US20170301920A1 - Polymer protecting layer, lithium metal negative electrode, lithium secondary battery - Google Patents
Polymer protecting layer, lithium metal negative electrode, lithium secondary battery Download PDFInfo
- Publication number
- US20170301920A1 US20170301920A1 US15/481,176 US201715481176A US2017301920A1 US 20170301920 A1 US20170301920 A1 US 20170301920A1 US 201715481176 A US201715481176 A US 201715481176A US 2017301920 A1 US2017301920 A1 US 2017301920A1
- Authority
- US
- United States
- Prior art keywords
- group
- fluorine
- lithium
- substituted
- secondary battery
- Prior art date
- Legal status (The legal status is an assumption and is not a legal conclusion. Google has not performed a legal analysis and makes no representation as to the accuracy of the status listed.)
- Abandoned
Links
- 229910052744 lithium Inorganic materials 0.000 title claims abstract description 307
- WHXSMMKQMYFTQS-UHFFFAOYSA-N Lithium Chemical compound [Li] WHXSMMKQMYFTQS-UHFFFAOYSA-N 0.000 title claims abstract description 161
- 229920000642 polymer Polymers 0.000 title claims abstract description 116
- 239000002608 ionic liquid Substances 0.000 claims abstract description 55
- IJGRMHOSHXDMSA-UHFFFAOYSA-N Atomic nitrogen Chemical compound N#N IJGRMHOSHXDMSA-UHFFFAOYSA-N 0.000 claims description 80
- 125000004435 hydrogen atom Chemical group [H]* 0.000 claims description 48
- PXGOKWXKJXAPGV-UHFFFAOYSA-N Fluorine Chemical compound FF PXGOKWXKJXAPGV-UHFFFAOYSA-N 0.000 claims description 46
- 229910052731 fluorine Inorganic materials 0.000 claims description 46
- 239000011737 fluorine Substances 0.000 claims description 46
- 125000000743 hydrocarbylene group Chemical group 0.000 claims description 46
- 229910052757 nitrogen Inorganic materials 0.000 claims description 42
- 229910052698 phosphorus Inorganic materials 0.000 claims description 41
- OAICVXFJPJFONN-UHFFFAOYSA-N Phosphorus Chemical compound [P] OAICVXFJPJFONN-UHFFFAOYSA-N 0.000 claims description 40
- 239000011574 phosphorus Substances 0.000 claims description 40
- 239000000460 chlorine Substances 0.000 claims description 38
- 229910052717 sulfur Inorganic materials 0.000 claims description 37
- ZAMOUSCENKQFHK-UHFFFAOYSA-N Chlorine atom Chemical compound [Cl] ZAMOUSCENKQFHK-UHFFFAOYSA-N 0.000 claims description 36
- NINIDFKCEFEMDL-UHFFFAOYSA-N Sulfur Chemical compound [S] NINIDFKCEFEMDL-UHFFFAOYSA-N 0.000 claims description 36
- 229910052801 chlorine Inorganic materials 0.000 claims description 36
- 239000011593 sulfur Substances 0.000 claims description 36
- 229910052796 boron Inorganic materials 0.000 claims description 32
- ZOXJGFHDIHLPTG-UHFFFAOYSA-N Boron Chemical compound [B] ZOXJGFHDIHLPTG-UHFFFAOYSA-N 0.000 claims description 31
- WKBOTKDWSSQWDR-UHFFFAOYSA-N Bromine atom Chemical compound [Br] WKBOTKDWSSQWDR-UHFFFAOYSA-N 0.000 claims description 31
- XUIMIQQOPSSXEZ-UHFFFAOYSA-N Silicon Chemical compound [Si] XUIMIQQOPSSXEZ-UHFFFAOYSA-N 0.000 claims description 31
- QVGXLLKOCUKJST-UHFFFAOYSA-N atomic oxygen Chemical compound [O] QVGXLLKOCUKJST-UHFFFAOYSA-N 0.000 claims description 31
- GDTBXPJZTBHREO-UHFFFAOYSA-N bromine Substances BrBr GDTBXPJZTBHREO-UHFFFAOYSA-N 0.000 claims description 31
- 229910052794 bromium Inorganic materials 0.000 claims description 31
- 229910052760 oxygen Inorganic materials 0.000 claims description 31
- 239000001301 oxygen Substances 0.000 claims description 31
- 229910052710 silicon Inorganic materials 0.000 claims description 31
- 239000010703 silicon Substances 0.000 claims description 31
- 125000001183 hydrocarbyl group Chemical group 0.000 claims description 30
- TWNQGVIAIRXVLR-UHFFFAOYSA-N oxo(oxoalumanyloxy)alumane Chemical compound O=[Al]O[Al]=O TWNQGVIAIRXVLR-UHFFFAOYSA-N 0.000 claims description 30
- PNDPGZBMCMUPRI-UHFFFAOYSA-N iodine Chemical compound II PNDPGZBMCMUPRI-UHFFFAOYSA-N 0.000 claims description 29
- 239000002033 PVDF binder Substances 0.000 claims description 20
- 229920002981 polyvinylidene fluoride Polymers 0.000 claims description 20
- 239000002105 nanoparticle Substances 0.000 claims description 14
- 229920003171 Poly (ethylene oxide) Polymers 0.000 claims description 12
- 125000002947 alkylene group Chemical group 0.000 claims description 12
- 125000004430 oxygen atom Chemical group O* 0.000 claims description 12
- 229920002521 macromolecule Polymers 0.000 claims description 11
- VYPSYNLAJGMNEJ-UHFFFAOYSA-N Silicium dioxide Chemical compound O=[Si]=O VYPSYNLAJGMNEJ-UHFFFAOYSA-N 0.000 claims description 10
- 125000004428 fluoroalkoxy group Chemical group 0.000 claims description 10
- 125000001153 fluoro group Chemical group F* 0.000 claims description 9
- 125000003709 fluoroalkyl group Chemical group 0.000 claims description 8
- XFXPMWWXUTWYJX-UHFFFAOYSA-N Cyanide Chemical compound N#[C-] XFXPMWWXUTWYJX-UHFFFAOYSA-N 0.000 claims description 7
- GWEVSGVZZGPLCZ-UHFFFAOYSA-N Titan oxide Chemical compound O=[Ti]=O GWEVSGVZZGPLCZ-UHFFFAOYSA-N 0.000 claims description 7
- XLOMVQKBTHCTTD-UHFFFAOYSA-N Zinc monoxide Chemical compound [Zn]=O XLOMVQKBTHCTTD-UHFFFAOYSA-N 0.000 claims description 7
- 229910006095 SO2F Inorganic materials 0.000 claims description 6
- MCMNRKCIXSYSNV-UHFFFAOYSA-N ZrO2 Inorganic materials O=[Zr]=O MCMNRKCIXSYSNV-UHFFFAOYSA-N 0.000 claims description 5
- 229910002113 barium titanate Inorganic materials 0.000 claims description 5
- SZVJSHCCFOBDDC-UHFFFAOYSA-N ferrosoferric oxide Chemical compound O=[Fe]O[Fe]O[Fe]=O SZVJSHCCFOBDDC-UHFFFAOYSA-N 0.000 claims description 5
- 239000000395 magnesium oxide Substances 0.000 claims description 5
- CPLXHLVBOLITMK-UHFFFAOYSA-N magnesium oxide Inorganic materials [Mg]=O CPLXHLVBOLITMK-UHFFFAOYSA-N 0.000 claims description 5
- AXZKOIWUVFPNLO-UHFFFAOYSA-N magnesium;oxygen(2-) Chemical compound [O-2].[Mg+2] AXZKOIWUVFPNLO-UHFFFAOYSA-N 0.000 claims description 5
- RVTZCBVAJQQJTK-UHFFFAOYSA-N oxygen(2-);zirconium(4+) Chemical compound [O-2].[O-2].[Zr+4] RVTZCBVAJQQJTK-UHFFFAOYSA-N 0.000 claims description 5
- 229920003229 poly(methyl methacrylate) Polymers 0.000 claims description 5
- 229920002239 polyacrylonitrile Polymers 0.000 claims description 5
- 239000004926 polymethyl methacrylate Substances 0.000 claims description 5
- 239000000377 silicon dioxide Substances 0.000 claims description 5
- BQCIDUSAKPWEOX-UHFFFAOYSA-N 1,1-Difluoroethene Chemical compound FC(F)=C BQCIDUSAKPWEOX-UHFFFAOYSA-N 0.000 claims description 4
- JRPBQTZRNDNNOP-UHFFFAOYSA-N barium titanate Chemical compound [Ba+2].[Ba+2].[O-][Ti]([O-])([O-])[O-] JRPBQTZRNDNNOP-UHFFFAOYSA-N 0.000 claims description 4
- 239000004927 clay Substances 0.000 claims description 4
- 229920001577 copolymer Polymers 0.000 claims description 4
- GUJOJGAPFQRJSV-UHFFFAOYSA-N dialuminum;dioxosilane;oxygen(2-);hydrate Chemical compound O.[O-2].[O-2].[O-2].[Al+3].[Al+3].O=[Si]=O.O=[Si]=O.O=[Si]=O.O=[Si]=O GUJOJGAPFQRJSV-UHFFFAOYSA-N 0.000 claims description 4
- NKZSPGSOXYXWQA-UHFFFAOYSA-N dioxido(oxo)titanium;lead(2+) Chemical compound [Pb+2].[O-][Ti]([O-])=O NKZSPGSOXYXWQA-UHFFFAOYSA-N 0.000 claims description 4
- HCDGVLDPFQMKDK-UHFFFAOYSA-N hexafluoropropylene Chemical group FC(F)=C(F)C(F)(F)F HCDGVLDPFQMKDK-UHFFFAOYSA-N 0.000 claims description 4
- 239000000463 material Substances 0.000 claims description 4
- 239000002808 molecular sieve Substances 0.000 claims description 4
- 235000012239 silicon dioxide Nutrition 0.000 claims description 4
- URGAHOPLAPQHLN-UHFFFAOYSA-N sodium aluminosilicate Chemical compound [Na+].[Al+3].[O-][Si]([O-])=O.[O-][Si]([O-])=O URGAHOPLAPQHLN-UHFFFAOYSA-N 0.000 claims description 4
- 125000003545 alkoxy group Chemical group 0.000 claims description 3
- ZUSQJEHVTIBRNR-UHFFFAOYSA-N aluminum;lithium;oxygen(2-) Chemical compound [Li+].[O-2].[O-2].[Al+3] ZUSQJEHVTIBRNR-UHFFFAOYSA-N 0.000 claims 3
- IDBFBDSKYCUNPW-UHFFFAOYSA-N lithium nitride Chemical compound [Li]N([Li])[Li] IDBFBDSKYCUNPW-UHFFFAOYSA-N 0.000 claims 3
- 239000004408 titanium dioxide Substances 0.000 claims 3
- 239000011787 zinc oxide Substances 0.000 claims 3
- 210000001787 dendrite Anatomy 0.000 abstract description 17
- 238000002360 preparation method Methods 0.000 description 90
- SECXISVLQFMRJM-UHFFFAOYSA-N N-Methylpyrrolidone Chemical compound CN1CCCC1=O SECXISVLQFMRJM-UHFFFAOYSA-N 0.000 description 26
- -1 alkali metal cations Chemical class 0.000 description 20
- 239000000178 monomer Substances 0.000 description 16
- 239000003792 electrolyte Substances 0.000 description 14
- 239000012528 membrane Substances 0.000 description 14
- CSCPPACGZOOCGX-UHFFFAOYSA-N Acetone Chemical compound CC(C)=O CSCPPACGZOOCGX-UHFFFAOYSA-N 0.000 description 12
- 238000001132 ultrasonic dispersion Methods 0.000 description 11
- 239000003795 chemical substances by application Substances 0.000 description 10
- 239000011888 foil Substances 0.000 description 10
- HBBGRARXTFLTSG-UHFFFAOYSA-N Lithium ion Chemical compound [Li+] HBBGRARXTFLTSG-UHFFFAOYSA-N 0.000 description 9
- 229910001416 lithium ion Inorganic materials 0.000 description 9
- 150000002430 hydrocarbons Chemical group 0.000 description 8
- 239000000654 additive Substances 0.000 description 7
- 230000000996 additive effect Effects 0.000 description 7
- 230000000052 comparative effect Effects 0.000 description 7
- 229910003002 lithium salt Inorganic materials 0.000 description 7
- 159000000002 lithium salts Chemical class 0.000 description 7
- 230000014759 maintenance of location Effects 0.000 description 7
- 238000006116 polymerization reaction Methods 0.000 description 7
- WEERVPDNCOGWJF-UHFFFAOYSA-N 1,4-bis(ethenyl)benzene Chemical compound C=CC1=CC=C(C=C)C=C1 WEERVPDNCOGWJF-UHFFFAOYSA-N 0.000 description 6
- KMNCBSZOIQAUFX-UHFFFAOYSA-N 2-ethoxy-1,2-diphenylethanone Chemical compound C=1C=CC=CC=1C(OCC)C(=O)C1=CC=CC=C1 KMNCBSZOIQAUFX-UHFFFAOYSA-N 0.000 description 6
- 238000004132 cross linking Methods 0.000 description 6
- 239000000203 mixture Substances 0.000 description 6
- 239000002904 solvent Substances 0.000 description 6
- JLBJTVDPSNHSKJ-UHFFFAOYSA-N 4-Methylstyrene Chemical compound CC1=CC=C(C=C)C=C1 JLBJTVDPSNHSKJ-UHFFFAOYSA-N 0.000 description 5
- 229910000625 lithium cobalt oxide Inorganic materials 0.000 description 5
- BFZPBUKRYWOWDV-UHFFFAOYSA-N lithium;oxido(oxo)cobalt Chemical compound [Li+].[O-][Co]=O BFZPBUKRYWOWDV-UHFFFAOYSA-N 0.000 description 5
- VQKFNUFAXTZWDK-UHFFFAOYSA-N 2-Methylfuran Chemical compound CC1=CC=CO1 VQKFNUFAXTZWDK-UHFFFAOYSA-N 0.000 description 4
- XZXYQEHISUMZAT-UHFFFAOYSA-N 2-[(2-hydroxy-5-methylphenyl)methyl]-4-methylphenol Chemical compound CC1=CC=C(O)C(CC=2C(=CC=C(C)C=2)O)=C1 XZXYQEHISUMZAT-UHFFFAOYSA-N 0.000 description 4
- NLHHRLWOUZZQLW-UHFFFAOYSA-N Acrylonitrile Chemical compound C=CC#N NLHHRLWOUZZQLW-UHFFFAOYSA-N 0.000 description 4
- KMTRUDSVKNLOMY-UHFFFAOYSA-N Ethylene carbonate Chemical compound O=C1OCCO1 KMTRUDSVKNLOMY-UHFFFAOYSA-N 0.000 description 4
- 229940107816 ammonium iodide Drugs 0.000 description 4
- 239000011267 electrode slurry Substances 0.000 description 4
- 230000001965 increasing effect Effects 0.000 description 4
- 230000002401 inhibitory effect Effects 0.000 description 4
- 238000000034 method Methods 0.000 description 4
- 239000003960 organic solvent Substances 0.000 description 4
- 239000007774 positive electrode material Substances 0.000 description 4
- 230000008569 process Effects 0.000 description 4
- 125000001424 substituent group Chemical group 0.000 description 4
- 238000012360 testing method Methods 0.000 description 4
- WEVYAHXRMPXWCK-UHFFFAOYSA-N Acetonitrile Chemical compound CC#N WEVYAHXRMPXWCK-UHFFFAOYSA-N 0.000 description 3
- OKTJSMMVPCPJKN-UHFFFAOYSA-N Carbon Chemical compound [C] OKTJSMMVPCPJKN-UHFFFAOYSA-N 0.000 description 3
- QMMFVYPAHWMCMS-UHFFFAOYSA-N Dimethyl sulfide Chemical compound CSC QMMFVYPAHWMCMS-UHFFFAOYSA-N 0.000 description 3
- XEKOWRVHYACXOJ-UHFFFAOYSA-N Ethyl acetate Chemical compound CCOC(C)=O XEKOWRVHYACXOJ-UHFFFAOYSA-N 0.000 description 3
- 229910001290 LiPF6 Inorganic materials 0.000 description 3
- 229910052782 aluminium Inorganic materials 0.000 description 3
- 125000003118 aryl group Chemical group 0.000 description 3
- 230000009286 beneficial effect Effects 0.000 description 3
- 230000005540 biological transmission Effects 0.000 description 3
- 230000003247 decreasing effect Effects 0.000 description 3
- 238000011161 development Methods 0.000 description 3
- IEJIGPNLZYLLBP-UHFFFAOYSA-N dimethyl carbonate Chemical compound COC(=O)OC IEJIGPNLZYLLBP-UHFFFAOYSA-N 0.000 description 3
- 238000009826 distribution Methods 0.000 description 3
- 230000005684 electric field Effects 0.000 description 3
- 239000010439 graphite Substances 0.000 description 3
- 229910002804 graphite Inorganic materials 0.000 description 3
- 150000003949 imides Chemical class 0.000 description 3
- 230000004048 modification Effects 0.000 description 3
- 238000012986 modification Methods 0.000 description 3
- VAYTZRYEBVHVLE-UHFFFAOYSA-N 1,3-dioxol-2-one Chemical compound O=C1OC=CO1 VAYTZRYEBVHVLE-UHFFFAOYSA-N 0.000 description 2
- SBLRHMKNNHXPHG-UHFFFAOYSA-N 4-fluoro-1,3-dioxolan-2-one Chemical compound FC1COC(=O)O1 SBLRHMKNNHXPHG-UHFFFAOYSA-N 0.000 description 2
- ZCYVEMRRCGMTRW-UHFFFAOYSA-N 7553-56-2 Chemical compound [I] ZCYVEMRRCGMTRW-UHFFFAOYSA-N 0.000 description 2
- IAZDPXIOMUYVGZ-UHFFFAOYSA-N Dimethylsulphoxide Chemical compound CS(C)=O IAZDPXIOMUYVGZ-UHFFFAOYSA-N 0.000 description 2
- ATHHXGZTWNVVOU-UHFFFAOYSA-N N-methylformamide Chemical compound CNC=O ATHHXGZTWNVVOU-UHFFFAOYSA-N 0.000 description 2
- 239000004743 Polypropylene Substances 0.000 description 2
- WYURNTSHIVDZCO-UHFFFAOYSA-N Tetrahydrofuran Chemical compound C1CCOC1 WYURNTSHIVDZCO-UHFFFAOYSA-N 0.000 description 2
- 150000001336 alkenes Chemical class 0.000 description 2
- 150000001345 alkine derivatives Chemical class 0.000 description 2
- XAGFODPZIPBFFR-UHFFFAOYSA-N aluminium Chemical compound [Al] XAGFODPZIPBFFR-UHFFFAOYSA-N 0.000 description 2
- 150000001450 anions Chemical class 0.000 description 2
- 150000004945 aromatic hydrocarbons Chemical class 0.000 description 2
- 239000011230 binding agent Substances 0.000 description 2
- 238000006243 chemical reaction Methods 0.000 description 2
- 238000000576 coating method Methods 0.000 description 2
- 239000006258 conductive agent Substances 0.000 description 2
- 150000001924 cycloalkanes Chemical class 0.000 description 2
- FKRCODPIKNYEAC-UHFFFAOYSA-N ethyl propionate Chemical compound CCOC(=O)CC FKRCODPIKNYEAC-UHFFFAOYSA-N 0.000 description 2
- 239000013538 functional additive Substances 0.000 description 2
- 229910052740 iodine Inorganic materials 0.000 description 2
- 239000011630 iodine Substances 0.000 description 2
- YSKIQSYEHUCIFO-UHFFFAOYSA-M lithium;4-ethenylbenzenesulfonate Chemical compound [Li+].[O-]S(=O)(=O)C1=CC=C(C=C)C=C1 YSKIQSYEHUCIFO-UHFFFAOYSA-M 0.000 description 2
- SBWRUMICILYTAT-UHFFFAOYSA-K lithium;cobalt(2+);phosphate Chemical compound [Li+].[Co+2].[O-]P([O-])([O-])=O SBWRUMICILYTAT-UHFFFAOYSA-K 0.000 description 2
- LRVBJNJRKRPPCI-UHFFFAOYSA-K lithium;nickel(2+);phosphate Chemical compound [Li+].[Ni+2].[O-]P([O-])([O-])=O LRVBJNJRKRPPCI-UHFFFAOYSA-K 0.000 description 2
- 229910052748 manganese Inorganic materials 0.000 description 2
- 239000011572 manganese Substances 0.000 description 2
- VNWKTOKETHGBQD-UHFFFAOYSA-N methane Chemical compound C VNWKTOKETHGBQD-UHFFFAOYSA-N 0.000 description 2
- TZIHFWKZFHZASV-UHFFFAOYSA-N methyl formate Chemical compound COC=O TZIHFWKZFHZASV-UHFFFAOYSA-N 0.000 description 2
- 230000003287 optical effect Effects 0.000 description 2
- 229920001155 polypropylene Polymers 0.000 description 2
- 230000001681 protective effect Effects 0.000 description 2
- 229920006395 saturated elastomer Polymers 0.000 description 2
- 239000007787 solid Substances 0.000 description 2
- LOURZMYQPMDBSR-UHFFFAOYSA-N 1,3,2-dioxathiane 2-oxide Chemical compound O=S1OCCCO1 LOURZMYQPMDBSR-UHFFFAOYSA-N 0.000 description 1
- WDXYVJKNSMILOQ-UHFFFAOYSA-N 1,3,2-dioxathiolane 2-oxide Chemical compound O=S1OCCO1 WDXYVJKNSMILOQ-UHFFFAOYSA-N 0.000 description 1
- NRYSTUHGRSHUQM-UHFFFAOYSA-N 1-ethenyl-4-methylbenzene 2-methoxyethylazanium iodide Chemical compound [I-].COCC[NH3+].Cc1ccc(C=C)cc1 NRYSTUHGRSHUQM-UHFFFAOYSA-N 0.000 description 1
- UHOPWFKONJYLCF-UHFFFAOYSA-N 2-(2-sulfanylethyl)isoindole-1,3-dione Chemical compound C1=CC=C2C(=O)N(CCS)C(=O)C2=C1 UHOPWFKONJYLCF-UHFFFAOYSA-N 0.000 description 1
- QGZKDVFQNNGYKY-UHFFFAOYSA-O Ammonium Chemical compound [NH4+] QGZKDVFQNNGYKY-UHFFFAOYSA-O 0.000 description 1
- OZCOEDNDKKVQED-UHFFFAOYSA-N C=C(O)C[N+](CCOC)(CCOC)CC1=CC=C(C(CC)CC(C#N)CC(C)C2=CC=C(C(=O)[O-])C=C2)C=C1 Chemical compound C=C(O)C[N+](CCOC)(CCOC)CC1=CC=C(C(CC)CC(C#N)CC(C)C2=CC=C(C(=O)[O-])C=C2)C=C1 OZCOEDNDKKVQED-UHFFFAOYSA-N 0.000 description 1
- YERMFWHAEPRSOL-UHFFFAOYSA-N C=C(O)C[N+](CCOC)(CCOC)CC1=CC=C(C(CC)CC(C#N)CC(C)C2=CC=C(S(=O)(=O)[N-]S(=O)(=O)F)C=C2)C=C1 Chemical compound C=C(O)C[N+](CCOC)(CCOC)CC1=CC=C(C(CC)CC(C#N)CC(C)C2=CC=C(S(=O)(=O)[N-]S(=O)(=O)F)C=C2)C=C1 YERMFWHAEPRSOL-UHFFFAOYSA-N 0.000 description 1
- QOZDBTZZHNSCKY-UHFFFAOYSA-N C=C(O)C[N+](CCOC)(CCOC)CC1=CC=C(C(CC)CC(C#N)CC(C)C2=CC=C(S(=O)(=O)[O-])C=C2)C=C1 Chemical compound C=C(O)C[N+](CCOC)(CCOC)CC1=CC=C(C(CC)CC(C#N)CC(C)C2=CC=C(S(=O)(=O)[O-])C=C2)C=C1 QOZDBTZZHNSCKY-UHFFFAOYSA-N 0.000 description 1
- ZNYDPHRVYORVBS-UHFFFAOYSA-N C=C(O)C[N+](CCOC)(CCOC)CC1=CC=C(C(CC)CC(C)C2=CC=C(S(=O)(=O)N=[S-](=O)(=O)F)C=C2)C=C1 Chemical compound C=C(O)C[N+](CCOC)(CCOC)CC1=CC=C(C(CC)CC(C)C2=CC=C(S(=O)(=O)N=[S-](=O)(=O)F)C=C2)C=C1 ZNYDPHRVYORVBS-UHFFFAOYSA-N 0.000 description 1
- VHKLFCHMPLHMEX-UHFFFAOYSA-N C=C(O)C[N+](CCOC)(CCOC)CC1=CC=C(C(CC)CC(CC(C)C2=CC=C(S(=O)(=O)[N-]S(=O)(=O)F)C=C2)C2=CC=CC=C2)C=C1 Chemical compound C=C(O)C[N+](CCOC)(CCOC)CC1=CC=C(C(CC)CC(CC(C)C2=CC=C(S(=O)(=O)[N-]S(=O)(=O)F)C=C2)C2=CC=CC=C2)C=C1 VHKLFCHMPLHMEX-UHFFFAOYSA-N 0.000 description 1
- ZBONNLACAUXQBB-UHFFFAOYSA-N C=C(O)C[P+](CCOC)(CCOC)CC1=CC=C(C(CC)CC(C#N)CC(C)C2=CC=C(S(=O)(=O)[O-])C=C2)C=C1 Chemical compound C=C(O)C[P+](CCOC)(CCOC)CC1=CC=C(C(CC)CC(C#N)CC(C)C2=CC=C(S(=O)(=O)[O-])C=C2)C=C1 ZBONNLACAUXQBB-UHFFFAOYSA-N 0.000 description 1
- 239000006245 Carbon black Super-P Substances 0.000 description 1
- OIFBSDVPJOWBCH-UHFFFAOYSA-N Diethyl carbonate Chemical compound CCOC(=O)OCC OIFBSDVPJOWBCH-UHFFFAOYSA-N 0.000 description 1
- JGFBQFKZKSSODQ-UHFFFAOYSA-N Isothiocyanatocyclopropane Chemical compound S=C=NC1CC1 JGFBQFKZKSSODQ-UHFFFAOYSA-N 0.000 description 1
- 229910013188 LiBOB Inorganic materials 0.000 description 1
- 229910052493 LiFePO4 Inorganic materials 0.000 description 1
- 229910013100 LiNix Inorganic materials 0.000 description 1
- OHLUUHNLEMFGTQ-UHFFFAOYSA-N N-methylacetamide Chemical compound CNC(C)=O OHLUUHNLEMFGTQ-UHFFFAOYSA-N 0.000 description 1
- 229910003781 PbTiO3 Inorganic materials 0.000 description 1
- 239000004698 Polyethylene Substances 0.000 description 1
- XBDQKXXYIPTUBI-UHFFFAOYSA-M Propionate Chemical compound CCC([O-])=O XBDQKXXYIPTUBI-UHFFFAOYSA-M 0.000 description 1
- PPBRXRYQALVLMV-UHFFFAOYSA-N Styrene Chemical compound C=CC1=CC=CC=C1 PPBRXRYQALVLMV-UHFFFAOYSA-N 0.000 description 1
- FBDMJGHBCPNRGF-UHFFFAOYSA-M [OH-].[Li+].[O-2].[Mn+2] Chemical compound [OH-].[Li+].[O-2].[Mn+2] FBDMJGHBCPNRGF-UHFFFAOYSA-M 0.000 description 1
- 229910052783 alkali metal Inorganic materials 0.000 description 1
- 150000008064 anhydrides Chemical class 0.000 description 1
- PWLNAUNEAKQYLH-UHFFFAOYSA-N butyric acid octyl ester Natural products CCCCCCCCOC(=O)CCC PWLNAUNEAKQYLH-UHFFFAOYSA-N 0.000 description 1
- 239000000969 carrier Substances 0.000 description 1
- 210000004027 cell Anatomy 0.000 description 1
- 230000008859 change Effects 0.000 description 1
- 239000011248 coating agent Substances 0.000 description 1
- 150000001875 compounds Chemical class 0.000 description 1
- 239000002482 conductive additive Substances 0.000 description 1
- 238000005520 cutting process Methods 0.000 description 1
- 238000000354 decomposition reaction Methods 0.000 description 1
- 230000008021 deposition Effects 0.000 description 1
- NVJBFARDFTXOTO-UHFFFAOYSA-N diethyl sulfite Chemical compound CCOS(=O)OCC NVJBFARDFTXOTO-UHFFFAOYSA-N 0.000 description 1
- BDUPRNVPXOHWIL-UHFFFAOYSA-N dimethyl sulfite Chemical compound COS(=O)OC BDUPRNVPXOHWIL-UHFFFAOYSA-N 0.000 description 1
- VUPKGFBOKBGHFZ-UHFFFAOYSA-N dipropyl carbonate Chemical compound CCCOC(=O)OCCC VUPKGFBOKBGHFZ-UHFFFAOYSA-N 0.000 description 1
- 238000004090 dissolution Methods 0.000 description 1
- 238000001035 drying Methods 0.000 description 1
- 230000000694 effects Effects 0.000 description 1
- 230000009881 electrostatic interaction Effects 0.000 description 1
- 230000002708 enhancing effect Effects 0.000 description 1
- 125000001033 ether group Chemical group 0.000 description 1
- JBTWLSYIZRCDFO-UHFFFAOYSA-N ethyl methyl carbonate Chemical compound CCOC(=O)OC JBTWLSYIZRCDFO-UHFFFAOYSA-N 0.000 description 1
- 239000003063 flame retardant Substances 0.000 description 1
- WBJINCZRORDGAQ-UHFFFAOYSA-N formic acid ethyl ester Natural products CCOC=O WBJINCZRORDGAQ-UHFFFAOYSA-N 0.000 description 1
- 125000000524 functional group Chemical group 0.000 description 1
- 238000011065 in-situ storage Methods 0.000 description 1
- 239000007788 liquid Substances 0.000 description 1
- YQNQTEBHHUSESQ-UHFFFAOYSA-N lithium aluminate Chemical compound [Li+].[O-][Al]=O YQNQTEBHHUSESQ-UHFFFAOYSA-N 0.000 description 1
- 229910003473 lithium bis(trifluoromethanesulfonyl)imide Inorganic materials 0.000 description 1
- 229910001540 lithium hexafluoroarsenate(V) Inorganic materials 0.000 description 1
- GELKBWJHTRAYNV-UHFFFAOYSA-K lithium iron phosphate Chemical compound [Li+].[Fe+2].[O-]P([O-])([O-])=O GELKBWJHTRAYNV-UHFFFAOYSA-K 0.000 description 1
- MHCFAGZWMAWTNR-UHFFFAOYSA-M lithium perchlorate Chemical compound [Li+].[O-]Cl(=O)(=O)=O MHCFAGZWMAWTNR-UHFFFAOYSA-M 0.000 description 1
- 229910001486 lithium perchlorate Inorganic materials 0.000 description 1
- 229910001496 lithium tetrafluoroborate Inorganic materials 0.000 description 1
- BWBPUYJIIQMIAS-UHFFFAOYSA-M lithium;4-ethenylbenzoate Chemical compound [Li+].[O-]C(=O)C1=CC=C(C=C)C=C1 BWBPUYJIIQMIAS-UHFFFAOYSA-M 0.000 description 1
- QSZMZKBZAYQGRS-UHFFFAOYSA-N lithium;bis(trifluoromethylsulfonyl)azanide Chemical compound [Li+].FC(F)(F)S(=O)(=O)[N-]S(=O)(=O)C(F)(F)F QSZMZKBZAYQGRS-UHFFFAOYSA-N 0.000 description 1
- ILXAVRFGLBYNEJ-UHFFFAOYSA-K lithium;manganese(2+);phosphate Chemical compound [Li+].[Mn+2].[O-]P([O-])([O-])=O ILXAVRFGLBYNEJ-UHFFFAOYSA-K 0.000 description 1
- VROAXDSNYPAOBJ-UHFFFAOYSA-N lithium;oxido(oxo)nickel Chemical compound [Li+].[O-][Ni]=O VROAXDSNYPAOBJ-UHFFFAOYSA-N 0.000 description 1
- 229910052751 metal Inorganic materials 0.000 description 1
- 239000002184 metal Substances 0.000 description 1
- 239000012046 mixed solvent Substances 0.000 description 1
- UUIQMZJEGPQKFD-UHFFFAOYSA-N n-butyric acid methyl ester Natural products CCCC(=O)OC UUIQMZJEGPQKFD-UHFFFAOYSA-N 0.000 description 1
- 239000007773 negative electrode material Substances 0.000 description 1
- 239000011255 nonaqueous electrolyte Substances 0.000 description 1
- LSMAIBOZUPTNBR-UHFFFAOYSA-N phosphanium;iodide Chemical compound [PH4+].[I-] LSMAIBOZUPTNBR-UHFFFAOYSA-N 0.000 description 1
- 229920000573 polyethylene Polymers 0.000 description 1
- 238000012545 processing Methods 0.000 description 1
- RUOJZAUFBMNUDX-UHFFFAOYSA-N propylene carbonate Chemical compound CC1COC(=O)O1 RUOJZAUFBMNUDX-UHFFFAOYSA-N 0.000 description 1
- 230000009257 reactivity Effects 0.000 description 1
- 238000004904 shortening Methods 0.000 description 1
- 238000001179 sorption measurement Methods 0.000 description 1
- 125000003011 styrenyl group Chemical group [H]\C(*)=C(/[H])C1=C([H])C([H])=C([H])C([H])=C1[H] 0.000 description 1
- HXJUTPCZVOIRIF-UHFFFAOYSA-N sulfolane Chemical compound O=S1(=O)CCCC1 HXJUTPCZVOIRIF-UHFFFAOYSA-N 0.000 description 1
- YLQBMQCUIZJEEH-UHFFFAOYSA-N tetrahydrofuran Natural products C=1C=COC=1 YLQBMQCUIZJEEH-UHFFFAOYSA-N 0.000 description 1
- 238000012876 topography Methods 0.000 description 1
- BHZCMUVGYXEBMY-UHFFFAOYSA-N trilithium;azanide Chemical compound [Li+].[Li+].[Li+].[NH2-] BHZCMUVGYXEBMY-UHFFFAOYSA-N 0.000 description 1
Classifications
-
- H—ELECTRICITY
- H01—ELECTRIC ELEMENTS
- H01M—PROCESSES OR MEANS, e.g. BATTERIES, FOR THE DIRECT CONVERSION OF CHEMICAL ENERGY INTO ELECTRICAL ENERGY
- H01M4/00—Electrodes
- H01M4/02—Electrodes composed of, or comprising, active material
- H01M4/36—Selection of substances as active materials, active masses, active liquids
- H01M4/60—Selection of substances as active materials, active masses, active liquids of organic compounds
- H01M4/602—Polymers
- H01M4/606—Polymers containing aromatic main chain polymers
-
- H—ELECTRICITY
- H01—ELECTRIC ELEMENTS
- H01M—PROCESSES OR MEANS, e.g. BATTERIES, FOR THE DIRECT CONVERSION OF CHEMICAL ENERGY INTO ELECTRICAL ENERGY
- H01M4/00—Electrodes
- H01M4/02—Electrodes composed of, or comprising, active material
- H01M4/62—Selection of inactive substances as ingredients for active masses, e.g. binders, fillers
- H01M4/628—Inhibitors, e.g. gassing inhibitors, corrosion inhibitors
-
- B—PERFORMING OPERATIONS; TRANSPORTING
- B01—PHYSICAL OR CHEMICAL PROCESSES OR APPARATUS IN GENERAL
- B01J—CHEMICAL OR PHYSICAL PROCESSES, e.g. CATALYSIS OR COLLOID CHEMISTRY; THEIR RELEVANT APPARATUS
- B01J43/00—Amphoteric ion-exchange, i.e. using ion-exchangers having cationic and anionic groups; Use of material as amphoteric ion-exchangers; Treatment of material for improving their amphoteric ion-exchange properties
-
- C—CHEMISTRY; METALLURGY
- C08—ORGANIC MACROMOLECULAR COMPOUNDS; THEIR PREPARATION OR CHEMICAL WORKING-UP; COMPOSITIONS BASED THEREON
- C08J—WORKING-UP; GENERAL PROCESSES OF COMPOUNDING; AFTER-TREATMENT NOT COVERED BY SUBCLASSES C08B, C08C, C08F, C08G or C08H
- C08J5/00—Manufacture of articles or shaped materials containing macromolecular substances
- C08J5/20—Manufacture of shaped structures of ion-exchange resins
- C08J5/22—Films, membranes or diaphragms
- C08J5/2206—Films, membranes or diaphragms based on organic and/or inorganic macromolecular compounds
- C08J5/2218—Synthetic macromolecular compounds
- C08J5/2231—Synthetic macromolecular compounds based on macromolecular compounds obtained by reactions involving unsaturated carbon-to-carbon bonds
-
- H—ELECTRICITY
- H01—ELECTRIC ELEMENTS
- H01M—PROCESSES OR MEANS, e.g. BATTERIES, FOR THE DIRECT CONVERSION OF CHEMICAL ENERGY INTO ELECTRICAL ENERGY
- H01M10/00—Secondary cells; Manufacture thereof
- H01M10/05—Accumulators with non-aqueous electrolyte
- H01M10/052—Li-accumulators
- H01M10/0525—Rocking-chair batteries, i.e. batteries with lithium insertion or intercalation in both electrodes; Lithium-ion batteries
-
- H—ELECTRICITY
- H01—ELECTRIC ELEMENTS
- H01M—PROCESSES OR MEANS, e.g. BATTERIES, FOR THE DIRECT CONVERSION OF CHEMICAL ENERGY INTO ELECTRICAL ENERGY
- H01M4/00—Electrodes
- H01M4/02—Electrodes composed of, or comprising, active material
- H01M4/13—Electrodes for accumulators with non-aqueous electrolyte, e.g. for lithium-accumulators; Processes of manufacture thereof
- H01M4/134—Electrodes based on metals, Si or alloys
-
- H—ELECTRICITY
- H01—ELECTRIC ELEMENTS
- H01M—PROCESSES OR MEANS, e.g. BATTERIES, FOR THE DIRECT CONVERSION OF CHEMICAL ENERGY INTO ELECTRICAL ENERGY
- H01M4/00—Electrodes
- H01M4/02—Electrodes composed of, or comprising, active material
- H01M4/13—Electrodes for accumulators with non-aqueous electrolyte, e.g. for lithium-accumulators; Processes of manufacture thereof
- H01M4/137—Electrodes based on electro-active polymers
-
- H—ELECTRICITY
- H01—ELECTRIC ELEMENTS
- H01M—PROCESSES OR MEANS, e.g. BATTERIES, FOR THE DIRECT CONVERSION OF CHEMICAL ENERGY INTO ELECTRICAL ENERGY
- H01M4/00—Electrodes
- H01M4/02—Electrodes composed of, or comprising, active material
- H01M4/36—Selection of substances as active materials, active masses, active liquids
- H01M4/38—Selection of substances as active materials, active masses, active liquids of elements or alloys
- H01M4/381—Alkaline or alkaline earth metals elements
- H01M4/382—Lithium
-
- H—ELECTRICITY
- H01—ELECTRIC ELEMENTS
- H01M—PROCESSES OR MEANS, e.g. BATTERIES, FOR THE DIRECT CONVERSION OF CHEMICAL ENERGY INTO ELECTRICAL ENERGY
- H01M4/00—Electrodes
- H01M4/02—Electrodes composed of, or comprising, active material
- H01M4/36—Selection of substances as active materials, active masses, active liquids
- H01M4/48—Selection of substances as active materials, active masses, active liquids of inorganic oxides or hydroxides
- H01M4/483—Selection of substances as active materials, active masses, active liquids of inorganic oxides or hydroxides for non-aqueous cells
-
- H—ELECTRICITY
- H01—ELECTRIC ELEMENTS
- H01M—PROCESSES OR MEANS, e.g. BATTERIES, FOR THE DIRECT CONVERSION OF CHEMICAL ENERGY INTO ELECTRICAL ENERGY
- H01M4/00—Electrodes
- H01M4/02—Electrodes composed of, or comprising, active material
- H01M4/62—Selection of inactive substances as ingredients for active masses, e.g. binders, fillers
- H01M4/621—Binders
- H01M4/622—Binders being polymers
-
- C—CHEMISTRY; METALLURGY
- C08—ORGANIC MACROMOLECULAR COMPOUNDS; THEIR PREPARATION OR CHEMICAL WORKING-UP; COMPOSITIONS BASED THEREON
- C08J—WORKING-UP; GENERAL PROCESSES OF COMPOUNDING; AFTER-TREATMENT NOT COVERED BY SUBCLASSES C08B, C08C, C08F, C08G or C08H
- C08J2325/00—Characterised by the use of homopolymers or copolymers of compounds having one or more unsaturated aliphatic radicals, each having only one carbon-to-carbon double bond, and at least one being terminated by an aromatic carbocyclic ring; Derivatives of such polymers
- C08J2325/18—Homopolymers or copolymers of aromatic monomers containing elements other than carbon and hydrogen
-
- H—ELECTRICITY
- H01—ELECTRIC ELEMENTS
- H01M—PROCESSES OR MEANS, e.g. BATTERIES, FOR THE DIRECT CONVERSION OF CHEMICAL ENERGY INTO ELECTRICAL ENERGY
- H01M10/00—Secondary cells; Manufacture thereof
- H01M10/05—Accumulators with non-aqueous electrolyte
- H01M10/052—Li-accumulators
-
- Y—GENERAL TAGGING OF NEW TECHNOLOGICAL DEVELOPMENTS; GENERAL TAGGING OF CROSS-SECTIONAL TECHNOLOGIES SPANNING OVER SEVERAL SECTIONS OF THE IPC; TECHNICAL SUBJECTS COVERED BY FORMER USPC CROSS-REFERENCE ART COLLECTIONS [XRACs] AND DIGESTS
- Y02—TECHNOLOGIES OR APPLICATIONS FOR MITIGATION OR ADAPTATION AGAINST CLIMATE CHANGE
- Y02E—REDUCTION OF GREENHOUSE GAS [GHG] EMISSIONS, RELATED TO ENERGY GENERATION, TRANSMISSION OR DISTRIBUTION
- Y02E60/00—Enabling technologies; Technologies with a potential or indirect contribution to GHG emissions mitigation
- Y02E60/10—Energy storage using batteries
Definitions
- the present disclosure relates to a field of lithium secondary battery, and particularly relates to a polymer protecting layer, a lithium metal negative electrode, a lithium secondary battery.
- the lithium-ion battery has been widely used in electronic products such as mobile phones, laptops and cameras.
- the commercial lithium-ion battery mainly uses graphite as the negative active material, but its specific discharge capacity has been close to a theoretical value of graphite (372 mAh/g), therefore it is difficult to further increase the specific discharge capacity of the lithium-ion battery by processing a modification technology on the graphite.
- the theoretical value of the lithium metal is as high as 3860 mAh/g, and the electrode potential of the lithium metal is as low as ⁇ 3.04V (vs. H 2 /H + ), so the development of the lithium secondary battery using the lithium metal as the negative electrode has aroused the attention of researchers.
- the lithium dendrite is easily formed during cycle processes of the lithium secondary battery, the lithium secondary battery is easily short-circuited; (2) the lithium dendrite has a large surface area, a high reactivity and easily reacts with electrolyte, therefore the SEI membrane formed on the surface of the lithium metal is ceaselessly destroyed and formed, the electrolyte and the lithium ions are ceaselessly consumed, thereby decreasing cycle efficiency of the lithium secondary battery and shortening the cycle life of the lithium secondary battery. Therefore, how to effectively improve the surface properties of the lithium metal and inhibit the growth of the lithium dendrite is the key issue in the further development of the lithium secondary battery.
- the in-situ formed protective membrane has a weak mechanical strength and cannot completely cover the SEI membrane on the surface of the lithium metal, therefore it cannot completely prevent the SEI membrane from being severely and ceaselessly destroyed and formed during the lithium deposition/dissolution processes which is caused by change of the lithium metal topography.
- the growth of the lithium dendrite and the problems caused by the lithium dendrite are not solved substantially. Therefore, it is imperative to explore and develop an effective lithium metal protection technology to inhibit the growth of the lithium dendrite, improve the cycle performance, the coulomb efficiency and the safety performance of the lithium secondary battery.
- an object of the present disclosure is to provide a polymer protecting layer, a lithium metal negative electrode, a lithium secondary battery, the polymer protecting layer comprising a polymer ionic liquid is coated on a surface of a lithium metal sheet, which can effectively slow down or even inhibit the growth of the lithium dendrite, improve the first charge-discharge cycle coulombic efficiency of the lithium secondary battery, and significantly improve the cycle performance and the safety performance of the lithium secondary battery.
- the present disclosure provides a polymer protecting layer, the polymer protecting layer comprises a polymer ionic liquid with a formula I.
- X represents an anion, specifically, X is one selected from the group consisting of —COO ⁇ , —SO 3 , —SO 2 N ⁇ SO 2 F, —RCOO ⁇ , —RSO 3 ⁇ and —RSO 2 N ⁇ SO 2 R f .
- R represents C1 to C10 hydrocarbylene group, or R represents C1 to C10 hydrocarbylene group with one or more hydrogen atoms being substituted by one or more elements selected from the group consisting of fluorine (F), chlorine (Cl), bromine (Br), iodine (I), nitrogen (N), oxygen (O), sulfur (S), silicon (Si), boron (B) and phosphorus (P).
- R f is one selected from the group consisting of fluorine, chlorine, cyanide (CN), C1 to C10 hydrocarbyl group, or R represents C1 to C10 hydrocarbyl group with one or more hydrogen atoms being substituted by one or more elements selected from the group consisting of fluorine, chlorine, bromine, iodine, nitrogen, oxygen, sulfur, silicon, boron and phosphorus.
- Y is one selected from the group consisting of nitrogen, sulfur and phosphorus.
- R 1 , R 2 each are independently one selected from the group consisting of C1 to C10 hydrocarbylene group, or R 1 , R 2 each are independently one selected from the group consisting of C1 to C10 hydrocarbylene group with one or more hydrogen atoms being substituted by one or more elements selected from the group consisting of fluorine, chlorine, bromine, iodine, nitrogen, oxygen, sulfur, silicon, boron and phosphorus.
- R 3 is one selected from the group consisting of C1 to C10 hydrocarbyl group, or R 3 is one selected from the group consisting of C1 to C10 hydrocarbyl group with one or more hydrogen atoms being substituted by one or more elements selected from the group consisting of fluorine, chlorine, bromine, iodine, nitrogen, oxygen, sulfur, silicon, boron and phosphorus. 50 ⁇ l ⁇ 2500; 50 ⁇ n ⁇ 2500; 0 ⁇ m ⁇ 3000.
- p is 2 or 3, and the value of p is related with the valence state of Y.
- the present disclosure provides a lithium metal negative electrode, the lithium metal negative electrode comprises: a lithium metal sheet and a polymer protecting layer according to the first aspect of the present disclosure, the polymer protecting layer is provided at the lithium metal sheet.
- the present disclosure provides a lithium secondary battery, which comprises the lithium metal negative electrode according to the second aspect of the present disclosure.
- the present disclosure has following beneficial effects.
- the polymer protecting layer comprising the polymer ionic liquid is coated on the surface of the lithium metal sheet, which can effectively slow down or even inhibit the growth of the lithium dendrite, improve the first charge-discharge cycle coulombic efficiency of the lithium secondary battery, and significantly improve the cycle performance and the safety performance of the lithium secondary battery.
- the polymer protecting layer according to the first aspect of the present disclosure comprises a polymer ionic liquid with a formula I.
- X represents an anion, specifically, X is one selected from the group consisting of —COO ⁇ , —SO 3 ⁇ , —SO 2 N ⁇ SO 2 F, —RCOO ⁇ , —RSO 3 ⁇ and —RSO 2 N ⁇ SO 2 R f .
- R represents C1 to C10 hydrocarbylene group, or R represents C1 to C10 hydrocarbylene group with one or more hydrogen atoms being substituted by one or more elements selected from the group consisting of fluorine (F), chlorine (Cl), bromine (Br), iodine (I), nitrogen (N), oxygen (O), sulfur (S), silicon (Si), boron (B) and phosphorus (P).
- R f is one selected from the group consisting of fluorine, chlorine, cyanide (CN), C1 to C10 hydrocarbyl group, or R f represents C1 to C10 hydrocarbyl group with one or more hydrogen atoms being substituted by one or more elements selected from the group consisting of fluorine, chlorine, bromine, iodine, nitrogen, oxygen, sulfur, silicon, boron and phosphorus.
- Y is one selected from the group consisting of nitrogen, sulfur and phosphorus.
- R 1 , R 2 each are independently one selected from the group consisting of C1 to C10 hydrocarbylene group, or R 1 , R 2 each are independently one selected from the group consisting of C1 to C10 hydrocarbylene group with one or more hydrogen atoms being substituted by one or more elements selected from the group consisting of fluorine, chlorine, bromine, iodine, nitrogen, oxygen, sulfur, silicon, boron and phosphorus.
- R 3 is one selected from the group consisting of C1 to C10 hydrocarbyl group, or R 3 is one selected from the group consisting of C1 to C10 hydrocarbyl group with one or more hydrogen atoms being substituted by one or more elements selected from the group consisting of fluorine, chlorine, bromine, iodine, nitrogen, oxygen, sulfur, silicon, boron and phosphorus.
- p 2 or 3, and the value of p is related with the valence state of Y. It should be noted that, when Y is N or P, p is 3. When Y is S, p is 2.
- the number of the substituent groups R 3 which are bonded with Y is p, the substituent groups R 3 which are bonded with Y may be same or different. For example, when Y is N and p is 3, the three substituent groups R 3 which are bonded with N may be same or different.
- C1 to C10 hydrocarbyl group means a residual group formed by removing any one hydrogen atom from C1 to C10 hydrocarbon group.
- the hydrocarbon group may be saturated or unsaturated, such as acyclic alkane, cycloalkane, alkene, alkyne, aromatic hydrocarbon, but the present disclosure is not limited.
- the hydrocarbon group may have a straight-chain structure, or a branched structure.
- C1 to C10 hydrocarbyl group with one or more hydrogen atoms being substituted by one or more elements selected from the group consisting of fluorine, chlorine, bromine, iodine, nitrogen, oxygen, sulfur, silicon, boron and phosphorus means a residual group formed by removing any one hydrogen atom from C1 to C10 hydrocarbon group with one or more hydrogen atoms being substituted by one or more elements selected from the group consisting of fluorine, chlorine, bromine, iodine, nitrogen, oxygen, sulfur, silicon, boron and phosphorus.
- C1 to C10 hydrocarbylene group means a residual group formed by removing any two hydrogen atoms from C1 to C10 hydrocarbon group.
- the hydrocarbon group may be saturated or unsaturated, such as acyclic alkane, cycloalkane, alkene, alkyne, aromatic hydrocarbon, but the present disclosure is not limited.
- the hydrocarbon group may have a straight-chain structure, or a branched structure.
- C1 to C10 hydrocarbylene group with one or more hydrogen atoms being substituted by one or more elements selected from the group consisting of fluorine, chlorine, bromine, iodine, nitrogen, oxygen, sulfur, silicon, boron and phosphorus means a residual group formed by removing any two hydrogen atoms from C1 to C10 hydrocarbon group with one or more hydrogen atoms being substituted by one or more elements selected from the group consisting of fluorine, chlorine, bromine, iodine, nitrogen, oxygen, sulfur, silicon, boron and phosphorus.
- the polymer comprising the polymer ionic liquid is coated on the surface of the lithium metal sheet so as to form a polymer protecting layer, which therefore can effectively inhibit severe reactions between the lithium metal sheet and the nonaqueous electrolyte, meanwhile the polymer ionic liquid itself has charged centers (such as an anion center, a cation center and the like) and structure groups (such as an electron-rich aromatic ring and the like), an electric-field distribution on the surface of the lithium metal negative electrode can be homogenized during the charge-discharge cycles of the lithium secondary battery, thereby avoiding the current density being too large, slowing down or even inhibiting the growth of the lithium dendrite, improving the first charge-discharge cycle coulombic efficiency (that is the first coulombic efficiency) of the lithium secondary battery, and significantly improving the cycle performance and the safety performance of the lithium secondary battery.
- charged centers such as an anion center, a cation center and the like
- structure groups such as an electron-rich aromatic ring and the like
- the number-average molecular weight of the polymer ionic liquid with the formula I ranges from 40,000 to 1,000,000.
- l:m:n 1:(0.5 ⁇ 1.5):(0.5 ⁇ 1.5).
- R is one selected from the group consisting of C1 to C8 hydrocarbylene group, C1 to C8 fluorohydrocarbylene group and C1 to C8 hydrocarbylene group with two or more hydrogen atoms being substituted by fluorine atoms and oxygen atoms at the same time.
- R is one selected from the group consisting of C1 to C8 alkylene group, C1 to C8 fluoroalkylene group and C1 to C8 fluoroalkoxy.
- R f is one selected from the group consisting of fluorine, C1 to C8 fluorohydrocarbyl group and C1 to C8 hydrocarbyl group with two or more hydrogen atoms being substituted by fluorine atoms and oxygen atoms at the same time.
- R f is one selected from the group consisting of fluorine, C1 to C8 fluoroalkyl group and C1 to C8 fluoroalkoxy.
- Y is one selected from the group consisting of nitrogen and phosphorus.
- R 1 has a branched structure.
- R 1 is one selected from the group consisting of C1 to C4 hydrocarbylene group, or R 1 is one selected from the group consisting of C1 to C4 hydrocarbylene group with one or more hydrogen atoms being substituted by one or more elements selected from the group consisting of fluorine, chlorine, bromine, iodine, nitrogen, oxygen, sulfur, silicon, boron and phosphorus.
- R 1 is one selected from the group consisting of C1 to C4 alkylene group, or R 1 is one selected from the group consisting of C1 to C4 alkylene group with one or more hydrogen atoms being substituted by one or more elements selected from the group consisting of fluorine, chlorine, bromine, iodine, nitrogen, oxygen, sulfur, silicon, boron and phosphorus.
- R 2 is selected from C1 to C8 hydrocarbylene group or C1 to C8 hydrocarbylene group with one or more hydrogen atoms being substituted by one or more oxygen atoms.
- R 2 is selected from C1 to C8 alkylene group or C1 to C8 alkoxy.
- R 2 is selected from —(CH 2 ) q —O—(CH 2 ) r —, q and r are independently selected from 1, 2, 3 or 4.
- R 3 is one selected from the group consisting of C1 to C8 hydrocarbyl group, C1 to C8 fluoroalkyl group and C1 to C8 fluoroalkoxy.
- R 3 is one selected from the group consisting of —CH 3 , —C 2 H 5 , —C 3 H 7 , —C 4 H 9 and —(CH 2 CH 2 O) s CH 3 , s is an integer of 1 ⁇ 8.
- —C 3 H 7 and —C 4 H 9 both have a straight-chain structure.
- a mass percentage of the polymer ionic liquid with the formula I in the polymer protecting layer ranges from 5% to 100%.
- the polymer protecting layer further comprises a macromolecular compound.
- the macromolecular compound is one or more selected from the group consisting of polymethylmethacrylate (PMMA), polyethylene oxide (PEO), polyvinylidene fluoride (PVDF), copolymer of vinylidene fluoride and hexafluoropropylene (PVDF-HFP), and polyacrylonitrile (PAN).
- a mass percentage of the macromolecular compound in the polymer protecting layer is more than 0 and less than or equal to 20%.
- the polymer protecting layer further comprises inorganic nanoparticles.
- the material of the inorganic nanoparticles is one or more selected from the group consisting of silicon dioxide (SiO 2 ), titanium dioxide (TiO 2 ), aluminum oxide (Al 2 O 3 ), magnesium oxide (MgO), zirconium dioxide (ZrO 2 ), zinc oxide (ZnO), ferroferric oxide (Fe 3 O 4 ), barium titanate (BaTiO 3 ), lead titanate (PbTiO 3 ), lithium nitride (Li 3 N), aluminum lithium oxide (LiAlO 2 ), sodium montmorillonite clay and molecular sieves.
- a mass percentage of the inorganic nanoparticles in the polymer protecting layer is more than 0 and less than or equal to 50%.
- the lithium metal negative electrode according to the second aspect of the present disclosure comprises: a lithium metal sheet and a polymer protecting layer according to the first aspect of the present disclosure, the polymer protecting layer is provided at the lithium metal sheet.
- the lithium metal sheet is a lithium metal foil.
- the lithium secondary battery according to the third aspect of the present disclosure comprises a lithium metal negative electrode according to the second aspect of the present disclosure.
- the lithium secondary battery according to the third aspect of the present disclosure comprises a positive electrode, a lithium metal negative electrode, a separator and an electrolyte.
- the positive electrode comprises a positive current collector and a positive electrode membrane provided at the positive current collector, the positive electrode membrane comprises a positive active material, a binder and a conductive agent.
- the specific type of the positive active material is not limited and may be changed as desired.
- the positive active material is one or more selected from the group consisting of lithium cobalt oxide (LiCoO 2 ), lithium nickel oxide (LiNiO 2 ), lithium iron phosphate (LiFePO 4 ), lithium cobalt phosphate (LiCoPO 4 ), lithium manganese phosphate (LiMnPO 4 ), lithium nickel phosphate (LiNiPO 4 ), lithium manganese dioxide (LiMnO 2 ), LiNi x A (1-x) O 2 (A is selected from Co or Mn, 0 ⁇ x ⁇ 1), LiNi m B n C (1-m-n) O 2 (B and C each are independently one or more selected from the group consisting of Co, Al and Mn, B and C are different, 0 ⁇ m ⁇ l, 0 ⁇ n ⁇ 1).
- the separator may be any separator used in existing lithium secondary batteries, specifically, the separator may be polyethylene, polypropylene, polyvinylidene fluoride and the combined membrane thereof.
- the electrolyte comprises an organic solvent, a lithium salt and an additive agent.
- the specific type of the organic solvent is not limited and may be changed as desired.
- the organic solvent may be one or more selected from the group consisting of ethylene carbonate, propylene carbonate, dimethyl carbonate, diethyl carbonate, dipropyl carbonate, ethyl methyl carbonate, methyl formate, ethyl formate, ethyl propionate, propyl propionate, methyl butyrate, ethyl acetate, anhydrides, 1-methyl-2-pyrrolidinone, N-methylformamide, N-methylacetamide, acetonitrile, sulfolane, dimethyl sulfoxide, ethylene sulfite, trimethylene sulfite, dimethyl sulfide, diethyl sulfite, dimethyl sulfite, tetrahydrofuran, fluoro-cyclic organic ester, sulfo-cyclic organic ester
- the lithium salt may be one or more selected from the group consisting of organic lithium salts and inorganic lithium salts.
- the lithium salt may be one or more selected from the group consisting of LiPF 6 , LiBF 4 , LiTFSI, LiClO 4 , LiAsF 6 , LiBOB, LiDFOB, LiTFOP, LiN(SO 2 R F ) 2 and LiN(SO 2 F)(SO 2 R F ).
- a content of the lithium salt in the electrolyte ranges from 0.5 mol/L to 1.5 mol/L.
- the additive agent may be any additive agent improving the performance of the battery known in the art, such as an additive agent for forming the SEI membrane, a fire-retardant additive agent, an anti-overcharge additive agent and a conductive additive agent.
- a mass percentage of the additive agent in the electrolyte ranges from 0.1% to 8%.
- lithium cobalt oxide LiCoO 2 , positive active material
- conductive carbon black Super-P, conductive agent
- PVDF polyvinylidene fluoride
- NMP 1-methyl-2-pyrrolidinone
- the positive electrode slurry was uniformly coated on two surfaces of an aluminum foil (positive current collector) with a thickness of 12 ⁇ m, a coating weight on each surface of the aluminum foil was 0.0215 g/cm 2 ; then a drying process was performed at 85° C., which was followed by cutting into a disk with a diameter ( ⁇ ) of 14 mm, and then the disk was dried under vacuum at 85° C. for 4 h, the obtained positive electrode was marked as P1#.
- N1 # 0.8 g of Al 2 O 3 was added into 8 g of 1-methyl-2-pyrrolidinone (NMP, solvent) by means of ultrasonic dispersion for 30 min, then 1 g of polymer ionic liquid L1 # (formula II) was added and stirred constantly for 5 h, the obtained mixture was uniformly coated on two surfaces of a lithium metal foil, a lithium metal negative electrode was obtained, the obtained lithium metal negative electrode was marked as N1 # .
- NMP 1-methyl-2-pyrrolidinone
- LiPF 6 lithium hexafluorophosphate
- EC ethylene carbonate
- DMC dimethyl carbonate
- the lithium secondary battery C1 # a polypropylene membrane ( ⁇ 20 mm) with a thickness of 12 ⁇ m was used as the separator.
- the positive electrode P1 # , the separator, and the lithium metal negative electrode N1 # were laminated in order to make the separator separate the positive electrode from the negative electrode, which was followed by injecting the electrolyte E1 # and standing by for 24 h, a CR2430 button cell was obtained, the obtained lithium secondary battery was marked as C1 # .
- N2 # 0.8 g of Al 2 O 3 was added into 8 g of 1-methyl-2-pyrrolidinone (NMP, solvent) by means of ultrasonic dispersion for 30 min, then 1 g of polymer ionic liquid L1 # (formula II) and 0.2 g of polyvinylidene fluoride (PVDF, the number-average molecular weight was about 1,000,000) were added and stirred constantly for 5 h, the obtained mixture was uniformly coated on two surfaces of the lithium metal foil, a lithium metal negative electrode was obtained, the obtained lithium metal negative electrode was marked as N2 # .
- NMP 1-methyl-2-pyrrolidinone
- PVDF polyvinylidene fluoride
- Preparation of the lithium secondary battery C2 # the preparation of the lithium secondary battery was the same as the preparation of the lithium secondary battery C1 # , except that the used lithium metal negative electrode was N2 # , and the obtained lithium secondary battery was marked as C2 # .
- N3 # 0.8 g of Al 2 O 3 was added into 8 g of 1-methyl-2-pyrrolidinone (NMP, solvent) by means of ultrasonic dispersion for 30 min, then 1 g of polymer ionic liquid L1 # (formula II) and 0.2 g of polyethylene oxide (PEO, the number-average molecular weight was about 600,000) were added and stirred constantly for 5 h, the obtained mixture was uniformly coated on two surfaces of the lithium metal foil, a lithium metal negative electrode was obtained, the obtained lithium metal negative electrode was marked as N3 # .
- NMP 1-methyl-2-pyrrolidinone
- Preparation of the lithium secondary battery C3 # the preparation of the lithium secondary battery was the same as the preparation of the lithium secondary battery C1 # , except that the used lithium metal negative electrode was N3 # , and the obtained lithium secondary battery was marked as C3 # .
- Preparation of the lithium metal negative electrodes N4 # ⁇ 6 # the preparation of the lithium metal negative electrodes in example 4 to example 6 were respectively the same as the preparation of the lithium metal negative electrodes N1 # , N2 # , N3 # , except that the polymer ionic liquid L2 # (formula III) was used instead of the polymer ionic liquid L1 # (formula II) in each of example 4 to example 6, and the obtained lithium metal negative electrodes in each of example 4 to example 6 were respectively marked as N4 # , N5 # , N6 # .
- Preparation of the lithium secondary batteries C4 # ⁇ 6 # the preparation of the lithium secondary batteries in example 4 to example 6 were respectively the same as the preparation of the lithium secondary batteries C1 # , C2 # , C3 # , except that the used lithium metal negative electrodes in each of example 4 to example 6 were N4 # , N5 # , N6 # , and the obtained lithium secondary batteries in each of example 4 to example 6 were respectively marked as C4 # , C5 # , C6 # .
- Preparation of the lithium metal negative electrodes N7 # ⁇ 9 # the preparation of the lithium metal negative electrodes in example 7 to example 9 were respectively the same as the preparation of the lithium metal negative electrodes N1 # , N2 # , N3, except that the polymer ionic liquid L3 # (formula IV) was used instead of the polymer ionic liquid L1 # (formula II) in each of example 7 to example 9, and the obtained lithium metal negative electrodes in each of example 7 to example 9 were respectively marked as N7 # , N8 # , N9 # .
- Preparation of the lithium secondary batteries C7 # ⁇ 9 # the preparation of the lithium secondary batteries in example 7 to example 9 were respectively the same as the preparation of the lithium secondary batteries C1 # , C2 # , C3 # , except that the used lithium metal negative electrodes in each of example 7 to example 9 were N7 # , N8 # , N9 # , and the obtained lithium secondary batteries in each of example 7 to example 9 were respectively marked as C7 # , C8 # , C9 # .
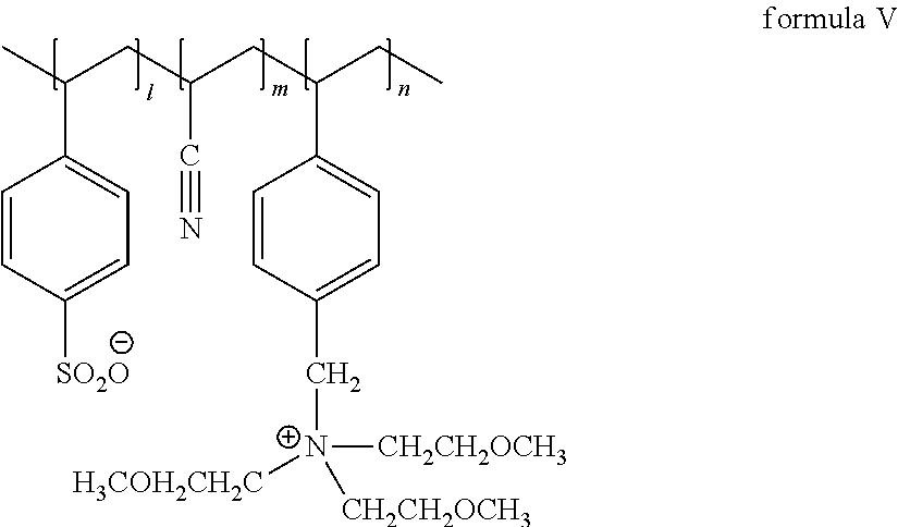
- Preparation of the lithium metal negative electrode N10 # the preparation of the lithium metal negative electrode was the same as the preparation of the lithium metal negative electrode N1 # , except that the polymer ionic liquid L4 # (formula V) was used instead of the polymer ionic liquid L1 # (formula II), and the obtained lithium metal negative electrode was marked as N10 # .
- Preparation of the lithium secondary battery C10 # the preparation of the lithium secondary battery was the same as the preparation of the lithium secondary battery C1 # , except that the used lithium metal negative electrode was N10 # , and the obtained lithium secondary battery was marked as C10 # .
- Preparation of the lithium metal negative electrode N11 # the preparation of the lithium metal negative electrode was the same as the preparation of the lithium metal negative electrode N1 # , except that the polymer ionic liquid L5 # (formula VI) was used instead of the polymer ionic liquid L1 # (formula II), and the obtained lithium metal negative electrode was marked as N11 # .
- Preparation of the lithium secondary battery C11 # the preparation of the lithium secondary battery was the same as the preparation of the lithium secondary battery C1 # , except that the used lithium metal negative electrode was N11 # , and the obtained lithium secondary battery was marked as C11 # .
- Preparation of the lithium metal negative electrode N12 # the preparation of the lithium metal negative electrode was the same as the preparation of the lithium metal negative electrode N1 # , except that the polymer ionic liquid L6 # (formula VII) was used instead of the polymer ionic liquid L1 # (formula II), and the obtained lithium metal negative electrode was marked as N12 # .
- Preparation of the lithium secondary battery C12 # the preparation of the lithium secondary battery was the same as the preparation of the lithium secondary battery C1 # , except that the used lithium metal negative electrode was N12 # , and the obtained lithium secondary battery was marked as C12 # .
- Preparation of the lithium metal negative electrode N13 # the preparation of the lithium metal negative electrode was the same as the preparation of the lithium metal negative electrode N1 # , except that Al 2 O 3 was not used, and the obtained lithium metal negative electrode was marked as N13 # .
- Preparation of the lithium secondary battery C13 # the preparation of the lithium secondary battery was the same as the preparation of the lithium secondary battery C1 # , except that the used lithium metal negative electrode was N13 # , and the obtained lithium secondary battery was marked as C13 # .
- Preparation of the lithium metal negative electrode N14 # the preparation of the lithium metal negative electrode was the same as the preparation of the lithium metal negative electrode N4 # , except that Al 2 O 3 was not used, and the obtained lithium metal negative electrode was marked as N14 # .
- Preparation of the lithium secondary battery C14 # the preparation of the lithium secondary battery was the same as the preparation of the lithium secondary battery C4 # , except that the used lithium metal negative electrode was N14 # , and the obtained lithium secondary battery was marked as C14 # .
- Preparation of the lithium metal negative electrode N15 # the preparation of the lithium metal negative electrode was the same as the preparation of the lithium metal negative electrode N7 # , except that Al 2 O 3 was not used, and the obtained lithium metal negative electrode was marked as N15 # .
- Preparation of the lithium secondary battery C15 # the preparation of the lithium secondary battery was the same as the preparation of the lithium secondary battery C7 # , except that the used lithium metal negative electrode was N15 # , and the obtained lithium secondary battery was marked as C15 # .
- the preparation of the lithium metal negative electrode was the same as the preparation of the lithium metal negative electrode N4 # , except that the number-average molecular weight of the polymer ionic liquid (formula III) was about 400,000 (l was about 620, n was about 620, m was about 750), and the obtained lithium metal negative electrode was marked as N16 # .
- Preparation of the lithium secondary battery C16 # the preparation of the lithium secondary battery was the same as the preparation of the lithium secondary battery C4 # , except that the used lithium metal negative electrode was N16 # , and the obtained lithium secondary battery was marked as C16 # .
- the preparation of the lithium metal negative electrode was the same as the preparation of the lithium metal negative electrode N4 # , except that the number-average molecular weight of the polymer ionic liquid (formula III) was about 1,000,000 (l was about 1500, n was about 1500, m was about 1800), and the obtained lithium metal negative electrode was marked as N17 # .
- Preparation of the lithium secondary battery C17 # the preparation of the lithium secondary battery was the same as the preparation of the lithium secondary battery C4 # , except that the used lithium metal negative electrode was N17 # , and the obtained lithium secondary battery was marked as C17 # .
- the preparation of the lithium secondary battery was the same as the preparation of the lithium secondary battery C1 # , except that the used lithium metal negative electrode was DN1 # , and the obtained lithium secondary battery was marked as DC1 # .
- Preparation of the lithium metal negative electrode DN2 # 0.8 g of Al 2 O 3 was added into 8 g of 1-methyl-2-pyrrolidinone (NMP, solvent) by means of ultrasonic dispersion for 30 min, then 1.2 g of polyvinylidene fluoride (PVDF, the number-average molecular weight was about 1,000,000) was added and stirred constantly for 5 h, the obtained mixture was uniformly coated on two surfaces of the lithium metal foil, a lithium metal negative electrode was obtained, the obtained lithium metal negative electrode was marked as DN2 # .
- PVDF polyvinylidene fluoride
- the preparation of the lithium secondary battery was the same as the preparation of the lithium secondary battery C1 # , except that the used lithium metal negative electrode was DN2 # , and the obtained lithium secondary battery was marked as DC2 # .
- Li metal negative electrode DN3 # 0.8 g of Al 2 O 3 was added into 8 g of 1-methyl-2-pyrrolidinone (NMP, solvent) by means of ultrasonic dispersion for 30 min, then 1.2 g of polyethylene oxide (PEO, the number-average molecular weight was about 600,000) was added and stirred constantly for 5 h, the obtained mixture was uniformly coated on two surfaces of the lithium metal foil, a lithium metal negative electrode was obtained, the obtained lithium metal negative electrode was marked as DN3 # .
- NMP 1-methyl-2-pyrrolidinone
- the preparation of the lithium secondary battery was the same as the preparation of the lithium secondary battery C1 # , except that the used lithium metal negative electrode was DN3 # , and the obtained lithium secondary battery was marked as DC3 # .
- (1) Testing of the first coulombic efficiency the lithium secondary battery was charged to 4.25 V at a constant current of 0.65 mA/cm 2 , then the lithium secondary battery was charged to 0.16 mA/cm 2 at a constant voltage of 4.25 V to obtain a first cycle specific charge capacity (C c1 ); then the lithium secondary battery was discharged to 3.0 V at a constant current of 0.65 mA/cm 2 to obtain a first cycle specific discharge capacity (C d1 ).
- First coulombic efficiency of the lithium secondary battery (C d1 )/(C c1 ).
- the lithium secondary battery was disassembled and the surface of the lithium metal negative electrode was observed with the optical microscope, it could be seen that a thin and dense interface membrane was formed on the surface of the lithium metal negative electrode after the polymer ionic liquid was coated, and the surface of the lithium metal negative electrode (DC1 # ) without being coated with the polymer ionic liquid was coated with a thick and incompact brown deposit, and the deposit has a great deal of lithium dendrite, the existing of the lithium dendrite on the surface of the lithium metal negative electrode DC1 # was the main reason causing the lithium secondary battery short-circuited.
- the polymer ionic liquid had a sulfonyl imide anion containing fluorine
- the first coulombic efficiency and the capacity retention rate after 100 cycles of the lithium secondary batteries C1 # , C4 # , C7 # , C10 # , C11 # , C12 # were promoted compared with the lithium secondary batteries C13 # ⁇ 15 # .
- the lithium secondary batteries C13 # -15 # had a higher first coulombic efficiency and a higher capacity retention rate compared with the lithium secondary batteries DC2 # and DC3 # where only PVDF or PEO was coated on the lithium metal sheet.
- the polymer ionic liquid had a plurality of functional groups: the sulfonyl imide anion containing fluorine had a higher charge delocalization, which increases the transmission rate of the lithium ions; the quarternary ammonium cation had a plurality of polar ether groups (—O—), thereby enhancing the dissolving capacity of the lithium salt, increasing the number of current carriers, increasing the room-temperature conductivity and the transmission rate of the lithium ions; the charged centers (such as an anion center and a cation center) and the structure groups (such as the electron-rich aromatic ring and the like) could effectively homogenize the electric-field distribution on the surface of the lithium metal negative electrode during the charge-discharge cycles, thereby slowing down or even inhibiting the growth of the lithium dendrite.
- the sulfonyl imide anion containing fluorine had a higher charge delocalization, which increases the transmission rate of the lithium ions
- the quarternary ammonium cation had a pluralit
- the number-average molecular weight of the polymer ionic liquid might also affect the performance of the lithium secondary batteries.
- the lithium secondary batteries C16 # and C17 # had a relatively high number-average molecular weight, which affects the transmitting kinetics of the lithium ions of the lithium secondary batteries during the charge-discharge cycles, and thereby slightly decreasing the first coulombic efficiency and the capacity retention rate after 100 cycles of the lithium secondary batteries.
Landscapes
- Chemical & Material Sciences (AREA)
- Chemical Kinetics & Catalysis (AREA)
- General Chemical & Material Sciences (AREA)
- Electrochemistry (AREA)
- Engineering & Computer Science (AREA)
- Materials Engineering (AREA)
- Manufacturing & Machinery (AREA)
- Organic Chemistry (AREA)
- Inorganic Chemistry (AREA)
- Medicinal Chemistry (AREA)
- Polymers & Plastics (AREA)
- Health & Medical Sciences (AREA)
- Secondary Cells (AREA)
- Battery Electrode And Active Subsutance (AREA)
Abstract
Description
- The present application claims priority to Chinese patent application No. CN201610242231.2, filed on Apr. 19, 2016, which is incorporated herein by reference in its entirety.
- The present disclosure relates to a field of lithium secondary battery, and particularly relates to a polymer protecting layer, a lithium metal negative electrode, a lithium secondary battery.
- At present, the lithium-ion battery has been widely used in electronic products such as mobile phones, laptops and cameras. At present, the commercial lithium-ion battery mainly uses graphite as the negative active material, but its specific discharge capacity has been close to a theoretical value of graphite (372 mAh/g), therefore it is difficult to further increase the specific discharge capacity of the lithium-ion battery by processing a modification technology on the graphite. The theoretical value of the lithium metal is as high as 3860 mAh/g, and the electrode potential of the lithium metal is as low as −3.04V (vs. H2/H+), so the development of the lithium secondary battery using the lithium metal as the negative electrode has aroused the attention of researchers. However, there are two main obstacles in the further development of the lithium secondary battery: (1) the lithium dendrite is easily formed during cycle processes of the lithium secondary battery, the lithium secondary battery is easily short-circuited; (2) the lithium dendrite has a large surface area, a high reactivity and easily reacts with electrolyte, therefore the SEI membrane formed on the surface of the lithium metal is ceaselessly destroyed and formed, the electrolyte and the lithium ions are ceaselessly consumed, thereby decreasing cycle efficiency of the lithium secondary battery and shortening the cycle life of the lithium secondary battery. Therefore, how to effectively improve the surface properties of the lithium metal and inhibit the growth of the lithium dendrite is the key issue in the further development of the lithium secondary battery.
- At present, many studies are focused on adding functional additive agents into the electrolyte, such as vinylene carbonate (VC), fluoroethylene carbonate (FEC), 2-methylfuran (2Me-F), alkali metal cations and the like. These functional additive agents can react with the lithium metal via adsorption reactions, decomposition reactions, polymerization reactions and the like to form a new protective membrane on the surface of the SEI membrane so as to enhance the properties of the SEI membrane on the surface of the lithium metal, thereby improving the cycle performance of the lithium secondary battery. However, there is a problem that the in-situ formed protective membrane has a weak mechanical strength and cannot completely cover the SEI membrane on the surface of the lithium metal, therefore it cannot completely prevent the SEI membrane from being severely and ceaselessly destroyed and formed during the lithium deposition/dissolution processes which is caused by change of the lithium metal topography. The growth of the lithium dendrite and the problems caused by the lithium dendrite are not solved substantially. Therefore, it is imperative to explore and develop an effective lithium metal protection technology to inhibit the growth of the lithium dendrite, improve the cycle performance, the coulomb efficiency and the safety performance of the lithium secondary battery.
- In view of the problems existing in the background of the present disclosure, an object of the present disclosure is to provide a polymer protecting layer, a lithium metal negative electrode, a lithium secondary battery, the polymer protecting layer comprising a polymer ionic liquid is coated on a surface of a lithium metal sheet, which can effectively slow down or even inhibit the growth of the lithium dendrite, improve the first charge-discharge cycle coulombic efficiency of the lithium secondary battery, and significantly improve the cycle performance and the safety performance of the lithium secondary battery.
- In order to achieve the above object, in a first aspect of the present disclosure, the present disclosure provides a polymer protecting layer, the polymer protecting layer comprises a polymer ionic liquid with a formula I. In formula I, X represents an anion, specifically, X is one selected from the group consisting of —COO−, —SO3, —SO2N−SO2F, —RCOO−, —RSO3 − and —RSO2N−SO2Rf. R represents C1 to C10 hydrocarbylene group, or R represents C1 to C10 hydrocarbylene group with one or more hydrogen atoms being substituted by one or more elements selected from the group consisting of fluorine (F), chlorine (Cl), bromine (Br), iodine (I), nitrogen (N), oxygen (O), sulfur (S), silicon (Si), boron (B) and phosphorus (P). Rf is one selected from the group consisting of fluorine, chlorine, cyanide (CN), C1 to C10 hydrocarbyl group, or R represents C1 to C10 hydrocarbyl group with one or more hydrogen atoms being substituted by one or more elements selected from the group consisting of fluorine, chlorine, bromine, iodine, nitrogen, oxygen, sulfur, silicon, boron and phosphorus. Y is one selected from the group consisting of nitrogen, sulfur and phosphorus. R1, R2 each are independently one selected from the group consisting of C1 to C10 hydrocarbylene group, or R1, R2 each are independently one selected from the group consisting of C1 to C10 hydrocarbylene group with one or more hydrogen atoms being substituted by one or more elements selected from the group consisting of fluorine, chlorine, bromine, iodine, nitrogen, oxygen, sulfur, silicon, boron and phosphorus. R3 is one selected from the group consisting of C1 to C10 hydrocarbyl group, or R3 is one selected from the group consisting of C1 to C10 hydrocarbyl group with one or more hydrogen atoms being substituted by one or more elements selected from the group consisting of fluorine, chlorine, bromine, iodine, nitrogen, oxygen, sulfur, silicon, boron and phosphorus. 50≦l≦2500; 50≦n≦2500; 0≦m≦3000. p is 2 or 3, and the value of p is related with the valence state of Y.
- In a second aspect of the present disclosure, the present disclosure provides a lithium metal negative electrode, the lithium metal negative electrode comprises: a lithium metal sheet and a polymer protecting layer according to the first aspect of the present disclosure, the polymer protecting layer is provided at the lithium metal sheet.
- In a third aspect of the present disclosure, the present disclosure provides a lithium secondary battery, which comprises the lithium metal negative electrode according to the second aspect of the present disclosure.
- The present disclosure has following beneficial effects.
- In the lithium secondary battery of the present disclosure, the polymer protecting layer comprising the polymer ionic liquid is coated on the surface of the lithium metal sheet, which can effectively slow down or even inhibit the growth of the lithium dendrite, improve the first charge-discharge cycle coulombic efficiency of the lithium secondary battery, and significantly improve the cycle performance and the safety performance of the lithium secondary battery.
- Hereinafter a polymer protecting layer, a lithium metal negative electrode, a lithium secondary battery according to the present disclosure will be described in detail.
- Firstly, a polymer protecting layer according to a first aspect of the present disclosure will be described.
- The polymer protecting layer according to the first aspect of the present disclosure comprises a polymer ionic liquid with a formula I.
- In formula I, X represents an anion, specifically, X is one selected from the group consisting of —COO−, —SO3 −, —SO2N−SO2F, —RCOO−, —RSO3 − and —RSO2N−SO2Rf. R represents C1 to C10 hydrocarbylene group, or R represents C1 to C10 hydrocarbylene group with one or more hydrogen atoms being substituted by one or more elements selected from the group consisting of fluorine (F), chlorine (Cl), bromine (Br), iodine (I), nitrogen (N), oxygen (O), sulfur (S), silicon (Si), boron (B) and phosphorus (P). Rf is one selected from the group consisting of fluorine, chlorine, cyanide (CN), C1 to C10 hydrocarbyl group, or Rf represents C1 to C10 hydrocarbyl group with one or more hydrogen atoms being substituted by one or more elements selected from the group consisting of fluorine, chlorine, bromine, iodine, nitrogen, oxygen, sulfur, silicon, boron and phosphorus.
- Y is one selected from the group consisting of nitrogen, sulfur and phosphorus.
- R1, R2 each are independently one selected from the group consisting of C1 to C10 hydrocarbylene group, or R1, R2 each are independently one selected from the group consisting of C1 to C10 hydrocarbylene group with one or more hydrogen atoms being substituted by one or more elements selected from the group consisting of fluorine, chlorine, bromine, iodine, nitrogen, oxygen, sulfur, silicon, boron and phosphorus.
- R3 is one selected from the group consisting of C1 to C10 hydrocarbyl group, or R3 is one selected from the group consisting of C1 to C10 hydrocarbyl group with one or more hydrogen atoms being substituted by one or more elements selected from the group consisting of fluorine, chlorine, bromine, iodine, nitrogen, oxygen, sulfur, silicon, boron and phosphorus.
- 50≦l≦2500; 50≦n≦2500; 0≦m≦3000.
- p is 2 or 3, and the value of p is related with the valence state of Y. It should be noted that, when Y is N or P, p is 3. When Y is S, p is 2. The number of the substituent groups R3 which are bonded with Y is p, the substituent groups R3 which are bonded with Y may be same or different. For example, when Y is N and p is 3, the three substituent groups R3 which are bonded with N may be same or different.
- Here, “C1 to C10 hydrocarbyl group” means a residual group formed by removing any one hydrogen atom from C1 to C10 hydrocarbon group. The hydrocarbon group may be saturated or unsaturated, such as acyclic alkane, cycloalkane, alkene, alkyne, aromatic hydrocarbon, but the present disclosure is not limited. The hydrocarbon group may have a straight-chain structure, or a branched structure. “C1 to C10 hydrocarbyl group with one or more hydrogen atoms being substituted by one or more elements selected from the group consisting of fluorine, chlorine, bromine, iodine, nitrogen, oxygen, sulfur, silicon, boron and phosphorus” means a residual group formed by removing any one hydrogen atom from C1 to C10 hydrocarbon group with one or more hydrogen atoms being substituted by one or more elements selected from the group consisting of fluorine, chlorine, bromine, iodine, nitrogen, oxygen, sulfur, silicon, boron and phosphorus.
- “C1 to C10 hydrocarbylene group” means a residual group formed by removing any two hydrogen atoms from C1 to C10 hydrocarbon group. The hydrocarbon group may be saturated or unsaturated, such as acyclic alkane, cycloalkane, alkene, alkyne, aromatic hydrocarbon, but the present disclosure is not limited. The hydrocarbon group may have a straight-chain structure, or a branched structure. “C1 to C10 hydrocarbylene group with one or more hydrogen atoms being substituted by one or more elements selected from the group consisting of fluorine, chlorine, bromine, iodine, nitrogen, oxygen, sulfur, silicon, boron and phosphorus” means a residual group formed by removing any two hydrogen atoms from C1 to C10 hydrocarbon group with one or more hydrogen atoms being substituted by one or more elements selected from the group consisting of fluorine, chlorine, bromine, iodine, nitrogen, oxygen, sulfur, silicon, boron and phosphorus.
- In the polymer protecting layer according to the first aspect of the present disclosure, the polymer comprising the polymer ionic liquid is coated on the surface of the lithium metal sheet so as to form a polymer protecting layer, which therefore can effectively inhibit severe reactions between the lithium metal sheet and the nonaqueous electrolyte, meanwhile the polymer ionic liquid itself has charged centers (such as an anion center, a cation center and the like) and structure groups (such as an electron-rich aromatic ring and the like), an electric-field distribution on the surface of the lithium metal negative electrode can be homogenized during the charge-discharge cycles of the lithium secondary battery, thereby avoiding the current density being too large, slowing down or even inhibiting the growth of the lithium dendrite, improving the first charge-discharge cycle coulombic efficiency (that is the first coulombic efficiency) of the lithium secondary battery, and significantly improving the cycle performance and the safety performance of the lithium secondary battery.
- In the polymer protecting layer according to the first aspect of the present disclosure, the number-average molecular weight of the polymer ionic liquid with the formula I ranges from 40,000 to 1,000,000.
- In the polymer protecting layer according to the first aspect of the present disclosure, l:m:n=1:(0.5˜1.5):(0.5˜1.5).
- In the polymer protecting layer according to the first aspect of the present disclosure, R is one selected from the group consisting of C1 to C8 hydrocarbylene group, C1 to C8 fluorohydrocarbylene group and C1 to C8 hydrocarbylene group with two or more hydrogen atoms being substituted by fluorine atoms and oxygen atoms at the same time. Preferably, R is one selected from the group consisting of C1 to C8 alkylene group, C1 to C8 fluoroalkylene group and C1 to C8 fluoroalkoxy.
- In the polymer protecting layer according to the first aspect of the present disclosure, Rf is one selected from the group consisting of fluorine, C1 to C8 fluorohydrocarbyl group and C1 to C8 hydrocarbyl group with two or more hydrogen atoms being substituted by fluorine atoms and oxygen atoms at the same time. Preferably, Rf is one selected from the group consisting of fluorine, C1 to C8 fluoroalkyl group and C1 to C8 fluoroalkoxy.
- In the polymer protecting layer according to the first aspect of the present disclosure, Y is one selected from the group consisting of nitrogen and phosphorus.
- In the polymer protecting layer according to the first aspect of the present disclosure, preferably, R1 has a branched structure.
- In the polymer protecting layer according to the first aspect of the present disclosure, R1 is one selected from the group consisting of C1 to C4 hydrocarbylene group, or R1 is one selected from the group consisting of C1 to C4 hydrocarbylene group with one or more hydrogen atoms being substituted by one or more elements selected from the group consisting of fluorine, chlorine, bromine, iodine, nitrogen, oxygen, sulfur, silicon, boron and phosphorus. Preferably, R1 is one selected from the group consisting of C1 to C4 alkylene group, or R1 is one selected from the group consisting of C1 to C4 alkylene group with one or more hydrogen atoms being substituted by one or more elements selected from the group consisting of fluorine, chlorine, bromine, iodine, nitrogen, oxygen, sulfur, silicon, boron and phosphorus.
- In the polymer protecting layer according to the first aspect of the present disclosure, R2 is selected from C1 to C8 hydrocarbylene group or C1 to C8 hydrocarbylene group with one or more hydrogen atoms being substituted by one or more oxygen atoms. Preferably, R2 is selected from C1 to C8 alkylene group or C1 to C8 alkoxy. Further preferably, R2 is selected from —(CH2)q—O—(CH2)r—, q and r are independently selected from 1, 2, 3 or 4.
- In the polymer protecting layer according to the first aspect of the present disclosure, R3 is one selected from the group consisting of C1 to C8 hydrocarbyl group, C1 to C8 fluoroalkyl group and C1 to C8 fluoroalkoxy. Preferably, R3 is one selected from the group consisting of —CH3, —C2H5, —C3H7, —C4H9 and —(CH2CH2O)sCH3, s is an integer of 1˜8. Preferably, —C3H7 and —C4H9 both have a straight-chain structure.
- In the polymer protecting layer according to the first aspect of the present disclosure, a mass percentage of the polymer ionic liquid with the formula I in the polymer protecting layer ranges from 5% to 100%.
- In the polymer protecting layer according to the first aspect of the present disclosure, the polymer protecting layer further comprises a macromolecular compound. The macromolecular compound is one or more selected from the group consisting of polymethylmethacrylate (PMMA), polyethylene oxide (PEO), polyvinylidene fluoride (PVDF), copolymer of vinylidene fluoride and hexafluoropropylene (PVDF-HFP), and polyacrylonitrile (PAN).
- In the polymer protecting layer according to the first aspect of the present disclosure, a mass percentage of the macromolecular compound in the polymer protecting layer is more than 0 and less than or equal to 20%.
- In the polymer protecting layer according to the first aspect of the present disclosure, the polymer protecting layer further comprises inorganic nanoparticles. The material of the inorganic nanoparticles is one or more selected from the group consisting of silicon dioxide (SiO2), titanium dioxide (TiO2), aluminum oxide (Al2O3), magnesium oxide (MgO), zirconium dioxide (ZrO2), zinc oxide (ZnO), ferroferric oxide (Fe3O4), barium titanate (BaTiO3), lead titanate (PbTiO3), lithium nitride (Li3N), aluminum lithium oxide (LiAlO2), sodium montmorillonite clay and molecular sieves.
- In the polymer protecting layer according to the first aspect of the present disclosure, a mass percentage of the inorganic nanoparticles in the polymer protecting layer is more than 0 and less than or equal to 50%.
- Secondly, a lithium metal negative electrode according to a second aspect of the present disclosure will be described.
- The lithium metal negative electrode according to the second aspect of the present disclosure comprises: a lithium metal sheet and a polymer protecting layer according to the first aspect of the present disclosure, the polymer protecting layer is provided at the lithium metal sheet. Preferably, the lithium metal sheet is a lithium metal foil.
- Thirdly, a lithium secondary battery according to a third aspect of the present disclosure will be described.
- The lithium secondary battery according to the third aspect of the present disclosure comprises a lithium metal negative electrode according to the second aspect of the present disclosure.
- The lithium secondary battery according to the third aspect of the present disclosure comprises a positive electrode, a lithium metal negative electrode, a separator and an electrolyte.
- In the lithium secondary battery according to the third aspect of the present disclosure, the positive electrode comprises a positive current collector and a positive electrode membrane provided at the positive current collector, the positive electrode membrane comprises a positive active material, a binder and a conductive agent. The specific type of the positive active material is not limited and may be changed as desired. Preferably, the positive active material is one or more selected from the group consisting of lithium cobalt oxide (LiCoO2), lithium nickel oxide (LiNiO2), lithium iron phosphate (LiFePO4), lithium cobalt phosphate (LiCoPO4), lithium manganese phosphate (LiMnPO4), lithium nickel phosphate (LiNiPO4), lithium manganese dioxide (LiMnO2), LiNixA(1-x)O2 (A is selected from Co or Mn, 0<x<1), LiNimBnC(1-m-n)O2 (B and C each are independently one or more selected from the group consisting of Co, Al and Mn, B and C are different, 0<m<l, 0<n<1).
- In the lithium secondary battery according to the third aspect of the present disclosure, the separator may be any separator used in existing lithium secondary batteries, specifically, the separator may be polyethylene, polypropylene, polyvinylidene fluoride and the combined membrane thereof.
- In the lithium secondary battery according to the third aspect of the present disclosure, the electrolyte comprises an organic solvent, a lithium salt and an additive agent.
- In the lithium secondary battery according to the third aspect of the present disclosure, the specific type of the organic solvent is not limited and may be changed as desired. Specifically, the organic solvent may be one or more selected from the group consisting of ethylene carbonate, propylene carbonate, dimethyl carbonate, diethyl carbonate, dipropyl carbonate, ethyl methyl carbonate, methyl formate, ethyl formate, ethyl propionate, propyl propionate, methyl butyrate, ethyl acetate, anhydrides, 1-methyl-2-pyrrolidinone, N-methylformamide, N-methylacetamide, acetonitrile, sulfolane, dimethyl sulfoxide, ethylene sulfite, trimethylene sulfite, dimethyl sulfide, diethyl sulfite, dimethyl sulfite, tetrahydrofuran, fluoro-cyclic organic ester, sulfo-cyclic organic ester. A mass percentage of the organic solvent in the electrolyte ranges from 60% to 90%.
- In the lithium secondary battery according to the third aspect of the present disclosure, the lithium salt may be one or more selected from the group consisting of organic lithium salts and inorganic lithium salts. Specifically, the lithium salt may be one or more selected from the group consisting of LiPF6, LiBF4, LiTFSI, LiClO4, LiAsF6, LiBOB, LiDFOB, LiTFOP, LiN(SO2RF)2 and LiN(SO2F)(SO2RF). The substituent group represents RF=CnF2n+1, that is RE represents saturated fluoroalkyl group where whole hydrogen atoms are substituted by fluorine atoms, n is an integer of 1˜10, and 2n+l is more than 0. A content of the lithium salt in the electrolyte ranges from 0.5 mol/L to 1.5 mol/L.
- In the lithium secondary battery according to the third aspect of the present disclosure, the additive agent may be any additive agent improving the performance of the battery known in the art, such as an additive agent for forming the SEI membrane, a fire-retardant additive agent, an anti-overcharge additive agent and a conductive additive agent. A mass percentage of the additive agent in the electrolyte ranges from 0.1% to 8%.
- Hereafter in order to make the objects, the technology solutions and the beneficial technical effects more clearly, the present disclosure will be described in detail in combination with examples. It should be noted that, the examples described in the present disclosure are only used for explaining the present disclosure, and are not intended to limit the present disclosure.
- Preparation of the positive electrode P1#: lithium cobalt oxide (LiCoO2, positive active material), conductive carbon black (Super-P, conductive agent) and polyvinylidene fluoride (PVDF, binder) were uniformly dispersed in 1-methyl-2-pyrrolidinone (NMP, solvent) to form a positive electrode slurry. A solid content of the positive electrode slurry was 77 wt %, solid components in the positive electrode slurry were 98.26 wt % of lithium cobalt oxide, 0.9 wt % of PVDF and 0.84 wt % of conductive carbon black. Then the positive electrode slurry was uniformly coated on two surfaces of an aluminum foil (positive current collector) with a thickness of 12 μm, a coating weight on each surface of the aluminum foil was 0.0215 g/cm2; then a drying process was performed at 85° C., which was followed by cutting into a disk with a diameter (Φ) of 14 mm, and then the disk was dried under vacuum at 85° C. for 4 h, the obtained positive electrode was marked as P1#.
- Preparation of the polymer ionic liquid L1# (formula II): lithium(p-styrenesulfonyl)(fluorosulfonyl)imide (monomer) and (p-methylstyrene)(methoxyethyl)ammonium iodide (monomer) according to a mole ratio of 1:1 were mixed with acetone, then 4 wt % of p-divinylbenzene and 2 wt % of 2-ethoxy-1,2-diphenyl-ethanon were added by means of ultrasonic dispersion, which was followed by UV-initiated cross-linking polymerization, the number-average molecular weight of the polymer ionic liquid was about 80,000, and marked as L1#. In formula II, 1 was about 140, n was about 140.
- Preparation of the lithium metal negative electrode N1#: 0.8 g of Al2O3 was added into 8 g of 1-methyl-2-pyrrolidinone (NMP, solvent) by means of ultrasonic dispersion for 30 min, then 1 g of polymer ionic liquid L1# (formula II) was added and stirred constantly for 5 h, the obtained mixture was uniformly coated on two surfaces of a lithium metal foil, a lithium metal negative electrode was obtained, the obtained lithium metal negative electrode was marked as N1#.
- Preparation of the electrolyte E1#: lithium hexafluorophosphate (LiPF6) was slowly added into a mixed solvent of ethylene carbonate (EC) and dimethyl carbonate (DMC) (a volume ratio of EC and DMC was 1:1) to obtain the electrolyte, a concentration of LiPF6 in the electrolyte was 1 mol/L, and the electrolyte was marked as E1#.
- Preparation of the lithium secondary battery C1#: a polypropylene membrane (Φ20 mm) with a thickness of 12 μm was used as the separator. The positive electrode P1#, the separator, and the lithium metal negative electrode N1# were laminated in order to make the separator separate the positive electrode from the negative electrode, which was followed by injecting the electrolyte E1# and standing by for 24 h, a CR2430 button cell was obtained, the obtained lithium secondary battery was marked as C1#.
- Preparation of the lithium metal negative electrode N2#: 0.8 g of Al2O3 was added into 8 g of 1-methyl-2-pyrrolidinone (NMP, solvent) by means of ultrasonic dispersion for 30 min, then 1 g of polymer ionic liquid L1# (formula II) and 0.2 g of polyvinylidene fluoride (PVDF, the number-average molecular weight was about 1,000,000) were added and stirred constantly for 5 h, the obtained mixture was uniformly coated on two surfaces of the lithium metal foil, a lithium metal negative electrode was obtained, the obtained lithium metal negative electrode was marked as N2#.
- Preparation of the lithium secondary battery C2#: the preparation of the lithium secondary battery was the same as the preparation of the lithium secondary battery C1#, except that the used lithium metal negative electrode was N2#, and the obtained lithium secondary battery was marked as C2#.
- Preparation of the lithium metal negative electrode N3#: 0.8 g of Al2O3 was added into 8 g of 1-methyl-2-pyrrolidinone (NMP, solvent) by means of ultrasonic dispersion for 30 min, then 1 g of polymer ionic liquid L1# (formula II) and 0.2 g of polyethylene oxide (PEO, the number-average molecular weight was about 600,000) were added and stirred constantly for 5 h, the obtained mixture was uniformly coated on two surfaces of the lithium metal foil, a lithium metal negative electrode was obtained, the obtained lithium metal negative electrode was marked as N3#.
- Preparation of the lithium secondary battery C3#: the preparation of the lithium secondary battery was the same as the preparation of the lithium secondary battery C1#, except that the used lithium metal negative electrode was N3#, and the obtained lithium secondary battery was marked as C3#.
- Preparation of the polymer ionic liquid L2# (formula III): lithium(p-styrenesulfonyl)(fluorosulfonyl)imide (monomer), (p-methylstyrene) (methoxyethyl)ammonium iodide (monomer) and acrylonitrile (monomer) according to a mole ratio of 1:1:1.2 were mixed with acetone, then 4 wt % of p-divinylbenzene and 2 wt % of 2-ethoxy-1,2-diphenyl-ethanon were added by means of ultrasonic dispersion, which was followed by UV-initiated cross-linking polymerization, the number-average molecular weight of the polymer ionic liquid was about 70,000, and marked as L2#. In formula III, 1 was about 110, n was about 110, m was about 130.
- Preparation of the lithium metal negative electrodes N4#˜6#: the preparation of the lithium metal negative electrodes in example 4 to example 6 were respectively the same as the preparation of the lithium metal negative electrodes N1#, N2#, N3#, except that the polymer ionic liquid L2# (formula III) was used instead of the polymer ionic liquid L1# (formula II) in each of example 4 to example 6, and the obtained lithium metal negative electrodes in each of example 4 to example 6 were respectively marked as N4#, N5#, N6#.
- Preparation of the lithium secondary batteries C4#˜6#: the preparation of the lithium secondary batteries in example 4 to example 6 were respectively the same as the preparation of the lithium secondary batteries C1#, C2#, C3#, except that the used lithium metal negative electrodes in each of example 4 to example 6 were N4#, N5#, N6#, and the obtained lithium secondary batteries in each of example 4 to example 6 were respectively marked as C4#, C5#, C6#.
- Preparation of the polymer ionic liquid L3# (formula IV): lithium(p-styrenesulfonyl)(fluorosulfonyl)imide (monomer), (p-methylstyrene)(methoxyethyl)ammonium iodide (monomer) and styrene (monomer) according to a mole ratio of 1:1:1.1 were mixed with acetone, then 4 wt % of p-divinylbenzene and 2 wt % of 2-ethoxy-1,2-diphenyl-ethanon were added by means of ultrasonic dispersion, which was followed by UV-initiated cross-linking polymerization, the number-average molecular weight of the polymer ionic liquid was about 65,000, and marked as L3#. In formula IV, l was about 100, n was about 100, m was about 110.
- Preparation of the lithium metal negative electrodes N7#˜9#: the preparation of the lithium metal negative electrodes in example 7 to example 9 were respectively the same as the preparation of the lithium metal negative electrodes N1#, N2#, N3, except that the polymer ionic liquid L3# (formula IV) was used instead of the polymer ionic liquid L1# (formula II) in each of example 7 to example 9, and the obtained lithium metal negative electrodes in each of example 7 to example 9 were respectively marked as N7#, N8#, N9#.
- Preparation of the lithium secondary batteries C7#˜9#: the preparation of the lithium secondary batteries in example 7 to example 9 were respectively the same as the preparation of the lithium secondary batteries C1#, C2#, C3#, except that the used lithium metal negative electrodes in each of example 7 to example 9 were N7#, N8#, N9#, and the obtained lithium secondary batteries in each of example 7 to example 9 were respectively marked as C7#, C8#, C9#.
- Preparation of the polymer ionic liquid L4# (formula V): lithium p-styrenesulfonate (monomer), (p-methylstyrene)(methoxyethyl)ammonium iodide (monomer) and acrylonitrile (monomer) according to a mole ratio of 1:1:1.5 were mixed with acetone, then 4 wt % of p-divinylbenzene and 2 wt % of 2-ethoxy-1,2-diphenyl-ethanon were added by means of ultrasonic dispersion, which was followed by UV-initiated cross-linking polymerization, the number-average molecular weight of the polymer ionic liquid was about 70,000, and marked as L4#. In formula V, 1 was about 120, n was about 120, m was about 180.
- Preparation of the lithium metal negative electrode N10#: the preparation of the lithium metal negative electrode was the same as the preparation of the lithium metal negative electrode N1#, except that the polymer ionic liquid L4# (formula V) was used instead of the polymer ionic liquid L1# (formula II), and the obtained lithium metal negative electrode was marked as N10#.
- Preparation of the lithium secondary battery C10#: the preparation of the lithium secondary battery was the same as the preparation of the lithium secondary battery C1#, except that the used lithium metal negative electrode was N10#, and the obtained lithium secondary battery was marked as C10#.
- Preparation of the polymer ionic liquid L5# (formula VI): lithium p-styrenesulfonate (monomer), (p-methylstyrene)(methoxyethyl)phosphonium iodide (monomer) and acrylonitrile (monomer) according to a mole ratio of 1:1:1.5 were mixed with acetone, then 4 wt % of p-divinylbenzene and 2 wt % of 2-ethoxy-1,2-diphenyl-ethanon were added by means of ultrasonic dispersion, which was followed by UV-initiated cross-linking polymerization, the number-average molecular weight of the polymer ionic liquid was about 68,000, and marked as L5#. In formula VI, l was about 110, n was about 110, m was about 165.
- Preparation of the lithium metal negative electrode N11#: the preparation of the lithium metal negative electrode was the same as the preparation of the lithium metal negative electrode N1#, except that the polymer ionic liquid L5# (formula VI) was used instead of the polymer ionic liquid L1# (formula II), and the obtained lithium metal negative electrode was marked as N11#.
- Preparation of the lithium secondary battery C11#: the preparation of the lithium secondary battery was the same as the preparation of the lithium secondary battery C1#, except that the used lithium metal negative electrode was N11#, and the obtained lithium secondary battery was marked as C11#.
- Preparation of the polymer ionic liquid L6# (formula VII): lithium 4-ethenyl-benzoate (monomer), (p-methylstyrene)(methoxyethyl)ammonium iodide (monomer) and acrylonitrile (monomer) according to a mole ratio of 1:1:1.5 were mixed with acetone, then 4 wt % of p-divinylbenzene and 2 wt % of 2-ethoxy-1,2-diphenyl-ethanon were added by means of ultrasonic dispersion, which was followed by UV-initiated cross-linking polymerization, the number-average molecular weight of the polymer ionic liquid was about 78,000, and marked as L6#. In formula VII, l was about 140, n was about 140, m was about 210.
- Preparation of the lithium metal negative electrode N12#: the preparation of the lithium metal negative electrode was the same as the preparation of the lithium metal negative electrode N1#, except that the polymer ionic liquid L6# (formula VII) was used instead of the polymer ionic liquid L1# (formula II), and the obtained lithium metal negative electrode was marked as N12#.
- Preparation of the lithium secondary battery C12#: the preparation of the lithium secondary battery was the same as the preparation of the lithium secondary battery C1#, except that the used lithium metal negative electrode was N12#, and the obtained lithium secondary battery was marked as C12#.
- Preparation of the lithium metal negative electrode N13#: the preparation of the lithium metal negative electrode was the same as the preparation of the lithium metal negative electrode N1#, except that Al2O3 was not used, and the obtained lithium metal negative electrode was marked as N13#.
- Preparation of the lithium secondary battery C13#: the preparation of the lithium secondary battery was the same as the preparation of the lithium secondary battery C1#, except that the used lithium metal negative electrode was N13#, and the obtained lithium secondary battery was marked as C13#.
- Preparation of the lithium metal negative electrode N14#: the preparation of the lithium metal negative electrode was the same as the preparation of the lithium metal negative electrode N4#, except that Al2O3 was not used, and the obtained lithium metal negative electrode was marked as N14#.
- Preparation of the lithium secondary battery C14#: the preparation of the lithium secondary battery was the same as the preparation of the lithium secondary battery C4#, except that the used lithium metal negative electrode was N14#, and the obtained lithium secondary battery was marked as C14#.
- Preparation of the lithium metal negative electrode N15#: the preparation of the lithium metal negative electrode was the same as the preparation of the lithium metal negative electrode N7#, except that Al2O3 was not used, and the obtained lithium metal negative electrode was marked as N15#.
- Preparation of the lithium secondary battery C15#: the preparation of the lithium secondary battery was the same as the preparation of the lithium secondary battery C7#, except that the used lithium metal negative electrode was N15#, and the obtained lithium secondary battery was marked as C15#.
- Preparation of the lithium metal negative electrode N16#: the preparation of the lithium metal negative electrode was the same as the preparation of the lithium metal negative electrode N4#, except that the number-average molecular weight of the polymer ionic liquid (formula III) was about 400,000 (l was about 620, n was about 620, m was about 750), and the obtained lithium metal negative electrode was marked as N16#.
- Preparation of the lithium secondary battery C16#: the preparation of the lithium secondary battery was the same as the preparation of the lithium secondary battery C4#, except that the used lithium metal negative electrode was N16#, and the obtained lithium secondary battery was marked as C16#.
- Preparation of the lithium metal negative electrode N17#: the preparation of the lithium metal negative electrode was the same as the preparation of the lithium metal negative electrode N4#, except that the number-average molecular weight of the polymer ionic liquid (formula III) was about 1,000,000 (l was about 1500, n was about 1500, m was about 1800), and the obtained lithium metal negative electrode was marked as N17#.
- Preparation of the lithium secondary battery C17#: the preparation of the lithium secondary battery was the same as the preparation of the lithium secondary battery C4#, except that the used lithium metal negative electrode was N17#, and the obtained lithium secondary battery was marked as C17#.
- Preparation of the lithium metal negative electrode DN1#: Al2O3 and the polymer ionic liquid were not used, a lithium metal foil without a coating process was directly used instead of the lithium metal negative electrode N1#, and the obtained lithium metal negative electrode was marked as DN1#.
- Preparation of the lithium secondary battery DC1#: the preparation of the lithium secondary battery was the same as the preparation of the lithium secondary battery C1#, except that the used lithium metal negative electrode was DN1#, and the obtained lithium secondary battery was marked as DC1#.
- Preparation of the lithium metal negative electrode DN2#: 0.8 g of Al2O3 was added into 8 g of 1-methyl-2-pyrrolidinone (NMP, solvent) by means of ultrasonic dispersion for 30 min, then 1.2 g of polyvinylidene fluoride (PVDF, the number-average molecular weight was about 1,000,000) was added and stirred constantly for 5 h, the obtained mixture was uniformly coated on two surfaces of the lithium metal foil, a lithium metal negative electrode was obtained, the obtained lithium metal negative electrode was marked as DN2#.
- Preparation of the lithium secondary battery DC2#: the preparation of the lithium secondary battery was the same as the preparation of the lithium secondary battery C1#, except that the used lithium metal negative electrode was DN2#, and the obtained lithium secondary battery was marked as DC2#.
- Preparation of the lithium metal negative electrode DN3#: 0.8 g of Al2O3 was added into 8 g of 1-methyl-2-pyrrolidinone (NMP, solvent) by means of ultrasonic dispersion for 30 min, then 1.2 g of polyethylene oxide (PEO, the number-average molecular weight was about 600,000) was added and stirred constantly for 5 h, the obtained mixture was uniformly coated on two surfaces of the lithium metal foil, a lithium metal negative electrode was obtained, the obtained lithium metal negative electrode was marked as DN3#.
- Preparation of the lithium secondary battery DC3#: the preparation of the lithium secondary battery was the same as the preparation of the lithium secondary battery C1#, except that the used lithium metal negative electrode was DN3#, and the obtained lithium secondary battery was marked as DC3#.
- Next testing processes of the lithium secondary batteries would be described.
- (1) Testing of the first coulombic efficiency: the lithium secondary battery was charged to 4.25 V at a constant current of 0.65 mA/cm2, then the lithium secondary battery was charged to 0.16 mA/cm2 at a constant voltage of 4.25 V to obtain a first cycle specific charge capacity (Cc1); then the lithium secondary battery was discharged to 3.0 V at a constant current of 0.65 mA/cm2 to obtain a first cycle specific discharge capacity (Cd1). First coulombic efficiency of the lithium secondary battery=(Cd1)/(Cc1).
- (2) Testing of the capacity retention rate: the lithium secondary battery was charged to 4.25 V at a constant current of 0.65 mA/cm2, then the lithium secondary battery was charged to 0.16 mA/cm2 at a constant voltage of 4.25 V, then the lithium secondary battery was discharged to 3.0 V at a constant current of 0.65 mA/cm2 to obtain a first cycle specific discharge capacity (Cd1); the above process was a charge-discharge cycle, then the charge-discharge cycle was repeated for n cycles, the specific discharge capacity of the lithium secondary battery after n cycles was marked as Cdn. The capacity retention rate=(Cdn)/(Cd1).
- (3) Observing the surface of the lithium metal negative electrode: the lithium secondary battery after n cycles was disassembled, and the surface of the lithium metal negative electrode was observed with an optical microscope, so as to confirm whether the lithium dendrite was formed.
-
TABLE 1 Parameters and test results of lithium secondary batteries of examples 1-17 and comparative examples 1-3 capacity lithium first retention metal lithium polymer macromol- coulombic rate after negative secondary ionic ecular inorganic efficiency 100 cycles lithium electrode battery liquid compound nanoparticles (%) (%) dendrite Example 1 N1# C1# II / Al2O3 97.4 88.0 no Example 2 N2# C2# II PVDF Al2O3 98.1 90.3 no Example 3 N3# C3# II PEO Al2O3 97.6 85.1 no Example 4 N4# C4# III / Al2O3 98.3 91.4 no Example 5 N5# C5# III PVDF Al2O3 98.5 94.5 no Example 6 N6# C6# III PEO Al2O3 98.0 87.5 no Example 7 N7# C7# IV / Al2O3 98.8 96.6 no Example 8 N8# C8# IV PVDF Al2O3 98.7 98.9 no Example 9 N9# C9# IV PEO Al2O3 98.1 89.0 no Example 10 N10# C10# V / Al2O3 98.0 91.0 no Example 11 N11# C11# VI / Al2O3 97.6 90.4 no Example 12 N12# C12# VII / Al2O3 95.6 87.4 no Example 13 N13# C13# II / / 96.9 66.9 slight Example 14 N14# C14# III / / 98.0 64.3 slight Example 15 N15# CI5# IV / / 96.5 63.2 slight Example 16 N16# C16# III / Al2O3 97.5 83.0 no Example 17 N17# C17# III / Al2O3 96.1 75.4 no Comparative DN1# DC1# / / / 95.3 short- serious example 1 circuited Comparative DN2# DC2# / PVDF Al2O3 92.9 14.4 serious example 2 Comparative DN3# DC3# / PEO Al2O3 85.9 1.7 serious example 3 - It could be seen from Table 1: in the present disclosure, after the polymer ionic liquid was coated on the surface of the lithium metal sheet (that is the lithium metal foil in examples 1-17), the first coulombic efficiency and the capacity retention rate after 100 cycles of the lithium secondary batteries C1#˜17# were obviously higher than the lithium secondary battery DC1# which was not coated with the polymer ionic liquid. After the lithium secondary battery was disassembled and the surface of the lithium metal negative electrode was observed with the optical microscope, it could be seen that a thin and dense interface membrane was formed on the surface of the lithium metal negative electrode after the polymer ionic liquid was coated, and the surface of the lithium metal negative electrode (DC1#) without being coated with the polymer ionic liquid was coated with a thick and incompact brown deposit, and the deposit has a great deal of lithium dendrite, the existing of the lithium dendrite on the surface of the lithium metal negative electrode DC1# was the main reason causing the lithium secondary battery short-circuited. This was because after the polymer ionic liquid was coated on the surface of the lithium metal sheet, the styrene structure in the polymer ionic liquid made the polymer protecting layer on the surface of the lithium metal sheet have a higher mechanical strength, which was beneficial to inhibit the growth of the lithium dendrite; the charged centers (such as the sulfonyl imide anion center containing fluorine, the quarternary ammonium cation center and the like) and the structure groups (such as the electron-rich aromatic ring and the like) in the polymer ionic liquid might form a network structure via electrostatic interaction, thereby effectively controlling and homogenizing the electric-field distribution on the surface of the lithium metal negative electrode during the charge-discharge cycles, avoiding the current density being too large which is caused by an uneven surface of the lithium metal negative electrode, slowing down or even inhibiting the growth of the lithium dendrite, improving the safety performance of the lithium secondary battery; the polymer ionic liquid had a sulfonyl imide anion containing fluorine, therefore an excellent SEI membrane could be formed on the surface of the lithium metal negative electrode, thereby further inhibiting the overreaction between the lithium metal negative electrode and the electrolyte, and decreasing capacity loss of the lithium secondary battery.
- After the inorganic nanoparticles were added, the first coulombic efficiency and the capacity retention rate after 100 cycles of the lithium secondary batteries C1#, C4#, C7#, C10#, C11#, C12# were promoted compared with the lithium secondary batteries C13#˜15#. This was because after the inorganic nanoparticles were added, the transmission speed of the lithium ions in the polymer protecting layer was increased, and the compactness of the interface between the polymer protecting layer and the lithium metal sheet was increased to a certain degree, thereby improving the interfacial compatibility between the polymer protecting layer and the lithium metal sheet.
- After the polymer ionic liquid was coated on the lithium metal sheet, the lithium secondary batteries C13#-15# had a higher first coulombic efficiency and a higher capacity retention rate compared with the lithium secondary batteries DC2# and DC3# where only PVDF or PEO was coated on the lithium metal sheet. This was because compared with PVDF or PEO, the polymer ionic liquid had a plurality of functional groups: the sulfonyl imide anion containing fluorine had a higher charge delocalization, which increases the transmission rate of the lithium ions; the quarternary ammonium cation had a plurality of polar ether groups (—O—), thereby enhancing the dissolving capacity of the lithium salt, increasing the number of current carriers, increasing the room-temperature conductivity and the transmission rate of the lithium ions; the charged centers (such as an anion center and a cation center) and the structure groups (such as the electron-rich aromatic ring and the like) could effectively homogenize the electric-field distribution on the surface of the lithium metal negative electrode during the charge-discharge cycles, thereby slowing down or even inhibiting the growth of the lithium dendrite.
- However, compared with the lithium secondary batteries C13#-15#, further adding a small amount of PVDF or PEO into the polymer ionic liquid (corresponding to the lithium secondary batteries C2#˜3#, C5#-6#, C8#-9#) might further improve the cycle performance of the lithium secondary batteries, this was because the mixture of the polymer ionic liquid and the macromolecular compound could further improve the conductive property of the lithium ions on the surface of the lithium metal negative electrode.
- In addition, the number-average molecular weight of the polymer ionic liquid might also affect the performance of the lithium secondary batteries. Compared with the lithium secondary battery C4#, the lithium secondary batteries C16# and C17# had a relatively high number-average molecular weight, which affects the transmitting kinetics of the lithium ions of the lithium secondary batteries during the charge-discharge cycles, and thereby slightly decreasing the first coulombic efficiency and the capacity retention rate after 100 cycles of the lithium secondary batteries.
- According to the foregoing descriptions and teachings of the present disclosure, a person skilled in the art may also make appropriate variations and modifications to the above embodiments. Therefore, the present disclosure is not limited to the specific embodiments disclosed and described in the above, modifications and variations of the present disclosure will also be fallen within the scope of the appended claims of the present disclosure. Furthermore, although specific terminologies are used in the present disclosure, these terminologies are merely for convenience of description, and are not intended to limit the present disclosure.
Claims (20)
Priority Applications (1)
| Application Number | Priority Date | Filing Date | Title |
|---|---|---|---|
| US16/113,910 US10658671B2 (en) | 2016-04-19 | 2018-08-27 | Polymer protecting layer, lithium metal negative electrode, lithium secondary battery |
Applications Claiming Priority (2)
| Application Number | Priority Date | Filing Date | Title |
|---|---|---|---|
| CN201610242231.2A CN107305950B (en) | 2016-04-19 | 2016-04-19 | Polymeric protective film, lithium anode piece, lithium secondary battery |
| CN201610242231.2 | 2016-04-19 |
Related Child Applications (1)
| Application Number | Title | Priority Date | Filing Date |
|---|---|---|---|
| US16/113,910 Continuation US10658671B2 (en) | 2016-04-19 | 2018-08-27 | Polymer protecting layer, lithium metal negative electrode, lithium secondary battery |
Publications (1)
| Publication Number | Publication Date |
|---|---|
| US20170301920A1 true US20170301920A1 (en) | 2017-10-19 |
Family
ID=60038481
Family Applications (2)
| Application Number | Title | Priority Date | Filing Date |
|---|---|---|---|
| US15/481,176 Abandoned US20170301920A1 (en) | 2016-04-19 | 2017-04-06 | Polymer protecting layer, lithium metal negative electrode, lithium secondary battery |
| US16/113,910 Active US10658671B2 (en) | 2016-04-19 | 2018-08-27 | Polymer protecting layer, lithium metal negative electrode, lithium secondary battery |
Family Applications After (1)
| Application Number | Title | Priority Date | Filing Date |
|---|---|---|---|
| US16/113,910 Active US10658671B2 (en) | 2016-04-19 | 2018-08-27 | Polymer protecting layer, lithium metal negative electrode, lithium secondary battery |
Country Status (2)
| Country | Link |
|---|---|
| US (2) | US20170301920A1 (en) |
| CN (1) | CN107305950B (en) |
Cited By (17)
| Publication number | Priority date | Publication date | Assignee | Title |
|---|---|---|---|---|
| US20170317352A1 (en) * | 2016-04-29 | 2017-11-02 | Samsung Electronics Co., Ltd. | Negative electrode for lithium metal battery and lithium metal battery comprising the same |
| CN109449376A (en) * | 2018-12-20 | 2019-03-08 | 国联汽车动力电池研究院有限责任公司 | A kind of compound metal lithium electrode and preparation method thereof |
| WO2019149939A1 (en) * | 2018-02-05 | 2019-08-08 | Repsol, S.A. | Coating for li anode protection and battery comprising the same |
| CN110521028A (en) * | 2018-03-22 | 2019-11-29 | Tdk株式会社 | Cathode and lithium ion secondary battery |
| US10741846B2 (en) | 2016-05-09 | 2020-08-11 | Samsung Electronics Co., Ltd. | Negative electrode for lithium metal battery and lithium metal battery comprising the same |
| WO2021047330A1 (en) * | 2019-09-10 | 2021-03-18 | 宁德时代新能源科技股份有限公司 | Negative electrode plate, lithium metal battery, and device comprising lithium metal battery |
| WO2021144299A1 (en) | 2020-01-14 | 2021-07-22 | Evonik Operations Gmbh | A protective layer for a metal electrode and lithium battery comprising the same |
| US20220115689A1 (en) * | 2019-07-26 | 2022-04-14 | Contemporary Amperex Technology Co., Limited | Functionalized separator and method for preparing the same, lithium metal battery and device comprising the same |
| US20220246940A1 (en) * | 2021-02-03 | 2022-08-04 | A123 Systems LLC. | Passivated lithium nitride as cathode pre-lithiation reagent |
| WO2022199039A1 (en) * | 2021-03-26 | 2022-09-29 | 深圳市研一新材料有限责任公司 | Multi-layer lithium metal battery negative electrode, and preparation method and preparation device therefor |
| US11575128B2 (en) | 2018-12-21 | 2023-02-07 | Samsung Electronics Co., Ltd. | Positive electrode and lithium battery including the same |
| CN117650244A (en) * | 2024-01-29 | 2024-03-05 | 安徽盟维新能源科技有限公司 | Structure and method for protecting lithium metal anode material and application thereof |
| CN119069640A (en) * | 2024-11-04 | 2024-12-03 | 天目湖先进储能技术研究院有限公司 | A lithium ion battery positive electrode sheet and preparation method thereof, and a lithium ion battery |
| EP4521478A1 (en) | 2023-09-06 | 2025-03-12 | Evonik Operations GmbH | Composition and method for a protective layer of a metal electrode of a secondary battery |
| US12322795B2 (en) | 2021-05-26 | 2025-06-03 | Tdk Corporation | Lithium ion secondary battery |
| EP4579792A1 (en) * | 2023-12-28 | 2025-07-02 | SK On Co., Ltd. | Protective film for lithium metal anode, lithium metal anode, method of preparing lithium metal anode, and lithium metal battery |
| US12531237B2 (en) | 2021-05-26 | 2026-01-20 | Tdk Corporation | Lithium ion secondary battery |
Families Citing this family (16)
| Publication number | Priority date | Publication date | Assignee | Title |
|---|---|---|---|---|
| CN109851703B (en) * | 2017-11-30 | 2020-10-23 | 比亚迪股份有限公司 | Vinylidene fluoride copolymer suitable for binder and preparation method and application thereof |
| CN109851704B (en) * | 2017-11-30 | 2020-06-19 | 比亚迪股份有限公司 | Polymer separator, preparation method and application thereof, and lithium battery |
| CN108281612A (en) * | 2018-01-19 | 2018-07-13 | 浙江大学 | A kind of compound lithium an- ode |
| CN108448058B (en) * | 2018-01-31 | 2021-12-17 | 华南理工大学 | Surface modification method for lithium metal battery lithium cathode and lithium metal battery |
| CN108365178B (en) * | 2018-02-11 | 2020-12-08 | 珠海冠宇电池股份有限公司 | A kind of protection method of lithium metal negative electrode, lithium metal negative electrode and lithium battery |
| CN108649232A (en) * | 2018-05-10 | 2018-10-12 | 中国科学院宁波材料技术与工程研究所 | A kind of lithium metal secondary cell copper current collector, preparation method and lithium metal secondary cell |
| JP7143704B2 (en) * | 2018-09-25 | 2022-09-29 | トヨタ自動車株式会社 | lithium secondary battery |
| CN109524624B (en) * | 2018-11-26 | 2021-09-03 | 中南大学 | Preparation method of metal cathode coated with polymer protective film on surface and secondary battery |
| CN109786692A (en) * | 2018-12-25 | 2019-05-21 | 中国电子科技集团公司第十八研究所 | A kind of surface nitridation modification method of metal lithium electrode and obtained metal lithium negative electrode and use |
| CN109786708B (en) * | 2019-01-18 | 2022-03-01 | 中国科学院宁波材料技术与工程研究所 | Lithium metal negative electrode, preparation method thereof and lithium metal secondary battery |
| FR3100385B1 (en) * | 2019-08-30 | 2023-07-14 | Solvionic | Liquid compositions based on ionic liquids for the protection of lithium metal parts, associated coating and polymerization processes and electrochemical storage system |
| CN110993945B (en) * | 2019-11-13 | 2021-08-27 | 宁德新能源科技有限公司 | Negative electrode protection material and negative electrode plate for lithium metal battery and preparation method thereof |
| CN111490237A (en) * | 2020-04-07 | 2020-08-04 | 华中科技大学 | Lithium metal negative electrode containing cationic polymer coating and preparation and application thereof |
| CN113629246A (en) * | 2020-05-09 | 2021-11-09 | 深圳新宙邦科技股份有限公司 | Metal electrode and battery |
| TWI803088B (en) * | 2020-12-28 | 2023-05-21 | 財團法人工業技術研究院 | Negative electrode and lithium ion battery employing the same |
| CN113488616B (en) * | 2021-06-30 | 2022-07-08 | 浙江锋锂新能源科技有限公司 | Negative electrode complex with high cycle performance, preparation method thereof and lithium metal battery |
Citations (3)
| Publication number | Priority date | Publication date | Assignee | Title |
|---|---|---|---|---|
| EP1157854A2 (en) * | 2000-05-15 | 2001-11-28 | Fuji Photo Film Co., Ltd. | Support for lithographic printing plate and presensitized plate |
| JP2005283643A (en) * | 2004-03-26 | 2005-10-13 | Fuji Photo Film Co Ltd | Lithographic printing original plate |
| US20050250052A1 (en) * | 2004-05-10 | 2005-11-10 | Nguyen Khe C | Maskless lithography using UV absorbing nano particle |
Family Cites Families (5)
| Publication number | Priority date | Publication date | Assignee | Title |
|---|---|---|---|---|
| KR100449765B1 (en) | 2002-10-12 | 2004-09-22 | 삼성에스디아이 주식회사 | Lithium metal anode for lithium battery |
| CN101939869B (en) | 2008-01-16 | 2015-09-23 | 西奥公司 | Gel polymer electrolytes for batteries |
| WO2009103029A2 (en) | 2008-02-13 | 2009-08-20 | Seeo, Inc | Electrodes with solid polymer electrolytes |
| DE102010054610A1 (en) | 2010-12-15 | 2012-06-21 | Li-Tec Battery Gmbh | Electrochemical cell |
| KR102581431B1 (en) * | 2013-01-18 | 2023-09-21 | 셀가드 엘엘씨 | Surface modifying agents, modified materials and methods |
-
2016
- 2016-04-19 CN CN201610242231.2A patent/CN107305950B/en active Active
-
2017
- 2017-04-06 US US15/481,176 patent/US20170301920A1/en not_active Abandoned
-
2018
- 2018-08-27 US US16/113,910 patent/US10658671B2/en active Active
Patent Citations (3)
| Publication number | Priority date | Publication date | Assignee | Title |
|---|---|---|---|---|
| EP1157854A2 (en) * | 2000-05-15 | 2001-11-28 | Fuji Photo Film Co., Ltd. | Support for lithographic printing plate and presensitized plate |
| JP2005283643A (en) * | 2004-03-26 | 2005-10-13 | Fuji Photo Film Co Ltd | Lithographic printing original plate |
| US20050250052A1 (en) * | 2004-05-10 | 2005-11-10 | Nguyen Khe C | Maskless lithography using UV absorbing nano particle |
Cited By (23)
| Publication number | Priority date | Publication date | Assignee | Title |
|---|---|---|---|---|
| US10847799B2 (en) * | 2016-04-29 | 2020-11-24 | Samsung Electronics Co., Ltd. | Negative electrode for lithium metal battery and lithium metal battery comprising the same |
| US11984581B2 (en) | 2016-04-29 | 2024-05-14 | Samsung Electronics Co., Ltd | Negative electrode for lithium metal battery and lithium metal battery comprising the same |
| US20170317352A1 (en) * | 2016-04-29 | 2017-11-02 | Samsung Electronics Co., Ltd. | Negative electrode for lithium metal battery and lithium metal battery comprising the same |
| US10741846B2 (en) | 2016-05-09 | 2020-08-11 | Samsung Electronics Co., Ltd. | Negative electrode for lithium metal battery and lithium metal battery comprising the same |
| WO2019149939A1 (en) * | 2018-02-05 | 2019-08-08 | Repsol, S.A. | Coating for li anode protection and battery comprising the same |
| US11411223B2 (en) * | 2018-03-22 | 2022-08-09 | Tdk Corporation | Negative electrode and lithium ion secondary battery |
| CN110521028A (en) * | 2018-03-22 | 2019-11-29 | Tdk株式会社 | Cathode and lithium ion secondary battery |
| CN109449376A (en) * | 2018-12-20 | 2019-03-08 | 国联汽车动力电池研究院有限责任公司 | A kind of compound metal lithium electrode and preparation method thereof |
| US11909037B2 (en) | 2018-12-21 | 2024-02-20 | Samsung Electronics Co., Ltd. | Positive electrode and lithium battery including the same |
| US11575128B2 (en) | 2018-12-21 | 2023-02-07 | Samsung Electronics Co., Ltd. | Positive electrode and lithium battery including the same |
| US20220115689A1 (en) * | 2019-07-26 | 2022-04-14 | Contemporary Amperex Technology Co., Limited | Functionalized separator and method for preparing the same, lithium metal battery and device comprising the same |
| EP3955357A4 (en) * | 2019-07-26 | 2022-07-13 | Contemporary Amperex Technology Co., Limited | FUNCTIONALIZED INSULATION FILM, METHOD OF MANUFACTURE THEREOF, LITHIUM-METAL BATTERY AND DEVICE INCLUDING THIS |
| WO2021047330A1 (en) * | 2019-09-10 | 2021-03-18 | 宁德时代新能源科技股份有限公司 | Negative electrode plate, lithium metal battery, and device comprising lithium metal battery |
| US11764360B2 (en) | 2019-09-10 | 2023-09-19 | Contemporary Amperex Technology Co., Limited | Negative electrode plate, lithium metal battery, and apparatus including the lithium metal battery |
| WO2021144299A1 (en) | 2020-01-14 | 2021-07-22 | Evonik Operations Gmbh | A protective layer for a metal electrode and lithium battery comprising the same |
| US20220246940A1 (en) * | 2021-02-03 | 2022-08-04 | A123 Systems LLC. | Passivated lithium nitride as cathode pre-lithiation reagent |
| WO2022199039A1 (en) * | 2021-03-26 | 2022-09-29 | 深圳市研一新材料有限责任公司 | Multi-layer lithium metal battery negative electrode, and preparation method and preparation device therefor |
| US12322795B2 (en) | 2021-05-26 | 2025-06-03 | Tdk Corporation | Lithium ion secondary battery |
| US12531237B2 (en) | 2021-05-26 | 2026-01-20 | Tdk Corporation | Lithium ion secondary battery |
| EP4521478A1 (en) | 2023-09-06 | 2025-03-12 | Evonik Operations GmbH | Composition and method for a protective layer of a metal electrode of a secondary battery |
| EP4579792A1 (en) * | 2023-12-28 | 2025-07-02 | SK On Co., Ltd. | Protective film for lithium metal anode, lithium metal anode, method of preparing lithium metal anode, and lithium metal battery |
| CN117650244A (en) * | 2024-01-29 | 2024-03-05 | 安徽盟维新能源科技有限公司 | Structure and method for protecting lithium metal anode material and application thereof |
| CN119069640A (en) * | 2024-11-04 | 2024-12-03 | 天目湖先进储能技术研究院有限公司 | A lithium ion battery positive electrode sheet and preparation method thereof, and a lithium ion battery |
Also Published As
| Publication number | Publication date |
|---|---|
| CN107305950A (en) | 2017-10-31 |
| US20180366735A1 (en) | 2018-12-20 |
| CN107305950B (en) | 2019-11-05 |
| US10658671B2 (en) | 2020-05-19 |
Similar Documents
| Publication | Publication Date | Title |
|---|---|---|
| US10658671B2 (en) | Polymer protecting layer, lithium metal negative electrode, lithium secondary battery | |
| US11121404B2 (en) | Gel polymer electrolyte and lithium secondary battery comprising the same | |
| KR101639858B1 (en) | Additive for non-aqueous liquid electrolyte, non-aqueous liquid electrolyte and lithium secondary battery comprising the same | |
| JP5932150B2 (en) | Non-aqueous electrolyte and lithium secondary battery including the same | |
| CN109891654A (en) | Electrolyte additive and non-aqueous electrolyte solution for lithium secondary battery comprising the same | |
| JP2016503571A (en) | Electrolytic solution additive for lithium secondary battery, non-aqueous electrolytic solution containing the electrolytic solution additive, and lithium secondary battery | |
| CN103597647A (en) | Electrolyte solution additive, nonaqueous electrolyte solution containing same, and lithium secondary battery | |
| KR20190098074A (en) | Non-aqueous electrolyte solution and lithium secondary battery comprising the same | |
| JP2022551058A (en) | Non-aqueous electrolyte for lithium secondary battery and lithium secondary battery containing the same | |
| CN106797027B (en) | Non-aqueous electrolyte lithium secondary battery | |
| WO2015065093A1 (en) | Electrolyte additive for lithium secondary battery, non-aqueous electrolyte comprising electrolyte additive, and lithium secondary battery | |
| KR20190118964A (en) | Non-aqueous electrolyte solution and lithium secondary battery comprising the same | |
| US20200185715A1 (en) | Cathode material and electrochemical device comprising the same | |
| KR101633961B1 (en) | Additive for non-aqueous liquid electrolyte, non-aqueous liquid electrolyte and lithium secondary battery comprising the same | |
| KR20200122636A (en) | Nonaqueous electrolyte additive for lithium secondary battery, nonaqueous electrolyte for lithium secondary battery comprising the same, and lithium secondary battery | |
| KR20230082579A (en) | Non-aqueous electrolyte solution for lithium secondary battery and lithium secondary battery comprising the same | |
| JP2024517277A (en) | Nonaqueous electrolyte containing additive for nonaqueous electrolyte and lithium secondary battery containing the same | |
| US20250079516A1 (en) | Non-aqueous electrolyte solution and non-aqueous electrolyte solution secondary battery using same | |
| JP7718771B2 (en) | Nonaqueous electrolyte for lithium secondary battery and lithium secondary battery containing same | |
| CN116266645B (en) | A battery and a method for predicting battery performance | |
| JP7562220B2 (en) | Nonaqueous electrolyte for lithium secondary battery and lithium secondary battery containing same | |
| JP7744082B2 (en) | Lithium secondary battery | |
| CN119092820A (en) | Electrolyte for rechargeable lithium battery and rechargeable lithium battery including the same | |
| CN119823168A (en) | Compound and application thereof, nonaqueous electrolyte and battery | |
| KR20240100283A (en) | Lithium secondary battery |
Legal Events
| Date | Code | Title | Description |
|---|---|---|---|
| AS | Assignment |
Owner name: NINGDE AMPEREX TECHNOLOGY LIMITED, CHINA Free format text: ASSIGNMENT OF ASSIGNORS INTEREST;ASSIGNORS:LIU, CHENGYONG;WU, BINGBIN;GUO, YONGSHENG;AND OTHERS;REEL/FRAME:046621/0590 Effective date: 20170324 |
|
| STPP | Information on status: patent application and granting procedure in general |
Free format text: FINAL REJECTION MAILED |
|
| STPP | Information on status: patent application and granting procedure in general |
Free format text: DOCKETED NEW CASE - READY FOR EXAMINATION |
|
| STPP | Information on status: patent application and granting procedure in general |
Free format text: NON FINAL ACTION MAILED |
|
| STPP | Information on status: patent application and granting procedure in general |
Free format text: RESPONSE TO NON-FINAL OFFICE ACTION ENTERED AND FORWARDED TO EXAMINER |
|
| STPP | Information on status: patent application and granting procedure in general |
Free format text: FINAL REJECTION MAILED |
|
| STCB | Information on status: application discontinuation |
Free format text: ABANDONED -- FAILURE TO RESPOND TO AN OFFICE ACTION |










