US20180344797A1 - Methods for treatment of atherosclerosis - Google Patents
Methods for treatment of atherosclerosis Download PDFInfo
- Publication number
- US20180344797A1 US20180344797A1 US15/848,198 US201715848198A US2018344797A1 US 20180344797 A1 US20180344797 A1 US 20180344797A1 US 201715848198 A US201715848198 A US 201715848198A US 2018344797 A1 US2018344797 A1 US 2018344797A1
- Authority
- US
- United States
- Prior art keywords
- simvastatin
- peptide
- release
- arg
- lovastatin
- Prior art date
- Legal status (The legal status is an assumption and is not a legal conclusion. Google has not performed a legal analysis and makes no representation as to the accuracy of the status listed.)
- Abandoned
Links
- 238000000034 method Methods 0.000 title claims abstract description 99
- 201000001320 Atherosclerosis Diseases 0.000 title claims abstract description 72
- 238000011282 treatment Methods 0.000 title claims abstract description 33
- 108090000765 processed proteins & peptides Proteins 0.000 claims abstract description 261
- HVYWMOMLDIMFJA-DPAQBDIFSA-N cholesterol Chemical compound C1C=C2C[C@@H](O)CC[C@]2(C)[C@@H]2[C@@H]1[C@@H]1CC[C@H]([C@H](C)CCCC(C)C)[C@@]1(C)CC2 HVYWMOMLDIMFJA-DPAQBDIFSA-N 0.000 claims description 162
- 229940121710 HMGCoA reductase inhibitor Drugs 0.000 claims description 109
- PCZOHLXUXFIOCF-BXMDZJJMSA-N lovastatin Chemical compound C([C@H]1[C@@H](C)C=CC2=C[C@H](C)C[C@@H]([C@H]12)OC(=O)[C@@H](C)CC)C[C@@H]1C[C@@H](O)CC(=O)O1 PCZOHLXUXFIOCF-BXMDZJJMSA-N 0.000 claims description 88
- 239000003524 antilipemic agent Substances 0.000 claims description 78
- PCZOHLXUXFIOCF-UHFFFAOYSA-N Monacolin X Natural products C12C(OC(=O)C(C)CC)CC(C)C=C2C=CC(C)C1CCC1CC(O)CC(=O)O1 PCZOHLXUXFIOCF-UHFFFAOYSA-N 0.000 claims description 74
- RYMZZMVNJRMUDD-HGQWONQESA-N simvastatin Chemical compound C([C@H]1[C@@H](C)C=CC2=C[C@H](C)C[C@@H]([C@H]12)OC(=O)C(C)(C)CC)C[C@@H]1C[C@@H](O)CC(=O)O1 RYMZZMVNJRMUDD-HGQWONQESA-N 0.000 claims description 72
- 235000012000 cholesterol Nutrition 0.000 claims description 69
- 229960004844 lovastatin Drugs 0.000 claims description 59
- QLJODMDSTUBWDW-UHFFFAOYSA-N lovastatin hydroxy acid Natural products C1=CC(C)C(CCC(O)CC(O)CC(O)=O)C2C(OC(=O)C(C)CC)CC(C)C=C21 QLJODMDSTUBWDW-UHFFFAOYSA-N 0.000 claims description 59
- ZGGHKIMDNBDHJB-NRFPMOEYSA-M (3R,5S)-fluvastatin sodium Chemical compound [Na+].C12=CC=CC=C2N(C(C)C)C(\C=C\[C@@H](O)C[C@@H](O)CC([O-])=O)=C1C1=CC=C(F)C=C1 ZGGHKIMDNBDHJB-NRFPMOEYSA-M 0.000 claims description 58
- RYMZZMVNJRMUDD-UHFFFAOYSA-N SJ000286063 Natural products C12C(OC(=O)C(C)(C)CC)CC(C)C=C2C=CC(C)C1CCC1CC(O)CC(=O)O1 RYMZZMVNJRMUDD-UHFFFAOYSA-N 0.000 claims description 57
- 229960002855 simvastatin Drugs 0.000 claims description 57
- XUKUURHRXDUEBC-KAYWLYCHSA-N Atorvastatin Chemical compound C=1C=CC=CC=1C1=C(C=2C=CC(F)=CC=2)N(CC[C@@H](O)C[C@@H](O)CC(O)=O)C(C(C)C)=C1C(=O)NC1=CC=CC=C1 XUKUURHRXDUEBC-KAYWLYCHSA-N 0.000 claims description 54
- XUKUURHRXDUEBC-UHFFFAOYSA-N Atorvastatin Natural products C=1C=CC=CC=1C1=C(C=2C=CC(F)=CC=2)N(CCC(O)CC(O)CC(O)=O)C(C(C)C)=C1C(=O)NC1=CC=CC=C1 XUKUURHRXDUEBC-UHFFFAOYSA-N 0.000 claims description 54
- 229960005370 atorvastatin Drugs 0.000 claims description 54
- 229960003765 fluvastatin Drugs 0.000 claims description 42
- TUZYXOIXSAXUGO-PZAWKZKUSA-N pravastatin Chemical compound C1=C[C@H](C)[C@H](CC[C@@H](O)C[C@@H](O)CC(O)=O)[C@H]2[C@@H](OC(=O)[C@@H](C)CC)C[C@H](O)C=C21 TUZYXOIXSAXUGO-PZAWKZKUSA-N 0.000 claims description 42
- 150000003839 salts Chemical class 0.000 claims description 39
- 230000000694 effects Effects 0.000 claims description 37
- PVNIIMVLHYAWGP-UHFFFAOYSA-N Niacin Chemical compound OC(=O)C1=CC=CN=C1 PVNIIMVLHYAWGP-UHFFFAOYSA-N 0.000 claims description 35
- 108010028554 LDL Cholesterol Proteins 0.000 claims description 34
- BPRHUIZQVSMCRT-VEUZHWNKSA-N rosuvastatin Chemical compound CC(C)C1=NC(N(C)S(C)(=O)=O)=NC(C=2C=CC(F)=CC=2)=C1\C=C\[C@@H](O)C[C@@H](O)CC(O)=O BPRHUIZQVSMCRT-VEUZHWNKSA-N 0.000 claims description 34
- 229960000672 rosuvastatin Drugs 0.000 claims description 34
- 230000003902 lesion Effects 0.000 claims description 32
- 150000001840 cholesterol esters Chemical class 0.000 claims description 31
- PNAMDJVUJCJOIX-IUNFJCKHSA-N [(1s,3r,7s,8s,8ar)-8-[2-[(2r,4r)-4-hydroxy-6-oxooxan-2-yl]ethyl]-3,7-dimethyl-1,2,3,7,8,8a-hexahydronaphthalen-1-yl] 2,2-dimethylbutanoate;(3r,4s)-1-(4-fluorophenyl)-3-[(3s)-3-(4-fluorophenyl)-3-hydroxypropyl]-4-(4-hydroxyphenyl)azetidin-2-one Chemical compound C([C@H]1[C@@H](C)C=CC2=C[C@H](C)C[C@@H]([C@H]12)OC(=O)C(C)(C)CC)C[C@@H]1C[C@@H](O)CC(=O)O1.N1([C@@H]([C@H](C1=O)CC[C@H](O)C=1C=CC(F)=CC=1)C=1C=CC(O)=CC=1)C1=CC=C(F)C=C1 PNAMDJVUJCJOIX-IUNFJCKHSA-N 0.000 claims description 30
- HTIQEAQVCYTUBX-UHFFFAOYSA-N amlodipine Chemical compound CCOC(=O)C1=C(COCCN)NC(C)=C(C(=O)OC)C1C1=CC=CC=C1Cl HTIQEAQVCYTUBX-UHFFFAOYSA-N 0.000 claims description 30
- 238000013265 extended release Methods 0.000 claims description 30
- 208000024891 symptom Diseases 0.000 claims description 30
- TUZYXOIXSAXUGO-UHFFFAOYSA-N Pravastatin Natural products C1=CC(C)C(CCC(O)CC(O)CC(O)=O)C2C(OC(=O)C(C)CC)CC(O)C=C21 TUZYXOIXSAXUGO-UHFFFAOYSA-N 0.000 claims description 27
- 229960002965 pravastatin Drugs 0.000 claims description 27
- VGYFMXBACGZSIL-MCBHFWOFSA-N pitavastatin Chemical compound OC(=O)C[C@H](O)C[C@H](O)\C=C\C1=C(C2CC2)N=C2C=CC=CC2=C1C1=CC=C(F)C=C1 VGYFMXBACGZSIL-MCBHFWOFSA-N 0.000 claims description 24
- 229960002797 pitavastatin Drugs 0.000 claims description 24
- ACTIUHUUMQJHFO-UHFFFAOYSA-N Coenzym Q10 Natural products COC1=C(OC)C(=O)C(CC=C(C)CCC=C(C)CCC=C(C)CCC=C(C)CCC=C(C)CCC=C(C)CCC=C(C)CCC=C(C)CCC=C(C)CCC=C(C)C)=C(C)C1=O ACTIUHUUMQJHFO-UHFFFAOYSA-N 0.000 claims description 23
- 235000017471 coenzyme Q10 Nutrition 0.000 claims description 23
- ACTIUHUUMQJHFO-UPTCCGCDSA-N coenzyme Q10 Chemical compound COC1=C(OC)C(=O)C(C\C=C(/C)CC\C=C(/C)CC\C=C(/C)CC\C=C(/C)CC\C=C(/C)CC\C=C(/C)CC\C=C(/C)CC\C=C(/C)CC\C=C(/C)CCC=C(C)C)=C(C)C1=O ACTIUHUUMQJHFO-UPTCCGCDSA-N 0.000 claims description 23
- 229940110767 coenzyme Q10 Drugs 0.000 claims description 22
- 230000001965 increasing effect Effects 0.000 claims description 22
- 150000003904 phospholipids Chemical class 0.000 claims description 22
- LALFOYNTGMUKGG-BGRFNVSISA-L rosuvastatin calcium Chemical compound [Ca+2].CC(C)C1=NC(N(C)S(C)(=O)=O)=NC(C=2C=CC(F)=CC=2)=C1\C=C\[C@@H](O)C[C@@H](O)CC([O-])=O.CC(C)C1=NC(N(C)S(C)(=O)=O)=NC(C=2C=CC(F)=CC=2)=C1\C=C\[C@@H](O)C[C@@H](O)CC([O-])=O LALFOYNTGMUKGG-BGRFNVSISA-L 0.000 claims description 21
- 108010069201 VLDL Cholesterol Proteins 0.000 claims description 20
- 229940066901 crestor Drugs 0.000 claims description 20
- FQCKMBLVYCEXJB-MNSAWQCASA-L atorvastatin calcium Chemical compound [Ca+2].C=1C=CC=CC=1C1=C(C=2C=CC(F)=CC=2)N(CC[C@@H](O)C[C@@H](O)CC([O-])=O)C(C(C)C)=C1C(=O)NC1=CC=CC=C1.C=1C=CC=CC=1C1=C(C=2C=CC(F)=CC=2)N(CC[C@@H](O)C[C@@H](O)CC([O-])=O)C(C(C)C)=C1C(=O)NC1=CC=CC=C1 FQCKMBLVYCEXJB-MNSAWQCASA-L 0.000 claims description 19
- 229940002661 lipitor Drugs 0.000 claims description 19
- 230000003247 decreasing effect Effects 0.000 claims description 18
- YMTINGFKWWXKFG-UHFFFAOYSA-N fenofibrate Chemical compound C1=CC(OC(C)(C)C(=O)OC(C)C)=CC=C1C(=O)C1=CC=C(Cl)C=C1 YMTINGFKWWXKFG-UHFFFAOYSA-N 0.000 claims description 18
- YVPOVOVZCOOSBQ-AXHZAXLDSA-N [(1s,3r,7s,8s,8ar)-8-[2-[(2r,4r)-4-hydroxy-6-oxooxan-2-yl]ethyl]-3,7-dimethyl-1,2,3,7,8,8a-hexahydronaphthalen-1-yl] (2s)-2-methylbutanoate;pyridine-3-carboxylic acid Chemical compound OC(=O)C1=CC=CN=C1.C([C@H]1[C@@H](C)C=CC2=C[C@H](C)C[C@@H]([C@H]12)OC(=O)[C@@H](C)CC)C[C@@H]1C[C@@H](O)CC(=O)O1 YVPOVOVZCOOSBQ-AXHZAXLDSA-N 0.000 claims description 15
- WNWXXAPGHTVCDL-OKDJMAGBSA-N [(1s,3r,7s,8s,8ar)-8-[2-[(2r,4r)-4-hydroxy-6-oxooxan-2-yl]ethyl]-3,7-dimethyl-1,2,3,7,8,8a-hexahydronaphthalen-1-yl] 2,2-dimethylbutanoate;pyridine-3-carboxylic acid Chemical compound OC(=O)C1=CC=CN=C1.C([C@H]1[C@@H](C)C=CC2=C[C@H](C)C[C@@H]([C@H]12)OC(=O)C(C)(C)CC)C[C@@H]1C[C@@H](O)CC(=O)O1 WNWXXAPGHTVCDL-OKDJMAGBSA-N 0.000 claims description 15
- 229940034653 advicor Drugs 0.000 claims description 15
- 229960000528 amlodipine Drugs 0.000 claims description 15
- 229940022418 caduet Drugs 0.000 claims description 15
- 229940054572 ezetimibe / simvastatin Drugs 0.000 claims description 15
- 229940103465 juvisync Drugs 0.000 claims description 15
- 229940095570 lescol Drugs 0.000 claims description 15
- 229940092923 livalo Drugs 0.000 claims description 15
- 229940099246 mevacor Drugs 0.000 claims description 15
- RHGYHLPFVJEAOC-FFNUKLMVSA-L pitavastatin calcium Chemical compound [Ca+2].[O-]C(=O)C[C@H](O)C[C@H](O)\C=C\C1=C(C2CC2)N=C2C=CC=CC2=C1C1=CC=C(F)C=C1.[O-]C(=O)C[C@H](O)C[C@H](O)\C=C\C1=C(C2CC2)N=C2C=CC=CC2=C1C1=CC=C(F)C=C1 RHGYHLPFVJEAOC-FFNUKLMVSA-L 0.000 claims description 15
- 229940103449 simcor Drugs 0.000 claims description 15
- MFFMDFFZMYYVKS-SECBINFHSA-N sitagliptin Chemical compound C([C@H](CC(=O)N1CC=2N(C(=NN=2)C(F)(F)F)CC1)N)C1=CC(F)=C(F)C=C1F MFFMDFFZMYYVKS-SECBINFHSA-N 0.000 claims description 15
- 229960004034 sitagliptin Drugs 0.000 claims description 15
- ZGGHKIMDNBDHJB-CALJPSDSSA-M sodium;(e)-7-[3-(4-fluorophenyl)-1-propan-2-ylindol-2-yl]-3,5-dihydroxyhept-6-enoate Chemical compound [Na+].C12=CC=CC=C2N(C(C)C)C(\C=C\C(O)CC(O)CC([O-])=O)=C1C1=CC=C(F)C=C1 ZGGHKIMDNBDHJB-CALJPSDSSA-M 0.000 claims description 15
- 229940009349 vytorin Drugs 0.000 claims description 15
- 229940072168 zocor Drugs 0.000 claims description 15
- 229940027030 altoprev Drugs 0.000 claims description 14
- 229940089484 pravachol Drugs 0.000 claims description 14
- 230000003143 atherosclerotic effect Effects 0.000 claims description 12
- 229960002297 fenofibrate Drugs 0.000 claims description 12
- 208000037260 Atherosclerotic Plaque Diseases 0.000 claims description 10
- 229920001268 Cholestyramine Polymers 0.000 claims description 9
- VFRSADQPWYCXDG-LEUCUCNGSA-N ethyl (2s,5s)-5-methylpyrrolidine-2-carboxylate;2,2,2-trifluoroacetic acid Chemical compound OC(=O)C(F)(F)F.CCOC(=O)[C@@H]1CC[C@H](C)N1 VFRSADQPWYCXDG-LEUCUCNGSA-N 0.000 claims description 9
- 150000003626 triacylglycerols Chemical class 0.000 claims description 9
- 206010039020 Rhabdomyolysis Diseases 0.000 claims description 8
- DEMLYXMVPJAVFU-UHFFFAOYSA-N 2-(chloromethyl)oxirane;2-methyl-1h-imidazole Chemical compound ClCC1CO1.CC1=NC=CN1 DEMLYXMVPJAVFU-UHFFFAOYSA-N 0.000 claims description 7
- BMOVQUBVGICXQN-UHFFFAOYSA-N Clinofibrate Chemical compound C1=CC(OC(C)(CC)C(O)=O)=CC=C1C1(C=2C=CC(OC(C)(CC)C(O)=O)=CC=2)CCCCC1 BMOVQUBVGICXQN-UHFFFAOYSA-N 0.000 claims description 7
- 208000021642 Muscular disease Diseases 0.000 claims description 7
- 201000009623 Myopathy Diseases 0.000 claims description 7
- 208000001647 Renal Insufficiency Diseases 0.000 claims description 7
- JLRNKCZRCMIVKA-UHFFFAOYSA-N Simfibrate Chemical compound C=1C=C(Cl)C=CC=1OC(C)(C)C(=O)OCCCOC(=O)C(C)(C)OC1=CC=C(Cl)C=C1 JLRNKCZRCMIVKA-UHFFFAOYSA-N 0.000 claims description 7
- KNDHRUPPBXRELB-UHFFFAOYSA-M [4-[3-(4-ethylphenyl)butyl]phenyl]-trimethylazanium;chloride Chemical compound [Cl-].C1=CC(CC)=CC=C1C(C)CCC1=CC=C([N+](C)(C)C)C=C1 KNDHRUPPBXRELB-UHFFFAOYSA-M 0.000 claims description 7
- 229950003072 clinofibrate Drugs 0.000 claims description 7
- KNHUKKLJHYUCFP-UHFFFAOYSA-N clofibrate Chemical compound CCOC(=O)C(C)(C)OC1=CC=C(Cl)C=C1 KNHUKKLJHYUCFP-UHFFFAOYSA-N 0.000 claims description 7
- 229960001214 clofibrate Drugs 0.000 claims description 7
- 229960001678 colestyramine Drugs 0.000 claims description 7
- 206010012601 diabetes mellitus Diseases 0.000 claims description 7
- 201000006370 kidney failure Diseases 0.000 claims description 7
- 229960004058 simfibrate Drugs 0.000 claims description 7
- 208000000044 Amnesia Diseases 0.000 claims description 6
- 208000026139 Memory disease Diseases 0.000 claims description 6
- IIBYAHWJQTYFKB-UHFFFAOYSA-N bezafibrate Chemical compound C1=CC(OC(C)(C)C(O)=O)=CC=C1CCNC(=O)C1=CC=C(Cl)C=C1 IIBYAHWJQTYFKB-UHFFFAOYSA-N 0.000 claims description 6
- 229960000516 bezafibrate Drugs 0.000 claims description 6
- 230000006984 memory degeneration Effects 0.000 claims description 6
- 208000023060 memory loss Diseases 0.000 claims description 6
- 230000004065 mitochondrial dysfunction Effects 0.000 claims description 6
- 230000002829 reductive effect Effects 0.000 claims description 4
- 159000000021 acetate salts Chemical class 0.000 claims description 2
- 238000008214 LDL Cholesterol Methods 0.000 claims 1
- 102000004196 processed proteins & peptides Human genes 0.000 abstract description 81
- 239000000203 mixture Substances 0.000 abstract description 33
- 239000013543 active substance Substances 0.000 abstract description 28
- 230000002265 prevention Effects 0.000 abstract description 12
- 241000124008 Mammalia Species 0.000 abstract description 9
- 238000005516 engineering process Methods 0.000 abstract description 9
- ODKSFYDXXFIFQN-SCSAIBSYSA-N D-arginine Chemical compound OC(=O)[C@H](N)CCCNC(N)=N ODKSFYDXXFIFQN-SCSAIBSYSA-N 0.000 description 91
- 235000001014 amino acid Nutrition 0.000 description 89
- 229940024606 amino acid Drugs 0.000 description 88
- 150000001413 amino acids Chemical class 0.000 description 82
- KDXKERNSBIXSRK-RXMQYKEDSA-N D-lysine Chemical compound NCCCC[C@@H](N)C(O)=O KDXKERNSBIXSRK-RXMQYKEDSA-N 0.000 description 52
- -1 methylamino, dimethylamino Chemical group 0.000 description 38
- 241000699670 Mus sp. Species 0.000 description 37
- 150000001875 compounds Chemical class 0.000 description 36
- 239000003981 vehicle Substances 0.000 description 36
- 239000002471 hydroxymethylglutaryl coenzyme A reductase inhibitor Substances 0.000 description 32
- 230000001225 therapeutic effect Effects 0.000 description 31
- 239000003795 chemical substances by application Substances 0.000 description 28
- 150000002632 lipids Chemical class 0.000 description 27
- KDXKERNSBIXSRK-UHFFFAOYSA-N Lysine Natural products NCCCCC(N)C(O)=O KDXKERNSBIXSRK-UHFFFAOYSA-N 0.000 description 25
- 239000001257 hydrogen Substances 0.000 description 24
- 229910052739 hydrogen Inorganic materials 0.000 description 24
- 239000003814 drug Substances 0.000 description 22
- FADYJNXDPBKVCA-UHFFFAOYSA-N L-Phenylalanyl-L-lysin Natural products NCCCCC(C(O)=O)NC(=O)C(N)CC1=CC=CC=C1 FADYJNXDPBKVCA-UHFFFAOYSA-N 0.000 description 21
- 125000003118 aryl group Chemical group 0.000 description 21
- 208000037265 diseases, disorders, signs and symptoms Diseases 0.000 description 21
- KDXKERNSBIXSRK-YFKPBYRVSA-N L-lysine Chemical compound NCCCC[C@H](N)C(O)=O KDXKERNSBIXSRK-YFKPBYRVSA-N 0.000 description 20
- LSNDLIKCFHLFKO-JTQLQIEISA-N (2s)-2-azaniumyl-3-(4-hydroxy-2,6-dimethylphenyl)propanoate Chemical compound CC1=CC(O)=CC(C)=C1C[C@H](N)C(O)=O LSNDLIKCFHLFKO-JTQLQIEISA-N 0.000 description 19
- 108010023302 HDL Cholesterol Proteins 0.000 description 19
- UFHFLCQGNIYNRP-UHFFFAOYSA-N Hydrogen Chemical compound [H][H] UFHFLCQGNIYNRP-UHFFFAOYSA-N 0.000 description 19
- 210000004027 cell Anatomy 0.000 description 18
- 125000000217 alkyl group Chemical group 0.000 description 17
- 229940079593 drug Drugs 0.000 description 17
- 229910052736 halogen Inorganic materials 0.000 description 17
- 150000002367 halogens Chemical class 0.000 description 16
- 108010018625 phenylalanylarginine Proteins 0.000 description 16
- 238000012360 testing method Methods 0.000 description 16
- 201000010099 disease Diseases 0.000 description 15
- 108090000623 proteins and genes Proteins 0.000 description 15
- 210000001519 tissue Anatomy 0.000 description 15
- 206010045261 Type IIa hyperlipidaemia Diseases 0.000 description 14
- 235000005911 diet Nutrition 0.000 description 14
- 125000002924 primary amino group Chemical group [H]N([H])* 0.000 description 14
- 235000018102 proteins Nutrition 0.000 description 14
- 102000004169 proteins and genes Human genes 0.000 description 14
- ODKSFYDXXFIFQN-BYPYZUCNSA-N L-arginine Chemical compound OC(=O)[C@@H](N)CCCN=C(N)N ODKSFYDXXFIFQN-BYPYZUCNSA-N 0.000 description 13
- 210000000709 aorta Anatomy 0.000 description 13
- 230000037213 diet Effects 0.000 description 13
- 239000000523 sample Substances 0.000 description 13
- 239000004480 active ingredient Substances 0.000 description 12
- 210000004369 blood Anatomy 0.000 description 12
- 239000008280 blood Substances 0.000 description 12
- 210000002950 fibroblast Anatomy 0.000 description 12
- 238000009472 formulation Methods 0.000 description 12
- 239000000126 substance Substances 0.000 description 12
- 125000001424 substituent group Chemical group 0.000 description 12
- COLNVLDHVKWLRT-QMMMGPOBSA-N L-phenylalanine Chemical compound OC(=O)[C@@H](N)CC1=CC=CC=C1 COLNVLDHVKWLRT-QMMMGPOBSA-N 0.000 description 11
- OZILORBBPKKGRI-RYUDHWBXSA-N Phe-Arg Chemical compound NC(N)=NCCC[C@@H](C(O)=O)NC(=O)[C@@H](N)CC1=CC=CC=C1 OZILORBBPKKGRI-RYUDHWBXSA-N 0.000 description 11
- 239000002253 acid Substances 0.000 description 11
- 230000037396 body weight Effects 0.000 description 11
- 125000003178 carboxy group Chemical group [H]OC(*)=O 0.000 description 11
- 208000029078 coronary artery disease Diseases 0.000 description 11
- 125000002887 hydroxy group Chemical group [H]O* 0.000 description 11
- 239000002502 liposome Substances 0.000 description 11
- 238000002560 therapeutic procedure Methods 0.000 description 11
- UFTFJSFQGQCHQW-UHFFFAOYSA-N triformin Chemical compound O=COCC(OC=O)COC=O UFTFJSFQGQCHQW-UHFFFAOYSA-N 0.000 description 11
- 125000004169 (C1-C6) alkyl group Chemical group 0.000 description 10
- 125000004432 carbon atom Chemical group C* 0.000 description 10
- 125000001153 fluoro group Chemical group F* 0.000 description 10
- AHLPHDHHMVZTML-SCSAIBSYSA-N D-Ornithine Chemical compound NCCC[C@@H](N)C(O)=O AHLPHDHHMVZTML-SCSAIBSYSA-N 0.000 description 9
- 108091005804 Peptidases Proteins 0.000 description 9
- 239000004365 Protease Substances 0.000 description 9
- 208000006011 Stroke Diseases 0.000 description 9
- 125000003282 alkyl amino group Chemical group 0.000 description 9
- 125000000539 amino acid group Chemical group 0.000 description 9
- 210000001367 artery Anatomy 0.000 description 9
- 230000015572 biosynthetic process Effects 0.000 description 9
- 229920000642 polymer Polymers 0.000 description 9
- 108010027006 Apolipoproteins B Proteins 0.000 description 8
- 102000018616 Apolipoproteins B Human genes 0.000 description 8
- 208000030673 Homozygous familial hypercholesterolemia Diseases 0.000 description 8
- 241001465754 Metazoa Species 0.000 description 8
- 125000003277 amino group Chemical group 0.000 description 8
- 125000002496 methyl group Chemical group [H]C([H])([H])* 0.000 description 8
- 125000001997 phenyl group Chemical group [H]C1=C([H])C([H])=C(*)C([H])=C1[H] 0.000 description 8
- PECYZEOJVXMISF-UWTATZPHSA-N 3-amino-D-alanine Chemical compound NC[C@@H](N)C(O)=O PECYZEOJVXMISF-UWTATZPHSA-N 0.000 description 7
- QTBSBXVTEAMEQO-UHFFFAOYSA-M Acetate Chemical compound CC([O-])=O QTBSBXVTEAMEQO-UHFFFAOYSA-M 0.000 description 7
- 108010010234 HDL Lipoproteins Proteins 0.000 description 7
- 102000015779 HDL Lipoproteins Human genes 0.000 description 7
- 206010020772 Hypertension Diseases 0.000 description 7
- OUYCCCASQSFEME-QMMMGPOBSA-N L-tyrosine Chemical group OC(=O)[C@@H](N)CC1=CC=C(O)C=C1 OUYCCCASQSFEME-QMMMGPOBSA-N 0.000 description 7
- 108010007622 LDL Lipoproteins Proteins 0.000 description 7
- 102000007330 LDL Lipoproteins Human genes 0.000 description 7
- 241000699666 Mus <mouse, genus> Species 0.000 description 7
- FAPWRFPIFSIZLT-UHFFFAOYSA-M Sodium chloride Chemical compound [Na+].[Cl-] FAPWRFPIFSIZLT-UHFFFAOYSA-M 0.000 description 7
- 241001248035 Trigonidiinae Species 0.000 description 7
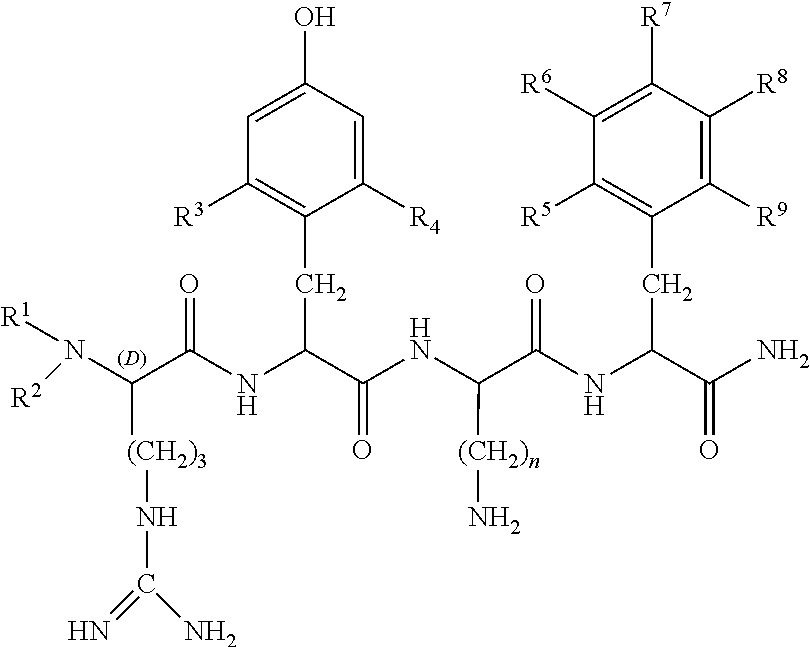
- 0 [1*]N([2*])C(CCCNC(=N)N)C(=O)NC(CC1=C([3*])C=C(O)C=C1[4*])C(=O)CC(CN)C(=O)NC(CC1=C([5*])C([6*])=C([7*])C([8*])=C1[9*])C(N)=O.[2HH] Chemical compound [1*]N([2*])C(CCCNC(=N)N)C(=O)NC(CC1=C([3*])C=C(O)C=C1[4*])C(=O)CC(CN)C(=O)NC(CC1=C([5*])C([6*])=C([7*])C([8*])=C1[9*])C(N)=O.[2HH] 0.000 description 7
- 238000004458 analytical method Methods 0.000 description 7
- 230000001315 anti-hyperlipaemic effect Effects 0.000 description 7
- 210000002376 aorta thoracic Anatomy 0.000 description 7
- 125000001246 bromo group Chemical group Br* 0.000 description 7
- 125000001309 chloro group Chemical group Cl* 0.000 description 7
- 125000004663 dialkyl amino group Chemical group 0.000 description 7
- 125000002346 iodo group Chemical group I* 0.000 description 7
- 239000000463 material Substances 0.000 description 7
- 229920001184 polypeptide Polymers 0.000 description 7
- 230000000391 smoking effect Effects 0.000 description 7
- 231100000331 toxic Toxicity 0.000 description 7
- 230000002588 toxic effect Effects 0.000 description 7
- QGZKDVFQNNGYKY-UHFFFAOYSA-N Ammonia Chemical compound N QGZKDVFQNNGYKY-UHFFFAOYSA-N 0.000 description 6
- CIWBSHSKHKDKBQ-JLAZNSOCSA-N Ascorbic acid Chemical compound OC[C@H](O)[C@H]1OC(=O)C(O)=C1O CIWBSHSKHKDKBQ-JLAZNSOCSA-N 0.000 description 6
- LFQSCWFLJHTTHZ-UHFFFAOYSA-N Ethanol Chemical compound CCO LFQSCWFLJHTTHZ-UHFFFAOYSA-N 0.000 description 6
- CKLJMWTZIZZHCS-REOHCLBHSA-N L-aspartic acid Chemical compound OC(=O)[C@@H](N)CC(O)=O CKLJMWTZIZZHCS-REOHCLBHSA-N 0.000 description 6
- HNDVDQJCIGZPNO-YFKPBYRVSA-N L-histidine Chemical compound OC(=O)[C@@H](N)CC1=CN=CN1 HNDVDQJCIGZPNO-YFKPBYRVSA-N 0.000 description 6
- 102100038955 Proprotein convertase subtilisin/kexin type 9 Human genes 0.000 description 6
- 101710180553 Proprotein convertase subtilisin/kexin type 9 Proteins 0.000 description 6
- DNIAPMSPPWPWGF-UHFFFAOYSA-N Propylene glycol Chemical compound CC(O)CO DNIAPMSPPWPWGF-UHFFFAOYSA-N 0.000 description 6
- 238000010171 animal model Methods 0.000 description 6
- 230000002354 daily effect Effects 0.000 description 6
- LOKCTEFSRHRXRJ-UHFFFAOYSA-I dipotassium trisodium dihydrogen phosphate hydrogen phosphate dichloride Chemical compound P(=O)(O)(O)[O-].[K+].P(=O)(O)([O-])[O-].[Na+].[Na+].[Cl-].[K+].[Cl-].[Na+] LOKCTEFSRHRXRJ-UHFFFAOYSA-I 0.000 description 6
- 208000035475 disorder Diseases 0.000 description 6
- 208000010125 myocardial infarction Diseases 0.000 description 6
- 125000000449 nitro group Chemical group [O-][N+](*)=O 0.000 description 6
- 239000008194 pharmaceutical composition Substances 0.000 description 6
- COLNVLDHVKWLRT-UHFFFAOYSA-N phenylalanine Natural products OC(=O)C(N)CC1=CC=CC=C1 COLNVLDHVKWLRT-UHFFFAOYSA-N 0.000 description 6
- 239000002953 phosphate buffered saline Substances 0.000 description 6
- 239000000243 solution Substances 0.000 description 6
- 238000006467 substitution reaction Methods 0.000 description 6
- 125000004191 (C1-C6) alkoxy group Chemical group 0.000 description 5
- 150000008574 D-amino acids Chemical class 0.000 description 5
- 102000004190 Enzymes Human genes 0.000 description 5
- 108090000790 Enzymes Proteins 0.000 description 5
- PEDCQBHIVMGVHV-UHFFFAOYSA-N Glycerine Chemical compound OCC(O)CO PEDCQBHIVMGVHV-UHFFFAOYSA-N 0.000 description 5
- 102000004286 Hydroxymethylglutaryl CoA Reductases Human genes 0.000 description 5
- 108090000895 Hydroxymethylglutaryl CoA Reductases Proteins 0.000 description 5
- 208000031226 Hyperlipidaemia Diseases 0.000 description 5
- WHUUTDBJXJRKMK-VKHMYHEASA-N L-glutamic acid Chemical compound OC(=O)[C@@H](N)CCC(O)=O WHUUTDBJXJRKMK-VKHMYHEASA-N 0.000 description 5
- 239000004472 Lysine Substances 0.000 description 5
- 229940122392 PCSK9 inhibitor Drugs 0.000 description 5
- 102000035195 Peptidases Human genes 0.000 description 5
- 210000004899 c-terminal region Anatomy 0.000 description 5
- 239000002775 capsule Substances 0.000 description 5
- 238000004113 cell culture Methods 0.000 description 5
- 229940088598 enzyme Drugs 0.000 description 5
- 230000006870 function Effects 0.000 description 5
- 229960002885 histidine Drugs 0.000 description 5
- 239000004615 ingredient Substances 0.000 description 5
- 125000005647 linker group Chemical group 0.000 description 5
- 235000018977 lysine Nutrition 0.000 description 5
- 235000001968 nicotinic acid Nutrition 0.000 description 5
- 239000011664 nicotinic acid Substances 0.000 description 5
- 239000000843 powder Substances 0.000 description 5
- 230000000069 prophylactic effect Effects 0.000 description 5
- 230000000250 revascularization Effects 0.000 description 5
- 125000000472 sulfonyl group Chemical group *S(*)(=O)=O 0.000 description 5
- OUYCCCASQSFEME-UHFFFAOYSA-N tyrosine Natural products OC(=O)C(N)CC1=CC=C(O)C=C1 OUYCCCASQSFEME-UHFFFAOYSA-N 0.000 description 5
- 108010051110 tyrosyl-lysine Proteins 0.000 description 5
- ALBODLTZUXKBGZ-JUUVMNCLSA-N (2s)-2-amino-3-phenylpropanoic acid;(2s)-2,6-diaminohexanoic acid Chemical compound NCCCC[C@H](N)C(O)=O.OC(=O)[C@@H](N)CC1=CC=CC=C1 ALBODLTZUXKBGZ-JUUVMNCLSA-N 0.000 description 4
- LMDZBCPBFSXMTL-UHFFFAOYSA-N 1-ethyl-3-(3-dimethylaminopropyl)carbodiimide Chemical compound CCN=C=NCCCN(C)C LMDZBCPBFSXMTL-UHFFFAOYSA-N 0.000 description 4
- 239000004475 Arginine Substances 0.000 description 4
- WKBOTKDWSSQWDR-UHFFFAOYSA-N Bromine atom Chemical group [Br] WKBOTKDWSSQWDR-UHFFFAOYSA-N 0.000 description 4
- KLCNJIQZXOQYTE-UHFFFAOYSA-N C=CCC(C)(C)C Chemical compound C=CCC(C)(C)C KLCNJIQZXOQYTE-UHFFFAOYSA-N 0.000 description 4
- CJGXJKVMUHXVHL-UHFFFAOYSA-N CC(C)(C)CC1=CC=CC=C1 Chemical compound CC(C)(C)CC1=CC=CC=C1 CJGXJKVMUHXVHL-UHFFFAOYSA-N 0.000 description 4
- IVFCPVIHLUIMSV-UHFFFAOYSA-N CC(C)(C)CC1CC1 Chemical compound CC(C)(C)CC1CC1 IVFCPVIHLUIMSV-UHFFFAOYSA-N 0.000 description 4
- ZAMOUSCENKQFHK-UHFFFAOYSA-N Chlorine atom Chemical group [Cl] ZAMOUSCENKQFHK-UHFFFAOYSA-N 0.000 description 4
- 208000034599 Dysbetalipoproteinemia Diseases 0.000 description 4
- 208000032928 Dyslipidaemia Diseases 0.000 description 4
- DHMQDGOQFOQNFH-UHFFFAOYSA-N Glycine Chemical compound NCC(O)=O DHMQDGOQFOQNFH-UHFFFAOYSA-N 0.000 description 4
- WZUVPPKBWHMQCE-UHFFFAOYSA-N Haematoxylin Chemical compound C12=CC(O)=C(O)C=C2CC2(O)C1C1=CC=C(O)C(O)=C1OC2 WZUVPPKBWHMQCE-UHFFFAOYSA-N 0.000 description 4
- 201000010252 Hyperlipoproteinemia Type III Diseases 0.000 description 4
- ODKSFYDXXFIFQN-BYPYZUCNSA-P L-argininium(2+) Chemical compound NC(=[NH2+])NCCC[C@H]([NH3+])C(O)=O ODKSFYDXXFIFQN-BYPYZUCNSA-P 0.000 description 4
- DCXYFEDJOCDNAF-REOHCLBHSA-N L-asparagine Chemical compound OC(=O)[C@@H](N)CC(N)=O DCXYFEDJOCDNAF-REOHCLBHSA-N 0.000 description 4
- ZDXPYRJPNDTMRX-VKHMYHEASA-N L-glutamine Chemical compound OC(=O)[C@@H](N)CCC(N)=O ZDXPYRJPNDTMRX-VKHMYHEASA-N 0.000 description 4
- LRQKBLKVPFOOQJ-YFKPBYRVSA-N L-norleucine Chemical group CCCC[C@H]([NH3+])C([O-])=O LRQKBLKVPFOOQJ-YFKPBYRVSA-N 0.000 description 4
- 208000017170 Lipid metabolism disease Diseases 0.000 description 4
- 102100037486 Reverse transcriptase/ribonuclease H Human genes 0.000 description 4
- 206010060751 Type III hyperlipidaemia Diseases 0.000 description 4
- 125000002252 acyl group Chemical group 0.000 description 4
- 125000003545 alkoxy group Chemical group 0.000 description 4
- 125000003275 alpha amino acid group Chemical group 0.000 description 4
- ODKSFYDXXFIFQN-UHFFFAOYSA-N arginine Natural products OC(=O)C(N)CCCNC(N)=N ODKSFYDXXFIFQN-UHFFFAOYSA-N 0.000 description 4
- 235000009697 arginine Nutrition 0.000 description 4
- 229960003121 arginine Drugs 0.000 description 4
- 229960005261 aspartic acid Drugs 0.000 description 4
- 235000003704 aspartic acid Nutrition 0.000 description 4
- GDTBXPJZTBHREO-UHFFFAOYSA-N bromine Chemical group BrBr GDTBXPJZTBHREO-UHFFFAOYSA-N 0.000 description 4
- 229910052794 bromium Inorganic materials 0.000 description 4
- 150000001768 cations Chemical class 0.000 description 4
- 239000000460 chlorine Chemical group 0.000 description 4
- 229910052801 chlorine Inorganic materials 0.000 description 4
- 125000004093 cyano group Chemical group *C#N 0.000 description 4
- 238000001212 derivatisation Methods 0.000 description 4
- 239000006185 dispersion Substances 0.000 description 4
- 239000003937 drug carrier Substances 0.000 description 4
- 238000001962 electrophoresis Methods 0.000 description 4
- MQOBSOSZFYZQOK-UHFFFAOYSA-N fenofibric acid Chemical compound C1=CC(OC(C)(C)C(O)=O)=CC=C1C(=O)C1=CC=C(Cl)C=C1 MQOBSOSZFYZQOK-UHFFFAOYSA-N 0.000 description 4
- 229910052731 fluorine Inorganic materials 0.000 description 4
- 239000011737 fluorine Substances 0.000 description 4
- HNDVDQJCIGZPNO-UHFFFAOYSA-N histidine Natural products OC(=O)C(N)CC1=CN=CN1 HNDVDQJCIGZPNO-UHFFFAOYSA-N 0.000 description 4
- 235000014304 histidine Nutrition 0.000 description 4
- 230000000055 hyoplipidemic effect Effects 0.000 description 4
- 208000006575 hypertriglyceridemia Diseases 0.000 description 4
- 238000001727 in vivo Methods 0.000 description 4
- 230000000670 limiting effect Effects 0.000 description 4
- 238000004519 manufacturing process Methods 0.000 description 4
- 239000011159 matrix material Substances 0.000 description 4
- 238000005259 measurement Methods 0.000 description 4
- 239000004005 microsphere Substances 0.000 description 4
- 230000004048 modification Effects 0.000 description 4
- 238000012986 modification Methods 0.000 description 4
- 238000010172 mouse model Methods 0.000 description 4
- 239000002245 particle Substances 0.000 description 4
- 238000002360 preparation method Methods 0.000 description 4
- 150000003141 primary amines Chemical class 0.000 description 4
- 150000003335 secondary amines Chemical class 0.000 description 4
- 239000011780 sodium chloride Substances 0.000 description 4
- 239000002904 solvent Substances 0.000 description 4
- 125000002023 trifluoromethyl group Chemical group FC(F)(F)* 0.000 description 4
- XLYOFNOQVPJJNP-UHFFFAOYSA-N water Chemical compound O XLYOFNOQVPJJNP-UHFFFAOYSA-N 0.000 description 4
- CABVTRNMFUVUDM-VRHQGPGLSA-N (3S)-3-hydroxy-3-methylglutaryl-CoA Chemical compound O[C@@H]1[C@H](OP(O)(O)=O)[C@@H](COP(O)(=O)OP(O)(=O)OCC(C)(C)[C@@H](O)C(=O)NCCC(=O)NCCSC(=O)C[C@@](O)(CC(O)=O)C)O[C@H]1N1C2=NC=NC(N)=C2N=C1 CABVTRNMFUVUDM-VRHQGPGLSA-N 0.000 description 3
- 125000004178 (C1-C4) alkyl group Chemical group 0.000 description 3
- 206010002383 Angina Pectoris Diseases 0.000 description 3
- WVDDGKGOMKODPV-UHFFFAOYSA-N Benzyl alcohol Chemical compound OCC1=CC=CC=C1 WVDDGKGOMKODPV-UHFFFAOYSA-N 0.000 description 3
- OYPRJOBELJOOCE-UHFFFAOYSA-N Calcium Chemical compound [Ca] OYPRJOBELJOOCE-UHFFFAOYSA-N 0.000 description 3
- CURLTUGMZLYLDI-UHFFFAOYSA-N Carbon dioxide Chemical compound O=C=O CURLTUGMZLYLDI-UHFFFAOYSA-N 0.000 description 3
- 102000008186 Collagen Human genes 0.000 description 3
- 108010035532 Collagen Proteins 0.000 description 3
- 239000006144 Dulbecco’s modified Eagle's medium Substances 0.000 description 3
- 108010010803 Gelatin Proteins 0.000 description 3
- WHUUTDBJXJRKMK-UHFFFAOYSA-N Glutamic acid Natural products OC(=O)C(N)CCC(O)=O WHUUTDBJXJRKMK-UHFFFAOYSA-N 0.000 description 3
- 241000711549 Hepacivirus C Species 0.000 description 3
- PMMYEEVYMWASQN-DMTCNVIQSA-N Hydroxyproline Chemical compound O[C@H]1CN[C@H](C(O)=O)C1 PMMYEEVYMWASQN-DMTCNVIQSA-N 0.000 description 3
- DGAQECJNVWCQMB-PUAWFVPOSA-M Ilexoside XXIX Chemical compound C[C@@H]1CC[C@@]2(CC[C@@]3(C(=CC[C@H]4[C@]3(CC[C@@H]5[C@@]4(CC[C@@H](C5(C)C)OS(=O)(=O)[O-])C)C)[C@@H]2[C@]1(C)O)C)C(=O)O[C@H]6[C@@H]([C@H]([C@@H]([C@H](O6)CO)O)O)O.[Na+] DGAQECJNVWCQMB-PUAWFVPOSA-M 0.000 description 3
- 150000008575 L-amino acids Chemical class 0.000 description 3
- AGPKZVBTJJNPAG-WHFBIAKZSA-N L-isoleucine Chemical compound CC[C@H](C)[C@H](N)C(O)=O AGPKZVBTJJNPAG-WHFBIAKZSA-N 0.000 description 3
- ROHFNLRQFUQHCH-YFKPBYRVSA-N L-leucine Chemical compound CC(C)C[C@H](N)C(O)=O ROHFNLRQFUQHCH-YFKPBYRVSA-N 0.000 description 3
- HEMHJVSKTPXQMS-UHFFFAOYSA-M Sodium hydroxide Chemical compound [OH-].[Na+] HEMHJVSKTPXQMS-UHFFFAOYSA-M 0.000 description 3
- 208000007536 Thrombosis Diseases 0.000 description 3
- ZMANZCXQSJIPKH-UHFFFAOYSA-N Triethylamine Chemical compound CCN(CC)CC ZMANZCXQSJIPKH-UHFFFAOYSA-N 0.000 description 3
- KZSNJWFQEVHDMF-UHFFFAOYSA-N Valine Natural products CC(C)C(N)C(O)=O KZSNJWFQEVHDMF-UHFFFAOYSA-N 0.000 description 3
- 238000010521 absorption reaction Methods 0.000 description 3
- 150000001412 amines Chemical class 0.000 description 3
- 229910021529 ammonia Inorganic materials 0.000 description 3
- 239000003242 anti bacterial agent Substances 0.000 description 3
- 230000003466 anti-cipated effect Effects 0.000 description 3
- 239000003963 antioxidant agent Substances 0.000 description 3
- 235000006708 antioxidants Nutrition 0.000 description 3
- 235000010323 ascorbic acid Nutrition 0.000 description 3
- 229960005070 ascorbic acid Drugs 0.000 description 3
- 239000011668 ascorbic acid Substances 0.000 description 3
- 238000003556 assay Methods 0.000 description 3
- OQFSQFPPLPISGP-UHFFFAOYSA-N beta-carboxyaspartic acid Natural products OC(=O)C(N)C(C(O)=O)C(O)=O OQFSQFPPLPISGP-UHFFFAOYSA-N 0.000 description 3
- 229910052791 calcium Inorganic materials 0.000 description 3
- 239000011575 calcium Substances 0.000 description 3
- 239000002327 cardiovascular agent Substances 0.000 description 3
- 229940125692 cardiovascular agent Drugs 0.000 description 3
- 239000000969 carrier Substances 0.000 description 3
- 125000003636 chemical group Chemical group 0.000 description 3
- 229920001436 collagen Polymers 0.000 description 3
- 229940000425 combination drug Drugs 0.000 description 3
- 238000002648 combination therapy Methods 0.000 description 3
- 125000001995 cyclobutyl group Chemical group [H]C1([H])C([H])([H])C([H])(*)C1([H])[H] 0.000 description 3
- 125000000113 cyclohexyl group Chemical group [H]C1([H])C([H])([H])C([H])([H])C([H])(*)C([H])([H])C1([H])[H] 0.000 description 3
- 125000001511 cyclopentyl group Chemical group [H]C1([H])C([H])([H])C([H])([H])C([H])(*)C1([H])[H] 0.000 description 3
- 125000001559 cyclopropyl group Chemical group [H]C1([H])C([H])([H])C1([H])* 0.000 description 3
- GVJHHUAWPYXKBD-UHFFFAOYSA-N d-alpha-tocopherol Natural products OC1=C(C)C(C)=C2OC(CCCC(C)CCCC(C)CCCC(C)C)(C)CCC2=C1C GVJHHUAWPYXKBD-UHFFFAOYSA-N 0.000 description 3
- 230000006378 damage Effects 0.000 description 3
- 239000003085 diluting agent Substances 0.000 description 3
- 239000002612 dispersion medium Substances 0.000 description 3
- 235000019441 ethanol Nutrition 0.000 description 3
- 125000000524 functional group Chemical group 0.000 description 3
- 239000000499 gel Substances 0.000 description 3
- 239000008273 gelatin Substances 0.000 description 3
- 229920000159 gelatin Polymers 0.000 description 3
- 235000019322 gelatine Nutrition 0.000 description 3
- 235000011852 gelatine desserts Nutrition 0.000 description 3
- 150000002431 hydrogen Chemical group 0.000 description 3
- 230000002209 hydrophobic effect Effects 0.000 description 3
- RAXXELZNTBOGNW-UHFFFAOYSA-N imidazole Natural products C1=CNC=N1 RAXXELZNTBOGNW-UHFFFAOYSA-N 0.000 description 3
- 230000003993 interaction Effects 0.000 description 3
- 239000007788 liquid Substances 0.000 description 3
- 108010038320 lysylphenylalanine Proteins 0.000 description 3
- 210000002540 macrophage Anatomy 0.000 description 3
- 230000004060 metabolic process Effects 0.000 description 3
- 239000002077 nanosphere Substances 0.000 description 3
- 229960003512 nicotinic acid Drugs 0.000 description 3
- 239000006187 pill Substances 0.000 description 3
- 229920005989 resin Polymers 0.000 description 3
- 239000011347 resin Substances 0.000 description 3
- 210000003291 sinus of valsalva Anatomy 0.000 description 3
- 229910052708 sodium Inorganic materials 0.000 description 3
- 239000011734 sodium Substances 0.000 description 3
- 239000000725 suspension Substances 0.000 description 3
- 238000003786 synthesis reaction Methods 0.000 description 3
- 239000003826 tablet Substances 0.000 description 3
- 229940124597 therapeutic agent Drugs 0.000 description 3
- 208000001072 type 2 diabetes mellitus Diseases 0.000 description 3
- 230000003442 weekly effect Effects 0.000 description 3
- YBJHBAHKTGYVGT-ZKWXMUAHSA-N (+)-Biotin Chemical compound N1C(=O)N[C@@H]2[C@H](CCCCC(=O)O)SC[C@@H]21 YBJHBAHKTGYVGT-ZKWXMUAHSA-N 0.000 description 2
- OZSNQMIQTHGXPJ-QMMMGPOBSA-N (2s)-2-amino-3-[(2-aminobenzoyl)amino]propanoic acid Chemical compound OC(=O)[C@@H](N)CNC(=O)C1=CC=CC=C1N OZSNQMIQTHGXPJ-QMMMGPOBSA-N 0.000 description 2
- HSINOMROUCMIEA-FGVHQWLLSA-N (2s,4r)-4-[(3r,5s,6r,7r,8s,9s,10s,13r,14s,17r)-6-ethyl-3,7-dihydroxy-10,13-dimethyl-2,3,4,5,6,7,8,9,11,12,14,15,16,17-tetradecahydro-1h-cyclopenta[a]phenanthren-17-yl]-2-methylpentanoic acid Chemical group C([C@@]12C)C[C@@H](O)C[C@H]1[C@@H](CC)[C@@H](O)[C@@H]1[C@@H]2CC[C@]2(C)[C@@H]([C@H](C)C[C@H](C)C(O)=O)CC[C@H]21 HSINOMROUCMIEA-FGVHQWLLSA-N 0.000 description 2
- KJTLQQUUPVSXIM-ZCFIWIBFSA-N (R)-mevalonic acid Chemical compound OCC[C@](O)(C)CC(O)=O KJTLQQUUPVSXIM-ZCFIWIBFSA-N 0.000 description 2
- AZQWKYJCGOJGHM-UHFFFAOYSA-N 1,4-benzoquinone Chemical compound O=C1C=CC(=O)C=C1 AZQWKYJCGOJGHM-UHFFFAOYSA-N 0.000 description 2
- SJJCQDRGABAVBB-UHFFFAOYSA-N 1-hydroxy-2-naphthoic acid Chemical compound C1=CC=CC2=C(O)C(C(=O)O)=CC=C21 SJJCQDRGABAVBB-UHFFFAOYSA-N 0.000 description 2
- HZAXFHJVJLSVMW-UHFFFAOYSA-N 2-Aminoethan-1-ol Chemical compound NCCO HZAXFHJVJLSVMW-UHFFFAOYSA-N 0.000 description 2
- OQEBBZSWEGYTPG-UHFFFAOYSA-N 3-aminobutanoic acid Chemical compound CC(N)CC(O)=O OQEBBZSWEGYTPG-UHFFFAOYSA-N 0.000 description 2
- ALYNCZNDIQEVRV-UHFFFAOYSA-N 4-aminobenzoic acid Chemical compound NC1=CC=C(C(O)=O)C=C1 ALYNCZNDIQEVRV-UHFFFAOYSA-N 0.000 description 2
- JJMDCOVWQOJGCB-UHFFFAOYSA-N 5-aminopentanoic acid Chemical compound [NH3+]CCCCC([O-])=O JJMDCOVWQOJGCB-UHFFFAOYSA-N 0.000 description 2
- 206010001580 Albuminuria Diseases 0.000 description 2
- QGZKDVFQNNGYKY-UHFFFAOYSA-O Ammonium Chemical compound [NH4+] QGZKDVFQNNGYKY-UHFFFAOYSA-O 0.000 description 2
- 244000105975 Antidesma platyphyllum Species 0.000 description 2
- 102000006410 Apoproteins Human genes 0.000 description 2
- 108010083590 Apoproteins Proteins 0.000 description 2
- DCXYFEDJOCDNAF-UHFFFAOYSA-N Asparagine Natural products OC(=O)C(N)CC(N)=O DCXYFEDJOCDNAF-UHFFFAOYSA-N 0.000 description 2
- 241000283690 Bos taurus Species 0.000 description 2
- 125000001433 C-terminal amino-acid group Chemical group 0.000 description 2
- 102000012336 Cholesterol Ester Transfer Proteins Human genes 0.000 description 2
- 108010061846 Cholesterol Ester Transfer Proteins Proteins 0.000 description 2
- KJTLQQUUPVSXIM-UHFFFAOYSA-N DL-mevalonic acid Natural products OCCC(O)(C)CC(O)=O KJTLQQUUPVSXIM-UHFFFAOYSA-N 0.000 description 2
- QOSSAOTZNIDXMA-UHFFFAOYSA-N Dicylcohexylcarbodiimide Chemical compound C1CCCCC1N=C=NC1CCCCC1 QOSSAOTZNIDXMA-UHFFFAOYSA-N 0.000 description 2
- ROSDSFDQCJNGOL-UHFFFAOYSA-N Dimethylamine Chemical compound CNC ROSDSFDQCJNGOL-UHFFFAOYSA-N 0.000 description 2
- 206010014486 Elevated triglycerides Diseases 0.000 description 2
- 208000005189 Embolism Diseases 0.000 description 2
- QUSNBJAOOMFDIB-UHFFFAOYSA-N Ethylamine Chemical compound CCN QUSNBJAOOMFDIB-UHFFFAOYSA-N 0.000 description 2
- 102000010834 Extracellular Matrix Proteins Human genes 0.000 description 2
- 108010037362 Extracellular Matrix Proteins Proteins 0.000 description 2
- WSFSSNUMVMOOMR-UHFFFAOYSA-N Formaldehyde Chemical compound O=C WSFSSNUMVMOOMR-UHFFFAOYSA-N 0.000 description 2
- HEMJJKBWTPKOJG-UHFFFAOYSA-N Gemfibrozil Chemical compound CC1=CC=C(C)C(OCCCC(C)(C)C(O)=O)=C1 HEMJJKBWTPKOJG-UHFFFAOYSA-N 0.000 description 2
- AEMRFAOFKBGASW-UHFFFAOYSA-N Glycolic acid Chemical compound OCC(O)=O AEMRFAOFKBGASW-UHFFFAOYSA-N 0.000 description 2
- 206010019233 Headaches Diseases 0.000 description 2
- 206010019280 Heart failures Diseases 0.000 description 2
- 241000282412 Homo Species 0.000 description 2
- 102000002265 Human Growth Hormone Human genes 0.000 description 2
- 108010000521 Human Growth Hormone Proteins 0.000 description 2
- 239000000854 Human Growth Hormone Substances 0.000 description 2
- VEXZGXHMUGYJMC-UHFFFAOYSA-N Hydrochloric acid Chemical compound Cl VEXZGXHMUGYJMC-UHFFFAOYSA-N 0.000 description 2
- 206010061218 Inflammation Diseases 0.000 description 2
- 102000014150 Interferons Human genes 0.000 description 2
- 108010050904 Interferons Proteins 0.000 description 2
- FFEARJCKVFRZRR-BYPYZUCNSA-N L-methionine Chemical group CSCC[C@H](N)C(O)=O FFEARJCKVFRZRR-BYPYZUCNSA-N 0.000 description 2
- SNDPXSYFESPGGJ-UHFFFAOYSA-N L-norVal-OH Natural products CCCC(N)C(O)=O SNDPXSYFESPGGJ-UHFFFAOYSA-N 0.000 description 2
- QIVBCDIJIAJPQS-VIFPVBQESA-N L-tryptophane Chemical compound C1=CC=C2C(C[C@H](N)C(O)=O)=CNC2=C1 QIVBCDIJIAJPQS-VIFPVBQESA-N 0.000 description 2
- WHXSMMKQMYFTQS-UHFFFAOYSA-N Lithium Chemical compound [Li] WHXSMMKQMYFTQS-UHFFFAOYSA-N 0.000 description 2
- QCZYYEFXOBKCNQ-STQMWFEESA-N Lys-Phe Chemical compound NCCCC[C@H](N)C(=O)N[C@H](C(O)=O)CC1=CC=CC=C1 QCZYYEFXOBKCNQ-STQMWFEESA-N 0.000 description 2
- FYYHWMGAXLPEAU-UHFFFAOYSA-N Magnesium Chemical compound [Mg] FYYHWMGAXLPEAU-UHFFFAOYSA-N 0.000 description 2
- BAVYZALUXZFZLV-UHFFFAOYSA-N Methylamine Chemical compound NC BAVYZALUXZFZLV-UHFFFAOYSA-N 0.000 description 2
- YNAVUWVOSKDBBP-UHFFFAOYSA-N Morpholine Chemical compound C1COCCN1 YNAVUWVOSKDBBP-UHFFFAOYSA-N 0.000 description 2
- 208000010428 Muscle Weakness Diseases 0.000 description 2
- 206010028372 Muscular weakness Diseases 0.000 description 2
- 208000000112 Myalgia Diseases 0.000 description 2
- 206010028813 Nausea Diseases 0.000 description 2
- 241000283973 Oryctolagus cuniculus Species 0.000 description 2
- 208000031481 Pathologic Constriction Diseases 0.000 description 2
- ISWSIDIOOBJBQZ-UHFFFAOYSA-N Phenol Chemical compound OC1=CC=CC=C1 ISWSIDIOOBJBQZ-UHFFFAOYSA-N 0.000 description 2
- GLUUGHFHXGJENI-UHFFFAOYSA-N Piperazine Chemical compound C1CNCCN1 GLUUGHFHXGJENI-UHFFFAOYSA-N 0.000 description 2
- ZLMJMSJWJFRBEC-UHFFFAOYSA-N Potassium Chemical compound [K] ZLMJMSJWJFRBEC-UHFFFAOYSA-N 0.000 description 2
- 206010037660 Pyrexia Diseases 0.000 description 2
- JUJWROOIHBZHMG-UHFFFAOYSA-N Pyridine Chemical compound C1=CC=NC=C1 JUJWROOIHBZHMG-UHFFFAOYSA-N 0.000 description 2
- 241000700159 Rattus Species 0.000 description 2
- 208000017442 Retinal disease Diseases 0.000 description 2
- 206010038923 Retinopathy Diseases 0.000 description 2
- 241000282887 Suidae Species 0.000 description 2
- 208000001435 Thromboembolism Diseases 0.000 description 2
- QIVBCDIJIAJPQS-UHFFFAOYSA-N Tryptophan Natural products C1=CC=C2C(CC(N)C(O)=O)=CNC2=C1 QIVBCDIJIAJPQS-UHFFFAOYSA-N 0.000 description 2
- JXNRXNCCROJZFB-RYUDHWBXSA-N Tyr-Arg Chemical compound NC(=N)NCCC[C@@H](C(O)=O)NC(=O)[C@@H](N)CC1=CC=C(O)C=C1 JXNRXNCCROJZFB-RYUDHWBXSA-N 0.000 description 2
- XSQUKJJJFZCRTK-UHFFFAOYSA-N Urea Chemical compound NC(N)=O XSQUKJJJFZCRTK-UHFFFAOYSA-N 0.000 description 2
- 235000021068 Western diet Nutrition 0.000 description 2
- 208000027418 Wounds and injury Diseases 0.000 description 2
- 238000009825 accumulation Methods 0.000 description 2
- 230000002378 acidificating effect Effects 0.000 description 2
- 230000009471 action Effects 0.000 description 2
- 125000004423 acyloxy group Chemical group 0.000 description 2
- 235000004279 alanine Nutrition 0.000 description 2
- 230000001668 ameliorated effect Effects 0.000 description 2
- 230000009435 amidation Effects 0.000 description 2
- 238000007112 amidation reaction Methods 0.000 description 2
- 230000000844 anti-bacterial effect Effects 0.000 description 2
- 229940121375 antifungal agent Drugs 0.000 description 2
- 239000003429 antifungal agent Substances 0.000 description 2
- 210000001765 aortic valve Anatomy 0.000 description 2
- 125000003710 aryl alkyl group Chemical group 0.000 description 2
- 235000009582 asparagine Nutrition 0.000 description 2
- 229960001230 asparagine Drugs 0.000 description 2
- 239000002585 base Substances 0.000 description 2
- 230000003542 behavioural effect Effects 0.000 description 2
- 239000003613 bile acid Substances 0.000 description 2
- 239000011230 binding agent Substances 0.000 description 2
- 229920000249 biocompatible polymer Polymers 0.000 description 2
- 230000036770 blood supply Effects 0.000 description 2
- 125000004063 butyryl group Chemical group O=C([*])C([H])([H])C([H])([H])C([H])([H])[H] 0.000 description 2
- RYYVLZVUVIJVGH-UHFFFAOYSA-N caffeine Chemical compound CN1C(=O)N(C)C(=O)C2=C1N=CN2C RYYVLZVUVIJVGH-UHFFFAOYSA-N 0.000 description 2
- 238000004364 calculation method Methods 0.000 description 2
- 229910002092 carbon dioxide Inorganic materials 0.000 description 2
- 210000001715 carotid artery Anatomy 0.000 description 2
- 230000001413 cellular effect Effects 0.000 description 2
- OSASVXMJTNOKOY-UHFFFAOYSA-N chlorobutanol Chemical compound CC(C)(O)C(Cl)(Cl)Cl OSASVXMJTNOKOY-UHFFFAOYSA-N 0.000 description 2
- 230000004087 circulation Effects 0.000 description 2
- 238000000576 coating method Methods 0.000 description 2
- 239000000084 colloidal system Substances 0.000 description 2
- 239000013068 control sample Substances 0.000 description 2
- 210000004351 coronary vessel Anatomy 0.000 description 2
- 125000004122 cyclic group Chemical group 0.000 description 2
- 230000002950 deficient Effects 0.000 description 2
- 230000001934 delay Effects 0.000 description 2
- 238000011161 development Methods 0.000 description 2
- 238000010586 diagram Methods 0.000 description 2
- HPNMFZURTQLUMO-UHFFFAOYSA-N diethylamine Chemical compound CCNCC HPNMFZURTQLUMO-UHFFFAOYSA-N 0.000 description 2
- ZUOUZKKEUPVFJK-UHFFFAOYSA-N diphenyl Chemical compound C1=CC=CC=C1C1=CC=CC=C1 ZUOUZKKEUPVFJK-UHFFFAOYSA-N 0.000 description 2
- PMMYEEVYMWASQN-UHFFFAOYSA-N dl-hydroxyproline Natural products OC1C[NH2+]C(C([O-])=O)C1 PMMYEEVYMWASQN-UHFFFAOYSA-N 0.000 description 2
- 238000012377 drug delivery Methods 0.000 description 2
- 239000000839 emulsion Substances 0.000 description 2
- 125000001495 ethyl group Chemical group [H]C([H])([H])C([H])([H])* 0.000 description 2
- 210000002744 extracellular matrix Anatomy 0.000 description 2
- OLNTVTPDXPETLC-XPWALMASSA-N ezetimibe Chemical compound N1([C@@H]([C@H](C1=O)CC[C@H](O)C=1C=CC(F)=CC=1)C=1C=CC(O)=CC=1)C1=CC=C(F)C=C1 OLNTVTPDXPETLC-XPWALMASSA-N 0.000 description 2
- 239000003925 fat Substances 0.000 description 2
- 229960000701 fenofibric acid Drugs 0.000 description 2
- 229940125753 fibrate Drugs 0.000 description 2
- 239000012530 fluid Substances 0.000 description 2
- 125000001207 fluorophenyl group Chemical group 0.000 description 2
- BTCSSZJGUNDROE-UHFFFAOYSA-N gamma-aminobutyric acid Chemical compound NCCCC(O)=O BTCSSZJGUNDROE-UHFFFAOYSA-N 0.000 description 2
- 238000001502 gel electrophoresis Methods 0.000 description 2
- 235000013922 glutamic acid Nutrition 0.000 description 2
- 229960002989 glutamic acid Drugs 0.000 description 2
- 239000004220 glutamic acid Substances 0.000 description 2
- 125000000291 glutamic acid group Chemical group N[C@@H](CCC(O)=O)C(=O)* 0.000 description 2
- ZDXPYRJPNDTMRX-UHFFFAOYSA-N glutamine Natural products OC(=O)C(N)CCC(N)=O ZDXPYRJPNDTMRX-UHFFFAOYSA-N 0.000 description 2
- 235000004554 glutamine Nutrition 0.000 description 2
- RWSXRVCMGQZWBV-WDSKDSINSA-N glutathione Chemical compound OC(=O)[C@@H](N)CCC(=O)N[C@@H](CS)C(=O)NCC(O)=O RWSXRVCMGQZWBV-WDSKDSINSA-N 0.000 description 2
- 235000011187 glycerol Nutrition 0.000 description 2
- 229940093915 gynecological organic acid Drugs 0.000 description 2
- 235000009424 haa Nutrition 0.000 description 2
- 231100000869 headache Toxicity 0.000 description 2
- 230000036541 health Effects 0.000 description 2
- MNWFXJYAOYHMED-UHFFFAOYSA-N heptanoic acid Chemical compound CCCCCCC(O)=O MNWFXJYAOYHMED-UHFFFAOYSA-N 0.000 description 2
- 229960002591 hydroxyproline Drugs 0.000 description 2
- 238000010191 image analysis Methods 0.000 description 2
- 125000001841 imino group Chemical group [H]N=* 0.000 description 2
- 238000000338 in vitro Methods 0.000 description 2
- 208000015181 infectious disease Diseases 0.000 description 2
- 230000004054 inflammatory process Effects 0.000 description 2
- 239000003112 inhibitor Substances 0.000 description 2
- 238000002347 injection Methods 0.000 description 2
- 239000007924 injection Substances 0.000 description 2
- 208000014674 injury Diseases 0.000 description 2
- 150000007529 inorganic bases Chemical class 0.000 description 2
- 229940079322 interferon Drugs 0.000 description 2
- 238000001990 intravenous administration Methods 0.000 description 2
- 125000000959 isobutyl group Chemical group [H]C([H])([H])C([H])(C([H])([H])[H])C([H])([H])* 0.000 description 2
- 125000001449 isopropyl group Chemical group [H]C([H])([H])C([H])(*)C([H])([H])[H] 0.000 description 2
- 239000007951 isotonicity adjuster Substances 0.000 description 2
- 108010053037 kyotorphin Proteins 0.000 description 2
- 229910052744 lithium Inorganic materials 0.000 description 2
- 230000033001 locomotion Effects 0.000 description 2
- 239000008176 lyophilized powder Substances 0.000 description 2
- 229910052749 magnesium Inorganic materials 0.000 description 2
- 239000011777 magnesium Substances 0.000 description 2
- HQKMJHAJHXVSDF-UHFFFAOYSA-L magnesium stearate Chemical compound [Mg+2].CCCCCCCCCCCCCCCCCC([O-])=O.CCCCCCCCCCCCCCCCCC([O-])=O HQKMJHAJHXVSDF-UHFFFAOYSA-L 0.000 description 2
- 239000002609 medium Substances 0.000 description 2
- TWXDDNPPQUTEOV-FVGYRXGTSA-N methamphetamine hydrochloride Chemical compound Cl.CN[C@@H](C)CC1=CC=CC=C1 TWXDDNPPQUTEOV-FVGYRXGTSA-N 0.000 description 2
- 229930182817 methionine Chemical group 0.000 description 2
- OSWPMRLSEDHDFF-UHFFFAOYSA-N methyl salicylate Chemical compound COC(=O)C1=CC=CC=C1O OSWPMRLSEDHDFF-UHFFFAOYSA-N 0.000 description 2
- 244000005700 microbiome Species 0.000 description 2
- 239000011859 microparticle Substances 0.000 description 2
- 150000007522 mineralic acids Chemical class 0.000 description 2
- 210000003470 mitochondria Anatomy 0.000 description 2
- 238000010369 molecular cloning Methods 0.000 description 2
- 125000004123 n-propyl group Chemical group [H]C([H])([H])C([H])([H])C([H])([H])* 0.000 description 2
- 239000002105 nanoparticle Substances 0.000 description 2
- 230000008693 nausea Effects 0.000 description 2
- 231100000252 nontoxic Toxicity 0.000 description 2
- 230000003000 nontoxic effect Effects 0.000 description 2
- 239000002674 ointment Substances 0.000 description 2
- 210000000056 organ Anatomy 0.000 description 2
- 230000008816 organ damage Effects 0.000 description 2
- 150000007524 organic acids Chemical class 0.000 description 2
- 235000005985 organic acids Nutrition 0.000 description 2
- 150000007530 organic bases Chemical class 0.000 description 2
- AHLBNYSZXLDEJQ-FWEHEUNISA-N orlistat Chemical compound CCCCCCCCCCC[C@H](OC(=O)[C@H](CC(C)C)NC=O)C[C@@H]1OC(=O)[C@H]1CCCCCC AHLBNYSZXLDEJQ-FWEHEUNISA-N 0.000 description 2
- 230000001575 pathological effect Effects 0.000 description 2
- 239000000546 pharmaceutical excipient Substances 0.000 description 2
- 229920001223 polyethylene glycol Polymers 0.000 description 2
- 229920001282 polysaccharide Polymers 0.000 description 2
- 239000005017 polysaccharide Substances 0.000 description 2
- 150000004804 polysaccharides Chemical class 0.000 description 2
- 229910052700 potassium Inorganic materials 0.000 description 2
- 239000011591 potassium Substances 0.000 description 2
- 230000002028 premature Effects 0.000 description 2
- 230000008569 process Effects 0.000 description 2
- 230000002035 prolonged effect Effects 0.000 description 2
- 125000001501 propionyl group Chemical group O=C([*])C([H])([H])C([H])([H])[H] 0.000 description 2
- 239000007787 solid Substances 0.000 description 2
- 208000020431 spinal cord injury Diseases 0.000 description 2
- 238000010186 staining Methods 0.000 description 2
- 230000036262 stenosis Effects 0.000 description 2
- 208000037804 stenosis Diseases 0.000 description 2
- 238000007920 subcutaneous administration Methods 0.000 description 2
- 239000000758 substrate Substances 0.000 description 2
- 125000000999 tert-butyl group Chemical group [H]C([H])([H])C(*)(C([H])([H])[H])C([H])([H])[H] 0.000 description 2
- YAPQBXQYLJRXSA-UHFFFAOYSA-N theobromine Chemical compound CN1C(=O)NC(=O)C2=C1N=CN2C YAPQBXQYLJRXSA-UHFFFAOYSA-N 0.000 description 2
- 231100001274 therapeutic index Toxicity 0.000 description 2
- 231100000419 toxicity Toxicity 0.000 description 2
- 230000001988 toxicity Effects 0.000 description 2
- FGMPLJWBKKVCDB-UHFFFAOYSA-N trans-L-hydroxy-proline Natural products ON1CCCC1C(O)=O FGMPLJWBKKVCDB-UHFFFAOYSA-N 0.000 description 2
- 230000014616 translation Effects 0.000 description 2
- 238000011269 treatment regimen Methods 0.000 description 2
- GETQZCLCWQTVFV-UHFFFAOYSA-N trimethylamine Chemical compound CN(C)C GETQZCLCWQTVFV-UHFFFAOYSA-N 0.000 description 2
- 125000000430 tryptophan group Chemical group [H]N([H])C(C(=O)O*)C([H])([H])C1=C([H])N([H])C2=C([H])C([H])=C([H])C([H])=C12 0.000 description 2
- 210000002700 urine Anatomy 0.000 description 2
- OGNSCSPNOLGXSM-UHFFFAOYSA-N (+/-)-DABA Natural products NCCC(N)C(O)=O OGNSCSPNOLGXSM-UHFFFAOYSA-N 0.000 description 1
- WJJGAKCAAJOICV-JTQLQIEISA-N (2s)-2-(dimethylamino)-3-(4-hydroxyphenyl)propanoic acid Chemical group CN(C)[C@H](C(O)=O)CC1=CC=C(O)C=C1 WJJGAKCAAJOICV-JTQLQIEISA-N 0.000 description 1
- LCKZFWNZLABYEW-XQUALCHDSA-N (2s)-5-amino-2-[[(2s)-2-[[(2r)-2-[[(2s)-2-amino-3-(4-hydroxyphenyl)propanoyl]amino]-5-(diaminomethylideneamino)pentanoyl]amino]-3-phenylpropanoyl]amino]pentanamide Chemical compound C([C@@H](C(=O)N[C@@H](CCCN)C(N)=O)NC(=O)[C@@H](CCCN=C(N)N)NC(=O)[C@@H](N)CC=1C=CC(O)=CC=1)C1=CC=CC=C1 LCKZFWNZLABYEW-XQUALCHDSA-N 0.000 description 1
- SFVLTCAESLKEHH-WKAQUBQDSA-N (2s)-6-amino-2-[[(2s)-2-[[(2r)-2-amino-5-(diaminomethylideneamino)pentanoyl]amino]-3-(4-hydroxy-2,6-dimethylphenyl)propanoyl]amino]-n-[(2s)-1-amino-1-oxo-3-phenylpropan-2-yl]hexanamide Chemical compound CC1=CC(O)=CC(C)=C1C[C@H](NC(=O)[C@H](N)CCCN=C(N)N)C(=O)N[C@@H](CCCCN)C(=O)N[C@H](C(N)=O)CC1=CC=CC=C1 SFVLTCAESLKEHH-WKAQUBQDSA-N 0.000 description 1
- JPOKAKNGULMYHZ-UILVTTEASA-N (2s)-6-amino-2-[[(2s)-2-[[(2s)-2-[[(2s)-2-[[(2s)-6-amino-2-[[(2s)-2-[[(2s)-6-amino-2-[[(2s)-6-amino-2-[[(2s)-2-amino-5-(diaminomethylideneamino)pentanoyl]amino]hexanoyl]amino]hexanoyl]amino]-3-(4-hydroxyphenyl)propanoyl]amino]hexanoyl]amino]-3-(4-hydroxyp Chemical compound C([C@@H](C(=O)N[C@@H](CCCN=C(N)N)C(=O)N[C@@H](CCCN=C(N)N)C(=O)N[C@@H](CCCCN)C(N)=O)NC(=O)[C@H](CCCCN)NC(=O)[C@H](CC=1C=CC(O)=CC=1)NC(=O)[C@H](CCCCN)NC(=O)[C@H](CCCCN)NC(=O)[C@@H](N)CCCN=C(N)N)C1=CC=C(O)C=C1 JPOKAKNGULMYHZ-UILVTTEASA-N 0.000 description 1
- UKAUYVFTDYCKQA-UHFFFAOYSA-N -2-Amino-4-hydroxybutanoic acid Natural products OC(=O)C(N)CCO UKAUYVFTDYCKQA-UHFFFAOYSA-N 0.000 description 1
- 125000001637 1-naphthyl group Chemical group [H]C1=C([H])C([H])=C2C(*)=C([H])C([H])=C([H])C2=C1[H] 0.000 description 1
- IIZPXYDJLKNOIY-JXPKJXOSSA-N 1-palmitoyl-2-arachidonoyl-sn-glycero-3-phosphocholine Chemical compound CCCCCCCCCCCCCCCC(=O)OC[C@H](COP([O-])(=O)OCC[N+](C)(C)C)OC(=O)CCC\C=C/C\C=C/C\C=C/C\C=C/CCCCC IIZPXYDJLKNOIY-JXPKJXOSSA-N 0.000 description 1
- 125000001462 1-pyrrolyl group Chemical class [*]N1C([H])=C([H])C([H])=C1[H] 0.000 description 1
- DCYGAPKNVCQNOE-UHFFFAOYSA-N 2,2,2-triphenylacetic acid Chemical class C=1C=CC=CC=1C(C=1C=CC=CC=1)(C(=O)O)C1=CC=CC=C1 DCYGAPKNVCQNOE-UHFFFAOYSA-N 0.000 description 1
- JTGHBEFBQXGABE-UHFFFAOYSA-N 2,2-dihydroxyheptanoic acid Chemical group CCCCCC(O)(O)C(O)=O JTGHBEFBQXGABE-UHFFFAOYSA-N 0.000 description 1
- CSEWAUGPAQPMDC-UHFFFAOYSA-N 2-(4-aminophenyl)acetic acid Chemical compound NC1=CC=C(CC(O)=O)C=C1 CSEWAUGPAQPMDC-UHFFFAOYSA-N 0.000 description 1
- VTAKZNRDSPNOAU-UHFFFAOYSA-M 2-(chloromethyl)oxirane;hydron;prop-2-en-1-amine;n-prop-2-enyldecan-1-amine;trimethyl-[6-(prop-2-enylamino)hexyl]azanium;dichloride Chemical compound Cl.[Cl-].NCC=C.ClCC1CO1.CCCCCCCCCCNCC=C.C[N+](C)(C)CCCCCCNCC=C VTAKZNRDSPNOAU-UHFFFAOYSA-M 0.000 description 1
- QWCKQJZIFLGMSD-UHFFFAOYSA-N 2-Aminobutanoic acid Natural products CCC(N)C(O)=O QWCKQJZIFLGMSD-UHFFFAOYSA-N 0.000 description 1
- MSWZFWKMSRAUBD-IVMDWMLBSA-N 2-amino-2-deoxy-D-glucopyranose Chemical compound N[C@H]1C(O)O[C@H](CO)[C@@H](O)[C@@H]1O MSWZFWKMSRAUBD-IVMDWMLBSA-N 0.000 description 1
- GOJUJUVQIVIZAV-UHFFFAOYSA-N 2-amino-4,6-dichloropyrimidine-5-carbaldehyde Chemical group NC1=NC(Cl)=C(C=O)C(Cl)=N1 GOJUJUVQIVIZAV-UHFFFAOYSA-N 0.000 description 1
- BFSVOASYOCHEOV-UHFFFAOYSA-N 2-diethylaminoethanol Chemical compound CCN(CC)CCO BFSVOASYOCHEOV-UHFFFAOYSA-N 0.000 description 1
- 229940013085 2-diethylaminoethanol Drugs 0.000 description 1
- HWXBTNAVRSUOJR-UHFFFAOYSA-N 2-hydroxyglutaric acid Chemical group OC(=O)C(O)CCC(O)=O HWXBTNAVRSUOJR-UHFFFAOYSA-N 0.000 description 1
- YZQLWPMZQVHJED-UHFFFAOYSA-N 2-methylpropanethioic acid S-[2-[[[1-(2-ethylbutyl)cyclohexyl]-oxomethyl]amino]phenyl] ester Chemical compound C=1C=CC=C(SC(=O)C(C)C)C=1NC(=O)C1(CC(CC)CC)CCCCC1 YZQLWPMZQVHJED-UHFFFAOYSA-N 0.000 description 1
- 125000001622 2-naphthyl group Chemical group [H]C1=C([H])C([H])=C2C([H])=C(*)C([H])=C([H])C2=C1[H] 0.000 description 1
- 125000000094 2-phenylethyl group Chemical group [H]C1=C([H])C([H])=C(C([H])=C1[H])C([H])([H])C([H])([H])* 0.000 description 1
- FPQQSJJWHUJYPU-UHFFFAOYSA-N 3-(dimethylamino)propyliminomethylidene-ethylazanium;chloride Chemical compound Cl.CCN=C=NCCCN(C)C FPQQSJJWHUJYPU-UHFFFAOYSA-N 0.000 description 1
- ALKYHXVLJMQRLQ-UHFFFAOYSA-N 3-Hydroxy-2-naphthoate Chemical class C1=CC=C2C=C(O)C(C(=O)O)=CC2=C1 ALKYHXVLJMQRLQ-UHFFFAOYSA-N 0.000 description 1
- PECYZEOJVXMISF-UHFFFAOYSA-N 3-aminoalanine Chemical compound [NH3+]CC(N)C([O-])=O PECYZEOJVXMISF-UHFFFAOYSA-N 0.000 description 1
- XFDUHJPVQKIXHO-UHFFFAOYSA-N 3-aminobenzoic acid Chemical compound NC1=CC=CC(C(O)=O)=C1 XFDUHJPVQKIXHO-UHFFFAOYSA-N 0.000 description 1
- HVCNXQOWACZAFN-UHFFFAOYSA-N 4-ethylmorpholine Chemical compound CCN1CCOCC1 HVCNXQOWACZAFN-UHFFFAOYSA-N 0.000 description 1
- SLXKOJJOQWFEFD-UHFFFAOYSA-N 6-aminohexanoic acid Chemical compound NCCCCCC(O)=O SLXKOJJOQWFEFD-UHFFFAOYSA-N 0.000 description 1
- ZCYVEMRRCGMTRW-UHFFFAOYSA-N 7553-56-2 Chemical compound [I] ZCYVEMRRCGMTRW-UHFFFAOYSA-N 0.000 description 1
- 206010002091 Anaesthesia Diseases 0.000 description 1
- 102000005666 Apolipoprotein A-I Human genes 0.000 description 1
- 108010059886 Apolipoprotein A-I Proteins 0.000 description 1
- 206010003210 Arteriosclerosis Diseases 0.000 description 1
- 241001465318 Aspergillus terreus Species 0.000 description 1
- 206010003497 Asphyxia Diseases 0.000 description 1
- 241000416162 Astragalus gummifer Species 0.000 description 1
- 241000894006 Bacteria Species 0.000 description 1
- KWIUHFFTVRNATP-UHFFFAOYSA-N Betaine Natural products C[N+](C)(C)CC([O-])=O KWIUHFFTVRNATP-UHFFFAOYSA-N 0.000 description 1
- 102000004506 Blood Proteins Human genes 0.000 description 1
- 108010017384 Blood Proteins Proteins 0.000 description 1
- COVZYZSDYWQREU-UHFFFAOYSA-N Busulfan Chemical compound CS(=O)(=O)OCCCCOS(C)(=O)=O COVZYZSDYWQREU-UHFFFAOYSA-N 0.000 description 1
- 241000282472 Canis lupus familiaris Species 0.000 description 1
- 241000282693 Cercopithecidae Species 0.000 description 1
- 208000017667 Chronic Disease Diseases 0.000 description 1
- 208000010354 Coenzyme Q10 deficiency Diseases 0.000 description 1
- 229920002905 Colesevelam Polymers 0.000 description 1
- 229920002911 Colestipol Polymers 0.000 description 1
- RYGMFSIKBFXOCR-UHFFFAOYSA-N Copper Chemical compound [Cu] RYGMFSIKBFXOCR-UHFFFAOYSA-N 0.000 description 1
- 229920002261 Corn starch Polymers 0.000 description 1
- 208000001778 Coronary Occlusion Diseases 0.000 description 1
- 206010011086 Coronary artery occlusion Diseases 0.000 description 1
- 206010011091 Coronary artery thrombosis Diseases 0.000 description 1
- FBPFZTCFMRRESA-FSIIMWSLSA-N D-Glucitol Natural products OC[C@H](O)[C@H](O)[C@@H](O)[C@H](O)CO FBPFZTCFMRRESA-FSIIMWSLSA-N 0.000 description 1
- FBPFZTCFMRRESA-KVTDHHQDSA-N D-Mannitol Chemical compound OC[C@@H](O)[C@@H](O)[C@H](O)[C@H](O)CO FBPFZTCFMRRESA-KVTDHHQDSA-N 0.000 description 1
- CKLJMWTZIZZHCS-UHFFFAOYSA-N D-OH-Asp Natural products OC(=O)C(N)CC(O)=O CKLJMWTZIZZHCS-UHFFFAOYSA-N 0.000 description 1
- QWCKQJZIFLGMSD-GSVOUGTGSA-N D-alpha-aminobutyric acid Chemical compound CC[C@@H](N)C(O)=O QWCKQJZIFLGMSD-GSVOUGTGSA-N 0.000 description 1
- FBPFZTCFMRRESA-JGWLITMVSA-N D-glucitol Chemical compound OC[C@H](O)[C@@H](O)[C@H](O)[C@H](O)CO FBPFZTCFMRRESA-JGWLITMVSA-N 0.000 description 1
- OFVBLKINTLPEGH-UHFFFAOYSA-N DL-beta-Homophenylalanine Chemical compound OC(=O)CC(N)CC1=CC=CC=C1 OFVBLKINTLPEGH-UHFFFAOYSA-N 0.000 description 1
- 108020004414 DNA Proteins 0.000 description 1
- 206010012735 Diarrhoea Diseases 0.000 description 1
- KCXVZYZYPLLWCC-UHFFFAOYSA-N EDTA Chemical compound OC(=O)CN(CC(O)=O)CCN(CC(O)=O)CC(O)=O KCXVZYZYPLLWCC-UHFFFAOYSA-N 0.000 description 1
- 102000016942 Elastin Human genes 0.000 description 1
- 108010014258 Elastin Proteins 0.000 description 1
- 108010059378 Endopeptidases Proteins 0.000 description 1
- 102000005593 Endopeptidases Human genes 0.000 description 1
- 241000283086 Equidae Species 0.000 description 1
- 102000003951 Erythropoietin Human genes 0.000 description 1
- 108090000394 Erythropoietin Proteins 0.000 description 1
- 108090000371 Esterases Proteins 0.000 description 1
- PIICEJLVQHRZGT-UHFFFAOYSA-N Ethylenediamine Chemical compound NCCN PIICEJLVQHRZGT-UHFFFAOYSA-N 0.000 description 1
- CWYNVVGOOAEACU-UHFFFAOYSA-N Fe2+ Chemical compound [Fe+2] CWYNVVGOOAEACU-UHFFFAOYSA-N 0.000 description 1
- 241000282326 Felis catus Species 0.000 description 1
- 102000009123 Fibrin Human genes 0.000 description 1
- 108010073385 Fibrin Proteins 0.000 description 1
- BWGVNKXGVNDBDI-UHFFFAOYSA-N Fibrin monomer Chemical compound CNC(=O)CNC(=O)CN BWGVNKXGVNDBDI-UHFFFAOYSA-N 0.000 description 1
- 102000016359 Fibronectins Human genes 0.000 description 1
- 108010067306 Fibronectins Proteins 0.000 description 1
- PXGOKWXKJXAPGV-UHFFFAOYSA-N Fluorine Chemical compound FF PXGOKWXKJXAPGV-UHFFFAOYSA-N 0.000 description 1
- 241000233866 Fungi Species 0.000 description 1
- 241000287828 Gallus gallus Species 0.000 description 1
- WQZGKKKJIJFFOK-GASJEMHNSA-N Glucose Natural products OC[C@H]1OC(O)[C@H](O)[C@@H](O)[C@@H]1O WQZGKKKJIJFFOK-GASJEMHNSA-N 0.000 description 1
- 108010024636 Glutathione Proteins 0.000 description 1
- 239000004471 Glycine Substances 0.000 description 1
- 108010015899 Glycopeptides Proteins 0.000 description 1
- 102000002068 Glycopeptides Human genes 0.000 description 1
- RVKIPWVMZANZLI-UHFFFAOYSA-N H-Lys-Trp-OH Natural products C1=CC=C2C(CC(NC(=O)C(N)CCCCN)C(O)=O)=CNC2=C1 RVKIPWVMZANZLI-UHFFFAOYSA-N 0.000 description 1
- 208000000563 Hyperlipoproteinemia Type II Diseases 0.000 description 1
- 206010061216 Infarction Diseases 0.000 description 1
- 206010022489 Insulin Resistance Diseases 0.000 description 1
- 206010022562 Intermittent claudication Diseases 0.000 description 1
- LPHGQDQBBGAPDZ-UHFFFAOYSA-N Isocaffeine Natural products CN1C(=O)N(C)C(=O)C2=C1N(C)C=N2 LPHGQDQBBGAPDZ-UHFFFAOYSA-N 0.000 description 1
- PIWKPBJCKXDKJR-UHFFFAOYSA-N Isoflurane Chemical compound FC(F)OC(Cl)C(F)(F)F PIWKPBJCKXDKJR-UHFFFAOYSA-N 0.000 description 1
- 206010023126 Jaundice Diseases 0.000 description 1
- SNDPXSYFESPGGJ-BYPYZUCNSA-N L-2-aminopentanoic acid Chemical compound CCC[C@H](N)C(O)=O SNDPXSYFESPGGJ-BYPYZUCNSA-N 0.000 description 1
- CKLJMWTZIZZHCS-UWTATZPHSA-N L-Aspartic acid Natural products OC(=O)[C@H](N)CC(O)=O CKLJMWTZIZZHCS-UWTATZPHSA-N 0.000 description 1
- AHLPHDHHMVZTML-BYPYZUCNSA-N L-Ornithine Chemical compound NCCC[C@H](N)C(O)=O AHLPHDHHMVZTML-BYPYZUCNSA-N 0.000 description 1
- QNAYBMKLOCPYGJ-REOHCLBHSA-N L-alanine Chemical compound C[C@H](N)C(O)=O QNAYBMKLOCPYGJ-REOHCLBHSA-N 0.000 description 1
- 229930064664 L-arginine Natural products 0.000 description 1
- 235000014852 L-arginine Nutrition 0.000 description 1
- RHGKLRLOHDJJDR-BYPYZUCNSA-N L-citrulline Chemical compound NC(=O)NCCC[C@H]([NH3+])C([O-])=O RHGKLRLOHDJJDR-BYPYZUCNSA-N 0.000 description 1
- UKAUYVFTDYCKQA-VKHMYHEASA-N L-homoserine Chemical group OC(=O)[C@@H](N)CCO UKAUYVFTDYCKQA-VKHMYHEASA-N 0.000 description 1
- QEFRNWWLZKMPFJ-ZXPFJRLXSA-N L-methionine (R)-S-oxide Chemical group C[S@@](=O)CC[C@H]([NH3+])C([O-])=O QEFRNWWLZKMPFJ-ZXPFJRLXSA-N 0.000 description 1
- QEFRNWWLZKMPFJ-UHFFFAOYSA-N L-methionine sulphoxide Chemical group CS(=O)CCC(N)C(O)=O QEFRNWWLZKMPFJ-UHFFFAOYSA-N 0.000 description 1
- KZSNJWFQEVHDMF-BYPYZUCNSA-N L-valine Chemical compound CC(C)[C@H](N)C(O)=O KZSNJWFQEVHDMF-BYPYZUCNSA-N 0.000 description 1
- JVTAAEKCZFNVCJ-UHFFFAOYSA-N Lactic Acid Natural products CC(O)C(O)=O JVTAAEKCZFNVCJ-UHFFFAOYSA-N 0.000 description 1
- GUBGYTABKSRVRQ-QKKXKWKRSA-N Lactose Natural products OC[C@H]1O[C@@H](O[C@H]2[C@H](O)[C@@H](O)C(O)O[C@@H]2CO)[C@H](O)[C@@H](O)[C@H]1O GUBGYTABKSRVRQ-QKKXKWKRSA-N 0.000 description 1
- ROHFNLRQFUQHCH-UHFFFAOYSA-N Leucine Natural products CC(C)CC(N)C(O)=O ROHFNLRQFUQHCH-UHFFFAOYSA-N 0.000 description 1
- 206010067125 Liver injury Diseases 0.000 description 1
- KDBDVESGGJYVEH-PMVMPFDFSA-N Lys-Trp-Phe Chemical compound C([C@H](NC(=O)[C@H](CC=1C2=CC=CC=C2NC=1)NC(=O)[C@@H](N)CCCCN)C(O)=O)C1=CC=CC=C1 KDBDVESGGJYVEH-PMVMPFDFSA-N 0.000 description 1
- 229930195725 Mannitol Natural products 0.000 description 1
- 244000246386 Mentha pulegium Species 0.000 description 1
- 235000016257 Mentha pulegium Nutrition 0.000 description 1
- 235000004357 Mentha x piperita Nutrition 0.000 description 1
- 229920000168 Microcrystalline cellulose Polymers 0.000 description 1
- KWIUHFFTVRNATP-UHFFFAOYSA-O N,N,N-trimethylglycinium Chemical compound C[N+](C)(C)CC(O)=O KWIUHFFTVRNATP-UHFFFAOYSA-O 0.000 description 1
- UEEJHVSXFDXPFK-UHFFFAOYSA-N N-dimethylaminoethanol Chemical compound CN(C)CCO UEEJHVSXFDXPFK-UHFFFAOYSA-N 0.000 description 1
- HTLZVHNRZJPSMI-UHFFFAOYSA-N N-ethylpiperidine Chemical compound CCN1CCCCC1 HTLZVHNRZJPSMI-UHFFFAOYSA-N 0.000 description 1
- MBBZMMPHUWSWHV-BDVNFPICSA-N N-methylglucamine Chemical compound CNC[C@H](O)[C@@H](O)[C@H](O)[C@H](O)CO MBBZMMPHUWSWHV-BDVNFPICSA-N 0.000 description 1
- 108010087066 N2-tryptophyllysine Proteins 0.000 description 1
- RHGKLRLOHDJJDR-UHFFFAOYSA-N Ndelta-carbamoyl-DL-ornithine Natural products OC(=O)C(N)CCCNC(N)=O RHGKLRLOHDJJDR-UHFFFAOYSA-N 0.000 description 1
- 206010028980 Neoplasm Diseases 0.000 description 1
- 101100042258 Neurospora crassa (strain ATCC 24698 / 74-OR23-1A / CBS 708.71 / DSM 1257 / FGSC 987) sem-1 gene Proteins 0.000 description 1
- 239000000020 Nitrocellulose Substances 0.000 description 1
- 208000008589 Obesity Diseases 0.000 description 1
- NPGIHFRTRXVWOY-UHFFFAOYSA-N Oil red O Chemical compound Cc1ccc(C)c(c1)N=Nc1cc(C)c(cc1C)N=Nc1c(O)ccc2ccccc12 NPGIHFRTRXVWOY-UHFFFAOYSA-N 0.000 description 1
- AHLPHDHHMVZTML-UHFFFAOYSA-N Orn-delta-NH2 Natural products NCCCC(N)C(O)=O AHLPHDHHMVZTML-UHFFFAOYSA-N 0.000 description 1
- UTJLXEIPEHZYQJ-UHFFFAOYSA-N Ornithine Natural products OC(=O)C(C)CCCN UTJLXEIPEHZYQJ-UHFFFAOYSA-N 0.000 description 1
- 108090000854 Oxidoreductases Proteins 0.000 description 1
- 102000004316 Oxidoreductases Human genes 0.000 description 1
- 229910019142 PO4 Inorganic materials 0.000 description 1
- 241001494479 Pecora Species 0.000 description 1
- 241000228153 Penicillium citrinum Species 0.000 description 1
- NQRYJNQNLNOLGT-UHFFFAOYSA-N Piperidine Chemical compound C1CCNCC1 NQRYJNQNLNOLGT-UHFFFAOYSA-N 0.000 description 1
- 229920002732 Polyanhydride Polymers 0.000 description 1
- 239000002202 Polyethylene glycol Substances 0.000 description 1
- 229920000954 Polyglycolide Polymers 0.000 description 1
- 229920001710 Polyorthoester Polymers 0.000 description 1
- ONIBWKKTOPOVIA-UHFFFAOYSA-N Proline Natural products OC(=O)C1CCCN1 ONIBWKKTOPOVIA-UHFFFAOYSA-N 0.000 description 1
- 108020004511 Recombinant DNA Proteins 0.000 description 1
- 102000002278 Ribosomal Proteins Human genes 0.000 description 1
- 108010000605 Ribosomal Proteins Proteins 0.000 description 1
- 241000283984 Rodentia Species 0.000 description 1
- AJLFOPYRIVGYMJ-UHFFFAOYSA-N SJ000287055 Natural products C12C(OC(=O)C(C)CC)CCC=C2C=CC(C)C1CCC1CC(O)CC(=O)O1 AJLFOPYRIVGYMJ-UHFFFAOYSA-N 0.000 description 1
- MTCFGRXMJLQNBG-UHFFFAOYSA-N Serine Natural products OCC(N)C(O)=O MTCFGRXMJLQNBG-UHFFFAOYSA-N 0.000 description 1
- VYPSYNLAJGMNEJ-UHFFFAOYSA-N Silicium dioxide Chemical compound O=[Si]=O VYPSYNLAJGMNEJ-UHFFFAOYSA-N 0.000 description 1
- 208000013738 Sleep Initiation and Maintenance disease Diseases 0.000 description 1
- 108020004459 Small interfering RNA Proteins 0.000 description 1
- DWAQJAXMDSEUJJ-UHFFFAOYSA-M Sodium bisulfite Chemical compound [Na+].OS([O-])=O DWAQJAXMDSEUJJ-UHFFFAOYSA-M 0.000 description 1
- 206010041349 Somnolence Diseases 0.000 description 1
- 229920002472 Starch Polymers 0.000 description 1
- RKSMVPNZHBRNNS-UHFFFAOYSA-N Succinobucol Chemical group CC(C)(C)C1=C(O)C(C(C)(C)C)=CC(SC(C)(C)SC=2C=C(C(OC(=O)CCC(O)=O)=C(C=2)C(C)(C)C)C(C)(C)C)=C1 RKSMVPNZHBRNNS-UHFFFAOYSA-N 0.000 description 1
- 229930006000 Sucrose Natural products 0.000 description 1
- CZMRCDWAGMRECN-UGDNZRGBSA-N Sucrose Chemical compound O[C@H]1[C@H](O)[C@@H](CO)O[C@@]1(CO)O[C@@H]1[C@H](O)[C@@H](O)[C@H](O)[C@@H](CO)O1 CZMRCDWAGMRECN-UGDNZRGBSA-N 0.000 description 1
- NINIDFKCEFEMDL-UHFFFAOYSA-N Sulfur Chemical group [S] NINIDFKCEFEMDL-UHFFFAOYSA-N 0.000 description 1
- FEWJPZIEWOKRBE-UHFFFAOYSA-N Tartaric Acid Chemical class [H+].[H+].[O-]C(=O)C(O)C(O)C([O-])=O FEWJPZIEWOKRBE-UHFFFAOYSA-N 0.000 description 1
- AYFVYJQAPQTCCC-UHFFFAOYSA-N Threonine Natural products CC(O)C(N)C(O)=O AYFVYJQAPQTCCC-UHFFFAOYSA-N 0.000 description 1
- 239000004473 Threonine Substances 0.000 description 1
- 229920001615 Tragacanth Polymers 0.000 description 1
- DTQVDTLACAAQTR-UHFFFAOYSA-N Trifluoroacetic acid Chemical class OC(=O)C(F)(F)F DTQVDTLACAAQTR-UHFFFAOYSA-N 0.000 description 1
- GRSCONMARGNYHA-PMVMPFDFSA-N Trp-Lys-Phe Chemical compound [H]N[C@@H](CC1=CNC2=C1C=CC=C2)C(=O)N[C@@H](CCCCN)C(=O)N[C@@H](CC1=CC=CC=C1)C(O)=O GRSCONMARGNYHA-PMVMPFDFSA-N 0.000 description 1
- JZSLIZLZGWOJBJ-PMVMPFDFSA-N Trp-Phe-Lys Chemical compound C1=CC=C(C=C1)C[C@@H](C(=O)N[C@@H](CCCCN)C(=O)O)NC(=O)[C@H](CC2=CNC3=CC=CC=C32)N JZSLIZLZGWOJBJ-PMVMPFDFSA-N 0.000 description 1
- 108090000631 Trypsin Proteins 0.000 description 1
- 102000004142 Trypsin Human genes 0.000 description 1
- 206010045254 Type II hyperlipidaemia Diseases 0.000 description 1
- 108010062497 VLDL Lipoproteins Proteins 0.000 description 1
- 229930003427 Vitamin E Natural products 0.000 description 1
- 206010047700 Vomiting Diseases 0.000 description 1
- FJWGYAHXMCUOOM-QHOUIDNNSA-N [(2s,3r,4s,5r,6r)-2-[(2r,3r,4s,5r,6s)-4,5-dinitrooxy-2-(nitrooxymethyl)-6-[(2r,3r,4s,5r,6s)-4,5,6-trinitrooxy-2-(nitrooxymethyl)oxan-3-yl]oxyoxan-3-yl]oxy-3,5-dinitrooxy-6-(nitrooxymethyl)oxan-4-yl] nitrate Chemical compound O([C@@H]1O[C@@H]([C@H]([C@H](O[N+]([O-])=O)[C@H]1O[N+]([O-])=O)O[C@H]1[C@@H]([C@@H](O[N+]([O-])=O)[C@H](O[N+]([O-])=O)[C@@H](CO[N+]([O-])=O)O1)O[N+]([O-])=O)CO[N+](=O)[O-])[C@@H]1[C@@H](CO[N+]([O-])=O)O[C@@H](O[N+]([O-])=O)[C@H](O[N+]([O-])=O)[C@H]1O[N+]([O-])=O FJWGYAHXMCUOOM-QHOUIDNNSA-N 0.000 description 1
- 239000003070 absorption delaying agent Substances 0.000 description 1
- 150000001242 acetic acid derivatives Chemical class 0.000 description 1
- 125000002777 acetyl group Chemical group [H]C([H])([H])C(*)=O 0.000 description 1
- 150000007513 acids Chemical class 0.000 description 1
- 239000002671 adjuvant Substances 0.000 description 1
- 239000000443 aerosol Substances 0.000 description 1
- 230000002776 aggregation Effects 0.000 description 1
- 238000004220 aggregation Methods 0.000 description 1
- 239000000783 alginic acid Substances 0.000 description 1
- 235000010443 alginic acid Nutrition 0.000 description 1
- 229920000615 alginic acid Polymers 0.000 description 1
- 229960001126 alginic acid Drugs 0.000 description 1
- 150000004781 alginic acids Chemical class 0.000 description 1
- 229910052783 alkali metal Inorganic materials 0.000 description 1
- 229910001413 alkali metal ion Inorganic materials 0.000 description 1
- 150000001340 alkali metals Chemical class 0.000 description 1
- 229910052784 alkaline earth metal Inorganic materials 0.000 description 1
- 229910001420 alkaline earth metal ion Inorganic materials 0.000 description 1
- 150000001342 alkaline earth metals Chemical class 0.000 description 1
- 125000004947 alkyl aryl amino group Chemical group 0.000 description 1
- 125000002877 alkyl aryl group Chemical group 0.000 description 1
- 125000004390 alkyl sulfonyl group Chemical group 0.000 description 1
- 229940061720 alpha hydroxy acid Drugs 0.000 description 1
- 150000001280 alpha hydroxy acids Chemical class 0.000 description 1
- 125000003368 amide group Chemical group 0.000 description 1
- 150000001408 amides Chemical group 0.000 description 1
- 229960002684 aminocaproic acid Drugs 0.000 description 1
- 125000004397 aminosulfonyl group Chemical group NS(=O)(=O)* 0.000 description 1
- MZZLGJHLQGUVPN-HAWMADMCSA-N anacetrapib Chemical compound COC1=CC(F)=C(C(C)C)C=C1C1=CC=C(C(F)(F)F)C=C1CN1C(=O)O[C@H](C=2C=C(C=C(C=2)C(F)(F)F)C(F)(F)F)[C@@H]1C MZZLGJHLQGUVPN-HAWMADMCSA-N 0.000 description 1
- 229950000285 anacetrapib Drugs 0.000 description 1
- 230000037005 anaesthesia Effects 0.000 description 1
- 210000004102 animal cell Anatomy 0.000 description 1
- 229940074323 antara Drugs 0.000 description 1
- RWZYAGGXGHYGMB-UHFFFAOYSA-N anthranilic acid Chemical compound NC1=CC=CC=C1C(O)=O RWZYAGGXGHYGMB-UHFFFAOYSA-N 0.000 description 1
- 239000000427 antigen Substances 0.000 description 1
- 102000036639 antigens Human genes 0.000 description 1
- 108091007433 antigens Proteins 0.000 description 1
- 230000004596 appetite loss Effects 0.000 description 1
- 238000013459 approach Methods 0.000 description 1
- 239000007864 aqueous solution Substances 0.000 description 1
- 125000000637 arginyl group Chemical group N[C@@H](CCCNC(N)=N)C(=O)* 0.000 description 1
- 150000004982 aromatic amines Chemical class 0.000 description 1
- 208000011775 arteriosclerosis disease Diseases 0.000 description 1
- 125000001769 aryl amino group Chemical group 0.000 description 1
- 150000001510 aspartic acids Chemical class 0.000 description 1
- QVGXLLKOCUKJST-UHFFFAOYSA-N atomic oxygen Chemical group [O] QVGXLLKOCUKJST-UHFFFAOYSA-N 0.000 description 1
- 230000003385 bacteriostatic effect Effects 0.000 description 1
- 230000004888 barrier function Effects 0.000 description 1
- 230000008901 benefit Effects 0.000 description 1
- JUHORIMYRDESRB-UHFFFAOYSA-N benzathine Chemical compound C=1C=CC=CC=1CNCCNCC1=CC=CC=C1 JUHORIMYRDESRB-UHFFFAOYSA-N 0.000 description 1
- 125000005605 benzo group Chemical group 0.000 description 1
- WPYMKLBDIGXBTP-UHFFFAOYSA-N benzoic acid group Chemical group C(C1=CC=CC=C1)(=O)O WPYMKLBDIGXBTP-UHFFFAOYSA-N 0.000 description 1
- 125000003236 benzoyl group Chemical group [H]C1=C([H])C([H])=C(C([H])=C1[H])C(*)=O 0.000 description 1
- 235000019445 benzyl alcohol Nutrition 0.000 description 1
- 125000001797 benzyl group Chemical group [H]C1=C([H])C([H])=C(C([H])=C1[H])C([H])([H])* 0.000 description 1
- 229910052790 beryllium Inorganic materials 0.000 description 1
- ATBAMAFKBVZNFJ-UHFFFAOYSA-N beryllium atom Chemical compound [Be] ATBAMAFKBVZNFJ-UHFFFAOYSA-N 0.000 description 1
- MSWZFWKMSRAUBD-UHFFFAOYSA-N beta-D-galactosamine Natural products NC1C(O)OC(CO)C(O)C1O MSWZFWKMSRAUBD-UHFFFAOYSA-N 0.000 description 1
- WQZGKKKJIJFFOK-VFUOTHLCSA-N beta-D-glucose Chemical compound OC[C@H]1O[C@@H](O)[C@H](O)[C@@H](O)[C@@H]1O WQZGKKKJIJFFOK-VFUOTHLCSA-N 0.000 description 1
- 229960003237 betaine Drugs 0.000 description 1
- 239000003833 bile salt Substances 0.000 description 1
- 229940093761 bile salts Drugs 0.000 description 1
- 230000006696 biosynthetic metabolic pathway Effects 0.000 description 1
- 229960002685 biotin Drugs 0.000 description 1
- 235000020958 biotin Nutrition 0.000 description 1
- 239000011616 biotin Substances 0.000 description 1
- 235000010290 biphenyl Nutrition 0.000 description 1
- 239000004305 biphenyl Substances 0.000 description 1
- 230000017531 blood circulation Effects 0.000 description 1
- 210000004204 blood vessel Anatomy 0.000 description 1
- 210000004556 brain Anatomy 0.000 description 1
- 239000000872 buffer Substances 0.000 description 1
- DQXBYHZEEUGOBF-UHFFFAOYSA-N but-3-enoic acid;ethene Chemical compound C=C.OC(=O)CC=C DQXBYHZEEUGOBF-UHFFFAOYSA-N 0.000 description 1
- 125000000484 butyl group Chemical group [H]C([*])([H])C([H])([H])C([H])([H])C([H])([H])[H] 0.000 description 1
- 229910052792 caesium Inorganic materials 0.000 description 1
- TVFDJXOCXUVLDH-UHFFFAOYSA-N caesium atom Chemical compound [Cs] TVFDJXOCXUVLDH-UHFFFAOYSA-N 0.000 description 1
- 229960001948 caffeine Drugs 0.000 description 1
- VJEONQKOZGKCAK-UHFFFAOYSA-N caffeine Natural products CN1C(=O)N(C)C(=O)C2=C1C=CN2C VJEONQKOZGKCAK-UHFFFAOYSA-N 0.000 description 1
- 201000011510 cancer Diseases 0.000 description 1
- 239000004202 carbamide Substances 0.000 description 1
- 229910052799 carbon Inorganic materials 0.000 description 1
- 239000001569 carbon dioxide Substances 0.000 description 1
- UHBYWPGGCSDKFX-UHFFFAOYSA-N carboxyglutamic acid Chemical compound OC(=O)C(N)CC(C(O)=O)C(O)=O UHBYWPGGCSDKFX-UHFFFAOYSA-N 0.000 description 1
- 150000007942 carboxylates Chemical group 0.000 description 1
- 150000001732 carboxylic acid derivatives Chemical class 0.000 description 1
- 210000000170 cell membrane Anatomy 0.000 description 1
- 230000004700 cellular uptake Effects 0.000 description 1
- 229920002301 cellulose acetate Polymers 0.000 description 1
- 210000001627 cerebral artery Anatomy 0.000 description 1
- 230000002490 cerebral effect Effects 0.000 description 1
- SEERZIQQUAZTOL-ANMDKAQQSA-N cerivastatin Chemical compound COCC1=C(C(C)C)N=C(C(C)C)C(\C=C\[C@@H](O)C[C@@H](O)CC(O)=O)=C1C1=CC=C(F)C=C1 SEERZIQQUAZTOL-ANMDKAQQSA-N 0.000 description 1
- 229960005110 cerivastatin Drugs 0.000 description 1
- 239000002738 chelating agent Substances 0.000 description 1
- TZRFSLHOCZEXCC-HIVFKXHNSA-N chembl2219536 Chemical group N1([C@H]2C[C@@H]([C@H](O2)COP(O)(=O)S[C@@H]2[C@H](O[C@H](C2)N2C3=C(C(NC(N)=N3)=O)N=C2)COP(O)(=O)S[C@@H]2[C@H](O[C@H](C2)N2C(NC(=O)C(C)=C2)=O)COP(O)(=O)S[C@@H]2[C@H](O[C@H](C2)N2C(N=C(N)C(C)=C2)=O)COP(O)(=O)S[C@@H]2[C@H](O[C@H](C2)N2C(NC(=O)C(C)=C2)=O)COP(O)(=O)S[C@@H]2[C@H](O[C@H](C2)N2C3=C(C(NC(N)=N3)=O)N=C2)COP(O)(=O)S[C@@H]2[C@H](O[C@H](C2)N2C3=NC=NC(N)=C3N=C2)COP(O)(=O)S[C@H]2[C@H]([C@@H](O[C@@H]2COP(O)(=O)S[C@H]2[C@H]([C@@H](O[C@@H]2COP(O)(=O)S[C@H]2[C@H]([C@@H](O[C@@H]2COP(O)(=O)S[C@H]2[C@H]([C@@H](O[C@@H]2COP(O)(=O)S[C@H]2[C@H]([C@@H](O[C@@H]2CO)N2C3=C(C(NC(N)=N3)=O)N=C2)OCCOC)N2C(N=C(N)C(C)=C2)=O)OCCOC)N2C(N=C(N)C(C)=C2)=O)OCCOC)N2C(NC(=O)C(C)=C2)=O)OCCOC)N2C(N=C(N)C(C)=C2)=O)OCCOC)SP(O)(=O)OC[C@H]2O[C@H](C[C@@H]2SP(O)(=O)OC[C@H]2O[C@H](C[C@@H]2SP(O)(=O)OC[C@H]2O[C@H](C[C@@H]2SP(O)(=O)OC[C@@H]2[C@H]([C@H]([C@@H](O2)N2C3=C(C(NC(N)=N3)=O)N=C2)OCCOC)SP(O)(=O)OC[C@H]2[C@@H]([C@@H]([C@H](O2)N2C(N=C(N)C(C)=C2)=O)OCCOC)SP(O)(=O)OC[C@H]2[C@@H]([C@@H]([C@H](O2)N2C3=NC=NC(N)=C3N=C2)OCCOC)SP(O)(=O)OC[C@H]2[C@@H]([C@@H]([C@H](O2)N2C(N=C(N)C(C)=C2)=O)OCCOC)SP(O)(=O)OC[C@H]2[C@H](O)[C@@H]([C@H](O2)N2C(N=C(N)C(C)=C2)=O)OCCOC)N2C(N=C(N)C(C)=C2)=O)N2C(NC(=O)C(C)=C2)=O)N2C(NC(=O)C(C)=C2)=O)C=C(C)C(N)=NC1=O TZRFSLHOCZEXCC-HIVFKXHNSA-N 0.000 description 1
- 238000007385 chemical modification Methods 0.000 description 1
- 239000012707 chemical precursor Substances 0.000 description 1
- 238000006243 chemical reaction Methods 0.000 description 1
- 239000003153 chemical reaction reagent Substances 0.000 description 1
- 229960004926 chlorobutanol Drugs 0.000 description 1
- 239000003354 cholesterol ester transfer protein inhibitor Substances 0.000 description 1
- 229940125881 cholesteryl ester transfer protein inhibitor Drugs 0.000 description 1
- OEYIOHPDSNJKLS-UHFFFAOYSA-N choline Chemical compound C[N+](C)(C)CCO OEYIOHPDSNJKLS-UHFFFAOYSA-N 0.000 description 1
- 229960001231 choline Drugs 0.000 description 1
- 230000001684 chronic effect Effects 0.000 description 1
- 230000012085 chronic inflammatory response Effects 0.000 description 1
- 150000001860 citric acid derivatives Chemical class 0.000 description 1
- 229960002173 citrulline Drugs 0.000 description 1
- 235000013477 citrulline Nutrition 0.000 description 1
- 208000024980 claudication Diseases 0.000 description 1
- 238000003776 cleavage reaction Methods 0.000 description 1
- 238000010367 cloning Methods 0.000 description 1
- 239000011248 coating agent Substances 0.000 description 1
- 229940097479 colestid Drugs 0.000 description 1
- 229940075614 colloidal silicon dioxide Drugs 0.000 description 1
- 238000011284 combination treatment Methods 0.000 description 1
- 238000013270 controlled release Methods 0.000 description 1
- 238000007796 conventional method Methods 0.000 description 1
- 229920001577 copolymer Chemical compound 0.000 description 1
- 229910052802 copper Inorganic materials 0.000 description 1
- 239000010949 copper Substances 0.000 description 1
- 239000008120 corn starch Substances 0.000 description 1
- 208000002528 coronary thrombosis Diseases 0.000 description 1
- 239000006071 cream Substances 0.000 description 1
- 239000003431 cross linking reagent Substances 0.000 description 1
- 230000001186 cumulative effect Effects 0.000 description 1
- WZHCOOQXZCIUNC-UHFFFAOYSA-N cyclandelate Chemical compound C1C(C)(C)CC(C)CC1OC(=O)C(O)C1=CC=CC=C1 WZHCOOQXZCIUNC-UHFFFAOYSA-N 0.000 description 1
- 235000018417 cysteine Nutrition 0.000 description 1
- XUJNEKJLAYXESH-UHFFFAOYSA-N cysteine Natural products SCC(N)C(O)=O XUJNEKJLAYXESH-UHFFFAOYSA-N 0.000 description 1
- 229950004181 dalcetrapib Drugs 0.000 description 1
- 238000013480 data collection Methods 0.000 description 1
- 230000034994 death Effects 0.000 description 1
- 230000003111 delayed effect Effects 0.000 description 1
- 238000013461 design Methods 0.000 description 1
- 239000003599 detergent Substances 0.000 description 1
- 230000001627 detrimental effect Effects 0.000 description 1
- 239000008121 dextrose Substances 0.000 description 1
- 150000001991 dicarboxylic acids Chemical class 0.000 description 1
- 230000000378 dietary effect Effects 0.000 description 1
- 235000013367 dietary fats Nutrition 0.000 description 1
- UGMCXQCYOVCMTB-UHFFFAOYSA-K dihydroxy(stearato)aluminium Chemical compound CCCCCCCCCCCCCCCCCC(=O)O[Al](O)O UGMCXQCYOVCMTB-UHFFFAOYSA-K 0.000 description 1
- 239000002552 dosage form Substances 0.000 description 1
- 206010013781 dry mouth Diseases 0.000 description 1
- 229920002549 elastin Polymers 0.000 description 1
- 230000009881 electrostatic interaction Effects 0.000 description 1
- 230000003028 elevating effect Effects 0.000 description 1
- 230000008030 elimination Effects 0.000 description 1
- 238000003379 elimination reaction Methods 0.000 description 1
- 229940066758 endopeptidases Drugs 0.000 description 1
- YQGOJNYOYNNSMM-UHFFFAOYSA-N eosin Chemical compound [Na+].OC(=O)C1=CC=CC=C1C1=C2C=C(Br)C(=O)C(Br)=C2OC2=C(Br)C(O)=C(Br)C=C21 YQGOJNYOYNNSMM-UHFFFAOYSA-N 0.000 description 1
- 229940105423 erythropoietin Drugs 0.000 description 1
- 230000032050 esterification Effects 0.000 description 1
- 238000005886 esterification reaction Methods 0.000 description 1
- 239000005038 ethylene vinyl acetate Substances 0.000 description 1
- 238000011156 evaluation Methods 0.000 description 1
- 230000003203 everyday effect Effects 0.000 description 1
- 230000001747 exhibiting effect Effects 0.000 description 1
- 229960000815 ezetimibe Drugs 0.000 description 1
- 210000001105 femoral artery Anatomy 0.000 description 1
- 229940093329 fenoglide Drugs 0.000 description 1
- 229940103386 fibricor Drugs 0.000 description 1
- 229950003499 fibrin Drugs 0.000 description 1
- 239000000796 flavoring agent Substances 0.000 description 1
- 229960000868 fluvastatin sodium Drugs 0.000 description 1
- 210000000497 foam cell Anatomy 0.000 description 1
- 235000013355 food flavoring agent Nutrition 0.000 description 1
- 230000037406 food intake Effects 0.000 description 1
- 235000003599 food sweetener Nutrition 0.000 description 1
- 150000002238 fumaric acids Chemical class 0.000 description 1
- IECPWNUMDGFDKC-MZJAQBGESA-N fusidic acid Chemical class O[C@@H]([C@@H]12)C[C@H]3\C(=C(/CCC=C(C)C)C(O)=O)[C@@H](OC(C)=O)C[C@]3(C)[C@@]2(C)CC[C@@H]2[C@]1(C)CC[C@@H](O)[C@H]2C IECPWNUMDGFDKC-MZJAQBGESA-N 0.000 description 1
- 230000000799 fusogenic effect Effects 0.000 description 1
- 229960003692 gamma aminobutyric acid Drugs 0.000 description 1
- WIGCFUFOHFEKBI-UHFFFAOYSA-N gamma-tocopherol Natural products CC(C)CCCC(C)CCCC(C)CCCC1CCC2C(C)C(O)C(C)C(C)C2O1 WIGCFUFOHFEKBI-UHFFFAOYSA-N 0.000 description 1
- 229940083124 ganglion-blocking antiadrenergic secondary and tertiary amines Drugs 0.000 description 1
- 239000007789 gas Substances 0.000 description 1
- 210000001035 gastrointestinal tract Anatomy 0.000 description 1
- 239000007903 gelatin capsule Substances 0.000 description 1
- 229960003627 gemfibrozil Drugs 0.000 description 1
- 230000002068 genetic effect Effects 0.000 description 1
- 239000011521 glass Substances 0.000 description 1
- 229960002442 glucosamine Drugs 0.000 description 1
- 150000002307 glutamic acids Chemical class 0.000 description 1
- 229960002743 glutamine Drugs 0.000 description 1
- 229960003180 glutathione Drugs 0.000 description 1
- 125000005843 halogen group Chemical group 0.000 description 1
- 208000019622 heart disease Diseases 0.000 description 1
- 231100000234 hepatic damage Toxicity 0.000 description 1
- 125000004051 hexyl group Chemical group [H]C([H])([H])C([H])([H])C([H])([H])C([H])([H])C([H])([H])C([H])([H])* 0.000 description 1
- 238000004128 high performance liquid chromatography Methods 0.000 description 1
- 125000000487 histidyl group Chemical group [H]N([H])C(C(=O)O*)C([H])([H])C1=C([H])N([H])C([H])=N1 0.000 description 1
- 229940088597 hormone Drugs 0.000 description 1
- 239000005556 hormone Substances 0.000 description 1
- 235000001050 hortel pimenta Nutrition 0.000 description 1
- XGIHQYAWBCFNPY-AZOCGYLKSA-N hydrabamine Chemical compound C([C@@H]12)CC3=CC(C(C)C)=CC=C3[C@@]2(C)CCC[C@@]1(C)CNCCNC[C@@]1(C)[C@@H]2CCC3=CC(C(C)C)=CC=C3[C@@]2(C)CCC1 XGIHQYAWBCFNPY-AZOCGYLKSA-N 0.000 description 1
- 125000004435 hydrogen atom Chemical group [H]* 0.000 description 1
- 150000001261 hydroxy acids Chemical class 0.000 description 1
- 208000020346 hyperlipoproteinemia Diseases 0.000 description 1
- 210000001822 immobilized cell Anatomy 0.000 description 1
- 239000007943 implant Substances 0.000 description 1
- 238000000099 in vitro assay Methods 0.000 description 1
- 238000010874 in vitro model Methods 0.000 description 1
- 238000005462 in vivo assay Methods 0.000 description 1
- 239000003701 inert diluent Substances 0.000 description 1
- 230000007574 infarction Effects 0.000 description 1
- 238000001802 infusion Methods 0.000 description 1
- 230000002401 inhibitory effect Effects 0.000 description 1
- 230000005764 inhibitory process Effects 0.000 description 1
- 239000007972 injectable composition Substances 0.000 description 1
- 206010022437 insomnia Diseases 0.000 description 1
- 230000002452 interceptive effect Effects 0.000 description 1
- 230000003834 intracellular effect Effects 0.000 description 1
- 238000007912 intraperitoneal administration Methods 0.000 description 1
- 239000011630 iodine Substances 0.000 description 1
- 229910052740 iodine Inorganic materials 0.000 description 1
- 208000028867 ischemia Diseases 0.000 description 1
- 229960002725 isoflurane Drugs 0.000 description 1
- 125000004491 isohexyl group Chemical group C(CCC(C)C)* 0.000 description 1
- 229960000310 isoleucine Drugs 0.000 description 1
- AGPKZVBTJJNPAG-UHFFFAOYSA-N isoleucine Natural products CCC(C)C(N)C(O)=O AGPKZVBTJJNPAG-UHFFFAOYSA-N 0.000 description 1
- 125000001972 isopentyl group Chemical group [H]C([H])([H])C([H])(C([H])([H])[H])C([H])([H])C([H])([H])* 0.000 description 1
- JJWLVOIRVHMVIS-UHFFFAOYSA-N isopropylamine Chemical compound CC(C)N JJWLVOIRVHMVIS-UHFFFAOYSA-N 0.000 description 1
- 210000003734 kidney Anatomy 0.000 description 1
- 150000002596 lactones Chemical class 0.000 description 1
- 239000008101 lactose Substances 0.000 description 1
- 239000000787 lecithin Substances 0.000 description 1
- 235000010445 lecithin Nutrition 0.000 description 1
- 229940067606 lecithin Drugs 0.000 description 1
- 231100000518 lethal Toxicity 0.000 description 1
- 230000001665 lethal effect Effects 0.000 description 1
- 210000000265 leukocyte Anatomy 0.000 description 1
- 229940044185 lipofen Drugs 0.000 description 1
- 230000008818 liver damage Effects 0.000 description 1
- 229940054148 lofibra Drugs 0.000 description 1
- 229940063720 lopid Drugs 0.000 description 1
- 208000019017 loss of appetite Diseases 0.000 description 1
- 235000021266 loss of appetite Nutrition 0.000 description 1
- 239000000314 lubricant Substances 0.000 description 1
- 235000019359 magnesium stearate Nutrition 0.000 description 1
- 238000012423 maintenance Methods 0.000 description 1
- 206010025482 malaise Diseases 0.000 description 1
- 150000002689 maleic acids Chemical class 0.000 description 1
- 235000011090 malic acid Nutrition 0.000 description 1
- 210000004962 mammalian cell Anatomy 0.000 description 1
- 239000000594 mannitol Substances 0.000 description 1
- 235000010355 mannitol Nutrition 0.000 description 1
- 239000012528 membrane Substances 0.000 description 1
- 108020004999 messenger RNA Proteins 0.000 description 1
- OKKJLVBELUTLKV-UHFFFAOYSA-N methanol Natural products OC OKKJLVBELUTLKV-UHFFFAOYSA-N 0.000 description 1
- CSHFHJNMIMPJST-HOTGVXAUSA-N methyl (2s)-2-[[(2s)-2-[[2-[(2-aminoacetyl)amino]acetyl]amino]-3-phenylpropanoyl]amino]-4-methylpentanoate Chemical compound NCC(=O)NCC(=O)N[C@H](C(=O)N[C@@H](CC(C)C)C(=O)OC)CC1=CC=CC=C1 CSHFHJNMIMPJST-HOTGVXAUSA-N 0.000 description 1
- STZCRXQWRGQSJD-GEEYTBSJSA-M methyl orange Chemical compound [Na+].C1=CC(N(C)C)=CC=C1\N=N\C1=CC=C(S([O-])(=O)=O)C=C1 STZCRXQWRGQSJD-GEEYTBSJSA-M 0.000 description 1
- 229940012189 methyl orange Drugs 0.000 description 1
- 235000010270 methyl p-hydroxybenzoate Nutrition 0.000 description 1
- 229960001047 methyl salicylate Drugs 0.000 description 1
- LSDPWZHWYPCBBB-UHFFFAOYSA-O methylsulfide anion Chemical compound [SH2+]C LSDPWZHWYPCBBB-UHFFFAOYSA-O 0.000 description 1
- 125000004170 methylsulfonyl group Chemical group [H]C([H])([H])S(*)(=O)=O 0.000 description 1
- AJLFOPYRIVGYMJ-INTXDZFKSA-N mevastatin Chemical compound C([C@H]1[C@@H](C)C=CC2=CCC[C@@H]([C@H]12)OC(=O)[C@@H](C)CC)C[C@@H]1C[C@@H](O)CC(=O)O1 AJLFOPYRIVGYMJ-INTXDZFKSA-N 0.000 description 1
- 229950009116 mevastatin Drugs 0.000 description 1
- BOZILQFLQYBIIY-UHFFFAOYSA-N mevastatin hydroxy acid Natural products C1=CC(C)C(CCC(O)CC(O)CC(O)=O)C2C(OC(=O)C(C)CC)CCC=C21 BOZILQFLQYBIIY-UHFFFAOYSA-N 0.000 description 1
- 239000000693 micelle Substances 0.000 description 1
- 235000019813 microcrystalline cellulose Nutrition 0.000 description 1
- 239000008108 microcrystalline cellulose Substances 0.000 description 1
- 229940016286 microcrystalline cellulose Drugs 0.000 description 1
- 229960004778 mipomersen Drugs 0.000 description 1
- 108091060283 mipomersen Proteins 0.000 description 1
- 230000002438 mitochondrial effect Effects 0.000 description 1
- 108091005601 modified peptides Proteins 0.000 description 1
- 238000007491 morphometric analysis Methods 0.000 description 1
- 239000002324 mouth wash Substances 0.000 description 1
- 229940051866 mouthwash Drugs 0.000 description 1
- 230000004220 muscle function Effects 0.000 description 1
- 208000015004 muscle tenderness Diseases 0.000 description 1
- GACQNVJDWUAPFY-UHFFFAOYSA-N n'-[2-[2-(2-aminoethylamino)ethylamino]ethyl]ethane-1,2-diamine;hydrochloride Chemical compound Cl.NCCNCCNCCNCCN GACQNVJDWUAPFY-UHFFFAOYSA-N 0.000 description 1
- 125000004108 n-butyl group Chemical group [H]C([H])([H])C([H])([H])C([H])([H])C([H])([H])* 0.000 description 1
- 125000001280 n-hexyl group Chemical group C(CCCCC)* 0.000 description 1
- 125000000740 n-pentyl group Chemical group [H]C([H])([H])C([H])([H])C([H])([H])C([H])([H])C([H])([H])* 0.000 description 1
- 125000001624 naphthyl group Chemical group 0.000 description 1
- 239000007922 nasal spray Substances 0.000 description 1
- 239000006199 nebulizer Substances 0.000 description 1
- 125000001971 neopentyl group Chemical group [H]C([*])([H])C(C([H])([H])[H])(C([H])([H])[H])C([H])([H])[H] 0.000 description 1
- 231100000417 nephrotoxicity Toxicity 0.000 description 1
- 229940099635 niacor Drugs 0.000 description 1
- 229940033757 niaspan Drugs 0.000 description 1
- 229920001220 nitrocellulos Polymers 0.000 description 1
- 231100000956 nontoxicity Toxicity 0.000 description 1
- 239000000346 nonvolatile oil Substances 0.000 description 1
- 238000007899 nucleic acid hybridization Methods 0.000 description 1
- 235000020824 obesity Nutrition 0.000 description 1
- 238000002515 oligonucleotide synthesis Methods 0.000 description 1
- 239000006186 oral dosage form Substances 0.000 description 1
- 229960001243 orlistat Drugs 0.000 description 1
- 229960003104 ornithine Drugs 0.000 description 1
- 235000006408 oxalic acid Nutrition 0.000 description 1
- 150000002913 oxalic acids Chemical class 0.000 description 1
- 230000003647 oxidation Effects 0.000 description 1
- 238000007254 oxidation reaction Methods 0.000 description 1
- 230000010627 oxidative phosphorylation Effects 0.000 description 1
- 230000036542 oxidative stress Effects 0.000 description 1
- 239000001301 oxygen Chemical group 0.000 description 1
- 229910052760 oxygen Inorganic materials 0.000 description 1
- 125000005489 p-toluenesulfonic acid group Chemical class 0.000 description 1
- 101800002712 p27 Proteins 0.000 description 1
- 238000007911 parenteral administration Methods 0.000 description 1
- 239000006201 parenteral dosage form Substances 0.000 description 1
- 230000037361 pathway Effects 0.000 description 1
- 238000010647 peptide synthesis reaction Methods 0.000 description 1
- 229960003742 phenol Drugs 0.000 description 1
- 125000004344 phenylpropyl group Chemical group 0.000 description 1
- 235000021317 phosphate Nutrition 0.000 description 1
- 150000003013 phosphoric acid derivatives Chemical class 0.000 description 1
- BZQFBWGGLXLEPQ-REOHCLBHSA-N phosphoserine Chemical compound OC(=O)[C@@H](N)COP(O)(O)=O BZQFBWGGLXLEPQ-REOHCLBHSA-N 0.000 description 1
- 230000001766 physiological effect Effects 0.000 description 1
- 239000002504 physiological saline solution Substances 0.000 description 1
- 230000036470 plasma concentration Effects 0.000 description 1
- 239000004033 plastic Substances 0.000 description 1
- 229920003023 plastic Polymers 0.000 description 1
- 229920001200 poly(ethylene-vinyl acetate) Polymers 0.000 description 1
- 229920000768 polyamine Polymers 0.000 description 1
- 239000008389 polyethoxylated castor oil Substances 0.000 description 1
- 239000004633 polyglycolic acid Substances 0.000 description 1
- 239000004626 polylactic acid Substances 0.000 description 1
- 229920005862 polyol Polymers 0.000 description 1
- 150000003077 polyols Chemical class 0.000 description 1
- 239000003910 polypeptide antibiotic agent Substances 0.000 description 1
- 230000008092 positive effect Effects 0.000 description 1
- 230000001323 posttranslational effect Effects 0.000 description 1
- OXCMYAYHXIHQOA-UHFFFAOYSA-N potassium;[2-butyl-5-chloro-3-[[4-[2-(1,2,4-triaza-3-azanidacyclopenta-1,4-dien-5-yl)phenyl]phenyl]methyl]imidazol-4-yl]methanol Chemical compound [K+].CCCCC1=NC(Cl)=C(CO)N1CC1=CC=C(C=2C(=CC=CC=2)C2=N[N-]N=N2)C=C1 OXCMYAYHXIHQOA-UHFFFAOYSA-N 0.000 description 1
- 229960001495 pravastatin sodium Drugs 0.000 description 1
- 239000002243 precursor Substances 0.000 description 1
- MFDFERRIHVXMIY-UHFFFAOYSA-N procaine Chemical compound CCN(CC)CCOC(=O)C1=CC=C(N)C=C1 MFDFERRIHVXMIY-UHFFFAOYSA-N 0.000 description 1
- 229960004919 procaine Drugs 0.000 description 1
- 238000012545 processing Methods 0.000 description 1
- 230000000750 progressive effect Effects 0.000 description 1
- 230000001737 promoting effect Effects 0.000 description 1
- 239000003380 propellant Substances 0.000 description 1
- 238000001243 protein synthesis Methods 0.000 description 1
- 230000003161 proteinsynthetic effect Effects 0.000 description 1
- 150000003212 purines Chemical class 0.000 description 1
- UMJSCPRVCHMLSP-UHFFFAOYSA-N pyridine Natural products COC1=CC=CN=C1 UMJSCPRVCHMLSP-UHFFFAOYSA-N 0.000 description 1
- 229940073095 questran Drugs 0.000 description 1
- 150000003254 radicals Chemical class 0.000 description 1
- 230000009467 reduction Effects 0.000 description 1
- 210000002254 renal artery Anatomy 0.000 description 1
- 229960004796 rosuvastatin calcium Drugs 0.000 description 1
- CVHZOJJKTDOEJC-UHFFFAOYSA-N saccharin Chemical compound C1=CC=C2C(=O)NS(=O)(=O)C2=C1 CVHZOJJKTDOEJC-UHFFFAOYSA-N 0.000 description 1
- 229940081974 saccharin Drugs 0.000 description 1
- 235000019204 saccharin Nutrition 0.000 description 1
- 239000000901 saccharin and its Na,K and Ca salt Substances 0.000 description 1
- 230000007017 scission Effects 0.000 description 1
- 125000002914 sec-butyl group Chemical group [H]C([H])([H])C([H])([H])C([H])(*)C([H])([H])[H] 0.000 description 1
- 230000035945 sensitivity Effects 0.000 description 1
- 201000002859 sleep apnea Diseases 0.000 description 1
- 210000000329 smooth muscle myocyte Anatomy 0.000 description 1
- 235000010267 sodium hydrogen sulphite Nutrition 0.000 description 1
- 239000007790 solid phase Substances 0.000 description 1
- 239000000600 sorbitol Substances 0.000 description 1
- 239000007921 spray Substances 0.000 description 1
- 239000004059 squalene synthase inhibitor Substances 0.000 description 1
- 239000008107 starch Substances 0.000 description 1
- 235000019698 starch Nutrition 0.000 description 1
- 230000000707 stereoselective effect Effects 0.000 description 1
- 230000001954 sterilising effect Effects 0.000 description 1
- 238000004659 sterilization and disinfection Methods 0.000 description 1
- 238000003860 storage Methods 0.000 description 1
- 230000035882 stress Effects 0.000 description 1
- WPLOVIFNBMNBPD-ATHMIXSHSA-N subtilin Chemical compound CC1SCC(NC2=O)C(=O)NC(CC(N)=O)C(=O)NC(C(=O)NC(CCCCN)C(=O)NC(C(C)CC)C(=O)NC(=C)C(=O)NC(CCCCN)C(O)=O)CSC(C)C2NC(=O)C(CC(C)C)NC(=O)C1NC(=O)C(CCC(N)=O)NC(=O)C(CC(C)C)NC(=O)C(NC(=O)C1NC(=O)C(=C/C)/NC(=O)C(CCC(N)=O)NC(=O)C(CC(C)C)NC(=O)C(C)NC(=O)CNC(=O)C(NC(=O)C(NC(=O)C2NC(=O)CNC(=O)C3CCCN3C(=O)C(NC(=O)C3NC(=O)C(CC(C)C)NC(=O)C(=C)NC(=O)C(CCC(O)=O)NC(=O)C(NC(=O)C(CCCCN)NC(=O)C(N)CC=4C5=CC=CC=C5NC=4)CSC3)C(C)SC2)C(C)C)C(C)SC1)CC1=CC=CC=C1 WPLOVIFNBMNBPD-ATHMIXSHSA-N 0.000 description 1
- 235000011044 succinic acid Nutrition 0.000 description 1
- 150000003444 succinic acids Chemical class 0.000 description 1
- 239000005720 sucrose Substances 0.000 description 1
- 235000000346 sugar Nutrition 0.000 description 1
- 150000005846 sugar alcohols Polymers 0.000 description 1
- 150000008163 sugars Chemical class 0.000 description 1
- IIACRCGMVDHOTQ-UHFFFAOYSA-N sulfamic acid group Chemical group S(N)(O)(=O)=O IIACRCGMVDHOTQ-UHFFFAOYSA-N 0.000 description 1
- 125000000565 sulfonamide group Chemical group 0.000 description 1
- 150000003460 sulfonic acids Chemical class 0.000 description 1
- 125000006296 sulfonyl amino group Chemical group [H]N(*)S(*)(=O)=O 0.000 description 1
- 229910052717 sulfur Inorganic materials 0.000 description 1
- 239000011593 sulfur Substances 0.000 description 1
- QAOWNCQODCNURD-UHFFFAOYSA-N sulfuric acid group Chemical class S(O)(O)(=O)=O QAOWNCQODCNURD-UHFFFAOYSA-N 0.000 description 1
- 239000004094 surface-active agent Substances 0.000 description 1
- 238000013268 sustained release Methods 0.000 description 1
- 239000012730 sustained-release form Substances 0.000 description 1
- 239000003765 sweetening agent Substances 0.000 description 1
- 230000008961 swelling Effects 0.000 description 1
- 208000011580 syndromic disease Diseases 0.000 description 1
- 230000002194 synthesizing effect Effects 0.000 description 1
- 238000007910 systemic administration Methods 0.000 description 1
- 230000009885 systemic effect Effects 0.000 description 1
- 235000002906 tartaric acid Nutrition 0.000 description 1
- IMCGHZIGRANKHV-AJNGGQMLSA-N tert-butyl (3s,5s)-2-oxo-5-[(2s,4s)-5-oxo-4-propan-2-yloxolan-2-yl]-3-propan-2-ylpyrrolidine-1-carboxylate Chemical compound O1C(=O)[C@H](C(C)C)C[C@H]1[C@H]1N(C(=O)OC(C)(C)C)C(=O)[C@H](C(C)C)C1 IMCGHZIGRANKHV-AJNGGQMLSA-N 0.000 description 1
- 125000001973 tert-pentyl group Chemical group [H]C([H])([H])C([H])([H])C(*)(C([H])([H])[H])C([H])([H])[H] 0.000 description 1
- 150000003536 tetrazoles Chemical class 0.000 description 1
- 229960004559 theobromine Drugs 0.000 description 1
- 230000002885 thrombogenetic effect Effects 0.000 description 1
- 229930003799 tocopherol Natural products 0.000 description 1
- 229960001295 tocopherol Drugs 0.000 description 1
- 235000010384 tocopherol Nutrition 0.000 description 1
- 239000011732 tocopherol Substances 0.000 description 1
- 125000003944 tolyl group Chemical group 0.000 description 1
- 230000000699 topical effect Effects 0.000 description 1
- CMSGWTNRGKRWGS-NQIIRXRSSA-N torcetrapib Chemical group COC(=O)N([C@H]1C[C@@H](CC)N(C2=CC=C(C=C21)C(F)(F)F)C(=O)OCC)CC1=CC(C(F)(F)F)=CC(C(F)(F)F)=C1 CMSGWTNRGKRWGS-NQIIRXRSSA-N 0.000 description 1
- 229950004514 torcetrapib Drugs 0.000 description 1
- 238000013518 transcription Methods 0.000 description 1
- 230000035897 transcription Effects 0.000 description 1
- 239000006211 transdermal dosage form Substances 0.000 description 1
- 238000012546 transfer Methods 0.000 description 1
- 230000007704 transition Effects 0.000 description 1
- 238000013519 translation Methods 0.000 description 1
- 229940055755 tricor Drugs 0.000 description 1
- 229940051832 triglide Drugs 0.000 description 1
- 125000005457 triglyceride group Chemical group 0.000 description 1
- 229940071546 trilipix Drugs 0.000 description 1
- YFTHZRPMJXBUME-UHFFFAOYSA-N tripropylamine Chemical compound CCCN(CCC)CCC YFTHZRPMJXBUME-UHFFFAOYSA-N 0.000 description 1
- LENZDBCJOHFCAS-UHFFFAOYSA-N tris Chemical compound OCC(N)(CO)CO LENZDBCJOHFCAS-UHFFFAOYSA-N 0.000 description 1
- 229960000281 trometamol Drugs 0.000 description 1
- 239000012588 trypsin Substances 0.000 description 1
- 125000001493 tyrosinyl group Chemical group [H]OC1=C([H])C([H])=C(C([H])=C1[H])C([H])([H])C([H])(N([H])[H])C(*)=O 0.000 description 1
- 230000036318 urination frequency Effects 0.000 description 1
- 238000001291 vacuum drying Methods 0.000 description 1
- 238000009777 vacuum freeze-drying Methods 0.000 description 1
- 125000003774 valeryl group Chemical group O=C([*])C([H])([H])C([H])([H])C([H])([H])C([H])([H])[H] 0.000 description 1
- 239000004474 valine Substances 0.000 description 1
- 230000002792 vascular Effects 0.000 description 1
- 239000013598 vector Substances 0.000 description 1
- 230000002861 ventricular Effects 0.000 description 1
- 239000013603 viral vector Substances 0.000 description 1
- 235000019165 vitamin E Nutrition 0.000 description 1
- 229940046009 vitamin E Drugs 0.000 description 1
- 239000011709 vitamin E Substances 0.000 description 1
- 230000008673 vomiting Effects 0.000 description 1
- 239000008215 water for injection Substances 0.000 description 1
- 230000004584 weight gain Effects 0.000 description 1
- 235000019786 weight gain Nutrition 0.000 description 1
- 229940111503 welchol Drugs 0.000 description 1
- 229940002552 xenical Drugs 0.000 description 1
- 125000005023 xylyl group Chemical group 0.000 description 1
- 229940051223 zetia Drugs 0.000 description 1
- 150000003751 zinc Chemical class 0.000 description 1
- GVJHHUAWPYXKBD-IEOSBIPESA-N α-tocopherol Chemical compound OC1=C(C)C(C)=C2O[C@@](CCC[C@H](C)CCC[C@H](C)CCCC(C)C)(C)CCC2=C1C GVJHHUAWPYXKBD-IEOSBIPESA-N 0.000 description 1
Images
Classifications
-
- A—HUMAN NECESSITIES
- A61—MEDICAL OR VETERINARY SCIENCE; HYGIENE
- A61K—PREPARATIONS FOR MEDICAL, DENTAL OR TOILETRY PURPOSES
- A61K38/00—Medicinal preparations containing peptides
- A61K38/04—Peptides having up to 20 amino acids in a fully defined sequence; Derivatives thereof
- A61K38/07—Tetrapeptides
-
- A—HUMAN NECESSITIES
- A61—MEDICAL OR VETERINARY SCIENCE; HYGIENE
- A61K—PREPARATIONS FOR MEDICAL, DENTAL OR TOILETRY PURPOSES
- A61K31/00—Medicinal preparations containing organic active ingredients
- A61K31/21—Esters, e.g. nitroglycerine, selenocyanates
- A61K31/215—Esters, e.g. nitroglycerine, selenocyanates of carboxylic acids
-
- A—HUMAN NECESSITIES
- A61—MEDICAL OR VETERINARY SCIENCE; HYGIENE
- A61K—PREPARATIONS FOR MEDICAL, DENTAL OR TOILETRY PURPOSES
- A61K31/00—Medicinal preparations containing organic active ingredients
- A61K31/21—Esters, e.g. nitroglycerine, selenocyanates
- A61K31/215—Esters, e.g. nitroglycerine, selenocyanates of carboxylic acids
- A61K31/22—Esters, e.g. nitroglycerine, selenocyanates of carboxylic acids of acyclic acids, e.g. pravastatin
-
- A—HUMAN NECESSITIES
- A61—MEDICAL OR VETERINARY SCIENCE; HYGIENE
- A61K—PREPARATIONS FOR MEDICAL, DENTAL OR TOILETRY PURPOSES
- A61K31/00—Medicinal preparations containing organic active ingredients
- A61K31/33—Heterocyclic compounds
- A61K31/335—Heterocyclic compounds having oxygen as the only ring hetero atom, e.g. fungichromin
- A61K31/35—Heterocyclic compounds having oxygen as the only ring hetero atom, e.g. fungichromin having six-membered rings with one oxygen as the only ring hetero atom
- A61K31/351—Heterocyclic compounds having oxygen as the only ring hetero atom, e.g. fungichromin having six-membered rings with one oxygen as the only ring hetero atom not condensed with another ring
-
- A—HUMAN NECESSITIES
- A61—MEDICAL OR VETERINARY SCIENCE; HYGIENE
- A61K—PREPARATIONS FOR MEDICAL, DENTAL OR TOILETRY PURPOSES
- A61K31/00—Medicinal preparations containing organic active ingredients
- A61K31/33—Heterocyclic compounds
- A61K31/335—Heterocyclic compounds having oxygen as the only ring hetero atom, e.g. fungichromin
- A61K31/365—Lactones
- A61K31/366—Lactones having six-membered rings, e.g. delta-lactones
-
- A—HUMAN NECESSITIES
- A61—MEDICAL OR VETERINARY SCIENCE; HYGIENE
- A61K—PREPARATIONS FOR MEDICAL, DENTAL OR TOILETRY PURPOSES
- A61K31/00—Medicinal preparations containing organic active ingredients
- A61K31/33—Heterocyclic compounds
- A61K31/395—Heterocyclic compounds having nitrogen as a ring hetero atom, e.g. guanethidine or rifamycins
- A61K31/40—Heterocyclic compounds having nitrogen as a ring hetero atom, e.g. guanethidine or rifamycins having five-membered rings with one nitrogen as the only ring hetero atom, e.g. sulpiride, succinimide, tolmetin, buflomedil
-
- A—HUMAN NECESSITIES
- A61—MEDICAL OR VETERINARY SCIENCE; HYGIENE
- A61K—PREPARATIONS FOR MEDICAL, DENTAL OR TOILETRY PURPOSES
- A61K31/00—Medicinal preparations containing organic active ingredients
- A61K31/33—Heterocyclic compounds
- A61K31/395—Heterocyclic compounds having nitrogen as a ring hetero atom, e.g. guanethidine or rifamycins
- A61K31/40—Heterocyclic compounds having nitrogen as a ring hetero atom, e.g. guanethidine or rifamycins having five-membered rings with one nitrogen as the only ring hetero atom, e.g. sulpiride, succinimide, tolmetin, buflomedil
- A61K31/403—Heterocyclic compounds having nitrogen as a ring hetero atom, e.g. guanethidine or rifamycins having five-membered rings with one nitrogen as the only ring hetero atom, e.g. sulpiride, succinimide, tolmetin, buflomedil condensed with carbocyclic rings, e.g. carbazole
- A61K31/404—Indoles, e.g. pindolol
-
- A—HUMAN NECESSITIES
- A61—MEDICAL OR VETERINARY SCIENCE; HYGIENE
- A61K—PREPARATIONS FOR MEDICAL, DENTAL OR TOILETRY PURPOSES
- A61K31/00—Medicinal preparations containing organic active ingredients
- A61K31/33—Heterocyclic compounds
- A61K31/395—Heterocyclic compounds having nitrogen as a ring hetero atom, e.g. guanethidine or rifamycins
- A61K31/495—Heterocyclic compounds having nitrogen as a ring hetero atom, e.g. guanethidine or rifamycins having six-membered rings with two or more nitrogen atoms as the only ring heteroatoms, e.g. piperazine or tetrazines
- A61K31/505—Pyrimidines; Hydrogenated pyrimidines, e.g. trimethoprim
-
- A—HUMAN NECESSITIES
- A61—MEDICAL OR VETERINARY SCIENCE; HYGIENE
- A61K—PREPARATIONS FOR MEDICAL, DENTAL OR TOILETRY PURPOSES
- A61K45/00—Medicinal preparations containing active ingredients not provided for in groups A61K31/00 - A61K41/00
- A61K45/06—Mixtures of active ingredients without chemical characterisation, e.g. antiphlogistics and cardiaca
-
- A—HUMAN NECESSITIES
- A61—MEDICAL OR VETERINARY SCIENCE; HYGIENE
- A61P—SPECIFIC THERAPEUTIC ACTIVITY OF CHEMICAL COMPOUNDS OR MEDICINAL PREPARATIONS
- A61P9/00—Drugs for disorders of the cardiovascular system
- A61P9/10—Drugs for disorders of the cardiovascular system for treating ischaemic or atherosclerotic diseases, e.g. antianginal drugs, coronary vasodilators, drugs for myocardial infarction, retinopathy, cerebrovascula insufficiency, renal arteriosclerosis
-
- A—HUMAN NECESSITIES
- A61—MEDICAL OR VETERINARY SCIENCE; HYGIENE
- A61K—PREPARATIONS FOR MEDICAL, DENTAL OR TOILETRY PURPOSES
- A61K2300/00—Mixtures or combinations of active ingredients, wherein at least one active ingredient is fully defined in groups A61K31/00 - A61K41/00
Definitions
- the present technology relates generally to compositions and methods of preventing or treating atherosclerosis.
- embodiments of the present technology relate to administering aromatic-cationic peptides in effective amounts to prevent or treat atherosclerosis in mammalian subjects.
- the present technology relates to the treatment or prevention of atherosclerosis in mammals through the administration of a therapeutically effective amount of aromatic-cationic peptides and, in some embodiments, a second active agent.
- the second active agent includes an antihyperlipidemic drug.
- the second active agent includes a statin.
- the present disclosure provides a pharmaceutical composition
- a pharmaceutical composition comprising (i) a peptide D-Arg-2′6′-Dmt-Lys-Phe-NH 2 or a pharmaceutically acceptable salt, such as acetate or trifluoroacetate salt, and (ii) a second active agent, e.g. an antihyperlipidemic agent.
- the second active agent comprises a statin.
- the present disclosure provides a method for treating atherosclerosis in a mammalian subject, the method comprising administering an effective amount of peptide D-Arg-2′6′-Dmt-Lys-Phe-NH 2 or a pharmaceutically acceptable salt, such as acetate or trifluoroacetate salt.
- the present disclosure provides a method for treating atherosclerosis in a mammalian subject, the method comprising administering simultaneously, separately or sequentially an effective amount of (i) a peptide D-Arg-2′6′-Dmt-Lys-Phe-NH 2 or a pharmaceutically acceptable salt thereof and (ii) an antihyperlipidemic drug.
- the antihyperlipidemic drug includes one or more of: atorvastatin, simvastatin, pravastatin, fluvastatin, lovastatin, pitavastatin, rosuvastatin, clinofibrate, clofibrate, simfibrate, fenofibrate, bezafibrate, colestimide, colestyramine, ADVICOR® (niacin extended-release/lovastatin), ALTOPREV® (lovastatin extended-release), CADUET® (amlodipine and atorvastatin), CRESTOR® (rosuvastatin), JUVISYNC® (sitagliptin/simvastatin), LESCOL® (fluvastatin), LESCOL XL (fluvastatin extended-release), LIPITOR® (atorvastatin), LIVALO® (pitavastatin), MEVACOR® (lovastatin), PRAVACHOL® (pravastatin),
- the antihyperlipidemic drug is a statin.
- the statin includes one or more of: ADVICOR® (niacin extended-release/lovastatin), ALTOPREV® (lovastatin extended-release), CADUET® (amlodipine and atorvastatin), CRESTOR® (rosuvastatin), JUVISYNC® (sitagliptin/simvastatin), LESCOL® (fluvastatin), LESCOL XL (fluvastatin extended-release), LIPITOR® (atorvastatin), LIVALO® (pitavastatin), MEVACOR® (lovastatin), PRAVACHOL® (pravastatin), SIMCOR® (niacin extended-release/simvastatin), VYTORIN® (ezetimibe/simvastatin), and ZOCOR® (simvastatin).
- the peptide and the antihyperlipidemic agent are administered simultaneously. In some embodiments, the peptide and the antihyperlipidemic agent are administered sequentially in either order.
- the present disclosure provides a method for preventing atherosclerosis in a mammalian subject, the method comprising administering a therapeutically effective amount of a peptide D-Arg-2′6′-Dmt-Lys-Phe-NH 2 or a pharmaceutically acceptable salt thereof.
- the present disclosure provides a method for preventing atherosclerosis in a mammalian subject, the method comprising administering simultaneously, separately or sequentially an effective amount of (i) a peptide D-Arg-2′6′-Dmt-Lys-Phe-NH 2 or a pharmaceutically acceptable salt thereof and (ii) an antihyperlipidemic drug.
- the antihyperlipidemic drug includes one or more of: atorvastatin, simvastatin, pravastatin, fluvastatin, lovastatin, pitavastatin, rosuvastatin, clinofibrate, clofibrate, simfibrate, fenofibrate, bezafibrate, colestimide, colestyramine, ADVICOR® (niacin extended-release/lovastatin), ALTOPREV® (lovastatin extended-release), CADUET® (amlodipine and atorvastatin), CRESTOR® (rosuvastatin), JUVISYNC® (sitagliptin/simvastatin), LESCOL® (fluvastatin), LESCOL XL (fluvastatin extended-release), LIPITOR® (atorvastatin), LIVALO® (pitavastatin), MEVACOR® (lovastatin), PRAVACHOL® (pravastatin),
- the antihyperlipidemic drug is a statin.
- the statin includes one or more of: ADVICOR® (niacin extended-release/lovastatin), ALTOPREV® (lovastatin extended-release), CADUET® (amlodipine and atorvastatin), CRESTOR® (rosuvastatin), JUVISYNC® (sitagliptin/simvastatin), LESCOL® (fluvastatin), LESCOL XL (fluvastatin extended-release), LIPITOR® (atorvastatin), LIVALO® (pitavastatin), MEVACOR® (lovastatin), PRAVACHOL® (pravastatin), SIMCOR® (niacin extended-release/simvastatin), VYTORIN® (ezetimibe/simvastatin), and ZOCOR® (simvastatin).
- the peptide and the antihyperlipidemic agent are administered simultaneously. In some embodiments, the peptide and the antihyperlipidemic agent are administered sequentially in either order. In some embodiments, the subject is predisposed to atherosclerosis.
- the present disclosure provides a method for ameliorating the signs, symptoms or complications of atherosclerosis, the method comprising administering a therapeutically effective amount of a peptide D-Arg-2′6′-Dmt-Lys-Phe-NH 2 or a pharmaceutically acceptable salt thereof.
- the present disclosure provides a method for ameliorating the signs, symptoms or complications of atherosclerosis, the method comprising administering simultaneously, separately or sequentially an effective amount of (i) a peptide D-Arg-2′6′-Dmt-Lys-Phe-NH 2 or a pharmaceutically acceptable salt thereof and (ii) an antihyperlipidemic drug.
- the antihyperlipidemic drug includes one or more of: atorvastatin, simvastatin, pravastatin, fluvastatin, lovastatin, pitavastatin, rosuvastatin, clinofibrate, clofibrate, simfibrate, fenofibrate, bezafibrate, colestimide, colestyramine, ADVICOR® (niacin extended-release/lovastatin), ALTOPREV® (lovastatin extended-release), CADUET® (amlodipine and atorvastatin), CRESTOR® (rosuvastatin), JUVISYNC® (sitagliptin/simvastatin), LESCOL® (fluvastatin), LESCOL XL (fluvastatin extended-release), LIPITOR® (atorvastatin), LIVALO® (pitavastatin), MEVACOR® (lovastatin), PRAVACHOL® (pravastatin),
- the antihyperlipidemic drug is a statin.
- the statin includes one or more of: ADVICOR® (niacin extended-release/lovastatin), ALTOPREV® (lovastatin extended-release), CADUET® (amlodipine and atorvastatin), CRESTOR® (rosuvastatin), JUVISYNC® (sitagliptin/simvastatin), LESCOL (fluvastatin), LESCOL XL (fluvastatin extended-release), LIPITOR® (atorvastatin), LIVALO® (pitavastatin), MEVACOR® (lovastatin), PRAVACHOI® (pravastatin), SIMCOR® (niacin extended-release/simvastatin), VYTORIN® (ezetimibe/simvastatin), and ZOCOR® (simvastatin).
- the peptide and the antihyperlipidemic agent are administered simultaneously. In some embodiments, the peptide and the antihyperlipidemic agent are administered sequentially in either order.
- the signs, symptoms or complications of atherosclerosis include one or more of: elevated levels total cholesterol, very low density lipoprotein cholesterol (VLDL-C), low density lipoprotein cholesterol (LDL-C), free (unesterified) cholesterol, cholesterol ester, phospholipids, triglycerides, and atherosclerotic lesions.
- VLDL-C very low density lipoprotein cholesterol
- LDL-C low density lipoprotein cholesterol
- free (unesterified) cholesterol cholesterol ester
- cholesterol ester cholesterol ester
- phospholipids cholesterol ester
- phospholipids phospholipids
- triglycerides triglycerides
- atherosclerotic lesions include one or more of: elevated levels total cholesterol, very low density lipoprotein cholesterol (VLDL-C), low density lipoprotein cholesterol (LDL-C), free (unesterified) cholesterol, cholesterol ester, phospholipids, triglycerides, and atherosclerotic lesions.
- a method for delaying onset, ameliorating or eliminating statin side effects in a subject in need thereof includes administering simultaneously, separately or sequentially with the statin, an effective amount of a peptide D-Arg-2′6′-Dmt-Lys-Phe-NH 2 or a pharmaceutically acceptable salt thereof.
- the statin side effect includes one or more of myopathy, rhabdomyolysis kidney failure, diabetes, memory loss, decreased coenzyme Q10 levels and mitochondrial dysfunction.
- the statin includes one or more of atorvastatin, simvastatin, pravastatin, fluvastatin, lovastatin, pitavastatin, rosuvastatin, ADVICOR® (niacin extended-release/lovastatin), ALTOPREV® (lovastatin extended-release), CADUET® (amlodipine and atorvastatin), CRESTOR® (rosuvastatin), JUVISYNC® (sitagliptin/simvastatin), LESCOL® (fluvastatin), LESCOL XL (fluvastatin extended-release), LIPITOR® (atorvastatin), LIVALO® (pitavastatin), MEVACOR® (lovastatin), PRAVACHOL® (pravastatin), SIMCOR® (niacin extended-release/simvastatin), VYTORIN® (ezetimibe/simvastatin), and ZOCOR® (simvastatin).
- atorvastatin sim
- treatment includes decreasing the size or number of atherosclerotic plaques in the subject, and/or decreasing the cholesterol content of an atherosclerotic plaque in the subject.
- a method for increasing statin dosage in a subject in need thereof includes administering an effective amount of a statin at a first dosage level, and an aromatic-cationic peptide; evaluating the subject for side-effects characteristic of the statin, wherein the side effects in the subject are reduced or absent as compared to a control subject administered the statin and not the aromatic-cationic peptide; administering a statin at a second dosage level, wherein the second dosage level is higher than the first statin dosage level.
- the peptide is D-Arg-2′6′-Dmt-Lys-Phe-NH 2 .
- the statin includes LIPITOR® or CRESTOR®.
- the side effect characteristic of the statin includes one or more of myopathy, rhabdomyolysis, kidney failure, diabetes, memory loss, decreased coenzyme Q10 levels and mitochondrial dysfunction.
- ameliorating the signs, symptoms or complications of atherosclerosis includes decreasing the size or number of atherosclerotic plaques in the subject, and/or decreasing the cholesterol content of an atherosclerotic plaque in the subject.
- the peptide used in the compositions and methods disclosed herein is defined by formula I:
- R 1 and R 2 are each independently selected from
- R 3 and R 4 are each independently selected from
- halogen encompasses chloro, fluoro, bromo, and iodo;
- R 5 , R 6 , R 7 , R 8 , and R 9 are each independently selected from
- halogen encompasses chloro, fluoro, bromo, and iodo; and n is an integer from 1 to 5.
- R 1 and R 2 are hydrogen; R 3 and R 4 are methyl; R 5 , R 6 , R 7 , R 8 , and R 9 are all hydrogen; and n is 4.
- peptides used in the methods and compositions disclosed herein are defined by formula II:
- R 1 and R 2 are each independently selected from
- R 3 , R 4 , R 5 , R 6 , R 7 , R 8 , R 9 , R 10 , R 11 and R 12 are each independently selected from
- halogen encompasses chloro, fluoro, bromo, and iodo; and n is an integer from 1 to 5.
- R 1 , R 2 , R 3 , R 4 , R 5 , R 6 , R 7 , R 8 , R 9 , R 10 , R 11 , and R 12 are all hydrogen; and n is 4.
- R 1 , R 2 , R 3 , R 4 , R 5 , R 6 , R 7 , R 8 , R 9 , R 10 , R 11 , and R 12 are all hydrogen; R 8 and R 12 are methyl; R 10 is hydroxyl; and n is 4.
- the peptide comprises a tyrosine or a 2′,6′-dimethyltyrosine (Dmt) residue at the N-terminus.
- the peptide may have the formula Tyr- D -Arg-Phe-Lys-NH 2 or 2′6′-Dmt- D -Arg-Phe-Lys-NH 2 .
- the peptide comprises a phenylalanine or a 2′6′-dimethylphenylalanine residue at the N-terminus.
- the peptide may have the formula Phe- D -Arg-Phe-Lys-NH 2 or 2′6′-Dmp- D -Arg-Phe-Lys-NH 2 .
- the aromatic-cationic peptide has the formula D-Arg-2′6′-Dmt-Lys-Phe-NH 2 .
- the aromatic-cationic peptides may be administered in a variety of ways.
- the peptides may be administered orally, topically, intranasally, intraperitoneally, intravenously, subcutaneously, or transdermally (e.g., by iontophoresis).
- FIG. 1A is a graph showing the % lesion area in control mice (vehicle only—white bar) and test mice (aromatic-cationic peptide D-Arg-2′6′-Dmt-Lys-Phe-NH 2 — dark bars) after 12 weeks of vehicle or peptide administration.
- FIG. 1B is a photograph showing atherosclerotic lesions on aorta from a subject receiving vehicle only (left panel) or aromatic-cationic peptide (right panel).
- FIG. 2 is a graph showing the thoracic aorta cholesterol ( ⁇ g/mg protein) in control mice (vehicle only—white bars) and test mice (aromatic-cationic peptide D-Arg-2′6′-Dmt-Lys-Phe-NH 2 —dark bars) after 12 weeks of vehicle or peptide administration.
- TC total cholesterol
- FC free cholesterol
- CE cholesterol ester.
- FIG. 3 is a graph showing mean leasion area (mm 2 ) in control mice (vehicle only) and test mice (aromatic-cationic peptide D-Arg-2′6′-Dmt-Lys-Phe-NH 2 ) after 12 weeks.
- FIG. 4A-H show levels of (A) total cholesterol; (B) free cholesterol; (C) cholesterol ester; (D) HDL-C; (E) VLDL-C; (F) LDL-C; (G) triglycerides; and (H) phospholipids after 0, 4, 8 and 12 weeks of treatment with vehicle or peptide administration.
- Light bars in each panel represent data from control mice (vehicle only); dark bars represent data from the test mice (aromatic-cationic peptide D-Arg-2′6′-Dmt-Lys-Phe-NH 2 ).
- FIG. 5 is a graph showing the effect of the aromatic-cationic peptide D-Arg-2′6′-Dmt-Lys-Phe-NH 2 on coenzyme Q10 levels in fibroblast cells.
- the first bar represents saline treated fibroblasts; the second bar represents fibroblasts treated with 10 nM peptide for 16-24 hours; the third bar represents fibroblasts treated with 10 nM peptide for 5 days.
- FIG. 6A is a diagram of the chemical structure of atorvastatin.
- FIG. 6B is a diagram of the chemical structure of rosuvastatin.
- the “administration” of an agent, drug, or peptide to a subject includes any route of introducing or delivering to a subject a compound to perform its intended function. Administration can be carried out by any suitable route, including orally, intranasally, parenterally (intravenously, intramuscularly, intraperitoneally, or subcutaneously), or topically. Administration includes self-administration and the administration by another.
- amino acid includes naturally-occurring amino acids and synthetic amino acids, as well as amino acid analogs and amino acid mimetics that function in a manner similar to the naturally-occurring amino acids.
- Naturally-occurring amino acids are those encoded by the genetic code, as well as those amino acids that are later modified, e.g., hydroxyproline, ⁇ -carboxyglutamate, and O-phosphoserine.
- Amino acid analogs refers to compounds that have the same basic chemical structure as a naturally-occurring amino acid, i.e., an ⁇ -carbon that is bound to a hydrogen, a carboxyl group, an amino group, and an R group, e.g., homoserine, norleucine, methionine sulfoxide, methionine methyl sulfonium.
- Such analogs have modified R groups (e.g., norleucine) or modified peptide backbones, but retain the same basic chemical structure as a naturally-occurring amino acid.
- Amino acid mimetics refers to chemical compounds that have a structure that is different from the general chemical structure of an amino acid, but that functions in a manner similar to a naturally-occurring amino acid. Amino acids can be referred to herein by either their commonly known three letter symbols or by the one-letter symbols recommended by the IUPAC-IUB Biochemical Nomenclature Commission.
- the term “effective amount” refers to a quantity sufficient to achieve a desired therapeutic and/or prophylactic effect, e.g., an amount which results in the prevention of, or a decrease in, atherosclerosis or one or more symptoms associated with atherosclerosis.
- the amount of a composition administered to the subject will depend on the type and severity of the disease and on the characteristics of the individual, such as general health, age, sex, body weight and tolerance to drugs. It will also depend on the degree, severity and type of disease. The skilled artisan will be able to determine appropriate dosages depending on these and other factors.
- the compositions can also be administered in combination with one or more additional therapeutic compounds.
- the aromatic-cationic peptides may be administered to a subject having one or more signs or symptoms of atherosclerosis.
- a “therapeutically effective amount” of the aromatic-cationic peptides is meant levels in which the physiological effects of atherosclerosis are, at a minimum, ameliorated.
- signs, symptoms or complications of atherosclerosis include, but are not limited to: increased plasma total cholesterol, increased plasma free cholesterol, increased plasma cholesterol ester, lesions (e.g. aortic lesions), increased plasma very low-density lipoprotein, increased plasma low density lipoprotein and/or increased plasma phospholipids.
- an “isolated” or “purified” polypeptide or peptide is substantially free of cellular material or other contaminating polypeptides from the cell or tissue source from which the agent is derived, or substantially free from chemical precursors or other chemicals when chemically synthesized.
- an isolated aromatic-cationic peptide would be free of materials that would interfere with diagnostic or therapeutic uses of the agent.
- interfering materials may include enzymes, hormones and other proteinaceous and nonproteinaceous solutes.
- polypeptide As used herein, the terms “polypeptide,” “peptide,” and “protein” are used interchangeably herein to mean a polymer comprising two or more amino acids joined to each other by peptide bonds or modified peptide bonds, i.e., peptide isosteres.
- Polypeptide refers to both short chains, commonly referred to as peptides, glycopeptides or oligomers, and to longer chains, generally referred to as proteins.
- Polypeptides may contain amino acids other than the 20 gene-encoded amino acids.
- Polypeptides include amino acid sequences modified either by natural processes, such as post-translational processing, or by chemical modification techniques that are well known in the art.
- the term “simultaneous” therapeutic use refers to the administration of at least two active ingredients by the same route and at the same time or at substantially the same time.
- the term “separate” therapeutic use refers to an administration of at least two active ingredients at the same time or at substantially the same time by different routes.
- sequential therapeutic use refers to administration of at least two active ingredients at different times, the administration route being identical or different. More particularly, sequential use refers to the whole administration of one of the active ingredients before administration of the other or others commences. It is thus possible to administer one of the active ingredients over several minutes, hours, or days before administering the other active ingredient or ingredients. There is no simultaneous treatment in this case.
- the terms “treating” or “treatment” or “alleviation” refers to both therapeutic treatment and prophylactic or preventative measures, wherein the object is to prevent or slow down (lessen) the targeted pathologic condition or disorder.
- a subject is successfully “treated” for atherosclerosis if, after receiving a therapeutic amount of the aromatic-cationic peptides according to the methods described herein, the subject shows observable and/or measurable reduction in or absence of one or more signs, symptoms or complications of atherosclerosis, such as, e.g., reduced total plasma cholesterol, free cholesterol, cholesterol ester, very low-density lipoprotein cholesterol (VLDL-C), low density lipoprotein cholesterol (LDL-C), phospholipids, lesion size and/or number (e.g.
- aortic lesions lowered levels of cholesterol in the aortic tissue and/or aortic plaques, and/or lowered levels of cholesterol atherosclerotic lesions or plaques as compared to a subject not treated with the therapeutic aromatic-cationic peptide.
- various modes of treatment or prevention of medical conditions as described are intended to mean “substantial,” which includes total but also less than total treatment or prevention, and wherein some biologically or medically relevant result is achieved.
- prevention or “preventing” of a disorder or condition refers to one or more compounds that, in a statistical sample, reduces the occurrence of the disorder or condition in the treated sample relative to an untreated control sample, or delays the onset or reduces the severity of one or more symptoms of the disorder or condition relative to the untreated control sample.
- preventing atherosclerosis includes reducing to, or maintaining at, normal levels one or more signs, symptoms or complications of atherosclerosis including, but not limited to total plasma cholesterol, free cholesterol, cholesterol ester, very low-density lipoprotein cholesterol, low density lipoprotein cholesterol, phospholipids, lesion size and/or number (e.g.
- aortic lesions aortic lesions
- levels of cholesterol in the aortic tissue and/or aortic plaques aortic lesions
- levels of cholesterol in the aortic tissue and/or aortic plaques aortic plaques
- levels of cholesterol atherosclerotic lesions or plaques as compared to a subject not treated with the therapeutic aromatic-cationic peptide.
- antihyperlipidemic agent or “antihyperlipidemic drug” are synonymous with the terms “hypolipidemic agent” or “hypolipidemic drug.”
- the present technology relates to the treatment or prevention of atherosclerosis by administration of aromatic-cationic peptides and, in some embodiments, aromatic-cationic peptides in conjunction with one or more active agents to a subject in need thereof.
- the present technology relates to the treatment or prevention of atherosclerosis by administration of aromatic-cationic peptides, and in some embodiments, an aromatic-cationic peptide and one or more antihyperlipidemic drugs (e.g., statins) to a subject in need thereof.
- an aromatic-cationic peptide and one or more antihyperlipidemic drugs e.g., statins
- the aromatic-cationic peptides and/or one or more agents are administered in dosages that are sub-therapeutic for each agent when administered separately.
- the combination of the two agents results in synergism, which provides an enhanced effect that is not observed when each of the agents are administered individually at higher doses.
- the administration of the aromatic-cationic peptide and one or more agents “primes” the tissue, so that it is more responsive to the therapeutic effects of the other agent.
- a lower dose of the aromatic-cationic peptide and/or the one or more agents e.g., antihyperlipidemic drugs, such as statins
- a therapeutic effect is still observed.
- the subject e.g., a subject suffering from atherosclerosis, and/or exhibiting the signs, symptoms or complications of atherosclerosis, and/or who is predisposed to atherosclerosis or the signs, symptoms or complications of atherosclerosis
- the subject is administered the peptide or is administered the peptide and one or more antihyperlipidemic drugs (e.g., statins), before atherosclerosis or before the signs, symptoms or complications of atherosclerosis are evident.
- Aromatic-cationic peptides are water-soluble and highly polar. Despite these properties, the peptides can readily penetrate cell membranes.
- the aromatic-cationic peptides typically include a minimum of three amino acids or a minimum of four amino acids, covalently joined by peptide bonds.
- the maximum number of amino acids present in the aromatic-cationic peptides is about twenty amino acids covalently joined by peptide bonds.
- the maximum number of amino acids is about twelve, more preferably about nine, and most preferably about six.
- amino acids of the aromatic-cationic peptides can be any amino acid.
- amino acid is used to refer to any organic molecule that contains at least one amino group and at least one carboxyl group. Typically, at least one amino group is at the at position relative to a carboxyl group.
- the amino acids may be naturally occurring.
- Naturally occurring amino acids include, for example, the twenty most common levorotatory (L) amino acids normally found in mammalian proteins, i.e., alanine (Ala), arginine (Arg), asparagine (Asn), aspartic acid (Asp), cysteine (Cys), glutamine (Gln), glutamic acid (Glu), glycine (Gly), histidine (His), isoleucine (Ile), leucine (Leu), lysine (Lys), methionine (Met), phenylalanine (Phe), proline (Pro), serine (Ser), threonine (Thr), tryptophan, (Trp), tyrosine (Tyr), and valine (Val).
- L levorotatory
- Naturally occurring amino acids include, for example, amino acids that are synthesized in metabolic processes not associated with protein synthesis.
- amino acids ornithine and citrulline are synthesized in mammalian metabolism during the production of urea.
- Another example of a naturally occurring amino acid includes hydroxyproline (Hyp).
- the peptides optionally contain one or more non-naturally occurring amino acids.
- the peptide may have no amino acids that are naturally occurring.
- the non-naturally occurring amino acids may be levorotary ( L -), dextrorotatory ( D -), or mixtures thereof.
- Non-naturally occurring amino acids are those amino acids that typically are not synthesized in normal metabolic processes in living organisms, and do not naturally occur in proteins.
- the non-naturally occurring amino acids suitably are also not recognized by common proteases.
- the non-naturally occurring amino acid can be present at any position in the peptide.
- the non-naturally occurring amino acid can be at the N-terminus, the C-terminus, or at any position between the N-terminus and the C-terminus.
- the non-natural amino acids may, for example, comprise alkyl, aryl, or alkylaryl groups not found in natural amino acids.
- Some examples of non-natural alkyl amino acids include ⁇ -aminobutyric acid, ⁇ -aminobutyric acid, ⁇ -aminobutyric acid, ⁇ -aminovaleric acid, and ⁇ -aminocaproic acid.
- Some examples of non-natural aryl amino acids include ortho-, meta, and para-aminobenzoic acid.
- Some examples of non-natural alkylaryl amino acids include ortho-, meta-, and para-aminophenylacetic acid, and ⁇ -phenyl- ⁇ -aminobutyric acid.
- Non-naturally occurring amino acids include derivatives of naturally occurring amino acids.
- the derivatives of naturally occurring amino acids may, for example, include the addition of one or more chemical groups to the naturally occurring amino acid.
- one or more chemical groups can be added to one or more of the 2′, 3′, 4′, 5′, or 6′ position of the aromatic ring of a phenylalanine or tyrosine residue, or the 4′, 5′, 6′, or 7′ position of the benzo ring of a tryptophan residue.
- the group can be any chemical group that can be added to an aromatic ring.
- Some examples of such groups include branched or unbranched C 1 -C 4 alkyl, such as methyl, ethyl, n-propyl, isopropyl, butyl, isobutyl, or t-butyl, C 1 -C 4 alkyloxy (i.e., alkoxy), amino, C 1 -C 4 alkylamino and C 1 -C 4 dialkylamino (e.g., methylamino, dimethylamino), nitro, hydroxyl, halo (i.e., fluoro, chloro, bromo, or iodo).
- Some specific examples of non-naturally occurring derivatives of naturally occurring amino acids include norvaline (Nva) and norleucine (Nle).
- Another example of a modification of an amino acid in a peptide is the derivatization of a carboxyl group of an aspartic acid or a glutamic acid residue of the peptide.
- derivatization is amidation with ammonia or with a primary or secondary amine, e.g. methylamine, ethylamine, dimethylamine or diethylamine.
- Another example of derivatization includes esterification with, for example, methyl or ethyl alcohol.
- Another such modification includes derivatization of an amino group of a lysine, arginine, or histidine residue.
- amino groups can be acylated.
- Some suitable acyl groups include, for example, a benzoyl group or an alkanoyl group comprising any of the C 1 -C 4 alkyl groups mentioned above, such as an acetyl or propionyl group.
- the non-naturally occurring amino acids are preferably resistant, and more preferably insensitive, to common proteases.
- non-naturally occurring amino acids that are resistant or insensitive to proteases include the dextrorotatory ( D -) form of any of the above-mentioned naturally occurring L -amino acids, as well as L - and/or D -non-naturally occurring amino acids.
- the D -amino acids do not normally occur in proteins, although they are found in certain peptide antibiotics that are synthesized by means other than the normal ribosomal protein synthetic machinery of the cell. As used herein, the D -amino acids are considered to be non-naturally occurring amino acids.
- the peptides should have less than five, preferably less than four, more preferably less than three, and most preferably, less than two contiguous L -amino acids recognized by common proteases, irrespective of whether the amino acids are naturally or non-naturally occurring.
- the peptide has only D -amino acids, and no L -amino acids. If the peptide contains protease sensitive sequences of amino acids, at least one of the amino acids is preferably a non-naturally-occurring D -amino acid, thereby conferring protease resistance.
- protease sensitive sequence includes two or more contiguous basic amino acids that are readily cleaved by common proteases, such as endopeptidases and trypsin.
- basic amino acids include arginine, lysine and histidine.
- the aromatic-cationic peptides should have a minimum number of net positive charges at physiological pH in comparison to the total number of amino acid residues in the peptide.
- the minimum number of net positive charges at physiological pH will be referred to below as (p m ).
- the total number of amino acid residues in the peptide will be referred to below as (r).
- the minimum number of net positive charges discussed below are all at physiological pH.
- physiological pH refers to the normal pH in the cells of the tissues and organs of the mammalian body. For instance, the physiological pH of a human is normally approximately 7.4, but normal physiological pH in mammals may be any pH from about 7.0 to about 7.8.
- Net charge refers to the balance of the number of positive charges and the number of negative charges carried by the amino acids present in the peptide. In this specification, it is understood that net charges are measured at physiological pH.
- the naturally occurring amino acids that are positively charged at physiological pH include L -lysine, L -arginine, and L -histidine.
- the naturally occurring amino acids that are negatively charged at physiological pH include L -aspartic acid and L -glutamic acid.
- a peptide has a positively charged N-terminal amino group and a negatively charged C-terminal carboxyl group. The charges cancel each other out at physiological pH.
- the aromatic-cationic peptides have a relationship between the minimum number of net positive charges at physiological pH (p m ) and the total number of amino acid residues (r) wherein 3p m is the largest number that is less than or equal to r+1.
- the relationship between the minimum number of net positive charges (p m ) and the total number of amino acid residues (r) is as follows:
- the aromatic-cationic peptides have a relationship between the minimum number of net positive charges (p m ) and the total number of amino acid residues (r) wherein 2p m is the largest number that is less than or equal to r+1.
- the relationship between the minimum number of net positive charges (p m ) and the total number of amino acid residues (r) is as follows:
- the minimum number of net positive charges (p m ) and the total number of amino acid residues (r) are equal.
- the peptides have three or four amino acid residues and a minimum of one net positive charge, suitably, a minimum of two net positive charges and more preferably a minimum of three net positive charges.
- aromatic-cationic peptides have a minimum number of aromatic groups in comparison to the total number of net positive charges (p t ).
- the minimum number of aromatic groups will be referred to below as (a).
- Naturally occurring amino acids that have an aromatic group include the amino acids histidine, tryptophan, tyrosine, and phenylalanine.
- the hexapeptide Lys-Gln-Tyr- D -Arg-Phe-Trp has a net positive charge of two (contributed by the lysine and arginine residues) and three aromatic groups (contributed by tyrosine, phenylalanine and tryptophan residues).
- the aromatic-cationic peptides should also have a relationship between the minimum number of aromatic groups (a) and the total number of net positive charges at physiological pH (p t ) wherein 3a is the largest number that is less than or equal to p t +1, except that when p t is 1, a may also be 1.
- the relationship between the minimum number of aromatic groups (a) and the total number of net positive charges (p t ) is as follows:
- the aromatic-cationic peptides have a relationship between the minimum number of aromatic groups (a) and the total number of net positive charges (p t ) wherein 2a is the largest number that is less than or equal to p t +1.
- the relationship between the minimum number of aromatic amino acid residues (a) and the total number of net positive charges (p t ) is as follows:
- the number of aromatic groups (a) and the total number of net positive charges (p t ) are equal.
- the aromatic-cationic peptide is a tripeptide having two net positive charges and at least one aromatic amino acid. In a particular embodiment, the aromatic-cationic peptide is a tripeptide having two net positive charges and two aromatic amino acids.
- Carboxyl groups are suitably amidated with, for example, ammonia to form the C-terminal amide.
- the terminal carboxyl group of the C-terminal amino acid may be amidated with any primary or secondary amine.
- the primary or secondary amine may, for example, be an alkyl, especially a branched or unbranched C 1 -C 4 alkyl, or an aryl amine.
- the amino acid at the C-terminus of the peptide may be converted to an amido, N-methylamido, N-ethylamido, N,N-dimcthylamido, N,N-dicthylamido, N-methyl-N-cthylamido, N-phenylamido or N-phcnyl-N-cthylamido group.
- the free carboxylate groups of the asparagine, glutamine, aspartic acid, and glutamic acid residues not occurring at the C-terminus of the aromatic-cationic peptides may also be amidated wherever they occur within the peptide.
- the amidation at these internal positions may be with ammonia or any of the primary or secondary amines described above.
- Aromatic-cationic peptides include, but are not limited to, the following peptide examples:
- the aromatic-cationic peptide has the formula Phe- D -Arg-Phe-Lys-NH 2 . In another embodiment, the aromatic-cationic peptide has the formula D -Arg-2′6′-Dmt-Lys-Phe-NH 2 .
- the peptides mentioned herein and their derivatives can further include functional analogs.
- a peptide is considered a functional analog if the analog has the same function as the stated peptide.
- the analog may, for example, be a substitution variant of a peptide, wherein one or more amino acids are substituted by another amino acid. Suitable substitution variants of the peptides include conservative amino acid substitutions.
- Amino acids may be grouped according to their physicochemical characteristics as follows:
- substitutions of an amino acid in a peptide by another amino acid in the same group is referred to as a conservative substitution and may preserve the physicochemical characteristics of the original peptide.
- substitutions of an amino acid in a peptide by another amino acid in a different group is generally more likely to alter the characteristics of the original peptide.
- peptides include, but are not limited to, the aromatic-cationic peptides shown in Table 5.
- peptides also include, but are not limited to, the aromatic-cationic peptides shown in Table 6.
- amino acids of the peptides shown in Table 5 and 6 may be in either the L - or the D -configuration.
- the aromatic-cationic peptide is a peptide having:
- 2p m is the largest number that is less than or equal to r+1, and a may be equal to p t .
- the aromatic-cationic peptide may be a water-soluble peptide having a minimum of two or a minimum of three positive charges.
- the peptide comprises one or more non-naturally occurring amino acids, for example, one or more D -amino acids.
- the C-terminal carboxyl group of the amino acid at the C-terminus is amidatcd.
- the peptide has a minimum of four amino acids. The peptide may have a maximum of about 6, a maximum of about 9, or a maximum of about 12 amino acids.
- the peptide comprises a tyrosine or a 2′6′-dimethyltyrosine (Dmt) residue at the N-terminus.
- the peptide may have the formula Tyr- D -Arg-Phe-Lys-NH 2 or 2′6′-Dmt- D -Arg-Phe-Lys-NH 2 .
- the peptide comprises a phenylalanine or a 2′6′-dimethylphenylalanine residue at the N-terminus.
- the peptide may have the formula Phe- D -Arg-Phe-Lys-NH 2 or 2′6′-Dmp- D -Arg-Phe-Lys-NH 2 .
- the aromatic-cationic peptide has the formula D -Arg-2′6′-Dmt-Lys-Phe-NH 2 .
- the peptide is defined by formula I:
- R 1 and R 2 are each independently selected from
- R 3 and R 4 are each independently selected from
- halogen encompasses chloro, fluoro, bromo, and iodo
- R 5 , R 6 , R 7 , R 8 , and R 9 are each independently selected from
- halogen encompasses chloro, fluoro, bromo, and iodo; and n is an integer from 1 to 5.
- R 1 and R 2 are hydrogen; R 3 and R 4 are methyl; R 5 , R 6 , R 7 , R 8 , and R 9 are all hydrogen; and n is 4.
- the peptide is defined by formula II:
- R 1 and R 2 are each independently selected from
- R 3 , R 4 , R 5 , R 6 , R 7 , R 8 , R 9 , R 10 , R 11 and R 12 are each independently selected from
- halogen encompasses chloro, fluoro, bromo, and iodo; and n is an integer from 1 to 5.
- R 1 , R 2 , R 3 , R 4 , R 5 , R 6 , R 7 , R 8 , R 9 , R 10 , R 11 , and R 12 are all hydrogen; and n is 4.
- R 1 , R 2 , R 3 , R 4 , R 5 , R 6 , R 7 , R 8 , R 9 , R 10 , R 11 , and R 12 are all hydrogen; R 8 and R 12 are methyl; R 10 is hydroxyl; and n is 4.
- the peptides may be synthesized by any of the methods well known in the art. Suitable methods for chemically synthesizing the protein include, for example, those described by Stuart and Young in Solid Phase Peptide Synthesis , Second Edition, Pierce Chemical Company (1984), and in Methods Enzymol., 289, Academic Press, Inc, New York (1997).
- the methods disclosed herein include the use of an aromatic-cationic peptide as described herein together with one or more additional therapeutic agents (active agents, e.g., antihyperlipidemic agents such as statins) for the treatment of atherosclerosis.
- active agents e.g., antihyperlipidemic agents such as statins
- the combination of active ingredients may be: (1) co-formulated and administered or delivered simultaneously in a combined formulation; (2) delivered by alternation or in parallel as separate formulations; or (3) by any other combination therapy regimen known in the art.
- the methods described herein may comprise administering or delivering the active ingredients sequentially, e.g., in separate solution, emulsion, suspension, tablets, pills or capsules, or by different injections in separate syringes.
- an effective dosage of each active ingredient is administered sequentially, i.e., serially
- simultaneous therapy effective dosages of two or more active ingredients are administered together.
- Various sequences of intermittent combination therapy may also be used.
- the combination therapy comprises administering to a subject in need thereof an aromatic-cationic peptide composition combined with one or more active agents, e.g., one or more antihyperlipidemic agent (e.g., a statin).
- one or more active agents e.g., one or more antihyperlipidemic agent (e.g., a statin).
- the one or more additional active agents administered with the one or more aromatic-cationic peptides disclosed herein is an antihyperlipidemic (hypolipidemic) drug.
- antihyperlipidemic and “hypolipidemic” are synonymous and are used interchangeably.
- the peptide D-Arg-2′6′-Dmt-Lys-Phe-NH 2 or a pharmaceutically acceptable salt thereof such as acetate or trifluoroacetate salt is administered simultaneously to the to the antihyperlipidemic agent (drug).
- the peptide D-Arg-2′6′-Dmt-Lys-Phe-NH 2 or a pharmaceutically acceptable salt, such as acetate or trifluoroacetate salt is administered prior to or subsequent to the antihyperlipidemic agent (drug).
- the antihyperlipidemic drug comprises one or more statins.
- the statin is a combination drug comprising a statin and a non-statin.
- statins include one or more of the following: lovastatin, (e.g., ADVICOR® (niacin extended-release/lovastatin), ALTOPREVTM (lovastatin extended-release), MEVACOR®), atorvastatin, (e.g., CADUET® (amlodipine and atorvastatin), LIPITOR®), rosuvastatin and/or rosuvastatin calcium, (e.g., CRESTOR®), simvastatin, (e.g., JUVISYNC® (sitagliptin/simvastatin), SIMCOR® (niacin extended-release/simvastatin), VYTORIN® (ezetimibe/simvastatin) and ZOCOR®), fluvastatin and/or fluvastatin sodium, (e.g., LESCOL®, LESCOL XL (fluvastatin extended-release)), pitavastatin (e.g., LI
- the hypolipidemic agent is a lipid lowering drug.
- the active agent is an LDL lowering drug.
- the active agent is a triglyceride lowering drug.
- the active agent is an HDL elevating drug.
- the hypolipidemic agent is a cholesteryl ester transfer protein (CETP) inhibitor.
- CETP inhibitor is TORCETRAPIB®, ANACETRAPIB®, or DALCETRAPIB®.
- the hypolipidemic agent targets proprotein convertase subtilisin/kexin type 9 (PCSK9).
- the agent is a PCSK9 inhibitor.
- the agent inhibits PCSK9 function.
- the agent inhibits PCSK9 expression.
- the PCSK9 inhibitor is an anti-PCSK9 antibody.
- the PCSK9 inhibitor targets PCSK9 mRNA.
- the PCSK9 inhibitor is a PCSK9 siRNA.
- the PCSK9 inhibitor is ALN-PCS or REGN727.
- the hypolipidemic agent is a fibrate.
- the fibrate is LIPOFEN® (fenofibrate), LOPID® (gemfibrozil), TRICOR® (fenofibrate), LOFIBRA® (fenofibrate), ATROMID-S® (clofibrate), TRILIPIX® (fenofibric acid), FENOGLIDE® (fenofibrate), ANTARA® (fenofibrate), FIBRICOR® (fenofibric acid), or TRIGLIDE® (fenofibrate).
- the hypolipidemic agent is clinofibrate, simfibrate, benzafibrate.
- the hypolipidemic agent is niacin.
- the niacin is NIASPAN®.
- the niacin is NIACOR®.
- the hypolipidemic agent is a bile acid resin.
- the bile acid resin is QUESTRAN®, QUESTRAN LIGHT®, COLESTID®, or WELCHOL®.
- the hypolipidemic agent prevents the absorption of dietary lipids.
- the agent is ezetimibe (e.g., ZETIA®), orlistat (e.g., XENICAL®), or a phytosterol.
- the hypolipidemic agent is a squalene synthase inhibitor. In some embodiments, the hypolipidemic agent is ApoA-1 MILANO®. In some embodiments, the hypolipidemic agent is AGI-1067. In some embodiments, the hypolipidemic agent is MIPOMERSEN®.
- the hypolipidemic agent is one or more of colestimide and colestyramine.
- the peptide D-Arg-2′6′-Dmt-Lys-Phe-NH 2 or a pharmaceutically acceptable salt, such as acetate or trifluoroacetate salt is administered simultaneous to the statin.
- the peptide D-Arg-2′6′-Dmt-Lys-Phe-NH 2 or a pharmaceutically acceptable salt, such as acetate or trifluoroacetate salt is administered prior to or subsequent to the statin.
- the structural components of statins include a dihydroxyheptanoic acid unit and a ring system with different substituents.
- the statin pharmacophore is modified hydroxyglutaric acid component, which is structurally similar to the endogenous substrate HMG CoA and the mevaldyl CoA transition state intermediate.
- the statin pharmacophore binds to the same active site as the substrate HMG-CoA and inhibits the HMG-CoA reductase enzyme.
- the HMG-CoA reductase enzyme is stereoselective and as a result functional statins typically have the 3R,5R stereochemistry.
- Statins can be separated into two classes: type 1 (e.g. lovastatin, pravastatin, simvastatin); and type 2 (e.g. fluvastatin, cerivastatin, atorvastatin, rosuvastatin).
- Type 1 statins include a substituted decalin-ring structure that resemble mevastatin, a compound isolated from the mold Penicillium citrinum . Lovastatin was isolated from the mold Aspergillus terreus and pravastatin and simvastatin are chemically modified versions of lovastatin.
- Type 2 statins are fully synthetic and have larger substituent groups that interact with the HMG-CoA reductase enzyme.
- type 2 statins substitute fluorophenyl group for the butyryl group found on type 1 statins.
- the fluorophenyl group provides additional polar interactions typically resulting in tighter binding with the HMG-CoA reductase enzyme.
- Rosuvastatin has a sulfonamide group that is hydrophilic and increases binding affinity with the HMG-CoA reductase enzyme.
- Atorvastatin is a ring-opened hydroxy-acid of trans-6-[2-(3- or 4-carboxamido-substituted pyrrol-1-yl)alkyl]-4-hydroxypyran-2-one (see e.g., FIG. 6A for the chemical structure).
- the general structure of atorvastatin and related compounds is provided in Formula I:
- X is —CH 2 —, —CH 2 CH 2 —, —CH 2 CH 2 CH 2 — or —CH 2 CH(CH 3 ).
- R 1 is 1-naphthyl; 2-naphthyl; cyclohexyl; norbomenyl; 2-, 3-, or 4-pyridinyl; phenyl, phenyl substituted with fluorine, chlorine, bromine, hydroxyl; trifluoromethyl; alkyl of from one to four carbon atoms, alkoxy of from one to four carbon atoms, or alkanoyloxy of from two to eight carbon atoms.
- R 2 or R 3 is —CONR 5 R 6 where R 5 and R 6 are independently hydrogen; alkyl of from one to six carbon atoms; 2-, 3-, or 4-pyridinyl; phenyl; phenyl substituted with fluorine, chlorine, bromine, cyano, trifluoromethyl, or carboalkoxy of from three to eight carbon atoms; and the other of R 2 or R 3 is hydrogen; alkyl of from one to six carbon atoms; cyclopropyl; cyclobutyl; cyclopentyl; cyclohexyl; phenyl; or phenyl substituted with fluorine, chlorine, bromine, hydroxyl; trifluoromethyl; alkyl of from one to four carbon atoms, alkoxy of from one to four carbon atoms, or alkanoyloxy of from two to eight carbon atoms.
- R 4 is alkyl of from one to six carbon atoms; cyclopropyl; cyclobutyl; cyclopentyl; cyclohexyl; or trifluoromethyl.
- Rosuvastatin is a compound related to the general structure set forth in formula II:
- R 1 is lower alkyl, aryl or aralkyl, each of which may have one or more substituents:
- R 2 and R 3 each is independently hydrogen, lower alkyl, or aryl, and each of said lower alkyl and aryl may have one or more substituents;
- R 4 is hydrogen, lower alkyl, or a cation capable of forming a non-toxic pharmaceutically acceptable salt;
- X is sulfur, oxygen, or sulfonyl, or imino which may have a substituent; the dotted line represents the presence or absence of a double bond, or the corresponding ring-closed lactone. (See e.g., FIG. 6B )
- lower alkyl refers to a straight, branched, or cyclic C 1 to C 6 alkyl, including methyl, ethyl, n-propyl, isopropyl, cyclopropyl, n-butyl, isobutyl, sec-butyl, tert-butyl, cyclobutyl, n-pentyl, isopentyl, neopentyl, tert-pentyl, cyclopentyl, n-hexyl, and isohexyl and the like.
- the lower alkyl may be substituted by 1 to 3 substituents independently selected from the group consisting of halogen, amino, and cyano.
- Halogen means fluorine, chlorine, bromine and iodine.
- aryl refers to C 6 to C 12 aromatic group including phenyl, tolyl, xylyl, biphenyl, naphthyl, and the like.
- the aryl may have 1 to 3 substituents independently selected from the group consisting of lower alkyl, halogen, amino, and cyano.
- Preferred aryl is phenyl substituted by 1 to 3 halogens.
- aralkyl refers to C 1 to C 6 lower alkyl substituted by C 6 to C 12 aromatic aryl group defined above. Examples of them are benzyl, phenethyl, phenylpropyl and the like, each of which may have 1 to 3 substituents independently selected from the group consisting of lower alkyl halogen, amino, cyano, and the like.
- a cation capable of forming a non-toxic pharmaceutically acceptable salt refers to alkali metal ion, alkaline earth metal ion, and ammonium ion.
- alkali metal examples are lithium, sodium, potassium, and cesium
- alkaline earth metal examples are beryllium, magnesium, and calcium. Especially, sodium and calcium are preferred.
- acyl examples are formyl acetyl, propionyl, butyryl, isobutyryl, valeryl, and isovaleryl.
- substituents are acyl, optionally substituted amino, and substituted sulfonyl.
- substituted amino as substituent means amino group substituted by sulfonyl and alkylsulfonyl. Examples of them are sulfonyl amino and methanesulfonyl amino.
- substituted sulfonyl as substituent means sulfonyl group substituted by alkyl, amino, or alkylamino. Examples of them are methanesulfonyl, sulfamoyl, methylsulfamoyl, and N-methylsulfamoyl.
- Atorvastatin can be used to reduce the risk of myocardial infarction, stroke, revascularization procedures, and angina in patients without coronary heart disease, but with multiple risk factors.
- risk factors include but are not limited to age, smoking, hypertension, low HDL-C, or a family history of early coronary heart disease.
- Atorvastatin can also be used to reduce the risk of myocardial infarction and stroke in patients with type 2 diabetes without coronary heart disease, but with multiple risk factors.
- risk factors include but are not limited to retinopathy, albuminuria, smoking, or hypertension.
- Atorvastatin can be used to reduce the risk of non-fatal MI, fatal and non-fatal stroke, revascularization procedures, hospitalization for coronary heart failure, and angina in patients with coronary heart disease. Atorvastatin can be used to reduce elevated total cholesterol, LDL-C, ApoB, and triglyceride levels and increase HDL-C in adult patients with primary hyperlipidemia (heterozygous familial and nonfamilal) and mixed dyslipidemia. Atorvastatin can be used to reduce elevated triglycerides in patients with hypertriglyceridemia and primary dysbetalipoproteinemia.
- Atorvastatin can also be used to reduce total cholesterol and LDL-C in patients with homozygous familial hypercholesterolemia (HoFH). Atorvastatin can be used to reduced elevated total cholesterol, LDL-C, and ApoB levels in boys and postmenarchal girls between the ages of 10-17, with heterozygous familial hypercholesterolemia after failing an adequate trial of diet therapy.
- HoFH homozygous familial hypercholesterolemia
- Atorvastatin has also been used to treat spinal cord injury in rodents, promoting locomotion and tissue sparing, as well as reducing inflammation when administered both pre- and post-injury.
- atorvastatin has been utilized in an in vitro model of hepatitis C virus (HCV) infection (alone and with interferon). In such a system, atorvastatin (as well as lovastatin, simvastatin, fluvastatin, and pitavastatin) was shown to have an anti-HCV effect. Accordingly, statins may be suitable for concurrent therapy with interferon.
- Rosuvastatin can be used to treat patients with primary hyperlipidemia and mixed dyslipidemia as an adjunct to diet to reduce levels of total cholesterol, LDL-C, ApoB, nonHDL-C, and triglyceride levels and to increase levels of HDL-C. Rosuvastatin can also be used to treat patients with: hypertriglyceridemia as an adjunct to diet, primary dysbetalipoproteinemia (Type II hyperlipoproteinemia) as an adjunct to diet, and homozygous familial hypercholesterolemia (HoFH). Rosuvastatin can be used to slow the progression of atherosclerosis in patients as part of a treatment strategy to lower total cholesterol and LDL-C as an adjunct to diet.
- CRESTOR® Rosuvastatin
- Rosuvastatin can be used to treat patients 10 to 17 years old with heterozygous familial hypercholesterolemia (HeFH) to reduce elevated total cholesterol, LDL-C, and ApoB after failing an adequate trial of diet therapy. Rosuvastatin can be used for reducing the risk of myocardial infarction, stroke, and arterial revascularization procedures in patients without evident coronary heart disease, but with multiple risk factors. Such risk factors include hypertension, low HDL-C, smoking, or a family history of premature coronary heart disease.
- HeFH heterozygous familial hypercholesterolemia
- Aromatic-Cationic Peptides and Active Agents Atherosclerosis
- the aromatic-cationic peptides described herein are useful to prevent or treat disease such as atherosclerosis.
- the combination of peptides and active agents, such as those described above are useful in treating any atherosclerosis, as well as the signs, symptoms or complications of atherosclerosis.
- Atherosclerosis also known as arteriosclerotic vascular disease or ASVD
- ASVD arteriosclerotic vascular disease
- Atherosclerosis is a chronic disease that can remain asymptomatic for decades.
- the pathobiology of atherosclerotic lesions is complicated but generally, stable atherosclerotic plaques, which tend to be asymptomatic, are rich in extracellular matrix and smooth muscle cells, while unstable plaques are rich in macrophages and foam cells and the extracellular matrix separating the lesion from the arterial lumen (also known as the fibrous cap) is usually weak and prone to rupture. Ruptures of the fibrous cap expose thrombogenic material, such as collagen to the circulation and eventually induce thrombus formation in the lumen.
- intraluminal thrombi can occlude arteries outright (e.g., coronary occlusion), but more often they detach, move into the circulation and can eventually occlude smaller downstream branches causing thromboembolism (e.g., stroke is often caused by thrombus formation in the carotid arteries).
- thromboembolism e.g., stroke is often caused by thrombus formation in the carotid arteries.
- chronically expanding atherosclerotic lesions can cause complete closure of the lumen. Chronically expanding lesions are often asymptomatic until lumen stenosis is so severe that blood supply to downstream tissue(s) is insufficient resulting in ischemia.
- Atherosclerosis can affect the entire artery tree, but larger, high-pressure vessels such as the coronary, renal, femoral, cerebral, and carotid arteries are typically at greater risk.
- Signs, symptoms and complications of atherosclerosis include, but are not limited to increased plasma total cholesterol, VLDL-C, LDL-C, free cholesterol, cholesterol ester, triglycerides, phospholipids and the presence of lesions (e.g., plaques) in arteries, as discussed above.
- increased cholesterol e.g., total cholesterol, free cholesterol and cholesterol esters
- a subject predisposed to atherosclerosis may exhibit one or more of the following characteristics: advanced age, a family history of heart disease, a biological condition, high blood cholesterol.
- the biological condition comprises high levels of low-density lipoprotein cholesterol (LDL-C) in the blood, low levels of high-density lipoprotein cholesterol (HDL-C) in the blood, hypertension, insulin resistance, diabetes, excess body weight, obesity, sleep apnea, lifestyle choice and/or a behavioral habit.
- the behavioral habit comprises smoking and/or alcohol use.
- the lifestyle choice comprises an inactive lifestyle and/or a high stress level.
- aromatic-cationic peptides of the present disclosure are administered with one or more hypolipidemic agents (e.g., statins).
- hypolipidemic agents e.g., statins
- the aromatic-cationic peptides of the present disclosure delay onset, ameliorate, inhibit or eliminate the side-effects and/or toxicity of hypolipeidemic agent (e.g., statin).
- the peptides ameliorate organ damage caused by hypolipidemic agents.
- the peptides ameliorate liver damage, kidney damage, renal toxicity or rhabdomyolysis. In some embodiments, the peptides ameliorate symptoms associated with the toxic side effects of hypolipidemic agents, including but not limited to muscle weakness, muscle tenderness, malaise, headache, fever, dark urine, nausea, and vomiting.
- administration of aromatic-cationic peptides of the present technology in conjunction with one or more hypolipidemic agents such as statins permits a higher dose of the hypolipidemic agent to be administered to a subject than would otherwise be tolerated by the subject.
- methods for increasing a hypolipidemic (e.g., statin) dose in a subject in need thereof, or allowing administration of a hypolipidemic (e.g., statin) to a subject who would normally be contraindicated for statin treatment e.g., in a subject who exhibits negative side effects related to statin administration at an effective dose.
- Exemplary negative side effects are described above and in more detail below, and include but are not limited to muscle weakness and organ damage.
- the dose of hypolipidemic agent may be increased to a level sufficient to achieve a target blood lipid level.
- the target blood lipid level is a total cholesterol level. In some embodiments, the target cholesterol level is less than about 200 mg/dL. In some embodiments, the target cholesterol level is from about 130 to about 200 mg/dL. In some embodiments, the target cholesterol level is less than about 200, less than about 190, less than about 180, less than about 170, less than about 160, less than about 150, less than about 140, or less than about 130 mg/dL.
- the target blood lipid level is a target LDL level.
- the target LDL level is less than about 100 mg/dL. In some embodiments, the target LDL level is from about 50 to about 100 mg/dL. In some embodiments, the target LDL level is less than about 100, less than about 90, less than about 80, less than about 70, less than about 60, or less than about 50 mg/dL.
- the target blood lipid level is a target HDL level.
- the target HDL level is greater than about 60 mg/dL. In some embodiments, the target HDL level is from about 30 to about 65 mg/dL. In some embodiments, the target HDL level is greater than about 30, greater than about 35, greater than about 40, greater than about 45, greater than about 50, greater than about 55, greater than about 60, or greater than about 65 mg/dL.
- the target blood lipid level is a target triglyceride level.
- the target triglyceride level is less than about 200 mg/dL.
- the target triglyceride level is from about 140 to about 200 mg/dL.
- the target triglyceride level is less than about 140, less than about 150, less than about 160, less than about 170, less than about 180, less than about 190, or less than about 200 mg/dL.
- an anithyperlipidemic agent e.g., a statin
- an aromatic-cationic peptide of the present disclosure e.g., D-Arg-2′6′-Dmt-Lys-Phe-NH 2
- the subject is administered the anithyperlipidemic agent, or is administered an anithyperlipidemic agent and a peptide at the first dosage level for 1 day, 2 days, 3 days, 4 days, 5 days, 1 week, 2 weeks, 3 weeks, 1 month, 2 months, 3 months, 4 months, 6 months, 1 year, 2 years, 3 years, 4 years, 5 years or 10 years.
- the subject is administered the anithyperlipidemic agent, or is administered an anithyperlipidemic agent and a peptide at the first dosage level once per day, twice per day, every other day, once every third day, fourth day, fifth day, once per week, or once every other week.
- the subject's lipid levels and any negative or toxic side effects characteristic of the anithyperlipidemic agent are evaluated.
- the subject due to the positive effects of the peptpide, the subject exhibits no negative or toxic side effects of the anithyperlipidemic agent.
- the dosage level of the antihyperlipidemic agent is increased to a second dosage level to more quickly or effectively achieve an acceptable (e.g., target) lipid level.
- the peptide dosage level remains constant, e.g., is equal to the first dosage level.
- the peptide dosage level is increased, e.g., is greater than the first dosage level.
- the peptide dosage level is decreased, e.g., is less than the first dosage level.
- no additional peptide is administered with the second dosage level of the antihyperlipidemic agent.
- peptide is administered as often as the antihyperlipidemic agent.
- the peptide is administered more or less frequently than the antihyperlipidemic agent.
- the dosage level of the antihyperlipidemic agent is increased to a third, fourth, fifth, etc. dosage level to more quickly or effectively achieve a target lipid level.
- the peptide dosage level may decreased, increased, remain the same (e.g., first dosage level) or be omitted from one or more administrations.
- statins are hydroxy-methylglutaryl coenzyme A (HMG-CoA) reductase inhibitors. By inhibiting this enzyme, statins reduce the synthesis of mevalonate, an intermediary in the cholesterol synthesis pathway.
- HMG-CoA hydroxy-methylglutaryl coenzyme A reductase inhibitors.
- statins include mitochondrial dysfunction, decreased cocnzyme Q10 levels, a variety of myopathies (ranging from mild myalgia to fatal rhabdomyolysis), diabetes, kidney failure and memory loss. Additional side effects include fever, dark colored urine, swelling, weight gain, changes in urination frequency, dry mouth, drowsiness, nausea, diarrhea, jaundice, loss of appetite, insomnia, and headache.
- Coenzyme Q10 (CoQ10) is a naturally occurring, fat-soluble quinone that is localized in hydrophobic portions of cellular membranes. Approximately half of the body's CoQ10 is obtained through dietary fat ingestion, whereas the remainder results from endogenous synthesis. Coenzyme Q10 participates in electron transport during oxidative phosphorylation in mitochondria, protects against oxidative stress produced by free radicals, and regenerates active forms of the antioxidants ascorbic acid and tocopherol (vitamin E).
- statin-induced CoQ10 deficiency plays a role in statin-associated mitochondrial dysfunction and myopathies (e.g., rhabdomyolysis).
- statin-induced CoQ10 plays a role in additional statin-induced side effects, such as but not limited to memory loss, kidney failure and diabetes.
- aromatic-cationic peptides of the present disclosure increase CoQ10 levels in fibroblast cells. Accordingly, in some embodiments, aromatic-cationic peptides of the present disclosure are administered with one or more statins to alleviate or prevent the myopathic side effects of statin administration.
- the peptide may be administered before, simultaneously with, or after statin administration.
- the reason for statin administration is not intended to limit peptide administration. That is, the subject may be suffering from, or at risk for, any number of disease, conditions or illnesses for which one or more statins are indicated.
- exemplary diseases, conditions, risk factors, characteristics, or reasons for administering a statin include one or more of the following: advanced age, smoking, hypertension, low HDL-C, a family history of early coronary heart disease, an increased risk of myocardial infarction and stroke in subjects with type 2 diabetes without coronary heart disease, but with other or multiple risk factors (e.g., retinopathy, albuminuria, smoking, or hypertension), to reduce the risk of non-fatal MI, fatal and non-fatal stroke, revascularization procedures, hospitalization for coronary heart failure, or angina in patients with coronary heart disease, to reduce elevated total cholesterol, LDL-C, ApoB, and triglyceride levels and increase HDL-C in adult patients with primary hyperlipidemia (heterozygous familial and nonfamilal) and mixed dyslipidemia, to reduce elevated triglycerides in patients with hypertriglyceridemia and primary dysbetalipoproteinemia, to reduce total
- the administration of one or more aromatic-cationic peptides of the present disclosure in combination with one or more statins statin will allow the subject to receive a higher dose of one or more statins to alleviate a disease, conditions, or a sign, symptom or characteristic of a disease or condition.
- the label on the statin CRESTOR® emphasizes the risks (e.g., myopathy, rhabdomyolysis and various forms of kidney failure) at the highest approved does of 40 mg, and recommends administration of lower doses.
- the detrimental side effects seen with higher dosages may delayed, ameliorated or eliminated, thereby allowing for administration of the higher therapeutic statin dose.
- the disclosure also provides for both prophylactic and therapeutic methods of treating a subject having or at risk of (or susceptible to) atherosclerosis and related complications. Accordingly, the present methods provide for the prevention and/or treatment of atherosclerosis in a subject by administering an effective amount of an aromatic-cationic peptide and one or more active agents, such as an antihyperlipidemic drug (e.g., a statin) to a subject in need thereof.
- an antihyperlipidemic drug e.g., a statin
- suitable in vitro or in vivo assays are performed to determine the effect of a specific combination of aromatic-cationic peptides and one or more active agents and whether its administration is indicated for treatment.
- assays can be performed with representative animal models to determine if a given aromatic-cationic peptide and cardiovascular agent treatment regime exerts the desired effect in preventing or treating atherosclerosis.
- Compounds for use in therapy can be tested in suitable animal model systems including, but not limited to rats, mice, chicken, pigs, cows, monkeys, rabbits, and the like, prior to testing in human subjects. Any of the animal model systems known in the art can be used prior to administration to human subjects.
- compositions or medicaments are administered to a subject suspected of, or already suffering from such a disease in an amount sufficient to cure, or at least partially arrest, the symptoms of the disease, including its complications and intermediate pathological phenotypes in development of the disease.
- the present disclosure provides methods of treating an individual afflicted with atherosclerosis.
- any method known to those in the art for contacting a cell, organ or tissue with a peptide and active agent may be employed. Suitable methods include in vitro, ex vivo, or in vivo methods. In vivo methods typically include the administration of an aromatic-cationic peptide and active agent, such as those described above, to a mammal, suitably a human. When used in vivo for therapy, the aromatic-cationic peptides and active agents may be administered to the subject in effective amounts (i.e., amounts that have desired therapeutic effect). The dose and dosage regimen will depend upon the degree of the injury in the subject, the characteristics of the particular aromatic-cationic peptide and/or additional active agent used, e.g., its therapeutic index, the subject, and the subject's history.
- the effective amount may be determined during pre-clinical trials and clinical trials by methods familiar to physicians and clinicians.
- An effective amount of a peptide and one or more additional active agents useful in the methods may be administered to a mammal in need thereof by any of a number of well-known methods for administering pharmaceutical compounds.
- the peptide may be administered systemically or locally.
- the compound may be formulated as a pharmaceutically acceptable salt.
- pharmaceutically acceptable salt means a salt prepared from a base or an acid which is acceptable for administration to a patient, such as a mammal (e.g., salts having acceptable mammalian safety for a given dosage regime). However, it is understood that the salts are not required to be pharmaceutically acceptable salts, such as salts of intermediate compounds that are not intended for administration to a patient.
- Pharmaceutically acceptable salts can be derived from pharmaceutically acceptable inorganic or organic bases and from pharmaceutically acceptable inorganic or organic acids.
- salts derived from pharmaceutically acceptable inorganic bases include ammonium, calcium, copper, ferric, ferrous, lithium, magnesium, manganic, manganous, potassium, sodium, and zinc salts, and the like.
- Salts derived from pharmaceutically acceptable organic bases include salts of primary, secondary and tertiary amines, including substituted amines, cyclic amines, naturally-occurring amines and the like, such as arginine, betaine, caffeine, choline, N,N′-dibenzylethylenediamine, diethylamine, 2-diethylaminoethanol, 2-dimethylaminoethanol, ethanolamine, ethylenediamine, N-ethylmorpholine, N-ethylpiperidine, glucamine, glucosamine, histidine, hydrabamine, isopropylamine, lysine, methylglucamine, morpholine, piperazine, piperadine, polyamine resins, procaine, purines, theobromine, triethylamine, trimethylamine, tripropylamine, tromethamine and the like.
- arginine betaine
- caffeine choline
- Salts derived from pharmaceutically acceptable inorganic acids include salts of boric, carbonic, hydrohalic (hydrobromic, hydrochloric, hydrofluoric or hydroiodic), nitric, phosphoric, sulfamic and sulfuric acids.
- Salts derived from pharmaceutically acceptable organic acids include salts of aliphatic hydroxyl acids (e.g., citric, gluconic, glycolic, lactic, lactobionic, malic, and tartaric acids), aliphatic monocarboxylic acids (e.g., acetic, butyric, formic, propionic and trifluoroacetic acids), amino acids (e.g., aspartic and glutamic acids), aromatic carboxylic acids (e.g., benzoic, p-chlorobenzoic, diphenylacetic, gentisic, hippuric, and triphenylacetic acids), aromatic hydroxyl acids (e.g., o-hydroxybenzoic, p-hydroxybenzoic, 1-hydroxynaphthalene-2-carboxylic and 3-hydroxynaphthalene-2-carboxylic acids), ascorbic, dicarboxylic acids (e.g., fumaric, maleic, oxalic and succinic acids), glucoronic
- compositions for administration, singly or in combination, to a subject for the treatment or prevention of a disorder described herein.
- Such compositions typically include the active agent (e.g., peptide and one or more active agents, e.g., a statin) and a pharmaceutically acceptable carrier.
- active agent e.g., peptide and one or more active agents, e.g., a statin
- pharmaceutically acceptable carrier includes saline, solvents, dispersion media, coatings, antibacterial and antifungal agents, isotonic and absorption delaying agents, and the like, compatible with pharmaceutical administration.
- Supplementary active compounds can also be incorporated into the compositions.
- compositions are typically formulated to be compatible with its intended route of administration.
- routes of administration include parenteral (e.g., intravenous, intradermal, intraperitoneal or subcutaneous), oral, inhalation, transdermal (topical), intraocular, iontophoretic, and transmucosal administration.
- Solutions or suspensions used for parenteral, intradermal, or subcutaneous application can include the following components: a sterile diluent such as water for injection, saline solution, fixed oils, polyethylene glycols, glycerine, propylene glycol or other synthetic solvents; antibacterial agents such as benzyl alcohol or methyl parabens; antioxidants such as ascorbic acid or sodium bisulfite; chelating agents such as ethylenediaminetetraacetic acid; buffers such as acetates, citrates or phosphates and agents for the adjustment of tonicity such as sodium chloride or dextrose. pH can be adjusted with acids or bases, such as hydrochloric acid or sodium hydroxide.
- a sterile diluent such as water for injection, saline solution, fixed oils, polyethylene glycols, glycerine, propylene glycol or other synthetic solvents
- antibacterial agents such as benzyl alcohol or methyl parabens
- antioxidants
- the parenteral preparation can be enclosed in ampoules, disposable syringes or multiple dose vials made of glass or plastic.
- the dosing formulation can be provided in a kit containing all necessary equipment (e.g., vials of drug, vials of diluent, syringes and needles) for a treatment course.
- compositions suitable for injectable use can include sterile aqueous solutions (where water soluble) or dispersions and sterile powders for the extemporaneous preparation of sterile injectable solutions or dispersion.
- suitable carriers include physiological saline, bacteriostatic water, Cremophor ELTM (BASF, Parsippany, N.J.) or phosphate buffered saline (PBS).
- a composition for parenteral administration must be sterile and should be fluid to the extent that easy syringability exists. It should be stable under the conditions of manufacture and storage and must be preserved against the contaminating action of microorganisms such as bacteria and fungi.
- the pharmaceutical compositions can include a carrier, which can be a solvent or dispersion medium containing, for example, water, ethanol, polyol (for example, glycerol, propylene glycol, and liquid polyethylene glycol, and the like), and suitable mixtures thereof.
- a carrier which can be a solvent or dispersion medium containing, for example, water, ethanol, polyol (for example, glycerol, propylene glycol, and liquid polyethylene glycol, and the like), and suitable mixtures thereof.
- the proper fluidity can be maintained, for example, by the use of a coating such as lecithin, by the maintenance of the required particle size in the case of dispersion and by the use of surfactants.
- Prevention of the action of microorganisms can be achieved by various antibacterial and antifungal agents, for example, parabens, chlorobutanol, phenol, ascorbic acid, thiomerasol, and the like. Glutathione and other antioxidants can be included to prevent
- isotonic agents for example, sugars, polyalcohols such as mannitol, sorbitol, or sodium chloride in the composition.
- Prolonged absorption of the injectable compositions can be brought about by including in the composition an agent which delays absorption, for example, aluminum monostearate or gelatin.
- Sterile injectable solutions can be prepared by incorporating the active compound(s) in the required amount in an appropriate solvent with one or a combination of ingredients enumerated above, as required, followed by filtered sterilization.
- dispersions are prepared by incorporating the active compound into a sterile vehicle, which contains a basic dispersion medium and the required other ingredients from those enumerated above.
- typical methods of preparation include vacuum drying and freeze drying, which can yield a powder of the active ingredient plus any additional desired ingredient from a previously sterile-filtered solution thereof.
- Oral compositions generally include an inert diluent or an edible carrier.
- the active compounds can be incorporated with excipients and used in the form of tablets, troches, or capsules, e.g., gelatin capsules.
- Oral compositions can also be prepared using a fluid carrier for use as a mouthwash.
- Pharmaceutically compatible binding agents, and/or adjuvant materials can be included as part of the composition.
- the tablets, pills, capsules, troches and the like can contain any of the following ingredients, or compounds of a similar nature: a binder such as microcrystalline cellulose, gum tragacanth or gelatin; an excipient such as starch or lactose, a disintegrating agent such as alginic acid, primogel, or corn starch; a lubricant such as magnesium stearate or sterotes; a glidant such as colloidal silicon dioxide; a sweetening agent such as sucrose or saccharin; or a flavoring agent such as peppermint, methyl salicylate, or orange flavoring.
- a binder such as microcrystalline cellulose, gum tragacanth or gelatin
- an excipient such as starch or lactose, a disintegrating agent such as alginic acid, primogel, or corn starch
- a lubricant such as magnesium stearate or sterotes
- a glidant such as colloidal silicon dioxide
- the compounds can be delivered in the form of an aerosol spray from a pressurized container or dispenser which contains a suitable propellant, e.g., a gas such as carbon dioxide, or a nebulizer.
- a suitable propellant e.g., a gas such as carbon dioxide, or a nebulizer.
- transmucosal or transdermal administration can also be by transmucosal or transdermal means.
- penetrants appropriate to the barrier to be permeated are used in the formulation.
- penetrants are generally known in the art, and include, for example, for transmucosal administration, detergents, bile salts, and fusidic acid derivatives.
- Transmucosal administration can be accomplished through the use of nasal sprays.
- the active compounds are formulated into ointments, salves, gels, or creams as generally known in the art.
- transdermal administration may be performed by iontophoresis.
- a therapeutic agent can be formulated in a carrier system.
- the carrier can be a colloidal system.
- the colloidal system can be a liposome, a phospholipid bilayer vehicle.
- the therapeutic peptide is encapsulated in a liposome while maintaining peptide integrity.
- there are a variety of methods to prepare liposomes see Lichtenberg et al., Methods Biochem. Anal., 33:337-462 (1988); Anselem et al., Liposome Technology , CRC Press (1993)). Liposomal formulations can delay clearance and increase cellular uptake (see Reddy, Ann. Pharmacother., 34(7-8):915-923 (2000)).
- An active agent can also be loaded into a particle prepared from pharmaceutically acceptable ingredients including, but not limited to, soluble, insoluble, permeable, impermeable, biodegradable or gastroretentive polymers or liposomes.
- Such particles include, but are not limited to, nanoparticles, biodegradable nanoparticles, microparticles, biodegradable microparticles, nanospheres, biodegradable nanospheres, microspheres, biodegradable microspheres, capsules, emulsions, liposomes, micelles and viral vector systems.
- the carrier can also be a polymer, e.g., a biodegradable, biocompatible polymer matrix.
- the therapeutic peptide can be embedded in the polymer matrix, while maintaining protein integrity.
- the polymer may be natural, such as polypeptides, proteins or polysaccharides, or synthetic, such as poly ⁇ -hydroxy acids. Examples include carriers made of, e.g., collagen, fibronectin, elastin, cellulose acetate, cellulose nitrate, polysaccharide, fibrin, gelatin, and combinations thereof.
- the polymer is poly-lactic acid (PLA) or copoly lactic/glycolic acid (PGLA).
- the polymeric matrices can be prepared and isolated in a variety of forms and sizes, including microspheres and nanospheres. Polymer formulations can lead to prolonged duration of therapeutic effect (see Reddy, Ann. Pharmacother., 34(7-8):915-923 (2000)). A polymer formulation for human growth hormone (hGH) has been used in clinical trials (see Kozarich and Rich, Chemical Biology, 2:548-552 (1998)).
- hGH human growth hormone
- polymer microsphere sustained release formulations are described in, but not limited to PCT publication WO 99/15154 (Tracy et al.), U.S. Pat. Nos. 5,674,534 and 5,716,644 (both to Zale et al.), PCT publication WO 96/40073 (Zale et al.), and PCT publication WO 00/38651 (Shah et al.).
- PCT publication WO 99/15154 Tracy et al.
- U.S. Pat. Nos. 5,674,534 and 5,716,644 both to Zale et al.
- PCT publication WO 96/40073 Zale et al.
- PCT publication WO 00/38651 Shah et al.
- the therapeutic compounds are prepared with carriers that will protect the therapeutic compounds against rapid elimination from the body, such as a controlled release formulation, including implants and microencapsulated delivery systems.
- a controlled release formulation including implants and microencapsulated delivery systems.
- Biodegradable, biocompatible polymers can be used, such as ethylene vinyl acetate, polyanhydrides, polyglycolic acid, collagen, polyorthoesters, and polylacetic acid.
- Such formulations can be prepared using known techniques.
- the materials can also be obtained commercially, e.g., from Alza Corporation and Nova Pharmaceuticals, Inc.
- Liposomal suspensions (including liposomes targeted to specific cells with monoclonal antibodies to cell-specific antigens) can also be used as pharmaceutically acceptable carriers. These can be prepared according to methods known to those skilled in the art, for example, as described in U.S. Pat. No. 4,522,811.
- the therapeutic compounds can also be formulated to enhance intracellular delivery.
- liposomal delivery systems are known in the art, see, e.g., Chonn and Cullis, “Recent Advances in Liposome Drug Delivery Systems,” Current Opinion in Biotechnology 6:698-708 (1995); Weiner, “Liposomes for Protein Delivery: Selecting Manufacture and Development Processes,” Immunomethods, 4(3):201-9 (1994); and Gregoriadis, “Engineering Liposomes for Drug Delivery: Progress and Problems,” Trends Biotechnol., 13(12):527-37 (1995). Mizguchi et al., Cancer Lett., 100:63-69 (1996), describes the use of fusogenic liposomes to deliver a protein to cells both in vivo and in vitro.
- At least one antihyperlipidemic agent e.g. statin
- at least one aromatic cationic peptide as described above are associated to form a complex.
- the antihyperlipidemic agent and aromatic cationic peptide can associate by any method known to those in the art. Suitable types of associations include chemical bonds and physical bonds. Chemical bonds include, for example, covalent bonds and coordinate bonds. Physical bonds include, for instance, hydrogen bonds, dipolar interactions, van der Waal forces, electrostatic interactions, hydrophobic interactions and aromatic stacking. In some embodiments, bonds between the compounds are rapidly degraded or dissolved; in some embodiments, bonds are cleaved by drug metabolizing or excretatory chemistry and/or enzymes.
- a functional group on the molecule typically associates with a functional group on the aromatic cationic peptide.
- statins often contain a carboxyl functional group, as well as hydroxyl functional groups.
- the free amine group of an aromatic cationic peptide may be crosslinked directly to the carboxl group of a statin using 1-Ethyl-3-[3-dimethylaminopropyl]carbodiimide hydrochloride (EDC or EDAC) or dicyclohexylcarbodiimide (DCC).
- EDC or EDAC 1-Ethyl-3-[3-dimethylaminopropyl]carbodiimide hydrochloride
- DCC dicyclohexylcarbodiimide
- Cross-linking agents can, for example, be obtained from Pierce Biotechnology, Inc., Rockford, Ill. The Pierce Biotechnology, Inc. website can provide assistance.
- Linkers that that are cleaved within a cell may also be used.
- the carboxyl group of a statin may be attached to a linker, such as that disclosed in U.S. Pat. No. 7,989,434, herein incorporated by reference in its entirety, which links the statin to an aromatic cationic peptide.
- a linker such as that disclosed in U.S. Pat. No. 7,989,434, herein incorporated by reference in its entirety, which links the statin to an aromatic cationic peptide.
- the linker is cleaved releasing the peptide from the statin.
- the compositions disclosed herein are not intended to be limited by linkers or cleavage means.
- linkers are cleaved in the body (e.g., in the blood stream, interstitial tissue, gastrointestinal tract, etc.), releasing the peptide from the second active agent (e.g., a statin) via enzymes (e.g., esterases) or other chemical reactions.
- the second active agent e.g., a statin
- enzymes e.g., esterases
- the antihyperlipidemic agent and an aromatic cationic peptide of the present disclosure may be administered in the form of a pharmaceutical composition comprising at least one of the compounds of this disclosure together with a pharmaceutically acceptable carrier or diluent.
- the compounds disclosed herein can be administered either individually or together in any conventional oral, parenteral or transdermal dosage form.
- the antihyperlipidemic agent may be co-formulated in a fixed-dose combination with the aromatic cationic peptide.
- the antihyperlipidemic agent and the aromatic cationic peptide are formulated in a capsule or pill for oral dosing in which the compounds are physically separated.
- one or both of the antihyperlipidemic agent and the aromatic cationic peptide are in a solid, liquid, powder, or gel form.
- the antihyperlipidemic agent and the aromatic cationic peptide are in a fixed-dose combination in which the two compounds are mixed together, for example in in a solid, liquid, powder, or gel form.
- Dosage, toxicity and therapeutic efficacy of the therapeutic agents can be determined by standard pharmaceutical procedures in cell cultures or experimental animals, e.g., for determining the LD50 (the dose lethal to 50% of the population) and the ED50 (the dose therapeutically effective in 50% of the population).
- the dose ratio between toxic and therapeutic effects is the therapeutic index and it can be expressed as the ratio LD50/ED50.
- Compounds which exhibit high therapeutic indices are preferred. While compounds that exhibit toxic side effects may be used, care should be taken to design a delivery system that targets such compounds to the site of affected tissue in order to minimize potential damage to uninfected cells and, thereby, reduce side effects.
- the data obtained from the cell culture assays and animal studies can be used in formulating a range of dosage for use in humans.
- the dosage of such compounds lies preferably within a range of circulating concentrations that include the ED50 with little or no toxicity.
- the dosage may vary within this range depending upon the dosage form employed and the route of administration utilized.
- the therapeutically effective dose can be estimated initially from cell culture assays.
- a dose can be formulated in animal models to achieve a circulating plasma concentration range that includes the IC50 (i.e., the concentration of the test compound which achieves a half-maximal inhibition of symptoms) as determined in cell culture.
- IC50 i.e., the concentration of the test compound which achieves a half-maximal inhibition of symptoms
- levels in plasma may be measured, for example, by high performance liquid chromatography.
- an effective amount of the aromatic-cationic peptides and/or cardiovascular agents range from about 0.000001 mg per kilogram body weight per day to about 10,000 mg per kilogram body weight per day.
- the dosage ranges are from about 0.0001 mg per kilogram body weight per day to about 100 mg per kilogram body weight per day.
- dosages can be 1 mg/kg body weight or 10 mg/kg body weight every day, every two days or every three days or within the range of 1-10 mg/kg every week, every two weeks or every three weeks.
- a single dosage of peptide ranges from 0.1-10,000 micrograms per kg body weight.
- aromatic-cationic peptide concentrations in a carrier range from 0.2 to 2000 micrograms per delivered milliliter.
- a therapeutically effective amount of an aromatic-cationic peptide may be defined as a concentration of peptide at the target tissue of 10 ⁇ 11 to 10 ⁇ 6 molar, e.g., approximately 10 ⁇ 7 molar. This concentration may be delivered by systemic doses of 0.01 to 100 mg/kg or equivalent dose by body surface area. The schedule of doses would be optimized to maintain the therapeutic concentration at the target tissue, most preferably by single daily or weekly administration, but also including continuous administration (e.g., parenteral infusion or transdermal application).
- the dosage of the aromatic-cationic peptide is provided at a “low,” “mid,” or “high” dose level.
- the low dose is provided from about 0.0001 to about 0.5 mg/kg/h, suitably from about 0.001 to about 0.1 mg/kg/h.
- the mid-dose is provided from about 0.01 to about 1.0 mg/kg/h, suitably from about 0.01 to about 0.5 mg/kg/h.
- the high dose is provided from about 0.5 to about 10 mg/kg/h, suitably from about 0.5 to about 2 mg/kg/h.
- the dose of cardiovascular agent is from about 1 to 100 mg/kg, suitably about 25 mg/kg.
- treatment of a subject with a therapeutically effective amount of the therapeutic compositions described herein can include a single treatment or a series of treatments.
- the mammal treated in accordance present methods can be any mammal, including, for example, farm animals, such as sheep, pigs, cows, and horses; pet animals, such as dogs and cats; laboratory animals, such as rats, mice and rabbits.
- the mammal is a human.
- the aromatic-cationic peptide D-Arg-2′6′-Dmt-Lys-Phe-NH 2 was tested.
- test mice received a single, daily dose of the peptide, subcutaneously at 1 mg/kg.
- Control mice received a single daily dose of vehicle.
- TC total cholesterol
- Trigs triglycerides
- PL phospholipids
- FC free cholesterol
- CE cholesterol ester
- mice were euthanized within 48 hours after the last dose by CO 2 asphyxiation and the vascular tree was perfused with 5 mL of phosphate buffered saline (pH 7.4).
- the aorta and aortic sinus were removed for examination.
- Thoracic aorta were isolated, trimmed of fat, and fixed in formalin for 48-72 hours before analysis.
- aortas were laid out and pinned on black matrix for photography, and stained with Sudan IV. Vessels were imaged for surface involvement using a Nikon computerized image analysis system and the percent of the aortic surface area covered by lipid was calculated.
- the heart and approximately 5 mm of the ascending aorta was cut from the remainder of the aorta.
- the apex of the heart was removed and remaining heart with the attached aortic segment was fixed and sectioned (in OCT medium and frozen in a dry ice—2 methylbutane bath).
- Serial 10 ⁇ m thick cryosections were made beginning with the ascending aorta and proceeding through the entire aortic sinus until the ventricular chamber was reached.
- the sections were stained with Oil Red O or Sudan IV and counter stained with Harris hematoxylin. Alternate sections were stained with hematoxylin and eosin.
- the sinus was imaged at 5 step levels in the region of interest, i.e., the aortic root, for a total distance of 300 ⁇ m and the lipid-staining areas and measured (total cross sectional area) using a Nikon computerized image analysis system. The data were then computed by group and statistically analyzed.
- Table 7 shows the en face analysis of atherosclerotic lesions for each mouse in the study.
- Column 1 (sample ID #) represents each mouse, 1-15 are control animals (received vehicle alone), and 16-20 are test animals (received aromatic-cationic peptide);
- column 2 (Quan 1) shows a first determination of % of the aortic surface covered by lipid for each mouse in the study;
- column 3 (Quan 2) shows a second determination of % of the aortic surface covered by lipid for each mouse in the study;
- column 4 shows the average % of the surface of the aorta showing lesions for each mouse in the study;
- column 5 shows the average % of the surface of the aortas of control or test mice showing lesions;
- column 5 shows the standard error of the mean for each group (control or test animals).
- Aromatic-cationic peptides of the present disclosure are therefore useful in treating atherosclerosis and related signs, symptoms and complications of atherosclecrosis.
- Table 8 shows levels of total cholesterol (TC), free cholesterol (FC) and cholesterol ester (CE) in the thoracic aorta at 12 weeks for the 30 mice tested in the study.
- Mouse “sample” 1-15 are control mice (received vehicle only); mouse “sample” 16-20 are test mice (received aromatic-cationic peptide).
- treatment with aromatic-cationic peptides lowers the total cholesterol, free cholesterol and cholesterol esters in the thoracic aorta.
- Aromatic-cationic peptides of the present disclosure are therefore useful in treating atherosclerosis and related signs, symptoms and complications of atherosclerosis.
- Table 9 shows the total lesion area in the aortic root 300 ⁇ m across the aortic valve.
- Sample ID#1-15 are control mice (received vehicle only);
- Sample ID#16-20 are test mice (received aromatic-cationic peptide).
- treatment with aromatic-cationic peptides reduces total lesion area.
- Aromatic-cationic peptides of the present disclosure are therefore useful in treating atherosclerosis and related signs, symptoms and complications of atherosclerosis.
- total cholesterol (TC), free cholesterol (FC), cholesterol ester (CE), triglycerides (Trigs) and phospholipid (PL) is shown for each of the 15 control (sample #1-15) and 15 test animals (sample #16-30).
- aromatic-cationic peptides of the present disclosure are therefore useful in treating atherosclerosis and related signs, symptoms and complications of atherosclerosis.
- FIGS. 1-3 Results are further shown in FIGS. 1-3 .
- FIG. 1A shows that at 12 weeks, the % lesion area is lower in the treated (dark bar) versus untreated (white bars) group. Thus there is a decrease in plaque present in the thoracic aorta of treated versus untreated subjects.
- FIG. 1 B is a photograph of lesions on the vehicle only aorta versus the treated aorta.
- the aromatic-cationic peptides of the present disclosure are useful for decreasing the amount of atherosclerotic plaque in both the aorta and aortic root, and for decreasing the plaque cholesterol content.
- the aromatic-cationic peptides of the present disclosure are useful for treating or preveing atherosclerosis and related signs, symptoms and complications of atherosclerosis.
- a “western diet” 40 kcal % butterfat, 0.15% [wt/wt] cholesterol
- the aromatic-cationic peptide D-Arg-2′6′-Dmt-Lys-Phe-NH 2 (sterile lyophilized powder) is tested.
- Each group of test mice receives a single, daily dose of the peptide, subcutaneously at 1, 3, 5 or 10 mg/kg, and also receives, simultaneously atorvastatin, fluvastatin, lovastatin, pravastatin or rosuvastatin at 0.1, 0.5, 0.75 or 1 mg/kg.
- Control mice receive vehicle only. The injections continue for 12 weeks, at which time the mice are sacrificed and analyzed as described in Example 1.
- Plasma lipid analysis using an autoanalyzer include an evaluation of total cholesterol (TC), triglycerides (Trigs), phospholipids (PL), free cholesterol (FC), and cholesterol ester (CE, by calculation).
- TC total cholesterol
- Trigs triglycerides
- PL phospholipids
- FC free cholesterol
- CE cholesterol ester
- Gel electrophoresis is used to measure levels of high-density lipoprotein cholesterol (HDL-C), low-density lipoprotein cholesterol (LDL-C), and very low-density lipoprotein cholesterol (VLDL-C). Histopathology/histomorphometery is performed as described above in Example 1.
- mice receiving both the peptide and the statin will show decreased levels of total cholesterol, free cholesterol, triglyceride, phospholipid, cholesterol ester, LDL-C and VLDL-C as well as a decrease in the lesions as compared to subjects receiving vehicle only. It is also anticipated that in some instances, subjects receiving the combination treatment (aromatic-cationic peptide plus statin) will exhibit a synergy between the two drugs, such that a lower dose of peptide, the statin or both will achieve desired results, e.g., lowered levels of total cholesterol, free cholesterol, triglyceride, phospholipid, cholesterol ester, LDL-C and VLDL-C and/or lesions.
- aromatic-cationic peptides of the present disclosure will be useful for treating atherosclerosis, and signs, symptoms or complications of atherosclerosis, including but not limited to increased total cholesterol, free cholesterol, triglyceride, phospholipid, cholesterol ester, LDL-C and VLDL-C and increased atherosclerotic lesions.
- Fibroblasts were treated with an aromatic-cationic peptide of the present disclosure, and levels of coenzyme Q10 were evaluated.
- Coenzyme Q10 levels were evaluated by methods known in the art.
- results are shown in FIG. 5 .
- the aromatic-cationic peptides of the present disclosure are useful for increasing coenzyme Q10 levels in subjects in need thereof.
- the aromatic-cationic peptides of the present disclosure are useful for increasing coenzyme Q10 levels in subjects taking one or more statin drugs and/or in subjects suffering from a disease or conditions characterized by, or caused by low (e.g., below normal or control levels) coenzyme Q10 levels.
- the aromatic-cationic peptides of the present disclosure are useful to treat, prevent or ameliorate the signs and/or symptoms of diseases or conditions characterized by low (e.g., below normal or control levels) coenzyme Q10 levels.
- a range includes each individual member.
- a group having 1-3 cells refers to groups having 1, 2, or 3 cells.
- a group having 1-5 cells refers to groups having 1, 2, 3, 4, or 5 cells, and so forth.
Landscapes
- Health & Medical Sciences (AREA)
- Life Sciences & Earth Sciences (AREA)
- Chemical & Material Sciences (AREA)
- Medicinal Chemistry (AREA)
- Animal Behavior & Ethology (AREA)
- Veterinary Medicine (AREA)
- General Health & Medical Sciences (AREA)
- Pharmacology & Pharmacy (AREA)
- Public Health (AREA)
- Epidemiology (AREA)
- Engineering & Computer Science (AREA)
- Bioinformatics & Cheminformatics (AREA)
- Emergency Medicine (AREA)
- Immunology (AREA)
- Gastroenterology & Hepatology (AREA)
- Proteomics, Peptides & Aminoacids (AREA)
- General Chemical & Material Sciences (AREA)
- Cardiology (AREA)
- Vascular Medicine (AREA)
- Urology & Nephrology (AREA)
- Organic Chemistry (AREA)
- Nuclear Medicine, Radiotherapy & Molecular Imaging (AREA)
- Chemical Kinetics & Catalysis (AREA)
- Heart & Thoracic Surgery (AREA)
- Medicines That Contain Protein Lipid Enzymes And Other Medicines (AREA)
- Pharmaceuticals Containing Other Organic And Inorganic Compounds (AREA)
- Acyclic And Carbocyclic Compounds In Medicinal Compositions (AREA)
- Medicines Containing Antibodies Or Antigens For Use As Internal Diagnostic Agents (AREA)
- Peptides Or Proteins (AREA)
- Medicinal Preparation (AREA)
Abstract
Description
- This application claims the benefit of and priority to U.S. Application No. 61/678,992 filed on Aug. 2, 2012, U.S. Application No. 61/695,807 filed on Aug. 31, 2012, and U.S. Application No. 61/695,850 filed on Aug. 31, 2012. The content of each application is incorporated herein by reference in its entirety.
- The present technology relates generally to compositions and methods of preventing or treating atherosclerosis. In particular, embodiments of the present technology relate to administering aromatic-cationic peptides in effective amounts to prevent or treat atherosclerosis in mammalian subjects.
- The present technology relates to the treatment or prevention of atherosclerosis in mammals through the administration of a therapeutically effective amount of aromatic-cationic peptides and, in some embodiments, a second active agent. In some embodiments, the second active agent includes an antihyperlipidemic drug. In some embodiments, the second active agent includes a statin.
- In one aspect, the present disclosure provides a pharmaceutical composition comprising (i) a peptide D-Arg-2′6′-Dmt-Lys-Phe-NH2 or a pharmaceutically acceptable salt, such as acetate or trifluoroacetate salt, and (ii) a second active agent, e.g. an antihyperlipidemic agent. In some embodiments, the second active agent comprises a statin.
- In one aspect, the present disclosure provides a method for treating atherosclerosis in a mammalian subject, the method comprising administering an effective amount of peptide D-Arg-2′6′-Dmt-Lys-Phe-NH2 or a pharmaceutically acceptable salt, such as acetate or trifluoroacetate salt.
- In one aspect, the present disclosure provides a method for treating atherosclerosis in a mammalian subject, the method comprising administering simultaneously, separately or sequentially an effective amount of (i) a peptide D-Arg-2′6′-Dmt-Lys-Phe-NH2 or a pharmaceutically acceptable salt thereof and (ii) an antihyperlipidemic drug. In some embodiments, the antihyperlipidemic drug includes one or more of: atorvastatin, simvastatin, pravastatin, fluvastatin, lovastatin, pitavastatin, rosuvastatin, clinofibrate, clofibrate, simfibrate, fenofibrate, bezafibrate, colestimide, colestyramine, ADVICOR® (niacin extended-release/lovastatin), ALTOPREV® (lovastatin extended-release), CADUET® (amlodipine and atorvastatin), CRESTOR® (rosuvastatin), JUVISYNC® (sitagliptin/simvastatin), LESCOL® (fluvastatin), LESCOL XL (fluvastatin extended-release), LIPITOR® (atorvastatin), LIVALO® (pitavastatin), MEVACOR® (lovastatin), PRAVACHOL® (pravastatin), SIMCOR® (niacin extended-release/simvastatin), VYTORIN® (ezetimibe/simvastatin), and ZOCOR® (simvastatin). In some embodiments, the antihyperlipidemic drug is a statin. In some embodiments, the statin includes one or more of: ADVICOR® (niacin extended-release/lovastatin), ALTOPREV® (lovastatin extended-release), CADUET® (amlodipine and atorvastatin), CRESTOR® (rosuvastatin), JUVISYNC® (sitagliptin/simvastatin), LESCOL® (fluvastatin), LESCOL XL (fluvastatin extended-release), LIPITOR® (atorvastatin), LIVALO® (pitavastatin), MEVACOR® (lovastatin), PRAVACHOL® (pravastatin), SIMCOR® (niacin extended-release/simvastatin), VYTORIN® (ezetimibe/simvastatin), and ZOCOR® (simvastatin).
- In some embodiments, the peptide and the antihyperlipidemic agent are administered simultaneously. In some embodiments, the peptide and the antihyperlipidemic agent are administered sequentially in either order.
- In one aspect, the present disclosure provides a method for preventing atherosclerosis in a mammalian subject, the method comprising administering a therapeutically effective amount of a peptide D-Arg-2′6′-Dmt-Lys-Phe-NH2 or a pharmaceutically acceptable salt thereof.
- In one aspect, the present disclosure provides a method for preventing atherosclerosis in a mammalian subject, the method comprising administering simultaneously, separately or sequentially an effective amount of (i) a peptide D-Arg-2′6′-Dmt-Lys-Phe-NH2 or a pharmaceutically acceptable salt thereof and (ii) an antihyperlipidemic drug. In some embodiments, the antihyperlipidemic drug includes one or more of: atorvastatin, simvastatin, pravastatin, fluvastatin, lovastatin, pitavastatin, rosuvastatin, clinofibrate, clofibrate, simfibrate, fenofibrate, bezafibrate, colestimide, colestyramine, ADVICOR® (niacin extended-release/lovastatin), ALTOPREV® (lovastatin extended-release), CADUET® (amlodipine and atorvastatin), CRESTOR® (rosuvastatin), JUVISYNC® (sitagliptin/simvastatin), LESCOL® (fluvastatin), LESCOL XL (fluvastatin extended-release), LIPITOR® (atorvastatin), LIVALO® (pitavastatin), MEVACOR® (lovastatin), PRAVACHOL® (pravastatin), SIMCOR® (niacin extended-release/simvastatin), VYTORIN® (ezetimibe/simvastatin), and ZOCOR® (simvastatin). In some embodiments, the antihyperlipidemic drug is a statin. In some embodiments, the statin includes one or more of: ADVICOR® (niacin extended-release/lovastatin), ALTOPREV® (lovastatin extended-release), CADUET® (amlodipine and atorvastatin), CRESTOR® (rosuvastatin), JUVISYNC® (sitagliptin/simvastatin), LESCOL® (fluvastatin), LESCOL XL (fluvastatin extended-release), LIPITOR® (atorvastatin), LIVALO® (pitavastatin), MEVACOR® (lovastatin), PRAVACHOL® (pravastatin), SIMCOR® (niacin extended-release/simvastatin), VYTORIN® (ezetimibe/simvastatin), and ZOCOR® (simvastatin).
- In some embodiments, the peptide and the antihyperlipidemic agent are administered simultaneously. In some embodiments, the peptide and the antihyperlipidemic agent are administered sequentially in either order. In some embodiments, the subject is predisposed to atherosclerosis.
- In one aspect, the present disclosure provides a method for ameliorating the signs, symptoms or complications of atherosclerosis, the method comprising administering a therapeutically effective amount of a peptide D-Arg-2′6′-Dmt-Lys-Phe-NH2 or a pharmaceutically acceptable salt thereof.
- In one aspect, the present disclosure provides a method for ameliorating the signs, symptoms or complications of atherosclerosis, the method comprising administering simultaneously, separately or sequentially an effective amount of (i) a peptide D-Arg-2′6′-Dmt-Lys-Phe-NH2 or a pharmaceutically acceptable salt thereof and (ii) an antihyperlipidemic drug. In some embodiments, the antihyperlipidemic drug includes one or more of: atorvastatin, simvastatin, pravastatin, fluvastatin, lovastatin, pitavastatin, rosuvastatin, clinofibrate, clofibrate, simfibrate, fenofibrate, bezafibrate, colestimide, colestyramine, ADVICOR® (niacin extended-release/lovastatin), ALTOPREV® (lovastatin extended-release), CADUET® (amlodipine and atorvastatin), CRESTOR® (rosuvastatin), JUVISYNC® (sitagliptin/simvastatin), LESCOL® (fluvastatin), LESCOL XL (fluvastatin extended-release), LIPITOR® (atorvastatin), LIVALO® (pitavastatin), MEVACOR® (lovastatin), PRAVACHOL® (pravastatin), SIMCOR® (niacin extended-release/simvastatin), VYTORIN® (ezetimibe/simvastatin), and ZOCOR® (simvastatin). In some embodiments, the antihyperlipidemic drug is a statin. In some embodiments, the statin includes one or more of: ADVICOR® (niacin extended-release/lovastatin), ALTOPREV® (lovastatin extended-release), CADUET® (amlodipine and atorvastatin), CRESTOR® (rosuvastatin), JUVISYNC® (sitagliptin/simvastatin), LESCOL (fluvastatin), LESCOL XL (fluvastatin extended-release), LIPITOR® (atorvastatin), LIVALO® (pitavastatin), MEVACOR® (lovastatin), PRAVACHOI® (pravastatin), SIMCOR® (niacin extended-release/simvastatin), VYTORIN® (ezetimibe/simvastatin), and ZOCOR® (simvastatin).
- In some embodiments, the peptide and the antihyperlipidemic agent are administered simultaneously. In some embodiments, the peptide and the antihyperlipidemic agent are administered sequentially in either order.
- In some embodiments, the signs, symptoms or complications of atherosclerosis include one or more of: elevated levels total cholesterol, very low density lipoprotein cholesterol (VLDL-C), low density lipoprotein cholesterol (LDL-C), free (unesterified) cholesterol, cholesterol ester, phospholipids, triglycerides, and atherosclerotic lesions.
- In one aspect, a method for delaying onset, ameliorating or eliminating statin side effects in a subject in need thereof is provided. In some embodiments, the method includes administering simultaneously, separately or sequentially with the statin, an effective amount of a peptide D-Arg-2′6′-Dmt-Lys-Phe-NH2 or a pharmaceutically acceptable salt thereof. In some embodiments, the statin side effect includes one or more of myopathy, rhabdomyolysis kidney failure, diabetes, memory loss, decreased coenzyme Q10 levels and mitochondrial dysfunction. In some embodiments, the statin includes one or more of atorvastatin, simvastatin, pravastatin, fluvastatin, lovastatin, pitavastatin, rosuvastatin, ADVICOR® (niacin extended-release/lovastatin), ALTOPREV® (lovastatin extended-release), CADUET® (amlodipine and atorvastatin), CRESTOR® (rosuvastatin), JUVISYNC® (sitagliptin/simvastatin), LESCOL® (fluvastatin), LESCOL XL (fluvastatin extended-release), LIPITOR® (atorvastatin), LIVALO® (pitavastatin), MEVACOR® (lovastatin), PRAVACHOL® (pravastatin), SIMCOR® (niacin extended-release/simvastatin), VYTORIN® (ezetimibe/simvastatin), and ZOCOR® (simvastatin).
- In some embodiments, treatment includes decreasing the size or number of atherosclerotic plaques in the subject, and/or decreasing the cholesterol content of an atherosclerotic plaque in the subject.
- In some aspects, a method for increasing statin dosage in a subject in need thereof is provided. In some embodiments, the method includes administering an effective amount of a statin at a first dosage level, and an aromatic-cationic peptide; evaluating the subject for side-effects characteristic of the statin, wherein the side effects in the subject are reduced or absent as compared to a control subject administered the statin and not the aromatic-cationic peptide; administering a statin at a second dosage level, wherein the second dosage level is higher than the first statin dosage level. In some embodiments, the peptide is D-Arg-2′6′-Dmt-Lys-Phe-NH2. In some embodiments, the statin includes LIPITOR® or CRESTOR®.
- In some embodiments, the side effect characteristic of the statin includes one or more of myopathy, rhabdomyolysis, kidney failure, diabetes, memory loss, decreased coenzyme Q10 levels and mitochondrial dysfunction.
- In some embodiments, ameliorating the signs, symptoms or complications of atherosclerosis includes decreasing the size or number of atherosclerotic plaques in the subject, and/or decreasing the cholesterol content of an atherosclerotic plaque in the subject.
- In some embodiments, the peptide used in the compositions and methods disclosed herein is defined by formula I:
- wherein R1 and R2 are each independently selected from
- (i) hydrogen;
- (ii) linear or branched C1-C6 alkyl;
- where m=1-3;
- (iv)
- (v)
- R3 and R4 are each independently selected from
- (i) hydrogen;
- (ii) linear or branched C1-C6 alkyl;
- (iii) C1-C6 alkoxy,
- (iv) amino;
- (v) C1-C4 alkylamino;
- (vi) C1-C4 dialkylamino;
- (vii) nitro;
- (viii) hydroxyl;
- (ix) halogen, where “halogen” encompasses chloro, fluoro, bromo, and iodo; R5, R6, R7, R8, and R9 are each independently selected from
- (i) hydrogen;
- (ii) linear or branched C1-C6 alkyl;
- (iii) C1-C6 alkoxy,
- (iv) amino;
- (v) C1-C4 alkylamino;
- (vi) C1-C4 dialkylamino;
- (vii) nitro;
- (viii) hydroxyl;
- (ix) halogen, where “halogen” encompasses chloro, fluoro, bromo, and iodo; and n is an integer from 1 to 5.
- In a particular embodiment, R1 and R2 are hydrogen; R3 and R4 are methyl; R5, R6, R7, R8, and R9 are all hydrogen; and n is 4.
- In some embodiments, the peptides used in the methods and compositions disclosed herein are defined by formula II:
- wherein R1 and R2 are each independently selected from
- (i) hydrogen;
- (ii) linear or branched C1-C6 alkyl;
- (iii)
- where m=1-3;
- (iv)
- (v)
- R3, R4, R5, R6, R7, R8, R9, R10, R11 and R12 are each independently selected from
- (i) hydrogen;
- (ii) linear or branched C1-C6 alkyl;
- (iii) C1-C6 alkoxy;
- (iv) amino;
- (v) C1-C4 alkylamino;
- (vi) C1-C4 dialkylamino;
- (vii) nitro;
- (viii) hydroxyl;
- (ix) halogen, where “halogen” encompasses chloro, fluoro, bromo, and iodo; and n is an integer from 1 to 5.
- In some embodiments, R1, R2, R3, R4, R5, R6, R7, R8, R9, R10, R11, and R12 are all hydrogen; and n is 4. In another embodiment, R1, R2, R3, R4, R5, R6, R7, R8, R9, and R11 are all hydrogen; R8 and R12 are methyl; R10 is hydroxyl; and n is 4.
- In some embodiments, the peptide comprises a tyrosine or a 2′,6′-dimethyltyrosine (Dmt) residue at the N-terminus. For example, the peptide may have the formula Tyr-
D -Arg-Phe-Lys-NH2 or 2′6′-Dmt-D -Arg-Phe-Lys-NH2. In another embodiment, the peptide comprises a phenylalanine or a 2′6′-dimethylphenylalanine residue at the N-terminus. For example, the peptide may have the formula Phe-D -Arg-Phe-Lys-NH2 or 2′6′-Dmp-D -Arg-Phe-Lys-NH2. In a particular embodiment, the aromatic-cationic peptide has the formula D-Arg-2′6′-Dmt-Lys-Phe-NH2. - The aromatic-cationic peptides may be administered in a variety of ways. In some embodiments, the peptides may be administered orally, topically, intranasally, intraperitoneally, intravenously, subcutaneously, or transdermally (e.g., by iontophoresis).
-
FIG. 1A is a graph showing the % lesion area in control mice (vehicle only—white bar) and test mice (aromatic-cationic peptide D-Arg-2′6′-Dmt-Lys-Phe-NH2— dark bars) after 12 weeks of vehicle or peptide administration.FIG. 1B is a photograph showing atherosclerotic lesions on aorta from a subject receiving vehicle only (left panel) or aromatic-cationic peptide (right panel). -
FIG. 2 is a graph showing the thoracic aorta cholesterol (μg/mg protein) in control mice (vehicle only—white bars) and test mice (aromatic-cationic peptide D-Arg-2′6′-Dmt-Lys-Phe-NH2—dark bars) after 12 weeks of vehicle or peptide administration. TC=total cholesterol; FC=free cholesterol; CE=cholesterol ester. -
FIG. 3 is a graph showing mean leasion area (mm2) in control mice (vehicle only) and test mice (aromatic-cationic peptide D-Arg-2′6′-Dmt-Lys-Phe-NH2) after 12 weeks. -
FIG. 4A-H show levels of (A) total cholesterol; (B) free cholesterol; (C) cholesterol ester; (D) HDL-C; (E) VLDL-C; (F) LDL-C; (G) triglycerides; and (H) phospholipids after 0, 4, 8 and 12 weeks of treatment with vehicle or peptide administration. Light bars in each panel represent data from control mice (vehicle only); dark bars represent data from the test mice (aromatic-cationic peptide D-Arg-2′6′-Dmt-Lys-Phe-NH2). -
FIG. 5 is a graph showing the effect of the aromatic-cationic peptide D-Arg-2′6′-Dmt-Lys-Phe-NH2 on coenzyme Q10 levels in fibroblast cells. The first bar represents saline treated fibroblasts; the second bar represents fibroblasts treated with 10 nM peptide for 16-24 hours; the third bar represents fibroblasts treated with 10 nM peptide for 5 days. -
FIG. 6A is a diagram of the chemical structure of atorvastatin.FIG. 6B is a diagram of the chemical structure of rosuvastatin. - It is to be appreciated that certain aspects, modes, embodiments, variations and features of the invention are described below in various levels of detail in order to provide a substantial understanding of the present invention.
- In practicing the present invention, many conventional techniques in molecular biology, protein biochemistry, cell biology, immunology, microbiology and recombinant DNA are used. These techniques are well-known and are explained in, e.g., Current Protocols in Molecular Biology, Vols. I-III, Ausubel, Ed. (1997); Sambrook et al., Molecular Cloning: A Laboratory Manual, Second Ed. (Cold Spring Harbor Laboratory Press, Cold Spring Harbor, N.Y., 1989); DNA Cloning: A Practical Approach, Vols. I and II, Glover, Ed. (1985); Oligonucleotide Synthesis, Gait, Ed. (1984); Nucleic Acid Hybridization, Hames & Higgins, Eds. (1985); Transcription and Translation, Hames & Higgins, Eds. (1984); Animal Cell Culture, Freshney, Ed. (1986); Immobilized Cells and Enzymes (IRL Press, 1986); Perbal, A Practical Guide to Molecular Cloning; the series, Meth. Enzymol., (Academic Press, Inc., 1984); Gene Transfer Vectors for Mammalian Cells, Miller & Calos, Eds. (Cold Spring Harbor Laboratory, NY, 1987); and Meth. Enzymol., Vols. 154 and 155, Wu & Grossman, and Wu, Eds., respectively.
- The definitions of certain terms as used in this specification are provided below. Unless defined otherwise, all technical and scientific terms used herein generally have the same meaning as commonly understood by one of ordinary skill in the art to which this invention belongs.
- As used in this specification and the appended claims, the singular forms “a”, “an” and “the” include plural referents unless the content clearly dictates otherwise. For example, reference to “a cell” includes a combination of two or more cells, and the like.
- As used herein, the “administration” of an agent, drug, or peptide to a subject includes any route of introducing or delivering to a subject a compound to perform its intended function. Administration can be carried out by any suitable route, including orally, intranasally, parenterally (intravenously, intramuscularly, intraperitoneally, or subcutaneously), or topically. Administration includes self-administration and the administration by another.
- As used herein, the term “amino acid” includes naturally-occurring amino acids and synthetic amino acids, as well as amino acid analogs and amino acid mimetics that function in a manner similar to the naturally-occurring amino acids. Naturally-occurring amino acids are those encoded by the genetic code, as well as those amino acids that are later modified, e.g., hydroxyproline, γ-carboxyglutamate, and O-phosphoserine. Amino acid analogs refers to compounds that have the same basic chemical structure as a naturally-occurring amino acid, i.e., an α-carbon that is bound to a hydrogen, a carboxyl group, an amino group, and an R group, e.g., homoserine, norleucine, methionine sulfoxide, methionine methyl sulfonium. Such analogs have modified R groups (e.g., norleucine) or modified peptide backbones, but retain the same basic chemical structure as a naturally-occurring amino acid. Amino acid mimetics refers to chemical compounds that have a structure that is different from the general chemical structure of an amino acid, but that functions in a manner similar to a naturally-occurring amino acid. Amino acids can be referred to herein by either their commonly known three letter symbols or by the one-letter symbols recommended by the IUPAC-IUB Biochemical Nomenclature Commission.
- As used herein, the term “effective amount” refers to a quantity sufficient to achieve a desired therapeutic and/or prophylactic effect, e.g., an amount which results in the prevention of, or a decrease in, atherosclerosis or one or more symptoms associated with atherosclerosis. In the context of therapeutic or prophylactic applications, the amount of a composition administered to the subject will depend on the type and severity of the disease and on the characteristics of the individual, such as general health, age, sex, body weight and tolerance to drugs. It will also depend on the degree, severity and type of disease. The skilled artisan will be able to determine appropriate dosages depending on these and other factors. The compositions can also be administered in combination with one or more additional therapeutic compounds. In the methods described herein, the aromatic-cationic peptides may be administered to a subject having one or more signs or symptoms of atherosclerosis. For example, a “therapeutically effective amount” of the aromatic-cationic peptides is meant levels in which the physiological effects of atherosclerosis are, at a minimum, ameliorated. In some embodiments, signs, symptoms or complications of atherosclerosis include, but are not limited to: increased plasma total cholesterol, increased plasma free cholesterol, increased plasma cholesterol ester, lesions (e.g. aortic lesions), increased plasma very low-density lipoprotein, increased plasma low density lipoprotein and/or increased plasma phospholipids.
- An “isolated” or “purified” polypeptide or peptide is substantially free of cellular material or other contaminating polypeptides from the cell or tissue source from which the agent is derived, or substantially free from chemical precursors or other chemicals when chemically synthesized. For example, an isolated aromatic-cationic peptide would be free of materials that would interfere with diagnostic or therapeutic uses of the agent. Such interfering materials may include enzymes, hormones and other proteinaceous and nonproteinaceous solutes.
- As used herein, the terms “polypeptide,” “peptide,” and “protein” are used interchangeably herein to mean a polymer comprising two or more amino acids joined to each other by peptide bonds or modified peptide bonds, i.e., peptide isosteres. Polypeptide refers to both short chains, commonly referred to as peptides, glycopeptides or oligomers, and to longer chains, generally referred to as proteins. Polypeptides may contain amino acids other than the 20 gene-encoded amino acids. Polypeptides include amino acid sequences modified either by natural processes, such as post-translational processing, or by chemical modification techniques that are well known in the art.
- As used herein, the term “simultaneous” therapeutic use refers to the administration of at least two active ingredients by the same route and at the same time or at substantially the same time.
- As used herein, the term “separate” therapeutic use refers to an administration of at least two active ingredients at the same time or at substantially the same time by different routes.
- As used herein, the term “sequential” therapeutic use refers to administration of at least two active ingredients at different times, the administration route being identical or different. More particularly, sequential use refers to the whole administration of one of the active ingredients before administration of the other or others commences. It is thus possible to administer one of the active ingredients over several minutes, hours, or days before administering the other active ingredient or ingredients. There is no simultaneous treatment in this case.
- As used herein, the terms “treating” or “treatment” or “alleviation” refers to both therapeutic treatment and prophylactic or preventative measures, wherein the object is to prevent or slow down (lessen) the targeted pathologic condition or disorder. For example, a subject is successfully “treated” for atherosclerosis if, after receiving a therapeutic amount of the aromatic-cationic peptides according to the methods described herein, the subject shows observable and/or measurable reduction in or absence of one or more signs, symptoms or complications of atherosclerosis, such as, e.g., reduced total plasma cholesterol, free cholesterol, cholesterol ester, very low-density lipoprotein cholesterol (VLDL-C), low density lipoprotein cholesterol (LDL-C), phospholipids, lesion size and/or number (e.g. aortic lesions), lowered levels of cholesterol in the aortic tissue and/or aortic plaques, and/or lowered levels of cholesterol atherosclerotic lesions or plaques as compared to a subject not treated with the therapeutic aromatic-cationic peptide. It is also to be appreciated that the various modes of treatment or prevention of medical conditions as described are intended to mean “substantial,” which includes total but also less than total treatment or prevention, and wherein some biologically or medically relevant result is achieved.
- As used herein, “prevention” or “preventing” of a disorder or condition refers to one or more compounds that, in a statistical sample, reduces the occurrence of the disorder or condition in the treated sample relative to an untreated control sample, or delays the onset or reduces the severity of one or more symptoms of the disorder or condition relative to the untreated control sample. As used herein, preventing atherosclerosis includes reducing to, or maintaining at, normal levels one or more signs, symptoms or complications of atherosclerosis including, but not limited to total plasma cholesterol, free cholesterol, cholesterol ester, very low-density lipoprotein cholesterol, low density lipoprotein cholesterol, phospholipids, lesion size and/or number (e.g. aortic lesions), levels of cholesterol in the aortic tissue and/or aortic plaques, and/or levels of cholesterol atherosclerotic lesions or plaques as compared to a subject not treated with the therapeutic aromatic-cationic peptide.
- As used herein the terms “antihyperlipidemic agent” or “antihyperlipidemic drug” are synonymous with the terms “hypolipidemic agent” or “hypolipidemic drug.”
- The present technology relates to the treatment or prevention of atherosclerosis by administration of aromatic-cationic peptides and, in some embodiments, aromatic-cationic peptides in conjunction with one or more active agents to a subject in need thereof. For example, the present technology relates to the treatment or prevention of atherosclerosis by administration of aromatic-cationic peptides, and in some embodiments, an aromatic-cationic peptide and one or more antihyperlipidemic drugs (e.g., statins) to a subject in need thereof.
- In one embodiment, the aromatic-cationic peptides and/or one or more agents are administered in dosages that are sub-therapeutic for each agent when administered separately. However, in some embodiments, the combination of the two agents results in synergism, which provides an enhanced effect that is not observed when each of the agents are administered individually at higher doses. In one embodiment, the administration of the aromatic-cationic peptide and one or more agents “primes” the tissue, so that it is more responsive to the therapeutic effects of the other agent. Thus, in some embodiments, a lower dose of the aromatic-cationic peptide and/or the one or more agents (e.g., antihyperlipidemic drugs, such as statins) can be administered, and yet, a therapeutic effect is still observed.
- In some embodiments, the subject (e.g., a subject suffering from atherosclerosis, and/or exhibiting the signs, symptoms or complications of atherosclerosis, and/or who is predisposed to atherosclerosis or the signs, symptoms or complications of atherosclerosis) is administered the peptide, or is administered a peptide and one or more antihyperlipidemic drugs (e.g., statins) simultaneously, separately, or sequentially. In some embodiments, the subject is administered the peptide or is administered the peptide and one or more antihyperlipidemic drugs (e.g., statins), before atherosclerosis or before the signs, symptoms or complications of atherosclerosis are evident.
- Aromatic-cationic peptides are water-soluble and highly polar. Despite these properties, the peptides can readily penetrate cell membranes. The aromatic-cationic peptides typically include a minimum of three amino acids or a minimum of four amino acids, covalently joined by peptide bonds. The maximum number of amino acids present in the aromatic-cationic peptides is about twenty amino acids covalently joined by peptide bonds. Suitably, the maximum number of amino acids is about twelve, more preferably about nine, and most preferably about six.
- The amino acids of the aromatic-cationic peptides can be any amino acid. As used herein, the term “amino acid” is used to refer to any organic molecule that contains at least one amino group and at least one carboxyl group. Typically, at least one amino group is at the at position relative to a carboxyl group. The amino acids may be naturally occurring. Naturally occurring amino acids include, for example, the twenty most common levorotatory (L) amino acids normally found in mammalian proteins, i.e., alanine (Ala), arginine (Arg), asparagine (Asn), aspartic acid (Asp), cysteine (Cys), glutamine (Gln), glutamic acid (Glu), glycine (Gly), histidine (His), isoleucine (Ile), leucine (Leu), lysine (Lys), methionine (Met), phenylalanine (Phe), proline (Pro), serine (Ser), threonine (Thr), tryptophan, (Trp), tyrosine (Tyr), and valine (Val). Other naturally occurring amino acids include, for example, amino acids that are synthesized in metabolic processes not associated with protein synthesis. For example, the amino acids ornithine and citrulline are synthesized in mammalian metabolism during the production of urea. Another example of a naturally occurring amino acid includes hydroxyproline (Hyp).
- The peptides optionally contain one or more non-naturally occurring amino acids. For example, the peptide may have no amino acids that are naturally occurring. The non-naturally occurring amino acids may be levorotary (
L -), dextrorotatory (D -), or mixtures thereof. Non-naturally occurring amino acids are those amino acids that typically are not synthesized in normal metabolic processes in living organisms, and do not naturally occur in proteins. In addition, the non-naturally occurring amino acids suitably are also not recognized by common proteases. The non-naturally occurring amino acid can be present at any position in the peptide. For example, the non-naturally occurring amino acid can be at the N-terminus, the C-terminus, or at any position between the N-terminus and the C-terminus. - The non-natural amino acids may, for example, comprise alkyl, aryl, or alkylaryl groups not found in natural amino acids. Some examples of non-natural alkyl amino acids include α-aminobutyric acid, β-aminobutyric acid, γ-aminobutyric acid, δ-aminovaleric acid, and ε-aminocaproic acid. Some examples of non-natural aryl amino acids include ortho-, meta, and para-aminobenzoic acid. Some examples of non-natural alkylaryl amino acids include ortho-, meta-, and para-aminophenylacetic acid, and γ-phenyl-β-aminobutyric acid. Non-naturally occurring amino acids include derivatives of naturally occurring amino acids. The derivatives of naturally occurring amino acids may, for example, include the addition of one or more chemical groups to the naturally occurring amino acid.
- For example, one or more chemical groups can be added to one or more of the 2′, 3′, 4′, 5′, or 6′ position of the aromatic ring of a phenylalanine or tyrosine residue, or the 4′, 5′, 6′, or 7′ position of the benzo ring of a tryptophan residue. The group can be any chemical group that can be added to an aromatic ring. Some examples of such groups include branched or unbranched C1-C4 alkyl, such as methyl, ethyl, n-propyl, isopropyl, butyl, isobutyl, or t-butyl, C1-C4 alkyloxy (i.e., alkoxy), amino, C1-C4 alkylamino and C1-C4 dialkylamino (e.g., methylamino, dimethylamino), nitro, hydroxyl, halo (i.e., fluoro, chloro, bromo, or iodo). Some specific examples of non-naturally occurring derivatives of naturally occurring amino acids include norvaline (Nva) and norleucine (Nle).
- Another example of a modification of an amino acid in a peptide is the derivatization of a carboxyl group of an aspartic acid or a glutamic acid residue of the peptide. One example of derivatization is amidation with ammonia or with a primary or secondary amine, e.g. methylamine, ethylamine, dimethylamine or diethylamine. Another example of derivatization includes esterification with, for example, methyl or ethyl alcohol. Another such modification includes derivatization of an amino group of a lysine, arginine, or histidine residue. For example, such amino groups can be acylated. Some suitable acyl groups include, for example, a benzoyl group or an alkanoyl group comprising any of the C1-C4 alkyl groups mentioned above, such as an acetyl or propionyl group.
- The non-naturally occurring amino acids are preferably resistant, and more preferably insensitive, to common proteases. Examples of non-naturally occurring amino acids that are resistant or insensitive to proteases include the dextrorotatory (
D -) form of any of the above-mentioned naturally occurringL -amino acids, as well asL - and/orD -non-naturally occurring amino acids. TheD -amino acids do not normally occur in proteins, although they are found in certain peptide antibiotics that are synthesized by means other than the normal ribosomal protein synthetic machinery of the cell. As used herein, theD -amino acids are considered to be non-naturally occurring amino acids. - In order to minimize protease sensitivity, the peptides should have less than five, preferably less than four, more preferably less than three, and most preferably, less than two contiguous
L -amino acids recognized by common proteases, irrespective of whether the amino acids are naturally or non-naturally occurring. Optimally, the peptide has onlyD -amino acids, and noL -amino acids. If the peptide contains protease sensitive sequences of amino acids, at least one of the amino acids is preferably a non-naturally-occurringD -amino acid, thereby conferring protease resistance. An example of a protease sensitive sequence includes two or more contiguous basic amino acids that are readily cleaved by common proteases, such as endopeptidases and trypsin. Examples of basic amino acids include arginine, lysine and histidine. - The aromatic-cationic peptides should have a minimum number of net positive charges at physiological pH in comparison to the total number of amino acid residues in the peptide. The minimum number of net positive charges at physiological pH will be referred to below as (pm). The total number of amino acid residues in the peptide will be referred to below as (r). The minimum number of net positive charges discussed below are all at physiological pH. The term “physiological pH” as used herein refers to the normal pH in the cells of the tissues and organs of the mammalian body. For instance, the physiological pH of a human is normally approximately 7.4, but normal physiological pH in mammals may be any pH from about 7.0 to about 7.8.
- “Net charge” as used herein refers to the balance of the number of positive charges and the number of negative charges carried by the amino acids present in the peptide. In this specification, it is understood that net charges are measured at physiological pH. The naturally occurring amino acids that are positively charged at physiological pH include
L -lysine,L -arginine, andL -histidine. The naturally occurring amino acids that are negatively charged at physiological pH includeL -aspartic acid andL -glutamic acid. Typically, a peptide has a positively charged N-terminal amino group and a negatively charged C-terminal carboxyl group. The charges cancel each other out at physiological pH. - In one embodiment, the aromatic-cationic peptides have a relationship between the minimum number of net positive charges at physiological pH (pm) and the total number of amino acid residues (r) wherein 3pm is the largest number that is less than or equal to r+1. In this embodiment, the relationship between the minimum number of net positive charges (pm) and the total number of amino acid residues (r) is as follows:
-
TABLE 1 Amino acid number and net positive charges (3pm ≤ p + 1) (r) 3 4 5 6 7 8 9 10 11 12 13 14 15 16 17 18 19 20 (pm) 1 1 2 2 2 3 3 3 4 4 4 5 5 5 6 6 6 7 - In another embodiment, the aromatic-cationic peptides have a relationship between the minimum number of net positive charges (pm) and the total number of amino acid residues (r) wherein 2pm is the largest number that is less than or equal to r+1. In this embodiment, the relationship between the minimum number of net positive charges (pm) and the total number of amino acid residues (r) is as follows:
-
TABLE 2 Amino acid number and net positive charges (2pm ≤ p + 1) (r) 3 4 5 6 7 8 9 10 11 12 13 14 15 16 17 18 19 20 (pm) 2 2 3 3 4 4 5 5 6 6 7 7 8 8 9 9 10 10 - In one embodiment, the minimum number of net positive charges (pm) and the total number of amino acid residues (r) are equal. In another embodiment, the peptides have three or four amino acid residues and a minimum of one net positive charge, suitably, a minimum of two net positive charges and more preferably a minimum of three net positive charges.
- It is also important that the aromatic-cationic peptides have a minimum number of aromatic groups in comparison to the total number of net positive charges (pt). The minimum number of aromatic groups will be referred to below as (a). Naturally occurring amino acids that have an aromatic group include the amino acids histidine, tryptophan, tyrosine, and phenylalanine. For example, the hexapeptide Lys-Gln-Tyr-
D -Arg-Phe-Trp has a net positive charge of two (contributed by the lysine and arginine residues) and three aromatic groups (contributed by tyrosine, phenylalanine and tryptophan residues). - The aromatic-cationic peptides should also have a relationship between the minimum number of aromatic groups (a) and the total number of net positive charges at physiological pH (pt) wherein 3a is the largest number that is less than or equal to pt+1, except that when pt is 1, a may also be 1. In this embodiment, the relationship between the minimum number of aromatic groups (a) and the total number of net positive charges (pt) is as follows:
-
TABLE 3 Aromatic groups and net positive charges (3a ≤ pt + 1 or a = pt = 1) (pt) 1 2 3 4 5 6 7 8 9 10 11 12 13 14 15 16 17 18 19 20 (a) 1 1 1 1 2 2 2 3 3 3 4 4 4 5 5 5 6 6 6 7 - In another embodiment, the aromatic-cationic peptides have a relationship between the minimum number of aromatic groups (a) and the total number of net positive charges (pt) wherein 2a is the largest number that is less than or equal to pt+1. In this embodiment, the relationship between the minimum number of aromatic amino acid residues (a) and the total number of net positive charges (pt) is as follows:
-
TABLE 4 Aromatic groups and net positive charges (2a ≤ pt + 1 or a = pt = 1) (pt) 1 2 3 4 5 6 7 8 9 10 11 12 13 14 15 16 17 18 19 20 (a) 1 1 2 2 3 3 4 4 5 5 6 6 7 7 8 8 9 9 10 10 - In another embodiment, the number of aromatic groups (a) and the total number of net positive charges (pt) are equal. In one embodiment, the aromatic-cationic peptide is a tripeptide having two net positive charges and at least one aromatic amino acid. In a particular embodiment, the aromatic-cationic peptide is a tripeptide having two net positive charges and two aromatic amino acids.
- Carboxyl groups, especially the terminal carboxyl group of a C-terminal amino acid, are suitably amidated with, for example, ammonia to form the C-terminal amide. Alternatively, the terminal carboxyl group of the C-terminal amino acid may be amidated with any primary or secondary amine. The primary or secondary amine may, for example, be an alkyl, especially a branched or unbranched C1-C4 alkyl, or an aryl amine. Accordingly, the amino acid at the C-terminus of the peptide may be converted to an amido, N-methylamido, N-ethylamido, N,N-dimcthylamido, N,N-dicthylamido, N-methyl-N-cthylamido, N-phenylamido or N-phcnyl-N-cthylamido group. The free carboxylate groups of the asparagine, glutamine, aspartic acid, and glutamic acid residues not occurring at the C-terminus of the aromatic-cationic peptides may also be amidated wherever they occur within the peptide. The amidation at these internal positions may be with ammonia or any of the primary or secondary amines described above.
- Aromatic-cationic peptides include, but are not limited to, the following peptide examples:
-
- Lys-
D -Arg-Tyr-NH2 - Phe-
D -Arg-His - D-Tyr-Trp-Lys-NH2
- Trp-
D -Lys-Tyr-Arg-NH2 - Tyr-His-
D -Gly-Met - Phe-Arg-
D -His-Asp - Tyr-
D -Arg-Phe-Lys-Glu-NH2 - Met-Tyr-
D -Lys-Phe-Arg - D-His-Glu-Lys-Tyr-
D -Phe-Arg - Lys-
D -Gln-Tyr-Arg-D -Phe-Trp-NH2 - Phe-
D -Arg-Lys-Trp-Tyr-D -Arg-His - Gly-
D -Phe-Lys-Tyr-His-D -Arg-Tyr-NH2 - Val-
D -Lys-His-Tyr-D -Phe-Ser-Tyr-Arg-NH2 - Trp-Lys-Phe-
D -Asp-Arg-Tyr-D -His-Lys - Lys-Trp-
D -Tyr-Arg-Asn-Phe-Tyr-D -His-NH2 - Thr-Gly-Tyr-Arg-
D -His-Phe-Trp-D -His-Lys - Asp-
D -Trp-Lys-Tyr-D -His-Phe-Arg-D -Gly-Lys-NH2 - D-His-Lys-Tyr-
D -Phe-Glu-D -Asp-D -His-D -Lys-Arg-Trp-NH2 - Ala-
D -Phe-D -Arg-Tyr-Lys-D -Trp-His-n-Tyr-Gly-Phe - Tyr-
D -His-Phe-D -Arg-Asp-Lys-D -Arg-His-Trp-D -His-Phe - Phe-Phe-
D -Tyr-Arg-Glu-Asp-D -Lys-Arg-D -Arg-His-Phe-NH2 - Phe-Try-Lys-
D -Arg-Trp-His-D -Lys-D -Lys-Glu-Arg-D -Tyr-Thr - Tyr-Asp-
D -Lys-Tyr-Phe-D -Lys-D -Arg-Phe-Pro-D -Tyr-His-Lys - Glu-Arg-
D -Lys-Tyr-D -Val-Phe-D -His-Trp-Arg-D -Gly-Tyr-Arg-D -Met-NH2 - Arg-
D -Leu-D -Tyr-Phe-Lys-Glu-D -Lys-Arg-D -Trp-Lys-D -Phe-Tyr-D -Arg-Gly -
D -Glu-Asp-Lys-D -Arg-D -His-Phe-Phe-D -Val-Tyr-Arg-Tyr-D -Tyr-Arg-His-Phe-NH2 - Asp-Arg-D Phe-Cys-Phe-
D -Arg-n-Lys-Tyr-Arg-Tyr-Trp-D -His-Tyr-D -Phe-Lys-Phe - His-Tyr-n-Arg-Trp-Lys-Phe-
D -Asp-Ala-Arg-Cys-D -Tyr-His-Phe-n-Lys-Tyr-His-Ser-NH2 - Gly-Ala-Lys-Phe-
D -Lys-Glu-Arg-Tyr-His-D -Arg-D -Arg-Asp-Tyr-Trp-D -His-Trp-His-D -Lys-Asp - Thr-Tyr-Arg-
D -Lys-Trp-Tyr-Glu-Asp-D -Lys-D -Arg-His-Phe-D -Tyr-Gly-Val-Ile-D -His-Arg-Tyr-Lys-NH2.
- Lys-
- In one embodiment, the aromatic-cationic peptide has the formula Phe-
D -Arg-Phe-Lys-NH2. In another embodiment, the aromatic-cationic peptide has the formulaD -Arg-2′6′-Dmt-Lys-Phe-NH2. - The peptides mentioned herein and their derivatives can further include functional analogs. A peptide is considered a functional analog if the analog has the same function as the stated peptide. The analog may, for example, be a substitution variant of a peptide, wherein one or more amino acids are substituted by another amino acid. Suitable substitution variants of the peptides include conservative amino acid substitutions. Amino acids may be grouped according to their physicochemical characteristics as follows:
-
- (a) Non-polar amino acids: Ala(A) Ser(S) Thr(T) Pro(P) Gly(G) Cys (C);
- (b) Acidic amino acids: Asn(N) Asp(D) Glu(E) Gln(Q);
- (c) Basic amino acids: His(H) Arg(R) Lys(K);
- (d) Hydrophobic amino acids: Met(M) Leu(L) Ile(I) Val(V); and
- (e) Aromatic amino acids: Phe(F) Tyr(Y) Trp(W) His (H).
- Substitutions of an amino acid in a peptide by another amino acid in the same group is referred to as a conservative substitution and may preserve the physicochemical characteristics of the original peptide. In contrast, substitutions of an amino acid in a peptide by another amino acid in a different group is generally more likely to alter the characteristics of the original peptide.
- Examples of peptides include, but are not limited to, the aromatic-cationic peptides shown in Table 5.
-
TABLE 5 Peptide Analogs with Mu-Opioid Activity Amino Amino Amino Amino C-Terminal Acid Acid Acid Acid Modifi- Position 1 Position 2 Position 3 Position 4 cation Tyr D-Arg Phe Lys NH2 Tyr D-Arg Phe Orn NH2 Tyr D-Arg Phe Dab NH2 Tyr D-Arg Phe Dap NH2 2′6′Dmt D-Arg Phe Lys NH2 2′6′Dmt D-Arg Phe Lys- NH2 NH(CH2)2—NH- dns 2′6′Dmt D-Arg Phe Lys- NH2 NH(CH2)2—NH- atn 2′6′Dmt D-Arg Phe dnsLys NH2 2′6′Dmt D-Cit Phe Lys NH2 2′6′Dmt D-Cit Phe Ahp NH2 2′6′Dmt D-Arg Phe Orn NH2 2′6′Dmt D-Arg Phe Dab NH2 2′6′Dmt D-Arg Phe Dap NH2 2′6′Dmt D-Arg Phe Ahp(2-amino- NH2 heptanoic acid) Bio-2′6′Dmt D-Arg Phe Lys NH2 3′5′Dmt D-Arg Phe Lys NH2 3′5′Dmt D-Arg Phe Orn NH2 3′5′Dmt D-Arg Phe Dab NH2 3′5′Dmt D-Arg Phe Dap NH2 Tyr D-Arg Tyr Lys NH2 Tyr D-Arg Tyr Orn NH2 Tyr D-Arg Tyr Dab NH2 Tyr D-Arg Tyr Dap NH2 2′6′Dmt D-Arg Tyr Lys NH2 2′6′Dmt D-Arg Tyr Orn NH2 2′6′Dmt D-Arg Tyr Dab NH2 2′6′Dmt D-Arg Tyr Dap NH2 2′6′Dmt D-Arg 2′6′Dmt Lys NH2 2′6′Dmt D-Arg 2′6′Dmt Orn NH2 2′6′Dmt D-Arg 2′6′Dmt Dab NH2 2′6′Dmt D-Arg 2′6′Dmt Dap NH2 3′5′Dmt D-Arg 3′5′Dmt Arg NH2 3′5′Dmt D-Arg 3′5′Dmt Lys NH2 3′5′Dmt D-Arg 3′5′Dmt Orn NH2 3′5′Dmt D-Arg 3′5′Dmt Dab NH2 Tyr D-Lys Phe Dap NH2 Tyr D-Lys Phe Arg NH2 Tyr D-Lys Phe Lys NH2 Tyr D-Lys Phe Orn NH2 2′6′Dmt D-Lys Phe Dab NH2 2′6′Dmt D-Lys Phe Dap NH2 2′6′Dmt D-Lys Phe Arg NH2 2′6′Dmt D-Lys Phe Lys NH2 3′5′Dmt D-Lys Phe Orn NH2 3′5′Dmt D-Lys Phe Dab NH2 3′5′Dmt D-Lys Phe Dap NH2 3′5′Dmt D-Lys Phe Arg NH2 Tyr D-Lys Tyr Lys NH2 Tyr D-Lys Tyr Orn NH2 Tyr D-Lys Tyr Dab NH2 Tyr D-Lys Tyr Dap NH2 2′6′Dmt D-Lys Tyr Lys NH2 2′6′Dmt D-Lys Tyr Orn NH2 2′6′Dmt D-Lys Tyr Dab NH2 2′6′Dmt D-Lys Tyr Dap NH2 2′6′Dmt D-Lys 2′6′Dmt Lys NH2 2′6′Dmt D-Lys 2′6′Dmt Orn NH2 2′6′Dmt D-Lys 2′6′Dmt Dab NH2 2′6′Dmt D-Lys 2′6′Dmt Dap NH2 2′6′Dmt D-Arg Phe dnsDap NH2 2′6′Dmt D-Arg Phe atnDap NH2 3′5′Dmt D-Lys 3′5′Dmt Lys NH2 3′5′Dmt D-Lys 3′5′Dmt Orn NH2 3′5′Dmt D-Lys 3′5′Dmt Dab NH2 3′5′Dmt D-Lys 3′5′Dmt Dap NH2 Tyr D-Lys Phe Arg NH2 Tyr D-Orn Phe Arg NH2 Tyr D-Dab Phe Arg NH2 Tyr D-Dap Phe Arg NH2 2′6′Dmt D-Arg Phe Arg NH2 2′6′Dmt D-Lys Phe Arg NH2 2′6′Dmt D-Orn Phe Arg NH2 2′6′Dmt D-Dab Phe Arg NH2 3′5′Dmt D-Dap Phe Arg NH2 3′5′Dmt D-Arg Phe Arg NH2 3′5′Dmt D-Lys Phe Arg NH2 3′5′Dmt D-Orn Phe Arg NH2 Tyr D-Lys Tyr Arg NH2 Tyr D-Orn Tyr Arg NH2 Tyr D-Dab Tyr Arg NH2 Tyr D-Dap Tyr Arg NH2 2′6′Dmt D-Arg 2′6′Dmt Arg NH2 2′6′Dmt D-Lys 2′6′Dmt Arg NH2 2′6′Dmt D-Orn 2′6′Dmt Arg NH2 2′6′Dmt D-Dab 2′6′Dmt Arg NH2 3′5′Dmt D-Dap 3′5′Dmt Arg NH2 3′5′Dmt D-Arg 3′5′Dmt Arg NH2 3′5′Dmt D-Lys 3′5′Dmt Arg NH2 3′5′Dmt D-Orn 3′5′Dmt Arg NH2 Mmt D-Arg Phe Lys NH2 Mmt D-Arg Phe Orn NH2 Mmt D-Arg Phe Dab NH2 Mmt D-Arg Phe Dap NH2 Tmt D-Arg Phe Lys NH2 Tmt D-Arg Phe Orn NH2 Tmt D-Arg Phe Dab NH2 Tmt D-Arg Phe Dap NH2 Hmt D-Arg Phe Lys NH2 Hmt D-Arg Phe Orn NH2 Hmt D-Arg Phe Dab NH2 Hmt D-Arg Phe Dap NH2 Mmt D-Lys Phe Lys NH2 Mmt D-Lys Phe Orn NH2 Mmt D-Lys Phe Dab NH2 Mmt D-Lys Phe Dap NH2 Mmt D-Lys Phe Arg NH2 Tmt D-Lys Phe Lys NH2 Tmt D-Lys Phe Orn NH2 Tmt D-Lys Phe Dab NH2 Tmt D-Lys Phe Dap NH2 Tmt D-Lys Phe Arg NH2 Hmt D-Lys Phe Lys NH2 Hmt D-Lys Phe Orn NH2 Hmt D-Lys Phe Dab NH2 Hmt D-Lys Phe Dap NH2 Hmt D-Lys Phe Arg NH2 Mmt D-Lys Phe Arg NH2 Mmt D-Orn Phe Arg NH2 Mmt D-Dab Phe Arg NH2 Mmt D-Dap Phe Arg NH2 Mmt D-Arg Phe Arg NH2 Tmt D-Lys Phe Arg NH2 Tmt D-Orn Phe Arg NH2 Tmt D-Dab Phe Arg NH2 Tmt D-Dap Phe Arg NH2 Tmt D-Arg Phe Arg NH2 Hmt D-Lys Phe Arg NH2 Hmt D-Orn Phe Arg NH2 Hmt D-Dab Phe Arg NH2 Hmt D-Dap Phe Arg NH2 Hmt D-Arg Phe Arg NH2 Dab = diaminobutyric Dap = diaminopropionic acid Dmt = dimethyltyrosine Mmt = 2′-methyltyrosine Tmt = N,2′,6′-trimethyltyrosine Hmt = 2′-hydroxy,6′-methyltyrosine dnsDap = β-dansyl-L-α,β-diaminopropionic acid atnDap = β-anthraniloyl-L-α,β-diaminopropionic acid Bio = biotin - Examples of peptides also include, but are not limited to, the aromatic-cationic peptides shown in Table 6.
-
TABLE 6 Peptide Analogs Lacking Mu-Opioid Activity Amino Amino Amino Amino C-Terminal Acid Acid Acid Acid Modifi- Position 1 Position 2 Position 3 Position 4 cation D-Arg Dmt Lys Phe NH2 D-Arg Dmt Phe Lys NH2 D-Arg Phe Lys Dmt NH2 D-Arg Phe Dmt Lys NH2 D-Arg Lys Dmt Phe NH2 D-Arg Lys Phe Dmt NH2 Phe Lys Dmt D-Arg NH2 Phe Lys D-Arg Dmt NH2 Phe D-Arg Phe Lys NH2 Phe D-Arg Dmt Lys NH2 Phe D-Arg Lys Dmt NH2 Phe Dmt D-Arg Lys NH2 Phe Dmt Lys D-Arg NH2 Lys Phe D-Arg Dmt NH2 Lys Phe Dmt D-Arg NH2 Lys Dmt D-Arg Phe NH2 Lys Dmt Phe D-Arg NH2 Lys D-Arg Phe Dmt NH2 Lys D-Arg Dmt Phe NH2 D-Arg Dmt D-Arg Phe NH2 D-Arg Dmt D-Arg Dmt NH2 D-Arg Dmt D-Arg Tyr NH2 D-Arg Dmt D-Arg Trp NH2 Trp D-Arg Phe Lys NH2 Trp D-Arg Tyr Lys NH2 Trp D-Arg Trp Lys NH2 Trp D-Arg Dmt Lys NH2 D-Arg Trp Lys Phe NH2 D-Arg Trp Phe Lys NH2 D-Arg Trp Lys Dmt NH2 D-Arg Trp Dmt Lys NH2 D-Arg Lys Trp Phe NH2 D-Arg Lys Trp Dmt NH2 Cha D-Arg Phe Lys NH2 Ala D-Arg Phe Lys NH2 Cha = cyclohexyl alanine - The amino acids of the peptides shown in Table 5 and 6 may be in either the
L - or theD -configuration. - In some embodiments, the aromatic-cationic peptide is a peptide having:
-
- at least one net positive charge;
- a minimum of four amino acids;
- a maximum of about twenty amino acids;
- a relationship between the minimum number of net positive charges (pm) and the total number of amino acid residues (r) wherein 3pm is the largest number that is less than or equal to r+1; and a relationship between the minimum number of aromatic groups (a) and the total number of net positive charges (pt) wherein 2a is the largest number that is less than or equal to pt+1, except that when a is 1, pt may also be 1.
- In one embodiment, 2pm is the largest number that is less than or equal to r+1, and a may be equal to pt. The aromatic-cationic peptide may be a water-soluble peptide having a minimum of two or a minimum of three positive charges.
- In one embodiment, the peptide comprises one or more non-naturally occurring amino acids, for example, one or more
D -amino acids. In some embodiments, the C-terminal carboxyl group of the amino acid at the C-terminus is amidatcd. In certain embodiments, the peptide has a minimum of four amino acids. The peptide may have a maximum of about 6, a maximum of about 9, or a maximum of about 12 amino acids. - In one embodiment, the peptide comprises a tyrosine or a 2′6′-dimethyltyrosine (Dmt) residue at the N-terminus. For example, the peptide may have the formula Tyr-
D -Arg-Phe-Lys-NH2 or 2′6′-Dmt-D -Arg-Phe-Lys-NH2. In another embodiment, the peptide comprises a phenylalanine or a 2′6′-dimethylphenylalanine residue at the N-terminus. For example, the peptide may have the formula Phe-D -Arg-Phe-Lys-NH2 or 2′6′-Dmp-D -Arg-Phe-Lys-NH2. In a particular embodiment, the aromatic-cationic peptide has the formulaD -Arg-2′6′-Dmt-Lys-Phe-NH2. - In one embodiment, the peptide is defined by formula I:
- wherein R1 and R2 are each independently selected from
- (i) hydrogen;
- (ii) linear or branched C1-C6 alkyl;
- (iii)
- where m=1-3;
- (iv)
- (v)
- R3 and R4 are each independently selected from
- (i) hydrogen;
- (ii) linear or branched C1-C6 alkyl;
- (iv) amino;
- (v) C1-C4 alkylamino;
- (vi) C1-C4 dialkylamino;
- (vii) nitro;
- (viii) hydroxyl;
- (ix) halogen, where “halogen” encompasses chloro, fluoro, bromo, and iodo;
- R5, R6, R7, R8, and R9 are each independently selected from
- (i) hydrogen;
- (ii) linear or branched C1-C6 alkyl;
- (iii) C1-C6 alkoxy;
- (iv) amino;
- (v) C1-C4 alkylamino;
- (vi) C1-C4 dialkylamino;
- (vii) nitro;
- (viii) hydroxyl;
- (ix) halogen, where “halogen” encompasses chloro, fluoro, bromo, and iodo; and n is an integer from 1 to 5.
- In a particular embodiment, R1 and R2 are hydrogen; R3 and R4 are methyl; R5, R6, R7, R8, and R9 are all hydrogen; and n is 4.
- In one embodiment, the peptide is defined by formula II:
- wherein R1 and R2 are each independently selected from
- (i) hydrogen;
- (ii) linear or branched C1-C6 alkyl;
- (iii)
- where m=1-3;
- (iv)
- (v)
- R3, R4, R5, R6, R7, R8, R9, R10, R11 and R12 are each independently selected from
- (i) hydrogen;
- (ii) linear or branched C1-C6 alkyl;
- (iii) C1-C6 alkoxy;
- (iv) amino;
- (v) C1-C4 alkylamino;
- (vi) C1-C4 dialkylamino;
- (vii) nitro;
- (viii) hydroxyl;
- (ix) halogen, where “halogen” encompasses chloro, fluoro, bromo, and iodo; and n is an integer from 1 to 5.
- In a particular embodiment, R1, R2, R3, R4, R5, R6, R7, R8, R9, R10, R11, and R12 are all hydrogen; and n is 4. In another embodiment, R1, R2, R3, R4, R5, R6, R7, R8, R9, and R11 are all hydrogen; R8 and R12 are methyl; R10 is hydroxyl; and n is 4.
- The peptides may be synthesized by any of the methods well known in the art. Suitable methods for chemically synthesizing the protein include, for example, those described by Stuart and Young in Solid Phase Peptide Synthesis, Second Edition, Pierce Chemical Company (1984), and in Methods Enzymol., 289, Academic Press, Inc, New York (1997).
- In some aspects, the methods disclosed herein include the use of an aromatic-cationic peptide as described herein together with one or more additional therapeutic agents (active agents, e.g., antihyperlipidemic agents such as statins) for the treatment of atherosclerosis. Thus, for example, the combination of active ingredients may be: (1) co-formulated and administered or delivered simultaneously in a combined formulation; (2) delivered by alternation or in parallel as separate formulations; or (3) by any other combination therapy regimen known in the art. When delivered in alternation therapy, the methods described herein may comprise administering or delivering the active ingredients sequentially, e.g., in separate solution, emulsion, suspension, tablets, pills or capsules, or by different injections in separate syringes. In general, during alternation therapy, an effective dosage of each active ingredient is administered sequentially, i.e., serially, whereas in simultaneous therapy, effective dosages of two or more active ingredients are administered together. Various sequences of intermittent combination therapy may also be used.
- In some embodiments, the combination therapy comprises administering to a subject in need thereof an aromatic-cationic peptide composition combined with one or more active agents, e.g., one or more antihyperlipidemic agent (e.g., a statin).
- Antihyperlipidemic (Hvpolipidemic) Drugs and Statins
- In some embodiments, the one or more additional active agents administered with the one or more aromatic-cationic peptides disclosed herein is an antihyperlipidemic (hypolipidemic) drug. As used herein, the terms “antihyperlipidemic” and “hypolipidemic” are synonymous and are used interchangeably. For example, in some embodiments, the peptide D-Arg-2′6′-Dmt-Lys-Phe-NH2 or a pharmaceutically acceptable salt thereof such as acetate or trifluoroacetate salt is administered simultaneously to the to the antihyperlipidemic agent (drug). In some embodiments, the peptide D-Arg-2′6′-Dmt-Lys-Phe-NH2 or a pharmaceutically acceptable salt, such as acetate or trifluoroacetate salt is administered prior to or subsequent to the antihyperlipidemic agent (drug). In some embodiments, the antihyperlipidemic drug comprises one or more statins. In some embodiments, the statin is a combination drug comprising a statin and a non-statin. Exemplary, non-limiting statins include one or more of the following: lovastatin, (e.g., ADVICOR® (niacin extended-release/lovastatin), ALTOPREV™ (lovastatin extended-release), MEVACOR®), atorvastatin, (e.g., CADUET® (amlodipine and atorvastatin), LIPITOR®), rosuvastatin and/or rosuvastatin calcium, (e.g., CRESTOR®), simvastatin, (e.g., JUVISYNC® (sitagliptin/simvastatin), SIMCOR® (niacin extended-release/simvastatin), VYTORIN® (ezetimibe/simvastatin) and ZOCOR®), fluvastatin and/or fluvastatin sodium, (e.g., LESCOL®, LESCOL XL (fluvastatin extended-release)), pitavastatin (e.g., LIVALO®), pravastatin and/or pravastatin sodium (e.g., PRAVACHOL®)
- In some embodiments, the hypolipidemic agent is a lipid lowering drug. In some embodiments, the active agent is an LDL lowering drug. In some embodiments, the active agent is a triglyceride lowering drug. In some embodiments, the active agent is an HDL elevating drug.
- In some embodiments, the hypolipidemic agent is a cholesteryl ester transfer protein (CETP) inhibitor. In some embodiments, the CETP inhibitor is TORCETRAPIB®, ANACETRAPIB®, or DALCETRAPIB®.
- In some embodiments, the hypolipidemic agent targets proprotein convertase subtilisin/kexin type 9 (PCSK9). In some embodiments, the agent is a PCSK9 inhibitor. In some embodiments, the agent inhibits PCSK9 function. In some embodiments, the agent inhibits PCSK9 expression. In some embodiments, the PCSK9 inhibitor is an anti-PCSK9 antibody. In some embodiments, the PCSK9 inhibitor targets PCSK9 mRNA. In some embodiments, the PCSK9 inhibitor is a PCSK9 siRNA. In some embodiments, the PCSK9 inhibitor is ALN-PCS or REGN727.
- In some embodiments, the hypolipidemic agent is a fibrate. In some embodiments, the fibrate is LIPOFEN® (fenofibrate), LOPID® (gemfibrozil), TRICOR® (fenofibrate), LOFIBRA® (fenofibrate), ATROMID-S® (clofibrate), TRILIPIX® (fenofibric acid), FENOGLIDE® (fenofibrate), ANTARA® (fenofibrate), FIBRICOR® (fenofibric acid), or TRIGLIDE® (fenofibrate). In some embodiments, the hypolipidemic agent is clinofibrate, simfibrate, benzafibrate.
- In some embodiments, the hypolipidemic agent is niacin. In some embodiments, the niacin is NIASPAN®. In some embodiments, the niacin is NIACOR®.
- In some embodiments, the hypolipidemic agent is a bile acid resin. In some embodiments, the bile acid resin is QUESTRAN®, QUESTRAN LIGHT®, COLESTID®, or WELCHOL®.
- In some embodiments, the hypolipidemic agent prevents the absorption of dietary lipids. In some embodiments the agent is ezetimibe (e.g., ZETIA®), orlistat (e.g., XENICAL®), or a phytosterol.
- In some embodiments, the hypolipidemic agent is a squalene synthase inhibitor. In some embodiments, the hypolipidemic agent is ApoA-1 MILANO®. In some embodiments, the hypolipidemic agent is AGI-1067. In some embodiments, the hypolipidemic agent is MIPOMERSEN®.
- In some embodiments, the hypolipidemic agent is one or more of colestimide and colestyramine.
- Statin Structure
- As noted above, in some embodiments, the peptide D-Arg-2′6′-Dmt-Lys-Phe-NH2 or a pharmaceutically acceptable salt, such as acetate or trifluoroacetate salt is administered simultaneous to the statin. In some embodiments, the peptide D-Arg-2′6′-Dmt-Lys-Phe-NH2 or a pharmaceutically acceptable salt, such as acetate or trifluoroacetate salt is administered prior to or subsequent to the statin. Typically, the structural components of statins include a dihydroxyheptanoic acid unit and a ring system with different substituents. The statin pharmacophore is modified hydroxyglutaric acid component, which is structurally similar to the endogenous substrate HMG CoA and the mevaldyl CoA transition state intermediate. The statin pharmacophore binds to the same active site as the substrate HMG-CoA and inhibits the HMG-CoA reductase enzyme. The HMG-CoA reductase enzyme is stereoselective and as a result functional statins typically have the 3R,5R stereochemistry.
- Statins can be separated into two classes: type 1 (e.g. lovastatin, pravastatin, simvastatin); and type 2 (e.g. fluvastatin, cerivastatin, atorvastatin, rosuvastatin). Type 1 statins include a substituted decalin-ring structure that resemble mevastatin, a compound isolated from the mold Penicillium citrinum. Lovastatin was isolated from the mold Aspergillus terreus and pravastatin and simvastatin are chemically modified versions of lovastatin.
Type 2 statins are fully synthetic and have larger substituent groups that interact with the HMG-CoA reductase enzyme. In addition,type 2 statins substitute fluorophenyl group for the butyryl group found on type 1 statins. The fluorophenyl group provides additional polar interactions typically resulting in tighter binding with the HMG-CoA reductase enzyme. Rosuvastatin has a sulfonamide group that is hydrophilic and increases binding affinity with the HMG-CoA reductase enzyme. - Atorvastatin Structure
- Atorvastatin is a ring-opened hydroxy-acid of trans-6-[2-(3- or 4-carboxamido-substituted pyrrol-1-yl)alkyl]-4-hydroxypyran-2-one (see e.g.,
FIG. 6A for the chemical structure). The general structure of atorvastatin and related compounds is provided in Formula I: - wherein X is —CH2—, —CH2CH2—, —CH2CH2CH2— or —CH2CH(CH3).
- R1 is 1-naphthyl; 2-naphthyl; cyclohexyl; norbomenyl; 2-, 3-, or 4-pyridinyl; phenyl, phenyl substituted with fluorine, chlorine, bromine, hydroxyl; trifluoromethyl; alkyl of from one to four carbon atoms, alkoxy of from one to four carbon atoms, or alkanoyloxy of from two to eight carbon atoms.
- Either R2 or R3 is —CONR5R6 where R5 and R6 are independently hydrogen; alkyl of from one to six carbon atoms; 2-, 3-, or 4-pyridinyl; phenyl; phenyl substituted with fluorine, chlorine, bromine, cyano, trifluoromethyl, or carboalkoxy of from three to eight carbon atoms; and the other of R2 or R3 is hydrogen; alkyl of from one to six carbon atoms; cyclopropyl; cyclobutyl; cyclopentyl; cyclohexyl; phenyl; or phenyl substituted with fluorine, chlorine, bromine, hydroxyl; trifluoromethyl; alkyl of from one to four carbon atoms, alkoxy of from one to four carbon atoms, or alkanoyloxy of from two to eight carbon atoms.
- R4 is alkyl of from one to six carbon atoms; cyclopropyl; cyclobutyl; cyclopentyl; cyclohexyl; or trifluoromethyl.
- Rosuvastatin Structure
- Rosuvastatin is a compound related to the general structure set forth in formula II:
- wherein R1 is lower alkyl, aryl or aralkyl, each of which may have one or more substituents: R2 and R3 each is independently hydrogen, lower alkyl, or aryl, and each of said lower alkyl and aryl may have one or more substituents; R4 is hydrogen, lower alkyl, or a cation capable of forming a non-toxic pharmaceutically acceptable salt; X is sulfur, oxygen, or sulfonyl, or imino which may have a substituent; the dotted line represents the presence or absence of a double bond, or the corresponding ring-closed lactone. (See e.g.,
FIG. 6B ) - The term “lower alkyl” refers to a straight, branched, or cyclic C1 to C6 alkyl, including methyl, ethyl, n-propyl, isopropyl, cyclopropyl, n-butyl, isobutyl, sec-butyl, tert-butyl, cyclobutyl, n-pentyl, isopentyl, neopentyl, tert-pentyl, cyclopentyl, n-hexyl, and isohexyl and the like. Further, the lower alkyl may be substituted by 1 to 3 substituents independently selected from the group consisting of halogen, amino, and cyano. Halogen means fluorine, chlorine, bromine and iodine.
- The term “aryl” refers to C6 to C12 aromatic group including phenyl, tolyl, xylyl, biphenyl, naphthyl, and the like. The aryl may have 1 to 3 substituents independently selected from the group consisting of lower alkyl, halogen, amino, and cyano. Preferred aryl is phenyl substituted by 1 to 3 halogens.
- The term “aralkyl” refers to C1 to C6 lower alkyl substituted by C6 to C12 aromatic aryl group defined above. Examples of them are benzyl, phenethyl, phenylpropyl and the like, each of which may have 1 to 3 substituents independently selected from the group consisting of lower alkyl halogen, amino, cyano, and the like.
- The term “a cation capable of forming a non-toxic pharmaceutically acceptable salt” refers to alkali metal ion, alkaline earth metal ion, and ammonium ion. Examples of alkali metal are lithium, sodium, potassium, and cesium, and examples of alkaline earth metal are beryllium, magnesium, and calcium. Especially, sodium and calcium are preferred.
- Examples of “acyl” are formyl acetyl, propionyl, butyryl, isobutyryl, valeryl, and isovaleryl.
- In the term “imino which may have a substituent,” preferred substituents are acyl, optionally substituted amino, and substituted sulfonyl.
- The term “substituted amino as substituent” means amino group substituted by sulfonyl and alkylsulfonyl. Examples of them are sulfonyl amino and methanesulfonyl amino.
- The term “substituted sulfonyl as substituent” means sulfonyl group substituted by alkyl, amino, or alkylamino. Examples of them are methanesulfonyl, sulfamoyl, methylsulfamoyl, and N-methylsulfamoyl.
- LIPITOR® and CRESTOR®
- Atorvastatin (also known by the trademarked name LIPITOR®) can be used to reduce the risk of myocardial infarction, stroke, revascularization procedures, and angina in patients without coronary heart disease, but with multiple risk factors. Such risk factors include but are not limited to age, smoking, hypertension, low HDL-C, or a family history of early coronary heart disease. Atorvastatin can also be used to reduce the risk of myocardial infarction and stroke in patients with
type 2 diabetes without coronary heart disease, but with multiple risk factors. Such risk factors include but are not limited to retinopathy, albuminuria, smoking, or hypertension. Atorvastatin can be used to reduce the risk of non-fatal MI, fatal and non-fatal stroke, revascularization procedures, hospitalization for coronary heart failure, and angina in patients with coronary heart disease. Atorvastatin can be used to reduce elevated total cholesterol, LDL-C, ApoB, and triglyceride levels and increase HDL-C in adult patients with primary hyperlipidemia (heterozygous familial and nonfamilal) and mixed dyslipidemia. Atorvastatin can be used to reduce elevated triglycerides in patients with hypertriglyceridemia and primary dysbetalipoproteinemia. Atorvastatin can also be used to reduce total cholesterol and LDL-C in patients with homozygous familial hypercholesterolemia (HoFH). Atorvastatin can be used to reduced elevated total cholesterol, LDL-C, and ApoB levels in boys and postmenarchal girls between the ages of 10-17, with heterozygous familial hypercholesterolemia after failing an adequate trial of diet therapy. - Atorvastatin has also been used to treat spinal cord injury in rodents, promoting locomotion and tissue sparing, as well as reducing inflammation when administered both pre- and post-injury. In addition, atorvastatin has been utilized in an in vitro model of hepatitis C virus (HCV) infection (alone and with interferon). In such a system, atorvastatin (as well as lovastatin, simvastatin, fluvastatin, and pitavastatin) was shown to have an anti-HCV effect. Accordingly, statins may be suitable for concurrent therapy with interferon.
- Rosuvastatin (also known by the trade name CRESTOR®) can be used to treat patients with primary hyperlipidemia and mixed dyslipidemia as an adjunct to diet to reduce levels of total cholesterol, LDL-C, ApoB, nonHDL-C, and triglyceride levels and to increase levels of HDL-C. Rosuvastatin can also be used to treat patients with: hypertriglyceridemia as an adjunct to diet, primary dysbetalipoproteinemia (Type II hyperlipoproteinemia) as an adjunct to diet, and homozygous familial hypercholesterolemia (HoFH). Rosuvastatin can be used to slow the progression of atherosclerosis in patients as part of a treatment strategy to lower total cholesterol and LDL-C as an adjunct to diet. Rosuvastatin can be used to treat
patients 10 to 17 years old with heterozygous familial hypercholesterolemia (HeFH) to reduce elevated total cholesterol, LDL-C, and ApoB after failing an adequate trial of diet therapy. Rosuvastatin can be used for reducing the risk of myocardial infarction, stroke, and arterial revascularization procedures in patients without evident coronary heart disease, but with multiple risk factors. Such risk factors include hypertension, low HDL-C, smoking, or a family history of premature coronary heart disease. - Therapeutic Uses of Aromatic-Cationic Peptides and Active Agents Atherosclerosis
- The aromatic-cationic peptides described herein are useful to prevent or treat disease such as atherosclerosis. The combination of peptides and active agents, such as those described above (e.g., antihyperlipidemic agents such as statins) are useful in treating any atherosclerosis, as well as the signs, symptoms or complications of atherosclerosis. Atherosclerosis (also known as arteriosclerotic vascular disease or ASVD) is a condition in which an artery wall thickens as a result of the accumulation of fatty materials such as cholesterol. Atherosclerosis is a chronic disease that can remain asymptomatic for decades. It is a syndrome affecting arterial blood vessels, a chronic inflammatory response in the walls of arteries, caused largely by the accumulation of macrophage white blood cells and promoted by low-density lipoproteins (plasma proteins that carry cholesterol and triglycerides) without adequate removal of fats and cholesterol from the macrophages by functional high density lipoproteins (HDL). It is commonly referred to as a hardening or furring of the arteries. It is caused by the formation of multiple plaques within the arteries.
- The pathobiology of atherosclerotic lesions is complicated but generally, stable atherosclerotic plaques, which tend to be asymptomatic, are rich in extracellular matrix and smooth muscle cells, while unstable plaques are rich in macrophages and foam cells and the extracellular matrix separating the lesion from the arterial lumen (also known as the fibrous cap) is usually weak and prone to rupture. Ruptures of the fibrous cap expose thrombogenic material, such as collagen to the circulation and eventually induce thrombus formation in the lumen. Upon formation, intraluminal thrombi can occlude arteries outright (e.g., coronary occlusion), but more often they detach, move into the circulation and can eventually occlude smaller downstream branches causing thromboembolism (e.g., stroke is often caused by thrombus formation in the carotid arteries). Apart from thromboembolism, chronically expanding atherosclerotic lesions can cause complete closure of the lumen. Chronically expanding lesions are often asymptomatic until lumen stenosis is so severe that blood supply to downstream tissue(s) is insufficient resulting in ischemia.
- These complications of advanced atherosclerosis are chronic, slowly progressive and cumulative. In some instances, soft plaques suddenly rupture, causing the formation of a thrombus that will rapidly slow or stop blood flow, leading to death of the tissues fed by the artery (infarction). Coronary thrombosis of a coronary artery is also a common complication which can lead to myocardial infarction. Blockage of an artery to the brain may result in stroke. In advanced atherosclerotic disease, claudication from insufficient blood supply to the legs, typically caused by a combination of both stenosis and aneurysmal segments narrowed with clots, may occur.
- Atherosclerosis can affect the entire artery tree, but larger, high-pressure vessels such as the coronary, renal, femoral, cerebral, and carotid arteries are typically at greater risk.
- Signs, symptoms and complications of atherosclerosis include, but are not limited to increased plasma total cholesterol, VLDL-C, LDL-C, free cholesterol, cholesterol ester, triglycerides, phospholipids and the presence of lesions (e.g., plaques) in arteries, as discussed above. In some embodiments, increased cholesterol (e.g., total cholesterol, free cholesterol and cholesterol esters) can be seen in one or more of plasma, aortic tissue and aortic plaques.
- Predisposion to atherosclerosis is also a concern. Accordingly, the present disclosure relates to methods of administering aromatic-cationic peptides alone, or in combination with one or more antihyperlipidemic agents (e.g., statins), to prevent atherosclerosis, or the signs, symptoms or complications thereof. In some embodiments a subject predisposed to atherosclerosis may exhibit one or more of the following characteristics: advanced age, a family history of heart disease, a biological condition, high blood cholesterol. In some embodiments, the biological condition comprises high levels of low-density lipoprotein cholesterol (LDL-C) in the blood, low levels of high-density lipoprotein cholesterol (HDL-C) in the blood, hypertension, insulin resistance, diabetes, excess body weight, obesity, sleep apnea, lifestyle choice and/or a behavioral habit. In some embodiments, the behavioral habit comprises smoking and/or alcohol use. In some embodiments, the lifestyle choice comprises an inactive lifestyle and/or a high stress level.
- Statin-Related Side Effects
- In some embodiments, aromatic-cationic peptides of the present disclosure (e.g., D-Arg-2′6′-Dmt-Lys-Phe-NH2), or a pharmaceutically acceptable salt thereof such as acetate salt or trifluoroacetate salt, are administered with one or more hypolipidemic agents (e.g., statins). In some embodiments, the aromatic-cationic peptides of the present disclosure delay onset, ameliorate, inhibit or eliminate the side-effects and/or toxicity of hypolipeidemic agent (e.g., statin). In some embodiments, the peptides ameliorate organ damage caused by hypolipidemic agents. In some embodiments, the peptides ameliorate liver damage, kidney damage, renal toxicity or rhabdomyolysis. In some embodiments, the peptides ameliorate symptoms associated with the toxic side effects of hypolipidemic agents, including but not limited to muscle weakness, muscle tenderness, malaise, headache, fever, dark urine, nausea, and vomiting.
- Hypolipidemic Agent Dosage
- In some embodiments, administration of aromatic-cationic peptides of the present technology in conjunction with one or more hypolipidemic agents such as statins, permits a higher dose of the hypolipidemic agent to be administered to a subject than would otherwise be tolerated by the subject. Also disclosed herein are methods for increasing a hypolipidemic (e.g., statin) dose in a subject in need thereof, or allowing administration of a hypolipidemic (e.g., statin) to a subject who would normally be contraindicated for statin treatment (e.g., in a subject who exhibits negative side effects related to statin administration at an effective dose). Exemplary negative side effects are described above and in more detail below, and include but are not limited to muscle weakness and organ damage.
- In some embodiments, by ameliorating the toxic or negative side effects of the hypolipidemic agent, the dose of hypolipidemic agent may be increased to a level sufficient to achieve a target blood lipid level.
- In some embodiments, the target blood lipid level is a total cholesterol level. In some embodiments, the target cholesterol level is less than about 200 mg/dL. In some embodiments, the target cholesterol level is from about 130 to about 200 mg/dL. In some embodiments, the target cholesterol level is less than about 200, less than about 190, less than about 180, less than about 170, less than about 160, less than about 150, less than about 140, or less than about 130 mg/dL.
- Additionally or alternatively, in some embodiments, the target blood lipid level is a target LDL level. In some embodiments, the target LDL level is less than about 100 mg/dL. In some embodiments, the target LDL level is from about 50 to about 100 mg/dL. In some embodiments, the target LDL level is less than about 100, less than about 90, less than about 80, less than about 70, less than about 60, or less than about 50 mg/dL.
- Additionally or alternatively, in some embodiments, the target blood lipid level is a target HDL level. In some embodiments, the target HDL level is greater than about 60 mg/dL. In some embodiments, the target HDL level is from about 30 to about 65 mg/dL. In some embodiments, the target HDL level is greater than about 30, greater than about 35, greater than about 40, greater than about 45, greater than about 50, greater than about 55, greater than about 60, or greater than about 65 mg/dL.
- Additionally or alternatively, in some embodiments, the target blood lipid level is a target triglyceride level. In some embodiments, the target triglyceride level is less than about 200 mg/dL. In some embodiments, the target triglyceride level is from about 140 to about 200 mg/dL. In some embodiments, the target triglyceride level is less than about 140, less than about 150, less than about 160, less than about 170, less than about 180, less than about 190, or less than about 200 mg/dL.
- By way of example, but not by way of limitation, in some embodiments, a subject with an unsuitable/unhealthy lipid level is administered a first dosage level of an anithyperlipidemic agent (e.g., a statin) to achieve a target lipid level, in combination with a first dosage level of an aromatic-cationic peptide of the present disclosure (e.g., D-Arg-2′6′-Dmt-Lys-Phe-NH2) at t=0. In some embodiments, the subject is administered the anithyperlipidemic agent, or is administered an anithyperlipidemic agent and a peptide at the first dosage level for 1 day, 2 days, 3 days, 4 days, 5 days, 1 week, 2 weeks, 3 weeks, 1 month, 2 months, 3 months, 4 months, 6 months, 1 year, 2 years, 3 years, 4 years, 5 years or 10 years. In some embodiments, the subject is administered the anithyperlipidemic agent, or is administered an anithyperlipidemic agent and a peptide at the first dosage level once per day, twice per day, every other day, once every third day, fourth day, fifth day, once per week, or once every other week.
- At a later time (t=1) (e.g., 1 day, 2 days, 3 days, 4 days, 5 days, 1 week, 2 weeks, 3 weeks, 1 month, 2 months, 3 months, 6 months, 1 year or 2 years) after taking the anithyperlipidemic agent, or the anithyperlipidemic agent and the peptide at the first dosage level, the subject's lipid levels and any negative or toxic side effects characteristic of the anithyperlipidemic agent are evaluated. In some embodiments, due to the positive effects of the peptpide, the subject exhibits no negative or toxic side effects of the anithyperlipidemic agent. In some embodiments, the dosage level of the antihyperlipidemic agent is increased to a second dosage level to more quickly or effectively achieve an acceptable (e.g., target) lipid level. In some embodiments, the peptide dosage level remains constant, e.g., is equal to the first dosage level. In some embodiments, the peptide dosage level is increased, e.g., is greater than the first dosage level. In some embodiments, the peptide dosage level is decreased, e.g., is less than the first dosage level. In some embodiment, no additional peptide is administered with the second dosage level of the antihyperlipidemic agent. In some embodiments, peptide is administered as often as the antihyperlipidemic agent. In some embodiments, the peptide is administered more or less frequently than the antihyperlipidemic agent.
- In some embodiments, the subject's lipid levels and any negative or toxic side effects characteristic of the anithyperlipidemic agent are evaluated at t=2, t=3, etc. In some embodiments, the dosage level of the antihyperlipidemic agent is increased to a third, fourth, fifth, etc. dosage level to more quickly or effectively achieve a target lipid level. In some embodiments, at t=2, 3, etc. the peptide dosage level may decreased, increased, remain the same (e.g., first dosage level) or be omitted from one or more administrations.
- Coenzyme Q10 Levels
- The statins (simvastatin, lovastatin, pravastatin, fluvastatin and the like) are hydroxy-methylglutaryl coenzyme A (HMG-CoA) reductase inhibitors. By inhibiting this enzyme, statins reduce the synthesis of mevalonate, an intermediary in the cholesterol synthesis pathway. The same biosynthetic pathway is shared by coenzyme Q10; mevalonate is also a precursor of coenzyme Q10. Thus, both cholesterol and coenzyme Q10 biosynthesis decrease with statin treatment.
- Some of the side effects of statins include mitochondrial dysfunction, decreased cocnzyme Q10 levels, a variety of myopathies (ranging from mild myalgia to fatal rhabdomyolysis), diabetes, kidney failure and memory loss. Additional side effects include fever, dark colored urine, swelling, weight gain, changes in urination frequency, dry mouth, drowsiness, nausea, diarrhea, jaundice, loss of appetite, insomnia, and headache.
- Coenzyme Q10 (CoQ10) is a naturally occurring, fat-soluble quinone that is localized in hydrophobic portions of cellular membranes. Approximately half of the body's CoQ10 is obtained through dietary fat ingestion, whereas the remainder results from endogenous synthesis. Coenzyme Q10 participates in electron transport during oxidative phosphorylation in mitochondria, protects against oxidative stress produced by free radicals, and regenerates active forms of the antioxidants ascorbic acid and tocopherol (vitamin E). Given the role of CoQ10 in mitochondrial energy production and the importance of mitochondria in muscle function, it is likely that statin-induced CoQ10 deficiency plays a role in statin-associated mitochondrial dysfunction and myopathies (e.g., rhabdomyolysis). Without wishing to be bound by theory, it is also possible that CoQ10 plays a role in additional statin-induced side effects, such as but not limited to memory loss, kidney failure and diabetes.
- As shown in Example 3 and
FIG. 5 , aromatic-cationic peptides of the present disclosure increase CoQ10 levels in fibroblast cells. Accordingly, in some embodiments, aromatic-cationic peptides of the present disclosure are administered with one or more statins to alleviate or prevent the myopathic side effects of statin administration. The peptide may be administered before, simultaneously with, or after statin administration. The reason for statin administration is not intended to limit peptide administration. That is, the subject may be suffering from, or at risk for, any number of disease, conditions or illnesses for which one or more statins are indicated. - By way of example, but not by way of limitation, exemplary diseases, conditions, risk factors, characteristics, or reasons for administering a statin include one or more of the following: advanced age, smoking, hypertension, low HDL-C, a family history of early coronary heart disease, an increased risk of myocardial infarction and stroke in subjects with type 2 diabetes without coronary heart disease, but with other or multiple risk factors (e.g., retinopathy, albuminuria, smoking, or hypertension), to reduce the risk of non-fatal MI, fatal and non-fatal stroke, revascularization procedures, hospitalization for coronary heart failure, or angina in patients with coronary heart disease, to reduce elevated total cholesterol, LDL-C, ApoB, and triglyceride levels and increase HDL-C in adult patients with primary hyperlipidemia (heterozygous familial and nonfamilal) and mixed dyslipidemia, to reduce elevated triglycerides in patients with hypertriglyceridemia and primary dysbetalipoproteinemia, to reduce total cholesterol and LDL-C in patients with homozygous familial hypercholesterolemia (HoFH), to reduce elevated total cholesterol, LDL-C, and ApoB levels in boys and postmenarchal girls between the ages of 10-17, with heterozygous familial hypercholesterolemia after failing an adequate trial of diet therapy, to treat patients with primary hyperlipidemia and mixed dyslipidemia as an adjunct to diet to reduce levels of total cholesterol, LDL-C, ApoB, nonHDL-C, and triglyceride levels and to increase levels of HDL-C, to treat patients with: hypertriglyceridemia as an adjunct to diet, primary dysbetalipoproteinemia (Type H hyperlipoproteinemia) as an adjunct to diet, and homozygous familial hypercholesterolemia (HoFH), to slow the progression of atherosclerosis in patients as part of a treatment strategy to lower total cholesterol and LDL-C as an adjunct to diet, to treat patients 10 to 17 years old with heterozygous familial hypercholesterolemia (HeFH) to reduce elevated total cholesterol, LDL-C, and ApoB after failing an adequate trial of diet therapy, to reduce the risk of myocardial infarction, stroke, and arterial revascularization procedures in patients without evident coronary heart disease, but with multiple risk factors (e.g., hypertension, low HDL-C, smoking, or a family history of premature coronary heart disease), to reduce inflammation, promote locomotion, and promote tissue sparing in spinal cord injury, and/or to reduce or eliminate infection of HCV in a patient.
- In addition, in some embodiments, the administration of one or more aromatic-cationic peptides of the present disclosure in combination with one or more statins statin will allow the subject to receive a higher dose of one or more statins to alleviate a disease, conditions, or a sign, symptom or characteristic of a disease or condition. By way of example but not by way of limitation, the label on the statin CRESTOR® emphasizes the risks (e.g., myopathy, rhabdomyolysis and various forms of kidney failure) at the highest approved does of 40 mg, and recommends administration of lower doses. By administering an aromatic-cationic peptide with the statin, the detrimental side effects seen with higher dosages may delayed, ameliorated or eliminated, thereby allowing for administration of the higher therapeutic statin dose.
- General
- The disclosure also provides for both prophylactic and therapeutic methods of treating a subject having or at risk of (or susceptible to) atherosclerosis and related complications. Accordingly, the present methods provide for the prevention and/or treatment of atherosclerosis in a subject by administering an effective amount of an aromatic-cationic peptide and one or more active agents, such as an antihyperlipidemic drug (e.g., a statin) to a subject in need thereof.
- In various embodiments, suitable in vitro or in vivo assays are performed to determine the effect of a specific combination of aromatic-cationic peptides and one or more active agents and whether its administration is indicated for treatment. In various embodiments, assays can be performed with representative animal models to determine if a given aromatic-cationic peptide and cardiovascular agent treatment regime exerts the desired effect in preventing or treating atherosclerosis. Compounds for use in therapy can be tested in suitable animal model systems including, but not limited to rats, mice, chicken, pigs, cows, monkeys, rabbits, and the like, prior to testing in human subjects. Any of the animal model systems known in the art can be used prior to administration to human subjects.
- In therapeutic applications, compositions or medicaments are administered to a subject suspected of, or already suffering from such a disease in an amount sufficient to cure, or at least partially arrest, the symptoms of the disease, including its complications and intermediate pathological phenotypes in development of the disease. As such, the present disclosure provides methods of treating an individual afflicted with atherosclerosis.
- Exemplary Modes of Administration. Formulations and Effective Dosages
- Any method known to those in the art for contacting a cell, organ or tissue with a peptide and active agent may be employed. Suitable methods include in vitro, ex vivo, or in vivo methods. In vivo methods typically include the administration of an aromatic-cationic peptide and active agent, such as those described above, to a mammal, suitably a human. When used in vivo for therapy, the aromatic-cationic peptides and active agents may be administered to the subject in effective amounts (i.e., amounts that have desired therapeutic effect). The dose and dosage regimen will depend upon the degree of the injury in the subject, the characteristics of the particular aromatic-cationic peptide and/or additional active agent used, e.g., its therapeutic index, the subject, and the subject's history.
- The effective amount may be determined during pre-clinical trials and clinical trials by methods familiar to physicians and clinicians. An effective amount of a peptide and one or more additional active agents useful in the methods may be administered to a mammal in need thereof by any of a number of well-known methods for administering pharmaceutical compounds. The peptide may be administered systemically or locally.
- The compound may be formulated as a pharmaceutically acceptable salt. The term “pharmaceutically acceptable salt” means a salt prepared from a base or an acid which is acceptable for administration to a patient, such as a mammal (e.g., salts having acceptable mammalian safety for a given dosage regime). However, it is understood that the salts are not required to be pharmaceutically acceptable salts, such as salts of intermediate compounds that are not intended for administration to a patient. Pharmaceutically acceptable salts can be derived from pharmaceutically acceptable inorganic or organic bases and from pharmaceutically acceptable inorganic or organic acids. In addition, when a peptide contains both a basic moiety, such as an amine, pyridine or imidazole, and an acidic moiety such as a carboxylic acid or tetrazole, zwitterions may be formed and are included within the term “salt” as used herein. Salts derived from pharmaceutically acceptable inorganic bases include ammonium, calcium, copper, ferric, ferrous, lithium, magnesium, manganic, manganous, potassium, sodium, and zinc salts, and the like. Salts derived from pharmaceutically acceptable organic bases include salts of primary, secondary and tertiary amines, including substituted amines, cyclic amines, naturally-occurring amines and the like, such as arginine, betaine, caffeine, choline, N,N′-dibenzylethylenediamine, diethylamine, 2-diethylaminoethanol, 2-dimethylaminoethanol, ethanolamine, ethylenediamine, N-ethylmorpholine, N-ethylpiperidine, glucamine, glucosamine, histidine, hydrabamine, isopropylamine, lysine, methylglucamine, morpholine, piperazine, piperadine, polyamine resins, procaine, purines, theobromine, triethylamine, trimethylamine, tripropylamine, tromethamine and the like. Salts derived from pharmaceutically acceptable inorganic acids include salts of boric, carbonic, hydrohalic (hydrobromic, hydrochloric, hydrofluoric or hydroiodic), nitric, phosphoric, sulfamic and sulfuric acids. Salts derived from pharmaceutically acceptable organic acids include salts of aliphatic hydroxyl acids (e.g., citric, gluconic, glycolic, lactic, lactobionic, malic, and tartaric acids), aliphatic monocarboxylic acids (e.g., acetic, butyric, formic, propionic and trifluoroacetic acids), amino acids (e.g., aspartic and glutamic acids), aromatic carboxylic acids (e.g., benzoic, p-chlorobenzoic, diphenylacetic, gentisic, hippuric, and triphenylacetic acids), aromatic hydroxyl acids (e.g., o-hydroxybenzoic, p-hydroxybenzoic, 1-hydroxynaphthalene-2-carboxylic and 3-hydroxynaphthalene-2-carboxylic acids), ascorbic, dicarboxylic acids (e.g., fumaric, maleic, oxalic and succinic acids), glucoronic, mandelic, mucic, nicotinic, orotic, pamoic, pantothenic, sulfonic acids (e.g., benzenesulfonic, camphosulfonic, edisylic, ethanesulfonic, isethionic, methanesulfonic, naphthalenesulfonic, naphthalene-1,5-disulfonic, naphthalene-2,6-disulfonic and p-toluenesulfonic acids), xinafoic acid, and the like. In some embodiments, the pharmaceutically acceptable salt is acetate or trifluoroacetate salt.
- The compounds described herein can be incorporated into pharmaceutical compositions for administration, singly or in combination, to a subject for the treatment or prevention of a disorder described herein. Such compositions typically include the active agent (e.g., peptide and one or more active agents, e.g., a statin) and a pharmaceutically acceptable carrier. As used herein the term “pharmaceutically acceptable carrier” includes saline, solvents, dispersion media, coatings, antibacterial and antifungal agents, isotonic and absorption delaying agents, and the like, compatible with pharmaceutical administration. Supplementary active compounds can also be incorporated into the compositions.
- Pharmaceutical compositions are typically formulated to be compatible with its intended route of administration. Examples of routes of administration include parenteral (e.g., intravenous, intradermal, intraperitoneal or subcutaneous), oral, inhalation, transdermal (topical), intraocular, iontophoretic, and transmucosal administration. Solutions or suspensions used for parenteral, intradermal, or subcutaneous application can include the following components: a sterile diluent such as water for injection, saline solution, fixed oils, polyethylene glycols, glycerine, propylene glycol or other synthetic solvents; antibacterial agents such as benzyl alcohol or methyl parabens; antioxidants such as ascorbic acid or sodium bisulfite; chelating agents such as ethylenediaminetetraacetic acid; buffers such as acetates, citrates or phosphates and agents for the adjustment of tonicity such as sodium chloride or dextrose. pH can be adjusted with acids or bases, such as hydrochloric acid or sodium hydroxide. The parenteral preparation can be enclosed in ampoules, disposable syringes or multiple dose vials made of glass or plastic. For convenience of the patient or treating physician, the dosing formulation can be provided in a kit containing all necessary equipment (e.g., vials of drug, vials of diluent, syringes and needles) for a treatment course.
- Pharmaceutical compositions suitable for injectable use can include sterile aqueous solutions (where water soluble) or dispersions and sterile powders for the extemporaneous preparation of sterile injectable solutions or dispersion. For intravenous administration, suitable carriers include physiological saline, bacteriostatic water, Cremophor EL™ (BASF, Parsippany, N.J.) or phosphate buffered saline (PBS). In all cases, a composition for parenteral administration must be sterile and should be fluid to the extent that easy syringability exists. It should be stable under the conditions of manufacture and storage and must be preserved against the contaminating action of microorganisms such as bacteria and fungi.
- The pharmaceutical compositions can include a carrier, which can be a solvent or dispersion medium containing, for example, water, ethanol, polyol (for example, glycerol, propylene glycol, and liquid polyethylene glycol, and the like), and suitable mixtures thereof. The proper fluidity can be maintained, for example, by the use of a coating such as lecithin, by the maintenance of the required particle size in the case of dispersion and by the use of surfactants. Prevention of the action of microorganisms can be achieved by various antibacterial and antifungal agents, for example, parabens, chlorobutanol, phenol, ascorbic acid, thiomerasol, and the like. Glutathione and other antioxidants can be included to prevent oxidation. In many cases, it will be preferable to include isotonic agents, for example, sugars, polyalcohols such as mannitol, sorbitol, or sodium chloride in the composition. Prolonged absorption of the injectable compositions can be brought about by including in the composition an agent which delays absorption, for example, aluminum monostearate or gelatin.
- Sterile injectable solutions can be prepared by incorporating the active compound(s) in the required amount in an appropriate solvent with one or a combination of ingredients enumerated above, as required, followed by filtered sterilization. Generally, dispersions are prepared by incorporating the active compound into a sterile vehicle, which contains a basic dispersion medium and the required other ingredients from those enumerated above. In the case of sterile powders for the preparation of sterile injectable solutions, typical methods of preparation include vacuum drying and freeze drying, which can yield a powder of the active ingredient plus any additional desired ingredient from a previously sterile-filtered solution thereof.
- Oral compositions generally include an inert diluent or an edible carrier. For the purpose of oral therapeutic administration, the active compounds can be incorporated with excipients and used in the form of tablets, troches, or capsules, e.g., gelatin capsules. Oral compositions can also be prepared using a fluid carrier for use as a mouthwash. Pharmaceutically compatible binding agents, and/or adjuvant materials can be included as part of the composition. The tablets, pills, capsules, troches and the like can contain any of the following ingredients, or compounds of a similar nature: a binder such as microcrystalline cellulose, gum tragacanth or gelatin; an excipient such as starch or lactose, a disintegrating agent such as alginic acid, primogel, or corn starch; a lubricant such as magnesium stearate or sterotes; a glidant such as colloidal silicon dioxide; a sweetening agent such as sucrose or saccharin; or a flavoring agent such as peppermint, methyl salicylate, or orange flavoring.
- For administration by inhalation, the compounds can be delivered in the form of an aerosol spray from a pressurized container or dispenser which contains a suitable propellant, e.g., a gas such as carbon dioxide, or a nebulizer. Such methods include, but are not limited to those described in U.S. Pat. No. 6,468,798.
- Systemic administration of a therapeutic compound as described herein can also be by transmucosal or transdermal means. For transmucosal or transdermal administration, penetrants appropriate to the barrier to be permeated are used in the formulation. Such penetrants are generally known in the art, and include, for example, for transmucosal administration, detergents, bile salts, and fusidic acid derivatives. Transmucosal administration can be accomplished through the use of nasal sprays. For transdermal administration, the active compounds are formulated into ointments, salves, gels, or creams as generally known in the art. In one embodiment, transdermal administration may be performed by iontophoresis.
- A therapeutic agent can be formulated in a carrier system. The carrier can be a colloidal system. The colloidal system can be a liposome, a phospholipid bilayer vehicle. In one embodiment, the therapeutic peptide is encapsulated in a liposome while maintaining peptide integrity. As one skilled in the art would appreciate, there are a variety of methods to prepare liposomes (see Lichtenberg et al., Methods Biochem. Anal., 33:337-462 (1988); Anselem et al., Liposome Technology, CRC Press (1993)). Liposomal formulations can delay clearance and increase cellular uptake (see Reddy, Ann. Pharmacother., 34(7-8):915-923 (2000)). An active agent can also be loaded into a particle prepared from pharmaceutically acceptable ingredients including, but not limited to, soluble, insoluble, permeable, impermeable, biodegradable or gastroretentive polymers or liposomes. Such particles include, but are not limited to, nanoparticles, biodegradable nanoparticles, microparticles, biodegradable microparticles, nanospheres, biodegradable nanospheres, microspheres, biodegradable microspheres, capsules, emulsions, liposomes, micelles and viral vector systems.
- The carrier can also be a polymer, e.g., a biodegradable, biocompatible polymer matrix. In one embodiment, the therapeutic peptide can be embedded in the polymer matrix, while maintaining protein integrity. The polymer may be natural, such as polypeptides, proteins or polysaccharides, or synthetic, such as poly α-hydroxy acids. Examples include carriers made of, e.g., collagen, fibronectin, elastin, cellulose acetate, cellulose nitrate, polysaccharide, fibrin, gelatin, and combinations thereof. In one embodiment, the polymer is poly-lactic acid (PLA) or copoly lactic/glycolic acid (PGLA). The polymeric matrices can be prepared and isolated in a variety of forms and sizes, including microspheres and nanospheres. Polymer formulations can lead to prolonged duration of therapeutic effect (see Reddy, Ann. Pharmacother., 34(7-8):915-923 (2000)). A polymer formulation for human growth hormone (hGH) has been used in clinical trials (see Kozarich and Rich, Chemical Biology, 2:548-552 (1998)).
- Examples of polymer microsphere sustained release formulations are described in, but not limited to PCT publication WO 99/15154 (Tracy et al.), U.S. Pat. Nos. 5,674,534 and 5,716,644 (both to Zale et al.), PCT publication WO 96/40073 (Zale et al.), and PCT publication WO 00/38651 (Shah et al.). U.S. Pat. Nos. 5,674,534 and 5,716,644 and PCT publication WO 96/40073 describe a polymeric matrix containing particles of erythropoietin that are stabilized against aggregation with a salt.
- In some embodiments, the therapeutic compounds are prepared with carriers that will protect the therapeutic compounds against rapid elimination from the body, such as a controlled release formulation, including implants and microencapsulated delivery systems. Biodegradable, biocompatible polymers can be used, such as ethylene vinyl acetate, polyanhydrides, polyglycolic acid, collagen, polyorthoesters, and polylacetic acid. Such formulations can be prepared using known techniques. The materials can also be obtained commercially, e.g., from Alza Corporation and Nova Pharmaceuticals, Inc. Liposomal suspensions (including liposomes targeted to specific cells with monoclonal antibodies to cell-specific antigens) can also be used as pharmaceutically acceptable carriers. These can be prepared according to methods known to those skilled in the art, for example, as described in U.S. Pat. No. 4,522,811.
- The therapeutic compounds can also be formulated to enhance intracellular delivery. For example, liposomal delivery systems are known in the art, see, e.g., Chonn and Cullis, “Recent Advances in Liposome Drug Delivery Systems,” Current Opinion in Biotechnology 6:698-708 (1995); Weiner, “Liposomes for Protein Delivery: Selecting Manufacture and Development Processes,” Immunomethods, 4(3):201-9 (1994); and Gregoriadis, “Engineering Liposomes for Drug Delivery: Progress and Problems,” Trends Biotechnol., 13(12):527-37 (1995). Mizguchi et al., Cancer Lett., 100:63-69 (1996), describes the use of fusogenic liposomes to deliver a protein to cells both in vivo and in vitro.
- In some embodiments, at least one antihyperlipidemic agent (e.g. statin), and at least one aromatic cationic peptide as described above, are associated to form a complex. The antihyperlipidemic agent and aromatic cationic peptide can associate by any method known to those in the art. Suitable types of associations include chemical bonds and physical bonds. Chemical bonds include, for example, covalent bonds and coordinate bonds. Physical bonds include, for instance, hydrogen bonds, dipolar interactions, van der Waal forces, electrostatic interactions, hydrophobic interactions and aromatic stacking. In some embodiments, bonds between the compounds are rapidly degraded or dissolved; in some embodiments, bonds are cleaved by drug metabolizing or excretatory chemistry and/or enzymes.
- For a chemical bond or physical bond, a functional group on the molecule typically associates with a functional group on the aromatic cationic peptide. For example, statins often contain a carboxyl functional group, as well as hydroxyl functional groups. The free amine group of an aromatic cationic peptide may be crosslinked directly to the carboxl group of a statin using 1-Ethyl-3-[3-dimethylaminopropyl]carbodiimide hydrochloride (EDC or EDAC) or dicyclohexylcarbodiimide (DCC). Cross-linking agents can, for example, be obtained from Pierce Biotechnology, Inc., Rockford, Ill. The Pierce Biotechnology, Inc. website can provide assistance.
- Linkers that that are cleaved within a cell may also be used. For example, the carboxyl group of a statin may be attached to a linker, such as that disclosed in U.S. Pat. No. 7,989,434, herein incorporated by reference in its entirety, which links the statin to an aromatic cationic peptide. Once the statin-peptide complex enters the cell or blood stream, the linker is cleaved releasing the peptide from the statin. The compositions disclosed herein are not intended to be limited by linkers or cleavage means. For example, in some embodiments, linkers are cleaved in the body (e.g., in the blood stream, interstitial tissue, gastrointestinal tract, etc.), releasing the peptide from the second active agent (e.g., a statin) via enzymes (e.g., esterases) or other chemical reactions.
- In some embodiments, the antihyperlipidemic agent and an aromatic cationic peptide of the present disclosure may be administered in the form of a pharmaceutical composition comprising at least one of the compounds of this disclosure together with a pharmaceutically acceptable carrier or diluent. Thus, in some embodiments, the compounds disclosed herein can be administered either individually or together in any conventional oral, parenteral or transdermal dosage form. In some embodiments, the antihyperlipidemic agent may be co-formulated in a fixed-dose combination with the aromatic cationic peptide. In some embodiments, the antihyperlipidemic agent and the aromatic cationic peptide are formulated in a capsule or pill for oral dosing in which the compounds are physically separated. In such a formulation, one or both of the antihyperlipidemic agent and the aromatic cationic peptide are in a solid, liquid, powder, or gel form. In some embodiments, the antihyperlipidemic agent and the aromatic cationic peptide are in a fixed-dose combination in which the two compounds are mixed together, for example in in a solid, liquid, powder, or gel form.
- Dosage, toxicity and therapeutic efficacy of the therapeutic agents can be determined by standard pharmaceutical procedures in cell cultures or experimental animals, e.g., for determining the LD50 (the dose lethal to 50% of the population) and the ED50 (the dose therapeutically effective in 50% of the population). The dose ratio between toxic and therapeutic effects is the therapeutic index and it can be expressed as the ratio LD50/ED50. Compounds which exhibit high therapeutic indices are preferred. While compounds that exhibit toxic side effects may be used, care should be taken to design a delivery system that targets such compounds to the site of affected tissue in order to minimize potential damage to uninfected cells and, thereby, reduce side effects.
- The data obtained from the cell culture assays and animal studies can be used in formulating a range of dosage for use in humans. The dosage of such compounds lies preferably within a range of circulating concentrations that include the ED50 with little or no toxicity. The dosage may vary within this range depending upon the dosage form employed and the route of administration utilized. For any compound used in the methods, the therapeutically effective dose can be estimated initially from cell culture assays. A dose can be formulated in animal models to achieve a circulating plasma concentration range that includes the IC50 (i.e., the concentration of the test compound which achieves a half-maximal inhibition of symptoms) as determined in cell culture. Such information can be used to more accurately determine useful doses in humans. Levels in plasma may be measured, for example, by high performance liquid chromatography.
- Typically, an effective amount of the aromatic-cationic peptides and/or cardiovascular agents, sufficient for achieving a therapeutic or prophylactic effect, range from about 0.000001 mg per kilogram body weight per day to about 10,000 mg per kilogram body weight per day. Preferably, the dosage ranges are from about 0.0001 mg per kilogram body weight per day to about 100 mg per kilogram body weight per day. For example dosages can be 1 mg/kg body weight or 10 mg/kg body weight every day, every two days or every three days or within the range of 1-10 mg/kg every week, every two weeks or every three weeks. In one embodiment, a single dosage of peptide ranges from 0.1-10,000 micrograms per kg body weight. In one embodiment, aromatic-cationic peptide concentrations in a carrier range from 0.2 to 2000 micrograms per delivered milliliter.
- In some embodiments, a therapeutically effective amount of an aromatic-cationic peptide may be defined as a concentration of peptide at the target tissue of 10−11 to 10−6 molar, e.g., approximately 10−7 molar. This concentration may be delivered by systemic doses of 0.01 to 100 mg/kg or equivalent dose by body surface area. The schedule of doses would be optimized to maintain the therapeutic concentration at the target tissue, most preferably by single daily or weekly administration, but also including continuous administration (e.g., parenteral infusion or transdermal application).
- In some embodiments, the dosage of the aromatic-cationic peptide is provided at a “low,” “mid,” or “high” dose level. In one embodiment, the low dose is provided from about 0.0001 to about 0.5 mg/kg/h, suitably from about 0.001 to about 0.1 mg/kg/h. In one embodiment, the mid-dose is provided from about 0.01 to about 1.0 mg/kg/h, suitably from about 0.01 to about 0.5 mg/kg/h. In one embodiment, the high dose is provided from about 0.5 to about 10 mg/kg/h, suitably from about 0.5 to about 2 mg/kg/h. In an illustrative embodiment, the dose of cardiovascular agent is from about 1 to 100 mg/kg, suitably about 25 mg/kg.
- The skilled artisan will appreciate that certain factors may influence the dosage and timing required to effectively treat a subject, including but not limited to, the severity of the disease or disorder, previous treatments, the general health and/or age of the subject, and other diseases present. Moreover, treatment of a subject with a therapeutically effective amount of the therapeutic compositions described herein can include a single treatment or a series of treatments.
- The mammal treated in accordance present methods can be any mammal, including, for example, farm animals, such as sheep, pigs, cows, and horses; pet animals, such as dogs and cats; laboratory animals, such as rats, mice and rabbits. In some embodiments, the mammal is a human.
- The present technology is further illustrated by the following example, which should not be construed as limiting in any way.
- The effects of aromatic-cationic peptides in protecting against atherosclerosis in a mouse model were investigated.
- Apoprotein E deficient mice (Jackson Laboratories, 600 Main Street, Bar Harbor, Me.) were used in this study. The mice were male, 7-8 weeks of age, and between 18-20 g in weight. An initial total cholesterol measurement was made on 30 mice, and the mice were grouped into two groups of 15 to match the total cholesterol measurements. Both groups were fed a “western diet” (40 kcal % butterfat, 0.15% [wt/wt] cholesterol, Harlan Teklad diet TD-88137). Starting at t=0, the control group of 15 mice received vehicle only (phosphate buffered saline at pH 7.4), while the test group of 15 mice received aromatic-cationic peptide reconstituted in phosphate buffered saline. Body weights of the mice were recorded weekly, and mortality checks were performed daily.
- The aromatic-cationic peptide D-Arg-2′6′-Dmt-Lys-Phe-NH2 (sterile lyophilized powder, reconstituted in phosphate buffered saline) was tested. For the 12-week study, test mice received a single, daily dose of the peptide, subcutaneously at 1 mg/kg. Control mice received a single daily dose of vehicle.
- Experimental Protocol/Data Collection.
- Blood was collected every four weeks (orbital plexis) under isoflurane anesthesia (3%) and blood lipids were determined. Plasma lipid analysis was conducted for both groups at t=0, 4, 6, 8, and 12 weeks. Plasma lipid analysis using an autoanalyzer included total cholesterol (TC), triglycerides (Trigs), phospholipids (PL), free cholesterol (FC), and cholesterol ester (CE, by calculation). Gel electrophoresis was used to measure levels of high-density lipoprotein cholesterol (HDL-C), low-density lipoprotein cholesterol (LDL-C), and very low-density lipoprotein cholesterol (VLDL-C).
- Histopathology/Histomorphometery:
- Following the 12 week treatment, mice were euthanized within 48 hours after the last dose by CO2 asphyxiation and the vascular tree was perfused with 5 mL of phosphate buffered saline (pH 7.4). The aorta and aortic sinus were removed for examination. Thoracic aorta were isolated, trimmed of fat, and fixed in formalin for 48-72 hours before analysis. For en face analysis, aortas were laid out and pinned on black matrix for photography, and stained with Sudan IV. Vessels were imaged for surface involvement using a Nikon computerized image analysis system and the percent of the aortic surface area covered by lipid was calculated. Two determinations were done for each image (Quan 1 and Quan 2), and the average was computed. The data were then computed by group and statistically analyzed. Following staining and morphometric analysis, total lipids were extracted from the aortas using the Bligh-Dyer method. WAKO Diagnostics kits (WAKO Diagnostics, Inc., 1600 Bellwood Road Richmond, Va. 23237-1326) were then used to evaluate total cholesterol, free cholesterol, and cholesterol ester. Cholesterol leves were quantitate nad expressed relative to protein levels. Values are expressed as μg lipid per mg protein (see e.g.,
FIG. 1 ). - For the aortic sinus, the heart and approximately 5 mm of the ascending aorta was cut from the remainder of the aorta. The apex of the heart was removed and remaining heart with the attached aortic segment was fixed and sectioned (in OCT medium and frozen in a dry ice—2 methylbutane bath). Serial 10 μm thick cryosections were made beginning with the ascending aorta and proceeding through the entire aortic sinus until the ventricular chamber was reached. The sections were stained with Oil Red O or Sudan IV and counter stained with Harris hematoxylin. Alternate sections were stained with hematoxylin and eosin. The sinus was imaged at 5 step levels in the region of interest, i.e., the aortic root, for a total distance of 300 μm and the lipid-staining areas and measured (total cross sectional area) using a Nikon computerized image analysis system. The data were then computed by group and statistically analyzed.
- Results are shown in the tables below and in
FIGS. 1-4 . Table 7 shows the en face analysis of atherosclerotic lesions for each mouse in the study. Column 1: (sample ID #) represents each mouse, 1-15 are control animals (received vehicle alone), and 16-20 are test animals (received aromatic-cationic peptide); column 2: (Quan 1) shows a first determination of % of the aortic surface covered by lipid for each mouse in the study; column 3 (Quan 2) shows a second determination of % of the aortic surface covered by lipid for each mouse in the study; column 4: shows the average % of the surface of the aorta showing lesions for each mouse in the study; column 5 shows the average % of the surface of the aortas of control or test mice showing lesions; column 5 shows the standard error of the mean for each group (control or test animals). As shown in Table 7, treatment with the aromatic-cationic peptide reduces atherosclerotic lesions in the aorta. Aromatic-cationic peptides of the present disclosure are therefore useful in treating atherosclerosis and related signs, symptoms and complications of atherosclecrosis. -
TABLE 7 En Face Analysis of Atherosclerotic Lesions Sample Ave. % of ID# Quan 1 Quan 2Lesion Ave SEM 1 5.810 6.517 6.164 7.189 0.990 2 4.501 5.089 4.795 3 2.637 3.567 3.102 4 3.416 3.719 3.568 5 18.228 17.115 17.672 6 2.951 3.919 3.435 7 11.164 10.464 10.814 8 4.492 4.538 4.515 9 6.002 6.080 6.041 10 6.303 5.610 5.957 11 10.293 12.311 11.302 12 8.044 7.019 7.532 13 9.162 8.497 8.830 14 8.610 7.629 8.120 15 6.000 5.981 5.991 16 2.562 2.667 2.615 5.328 1.027 17 0.914 0.870 0.892 18 8.769 9.284 9.027 19 2.832 3.205 3.019 20 7.137 6.881 7.009 21 5.198 4.468 4.833 22 2.128 1.863 1.996 23 1.388 1.021 1.205 24 10.000 9.895 9.948 25 2.990 2.536 2.763 26 7.091 6.536 6.814 27 4.700 4.768 4.734 28 0.775 0.892 0.834 29 11.589 10.888 11.239 30 13.857 12.122 12.990 - Table 8 shows levels of total cholesterol (TC), free cholesterol (FC) and cholesterol ester (CE) in the thoracic aorta at 12 weeks for the 30 mice tested in the study. Mouse “sample” 1-15 are control mice (received vehicle only); mouse “sample” 16-20 are test mice (received aromatic-cationic peptide). As shown in Table 8, treatment with aromatic-cationic peptides lowers the total cholesterol, free cholesterol and cholesterol esters in the thoracic aorta. Aromatic-cationic peptides of the present disclosure are therefore useful in treating atherosclerosis and related signs, symptoms and complications of atherosclerosis.
-
TABLE 8 Thoracic Aorta Lipids Sample TC FC CE # μg/mg μg/mg μg/mg Vehicle 1 37.3 8.3 28.9 Vehicle 2 28.7 7.2 21.5 Vehicle 3 23.5 9.2 14.2 Vehicle 4 28.7 7.7 21.0 Vehicle 5 59.6 20.5 39.1 Vehicle 6 21.3 6.2 15.1 Vehicle 7 37.6 6.8 30.8 Vehicle 8 19.0 5.0 14.0 Vehicle 9 27.1 7.0 20.1 Vehicle 10 31.7 12.5 19.2 Vehicle 11 37.0 5.2 31.8 Vehicle 12 20.6 3.0 17.6 Vehicle 13 24.5 4.2 20.3 Vehicle 14 27.3 3.5 23.7 Vehicle 15 28.3 6.3 22.0 AVE 30.1 7.5 22.6 SEM 2.6 1.1 1.8 Peptide 16 21.4 7.6 13.8 Peptide 17 6.7 4.0 2.7 Peptide 18 35.4 5.1 30.3 Peptide 19 17.7 3.0 14.7 Peptide 20 38.8 8.1 30.7 Peptide 21 16.8 2.7 14.1 Peptide 22 8.1 3.5 4.6 Peptide 23 20.1 14.6 5.6 Peptide 24 35.1 6.6 28.5 Peptide 25 9.4 3.8 5.6 Peptide 26 24.9 3.6 21.3 Peptide 27 21.7 3.0 18.6 Peptide 28 7.9 3.3 4.6 Peptide 29 19.0 7.6 11.4 Peptide 30 22.5 9.5 13.0 AVE 20.4 5.7 14.6 SEM 2.6 0.9 2.5 - Table 9 shows the total lesion area in the
aortic root 300 μm across the aortic valve. Sample ID#1-15 are control mice (received vehicle only); Sample ID#16-20 are test mice (received aromatic-cationic peptide). As shown in Table 9, treatment with aromatic-cationic peptides reduces total lesion area. Aromatic-cationic peptides of the present disclosure are therefore useful in treating atherosclerosis and related signs, symptoms and complications of atherosclerosis. -
TABLE 9 Total Lesion Area in Aortic Root 300 μm Across Aortic ValveSample Sample ID# Area(mm2) ID# Area(mm2) 1 325.02 16 323.88 2 250.92 17 109.92 3 342.78 18 480.18 4 264.06 19 100.44 5 402.84 20 362.52 6 293.28 21 259.38 7 408.48 22 185.04 8 323.88 23 310.38 9 429.54 24 401.46 10 302.04 25 201.84 11 343.62 26 347.58 12 375.36 27 280.92 13 613.26 28 117.96 14 376.14 29 427.8 15 225.36 30 331.5 AVE 351.77 282.72 SEM 24.18 30.58 - Table 10A-10D and
FIGS. 4A-H show plasma lipid levels at t=0 weeks, 4 weeks, 8 weeks, and 12 weeks. For each of the tables, total cholesterol (TC), free cholesterol (FC), cholesterol ester (CE), triglycerides (Trigs) and phospholipid (PL) is shown for each of the 15 control (sample #1-15) and 15 test animals (sample #16-30). Also provided are average values (AVE), and standard error of the mean (SEM). As show in tables 10A-10D, and inFIGS. 4A-4H , at 4, 8 and 12 week time points, treatment with aromatic-cationic peptides reduces plasma total cholesterol, VLDL-C, LDL-C, free cholesterol, cholesterol ester, triglycerides and phospholipid levels. Aromatic-cationic peptides of the present disclosure are therefore useful in treating atherosclerosis and related signs, symptoms and complications of atherosclerosis. -
TABLE 10A Plasma Lipid Levels - Week 0 Sam- Spife (electrophoresis)Results ple mg/dL mg/dL mg/dL # TC HDL-C VLDL-C LDL-C FC CE Trigs PL 1 405 22 25 358 136 269 84 255 2 546 63 39 444 159 387 174 357 3 304 28 19 258 110 194 132 248 4 320 28 18 274 119 201 75 263 5 323 29 24 270 118 205 96 277 6 302 34 25 242 120 182 165 277 7 381 38 24 319 140 241 167 328 8 342 12 24 307 120 222 158 285 9 361 25 31 305 127 234 179 288 10 434 15 21 398 139 295 151 316 11 431 5 19 406 142 289 253 295 12 564 19 33 513 157 407 121 331 13 621 30 27 564 173 448 154 374 14 301 13 16 273 117 184 103 264 15 536 12 27 498 162 374 109 299 AVE 411 25 25 362 136 275 141 297 SEM 28 4 2 27 5 23 12 10 16 302 19 25 258 119 183 75 267 17 318 34 23 260 121 197 88 267 18 376 32 37 307 134 242 117 308 19 302 37 20 245 110 192 96 255 20 323 35 20 268 116 207 71 267 21 335 21 19 295 131 204 138 306 22 369 38 27 304 129 240 88 298 23 550 41 36 474 184 366 167 369 24 309 6 15 287 113 196 88 238 25 409 31 26 352 139 270 136 320 26 431 26 25 380 134 297 151 313 27 552 39 31 481 170 382 191 332 28 457 22 24 410 151 306 188 343 29 490 29 28 432 159 331 154 338 30 808 8 29 773 220 588 353 413 AVE 422 28 26 368 142 280 140 309 SEM 35 3 2 35 8 28 18 12 -
TABLE 10B Plasma Lipid Levels - Week 4 Sam- Spife (electrophoresis) Results ple mg/dL mg/dL mg/dL # TC HDL-C VLDL-C LDL-C FC CE Trigs PL 1 1195 39 54 1101 456 739 82 634 2 1103 31 51 1022 394 709 54 558 3 1114 11 51 1052 424 690 44 540 4 876 18 37 822 328 548 59 436 5 1124 11 58 1058 444 680 18 480 6 913 23 27 863 332 581 62 456 7 1052 25 48 978 382 670 54 528 8 908 15 31 862 352 556 72 460 9 948 16 38 894 372 576 72 470 10 850 20 37 794 338 512 64 420 11 1245 32 34 1181 502 743 75 590 12 1274 42 32 1200 582 692 128 690 13 1267 33 22 1212 524 743 98 658 14 1116 32 30 1054 406 710 57 540 15 1177 32 29 1115 510 667 57 568 AVE 1078 25 39 1014 423 654 66 535 SEM 38 3 3 36 20 20 6 21 16 799 18 35 745 308 491 18 422 17 924 20 37 866 344 580 39 482 18 976 20 37 918 354 622 28 452 19 1139 0 19 1120 408 731 85 560 20 1038 13 44 982 412 626 59 526 21 673 7 18 648 256 417 18 320 22 940 23 23 893 366 574 46 506 23 1046 32 39 975 386 660 108 556 24 835 20 44 770 320 515 59 446 25 822 15 41 766 286 536 33 416 26 1026 32 28 966 396 630 44 516 27 1223 45 31 1147 462 761 67 580 28 935 32 30 874 354 581 44 510 29 1248 44 32 1171 516 732 80 666 30 1337 49 35 1254 636 701 144 750 AVE 997 25 33 940 387 610 58 514 SEM 47 4 2 45 25 25 9 27 -
TABLE 10C Plasma Lipid Levels - Week 8 Sam- Spife (electrophoresis) Results ple mg/dL mg/dL mg/dL # TC HDL-C VLDL-C LDL-C FC CE Trigs PL 1 1590 26 76 1488 418 1172 79 548 2 1342 10 107 1225 352 990 58 518 3 1270 4 66 1201 346 924 39 482 4 1611 40 82 1489 394 1217 60 526 5 1610 16 107 1488 420 1190 79 536 6 902 19 51 831 278 624 53 410 7 1484 28 54 1402 408 1076 89 564 8 986 23 75 887 288 698 58 380 9 1491 24 70 1397 394 1097 65 554 10 1568 23 86 1459 388 1180 63 534 11 1667 30 149 1488 470 1197 113 594 12 1842 86 143 1613 574 1268 209 738 13 1695 62 137 1496 448 1247 142 534 14 1719 22 106 1591 454 1265 96 570 15 765 18 39 708 250 515 41 396 AVE 1436 29 90 1318 392 1044 83 526 SEM 83 5 9 74 21 64 11 23 16 1262 42 101 1119 322 940 34 416 17 1004 34 73 897 294 710 31 456 18 1505 27 86 1392 386 1119 34 474 19 1183 33 79 1071 318 865 51 448 20 1545 19 112 1415 392 1153 48 516 21 943 8 34 901 290 653 31 424 22 1008 45 88 875 294 714 51 480 23 1473 16 79 1378 388 1085 53 488 24 1023 32 69 922 308 715 43 436 25 956 41 59 856 286 670 75 440 26 1435 25 93 1317 362 1073 63 556 27 1414 19 74 1320 366 1048 39 516 28 1147 41 80 1025 308 839 34 470 29 1534 43 109 1382 404 1130 67 540 30 1797 57 119 1621 530 1267 195 728 AVE 1282 32 84 1166 350 932 57 493 SEM 69 3 6 64 17 53 10 20 -
TABLE 10D Plasma Lipid Levles-Week 12 Sam- Spife (electrophoresis) Results ple mg/dL mg/dL mg/dL # TC HDL-C VLDL-C LDL-C FC CE Trigs PL 1 1115 39 36 1041 351 764 42 444 2 637 15 35 587 225 412 25 336 3 803 23 24 756 269 533 25 381 4 1243 48 105 1090 380 863 31 477 5 1335 9 69 1257 429 907 11 499 6 874 28 36 811 307 567 31 427 7 1077 35 43 998 346 731 20 445 8 827 23 44 759 277 550 20 379 9 1205 27 43 1135 376 829 24 586 10 910 36 44 830 306 604 16 417 11 1220 50 62 1108 371 848 93 497 12 1754 56 59 1640 543 1211 60 700 13 1710 17 83 1609 558 1152 97 689 14 1085 38 76 972 359 725 51 422 15 750 12 31 707 269 482 60 396 AVE 1103 30 53 1020 358 745 40 473 SEM 84 4 6 79 24 60 7 28 16 898 38 39 821 291 607 27 366 17 540 20 35 485 205 335 49 318 18 884 10 21 854 287 597 10 320 19 937 41 43 852 296 640 37 432 20 1420 21 71 1328 418 1002 18 491 21 719 5 21 693 242 477 39 321 22 674 31 32 611 229 445 39 363 23 745 20 33 692 269 476 37 394 24 990 2 26 962 315 675 13 374 25 999 40 63 896 312 687 25 423 26 1379 28 76 1275 419 960 74 536 27 1255 1 36 1218 386 869 89 521 28 558 23 30 505 219 339 97 340 29 1317 31 83 1203 413 904 112 575 30 1736 2 46 1688 535 1201 158 741 AVE 1003 21 44 939 322 681 55 434 SEM 90 4 5 88 24 66 11 3.1 - Results are further shown in
FIGS. 1-3 .FIG. 1A shows that at 12 weeks, the % lesion area is lower in the treated (dark bar) versus untreated (white bars) group. Thus there is a decrease in plaque present in the thoracic aorta of treated versus untreated subjects. FIG. 1B is a photograph of lesions on the vehicle only aorta versus the treated aorta. As shown in the bar graph inFIG. 2 , the level of thoracic aorta plaque cholesterol content (TC=total cholesterol; FC=free cholesterol and CE=cholesterol ester) is lower in the treated (dark bars) versus untreated (vehicle, white bars) group at 12 weeks.FIG. 3 shows that, at 12 weeks, mean lesion area is lower in the treated group versus the untreated (vehicle) group. Accordingly, the aromatic-cationic peptides of the present disclosure are useful for decreasing the amount of atherosclerotic plaque in both the aorta and aortic root, and for decreasing the plaque cholesterol content. Thus, the aromatic-cationic peptides of the present disclosure are useful for treating or preveing atherosclerosis and related signs, symptoms and complications of atherosclerosis. - The effects of aromatic-cationic peptides in protecting against atherosclerosis, in conjunction with one or more statins, in a mouse model are investigated as follows.
- Mice are treated as described in Example 1. That is, Apoprotein E deficient mice as described in Example 1 are used in the study. An initial total cholesterol measurement is made on the mice, and the mice are grouped into groups of 15 to match the total cholesterol measurements. The groups are fed a “western diet” (40 kcal % butterfat, 0.15% [wt/wt] cholesterol). Starting at t=0, the control group of 15 mice receive vehicle only, while the test groups of 15 mice receive aromatic-cationic peptide and one or more statins. Body weights of the mice is recorded weekly, and mortality checks are performed daily.
- The aromatic-cationic peptide D-Arg-2′6′-Dmt-Lys-Phe-NH2 (sterile lyophilized powder) is tested. Each group of test mice receives a single, daily dose of the peptide, subcutaneously at 1, 3, 5 or 10 mg/kg, and also receives, simultaneously atorvastatin, fluvastatin, lovastatin, pravastatin or rosuvastatin at 0.1, 0.5, 0.75 or 1 mg/kg. Control mice receive vehicle only. The injections continue for 12 weeks, at which time the mice are sacrificed and analyzed as described in Example 1.
- Plasma lipid analysis using an autoanalyzer include an evaluation of total cholesterol (TC), triglycerides (Trigs), phospholipids (PL), free cholesterol (FC), and cholesterol ester (CE, by calculation). Gel electrophoresis is used to measure levels of high-density lipoprotein cholesterol (HDL-C), low-density lipoprotein cholesterol (LDL-C), and very low-density lipoprotein cholesterol (VLDL-C). Histopathology/histomorphometery is performed as described above in Example 1.
- Results: It is anticipated that mice receiving both the peptide and the statin will show decreased levels of total cholesterol, free cholesterol, triglyceride, phospholipid, cholesterol ester, LDL-C and VLDL-C as well as a decrease in the lesions as compared to subjects receiving vehicle only. It is also anticipated that in some instances, subjects receiving the combination treatment (aromatic-cationic peptide plus statin) will exhibit a synergy between the two drugs, such that a lower dose of peptide, the statin or both will achieve desired results, e.g., lowered levels of total cholesterol, free cholesterol, triglyceride, phospholipid, cholesterol ester, LDL-C and VLDL-C and/or lesions.
- Accordingly, it is anticipated that the results will further demonstrate that the aromatic-cationic peptides of the present disclosure, alone or in combination with one or more statins, will be useful for treating atherosclerosis, and signs, symptoms or complications of atherosclerosis, including but not limited to increased total cholesterol, free cholesterol, triglyceride, phospholipid, cholesterol ester, LDL-C and VLDL-C and increased atherosclerotic lesions.
- Fibroblasts were treated with an aromatic-cationic peptide of the present disclosure, and levels of coenzyme Q10 were evaluated.
- Fibroblasts were culture by methods known in the art, and treated with the aromatic-cationic peptide D-Arg-2′6′-Dmt-Lys-Phe-NH2 as shown in Table 11 below. Data represents the average n=3-6.
-
TABLE 11 Treatment of fibroblasts with aromatic-cationic peptide Peptide Time of Peptide Cells Medium Amount Treatment fibroblast cells DMEM 0 0 fibroblast cells DMEM 10 nM 16-24 hours fibroblast cells DMEM 10 nM 5 days - Coenzyme Q10 levels were evaluated by methods known in the art.
- Results are shown in
FIG. 5 . As shown inFIG. 5 , exposure to the aromatic-cationic peptides of the present disclosure increased coenzyme Q10 levels in fibroblast cells. Accordingly, the aromatic-cationic peptides of the present disclosure are useful for increasing coenzyme Q10 levels in subjects in need thereof. For example, the aromatic-cationic peptides of the present disclosure are useful for increasing coenzyme Q10 levels in subjects taking one or more statin drugs and/or in subjects suffering from a disease or conditions characterized by, or caused by low (e.g., below normal or control levels) coenzyme Q10 levels. The aromatic-cationic peptides of the present disclosure are useful to treat, prevent or ameliorate the signs and/or symptoms of diseases or conditions characterized by low (e.g., below normal or control levels) coenzyme Q10 levels. - The present invention is not to be limited in terms of the particular embodiments described in this application, which are intended as single illustrations of individual aspects of the invention. Many modifications and variations of this invention can be made without departing from its spirit and scope, as will be apparent to those skilled in the art. Functionally equivalent methods and apparatuses within the scope of the invention, in addition to those enumerated herein, will be apparent to those skilled in the art from the foregoing descriptions. Such modifications and variations are intended to fall within the scope of the appended claims. The present invention is to be limited only by the terms of the appended claims, along with the full scope of equivalents to which such claims are entitled. It is to be understood that this invention is not limited to particular methods, reagents, compounds compositions or biological systems, which can, of course, vary. It is also to be understood that the terminology used herein is for the purpose of describing particular embodiments only, and is not intended to be limiting.
- In addition, where features or aspects of the disclosure are described in terms of Markush groups, those skilled in the art will recognize that the disclosure is also thereby described in terms of any individual member or subgroup of members of the Markush group.
- As will be understood by one skilled in the art, for any and all purposes, particularly in terms of providing a written description, all ranges disclosed herein also encompass any and all possible subranges and combinations of subranges thereof. Any listed range can be easily recognized as sufficiently describing and enabling the same range being broken down into at least equal halves, thirds, quarters, fifths, tenths, etc. As a non-limiting example, each range discussed herein can be readily broken down into a lower third, middle third and upper third, etc. As will also be understood by one skilled in the art all language such as “up to,” “at least,” “greater than,” “less than,” and the like, include the number recited and refer to ranges which can be subsequently broken down into subranges as discussed above. Finally, as will be understood by one skilled in the art, a range includes each individual member. Thus, for example, a group having 1-3 cells refers to groups having 1, 2, or 3 cells. Similarly, a group having 1-5 cells refers to groups having 1, 2, 3, 4, or 5 cells, and so forth.
- All patents, patent applications, provisional applications, and publications referred to or cited herein are incorporated by reference in their entirety, including all figures and tables, to the extent they are not inconsistent with the explicit teachings of this specification.
- Other embodiments are set forth within the following claims.
Claims (30)
Priority Applications (1)
| Application Number | Priority Date | Filing Date | Title |
|---|---|---|---|
| US15/848,198 US20180344797A1 (en) | 2012-08-02 | 2017-12-20 | Methods for treatment of atherosclerosis |
Applications Claiming Priority (6)
| Application Number | Priority Date | Filing Date | Title |
|---|---|---|---|
| US201261678992P | 2012-08-02 | 2012-08-02 | |
| US201261695807P | 2012-08-31 | 2012-08-31 | |
| US201261695850P | 2012-08-31 | 2012-08-31 | |
| PCT/US2013/053007 WO2014022551A1 (en) | 2012-08-02 | 2013-07-31 | Methods for treatment of atherosclerosis |
| US201514418809A | 2015-01-30 | 2015-01-30 | |
| US15/848,198 US20180344797A1 (en) | 2012-08-02 | 2017-12-20 | Methods for treatment of atherosclerosis |
Related Parent Applications (2)
| Application Number | Title | Priority Date | Filing Date |
|---|---|---|---|
| US14/418,809 Continuation US10201585B2 (en) | 2012-08-02 | 2013-07-31 | Methods for treatment of atherosclerosis |
| PCT/US2013/053007 Continuation WO2014022551A1 (en) | 2012-08-02 | 2013-07-31 | Methods for treatment of atherosclerosis |
Publications (1)
| Publication Number | Publication Date |
|---|---|
| US20180344797A1 true US20180344797A1 (en) | 2018-12-06 |
Family
ID=50028503
Family Applications (5)
| Application Number | Title | Priority Date | Filing Date |
|---|---|---|---|
| US14/418,827 Active US10188693B2 (en) | 2012-08-02 | 2013-07-31 | Methods for treatment of atherosclerosis |
| US14/418,809 Active US10201585B2 (en) | 2012-08-02 | 2013-07-31 | Methods for treatment of atherosclerosis |
| US15/848,712 Abandoned US20180339012A1 (en) | 2012-08-02 | 2017-12-20 | Methods for treatment of atherosclerosis |
| US15/848,198 Abandoned US20180344797A1 (en) | 2012-08-02 | 2017-12-20 | Methods for treatment of atherosclerosis |
| US16/271,185 Abandoned US20200000870A1 (en) | 2012-08-02 | 2019-02-08 | Methods for treatment of atherosclerosis |
Family Applications Before (3)
| Application Number | Title | Priority Date | Filing Date |
|---|---|---|---|
| US14/418,827 Active US10188693B2 (en) | 2012-08-02 | 2013-07-31 | Methods for treatment of atherosclerosis |
| US14/418,809 Active US10201585B2 (en) | 2012-08-02 | 2013-07-31 | Methods for treatment of atherosclerosis |
| US15/848,712 Abandoned US20180339012A1 (en) | 2012-08-02 | 2017-12-20 | Methods for treatment of atherosclerosis |
Family Applications After (1)
| Application Number | Title | Priority Date | Filing Date |
|---|---|---|---|
| US16/271,185 Abandoned US20200000870A1 (en) | 2012-08-02 | 2019-02-08 | Methods for treatment of atherosclerosis |
Country Status (8)
| Country | Link |
|---|---|
| US (5) | US10188693B2 (en) |
| EP (6) | EP3485897A1 (en) |
| JP (5) | JP2015524439A (en) |
| CN (3) | CN110090304A (en) |
| AU (4) | AU2013296494B2 (en) |
| CA (2) | CA2880648A1 (en) |
| HK (2) | HK1210953A1 (en) |
| WO (2) | WO2014022551A1 (en) |
Families Citing this family (16)
| Publication number | Priority date | Publication date | Assignee | Title |
|---|---|---|---|---|
| EP2788013A4 (en) * | 2011-12-09 | 2015-08-19 | Stealth Peptides Int Inc | Aromatic-cationic peptides and uses of same |
| US9255154B2 (en) | 2012-05-08 | 2016-02-09 | Alderbio Holdings, Llc | Anti-PCSK9 antibodies and use thereof |
| EP3485897A1 (en) * | 2012-08-02 | 2019-05-22 | Stealth Peptides International, Inc. | D-arg-2'6'-dmt-lys-phe-nh2 for decreasing statin side effects |
| EP2908839B1 (en) * | 2012-10-22 | 2019-08-21 | Stealth Peptides International, Inc. | Methods for reducing risks associated with heart failure and factors associated therewith |
| WO2015183984A2 (en) * | 2014-05-28 | 2015-12-03 | Stealth Peptides International, Inc. | Therapeutic compositions including tocopherol and uses thereof |
| WO2015183970A1 (en) * | 2014-05-28 | 2015-12-03 | Stealth Peptides International, Inc. | Therapeutic compositions including flavonoid and uses thereof |
| WO2015183985A2 (en) * | 2014-05-28 | 2015-12-03 | Stealth Peptides International, Inc. | Therapeutic compositions including naphthoquinones and uses thereof |
| RU2623876C2 (en) * | 2014-11-10 | 2017-06-29 | Александр Владимирович Диковский | Pharmaceutical composition for hyperlipidemia treatment |
| WO2016190852A1 (en) * | 2015-05-26 | 2016-12-01 | Stealth Peptides International, Inc. | Therapeutic compositions including chromanyl compounds, variants and analogues thereof, and uses thereof |
| US20180318381A1 (en) * | 2015-10-23 | 2018-11-08 | University Of Pittsburgh- Of The Commonwealth System Of Higher Education | Methods of Treatment of Rhabdomyolysis |
| US11355245B2 (en) * | 2016-05-03 | 2022-06-07 | International Business Machines Corporation | Identifying and ranking risk factors using trained predictive models |
| EP3515455B1 (en) * | 2016-09-20 | 2021-04-14 | Aarhus Universitet | Compounds for treatment of lipoprotein metabolism disorders |
| CN107041946A (en) * | 2017-03-24 | 2017-08-15 | 南京大学 | Applications of the compound SS 31 on treatment atherosclerosis and relevant disease medicine or preparation is prepared |
| US11034724B2 (en) | 2017-04-05 | 2021-06-15 | Stealth Biotherapeutics Corp. | Crystalline salt forms of Boc-D-Arg-DMT-Lys-(Boc)-Phe-NH2 |
| US10676506B2 (en) | 2018-01-26 | 2020-06-09 | Stealth Biotherapeutics Corp. | Crystalline bis- and tris-hydrochloride salt of elamipretide |
| GB202005439D0 (en) | 2020-04-14 | 2020-05-27 | Aurigen Medical Ltd | A device for occlusion of a left a trial appendage of a heart |
Family Cites Families (31)
| Publication number | Priority date | Publication date | Assignee | Title |
|---|---|---|---|---|
| US4489710A (en) | 1981-06-23 | 1984-12-25 | Xoma Corporation | Composition and method for transplantation therapy |
| US5156840A (en) | 1982-03-09 | 1992-10-20 | Cytogen Corporation | Amine-containing porphyrin derivatives |
| US4671958A (en) | 1982-03-09 | 1987-06-09 | Cytogen Corporation | Antibody conjugates for the delivery of compounds to target sites |
| US4522811A (en) | 1982-07-08 | 1985-06-11 | Syntex (U.S.A.) Inc. | Serial injection of muramyldipeptides and liposomes enhances the anti-infective activity of muramyldipeptides |
| US4625014A (en) | 1984-07-10 | 1986-11-25 | Dana-Farber Cancer Institute, Inc. | Cell-delivery agent |
| US4542225A (en) | 1984-08-29 | 1985-09-17 | Dana-Farber Cancer Institute, Inc. | Acid-cleavable compound |
| US4638045A (en) | 1985-02-19 | 1987-01-20 | Massachusetts Institute Of Technology | Non-peptide polyamino acid bioerodible polymers |
| US5057313A (en) | 1986-02-25 | 1991-10-15 | The Center For Molecular Medicine And Immunology | Diagnostic and therapeutic antibody conjugates |
| US5858784A (en) | 1991-12-17 | 1999-01-12 | The Regents Of The University Of California | Expression of cloned genes in the lung by aerosol- and liposome-based delivery |
| US5674534A (en) | 1992-06-11 | 1997-10-07 | Alkermes, Inc. | Composition for sustained release of non-aggregated erythropoietin |
| US5716644A (en) | 1992-06-11 | 1998-02-10 | Alkermes, Inc. | Composition for sustained release of non-aggregated erythropoietin |
| US5989463A (en) | 1997-09-24 | 1999-11-23 | Alkermes Controlled Therapeutics, Inc. | Methods for fabricating polymer-based controlled release devices |
| US6245740B1 (en) | 1998-12-23 | 2001-06-12 | Amgen Inc. | Polyol:oil suspensions for the sustained release of proteins |
| US8568766B2 (en) | 2000-08-24 | 2013-10-29 | Gattadahalli M. Anantharamaiah | Peptides and peptide mimetics to treat pathologies associated with eye disease |
| US7199102B2 (en) | 2000-08-24 | 2007-04-03 | The Regents Of The University Of California | Orally administered peptides synergize statin activity |
| JP2005507244A (en) * | 2001-08-10 | 2005-03-17 | ノバルティス アクチエンゲゼルシャフト | Peptides that bind to atherosclerotic lesions |
| US7576061B2 (en) * | 2003-02-04 | 2009-08-18 | Cornell Research Foundation, Inc. | Methods for preventing mitochondrial permeability transition |
| ES2520816T3 (en) * | 2003-05-01 | 2014-11-11 | Cornell Research Foundation, Inc. | Method and carrier complexes to deliver molecules to cells |
| CA2556752C (en) | 2004-02-23 | 2016-02-02 | Genentech, Inc. | Heterocyclic self-immolative linkers and conjugates |
| WO2007011968A2 (en) | 2005-07-18 | 2007-01-25 | Seattle Genetics, Inc. | Beta-glucuronide-linker drug conjugates |
| EP3549594A1 (en) * | 2005-09-16 | 2019-10-09 | Cornell Research Foundation, Inc. | Aromatic-cationic peptide for use in a method for reducing cd36 expression |
| WO2007089787A2 (en) | 2006-01-30 | 2007-08-09 | Israel Ben David Bryson | Compositions and methods for treating cardiovascular, cerebrovascular and other vascular disease patients |
| KR101455413B1 (en) * | 2006-08-30 | 2014-10-27 | 고쿠리쓰다이가쿠호진 규슈다이가쿠 | Pharmaceutical composition containing statin-encapsulated nanoparticle |
| WO2009092071A2 (en) * | 2008-01-18 | 2009-07-23 | Shire Llc | Amino acid and peptide pro-drugs of phenolic analgesics and uses thereof |
| EP3103467A1 (en) * | 2008-02-07 | 2016-12-14 | Cornell University | Methods for preventing or treating insulin resistance |
| US20110039766A1 (en) | 2009-08-12 | 2011-02-17 | Szeto Hazel H | Methods for preventing or treating metabolic syndrome |
| US8470784B2 (en) | 2009-08-24 | 2013-06-25 | Stealth Peptides International, Inc. | Methods and compositions for preventing or treating ophthalmic conditions |
| US20130040901A1 (en) * | 2010-02-26 | 2013-02-14 | University Of Florida Research Foundation Inc. | Mitochondrial-targeted antioxidants protect against mechanical ventilation-induced diaphragm dysfunction and skeletal muscle atrophy |
| EP2808029A3 (en) | 2010-03-15 | 2015-04-01 | Stealth Peptides International, Inc. | Combination therapies using cyclosporine and aromatic cationic peptides |
| SG191219A1 (en) | 2010-12-22 | 2013-07-31 | Genentech Inc | Anti-pcsk9 antibodies and methods of use |
| EP3485897A1 (en) * | 2012-08-02 | 2019-05-22 | Stealth Peptides International, Inc. | D-arg-2'6'-dmt-lys-phe-nh2 for decreasing statin side effects |
-
2013
- 2013-07-31 EP EP18198495.6A patent/EP3485897A1/en not_active Withdrawn
- 2013-07-31 EP EP19209275.7A patent/EP3662921A1/en not_active Withdrawn
- 2013-07-31 CA CA2880648A patent/CA2880648A1/en not_active Abandoned
- 2013-07-31 CA CA2880643A patent/CA2880643A1/en not_active Abandoned
- 2013-07-31 CN CN201910002871.XA patent/CN110090304A/en active Pending
- 2013-07-31 WO PCT/US2013/053007 patent/WO2014022551A1/en not_active Ceased
- 2013-07-31 EP EP16174236.6A patent/EP3132800A1/en not_active Withdrawn
- 2013-07-31 EP EP13824883.6A patent/EP2879688A4/en not_active Withdrawn
- 2013-07-31 EP EP13825389.3A patent/EP2879689A4/en not_active Withdrawn
- 2013-07-31 CN CN201380049785.5A patent/CN104661670A/en active Pending
- 2013-07-31 US US14/418,827 patent/US10188693B2/en active Active
- 2013-07-31 AU AU2013296494A patent/AU2013296494B2/en active Active
- 2013-07-31 EP EP17186931.6A patent/EP3300740A1/en not_active Withdrawn
- 2013-07-31 HK HK15111769.9A patent/HK1210953A1/en unknown
- 2013-07-31 US US14/418,809 patent/US10201585B2/en active Active
- 2013-07-31 JP JP2015525555A patent/JP2015524439A/en active Pending
- 2013-07-31 WO PCT/US2013/053008 patent/WO2014022552A1/en not_active Ceased
- 2013-07-31 HK HK15111866.1A patent/HK1210962A1/en unknown
- 2013-07-31 AU AU2013296493A patent/AU2013296493B2/en active Active
- 2013-07-31 JP JP2015525554A patent/JP2015529655A/en active Pending
- 2013-07-31 CN CN201380049762.4A patent/CN104768564A/en active Pending
-
2017
- 2017-10-04 JP JP2017194137A patent/JP2018016637A/en active Pending
- 2017-10-06 JP JP2017195835A patent/JP2018012726A/en active Pending
- 2017-12-20 US US15/848,712 patent/US20180339012A1/en not_active Abandoned
- 2017-12-20 US US15/848,198 patent/US20180344797A1/en not_active Abandoned
-
2018
- 2018-03-23 AU AU2018202068A patent/AU2018202068A1/en not_active Abandoned
- 2018-03-27 AU AU2018202197A patent/AU2018202197A1/en not_active Abandoned
-
2019
- 2019-02-08 US US16/271,185 patent/US20200000870A1/en not_active Abandoned
- 2019-03-08 JP JP2019042213A patent/JP2019108389A/en active Pending
Also Published As
Similar Documents
| Publication | Publication Date | Title |
|---|---|---|
| US20200000870A1 (en) | Methods for treatment of atherosclerosis | |
| US12337023B2 (en) | Methods and compositions for the prevention and treatment of disease | |
| HK1249428A1 (en) | Methods for the prevention or treatment of no-reflow following ischemia/reperfusion injury | |
| JP2015147811A (en) | Method for performing coronary artery bypass grafting | |
| JP2022116008A (en) | Methods and compositions for prevention or treatment of Barth syndrome | |
| US20160256514A1 (en) | Methods for the prevention or treatment of left ventricle remodeling | |
| HK40007041A (en) | D-arg-2'6'-dmt-lys-phe-nh2 for decreasing statin side effects | |
| US11931397B2 (en) | Methods and compositions for the treatment of Sengers syndrome | |
| HK1240139B (en) | Peptide d-arg-2’,6’-dmt-lys-phe-nh2 for treating alport syndrome | |
| HK1240139A1 (en) | Peptide d-arg-2’,6’-dmt-lys-phe-nh2 for treating alport syndrome | |
| HK1178087A (en) | Methods for performing a coronary artery bypass graft procedure |
Legal Events
| Date | Code | Title | Description |
|---|---|---|---|
| STPP | Information on status: patent application and granting procedure in general |
Free format text: NON FINAL ACTION MAILED |
|
| AS | Assignment |
Owner name: STEALTH BIOTHERAPEUTICS CORP, MONACO Free format text: CHANGE OF NAME;ASSIGNOR:STEALTH PEPTIDES INTERNATIONAL, INC.;REEL/FRAME:049027/0228 Effective date: 20150626 Owner name: STEALTH PEPTIDES INTERNATIONAL, INC., MONACO Free format text: ASSIGNMENT OF ASSIGNORS INTEREST;ASSIGNORS:WILSON, D. TRAVIS;BAMBERGER, MARK;BLAKEY, BRIAN;REEL/FRAME:047786/0560 Effective date: 20120816 Owner name: STEALTH PEPTIDES INTERNATIONAL, INC., MONACO Free format text: ASSIGNMENT OF ASSIGNORS INTEREST;ASSIGNORS:WILSON, D. TRAVIS;BAMBERGER, MARK;BLAKEY, BRIAN;REEL/FRAME:047786/0591 Effective date: 20130310 Owner name: STEALTH PEPTIDES INTERNATIONAL, INC., MONACO Free format text: ASSIGNMENT OF ASSIGNORS INTEREST;ASSIGNORS:WILSON, D. TRAVIS;BAMBERGER, MARK;BLAKEY, BRIAN;REEL/FRAME:047786/0601 Effective date: 20130310 |
|
| STCB | Information on status: application discontinuation |
Free format text: ABANDONED -- FAILURE TO RESPOND TO AN OFFICE ACTION |





