US20210230284A1 - Specific antibody-drug-conjugates (adcs) with ksp inhibitors and anti-cd123-antibodies - Google Patents
Specific antibody-drug-conjugates (adcs) with ksp inhibitors and anti-cd123-antibodies Download PDFInfo
- Publication number
- US20210230284A1 US20210230284A1 US17/225,947 US202117225947A US2021230284A1 US 20210230284 A1 US20210230284 A1 US 20210230284A1 US 202117225947 A US202117225947 A US 202117225947A US 2021230284 A1 US2021230284 A1 US 2021230284A1
- Authority
- US
- United States
- Prior art keywords
- seq
- tpp
- antibody
- variable
- light chain
- Prior art date
- Legal status (The legal status is an assumption and is not a legal conclusion. Google has not performed a legal analysis and makes no representation as to the accuracy of the status listed.)
- Abandoned
Links
- 239000003112 inhibitor Substances 0.000 title claims abstract description 12
- 229940049595 antibody-drug conjugate Drugs 0.000 title abstract description 68
- 239000000611 antibody drug conjugate Substances 0.000 title abstract description 67
- 208000037265 diseases, disorders, signs and symptoms Diseases 0.000 claims abstract description 35
- 238000011282 treatment Methods 0.000 claims abstract description 30
- 201000010099 disease Diseases 0.000 claims abstract description 15
- 238000000034 method Methods 0.000 claims description 107
- 230000027455 binding Effects 0.000 claims description 103
- 150000001875 compounds Chemical class 0.000 claims description 78
- 102100035360 Cerebellar degeneration-related antigen 1 Human genes 0.000 claims description 76
- 239000000427 antigen Substances 0.000 claims description 70
- 108091007433 antigens Proteins 0.000 claims description 70
- 102000036639 antigens Human genes 0.000 claims description 70
- 108090000623 proteins and genes Proteins 0.000 claims description 62
- 101000737793 Homo sapiens Cerebellar degeneration-related antigen 1 Proteins 0.000 claims description 58
- 102000004169 proteins and genes Human genes 0.000 claims description 56
- 102100033493 Interleukin-3 receptor subunit alpha Human genes 0.000 claims description 52
- 230000014509 gene expression Effects 0.000 claims description 28
- 108010021625 Immunoglobulin Fragments Proteins 0.000 claims description 26
- 102000008394 Immunoglobulin Fragments Human genes 0.000 claims description 26
- 150000003839 salts Chemical class 0.000 claims description 21
- 239000012453 solvate Substances 0.000 claims description 16
- 102000010638 Kinesin Human genes 0.000 claims description 7
- 108010063296 Kinesin Proteins 0.000 claims description 7
- 231100000252 nontoxic Toxicity 0.000 claims description 2
- 230000003000 nontoxic effect Effects 0.000 claims description 2
- 101100112922 Candida albicans CDR3 gene Proteins 0.000 claims 2
- 102100035361 Cerebellar degeneration-related protein 2 Human genes 0.000 claims 2
- 101000737796 Homo sapiens Cerebellar degeneration-related protein 2 Proteins 0.000 claims 2
- 230000000973 chemotherapeutic effect Effects 0.000 claims 2
- 239000008194 pharmaceutical composition Substances 0.000 claims 1
- 206010028980 Neoplasm Diseases 0.000 abstract description 93
- 201000011510 cancer Diseases 0.000 abstract description 42
- 239000000562 conjugate Substances 0.000 abstract description 38
- 239000003814 drug Substances 0.000 abstract description 22
- 230000001225 therapeutic effect Effects 0.000 abstract description 6
- 230000003463 hyperproliferative effect Effects 0.000 abstract description 3
- 238000009097 single-agent therapy Methods 0.000 abstract description 3
- 230000002491 angiogenic effect Effects 0.000 abstract description 2
- 230000006806 disease prevention Effects 0.000 abstract description 2
- 238000011321 prophylaxis Methods 0.000 abstract description 2
- 210000004027 cell Anatomy 0.000 description 129
- WEVYAHXRMPXWCK-UHFFFAOYSA-N Acetonitrile Chemical compound CC#N WEVYAHXRMPXWCK-UHFFFAOYSA-N 0.000 description 85
- 239000000243 solution Substances 0.000 description 65
- 239000012634 fragment Substances 0.000 description 57
- 230000002829 reductive effect Effects 0.000 description 56
- YMWUJEATGCHHMB-UHFFFAOYSA-N Dichloromethane Chemical compound ClCCl YMWUJEATGCHHMB-UHFFFAOYSA-N 0.000 description 55
- 239000002953 phosphate buffered saline Substances 0.000 description 50
- DTQVDTLACAAQTR-UHFFFAOYSA-N Trifluoroacetic acid Chemical class OC(=O)C(F)(F)F DTQVDTLACAAQTR-UHFFFAOYSA-N 0.000 description 48
- LOKCTEFSRHRXRJ-UHFFFAOYSA-I dipotassium trisodium dihydrogen phosphate hydrogen phosphate dichloride Chemical compound P(=O)(O)(O)[O-].[K+].P(=O)(O)([O-])[O-].[Na+].[Na+].[Cl-].[K+].[Cl-].[Na+] LOKCTEFSRHRXRJ-UHFFFAOYSA-I 0.000 description 48
- XLYOFNOQVPJJNP-UHFFFAOYSA-N water Substances O XLYOFNOQVPJJNP-UHFFFAOYSA-N 0.000 description 48
- 239000000543 intermediate Substances 0.000 description 45
- 238000004895 liquid chromatography mass spectrometry Methods 0.000 description 44
- 239000000872 buffer Substances 0.000 description 42
- 239000012071 phase Substances 0.000 description 42
- 235000018102 proteins Nutrition 0.000 description 40
- XEKOWRVHYACXOJ-UHFFFAOYSA-N Ethyl acetate Chemical compound CCOC(C)=O XEKOWRVHYACXOJ-UHFFFAOYSA-N 0.000 description 39
- 239000002904 solvent Substances 0.000 description 39
- XKRFYHLGVUSROY-UHFFFAOYSA-N Argon Chemical compound [Ar] XKRFYHLGVUSROY-UHFFFAOYSA-N 0.000 description 38
- -1 HsEg5 Proteins 0.000 description 38
- BDAGIHXWWSANSR-UHFFFAOYSA-N methanoic acid Natural products OC=O BDAGIHXWWSANSR-UHFFFAOYSA-N 0.000 description 38
- 239000011541 reaction mixture Substances 0.000 description 34
- CSNNHWWHGAXBCP-UHFFFAOYSA-L Magnesium sulfate Chemical compound [Mg+2].[O-][S+2]([O-])([O-])[O-] CSNNHWWHGAXBCP-UHFFFAOYSA-L 0.000 description 32
- 238000004128 high performance liquid chromatography Methods 0.000 description 32
- 239000000203 mixture Substances 0.000 description 32
- 238000006243 chemical reaction Methods 0.000 description 30
- 108020004414 DNA Proteins 0.000 description 28
- IAZDPXIOMUYVGZ-UHFFFAOYSA-N Dimethylsulphoxide Chemical compound CS(C)=O IAZDPXIOMUYVGZ-UHFFFAOYSA-N 0.000 description 27
- 239000003643 water by type Substances 0.000 description 27
- ZMXDDKWLCZADIW-UHFFFAOYSA-N N,N-Dimethylformamide Chemical compound CN(C)C=O ZMXDDKWLCZADIW-UHFFFAOYSA-N 0.000 description 23
- 239000012074 organic phase Substances 0.000 description 23
- FAPWRFPIFSIZLT-UHFFFAOYSA-M Sodium chloride Chemical compound [Na+].[Cl-] FAPWRFPIFSIZLT-UHFFFAOYSA-M 0.000 description 22
- 235000001014 amino acid Nutrition 0.000 description 20
- 239000000126 substance Substances 0.000 description 20
- OSWFIVFLDKOXQC-UHFFFAOYSA-N 4-(3-methoxyphenyl)aniline Chemical compound COC1=CC=CC(C=2C=CC(N)=CC=2)=C1 OSWFIVFLDKOXQC-UHFFFAOYSA-N 0.000 description 19
- 229910052786 argon Inorganic materials 0.000 description 19
- 235000019253 formic acid Nutrition 0.000 description 19
- 238000000746 purification Methods 0.000 description 19
- 101710117290 Aldo-keto reductase family 1 member C4 Proteins 0.000 description 18
- ZMANZCXQSJIPKH-UHFFFAOYSA-N Triethylamine Chemical compound CCN(CC)CC ZMANZCXQSJIPKH-UHFFFAOYSA-N 0.000 description 18
- 239000003981 vehicle Substances 0.000 description 18
- 150000001413 amino acids Chemical class 0.000 description 17
- 241000894007 species Species 0.000 description 17
- 108010047041 Complementarity Determining Regions Proteins 0.000 description 16
- 229910052943 magnesium sulfate Inorganic materials 0.000 description 16
- 235000019341 magnesium sulphate Nutrition 0.000 description 16
- 239000004201 L-cysteine Substances 0.000 description 15
- OKKJLVBELUTLKV-UHFFFAOYSA-N Methanol Chemical compound OC OKKJLVBELUTLKV-UHFFFAOYSA-N 0.000 description 15
- UIIMBOGNXHQVGW-UHFFFAOYSA-M Sodium bicarbonate Chemical compound [Na+].OC([O-])=O UIIMBOGNXHQVGW-UHFFFAOYSA-M 0.000 description 15
- 229940079593 drug Drugs 0.000 description 15
- 230000008569 process Effects 0.000 description 15
- 238000012360 testing method Methods 0.000 description 15
- 102100033350 ATP-dependent translocase ABCB1 Human genes 0.000 description 14
- 238000004458 analytical method Methods 0.000 description 14
- 238000003556 assay Methods 0.000 description 14
- 238000001943 fluorescence-activated cell sorting Methods 0.000 description 14
- 239000006228 supernatant Substances 0.000 description 14
- 239000011230 binding agent Substances 0.000 description 13
- 150000007523 nucleic acids Chemical class 0.000 description 13
- 238000003756 stirring Methods 0.000 description 13
- 210000004881 tumor cell Anatomy 0.000 description 13
- 238000000825 ultraviolet detection Methods 0.000 description 13
- 239000013598 vector Substances 0.000 description 13
- QTBSBXVTEAMEQO-UHFFFAOYSA-N Acetic acid Chemical class CC(O)=O QTBSBXVTEAMEQO-UHFFFAOYSA-N 0.000 description 12
- 208000031261 Acute myeloid leukaemia Diseases 0.000 description 12
- WMFOQBRAJBCJND-UHFFFAOYSA-M Lithium hydroxide Chemical compound [Li+].[OH-] WMFOQBRAJBCJND-UHFFFAOYSA-M 0.000 description 12
- 241001529936 Murinae Species 0.000 description 12
- SJRJJKPEHAURKC-UHFFFAOYSA-N N-Methylmorpholine Chemical compound CN1CCOCC1 SJRJJKPEHAURKC-UHFFFAOYSA-N 0.000 description 12
- KRKNYBCHXYNGOX-UHFFFAOYSA-N citric acid Chemical class OC(=O)CC(O)(C(O)=O)CC(O)=O KRKNYBCHXYNGOX-UHFFFAOYSA-N 0.000 description 12
- 238000005859 coupling reaction Methods 0.000 description 12
- 230000000694 effects Effects 0.000 description 12
- 210000004602 germ cell Anatomy 0.000 description 12
- 230000010354 integration Effects 0.000 description 12
- 108060003951 Immunoglobulin Proteins 0.000 description 11
- JGFZNNIVVJXRND-UHFFFAOYSA-N N,N-Diisopropylethylamine (DIPEA) Chemical compound CCN(C(C)C)C(C)C JGFZNNIVVJXRND-UHFFFAOYSA-N 0.000 description 11
- 239000003153 chemical reaction reagent Substances 0.000 description 11
- 208000035475 disorder Diseases 0.000 description 11
- 102000018358 immunoglobulin Human genes 0.000 description 11
- 238000004007 reversed phase HPLC Methods 0.000 description 11
- 210000001519 tissue Anatomy 0.000 description 11
- 238000004704 ultra performance liquid chromatography Methods 0.000 description 11
- 230000008878 coupling Effects 0.000 description 10
- 238000010168 coupling process Methods 0.000 description 10
- 239000013604 expression vector Substances 0.000 description 10
- 238000009396 hybridization Methods 0.000 description 10
- 125000005647 linker group Chemical group 0.000 description 10
- 239000002609 medium Substances 0.000 description 10
- 238000002953 preparative HPLC Methods 0.000 description 10
- 239000000523 sample Substances 0.000 description 10
- JIAARYAFYJHUJI-UHFFFAOYSA-L zinc dichloride Chemical compound [Cl-].[Cl-].[Zn+2] JIAARYAFYJHUJI-UHFFFAOYSA-L 0.000 description 10
- PBVAJRFEEOIAGW-UHFFFAOYSA-N 3-[bis(2-carboxyethyl)phosphanyl]propanoic acid;hydrochloride Chemical compound Cl.OC(=O)CCP(CCC(O)=O)CCC(O)=O PBVAJRFEEOIAGW-UHFFFAOYSA-N 0.000 description 9
- 101001017818 Homo sapiens ATP-dependent translocase ABCB1 Proteins 0.000 description 9
- XUJNEKJLAYXESH-REOHCLBHSA-N L-Cysteine Chemical compound SC[C@H](N)C(O)=O XUJNEKJLAYXESH-REOHCLBHSA-N 0.000 description 9
- 229920005654 Sephadex Polymers 0.000 description 9
- 239000012507 Sephadex™ Substances 0.000 description 9
- 125000002915 carbonyl group Chemical group [*:2]C([*:1])=O 0.000 description 9
- 235000018417 cysteine Nutrition 0.000 description 9
- 125000000151 cysteine group Chemical group N[C@@H](CS)C(=O)* 0.000 description 9
- 238000011068 loading method Methods 0.000 description 9
- 239000002207 metabolite Substances 0.000 description 9
- 238000002360 preparation method Methods 0.000 description 9
- 238000003786 synthesis reaction Methods 0.000 description 9
- WYURNTSHIVDZCO-UHFFFAOYSA-N tetrahydrofuran Substances C1CCOC1 WYURNTSHIVDZCO-UHFFFAOYSA-N 0.000 description 9
- GQHTUMJGOHRCHB-UHFFFAOYSA-N 2,3,4,6,7,8,9,10-octahydropyrimido[1,2-a]azepine Chemical compound C1CCCCN2CCCN=C21 GQHTUMJGOHRCHB-UHFFFAOYSA-N 0.000 description 8
- 125000003275 alpha amino acid group Chemical group 0.000 description 8
- 230000021615 conjugation Effects 0.000 description 8
- XUJNEKJLAYXESH-UHFFFAOYSA-N cysteine Natural products SCC(N)C(O)=O XUJNEKJLAYXESH-UHFFFAOYSA-N 0.000 description 8
- 230000035772 mutation Effects 0.000 description 8
- 108090000765 processed proteins & peptides Proteins 0.000 description 8
- 239000000047 product Substances 0.000 description 8
- 238000005199 ultracentrifugation Methods 0.000 description 8
- 0 CC.CC(C)(C)[C@H](C1=CC(C2=C(F)C=CC(F)=C2)=CN1CC1=CC=CC=C1)N(CCCN)C(=O)CSC[C@@H](CC(=O)*NC(=O)CNC(=O)CCC(=O)O)C(=O)O Chemical compound CC.CC(C)(C)[C@H](C1=CC(C2=C(F)C=CC(F)=C2)=CN1CC1=CC=CC=C1)N(CCCN)C(=O)CSC[C@@H](CC(=O)*NC(=O)CNC(=O)CCC(=O)O)C(=O)O 0.000 description 7
- 101001008953 Homo sapiens Kinesin-like protein KIF11 Proteins 0.000 description 7
- 238000005481 NMR spectroscopy Methods 0.000 description 7
- VYPSYNLAJGMNEJ-UHFFFAOYSA-N Silicium dioxide Chemical compound O=[Si]=O VYPSYNLAJGMNEJ-UHFFFAOYSA-N 0.000 description 7
- 230000015572 biosynthetic process Effects 0.000 description 7
- 238000005119 centrifugation Methods 0.000 description 7
- 238000001514 detection method Methods 0.000 description 7
- 125000001301 ethoxy group Chemical group [H]C([H])([H])C([H])([H])O* 0.000 description 7
- 238000011534 incubation Methods 0.000 description 7
- 230000005764 inhibitory process Effects 0.000 description 7
- 210000004962 mammalian cell Anatomy 0.000 description 7
- 238000005259 measurement Methods 0.000 description 7
- 108020004707 nucleic acids Proteins 0.000 description 7
- 102000039446 nucleic acids Human genes 0.000 description 7
- 230000035699 permeability Effects 0.000 description 7
- 238000001556 precipitation Methods 0.000 description 7
- 238000003259 recombinant expression Methods 0.000 description 7
- 239000000758 substrate Substances 0.000 description 7
- JKMHFZQWWAIEOD-UHFFFAOYSA-N 2-[4-(2-hydroxyethyl)piperazin-1-yl]ethanesulfonic acid Chemical compound OCC[NH+]1CCN(CCS([O-])(=O)=O)CC1 JKMHFZQWWAIEOD-UHFFFAOYSA-N 0.000 description 6
- CURLTUGMZLYLDI-UHFFFAOYSA-N Carbon dioxide Chemical compound O=C=O CURLTUGMZLYLDI-UHFFFAOYSA-N 0.000 description 6
- IAZDPXIOMUYVGZ-WFGJKAKNSA-N Dimethyl sulfoxide Chemical compound [2H]C([2H])([2H])S(=O)C([2H])([2H])[2H] IAZDPXIOMUYVGZ-WFGJKAKNSA-N 0.000 description 6
- 238000002965 ELISA Methods 0.000 description 6
- WQZGKKKJIJFFOK-GASJEMHNSA-N Glucose Natural products OC[C@H]1OC(O)[C@H](O)[C@@H](O)[C@@H]1O WQZGKKKJIJFFOK-GASJEMHNSA-N 0.000 description 6
- 102100027629 Kinesin-like protein KIF11 Human genes 0.000 description 6
- 231100000002 MTT assay Toxicity 0.000 description 6
- 238000000134 MTT assay Methods 0.000 description 6
- 241001465754 Metazoa Species 0.000 description 6
- 241000699666 Mus <mouse, genus> Species 0.000 description 6
- 241000699670 Mus sp. Species 0.000 description 6
- 239000002253 acid Substances 0.000 description 6
- 230000001580 bacterial effect Effects 0.000 description 6
- 238000004587 chromatography analysis Methods 0.000 description 6
- 239000000975 dye Substances 0.000 description 6
- 239000008103 glucose Substances 0.000 description 6
- 238000002347 injection Methods 0.000 description 6
- 239000007924 injection Substances 0.000 description 6
- 230000000155 isotopic effect Effects 0.000 description 6
- 125000002496 methyl group Chemical group [H]C([H])([H])* 0.000 description 6
- 125000002924 primary amino group Chemical group [H]N([H])* 0.000 description 6
- 238000002198 surface plasmon resonance spectroscopy Methods 0.000 description 6
- OZFAFGSSMRRTDW-UHFFFAOYSA-N (2,4-dichlorophenyl) benzenesulfonate Chemical compound ClC1=CC(Cl)=CC=C1OS(=O)(=O)C1=CC=CC=C1 OZFAFGSSMRRTDW-UHFFFAOYSA-N 0.000 description 5
- NFGXHKASABOEEW-UHFFFAOYSA-N 1-methylethyl 11-methoxy-3,7,11-trimethyl-2,4-dodecadienoate Chemical compound COC(C)(C)CCCC(C)CC=CC(C)=CC(=O)OC(C)C NFGXHKASABOEEW-UHFFFAOYSA-N 0.000 description 5
- FPQQSJJWHUJYPU-UHFFFAOYSA-N 3-(dimethylamino)propyliminomethylidene-ethylazanium;chloride Chemical compound Cl.CCN=C=NCCCN(C)C FPQQSJJWHUJYPU-UHFFFAOYSA-N 0.000 description 5
- AZOFNSRLOCDHNV-OYLAMZIKSA-N CC.CC(C)(C)[C@H](C1=CC(C2=CC(F)=CC=C2F)=CN1CC1=CC=CC=C1)N(CCCN)C(=O)CSC[C@H](CC(=O)CCOCCOCCOCCOCCCC(=O)CNC(=O)CCC(=O)O)C(=O)O Chemical compound CC.CC(C)(C)[C@H](C1=CC(C2=CC(F)=CC=C2F)=CN1CC1=CC=CC=C1)N(CCCN)C(=O)CSC[C@H](CC(=O)CCOCCOCCOCCOCCCC(=O)CNC(=O)CCC(=O)O)C(=O)O AZOFNSRLOCDHNV-OYLAMZIKSA-N 0.000 description 5
- OKTJSMMVPCPJKN-UHFFFAOYSA-N Carbon Chemical group [C] OKTJSMMVPCPJKN-UHFFFAOYSA-N 0.000 description 5
- 239000012591 Dulbecco’s Phosphate Buffered Saline Substances 0.000 description 5
- 239000007821 HATU Substances 0.000 description 5
- VEXZGXHMUGYJMC-UHFFFAOYSA-N Hydrochloric acid Chemical class Cl VEXZGXHMUGYJMC-UHFFFAOYSA-N 0.000 description 5
- 108010047230 Member 1 Subfamily B ATP Binding Cassette Transporter Proteins 0.000 description 5
- 108091028043 Nucleic acid sequence Proteins 0.000 description 5
- 239000012980 RPMI-1640 medium Substances 0.000 description 5
- 231100000777 Toxicophore Toxicity 0.000 description 5
- RHQDFWAXVIIEBN-UHFFFAOYSA-N Trifluoroethanol Chemical compound OCC(F)(F)F RHQDFWAXVIIEBN-UHFFFAOYSA-N 0.000 description 5
- 150000001412 amines Chemical class 0.000 description 5
- 210000004369 blood Anatomy 0.000 description 5
- 239000008280 blood Substances 0.000 description 5
- 231100000433 cytotoxic Toxicity 0.000 description 5
- 230000001472 cytotoxic effect Effects 0.000 description 5
- VHJLVAABSRFDPM-QWWZWVQMSA-N dithiothreitol Chemical compound SC[C@@H](O)[C@H](O)CS VHJLVAABSRFDPM-QWWZWVQMSA-N 0.000 description 5
- 238000002474 experimental method Methods 0.000 description 5
- 230000008570 general process Effects 0.000 description 5
- 239000001963 growth medium Substances 0.000 description 5
- 230000003394 haemopoietic effect Effects 0.000 description 5
- 229910052739 hydrogen Inorganic materials 0.000 description 5
- 239000001257 hydrogen Substances 0.000 description 5
- 230000001976 improved effect Effects 0.000 description 5
- 238000005457 optimization Methods 0.000 description 5
- 239000008188 pellet Substances 0.000 description 5
- 230000002265 prevention Effects 0.000 description 5
- 102000004196 processed proteins & peptides Human genes 0.000 description 5
- 239000011780 sodium chloride Substances 0.000 description 5
- 239000011592 zinc chloride Substances 0.000 description 5
- 235000005074 zinc chloride Nutrition 0.000 description 5
- QGZKDVFQNNGYKY-UHFFFAOYSA-N Ammonia Chemical compound N QGZKDVFQNNGYKY-UHFFFAOYSA-N 0.000 description 4
- IJGRMHOSHXDMSA-UHFFFAOYSA-N Atomic nitrogen Chemical compound N#N IJGRMHOSHXDMSA-UHFFFAOYSA-N 0.000 description 4
- 108010078791 Carrier Proteins Proteins 0.000 description 4
- XTHFKEDIFFGKHM-UHFFFAOYSA-N Dimethoxyethane Chemical compound COCCOC XTHFKEDIFFGKHM-UHFFFAOYSA-N 0.000 description 4
- AOJJSUZBOXZQNB-TZSSRYMLSA-N Doxorubicin Chemical compound O([C@H]1C[C@@](O)(CC=2C(O)=C3C(=O)C=4C=CC=C(C=4C(=O)C3=C(O)C=21)OC)C(=O)CO)[C@H]1C[C@H](N)[C@H](O)[C@H](C)O1 AOJJSUZBOXZQNB-TZSSRYMLSA-N 0.000 description 4
- KCXVZYZYPLLWCC-UHFFFAOYSA-N EDTA Chemical compound OC(=O)CN(CC(O)=O)CCN(CC(O)=O)CC(O)=O KCXVZYZYPLLWCC-UHFFFAOYSA-N 0.000 description 4
- 241000588724 Escherichia coli Species 0.000 description 4
- 239000007995 HEPES buffer Substances 0.000 description 4
- 101710123866 Interleukin-3 receptor subunit alpha Proteins 0.000 description 4
- ZDXPYRJPNDTMRX-VKHMYHEASA-N L-glutamine Chemical compound OC(=O)[C@@H](N)CCC(N)=O ZDXPYRJPNDTMRX-VKHMYHEASA-N 0.000 description 4
- FBOZXECLQNJBKD-ZDUSSCGKSA-N L-methotrexate Chemical compound C=1N=C2N=C(N)N=C(N)C2=NC=1CN(C)C1=CC=C(C(=O)N[C@@H](CCC(O)=O)C(O)=O)C=C1 FBOZXECLQNJBKD-ZDUSSCGKSA-N 0.000 description 4
- 206010025323 Lymphomas Diseases 0.000 description 4
- 201000003793 Myelodysplastic syndrome Diseases 0.000 description 4
- KDLHZDBZIXYQEI-UHFFFAOYSA-N Palladium Chemical compound [Pd] KDLHZDBZIXYQEI-UHFFFAOYSA-N 0.000 description 4
- 108020004511 Recombinant DNA Proteins 0.000 description 4
- NINIDFKCEFEMDL-UHFFFAOYSA-N Sulfur Chemical group [S] NINIDFKCEFEMDL-UHFFFAOYSA-N 0.000 description 4
- 108010022394 Threonine synthase Proteins 0.000 description 4
- 238000010521 absorption reaction Methods 0.000 description 4
- 150000007513 acids Chemical class 0.000 description 4
- 229910002092 carbon dioxide Inorganic materials 0.000 description 4
- 235000015165 citric acid Nutrition 0.000 description 4
- 102000004419 dihydrofolate reductase Human genes 0.000 description 4
- 238000005516 engineering process Methods 0.000 description 4
- 238000011156 evaluation Methods 0.000 description 4
- 238000004108 freeze drying Methods 0.000 description 4
- PJJJBBJSCAKJQF-UHFFFAOYSA-N guanidinium chloride Chemical compound [Cl-].NC(N)=[NH2+] PJJJBBJSCAKJQF-UHFFFAOYSA-N 0.000 description 4
- 238000000338 in vitro Methods 0.000 description 4
- 238000001727 in vivo Methods 0.000 description 4
- 150000002500 ions Chemical class 0.000 description 4
- 210000003712 lysosome Anatomy 0.000 description 4
- 230000001868 lysosomic effect Effects 0.000 description 4
- NUJOXMJBOLGQSY-UHFFFAOYSA-N manganese dioxide Chemical compound O=[Mn]=O NUJOXMJBOLGQSY-UHFFFAOYSA-N 0.000 description 4
- 239000003550 marker Substances 0.000 description 4
- 238000004949 mass spectrometry Methods 0.000 description 4
- ZXFCRVGOHJHZNF-UHFFFAOYSA-N methyl 4-bromo-1h-pyrrole-2-carboxylate Chemical compound COC(=O)C1=CC(Br)=CN1 ZXFCRVGOHJHZNF-UHFFFAOYSA-N 0.000 description 4
- 238000010369 molecular cloning Methods 0.000 description 4
- 210000000056 organ Anatomy 0.000 description 4
- 238000007911 parenteral administration Methods 0.000 description 4
- 229920001184 polypeptide Polymers 0.000 description 4
- RXWNCPJZOCPEPQ-NVWDDTSBSA-N puromycin Chemical compound C1=CC(OC)=CC=C1C[C@H](N)C(=O)N[C@H]1[C@@H](O)[C@H](N2C3=NC=NC(=C3N=C2)N(C)C)O[C@@H]1CO RXWNCPJZOCPEPQ-NVWDDTSBSA-N 0.000 description 4
- 230000001105 regulatory effect Effects 0.000 description 4
- 229910000030 sodium bicarbonate Inorganic materials 0.000 description 4
- 235000017557 sodium bicarbonate Nutrition 0.000 description 4
- 238000010561 standard procedure Methods 0.000 description 4
- 238000002560 therapeutic procedure Methods 0.000 description 4
- 238000001890 transfection Methods 0.000 description 4
- 230000004614 tumor growth Effects 0.000 description 4
- QMWFDSIDRQIJQN-NRFANRHFSA-N (1R)-1-[1-benzyl-4-(2,5-difluorophenyl)pyrrol-2-yl]-2,2-dimethylpropan-1-amine Chemical compound CC(C)(C)[C@@H](N)C1=CC(=CN1CC1=CC=CC=C1)C1=C(F)C=CC(F)=C1 QMWFDSIDRQIJQN-NRFANRHFSA-N 0.000 description 3
- RYHBNJHYFVUHQT-UHFFFAOYSA-N 1,4-Dioxane Chemical compound C1COCCO1 RYHBNJHYFVUHQT-UHFFFAOYSA-N 0.000 description 3
- LMDZBCPBFSXMTL-UHFFFAOYSA-N 1-Ethyl-3-(3-dimethylaminopropyl)carbodiimide Substances CCN=C=NCCCN(C)C LMDZBCPBFSXMTL-UHFFFAOYSA-N 0.000 description 3
- 238000005160 1H NMR spectroscopy Methods 0.000 description 3
- 208000025324 B-cell acute lymphoblastic leukemia Diseases 0.000 description 3
- 208000011691 Burkitt lymphomas Diseases 0.000 description 3
- 208000016778 CD4+/CD56+ hematodermic neoplasm Diseases 0.000 description 3
- 201000009030 Carcinoma Diseases 0.000 description 3
- 241000701022 Cytomegalovirus Species 0.000 description 3
- 102000053602 DNA Human genes 0.000 description 3
- 241000196324 Embryophyta Species 0.000 description 3
- YQYJSBFKSSDGFO-UHFFFAOYSA-N Epihygromycin Natural products OC1C(O)C(C(=O)C)OC1OC(C(=C1)O)=CC=C1C=C(C)C(=O)NC1C(O)C(O)C2OCOC2C1O YQYJSBFKSSDGFO-UHFFFAOYSA-N 0.000 description 3
- UNXHWFMMPAWVPI-UHFFFAOYSA-N Erythritol Natural products OCC(O)C(O)CO UNXHWFMMPAWVPI-UHFFFAOYSA-N 0.000 description 3
- LFQSCWFLJHTTHZ-UHFFFAOYSA-N Ethanol Chemical compound CCO LFQSCWFLJHTTHZ-UHFFFAOYSA-N 0.000 description 3
- 238000012413 Fluorescence activated cell sorting analysis Methods 0.000 description 3
- 102100039619 Granulocyte colony-stimulating factor Human genes 0.000 description 3
- 241000238631 Hexapoda Species 0.000 description 3
- 208000017604 Hodgkin disease Diseases 0.000 description 3
- 208000010747 Hodgkins lymphoma Diseases 0.000 description 3
- 101000604674 Homo sapiens Immunoglobulin kappa variable 4-1 Proteins 0.000 description 3
- 101000588476 Homo sapiens [heparan sulfate]-glucosamine N-sulfotransferase NDST3 Proteins 0.000 description 3
- 108010001336 Horseradish Peroxidase Proteins 0.000 description 3
- 102100038198 Immunoglobulin kappa variable 4-1 Human genes 0.000 description 3
- 108010038452 Interleukin-3 Receptors Proteins 0.000 description 3
- 102000010790 Interleukin-3 Receptors Human genes 0.000 description 3
- 229930182816 L-glutamine Natural products 0.000 description 3
- 241000282567 Macaca fascicularis Species 0.000 description 3
- 241000829100 Macaca mulatta polyomavirus 1 Species 0.000 description 3
- 108091034117 Oligonucleotide Proteins 0.000 description 3
- 241000700159 Rattus Species 0.000 description 3
- 241000283984 Rodentia Species 0.000 description 3
- 208000029052 T-cell acute lymphoblastic leukemia Diseases 0.000 description 3
- 102100031395 [heparan sulfate]-glucosamine N-sulfotransferase NDST3 Human genes 0.000 description 3
- 230000009471 action Effects 0.000 description 3
- 239000013543 active substance Substances 0.000 description 3
- 239000012491 analyte Substances 0.000 description 3
- 125000003178 carboxy group Chemical group [H]OC(*)=O 0.000 description 3
- 238000004113 cell culture Methods 0.000 description 3
- 239000006285 cell suspension Substances 0.000 description 3
- 239000003795 chemical substances by application Substances 0.000 description 3
- 239000000470 constituent Substances 0.000 description 3
- 239000012228 culture supernatant Substances 0.000 description 3
- 238000011033 desalting Methods 0.000 description 3
- 238000010790 dilution Methods 0.000 description 3
- 239000012895 dilution Substances 0.000 description 3
- 231100000673 dose–response relationship Toxicity 0.000 description 3
- 239000003623 enhancer Substances 0.000 description 3
- 229960004579 epoetin beta Drugs 0.000 description 3
- 238000000684 flow cytometry Methods 0.000 description 3
- 201000009277 hairy cell leukemia Diseases 0.000 description 3
- 230000036541 health Effects 0.000 description 3
- 125000005842 heteroatom Chemical group 0.000 description 3
- 229940127121 immunoconjugate Drugs 0.000 description 3
- 208000032839 leukemia Diseases 0.000 description 3
- 230000005923 long-lasting effect Effects 0.000 description 3
- 235000018977 lysine Nutrition 0.000 description 3
- 238000004519 manufacturing process Methods 0.000 description 3
- 229960000485 methotrexate Drugs 0.000 description 3
- 210000005259 peripheral blood Anatomy 0.000 description 3
- 239000011886 peripheral blood Substances 0.000 description 3
- 108091033319 polynucleotide Proteins 0.000 description 3
- 102000040430 polynucleotide Human genes 0.000 description 3
- 239000002157 polynucleotide Substances 0.000 description 3
- 239000002243 precursor Substances 0.000 description 3
- 238000011002 quantification Methods 0.000 description 3
- 238000001959 radiotherapy Methods 0.000 description 3
- 102000005962 receptors Human genes 0.000 description 3
- 108020003175 receptors Proteins 0.000 description 3
- 230000010076 replication Effects 0.000 description 3
- 238000001228 spectrum Methods 0.000 description 3
- AYEKOFBPNLCAJY-UHFFFAOYSA-O thiamine pyrophosphate Chemical compound CC1=C(CCOP(O)(=O)OP(O)(O)=O)SC=[N+]1CC1=CN=C(C)N=C1N AYEKOFBPNLCAJY-UHFFFAOYSA-O 0.000 description 3
- 238000000870 ultraviolet spectroscopy Methods 0.000 description 3
- 238000005406 washing Methods 0.000 description 3
- 238000010626 work up procedure Methods 0.000 description 3
- HZDNNJABYXNPPV-UHFFFAOYSA-N (2-chloro-2-oxoethyl) acetate Chemical compound CC(=O)OCC(Cl)=O HZDNNJABYXNPPV-UHFFFAOYSA-N 0.000 description 2
- OFVVDFDGFLGAIQ-NRUKRWIHSA-N (R)-N-[(1R)-1-[1-benzyl-4-(2,5-difluorophenyl)pyrrol-2-yl]-2,2-dimethylpropyl]-2-methylpropane-2-sulfinamide Chemical compound C(C1=CC=CC=C1)N1C(=CC(=C1)C1=C(C=CC(=C1)F)F)[C@@H](C(C)(C)C)N[S@](=O)C(C)(C)C OFVVDFDGFLGAIQ-NRUKRWIHSA-N 0.000 description 2
- LOBCDGHHHHGHFA-LBPRGKRZSA-N (S)-monastrol Chemical compound CCOC(=O)C1=C(C)NC(=S)N[C@H]1C1=CC=CC(O)=C1 LOBCDGHHHHGHFA-LBPRGKRZSA-N 0.000 description 2
- 125000003088 (fluoren-9-ylmethoxy)carbonyl group Chemical group 0.000 description 2
- MXAFDSRFAXCESM-UHFFFAOYSA-N 1-benzyl-4-(2,5-difluorophenyl)pyrrole-2-carbaldehyde Chemical compound FC1=CC(C2=CN(CC3=CC=CC=C3)C(C=O)=C2)=C(F)C=C1 MXAFDSRFAXCESM-UHFFFAOYSA-N 0.000 description 2
- PJUPKRYGDFTMTM-UHFFFAOYSA-N 1-hydroxybenzotriazole;hydrate Chemical compound O.C1=CC=C2N(O)N=NC2=C1 PJUPKRYGDFTMTM-UHFFFAOYSA-N 0.000 description 2
- PAMIQIKDUOTOBW-UHFFFAOYSA-N 1-methylpiperidine Chemical compound CN1CCCCC1 PAMIQIKDUOTOBW-UHFFFAOYSA-N 0.000 description 2
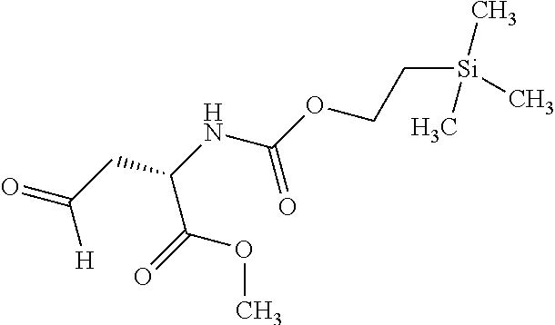
- UQNSEUAORGNVKE-UHFFFAOYSA-N 2-trimethylsilylethyl 2,5-dioxopyrrolidine-1-carboxylate Chemical compound C[Si](C)(C)CCOC(=O)N1C(=O)CCC1=O UQNSEUAORGNVKE-UHFFFAOYSA-N 0.000 description 2
- NMZXFAFGWQZMMO-UHFFFAOYSA-N 2-trimethylsilylethyl N-(3-oxopropyl)carbamate Chemical compound C[Si](CCOC(NCCC=O)=O)(C)C NMZXFAFGWQZMMO-UHFFFAOYSA-N 0.000 description 2
- SWVKFBMPYSQTTJ-UHFFFAOYSA-N 2-trimethylsilylethyl n-(3-hydroxypropyl)carbamate Chemical compound C[Si](C)(C)CCOC(=O)NCCCO SWVKFBMPYSQTTJ-UHFFFAOYSA-N 0.000 description 2
- FYWCBYLQSHQYHW-UHFFFAOYSA-N 3-[2-[2-[2-[2-[[2-(2,5-dioxopyrrol-1-yl)acetyl]amino]ethoxy]ethoxy]ethoxy]ethoxy]propanoic acid Chemical compound O=C1N(C(C=C1)=O)CC(=O)NCCOCCOCCOCCOCCC(=O)O FYWCBYLQSHQYHW-UHFFFAOYSA-N 0.000 description 2
- JOCQACPEEBACBI-UHFFFAOYSA-N 3-[2-[2-[2-[2-[[2-(phenylmethoxycarbonylamino)acetyl]amino]ethoxy]ethoxy]ethoxy]ethoxy]propanoic acid Chemical compound OC(=O)CCOCCOCCOCCOCCNC(=O)CNC(=O)OCC1=CC=CC=C1 JOCQACPEEBACBI-UHFFFAOYSA-N 0.000 description 2
- WMZANVCUZUNFGA-UHFFFAOYSA-N 3-bromo-4-methoxy-4-oxobutanoic acid Chemical compound COC(=O)C(Br)CC(O)=O WMZANVCUZUNFGA-UHFFFAOYSA-N 0.000 description 2
- ZKHQWZAMYRWXGA-UHFFFAOYSA-N Adenosine triphosphate Natural products C1=NC=2C(N)=NC=NC=2N1C1OC(COP(O)(=O)OP(O)(=O)OP(O)(O)=O)C(O)C1O ZKHQWZAMYRWXGA-UHFFFAOYSA-N 0.000 description 2
- NLXLAEXVIDQMFP-UHFFFAOYSA-N Ammonia chloride Chemical class [NH4+].[Cl-] NLXLAEXVIDQMFP-UHFFFAOYSA-N 0.000 description 2
- 208000010839 B-cell chronic lymphocytic leukemia Diseases 0.000 description 2
- 244000063299 Bacillus subtilis Species 0.000 description 2
- 235000014469 Bacillus subtilis Nutrition 0.000 description 2
- 108010006654 Bleomycin Proteins 0.000 description 2
- 102100022595 Broad substrate specificity ATP-binding cassette transporter ABCG2 Human genes 0.000 description 2
- FERIUCNNQQJTOY-UHFFFAOYSA-N Butyric acid Chemical compound CCCC(O)=O FERIUCNNQQJTOY-UHFFFAOYSA-N 0.000 description 2
- SSQBMTQDDPGSGN-IZEXYCQBSA-N C(C1=CC=CC=C1)N1C(=CC(=C1)C1=C(C=CC(=C1)F)F)[C@@H](C(C)(C)C)N(CC[C@@H](C(=O)O)NC(=O)OCC[Si](C)(C)C)C(CO)=O Chemical compound C(C1=CC=CC=C1)N1C(=CC(=C1)C1=C(C=CC(=C1)F)F)[C@@H](C(C)(C)C)N(CC[C@@H](C(=O)O)NC(=O)OCC[Si](C)(C)C)C(CO)=O SSQBMTQDDPGSGN-IZEXYCQBSA-N 0.000 description 2
- AAMVDQWXGQEBFR-VUWPPUDQSA-N COC(C(CC(=O)O)SC[C@@H](C(=O)OC)NC(=O)OCC[Si](C)(C)C)=O Chemical compound COC(C(CC(=O)O)SC[C@@H](C(=O)OC)NC(=O)OCC[Si](C)(C)C)=O AAMVDQWXGQEBFR-VUWPPUDQSA-N 0.000 description 2
- MLFJFOFFXHANAO-HKBQPEDESA-N C[Si](CCOC(NCCCN(C(CCl)=O)[C@H](C(C)(C)C)C=1N(C=C(C=1)C1=C(C=CC(=C1)F)F)CC1=CC=CC=C1)=O)(C)C Chemical compound C[Si](CCOC(NCCCN(C(CCl)=O)[C@H](C(C)(C)C)C=1N(C=C(C=1)C1=C(C=CC(=C1)F)F)CC1=CC=CC=C1)=O)(C)C MLFJFOFFXHANAO-HKBQPEDESA-N 0.000 description 2
- HEDRZPFGACZZDS-UHFFFAOYSA-N Chloroform Chemical compound ClC(Cl)Cl HEDRZPFGACZZDS-UHFFFAOYSA-N 0.000 description 2
- 206010053138 Congenital aplastic anaemia Diseases 0.000 description 2
- XDTMQSROBMDMFD-UHFFFAOYSA-N Cyclohexane Chemical compound C1CCCCC1 XDTMQSROBMDMFD-UHFFFAOYSA-N 0.000 description 2
- YZCKVEUIGOORGS-OUBTZVSYSA-N Deuterium Chemical compound [2H] YZCKVEUIGOORGS-OUBTZVSYSA-N 0.000 description 2
- 102000004190 Enzymes Human genes 0.000 description 2
- 108090000790 Enzymes Proteins 0.000 description 2
- QUSNBJAOOMFDIB-UHFFFAOYSA-N Ethylamine Chemical compound CCN QUSNBJAOOMFDIB-UHFFFAOYSA-N 0.000 description 2
- 201000004939 Fanconi anemia Diseases 0.000 description 2
- VZCYOOQTPOCHFL-OWOJBTEDSA-N Fumaric acid Chemical class OC(=O)\C=C\C(O)=O VZCYOOQTPOCHFL-OWOJBTEDSA-N 0.000 description 2
- 102100039620 Granulocyte-macrophage colony-stimulating factor Human genes 0.000 description 2
- XKMLYUALXHKNFT-UUOKFMHZSA-N Guanosine-5'-triphosphate Chemical class C1=2NC(N)=NC(=O)C=2N=CN1[C@@H]1O[C@H](COP(O)(=O)OP(O)(=O)OP(O)(O)=O)[C@@H](O)[C@H]1O XKMLYUALXHKNFT-UUOKFMHZSA-N 0.000 description 2
- 101000823298 Homo sapiens Broad substrate specificity ATP-binding cassette transporter ABCG2 Proteins 0.000 description 2
- 101000839658 Homo sapiens Immunoglobulin heavy variable 3-66 Proteins 0.000 description 2
- UFHFLCQGNIYNRP-UHFFFAOYSA-N Hydrogen Chemical compound [H][H] UFHFLCQGNIYNRP-UHFFFAOYSA-N 0.000 description 2
- 108010054477 Immunoglobulin Fab Fragments Proteins 0.000 description 2
- 102000001706 Immunoglobulin Fab Fragments Human genes 0.000 description 2
- 102100027821 Immunoglobulin heavy variable 3-66 Human genes 0.000 description 2
- 102000000646 Interleukin-3 Human genes 0.000 description 2
- 108010002386 Interleukin-3 Proteins 0.000 description 2
- 102100039897 Interleukin-5 Human genes 0.000 description 2
- 108010002616 Interleukin-5 Proteins 0.000 description 2
- KFZMGEQAYNKOFK-UHFFFAOYSA-N Isopropanol Chemical compound CC(C)O KFZMGEQAYNKOFK-UHFFFAOYSA-N 0.000 description 2
- KDXKERNSBIXSRK-YFKPBYRVSA-N L-lysine Chemical compound NCCCC[C@H](N)C(O)=O KDXKERNSBIXSRK-YFKPBYRVSA-N 0.000 description 2
- 239000004472 Lysine Substances 0.000 description 2
- KDXKERNSBIXSRK-UHFFFAOYSA-N Lysine Natural products NCCCCC(N)C(O)=O KDXKERNSBIXSRK-UHFFFAOYSA-N 0.000 description 2
- TWRXJAOTZQYOKJ-UHFFFAOYSA-L Magnesium chloride Chemical compound [Mg+2].[Cl-].[Cl-] TWRXJAOTZQYOKJ-UHFFFAOYSA-L 0.000 description 2
- PEEHTFAAVSWFBL-UHFFFAOYSA-N Maleimide Chemical compound O=C1NC(=O)C=C1 PEEHTFAAVSWFBL-UHFFFAOYSA-N 0.000 description 2
- 208000025205 Mantle-Cell Lymphoma Diseases 0.000 description 2
- JRNVZBWKYDBUCA-UHFFFAOYSA-N N-chlorosuccinimide Chemical compound ClN1C(=O)CCC1=O JRNVZBWKYDBUCA-UHFFFAOYSA-N 0.000 description 2
- 208000015914 Non-Hodgkin lymphomas Diseases 0.000 description 2
- 101710160107 Outer membrane protein A Proteins 0.000 description 2
- 229910019142 PO4 Inorganic materials 0.000 description 2
- 229930012538 Paclitaxel Natural products 0.000 description 2
- OFBQJSOFQDEBGM-UHFFFAOYSA-N Pentane Chemical compound CCCCC OFBQJSOFQDEBGM-UHFFFAOYSA-N 0.000 description 2
- NBIIXXVUZAFLBC-UHFFFAOYSA-N Phosphoric acid Chemical class OP(O)(O)=O NBIIXXVUZAFLBC-UHFFFAOYSA-N 0.000 description 2
- 208000009052 Precursor T-Cell Lymphoblastic Leukemia-Lymphoma Diseases 0.000 description 2
- 208000017414 Precursor T-cell acute lymphoblastic leukemia Diseases 0.000 description 2
- 241000589516 Pseudomonas Species 0.000 description 2
- 241000508269 Psidium Species 0.000 description 2
- JUJWROOIHBZHMG-UHFFFAOYSA-N Pyridine Chemical compound C1=CC=NC=C1 JUJWROOIHBZHMG-UHFFFAOYSA-N 0.000 description 2
- 238000011579 SCID mouse model Methods 0.000 description 2
- 240000004808 Saccharomyces cerevisiae Species 0.000 description 2
- 241000293869 Salmonella enterica subsp. enterica serovar Typhimurium Species 0.000 description 2
- BQCADISMDOOEFD-UHFFFAOYSA-N Silver Chemical compound [Ag] BQCADISMDOOEFD-UHFFFAOYSA-N 0.000 description 2
- 108020004682 Single-Stranded DNA Proteins 0.000 description 2
- 208000000453 Skin Neoplasms Diseases 0.000 description 2
- CDBYLPFSWZWCQE-UHFFFAOYSA-L Sodium Carbonate Chemical class [Na+].[Na+].[O-]C([O-])=O CDBYLPFSWZWCQE-UHFFFAOYSA-L 0.000 description 2
- 241000191940 Staphylococcus Species 0.000 description 2
- 241000187747 Streptomyces Species 0.000 description 2
- 239000005864 Sulphur Substances 0.000 description 2
- NKANXQFJJICGDU-QPLCGJKRSA-N Tamoxifen Chemical compound C=1C=CC=CC=1C(/CC)=C(C=1C=CC(OCCN(C)C)=CC=1)/C1=CC=CC=C1 NKANXQFJJICGDU-QPLCGJKRSA-N 0.000 description 2
- MUMGGOZAMZWBJJ-DYKIIFRCSA-N Testostosterone Chemical compound O=C1CC[C@]2(C)[C@H]3CC[C@](C)([C@H](CC4)O)[C@@H]4[C@@H]3CCC2=C1 MUMGGOZAMZWBJJ-DYKIIFRCSA-N 0.000 description 2
- 108010084455 Zeocin Proteins 0.000 description 2
- JLCPHMBAVCMARE-UHFFFAOYSA-N [3-[[3-[[3-[[3-[[3-[[3-[[3-[[3-[[3-[[3-[[3-[[5-(2-amino-6-oxo-1H-purin-9-yl)-3-[[3-[[3-[[3-[[3-[[3-[[5-(2-amino-6-oxo-1H-purin-9-yl)-3-[[5-(2-amino-6-oxo-1H-purin-9-yl)-3-hydroxyoxolan-2-yl]methoxy-hydroxyphosphoryl]oxyoxolan-2-yl]methoxy-hydroxyphosphoryl]oxy-5-(5-methyl-2,4-dioxopyrimidin-1-yl)oxolan-2-yl]methoxy-hydroxyphosphoryl]oxy-5-(6-aminopurin-9-yl)oxolan-2-yl]methoxy-hydroxyphosphoryl]oxy-5-(6-aminopurin-9-yl)oxolan-2-yl]methoxy-hydroxyphosphoryl]oxy-5-(6-aminopurin-9-yl)oxolan-2-yl]methoxy-hydroxyphosphoryl]oxy-5-(6-aminopurin-9-yl)oxolan-2-yl]methoxy-hydroxyphosphoryl]oxyoxolan-2-yl]methoxy-hydroxyphosphoryl]oxy-5-(5-methyl-2,4-dioxopyrimidin-1-yl)oxolan-2-yl]methoxy-hydroxyphosphoryl]oxy-5-(4-amino-2-oxopyrimidin-1-yl)oxolan-2-yl]methoxy-hydroxyphosphoryl]oxy-5-(5-methyl-2,4-dioxopyrimidin-1-yl)oxolan-2-yl]methoxy-hydroxyphosphoryl]oxy-5-(5-methyl-2,4-dioxopyrimidin-1-yl)oxolan-2-yl]methoxy-hydroxyphosphoryl]oxy-5-(6-aminopurin-9-yl)oxolan-2-yl]methoxy-hydroxyphosphoryl]oxy-5-(6-aminopurin-9-yl)oxolan-2-yl]methoxy-hydroxyphosphoryl]oxy-5-(4-amino-2-oxopyrimidin-1-yl)oxolan-2-yl]methoxy-hydroxyphosphoryl]oxy-5-(4-amino-2-oxopyrimidin-1-yl)oxolan-2-yl]methoxy-hydroxyphosphoryl]oxy-5-(4-amino-2-oxopyrimidin-1-yl)oxolan-2-yl]methoxy-hydroxyphosphoryl]oxy-5-(6-aminopurin-9-yl)oxolan-2-yl]methoxy-hydroxyphosphoryl]oxy-5-(4-amino-2-oxopyrimidin-1-yl)oxolan-2-yl]methyl [5-(6-aminopurin-9-yl)-2-(hydroxymethyl)oxolan-3-yl] hydrogen phosphate Polymers Cc1cn(C2CC(OP(O)(=O)OCC3OC(CC3OP(O)(=O)OCC3OC(CC3O)n3cnc4c3nc(N)[nH]c4=O)n3cnc4c3nc(N)[nH]c4=O)C(COP(O)(=O)OC3CC(OC3COP(O)(=O)OC3CC(OC3COP(O)(=O)OC3CC(OC3COP(O)(=O)OC3CC(OC3COP(O)(=O)OC3CC(OC3COP(O)(=O)OC3CC(OC3COP(O)(=O)OC3CC(OC3COP(O)(=O)OC3CC(OC3COP(O)(=O)OC3CC(OC3COP(O)(=O)OC3CC(OC3COP(O)(=O)OC3CC(OC3COP(O)(=O)OC3CC(OC3COP(O)(=O)OC3CC(OC3COP(O)(=O)OC3CC(OC3COP(O)(=O)OC3CC(OC3COP(O)(=O)OC3CC(OC3COP(O)(=O)OC3CC(OC3CO)n3cnc4c(N)ncnc34)n3ccc(N)nc3=O)n3cnc4c(N)ncnc34)n3ccc(N)nc3=O)n3ccc(N)nc3=O)n3ccc(N)nc3=O)n3cnc4c(N)ncnc34)n3cnc4c(N)ncnc34)n3cc(C)c(=O)[nH]c3=O)n3cc(C)c(=O)[nH]c3=O)n3ccc(N)nc3=O)n3cc(C)c(=O)[nH]c3=O)n3cnc4c3nc(N)[nH]c4=O)n3cnc4c(N)ncnc34)n3cnc4c(N)ncnc34)n3cnc4c(N)ncnc34)n3cnc4c(N)ncnc34)O2)c(=O)[nH]c1=O JLCPHMBAVCMARE-UHFFFAOYSA-N 0.000 description 2
- 108010076089 accutase Proteins 0.000 description 2
- RJURFGZVJUQBHK-UHFFFAOYSA-N actinomycin D Natural products CC1OC(=O)C(C(C)C)N(C)C(=O)CN(C)C(=O)C2CCCN2C(=O)C(C(C)C)NC(=O)C1NC(=O)C1=C(N)C(=O)C(C)=C2OC(C(C)=CC=C3C(=O)NC4C(=O)NC(C(N5CCCC5C(=O)N(C)CC(=O)N(C)C(C(C)C)C(=O)OC4C)=O)C(C)C)=C3N=C21 RJURFGZVJUQBHK-UHFFFAOYSA-N 0.000 description 2
- 239000008186 active pharmaceutical agent Substances 0.000 description 2
- 230000009056 active transport Effects 0.000 description 2
- 230000001464 adherent effect Effects 0.000 description 2
- 238000001042 affinity chromatography Methods 0.000 description 2
- 229910021529 ammonia Inorganic materials 0.000 description 2
- 230000003321 amplification Effects 0.000 description 2
- 125000004429 atom Chemical group 0.000 description 2
- QVGXLLKOCUKJST-UHFFFAOYSA-N atomic oxygen Chemical compound [O] QVGXLLKOCUKJST-UHFFFAOYSA-N 0.000 description 2
- 210000003719 b-lymphocyte Anatomy 0.000 description 2
- 239000002585 base Substances 0.000 description 2
- 230000008901 benefit Effects 0.000 description 2
- WPYMKLBDIGXBTP-UHFFFAOYSA-N benzoic acid Chemical class OC(=O)C1=CC=CC=C1 WPYMKLBDIGXBTP-UHFFFAOYSA-N 0.000 description 2
- 229930189065 blasticidin Natural products 0.000 description 2
- 229960001561 bleomycin Drugs 0.000 description 2
- OYVAGSVQBOHSSS-UAPAGMARSA-O bleomycin A2 Chemical compound N([C@H](C(=O)N[C@H](C)[C@@H](O)[C@H](C)C(=O)N[C@@H]([C@H](O)C)C(=O)NCCC=1SC=C(N=1)C=1SC=C(N=1)C(=O)NCCC[S+](C)C)[C@@H](O[C@H]1[C@H]([C@@H](O)[C@H](O)[C@H](CO)O1)O[C@@H]1[C@H]([C@@H](OC(N)=O)[C@H](O)[C@@H](CO)O1)O)C=1N=CNC=1)C(=O)C1=NC([C@H](CC(N)=O)NC[C@H](N)C(N)=O)=NC(N)=C1C OYVAGSVQBOHSSS-UAPAGMARSA-O 0.000 description 2
- 230000037396 body weight Effects 0.000 description 2
- 210000001185 bone marrow Anatomy 0.000 description 2
- 201000008275 breast carcinoma Diseases 0.000 description 2
- SNCZNSNPXMPCGN-UHFFFAOYSA-N butanediamide Chemical class NC(=O)CCC(N)=O SNCZNSNPXMPCGN-UHFFFAOYSA-N 0.000 description 2
- 210000004899 c-terminal region Anatomy 0.000 description 2
- FJDQFPXHSGXQBY-UHFFFAOYSA-L caesium carbonate Chemical compound [Cs+].[Cs+].[O-]C([O-])=O FJDQFPXHSGXQBY-UHFFFAOYSA-L 0.000 description 2
- 239000011575 calcium Substances 0.000 description 2
- KVUAALJSMIVURS-ZEDZUCNESA-L calcium folinate Chemical compound [Ca+2].C1NC=2NC(N)=NC(=O)C=2N(C=O)C1CNC1=CC=C(C(=O)N[C@@H](CCC([O-])=O)C([O-])=O)C=C1 KVUAALJSMIVURS-ZEDZUCNESA-L 0.000 description 2
- 238000001818 capillary gel electrophoresis Methods 0.000 description 2
- 239000001569 carbon dioxide Substances 0.000 description 2
- 239000013592 cell lysate Substances 0.000 description 2
- 210000004978 chinese hamster ovary cell Anatomy 0.000 description 2
- 239000000460 chlorine Chemical group 0.000 description 2
- 208000032852 chronic lymphocytic leukemia Diseases 0.000 description 2
- 238000003776 cleavage reaction Methods 0.000 description 2
- 230000000295 complement effect Effects 0.000 description 2
- NXQGGXCHGDYOHB-UHFFFAOYSA-L cyclopenta-1,4-dien-1-yl(diphenyl)phosphane;dichloropalladium;iron(2+) Chemical compound [Fe+2].Cl[Pd]Cl.[CH-]1C=CC(P(C=2C=CC=CC=2)C=2C=CC=CC=2)=C1.[CH-]1C=CC(P(C=2C=CC=CC=2)C=2C=CC=CC=2)=C1 NXQGGXCHGDYOHB-UHFFFAOYSA-L 0.000 description 2
- 150000001945 cysteines Chemical class 0.000 description 2
- 108010057085 cytokine receptors Proteins 0.000 description 2
- 102000003675 cytokine receptors Human genes 0.000 description 2
- 210000004292 cytoskeleton Anatomy 0.000 description 2
- 239000000824 cytostatic agent Substances 0.000 description 2
- 230000001085 cytostatic effect Effects 0.000 description 2
- 229940127089 cytotoxic agent Drugs 0.000 description 2
- 239000002254 cytotoxic agent Substances 0.000 description 2
- 231100000599 cytotoxic agent Toxicity 0.000 description 2
- NKLCNNUWBJBICK-UHFFFAOYSA-N dess–martin periodinane Chemical compound C1=CC=C2I(OC(=O)C)(OC(C)=O)(OC(C)=O)OC(=O)C2=C1 NKLCNNUWBJBICK-UHFFFAOYSA-N 0.000 description 2
- 229910052805 deuterium Inorganic materials 0.000 description 2
- 238000011161 development Methods 0.000 description 2
- 150000001990 dicarboxylic acid derivatives Chemical class 0.000 description 2
- XBDQKXXYIPTUBI-UHFFFAOYSA-N dimethylselenoniopropionate Chemical class CCC(O)=O XBDQKXXYIPTUBI-UHFFFAOYSA-N 0.000 description 2
- 238000010494 dissociation reaction Methods 0.000 description 2
- 230000005593 dissociations Effects 0.000 description 2
- 229960004679 doxorubicin Drugs 0.000 description 2
- 238000010828 elution Methods 0.000 description 2
- 229940088598 enzyme Drugs 0.000 description 2
- 238000001704 evaporation Methods 0.000 description 2
- 230000008020 evaporation Effects 0.000 description 2
- 239000011536 extraction buffer Substances 0.000 description 2
- 239000012065 filter cake Substances 0.000 description 2
- 239000000706 filtrate Substances 0.000 description 2
- 239000007850 fluorescent dye Substances 0.000 description 2
- 230000004907 flux Effects 0.000 description 2
- 201000003444 follicular lymphoma Diseases 0.000 description 2
- CHPZKNULDCNCBW-UHFFFAOYSA-N gallium nitrate Chemical compound [Ga+3].[O-][N+]([O-])=O.[O-][N+]([O-])=O.[O-][N+]([O-])=O CHPZKNULDCNCBW-UHFFFAOYSA-N 0.000 description 2
- BRZYSWJRSDMWLG-CAXSIQPQSA-N geneticin Natural products O1C[C@@](O)(C)[C@H](NC)[C@@H](O)[C@H]1O[C@@H]1[C@@H](O)[C@H](O[C@@H]2[C@@H]([C@@H](O)[C@H](O)[C@@H](C(C)O)O2)N)[C@@H](N)C[C@H]1N BRZYSWJRSDMWLG-CAXSIQPQSA-N 0.000 description 2
- 102000005396 glutamine synthetase Human genes 0.000 description 2
- 108020002326 glutamine synthetase Proteins 0.000 description 2
- PCHJSUWPFVWCPO-UHFFFAOYSA-N gold Chemical compound [Au] PCHJSUWPFVWCPO-UHFFFAOYSA-N 0.000 description 2
- 229910052737 gold Inorganic materials 0.000 description 2
- 239000010931 gold Substances 0.000 description 2
- 230000012010 growth Effects 0.000 description 2
- 230000009036 growth inhibition Effects 0.000 description 2
- 210000003630 histaminocyte Anatomy 0.000 description 2
- 150000004677 hydrates Chemical class 0.000 description 2
- 230000001900 immune effect Effects 0.000 description 2
- 238000011065 in-situ storage Methods 0.000 description 2
- 230000001939 inductive effect Effects 0.000 description 2
- 230000003993 interaction Effects 0.000 description 2
- 229940100602 interleukin-5 Drugs 0.000 description 2
- 238000001990 intravenous administration Methods 0.000 description 2
- JVTAAEKCZFNVCJ-UHFFFAOYSA-N lactic acid Chemical class CC(O)C(O)=O JVTAAEKCZFNVCJ-UHFFFAOYSA-N 0.000 description 2
- 239000007788 liquid Substances 0.000 description 2
- 239000006166 lysate Substances 0.000 description 2
- 125000003588 lysine group Chemical group [H]N([H])C([H])([H])C([H])([H])C([H])([H])C([H])([H])C([H])(N([H])[H])C(*)=O 0.000 description 2
- 230000014759 maintenance of location Effects 0.000 description 2
- 239000011159 matrix material Substances 0.000 description 2
- 201000001441 melanoma Diseases 0.000 description 2
- 230000002503 metabolic effect Effects 0.000 description 2
- GDOPTJXRTPNYNR-UHFFFAOYSA-N methyl-cyclopentane Natural products CC1CCCC1 GDOPTJXRTPNYNR-UHFFFAOYSA-N 0.000 description 2
- 125000000325 methylidene group Chemical group [H]C([H])=* 0.000 description 2
- 230000004048 modification Effects 0.000 description 2
- 238000012986 modification Methods 0.000 description 2
- 239000013642 negative control Substances 0.000 description 2
- 229910052757 nitrogen Inorganic materials 0.000 description 2
- 238000003199 nucleic acid amplification method Methods 0.000 description 2
- 229960002700 octreotide Drugs 0.000 description 2
- 210000001672 ovary Anatomy 0.000 description 2
- 239000001301 oxygen Substances 0.000 description 2
- 229910052760 oxygen Inorganic materials 0.000 description 2
- 229960001592 paclitaxel Drugs 0.000 description 2
- 229910052763 palladium Inorganic materials 0.000 description 2
- 229960005301 pentazocine Drugs 0.000 description 2
- VOKSWYLNZZRQPF-GDIGMMSISA-N pentazocine Chemical compound C1C2=CC=C(O)C=C2[C@@]2(C)[C@@H](C)[C@@H]1N(CC=C(C)C)CC2 VOKSWYLNZZRQPF-GDIGMMSISA-N 0.000 description 2
- 238000002823 phage display Methods 0.000 description 2
- CWCMIVBLVUHDHK-ZSNHEYEWSA-N phleomycin D1 Chemical compound N([C@H](C(=O)N[C@H](C)[C@@H](O)[C@H](C)C(=O)N[C@@H]([C@H](O)C)C(=O)NCCC=1SC[C@@H](N=1)C=1SC=C(N=1)C(=O)NCCCCNC(N)=N)[C@@H](O[C@H]1[C@H]([C@@H](O)[C@H](O)[C@H](CO)O1)O[C@@H]1[C@H]([C@@H](OC(N)=O)[C@H](O)[C@@H](CO)O1)O)C=1N=CNC=1)C(=O)C1=NC([C@H](CC(N)=O)NC[C@H](N)C(N)=O)=NC(N)=C1C CWCMIVBLVUHDHK-ZSNHEYEWSA-N 0.000 description 2
- NBIIXXVUZAFLBC-UHFFFAOYSA-K phosphate Chemical compound [O-]P([O-])([O-])=O NBIIXXVUZAFLBC-UHFFFAOYSA-K 0.000 description 2
- 239000010452 phosphate Substances 0.000 description 2
- 239000013612 plasmid Substances 0.000 description 2
- BWHMMNNQKKPAPP-UHFFFAOYSA-L potassium carbonate Chemical compound [K+].[K+].[O-]C([O-])=O BWHMMNNQKKPAPP-UHFFFAOYSA-L 0.000 description 2
- LJCNRYVRMXRIQR-OLXYHTOASA-L potassium sodium L-tartrate Chemical class [Na+].[K+].[O-]C(=O)[C@H](O)[C@@H](O)C([O-])=O LJCNRYVRMXRIQR-OLXYHTOASA-L 0.000 description 2
- 229940002612 prodrug Drugs 0.000 description 2
- 239000000651 prodrug Substances 0.000 description 2
- 210000001236 prokaryotic cell Anatomy 0.000 description 2
- AQHHHDLHHXJYJD-UHFFFAOYSA-N propranolol Chemical compound C1=CC=C2C(OCC(O)CNC(C)C)=CC=CC2=C1 AQHHHDLHHXJYJD-UHFFFAOYSA-N 0.000 description 2
- 239000012264 purified product Substances 0.000 description 2
- 229950010131 puromycin Drugs 0.000 description 2
- 238000003908 quality control method Methods 0.000 description 2
- 239000000376 reactant Substances 0.000 description 2
- 238000010188 recombinant method Methods 0.000 description 2
- 238000005215 recombination Methods 0.000 description 2
- 230000006798 recombination Effects 0.000 description 2
- 230000009467 reduction Effects 0.000 description 2
- 230000004044 response Effects 0.000 description 2
- 230000002441 reversible effect Effects 0.000 description 2
- 239000012266 salt solution Substances 0.000 description 2
- 230000007017 scission Effects 0.000 description 2
- 239000000741 silica gel Substances 0.000 description 2
- 229910002027 silica gel Inorganic materials 0.000 description 2
- 229910052709 silver Inorganic materials 0.000 description 2
- 239000004332 silver Substances 0.000 description 2
- 201000000849 skin cancer Diseases 0.000 description 2
- 208000000649 small cell carcinoma Diseases 0.000 description 2
- 238000002415 sodium dodecyl sulfate polyacrylamide gel electrophoresis Methods 0.000 description 2
- DAEPDZWVDSPTHF-UHFFFAOYSA-M sodium pyruvate Chemical compound [Na+].CC(=O)C([O-])=O DAEPDZWVDSPTHF-UHFFFAOYSA-M 0.000 description 2
- 239000012321 sodium triacetoxyborohydride Substances 0.000 description 2
- 239000007787 solid Substances 0.000 description 2
- 230000009870 specific binding Effects 0.000 description 2
- 239000007921 spray Substances 0.000 description 2
- 239000007858 starting material Substances 0.000 description 2
- 239000013589 supplement Substances 0.000 description 2
- 238000011477 surgical intervention Methods 0.000 description 2
- 239000000725 suspension Substances 0.000 description 2
- RCINICONZNJXQF-MZXODVADSA-N taxol Chemical compound O([C@@H]1[C@@]2(C[C@@H](C(C)=C(C2(C)C)[C@H](C([C@]2(C)[C@@H](O)C[C@H]3OC[C@]3([C@H]21)OC(C)=O)=O)OC(=O)C)OC(=O)[C@H](O)[C@@H](NC(=O)C=1C=CC=CC=1)C=1C=CC=CC=1)O)C(=O)C1=CC=CC=C1 RCINICONZNJXQF-MZXODVADSA-N 0.000 description 2
- 229960001674 tegafur Drugs 0.000 description 2
- WFWLQNSHRPWKFK-ZCFIWIBFSA-N tegafur Chemical compound O=C1NC(=O)C(F)=CN1[C@@H]1OCCC1 WFWLQNSHRPWKFK-ZCFIWIBFSA-N 0.000 description 2
- PKESARRNSGIDRD-UHFFFAOYSA-N tert-butyl 3-[2-[2-[2-(2-aminoethoxy)ethoxy]ethoxy]ethoxy]propanoate Chemical compound CC(C)(C)OC(=O)CCOCCOCCOCCOCCN PKESARRNSGIDRD-UHFFFAOYSA-N 0.000 description 2
- CNBMBVNKENLAKJ-UHFFFAOYSA-N tert-butyl 3-[2-[2-[2-[2-[[2-(2,5-dioxopyrrol-1-yl)acetyl]amino]ethoxy]ethoxy]ethoxy]ethoxy]propanoate Chemical compound O=C1N(C(C=C1)=O)CC(=O)NCCOCCOCCOCCOCCC(=O)OC(C)(C)C CNBMBVNKENLAKJ-UHFFFAOYSA-N 0.000 description 2
- LZKFQRZIWJICJV-UHFFFAOYSA-N tert-butyl 3-[2-[2-[2-[2-[[2-(phenylmethoxycarbonylamino)acetyl]amino]ethoxy]ethoxy]ethoxy]ethoxy]propanoate Chemical compound C(C)(C)(C)OC(CCOCCOCCOCCOCCNC(CNC(=O)OCC1=CC=CC=C1)=O)=O LZKFQRZIWJICJV-UHFFFAOYSA-N 0.000 description 2
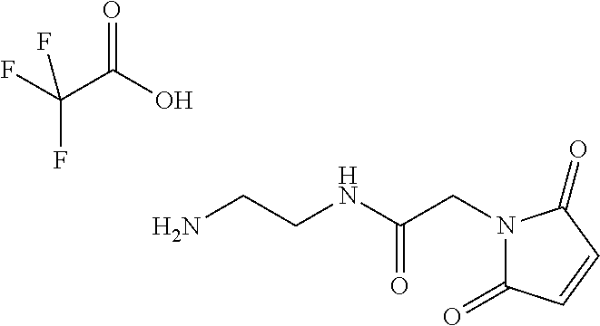
- WROMPOXWARCANT-UHFFFAOYSA-N tfa trifluoroacetic acid Chemical group OC(=O)C(F)(F)F.OC(=O)C(F)(F)F WROMPOXWARCANT-UHFFFAOYSA-N 0.000 description 2
- 238000004809 thin layer chromatography Methods 0.000 description 2
- 230000002110 toxicologic effect Effects 0.000 description 2
- 231100000027 toxicology Toxicity 0.000 description 2
- RUVINXPYWBROJD-ONEGZZNKSA-N trans-anethole Chemical compound COC1=CC=C(\C=C\C)C=C1 RUVINXPYWBROJD-ONEGZZNKSA-N 0.000 description 2
- VZCYOOQTPOCHFL-UHFFFAOYSA-N trans-butenedioic acid Chemical class OC(=O)C=CC(O)=O VZCYOOQTPOCHFL-UHFFFAOYSA-N 0.000 description 2
- 230000009466 transformation Effects 0.000 description 2
- 230000001052 transient effect Effects 0.000 description 2
- 229960001612 trastuzumab emtansine Drugs 0.000 description 2
- 238000000108 ultra-filtration Methods 0.000 description 2
- 241000701161 unidentified adenovirus Species 0.000 description 2
- 230000003612 virological effect Effects 0.000 description 2
- WWYNJERNGUHSAO-XUDSTZEESA-N (+)-Norgestrel Chemical compound O=C1CC[C@@H]2[C@H]3CC[C@](CC)([C@](CC4)(O)C#C)[C@@H]4[C@@H]3CCC2=C1 WWYNJERNGUHSAO-XUDSTZEESA-N 0.000 description 1
- QCHFTSOMWOSFHM-WPRPVWTQSA-N (+)-Pilocarpine Chemical compound C1OC(=O)[C@@H](CC)[C@H]1CC1=CN=CN1C QCHFTSOMWOSFHM-WPRPVWTQSA-N 0.000 description 1
- BMKDZUISNHGIBY-ZETCQYMHSA-N (+)-dexrazoxane Chemical compound C([C@H](C)N1CC(=O)NC(=O)C1)N1CC(=O)NC(=O)C1 BMKDZUISNHGIBY-ZETCQYMHSA-N 0.000 description 1
- DNXHEGUUPJUMQT-UHFFFAOYSA-N (+)-estrone Natural products OC1=CC=C2C3CCC(C)(C(CC4)=O)C4C3CCC2=C1 DNXHEGUUPJUMQT-UHFFFAOYSA-N 0.000 description 1
- AAFJXZWCNVJTMK-GUCUJZIJSA-N (1s,2r)-1-[(2s)-oxiran-2-yl]-2-[(2r)-oxiran-2-yl]ethane-1,2-diol Chemical compound C([C@@H]1[C@H](O)[C@H](O)[C@H]2OC2)O1 AAFJXZWCNVJTMK-GUCUJZIJSA-N 0.000 description 1
- KTOJGSDLJNUAEP-UHFFFAOYSA-N (2,5-difluorophenyl)boronic acid Chemical compound OB(O)C1=CC(F)=CC=C1F KTOJGSDLJNUAEP-UHFFFAOYSA-N 0.000 description 1
- TYKASZBHFXBROF-UHFFFAOYSA-N (2,5-dioxopyrrolidin-1-yl) 2-(2,5-dioxopyrrol-1-yl)acetate Chemical compound O=C1CCC(=O)N1OC(=O)CN1C(=O)C=CC1=O TYKASZBHFXBROF-UHFFFAOYSA-N 0.000 description 1
- FLDNDAMSCINJDX-UHFFFAOYSA-N (2,5-dioxopyrrolidin-1-yl) 2-trimethylsilylethyl carbonate Chemical compound C[Si](C)(C)CCOC(=O)ON1C(=O)CCC1=O FLDNDAMSCINJDX-UHFFFAOYSA-N 0.000 description 1
- RWRDJVNMSZYMDV-SIUYXFDKSA-L (223)RaCl2 Chemical compound Cl[223Ra]Cl RWRDJVNMSZYMDV-SIUYXFDKSA-L 0.000 description 1
- UQACBWJZRWMVCC-WNQIDUERSA-N (2R)-2-amino-3-sulfanylpropanoic acid butanediamide Chemical class N[C@@H](CS)C(O)=O.NC(=O)CCC(N)=O UQACBWJZRWMVCC-WNQIDUERSA-N 0.000 description 1
- FKHUGQZRBPETJR-RXSRXONKSA-N (2r)-2-[[(4r)-4-[[(2s)-2-[[(2r)-2-[(3r,4r,5s,6r)-3-acetamido-2,5-dihydroxy-6-(hydroxymethyl)oxan-4-yl]oxypropanoyl]amino]propanoyl]amino]-5-amino-5-oxopentanoyl]amino]-6-(octadecanoylamino)hexanoic acid Chemical compound CCCCCCCCCCCCCCCCCC(=O)NCCCC[C@H](C(O)=O)NC(=O)CC[C@H](C(N)=O)NC(=O)[C@H](C)NC(=O)[C@@H](C)O[C@H]1[C@H](O)[C@@H](CO)OC(O)[C@@H]1NC(C)=O FKHUGQZRBPETJR-RXSRXONKSA-N 0.000 description 1
- CATMPQFFVNKDEY-DGCLKSJQSA-N (2r)-2-amino-5-[[(1r)-1-carboxy-2-(1h-indol-3-yl)ethyl]amino]-5-oxopentanoic acid Chemical compound C1=CC=C2C(C[C@@H](NC(=O)CC[C@@H](N)C(O)=O)C(O)=O)=CNC2=C1 CATMPQFFVNKDEY-DGCLKSJQSA-N 0.000 description 1
- UELYDGOOJPRWGF-SRQXXRKNSA-N (2r,3r)-3-[2-[4-(cyclopropylsulfonimidoyl)anilino]-5-(trifluoromethyl)pyrimidin-4-yl]oxybutan-2-ol Chemical compound C1=C(C(F)(F)F)C(O[C@H](C)[C@H](O)C)=NC(NC=2C=CC(=CC=2)[S@](=N)(=O)C2CC2)=N1 UELYDGOOJPRWGF-SRQXXRKNSA-N 0.000 description 1
- WDQLRUYAYXDIFW-RWKIJVEZSA-N (2r,3r,4s,5r,6r)-4-[(2s,3r,4s,5r,6r)-3,5-dihydroxy-4-[(2r,3r,4s,5s,6r)-3,4,5-trihydroxy-6-(hydroxymethyl)oxan-2-yl]oxy-6-[[(2r,3r,4s,5s,6r)-3,4,5-trihydroxy-6-(hydroxymethyl)oxan-2-yl]oxymethyl]oxan-2-yl]oxy-6-(hydroxymethyl)oxane-2,3,5-triol Chemical compound O[C@@H]1[C@@H](CO)O[C@@H](O)[C@H](O)[C@H]1O[C@H]1[C@H](O)[C@@H](O[C@H]2[C@@H]([C@@H](O)[C@H](O)[C@@H](CO)O2)O)[C@H](O)[C@@H](CO[C@H]2[C@@H]([C@@H](O)[C@H](O)[C@@H](CO)O2)O)O1 WDQLRUYAYXDIFW-RWKIJVEZSA-N 0.000 description 1
- FELGMEQIXOGIFQ-CYBMUJFWSA-N (3r)-9-methyl-3-[(2-methylimidazol-1-yl)methyl]-2,3-dihydro-1h-carbazol-4-one Chemical compound CC1=NC=CN1C[C@@H]1C(=O)C(C=2C(=CC=CC=2)N2C)=C2CC1 FELGMEQIXOGIFQ-CYBMUJFWSA-N 0.000 description 1
- GDFGTRDCCWFXTG-SCTDSRPQSA-N (3r,4ar,10as)-3-(diethylsulfamoylamino)-6-hydroxy-1-propyl-3,4,4a,5,10,10a-hexahydro-2h-benzo[g]quinoline Chemical compound C1=CC=C2C[C@@H]3N(CCC)C[C@H](NS(=O)(=O)N(CC)CC)C[C@H]3CC2=C1O GDFGTRDCCWFXTG-SCTDSRPQSA-N 0.000 description 1
- CUKWUWBLQQDQAC-VEQWQPCFSA-N (3s)-3-amino-4-[[(2s)-1-[[(2s)-1-[[(2s)-1-[[(2s,3s)-1-[[(2s)-1-[(2s)-2-[[(1s)-1-carboxyethyl]carbamoyl]pyrrolidin-1-yl]-3-(1h-imidazol-5-yl)-1-oxopropan-2-yl]amino]-3-methyl-1-oxopentan-2-yl]amino]-3-(4-hydroxyphenyl)-1-oxopropan-2-yl]amino]-3-methyl-1-ox Chemical compound C([C@@H](C(=O)N[C@@H]([C@@H](C)CC)C(=O)N[C@@H](CC=1NC=NC=1)C(=O)N1[C@@H](CCC1)C(=O)N[C@@H](C)C(O)=O)NC(=O)[C@@H](NC(=O)[C@H](CCCN=C(N)N)NC(=O)[C@@H](N)CC(O)=O)C(C)C)C1=CC=C(O)C=C1 CUKWUWBLQQDQAC-VEQWQPCFSA-N 0.000 description 1
- DEQANNDTNATYII-OULOTJBUSA-N (4r,7s,10s,13r,16s,19r)-10-(4-aminobutyl)-19-[[(2r)-2-amino-3-phenylpropanoyl]amino]-16-benzyl-n-[(2r,3r)-1,3-dihydroxybutan-2-yl]-7-[(1r)-1-hydroxyethyl]-13-(1h-indol-3-ylmethyl)-6,9,12,15,18-pentaoxo-1,2-dithia-5,8,11,14,17-pentazacycloicosane-4-carboxa Chemical compound C([C@@H](N)C(=O)N[C@H]1CSSC[C@H](NC(=O)[C@H]([C@@H](C)O)NC(=O)[C@H](CCCCN)NC(=O)[C@@H](CC=2C3=CC=CC=C3NC=2)NC(=O)[C@H](CC=2C=CC=CC=2)NC1=O)C(=O)N[C@H](CO)[C@H](O)C)C1=CC=CC=C1 DEQANNDTNATYII-OULOTJBUSA-N 0.000 description 1
- SWXOGPJRIDTIRL-DOUNNPEJSA-N (4r,7s,10s,13r,16s,19r)-10-(4-aminobutyl)-n-[(2s)-1-amino-3-(1h-indol-3-yl)-1-oxopropan-2-yl]-19-[[(2r)-2-amino-3-phenylpropanoyl]amino]-16-[(4-hydroxyphenyl)methyl]-13-(1h-indol-3-ylmethyl)-6,9,12,15,18-pentaoxo-7-propan-2-yl-1,2-dithia-5,8,11,14,17-pent Chemical compound C([C@H]1C(=O)N[C@H](CC=2C3=CC=CC=C3NC=2)C(=O)N[C@@H](CCCCN)C(=O)N[C@H](C(N[C@@H](CSSC[C@@H](C(=O)N1)NC(=O)[C@H](N)CC=1C=CC=CC=1)C(=O)N[C@@H](CC=1C2=CC=CC=C2NC=1)C(N)=O)=O)C(C)C)C1=CC=C(O)C=C1 SWXOGPJRIDTIRL-DOUNNPEJSA-N 0.000 description 1
- PUDHBTGHUJUUFI-SCTWWAJVSA-N (4r,7s,10s,13r,16s,19r)-10-(4-aminobutyl)-n-[(2s,3r)-1-amino-3-hydroxy-1-oxobutan-2-yl]-19-[[(2r)-2-amino-3-naphthalen-2-ylpropanoyl]amino]-16-[(4-hydroxyphenyl)methyl]-13-(1h-indol-3-ylmethyl)-6,9,12,15,18-pentaoxo-7-propan-2-yl-1,2-dithia-5,8,11,14,17-p Chemical compound C([C@H]1C(=O)N[C@H](CC=2C3=CC=CC=C3NC=2)C(=O)N[C@@H](CCCCN)C(=O)N[C@H](C(N[C@@H](CSSC[C@@H](C(=O)N1)NC(=O)[C@H](N)CC=1C=C2C=CC=CC2=CC=1)C(=O)N[C@@H]([C@@H](C)O)C(N)=O)=O)C(C)C)C1=CC=C(O)C=C1 PUDHBTGHUJUUFI-SCTWWAJVSA-N 0.000 description 1
- SSNHGLKFJISNTR-DYSNNVSPSA-N (6ar,10ar)-6,6,9-trimethyl-3-pentyl-6a,7,8,10a-tetrahydrobenzo[c]chromen-1-ol;2-[(1r,6r)-3-methyl-6-prop-1-en-2-ylcyclohex-2-en-1-yl]-5-pentylbenzene-1,3-diol Chemical class OC1=CC(CCCCC)=CC(O)=C1[C@H]1[C@H](C(C)=C)CCC(C)=C1.C1=C(C)CC[C@H]2C(C)(C)OC3=CC(CCCCC)=CC(O)=C3[C@@H]21 SSNHGLKFJISNTR-DYSNNVSPSA-N 0.000 description 1
- FPVKHBSQESCIEP-UHFFFAOYSA-N (8S)-3-(2-deoxy-beta-D-erythro-pentofuranosyl)-3,6,7,8-tetrahydroimidazo[4,5-d][1,3]diazepin-8-ol Natural products C1C(O)C(CO)OC1N1C(NC=NCC2O)=C2N=C1 FPVKHBSQESCIEP-UHFFFAOYSA-N 0.000 description 1
- FDKXTQMXEQVLRF-ZHACJKMWSA-N (E)-dacarbazine Chemical compound CN(C)\N=N\c1[nH]cnc1C(N)=O FDKXTQMXEQVLRF-ZHACJKMWSA-N 0.000 description 1
- LKJPYSCBVHEWIU-KRWDZBQOSA-N (R)-bicalutamide Chemical compound C([C@@](O)(C)C(=O)NC=1C=C(C(C#N)=CC=1)C(F)(F)F)S(=O)(=O)C1=CC=C(F)C=C1 LKJPYSCBVHEWIU-KRWDZBQOSA-N 0.000 description 1
- TVYLLZQTGLZFBW-ZBFHGGJFSA-N (R,R)-tramadol Chemical compound COC1=CC=CC([C@]2(O)[C@H](CCCC2)CN(C)C)=C1 TVYLLZQTGLZFBW-ZBFHGGJFSA-N 0.000 description 1
- BJEPYKJPYRNKOW-REOHCLBHSA-N (S)-malic acid Chemical class OC(=O)[C@@H](O)CC(O)=O BJEPYKJPYRNKOW-REOHCLBHSA-N 0.000 description 1
- HJTAZXHBEBIQQX-UHFFFAOYSA-N 1,5-bis(chloromethyl)naphthalene Chemical compound C1=CC=C2C(CCl)=CC=CC2=C1CCl HJTAZXHBEBIQQX-UHFFFAOYSA-N 0.000 description 1
- AZUYLZMQTIKGSC-UHFFFAOYSA-N 1-[6-[4-(5-chloro-6-methyl-1H-indazol-4-yl)-5-methyl-3-(1-methylindazol-5-yl)pyrazol-1-yl]-2-azaspiro[3.3]heptan-2-yl]prop-2-en-1-one Chemical compound ClC=1C(=C2C=NNC2=CC=1C)C=1C(=NN(C=1C)C1CC2(CN(C2)C(C=C)=O)C1)C=1C=C2C=NN(C2=CC=1)C AZUYLZMQTIKGSC-UHFFFAOYSA-N 0.000 description 1
- GCKMFJBGXUYNAG-UHFFFAOYSA-N 17alpha-methyltestosterone Natural products C1CC2=CC(=O)CCC2(C)C2C1C1CCC(C)(O)C1(C)CC2 GCKMFJBGXUYNAG-UHFFFAOYSA-N 0.000 description 1
- VOXZDWNPVJITMN-ZBRFXRBCSA-N 17β-estradiol Chemical compound OC1=CC=C2[C@H]3CC[C@](C)([C@H](CC4)O)[C@@H]4[C@@H]3CCC2=C1 VOXZDWNPVJITMN-ZBRFXRBCSA-N 0.000 description 1
- IHPYMWDTONKSCO-UHFFFAOYSA-N 2,2'-piperazine-1,4-diylbisethanesulfonic acid Chemical compound OS(=O)(=O)CCN1CCN(CCS(O)(=O)=O)CC1 IHPYMWDTONKSCO-UHFFFAOYSA-N 0.000 description 1
- BOMZMNZEXMAQQW-UHFFFAOYSA-N 2,5,11-trimethyl-6h-pyrido[4,3-b]carbazol-2-ium-9-ol;acetate Chemical compound CC([O-])=O.C[N+]1=CC=C2C(C)=C(NC=3C4=CC(O)=CC=3)C4=C(C)C2=C1 BOMZMNZEXMAQQW-UHFFFAOYSA-N 0.000 description 1
- GBKPNGVKZQBPCZ-UHFFFAOYSA-N 2-(2,5-dioxopyrrol-1-yl)acetic acid Chemical compound OC(=O)CN1C(=O)C=CC1=O GBKPNGVKZQBPCZ-UHFFFAOYSA-N 0.000 description 1
- UEJJHQNACJXSKW-UHFFFAOYSA-N 2-(2,6-dioxopiperidin-3-yl)-1H-isoindole-1,3(2H)-dione Chemical compound O=C1C2=CC=CC=C2C(=O)N1C1CCC(=O)NC1=O UEJJHQNACJXSKW-UHFFFAOYSA-N 0.000 description 1
- SGTNSNPWRIOYBX-UHFFFAOYSA-N 2-(3,4-dimethoxyphenyl)-5-{[2-(3,4-dimethoxyphenyl)ethyl](methyl)amino}-2-(propan-2-yl)pentanenitrile Chemical compound C1=C(OC)C(OC)=CC=C1CCN(C)CCCC(C#N)(C(C)C)C1=CC=C(OC)C(OC)=C1 SGTNSNPWRIOYBX-UHFFFAOYSA-N 0.000 description 1
- NBWRJAOOMGASJP-UHFFFAOYSA-N 2-(3,5-diphenyl-1h-tetrazol-1-ium-2-yl)-4,5-dimethyl-1,3-thiazole;bromide Chemical compound [Br-].S1C(C)=C(C)N=C1N1N(C=2C=CC=CC=2)N=C(C=2C=CC=CC=2)[NH2+]1 NBWRJAOOMGASJP-UHFFFAOYSA-N 0.000 description 1
- TXQPXJKRNHJWAX-UHFFFAOYSA-N 2-(3-aminopropylamino)ethylsulfanylphosphonic acid;trihydrate Chemical compound O.O.O.NCCCNCCSP(O)(O)=O TXQPXJKRNHJWAX-UHFFFAOYSA-N 0.000 description 1
- HZAXFHJVJLSVMW-UHFFFAOYSA-N 2-Aminoethan-1-ol Chemical compound NCCO HZAXFHJVJLSVMW-UHFFFAOYSA-N 0.000 description 1
- LBLYYCQCTBFVLH-UHFFFAOYSA-N 2-Methylbenzenesulfonic acid Chemical class CC1=CC=CC=C1S(O)(=O)=O LBLYYCQCTBFVLH-UHFFFAOYSA-N 0.000 description 1
- LELUNCHVLSYQOX-FKNURGACSA-N 2-[(2R)-2-amino-2-carboxyethyl]sulfanyl-4-[[2-[2-[2-[2-[2-[3-[[(1R)-2-[2-[3-aminopropyl-[(1R)-1-[1-benzyl-4-(2,5-difluorophenyl)pyrrol-2-yl]-2,2-dimethylpropyl]amino]-2-oxoethyl]sulfanyl-1-carboxyethyl]amino]-3-oxopropoxy]ethoxy]ethoxy]ethoxy]ethylamino]-2-oxoethyl]amino]-4-oxobutanoic acid Chemical compound CC(C)(C)[C@@H](N(CCCN)C(=O)CSC[C@H](NC(=O)CCOCCOCCOCCOCCNC(=O)CNC(=O)CC(SC[C@H](N)C(O)=O)C(O)=O)C(O)=O)c1cc(cn1Cc1ccccc1)-c1cc(F)ccc1F LELUNCHVLSYQOX-FKNURGACSA-N 0.000 description 1
- VHVPQPYKVGDNFY-DFMJLFEVSA-N 2-[(2r)-butan-2-yl]-4-[4-[4-[4-[[(2r,4s)-2-(2,4-dichlorophenyl)-2-(1,2,4-triazol-1-ylmethyl)-1,3-dioxolan-4-yl]methoxy]phenyl]piperazin-1-yl]phenyl]-1,2,4-triazol-3-one Chemical compound O=C1N([C@H](C)CC)N=CN1C1=CC=C(N2CCN(CC2)C=2C=CC(OC[C@@H]3O[C@](CN4N=CN=C4)(OC3)C=3C(=CC(Cl)=CC=3)Cl)=CC=2)C=C1 VHVPQPYKVGDNFY-DFMJLFEVSA-N 0.000 description 1
- QXLQZLBNPTZMRK-UHFFFAOYSA-N 2-[(dimethylamino)methyl]-1-(2,4-dimethylphenyl)prop-2-en-1-one Chemical compound CN(C)CC(=C)C(=O)C1=CC=C(C)C=C1C QXLQZLBNPTZMRK-UHFFFAOYSA-N 0.000 description 1
- ZPDFIIGFYAHNSK-CTHHTMFSSA-K 2-[4,10-bis(carboxylatomethyl)-7-[(2r,3s)-1,3,4-trihydroxybutan-2-yl]-1,4,7,10-tetrazacyclododec-1-yl]acetate;gadolinium(3+) Chemical compound [Gd+3].OC[C@@H](O)[C@@H](CO)N1CCN(CC([O-])=O)CCN(CC([O-])=O)CCN(CC([O-])=O)CC1 ZPDFIIGFYAHNSK-CTHHTMFSSA-K 0.000 description 1
- PCZHWPSNPWAQNF-LMOVPXPDSA-K 2-[[(2s)-2-[bis(carboxylatomethyl)amino]-3-(4-ethoxyphenyl)propyl]-[2-[bis(carboxylatomethyl)amino]ethyl]amino]acetate;gadolinium(3+);hydron Chemical compound [Gd+3].CCOC1=CC=C(C[C@@H](CN(CCN(CC(O)=O)CC([O-])=O)CC([O-])=O)N(CC(O)=O)CC([O-])=O)C=C1 PCZHWPSNPWAQNF-LMOVPXPDSA-K 0.000 description 1
- RTQWWZBSTRGEAV-PKHIMPSTSA-N 2-[[(2s)-2-[bis(carboxymethyl)amino]-3-[4-(methylcarbamoylamino)phenyl]propyl]-[2-[bis(carboxymethyl)amino]propyl]amino]acetic acid Chemical compound CNC(=O)NC1=CC=C(C[C@@H](CN(CC(C)N(CC(O)=O)CC(O)=O)CC(O)=O)N(CC(O)=O)CC(O)=O)C=C1 RTQWWZBSTRGEAV-PKHIMPSTSA-N 0.000 description 1
- MWYDSXOGIBMAET-UHFFFAOYSA-N 2-amino-N-[7-methoxy-8-(3-morpholin-4-ylpropoxy)-2,3-dihydro-1H-imidazo[1,2-c]quinazolin-5-ylidene]pyrimidine-5-carboxamide Chemical compound NC1=NC=C(C=N1)C(=O)N=C1N=C2C(=C(C=CC2=C2N1CCN2)OCCCN1CCOCC1)OC MWYDSXOGIBMAET-UHFFFAOYSA-N 0.000 description 1
- IVLXQGJVBGMLRR-UHFFFAOYSA-N 2-aminoacetic acid;hydron;chloride Chemical compound Cl.NCC(O)=O IVLXQGJVBGMLRR-UHFFFAOYSA-N 0.000 description 1
- WQXWOKSQXXSFEB-UHFFFAOYSA-N 2-bromo-4-ethoxy-4-oxobutanoic acid Chemical compound CCOC(=O)CC(Br)C(O)=O WQXWOKSQXXSFEB-UHFFFAOYSA-N 0.000 description 1
- PMUNIMVZCACZBB-UHFFFAOYSA-N 2-hydroxyethylazanium;chloride Chemical compound Cl.NCCO PMUNIMVZCACZBB-UHFFFAOYSA-N 0.000 description 1
- CESUXLKAADQNTB-SSDOTTSWSA-N 2-methylpropane-2-sulfinamide Chemical compound CC(C)(C)[S@](N)=O CESUXLKAADQNTB-SSDOTTSWSA-N 0.000 description 1
- YOETUEMZNOLGDB-UHFFFAOYSA-N 2-methylpropyl carbonochloridate Chemical compound CC(C)COC(Cl)=O YOETUEMZNOLGDB-UHFFFAOYSA-N 0.000 description 1
- ILCKRHXJYPLIML-UHFFFAOYSA-N 2-sulfanylbutanediamide Chemical class NC(=O)CC(S)C(N)=O ILCKRHXJYPLIML-UHFFFAOYSA-N 0.000 description 1
- AZSNMRSAGSSBNP-UHFFFAOYSA-N 22,23-dihydroavermectin B1a Natural products C1CC(C)C(C(C)CC)OC21OC(CC=C(C)C(OC1OC(C)C(OC3OC(C)C(O)C(OC)C3)C(OC)C1)C(C)C=CC=C1C3(C(C(=O)O4)C=C(C)C(O)C3OC1)O)CC4C2 AZSNMRSAGSSBNP-UHFFFAOYSA-N 0.000 description 1
- NDMPLJNOPCLANR-UHFFFAOYSA-N 3,4-dihydroxy-15-(4-hydroxy-18-methoxycarbonyl-5,18-seco-ibogamin-18-yl)-16-methoxy-1-methyl-6,7-didehydro-aspidospermidine-3-carboxylic acid methyl ester Natural products C1C(CC)(O)CC(CC2(C(=O)OC)C=3C(=CC4=C(C56C(C(C(O)C7(CC)C=CCN(C67)CC5)(O)C(=O)OC)N4C)C=3)OC)CN1CCC1=C2NC2=CC=CC=C12 NDMPLJNOPCLANR-UHFFFAOYSA-N 0.000 description 1
- VECJPUHHPWUGCF-FKNURGACSA-N 3-[(2R)-2-amino-2-carboxyethyl]sulfanyl-4-[[2-[2-[2-[2-[2-[3-[[(1R)-2-[2-[3-aminopropyl-[(1R)-1-[1-benzyl-4-(2,5-difluorophenyl)pyrrol-2-yl]-2,2-dimethylpropyl]amino]-2-oxoethyl]sulfanyl-1-carboxyethyl]amino]-3-oxopropoxy]ethoxy]ethoxy]ethoxy]ethylamino]-2-oxoethyl]amino]-4-oxobutanoic acid Chemical compound CC(C)(C)[C@@H](N(CCCN)C(=O)CSC[C@H](NC(=O)CCOCCOCCOCCOCCNC(=O)CNC(=O)C(CC(O)=O)SC[C@H](N)C(O)=O)C(O)=O)c1cc(cn1Cc1ccccc1)-c1cc(F)ccc1F VECJPUHHPWUGCF-FKNURGACSA-N 0.000 description 1
- UZFPOOOQHWICKY-UHFFFAOYSA-N 3-[13-[1-[1-[8,12-bis(2-carboxyethyl)-17-(1-hydroxyethyl)-3,7,13,18-tetramethyl-21,24-dihydroporphyrin-2-yl]ethoxy]ethyl]-18-(2-carboxyethyl)-8-(1-hydroxyethyl)-3,7,12,17-tetramethyl-22,23-dihydroporphyrin-2-yl]propanoic acid Chemical compound N1C(C=C2C(=C(CCC(O)=O)C(C=C3C(=C(C)C(C=C4N5)=N3)CCC(O)=O)=N2)C)=C(C)C(C(C)O)=C1C=C5C(C)=C4C(C)OC(C)C1=C(N2)C=C(N3)C(C)=C(C(O)C)C3=CC(C(C)=C3CCC(O)=O)=NC3=CC(C(CCC(O)=O)=C3C)=NC3=CC2=C1C UZFPOOOQHWICKY-UHFFFAOYSA-N 0.000 description 1
- BMYNFMYTOJXKLE-UHFFFAOYSA-N 3-azaniumyl-2-hydroxypropanoate Chemical class NCC(O)C(O)=O BMYNFMYTOJXKLE-UHFFFAOYSA-N 0.000 description 1
- CURYRIVJTBNEGU-UHFFFAOYSA-L 3-bromo-1-[12-(3-bromopropanoyl)-3,12-diaza-6,9-diazoniadispiro[5.2.5^{9}.2^{6}]hexadecan-3-yl]propan-1-one;dichloride Chemical compound [Cl-].[Cl-].C1CN(C(=O)CCBr)CC[N+]21CC[N+]1(CCN(CC1)C(=O)CCBr)CC2 CURYRIVJTBNEGU-UHFFFAOYSA-L 0.000 description 1
- LZENMJMJWQSSNJ-UHFFFAOYSA-N 3H-1,2-dithiole-3-thione Chemical compound S=C1C=CSS1 LZENMJMJWQSSNJ-UHFFFAOYSA-N 0.000 description 1
- AOJJSUZBOXZQNB-VTZDEGQISA-N 4'-epidoxorubicin Chemical compound O([C@H]1C[C@@](O)(CC=2C(O)=C3C(=O)C=4C=CC=C(C=4C(=O)C3=C(O)C=21)OC)C(=O)CO)[C@H]1C[C@H](N)[C@@H](O)[C@H](C)O1 AOJJSUZBOXZQNB-VTZDEGQISA-N 0.000 description 1
- CLPFFLWZZBQMAO-UHFFFAOYSA-N 4-(5,6,7,8-tetrahydroimidazo[1,5-a]pyridin-5-yl)benzonitrile Chemical compound C1=CC(C#N)=CC=C1C1N2C=NC=C2CCC1 CLPFFLWZZBQMAO-UHFFFAOYSA-N 0.000 description 1
- QFVHZQCOUORWEI-UHFFFAOYSA-N 4-[(4-anilino-5-sulfonaphthalen-1-yl)diazenyl]-5-hydroxynaphthalene-2,7-disulfonic acid Chemical compound C=12C(O)=CC(S(O)(=O)=O)=CC2=CC(S(O)(=O)=O)=CC=1N=NC(C1=CC=CC(=C11)S(O)(=O)=O)=CC=C1NC1=CC=CC=C1 QFVHZQCOUORWEI-UHFFFAOYSA-N 0.000 description 1
- FWMNVWWHGCHHJJ-SKKKGAJSSA-N 4-amino-1-[(2r)-6-amino-2-[[(2r)-2-[[(2r)-2-[[(2r)-2-amino-3-phenylpropanoyl]amino]-3-phenylpropanoyl]amino]-4-methylpentanoyl]amino]hexanoyl]piperidine-4-carboxylic acid Chemical compound C([C@H](C(=O)N[C@H](CC(C)C)C(=O)N[C@H](CCCCN)C(=O)N1CCC(N)(CC1)C(O)=O)NC(=O)[C@H](N)CC=1C=CC=CC=1)C1=CC=CC=C1 FWMNVWWHGCHHJJ-SKKKGAJSSA-N 0.000 description 1
- UZOVYGYOLBIAJR-UHFFFAOYSA-N 4-isocyanato-4'-methyldiphenylmethane Chemical compound C1=CC(C)=CC=C1CC1=CC=C(N=C=O)C=C1 UZOVYGYOLBIAJR-UHFFFAOYSA-N 0.000 description 1
- 102100033400 4F2 cell-surface antigen heavy chain Human genes 0.000 description 1
- XAUDJQYHKZQPEU-KVQBGUIXSA-N 5-aza-2'-deoxycytidine Chemical compound O=C1N=C(N)N=CN1[C@@H]1O[C@H](CO)[C@@H](O)C1 XAUDJQYHKZQPEU-KVQBGUIXSA-N 0.000 description 1
- NMUSYJAQQFHJEW-KVTDHHQDSA-N 5-azacytidine Chemical compound O=C1N=C(N)N=CN1[C@H]1[C@H](O)[C@H](O)[C@@H](CO)O1 NMUSYJAQQFHJEW-KVTDHHQDSA-N 0.000 description 1
- RYYCJUAHISIHTL-UHFFFAOYSA-N 5-azaorotic acid Chemical compound OC(=O)C1=NC(=O)NC(=O)N1 RYYCJUAHISIHTL-UHFFFAOYSA-N 0.000 description 1
- SUBDBMMJDZJVOS-UHFFFAOYSA-N 5-methoxy-2-{[(4-methoxy-3,5-dimethylpyridin-2-yl)methyl]sulfinyl}-1H-benzimidazole Chemical compound N=1C2=CC(OC)=CC=C2NC=1S(=O)CC1=NC=C(C)C(OC)=C1C SUBDBMMJDZJVOS-UHFFFAOYSA-N 0.000 description 1
- USSIQXCVUWKGNF-UHFFFAOYSA-N 6-(dimethylamino)-4,4-diphenylheptan-3-one Chemical compound C=1C=CC=CC=1C(CC(C)N(C)C)(C(=O)CC)C1=CC=CC=C1 USSIQXCVUWKGNF-UHFFFAOYSA-N 0.000 description 1
- WYWHKKSPHMUBEB-UHFFFAOYSA-N 6-Mercaptoguanine Natural products N1C(N)=NC(=S)C2=C1N=CN2 WYWHKKSPHMUBEB-UHFFFAOYSA-N 0.000 description 1
- VVIAGPKUTFNRDU-UHFFFAOYSA-N 6S-folinic acid Natural products C1NC=2NC(N)=NC(=O)C=2N(C=O)C1CNC1=CC=C(C(=O)NC(CCC(O)=O)C(O)=O)C=C1 VVIAGPKUTFNRDU-UHFFFAOYSA-N 0.000 description 1
- STQGQHZAVUOBTE-UHFFFAOYSA-N 7-Cyan-hept-2t-en-4,6-diinsaeure Natural products C1=2C(O)=C3C(=O)C=4C(OC)=CC=CC=4C(=O)C3=C(O)C=2CC(O)(C(C)=O)CC1OC1CC(N)C(O)C(C)O1 STQGQHZAVUOBTE-UHFFFAOYSA-N 0.000 description 1
- SPBDXSGPUHCETR-JFUDTMANSA-N 8883yp2r6d Chemical compound O1[C@@H](C)[C@H](O)[C@@H](OC)C[C@@H]1O[C@@H]1[C@@H](OC)C[C@H](O[C@@H]2C(=C/C[C@@H]3C[C@@H](C[C@@]4(O[C@@H]([C@@H](C)CC4)C(C)C)O3)OC(=O)[C@@H]3C=C(C)[C@@H](O)[C@H]4OC\C([C@@]34O)=C/C=C/[C@@H]2C)/C)O[C@H]1C.C1C[C@H](C)[C@@H]([C@@H](C)CC)O[C@@]21O[C@H](C\C=C(C)\[C@@H](O[C@@H]1O[C@@H](C)[C@H](O[C@@H]3O[C@@H](C)[C@H](O)[C@@H](OC)C3)[C@@H](OC)C1)[C@@H](C)\C=C\C=C/1[C@]3([C@H](C(=O)O4)C=C(C)[C@@H](O)[C@H]3OC\1)O)C[C@H]4C2 SPBDXSGPUHCETR-JFUDTMANSA-N 0.000 description 1
- SHGAZHPCJJPHSC-ZVCIMWCZSA-N 9-cis-retinoic acid Chemical compound OC(=O)/C=C(\C)/C=C/C=C(/C)\C=C\C1=C(C)CCCC1(C)C SHGAZHPCJJPHSC-ZVCIMWCZSA-N 0.000 description 1
- 208000030507 AIDS Diseases 0.000 description 1
- 108091006112 ATPases Proteins 0.000 description 1
- 208000024893 Acute lymphoblastic leukemia Diseases 0.000 description 1
- 208000014697 Acute lymphocytic leukaemia Diseases 0.000 description 1
- 206010000871 Acute monocytic leukaemia Diseases 0.000 description 1
- 208000036762 Acute promyelocytic leukaemia Diseases 0.000 description 1
- 102000057290 Adenosine Triphosphatases Human genes 0.000 description 1
- HJCMDXDYPOUFDY-WHFBIAKZSA-N Ala-Gln Chemical compound C[C@H](N)C(=O)N[C@H](C(O)=O)CCC(N)=O HJCMDXDYPOUFDY-WHFBIAKZSA-N 0.000 description 1
- OGSPWJRAVKPPFI-UHFFFAOYSA-N Alendronic Acid Chemical compound NCCCC(O)(P(O)(O)=O)P(O)(O)=O OGSPWJRAVKPPFI-UHFFFAOYSA-N 0.000 description 1
- ATRRKUHOCOJYRX-UHFFFAOYSA-N Ammonium bicarbonate Chemical compound [NH4+].OC([O-])=O ATRRKUHOCOJYRX-UHFFFAOYSA-N 0.000 description 1
- 206010061424 Anal cancer Diseases 0.000 description 1
- 102400000345 Angiotensin-2 Human genes 0.000 description 1
- 101800000733 Angiotensin-2 Proteins 0.000 description 1
- 244000303258 Annona diversifolia Species 0.000 description 1
- 235000002198 Annona diversifolia Nutrition 0.000 description 1
- 108090000935 Antithrombin III Proteins 0.000 description 1
- 102100022977 Antithrombin-III Human genes 0.000 description 1
- 239000004475 Arginine Substances 0.000 description 1
- BFYIZQONLCFLEV-DAELLWKTSA-N Aromasine Chemical compound O=C1C=C[C@]2(C)[C@H]3CC[C@](C)(C(CC4)=O)[C@@H]4[C@@H]3CC(=C)C2=C1 BFYIZQONLCFLEV-DAELLWKTSA-N 0.000 description 1
- 108010024976 Asparaginase Proteins 0.000 description 1
- 102000015790 Asparaginase Human genes 0.000 description 1
- 241001465318 Aspergillus terreus Species 0.000 description 1
- 206010003571 Astrocytoma Diseases 0.000 description 1
- 208000023275 Autoimmune disease Diseases 0.000 description 1
- 241000937413 Axia Species 0.000 description 1
- MLDQJTXFUGDVEO-UHFFFAOYSA-N BAY-43-9006 Chemical compound C1=NC(C(=O)NC)=CC(OC=2C=CC(NC(=O)NC=3C=C(C(Cl)=CC=3)C(F)(F)F)=CC=2)=C1 MLDQJTXFUGDVEO-UHFFFAOYSA-N 0.000 description 1
- 241000894006 Bacteria Species 0.000 description 1
- 241000599985 Beijerinckia mobilis Species 0.000 description 1
- 239000005711 Benzoic acid Chemical class 0.000 description 1
- VGGGPCQERPFHOB-MCIONIFRSA-N Bestatin Chemical compound CC(C)C[C@H](C(O)=O)NC(=O)[C@@H](O)[C@H](N)CC1=CC=CC=C1 VGGGPCQERPFHOB-MCIONIFRSA-N 0.000 description 1
- 241000283690 Bos taurus Species 0.000 description 1
- 108091003079 Bovine Serum Albumin Proteins 0.000 description 1
- WKBOTKDWSSQWDR-UHFFFAOYSA-N Bromine atom Chemical group [Br] WKBOTKDWSSQWDR-UHFFFAOYSA-N 0.000 description 1
- 206010006417 Bronchial carcinoma Diseases 0.000 description 1
- 108010037003 Buserelin Proteins 0.000 description 1
- COVZYZSDYWQREU-UHFFFAOYSA-N Busulfan Chemical compound CS(=O)(=O)OCCCCOS(C)(=O)=O COVZYZSDYWQREU-UHFFFAOYSA-N 0.000 description 1
- FERIUCNNQQJTOY-UHFFFAOYSA-M Butyrate Chemical compound CCCC([O-])=O FERIUCNNQQJTOY-UHFFFAOYSA-M 0.000 description 1
- MMQIEFSNMCNBLG-PXYINDEMSA-N C(C)OC(CC(C(=O)O)SC[C@@H](C(=O)OC)NC(=O)OCC[Si](C)(C)C)=O Chemical compound C(C)OC(CC(C(=O)O)SC[C@@H](C(=O)OC)NC(=O)OCC[Si](C)(C)C)=O MMQIEFSNMCNBLG-PXYINDEMSA-N 0.000 description 1
- YRZNHDALBMPXIP-ZKMOHWRPSA-N CC(C)(C)C(C1=CC(C2=CC(F)=CC=C2F)=CN1CC1=CC=CC=C1)N(CCCCC(=O)OCC[Si](C)(C)C)C(=O)CCl.CC(C)(C)C(NCCCCC(=O)OCC[Si](C)(C)C)C1=CC(C2=CC(F)=CC=C2F)=CN1CC1=CC=CC=C1.CC(C)(C)[C@@H](N)C1=CC(C2=CC(F)=CC=C2F)=CN1CC1=CC=CC=C1.CC(C)(C)[C@H](C1=CC(C2=CC(F)=CC=C2F)=CN1CC1=CC=CC=C1)N(CCCCC(=O)OCC[Si](C)(C)C)C(=O)CSC[C@H](CC(=O)CCOCCOCCOCCOCCNC(=O)CN1C(=O)C=CC1=O)C(=O)O.CC(C)(C)[C@H](C1=CC(C2=CC(F)=CC=C2F)=CN1CC1=CC=CC=C1)N(CCCCC(=O)OCC[Si](C)(C)C)C(=O)CSC[C@H](N)C(=O)O.CC(C)(C)[C@H](C1=CC(C2=CC(F)=CC=C2F)=CN1CC1=CC=CC=C1)N(CCCN)C(=O)CSC[C@H](CC(=O)CCOCCOCCOCCOCCNC(=O)CN1C(=O)C=CC1=O)C(=O)O.O=C(Cl)CCl.O=C(O)C(F)(F)F.O=C(O)CCOCCOCCOCCOCCNC(=O)CN1C(=O)C=CC1=O.[H]C(=O)CCCC(=O)OCC[Si](C)(C)C Chemical compound CC(C)(C)C(C1=CC(C2=CC(F)=CC=C2F)=CN1CC1=CC=CC=C1)N(CCCCC(=O)OCC[Si](C)(C)C)C(=O)CCl.CC(C)(C)C(NCCCCC(=O)OCC[Si](C)(C)C)C1=CC(C2=CC(F)=CC=C2F)=CN1CC1=CC=CC=C1.CC(C)(C)[C@@H](N)C1=CC(C2=CC(F)=CC=C2F)=CN1CC1=CC=CC=C1.CC(C)(C)[C@H](C1=CC(C2=CC(F)=CC=C2F)=CN1CC1=CC=CC=C1)N(CCCCC(=O)OCC[Si](C)(C)C)C(=O)CSC[C@H](CC(=O)CCOCCOCCOCCOCCNC(=O)CN1C(=O)C=CC1=O)C(=O)O.CC(C)(C)[C@H](C1=CC(C2=CC(F)=CC=C2F)=CN1CC1=CC=CC=C1)N(CCCCC(=O)OCC[Si](C)(C)C)C(=O)CSC[C@H](N)C(=O)O.CC(C)(C)[C@H](C1=CC(C2=CC(F)=CC=C2F)=CN1CC1=CC=CC=C1)N(CCCN)C(=O)CSC[C@H](CC(=O)CCOCCOCCOCCOCCNC(=O)CN1C(=O)C=CC1=O)C(=O)O.O=C(Cl)CCl.O=C(O)C(F)(F)F.O=C(O)CCOCCOCCOCCOCCNC(=O)CN1C(=O)C=CC1=O.[H]C(=O)CCCC(=O)OCC[Si](C)(C)C YRZNHDALBMPXIP-ZKMOHWRPSA-N 0.000 description 1
- ATMFYNFUMPUDMN-JASOGPOESA-N CC(C)(C)[C@@H](N)C1=CC(C2=C(F)C=CC(F)=C2)=CN1CC1=CC=CC=C1.CC(C)(C)[C@@H](N[S@@](=O)C(C)(C)C)C1=CC(C2=C(F)C=CC(F)=C2)=CN1CC1=CC=CC=C1.CC(C)(C)[S@@](N)=O.COC(=O)C1=CC(Br)=CN1.COC(=O)C1=CC(Br)=CN1CC1=CC=CC=C1.COC(=O)C1=CC(C2=C(F)C=CC(F)=C2)=CN1CC1=CC=CC=C1.OB(O)C1=C(F)C=CC(F)=C1.[H]/C(=N\[S@@](=O)C(C)(C)C)C1=CC(C2=C(F)C=CC(F)=C2)=CN1CC1=CC=CC=C1.[H]C(=O)C1=CC(C2=C(F)C=CC(F)=C2)=CN1CC1=CC=CC=C1 Chemical compound CC(C)(C)[C@@H](N)C1=CC(C2=C(F)C=CC(F)=C2)=CN1CC1=CC=CC=C1.CC(C)(C)[C@@H](N[S@@](=O)C(C)(C)C)C1=CC(C2=C(F)C=CC(F)=C2)=CN1CC1=CC=CC=C1.CC(C)(C)[S@@](N)=O.COC(=O)C1=CC(Br)=CN1.COC(=O)C1=CC(Br)=CN1CC1=CC=CC=C1.COC(=O)C1=CC(C2=C(F)C=CC(F)=C2)=CN1CC1=CC=CC=C1.OB(O)C1=C(F)C=CC(F)=C1.[H]/C(=N\[S@@](=O)C(C)(C)C)C1=CC(C2=C(F)C=CC(F)=C2)=CN1CC1=CC=CC=C1.[H]C(=O)C1=CC(C2=C(F)C=CC(F)=C2)=CN1CC1=CC=CC=C1 ATMFYNFUMPUDMN-JASOGPOESA-N 0.000 description 1
- PQSCTNVWNJLUFZ-LJAQVGFWSA-N CC(C)(C)[C@H](C1=CC(C(C=C(C=C2)F)=C2F)=CN1CC1=CC=CC=C1)NCCCN(CC[Si](C)(C)C)C(O)=O Chemical compound CC(C)(C)[C@H](C1=CC(C(C=C(C=C2)F)=C2F)=CN1CC1=CC=CC=C1)NCCCN(CC[Si](C)(C)C)C(O)=O PQSCTNVWNJLUFZ-LJAQVGFWSA-N 0.000 description 1
- ANMWLNKHQYDDME-XIFFEERXSA-N CC(C)(C)[C@H](C1=CC(C2=CC(F)=CC=C2F)=CN1CC1=CC=CC=C1)N(CCCCC(=O)OCC[Si](C)(C)C)C(=O)CCl Chemical compound CC(C)(C)[C@H](C1=CC(C2=CC(F)=CC=C2F)=CN1CC1=CC=CC=C1)N(CCCCC(=O)OCC[Si](C)(C)C)C(=O)CCl ANMWLNKHQYDDME-XIFFEERXSA-N 0.000 description 1
- NENSCUWCYFBNKL-SWKRKFTISA-N CC(C)(C)[C@H](C1=CC(C2=CC(F)=CC=C2F)=CN1CC1=CC=CC=C1)N(CCCCC(=O)OCC[Si](C)(C)C)C(=O)CSC[C@H](CC(=O)CCOCCOCCOCCOCCCC(=O)CN)C(=O)O.O=C(O)C(F)(F)F Chemical compound CC(C)(C)[C@H](C1=CC(C2=CC(F)=CC=C2F)=CN1CC1=CC=CC=C1)N(CCCCC(=O)OCC[Si](C)(C)C)C(=O)CSC[C@H](CC(=O)CCOCCOCCOCCOCCCC(=O)CN)C(=O)O.O=C(O)C(F)(F)F NENSCUWCYFBNKL-SWKRKFTISA-N 0.000 description 1
- SKUXXBSTSQIXKQ-ZJJOJAIXSA-N CC(C)(C)[C@H](C1=CC(C2=CC(F)=CC=C2F)=CN1CC1=CC=CC=C1)N(CCCCC(=O)OCC[Si](C)(C)C)C(=O)CSC[C@H](N)C(=O)O.O=C(O)C(F)(F)F Chemical compound CC(C)(C)[C@H](C1=CC(C2=CC(F)=CC=C2F)=CN1CC1=CC=CC=C1)N(CCCCC(=O)OCC[Si](C)(C)C)C(=O)CSC[C@H](N)C(=O)O.O=C(O)C(F)(F)F SKUXXBSTSQIXKQ-ZJJOJAIXSA-N 0.000 description 1
- ZWTSJVHVWYIQIM-QURCADOPSA-N CC(C)(C)[C@H](C1=CC(C2=CC(F)=CC=C2F)=CN1CC1=CC=CC=C1)N(CCCN)C(=O)CSC[C@H](CC(=O)CCOCCOCCOCCOCCCC(=O)CN1C(=O)C=CC1=O)C(=O)O.O=C(O)C(F)(F)F Chemical compound CC(C)(C)[C@H](C1=CC(C2=CC(F)=CC=C2F)=CN1CC1=CC=CC=C1)N(CCCN)C(=O)CSC[C@H](CC(=O)CCOCCOCCOCCOCCCC(=O)CN1C(=O)C=CC1=O)C(=O)O.O=C(O)C(F)(F)F ZWTSJVHVWYIQIM-QURCADOPSA-N 0.000 description 1
- MNLHJQCCKARXKB-CXVZVABQSA-N CC(C)(C)[C@H](C1=CC(C2=CC(F)=CC=C2F)=CN1CC1=CC=CC=C1)N(CCCN)C(=O)CSC[C@H](CC(=O)CCOCCOCCOCCOCCCC(=O)CNC(=O)C(CC(=O)O)SC[C@H](N)C(=O)O)C(=O)O.O=C(O)C(F)(F)F.O=C(O)C(F)(F)F Chemical compound CC(C)(C)[C@H](C1=CC(C2=CC(F)=CC=C2F)=CN1CC1=CC=CC=C1)N(CCCN)C(=O)CSC[C@H](CC(=O)CCOCCOCCOCCOCCCC(=O)CNC(=O)C(CC(=O)O)SC[C@H](N)C(=O)O)C(=O)O.O=C(O)C(F)(F)F.O=C(O)C(F)(F)F MNLHJQCCKARXKB-CXVZVABQSA-N 0.000 description 1
- MCAYIUDTMRYRKD-CXVZVABQSA-N CC(C)(C)[C@H](C1=CC(C2=CC(F)=CC=C2F)=CN1CC1=CC=CC=C1)N(CCCN)C(=O)CSC[C@H](CC(=O)CCOCCOCCOCCOCCCC(=O)CNC(=O)CC(SC[C@H](N)C(=O)O)C(=O)P)C(=O)O.O=C(O)C(F)(F)F.O=C(O)C(F)(F)F Chemical compound CC(C)(C)[C@H](C1=CC(C2=CC(F)=CC=C2F)=CN1CC1=CC=CC=C1)N(CCCN)C(=O)CSC[C@H](CC(=O)CCOCCOCCOCCOCCCC(=O)CNC(=O)CC(SC[C@H](N)C(=O)O)C(=O)P)C(=O)O.O=C(O)C(F)(F)F.O=C(O)C(F)(F)F MCAYIUDTMRYRKD-CXVZVABQSA-N 0.000 description 1
- CVOABBIEXFPRDM-QGRQJHSQSA-N CC(C)(C)[C@H](C1=CC(C2=CC(F)=CC=C2F)=CN1CC1=CC=CC=C1)N(CC[C@H](N)C(=O)NCCCC(=O)CN1C(=O)C=CC1=O)C(=O)CO.O=C(O)C(F)(F)F Chemical compound CC(C)(C)[C@H](C1=CC(C2=CC(F)=CC=C2F)=CN1CC1=CC=CC=C1)N(CC[C@H](N)C(=O)NCCCC(=O)CN1C(=O)C=CC1=O)C(=O)CO.O=C(O)C(F)(F)F CVOABBIEXFPRDM-QGRQJHSQSA-N 0.000 description 1
- SFPBJOVWJIAXAA-JWCDOVHOSA-N CC.CC(C)(C)[C@H](C1=CC(C2=CC(F)=CC=C2F)=CN1CC1=CC=CC=C1)N(CC[C@H](N)C(=O)NCCCC(=O)CNC(=O)CCC(=O)O)C(=O)CO Chemical compound CC.CC(C)(C)[C@H](C1=CC(C2=CC(F)=CC=C2F)=CN1CC1=CC=CC=C1)N(CC[C@H](N)C(=O)NCCCC(=O)CNC(=O)CCC(=O)O)C(=O)CO SFPBJOVWJIAXAA-JWCDOVHOSA-N 0.000 description 1
- VSEIDZLLWQQJGK-CHOZPQDDSA-N CCC1=C(C)C2=N\C\1=C/C1=C(C)C(C(O)=O)=C(N1)\C(CC(=O)N[C@@H](CC(O)=O)C(O)=O)=C1/N=C(/C=C3\N/C(=C\2)C(C=C)=C3C)[C@@H](C)[C@@H]1CCC(O)=O Chemical compound CCC1=C(C)C2=N\C\1=C/C1=C(C)C(C(O)=O)=C(N1)\C(CC(=O)N[C@@H](CC(O)=O)C(O)=O)=C1/N=C(/C=C3\N/C(=C\2)C(C=C)=C3C)[C@@H](C)[C@@H]1CCC(O)=O VSEIDZLLWQQJGK-CHOZPQDDSA-N 0.000 description 1
- 101150013553 CD40 gene Proteins 0.000 description 1
- VJROEAZCQQDVNT-JDXGNMNLSA-N COC(=O)[C@H](CCN[C@@H](C1=CC(=CN1CC1=CC=CC=C1)C1=C(F)C=CC(F)=C1)C(C)(C)C)NC(=O)OCC[Si](C)(C)C Chemical compound COC(=O)[C@H](CCN[C@@H](C1=CC(=CN1CC1=CC=CC=C1)C1=C(F)C=CC(F)=C1)C(C)(C)C)NC(=O)OCC[Si](C)(C)C VJROEAZCQQDVNT-JDXGNMNLSA-N 0.000 description 1
- QUPNERXJBBUABM-QMMMGPOBSA-N COC([C@H](CC(=O)O)NC(=O)OCC[Si](C)(C)C)=O Chemical compound COC([C@H](CC(=O)O)NC(=O)OCC[Si](C)(C)C)=O QUPNERXJBBUABM-QMMMGPOBSA-N 0.000 description 1
- OYPRJOBELJOOCE-UHFFFAOYSA-N Calcium Chemical compound [Ca] OYPRJOBELJOOCE-UHFFFAOYSA-N 0.000 description 1
- 241000282836 Camelus dromedarius Species 0.000 description 1
- 241000282472 Canis lupus familiaris Species 0.000 description 1
- GAGWJHPBXLXJQN-UORFTKCHSA-N Capecitabine Chemical compound C1=C(F)C(NC(=O)OCCCCC)=NC(=O)N1[C@H]1[C@H](O)[C@H](O)[C@@H](C)O1 GAGWJHPBXLXJQN-UORFTKCHSA-N 0.000 description 1
- GAGWJHPBXLXJQN-UHFFFAOYSA-N Capecitabine Natural products C1=C(F)C(NC(=O)OCCCCC)=NC(=O)N1C1C(O)C(O)C(C)O1 GAGWJHPBXLXJQN-UHFFFAOYSA-N 0.000 description 1
- 241000283707 Capra Species 0.000 description 1
- AOCCBINRVIKJHY-UHFFFAOYSA-N Carmofur Chemical compound CCCCCCNC(=O)N1C=C(F)C(=O)NC1=O AOCCBINRVIKJHY-UHFFFAOYSA-N 0.000 description 1
- DLGOEMSEDOSKAD-UHFFFAOYSA-N Carmustine Chemical compound ClCCNC(=O)N(N=O)CCCl DLGOEMSEDOSKAD-UHFFFAOYSA-N 0.000 description 1
- 229920001661 Chitosan Polymers 0.000 description 1
- JWBOIMRXGHLCPP-UHFFFAOYSA-N Chloditan Chemical compound C=1C=CC=C(Cl)C=1C(C(Cl)Cl)C1=CC=C(Cl)C=C1 JWBOIMRXGHLCPP-UHFFFAOYSA-N 0.000 description 1
- ZAMOUSCENKQFHK-UHFFFAOYSA-N Chlorine atom Chemical group [Cl] ZAMOUSCENKQFHK-UHFFFAOYSA-N 0.000 description 1
- VGCXGMAHQTYDJK-UHFFFAOYSA-N Chloroacetyl chloride Chemical compound ClCC(Cl)=O VGCXGMAHQTYDJK-UHFFFAOYSA-N 0.000 description 1
- 208000005243 Chondrosarcoma Diseases 0.000 description 1
- 208000010833 Chronic myeloid leukaemia Diseases 0.000 description 1
- VWFCHDSQECPREK-LURJTMIESA-N Cidofovir Chemical compound NC=1C=CN(C[C@@H](CO)OCP(O)(O)=O)C(=O)N=1 VWFCHDSQECPREK-LURJTMIESA-N 0.000 description 1
- PTOAARAWEBMLNO-KVQBGUIXSA-N Cladribine Chemical compound C1=NC=2C(N)=NC(Cl)=NC=2N1[C@H]1C[C@H](O)[C@@H](CO)O1 PTOAARAWEBMLNO-KVQBGUIXSA-N 0.000 description 1
- 206010009944 Colon cancer Diseases 0.000 description 1
- 238000011537 Coomassie blue staining Methods 0.000 description 1
- 241000699802 Cricetulus griseus Species 0.000 description 1
- CMSMOCZEIVJLDB-UHFFFAOYSA-N Cyclophosphamide Chemical compound ClCCN(CCCl)P1(=O)NCCCO1 CMSMOCZEIVJLDB-UHFFFAOYSA-N 0.000 description 1
- UHDGCWIWMRVCDJ-CCXZUQQUSA-N Cytarabine Chemical compound O=C1N=C(N)C=CN1[C@H]1[C@@H](O)[C@H](O)[C@@H](CO)O1 UHDGCWIWMRVCDJ-CCXZUQQUSA-N 0.000 description 1
- 238000001712 DNA sequencing Methods 0.000 description 1
- 108010092160 Dactinomycin Proteins 0.000 description 1
- 108010019673 Darbepoetin alfa Proteins 0.000 description 1
- ZBNZXTGUTAYRHI-UHFFFAOYSA-N Dasatinib Chemical compound C=1C(N2CCN(CCO)CC2)=NC(C)=NC=1NC(S1)=NC=C1C(=O)NC1=C(C)C=CC=C1Cl ZBNZXTGUTAYRHI-UHFFFAOYSA-N 0.000 description 1
- GJKXGJCSJWBJEZ-XRSSZCMZSA-N Deslorelin Chemical compound CCNC(=O)[C@@H]1CCCN1C(=O)[C@H](CCCN=C(N)N)NC(=O)[C@H](CC(C)C)NC(=O)[C@H](NC(=O)[C@H](CC=1C=CC(O)=CC=1)NC(=O)[C@H](CO)NC(=O)[C@H](CC=1C2=CC=CC=C2NC=1)NC(=O)[C@H](CC=1NC=NC=1)NC(=O)[C@H]1NC(=O)CC1)CC1=CNC2=CC=CC=C12 GJKXGJCSJWBJEZ-XRSSZCMZSA-N 0.000 description 1
- 229920002307 Dextran Polymers 0.000 description 1
- FEWJPZIEWOKRBE-JCYAYHJZSA-N Dextrotartaric acid Chemical class OC(=O)[C@H](O)[C@@H](O)C(O)=O FEWJPZIEWOKRBE-JCYAYHJZSA-N 0.000 description 1
- BWLUMTFWVZZZND-UHFFFAOYSA-N Dibenzylamine Chemical compound C=1C=CC=CC=1CNCC1=CC=CC=C1 BWLUMTFWVZZZND-UHFFFAOYSA-N 0.000 description 1
- XBPCUCUWBYBCDP-UHFFFAOYSA-N Dicyclohexylamine Chemical compound C1CCCCC1NC1CCCCC1 XBPCUCUWBYBCDP-UHFFFAOYSA-N 0.000 description 1
- CYQFCXCEBYINGO-DLBZAZTESA-N Dronabinol Natural products C1=C(C)CC[C@H]2C(C)(C)OC3=CC(CCCCC)=CC(O)=C3[C@H]21 CYQFCXCEBYINGO-DLBZAZTESA-N 0.000 description 1
- XXPXYPLPSDPERN-UHFFFAOYSA-N Ecteinascidin 743 Natural products COc1cc2C(NCCc2cc1O)C(=O)OCC3N4C(O)C5Cc6cc(C)c(OC)c(O)c6C(C4C(S)c7c(OC(=O)C)c(C)c8OCOc8c37)N5C XXPXYPLPSDPERN-UHFFFAOYSA-N 0.000 description 1
- 102400001047 Endostatin Human genes 0.000 description 1
- 108010079505 Endostatins Proteins 0.000 description 1
- SAMRUMKYXPVKPA-VFKOLLTISA-N Enocitabine Chemical compound O=C1N=C(NC(=O)CCCCCCCCCCCCCCCCCCCCC)C=CN1[C@H]1[C@@H](O)[C@H](O)[C@@H](CO)O1 SAMRUMKYXPVKPA-VFKOLLTISA-N 0.000 description 1
- 206010014967 Ependymoma Diseases 0.000 description 1
- HTIJFSOGRVMCQR-UHFFFAOYSA-N Epirubicin Natural products COc1cccc2C(=O)c3c(O)c4CC(O)(CC(OC5CC(N)C(=O)C(C)O5)c4c(O)c3C(=O)c12)C(=O)CO HTIJFSOGRVMCQR-UHFFFAOYSA-N 0.000 description 1
- OBMLHUPNRURLOK-XGRAFVIBSA-N Epitiostanol Chemical compound C1[C@@H]2S[C@@H]2C[C@]2(C)[C@H]3CC[C@](C)([C@H](CC4)O)[C@@H]4[C@@H]3CC[C@H]21 OBMLHUPNRURLOK-XGRAFVIBSA-N 0.000 description 1
- 108010074604 Epoetin Alfa Proteins 0.000 description 1
- DNXHEGUUPJUMQT-CBZIJGRNSA-N Estrone Chemical compound OC1=CC=C2[C@H]3CC[C@](C)(C(CC4)=O)[C@@H]4[C@@H]3CCC2=C1 DNXHEGUUPJUMQT-CBZIJGRNSA-N 0.000 description 1
- PIICEJLVQHRZGT-UHFFFAOYSA-N Ethylenediamine Chemical compound NCCN PIICEJLVQHRZGT-UHFFFAOYSA-N 0.000 description 1
- DBVJJBKOTRCVKF-UHFFFAOYSA-N Etidronic acid Chemical compound OP(=O)(O)C(O)(C)P(O)(O)=O DBVJJBKOTRCVKF-UHFFFAOYSA-N 0.000 description 1
- HKVAMNSJSFKALM-GKUWKFKPSA-N Everolimus Chemical compound C1C[C@@H](OCCO)[C@H](OC)C[C@@H]1C[C@@H](C)[C@H]1OC(=O)[C@@H]2CCCCN2C(=O)C(=O)[C@](O)(O2)[C@H](C)CC[C@H]2C[C@H](OC)/C(C)=C/C=C/C=C/[C@@H](C)C[C@@H](C)C(=O)[C@H](OC)[C@H](O)/C(C)=C/[C@@H](C)C(=O)C1 HKVAMNSJSFKALM-GKUWKFKPSA-N 0.000 description 1
- 238000004252 FT/ICR mass spectrometry Methods 0.000 description 1
- 102000003972 Fibroblast growth factor 7 Human genes 0.000 description 1
- 108090000385 Fibroblast growth factor 7 Proteins 0.000 description 1
- 201000008808 Fibrosarcoma Diseases 0.000 description 1
- 108010029961 Filgrastim Proteins 0.000 description 1
- PXGOKWXKJXAPGV-UHFFFAOYSA-N Fluorine Chemical group FF PXGOKWXKJXAPGV-UHFFFAOYSA-N 0.000 description 1
- GHASVSINZRGABV-UHFFFAOYSA-N Fluorouracil Chemical compound FC1=CNC(=O)NC1=O GHASVSINZRGABV-UHFFFAOYSA-N 0.000 description 1
- MPJKWIXIYCLVCU-UHFFFAOYSA-N Folinic acid Natural products NC1=NC2=C(N(C=O)C(CNc3ccc(cc3)C(=O)NC(CCC(=O)O)CC(=O)O)CN2)C(=O)N1 MPJKWIXIYCLVCU-UHFFFAOYSA-N 0.000 description 1
- VWUXBMIQPBEWFH-WCCTWKNTSA-N Fulvestrant Chemical compound OC1=CC=C2[C@H]3CC[C@](C)([C@H](CC4)O)[C@@H]4[C@@H]3[C@H](CCCCCCCCCS(=O)CCCC(F)(F)C(F)(F)F)CC2=C1 VWUXBMIQPBEWFH-WCCTWKNTSA-N 0.000 description 1
- ZPLQIPFOCGIIHV-UHFFFAOYSA-N Gimeracil Chemical compound OC1=CC(=O)C(Cl)=CN1 ZPLQIPFOCGIIHV-UHFFFAOYSA-N 0.000 description 1
- 208000032612 Glial tumor Diseases 0.000 description 1
- 206010018338 Glioma Diseases 0.000 description 1
- 108010069236 Goserelin Proteins 0.000 description 1
- BLCLNMBMMGCOAS-URPVMXJPSA-N Goserelin Chemical compound C([C@@H](C(=O)N[C@H](COC(C)(C)C)C(=O)N[C@@H](CC(C)C)C(=O)N[C@@H](CCCN=C(N)N)C(=O)N1[C@@H](CCC1)C(=O)NNC(N)=O)NC(=O)[C@H](CO)NC(=O)[C@H](CC=1C2=CC=CC=C2NC=1)NC(=O)[C@H](CC=1NC=NC=1)NC(=O)[C@H]1NC(=O)CC1)C1=CC=C(O)C=C1 BLCLNMBMMGCOAS-URPVMXJPSA-N 0.000 description 1
- 108010017080 Granulocyte Colony-Stimulating Factor Proteins 0.000 description 1
- 208000001258 Hemangiosarcoma Diseases 0.000 description 1
- 206010019695 Hepatic neoplasm Diseases 0.000 description 1
- 208000021519 Hodgkin lymphoma Diseases 0.000 description 1
- 241000282412 Homo Species 0.000 description 1
- 101000800023 Homo sapiens 4F2 cell-surface antigen heavy chain Proteins 0.000 description 1
- 101001037147 Homo sapiens Immunoglobulin heavy variable 1-69 Proteins 0.000 description 1
- 101000989062 Homo sapiens Immunoglobulin heavy variable 5-51 Proteins 0.000 description 1
- 101001047619 Homo sapiens Immunoglobulin kappa variable 3-20 Proteins 0.000 description 1
- 101001037256 Homo sapiens Indoleamine 2,3-dioxygenase 1 Proteins 0.000 description 1
- 101001037261 Homo sapiens Indoleamine 2,3-dioxygenase 2 Proteins 0.000 description 1
- 101001056180 Homo sapiens Induced myeloid leukemia cell differentiation protein Mcl-1 Proteins 0.000 description 1
- 108091006905 Human Serum Albumin Proteins 0.000 description 1
- 102000008100 Human Serum Albumin Human genes 0.000 description 1
- VSNHCAURESNICA-UHFFFAOYSA-N Hydroxyurea Chemical compound NC(=O)NO VSNHCAURESNICA-UHFFFAOYSA-N 0.000 description 1
- 206010020751 Hypersensitivity Diseases 0.000 description 1
- MPBVHIBUJCELCL-UHFFFAOYSA-N Ibandronate Chemical compound CCCCCN(C)CCC(O)(P(O)(O)=O)P(O)(O)=O MPBVHIBUJCELCL-UHFFFAOYSA-N 0.000 description 1
- XDXDZDZNSLXDNA-TZNDIEGXSA-N Idarubicin Chemical compound C1[C@H](N)[C@H](O)[C@H](C)O[C@H]1O[C@@H]1C2=C(O)C(C(=O)C3=CC=CC=C3C3=O)=C3C(O)=C2C[C@@](O)(C(C)=O)C1 XDXDZDZNSLXDNA-TZNDIEGXSA-N 0.000 description 1
- XDXDZDZNSLXDNA-UHFFFAOYSA-N Idarubicin Natural products C1C(N)C(O)C(C)OC1OC1C2=C(O)C(C(=O)C3=CC=CC=C3C3=O)=C3C(O)=C2CC(O)(C(C)=O)C1 XDXDZDZNSLXDNA-UHFFFAOYSA-N 0.000 description 1
- DGAQECJNVWCQMB-PUAWFVPOSA-M Ilexoside XXIX Chemical compound C[C@@H]1CC[C@@]2(CC[C@@]3(C(=CC[C@H]4[C@]3(CC[C@@H]5[C@@]4(CC[C@@H](C5(C)C)OS(=O)(=O)[O-])C)C)[C@@H]2[C@]1(C)O)C)C(=O)O[C@H]6[C@@H]([C@H]([C@@H]([C@H](O6)CO)O)O)O.[Na+] DGAQECJNVWCQMB-PUAWFVPOSA-M 0.000 description 1
- 206010061598 Immunodeficiency Diseases 0.000 description 1
- 108010067060 Immunoglobulin Variable Region Proteins 0.000 description 1
- 102000017727 Immunoglobulin Variable Region Human genes 0.000 description 1
- 102100040232 Immunoglobulin heavy variable 1-69 Human genes 0.000 description 1
- 102100029414 Immunoglobulin heavy variable 5-51 Human genes 0.000 description 1
- 102100022964 Immunoglobulin kappa variable 3-20 Human genes 0.000 description 1
- 102100040061 Indoleamine 2,3-dioxygenase 1 Human genes 0.000 description 1
- 102100040062 Indoleamine 2,3-dioxygenase 2 Human genes 0.000 description 1
- 102100026539 Induced myeloid leukemia cell differentiation protein Mcl-1 Human genes 0.000 description 1
- VDJHFHXMUKFKET-UHFFFAOYSA-N Ingenol mebutate Natural products CC1CC2C(C)(C)C2C2C=C(CO)C(O)C3(O)C(OC(=O)C(C)=CC)C(C)=CC31C2=O VDJHFHXMUKFKET-UHFFFAOYSA-N 0.000 description 1
- 108010047761 Interferon-alpha Proteins 0.000 description 1
- 102000006992 Interferon-alpha Human genes 0.000 description 1
- 102000003996 Interferon-beta Human genes 0.000 description 1
- 108090000467 Interferon-beta Proteins 0.000 description 1
- 102000008070 Interferon-gamma Human genes 0.000 description 1
- 108010074328 Interferon-gamma Proteins 0.000 description 1
- 102100030694 Interleukin-11 Human genes 0.000 description 1
- 108010038484 Interleukin-5 Receptors Proteins 0.000 description 1
- 102000010786 Interleukin-5 Receptors Human genes 0.000 description 1
- 206010061252 Intraocular melanoma Diseases 0.000 description 1
- 239000007836 KH2PO4 Substances 0.000 description 1
- 208000007766 Kaposi sarcoma Diseases 0.000 description 1
- ODKSFYDXXFIFQN-BYPYZUCNSA-P L-argininium(2+) Chemical compound NC(=[NH2+])NCCC[C@H]([NH3+])C(O)=O ODKSFYDXXFIFQN-BYPYZUCNSA-P 0.000 description 1
- 235000013878 L-cysteine Nutrition 0.000 description 1
- MCYHPZGUONZRGO-VKHMYHEASA-N L-cysteine methyl ester hydrochloride Natural products COC(=O)[C@@H](N)CS MCYHPZGUONZRGO-VKHMYHEASA-N 0.000 description 1
- QIVBCDIJIAJPQS-VIFPVBQESA-N L-tryptophane Chemical compound C1=CC=C2C(C[C@H](N)C(O)=O)=CNC2=C1 QIVBCDIJIAJPQS-VIFPVBQESA-N 0.000 description 1
- NHTGHBARYWONDQ-JTQLQIEISA-N L-α-methyl-Tyrosine Chemical compound OC(=O)[C@](N)(C)CC1=CC=C(O)C=C1 NHTGHBARYWONDQ-JTQLQIEISA-N 0.000 description 1
- 239000005517 L01XE01 - Imatinib Substances 0.000 description 1
- 239000005411 L01XE02 - Gefitinib Substances 0.000 description 1
- 239000005551 L01XE03 - Erlotinib Substances 0.000 description 1
- 239000002147 L01XE04 - Sunitinib Substances 0.000 description 1
- 239000005511 L01XE05 - Sorafenib Substances 0.000 description 1
- 239000002067 L01XE06 - Dasatinib Substances 0.000 description 1
- 239000002136 L01XE07 - Lapatinib Substances 0.000 description 1
- 239000005536 L01XE08 - Nilotinib Substances 0.000 description 1
- 239000003798 L01XE11 - Pazopanib Substances 0.000 description 1
- 239000002118 L01XE12 - Vandetanib Substances 0.000 description 1
- 239000002145 L01XE14 - Bosutinib Substances 0.000 description 1
- 239000002138 L01XE21 - Regorafenib Substances 0.000 description 1
- 239000002137 L01XE24 - Ponatinib Substances 0.000 description 1
- 239000002176 L01XE26 - Cabozantinib Substances 0.000 description 1
- 239000002177 L01XE27 - Ibrutinib Substances 0.000 description 1
- 102000017578 LAG3 Human genes 0.000 description 1
- 101150030213 Lag3 gene Proteins 0.000 description 1
- XNRVGTHNYCNCFF-UHFFFAOYSA-N Lapatinib ditosylate monohydrate Chemical compound O.CC1=CC=C(S(O)(=O)=O)C=C1.CC1=CC=C(S(O)(=O)=O)C=C1.O1C(CNCCS(=O)(=O)C)=CC=C1C1=CC=C(N=CN=C2NC=3C=C(Cl)C(OCC=4C=C(F)C=CC=4)=CC=3)C2=C1 XNRVGTHNYCNCFF-UHFFFAOYSA-N 0.000 description 1
- 108090001090 Lectins Proteins 0.000 description 1
- 102000004856 Lectins Human genes 0.000 description 1
- 208000018142 Leiomyosarcoma Diseases 0.000 description 1
- 108010062867 Lenograstim Proteins 0.000 description 1
- 229920001491 Lentinan Polymers 0.000 description 1
- 206010024305 Leukaemia monocytic Diseases 0.000 description 1
- 108010000817 Leuprolide Proteins 0.000 description 1
- HLFSDGLLUJUHTE-SNVBAGLBSA-N Levamisole Chemical compound C1([C@H]2CN3CCSC3=N2)=CC=CC=C1 HLFSDGLLUJUHTE-SNVBAGLBSA-N 0.000 description 1
- 208000006552 Lewis Lung Carcinoma Diseases 0.000 description 1
- GQYIWUVLTXOXAJ-UHFFFAOYSA-N Lomustine Chemical compound ClCCN(N=O)C(=O)NC1CCCCC1 GQYIWUVLTXOXAJ-UHFFFAOYSA-N 0.000 description 1
- 206010058467 Lung neoplasm malignant Diseases 0.000 description 1
- 208000031422 Lymphocytic Chronic B-Cell Leukemia Diseases 0.000 description 1
- 239000012515 MabSelect SuRe Substances 0.000 description 1
- 241000282560 Macaca mulatta Species 0.000 description 1
- 102000007651 Macrophage Colony-Stimulating Factor Human genes 0.000 description 1
- 108010046938 Macrophage Colony-Stimulating Factor Proteins 0.000 description 1
- 208000006644 Malignant Fibrous Histiocytoma Diseases 0.000 description 1
- 241000124008 Mammalia Species 0.000 description 1
- WHOHXJZQBJXAKL-DFWYDOINSA-N Mecysteine hydrochloride Chemical compound Cl.COC(=O)[C@@H](N)CS WHOHXJZQBJXAKL-DFWYDOINSA-N 0.000 description 1
- 208000000172 Medulloblastoma Diseases 0.000 description 1
- JCYZMTMYPZHVBF-UHFFFAOYSA-N Melarsoprol Chemical compound NC1=NC(N)=NC(NC=2C=CC(=CC=2)[As]2SC(CO)CS2)=N1 JCYZMTMYPZHVBF-UHFFFAOYSA-N 0.000 description 1
- 102000018697 Membrane Proteins Human genes 0.000 description 1
- 108010052285 Membrane Proteins Proteins 0.000 description 1
- IVDYZAAPOLNZKG-KWHRADDSSA-N Mepitiostane Chemical compound O([C@@H]1[C@]2(CC[C@@H]3[C@@]4(C)C[C@H]5S[C@H]5C[C@@H]4CC[C@H]3[C@@H]2CC1)C)C1(OC)CCCC1 IVDYZAAPOLNZKG-KWHRADDSSA-N 0.000 description 1
- XOGTZOOQQBDUSI-UHFFFAOYSA-M Mesna Chemical compound [Na+].[O-]S(=O)(=O)CCS XOGTZOOQQBDUSI-UHFFFAOYSA-M 0.000 description 1
- 206010027476 Metastases Diseases 0.000 description 1
- AFVFQIVMOAPDHO-UHFFFAOYSA-N Methanesulfonic acid Chemical class CS(O)(=O)=O AFVFQIVMOAPDHO-UHFFFAOYSA-N 0.000 description 1
- QXKHYNVANLEOEG-UHFFFAOYSA-N Methoxsalen Chemical compound C1=CC(=O)OC2=C1C=C1C=COC1=C2OC QXKHYNVANLEOEG-UHFFFAOYSA-N 0.000 description 1
- FQISKWAFAHGMGT-SGJOWKDISA-M Methylprednisolone sodium succinate Chemical compound [Na+].C([C@@]12C)=CC(=O)C=C1[C@@H](C)C[C@@H]1[C@@H]2[C@@H](O)C[C@]2(C)[C@@](O)(C(=O)COC(=O)CCC([O-])=O)CC[C@H]21 FQISKWAFAHGMGT-SGJOWKDISA-M 0.000 description 1
- GCKMFJBGXUYNAG-HLXURNFRSA-N Methyltestosterone Chemical compound C1CC2=CC(=O)CC[C@]2(C)[C@@H]2[C@@H]1[C@@H]1CC[C@](C)(O)[C@@]1(C)CC2 GCKMFJBGXUYNAG-HLXURNFRSA-N 0.000 description 1
- VFKZTMPDYBFSTM-KVTDHHQDSA-N Mitobronitol Chemical compound BrC[C@@H](O)[C@@H](O)[C@H](O)[C@H](O)CBr VFKZTMPDYBFSTM-KVTDHHQDSA-N 0.000 description 1
- 229930192392 Mitomycin Natural products 0.000 description 1
- 206010027761 Mixed hepatocellular cholangiocarcinoma Diseases 0.000 description 1
- 241000699660 Mus musculus Species 0.000 description 1
- 208000014767 Myeloproliferative disease Diseases 0.000 description 1
- NWIBSHFKIJFRCO-WUDYKRTCSA-N Mytomycin Chemical compound C1N2C(C(C(C)=C(N)C3=O)=O)=C3[C@@H](COC(N)=O)[C@@]2(OC)[C@@H]2[C@H]1N2 NWIBSHFKIJFRCO-WUDYKRTCSA-N 0.000 description 1
- QJZRFPJCWMNVAV-HHHXNRCGSA-N N-(3-aminopropyl)-N-[(1R)-1-[7-chloro-4-oxo-3-(phenylmethyl)-2-quinazolinyl]-2-methylpropyl]-4-methylbenzamide Chemical compound NCCCN([C@H](C(C)C)C=1N(C(=O)C2=CC=C(Cl)C=C2N=1)CC=1C=CC=CC=1)C(=O)C1=CC=C(C)C=C1 QJZRFPJCWMNVAV-HHHXNRCGSA-N 0.000 description 1
- NQTADLQHYWFPDB-UHFFFAOYSA-N N-Hydroxysuccinimide Chemical compound ON1C(=O)CCC1=O NQTADLQHYWFPDB-UHFFFAOYSA-N 0.000 description 1
- CJUMAFVKTCBCJK-UHFFFAOYSA-N N-benzyloxycarbonylglycine Chemical compound OC(=O)CNC(=O)OCC1=CC=CC=C1 CJUMAFVKTCBCJK-UHFFFAOYSA-N 0.000 description 1
- ZDZOTLJHXYCWBA-VCVYQWHSSA-N N-debenzoyl-N-(tert-butoxycarbonyl)-10-deacetyltaxol Chemical compound O([C@H]1[C@H]2[C@@](C([C@H](O)C3=C(C)[C@@H](OC(=O)[C@H](O)[C@@H](NC(=O)OC(C)(C)C)C=4C=CC=CC=4)C[C@]1(O)C3(C)C)=O)(C)[C@@H](O)C[C@H]1OC[C@]12OC(=O)C)C(=O)C1=CC=CC=C1 ZDZOTLJHXYCWBA-VCVYQWHSSA-N 0.000 description 1
- UEEJHVSXFDXPFK-UHFFFAOYSA-N N-dimethylaminoethanol Chemical compound CN(C)CCO UEEJHVSXFDXPFK-UHFFFAOYSA-N 0.000 description 1
- 230000004988 N-glycosylation Effects 0.000 description 1
- MBBZMMPHUWSWHV-BDVNFPICSA-N N-methylglucamine Chemical compound CNC[C@H](O)[C@@H](O)[C@H](O)[C@H](O)CO MBBZMMPHUWSWHV-BDVNFPICSA-N 0.000 description 1
- LYPFDBRUNKHDGX-SOGSVHMOSA-N N1C2=CC=C1\C(=C1\C=CC(=N1)\C(=C1\C=C/C(/N1)=C(/C1=N/C(/CC1)=C2/C1=CC(O)=CC=C1)C1=CC(O)=CC=C1)\C1=CC(O)=CC=C1)C1=CC(O)=CC=C1 Chemical compound N1C2=CC=C1\C(=C1\C=CC(=N1)\C(=C1\C=C/C(/N1)=C(/C1=N/C(/CC1)=C2/C1=CC(O)=CC=C1)C1=CC(O)=CC=C1)\C1=CC(O)=CC=C1)C1=CC(O)=CC=C1 LYPFDBRUNKHDGX-SOGSVHMOSA-N 0.000 description 1
- CGRLUHLPWYPPAD-UHFFFAOYSA-N NCCCC(=O)CN1C(=O)C=CC1=O.O=C(O)C(F)(F)F Chemical compound NCCCC(=O)CN1C(=O)C=CC1=O.O=C(O)C(F)(F)F CGRLUHLPWYPPAD-UHFFFAOYSA-N 0.000 description 1
- 238000011785 NMRI mouse Methods 0.000 description 1
- 238000011786 NMRI nude mouse Methods 0.000 description 1
- 108010021717 Nafarelin Proteins 0.000 description 1
- 241001045988 Neogene Species 0.000 description 1
- 206010029098 Neoplasm skin Diseases 0.000 description 1
- OIWKVRZXNZSVKV-UHFFFAOYSA-N O=C(O)CCOCCOCCOCCOCCCC(=O)CN1C(=O)C=CC1=O Chemical compound O=C(O)CCOCCOCCOCCOCCCC(=O)CN1C(=O)C=CC1=O OIWKVRZXNZSVKV-UHFFFAOYSA-N 0.000 description 1
- NYLVFNRWEYSLAK-UHFFFAOYSA-N O=C(O)CCOCCOCCOCCOCCNC(=O)CCC(=O)OCC1=CC=CC=C1 Chemical compound O=C(O)CCOCCOCCOCCOCCNC(=O)CCC(=O)OCC1=CC=CC=C1 NYLVFNRWEYSLAK-UHFFFAOYSA-N 0.000 description 1
- 108010016076 Octreotide Proteins 0.000 description 1
- 241000283973 Oryctolagus cuniculus Species 0.000 description 1
- BRUQQQPBMZOVGD-XFKAJCMBSA-N Oxycodone Chemical compound O=C([C@@H]1O2)CC[C@@]3(O)[C@H]4CC5=CC=C(OC)C2=C5[C@@]13CCN4C BRUQQQPBMZOVGD-XFKAJCMBSA-N 0.000 description 1
- 239000007990 PIPES buffer Substances 0.000 description 1
- 241000282579 Pan Species 0.000 description 1
- IQPSEEYGBUAQFF-UHFFFAOYSA-N Pantoprazole Chemical compound COC1=CC=NC(CS(=O)C=2NC3=CC=C(OC(F)F)C=C3N=2)=C1OC IQPSEEYGBUAQFF-UHFFFAOYSA-N 0.000 description 1
- 108010057150 Peplomycin Proteins 0.000 description 1
- 108010067902 Peptide Library Proteins 0.000 description 1
- OAICVXFJPJFONN-UHFFFAOYSA-N Phosphorus Chemical group [P] OAICVXFJPJFONN-UHFFFAOYSA-N 0.000 description 1
- KMSKQZKKOZQFFG-HSUXVGOQSA-N Pirarubicin Chemical compound O([C@H]1[C@@H](N)C[C@@H](O[C@H]1C)O[C@H]1C[C@@](O)(CC=2C(O)=C3C(=O)C=4C=CC=C(C=4C(=O)C3=C(O)C=21)OC)C(=O)CO)[C@H]1CCCCO1 KMSKQZKKOZQFFG-HSUXVGOQSA-N 0.000 description 1
- 206010035226 Plasma cell myeloma Diseases 0.000 description 1
- 102220518747 Plasma serine protease inhibitor_N61A_mutation Human genes 0.000 description 1
- 229920000081 Polyestradiol phosphate Polymers 0.000 description 1
- HFVNWDWLWUCIHC-GUPDPFMOSA-N Prednimustine Chemical compound O=C([C@@]1(O)CC[C@H]2[C@H]3[C@@H]([C@]4(C=CC(=O)C=C4CC3)C)[C@@H](O)C[C@@]21C)COC(=O)CCCC1=CC=C(N(CCCl)CCCl)C=C1 HFVNWDWLWUCIHC-GUPDPFMOSA-N 0.000 description 1
- 208000033826 Promyelocytic Acute Leukemia Diseases 0.000 description 1
- OFOBLEOULBTSOW-UHFFFAOYSA-N Propanedioic acid Chemical class OC(=O)CC(O)=O OFOBLEOULBTSOW-UHFFFAOYSA-N 0.000 description 1
- WUGQZFFCHPXWKQ-UHFFFAOYSA-N Propanolamine Chemical compound NCCCO WUGQZFFCHPXWKQ-UHFFFAOYSA-N 0.000 description 1
- 108010076504 Protein Sorting Signals Proteins 0.000 description 1
- 239000005464 Radotinib Substances 0.000 description 1
- AHHFEZNOXOZZQA-ZEBDFXRSSA-N Ranimustine Chemical compound CO[C@H]1O[C@H](CNC(=O)N(CCCl)N=O)[C@@H](O)[C@H](O)[C@H]1O AHHFEZNOXOZZQA-ZEBDFXRSSA-N 0.000 description 1
- 201000000582 Retinoblastoma Diseases 0.000 description 1
- BKRGVLQUQGGVSM-KBXCAEBGSA-N Revanil Chemical compound C1=CC(C=2[C@H](N(C)C[C@H](C=2)NC(=O)N(CC)CC)C2)=C3C2=CNC3=C1 BKRGVLQUQGGVSM-KBXCAEBGSA-N 0.000 description 1
- IIDJRNMFWXDHID-UHFFFAOYSA-N Risedronic acid Chemical compound OP(=O)(O)C(P(O)(O)=O)(O)CC1=CC=CN=C1 IIDJRNMFWXDHID-UHFFFAOYSA-N 0.000 description 1
- QCHFTSOMWOSFHM-UHFFFAOYSA-N SJ000285536 Natural products C1OC(=O)C(CC)C1CC1=CN=CN1C QCHFTSOMWOSFHM-UHFFFAOYSA-N 0.000 description 1
- 206010061934 Salivary gland cancer Diseases 0.000 description 1
- 206010039491 Sarcoma Diseases 0.000 description 1
- 206010039710 Scleroderma Diseases 0.000 description 1
- 108010086019 Secretin Proteins 0.000 description 1
- 102100037505 Secretin Human genes 0.000 description 1
- 108010003723 Single-Domain Antibodies Proteins 0.000 description 1
- 229920000519 Sizofiran Polymers 0.000 description 1
- 206010054184 Small intestine carcinoma Diseases 0.000 description 1
- OCOKWVBYZHBHLU-UHFFFAOYSA-N Sobuzoxane Chemical compound C1C(=O)N(COC(=O)OCC(C)C)C(=O)CN1CCN1CC(=O)N(COC(=O)OCC(C)C)C(=O)C1 OCOKWVBYZHBHLU-UHFFFAOYSA-N 0.000 description 1
- VMHLLURERBWHNL-UHFFFAOYSA-M Sodium acetate Chemical compound [Na+].CC([O-])=O VMHLLURERBWHNL-UHFFFAOYSA-M 0.000 description 1
- 229920002385 Sodium hyaluronate Polymers 0.000 description 1
- LKAJKIOFIWVMDJ-IYRCEVNGSA-N Stanazolol Chemical compound C([C@@H]1CC[C@H]2[C@@H]3CC[C@@]([C@]3(CC[C@@H]2[C@@]1(C)C1)C)(O)C)C2=C1C=NN2 LKAJKIOFIWVMDJ-IYRCEVNGSA-N 0.000 description 1
- QAOWNCQODCNURD-UHFFFAOYSA-N Sulfuric acid Chemical class OS(O)(=O)=O QAOWNCQODCNURD-UHFFFAOYSA-N 0.000 description 1
- 239000012505 Superdex™ Substances 0.000 description 1
- 108091008874 T cell receptors Proteins 0.000 description 1
- 102000016266 T-Cell Antigen Receptors Human genes 0.000 description 1
- 208000031673 T-Cell Cutaneous Lymphoma Diseases 0.000 description 1
- QYTDEUPAUMOIOP-UHFFFAOYSA-N TEMPO Chemical group CC1(C)CCCC(C)(C)N1[O] QYTDEUPAUMOIOP-UHFFFAOYSA-N 0.000 description 1
- CYQFCXCEBYINGO-UHFFFAOYSA-N THC Natural products C1=C(C)CCC2C(C)(C)OC3=CC(CCCCC)=CC(O)=C3C21 CYQFCXCEBYINGO-UHFFFAOYSA-N 0.000 description 1
- NAVMQTYZDKMPEU-UHFFFAOYSA-N Targretin Chemical compound CC1=CC(C(CCC2(C)C)(C)C)=C2C=C1C(=C)C1=CC=C(C(O)=O)C=C1 NAVMQTYZDKMPEU-UHFFFAOYSA-N 0.000 description 1
- FEWJPZIEWOKRBE-UHFFFAOYSA-N Tartaric acid Chemical class [H+].[H+].[O-]C(=O)C(O)C(O)C([O-])=O FEWJPZIEWOKRBE-UHFFFAOYSA-N 0.000 description 1
- BPEGJWRSRHCHSN-UHFFFAOYSA-N Temozolomide Chemical compound O=C1N(C)N=NC2=C(C(N)=O)N=CN21 BPEGJWRSRHCHSN-UHFFFAOYSA-N 0.000 description 1
- CBPNZQVSJQDFBE-FUXHJELOSA-N Temsirolimus Chemical compound C1C[C@@H](OC(=O)C(C)(CO)CO)[C@H](OC)C[C@@H]1C[C@@H](C)[C@H]1OC(=O)[C@@H]2CCCCN2C(=O)C(=O)[C@](O)(O2)[C@H](C)CC[C@H]2C[C@H](OC)/C(C)=C/C=C/C=C/[C@@H](C)C[C@@H](C)C(=O)[C@H](OC)[C@H](O)/C(C)=C/[C@@H](C)C(=O)C1 CBPNZQVSJQDFBE-FUXHJELOSA-N 0.000 description 1
- FOCVUCIESVLUNU-UHFFFAOYSA-N Thiotepa Chemical compound C1CN1P(N1CC1)(=S)N1CC1 FOCVUCIESVLUNU-UHFFFAOYSA-N 0.000 description 1
- 102000036693 Thrombopoietin Human genes 0.000 description 1
- 108010041111 Thrombopoietin Proteins 0.000 description 1
- 108010078233 Thymalfasin Proteins 0.000 description 1
- 108010066702 Thyrotropin Alfa Proteins 0.000 description 1
- IVTVGDXNLFLDRM-HNNXBMFYSA-N Tomudex Chemical compound C=1C=C2NC(C)=NC(=O)C2=CC=1CN(C)C1=CC=C(C(=O)N[C@@H](CCC(O)=O)C(O)=O)S1 IVTVGDXNLFLDRM-HNNXBMFYSA-N 0.000 description 1
- 101710120037 Toxin CcdB Proteins 0.000 description 1
- YCPOZVAOBBQLRI-WDSKDSINSA-N Treosulfan Chemical compound CS(=O)(=O)OC[C@H](O)[C@@H](O)COS(C)(=O)=O YCPOZVAOBBQLRI-WDSKDSINSA-N 0.000 description 1
- GSEJCLTVZPLZKY-UHFFFAOYSA-N Triethanolamine Chemical compound OCCN(CCO)CCO GSEJCLTVZPLZKY-UHFFFAOYSA-N 0.000 description 1
- 108010050144 Triptorelin Pamoate Proteins 0.000 description 1
- YZCKVEUIGOORGS-NJFSPNSNSA-N Tritium Chemical compound [3H] YZCKVEUIGOORGS-NJFSPNSNSA-N 0.000 description 1
- QIVBCDIJIAJPQS-UHFFFAOYSA-N Tryptophan Natural products C1=CC=C2C(CC(N)C(O)=O)=CNC2=C1 QIVBCDIJIAJPQS-UHFFFAOYSA-N 0.000 description 1
- 102100040245 Tumor necrosis factor receptor superfamily member 5 Human genes 0.000 description 1
- 201000005969 Uveal melanoma Diseases 0.000 description 1
- 101150117115 V gene Proteins 0.000 description 1
- JXLYSJRDGCGARV-WWYNWVTFSA-N Vinblastine Natural products O=C(O[C@H]1[C@](O)(C(=O)OC)[C@@H]2N(C)c3c(cc(c(OC)c3)[C@]3(C(=O)OC)c4[nH]c5c(c4CCN4C[C@](O)(CC)C[C@H](C3)C4)cccc5)[C@@]32[C@H]2[C@@]1(CC)C=CCN2CC3)C JXLYSJRDGCGARV-WWYNWVTFSA-N 0.000 description 1
- PCWZKQSKUXXDDJ-UHFFFAOYSA-N Xanthotoxin Natural products COCc1c2OC(=O)C=Cc2cc3ccoc13 PCWZKQSKUXXDDJ-UHFFFAOYSA-N 0.000 description 1
- VWQVUPCCIRVNHF-OUBTZVSYSA-N Yttrium-90 Chemical compound [90Y] VWQVUPCCIRVNHF-OUBTZVSYSA-N 0.000 description 1
- XJXKGUZINMNEDK-GPJOBVNKSA-L [(4r,5r)-5-(aminomethyl)-2-propan-2-yl-1,3-dioxolan-4-yl]methanamine;platinum(2+);propanedioate Chemical compound [Pt+2].[O-]C(=O)CC([O-])=O.CC(C)C1O[C@H](CN)[C@@H](CN)O1 XJXKGUZINMNEDK-GPJOBVNKSA-L 0.000 description 1
- XSMVECZRZBFTIZ-UHFFFAOYSA-M [2-(aminomethyl)cyclobutyl]methanamine;2-oxidopropanoate;platinum(4+) Chemical compound [Pt+4].CC([O-])C([O-])=O.NCC1CCC1CN XSMVECZRZBFTIZ-UHFFFAOYSA-M 0.000 description 1
- BOJKZUCHNJJJGJ-UHFFFAOYSA-N [H]C(=O)CCCC(=O)OCC[Si](C)(C)C Chemical compound [H]C(=O)CCCC(=O)OCC[Si](C)(C)C BOJKZUCHNJJJGJ-UHFFFAOYSA-N 0.000 description 1
- AWEPMDHBFIVBED-SNVBAGLBSA-N [H]C(=O)C[C@H](CC(=O)OCC[Si](C)(C)C)C(=O)OC Chemical compound [H]C(=O)C[C@H](CC(=O)OCC[Si](C)(C)C)C(=O)OC AWEPMDHBFIVBED-SNVBAGLBSA-N 0.000 description 1
- CTCBPRXHVPZNHB-VQFZJOCSSA-N [[(2r,3s,4r,5r)-5-(6-aminopurin-9-yl)-3,4-dihydroxyoxolan-2-yl]methoxy-hydroxyphosphoryl] phosphono hydrogen phosphate;(2r,3r,4s,5r)-2-(6-aminopurin-9-yl)-5-(hydroxymethyl)oxolane-3,4-diol Chemical compound C1=NC=2C(N)=NC=NC=2N1[C@@H]1O[C@H](CO)[C@@H](O)[C@H]1O.C1=NC=2C(N)=NC=NC=2N1[C@@H]1O[C@H](COP(O)(=O)OP(O)(=O)OP(O)(O)=O)[C@@H](O)[C@H]1O CTCBPRXHVPZNHB-VQFZJOCSSA-N 0.000 description 1
- CHKFLBOLYREYDO-SHYZEUOFSA-N [[(2s,4r,5r)-5-(4-amino-2-oxopyrimidin-1-yl)-4-hydroxyoxolan-2-yl]methoxy-hydroxyphosphoryl] phosphono hydrogen phosphate Chemical compound O=C1N=C(N)C=CN1[C@H]1[C@H](O)C[C@@H](COP(O)(=O)OP(O)(=O)OP(O)(O)=O)O1 CHKFLBOLYREYDO-SHYZEUOFSA-N 0.000 description 1
- 229960002184 abarelix Drugs 0.000 description 1
- 108010023617 abarelix Proteins 0.000 description 1
- AIWRTTMUVOZGPW-HSPKUQOVSA-N abarelix Chemical compound C([C@@H](C(=O)N[C@H](CC(N)=O)C(=O)N[C@@H](CC(C)C)C(=O)N[C@@H](CCCCNC(C)C)C(=O)N1[C@@H](CCC1)C(=O)N[C@H](C)C(N)=O)N(C)C(=O)[C@H](CO)NC(=O)[C@@H](CC=1C=NC=CC=1)NC(=O)[C@@H](CC=1C=CC(Cl)=CC=1)NC(=O)[C@@H](CC=1C=C2C=CC=CC2=CC=1)NC(C)=O)C1=CC=C(O)C=C1 AIWRTTMUVOZGPW-HSPKUQOVSA-N 0.000 description 1
- 229960000853 abiraterone Drugs 0.000 description 1
- GZOSMCIZMLWJML-VJLLXTKPSA-N abiraterone Chemical compound C([C@H]1[C@H]2[C@@H]([C@]3(CC[C@H](O)CC3=CC2)C)CC[C@@]11C)C=C1C1=CC=CN=C1 GZOSMCIZMLWJML-VJLLXTKPSA-N 0.000 description 1
- 230000005856 abnormality Effects 0.000 description 1
- 108010052004 acetyl-2-naphthylalanyl-3-chlorophenylalanyl-1-oxohexadecyl-seryl-4-aminophenylalanyl(hydroorotyl)-4-aminophenylalanyl(carbamoyl)-leucyl-ILys-prolyl-alaninamide Proteins 0.000 description 1
- USZYSDMBJDPRIF-SVEJIMAYSA-N aclacinomycin A Chemical compound O([C@H]1[C@@H](O)C[C@@H](O[C@H]1C)O[C@H]1[C@H](C[C@@H](O[C@H]1C)O[C@H]1C[C@]([C@@H](C2=CC=3C(=O)C4=CC=CC(O)=C4C(=O)C=3C(O)=C21)C(=O)OC)(O)CC)N(C)C)[C@H]1CCC(=O)[C@H](C)O1 USZYSDMBJDPRIF-SVEJIMAYSA-N 0.000 description 1
- 229960004176 aclarubicin Drugs 0.000 description 1
- RJURFGZVJUQBHK-IIXSONLDSA-N actinomycin D Chemical compound C[C@H]1OC(=O)[C@H](C(C)C)N(C)C(=O)CN(C)C(=O)[C@@H]2CCCN2C(=O)[C@@H](C(C)C)NC(=O)[C@H]1NC(=O)C1=C(N)C(=O)C(C)=C2OC(C(C)=CC=C3C(=O)N[C@@H]4C(=O)N[C@@H](C(N5CCC[C@H]5C(=O)N(C)CC(=O)N(C)[C@@H](C(C)C)C(=O)O[C@@H]4C)=O)C(C)C)=C3N=C21 RJURFGZVJUQBHK-IIXSONLDSA-N 0.000 description 1
- 208000009956 adenocarcinoma Diseases 0.000 description 1
- 229960001686 afatinib Drugs 0.000 description 1
- ULXXDDBFHOBEHA-CWDCEQMOSA-N afatinib Chemical compound N1=CN=C2C=C(O[C@@H]3COCC3)C(NC(=O)/C=C/CN(C)C)=CC2=C1NC1=CC=C(F)C(Cl)=C1 ULXXDDBFHOBEHA-CWDCEQMOSA-N 0.000 description 1
- 229960002833 aflibercept Drugs 0.000 description 1
- 108010081667 aflibercept Proteins 0.000 description 1
- 108700025316 aldesleukin Proteins 0.000 description 1
- 229960005310 aldesleukin Drugs 0.000 description 1
- 229960000548 alemtuzumab Drugs 0.000 description 1
- 229960004343 alendronic acid Drugs 0.000 description 1
- 229960001445 alitretinoin Drugs 0.000 description 1
- 229910052783 alkali metal Inorganic materials 0.000 description 1
- 229910052784 alkaline earth metal Inorganic materials 0.000 description 1
- SHGAZHPCJJPHSC-YCNIQYBTSA-N all-trans-retinoic acid Chemical compound OC(=O)\C=C(/C)\C=C\C=C(/C)\C=C\C1=C(C)CCCC1(C)C SHGAZHPCJJPHSC-YCNIQYBTSA-N 0.000 description 1
- 230000007815 allergy Effects 0.000 description 1
- BJEPYKJPYRNKOW-UHFFFAOYSA-N alpha-hydroxysuccinic acid Chemical class OC(=O)C(O)CC(O)=O BJEPYKJPYRNKOW-UHFFFAOYSA-N 0.000 description 1
- 230000004075 alteration Effects 0.000 description 1
- 229960000473 altretamine Drugs 0.000 description 1
- 229910000147 aluminium phosphate Inorganic materials 0.000 description 1
- 125000003368 amide group Chemical group 0.000 description 1
- 229960001097 amifostine Drugs 0.000 description 1
- 125000000539 amino acid group Chemical group 0.000 description 1
- 229960003437 aminoglutethimide Drugs 0.000 description 1
- ROBVIMPUHSLWNV-UHFFFAOYSA-N aminoglutethimide Chemical compound C=1C=C(N)C=CC=1C1(CC)CCC(=O)NC1=O ROBVIMPUHSLWNV-UHFFFAOYSA-N 0.000 description 1
- 239000001099 ammonium carbonate Substances 0.000 description 1
- 235000012501 ammonium carbonate Nutrition 0.000 description 1
- VZTDIZULWFCMLS-UHFFFAOYSA-N ammonium formate Chemical compound [NH4+].[O-]C=O VZTDIZULWFCMLS-UHFFFAOYSA-N 0.000 description 1
- 150000003863 ammonium salts Chemical class 0.000 description 1
- BFNBIHQBYMNNAN-UHFFFAOYSA-N ammonium sulfate Chemical compound N.N.OS(O)(=O)=O BFNBIHQBYMNNAN-UHFFFAOYSA-N 0.000 description 1
- 229910052921 ammonium sulfate Inorganic materials 0.000 description 1
- 238000012870 ammonium sulfate precipitation Methods 0.000 description 1
- 235000011130 ammonium sulphate Nutrition 0.000 description 1
- 229960002550 amrubicin Drugs 0.000 description 1
- VJZITPJGSQKZMX-XDPRQOKASA-N amrubicin Chemical compound O([C@H]1C[C@](CC2=C(O)C=3C(=O)C4=CC=CC=C4C(=O)C=3C(O)=C21)(N)C(=O)C)[C@H]1C[C@H](O)[C@H](O)CO1 VJZITPJGSQKZMX-XDPRQOKASA-N 0.000 description 1
- 229960001220 amsacrine Drugs 0.000 description 1
- XCPGHVQEEXUHNC-UHFFFAOYSA-N amsacrine Chemical compound COC1=CC(NS(C)(=O)=O)=CC=C1NC1=C(C=CC=C2)C2=NC2=CC=CC=C12 XCPGHVQEEXUHNC-UHFFFAOYSA-N 0.000 description 1
- 201000007538 anal carcinoma Diseases 0.000 description 1
- 229960002932 anastrozole Drugs 0.000 description 1
- YBBLVLTVTVSKRW-UHFFFAOYSA-N anastrozole Chemical compound N#CC(C)(C)C1=CC(C(C)(C#N)C)=CC(CN2N=CN=C2)=C1 YBBLVLTVTVSKRW-UHFFFAOYSA-N 0.000 description 1
- 229960002616 ancestim Drugs 0.000 description 1
- 108700024685 ancestim Proteins 0.000 description 1
- 229940011037 anethole Drugs 0.000 description 1
- 229950006323 angiotensin ii Drugs 0.000 description 1
- 238000005571 anion exchange chromatography Methods 0.000 description 1
- 150000001450 anions Chemical class 0.000 description 1
- 230000000890 antigenic effect Effects 0.000 description 1
- 229960005348 antithrombin iii Drugs 0.000 description 1
- 230000001640 apoptogenic effect Effects 0.000 description 1
- 230000006907 apoptotic process Effects 0.000 description 1
- 229960001372 aprepitant Drugs 0.000 description 1
- ATALOFNDEOCMKK-OITMNORJSA-N aprepitant Chemical compound O([C@@H]([C@@H]1C=2C=CC(F)=CC=2)O[C@H](C)C=2C=C(C=C(C=2)C(F)(F)F)C(F)(F)F)CCN1CC1=NNC(=O)N1 ATALOFNDEOCMKK-OITMNORJSA-N 0.000 description 1
- 239000008346 aqueous phase Substances 0.000 description 1
- 239000007864 aqueous solution Substances 0.000 description 1
- 229950005725 arcitumomab Drugs 0.000 description 1
- ODKSFYDXXFIFQN-UHFFFAOYSA-N arginine Natural products OC(=O)C(N)CCCNC(N)=N ODKSFYDXXFIFQN-UHFFFAOYSA-N 0.000 description 1
- UVJYAKBJSGRTHA-ZCRGAIPPSA-N arglabin Chemical compound C1C[C@H]2C(=C)C(=O)O[C@@H]2[C@@H]2C(C)=CC[C@]32O[C@]31C UVJYAKBJSGRTHA-ZCRGAIPPSA-N 0.000 description 1
- UVJYAKBJSGRTHA-UHFFFAOYSA-N arglabin Natural products C1CC2C(=C)C(=O)OC2C2C(C)=CCC32OC31C UVJYAKBJSGRTHA-UHFFFAOYSA-N 0.000 description 1
- GOLCXWYRSKYTSP-UHFFFAOYSA-N arsenic trioxide Inorganic materials O1[As]2O[As]1O2 GOLCXWYRSKYTSP-UHFFFAOYSA-N 0.000 description 1
- 229960002594 arsenic trioxide Drugs 0.000 description 1
- 229960003272 asparaginase Drugs 0.000 description 1
- DCXYFEDJOCDNAF-UHFFFAOYSA-M asparaginate Chemical compound [O-]C(=O)C(N)CC(N)=O DCXYFEDJOCDNAF-UHFFFAOYSA-M 0.000 description 1
- 229960003005 axitinib Drugs 0.000 description 1
- RITAVMQDGBJQJZ-FMIVXFBMSA-N axitinib Chemical compound CNC(=O)C1=CC=CC=C1SC1=CC=C(C(\C=C\C=2N=CC=CC=2)=NN2)C2=C1 RITAVMQDGBJQJZ-FMIVXFBMSA-N 0.000 description 1
- 229960002756 azacitidine Drugs 0.000 description 1
- KLNFSAOEKUDMFA-UHFFFAOYSA-N azanide;2-hydroxyacetic acid;platinum(2+) Chemical compound [NH2-].[NH2-].[Pt+2].OCC(O)=O KLNFSAOEKUDMFA-UHFFFAOYSA-N 0.000 description 1
- VSRXQHXAPYXROS-UHFFFAOYSA-N azanide;cyclobutane-1,1-dicarboxylic acid;platinum(2+) Chemical compound [NH2-].[NH2-].[Pt+2].OC(=O)C1(C(O)=O)CCC1 VSRXQHXAPYXROS-UHFFFAOYSA-N 0.000 description 1
- 229960004669 basiliximab Drugs 0.000 description 1
- 210000003651 basophil Anatomy 0.000 description 1
- 229960003094 belinostat Drugs 0.000 description 1
- NCNRHFGMJRPRSK-MDZDMXLPSA-N belinostat Chemical compound ONC(=O)\C=C\C1=CC=CC(S(=O)(=O)NC=2C=CC=CC=2)=C1 NCNRHFGMJRPRSK-MDZDMXLPSA-N 0.000 description 1
- LNHWXBUNXOXMRL-VWLOTQADSA-N belotecan Chemical compound C1=CC=C2C(CCNC(C)C)=C(CN3C4=CC5=C(C3=O)COC(=O)[C@]5(O)CC)C4=NC2=C1 LNHWXBUNXOXMRL-VWLOTQADSA-N 0.000 description 1
- 229950011276 belotecan Drugs 0.000 description 1
- 229960002707 bendamustine Drugs 0.000 description 1
- YTKUWDBFDASYHO-UHFFFAOYSA-N bendamustine Chemical compound ClCCN(CCCl)C1=CC=C2N(C)C(CCCC(O)=O)=NC2=C1 YTKUWDBFDASYHO-UHFFFAOYSA-N 0.000 description 1
- 230000009286 beneficial effect Effects 0.000 description 1
- SRSXLGNVWSONIS-UHFFFAOYSA-N benzenesulfonic acid Chemical class OS(=O)(=O)C1=CC=CC=C1 SRSXLGNVWSONIS-UHFFFAOYSA-N 0.000 description 1
- 235000010233 benzoic acid Nutrition 0.000 description 1
- AGEZXYOZHKGVCM-UHFFFAOYSA-N benzyl bromide Chemical compound BrCC1=CC=CC=C1 AGEZXYOZHKGVCM-UHFFFAOYSA-N 0.000 description 1
- 125000000051 benzyloxy group Chemical group [H]C1=C([H])C([H])=C(C([H])=C1[H])C([H])([H])O* 0.000 description 1
- 125000001584 benzyloxycarbonyl group Chemical group C(=O)(OCC1=CC=CC=C1)* 0.000 description 1
- 229960000397 bevacizumab Drugs 0.000 description 1
- 229960002938 bexarotene Drugs 0.000 description 1
- 229960000997 bicalutamide Drugs 0.000 description 1
- 230000004071 biological effect Effects 0.000 description 1
- 229950008548 bisantrene Drugs 0.000 description 1
- 101150038738 ble gene Proteins 0.000 description 1
- 229960001467 bortezomib Drugs 0.000 description 1
- GXJABQQUPOEUTA-RDJZCZTQSA-N bortezomib Chemical compound C([C@@H](C(=O)N[C@@H](CC(C)C)B(O)O)NC(=O)C=1N=CC=NC=1)C1=CC=CC=C1 GXJABQQUPOEUTA-RDJZCZTQSA-N 0.000 description 1
- UBPYILGKFZZVDX-UHFFFAOYSA-N bosutinib Chemical compound C1=C(Cl)C(OC)=CC(NC=2C3=CC(OC)=C(OCCCN4CCN(C)CC4)C=C3N=CC=2C#N)=C1Cl UBPYILGKFZZVDX-UHFFFAOYSA-N 0.000 description 1
- 229960003736 bosutinib Drugs 0.000 description 1
- 229940098773 bovine serum albumin Drugs 0.000 description 1
- 210000000133 brain stem Anatomy 0.000 description 1
- 229960000455 brentuximab vedotin Drugs 0.000 description 1
- GDTBXPJZTBHREO-UHFFFAOYSA-N bromine Chemical group BrBr GDTBXPJZTBHREO-UHFFFAOYSA-N 0.000 description 1
- 229910052794 bromium Inorganic materials 0.000 description 1
- 208000003362 bronchogenic carcinoma Diseases 0.000 description 1
- 101150046240 bsd gene Proteins 0.000 description 1
- 239000007853 buffer solution Substances 0.000 description 1
- 229960002719 buserelin Drugs 0.000 description 1
- CUWODFFVMXJOKD-UVLQAERKSA-N buserelin Chemical compound CCNC(=O)[C@@H]1CCCN1C(=O)[C@H](CCCN=C(N)N)NC(=O)[C@H](CC(C)C)NC(=O)[C@@H](COC(C)(C)C)NC(=O)[C@@H](NC(=O)[C@H](CO)NC(=O)[C@H](CC=1C2=CC=CC=C2NC=1)NC(=O)[C@H](CC=1NC=NC=1)NC(=O)[C@H]1NC(=O)CC1)CC1=CC=C(O)C=C1 CUWODFFVMXJOKD-UVLQAERKSA-N 0.000 description 1
- 229960002092 busulfan Drugs 0.000 description 1
- HJZVHUQSQGITAM-UHFFFAOYSA-N butanamide Chemical compound CC[CH]C(N)=O HJZVHUQSQGITAM-UHFFFAOYSA-N 0.000 description 1
- 229960001573 cabazitaxel Drugs 0.000 description 1
- BMQGVNUXMIRLCK-OAGWZNDDSA-N cabazitaxel Chemical compound O([C@H]1[C@@H]2[C@]3(OC(C)=O)CO[C@@H]3C[C@@H]([C@]2(C(=O)[C@H](OC)C2=C(C)[C@@H](OC(=O)[C@H](O)[C@@H](NC(=O)OC(C)(C)C)C=3C=CC=CC=3)C[C@]1(O)C2(C)C)C)OC)C(=O)C1=CC=CC=C1 BMQGVNUXMIRLCK-OAGWZNDDSA-N 0.000 description 1
- 229960001292 cabozantinib Drugs 0.000 description 1
- ONIQOQHATWINJY-UHFFFAOYSA-N cabozantinib Chemical compound C=12C=C(OC)C(OC)=CC2=NC=CC=1OC(C=C1)=CC=C1NC(=O)C1(C(=O)NC=2C=CC(F)=CC=2)CC1 ONIQOQHATWINJY-UHFFFAOYSA-N 0.000 description 1
- 229910000024 caesium carbonate Inorganic materials 0.000 description 1
- 229960005069 calcium Drugs 0.000 description 1
- 229910052791 calcium Inorganic materials 0.000 description 1
- 239000011687 calcium folinate Substances 0.000 description 1
- 235000008207 calcium folinate Nutrition 0.000 description 1
- 229960001921 calcium levofolinate Drugs 0.000 description 1
- 239000001506 calcium phosphate Substances 0.000 description 1
- 229960001714 calcium phosphate Drugs 0.000 description 1
- 229910000389 calcium phosphate Inorganic materials 0.000 description 1
- 235000011010 calcium phosphates Nutrition 0.000 description 1
- KVUAALJSMIVURS-QNTKWALQSA-L calcium;(2s)-2-[[4-[[(6s)-2-amino-5-formyl-4-oxo-1,6,7,8-tetrahydropteridin-6-yl]methylamino]benzoyl]amino]pentanedioate Chemical compound [Ca+2].C([C@@H]1N(C=O)C=2C(=O)N=C(NC=2NC1)N)NC1=CC=C(C(=O)N[C@@H](CCC([O-])=O)C([O-])=O)C=C1 KVUAALJSMIVURS-QNTKWALQSA-L 0.000 description 1
- 238000004364 calculation method Methods 0.000 description 1
- 244000309466 calf Species 0.000 description 1
- 210000000692 cap cell Anatomy 0.000 description 1
- 229960004117 capecitabine Drugs 0.000 description 1
- 229950001178 capromab Drugs 0.000 description 1
- 229910052799 carbon Inorganic materials 0.000 description 1
- 125000004432 carbon atom Chemical group C* 0.000 description 1
- 229960004562 carboplatin Drugs 0.000 description 1
- 150000001735 carboxylic acids Chemical class 0.000 description 1
- 229960002438 carfilzomib Drugs 0.000 description 1
- 108010021331 carfilzomib Proteins 0.000 description 1
- BLMPQMFVWMYDKT-NZTKNTHTSA-N carfilzomib Chemical compound C([C@@H](C(=O)N[C@@H](CC(C)C)C(=O)N[C@@H](CC=1C=CC=CC=1)C(=O)N[C@@H](CC(C)C)C(=O)[C@]1(C)OC1)NC(=O)CN1CCOCC1)CC1=CC=CC=C1 BLMPQMFVWMYDKT-NZTKNTHTSA-N 0.000 description 1
- 229960003261 carmofur Drugs 0.000 description 1
- 229960005243 carmustine Drugs 0.000 description 1
- 239000005018 casein Substances 0.000 description 1
- BECPQYXYKAMYBN-UHFFFAOYSA-N casein, tech. Chemical compound NCCCCC(C(O)=O)N=C(O)C(CC(O)=O)N=C(O)C(CCC(O)=N)N=C(O)C(CC(C)C)N=C(O)C(CCC(O)=O)N=C(O)C(CC(O)=O)N=C(O)C(CCC(O)=O)N=C(O)C(C(C)O)N=C(O)C(CCC(O)=N)N=C(O)C(CCC(O)=N)N=C(O)C(CCC(O)=N)N=C(O)C(CCC(O)=O)N=C(O)C(CCC(O)=O)N=C(O)C(COP(O)(O)=O)N=C(O)C(CCC(O)=N)N=C(O)C(N)CC1=CC=CC=C1 BECPQYXYKAMYBN-UHFFFAOYSA-N 0.000 description 1
- 235000021240 caseins Nutrition 0.000 description 1
- 239000003054 catalyst Substances 0.000 description 1
- 238000005277 cation exchange chromatography Methods 0.000 description 1
- 229960000419 catumaxomab Drugs 0.000 description 1
- 229960000590 celecoxib Drugs 0.000 description 1
- RZEKVGVHFLEQIL-UHFFFAOYSA-N celecoxib Chemical compound C1=CC(C)=CC=C1C1=CC(C(F)(F)F)=NN1C1=CC=C(S(N)(=O)=O)C=C1 RZEKVGVHFLEQIL-UHFFFAOYSA-N 0.000 description 1
- 230000010261 cell growth Effects 0.000 description 1
- 230000006037 cell lysis Effects 0.000 description 1
- 230000004663 cell proliferation Effects 0.000 description 1
- 229950001357 celmoleukin Drugs 0.000 description 1
- 210000003169 central nervous system Anatomy 0.000 description 1
- 230000002490 cerebral effect Effects 0.000 description 1
- 229960001602 ceritinib Drugs 0.000 description 1
- VERWOWGGCGHDQE-UHFFFAOYSA-N ceritinib Chemical compound CC=1C=C(NC=2N=C(NC=3C(=CC=CC=3)S(=O)(=O)C(C)C)C(Cl)=CN=2)C(OC(C)C)=CC=1C1CCNCC1 VERWOWGGCGHDQE-UHFFFAOYSA-N 0.000 description 1
- 210000003679 cervix uteri Anatomy 0.000 description 1
- 229960005395 cetuximab Drugs 0.000 description 1
- 230000008859 change Effects 0.000 description 1
- 238000012512 characterization method Methods 0.000 description 1
- UKTAZPQNNNJVKR-KJGYPYNMSA-N chembl2368925 Chemical compound C1=CC=C2C(C(O[C@@H]3C[C@@H]4C[C@H]5C[C@@H](N4CC5=O)C3)=O)=CNC2=C1 UKTAZPQNNNJVKR-KJGYPYNMSA-N 0.000 description 1
- FLASNYPZGWUPSU-SICDJOISSA-N chitosan Chemical compound O([C@@H]1[C@@H](CO)O[C@H]([C@@H]([C@H]1O)N)O[C@@H]1[C@@H](CO)O[C@H]([C@@H]([C@H]1O)N)O[C@@H]1[C@@H](CO)O[C@H]([C@@H]([C@H]1O)N)O[C@@H]1[C@@H](CO)O[C@H]([C@@H]([C@H]1O)N)O[C@@H]1[C@@H](CO)O[C@H]([C@@H]([C@H]1O)N)O[C@H]1[C@H](O)[C@H]([C@@H](O[C@@H]1CO)O[C@@H]1[C@H](O[C@@H](O[C@@H]2[C@H](O[C@@H](O)[C@H](N)[C@H]2O)CO)[C@H](N)[C@H]1O)CO)NC(=O)OC)[C@@H]1O[C@H](CO)[C@@H](O)[C@H](O)[C@H]1N FLASNYPZGWUPSU-SICDJOISSA-N 0.000 description 1
- 229960004630 chlorambucil Drugs 0.000 description 1
- JCKYGMPEJWAADB-UHFFFAOYSA-N chlorambucil Chemical compound OC(=O)CCCC1=CC=C(N(CCCl)CCCl)C=C1 JCKYGMPEJWAADB-UHFFFAOYSA-N 0.000 description 1
- 229910052801 chlorine Inorganic materials 0.000 description 1
- 229960003996 chlormadinone Drugs 0.000 description 1
- VUHJZBBCZGVNDZ-TTYLFXKOSA-N chlormadinone Chemical compound C1=C(Cl)C2=CC(=O)CC[C@]2(C)[C@@H]2[C@@H]1[C@@H]1CC[C@@](C(=O)C)(O)[C@@]1(C)CC2 VUHJZBBCZGVNDZ-TTYLFXKOSA-N 0.000 description 1
- 208000006990 cholangiocarcinoma Diseases 0.000 description 1
- 229960000724 cidofovir Drugs 0.000 description 1
- VDHAWDNDOKGFTD-MRXNPFEDSA-N cinacalcet Chemical compound N([C@H](C)C=1C2=CC=CC=C2C=CC=1)CCCC1=CC=CC(C(F)(F)F)=C1 VDHAWDNDOKGFTD-MRXNPFEDSA-N 0.000 description 1
- 229960003315 cinacalcet Drugs 0.000 description 1
- 210000003040 circulating cell Anatomy 0.000 description 1
- 229960004316 cisplatin Drugs 0.000 description 1
- DQLATGHUWYMOKM-UHFFFAOYSA-L cisplatin Chemical compound N[Pt](N)(Cl)Cl DQLATGHUWYMOKM-UHFFFAOYSA-L 0.000 description 1
- 229960002436 cladribine Drugs 0.000 description 1
- 229960002286 clodronic acid Drugs 0.000 description 1
- ACSIXWWBWUQEHA-UHFFFAOYSA-N clodronic acid Chemical compound OP(O)(=O)C(Cl)(Cl)P(O)(O)=O ACSIXWWBWUQEHA-UHFFFAOYSA-N 0.000 description 1
- 229960000928 clofarabine Drugs 0.000 description 1
- WDDPHFBMKLOVOX-AYQXTPAHSA-N clofarabine Chemical compound C1=NC=2C(N)=NC(Cl)=NC=2N1[C@@H]1O[C@H](CO)[C@@H](O)[C@@H]1F WDDPHFBMKLOVOX-AYQXTPAHSA-N 0.000 description 1
- 238000010367 cloning Methods 0.000 description 1
- 239000013599 cloning vector Substances 0.000 description 1
- 230000008045 co-localization Effects 0.000 description 1
- 201000010989 colorectal carcinoma Diseases 0.000 description 1
- 208000011588 combined hepatocellular carcinoma and cholangiocarcinoma Diseases 0.000 description 1
- 238000011254 conventional chemotherapy Methods 0.000 description 1
- 229950002550 copanlisib Drugs 0.000 description 1
- 229950006799 crisantaspase Drugs 0.000 description 1
- 239000000287 crude extract Substances 0.000 description 1
- 238000012258 culturing Methods 0.000 description 1
- 208000035250 cutaneous malignant susceptibility to 1 melanoma Diseases 0.000 description 1
- LRCTTYSATZVTRI-UHFFFAOYSA-L cyclohexane-1,2-diamine;platinum(4+);tetradecanoate Chemical compound [Pt+4].NC1CCCCC1N.CCCCCCCCCCCCCC([O-])=O.CCCCCCCCCCCCCC([O-])=O LRCTTYSATZVTRI-UHFFFAOYSA-L 0.000 description 1
- 229960004397 cyclophosphamide Drugs 0.000 description 1
- 229960003843 cyproterone Drugs 0.000 description 1
- DUSHUSLJJMDGTE-ZJPMUUANSA-N cyproterone Chemical compound C1=C(Cl)C2=CC(=O)[C@@H]3C[C@@H]3[C@]2(C)[C@@H]2[C@@H]1[C@@H]1CC[C@@](C(=O)C)(O)[C@@]1(C)CC2 DUSHUSLJJMDGTE-ZJPMUUANSA-N 0.000 description 1
- 229960000684 cytarabine Drugs 0.000 description 1
- 230000009089 cytolysis Effects 0.000 description 1
- 230000001086 cytosolic effect Effects 0.000 description 1
- 231100000135 cytotoxicity Toxicity 0.000 description 1
- 230000003013 cytotoxicity Effects 0.000 description 1
- 229960002465 dabrafenib Drugs 0.000 description 1
- BFSMGDJOXZAERB-UHFFFAOYSA-N dabrafenib Chemical compound S1C(C(C)(C)C)=NC(C=2C(=C(NS(=O)(=O)C=3C(=CC=CC=3F)F)C=CC=2)F)=C1C1=CC=NC(N)=N1 BFSMGDJOXZAERB-UHFFFAOYSA-N 0.000 description 1
- 229960003901 dacarbazine Drugs 0.000 description 1
- 229960000640 dactinomycin Drugs 0.000 description 1
- 230000006378 damage Effects 0.000 description 1
- 229960005029 darbepoetin alfa Drugs 0.000 description 1
- 229960002448 dasatinib Drugs 0.000 description 1
- 229960000975 daunorubicin Drugs 0.000 description 1
- STQGQHZAVUOBTE-VGBVRHCVSA-N daunorubicin Chemical compound O([C@H]1C[C@@](O)(CC=2C(O)=C3C(=O)C=4C=CC=C(C=4C(=O)C3=C(O)C=21)OC)C(C)=O)[C@H]1C[C@H](N)[C@H](O)[C@H](C)O1 STQGQHZAVUOBTE-VGBVRHCVSA-N 0.000 description 1
- DEZRYPDIMOWBDS-UHFFFAOYSA-N dcm dichloromethane Chemical compound ClCCl.ClCCl DEZRYPDIMOWBDS-UHFFFAOYSA-N 0.000 description 1
- 229960002887 deanol Drugs 0.000 description 1
- 229960003603 decitabine Drugs 0.000 description 1
- 229960002272 degarelix Drugs 0.000 description 1
- MEUCPCLKGZSHTA-XYAYPHGZSA-N degarelix Chemical compound C([C@H](C(=O)N[C@@H](CC(C)C)C(=O)N[C@@H](CCCCNC(C)C)C(=O)N1[C@@H](CCC1)C(=O)N[C@H](C)C(N)=O)NC(=O)[C@H](CC=1C=CC(NC(=O)[C@H]2NC(=O)NC(=O)C2)=CC=1)NC(=O)[C@H](CO)NC(=O)[C@@H](CC=1C=NC=CC=1)NC(=O)[C@@H](CC=1C=CC(Cl)=CC=1)NC(=O)[C@@H](CC=1C=C2C=CC=CC2=CC=1)NC(C)=O)C1=CC=C(NC(N)=O)C=C1 MEUCPCLKGZSHTA-XYAYPHGZSA-N 0.000 description 1
- 230000022811 deglycosylation Effects 0.000 description 1
- CYQFCXCEBYINGO-IAGOWNOFSA-N delta1-THC Chemical compound C1=C(C)CC[C@H]2C(C)(C)OC3=CC(CCCCC)=CC(O)=C3[C@@H]21 CYQFCXCEBYINGO-IAGOWNOFSA-N 0.000 description 1
- 210000004443 dendritic cell Anatomy 0.000 description 1
- 229960002923 denileukin diftitox Drugs 0.000 description 1
- 108010017271 denileukin diftitox Proteins 0.000 description 1
- 229960001251 denosumab Drugs 0.000 description 1
- XXXSJQLZVNKRKX-YQRDHHIGSA-N depreotide Chemical compound C([C@H]1C(=O)N[C@H](CC=2C3=CC=CC=C3NC=2)C(=O)N[C@@H](CCCCN)C(=O)N[C@H](C(N[C@@H](CCSCC(=O)NC[C@H](N)C(=O)N[C@@H](CCCCN)C(=O)N[C@@H](CS)C(=O)N[C@@H](CCCCN)C(N)=O)C(=O)N(C)[C@@H](CC=2C=CC=CC=2)C(=O)N1)=O)C(C)C)C1=CC=C(O)C=C1 XXXSJQLZVNKRKX-YQRDHHIGSA-N 0.000 description 1
- 229950010726 depreotide Drugs 0.000 description 1
- 238000001212 derivatisation Methods 0.000 description 1
- 238000013461 design Methods 0.000 description 1
- 229960005408 deslorelin Drugs 0.000 description 1
- 108700025485 deslorelin Proteins 0.000 description 1
- 239000003599 detergent Substances 0.000 description 1
- 229960000605 dexrazoxane Drugs 0.000 description 1
- 229950000758 dianhydrogalactitol Drugs 0.000 description 1
- 229950007457 dibrospidium chloride Drugs 0.000 description 1
- 229960001259 diclofenac Drugs 0.000 description 1
- DCOPUUMXTXDBNB-UHFFFAOYSA-N diclofenac Chemical compound OC(=O)CC1=CC=CC=C1NC1=C(Cl)C=CC=C1Cl DCOPUUMXTXDBNB-UHFFFAOYSA-N 0.000 description 1
- ZBCBWPMODOFKDW-UHFFFAOYSA-N diethanolamine Chemical compound OCCNCCO ZBCBWPMODOFKDW-UHFFFAOYSA-N 0.000 description 1
- HPNMFZURTQLUMO-UHFFFAOYSA-N diethylamine Chemical compound CCNCC HPNMFZURTQLUMO-UHFFFAOYSA-N 0.000 description 1
- 230000029087 digestion Effects 0.000 description 1
- UXGNZZKBCMGWAZ-UHFFFAOYSA-N dimethylformamide dmf Chemical compound CN(C)C=O.CN(C)C=O UXGNZZKBCMGWAZ-UHFFFAOYSA-N 0.000 description 1
- 230000003292 diminished effect Effects 0.000 description 1
- BNIILDVGGAEEIG-UHFFFAOYSA-L disodium hydrogen phosphate Chemical compound [Na+].[Na+].OP([O-])([O-])=O BNIILDVGGAEEIG-UHFFFAOYSA-L 0.000 description 1
- 229910000397 disodium phosphate Inorganic materials 0.000 description 1
- DRFILBXQKYDTFW-JIWRMXRASA-L disodium;2-[[(2r)-2-[[(4s)-4-amino-4-carboxybutanoyl]amino]-3-[[(2r)-2-[[(4s)-4-amino-4-carboxybutanoyl]amino]-3-(carboxylatomethylamino)-3-oxopropyl]disulfanyl]propanoyl]amino]acetate Chemical compound [Na+].[Na+].OC(=O)[C@@H](N)CCC(=O)N[C@H](C(=O)NCC([O-])=O)CSSC[C@@H](C(=O)NCC([O-])=O)NC(=O)CC[C@H](N)C(O)=O DRFILBXQKYDTFW-JIWRMXRASA-L 0.000 description 1
- 238000009826 distribution Methods 0.000 description 1
- CETRZFQIITUQQL-UHFFFAOYSA-N dmso dimethylsulfoxide Chemical compound CS(C)=O.CS(C)=O CETRZFQIITUQQL-UHFFFAOYSA-N 0.000 description 1
- 229960003668 docetaxel Drugs 0.000 description 1
- 229960003413 dolasetron Drugs 0.000 description 1
- ZWAOHEXOSAUJHY-ZIYNGMLESA-N doxifluridine Chemical compound O[C@@H]1[C@H](O)[C@@H](C)O[C@H]1N1C(=O)NC(=O)C(F)=C1 ZWAOHEXOSAUJHY-ZIYNGMLESA-N 0.000 description 1
- 229950005454 doxifluridine Drugs 0.000 description 1
- 229960004242 dronabinol Drugs 0.000 description 1
- 238000001035 drying Methods 0.000 description 1
- 229960002224 eculizumab Drugs 0.000 description 1
- 229960001776 edrecolomab Drugs 0.000 description 1
- 238000004520 electroporation Methods 0.000 description 1
- 238000000132 electrospray ionisation Methods 0.000 description 1
- 230000008030 elimination Effects 0.000 description 1
- 238000003379 elimination reaction Methods 0.000 description 1
- 229950000549 elliptinium acetate Drugs 0.000 description 1
- 229960001069 eltrombopag Drugs 0.000 description 1
- XDXWLKQMMKQXPV-QYQHSDTDSA-N eltrombopag Chemical compound CC1=NN(C=2C=C(C)C(C)=CC=2)C(=O)\C1=N/NC(C=1O)=CC=CC=1C1=CC=CC(C(O)=O)=C1 XDXWLKQMMKQXPV-QYQHSDTDSA-N 0.000 description 1
- 239000012149 elution buffer Substances 0.000 description 1
- 239000000839 emulsion Substances 0.000 description 1
- 230000002124 endocrine Effects 0.000 description 1
- 210000003372 endocrine gland Anatomy 0.000 description 1
- 210000004696 endometrium Anatomy 0.000 description 1
- 210000002889 endothelial cell Anatomy 0.000 description 1
- 229950011487 enocitabine Drugs 0.000 description 1
- 230000029578 entry into host Effects 0.000 description 1
- 229960004671 enzalutamide Drugs 0.000 description 1
- WXCXUHSOUPDCQV-UHFFFAOYSA-N enzalutamide Chemical compound C1=C(F)C(C(=O)NC)=CC=C1N1C(C)(C)C(=O)N(C=2C=C(C(C#N)=CC=2)C(F)(F)F)C1=S WXCXUHSOUPDCQV-UHFFFAOYSA-N 0.000 description 1
- 210000003979 eosinophil Anatomy 0.000 description 1
- 229960001904 epirubicin Drugs 0.000 description 1
- 229950002973 epitiostanol Drugs 0.000 description 1
- 229960003388 epoetin alfa Drugs 0.000 description 1
- 108010002601 epoetin beta Proteins 0.000 description 1
- 108010030868 epoetin zeta Proteins 0.000 description 1
- 229950005185 epoetin zeta Drugs 0.000 description 1
- 229950006835 eptaplatin Drugs 0.000 description 1
- 229960003649 eribulin Drugs 0.000 description 1
- UFNVPOGXISZXJD-XJPMSQCNSA-N eribulin Chemical compound C([C@H]1CC[C@@H]2O[C@@H]3[C@H]4O[C@H]5C[C@](O[C@H]4[C@H]2O1)(O[C@@H]53)CC[C@@H]1O[C@H](C(C1)=C)CC1)C(=O)C[C@@H]2[C@@H](OC)[C@@H](C[C@H](O)CN)O[C@H]2C[C@@H]2C(=C)[C@H](C)C[C@H]1O2 UFNVPOGXISZXJD-XJPMSQCNSA-N 0.000 description 1
- 229960001433 erlotinib Drugs 0.000 description 1
- AAKJLRGGTJKAMG-UHFFFAOYSA-N erlotinib Chemical compound C=12C=C(OCCOC)C(OCCOC)=CC2=NC=NC=1NC1=CC=CC(C#C)=C1 AAKJLRGGTJKAMG-UHFFFAOYSA-N 0.000 description 1
- HCZKYJDFEPMADG-UHFFFAOYSA-N erythro-nordihydroguaiaretic acid Natural products C=1C=C(O)C(O)=CC=1CC(C)C(C)CC1=CC=C(O)C(O)=C1 HCZKYJDFEPMADG-UHFFFAOYSA-N 0.000 description 1
- 229960004770 esomeprazole Drugs 0.000 description 1
- SUBDBMMJDZJVOS-DEOSSOPVSA-N esomeprazole Chemical compound C([S@](=O)C1=NC2=CC=C(C=C2N1)OC)C1=NC=C(C)C(OC)=C1C SUBDBMMJDZJVOS-DEOSSOPVSA-N 0.000 description 1
- 125000004185 ester group Chemical group 0.000 description 1
- 229960005309 estradiol Drugs 0.000 description 1
- 229930182833 estradiol Natural products 0.000 description 1
- 229960001842 estramustine Drugs 0.000 description 1
- FRPJXPJMRWBBIH-RBRWEJTLSA-N estramustine Chemical compound ClCCN(CCCl)C(=O)OC1=CC=C2[C@H]3CC[C@](C)([C@H](CC4)O)[C@@H]4[C@@H]3CCC2=C1 FRPJXPJMRWBBIH-RBRWEJTLSA-N 0.000 description 1
- 229960003399 estrone Drugs 0.000 description 1
- CCIVGXIOQKPBKL-UHFFFAOYSA-N ethanesulfonic acid Chemical class CCS(O)(=O)=O CCIVGXIOQKPBKL-UHFFFAOYSA-N 0.000 description 1
- 238000012869 ethanol precipitation Methods 0.000 description 1
- IIEWJVIFRVWJOD-UHFFFAOYSA-N ethyl cyclohexane Natural products CCC1CCCCC1 IIEWJVIFRVWJOD-UHFFFAOYSA-N 0.000 description 1
- 229940009626 etidronate Drugs 0.000 description 1
- 229960005420 etoposide Drugs 0.000 description 1
- VJJPUSNTGOMMGY-MRVIYFEKSA-N etoposide Chemical compound COC1=C(O)C(OC)=CC([C@@H]2C3=CC=4OCOC=4C=C3[C@@H](O[C@H]3[C@@H]([C@@H](O)[C@@H]4O[C@H](C)OC[C@H]4O3)O)[C@@H]3[C@@H]2C(OC3)=O)=C1 VJJPUSNTGOMMGY-MRVIYFEKSA-N 0.000 description 1
- 210000003527 eukaryotic cell Anatomy 0.000 description 1
- 229960005167 everolimus Drugs 0.000 description 1
- 229960000255 exemestane Drugs 0.000 description 1
- 210000003499 exocrine gland Anatomy 0.000 description 1
- 208000021045 exocrine pancreatic carcinoma Diseases 0.000 description 1
- 238000000605 extraction Methods 0.000 description 1
- 229950011548 fadrozole Drugs 0.000 description 1
- 230000002349 favourable effect Effects 0.000 description 1
- 229960002428 fentanyl Drugs 0.000 description 1
- IVLVTNPOHDFFCJ-UHFFFAOYSA-N fentanyl citrate Chemical compound OC(=O)CC(O)(C(O)=O)CC(O)=O.C=1C=CC=CC=1N(C(=O)CC)C(CC1)CCN1CCC1=CC=CC=C1 IVLVTNPOHDFFCJ-UHFFFAOYSA-N 0.000 description 1
- 229950000133 filanesib Drugs 0.000 description 1
- LLXISKGBWFTGEI-FQEVSTJZSA-N filanesib Chemical compound C1([C@]2(CCCN)SC(=NN2C(=O)N(C)OC)C=2C(=CC=C(F)C=2)F)=CC=CC=C1 LLXISKGBWFTGEI-FQEVSTJZSA-N 0.000 description 1
- 229960004177 filgrastim Drugs 0.000 description 1
- 229960000961 floxuridine Drugs 0.000 description 1
- ODKNJVUHOIMIIZ-RRKCRQDMSA-N floxuridine Chemical compound C1[C@H](O)[C@@H](CO)O[C@H]1N1C(=O)NC(=O)C(F)=C1 ODKNJVUHOIMIIZ-RRKCRQDMSA-N 0.000 description 1
- 229960000390 fludarabine Drugs 0.000 description 1
- GIUYCYHIANZCFB-FJFJXFQQSA-N fludarabine phosphate Chemical compound C1=NC=2C(N)=NC(F)=NC=2N1[C@@H]1O[C@H](COP(O)(O)=O)[C@@H](O)[C@@H]1O GIUYCYHIANZCFB-FJFJXFQQSA-N 0.000 description 1
- 238000001215 fluorescent labelling Methods 0.000 description 1
- 239000011737 fluorine Chemical group 0.000 description 1
- 229910052731 fluorine Inorganic materials 0.000 description 1
- 229960002949 fluorouracil Drugs 0.000 description 1
- 229960001751 fluoxymesterone Drugs 0.000 description 1
- YLRFCQOZQXIBAB-RBZZARIASA-N fluoxymesterone Chemical compound C1CC2=CC(=O)CC[C@]2(C)[C@]2(F)[C@@H]1[C@@H]1CC[C@](C)(O)[C@@]1(C)C[C@@H]2O YLRFCQOZQXIBAB-RBZZARIASA-N 0.000 description 1
- MKXKFYHWDHIYRV-UHFFFAOYSA-N flutamide Chemical compound CC(C)C(=O)NC1=CC=C([N+]([O-])=O)C(C(F)(F)F)=C1 MKXKFYHWDHIYRV-UHFFFAOYSA-N 0.000 description 1
- 229960002074 flutamide Drugs 0.000 description 1
- 239000006260 foam Substances 0.000 description 1
- 235000008191 folinic acid Nutrition 0.000 description 1
- 239000011672 folinic acid Substances 0.000 description 1
- 229960004421 formestane Drugs 0.000 description 1
- OSVMTWJCGUFAOD-KZQROQTASA-N formestane Chemical compound O=C1CC[C@]2(C)[C@H]3CC[C@](C)(C(CC4)=O)[C@@H]4[C@@H]3CCC2=C1O OSVMTWJCGUFAOD-KZQROQTASA-N 0.000 description 1
- BARDROPHSZEBKC-OITMNORJSA-N fosaprepitant Chemical compound O([C@@H]([C@@H]1C=2C=CC(F)=CC=2)O[C@H](C)C=2C=C(C=C(C=2)C(F)(F)F)C(F)(F)F)CCN1CC1=NC(=O)N(P(O)(O)=O)N1 BARDROPHSZEBKC-OITMNORJSA-N 0.000 description 1
- 229960002891 fosaprepitant Drugs 0.000 description 1
- YAKWPXVTIGTRJH-UHFFFAOYSA-N fotemustine Chemical compound CCOP(=O)(OCC)C(C)NC(=O)N(CCCl)N=O YAKWPXVTIGTRJH-UHFFFAOYSA-N 0.000 description 1
- 229960004783 fotemustine Drugs 0.000 description 1
- 229960002258 fulvestrant Drugs 0.000 description 1
- 239000001530 fumaric acid Chemical class 0.000 description 1
- 235000011087 fumaric acid Nutrition 0.000 description 1
- 230000004927 fusion Effects 0.000 description 1
- 108020001507 fusion proteins Proteins 0.000 description 1
- 102000037865 fusion proteins Human genes 0.000 description 1
- 229960003411 gadobutrol Drugs 0.000 description 1
- 229960003823 gadoteric acid Drugs 0.000 description 1
- GFSTXYOTEVLASN-UHFFFAOYSA-K gadoteric acid Chemical compound [Gd+3].OC(=O)CN1CCN(CC([O-])=O)CCN(CC([O-])=O)CCN(CC([O-])=O)CC1 GFSTXYOTEVLASN-UHFFFAOYSA-K 0.000 description 1
- 229960005451 gadoteridol Drugs 0.000 description 1
- DPNNNPAKRZOSMO-UHFFFAOYSA-K gadoteridol Chemical compound [Gd+3].CC(O)CN1CCN(CC([O-])=O)CCN(CC([O-])=O)CCN(CC([O-])=O)CC1 DPNNNPAKRZOSMO-UHFFFAOYSA-K 0.000 description 1
- 229960002059 gadoversetamide Drugs 0.000 description 1
- 229960001547 gadoxetic acid Drugs 0.000 description 1
- 210000000232 gallbladder Anatomy 0.000 description 1
- 201000010175 gallbladder cancer Diseases 0.000 description 1
- 201000007487 gallbladder carcinoma Diseases 0.000 description 1
- 229940044658 gallium nitrate Drugs 0.000 description 1
- 108700032141 ganirelix Proteins 0.000 description 1
- GJNXBNATEDXMAK-PFLSVRRQSA-N ganirelix Chemical compound C([C@@H](C(=O)N[C@H](CCCCN=C(NCC)NCC)C(=O)N[C@@H](CC(C)C)C(=O)N[C@@H](CCCCN=C(NCC)NCC)C(=O)N1[C@@H](CCC1)C(=O)N[C@H](C)C(N)=O)NC(=O)[C@H](CO)NC(=O)[C@@H](CC=1C=NC=CC=1)NC(=O)[C@@H](CC=1C=CC(Cl)=CC=1)NC(=O)[C@@H](CC=1C=C2C=CC=CC2=CC=1)NC(C)=O)C1=CC=C(O)C=C1 GJNXBNATEDXMAK-PFLSVRRQSA-N 0.000 description 1
- 229960003794 ganirelix Drugs 0.000 description 1
- 206010017758 gastric cancer Diseases 0.000 description 1
- 208000010749 gastric carcinoma Diseases 0.000 description 1
- 229960002584 gefitinib Drugs 0.000 description 1
- XGALLCVXEZPNRQ-UHFFFAOYSA-N gefitinib Chemical compound C=12C=C(OCCCN3CCOCC3)C(OC)=CC2=NC=NC=1NC1=CC=C(F)C(Cl)=C1 XGALLCVXEZPNRQ-UHFFFAOYSA-N 0.000 description 1
- 238000001641 gel filtration chromatography Methods 0.000 description 1
- 238000005227 gel permeation chromatography Methods 0.000 description 1
- 229960005277 gemcitabine Drugs 0.000 description 1
- SDUQYLNIPVEERB-QPPQHZFASA-N gemcitabine Chemical compound O=C1N=C(N)C=CN1[C@H]1C(F)(F)[C@H](O)[C@@H](CO)O1 SDUQYLNIPVEERB-QPPQHZFASA-N 0.000 description 1
- 229960000578 gemtuzumab Drugs 0.000 description 1
- 238000001415 gene therapy Methods 0.000 description 1
- 230000002068 genetic effect Effects 0.000 description 1
- 229950009822 gimeracil Drugs 0.000 description 1
- 239000011521 glass Substances 0.000 description 1
- 208000005017 glioblastoma Diseases 0.000 description 1
- 229960004859 glucarpidase Drugs 0.000 description 1
- 108010049491 glucarpidase Proteins 0.000 description 1
- ZDXPYRJPNDTMRX-UHFFFAOYSA-N glutamine Natural products OC(=O)C(N)CCC(N)=O ZDXPYRJPNDTMRX-UHFFFAOYSA-N 0.000 description 1
- 108010068227 glutoxim Proteins 0.000 description 1
- 125000000350 glycoloyl group Chemical group O=C([*])C([H])([H])O[H] 0.000 description 1
- 150000002337 glycosamines Chemical group 0.000 description 1
- 125000003630 glycyl group Chemical group [H]N([H])C([H])([H])C(*)=O 0.000 description 1
- 229960002913 goserelin Drugs 0.000 description 1
- MFWNKCLOYSRHCJ-BTTYYORXSA-N granisetron Chemical compound C1=CC=C2C(C(=O)N[C@H]3C[C@H]4CCC[C@@H](C3)N4C)=NN(C)C2=C1 MFWNKCLOYSRHCJ-BTTYYORXSA-N 0.000 description 1
- 229960003727 granisetron Drugs 0.000 description 1
- 210000004524 haematopoietic cell Anatomy 0.000 description 1
- 210000003128 head Anatomy 0.000 description 1
- 208000014951 hematologic disease Diseases 0.000 description 1
- 230000002489 hematologic effect Effects 0.000 description 1
- 206010073071 hepatocellular carcinoma Diseases 0.000 description 1
- 231100000844 hepatocellular carcinoma Toxicity 0.000 description 1
- 239000000833 heterodimer Substances 0.000 description 1
- UUVWYPNAQBNQJQ-UHFFFAOYSA-N hexamethylmelamine Chemical compound CN(C)C1=NC(N(C)C)=NC(N(C)C)=N1 UUVWYPNAQBNQJQ-UHFFFAOYSA-N 0.000 description 1
- BACMENZMTITADY-UHFFFAOYSA-N hexyl 2-amino-4-oxopentanoate Chemical compound CCCCCCOC(=O)C(N)CC(C)=O BACMENZMTITADY-UHFFFAOYSA-N 0.000 description 1
- 229960004931 histamine dihydrochloride Drugs 0.000 description 1
- PPZMYIBUHIPZOS-UHFFFAOYSA-N histamine dihydrochloride Chemical compound Cl.Cl.NCCC1=CN=CN1 PPZMYIBUHIPZOS-UHFFFAOYSA-N 0.000 description 1
- 108700020746 histrelin Proteins 0.000 description 1
- 229960002193 histrelin Drugs 0.000 description 1
- HHXHVIJIIXKSOE-QILQGKCVSA-N histrelin Chemical compound CCNC(=O)[C@@H]1CCCN1C(=O)[C@H](CCCNC(N)=N)NC(=O)[C@H](CC(C)C)NC(=O)[C@H](NC(=O)[C@H](CC=1C=CC(O)=CC=1)NC(=O)[C@H](CO)NC(=O)[C@H](CC=1C2=CC=CC=C2NC=1)NC(=O)[C@H](CC=1N=CNC=1)NC(=O)[C@H]1NC(=O)CC1)CC(N=C1)=CN1CC1=CC=CC=C1 HHXHVIJIIXKSOE-QILQGKCVSA-N 0.000 description 1
- HYFHYPWGAURHIV-UHFFFAOYSA-N homoharringtonine Natural products C1=C2CCN3CCCC43C=C(OC)C(OC(=O)C(O)(CCCC(C)(C)O)CC(=O)OC)C4C2=CC2=C1OCO2 HYFHYPWGAURHIV-UHFFFAOYSA-N 0.000 description 1
- 229940088597 hormone Drugs 0.000 description 1
- 239000005556 hormone Substances 0.000 description 1
- 102000053576 human ABCB1 Human genes 0.000 description 1
- 102000055595 human KIF11 Human genes 0.000 description 1
- 150000002431 hydrogen Chemical group 0.000 description 1
- 230000007062 hydrolysis Effects 0.000 description 1
- 238000006460 hydrolysis reaction Methods 0.000 description 1
- 230000003301 hydrolyzing effect Effects 0.000 description 1
- QOMQXHIJXUDQSS-DFWYDOINSA-N hydron;methyl (2s)-2,4-diamino-4-oxobutanoate;chloride Chemical compound Cl.COC(=O)[C@@H](N)CC(N)=O QOMQXHIJXUDQSS-DFWYDOINSA-N 0.000 description 1
- 238000004191 hydrophobic interaction chromatography Methods 0.000 description 1
- 125000002887 hydroxy group Chemical group [H]O* 0.000 description 1
- 229960001330 hydroxycarbamide Drugs 0.000 description 1
- 238000012872 hydroxylapatite chromatography Methods 0.000 description 1
- 210000003026 hypopharynx Anatomy 0.000 description 1
- 210000003016 hypothalamus Anatomy 0.000 description 1
- 229960005236 ibandronic acid Drugs 0.000 description 1
- 229960001001 ibritumomab tiuxetan Drugs 0.000 description 1
- 229960001507 ibrutinib Drugs 0.000 description 1
- XYFPWWZEPKGCCK-GOSISDBHSA-N ibrutinib Chemical compound C1=2C(N)=NC=NC=2N([C@H]2CN(CCC2)C(=O)C=C)N=C1C(C=C1)=CC=C1OC1=CC=CC=C1 XYFPWWZEPKGCCK-GOSISDBHSA-N 0.000 description 1
- 229960000908 idarubicin Drugs 0.000 description 1
- 229960001101 ifosfamide Drugs 0.000 description 1
- HOMGKSMUEGBAAB-UHFFFAOYSA-N ifosfamide Chemical compound ClCCNP1(=O)OCCCN1CCCl HOMGKSMUEGBAAB-UHFFFAOYSA-N 0.000 description 1
- 238000010191 image analysis Methods 0.000 description 1
- 229960002411 imatinib Drugs 0.000 description 1
- KTUFNOKKBVMGRW-UHFFFAOYSA-N imatinib Chemical compound C1CN(C)CCN1CC1=CC=C(C(=O)NC=2C=C(NC=3N=C(C=CN=3)C=3C=NC=CC=3)C(C)=CC=2)C=C1 KTUFNOKKBVMGRW-UHFFFAOYSA-N 0.000 description 1
- 229960002751 imiquimod Drugs 0.000 description 1
- DOUYETYNHWVLEO-UHFFFAOYSA-N imiquimod Chemical compound C1=CC=CC2=C3N(CC(C)C)C=NC3=C(N)N=C21 DOUYETYNHWVLEO-UHFFFAOYSA-N 0.000 description 1
- 210000002861 immature t-cell Anatomy 0.000 description 1
- 238000003018 immunoassay Methods 0.000 description 1
- 230000005847 immunogenicity Effects 0.000 description 1
- 230000001771 impaired effect Effects 0.000 description 1
- 239000007943 implant Substances 0.000 description 1
- DBIGHPPNXATHOF-UHFFFAOYSA-N improsulfan Chemical compound CS(=O)(=O)OCCCNCCCOS(C)(=O)=O DBIGHPPNXATHOF-UHFFFAOYSA-N 0.000 description 1
- 229950008097 improsulfan Drugs 0.000 description 1
- 230000006872 improvement Effects 0.000 description 1
- 238000000126 in silico method Methods 0.000 description 1
- 230000005917 in vivo anti-tumor Effects 0.000 description 1
- LWRDQHOZTAOILO-UHFFFAOYSA-N incadronic acid Chemical compound OP(O)(=O)C(P(O)(O)=O)NC1CCCCCC1 LWRDQHOZTAOILO-UHFFFAOYSA-N 0.000 description 1
- 229950006971 incadronic acid Drugs 0.000 description 1
- 238000010348 incorporation Methods 0.000 description 1
- 229950007467 indisetron Drugs 0.000 description 1
- MHNNVDILNTUWNS-XYYAHUGASA-N indisetron Chemical compound C1=CC=C2C(C(=O)N[C@H]3C[C@H]4CN(C[C@@H](C3)N4C)C)=NNC2=C1 MHNNVDILNTUWNS-XYYAHUGASA-N 0.000 description 1
- 230000006698 induction Effects 0.000 description 1
- 238000001802 infusion Methods 0.000 description 1
- 229960002993 ingenol mebutate Drugs 0.000 description 1
- VDJHFHXMUKFKET-WDUFCVPESA-N ingenol mebutate Chemical compound C[C@@H]1C[C@H]2C(C)(C)[C@H]2[C@@H]2C=C(CO)[C@@H](O)[C@]3(O)[C@@H](OC(=O)C(\C)=C/C)C(C)=C[C@]31C2=O VDJHFHXMUKFKET-WDUFCVPESA-N 0.000 description 1
- 230000002401 inhibitory effect Effects 0.000 description 1
- 229910052500 inorganic mineral Inorganic materials 0.000 description 1
- 229910052816 inorganic phosphate Inorganic materials 0.000 description 1
- 229950000038 interferon alfa Drugs 0.000 description 1
- 229960003130 interferon gamma Drugs 0.000 description 1
- 229960001388 interferon-beta Drugs 0.000 description 1
- 230000003834 intracellular effect Effects 0.000 description 1
- 201000008893 intraocular retinoblastoma Diseases 0.000 description 1
- PDWUPXJEEYOOTR-IUAIQHPESA-N iobenguane (123I) Chemical compound NC(N)=NCC1=CC=CC([123I])=C1 PDWUPXJEEYOOTR-IUAIQHPESA-N 0.000 description 1
- 229960003795 iobenguane (123i) Drugs 0.000 description 1
- 229960004108 iobitridol Drugs 0.000 description 1
- YLPBXIKWXNRACS-UHFFFAOYSA-N iobitridol Chemical compound OCC(O)CN(C)C(=O)C1=C(I)C(NC(=O)C(CO)CO)=C(I)C(C(=O)N(C)CC(O)CO)=C1I YLPBXIKWXNRACS-UHFFFAOYSA-N 0.000 description 1
- PNDPGZBMCMUPRI-UHFFFAOYSA-N iodine Chemical group II PNDPGZBMCMUPRI-UHFFFAOYSA-N 0.000 description 1
- 229960000780 iomeprol Drugs 0.000 description 1
- NJKDOADNQSYQEV-UHFFFAOYSA-N iomeprol Chemical compound OCC(=O)N(C)C1=C(I)C(C(=O)NCC(O)CO)=C(I)C(C(=O)NCC(O)CO)=C1I NJKDOADNQSYQEV-UHFFFAOYSA-N 0.000 description 1
- 229960005386 ipilimumab Drugs 0.000 description 1
- 229960004768 irinotecan Drugs 0.000 description 1
- UWKQSNNFCGGAFS-XIFFEERXSA-N irinotecan Chemical compound C1=C2C(CC)=C3CN(C(C4=C([C@@](C(=O)OC4)(O)CC)C=4)=O)C=4C3=NC2=CC=C1OC(=O)N(CC1)CCC1N1CCCCC1 UWKQSNNFCGGAFS-XIFFEERXSA-N 0.000 description 1
- 238000002955 isolation Methods 0.000 description 1
- 229950007344 ispinesib Drugs 0.000 description 1
- 229960004130 itraconazole Drugs 0.000 description 1
- 229960002418 ivermectin Drugs 0.000 description 1
- 229960002014 ixabepilone Drugs 0.000 description 1
- FABUFPQFXZVHFB-CFWQTKTJSA-N ixabepilone Chemical compound C/C([C@@H]1C[C@@H]2O[C@]2(C)CCC[C@@H]([C@@H]([C@H](C)C(=O)C(C)(C)[C@H](O)CC(=O)N1)O)C)=C\C1=CSC(C)=N1 FABUFPQFXZVHFB-CFWQTKTJSA-N 0.000 description 1
- 210000003734 kidney Anatomy 0.000 description 1
- 210000003292 kidney cell Anatomy 0.000 description 1
- 210000000244 kidney pelvis Anatomy 0.000 description 1
- 239000004310 lactic acid Chemical class 0.000 description 1
- 235000014655 lactic acid Nutrition 0.000 description 1
- 229960002437 lanreotide Drugs 0.000 description 1
- 108010021336 lanreotide Proteins 0.000 description 1
- 229960003174 lansoprazole Drugs 0.000 description 1
- SIXIIKVOZAGHPV-UHFFFAOYSA-N lansoprazole Chemical compound CC1=C(OCC(F)(F)F)C=CN=C1CS(=O)C1=NC2=CC=C[CH]C2=N1 SIXIIKVOZAGHPV-UHFFFAOYSA-N 0.000 description 1
- 229960004891 lapatinib Drugs 0.000 description 1
- 210000002429 large intestine Anatomy 0.000 description 1
- 210000000867 larynx Anatomy 0.000 description 1
- 239000002523 lectin Substances 0.000 description 1
- 229960004942 lenalidomide Drugs 0.000 description 1
- GOTYRUGSSMKFNF-UHFFFAOYSA-N lenalidomide Chemical compound C1C=2C(N)=CC=CC=2C(=O)N1C1CCC(=O)NC1=O GOTYRUGSSMKFNF-UHFFFAOYSA-N 0.000 description 1
- 229960002618 lenograstim Drugs 0.000 description 1
- 229940115286 lentinan Drugs 0.000 description 1
- 229960003881 letrozole Drugs 0.000 description 1
- HPJKCIUCZWXJDR-UHFFFAOYSA-N letrozole Chemical compound C1=CC(C#N)=CC=C1C(N1N=CN=C1)C1=CC=C(C#N)C=C1 HPJKCIUCZWXJDR-UHFFFAOYSA-N 0.000 description 1
- 229960001691 leucovorin Drugs 0.000 description 1
- GFIJNRVAKGFPGQ-LIJARHBVSA-N leuprolide Chemical compound CCNC(=O)[C@@H]1CCCN1C(=O)[C@H](CCCNC(N)=N)NC(=O)[C@H](CC(C)C)NC(=O)[C@@H](CC(C)C)NC(=O)[C@@H](NC(=O)[C@H](CO)NC(=O)[C@H](CC=1C2=CC=CC=C2NC=1)NC(=O)[C@H](CC=1N=CNC=1)NC(=O)[C@H]1NC(=O)CC1)CC1=CC=C(O)C=C1 GFIJNRVAKGFPGQ-LIJARHBVSA-N 0.000 description 1
- 229960004338 leuprorelin Drugs 0.000 description 1
- 229960001614 levamisole Drugs 0.000 description 1
- 229960004400 levonorgestrel Drugs 0.000 description 1
- 229960003918 levothyroxine sodium Drugs 0.000 description 1
- 210000002332 leydig cell Anatomy 0.000 description 1
- 239000003446 ligand Substances 0.000 description 1
- 238000000670 ligand binding assay Methods 0.000 description 1
- 210000000088 lip Anatomy 0.000 description 1
- 238000001638 lipofection Methods 0.000 description 1
- 206010024627 liposarcoma Diseases 0.000 description 1
- 238000004811 liquid chromatography Methods 0.000 description 1
- 239000006193 liquid solution Substances 0.000 description 1
- 229960003587 lisuride Drugs 0.000 description 1
- 239000012280 lithium aluminium hydride Substances 0.000 description 1
- UBJFKNSINUCEAL-UHFFFAOYSA-N lithium;2-methylpropane Chemical compound [Li+].C[C-](C)C UBJFKNSINUCEAL-UHFFFAOYSA-N 0.000 description 1
- 229950008991 lobaplatin Drugs 0.000 description 1
- 229960002247 lomustine Drugs 0.000 description 1
- 230000007774 longterm Effects 0.000 description 1
- 229960003538 lonidamine Drugs 0.000 description 1
- WDRYRZXSPDWGEB-UHFFFAOYSA-N lonidamine Chemical compound C12=CC=CC=C2C(C(=O)O)=NN1CC1=CC=C(Cl)C=C1Cl WDRYRZXSPDWGEB-UHFFFAOYSA-N 0.000 description 1
- 201000005296 lung carcinoma Diseases 0.000 description 1
- 208000037841 lung tumor Diseases 0.000 description 1
- 206010025135 lupus erythematosus Diseases 0.000 description 1
- 210000002751 lymph Anatomy 0.000 description 1
- 210000003563 lymphoid tissue Anatomy 0.000 description 1
- 239000012139 lysis buffer Substances 0.000 description 1
- 210000002540 macrophage Anatomy 0.000 description 1
- 239000011777 magnesium Substances 0.000 description 1
- 229910001629 magnesium chloride Inorganic materials 0.000 description 1
- 159000000003 magnesium salts Chemical class 0.000 description 1
- 238000012423 maintenance Methods 0.000 description 1
- 229940107698 malachite green Drugs 0.000 description 1
- FDZZZRQASAIRJF-UHFFFAOYSA-M malachite green Chemical compound [Cl-].C1=CC(N(C)C)=CC=C1C(C=1C=CC=CC=1)=C1C=CC(=[N+](C)C)C=C1 FDZZZRQASAIRJF-UHFFFAOYSA-M 0.000 description 1
- VZCYOOQTPOCHFL-UPHRSURJSA-N maleic acid Chemical class OC(=O)\C=C/C(O)=O VZCYOOQTPOCHFL-UPHRSURJSA-N 0.000 description 1
- 239000011976 maleic acid Chemical class 0.000 description 1
- 239000001630 malic acid Chemical class 0.000 description 1
- 235000011090 malic acid Nutrition 0.000 description 1
- 230000036210 malignancy Effects 0.000 description 1
- 230000003211 malignant effect Effects 0.000 description 1
- 239000011572 manganese Substances 0.000 description 1
- 229960003951 masoprocol Drugs 0.000 description 1
- HCZKYJDFEPMADG-TXEJJXNPSA-N masoprocol Chemical compound C([C@H](C)[C@H](C)CC=1C=C(O)C(O)=CC=1)C1=CC=C(O)C(O)=C1 HCZKYJDFEPMADG-TXEJJXNPSA-N 0.000 description 1
- 108010082117 matrigel Proteins 0.000 description 1
- 230000010534 mechanism of action Effects 0.000 description 1
- 229960004961 mechlorethamine Drugs 0.000 description 1
- HAWPXGHAZFHHAD-UHFFFAOYSA-N mechlorethamine Chemical compound ClCCN(C)CCCl HAWPXGHAZFHHAD-UHFFFAOYSA-N 0.000 description 1
- BCVXHSPFUWZLGQ-UHFFFAOYSA-N mecn acetonitrile Chemical compound CC#N.CC#N BCVXHSPFUWZLGQ-UHFFFAOYSA-N 0.000 description 1
- 230000001404 mediated effect Effects 0.000 description 1
- 229960004616 medroxyprogesterone Drugs 0.000 description 1
- FRQMUZJSZHZSGN-HBNHAYAOSA-N medroxyprogesterone Chemical compound C([C@@]12C)CC(=O)C=C1[C@@H](C)C[C@@H]1[C@@H]2CC[C@]2(C)[C@@](O)(C(C)=O)CC[C@H]21 FRQMUZJSZHZSGN-HBNHAYAOSA-N 0.000 description 1
- 210000003593 megakaryocyte Anatomy 0.000 description 1
- 229960001786 megestrol Drugs 0.000 description 1
- RQZAXGRLVPAYTJ-GQFGMJRRSA-N megestrol acetate Chemical compound C1=C(C)C2=CC(=O)CC[C@]2(C)[C@@H]2[C@@H]1[C@@H]1CC[C@@](C(C)=O)(OC(=O)C)[C@@]1(C)CC2 RQZAXGRLVPAYTJ-GQFGMJRRSA-N 0.000 description 1
- 229960003194 meglumine Drugs 0.000 description 1
- 229960001728 melarsoprol Drugs 0.000 description 1
- SGDBTWWWUNNDEQ-LBPRGKRZSA-N melphalan Chemical compound OC(=O)[C@@H](N)CC1=CC=C(N(CCCl)CCCl)C=C1 SGDBTWWWUNNDEQ-LBPRGKRZSA-N 0.000 description 1
- 229960001924 melphalan Drugs 0.000 description 1
- 206010027191 meningioma Diseases 0.000 description 1
- 229950009246 mepitiostane Drugs 0.000 description 1
- GLVAUDGFNGKCSF-UHFFFAOYSA-N mercaptopurine Chemical compound S=C1NC=NC2=C1NC=N2 GLVAUDGFNGKCSF-UHFFFAOYSA-N 0.000 description 1
- 229960001428 mercaptopurine Drugs 0.000 description 1
- 210000000716 merkel cell Anatomy 0.000 description 1
- 229960004635 mesna Drugs 0.000 description 1
- 229960001797 methadone Drugs 0.000 description 1
- TWXDDNPPQUTEOV-FVGYRXGTSA-N methamphetamine hydrochloride Chemical compound Cl.CN[C@@H](C)CC1=CC=CC=C1 TWXDDNPPQUTEOV-FVGYRXGTSA-N 0.000 description 1
- 229960004469 methoxsalen Drugs 0.000 description 1
- 125000000956 methoxy group Chemical group [H]C([H])([H])O* 0.000 description 1
- IFMSQTVHQUWBQE-UHFFFAOYSA-N methyl 1-benzyl-4-(2,5-difluorophenyl)pyrrole-2-carboxylate Chemical compound COC(=O)C=1N(C=C(C=1)C1=C(C=CC(=C1)F)F)CC1=CC=CC=C1 IFMSQTVHQUWBQE-UHFFFAOYSA-N 0.000 description 1
- CNWOUWDBHUWYES-UHFFFAOYSA-N methyl 1-benzyl-4-bromopyrrole-2-carboxylate Chemical compound COC(=O)c1cc(Br)cn1Cc1ccccc1 CNWOUWDBHUWYES-UHFFFAOYSA-N 0.000 description 1
- YUUAYBAIHCDHHD-UHFFFAOYSA-N methyl 5-aminolevulinate Chemical compound COC(=O)CCC(=O)CN YUUAYBAIHCDHHD-UHFFFAOYSA-N 0.000 description 1
- 229960005033 methyl aminolevulinate Drugs 0.000 description 1
- 125000004492 methyl ester group Chemical group 0.000 description 1
- 229960004584 methylprednisolone Drugs 0.000 description 1
- 229960001566 methyltestosterone Drugs 0.000 description 1
- 229960001980 metirosine Drugs 0.000 description 1
- 239000004005 microsphere Substances 0.000 description 1
- 229960005225 mifamurtide Drugs 0.000 description 1
- 108700007621 mifamurtide Proteins 0.000 description 1
- 229960003775 miltefosine Drugs 0.000 description 1
- PQLXHQMOHUQAKB-UHFFFAOYSA-N miltefosine Chemical compound CCCCCCCCCCCCCCCCOP([O-])(=O)OCC[N+](C)(C)C PQLXHQMOHUQAKB-UHFFFAOYSA-N 0.000 description 1
- 235000010755 mineral Nutrition 0.000 description 1
- 239000011707 mineral Substances 0.000 description 1
- 229950004962 miriplatin Drugs 0.000 description 1
- CFCUWKMKBJTWLW-BKHRDMLASA-N mithramycin Chemical compound O([C@@H]1C[C@@H](O[C@H](C)[C@H]1O)OC=1C=C2C=C3C[C@H]([C@@H](C(=O)C3=C(O)C2=C(O)C=1C)O[C@@H]1O[C@H](C)[C@@H](O)[C@H](O[C@@H]2O[C@H](C)[C@H](O)[C@H](O[C@@H]3O[C@H](C)[C@@H](O)[C@@](C)(O)C3)C2)C1)[C@H](OC)C(=O)[C@@H](O)[C@@H](C)O)[C@H]1C[C@@H](O)[C@H](O)[C@@H](C)O1 CFCUWKMKBJTWLW-BKHRDMLASA-N 0.000 description 1
- 229960005485 mitobronitol Drugs 0.000 description 1
- 229960003539 mitoguazone Drugs 0.000 description 1
- MXWHMTNPTTVWDM-NXOFHUPFSA-N mitoguazone Chemical compound NC(N)=N\N=C(/C)\C=N\N=C(N)N MXWHMTNPTTVWDM-NXOFHUPFSA-N 0.000 description 1
- VFKZTMPDYBFSTM-GUCUJZIJSA-N mitolactol Chemical compound BrC[C@H](O)[C@@H](O)[C@@H](O)[C@H](O)CBr VFKZTMPDYBFSTM-GUCUJZIJSA-N 0.000 description 1
- 229950010913 mitolactol Drugs 0.000 description 1
- 229960004857 mitomycin Drugs 0.000 description 1
- 230000035773 mitosis phase Effects 0.000 description 1
- 229960000350 mitotane Drugs 0.000 description 1
- 230000036456 mitotic arrest Effects 0.000 description 1
- 230000000394 mitotic effect Effects 0.000 description 1
- KKZJGLLVHKMTCM-UHFFFAOYSA-N mitoxantrone Chemical compound O=C1C2=C(O)C=CC(O)=C2C(=O)C2=C1C(NCCNCCO)=CC=C2NCCNCCO KKZJGLLVHKMTCM-UHFFFAOYSA-N 0.000 description 1
- 229960001156 mitoxantrone Drugs 0.000 description 1
- 229950007699 mogamulizumab Drugs 0.000 description 1
- 108010032806 molgramostim Proteins 0.000 description 1
- 229960003063 molgramostim Drugs 0.000 description 1
- 210000001616 monocyte Anatomy 0.000 description 1
- 201000006894 monocytic leukemia Diseases 0.000 description 1
- 229910000402 monopotassium phosphate Inorganic materials 0.000 description 1
- 229950010718 mopidamol Drugs 0.000 description 1
- FOYWNSCCNCUEPU-UHFFFAOYSA-N mopidamol Chemical compound C12=NC(N(CCO)CCO)=NC=C2N=C(N(CCO)CCO)N=C1N1CCCCC1 FOYWNSCCNCUEPU-UHFFFAOYSA-N 0.000 description 1
- 229960005195 morphine hydrochloride Drugs 0.000 description 1
- XELXKCKNPPSFNN-BJWPBXOKSA-N morphine hydrochloride trihydrate Chemical compound O.O.O.Cl.O([C@H]1[C@H](C=C[C@H]23)O)C4=C5[C@@]12CCN(C)[C@@H]3CC5=CC=C4O XELXKCKNPPSFNN-BJWPBXOKSA-N 0.000 description 1
- 229960004715 morphine sulfate Drugs 0.000 description 1
- GRVOTVYEFDAHCL-RTSZDRIGSA-N morphine sulfate pentahydrate Chemical compound O.O.O.O.O.OS(O)(=O)=O.O([C@H]1[C@H](C=C[C@H]23)O)C4=C5[C@@]12CCN(C)[C@@H]3CC5=CC=C4O.O([C@H]1[C@H](C=C[C@H]23)O)C4=C5[C@@]12CCN(C)[C@@H]3CC5=CC=C4O GRVOTVYEFDAHCL-RTSZDRIGSA-N 0.000 description 1
- 201000000050 myeloid neoplasm Diseases 0.000 description 1
- XKNBSYXFRMCQMV-UHFFFAOYSA-N n-(2-aminoethyl)-2-(2,5-dioxopyrrol-1-yl)acetamide Chemical compound NCCNC(=O)CN1C(=O)C=CC1=O XKNBSYXFRMCQMV-UHFFFAOYSA-N 0.000 description 1
- QJZRFPJCWMNVAV-MHZLTWQESA-N n-(3-aminopropyl)-n-[(1s)-1-(3-benzyl-7-chloro-4-oxoquinazolin-2-yl)-2-methylpropyl]-4-methylbenzamide Chemical compound NCCCN([C@@H](C(C)C)C=1N(C(=O)C2=CC=C(Cl)C=C2N=1)CC=1C=CC=CC=1)C(=O)C1=CC=C(C)C=C1 QJZRFPJCWMNVAV-MHZLTWQESA-N 0.000 description 1
- NJSMWLQOCQIOPE-OCHFTUDZSA-N n-[(e)-[10-[(e)-(4,5-dihydro-1h-imidazol-2-ylhydrazinylidene)methyl]anthracen-9-yl]methylideneamino]-4,5-dihydro-1h-imidazol-2-amine Chemical compound N1CCN=C1N\N=C\C(C1=CC=CC=C11)=C(C=CC=C2)C2=C1\C=N\NC1=NCCN1 NJSMWLQOCQIOPE-OCHFTUDZSA-N 0.000 description 1
- XNSAINXGIQZQOO-UHFFFAOYSA-N n-[1-(2-carbamoylpyrrolidin-1-yl)-3-(1h-imidazol-5-yl)-1-oxopropan-2-yl]-5-oxopyrrolidine-2-carboxamide Chemical compound NC(=O)C1CCCN1C(=O)C(NC(=O)C1NC(=O)CC1)CC1=CN=CN1 XNSAINXGIQZQOO-UHFFFAOYSA-N 0.000 description 1
- RDSACQWTXKSHJT-NSHDSACASA-N n-[3,4-difluoro-2-(2-fluoro-4-iodoanilino)-6-methoxyphenyl]-1-[(2s)-2,3-dihydroxypropyl]cyclopropane-1-sulfonamide Chemical compound C1CC1(C[C@H](O)CO)S(=O)(=O)NC=1C(OC)=CC(F)=C(F)C=1NC1=CC=C(I)C=C1F RDSACQWTXKSHJT-NSHDSACASA-N 0.000 description 1
- 210000004897 n-terminal region Anatomy 0.000 description 1
- 229960002967 nabilone Drugs 0.000 description 1
- GECBBEABIDMGGL-RTBURBONSA-N nabilone Chemical compound C1C(=O)CC[C@H]2C(C)(C)OC3=CC(C(C)(C)CCCCCC)=CC(O)=C3[C@@H]21 GECBBEABIDMGGL-RTBURBONSA-N 0.000 description 1
- RWHUEXWOYVBUCI-ITQXDASVSA-N nafarelin Chemical compound C([C@@H](C(=O)N[C@H](CC=1C=C2C=CC=CC2=CC=1)C(=O)N[C@@H](CC(C)C)C(=O)N[C@@H](CCCN=C(N)N)C(=O)N1[C@@H](CCC1)C(=O)NCC(N)=O)NC(=O)[C@H](CO)NC(=O)[C@H](CC=1C2=CC=CC=C2NC=1)NC(=O)[C@H](CC=1NC=NC=1)NC(=O)[C@H]1NC(=O)CC1)C1=CC=C(O)C=C1 RWHUEXWOYVBUCI-ITQXDASVSA-N 0.000 description 1
- 229960002333 nafarelin Drugs 0.000 description 1
- UZHSEJADLWPNLE-GRGSLBFTSA-N naloxone Chemical compound O=C([C@@H]1O2)CC[C@@]3(O)[C@H]4CC5=CC=C(O)C2=C5[C@@]13CCN4CC=C UZHSEJADLWPNLE-GRGSLBFTSA-N 0.000 description 1
- 229960004127 naloxone Drugs 0.000 description 1
- DQCKKXVULJGBQN-XFWGSAIBSA-N naltrexone Chemical compound N1([C@@H]2CC3=CC=C(C=4O[C@@H]5[C@](C3=4)([C@]2(CCC5=O)O)CC1)O)CC1CC1 DQCKKXVULJGBQN-XFWGSAIBSA-N 0.000 description 1
- 229960003086 naltrexone Drugs 0.000 description 1
- YZMHQCWXYHARLS-UHFFFAOYSA-N naphthalene-1,2-disulfonic acid Chemical class C1=CC=CC2=C(S(O)(=O)=O)C(S(=O)(=O)O)=CC=C21 YZMHQCWXYHARLS-UHFFFAOYSA-N 0.000 description 1
- 108010032539 nartograstim Proteins 0.000 description 1
- 229950010676 nartograstim Drugs 0.000 description 1
- 210000001989 nasopharynx Anatomy 0.000 description 1
- 229950007221 nedaplatin Drugs 0.000 description 1
- 229960000801 nelarabine Drugs 0.000 description 1
- IXOXBSCIXZEQEQ-UHTZMRCNSA-N nelarabine Chemical compound C1=NC=2C(OC)=NC(N)=NC=2N1[C@@H]1O[C@H](CO)[C@@H](O)[C@@H]1O IXOXBSCIXZEQEQ-UHTZMRCNSA-N 0.000 description 1
- 101150091879 neo gene Proteins 0.000 description 1
- QZGIWPZCWHMVQL-UIYAJPBUSA-N neocarzinostatin chromophore Chemical compound O1[C@H](C)[C@H](O)[C@H](O)[C@@H](NC)[C@H]1O[C@@H]1C/2=C/C#C[C@H]3O[C@@]3([C@@H]3OC(=O)OC3)C#CC\2=C[C@H]1OC(=O)C1=C(O)C=CC2=C(C)C=C(OC)C=C12 QZGIWPZCWHMVQL-UIYAJPBUSA-N 0.000 description 1
- 229950010733 neridronic acid Drugs 0.000 description 1
- PUUSSSIBPPTKTP-UHFFFAOYSA-N neridronic acid Chemical compound NCCCCCC(O)(P(O)(O)=O)P(O)(O)=O PUUSSSIBPPTKTP-UHFFFAOYSA-N 0.000 description 1
- 210000000440 neutrophil Anatomy 0.000 description 1
- 229960001346 nilotinib Drugs 0.000 description 1
- HHZIURLSWUIHRB-UHFFFAOYSA-N nilotinib Chemical compound C1=NC(C)=CN1C1=CC(NC(=O)C=2C=C(NC=3N=C(C=CN=3)C=3C=NC=CC=3)C(C)=CC=2)=CC(C(F)(F)F)=C1 HHZIURLSWUIHRB-UHFFFAOYSA-N 0.000 description 1
- 229960002653 nilutamide Drugs 0.000 description 1
- XWXYUMMDTVBTOU-UHFFFAOYSA-N nilutamide Chemical compound O=C1C(C)(C)NC(=O)N1C1=CC=C([N+]([O-])=O)C(C(F)(F)F)=C1 XWXYUMMDTVBTOU-UHFFFAOYSA-N 0.000 description 1
- 229960004918 nimorazole Drugs 0.000 description 1
- MDJFHRLTPRPZLY-UHFFFAOYSA-N nimorazole Chemical compound [O-][N+](=O)C1=CN=CN1CCN1CCOCC1 MDJFHRLTPRPZLY-UHFFFAOYSA-N 0.000 description 1
- 229950010203 nimotuzumab Drugs 0.000 description 1
- 229960001420 nimustine Drugs 0.000 description 1
- VFEDRRNHLBGPNN-UHFFFAOYSA-N nimustine Chemical compound CC1=NC=C(CNC(=O)N(CCCl)N=O)C(N)=N1 VFEDRRNHLBGPNN-UHFFFAOYSA-N 0.000 description 1
- 229950008607 nitracrine Drugs 0.000 description 1
- YMVWGSQGCWCDGW-UHFFFAOYSA-N nitracrine Chemical compound C1=CC([N+]([O-])=O)=C2C(NCCCN(C)C)=C(C=CC=C3)C3=NC2=C1 YMVWGSQGCWCDGW-UHFFFAOYSA-N 0.000 description 1
- 229960003301 nivolumab Drugs 0.000 description 1
- 238000013421 nuclear magnetic resonance imaging Methods 0.000 description 1
- 238000007899 nucleic acid hybridization Methods 0.000 description 1
- 239000002773 nucleotide Substances 0.000 description 1
- 125000003729 nucleotide group Chemical group 0.000 description 1
- 230000000474 nursing effect Effects 0.000 description 1
- 229960003347 obinutuzumab Drugs 0.000 description 1
- 201000002575 ocular melanoma Diseases 0.000 description 1
- 229960002450 ofatumumab Drugs 0.000 description 1
- 229960002230 omacetaxine mepesuccinate Drugs 0.000 description 1
- HYFHYPWGAURHIV-JFIAXGOJSA-N omacetaxine mepesuccinate Chemical compound C1=C2CCN3CCC[C@]43C=C(OC)[C@@H](OC(=O)[C@@](O)(CCCC(C)(C)O)CC(=O)OC)[C@H]4C2=CC2=C1OCO2 HYFHYPWGAURHIV-JFIAXGOJSA-N 0.000 description 1
- 229960000381 omeprazole Drugs 0.000 description 1
- 238000011275 oncology therapy Methods 0.000 description 1
- 229960005343 ondansetron Drugs 0.000 description 1
- 108010046821 oprelvekin Proteins 0.000 description 1
- 229960001840 oprelvekin Drugs 0.000 description 1
- 208000020717 oral cavity carcinoma Diseases 0.000 description 1
- 210000003463 organelle Anatomy 0.000 description 1
- 210000004798 organs belonging to the digestive system Anatomy 0.000 description 1
- 108010070915 orgotein Proteins 0.000 description 1
- 229960004534 orgotein Drugs 0.000 description 1
- 229950001550 orilotimod Drugs 0.000 description 1
- 210000003300 oropharynx Anatomy 0.000 description 1
- 201000008968 osteosarcoma Diseases 0.000 description 1
- 229950000193 oteracil Drugs 0.000 description 1
- DWAFYCQODLXJNR-BNTLRKBRSA-L oxaliplatin Chemical compound O1C(=O)C(=O)O[Pt]11N[C@@H]2CCCC[C@H]2N1 DWAFYCQODLXJNR-BNTLRKBRSA-L 0.000 description 1
- 229960001756 oxaliplatin Drugs 0.000 description 1
- DRKHJSDSSUXYTE-UHFFFAOYSA-L oxidanium;2-[bis[2-[carboxylatomethyl-[2-(2-methoxyethylamino)-2-oxoethyl]amino]ethyl]amino]acetate;gadolinium(3+) Chemical compound [OH3+].[Gd+3].COCCNC(=O)CN(CC([O-])=O)CCN(CC([O-])=O)CCN(CC([O-])=O)CC(=O)NCCOC DRKHJSDSSUXYTE-UHFFFAOYSA-L 0.000 description 1
- 229960002085 oxycodone Drugs 0.000 description 1
- 229960005244 oxymetholone Drugs 0.000 description 1
- ICMWWNHDUZJFDW-DHODBPELSA-N oxymetholone Chemical compound C([C@@H]1CC2)C(=O)\C(=C/O)C[C@]1(C)[C@@H]1[C@@H]2[C@@H]2CC[C@](C)(O)[C@@]2(C)CC1 ICMWWNHDUZJFDW-DHODBPELSA-N 0.000 description 1
- ICMWWNHDUZJFDW-UHFFFAOYSA-N oxymetholone Natural products C1CC2CC(=O)C(=CO)CC2(C)C2C1C1CCC(C)(O)C1(C)CC2 ICMWWNHDUZJFDW-UHFFFAOYSA-N 0.000 description 1
- 108700025694 p53 Genes Proteins 0.000 description 1
- 230000020477 pH reduction Effects 0.000 description 1
- 229960002404 palifermin Drugs 0.000 description 1
- KDLHZDBZIXYQEI-OIOBTWANSA-N palladium-103 Chemical compound [103Pd] KDLHZDBZIXYQEI-OIOBTWANSA-N 0.000 description 1
- 229960002131 palonosetron Drugs 0.000 description 1
- CPZBLNMUGSZIPR-NVXWUHKLSA-N palonosetron Chemical compound C1N(CC2)CCC2[C@@H]1N1C(=O)C(C=CC=C2CCC3)=C2[C@H]3C1 CPZBLNMUGSZIPR-NVXWUHKLSA-N 0.000 description 1
- WRUUGTRCQOWXEG-UHFFFAOYSA-N pamidronate Chemical compound NCCC(O)(P(O)(O)=O)P(O)(O)=O WRUUGTRCQOWXEG-UHFFFAOYSA-N 0.000 description 1
- 229960003978 pamidronic acid Drugs 0.000 description 1
- 210000000496 pancreas Anatomy 0.000 description 1
- 208000008443 pancreatic carcinoma Diseases 0.000 description 1
- 229960001972 panitumumab Drugs 0.000 description 1
- 229960005019 pantoprazole Drugs 0.000 description 1
- RUVINXPYWBROJD-UHFFFAOYSA-N para-methoxyphenyl Natural products COC1=CC=C(C=CC)C=C1 RUVINXPYWBROJD-UHFFFAOYSA-N 0.000 description 1
- 210000002990 parathyroid gland Anatomy 0.000 description 1
- 239000002245 particle Substances 0.000 description 1
- 230000009057 passive transport Effects 0.000 description 1
- 229960000639 pazopanib Drugs 0.000 description 1
- CUIHSIWYWATEQL-UHFFFAOYSA-N pazopanib Chemical compound C1=CC2=C(C)N(C)N=C2C=C1N(C)C(N=1)=CC=NC=1NC1=CC=C(C)C(S(N)(=O)=O)=C1 CUIHSIWYWATEQL-UHFFFAOYSA-N 0.000 description 1
- HQQSBEDKMRHYME-UHFFFAOYSA-N pefloxacin mesylate Chemical compound [H+].CS([O-])(=O)=O.C1=C2N(CC)C=C(C(O)=O)C(=O)C2=CC(F)=C1N1CCN(C)CC1 HQQSBEDKMRHYME-UHFFFAOYSA-N 0.000 description 1
- 229960001744 pegaspargase Drugs 0.000 description 1
- 108010001564 pegaspargase Proteins 0.000 description 1
- 229960001373 pegfilgrastim Drugs 0.000 description 1
- 108010044644 pegfilgrastim Proteins 0.000 description 1
- 108010092851 peginterferon alfa-2b Proteins 0.000 description 1
- 229960003931 peginterferon alfa-2b Drugs 0.000 description 1
- 229960002621 pembrolizumab Drugs 0.000 description 1
- 229960005079 pemetrexed Drugs 0.000 description 1
- QOFFJEBXNKRSPX-ZDUSSCGKSA-N pemetrexed Chemical compound C1=N[C]2NC(N)=NC(=O)C2=C1CCC1=CC=C(C(=O)N[C@@H](CCC(O)=O)C(O)=O)C=C1 QOFFJEBXNKRSPX-ZDUSSCGKSA-N 0.000 description 1
- 210000003899 penis Anatomy 0.000 description 1
- 229960002340 pentostatin Drugs 0.000 description 1
- FPVKHBSQESCIEP-JQCXWYLXSA-N pentostatin Chemical compound C1[C@H](O)[C@@H](CO)O[C@H]1N1C(N=CNC[C@H]2O)=C2N=C1 FPVKHBSQESCIEP-JQCXWYLXSA-N 0.000 description 1
- QIMGFXOHTOXMQP-GFAGFCTOSA-N peplomycin Chemical compound N([C@H](C(=O)N[C@H](C)[C@@H](O)[C@H](C)C(=O)N[C@@H]([C@H](O)C)C(=O)NCCC=1SC=C(N=1)C=1SC=C(N=1)C(=O)NCCCN[C@@H](C)C=1C=CC=CC=1)[C@@H](O[C@H]1[C@H]([C@@H](O)[C@H](O)[C@H](CO)O1)O[C@@H]1[C@H]([C@@H](OC(N)=O)[C@H](O)[C@@H](CO)O1)O)C=1NC=NC=1)C(=O)C1=NC([C@H](CC(N)=O)NC[C@H](N)C(N)=O)=NC(N)=C1C QIMGFXOHTOXMQP-GFAGFCTOSA-N 0.000 description 1
- 229950003180 peplomycin Drugs 0.000 description 1
- 238000003359 percent control normalization Methods 0.000 description 1
- VLTRZXGMWDSKGL-UHFFFAOYSA-N perchloric acid Chemical compound OCl(=O)(=O)=O VLTRZXGMWDSKGL-UHFFFAOYSA-N 0.000 description 1
- KAVGMUDTWQVPDF-UHFFFAOYSA-N perflubutane Chemical compound FC(F)(F)C(F)(F)C(F)(F)C(F)(F)F KAVGMUDTWQVPDF-UHFFFAOYSA-N 0.000 description 1
- 229950003332 perflubutane Drugs 0.000 description 1
- 229950009351 perfosfamide Drugs 0.000 description 1
- VPAWVRUHMJVRHU-VGDKGRGNSA-N perfosfamide Chemical compound OO[C@@H]1CCO[P@@](=O)(N(CCCl)CCCl)N1 VPAWVRUHMJVRHU-VGDKGRGNSA-N 0.000 description 1
- 229960002087 pertuzumab Drugs 0.000 description 1
- 239000000546 pharmaceutical excipient Substances 0.000 description 1
- YBYRMVIVWMBXKQ-UHFFFAOYSA-N phenylmethanesulfonyl fluoride Chemical compound FS(=O)(=O)CC1=CC=CC=C1 YBYRMVIVWMBXKQ-UHFFFAOYSA-N 0.000 description 1
- UYWQUFXKFGHYNT-UHFFFAOYSA-N phenylmethyl ester of formic acid Natural products O=COCC1=CC=CC=C1 UYWQUFXKFGHYNT-UHFFFAOYSA-N 0.000 description 1
- 229940080469 phosphocellulose Drugs 0.000 description 1
- 239000011574 phosphorus Chemical group 0.000 description 1
- 229910052698 phosphorus Inorganic materials 0.000 description 1
- 230000000704 physical effect Effects 0.000 description 1
- 229960001416 pilocarpine Drugs 0.000 description 1
- 229960001221 pirarubicin Drugs 0.000 description 1
- 229960004403 pixantrone Drugs 0.000 description 1
- PEZPMAYDXJQYRV-UHFFFAOYSA-N pixantrone Chemical compound O=C1C2=CN=CC=C2C(=O)C2=C1C(NCCN)=CC=C2NCCN PEZPMAYDXJQYRV-UHFFFAOYSA-N 0.000 description 1
- 229960002169 plerixafor Drugs 0.000 description 1
- YIQPUIGJQJDJOS-UHFFFAOYSA-N plerixafor Chemical compound C=1C=C(CN2CCNCCCNCCNCCC2)C=CC=1CN1CCCNCCNCCCNCC1 YIQPUIGJQJDJOS-UHFFFAOYSA-N 0.000 description 1
- 229960003171 plicamycin Drugs 0.000 description 1
- 229950008282 poliglusam Drugs 0.000 description 1
- 229960001298 polyestradiol phosphate Drugs 0.000 description 1
- 229920000642 polymer Polymers 0.000 description 1
- 108010001062 polysaccharide-K Proteins 0.000 description 1
- 229940034049 polysaccharide-k Drugs 0.000 description 1
- 239000001267 polyvinylpyrrolidone Substances 0.000 description 1
- 229920000036 polyvinylpyrrolidone Polymers 0.000 description 1
- 235000013855 polyvinylpyrrolidone Nutrition 0.000 description 1
- 229960000688 pomalidomide Drugs 0.000 description 1
- UVSMNLNDYGZFPF-UHFFFAOYSA-N pomalidomide Chemical compound O=C1C=2C(N)=CC=CC=2C(=O)N1C1CCC(=O)NC1=O UVSMNLNDYGZFPF-UHFFFAOYSA-N 0.000 description 1
- 229960001131 ponatinib Drugs 0.000 description 1
- PHXJVRSECIGDHY-UHFFFAOYSA-N ponatinib Chemical compound C1CN(C)CCN1CC(C(=C1)C(F)(F)F)=CC=C1NC(=O)C1=CC=C(C)C(C#CC=2N3N=CC=CC3=NC=2)=C1 PHXJVRSECIGDHY-UHFFFAOYSA-N 0.000 description 1
- 229960004293 porfimer sodium Drugs 0.000 description 1
- 235000015277 pork Nutrition 0.000 description 1
- 239000013641 positive control Substances 0.000 description 1
- 229910000027 potassium carbonate Inorganic materials 0.000 description 1
- GNSKLFRGEWLPPA-UHFFFAOYSA-M potassium dihydrogen phosphate Chemical compound [K+].OP(O)([O-])=O GNSKLFRGEWLPPA-UHFFFAOYSA-M 0.000 description 1
- 159000000001 potassium salts Chemical class 0.000 description 1
- 230000003389 potentiating effect Effects 0.000 description 1
- 229960000214 pralatrexate Drugs 0.000 description 1
- OGSBUKJUDHAQEA-WMCAAGNKSA-N pralatrexate Chemical compound C1=NC2=NC(N)=NC(N)=C2N=C1CC(CC#C)C1=CC=C(C(=O)N[C@@H](CCC(O)=O)C(O)=O)C=C1 OGSBUKJUDHAQEA-WMCAAGNKSA-N 0.000 description 1
- 239000002244 precipitate Substances 0.000 description 1
- 229960004694 prednimustine Drugs 0.000 description 1
- XOFYZVNMUHMLCC-ZPOLXVRWSA-N prednisone Chemical compound O=C1C=C[C@]2(C)[C@H]3C(=O)C[C@](C)([C@@](CC4)(O)C(=O)CO)[C@@H]4[C@@H]3CCC2=C1 XOFYZVNMUHMLCC-ZPOLXVRWSA-N 0.000 description 1
- 229960004618 prednisone Drugs 0.000 description 1
- MFDFERRIHVXMIY-UHFFFAOYSA-N procaine Chemical compound CCN(CC)CCOC(=O)C1=CC=C(N)C=C1 MFDFERRIHVXMIY-UHFFFAOYSA-N 0.000 description 1
- 229960004919 procaine Drugs 0.000 description 1
- CPTBDICYNRMXFX-UHFFFAOYSA-N procarbazine Chemical compound CNNCC1=CC=C(C(=O)NC(C)C)C=C1 CPTBDICYNRMXFX-UHFFFAOYSA-N 0.000 description 1
- 229960000624 procarbazine Drugs 0.000 description 1
- 229950000989 procodazole Drugs 0.000 description 1
- XYWJNTOURDMTPI-UHFFFAOYSA-N procodazole Chemical compound C1=CC=C2NC(CCC(=O)O)=NC2=C1 XYWJNTOURDMTPI-UHFFFAOYSA-N 0.000 description 1
- 230000002062 proliferating effect Effects 0.000 description 1
- 230000035755 proliferation Effects 0.000 description 1
- 230000001737 promoting effect Effects 0.000 description 1
- XJMOSONTPMZWPB-UHFFFAOYSA-M propidium iodide Chemical compound [I-].[I-].C12=CC(N)=CC=C2C2=CC=C(N)C=C2[N+](CCC[N+](C)(CC)CC)=C1C1=CC=CC=C1 XJMOSONTPMZWPB-UHFFFAOYSA-M 0.000 description 1
- 235000019260 propionic acid Nutrition 0.000 description 1
- 229960003712 propranolol Drugs 0.000 description 1
- 125000001436 propyl group Chemical group [H]C([*])([H])C([H])([H])C([H])([H])[H] 0.000 description 1
- WGYKZJWCGVVSQN-UHFFFAOYSA-N propylamine Chemical group CCCN WGYKZJWCGVVSQN-UHFFFAOYSA-N 0.000 description 1
- 210000002307 prostate Anatomy 0.000 description 1
- 238000000159 protein binding assay Methods 0.000 description 1
- 238000000751 protein extraction Methods 0.000 description 1
- 229940121649 protein inhibitor Drugs 0.000 description 1
- 239000012268 protein inhibitor Substances 0.000 description 1
- 238000001742 protein purification Methods 0.000 description 1
- 239000012460 protein solution Substances 0.000 description 1
- 230000005180 public health Effects 0.000 description 1
- 108010045647 puromycin N-acetyltransferase Proteins 0.000 description 1
- UMJSCPRVCHMLSP-UHFFFAOYSA-N pyridine Natural products COC1=CC=CN=C1 UMJSCPRVCHMLSP-UHFFFAOYSA-N 0.000 description 1
- 229960000924 quinagolide Drugs 0.000 description 1
- IUVKMZGDUIUOCP-BTNSXGMBSA-N quinbolone Chemical class O([C@H]1CC[C@H]2[C@H]3[C@@H]([C@]4(C=CC(=O)C=C4CC3)C)CC[C@@]21C)C1=CCCC1 IUVKMZGDUIUOCP-BTNSXGMBSA-N 0.000 description 1
- XKMLYUALXHKNFT-UHFFFAOYSA-N rGTP Natural products C1=2NC(N)=NC(=O)C=2N=CN1C1OC(COP(O)(=O)OP(O)(=O)OP(O)(O)=O)C(O)C1O XKMLYUALXHKNFT-UHFFFAOYSA-N 0.000 description 1
- YREYEVIYCVEVJK-UHFFFAOYSA-N rabeprazole Chemical compound COCCCOC1=CC=NC(CS(=O)C=2NC3=CC=CC=C3N=2)=C1C YREYEVIYCVEVJK-UHFFFAOYSA-N 0.000 description 1
- 229960004157 rabeprazole Drugs 0.000 description 1
- 229950011613 racotumomab Drugs 0.000 description 1
- 230000002285 radioactive effect Effects 0.000 description 1
- 229950004043 radotinib Drugs 0.000 description 1
- DUPWHXBITIZIKZ-UHFFFAOYSA-N radotinib Chemical compound C1=NC(C)=CN1C1=CC(NC(=O)C=2C=C(NC=3N=C(C=CN=3)C=3N=CC=NC=3)C(C)=CC=2)=CC(C(F)(F)F)=C1 DUPWHXBITIZIKZ-UHFFFAOYSA-N 0.000 description 1
- 229960004622 raloxifene Drugs 0.000 description 1
- GZUITABIAKMVPG-UHFFFAOYSA-N raloxifene Chemical compound C1=CC(O)=CC=C1C1=C(C(=O)C=2C=CC(OCCN3CCCCC3)=CC=2)C2=CC=C(O)C=C2S1 GZUITABIAKMVPG-UHFFFAOYSA-N 0.000 description 1
- 229960004432 raltitrexed Drugs 0.000 description 1
- 229950001588 ramosetron Drugs 0.000 description 1
- NTHPAPBPFQJABD-LLVKDONJSA-N ramosetron Chemical compound C12=CC=CC=C2N(C)C=C1C(=O)[C@H]1CC(NC=N2)=C2CC1 NTHPAPBPFQJABD-LLVKDONJSA-N 0.000 description 1
- 229960002633 ramucirumab Drugs 0.000 description 1
- 229960002185 ranimustine Drugs 0.000 description 1
- 229960000424 rasburicase Drugs 0.000 description 1
- 108010084837 rasburicase Proteins 0.000 description 1
- 229960000460 razoxane Drugs 0.000 description 1
- BMKDZUISNHGIBY-UHFFFAOYSA-N razoxane Chemical compound C1C(=O)NC(=O)CN1C(C)CN1CC(=O)NC(=O)C1 BMKDZUISNHGIBY-UHFFFAOYSA-N 0.000 description 1
- 208000020615 rectal carcinoma Diseases 0.000 description 1
- 210000000664 rectum Anatomy 0.000 description 1
- 229950008933 refametinib Drugs 0.000 description 1
- 229960004836 regorafenib Drugs 0.000 description 1
- FNHKPVJBJVTLMP-UHFFFAOYSA-N regorafenib Chemical compound C1=NC(C(=O)NC)=CC(OC=2C=C(F)C(NC(=O)NC=3C=C(C(Cl)=CC=3)C(F)(F)F)=CC=2)=C1 FNHKPVJBJVTLMP-UHFFFAOYSA-N 0.000 description 1
- 230000001850 reproductive effect Effects 0.000 description 1
- 238000011160 research Methods 0.000 description 1
- QEVHRUUCFGRFIF-MDEJGZGSSA-N reserpine Chemical compound O([C@H]1[C@@H]([C@H]([C@H]2C[C@@H]3C4=C(C5=CC=C(OC)C=C5N4)CCN3C[C@H]2C1)C(=O)OC)OC)C(=O)C1=CC(OC)=C(OC)C(OC)=C1 QEVHRUUCFGRFIF-MDEJGZGSSA-N 0.000 description 1
- 210000002345 respiratory system Anatomy 0.000 description 1
- 230000000717 retained effect Effects 0.000 description 1
- 238000004366 reverse phase liquid chromatography Methods 0.000 description 1
- 201000009410 rhabdomyosarcoma Diseases 0.000 description 1
- WUAPFZMCVAUBPE-IGMARMGPSA-N rhenium-186 Chemical compound [186Re] WUAPFZMCVAUBPE-IGMARMGPSA-N 0.000 description 1
- 229960000759 risedronic acid Drugs 0.000 description 1
- 229960004641 rituximab Drugs 0.000 description 1
- 229960003452 romidepsin Drugs 0.000 description 1
- 108010091666 romidepsin Proteins 0.000 description 1
- OHRURASPPZQGQM-GCCNXGTGSA-N romidepsin Chemical compound O1C(=O)[C@H](C(C)C)NC(=O)C(=C/C)/NC(=O)[C@H]2CSSCC\C=C\[C@@H]1CC(=O)N[C@H](C(C)C)C(=O)N2 OHRURASPPZQGQM-GCCNXGTGSA-N 0.000 description 1
- OHRURASPPZQGQM-UHFFFAOYSA-N romidepsin Natural products O1C(=O)C(C(C)C)NC(=O)C(=CC)NC(=O)C2CSSCCC=CC1CC(=O)NC(C(C)C)C(=O)N2 OHRURASPPZQGQM-UHFFFAOYSA-N 0.000 description 1
- 108010017584 romiplostim Proteins 0.000 description 1
- 229960004262 romiplostim Drugs 0.000 description 1
- 108700033545 romurtide Proteins 0.000 description 1
- 229950003733 romurtide Drugs 0.000 description 1
- 229950002433 roniciclib Drugs 0.000 description 1
- 102200108092 rs104894539 Human genes 0.000 description 1
- 102220000169 rs137854541 Human genes 0.000 description 1
- 102220210660 rs539992721 Human genes 0.000 description 1
- 102200049608 rs863223414 Human genes 0.000 description 1
- 201000003804 salivary gland carcinoma Diseases 0.000 description 1
- 229960003021 samarium (153sm) lexidronam Drugs 0.000 description 1
- JSTADIGKFYFAIY-GJNDDOAHSA-F samarium-153(3+);n,n,n',n'-tetrakis(phosphonatomethyl)ethane-1,2-diamine Chemical compound [153Sm+3].[O-]P([O-])(=O)CN(CP([O-])([O-])=O)CCN(CP([O-])([O-])=O)CP([O-])([O-])=O JSTADIGKFYFAIY-GJNDDOAHSA-F 0.000 description 1
- 238000003118 sandwich ELISA Methods 0.000 description 1
- 108010038379 sargramostim Proteins 0.000 description 1
- 229960002530 sargramostim Drugs 0.000 description 1
- 229950007308 satumomab Drugs 0.000 description 1
- 150000003335 secondary amines Chemical group 0.000 description 1
- 229960002101 secretin Drugs 0.000 description 1
- OWMZNFCDEHGFEP-NFBCVYDUSA-N secretin human Chemical compound C([C@@H](C(=O)N[C@H](C(=O)N[C@@H](CO)C(=O)N[C@@H](CCC(O)=O)C(=O)N[C@@H](CC(C)C)C(=O)N[C@@H](CO)C(=O)N[C@@H](CCCNC(N)=N)C(=O)N[C@@H](CC(C)C)C(=O)N[C@@H](CCCNC(N)=N)C(=O)N[C@@H](CCC(O)=O)C(=O)NCC(=O)N[C@@H](C)C(=O)N[C@@H](CCCNC(N)=N)C(=O)N[C@@H](CC(C)C)C(=O)N[C@@H](CCC(N)=O)C(=O)N[C@@H](CCCNC(N)=N)C(=O)N[C@@H](CC(C)C)C(=O)N[C@@H](CC(C)C)C(=O)N[C@@H](CCC(N)=O)C(=O)NCC(=O)N[C@@H](CC(C)C)C(=O)N[C@@H](C(C)C)C(N)=O)[C@@H](C)O)NC(=O)[C@@H](NC(=O)CNC(=O)[C@H](CC(O)=O)NC(=O)[C@H](CO)NC(=O)[C@@H](N)CC=1NC=NC=1)[C@@H](C)O)C1=CC=CC=C1 OWMZNFCDEHGFEP-NFBCVYDUSA-N 0.000 description 1
- WUWDLXZGHZSWQZ-WQLSENKSSA-N semaxanib Chemical compound N1C(C)=CC(C)=C1\C=C/1C2=CC=CC=C2NC\1=O WUWDLXZGHZSWQZ-WQLSENKSSA-N 0.000 description 1
- 238000000926 separation method Methods 0.000 description 1
- 238000012163 sequencing technique Methods 0.000 description 1
- 210000002966 serum Anatomy 0.000 description 1
- 208000002491 severe combined immunodeficiency Diseases 0.000 description 1
- 230000019491 signal transduction Effects 0.000 description 1
- 238000010898 silica gel chromatography Methods 0.000 description 1
- 239000002356 single layer Substances 0.000 description 1
- 229960000714 sipuleucel-t Drugs 0.000 description 1
- 238000002741 site-directed mutagenesis Methods 0.000 description 1
- 229950001403 sizofiran Drugs 0.000 description 1
- 210000000813 small intestine Anatomy 0.000 description 1
- 150000003384 small molecules Chemical class 0.000 description 1
- 229950010372 sobuzoxane Drugs 0.000 description 1
- 239000011734 sodium Substances 0.000 description 1
- 229910052708 sodium Inorganic materials 0.000 description 1
- NGIYLSFJGRLEMI-MHTUOZSYSA-M sodium 2-[[(2S)-2-[[(4R)-4-[[(2S)-2-[[(2R)-2-[(2R,3R,4R,5R)-2-acetamido-4,5,6-trihydroxy-1-oxohexan-3-yl]oxypropanoyl]amino]propanoyl]amino]-5-amino-5-oxopentanoyl]amino]propanoyl]amino]ethyl [(2R)-2,3-di(hexadecanoyloxy)propyl] phosphate hydrate Chemical compound O.[Na+].CCCCCCCCCCCCCCCC(=O)OC[C@H](COP([O-])(=O)OCCNC(=O)[C@H](C)NC(=O)CC[C@@H](NC(=O)[C@H](C)NC(=O)[C@@H](C)O[C@@H]([C@H](O)[C@H](O)CO)[C@@H](NC(C)=O)C=O)C(N)=O)OC(=O)CCCCCCCCCCCCCCC NGIYLSFJGRLEMI-MHTUOZSYSA-M 0.000 description 1
- 239000001632 sodium acetate Substances 0.000 description 1
- 235000017281 sodium acetate Nutrition 0.000 description 1
- 239000012279 sodium borohydride Substances 0.000 description 1
- 229910000033 sodium borohydride Inorganic materials 0.000 description 1
- 229940010747 sodium hyaluronate Drugs 0.000 description 1
- 229940054269 sodium pyruvate Drugs 0.000 description 1
- AKHNMLFCWUSKQB-UHFFFAOYSA-L sodium thiosulfate Chemical compound [Na+].[Na+].[O-]S([O-])(=O)=S AKHNMLFCWUSKQB-UHFFFAOYSA-L 0.000 description 1
- JMHCCAYJTTWMCX-QWPJCUCISA-M sodium;(2s)-2-amino-3-[4-(4-hydroxy-3,5-diiodophenoxy)-3,5-diiodophenyl]propanoate;pentahydrate Chemical compound O.O.O.O.O.[Na+].IC1=CC(C[C@H](N)C([O-])=O)=CC(I)=C1OC1=CC(I)=C(O)C(I)=C1 JMHCCAYJTTWMCX-QWPJCUCISA-M 0.000 description 1
- YWIVKILSMZOHHF-QJZPQSOGSA-N sodium;(2s,3s,4s,5r,6r)-6-[(2s,3r,4r,5s,6r)-3-acetamido-2-[(2s,3s,4r,5r,6r)-6-[(2r,3r,4r,5s,6r)-3-acetamido-2,5-dihydroxy-6-(hydroxymethyl)oxan-4-yl]oxy-2-carboxy-4,5-dihydroxyoxan-3-yl]oxy-5-hydroxy-6-(hydroxymethyl)oxan-4-yl]oxy-3,4,5-trihydroxyoxane-2- Chemical compound [Na+].CC(=O)N[C@H]1[C@H](O)O[C@H](CO)[C@@H](O)[C@@H]1O[C@H]1[C@H](O)[C@@H](O)[C@H](O[C@H]2[C@@H]([C@@H](O[C@H]3[C@@H]([C@@H](O)[C@H](O)[C@H](O3)C(O)=O)O)[C@H](O)[C@@H](CO)O2)NC(C)=O)[C@@H](C(O)=O)O1 YWIVKILSMZOHHF-QJZPQSOGSA-N 0.000 description 1
- FWYUJENICVGSJH-UHFFFAOYSA-M sodium;2-[bis[2-[2-(2-methyl-5-nitroimidazol-1-yl)ethoxy]-2-oxoethyl]amino]acetate Chemical compound [Na+].CC1=NC=C([N+]([O-])=O)N1CCOC(=O)CN(CC([O-])=O)CC(=O)OCCN1C([N+]([O-])=O)=CN=C1C FWYUJENICVGSJH-UHFFFAOYSA-M 0.000 description 1
- 210000004872 soft tissue Anatomy 0.000 description 1
- 229960003787 sorafenib Drugs 0.000 description 1
- 238000009331 sowing Methods 0.000 description 1
- 238000002798 spectrophotometry method Methods 0.000 description 1
- 210000000278 spinal cord Anatomy 0.000 description 1
- 206010041823 squamous cell carcinoma Diseases 0.000 description 1
- 238000010186 staining Methods 0.000 description 1
- 238000012409 standard PCR amplification Methods 0.000 description 1
- 238000011301 standard therapy Methods 0.000 description 1
- 229960000912 stanozolol Drugs 0.000 description 1
- 210000002784 stomach Anatomy 0.000 description 1
- 201000000498 stomach carcinoma Diseases 0.000 description 1
- 229960001052 streptozocin Drugs 0.000 description 1
- ZSJLQEPLLKMAKR-GKHCUFPYSA-N streptozocin Chemical compound O=NN(C)C(=O)N[C@H]1[C@@H](O)O[C@H](CO)[C@@H](O)[C@@H]1O ZSJLQEPLLKMAKR-GKHCUFPYSA-N 0.000 description 1
- 210000002536 stromal cell Anatomy 0.000 description 1
- KZNICNPSHKQLFF-UHFFFAOYSA-N succinimide Chemical group O=C1CCC(=O)N1 KZNICNPSHKQLFF-UHFFFAOYSA-N 0.000 description 1
- 125000002653 sulfanylmethyl group Chemical group [H]SC([H])([H])[*] 0.000 description 1
- 239000001117 sulphuric acid Chemical class 0.000 description 1
- 235000011149 sulphuric acid Nutrition 0.000 description 1
- 229960001796 sunitinib Drugs 0.000 description 1
- WINHZLLDWRZWRT-ATVHPVEESA-N sunitinib Chemical compound CCN(CC)CCNC(=O)C1=C(C)NC(\C=C/2C3=CC(F)=CC=C3NC\2=O)=C1C WINHZLLDWRZWRT-ATVHPVEESA-N 0.000 description 1
- 239000004094 surface-active agent Substances 0.000 description 1
- 230000004083 survival effect Effects 0.000 description 1
- 230000002194 synthesizing effect Effects 0.000 description 1
- 229950010924 talaporfin Drugs 0.000 description 1
- MUTNCGKQJGXKEM-UHFFFAOYSA-N tamibarotene Chemical compound C=1C=C2C(C)(C)CCC(C)(C)C2=CC=1NC(=O)C1=CC=C(C(O)=O)C=C1 MUTNCGKQJGXKEM-UHFFFAOYSA-N 0.000 description 1
- 229950010130 tamibarotene Drugs 0.000 description 1
- 229960001603 tamoxifen Drugs 0.000 description 1
- 229960005126 tapentadol Drugs 0.000 description 1
- KWTWDQCKEHXFFR-SMDDNHRTSA-N tapentadol Chemical compound CN(C)C[C@H](C)[C@@H](CC)C1=CC=CC(O)=C1 KWTWDQCKEHXFFR-SMDDNHRTSA-N 0.000 description 1
- 239000011975 tartaric acid Chemical class 0.000 description 1
- 235000002906 tartaric acid Nutrition 0.000 description 1
- 229960003102 tasonermin Drugs 0.000 description 1
- 229950001699 teceleukin Drugs 0.000 description 1
- 229950000864 technetium (99mtc) nofetumomab merpentan Drugs 0.000 description 1
- 229960002197 temoporfin Drugs 0.000 description 1
- 229960004964 temozolomide Drugs 0.000 description 1
- 229960000235 temsirolimus Drugs 0.000 description 1
- QFJCIRLUMZQUOT-UHFFFAOYSA-N temsirolimus Natural products C1CC(O)C(OC)CC1CC(C)C1OC(=O)C2CCCCN2C(=O)C(=O)C(O)(O2)C(C)CCC2CC(OC)C(C)=CC=CC=CC(C)CC(C)C(=O)C(OC)C(O)C(C)=CC(C)C(=O)C1 QFJCIRLUMZQUOT-UHFFFAOYSA-N 0.000 description 1
- 229960001278 teniposide Drugs 0.000 description 1
- NRUKOCRGYNPUPR-QBPJDGROSA-N teniposide Chemical compound COC1=C(O)C(OC)=CC([C@@H]2C3=CC=4OCOC=4C=C3[C@@H](O[C@H]3[C@@H]([C@@H](O)[C@@H]4O[C@@H](OC[C@H]4O3)C=3SC=CC=3)O)[C@@H]3[C@@H]2C(OC3)=O)=C1 NRUKOCRGYNPUPR-QBPJDGROSA-N 0.000 description 1
- AOCSUUGBCMTKJH-UHFFFAOYSA-N tert-butyl n-(2-aminoethyl)carbamate Chemical compound CC(C)(C)OC(=O)NCCN AOCSUUGBCMTKJH-UHFFFAOYSA-N 0.000 description 1
- 210000001550 testis Anatomy 0.000 description 1
- 229960003604 testosterone Drugs 0.000 description 1
- NHGXDBSUJJNIRV-UHFFFAOYSA-M tetrabutylammonium chloride Chemical compound [Cl-].CCCC[N+](CCCC)(CCCC)CCCC NHGXDBSUJJNIRV-UHFFFAOYSA-M 0.000 description 1
- TUGDLVFMIQZYPA-UHFFFAOYSA-N tetracopper;tetrazinc Chemical compound [Cu+2].[Cu+2].[Cu+2].[Cu+2].[Zn+2].[Zn+2].[Zn+2].[Zn+2] TUGDLVFMIQZYPA-UHFFFAOYSA-N 0.000 description 1
- 229930101283 tetracycline Natural products 0.000 description 1
- OFVLGDICTFRJMM-WESIUVDSSA-N tetracycline Chemical compound C1=CC=C2[C@](O)(C)[C@H]3C[C@H]4[C@H](N(C)C)C(O)=C(C(N)=O)C(=O)[C@@]4(O)C(O)=C3C(=O)C2=C1O OFVLGDICTFRJMM-WESIUVDSSA-N 0.000 description 1
- WHRNULOCNSKMGB-UHFFFAOYSA-N tetrahydrofuran thf Chemical compound C1CCOC1.C1CCOC1 WHRNULOCNSKMGB-UHFFFAOYSA-N 0.000 description 1
- QCWJONLQSHEGEJ-UHFFFAOYSA-N tetrofosmin Chemical compound CCOCCP(CCOCC)CCP(CCOCC)CCOCC QCWJONLQSHEGEJ-UHFFFAOYSA-N 0.000 description 1
- 229960004113 tetrofosmin Drugs 0.000 description 1
- 229960003433 thalidomide Drugs 0.000 description 1
- 229960001196 thiotepa Drugs 0.000 description 1
- 229960004231 thymalfasin Drugs 0.000 description 1
- NZVYCXVTEHPMHE-ZSUJOUNUSA-N thymalfasin Chemical compound CC(=O)N[C@@H](CO)C(=O)N[C@@H](CC(O)=O)C(=O)N[C@@H](C)C(=O)N[C@@H](C)C(=O)N[C@@H](C(C)C)C(=O)N[C@@H](CC(O)=O)C(=O)N[C@@H]([C@@H](C)O)C(=O)N[C@@H](CO)C(=O)N[C@@H](CO)C(=O)N[C@@H](CCC(O)=O)C(=O)N[C@@H]([C@@H](C)CC)C(=O)N[C@@H]([C@@H](C)O)C(=O)N[C@@H]([C@@H](C)O)C(=O)N[C@@H](CCCCN)C(=O)N[C@@H](CC(O)=O)C(=O)N[C@@H](CC(C)C)C(=O)N[C@@H](CCCCN)C(=O)N[C@@H](CCC(O)=O)C(=O)N[C@@H](CCCCN)C(=O)N[C@@H](CCCCN)C(=O)N[C@@H](CCC(O)=O)C(=O)N[C@@H](C(C)C)C(=O)N[C@@H](C(C)C)C(=O)N[C@@H](CCC(O)=O)C(=O)N[C@@H](CCC(O)=O)C(=O)N[C@@H](C)C(=O)N[C@@H](CCC(O)=O)C(=O)N[C@@H](CC(N)=O)C(O)=O NZVYCXVTEHPMHE-ZSUJOUNUSA-N 0.000 description 1
- 210000001685 thyroid gland Anatomy 0.000 description 1
- 229960000902 thyrotropin alfa Drugs 0.000 description 1
- 229960003087 tioguanine Drugs 0.000 description 1
- MNRILEROXIRVNJ-UHFFFAOYSA-N tioguanine Chemical compound N1C(N)=NC(=S)C2=NC=N[C]21 MNRILEROXIRVNJ-UHFFFAOYSA-N 0.000 description 1
- 229960002952 tipiracil Drugs 0.000 description 1
- QQHMKNYGKVVGCZ-UHFFFAOYSA-N tipiracil Chemical compound N1C(=O)NC(=O)C(Cl)=C1CN1C(=N)CCC1 QQHMKNYGKVVGCZ-UHFFFAOYSA-N 0.000 description 1
- VXUYXOFXAQZZMF-UHFFFAOYSA-N titanium(IV) isopropoxide Chemical compound CC(C)O[Ti](OC(C)C)(OC(C)C)OC(C)C VXUYXOFXAQZZMF-UHFFFAOYSA-N 0.000 description 1
- 229960003989 tocilizumab Drugs 0.000 description 1
- 229960000303 topotecan Drugs 0.000 description 1
- UCFGDBYHRUNTLO-QHCPKHFHSA-N topotecan Chemical compound C1=C(O)C(CN(C)C)=C2C=C(CN3C4=CC5=C(C3=O)COC(=O)[C@]5(O)CC)C4=NC2=C1 UCFGDBYHRUNTLO-QHCPKHFHSA-N 0.000 description 1
- 229960005026 toremifene Drugs 0.000 description 1
- XFCLJVABOIYOMF-QPLCGJKRSA-N toremifene Chemical compound C1=CC(OCCN(C)C)=CC=C1C(\C=1C=CC=CC=1)=C(\CCCl)C1=CC=CC=C1 XFCLJVABOIYOMF-QPLCGJKRSA-N 0.000 description 1
- 229960005267 tositumomab Drugs 0.000 description 1
- 231100000331 toxic Toxicity 0.000 description 1
- 230000002588 toxic effect Effects 0.000 description 1
- PKVRCIRHQMSYJX-AIFWHQITSA-N trabectedin Chemical compound C([C@@]1(C(OC2)=O)NCCC3=C1C=C(C(=C3)O)OC)S[C@@H]1C3=C(OC(C)=O)C(C)=C4OCOC4=C3[C@H]2N2[C@@H](O)[C@H](CC=3C4=C(O)C(OC)=C(C)C=3)N(C)[C@H]4[C@@H]21 PKVRCIRHQMSYJX-AIFWHQITSA-N 0.000 description 1
- 229960000977 trabectedin Drugs 0.000 description 1
- 229960004380 tramadol Drugs 0.000 description 1
- TVYLLZQTGLZFBW-GOEBONIOSA-N tramadol Natural products COC1=CC=CC([C@@]2(O)[C@@H](CCCC2)CN(C)C)=C1 TVYLLZQTGLZFBW-GOEBONIOSA-N 0.000 description 1
- 229960004066 trametinib Drugs 0.000 description 1
- LIRYPHYGHXZJBZ-UHFFFAOYSA-N trametinib Chemical compound CC(=O)NC1=CC=CC(N2C(N(C3CC3)C(=O)C3=C(NC=4C(=CC(I)=CC=4)F)N(C)C(=O)C(C)=C32)=O)=C1 LIRYPHYGHXZJBZ-UHFFFAOYSA-N 0.000 description 1
- 230000009261 transgenic effect Effects 0.000 description 1
- 238000011830 transgenic mouse model Methods 0.000 description 1
- 230000014621 translational initiation Effects 0.000 description 1
- 102000035160 transmembrane proteins Human genes 0.000 description 1
- 108091005703 transmembrane proteins Proteins 0.000 description 1
- 230000032258 transport Effects 0.000 description 1
- 229960000575 trastuzumab Drugs 0.000 description 1
- 229960003181 treosulfan Drugs 0.000 description 1
- 229960001727 tretinoin Drugs 0.000 description 1
- QORWJWZARLRLPR-UHFFFAOYSA-H tricalcium bis(phosphate) Chemical compound [Ca+2].[Ca+2].[Ca+2].[O-]P([O-])([O-])=O.[O-]P([O-])([O-])=O QORWJWZARLRLPR-UHFFFAOYSA-H 0.000 description 1
- 229960003962 trifluridine Drugs 0.000 description 1
- VSQQQLOSPVPRAZ-RRKCRQDMSA-N trifluridine Chemical compound C1[C@H](O)[C@@H](CO)O[C@H]1N1C(=O)NC(=O)C(C(F)(F)F)=C1 VSQQQLOSPVPRAZ-RRKCRQDMSA-N 0.000 description 1
- 229960001670 trilostane Drugs 0.000 description 1
- KVJXBPDAXMEYOA-CXANFOAXSA-N trilostane Chemical compound OC1=C(C#N)C[C@]2(C)[C@H]3CC[C@](C)([C@H](CC4)O)[C@@H]4[C@@H]3CC[C@@]32O[C@@H]31 KVJXBPDAXMEYOA-CXANFOAXSA-N 0.000 description 1
- 229960004824 triptorelin Drugs 0.000 description 1
- VXKHXGOKWPXYNA-PGBVPBMZSA-N triptorelin Chemical compound C([C@@H](C(=O)N[C@H](CC=1C2=CC=CC=C2NC=1)C(=O)N[C@@H](CC(C)C)C(=O)N[C@@H](CCCNC(N)=N)C(=O)N1[C@@H](CCC1)C(=O)NCC(N)=O)NC(=O)[C@H](CO)NC(=O)[C@H](CC=1C2=CC=CC=C2NC=1)NC(=O)[C@H](CC=1N=CNC=1)NC(=O)[C@H]1NC(=O)CC1)C1=CC=C(O)C=C1 VXKHXGOKWPXYNA-PGBVPBMZSA-N 0.000 description 1
- 229910052722 tritium Inorganic materials 0.000 description 1
- 229960000875 trofosfamide Drugs 0.000 description 1
- UMKFEPPTGMDVMI-UHFFFAOYSA-N trofosfamide Chemical compound ClCCN(CCCl)P1(=O)OCCCN1CCCl UMKFEPPTGMDVMI-UHFFFAOYSA-N 0.000 description 1
- 238000013414 tumor xenograft model Methods 0.000 description 1
- 229950009811 ubenimex Drugs 0.000 description 1
- 238000001195 ultra high performance liquid chromatography Methods 0.000 description 1
- 241001515965 unidentified phage Species 0.000 description 1
- 238000011144 upstream manufacturing Methods 0.000 description 1
- 210000000626 ureter Anatomy 0.000 description 1
- 210000003932 urinary bladder Anatomy 0.000 description 1
- 210000001635 urinary tract Anatomy 0.000 description 1
- 210000004291 uterus Anatomy 0.000 description 1
- 210000001215 vagina Anatomy 0.000 description 1
- 229960000653 valrubicin Drugs 0.000 description 1
- ZOCKGBMQLCSHFP-KQRAQHLDSA-N valrubicin Chemical compound O([C@H]1C[C@](CC2=C(O)C=3C(=O)C4=CC=CC(OC)=C4C(=O)C=3C(O)=C21)(O)C(=O)COC(=O)CCCC)[C@H]1C[C@H](NC(=O)C(F)(F)F)[C@H](O)[C@H](C)O1 ZOCKGBMQLCSHFP-KQRAQHLDSA-N 0.000 description 1
- 229960000241 vandetanib Drugs 0.000 description 1
- UHTHHESEBZOYNR-UHFFFAOYSA-N vandetanib Chemical compound COC1=CC(C(/N=CN2)=N/C=3C(=CC(Br)=CC=3)F)=C2C=C1OCC1CCN(C)CC1 UHTHHESEBZOYNR-UHFFFAOYSA-N 0.000 description 1
- 229960002730 vapreotide Drugs 0.000 description 1
- 108700029852 vapreotide Proteins 0.000 description 1
- 210000003462 vein Anatomy 0.000 description 1
- 229960003862 vemurafenib Drugs 0.000 description 1
- GPXBXXGIAQBQNI-UHFFFAOYSA-N vemurafenib Chemical compound CCCS(=O)(=O)NC1=CC=C(F)C(C(=O)C=2C3=CC(=CN=C3NC=2)C=2C=CC(Cl)=CC=2)=C1F GPXBXXGIAQBQNI-UHFFFAOYSA-N 0.000 description 1
- 229960001722 verapamil Drugs 0.000 description 1
- 229960003048 vinblastine Drugs 0.000 description 1
- JXLYSJRDGCGARV-XQKSVPLYSA-N vincaleukoblastine Chemical compound C([C@@H](C[C@]1(C(=O)OC)C=2C(=CC3=C([C@]45[C@H]([C@@]([C@H](OC(C)=O)[C@]6(CC)C=CCN([C@H]56)CC4)(O)C(=O)OC)N3C)C=2)OC)C[C@@](C2)(O)CC)N2CCC2=C1NC1=CC=CC=C21 JXLYSJRDGCGARV-XQKSVPLYSA-N 0.000 description 1
- 229960004528 vincristine Drugs 0.000 description 1
- OGWKCGZFUXNPDA-XQKSVPLYSA-N vincristine Chemical compound C([N@]1C[C@@H](C[C@]2(C(=O)OC)C=3C(=CC4=C([C@]56[C@H]([C@@]([C@H](OC(C)=O)[C@]7(CC)C=CCN([C@H]67)CC5)(O)C(=O)OC)N4C=O)C=3)OC)C[C@@](C1)(O)CC)CC1=C2NC2=CC=CC=C12 OGWKCGZFUXNPDA-XQKSVPLYSA-N 0.000 description 1
- OGWKCGZFUXNPDA-UHFFFAOYSA-N vincristine Natural products C1C(CC)(O)CC(CC2(C(=O)OC)C=3C(=CC4=C(C56C(C(C(OC(C)=O)C7(CC)C=CCN(C67)CC5)(O)C(=O)OC)N4C=O)C=3)OC)CN1CCC1=C2NC2=CC=CC=C12 OGWKCGZFUXNPDA-UHFFFAOYSA-N 0.000 description 1
- 229960004355 vindesine Drugs 0.000 description 1
- UGGWPQSBPIFKDZ-KOTLKJBCSA-N vindesine Chemical compound C([C@@H](C[C@]1(C(=O)OC)C=2C(=CC3=C([C@]45[C@H]([C@@]([C@H](O)[C@]6(CC)C=CCN([C@H]56)CC4)(O)C(N)=O)N3C)C=2)OC)C[C@@](C2)(O)CC)N2CCC2=C1N=C1[C]2C=CC=C1 UGGWPQSBPIFKDZ-KOTLKJBCSA-N 0.000 description 1
- 229960000922 vinflunine Drugs 0.000 description 1
- NMDYYWFGPIMTKO-HBVLKOHWSA-N vinflunine Chemical compound C([C@@](C1=C(C2=CC=CC=C2N1)C1)(C2=C(OC)C=C3N(C)[C@@H]4[C@@]5(C3=C2)CCN2CC=C[C@]([C@@H]52)([C@H]([C@]4(O)C(=O)OC)OC(C)=O)CC)C(=O)OC)[C@H]2C[C@@H](C(C)(F)F)CN1C2 NMDYYWFGPIMTKO-HBVLKOHWSA-N 0.000 description 1
- 229960002066 vinorelbine Drugs 0.000 description 1
- GBABOYUKABKIAF-GHYRFKGUSA-N vinorelbine Chemical compound C1N(CC=2C3=CC=CC=C3NC=22)CC(CC)=C[C@H]1C[C@]2(C(=O)OC)C1=CC([C@]23[C@H]([C@]([C@H](OC(C)=O)[C@]4(CC)C=CCN([C@H]34)CC2)(O)C(=O)OC)N2C)=C2C=C1OC GBABOYUKABKIAF-GHYRFKGUSA-N 0.000 description 1
- 239000013603 viral vector Substances 0.000 description 1
- 229960004449 vismodegib Drugs 0.000 description 1
- BPQMGSKTAYIVFO-UHFFFAOYSA-N vismodegib Chemical compound ClC1=CC(S(=O)(=O)C)=CC=C1C(=O)NC1=CC=C(Cl)C(C=2N=CC=CC=2)=C1 BPQMGSKTAYIVFO-UHFFFAOYSA-N 0.000 description 1
- 229960000237 vorinostat Drugs 0.000 description 1
- WAEXFXRVDQXREF-UHFFFAOYSA-N vorinostat Chemical compound ONC(=O)CCCCCCC(=O)NC1=CC=CC=C1 WAEXFXRVDQXREF-UHFFFAOYSA-N 0.000 description 1
- 229960001771 vorozole Drugs 0.000 description 1
- XLMPPFTZALNBFS-INIZCTEOSA-N vorozole Chemical compound C1([C@@H](C2=CC=C3N=NN(C3=C2)C)N2N=CN=C2)=CC=C(Cl)C=C1 XLMPPFTZALNBFS-INIZCTEOSA-N 0.000 description 1
- 210000003905 vulva Anatomy 0.000 description 1
- 210000005253 yeast cell Anatomy 0.000 description 1
- 229950009268 zinostatin Drugs 0.000 description 1
- 229950009233 zinostatin stimalamer Drugs 0.000 description 1
- FYQZGCBXYVWXSP-STTFAQHVSA-N zinostatin stimalamer Chemical compound O1[C@H](C)[C@H](O)[C@H](O)[C@@H](NC)[C@H]1OC1C/2=C/C#C[C@H]3O[C@@]3([C@H]3OC(=O)OC3)C#CC\2=C[C@H]1OC(=O)C1=C(C)C=CC2=C(C)C=C(OC)C=C12 FYQZGCBXYVWXSP-STTFAQHVSA-N 0.000 description 1
- 229960004276 zoledronic acid Drugs 0.000 description 1
- XRASPMIURGNCCH-UHFFFAOYSA-N zoledronic acid Chemical compound OP(=O)(O)C(P(O)(O)=O)(O)CN1C=CN=C1 XRASPMIURGNCCH-UHFFFAOYSA-N 0.000 description 1
- 229960000641 zorubicin Drugs 0.000 description 1
- FBTUMDXHSRTGRV-ALTNURHMSA-N zorubicin Chemical compound O([C@H]1C[C@@](O)(CC=2C(O)=C3C(=O)C=4C=CC=C(C=4C(=O)C3=C(O)C=21)OC)C(\C)=N\NC(=O)C=1C=CC=CC=1)[C@H]1C[C@H](N)[C@H](O)[C@H](C)O1 FBTUMDXHSRTGRV-ALTNURHMSA-N 0.000 description 1
Images
Classifications
-
- A—HUMAN NECESSITIES
- A61—MEDICAL OR VETERINARY SCIENCE; HYGIENE
- A61K—PREPARATIONS FOR MEDICAL, DENTAL OR TOILETRY PURPOSES
- A61K47/00—Medicinal preparations characterised by the non-active ingredients used, e.g. carriers or inert additives; Targeting or modifying agents chemically bound to the active ingredient
- A61K47/50—Medicinal preparations characterised by the non-active ingredients used, e.g. carriers or inert additives; Targeting or modifying agents chemically bound to the active ingredient the non-active ingredient being chemically bound to the active ingredient, e.g. polymer-drug conjugates
- A61K47/51—Medicinal preparations characterised by the non-active ingredients used, e.g. carriers or inert additives; Targeting or modifying agents chemically bound to the active ingredient the non-active ingredient being chemically bound to the active ingredient, e.g. polymer-drug conjugates the non-active ingredient being a modifying agent
- A61K47/68—Medicinal preparations characterised by the non-active ingredients used, e.g. carriers or inert additives; Targeting or modifying agents chemically bound to the active ingredient the non-active ingredient being chemically bound to the active ingredient, e.g. polymer-drug conjugates the non-active ingredient being a modifying agent the modifying agent being an antibody, an immunoglobulin or a fragment thereof, e.g. an Fc-fragment
- A61K47/6801—Drug-antibody or immunoglobulin conjugates defined by the pharmacologically or therapeutically active agent
- A61K47/6803—Drugs conjugated to an antibody or immunoglobulin, e.g. cisplatin-antibody conjugates
-
- A—HUMAN NECESSITIES
- A61—MEDICAL OR VETERINARY SCIENCE; HYGIENE
- A61K—PREPARATIONS FOR MEDICAL, DENTAL OR TOILETRY PURPOSES
- A61K31/00—Medicinal preparations containing organic active ingredients
- A61K31/33—Heterocyclic compounds
- A61K31/395—Heterocyclic compounds having nitrogen as a ring hetero atom, e.g. guanethidine or rifamycins
- A61K31/40—Heterocyclic compounds having nitrogen as a ring hetero atom, e.g. guanethidine or rifamycins having five-membered rings with one nitrogen as the only ring hetero atom, e.g. sulpiride, succinimide, tolmetin, buflomedil
-
- A—HUMAN NECESSITIES
- A61—MEDICAL OR VETERINARY SCIENCE; HYGIENE
- A61K—PREPARATIONS FOR MEDICAL, DENTAL OR TOILETRY PURPOSES
- A61K47/00—Medicinal preparations characterised by the non-active ingredients used, e.g. carriers or inert additives; Targeting or modifying agents chemically bound to the active ingredient
- A61K47/50—Medicinal preparations characterised by the non-active ingredients used, e.g. carriers or inert additives; Targeting or modifying agents chemically bound to the active ingredient the non-active ingredient being chemically bound to the active ingredient, e.g. polymer-drug conjugates
- A61K47/51—Medicinal preparations characterised by the non-active ingredients used, e.g. carriers or inert additives; Targeting or modifying agents chemically bound to the active ingredient the non-active ingredient being chemically bound to the active ingredient, e.g. polymer-drug conjugates the non-active ingredient being a modifying agent
- A61K47/68—Medicinal preparations characterised by the non-active ingredients used, e.g. carriers or inert additives; Targeting or modifying agents chemically bound to the active ingredient the non-active ingredient being chemically bound to the active ingredient, e.g. polymer-drug conjugates the non-active ingredient being a modifying agent the modifying agent being an antibody, an immunoglobulin or a fragment thereof, e.g. an Fc-fragment
- A61K47/6835—Medicinal preparations characterised by the non-active ingredients used, e.g. carriers or inert additives; Targeting or modifying agents chemically bound to the active ingredient the non-active ingredient being chemically bound to the active ingredient, e.g. polymer-drug conjugates the non-active ingredient being a modifying agent the modifying agent being an antibody, an immunoglobulin or a fragment thereof, e.g. an Fc-fragment the modifying agent being an antibody or an immunoglobulin bearing at least one antigen-binding site
- A61K47/6849—Medicinal preparations characterised by the non-active ingredients used, e.g. carriers or inert additives; Targeting or modifying agents chemically bound to the active ingredient the non-active ingredient being chemically bound to the active ingredient, e.g. polymer-drug conjugates the non-active ingredient being a modifying agent the modifying agent being an antibody, an immunoglobulin or a fragment thereof, e.g. an Fc-fragment the modifying agent being an antibody or an immunoglobulin bearing at least one antigen-binding site the antibody targeting a receptor, a cell surface antigen or a cell surface determinant
-
- A—HUMAN NECESSITIES
- A61—MEDICAL OR VETERINARY SCIENCE; HYGIENE
- A61K—PREPARATIONS FOR MEDICAL, DENTAL OR TOILETRY PURPOSES
- A61K47/00—Medicinal preparations characterised by the non-active ingredients used, e.g. carriers or inert additives; Targeting or modifying agents chemically bound to the active ingredient
- A61K47/50—Medicinal preparations characterised by the non-active ingredients used, e.g. carriers or inert additives; Targeting or modifying agents chemically bound to the active ingredient the non-active ingredient being chemically bound to the active ingredient, e.g. polymer-drug conjugates
- A61K47/51—Medicinal preparations characterised by the non-active ingredients used, e.g. carriers or inert additives; Targeting or modifying agents chemically bound to the active ingredient the non-active ingredient being chemically bound to the active ingredient, e.g. polymer-drug conjugates the non-active ingredient being a modifying agent
- A61K47/68—Medicinal preparations characterised by the non-active ingredients used, e.g. carriers or inert additives; Targeting or modifying agents chemically bound to the active ingredient the non-active ingredient being chemically bound to the active ingredient, e.g. polymer-drug conjugates the non-active ingredient being a modifying agent the modifying agent being an antibody, an immunoglobulin or a fragment thereof, e.g. an Fc-fragment
- A61K47/6835—Medicinal preparations characterised by the non-active ingredients used, e.g. carriers or inert additives; Targeting or modifying agents chemically bound to the active ingredient the non-active ingredient being chemically bound to the active ingredient, e.g. polymer-drug conjugates the non-active ingredient being a modifying agent the modifying agent being an antibody, an immunoglobulin or a fragment thereof, e.g. an Fc-fragment the modifying agent being an antibody or an immunoglobulin bearing at least one antigen-binding site
- A61K47/6851—Medicinal preparations characterised by the non-active ingredients used, e.g. carriers or inert additives; Targeting or modifying agents chemically bound to the active ingredient the non-active ingredient being chemically bound to the active ingredient, e.g. polymer-drug conjugates the non-active ingredient being a modifying agent the modifying agent being an antibody, an immunoglobulin or a fragment thereof, e.g. an Fc-fragment the modifying agent being an antibody or an immunoglobulin bearing at least one antigen-binding site the antibody targeting a determinant of a tumour cell
-
- A—HUMAN NECESSITIES
- A61—MEDICAL OR VETERINARY SCIENCE; HYGIENE
- A61P—SPECIFIC THERAPEUTIC ACTIVITY OF CHEMICAL COMPOUNDS OR MEDICINAL PREPARATIONS
- A61P35/00—Antineoplastic agents
-
- C—CHEMISTRY; METALLURGY
- C07—ORGANIC CHEMISTRY
- C07K—PEPTIDES
- C07K16/00—Immunoglobulins [IGs], e.g. monoclonal or polyclonal antibodies
- C07K16/18—Immunoglobulins [IGs], e.g. monoclonal or polyclonal antibodies against material from animals or humans
- C07K16/28—Immunoglobulins [IGs], e.g. monoclonal or polyclonal antibodies against material from animals or humans against receptors, cell surface antigens or cell surface determinants
- C07K16/2866—Immunoglobulins [IGs], e.g. monoclonal or polyclonal antibodies against material from animals or humans against receptors, cell surface antigens or cell surface determinants against receptors for cytokines, lymphokines, interferons
-
- C—CHEMISTRY; METALLURGY
- C07—ORGANIC CHEMISTRY
- C07K—PEPTIDES
- C07K2317/00—Immunoglobulins specific features
- C07K2317/20—Immunoglobulins specific features characterized by taxonomic origin
- C07K2317/24—Immunoglobulins specific features characterized by taxonomic origin containing regions, domains or residues from different species, e.g. chimeric, humanized or veneered
-
- C—CHEMISTRY; METALLURGY
- C07—ORGANIC CHEMISTRY
- C07K—PEPTIDES
- C07K2317/00—Immunoglobulins specific features
- C07K2317/50—Immunoglobulins specific features characterized by immunoglobulin fragments
- C07K2317/56—Immunoglobulins specific features characterized by immunoglobulin fragments variable (Fv) region, i.e. VH and/or VL
- C07K2317/565—Complementarity determining region [CDR]
-
- C—CHEMISTRY; METALLURGY
- C07—ORGANIC CHEMISTRY
- C07K—PEPTIDES
- C07K2317/00—Immunoglobulins specific features
- C07K2317/70—Immunoglobulins specific features characterized by effect upon binding to a cell or to an antigen
- C07K2317/77—Internalization into the cell
Definitions
- the invention relates to specific Antibody-Drug-Conjugates (ADCs) with KSP (kinesin spindle protein) inhibitors and anti-CD123-antibodies, to the use of these conjugates for the treatment and/or prophylaxis of diseases and to the use of these conjugates for preparing medicaments for treatment and/or prevention of diseases, in particular hyperproliferative and/or angiogenic disorders such as, for example, cancer diseases.
- ADCs Antibody-Drug-Conjugates
- KSP kinesin spindle protein
- anti-CD123-antibodies anti-CD123-antibodies
- Cancer diseases are the consequence of uncontrolled cell growth of the most diverse tissues. In many cases, the new cells penetrate into existing tissue (invasive growth), or they metastase into remote organs. Cancer diseases occur in the most diverse organs and often have tissue-specific courses of the disease.
- the term cancer as a generic term therefore describes a large group of defined diseases of various organs, tissue and cell types.
- Tumours in early stages can possibly be removed by surgical and radiotherapy measures. Metastased tumours as a rule can only be treated palliatively by chemotherapeutics.
- the aim here is to achieve the optimum combination of an improvement in the quality of life and prolonging of life.
- Conjugates of binder proteins and antibodies with one or more active compound molecules are known, in particular in the form of antibody drug conjugates (ADCs) in which an internalising antibody directed against a tumour-associated antigen is covalently attached via a linker to a cytotoxic agent.
- ADCs antibody drug conjugates
- either the cytotoxic agent itself or a cytotoxic metabolite formed therefrom is released within the tumour cell and can unfold its action therein directly and selectively.
- damage to normal tissue is contained in significantly narrower limits [see, for example, J. M. Lambert, Curr. Opin. Pharmacol. 5, 543-549 (2005); A. M. Wu and P. D. Senter, Nat.
- WO2012/171020 describes ADCs in which a plurality of toxophor molecules are attached via a polymeric linker to an antibody.
- toxophors WO2012/171020 mentions, among others, the substances SB 743921, SB 715992 (Ispinesib), MK-0371, AZD8477, AZ3146 and ARRY-520.
- Kinesin spindle protein inhibitors Kinesin spindle protein (KSP, also known as Eg5, HsEg5, KNSL1 or KIF11) is a kinesin-like motorprotein which is essential for the bipolar mitotic spindle to function. Inhibition of KSP leads to mitotic arrest and, over a relatively long term, to apoptosis (Tao et al., Cancer Cell 2005 July 8(1), 39-59).
- KSP inhibitors After the discovery of the first cell-penetrating KSP inhibitor, Monastrol, KSP inhibitors have established themselves as a class of novel chemotherapeutics (Marcher et al., Science 286: 971-974, 1999), and they are subject of a number of patent applications (e.g. WO2006/044825; WO2006/002236; WO2005/051922; WO2006/060737; WO03/060064; WO03/040979; and WO03/049527). However, since KSP unfolds its action only during a relatively short period of time during the mitosis phase, KSP inhibitors have to be present in a sufficiently high concentration during these initial phases.
- ADCs antibody drug conjugates
- KSP kinesin spindel Protein
- CD123 is the alpha chain of the IL-3 receptor and is also referred to as IL3R-alpha. CD123 is known to be expressed on primary AML samples and has been reported on a number of malignant cells. Preferred anti-CD123 antibodies are derived from antibodies disclosed by Sun et al. (Sun et al., 1996, Blood 87(1):83-92) and by Kuo et al. (Kuo et al., 2009, Bioconjug Chem. 20(10):1975-82).
- extracellular cancer target molecule CD123 IL-3R ⁇
- This extracellular cancer target molecule is also known as IL3RA (interleukin 3 receptor subunit alpha) and has the NCBI Gene ID: 3563.
- antibody-drug-conjugates which provide a very potent and long lasting in vivo anti tumor efficacy have been found. Further antibody-drug-conjugates directed towards CD123 which induce a long-lasting tumor inhibition as indicated by the time period until re-growth of the tumor occurs have been found.
- the invention further provides humanized anti-CD123 antibodies which are in addition germlined, which means these have a very small deviation compared to antibody sequences of the human germline. Special preference is given for the antibodies called “TPP-8987”, “TPP-9476”, “TPP-8988” and “TPP-9342”.
- FIG. 1 Sequence protocol.
- FIG. 2 Annotated sequence of antibodies. For each of the antibodies or antibody fragments, the CDR regions (HCDR1, HCDR2, HCDR3, LCDR1, LCDR2, LCDR3) and the variable regions (VH, VL) are emphasized.
- Particularly preferred compounds of general formula (I) are those in which
- Particularly preferred compounds of general formula (I) are those in which
- More particularly preferred compounds of general formula (I) are those in which
- More particularly preferred compounds of general formula (I) are:
- the literature discloses various options of covalent coupling (conjugation) of organic molecules to antibodies. Preference according to the invention is given to the conjugation of the toxophores to the antibody via one or more sulphur atoms of cysteine residues of the antibody and/or via one or more NH groups of lysine residues of the antibody. However, it is also possible to bind the toxophor to the antibody via free carboxyl groups or via sugar residues of the antibody.
- the antibody can be attached to the linker via a bond. Attachment of the antibody can be via a heteroatom of the binder. Heteroatoms according to the invention of the antibody which can be used for attachment are sulphur (in one embodiment via a sulphhydryl group of the antibody), oxygen (according to the invention by means of a carboxyl or hydroxyl group of the antibody) and nitrogen (in one embodiment via a primary or secondary amine group or amide group of the antibody). These heteroatoms may be present in the natural antibody or are introduced by chemical methods or methods of molecular biology. According to the invention, the attachment of the antibody to the toxophor has only a minor effect on the binding activity of the antibody with respect to the target molecule. In a preferred embodiment, the attachment has no effect on the binding activity of the antibody with respect to the target molecule.
- an immunoglobulin molecule preferably comprises a molecule having four polypeptide chains, two heavy chains (H chains) and two light chains (L chains) which are typically linked by disulphide bridges.
- Each heavy chain comprises a variable domain of the heavy chain (abbreviated VH) and a constant domain of the heavy chain.
- the constant domain of the heavy chain may, for example, comprise three domains CH1, CH2 and CH3.
- Each light chain comprises a variable domain (abbreviated VL) and a constant domain.
- the constant domain of the light chain comprises a domain (abbreviated CL).
- CL constant domain
- the VH and VL domains may be subdivided further into regions having hypervariability, also referred to as complementarity determining regions (abbreviated CDR) and regions having low sequence variability (framework region, abbreviated FR).
- CDR complementarity determining regions
- FR frame region
- each VH and VL region is composed of three CDRs and up to four FRs.
- FR1, CDR1, FR2, CDR2, FR3, CDR3, FR4 For example from the amino terminus to the carboxy terminus in the following order: FR1, CDR1, FR2, CDR2, FR3, CDR3, FR4.
- An antibody may be obtained from any suitable species, e.g. rabbit, llama, camel, mouse or rat. In one embodiment, the antibody is of human or murine origin.
- An antibody may, for example, be human, humanized or chimeric.
- monoclonal antibody refers to antibodies obtained from a population of substantially homogeneous antibodies, i.e. individual antibodies of the population are identical except for naturally occurring mutations, of which there may be a small number. Monoclonal antibodies recognize a single antigenic binding site with high specificity. The term monoclonal antibody does not refer to a particular preparation process.
- the term “intact” antibody refers to antibodies comprising both an antigen-binding domain and the constant domain of the light and heavy chain.
- the constant domain may be a naturally occurring domain or a variant thereof having a number of modified amino acid positions.
- modified intact antibody refers to intact antibodies fused via their amino terminus or carboxy terminus by means of a covalent bond (e.g. a peptide bond) with a further polypeptide or protein not originating from an antibody.
- antibodies may be modified such that, at defined positions, reactive cysteines are introduced to facilitate coupling to a toxophor (see Junutula et al. Nat Biotechnol. 2008, 26(8):925-32).
- human antibody refers to antibodies which can be obtained from a human or which are synthetic human antibodies.
- a “synthetic” human antibody is an antibody which is partially or entirely obtainable in silico from synthetic sequences based on the analysis of human antibody sequences.
- a human antibody can be encoded, for example, by a nucleic acid isolated from a library of antibody sequences of human origin. An example of such an antibody can be found in Soderlind et al., Nature Biotech. 2000, 18:853-856.
- humanized or “chimeric” antibody describes antibodies consisting of a non-human and a human portion of the sequence. In these antibodies, part of the sequences of the human immunoglobulin (recipient) is replaced by sequence portions of a non-human immunoglobulin (donor). In many cases, the donor is a murine immunoglobulin. In the case of humanized antibodies, amino acids of the CDR of the recipient are replaced by amino acids of the donor. Sometimes, amino acids of the framework, too, are replaced by corresponding amino acids of the donor. In some cases the humanized antibody contains amino acids present neither in the recepient nor in the donor, which were introduced during the optimization of the antibody. In the case of chimeric antibodies, the variable domains of the donor immunoglobulin are fused with the constant regions of a human antibody.
- complementarity determining region refers to those amino acids of a variable antibody domain which are required for binding to the antigen.
- each variable region has three CDR regions referred to as CDR1, CDR2 and CDR3.
- Each CDR region may embrace amino acids according to the definition of Kabat and/or amino acids of a hypervariable loop defined according to Chotia.
- the definition according to Kabat comprises, for example, the region from about amino acid position 24-34 (CDR1), 50-56 (CDR2) and 89-97 (CDR3) of the variable light chain and 31-35 (CDR1), 50-65 (CDR2) and 95-102 (CDR3) of the variable heavy chain (Kabat et al., Sequences of Proteins of Immunological Interest, 5th Ed. Public Health Service, National Institutes of Health, Bethesda, Md. (1991)).
- the definition according to Chotia comprises, for example, the region from about amino acid position 26-32 (CDR1), 50-52 (CDR2) and 91-96 (CDR3) of the variable light chain and 26-32 (CDR1), 53-55 (CDR2) and 96-101 (CDR3) of the variable heavy chain (Chothia and Lesk; J Mol Biol 196: 901-917 (1987)).
- a CDR may comprise amino acids from a CDR region defined according to Kabat and Chotia.
- antibodies may be categorized into different classes. There are five main classes of intact antibodies: IgA, IgD, IgE, IgG and IgM, and several of these can be divided into further subclasses. (Isotypes), e.g. IgG1, IgG2, IgG3, IgG4, IgA1 and IgA2.
- the constant domains of the heavy chain which correspond to the different classes, are referred to as [alpha/ ⁇ ], [delta/ ⁇ ], [epsilon/ ⁇ ], [gamma/ ⁇ ] and [my/ ⁇ ]. Both the three-dimensional structure and the subunit structure of antibodies are known.
- the term “functional fragment” or “antigen-binding antibody fragment” of an antibody/immunoglobulin is defined as a fragment of an antibody/immunoglobulin (e.g. the variable domains of an IgG) which still comprises the antigen binding domains of the antibody/immunoglobulin.
- the “antigen binding domain” of an antibody typically comprises one or more hypervariable regions of an antibody, for example the CDR, CDR2 and/or CDR3 region.
- the “framework” or “skeleton” region of an antibody may also play a role during binding of the antibody to the antigen.
- the framework region forms the skeleton of the CDRs.
- the antigen binding domain comprises at least amino acids 4 to 103 of the variable light chain and amino acids 5 to 109 of the variable heavy chain, more preferably amino acids 3 to 107 of the variable light chain and 4 to 111 of the variable heavy chain, particularly preferably the complete variable light and heavy chains, i.e. amino acids 1-109 of the VL and 1 to 113 of the VH (numbering according to WO97/08320).
- “Functional fragments” or “antigen-binding antibody fragments” of the invention encompass, non-conclusively, Fab, Fab′, F(ab′)2 and Fv fragments, diabodies, Single Domain Antibodies (DAbs), linear antibodies, individual chains of antibodies (single-chain Fv, abbreviated to scFv); and multispecific antibodies, such as bi and tri-specific antibodies, for example, formed from antibody fragments C.
- DAbs Single Domain Antibodies
- Multispecific antibodies may be specific for different epitopes of an antigen or may be specific for epitopes of more than one antigen (see, for example, WO 93/17715; WO 92/08802; WO 91/00360; WO 92/05793; Tutt, et al., 1991, J. Immunol. 147:60 69; U.S. Pat. Nos.
- An F(ab′)2 or Fab molecule may be constructed such that the number of intermolecular disulphide interactions occurring between the Ch1 and the CL domains can be reduced or else completely prevented.
- Epitopic determinants refer to protein determinants capable of binding specifically to an immunoglobulin or T cell receptors. Epitopic determinants usually consist of chemically active surface groups of molecules such as amino acids or sugar side chains or combinations thereof, and usually have specific 3-dimensional structural properties and also specific charge properties.
- “Functional fragments” or “antigen-binding antibody fragments” may be fused with another polypeptide or protein, not originating from an antibody, via the amino terminus or carboxyl terminus thereof, by means of a covalent bond (e.g. a peptide linkage). Furthermore, antibodies and antigen-binding fragments may be modified by introducing reactive cysteines at defined locations, in order to facilitate coupling to a toxophore (see Junutula et al. Nat Biotechnol. 2008 August; 26(8):925-32).
- Polyclonal antibodies can be prepared by methods known to a person of ordinary skill in the art.
- Monoclonal antibodies may be prepared by methods known to a person of ordinary skill in the art (Köhler and Milstein, Nature, 256, 495-497, 1975).
- Human and humanized monoclonal antibodies may be prepared by methods known to a person of ordinary skill in the art (Olsson et al., Meth Enzymol. 92, 3-16 or Cabilly et al U.S. Pat. No. 4,816,567 or Boss et al U.S. Pat. No. 4,816,397).
- Antibodies of the invention may be obtained from recombinant antibody libraries consisting for example of the amino acid sequences of a multiplicity of antibodies compiled from a large number of healthy volunteers. Antibodies may also be produced by means of known recombinant DNA technologies. The nucleic acid sequence of an antibody can be obtained by routine sequencing or is available from publically accessible databases.
- An “isolated” antibody or binder has been purified to remove other constituents of the cell. Contaminating constituents of a cell which may interfere with a diagnostic or therapeutic use are, for example, enzymes, hormones, or other peptidic or non-peptidic constituents of a cell.
- a preferred antibody or binder is one which has been purified to an extent of more than 95% by weight, relative to the antibody or binder (determined for example by Lowry method, UV-Vis spectroscopy or by SDS capillary gel electrophoresis).
- an antibody is normally prepared by one or more purification steps.
- specific binding refers to an antibody or binder which binds to a predetermined antigen/target molecule.
- Specific binding of an antibody or binder typically describes an antibody or binder having an affinity of at least 10 ⁇ 7 M (as Kd value; i.e. preferably those with Kd values smaller than 10 ⁇ 7 M), with the antibody or binder having an at least two times higher affinity for the predetermined antigen/target molecule than for a non-specific antigen/target molecule (e.g. bovine serum albumin, or casein) which is not the predetermined antigen/target molecule or a closely related antigen/target molecule.
- Kd value i.e. preferably those with Kd values smaller than 10 ⁇ 7 M
- the antibodies preferably have an affinity of at least 10 ⁇ 7 M (as Kd value; in other words preferably those with smaller Kd values than 10 ⁇ 7 M), preferably of at least 10 ⁇ 8 M, more preferably in the range from 10 ⁇ 9 M to 10 ⁇ 11 M.
- Kd values may be determined, for example, by means of surface plasmon resonance spectroscopy.
- the antibody-drug conjugates of the invention likewise exhibit affinities in these ranges.
- the affinity is preferably not substantially affected by the conjugation of the drugs (in general, the affinity is reduced by less than one order of magnitude, in other words, for example, at most from 10 ⁇ 8 M to 10 ⁇ 7 M).
- the antibodies used in accordance with the invention are also notable preferably for a high selectivity.
- a high selectivity exists when the antibody of the invention exhibits an affinity for the target protein which is better by a factor of at least 2, preferably by a factor of 5 or more preferably by a factor of 10, than for an independent other antigen, e g human serum albumin (the affinity may be determined, for example, by means of surface plasmon resonance spectroscopy).
- the antibodies of the invention that are used are preferably cross-reactive.
- the antibody used in accordance with the invention in order to be able to facilitate and better interpret preclinical studies, for example toxicological or activity studies (e.g. in xenograft mice), it is advantageous if the antibody used in accordance with the invention not only binds the human target protein but also binds the species target protein in the species used for the studies.
- the antibody used in accordance with the invention in addition to the human target protein, is cross-reactive to the target protein of at least one further species.
- species of the families of rodents, dogs and non-human primates Preferred rodent species are mouse and rat.
- Preferred non-human primates are rhesus monkeys, chimpanzees and long-tailed macaques.
- the antibody used in accordance with the invention in addition to the human target protein, is cross-reactive to the target protein of at least one further species selected from the group of species consisting of mouse, rat and long-tailed macaque ( Macaca fascicularis ).
- antibodies used in accordance with the invention which in addition to the human target protein are at least cross-reactive to the mouse target protein. Preference is given to cross-reactive antibodies whose affinity for the target protein of the further non-human species differs by a factor of not more than 50, more particularly by a factor of not more than ten, from the affinity for the human target protein.
- the target molecule towards which the binder, for example an antibody or an antigen-binding fragment thereof, is directed is preferably a cancer target molecule.
- the term “cancer target molecule” describes a target molecule which is more abundantly present on one or more cancer cell species than on non-cancer cells of the same tissue type.
- the cancer target molecule is selectively present on one or more cancer cell species compared with non-cancer cells of the same tissue type, where selectively describes an at least two-fold enrichment on cancer cells compared to non-cancer cells of the same tissue type (a “selective cancer target molecule”).
- selective cancer target molecule allows the selective therapy of cancer cells using the conjugates according to the invention.
- extracellular cancer target molecule IL-3R ⁇ CD123 (SEQ ID NO: 221).
- This extracellular cancer target molecule is also known as IL3RA (interleukin 3 receptor subunit alpha) and has the NCBI Gene ID: 3563.
- the functional interleukin 3 receptor is a heterodimer which comprises the specific alpha chain (IL-3R ⁇ , CD123) and a “general” IL-3 receptor beta chain ( ⁇ C, CD131) which is shared with the receptors for the granolocyte macrophage colony stimulating factor (GM-CSF) and interleukin 5 (IL-5).
- IL-3R ⁇ specific alpha chain
- ⁇ C IL-3 receptor beta chain
- GM-CSF granolocyte macrophage colony stimulating factor
- IL-5 interleukin 5
- IL-3R ⁇ is a transmembrane protein of type 1 having a calculated molecular weight of about 41 kDa.
- CD123 comprises an extracellular domain involved in IL-3 binding, a transmembrane domain and a short cytoplasmic end of about 50 amino acids.
- the extracellular domain consists of two regions: an N-terminal region of about 100 amino acids having sequence similarity to the equivalent regions of the GM-CSF and the IL-5 receptor alpha chain, and a region proximal to the transmembrane domain which region comprises four conserved cysteine residues and a WSXWS motif common in the cytokine receptor family.
- the IL-3 binding domain comprises a cytokine receptor motif (CRM) of about 200 amino acid residues which is constructed of two domains which are folded Ig-like.
- CCM cytokine receptor motif
- the extracellular domain of IL-3R ⁇ , CD123, is highly glycosylated, the N-glycosylation being required for ligand binding and receptor signal transduction.
- IL-3R ⁇ CD123
- haematopoietic precursor cells for example on haematopoietic precursor cells, mast cells, erythroid cells, megakaryocytes, neutrophil, basophil and eosinophil granulocytes, monocytes/macrophages, and CDS+B lymphocytes; CD123 is also expressed on non-haematopoietic cells such as dendritic cells, Leydig cells, endothelial cells and stromal cells.
- IL-3R ⁇ , CD123 is also expressed by cells involved in certain diseases; these diseases comprise: myelodysplastic syndrome, leukaemia (such as acute myeloid leukaemia (AML)), lymphoma, allergies and autoimmune disorders such as lupus or scleroderma.
- myelodysplastic syndrome such as acute myeloid leukaemia (AML)
- leukaemia such as acute myeloid leukaemia (AML)
- lymphoma lymphoma
- allergies autoimmune disorders such as lupus or scleroderma.
- anti-IL-3R ⁇ , anti-CD123, antibodies can be employed in therapy as naked antibodies or coupled antibodies (such as ADCs).
- the present invention relates to compounds coupled to antibodies specifically binding to IL-3R ⁇ , CD123 (SEQ ID NO: 221).
- anti-CD123 antibody relates to an antibody which specifically binds the cancer target molecule CD123 (IL-3R ⁇ , SEQ ID NO: 221), preferentially with an affinity which is sufficient for a diagnostic and/or therapeutic application.
- binding of an anti-CD123 antibody to a protein not related to CD123 is less than 10% of the binding of the antibody to CD123, determined, for example, by surface plasmon resonance spectroscopy.
- the antibody binds CD123 (IL-3R ⁇ , SEQ ID NO: 221) with a dissociation constant (KD) of ⁇ 1 ⁇ M, ⁇ 100 nM, ⁇ 10 nM, ⁇ 1 nM, ⁇ 0.1 nM, ⁇ 0.01 nM, or ⁇ 0.001 nM.
- the anti-CD123 antibody binds to an epitope which is conserved between different species.
- Antibodies which bind cancer target molecules may be prepared by a person of ordinary skill in the art using known processes, such as, for example, chemical synthesis or recombinant expression. Binders for cancer target molecules may be acquired commercially or may be prepared by a person of ordinary skill in the art using known processes, such as, for example, chemical synthesis or recombinant expression. Further processes for preparing antibodies or antigen-binding antibody fragments are described in WO 2007/070538 (see page 22 “Antibodies”). The person skilled in the art knows how processes such as phage display libraries (e.g.
- Morphosys HuCAL Gold can be compiled and used for discovering antibodies or antigen-binding antibody fragments (see WO 2007/070538, page 24 ff and AK Example 1 on page 70, AK Example 2 on page 72). Further processes for preparing antibodies that use DNA libraries from B cells are described for example on page 26 (WO 2007/070538). Processes for humanizing antibodies are described on page 30-32 of WO2007070538 and in detail in Queen, et al., Pros. Natl. Acad. Sci. USA 86:10029-10033,1989 or in WO 90/0786.
- an anti-CD123 antibody or an antigen-binding fragment thereof preferably one selected from those described below or modified by suitable mutation.
- the person skilled in the art is familiar with antibodies binding to CD123.
- This 7G3 sequence represents the starting point of the humanized and germlined antibodies TPP-8987 and TPP-9476.
- an antibody which, after cell surface antigen binding, is internalized particularly well is the anti-CD123 antibody 12F1 disclosed by Kuo et al. (Kuo et al., 2009, Bioconjug Chem. 20(10):1975-82).
- the antibody 12F1 binds with higher affinity to CD123 than the antibody 7G3 and, after cell surface antigen binding, is internalized markedly faster than 7G3.
- Bispecific scFv immunofusion proteins based on 12F1 are disclosed in WO 2013/173820.
- This 12F1 sequence represents the starting point of the humanized and germlined antibodies TPP-8988 and TPP-9342.
- the invention relates in particular to conjugates with antibodies or antigen-binding antibody fragments thereof or variants thereof derived from the antibodies 7G3 (Sun et al., 1996, Blood 87(1):83-92) and 12F1 (Kuo et al., 2009, Bioconjug Chem. 20(10):1975-82) originated from the mouse, or to conjugates with antibodies or antigen-binding antibody fragments thereof or variants thereof derived from the antibody 12F1 (Kuo et al., 2009, Bioconjug Chem. 20(10):1975-82) originating from the mouse.
- variable regions (VH and VL) of 7G3 EP2426148
- the following antibody sequences were obtained by CDR grafting in human framework regions and subsequent germlining optimization: TPP-8987 and TPP-9476.
- variable regions (VH and VL) of 12F1 Based on the publication of the sequences of the variable regions (VH and VL) of 12F1 (WO 2013/173820), the following antibody were obtained by CDR grafting in human framework regions and subsequent germlining optimization: TPP-8988 and TPP-9342.
- TPP-8987 and TPP-9476 are humanized and germlined variants of the antibody 7G3.
- TPP-8988 and TPP-9342 are humanized and germlined variants of the antibody 12F1
- antibodies of 7G3 and 12F1 which are humanized and which are very close to the human antibody germline sequences (germlined). Therefore antibodies TPP-8987, TPP-9476, TPP-8988, and TPP-9342 are further embodiments of this invention. The sequences of these antibodies are shown in the following table:
- TPP-8987 is an anti-CD123 antibody which comprises a variable heavy chain comprising the variable CDR1 sequence of the heavy chain, as shown in SEQ ID NO: 122, the variable CDR2 sequence of the heavy chain, as shown in SEQ ID NO: 123, and the variable CDR3 sequence of the heavy chain, as shown in SEQ ID NO: 124, and a variable light chain comprising the variable CDR1 sequence of the light chain, as shown in SEQ ID NO: 126, the variable CDR2 sequence of the light chain, as shown in SEQ ID NO: 127, and the variable CDR3 sequence of the light chain, as shown in SEQ ID NO: 128.
- TPP-9476 is an anti-CD123 antibody which comprises a variable heavy chain comprising the variable CDR1 sequence of the heavy chain, as shown in SEQ ID NO: 202, the variable CDR2 sequence of the heavy chain, as shown in SEQ ID NO: 203, and the variable CDR3 sequence of the heavy chain, as shown in SEQ ID NO: 204, and a variable light chain comprising the variable CDR1 sequence of the light chain, as shown in SEQ ID NO: 206, the variable CDR2 sequence of the light chain, as shown in SEQ ID NO: 207, and the variable CDR3 sequence of the light chain, as shown in SEQ ID NO: 208.
- TPP-8988 is an anti-CD123 antibody which comprises a variable heavy chain comprising the variable CDR1 sequence of the heavy chain, as shown in SEQ ID NO: 132, the variable CDR2 sequence of the heavy chain, as shown in SEQ ID NO: 133, and the variable CDR3 sequence of the heavy chain, as shown in SEQ ID NO: 134, and a variable light chain comprising the variable CDR1 sequence of the light chain, as shown in SEQ ID NO: 136, the variable CDR2 sequence of the light chain, as shown in SEQ ID NO: 137, and the variable CDR3 sequence of the light chain, as shown in SEQ ID NO: 138.
- TPP-9342 is an anti-CD123 antibody which comprises a variable heavy chain comprising the variable CDR1 sequence of the heavy chain, as shown in SEQ ID NO: 192, the variable CDR2 sequence of the heavy chain, as shown in SEQ ID NO: 193, and the variable CDR3 sequence of the heavy chain, as shown in SEQ ID NO: 194, and a variable light chain comprising the variable CDR1 sequence of the light chain, as shown in SEQ ID NO: 196, the variable CDR2 sequence of the light chain, as shown in SEQ ID NO: 197, and the variable CDR3 sequence of the light chain, as shown in SEQ ID NO: 198.
- TPP-8987 is an anti-CD123 antibody which preferably comprises a variable region of the heavy chain corresponding to SEQ ID NO: 121 and a variable region of the light chain corresponding to SEQ ID NO: 125.
- TPP-9476 is an anti-CD123 antibody which preferably comprises a variable region of the heavy chain corresponding to SEQ ID NO: 201 and a variable region of the light chain corresponding to SEQ ID NO: 205.
- TPP-8988 is an anti-CD123 antibody which preferably comprises a variable region of the heavy chain corresponding to SEQ ID NO: 131 and a variable region of the light chain corresponding to SEQ ID NO: 135.
- TPP-9342 is an anti-CD123 antibody which preferably comprises a variable region of the heavy chain corresponding to SEQ ID NO: 191 and a variable region of the light chain corresponding to SEQ ID NO: 195.
- TPP-8987 is an anti-CD123 antibody preferably comprising a region of the heavy chain corresponding to SEQ ID NO: 129 and a region of the light chain corresponding to SEQ ID NO: 130.
- TPP-9476 is an anti-CD123 antibody preferably comprising a region of the heavy chain corresponding to SEQ ID NO: 209 and a region of the light chain corresponding to SEQ ID NO: 210.
- TPP-8988 is an anti-CD123 antibody comprising a region of the heavy chain corresponding to SEQ ID NO: 139 and a region of the light chain preferably corresponding to SEQ ID NO: 140.
- TPP-9342 is an anti-CD123 antibody preferably comprising a region of the heavy chain corresponding to SEQ ID NO: 199 and a region of the light chain corresponding to SEQ ID NO: 200.
- Preferred embodiments of the anti-CD123 antibody for coupling with linkers and/or toxophores according to the invention are those below:
- the present invention also relates to the DNA molecules that encode an antibody of the invention or antigen-binding fragment thereof. These sequences are optimized in certain cases for mammalian expression.
- DNA molecules of the invention are not limited to the sequences disclosed herein, but also include variants thereof. DNA variants within the invention may be described by reference to their physical properties in hybridization. The skilled worker will recognize that DNA can be used to identify its complement and, since DNA is double stranded, its equivalent or homolog, using nucleic acid hybridization techniques. It also will be recognized that hybridization can occur with less than 100% complementarity. However, given appropriate choice of conditions, hybridization techniques can be used to differentiate among DNA sequences based on their structural relatedness to a particular probe.
- Structural similarity between two polynucleotide sequences can be expressed as a function of “stringency” of the conditions under which the two sequences will hybridize with one another.
- stringency refers to the extent that the conditions disfavor hybridization. Stringent conditions strongly disfavor hybridization, and only the most structurally related molecules will hybridize to one another under such conditions. Conversely, non-stringent conditions favor hybridization of molecules displaying a lesser degree of structural relatedness. Hybridization stringency, therefore, directly correlates with the structural relationships of two nucleic acid sequences.
- Hybridization stringency is a function of many factors, including overall DNA concentration, ionic strength, temperature, probe size and the presence of agents which disrupt hydrogen bonding. Factors promoting hybridization include high DNA concentrations, high ionic strengths, low temperatures, longer probe size and the absence of agents that disrupt hydrogen bonding. Hybridization typically is performed in two phases: the “binding” phase and the “washing” phase.
- variants of DNA molecules provided herein can be constructed in several different ways. For example, they may be constructed as completely synthetic DNAs. Methods of efficiently synthesizing oligonucleotides are widely available. See Ausubel et al., section 2.11, Supplement 21 (1993). Overlapping oligonucleotides may be synthesized and assembled in a fashion first reported by Khorana et al., J. Mol. Biol. 72:209-217 (1971); see also Ausubel et al., supra, Section 8.2. Synthetic DNAs preferably are designed with convenient restriction sites engineered at the 5′ and 3′ ends of the gene to facilitate cloning into an appropriate vector.
- a method of generating variants is to start with one of the DNAs disclosed herein and then to conduct site-directed mutagenesis. See Ausubel et al., supra, chapter 8, Supplement 37 (1997).
- a target DNA is cloned into a single-stranded DNA bacteriophage vehicle.
- Single-stranded DNA is isolated and hybridized with an oligonucleotide containing the desired nucleotide alteration(s).
- the complementary strand is synthesized and the double stranded phage is introduced into a host.
- Some of the resulting progeny will contain the desired mutant, which can be confirmed using DNA sequencing.
- various methods are available that increase the probability that the progeny phage will be the desired mutant. These methods are well known to those in the field and kits are commercially available for generating such mutants.
- the present invention further provides recombinant DNA constructs comprising one or more of the nucleotide sequences encoding the preferred antibodies of the present invention.
- the recombinant constructs of the present invention can be used in connection with a vector, such as a plasmid, phagemid, phage or viral vector, into which a DNA molecule encoding an antibody of the invention or antigen-binding fragment thereof or variant thereof is inserted.
- An antibody, antigen binding portion, or variant thereof provided herein can be prepared by recombinant expression of nucleic acid sequences encoding light and heavy chains or portions thereof in a host cell.
- a host cell can be transfected with one or more recombinant expression vectors carrying DNA fragments encoding the light and/or heavy chains or portions thereof such that the light and heavy chains are expressed in the host cell.
- Standard recombinant DNA methodologies are used to prepare and/or obtain nucleic acids encoding the heavy and light chains, incorporate these nucleic acids into recombinant expression vectors and introduce the vectors into host cells, such as those described in Sambrook, Fritsch and Maniatis (eds.), Molecular Cloning; A Laboratory Manual, Second Edition, Cold Spring Harbor, N.Y., (1989), Ausubel, F. M. et al. (eds.) Current Protocols in Molecular Biology, Greene Publishing Associates, (1989) and in U.S. Pat. No. 4,816,397 by Boss et al..
- nucleic acid sequences encoding variable regions of the heavy and/or light chains can be converted, for example, to nucleic acid sequences encoding full-length antibody chains, Fab fragments, or to scFv.
- the VL- or VH-encoding DNA fragment can be operatively linked, (such that the amino acid sequences encoded by the two DNA fragments are in-frame) to another DNA fragment encoding, for example, an antibody constant region or a flexible linker.
- sequences of human heavy chain and light chain constant regions are known in the art (see e.g., Kabat, E. A., el al. (1991) Sequences of Proteins of Immunological Interest, Fifth Edition, U.S. Department of Health and Human Services, NIH Publication No. 91-3242) and DNA fragments encompassing these regions can be obtained by standard PCR amplification.
- the VH- and VL-encoding nucleic acids can be operatively linked to another fragment encoding a flexible linker such that the VH and VL sequences can be expressed as a contiguous single-chain protein, with the VL and VH regions joined by the flexible linker (see e.g., Bird et al. (1988) Science 242:423-426; Huston et al. (1988) Proc. Natl. Acad. Sci. USA 85:5879-5883; McCafferty et al., Nature (1990) 348:552-554).
- DNA expression methods can be used (see, for example, Goeddel; Gene Expression Technology. Methods in Enzymology 185, Academic Press, San Diego, Calif. (1990)).
- DNA encoding the desired polypeptide can be inserted into an expression vector which is then transfected into a suitable host cell.
- Suitable host cells are prokaryotic and eukaryotic cells. Examples for prokaryotic host cells are e.g. bacteria, examples for eukaryotic hosts cells are yeasts, insects and insect cells, plants and plant cells, transgenic animals, or mammalian cells.
- the DNAs encoding the heavy and light chains are inserted into separate vectors. In other embodiments, the DNA encoding the heavy and light chains is inserted into the same vector. It is understood that the design of the expression vector, including the selection of regulatory sequences is affected by factors such as the choice of the host cell, the level of expression of protein desired and whether expression is constitutive or inducible.
- an embodiment of the present invention are also host cells comprising the vector or a nucleic acid molecule, whereby the host cell can be a higher eukaryotic host cell, such as a mammalian cell, a lower eukaryotic host cell, such as a yeast cell, and may be a prokaryotic cell, such as a bacterial cell.
- the host cell can be a higher eukaryotic host cell, such as a mammalian cell, a lower eukaryotic host cell, such as a yeast cell, and may be a prokaryotic cell, such as a bacterial cell.
- Another embodiment of the present invention is a method of using the host cell to produce an antibody and antigen binding fragments, comprising culturing the host cell under suitable conditions and recovering said antibody.
- Another embodiment of the present invention is the production of the antibodies according to this invention with the host cells of the present invention and purification of these antibodies to at least 95% homogeneity by weight.
- Useful expression vectors for bacterial use are constructed by inserting a DNA sequence encoding a desired protein together with suitable translation initiation and termination signals in operable reading phase with a functional promoter.
- the vector will comprise one or more phenotypic selectable markers and an origin of replication to ensure maintenance of the vector and, if desirable, to provide amplification within the host.
- Suitable prokaryotic hosts for transformation include but are not limited to E. coli, Bacillus subtilis, Salmonella typhimurium and various species within the genera Pseudomonas, Streptomyces , and Staphylococcus.
- Bacterial vectors may be, for example, bacteriophage-, plasmid- or phagemid-based. These vectors can contain a selectable marker and a bacterial origin of replication derived from commercially available plasmids typically containing elements of the well-known cloning vector pBR322 (ATCC 37017). Following transformation of a suitable host strain and growth of the host strain to an appropriate cell density, the selected promoter is de-repressed/induced by appropriate means (e.g., temperature shift or chemical induction) and cells are cultured for an additional period. Cells are typically harvested by centrifugation, disrupted by physical or chemical means, and the resulting crude extract retained for further purification.
- appropriate means e.g., temperature shift or chemical induction
- a number of expression vectors may be advantageously selected depending upon the use intended for the protein being expressed. For example, when a large quantity of such a protein is to be produced, for the generation of antibodies or to screen peptide libraries, for example, vectors which direct the expression of high levels of fusion protein products that are readily purified may be desirable.
- an embodiment of the present invention is an expression vector comprising a nucleic acid sequence encoding for the novel antibodies of the present invention.
- Antibodies of the present invention or antigen-binding fragments thereof or variants thereof include naturally purified products, products of chemical synthetic procedures, and products produced by recombinant techniques from a prokaryotic host, including, for example, E. coli, Bacillus subtilis, Salmonella typhimurium and various species within the genera Pseudomonas, Streptomyces , and Staphylococcus , preferably, from E. coli cells.
- Preferred regulatory sequences for mammalian host cell expression include viral elements that direct high levels of protein expression in mammalian cells, such as promoters and/or enhancers derived from cytomegalovirus (CMV) (such as the CMV promoter/enhancer), Simian Virus 40 (SV40) (such as the SV40 promoter/enhancer), adenovirus, (e.g., the adenovirus major late promoter (AdMLP)) and polyoma.
- CMV cytomegalovirus
- SV40 Simian Virus 40
- AdMLP adenovirus major late promoter
- Expression of the antibodies may be constitutive or regulated (e.g. inducible by addition or removal of small molecule inductors such as Tetracyclin in conjunction with Tet system).
- the recombinant expression vectors can also include origins of replication and selectable markers (see e.g., U.S. Pat. Nos. 4,399,216, 4,634,665 and 5,179,017).
- Suitable selectable markers include genes that confer resistance to drugs such as G418, puromycin, hygromycin, blasticidin, zeocin/bleomycin or methotrexate or selectable marker that exploit auxotrophies such as Glutamine Synthetase (Bebbington et al., Biotechnology (N Y). 1992 February;10(2):169-75), on a host cell into which the vector has been introduced.
- DHFR dihydrofolate reductase
- neo gene confers resistance to G4108
- the bsd gene from Aspergillus terreus confers resistance to blasticidin
- puromycin N-acetyl-transferase confers resistance to puromycin
- the Sh ble gene product confers resistance to zeocin
- resistance to hygromycin is conferred by the E. coli hygromycin resistance gene (hyg or hph).
- Selectable markers like DHFR or Glutamine Synthetase are also useful for amplification techniques in conjunction with MTX and MSX.
- Transfection of the expression vector into a host cell can be carried out using standard techniques such as electroporation, nucleofection, calcium-phosphate precipitation, lipofection, polycation-based transfection such as polyethlylenimine (PEI)-based transfection and DEAE-dextran transfection.
- electroporation nucleofection
- calcium-phosphate precipitation calcium-phosphate precipitation
- lipofection lipofection
- polycation-based transfection such as polyethlylenimine (PEI)-based transfection and DEAE-dextran transfection.
- PEI polyethlylenimine
- Suitable mammalian host cells for expressing the antibodies, antigen binding fragments thereof or variants thereof provided herein include Chinese Hamster Ovary (CHO cells) such as CHO-K1, CHO—S, CHO-K1SV [including dhfr- CHO cells, described in Urlaub and Chasin, (1980) Proc. Natl. Acad. Sci. USA 77:4216-4220 and Urlaub et al., Cell. 1983 June;33(2):405-12, used with a DHFR selectable marker, e.g., as described in R. J. Kaufman and P. A. Sharp (1982) Mol. Biol.
- Expression might also be transient or semi-stable in expression systems such as HEK293, HEK293T, HEK293-EBNA, HEK293E, HEK293-6E, HEK293-Freestyle, HKB11, Expi293F, 293EBNALT75, CHO Freestyle, CHO—S, CHO-K1, CHO-K1SV, CHOEBNALT85, CHOS-XE, CHO-3E7 or CAP-T cells (for instance Durocher et al., Nucleic Acids Res. 2002 January 15;30(2):E9).
- the expression vector is designed such that the expressed protein is secreted into the culture medium in which the host cells are grown.
- the antibodies, antigen binding fragments thereof or variants thereof can be recovered from the culture medium using standard protein purification methods.
- Antibodies of the invention or antigen-binding fragments thereof or variants thereof can be recovered and purified from recombinant cell cultures by well-known methods including, but not limited to ammonium sulfate or ethanol precipitation, acid extraction, Protein A chromatography, Protein G chromatography, anion or cation exchange chromatography, phospho-cellulose chromatography, hydrophobic interaction chromatography, affinity chromatography, hydroxylapatite chromatography and lectin chromatography. High performance liquid chromatography (“HPLC”) can also be employed for purification.
- HPLC high performance liquid chromatography
- Antibodies of the present invention or antigen-binding fragments thereof or variants thereof include naturally purified products, products of chemical synthetic procedures, and products produced by recombinant techniques from an eukaryotic host, including, for example, yeast, higher plant, insect and mammalian cells. Depending upon the host employed in a recombinant production procedure, the antibody of the present invention can be glycosylated or can be non-glycosylated. Such methods are described in many standard laboratory manuals, such as Sambrook, supra, Sections 17.37-17.42; Ausubel, supra, Chapters 10, 12, 13, 16, 18 and 20.
- the antibody is purified (1) to greater than 95% by weight of antibody as determined e.g. by the Lowry method, UV-Vis spectroscopy or by by SDS-Capillary Gel electrophoresis (for example on a Caliper LabChip GXII, GX 90 or Biorad Bioanalyzer device), and in further preferred embodiments more than 99% by weight, (2) to a degree sufficient to obtain at least 15 residues of N-terminal or internal amino acid sequence, or (3) to homogeneity by SDS-PAGE under reducing or non-reducing conditions using Coomassie blue or, preferably, silver stain.
- Isolated naturally occurring antibody includes the antibody in situ within recombinant cells since at least one component of the antibody's natural environment will not be present. Ordinarily, however, isolated antibody will be prepared by at least one purification step.
- the present invention also encompasses all suitable isotopic variants of the compounds according to the invention.
- An isotopic variant of a compound according to the invention is understood here as meaning a compound in which at least one atom within the compound according to the invention has been exchanged for another atom of the same atomic number, but with a different atomic mass than the atomic mass which usually or predominantly occurs in nature.
- isotopes which can be incorporated into a compound according to the invention are those of hydrogen, carbon, nitrogen, oxygen, phosphorus, sulphur, fluorine, chlorine, bromine and iodine, such as 2 H (deuterium), 3 H (tritium), 13 C, 14 C, 15 N, 17 O, 18 O, 32 P, 33 P, 33 S, 34 S, 35 S, 36 S, 18 F, 36 Cl, 82 Br, 123 I, 124 I, 129 I and 131 I.
- Particular isotopic variants of a compound according to the invention may be beneficial, for example, for the examination of the mechanism of action or of the active compound distribution in the body; due to comparatively easy preparability and detectability, especially compounds labelled with 3 H or 14 C isotopes are suitable for this purpose.
- the incorporation of isotopes, for example of deuterium can lead to particular therapeutic benefits as a consequence of greater metabolic stability of the compound, for example an extension of the half-life in the body or a reduction in the active dose required; such modifications of the compounds according to the invention may therefore in some cases also constitute a preferred embodiment of the present invention.
- Isotopic variants of the compounds according to the invention can be prepared by the processes known to those skilled in the art, for example by the methods described below and the procedures described in the working examples, by using corresponding isotopic modifications of the respective reagents and/or starting compounds.
- Preferred salts in the context of the present invention are physiologically acceptable salts of the compounds according to the invention. Also encompassed are salts which are not themselves suitable for pharmaceutical applications but can be used, for example, for isolation or purification of the compounds according to the invention.
- Physiologically acceptable salts of the compounds according to the invention include acid addition salts of mineral acids, carboxylic acids and sulphonic acids, for example salts of hydrochloric acid, hydrobromic acid, sulphuric acid, phosphoric acid, methanesulphonic acid, ethanesulphonic acid, benzenesulphonic acid, toluenesulphonic acid, naphthalenedisulphonic acid, acetic acid, trifluoroacetic acid, propionic acid, lactic acid, tartaric acid, malic acid, citric acid, fumaric acid, maleic acid and benzoic acid.
- hydrochloric acid hydrobromic acid, sulphuric acid, phosphoric acid, methanesulphonic acid, ethanesulphonic acid, benzenesulphonic acid, toluenesulphonic acid, naphthalenedisulphonic acid, acetic acid, trifluoroacetic acid, propionic acid, lactic acid, tartaric acid,
- Physiologically acceptable salts of the inventive compounds also include salts of conventional bases, by way of example and with preference alkali metal salts (e.g. sodium and potassium salts), alkaline earth metal salts (e.g. calcium and magnesium salts) and ammonium salts derived from ammonia or organic amines having 1 to 16 carbon atoms, by way of example and with preference ethylamine, diethylamine, triethylamine, ethyldiisopropylamine, monoethanolamine, diethanolamine, triethanolamine, dicyclohexylamine, dimethylaminoethanol, procaine, dibenzylamine, N-methylpiperidine, N-methylmorpholine, arginine, lysine and 1,2-ethylenediamine
- alkali metal salts e.g. sodium and potassium salts
- alkaline earth metal salts e.g. calcium and magnesium salts
- ammonium salts derived from ammonia or organic amines having 1 to
- Solvates in the context of the invention are described as those forms of the compounds according to the invention which form a complex in the solid or liquid state by coordination with solvent molecules.
- Hydrates are a specific form of the solvates in which the coordination is with water.
- Solvates preferred in the context of the present invention are hydrates.
- prodrugs of the compounds according to the invention.
- prodrugs here denotes compounds which may themselves be biologically active or inactive, but are converted (for example by metabolic or hydrolytic means) to inventive compounds during their residence time in the body.
- Another embodiment of the invention is a conjugate as defined above where the antibody or functional fragment thereof binds to a cancer target molecule.
- Another embodiment of the invention is a conjugate as defined above where the conjugate has 2 to 6 conjugation sites per antibody or functional fragment thereof.
- Another embodiment of the invention is a conjugate as defined above where the conjugate has 2 conjugation sites per antibody or functional fragment thereof.
- Another embodiment of the invention is a conjugate according as defined above where the conjugate has 4 conjugation sites per antibody or functional fragment thereof.
- Another embodiment of the invention is a conjugate as defined above where the antibody or functional fragment thereof binds to an extracellular target molecule.
- Another embodiment of the invention is a conjugate as defined above where the antibody or functional fragment thereof, after binding to the extracellular target molecule, is internalized and processed intracellularly (preferably lysosomally) by the cell expressing the target molecule.
- the CD123 targeted antibody-drug conjugates described herein may be used to treat a CD123 expressing disorder, such as CD 123 expressing cancer.
- a CD123 expressing disorder such as CD 123 expressing cancer.
- cancers show detectable levels of CD123 measured at the protein (e.g., by immunoassay) or RNA level.
- Some such cancers show elevated levels of CD123 relative to noncancerous tissue of the same type, preferably from the same patient.
- a level of CD 123 in a cancer is measured before performing treatment.
- the CD 123 directed antibody drug conjugates may be used to treat CD123 expressing disease, including CD123 expressing cancers, like tumors of the hematopoietic and lymphoid tissues or hematopoietic and lymphoid malignancies.
- cancers associated with CD123 expression include myeloid diseases such as, acute myeloid leukemia (AML) and myelodysplastic syndrome (MDS).
- Other cancers include B-cell acute lymphoblastic leukemia (B-ALL), hairy cell leukemia, Fanconi anemia, Blastic plasmacytoid dendritic cell neoplasm (BPDCN), Hodgkin's disease, Immature T-cell acute lymphoblastic leukemia (Immature T-ALL), Burkitt's lymphoma, Follicular lymphoma, chronic lymphocytic leukemia (CLL), or mantle cell lymphoma.
- B-ALL B-cell acute lymphoblastic leukemia
- Fanconi anemia Fanconi anemia
- Hodgkin's disease Immature T-cell acute lymphoblastic leukemia (Immature T-ALL), Burkitt's lympho
- Methods of the present invention include treating a patient that has a cancer that expresses CD123 comprising administering to the patient an antibody-drug conjugate of the present invention.
- the cancer can be any CD123 expressing cancer, including, for example, AML, MDS, B-ALL, hairy cell leukemia, Fanconi anemia, BPDCN, Hodgkin's disease, Immature T-ALL, Burkitt's lymphoma, Follicular lymphoma, CLL, or mantle cell lymphoma.
- the hyper-proliferative diseases for the treatment of which the compounds according to the invention may be employed, include in particular the group of cancer and tumour diseases.
- these are understood to mean especially the following diseases, but without any limitation thereto: mammary carcinomas and mammary tumours (mammary carcinomas including ductal and lobular forms, also in situ), tumours of the respiratory tract (small-cell and non-small cell carcinoma, bronchial carcinoma), cerebral tumours (e.g.
- tumours of the digestive organs include cancermas of the oesophagus, stomach, gall bladder, small intestine, large intestine, rectum and anal carcinomas), liver tumours (inter alia hepatocellular carcinoma, cholangiocarcinoma and mixed hepatocellular cholangiocarcinoma), tumours of the head and neck region (larynx, hypopharynx, nasopharynx, oropharynx, lips and oral cavity carcinomas, oral melanomas), skin tumours (basaliomas, spinaliomas, squamous cell carcinomas, Kaposi's sarcoma, malignant melanoma, non-melanomatous skin cancer, Merkel cell skin cancer
- tumours of the thyroid and parathyroid glands pancreas and salivary gland carcinomas, adenocarcinomas
- tumours of the urinary tract tumours of the bladder, penis, kidney, renal pelvis and ureter
- tumours of the reproductive organs tumours of the endometrium, cervix, ovary, vagina, vulva and uterus in women and carcinomas of the prostate and testes in men.
- proliferative blood diseases of the blood, the lymph system and the spinal cord in solid form and as circulating cells, such as leukaemias, lymphomas and myeloproliferative diseases, for example acute myeloid, acute lymphoblastic, chronic lymphocytic, chronic myelogenous and hairy cell leukaemia, and AIDS-correlated lymphomas, Hodgkin's lymphomas, non-Hodgkin's lymphomas, cutaneous T cell lymphomas, Burkitt's lymphomas and lymphomas in the central nervous system.
- leukaemias such as leukaemias, lymphomas and myeloproliferative diseases, for example acute myeloid, acute lymphoblastic, chronic lymphocytic, chronic myelogenous and hairy cell leukaemia, and AIDS-correlated lymphomas, Hodgkin's lymphomas, non-Hodgkin's lymphomas, cutaneous T cell lymphomas, Burkitt's lymphomas and lymphomas in
- the treatment of the cancer diseases mentioned above with the compounds according to the invention comprises both a treatment of the solid tumors and a treatment of metastasizing or circulating forms thereof.
- treatment or “treat” is used in the conventional sense and means attending to, caring for and nursing a patient with the aim of combating, reducing, attenuating or alleviating a disease or health abnormality, and improving the living conditions impaired by this disease, as, for example, in the event of a cancer.
- the present invention thus further provides for the use of the compounds according to the invention for the treatment and/or prevention of disorders, in particular the disorders mentioned above.
- the present invention further provides for the use of the compounds according to the invention for producing a medicament for the treatment and/or prevention of disorders, in particular the disorders mentioned above.
- the present invention further provides for the use of the compounds according to the invention in a method for treatment and/or prevention of disorders, in particular the disorders mentioned above.
- the present invention further provides a method for treatment and/or prevention of disorders, in particular the disorders mentioned above, using an effective amount of at least one of the compounds according to the invention.
- the compounds according to the invention can be used alone or, if required, in combination with one or more other pharmacologically active substances, provided that this combination does not lead to undesirable and unacceptable side effects.
- the present invention furthermore therefore provides medicaments containing at least one of the compounds according to the invention and one or more further active compounds, in particular for treatment and/or prevention of the abovementioned disorders.
- the compounds of the present invention can be combined with known anti-hyper-proliferative, cytostatic or cytotoxic substances for the treatment of cancer diseases.
- suitable combination active compounds include:
- 131I-chTNT abarelix, abiraterone, aclarubicin, ado-trastuzumab emtansine, afatinib, aflibercept, aldesleukin, alemtuzumab, Alendronic acid, alitretinoin, altretamine, amifostine, aminoglutethimide, Hexyl aminolevulinate, amrubicin, amsacrine, anastrozole, ancestim, anethole dithiolethione, angiotensin II, antithrombin III, aprepitant, arcitumomab, arglabin, arsenic trioxide, asparaginase, axitinib, azacitidine, basiliximab, belotecan, bendamustine, belinostat, bevacizumab, bexarotene, bicalutamide, bisantrene, bleomycin
- the compounds of the present invention can be combined, for example, with binders which, by way of example, can bind to the following targets: OX-40, CD137/4-1BB, DR3, IDO1/IDO2, LAG-3, CD40.
- the compounds according to the invention can also be used in combination with radiotherapy and/or surgical intervention.
- the compounds according to the invention can also be used in combination with radiotherapy and/or surgical intervention.
- the present invention further provides medicaments which comprise at least one compound according to the invention, typically together with one or more inert, nontoxic, pharmaceutically suitable excipients, and the use thereof for the aforementioned purposes.
- the compounds according to the invention can act systemically and/or locally. For this purpose, they can be administered in a suitable manner, for example parenterally, possibly inhalatively or as implants or stents.
- the compounds according to the invention can be administered in suitable administration forms for these administration routes.
- Parenteral administration can bypass an absorption step (for example intravenously, intraarterially, intracardially, intraspinally or intralumbally) or include an absorption (for example intramuscularly, subcutaneously, intracutaneously, percutaneously or intraperitoneally).
- Administration forms suitable for parenteral administration include preparations for injection and infusion in the form of solutions, suspensions, emulsions or lyophilizates. Preference is given to parenteral administration, especially intravenous administration.
- parenteral administration it has been found to be advantageous in the case of parenteral administration to administer amounts of from about 0.001 to 1 mg/kg, preferably about 0.01 to 0.5 mg/kg, of body weight to achieve effective results.
- MS instrument Waters (Micromass) QM; HPLC instrument: Agilent 1100 Series; column: Agilent ZORBAX Extend-C18 3.0 ⁇ 50 mm 3.5-micron; mobile phase A: 1 1 of water+0.01 mol of ammonium carbonate, mobile phase B: 1 1 of acetonitrile; gradient: 0.0 min 98% A ⁇ 0.2 min 98% A ⁇ 3.0 min 5% A ⁇ 4.5 min 5% A; oven: 40° C.; flow rate: 1.75 ml/min; UV detection: 210 nm
- MS instrument type Waters Synapt G2S; UPLC instrument type: Waters Acquity I-CLASS; column: Waters, HSST3, 2.1 ⁇ 50 mm, C18 1.8 ⁇ m; mobile phase A: 1 1 of water+0.01% formic acid; mobile phase B: 1 1 of acetonitrile+0.01% formic acid; gradient: 0.0 min 10% B ⁇ 0.3 min 10% B ⁇ 1.7 min 95% B ⁇ 2.5 min 95% B; oven: 50° C.; flow rate: 1.20 ml/min; UV detection: 210 nm
- Instrument Micromass Quattro Premier with Waters UPLC Acquity; column: Thermo Hypersil GOLD 1.9 g 50 ⁇ 1 mm; mobile phase A: 1 1 of water+0.5 ml of 50% strength formic acid, mobile phase B: 1 1 of acetonitrile+0.5 ml of 50% strength formic acid; gradient: 0.0 min 97% A ⁇ 0.5 min 97% A ⁇ 3.2 min 5% A ⁇ 4.0 min 5% A oven: 50° C.; flow rate: 0.3 ml/min; UV detection: 210 nm.
- MS instrument type Waters Synapt G2S; UPLC instrument type: Waters Acquity I-CLASS; column: Waters, HSST3, 2.1 ⁇ 50 mm, C18 1.8 ⁇ m; mobile phase A: 1 1 of water+0.01% formic acid; mobile phase B: 1 1 of acetonitrile+0.01% formic acid; gradient: 0.0 min 2% B ⁇ 2.0 min 2% B ⁇ 13.0 min 90% B ⁇ 15.0 min 90% B; oven: 50° C.; flow rate: 1.20 ml/min; UV detection: 210 nm
- MS instrument Waters
- HPLC instrument Waters (column Waters X-Bridge C18, 19 mm ⁇ 50 mm, 5 ⁇ m, mobile phase A: water+0.05% ammonia, mobile phase B: acetonitrile (ULC) with gradient; flow rate: 40 ml/min; UV detection: DAD; 210-400 nm).
- MS instrument Waters
- HPLC instrument Waters (column Phenomenex Luna 5 ⁇ C18(2) 100A, AXIA
- mobile phase A water+0.05% formic acid
- mobile phase B acetonitrile (ULC) with gradient; flow rate: 40 ml/min; UV detection: DAD; 210-400 nm).
- MS instrument Waters SQD; Instrument HPLC: Waters UPLC; column: Zorbax SB-Aq (Agilent), 50 mm ⁇ 2.1 mm, 1.8 ⁇ m; mobile phase A: water+0.025% formic acid, mobile phase B: acetonitrile (ULC)+0.025% formic acid; gradient: 0.0 min 98% A—0.9 min 25% A-1.0 min 5% A—1.4 min 5% A-1.41 min 98% A-1.5 min 98% A; oven: 40° C.; flow rate: 0.600 ml/min; UV detection: DAD; 210 nm.
- MS instrument type Thermo Scientific FT-MS; UHPLC+instrument type: Thermo Scientific UltiMate 3000; column: Waters, HSST3, 2.1 ⁇ 75 mm, C18 1.8 ⁇ m; mobile phase A: 1 1 of water+0.01% formic acid; mobile phase B: 1 1 of acetonitrile+0.01% formic acid; gradient: 0.0 min 10% B ⁇ 2.5 min 95% B ⁇ 3.5 min 95% B; oven: 50° C.; flow rate: 0.90 ml/min; UV detection: 210 nm/optimum integration path 210-300 nm
- MS instrument Waters (Micromass) Quattro Micro; Instrument Waters UPLC Acquity; column: Waters BEH C18 1.7 g 50 ⁇ 2.1 mm; mobile phase A: 1 1 of water+0.01 mol ammonium formate, mobile phase B: 1 1 of acetonitrile; gradient: 0.0 min 95% A ⁇ 0.1 min 95% A ⁇ 2.0 min 15% A ⁇ 2.5 min 15% A-* 2.51 min 10% A ⁇ 3.0 min 10% A; oven: 40° C.; flow rate: 0.5 ml/min; UV detection: 210 nm
- reaction mixture was stirred at RT for 2 h and purified directly by preparative RP-HPLC (column: Reprosil 125 ⁇ 30; 10 ⁇ , flow rate: 50 ml/min, MeCN/water, 0.1% TFA). The solvents were evaporated under reduced pressure and the residue was dried under high vacuum.
- this intermediate was dissolved in 3 ml of 2,2,2-trifluoroethanol. 12 mg (0.088 mmol) of zinc chloride were added, and the reaction was stirred at 50° C. for 2 h. 26 mg (0.088 mmol) of ethylenediamine-N,N,N′,N′-tetraacetic acid and 2 ml of a 0.1% strength aqueous trifluoroacetic acid solution were then added. The reaction was purified by preparative HPLC. Concentration of the appropriate fractions and lyophilization of the residue from acetonitrile/water gave 8.1 mg (68% of theory) of the title compound.
- reaction mixture was stirred at RT for 2 hours.
- the reaction mixture was purified directly by preparative RP-HPLC (column: Reprosil 125 ⁇ 30; 10 ⁇ , flow rate: 50 ml/min, MeCN/water/0.1% TFA). The solvents were evaporated under reduced pressure and the residue was dried under high vacuum.
- the anti-CD123 antibodies were obtained by CDR grafting.
- the sequence of the 7G3 antibody (EP2426148) represents the starting point of the humanized antibodies such as TPP-5969,TPP-8987 and TPP-9476.
- Bispecific scFv immunofusion proteins based on 12F1 are disclosed in WO 2013/173820.
- variable regions (VH and VL) of 12F1 Based on the publication of the sequences of the variable regions (VH and VL) of 12F1 (WO 2013/173820), the following antibody sequences were obtained by fusion of the variable domains of the donor immunoglobulin (VH and VL) with the constant regions of a human antibody. A chimeric variant of 12F1 was generated. Humanized anti-CD123 antibodies were obtained by CDR grating representing the starting point of the humanized antibodies such as TPP-8988 and TPP-9342.
- the murine antibody sequence of the 7G3 antibody was humanized by transferring the CDRs into a human antibody skeleton.
- CDRs For the definition of the CDRs according to Kabat, see Andre C. R. Martin, “Protein sequence and structure analysis of antibody variable domains” in Antibody Engineering (Springer Lab Manuals), Eds.: Duebel, S. and Kontermann, R., Springer-Verlag, Heidelberg.
- a similar frequently occurring human frame sequence was selected. In this case, it was the heavy chain IGHV1-46-01 with the J sequence IGHJ4-03 and the light chain IGKV4-1-01 with the J segment IGKJ2.
- the sequences were named using the IMGT system (Lefranc, M. -P., Giudicelli, V., Ginestoux, C., Jabado-Michaloud, J., Folch, G., Bellahcene, F., Wu, Y., Gemrot, E., Brochet, X., Lane, J., Regnier, L., Ehrenmann, F, Lefranc, G. and Duroux, P. IMGT®, the international ImMunoGeneTics information system®. Nucl. Acids Res, 37, D1006-D1012 (2009); doi:10.1093/nar/gkn838).
- the antibody variants TPP-5969, TPP-8987 and TPP-9476 described herein carry various point mutations differing from the human germline sequence which may influence their properties.
- Besides the chimeric antibody TPP-6013 humanized antibodies were obtained by transferring the CDRs into a human antibody skeleton as TPP-8988 and TPP-9342
- TPP-6013, TPP-5969, TPP-8987, TPP-8988, TPP-9476 and TPP-9342 were produced in transient cultures of mammalian cells, as described by Tom et al., Chapter 12 in Methods Express: Expression Systems, edited by Micheal R. Dyson and Yves Durocher, Scion Publishing Ltd, 2007.
- the antibodies for example TPP-8987 and TPP-8988, were obtained from the cell culture supernatants.
- the cell supernatants were clarified by centrifugation of cells.
- the cell supernatant was then purified by affinity chromatography on a MabSelect Sure (GE Healthcare) chromatography column.
- the column was equilibrated in DPBS pH 7.4 (Sigma/Aldrich), the cell supernatant was applied and the column was washed with about 10 column volumes of DPBS pH 7.4+500 mM sodium chloride.
- the antibodies were eluted in 50 mM sodium acetate pH 3.5+500 mM sodium chloride and then purified further by gel filtration chromatography on a Superdex 200 column (GE Healthcare) in DPBS pH 7.4.
- the antibodies were furthermore characterized by their binding affinity to soluble IL3Ralpha (obtained from R&D Systems) via BIAcore analysis.
- binding was measured by flow cytometry on CD123-positive cancer cell line MOLM-13,
- the coupling reactions were usually carried out under argon.
- TCEP tris(2-carboxyethyl)phosphine hydrochloride
- the sample was then concentrated by ultracentrifugation and optionally rediluted with PBS buffer. If required, for better removal of low-molecular weight components, concentration by ultrafiltration was repeated after redilution with PBS buffer. For biological tests, if required, the concentrations of the final ADC samples were optionally adjusted to the range of 0.5-15 mg/ml by redilution. The respective protein concentrations, stated in the working examples, of the ADC solutions were determined. Furthermore, antibody loading (drug/mAb ratio) was determined using the methods described under B-7.
- the ADCs shown in the examples may also be present to a lesser or higher degree in the form of the closed succinamides attached to the antibodies.
- AK TPP-XXXX or AK has the meaning
- AK anti-CD123 antibody (partially reduced)-S ⁇ 1
- AK TPP5969 anti-CD123 TPP-5969 (partially reduced)-S ⁇ 1
- AK TPP6013 anti-CD123 TPP-6013 (partially reduced)-S ⁇ 1
- AK TPP8987 anti-CD123 TPP-8987 (partially reduced)-S ⁇ 1
- AK TPP8988 anti-CD123 TPP-8988 (partially reduced)-S ⁇ 1
- AK TPP9476 anti-CD123 TPP-9476 (partially reduced)-S ⁇ 1
- S represents the sulphur atom of a cysteine residue of the partially reduced antibody.
- 68 ⁇ mol of the maleinimide precursor compounds described above were taken up in 15 ml of DMF, and with 36 mg (136 ⁇ mol) of N- ⁇ [2-(trimethylsilyl)ethoxy]carbonyl ⁇ -L-cysteine were added.
- the reaction mixture was stirred at RT for ⁇ 20 h, then concentrated under reduced pressure and then purified by preparative HPLC. The appropriate fractions were combined and the solvents were evaporated under reduced pressure, and the residue was then dissolved in 15 ml of THF/water 1:1. 131 ⁇ l of a 2M aqueous lithium hydroxide solution were added and the reaction was stirred at RT for 1 h. The reaction was then neutralized with a 1M hydrochloric acid, the solvent was evaporated under reduced pressure and the residue was purified by preparative HPLC. This gave ⁇ 50% of theory of the regioisomeric protected intermediates as a colourless foam.
- the reaction mixture was concentrated, for example by ultrafiltration, and then desalted and purified by chromatography, for example using a Sephadex® G-25 column Elution was carried out, for example, with phosphate-buffered saline (PBS).
- PBS phosphate-buffered saline
- the solution was then sterile filtered and frozen.
- the conjugate can be lyophylized.
- Determination of toxophor loading of lysine-linked ADCs was carried out by mass spectrometric determination of the molecular weights of the individual conjugate species.
- the antibody conjugates were first deglycosylated with PNGaseF, and the sample was acidified and, after HPLC separation/desalting, analysed by mass spectrometry using ESI-MicroTof Q (Bruker Daltonik). All spectra over the signal in the TIC (Total Ion Chromatogram) were added and the molecular weight of the different conjugate species was calculated based on MaxEnt deconvolution.
- the toxophor loading of cysteine-linked conjugates was determined by reversed-phase chromatography of the reduced and denatured ADCs. Guanidinium hydrochloride (GuHCl) (28.6 mg) and a solution of DL-dithiothreitol (DTT) (500 mM, 3 ⁇ l) were added to the ADC solution (1 mg/ml, 50 ⁇ l). The mixture was incubated at 55° C. for one hour and analysed by HPLC.
- GuHCl Guanidinium hydrochloride
- DTT DL-dithiothreitol
- HPLC analysis was carried out on an Agilent 1260 HPLC system with detection at 220 nm.
- a Polymer Laboratories PLRP-S polymeric reversed-phase column (catalogue number PL1912-3802) (2.1 ⁇ 150 mm, 8 ⁇ m particle size, 1000 ⁇ ) was used at a flow rate of 1 ml/min with the following gradient: 0 min, 25% B; 3 min, 25% B; 28 min, 50% B.
- Mobile phase A consisted of 0.05% trifluoroacetic acid (TFA) in water, mobile phase B of 0.05% trifluoroacetic acid in acetonitrile.
- the detected peaks were assigned by retention time comparison with the light chain (L0) and the heavy chain (H0) of the non-conjugated antibody. Peaks detected exclusively in the conjugated sample were assigned to the light chain with one toxophor (L1) and the heavy chains with one, two and three toxophors (H1, H2, H3).
- Average loading of the antibody with toxophors was calculated from the peak areas determined by integration as double the sum of HC load and LC load, where LC load is calculated from the sum of the toxophor number-average weighed integration results of all LC peaks divided by the sum of the singly weighed integration results of all LC peaks, and where the HC-load is calculated from the sum of the toxophor number-average weighed integration results of all HC peaks divided by the sum of the singly weighed integration results of all HC peaks. In individual cases, it may not be possible to determine the toxophor load accurately owing to co-elutions of some peaks.
- Guanidinium hydrochloride (GuHCl) (28.6 mg) and a solution of DL-dithiothreitol (DTT) (500 mM, 3 ⁇ l) were added to the ADC solution (1 mg/ml, 50 ⁇ l). The mixture was incubated for one hour at 55° C. and analysed by mass spectrometry after online desalting using ESI-MicroTof Q (Bruker Daltonik).
- the molecular weight area ratio of closed to open cysteine adduct (molecular weight delta 18 Dalton) of all singly conjugated light and heavy chain variants was determined. The mean of all variants yielded the proportion of the open cysteine adduct.
- the capability of the binder of binding to the target molecule was checked after coupling had taken place.
- the person skilled in the art is familiar with multifarious methods which can be used for this purpose; for example, the affinity of the conjugate can be checked using ELISA technology or surface plasmon resonance analysis (BIAcoreTM measurement).
- the conjugate concentration can be measured by the person skilled in the art using customary methods, for example for antibody conjugates by protein determination. (see also Doronina et al.; Nature Biotechnol. 2003; 21:778-784 and Polson et al., Blood 2007; 1102:616-623).
- methyl L-cysteinate hydrochloride (1:1) was converted with 1-( ⁇ [2-(trimethylsilyl)ethoxy]carbonyl ⁇ oxy)pyrrolidine-2,5-dione in DMF in the presence of N,N-diisopropylethylamine into methyl N- ⁇ [2-(trimethylsilyl)ethoxy]carbonyl ⁇ -L-cysteinate.
- the ADCs shown in the structural formulae of the Working examples, which were coupled to the cystein side chains of the antibodies via maleimide radicals, are, depending on the linker and the coupling procedure, mainly present in the ring-opened forms shown in each case.
- the preparation(s) may comprise a small proportion of the ring-closed form.
- the ring-closed form is:
- the eluate was then diluted to 125 ml with PBS buffer (pH 7.2), concentrated by ultracentrifugation, rediluted with PBS buffer (pH 7.2) and reconcentrated again.
- the ADC batch obtained was characterized as follows:
- the eluate was then diluted to 125 ml with PBS buffer (pH 7.2), concentrated by ultracentrifugation, rediluted with PBS buffer (pH 7.2) and reconcentrated again.
- the ADC batch obtained was characterized as follows:
- the eluate was then diluted to 125 ml with PBS buffer (pH 7.2), concentrated by ultracentrifugation, rediluted with PBS buffer (pH 7.2) and reconcentrated again.
- the ADC batch obtained was characterized as follows:
- the eluate was then diluted to 125 ml with PBS buffer (pH 7.2), concentrated by ultracentrifugation, rediluted with PBS buffer (pH 7.2) and reconcentrated again.
- the ADC batch obtained was characterized as follows:
- NCI-H292 human mucoepidermoid lung carcinoma cells, ATCC-CRL-1848, standard medium: RPMI 1640 (Biochrom; #FG1215, stab. glutamine)+10% FCS (Biochrom; #S0415).
- MOLM-13 human acute monocytic leukaemia cells obtained from peripheral blood (AML-M5a), DSMZ, No. ACC 554, standard medium: RPMI 1640 (Gibco; #21875-059, stab. L-glutamine)+20% heat inactivated FCS (Gibco, No. 10500-064); CD123-positive.
- THP-1 human monocytic leukaemia cells obtained from peripheral blood, ATCC, NO. TIB-202, standard medium: RPMI 1640 (Gibco; #21875--059, stab. L-glutamine)+10% heat inactivated FCS (Gibco, No. 10500-064)+2.5 g of glucose (20% glucose solution, Gibco, No. 19002); CD123-positive.
- MV-4-11 human biphenotypic B myelomonocytc leukemia cells obtained from peripheral blood, ATCC-CRL-9591, standard medium:IMDM (ATCC:30-2005), +10% heat inactivated FCS (Gibco, No. 10500-064); CD123-positive.
- KG-1 human acute myeloid leukaemia cells obtained from bone marrow, DSMZ, No. ACC 14, standard medium: RPMI 1640 (Gibco; #21875-059, stab. L-glutamine)+10% heat inactivated FCS (Gibco, No. 10500-064)+2.5 g of glucose (20% glucose solution, Gibco, No. 19002); CD123-positive.
- NB4 human acute promyelocytic leukemia cells obtained from bone marrow, DSMZ, No. ACC 207, standard medium: RPMI 1640+GlutaMAX I (Invitrogen 61870)+10% heat inactivated FCS (Gibco, No. 10500-064)+2.5 g of glucose (20% glucose solution, Gibco, No. 19002)+10 mM Hepes (Invitrogen 15630)+1 mM Sodium Pyruvate (Invitrogen 11360); CD123-negative
- the cells were cultivated by the standard method as stated by the American Tissue Culture Collection (ATCC) or the Leibniz-Institut DSMZ-Deutsche Sammlung von Mikroorganismen and Zellkulturen GmbH (DSMZ) for the cell lines in question.
- ATCC American Tissue Culture Collection
- DSMZ Leibniz-Institut DSMZ-Deutsche Sammlung von Mikroorganismen and Zellkulturen GmbH
- the cells were cultivated according to the standard method using the growth media listed under C-1.
- the test is carried out by detaching the cells with a solution of Accutase in PBS (Biochrom AG #L2143; in case of adherent cell), pelleting, resuspending in culture medium, counting and sowing into a 96-well culture plate with white bottom (Costar #3610) (NCI H292: 2500 cells/well; MOLM-13: 2000 cells/well; THP-1: 8000 cells/well; NB4: 7000 cells/well; KG-1: 5000 cells/well, MV-4-11: 5000 cells/well in a total volume of 100 ⁇ l). The cells were then incubated in an incubator at 37° C. and 5% carbon dioxide.
- the medium was replaced.
- the antibody drug conjugates or the metabolites in 10 ⁇ l of culture medium in concentrations from 10 ⁇ 5 M to 10 ⁇ 13 M were then pipetted to the cells (in triplicate), and the assay was then incubated in an incubator at 37° C. and 5% carbon dioxide.
- the cell proliferation was detected using the MTT assay (ATCC, Manassas, Va., USA, catalogue No. 30-1010K).
- the MTT reagent was incubated with the cells for 4 h, followed by lysis of the cells overnight by addition of the detergent.
- the dye formed was detected at 570 nm (Infinite M1000 pro, Tecan).
- the measured data were used to calculate the IC 50 of the growth inhibition using the DRC (dose response curve).
- the proliferation of cells which were not treated with test substance but were otherwise identically treated was defined as the 100% figure.
- Table 1 below lists the IC 50 values of representative working examples for different anti-CD123 antibodies from this assay:
- the activity data reported relate to the working examples described in the present experimental section, with the drug/mAB ratios indicated. The values may possibly deviate for different drug/mAB ratios.
- the IC 50 values are means of several independent experiments or individual values.
- the action of the CD123 antibody drug conjugates was selective for the respective isotype comprising the respective linker and toxophore.
- the motor domain of the human kinesin spindle protein KSP/Eg5 (tebu-bio/Cytoskeleton Inc, No. 027EG01-XL) was incubated in a concentration of 10 nM with microtubuli (bovine or porcine, tebu-bio/Cytoskeleton Inc) stabilized with 50 ⁇ g/ml taxol (Sigma No. T7191-5MG) for 5 min at RT in 15 mM PIPES, pH 6.8 (5 mM MgCl 2 and 10 mM DTT, Sigma). The freshly prepared mixture was aliquoted into a 384 MTP (Greiner bio-one REF 781096).
- the positive controls used were monastrol (Sigma, M8515-1 mg) and ispinesib (AdooQ Bioscience A10486). The individual data of the dose-activity curve are eight-fold determinations.
- the IC 50 values are means of two independent experiments. The 100% control was the sample which had not been treated with inhibitors.
- Table 2 below lists the IC 50 values of representative working examples from the assay described and the corresponding cytotoxicity data (MTT assay).
- ADC antibody drug conjugates
- the protein solution was concentrated using VIVASPIN 500 columns (Sartorius stedim biotec VS0131).
- the dye load of the CD123 antibodies examined here and the isotype control were of a comparable order. In cell binding assays, it was confirmed that the conjugation did not lead to a change in the affinity of the antibodies.
- the antigen to be examined is expressed by haematopoietic suspension cells, and the internalisation of the labelled CD123 antibodies was therefore examined in an FACS-based internalisation assay.
- cell lines with different expression levels of the receptor were selected and tested.
- the cells (5 ⁇ 10 4 /well) were sown in a 96-MTP in a total volume of 100 ⁇ l (Greiner bio-one, CELLSTAR, 650 180, U-bottom).
- the anti-CD123 antibody to be examined were incubated at 37° C. for different periods (1 h, 2 h, 6 h, in triplicate). The same treatment protocol was applied to the labelled isotype control (negative control).
- the toxic active compound of the antibody drug conjugates is released in the lysosome, owing to the linker selected.
- the transport of the antibody to this organelle is therefore crucial.
- marker proteins specific for the lysosome e.g. surface protein or small GTPasen
- the CD123-positive cells 5 ⁇ 10 4 /well) in 100 ⁇ l of medium were initially shown into a 96-MTP (Greiner bio-one, CELLSTAR, 650 180, U-bottom). After addition of the CypHer5E-labelled anti-CD123 antibody (final concentration 20 ⁇ g/ml), the batches were incubated in duplicate at 37° C. for 6 h.
- a lysosome-specific live dye was added to the samples.
- the lysomes were stained using the CytoPainter LysoGreen indicator reagent (final concentration 1:2000; abcam, ab176826).
- 200 ⁇ l of ice-cold FACS buffer (DULBECCO'S PBS, Sigma-Aldrich, No. D8537+3% FBS heat inactivated FBS, Gibco, No. 10500-064) were pipetted into the batch and the cell suspension was centrifuged at 400 ⁇ g and 4° C. for 5 min.
- the cell permeability of a substance can be investigated by means of in vitro testing in a flux assay using Caco-2 cells[M. D. Troutman and D. R. Thakker, Pharm. Res. 20 (8), 1210-1224 (2003)].
- the cells were cultured for 15-16 days on 24-well filter plates.
- the respective test substance was applied in a HEPES buffer to the cells either apically (A) or basally (B) and incubated for 2 hours. After 0 hours and after 2 hours, samples were taken from the cis and trans compartments. The samples were separated by HPLC (Agilent 1200, Boblingen, Germany) using reverse phase columns.
- the HPLC system was coupled via a Turbo Ion Spray Interface to a Triple Quadropol mass spectrometer API 4000 (AB SCIEX GmbH, Darmstadt, Germany).
- the permeability was evaluated on the basis of a P app value, which was calculated using the formula published by Schwab et al. [D. Schwab et al., J. Med. Chem. 46, 1716-1725 (2003)].
- a substance was classified as actively transported when the ratio of P app (B-A) to P app (A-B) (efflux ratio) was >2 or ⁇ 0.5.
- tumour cells express transporter proteins for drugs, and this frequently accompanies the development of resistance towards cytostatics.
- P-gp P-glycoprotein
- BCRP BCRP
- the substrate properties of a substance for P-gp were determined by means of a flux assay using LLC-PK1 cells which overexpress P-gp (L-MDR1 cells) [A. H. Schinkel et al., J. Clin. Invest. 96, 1698-1705 (1995)].
- LLC-PK1 cells or L-MDR1 cells were cultured on 96-well filter plates for 3-4 days.
- an inhibitor such as ivermectin or verapamil, for example
- the efflux ratios in L-MDR1 and LLC-PK1 cells or the efflux ratio in the presence or absence of an inhibitor may be compared. If these values differ by a factor of more than 2, the substance in question is a P-gp substrate.
- the cells are washed with PBS and detached with Accutase, and the cell number is determined. After another washing, a defined number of cells (2 ⁇ 10 5 ) is treated with 100 ml of lysis buffer (Mammalian Cell Lysis Kit (Sigma MCL1) and incubated with continuous shaking (Thermomixer, 15 min, 4° C., 650 rpm) in Protein LoBind tubes (Eppendorf Cat. No. 0030 108.116). After the incubation, the lysate is centrifuged (10 min, 4° C., 12000 g, Eppendorf 5415R) and the supernatant is harvested. The supernatant obtained is stored at ⁇ 80° C. All samples are then analysed as follows.
- Measurement of the compounds in the culture supernatant or cell lysate is carried out after precipitation of the proteins with methanol or acetonitrile by high-pressure liquid chromatography (HPLC) coupled to a triple-quadrupole mass spectrometer (MS).
- HPLC high-pressure liquid chromatography
- MS triple-quadrupole mass spectrometer
- precipitation reagent For work-up of 50 ⁇ l of culture supernatant/cell lysate, 150 ⁇ l of precipitation reagent (generally acetonitrile) are added and the mixture is shaken for 10 seconds.
- the precipitation reagent contains an internal standard (ISTD) in a suitable concentration (generally in the range of 20-100 ng/ml). After 3 minutes of centrifugation at 16000 g, the supernatant is transferred into an autosampler vial, made up with 500 ⁇ l of a buffer suitable for the mobile phase and shaken again.
- ISD internal standard
- the two matrix samples are then measured using the HPLC-coupled triple-quadrupol mass spectrometer API6500 from AB SCIEX Deutschland GmbH.
- concentrations of 0.5-2000 ⁇ g/1 are added to plasma samples.
- the detection limit (LOQ) is about 2 ⁇ g/l.
- the linear range extends from 2 to 1000 ⁇ g/1.
- concentrations of 0.5-200 ⁇ g/1 are added to the supernatant of untreated tumours.
- the detection limit is 4 ⁇ g/l.
- the linear range extends from 4 to 200 ⁇ g/l.
- Quality controls for testing validity contain 5 and 50 ⁇ g/l.
- the plasma and tumour concentrations of the ADCs and any metabolites occuring can be measured, and the pharmacokinetic parameters such as clearance (CL), area under the curve (AUC) and half-times (t 1/2 ) can be calculated.
- CL clearance
- AUC area under the curve
- t 1/2 half-times
- Measurement of the compounds in plasma and tumour is carried out after precipitation of the proteins with methanol or acetonitrile by high-pressure liquid chromatography (HPLC) coupled to a triple-quadrupole mass spectrometer (MS).
- HPLC high-pressure liquid chromatography
- MS triple-quadrupole mass spectrometer
- precipitation reagent For work-up of 50 ⁇ l of plasma, 250 ⁇ l of precipitation reagent (generally acetonitrile) are added and the mixture is shaken for 10 seconds.
- the precipitation reagent contains an internal standard (ISTD) in a suitable concentration (generally in the range of 20-100 ng/ml). After 3 minutes of centrifugation at 16000 g, the supernatant is transferred into an autosampler vial, made up with 500 ⁇ l of a buffer suitable for the mobile phase and shaken again.
- ISD internal standard
- the extraction buffer contains 50 ml of Tissue Protein Extraction Reagent (Pierce, Rockford, Ill.), two pellets of Complete-Protease-Inhibitor-Cocktail (Roche Diagnostics GmbH, Mannheim, Germany) and phenylmethylsulphonyl fluoride (Sigma, St. Louis, Mo.) in a final concentration of 1 mM.
- the sample is homogenized twice for 20 minutes in a Tissuelyser II (Qiagen), at maximum stroke number. 50 ⁇ l of the homogenate are transferred into an autosampler vial and made up with 150 ⁇ l of methanol including ISTD. After 3 minutes of centrifugation at 16000 g, 10 ⁇ l of the supernatant are made up with 180 ⁇ l of a buffer suitable for the mobile phase and shaken again. The tumour sample is then ready for measuring.
- the two matrix samples are then measured using the HPLC-coupled triple-quadrupol mass spectrometer API6500 from AB SCIEX Deutschland GmbH.
- concentrations of 0.5-2000 ⁇ g/l are added to plasma samples.
- the detection limit (LOQ) is about 2 ⁇ g/l.
- the linear range extends from 2 to 1000 ⁇ g/l.
- concentrations of 0.5-200 ⁇ g/l are added to the supernatant of untreated tumours.
- the detection limit is 5 ⁇ g/l.
- the linear range extends from 5 to 200 ⁇ g/l.
- Quality controls for testing validity contain 5 and 50 ⁇ g/l, in plasma additionally 500 ⁇ g/l.
- the antibody part of the ADCs was determined using a ligand binding assay (ELISA) as total IgG concentration in plasma samples and tumour lysates.
- ELISA ligand binding assay
- the ELISA plates were coated with anti-human goat IgG Fc antibodies. After incubation with the sample, the plates were washed and incubated with a detector conjugate of simian anti-human IgG(H+L) antibody and horseradish peroxidase (HRP). After a further washing step, the HRP substrate was added to OPD and the colour development was monitored via absorption at 490 nm. Standard samples having a known IgG concentration were fitted using a 4-parameter equation. Within the lower (LLOQ) and upper (ULOQ) quantification limits, the unknown concentrations were determined by interpolation.
- rodents e.g. mice
- a conjugate of the invention e.g. an isotype conjugate, a control antibody or isotonic saline (vehicle) were administered to the implanted animals.
- the tumor size was determined in conjugate treated animals vs. control groups (control conjugate and/or vehicle).
- the conjugate treated animals showed a reduced tumor size.
- mice Human tumor cells expressing the target antigen for the antibody-drug conjugate were inoculated subcutaneously into the flank of immunocompromised mice (e.g.: NMRI Nude- or SCID mice). 1-10 million cells were detached from cell culture, centrifuged and re-suspended with medium or medium/Matrigel. The cell suspension was injected subcutaneously into mice. Treatment (i.p. application at a volume of 5 mL/kg; Dosing schedule is shown in table x) started after establishment of the tumor, approximately at a tumor size of 40 mm 2 .
- Treatment i.p. application at a volume of 5 mL/kg; Dosing schedule is shown in table x
- Table 5 summarizes in vivo efficacy of representative working examples.
- Primary read out is the tumor growth inhibition in treatment vs. vehicle group as indicated by T/C values (determined from the last measured time point before the vehicle group reached a tumor size of >200 mm 2 and had to be sacrificed due to German animal protection law).
- T/C values determined from the last measured time point before the vehicle group reached a tumor size of >200 mm 2 and had to be sacrificed due to German animal protection law.
- As a second read out table 5 also indicates the time period until the treatment groups showed tumor regrowth and the study was terminated.
- Exp 1 shows a strong efficacy and clear superiority of ref 257 ml vs 208 ml as measured by tumor growth inhibition in THP-1 AML Xenograft model (T/C 0.46 vs. 0.92)
- the efficacy of ref 257 ml has also been evaluated in an additional AML Xenograft models.
- Exp. 2. confirmed superiority of ref 257 ml vs 208 ml based on tumor growth inhibition (T/C 0.25 vs 0.42) and also strongly reduced time until tumor regrowth in the MOLM 13 AML Xenograft model (34 days vs 24 days).
- the examples 1a, 1b, 1c show strong efficacy in two AML models (Exp.3 and Exp.4), All examples described show superiority versus ref 208 ml (e.g. 1a vs 208 ml-T/C 0.32 vs 0,42).
- the corresponding isotype-ADC controls with the indicated schedule (Q7dx2) were comparable to vehicle controls.
- the antibodies described herein base on two murine antibody clones 7G3 and 12F1 described in literature (EP2426148; WO2013/173820).
- the murine CDRs were grafted into human frameworks as described by O'Brien and Jones, (Chapter 40 Humanizing Antibodies by CDR Grafting, p579 Table 4) and also Hwang et al, (Methods 36 (2005) p35-42).
- the humanized variants were transiently expressed in HEK293 cells. Supernatants were tested in SPR and FACS for the binding to antigen and cells. To reduce immunogenicity and optimize binding properties, single or multiple mutations were introduced in CDRs and Frameworks. More than 100 variants were tested in order to generate and select the final lead candidates.
- the antibody variants described herein carry various point mutations differing from the human germline sequence which may influence their properties.
- the first campaign based on the murine antibody clone 12F1 (WO2013/173820).
- the grafting of the CDRs was not trivial and had to be tested on several human framework backbones in order succeed.
- the best grafted version was identified to be TPP-8988, in which the light chain CDRs were grafted into the human framework backbone IGKV3-20, the heavy chain CDRs were grafted into the human framework backbone IGHV3-66.
- the grafting of the murine CDRs failed in other cases, e.g. for TPP-8613 which showed reduced FACS binding.
- the light chain CDRs were grafted into the human framework backbone IGKV4-1
- the heavy chain CDRs were grafted into the human framework backbone IGHV3-66.
- Another example that did not yield sufficient expression as a grafted version is TPP-8617, in which the light chain CDRs were grafted into the human framework backbone IGKV4-1, the heavy chain CDRs were grafted into the human framework backbone IGHV5-51.
- TPP-8988 single and recombined non-germline residues were exchanged to human germline and 66 variants were tested for expression and binding.
- the best recombination variant tested was TPP-9342.
- Other variants, as for example TPP-9075, TPP-9078, TPP-9104, TPP-9129 or TPP-9130 showed low expression and/or undesirable multiphasic behavior in the SPR measurements, although the share similar sequences with TPP-8988/TPP9342.
- the second campaign based on the murine antibody clone 7G3 (EP2426148).
- the humanized version TPP-5969 was generated as described above, based on human germlines IGKV4-1 and IGHV1-69. It can serve as an alternative to CSL-362 (TPP-5709), a humanized version generated by CSL (EP2606069).
- TPP-5969 showed an undesirable multiphasic binding behaviour in the SPR analysis. To abolish this multiphasic binding and to de-immunize TPP-5969 and, single and recombined non-germline residues were exchanged to human germline and 53 variants were tested for expression and binding. Most variants, as for example TPP-8465, TPP-8467, TPP-8468, or TPP-9479 showed low expression and multiphasic behavior in the SPR measurements as well diminished FACS binding, although the share similar sequences with humanized version TPP-5969 and/or the final candidates TPP-8987 or TPP-9476.
- TPP-8695 containing three mutations in the heavychain (N61A, K65Q and Q67R) compared to TPP-5969 showed single digit nanomolar EC50 values in FACS binding while still binding in a multiphasic fashion in SPR at low expression.
- the expression rates of TPP-8987 were rather low, different heavy chain variants were generated in order to find a recombination of mutations that allows reasonable expression together with non-multiphasic SPR binding properties and positive FACS results.
- Those assets are represented by TPP-9476 which only differs from TPP-8987 in the R67Q backmutation but expresses 10-fold higher while retaining its favorable binding features.
- Binding of the anti-CD123 antibodies was examined by flow cytometry using human haematological cell line MOLM-13. To this end, the cells (5 ⁇ 10 5 cells/well) were incubated in FACS buffer (PBS without Ca/Mg, 3% FCS, Biochrom) with 10 ⁇ g/ml primary antibody solution (start concentration) on ice for 30-45 min protected from light. A dose activity curve (1:5 dilution) was plotted. After the incubation, 200 ⁇ l of ice-cold FACS buffer were added using a pipette, and the cell suspension was centrifuged at 4° C. 400 g for 4 min.
- FACS buffer PBS without Ca/Mg, 3% FCS, Biochrom
- the cell pellet was washed with 300 ⁇ l of ice-cold FACS buffer and the pellet obtained was then resuspended in 100 ⁇ l FACS buffer and incubated again with secondary antibody (monoclonal anti-kappa light chains-FITC antibody, Sigma, No. SAB4700605) in a 1:10 dilution on ice for 30 min.
- the cells were then washed with ice-cold FACS buffer and adjusted to a cell concentration of 0.5 ⁇ 10 6 cell/ml prior to flow cytometry using a Guava flow cytometer (Millipore). Propidium iodide (final concentration 1 ⁇ g/ml) was used for live staining.
Landscapes
- Health & Medical Sciences (AREA)
- Life Sciences & Earth Sciences (AREA)
- Chemical & Material Sciences (AREA)
- Medicinal Chemistry (AREA)
- General Health & Medical Sciences (AREA)
- Bioinformatics & Cheminformatics (AREA)
- Engineering & Computer Science (AREA)
- Immunology (AREA)
- Pharmacology & Pharmacy (AREA)
- Public Health (AREA)
- Veterinary Medicine (AREA)
- Animal Behavior & Ethology (AREA)
- Epidemiology (AREA)
- Organic Chemistry (AREA)
- Cell Biology (AREA)
- Molecular Biology (AREA)
- Chemical Kinetics & Catalysis (AREA)
- Nuclear Medicine, Radiotherapy & Molecular Imaging (AREA)
- Biochemistry (AREA)
- Biophysics (AREA)
- Genetics & Genomics (AREA)
- General Chemical & Material Sciences (AREA)
- Proteomics, Peptides & Aminoacids (AREA)
- Peptides Or Proteins (AREA)
- Medicines Containing Antibodies Or Antigens For Use As Internal Diagnostic Agents (AREA)
- Pharmaceuticals Containing Other Organic And Inorganic Compounds (AREA)
- Medicinal Preparation (AREA)
- Medicines That Contain Protein Lipid Enzymes And Other Medicines (AREA)
Abstract
The invention relates to specific Antibody-Drug-Conjugates (ADCs) with KSP inhibitors and anti-CD123-antibodies, to the use of these conjugates for the treatment and/or prophylaxis of diseases and to the use of these conjugates for preparing medicaments for treatment and/or prevention of diseases, in particular hyperproliferative and/or angiogenic disorders such as, for example, cancer diseases. Such treatments can be carried out as monotherapy or else in combination with other medicaments or further therapeutic measures.
Description
- The invention relates to specific Antibody-Drug-Conjugates (ADCs) with KSP (kinesin spindle protein) inhibitors and anti-CD123-antibodies, to the use of these conjugates for the treatment and/or prophylaxis of diseases and to the use of these conjugates for preparing medicaments for treatment and/or prevention of diseases, in particular hyperproliferative and/or angiogenic disorders such as, for example, cancer diseases. Such treatments can be carried out as monotherapy or else in combination with other medicaments or further therapeutic measures.
- Cancer diseases are the consequence of uncontrolled cell growth of the most diverse tissues. In many cases, the new cells penetrate into existing tissue (invasive growth), or they metastase into remote organs. Cancer diseases occur in the most diverse organs and often have tissue-specific courses of the disease. The term cancer as a generic term therefore describes a large group of defined diseases of various organs, tissue and cell types.
- Tumours in early stages can possibly be removed by surgical and radiotherapy measures. Metastased tumours as a rule can only be treated palliatively by chemotherapeutics. The aim here is to achieve the optimum combination of an improvement in the quality of life and prolonging of life.
- Conjugates of binder proteins and antibodies with one or more active compound molecules are known, in particular in the form of antibody drug conjugates (ADCs) in which an internalising antibody directed against a tumour-associated antigen is covalently attached via a linker to a cytotoxic agent. Following introduction of the ADCs into the tumour cell and subsequent dissociation of the conjugate, either the cytotoxic agent itself or a cytotoxic metabolite formed therefrom is released within the tumour cell and can unfold its action therein directly and selectively. In this manner, in contrast to conventional chemotherapy, damage to normal tissue is contained in significantly narrower limits [see, for example, J. M. Lambert, Curr. Opin. Pharmacol. 5, 543-549 (2005); A. M. Wu and P. D. Senter, Nat. Biotechnol. 23, 1137-1146 (2005); P. D. Senter, Curr. Opin. Chem. Biol. 13, 235-244 (2009); L. Ducry and B. Stump, Bioconjugate Chem. 21, 5-13 (2010)]. Thus, WO2012/171020 describes ADCs in which a plurality of toxophor molecules are attached via a polymeric linker to an antibody. As possible toxophors, WO2012/171020 mentions, among others, the substances SB 743921, SB 715992 (Ispinesib), MK-0371, AZD8477, AZ3146 and ARRY-520.
- The substances mentioned last are kinesin spindle protein inhibitors. Kinesin spindle protein (KSP, also known as Eg5, HsEg5, KNSL1 or KIF11) is a kinesin-like motorprotein which is essential for the bipolar mitotic spindle to function. Inhibition of KSP leads to mitotic arrest and, over a relatively long term, to apoptosis (Tao et al., Cancer Cell 2005 July 8(1), 39-59). After the discovery of the first cell-penetrating KSP inhibitor, Monastrol, KSP inhibitors have established themselves as a class of novel chemotherapeutics (Mayer et al., Science 286: 971-974, 1999), and they are subject of a number of patent applications (e.g. WO2006/044825; WO2006/002236; WO2005/051922; WO2006/060737; WO03/060064; WO03/040979; and WO03/049527). However, since KSP unfolds its action only during a relatively short period of time during the mitosis phase, KSP inhibitors have to be present in a sufficiently high concentration during these initial phases.
- In WO2015/096982 and WO2014/151030 antibody drug conjugates (ADCs) are described with kinesin spindel Protein (KSP) inhibitors.
- CD123 is the alpha chain of the IL-3 receptor and is also referred to as IL3R-alpha. CD123 is known to be expressed on primary AML samples and has been reported on a number of malignant cells. Preferred anti-CD123 antibodies are derived from antibodies disclosed by Sun et al. (Sun et al., 1996, Blood 87(1):83-92) and by Kuo et al. (Kuo et al., 2009, Bioconjug Chem. 20(10):1975-82).
- Even with regard to the several already known antibody-drug-conjugates, there is still a high demand for new compounds that increase the availability of active compounds that show acceptable or even better properties in comparison to the state of the art compounds.
- Against this background it is an object of the present invention to provide substances which, after administration at a relatively low concentration, unfold apoptotic action and may therefore be of benefit for cancer therapy.
- It has now surprisingly been found that antibody-drug-conjugates that have a selected drug moiety as herein described together with a selected antibody as herein described show acceptable and significant better properties.
- Particular preference is given here to the extracellular cancer target molecule CD123 (IL-3Rα). This extracellular cancer target molecule is also known as IL3RA (
interleukin 3 receptor subunit alpha) and has the NCBI Gene ID: 3563. - For the target molecule CD123 antibody-drug-conjugates which provide a very potent and long lasting in vivo anti tumor efficacy have been found. Further antibody-drug-conjugates directed towards CD123 which induce a long-lasting tumor inhibition as indicated by the time period until re-growth of the tumor occurs have been found.
- To achieve this object, the invention further provides humanized anti-CD123 antibodies which are in addition germlined, which means these have a very small deviation compared to antibody sequences of the human germline. Special preference is given for the antibodies called “TPP-8987”, “TPP-9476”, “TPP-8988” and “TPP-9342”.
- It has now surprisingly been found that a conjugate of an antibody (AK) or a functional fragment thereof together with one or more chemical compound(s) as defined in following formula (I) shows superiority over the known conjugates:
-
- in which
- X is —CH2— or —CH2—CH2—,
- L is (—CH2—CH2—O—)m—CH2—CH2—,
- m is 1 to 20,
- n is 1 to 8 and
- AK is an anti-CD123 antibody or a functional fragment thereof where the antibody or the functional fragment thereof is attached via a cysteine residue and said antibody or functional fragment thereof comprises
- a variable heavy chain comprising the variable CDR1 sequence of the heavy
- chain, as shown in SEQ ID NO: 122, the variable CDR2 sequence of the heavy
- chain, as shown in SEQ ID NO: 123, and the variable CDR3 sequence of the
- heavy chain, as shown in SEQ ID NO: 124, and
- a variable light chain comprising the variable CDR1 sequence of the light chain,
- as shown in SEQ ID NO: 126, the variable CDR2 sequence of the light chain, as
- shown in SEQ ID NO: 127, and the variable CDR3 sequence of the light chain,
- as shown in SEQ ID NO: 128, or
- a variable heavy chain comprising the variable CDR1 sequence of the heavy
- chain, as shown in SEQ ID NO: 202, the variable CDR2 sequence of the heavy
- chain, as shown in SEQ ID NO: 203, and the variable CDR3 sequence of the
- heavy chain, as shown in SEQ ID NO: 204, and
- a variable light chain comprising the variable CDR1 sequence of the light chain,
- as shown in SEQ ID NO: 206, the variable CDR2 sequence of the light chain, as
- shown in SEQ ID NO: 207, and the variable CDR3 sequence of the light chain,
- as shown in SEQ ID NO: 208, or
- a variable heavy chain comprising the variable CDR1 sequence of the heavy
- chain, as shown in SEQ ID NO: 132, the variable CDR2 sequence of the heavy
- chain, as shown in SEQ ID NO: 133, and the variable CDR3 sequence of the
- heavy chain, as shown in SEQ ID NO: 134, and
- a variable light chain comprising the variable CDR1 sequence of the light chain,
- as shown in SEQ ID NO: 136, the variable CDR2 sequence of the light chain, as
- shown in SEQ ID NO: 137, and the variable CDR3 sequence of the light chain,
- as shown in SEQ ID NO: 138, or
- a variable heavy chain comprising the variable CDR1 sequence of the heavy
- chain, as shown in SEQ ID NO: 192, the variable CDR2 sequence of the heavy
- chain, as shown in SEQ ID NO: 193, and the variable CDR3 sequence of the
- heavy chain, as shown in SEQ ID NO: 194, and
- a variable light chain comprising the variable CDR1 sequence of the light chain,
- as shown in SEQ ID NO: 196, the variable CDR2 sequence of the light chain, as
- shown in SEQ ID NO: 197, and the variable CDR3 sequence of the light chain,
- as shown in SEQ ID NO: 198,
- and the salts, solvates, salts of the solvates and epimers thereof.
-
FIG. 1 : Sequence protocol. -
FIG. 2 : Annotated sequence of antibodies. For each of the antibodies or antibody fragments, the CDR regions (HCDR1, HCDR2, HCDR3, LCDR1, LCDR2, LCDR3) and the variable regions (VH, VL) are emphasized. - Particularly preferred compounds of general formula (I) are those in which
-
- X is —CH2—,
- L is (—CH2—CH2—O—) m-CH2—CH2—,
- m is 1 to 20,
- n is 1 to 8 and
- AK is an anti-CD123 antibody or a functional fragment thereof where the antibody or the functional fragment thereof is attached via a cysteine residue and said antibody or functional fragment thereof comprises
- a variable heavy chain comprising the variable CDR1 sequence of the heavy chain, as shown in SEQ ID NO: 122, the variable CDR2 sequence of the heavy chain, as shown in SEQ ID NO: 123, and the variable CDR3 sequence of the heavy chain, as shown in SEQ ID NO: 124, and
- a variable light chain comprising the variable CDR1 sequence of the light chain, as shown in SEQ ID NO: 126, the variable CDR2 sequence of the light chain, as shown in SEQ ID NO: 127, and the variable CDR3 sequence of the light chain, as shown in SEQ ID NO: 128, or
- a variable heavy chain comprising the variable CDR1 sequence of the heavy chain, as shown in SEQ ID NO: 202, the variable CDR2 sequence of the heavy chain, as shown in SEQ ID NO: 203, and the variable CDR3 sequence of the heavy chain, as shown in SEQ ID NO: 204, and
- a variable light chain comprising the variable CDR1 sequence of the light chain, as shown in SEQ ID NO: 206, the variable CDR2 sequence of the light chain, as shown in SEQ ID NO: 207, and the variable CDR3 sequence of the light chain, as shown in SEQ ID NO: 208, or
- a variable heavy chain comprising the variable CDR1 sequence of the heavy chain, as shown in SEQ ID NO: 132, the variable CDR2 sequence of the heavy chain, as shown in SEQ ID NO: 133, and the variable CDR3 sequence of the heavy chain, as shown in SEQ ID NO: 134, and
- a variable light chain comprising the variable CDR1 sequence of the light chain, as shown in SEQ ID NO: 136, the variable CDR2 sequence of the light chain, as shown in SEQ ID NO: 137, and the variable CDR3 sequence of the light chain, as shown in SEQ ID NO: 138, or
- a variable heavy chain comprising the variable CDR1 sequence of the heavy chain, as shown in SEQ ID NO: 192, the variable CDR2 sequence of the heavy chain, as shown in SEQ ID NO: 193, and the variable CDR3 sequence of the heavy chain, as shown in SEQ ID NO: 194, and
- a variable light chain comprising the variable CDR1 sequence of the light chain, as shown in SEQ ID NO: 196, the variable CDR2 sequence of the light chain, as shown in SEQ ID NO: 197, and the variable CDR3 sequence of the light chain, as shown in SEQ ID NO: 198,
- and the salts, solvates, salts of the solvates and epimers thereof.
- Particularly preferred compounds of general formula (I) are those in which
-
- X is —CH2—,
- L is (—CH2—CH2—O—)m—CH2—CH2—,
- m is 1 to 20,
- n is 1 to 8 and
- AK is the anti-CD123 antibody TPP-8987, TPP-9476, TPP-8988, or TPP-9342 or a functional fragment thereof where the antibody or the functional fragment thereof is attached via a cysteine residue,
- and the salts, solvates, salts of the solvates and epimers thereof.
- More particularly preferred compounds of general formula (I) are those in which
-
- X is —CH2—,
- L is (—CH2—CH2—O—)m—CH2—CH2—,
- m is 2 to 8,
- n is 1 to 8 and
- AK is an anti-CD123 antibody or a functional fragment thereof where the antibody or the functional fragment thereof is attached via a cysteine residue and said antibody or functional fragment thereof comprises
- a variable heavy chain comprising the variable CDR1 sequence of the heavy chain, as shown in SEQ ID NO: 122, the variable CDR2 sequence of the heavy chain, as shown in SEQ ID NO: 123, and the variable CDR3 sequence of the heavy chain, as shown in SEQ ID NO: 124, and
- a variable light chain comprising the variable CDR1 sequence of the light chain, as shown in SEQ ID NO: 126, the variable CDR2 sequence of the light chain, as shown in SEQ ID NO: 127, and the variable CDR3 sequence of the light chain, as shown in SEQ ID NO: 128, or
- a variable heavy chain comprising the variable CDR1 sequence of the heavy chain, as shown in SEQ ID NO: 202, the variable CDR2 sequence of the heavy chain, as shown in SEQ ID NO: 203, and the variable CDR3 sequence of the heavy chain, as shown in SEQ ID NO: 204, and
- a variable light chain comprising the variable CDR1 sequence of the light chain, as shown in SEQ ID NO: 206, the variable CDR2 sequence of the light chain, as shown in SEQ ID NO: 207, and the variable CDR3 sequence of the light chain, as shown in SEQ ID NO: 208, or
- a variable heavy chain comprising the variable CDR1 sequence of the heavy chain, as shown in SEQ ID NO: 132, the variable CDR2 sequence of the heavy chain, as shown in SEQ ID NO: 133, and the variable CDR3 sequence of the heavy chain, as shown in SEQ ID NO: 134, and
- a variable light chain comprising the variable CDR1 sequence of the light chain, as shown in SEQ ID NO: 136, the variable CDR2 sequence of the light chain, as shown in SEQ ID NO: 137, and the variable CDR3 sequence of the light chain, as shown in SEQ ID NO: 138, or
- a variable heavy chain comprising the variable CDR1 sequence of the heavy chain, as shown in SEQ ID NO: 192, the variable CDR2 sequence of the heavy chain, as shown in SEQ ID NO: 193, and the variable CDR3 sequence of the heavy chain, as shown in SEQ ID NO: 194, and
- a variable light chain comprising the variable CDR1 sequence of the light chain, as shown in SEQ ID NO: 196, the variable CDR2 sequence of the light chain, as shown in SEQ ID NO: 197, and the variable CDR3 sequence of the light chain, as shown in SEQ ID NO: 198,
- and the salts, solvates, salts of the solvates and epimers thereof.
- More particular preferred compounds of general formula (I) are those in which
-
- X is —CH2—,
- L is (—CH2—CH2—O—)m—CH2—CH2—,
- m is 2 to 8,
- n is 1 to 8 and
- AK is the anti-CD123 antibody TPP-8987, TPP-9476, TPP-8988, or TPP-9342 or a functional fragment thereof where the antibody or the functional fragment thereof is attached via a cysteine
- and the salts, solvates, salts of the solvates and epimers thereof.
- More particularly preferred compounds of general formula (I) are:
-
- and in which
- n is 1 to8 and
- AK is an anti-CD123 antibody or a functional fragment thereof where the antibody or the functional fragment thereof is attached via a cysteine residue and said antibody or functional fragment thereof comprises
- a variable heavy chain comprising the variable CDR1 sequence of the heavy chain, as shown in SEQ ID NO: 122, the variable CDR2 sequence of the heavy chain, as shown in SEQ ID NO: 123, and the variable CDR3 sequence of the heavy chain, as shown in SEQ ID NO: 124, and
- a variable light chain comprising the variable CDR1 sequence of the light chain, as shown in SEQ ID NO: 126, the variable CDR2 sequence of the light chain, as shown in SEQ ID NO: 127, and the variable CDR3 sequence of the light chain, as shown in SEQ ID NO: 128, or
- a variable heavy chain comprising the variable CDR1 sequence of the heavy chain, as shown in SEQ ID NO: 202, the variable CDR2 sequence of the heavy chain, as shown in SEQ ID NO: 203, and the variable CDR3 sequence of the heavy chain, as shown in SEQ ID NO: 204, and
- a variable light chain comprising the variable CDR1 sequence of the light chain, as shown in SEQ ID NO: 206, the variable CDR2 sequence of the light chain, as shown in SEQ ID NO: 207, and the variable CDR3 sequence of the light chain, as shown in SEQ ID NO: 208, or
- a variable heavy chain comprising the variable CDR1 sequence of the heavy chain, as shown in SEQ ID NO: 132, the variable CDR2 sequence of the heavy chain, as shown in SEQ ID NO: 133, and the variable CDR3 sequence of the heavy chain, as shown in SEQ ID NO: 134, and
- a variable light chain comprising the variable CDR1 sequence of the light chain, as shown in SEQ ID NO: 136, the variable CDR2 sequence of the light chain, as shown in SEQ ID NO: 137, and the variable CDR3 sequence of the light chain, as shown in SEQ ID NO: 138, or
- a variable heavy chain comprising the variable CDR1 sequence of the heavy chain, as shown in SEQ ID NO: 192, the variable CDR2 sequence of the heavy chain, as shown in SEQ ID NO: 193, and the variable CDR3 sequence of the heavy chain, as shown in SEQ ID NO: 194, and
- a variable light chain comprising the variable CDR1 sequence of the light chain, as shown in SEQ ID NO: 196, the variable CDR2 sequence of the light chain, as shown in SEQ ID NO: 197, and the variable CDR3 sequence of the light chain, as shown in SEQ ID NO: 198.
- The most preferred compound of general formula (I) is:
-
- and in which
- n is 1 to 8 and
- AK is the anti-CD123 antibody TPP-8987, TPP-9476, TPP-8988, or TPP-9342 or a functional fragment thereof where the antibody or the functional fragment thereof is attached via a cysteine residue.
- Further Description for Anti-CD123 Antibodies.
- The literature discloses various options of covalent coupling (conjugation) of organic molecules to antibodies. Preference according to the invention is given to the conjugation of the toxophores to the antibody via one or more sulphur atoms of cysteine residues of the antibody and/or via one or more NH groups of lysine residues of the antibody. However, it is also possible to bind the toxophor to the antibody via free carboxyl groups or via sugar residues of the antibody.
- The antibody can be attached to the linker via a bond. Attachment of the antibody can be via a heteroatom of the binder. Heteroatoms according to the invention of the antibody which can be used for attachment are sulphur (in one embodiment via a sulphhydryl group of the antibody), oxygen (according to the invention by means of a carboxyl or hydroxyl group of the antibody) and nitrogen (in one embodiment via a primary or secondary amine group or amide group of the antibody). These heteroatoms may be present in the natural antibody or are introduced by chemical methods or methods of molecular biology. According to the invention, the attachment of the antibody to the toxophor has only a minor effect on the binding activity of the antibody with respect to the target molecule. In a preferred embodiment, the attachment has no effect on the binding activity of the antibody with respect to the target molecule.
- In accordance with the present invention, the term “antibody” is to be understood in its broadest meaning and comprises immunoglobulin molecules, for example intact or modified monoclonal antibodies, polyclonal antibodies or multispecific antibodies (e.g. bispecific antibodies). An immunoglobulin molecule preferably comprises a molecule having four polypeptide chains, two heavy chains (H chains) and two light chains (L chains) which are typically linked by disulphide bridges. Each heavy chain comprises a variable domain of the heavy chain (abbreviated VH) and a constant domain of the heavy chain. The constant domain of the heavy chain may, for example, comprise three domains CH1, CH2 and CH3. Each light chain comprises a variable domain (abbreviated VL) and a constant domain. The constant domain of the light chain comprises a domain (abbreviated CL). The VH and VL domains may be subdivided further into regions having hypervariability, also referred to as complementarity determining regions (abbreviated CDR) and regions having low sequence variability (framework region, abbreviated FR). Typically, each VH and VL region is composed of three CDRs and up to four FRs. For example from the amino terminus to the carboxy terminus in the following order: FR1, CDR1, FR2, CDR2, FR3, CDR3, FR4. An antibody may be obtained from any suitable species, e.g. rabbit, llama, camel, mouse or rat. In one embodiment, the antibody is of human or murine origin. An antibody may, for example, be human, humanized or chimeric.
- The term “monoclonal” antibody refers to antibodies obtained from a population of substantially homogeneous antibodies, i.e. individual antibodies of the population are identical except for naturally occurring mutations, of which there may be a small number. Monoclonal antibodies recognize a single antigenic binding site with high specificity. The term monoclonal antibody does not refer to a particular preparation process.
- The term “intact” antibody refers to antibodies comprising both an antigen-binding domain and the constant domain of the light and heavy chain. The constant domain may be a naturally occurring domain or a variant thereof having a number of modified amino acid positions.
- The term “modified intact” antibody refers to intact antibodies fused via their amino terminus or carboxy terminus by means of a covalent bond (e.g. a peptide bond) with a further polypeptide or protein not originating from an antibody. Furthermore, antibodies may be modified such that, at defined positions, reactive cysteines are introduced to facilitate coupling to a toxophor (see Junutula et al. Nat Biotechnol. 2008, 26(8):925-32).
- The term “human” antibody refers to antibodies which can be obtained from a human or which are synthetic human antibodies. A “synthetic” human antibody is an antibody which is partially or entirely obtainable in silico from synthetic sequences based on the analysis of human antibody sequences. A human antibody can be encoded, for example, by a nucleic acid isolated from a library of antibody sequences of human origin. An example of such an antibody can be found in Soderlind et al., Nature Biotech. 2000, 18:853-856.
- The term “humanized” or “chimeric” antibody describes antibodies consisting of a non-human and a human portion of the sequence. In these antibodies, part of the sequences of the human immunoglobulin (recipient) is replaced by sequence portions of a non-human immunoglobulin (donor). In many cases, the donor is a murine immunoglobulin. In the case of humanized antibodies, amino acids of the CDR of the recipient are replaced by amino acids of the donor. Sometimes, amino acids of the framework, too, are replaced by corresponding amino acids of the donor. In some cases the humanized antibody contains amino acids present neither in the recepient nor in the donor, which were introduced during the optimization of the antibody. In the case of chimeric antibodies, the variable domains of the donor immunoglobulin are fused with the constant regions of a human antibody.
- The term complementarity determining region (CDR) as used herein refers to those amino acids of a variable antibody domain which are required for binding to the antigen. Typically, each variable region has three CDR regions referred to as CDR1, CDR2 and CDR3. Each CDR region may embrace amino acids according to the definition of Kabat and/or amino acids of a hypervariable loop defined according to Chotia. The definition according to Kabat comprises, for example, the region from about amino acid position 24-34 (CDR1), 50-56 (CDR2) and 89-97 (CDR3) of the variable light chain and 31-35 (CDR1), 50-65 (CDR2) and 95-102 (CDR3) of the variable heavy chain (Kabat et al., Sequences of Proteins of Immunological Interest, 5th Ed. Public Health Service, National Institutes of Health, Bethesda, Md. (1991)). The definition according to Chotia comprises, for example, the region from about amino acid position 26-32 (CDR1), 50-52 (CDR2) and 91-96 (CDR3) of the variable light chain and 26-32 (CDR1), 53-55 (CDR2) and 96-101 (CDR3) of the variable heavy chain (Chothia and Lesk; J Mol Biol 196: 901-917 (1987)). In some cases, a CDR may comprise amino acids from a CDR region defined according to Kabat and Chotia.
- Depending on the amino acid sequence of the constant domain of the heavy chain, antibodies may be categorized into different classes. There are five main classes of intact antibodies: IgA, IgD, IgE, IgG and IgM, and several of these can be divided into further subclasses. (Isotypes), e.g. IgG1, IgG2, IgG3, IgG4, IgA1 and IgA2. The constant domains of the heavy chain, which correspond to the different classes, are referred to as [alpha/α], [delta/δ], [epsilon/ε], [gamma/γ] and [my/μ]. Both the three-dimensional structure and the subunit structure of antibodies are known.
- The term “functional fragment” or “antigen-binding antibody fragment” of an antibody/immunoglobulin is defined as a fragment of an antibody/immunoglobulin (e.g. the variable domains of an IgG) which still comprises the antigen binding domains of the antibody/immunoglobulin. The “antigen binding domain” of an antibody typically comprises one or more hypervariable regions of an antibody, for example the CDR, CDR2 and/or CDR3 region. However, the “framework” or “skeleton” region of an antibody may also play a role during binding of the antibody to the antigen. The framework region forms the skeleton of the CDRs. Preferably, the antigen binding domain comprises at least
amino acids 4 to 103 of the variable light chain andamino acids 5 to 109 of the variable heavy chain, more preferablyamino acids 3 to 107 of the variable light chain and 4 to 111 of the variable heavy chain, particularly preferably the complete variable light and heavy chains, i.e. amino acids 1-109 of the VL and 1 to 113 of the VH (numbering according to WO97/08320). - “Functional fragments” or “antigen-binding antibody fragments” of the invention encompass, non-conclusively, Fab, Fab′, F(ab′)2 and Fv fragments, diabodies, Single Domain Antibodies (DAbs), linear antibodies, individual chains of antibodies (single-chain Fv, abbreviated to scFv); and multispecific antibodies, such as bi and tri-specific antibodies, for example, formed from antibody fragments C. A. K Borrebaeck, editor (1995) Antibody Engineering (Breakthroughs in Molecular Biology), Oxford
- University Press; R. Kontermann & S. Duebel, editors (2001) Antibody Engineering (Springer Laboratory Manual), Springer Verlag. Antibodies other than “multispecific” or “multifunctional” antibodies are those having identical binding sites. Multispecific antibodies may be specific for different epitopes of an antigen or may be specific for epitopes of more than one antigen (see, for example, WO 93/17715; WO 92/08802; WO 91/00360; WO 92/05793; Tutt, et al., 1991, J. Immunol. 147:60 69; U.S. Pat. Nos. 4,474,893; 4,7 14,68 1; 4,925,648; 5,573,920; 5,601,8 19; or Kostelny et al., 1992, J. Immunol. 148: 1547 1553). An F(ab′)2 or Fab molecule may be constructed such that the number of intermolecular disulphide interactions occurring between the Ch1 and the CL domains can be reduced or else completely prevented.
- “Epitopes” refer to protein determinants capable of binding specifically to an immunoglobulin or T cell receptors. Epitopic determinants usually consist of chemically active surface groups of molecules such as amino acids or sugar side chains or combinations thereof, and usually have specific 3-dimensional structural properties and also specific charge properties.
- “Functional fragments” or “antigen-binding antibody fragments” may be fused with another polypeptide or protein, not originating from an antibody, via the amino terminus or carboxyl terminus thereof, by means of a covalent bond (e.g. a peptide linkage). Furthermore, antibodies and antigen-binding fragments may be modified by introducing reactive cysteines at defined locations, in order to facilitate coupling to a toxophore (see Junutula et al. Nat Biotechnol. 2008 August; 26(8):925-32).
- Polyclonal antibodies can be prepared by methods known to a person of ordinary skill in the art. Monoclonal antibodies may be prepared by methods known to a person of ordinary skill in the art (Köhler and Milstein, Nature, 256, 495-497, 1975). Human and humanized monoclonal antibodies may be prepared by methods known to a person of ordinary skill in the art (Olsson et al., Meth Enzymol. 92, 3-16 or Cabilly et al U.S. Pat. No. 4,816,567 or Boss et al U.S. Pat. No. 4,816,397).
- A person of ordinary skill in the art is aware of diverse methods for preparing human antibodies and fragments thereof, such as, for example, by means of transgenic mice (N Lonberg and D Huszar, Int Rev Immunol. 1995; 13(1):65-93) or phage display technologies (Clackson et al., Nature. 1991 August 15;352(6336):624-8). Antibodies of the invention may be obtained from recombinant antibody libraries consisting for example of the amino acid sequences of a multiplicity of antibodies compiled from a large number of healthy volunteers. Antibodies may also be produced by means of known recombinant DNA technologies. The nucleic acid sequence of an antibody can be obtained by routine sequencing or is available from publically accessible databases.
- An “isolated” antibody or binder has been purified to remove other constituents of the cell. Contaminating constituents of a cell which may interfere with a diagnostic or therapeutic use are, for example, enzymes, hormones, or other peptidic or non-peptidic constituents of a cell. A preferred antibody or binder is one which has been purified to an extent of more than 95% by weight, relative to the antibody or binder (determined for example by Lowry method, UV-Vis spectroscopy or by SDS capillary gel electrophoresis). Moreover an antibody which has been purified to such an extent that it is possible to determine at least 15 amino acids of the amino terminus or of an internal amino acid sequence, or which has been purified to homogeneity, the homogeneity being determined by SDS-PAGE under reducing or non-reducing conditions (detection may be determined by means of Coomassie Blue staining or preferably by silver coloration). However, an antibody is normally prepared by one or more purification steps.
- The term “specific binding” or “binds specifically” refers to an antibody or binder which binds to a predetermined antigen/target molecule. Specific binding of an antibody or binder typically describes an antibody or binder having an affinity of at least 10−7 M (as Kd value; i.e. preferably those with Kd values smaller than 10−7 M), with the antibody or binder having an at least two times higher affinity for the predetermined antigen/target molecule than for a non-specific antigen/target molecule (e.g. bovine serum albumin, or casein) which is not the predetermined antigen/target molecule or a closely related antigen/target molecule. The antibodies preferably have an affinity of at least 10−7 M (as Kd value; in other words preferably those with smaller Kd values than 10−7 M), preferably of at least 10−8 M, more preferably in the range from 10−9 M to 10−11 M. The Kd values may be determined, for example, by means of surface plasmon resonance spectroscopy.
- The antibody-drug conjugates of the invention likewise exhibit affinities in these ranges. The affinity is preferably not substantially affected by the conjugation of the drugs (in general, the affinity is reduced by less than one order of magnitude, in other words, for example, at most from 10−8 M to 10−7 M).
- The antibodies used in accordance with the invention are also notable preferably for a high selectivity. A high selectivity exists when the antibody of the invention exhibits an affinity for the target protein which is better by a factor of at least 2, preferably by a factor of 5 or more preferably by a factor of 10, than for an independent other antigen, e g human serum albumin (the affinity may be determined, for example, by means of surface plasmon resonance spectroscopy).
- Furthermore, the antibodies of the invention that are used are preferably cross-reactive. In order to be able to facilitate and better interpret preclinical studies, for example toxicological or activity studies (e.g. in xenograft mice), it is advantageous if the antibody used in accordance with the invention not only binds the human target protein but also binds the species target protein in the species used for the studies. In one embodiment the antibody used in accordance with the invention, in addition to the human target protein, is cross-reactive to the target protein of at least one further species. For toxicological and activity studies it is preferred to use species of the families of rodents, dogs and non-human primates. Preferred rodent species are mouse and rat. Preferred non-human primates are rhesus monkeys, chimpanzees and long-tailed macaques.
- In one embodiment the antibody used in accordance with the invention, in addition to the human target protein, is cross-reactive to the target protein of at least one further species selected from the group of species consisting of mouse, rat and long-tailed macaque (Macaca fascicularis). Especially preferred are antibodies used in accordance with the invention which in addition to the human target protein are at least cross-reactive to the mouse target protein. Preference is given to cross-reactive antibodies whose affinity for the target protein of the further non-human species differs by a factor of not more than 50, more particularly by a factor of not more than ten, from the affinity for the human target protein.
- Antibodies Directed Against a Cancer Target Molecule
- The target molecule towards which the binder, for example an antibody or an antigen-binding fragment thereof, is directed is preferably a cancer target molecule. The term “cancer target molecule” describes a target molecule which is more abundantly present on one or more cancer cell species than on non-cancer cells of the same tissue type. Preferably, the cancer target molecule is selectively present on one or more cancer cell species compared with non-cancer cells of the same tissue type, where selectively describes an at least two-fold enrichment on cancer cells compared to non-cancer cells of the same tissue type (a “selective cancer target molecule”). The use of cancer target molecules allows the selective therapy of cancer cells using the conjugates according to the invention.
- Particular preference is given here to the extracellular cancer target molecule IL-3Rα, CD123 (SEQ ID NO: 221). This extracellular cancer target molecule is also known as IL3RA (
interleukin 3 receptor subunit alpha) and has the NCBI Gene ID: 3563. - The
functional interleukin 3 receptor is a heterodimer which comprises the specific alpha chain (IL-3Rα, CD123) and a “general” IL-3 receptor beta chain (βC, CD131) which is shared with the receptors for the granolocyte macrophage colony stimulating factor (GM-CSF) and interleukin 5 (IL-5). - IL-3Rα, CD123, is a transmembrane protein of
type 1 having a calculated molecular weight of about 41 kDa. CD123 comprises an extracellular domain involved in IL-3 binding, a transmembrane domain and a short cytoplasmic end of about 50 amino acids. The extracellular domain consists of two regions: an N-terminal region of about 100 amino acids having sequence similarity to the equivalent regions of the GM-CSF and the IL-5 receptor alpha chain, and a region proximal to the transmembrane domain which region comprises four conserved cysteine residues and a WSXWS motif common in the cytokine receptor family. - The IL-3 binding domain comprises a cytokine receptor motif (CRM) of about 200 amino acid residues which is constructed of two domains which are folded Ig-like. The extracellular domain of IL-3Rα, CD123, is highly glycosylated, the N-glycosylation being required for ligand binding and receptor signal transduction.
- IL-3Rα, CD123, is expressed extensively throughout the haematopoietic system, for example on haematopoietic precursor cells, mast cells, erythroid cells, megakaryocytes, neutrophil, basophil and eosinophil granulocytes, monocytes/macrophages, and CDS+B lymphocytes; CD123 is also expressed on non-haematopoietic cells such as dendritic cells, Leydig cells, endothelial cells and stromal cells.
- IL-3Rα, CD123, is also expressed by cells involved in certain diseases; these diseases comprise: myelodysplastic syndrome, leukaemia (such as acute myeloid leukaemia (AML)), lymphoma, allergies and autoimmune disorders such as lupus or scleroderma.
- Owing to these relationships, anti-IL-3Rα, anti-CD123, antibodies can be employed in therapy as naked antibodies or coupled antibodies (such as ADCs).
- The present invention relates to compounds coupled to antibodies specifically binding to IL-3Rα, CD123 (SEQ ID NO: 221).
- The term “anti-CD123 antibody” relates to an antibody which specifically binds the cancer target molecule CD123 (IL-3Rα, SEQ ID NO: 221), preferentially with an affinity which is sufficient for a diagnostic and/or therapeutic application. In one embodiment, binding of an anti-CD123 antibody to a protein not related to CD123 is less than 10% of the binding of the antibody to CD123, determined, for example, by surface plasmon resonance spectroscopy. In certain embodiments, the antibody binds CD123 (IL-3Rα, SEQ ID NO: 221) with a dissociation constant (KD) of ≤1 μM, ≤100 nM, ≤10 nM, ≤1 nM, ≤0.1 nM, ≤0.01 nM, or ≤0.001 nM. In certain embodiments, the anti-CD123 antibody binds to an epitope which is conserved between different species.
- Antibodies which bind cancer target molecules may be prepared by a person of ordinary skill in the art using known processes, such as, for example, chemical synthesis or recombinant expression. Binders for cancer target molecules may be acquired commercially or may be prepared by a person of ordinary skill in the art using known processes, such as, for example, chemical synthesis or recombinant expression. Further processes for preparing antibodies or antigen-binding antibody fragments are described in WO 2007/070538 (see
page 22 “Antibodies”). The person skilled in the art knows how processes such as phage display libraries (e.g. Morphosys HuCAL Gold) can be compiled and used for discovering antibodies or antigen-binding antibody fragments (see WO 2007/070538,page 24 ff and AK Example 1 onpage 70, AK Example 2 on page 72). Further processes for preparing antibodies that use DNA libraries from B cells are described for example on page 26 (WO 2007/070538). Processes for humanizing antibodies are described on page 30-32 of WO2007070538 and in detail in Queen, et al., Pros. Natl. Acad. Sci. USA 86:10029-10033,1989 or in WO 90/0786. Furthermore, processes for the recombinant expression of proteins in general and of antibodies in particular are known to the person skilled in the art (see, for example, in Berger and Kimmel (Guide to Molecular Cloning Techniques, Methods in Enzymology, Vol. 152, Academic Press, Inc.); Sambrook, et al., (Molecular Cloning: A - Laboratory Manual, (Second Edition, Cold Spring Harbor Laboratory Press; Cold Spring Harbor, N.Y.; 1989) Vol. 1-3); Current Protocols in Molecular Biology, (F. M. Ausabel et al. [Eds.], Current Protocols, Green Publishing Associates, Inc./John Wiley & Sons, Inc.); Harlow et al., (Monoclonal Antibodies: A Laboratory Manual, Cold Spring Harbor Laboratory Press (19881, Paul [Ed.]); Fundamental Immunology, (Lippincott Williams & Wilkins (1998)); and Harlow, et al., (Using Antibodies: A
- Laboratory Manual, Cold Spring Harbor Laboratory Press (1998)). The person skilled in the art knows the corresponding vectors, promoters and signal peptides which are necessary for the expression of a protein/antibody. Commonplace processes are also described in WO 2007/070538 on pages 41-45. Processes for preparing an IgG1 antibody are described for example in WO 2007/070538 in Example 6 on
page 74 ff. Processes which allow the determination of the internalization of an antibody after binding to its antigen are known to the skilled person and are described for example in WO 2007/070538 onpage 80. The person skilled in the art is able to use the processes described in WO 2007/070538 that have been used for preparing carboanhydrase IX (Mn) antibodies in analogy for the preparation of antibodies with different target molecule specificity. - Anti-CD123 Antibodies
- According to the invention, use is made of an anti-CD123 antibody or an antigen-binding fragment thereof, preferably one selected from those described below or modified by suitable mutation. In addition, the person skilled in the art is familiar with antibodies binding to CD123.
- Sun et al. (Sun et al., 1996, Blood 87(1):83-92) describe the generation and properties of the monoclonal antibody 7G3, which binds to the N-terminal domain of IL-3Rα, CD123. U.S. Pat. No. 6,177,078 (Lopez) relates to the anti-CD123 antibody 7G3. A chimeric variant of this antibody (CSL360) is described in WO 2009/070844, and a humanized version (CSL362) in WO 2012/021934. The sequence of the 7G3 antibody is disclosed in EP2426148.
- This 7G3 sequence represents the starting point of the humanized and germlined antibodies TPP-8987 and TPP-9476.
- An antibody which, after cell surface antigen binding, is internalized particularly well is the anti-CD123 antibody 12F1 disclosed by Kuo et al. (Kuo et al., 2009, Bioconjug Chem. 20(10):1975-82). The antibody 12F1 binds with higher affinity to CD123 than the antibody 7G3 and, after cell surface antigen binding, is internalized markedly faster than 7G3. Bispecific scFv immunofusion proteins based on 12F1 are disclosed in WO 2013/173820.
- This 12F1 sequence represents the starting point of the humanized and germlined antibodies TPP-8988 and TPP-9342.
- The invention relates in particular to conjugates with antibodies or antigen-binding antibody fragments thereof or variants thereof derived from the antibodies 7G3 (Sun et al., 1996, Blood 87(1):83-92) and 12F1 (Kuo et al., 2009, Bioconjug Chem. 20(10):1975-82) originated from the mouse, or to conjugates with antibodies or antigen-binding antibody fragments thereof or variants thereof derived from the antibody 12F1 (Kuo et al., 2009, Bioconjug Chem. 20(10):1975-82) originating from the mouse.
- Generation of the Anti-CD123 Antibodies
- Based on the publication of the sequences of the variable regions (VH and VL) of 7G3 (EP2426148), the following antibody sequences were obtained by CDR grafting in human framework regions and subsequent germlining optimization: TPP-8987 and TPP-9476.
- Based on the publication of the sequences of the variable regions (VH and VL) of 12F1 (WO 2013/173820), the following antibody were obtained by CDR grafting in human framework regions and subsequent germlining optimization: TPP-8988 and TPP-9342.
- Particular Embodiments of Anti-CD123 Antibodies
- In the present application, reference is made to the following preferred anti-CD123 antibodies of the invention, as shown in the table below: “TPP-8987”, “TPP-9476”, “TPP-8988” and “TPP-9342”.
- TPP-8987 and TPP-9476 are humanized and germlined variants of the antibody 7G3.
- TPP-8988 and TPP-9342 are humanized and germlined variants of the antibody 12F1
- As shown in the examples it was a further object of this invention to provide antibodies of 7G3 and 12F1 which are humanized and which are very close to the human antibody germline sequences (germlined). Therefore antibodies TPP-8987, TPP-9476, TPP-8988, and TPP-9342 are further embodiments of this invention. The sequences of these antibodies are shown in the following table:
-
TABLE Table of preferred anti-CD123 antibodies for ADCs: SEQ ID NO: Heavy Light Anti- H- H- H- L- L- L- Chain Chain body VH CDR1 CDR2 CDR3 VL CDR1 CDR2 CDR3 (IgG) (IgG) TPP- 121 122 123 124 125 126 127 128 129 130 8987 TPP- 201 202 203 204 205 206 207 208 209 210 9476 TPP- 131 132 133 134 135 136 137 138 139 140 8988 TPP- 191 192 193 194 195 196 197 198 199 200 9342 Particular preference is given for ADCs to the anti-CD123 antibodies called “TPP-8987”, “TPP-9476”, “TPP-8988” and “TPP-9342”.
TPP-8987 is an anti-CD123 antibody which comprises a variable heavy chain comprising the variable CDR1 sequence of the heavy chain, as shown in SEQ ID NO: 122, the variable CDR2 sequence of the heavy chain, as shown in SEQ ID NO: 123, and the variable CDR3 sequence of the heavy chain, as shown in SEQ ID NO: 124, and a variable light chain comprising the variable CDR1 sequence of the light chain, as shown in SEQ ID NO: 126, the variable CDR2 sequence of the light chain, as shown in SEQ ID NO: 127, and the variable CDR3 sequence of the light chain, as shown in SEQ ID NO: 128. TPP-9476 is an anti-CD123 antibody which comprises a variable heavy chain comprising the variable CDR1 sequence of the heavy chain, as shown in SEQ ID NO: 202, the variable CDR2 sequence of the heavy chain, as shown in SEQ ID NO: 203, and the variable CDR3 sequence of the heavy chain, as shown in SEQ ID NO: 204, and a variable light chain comprising the variable CDR1 sequence of the light chain, as shown in SEQ ID NO: 206, the variable CDR2 sequence of the light chain, as shown in SEQ ID NO: 207, and the variable CDR3 sequence of the light chain, as shown in SEQ ID NO: 208. TPP-8988 is an anti-CD123 antibody which comprises a variable heavy chain comprising the variable CDR1 sequence of the heavy chain, as shown in SEQ ID NO: 132, the variable CDR2 sequence of the heavy chain, as shown in SEQ ID NO: 133, and the variable CDR3 sequence of the heavy chain, as shown in SEQ ID NO: 134, and a variable light chain comprising the variable CDR1 sequence of the light chain, as shown in SEQ ID NO: 136, the variable CDR2 sequence of the light chain, as shown in SEQ ID NO: 137, and the variable CDR3 sequence of the light chain, as shown in SEQ ID NO: 138. TPP-9342 is an anti-CD123 antibody which comprises a variable heavy chain comprising the variable CDR1 sequence of the heavy chain, as shown in SEQ ID NO: 192, the variable CDR2 sequence of the heavy chain, as shown in SEQ ID NO: 193, and the variable CDR3 sequence of the heavy chain, as shown in SEQ ID NO: 194, and a variable light chain comprising the variable CDR1 sequence of the light chain, as shown in SEQ ID NO: 196, the variable CDR2 sequence of the light chain, as shown in SEQ ID NO: 197, and the variable CDR3 sequence of the light chain, as shown in SEQ ID NO: 198. - TPP-8987 is an anti-CD123 antibody which preferably comprises a variable region of the heavy chain corresponding to SEQ ID NO: 121 and a variable region of the light chain corresponding to SEQ ID NO: 125.
- TPP-9476 is an anti-CD123 antibody which preferably comprises a variable region of the heavy chain corresponding to SEQ ID NO: 201 and a variable region of the light chain corresponding to SEQ ID NO: 205.
- TPP-8988 is an anti-CD123 antibody which preferably comprises a variable region of the heavy chain corresponding to SEQ ID NO: 131 and a variable region of the light chain corresponding to SEQ ID NO: 135.
- TPP-9342 is an anti-CD123 antibody which preferably comprises a variable region of the heavy chain corresponding to SEQ ID NO: 191 and a variable region of the light chain corresponding to SEQ ID NO: 195.
- TPP-8987 is an anti-CD123 antibody preferably comprising a region of the heavy chain corresponding to SEQ ID NO: 129 and a region of the light chain corresponding to SEQ ID NO: 130.
- TPP-9476 is an anti-CD123 antibody preferably comprising a region of the heavy chain corresponding to SEQ ID NO: 209 and a region of the light chain corresponding to SEQ ID NO: 210.
- TPP-8988 is an anti-CD123 antibody comprising a region of the heavy chain corresponding to SEQ ID NO: 139 and a region of the light chain preferably corresponding to SEQ ID NO: 140.
- TPP-9342 is an anti-CD123 antibody preferably comprising a region of the heavy chain corresponding to SEQ ID NO: 199 and a region of the light chain corresponding to SEQ ID NO: 200.
- Preferred embodiments of the anti-CD123 antibody for coupling with linkers and/or toxophores according to the invention are those below:
-
- 1. An antibody or an antigen-binding fragment thereof binding to CD123, comprising:
- a variable heavy chain comprising the variable CDR1 sequence of the heavy chain, as shown in SEQ ID NO: 122, the variable CDR2 sequence of the heavy chain, as shown in SEQ ID NO: 123, and the variable CDR3 sequence of the
- a variable light chain comprising the variable CDR1 sequence of the light chain, as shown in SEQ ID NO: 126, the variable CDR2 sequence of the light chain, as shown in SEQ ID NO: 127, and the variable CDR3 sequence of the light chain, as shown in SEQ ID NO: 128, or
- a variable heavy chain comprising the variable CDR1 sequence of the heavy chain, as shown in SEQ ID NO: 202, the variable CDR2 sequence of the heavy chain, as shown in SEQ ID NO: 203, and the variable CDR3 sequence of the heavy chain, as shown in SEQ ID NO: 204, and
- a variable light chain comprising the variable CDR1 sequence of the light chain, as shown in SEQ ID NO: 206, the variable CDR2 sequence of the light chain, as shown in SEQ ID NO: 207, and the variable CDR3 sequence of the light chain, as shown in SEQ ID NO: 208, or
- a variable heavy chain comprising the variable CDR1 sequence of the heavy chain, as shown in SEQ ID NO: 132, the variable CDR2 sequence of the heavy chain, as shown in SEQ ID NO: 133, and the variable CDR3 sequence of the heavy chain, as shown in SEQ ID NO: 134, and
- a variable light chain comprising the variable CDR1 sequence of the light chain, as shown in SEQ ID NO: 136, the variable CDR2 sequence of the light chain, as shown in SEQ ID NO: 137, and the variable CDR3 sequence of the light chain, as shown in SEQ ID NO: 138, or
- a variable heavy chain comprising the variable CDR1 sequence of the heavy chain, as shown in SEQ ID NO: 192, the variable CDR2 sequence of the heavy chain, as shown in SEQ ID NO: 193, and the variable CDR3 sequence of the heavy chain, as shown in SEQ ID NO: 194, and
- a variable light chain comprising the variable CDR1 sequence of the light chain, as shown in SEQ ID NO: 196, the variable CDR2 sequence of the light chain, as shown in SEQ ID NO: 197, and the variable CDR3 sequence of the light chain, as shown in SEQ ID NO: 198.
- 2. The antibody or an antigen-binding fragment thereof according to
embodiment 1, comprising:- a variable sequence of the heavy chain, as shown in SEQ ID NO:121, and a variable sequence of the light chain, as shown in SEQ ID NO:125, or
- a variable sequence of the heavy chain, as shown in SEQ ID NO:201, and a variable sequence of the light chain, as shown in SEQ ID NO:205, or
- a variable sequence of the heavy chain, as shown in SEQ ID NO:131, and a variable sequence of the light chain, as shown in SEQ ID NO:135, or
- a variable sequence of the heavy chain, as shown in SEQ ID NO:191, and a variable sequence of the light chain, as shown in SEQ ID NO:195.
- 3. The antibody according to any of the preceding embodiments which is an IgG antibody.
- 4. The antibody according to any of the preceding embodiments, comprising:
- a sequence of the heavy chain, as shown in SEQ ID NO:129, and a sequence of the light chain, as shown in SEQ ID NO:130, or
- a sequence of the heavy chain, as shown in SEQ ID NO:209, and a sequence of the light chain, as shown in SEQ ID NO:210, or
- a sequence of the heavy chain, as shown in SEQ ID NO:139, and a sequence of the light chain, as shown in SEQ ID NO:140, or
- a sequence of the heavy chain, as shown in SEQ ID NO:199, and a sequence of the light chain, as shown in SEQ ID NO:200.
- 5. The antibody according to any of the preceding embodiments, comprising: The antigen-binding fragment according to any of the preceding embodiments or an antigen-binding fragment of an antibody according to any of the preceding embodiments which is an scFv, Fab, Fab fragment or a F(ab)2 fragment.
- 6. The antibody or the antigen-binding fragment according to any of the preceding embodiments which is a monoclonal antibody or an antigen-binding fragment thereof
- 7. The antibody or the antigen-binding fragment according to any of the preceding embodiments which is a human, humanized or chimeric antibody or an antigen-binding fragment.
- Particular preference is given to the anti-CD123 antibodies called “TPP-8987”, “TPP-9476”, “TPP-8988” and “TPP-9342”.
- 1. An antibody or an antigen-binding fragment thereof binding to CD123, comprising:
- DNA Molecules of the Invention
- The present invention also relates to the DNA molecules that encode an antibody of the invention or antigen-binding fragment thereof. These sequences are optimized in certain cases for mammalian expression. DNA molecules of the invention are not limited to the sequences disclosed herein, but also include variants thereof. DNA variants within the invention may be described by reference to their physical properties in hybridization. The skilled worker will recognize that DNA can be used to identify its complement and, since DNA is double stranded, its equivalent or homolog, using nucleic acid hybridization techniques. It also will be recognized that hybridization can occur with less than 100% complementarity. However, given appropriate choice of conditions, hybridization techniques can be used to differentiate among DNA sequences based on their structural relatedness to a particular probe. For guidance regarding such conditions see, Sambrook et al., 1989 supra and Ausubel et al., 1995 (Ausubel, F. M., Brent, R., Kingston, R. E., Moore, D. D., Sedman, J. G., Smith, J. A., & Struhl, K. eds.
- (1995). Current Protocols in Molecular Biology. N.Y.: John Wiley and Sons).
- Structural similarity between two polynucleotide sequences can be expressed as a function of “stringency” of the conditions under which the two sequences will hybridize with one another. As used herein, the term “stringency” refers to the extent that the conditions disfavor hybridization. Stringent conditions strongly disfavor hybridization, and only the most structurally related molecules will hybridize to one another under such conditions. Conversely, non-stringent conditions favor hybridization of molecules displaying a lesser degree of structural relatedness. Hybridization stringency, therefore, directly correlates with the structural relationships of two nucleic acid sequences.
- Hybridization stringency is a function of many factors, including overall DNA concentration, ionic strength, temperature, probe size and the presence of agents which disrupt hydrogen bonding. Factors promoting hybridization include high DNA concentrations, high ionic strengths, low temperatures, longer probe size and the absence of agents that disrupt hydrogen bonding. Hybridization typically is performed in two phases: the “binding” phase and the “washing” phase.
- Functionally Equivalent DNA Variants
- Yet another class of DNA variants within the scope of the invention may be described with reference to the product they encode. These functionally equivalent polynucleotides are characterized by the fact that they encode the same peptide sequences due to the degeneracy of the genetic code.
- It is recognized that variants of DNA molecules provided herein can be constructed in several different ways. For example, they may be constructed as completely synthetic DNAs. Methods of efficiently synthesizing oligonucleotides are widely available. See Ausubel et al., section 2.11, Supplement 21 (1993). Overlapping oligonucleotides may be synthesized and assembled in a fashion first reported by Khorana et al., J. Mol. Biol. 72:209-217 (1971); see also Ausubel et al., supra, Section 8.2. Synthetic DNAs preferably are designed with convenient restriction sites engineered at the 5′ and 3′ ends of the gene to facilitate cloning into an appropriate vector.
- As indicated, a method of generating variants is to start with one of the DNAs disclosed herein and then to conduct site-directed mutagenesis. See Ausubel et al., supra,
chapter 8, Supplement 37 (1997). In a typical method, a target DNA is cloned into a single-stranded DNA bacteriophage vehicle. Single-stranded DNA is isolated and hybridized with an oligonucleotide containing the desired nucleotide alteration(s). The complementary strand is synthesized and the double stranded phage is introduced into a host. Some of the resulting progeny will contain the desired mutant, which can be confirmed using DNA sequencing. In addition, various methods are available that increase the probability that the progeny phage will be the desired mutant. These methods are well known to those in the field and kits are commercially available for generating such mutants. - Recombinant DNA Constructs and Expression
- The present invention further provides recombinant DNA constructs comprising one or more of the nucleotide sequences encoding the preferred antibodies of the present invention. The recombinant constructs of the present invention can be used in connection with a vector, such as a plasmid, phagemid, phage or viral vector, into which a DNA molecule encoding an antibody of the invention or antigen-binding fragment thereof or variant thereof is inserted.
- An antibody, antigen binding portion, or variant thereof provided herein can be prepared by recombinant expression of nucleic acid sequences encoding light and heavy chains or portions thereof in a host cell. To express an antibody, antigen binding portion, or variant thereof recombinantly a host cell can be transfected with one or more recombinant expression vectors carrying DNA fragments encoding the light and/or heavy chains or portions thereof such that the light and heavy chains are expressed in the host cell. Standard recombinant DNA methodologies are used to prepare and/or obtain nucleic acids encoding the heavy and light chains, incorporate these nucleic acids into recombinant expression vectors and introduce the vectors into host cells, such as those described in Sambrook, Fritsch and Maniatis (eds.), Molecular Cloning; A Laboratory Manual, Second Edition, Cold Spring Harbor, N.Y., (1989), Ausubel, F. M. et al. (eds.) Current Protocols in Molecular Biology, Greene Publishing Associates, (1989) and in U.S. Pat. No. 4,816,397 by Boss et al..
- In addition, the nucleic acid sequences encoding variable regions of the heavy and/or light chains can be converted, for example, to nucleic acid sequences encoding full-length antibody chains, Fab fragments, or to scFv. The VL- or VH-encoding DNA fragment can be operatively linked, (such that the amino acid sequences encoded by the two DNA fragments are in-frame) to another DNA fragment encoding, for example, an antibody constant region or a flexible linker. The sequences of human heavy chain and light chain constant regions are known in the art (see e.g., Kabat, E. A., el al. (1991) Sequences of Proteins of Immunological Interest, Fifth Edition, U.S. Department of Health and Human Services, NIH Publication No. 91-3242) and DNA fragments encompassing these regions can be obtained by standard PCR amplification.
- To create a polynucleotide sequence that encodes a scFv, the VH- and VL-encoding nucleic acids can be operatively linked to another fragment encoding a flexible linker such that the VH and VL sequences can be expressed as a contiguous single-chain protein, with the VL and VH regions joined by the flexible linker (see e.g., Bird et al. (1988) Science 242:423-426; Huston et al. (1988) Proc. Natl. Acad. Sci. USA 85:5879-5883; McCafferty et al., Nature (1990) 348:552-554).
- To express the antibodies, antigen binding fragments thereof or variants thereof standard recombinant
- DNA expression methods can be used (see, for example, Goeddel; Gene Expression Technology. Methods in
Enzymology 185, Academic Press, San Diego, Calif. (1990)). For example, DNA encoding the desired polypeptide can be inserted into an expression vector which is then transfected into a suitable host cell. Suitable host cells are prokaryotic and eukaryotic cells. Examples for prokaryotic host cells are e.g. bacteria, examples for eukaryotic hosts cells are yeasts, insects and insect cells, plants and plant cells, transgenic animals, or mammalian cells. In some embodiments, the DNAs encoding the heavy and light chains are inserted into separate vectors. In other embodiments, the DNA encoding the heavy and light chains is inserted into the same vector. It is understood that the design of the expression vector, including the selection of regulatory sequences is affected by factors such as the choice of the host cell, the level of expression of protein desired and whether expression is constitutive or inducible. - Therefore, an embodiment of the present invention are also host cells comprising the vector or a nucleic acid molecule, whereby the host cell can be a higher eukaryotic host cell, such as a mammalian cell, a lower eukaryotic host cell, such as a yeast cell, and may be a prokaryotic cell, such as a bacterial cell.
- Another embodiment of the present invention is a method of using the host cell to produce an antibody and antigen binding fragments, comprising culturing the host cell under suitable conditions and recovering said antibody.
- Therefore another embodiment of the present invention is the production of the antibodies according to this invention with the host cells of the present invention and purification of these antibodies to at least 95% homogeneity by weight.
- Bacterial Expression
- Useful expression vectors for bacterial use are constructed by inserting a DNA sequence encoding a desired protein together with suitable translation initiation and termination signals in operable reading phase with a functional promoter. The vector will comprise one or more phenotypic selectable markers and an origin of replication to ensure maintenance of the vector and, if desirable, to provide amplification within the host. Suitable prokaryotic hosts for transformation include but are not limited to E. coli, Bacillus subtilis, Salmonella typhimurium and various species within the genera Pseudomonas, Streptomyces, and Staphylococcus.
- Bacterial vectors may be, for example, bacteriophage-, plasmid- or phagemid-based. These vectors can contain a selectable marker and a bacterial origin of replication derived from commercially available plasmids typically containing elements of the well-known cloning vector pBR322 (ATCC 37017). Following transformation of a suitable host strain and growth of the host strain to an appropriate cell density, the selected promoter is de-repressed/induced by appropriate means (e.g., temperature shift or chemical induction) and cells are cultured for an additional period. Cells are typically harvested by centrifugation, disrupted by physical or chemical means, and the resulting crude extract retained for further purification.
- In bacterial systems, a number of expression vectors may be advantageously selected depending upon the use intended for the protein being expressed. For example, when a large quantity of such a protein is to be produced, for the generation of antibodies or to screen peptide libraries, for example, vectors which direct the expression of high levels of fusion protein products that are readily purified may be desirable.
- Therefore, an embodiment of the present invention is an expression vector comprising a nucleic acid sequence encoding for the novel antibodies of the present invention.
- Antibodies of the present invention or antigen-binding fragments thereof or variants thereof include naturally purified products, products of chemical synthetic procedures, and products produced by recombinant techniques from a prokaryotic host, including, for example, E. coli, Bacillus subtilis, Salmonella typhimurium and various species within the genera Pseudomonas, Streptomyces, and Staphylococcus, preferably, from E. coli cells.
- Mammalian Expression
- Preferred regulatory sequences for mammalian host cell expression include viral elements that direct high levels of protein expression in mammalian cells, such as promoters and/or enhancers derived from cytomegalovirus (CMV) (such as the CMV promoter/enhancer), Simian Virus 40 (SV40) (such as the SV40 promoter/enhancer), adenovirus, (e.g., the adenovirus major late promoter (AdMLP)) and polyoma. Expression of the antibodies may be constitutive or regulated (e.g. inducible by addition or removal of small molecule inductors such as Tetracyclin in conjunction with Tet system). For further description of viral regulatory elements, and sequences thereof, see e.g., U.S. Pat. No. 5,168,062 by Stinski, U.S. Pat. No. 4,510,245 by Bell et al. and U.S. Pat. No. 4,968,615 by Schaffner et al.. The recombinant expression vectors can also include origins of replication and selectable markers (see e.g., U.S. Pat. Nos. 4,399,216, 4,634,665 and 5,179,017). Suitable selectable markers include genes that confer resistance to drugs such as G418, puromycin, hygromycin, blasticidin, zeocin/bleomycin or methotrexate or selectable marker that exploit auxotrophies such as Glutamine Synthetase (Bebbington et al., Biotechnology (N Y). 1992 February;10(2):169-75), on a host cell into which the vector has been introduced. For example, the dihydrofolate reductase (DHFR) gene confers resistance to methotrexate, neo gene confers resistance to G418, the bsd gene from Aspergillus terreus confers resistance to blasticidin, puromycin N-acetyl-transferase confers resistance to puromycin, the Sh ble gene product confers resistance to zeocin, and resistance to hygromycin is conferred by the E. coli hygromycin resistance gene (hyg or hph). Selectable markers like DHFR or Glutamine Synthetase are also useful for amplification techniques in conjunction with MTX and MSX.
- Transfection of the expression vector into a host cell can be carried out using standard techniques such as electroporation, nucleofection, calcium-phosphate precipitation, lipofection, polycation-based transfection such as polyethlylenimine (PEI)-based transfection and DEAE-dextran transfection.
- Suitable mammalian host cells for expressing the antibodies, antigen binding fragments thereof or variants thereof provided herein include Chinese Hamster Ovary (CHO cells) such as CHO-K1, CHO—S, CHO-K1SV [including dhfr- CHO cells, described in Urlaub and Chasin, (1980) Proc. Natl. Acad. Sci. USA 77:4216-4220 and Urlaub et al., Cell. 1983 June;33(2):405-12, used with a DHFR selectable marker, e.g., as described in R. J. Kaufman and P. A. Sharp (1982) Mol. Biol. 159:601-621; and other knockout cells exemplified in Fan et al., Biotechnol Bioeng. 2012 April; 109(4):1007-15], NSO myeloma cells, COS cells, HEK293 cells, HKB11 cells, BHK21 cells, CAP cells, EB66 cells, and SP2 cells.
- Expression might also be transient or semi-stable in expression systems such as HEK293, HEK293T, HEK293-EBNA, HEK293E, HEK293-6E, HEK293-Freestyle, HKB11, Expi293F, 293EBNALT75, CHO Freestyle, CHO—S, CHO-K1, CHO-K1SV, CHOEBNALT85, CHOS-XE, CHO-3E7 or CAP-T cells (for instance Durocher et al., Nucleic Acids Res. 2002 January 15;30(2):E9).
- In some embodiments, the expression vector is designed such that the expressed protein is secreted into the culture medium in which the host cells are grown. The antibodies, antigen binding fragments thereof or variants thereof can be recovered from the culture medium using standard protein purification methods.
- Purification
- Antibodies of the invention or antigen-binding fragments thereof or variants thereof can be recovered and purified from recombinant cell cultures by well-known methods including, but not limited to ammonium sulfate or ethanol precipitation, acid extraction, Protein A chromatography, Protein G chromatography, anion or cation exchange chromatography, phospho-cellulose chromatography, hydrophobic interaction chromatography, affinity chromatography, hydroxylapatite chromatography and lectin chromatography. High performance liquid chromatography (“HPLC”) can also be employed for purification. See, e.g., Colligan, Current Protocols in Immunology, or Current Protocols in Protein Science, John Wiley & Sons, NY, N.Y., (1997-2001), e.g.,
1, 4, 6, 8, 9, 10, each entirely incorporated herein by reference.Chapters - Antibodies of the present invention or antigen-binding fragments thereof or variants thereof include naturally purified products, products of chemical synthetic procedures, and products produced by recombinant techniques from an eukaryotic host, including, for example, yeast, higher plant, insect and mammalian cells. Depending upon the host employed in a recombinant production procedure, the antibody of the present invention can be glycosylated or can be non-glycosylated. Such methods are described in many standard laboratory manuals, such as Sambrook, supra, Sections 17.37-17.42; Ausubel, supra,
10, 12, 13, 16, 18 and 20.Chapters - In preferred embodiments, the antibody is purified (1) to greater than 95% by weight of antibody as determined e.g. by the Lowry method, UV-Vis spectroscopy or by by SDS-Capillary Gel electrophoresis (for example on a Caliper LabChip GXII,
GX 90 or Biorad Bioanalyzer device), and in further preferred embodiments more than 99% by weight, (2) to a degree sufficient to obtain at least 15 residues of N-terminal or internal amino acid sequence, or (3) to homogeneity by SDS-PAGE under reducing or non-reducing conditions using Coomassie blue or, preferably, silver stain. Isolated naturally occurring antibody includes the antibody in situ within recombinant cells since at least one component of the antibody's natural environment will not be present. Ordinarily, however, isolated antibody will be prepared by at least one purification step. - Isotopes, Salts, Solvates, Isotopic Variants
- The present invention also encompasses all suitable isotopic variants of the compounds according to the invention. An isotopic variant of a compound according to the invention is understood here as meaning a compound in which at least one atom within the compound according to the invention has been exchanged for another atom of the same atomic number, but with a different atomic mass than the atomic mass which usually or predominantly occurs in nature. Examples of isotopes which can be incorporated into a compound according to the invention are those of hydrogen, carbon, nitrogen, oxygen, phosphorus, sulphur, fluorine, chlorine, bromine and iodine, such as 2H (deuterium), 3H (tritium), 13C, 14C, 15N, 17O, 18O, 32P, 33P, 33S, 34S, 35S, 36S, 18F, 36Cl, 82Br, 123I, 124I, 129I and 131I. Particular isotopic variants of a compound according to the invention, especially those in which one or more radioactive isotopes have been incorporated, may be beneficial, for example, for the examination of the mechanism of action or of the active compound distribution in the body; due to comparatively easy preparability and detectability, especially compounds labelled with 3H or 14C isotopes are suitable for this purpose. In addition, the incorporation of isotopes, for example of deuterium, can lead to particular therapeutic benefits as a consequence of greater metabolic stability of the compound, for example an extension of the half-life in the body or a reduction in the active dose required; such modifications of the compounds according to the invention may therefore in some cases also constitute a preferred embodiment of the present invention. Isotopic variants of the compounds according to the invention can be prepared by the processes known to those skilled in the art, for example by the methods described below and the procedures described in the working examples, by using corresponding isotopic modifications of the respective reagents and/or starting compounds.
- Preferred salts in the context of the present invention are physiologically acceptable salts of the compounds according to the invention. Also encompassed are salts which are not themselves suitable for pharmaceutical applications but can be used, for example, for isolation or purification of the compounds according to the invention.
- Physiologically acceptable salts of the compounds according to the invention include acid addition salts of mineral acids, carboxylic acids and sulphonic acids, for example salts of hydrochloric acid, hydrobromic acid, sulphuric acid, phosphoric acid, methanesulphonic acid, ethanesulphonic acid, benzenesulphonic acid, toluenesulphonic acid, naphthalenedisulphonic acid, acetic acid, trifluoroacetic acid, propionic acid, lactic acid, tartaric acid, malic acid, citric acid, fumaric acid, maleic acid and benzoic acid.
- Physiologically acceptable salts of the inventive compounds also include salts of conventional bases, by way of example and with preference alkali metal salts (e.g. sodium and potassium salts), alkaline earth metal salts (e.g. calcium and magnesium salts) and ammonium salts derived from ammonia or organic amines having 1 to 16 carbon atoms, by way of example and with preference ethylamine, diethylamine, triethylamine, ethyldiisopropylamine, monoethanolamine, diethanolamine, triethanolamine, dicyclohexylamine, dimethylaminoethanol, procaine, dibenzylamine, N-methylpiperidine, N-methylmorpholine, arginine, lysine and 1,2-ethylenediamine
- Solvates in the context of the invention are described as those forms of the compounds according to the invention which form a complex in the solid or liquid state by coordination with solvent molecules.
- Hydrates are a specific form of the solvates in which the coordination is with water. Solvates preferred in the context of the present invention are hydrates.
- In addition, the present invention also encompasses prodrugs of the compounds according to the invention. The term “prodrugs” here denotes compounds which may themselves be biologically active or inactive, but are converted (for example by metabolic or hydrolytic means) to inventive compounds during their residence time in the body.
- Another embodiment of the invention is a conjugate as defined above where the antibody or functional fragment thereof binds to a cancer target molecule.
- Another embodiment of the invention is a conjugate as defined above where the conjugate has 2 to 6 conjugation sites per antibody or functional fragment thereof.
- Another embodiment of the invention is a conjugate as defined above where the conjugate has 2 conjugation sites per antibody or functional fragment thereof.
- Another embodiment of the invention is a conjugate according as defined above where the conjugate has 4 conjugation sites per antibody or functional fragment thereof.
- Another embodiment of the invention is a conjugate as defined above where the antibody or functional fragment thereof binds to an extracellular target molecule.
- Another embodiment of the invention is a conjugate as defined above where the antibody or functional fragment thereof, after binding to the extracellular target molecule, is internalized and processed intracellularly (preferably lysosomally) by the cell expressing the target molecule.
- Therapeutic Use
- The CD123 targeted antibody-drug conjugates described herein may be used to treat a CD123 expressing disorder, such as
CD 123 expressing cancer. Typically such cancers show detectable levels of CD123 measured at the protein (e.g., by immunoassay) or RNA level. Some such cancers show elevated levels of CD123 relative to noncancerous tissue of the same type, preferably from the same patient. Optionally, a level ofCD 123 in a cancer is measured before performing treatment. - The
CD 123 directed antibody drug conjugates may be used to treat CD123 expressing disease, including CD123 expressing cancers, like tumors of the hematopoietic and lymphoid tissues or hematopoietic and lymphoid malignancies. - Examples of cancers associated with CD123 expression include myeloid diseases such as, acute myeloid leukemia (AML) and myelodysplastic syndrome (MDS). Other cancers include B-cell acute lymphoblastic leukemia (B-ALL), hairy cell leukemia, Fanconi anemia, Blastic plasmacytoid dendritic cell neoplasm (BPDCN), Hodgkin's disease, Immature T-cell acute lymphoblastic leukemia (Immature T-ALL), Burkitt's lymphoma, Follicular lymphoma, chronic lymphocytic leukemia (CLL), or mantle cell lymphoma.
- Methods of the present invention include treating a patient that has a cancer that expresses CD123 comprising administering to the patient an antibody-drug conjugate of the present invention. The cancer can be any CD123 expressing cancer, including, for example, AML, MDS, B-ALL, hairy cell leukemia, Fanconi anemia, BPDCN, Hodgkin's disease, Immature T-ALL, Burkitt's lymphoma, Follicular lymphoma, CLL, or mantle cell lymphoma.
- The hyper-proliferative diseases, for the treatment of which the compounds according to the invention may be employed, include in particular the group of cancer and tumour diseases. In the context of the present invention, these are understood to mean especially the following diseases, but without any limitation thereto: mammary carcinomas and mammary tumours (mammary carcinomas including ductal and lobular forms, also in situ), tumours of the respiratory tract (small-cell and non-small cell carcinoma, bronchial carcinoma), cerebral tumours (e.g. of the brain stem and of the hypothalamus, astrocytoma, ependymoma, glioblastoma, glioma, medulloblastoma, meningioma and neuro-ectormal and pineal tumours), tumours of the digestive organs (carcinomas of the oesophagus, stomach, gall bladder, small intestine, large intestine, rectum and anal carcinomas), liver tumours (inter alia hepatocellular carcinoma, cholangiocarcinoma and mixed hepatocellular cholangiocarcinoma), tumours of the head and neck region (larynx, hypopharynx, nasopharynx, oropharynx, lips and oral cavity carcinomas, oral melanomas), skin tumours (basaliomas, spinaliomas, squamous cell carcinomas, Kaposi's sarcoma, malignant melanoma, non-melanomatous skin cancer, Merkel cell skin cancer, mast cell tumours), tumours of soft tissue (inter alia soft tissue sarcomas, osteosarcomas, malignant fibrous histiocytomas, chondrosarcomas, fibrosarcomas, hemangiosarcomas, leiomyosarcomas, liposarcomas, lymphosarcomas and rhabdomyosarcomas), tumours of the eyes (inter alia intraocular melanoma and retinoblastoma), tumours of the endocrine and exocrine glands (e.g. of the thyroid and parathyroid glands, pancreas and salivary gland carcinomas, adenocarcinomas), tumours of the urinary tract (tumours of the bladder, penis, kidney, renal pelvis and ureter) and tumours of the reproductive organs (carcinomas of the endometrium, cervix, ovary, vagina, vulva and uterus in women and carcinomas of the prostate and testes in men). These also include proliferative blood diseases of the blood, the lymph system and the spinal cord, in solid form and as circulating cells, such as leukaemias, lymphomas and myeloproliferative diseases, for example acute myeloid, acute lymphoblastic, chronic lymphocytic, chronic myelogenous and hairy cell leukaemia, and AIDS-correlated lymphomas, Hodgkin's lymphomas, non-Hodgkin's lymphomas, cutaneous T cell lymphomas, Burkitt's lymphomas and lymphomas in the central nervous system.
- These well-characterized diseases in humans can also occur with a comparable aetiology in other mammals and can likewise be treated there with the compounds of the present invention.
- The treatment of the cancer diseases mentioned above with the compounds according to the invention comprises both a treatment of the solid tumors and a treatment of metastasizing or circulating forms thereof.
- In the context of this invention, the term “treatment” or “treat” is used in the conventional sense and means attending to, caring for and nursing a patient with the aim of combating, reducing, attenuating or alleviating a disease or health abnormality, and improving the living conditions impaired by this disease, as, for example, in the event of a cancer.
- The present invention thus further provides for the use of the compounds according to the invention for the treatment and/or prevention of disorders, in particular the disorders mentioned above.
- The present invention further provides for the use of the compounds according to the invention for producing a medicament for the treatment and/or prevention of disorders, in particular the disorders mentioned above.
- The present invention further provides for the use of the compounds according to the invention in a method for treatment and/or prevention of disorders, in particular the disorders mentioned above.
- The present invention further provides a method for treatment and/or prevention of disorders, in particular the disorders mentioned above, using an effective amount of at least one of the compounds according to the invention.
- The compounds according to the invention can be used alone or, if required, in combination with one or more other pharmacologically active substances, provided that this combination does not lead to undesirable and unacceptable side effects. The present invention furthermore therefore provides medicaments containing at least one of the compounds according to the invention and one or more further active compounds, in particular for treatment and/or prevention of the abovementioned disorders.
- For example, the compounds of the present invention can be combined with known anti-hyper-proliferative, cytostatic or cytotoxic substances for the treatment of cancer diseases. Examples of suitable combination active compounds include:
- 131I-chTNT, abarelix, abiraterone, aclarubicin, ado-trastuzumab emtansine, afatinib, aflibercept, aldesleukin, alemtuzumab, Alendronic acid, alitretinoin, altretamine, amifostine, aminoglutethimide, Hexyl aminolevulinate, amrubicin, amsacrine, anastrozole, ancestim, anethole dithiolethione, angiotensin II, antithrombin III, aprepitant, arcitumomab, arglabin, arsenic trioxide, asparaginase, axitinib, azacitidine, basiliximab, belotecan, bendamustine, belinostat, bevacizumab, bexarotene, bicalutamide, bisantrene, bleomycin, bortezomib, buserelin, bosutinib, brentuximab vedotin, busulfan, cabazitaxel, cabozantinib, calcium folinate, calcium levofolinate, capecitabine, capromab, carboplatin, carfilzomib, carmofur, carmustine, catumaxomab, celecoxib, celmoleukin, ceritinib, cetuximab, chlorambucil, chlormadinone, chlormethine, cidofovir, cinacalcet, cisplatin, cladribine, clodronic acid, clofarabine, copanlisib, crisantaspase, cyclophosphamide, cyproterone, cytarabine, dacarbazine, dactinomycin, darbepoetin alfa, dabrafenib, dasatinib, daunorubicin, decitabine, degarelix, denileukin diftitox, denosumab, depreotide, deslorelin, dexrazoxane, dibrospidium chloride, dianhydrogalactitol, diclofenac, docetaxel, dolasetron, doxifluridine, doxorubicin, doxorubicin+estrone, dronabinol, eculizumab, edrecolomab, elliptinium acetate, eltrombopag, endostatin, enocitabine, enzalutamide, epirubicin, epitiostanol, epoetin alfa, epoetin beta, epoetin zeta, eptaplatin, eribulin, erlotinib, esomeprazole, estradiol, estramustine, etoposide, everolimus, exemestane, fadrozole, fentanyl, filgrastim, fluoxymesterone, floxuridine, fludarabine, fluorouracil, flutamide, folinic acid, formestane, fosaprepitant, fotemustine, fulvestrant, gadobutrol, gadoteridol, gadoteric acid meglumine, gadoversetamide, gadoxetic acid, gallium nitrate, ganirelix, gefitinib, gemcitabine, gemtuzumab, Glucarpidase, glutoxim, GM-CSF, goserelin, granisetron, granulocyte colony stimulating factor, histamine dihydrochloride, histrelin, hydroxycarbamide, 1-125 seeds, lansoprazole, ibandronic acid, ibritumomab tiuxetan, ibrutinib, idarubicin, ifosfamide, imatinib, imiquimod, improsulfan, indisetron, incadronic acid, ingenol mebutate, interferon alfa, interferon beta, interferon gamma, iobitridol, iobenguane (123I), iomeprol, ipilimumab, irinotecan, Itraconazole, ixabepilone, lanreotide, lapatinib, lasocholine, lenalidomide, lenograstim, lentinan, letrozole, leuprorelin, levamisole, levonorgestrel, levothyroxine sodium, lisuride, lobaplatin, lomustine, lonidamine, masoprocol, medroxyprogesterone, megestrol, melarsoprol, melphalan, mepitiostane, mercaptopurine, mesna, methadone, methotrexate, methoxsalen, methylaminolevulinate, methylprednisolone, methyltestosterone, metirosine, mifamurtide, miltefosine, miriplatin, mitobronitol, mitoguazone, mitolactol, mitomycin, mitotane, mitoxantrone, mogamulizumab, molgramostim, mopidamol, morphine hydrochloride, morphine sulfate, nabilone, nabiximols, nafarelin, naloxone+pentazocine, naltrexone, nartograstim, nedaplatin, nelarabine, neridronic acid, nivolumabpentetreotide, nilotinib, nilutamide, nimorazole, nimotuzumab, nimustine, nitracrine, nivolumab, obinutuzumab, octreotide, ofatumumab, omacetaxine mepesuccinate, omeprazole, ondansetron, oprelvekin, orgotein, orilotimod, oxaliplatin, oxycodone, oxymetholone, ozogamicine, p53 gene therapy, paclitaxel, palifermin, palladium-103 seed, palonosetron, pamidronic acid, panitumumab, pantoprazole, pazopanib, pegaspargase, PEG-epoetin beta (methoxy PEG-epoetin beta), pembrolizumab, pegfilgrastim, peginterferon alfa-2b, pemetrexed, pentazocine, pentostatin, peplomycin, Perflubutane, perfosfamide, Pertuzumab, picibanil, pilocarpine, pirarubicin, pixantrone, plerixafor, plicamycin, poliglusam, polyestradiol phosphate, polyvinylpyrrolidone+sodium hyaluronate, polysaccharide-K, pomalidomide, ponatinib, porfimer sodium, pralatrexate, prednimustine, prednisone, procarbazine, procodazole, propranolol, quinagolide, rabeprazole, racotumomab, radium-223 chloride, radotinib, raloxifene, raltitrexed, ramosetron, ramucirumab, ranimustine, rasburicase, razoxane, refametinib, regorafenib, risedronic acid, rhenium-186 etidronate, rituximab, romidepsin, romiplostim, romurtide, roniciclib, samarium (153Sm) lexidronam, sargramostim, satumomab, secretin, sipuleucel-T, sizofiran, sobuzoxane, sodium glycididazole, sorafenib, stanozolol, streptozocin, sunitinib, talaporfin, tamibarotene, tamoxifen, tapentadol, tasonermin, teceleukin, technetium (99mTc) nofetumomab merpentan, 99mTc-HYNIC-[Tyr31]-octreotide, tegafur, tegafur+gimeracil+oteracil, temoporfin, temozolomide, temsirolimus, teniposide, testosterone, tetrofosmin, thalidomide, thiotepa, thymalfasin, thyrotropin alfa, tioguanine, tocilizumab, topotecan, toremifene, tositumomab, trabectedin, tramadol, trastuzumab, trastuzumab emtansine, treosulfan, tretinoin, trifluridine+tipiracil, trilostane, triptorelin, trametinib, trofosfamide, thrombopoietin, tryptophan, ubenimex, valatinib, valrubicin, vandetanib, vapreotide, vemurafenib, vinblastine, vincristine, vindesine, vinflunine, vinorelbine, vismodegib, vorinostat, vorozole, yttrium-90 glass microspheres, zinostatin, zinostatin stimalamer, zoledronic acid, zorubicin.
- In addition, the compounds of the present invention can be combined, for example, with binders which, by way of example, can bind to the following targets: OX-40, CD137/4-1BB, DR3, IDO1/IDO2, LAG-3, CD40.
- In addition, the compounds according to the invention can also be used in combination with radiotherapy and/or surgical intervention.
- Generally, the following aims can be pursued with the combination of compounds of the present invention with other cytostatically or cytotoxically active agents:
- improved efficacy in slowing the growth of a tumour, in reducing its size or even in the complete elimination thereof, compared with treatment with an individual active compound;
- the possibility of using the chemotherapeutics used in a lower dosage than in the case of monotherapy;
- the possibility of a more tolerable therapy with fewer side effects compared with individual administration;
- the possibility of treatment of a broader spectrum of tumour diseases;
- the achievement of a higher rate of response to the therapy;
- a longer survival time of the patient compared with present-day standard therapy.
- In addition, the compounds according to the invention can also be used in combination with radiotherapy and/or surgical intervention.
- The present invention further provides medicaments which comprise at least one compound according to the invention, typically together with one or more inert, nontoxic, pharmaceutically suitable excipients, and the use thereof for the aforementioned purposes.
- The compounds according to the invention can act systemically and/or locally. For this purpose, they can be administered in a suitable manner, for example parenterally, possibly inhalatively or as implants or stents.
- The compounds according to the invention can be administered in suitable administration forms for these administration routes.
- Parenteral administration can bypass an absorption step (for example intravenously, intraarterially, intracardially, intraspinally or intralumbally) or include an absorption (for example intramuscularly, subcutaneously, intracutaneously, percutaneously or intraperitoneally). Administration forms suitable for parenteral administration include preparations for injection and infusion in the form of solutions, suspensions, emulsions or lyophilizates. Preference is given to parenteral administration, especially intravenous administration.
- In general, it has been found to be advantageous in the case of parenteral administration to administer amounts of from about 0.001 to 1 mg/kg, preferably about 0.01 to 0.5 mg/kg, of body weight to achieve effective results.
- It may nevertheless be necessary where appropriate to deviate from the stated amounts, specifically as a function of body weight, route of administration, individual response to the active compound, nature of the preparation and time or interval over which administration takes place. Thus, in some cases less than the abovementioned minimum amount may be sufficient, while in other cases the upper limit mentioned must be exceeded. In the case of administration of greater amounts, it may be advisable to divide them into several individual doses over the day.
- The examples which follow illustrate the invention. The invention is not restricted to the examples.
- Unless stated otherwise, the percentages in the tests and examples which follow are percentages by weight; parts are parts by weight. Solvent ratios, dilution ratios and concentration data for the liquid/liquid solutions are based in each case on volume.
- If, in the description of experiments, the temperature at which the reaction is carried out is not stated, room temperature can be assumed.
- Synthesis Routes:
- Exemplary for the working examples, the schemes below show exemplary synthesis routes leading to the working examples:
- Exemplary for the working examples, the schemes below show exemplary synthesis routes leading to the working examples:
- Abbreviations and Acronyms:
-
ABCB1 ATP-binding cassette sub-family B member 1 (synonym for P-gp and MDR1) ATP adenosine triphosphate BCRP breast cancer resistance protein, an efflux transporter BEP 2-bromo-1-ethylpyridinium tetrafluoroborate d doublet (in NMR) TLC thin-layer chromatography DCM dichloromethane dd doublet of doublets (in NMR) DMF N,N-dimethylformamide DMSO dimethyl sulphoxide DPBS, D-PBS, Dulbecco's phosphate-buffered salt solution PBS PBS = DPBS = D-PBS, pH 7.4, from Sigma, No D8537 Composition: 0.2 g KCl 0.2 g KH2PO4 (anhyd) 8.0 g NaCl 1.15 g Na2HPO4 (anhyd) made up ad 11 with H2ODTT DL-dithiothreitol EDC N′-(3-dimethylaminopropyl)-N-ethylcarbodiimide hydrochloride EI electron impact ionization (in MS) ELISA enzyme-linked immunosorbent assay ESI electrospray ionization (in MS) ESI-MicroTofq ESI-MicroTofq (name of the mass spectrometer with Tof = time of flight and q = quadrupol) FCS foetal calf serum Fmoc (9H-fluoren-9-ylmethoxy)carbonyl sat. saturated GTP guanosine-5′-triphosphate h hour(s) HATU O-(7-azabenzotriazol-1-yl)-N,N,N′N′- tetramethyluronium hexafluorophosphate HEPES 4-(2-hydroxyethyl)piperazine-1-ethanesulphonic acid HPLC high-pressure, high-performance liquid chromato- graphy IC50 half-maximal inhibitory concentration i.v. intravenously, administration into the vein KG-1 human tumour cell line LC-MS liquid chromatography-coupled mass spectrometry LLC-PK1 cells Lewis lung carcinoma pork kidney cell line L-MDR human MDR1 transfected LLC-PK1 cells LoVo human tumour cell line m multiplet (in NMR) MDR1 Multidrug resistance protein 1MeCN acetonitrile min minute(s) MOLM-13 human tumour cell line MS mass spectrometry MTT 3-(4,5-dimethylthiazol-2-yl)-2,5-diphenyl-2H- tetrazolium bromide 3MV-4-11 human tumour cell line NCI-H292 human tumour cell line NMR nuclear magnetic resonance spectrometry NMRI mouse strain originating from the Naval Medical Research Institute (NMRI) NB4 human tumour cell line PBS phosphate-buffered salt solution P-gp P-gycoprotein, a transporter protein PNGaseF enzyme for cleaving sugar RT room temperature Rt retention time (in HPLC) s singlet (in NMR) SCID mice test mice with severe combined immunodeficiency t triplet (in NMR) TEMPO (2,2,6,6-tetramethylpiperidin-1-yl)oxyl tert Tertiary TFA trifluoroacetic acid THF Tetrahydrofuran THP-1 human tumour cell line UV ultraviolet spectrometry Z Benzyloxycarbonyl - HPLC and LC-MS Methods:
- Method 1 (LC-MS):
- Instrument: Waters ACQUITY SQD UPLC System; column: Waters Acquity UPLC HSS T3 1.8 g. 50×1 mm; mobile phase A: 1 1 of water+0.25 ml of 99% strength formic acid, mobile phase B: 1 1 of acetonitrile+0.25 ml of 99% strength formic acid; gradient: 0.0
min 90% A→1.2min 5% A→2.0min 5% A oven: 50° C.; flow rate: 0.40 ml/min; UV detection: 208-400 nm. - Method 2 (LC-MS): MS instrument type: Waters Synapt G2S; UPLC instrument type: Waters Acquity I-CLASS; column:
- Waters, BEH300, 2.1×150 mm, C18 1.7 μm; mobile phase A: 1 1 of water+0.01% formic acid; mobile phase B: 1 1 of acetonitrile+0.01% formic acid; gradient: 0.0
min 2% B→1.5min 2% B→8.5min 95% B→10.0min 95% B; oven: 50° C.; flow rate: 0.50 ml/min; UV detection: 220 nm - Method 3 (LC-MS):
- MS instrument: Waters (Micromass) QM; HPLC instrument: Agilent 1100 Series; column: Agilent ZORBAX Extend-C18 3.0×50 mm 3.5-micron; mobile phase A: 1 1 of water+0.01 mol of ammonium carbonate, mobile phase B: 1 1 of acetonitrile; gradient: 0.0
min 98% A→0.2min 98% A→3.0min 5% A→4.5min 5% A; oven: 40° C.; flow rate: 1.75 ml/min; UV detection: 210 nm - Method 4 (LC-MS):
- MS instrument type: Waters Synapt G2S; UPLC instrument type: Waters Acquity I-CLASS; column: Waters, HSST3, 2.1×50 mm, C18 1.8 μm; mobile phase A: 1 1 of water+0.01% formic acid; mobile phase B: 1 1 of acetonitrile+0.01% formic acid; gradient: 0.0
min 10% B→0.3min 10% BΘ1.7min 95% B→2.5min 95% B; oven: 50° C.; flow rate: 1.20 ml/min; UV detection: 210 nm - Method 5 (LC-MS):
- Instrument: Waters ACQUITY SQD UPLC System; column: Waters Acquity UPLC HSS T3 1.8 g. 50×1 mm; mobile phase A: 1 1 of water+0.25 ml of 99% strength formic acid, mobile phase B: 1 1 of acetonitrile+0.25 ml of 99% strength formic acid; gradient: 0.0
min 95% A→6.0min 5% A→7.5min 5% A oven: 50° C.; flow rate: 0.35 ml/min; UV detection: 210-400 nm. - Method 6 (LC-MS):
- Instrument: Micromass Quattro Premier with Waters UPLC Acquity; column: Thermo Hypersil GOLD 1.9
g 50×1 mm; mobile phase A: 1 1 of water+0.5 ml of 50% strength formic acid, mobile phase B: 1 1 of acetonitrile+0.5 ml of 50% strength formic acid; gradient: 0.0min 97% A→0.5min 97% A→3.2min 5% A→4.0min 5% A oven: 50° C.; flow rate: 0.3 ml/min; UV detection: 210 nm. - Method 7 (LC-MS):
- Instrument: Agilent MS Quad 6150;HPLC: Agilent 1290; column: Waters Acquity UPLC HSS T3 1.8
g 50×2.1 mm; mobile phase A: 1 1 of water+0.25 ml of 99% strength formic acid, mobile phase B: 1 1 of acetonitrile+0.25 ml of 99% strength formic acid; gradient: 0.0min 90% A→0.3min 90% A→1.7min 5% A→3.0min 5% A oven: 50° C.; flow rate: 1.20 ml/min; UV detection: 205-305 nm. - Method 8 (LC-MS):
- MS instrument type: Waters Synapt G2S; UPLC instrument type: Waters Acquity I-CLASS; column: Waters, HSST3, 2.1×50 mm, C18 1.8 μm; mobile phase A: 1 1 of water+0.01% formic acid; mobile phase B: 1 1 of acetonitrile+0.01% formic acid; gradient: 0.0
min 2% B→2.0min 2% B→13.0min 90% B→15.0min 90% B; oven: 50° C.; flow rate: 1.20 ml/min; UV detection: 210 nm - Method 9: LC-MS-Prep purification method for Examples 181-191 (Method LIND-LC-MS-Prep)
- MS instrument: Waters, HPLC instrument: Waters (column Waters X-Bridge C18, 19 mm×50 mm, 5 μm, mobile phase A: water+0.05% ammonia, mobile phase B: acetonitrile (ULC) with gradient; flow rate: 40 ml/min; UV detection: DAD; 210-400 nm).
- or
- MS instrument: Waters, HPLC instrument: Waters (column Phenomenex Luna 5μ C18(2) 100A, AXIA
- Tech. 50×21.2 mm, mobile phase A: water+0.05% formic acid, mobile phase B: acetonitrile (ULC) with gradient; flow rate: 40 ml/min; UV detection: DAD; 210-400 nm).
- Methode 10: LC-MS analysis method for Examples 181-191 (LIND_SQD_SB_AQ)
- MS instrument: Waters SQD; Instrument HPLC: Waters UPLC; column: Zorbax SB-Aq (Agilent), 50 mm×2.1 mm, 1.8 μm; mobile phase A: water+0.025% formic acid, mobile phase B: acetonitrile (ULC)+0.025% formic acid; gradient: 0.0
min 98% A—0.9min 25%A-1.0 min 5% A—1.4min 5%A-1.41 min 98%A-1.5 min 98% A; oven: 40° C.; flow rate: 0.600 ml/min; UV detection: DAD; 210 nm. - Method 11 (HPLC):
- Instrument: HP1100 Series
- column: Merck Chromolith SpeedROD RP-18e, 50-4.6 mm, Cat.
-
- No. 1.51450.0001, precolumn Chromolith Guard Cartridge Kit, RP-18e,
- 5-4.6 mm, Cat. No. 1.51470.0001
- gradient: flow
rate 5 ml/min -
-
injection volume 5 μl
-
- solvent A: HClO4 (70% strength) in water (4 ml/l)
- solvent B: acetonitrile
- start 20% B
- 0.50
min 20% B - 3.00
min 90% B - 3.50
min 90% B - 3.51
min 20% B - 4.00
min 20% B - column temperature: 40° C.
- wavelength: 210 nm
- Method 12 (LC-MS):
- MS instrument type: Thermo Scientific FT-MS; UHPLC+instrument type: Thermo Scientific UltiMate 3000; column: Waters, HSST3, 2.1×75 mm, C18 1.8 μm; mobile phase A: 1 1 of water+0.01% formic acid; mobile phase B: 1 1 of acetonitrile+0.01% formic acid; gradient: 0.0
min 10% B→2.5min 95% B→3.5min 95% B; oven: 50° C.; flow rate: 0.90 ml/min; UV detection: 210 nm/optimum integration path 210-300 nm - Method 13: (LC-MS):
- MS instrument: Waters (Micromass) Quattro Micro; Instrument Waters UPLC Acquity; column: Waters BEH C18 1.7
g 50×2.1 mm; mobile phase A: 1 1 of water+0.01 mol ammonium formate, mobile phase B: 1 1 of acetonitrile; gradient: 0.0min 95% A→0.1min 95% A→2.0min 15% A→2.5min 15% A-* 2.51min 10% A→3.0min 10% A; oven: 40° C.; flow rate: 0.5 ml/min; UV detection: 210 nm - All reactants or reagents whose preparation is not described explicitly hereinafter were purchased commercially from generally accessible sources. For all other reactants or reagents whose preparation likewise is not described hereinafter and which were not commercially obtainable or were obtained from sources which are not generally accessible, a reference is given to the published literature in which their preparation is described.
- Starting Materials and Intermediates:
-
- 10.00 g (49.01 mmol) of methyl 4-bromo-1H-pyrrole-2-carboxylate were initially charged in 100.0 ml of DMF, and 20.76 g (63.72 mmol) of caesium carbonate and 9.22 g (53.91 mmol) of benzyl bromide were added. The reaction mixture was stirred at RT overnight. The reaction mixture was partitioned between water and ethyl acetate and the aqueous phase was extracted with ethyl acetate. The combined organic phases were dried over magnesium sulphate and the solvent was evaporated under reduced pressure. The reaction was repreated with 90.0 g of methyl 4-bromo-1H-pyrrole-2-carboxylate. The two combined reactions were purified by preparative RP-HPLC (column. Daiso 300×100; 10μ, flow rate: 250 ml/min, MeCN/water). The solvents were evaporated under reduced pressure and the residue was dried under high vacuum. This gave 125.15 g (87% of theory) of the compound methyl 1-benzyl-4-bromo-1H-pyrrole-2-c arboxy late.
- LC-MS (Method 1): Rt=1.18 min; MS (ESlpos): m/z=295 [M+H]+.
- Under argon, 4.80 g (16.32 mmol) of methyl 1-benzyl-4-bromo-1H-pyrrole-2-carboxylate were initially charged in DMF, and 3.61 g (22.85 mmol) of (2,5-difluorophenyl)boronic acid, 19.20 ml of saturated sodium carbonate solution and 1.33 g (1.63 mmol) of [1,1′-bis(diphenylphosphino)ferrocene]-dichloropalladium(II):dichloromethane were added. The reaction mixture was stirred at 85° C. overnight. The reaction mixture was filtered through Celite and the filter cake was washed with ethyl acetate. The organic phase was extracted with water and then washed with saturated NaCl solution. The organic phase was dried over magnesium sulphate and the solvent was evaporated under reduced pressure. The residue was purified by silica gel chromatography (mobile phase: cyclohexane/ethyl acetate 100:3). The solvents were evaporated under reduced pressure and the residue was dried under high vacuum. This gave 3.60 g (67% of theory) of the compound methyl 1-benzyl-4-(2,5-difluorophenyl)-1H-pyrrole-2-carboxylate.
- LC-MS (Method 7): Rt=1.59 min; MS (ESlpos): m/z=328 [M+H]+.
- 3.60 g (11.00 mmol) of methyl 1-benzyl-4-(2,5-difluorophenyl)-1H-pyrrole-2-carboxylate were initially charged in 90.0 ml of THF, and 1.04 g (27.50 mmol) of lithium aluminium hydride (2.4 M in THF) were added at 0° C. The reaction mixture was stirred at 0° C. for 30 minutes. At 0° C., saturated potassium sodium tartrate solution was added, and ethyl acetate was added to the reaction mixture. The organic phase was extracted three times with saturated potassium sodium tartrate solution. The organic phase was washed once with saturated NaCl solution and dried over magnesium sulphate. The solvent was evaporated under reduced pressure and the residue was dissolved in 30.0 ml of dichloromethane. 3.38 g (32.99 mmol) of manganese(IV) oxide were added, and the mixture was stirred at RT for 48 h. Another 2.20 g (21.47 mmol) of manganese(IV) oxide were added, and the mixture was stirred at RT overnight. The reaction mixture was filtered through Celite and the filter cake was washed with dichloromethane. The solvent was evaporated under reduced pressure and the residue 2.80 g of (1-benzyl-4-(2,5-difluorophenyl)-1H-pyrrole-2-carbaldehyde) was used without further purification in the next step of the synthesis.
- LC-MS (Method 7): Rt=1.48 min; MS (ESlpos): m/z=298 [M+H]+.
- 28.21 g (94.88 mmol) of 1-benzyl-4-(2,5-difluorophenyl)-1H-pyrrole-2-carbaldehyde together with 23.00 g (189.77 mmol) of (R)-2-methylpropane-2-sulphinamide were initially charged in 403.0 ml of absolute THF, and 67.42 g (237.21 mmol) of titanium(IV) isopropoxide were added and the mixture was stirred at RT overnight. 500.0 ml of saturated NaCl solution and 1000.0 ml of ethyl acetate were added, and the mixture was stirred at RT for 1 h. The mixture was filtered through kieselguhr and the filtrate was washed twice with saturated NaCl solution. The organic phase was dried over magnesium sulphate, the solvent was evaporated under reduced pressure and the residue was purified using Biotage Isolera (silica gel, column 1500+340 g SNAP,
flow rate 200 ml/min, ethyl acetate/cyclohexane 1:10). - LC-MS (Method 7): Rt=1.63 min; MS (ESlpos): m/z=401 [M+H]+.
- 25.00 g (62.42 mmol) of (R)—N-{(E/Z)-[1-benzyl-4-(2,5-difluorophenyl)-1H-pyrrol-2-yl]methylene}-2-methylpropane-2-sulphinamide were initially charged in absolute THF under argon and cooled to −78° C. 12.00 g (187.27 mmol) of tert-butyllithium (1.7 M solution in pentane) were then added at −78° C. and the mixture was stirred at this temperature for 3 h. At −78° C., 71.4 ml of methanol and 214.3 ml of saturated ammonium chloride solution were then added in succession, and the reaction mixture was allowed to warm to RT and stirred at RT for 1 h. The mixture was diluted with ethyl acetate and washed with water. The organic phase was dried over magnesium sulphate and the solvent was evaporated under reduced pressure. The residue (R)—N-{(1R)-1-[1-benzyl-4-(2,5-difluorophenyl)-1H-pyrrol-2-yl]-2,2-dimethylpropyl}-2-methylpropane-2-sulphinamide was used without further purification in the next step of the synthesis.
- LC-MS (Method 6): Rt=2.97 min; MS (ESlpos): m/z=459 [M+H]+.
- 28.00 g (61.05 mmol) of (R)—N-{(1R)-1-[1-benzyl-4-(2,5-difluorophenyl)-1H-pyrrol-2-yl]-2,2-dimethylpropyl}-2-methylpropane-2-sulphinamide were initially charged in 186.7 ml of 1,4-dioxane, and 45.8 ml of HCl in 1,4-dioxane solution (4.0 M) were then added. The reaction mixture was stirred at RT for 2 h and the solvent was evaporated under reduced pressure. The residue was purified by preparative RP-HPLC (column:
Kinetix 100×30; flow rate: 60 ml/min, MeCN/water). The acetonitrile was evaporated under reduced pressure and dichloromethane was added to the aqueous residue. The organic phase was washed with sodium bicarbonate solution and dried over magnesium sulphate. The solvent was evaporated under reduced pressure and the residue was dried under high vacuum. This gave 16.2 g (75% of theory) of the title compound. - LC-MS (Method 6): Rt=2.10 min; MS (ESlpos): m/z=338 [M-NH2]+, 709 [2M+H]+.
- 1H-NMR (400 MHz, DMSO-d6): δ [ppm]=0.87 (s, 9H), 1.53 (s, 2H), 3.59 (s, 1H), 5.24 (d, 2H), 6.56 (s, 1H), 6.94 (m, 1H), 7.10 (d, 2H), 7.20 (m, 1H), 7.26 (m, 2H), 7.34 (m, 2H), 7.46 (m, 1H).
-
- 4.3 g (12.2 mmol) of Intermediate C52 were dissolved in 525 ml of DCM, and 3.63 g (17.12 mmol) of sodium triacetoxyborohydride and 8.4 ml of acetic acid were added. After 5 min of stirring at RT, 8.99 g (24 5 mmol) of Intermediate L57 dissolved in 175 ml of DCM were added and the reaction was stirred at RT for a further 45 min. The reaction was then diluted with 300 ml of DCM and washed twice with 100 ml of sodium bicarbonate solution and once with saturated NaCl solution. The organic phase was dried over magnesium sulphate, the solvent was evaporated under reduced pressure and the residue was dried under high vacuum. The residue was then purified by preparative RP-HPLC (column: Chromatorex C18). After combination of the appropriate fractions, the solvent was evaporated under reduced pressure and the residue was dried under high vacuum. This gave 4.6 g (61% of theory) of methyl (2S)-4-({(1R)-1-[1-benzyl-4-(2,5-difluorophenyl)-1H-pyrrol-2-yl]-2,2-dimethylpropyl}amino)-2-({[2-(trimethylsilyl)ethoxy]carbonyl}amino)butanoate.
- LC-MS (Method 12): Rt=1.97 min; MS (ESlpos): m/z=614 (M+H)+.
- 2.06 g (3.36 mmol) of this intermediate were initially charged in 76 ml of DCM and acylated with 0.81 ml (7.17 mmol) of 2-chloro-2-oxoethyl acetate in the presence of 2.1 ml of triethylamine After 20 h of stirring at RT, 0.36 ml of 2-chlor-2-oxoethyl acetate and 0.94 ml of triethylamine were added and the reaction was stirred at RT for a further 15 min. The mixture was then diluted with 500 ml of ethyl acetate and extracted successively twice with 300 ml of 5% strength citric acid, twice with 300 ml of saturated sodium bicarbonate solution and once with 100 ml of saturated sodium chloride solution and then dried over magnesium sulphate and concentrated. Drying under high vacuum gave 2.17 g (79% of theory) of the protected intermediate.
- LC-MS (Method 1): Rt=1.48 min; MS (ESlpos): m/z=714 (M+H)+.
- 2.17 mg (2.64 mmol) of this intermediate were dissolved in 54 ml of THF and 27 ml of water, and 26 ml of a 2-molar lithium hydroxide solution were added. The mixture was stirred at RT for 30 min and then adjusted to a pH between 3 and 4 using 1.4 ml of TFA. The mixture was concentrated under reduced pressure. Once most of the THF had been distilled off, the aqueous solution was extracted twice with DCM and then concentrated to dryness under reduced pressure. The residue was purified by preparative HPLC (column: Chromatorex C18). After combination of the appropriate fractions, the solvent was evaporated under reduced pressure and the residue was lyophilized from acetonitrile/water. This gave 1.1 g (63% of theory) of the title compound.
- LC-MS (Method 1): Rt=1.34 min; MS (ESlpos): m/z=656 (M−H)−.
- 1H-NMR (400 MHz, DMSO-d6): δ [ppm]=0.03 (s, 9H), 0.58 (m, 1H), 0.74-0.92 (m, 11H), 1.40 (m, 1H), 3.3 (m, 2H), 3.7 (m, 1H), 3.8-4.0 (m, 2H), 4.15 (q, 2H), 4.9 and 5.2 (2d, 2H), 5.61 (s, 1H), 6.94 (m, 2H), 7.13-7.38 (m, 7H), 7.48 (s, 1H), 7.60 (m, 1H), 12.35 (s, 1H).
-
- 990.0 mg (2.79 mmol) of (1R)-1-[1-benzyl-4-(2,5-difluorophenyl)-1H-pyrrol-2-yl]-2,2-dimethylpropan-1-amine (intermediate C52) were initially charged in 15.0 ml of dichloromethane, and 828.8 mg (3.91 mmol) of sodium triacetoxyborohydride and 129.9 mg (3.21 mmol) of acetic acid were added, and the mixture was stirred at RT for 5 min. 698.1 mg (3.21 mmol) of 2-(trimethylsilyl)ethyl (3-oxopropyl)carbamate (Intermediate L58) dissolved in 15.0 ml of dichloromethane were added, and the reaction mixture was stirred at RT overnight. The reaction mixture was diluted with ethyl acetate and the organic phase was washed in each case twice with saturated sodium carbonate solution and saturated NaCl solution. The organic phase was dried over magnesium sulphate and the solvent was evaporated under reduced pressure. The residue was purified on silica gel (mobile phase: dichloromethane/methanol=100:2). The solvents were evaporated under reduced pressure and the residue was dried under high vacuum. This gave 1.25 g (73% of theory) of the compound 2-(trimethylsilyl)ethyl [3-({(1R)-1-[1-benzyl-4-(2,5-difluorophenyl)-1H-pyrrol-2-yl]-2,2-dimethylpropyl}amino)propyl]carbamate
- LC-MS (Method 1): Rt=1.09 min; MS (ESlpos): m/z=556 (M+H)+.
- 908.1 mg (1.63 mmol) of 2-(trimethylsilyl)ethyl[3-({(1R)-1-[1-benzyl-4-(2,5-difluorophenyl)-1H-pyrrol-2-yl]-2,2-dimethylpropyl}amino)propyl]carbamate and 545.6 mg (5.39 mmol) of triethylamine were initially charged in 10.0 ml of dichloromethane, and the mixture was cooled to 0° C. At this temperature, 590.5 mg (5.23 mmol) of chloroacetyl chloride were added and the mixture was stirred at RT overnight. The reaction mixture was diluted with ethyl acetate and the organic phase was washed in each case three times with saturated sodium bicarbonate solution and saturated ammonium chloride solution. The organic phase was washed with saturated NaCl solution and dried over magnesium sulphate. The residue was purified by preparative RP-HPLC (column: Reprosil 250×30; 10μ, flow rate: 50 ml/min, MeCN/water, 0.1% TFA). The solvents were evaporated under reduced pressure and the residue was dried under high vacuum. This gave 673.8 mg (65% of theory) of the title compound. LC-MS (Method 1): Rt=1.53 min; MS (ESlneg): m/z=676 (M+HCOO−)−.
-
- 536.6 mg (4.43 mmol) of L-cysteine were suspended in 2.5 ml of water together with 531.5 mg (6.33 mmol) of sodium bicarbonate. 400.0 mg (0.63 mmol) of 2-(trimethylsilyl)ethyl {3-[{(1R)-1-[1-benzyl-4-(2,5-difluorophenyl)-1H-pyrrol-2-yl]-2,2-dimethylpropyl}(chloroacetyl)amino]propyl}carbamate (Intermediate C70) dissolved in 25.0 ml of isopropanol and 1.16 g (7.59 mmol) of 1,8-diazabicyclo[5.4.0]undec-7-ene were added. The reaction mixture was stirred at 50° C. for 1.5 h. Ethyl acetate was added to the reaction mixture and the organic phase was washed repeatedly with saturated sodium bicarbonate solution and once with sat. NaCl solution. The organic phase was dried over magnesium sulphate, the solvent was evaporated under reduced pressure and the residue was dried under high vacuum. The residue was purified by preparative RP-HPLC (column: Reprosil 250×30; 10μ, flow rate: 50 ml/min, MeCN/water, 0.1% TFA). The solvents were evaporated under reduced pressure and the residue was dried under high vacuum. This gave 449.5 mg (86% of theory) of the title compound. LC-MS (Method 1): Rt=1.20 min; MS (ESlpos): m/z=717 (M+H)+.
- S-(11-{(1R)-1-[1-Benzyl-4-(2,5-difluorophenyl)-1H-pyrrol-2-yl]-2,2-dimethylpropyl}-2,2-dimethyl-6,12-dioxo-5-oxa-7,11-diaza-2-silatridecan-13-yl)-N-[15-(glycylamino)-4,7,10,13-tetraoxapentadecan-1-oy1]-L-cysteine trifluoroacetic acid (1:1)
- Under argon, 43.4 mg (95.1 μmol) of 1-({N-[(benzyloxy)carbonyl]glycyl}amino)-3,6,9,12-tetraoxapentadecan-15-oic acid (Intermediate L90) were initially charged in 2.5 ml of DMF, 14.6 mg (95.1 μmol) of 1-hydroxy-1H-benzotriazole hydrate, 30.5 mg (95.1 μmol) of (benzotriazol-1-yloxy)bisdimethylaminomethylium fluoroborate and 16.5 μl (95.1 μmol) of N,N-diisopropylethylamine were added and the mixture was stirred for 10 min. 79.0 mg (95.1 μmol) of S-(11-{(1R)-1-[1-benzyl-4-(2,5-difluorophenyl)-1H-pyrrol-2-yl]-2,2-dimethylpropyl}-2,2-dimethyl-6,12-dioxo-5-oxa-7,11-diaza-2-silatridecan-13-yl)-L-cysteine trifluoroacetic acid (1:1) (Intermediate C71) were dissolved in 2.5 ml of DMF, 49.5 μl (285.3 μmol) of N,N-diisopropylethylamine were added and the mixture was added to the reaction. The reaction mixture was stirred at RT for 2 h and purified directly by preparative RP-HPLC (column:
Reprosil 125×30; 10μ, flow rate: 50 ml/min, MeCN/water, 0.1% TFA). The solvents were evaporated under reduced pressure and the residue was dried under high vacuum. This gave 44.2 mg (40% of theory) of the compound S-(11-{(1R)-1-[1-benzyl-4-(2,5-difluorophenyl)-1H-pyrrol-2-yl]-2,2-dimethylpropyl}-2,2-dimethyl-6,12-dioxo-5-oxa-7,11-diaza-2-silatridecan-13-yl)-N-[15-({N-[(benzyloxy)carbonyl]glycyl}amino)-4,7,10,13-tetraoxapentadecan-1-oy1]-L-cysteine. - LC-MS (Method 12): Rt=2.57 min; MS (ESlpos): m/z=1156 [M+H]+
- 60.2 mg (52.1 μmol) of S-(11-{(1R)-1-[1-benzyl-4-(2,5-difluorophenyl)-1H-pyrrol-2-yl]-2,2-dimethylpropyl}-2,2-dimethyl-6,12-dioxo-5-oxa-7,11-diaza-2-silatridecan-13-yl)-N-[15-({N-[benzyloxy)carbonyl]glycyl}amino)-4,7,10,13-tetraoxapentadecan-1-oy1]-L-cysteine were suspended in 3.0 ml of ethanol, 6.0 mg of palladium on activated carbon (10%) were added and the mixture was hydrogenated with hydrogen at RT and standard pressure for 1 h. Twice, 6.0 mg of palladium on activated carbon (10%) were added and the mixture was hydrogenated with hydrogen at RT and standard pressure for 1 h. The catalyst was filtered off and the reaction mixture was freed from the solvent under reduced pressure and dried under high vacuum. The residue was purified by preparative RP-HPLC (column:
Reprosil 125×30; 10μ, flow rate: 50 ml/min, MeCN/water, 0.1% TFA). The solvents were evaporated under reduced pressure and the residue was dried under high vacuum. This gave 29.4 mg (50% of theory) of the title compound. - LC-MS (Method 5): Rt=3.77 min; MS (ESlpos): m/z=1021 [M+H]+
-
- The title compound was prepared by classical methods of peptide chemistry from commercially available (2,5-dioxo-2,5-dihydro-1H-pyrrol-1-yl)acetic acid and tert-butyl (2-aminoethyl)carbamate. HPLC (Method 11): Rt=0.19 min;
- LC-MS (Method 1): Rt=0.17 min; MS (ESlpos): m/z=198 (M+H)+.
-
- 500.0 mg (2.72 mmol) of methyl L-asparaginate hydrochloride and 706.3 mg (2.72 mmol) of 2-(trimethylsilyl)
ethyl 2,5-dioxopyrrolidine-1-carboxylate were initially charged in 5.0 ml of 1,4-dioxane, and 826.8 mg (8.17 mmol) of triethylamine were added. The reaction mixture was stirred at RT overnight. The reaction mixture was purified directly by preparative RP-HPLC (column: Reprosil 250×40; 10μ, flow rate: 50 ml/min, MeCN/water, 0.1% TFA). The solvents were then evaporated under reduced pressure and the residue was dried under high vacuum. This gave 583.9 mg (74% of theory) of the compound (3 S)-4-methoxy-4-oxo-3-({[2-(trimethy lsily Dethoxy]carbonyl}amino)butanoic acid. LC-MS (Method 1): Rt=0.89 min; MS (ESlneg): m/z=290 (M−H)−. - 592.9 mg of (3S)-4-methoxy-4-oxo-3-({[2-(trimethylsilyl)ethoxy]carbonyl}amino)butanoic acid were initially charged in 10.0 ml of 1,2-dimethoxyethane, the mixture was cooled to −15° C. and 205.8 mg (2.04 mmol) of 4-methylmorpholine and 277.9 mg (2.04 mmol) of isobutyl chloroformate were added. The precipitate was filtered off with suction after 15 min and twice with in each case 10.0 ml of 1,2-dimethoxyethane. The filtrate was cooled to −10° C., and 115.5 mg (3.05 mmol) of sodium borohydride dissolved in 10 ml of water were added with vigorous stirring. The phases were separated and the organic phase was washed in each case once with saturated sodium bicarbonate solution and saturated NaCl solution. The organic phase was dried over magnesium sulphate, the solvent was evaporated under reduced pressure and the residue was dried under high vacuum. This gave 515.9 mg (91% of theory) of the compound methyl N-{[2-(trimethylsilyl)ethoxy]carbonyl}-L-homoserinate.
- LC-MS (Method 1): Rt=0.87 min; MS (ESlpos): m/z=278 (M+H)+.
- 554.9 mg (2.00 mmol) of methyl N-{[2-(trimethylsilyl)ethoxy]carbonyl}-L-homoserinate were initially charged in 30.0 ml of dichloromethane, and 1.27 g (3.0 mmol) of Dess-Martin periodinane and 474.7 mg (6.00 mmol) of pyridine were added. The mixture was stirred at RT overnight. After 4 h, the reaction was diluted with dichloromethane and the organic phase was washed in each case three times with 10% strength Na2S2O3 solution, 10% strength citric acid solution and saturated sodium bicarbonate solution. The organic phase was dried over magnesium sulphate and the solvent was evaporated under reduced pressure. This gave 565.7 mg (97% of theory) of the title compound.
- 1H-NMR (400 MHz, DMSO-d6): δ [ppm]=0.03 (s, 9H), 0.91 (m, 2H), 2.70-2.79 (m, 1H), 2.88 (dd, 1H), 3.63 (s, 3H), 4.04 (m, 2H), 4.55 (m, 1H), 7.54 (d, 1H), 9.60 (t, 1H).
-
- 434.4 mg (5.78 mmol) of 3-amino-1-propanol and 1.50 g (5.78 mmol) of 2-(trimethylsilyl)
ethyl 2,5-dioxopyrrolidine-1-carboxylate were dissolved in 10.0 ml of dichloromethane, 585.3 mg (5.78 mmol) of triethylamine were added and the mixture was stirred at RT overnight. The reaction mixture was diluted with dichloromethane and the organic phase was washed with water and saturated sodium bicarbonate solution and then dried over magnesium sulphate. The solvent was evaporated under reduced pressure. The residue 2-(trimethylsilyl)ethyl (3-hydroxypropyl)carbamate (996.4 mg, 79% of theory) was dried under high vacuum and used without further purification in the next step of the synthesis. 807.0 mg (3.68 mmol) of 2-(trimethylsilyl)ethyl (3-hydroxypropyl)carbamate were initially charged in 15.0 ml of chloroform and 15.0 ml of 0.05 N potassium carbonate/0.05 N sodium bicarbonate solution (1:1). 102.2 mg (0.37 mmol) of tetra-n-butylammonium chloride, 736.9 mg (5.52 mmol) of N-chlorosuccinimide and 57.5 mg (0.37 mmol) of TEMPO were then added and the reaction mixture was stirred vigorously at RT overnight. The reaction mixture was diluted with dichloromethane and the organic phase was washed with water and saturated NaCl solution. The organic phase was dried over magnesium sulphate and the solvent was evaporated under reduced pressure. The residue was dried under high vacuum and used without further purification in the next step of the synthesis (890.3 mg). -
- 107 mg (0.335 mmol) of tert-butyl 3-[2-[2-[2-(2-aminoethoxy)ethoxy]ethoxy]ethoxy]propanoate and 93 mg (0.369 mmol) of (2,5-dioxopyrrolidin-1-yl) 2-(2,5-dioxopyrrol-1-yl)acetate were dissolved in 5 ml of dimethylformamide, and 0.074 ml (0.671 mmol) of N-methylmorpholine were added. The reaction mixture was stirred at RT overnight. 0.048 ml (0.838 mmol) of acetic acid were added and the reaction mixture was purified directly by preparative RP-HPLC (column:
Reprosil 125×30; 10μ, flow rate: 50 ml/min, MeCN/water/0.1% TFA). The solvents were evaporated under reduced pressure and the residue was dried under high vacuum. This gave 133 mg (86%,purity 100%) of tert-butyl 3-[2-[2-[2-[2-[[2-(2,5-dioxopyrrol-1-yl)acetyl]amino]ethoxy]ethoxy]ethoxy]ethoxy]propanoate. - LC-MS (Method 1): Rt=0.82 min; MS (ESlpos): m/z=459 (M+H)+.
- 0.5 ml of TFA was added to a solution of tert-butyl 3-[2-[2-[2-[2-[[2-(2,5-dioxopyrrol-1-yl)acetyl]amino]ethoxy]ethoxy]ethoxy]ethoxy]propanoate (130 mg, 0.284 mmol) in 5 ml of dichloromethane. The reaction mixture was stirred at RT overnight. The reaction mixture was concentrated under reduced pressure and the residue was taken up in water and lyophilized. The residue was used further without further purification. This gave 102 mg (90%,
purity 100%) of the title compound. - LC-MS (Method 1): Rt=0.52 min; MS (ESlpos): m/z=402 (M+H)+.
-
- 118 mg (566 μmol) of N-[(benzyloxy)carbonyl]glycine were initially charged in 5.0 ml of DMF, 200 mg (622 μmol) of tert-butyl 1-amino-3,6,9,12-tetraoxapentadecan-15-oate, 130 mg (849 μmol) of 1-hydroxy-1H-benzotriazole hydrate and 130 mg (679 μmol) of 1-(3-dimethylaminopropyl)-3-ethylcarbodiimide hydrochloride were added and the mixture was stirred at RT for 1 h. Ethyl acetate was added and the mixture was extracted twice with 5% strength citric acid solution and with saturated sodium bicarbonate solution. The organic phase was washed twice with saturated sodium chloride solution and dried over magnesium sulphate. The solvents were evaporated under reduced pressure and the residue was dried under high vacuum. This gave 274 mg (95% of theory) of tert-butyl 1-({N-[(benzyloxy)carbonyl]glycyl}amino)-3,6,9,12-tetraoxapentadecan-15-oate.
- LC-MS (Method 12): Rt=1.69 min; MS (ESlpos): m/z=513 (M+H)+.
- 820 μl (11 mmol) of TFA were added to a solution of 274 mg (535 μmol) of tert-butyl 1-({N-[(benzyloxy)carbonyl]glycyl}amino)-3,6,9,12-tetraoxapentadecan-15-oate in 5.0 ml of dichloromethane. The reaction mixture was stirred at RT for 3 h. The reaction mixture was concentrated under reduced pressure and the residue was taken up in water and lyophilized. This gave 262 mg (100% of theory) of the title compound.
- LC-MS (Method 12): Rt=1.12 min; MS (ESlpos): m/z=457 (M+H)+.
-
- 15 mg (0.023 mmol) of Intermediate C58 were initially reacted with 11 mg (0.036 mmol) of Intermediate L1 in the presence of 13 mg (0.034 mmol) of HATU and 10 μl of N,N-diisopropylethylamine. After 60 min of stirring at RT, the mixture was concentrated and the residue was purified by preparative HPLC. This gave 12.3 mg (63% of theory) of the protected intermediate.
- LC-MS (Method 1): Rt=1.3 min; MS (Elpos): m/z=837 [M+H]+.
- In the second step, this intermediate was dissolved in 3 ml of 2,2,2-trifluoroethanol. 12 mg (0.088 mmol) of zinc chloride were added, and the reaction was stirred at 50° C. for 2 h. 26 mg (0.088 mmol) of ethylenediamine-N,N,N′,N′-tetraacetic acid and 2 ml of a 0.1% strength aqueous trifluoroacetic acid solution were then added. The reaction was purified by preparative HPLC. Concentration of the appropriate fractions and lyophilization of the residue from acetonitrile/water gave 8.1 mg (68% of theory) of the title compound.
- LC-MS (Method 1): Rt=0.89 min; MS (ESlpos): m/z=693 (M+H)+.
-
- 50.0 mg (0.06 mmol) of R-(11-{(1R)-1-[1-benzyl-4-(2,5-difluorophenyl)-1H-pyrrol-2-yl]-2,2-dimethylpropyl}-2,2-dimethyl-6,12-dioxo-5-oxa-7,11-diaza-2-silatridecan-13-yl)-L-cysteine trifluoroacetic acid (1:1) (Intermediate C71) and 29 mg (0.07 mmol) of 3-[2-[2-[2-[2-[[2-(2,5-dioxopyrrol-1-yl)acetyl]amino]ethoxy]ethoxy]ethoxy]ethoxy]propanoic acid (Intermediate L74) were dissolved in 3.0 ml of DMF, and 27.3 mg (0.07 mmol) of HATU and 23.3 mg (0.18 mmol) of N,N-diisopropylethylamine were added. The reaction mixture was stirred at RT for 2 hours. The reaction mixture was purified directly by preparative RP-HPLC (column:
Reprosil 125×30; 10μ, flow rate: 50 ml/min, MeCN/water/0.1% TFA). The solvents were evaporated under reduced pressure and the residue was dried under high vacuum. This gave 17.4 mg (26%) of the compound R-(11-{(1R)-[1-benzyl-4-(2,5-difluorophenyl)-1H-pyrrol-2-yl]-2,2-dimethylpropyl}-2,2-dimethyl-6,12-dioxo-5-oxa-7, 11-diaza-2-silatridecan-13-yl)-N-[18-(2,5-dioxo-2,5-dihydro-1H-pyrrol-1-yl)-17-oxo-4,7,10,13-tetraoxa-16-azaoctadecan-1-oy1]-L-cysteine. - LC-MS (Method 6): Rt=1.34 min; MS (ESlpos): m/z=1101 (M+H)+.
- mg (0.02 mmol) of R-(11-{(1R)-1-[1-benzyl-4-(2,5-difluorophenyl)-1H-pyrrol-2-yl]-2,2-dimethylpropyl}-2,2-dimethyl-6,12-dioxo-5-oxa-7,11-diaza-2-silatridecan-13-yl)-N-[18-(2,5-dioxo-2,5-dihydro-1H-pyrrol-1-yl)-17-oxo-4,7,10,13-tetraoxa-16-azaoctadecan-1-oy1]-L-cysteine were dissolved in 1.0 ml of trifluoroethanol, and 6.3 mg (0.05 mmol) of zinc dichloride were added. The reaction mixture was stirred at 50° C. overnight. 13.5 mg (0.05 mmol) of ethylenediamine-N,N,N′,N′-tetraacetic acid were added, the reaction mixture was stirred for 10 min and water (0.1% TFA) was then added. Purification was carried out directly by preparative RP-HPLC (column:
Reprosil 125×30; 10μ, flow rate: 50 ml/min, MeCN/water, 0.1% TFA). The solvents were evaporated under reduced pressure and the residue was dried under high vacuum. This gave 7.6 mg (46%) of the title compound. - LC-MS (Method 1): Rt=0.91 min; MS (ESlpos): m/z=957 (M+H)+.
- B: Preparation of Antibody Drug Conjugates (ADC)
- B-1. General process for generating anti-CD123 antibodies
- The anti-CD123 antibodies were obtained by CDR grafting. The sequence of the 7G3 antibody (EP2426148) represents the starting point of the humanized antibodies such as TPP-5969,TPP-8987 and TPP-9476. Bispecific scFv immunofusion proteins based on 12F1 are disclosed in WO 2013/173820.
- Based on the publication of the sequences of the variable regions (VH and VL) of 12F1 (WO 2013/173820), the following antibody sequences were obtained by fusion of the variable domains of the donor immunoglobulin (VH and VL) with the constant regions of a human antibody. A chimeric variant of 12F1 was generated. Humanized anti-CD123 antibodies were obtained by CDR grating representing the starting point of the humanized antibodies such as TPP-8988 and TPP-9342.
- Humanization
- The murine antibody sequence of the 7G3 antibody was humanized by transferring the CDRs into a human antibody skeleton. For the definition of the CDRs according to Kabat, see Andre C. R. Martin, “Protein sequence and structure analysis of antibody variable domains” in Antibody Engineering (Springer Lab Manuals), Eds.: Duebel, S. and Kontermann, R., Springer-Verlag, Heidelberg. After comparison of the murine frame sequences (without CDRs) with human germline sequences, a similar frequently occurring human frame sequence was selected. In this case, it was the heavy chain IGHV1-46-01 with the J sequence IGHJ4-03 and the light chain IGKV4-1-01 with the J segment IGKJ2. The germline sequences originated from the VBASE2 database (Retter I, Althaus H H, Mu{umlaut over (n)}ch R, Müller W: VBASE2, an integrative V gene database. Nucleic Acids Res. 2005 January 1; 33(Database issue):D671-4).
- The sequences were named using the IMGT system (Lefranc, M. -P., Giudicelli, V., Ginestoux, C., Jabado-Michaloud, J., Folch, G., Bellahcene, F., Wu, Y., Gemrot, E., Brochet, X., Lane, J., Regnier, L., Ehrenmann, F, Lefranc, G. and Duroux, P. IMGT®, the international ImMunoGeneTics information system®. Nucl. Acids Res, 37, D1006-D1012 (2009); doi:10.1093/nar/gkn838). The antibody variants TPP-5969, TPP-8987 and TPP-9476 described herein carry various point mutations differing from the human germline sequence which may influence their properties. Besides the chimeric antibody TPP-6013 humanized antibodies were obtained by transferring the CDRs into a human antibody skeleton as TPP-8988 and TPP-9342
- B-2. General process for expressing anti-CD123 antibodies in mammalian cells
- The antibodies, for example TPP-6013, TPP-5969, TPP-8987, TPP-8988, TPP-9476 and TPP-9342 were produced in transient cultures of mammalian cells, as described by Tom et al.,
Chapter 12 in Methods Express: Expression Systems, edited by Micheal R. Dyson and Yves Durocher, Scion Publishing Ltd, 2007. - B-3. General process for purifying antibodies from cell supernatants
- The antibodies, for example TPP-8987 and TPP-8988, were obtained from the cell culture supernatants. The cell supernatants were clarified by centrifugation of cells. The cell supernatant was then purified by affinity chromatography on a MabSelect Sure (GE Healthcare) chromatography column. To this end, the column was equilibrated in DPBS pH 7.4 (Sigma/Aldrich), the cell supernatant was applied and the column was washed with about 10 column volumes of DPBS pH 7.4+500 mM sodium chloride. The antibodies were eluted in 50 mM sodium acetate pH 3.5+500 mM sodium chloride and then purified further by gel filtration chromatography on a
Superdex 200 column (GE Healthcare) in DPBS pH 7.4. - The antibodies were furthermore characterized by their binding affinity to soluble IL3Ralpha (obtained from R&D Systems) via BIAcore analysis. To determine the cell binding characteristics of the anti-CD123 antibodies, binding was measured by flow cytometry on CD123-positive cancer cell line MOLM-13,
- B-4. General process for coupling to cysteine side chains The following antibodies were used for the coupling reactions:
- TPP-5969
- TPP-6013
- TPP-8987
- TPP-8988
- TPP-9476
- The coupling reactions were usually carried out under argon.
- Between 2 and 5 equivalents of tris(2-carboxyethyl)phosphine hydrochloride (TCEP), dissolved in PBS buffer, were added to a solution of the appropriate antibody in PBS buffer in the concentration range between 1 mg/ml and 20 mg/ml, preferably in the range of about 10 mg/ml to 15 mg/ml, and the mixture was stirred at RT for 30 min. For this purpose, the solution of the respective antibody used can be employed at the concentrations stated in the working examples, or it may optionally also be diluted with PBS buffer to about half of the stated starting concentrations in order to get into the preferred concentration range. Subsequently, depending on the intended loading, from 2 to 12 equivalents, preferably about 5-10 equivalents of the maleinimide precursor compound to be coupled were added as a solution in DMSO. Here, the amount of DMSO should not exceed 10% of the total volume. The reaction was stirred for 60-240 min at RT and then diluted with PBS buffer which had been adjusted to
pH 8 beforehand. The solution was then applied to PBS pH 8-equilibratedPD 10 columns (Sephadex® G-25, GE Healthcare) and eluted withPBS pH 8 buffer. The eluate may be diluted withPBS buffer pH 8. This solution was stirred at RT under argon overnight. The solution was then rebuffered to pH 7.2. - The sample was then concentrated by ultracentrifugation and optionally rediluted with PBS buffer. If required, for better removal of low-molecular weight components, concentration by ultrafiltration was repeated after redilution with PBS buffer. For biological tests, if required, the concentrations of the final ADC samples were optionally adjusted to the range of 0.5-15 mg/ml by redilution. The respective protein concentrations, stated in the working examples, of the ADC solutions were determined. Furthermore, antibody loading (drug/mAb ratio) was determined using the methods described under B-7.
- The ADCs shown in the examples may also be present to a lesser or higher degree in the form of the closed succinamides attached to the antibodies.
- In the structural formulae shown, AKTPP-XXXX or AK has the meaning
- AK=anti-CD123 antibody (partially reduced)-S§ 1
- AKTPP5969=anti-CD123 TPP-5969 (partially reduced)-S§ 1
- AKTPP6013=anti-CD123 TPP-6013 (partially reduced)-S§ 1
- AKTPP8987=anti-CD123 TPP-8987 (partially reduced)-S§ 1
- AKTPP8988=anti-CD123 TPP-8988 (partially reduced)-S§ 1
- AKTPP9476=anti-CD123 TPP-9476 (partially reduced)-S§ 1
-
- where
- § 1 represents the linkage to the succinimide group or to any isomeric hydrolysed open-chain succinamides or the alkylene radical resulting therefrom,
- and
- S represents the sulphur atom of a cysteine residue of the partially reduced antibody.
- B-6a. General process for preparing isomeric open succinamide-cysteine adducts:
- In an exemplary embodiment, 68 μmol of the maleinimide precursor compounds described above were taken up in 15 ml of DMF, and with 36 mg (136 μmol) of N-{[2-(trimethylsilyl)ethoxy]carbonyl}-L-cysteine were added. The reaction mixture was stirred at RT for ˜20 h, then concentrated under reduced pressure and then purified by preparative HPLC. The appropriate fractions were combined and the solvents were evaporated under reduced pressure, and the residue was then dissolved in 15 ml of THF/water 1:1. 131 μl of a 2M aqueous lithium hydroxide solution were added and the reaction was stirred at RT for 1 h. The reaction was then neutralized with a 1M hydrochloric acid, the solvent was evaporated under reduced pressure and the residue was purified by preparative HPLC. This gave ˜50% of theory of the regioisomeric protected intermediates as a colourless foam.
- In the last step, 0.023 mmol of these regioisomeric hydrolysis products were dissolved in 3 ml of 2,2,2-trifluoroethanol. 12.5 mg (0.092 mmol) of zinc chloride were added, and the reaction was stirred at 50° C. for 4 h. 27 mg (0.092 mmol) of ethylenediamine-N,N,N′,N′-tetraacetic acid were then added, and the solvent was evaporated under reduced pressure. The residue was purified by preparative HPLC. Concentration of the appropriate fractions and lyophilization of the residue from acetonitrile/water gave the hydrolysed open sulphanylsuccinamides as a regioisomer mixture.
- Further purification and characterization of the conjugates according to the invention
- After the reaction, in some instances the reaction mixture was concentrated, for example by ultrafiltration, and then desalted and purified by chromatography, for example using a Sephadex® G-25 column Elution was carried out, for example, with phosphate-buffered saline (PBS). The solution was then sterile filtered and frozen. Alternatively, the conjugate can be lyophylized.
- B-7. Determination of the antibody, the toxophor loading and the proportion of open cysteine adducts
- For protein identification in addition to molecular weight determination after deglycosylation and/or denaturing, a tryptic digestion was carried out which, after denaturing, reduction and derivatization, confirms the identity of the protein via the tryptic peptides found.
- The toxophor loading of the PBS buffer solutions obtained of the conjugates described in the working examples was determined as follows:
- Determination of toxophor loading of lysine-linked ADCs was carried out by mass spectrometric determination of the molecular weights of the individual conjugate species. Here, the antibody conjugates were first deglycosylated with PNGaseF, and the sample was acidified and, after HPLC separation/desalting, analysed by mass spectrometry using ESI-MicroTofQ (Bruker Daltonik). All spectra over the signal in the TIC (Total Ion Chromatogram) were added and the molecular weight of the different conjugate species was calculated based on MaxEnt deconvolution. The DAR (=drug/antibody ratio) was then calculated after signal integration of the different species.
- The toxophor loading of cysteine-linked conjugates was determined by reversed-phase chromatography of the reduced and denatured ADCs. Guanidinium hydrochloride (GuHCl) (28.6 mg) and a solution of DL-dithiothreitol (DTT) (500 mM, 3 μl) were added to the ADC solution (1 mg/ml, 50 μl). The mixture was incubated at 55° C. for one hour and analysed by HPLC.
- HPLC analysis was carried out on an Agilent 1260 HPLC system with detection at 220 nm. A Polymer Laboratories PLRP-S polymeric reversed-phase column (catalogue number PL1912-3802) (2.1×150 mm, 8 μm particle size, 1000 Å) was used at a flow rate of 1 ml/min with the following gradient: 0 min, 25% B; 3 min, 25% B; 28 min, 50% B. Mobile phase A consisted of 0.05% trifluoroacetic acid (TFA) in water, mobile phase B of 0.05% trifluoroacetic acid in acetonitrile.
- The detected peaks were assigned by retention time comparison with the light chain (L0) and the heavy chain (H0) of the non-conjugated antibody. Peaks detected exclusively in the conjugated sample were assigned to the light chain with one toxophor (L1) and the heavy chains with one, two and three toxophors (H1, H2, H3).
- Average loading of the antibody with toxophors was calculated from the peak areas determined by integration as double the sum of HC load and LC load, where LC load is calculated from the sum of the toxophor number-average weighed integration results of all LC peaks divided by the sum of the singly weighed integration results of all LC peaks, and where the HC-load is calculated from the sum of the toxophor number-average weighed integration results of all HC peaks divided by the sum of the singly weighed integration results of all HC peaks. In individual cases, it may not be possible to determine the toxophor load accurately owing to co-elutions of some peaks.
- In the cases where light and heavy chains could not be separated sufficiently by HPLC, determination of toxophor loading of cysteine-linked conjugates was carried out by mass spectrometric determination of the molecular weights of the individual conjugate species at light and heavy chain.
- Guanidinium hydrochloride (GuHCl) (28.6 mg) and a solution of DL-dithiothreitol (DTT) (500 mM, 3 μl) were added to the ADC solution (1 mg/ml, 50 μl). The mixture was incubated for one hour at 55° C. and analysed by mass spectrometry after online desalting using ESI-MicroTofQ (Bruker Daltonik).
- For the DAR determination, all spectra were added over the signal in the TIC (Total Ion Chromatogram), and the molecular weight of the different conjugate species at light and heavy chain was calculated based on MaxEnt deconvolution. Average loading of the antibody with toxophors was calculated from the peak areas determined by integration as double the sum of HC load and LC load, where LC load is calculated from the sum of the toxophor number-average weighed integration results of all LC peaks divided by the sum of the singly weighed integration results of all LC peaks, and where the HC-load is calculated from the sum of the toxophor number-average weighed integration results of all HC peaks divided by the sum of the singly weighed integration results of all HC peaks.
- To determine the proportion of the open cysteine adduct, the molecular weight area ratio of closed to open cysteine adduct (
molecular weight delta 18 Dalton) of all singly conjugated light and heavy chain variants was determined. The mean of all variants yielded the proportion of the open cysteine adduct. - B-8. Checking the antigen-binding of the ADCs
- The capability of the binder of binding to the target molecule was checked after coupling had taken place. The person skilled in the art is familiar with multifarious methods which can be used for this purpose; for example, the affinity of the conjugate can be checked using ELISA technology or surface plasmon resonance analysis (BIAcore™ measurement). The conjugate concentration can be measured by the person skilled in the art using customary methods, for example for antibody conjugates by protein determination. (see also Doronina et al.; Nature Biotechnol. 2003; 21:778-784 and Polson et al., Blood 2007; 1102:616-623).
- Metabolite Embodiments
-
- First, methyl L-cysteinate hydrochloride (1:1) was converted with 1-({[2-(trimethylsilyl)ethoxy]carbonyl}oxy)pyrrolidine-2,5-dione in DMF in the presence of N,N-diisopropylethylamine into methyl N-{[2-(trimethylsilyl)ethoxy]carbonyl}-L-cysteinate.
- 408 mg (1.93 mmol) of commercially available 3-bromo-4-methoxy-4-oxobutanoic acid and 180 mg (0.644 mmol) of methyl N-{[2-(trimethylsilyl)ethoxy]carbonyl}-L-cysteinate were dissolved in 8 ml of DMF, and 147 mg (0.97 mmol) of 1,8-diazabicyclo[5.4.0]undec-7-ene were added. After 18 h of stirring at RT, another 136 mg (0.64 mmol) of 3-bromo-4-methoxy-4-oxobutanoic acid and 147 mg (0.97 mmol) of 1,8-diazabicyclo[5.4.0]undec-7-ene were added, and the mixture was stirred at RT for a further 12 h and then concentrated under reduced pressure. The residue was purified by preparative HPLC. Combination of the appropriate fractions and evaporation of the solvents under reduced pressure gave 151 mg (57% of theory) of 4-methoxy-3-{[(2R)-3-methoxy-3-oxo-2-({[2-(trimethylsilyl)ethoxy]carbonyl}amino)propyl]sulphanyl}-4-oxobutanoic acid.
- LC-MS (Method 12): Rt=1.74 min; MS (ESlneg): m/z=408 (M−H)−.
- 3.66 mg (8.93 μmol) of 4-methoxy-3-{[(2R)-3-methoxy-3-oxo-2-({[2-(trimethylsilyl)ethoxy]carbonyl}amino)propyl]sulphanyl}-4-oxobutanoic acid were coupled in the presence of 3.66 mg (8.93 μmol) of HATU and 1.6 μl (15 μmol) of 4-methylmorpholine with 13.0 mg (7.44 μmol) of S-(11-{(1R)-1-[1-benzyl-4-(2,5-difluorophenyl)-1H-pyrrol-2-yl]-2,2-dimethylpropyl}-2,2-dimethyl-6,12-dioxo-5-oxa-7, 11-diaza-2-silatridecan-13-yl)-N-[15-(glycylamino)-4, 7, 10,13-tetraoxapentadecan-1-oy1]-L-cysteine/trifluoroacetic acid (1:1) (Intermediate C80), giving, after HPLC purification, 3.9 mg (37% of theory) of the fully protected intermediate S-(11-{(1R)-1-[1-benzyl-4-(2,5-difluorphenyl)-1H-pyrrol-2-yl]-2,2-dimethylpropyl}-2,2-dimethyl-6,12-dioxo-5-oxa-7, 11-diaza-2-silatridecan-13-yl)-N-[15-({N-[(8R,11R)-8,11-bis(methoxycarbonyl)-2,2-dimethyl-6,13-dioxo-5-oxa-10-thia-7-aza-2-silatridecan-13-yl]glycyl}amino)-4,7,10,13-tetraoxapentadecan-1-oy1]-L-cysteine. 3.90 mg (2.76 μmol) of this intermediate were then stirred at RT with 35 μl of a 2-molar lithium hydroxide solution in 1.0 ml of THF/water 3:1 for 15 min, resulting in the cleavage of both methyl ester groups. Purification by HPLC gave 3.60 mg (94% of theory) of the dicarboxylic acid derivative.
- LC-MS (Method 5): Rt=4.83 min; MS (ESlpos): m/z=1385 [M+H]+.
- Finally, 3.6 mg (2.6 μmol) of this intermediate were completely deprotected with zinc chloride in trifluoroethanol as described above. The residue was purified by preparative HPLC. Concentration of the appropriate fractions and lyophilization of the residue from acetonitrile/water gave 1.92 mg (55% of theory) of the title compound.
- LC-MS (Method 5): Rt=2.72 min; MS (ESlneg): m/z=1094 [M-H]−.
-
- 742.8 mg (3 3 mmol) of commercially available 2-bromo-4-ethoxy-4-oxobutanoic acid and 802 mg (2.87 mmol) of methyl N-{[2-(trimethylsilyl)ethoxy]carbonyl}-L-cysteinate were dissolved in 32 ml of DMF, and 655.4 mg (4.31 mmol) of 1,8-diazabicyclo[5.4.0]undec-7-ene were added. After 20 h of stirring at RT, the reaction was concentrated under reduced pressure and the residue was purified by preparative HPLC. Combination of the appropriate fractions and evaporation of the solvents under reduced pressure gave 521 mg (43% of theory) of 4-ethoxy-2-{[(2R)-3-methoxy-3-oxo-2-({[2-(trimethylsilyl)ethoxy]carbonyl}amino)propyl]sulphanyl}-4-oxobutanoic acid.
- LC-MS (Method 5): Rt=3.13 min; MS (ESlpos): m/z=424 (M+H)+.
- 4.36 mg (10.3 μmol) of 4-ethoxy-2-{[(2R)-3-methoxy-3-oxo-2-({[2-(trimethylsily)ethoxy]carbonyl}amino)propyl]sulphany}-4-oxobutanoic acid were coupled in the presence of 3.92 mg (10.3 μmol) of HATU and 1.9 μl (17 μmol) of 4-methylmorpholine with 15.0 mg (8.59 μmol) of S-(11-{(1R)-1-[1-benzyl-4-(2,5-difluorophenyl)-1H-pyrrol-2-yl]-2,2-dimethylpropyl}-2,2-dimethyl-6,12-dioxo-5-oxa-7,11-diaza-2-silatridecan-13-yl)-N-[15-(glycylamino)-4, 7, 10,13-tetraoxapentadecan-1-oy1]-L-cysteine/trifluoroacetic acid (1:1) (Intermediate C80), giving, after HPLC purification, 3.6 mg (26% of theory) of the fully protected intermediate S-(11-{(1R)-1-[1-benzyl-4-(2,5-difluorphenyl)-1H-pyrrol-2-yl]-2,2-dimethypropyl}-2,2-dimethyl-6,12-dioxo-5-oxa-7, 11-diaza-2-silatridecan-13-yl)-N-[15-({N-[(8R,11 S)-11-(2-ethoxy-2-oxoethyl)-8-(methoxycarbonyl)-2,2-dimethyl-6,12-dioxo-5-oxa-10-thia-7-aza-2-siladodecan-12-yl]glycyl}amino)-4,7,10,13-tetraoxapentadecan-1-oy1]-L-cysteine.
- 6.20 mg (2.82 μmol) of this intermediate were then stirred at RT with 35 μl of a 2-molar lithium hydroxide solution in 1.0 ml of THF/water 1:1 for 15 min, resulting in the cleavage of both ester groups. Acidification and purification by HPLC gave 3.60 mg (92% of theory) of the dicarboxylic acid derivative.
- LC-MS (Method 5): Rt=4.71 min; MS (ESlpos): m/z=1385 [M+H]+.
- Finally, 3.60 mg (1.69 μmol) of this intermediate were completely deprotected with zinc chloride in trifluoroethanol as described above. The residue was purified by preparative HPLC. Concentration of the appropriate fractions and lyophilization of the residue from acetonitrile/water gave 0.88 mg (39% of theory) of the title compound.
- LC-MS (Method 5): Rt=2.72 min; MS (ESlneg): m/z=1094 [M-H]−.
- Working Examples ADCs
- The ADCs shown in the structural formulae of the Working examples, which were coupled to the cystein side chains of the antibodies via maleimide radicals, are, depending on the linker and the coupling procedure, mainly present in the ring-opened forms shown in each case. However, the preparation(s) may comprise a small proportion of the ring-closed form.
- The ring-closed form is:
- Under argon, a solution of 1.4 mg of TCEP in 0.83 ml of PBS buffer was added to 250 mg of Anti-CD123 TPP-5969 in 21.7 ml of PBS (c=11.5 mg/ml). The reaction was stirred at RT for 30 min, and 10.76 mg (0.0133 mmol) of Intermediate F104 dissolved in 2500 μl of DMSO were then added. After a further 90 min of stirring at RT, the reaction was re-buffered to
pH 8 using PD-10 columns (Sephadex® G-25, GE Healthcare). The eluate was stirred under argon at RT overnight and then re-buffered to pH 7.2 using PD-10 columns. The eluate was then diluted to 125 ml with PBS buffer (pH 7.2), concentrated by ultracentrifugation, rediluted with PBS buffer (pH 7.2) and reconcentrated again. The ADC batch obtained was characterized as follows: - Protein Concentration: 9.79 mg/ml
- Drug/mAb ratio: 2.9
- Under argon, a solution of 1.4 mg of TCEP in 0.83 ml of PBS buffer was added to 250 mg of Anti-CD123 TPP-6013 in 21.7 ml of PBS (c=11.5 mg/ml). The reaction was stirred at RT for 30 min, and 10.76 mg (0.0133 mmol) of Intermediate F104 dissolved in 2500 μl of DMSO were then added. After a further 90 min of stirring at RT, the reaction was re-buffered to
pH 8 using PD-10 columns (Sephadex® G-25, GE Healthcare). The eluate was stirred under argon at RT overnight and then re-buffered to pH 7.2 using PD-10 columns. The eluate was then diluted to 125 ml with PBS buffer (pH 7.2), concentrated by ultracentrifugation, rediluted with PBS buffer (pH 7.2) and reconcentrated again. The ADC batch obtained was characterized as follows: - Protein Concentration: 11.06 mg/ml
- Drug/mAb ratio: 3.4
- Under argon, a solution of 1.4 mg of TCEP in 0.83 ml of PBS buffer was added to 250 mg of Anti-CD123 TPP-5969 in 21.7 ml of PBS (c=11.5 mg/ml). The reaction was stirred at RT for 30 min, and 8.92 mg (0.0083 mmol) of Intermediate F257 dissolved in 2500 μl of DMSO were then added. After a further 90 min of stirring at RT, the reaction was re-buffered to
pH 8 using PD-10 columns (Sephadex® G-25, GE Healthcare). The eluate was stirred under argon at RT overnight and then re-buffered to pH 7.2 using PD-10 columns. The eluate was then diluted to 125 ml with PBS buffer (pH 7.2), concentrated by ultracentrifugation, rediluted with PBS buffer (pH 7.2) and reconcentrated again. The ADC batch obtained was characterized as follows: - Protein Concentration: 11.27 mg/ml
- Drug/mAb ratio: 3.6
- Under argon, a solution of 1.4 mg of TCEP in 0.83 ml of PBS buffer was added to 250 mg of Anti-CD123 TPP-6013 in 21.7 ml of PBS (c=11.5 mg/ml). The reaction was stirred at RT for 30 min, and 8.92 mg (0.0083 mmol) of Intermediate F257 dissolved in 2500 μl of DMSO were then added. After a further 90 min of stirring at RT, the reaction was re-buffered to
pH 8 using PD-10 columns (Sephadex® G-25, GE Healthcare). The eluate was stirred under argon at RT overnight and then re-buffered to pH 7.2 using PD-10 columns. The eluate was then diluted to 125 ml with PBS buffer (pH 7.2), concentrated by ultracentrifugation, rediluted with PBS buffer (pH 7.2) and reconcentrated again. The ADC batch obtained was characterized as follows: - Protein Concentration: 13.36 mg/ml
- Drug/mAb ratio: 3.3
-
- Under argon, a solution of 0.057 mg of TCEP in 100 μl of PBS buffer was added to 10 mg of anti-CD123 TPP-8987 in 900 μl of PBS (c=11.11 mg/ml). The reaction was stirred at RT for 30 min. 0.357 mg (0.00033 mmol) of Intermediate F257 dissolved in 100 μl of DMSO were then added. After a further 90 min of stirring at RT, the reaction was re-buffered to
pH 8 using PD-10 columns (Sephadex® G-25, GE Healthcare). The eluate was stirred under argon at RT overnight and then re-buffered to pH 7.2 using PD-10 columns. The eluate was then diluted to 14 ml with PBS buffer (pH 7.2), concentrated by ultracentrifugation, rediluted with PBS buffer (pH 7.2) and reconcentrated again. The ADC batch obtained was characterized as follows: - Protein Concentration: 6.30 mg/ml
- Drug/mAb ratio: 3.1
-
- Under argon, a solution of 0.143 mg of TCEP in 250 μl of PBS buffer was added to 25 mg of anti-CD123 TPP-8988 in 2500 μl of PBS (c=10.0 mg/ml). The reaction was stirred at RT for 30 min. 0.893 mg (0.00083 mmol) of Intermediate F257 dissolved in 250 μl of DMSO were then added. After a further 90 min of stirring at RT, the reaction was re-buffered to
pH 8 using PD-10 columns (Sephadex® G-25, GE Healthcare). The eluate was stirred under argon at RT overnight and then re-buffered to pH 7.2 using PD-10 columns. The eluate was then diluted to 14 ml with PBS buffer (pH 7.2), concentrated by ultracentrifugation, rediluted with PBS buffer (pH 7.2) and reconcentrated again. The ADC batch obtained was characterized as follows: - Protein Concentration: 10.43 mg/ml
- Drug/mAb ratio: 4.3
-
- Under argon, a solution of 0.172 mg of TCEP in 300 μl of PBS buffer was added to 30 mg of anti-CD123 TPP-9476 in 3000 μl of PBS (c=10.0 mg/ml). The reaction was stirred at RT for 30 min. 1.071 mg (0.001 mmol) of Intermediate F257 dissolved in 300 μl of DMSO were then added. After a further 90 min of stirring at RT, the reaction was re-buffered to
pH 8 using PD-10 columns (Sephadex® G-25, GE Healthcare). The eluate was stirred under argon at RT overnight and then re-buffered to pH 7.2 using PD-10 columns. The eluate was then diluted to 14 ml with PBS buffer (pH 7.2), concentrated by ultracentrifugation, rediluted with PBS buffer (pH 7.2) and reconcentrated again. The ADC batch obtained was characterized as follows: - Protein Concentration: 11.04 mg/ml
- Drug/mAb ratio: 4.4
- C: Assessment of Biological Efficacy
- The biological activity of the compounds according to the invention can be shown in the assays described below:
- C-1a Determination of the cytotoxic effects of the ADCs directed against CD123
- The analysis of the cytotoxic effects of the anti-CD123 ADCs and the corresponding metabolites was carried out with various cell lines:
- NCI-H292: human mucoepidermoid lung carcinoma cells, ATCC-CRL-1848, standard medium: RPMI 1640 (Biochrom; #FG1215, stab. glutamine)+10% FCS (Biochrom; #S0415).
- MOLM-13: human acute monocytic leukaemia cells obtained from peripheral blood (AML-M5a), DSMZ, No. ACC 554, standard medium: RPMI 1640 (Gibco; #21875-059, stab. L-glutamine)+20% heat inactivated FCS (Gibco, No. 10500-064); CD123-positive.
- THP-1: human monocytic leukaemia cells obtained from peripheral blood, ATCC, NO. TIB-202, standard medium: RPMI 1640 (Gibco; #21875--059, stab. L-glutamine)+10% heat inactivated FCS (Gibco, No. 10500-064)+2.5 g of glucose (20% glucose solution, Gibco, No. 19002); CD123-positive.
- MV-4-11: human biphenotypic B myelomonocytc leukemia cells obtained from peripheral blood, ATCC-CRL-9591, standard medium:IMDM (ATCC:30-2005), +10% heat inactivated FCS (Gibco, No. 10500-064); CD123-positive.
- KG-1: human acute myeloid leukaemia cells obtained from bone marrow, DSMZ, No.
ACC 14, standard medium: RPMI 1640 (Gibco; #21875-059, stab. L-glutamine)+10% heat inactivated FCS (Gibco, No. 10500-064)+2.5 g of glucose (20% glucose solution, Gibco, No. 19002); CD123-positive. - NB4: human acute promyelocytic leukemia cells obtained from bone marrow, DSMZ, No.
ACC 207, standard medium: RPMI 1640+GlutaMAX I (Invitrogen 61870)+10% heat inactivated FCS (Gibco, No. 10500-064)+2.5 g of glucose (20% glucose solution, Gibco, No. 19002)+10 mM Hepes (Invitrogen 15630)+1 mM Sodium Pyruvate (Invitrogen 11360); CD123-negative - The cells were cultivated by the standard method as stated by the American Tissue Culture Collection (ATCC) or the Leibniz-Institut DSMZ-Deutsche Sammlung von Mikroorganismen and Zellkulturen GmbH (DSMZ) for the cell lines in question.
- MTT Assay
- The cells were cultivated according to the standard method using the growth media listed under C-1. The test is carried out by detaching the cells with a solution of Accutase in PBS (Biochrom AG #L2143; in case of adherent cell), pelleting, resuspending in culture medium, counting and sowing into a 96-well culture plate with white bottom (Costar #3610) (NCI H292: 2500 cells/well; MOLM-13: 2000 cells/well; THP-1: 8000 cells/well; NB4: 7000 cells/well; KG-1: 5000 cells/well, MV-4-11: 5000 cells/well in a total volume of 100 μl). The cells were then incubated in an incubator at 37° C. and 5% carbon dioxide. After 6 h or 48 h (adherent cells) the medium was replaced. The antibody drug conjugates or the metabolites in 10 μl of culture medium in concentrations from 10−5M to 10−13M were then pipetted to the cells (in triplicate), and the assay was then incubated in an incubator at 37° C. and 5% carbon dioxide. After 96 h, the cell proliferation was detected using the MTT assay (ATCC, Manassas, Va., USA, catalogue No. 30-1010K). To this end, the MTT reagent was incubated with the cells for 4 h, followed by lysis of the cells overnight by addition of the detergent. The dye formed was detected at 570 nm (Infinite M1000 pro, Tecan). The measured data were used to calculate the IC50 of the growth inhibition using the DRC (dose response curve). The proliferation of cells which were not treated with test substance but were otherwise identically treated was defined as the 100% figure.
- Table 1 below lists the IC50 values of representative working examples for different anti-CD123 antibodies from this assay:
-
TABLE 1 THP-1 IC50 NB4 IC50 Exam- MOLM 13 IC50[M] MTT MV-4-11 IC50 [M] MTT ple [M] MTT assay assay [M] MTT assay assay 1a 6.86E−10 4.11E−09 7.19E−08 1b 1.67E−11 5.19E−09 1c 1.37E−10 9.33E−10 Ref 3.28E−09 1.03E−10 1.73E−07 208m1 Ref 1.21E−09 1.60E−09 3.00E−07 208m3 Ref 1.51E−09 5.96E−10 5.00E−07 257m1 Ref 3.89E−0 2.56E−10 6.28E−08 257m3 - The activity data reported relate to the working examples described in the present experimental section, with the drug/mAB ratios indicated. The values may possibly deviate for different drug/mAB ratios. The IC50 values are means of several independent experiments or individual values. The action of the CD123 antibody drug conjugates was selective for the respective isotype comprising the respective linker and toxophore.
- C-1b Determination of the Inhibition of the Kinesin Spindle Protein KSP/Eg5 by Selected Examples
- The motor domain of the human kinesin spindle protein KSP/Eg5 (tebu-bio/Cytoskeleton Inc, No. 027EG01-XL) was incubated in a concentration of 10 nM with microtubuli (bovine or porcine, tebu-bio/Cytoskeleton Inc) stabilized with 50 μg/ml taxol (Sigma No. T7191-5MG) for 5 min at RT in 15 mM PIPES, pH 6.8 (5 mM MgCl2 and 10 mM DTT, Sigma). The freshly prepared mixture was aliquoted into a 384 MTP (Greiner bio-one REF 781096). The inhibitors to be examined at concentrations of 1.0×10′ M to 1.0×10−13 M and ATP (final concentration 500 μM, Sigma) were then added. Incubation was at RT for 2 h. ATPase activity was detected by detecting the inorganic phosphate formed using malachite green (Biomol). After addition of the reagent, the assay was incubated at RT for 50 min prior to detection of the absorption at a wavelength of 620 nm. The positive controls used were monastrol (Sigma, M8515-1 mg) and ispinesib (AdooQ Bioscience A10486). The individual data of the dose-activity curve are eight-fold determinations. The IC50 values are means of two independent experiments. The 100% control was the sample which had not been treated with inhibitors.
- Table 2 below lists the IC50 values of representative working examples from the assay described and the corresponding cytotoxicity data (MTT assay).
-
TABLE 2 NCI-H292 KSP assay IC50 [M] Examples IC50 [M] MTT assay M20 1.50E−09 1.49E−07 M21 2.31E−09 - The activity data reported relate to the working examples described in the present experimental section.
- C-2a Internalisation Assay
- Internalisation is a key process which enables specific and efficient provision of the cytotoxic payload in antigen-expressing cancer cells via antibody drug conjugates (ADC). This process is monitored via fluorescent labelling of specific CD123 antibodies and an isotype control antibody labelled with a pH-sensitive fluorophor. First, the fluorescent dye was conjugated to lysines of the antibody. Conjugation was carried out using a two-fold molar excess of CypHer 5E mono NHS ester (Batch 357392, GE Healthcare) at pH 8.3. After the coupling, the reaction mixture was purified by gel chromatography (Zeba Spin Desalting Columns, 40K, Thermo Scientific, No. 87768; elution buffer: DULBECCO'S PBS, Sigma-Aldrich, No. D8537) to eliminate excess dye and to adjust the pH. The protein solution was concentrated using VIVASPIN 500 columns (Sartorius stedim biotec VS0131). The dye load of the antibody was determined by spectrophotometric analysis (NanoDrop) and subsequent calculation using the following equation D: P=Adyeεprotein:(A280-0.16Adye)εdye. The dye load of the CD123 antibodies examined here and the isotype control were of a comparable order. In cell binding assays, it was confirmed that the conjugation did not lead to a change in the affinity of the antibodies. The antigen to be examined is expressed by haematopoietic suspension cells, and the internalisation of the labelled CD123 antibodies was therefore examined in an FACS-based internalisation assay. To this end, cell lines with different expression levels of the receptor were selected and tested. The cells (5×104/well) were sown in a 96-MTP in a total volume of 100 μl (Greiner bio-one, CELLSTAR, 650 180, U-bottom). After addition of the anti-CD123 antibody to be examined in a final concentration of 10 μg/ml, the cell batches were incubated at 37° C. for different periods (1 h, 2 h, 6 h, in triplicate). The same treatment protocol was applied to the labelled isotype control (negative control). In parallel, identical test batches were processed at 4° C. (negative control). FACS analysis was then carried out using the Guava flow cytometer (Millipore). Kinetic evaluation was via measurement of the fluorescence intensity using the guavaSoft 2.6 software (Millipore). A target-mediated specific internalisation of the anti-CD123 antibodies was observed in various cancer cell lines (MOLM-13, THP-1, KG-1), whereas the isotype control and the 4° C. batches showed no internalisation.
- C-2b Determination of the Co-Localisation of the Internalised CD123 Antibody in the Lysosome
- The toxic active compound of the antibody drug conjugates is released in the lysosome, owing to the linker selected. The transport of the antibody to this organelle is therefore crucial. By co-localisation of the antibody with marker proteins specific for the lysosome (e.g. surface protein or small GTPasen), it is possible to identify antibodies having a suitable profile. To this end, the CD123-positive cells (5×104/well) in 100 μl of medium were initially shown into a 96-MTP (Greiner bio-one, CELLSTAR, 650 180, U-bottom). After addition of the CypHer5E-labelled anti-CD123 antibody (
final concentration 20 μg/ml), the batches were incubated in duplicate at 37° C. for 6 h. In eachcase 30 min prior to the end of the incubation time, a lysosome-specific live dye was added to the samples. The lysomes were stained using the CytoPainter LysoGreen indicator reagent (final concentration 1:2000; abcam, ab176826). After incubation, 200 μl of ice-cold FACS buffer (DULBECCO'S PBS, Sigma-Aldrich, No. D8537+3% FBS heat inactivated FBS, Gibco, No. 10500-064) were pipetted into the batch and the cell suspension was centrifuged at 400×g and 4° C. for 5 min. The pellet was then resuspended in 300 μl ice-cold FACS buffer and centrifuged again (4 min, 400×g at 4° C.). After the centrifugation, the supernatant was discarded and the pellet was taken up in 30 μl of ice-cold FACS buffer. The samples prepared in this manner were immediately subjected to FACS/image analysis (FlowSight amnis, Millipore). Co-localisation was evaluated using the specific co-localisation software IDEAS Application v6.1. Table 3 summarizes the data from this assay for the anti-CD123 antibodies examined. -
TABLE 3 Examples Co-localisation [%] TPP-6013 43.5 TPP-5969 26.0 TPP-8987 28.0 TPP-8988 41.0 TPP-9476 29.0 7G3 10.0 Isotype control 0.2 - Different antibodies showed an improved specific internalization potency and co-localization compared to the murine antibody.
- C-3 In Vitro Tests for Determining Cell Permeability
- The cell permeability of a substance can be investigated by means of in vitro testing in a flux assay using Caco-2 cells[M. D. Troutman and D. R. Thakker, Pharm. Res. 20 (8), 1210-1224 (2003)]. For this purpose, the cells were cultured for 15-16 days on 24-well filter plates. For the determination of permeation, the respective test substance was applied in a HEPES buffer to the cells either apically (A) or basally (B) and incubated for 2 hours. After 0 hours and after 2 hours, samples were taken from the cis and trans compartments. The samples were separated by HPLC (Agilent 1200, Boblingen, Germany) using reverse phase columns. The HPLC system was coupled via a Turbo Ion Spray Interface to a Triple Quadropol mass spectrometer API 4000 (AB SCIEX Deutschland GmbH, Darmstadt, Germany). The permeability was evaluated on the basis of a Papp value, which was calculated using the formula published by Schwab et al. [D. Schwab et al., J. Med. Chem. 46, 1716-1725 (2003)]. A substance was classified as actively transported when the ratio of Papp (B-A) to Papp (A-B) (efflux ratio) was >2 or <0.5. Of critical importance for toxophores which are released intracellularly is the permeability from B to A [Papp (B-A)] and the ratio of Papp (B-A) to Papp (A-B) (efflux ratio): the lower this permeability, the slower the active and passive transport processes of the substance through the monolayer of Caco-2 cells. If additionally the efflux ratio does not indicate any active transport, the substance may, following intracellular release, remain longer in the cell. Hence, there is also more time available for interaction with the biochemical target (in this case: kinesin spindle protein, KSP/Eg5).
- Table 4 below sets out permeability data for representative working examples from this assay:
-
TABLE 4 Working Papp (B-A) Example [nm/s] Efflux ratio M20 0.89 0.21 M21 0.5 1.5 - C-4 In Vitro Tests for Determining the Substrate Properties for P-Glycoprotein (P-Gp)
- Many tumour cells express transporter proteins for drugs, and this frequently accompanies the development of resistance towards cytostatics. Substances which are not substrates of such transporter proteins, such as P-glycoprotein (P-gp) or BCRP, for example, could therefore exhibit an improved activity profile.
- The substrate properties of a substance for P-gp (ABCB1) were determined by means of a flux assay using LLC-PK1 cells which overexpress P-gp (L-MDR1 cells) [A. H. Schinkel et al., J. Clin. Invest. 96, 1698-1705 (1995)]. For this purpose, the LLC-PK1 cells or L-MDR1 cells were cultured on 96-well filter plates for 3-4 days. For determination of the permeation, the respective test substance, alone or in the presence of an inhibitor (such as ivermectin or verapamil, for example), was applied in a HEPES buffer to the cells either apically (A) or basally (B) and incubated for 2 hours. After 0 hours and after 2 hours, samples were taken from the cis and trans compartments. The samples were separated by HPLC using reverse phase columns. The HPLC system was coupled via a Turbo Ion Spray Interface to a Triple Quadropol mass spectrometer API 3000 (Applied Biosystems Applera, Darmstadt, Germany). The permeability was evaluated on the basis of a Papp value, which was calculated using the formula published by Schwab et al. [D. Schwab et al., J. Med. Chem. 46, 1716-1725 (2003)]. A substance was classified as P-gp substrate when the efflux ratio of Papp (B-A) to Papp (A-B) was >2.
- As further criteria for the evaluation of the P-gp substrate properties, the efflux ratios in L-MDR1 and LLC-PK1 cells or the efflux ratio in the presence or absence of an inhibitor may be compared. If these values differ by a factor of more than 2, the substance in question is a P-gp substrate.
- C-5 Pharmacokinetics
- C5a: Identification of the ADC Metabolites after Internalisation In Vitro
- Description of the Method:
- Internalisation studies with immunoconjugates are carried out to analyse metabolites formed intracellularly. To this end, human lung tumour cells NCI H292 (3×105/well) are shown in 6-well plates and incubated overnight (37° C., 5% CO2). The cells are treated with 10 μg/ml (66 nM) of the ADC to be examined. Internalisation was carried out at 37° C. and 5% CO2. At various time points (0, 4, 24, 48, 72 h), cell samples are taken for further analysis. First, the supernatants (about 5 ml) are harvested and, after centrifugation (2 min, RT, 1000 rpm Heraeus Variofuge 3.0R), stored at −80° C. The cells are washed with PBS and detached with Accutase, and the cell number is determined. After another washing, a defined number of cells (2×105) is treated with 100 ml of lysis buffer (Mammalian Cell Lysis Kit (Sigma MCL1) and incubated with continuous shaking (Thermomixer, 15 min, 4° C., 650 rpm) in Protein LoBind tubes (Eppendorf Cat. No. 0030 108.116). After the incubation, the lysate is centrifuged (10 min, 4° C., 12000 g, Eppendorf 5415R) and the supernatant is harvested. The supernatant obtained is stored at −80° C. All samples are then analysed as follows.
- Measurement of the compounds in the culture supernatant or cell lysate is carried out after precipitation of the proteins with methanol or acetonitrile by high-pressure liquid chromatography (HPLC) coupled to a triple-quadrupole mass spectrometer (MS).
- For work-up of 50 μl of culture supernatant/cell lysate, 150 μl of precipitation reagent (generally acetonitrile) are added and the mixture is shaken for 10 seconds. The precipitation reagent contains an internal standard (ISTD) in a suitable concentration (generally in the range of 20-100 ng/ml). After 3 minutes of centrifugation at 16000 g, the supernatant is transferred into an autosampler vial, made up with 500 μl of a buffer suitable for the mobile phase and shaken again.
- The two matrix samples are then measured using the HPLC-coupled triple-quadrupol mass spectrometer API6500 from AB SCIEX Deutschland GmbH.
- For calibration, concentrations of 0.5-2000 μg/1 are added to plasma samples. The detection limit (LOQ) is about 2 μg/l. The linear range extends from 2 to 1000 μg/1.
- For calibration of the tumour samples, concentrations of 0.5-200 μg/1 are added to the supernatant of untreated tumours. The detection limit is 4 μg/l. The linear range extends from 4 to 200 μg/l.
- Quality controls for testing validity contain 5 and 50 μg/l.
- C5b: Identification of the ADC Metabolites In Vivo
- After i.v. administration of 3-30 mg/kg of different ADCs, the plasma and tumour concentrations of the ADCs and any metabolites occuring can be measured, and the pharmacokinetic parameters such as clearance (CL), area under the curve (AUC) and half-times (t1/2) can be calculated.
- Analysis for quantification of any metabolites occurring
- Measurement of the compounds in plasma and tumour is carried out after precipitation of the proteins with methanol or acetonitrile by high-pressure liquid chromatography (HPLC) coupled to a triple-quadrupole mass spectrometer (MS).
- For work-up of 50 μl of plasma, 250 μl of precipitation reagent (generally acetonitrile) are added and the mixture is shaken for 10 seconds. The precipitation reagent contains an internal standard (ISTD) in a suitable concentration (generally in the range of 20-100 ng/ml). After 3 minutes of centrifugation at 16000 g, the supernatant is transferred into an autosampler vial, made up with 500 μl of a buffer suitable for the mobile phase and shaken again.
- During the work-up of a tumour, the latter is treated with 3 times the amount of extraction buffer. The extraction buffer contains 50 ml of Tissue Protein Extraction Reagent (Pierce, Rockford, Ill.), two pellets of Complete-Protease-Inhibitor-Cocktail (Roche Diagnostics GmbH, Mannheim, Germany) and phenylmethylsulphonyl fluoride (Sigma, St. Louis, Mo.) in a final concentration of 1 mM. The sample is homogenized twice for 20 minutes in a Tissuelyser II (Qiagen), at maximum stroke number. 50 μl of the homogenate are transferred into an autosampler vial and made up with 150 μl of methanol including ISTD. After 3 minutes of centrifugation at 16000 g, 10 μl of the supernatant are made up with 180 μl of a buffer suitable for the mobile phase and shaken again. The tumour sample is then ready for measuring.
- The two matrix samples are then measured using the HPLC-coupled triple-quadrupol mass spectrometer API6500 from AB SCIEX Deutschland GmbH.
- For calibration, concentrations of 0.5-2000 μg/l are added to plasma samples. The detection limit (LOQ) is about 2 μg/l. The linear range extends from 2 to 1000 μg/l.
- For calibration of the tumour samples, concentrations of 0.5-200 μg/l are added to the supernatant of untreated tumours. The detection limit is 5 μg/l. The linear range extends from 5 to 200 μg/l.
- Quality controls for testing validity contain 5 and 50 μg/l, in plasma additionally 500 μg/l.
- Analysis for Quantification of the Antibodies Used
- The antibody part of the ADCs was determined using a ligand binding assay (ELISA) as total IgG concentration in plasma samples and tumour lysates. Here, the sandwich ELISA format was used. This ELISA had been qualified and validated for the determination in plasma and tumour samples. The ELISA plates were coated with anti-human goat IgG Fc antibodies. After incubation with the sample, the plates were washed and incubated with a detector conjugate of simian anti-human IgG(H+L) antibody and horseradish peroxidase (HRP). After a further washing step, the HRP substrate was added to OPD and the colour development was monitored via absorption at 490 nm. Standard samples having a known IgG concentration were fitted using a 4-parameter equation. Within the lower (LLOQ) and upper (ULOQ) quantification limits, the unknown concentrations were determined by interpolation.
- C-6 Efficacy Test In Vivo
- The in vivo efficacy of the conjugates of this invention has been tested in tumor Xenograft models. The expert is familiar with methods in the prior art against which the effectiveness of the compounds of the invention can be tested (see for example WO 2005/081711; Polson et al, Cancer Res 2009 March 15; 69 (6): 2358-64).
- For example, rodents (e.g. mice) were implanted with a tumor cell line expressing the target molecule of the antibody. Then a conjugate of the invention, an isotype conjugate, a control antibody or isotonic saline (vehicle) were administered to the implanted animals. After an incubation period of several days, the tumor size was determined in conjugate treated animals vs. control groups (control conjugate and/or vehicle). The conjugate treated animals showed a reduced tumor size.
- C-6a. Growth Inhibition of Experimental Tumors in Mice
- Human tumor cells expressing the target antigen for the antibody-drug conjugate were inoculated subcutaneously into the flank of immunocompromised mice (e.g.: NMRI Nude- or SCID mice). 1-10 million cells were detached from cell culture, centrifuged and re-suspended with medium or medium/Matrigel. The cell suspension was injected subcutaneously into mice. Treatment (i.p. application at a volume of 5 mL/kg; Dosing schedule is shown in table x) started after establishment of the tumor, approximately at a tumor size of 40 mm2.
- By default, 8 animals were used per treatment group. In addition to the groups that received the active substances, a group was treated with vehicle only. During the experiment, the tumor area was measured regularly with calipers in two dimensions (length/width). The tumor area was determined by length×width. The comparison of the mean tumor area of the treatment group with the control group was expressed as T/C area.
- C-6b. Efficacy of Compounds According to the Invention in Human AML Xenograft Models
- Treatment with the anti CD123 antibody-drug conjugates resulted in a significant and long-lasting inhibition of tumor growth. Table 5 summarizes in vivo efficacy of representative working examples. Primary read out is the tumor growth inhibition in treatment vs. vehicle group as indicated by T/C values (determined from the last measured time point before the vehicle group reached a tumor size of >200 mm2 and had to be sacrificed due to German animal protection law). As a second read out table 5 also indicates the time period until the treatment groups showed tumor regrowth and the study was terminated.
-
Exp 1 shows a strong efficacy and clear superiority of ref 257 ml vs 208 ml as measured by tumor growth inhibition in THP-1 AML Xenograft model (T/C 0.46 vs. 0.92) - The efficacy of ref 257 ml has also been evaluated in an additional AML Xenograft models. Exp. 2. confirmed superiority of ref 257 ml vs 208 ml based on tumor growth inhibition (T/C 0.25 vs 0.42) and also strongly reduced time until tumor regrowth in the
MOLM 13 AML Xenograft model (34 days vs 24 days). The examples 1a, 1b, 1c show strong efficacy in two AML models (Exp.3 and Exp.4), All examples described show superiority versusref 208 ml (e.g. 1a vs 208 ml-T/C 0.32 vs 0,42). The corresponding isotype-ADC controls with the indicated schedule (Q7dx2) were comparable to vehicle controls. -
TABLE 5 Tumor Outgrowth Exam- Xenograft Treatment of ADC vs. Exp. ples Model Dosing Schedule T/C area vehicle Exp Ref THP-1 5 mg/kg Q7dx2 0.46 Vehicle 1 257m1 (Day 21) Day 21ADC Day ongoing Ref THP-1 5 mg/kg Q7dx2 0.92 Vehicle 208m1 (Day 21) Day 21ADC Day 21Exp Ref MOLM-13 5 mg/kg Q7dx2 0.42 Vehicle 2 208m1 (Day 17) Day 17ADC Day 24Ref MOLM-13 5 mg/kg Q7dx2 0.25 Vehicle 257m1 (Day 17) Day 17ADC Day 31Exp 1a MOLM13 5 mg/kg Q7dx2 0.32 Vehicle 3 (day 14) Day 14ADC Day 251b MOLM13 5 mg/kg Q7dx2 0.37 Vehicle (day 14) Day 14ADC Day 251c MOLM13 5 mg/kg Q7dx2 0.33 Vehicle (day 14) Day 14ADC Day 25Exp 1a MV4-11 5 mg/kg Q7dx2 0.35 Vehicle 4 (day 21) Day 21ADC Day 321b MV4-11 5 mg/kg Q7dx2 0.25 Vehicle day 21) Day 21ADC Day 351c MV4-11 5 mg/kg Q7dx2 0.32 Vehicle (day 21) Day 21ADC Day 35 - Working Examples of Anti-CD123 Antibodies
- All examples were carried out using standard methods known to the person skilled in the art, unless described here in detail. Routine methods of molecular biology of the examples that follow can be carried out as described in standard laboratory textbooks such as Sambrook et al., Molecular Cloning: a Laboratory Manual, 2. Edition; Cold Spring Harbor Laboratory Press, Cold Spring Harbor, N.Y., 1989.
- Generation and Optimization of Humanized Anti-CD123 Antibodies
- The antibodies described herein base on two murine antibody clones 7G3 and 12F1 described in literature (EP2426148; WO2013/173820). Shortly, the murine CDRs were grafted into human frameworks as described by O'Brien and Jones, (
Chapter 40 Humanizing Antibodies by CDR Grafting, p579 Table 4) and also Hwang et al, (Methods 36 (2005) p35-42). For the definition of the CDRs according to Kabat, see Andre C. R. Martin, “Protein sequence and structure analysis of antibody variable domains” in Antibody Engineering (Springer Lab Manuals), Eds.: Duebel, S. and Kontermann, R., Springer-Verlag, Heidelberg. After comparison of the murine frame sequences (without CDRs) with human germline sequences, a similar frequently occurring human frame sequence was selected. The sequences were named using the IMGT system (Lefranc, M.-P., Giudicelli, V., Ginestoux, C., Jabado-Michaloud, J., Folch, G., Bellahcene, F., Wu, Y., Gemrot, E., Brochet, X., Lane, J., Regnier, L., Ehrenmann, F, Lefranc, G. and Duroux, P. IMGT®, the international ImMunoGeneTics information system®. Nucl. Acids Res, 37, D1006-D1012 (2009); doi:10.1093/nar/gkn838). - The humanized variants were transiently expressed in HEK293 cells. Supernatants were tested in SPR and FACS for the binding to antigen and cells. To reduce immunogenicity and optimize binding properties, single or multiple mutations were introduced in CDRs and Frameworks. More than 100 variants were tested in order to generate and select the final lead candidates. The antibody variants described herein carry various point mutations differing from the human germline sequence which may influence their properties.
- The first campaign based on the murine antibody clone 12F1 (WO2013/173820). The grafting of the CDRs was not trivial and had to be tested on several human framework backbones in order succeed. The best grafted version was identified to be TPP-8988, in which the light chain CDRs were grafted into the human framework backbone IGKV3-20, the heavy chain CDRs were grafted into the human framework backbone IGHV3-66. In comparison, the grafting of the murine CDRs failed in other cases, e.g. for TPP-8613 which showed reduced FACS binding. In this variant, the light chain CDRs were grafted into the human framework backbone IGKV4-1, the heavy chain CDRs were grafted into the human framework backbone IGHV3-66. Another example that did not yield sufficient expression as a grafted version is TPP-8617, in which the light chain CDRs were grafted into the human framework backbone IGKV4-1, the heavy chain CDRs were grafted into the human framework backbone IGHV5-51.
- To further de-immunize TPP-8988, single and recombined non-germline residues were exchanged to human germline and 66 variants were tested for expression and binding. The best recombination variant tested was TPP-9342. Other variants, as for example TPP-9075, TPP-9078, TPP-9104, TPP-9129 or TPP-9130 showed low expression and/or undesirable multiphasic behavior in the SPR measurements, although the share similar sequences with TPP-8988/TPP9342.
- The second campaign based on the murine antibody clone 7G3 (EP2426148). The humanized version TPP-5969 was generated as described above, based on human germlines IGKV4-1 and IGHV1-69. It can serve as an alternative to CSL-362 (TPP-5709), a humanized version generated by CSL (EP2606069).
- Unfortunately, TPP-5969 showed an undesirable multiphasic binding behaviour in the SPR analysis. To abolish this multiphasic binding and to de-immunize TPP-5969 and, single and recombined non-germline residues were exchanged to human germline and 53 variants were tested for expression and binding. Most variants, as for example TPP-8465, TPP-8467, TPP-8468, or TPP-9479 showed low expression and multiphasic behavior in the SPR measurements as well diminished FACS binding, although the share similar sequences with humanized version TPP-5969 and/or the final candidates TPP-8987 or TPP-9476.
- Only variants, such as e.g. TPP-8695, containing three mutations in the heavychain (N61A, K65Q and Q67R) compared to TPP-5969 showed single digit nanomolar EC50 values in FACS binding while still binding in a multiphasic fashion in SPR at low expression. Unexpectedly, the introduction of a single point mutation in the light chain CDR2 (V29L) in TPP8987 abolished the undesireable multiphasic binding properties. Since the expression rates of TPP-8987 were rather low, different heavy chain variants were generated in order to find a recombination of mutations that allows reasonable expression together with non-multiphasic SPR binding properties and positive FACS results. Those assets are represented by TPP-9476 which only differs from TPP-8987 in the R67Q backmutation but expresses 10-fold higher while retaining its favorable binding features.
- Determination of the Binding Affinity of the Antibodies by Surface Plasmon Resonance:
- Surface plasmon resonance experiments for quantitative binding analysis were carried out using a Biacore T200 instrument (GE Healthcare Biacore, Inc.). Here the antibodies to be examined were fixed with the aid of an anti-human Fc antibody (“Human Antibody Capture Kit”, BR-1008-39, GE Healthcare Biacore, Inc.) amine-coupled to the sensor chip surface. Amine coupling was performed according to the manufacturer's instructions using 1-ethyl-3-(3-dimethylaminopropyl)carbodiimide hydrochloride (EDC), N-hydroxysuccinimide (NHS) and ethanolamine HCl pH 8.5 (“Amine Coupling Kit” BR-1000-50, GE Healthcare Biacore, Inc.). For the analyses, Series S sensor chips CMS (GE Healthcare Biacore, Inc.) were used with the mobile buffer HBS-EP+(10 mM HEPES pH 7.4, 150 mM NaCl, 3 mM EDTA, 0.05% Surfactant P20). All experimental steps were carried out at 25° C. After fixation of the anti-CD123 antibodies to be examined, injections of the extracellular domain of IL3Ra (analyte, R&D Systems) at concentrations of 100 nM were carried out, and after each antigen injection the sensor surface was regenerated with glycine HCl pH 2.0. Prior to another analyte injection, antibodies were in each case fixed as above, under identical conditions. For all measurements, an upstream flow cell only containing immobilized amine-coupled anti-human Fc antibody was used as reference cell. Evaluation of the sensorgrams obtained was, after double referencing (subtraction of the reference flow cell signal and a buffer injection), carried out by a global fit based on a 1:1 Langmuir binding model with the aid of the Biacore T200 evaluation software (GE Healthcare Biacore, Inc.).
-
TABLE 6a Recombinant antigen (IL3R3alpha/CD123) used for affinity determination Cat. No. Nomenclature Description Origin (R&D) TPP-5521 IL3Ra aa20-305 murine 203-IL -
TABLE 6b Monovalent KD values of the anti-CD123 antibodies determined with Biacore using IL3Ra protein (TPP-5521 as analyte) Chi2 % of Multiphasic TPP KD [nM] Rmax behaviour TPP-5969 Kinetic evaluation — Yes not applicable TPP-8987 1.24 No TPP-9476 7.2 No TPP-6013 0.8 1 No TPP-8988 0.33 No TPP-9342 - Binding of anti-CD123 antibodies to various antigen-expressing cancer cell lines
- Binding of the anti-CD123 antibodies was examined by flow cytometry using human haematological cell line MOLM-13. To this end, the cells (5×105 cells/well) were incubated in FACS buffer (PBS without Ca/Mg, 3% FCS, Biochrom) with 10 μg/ml primary antibody solution (start concentration) on ice for 30-45 min protected from light. A dose activity curve (1:5 dilution) was plotted. After the incubation, 200 μl of ice-cold FACS buffer were added using a pipette, and the cell suspension was centrifuged at 4° C. 400 g for 4 min. The cell pellet was washed with 300 μl of ice-cold FACS buffer and the pellet obtained was then resuspended in 100 μl FACS buffer and incubated again with secondary antibody (monoclonal anti-kappa light chains-FITC antibody, Sigma, No. SAB4700605) in a 1:10 dilution on ice for 30 min. The cells were then washed with ice-cold FACS buffer and adjusted to a cell concentration of 0.5×106 cell/ml prior to flow cytometry using a Guava flow cytometer (Millipore). Propidium iodide (
final concentration 1 μg/ml) was used for live staining. The results were shown as EC50 values determined based on the dose response curve and efficacy compared to maximal binding. Surprisingly a significant improved binding behaviour could be detected with TPP-8988 compared to TPP-5969 and TPP-8988 compared to TPP-6013 (Table 7A) Most humanized variants of TPP-5969 showed no or insufficient binding to the target (7B) as well as the humanized variants of TPP-6013 (7C; see generation and optimization). -
TABLE 7 FACS analysis: Binding of the anti-CD123 antibodies to MOLM-13 cancer cell line. A improved humanized anti-CD123 antibodies; B TPP-5963 variants; C TPP-6013 variants MOLM-13 Efficacy TPP EC50 [nM] [%] A TPP-5969 5.3 34 TPP-8987 3.2 100 TPP-9476 2.8 100 TPP-6013 2.0 100 TPP-8988 1.9 100 TPP-9342 B TPP-8465 No binding TPP-8467 No binding TPP-8468 No binding TPP-8476 No binding TPP-8695 1.12 36 C TPP-8613 3.0 100 TPP-8617 1.4 100 TPP-9075 5.37 100 TPP-9078 No binding — TPP-9104 25.3 83 TPP-9129 No binding — TPP-9130 3.01 100 -
TABLE List of Sequences Sequence Sequence TPP ID Sequence Name Region Type SEQ ID TPP-5709 CSL362-hIgG1Kappa VH PRT SEQ ID NO: 1 TPP-5709 CSL362-hIgG1Kappa HCDR1 PRT SEQ ID NO: 2 TPP-5709 CSL362-hIgG1Kappa HCDR2 PRT SEQ ID NO: 3 TPP-5709 CSL362-hIgG1Kappa HCDR3 PRT SEQ ID NO: 4 TPP-5709 CSL362-hIgG1Kappa VL PRT SEQ ID NO: 5 TPP-5709 CSL362-hIgG1Kappa LCDR1 PRT SEQ ID NO: 6 TPP-5709 CSL362-hIgG1Kappa LCDR2 PRT SEQ ID NO: 7 TPP-5709 CSL362-hIgG1Kappa LCDR3 PRT SEQ ID NO: 8 TPP-5709 CSL362-hIgG1Kappa Heavy PRT SEQ ID Chain NO: 9 TPP-5709 CSL362-hIgG1Kappa Light PRT SEQ ID Chain NO: 10 TPP-5968 HU7G3-1-hIgG1Kappa VH PRT SEQ ID NO: 11 TPP-5968 HU7G3-1-hIgG1Kappa HCDR1 PRT SEQ ID NO: 12 TPP-5968 HU7G3-1-hIgG1Kappa HCDR2 PRT SEQ ID NO: 13 TPP-5968 HU7G3-1-hIgG1Kappa HCDR3 PRT SEQ ID NO: 14 TPP-5968 HU7G3-1-hIgG1Kappa VL PRT SEQ ID NO: 15 TPP-5968 HU7G3-1-hIgG1Kappa LCDR1 PRT SEQ ID NO: 16 TPP-5968 HU7G3-1-hIgG1Kappa LCDR2 PRT SEQ ID NO: 17 TPP-5968 HU7G3-1-hIgG1Kappa LCDR3 PRT SEQ ID NO: 18 TPP-5968 HU7G3-1-hIgG1Kappa Heavy PRT SEQ ID Chain NO: 19 TPP-5968 HU7G3-1-hIgG1Kappa Light PRT SEQ ID Chain NO: 20 TPP-5969 HU7G3-4-hIgG1Kappa VH PRT SEQ ID NO: 21 TPP-5969 HU7G3-4-hIgG1Kappa HCDR1 PRT SEQ ID NO: 22 TPP-5969 HU7G3-4-hIgG1Kappa HCDR2 PRT SEQ ID NO: 23 TPP-5969 HU7G3-4-hIgG1Kappa HCDR3 PRT SEQ ID NO: 24 TPP-5969 HU7G3-4-hIgG1Kappa VL PRT SEQ ID NO: 25 TPP-5969 HU7G3-4-hIgG1Kappa LCDR1 PRT SEQ ID NO: 26 TPP-5969 HU7G3-4-hIgG1Kappa LCDR2 PRT SEQ ID NO: 27 TPP-5969 HU7G3-4-hIgG1Kappa LCDR3 PRT SEQ ID NO: 28 TPP-5969 HU7G3-4-hIgG1Kappa Heavy PRT SEQ ID Chain NO: 29 TPP-5969 HU7G3-4-hIgG1Kappa Light PRT SEQ ID Chain NO: 30 TPP-5971 HU7G3-3-hIgG1Kappa VH PRT SEQ ID NO: 31 TPP-5971 HU7G3-3-hIgG1Kappa HCDR1 PRT SEQ ID NO: 32 TPP-5971 HU7G3-3-hIgG1Kappa HCDR2 PRT SEQ ID NO: 33 TPP-5971 HU7G3-3-hIgG1Kappa HCDR3 PRT SEQ ID NO: 34 TPP-5971 HU7G3-3-hIgG1Kappa VL PRT SEQ ID NO: 35 TPP-5971 HU7G3-3-hIgG1Kappa LCDR1 PRT SEQ ID NO: 36 TPP-5971 HU7G3-3-hIgG1Kappa LCDR2 PRT SEQ ID NO: 37 TPP-5971 HU7G3-3-hIgG1Kappa LCDR3 PRT SEQ ID NO: 38 TPP-5971 HU7G3-3-hIgG1Kappa Heavy PRT SEQ ID Chain NO: 39 TPP-5971 HU7G3-3-hIgG1Kappa Light PRT SEQ ID Chain NO: 40 TPP-6013 antiCD123-12F1- VH PRT SEQ ID hIgG1Kappa NO: 41 TPP-6013 antiCD123-12F1- HCDR1 PRT SEQ ID hIgG1Kappa NO: 42 TPP-6013 antiCD123-12F1- HCDR2 PRT SEQ ID hIgG1Kappa NO: 43 TPP-6013 antiCD123-12F1- HCDR3 PRT SEQ ID hIgG1Kappa NO: 44 TPP-6013 antiCD123-12F1- VL PRT SEQ ID hIgG1Kappa NO: 45 TPP-6013 antiCD123-12F1- LCDR1 PRT SEQ ID hIgG1Kappa NO: 46 TPP-6013 antiCD123-12F1- LCDR2 PRT SEQ ID hIgG1Kappa NO: 47 TPP-6013 antiCD123-12F1- LCDR3 PRT SEQ ID hIgG1Kappa NO: 48 TPP-6013 antiCD123-12F1- Heavy PRT SEQ ID hIgG1Kappa Chain NO: 49 TPP-6013 antiCD123-12F1- Light PRT SEQ ID hIgG1Kappa Chain NO: 50 TPP-8465 GL-TPP5969- VH PRT SEQ ID hIgG1kappa-gl05 NO: 51 TPP-8465 GL-TPP5969- HCDR1 PRT SEQ ID hIgG1kappa-gl05 NO: 52 TPP-8465 GL-TPP5969- HCDR2 PRT SEQ ID hIgG1kappa-gl05 NO: 53 TPP-8465 GL-TPP5969- HCDR3 PRT SEQ ID hIgG1kappa-gl05 NO: 54 TPP-8465 GL-TPP5969- VL PRT SEQ ID hIgG1kappa-gl05 NO: 55 TPP-8465 GL-TPP5969- LCDR1 PRT SEQ ID hIgG1kappa-gl05 NO: 56 TPP-8465 GL-TPP5969- LCDR2 PRT SEQ ID hIgG1kappa-gl05 NO: 57 TPP-8465 GL-TPP5969- LCDR3 PRT SEQ ID hIgG1kappa-gl05 NO: 58 TPP-8465 GL-TPP5969- Heavy PRT SEQ ID hIgG1kappa-gl05 Chain NO: 59 TPP-8465 GL-TPP5969- Light PRT SEQ ID hIgG1kappa-gl05 Chain NO: 60 TPP-8467 GL-TPP5969- VH PRT SEQ ID hIgG1kappa-gl07 NO: 61 TPP-8467 GL-TPP5969- HCDR1 PRT SEQ ID hIgG1kappa-gl07 NO: 62 TPP-8467 GL-TPP5969- HCDR2 PRT SEQ ID hIgG1kappa-gl07 NO: 63 TPP-8467 GL-TPP5969- HCDR3 PRT SEQ ID hIgG1kappa-gl07 NO: 64 TPP-8467 GL-TPP5969- VL PRT SEQ ID hIgG1kappa-gl07 NO: 65 TPP-8467 GL-TPP5969- LCDR1 PRT SEQ ID hIgG1kappa-gl07 NO: 66 TPP-8467 GL-TPP5969- LCDR2 PRT SEQ ID hIgG1kappa-gl07 NO: 67 TPP-8467 GL-TPP5969- LCDR3 PRT SEQ ID hIgG1kappa-gl07 NO: 68 TPP-8467 GL-TPP5969- Heavy PRT SEQ ID hIgG1kappa-gl07 Chain NO: 69 TPP-8467 GL-TPP5969- Light PRT SEQ ID hIgG1kappa-gl07 Chain NO: 70 TPP-8468 GL-TPP5969- VH PRT SEQ ID hIgG1kappa-gl08 NO: 71 TPP-8468 GL-TPP5969- HCDR1 PRT SEQ ID hIgG1kappa-gl08 NO: 72 TPP-8468 GL-TPP5969- HCDR2 PRT SEQ ID hIgG1kappa-gl08 NO: 73 TPP-8468 GL-TPP5969- HCDR3 PRT SEQ ID hIgG1kappa-gl08 NO: 74 TPP-8468 GL-TPP5969- VL PRT SEQ ID hIgG1kappa-gl08 NO: 75 TPP-8468 GL-TPP5969- LCDR1 PRT SEQ ID hIgG1kappa-gl08 NO: 76 TPP-8468 GL-TPP5969- LCDR2 PRT SEQ ID hIgG1kappa-gl08 NO: 77 TPP-8468 GL-TPP5969- LCDR3 PRT SEQ ID hIgG1kappa-gl08 NO: 78 TPP-8468 GL-TPP5969- Heavy PRT SEQ ID hIgG1kappa-gl08 Chain NO: 79 TPP-8468 GL-TPP5969- Light PRT SEQ ID hIgG1kappa-gl08 Chain NO: 80 TPP-8476 GL-TPP5969- VH PRT SEQ ID hIgG1kappa-gl16 NO: 81 TPP-8476 GL-TPP5969- HCDR1 PRT SEQ ID hIgG1kappa-gl16 NO: 82 TPP-8476 GL-TPP5969- HCDR2 PRT SEQ ID hIgG1kappa-gl16 NO: 83 TPP-8476 GL-TPP5969- HCDR3 PRT SEQ ID hIgG1kappa-gl16 NO: 84 TPP-8476 GL-TPP5969- VL PRT SEQ ID hIgG1kappa-gl16 NO: 85 TPP-8476 GL-TPP5969- LCDR1 PRT SEQ ID hIgG1kappa-gl16 NO: 86 TPP-8476 GL-TPP5969- LCDR2 PRT SEQ ID hIgG1kappa-gl16 NO: 87 TPP-8476 GL-TPP5969- LCDR3 PRT SEQ ID hIgG1kappa-gl16 NO: 88 TPP-8476 GL-TPP5969- Heavy PRT SEQ ID hIgG1kappa-gl16 Chain NO: 89 TPP-8476 GL-TPP5969- Light PRT SEQ ID hIgG1kappa-gl16 Chain NO: 90 TPP-8613 Hum-TPP6013-13 VH PRT SEQ ID NO: 91 TPP-8613 Hum-TPP6013-13 HCDR1 PRT SEQ ID NO: 92 TPP-8613 Hum-TPP6013-13 HCDR2 PRT SEQ ID NO: 93 TPP-8613 Hum-TPP6013-13 HCDR3 PRT SEQ ID NO: 94 TPP-8613 Hum-TPP6013-13 VL PRT SEQ ID NO: 95 TPP-8613 Hum-TPP6013-13 LCDR1 PRT SEQ ID NO: 96 TPP-8613 Hum-TPP6013-13 LCDR2 PRT SEQ ID NO: 97 TPP-8613 Hum-TPP6013-13 LCDR3 PRT SEQ ID NO: 98 TPP-8613 Hum-TPP6013-13 Heavy PRT SEQ ID Chain NO: 99 TPP-8613 Hum-TPP6013-13 Light PRT SEQ ID Chain NO: 100 TPP-8617 Hum-TPP6013-17 VH PRT SEQ ID NO: 101 TPP-8617 Hum-TPP6013-17 HCDR1 PRT SEQ ID NO: 102 TPP-8617 Hum-TPP6013-17 HCDR2 PRT SEQ ID NO: 103 TPP-8617 Hum-TPP6013-17 HCDR3 PRT SEQ ID NO: 104 TPP-8617 Hum-TPP6013-17 VL PRT SEQ ID NO: 105 TPP-8617 Hum-TPP6013-17 LCDR1 PRT SEQ ID NO: 106 TPP-8617 Hum-TPP6013-17 LCDR2 PRT SEQ ID NO: 107 TPP-8617 Hum-TPP6013-17 LCDR3 PRT SEQ ID NO: 108 TPP-8617 Hum-TPP6013-17 Heavy PRT SEQ ID Chain NO: 109 TPP-8617 Hum-TPP6013-17 Light PRT SEQ ID Chain NO: 110 TPP-8695 Variant4-hIgG1kappa VH PRT SEQ ID NO: 111 TPP-8695 Variant4-hIgG1kappa HCDR1 PRT SEQ ID NO: 112 TPP-8695 Variant4-hIgG1kappa HCDR2 PRT SEQ ID NO: 113 TPP-8695 Variant4-hIgG1kappa HCDR3 PRT SEQ ID NO: 114 TPP-8695 Variant4-hIgG1kappa VL PRT SEQ ID NO: 115 TPP-8695 Variant4-hIgG1kappa LCDR1 PRT SEQ ID NO: 116 TPP-8695 Variant4-hIgG1kappa LCDR2 PRT SEQ ID NO: 117 TPP-8695 Variant4-hIgG1kappa LCDR3 PRT SEQ ID NO: 118 TPP-8695 Variant4-hIgG1kappa Heavy PRT SEQ ID Chain NO: 119 TPP-8695 Variant4-hIgG1kappa Light PRT SEQ ID Chain NO: 120 TPP-8987 Hum 5969 B10- VH PRT SEQ ID hIgG1Kappa NO: 121 TPP-8987 Hum 5969 B10- HCDR1 PRT SEQ ID hIgG1Kappa NO: 122 TPP-8987 Hum 5969 B10- HCDR2 PRT SEQ ID hIgG1Kappa NO: 123 TPP-8987 Hum 5969 B10- HCDR3 PRT SEQ ID hIgG1Kappa NO: 124 TPP-8987 Hum 5969 B10- VL PRT SEQ ID hIgG1Kappa NO: 125 TPP-8987 Hum 5969 B10- LCDR1 PRT SEQ ID hIgG1Kappa NO: 126 TPP-8987 Hum 5969 B10- LCDR2 PRT SEQ ID hIgG1Kappa NO: 127 TPP-8987 Hum 5969 B10- LCDR3 PRT SEQ ID hIgG1Kappa NO: 128 TPP-8987 Hum 5969 B10- Heavy PRT SEQ ID hIgG1Kappa Chain NO: 129 TPP-8987 Hum 5969 B10- Light PRT SEQ ID hIgG1Kappa Chain NO: 130 TPP-8988 Hum 6013 B2- VH PRT SEQ ID hIgG1Kappa NO: 131 TPP-8988 Hum 6013 B2- HCDR1 PRT SEQ ID hIgG1Kappa NO: 132 TPP-8988 Hum 6013 B2- HCDR2 PRT SEQ ID hIgG1Kappa NO: 133 TPP-8988 Hum 6013 B2- HCDR3 PRT SEQ ID hIgG1Kappa NO: 134 TPP-8988 Hum 6013 B2- VL PRT SEQ ID hIgG1Kappa NO: 135 TPP-8988 Hum 6013 B2- LCDR1 PRT SEQ ID hIgG1Kappa NO: 136 TPP-8988 Hum 6013 B2- LCDR2 PRT SEQ ID hIgG1Kappa NO: 137 TPP-8988 Hum 6013 B2- LCDR3 PRT SEQ ID hIgG1Kappa NO: 138 TPP-8988 Hum 6013 B2- Heavy PRT SEQ ID hIgG1Kappa Chain NO: 139 TPP-8988 Hum 6013 B2- Light PRT SEQ ID hIgG1Kappa Chain NO: 140 TPP-9075 GL-8988-hIgGkappa-gl1 VH PRT SEQ ID NO: 141 TPP-9075 GL-8988-hIgGkappa-gl1 HCDR1 PRT SEQ ID NO: 142 TPP-9075 GL-8988-hIgGkappa-gl1 HCDR2 PRT SEQ ID NO: 143 TPP-9075 GL-8988-hIgGkappa-gl1 HCDR3 PRT SEQ ID NO: 144 TPP-9075 GL-8988-hIgGkappa-gl1 VL PRT SEQ ID NO: 145 TPP-9075 GL-8988-hIgGkappa-gl1 LCDR1 PRT SEQ ID NO: 146 TPP-9075 GL-8988-hIgGkappa-gl1 LCDR2 PRT SEQ ID NO: 147 TPP-9075 GL-8988-hIgGkappa-gl1 LCDR3 PRT SEQ ID NO: 148 TPP-9075 GL-8988-hIgGkappa-gl1 Heavy PRT SEQ ID Chain NO: 149 TPP-9075 GL-8988-hIgGkappa-gl1 Light PRT SEQ ID Chain NO: 150 TPP-9078 GL-8988-hIgGkappa-gl4 VH PRT SEQ ID NO: 151 TPP-9078 GL-8988-hIgGkappa-gl4 HCDR1 PRT SEQ ID NO: 152 TPP-9078 GL-8988-hIgGkappa-gl4 HCDR2 PRT SEQ ID NO: 153 TPP-9078 GL-8988-hIgGkappa-gl4 HCDR3 PRT SEQ ID NO: 154 TPP-9078 GL-8988-hIgGkappa-gl4 VL PRT SEQ ID NO: 155 TPP-9078 GL-8988-hIgGkappa-gl4 LCDR1 PRT SEQ ID NO: 156 TPP-9078 GL-8988-hIgGkappa-gl4 LCDR2 PRT SEQ ID NO: 157 TPP-9078 GL-8988-hIgGkappa-gl4 LCDR3 PRT SEQ ID NO: 158 TPP-9078 GL-8988-hIgGkappa-gl4 Heavy PRT SEQ ID Chain NO: 159 TPP-9078 GL-8988-hIgGkappa-gl4 Light PRT SEQ ID Chain NO: 160 TPP-9104 GL-8988-hIgGkappa-gl56 VH PRT SEQ ID NO: 161 TPP-9104 GL-8988-hIgGkappa-gl56 HCDR1 PRT SEQ ID NO: 162 TPP-9104 GL-8988-hIgGkappa-gl56 HCDR2 PRT SEQ ID NO: 163 TPP-9104 GL-8988-hIgGkappa-gl56 HCDR3 PRT SEQ ID NO: 164 TPP-9104 GL-8988-hIgGkappa-gl56 VL PRT SEQ ID NO: 165 TPP-9104 GL-8988-hIgGkappa-gl56 LCDR1 PRT SEQ ID NO: 166 TPP-9104 GL-8988-hIgGkappa-gl56 LCDR2 PRT SEQ ID NO: 167 TPP-9104 GL-8988-hIgGkappa-gl56 LCDR3 PRT SEQ ID NO: 168 TPP-9104 GL-8988-hIgGkappa-gl56 Heavy PRT SEQ ID Chain NO: 169 TPP-9104 GL-8988-hIgGkappa-gl56 Light PRT SEQ ID Chain NO: 170 TPP-9129 GL-8988-hIgGkappa-gl46 VH PRT SEQ ID NO: 171 TPP-9129 GL-8988-hIgGkappa-gl46 HCDR1 PRT SEQ ID NO: 172 TPP-9129 GL-8988-hIgGkappa-gl46 HCDR2 PRT SEQ ID NO: 173 TPP-9129 GL-8988-hIgGkappa-gl46 HCDR3 PRT SEQ ID NO: 174 TPP-9129 GL-8988-hIgGkappa-gl46 VL PRT SEQ ID NO: 175 TPP-9129 GL-8988-hIgGkappa-gl46 LCDR1 PRT SEQ ID NO: 176 TPP-9129 GL-8988-hIgGkappa-gl46 LCDR2 PRT SEQ ID NO: 177 TPP-9129 GL-8988-hIgGkappa-gl46 LCDR3 PRT SEQ ID NO: 178 TPP-9129 GL-8988-hIgGkappa-gl46 Heavy PRT SEQ ID Chain NO: 179 TPP-9129 GL-8988-hIgGkappa-gl46 Light PRT SEQ ID Chain NO: 180 TPP-9130 GL-8988-hIgGkappa-gl47 VH PRT SEQ ID NO: 181 TPP-9130 GL-8988-hIgGkappa-gl47 HCDR1 PRT SEQ ID NO: 182 TPP-9130 GL-8988-hIgGkappa-gl47 HCDR2 PRT SEQ ID NO: 183 TPP-9130 GL-8988-hIgGkappa-gl47 HCDR3 PRT SEQ ID NO: 184 TPP-9130 GL-8988-hIgGkappa-gl47 VL PRT SEQ ID NO: 185 TPP-9130 GL-8988-hIgGkappa-gl47 LCDR1 PRT SEQ ID NO: 186 TPP-9130 GL-8988-hIgGkappa-gl47 LCDR2 PRT SEQ ID NO: 187 TPP-9130 GL-8988-hIgGkappa-gl47 LCDR3 PRT SEQ ID NO: 188 TPP-9130 GL-8988-hIgGkappa-gl47 Heavy PRT SEQ ID Chain NO: 189 TPP-9130 GL-8988-hIgGkappa-gl47 Light PRT SEQ ID Chain NO: 190 TPP-9342 8988-gl58-hIgG1kappa VH PRT SEQ ID NO: 191 TPP-9342 8988-gl58-hIgG1kappa HCDR1 PRT SEQ ID NO: 192 TPP-9342 8988-gl58-hIgG1kappa HCDR2 PRT SEQ ID NO: 193 TPP-9342 8988-gl58-hIgG1kappa HCDR3 PRT SEQ ID NO: 194 TPP-9342 8988-gl58-hIgG1kappa VL PRT SEQ ID NO: 195 TPP-9342 8988-gl58-hIgG1kappa LCDR1 PRT SEQ ID NO: 196 TPP-9342 8988-gl58-hIgG1kappa LCDR2 PRT SEQ ID NO: 197 TPP-9342 8988-gl58-hIgG1kappa LCDR3 PRT SEQ ID NO: 198 TPP-9342 8988-gl58-hIgG1kappa Heavy PRT SEQ ID Chain NO: 199 TPP-9342 8988-gl58-hIgG1kappa Light PRT SEQ ID Chain NO: 200 TPP-9476 5969-gl44-hIgG1kappa VH PRT SEQ ID NO: 201 TPP-9476 5969-gl44-hIgG1kappa HCDR1 PRT SEQ ID NO: 202 TPP-9476 5969-gl44-hIgG1kappa HCDR2 PRT SEQ ID NO: 203 TPP-9476 5969-gl44-hIgG1kappa HCDR3 PRT SEQ ID NO: 204 TPP-9476 5969-gl44-hIgG1kappa VL PRT SEQ ID NO: 205 TPP-9476 5969-gl44-hIgG1kappa LCDR1 PRT SEQ ID NO: 206 TPP-9476 5969-gl44-hIgG1kappa LCDR2 PRT SEQ ID NO: 207 TPP-9476 5969-gl44-hIgG1kappa LCDR3 PRT SEQ ID NO: 208 TPP-9476 5969-gl44-hIgG1kappa Heavy PRT SEQ ID Chain NO: 209 TPP-9476 5969-gl44-hIgG1kappa Light PRT SEQ ID Chain NO: 210 TPP-9479 5969-gl47-hIgG1kappa VH PRT SEQ ID NO: 211 TPP-9479 5969-gl47-hIgG1kappa HCDR1 PRT SEQ ID NO: 212 TPP-9479 5969-gl47-hIgG1kappa HCDR2 PRT SEQ ID NO: 213 TPP-9479 5969-gl47-hIgG1kappa HCDR3 PRT SEQ ID NO: 214 TPP-9479 5969-gl47-hIgG1kappa VL PRT SEQ ID NO: 215 TPP-9479 5969-gl47-hIgG1kappa LCDR1 PRT SEQ ID NO: 216 TPP-9479 5969-gl47-hIgG1kappa LCDR2 PRT SEQ ID NO: 217 TPP-9479 5969-gl47-hIgG1kappa LCDR3 PRT SEQ ID NO: 218 TPP-9479 5969-gl47-hIgG1kappa Heavy PRT SEQ ID Chain NO: 219 TPP-9479 5969-gl47-hIgG1kappa Light PRT SEQ ID Chain NO: 220
Claims (20)
1. An antibody or antigen-binding antibody fragment that binds to CD123, comprising a variable heavy chain comprising the variable CDR1 sequence of the heavy chain, as shown in SEQ ID NO: 202, the variable CDR2 sequence of the heavy chain, as shown in SEQ ID NO: 203, and the variable CDR3 sequence of the heavy chain, as shown in SEQ ID NO: 204; and a variable light chain comprising the variable CDR1 sequence of the light chain, as shown in SEQ ID NO: 206, the variable CDR2 sequence of the light chain, as shown in SEQ ID NO: 207, and the variable CDR3 sequence of the light chain, as shown in SEQ ID NO: 208.
2. The antibody or antigen-binding antibody fragment of claim 1 , wherein the variable heavy chain comprises a sequence at least 98% identical to SEQ ID NO: 201.
3. The antibody or antigen-binding antibody fragment of claim 2 , wherein the variable heavy chain comprises SEQ ID NO: 201.
4. The antibody or antigen-binding antibody fragment of claim 1 , wherein the variable light chain comprises a sequence at least 98% identical to SEQ ID NO: 205.
5. The antibody or antigen-binding antibody fragment of claim 1 , wherein the variable light chain comprises SEQ ID NO: 205.
6. The antibody or antigen-binding antibody fragment of claim 2 , wherein the variable light chain comprises a sequence at least 98% identical to SEQ ID NO: 205.
7. The antibody or antigen-binding antibody fragment of claim 3 , wherein the variable light chain comprises SEQ ID NO: 205.
8. The antibody or antigen-binding antibody fragment of claim 1 , comprising a heavy chain comprising SEQ ID NO: 209.
9. The antibody or antigen-binding antibody fragment of claim 1 , comprising a light chain comprising SEQ ID NO: 210.
10. The antibody or antigen-binding antibody fragment of claim 8 , comprising a light chain comprising SEQ ID NO: 210.
11. A pharmaceutical composition comprising the antibody or antigen-binding antibody fragment of claim 1 , and an inert non-toxic pharmaceutically suitable auxiliary.
12. A method for treatment of a disease associated with CD123 expression, comprising administering to a patient in need thereof an effective amount of the antibody or antigen-binding antibody fragment of claim 1 .
13. A conjugate comprising the antibody or antigen-binding antibody fragment of claim 1 , and a chemotherapeutic.
14. The conjugate of claim 13 , wherein the chemotherapeutic comprises an inhibitor of kinesin spindle protein.
15. A conjugate comprising the antibody or antigen-binding antibody fragment of claim 1 , comprising one or more chemical compound(s) as defined in formula (I), or a salt, a solvate, a salt of a solvate, or an epimer of one or more chemical compound(s) as defined in formula (I)
wherein
X is —CH2— or —CH2—CH2—;
L is (—CH2—CH2—O-)m-CH2—CH2—;
m is 1 to 20;
n is 1 to 8; and
AK is the antibody or antigen-binding antibody fragment.
16. The conjugate of claim 15 , wherein X is —CH2—.
17. The conjugate of claim 16 , wherein m is 2 to 8.
19. The conjugate of claim 15 , wherein n is 2 to 6.
20. A method for treatment of a disease associated with CD123 expression, comprising administering to a patient in need thereof an effective amount of the antibody or antigen-binding antibody fragment of claim 15 .
Priority Applications (3)
| Application Number | Priority Date | Filing Date | Title |
|---|---|---|---|
| US17/225,947 US20210230284A1 (en) | 2016-06-15 | 2021-04-08 | Specific antibody-drug-conjugates (adcs) with ksp inhibitors and anti-cd123-antibodies |
| US17/733,760 US11643469B2 (en) | 2016-06-15 | 2022-04-29 | Specific antibody-drug-conjugates (ADCs) with KSP inhibitors and anti-CD123-antibodies |
| US18/336,769 US20230399411A1 (en) | 2016-06-15 | 2023-06-16 | Specific antibody-drug-conjugates (adcs) with ksp inhibitors and anti-cd123-antibodies |
Applications Claiming Priority (5)
| Application Number | Priority Date | Filing Date | Title |
|---|---|---|---|
| EP16174654.0 | 2016-06-15 | ||
| EP16174654 | 2016-06-15 | ||
| PCT/EP2017/063951 WO2017216028A1 (en) | 2016-06-15 | 2017-06-08 | Specific antibody-drug-conjugates (adcs) with ksp inhibitors and anti-cd123-antibodies |
| US201816310285A | 2018-12-14 | 2018-12-14 | |
| US17/225,947 US20210230284A1 (en) | 2016-06-15 | 2021-04-08 | Specific antibody-drug-conjugates (adcs) with ksp inhibitors and anti-cd123-antibodies |
Related Parent Applications (2)
| Application Number | Title | Priority Date | Filing Date |
|---|---|---|---|
| US16/310,285 Continuation US11001636B2 (en) | 2016-06-15 | 2017-06-08 | Specific antibody-drug-conjugates (ADCs) with KSP inhibitors and anti-CD123-antibodies |
| PCT/EP2017/063951 Continuation WO2017216028A1 (en) | 2016-06-15 | 2017-06-08 | Specific antibody-drug-conjugates (adcs) with ksp inhibitors and anti-cd123-antibodies |
Related Child Applications (2)
| Application Number | Title | Priority Date | Filing Date |
|---|---|---|---|
| US17/733,760 Continuation US11643469B2 (en) | 2016-06-15 | 2022-04-29 | Specific antibody-drug-conjugates (ADCs) with KSP inhibitors and anti-CD123-antibodies |
| US18/336,769 Continuation US20230399411A1 (en) | 2016-06-15 | 2023-06-16 | Specific antibody-drug-conjugates (adcs) with ksp inhibitors and anti-cd123-antibodies |
Publications (1)
| Publication Number | Publication Date |
|---|---|
| US20210230284A1 true US20210230284A1 (en) | 2021-07-29 |
Family
ID=56131473
Family Applications (4)
| Application Number | Title | Priority Date | Filing Date |
|---|---|---|---|
| US16/310,285 Expired - Fee Related US11001636B2 (en) | 2016-06-15 | 2017-06-08 | Specific antibody-drug-conjugates (ADCs) with KSP inhibitors and anti-CD123-antibodies |
| US17/225,947 Abandoned US20210230284A1 (en) | 2016-06-15 | 2021-04-08 | Specific antibody-drug-conjugates (adcs) with ksp inhibitors and anti-cd123-antibodies |
| US17/733,760 Active US11643469B2 (en) | 2016-06-15 | 2022-04-29 | Specific antibody-drug-conjugates (ADCs) with KSP inhibitors and anti-CD123-antibodies |
| US18/336,769 Pending US20230399411A1 (en) | 2016-06-15 | 2023-06-16 | Specific antibody-drug-conjugates (adcs) with ksp inhibitors and anti-cd123-antibodies |
Family Applications Before (1)
| Application Number | Title | Priority Date | Filing Date |
|---|---|---|---|
| US16/310,285 Expired - Fee Related US11001636B2 (en) | 2016-06-15 | 2017-06-08 | Specific antibody-drug-conjugates (ADCs) with KSP inhibitors and anti-CD123-antibodies |
Family Applications After (2)
| Application Number | Title | Priority Date | Filing Date |
|---|---|---|---|
| US17/733,760 Active US11643469B2 (en) | 2016-06-15 | 2022-04-29 | Specific antibody-drug-conjugates (ADCs) with KSP inhibitors and anti-CD123-antibodies |
| US18/336,769 Pending US20230399411A1 (en) | 2016-06-15 | 2023-06-16 | Specific antibody-drug-conjugates (adcs) with ksp inhibitors and anti-cd123-antibodies |
Country Status (5)
| Country | Link |
|---|---|
| US (4) | US11001636B2 (en) |
| EP (2) | EP3919518A1 (en) |
| JP (2) | JP7022707B2 (en) |
| CN (1) | CN109310781B (en) |
| WO (1) | WO2017216028A1 (en) |
Cited By (7)
| Publication number | Priority date | Publication date | Assignee | Title |
|---|---|---|---|---|
| US11433140B2 (en) | 2016-12-21 | 2022-09-06 | Bayer Pharma Aktiengesellschaft | Specific antibody drug conjugates (ADCs) having KSP inhibitors |
| US11478554B2 (en) | 2016-12-21 | 2022-10-25 | Bayer Pharma Aktiengesellschaft | Antibody drug conjugates (ADCS) having enzymatically cleavable groups |
| US11643469B2 (en) | 2016-06-15 | 2023-05-09 | Bayer Pharma Aktiengesellschaft | Specific antibody-drug-conjugates (ADCs) with KSP inhibitors and anti-CD123-antibodies |
| US11685714B2 (en) | 2016-03-24 | 2023-06-27 | Bayer Pharma Aktiengesellschaft | Prodrugs of cytotoxic active agents having enzymatically cleavable groups |
| US11806404B2 (en) | 2015-06-23 | 2023-11-07 | Bayer Pharma Aktiengesellschaft | Site specific homogeneous with KSP inhibitors |
| US12059472B2 (en) | 2016-12-21 | 2024-08-13 | Bayer Aktiengesellschaft | Prodrugs of cytotoxic active agents having enzymatically cleavable groups |
| US12144865B2 (en) | 2015-06-22 | 2024-11-19 | Bayer Pharma Aktiengesellschaft | Antibody drug conjugates with enzymatically cleavable groups |
Families Citing this family (6)
| Publication number | Priority date | Publication date | Assignee | Title |
|---|---|---|---|---|
| CA2990398A1 (en) | 2015-06-23 | 2016-12-29 | Bayer Pharma Aktiengesellschaft | Antibody drug conjugates of kinesin spindel protein (ksp) inhibitors with anti-cd123-antibodies |
| CN110835316A (en) * | 2018-08-17 | 2020-02-25 | 中国人民解放军军事科学院军事医学研究院 | Linker, linker-containing antibody drug conjugate and use of linker |
| WO2021050871A1 (en) | 2019-09-13 | 2021-03-18 | Mythic Therapeutics, Inc. | Antigen-binding protein constructs and uses thereof |
| CN110804096B (en) * | 2019-11-21 | 2021-07-06 | 深圳普瑞金生物药业有限公司 | CD123 single domain antibody, nucleotide sequence, expression vector and kit |
| CN120835792A (en) * | 2023-05-24 | 2025-10-24 | 杭州禧鹤生物科技有限公司 | Antibody-drug conjugates for targeted therapy of prostate cancer and other tumors |
| KR102835659B1 (en) * | 2024-11-28 | 2025-07-24 | 주식회사 마크헬츠 | Antibodies for detecting influenza A virus and uses thereof |
Citations (1)
| Publication number | Priority date | Publication date | Assignee | Title |
|---|---|---|---|---|
| US11001636B2 (en) * | 2016-06-15 | 2021-05-11 | Bayer Pharma Aktiengesellschaft | Specific antibody-drug-conjugates (ADCs) with KSP inhibitors and anti-CD123-antibodies |
Family Cites Families (138)
| Publication number | Priority date | Publication date | Assignee | Title |
|---|---|---|---|---|
| CU22545A1 (en) | 1994-11-18 | 1999-03-31 | Centro Inmunologia Molecular | OBTAINING A CHEMICAL AND HUMANIZED ANTIBODY AGAINST THE RECEPTOR OF THE EPIDERMAL GROWTH FACTOR FOR DIAGNOSTIC AND THERAPEUTIC USE |
| US5179017A (en) | 1980-02-25 | 1993-01-12 | The Trustees Of Columbia University In The City Of New York | Processes for inserting DNA into eucaryotic cells and for producing proteinaceous materials |
| US4399216A (en) | 1980-02-25 | 1983-08-16 | The Trustees Of Columbia University | Processes for inserting DNA into eucaryotic cells and for producing proteinaceous materials |
| US4634665A (en) | 1980-02-25 | 1987-01-06 | The Trustees Of Columbia University In The City Of New York | Processes for inserting DNA into eucaryotic cells and for producing proteinaceous materials |
| US4714681A (en) | 1981-07-01 | 1987-12-22 | The Board Of Reagents, The University Of Texas System Cancer Center | Quadroma cells and trioma cells and methods for the production of same |
| US4474893A (en) | 1981-07-01 | 1984-10-02 | The University of Texas System Cancer Center | Recombinant monoclonal antibodies |
| US4510245A (en) | 1982-11-18 | 1985-04-09 | Chiron Corporation | Adenovirus promoter system |
| GB8308235D0 (en) | 1983-03-25 | 1983-05-05 | Celltech Ltd | Polypeptides |
| US4816567A (en) | 1983-04-08 | 1989-03-28 | Genentech, Inc. | Recombinant immunoglobin preparations |
| US5168062A (en) | 1985-01-30 | 1992-12-01 | University Of Iowa Research Foundation | Transfer vectors and microorganisms containing human cytomegalovirus immediate-early promoter-regulatory DNA sequence |
| US4968615A (en) | 1985-12-18 | 1990-11-06 | Ciba-Geigy Corporation | Deoxyribonucleic acid segment from a virus |
| DE8808645U1 (en) | 1988-07-06 | 1988-08-25 | Hofer, Daniel, 7730 Villingen-Schwenningen | Display device for fire extinguishers |
| US4925648A (en) | 1988-07-29 | 1990-05-15 | Immunomedics, Inc. | Detection and treatment of infectious and inflammatory lesions |
| US5601819A (en) | 1988-08-11 | 1997-02-11 | The General Hospital Corporation | Bispecific antibodies for selective immune regulation and for selective immune cell binding |
| ES2096590T3 (en) | 1989-06-29 | 1997-03-16 | Medarex Inc | BI-SPECIFIC REAGENTS FOR AIDS THERAPY. |
| DK0595798T3 (en) | 1989-10-20 | 1999-09-27 | Medarex Inc | Bispecific hetero antibodies with dual effector functions |
| US5270163A (en) | 1990-06-11 | 1993-12-14 | University Research Corporation | Methods for identifying nucleic acid ligands |
| CA2093022C (en) | 1990-10-05 | 2005-02-22 | Michael W. Fanger | Targeted immunostimulation with bispecific reagents |
| EP0557300B1 (en) | 1990-10-29 | 1997-11-19 | Chiron Corporation | Bispecific antibodies, method of production, and uses thereof |
| DE69233153T2 (en) | 1991-03-06 | 2004-05-27 | Merck Patent Gmbh | HUMANIZED MONOCLONAL ANTIBODIES |
| WO1992019973A1 (en) | 1991-04-26 | 1992-11-12 | Surface Active Limited | Novel antibodies, and methods for their use |
| ES2193143T3 (en) | 1992-03-05 | 2003-11-01 | Univ Texas | USE OF IMMUNOCONJUGADOS FOR THE DIAGNOSIS AND / OR THERAPY OF VASCULARIZA TUMORS. |
| ATE188874T1 (en) | 1992-08-18 | 2000-02-15 | Centro Inmunologia Molecular | MONOCLONAL ANTIBODIES AGAINST THE EPIDERMAL GROWTH FACTOR RECEPTOR, CELLS AND METHODS FOR THE PRODUCTION THEREOF AND COMPOSITIONS CONTAINING THEM |
| DE69531187T2 (en) | 1994-12-20 | 2004-04-22 | Merck Patent Gmbh | Monoclonal antibody against the Alpha-V integrin |
| DK1143006T3 (en) | 1995-08-18 | 2008-07-14 | Morphosys Ip Gmbh | Vectors / DNA sequences from human combinatorial antibody libraries |
| WO1997024373A1 (en) | 1995-12-29 | 1997-07-10 | Medvet Science Pty. Limited | Monoclonal antibody antagonists to haemopoietic growth factors |
| US6150508A (en) | 1996-03-25 | 2000-11-21 | Northwest Biotherapeutics, Inc. | Monoclonal antibodies specific for the extracellular domain of prostate-specific membrane antigen |
| AU725583B2 (en) | 1996-03-25 | 2000-10-12 | E. R. Squibb & Sons, L.L.C. | Monoclonal antibodies specific for the extracellular domain of prostate specific membrane antigen |
| NZ517331A (en) | 1999-07-29 | 2004-02-27 | Medarex Inc | Human monoclonal antibodies to prostate specific membrane antigen and a transgenic mouse to produce the antibody |
| SK12232002A3 (en) | 2000-02-25 | 2003-03-04 | The Government Of The United States, As Represented By The | Anti-EGFRvIII scFv with improved cytotoxicity and yield, immunotoxins based thereon, and methods of use thereof |
| JP2003533987A (en) | 2000-05-19 | 2003-11-18 | イス ケミカル カンパニー リミテッド | Humanized antibodies against epidermal growth factor receptor |
| US7288390B2 (en) | 2000-08-07 | 2007-10-30 | Centocor, Inc. | Anti-dual integrin antibodies, compositions, methods and uses |
| AUPR395801A0 (en) | 2001-03-26 | 2001-04-26 | Austin Research Institute, The | Antibodies against cancer |
| HUP0501113A3 (en) | 2001-04-26 | 2007-12-28 | Biogen Idec Inc | Cripto blocking antibodies and uses thereof |
| PT1392359E (en) | 2001-05-11 | 2010-01-27 | Ludwig Inst For Cancer Res Ltd | Specific binding proteins and uses thereof |
| CN100497389C (en) | 2001-06-13 | 2009-06-10 | 根马布股份公司 | Human monoclonal antibodies to epidermal growth factor receptor (EGFR) |
| US7595378B2 (en) | 2001-06-13 | 2009-09-29 | Genmab A/S | Human monoclonal antibodies to epidermal growth factor receptor (EGFR) |
| WO2003060064A2 (en) | 2001-07-12 | 2003-07-24 | Incyte Genomics, Inc. | Intracellular signaling molecules |
| SG114505A1 (en) | 2001-10-17 | 2005-09-28 | First Cube Pte Ltd | System and method for facilitating delivery and return service |
| EP2360169B1 (en) | 2001-10-23 | 2015-10-14 | Psma Development Company, L.L.C. | PSMA antibodies |
| DE60232994D1 (en) | 2001-12-06 | 2009-08-27 | Merck & Co Inc | INHIBITORS OF MITOTIC KINESINE |
| US20080193445A1 (en) | 2002-01-18 | 2008-08-14 | Liliane Goetsch | Novel anti-IGF-IR antibodies and uses thereof |
| US7282567B2 (en) | 2002-06-14 | 2007-10-16 | Immunomedics, Inc. | Monoclonal antibody hPAM4 |
| CA2478833C (en) | 2002-03-13 | 2015-11-10 | Biogen, Inc. | Anti-.alpha.v.beta.6 antibodies |
| EP1494693B1 (en) | 2002-03-22 | 2010-12-08 | Biogen Idec MA Inc. | Cripto-specific antibodies |
| JP2006524693A (en) | 2003-04-11 | 2006-11-02 | メディミューン,インコーポレーテッド | EphA2 and non-neoplastic hyperproliferative cell disorders |
| WO2004100873A2 (en) | 2003-05-07 | 2004-11-25 | Cytokinetics, Inc. | Compounds, compositions, and methods |
| BRPI0411803A (en) | 2003-06-27 | 2006-05-23 | Abgenix Inc | antibodies directed to epidermal growth factor receptor deletion mutants and their uses |
| WO2005009369A2 (en) | 2003-07-21 | 2005-02-03 | Immunogen, Inc. | A ca6 antigen-specific cytotoxic conjugate and methods of using the same |
| PT2489364E (en) | 2003-11-06 | 2015-04-16 | Seattle Genetics Inc | Monomethylvaline compounds conjugated to antibodies |
| KR20060127413A (en) | 2003-11-25 | 2006-12-12 | 카이론 코포레이션 | Quinazolinone Compounds as Anticancer Agents |
| EP1701979A2 (en) | 2003-12-03 | 2006-09-20 | Xencor, Inc. | Optimized antibodies that target the epidermal growth factor receptor |
| US7662581B1 (en) | 2003-12-18 | 2010-02-16 | Novartis Vaccines And Diagnostics, Inc. | Eg5 co-crystals |
| US7767792B2 (en) | 2004-02-20 | 2010-08-03 | Ludwig Institute For Cancer Research Ltd. | Antibodies to EGF receptor epitope peptides |
| US7598350B2 (en) | 2004-03-19 | 2009-10-06 | Imclone Llc | Human anti-epidermal growth factor receptor antibody |
| KR101170925B1 (en) | 2004-06-18 | 2012-08-07 | 노바티스 백신즈 앤드 다이아그노스틱스 인코포레이티드 | N-1-1-benzyl-4-phenyl-1h-imidazol-2-yl-2,2-dimethylpropylbenzamide derivatives and related compounds as kinesin spindle protein ksp inhibitors for the treatment of cancer |
| EP1773884B1 (en) | 2004-08-03 | 2012-03-07 | Innate Pharma | Therapeutic and diagnostic methods and compositions targeting 4ig-b7-h3 and its counterpart nk cell receptor |
| US7449486B2 (en) | 2004-10-19 | 2008-11-11 | Array Biopharma Inc. | Mitotic kinesin inhibitors and methods of use thereof |
| US20100093767A1 (en) | 2004-12-03 | 2010-04-15 | Takeda San Diego, Inc. | Mitotic Kinase Inhibitors |
| EA013323B1 (en) | 2004-12-09 | 2010-04-30 | Сентокор, Инк. | Anti-integrin immunoconjugates, methods and uses |
| GB0428250D0 (en) | 2004-12-23 | 2005-01-26 | Novartis Ag | Organic compounds |
| EP2230517A1 (en) | 2005-01-07 | 2010-09-22 | Diadexus, Inc. | OVR110 antibody compositions and methods of use |
| US8207303B2 (en) | 2005-02-18 | 2012-06-26 | Medarex, Inc. | Monoclonal antibodies against CD30 lacking in fucosyl residues |
| GB0505969D0 (en) | 2005-03-23 | 2005-04-27 | Novartis Ag | Organic compounds |
| CN103127523A (en) | 2005-06-20 | 2013-06-05 | Psma开发有限公司 | Psma antibody-drug conjugates |
| TW200800951A (en) | 2005-08-09 | 2008-01-01 | Novartis Ag | Substituted imidazole compounds as KSP inhibitors |
| CA2893252C (en) | 2005-08-24 | 2018-05-29 | Immunogen, Inc. | Process for preparing antibody maytansinoid conjugates |
| EA016186B1 (en) | 2005-09-26 | 2012-03-30 | Медарекс, Инк. | Human monoclonal antibodies to cd70 and use thereof |
| EP1790664A1 (en) | 2005-11-24 | 2007-05-30 | Ganymed Pharmaceuticals AG | Monoclonal antibodies against claudin-18 for treatment of cancer |
| CN101374856A (en) | 2005-11-29 | 2009-02-25 | 斯克里普斯研究学院 | Inhibit tumor cell invasion, metastasis and angiogenesis |
| DOP2006000277A (en) | 2005-12-12 | 2007-08-31 | Bayer Pharmaceuticals Corp | ANTI MN ANTIBODIES AND METHODS FOR USE |
| WO2008004834A1 (en) | 2006-07-06 | 2008-01-10 | Isu Abxis Co., Ltd | Humanized monoclonal antibody highly binding to epidermal growth factor receptor, egf receptor |
| EP2066349B1 (en) | 2006-09-08 | 2012-03-28 | MedImmune, LLC | Humanized anti-cd19 antibodies and their use in treatment of tumors, transplantation and autoimmune diseases |
| EP1911766A1 (en) | 2006-10-13 | 2008-04-16 | Glycotope Gmbh | Use of human cells of myeloid leukaemia origin for expression of antibodies |
| EP1900750A1 (en) | 2006-09-18 | 2008-03-19 | Glycotope Gmbh | Fully human high yield production system for improved antibodies |
| AU2007294122B2 (en) | 2006-09-10 | 2013-03-07 | Glycotope Gmbh | Use of human cells of myeloid leukaemia origin for expression of antibodies |
| WO2008036688A2 (en) | 2006-09-18 | 2008-03-27 | Xencor, Inc. | Optimized antibodies that target hm1.24 |
| EP1914242A1 (en) | 2006-10-19 | 2008-04-23 | Sanofi-Aventis | Novel anti-CD38 antibodies for the treatment of cancer |
| PT2099823E (en) | 2006-12-01 | 2014-12-22 | Seattle Genetics Inc | Variant target binding agents and uses thereof |
| WO2008140603A2 (en) | 2006-12-08 | 2008-11-20 | Macrogenics, Inc. | METHODS FOR THE TREATMENT OF DISEASE USING IMMUNOGLOBULINS HAVING FC REGIONS WITH ALTERED AFFINITIES FOR FCγR ACTIVATING AND FCγR INHIBITING |
| GEP20125415B (en) | 2007-01-05 | 2012-03-12 | Novartis Ag | Imidazole derivatives as kinesin spindle protein inhibitors (eg-5) |
| WO2008092117A2 (en) | 2007-01-25 | 2008-07-31 | Xencor, Inc. | Immunoglobulins with modifications in the fcr binding region |
| US20100143245A1 (en) | 2007-03-22 | 2010-06-10 | Sloan-Kettering Institute For Cancer Research | Uses of monoclonal antibody 8h9 |
| US8163279B2 (en) * | 2007-04-13 | 2012-04-24 | Stemline Therapeutics, Inc. | IL3Rα antibody conjugates and uses thereof |
| NZ556142A (en) | 2007-06-25 | 2009-11-27 | Novartis Ag | Animal remedy dispensing means |
| JP5409628B2 (en) | 2007-08-03 | 2014-02-05 | アッヴィ・バイオセラピューティクス・インコーポレイテッド | Therapeutic use of anti-TWEAK receptor antibodies |
| JP5532486B2 (en) | 2007-08-14 | 2014-06-25 | ルードヴィッヒ インスティテュート フォー キャンサー リサーチ | Monoclonal antibody 175 targeting EGF receptor and derivatives and uses thereof |
| US8865875B2 (en) | 2007-08-22 | 2014-10-21 | Medarex, L.L.C. | Site-specific attachment of drugs or other agents to engineered antibodies with C-terminal extensions |
| MX2010001975A (en) | 2007-08-29 | 2010-03-10 | Sanofi Aventis | Humanized anti-cxcr5 antibodies, derivatives thereof and their uses. |
| US8039597B2 (en) | 2007-09-07 | 2011-10-18 | Agensys, Inc. | Antibodies and related molecules that bind to 24P4C12 proteins |
| HRP20130649T1 (en) | 2007-09-07 | 2013-08-31 | Agensys, Inc. | Antibodies and related molecules that bind to 24p4c12 proteins |
| US9023351B2 (en) | 2007-11-26 | 2015-05-05 | Bayer Intellectual Property Gmbh | Anti-mesothelin antibodies and uses thereof |
| EA201070687A1 (en) | 2007-12-06 | 2010-12-30 | Си Эс Эл ЛИМИТЕД | METHOD OF INHIBITING LEUKINE STEM CELLS |
| ES2526433T3 (en) | 2007-12-26 | 2015-01-12 | Biotest Ag | Immunoconjugates directed to CD138 and uses thereof |
| EP2238168B8 (en) | 2007-12-26 | 2014-07-23 | Biotest AG | Agents targeting cd138 and uses thereof |
| AU2009231991B2 (en) | 2008-04-02 | 2014-09-25 | Macrogenics, Inc. | HER2/neu-specific antibodies and methods of using same |
| CA2723973A1 (en) | 2008-05-15 | 2009-11-19 | Biogen Idec Ma Inc. | Anti-fn14 antibodies and uses thereof |
| EP2331577B1 (en) | 2008-08-29 | 2017-06-07 | Symphogen A/S | Recombinant anti-epidermal growth factor receptor antibody compositions |
| SG174963A1 (en) | 2009-03-31 | 2011-11-28 | Roche Glycart Ag | Treatment of cancer with a humanized anti-egfr igg1 antibody and irinotecan |
| AR075982A1 (en) | 2009-03-31 | 2011-05-11 | Roche Glycart Ag | COMBINATION THERAPY OF A AFUCOSILATED ANTIBODY AND ONE OR MORE OF THE SELECTED CYTOKINS OF GM-CSF HUMAN, M-CSF HUMAN AND / OR IL-3 HUMAN AND COMPOSITION |
| EP2426148B1 (en) | 2009-04-27 | 2015-08-05 | Kyowa Hakko Kirin Co., Ltd. | Anti-il-3ra antibody for use in treatment of blood tumor |
| PL2486141T3 (en) | 2009-10-07 | 2018-07-31 | Macrogenics, Inc. | Fc region-containing polypeptides that exhibit improved effector function due to alterations of the extent of fucosylation, and methods for their use |
| NZ604510A (en) * | 2010-08-17 | 2013-10-25 | Csl Ltd | Dilutable biocidal compositions and methods of use |
| AR086363A1 (en) | 2011-04-21 | 2013-12-11 | Bayer Ip Gmbh | CONJUGATES OF ACTIVE-BINDING PRINCIPLE (ADC) AND THE USE OF THE SAME |
| KR102087854B1 (en) | 2011-06-10 | 2020-03-12 | 메르사나 테라퓨틱스, 인코포레이티드 | Protein-Polymer-Drug Conjugates |
| AR088941A1 (en) | 2011-11-23 | 2014-07-16 | Bayer Ip Gmbh | ANTI-FGFR2 ANTIBODIES AND THEIR USES |
| UA112096C2 (en) | 2011-12-12 | 2016-07-25 | Байєр Інтеллектуал Проперті Гмбх | SUBSTITUTED TRIASOLOPYRIDINES AND THEIR APPLICATIONS AS TTK INHIBITORS |
| PT2850106T (en) * | 2012-05-18 | 2022-07-18 | Aptevo Res & Development Llc | Bispecific scfv immunofusion (bif) |
| WO2014061277A1 (en) | 2012-10-19 | 2014-04-24 | 第一三共株式会社 | Antibody-drug conjugate produced by binding through linker having hydrophilic structure |
| WO2014093640A1 (en) | 2012-12-12 | 2014-06-19 | Mersana Therapeutics,Inc. | Hydroxy-polmer-drug-protein conjugates |
| TW201437211A (en) | 2013-03-01 | 2014-10-01 | Bayer Pharma AG | Substituted imidazolium |
| US9498532B2 (en) | 2013-03-13 | 2016-11-22 | Novartis Ag | Antibody drug conjugates |
| US20160031996A1 (en) * | 2013-03-14 | 2016-02-04 | Csl Limited | Anti il-3r alpha agents and uses thereof |
| US9498540B2 (en) | 2013-03-15 | 2016-11-22 | Novartis Ag | Cell proliferation inhibitors and conjugates thereof |
| CN105451773A (en) * | 2013-03-15 | 2016-03-30 | 诺华股份有限公司 | Cell proliferation inhibitors and conjugates thereof |
| CN105308070A (en) | 2013-06-14 | 2016-02-03 | 拜耳制药股份公司 | Anti-tweakr antibodies and uses thereof |
| EP2839842A1 (en) * | 2013-08-23 | 2015-02-25 | MacroGenics, Inc. | Bi-specific monovalent diabodies that are capable of binding CD123 and CD3 and uses thereof |
| KR102087850B1 (en) | 2013-10-11 | 2020-03-12 | 메르사나 테라퓨틱스, 인코포레이티드 | Protein-Polymer-Drug Conjugates |
| CA2932476A1 (en) | 2013-12-12 | 2015-06-18 | Stemcentrx, Inc. | Novel anti-dpep3 antibodies and methods of use |
| KR102329024B1 (en) * | 2013-12-23 | 2021-11-19 | 바이엘 파마 악티엔게젤샤프트 | Antibody drug conjugates (adcs) with kinesin spindel protein (ksp) |
| AU2015229463A1 (en) | 2014-03-12 | 2016-09-15 | Novartis Ag | Specific sites for modifying antibodies to make immunoconjugates |
| WO2015189143A1 (en) | 2014-06-12 | 2015-12-17 | Bayer Pharma Aktiengesellschaft | Aglycosyl anti-tweakr antibodies and uses thereof |
| US10786578B2 (en) | 2014-08-05 | 2020-09-29 | Novartis Ag | CKIT antibody drug conjugates |
| JP2017525710A (en) | 2014-08-22 | 2017-09-07 | ソレント・セラピューティクス・インコーポレイテッドSorrento Therapeutics, Inc. | Antigen binding protein that binds to CXCR5 |
| JP6743015B2 (en) | 2014-12-15 | 2020-08-19 | バイエル ファーマ アクチエンゲゼルシャフト | Antibody drug conjugates (ADCs) with deglycosylated anti-TWEAKR antibody of KSP inhibitor |
| TW201709932A (en) | 2015-06-12 | 2017-03-16 | 西雅圖遺傳學公司 | CD123 antibody and its conjugate |
| WO2016207089A1 (en) | 2015-06-22 | 2016-12-29 | Bayer Pharma Aktiengesellschaft | Antibody drug conjugates (adcs) and antibody prodrug conjugates (apdcs) with enzymatically cleavable groups |
| JP2018525334A (en) | 2015-06-23 | 2018-09-06 | バイエル ファーマ アクチエンゲゼルシャフト | Antibody drug complex of kinesin spindle protein (KSP) inhibitor with anti-TWEAKR antibody |
| CA2990411A1 (en) | 2015-06-23 | 2016-12-29 | Bayer Pharma Aktiengesellschaft | Antibody drug conjugates of kinesin spindel protein (ksp) inhibitors with anti-b7h3-antibodies |
| CN108025085A (en) | 2015-06-23 | 2018-05-11 | 拜耳制药股份公司 | Antibody drug conjugate (ADC) of KSP inhibitor and anti-B7H3 antibody |
| US10973923B2 (en) | 2015-06-23 | 2021-04-13 | Bayer Pharma Aktiengesellschaft | Site specific homogeneous with KSP inhibitors |
| CA2990398A1 (en) | 2015-06-23 | 2016-12-29 | Bayer Pharma Aktiengesellschaft | Antibody drug conjugates of kinesin spindel protein (ksp) inhibitors with anti-cd123-antibodies |
| KR20180123047A (en) | 2016-03-24 | 2018-11-14 | 바이엘 파마 악티엔게젤샤프트 | Prodrugs of cytotoxic activators with enzymatically cleavable groups |
| CA3047522A1 (en) | 2016-12-21 | 2018-06-28 | Bayer Pharma Aktiengesellschaft | Specific antibody drug conjugates (adcs) having ksp inhibitors |
| US12059472B2 (en) | 2016-12-21 | 2024-08-13 | Bayer Aktiengesellschaft | Prodrugs of cytotoxic active agents having enzymatically cleavable groups |
| WO2018114578A1 (en) | 2016-12-21 | 2018-06-28 | Bayer Pharma Aktiengesellschaft | Antibody drug conjugates (adcs) having enzymatically cleavable groups |
| WO2019243159A1 (en) | 2018-06-18 | 2019-12-26 | Bayer Aktiengesellschaft | Binder-drug conjugates directed against cxcr5, having enzymatically cleavable linkers and improved activity profile |
| IL282748B2 (en) | 2018-11-05 | 2025-07-01 | Bayer Pharma AG | Cytostatic conjugates with integrin ligands |
-
2017
- 2017-06-08 WO PCT/EP2017/063951 patent/WO2017216028A1/en not_active Ceased
- 2017-06-08 EP EP21186955.7A patent/EP3919518A1/en active Pending
- 2017-06-08 US US16/310,285 patent/US11001636B2/en not_active Expired - Fee Related
- 2017-06-08 JP JP2018565712A patent/JP7022707B2/en active Active
- 2017-06-08 EP EP17730108.2A patent/EP3471776B1/en active Active
- 2017-06-08 CN CN201780036960.5A patent/CN109310781B/en active Active
-
2021
- 2021-04-08 US US17/225,947 patent/US20210230284A1/en not_active Abandoned
- 2021-04-22 JP JP2021072533A patent/JP7134292B2/en active Active
-
2022
- 2022-04-29 US US17/733,760 patent/US11643469B2/en active Active
-
2023
- 2023-06-16 US US18/336,769 patent/US20230399411A1/en active Pending
Patent Citations (1)
| Publication number | Priority date | Publication date | Assignee | Title |
|---|---|---|---|---|
| US11001636B2 (en) * | 2016-06-15 | 2021-05-11 | Bayer Pharma Aktiengesellschaft | Specific antibody-drug-conjugates (ADCs) with KSP inhibitors and anti-CD123-antibodies |
Cited By (8)
| Publication number | Priority date | Publication date | Assignee | Title |
|---|---|---|---|---|
| US12144865B2 (en) | 2015-06-22 | 2024-11-19 | Bayer Pharma Aktiengesellschaft | Antibody drug conjugates with enzymatically cleavable groups |
| US11806404B2 (en) | 2015-06-23 | 2023-11-07 | Bayer Pharma Aktiengesellschaft | Site specific homogeneous with KSP inhibitors |
| US11685714B2 (en) | 2016-03-24 | 2023-06-27 | Bayer Pharma Aktiengesellschaft | Prodrugs of cytotoxic active agents having enzymatically cleavable groups |
| US11643469B2 (en) | 2016-06-15 | 2023-05-09 | Bayer Pharma Aktiengesellschaft | Specific antibody-drug-conjugates (ADCs) with KSP inhibitors and anti-CD123-antibodies |
| US11433140B2 (en) | 2016-12-21 | 2022-09-06 | Bayer Pharma Aktiengesellschaft | Specific antibody drug conjugates (ADCs) having KSP inhibitors |
| US11478554B2 (en) | 2016-12-21 | 2022-10-25 | Bayer Pharma Aktiengesellschaft | Antibody drug conjugates (ADCS) having enzymatically cleavable groups |
| US11660351B2 (en) | 2016-12-21 | 2023-05-30 | Bayer Aktiengesellschaft | Antibody drug conjugates (ADCs) having enzymatically cleavable groups |
| US12059472B2 (en) | 2016-12-21 | 2024-08-13 | Bayer Aktiengesellschaft | Prodrugs of cytotoxic active agents having enzymatically cleavable groups |
Also Published As
| Publication number | Publication date |
|---|---|
| CN109310781A (en) | 2019-02-05 |
| CA3027445A1 (en) | 2017-12-21 |
| US20190330357A1 (en) | 2019-10-31 |
| EP3919518A1 (en) | 2021-12-08 |
| US11643469B2 (en) | 2023-05-09 |
| JP7134292B2 (en) | 2022-09-09 |
| US20220267457A1 (en) | 2022-08-25 |
| JP7022707B2 (en) | 2022-02-18 |
| US20230399411A1 (en) | 2023-12-14 |
| WO2017216028A1 (en) | 2017-12-21 |
| JP2021113217A (en) | 2021-08-05 |
| JP2019522647A (en) | 2019-08-15 |
| US11001636B2 (en) | 2021-05-11 |
| CN109310781B (en) | 2024-06-18 |
| EP3471776B1 (en) | 2022-05-04 |
| EP3471776A1 (en) | 2019-04-24 |
Similar Documents
| Publication | Publication Date | Title |
|---|---|---|
| US11643469B2 (en) | Specific antibody-drug-conjugates (ADCs) with KSP inhibitors and anti-CD123-antibodies | |
| US20220362392A1 (en) | Specific antibody drug conjugates (adcs) having ksp inhibitors | |
| US11478554B2 (en) | Antibody drug conjugates (ADCS) having enzymatically cleavable groups | |
| US11806404B2 (en) | Site specific homogeneous with KSP inhibitors | |
| US20210275686A1 (en) | Binder/active agent conjugates directed against cxcr5, having enzymatically cleavable linkers and improved activity profile | |
| CA3027445C (en) | Specific antibody-drug-conjugates (adcs) with ksp inhibitors and anti-cd123-antibodies | |
| HK40065454A (en) | Specific antibody-drug-conjugates (adcs) with ksp inhibitors and anti-cd123-antibodies |
Legal Events
| Date | Code | Title | Description |
|---|---|---|---|
| AS | Assignment |
Owner name: BAYER PHARMA AKTIENGESELLSCHAFT, GERMANY Free format text: ASSIGNMENT OF ASSIGNORS INTEREST;ASSIGNORS:LERCHEN, HANS-GEORG;REBSTOCK, ANNE-SOPHIE;CANCHO GRANDE, YOLANDA;AND OTHERS;SIGNING DATES FROM 20190802 TO 20200818;REEL/FRAME:055871/0306 |
|
| STPP | Information on status: patent application and granting procedure in general |
Free format text: APPLICATION DISPATCHED FROM PREEXAM, NOT YET DOCKETED |
|
| STPP | Information on status: patent application and granting procedure in general |
Free format text: DOCKETED NEW CASE - READY FOR EXAMINATION |
|
| STPP | Information on status: patent application and granting procedure in general |
Free format text: NON FINAL ACTION MAILED |
|
| STCB | Information on status: application discontinuation |
Free format text: ABANDONED -- FAILURE TO RESPOND TO AN OFFICE ACTION |




























