Peptide nucleic acids can be prepared according to conventional methods as described, for instance, in U.S. Pat. Nos. 5,539,082 and 6,395,474.
- The various compounds described herein, such as conjugation components, intermediates, and conjugated molecules, may be isolated and purified where appropriate using conventional techniques such as precipitation, filtration, crystallization, evaporation, distillation, and chromatography. Characterization of these compounds may be performed using conventional methods such as by melting point, mass spectrum, nuclear magnetic resonance, and various other spectroscopic analyses.
- The examples that follow are provided to illustrate certain aspects of the present invention and to aid those of skill in the art in practicing the invention. The examples are not to be considered to limit the scope of the invention.
-
-
Scheme 4 above illustrates a general protocol for conjugating a DNA to a peptide nucleic acid to obtain a heteropolymer. In this scheme the 5′-terminal (5′-end) of an appropriately functionalized DNA is permitted to contact a reactive group on the C-terminus of a PNA moiety to synthesize a DNA-PNA heteropolymer (Scheme 4 path (A), 5′ to N-terminal conjugation). - In one embodiment, the conjugation reaction proceeds by providing a nucleophilic group, for example, a thiol, amine, or hydroxide at the 5-terminus of the DNA and a suitable leaving group such as halogen, mesylate, or tosylate at the N-terminus of the PNA. Alternatively, conjugation can proceed by functionalizing the 5′-terminal of the Da to bear a suitable leaving group and allowing such a DNA moiety to react with a nucleophile attached to the N-terminus of a PNA. Pursuant to another aspect of the invention, conjugation of the DNA to the PNA can proceed via the formation of a disulfide bond or the formation of an amide (peptide) bond. Alternatively, an alkyne functionalized DNA can be contacted with an azide functionalized PNA to form a triazole ring that connects the 5-terminus of the DNA to the N-terminus of the PNA. Protocols for conjugating a DNA to a PNA via an amide linkage, thioether linkage, or triazine moiety are further described below.
- The DNA-PNA heteropolymers thus obtained can be cleaved from the solid supports using a variety of cleaving reagent. Depending on the type of solid support used and therefore, the nature of the bond conjugating the DNA or the PNA to a support, strong and weak acids such as hydrogen fluoride, trifluoroacetic acid, trichloroacetic acid, bases such as ammonia, amines, or other reagents such as hydrazine, uv light, and hydrides can be used to cleave the heteropolymer from the supports. Typically, the cleaving reagent is used along with scavengers to prevent racemization of the product.
- In the specific example illustrated below, the conjugation product (X) is cleaved from the support through an elimination reaction under basic conditions (concentrated ammonium hydroxide). The specific support used in this case is a 1000 angstrom Controlled Pore Glass (CPG) bead functionalized with the UnySupport linker commercially available from GlenResearch.
- As described above the synthesis of a DNA-PNA heteropolymer having a 5′ to N-terminal connectivity requires the 5′-end of the DNA to be suitable functionalized to facilitate the conjugation reaction with the N-terminal of a PNA moiety. Illustrative of groups that are suitable for functionalizing the 5′-terminal of DNA are those shown in
Scheme 5 below where variable “A” represents the 5′-terminal group of a DNA. - Methodologies for introducing functional groups illustrated in
Scheme 5 above, at the 5′-terminal of a DNA are well know in the art See Isaac S. Marks el al, Bioconjugate Chemistry, (2011), 22(7), pp 1259-1263; Neal K. Devaraj et al., J Am Chem Soc., (2005), 127(24), pp 8600-8601; Joseph G. Harrison and Shankar Balasubramanian, Nucl. Acids Res., (1998) 26 (13), pp 3136-3145; and Podyminogin M A et al., Nucleic Acids Res., (2001), 29(24), pp 5090-8. Alternatively, a DNA-PNA heteropolymer that has a 3′ to C-terminal connectivity can be synthesized using a protocol similar to the one illustrated above inScheme 4, path (B). The synthesis such a heteropolymer proceeds by introducing a functional group selected from one of the groups that define variable “A” inScheme 5 above at the 3′-end of a DNA and contacting the functionalized DNA with a PNA whose C-terminus is separately functionalized to include a group that can react with the 3′-end of the DNA. - The PNa moiety that takes part in the conjugation reaction cam be functionalized at the C-terminal or the N-terminal of the PNA molecule.
FIGS. 3 and 4 illustrate reagents for N-terminal and C-terminal modifications of PNA's. Protocols for modifying the N- and C-termini of PNA's using these reagents are well known in the chemical art. See Andriy A. Mokhir et al., Bioconjugate Chem., (2003), 14 (5), pp 877-883; Brian D. Gildea et al., Tetrahedron Letters, (1998), Volume 39, Issue 40, pp 7255-7258 - Schemes 6-8 illustrate exemplary strategies for synthesizing a 3′-functionalized DNA. The product DNA's illustrated in each of Scheme 6-8 can be used to form the inventive DNA-PNA heteropolymer as further described below.
- Scheme 9 illustrates the synthesis of a DNA-PNA heteropolymer having a 5′ to C-terminal connectivity.
- As illustrated above, the synthesis of the inventive conjugated molecule, that is, a DNA-PNA heteropolymer proceeds by contacting the amino group at 5′-end of the DNA (component 2-1) to the carboxyl group of a PNA (component 2-2). The product 2-3 is obtained through the formation of an amide bond using reaction conditions similar to those used for performing conventional amide-couplings. The numerical value of subscript “s” dictates the distance separating the PNA from the DNA in the final product and may influence the physical and/or biochemical properties of the heteropolymer.
- Suitable coupling reagents for forming an amide bond include carbodiimides, such as N—N′-dicyclohexylcarbodiimide (DCC), N—N′-diisopropylcarbodiimide (DIPCDI), and 1-ethyl-3-(3′-dimethylaminopropyl)carbodiimide (EDCI). The carbodiimides may be used alone or along with additives that promote and improve coupling efficiency. Such coupling additives include without limitation dimethylaminopyridine (DMAP) or compounds belonging to the class benzotriazoles, e.g., 7-aza-1-hydroxybenzotriazole (HOAt), 1-hydroxybenzotriazole (HOBt), and 6-chloro-1-hydroxybenzotriazole (Cl-HOBt).
- Amide coupling reagents also include aminium and phosphonium based reagents. Aminium salts include N-[(dimethylamino)-1H-1,2,3-triazolo[4,5-b]pyridine-1-ylmethylene]-N-methylmethanaminium hexafluorophosphate N-oxide (HATU), N-[(1H-benzotriazol-1-yl)(dimethylamino)methylene]-N-methylmethanaminium hexafluorophosphate N-oxide (HBTU), N-[(1H-6-chlorobenzotriazol-1-yl)(dimethylamino)methylene]-N-methylmethanaminium hexafluorophosphate N-oxide (HCTU), N-[(1H-benzotriazol-1-yl)(dimethylamino)methylene]-N-methylmethanaminium tetrafluoroborate N-oxide (TBTU), and N-[(1H-6-chlorobenzotriazol-1-yl)(dimethylamino)methylene]-N-methylmethanaminium tetrafluoroborate N-oxide (TCTU). Phosphonium salts include 7-azabenzotriazol-1-yl-N-oxy-tris(pyrrolidino)phosphonium hexafluorophosphate (PyAOP) and benzotriazol-1-yl-N-oxy-tris(pyrrolidino)phosphonium hexafluorophosphate (PyBOP). An amide formation step may be conducted in a polar solvent such as dimethylformamide (DMF), where the solvent also may include an organic base such as diisopropylethylamine (DIEA) or dimethylaminopyridine (DMAP).
- Heteropolymers having an amide linkage between the DNA and PNA units also are synthesized by permitting a PNA modified to have a free amino group at its C-terminus to contact a 5′-carboxyl DNA as illustrated below in
Scheme 10. - Briefly, the final product having an amide conjugate linker is formed by contacting the amino group PNA conjugation component 2-2 with a (2,5-dioxopyrrolidin-1-yl)oxycarbonyl conjugation functionality of at the 5′-end of DNA conjugation component 3-1.
- Heteropolymers having a triazole linkage, such as component 4-3 in Scheme 11 below are synthesized by contacting a 3′-alkynyl modified DNA (component 4-1) with a N-terminal azide modified PNA (component 4-2).
- Alternatively, the DNA can be functionalized to have an alkynyl group at its 5′-end and an azide at the C-terminal end of a PNA. Briefly, synthesis proceeds as follows. The 5′-functionalized DNA is dissolved in a solution of water and alcohol. Typically the ratio of water to alcohol is in the range from 3:1 to 1:3. The choice of alcohol depends on the amount and chemical nature of the DNA being used. Exemplary alcohols include without limitation, ethanol, propanol, n-butanol, t-butanol and i-propanol. Other organic solvents such as dimethylformamide (DMF) can also be added to the aqueous-alcoholic DNA solution to enhance dissolution of DNA. A copper catalyst, such as copper sulfate or CuI is added to the DNA solution, followed by the addition of a buffered solution of the PNA azide. To aid the conjugation, cofactors such as tris-hydroxypropyltriazole can be added to the reaction mixture. The mole ratio of DNA to PNA in the reaction mixture can range from 1:1 to 1:3. The amount of DNA in the reaction mixture can be from about 1.0 nmoles to about 20 μmoles, for example about 50 nmoles, 100 nmoles, 150 nmoles, 200 nmoles, 250 nmoles, 300 nmoles, 350 nmoles, 400 nmoles, 500 nmoles, 600 nmoles, 700 nmoles, 800 nmoles, 900 nmoles, 1 μmole, 2 μmoles, 3 μmoles, 4 μmoles, 5 μmoles, 6 μmoles, 7 μmoles, 8 μmoles, 10 μmoles, 12 μmoles, 14 μmoles, 16 μmoles, 18 μmoles, or 20 μmoles. The amount of PNA is from about 1 nmoles to about 60 μmoles such as about 1.0 nmoles, 3 nmoles, 6 nmoles, 9 nmoles, 12 nmoles, 15 nmoles, 18 nmoles, 21 nmoles, 24 nmoles, 27 nmoles, 30 nmoles, 40 nmoles, 50 nmoles, 100 nmoles, 150 nmoles, 200 nmoles, 250 nmoles, 300 nmoles, 350 nmoles, 400 nmoles, 500 nmoles, 600 nmoles, 700 nmoles, 800 nmoles, 900 nmoles, 1 μmole, 2 μmoles, 3 μmoles, 4 μmoles, 5 μmoles, 6 μmoles, 7 μmoles, 8 μmoles, 10 μmoles, 12 μmoles, 14 μmoles, 16 μmoles, 18 μmoles, 20 μmoles, 30 μmoles, 40 μmoles, 50 μmoles, or 60 μmoles. Depending on the scale of the reaction, the final volume of the reaction mixture can range from about 10 μl to about 1 mL.
- In a variation of the above described synthetic protocol, the starting DNA or the PNA may be tethered to solid support. Solvents such as dichloromethane or DMF that hydrate and swell solid supports can be added to enhance conjugation. In this case the final conjugated molecule (i.e., DNA-PNA heteropolymer) is cleaved from the support following synthesis.
- Scheme 12 illustrates the synthesis of a DNA-PNA heteropolymer (component 5-3) obtained by contacting a PNA having an alkynyl functionality at the C-terminal (component 5-2) with a 5′-azide functionalized DNA (component 5-1).
- An exemplary synthesis of the inventive conjugate compounds using a symmetric conjugation strategy based on the formation of triazoles as the conjugate linkers is illustrated below in Scheme 13.
- The synthesis proceeds by contacting, a solid support 6-1 having an appropriate surface functional group, such as a bromo, a chloro, a tosylate, a mesylate, or any other suitable leaving group (a protected conjugation functionality) with an azide, (e.g., NaN3), to form the azide functionalized solid support 6-2. The group “CL” conjugated to the solid support in the Scheme above can be a bicyclic molecule capable of undergoing a dephosphorylation reaction. Illustrative of a ‘CL’ moiety having a bicyclic core is the group illustrated below, where the indicates point to attachment to a solid support such as controlled pore glass.
- This support is then contacted with a conjugation component 6-3 having the alkynyl conjugation functionality at one end and a bromo group at its other end to obtain a solid support conjugated component 6-4. After converting the bromo group of component 6-4 to an azide, conjugation functionality 6-5 can further react with a second conjugation component 6-3 to form a solid supported conjugated molecule which can be cleaved from the solid support to yield conjugated molecule 6-6. Depending on the desired size of the final product, the solid supported conjugated molecule 6-5 can react with required number of conjugation components 6-3 prior to cleavage of the product from the solid support. The conjugation components 6-3 may be the same or different, but each of these conjugation components must have an alkynyl conjugation functionality and a bromo group at their respective termini.
- DNA-PNA heteropolymers having a 5′ to C-terminus connectivity via a thioether conjugate linker are synthesized by contacting a 5′-bromo modified DNA (component 7-1) with a C-terminal thiol modified PNA (component 7-2) as shown below in Scheme 14. The product is a conjugated molecule 7-3 that has an alkylthioether linkage.
-
- In this example a thioether conjugate linker can be formed by contacting a thiol conjugation functionality of a DNA conjugation component 8-1 with a bromo conjugation functionality of a PNA conjugation component 8-2 under conditions to give conjugated molecule 8-3.
- In a variation of the protocol illustrated above the disulfide of a 3′-thiol functionalized DNA and a PNA having a N-terminal maleimide group can be used for synthesizing a DNA-PNA heteropolymer. Briefly, the 3′-functionalized DNA is dissolved in a buffer and a reductant such as DTT, TCEP, [N,N′-dimethyl-N,N′-bis (mercaptoacetyl)hydrazine (DMH), bis(2-mercaptoethyl)sulfone (BMS) or meso-2,5-dimercapto-N,N,N′,N′-tetramethyladipamide (DTA) is added to the buffer solution. The amount of reductant added is greater than the amount of DNA present in the buffer solution and the reaction mixture is stirred at room temperature for about 1-2 hours. A solution of PNA in DMF is then added to the buffered solution of DNA and reductant. After stirring for 6-16 hours, the crude product is lyophilized, prior to purification using reverse-phase high performance liquid chromatography.
- The mole ratio of DNA to reductant in the buffer solution can range from 1:1.2 to 1:3. The mole ratio of DNA to PNA in the reaction mixture can range from 1:0.2 to 1:5. The amount of DNA in the reaction mixture can be in the range from about 5.0 nmoles to about 20 μmoles both numbers inclusive, while the amount of PNA is from about 1 nmoles to about 100 μmoles both numbers inclusive. As described above, depending on the scale of the reaction, the final volume of the reaction mixture can range from about 10 μl to about 1 mL. The conjugation reaction can be performed using a solid support bound DNA or a solid support bound PNA. In this case the final conjugated molecule (i.e., DNA-PNA heteropolymer) is cleaved from the support following synthesis.
- While particular embodiments of the subject invention have been discussed, they are illustrative only and not restrictive of the invention. A review of this specification will make many variations of the invention apparent to those skilled in the field of the invention. The full scope of the invention should be determined by reference both to the claims below, along with their full range of equivalents, and to the specification, with such variations.
Claims (5)
1. A method of preparing a compound of the formula
wherein R2 is R2a or R2ap,
to a solid support
to form a compound of the formula
to
with a conjugation component of the formula
wherein R3 is R3a, or R3ap;
to form
to
and
(v) contacting
with a conjugation component of the formula
wherein;
is a solid support material;
are independently an oligo, where each oligo is independently a polymer, having from 2 to about 150 covalently linked monomer units, that is characterized by a sequence of 2′-deoxyribosenucleotide residues (DNA), ribonucleotide residues (RNA), and peptide nucleic acids (PNAs), or a combination thereof;
R1a and R1b are complementary conjugation functionalities and L1 is conjugate linker, and R1a, R1b, and L1 are
(a) R1a is azido, R1b is —C≡C—R23, and L1 is
or
(b) R1a is —NHR23, R1b is carboxy, and L1 is —NR23C(═O)—, or
(c) R1a is carboxy, R1b is —NHR23, and L1 is —C(═O)NR23—, or
(d) R1a is —NHR23, R1b is halo, and L1 is —NR23—, or
(e) R1a is —O—P(═O)(OH)(X), R1b is hydroxy, and L1 is —O—P(═O)(OH)—O—, or
(f) R1a is —O—P(═O)(OH)(X), R1b is —NHR23, and L1 is —O—P(═O)(OH)— NR23—, or
(g) R1a is —O—P(═O)(OH)(X), R1b is thio, and L1 is —O—P(═O)(OH)—S—, or
(h) R1a is halo, R1b is thio, and L1 is —S—, or
(i) R1a is
R1b is thio, and L1
or
(j) R1a is —C≡C—R23, R1b is azido, and L1 is
or
(k) R1a is halo, R1b is —NHR23, and L1 is —NR23—, or
(l) R1a is hydroxy, R1b is —O—P(═O)(OH)(X), and L1 is —O—P(═O)(OH)—O—, or
(m) R1a is —NHR23, R1b is —O—P(═O)(OH)(X), and L1 is —NR23—P(═O)(OH)—O—, or
(n) R1a is thio, R1b is —O—P(═O)(OH)(X), and L1 is —S—P(═O)(OH)—O—, or
(o) R1a is —O—P(═O)(OH)SH, R1b is —X, and L1 is —O—P(═O)(OH)—S—, or
(p) R1a is —X, R1b is —O—P(═O)(OH)SH, and L1 is —S—P(═O)(OH)—O—, or
(q) R1a is —(CR25R25)SC(═O)OR23, R1b is —NHR23, L1 is —(CR25R25)sC(═O)NR23—, or
(r) R1a is —NHR23, R1b is —(CR25R25)sC(═O)OR23, L1 is —NR23C(═O)—(CR25R25)s—, or
(s) R1a is thio, R1b is halo, and L1 is —S—, or
(t) R1a is thio, R1b is
and L1 is
(u) R1a is —SH, R1b is —O—P(═O)(OH)(O—(CH2)n—SH) and L1 is —S—S—(CH2)n—O—P(OH)(═O)—O—;
R2a and R2b are complementary conjugation functionalities and L2 is conjugate linker, and R2ap, R2a, R2b, and L2 are
(a′) R2ap is halo, R2a is azido, R2b is —C≡C—R23, and L2 is
or
(b′) R2ap is —NR23Pr, R2a is —NHR23, R2b is carboxy, and L2 is —NR23C(═O)—, or
(c′) R2ap is carboxy ester, R2a is carboxy, R2b is —NHR23, and L2 is —C(═O)NR23—, or
(d′) R2ap is —NR23Pr, R2a is —NHR23, R2b is halo, and L2 is —NR23—, or
(e′) R2ap is —OH, phosphate or phosphate ester, R2a is —O—P(═O)(OH)(X), R2b is hydroxy, and L2 is —O—P(═O)(OH)—O—, or
(f′) R2ap is —OH, phosphate or phosphate ester, R2a is —O—P(═O)(OH)(X), R2b is —NHR23, and L2 is —O—P(═O)(OH)—NR23—, or
(g′) R2ap is —OH, phosphate or phosphate ester, R2a is —O—P(═O)(OH)(X), R2b is thio, and L2 is —O—P(═O)(OH)—S—, or
(h′) R2a is —X, R2b is thio, and L2 is —S—, or
(i′) R2a is
R2b is thio, and L2 is
or
(j′) R2a is —C≡C—R23, R2b is azido, and L2 is
or
(k′) R2a is halo, R2b is —NHR23, and L2 is —NR23—, or
(l′) R2a is hydroxy, R2b is —O—P(═O)(OH)(X), and L2 is —O—P(═O)(OH)—O—, or
(m′) R2a is —NHR23, R2b is —O—P(═O)(OH)(X), and L2 is —NR23—P(═O)(OH)—O—, or
(n′) R2a is thio, R2b is —O—P(═O)(OH)(X), and L2 is —S—P(═O)(OH)—O—, or
(o′) R2ap is —O—P(═O)(OH)SR24, R2a is —O—P(═O)(OH)SH, R2b is —X, and L2 is —O—P(═O)(OH)—S—, or
(p′) R2a is —X, R2b is —O—P(═O)(OH)SH, and L2 is —S—P(═O)(OH)—O—, or
(q′) R2a is —(CR25R25)sC(═O)OR23, R2b is —NHR23, L2 is —(CR25R25)sC(═O)NR23—, or
(r′) R2a is —NHR23, R2b is —(CR25R25)sC(═O)OR23, L2 is —NR23C(═O)—(CR25R25)s—, or
(s′) R2a is thio, R2b is halo, and L2 is —S—, or
(t′) R2a is thio, R2b is
and L2 is
or
(u′) R2a is —SH, R2b is —O—P(═O)(OH)(O—(CH2)n—SH) and L2 is —S—S—(CH2)n—O—P(OH)(═O)—O—;
R3a and R3b are complementary conjugation functionalities and L3 is conjugate linker, and R3ap, R3a, R3b, and L3 are
(a″) R3ap is halo, R3a is azido, R3b is —C≡C—R23, and L3 is
or
(b″) R3ap is —NR23Pr, R3a is —NHR23, R3b is carboxy, and L3 is —NR23C(═O)—, or
(c″) R3ap is carboxy ester, R3a is carboxy, R3b is —NHR23, and L3 is —C(═O)NR23—, or
(d″) R3ap is —NR23Pr, R3a is —NHR23, R3b is halo, and L3 is —NR23—, or
(e″) R3ap is —OH, phosphate or phosphate ester, R3a is —O—P(═O)(OH)(X), R3b is hydroxy, and L3 is —O—P(═O)(OH)—O—, or
(f″) R3ap is —OH, phosphate or phosphate ester, R3a is —O—P(═O)(OH)(X), R3b is —NHR23, and L3 is —O—P(═O)(OH)—NR23—, or
(g″) R3ap is —OH, phosphate or phosphate ester, R3a is —O—P(═O)(OH)(X), R3b is thio, and L3 is —O—P(═O)(OH)—S—, or
(h″) R3a is —X, R3b is thio, and L3 is —S—, or
(i″) R3a is
R3b is thio, and L3 is
or
(j″) R3a is —C≡C—R23, R3b is azido, and L3 is
or
(k″) R3a is halo, R3b is —NHR23, and L3 is —NR23—, or
(l″) R3a is hydroxy, R2b is —O—P(═O)(OH)(X), and L3 is —O—P(═O)(OH)—O—, or
(m′) R3a is —NHR23, R3b is —O—P(═O)(OH)(X), and L3 is —NR23—P(═O)(OH)—O—, or
(n′) R3a is thio, R3b is —O—P(═O)(OH)(X), and L3 is —S—P(═O)(OH)—(O), or
(o″) R3ap is —O—P(═O(OH)SR24, R3a is —O—P(═O)(OH)SH, R3b is —X, and L3 is —O—P(═O)(OH)—S—, or
(p″) R3a is —X, R3b is —O—P(═O)(OH)SH, and L3 is —S—P(═O)(OH)—O—, or
(q″) R3a is —(CR25R25)sC(═O)OR23, R3b is —NHR23, L3 is —(CR25R25)sC(═O)NR23—, or
(r″) R3a is —NHR23, R3b is —(CR25R25)sC(═C)OR23, L3 is —NR23C(═O)—(CR25R25)s—, or
(s″) R3a is thio, R3b is —X, and L3 is —S—, or
(t″) R3a is thio, R3b is
and L3 is
or
(u″) R3a is —SH, R3b is —O—P(═O)(OH)(O—(CH2)n—SH) and L3 is —S—S—(CH2)n—O—P(OH)(═O)—O—;
R4 is selected from the group consisting of R3a, R3ap, halo, —NR23Pr, —OH, —O—P(═O)(OH)SR24, carboxy ester, phosphate, phosphate ester, azido, —C≡C—R23, —NHR23, carboxy, hydroxy, —(CR25R25)sC(═O)OR23, —O—P(═O)(OH)SH, or —O—P(═O)(OH)Br, or an oligo;
X is chlorine, bromine, fluorine, tosylate, mesylate, triflate, or dimethoxy triflate,
n is 1, 2, 3, 4, 5, or 6;
R23 is selected from the group consisting of hydrogen, alkyl, substituted alkyl, alkenyl, substituted alkenyl, alkynyl, substituted alkynyl, aryl, substituted aryl, cycloalkyl, substituted cycloalkyl, cycloalkenyl, substituted cycloalkenyl, cycloalkynyl, substituted cycloalkynyl, heteroaryl, substituted heteroaryl, heterocyclic, and substituted heterocyclic;
Pr is an amino protecting group;
R24 is trityl or benzyl;
R25 is hydrogen or C1-6 alkyl;
n is 1, 2, 3, 4, 5, or 6;
s is an integer of greater than 1;
provided that R2 does not react with R1a or R1b, R3 does not react with R2a or R2b and R4 does not react with R3a or R3b;
----- represents the point of connection to the part of the solid support-bound conjugated molecule that is closer to
and represents the point of connection to the part of the solid support-bound conjugated molecule that is further away from
2. The method of claim 1 for preparing a compound of the formula
to form a compound of the formula
and
(iii) reacting
with a compound of the formula
is a solid support material;
are independently an oligo;
R1a and R1b are complementary conjugation functionalities and L1 is conjugate linker, R2a and R2b are complementary conjugation functionalities and L2 is conjugate linker, and R1a, R1b, L1, R2a, R2b, L2, and R3a are selected from
wherein the selection of R1a, R2a, or R3a is independent of one another provided that L1 and L2 are different, R2a does not react with R1a or R1b, and R3a does not react with R2a or R2b;
X is chlorine, bromine, fluorine, tosylate, mesylate, triflate, or dimethoxy triflate;
R23 is selected from the group consisting of hydrogen, alkyl, substituted alkyl, alkenyl, substituted alkenyl, alkynyl, substituted alkynyl, aryl, substituted aryl, cycloalkyl, substituted cycloalkyl, cycloalkenyl, substituted cycloalkenyl, cycloalkynyl, substituted cycloalkynyl, heteroaryl, substituted heteroaryl, heterocyclic, and substituted heterocyclic;
R25 is hydrogen or C1-6 alkyl;
s is an integer of greater than 1;
----- represents the point of connection to the part of the solid support-bound conjugated molecule that is closer to
and represents the point of connection to the part of the solid support-bound conjugated molecule that is further away from
3. (canceled)
4. A method of preparing a compound of the formula
and L1 of the compound of the formula
L1, L2, R3, R4,
are as defined in claim 1 ; and
Z is —OH, OH—(C1-C10)alkylene-, —COOH, NH2C(O)—, NH2NH—C(O)—, COOH—(C1-C10)alkylene-, NH2C(O)—(C1-C10)alkylene-, NH2NH—C(O)—(C1-C10)alkylene-, CH2═CH—(C1-C10)alkylene-, C≡C—(C1-C10)alkylene- or HS—(C1-C10)alkylene- and any alkylene is optionally substituted by one or more groups selected from —OH, halogen, —NHR″, —NHC(O)—(C1-C10)alkylene-C≡CH, and —NHC(O)—(C1-C10)alkylene-CH═CH2;
R″ is selected from (C1-C10)alkyl, (C3-C10)cycloalkyl, or (C3-C10)aryl.
5-8. (canceled)
Priority Applications (3)
| Application Number | Priority Date | Filing Date | Title |
|---|---|---|---|
| US17/238,094 US20220009956A1 (en) | 2013-03-08 | 2021-04-22 | Preparation of oligo conjugates |
| US18/504,925 US20240254159A1 (en) | 2013-03-08 | 2023-11-08 | Preparation of oligo conjugates |
| US18/965,172 US20250243236A1 (en) | 2013-03-08 | 2024-12-02 | Preparation of oligo conjugates |
Applications Claiming Priority (4)
| Application Number | Priority Date | Filing Date | Title |
|---|---|---|---|
| US13/790,922 US9289502B2 (en) | 2013-03-08 | 2013-03-08 | Preparation of oligo conjugates |
| US15/042,064 US20160333045A1 (en) | 2013-03-08 | 2016-02-11 | Preparation of Oligo Conjugates |
| US16/381,831 US20190367554A1 (en) | 2013-03-08 | 2019-04-11 | Preparation of oligo conjugates |
| US17/238,094 US20220009956A1 (en) | 2013-03-08 | 2021-04-22 | Preparation of oligo conjugates |
Related Parent Applications (1)
| Application Number | Title | Priority Date | Filing Date |
|---|---|---|---|
| US16/381,831 Continuation US20190367554A1 (en) | 2013-03-08 | 2019-04-11 | Preparation of oligo conjugates |
Related Child Applications (1)
| Application Number | Title | Priority Date | Filing Date |
|---|---|---|---|
| US18/504,925 Continuation US20240254159A1 (en) | 2013-03-08 | 2023-11-08 | Preparation of oligo conjugates |
Publications (1)
| Publication Number | Publication Date |
|---|---|
| US20220009956A1 true US20220009956A1 (en) | 2022-01-13 |
Family
ID=51488584
Family Applications (6)
| Application Number | Title | Priority Date | Filing Date |
|---|---|---|---|
| US13/790,922 Active 2033-10-19 US9289502B2 (en) | 2013-03-08 | 2013-03-08 | Preparation of oligo conjugates |
| US15/042,064 Abandoned US20160333045A1 (en) | 2013-03-08 | 2016-02-11 | Preparation of Oligo Conjugates |
| US16/381,831 Abandoned US20190367554A1 (en) | 2013-03-08 | 2019-04-11 | Preparation of oligo conjugates |
| US17/238,094 Abandoned US20220009956A1 (en) | 2013-03-08 | 2021-04-22 | Preparation of oligo conjugates |
| US18/504,925 Abandoned US20240254159A1 (en) | 2013-03-08 | 2023-11-08 | Preparation of oligo conjugates |
| US18/965,172 Pending US20250243236A1 (en) | 2013-03-08 | 2024-12-02 | Preparation of oligo conjugates |
Family Applications Before (3)
| Application Number | Title | Priority Date | Filing Date |
|---|---|---|---|
| US13/790,922 Active 2033-10-19 US9289502B2 (en) | 2013-03-08 | 2013-03-08 | Preparation of oligo conjugates |
| US15/042,064 Abandoned US20160333045A1 (en) | 2013-03-08 | 2016-02-11 | Preparation of Oligo Conjugates |
| US16/381,831 Abandoned US20190367554A1 (en) | 2013-03-08 | 2019-04-11 | Preparation of oligo conjugates |
Family Applications After (2)
| Application Number | Title | Priority Date | Filing Date |
|---|---|---|---|
| US18/504,925 Abandoned US20240254159A1 (en) | 2013-03-08 | 2023-11-08 | Preparation of oligo conjugates |
| US18/965,172 Pending US20250243236A1 (en) | 2013-03-08 | 2024-12-02 | Preparation of oligo conjugates |
Country Status (2)
| Country | Link |
|---|---|
| US (6) | US9289502B2 (en) |
| WO (1) | WO2014138373A1 (en) |
Families Citing this family (2)
| Publication number | Priority date | Publication date | Assignee | Title |
|---|---|---|---|---|
| US9289502B2 (en) * | 2013-03-08 | 2016-03-22 | Emerald Therapeutics, Inc. | Preparation of oligo conjugates |
| US20210024974A1 (en) * | 2019-07-22 | 2021-01-28 | Rutgers, The State University Of New Jersey | High-Throughput Cell-Based Screening Methodology For Evaluating Carbohydrate-Active Enzymes |
Citations (2)
| Publication number | Priority date | Publication date | Assignee | Title |
|---|---|---|---|---|
| WO2013130683A2 (en) * | 2012-02-27 | 2013-09-06 | Amunix Operating Inc. | Xten conjugate compositions and methods of making same |
| US9289502B2 (en) * | 2013-03-08 | 2016-03-22 | Emerald Therapeutics, Inc. | Preparation of oligo conjugates |
Family Cites Families (25)
| Publication number | Priority date | Publication date | Assignee | Title |
|---|---|---|---|---|
| US4855225A (en) | 1986-02-07 | 1989-08-08 | Applied Biosystems, Inc. | Method of detecting electrophoretically separated oligonucleotides |
| US5366860A (en) | 1989-09-29 | 1994-11-22 | Applied Biosystems, Inc. | Spectrally resolvable rhodamine dyes for nucleic acid sequence determination |
| US5188934A (en) | 1989-11-14 | 1993-02-23 | Applied Biosystems, Inc. | 4,7-dichlorofluorescein dyes as molecular probes |
| DK51092D0 (en) | 1991-05-24 | 1992-04-15 | Ole Buchardt | OLIGONUCLEOTIDE ANALOGUE DESCRIBED BY PEN, MONOMERIC SYNTHONES AND PROCEDURES FOR PREPARING THEREOF, AND APPLICATIONS THEREOF |
| US5539082A (en) | 1993-04-26 | 1996-07-23 | Nielsen; Peter E. | Peptide nucleic acids |
| DE69612013T2 (en) | 1995-11-21 | 2001-08-02 | Yale University, New Haven | UNIMOLECULAR SEGMENT AMPLIFICATION AND DETERMINATION |
| US7087770B2 (en) | 1998-05-16 | 2006-08-08 | Mirus Bio Corporation | Compound containing a labile disulfide bond |
| US6238927B1 (en) | 1998-10-05 | 2001-05-29 | Mosaic Technologies, Incorporated | Reverse displacement assay for detection of nucleic acid sequences |
| US6297016B1 (en) | 1999-10-08 | 2001-10-02 | Applera Corporation | Template-dependent ligation with PNA-DNA chimeric probes |
| US20020119458A1 (en) | 2000-12-15 | 2002-08-29 | Olympus Optical Co., Ltd. | Novel computation with nucleic acid molecules, computer and software for computing |
| US6448387B1 (en) * | 2000-12-18 | 2002-09-10 | Monsanto Technology, Llc | Polymeric arrays adapted for high expressing polynucleotides |
| WO2002050308A1 (en) | 2000-12-19 | 2002-06-27 | Discoverx | Strand displacement detection of target nucleic acid |
| AU2002349810A1 (en) | 2001-11-14 | 2003-05-26 | Yeda Research And Development Co.Ltd. | Programmable and autonomous computing machine made of biomolecules |
| WO2005030978A2 (en) | 2003-05-15 | 2005-04-07 | California Institute Of Technology | Self-assembled circuits and circuit patterns |
| AU2004264857B2 (en) | 2003-07-09 | 2010-06-10 | Sutter West Bay Hospitals | Remote detection of substance delivery to cells |
| US7538202B2 (en) | 2003-12-19 | 2009-05-26 | California Institute Of Technology | Enzyme-free isothermal exponential amplification of nucleic acids and nucleic acid analog signals |
| US8658203B2 (en) | 2004-05-03 | 2014-02-25 | Merrimack Pharmaceuticals, Inc. | Liposomes useful for drug delivery to the brain |
| US7501253B2 (en) | 2004-09-21 | 2009-03-10 | The Board Of Trustees Of The Leland Stanford Junior University | DNA fingerprinting using a branch migration assay |
| EP2316977A1 (en) | 2005-02-01 | 2011-05-04 | AB Advanced Genetic Analysis Corporation | Reagents, methods and libraries for bead-based amflication |
| US7745594B2 (en) | 2005-07-21 | 2010-06-29 | California Institute Of Technology | Nucleic acid-based logic circuits |
| US8110353B2 (en) | 2007-02-05 | 2012-02-07 | California Institute Of Technology | Engineered toehold reactions and networks |
| US20090170719A1 (en) | 2007-12-04 | 2009-07-02 | Kazakov Sergei A | Superior hybridization probes and methods for their use in detection of polynucleotide targets |
| US9102520B2 (en) | 2008-08-13 | 2015-08-11 | California Institute Of Technology | Nanocomposite structures and related methods and systems |
| EP2239053A1 (en) * | 2009-04-09 | 2010-10-13 | baseclick GmbH | Click chemistry on heterogeneous catalysts |
| SG10201504130XA (en) | 2010-05-27 | 2015-07-30 | Emerald Therapeutics Inc | System And Method For Propagating Information Using Modified Nucleic Acids |
-
2013
- 2013-03-08 US US13/790,922 patent/US9289502B2/en active Active
-
2014
- 2014-03-06 WO PCT/US2014/021148 patent/WO2014138373A1/en not_active Ceased
-
2016
- 2016-02-11 US US15/042,064 patent/US20160333045A1/en not_active Abandoned
-
2019
- 2019-04-11 US US16/381,831 patent/US20190367554A1/en not_active Abandoned
-
2021
- 2021-04-22 US US17/238,094 patent/US20220009956A1/en not_active Abandoned
-
2023
- 2023-11-08 US US18/504,925 patent/US20240254159A1/en not_active Abandoned
-
2024
- 2024-12-02 US US18/965,172 patent/US20250243236A1/en active Pending
Patent Citations (2)
| Publication number | Priority date | Publication date | Assignee | Title |
|---|---|---|---|---|
| WO2013130683A2 (en) * | 2012-02-27 | 2013-09-06 | Amunix Operating Inc. | Xten conjugate compositions and methods of making same |
| US9289502B2 (en) * | 2013-03-08 | 2016-03-22 | Emerald Therapeutics, Inc. | Preparation of oligo conjugates |
Also Published As
| Publication number | Publication date |
|---|---|
| US20250243236A1 (en) | 2025-07-31 |
| WO2014138373A1 (en) | 2014-09-12 |
| US20140256911A1 (en) | 2014-09-11 |
| US20160333045A1 (en) | 2016-11-17 |
| US20190367554A1 (en) | 2019-12-05 |
| US20240254159A1 (en) | 2024-08-01 |
| US9289502B2 (en) | 2016-03-22 |
Similar Documents
| Publication | Publication Date | Title |
|---|---|---|
| US20250243236A1 (en) | Preparation of oligo conjugates | |
| Brodyagin et al. | Chemical approaches to discover the full potential of peptide nucleic acids in biomedical applications | |
| Lu et al. | Chemical strategies for the synthesis of peptide− oligonucleotide conjugates | |
| US10364272B2 (en) | Conformationally-preorganized, miniPEG-containing gamma-peptide nucleic acids | |
| Forget et al. | Highly efficient synthesis of peptide–oligonucleotide conjugates: chemoselective oxime and thiazolidine formation | |
| Singh et al. | Recent developments in oligonucleotide conjugation | |
| US11168321B2 (en) | Methods of creating and screening DNA-encoded libraries | |
| US8637492B2 (en) | Molecular transporter compositions comprising dendrimeric oligoguanidine with a tri-functional core that facilitates delivery into cells in vivo | |
| WO2002020544A1 (en) | Process for preparing peptide derivatized oligomeric compounds | |
| US20080071068A1 (en) | Cytoplasmic Localization Dna and Rna | |
| US11578094B2 (en) | Charge-tagged nucleotides and methods of use thereof | |
| Fürniss et al. | Peptoids and polyamines going sweet: Modular synthesis of glycosylated peptoids and polyamines using click chemistry | |
| CN110124047B (en) | Preparation method of DNA nano robot drug-loaded system and DNA nano robot drug-loaded system obtained by same | |
| US7541455B2 (en) | Microwave mediated synthesis of nucleic acid probes | |
| CN101960009A (en) | Cationic siRNA, synthesis and use for RNA interference | |
| Carter et al. | Coupling Strategies for the Synthesis of Peptide‐Oligonucleotide Conjugates for Patterned Synthetic Biomineralization | |
| JP3800245B2 (en) | Novel functional peptide nucleic acid and production method thereof | |
| US20240191276A1 (en) | Methods for ligation of (poly)peptides and oligonucleotides | |
| US20140148500A1 (en) | Programmable self-assembled nanostructures based on sidechain-modified pna for the multivalent display of ligands | |
| US9856285B2 (en) | Reagents for universal site-specific labeling and modifications of nucleic acids | |
| US20220204481A1 (en) | Protein and/or peptide modification molecule | |
| US20210262014A1 (en) | Nanostructure, a biosensor including the nanostructure, and a screening method | |
| JP2005229946A (en) | Cytoplasmic localized DNA and method for producing the same | |
| WO2025042973A1 (en) | Acid-free thermal deprotection of trityl protected oligonucleotides | |
| US20240010685A1 (en) | Rna sensors and uses thereof |
Legal Events
| Date | Code | Title | Description |
|---|---|---|---|
| STPP | Information on status: patent application and granting procedure in general |
Free format text: DOCKETED NEW CASE - READY FOR EXAMINATION |
|
| STPP | Information on status: patent application and granting procedure in general |
Free format text: NON FINAL ACTION MAILED |
|
| STPP | Information on status: patent application and granting procedure in general |
Free format text: NON FINAL ACTION MAILED |
|
| STCB | Information on status: application discontinuation |
Free format text: ABANDONED -- FAILURE TO RESPOND TO AN OFFICE ACTION |
























































































































