US20200030499A1 - Chlorhexidine gluconate compositions resin systems and articles - Google Patents
Chlorhexidine gluconate compositions resin systems and articles Download PDFInfo
- Publication number
- US20200030499A1 US20200030499A1 US16/590,594 US201916590594A US2020030499A1 US 20200030499 A1 US20200030499 A1 US 20200030499A1 US 201916590594 A US201916590594 A US 201916590594A US 2020030499 A1 US2020030499 A1 US 2020030499A1
- Authority
- US
- United States
- Prior art keywords
- chg
- skin
- adhesive
- drape
- vehicle
- Prior art date
- Legal status (The legal status is an assumption and is not a legal conclusion. Google has not performed a legal analysis and makes no representation as to the accuracy of the status listed.)
- Abandoned
Links
- 239000000203 mixture Substances 0.000 title claims abstract description 93
- YZIYKJHYYHPJIB-UUPCJSQJSA-N chlorhexidine gluconate Chemical compound OC[C@@H](O)[C@@H](O)[C@H](O)[C@@H](O)C(O)=O.OC[C@@H](O)[C@@H](O)[C@H](O)[C@@H](O)C(O)=O.C1=CC(Cl)=CC=C1NC(=N)NC(=N)NCCCCCCNC(=N)NC(=N)NC1=CC=C(Cl)C=C1 YZIYKJHYYHPJIB-UUPCJSQJSA-N 0.000 title claims abstract description 14
- 229960003333 chlorhexidine gluconate Drugs 0.000 title claims abstract description 14
- 239000011347 resin Substances 0.000 title abstract description 23
- 229920005989 resin Polymers 0.000 title abstract description 23
- 230000002209 hydrophobic effect Effects 0.000 claims abstract description 51
- 238000000034 method Methods 0.000 claims description 43
- 239000000853 adhesive Substances 0.000 abstract description 76
- 230000001070 adhesive effect Effects 0.000 abstract description 76
- KUXUALPOSMRJSW-IFWQJVLJSA-N 2-[6-[[amino-[[amino-(4-chloroanilino)methylidene]amino]methylidene]amino]hexyl]-1-[amino-(4-chloroanilino)methylidene]guanidine;(2r,3s,4r,5r)-2,3,4,5,6-pentahydroxyhexanoic acid Chemical compound OC[C@@H](O)[C@@H](O)[C@H](O)[C@@H](O)C(O)=O.C1=CC(Cl)=CC=C1NC(=N)NC(=N)NCCCCCCNC(=N)NC(=N)NC1=CC=C(Cl)C=C1 KUXUALPOSMRJSW-IFWQJVLJSA-N 0.000 description 121
- 239000003981 vehicle Substances 0.000 description 80
- XLYOFNOQVPJJNP-UHFFFAOYSA-N water Substances O XLYOFNOQVPJJNP-UHFFFAOYSA-N 0.000 description 42
- 239000000243 solution Substances 0.000 description 33
- 230000036961 partial effect Effects 0.000 description 30
- ASKIVFGGGGIGKH-UHFFFAOYSA-N 2,3-dihydroxypropyl 16-methylheptadecanoate Chemical compound CC(C)CCCCCCCCCCCCCCC(=O)OCC(O)CO ASKIVFGGGGIGKH-UHFFFAOYSA-N 0.000 description 28
- PEDCQBHIVMGVHV-UHFFFAOYSA-N Glycerine Chemical compound OCC(O)CO PEDCQBHIVMGVHV-UHFFFAOYSA-N 0.000 description 28
- 238000009472 formulation Methods 0.000 description 22
- 239000000523 sample Substances 0.000 description 21
- 238000012360 testing method Methods 0.000 description 19
- NIXOWILDQLNWCW-UHFFFAOYSA-M Acrylate Chemical compound [O-]C(=O)C=C NIXOWILDQLNWCW-UHFFFAOYSA-M 0.000 description 18
- 125000000217 alkyl group Chemical group 0.000 description 17
- 238000004458 analytical method Methods 0.000 description 16
- 239000000178 monomer Substances 0.000 description 16
- 230000000845 anti-microbial effect Effects 0.000 description 15
- 230000000694 effects Effects 0.000 description 13
- 125000002887 hydroxy group Chemical group [H]O* 0.000 description 13
- 230000003068 static effect Effects 0.000 description 13
- 125000004432 carbon atom Chemical group C* 0.000 description 12
- 239000002687 nonaqueous vehicle Substances 0.000 description 12
- GHBFNMLVSPCDGN-UHFFFAOYSA-N rac-1-monooctanoylglycerol Chemical compound CCCCCCCC(=O)OCC(O)CO GHBFNMLVSPCDGN-UHFFFAOYSA-N 0.000 description 12
- 239000000758 substrate Substances 0.000 description 12
- -1 glyceryl monoalkyl ethers Chemical class 0.000 description 11
- 239000000463 material Substances 0.000 description 11
- 230000009467 reduction Effects 0.000 description 11
- 238000001356 surgical procedure Methods 0.000 description 11
- 241000894006 Bacteria Species 0.000 description 10
- 238000011084 recovery Methods 0.000 description 10
- 239000000725 suspension Substances 0.000 description 10
- OKKJLVBELUTLKV-UHFFFAOYSA-N Methanol Chemical compound OC OKKJLVBELUTLKV-UHFFFAOYSA-N 0.000 description 9
- 150000001875 compounds Chemical class 0.000 description 9
- 235000011187 glycerol Nutrition 0.000 description 9
- IMNFDUFMRHMDMM-UHFFFAOYSA-N N-Heptane Chemical compound CCCCCCC IMNFDUFMRHMDMM-UHFFFAOYSA-N 0.000 description 8
- 150000002009 diols Chemical group 0.000 description 8
- 150000002148 esters Chemical class 0.000 description 8
- 238000011534 incubation Methods 0.000 description 8
- DNIAPMSPPWPWGF-UHFFFAOYSA-N monopropylene glycol Natural products CC(O)CO DNIAPMSPPWPWGF-UHFFFAOYSA-N 0.000 description 8
- 229940068196 placebo Drugs 0.000 description 8
- 239000000902 placebo Substances 0.000 description 8
- 239000002904 solvent Substances 0.000 description 8
- RTZKZFJDLAIYFH-UHFFFAOYSA-N Diethyl ether Chemical compound CCOCC RTZKZFJDLAIYFH-UHFFFAOYSA-N 0.000 description 7
- 229920001400 block copolymer Polymers 0.000 description 7
- 230000009477 glass transition Effects 0.000 description 7
- 229920000642 polymer Polymers 0.000 description 7
- 239000000047 product Substances 0.000 description 7
- 241000607715 Serratia marcescens Species 0.000 description 6
- FAPWRFPIFSIZLT-UHFFFAOYSA-M Sodium chloride Chemical compound [Na+].[Cl-] FAPWRFPIFSIZLT-UHFFFAOYSA-M 0.000 description 6
- 238000004108 freeze drying Methods 0.000 description 6
- 238000002156 mixing Methods 0.000 description 6
- 238000002360 preparation method Methods 0.000 description 6
- 229920006132 styrene block copolymer Polymers 0.000 description 6
- 239000006150 trypticase soy agar Substances 0.000 description 6
- IAYPIBMASNFSPL-UHFFFAOYSA-N Ethylene oxide Chemical compound C1CO1 IAYPIBMASNFSPL-UHFFFAOYSA-N 0.000 description 5
- 229920002633 Kraton (polymer) Polymers 0.000 description 5
- 239000004820 Pressure-sensitive adhesive Substances 0.000 description 5
- 150000001298 alcohols Chemical class 0.000 description 5
- 125000001033 ether group Chemical group 0.000 description 5
- 239000011521 glass Substances 0.000 description 5
- 229940087068 glyceryl caprylate Drugs 0.000 description 5
- 239000004014 plasticizer Substances 0.000 description 5
- 229920005906 polyester polyol Polymers 0.000 description 5
- 229920001296 polysiloxane Polymers 0.000 description 5
- URAYPUMNDPQOKB-UHFFFAOYSA-N triacetin Chemical compound CC(=O)OCC(OC(C)=O)COC(C)=O URAYPUMNDPQOKB-UHFFFAOYSA-N 0.000 description 5
- VBICKXHEKHSIBG-UHFFFAOYSA-N 1-monostearoylglycerol Chemical compound CCCCCCCCCCCCCCCCCC(=O)OCC(O)CO VBICKXHEKHSIBG-UHFFFAOYSA-N 0.000 description 4
- NCZPCONIKBICGS-UHFFFAOYSA-N 3-(2-ethylhexoxy)propane-1,2-diol Chemical compound CCCCC(CC)COCC(O)CO NCZPCONIKBICGS-UHFFFAOYSA-N 0.000 description 4
- DXPPIEDUBFUSEZ-UHFFFAOYSA-N 6-methylheptyl prop-2-enoate Chemical compound CC(C)CCCCCOC(=O)C=C DXPPIEDUBFUSEZ-UHFFFAOYSA-N 0.000 description 4
- HRPVXLWXLXDGHG-UHFFFAOYSA-N Acrylamide Chemical compound NC(=O)C=C HRPVXLWXLXDGHG-UHFFFAOYSA-N 0.000 description 4
- LFQSCWFLJHTTHZ-UHFFFAOYSA-N Ethanol Chemical compound CCO LFQSCWFLJHTTHZ-UHFFFAOYSA-N 0.000 description 4
- LYCAIKOWRPUZTN-UHFFFAOYSA-N Ethylene glycol Chemical compound OCCO LYCAIKOWRPUZTN-UHFFFAOYSA-N 0.000 description 4
- CERQOIWHTDAKMF-UHFFFAOYSA-M Methacrylate Chemical compound CC(=C)C([O-])=O CERQOIWHTDAKMF-UHFFFAOYSA-M 0.000 description 4
- 229910019142 PO4 Inorganic materials 0.000 description 4
- PPBRXRYQALVLMV-UHFFFAOYSA-N Styrene Chemical compound C=CC1=CC=CC=C1 PPBRXRYQALVLMV-UHFFFAOYSA-N 0.000 description 4
- 206010052428 Wound Diseases 0.000 description 4
- 208000027418 Wounds and injury Diseases 0.000 description 4
- 230000032683 aging Effects 0.000 description 4
- WERYXYBDKMZEQL-UHFFFAOYSA-N butane-1,4-diol Chemical compound OCCCCO WERYXYBDKMZEQL-UHFFFAOYSA-N 0.000 description 4
- YSRSBDQINUMTIF-UHFFFAOYSA-N decane-1,2-diol Chemical compound CCCCCCCCC(O)CO YSRSBDQINUMTIF-UHFFFAOYSA-N 0.000 description 4
- 238000007865 diluting Methods 0.000 description 4
- SZXQTJUDPRGNJN-UHFFFAOYSA-N dipropylene glycol Chemical compound OCCCOCCCO SZXQTJUDPRGNJN-UHFFFAOYSA-N 0.000 description 4
- 125000004185 ester group Chemical group 0.000 description 4
- 229940100524 ethylhexylglycerin Drugs 0.000 description 4
- 229920001519 homopolymer Polymers 0.000 description 4
- 238000011065 in-situ storage Methods 0.000 description 4
- NBIIXXVUZAFLBC-UHFFFAOYSA-K phosphate Chemical compound [O-]P([O-])([O-])=O NBIIXXVUZAFLBC-UHFFFAOYSA-K 0.000 description 4
- 239000010452 phosphate Substances 0.000 description 4
- IVDFJHOHABJVEH-UHFFFAOYSA-N pinacol Chemical compound CC(C)(O)C(C)(C)O IVDFJHOHABJVEH-UHFFFAOYSA-N 0.000 description 4
- 229920000728 polyester Polymers 0.000 description 4
- 235000013772 propylene glycol Nutrition 0.000 description 4
- ARIWANIATODDMH-UHFFFAOYSA-N rac-1-monolauroylglycerol Chemical compound CCCCCCCCCCCC(=O)OCC(O)CO ARIWANIATODDMH-UHFFFAOYSA-N 0.000 description 4
- 239000011780 sodium chloride Substances 0.000 description 4
- 210000001519 tissue Anatomy 0.000 description 4
- 229940031723 1,2-octanediol Drugs 0.000 description 3
- LDVVTQMJQSCDMK-UHFFFAOYSA-N 1,3-dihydroxypropan-2-yl formate Chemical compound OCC(CO)OC=O LDVVTQMJQSCDMK-UHFFFAOYSA-N 0.000 description 3
- RZRNAYUHWVFMIP-KTKRTIGZSA-N 1-oleoylglycerol Chemical compound CCCCCCCC\C=C/CCCCCCCC(=O)OCC(O)CO RZRNAYUHWVFMIP-KTKRTIGZSA-N 0.000 description 3
- VSKJLJHPAFKHBX-UHFFFAOYSA-N 2-methylbuta-1,3-diene;styrene Chemical compound CC(=C)C=C.C=CC1=CC=CC=C1.C=CC1=CC=CC=C1 VSKJLJHPAFKHBX-UHFFFAOYSA-N 0.000 description 3
- WOKDXPHSIQRTJF-UHFFFAOYSA-N 3-[3-[3-[3-[3-[3-[3-[3-[3-(2,3-dihydroxypropoxy)-2-hydroxypropoxy]-2-hydroxypropoxy]-2-hydroxypropoxy]-2-hydroxypropoxy]-2-hydroxypropoxy]-2-hydroxypropoxy]-2-hydroxypropoxy]-2-hydroxypropoxy]propane-1,2-diol Chemical compound OCC(O)COCC(O)COCC(O)COCC(O)COCC(O)COCC(O)COCC(O)COCC(O)COCC(O)COCC(O)CO WOKDXPHSIQRTJF-UHFFFAOYSA-N 0.000 description 3
- NIXOWILDQLNWCW-UHFFFAOYSA-N Acrylic acid Chemical class OC(=O)C=C NIXOWILDQLNWCW-UHFFFAOYSA-N 0.000 description 3
- XEKOWRVHYACXOJ-UHFFFAOYSA-N Ethyl acetate Chemical compound CCOC(C)=O XEKOWRVHYACXOJ-UHFFFAOYSA-N 0.000 description 3
- KFZMGEQAYNKOFK-UHFFFAOYSA-N Isopropanol Chemical compound CC(C)O KFZMGEQAYNKOFK-UHFFFAOYSA-N 0.000 description 3
- 241000607720 Serratia Species 0.000 description 3
- 239000004147 Sorbitan trioleate Substances 0.000 description 3
- PRXRUNOAOLTIEF-ADSICKODSA-N Sorbitan trioleate Chemical compound CCCCCCCC\C=C/CCCCCCCC(=O)OC[C@@H](OC(=O)CCCCCCC\C=C/CCCCCCCC)[C@H]1OC[C@H](O)[C@H]1OC(=O)CCCCCCC\C=C/CCCCCCCC PRXRUNOAOLTIEF-ADSICKODSA-N 0.000 description 3
- FGUZFFWTBWJBIL-XWVZOOPGSA-N [(1r)-1-[(2s,3r,4s)-3,4-dihydroxyoxolan-2-yl]-2-hydroxyethyl] 16-methylheptadecanoate Chemical compound CC(C)CCCCCCCCCCCCCCC(=O)O[C@H](CO)[C@H]1OC[C@H](O)[C@H]1O FGUZFFWTBWJBIL-XWVZOOPGSA-N 0.000 description 3
- 150000003926 acrylamides Chemical class 0.000 description 3
- 150000001252 acrylic acid derivatives Chemical class 0.000 description 3
- 239000002313 adhesive film Substances 0.000 description 3
- 239000004599 antimicrobial Substances 0.000 description 3
- 239000007864 aqueous solution Substances 0.000 description 3
- 230000005540 biological transmission Effects 0.000 description 3
- FACXGONDLDSNOE-UHFFFAOYSA-N buta-1,3-diene;styrene Chemical compound C=CC=C.C=CC1=CC=CC=C1.C=CC1=CC=CC=C1 FACXGONDLDSNOE-UHFFFAOYSA-N 0.000 description 3
- 238000010276 construction Methods 0.000 description 3
- 238000011109 contamination Methods 0.000 description 3
- RZRNAYUHWVFMIP-HXUWFJFHSA-N glycerol monolinoleate Natural products CCCCCCCCC=CCCCCCCCC(=O)OC[C@H](O)CO RZRNAYUHWVFMIP-HXUWFJFHSA-N 0.000 description 3
- 235000013773 glyceryl triacetate Nutrition 0.000 description 3
- GTABBGRXERZUAH-UHFFFAOYSA-N hexadecan-1-ol;2-methyloxirane;oxirane Chemical compound C1CO1.CC1CO1.CCCCCCCCCCCCCCCCO GTABBGRXERZUAH-UHFFFAOYSA-N 0.000 description 3
- 239000002609 medium Substances 0.000 description 3
- 239000012457 nonaqueous media Substances 0.000 description 3
- AEIJTFQOBWATKX-UHFFFAOYSA-N octane-1,2-diol Chemical compound CCCCCCC(O)CO AEIJTFQOBWATKX-UHFFFAOYSA-N 0.000 description 3
- WCVRQHFDJLLWFE-UHFFFAOYSA-N pentane-1,2-diol Chemical compound CCCC(O)CO WCVRQHFDJLLWFE-UHFFFAOYSA-N 0.000 description 3
- 229920001281 polyalkylene Polymers 0.000 description 3
- 229920002635 polyurethane Polymers 0.000 description 3
- 239000004814 polyurethane Substances 0.000 description 3
- 230000005855 radiation Effects 0.000 description 3
- 229940057429 sorbitan isostearate Drugs 0.000 description 3
- 235000019337 sorbitan trioleate Nutrition 0.000 description 3
- 229960000391 sorbitan trioleate Drugs 0.000 description 3
- 229920000468 styrene butadiene styrene block copolymer Polymers 0.000 description 3
- 239000000126 substance Substances 0.000 description 3
- 150000003899 tartaric acid esters Chemical class 0.000 description 3
- 238000010998 test method Methods 0.000 description 3
- 238000012546 transfer Methods 0.000 description 3
- PUPZLCDOIYMWBV-UHFFFAOYSA-N (+/-)-1,3-Butanediol Chemical compound CC(O)CCO PUPZLCDOIYMWBV-UHFFFAOYSA-N 0.000 description 2
- DNIAPMSPPWPWGF-GSVOUGTGSA-N (R)-(-)-Propylene glycol Chemical compound C[C@@H](O)CO DNIAPMSPPWPWGF-GSVOUGTGSA-N 0.000 description 2
- 150000000180 1,2-diols Chemical class 0.000 description 2
- KBPLFHHGFOOTCA-UHFFFAOYSA-N 1-Octanol Chemical compound CCCCCCCCO KBPLFHHGFOOTCA-UHFFFAOYSA-N 0.000 description 2
- JWYVGKFDLWWQJX-UHFFFAOYSA-N 1-ethenylazepan-2-one Chemical compound C=CN1CCCCCC1=O JWYVGKFDLWWQJX-UHFFFAOYSA-N 0.000 description 2
- IIZPXYDJLKNOIY-JXPKJXOSSA-N 1-palmitoyl-2-arachidonoyl-sn-glycero-3-phosphocholine Chemical compound CCCCCCCCCCCCCCCC(=O)OC[C@H](COP([O-])(=O)OCC[N+](C)(C)C)OC(=O)CCC\C=C/C\C=C/C\C=C/C\C=C/CCCCC IIZPXYDJLKNOIY-JXPKJXOSSA-N 0.000 description 2
- XDOFQFKRPWOURC-UHFFFAOYSA-N 16-methylheptadecanoic acid Chemical compound CC(C)CCCCCCCCCCCCCCC(O)=O XDOFQFKRPWOURC-UHFFFAOYSA-N 0.000 description 2
- 239000000263 2,3-dihydroxypropyl (Z)-octadec-9-enoate Substances 0.000 description 2
- CJMUVMINGJFKIR-UHFFFAOYSA-N 2-(2-hydroxyethoxy)ethanol;methoxymethane Chemical compound COC.OCCOCCO CJMUVMINGJFKIR-UHFFFAOYSA-N 0.000 description 2
- SMZOUWXMTYCWNB-UHFFFAOYSA-N 2-(2-methoxy-5-methylphenyl)ethanamine Chemical compound COC1=CC=C(C)C=C1CCN SMZOUWXMTYCWNB-UHFFFAOYSA-N 0.000 description 2
- JAHNSTQSQJOJLO-UHFFFAOYSA-N 2-(3-fluorophenyl)-1h-imidazole Chemical compound FC1=CC=CC(C=2NC=CN=2)=C1 JAHNSTQSQJOJLO-UHFFFAOYSA-N 0.000 description 2
- PLFJWWUZKJKIPZ-UHFFFAOYSA-N 2-[2-[2-(2,6,8-trimethylnonan-4-yloxy)ethoxy]ethoxy]ethanol Chemical compound CC(C)CC(C)CC(CC(C)C)OCCOCCOCCO PLFJWWUZKJKIPZ-UHFFFAOYSA-N 0.000 description 2
- ROGIWVXWXZRRMZ-UHFFFAOYSA-N 2-methylbuta-1,3-diene;styrene Chemical compound CC(=C)C=C.C=CC1=CC=CC=C1 ROGIWVXWXZRRMZ-UHFFFAOYSA-N 0.000 description 2
- RZRNAYUHWVFMIP-GDCKJWNLSA-N 3-oleoyl-sn-glycerol Chemical compound CCCCCCCC\C=C/CCCCCCCC(=O)OC[C@H](O)CO RZRNAYUHWVFMIP-GDCKJWNLSA-N 0.000 description 2
- NLHHRLWOUZZQLW-UHFFFAOYSA-N Acrylonitrile Chemical compound C=CC#N NLHHRLWOUZZQLW-UHFFFAOYSA-N 0.000 description 2
- SOGAXMICEFXMKE-UHFFFAOYSA-N Butylmethacrylate Chemical compound CCCCOC(=O)C(C)=C SOGAXMICEFXMKE-UHFFFAOYSA-N 0.000 description 2
- LCGLNKUTAGEVQW-UHFFFAOYSA-N Dimethyl ether Chemical compound COC LCGLNKUTAGEVQW-UHFFFAOYSA-N 0.000 description 2
- 206010013786 Dry skin Diseases 0.000 description 2
- VZCYOOQTPOCHFL-OWOJBTEDSA-N Fumaric acid Chemical compound OC(=O)\C=C\C(O)=O VZCYOOQTPOCHFL-OWOJBTEDSA-N 0.000 description 2
- 239000007836 KH2PO4 Substances 0.000 description 2
- CERQOIWHTDAKMF-UHFFFAOYSA-N Methacrylic acid Chemical compound CC(=C)C(O)=O CERQOIWHTDAKMF-UHFFFAOYSA-N 0.000 description 2
- RJQXTJLFIWVMTO-TYNCELHUSA-N Methicillin Chemical compound COC1=CC=CC(OC)=C1C(=O)N[C@@H]1C(=O)N2[C@@H](C(O)=O)C(C)(C)S[C@@H]21 RJQXTJLFIWVMTO-TYNCELHUSA-N 0.000 description 2
- BAPJBEWLBFYGME-UHFFFAOYSA-N Methyl acrylate Chemical compound COC(=O)C=C BAPJBEWLBFYGME-UHFFFAOYSA-N 0.000 description 2
- GYCMBHHDWRMZGG-UHFFFAOYSA-N Methylacrylonitrile Chemical compound CC(=C)C#N GYCMBHHDWRMZGG-UHFFFAOYSA-N 0.000 description 2
- WHNWPMSKXPGLAX-UHFFFAOYSA-N N-Vinyl-2-pyrrolidone Chemical compound C=CN1CCCC1=O WHNWPMSKXPGLAX-UHFFFAOYSA-N 0.000 description 2
- ALQSHHUCVQOPAS-UHFFFAOYSA-N Pentane-1,5-diol Chemical compound OCCCCCO ALQSHHUCVQOPAS-UHFFFAOYSA-N 0.000 description 2
- 239000004952 Polyamide Substances 0.000 description 2
- 206010041925 Staphylococcal infections Diseases 0.000 description 2
- 241000282887 Suidae Species 0.000 description 2
- 230000003187 abdominal effect Effects 0.000 description 2
- 238000002835 absorbance Methods 0.000 description 2
- VZTDIZULWFCMLS-UHFFFAOYSA-N ammonium formate Chemical compound [NH4+].[O-]C=O VZTDIZULWFCMLS-UHFFFAOYSA-N 0.000 description 2
- 239000002585 base Substances 0.000 description 2
- 210000000988 bone and bone Anatomy 0.000 description 2
- 125000000484 butyl group Chemical group [H]C([*])([H])C([H])([H])C([H])([H])C([H])([H])[H] 0.000 description 2
- 238000004364 calculation method Methods 0.000 description 2
- PMMYEEVYMWASQN-IMJSIDKUSA-N cis-4-Hydroxy-L-proline Chemical compound O[C@@H]1CN[C@H](C(O)=O)C1 PMMYEEVYMWASQN-IMJSIDKUSA-N 0.000 description 2
- 239000011248 coating agent Substances 0.000 description 2
- 238000000576 coating method Methods 0.000 description 2
- 230000000052 comparative effect Effects 0.000 description 2
- 238000001514 detection method Methods 0.000 description 2
- 239000000539 dimer Substances 0.000 description 2
- BNIILDVGGAEEIG-UHFFFAOYSA-L disodium hydrogen phosphate Chemical compound [Na+].[Na+].OP([O-])([O-])=O BNIILDVGGAEEIG-UHFFFAOYSA-L 0.000 description 2
- 229910000397 disodium phosphate Inorganic materials 0.000 description 2
- 229940113378 duraprep Drugs 0.000 description 2
- 229920001971 elastomer Polymers 0.000 description 2
- 239000003480 eluent Substances 0.000 description 2
- BXOUVIIITJXIKB-UHFFFAOYSA-N ethene;styrene Chemical group C=C.C=CC1=CC=CC=C1 BXOUVIIITJXIKB-UHFFFAOYSA-N 0.000 description 2
- SHZIWNPUGXLXDT-UHFFFAOYSA-N ethyl hexanoate Chemical compound CCCCCC(=O)OCC SHZIWNPUGXLXDT-UHFFFAOYSA-N 0.000 description 2
- 238000002474 experimental method Methods 0.000 description 2
- 239000012530 fluid Substances 0.000 description 2
- 239000011888 foil Substances 0.000 description 2
- 125000003976 glyceryl group Chemical group [H]C([*])([H])C(O[H])([H])C(O[H])([H])[H] 0.000 description 2
- 229940068939 glyceryl monolaurate Drugs 0.000 description 2
- 229940075507 glyceryl monostearate Drugs 0.000 description 2
- 239000001087 glyceryl triacetate Substances 0.000 description 2
- 210000004349 growth plate Anatomy 0.000 description 2
- OHMBHFSEKCCCBW-UHFFFAOYSA-N hexane-2,5-diol Chemical compound CC(O)CCC(C)O OHMBHFSEKCCCBW-UHFFFAOYSA-N 0.000 description 2
- WGCNASOHLSPBMP-UHFFFAOYSA-N hydroxyacetaldehyde Natural products OCC=O WGCNASOHLSPBMP-UHFFFAOYSA-N 0.000 description 2
- 230000002262 irrigation Effects 0.000 description 2
- 238000003973 irrigation Methods 0.000 description 2
- 238000010030 laminating Methods 0.000 description 2
- 239000000787 lecithin Substances 0.000 description 2
- 235000010445 lecithin Nutrition 0.000 description 2
- 229940067606 lecithin Drugs 0.000 description 2
- FPYJFEHAWHCUMM-UHFFFAOYSA-N maleic anhydride Chemical compound O=C1OC(=O)C=C1 FPYJFEHAWHCUMM-UHFFFAOYSA-N 0.000 description 2
- FQPSGWSUVKBHSU-UHFFFAOYSA-N methacrylamide Chemical compound CC(=C)C(N)=O FQPSGWSUVKBHSU-UHFFFAOYSA-N 0.000 description 2
- 208000015688 methicillin-resistant staphylococcus aureus infectious disease Diseases 0.000 description 2
- LVHBHZANLOWSRM-UHFFFAOYSA-N methylenebutanedioic acid Natural products OC(=O)CC(=C)C(O)=O LVHBHZANLOWSRM-UHFFFAOYSA-N 0.000 description 2
- 229960003085 meticillin Drugs 0.000 description 2
- 239000001788 mono and diglycerides of fatty acids Substances 0.000 description 2
- RZRNAYUHWVFMIP-UHFFFAOYSA-N monoelaidin Natural products CCCCCCCCC=CCCCCCCCC(=O)OCC(O)CO RZRNAYUHWVFMIP-UHFFFAOYSA-N 0.000 description 2
- 229910000402 monopotassium phosphate Inorganic materials 0.000 description 2
- OVHHHVAVHBHXAK-UHFFFAOYSA-N n,n-diethylprop-2-enamide Chemical compound CCN(CC)C(=O)C=C OVHHHVAVHBHXAK-UHFFFAOYSA-N 0.000 description 2
- 229940088644 n,n-dimethylacrylamide Drugs 0.000 description 2
- YLGYACDQVQQZSW-UHFFFAOYSA-N n,n-dimethylprop-2-enamide Chemical compound CN(C)C(=O)C=C YLGYACDQVQQZSW-UHFFFAOYSA-N 0.000 description 2
- 230000003472 neutralizing effect Effects 0.000 description 2
- 239000004745 nonwoven fabric Substances 0.000 description 2
- OEIJHBUUFURJLI-UHFFFAOYSA-N octane-1,8-diol Chemical compound OCCCCCCCCO OEIJHBUUFURJLI-UHFFFAOYSA-N 0.000 description 2
- UWJJYHHHVWZFEP-UHFFFAOYSA-N pentane-1,1-diol Chemical compound CCCCC(O)O UWJJYHHHVWZFEP-UHFFFAOYSA-N 0.000 description 2
- 229920000058 polyacrylate Polymers 0.000 description 2
- 229920002647 polyamide Polymers 0.000 description 2
- 229920001223 polyethylene glycol Polymers 0.000 description 2
- 239000000244 polyoxyethylene sorbitan monooleate Substances 0.000 description 2
- 235000010482 polyoxyethylene sorbitan monooleate Nutrition 0.000 description 2
- 229940068968 polysorbate 80 Drugs 0.000 description 2
- 229920000053 polysorbate 80 Polymers 0.000 description 2
- GNSKLFRGEWLPPA-UHFFFAOYSA-M potassium dihydrogen phosphate Chemical compound [K+].OP(O)([O-])=O GNSKLFRGEWLPPA-UHFFFAOYSA-M 0.000 description 2
- 125000000075 primary alcohol group Chemical group 0.000 description 2
- ULWHHBHJGPPBCO-UHFFFAOYSA-N propane-1,1-diol Chemical compound CCC(O)O ULWHHBHJGPPBCO-UHFFFAOYSA-N 0.000 description 2
- 238000005070 sampling Methods 0.000 description 2
- 229920006395 saturated elastomer Polymers 0.000 description 2
- 238000012216 screening Methods 0.000 description 2
- AKHNMLFCWUSKQB-UHFFFAOYSA-L sodium thiosulfate Chemical compound [Na+].[Na+].[O-]S([O-])(=O)=S AKHNMLFCWUSKQB-UHFFFAOYSA-L 0.000 description 2
- 235000019345 sodium thiosulphate Nutrition 0.000 description 2
- 229940100515 sorbitan Drugs 0.000 description 2
- 230000001954 sterilising effect Effects 0.000 description 2
- 238000004659 sterilization and disinfection Methods 0.000 description 2
- 238000003756 stirring Methods 0.000 description 2
- VZCYOOQTPOCHFL-UHFFFAOYSA-N trans-butenedioic acid Natural products OC(=O)C=CC(O)=O VZCYOOQTPOCHFL-UHFFFAOYSA-N 0.000 description 2
- 229960002622 triacetin Drugs 0.000 description 2
- ZIBGPFATKBEMQZ-UHFFFAOYSA-N triethylene glycol Chemical compound OCCOCCOCCO ZIBGPFATKBEMQZ-UHFFFAOYSA-N 0.000 description 2
- GPRLSGONYQIRFK-MNYXATJNSA-N triton Chemical compound [3H+] GPRLSGONYQIRFK-MNYXATJNSA-N 0.000 description 2
- 125000000391 vinyl group Chemical group [H]C([*])=C([H])[H] 0.000 description 2
- DNIAPMSPPWPWGF-VKHMYHEASA-N (+)-propylene glycol Chemical compound C[C@H](O)CO DNIAPMSPPWPWGF-VKHMYHEASA-N 0.000 description 1
- PSGCQDPCAWOCSH-UHFFFAOYSA-N (4,7,7-trimethyl-3-bicyclo[2.2.1]heptanyl) prop-2-enoate Chemical class C1CC2(C)C(OC(=O)C=C)CC1C2(C)C PSGCQDPCAWOCSH-UHFFFAOYSA-N 0.000 description 1
- ORTVZLZNOYNASJ-UPHRSURJSA-N (z)-but-2-ene-1,4-diol Chemical compound OC\C=C/CO ORTVZLZNOYNASJ-UPHRSURJSA-N 0.000 description 1
- 0 *C(=O)OC(CC)CO.CC(=O)OCC(O)CO Chemical compound *C(=O)OC(CC)CO.CC(=O)OCC(O)CO 0.000 description 1
- ZWVMLYRJXORSEP-UHFFFAOYSA-N 1,2,6-Hexanetriol Chemical compound OCCCCC(O)CO ZWVMLYRJXORSEP-UHFFFAOYSA-N 0.000 description 1
- 229940015975 1,2-hexanediol Drugs 0.000 description 1
- 150000000185 1,3-diols Chemical class 0.000 description 1
- YPFDHNVEDLHUCE-UHFFFAOYSA-N 1,3-propanediol Substances OCCCO YPFDHNVEDLHUCE-UHFFFAOYSA-N 0.000 description 1
- ABEXEQSGABRUHS-UHFFFAOYSA-N 16-methylheptadecyl 16-methylheptadecanoate Chemical compound CC(C)CCCCCCCCCCCCCCCOC(=O)CCCCCCCCCCCCCCC(C)C ABEXEQSGABRUHS-UHFFFAOYSA-N 0.000 description 1
- JNAYPSWVMNJOPQ-UHFFFAOYSA-N 2,3-bis(16-methylheptadecanoyloxy)propyl 16-methylheptadecanoate Chemical compound CC(C)CCCCCCCCCCCCCCC(=O)OCC(OC(=O)CCCCCCCCCCCCCCC(C)C)COC(=O)CCCCCCCCCCCCCCC(C)C JNAYPSWVMNJOPQ-UHFFFAOYSA-N 0.000 description 1
- FTALTLPZDVFJSS-UHFFFAOYSA-N 2-(2-ethoxyethoxy)ethyl prop-2-enoate Chemical compound CCOCCOCCOC(=O)C=C FTALTLPZDVFJSS-UHFFFAOYSA-N 0.000 description 1
- OEPOKWHJYJXUGD-UHFFFAOYSA-N 2-(3-phenylmethoxyphenyl)-1,3-thiazole-4-carbaldehyde Chemical compound O=CC1=CSC(C=2C=C(OCC=3C=CC=CC=3)C=CC=2)=N1 OEPOKWHJYJXUGD-UHFFFAOYSA-N 0.000 description 1
- LCZVSXRMYJUNFX-UHFFFAOYSA-N 2-[2-(2-hydroxypropoxy)propoxy]propan-1-ol Chemical compound CC(O)COC(C)COC(C)CO LCZVSXRMYJUNFX-UHFFFAOYSA-N 0.000 description 1
- MGYUQZIGNZFZJS-KTKRTIGZSA-N 2-[2-[(z)-octadec-9-enoxy]ethoxy]ethanol Chemical compound CCCCCCCC\C=C/CCCCCCCCOCCOCCO MGYUQZIGNZFZJS-KTKRTIGZSA-N 0.000 description 1
- AEPWOCLBLLCOGZ-UHFFFAOYSA-N 2-cyanoethyl prop-2-enoate Chemical class C=CC(=O)OCCC#N AEPWOCLBLLCOGZ-UHFFFAOYSA-N 0.000 description 1
- OMIGHNLMNHATMP-UHFFFAOYSA-N 2-hydroxyethyl prop-2-enoate Chemical compound OCCOC(=O)C=C OMIGHNLMNHATMP-UHFFFAOYSA-N 0.000 description 1
- XPFCZYUVICHKDS-UHFFFAOYSA-N 3-methylbutane-1,3-diol Chemical compound CC(C)(O)CCO XPFCZYUVICHKDS-UHFFFAOYSA-N 0.000 description 1
- CYUZOYPRAQASLN-UHFFFAOYSA-N 3-prop-2-enoyloxypropanoic acid Chemical compound OC(=O)CCOC(=O)C=C CYUZOYPRAQASLN-UHFFFAOYSA-N 0.000 description 1
- QTBSBXVTEAMEQO-UHFFFAOYSA-M Acetate Chemical compound CC([O-])=O QTBSBXVTEAMEQO-UHFFFAOYSA-M 0.000 description 1
- 238000003855 Adhesive Lamination Methods 0.000 description 1
- GHXZTYHSJHQHIJ-UHFFFAOYSA-N Chlorhexidine Chemical compound C=1C=C(Cl)C=CC=1NC(N)=NC(N)=NCCCCCCN=C(N)N=C(N)NC1=CC=C(Cl)C=C1 GHXZTYHSJHQHIJ-UHFFFAOYSA-N 0.000 description 1
- KRKNYBCHXYNGOX-UHFFFAOYSA-K Citrate Chemical compound [O-]C(=O)CC(O)(CC([O-])=O)C([O-])=O KRKNYBCHXYNGOX-UHFFFAOYSA-K 0.000 description 1
- 239000004971 Cross linker Substances 0.000 description 1
- FBPFZTCFMRRESA-FSIIMWSLSA-N D-Glucitol Natural products OC[C@H](O)[C@H](O)[C@@H](O)[C@H](O)CO FBPFZTCFMRRESA-FSIIMWSLSA-N 0.000 description 1
- FBPFZTCFMRRESA-JGWLITMVSA-N D-glucitol Chemical compound OC[C@H](O)[C@@H](O)[C@H](O)[C@H](O)CO FBPFZTCFMRRESA-JGWLITMVSA-N 0.000 description 1
- PHOQVHQSTUBQQK-SQOUGZDYSA-N D-glucono-1,5-lactone Chemical compound OC[C@H]1OC(=O)[C@H](O)[C@@H](O)[C@@H]1O PHOQVHQSTUBQQK-SQOUGZDYSA-N 0.000 description 1
- FEWJPZIEWOKRBE-JCYAYHJZSA-N Dextrotartaric acid Chemical compound OC(=O)[C@H](O)[C@@H](O)C(O)=O FEWJPZIEWOKRBE-JCYAYHJZSA-N 0.000 description 1
- JIGUQPWFLRLWPJ-UHFFFAOYSA-N Ethyl acrylate Chemical compound CCOC(=O)C=C JIGUQPWFLRLWPJ-UHFFFAOYSA-N 0.000 description 1
- 229920011453 Hytrel® 4056 Polymers 0.000 description 1
- 241001465754 Metazoa Species 0.000 description 1
- ISWKMQQLJMYYEF-UHFFFAOYSA-N OCC(O)CO.C(CCCCCCCCC)(O)O.C(CCCCCCC)(=O)O.C(CCCCCCCC=C/CCCCCCCC)(=O)O.C(CCCCCCCC=C/CCCCCCCC)(=O)O.C(CCCCCCCC=C/CCCCCCCC)(=O)O.C(CCCCCCCC=C/CCCCCCCC)(=O)O.C(CCCCCCCC=C/CCCCCCCC)(=O)O Chemical compound OCC(O)CO.C(CCCCCCCCC)(O)O.C(CCCCCCC)(=O)O.C(CCCCCCCC=C/CCCCCCCC)(=O)O.C(CCCCCCCC=C/CCCCCCCC)(=O)O.C(CCCCCCCC=C/CCCCCCCC)(=O)O.C(CCCCCCCC=C/CCCCCCCC)(=O)O.C(CCCCCCCC=C/CCCCCCCC)(=O)O ISWKMQQLJMYYEF-UHFFFAOYSA-N 0.000 description 1
- 239000002202 Polyethylene glycol Substances 0.000 description 1
- OFOBLEOULBTSOW-UHFFFAOYSA-N Propanedioic acid Natural products OC(=O)CC(O)=O OFOBLEOULBTSOW-UHFFFAOYSA-N 0.000 description 1
- 206010048625 Skin maceration Diseases 0.000 description 1
- 241000191967 Staphylococcus aureus Species 0.000 description 1
- 208000002847 Surgical Wound Diseases 0.000 description 1
- XTXRWKRVRITETP-UHFFFAOYSA-N Vinyl acetate Chemical class CC(=O)OC=C XTXRWKRVRITETP-UHFFFAOYSA-N 0.000 description 1
- 210000001015 abdomen Anatomy 0.000 description 1
- 238000009825 accumulation Methods 0.000 description 1
- 230000002378 acidificating effect Effects 0.000 description 1
- 229920006243 acrylic copolymer Polymers 0.000 description 1
- 125000002252 acyl group Chemical group 0.000 description 1
- 239000000654 additive Substances 0.000 description 1
- 239000002390 adhesive tape Substances 0.000 description 1
- 238000013019 agitation Methods 0.000 description 1
- 125000003158 alcohol group Chemical group 0.000 description 1
- 230000004075 alteration Effects 0.000 description 1
- 230000002421 anti-septic effect Effects 0.000 description 1
- 239000003125 aqueous solvent Substances 0.000 description 1
- 230000001580 bacterial effect Effects 0.000 description 1
- 230000004888 barrier function Effects 0.000 description 1
- OGBUMNBNEWYMNJ-UHFFFAOYSA-N batilol Chemical class CCCCCCCCCCCCCCCCCCOCC(O)CO OGBUMNBNEWYMNJ-UHFFFAOYSA-N 0.000 description 1
- 230000000903 blocking effect Effects 0.000 description 1
- 239000008280 blood Substances 0.000 description 1
- 210000004369 blood Anatomy 0.000 description 1
- 210000001124 body fluid Anatomy 0.000 description 1
- 238000009835 boiling Methods 0.000 description 1
- 230000005587 bubbling Effects 0.000 description 1
- MTAZNLWOLGHBHU-UHFFFAOYSA-N butadiene-styrene rubber Chemical compound C=CC=C.C=CC1=CC=CC=C1 MTAZNLWOLGHBHU-UHFFFAOYSA-N 0.000 description 1
- OWBTYPJTUOEWEK-UHFFFAOYSA-N butane-2,3-diol Chemical compound CC(O)C(C)O OWBTYPJTUOEWEK-UHFFFAOYSA-N 0.000 description 1
- CQEYYJKEWSMYFG-UHFFFAOYSA-N butyl acrylate Chemical compound CCCCOC(=O)C=C CQEYYJKEWSMYFG-UHFFFAOYSA-N 0.000 description 1
- 239000011203 carbon fibre reinforced carbon Chemical group 0.000 description 1
- 150000001732 carboxylic acid derivatives Chemical class 0.000 description 1
- 230000015556 catabolic process Effects 0.000 description 1
- 239000007795 chemical reaction product Substances 0.000 description 1
- 239000003795 chemical substances by application Substances 0.000 description 1
- 229960003260 chlorhexidine Drugs 0.000 description 1
- 229960002152 chlorhexidine acetate Drugs 0.000 description 1
- 230000001332 colony forming effect Effects 0.000 description 1
- 239000013068 control sample Substances 0.000 description 1
- 238000001816 cooling Methods 0.000 description 1
- 229920001577 copolymer Polymers 0.000 description 1
- 239000002537 cosmetic Substances 0.000 description 1
- 239000003431 cross linking reagent Substances 0.000 description 1
- RLMGYIOTPQVQJR-UHFFFAOYSA-N cyclohexane-1,3-diol Chemical compound OC1CCCC(O)C1 RLMGYIOTPQVQJR-UHFFFAOYSA-N 0.000 description 1
- 230000006378 damage Effects 0.000 description 1
- GHVNFZFCNZKVNT-UHFFFAOYSA-M decanoate Chemical compound CCCCCCCCCC([O-])=O GHVNFZFCNZKVNT-UHFFFAOYSA-M 0.000 description 1
- 230000003247 decreasing effect Effects 0.000 description 1
- 238000006731 degradation reaction Methods 0.000 description 1
- 239000008367 deionised water Substances 0.000 description 1
- 229910021641 deionized water Inorganic materials 0.000 description 1
- 230000002939 deleterious effect Effects 0.000 description 1
- PCYQQSKDZQTOQG-UHFFFAOYSA-N dibutyl 2,3-dihydroxybutanedioate Chemical compound CCCCOC(=O)C(O)C(O)C(=O)OCCCC PCYQQSKDZQTOQG-UHFFFAOYSA-N 0.000 description 1
- 235000014113 dietary fatty acids Nutrition 0.000 description 1
- PDTRBCTYOYMYKK-RFIDALOWSA-N diethyl (2r,3r)-2,3-dihydroxybutanedioate;(2r,3r)-2,3-diethyl-2,3-dihydroxybutanedioic acid Chemical compound CCOC(=O)[C@H](O)[C@@H](O)C(=O)OCC.CC[C@](O)(C(O)=O)[C@](O)(CC)C(O)=O PDTRBCTYOYMYKK-RFIDALOWSA-N 0.000 description 1
- WYACBZDAHNBPPB-UHFFFAOYSA-N diethyl oxalate Chemical compound CCOC(=O)C(=O)OCC WYACBZDAHNBPPB-UHFFFAOYSA-N 0.000 description 1
- YSAVZVORKRDODB-WDSKDSINSA-N diethyl tartrate Chemical compound CCOC(=O)[C@@H](O)[C@H](O)C(=O)OCC YSAVZVORKRDODB-WDSKDSINSA-N 0.000 description 1
- 229940028356 diethylene glycol monobutyl ether Drugs 0.000 description 1
- SBZXBUIDTXKZTM-UHFFFAOYSA-N diglyme Chemical compound COCCOCCOC SBZXBUIDTXKZTM-UHFFFAOYSA-N 0.000 description 1
- RXKJFZQQPQGTFL-UHFFFAOYSA-N dihydroxyacetone Chemical compound OCC(=O)CO RXKJFZQQPQGTFL-UHFFFAOYSA-N 0.000 description 1
- 239000012895 dilution Substances 0.000 description 1
- 238000010790 dilution Methods 0.000 description 1
- XEBCWEDRGPSHQH-HTQZYQBOSA-N dipropan-2-yl (2r,3r)-2,3-dihydroxybutanedioate Chemical compound CC(C)OC(=O)[C@H](O)[C@@H](O)C(=O)OC(C)C XEBCWEDRGPSHQH-HTQZYQBOSA-N 0.000 description 1
- XEBCWEDRGPSHQH-YUMQZZPRSA-N dipropan-2-yl (2s,3s)-2,3-dihydroxybutanedioate Chemical compound CC(C)OC(=O)[C@@H](O)[C@H](O)C(=O)OC(C)C XEBCWEDRGPSHQH-YUMQZZPRSA-N 0.000 description 1
- 238000004090 dissolution Methods 0.000 description 1
- 239000012153 distilled water Substances 0.000 description 1
- 238000001035 drying Methods 0.000 description 1
- 239000000975 dye Substances 0.000 description 1
- 239000000806 elastomer Substances 0.000 description 1
- 238000011067 equilibration Methods 0.000 description 1
- 150000002170 ethers Chemical class 0.000 description 1
- 238000001704 evaporation Methods 0.000 description 1
- 230000008020 evaporation Effects 0.000 description 1
- 238000000605 extraction Methods 0.000 description 1
- 239000000194 fatty acid Substances 0.000 description 1
- 229930195729 fatty acid Natural products 0.000 description 1
- 125000005313 fatty acid group Chemical group 0.000 description 1
- 230000002349 favourable effect Effects 0.000 description 1
- 239000000945 filler Substances 0.000 description 1
- 239000012467 final product Substances 0.000 description 1
- 239000012458 free base Substances 0.000 description 1
- 239000001530 fumaric acid Substances 0.000 description 1
- 125000000524 functional group Chemical group 0.000 description 1
- 235000012209 glucono delta-lactone Nutrition 0.000 description 1
- 229960003681 gluconolactone Drugs 0.000 description 1
- 229940073662 glycereth-18 Drugs 0.000 description 1
- 125000005456 glyceride group Chemical group 0.000 description 1
- 229940074052 glyceryl isostearate Drugs 0.000 description 1
- 150000002334 glycols Chemical class 0.000 description 1
- FHKSXSQHXQEMOK-UHFFFAOYSA-N hexane-1,2-diol Chemical compound CCCCC(O)CO FHKSXSQHXQEMOK-UHFFFAOYSA-N 0.000 description 1
- 238000004128 high performance liquid chromatography Methods 0.000 description 1
- 229910052739 hydrogen Inorganic materials 0.000 description 1
- 239000001257 hydrogen Substances 0.000 description 1
- 239000000852 hydrogen donor Substances 0.000 description 1
- 229920001600 hydrophobic polymer Polymers 0.000 description 1
- 125000002768 hydroxyalkyl group Chemical class 0.000 description 1
- 239000007943 implant Substances 0.000 description 1
- 230000006872 improvement Effects 0.000 description 1
- 238000002347 injection Methods 0.000 description 1
- 239000007924 injection Substances 0.000 description 1
- 229940060384 isostearyl isostearate Drugs 0.000 description 1
- 239000007788 liquid Substances 0.000 description 1
- 238000011068 loading method Methods 0.000 description 1
- VZCYOOQTPOCHFL-UPHRSURJSA-N maleic acid Chemical compound OC(=O)\C=C/C(O)=O VZCYOOQTPOCHFL-UPHRSURJSA-N 0.000 description 1
- 239000011976 maleic acid Substances 0.000 description 1
- 238000004519 manufacturing process Methods 0.000 description 1
- 239000003550 marker Substances 0.000 description 1
- 229910052751 metal Inorganic materials 0.000 description 1
- 239000002184 metal Substances 0.000 description 1
- 244000005700 microbiome Species 0.000 description 1
- 230000003278 mimic effect Effects 0.000 description 1
- 238000012986 modification Methods 0.000 description 1
- 230000004048 modification Effects 0.000 description 1
- 150000002759 monoacylglycerols Chemical class 0.000 description 1
- 210000003205 muscle Anatomy 0.000 description 1
- UUORTJUPDJJXST-UHFFFAOYSA-N n-(2-hydroxyethyl)prop-2-enamide Chemical compound OCCNC(=O)C=C UUORTJUPDJJXST-UHFFFAOYSA-N 0.000 description 1
- SWPMNMYLORDLJE-UHFFFAOYSA-N n-ethylprop-2-enamide Chemical compound CCNC(=O)C=C SWPMNMYLORDLJE-UHFFFAOYSA-N 0.000 description 1
- WWZKQHOCKIZLMA-UHFFFAOYSA-M octanoate Chemical compound CCCCCCCC([O-])=O WWZKQHOCKIZLMA-UHFFFAOYSA-M 0.000 description 1
- WWZKQHOCKIZLMA-UHFFFAOYSA-N octanoic acid Chemical compound CCCCCCCC(O)=O WWZKQHOCKIZLMA-UHFFFAOYSA-N 0.000 description 1
- 229940099570 oleth-2 Drugs 0.000 description 1
- JCGNDDUYTRNOFT-UHFFFAOYSA-N oxolane-2,4-dione Chemical compound O=C1COC(=O)C1 JCGNDDUYTRNOFT-UHFFFAOYSA-N 0.000 description 1
- 125000006353 oxyethylene group Chemical group 0.000 description 1
- RARSHUDCJQSEFJ-UHFFFAOYSA-N p-Hydroxypropiophenone Chemical compound CCC(=O)C1=CC=C(O)C=C1 RARSHUDCJQSEFJ-UHFFFAOYSA-N 0.000 description 1
- WXZMFSXDPGVJKK-UHFFFAOYSA-N pentaerythritol Chemical compound OCC(CO)(CO)CO WXZMFSXDPGVJKK-UHFFFAOYSA-N 0.000 description 1
- DBALLVYCLOIYSO-UHFFFAOYSA-N pentane-1,2-diol;propane-1,2,3-triol Chemical compound OCC(O)CO.CCCC(O)CO DBALLVYCLOIYSO-UHFFFAOYSA-N 0.000 description 1
- PNJWIWWMYCMZRO-UHFFFAOYSA-N pent‐4‐en‐2‐one Natural products CC(=O)CC=C PNJWIWWMYCMZRO-UHFFFAOYSA-N 0.000 description 1
- 230000035699 permeability Effects 0.000 description 1
- 230000002085 persistent effect Effects 0.000 description 1
- 239000003348 petrochemical agent Substances 0.000 description 1
- 239000000049 pigment Substances 0.000 description 1
- 229920002742 polystyrene-block-poly(ethylene/propylene) -block-polystyrene Polymers 0.000 description 1
- 229920000166 polytrimethylene carbonate Polymers 0.000 description 1
- 230000008569 process Effects 0.000 description 1
- HJWLCRVIBGQPNF-UHFFFAOYSA-N prop-2-enylbenzene Chemical compound C=CCC1=CC=CC=C1 HJWLCRVIBGQPNF-UHFFFAOYSA-N 0.000 description 1
- 150000004672 propanoic acids Chemical class 0.000 description 1
- 235000019260 propionic acid Nutrition 0.000 description 1
- MCSINKKTEDDPNK-UHFFFAOYSA-N propyl propionate Chemical compound CCCOC(=O)CC MCSINKKTEDDPNK-UHFFFAOYSA-N 0.000 description 1
- HNJBEVLQSNELDL-UHFFFAOYSA-N pyrrolidin-2-one Chemical compound O=C1CCCN1 HNJBEVLQSNELDL-UHFFFAOYSA-N 0.000 description 1
- 230000002829 reductive effect Effects 0.000 description 1
- 230000000284 resting effect Effects 0.000 description 1
- 238000004007 reversed phase HPLC Methods 0.000 description 1
- 239000005060 rubber Substances 0.000 description 1
- 239000012488 sample solution Substances 0.000 description 1
- 125000003198 secondary alcohol group Chemical group 0.000 description 1
- 230000037380 skin damage Effects 0.000 description 1
- 230000003381 solubilizing effect Effects 0.000 description 1
- 239000000600 sorbitol Substances 0.000 description 1
- 229910001220 stainless steel Inorganic materials 0.000 description 1
- 239000010935 stainless steel Substances 0.000 description 1
- 239000012086 standard solution Substances 0.000 description 1
- 239000011115 styrene butadiene Substances 0.000 description 1
- 150000005846 sugar alcohols Polymers 0.000 description 1
- 230000002459 sustained effect Effects 0.000 description 1
- 229940095064 tartrate Drugs 0.000 description 1
- UWHCKJMYHZGTIT-UHFFFAOYSA-N tetraethylene glycol Chemical compound OCCOCCOCCOCCO UWHCKJMYHZGTIT-UHFFFAOYSA-N 0.000 description 1
- 238000007669 thermal treatment Methods 0.000 description 1
- 229920001567 vinyl ester resin Polymers 0.000 description 1
- 229920002554 vinyl polymer Polymers 0.000 description 1
- 238000003260 vortexing Methods 0.000 description 1
- 230000004580 weight loss Effects 0.000 description 1
Images
Classifications
-
- A—HUMAN NECESSITIES
- A61—MEDICAL OR VETERINARY SCIENCE; HYGIENE
- A61L—METHODS OR APPARATUS FOR STERILISING MATERIALS OR OBJECTS IN GENERAL; DISINFECTION, STERILISATION OR DEODORISATION OF AIR; CHEMICAL ASPECTS OF BANDAGES, DRESSINGS, ABSORBENT PADS OR SURGICAL ARTICLES; MATERIALS FOR BANDAGES, DRESSINGS, ABSORBENT PADS OR SURGICAL ARTICLES
- A61L31/00—Materials for other surgical articles, e.g. stents, stent-grafts, shunts, surgical drapes, guide wires, materials for adhesion prevention, occluding devices, surgical gloves, tissue fixation devices
- A61L31/14—Materials characterised by their function or physical properties, e.g. injectable or lubricating compositions, shape-memory materials, surface modified materials
- A61L31/16—Biologically active materials, e.g. therapeutic substances
-
- A—HUMAN NECESSITIES
- A61—MEDICAL OR VETERINARY SCIENCE; HYGIENE
- A61L—METHODS OR APPARATUS FOR STERILISING MATERIALS OR OBJECTS IN GENERAL; DISINFECTION, STERILISATION OR DEODORISATION OF AIR; CHEMICAL ASPECTS OF BANDAGES, DRESSINGS, ABSORBENT PADS OR SURGICAL ARTICLES; MATERIALS FOR BANDAGES, DRESSINGS, ABSORBENT PADS OR SURGICAL ARTICLES
- A61L15/00—Chemical aspects of, or use of materials for, bandages, dressings or absorbent pads
- A61L15/16—Bandages, dressings or absorbent pads for physiological fluids such as urine or blood, e.g. sanitary towels, tampons
- A61L15/42—Use of materials characterised by their function or physical properties
- A61L15/44—Medicaments
-
- A—HUMAN NECESSITIES
- A61—MEDICAL OR VETERINARY SCIENCE; HYGIENE
- A61L—METHODS OR APPARATUS FOR STERILISING MATERIALS OR OBJECTS IN GENERAL; DISINFECTION, STERILISATION OR DEODORISATION OF AIR; CHEMICAL ASPECTS OF BANDAGES, DRESSINGS, ABSORBENT PADS OR SURGICAL ARTICLES; MATERIALS FOR BANDAGES, DRESSINGS, ABSORBENT PADS OR SURGICAL ARTICLES
- A61L15/00—Chemical aspects of, or use of materials for, bandages, dressings or absorbent pads
- A61L15/16—Bandages, dressings or absorbent pads for physiological fluids such as urine or blood, e.g. sanitary towels, tampons
- A61L15/42—Use of materials characterised by their function or physical properties
- A61L15/46—Deodorants or malodour counteractants, e.g. to inhibit the formation of ammonia or bacteria
-
- A—HUMAN NECESSITIES
- A61—MEDICAL OR VETERINARY SCIENCE; HYGIENE
- A61L—METHODS OR APPARATUS FOR STERILISING MATERIALS OR OBJECTS IN GENERAL; DISINFECTION, STERILISATION OR DEODORISATION OF AIR; CHEMICAL ASPECTS OF BANDAGES, DRESSINGS, ABSORBENT PADS OR SURGICAL ARTICLES; MATERIALS FOR BANDAGES, DRESSINGS, ABSORBENT PADS OR SURGICAL ARTICLES
- A61L15/00—Chemical aspects of, or use of materials for, bandages, dressings or absorbent pads
- A61L15/16—Bandages, dressings or absorbent pads for physiological fluids such as urine or blood, e.g. sanitary towels, tampons
- A61L15/42—Use of materials characterised by their function or physical properties
- A61L15/58—Adhesives
-
- A—HUMAN NECESSITIES
- A61—MEDICAL OR VETERINARY SCIENCE; HYGIENE
- A61L—METHODS OR APPARATUS FOR STERILISING MATERIALS OR OBJECTS IN GENERAL; DISINFECTION, STERILISATION OR DEODORISATION OF AIR; CHEMICAL ASPECTS OF BANDAGES, DRESSINGS, ABSORBENT PADS OR SURGICAL ARTICLES; MATERIALS FOR BANDAGES, DRESSINGS, ABSORBENT PADS OR SURGICAL ARTICLES
- A61L31/00—Materials for other surgical articles, e.g. stents, stent-grafts, shunts, surgical drapes, guide wires, materials for adhesion prevention, occluding devices, surgical gloves, tissue fixation devices
- A61L31/14—Materials characterised by their function or physical properties, e.g. injectable or lubricating compositions, shape-memory materials, surface modified materials
-
- A—HUMAN NECESSITIES
- A61—MEDICAL OR VETERINARY SCIENCE; HYGIENE
- A61P—SPECIFIC THERAPEUTIC ACTIVITY OF CHEMICAL COMPOUNDS OR MEDICINAL PREPARATIONS
- A61P31/00—Antiinfectives, i.e. antibiotics, antiseptics, chemotherapeutics
- A61P31/04—Antibacterial agents
-
- A—HUMAN NECESSITIES
- A61—MEDICAL OR VETERINARY SCIENCE; HYGIENE
- A61L—METHODS OR APPARATUS FOR STERILISING MATERIALS OR OBJECTS IN GENERAL; DISINFECTION, STERILISATION OR DEODORISATION OF AIR; CHEMICAL ASPECTS OF BANDAGES, DRESSINGS, ABSORBENT PADS OR SURGICAL ARTICLES; MATERIALS FOR BANDAGES, DRESSINGS, ABSORBENT PADS OR SURGICAL ARTICLES
- A61L2300/00—Biologically active materials used in bandages, wound dressings, absorbent pads or medical devices
- A61L2300/20—Biologically active materials used in bandages, wound dressings, absorbent pads or medical devices containing or releasing organic materials
- A61L2300/204—Biologically active materials used in bandages, wound dressings, absorbent pads or medical devices containing or releasing organic materials with nitrogen-containing functional groups, e.g. aminoxides, nitriles, guanidines
- A61L2300/206—Biguanides, e.g. chlorohexidine
-
- A—HUMAN NECESSITIES
- A61—MEDICAL OR VETERINARY SCIENCE; HYGIENE
- A61L—METHODS OR APPARATUS FOR STERILISING MATERIALS OR OBJECTS IN GENERAL; DISINFECTION, STERILISATION OR DEODORISATION OF AIR; CHEMICAL ASPECTS OF BANDAGES, DRESSINGS, ABSORBENT PADS OR SURGICAL ARTICLES; MATERIALS FOR BANDAGES, DRESSINGS, ABSORBENT PADS OR SURGICAL ARTICLES
- A61L2300/00—Biologically active materials used in bandages, wound dressings, absorbent pads or medical devices
- A61L2300/40—Biologically active materials used in bandages, wound dressings, absorbent pads or medical devices characterised by a specific therapeutic activity or mode of action
- A61L2300/404—Biocides, antimicrobial agents, antiseptic agents
Definitions
- the present disclosure relates to compositions containing chlorhexidine gluconate solubilized in hydrophobic vehicles, and resin systems containing such chlorhexidine gluconate compositions, including adhesives.
- the present disclosure also relates to articles incorporating such resin systems, including medical articles such as drapes.
- the present disclosure provides a composition comprising chlorhexidine gluconate solubilized in a hydrophobic vehicle having a hydrophilic-lipophilic balance of no greater than 10 as determined using the HLB Method.
- the hydrophobic vehicle comprises two proximate hydrogen-bonding groups, wherein at least one of the hydrogen-bonding groups is a hydrogen donor.
- the hydrophobic vehicle comprises an ester group, e.g., a monoacylglycerol.
- the hydrophobic vehicle comprises an ether group, e.g., dipropylene glycol and glyceryl monoalkyl ethers.
- the hydrophobic vehicle comprises an alcohol having proximate hydroxyl groups, e.g., 1,2-octane diol, 1,2-decane diol, and combinations thereof.
- the composition comprises no greater than 1 part by weight hydrophilic vehicle per 1 part by weight chlorhexidine gluconate. In some embodiments, the composition comprises no greater than 0.1 parts by weight hydrophilic vehicle per 1 part by weight chlorhexidine gluconate. In some embodiments, the composition comprises no greater than 0.1 parts by weight water per 1 part by weight chlorhexidine gluconate.
- the composition further comprises a resin system comprising a polymer.
- the resin system comprises a hydrophobic phase, wherein the hydrophobic vehicle plasticizes the hydrophobic phase.
- the polymer comprises an acrylate polymer.
- the polymer comprises a block copolymer polymer.
- the resin system is a pressure sensitive adhesive.
- the composition comprises at least 0.2 wt. % CHG, based on the total weight of the composition. In some embodiments, the composition comprises at least 0.5 wt. % and no greater than 5.0 wt. % CHG, based on the total weight of the composition.
- the present disclosure provides an article comprising a substrate and a composition according to the present disclosure bonded to at least a portion of a surface of the substrate.
- the composition is a pressure sensitive adhesive.
- the substrate is selected from the group consisting of films, nonwovens, wovens, and combinations thereof.
- the substrate comprises at least one of polyalkylenes, polyesters, polyamides, and polyurethanes.
- the article is a medical article, e.g., a drape or a dressing.
- FIG. 1 illustrates an exemplary article incorporating a composition according to some embodiments of the present disclosure.
- Chlorhexidine digluconate commonly referred to as “chlorhexidine gluconate” or “CHG”
- CHG is an antimicrobial useful in various applications.
- CHG is often provided as an aqueous solution, in part because CHG may degrade in a non-aqueous composition.
- CHG has been provided in non-aqueous solutions by replacing water with a hydrophilic vehicle.
- a “hydrophilic vehicle” is one having a hydrophile/lipophile balance (“HLB”) of greater than 10.
- HLB hydrophile/lipophile balance
- hydrophobic vehicle is one having a hydrophile/lipophile balance (“HLB”) of no greater than 10.
- HLB hydrophile/lipophile balance
- examples of such hydrophobic vehicles include monoacylglycerides as described in co-filed U.S. Application No. 61/694,080 (Attorney Docket Number 69119US002) entitled “Chlorhexidine Gluconate Solubilized in a Hydrophobic Monoacylglyceride.”
- the first method involves mixing an aqueous CHG solution with a relatively high boiling vehicle, and then pulling a vacuum on the mixture to remove the water (the “Vacuum Method’).
- the second method involves lyophilizing CHG, and then dissolving the CHG into the vehicle (the “Lyophilizing Method”).
- the third method involves generating the CHG in situ by reacting gluconolactone, a limited amount of water, and chlorhexidine free base (the “In Situ Method).
- the lyophilization route does not require exposing the CHG to sustained heat, which helps prevent degradation.
- the liquid vacuum stripping route is easily scalable using readily available manufacturing equipment, e.g., kettles.
- the in situ generation method does not require vacuum-equipped reactors.
- non-aqueous refers to compositions that may contain small amounts of water, e.g., less than 1 wt. %. In some embodiments, the compositions contain less than 0.5 wt. %, e.g., less than 0.1 wt. % or even less than 0.01 wt. % water. In some embodiments, the compositions comprise no greater than 1 part by weight water per 1 part by weight CHG, no greater than 0.5 part by weight, no greater than 0.1 part by weight, or even no greater than 0.01 part by weight water per 1 part by weight CHG.
- the compositions contain little or no hydrophilic vehicle.
- water is considered a separate component independent of any hydrophilic vehicles; therefore, the following amounts are exclusive of any water which may be present in the composition.
- the compositions comprise no greater than 2 parts by weight hydrophilic vehicle per 1 part by weight CHG, e.g., no greater than 1 part by weight, no greater than 0.5 part by weight, or even no greater than 0.1 part by weight hydrophilic vehicle per 1 part by weight CHG.
- HLB values are calculated using the method of Griffin (Griffin W C; J. Soc. of Cosmetic Chemists 5, 259 (1954)).
- Griffin Griffin W C; J. Soc. of Cosmetic Chemists 5, 259 (1954)
- HLB Method involves a calculation based on the following:
- E is the weight percent of oxyethylene content and P is the weight percent of polyhydric alcohol content (glycerol, sorbitol, etc).
- P polyhydric alcohol content
- glycerol segments with two hydroxyl groups, glycerol segments with one hydroxyl group, and hydroxyl-containing segments of any additional polyhydric molecules were included in the definition of P.
- hydrophilic vehicles have an HLB value as calculated using the HLB Method of greater than 10. In some embodiments, the hydrophilic vehicle has an HLB value of greater than 11, e.g., greater than 12. Hydrophobic vehicles have an HLB value as calculated using the HLB Method of no greater than 10. In some embodiments, the hydrophobic vehicle has an HLB value of no greater than 9, e.g., no greater than 7.
- HLB HLB
- Other methods of calculating HLB are available and may be required when determining the HLB value for compounds lacking both E and P groups, as defined above. While the calculated value of HLB may vary depending on the method used, the trends and relative hydrophobicity of materials are expected to be similar.
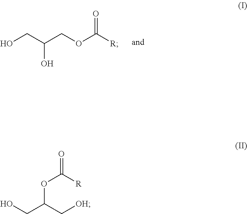
- hydrophobic vehicles having proximate hydroxyl groups may be useful.
- proximate groups refer to groups separated by no more than three carbon atoms, as illustrated in Formulas I (hydroxyl groups separated by two carbon atoms) and II (hydroxyl groups separated by three carbon atoms).
- the proximate groups may be vicinal, i.e., separated by two carbon atoms, as illustrated in Formula I.
- compositions comprise at least 5% by weight CHG dissolved in the non-aqueous vehicle based on the combined weight of the CHG and the vehicle. In some embodiments, the compositions comprise at least 10%, at least 15%, or even at least 20% by weight CHG dissolved in the non-aqueous vehicle.
- compositions of the present disclosure comprising CHG solubilized in a hydrophobic vehicle may be applied directly to a substrate, e.g., sprayed or otherwise coated onto a porous or non-porous substrate.
- CHG could be solubilized in hydrophobic vehicles
- the present inventors also discovered that, when solubilized in a hydrophobic vehicle, CHG could be incorporated into a resin system such that the CHG remains available and effective as an antimicrobial agent.
- CHG may be incorporated into a wide variety of resin systems.
- one or more components of the resin systems are themselves hydrophobic, and are thus compatible with the hydrophobic vehicle.
- the resin system may include both hydrophilic and hydrophobic components and/or phases, wherein the hydrophobic vehicle is compatible with at least the hydrophobic portion.
- the hydrophobic vehicle is selected such that it plasticizes (i.e., is compatible with and lowers the glass transition temperature of) the hydrophobic component or phase.
- the hydrophobic vehicle is able to migrate through the resin system, carrying the solubilized CHG.
- the hydrophobic vehicle and solubilized CHG are able to migrate to a surface of a layer of the resin system providing a replenishable supply of CHG to such a surface.
- the resin system includes at least one polymer.
- the resin system includes at least one hydrophobic polymer or phase.
- Suitable polymers include polyesters, polyester polyols, polyurethanes, polyalkylenes, acrylates, rubbers, block copolymers, and combinations thereof.
- the resin system may be an adhesive, e.g., a pressure sensitive adhesive (“PSA”).
- PSA pressure sensitive adhesive
- the PSA comprises an acrylic polymer or copolymer comprising the reaction product of a mixture comprising at least one alkyl (meth)acrylate monomer.
- (meth)acrylate refers to an acrylate and/or methacrylate.
- butyl (meth)acrylate refers to butyl acrylate and/or butyl methacrylate.
- the mixture may also include a crosslinking agent.
- the alkyl group of at least one alkyl (meth)acrylate contains 4 to 18 carbon atoms. In some embodiments, this alkyl group contains at least 5 carbon atoms. In some embodiments, this alkyl group contains no greater than 8 carbon atoms. In some embodiments, the alkyl group of the first alkyl (meth)acrylate has eight carbon atoms, e.g., isooctyl (meth)acrylate and/or 2-ethylhexyl (meth)acrylate.
- the mixture may comprise one or more additional monomers including one or more additional alkyl(meth)acrylates.
- the alkyl group of at least one of the additional alkyl (meth)acrylates contains no greater than 4 carbon atoms.
- the alkyl group of at least one alkyl (meth)acrylate has 4 carbon atoms, e.g., butyl (meth)acrylate.
- the alkyl group of at least one alkyl (meth)acrylate has 1-2 carbon atoms, e.g., methyl acrylate and/or ethyl acrylate.
- Suitable polar monomers that may be copolymerized with the alkyl (meth)acrylate monomers include acidic monomers such as carboxylic acid monomers as well as various acrylamides.
- acidic monomers such as carboxylic acid monomers as well as various acrylamides.
- polar monomers include vinyl carboxylic acids such as acrylic acid, methacrylic acid, itaconic acid, maleic acid, fumaric acid, and 2-hydroxyethyl acrylate or methacrylate.
- Suitable polar monomers include N-vinyl pyrrolidone, N-vinyl caprolactam, acrylamide, methacrylamide, N-substituted and N,N-disubstituted acrylamides such as N-ethyl acrylamide, N-hydroxyethyl acrylamide, N,N-dimethyl acrylamide, N,N-diethyl acrylamide, and N-ethyl,N-dihydroxyethyl acrylamide, acrylonitrile, methacrylonitrile and maleic anhydride.
- Various combinations of such polar monomers can be employed.
- one or more monoethylenically unsaturated co-monomers may be polymerized with the acrylate or methacrylate monomers.
- One group of useful co-monomers includes those having a homopolymer glass transition temperature greater than the glass transition temperature of the (meth)acrylate homopolymer.
- Suitable co-monomers falling within this group include acrylic acid, acrylamides, methacrylamides, substituted acrylamides (such as N,N-dimethyl acrylamide), itaconic acid, methacrylic acid, acrylonitrile, methacrylonitrile, vinyl acetate, N-vinyl pyrrolidone, isobornyl acrylate, cyano ethyl acrylate, N-vinylcaprolactam, maleic anhydride, hydroxyalkyl(meth)-acrylates, N,N-dimethyl aminoethyl (meth)acrylate, N,N-diethylacrylamide, beta-carboxyethyl acrylate, vinyl esters of neodecanoic, neononanoic, neopentanoic, 2-ethylhexanoic, or propionic acids (e.g., those available from Union Carbide Corp. of Danbury, Conn., under the designation VYNAT
- a second group of monoethylenically unsaturated co-monomers that may be polymerized with the acrylate or methacrylate monomers includes those having a homopolymer glass transition temperature (Tg) less than the glass transition temperature of the (meth)acrylate homopolymer.
- the PSA comprises a block copolymer.
- the block copolymer is a styrenic block copolymer, i.e., a block copolymer comprising at least one styrene hard segment, and at least one elastomeric soft segment.
- exemplary styrenic block copolymers include dimmers such as styrene-butadiene (SB) and styrene-isoprene (SI).
- Additional exemplary styrenic block copolymers include styrene-isoprene-styrene (SIS), styrene-butadiene-styrene (SBS), styrene-ethylene/butadiene-styrene (SEBS), and styrene-ethylene/propylene-styrene block copolymers.
- SIS styrene-isoprene-styrene
- SBS styrene-butadiene-styrene
- SEBS styrene-ethylene/butadiene-styrene
- styrene-ethylene/propylene-styrene block copolymers radial and star block copolymers may be used.
- Commercially available styrenic block copolymers include those available under the trade designation KRATON from Kraton Polymers LLC.
- KRATON D SBS and SIS block copolymers including, e.g., KRATON D SBS and SIS block copolymers; and KRATON G SEBS and SEPS copolymers.
- Additional commercially available di- and tri-block styrenic block copolymers include those available under the trade designations SEPTON and HYBAR from Kuraray Co. Ltd., those available under the trade designation FINAPRENE from Total Petrochemicals, and those available under the trade designation VECTOR from Dexco Polymers LP.
- the resin systems of the present disclosure may contain any of a variety of known additives including, e.g., crosslinkers, photoinitiators, curing agents, tackifiers, plasticizers, fillers, dyes, pigments, and the like.
- tackifier and plasticizer are used relative to the material or phase into which they are incorporated.
- a “tackifier” is a material that is compatible with and raises the glass transition temperature of a material
- a “plasticizer” is a material that is compatible with and lowers the glass transition temperature of a material.
- Solubility Screening Screening tests were conducted to determine the solubility of CHG in a wide variety of vehicles. Tests were conducted using the Vacuum Method and the Lyophilizing Method.
- Vacuum Method A 25 g sample of a CHG/water solution (20 wt. % solution in water, obtained from Xttrium Laboratories Inc., Chicago, Ill.) was added to 45 g of the vehicle of interest in a 200 mL round bottom flask. The flask was put in a 60° C. oil bath and stirred with a magnetic stir bar. Vacuum (less than 3.3 kilopascal (25 Torr)) was pulled until bubbling stopped and the weight had closely approached the theoretical value of 50 grams—usually 30-90 minutes. In some cases, the vehicle was somewhat volatile and the weight of the solution decreased significantly below 50 grams. In those cases, after nearly all the water was removed, additional vehicle was added to bring the final weight to 50 grams. The resulting concentration of CHG and residual water were determined. Also, the final state of the solution was qualitatively evaluated to determine if the mixture was transparent and apparently homogenous, or clearly inhomogeneous.
- C Homogeneous 1,3-butanediol 10% 2.2% 23° C.
- Inhomogeneous 50° C. Homogeneous 5% 2.1% 23-50° C.
- Inhomogeneous 50° C. Homogeneous 1% 1.2% 23° C.
- Homogeneous 1,3-cyclohexanediol 10% 1.6% 23° C. Inhomogeneous 50° C. Homogeneous 6% 4.8% 23° C. Inhomogeneous 50° C. Homogeneous 2,3-butanediol 10% 1.2% 23-50° C. Homogeneous 50% 1,2-hexanediol 20% N.T. 23-50° C. Homogeneous 50% 1,2-pentanediol
- 1,2-diols appear to impart CHG solubility.
- Other vicinal diols do not always impart solubility, particularly when sterically hindered (e.g. 2,3-dimethyl-2,3-butanediol).
- 1,3 diols appear to provide some solubility, but may require elevated temperature.
- 1,4-butanediol which has two primary alcohol groups, provides solubility.
- Other diols similarly separated by four carbon atoms but with secondary alcohol groups do not provide good solubility (e.g., 2,5-hexanediol and 1,4-cyclohexanediol).
- Even through 1,5-pentanediol and 1,8-octanediol have two primary alcohol groups, the alcohol groups appear to be too widely separated to impart good solubility.
- Homogeneous Diethyl-L-Tartrate 10% 0.3% 23-50° C.
- Homogeneous Dibutyl-L-Tartrate 10% 0.1% 23-50° C.
- Homogeneous Decaglyceryl tristearate 10% 1.7% 23-50° C.
- Homogeneous Glyceryl monooleate 20% ND 23-50° C.
- Homogeneous ND not determined
- CHG can be solubilized in a wide variety of hydrophobic vehicles, as summarized in Table 4.
- HLB values calculated according to the HLB Method are included. Relying on these test methods and the trends observed in the results, one of ordinary skill in the art could readily identify additional such hydrophobic vehicles.
- Lyophilized CHG was prepared by freeze-drying the aqueous CHG solution (20 wt. % solution in water, obtained from Xttrium Laboratories Inc., Chicago, Ill.).
- CHG is added to a composition such that its final concentration is at least 0.2 wt. %, in some embodiments at least 0.5 wt. %, in some embodiments at least 1.0 wt. %, in other embodiments at least 2.0 wt. %, in yet other implementations at least 5.0 wt. %, and in some cases exceeding 10 wt. %., based on the total weight of the composition.
- the CHG concentration is no greater than 25 wt. %, more preferably no greater than 20 wt. %, and most preferably no greater than 15 wt. %, based on the total weight of the composition.
- a typical range for CHG concentration to enhance active kill is at least 0.5 wt. % and no greater than 5.0 wt. %, based on the total weight of the composition.
- compositions comprising CHG solubilized in such vehicles can be incorporated into a wide variety of resin systems and in the preparation of a wide variety of articles.
- Materials used in the preparation of the examples are summarized in Table 6a and 6b.
- Res-3 amorphous polyester polyol PRIPLAST 1838 (MW 2000); Croda Inc. Res-4 amorphous polyester polyol PRIPLAST 3196 (MW 3000); Croda Inc.
- PSA-1 isooctyl acrylate/N-vinyl- 3M Company, St. Paul, pyrrolidone Minnesota
- PSA-2 isooctyl acrylate/acrylamide 3M Company
- PSA-3 isooctyl acrylate/vinyl 3M Company acetate/acrylamide
- MCM-2 5.1 glycerol monoisostearate JEEN GMIS, Jeen Corp., (GMIS-1) Fairfield, NJ 5.1 glycerol monoisostearate CRODA GMIS (GMIS-2) Croda Iberica, Barcelona, Spain 5.1 glycerol monoisostearate LUBRIZOL GMIS (GMIS-3) Lubrizol Adv. Mtls., Cleveland, Ohio 5.1 glycerol monooleate Gattefosse SAS, St.
- CHG solutions were either a 20 wt. % aqueous solution of CHG or a 10-20% w/w solution of CHG in a non-aqueous vehicle.
- the non-aqueous solutions were prepared by freeze drying the aqueous CHG solution to produce lyophilized CHG. Finely divided, lyophilized CHG was then solubilized in a non-aqueous vehicle at room temperature with continuous stirring for eight hours
- Adhesive Preparation Procedure Adhesive Preparation Procedure. Adhesive compositions were prepared by blending together a solvent-based pressure sensitive adhesive and a solution of CHG in a non-aqueous vehicle through simple manual agitation.
- Adhesive Coating Procedure Adhesive Coating Procedure. Adhesive compositions were coated as hand-spreads by applying a uniform layer of the adhesive on the release surface of a suitable release liner using a knife-edge coater. The wet adhesive thickness ranged from 50 to 510 microns (2-20 mils). The coated adhesives were dried in a solvent oven for 1-10 minutes at temperatures between 65 and 93° C. (150 and 200° F.).
- Adhesive Lamination Procedure The dried adhesives were used to prepare adhesive articles samples by laminating the dried adhesive to a suitable backing using nip rollers at room temperature.
- CHG Surface Availability Analysis a discrete amount of CHG should be available at the surface of the adhesive.
- Surface availability was determined by exposing the surface of the dried adhesive to water in a resting state, according to the following method. A sample of an adhesive article sufficient to cover a circular area of 660 square millimeters was cut from a larger section of an adhesive article prepared as described above. Water (4.0 mL) was pipetted into a glass cup. The release liner was removed exposing a surface of the dried adhesive, and the sample was applied evenly to the top of the glass cup and pressed tight to seal the adhesive to the glass cup so it did not leak when inverted. The sample was then inverted. After the desired test time had elapsed, the sample was reverted and immediately opened.
- Example Set A show the antimicrobial efficacy of several CHG containing resin systems using the Direct Time Kill Analysis.
- the CHG was solubilized in a hydrophobic vehicle.
- the hydrophobic vehicle was compatible with and plasticized (i.e., reduced the Tg of) the hydrophobic phase of the base adhesive.
- the formulations were prepared by premixing the hydrophobic vehicle(s) with aqueous CHG, diluting with heptane, and mixing the solution with the solvent-based adhesive. The resulting mixture was coated on a silicone release liner at 4.6 mg/square centimeter, dried and laminated to Film-1.
- Example Set B These examples showed the effect of using hydrophilic non-aqueous vehicles that did not plasticize the adhesive as compared to the hydrophobic non-aqueous vehicles that did plasticize the adhesive.
- the formulations were prepared by premixing the vehicle or vehicle blends with aqueous CHG, diluting with heptane, and mixing the solution with a solvent-based adhesive. All samples contained 2 wt. % CHG and used PSA-2 except Comparative Example CE-2, which used PSA-1. The resulting mixture was coated on a silicone release liner at 4.6 mg/square centimeter, dried and laminated to Film-1.
- the adhesives were tested for antimicrobial activity according to the Direct Kill Time Analysis, with an incubation period of 5 minutes. The compositions and log reduction results are shown in Table 8.
- Data Set C demonstrate the importance of using at least one vehicle capable of dissolving CHG as a plasticizer in the adhesive system in order to obtain surface activity.
- the formulations were prepared by premixing the vehicle or vehicle blends with aqueous CHG, diluting with heptane, and mixing the solution with a solvent based adhesive. The mixtures was coated on a silicone release liner at 4.6 mg/square centimeter, dried and laminated to Film 1. The adhesives were tested for antimicrobial activity using the Direct Time Kill Analysis with an incubation period of 15 minutes.
- compositions comprising CHG solubilized in a hydrophobic vehicle may be suitable for a wide variety of applications.
- such compositions can be incorporated into a wide variety of articles including medical articles.
- medical articles include drapes (e.g., surgical drapes and incise drapes), and dressings (e.g., wound dressings and I.V. dressings).
- Article 100 includes substrate 110 and CHG-containing composition 120 adhered to at least a portion of at least one surface of the substrate. In some embodiments, it is desirable to have a replenishable supply of CHG available at composition surface 125 to provide the desired persistent antimicrobial affect.
- any known substrate may be used including, e.g., films, nonwovens, wovens, and combinations thereof.
- Substrates can be prepared from a wide variety of materials including, e.g., at least one of polyalkylenes, polyesters, polyamides, and polyurethanes.
- composition 120 is directly bonded to substrate 110 , as shown in FIG. 1 .
- the composition may be indirectly bonded to the substrate through one or more intermediate layers, including e.g., tie layers used to promote adhesion.
- intermediate layers including e.g., tie layers used to promote adhesion.
- Pigskin was used as a proxy for human skin to gauge the adhesive performance of the adhesive article samples.
- the test method described in J. Bone Joint Surg. Am. 2012 Jul. 3; 94(13):1187-92, “Comparison of two preoperative skin antiseptic preparations and resultant surgical incise drape adhesion to skin in healthy volunteers” was followed with the following exceptions. Briefly, freshly euthanized pigs were clipped and shaved prior to prepping the skin with isopropyl alcohol. Each prepped area was allowed to dry for about 5 minutes and not more than 6 minutes.
- Strips cut 1.3 cm by 7.6 cm (0.5 in by 3 in) were applied in duplicate over the prepped area so that the long axis of the drape strip was orientated perpendicular to the pig's spine.
- a 2 kg (4.5 lb) roller was rolled over the drape samples once back and forth, using no additional pressure, immediately after the drape samples have been placed onto the test site. After the drape samples had been pressed in place with the roller, they were allowed to build adhesion for up to 5 minutes +/ ⁇ 30 seconds before any saline challenges were applied.
- a 10 cm by 10 cm (4 in by 4 in) gauze that had been soaked in a 0.9% saline solution was placed over the drape sample immediately after the specified adhesion build time. Extra saline was added to the gauze at 10 minutes +/ ⁇ 2 minutes intervals during the challenge period to keep it saturated. The gauze was removed after 30 minutes +/ ⁇ 30 seconds. Immediately after removing the gauze from each sample, the drape sample was mechanically removed using a peel tester. The pull rate was 30.5 cm per minute (12 inches/min) at an angle of approximately 90 degrees to the skin. Data acquisition software was used to record the peel adhesion force.
- the ability to sterilize the final CHG-containing adhesive article, with, e.g., ethylene oxide (EO) or gamma irradiation is a highly desired performance characteristic.
- EO sterilization on the adhesive formulation of Example E1 was evaluated. The sample was subject to a standard EO cycle and tested for antimicrobial activity using the Direct Time Kill Analysis at 5 minute and 30 minute incubation periods. No bacteria were detected after enumeration at both time periods, indicating complete kill. The sterilization cycle has no deleterious effect on the CHG activity in adhesive article.
- Example F1 was prepared without water with the CHG source being a 20% w/w solution of lyophilized CHG predissolved in MCM-1.
- Example F2 the CHG source was a 20% w/w solution in water, with the water removed during drying.
- the samples were exposed to two different doses of gamma radiation: 25 and 45 kGy.
- Adhesive articles were prepared containing 58% w/w PSA-2, 20% w/w triacetin, 20% w/w glyceryl monocaprylate, and 2% w/w CHG. These samples were aged at 66° C. (150° F.) for six weeks. This aggressive aging schedule corresponds to two years aging at room temperature using the Van't Hoff rule. The samples were removed from the aging oven at the end of six weeks and tested for antimicrobial activity using the Direct Time Kill Analysis after 5 and 30 minutes of incubation. The aged samples showed a 0.2 log reduction after 5 minutes and a 3.1 log reduction after 30 minutes of incubation. Thus, there was considerable antimicrobial activity even after this extreme thermal treatment.
- a high Moisture Vapor Transmission Rate (MVTR) value may be desired, e.g., it may be desirable for CHG incise drape materials to prevent accumulation of moisture and skin maceration under the incise drape when it is applied for very long surgeries. Both the permeability properties of the backing and the adhesive (type and coat weight) impact MVTR.
- Formulation HA contained 49 wt. % PSA 2, 22.5% glycerol monoisostearate (GMIS-2), 22.5% sorbitan isostearate, 5% glycerol, and 1% CHG.
- Formulation HB was identical except ethylhexyl glycerin was used instead of the sorbitan isostearate.
- Drape examples H1-H4 were prepared by laminating formulations HA or HB to a HYTREL film backing. Tie layers were used in Examples H2-H4 to aide in bonding the formulations to the HYTREL backing.
- Moisture Vapor Transmission Rate (MVTR) Analysis The MVTR was determined using a variation of ASTM method E96-80. The film was placed adhesive side down over the opening of a standard glass vessel half filled with deionized water. The MVTR was determined by first allowing the sample 24 hours to equilibrate to the test conditions of 39 degree C. and 20% ambient relative humidity and then measuring the weight loss of water occurring over the following 24 hours.
- an incision is made with a scalpel.
- the deeper layers of tissue are then cut away using a combination of surgical instruments to gain access to the area of interest.
- Adhesive performance of an incise drape must be evaluated using a combination of methods to assure adequate performance in the operating room.
- the drape must remain adhered to the skin all the way up to the edge throughout all of the manipulation performed in a typical surgery. In a typical surgery, a surgeon and nurse might insert and remove their hands, surgical instruments, implants, bones, and tissue multiple times over the course of several hours.
- the adhesive drape is also exposed to large volumes of irrigation fluid, saline, blood, and other bodily fluids, and must maintain its adhesion. After holding up to the challenges of a surgical procedure, the adhesive drape must still be relatively easy to remove from the skin, not causing significant pain or skin damage near the incision.
- Peel testing on human or porcine skin is one accepted way to assess the performance of an adhesive tape or film on skin. Briefly, strips of adhesive coated backing are applied to the subject, allowed to adhere for a set dwell time, and removed using a device that measures the average force of removal at 90 degrees. The higher the force of removal (or peel value), the more difficult the adhesive is to remove from the skin surface. The peel value can give an indication of the ability of the adhesive construction to remain adhered to the skin. For an incise drape, a desirable peel value is the maximum value that does not cause significant pain or damage to the skin upon removal.
- CHG-containing adhesives were prepared using a variety of base PSAs and vehicles.
- the adhesive formulations are summarized in Tables 14a, 14b, and 14c. All the active formulation layers were coated at 4.6 mg/square centimeter.
- Extra saline was added to the gauze at ten minutes intervals during the challenge period to keep it saturated for up to thirty minutes. After thirty minutes, the wet gauze was removed and samples were removed at a 90 degree angle, mechanically with a peel tester. The force of removal for each strip was recorded using four replicates. The results were compared to a commercially available products; IobanTM 2 Antimicrobial Incise Drape (“Drape 1”) available from 3M Company, St. Paul, Minn. The averages and standard deviations are reported in Table 15.
- the blade was used to cut through the remaining tissue using several strokes, but without further disturbing the initial cut.
- gloved hands were used to pull and stretch the incision in a semi-aggressive manner, ensuring that the drape/skin interface was contacted and rubbed by the gloves. This was continued for two minutes.
- the static dissipative properties of an adhesive article may be important for safe and proper handling and application.
- buildup of static may occur.
- Such static can cause blocking to occur, and can make the drape film attract to itself, making the product very difficult to apply.
- the final construction might be required to meet the specifications for minimizing the risk of spark generation per NFPA 99. The specifications require that the article pass a static decay test where 5 kV of charge is dissipated in less than 0.5 seconds.
- the adhesive article must meet the specifications for minimizing the risk of spark generation per NFPA 99.
- the specifications require that the article pass a static decay test where 5 kV of charge is dissipated in less than 0.5 seconds (per industrial test method: IST 40.2-92 “Electrostatic Decay”).
- adhesives by themselves are very hydrophobic and are not static dissipative. Usually an anti-static coating is put on the backing or liner to meet these specifications.
- the adhesive formulations can be prepared with vehicles that impart static dissipative properties.
- Table 16a coated at 4.6 mg/square centimeter on Film-1 were tested for static dissipation.
- the static dissipation results are shown in Table 16b. Formulations K1, K2, and K3 easily met the NFPA static dissipation requirements.
- Procedure I Analysis of drapes on porcine skin seeded with Serratia marcescens . This experiment evaluated the effects of the active and placebo drapes on the intact skin under the drapes after both were in place for 4 hours. Recovery of the seeded bacteria from both the skin and drape were combined to determine the total antimicrobial effect.
- PBW Phosphate-Buffered Water
- Procedure II Incision Model on Seeded Porcine Skin ( Serratia marcescens ). This model evaluates the active and placebo drapes in a simulated surgical procedure with shallow incisions through skin, retraction and manipulation.
- the use of seeded bacteria localizes the bacteria of interest to the skin surface initially and can be differentiated from normal flora.
- PBW Phosphate-Buffered Water
- step 14 Repeat step 14 after two total hours and again after three total hours.
- Procedure III Incision Model on Porcine Skin (Normal Flora). This model evaluates the active and placebo drapes in a simulated surgical procedure with shallow incisions through skin, retraction and manipulation. Procedure III was identical to Procedure II, except that Steps 2 and 3 were not performed. Also, a modified Standard Sampling Solution was prepared with Tamol (“SST”) containing 75 mM phosphate-buffered water (0.04% KH 2 PO 4 , 1.01% Na 2 HPO 4 ) containing 0.1% TRITON X-100 with 1% Polysorbate 80, 0.3% lecithin and 1% Tamol with pH 7.9 ⁇ 0.1 was used.
- SST Standard Sampling Solution
Landscapes
- Health & Medical Sciences (AREA)
- Life Sciences & Earth Sciences (AREA)
- Veterinary Medicine (AREA)
- Public Health (AREA)
- General Health & Medical Sciences (AREA)
- Animal Behavior & Ethology (AREA)
- Epidemiology (AREA)
- Chemical & Material Sciences (AREA)
- Engineering & Computer Science (AREA)
- Materials Engineering (AREA)
- Hematology (AREA)
- Vascular Medicine (AREA)
- Surgery (AREA)
- Heart & Thoracic Surgery (AREA)
- Medicinal Chemistry (AREA)
- Molecular Biology (AREA)
- Biomedical Technology (AREA)
- Pharmacology & Pharmacy (AREA)
- Oncology (AREA)
- Chemical Kinetics & Catalysis (AREA)
- General Chemical & Material Sciences (AREA)
- Communicable Diseases (AREA)
- Nuclear Medicine, Radiotherapy & Molecular Imaging (AREA)
- Organic Chemistry (AREA)
- Medicinal Preparation (AREA)
- Adhesives Or Adhesive Processes (AREA)
- Materials For Medical Uses (AREA)
- Acyclic And Carbocyclic Compounds In Medicinal Compositions (AREA)
- Agricultural Chemicals And Associated Chemicals (AREA)
- Compositions Of Macromolecular Compounds (AREA)
Abstract
Compositions containing chlorhexidine gluconate solubilized in hydrophobic vehicles are described. Resin systems containing such chlorhexidine gluconate compositions, including adhesives and articles incorporating such resin systems, including medical articles such as drapes are also described.
Description
- The present disclosure relates to compositions containing chlorhexidine gluconate solubilized in hydrophobic vehicles, and resin systems containing such chlorhexidine gluconate compositions, including adhesives. The present disclosure also relates to articles incorporating such resin systems, including medical articles such as drapes.
- Briefly, in one aspect, the present disclosure provides a composition comprising chlorhexidine gluconate solubilized in a hydrophobic vehicle having a hydrophilic-lipophilic balance of no greater than 10 as determined using the HLB Method. In some embodiments, the hydrophobic vehicle comprises two proximate hydrogen-bonding groups, wherein at least one of the hydrogen-bonding groups is a hydrogen donor. In some embodiments, the hydrophobic vehicle comprises an ester group, e.g., a monoacylglycerol. In some embodiments, the hydrophobic vehicle comprises an ether group, e.g., dipropylene glycol and glyceryl monoalkyl ethers. In some embodiments, the hydrophobic vehicle comprises an alcohol having proximate hydroxyl groups, e.g., 1,2-octane diol, 1,2-decane diol, and combinations thereof.
- In some embodiments, the composition comprises no greater than 1 part by weight hydrophilic vehicle per 1 part by weight chlorhexidine gluconate. In some embodiments, the composition comprises no greater than 0.1 parts by weight hydrophilic vehicle per 1 part by weight chlorhexidine gluconate. In some embodiments, the composition comprises no greater than 0.1 parts by weight water per 1 part by weight chlorhexidine gluconate.
- In some embodiments, the composition further comprises a resin system comprising a polymer. In some embodiments, the resin system comprises a hydrophobic phase, wherein the hydrophobic vehicle plasticizes the hydrophobic phase. In some embodiments, the polymer comprises an acrylate polymer. In some embodiments, the polymer comprises a block copolymer polymer. In some embodiments, the resin system is a pressure sensitive adhesive.
- In some embodiments, the composition comprises at least 0.2 wt. % CHG, based on the total weight of the composition. In some embodiments, the composition comprises at least 0.5 wt. % and no greater than 5.0 wt. % CHG, based on the total weight of the composition.
- In another aspect, the present disclosure provides an article comprising a substrate and a composition according to the present disclosure bonded to at least a portion of a surface of the substrate. In some embodiments, the composition is a pressure sensitive adhesive. In some embodiments, the substrate is selected from the group consisting of films, nonwovens, wovens, and combinations thereof. In some embodiments, the substrate comprises at least one of polyalkylenes, polyesters, polyamides, and polyurethanes. In some embodiments, the article is a medical article, e.g., a drape or a dressing.
- The above summary of the present disclosure is not intended to describe each embodiment of the present invention. The details of one or more embodiments of the invention are also set forth in the description below. Other features, objects, and advantages of the invention will be apparent from the description and from the claims.
-
FIG. 1 illustrates an exemplary article incorporating a composition according to some embodiments of the present disclosure. - Chlorhexidine digluconate, commonly referred to as “chlorhexidine gluconate” or “CHG,” is an antimicrobial useful in various applications. CHG is often provided as an aqueous solution, in part because CHG may degrade in a non-aqueous composition. CHG has been provided in non-aqueous solutions by replacing water with a hydrophilic vehicle. Consistent with typical usage, as used herein, a “hydrophilic vehicle” is one having a hydrophile/lipophile balance (“HLB”) of greater than 10. For example, U.S. Pat. No. 6,458,341 (Rozzi et al., issued Oct. 1, 2002) describes non-aqueous solutions containing CHG and a solubilizing glycol, which is an exemplary hydrophilic vehicle.
- Surprisingly, the present inventors have discovered that CHG can be solubilized in a wide variety of hydrophobic vehicles. Consistent with typical usage, as used herein, a “hydrophobic vehicle” is one having a hydrophile/lipophile balance (“HLB”) of no greater than 10. Examples of such hydrophobic vehicles include monoacylglycerides as described in co-filed U.S. Application No. 61/694,080 (Attorney Docket Number 69119US002) entitled “Chlorhexidine Gluconate Solubilized in a Hydrophobic Monoacylglyceride.”
- There are at least three distinct methods for preparing solutions of CHG in a non-aqueous vehicle. The first method involves mixing an aqueous CHG solution with a relatively high boiling vehicle, and then pulling a vacuum on the mixture to remove the water (the “Vacuum Method’). The second method involves lyophilizing CHG, and then dissolving the CHG into the vehicle (the “Lyophilizing Method”). The third method involves generating the CHG in situ by reacting gluconolactone, a limited amount of water, and chlorhexidine free base (the “In Situ Method). Each method appears to give a similar final product, but each method has advantages and disadvantages. For example, the lyophilization route does not require exposing the CHG to sustained heat, which helps prevent degradation. The liquid vacuum stripping route is easily scalable using readily available manufacturing equipment, e.g., kettles. The in situ generation method does not require vacuum-equipped reactors.
- All the methods may leave small amounts of water behind. Therefore, as used herein, “non-aqueous” refers to compositions that may contain small amounts of water, e.g., less than 1 wt. %. In some embodiments, the compositions contain less than 0.5 wt. %, e.g., less than 0.1 wt. % or even less than 0.01 wt. % water. In some embodiments, the compositions comprise no greater than 1 part by weight water per 1 part by weight CHG, no greater than 0.5 part by weight, no greater than 0.1 part by weight, or even no greater than 0.01 part by weight water per 1 part by weight CHG.
- In some embodiments, the compositions contain little or no hydrophilic vehicle. As used herein, water is considered a separate component independent of any hydrophilic vehicles; therefore, the following amounts are exclusive of any water which may be present in the composition. In some embodiments, the compositions comprise no greater than 2 parts by weight hydrophilic vehicle per 1 part by weight CHG, e.g., no greater than 1 part by weight, no greater than 0.5 part by weight, or even no greater than 0.1 part by weight hydrophilic vehicle per 1 part by weight CHG.
- In the present disclosure, HLB values are calculated using the method of Griffin (Griffin W C; J. Soc. of Cosmetic Chemists 5, 259 (1954)). Thus, as used herein, the “HLB Method” involves a calculation based on the following:
-
HLB=(E+P)/5, - where E is the weight percent of oxyethylene content and P is the weight percent of polyhydric alcohol content (glycerol, sorbitol, etc). For the compounds herein, glycerol segments with two hydroxyl groups, glycerol segments with one hydroxyl group, and hydroxyl-containing segments of any additional polyhydric molecules were included in the definition of P.
- As used in the present disclosure, hydrophilic vehicles have an HLB value as calculated using the HLB Method of greater than 10. In some embodiments, the hydrophilic vehicle has an HLB value of greater than 11, e.g., greater than 12. Hydrophobic vehicles have an HLB value as calculated using the HLB Method of no greater than 10. In some embodiments, the hydrophobic vehicle has an HLB value of no greater than 9, e.g., no greater than 7.
- Other methods of calculating HLB are available and may be required when determining the HLB value for compounds lacking both E and P groups, as defined above. While the calculated value of HLB may vary depending on the method used, the trends and relative hydrophobicity of materials are expected to be similar.
- In some embodiments, hydrophobic vehicles having proximate hydroxyl groups, e.g., vicinal hydroxyl groups, may be useful. As used herein, “proximate” groups refer to groups separated by no more than three carbon atoms, as illustrated in Formulas I (hydroxyl groups separated by two carbon atoms) and II (hydroxyl groups separated by three carbon atoms). In some embodiments, the proximate groups may be vicinal, i.e., separated by two carbon atoms, as illustrated in Formula I.
- wherein RC═O is the acyl group. The depiction of 1-monoacylglycerides (Formula I) and 2-monoacylglycerides (Formula II) is merely intended to illustrate the meaning of proximate and vicinal groups and is not intended to, and does no limit the present invention to such monoacylglycerides.
- In some embodiments, the compositions comprise at least 5% by weight CHG dissolved in the non-aqueous vehicle based on the combined weight of the CHG and the vehicle. In some embodiments, the compositions comprise at least 10%, at least 15%, or even at least 20% by weight CHG dissolved in the non-aqueous vehicle.
- In some embodiments, compositions of the present disclosure comprising CHG solubilized in a hydrophobic vehicle may be applied directly to a substrate, e.g., sprayed or otherwise coated onto a porous or non-porous substrate. However, in addition to discovering that CHG could be solubilized in hydrophobic vehicles, the present inventors also discovered that, when solubilized in a hydrophobic vehicle, CHG could be incorporated into a resin system such that the CHG remains available and effective as an antimicrobial agent.
- Depending on the hydrophobic vehicle, CHG may be incorporated into a wide variety of resin systems. In some embodiments, one or more components of the resin systems are themselves hydrophobic, and are thus compatible with the hydrophobic vehicle. In some embodiments, the resin system may include both hydrophilic and hydrophobic components and/or phases, wherein the hydrophobic vehicle is compatible with at least the hydrophobic portion. In some embodiments, the hydrophobic vehicle is selected such that it plasticizes (i.e., is compatible with and lowers the glass transition temperature of) the hydrophobic component or phase. In some embodiments, the hydrophobic vehicle is able to migrate through the resin system, carrying the solubilized CHG. For example, in some embodiments, the hydrophobic vehicle and solubilized CHG are able to migrate to a surface of a layer of the resin system providing a replenishable supply of CHG to such a surface.
- Generally, the resin system includes at least one polymer. In some embodiments, the resin system includes at least one hydrophobic polymer or phase. Suitable polymers include polyesters, polyester polyols, polyurethanes, polyalkylenes, acrylates, rubbers, block copolymers, and combinations thereof. In some applications, the resin system may be an adhesive, e.g., a pressure sensitive adhesive (“PSA”).
- In some embodiments, the PSA comprises an acrylic polymer or copolymer comprising the reaction product of a mixture comprising at least one alkyl (meth)acrylate monomer. As used herein, “(meth)acrylate” refers to an acrylate and/or methacrylate. For example, butyl (meth)acrylate refers to butyl acrylate and/or butyl methacrylate. In some embodiments, the mixture may also include a crosslinking agent.
- In some embodiments, the alkyl group of at least one alkyl (meth)acrylate contains 4 to 18 carbon atoms. In some embodiments, this alkyl group contains at least 5 carbon atoms. In some embodiments, this alkyl group contains no greater than 8 carbon atoms. In some embodiments, the alkyl group of the first alkyl (meth)acrylate has eight carbon atoms, e.g., isooctyl (meth)acrylate and/or 2-ethylhexyl (meth)acrylate.
- In some embodiments, the mixture may comprise one or more additional monomers including one or more additional alkyl(meth)acrylates. In some embodiments, the alkyl group of at least one of the additional alkyl (meth)acrylates contains no greater than 4 carbon atoms. In some embodiments, the alkyl group of at least one alkyl (meth)acrylate has 4 carbon atoms, e.g., butyl (meth)acrylate. In some embodiments, the alkyl group of at least one alkyl (meth)acrylate has 1-2 carbon atoms, e.g., methyl acrylate and/or ethyl acrylate.
- Examples of suitable polar monomers that may be copolymerized with the alkyl (meth)acrylate monomers include acidic monomers such as carboxylic acid monomers as well as various acrylamides. Particular examples of polar monomers include vinyl carboxylic acids such as acrylic acid, methacrylic acid, itaconic acid, maleic acid, fumaric acid, and 2-hydroxyethyl acrylate or methacrylate. Other suitable polar monomers include N-vinyl pyrrolidone, N-vinyl caprolactam, acrylamide, methacrylamide, N-substituted and N,N-disubstituted acrylamides such as N-ethyl acrylamide, N-hydroxyethyl acrylamide, N,N-dimethyl acrylamide, N,N-diethyl acrylamide, and N-ethyl,N-dihydroxyethyl acrylamide, acrylonitrile, methacrylonitrile and maleic anhydride. Various combinations of such polar monomers can be employed.
- Optionally, one or more monoethylenically unsaturated co-monomers may be polymerized with the acrylate or methacrylate monomers. One group of useful co-monomers includes those having a homopolymer glass transition temperature greater than the glass transition temperature of the (meth)acrylate homopolymer. Examples of suitable co-monomers falling within this group include acrylic acid, acrylamides, methacrylamides, substituted acrylamides (such as N,N-dimethyl acrylamide), itaconic acid, methacrylic acid, acrylonitrile, methacrylonitrile, vinyl acetate, N-vinyl pyrrolidone, isobornyl acrylate, cyano ethyl acrylate, N-vinylcaprolactam, maleic anhydride, hydroxyalkyl(meth)-acrylates, N,N-dimethyl aminoethyl (meth)acrylate, N,N-diethylacrylamide, beta-carboxyethyl acrylate, vinyl esters of neodecanoic, neononanoic, neopentanoic, 2-ethylhexanoic, or propionic acids (e.g., those available from Union Carbide Corp. of Danbury, Conn., under the designation VYNATES), vinylidene chloride, styrene, vinyl toluene, and alkyl vinyl ethers.
- A second group of monoethylenically unsaturated co-monomers that may be polymerized with the acrylate or methacrylate monomers includes those having a homopolymer glass transition temperature (Tg) less than the glass transition temperature of the (meth)acrylate homopolymer. Examples of suitable co-monomers falling within this class include ethoxyethoxyethyl acrylate (Tg=−71 degrees Celsius) and a methoxypolyethylene glycol 400 acrylate (Tg=−65 degrees Celsius; available from Shin Nakamura Chemical Co., Ltd. Japan, under the designation “NK Ester AM-90G”).
- In some embodiments, the PSA comprises a block copolymer. In some embodiments, the block copolymer is a styrenic block copolymer, i.e., a block copolymer comprising at least one styrene hard segment, and at least one elastomeric soft segment. Exemplary styrenic block copolymers include dimmers such as styrene-butadiene (SB) and styrene-isoprene (SI). Additional exemplary styrenic block copolymers include styrene-isoprene-styrene (SIS), styrene-butadiene-styrene (SBS), styrene-ethylene/butadiene-styrene (SEBS), and styrene-ethylene/propylene-styrene block copolymers. In some embodiments, radial and star block copolymers may be used. Commercially available styrenic block copolymers include those available under the trade designation KRATON from Kraton Polymers LLC. including, e.g., KRATON D SBS and SIS block copolymers; and KRATON G SEBS and SEPS copolymers. Additional commercially available di- and tri-block styrenic block copolymers include those available under the trade designations SEPTON and HYBAR from Kuraray Co. Ltd., those available under the trade designation FINAPRENE from Total Petrochemicals, and those available under the trade designation VECTOR from Dexco Polymers LP.
- The resin systems of the present disclosure may contain any of a variety of known additives including, e.g., crosslinkers, photoinitiators, curing agents, tackifiers, plasticizers, fillers, dyes, pigments, and the like. As used herein, the terms tackifier and plasticizer are used relative to the material or phase into which they are incorporated. Thus, a “tackifier” is a material that is compatible with and raises the glass transition temperature of a material; while a “plasticizer” is a material that is compatible with and lowers the glass transition temperature of a material.
- Examples. Objects and advantages of various embodiments of the present disclosure are further illustrated by the following examples, but the particular materials and amounts thereof recited in these examples, as well as other conditions and details, should not be construed to unduly limit this invention. Unless otherwise indicated, all parts and percentages are on a weight basis, all water is distilled water, and all molecular weights are weight average molecular weight.
- Solubility Screening. Screening tests were conducted to determine the solubility of CHG in a wide variety of vehicles. Tests were conducted using the Vacuum Method and the Lyophilizing Method.
- Vacuum Method. A 25 g sample of a CHG/water solution (20 wt. % solution in water, obtained from Xttrium Laboratories Inc., Chicago, Ill.) was added to 45 g of the vehicle of interest in a 200 mL round bottom flask. The flask was put in a 60° C. oil bath and stirred with a magnetic stir bar. Vacuum (less than 3.3 kilopascal (25 Torr)) was pulled until bubbling stopped and the weight had closely approached the theoretical value of 50 grams—usually 30-90 minutes. In some cases, the vehicle was somewhat volatile and the weight of the solution decreased significantly below 50 grams. In those cases, after nearly all the water was removed, additional vehicle was added to bring the final weight to 50 grams. The resulting concentration of CHG and residual water were determined. Also, the final state of the solution was qualitatively evaluated to determine if the mixture was transparent and apparently homogenous, or clearly inhomogeneous.
- The results obtained using simple alcohols (i.e., compounds with only hydroxyl groups, carbon-carbon bonds, and carbon-hydrogen bonds) are summarized in Tables 1a and 1b. The results obtained using compounds with ester groups are summarized in Tables 2a and 2b. The results obtained using compounds with ether groups are summarized in Tables 3a and 3b.
-
TABLE 1a Simple alcohols as non-aqueous vehicles providing good CHG solubility. CHG Water Compound wt. % wt. % Temperature Final State Glycerol 10% 0.7% 23-50° C. Homogeneous 1,2-propanediol 10% 3.1% 23-50° C. Homogeneous 1,2-pentanediol 50% 3.3% 23-50° C. Homogeneous 1,2-octanediol 10% 0.2% 23-50° C. Homogeneous 20% 0.3% 23-50° C. Homogeneous 1,2,6-trihydroxyhexane 10% 0.5% 23-50° C. Homogeneous 1,3-propanediol 10% 0.7% 23-50° C. Homogeneous 1,4-butanediol 10% 1.7% 23-50° C. Homogeneous 2-butene-1,4-diol 10% 1.2% 23-50° C. C Homogeneous 1,3-butanediol 10% 2.2% 23° C. Inhomogeneous 50° C. Homogeneous 5% 2.1% 23-50° C. Homogeneous 3-methyl-1,3-butanediol 10% N.T. 23-50° C. Inhomogeneous 5% N.T. 23-50° C. Inhomogeneous 2.5% 1.1% 23° C. Inhomogeneous 50° C. Homogeneous 1% 1.2% 23° C. Inhomogeneous 50° C. Homogeneous 1,3-cyclohexanediol 10% 1.6% 23° C. Inhomogeneous 50° C. Homogeneous 6% 4.8% 23° C. Inhomogeneous 50° C. Homogeneous 2,3-butanediol 10% 1.2% 23-50° C. Homogeneous 50% 1,2-hexanediol 20% N.T. 23-50° C. Homogeneous 50% 1,2-pentanediol -
TABLE 1b Simple alcohols as non-aqueous vehicles providing poor CHG solubility. Compound CHG wt. % Temperature Final State 1,5-pentanediol 10% 23-50° C. Inhomogeneous 1,8-octanediol 10% 23-50° C. Inhomogeneous 2,5-hexanediol 10% 23-50° C. Inhomogeneous 2,3-dimethyl-2,3-butanediol 10% 23-50° C. Inhomogeneous 1,4-cyclohexanediol 10% 23-50° C. Inhomogeneous 1-octanol 10% 23-50° C. Inhomogeneous - Several trends were identified from the data in Tables 1a and 1b. 1,2-diols appear to impart CHG solubility. Other vicinal diols do not always impart solubility, particularly when sterically hindered (e.g. 2,3-dimethyl-2,3-butanediol). 1,3 diols appear to provide some solubility, but may require elevated temperature. 1,4-butanediol, which has two primary alcohol groups, provides solubility. Other diols similarly separated by four carbon atoms but with secondary alcohol groups do not provide good solubility (e.g., 2,5-hexanediol and 1,4-cyclohexanediol). Even through 1,5-pentanediol and 1,8-octanediol have two primary alcohol groups, the alcohol groups appear to be too widely separated to impart good solubility.
-
TABLE 2a Vehicles with ester groups providing good CHG solubility. CHG. Water Compound wt. % wt. % Temperature Final State Medium Chain 20% 0.3% 23-50° C. Homogeneous Monoglyceride Glyceryl monostearate 10% 0.2% 80° C. Homogeneous Glyceryl monocaprylate 20% ND 60° C. Homogeneous Glyceryl monolaurate 20% 0.7% 75° C. Homogeneous Glyceryl monoisostearate 20% ND 60° C. Homogeneous 16% 0.1% 23-60° C. Homogeneous 10% 0.7% 23-60° C. Homogeneous Diethyl-D-Tartrate 10% 0.5% 23-50° C. Homogeneous Diethyl-L-Tartrate 10% 0.3% 23-50° C. Homogeneous Dibutyl-L-Tartrate 10% 0.1% 23-50° C. Homogeneous Decaglyceryl tristearate 10% 1.7% 23-50° C. Homogeneous Glyceryl monooleate 20% ND 23-50° C. Homogeneous ND = not determined -
TABLE 2b Vehicles with ester groups providing poor CHG solubility. CHG Temper- Compound wt. % ature Final State Dialkyl (C12 & C13) Tartrate 10% 23-50° C. Inhomogeneous Diisopropyl-L-Tartrate 10% 23-50° C. Inhomogeneous Diisopropyl-D-Tartrate 10% 23-50° C. Inhomogeneous Decaglyceryl pentaoleate 10% 23-50° C. Inhomogeneous Trigyceryl diisostearate 10% 23-50° C. Inhomogeneous PPG-5 Ceteth-20 10% 23-50° C. Inhomogeneous Isolaureth-10 10% 23-50° C. Inhomogeneous Polyglycerol-2-Triisostearate 10% 23-50° C. Inhomogeneous Dimer Diol 5% 23-50° C. Inhomogeneous Oxalic Acid Diethyl Ester 10% 23-50° C. Inhomogeneous - The trends observed for the esters in Tables 2a and 2b were similar to the trends identified for the simple alcohols. Monoglycerides tend to have a significant content of 1,2-diols and generally produce homogeneous solutions. Tartrates also have vicinal diols, but they do not have terminal hydroxyl groups. Tartrates with short alkyl chains produced homogeneous solutions, but when the alkyl groups become more bulky, the tartrates no longer produced homogeneity. With fatty acid esters of glycerol oligomers, it appears that the number of hydroxyl groups needs to be large compared to the number of non-polar fatty acid groups to achieve homogeneity.
-
TABLE 3a Vehicles with ether groups providing good CHG solubility. CHG. Water Temper- Compound wt. % wt. % ature Final State Triethylene glycol 10% 0.2% 23-50° C. Homogeneous Tetraethylene glycol 10% 0.1% 23-50° C. Homogeneous Triethyleneglycol 10% 2.4% 23-50° C. Homogeneous monomethyl ether Diethyleneglycol 10% 2.2% 23-50° C. Homogeneous monomethyl ether Diethyleneglycol 10% ND 23-50° C. Inhomogeneous monoethyl ether 5% ND 23-50° C. Inhomogeneous 2.5% 1.4% 23-50° C. Homogeneous Dipropylene glycol 10% 0.5% 23° C. Inhomogeneous 50° C. Homogeneous 5% 1.5% 23-50° C. Homogeneous Sorbeth-6 10% ND 23-50° C. Homogeneous 1,3-dihydroxyacetone 10% 2.1% 23-50° C. Homogeneous dimer Ethylhexyl glycerin 10% 0.1% 23-50° C. Homogeneous 20% 1.0% 23-50° C. Homogeneous -
TABLE 3b Vehicles with ether groups providing poor CHG solubility. CHG Temper- Compound wt. % ature Final State Diethyleneglycol Monobutyl Ether 10% 23-50° C. Inhomogeneous Polyethyleneglycol Dimethyl Ether 10% 23-50° C. Inhomogeneous Diethyleneglycol Dimethyl Ether 10% 23-50° C. Inhomogeneous Tripropylene glycol 10% 23-50° C. Inhomogeneous Decaglyceryl pentaoleate 10% 23-50° C. Inhomogeneous Trigyceryl diisostearate 10% 23-50° C. Inhomogeneous PPG-5 Ceteth-20 10% 23-50° C. Inhomogeneous - The trends observed with the ethers are somewhat different than those observed for the simple alcohols and ester-containing vehicles. Oligoethylene glycols with hydroxyl groups at each end of the chain tended to give homogenous solutions. As one of the hydroxyl groups is replaced with an ether the appearance of homogeneity seems to depend on the size of that ether group. On the other hand, propylene glycol oligomers are much less likely to give homogeneous solutions, and even the most favorable case—dipropylene glycol—only produced homogeneity at elevated temperatures or relatively low concentrations.
- Based on the foregoing, the present inventors discovered that CHG can be solubilized in a wide variety of hydrophobic vehicles, as summarized in Table 4. HLB values calculated according to the HLB Method are included. Relying on these test methods and the trends observed in the results, one of ordinary skill in the art could readily identify additional such hydrophobic vehicles.
-
TABLE 4 Summary of hydrophobic vehicles providing good solubility for CHG. Class Vehicle HLB alcohol 1,2-octanediol 8.4 ester Decaglyceryl tristearate 9.7 ester Glyceryl monocaprylate 8.4 ester Glyceryl monolaurate 6.6 ester Glyceryl monostearate 5.1 ester Glyceryl monoisostearate 5.1 ester Glyceryl monooleate 5.1 ether Dipropylene glycol 9.1 ether Ethylhexyl glycerin 8.9 - The Lyophilization Method. Lyophilized CHG was prepared by freeze-drying the aqueous CHG solution (20 wt. % solution in water, obtained from Xttrium Laboratories Inc., Chicago, Ill.).
- For lower viscosity vehicles, a 5 ml sample of the non-aqueous vehicle of interest was measured into a glass vial. For higher viscosity vehicles that were difficult to transfer by volume, a 5 gm sample was weighed into the vial. Next, 0.01 g of lyophilized CHG was added to the vial. The sample was capped and mixed by shaking for 30 seconds. The sample was immediately observed and then observed again after 2 minutes and again after 24 hours. After 24 hours, the sample was placed in a 50° C. oven for 2 hours and then removed and immediately observed. These samples were allowed to cool to room temperature and a final observation was made. The results are summarized in Table 5.
-
TABLE 5 Vehicles evaluated using 0.2 wt. % lyophilized CHG obtained by freeze-drying. Apparent solubility imme- 2 >24 2 hours after Vehicle diate minutes hours 50° C. cooling Acetytriethyl citrate no no partial soluble partial Diisostearyl dimerate no no no soluble no Dipropylene glycol no no soluble soluble soluble Glycerol triisostearate no no partial partial partial Isostearate caprylic/ partial partial soluble soluble soluble capric glycerides Glycereth-18 no no soluble soluble soluble Ethylhexanoate Isolaureth-10 no no partial soluble soluble PPG-5-ceteth-20 no no partial soluble soluble Octyldodeceth-10 no partial partial partial partial Oleth-2 no no no partial partial Isostearyl isostearate no no no partial partial PEG-20 glyceryl no partial partial partial partial Triisostearate Pentaerythritol partial partial partial partial partial tetraisostearate Polyglycerol-3 no no soluble soluble partial Diisostearate Propylene glycol no no partial partial partial Dicaprylate/caprate - Generally, the results were similar to those observed using the Vacuum Method. Specifically, polar functional groups, particular when close together, tended to provide CHG solubility. For some vehicles, CHG was soluble at the low concentrations used with the Lyophilization Method, but at least partially insoluble at the higher concentrations used in the Vacuum Method.
- Generally, CHG is added to a composition such that its final concentration is at least 0.2 wt. %, in some embodiments at least 0.5 wt. %, in some embodiments at least 1.0 wt. %, in other embodiments at least 2.0 wt. %, in yet other implementations at least 5.0 wt. %, and in some cases exceeding 10 wt. %., based on the total weight of the composition. Generally, the CHG concentration is no greater than 25 wt. %, more preferably no greater than 20 wt. %, and most preferably no greater than 15 wt. %, based on the total weight of the composition. A typical range for CHG concentration to enhance active kill is at least 0.5 wt. % and no greater than 5.0 wt. %, based on the total weight of the composition.
- As illustrated in the following examples, compositions comprising CHG solubilized in such vehicles can be incorporated into a wide variety of resin systems and in the preparation of a wide variety of articles. Materials used in the preparation of the examples are summarized in Table 6a and 6b.
-
TABLE 6a Summary of materials used in the preparation of the examples. Name Description Trade Name and Source CHG chlorhexidine gluconate, Xttrium Laboratories, Inc., 20 wt. % solution in water Chicago, Illinois MRSA Methicillin Resistant American Type Culture Stapyhlococcus Aureus Collection (ATCC #33592), Manassas, Virginia Film-1 polyester elastomer film E. I. du Pont de Nemours & (HYTREL 4056 resin) Co., Wilmington, Delaware Resin systems Res-1 amorphous polyester polyol PRIPLAST 3193, Croda Inc., Edison, NJ Res-2 amorphous polyester polyol PRIPLAST 3197; Croda Inc. Res-3 amorphous polyester polyol PRIPLAST 1838 (MW 2000); Croda Inc. Res-4 amorphous polyester polyol PRIPLAST 3196 (MW 3000); Croda Inc. PSA-1 isooctyl acrylate/N-vinyl- 3M Company, St. Paul, pyrrolidone Minnesota PSA-2 isooctyl acrylate/acrylamide 3M Company PSA-3 isooctyl acrylate/vinyl 3M Company acetate/acrylamide PSA-4 tackified KRATON block 3M Company copolymer adhesive -
TABLE 6b Summary of vehicles used in the preparation of the examples. HLB Description Trade Name and Source Hydrophobic Vehicles 8.9 ethylhexyl glycerin SENSIVA SC 50 Schulke & Mayr, Norderstedt, Germany 8.4 glycerol monocaprylate Abitec Corp, Janesville, Wisconsin 7.5 sorbitan isostearate Croda Inc. 7.2 decaglycerol pentaoloeate Barnet Products Corp, Englewood Cliffs, New Jersey 7.0 1,2-decanediol Symrise, Teterboro, NJ 6.8* medium chain monoglyceride MCM, Abitec Corp, Janesville, (MCM-1) Wisconsin 6.8 medium chain monoglyceride MCM-NF, Abitec Corp. (MCM-2) 5.1 glycerol monoisostearate JEEN GMIS, Jeen Corp., (GMIS-1) Fairfield, NJ 5.1 glycerol monoisostearate CRODA GMIS (GMIS-2) Croda Iberica, Barcelona, Spain 5.1 glycerol monoisostearate LUBRIZOL GMIS (GMIS-3) Lubrizol Adv. Mtls., Cleveland, Ohio 5.1 glycerol monooleate Gattefosse SAS, St. Priest, France 3.3 sorbitan trioleate Aldrich Chemicals, Milwaukee, WI Hydrophilic Vehicles 11.7 1,2-pentanediol Symrise, Teterboro, NJ 15.9** 1,2,3-triacetoxypropane Aldrich Chemicals, Milwaukee, (triacetin) WI 16.0 1,2-propanediol Aldrich Chemicals, Milwaukee, WI 20.0 glycerol EM Science, Gibbstown, New jersey *Estimate based on available compositional information **Estimate based on literature values and modified calculations including C═O and glycerol groups as hydrophilic components. - CHG solutions. The solutions containing CHG were either a 20 wt. % aqueous solution of CHG or a 10-20% w/w solution of CHG in a non-aqueous vehicle. The non-aqueous solutions were prepared by freeze drying the aqueous CHG solution to produce lyophilized CHG. Finely divided, lyophilized CHG was then solubilized in a non-aqueous vehicle at room temperature with continuous stirring for eight hours
- Adhesive Preparation Procedure. Adhesive compositions were prepared by blending together a solvent-based pressure sensitive adhesive and a solution of CHG in a non-aqueous vehicle through simple manual agitation.
- Adhesive Coating Procedure. Adhesive compositions were coated as hand-spreads by applying a uniform layer of the adhesive on the release surface of a suitable release liner using a knife-edge coater. The wet adhesive thickness ranged from 50 to 510 microns (2-20 mils). The coated adhesives were dried in a solvent oven for 1-10 minutes at temperatures between 65 and 93° C. (150 and 200° F.).
- Adhesive Lamination Procedure. The dried adhesives were used to prepare adhesive articles samples by laminating the dried adhesive to a suitable backing using nip rollers at room temperature.
- CHG Surface Availability Analysis. In some embodiments, a discrete amount of CHG should be available at the surface of the adhesive. Surface availability was determined by exposing the surface of the dried adhesive to water in a resting state, according to the following method. A sample of an adhesive article sufficient to cover a circular area of 660 square millimeters was cut from a larger section of an adhesive article prepared as described above. Water (4.0 mL) was pipetted into a glass cup. The release liner was removed exposing a surface of the dried adhesive, and the sample was applied evenly to the top of the glass cup and pressed tight to seal the adhesive to the glass cup so it did not leak when inverted. The sample was then inverted. After the desired test time had elapsed, the sample was reverted and immediately opened. An aliquot of the water was transferred to an LC vial for analysis. Samples were analyzed by reversed-phase HPLC using absorbance detection on an Agilent 1200 HPLC system consisting of a quaternary gradient pump, autosampler, heated column compartment and variable wavelength detector. 5.0 mcL portions of sample solutions were injected onto a MACMOD Analytical Inc. 150×3 mm ACE 3 micometer C18 column. The column was equilibrated with 80/20 v/v water/methanol containing 40 mM pH 3.7 ammonium formate buffer at 0.50 mL/min and 40° C. Following injection the samples were eluted with a 30 min linear gradient to 20/80 v/v water/methanol containing 40 mM pH 3.7 ammonium formate buffer. This eluent composition was held isocratically for 5 minutes before re-equilibration in the starting eluent. Absorbance detection of the 254±2 nm signal was utilized to quantify sample concentration of chlorhexidine gluconate against standard solutions containing chlorhexidine acetate (“CHA”). A molar fraction of 1.435 was applied to the quantitation to account for the molar ratio of CHG/CHA (898/626).
- Direct Time Kill Analysis. Specimens of several coated adhesives were subjected to antimicrobial performance testing according to the following 5-30 minute time kill study. A suspension of methicillin resistant Staphylococcus aureus (MRSA, ATCC #33592) was prepared at a concentration of 1×108 CFU (colony forming units) per milliliter (mL) in phosphate buffered water (pbw) using a 0.5 McFarland Equivalence Turbidity Standard. Using an Eppendorf pipette, 50 micro liters (μL) of this suspension was transferred as 15-16 separate droplets to the adhesive surface of a 2.5 cm diameter section of an adhesive film. These inoculated specimens were then incubated at room temperature (23+/−2° C.) for 5-30 minutes. After incubation, the specimens were placed in 20 mL of neutralizing buffer and sonicated for one minute followed by vortexing for two minutes. Portions of the resulting solution were serially diluted with pbw. The neat solution and dilutions were each plated to 3M PETRIFILM aerobic count plates (3M Company) and incubated for at least 24 hours. The 3M PETRIFILM plates were then counted using a 3M PETRIFILM plate reader (model 6499, 3M Company).
- Example Set A. These examples show the antimicrobial efficacy of several CHG containing resin systems using the Direct Time Kill Analysis. Generally, the CHG was solubilized in a hydrophobic vehicle. The hydrophobic vehicle was compatible with and plasticized (i.e., reduced the Tg of) the hydrophobic phase of the base adhesive. The formulations were prepared by premixing the hydrophobic vehicle(s) with aqueous CHG, diluting with heptane, and mixing the solution with the solvent-based adhesive. The resulting mixture was coated on a silicone release liner at 4.6 mg/square centimeter, dried and laminated to Film-1. When the water phase evaporated from the adhesive, it left behind CHG solubilized in the hydrophobic vehicle, which was dispersed in the adhesive. The adhesives were tested for antimicrobial activity using the Direct Time Kill Analysis with an incubation period of 5 minutes. The formulations and log reduction results are shown in Table 7. All the examples containing CHG solubilized in a vehicle that plasticized the adhesive showed good bacteriocidal activity at five minutes relative to the sample without CHG, i.e., Comparative Example (CE-1).
-
TABLE 7 Sample compositions (wt. %) prepared with PSA 3, and log reductions. Decaglycerol Glyceryl 1,2- Ethylhexyl pentaoleate monocaprylate Decanediol glycerin Log Ex. PSA (HLB = 7.2) (HLB = 8.4) (HLB = 7.0) (HLB = 8.9) CHG Red. CE-1 50 30 10 10 — 0 0 A1 50 28 20 — — 2 3.5 A2 50 28 10 10 — 2 3.3 A3 50 28 — — 20 2 3.6 - Example Set B. These examples showed the effect of using hydrophilic non-aqueous vehicles that did not plasticize the adhesive as compared to the hydrophobic non-aqueous vehicles that did plasticize the adhesive. The formulations were prepared by premixing the vehicle or vehicle blends with aqueous CHG, diluting with heptane, and mixing the solution with a solvent-based adhesive. All samples contained 2 wt. % CHG and used PSA-2 except Comparative Example CE-2, which used PSA-1. The resulting mixture was coated on a silicone release liner at 4.6 mg/square centimeter, dried and laminated to Film-1. The adhesives were tested for antimicrobial activity according to the Direct Kill Time Analysis, with an incubation period of 5 minutes. The compositions and log reduction results are shown in Table 8.
-
TABLE 8 Compositions (wt. %) and log reductions for samples containing 2 wt. % CHG. 1,2- 1,2- 1,2- Glyceryl pentane- propane- decane- mono- Log EX. PSA Res-1 Res-2 diol diol diol caprylate GMIS-2 Red. HLB 11.7 16.0 7.0 8.4 5.1 CE-2 55 — — 43 — — — — 0.4 CE-3 50 24 — — 24 — — — 0.3 B1 55 — 20.5 — — 11.25 11.25 — 5.7 B2 55 — — — — 11.25 11.25 20.5 6.1 B3 60 — — — — 10 10 18 6.2 - Both pentanediol (CE-2) and propanediol (CE-3) are hydrophilic vehicles (HLB>10) that effectively solubilize the CHG but do not plasticize the hydrophobic isooctyl acrylate rich domains of the adhesive. The antimicrobial activity of these compositions is very poor. In contrast, the use of hydrophobic vehicles such as 1,2-decanediol, glyceryl monocaprylate, and glyceryl isostearate (HLB<10) provided both good solubility of CHG and good compatibility with the hydrophobic domains resulting in very high log reductions.
- Data Set C. These examples demonstrate the importance of using at least one vehicle capable of dissolving CHG as a plasticizer in the adhesive system in order to obtain surface activity. The formulations were prepared by premixing the vehicle or vehicle blends with aqueous CHG, diluting with heptane, and mixing the solution with a solvent based adhesive. The mixtures was coated on a silicone release liner at 4.6 mg/square centimeter, dried and laminated to Film 1. The adhesives were tested for antimicrobial activity using the Direct Time Kill Analysis with an incubation period of 15 minutes.
-
TABLE 9 Compositions (wt. %) and log reduction. Sorbi- Sorbi- tan tan Log trio- GMIS- GMIS- isostear- Reduc- EX. PSA 3 leate 1 2 ate MCM CHG tion CE-4 55 — — 22.5 22.5 — 0 0.8 CE-5 55 21.5 21.5 — — — 2 0.6 CE-6 55 — 43 — — — 2 1.2 C1 55 — — 21.5 21.5 — 2 5.5 C2 55 — — — 21.5 21.5 2 5.5 C3 65 — — — — 33 2 5.5 - Dissolution experiments using lyophilized CHG showed that while GMIS-2 was a good solvent for CHG, the solubility of CHG in GMIS-1 and sorbitan trioleate was limited. Analytical tests showed that GMIS-2 contained a higher weight fraction of monoesterified compounds than GMIS-1, which is believed to contribute to the improvement in CHG solubility. Accordingly, the two adhesive samples containing GMIS-1 (CE-6) or GMIS and sorbitan trioleate (CE-5) showed very little efficacy with results comparable to CE-4, which did not contain CHG. The three remaining formulations, each of which used a hydrophobic vehicle(s) that solubilized CHG, showed almost complete bacterial kill.
- Once incorporated into a resin system, compositions comprising CHG solubilized in a hydrophobic vehicle may be suitable for a wide variety of applications. For example, such compositions can be incorporated into a wide variety of articles including medical articles. Exemplary medical articles include drapes (e.g., surgical drapes and incise drapes), and dressings (e.g., wound dressings and I.V. dressings).
- On exemplary article is illustrated in
FIG. 1 .Article 100 includessubstrate 110 and CHG-containingcomposition 120 adhered to at least a portion of at least one surface of the substrate. In some embodiments, it is desirable to have a replenishable supply of CHG available atcomposition surface 125 to provide the desired persistent antimicrobial affect. - Generally, any known substrate may be used including, e.g., films, nonwovens, wovens, and combinations thereof. Substrates can be prepared from a wide variety of materials including, e.g., at least one of polyalkylenes, polyesters, polyamides, and polyurethanes. In some embodiments,
composition 120 is directly bonded tosubstrate 110, as shown inFIG. 1 . In some embodiments, the composition may be indirectly bonded to the substrate through one or more intermediate layers, including e.g., tie layers used to promote adhesion. The following examples illustrate exemplary embodiments of articles of the present disclosure. - Data Set D. These examples showed the effect of vehicle loading on surface availability and antimicrobial activity. The formulations were prepared by premixing MCM-1 with aqueous CHG, diluting with heptane, and mixing the solution with a solvent-based adhesive (PSA-1). MCM-1 is a hydrophobic vehicle that plasticized the hydrophobic phase of the PSA-1 adhesive. The mixture was coated on a silicone release liner at 4.6 mg/square centimeter, dried and laminated to Film-1. Surface extraction of the finished adhesive was performed according to the CHG Surface Availability Analysis to quantify the CHG released in quiescent water after 30 minutes. As the plasticizer fraction in the adhesive increased, there was a concomitant increase in the amount of CHG released per unit time. The effect of the difference in release can also be seen in the direct time kill data. The compositions, surface availability (“SA”) reported as micrograms per square centimeter, and direct kill time results are summarized in Table 10.
-
TABLE 10 Compositions (wt. %), SA (micrograms/square centimeter) and log reductions. PSA MCM- Log Reduction EX. 1 1 CHG SA 5 min. 10 min. 15 min. 20 min. D1 75 23 2 4.2 4.4 5.3 5.7 5.7 D2 50 48 2 7.5 5.5 5.7 5.7 5.7 - Drape Adhesion Analysis. Pigskin was used as a proxy for human skin to gauge the adhesive performance of the adhesive article samples. The test method described in J. Bone Joint Surg. Am. 2012 Jul. 3; 94(13):1187-92, “Comparison of two preoperative skin antiseptic preparations and resultant surgical incise drape adhesion to skin in healthy volunteers” was followed with the following exceptions. Briefly, freshly euthanized pigs were clipped and shaved prior to prepping the skin with isopropyl alcohol. Each prepped area was allowed to dry for about 5 minutes and not more than 6 minutes. Strips cut 1.3 cm by 7.6 cm (0.5 in by 3 in) were applied in duplicate over the prepped area so that the long axis of the drape strip was orientated perpendicular to the pig's spine. To assure even application of the drape samples to the skin, a 2 kg (4.5 lb) roller was rolled over the drape samples once back and forth, using no additional pressure, immediately after the drape samples have been placed onto the test site. After the drape samples had been pressed in place with the roller, they were allowed to build adhesion for up to 5 minutes +/−30 seconds before any saline challenges were applied.
- A 10 cm by 10 cm (4 in by 4 in) gauze that had been soaked in a 0.9% saline solution was placed over the drape sample immediately after the specified adhesion build time. Extra saline was added to the gauze at 10 minutes +/−2 minutes intervals during the challenge period to keep it saturated. The gauze was removed after 30 minutes +/−30 seconds. Immediately after removing the gauze from each sample, the drape sample was mechanically removed using a peel tester. The pull rate was 30.5 cm per minute (12 inches/min) at an angle of approximately 90 degrees to the skin. Data acquisition software was used to record the peel adhesion force.
- Data Set E. These examples demonstrate the ability of adhesive articles prepared from adhesives plasticized with a hydrophobic vehicle containing CHG to adhere well to euthanized pigs under simulated irrigation. The control sample used was an antimicrobial incise drape marketed under the brand name IOBAN from 3M Company, St. Paul, Minn. Three CHG-containing, solvent-based adhesive formulations were prepared by combining 25 parts by weight PSA-3 (provided as 100 parts by weight of a solution containing 25 wt. % PSA-3 dissolved in ethyl acetate/methanol) with 25 parts by weight hydrophobic vehicle(s), 5 parts by weight of a 20 wt. % aqueous solution of CHG, and 75 parts by weight ethanol. Each adhesive was coated onto a silicone liner at 4.6 mg/square centimeter, dried, and laminated to Film-1 to prepare adhesive articles. The resulting compositions of the dried adhesives are summarized in Table 11. The results of the adhesion to pigskin under wet challenge are also summarized in Table 11. The reported values are the average and standard deviations are based on six replicates.
-
TABLE 11 Compositions (wt. %) and adhesion results in grams per 1.2 cm. Vehicles Adhesion Ex. PSA-3 Res-2 V1 V2 V3 CHG Average Std. Dev. E1 49 — 29.4 9.8 9.8 2 120 30 E2 49 29.5 — 9.8 9.8 2 110 20 E3 54 — 29.4 9.8 9.8 2 70 30 CE-7 Ioban (TM) drape (3M Co.) 110 20 V1 = decaglycerol pentaoleate (HLB = 7.2) V2 = glyceryl monocaprylate (HLB = 8.4) V3 = 1,2-decanediol (HLB = 7.0) - In some embodiments, the ability to sterilize the final CHG-containing adhesive article, with, e.g., ethylene oxide (EO) or gamma irradiation, is a highly desired performance characteristic. For example, in some embodiments, it may be desirable to include the adhesive article in kits and be sterilized by EO as a part of those kits. The effect of EO sterilization on the adhesive formulation of Example E1 was evaluated. The sample was subject to a standard EO cycle and tested for antimicrobial activity using the Direct Time Kill Analysis at 5 minute and 30 minute incubation periods. No bacteria were detected after enumeration at both time periods, indicating complete kill. The sterilization cycle has no deleterious effect on the CHG activity in adhesive article.
- It is known that aqueous CHG is unstable to gamma irradiation. In order to assess the effects of gamma radiation of CHG dissolved in non-aqueous solvents, two samples were prepared with a composition of 65% w/w PSA-3, 33% w/w MCM-1 and 2% w/w CHG. Example F1 was prepared without water with the CHG source being a 20% w/w solution of lyophilized CHG predissolved in MCM-1. In Example F2, the CHG source was a 20% w/w solution in water, with the water removed during drying. The samples were exposed to two different doses of gamma radiation: 25 and 45 kGy. These irradiated samples were then tested using the Direct Time Kill Analysis after 5 minutes of incubation. The results are shown in Table 12. Surprisingly, there was no negative effect of gamma irradiation observed on the CHG solubilized in non-aqueous vehicles. Furthermore, the activities were the same whether the CHG was pre-dissolved in the vehicle or dissolved in situ through the evaporation of water.
-
TABLE 12 Log reduction as a function of gamma radiation. Gamma Dose Ex. None 20 kGy 45 kGy F1 5.7 5.5 5.7 F2 5.7 5.7 5.7 - The effect of accelerated aging on the activity of CHG in the adhesive of an adhesive article was evaluated. Adhesive articles were prepared containing 58% w/w PSA-2, 20% w/w triacetin, 20% w/w glyceryl monocaprylate, and 2% w/w CHG. These samples were aged at 66° C. (150° F.) for six weeks. This aggressive aging schedule corresponds to two years aging at room temperature using the Van't Hoff rule. The samples were removed from the aging oven at the end of six weeks and tested for antimicrobial activity using the Direct Time Kill Analysis after 5 and 30 minutes of incubation. The aged samples showed a 0.2 log reduction after 5 minutes and a 3.1 log reduction after 30 minutes of incubation. Thus, there was considerable antimicrobial activity even after this extreme thermal treatment.
- Data Set H. In some embodiments, a high Moisture Vapor Transmission Rate (MVTR) value may be desired, e.g., it may be desirable for CHG incise drape materials to prevent accumulation of moisture and skin maceration under the incise drape when it is applied for very long surgeries. Both the permeability properties of the backing and the adhesive (type and coat weight) impact MVTR.
- To evaluate the MVTR of various drape examples, the following stock formulations were prepared. Formulation HA contained 49 wt. % PSA 2, 22.5% glycerol monoisostearate (GMIS-2), 22.5% sorbitan isostearate, 5% glycerol, and 1% CHG. Formulation HB was identical except ethylhexyl glycerin was used instead of the sorbitan isostearate. Drape examples H1-H4 were prepared by laminating formulations HA or HB to a HYTREL film backing. Tie layers were used in Examples H2-H4 to aide in bonding the formulations to the HYTREL backing.
- Moisture Vapor Transmission Rate (MVTR) Analysis. The MVTR was determined using a variation of ASTM method E96-80. The film was placed adhesive side down over the opening of a standard glass vessel half filled with deionized water. The MVTR was determined by first allowing the sample 24 hours to equilibrate to the test conditions of 39 degree C. and 20% ambient relative humidity and then measuring the weight loss of water occurring over the following 24 hours.
-
TABLE 13 Compositions and moisture vapor transmission rates (g/sq meter/24 hours). EX. Drape Composition Description MVTR Std Dev CE-8 HYTREL film only 1380 17 CE-9 IOBAN Surgical Drape 470 13 Formulation Tie-layer H1 HA (4.6 mg/cm2) None 680 13 H2 HA (2.5 mg/cm2) PSA 2 (2.5 mg/cm2) 410 13 H3 HB (3.8 mg/cm2) PSA 4 (1.26 mg/cm2) 290 7 H4 HB (2.5 mg/cm2) PSA 4 (2.5 mg/cm2) 140 10 - Data Set J. The primary function of an incise drape is to adhere well to the skin, providing a physical barrier that prevents the transfer of resident skin microorganisms into the surgical wound. This performance requirement is challenging for a skin-friendly adhesive to meet.
- After the adhesive film is applied to the patient, an incision is made with a scalpel. The deeper layers of tissue are then cut away using a combination of surgical instruments to gain access to the area of interest.
- Adhesive performance of an incise drape must be evaluated using a combination of methods to assure adequate performance in the operating room. The drape must remain adhered to the skin all the way up to the edge throughout all of the manipulation performed in a typical surgery. In a typical surgery, a surgeon and nurse might insert and remove their hands, surgical instruments, implants, bones, and tissue multiple times over the course of several hours. The adhesive drape is also exposed to large volumes of irrigation fluid, saline, blood, and other bodily fluids, and must maintain its adhesion. After holding up to the challenges of a surgical procedure, the adhesive drape must still be relatively easy to remove from the skin, not causing significant pain or skin damage near the incision.
- Peel testing on human or porcine skin is one accepted way to assess the performance of an adhesive tape or film on skin. Briefly, strips of adhesive coated backing are applied to the subject, allowed to adhere for a set dwell time, and removed using a device that measures the average force of removal at 90 degrees. The higher the force of removal (or peel value), the more difficult the adhesive is to remove from the skin surface. The peel value can give an indication of the ability of the adhesive construction to remain adhered to the skin. For an incise drape, a desirable peel value is the maximum value that does not cause significant pain or damage to the skin upon removal.
- Based on historical product performance of 3M SteriDrape™ and Ioban™ products, typical dry peel testing does not accurately predict performance characteristics of an incise drape. To better mimic real surgical conditions, peel testing is performed after a relatively lengthy exposure to wet conditions. This type of testing has been found to predict more accurately the performance of incise drapes during surgery.
- CHG-containing adhesives were prepared using a variety of base PSAs and vehicles. The adhesive formulations are summarized in Tables 14a, 14b, and 14c. All the active formulation layers were coated at 4.6 mg/square centimeter.
-
TABLE 14a Compositions (wt. %) for formulations prepared with PSA-1. EX. PSA 1 Res-4 Res-4 GMO* GMIS-2 Glycerol CHG J1 74 10.7 — 10.7 — 3.6 1 J2 64 — 15 — 15 5 1 J3 64 — 15 15 — 5 1 *GMO = glycerol monooleate -
TABLE 14b Compositions (wt. %) for formulations prepared with PSA-2. EX. PSA 2 Res-2 1,2-pentanediol Glycerol CHG J4 64 15 15 5 1 -
TABLE 14c Compositions (wt. %) for formulations prepared with PSA-3. 1,2- PSA Res- Res- pentane- Gly- MCM- EX. 3 3 4 GMO* diol cerol 2 CHG J5 59 20 — 20 — — — 1 J6 54 22.5 — 22.5 — — — 1 J7 59 — 20 20 — — — 1 J8 64 — 15 — 15 5 — 1 J9 59 — 20 20 — — — 1 J10 54 — 22.5 22.5 — — — 1 J11 64 — 15 — — 5 15 1 *GMO = glycerol monooleate - Incise drape samples prepared using these adhesives and tested for adhesion performance by peel testing under wet conditions on the side skin of a freshly euthanized pig. After the animal was euthanized, hair was removed by shaving with a razor using only water. 70% IPA was then used to clean the skin surface, and allowed to dry for 10 minutes. Drape samples cut into 1.3 cm by 7.6 cm (0.5 inch by 3 inch) strips were then applied to the prepared skin such that the long axis of the drape sample was oriented perpendicular to the spine. The drapes were then allowed to build adhesion for up to 5 minutes. After the dwell time, 10 cm by 10 cm (4 inch by 4 inch) gauze pieces soaked in 0.9% saline solution were placed over the drape samples. Extra saline was added to the gauze at ten minutes intervals during the challenge period to keep it saturated for up to thirty minutes. After thirty minutes, the wet gauze was removed and samples were removed at a 90 degree angle, mechanically with a peel tester. The force of removal for each strip was recorded using four replicates. The results were compared to a commercially available products; Ioban™ 2 Antimicrobial Incise Drape (“Drape 1”) available from 3M Company, St. Paul, Minn. The averages and standard deviations are reported in Table 15.
- These samples were also tested to further determine potential performance in real applications. For the Mock Surgery test, freshly excised porcine belly skin with underlying tissue intact (thickness ranging from 1.3 to 3.8 cm) (0.5 inch to 1.5 inch) was stretched taught across a board with nails. Hair was removed by dry clipping with an electric razor (#50 blade). The skin was then cleaned with 70% IPA and allowed to dry for 15 minutes. Approximately 7.6 by 12.7 cm (3 inch by 5 inch) drape samples were then applied to the skin, smoothed with gauze, and allowed to dwell and build adhesion for five minutes. After the dwell time, a new #10 scalpel blade was used to make a shallow 6 cm incision through the first few layers of skin using a single stroke of the blade. Then the blade was used to cut through the remaining tissue using several strokes, but without further disturbing the initial cut. After the incision was made, gloved hands were used to pull and stretch the incision in a semi-aggressive manner, ensuring that the drape/skin interface was contacted and rubbed by the gloves. This was continued for two minutes.
- After two minutes, the incision edges were examined for areas where the adhesive drape had lifted away from the skin. Drape 1 remained adhered to the incision edge around the entire wound. Repeat testing of this product using this method has shown that this drape reliably does not lift from the wound edge for more than 1 cm of the total incision edge (12 cm for a 6 cm incision). Therefore, the performance of this commercial drape under mock surgical conditions was used as the acceptance criteria for experimental drape performance. These results are also shown in Table 15.
-
TABLE 15 Peel Adhesion and Mock Surgery test results for Example Set J. Average Peel Force Standard Mock Surgery Wound EX. (g) n = 4 Deviation Manipulation Test Drape 1 90 44 Pass J1 108 25 Pass J2 165 64 Pass J3 143 29 Fail J4 38 2 Fail J5 72 25 Pass J6 97 14 Pass J7 134 39 Pass J8 44 10 Fail J9 119 35 Fail J10 102 15 Fail J11 39 11 Fail - The results show that several of the experimental drape samples had average peel values greater than or equivalent to the Ioban™ incise drape product. Based on the peel force data, one would expect that these drapes might perform equivalently to or better than such commercial incise drapes. The data also show observations from more rigorous performance testing of the incise drape samples under conditions mimicking surgery. In this test, some of the experimental drapes having a high peel value and did not perform well under simulated surgical conditions; thus, peel force alone cannot be used to predict adhesive performance of experimental incise drape constructions.
- Data Set K. In some embodiments, the static dissipative properties of an adhesive article may be important for safe and proper handling and application. When the liner is removed from an adhesive, buildup of static may occur. Such static can cause blocking to occur, and can make the drape film attract to itself, making the product very difficult to apply. In some embodiments, the final construction might be required to meet the specifications for minimizing the risk of spark generation per NFPA 99. The specifications require that the article pass a static decay test where 5 kV of charge is dissipated in less than 0.5 seconds.
- Static Dissipation Analysis. In some embodiments, the adhesive article must meet the specifications for minimizing the risk of spark generation per NFPA 99. The specifications require that the article pass a static decay test where 5 kV of charge is dissipated in less than 0.5 seconds (per industrial test method: IST 40.2-92 “Electrostatic Decay”).
- Generally, adhesives by themselves are very hydrophobic and are not static dissipative. Usually an anti-static coating is put on the backing or liner to meet these specifications. In some embodiments, the adhesive formulations can be prepared with vehicles that impart static dissipative properties. The adhesive formulations described in Table 16a coated at 4.6 mg/square centimeter on Film-1 were tested for static dissipation. The static dissipation results are shown in Table 16b. Formulations K1, K2, and K3 easily met the NFPA static dissipation requirements.
-
TABLE 16a Compositions (wt. %) for Data Set K. PSA- PSA- Res- GMIS- Gly- MCM- Sorbitan EX. 1 2 2 2 cerol 1 isostearate CHG K1 63 — 15 15 5 — — 2 K2 64.5 — 15 15 5 — — 0.5 K3 — 50 — 16 — 16 16 2 K4 — 50 — 24 — — 24 2 K5 — 50 — 49 — — — 1 -
TABLE 16b Static dissipation results. Static decay time (sec.) EX. (+) (−) K1 0.34 0.32 K2 0.30 0.32 K3 0.07 0.07 K4 0.83 0.79 K5 1.24 1.18 - Data Set L. Ex vivo samples were conducted using the compositions summarized in Table 17. The standard sampling solution (“SSS”) was 75 mM phosphate-buffered water (0.04% KH2PO4, 1.01% Na2HPO4) containing 0.1% TRITON X-100 with 3% Polysorbate 80, 0.3% lecithin and 0.1% sodium thiosulfate at pH 7.9±0.1. Various procedures were used to evaluate performance with the results summarized in Tables 18a, 18b, and c.
-
TABLE 17 Compositions (% w/w) for Data Set L. Ex. Description PSA 1 Res-2 GMIS-2 Glycerol CHG L1 Placebo 65 15 15 5 0 L2 Active 63 15 15 5 2 - Procedure I: Analysis of drapes on porcine skin seeded with Serratia marcescens. This experiment evaluated the effects of the active and placebo drapes on the intact skin under the drapes after both were in place for 4 hours. Recovery of the seeded bacteria from both the skin and drape were combined to determine the total antimicrobial effect.
- 1. Cut porcine abdominal skin into two sections and stretch out on board. Remove hair by clipping and wipe away gross contamination.
- 2. Prepare a 108 CFU/mL suspension of Serratia marcescens in Phosphate-Buffered Water (PBW) from an overnight growth plate. Dilute 1:10 in PBW for 107 CFU/mL working suspension. This is used to inoculate the skin.
- 3. Saturate the sponge of a DURAPREP 8635 applicator (available from 3M Co.) with the Serratia working suspension. Start in the middle of the area and wipe the sponge over the skin back and forth, moving out from center in both directions. Re-saturate the same sponge and repeat with fresh suspension, changing direction by 90 degrees. Next use same sponge but do not re-saturate. Wipe from center out in a third direction. Let skin dry completely (30 minutes).
- 4. Mark three areas in center of area to be draped by marking bottom of a scrub ring with a sterile skin marker and touching to the skin. Remove liners from drape pieces and apply to skin. Smooth over top with sterile gauze. Mark areas on drape to correspond with the marked areas on the skin.
- 5. Collect two baseline samples from inoculated areas around the drapes by the cup scrub method (ASTM E1874-09).
- 6. Leave drapes in place for four hours at 35° C.
- 7. After four hours on skin, remove each drape and place on a clean liner. Scrub marked areas of skin underneath the drape using the cup scrub method (ASTM E1874-09). Serially dilute collected solutions; spread plate neat and diluted solutions on Trypticase Soy Agar (TSA) plates.
- 8. Die cut three 25 mm samples from the marked areas on each drape. Transfer each separately to 20 mL Neutralizing Buffer (Difco) containing 0.1% sodium thiosulfate. Sonicate for one minute and vortex vigorously for two minutes. Serially dilute and spread plate all neat and diluted solutions on TSA plates.
- 9. Incubate plates at 32° C. for three days.
- 10. Count red colonies only (Serratia) on plates. Calculate bacteria recovered per square centimeter. Add bacteria from correlating skin and drape sites, and convert to log 10. Calculate the average of the triplicate sites per drape.
-
TABLE 18a Log Recovery (n = 3) for drapes on seeded porcine skin (Serratia marcescens). EX. Average Log Recovery Standard deviation L1 4.1 0.2 L2 3.4 0.4 - Procedure II: Incision Model on Seeded Porcine Skin (Serratia marcescens). This model evaluates the active and placebo drapes in a simulated surgical procedure with shallow incisions through skin, retraction and manipulation. The use of seeded bacteria localizes the bacteria of interest to the skin surface initially and can be differentiated from normal flora.
- 1. Stretch and nail porcine abdominal skin to board. Clip hair and wipe away gross contamination.
- 2. Prepare a 108 CFU/mL suspension of Serratia marcescens in Phosphate-Buffered Water (PBW) from an overnight growth plate. Dilute 1:10 in PBW for 107 CFU/mL working suspension. This is used to inoculate the skin.
- 3.Saturate the sponge of a DURAPREP 8635 applicator with the Serratia working suspension. Start in the middle of the area and wipe the sponge over the skin back and forth, moving out from center in both directions. Re-saturate the same sponge and repeat with fresh suspension, changing direction by 90 degrees. Next use same sponge but do not re-saturate. Wipe from center out in a third direction. Let skin dry completely (30 minutes).
- 4. Collect baselines samples of bacteria. Place sterile metal template onto skin (in area NOT covered by drapes). Prewet sterile swab in 1 ml SSS and rub swab on skin within template for 30 seconds. Return swab to 1 ml tube, vortex 30 seconds, serially dilute and plate in TSA.
- 5. Apply drape to skin, using sterile gauze to smoothly place drape and adhere it to the skin.
- 6. Allow each drape to sit for five minutes.
- 7. With a sterile scalpel blade (no. 10), make a six centimeter incision through the drape. Cut through the fatty layer and into the muscle, but not completely through the piece of skin to avoid contamination from the underside of the skin section (approximately 1-2 cm deep).
- 8. With sterile gloved fingers, manipulate the incision for one minute. Use the first two fingers on each hand to move around inside the incision and pull at the wound edges.
- 9. Check for lifting of the drape along the incision edge.
- 10. Retract incision approximately three centimeters with sterile stainless steel 5.5″ Weitlaner retractor.
- 11. Moisten sterile gauze (two pieces of 12 ply gauze) with 25 ml sterile phosphate-buffered water (PBW) and place loosely over the retracted incision.
- 12. Repeat process for a total of three incisions on each drape section.
- 13. Cover skin with foil pan (loose) and incubate at 35° C. for a total of four hours.
- 14. After one hour, remove skin from incubator and remove gauze and retractors. Manipulate incision edges for fifteen seconds by rubbing with gloved fingers around the incisions (on top of drape). Replace retractors (keep retractors matched to their original incisions) and cover with new moistened gauze. Cover with foil pan and return to 35° C. incubator.
- 15. Repeat step 14 after two total hours and again after three total hours.
- 16. After four hours, remove gauze and retractors. Evaluate each incision for drape lift and visible fluid under the drapes.
- 17. Collect bacteria along the edges of each incision. Prewet a sterile swab in a 1 ml tube of SSS and roll the swab twice around the inside of the incision. Break off swab into the tube of SSS and vortex for thirty seconds. (“In incision” sample)
- 18. Peel drape off of skin. Look for moisture on skin that may have migrated under the drape.
- 19. Collect bacteria from skin around incision edge. Prewet a sterile swab in a 1 ml tube of SSS and roll the swab once around the edge of the incision on the skin surface. Break off the swab into the tube of SSS and vortex for thirty seconds. (“Surrounding skin” sample)
- 20. Serially dilute solutions with swabs and spread plate each onto Trypticase Soy Agar (TSA) plates.
- 21. Incubate plates for three days at 32° C.
- 22. Calculate bacteria per mL (swab). Calculate the mean of the incisions per drape. Convert to log 10 CFU/swab.
-
TABLE 18b Log Recovery (n = 9) Incision Model on Seeded Porcine Skin (Serratia marcescens). “In incision” results “Surrounding skin” results Average Standard Average Standard EX. Log Recovery deviation Log Recovery deviation L1 3.0 0.3 4.4 0.2 L2 2.2 0.4 3.7 0.2 - There are differences between the placebo and active drapes with respect to the incision edges and on the skin immediately surrounding the incision. In both instances, there is lower log recovery from the active drape (L2) than from the placebo drape (L1). The active drape is superior to the placebo drape in the incision (95% confidence).
- Procedure III: Incision Model on Porcine Skin (Normal Flora). This model evaluates the active and placebo drapes in a simulated surgical procedure with shallow incisions through skin, retraction and manipulation. Procedure III was identical to Procedure II, except that Steps 2 and 3 were not performed. Also, a modified Standard Sampling Solution was prepared with Tamol (“SST”) containing 75 mM phosphate-buffered water (0.04% KH2PO4, 1.01% Na2HPO4) containing 0.1% TRITON X-100 with 1% Polysorbate 80, 0.3% lecithin and 1% Tamol with pH 7.9±0.1 was used.
-
TABLE 18c Log Recovery (n = 6) Incision Model on Porcine Skin (Normal Flora). “In incision” “Surrounding skin” Average Standard Average Standard EX. Log Recovery deviation Log Recovery deviation L1 2.4 0.5 4.0 0.8 L2 1.3 0.4 3.0 0.5 - There are differences between the placebo and active drapes with respect to the incision edges and on the skin immediately surrounding the incision. The 1 log difference in the incision is statistically significant with a p-value of <0.001. There is a 1 log difference on the skin surface also, however it was not statistically significant (p-value of 0.17).
- Various modifications and alterations of this invention will become apparent to those skilled in the art without departing from the scope and spirit of this invention.
Claims (2)
1. A composition comprising chlorhexidine gluconate solubilized in a hydrophobic vehicle having a hydrophilic-lipophilic balance of no greater than 10 as determined using the HLB Method.
2-29. (canceled)
Priority Applications (1)
| Application Number | Priority Date | Filing Date | Title |
|---|---|---|---|
| US16/590,594 US20200030499A1 (en) | 2012-08-28 | 2019-10-02 | Chlorhexidine gluconate compositions resin systems and articles |
Applications Claiming Priority (8)
| Application Number | Priority Date | Filing Date | Title |
|---|---|---|---|
| US201261694088P | 2012-08-28 | 2012-08-28 | |
| PCT/US2013/056823 WO2014035981A1 (en) | 2012-08-28 | 2013-08-27 | Chlorhexidine gluconate compositions, resin systems and articles |
| US201514424186A | 2015-02-26 | 2015-02-26 | |
| US15/185,165 US9713659B2 (en) | 2012-08-28 | 2016-06-17 | Chlorhexidine gluconate compositions, resin systems and articles |
| US15/627,548 US10016537B2 (en) | 2012-08-28 | 2017-06-20 | Chlorhexidine gluconate compositions, resin systems and article |
| US16/002,763 US10232093B2 (en) | 2012-08-28 | 2018-06-07 | Chlorhexidine gluconate compositions, resin systems and article |
| US16/262,981 US10456509B2 (en) | 2012-08-28 | 2019-01-31 | Chlorhexidine gluconate compositions, resin systems and articles |
| US16/590,594 US20200030499A1 (en) | 2012-08-28 | 2019-10-02 | Chlorhexidine gluconate compositions resin systems and articles |
Related Parent Applications (1)
| Application Number | Title | Priority Date | Filing Date |
|---|---|---|---|
| US16/262,981 Continuation US10456509B2 (en) | 2012-08-28 | 2019-01-31 | Chlorhexidine gluconate compositions, resin systems and articles |
Publications (1)
| Publication Number | Publication Date |
|---|---|
| US20200030499A1 true US20200030499A1 (en) | 2020-01-30 |
Family
ID=49117989
Family Applications (6)
| Application Number | Title | Priority Date | Filing Date |
|---|---|---|---|
| US14/424,186 Abandoned US20150328360A1 (en) | 2012-08-28 | 2013-08-27 | Chlorhexidine gluconate compositions, resin systems and articles |
| US15/185,165 Active US9713659B2 (en) | 2012-08-28 | 2016-06-17 | Chlorhexidine gluconate compositions, resin systems and articles |
| US15/627,548 Active US10016537B2 (en) | 2012-08-28 | 2017-06-20 | Chlorhexidine gluconate compositions, resin systems and article |
| US16/002,763 Active US10232093B2 (en) | 2012-08-28 | 2018-06-07 | Chlorhexidine gluconate compositions, resin systems and article |
| US16/262,981 Active US10456509B2 (en) | 2012-08-28 | 2019-01-31 | Chlorhexidine gluconate compositions, resin systems and articles |
| US16/590,594 Abandoned US20200030499A1 (en) | 2012-08-28 | 2019-10-02 | Chlorhexidine gluconate compositions resin systems and articles |
Family Applications Before (5)
| Application Number | Title | Priority Date | Filing Date |
|---|---|---|---|
| US14/424,186 Abandoned US20150328360A1 (en) | 2012-08-28 | 2013-08-27 | Chlorhexidine gluconate compositions, resin systems and articles |
| US15/185,165 Active US9713659B2 (en) | 2012-08-28 | 2016-06-17 | Chlorhexidine gluconate compositions, resin systems and articles |
| US15/627,548 Active US10016537B2 (en) | 2012-08-28 | 2017-06-20 | Chlorhexidine gluconate compositions, resin systems and article |
| US16/002,763 Active US10232093B2 (en) | 2012-08-28 | 2018-06-07 | Chlorhexidine gluconate compositions, resin systems and article |
| US16/262,981 Active US10456509B2 (en) | 2012-08-28 | 2019-01-31 | Chlorhexidine gluconate compositions, resin systems and articles |
Country Status (9)
| Country | Link |
|---|---|
| US (6) | US20150328360A1 (en) |
| EP (1) | EP2890415B1 (en) |
| JP (1) | JP6359540B2 (en) |
| CN (1) | CN104703635B (en) |
| AU (1) | AU2013309002B2 (en) |
| BR (1) | BR112015004600A2 (en) |
| CA (1) | CA2883373A1 (en) |
| MX (1) | MX354749B (en) |
| WO (1) | WO2014035981A1 (en) |
Cited By (24)
| Publication number | Priority date | Publication date | Assignee | Title |
|---|---|---|---|---|
| US10968543B2 (en) | 2011-12-01 | 2021-04-06 | Convatec Technologies Inc. | Wound dressing for use in vacuum therapy |
| US11116884B2 (en) | 2010-12-08 | 2021-09-14 | Convatec Technologies Inc. | Integrated system for assessing wound exudates |
| US11135315B2 (en) | 2010-11-30 | 2021-10-05 | Convatec Technologies Inc. | Composition for detecting biofilms on viable tissues |
| US11241339B2 (en) | 2011-11-29 | 2022-02-08 | Convatec Inc. | Perforated binder for laminated wound dressing |
| US11241525B2 (en) | 2010-12-08 | 2022-02-08 | Convatec Technologies Inc. | Wound exudate monitor accessory |
| US11266774B2 (en) | 2016-07-08 | 2022-03-08 | Convatec Technologies Inc. | Fluid collection apparatus |
| US11286601B2 (en) | 2012-12-20 | 2022-03-29 | Convatec Technologies, Inc. | Processing of chemically modified cellulosic fibres |
| US11331221B2 (en) | 2019-12-27 | 2022-05-17 | Convatec Limited | Negative pressure wound dressing |
| US11452808B2 (en) | 2016-07-08 | 2022-09-27 | Convatec Technologies Inc. | Fluid flow sensing |
| US11458044B2 (en) | 2008-09-29 | 2022-10-04 | Convatec Technologies Inc. | Wound dressing |
| US11583430B2 (en) | 2011-09-02 | 2023-02-21 | Convatec Ltd. | Skin contact material |
| US11596554B2 (en) | 2016-07-08 | 2023-03-07 | Convatec Technologies Inc. | Flexible negative pressure system |
| US11628093B2 (en) | 2008-05-08 | 2023-04-18 | Convatec Technologies, Inc. | Wound dressing |
| US11723808B2 (en) | 2016-03-30 | 2023-08-15 | Convatec Technologies Inc. | Detecting microbial infections in wounds |
| US11740241B2 (en) | 2016-03-30 | 2023-08-29 | Synovo Gmbh | Construct including an anchor, an enzyme recognition site and an indicator region for detecting microbial infection in wounds |
| US11771819B2 (en) | 2019-12-27 | 2023-10-03 | Convatec Limited | Low profile filter devices suitable for use in negative pressure wound therapy systems |
| WO2024079606A1 (en) * | 2022-10-13 | 2024-04-18 | Solventum Intellectual Properties Company | Antimicrobial compositions and articles made therefrom |
| US12076215B2 (en) | 2019-06-03 | 2024-09-03 | Convatec Limited | Methods and devices to disrupt and contain pathogens |
| US12121645B2 (en) | 2010-12-08 | 2024-10-22 | Convatec Technologies Inc. | Method and system for removing exudates from a wound site |
| US12161792B2 (en) | 2017-11-16 | 2024-12-10 | Convatec Limited | Fluid collection apparatus |
| US12290655B2 (en) | 2015-10-21 | 2025-05-06 | Convatec Limited | Wound dressing |
| US20250161117A1 (en) * | 2022-06-02 | 2025-05-22 | Solventum Intellectual Properties Company | Antimicrobial compositions and articles made therefrom |
| US12357594B1 (en) | 2021-06-30 | 2025-07-15 | Sage Products, Llc | Antimicrobial solution for pre-operative preparation |
| US12458540B2 (en) | 2016-05-09 | 2025-11-04 | Convatec Technologies Inc. | Negative pressure wound dressing management system |
Families Citing this family (19)
| Publication number | Priority date | Publication date | Assignee | Title |
|---|---|---|---|---|
| WO2010080936A2 (en) | 2009-01-07 | 2010-07-15 | Entrotech, Inc. | Chlorhexidine-containing antimicrobial laminates |
| BR112015004600A2 (en) * | 2012-08-28 | 2017-07-04 | 3M Innovative Properties Co | chlorhexidine gluconate compositions, systems and resin articles |
| US10219957B2 (en) | 2013-02-05 | 2019-03-05 | Medline Industries, Inc. | Method and system for aseptically filling a package |
| US11039615B2 (en) | 2014-04-18 | 2021-06-22 | Entrotech Life Sciences, Inc. | Methods of processing chlorhexidine-containing polymerizable compositions and antimicrobial articles formed thereby |
| US10485892B2 (en) | 2015-03-10 | 2019-11-26 | Covalon Technologies Inc. | Method for local reduction of microbial skin flora |
| KR20180016338A (en) * | 2015-03-10 | 2018-02-14 | 코블론 테크놀로지스 인코포레이티드 | Local reduction of microbial skin flora |
| CN108431161A (en) | 2015-12-30 | 2018-08-21 | 3M创新有限公司 | Contact adhesive containing organized enzyme |
| WO2017160785A1 (en) | 2016-03-18 | 2017-09-21 | 3M Innovative Properties Company | Adhesive compositions with (meth) acrylic-based block copolymers |
| US20220117859A1 (en) * | 2018-11-30 | 2022-04-21 | 3M Innovative Properties Company | Topical antimicrobial microemulsions with fluorescent materials |
| US20220040369A1 (en) * | 2018-12-21 | 2022-02-10 | 3M Innovative Properties Company | Medical article with backing |
| JP2022535706A (en) * | 2019-05-24 | 2022-08-10 | スリーエム イノベイティブ プロパティズ カンパニー | adhesive composition |
| CN114173727A (en) | 2019-08-01 | 2022-03-11 | 3M创新有限公司 | Antimicrobial device for insertion needle |
| WO2021090136A1 (en) | 2019-11-04 | 2021-05-14 | 3M Innovative Properties Company | A reinforced adhesive substrate |
| US20220387226A1 (en) | 2019-11-20 | 2022-12-08 | 3M Innovative Properties Company | Medical tapes with high optical clarity when over-taped |
| EP4084612A1 (en) * | 2019-12-31 | 2022-11-09 | 3M Innovative Properties Company | Octenidine salt antimicrobial medical articles |
| US20220174945A1 (en) * | 2020-12-09 | 2022-06-09 | GMR Labs, LLC | Apparatus and method for protecting against microbial hazards |
| WO2022123489A1 (en) | 2020-12-11 | 2022-06-16 | 3M Innovative Properties Company | Perforated tapes for medical applications |
| US20240315248A1 (en) * | 2020-12-30 | 2024-09-26 | 3M Innovative Properties Company | Novel antimicrobial compositions and articles made therefrom |
| CN116254082B (en) * | 2023-03-08 | 2025-07-04 | 蜂巢能源科技股份有限公司 | A binder and its preparation method and application |
Citations (1)
| Publication number | Priority date | Publication date | Assignee | Title |
|---|---|---|---|---|
| US9713659B2 (en) * | 2012-08-28 | 2017-07-25 | 3M Innovative Properties Company | Chlorhexidine gluconate compositions, resin systems and articles |
Family Cites Families (57)
| Publication number | Priority date | Publication date | Assignee | Title |
|---|---|---|---|---|
| GB1599159A (en) * | 1977-02-08 | 1981-09-30 | Roussel Lab Ltd | Pharmaceutical compositions containing chlorhexidine |
| US4301169A (en) | 1978-11-14 | 1981-11-17 | Eisai Co., Ltd. | Novel imidazole compound and anti-depressing agent containing the same |
| EP0011471B1 (en) | 1978-11-17 | 1983-02-09 | SMITH & NEPHEW RESEARCH LIMITED | Adhesive-coated sheet material incorporating anti-bacterial substances |
| US4310509A (en) | 1979-07-31 | 1982-01-12 | Minnesota Mining And Manufacturing Company | Pressure-sensitive adhesive having a broad spectrum antimicrobial therein |
| US4643180A (en) | 1985-02-28 | 1987-02-17 | Surgikos, Inc. | Antimicrobial dressing |
| US4643181A (en) | 1986-04-04 | 1987-02-17 | Surgikos, Inc. | Antimicrobial dressing or drape material |
| GB8629231D0 (en) | 1986-12-06 | 1987-01-14 | Smith & Nephew Ass | Adhesive & dressings |
| GB8706116D0 (en) | 1987-03-14 | 1987-04-15 | Smith & Nephew Ass | Adhesive dressings |
| US5098711A (en) | 1988-11-14 | 1992-03-24 | Ira Hill | Method of treating the oral cavity with dental floss containing chemotherapeutic agents |
| JPH02140167A (en) | 1988-11-22 | 1990-05-29 | Saraya Kk | Composition for disinfecting hand and finger |
| US5045601A (en) | 1989-06-13 | 1991-09-03 | Biointerface Technologies, Inc. | Pressure-sensitive adhesive compositions suitable for medical uses |
| JPH0399010A (en) | 1989-09-13 | 1991-04-24 | Taisho Pharmaceut Co Ltd | pharmaceutical composition |
| US5270358A (en) | 1989-12-28 | 1993-12-14 | Minnesota Mining And Manufacturing Company | Composite of a disperesed gel in an adhesive matrix |
| US5069907A (en) | 1990-03-23 | 1991-12-03 | Phoenix Medical Technology | Surgical drape having incorporated therein a broad spectrum antimicrobial agent |
| US5093109A (en) | 1990-04-04 | 1992-03-03 | Chanel, Inc. | Cosmetic composition |
| GB9113448D0 (en) | 1991-06-21 | 1991-08-07 | Smith & Nephew | Adhesive compositions and products |
| US5357636A (en) | 1992-06-30 | 1994-10-25 | Dresdner Jr Karl P | Flexible protective medical gloves and methods for their use |
| US5489624A (en) | 1992-12-01 | 1996-02-06 | Minnesota Mining And Manufacturing Company | Hydrophilic pressure sensitive adhesives |
| US5614310A (en) * | 1994-11-04 | 1997-03-25 | Minnesota Mining And Manufacturing Company | Low trauma wound dressing with improved moisture vapor permeability |
| US5603921A (en) | 1995-03-13 | 1997-02-18 | Whalen Biomedical Incorporated | Medicated dental floss and method of preparation |
| US20020037945A1 (en) | 1997-05-30 | 2002-03-28 | Anders Christian Nielsen | Adhesive agent and use of such adhesive agent |
| US6592912B1 (en) | 1997-12-30 | 2003-07-15 | Wm. Wrigley Jr. Company | Method of controlling release of antimicrobial agents from chewing gum and gum produced thereby |
| US5980925A (en) | 1997-12-30 | 1999-11-09 | Ethicon, Inc. | High glycerin containing anti-microbial cleansers |
| US6458341B1 (en) * | 1998-06-04 | 2002-10-01 | 3M Innovative Properties Company | Devices with coatings containing chlorhexidine gluconate, compositions and methods |
| US6861067B2 (en) | 1998-09-17 | 2005-03-01 | Sherwood Services Ag | Hydrogel wound dressing and the method of making and using the same |
| ATE556683T1 (en) | 2000-03-10 | 2012-05-15 | 3M Innovative Properties Co | METHOD FOR PRODUCING MEDICAL DRESSES WITH DIFFERENT ADHESIVES |
| DE10052322A1 (en) | 2000-10-21 | 2002-05-02 | Degussa | Storage-stable solid chlorhexidine composition used for preparing aqueous disinfectant solutions e.g. for skin disinfection contains sugar acid and microbicidal quaternary ammonium bromide |
| US20030031694A1 (en) | 2001-04-20 | 2003-02-13 | 3M Innovative Properties Company | Controlled release particles |
| JP2003081801A (en) | 2001-09-10 | 2003-03-19 | Mandom Corp | Deodorant cosmetic |
| US7005031B2 (en) | 2002-01-16 | 2006-02-28 | 3M Innovative Properties Company | Pressure sensitive adhesives having quaternary ammonium functionality, articles, and methods |
| DE20204160U1 (en) | 2002-03-14 | 2002-07-04 | Köhler Pharma GmbH, 64665 Alsbach-Hähnlein | Care means |
| EP1358894A1 (en) * | 2002-05-03 | 2003-11-05 | SCA Hygiene Products AB | Absorbent article with an absorbent body with improved odor performance |
| EP1562543A1 (en) | 2002-11-21 | 2005-08-17 | J.P.M.E.D. Ltd. | Compositions for treating infected skin and mucous membrane comprising an anti-microbial agent and an essential oil |
| US9278155B2 (en) * | 2003-06-05 | 2016-03-08 | 3M Innovative Properties Company | Adhesive compositions, articles incorporating same and methods of manufacture |
| EP1563822B1 (en) | 2004-02-13 | 2020-09-02 | Kettenbach GmbH & CO. KG | Dental material based on alkoxysilyl functional polyether comprising a catalyst |
| US20050245738A1 (en) | 2004-05-03 | 2005-11-03 | Lupin Ltd | Stable bioavailable crystalline form or cefdinir and a process for the preparation thereof |
| US20050249791A1 (en) * | 2004-05-07 | 2005-11-10 | 3M Innovative Properties Company | Antimicrobial articles |
| DE602005001295T2 (en) | 2004-06-08 | 2008-01-31 | Shiseido Co. Ltd. | Cosmetic composition containing a specific terpolymer |
| US9028852B2 (en) * | 2004-09-07 | 2015-05-12 | 3M Innovative Properties Company | Cationic antiseptic compositions and methods of use |
| US20060205838A1 (en) | 2005-03-10 | 2006-09-14 | Velamakanni Bhaskar V | Hardenable antimicrobial dental compositions and methods |
| US20070036846A1 (en) | 2005-08-15 | 2007-02-15 | Tsang Wing W M | Wound dressing and method of manufacture thereof |
| ES2276604B1 (en) | 2005-08-18 | 2008-06-01 | Francisco Caballero Gobern | COMPOSITION FOR VETERINARY USE. |
| JP2007217394A (en) | 2006-02-16 | 2007-08-30 | I-Nage:Kk | Pharmaceutical composition |
| US20080057007A1 (en) | 2006-03-01 | 2008-03-06 | Dentech, Inc. | Oral hygiene products containing ascorbic acid and method of using the same |
| JP2007307287A (en) * | 2006-05-22 | 2007-11-29 | Meiko Shoji Kk | Textile for wiping body |
| CA2600249C (en) | 2006-09-12 | 2014-05-20 | Tyco Healthcare Group Lp | Thin film dressing |
| MX2009004246A (en) * | 2006-10-27 | 2009-05-14 | 3M Innovative Properties Co | Antimicrobial compositions. |
| US9555167B2 (en) * | 2006-12-11 | 2017-01-31 | 3M Innovative Properties Company | Biocompatible antimicrobial compositions |
| WO2008135085A1 (en) * | 2007-05-04 | 2008-11-13 | Symrise Gmbh & Co. Kg | Synergistic active preparations comprising 1,2-decanediol and further antimicrobial active compounds |
| US8932624B2 (en) * | 2007-06-20 | 2015-01-13 | The Trustees Of Columbia University In The City Of New York | Bio-film resistant surfaces |
| EP2625957A1 (en) * | 2007-12-31 | 2013-08-14 | 3M Innovative Properties Company | Antimicrobial compositions |
| US8241587B2 (en) | 2008-12-24 | 2012-08-14 | Kimberly-Clark Worldwide, Inc. | Collapsible sterilization container |
| WO2010080936A2 (en) | 2009-01-07 | 2010-07-15 | Entrotech, Inc. | Chlorhexidine-containing antimicrobial laminates |
| BRPI1007609A2 (en) * | 2009-04-28 | 2016-02-16 | 3M Innovative Properties Co | "Pressure sensitive adhesive and device for skin contact applications" |
| US9717818B2 (en) * | 2009-05-08 | 2017-08-01 | Medline Industries, Inc. | Absorbent articles having antimicrobial properties and methods of manufacturing the same |
| DE102010013075A1 (en) * | 2010-03-26 | 2011-09-29 | B. Braun Melsungen Ag | Antimicrobial wound dressing |
| WO2014035971A2 (en) | 2012-08-28 | 2014-03-06 | 3M Innovative Properties Company | Chlorhexidine gluconate solubilized in a hydrophobic monoacylglyceride |
-
2013
- 2013-08-27 BR BR112015004600A patent/BR112015004600A2/en active Search and Examination
- 2013-08-27 JP JP2015529934A patent/JP6359540B2/en not_active Expired - Fee Related
- 2013-08-27 US US14/424,186 patent/US20150328360A1/en not_active Abandoned
- 2013-08-27 MX MX2015002619A patent/MX354749B/en active IP Right Grant
- 2013-08-27 WO PCT/US2013/056823 patent/WO2014035981A1/en not_active Ceased
- 2013-08-27 CN CN201380045457.8A patent/CN104703635B/en active Active
- 2013-08-27 EP EP13759096.4A patent/EP2890415B1/en not_active Not-in-force
- 2013-08-27 AU AU2013309002A patent/AU2013309002B2/en not_active Ceased
- 2013-08-27 CA CA2883373A patent/CA2883373A1/en not_active Abandoned
-
2016
- 2016-06-17 US US15/185,165 patent/US9713659B2/en active Active
-
2017
- 2017-06-20 US US15/627,548 patent/US10016537B2/en active Active
-
2018
- 2018-06-07 US US16/002,763 patent/US10232093B2/en active Active
-
2019
- 2019-01-31 US US16/262,981 patent/US10456509B2/en active Active
- 2019-10-02 US US16/590,594 patent/US20200030499A1/en not_active Abandoned
Patent Citations (4)
| Publication number | Priority date | Publication date | Assignee | Title |
|---|---|---|---|---|
| US9713659B2 (en) * | 2012-08-28 | 2017-07-25 | 3M Innovative Properties Company | Chlorhexidine gluconate compositions, resin systems and articles |
| US10016537B2 (en) * | 2012-08-28 | 2018-07-10 | 3M Innovative Properties Company | Chlorhexidine gluconate compositions, resin systems and article |
| US10232093B2 (en) * | 2012-08-28 | 2019-03-19 | 3M Innovative Properties Company | Chlorhexidine gluconate compositions, resin systems and article |
| US10456509B2 (en) * | 2012-08-28 | 2019-10-29 | 3M Innovative Properties Company | Chlorhexidine gluconate compositions, resin systems and articles |
Cited By (25)
| Publication number | Priority date | Publication date | Assignee | Title |
|---|---|---|---|---|
| US11628093B2 (en) | 2008-05-08 | 2023-04-18 | Convatec Technologies, Inc. | Wound dressing |
| US11458044B2 (en) | 2008-09-29 | 2022-10-04 | Convatec Technologies Inc. | Wound dressing |
| US11135315B2 (en) | 2010-11-30 | 2021-10-05 | Convatec Technologies Inc. | Composition for detecting biofilms on viable tissues |
| US12121645B2 (en) | 2010-12-08 | 2024-10-22 | Convatec Technologies Inc. | Method and system for removing exudates from a wound site |
| US11116884B2 (en) | 2010-12-08 | 2021-09-14 | Convatec Technologies Inc. | Integrated system for assessing wound exudates |
| US11241525B2 (en) | 2010-12-08 | 2022-02-08 | Convatec Technologies Inc. | Wound exudate monitor accessory |
| US11583430B2 (en) | 2011-09-02 | 2023-02-21 | Convatec Ltd. | Skin contact material |
| US11241339B2 (en) | 2011-11-29 | 2022-02-08 | Convatec Inc. | Perforated binder for laminated wound dressing |
| US10968543B2 (en) | 2011-12-01 | 2021-04-06 | Convatec Technologies Inc. | Wound dressing for use in vacuum therapy |
| US11286601B2 (en) | 2012-12-20 | 2022-03-29 | Convatec Technologies, Inc. | Processing of chemically modified cellulosic fibres |
| US12290655B2 (en) | 2015-10-21 | 2025-05-06 | Convatec Limited | Wound dressing |
| US11740241B2 (en) | 2016-03-30 | 2023-08-29 | Synovo Gmbh | Construct including an anchor, an enzyme recognition site and an indicator region for detecting microbial infection in wounds |
| US11723808B2 (en) | 2016-03-30 | 2023-08-15 | Convatec Technologies Inc. | Detecting microbial infections in wounds |
| US12458540B2 (en) | 2016-05-09 | 2025-11-04 | Convatec Technologies Inc. | Negative pressure wound dressing management system |
| US11452808B2 (en) | 2016-07-08 | 2022-09-27 | Convatec Technologies Inc. | Fluid flow sensing |
| US11266774B2 (en) | 2016-07-08 | 2022-03-08 | Convatec Technologies Inc. | Fluid collection apparatus |
| US11596554B2 (en) | 2016-07-08 | 2023-03-07 | Convatec Technologies Inc. | Flexible negative pressure system |
| US12161792B2 (en) | 2017-11-16 | 2024-12-10 | Convatec Limited | Fluid collection apparatus |
| US12076215B2 (en) | 2019-06-03 | 2024-09-03 | Convatec Limited | Methods and devices to disrupt and contain pathogens |
| US11331221B2 (en) | 2019-12-27 | 2022-05-17 | Convatec Limited | Negative pressure wound dressing |
| US11771819B2 (en) | 2019-12-27 | 2023-10-03 | Convatec Limited | Low profile filter devices suitable for use in negative pressure wound therapy systems |
| US12357594B1 (en) | 2021-06-30 | 2025-07-15 | Sage Products, Llc | Antimicrobial solution for pre-operative preparation |
| US20250161117A1 (en) * | 2022-06-02 | 2025-05-22 | Solventum Intellectual Properties Company | Antimicrobial compositions and articles made therefrom |
| WO2024079606A1 (en) * | 2022-10-13 | 2024-04-18 | Solventum Intellectual Properties Company | Antimicrobial compositions and articles made therefrom |
| US20250256013A1 (en) * | 2022-10-13 | 2025-08-14 | Solventum Intellectual Properties Company | Antimicrobial compositions and articles made therefrom |
Also Published As
| Publication number | Publication date |
|---|---|
| US20160296678A1 (en) | 2016-10-13 |
| CN104703635A (en) | 2015-06-10 |
| US20180280591A1 (en) | 2018-10-04 |
| EP2890415A1 (en) | 2015-07-08 |
| US9713659B2 (en) | 2017-07-25 |
| US20170281834A1 (en) | 2017-10-05 |
| US20150328360A1 (en) | 2015-11-19 |
| AU2013309002A1 (en) | 2015-03-19 |
| US20190160209A1 (en) | 2019-05-30 |
| EP2890415B1 (en) | 2020-09-23 |
| MX2015002619A (en) | 2015-06-05 |
| US10456509B2 (en) | 2019-10-29 |
| CN104703635B (en) | 2016-12-07 |
| CA2883373A1 (en) | 2014-03-06 |
| MX354749B (en) | 2018-03-20 |
| JP6359540B2 (en) | 2018-07-18 |
| BR112015004600A2 (en) | 2017-07-04 |
| AU2013309002B2 (en) | 2016-05-26 |
| WO2014035981A1 (en) | 2014-03-06 |
| US10016537B2 (en) | 2018-07-10 |
| JP2015529667A (en) | 2015-10-08 |
| US10232093B2 (en) | 2019-03-19 |
Similar Documents
| Publication | Publication Date | Title |
|---|---|---|
| US10456509B2 (en) | Chlorhexidine gluconate compositions, resin systems and articles | |
| KR101686001B1 (en) | Cyanoacrylate-based liquid microbial sealant drape | |
| JP5005916B2 (en) | Release agent composition for skin adhesive | |
| KR20180016338A (en) | Local reduction of microbial skin flora | |
| WO2015178438A1 (en) | Adhesive agent composition for skin and patch material for skin | |
| KR20120077821A (en) | Matrix type antimicrobial vehicle and manufacturing method thereof | |
| US9254133B2 (en) | Sterilized liquid compositions of cyanoacrylate monomer mixtures | |
| WO2020109933A1 (en) | Topical antimicrobial microemulsions | |
| EP3976121B1 (en) | Adhesive compositions | |
| JP2024503285A (en) | Novel antimicrobial compositions and articles made therefrom | |
| US20240115528A1 (en) | Composition for external application | |
| US8652510B2 (en) | Sterilized liquid compositions of cyanoacrylate monomer mixtures | |
| KR101258046B1 (en) | Matrix type antimicrobial vehicle and manufacturing method thereof | |
| JP2009242424A (en) | Antimycotic patch | |
| JP2011094158A (en) | Iodine-containing hot-melt adhesive meltable and applicable at temperature of 100‹c or lower and medical adhesive sheet product using the same |
Legal Events
| Date | Code | Title | Description |
|---|---|---|---|
| STPP | Information on status: patent application and granting procedure in general |
Free format text: DOCKETED NEW CASE - READY FOR EXAMINATION |
|
| STPP | Information on status: patent application and granting procedure in general |
Free format text: NON FINAL ACTION MAILED |
|
| STCB | Information on status: application discontinuation |
Free format text: ABANDONED -- FAILURE TO RESPOND TO AN OFFICE ACTION |
