US20160355540A1 - 5-position modified pyrimidines and their use - Google Patents
5-position modified pyrimidines and their use Download PDFInfo
- Publication number
- US20160355540A1 US20160355540A1 US15/090,406 US201615090406A US2016355540A1 US 20160355540 A1 US20160355540 A1 US 20160355540A1 US 201615090406 A US201615090406 A US 201615090406A US 2016355540 A1 US2016355540 A1 US 2016355540A1
- Authority
- US
- United States
- Prior art keywords
- modified
- group
- target
- deoxyuridine
- nmr
- Prior art date
- Legal status (The legal status is an assumption and is not a legal conclusion. Google has not performed a legal analysis and makes no representation as to the accuracy of the status listed.)
- Abandoned
Links
- 150000003230 pyrimidines Chemical class 0.000 title description 4
- UNXRWKVEANCORM-UHFFFAOYSA-N triphosphoric acid Chemical class OP(O)(=O)OP(O)(=O)OP(O)(O)=O UNXRWKVEANCORM-UHFFFAOYSA-N 0.000 claims abstract description 22
- -1 C-5 modified aminocarbonylpyrimidine Chemical class 0.000 claims description 54
- 239000001226 triphosphate Substances 0.000 claims description 24
- 150000003839 salts Chemical class 0.000 claims description 18
- 235000011178 triphosphate Nutrition 0.000 claims description 13
- 125000000956 methoxy group Chemical group [H]C([H])([H])O* 0.000 claims description 7
- 150000002825 nitriles Chemical class 0.000 claims description 6
- 125000004200 2-methoxyethyl group Chemical group [H]C([H])([H])OC([H])([H])C([H])([H])* 0.000 claims description 3
- 238000000034 method Methods 0.000 abstract description 67
- 102000039446 nucleic acids Human genes 0.000 abstract description 43
- 108020004707 nucleic acids Proteins 0.000 abstract description 43
- 150000007523 nucleic acids Chemical class 0.000 abstract description 43
- 150000008300 phosphoramidites Chemical class 0.000 abstract description 8
- ZMANZCXQSJIPKH-UHFFFAOYSA-N Triethylamine Chemical compound CCN(CC)CC ZMANZCXQSJIPKH-UHFFFAOYSA-N 0.000 description 45
- WEVYAHXRMPXWCK-UHFFFAOYSA-N Acetonitrile Chemical compound CC#N WEVYAHXRMPXWCK-UHFFFAOYSA-N 0.000 description 42
- 108091023037 Aptamer Proteins 0.000 description 40
- 239000002777 nucleoside Substances 0.000 description 39
- 108091034117 Oligonucleotide Proteins 0.000 description 38
- 150000001875 compounds Chemical class 0.000 description 38
- XEKOWRVHYACXOJ-UHFFFAOYSA-N Ethyl acetate Chemical compound CCOC(C)=O XEKOWRVHYACXOJ-UHFFFAOYSA-N 0.000 description 36
- YMWUJEATGCHHMB-UHFFFAOYSA-N Dichloromethane Chemical compound ClCCl YMWUJEATGCHHMB-UHFFFAOYSA-N 0.000 description 30
- 230000004048 modification Effects 0.000 description 28
- 238000012986 modification Methods 0.000 description 28
- 125000003729 nucleotide group Chemical group 0.000 description 26
- JLCPHMBAVCMARE-UHFFFAOYSA-N [3-[[3-[[3-[[3-[[3-[[3-[[3-[[3-[[3-[[3-[[3-[[5-(2-amino-6-oxo-1H-purin-9-yl)-3-[[3-[[3-[[3-[[3-[[3-[[5-(2-amino-6-oxo-1H-purin-9-yl)-3-[[5-(2-amino-6-oxo-1H-purin-9-yl)-3-hydroxyoxolan-2-yl]methoxy-hydroxyphosphoryl]oxyoxolan-2-yl]methoxy-hydroxyphosphoryl]oxy-5-(5-methyl-2,4-dioxopyrimidin-1-yl)oxolan-2-yl]methoxy-hydroxyphosphoryl]oxy-5-(6-aminopurin-9-yl)oxolan-2-yl]methoxy-hydroxyphosphoryl]oxy-5-(6-aminopurin-9-yl)oxolan-2-yl]methoxy-hydroxyphosphoryl]oxy-5-(6-aminopurin-9-yl)oxolan-2-yl]methoxy-hydroxyphosphoryl]oxy-5-(6-aminopurin-9-yl)oxolan-2-yl]methoxy-hydroxyphosphoryl]oxyoxolan-2-yl]methoxy-hydroxyphosphoryl]oxy-5-(5-methyl-2,4-dioxopyrimidin-1-yl)oxolan-2-yl]methoxy-hydroxyphosphoryl]oxy-5-(4-amino-2-oxopyrimidin-1-yl)oxolan-2-yl]methoxy-hydroxyphosphoryl]oxy-5-(5-methyl-2,4-dioxopyrimidin-1-yl)oxolan-2-yl]methoxy-hydroxyphosphoryl]oxy-5-(5-methyl-2,4-dioxopyrimidin-1-yl)oxolan-2-yl]methoxy-hydroxyphosphoryl]oxy-5-(6-aminopurin-9-yl)oxolan-2-yl]methoxy-hydroxyphosphoryl]oxy-5-(6-aminopurin-9-yl)oxolan-2-yl]methoxy-hydroxyphosphoryl]oxy-5-(4-amino-2-oxopyrimidin-1-yl)oxolan-2-yl]methoxy-hydroxyphosphoryl]oxy-5-(4-amino-2-oxopyrimidin-1-yl)oxolan-2-yl]methoxy-hydroxyphosphoryl]oxy-5-(4-amino-2-oxopyrimidin-1-yl)oxolan-2-yl]methoxy-hydroxyphosphoryl]oxy-5-(6-aminopurin-9-yl)oxolan-2-yl]methoxy-hydroxyphosphoryl]oxy-5-(4-amino-2-oxopyrimidin-1-yl)oxolan-2-yl]methyl [5-(6-aminopurin-9-yl)-2-(hydroxymethyl)oxolan-3-yl] hydrogen phosphate Polymers Cc1cn(C2CC(OP(O)(=O)OCC3OC(CC3OP(O)(=O)OCC3OC(CC3O)n3cnc4c3nc(N)[nH]c4=O)n3cnc4c3nc(N)[nH]c4=O)C(COP(O)(=O)OC3CC(OC3COP(O)(=O)OC3CC(OC3COP(O)(=O)OC3CC(OC3COP(O)(=O)OC3CC(OC3COP(O)(=O)OC3CC(OC3COP(O)(=O)OC3CC(OC3COP(O)(=O)OC3CC(OC3COP(O)(=O)OC3CC(OC3COP(O)(=O)OC3CC(OC3COP(O)(=O)OC3CC(OC3COP(O)(=O)OC3CC(OC3COP(O)(=O)OC3CC(OC3COP(O)(=O)OC3CC(OC3COP(O)(=O)OC3CC(OC3COP(O)(=O)OC3CC(OC3COP(O)(=O)OC3CC(OC3COP(O)(=O)OC3CC(OC3CO)n3cnc4c(N)ncnc34)n3ccc(N)nc3=O)n3cnc4c(N)ncnc34)n3ccc(N)nc3=O)n3ccc(N)nc3=O)n3ccc(N)nc3=O)n3cnc4c(N)ncnc34)n3cnc4c(N)ncnc34)n3cc(C)c(=O)[nH]c3=O)n3cc(C)c(=O)[nH]c3=O)n3ccc(N)nc3=O)n3cc(C)c(=O)[nH]c3=O)n3cnc4c3nc(N)[nH]c4=O)n3cnc4c(N)ncnc34)n3cnc4c(N)ncnc34)n3cnc4c(N)ncnc34)n3cnc4c(N)ncnc34)O2)c(=O)[nH]c1=O JLCPHMBAVCMARE-UHFFFAOYSA-N 0.000 description 25
- 239000000203 mixture Substances 0.000 description 25
- 0 *NC(=O)C1=CN([C@@H]2O[C@H](CC)C(C)[C@@H]2C)C(=O)NC1=O Chemical compound *NC(=O)C1=CN([C@@H]2O[C@H](CC)C(C)[C@@H]2C)C(=O)NC1=O 0.000 description 24
- OKKJLVBELUTLKV-UHFFFAOYSA-N Methanol Chemical compound OC OKKJLVBELUTLKV-UHFFFAOYSA-N 0.000 description 24
- 235000000346 sugar Nutrition 0.000 description 24
- 238000005160 1H NMR spectroscopy Methods 0.000 description 21
- WEVYAHXRMPXWCK-FIBGUPNXSA-N acetonitrile-d3 Chemical compound [2H]C([2H])([2H])C#N WEVYAHXRMPXWCK-FIBGUPNXSA-N 0.000 description 20
- 125000003835 nucleoside group Chemical group 0.000 description 20
- 239000002773 nucleotide Substances 0.000 description 20
- 239000000047 product Substances 0.000 description 19
- 150000003833 nucleoside derivatives Chemical class 0.000 description 18
- 230000008569 process Effects 0.000 description 18
- 238000003786 synthesis reaction Methods 0.000 description 17
- 239000003643 water by type Substances 0.000 description 17
- 125000000217 alkyl group Chemical group 0.000 description 16
- 239000002585 base Substances 0.000 description 15
- 239000000872 buffer Substances 0.000 description 15
- 230000015572 biosynthetic process Effects 0.000 description 14
- 238000004128 high performance liquid chromatography Methods 0.000 description 14
- 239000000243 solution Substances 0.000 description 14
- WFDIJRYMOXRFFG-UHFFFAOYSA-N Acetic anhydride Chemical compound CC(=O)OC(C)=O WFDIJRYMOXRFFG-UHFFFAOYSA-N 0.000 description 12
- 238000002953 preparative HPLC Methods 0.000 description 12
- 239000007787 solid Substances 0.000 description 11
- 238000004679 31P NMR spectroscopy Methods 0.000 description 10
- 238000010828 elution Methods 0.000 description 10
- 239000003446 ligand Substances 0.000 description 10
- 108091033319 polynucleotide Proteins 0.000 description 10
- 239000002157 polynucleotide Substances 0.000 description 10
- 102000040430 polynucleotide Human genes 0.000 description 10
- 150000001412 amines Chemical class 0.000 description 9
- 230000027455 binding Effects 0.000 description 9
- 238000006243 chemical reaction Methods 0.000 description 9
- 125000001997 phenyl group Chemical group [H]C1=C([H])C([H])=C(*)C([H])=C1[H] 0.000 description 9
- RTZKZFJDLAIYFH-UHFFFAOYSA-N Diethyl ether Chemical compound CCOCC RTZKZFJDLAIYFH-UHFFFAOYSA-N 0.000 description 8
- 238000003776 cleavage reaction Methods 0.000 description 8
- 239000003480 eluent Substances 0.000 description 8
- AFQIYTIJXGTIEY-UHFFFAOYSA-N hydrogen carbonate;triethylazanium Chemical compound OC(O)=O.CCN(CC)CC AFQIYTIJXGTIEY-UHFFFAOYSA-N 0.000 description 8
- VLKZOEOYAKHREP-UHFFFAOYSA-N n-Hexane Chemical compound CCCCCC VLKZOEOYAKHREP-UHFFFAOYSA-N 0.000 description 8
- 102000004169 proteins and genes Human genes 0.000 description 8
- 108090000623 proteins and genes Proteins 0.000 description 8
- 238000006467 substitution reaction Methods 0.000 description 8
- 150000008163 sugars Chemical class 0.000 description 8
- 238000004587 chromatography analysis Methods 0.000 description 7
- 230000007017 scission Effects 0.000 description 7
- XKRFYHLGVUSROY-UHFFFAOYSA-N Argon Chemical compound [Ar] XKRFYHLGVUSROY-UHFFFAOYSA-N 0.000 description 6
- KDLHZDBZIXYQEI-UHFFFAOYSA-N Palladium Chemical compound [Pd] KDLHZDBZIXYQEI-UHFFFAOYSA-N 0.000 description 6
- JUJWROOIHBZHMG-UHFFFAOYSA-N Pyridine Chemical group C1=CC=NC=C1 JUJWROOIHBZHMG-UHFFFAOYSA-N 0.000 description 6
- YXFVVABEGXRONW-UHFFFAOYSA-N Toluene Chemical compound CC1=CC=CC=C1 YXFVVABEGXRONW-UHFFFAOYSA-N 0.000 description 6
- 150000001732 carboxylic acid derivatives Chemical class 0.000 description 6
- 150000001733 carboxylic acid esters Chemical class 0.000 description 6
- 239000012043 crude product Substances 0.000 description 6
- UAOMVDZJSHZZME-UHFFFAOYSA-N diisopropylamine Chemical compound CC(C)NC(C)C UAOMVDZJSHZZME-UHFFFAOYSA-N 0.000 description 6
- 239000000463 material Substances 0.000 description 6
- 125000000896 monocarboxylic acid group Chemical group 0.000 description 6
- 108090000765 processed proteins & peptides Proteins 0.000 description 6
- 238000000746 purification Methods 0.000 description 6
- 239000008259 solid foam Substances 0.000 description 6
- 125000001731 2-cyanoethyl group Chemical group [H]C([H])(*)C([H])([H])C#N 0.000 description 5
- 108020004414 DNA Proteins 0.000 description 5
- 108060002716 Exonuclease Proteins 0.000 description 5
- 238000005571 anion exchange chromatography Methods 0.000 description 5
- 102000013165 exonuclease Human genes 0.000 description 5
- 238000010348 incorporation Methods 0.000 description 5
- 125000005328 phosphinyl group Chemical group [PH2](=O)* 0.000 description 5
- 229920000642 polymer Polymers 0.000 description 5
- 239000012264 purified product Substances 0.000 description 5
- 239000000126 substance Substances 0.000 description 5
- 108091032973 (ribonucleotides)n+m Proteins 0.000 description 4
- 238000004293 19F NMR spectroscopy Methods 0.000 description 4
- 208000035657 Abasia Diseases 0.000 description 4
- IAZDPXIOMUYVGZ-WFGJKAKNSA-N Dimethyl sulfoxide Chemical compound [2H]C([2H])([2H])S(=O)C([2H])([2H])[2H] IAZDPXIOMUYVGZ-WFGJKAKNSA-N 0.000 description 4
- UIIMBOGNXHQVGW-UHFFFAOYSA-M Sodium bicarbonate Chemical compound [Na+].OC([O-])=O UIIMBOGNXHQVGW-UHFFFAOYSA-M 0.000 description 4
- HEDRZPFGACZZDS-MICDWDOJSA-N Trichloro(2H)methane Chemical compound [2H]C(Cl)(Cl)Cl HEDRZPFGACZZDS-MICDWDOJSA-N 0.000 description 4
- DRTQHJPVMGBUCF-XVFCMESISA-N Uridine Chemical compound O[C@@H]1[C@H](O)[C@@H](CO)O[C@H]1N1C(=O)NC(=O)C=C1 DRTQHJPVMGBUCF-XVFCMESISA-N 0.000 description 4
- 239000002253 acid Substances 0.000 description 4
- 125000002015 acyclic group Chemical group 0.000 description 4
- PYMYPHUHKUWMLA-WDCZJNDASA-N arabinose Chemical compound OC[C@@H](O)[C@@H](O)[C@H](O)C=O PYMYPHUHKUWMLA-WDCZJNDASA-N 0.000 description 4
- PYMYPHUHKUWMLA-UHFFFAOYSA-N arabinose Natural products OCC(O)C(O)C(O)C=O PYMYPHUHKUWMLA-UHFFFAOYSA-N 0.000 description 4
- SRBFZHDQGSBBOR-UHFFFAOYSA-N beta-D-Pyranose-Lyxose Natural products OC1COC(O)C(O)C1O SRBFZHDQGSBBOR-UHFFFAOYSA-N 0.000 description 4
- 125000002837 carbocyclic group Chemical group 0.000 description 4
- OPTASPLRGRRNAP-UHFFFAOYSA-N cytosine Chemical compound NC=1C=CNC(=O)N=1 OPTASPLRGRRNAP-UHFFFAOYSA-N 0.000 description 4
- 150000002671 lyxoses Chemical class 0.000 description 4
- 239000011541 reaction mixture Substances 0.000 description 4
- 239000011347 resin Substances 0.000 description 4
- 229920005989 resin Polymers 0.000 description 4
- 150000003341 sedoheptuloses Chemical class 0.000 description 4
- 150000003512 tertiary amines Chemical class 0.000 description 4
- 150000003742 xyloses Chemical class 0.000 description 4
- BYEAHWXPCBROCE-UHFFFAOYSA-N 1,1,1,3,3,3-hexafluoropropan-2-ol Chemical compound FC(F)(F)C(O)C(F)(F)F BYEAHWXPCBROCE-UHFFFAOYSA-N 0.000 description 3
- 108020000948 Antisense Oligonucleotides Proteins 0.000 description 3
- UGFAIRIUMAVXCW-UHFFFAOYSA-N Carbon monoxide Chemical compound [O+]#[C-] UGFAIRIUMAVXCW-UHFFFAOYSA-N 0.000 description 3
- 102000004533 Endonucleases Human genes 0.000 description 3
- 108010042407 Endonucleases Proteins 0.000 description 3
- SOWBFZRMHSNYGE-UHFFFAOYSA-N Monoamide-Oxalic acid Natural products NC(=O)C(O)=O SOWBFZRMHSNYGE-UHFFFAOYSA-N 0.000 description 3
- 239000002202 Polyethylene glycol Substances 0.000 description 3
- CZPWVGJYEJSRLH-UHFFFAOYSA-N Pyrimidine Chemical compound C1=CN=CN=C1 CZPWVGJYEJSRLH-UHFFFAOYSA-N 0.000 description 3
- VYPSYNLAJGMNEJ-UHFFFAOYSA-N Silicium dioxide Chemical compound O=[Si]=O VYPSYNLAJGMNEJ-UHFFFAOYSA-N 0.000 description 3
- 230000009471 action Effects 0.000 description 3
- 150000001413 amino acids Chemical class 0.000 description 3
- 239000000074 antisense oligonucleotide Substances 0.000 description 3
- 238000012230 antisense oligonucleotides Methods 0.000 description 3
- 238000013459 approach Methods 0.000 description 3
- 229910052786 argon Inorganic materials 0.000 description 3
- ZADPBFCGQRWHPN-UHFFFAOYSA-N boronic acid Chemical compound OBO ZADPBFCGQRWHPN-UHFFFAOYSA-N 0.000 description 3
- 229910052794 bromium Inorganic materials 0.000 description 3
- 125000003917 carbamoyl group Chemical group [H]N([H])C(*)=O 0.000 description 3
- 229910002091 carbon monoxide Inorganic materials 0.000 description 3
- 150000001768 cations Chemical class 0.000 description 3
- 229910052801 chlorine Inorganic materials 0.000 description 3
- 238000010549 co-Evaporation Methods 0.000 description 3
- 125000000753 cycloalkyl group Chemical group 0.000 description 3
- 238000010494 dissociation reaction Methods 0.000 description 3
- 230000005593 dissociations Effects 0.000 description 3
- 239000003814 drug Substances 0.000 description 3
- 150000002148 esters Chemical class 0.000 description 3
- 229910052731 fluorine Inorganic materials 0.000 description 3
- 229910052736 halogen Inorganic materials 0.000 description 3
- 150000002367 halogens Chemical class 0.000 description 3
- 238000002347 injection Methods 0.000 description 3
- 239000007924 injection Substances 0.000 description 3
- 229910052740 iodine Inorganic materials 0.000 description 3
- 229910052751 metal Inorganic materials 0.000 description 3
- 239000002184 metal Substances 0.000 description 3
- 150000002739 metals Chemical class 0.000 description 3
- 229910052763 palladium Inorganic materials 0.000 description 3
- 229920001223 polyethylene glycol Polymers 0.000 description 3
- 150000003140 primary amides Chemical class 0.000 description 3
- UMJSCPRVCHMLSP-UHFFFAOYSA-N pyridine Natural products COC1=CC=CN=C1 UMJSCPRVCHMLSP-UHFFFAOYSA-N 0.000 description 3
- 238000011160 research Methods 0.000 description 3
- 239000013557 residual solvent Substances 0.000 description 3
- 150000003334 secondary amides Chemical class 0.000 description 3
- 239000000741 silica gel Substances 0.000 description 3
- 229910002027 silica gel Inorganic materials 0.000 description 3
- 238000000638 solvent extraction Methods 0.000 description 3
- 241000894007 species Species 0.000 description 3
- 229940124530 sulfonamide Drugs 0.000 description 3
- 150000003456 sulfonamides Chemical class 0.000 description 3
- 150000003511 tertiary amides Chemical class 0.000 description 3
- YNJBWRMUSHSURL-UHFFFAOYSA-N trichloroacetic acid Chemical compound OC(=O)C(Cl)(Cl)Cl YNJBWRMUSHSURL-UHFFFAOYSA-N 0.000 description 3
- IIFVWLUQBAIPMJ-UHFFFAOYSA-N (4-fluorophenyl)methanamine Chemical compound NCC1=CC=C(F)C=C1 IIFVWLUQBAIPMJ-UHFFFAOYSA-N 0.000 description 2
- ONPASMYSGBQTGK-UHFFFAOYSA-N 2,2,2-trifluoroethyl pyrimidine-2-carboxylate Chemical compound FC(F)(F)COC(=O)C1=NC=CC=N1 ONPASMYSGBQTGK-UHFFFAOYSA-N 0.000 description 2
- HZAXFHJVJLSVMW-UHFFFAOYSA-N 2-Aminoethan-1-ol Chemical compound NCCO HZAXFHJVJLSVMW-UHFFFAOYSA-N 0.000 description 2
- 125000002103 4,4'-dimethoxytriphenylmethyl group Chemical group [H]C1=C([H])C([H])=C(C([H])=C1[H])C(*)(C1=C([H])C([H])=C(OC([H])([H])[H])C([H])=C1[H])C1=C([H])C([H])=C(OC([H])([H])[H])C([H])=C1[H] 0.000 description 2
- IVOUSXPZFXJZNO-UHFFFAOYSA-N 4-(ethylamino)benzimidazol-2-one Chemical compound CCNC1=CC=CC2=NC(=O)N=C12 IVOUSXPZFXJZNO-UHFFFAOYSA-N 0.000 description 2
- ZLOIGESWDJYCTF-UHFFFAOYSA-N 4-Thiouridine Natural products OC1C(O)C(CO)OC1N1C(=O)NC(=S)C=C1 ZLOIGESWDJYCTF-UHFFFAOYSA-N 0.000 description 2
- ZLOIGESWDJYCTF-XVFCMESISA-N 4-thiouridine Chemical class O[C@@H]1[C@H](O)[C@@H](CO)O[C@H]1N1C(=O)NC(=S)C=C1 ZLOIGESWDJYCTF-XVFCMESISA-N 0.000 description 2
- KDCGOANMDULRCW-UHFFFAOYSA-N 7H-purine Chemical compound N1=CNC2=NC=NC2=C1 KDCGOANMDULRCW-UHFFFAOYSA-N 0.000 description 2
- FJQZAOVMLPCNMB-GYIHNLGQSA-N CC[C@H]1O[C@@H](C(C)C)[C@@H](C)C1C Chemical compound CC[C@H]1O[C@@H](C(C)C)[C@@H](C)C1C FJQZAOVMLPCNMB-GYIHNLGQSA-N 0.000 description 2
- HMFHBZSHGGEWLO-SOOFDHNKSA-N D-ribofuranose Chemical compound OC[C@H]1OC(O)[C@H](O)[C@@H]1O HMFHBZSHGGEWLO-SOOFDHNKSA-N 0.000 description 2
- QUSNBJAOOMFDIB-UHFFFAOYSA-N Ethylamine Chemical compound CCN QUSNBJAOOMFDIB-UHFFFAOYSA-N 0.000 description 2
- OAKJQQAXSVQMHS-UHFFFAOYSA-N Hydrazine Chemical compound NN OAKJQQAXSVQMHS-UHFFFAOYSA-N 0.000 description 2
- JGFZNNIVVJXRND-UHFFFAOYSA-N N,N-Diisopropylethylamine (DIPEA) Chemical compound CCN(C(C)C)C(C)C JGFZNNIVVJXRND-UHFFFAOYSA-N 0.000 description 2
- 101710163270 Nuclease Proteins 0.000 description 2
- 229910019142 PO4 Inorganic materials 0.000 description 2
- 108010033276 Peptide Fragments Proteins 0.000 description 2
- 102000007079 Peptide Fragments Human genes 0.000 description 2
- NQRYJNQNLNOLGT-UHFFFAOYSA-N Piperidine Chemical compound C1CCNCC1 NQRYJNQNLNOLGT-UHFFFAOYSA-N 0.000 description 2
- PYMYPHUHKUWMLA-LMVFSUKVSA-N Ribose Natural products OC[C@@H](O)[C@@H](O)[C@@H](O)C=O PYMYPHUHKUWMLA-LMVFSUKVSA-N 0.000 description 2
- PMZURENOXWZQFD-UHFFFAOYSA-L Sodium Sulfate Chemical compound [Na+].[Na+].[O-]S([O-])(=O)=O PMZURENOXWZQFD-UHFFFAOYSA-L 0.000 description 2
- RHQDFWAXVIIEBN-UHFFFAOYSA-N Trifluoroethanol Chemical compound OCC(F)(F)F RHQDFWAXVIIEBN-UHFFFAOYSA-N 0.000 description 2
- ISAKRJDGNUQOIC-UHFFFAOYSA-N Uracil Chemical compound O=C1C=CNC(=O)N1 ISAKRJDGNUQOIC-UHFFFAOYSA-N 0.000 description 2
- 229910052770 Uranium Inorganic materials 0.000 description 2
- SAEUSLYJIPUNNT-ARFHVFGLSA-N [(2r,3s,5r)-5-[5-[(4-fluorophenyl)methylcarbamoyl]-2,4-dioxopyrimidin-1-yl]-2-(hydroxymethyl)oxolan-3-yl] acetate Chemical compound O1[C@H](CO)[C@@H](OC(=O)C)C[C@@H]1N1C(=O)NC(=O)C(C(=O)NCC=2C=CC(F)=CC=2)=C1 SAEUSLYJIPUNNT-ARFHVFGLSA-N 0.000 description 2
- DZBUGLKDJFMEHC-UHFFFAOYSA-N acridine Chemical compound C1=CC=CC2=CC3=CC=CC=C3N=C21 DZBUGLKDJFMEHC-UHFFFAOYSA-N 0.000 description 2
- HMFHBZSHGGEWLO-UHFFFAOYSA-N alpha-D-Furanose-Ribose Natural products OCC1OC(O)C(O)C1O HMFHBZSHGGEWLO-UHFFFAOYSA-N 0.000 description 2
- 150000001408 amides Chemical class 0.000 description 2
- 230000003321 amplification Effects 0.000 description 2
- 238000004458 analytical method Methods 0.000 description 2
- 125000000129 anionic group Chemical group 0.000 description 2
- 239000012298 atmosphere Substances 0.000 description 2
- WGQKYBSKWIADBV-UHFFFAOYSA-N benzylamine Chemical compound NCC1=CC=CC=C1 WGQKYBSKWIADBV-UHFFFAOYSA-N 0.000 description 2
- DRTQHJPVMGBUCF-PSQAKQOGSA-N beta-L-uridine Natural products O[C@H]1[C@@H](O)[C@H](CO)O[C@@H]1N1C(=O)NC(=O)C=C1 DRTQHJPVMGBUCF-PSQAKQOGSA-N 0.000 description 2
- HQABUPZFAYXKJW-UHFFFAOYSA-N butan-1-amine Chemical compound CCCCN HQABUPZFAYXKJW-UHFFFAOYSA-N 0.000 description 2
- 239000004202 carbamide Substances 0.000 description 2
- 125000002091 cationic group Chemical group 0.000 description 2
- QCVZGSPBPJXJJV-UHFFFAOYSA-N chloro-N-(4-cyano-2-methylbutan-2-yl)-N-propan-2-ylphosphonamidous acid Chemical compound CC(C)N(C(C)(C)CCC#N)P(O)Cl QCVZGSPBPJXJJV-UHFFFAOYSA-N 0.000 description 2
- 230000021615 conjugation Effects 0.000 description 2
- 229940104302 cytosine Drugs 0.000 description 2
- JXTHNDFMNIQAHM-UHFFFAOYSA-N dichloroacetic acid Chemical compound OC(=O)C(Cl)Cl JXTHNDFMNIQAHM-UHFFFAOYSA-N 0.000 description 2
- IJKVHSBPTUYDLN-UHFFFAOYSA-N dihydroxy(oxo)silane Chemical compound O[Si](O)=O IJKVHSBPTUYDLN-UHFFFAOYSA-N 0.000 description 2
- 229940043279 diisopropylamine Drugs 0.000 description 2
- 238000001035 drying Methods 0.000 description 2
- 230000002255 enzymatic effect Effects 0.000 description 2
- 238000001914 filtration Methods 0.000 description 2
- 238000003818 flash chromatography Methods 0.000 description 2
- 125000000524 functional group Chemical group 0.000 description 2
- UYTPUPDQBNUYGX-UHFFFAOYSA-N guanine Chemical compound O=C1NC(N)=NC2=C1N=CN2 UYTPUPDQBNUYGX-UHFFFAOYSA-N 0.000 description 2
- 125000002887 hydroxy group Chemical group [H]O* 0.000 description 2
- FDGQSTZJBFJUBT-UHFFFAOYSA-N hypoxanthine Chemical compound O=C1NC=NC2=C1NC=N2 FDGQSTZJBFJUBT-UHFFFAOYSA-N 0.000 description 2
- 239000012535 impurity Substances 0.000 description 2
- 238000001727 in vivo Methods 0.000 description 2
- 239000003112 inhibitor Substances 0.000 description 2
- 230000003993 interaction Effects 0.000 description 2
- 239000000543 intermediate Substances 0.000 description 2
- 238000002372 labelling Methods 0.000 description 2
- 125000005647 linker group Chemical group 0.000 description 2
- 230000011987 methylation Effects 0.000 description 2
- 238000007069 methylation reaction Methods 0.000 description 2
- 238000003199 nucleic acid amplification method Methods 0.000 description 2
- 238000002515 oligonucleotide synthesis Methods 0.000 description 2
- 150000002891 organic anions Chemical class 0.000 description 2
- 239000012044 organic layer Substances 0.000 description 2
- NBIIXXVUZAFLBC-UHFFFAOYSA-K phosphate Chemical compound [O-]P([O-])([O-])=O NBIIXXVUZAFLBC-UHFFFAOYSA-K 0.000 description 2
- 239000010452 phosphate Substances 0.000 description 2
- 150000004713 phosphodiesters Chemical class 0.000 description 2
- 229920001184 polypeptide Polymers 0.000 description 2
- 238000001556 precipitation Methods 0.000 description 2
- 102000004196 processed proteins & peptides Human genes 0.000 description 2
- ZCCUUQDIBDJBTK-UHFFFAOYSA-N psoralen Chemical compound C1=C2OC(=O)C=CC2=CC2=C1OC=C2 ZCCUUQDIBDJBTK-UHFFFAOYSA-N 0.000 description 2
- 150000003212 purines Chemical class 0.000 description 2
- 239000002718 pyrimidine nucleoside Substances 0.000 description 2
- 239000002002 slurry Substances 0.000 description 2
- 229910000030 sodium bicarbonate Inorganic materials 0.000 description 2
- 235000017557 sodium bicarbonate Nutrition 0.000 description 2
- 230000009870 specific binding Effects 0.000 description 2
- 239000007858 starting material Substances 0.000 description 2
- 230000009897 systematic effect Effects 0.000 description 2
- 238000004809 thin layer chromatography Methods 0.000 description 2
- RWQNBRDOKXIBIV-UHFFFAOYSA-N thymine Chemical compound CC1=CNC(=O)NC1=O RWQNBRDOKXIBIV-UHFFFAOYSA-N 0.000 description 2
- 239000002341 toxic gas Substances 0.000 description 2
- DRTQHJPVMGBUCF-UHFFFAOYSA-N uracil arabinoside Natural products OC1C(O)C(CO)OC1N1C(=O)NC(=O)C=C1 DRTQHJPVMGBUCF-UHFFFAOYSA-N 0.000 description 2
- 229940045145 uridine Drugs 0.000 description 2
- XLYOFNOQVPJJNP-UHFFFAOYSA-N water Substances O XLYOFNOQVPJJNP-UHFFFAOYSA-N 0.000 description 2
- 229910001868 water Inorganic materials 0.000 description 2
- TUSDEZXZIZRFGC-UHFFFAOYSA-N 1-O-galloyl-3,6-(R)-HHDP-beta-D-glucose Natural products OC1C(O2)COC(=O)C3=CC(O)=C(O)C(O)=C3C3=C(O)C(O)=C(O)C=C3C(=O)OC1C(O)C2OC(=O)C1=CC(O)=C(O)C(O)=C1 TUSDEZXZIZRFGC-UHFFFAOYSA-N 0.000 description 1
- RGNOTKMIMZMNRX-XVFCMESISA-N 2-amino-1-[(2r,3r,4s,5r)-3,4-dihydroxy-5-(hydroxymethyl)oxolan-2-yl]pyrimidin-4-one Chemical compound NC1=NC(=O)C=CN1[C@H]1[C@H](O)[C@H](O)[C@@H](CO)O1 RGNOTKMIMZMNRX-XVFCMESISA-N 0.000 description 1
- UPHOPMSGKZNELG-UHFFFAOYSA-N 2-hydroxynaphthalene-1-carboxylic acid Chemical compound C1=CC=C2C(C(=O)O)=C(O)C=CC2=C1 UPHOPMSGKZNELG-UHFFFAOYSA-N 0.000 description 1
- QWTBDIBOOIAZEF-UHFFFAOYSA-N 3-[chloro-[di(propan-2-yl)amino]phosphanyl]oxypropanenitrile Chemical compound CC(C)N(C(C)C)P(Cl)OCCC#N QWTBDIBOOIAZEF-UHFFFAOYSA-N 0.000 description 1
- VXGRJERITKFWPL-UHFFFAOYSA-N 4',5'-Dihydropsoralen Natural products C1=C2OC(=O)C=CC2=CC2=C1OCC2 VXGRJERITKFWPL-UHFFFAOYSA-N 0.000 description 1
- LQLQRFGHAALLLE-UHFFFAOYSA-N 5-bromouracil Chemical class BrC1=CNC(=O)NC1=O LQLQRFGHAALLLE-UHFFFAOYSA-N 0.000 description 1
- KSNXJLQDQOIRIP-UHFFFAOYSA-N 5-iodouracil Chemical class IC1=CNC(=O)NC1=O KSNXJLQDQOIRIP-UHFFFAOYSA-N 0.000 description 1
- 208000030507 AIDS Diseases 0.000 description 1
- GFFGJBXGBJISGV-UHFFFAOYSA-N Adenine Chemical compound NC1=NC=NC2=C1N=CN2 GFFGJBXGBJISGV-UHFFFAOYSA-N 0.000 description 1
- 229930024421 Adenine Natural products 0.000 description 1
- QGZKDVFQNNGYKY-UHFFFAOYSA-O Ammonium Chemical compound [NH4+] QGZKDVFQNNGYKY-UHFFFAOYSA-O 0.000 description 1
- 102000006306 Antigen Receptors Human genes 0.000 description 1
- 108010083359 Antigen Receptors Proteins 0.000 description 1
- 239000004475 Arginine Substances 0.000 description 1
- ZOXJGFHDIHLPTG-UHFFFAOYSA-N Boron Chemical compound [B] ZOXJGFHDIHLPTG-UHFFFAOYSA-N 0.000 description 1
- COVZYZSDYWQREU-UHFFFAOYSA-N Busulfan Chemical compound CS(=O)(=O)OCCCCOS(C)(=O)=O COVZYZSDYWQREU-UHFFFAOYSA-N 0.000 description 1
- SAEUSLYJIPUNNT-BZUAXINKSA-N CC(=O)O[C@@H]1C[C@H](N2C=C(C(=O)NCC3=CC=C(F)C=C3)C(=O)NC2=O)O[C@@H]1CO Chemical compound CC(=O)O[C@@H]1C[C@H](N2C=C(C(=O)NCC3=CC=C(F)C=C3)C(=O)NC2=O)O[C@@H]1CO SAEUSLYJIPUNNT-BZUAXINKSA-N 0.000 description 1
- DPOJXMQDBDCMFT-GUDVDZBRSA-N CC(=O)O[C@@H]1C[C@H](N2C=C(C(=O)NCCN3C(=O)N(C(C)=O)C4=C3C=CC=C4)C(=O)NC2=O)O[C@@H]1CO Chemical compound CC(=O)O[C@@H]1C[C@H](N2C=C(C(=O)NCCN3C(=O)N(C(C)=O)C4=C3C=CC=C4)C(=O)NC2=O)O[C@@H]1CO DPOJXMQDBDCMFT-GUDVDZBRSA-N 0.000 description 1
- RLOJHMYMMQUXCT-RBSFLKMASA-N CC(=O)O[C@@H]1C[C@H](N2C=C(C(=O)NCCN3CCOCC3)C(=O)NC2=O)O[C@@H]1CO Chemical compound CC(=O)O[C@@H]1C[C@H](N2C=C(C(=O)NCCN3CCOCC3)C(=O)NC2=O)O[C@@H]1CO RLOJHMYMMQUXCT-RBSFLKMASA-N 0.000 description 1
- LDQDPGFNGCFEMR-BVFZDFPESA-N CC1=CC=C(CN)C=C1.NCCN1C(=O)NC2=C1C=CC=C2.NCCN1CCCCC1.[H][C@@]1(CN)CCCO1.[H][C@]1(CN)CCCO1 Chemical compound CC1=CC=C(CN)C=C1.NCCN1C(=O)NC2=C1C=CC=C2.NCCN1CCCCC1.[H][C@@]1(CN)CCCO1.[H][C@]1(CN)CCCO1 LDQDPGFNGCFEMR-BVFZDFPESA-N 0.000 description 1
- MPNCVJIXOVAKAA-ZMRISJLTSA-N CNC(=O)C1=CN([C@@H]2O[C@H](CO)C(OC(C)=O)[C@@H]2C)C(=O)NC1=O Chemical compound CNC(=O)C1=CN([C@@H]2O[C@H](CO)C(OC(C)=O)[C@@H]2C)C(=O)NC1=O MPNCVJIXOVAKAA-ZMRISJLTSA-N 0.000 description 1
- MPNCVJIXOVAKAA-SLIMGXIBSA-N CNC(=O)C1=CN([C@@H]2O[C@H](CO)[C@H](OC(C)=O)C2C)C(=O)NC1=O Chemical compound CNC(=O)C1=CN([C@@H]2O[C@H](CO)[C@H](OC(C)=O)C2C)C(=O)NC1=O MPNCVJIXOVAKAA-SLIMGXIBSA-N 0.000 description 1
- JYKNFVLJZCDAII-BSXMZPFYSA-N CNC(=O)C1=CN([C@@H]2O[C@H](COP(=O)(O)OP(=O)(O)OP(=O)(O)O)C(O)[C@@H]2C)C(=O)NC1=O Chemical compound CNC(=O)C1=CN([C@@H]2O[C@H](COP(=O)(O)OP(=O)(O)OP(=O)(O)O)C(O)[C@@H]2C)C(=O)NC1=O JYKNFVLJZCDAII-BSXMZPFYSA-N 0.000 description 1
- DOYXRQRGIWFTJF-PRSYYYMHSA-N CNC(=O)C1=CN([C@@H]2O[C@H](COP(=O)(O)OP(=O)(O)OP(=O)(O)O)[C@H](C)C2C)C(=O)NC1=O Chemical compound CNC(=O)C1=CN([C@@H]2O[C@H](COP(=O)(O)OP(=O)(O)OP(=O)(O)O)[C@H](C)C2C)C(=O)NC1=O DOYXRQRGIWFTJF-PRSYYYMHSA-N 0.000 description 1
- QCMYYKRYFNMIEC-UHFFFAOYSA-N COP(O)=O Chemical class COP(O)=O QCMYYKRYFNMIEC-UHFFFAOYSA-N 0.000 description 1
- KXDHJXZQYSOELW-UHFFFAOYSA-M Carbamate Chemical compound NC([O-])=O KXDHJXZQYSOELW-UHFFFAOYSA-M 0.000 description 1
- 229920002134 Carboxymethyl cellulose Polymers 0.000 description 1
- 102000053642 Catalytic RNA Human genes 0.000 description 1
- 108090000994 Catalytic RNA Proteins 0.000 description 1
- VEXZGXHMUGYJMC-UHFFFAOYSA-M Chloride anion Chemical compound [Cl-] VEXZGXHMUGYJMC-UHFFFAOYSA-M 0.000 description 1
- 108091026890 Coding region Proteins 0.000 description 1
- 206010010144 Completed suicide Diseases 0.000 description 1
- XBPCUCUWBYBCDP-UHFFFAOYSA-N Dicyclohexylamine Chemical compound C1CCCCC1NC1CCCCC1 XBPCUCUWBYBCDP-UHFFFAOYSA-N 0.000 description 1
- LFQSCWFLJHTTHZ-UHFFFAOYSA-N Ethanol Chemical compound CCO LFQSCWFLJHTTHZ-UHFFFAOYSA-N 0.000 description 1
- PIICEJLVQHRZGT-UHFFFAOYSA-N Ethylenediamine Chemical compound NCCN PIICEJLVQHRZGT-UHFFFAOYSA-N 0.000 description 1
- 239000001263 FEMA 3042 Substances 0.000 description 1
- 102000003886 Glycoproteins Human genes 0.000 description 1
- 108090000288 Glycoproteins Proteins 0.000 description 1
- 208000005100 Herpetic Keratitis Diseases 0.000 description 1
- 241000700588 Human alphaherpesvirus 1 Species 0.000 description 1
- 241000701074 Human alphaherpesvirus 2 Species 0.000 description 1
- 241000701085 Human alphaherpesvirus 3 Species 0.000 description 1
- UGQMRVRMYYASKQ-UHFFFAOYSA-N Hypoxanthine nucleoside Natural products OC1C(O)C(CO)OC1N1C(NC=NC2=O)=C2N=C1 UGQMRVRMYYASKQ-UHFFFAOYSA-N 0.000 description 1
- KDXKERNSBIXSRK-UHFFFAOYSA-N Lysine Natural products NCCCCC(N)C(O)=O KDXKERNSBIXSRK-UHFFFAOYSA-N 0.000 description 1
- 239000004472 Lysine Substances 0.000 description 1
- MBBZMMPHUWSWHV-BDVNFPICSA-N N-methylglucamine Chemical compound CNC[C@H](O)[C@@H](O)[C@H](O)[C@H](O)CO MBBZMMPHUWSWHV-BDVNFPICSA-N 0.000 description 1
- ZIINZLXOEXWLKE-ILMHWDKJSA-N O=C(NCC1=CC=C(F)C=C1)C1=CN([C@H]2CC(O)[C@@H](CO)O2)C(=O)NC1=O Chemical compound O=C(NCC1=CC=C(F)C=C1)C1=CN([C@H]2CC(O)[C@@H](CO)O2)C(=O)NC1=O ZIINZLXOEXWLKE-ILMHWDKJSA-N 0.000 description 1
- HJKBTWARKLFYAH-JVIGXAJISA-N O=C(NCCN1C(=O)NC2=C1C=CC=C2)C1=CN([C@H]2CC(O)[C@@H](CO)O2)C(=O)NC1=O Chemical compound O=C(NCCN1C(=O)NC2=C1C=CC=C2)C1=CN([C@H]2CC(O)[C@@H](CO)O2)C(=O)NC1=O HJKBTWARKLFYAH-JVIGXAJISA-N 0.000 description 1
- KUYSFQVHLLIGPT-VFRRUGBOSA-N O=C(NCCN1CCOCC1)C1=CN([C@H]2CC(O)[C@@H](CO)O2)C(=O)NC1=O Chemical compound O=C(NCCN1CCOCC1)C1=CN([C@H]2CC(O)[C@@H](CO)O2)C(=O)NC1=O KUYSFQVHLLIGPT-VFRRUGBOSA-N 0.000 description 1
- 206010073938 Ophthalmic herpes simplex Diseases 0.000 description 1
- LRBQNJMCXXYXIU-PPKXGCFTSA-N Penta-digallate-beta-D-glucose Natural products OC1=C(O)C(O)=CC(C(=O)OC=2C(=C(O)C=C(C=2)C(=O)OC[C@@H]2[C@H]([C@H](OC(=O)C=3C=C(OC(=O)C=4C=C(O)C(O)=C(O)C=4)C(O)=C(O)C=3)[C@@H](OC(=O)C=3C=C(OC(=O)C=4C=C(O)C(O)=C(O)C=4)C(O)=C(O)C=3)[C@H](OC(=O)C=3C=C(OC(=O)C=4C=C(O)C(O)=C(O)C=4)C(O)=C(O)C=3)O2)OC(=O)C=2C=C(OC(=O)C=3C=C(O)C(O)=C(O)C=3)C(O)=C(O)C=2)O)=C1 LRBQNJMCXXYXIU-PPKXGCFTSA-N 0.000 description 1
- ABLZXFCXXLZCGV-UHFFFAOYSA-N Phosphorous acid Chemical group OP(O)=O ABLZXFCXXLZCGV-UHFFFAOYSA-N 0.000 description 1
- GLUUGHFHXGJENI-UHFFFAOYSA-N Piperazine Chemical compound C1CNCCN1 GLUUGHFHXGJENI-UHFFFAOYSA-N 0.000 description 1
- 239000004952 Polyamide Substances 0.000 description 1
- 108091028664 Ribonucleotide Proteins 0.000 description 1
- RYYWUUFWQRZTIU-UHFFFAOYSA-N Thiophosphoric acid Chemical class OP(O)(S)=O RYYWUUFWQRZTIU-UHFFFAOYSA-N 0.000 description 1
- 241000700605 Viruses Species 0.000 description 1
- UEXHLLKOQAXOQL-MKLBSOIVSA-N [2H]C[C@H]1O[C@@H](C(C)C)[C@@H](C)C1O.[3H]OC Chemical compound [2H]C[C@H]1O[C@@H](C(C)C)[C@@H](C)C1O.[3H]OC UEXHLLKOQAXOQL-MKLBSOIVSA-N 0.000 description 1
- ZLRUEXBMVSVCOV-BAYISNBASA-N [2H]C[C@H]1O[C@@H](N2C=C(C(=O)OCC(F)(F)F)C(=O)NC2=O)[C@@H](C)C1O.[3H]OC Chemical compound [2H]C[C@H]1O[C@@H](N2C=C(C(=O)OCC(F)(F)F)C(=O)NC2=O)[C@@H](C)C1O.[3H]OC ZLRUEXBMVSVCOV-BAYISNBASA-N 0.000 description 1
- VFSSFRQLHPRDBZ-TXIMXIHUSA-N [2H]C[C@H]1O[C@@H](N2C=C(C(=O)OCC)C(=O)NC2=O)C(C)[C@H]1OC(C)=O.[3H]OC Chemical compound [2H]C[C@H]1O[C@@H](N2C=C(C(=O)OCC)C(=O)NC2=O)C(C)[C@H]1OC(C)=O.[3H]OC VFSSFRQLHPRDBZ-TXIMXIHUSA-N 0.000 description 1
- GLDHWGKBUUFZFZ-MKGKNJBMSA-N [H][C@@]1(CNC(=O)C2=CN([C@H]3CC(O)[C@@H](CO)O3)C(=O)NC2=O)CCCO1 Chemical compound [H][C@@]1(CNC(=O)C2=CN([C@H]3CC(O)[C@@H](CO)O3)C(=O)NC2=O)CCCO1 GLDHWGKBUUFZFZ-MKGKNJBMSA-N 0.000 description 1
- CIHYYTLYMHKKOB-IGHBBLSQSA-N [H][C@@]1(CNC(=O)C2=CN([C@H]3C[C@@H](OC(C)=O)[C@@H](CO)O3)C(=O)NC2=O)CCCO1 Chemical compound [H][C@@]1(CNC(=O)C2=CN([C@H]3C[C@@H](OC(C)=O)[C@@H](CO)O3)C(=O)NC2=O)CCCO1 CIHYYTLYMHKKOB-IGHBBLSQSA-N 0.000 description 1
- GLDHWGKBUUFZFZ-CHTKFDTKSA-N [H][C@]1(CNC(=O)C2=CN([C@H]3CC(O)[C@@H](CO)O3)C(=O)NC2=O)CCCO1 Chemical compound [H][C@]1(CNC(=O)C2=CN([C@H]3CC(O)[C@@H](CO)O3)C(=O)NC2=O)CCCO1 GLDHWGKBUUFZFZ-CHTKFDTKSA-N 0.000 description 1
- CIHYYTLYMHKKOB-FMKGYKFTSA-N [H][C@]1(CNC(=O)C2=CN([C@H]3C[C@@H](OC(C)=O)[C@@H](CO)O3)C(=O)NC2=O)CCCO1 Chemical compound [H][C@]1(CNC(=O)C2=CN([C@H]3C[C@@H](OC(C)=O)[C@@H](CO)O3)C(=O)NC2=O)CCCO1 CIHYYTLYMHKKOB-FMKGYKFTSA-N 0.000 description 1
- YIIBDOBDYRMYDP-BFHYXJOUSA-N [[(2r,3s,5r)-5-[5-[(4-fluorophenyl)methylcarbamoyl]-2,4-dioxopyrimidin-1-yl]-3-hydroxyoxolan-2-yl]methoxy-hydroxyphosphoryl] phosphono hydrogen phosphate Chemical compound O1[C@H](COP(O)(=O)OP(O)(=O)OP(O)(O)=O)[C@@H](O)C[C@@H]1N1C(=O)NC(=O)C(C(=O)NCC=2C=CC(F)=CC=2)=C1 YIIBDOBDYRMYDP-BFHYXJOUSA-N 0.000 description 1
- 238000002835 absorbance Methods 0.000 description 1
- DHKHKXVYLBGOIT-UHFFFAOYSA-N acetaldehyde Diethyl Acetal Natural products CCOC(C)OCC DHKHKXVYLBGOIT-UHFFFAOYSA-N 0.000 description 1
- 150000001241 acetals Chemical class 0.000 description 1
- 230000021736 acetylation Effects 0.000 description 1
- 238000006640 acetylation reaction Methods 0.000 description 1
- 150000007513 acids Chemical class 0.000 description 1
- 229960000643 adenine Drugs 0.000 description 1
- 229910001413 alkali metal ion Inorganic materials 0.000 description 1
- 125000003342 alkenyl group Chemical group 0.000 description 1
- 239000002168 alkylating agent Substances 0.000 description 1
- 230000004075 alteration Effects 0.000 description 1
- 229940059260 amidate Drugs 0.000 description 1
- 238000005915 ammonolysis reaction Methods 0.000 description 1
- 150000001449 anionic compounds Chemical class 0.000 description 1
- 150000001450 anions Chemical class 0.000 description 1
- ODKSFYDXXFIFQN-UHFFFAOYSA-N arginine Natural products OC(=O)C(N)CCCNC(N)=N ODKSFYDXXFIFQN-UHFFFAOYSA-N 0.000 description 1
- 125000003118 aryl group Chemical group 0.000 description 1
- 230000008901 benefit Effects 0.000 description 1
- WPYMKLBDIGXBTP-UHFFFAOYSA-N benzoic acid group Chemical group C(C1=CC=CC=C1)(=O)O WPYMKLBDIGXBTP-UHFFFAOYSA-N 0.000 description 1
- WXNOJTUTEXAZLD-UHFFFAOYSA-L benzonitrile;dichloropalladium Chemical compound Cl[Pd]Cl.N#CC1=CC=CC=C1.N#CC1=CC=CC=C1 WXNOJTUTEXAZLD-UHFFFAOYSA-L 0.000 description 1
- 230000004071 biological effect Effects 0.000 description 1
- 230000008033 biological extinction Effects 0.000 description 1
- 239000000090 biomarker Substances 0.000 description 1
- 230000006287 biotinylation Effects 0.000 description 1
- 238000007413 biotinylation Methods 0.000 description 1
- 238000006664 bond formation reaction Methods 0.000 description 1
- 229910052796 boron Inorganic materials 0.000 description 1
- 239000012267 brine Substances 0.000 description 1
- 239000006227 byproduct Substances 0.000 description 1
- 150000004657 carbamic acid derivatives Chemical class 0.000 description 1
- 150000001720 carbohydrates Chemical class 0.000 description 1
- 235000014633 carbohydrates Nutrition 0.000 description 1
- 229910052799 carbon Inorganic materials 0.000 description 1
- 125000004432 carbon atom Chemical group C* 0.000 description 1
- 125000003178 carboxy group Chemical group [H]OC(*)=O 0.000 description 1
- 239000001768 carboxy methyl cellulose Substances 0.000 description 1
- 235000010948 carboxy methyl cellulose Nutrition 0.000 description 1
- 239000008112 carboxymethyl-cellulose Substances 0.000 description 1
- 230000015556 catabolic process Effects 0.000 description 1
- 239000003054 catalyst Substances 0.000 description 1
- 150000001767 cationic compounds Chemical class 0.000 description 1
- 230000003915 cell function Effects 0.000 description 1
- 230000001413 cellular effect Effects 0.000 description 1
- 239000002738 chelating agent Substances 0.000 description 1
- 238000007385 chemical modification Methods 0.000 description 1
- 239000012707 chemical precursor Substances 0.000 description 1
- OEYIOHPDSNJKLS-UHFFFAOYSA-N choline Chemical compound C[N+](C)(C)CCO OEYIOHPDSNJKLS-UHFFFAOYSA-N 0.000 description 1
- 229960001231 choline Drugs 0.000 description 1
- 238000009833 condensation Methods 0.000 description 1
- 230000005494 condensation Effects 0.000 description 1
- 239000000470 constituent Substances 0.000 description 1
- 238000001816 cooling Methods 0.000 description 1
- 238000005859 coupling reaction Methods 0.000 description 1
- 125000000392 cycloalkenyl group Chemical group 0.000 description 1
- 238000006731 degradation reaction Methods 0.000 description 1
- 239000008367 deionised water Substances 0.000 description 1
- 229910021641 deionized water Inorganic materials 0.000 description 1
- 239000005547 deoxyribonucleotide Substances 0.000 description 1
- 125000002637 deoxyribonucleotide group Chemical group 0.000 description 1
- 238000001514 detection method Methods 0.000 description 1
- 239000000032 diagnostic agent Substances 0.000 description 1
- 229940039227 diagnostic agent Drugs 0.000 description 1
- 238000002405 diagnostic procedure Methods 0.000 description 1
- 229960005215 dichloroacetic acid Drugs 0.000 description 1
- ZBCBWPMODOFKDW-UHFFFAOYSA-N diethanolamine Chemical compound OCCNCCO ZBCBWPMODOFKDW-UHFFFAOYSA-N 0.000 description 1
- HPNMFZURTQLUMO-UHFFFAOYSA-N diethylamine Chemical compound CCNCC HPNMFZURTQLUMO-UHFFFAOYSA-N 0.000 description 1
- 239000001177 diphosphate Substances 0.000 description 1
- 235000011180 diphosphates Nutrition 0.000 description 1
- NAGJZTKCGNOGPW-UHFFFAOYSA-N dithiophosphoric acid Chemical class OP(O)(S)=S NAGJZTKCGNOGPW-UHFFFAOYSA-N 0.000 description 1
- 229940079593 drug Drugs 0.000 description 1
- 238000009510 drug design Methods 0.000 description 1
- 238000009509 drug development Methods 0.000 description 1
- 239000000975 dye Substances 0.000 description 1
- 239000012636 effector Substances 0.000 description 1
- 230000000694 effects Effects 0.000 description 1
- 238000006911 enzymatic reaction Methods 0.000 description 1
- NPUKDXXFDDZOKR-LLVKDONJSA-N etomidate Chemical compound CCOC(=O)C1=CN=CN1[C@H](C)C1=CC=CC=C1 NPUKDXXFDDZOKR-LLVKDONJSA-N 0.000 description 1
- 238000001704 evaporation Methods 0.000 description 1
- 230000008020 evaporation Effects 0.000 description 1
- 230000002349 favourable effect Effects 0.000 description 1
- 239000012467 final product Substances 0.000 description 1
- 239000007850 fluorescent dye Substances 0.000 description 1
- 238000001215 fluorescent labelling Methods 0.000 description 1
- 239000006260 foam Substances 0.000 description 1
- 235000021550 forms of sugar Nutrition 0.000 description 1
- 239000012634 fragment Substances 0.000 description 1
- 230000006870 function Effects 0.000 description 1
- 230000005714 functional activity Effects 0.000 description 1
- 239000007789 gas Substances 0.000 description 1
- 230000002068 genetic effect Effects 0.000 description 1
- 239000011521 glass Substances 0.000 description 1
- 150000004676 glycans Chemical class 0.000 description 1
- 230000013595 glycosylation Effects 0.000 description 1
- 238000006206 glycosylation reaction Methods 0.000 description 1
- 239000003102 growth factor Substances 0.000 description 1
- 201000010884 herpes simplex virus keratitis Diseases 0.000 description 1
- 239000005556 hormone Substances 0.000 description 1
- 229940088597 hormone Drugs 0.000 description 1
- BHEPBYXIRTUNPN-UHFFFAOYSA-N hydridophosphorus(.) (triplet) Chemical compound [PH] BHEPBYXIRTUNPN-UHFFFAOYSA-N 0.000 description 1
- XMBWDFGMSWQBCA-UHFFFAOYSA-N hydrogen iodide Chemical compound I XMBWDFGMSWQBCA-UHFFFAOYSA-N 0.000 description 1
- 230000002209 hydrophobic effect Effects 0.000 description 1
- UWYVPFMHMJIBHE-OWOJBTEDSA-N hydroxymaleic acid group Chemical group O/C(/C(=O)O)=C/C(=O)O UWYVPFMHMJIBHE-OWOJBTEDSA-N 0.000 description 1
- 238000000338 in vitro Methods 0.000 description 1
- 229910001412 inorganic anion Inorganic materials 0.000 description 1
- 229910001411 inorganic cation Inorganic materials 0.000 description 1
- 230000029226 lipidation Effects 0.000 description 1
- 150000002632 lipids Chemical class 0.000 description 1
- 230000014759 maintenance of location Effects 0.000 description 1
- 238000004519 manufacturing process Methods 0.000 description 1
- 230000007246 mechanism Effects 0.000 description 1
- 229960003194 meglumine Drugs 0.000 description 1
- 239000002207 metabolite Substances 0.000 description 1
- 150000007522 mineralic acids Chemical class 0.000 description 1
- 238000001823 molecular biology technique Methods 0.000 description 1
- 238000010369 molecular cloning Methods 0.000 description 1
- ZIINZLXOEXWLKE-BFHYXJOUSA-N n-[(4-fluorophenyl)methyl]-1-[(2r,4s,5r)-4-hydroxy-5-(hydroxymethyl)oxolan-2-yl]-2,4-dioxopyrimidine-5-carboxamide Chemical compound C1[C@H](O)[C@@H](CO)O[C@H]1N1C(=O)NC(=O)C(C(=O)NCC=2C=CC(F)=CC=2)=C1 ZIINZLXOEXWLKE-BFHYXJOUSA-N 0.000 description 1
- RWIVICVCHVMHMU-UHFFFAOYSA-N n-aminoethylmorpholine Chemical compound NCCN1CCOCC1 RWIVICVCHVMHMU-UHFFFAOYSA-N 0.000 description 1
- GTWJETSWSUWSEJ-UHFFFAOYSA-N n-benzylaniline Chemical compound C=1C=CC=CC=1CNC1=CC=CC=C1 GTWJETSWSUWSEJ-UHFFFAOYSA-N 0.000 description 1
- GQPLMRYTRLFLPF-UHFFFAOYSA-N nitrous oxide Inorganic materials [O-][N+]#N GQPLMRYTRLFLPF-UHFFFAOYSA-N 0.000 description 1
- 239000012038 nucleophile Substances 0.000 description 1
- 235000015097 nutrients Nutrition 0.000 description 1
- ZQPPMHVWECSIRJ-KTKRTIGZSA-N oleic acid group Chemical group C(CCCCCCC\C=C/CCCCCCCC)(=O)O ZQPPMHVWECSIRJ-KTKRTIGZSA-N 0.000 description 1
- 150000007524 organic acids Chemical class 0.000 description 1
- 235000005985 organic acids Nutrition 0.000 description 1
- 150000002892 organic cations Chemical class 0.000 description 1
- 230000001590 oxidative effect Effects 0.000 description 1
- IPCSVZSSVZVIGE-UHFFFAOYSA-N palmitic acid group Chemical group C(CCCCCCCCCCCCCCC)(=O)O IPCSVZSSVZVIGE-UHFFFAOYSA-N 0.000 description 1
- 244000052769 pathogen Species 0.000 description 1
- 230000001717 pathogenic effect Effects 0.000 description 1
- WLJVXDMOQOGPHL-UHFFFAOYSA-N phenylacetic acid Chemical compound OC(=O)CC1=CC=CC=C1 WLJVXDMOQOGPHL-UHFFFAOYSA-N 0.000 description 1
- 125000002467 phosphate group Chemical group [H]OP(=O)(O[H])O[*] 0.000 description 1
- 230000026731 phosphorylation Effects 0.000 description 1
- 238000006366 phosphorylation reaction Methods 0.000 description 1
- 230000035790 physiological processes and functions Effects 0.000 description 1
- 229920002647 polyamide Polymers 0.000 description 1
- 238000006116 polymerization reaction Methods 0.000 description 1
- 229920001282 polysaccharide Polymers 0.000 description 1
- 239000005017 polysaccharide Substances 0.000 description 1
- 239000002244 precipitate Substances 0.000 description 1
- 238000002360 preparation method Methods 0.000 description 1
- 125000001436 propyl group Chemical group [H]C([*])([H])C([H])([H])C([H])([H])[H] 0.000 description 1
- 125000006239 protecting group Chemical group 0.000 description 1
- FUXJMHXHGDAHPD-UHFFFAOYSA-N pyrimidine-2-carboxamide Chemical class NC(=O)C1=NC=CC=N1 FUXJMHXHGDAHPD-UHFFFAOYSA-N 0.000 description 1
- 125000000714 pyrimidinyl group Chemical group 0.000 description 1
- 125000001453 quaternary ammonium group Chemical group 0.000 description 1
- 230000002285 radioactive effect Effects 0.000 description 1
- 238000000163 radioactive labelling Methods 0.000 description 1
- 238000004007 reversed phase HPLC Methods 0.000 description 1
- 239000002336 ribonucleotide Substances 0.000 description 1
- 125000002652 ribonucleotide group Chemical group 0.000 description 1
- 108091092562 ribozyme Proteins 0.000 description 1
- 229910052938 sodium sulfate Inorganic materials 0.000 description 1
- 235000011152 sodium sulphate Nutrition 0.000 description 1
- HPALAKNZSZLMCH-UHFFFAOYSA-M sodium;chloride;hydrate Chemical compound O.[Na+].[Cl-] HPALAKNZSZLMCH-UHFFFAOYSA-M 0.000 description 1
- 239000002904 solvent Substances 0.000 description 1
- 238000010561 standard procedure Methods 0.000 description 1
- 239000000758 substrate Substances 0.000 description 1
- 238000010189 synthetic method Methods 0.000 description 1
- 229920001059 synthetic polymer Polymers 0.000 description 1
- LRBQNJMCXXYXIU-NRMVVENXSA-N tannic acid Chemical compound OC1=C(O)C(O)=CC(C(=O)OC=2C(=C(O)C=C(C=2)C(=O)OC[C@@H]2[C@H]([C@H](OC(=O)C=3C=C(OC(=O)C=4C=C(O)C(O)=C(O)C=4)C(O)=C(O)C=3)[C@@H](OC(=O)C=3C=C(OC(=O)C=4C=C(O)C(O)=C(O)C=4)C(O)=C(O)C=3)[C@@H](OC(=O)C=3C=C(OC(=O)C=4C=C(O)C(O)=C(O)C=4)C(O)=C(O)C=3)O2)OC(=O)C=2C=C(OC(=O)C=3C=C(O)C(O)=C(O)C=3)C(O)=C(O)C=2)O)=C1 LRBQNJMCXXYXIU-NRMVVENXSA-N 0.000 description 1
- 229920002258 tannic acid Polymers 0.000 description 1
- 235000015523 tannic acid Nutrition 0.000 description 1
- 229940033123 tannic acid Drugs 0.000 description 1
- 238000012360 testing method Methods 0.000 description 1
- 229940124597 therapeutic agent Drugs 0.000 description 1
- 230000001225 therapeutic effect Effects 0.000 description 1
- 229940113082 thymine Drugs 0.000 description 1
- 231100000167 toxic agent Toxicity 0.000 description 1
- 239000003440 toxic substance Substances 0.000 description 1
- 230000007704 transition Effects 0.000 description 1
- ZMANZCXQSJIPKH-UHFFFAOYSA-O triethylammonium ion Chemical compound CC[NH+](CC)CC ZMANZCXQSJIPKH-UHFFFAOYSA-O 0.000 description 1
- VSQQQLOSPVPRAZ-RRKCRQDMSA-N trifluridine Chemical compound C1[C@H](O)[C@@H](CO)O[C@H]1N1C(=O)NC(=O)C(C(F)(F)F)=C1 VSQQQLOSPVPRAZ-RRKCRQDMSA-N 0.000 description 1
- 125000002264 triphosphate group Chemical class [H]OP(=O)(O[H])OP(=O)(O[H])OP(=O)(O[H])O* 0.000 description 1
- LENZDBCJOHFCAS-UHFFFAOYSA-N tris Chemical compound OCC(N)(CO)CO LENZDBCJOHFCAS-UHFFFAOYSA-N 0.000 description 1
- 229960000281 trometamol Drugs 0.000 description 1
- 229940035893 uracil Drugs 0.000 description 1
- 238000005406 washing Methods 0.000 description 1
Classifications
-
- C—CHEMISTRY; METALLURGY
- C12—BIOCHEMISTRY; BEER; SPIRITS; WINE; VINEGAR; MICROBIOLOGY; ENZYMOLOGY; MUTATION OR GENETIC ENGINEERING
- C12N—MICROORGANISMS OR ENZYMES; COMPOSITIONS THEREOF; PROPAGATING, PRESERVING, OR MAINTAINING MICROORGANISMS; MUTATION OR GENETIC ENGINEERING; CULTURE MEDIA
- C12N15/00—Mutation or genetic engineering; DNA or RNA concerning genetic engineering, vectors, e.g. plasmids, or their isolation, preparation or purification; Use of hosts therefor
- C12N15/09—Recombinant DNA-technology
- C12N15/11—DNA or RNA fragments; Modified forms thereof; Non-coding nucleic acids having a biological activity
- C12N15/115—Aptamers, i.e. nucleic acids binding a target molecule specifically and with high affinity without hybridising therewith ; Nucleic acids binding to non-nucleic acids, e.g. aptamers
-
- C—CHEMISTRY; METALLURGY
- C07—ORGANIC CHEMISTRY
- C07H—SUGARS; DERIVATIVES THEREOF; NUCLEOSIDES; NUCLEOTIDES; NUCLEIC ACIDS
- C07H19/00—Compounds containing a hetero ring sharing one ring hetero atom with a saccharide radical; Nucleosides; Mononucleotides; Anhydro-derivatives thereof
- C07H19/02—Compounds containing a hetero ring sharing one ring hetero atom with a saccharide radical; Nucleosides; Mononucleotides; Anhydro-derivatives thereof sharing nitrogen
- C07H19/04—Heterocyclic radicals containing only nitrogen atoms as ring hetero atom
- C07H19/06—Pyrimidine radicals
- C07H19/10—Pyrimidine radicals with the saccharide radical esterified by phosphoric or polyphosphoric acids
-
- A—HUMAN NECESSITIES
- A61—MEDICAL OR VETERINARY SCIENCE; HYGIENE
- A61K—PREPARATIONS FOR MEDICAL, DENTAL OR TOILETRY PURPOSES
- A61K31/00—Medicinal preparations containing organic active ingredients
- A61K31/70—Carbohydrates; Sugars; Derivatives thereof
- A61K31/7088—Compounds having three or more nucleosides or nucleotides
-
- A—HUMAN NECESSITIES
- A61—MEDICAL OR VETERINARY SCIENCE; HYGIENE
- A61P—SPECIFIC THERAPEUTIC ACTIVITY OF CHEMICAL COMPOUNDS OR MEDICINAL PREPARATIONS
- A61P17/00—Drugs for dermatological disorders
-
- A—HUMAN NECESSITIES
- A61—MEDICAL OR VETERINARY SCIENCE; HYGIENE
- A61P—SPECIFIC THERAPEUTIC ACTIVITY OF CHEMICAL COMPOUNDS OR MEDICINAL PREPARATIONS
- A61P17/00—Drugs for dermatological disorders
- A61P17/04—Antipruritics
-
- A—HUMAN NECESSITIES
- A61—MEDICAL OR VETERINARY SCIENCE; HYGIENE
- A61P—SPECIFIC THERAPEUTIC ACTIVITY OF CHEMICAL COMPOUNDS OR MEDICINAL PREPARATIONS
- A61P37/00—Drugs for immunological or allergic disorders
-
- A—HUMAN NECESSITIES
- A61—MEDICAL OR VETERINARY SCIENCE; HYGIENE
- A61P—SPECIFIC THERAPEUTIC ACTIVITY OF CHEMICAL COMPOUNDS OR MEDICINAL PREPARATIONS
- A61P37/00—Drugs for immunological or allergic disorders
- A61P37/08—Antiallergic agents
-
- A—HUMAN NECESSITIES
- A61—MEDICAL OR VETERINARY SCIENCE; HYGIENE
- A61P—SPECIFIC THERAPEUTIC ACTIVITY OF CHEMICAL COMPOUNDS OR MEDICINAL PREPARATIONS
- A61P43/00—Drugs for specific purposes, not provided for in groups A61P1/00-A61P41/00
-
- C—CHEMISTRY; METALLURGY
- C07—ORGANIC CHEMISTRY
- C07H—SUGARS; DERIVATIVES THEREOF; NUCLEOSIDES; NUCLEOTIDES; NUCLEIC ACIDS
- C07H19/00—Compounds containing a hetero ring sharing one ring hetero atom with a saccharide radical; Nucleosides; Mononucleotides; Anhydro-derivatives thereof
-
- C—CHEMISTRY; METALLURGY
- C07—ORGANIC CHEMISTRY
- C07H—SUGARS; DERIVATIVES THEREOF; NUCLEOSIDES; NUCLEOTIDES; NUCLEIC ACIDS
- C07H19/00—Compounds containing a hetero ring sharing one ring hetero atom with a saccharide radical; Nucleosides; Mononucleotides; Anhydro-derivatives thereof
- C07H19/02—Compounds containing a hetero ring sharing one ring hetero atom with a saccharide radical; Nucleosides; Mononucleotides; Anhydro-derivatives thereof sharing nitrogen
- C07H19/04—Heterocyclic radicals containing only nitrogen atoms as ring hetero atom
- C07H19/06—Pyrimidine radicals
-
- C—CHEMISTRY; METALLURGY
- C07—ORGANIC CHEMISTRY
- C07H—SUGARS; DERIVATIVES THEREOF; NUCLEOSIDES; NUCLEOTIDES; NUCLEIC ACIDS
- C07H19/00—Compounds containing a hetero ring sharing one ring hetero atom with a saccharide radical; Nucleosides; Mononucleotides; Anhydro-derivatives thereof
- C07H19/02—Compounds containing a hetero ring sharing one ring hetero atom with a saccharide radical; Nucleosides; Mononucleotides; Anhydro-derivatives thereof sharing nitrogen
- C07H19/04—Heterocyclic radicals containing only nitrogen atoms as ring hetero atom
- C07H19/06—Pyrimidine radicals
- C07H19/067—Pyrimidine radicals with ribosyl as the saccharide radical
-
- C—CHEMISTRY; METALLURGY
- C07—ORGANIC CHEMISTRY
- C07H—SUGARS; DERIVATIVES THEREOF; NUCLEOSIDES; NUCLEOTIDES; NUCLEIC ACIDS
- C07H19/00—Compounds containing a hetero ring sharing one ring hetero atom with a saccharide radical; Nucleosides; Mononucleotides; Anhydro-derivatives thereof
- C07H19/02—Compounds containing a hetero ring sharing one ring hetero atom with a saccharide radical; Nucleosides; Mononucleotides; Anhydro-derivatives thereof sharing nitrogen
- C07H19/04—Heterocyclic radicals containing only nitrogen atoms as ring hetero atom
- C07H19/06—Pyrimidine radicals
- C07H19/073—Pyrimidine radicals with 2-deoxyribosyl as the saccharide radical
-
- C—CHEMISTRY; METALLURGY
- C07—ORGANIC CHEMISTRY
- C07H—SUGARS; DERIVATIVES THEREOF; NUCLEOSIDES; NUCLEOTIDES; NUCLEIC ACIDS
- C07H19/00—Compounds containing a hetero ring sharing one ring hetero atom with a saccharide radical; Nucleosides; Mononucleotides; Anhydro-derivatives thereof
- C07H19/02—Compounds containing a hetero ring sharing one ring hetero atom with a saccharide radical; Nucleosides; Mononucleotides; Anhydro-derivatives thereof sharing nitrogen
- C07H19/04—Heterocyclic radicals containing only nitrogen atoms as ring hetero atom
- C07H19/16—Purine radicals
- C07H19/167—Purine radicals with ribosyl as the saccharide radical
-
- C—CHEMISTRY; METALLURGY
- C07—ORGANIC CHEMISTRY
- C07H—SUGARS; DERIVATIVES THEREOF; NUCLEOSIDES; NUCLEOTIDES; NUCLEIC ACIDS
- C07H19/00—Compounds containing a hetero ring sharing one ring hetero atom with a saccharide radical; Nucleosides; Mononucleotides; Anhydro-derivatives thereof
- C07H19/02—Compounds containing a hetero ring sharing one ring hetero atom with a saccharide radical; Nucleosides; Mononucleotides; Anhydro-derivatives thereof sharing nitrogen
- C07H19/04—Heterocyclic radicals containing only nitrogen atoms as ring hetero atom
- C07H19/16—Purine radicals
- C07H19/173—Purine radicals with 2-deoxyribosyl as the saccharide radical
-
- C—CHEMISTRY; METALLURGY
- C07—ORGANIC CHEMISTRY
- C07H—SUGARS; DERIVATIVES THEREOF; NUCLEOSIDES; NUCLEOTIDES; NUCLEIC ACIDS
- C07H21/00—Compounds containing two or more mononucleotide units having separate phosphate or polyphosphate groups linked by saccharide radicals of nucleoside groups, e.g. nucleic acids
- C07H21/04—Compounds containing two or more mononucleotide units having separate phosphate or polyphosphate groups linked by saccharide radicals of nucleoside groups, e.g. nucleic acids with deoxyribosyl as saccharide radical
-
- C—CHEMISTRY; METALLURGY
- C12—BIOCHEMISTRY; BEER; SPIRITS; WINE; VINEGAR; MICROBIOLOGY; ENZYMOLOGY; MUTATION OR GENETIC ENGINEERING
- C12N—MICROORGANISMS OR ENZYMES; COMPOSITIONS THEREOF; PROPAGATING, PRESERVING, OR MAINTAINING MICROORGANISMS; MUTATION OR GENETIC ENGINEERING; CULTURE MEDIA
- C12N2310/00—Structure or type of the nucleic acid
- C12N2310/10—Type of nucleic acid
- C12N2310/16—Aptamers
-
- C—CHEMISTRY; METALLURGY
- C12—BIOCHEMISTRY; BEER; SPIRITS; WINE; VINEGAR; MICROBIOLOGY; ENZYMOLOGY; MUTATION OR GENETIC ENGINEERING
- C12N—MICROORGANISMS OR ENZYMES; COMPOSITIONS THEREOF; PROPAGATING, PRESERVING, OR MAINTAINING MICROORGANISMS; MUTATION OR GENETIC ENGINEERING; CULTURE MEDIA
- C12N2310/00—Structure or type of the nucleic acid
- C12N2310/30—Chemical structure
- C12N2310/33—Chemical structure of the base
- C12N2310/335—Modified T or U
Definitions
- the present disclosure relates to the field of nucleic acid chemistry, specifically to 5-position modified uridines as well as phosphoramidites and triphosphates derivatives thereof.
- the present disclosure also relates to methods of making and using the same.
- the disclosure includes the use of the modified nucleosides as part of an oligonucleotide or an aptamer.
- modified nucleosides As therapeutic agents, diagnostic agents, and for incorporation into oligonucleotides.
- modified nucleosides such as AZT, ddI, d4T, and others have been used to treat AIDS.
- 5-trifluoromethyl-2′-deoxyuridine is active against herpetic keratitis and 5-iodo-1-(2-deoxy-2-fluoro-b-D-arabinofuranosyl)cytosine has activity against CMV, VZV, HSV-1, HSV-2 and EBV (A Textbook of Drug Design and Development, Povl Krogsgaard-Larsen and Hans Bundgaard, Eds., Harwood Academic Publishers, 1991, Ch. 15).
- Modified nucleosides have shown utility in diagnostic applications.
- the nucleosides are incorporated into DNA in determinable locations, and various diagnostic methods are used to determine the location of the modified nucleosides. These methods include radiolabeling, fluorescent labeling, biotinylation, and strand cleavage.
- An example of strand cleavage involves reaction of the nucleoside with hydrazine to yield urea nucleosides, then reaction of the urea nucleoside with piperidine to cause strand cleavage (the Maxam-Gilbert method).
- Modified nucleosides have also been incorporated into oligonucleotides.
- Antisense oligonucleotides can bind certain genetic coding regions in an organism to prevent the expression of proteins or to block various cell functions.
- a process known as the SELEX process or systematic Evolution of Ligands for EXponential Enrichment, allows one to identify and produce oligonucleotides (referred to as “aptamers”) that selectively bind target molecules.
- aptamers oligonucleotides
- the SELEX method involves the selection of oligonucleotides from a mixture of candidates to achieve virtually any desired criterion of binding affinity and selectivity.
- the method involves contacting the mixture with a target under conditions favorable for binding (or interacting), partitioning unbound oligonucleotides from oligonucleotides which have bound to (or interacted with) target molecules, dissociating the oligonucleotide-target pairs, amplifying the oligonucleotides dissociated from the oligonucleotide-target pairs to yield a ligand-enriched mixture of oligonucleotides, then reiterating the steps of binding, partitioning, dissociating and amplifying through as many cycles as desired.
- Modified nucleosides can be incorporated into antisense oligonucleotides, ribozymes, and oligonucleotides used in or identified by the SELEX process. These nucleosides can impart in vivo and in vitro stability of the oligonucleotides to endo and exonucleases, alter the charge, hydrophilicity or lipophilicity of the molecule, and/or provide differences in three dimensional structure.
- nucleosides that have been previously described include 2′-position sugar modifications, 5-position pyrimidine modifications, 8-position purine modifications, modifications at exocyclic amines, substitution of 4-thiouridine, substitution of 5-bromo or 5-iodo-uracil, backbone modifications, and methylations. Modifications have also included 3′ and 5′ modifications such as capping.
- PCT WO 91/14696 describes a method for chemically modifying antisense oligonucleotides to enhance entry into a cell.
- U.S. Pat. Nos. 5,428,149, 5,591,843, 5,633,361, 5,719,273, and 5,945,527 which are incorporated herein by reference in their entirety, describe modifying pyrimidine nucleosides via palladium coupling reactions.
- a nucleophile and carbon monoxide are coupled to pyrimidine nucleosides containing a leaving group on the 5-position of the pyrimidine ring, preferably forming ester and amide derivatives.
- PCT WO 90/15065 describes a method for making exonuclease-resistant oligonucleotides by incorporating two or more phosphoramidite, phosphoromonothionate and/or phosphorodithionate linkages at the 5′ and/or 3′ ends of the oligonucleotide.
- PCT WO 91/06629 discloses oligonucleotides with one or more phosphodiester linkages between adjacent nucleosides replaced by forming an acetal/ketal type linkage which is capable of binding RNA or DNA.
- nucleosides for therapeutic and diagnostic applications and for inclusion in oligonucleotides.
- oligonucleotides When incorporated in oligonucleotides, it would be advantageous to provide new oligonucleotides that exhibit different high affinity binding to target molecules, and/or show increased resistance to exonucleases and endonucleases than oligonucleotides prepared from naturally occurring nucleosides. It would also be useful to provide nucleotides with modifications that impart a biological activity other than, or in addition to, endonuclease and exonuclease resistance.
- the present disclosure provides 5-position modified uridines of the following general formula:
- R is selected from the group consisting of —(CH 2 ) n —R X1 ; R X1 is selected from the group consisting of
- carbocyclic sugar analogs can be replaced with carbocyclic sugar analogs, ⁇ -anomeric sugars, epimeric sugars such as arabinose, xyloses or lyxoses, pyranose sugars, furanose sugars, sedoheptuloses, acyclic analogs and abasic nucleoside analogs such as methyl riboside.
- the compounds of the present disclosure can be incorporated into oligonucleotides or aptamers using standard synthetic or enzymatic methods of preparing such compounds.
- Also provided in the present disclosure are methods for producing the compounds of the present disclosure and the compounds produced by said methods.
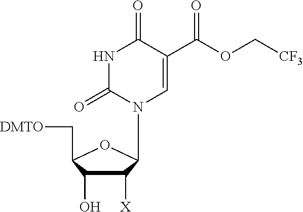
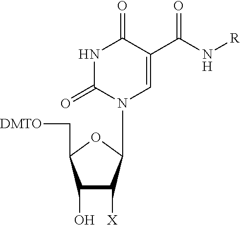
- a method for preparing a C-5 modified aminocarbonylpyrimidine comprising: reacting a pyrimidine modified at the 5-position with a trifluoroethoxycarbonyl with an amine in the presence of a base; and isolating said C-5 modified aminocarbonylpyrimidine.
- a method for preparing a 3′-phosporamidite of a C-5 modified aminocarbonylpyrimidine comprising: reacting said C-5 modified aminocarbonylpyrimidine with cyanoethyldiisopropylchlorophosphoramidite in the presence of a base; and isolating said 3′-phosporamidite.
- a method for preparing a 5′-triphosphate of a C-5 modified aminocarbonylpyrimidine comprising:
- R and X are as defined above, with acetic anhydride in the presence of a base, followed by cleavage of the 5′-DMTgroup with an acid to form a 3′-acetate of the following structure:
- step b performing a Ludwig-Eckstein reaction followed by anion exchange chromatography on the 3′-acetate of step a);
- an aptamer includes mixtures of aptamers, and the like.
- the term “about” represents an insignificant modification or variation of the numerical value such that the basic function of the item to which the numerical value relates is unchanged.
- each when used herein to refer to a plurality of items is intended to refer to at least two of the items. It need not require that all of the items forming the plurality satisfy an associated additional limitation.
- the terms “comprises,” “comprising,” “includes,” “including,” “contains,” “containing,” and any variations thereof, are intended to cover a non-exclusive inclusion, such that a process, method, product-by-process, or composition of matter that comprises, includes, or contains an element or list of elements does not include only those elements but may include other elements not expressly listed or inherent to such process, method, product-by-process, or composition of matter.
- nucleotide refers to a ribonucleotide or a deoxyribonucleotide, or a modified form thereof, as well as an analog thereof.
- Nucleotides include species that include purines (e.g., adenine, hypoxanthine, guanine, and their derivatives and analogs) as well as pyrimidines (e.g., cytosine, uracil, thymine, and their derivatives and analogs).
- the present disclosure provides compounds of the following formula:
- R is selected from the group consisting of —(CH 2 ) n —R X1 ; R X1 is selected from the group consisting of
- carbocyclic sugar analogs can be replaced with carbocyclic sugar analogs, ⁇ -anomeric sugars, epimeric sugars such as arabinose, xyloses or lyxoses, pyranose sugars, furanose sugars, sedoheptuloses, acyclic analogs and abasic nucleoside analogs such as methyl riboside.
- R, R′′ and X are as defined above.
- Compounds of this general formula are useful for incorporation of the modified nucleoside into an oligonucleotide by chemical synthesis.
- the present disclosure provides compounds of the formula or salts thereof:
- R, R′ and X are as defined above.
- Compounds of this general formula are useful for incorporation of the modified nucleoside into an oligonucleotide by enzymatic synthesis.
- C-5 modified carboxyamideuridine or “C-5 modified aminocarbonyluridine” refers to a uridine with a carboxyamide (—C(O)NH—) modification at the C-5 position of the uridine including, but not limited to, those moieties (R) illustrated above.
- Examples of a C-5 modified carboxyamideuridines include those described in U.S. Pat. Nos. 5,719,273 and 5,945,527, as well as, U.S. Provisional Application Ser. No. 61/422,957 (the '957 application), filed Dec.
- Representative C-5 modified pyrimidines include: 5-(N-benzylcarboxyamide)-2′-deoxyuridine (BndU), 5-(N-benzylcarboxyamide)-2′-O-methyluridine, 5-(N-benzylcarboxyamide)-2′-fluorouridine, 5-(N-isobutylcarboxyamide)-2′-deoxyuridine (iBudU), 5-(N-isobutylcarboxyamide)-2′-O-methyluridine, 5-(N-isobutylcarboxyamide)-2′-fluorouridine, 5-(N-tryptaminocarboxyamide)-2′-deoxyuridine (TrpdU), 5-(N-tryptaminocarboxyamide)-2′-O-methyluridine, 5-(N-tryptaminocarboxyamide)-2′-fluorouridine, 5-(N-[1-(3-trifluorouridine, 5-(N-[1-(3-trifluorour
- C-5 modified aminocarbonyluridines include the following compounds as well as the 5′-triphosphates and 3′-phosphoramidites and salts thereof of said compounds, the syntheses of which are described in Examples 1-5.
- a corresponding salt of the compound for example, a pharmaceutically-acceptable salt.
- a pharmaceutically-acceptable salt examples are discussed in Berge et al. “Pharmaceutically Acceptable Salts” (1977) J. Pharm. Sci. 66:1-19.
- a salt may be formed with a suitable cation.
- suitable inorganic cations include, but are not limited to, alkali metal ions such as Na + and K + , alkaline earth cations such as Ca 2+ and Mg 2+ , and other cations such as Al +3 .
- Suitable organic cations include, but are not limited to, ammonium ion (i.e., NH 4 + ) and substituted ammonium ions (e.g., NH 3 R x+ , NH 2 R x 2 + , NHR x 3 + , NR x 4 + ).
- Examples of some suitable substituted ammonium ions are those derived from: ethylamine, diethylamine, dicyclohexylamine, triethylamine, butylamine, ethylenediamine, ethanolamine, diethanolamine, piperizine, benzylamine, phenylbenzylamine, choline, meglumine, and tromethamine, as well as amino acids, such as lysine and arginine.
- An example of a common quaternary ammonium ion is N(CH 3 ) 4 + .
- a salt may be formed with a suitable anion.
- suitable inorganic anions include, but are not limited to, those derived from the following inorganic acids: hydrochloric, hydrobromic, hydroiodic, sulfuric, sulfurous, nitric, nitrous, phosphoric, and phosphorous.
- Suitable organic anions include, but are not limited to, those derived from the following organic acids: 2-acetyoxybenzoic, acetic, ascorbic, aspartic, benzoic, camphorsulfonic, cinnamic, citric, edetic, ethanedisulfonic, ethanesulfonic, fumaric, glucheptonic, gluconic, glutamic, glycolic, hydroxymaleic, hydroxynaphthalene carboxylic, isethionic, lactic, lactobionic, lauric, maleic, malic, methanesulfonic, mucic, oleic, oxalic, palmitic, pamoic, pantothenic, phenylacetic, phenylsulfonic, propionic, pyruvic, salicylic, stearic, succinic, sulfanilic, tartaric, toluenesulfonic, and valeric.
- a reference to a particular compound also includes salt forms thereof.
- the instant disclosure provides methods for using the modified nucleosides described herein, either alone or in combination with other modified nucleosides and/or naturally occurring nucleosides, to prepare modified oligonucleotides.
- the automated synthesis of oligodeoxynucleosides is routine practice in many laboratories (see e.g., Matteucci, M. D. and Caruthers, M. H., (1990) J. Am. Chem. Soc., 103:3185-3191, the contents of which are hereby incorporated by reference). Synthesis of oligoribonucleosides is also well known (see e.g. Scaringe, S. A., et al., Nucleic Acids Res.
- the phosphoramidites are useful for incorporation of the modified nucleoside into an oligonucleotide by chemical synthesis
- the triphosphates are useful for incorporation of the modified nucleoside into an oligonucleotide by enzymatic synthesis.
- the terms “modify,” “modified,” “modification,” and any variations thereof, when used in reference to an oligonucleotide means that at least one of the four constituent nucleotide bases (i.e., A, G, T/U, and C) of the oligonucleotide is an analog or ester of a naturally occurring nucleotide.
- the modified nucleotide confers nuclease resistance to the oligonucleotide. Additional modifications can include backbone modifications, methylations, unusual base-pairing combinations such as the isobases isocytidine and isoguanidine, and the like. Modifications can also include 3′ and 5′ modifications, such as capping.
- modifications can include substitution of one or more of the naturally occurring nucleotides with an analog, internucleotide modifications such as, for example, those with uncharged linkages (e.g., methyl phosphonates, phosphotriesters, phosphoamidates, carbamates, etc.) and those with charged linkages (e.g., phosphorothioates, phosphorodithioates, etc.), those with intercalators (e.g., acridine, psoralen, etc.), those containing chelators (e.g., metals, radioactive metals, boron, oxidative metals, etc.), those containing alkylators, and those with modified linkages (e.g., alpha anomeric nucleic acids, etc.).
- internucleotide modifications such as, for example, those with uncharged linkages (e.g., methyl phosphonates, phosphotriesters, phosphoamidates, carbamates, etc.) and those with charged linkages
- any of the hydroxyl groups ordinarily present on the sugar of a nucleotide may be replaced by a phosphonate group or a phosphate group; protected by standard protecting groups; or activated to prepare additional linkages to additional nucleotides or to a solid support.
- the 5′ and 3′ terminal OH groups can be phosphorylated or substituted with amines, organic capping group moieties of from about 1 to about 20 carbon atoms, polyethylene glycol (PEG) polymers in one embodiment ranging from about 10 to about 80 kDa, PEG polymers in another embodiment ranging from about 20 to about 60 kDa, or other hydrophilic or hydrophobic biological or synthetic polymers.
- Polynucleotides can also contain analogous forms of ribose or deoxyribose sugars that are generally known in the art, including 2′-O-methyl, 2′-O-allyl, 2′-O-ethyl, 2′-O-propyl, 2′-O—CH 2 CH 2 OCH 3 , 2′-fluoro- or 2′-azido, carbocyclic sugar analogs, ⁇ -anomeric sugars, epimeric sugars such as arabinose, xyloses or lyxoses, pyranose sugars, furanose sugars, sedoheptuloses, acyclic analogs and abasic nucleoside analogs such as methyl riboside.
- analogous forms of ribose or deoxyribose sugars that are generally known in the art, including 2′-O-methyl, 2′-O-allyl, 2′-O-ethyl, 2′-O-propyl, 2′-
- one or more phosphodiester linkages may be replaced by alternative linking groups.
- alternative linking groups include embodiments wherein phosphate is replaced by P(O)S (“thioate”), P(S)S (“dithioate”), (O)NR x 2 (“amidate”), P(O) R x , P(O)OR x′ , CO or CH 2 (“formacetal”), in which each R x or R x′ are independently H or substituted or unsubstituted alkyl (C1-C20) optionally containing an ether (—O—) linkage, aryl, alkenyl, cycloalky, cycloalkenyl or araldyl.
- a modification to the nucleotide structure can be imparted before or after assembly of a polymer.
- a sequence of nucleotides can be interrupted by non-nucleotide components.
- a polynucleotide can be further modified after polymerization, such as by conjugation with a labeling component.
- nucleic acid As used herein, “nucleic acid,” “oligonucleotide,” and “polynucleotide” are used interchangeably to refer to a polymer of nucleotides and include DNA, RNA, DNA/RNA hybrids and modifications of these kinds of nucleic acids, oligonucleotides and polynucleotides, wherein the attachment of various entities or moieties to the nucleotide units at any position are included.
- polynucleotide oligonucleotide
- nucleic acid include double- or single-stranded molecules as well as triple-helical molecules.
- nucleic acid, oligonucleotide, and polynucleotide are broader terms than the term aptamer and, thus, the terms nucleic acid, oligonucleotide, and polynucleotide include polymers of nucleotides that are aptamers but the terms nucleic acid, oligonucleotide, and polynucleotide are not limited to aptamers.
- the term “at least one nucleotide” when referring to modifications of a nucleic acid refers to one, several, or all nucleotides in the nucleic acid, indicating that any or all occurrences of any or all of A, C, T, G or U in a nucleic acid may be modified or not.
- the instant disclosure methods for using the modified nucleosides described herein, either alone or in combination with other modified nucleosides and/or naturally occurring nucleosides, to prepare aptamers and SOMAmers (described below).
- the aptamers and SOMAmers are prepared using the general SELEX or improved SELEX process as described below.
- nucleic acid ligand As used herein, “nucleic acid ligand,” “aptamer,” “SOMAmer,” and “clone” are used interchangeably to refer to a non-naturally occurring nucleic acid that has a desirable action on a target molecule.
- a desirable action includes, but is not limited to, binding of the target, catalytically changing the target, reacting with the target in a way that modifies or alters the target or the functional activity of the target, covalently attaching to the target (as in a suicide inhibitor), and facilitating the reaction between the target and another molecule.
- the action is specific binding affinity for a target molecule, such target molecule being a three dimensional chemical structure other than a polynucleotide that binds to the nucleic acid ligand through a mechanism which is independent of Watson/Crick base pairing or triple helix formation, wherein the aptamer is not a nucleic acid having the known physiological function of being bound by the target molecule.
- Aptamers to a given target include nucleic acids that are identified from a candidate mixture of nucleic acids, where the aptamer is a ligand of the target, by a method comprising: (a) contacting the candidate mixture with the target, wherein nucleic acids having an increased affinity to the target relative to other nucleic acids in the candidate mixture can be partitioned from the remainder of the candidate mixture; (b) partitioning the increased affinity nucleic acids from the remainder of the candidate mixture; and (c) amplifying the increased affinity nucleic acids to yield a ligand-enriched mixture of nucleic acids, whereby aptamers of the target molecule are identified.
- an aptamer for its target means that the aptamer binds to its target generally with a much higher degree of affinity than it binds to other, non-target, components in a mixture or sample.
- An “aptamer,” “SOMAmer,” or “nucleic acid ligand” is a set of copies of one type or species of nucleic acid molecule that has a particular nucleotide sequence.
- An aptamer can include any suitable number of nucleotides. “Aptamers” refer to more than one such set of molecules. Different aptamers can have either the same or different numbers of nucleotides. Aptamers may be DNA or RNA and may be single stranded, double stranded, or contain double stranded or triple stranded regions.
- a “SOMAmer” or Slow Off-Rate Modified Aptamer refers to an aptamer having improved off-rate characteristics. SOMAmers can be generated using the improved SELEX methods described in U.S. Publication No. 20090004667, entitled “Method for Generating Aptamers with Improved Off-Rates.”.
- protein is used synonymously with “peptide,” “polypeptide,” or “peptide fragment.”
- a “purified” polypeptide, protein, peptide, or peptide fragment is substantially free of cellular material or other contaminating proteins from the cell, tissue, or cell-free source from which the amino acid sequence is obtained, or substantially free from chemical precursors or other chemicals when chemically synthesized.
- SELEX and “SELEX process” are used interchangeably herein to refer generally to a combination of (1) the selection of nucleic acids that interact with a target molecule in a desirable manner, for example binding with high affinity to a protein, with (2) the amplification of those selected nucleic acids.
- the SELEX process can be used to identify aptamers with high affinity to a specific target molecule or biomarker.
- SELEX generally includes preparing a candidate mixture of nucleic acids, binding of the candidate mixture to the desired target molecule to form an affinity complex, separating the affinity complexes from the unbound candidate nucleic acids, separating and isolating the nucleic acid from the affinity complex, purifying the nucleic acid, and identifying a specific aptamer sequence.
- the process may include multiple rounds to further refine the affinity of the selected aptamer.
- the process can include amplification steps at one or more points in the process. See, e.g., U.S. Pat. No.
- the SELEX process can be used to generate an aptamer that covalently binds its target as well as an aptamer that non-covalently binds its target. See, e.g., U.S. Pat. No. 5,705,337 entitled “Systematic Evolution of Nucleic Acid Ligands by Exponential Enrichment: Chemi-SELEX.”
- the SELEX process can be used to identify high-affinity aptamers containing modified nucleotides that confer improved characteristics on the aptamer, such as, for example, improved in vivo stability or improved delivery characteristics. Examples of such modifications include chemical substitutions at the ribose and/or phosphate and/or base positions. SELEX process-identified aptamers containing modified nucleotides are described in U.S. Pat. No. 5,660,985, entitled “High Affinity Nucleic Acid Ligands Containing Modified Nucleotides,” which describes oligonucleotides containing nucleotide derivatives chemically modified at the 5′- and 2′-positions of pyrimidines. U.S. Pat. No.
- SELEX can also be used to identify aptamers that have desirable off-rate characteristics. See U.S. Patent Publication No. 20090004667, entitled “Method for Generating Aptamers with Improved Off-Rates,” which is incorporated herein by reference in its entirety, describes improved SELEX methods for generating aptamers that can bind to target molecules. Methods for producing aptamers and photoaptamers having slower rates of dissociation from their respective target molecules are described.
- the methods involve contacting the candidate mixture with the target molecule, allowing the formation of nucleic acid-target complexes to occur, and performing a slow off-rate enrichment process wherein nucleic acid-target complexes with fast dissociation rates dissociate and do not reform, while complexes with slow dissociation rates remain intact. Additionally, the methods include the use of modified nucleotides in the production of candidate nucleic acid mixtures to generate aptamers with improved off-rate performance (see U.S. Patent Publication No. 20090098549, entitled “SELEX and PhotoSELEX”). (See also U.S. Pat. No. 7,855,054 and U.S. Patent Publication No. 20070166740). Each of these applications is incorporated herein by reference in its entirety.
- Target or “target molecule” or “target” refers herein to any compound upon which a nucleic acid can act in a desirable manner.
- a target molecule can be a protein, peptide, nucleic acid, carbohydrate, lipid, polysaccharide, glycoprotein, hormone, receptor, antigen, antibody, virus, pathogen, toxic substance, substrate, metabolite, transition state analog, cofactor, inhibitor, drug, dye, nutrient, growth factor, cell, tissue, any portion or fragment of any of the foregoing, etc., without limitation. Virtually any chemical or biological effector may be a suitable target. Molecules of any size can serve as targets.
- a target can also be modified in certain ways to enhance the likelihood or strength of an interaction between the target and the nucleic acid.
- a target can also include any minor variation of a particular compound or molecule, such as, in the case of a protein, for example, minor variations in amino acid sequence, disulfide bond formation, glycosylation, lipidation, acetylation, phosphorylation, or any other manipulation or modification, such as conjugation with a labeling component, which does not substantially alter the identity of the molecule.
- a “target molecule” or “target” is a set of copies of one type or species of molecule or multimolecular structure that is capable of binding to an aptamer.
- “Target molecules” or “targets” refer to more than one such set of molecules. Embodiments of the SELEX process in which the target is a peptide are described in U.S. Pat. No. 6,376,190, entitled “Modified SELEX Processes Without Purified Protein.”
- the C-5 position modified aminocarbonylpyrimidines of the instant disclosure are prepared by reacting a pyrimidine modified at the 5-position with a trifluoroethoxycarbonyl with an amine in the presence of a base; and isolating said C-5 modified aminocarbonylpyrimidine.
- the trifluoroethoxycarbonylpyrimidine is selected from the group of compounds including, but not limited to compounds having the following structure:
- X is selected from the group including, but not limited to —H, —OH, —OMe, —O-allyl, —F, —OEt, —OPr, —OCH 2 CH 2 OCH 3 and -azido, and wherein
- carbocyclic sugar analogs can be replaced with carbocyclic sugar analogs, ⁇ -anomeric sugars, epimeric sugars such as arabinose, xyloses or lyxoses, pyranose sugars, furanose sugars, sedoheptuloses, acyclic analogs and abasic nucleoside analogs such as methyl riboside.
- the amine is selected from the group including, but not limited to compounds of the formula RNH 2 , wherein
- R is selected from the group consisting of —(CH 2 ) n —R X1 ;
- R X1 is selected from the group consisting of:
- the amine is selected from the group consisting of:
- the base is a tertiary amine selected from the group consisting of triethylamine, diisopropylamine and the like.
- the present disclosure also provides a method for the synthesis of a 3′-phosporamidite of a C-5 modified aminocarbonylpyrimidine comprising: reacting said C-5 modified aminocarbonylpyrimidine with cyanoethyldiisopropylchlorophosphoramidite in the presence of a base; and isolating said 3′-phosporamidite.
- the C-5 modified aminocarbonylpyrimidine has the following structure:
- the base is a tertiary amine selected from the group consisting of consisting of triethylamine, diisopropylamine and the like.
- the present disclosure also provides a method for the synthesis of a 5′-triphosphate of a C-5 modified aminocarbonylpyrimidine comprising:
- R and X are as defined above, with acetic anhydride in the presence of a base, followed by cleavage of the 5′-DMTgroup with an acid to form a 3′-acetate of the following structure:
- step b performing a Ludwig-Eckstein reaction followed by anion exchange chromatography on the 3′-acetate of step a);
- the base used is selected from the group including, but not limited to a tertiary amine. In some embodiments the base is pyridine.
- the acid used in step a is selected from the group including, but not limited to dichloroacetic acid, trichloroacetic acid and 1,1,1,3,3,3-hexafluoro-2-propanol.
- the trifluoroethoxycarbonylpyrimidine has the following structure:
- this compound is formed by the reaction of compound (7) of Scheme 2 with carbon monoxide and trifluoroethanol in the presence of a palladium catalyst and a base.
- the base is selected from the group including, but not limited to a tertiary amine selected from triethylamine and the like.
- the present disclosure includes compounds prepared by each of the above described methods.
- 5′-O-Dimethoxytrityl-5-(4-fluorobenzylaminocarbonyl)-2′-deoxyuridine (3a).
- the starting material, 5′-O-dimethoxytrityl-5-trifluoroethoxycarbonyl-2′-deoxyuridine (1) was prepared by the procedure of Matsuda et al (Nomura, Y.; Ueno, Y.; Matsuda, A. Nucleic Acids Research 1997, 25:2784-2791; Ito, T., Ueno, Y.; Matsuda, A. Nucleic Acids Research 2003, 31:2514-2523).
- the compound (3b) was prepared as described for (3a) using (R)-2-furfurylmethylamine (2b) and isolated as a white solid (9.3 g, 94% yield).
- the eluent for chromatography was 1% triethylamine/4% methanol/95% ethyl acetate.
- the compound (3d) was prepared as described for (3a), using 2-(4-morpholino)-ethylamine (2d), and isolated as a white solid (8.2 g, 80% yield).
- the eluent for chromatography was 5% methanol/2% triethylamine/93% dichloromethane.
- the compound (3e) was prepared as described for (3a) using N-benzimidazolonyl-2-ethylamine (2e) (CAS RN64928-88-7).
- the eluent for chromatography was 2% methanol/1% triethylamine/97% dichloromethane.
- the pure product was isolated as a tan solid (8.2 g, 74.5% yield).
- reaction mixture was partitioned between ice-cold 2% sodium bicarbonate solution (200 mL) and ethyl acetate (200 mL). The organic layer was washed with brine, dried over anhydrous sodium sulfate, filtered, and concentrated. The residue was purified by silica gel flash chromography using a mobile phase of 1% triethylamine/99% ethyl acetate. Fractions containing pure product were combined and evaporated in vacuo ( ⁇ 30° C.). Traces of residual chromatography solvent were removed by co-evaporation with anhydrous acetonitrile and drying at high vacuum to afford (4a) as a white solid foam (4.10 g, 80% yield).
- the compound (4b) was prepared as described for (4a). A 1:1 mixture of diastereomeric phosphoramidites was isolated as a white solid foam (3.15 g, 62% yield). The eluent for chromatography was 1% trithylamine/20% hexanes/79% ethyl acetate.
- the compound (4d) was prepared as described for (4a) except that the purification used a chromatography eluent of 1% triethylamine/5% anhydrous ethanol/94% ethyl acetate. The 1:1 mixture of diastereoisomeric phosphoramidites was isolated as a white solid foam (3.9 g, 75% yield).
- the compound (4e) was prepared as described for (4a) except that the purification used a chromatography eluent of 1% triethylamine/10% anhydrous methanol/89% ethyl acetate.
- the 1:1 mixture of diastereomeric phosphoramidites was isolated as a white solid foam (1.6 g, 31% yield).
- the nucleoside (3a) (3.00 g, 4.4 mmol) was dissolved in a solution of anhydrous pyridine (30 mL) and acetic anhydride (3 mL). The solution was stirred overnight and concentrated in vacuo to yield the 3′-O-acetyl-nucleoside. Residual solvent was removed by co-evaporation with anhydrous toluene (10 mL). The residue was dissolved in anhydrous dichloromethane (10 mL) and treated with 3% trichloroacetic acid in dichloromethane (58 mL). The red solution was stirred overnight, during which time the product crystallized.
- the compound (5b) was prepared from (4b), by the procedure described for (5a) and isolated by precipitation from a mixture of dichloromethane and ethyl acetate as a white solid (1.27 g, 73% yield).
- 1 H-NMR (CDCl 3 ) ⁇ 1.57-2.02 (4H, m), 2.12 (3H, s), 2.46-2.50 (2H, m), 3.03 (1H, bs), 3.43-3.64 (2H, m), 3.75-3.97 (2H, m), 3.78-4.10 (3H.
- the compound (5c) was prepared from (4c), by the procedure described for (5a), and isolated by precipitation from a mixture of dichloromethane and diethyl ether as a slightly orange solid (1.35 g, 77% yield).
- 1 H-NMR (CDCl 3 ) ⁇ 1.57-2.03 (4H, m), 2.12 (3H, s), 2.47-2.51 (2H, m), 2.98 (1H, bs), 3.40-3.68 (2H, m), 3.78-3.95 (2H, m), 3.90-4.12 (3H.
- the nucleoside (3d) (1.00 g, 1.37 mmol) was dissolved in a solution of anhydrous pyridine (10 mL) and acetic anhydride (1 mL). The solution was stirred overnight and concentrated in vacuo to yield the 3′-O-acetyl-nucleoside. Residual solvent was removed by coevaporation with anhydrous toluene (10 mL). The residue was dissolved in 1,1,1,3,3,3-hexafluoro-2-propanol (20 mL) (Leonard, N. J. Tetrahedron Letters, 1995, 36:7833) and heated at approximately 50° C. for 3 hours. Complete cleavage of the DMT group was confirmed by tlc.
- the compound (5e) was prepared as described for (5d) except that the product crystallized directly when the DMT-cleavage reaction was poured into methanol.
- the diacetyl nucleoside (5e) was isolated by filtration as a white solid (0.55 g, 78% yield).
- the 3′-O-acetyl-nucleosides (5a-d) were also synthesized by an alternative route (Scheme 2) from the starting material, 3′-O-acetyl-5′-O-dimethoxytrityl-5-iodo-2′-deoxyuridine (7) (Vaught, J. D., Bock, C., Carter, J., Fitzwater, T., Otis, M., Schneider, D., Rolando, J., Waugh, S., Wilcox, S. K., Eaton, B. E. J. Am. Chem. Soc. 2010, 132, 4141-4151).
- a 500 mL heavy-walled glass pressure reactor was filled with argon and charged with 3′-O-acetyl-5′-O-dimethoxytrityl-5-iodo-2′-deoxyuridine (7) (15.9 g, 22.8 mmol), anhydrous acetonitrile (200 mL), triethylamine (7.6 mL, 54.7 mmol), and 2,2,2-trifluoroethanol (16.4 mL, 228 mmol). The resulting solution was vigorously stirred and degassed by evacuation to ⁇ 100 mmHg for 2 minutes.
- the flask was filled with argon and bis(benzonitrile)dichloropalladium(II) (175 mg, 0.46 mmol) was added.
- the resulting yellow solution was again degassed and then filled with carbon monoxide (99.9%) (Caution Poison Gas!) from a gas manifold.
- a pressure of 1-10 psi CO was maintained while the reaction mixture was vigorously stirred and heated at 60-65 degC for 12 hours.
- the cooled reaction mixture was filtered (Caution Poison Gas) to remove black precipitate and concentrated in vacuo.
- the orange residue was partitioned with dichloromethane (120 mL) and 10% sodium bicarbonate (80 mL).
- the triphosphate (6a) was synthesized from the 3′-O-acetyl-nucleoside (5a) by the procedure of Ludwig and Eckstein (Ludwig, J. and Eckstein, F. J. Org. Chem. 1989, 54:631) at 500 mol-scale (5 ⁇ ).
- Ludwig and Eckstein Lidwig, J. and Eckstein, F. J. Org. Chem. 1989, 54:631
- the crude triphosphate product after ammonolysis and evaporation, was purified by anion exchange chromatography, as described in the General Procedure (below).
- Nucleoside triphosphates were purified via anion exchange chromatography using an HPLC column packed with Source Q resin (GE Healthcare), installed on a preparative HPLC system, with detection at 278 nm.
- the linear elution gradient employed two buffers, (buffer A: 10 mM triethylammonium bicarbonate/10% acetonitrile, and buffer B: 1 M triethylammonium bicarbonate/10% acetonitrile), with the gradient running at ambient temperature from low buffer B content to high buffer B over the course of the elution.
- the desired product was typically the final material to elute from the column and was observed as a broad peak spanning approximately ten to twelve minutes retention time (early eluting products included a variety of reaction by-products, the most significant being the nucleoside diphosphate).
- Several fractions were collected during product elution. Fraction was analyzed by reversed phase HPLC on a Waters 2795 HPLC with a Waters Symmetry column (PN: WAT054215). Pure product-containing fractions (typically >90%) were evaporated in a Genevac VC 3000D evaporator to afford colorless to light tan resins. Fractions were reconstituted in deionized water and pooled for final analysis.
- the crude product (6a) was dissolved in approximately 5 mL of buffer A (Table 1: prep-HPLC Conditions 1). Each purification injection consisted of a filtered aliquot of approximately 1 mL of this solution injected into a Waters 625 HPLC with a 486 detector fitted with a Resource Q 6 mL column (GE Healthcare product code: 17-1179-01) with a mobile phase gradient of 0%-100% buffer B in a 50 minute elution at 12 mL/minute.
- (6a) [ ⁇ est . 13,700 cm ⁇ 1 M ⁇ 1 ] the isolated purified product was 130 ⁇ mol (26% yield).
- the triphosphate (6b) was synthesized from the 3′-O-acetyl-nucleoside (5b) as described for (6a).
- the crude product (6b) was purified in a single injection on a Waters 2767 preparatory system with a Waters 2489 detector using a Waters AP-5 column (Waters PN: WAT023331, 50 mm ⁇ 100 mm) packed with 196 mL of Source 15Q resin (GE Healthcare product code: 17-0947-05).
- the same buffers as above were used, but the elution gradient was modified to 25% to 80% buffer B in a 90 minute elution at 50 mL/minute (Table 2: prep-HPLC Conditions 2).
- the triphosphate (6c) was synthesized from the 3′-O-acetyl-nucleoside (5c) as described for (6a).
- the crude product (6c) was purified in a single injection on a Waters 2767 preparatory system with a Waters 2489 detector using a Waters AP-5 column (Waters PN: WAT023331, 50 mm ⁇ 100 mm) packed with 196 mL of Source 15Q resin (GE Healthcare product code: 17-0947-05).
- the same buffers as above were used, but the elution gradient was modified to 25% to 80% buffer B in a 90 minute elution at 50 mL/minute (Table 2: prep-HPLC Conditions 2).
- the triphosphate (6d) was synthesized from the 3′-O-acetyl-nucleoside (5d) as described for (6a).
- the crude product (6d) was purified with the same equipment and buffers as used for (6a), but the gradient was modified to run buffer B from 15% to 60% during the 50 minute elution to improve resolution of products (Table 3: prep-HPLC Conditions 3).
- (6d) [ ⁇ est . 10,200 cm ⁇ 1 M ⁇ 1 ] the isolated purified product was 54 ⁇ mol (11% yield).
- the triphosphate (6e) was synthesized from the 3′-O-acetyl-nucleoside (5e) as described for (6a).
- the crude product (6e) was purified with the same equipment and buffers as used for (6a), but the gradient was modified to run buffer B from 15% to 60% during the 50 minute elution to improve resolution of products (Table 3: prep-HPLC Conditions 3).
- (6e) [ ⁇ est . 13,700 cm ⁇ 1 M ⁇ 1 ] the isolated purified product was 101 ⁇ mol (20% yield).
Landscapes
- Chemical & Material Sciences (AREA)
- Health & Medical Sciences (AREA)
- Organic Chemistry (AREA)
- Life Sciences & Earth Sciences (AREA)
- Engineering & Computer Science (AREA)
- Genetics & Genomics (AREA)
- Molecular Biology (AREA)
- General Health & Medical Sciences (AREA)
- Biochemistry (AREA)
- Biotechnology (AREA)
- Bioinformatics & Cheminformatics (AREA)
- Biomedical Technology (AREA)
- Wood Science & Technology (AREA)
- Zoology (AREA)
- General Engineering & Computer Science (AREA)
- Pharmacology & Pharmacy (AREA)
- Veterinary Medicine (AREA)
- Public Health (AREA)
- Animal Behavior & Ethology (AREA)
- Medicinal Chemistry (AREA)
- Nuclear Medicine, Radiotherapy & Molecular Imaging (AREA)
- General Chemical & Material Sciences (AREA)
- Chemical Kinetics & Catalysis (AREA)
- Biophysics (AREA)
- Physics & Mathematics (AREA)
- Plant Pathology (AREA)
- Microbiology (AREA)
- Immunology (AREA)
- Dermatology (AREA)
- Pulmonology (AREA)
- Epidemiology (AREA)
- Pharmaceuticals Containing Other Organic And Inorganic Compounds (AREA)
- Saccharide Compounds (AREA)
- Medicines That Contain Protein Lipid Enzymes And Other Medicines (AREA)
- Measuring Or Testing Involving Enzymes Or Micro-Organisms (AREA)
Abstract
The present disclosure relates to the field of nucleic acid chemistry, specifically to 5-position modified uridines as well as phosphoramidite and triphosphate derivatives thereof. The present disclosure also relates to methods of making and using the same.
Description
- This application is a continuation of U.S. application Ser. No. 14/847,150, filed Sep. 8, 2015. U.S. application Ser. No. 14/847,150 is a continuation of U.S. application Ser. No. 14/069,798, filed Nov. 1, 2013, now U.S. Pat. No. 9,163,056. U.S. application Ser. No. 14/069,798 is a continuation of U.S. application Ser. No. 13/085,256, filed Apr. 12, 2011, now abandoned. U.S. application Ser. No. 13/085,256 claims the benefit of U.S. Provisional Application Ser. No. 61/323,145, filed Apr. 12, 2010. Each of these applications is incorporated herein by reference in its entirety.
- The present disclosure relates to the field of nucleic acid chemistry, specifically to 5-position modified uridines as well as phosphoramidites and triphosphates derivatives thereof. The present disclosure also relates to methods of making and using the same. The disclosure includes the use of the modified nucleosides as part of an oligonucleotide or an aptamer.
- The following description provides a summary of information relevant to the present disclosure and is not an admission that any of the information provided or publications referenced herein is prior art to the present disclosure.
- There has been considerable interest in developing modified nucleosides as therapeutic agents, diagnostic agents, and for incorporation into oligonucleotides. For example, modified nucleosides such as AZT, ddI, d4T, and others have been used to treat AIDS. 5-trifluoromethyl-2′-deoxyuridine is active against herpetic keratitis and 5-iodo-1-(2-deoxy-2-fluoro-b-D-arabinofuranosyl)cytosine has activity against CMV, VZV, HSV-1, HSV-2 and EBV (A Textbook of Drug Design and Development, Povl Krogsgaard-Larsen and Hans Bundgaard, Eds., Harwood Academic Publishers, 1991, Ch. 15).
- Modified nucleosides have shown utility in diagnostic applications. In these applications, the nucleosides are incorporated into DNA in determinable locations, and various diagnostic methods are used to determine the location of the modified nucleosides. These methods include radiolabeling, fluorescent labeling, biotinylation, and strand cleavage. An example of strand cleavage involves reaction of the nucleoside with hydrazine to yield urea nucleosides, then reaction of the urea nucleoside with piperidine to cause strand cleavage (the Maxam-Gilbert method).
- Modified nucleosides have also been incorporated into oligonucleotides. There are several ways in which oligonucleotides may be useful as therapeutics. Antisense oligonucleotides can bind certain genetic coding regions in an organism to prevent the expression of proteins or to block various cell functions. Further, a process known as the SELEX process, or systematic Evolution of Ligands for EXponential Enrichment, allows one to identify and produce oligonucleotides (referred to as “aptamers”) that selectively bind target molecules. The SELEX process is described in U.S. Pat. No. 5,270,163, the contents of which are hereby incorporated by reference.
- The SELEX method involves the selection of oligonucleotides from a mixture of candidates to achieve virtually any desired criterion of binding affinity and selectivity. Starting from a random mixture of oligonucleotides, the method involves contacting the mixture with a target under conditions favorable for binding (or interacting), partitioning unbound oligonucleotides from oligonucleotides which have bound to (or interacted with) target molecules, dissociating the oligonucleotide-target pairs, amplifying the oligonucleotides dissociated from the oligonucleotide-target pairs to yield a ligand-enriched mixture of oligonucleotides, then reiterating the steps of binding, partitioning, dissociating and amplifying through as many cycles as desired.
- Modified nucleosides can be incorporated into antisense oligonucleotides, ribozymes, and oligonucleotides used in or identified by the SELEX process. These nucleosides can impart in vivo and in vitro stability of the oligonucleotides to endo and exonucleases, alter the charge, hydrophilicity or lipophilicity of the molecule, and/or provide differences in three dimensional structure.
- Modifications of nucleosides that have been previously described include 2′-position sugar modifications, 5-position pyrimidine modifications, 8-position purine modifications, modifications at exocyclic amines, substitution of 4-thiouridine, substitution of 5-bromo or 5-iodo-uracil, backbone modifications, and methylations. Modifications have also included 3′ and 5′ modifications such as capping. PCT WO 91/14696, incorporated herein by reference, describes a method for chemically modifying antisense oligonucleotides to enhance entry into a cell.
- U.S. Pat. Nos. 5,428,149, 5,591,843, 5,633,361, 5,719,273, and 5,945,527 which are incorporated herein by reference in their entirety, describe modifying pyrimidine nucleosides via palladium coupling reactions. In some embodiments a nucleophile and carbon monoxide are coupled to pyrimidine nucleosides containing a leaving group on the 5-position of the pyrimidine ring, preferably forming ester and amide derivatives.
- A variety of methods have been used to render oligonucleotides resistant to degradation by exonucleases. PCT WO 90/15065 describes a method for making exonuclease-resistant oligonucleotides by incorporating two or more phosphoramidite, phosphoromonothionate and/or phosphorodithionate linkages at the 5′ and/or 3′ ends of the oligonucleotide. PCT WO 91/06629 discloses oligonucleotides with one or more phosphodiester linkages between adjacent nucleosides replaced by forming an acetal/ketal type linkage which is capable of binding RNA or DNA.
- It would be advantageous to provide new nucleosides for therapeutic and diagnostic applications and for inclusion in oligonucleotides. When incorporated in oligonucleotides, it would be advantageous to provide new oligonucleotides that exhibit different high affinity binding to target molecules, and/or show increased resistance to exonucleases and endonucleases than oligonucleotides prepared from naturally occurring nucleosides. It would also be useful to provide nucleotides with modifications that impart a biological activity other than, or in addition to, endonuclease and exonuclease resistance.
- The present disclosure provides 5-position modified uridines of the following general formula:
- wherein
R is selected from the group consisting of —(CH2)n—RX1;
RX1 is selected from the group consisting of -
- *Denotes point of attachment of the RX1 group to (CH2)n connecting group
wherein
RX4 is selected from the group consisting of a branched or linear lower alkyl (C1-C20); halogen (F, Cl, Br, I); nitrile (CN); boronic acid (BO2H2); carboxylic acid (COOH); carboxylic acid ester (COORX2); primary amide (CONH2); secondary amide (CONHRX2); tertiary amide (CONRX2RX3); sulfonamide (SO2NH2); N-alkylsulfonamide (SONHRX2);
wherein
RX2, RX3 are independently selected from the group consisting of a branched or linear lower alkyl (C1-C20); phenyl (C6H5); an RX4 substituted phenyl ring (RX4C6H4), wherein RX4 is defined above; a carboxylic acid (COOH); a carboxylic acid ester (COORX5), wherein RX5 is a branched or linear lower alkyl (C1-C20); and cycloalkyl, wherein RX2=RX3=(CH2)n;
wherein n=0-10;
wherein
X is selected from the group including, but not limited to —H, —OH, —OMe, —O-allyl, —F, —OEt, —OPr, —OCH2CH2OCH3 and -azido;
wherein
R′ is selected from the group including, but not limited to —Ac; —Bz; and —SiMe2tBu;
wherein
R″ is selected from the group including, but not limited to H, DMT and triphosphate (—P(O)(OH)—O—P(O)(OH)—O—P(O)(OH)2) or a salt thereof; and
wherein
- *Denotes point of attachment of the RX1 group to (CH2)n connecting group
- can be replaced with carbocyclic sugar analogs, α-anomeric sugars, epimeric sugars such as arabinose, xyloses or lyxoses, pyranose sugars, furanose sugars, sedoheptuloses, acyclic analogs and abasic nucleoside analogs such as methyl riboside.
- Included are 3′-phosphoramidite and 5′-triphosphate derivatives of said compounds having the following general formulas, respectively or salts thereof:
- wherein all moieties are as defined above.
- The compounds of the present disclosure can be incorporated into oligonucleotides or aptamers using standard synthetic or enzymatic methods of preparing such compounds.
- Also provided in the present disclosure are methods for producing the compounds of the present disclosure and the compounds produced by said methods.
- In one embodiment, a method is provided for preparing a C-5 modified aminocarbonylpyrimidine said method comprising: reacting a pyrimidine modified at the 5-position with a trifluoroethoxycarbonyl with an amine in the presence of a base; and isolating said C-5 modified aminocarbonylpyrimidine.
- In another embodiment, a method is provided for preparing a 3′-phosporamidite of a C-5 modified aminocarbonylpyrimidine said method comprising: reacting said C-5 modified aminocarbonylpyrimidine with cyanoethyldiisopropylchlorophosphoramidite in the presence of a base; and isolating said 3′-phosporamidite.
- In yet another embodiment, a method is provided for preparing a 5′-triphosphate of a C-5 modified aminocarbonylpyrimidine said method comprising:
- a) reacting a C-5 modified aminocarbonylpyrimidine having the formula:
- wherein R and X are as defined above, with acetic anhydride in the presence of a base, followed by cleavage of the 5′-DMTgroup with an acid to form a 3′-acetate of the following structure:
- b) performing a Ludwig-Eckstein reaction followed by anion exchange chromatography on the 3′-acetate of step a); and
- c) isolating a 5′-triphosphate of a C-5 modified aminocarbonylpyrimidine having the following structure or a salt thereof:
- Reference will now be made in detail to representative embodiments of the invention. While the invention will be described in conjunction with the enumerated embodiments, it will be understood that the invention is not intended to be limited to those embodiments. On the contrary, the invention is intended to cover all alternatives, modifications, and equivalents that may be included within the scope of the present invention as defined by the claims.
- One skilled in the art will recognize many methods and materials similar or equivalent to those described herein, which could be used in and are within the scope of the practice of the present disclosure. The present disclosure is in no way limited to the methods and materials described.
- Unless defined otherwise, technical and scientific terms used herein have the same meaning as commonly understood by one of ordinary skill in the art(s) to which this invention belongs. Although any methods, devices, and materials similar or equivalent to those described herein can be used in the practice or testing of the invention, the preferred methods, devices and materials are now described.
- All publications, published patent documents, and patent applications cited in this disclosure are indicative of the level of skill in the art(s) to which the disclosure pertains. All publications, published patent documents, and patent applications cited herein are hereby incorporated by reference to the same extent as though each individual publication, published patent document, or patent application was specifically and individually indicated as being incorporated by reference.
- As used in this disclosure, including the appended claims, the singular forms “a,” “an,” and “the” include plural references, unless the content clearly dictates otherwise, and are used interchangeably with “at least one” and “one or more.” Thus, reference to “an aptamer” includes mixtures of aptamers, and the like.
- As used herein, the term “about” represents an insignificant modification or variation of the numerical value such that the basic function of the item to which the numerical value relates is unchanged.
- The term “each” when used herein to refer to a plurality of items is intended to refer to at least two of the items. It need not require that all of the items forming the plurality satisfy an associated additional limitation.
- As used herein, the terms “comprises,” “comprising,” “includes,” “including,” “contains,” “containing,” and any variations thereof, are intended to cover a non-exclusive inclusion, such that a process, method, product-by-process, or composition of matter that comprises, includes, or contains an element or list of elements does not include only those elements but may include other elements not expressly listed or inherent to such process, method, product-by-process, or composition of matter.
- As used herein, the term “nucleotide” refers to a ribonucleotide or a deoxyribonucleotide, or a modified form thereof, as well as an analog thereof. Nucleotides include species that include purines (e.g., adenine, hypoxanthine, guanine, and their derivatives and analogs) as well as pyrimidines (e.g., cytosine, uracil, thymine, and their derivatives and analogs).
- In one embodiment, the present disclosure provides compounds of the following formula:
- wherein
R is selected from the group consisting of —(CH2)n—RX1;
RX1 is selected from the group consisting of -
- *Denotes point of attachment of the RX1 group to (CH2)n connecting group
wherein
RX4 is selected from the group including, but not limited to, a branched or linear lower alkyl (C1-C20); halogen (F, Cl, Br, I); nitrile (CN); boronic acid (BO2H2); carboxylic acid (COOH); carboxylic acid ester (COORX2); primary amide (CONH2); secondary amide (CONHRX2); tertiary amide (CONRX2RX3); sulfonamide (SO2NH2); and N-alkylsulfonamide (SONHRX2);
wherein
RX2, RX3 are independently selected from the group including, but not limited to a branched or linear lower alkyl (C1-C20); phenyl (C6H5); an RX4 substituted phenyl ring (RX4C6H4), wherein RX4 is defined above; a carboxylic acid (COOH); a carboxylic acid ester (COORX5), wherein RX5 is a branched or linear lower alkyl (C1-C20); and cycloalkyl, wherein RX2=RX3=(CH2)n;
wherein n=0-10;
wherein
X is selected from the group including, but not limited to —H, —OH, —OMe, —O-allyl, —F, —OEt, —OPr, —OCH2CH2OCH3 and -azido;
wherein
R′ is selected from the group including, but not limited to —H, —Ac, —Bz, —C(O)CH2OCH3, and —SiMe2tBu;
wherein
R″ is selected from the group including, but not limited to —H, 4,4′-dimethoxytrityl (DMT), and triphosphate (—P(O)(OH)—O—P(O)(OH)—O—P(O)(OH)2) or a salt thereof; and;
wherein
- *Denotes point of attachment of the RX1 group to (CH2)n connecting group
- can be replaced with carbocyclic sugar analogs, α-anomeric sugars, epimeric sugars such as arabinose, xyloses or lyxoses, pyranose sugars, furanose sugars, sedoheptuloses, acyclic analogs and abasic nucleoside analogs such as methyl riboside.
- In another embodiment, the present disclosure provides compounds of the following formula or salts thereof:
- wherein R, R″ and X are as defined above. Compounds of this general formula are useful for incorporation of the modified nucleoside into an oligonucleotide by chemical synthesis.
- In yet other embodiments, the present disclosure provides compounds of the formula or salts thereof:
- wherein R, R′ and X are as defined above. Compounds of this general formula are useful for incorporation of the modified nucleoside into an oligonucleotide by enzymatic synthesis.
- As used herein, the term “C-5 modified carboxyamideuridine” or “C-5 modified aminocarbonyluridine” refers to a uridine with a carboxyamide (—C(O)NH—) modification at the C-5 position of the uridine including, but not limited to, those moieties (R) illustrated above. Examples of a C-5 modified carboxyamideuridines include those described in U.S. Pat. Nos. 5,719,273 and 5,945,527, as well as, U.S. Provisional Application Ser. No. 61/422,957 (the '957 application), filed Dec. 14, 2010, entitled “Nuclease Resistant Oligonucleotides.” Representative C-5 modified pyrimidines include: 5-(N-benzylcarboxyamide)-2′-deoxyuridine (BndU), 5-(N-benzylcarboxyamide)-2′-O-methyluridine, 5-(N-benzylcarboxyamide)-2′-fluorouridine, 5-(N-isobutylcarboxyamide)-2′-deoxyuridine (iBudU), 5-(N-isobutylcarboxyamide)-2′-O-methyluridine, 5-(N-isobutylcarboxyamide)-2′-fluorouridine, 5-(N-tryptaminocarboxyamide)-2′-deoxyuridine (TrpdU), 5-(N-tryptaminocarboxyamide)-2′-O-methyluridine, 5-(N-tryptaminocarboxyamide)-2′-fluorouridine, 5-(N-[1-(3-trimethylamonium) propyl]carboxyamide)-2′-deoxyuridine chloride, 5-(N-naphthylmethylcarboxyamide)-2′-deoxyuridine (NapdU), 5-(N-naphthylmethylcarboxyamide)-2′-O-methyluridine, 5-(N-naphthylmethylcarboxyamide)-2′-fluorouridine or 5-(N-[1-(2,3-dihydroxypropyl)]carboxyamide)-2′-deoxyuridine).
- Specific examples of C-5 modified aminocarbonyluridines, described herein for purposes of illustration only, include the following compounds as well as the 5′-triphosphates and 3′-phosphoramidites and salts thereof of said compounds, the syntheses of which are described in Examples 1-5.
- 5-(4-Fluorobenzylaminocarbonyl)-2′-deoxyuridine,
- 5-((R)-2-Furfurylmethylaminocarbonyl)-2′-deoxyuridine,
- 5-((S)-2-Furfurylmethylaminocarbonyl)-2′-deoxyuridine,
- 5-(2-(4-Morpholino)ethylaminocarbonyl)-2′-deoxyuridine; and
- 5-(2-(1-(benzimidazolonyl)ethylaminocarbonyl)-2′-deoxyuridine.
- Chemical modifications of the C-5 modified uridines described herein can also be combined with, singly or in any combination, 2′-position sugar modifications, modifications at exocyclic amines, and substitution of 4-thiouridine and the like.
- It may be convenient or desirable to prepare, purify, and/or handle a corresponding salt of the compound, for example, a pharmaceutically-acceptable salt. Examples of pharmaceutically acceptable salts are discussed in Berge et al. “Pharmaceutically Acceptable Salts” (1977) J. Pharm. Sci. 66:1-19.
- For example, if the compound is anionic, or has a functional group which may be anionic (e.g., —COOH may be —COO−), then a salt may be formed with a suitable cation. Examples of suitable inorganic cations include, but are not limited to, alkali metal ions such as Na+ and K+, alkaline earth cations such as Ca2+ and Mg2+, and other cations such as Al+3. Examples of suitable organic cations include, but are not limited to, ammonium ion (i.e., NH4 +) and substituted ammonium ions (e.g., NH3Rx+, NH2Rx 2 +, NHRx 3 +, NRx 4 +). Examples of some suitable substituted ammonium ions are those derived from: ethylamine, diethylamine, dicyclohexylamine, triethylamine, butylamine, ethylenediamine, ethanolamine, diethanolamine, piperizine, benzylamine, phenylbenzylamine, choline, meglumine, and tromethamine, as well as amino acids, such as lysine and arginine. An example of a common quaternary ammonium ion is N(CH3)4 +.
- If the compound is cationic, or has a functional group which may be cationic (e.g., —NH2 may be —NH3 +), then a salt may be formed with a suitable anion. Examples of suitable inorganic anions include, but are not limited to, those derived from the following inorganic acids: hydrochloric, hydrobromic, hydroiodic, sulfuric, sulfurous, nitric, nitrous, phosphoric, and phosphorous.
- Examples of suitable organic anions include, but are not limited to, those derived from the following organic acids: 2-acetyoxybenzoic, acetic, ascorbic, aspartic, benzoic, camphorsulfonic, cinnamic, citric, edetic, ethanedisulfonic, ethanesulfonic, fumaric, glucheptonic, gluconic, glutamic, glycolic, hydroxymaleic, hydroxynaphthalene carboxylic, isethionic, lactic, lactobionic, lauric, maleic, malic, methanesulfonic, mucic, oleic, oxalic, palmitic, pamoic, pantothenic, phenylacetic, phenylsulfonic, propionic, pyruvic, salicylic, stearic, succinic, sulfanilic, tartaric, toluenesulfonic, and valeric. Examples of suitable polymeric organic anions include, but are not limited to, those derived from the following polymeric acids: tannic acid, carboxymethyl cellulose.
- Unless otherwise specified, a reference to a particular compound also includes salt forms thereof.
- In one aspect, the instant disclosure provides methods for using the modified nucleosides described herein, either alone or in combination with other modified nucleosides and/or naturally occurring nucleosides, to prepare modified oligonucleotides. The automated synthesis of oligodeoxynucleosides is routine practice in many laboratories (see e.g., Matteucci, M. D. and Caruthers, M. H., (1990) J. Am. Chem. Soc., 103:3185-3191, the contents of which are hereby incorporated by reference). Synthesis of oligoribonucleosides is also well known (see e.g. Scaringe, S. A., et al., Nucleic Acids Res. 18:5433-5441 (1990), hereby incorporated by reference). As noted above, the phosphoramidites are useful for incorporation of the modified nucleoside into an oligonucleotide by chemical synthesis, and the triphosphates are useful for incorporation of the modified nucleoside into an oligonucleotide by enzymatic synthesis. (See e.g., Vaught, J. V., et al. (2010) J. Am. Chem. Soc., 132, 4141-4151; Gait, M. J. “Oligonucleotide Synthesis a practical approach” (1984) IRL Press (Oxford, UK); Herdewijn, P. “Oligonucleotide Synthesis” (2005) (Humana Press, Totowa, N.J. (each of which is incorporated herein by reference in its entirety).
- As used herein, the terms “modify,” “modified,” “modification,” and any variations thereof, when used in reference to an oligonucleotide, means that at least one of the four constituent nucleotide bases (i.e., A, G, T/U, and C) of the oligonucleotide is an analog or ester of a naturally occurring nucleotide. In some embodiments, the modified nucleotide confers nuclease resistance to the oligonucleotide. Additional modifications can include backbone modifications, methylations, unusual base-pairing combinations such as the isobases isocytidine and isoguanidine, and the like. Modifications can also include 3′ and 5′ modifications, such as capping. Other modifications can include substitution of one or more of the naturally occurring nucleotides with an analog, internucleotide modifications such as, for example, those with uncharged linkages (e.g., methyl phosphonates, phosphotriesters, phosphoamidates, carbamates, etc.) and those with charged linkages (e.g., phosphorothioates, phosphorodithioates, etc.), those with intercalators (e.g., acridine, psoralen, etc.), those containing chelators (e.g., metals, radioactive metals, boron, oxidative metals, etc.), those containing alkylators, and those with modified linkages (e.g., alpha anomeric nucleic acids, etc.). Further, any of the hydroxyl groups ordinarily present on the sugar of a nucleotide may be replaced by a phosphonate group or a phosphate group; protected by standard protecting groups; or activated to prepare additional linkages to additional nucleotides or to a solid support. The 5′ and 3′ terminal OH groups can be phosphorylated or substituted with amines, organic capping group moieties of from about 1 to about 20 carbon atoms, polyethylene glycol (PEG) polymers in one embodiment ranging from about 10 to about 80 kDa, PEG polymers in another embodiment ranging from about 20 to about 60 kDa, or other hydrophilic or hydrophobic biological or synthetic polymers.
- Polynucleotides can also contain analogous forms of ribose or deoxyribose sugars that are generally known in the art, including 2′-O-methyl, 2′-O-allyl, 2′-O-ethyl, 2′-O-propyl, 2′-O—CH2CH2OCH3, 2′-fluoro- or 2′-azido, carbocyclic sugar analogs, α-anomeric sugars, epimeric sugars such as arabinose, xyloses or lyxoses, pyranose sugars, furanose sugars, sedoheptuloses, acyclic analogs and abasic nucleoside analogs such as methyl riboside. As noted above, one or more phosphodiester linkages may be replaced by alternative linking groups. These alternative linking groups include embodiments wherein phosphate is replaced by P(O)S (“thioate”), P(S)S (“dithioate”), (O)NRx 2 (“amidate”), P(O) Rx, P(O)ORx′, CO or CH2 (“formacetal”), in which each Rx or Rx′ are independently H or substituted or unsubstituted alkyl (C1-C20) optionally containing an ether (—O—) linkage, aryl, alkenyl, cycloalky, cycloalkenyl or araldyl. Not all linkages in a polynucleotide need be identical. Substitution of analogous forms of sugars, purines, and pyrimidines can be advantageous in designing a final product, as can alternative backbone structures like a polyamide backbone, for example.
- If present, a modification to the nucleotide structure can be imparted before or after assembly of a polymer. A sequence of nucleotides can be interrupted by non-nucleotide components. A polynucleotide can be further modified after polymerization, such as by conjugation with a labeling component.
- As used herein, “nucleic acid,” “oligonucleotide,” and “polynucleotide” are used interchangeably to refer to a polymer of nucleotides and include DNA, RNA, DNA/RNA hybrids and modifications of these kinds of nucleic acids, oligonucleotides and polynucleotides, wherein the attachment of various entities or moieties to the nucleotide units at any position are included. The terms “polynucleotide,” “oligonucleotide,” and “nucleic acid” include double- or single-stranded molecules as well as triple-helical molecules. Nucleic acid, oligonucleotide, and polynucleotide are broader terms than the term aptamer and, thus, the terms nucleic acid, oligonucleotide, and polynucleotide include polymers of nucleotides that are aptamers but the terms nucleic acid, oligonucleotide, and polynucleotide are not limited to aptamers.
- As used herein, the term “at least one nucleotide” when referring to modifications of a nucleic acid, refers to one, several, or all nucleotides in the nucleic acid, indicating that any or all occurrences of any or all of A, C, T, G or U in a nucleic acid may be modified or not.
- In other aspects, the instant disclosure methods for using the modified nucleosides described herein, either alone or in combination with other modified nucleosides and/or naturally occurring nucleosides, to prepare aptamers and SOMAmers (described below). In specific embodiments, the aptamers and SOMAmers are prepared using the general SELEX or improved SELEX process as described below.
- As used herein, “nucleic acid ligand,” “aptamer,” “SOMAmer,” and “clone” are used interchangeably to refer to a non-naturally occurring nucleic acid that has a desirable action on a target molecule. A desirable action includes, but is not limited to, binding of the target, catalytically changing the target, reacting with the target in a way that modifies or alters the target or the functional activity of the target, covalently attaching to the target (as in a suicide inhibitor), and facilitating the reaction between the target and another molecule. In one embodiment, the action is specific binding affinity for a target molecule, such target molecule being a three dimensional chemical structure other than a polynucleotide that binds to the nucleic acid ligand through a mechanism which is independent of Watson/Crick base pairing or triple helix formation, wherein the aptamer is not a nucleic acid having the known physiological function of being bound by the target molecule. Aptamers to a given target include nucleic acids that are identified from a candidate mixture of nucleic acids, where the aptamer is a ligand of the target, by a method comprising: (a) contacting the candidate mixture with the target, wherein nucleic acids having an increased affinity to the target relative to other nucleic acids in the candidate mixture can be partitioned from the remainder of the candidate mixture; (b) partitioning the increased affinity nucleic acids from the remainder of the candidate mixture; and (c) amplifying the increased affinity nucleic acids to yield a ligand-enriched mixture of nucleic acids, whereby aptamers of the target molecule are identified. It is recognized that affinity interactions are a matter of degree; however, in this context, the “specific binding affinity” of an aptamer for its target means that the aptamer binds to its target generally with a much higher degree of affinity than it binds to other, non-target, components in a mixture or sample. An “aptamer,” “SOMAmer,” or “nucleic acid ligand” is a set of copies of one type or species of nucleic acid molecule that has a particular nucleotide sequence. An aptamer can include any suitable number of nucleotides. “Aptamers” refer to more than one such set of molecules. Different aptamers can have either the same or different numbers of nucleotides. Aptamers may be DNA or RNA and may be single stranded, double stranded, or contain double stranded or triple stranded regions.
- As used herein, a “SOMAmer” or Slow Off-Rate Modified Aptamer refers to an aptamer having improved off-rate characteristics. SOMAmers can be generated using the improved SELEX methods described in U.S. Publication No. 20090004667, entitled “Method for Generating Aptamers with Improved Off-Rates.”.
- As used herein, “protein” is used synonymously with “peptide,” “polypeptide,” or “peptide fragment.” A “purified” polypeptide, protein, peptide, or peptide fragment is substantially free of cellular material or other contaminating proteins from the cell, tissue, or cell-free source from which the amino acid sequence is obtained, or substantially free from chemical precursors or other chemicals when chemically synthesized.
- The terms “SELEX” and “SELEX process” are used interchangeably herein to refer generally to a combination of (1) the selection of nucleic acids that interact with a target molecule in a desirable manner, for example binding with high affinity to a protein, with (2) the amplification of those selected nucleic acids. The SELEX process can be used to identify aptamers with high affinity to a specific target molecule or biomarker.
- SELEX generally includes preparing a candidate mixture of nucleic acids, binding of the candidate mixture to the desired target molecule to form an affinity complex, separating the affinity complexes from the unbound candidate nucleic acids, separating and isolating the nucleic acid from the affinity complex, purifying the nucleic acid, and identifying a specific aptamer sequence. The process may include multiple rounds to further refine the affinity of the selected aptamer. The process can include amplification steps at one or more points in the process. See, e.g., U.S. Pat. No. 5,475,096, entitled “Nucleic Acid Ligands.” The SELEX process can be used to generate an aptamer that covalently binds its target as well as an aptamer that non-covalently binds its target. See, e.g., U.S. Pat. No. 5,705,337 entitled “Systematic Evolution of Nucleic Acid Ligands by Exponential Enrichment: Chemi-SELEX.”
- The SELEX process can be used to identify high-affinity aptamers containing modified nucleotides that confer improved characteristics on the aptamer, such as, for example, improved in vivo stability or improved delivery characteristics. Examples of such modifications include chemical substitutions at the ribose and/or phosphate and/or base positions. SELEX process-identified aptamers containing modified nucleotides are described in U.S. Pat. No. 5,660,985, entitled “High Affinity Nucleic Acid Ligands Containing Modified Nucleotides,” which describes oligonucleotides containing nucleotide derivatives chemically modified at the 5′- and 2′-positions of pyrimidines. U.S. Pat. No. 5,580,737, see supra, describes highly specific aptamers containing one or more nucleotides modified with 2′-amino (2′-NH2), 2′-fluoro (2′-F), and/or 2′-O-methyl (2′-OMe). See also, U.S. Patent Application Publication No. 20090098549, entitled “SELEX and PHOTOSELEX,” which describes nucleic acid libraries having expanded physical and chemical properties and their use in SELEX and photoSELEX.
- SELEX can also be used to identify aptamers that have desirable off-rate characteristics. See U.S. Patent Publication No. 20090004667, entitled “Method for Generating Aptamers with Improved Off-Rates,” which is incorporated herein by reference in its entirety, describes improved SELEX methods for generating aptamers that can bind to target molecules. Methods for producing aptamers and photoaptamers having slower rates of dissociation from their respective target molecules are described. The methods involve contacting the candidate mixture with the target molecule, allowing the formation of nucleic acid-target complexes to occur, and performing a slow off-rate enrichment process wherein nucleic acid-target complexes with fast dissociation rates dissociate and do not reform, while complexes with slow dissociation rates remain intact. Additionally, the methods include the use of modified nucleotides in the production of candidate nucleic acid mixtures to generate aptamers with improved off-rate performance (see U.S. Patent Publication No. 20090098549, entitled “SELEX and PhotoSELEX”). (See also U.S. Pat. No. 7,855,054 and U.S. Patent Publication No. 20070166740). Each of these applications is incorporated herein by reference in its entirety.
- “Target” or “target molecule” or “target” refers herein to any compound upon which a nucleic acid can act in a desirable manner. A target molecule can be a protein, peptide, nucleic acid, carbohydrate, lipid, polysaccharide, glycoprotein, hormone, receptor, antigen, antibody, virus, pathogen, toxic substance, substrate, metabolite, transition state analog, cofactor, inhibitor, drug, dye, nutrient, growth factor, cell, tissue, any portion or fragment of any of the foregoing, etc., without limitation. Virtually any chemical or biological effector may be a suitable target. Molecules of any size can serve as targets. A target can also be modified in certain ways to enhance the likelihood or strength of an interaction between the target and the nucleic acid. A target can also include any minor variation of a particular compound or molecule, such as, in the case of a protein, for example, minor variations in amino acid sequence, disulfide bond formation, glycosylation, lipidation, acetylation, phosphorylation, or any other manipulation or modification, such as conjugation with a labeling component, which does not substantially alter the identity of the molecule. A “target molecule” or “target” is a set of copies of one type or species of molecule or multimolecular structure that is capable of binding to an aptamer. “Target molecules” or “targets” refer to more than one such set of molecules. Embodiments of the SELEX process in which the target is a peptide are described in U.S. Pat. No. 6,376,190, entitled “Modified SELEX Processes Without Purified Protein.”
- Methods for the chemical synthesis of compounds provided in the present disclosure are described herein. These and/or other well-known methods may be modified and/or adapted in known ways in order to facilitate the synthesis of additional compounds provided in the present disclosure.
- With reference to Scheme 1, in one approach the C-5 position modified aminocarbonylpyrimidines of the instant disclosure are prepared by reacting a pyrimidine modified at the 5-position with a trifluoroethoxycarbonyl with an amine in the presence of a base; and isolating said C-5 modified aminocarbonylpyrimidine.
- In some embodiments, the trifluoroethoxycarbonylpyrimidine is selected from the group of compounds including, but not limited to compounds having the following structure:
- wherein
X is selected from the group including, but not limited to —H, —OH, —OMe, —O-allyl, —F, —OEt, —OPr, —OCH2CH2OCH3 and -azido, and
wherein - can be replaced with carbocyclic sugar analogs, α-anomeric sugars, epimeric sugars such as arabinose, xyloses or lyxoses, pyranose sugars, furanose sugars, sedoheptuloses, acyclic analogs and abasic nucleoside analogs such as methyl riboside.
- In some embodiments, the amine is selected from the group including, but not limited to compounds of the formula RNH2, wherein
- R is selected from the group consisting of —(CH2)n—RX1;
RX1 is selected from the group consisting of: -
- *Denotes point of attachment of the RX1 group to (CH2)n connecting group
wherein
RX4 is selected from the group consisting of a branched or linear lower alkyl (C1-C20); halogen (F, Cl, Br, I); nitrile (CN); boronic acid (BO2H2); carboxylic acid (COOH); carboxylic acid ester (COORX2); primary amide (CONH2); secondary amide (CONHRX2); tertiary amide (CONRX2RX3); sulfonamide (SO2NH2); N-alkylsulfonamide (SONHRX2);
wherein
RX2 and RX3 are independently selected from the group consisting of a branched or linear lower alkyl (C1-C20); phenyl (C6H5); an RX4 substituted phenyl ring (RX4C6H4), wherein RX4 is defined above; a carboxylic acid (COOH); a carboxylic acid ester (COORX5), wherein RX5 is a branched or linear lower alkyl (C1-C20); and cycloalkyl, wherein RX2=RX3=(CH2)n;
and
wherein n=0-10.
- *Denotes point of attachment of the RX1 group to (CH2)n connecting group
- In specific embodiments, the amine is selected from the group consisting of:
- In some embodiments the base is a tertiary amine selected from the group consisting of triethylamine, diisopropylamine and the like.
- With reference to Scheme 1, the present disclosure also provides a method for the synthesis of a 3′-phosporamidite of a C-5 modified aminocarbonylpyrimidine comprising: reacting said C-5 modified aminocarbonylpyrimidine with cyanoethyldiisopropylchlorophosphoramidite in the presence of a base; and isolating said 3′-phosporamidite. In some embodiments the C-5 modified aminocarbonylpyrimidine has the following structure:
- wherein R and X are as defined above. In some embodiments, the base is a tertiary amine selected from the group consisting of consisting of triethylamine, diisopropylamine and the like.
- Again with reference to Scheme 1, the present disclosure also provides a method for the synthesis of a 5′-triphosphate of a C-5 modified aminocarbonylpyrimidine comprising:
- a) reacting a C-5 modified aminocarbonylpyrimidine having the formula:
- wherein R and X are as defined above, with acetic anhydride in the presence of a base, followed by cleavage of the 5′-DMTgroup with an acid to form a 3′-acetate of the following structure:
- b) performing a Ludwig-Eckstein reaction followed by anion exchange chromatography on the 3′-acetate of step a); and
- c) isolating a 5′-triphosphate of a C-5 modified aminocarbonylpyrimidine having the following structure or a salt thereof:
- The base used is selected from the group including, but not limited to a tertiary amine. In some embodiments the base is pyridine. The acid used in step a is selected from the group including, but not limited to dichloroacetic acid, trichloroacetic acid and 1,1,1,3,3,3-hexafluoro-2-propanol.
- In an alternate approach, the trifluoroethoxycarbonylpyrimidine has the following structure:
- With reference to Scheme 2, this compound is formed by the reaction of compound (7) of Scheme 2 with carbon monoxide and trifluoroethanol in the presence of a palladium catalyst and a base. The base is selected from the group including, but not limited to a tertiary amine selected from triethylamine and the like.
- The present disclosure includes compounds prepared by each of the above described methods.
- The following examples are provided for illustrative purposes only and are not intended to limit the scope of the invention as defined by the appended claims. All examples described herein were carried out using standard techniques, which are well known and routine to those of skill in the art. Routine molecular biology techniques described in the following examples can be carried out as described in standard laboratory manuals, such as Sambrook et al., Molecular Cloning: A Laboratory Manual, 3rd. ed., Cold Spring Harbor Laboratory Press, Cold Spring Harbor, N.Y., (2001).
- The following general procedures were employed to produce the modified nucleosides described in Examples 1-3 and 5. The nomenclature used herein is based upon the system described by Matsuda et al. Nucleic Acids Research 1997, 25:2784-2791.
- 5′-O-Dimethoxytrityl-5-(4-fluorobenzylaminocarbonyl)-2′-deoxyuridine (3a). The starting material, 5′-O-dimethoxytrityl-5-trifluoroethoxycarbonyl-2′-deoxyuridine (1) was prepared by the procedure of Matsuda et al (Nomura, Y.; Ueno, Y.; Matsuda, A. Nucleic Acids Research 1997, 25:2784-2791; Ito, T., Ueno, Y.; Matsuda, A. Nucleic Acids Research 2003, 31:2514-2523). A solution of (1) (9.85 g, 15 mmol), 4-fluorobenzylamine (2a) (2.25 g, 18 mmol, 1.3 eq), triethylamine (4.2 mL, 30 mmol), and anhydrous acetonitrile (30 mL) was heated under an inert atmosphere at 60-70° C. for 2-24 hours. Quantitative conversion of (1) to amide (3a) was confirmed by thin layer chromatography (silica gel 60, 5% methanol/dichloromethane) or HPLC. The reaction mixture was concentrated in vacuo and the residue purified by silica gel flash chromatography (Still, W. C.; Kahn, M.; Mitra, A. J. Org. Chem. 1978, 43:2923) using an eluent of 0-3% methanol in 1% triethylamine/99% ethyl acetate. Fractions containing pure product were combined and evaporated. Traces of residual solvents were removed by co-evaporation with anhydrous acetonitrile, followed by drying under high vacuum, to afford (3a) as a white solid (6.57 g, 64% yield). 1H-NMR (300 MHz, CD3CN) δ 2.20-2.40 (2H, m), 3.28 (2H, d, J=4.3 Hz), 3.76 (6H, s), 4.01 (1H, dd, J=3.8, 4.2 Hz), 4.26-4.30 (1H, m), 4.48 (2H, bd, J=6.1 Hz), 6.11 (1H, t, J=6.5 Hz), 6.85-7.46 (13H, m), 7.03-7.36 (4H, m), 8.58 (1H, s), 9.01 (1H, t, J=6.1 Hz). MS (m/z) calcd for C38H36FN3O8, 681.25. found 680.4 [M-H]−.
- The compound (3b) was prepared as described for (3a) using (R)-2-furfurylmethylamine (2b) and isolated as a white solid (9.3 g, 94% yield). The eluent for chromatography was 1% triethylamine/4% methanol/95% ethyl acetate. 1H-NMR (CD3CN) δ 1.51-1.57 (1H, m), 1.84-1.94 (3H, m), 2.18-2.38 (2H, m), 3.25-3.52 (4H, m overlap), 3.66-3.93 (3H, m overlap), 3.78 (6H, s), 3.97-4.02 (1H, m), 4.24-4.29 (1H, m), 6.12 (1H, t, J=6.5), 6.86-7.47 (13H, m), 8.54 (1H, s), 8.83 (1H, bs). MS (m/z) calcd for C36H39N3O9, 657.27. found 656.5 [M-H]−.
- The compound (3c) was prepared as described for (3b) using (S)-2-furfurylmethylamine (2c) and isolated as a white solid (9.9 g, 99% yield). 1H-NMR (CD3CN) δ 1.50-1.59 (1H, m), 1.84-1.95 (3H, m), 2.18-2.40 (2H, m), 3.24-3.50 (4H, m overlap), 3.69-3.97 (3H, m overlap), 3.78 (6H, s), 3.98-4.02 (1H, m), 4.25-4.30 (1H, m), 6.14 (1H, t, J=6.5), 6.87-7.47 (13H, m), 8.54 (1H, s), 8.84 (1H, bs). MS (m/z) calcd for C36H39N3O9, 657.27. found 656.5 [M-H]−.
- The compound (3d) was prepared as described for (3a), using 2-(4-morpholino)-ethylamine (2d), and isolated as a white solid (8.2 g, 80% yield). The eluent for chromatography was 5% methanol/2% triethylamine/93% dichloromethane. 1H-NMR (CD3CN) δ 2.21-2.39 (2H, m), 2.39-2.41 (4H, m), 2.48 (2H, t, J=6.2 Hz), 3.27-3.29 (2H, m), 3.41 (2H, dt, J=5.8, 6.2 Hz), 3.61-3.64 (4H, m), 3.78 (6H, s), 3.98-4.02 (1H, m), 4.25-4.30 (1H, m), 6.10 (1H, t, J=6.4), 6.86-7.47 (13H, m), 8.55 (1H, s), 8.79 (1H, bt, J˜6 Hz). MS (m/z) calcd for C37H42N4O9, 686.30. found 685.7 [M-H]−.
- The compound (3e) was prepared as described for (3a) using N-benzimidazolonyl-2-ethylamine (2e) (CAS RN64928-88-7). The eluent for chromatography was 2% methanol/1% triethylamine/97% dichloromethane. The pure product was isolated as a tan solid (8.2 g, 74.5% yield). 1H-NMR (CD3CN) δ 2.20-2.36 (2H, m), 3.27-3.29 (2H, m), 3.60 (2H, q, J=6.5 Hz), 3.758 (3H, s), 3.762 (3H, s), 3.97 (2H, t, J=6.5 Hz), 3.98-4.02 (1H, m), 4.27-4.30 (1H, m), 6.09 (1H, t, J=6.5 Hz), 6.86-7.48 (13H, m), 6.91-7.10 (4H, m), 8.52 (1H, s), 8.76 (1H, t, J=6.1 Hz). MS (m/z) calcd for C40H39N5O9, 733.27. found 732.0 [M-H]−.
- A solution of DMT-protected nucleoside (3a) (4.00 g, 5.9 mmol) in anhydrous dichloromethane (40 mL) was cooled to approximately −10° C. under an atmosphere of dry argon. Diisopropylethylamine (3.1 mL, 17.6 mmol, 3 eq) was added, followed by dropwise addition of 2-cyanoethyldiisopropylchlorophosphoramidite (1.7 mL, 7.7 mmol, 1.3 eq). The solution was stirred for one hour and complete reaction was confirmed by thin layer chromatography (silica gel 60, ethyl acetate/hexane). The reaction mixture was partitioned between ice-cold 2% sodium bicarbonate solution (200 mL) and ethyl acetate (200 mL). The organic layer was washed with brine, dried over anhydrous sodium sulfate, filtered, and concentrated. The residue was purified by silica gel flash chromography using a mobile phase of 1% triethylamine/99% ethyl acetate. Fractions containing pure product were combined and evaporated in vacuo (<30° C.). Traces of residual chromatography solvent were removed by co-evaporation with anhydrous acetonitrile and drying at high vacuum to afford (4a) as a white solid foam (4.10 g, 80% yield). 1H-NMR (CD3CN, two isomers) δ 1.02-1.16 (12H, m), 2.27-2.57 (2H, m), 2.51/2.62 (2H, 2t, J=6.0/6.0 Hz), 3.25-3.37 (2H, m), 3.50-3.79 (4H, m overlap), 3.738 (3H, s), 3.742 (3H, s), 4.13/4.16 (1H, 2q, J=3.5/3.7 Hz), 4.37-4.43 (1H, m), 4.44-4.47 (2H, m), 6.09/6.10 (1H, 2t, J=6.4/7.1 Hz), 6.83-7.44 (13H, m), 7.01-7.30 (4H, m), 8.58/8.60 (1H, 2s), 8.98 (1H, b, J˜5.5 Hz), 9.24 (1H, bs). 31P-NMR (CD3CN) δ 148.01 (s), 148.06 (s). 19F-NMR (CD3CN) δ −117.65 (m). MS (m/z) calcd for C47H53FN5O9P, 881.36. found 880.3 [M-H]−.
- The compound (4b) was prepared as described for (4a). A 1:1 mixture of diastereomeric phosphoramidites was isolated as a white solid foam (3.15 g, 62% yield). The eluent for chromatography was 1% treithylamine/20% hexanes/79% ethyl acetate. 1H-NMR (CD3CN, two isomers) δ 1.14-1.27 (12H, m), 1.51-1.59 (1H, m), 1.86-1.94 (3H, m), 2.27-2.59 (2H, m), 2.54/2.65 (2H, 2t, J=6.0/5.7 Hz), 3.27-3.38 (2H, m), 3.44-3.97 (9H, m overlap), 3.782 (3H, s), 3.786 (3H, s), 4.11-4.18 (1H, m), 4.39-4.48 (1H, m), 6.11/6.13 (1H, 2t, J=5.6/6.1 Hz), 6.96-7.47 (13H, m), 8.58/8.60 (1H, 2s), 8.75 (1H, bt, J˜5.4 Hz), 9.36 (1H, bs). 31P-NMR (CD3CN) δ 148.09 (s), 148.13 (s). MS (m/z) calcd for C45H56N5O10P, 857.38. found 856.6 [M-H]−.
- The compound (4c) was prepared as described for (4b). A 1:1 mixture of diastereomeric phosphoramidites was isolated as a white solid foam (3.74 g, 74% yield). 1H-NMR (CD3CN, two isomers) δ 1.14-1.27 (12H, m), 1.51-1.59 (1H, m), 1.86-1.94 (3H, m), 2.28-2.51 (2H, m), 2.53/2.65 (2H, 2t, J=6.0/6.0 Hz), 3.25-3.41 (2H, m), 3.44-4.14 (9H, m overlap), 3.783 (3H, s), 3.786 (3H, s), 4.12-4.19 (1H, m), 4.40-4.49 (1H, m), 6.11/6.13 (1H, 2t, J=6.3/6.3 Hz), 6.86-7.48 (13H, m), 8.58/8.60 (1H, 2s), 8.75 (1H, bt, J˜5.4 Hz), 9.36 (1H, bs). 31P-NMR (CD3CN) δ 148.09 (s), 148.13 (s). MS (m/z) calcd for C45H56N5O10P, 857.38. found 856.5 [M-H]−.
- The compound (4d) was prepared as described for (4a) except that the purification used a chromatography eluent of 1% triethylamine/5% anhydrous ethanol/94% ethyl acetate. The 1:1 mixture of diastereoisomeric phosphoramidites was isolated as a white solid foam (3.9 g, 75% yield). 1H-NMR (CD3CN, two isomers) δ 1.04-1.19 (12H, m), 2.28-2.59 (2H, m), 2.43-2.47 (6H, m overlap), 2.53/2.64 (2H, 2t, J=6.2/6.2 Hz), 3.27-3.76 (8H, m overlap), 3.61-3.65 (4H, m), 3.781 (3H, s), 3.789 (3H, s), 4.12-4.19 (1H, m), 4.39-4.49 (1H, m), 6.11/6.13 (1H, 2t, J=5.2/5.2), 6.86-7.48 (13H, m), 8.58/8.60 (1H, 2s), 8.78 (1H, bt, J˜5.3 Hz), 9.78 (1H, bs). 31P-NMR (CD3CN) δ 148.08 (s), 148.11 (s). MS (m/z) calcd for C46H59N6O10P, 886.4. found 885.7 [M-H]−.
- The compound (4e) was prepared as described for (4a) except that the purification used a chromatography eluent of 1% triethylamine/10% anhydrous methanol/89% ethyl acetate. The 1:1 mixture of diastereomeric phosphoramidites was isolated as a white solid foam (1.6 g, 31% yield). 1H-NMR (CD3CN, two isomers) δ 1.03-1.18 (12H, m), 2.27-2.57 (2H, m), 2.52/2.63 (2H, 2t, J=6.0/6.0), 3.27-3.37 (2H, m), 3.49-3.80 (6H, m overlap), 3.732 (3H, s), 3.735/3.738 (3H, 2s), 4.00 (2H, bt, J˜6.0 Hz), 4.12-4.18 (1H, m), 4.30-4.47 (1H, m), 6.08/6.10 (1H, 2t, J=6.3/6.3 Hz), 6.85-7.48 (13H, m), 6.93-7.09 (4H, m), 8.57/8.60 (1H, 2s), 8.82/8.83 (1H, 2bt, J˜4.3/4.3 Hz), 9.48 (1H, bs). 31P-NMR (CD3CN) δ 148.07 (s), 148.10 (s).
-
- The nucleoside (3a) (3.00 g, 4.4 mmol) was dissolved in a solution of anhydrous pyridine (30 mL) and acetic anhydride (3 mL). The solution was stirred overnight and concentrated in vacuo to yield the 3′-O-acetyl-nucleoside. Residual solvent was removed by co-evaporation with anhydrous toluene (10 mL). The residue was dissolved in anhydrous dichloromethane (10 mL) and treated with 3% trichloroacetic acid in dichloromethane (58 mL). The red solution was stirred overnight, during which time the product crystallized. The slurry was cooled to −20° C., filtered, and washed with diethyl ether. The residue was dried in vacuo to afford (5a) as an off-white solid (1.10 g, 59% yield). 1H-NMR (CD3CN) δ 2.07 (3H, s), 2.33-2.38 (1H, m), 2.50-2.52 (1H, m), 3.63-3.64 (2H, m), 4.10 (1H, bdd, J=3.1, 5.1 Hz), 4.46 (2H, d, J=6.0 Hz), 5.19-5.26 (2H, m overlap), 6.15 (1H, t, J=7.0 Hz), 7.15 (2H, tt, J=2.2, 9.0 Hz), 7.31-7.38 (2H, m), 8.79 (1H, s), 9.14 (1H, bt, J=6.1 Hz), 11.95 (1H, bs). 19F-NMR (CD3CN) δ −116.02 (tt, J=5.5, 9.0 Hz)). MS (m/z) calcd for C19H20FN3O7, 421.13. found 419.8 [M-H]−.
-
- The compound (5b) was prepared from (4b), by the procedure described for (5a) and isolated by precipitation from a mixture of dichloromethane and ethyl acetate as a white solid (1.27 g, 73% yield). 1H-NMR (CDCl3) δ 1.57-2.02 (4H, m), 2.12 (3H, s), 2.46-2.50 (2H, m), 3.03 (1H, bs), 3.43-3.64 (2H, m), 3.75-3.97 (2H, m), 3.78-4.10 (3H. m), 4.20-4.21 (1H, m), 5.40-5.42 (1H, m), 6.35 (1H, dd, J=6.5, 7.7 Hz), 8.91 (1H, t, J=5.5 Hz), 9.17 (1H, s), 9.44 (1H, bs). MS (m/z) calcd for C17H23N3O8, 397.15. found 396.1 [M-H]−.
-
- The compound (5c) was prepared from (4c), by the procedure described for (5a), and isolated by precipitation from a mixture of dichloromethane and diethyl ether as a slightly orange solid (1.35 g, 77% yield). 1H-NMR (CDCl3) δ 1.57-2.03 (4H, m), 2.12 (3H, s), 2.47-2.51 (2H, m), 2.98 (1H, bs), 3.40-3.68 (2H, m), 3.78-3.95 (2H, m), 3.90-4.12 (3H. m), 4.20-4.21 (1H, m), 5.39-5.42 (1H, m), 6.33 (1H, dd, J=6.7, 7.4 Hz), 8.90 (1H, t, J=5.5 Hz), 9.15 (1H, s), 9.37 (1H, bs). MS (m/z) calcd for C17H23N3O8, 397.15. found 395.9 [M-H]−.
-
- The nucleoside (3d) (1.00 g, 1.37 mmol) was dissolved in a solution of anhydrous pyridine (10 mL) and acetic anhydride (1 mL). The solution was stirred overnight and concentrated in vacuo to yield the 3′-O-acetyl-nucleoside. Residual solvent was removed by coevaporation with anhydrous toluene (10 mL). The residue was dissolved in 1,1,1,3,3,3-hexafluoro-2-propanol (20 mL) (Leonard, N. J. Tetrahedron Letters, 1995, 36:7833) and heated at approximately 50° C. for 3 hours. Complete cleavage of the DMT group was confirmed by tlc. The red solution mixture was quenched by pouring into well-stirred methanol (200 mL). The resulting yellow solution was concentrated in vacuo and the residue was dissolved in hot ethyl acetate (20 mL). The product crystallized upon cooling and the resulting slurry was aged at −20° C., followed by filtration and washing with ethyl acetate. The 3′-O-acetyl-nucleoside (5d) was isolated as a white solid (0.46 g, 79% yield). 1H-NMR (DMSO-d6) δ 2.07 (3H, s), 2.32-2.45 (7H, m overlap), 2.49-2.52 (1H, m), 3.33-3.40 (2H, m), 3.57 (4H, t, J=4.5 Hz), 3.60-3.63 (2H, m), 4.09 (1H, bdd, J=3.2, 5.2 Hz), 5.17-5.25 (2H, m), 6.14 (1H, t, J=7.0 Hz), 8.74 (1H, s), 8.89 (1H, bt, J=5.4 Hz), 11.90 (1H, bs). MS (m/z) calcd for C18H26N4O8, 426.18. found 425.0 [M-H]−.
-
- The compound (5e) was prepared as described for (5d) except that the product crystallized directly when the DMT-cleavage reaction was poured into methanol. The diacetyl nucleoside (5e) was isolated by filtration as a white solid (0.55 g, 78% yield). 1H-NMR (DMSO-d6) δ 2.07 (3H, s), 2.30-2.37 (1H, m), 2.49-2.52 (1H, m), 2.63 (3H, s) 3.33 (1H, bs), 3.55-3.64 (4H, m overlap), 3.99 (2H, t, J=6.4 Hz), 4.09 (1H, bdd, J=2.3, 5.2 Hz), 5.15-5.25 (2H, m), 6.13 (1H, dd, J=6.3, 7.6 Hz), 7.11 (1H, ddd, J=1.2, 7.6, 7.9 Hz), 7.22 (1H, ddd, J=1.2, 7.6, 7.9 Hz), 7.33 (1H, dd, J=0.8, 7.9 Hz), 8.02 (1H, dd, J=0.8, 8.0 Hz), 8.05 (1H, bs), 8.83 (1H, bt), 8.71 (1H, s), 11.87 (1H, bs). MS (m/z) calcd for C23H25N5O9, 515.17. found 513.9 [M-H]−.
- The 3′-O-acetyl-nucleosides (5a-d) were also synthesized by an alternative route (Scheme 2) from the starting material, 3′-O-acetyl-5′-O-dimethoxytrityl-5-iodo-2′-deoxyuridine (7) (Vaught, J. D., Bock, C., Carter, J., Fitzwater, T., Otis, M., Schneider, D., Rolando, J., Waugh, S., Wilcox, S. K., Eaton, B. E. J. Am. Chem. Soc. 2010, 132, 4141-4151). Briefly, with reference to Scheme 2, palladium(II)-catalyzed rifluoroethoxycarbonylation of the iodide afforded the activated ester intermediate (8). Condensation of (8) with the amines (2a-d) (1.3 eq., triethylamine (3 eq), acetonitrile, 60-70° C., 2-24 hours), followed by cleavage of the 5′-O-DMT-protecting group (3% trichloroacetic acid/dichloromethane or 1,1,1,3,3,3-hexafluoro-2-propanol, room temperature), afforded (5a-d), identical to the products produced via intermediates (3a-d) (Scheme 1).
- A 500 mL heavy-walled glass pressure reactor was filled with argon and charged with 3′-O-acetyl-5′-O-dimethoxytrityl-5-iodo-2′-deoxyuridine (7) (15.9 g, 22.8 mmol), anhydrous acetonitrile (200 mL), triethylamine (7.6 mL, 54.7 mmol), and 2,2,2-trifluoroethanol (16.4 mL, 228 mmol). The resulting solution was vigorously stirred and degassed by evacuation to <100 mmHg for 2 minutes. The flask was filled with argon and bis(benzonitrile)dichloropalladium(II) (175 mg, 0.46 mmol) was added. The resulting yellow solution was again degassed and then filled with carbon monoxide (99.9%) (Caution Poison Gas!) from a gas manifold. A pressure of 1-10 psi CO was maintained while the reaction mixture was vigorously stirred and heated at 60-65 degC for 12 hours. The cooled reaction mixture was filtered (Caution Poison Gas) to remove black precipitate and concentrated in vacuo. The orange residue was partitioned with dichloromethane (120 mL) and 10% sodium bicarbonate (80 mL). The organic layer was washed with water (40 mL) and dried over sodium sulfate, filtered, and concentrated to leave a orange foam (17 g). This crude product could be used as is or further purified by silica gel flash chromatography with an eluent of 30% hexane/1% triethylamine/69% ethyl acetate to afford (8) as a colorless solid foam (12.7 g, 80% yield). 1H-NMR (CD3CN)) δ 2.03 (3H, s), 2.37-2.56 (2H, m), 3.36-3.38 (2H, m), 3.78 (6H, s), 4.15-4.19 (1H, m), 4.37-4.55 (2H, m), 5.21-5.26 (1H, m), 6.09 (1H, t, J=6.1 Hz), 6.84-7.46 (13H, m), 8.53 (1H, s). 19F-NMR (CD3CN) δ −74.07 (t, J=8.8 Hz). MS (m/z) calcd for C35H33F3N2O10, 698.21. found 697.4 [M-H]−.
- The triphosphate (6a) was synthesized from the 3′-O-acetyl-nucleoside (5a) by the procedure of Ludwig and Eckstein (Ludwig, J. and Eckstein, F. J. Org. Chem. 1989, 54:631) at 500 mol-scale (5×). The crude triphosphate product, after ammonolysis and evaporation, was purified by anion exchange chromatography, as described in the General Procedure (below).
- General Procedure for Anion Exchange HPLC Purification of Nucleoside Triphosphates.
- Nucleoside triphosphates were purified via anion exchange chromatography using an HPLC column packed with Source Q resin (GE Healthcare), installed on a preparative HPLC system, with detection at 278 nm. The linear elution gradient employed two buffers, (buffer A: 10 mM triethylammonium bicarbonate/10% acetonitrile, and buffer B: 1 M triethylammonium bicarbonate/10% acetonitrile), with the gradient running at ambient temperature from low buffer B content to high buffer B over the course of the elution. The desired product was typically the final material to elute from the column and was observed as a broad peak spanning approximately ten to twelve minutes retention time (early eluting products included a variety of reaction by-products, the most significant being the nucleoside diphosphate). Several fractions were collected during product elution. Fraction was analyzed by reversed phase HPLC on a Waters 2795 HPLC with a Waters Symmetry column (PN: WAT054215). Pure product-containing fractions (typically >90%) were evaporated in a Genevac VC 3000D evaporator to afford colorless to light tan resins. Fractions were reconstituted in deionized water and pooled for final analysis. Product quantitation was performed by analysis using a Hewlett Packard 8452A Diode Array Spectrophotometer at 278 nm. Product yields were calculated via the equation A=εCL, where A is the UV absorbance, ε is the estimated extinction coefficient and L is the pathlength (1 cm).
- The crude product (6a) was dissolved in approximately 5 mL of buffer A (Table 1: prep-HPLC Conditions 1). Each purification injection consisted of a filtered aliquot of approximately 1 mL of this solution injected into a Waters 625 HPLC with a 486 detector fitted with a Resource Q 6 mL column (GE Healthcare product code: 17-1179-01) with a mobile phase gradient of 0%-100% buffer B in a 50 minute elution at 12 mL/minute. For (6a) [εest. 13,700 cm−1 M−1] the isolated purified product was 130 μmol (26% yield). 1H-NMR (D2O) δ 1.15 (27H, t, J=7.3 Hz), 2.32-2.37 (2H, m), 3.07 (18H, q, J=7.3 Hz), 4.06-4.17 (3H, m overlap), 4.42 (2H, bd, J˜0.7 Hz), 4.49-4.53 (1H, m), 4.70 (>7H, bs, HOD), 6.12 (1H, t, J=6.8 Hz), 6.96-7.26 (4H, m), 8.45 (1H, s). 19F-NMR (D2O) δ −116.18 (m). 31P-NMR (D2O) δ −10.58 (d, J=20 Hz), −11.45 (d, J=20 Hz), −23.29 (t, J=20 Hz). MS (m/z) calcd for C17H21FN3O15P3, 619.02. found 618.0 [M-H]−.
-
TABLE 1 Prep-HPLC Conditions 1 Mobile Phase A: 10 mM triethylammonium bicarbonate/10% acetonitrile B: 1M triethylammonium bicarbonate/10% acetonitrile Column Resource Q 6 mL HPLC system Waters 625 HPLC/486 detector Gradient (% Buffer B 0%-100% in mobile phase) Run Time/flow rate 50 minutes at 12 mL/minute - The triphosphate (6b) was synthesized from the 3′-O-acetyl-nucleoside (5b) as described for (6a). The crude product (6b) was purified in a single injection on a Waters 2767 preparatory system with a Waters 2489 detector using a Waters AP-5 column (Waters PN: WAT023331, 50 mm×100 mm) packed with 196 mL of Source 15Q resin (GE Healthcare product code: 17-0947-05). The same buffers as above were used, but the elution gradient was modified to 25% to 80% buffer B in a 90 minute elution at 50 mL/minute (Table 2: prep-HPLC Conditions 2). A second purification was performed on a C18 HPLC column to remove residual impurities (Table 4: prep-HPLC Conditions 4). For (6b) [εest. 10,200 cm−1 M−1] the isolated purified product was 325 μmol (65% yield). 1H-NMR (D2O) δ 1.17 (27H, t, J=7.3 Hz), 1.49-1.63 (1H, m), 1.77-2.02 (3H, m), 2.34-2.39 (2H, m), 2.85-3.83 (5H, m overlap), 3.08 (18H, q, J=7.3 Hz), 4.01-4.19 (3H, m overlap), 4.52-4.56 (1H, m), 4.70 (>7H, bs, HOD), 6.15 (1H, t, J=6.8 Hz), 8.48 (1H, s). 31P-NMR (D2O) δ −10.50 (d, J=20 Hz), −11.51 (d, J=20 Hz), −23.25 (t, J=20 Hz). MS (m/z) calcd for C15H24FN3O16P3, 595.04. found 594.1 [M-H]−.
-
TABLE 2 Prep-HPLC Conditions 2 Mobile Phase A: 10 mM triethylammonium bicarbonate/10% acetonitrile B: 1M triethylammonium bicarbonate/10% acetonitrile Column Resource Q 6 mL HPLC system Waters 625 HPLC/486 detector Gradient (% Buffer B 15%-60% in mobile phase) Run Time/flow rate 50 minutes at 12 mL/minute - The triphosphate (6c) was synthesized from the 3′-O-acetyl-nucleoside (5c) as described for (6a). The crude product (6c) was purified in a single injection on a Waters 2767 preparatory system with a Waters 2489 detector using a Waters AP-5 column (Waters PN: WAT023331, 50 mm×100 mm) packed with 196 mL of Source 15Q resin (GE Healthcare product code: 17-0947-05). The same buffers as above were used, but the elution gradient was modified to 25% to 80% buffer B in a 90 minute elution at 50 mL/minute (Table 2: prep-HPLC Conditions 2). A second purification was performed on a C18 HPLC column to remove residual impurities (Table 4: prep-HPLC Conditions 4). For (6c) [εest. 10,200 cm−1 M−1] the isolated purified product was 255 μmol (51% yield). 1H-NMR (D2O) δ 1.17 (27H, t, J=7.3 Hz), 1.49-1.63 (1H, m), 1.78-2.01 (3H, m), 2.34-2.39 (2H, m), 2.85-3.82 (5H, m overlap), 3.09 (18H, q, J=7.3 Hz), 4.01-4.19 (3H, m overlap), 4.52-4.56 (1H, m), 4.70 (>7H, bs, HOD), 6.15 (1H, t, J=6.7 Hz), 8.48 (1H, s). 31P-NMR (D2O) δ −10.60 (d, J=20 Hz), −11.42 (d, J=20 Hz), −23.25 (t, J=20 Hz). MS (m/z) calcd for C15H24FN3O16P3, 595.04. found 594.1 [M-H]−.
- The triphosphate (6d) was synthesized from the 3′-O-acetyl-nucleoside (5d) as described for (6a). The crude product (6d) was purified with the same equipment and buffers as used for (6a), but the gradient was modified to run buffer B from 15% to 60% during the 50 minute elution to improve resolution of products (Table 3: prep-HPLC Conditions 3). For (6d) [εest. 10,200 cm−1 M−1] the isolated purified product was 54 μmol (11% yield). 1H-NMR (D2O) δ 1.17 (18H, t, J=7.3 Hz), 2.37-2.41 (2H, m), 2.91-2.98 (2H, m), 3.09 (12H, q, J=7.3 Hz), 3.20-3.27 (4H, m), 3.87-3.90 (4H, m), 3.63-3.68 (2H, m), 4.10-4.18 (3H, m overlap), 4.56-4.60 (1H, m), 4.70 (>7H, bs, HOD), 6.15 (1H, bt, J=6.3 Hz), 8.48 (1H, s). 31P-NMR (D2O) δ −9.99 (d, J=21 Hz), −11.90 (d, J=20 Hz), −23.19 (t, J=20 Hz). MS (m/z) calcd for C16H27N4O16P3, 624.06. found 623.1 [M-H]−.
-
TABLE 3 Prep-HPLC Conditions 3 Mobile Phase A: 10 mM triethylammonium bicarbonate/10% acetonitrile B: 1M triethylammonium bicarbonate/10% acetonitrile Column Waters AP-5 with Source Q 196 mL HPLC system Waters 22767 HPLC/2489 detector Gradient (% Buffer B 25-80% in mobile phase) Run Time/flow rate 90 minutes at 50 mL/minute -
TABLE 4 Prep-HPLC Conditions 4 Mobile Phase A: 100 mM triethylammonium B: acetonitrile Column Waters Novapk C18, 19 mm × 300 mm HPLC system Waters 625 HPLC/486 detector Gradient (% Buffer B 10-25% in mobile phase) Run Time/flow rate 30 minutes at 8.5 mL/minute - The triphosphate (6e) was synthesized from the 3′-O-acetyl-nucleoside (5e) as described for (6a). The crude product (6e) was purified with the same equipment and buffers as used for (6a), but the gradient was modified to run buffer B from 15% to 60% during the 50 minute elution to improve resolution of products (Table 3: prep-HPLC Conditions 3). For (6e) [εest. 13,700 cm−1 M−1] the isolated purified product was 101 μmol (20% yield). 1H-NMR (D2O) δ 1.17 (18H, t, J=7.3 Hz), 2.17-2.36 (2H, m), 3.09 (12H, q, J=7.3 Hz), 3.60-3.73 (2H, m), 4.01 (2H, t, J=5.4 Hz), 4.03-4.15 (3H, m), 4.45-4.50 (1H, m), 4.70 (>7H, bs, HOD), 6.04 (1H, t, J=6.6 Hz), 6.95-7.12 (4H, m), 8.02 (1H, s). 31P-NMR (D2O) δ −10.35 (d, J=20 Hz), −11.40 (d, J=20 Hz), −23.23 (t, J=20 Hz). MS (m/z) calcd for C19H24N5O16P3, 671.04. found 670.1 [M-H]−.
- The foregoing embodiments and examples are intended only as examples. No particular embodiment, example, or element of a particular embodiment or example is to be construed as a critical, required, or essential element or feature of any of the claims. Further, no element described herein is required for the practice of the appended claims unless expressly described as “essential” or “critical.” Various alterations, modifications, substitutions, and other variations can be made to the disclosed embodiments without departing from the scope of the present invention, which is defined by the appended claims. The specification, including the examples, is to be regarded in an illustrative manner, rather than a restrictive one, and all such modifications and substitutions are intended to be included within the scope of the invention. Accordingly, the scope of the invention should be determined by the appended claims and their legal equivalents, rather than by the examples given above. For example, steps recited in any of the method or process claims may be executed in any feasible order and are not limited to an order presented in any of the embodiments, the examples, or the claims.
Claims (3)
1. A C-5 modified aminocarbonylpyrimidine having the following structure:
wherein
R′ is selected from the group consisting of —H, —Ac, —Bz, —CH2CH2OCH3, —C(O)CH2OCH3 and —SiMe2tBu;
R″ is selected from the group consisting of H, DMT and triphosphate (—P(O)(OH)—O—P(O)(OH)—O—P(O)(OH)2) or a salt thereof;
X is selected from the group consisting of —H, —OH, —OMe, —O-allyl, —F, —OEt, —OPr, —OCH2CH2OCH3 and -azido,
R is selected from the group consisting of —(CH2)n—RX1;
RX1 is selected from the group consisting of:
2. A 3′-phosporamidite of a C-5 modified aminocarbonylpyrimidine having the following structure:
wherein
R″ is selected from the group consisting of H, DMT and triphosphate (—P(O)(OH)—O—P(O)(OH)—O—P(O)(OH)2) or a salt thereof;
X is selected from the group consisting of —H, —OH, —OMe, —O-allyl, —F, —OEt, —OPr, —OCH2CH2OCH3 and -azido,
R is selected from the group consisting of —(CH2)n—RX1;
RX1 is selected from the group consisting of:
3. A 5′-triphosphate of a C-5 modified aminocarbonylpyrimidine having the following structure:
wherein
R′ is selected from the group consisting of —H, —Ac, —Bz, —CH2CH2OCH3, —C(O)CH2OCH3 and —SiMe2tBu;
X is selected from the group consisting of —H, —OH, —OMe, —O-allyl, —F, —OEt, —OPr, —OCH2CH2OCH3 and -azido,
R is selected from the group consisting of —(CH2)n—RX1;
RX1 is selected from the group consisting of:
Priority Applications (3)
| Application Number | Priority Date | Filing Date | Title |
|---|---|---|---|
| US15/090,406 US20160355540A1 (en) | 2010-04-12 | 2016-04-04 | 5-position modified pyrimidines and their use |
| US15/650,281 US10221207B2 (en) | 2010-04-12 | 2017-07-14 | 5-position modified pyrimidines and their use |
| US16/254,127 US20190233461A1 (en) | 2010-04-12 | 2019-01-22 | 5-position modified pyrimidines and their use |
Applications Claiming Priority (5)
| Application Number | Priority Date | Filing Date | Title |
|---|---|---|---|
| US32314510P | 2010-04-12 | 2010-04-12 | |
| US13/085,256 US20110275794A1 (en) | 2010-04-12 | 2011-04-12 | 5-position modified pyrimidines and their use |
| US14/069,798 US9163056B2 (en) | 2010-04-12 | 2013-11-01 | 5-position modified pyrimidines and their use |
| US14/847,150 US20150376223A1 (en) | 2010-04-12 | 2015-09-08 | 5-position modified pyrimidines and their use |
| US15/090,406 US20160355540A1 (en) | 2010-04-12 | 2016-04-04 | 5-position modified pyrimidines and their use |
Related Parent Applications (2)
| Application Number | Title | Priority Date | Filing Date |
|---|---|---|---|
| US14/847,160 Continuation US9524795B2 (en) | 2014-11-26 | 2015-09-08 | One-time programmable (OTP) memory cell and OTP memory device for multi-bit program |
| US14/847,150 Continuation US20150376223A1 (en) | 2010-04-12 | 2015-09-08 | 5-position modified pyrimidines and their use |
Related Child Applications (1)
| Application Number | Title | Priority Date | Filing Date |
|---|---|---|---|
| US15/650,281 Continuation US10221207B2 (en) | 2010-04-12 | 2017-07-14 | 5-position modified pyrimidines and their use |
Publications (1)
| Publication Number | Publication Date |
|---|---|
| US20160355540A1 true US20160355540A1 (en) | 2016-12-08 |
Family
ID=44798979
Family Applications (7)
| Application Number | Title | Priority Date | Filing Date |
|---|---|---|---|
| US13/085,256 Abandoned US20110275794A1 (en) | 2010-04-12 | 2011-04-12 | 5-position modified pyrimidines and their use |
| US13/634,618 Expired - Fee Related US8598140B2 (en) | 2010-04-12 | 2011-04-12 | Aptamers to β-NGF and their use in treating β-NGF mediated diseases and disorders |
| US14/069,798 Active US9163056B2 (en) | 2010-04-12 | 2013-11-01 | 5-position modified pyrimidines and their use |
| US14/847,150 Abandoned US20150376223A1 (en) | 2010-04-12 | 2015-09-08 | 5-position modified pyrimidines and their use |
| US15/090,406 Abandoned US20160355540A1 (en) | 2010-04-12 | 2016-04-04 | 5-position modified pyrimidines and their use |
| US15/650,281 Active US10221207B2 (en) | 2010-04-12 | 2017-07-14 | 5-position modified pyrimidines and their use |
| US16/254,127 Abandoned US20190233461A1 (en) | 2010-04-12 | 2019-01-22 | 5-position modified pyrimidines and their use |
Family Applications Before (4)
| Application Number | Title | Priority Date | Filing Date |
|---|---|---|---|
| US13/085,256 Abandoned US20110275794A1 (en) | 2010-04-12 | 2011-04-12 | 5-position modified pyrimidines and their use |
| US13/634,618 Expired - Fee Related US8598140B2 (en) | 2010-04-12 | 2011-04-12 | Aptamers to β-NGF and their use in treating β-NGF mediated diseases and disorders |
| US14/069,798 Active US9163056B2 (en) | 2010-04-12 | 2013-11-01 | 5-position modified pyrimidines and their use |
| US14/847,150 Abandoned US20150376223A1 (en) | 2010-04-12 | 2015-09-08 | 5-position modified pyrimidines and their use |
Family Applications After (2)
| Application Number | Title | Priority Date | Filing Date |
|---|---|---|---|
| US15/650,281 Active US10221207B2 (en) | 2010-04-12 | 2017-07-14 | 5-position modified pyrimidines and their use |
| US16/254,127 Abandoned US20190233461A1 (en) | 2010-04-12 | 2019-01-22 | 5-position modified pyrimidines and their use |
Country Status (24)
| Country | Link |
|---|---|
| US (7) | US20110275794A1 (en) |
| EP (3) | EP2558586B1 (en) |
| JP (4) | JP5901610B2 (en) |
| KR (4) | KR102185779B1 (en) |
| CN (4) | CN107033204A (en) |
| AR (1) | AR081452A1 (en) |
| AU (2) | AU2011240677B2 (en) |
| BR (2) | BR112012025872B8 (en) |
| CA (3) | CA2797188C (en) |
| CO (1) | CO6630139A2 (en) |
| DK (1) | DK2558478T3 (en) |
| EA (1) | EA022429B1 (en) |
| ES (3) | ES2610159T3 (en) |
| HK (1) | HK1201740A1 (en) |
| IL (5) | IL222339A (en) |
| MX (4) | MX2012011771A (en) |
| MY (1) | MY160608A (en) |
| NO (1) | NO2558478T3 (en) |
| NZ (1) | NZ602618A (en) |
| PH (1) | PH12012501838A1 (en) |
| SG (3) | SG2014006522A (en) |
| TW (6) | TWI505833B (en) |
| UA (1) | UA105290C2 (en) |
| WO (2) | WO2011130195A1 (en) |
Cited By (1)
| Publication number | Priority date | Publication date | Assignee | Title |
|---|---|---|---|---|
| US9938314B2 (en) | 2013-11-21 | 2018-04-10 | Somalogic, Inc. | Cytidine-5-carboxamide modified nucleotide compositions and methods related thereto |
Families Citing this family (72)
| Publication number | Priority date | Publication date | Assignee | Title |
|---|---|---|---|---|
| JPS5993279A (en) * | 1982-11-17 | 1984-05-29 | 富士通株式会社 | Method of separately extracting card and receipt by robot |
| US7947447B2 (en) | 2007-01-16 | 2011-05-24 | Somalogic, Inc. | Method for generating aptamers with improved off-rates |
| US20110136099A1 (en) * | 2007-01-16 | 2011-06-09 | Somalogic, Inc. | Multiplexed Analyses of Test Samples |
| US8975026B2 (en) | 2007-01-16 | 2015-03-10 | Somalogic, Inc. | Method for generating aptamers with improved off-rates |
| US8404830B2 (en) * | 2007-07-17 | 2013-03-26 | Somalogic, Inc. | Method for generating aptamers with improved off-rates |
| MX2012011771A (en) | 2010-04-12 | 2012-12-17 | Somalogic Inc | Aptamers to î²-ngf and their use in treating î²-ngf mediated diseases and disorders. |
| JP5995855B2 (en) * | 2010-11-05 | 2016-09-21 | ミラゲン セラピューティクス,インコーポレイテッド | Base-modified oligonucleotide |
| US9078878B2 (en) | 2010-12-01 | 2015-07-14 | Alderbio Holdings Llc | Anti-NGF antibodies that selectively inhibit the association of NGF with TrkA, without affecting the association of NGF with p75 |
| US9884909B2 (en) | 2010-12-01 | 2018-02-06 | Alderbio Holdings Llc | Anti-NGF compositions and use thereof |
| US9539324B2 (en) | 2010-12-01 | 2017-01-10 | Alderbio Holdings, Llc | Methods of preventing inflammation and treating pain using anti-NGF compositions |
| US8911734B2 (en) | 2010-12-01 | 2014-12-16 | Alderbio Holdings Llc | Methods of preventing or treating pain using anti-NGF antibodies that selectively inhibit the association of NGF with TrkA, without affecting the association of NGF with p75 |
| US9067988B2 (en) | 2010-12-01 | 2015-06-30 | Alderbio Holdings Llc | Methods of preventing or treating pain using anti-NGF antibodies |
| US11214610B2 (en) | 2010-12-01 | 2022-01-04 | H. Lundbeck A/S | High-purity production of multi-subunit proteins such as antibodies in transformed microbes such as Pichia pastoris |
| CN104379764B (en) * | 2012-03-28 | 2018-04-06 | 私募蛋白质体公司 | PDGF and VEGF fit and their purposes in the symptom for the treatment of PDGF and VEGF mediations |
| CA2867481A1 (en) | 2012-04-13 | 2013-10-17 | Somalogic, Inc. | Tuberculosis biomarkers and uses thereof |
| WO2014007438A1 (en) * | 2012-07-02 | 2014-01-09 | 국립대학법인 울산과학기술대학교 산학협력단 | Aptamer for periostin and anti-cancer composition including same |
| US10942184B2 (en) | 2012-10-23 | 2021-03-09 | Caris Science, Inc. | Aptamers and uses thereof |
| BR112015009138A2 (en) | 2012-10-23 | 2020-10-20 | Caris Life Sciences Switzerland Holdings, S.A.R.L. | methods for characterizing cancer |
| AU2013361323B2 (en) | 2012-12-19 | 2018-09-06 | Caris Science, Inc. | Compositions and methods for aptamer screening |
| JP6591392B2 (en) * | 2013-03-14 | 2019-10-16 | ソマロジック, インコーポレイテッドSomaLogic, Inc. | Aptamers that bind to IL-6 and their use in the treatment or diagnosis of IL-6 mediated conditions |
| TWI594975B (en) | 2013-04-24 | 2017-08-11 | 第一三共股份有限公司 | Dicarboxylic acid compound |
| WO2014177510A2 (en) * | 2013-05-03 | 2014-11-06 | Creabilis Sa | Polymer conjugates of indolocarbazole compounds in the treatment of pruritus |
| GB201312295D0 (en) * | 2013-07-09 | 2013-08-21 | Syntaxin Ltd | Suppression of itch |
| EP3693472A1 (en) | 2013-09-09 | 2020-08-12 | Somalogic, Inc. | Pdgf and vegf aptamers having improved stability and their use in treating pdgf and vegf mediated diseases and disorders |
| HK1218765A1 (en) * | 2013-09-24 | 2017-03-10 | 私募蛋白质体公司 | Multiaptamer target detection |
| JP2015062365A (en) * | 2013-09-25 | 2015-04-09 | Necソリューションイノベータ株式会社 | Nucleic acid molecule bound to ractopamine and application thereof |
| JP2015062364A (en) * | 2013-09-25 | 2015-04-09 | Necソリューションイノベータ株式会社 | Nucleic acid molecule bound to clenbuterol and application thereof |
| WO2015066001A1 (en) * | 2013-10-29 | 2015-05-07 | Albert Einstein College Of Medicine Of Yeshiva University | Nucleic acid-scaffolded small molecule libraries |
| WO2015147017A1 (en) * | 2014-03-24 | 2015-10-01 | 株式会社リボミック | Aptamer for fgf2 and use thereof |
| NO2718257T3 (en) * | 2014-05-30 | 2018-04-14 | ||
| US11197896B2 (en) * | 2014-08-25 | 2021-12-14 | Société des Produits Nestlé S.A. | Egg protein formulations and methods of manufacture thereof |
| CN104561013A (en) * | 2015-01-05 | 2015-04-29 | 中国人民解放军南京军区福州总医院 | Method for optimizing aptamer sequence based on high-throughput sequencing technology |
| JP2019508400A (en) | 2016-02-09 | 2019-03-28 | ファーマケア,インク. | Quinolinone lysyl oxidase-like 2 inhibitors and their use |
| ES2784946T3 (en) * | 2016-03-14 | 2020-10-02 | Somalogic Inc | Compounds and methods for the synthesis of 5- (n-protected tryptaminocarboxyamide) -2'-deoxyuridine phosphoramidite for its incorporation into a nucleic acid sequence |
| CN107663220B (en) * | 2016-07-27 | 2020-10-02 | 上海伯豪医学检验所有限公司 | Modified base, nucleic acid containing modified base, aptamer and application thereof |
| EP3530738A4 (en) | 2016-10-24 | 2020-06-03 | KIM, Sung-Chun | Tnf- -binding aptamer, and therapeutic use for same |
| EP4614155A3 (en) | 2016-12-01 | 2025-10-15 | Nautilus Subsidiary, Inc. | Methods of assaying proteins |
| BR112020013252A2 (en) | 2017-12-29 | 2020-12-01 | Nautilus Biotechnology, Inc. | decoding approaches for protein identification |
| CN108299518A (en) * | 2018-02-02 | 2018-07-20 | 王成宇 | A kind of synthetic method of 2`- deoxidations-β-uridine |
| US12338441B2 (en) | 2018-02-12 | 2025-06-24 | Aptacure Therapeutics Limited | Aptamer for sclerostin and use thereof |
| CN112638845B (en) * | 2018-06-22 | 2024-07-30 | 私募蛋白质体运营有限公司 | Improved proteomics multiplexing assays |
| KR20210142694A (en) | 2019-03-22 | 2021-11-25 | 소마로직, 인크. | Reduced sample-to-sample analyte variability in biological complex matrices |
| WO2020236544A1 (en) | 2019-05-17 | 2020-11-26 | Somalogic, Inc. | Controlling intersample analyte variability in complex biological matrices |
| EP4165549A1 (en) | 2020-06-11 | 2023-04-19 | Nautilus Biotechnology, Inc. | Methods and systems for computational decoding of biological, chemical, and physical entities |
| CA3203106A1 (en) | 2021-01-20 | 2022-07-28 | Parag Mallick | Systems and methods for biomolecule quantitation |
| AU2022209365A1 (en) | 2021-01-21 | 2023-07-20 | Nautilus Subsidiary, Inc. | Systems and methods for biomolecule preparation |
| IL305336B2 (en) | 2021-03-11 | 2025-09-01 | Nautilus Subsidiary Inc | Systems and methods for biomolecule retention |
| EP4316495A4 (en) | 2021-03-25 | 2025-12-31 | Aptacure Therapeutics Ltd | Extended in-vivo half-life nucleic acid molecular conjugate |
| CN113481204B (en) * | 2021-07-02 | 2022-08-12 | 湖南赛奥维生物技术有限公司 | Aptamer of protein, derivative and application thereof |
| US12529049B2 (en) | 2021-09-09 | 2026-01-20 | Nautilus Subsidiary, Inc. | Characterization and localization of protein modifications |
| WO2023049073A1 (en) | 2021-09-22 | 2023-03-30 | Nautilus Biotechnology, Inc. | Methods and systems for determining polypeptide interactions |
| CN117916377A (en) | 2021-09-26 | 2024-04-19 | 安沛治疗有限公司 | Aptamer for DKK1 and use thereof |
| US20230149883A1 (en) | 2021-11-03 | 2023-05-18 | Nautilus Biotechnology, Inc. | Systems and methods for surface structuring |
| CA3245990A1 (en) | 2022-03-29 | 2023-10-05 | Nautilus Subsidiary, Inc. | Integrated arrays for single-analyte processes |
| WO2023212490A1 (en) | 2022-04-25 | 2023-11-02 | Nautilus Subsidiary, Inc. | Systems and methods for assessing and improving the quality of multiplex molecular assays |
| WO2023250364A1 (en) | 2022-06-21 | 2023-12-28 | Nautilus Subsidiary, Inc. | Method for detecting analytes at sites of optically non-resolvable distances |
| WO2024059655A1 (en) | 2022-09-15 | 2024-03-21 | Nautilus Subsidiary, Inc. | Characterizing accessibility of macromolecule structures |
| WO2024073599A1 (en) | 2022-09-29 | 2024-04-04 | Nautilus Subsidiary, Inc. | Preparation of array surfaces for single-analyte processes |
| EP4619766A1 (en) | 2022-11-15 | 2025-09-24 | Nautilus Subsidiary, Inc. | Standard polypeptides |
| EP4630816A1 (en) | 2022-12-09 | 2025-10-15 | Nautilus Subsidiary, Inc. | A method comprising performing on a single-analyte array at least 50 cycles of a process |
| EP4634285A1 (en) | 2022-12-15 | 2025-10-22 | Nautilus Subsidiary, Inc. | Inhibition of photon phenomena on single molecule arrays |
| WO2024151373A1 (en) | 2023-01-12 | 2024-07-18 | Nautilus Subsidiary, Inc. | Characterization of glycans and glycoconjugates |
| WO2024206122A1 (en) | 2023-03-24 | 2024-10-03 | Nautilus Subsidiary, Inc. | Improved transfer of nanoparticles to array surfaces |
| US20240353416A1 (en) | 2023-04-13 | 2024-10-24 | Nautilus Subsidiary, Inc. | Artificial proteins for displaying epitopes |
| WO2024228396A1 (en) * | 2023-05-01 | 2024-11-07 | 株式会社ナティアス | Highly lipid-soluble nucleotide building block for oligonucleotide synthesis, and synthesis of oligonucleotides using same |
| WO2024243237A1 (en) | 2023-05-24 | 2024-11-28 | Nautilus Subsidiary, Inc. | Systems and methods for machine vision |
| US20250189519A1 (en) | 2023-12-11 | 2025-06-12 | Nautilus Subsidiary, Inc. | Methods and compositions of particle-based arrays |
| WO2025137166A1 (en) | 2023-12-20 | 2025-06-26 | Nautilus Subsidiary, Inc. | Fluidic devices for single-analyte assays |
| WO2025199236A1 (en) | 2024-03-22 | 2025-09-25 | Nautilus Subsidiary, Inc. | Plasmonic particle systems for single-analyte assays |
| WO2025212338A1 (en) | 2024-04-01 | 2025-10-09 | Nautilus Subsidiary, Inc. | Nanostructures for modulation of analyte conformation |
| WO2026003215A1 (en) | 2024-06-27 | 2026-01-02 | Commissariat A L'energie Atomique Et Aux Energies Alternatives | Bases chemically modified with a cleavable group and methods of selecting functional nucleic acids comprising same |
| CN119792485B (en) * | 2025-03-17 | 2025-06-24 | 温州医科大学附属口腔医院 | Antibacterial repair-promoting hydrogel dressing and preparation method thereof |
Family Cites Families (97)
| Publication number | Priority date | Publication date | Assignee | Title |
|---|---|---|---|---|
| US4267171A (en) | 1979-07-02 | 1981-05-12 | The Regents Of The University Of California | C-5 Substituted cytosine nucleosides |
| US4415732A (en) | 1981-03-27 | 1983-11-15 | University Patents, Inc. | Phosphoramidite compounds and processes |
| US4711955A (en) | 1981-04-17 | 1987-12-08 | Yale University | Modified nucleotides and methods of preparing and using same |
| US5023243A (en) | 1981-10-23 | 1991-06-11 | Molecular Biosystems, Inc. | Oligonucleotide therapeutic agent and method of making same |
| US4594339A (en) | 1982-04-06 | 1986-06-10 | Sloan-Kettering Institute For Cancer Research | Anti-herpes virus compositions containing 5-substituted 1-2'(deoxy-2-'-substituted-β-d-arabinofuranosyl)pyrimedene nucleosides |
| US5599720A (en) | 1982-08-27 | 1997-02-04 | Multilyte Limited | Measurement of analyte concentration |
| US4948882A (en) | 1983-02-22 | 1990-08-14 | Syngene, Inc. | Single-stranded labelled oligonucleotides, reactive monomers and methods of synthesis |
| DE3329892A1 (en) | 1983-08-18 | 1985-03-07 | Köster, Hubert, Prof. Dr., 2000 Hamburg | METHOD FOR PRODUCING OLIGONUCLEOTIDES |
| US4828979A (en) | 1984-11-08 | 1989-05-09 | Life Technologies, Inc. | Nucleotide analogs for nucleic acid labeling and detection |
| US4737453A (en) | 1984-12-12 | 1988-04-12 | Immunomedics, Inc. | Sandwich immunoassay utilizing a separation specific binding substance |
| WO1986005803A1 (en) | 1985-03-30 | 1986-10-09 | Marc Ballivet | Method for obtaining dna, rna, peptides, polypeptides or proteins by means of a dna recombinant technique |
| US5093232A (en) | 1985-12-11 | 1992-03-03 | Chiron Corporation | Nucleic acid probes |
| US4752566A (en) | 1985-12-17 | 1988-06-21 | Genetics Institute, Inc. | Displacement polynucleotide method and reagent complex employing labeled probe polynucleotide |
| US5047519A (en) | 1986-07-02 | 1991-09-10 | E. I. Du Pont De Nemours And Company | Alkynylamino-nucleotides |
| US4997818A (en) | 1987-09-21 | 1991-03-05 | The University Hospital | Therapeutic method for selectively treating terminal deoxynucleotidyl transferase-positive neoplastic leukemias and lymphomas |
| SE8802173D0 (en) | 1988-06-10 | 1988-06-10 | Astra Ab | PYRIMIDINE DERIVATIVES |
| WO1990015065A1 (en) | 1989-06-05 | 1990-12-13 | Gilead Sciences, Inc. | Exonuclease-resistant oligonucleotides and methods for preparing the same |
| US5118672A (en) | 1989-07-10 | 1992-06-02 | University Of Georgia Research Foundation | 5'-diphosphohexose nucleoside pharmaceutical compositions |
| US5134066A (en) | 1989-08-29 | 1992-07-28 | Monsanto Company | Improved probes using nucleosides containing 3-dezauracil analogs |
| CA2071483C (en) | 1989-10-24 | 2001-04-17 | Mark Matteucci | Oligonucleotide analogs with novel linkages |
| DE69108014T2 (en) | 1990-03-13 | 1995-07-06 | Acic Canada Inc | METHOD FOR PRODUCING NUCLEOSIDES AND THEIR ANALOGS. |
| EP0537299A1 (en) | 1990-03-29 | 1993-04-21 | Gilead Sciences, Inc. | Oligonucleotide-transport agent disulfide conjugates |
| US6346611B1 (en) | 1990-06-11 | 2002-02-12 | Gilead Sciences, Inc. | High affinity TGfβ nucleic acid ligands and inhibitors |
| US5567588A (en) | 1990-06-11 | 1996-10-22 | University Research Corporation | Systematic evolution of ligands by exponential enrichment: Solution SELEX |
| CA2084987C (en) | 1990-06-11 | 2007-02-13 | Larry Gold | Nucleic acid ligands |
| US5476766A (en) | 1990-06-11 | 1995-12-19 | Nexstar Pharmaceuticals, Inc. | Ligands of thrombin |
| US5861254A (en) | 1997-01-31 | 1999-01-19 | Nexstar Pharmaceuticals, Inc. | Flow cell SELEX |
| US5580737A (en) | 1990-06-11 | 1996-12-03 | Nexstar Pharmaceuticals, Inc. | High-affinity nucleic acid ligands that discriminate between theophylline and caffeine |
| US5705337A (en) | 1990-06-11 | 1998-01-06 | Nexstar Pharmaceuticals, Inc. | Systematic evolution of ligands by exponential enrichment: chemi-SELEX |
| US5496938A (en) | 1990-06-11 | 1996-03-05 | Nexstar Pharmaceuticals, Inc. | Nucleic acid ligands to HIV-RT and HIV-1 rev |
| US5660985A (en) | 1990-06-11 | 1997-08-26 | Nexstar Pharmaceuticals, Inc. | High affinity nucleic acid ligands containing modified nucleotides |
| US6030776A (en) | 1990-06-11 | 2000-02-29 | Nexstar Pharmaceuticals, Inc. | Parallel SELEX |
| US5270163A (en) | 1990-06-11 | 1993-12-14 | University Research Corporation | Methods for identifying nucleic acid ligands |
| US5138045A (en) | 1990-07-27 | 1992-08-11 | Isis Pharmaceuticals | Polyamine conjugated oligonucleotides |
| WO1992014842A1 (en) | 1991-02-21 | 1992-09-03 | Gilead Sciences, Inc. | Aptamers specific for thrombin and methods of use |
| JPH06508022A (en) | 1991-02-21 | 1994-09-14 | ギリアド サイエンシズ,インコーポレイテッド | Biomolecule-specific aptamers and production methods |
| US5840867A (en) * | 1991-02-21 | 1998-11-24 | Gilead Sciences, Inc. | Aptamer analogs specific for biomolecules |
| US5582981A (en) | 1991-08-14 | 1996-12-10 | Gilead Sciences, Inc. | Method for identifying an oligonucleotide aptamer specific for a target |
| US5412087A (en) | 1992-04-24 | 1995-05-02 | Affymax Technologies N.V. | Spatially-addressable immobilization of oligonucleotides and other biological polymers on surfaces |
| AU3222793A (en) | 1991-11-26 | 1993-06-28 | Gilead Sciences, Inc. | Enhanced triple-helix and double-helix formation with oligomers containing modified pyrimidines |
| US5580972A (en) | 1993-06-14 | 1996-12-03 | Nexstar Pharmaceuticals, Inc. | Purine nucleoside modifications by palladium catalyzed methods |
| US5428149A (en) | 1993-06-14 | 1995-06-27 | Washington State University Research Foundation | Method for palladium catalyzed carbon-carbon coulping and products |
| US5719273A (en) | 1993-06-14 | 1998-02-17 | Nexstar Pharmaceuticals, Inc. | Palladium catalyzed nucleoside modifications methods using nucleophiles and carbon monoxide |
| US5801154A (en) | 1993-10-18 | 1998-09-01 | Isis Pharmaceuticals, Inc. | Antisense oligonucleotide modulation of multidrug resistance-associated protein |
| US5596091A (en) | 1994-03-18 | 1997-01-21 | The Regents Of The University Of California | Antisense oligonucleotides comprising 5-aminoalkyl pyrimidine nucleotides |
| US5658738A (en) | 1994-05-31 | 1997-08-19 | Becton Dickinson And Company | Bi-directional oligonucleotides that bind thrombin |
| JP4899014B2 (en) * | 1995-06-02 | 2012-03-21 | イーシー・テクノロジー・エルエルシー | Palladium-catalyzed nucleoside modification method using nucleophiles and carbon monoxide |
| EP0864002A4 (en) | 1995-10-27 | 1999-07-28 | Elliot R Ramberg | Methods and compositions for detection of specific nucleotide sequences |
| US5945527A (en) | 1996-05-30 | 1999-08-31 | Nexstar Pharmaceuticals, Inc. | Palladium catalyzed nucleoside modification methods using nucleophiles and carbon monoxide |
| US6794499B2 (en) * | 1997-09-12 | 2004-09-21 | Exiqon A/S | Oligonucleotide analogues |
| US20070166741A1 (en) | 1998-12-14 | 2007-07-19 | Somalogic, Incorporated | Multiplexed analyses of test samples |
| US6020483A (en) | 1998-09-25 | 2000-02-01 | Nexstar Pharmaceuticals, Inc. | Nucleoside modifications by palladium catalyzed methods |
| US6175001B1 (en) | 1998-10-16 | 2001-01-16 | The Scripps Research Institute | Functionalized pyrimidine nucleosides and nucleotides and DNA's incorporating same |
| US6734172B2 (en) | 1998-11-18 | 2004-05-11 | Pacific Northwest Research Institute | Surface receptor antigen vaccines |
| US20040120891A1 (en) * | 1998-12-21 | 2004-06-24 | Craig Hill | Compounds for intracellular delivery of therapeutic moieties to nerve cells |
| JP3485023B2 (en) * | 1999-05-20 | 2004-01-13 | 東亞合成株式会社 | Nucleoside compound |
| US20030054360A1 (en) | 1999-01-19 | 2003-03-20 | Larry Gold | Method and apparatus for the automated generation of nucleic acid ligands |
| ATE414520T1 (en) * | 2000-04-13 | 2008-12-15 | Pharmasset Inc | 3 OR 2 HYDROXYMETHYL SUBSTITUTED NUCLEOSIDE DERIVATIVES AND THEIR USE FOR TREATING VIRUS INFECTIONS |
| US6376190B1 (en) | 2000-09-22 | 2002-04-23 | Somalogic, Inc. | Modified SELEX processes without purified protein |
| AU2002360272A1 (en) | 2001-10-10 | 2003-04-22 | Superarray Bioscience Corporation | Detecting targets by unique identifier nucleotide tags |
| EP1481090A4 (en) | 2002-02-15 | 2006-08-09 | Somalogic Inc | Methods and reagents for detecting target binding by nucleic acid ligands |
| JP3978187B2 (en) | 2002-03-19 | 2007-09-19 | 富士通株式会社 | Functional molecule and production method thereof |
| US7767803B2 (en) | 2002-06-18 | 2010-08-03 | Archemix Corp. | Stabilized aptamers to PSMA and their use as prostate cancer therapeutics |
| CA2407825A1 (en) | 2002-10-11 | 2004-04-11 | Andrew J. Simmonds | Trap-tagging: a novel method for the identification and purification of rna-protein complexes |
| JP2006517790A (en) | 2003-01-09 | 2006-08-03 | インヴィトロジェン コーポレーション | Cellular delivery and activation of polypeptide-nucleic acid complexes |
| JP4119976B2 (en) * | 2003-02-07 | 2008-07-16 | 国立大学法人群馬大学 | 5-substituted pyrimidine deoxynucleotide derivative and method for synthesizing nucleic acid using the same |
| WO2005024042A2 (en) | 2003-09-04 | 2005-03-17 | The Regents Of The University Of California | Aptamers and methods for their in vitro selection and uses thereof |
| US20050227225A1 (en) | 2004-04-07 | 2005-10-13 | Roche Molecular Systems, Inc. | Stabilization of biomolecules in samples |
| US7674778B2 (en) | 2004-04-30 | 2010-03-09 | Alnylam Pharmaceuticals | Oligonucleotides comprising a conjugate group linked through a C5-modified pyrimidine |
| JP2006117542A (en) * | 2004-10-19 | 2006-05-11 | Pias Arise Kk | Nerve growth factor production inhibitor, and topical skin preparations, cosmetics, quasi-drugs, itching prevention and treatment agents, and atopic dermatitis treatment agents containing the nerve growth factor production inhibitor |
| EP1828217A2 (en) | 2004-12-16 | 2007-09-05 | Febit Biotech GmbH | Polymerase-independent analysis of the sequence of polynucleotides |
| WO2007044427A2 (en) | 2005-10-05 | 2007-04-19 | Panomics, Inc. | Detection of nucleic acids from whole blood |
| JP5256578B2 (en) * | 2005-12-20 | 2013-08-07 | 大正製薬株式会社 | Preventive or therapeutic agent for pruritic skin disease |
| PL1994171T3 (en) | 2006-01-17 | 2015-08-31 | Somalogic Inc | Multiplexed analyses of test samples |
| EP1996193A2 (en) | 2006-03-13 | 2008-12-03 | OSI Pharmaceuticals, Inc. | Combined treatment with an egfr kinase inhibitor and an agent that sensitizes tumor cells to the effects of egfr kinase inhibitors |
| EP1897886A1 (en) * | 2006-09-08 | 2008-03-12 | Bayer Schering Pharma Aktiengesellschaft | Compounds as aptamer-dimers and their uses in diagnosis and therapy |
| US8242258B2 (en) * | 2006-12-03 | 2012-08-14 | Agilent Technologies, Inc. | Protecting groups for RNA synthesis |
| CA2673029C (en) | 2006-12-22 | 2017-03-28 | Archemix Corp. | Materials and methods for the generation of transcripts comprising modified nucleotides |
| US7855054B2 (en) | 2007-01-16 | 2010-12-21 | Somalogic, Inc. | Multiplexed analyses of test samples |
| US20110136099A1 (en) | 2007-01-16 | 2011-06-09 | Somalogic, Inc. | Multiplexed Analyses of Test Samples |
| US7947447B2 (en) * | 2007-01-16 | 2011-05-24 | Somalogic, Inc. | Method for generating aptamers with improved off-rates |
| US8975026B2 (en) | 2007-01-16 | 2015-03-10 | Somalogic, Inc. | Method for generating aptamers with improved off-rates |
| EP2144921A2 (en) * | 2007-02-27 | 2010-01-20 | K.U. Leuven Research and Development | Phosphate modified nucleosides useful as substrates for polymerases and as antiviral agents |
| WO2008137776A2 (en) * | 2007-05-02 | 2008-11-13 | Sirna Therapeutics, Inc. | Rna interference mediated inhibition of cyclic nucleotide type 4 phosphodiesterase (pde4b) gene expression using short interfering nucleic acid (sina) |
| ES2647587T3 (en) * | 2007-07-17 | 2017-12-22 | Somalogic, Inc. | Aptamers with uridines and / or substituted thymidines in position 5 with a benzyl group |
| US8404830B2 (en) | 2007-07-17 | 2013-03-26 | Somalogic, Inc. | Method for generating aptamers with improved off-rates |
| US20090215050A1 (en) | 2008-02-22 | 2009-08-27 | Robert Delmar Jenison | Systems and methods for point-of-care amplification and detection of polynucleotides |
| US8703416B2 (en) | 2008-07-17 | 2014-04-22 | Somalogic, Inc. | Method for purification and identification of sperm cells |
| KR101694559B1 (en) | 2008-09-24 | 2017-01-09 | 가부시키가이샤 리보믹 | Aptamer for ngf and use thereof |
| AU2011223527B2 (en) | 2010-03-03 | 2014-11-13 | Somalogic Operating Co., Inc. | Aptamers to 4-1BB and their use in treating diseases and disorders |
| PL2551346T3 (en) | 2010-03-24 | 2016-07-29 | Ribomic Inc | Aptamer for ngf and use thereof |
| RU2615143C2 (en) | 2010-03-24 | 2017-04-04 | Адвирна | Self-delivered rnai compounds of reduced size |
| WO2011130065A1 (en) | 2010-04-12 | 2011-10-20 | Merck Sharp & Dohme Corp. | RNA INTERFERENCE MEDIATED INHIBITION OF MET GENE EXPRESSION USING SHORT INTERFERING NUCLEIC ACID (siNA) |
| MX2012011771A (en) | 2010-04-12 | 2012-12-17 | Somalogic Inc | Aptamers to î²-ngf and their use in treating î²-ngf mediated diseases and disorders. |
| JP5995855B2 (en) * | 2010-11-05 | 2016-09-21 | ミラゲン セラピューティクス,インコーポレイテッド | Base-modified oligonucleotide |
| CN104379764B (en) * | 2012-03-28 | 2018-04-06 | 私募蛋白质体公司 | PDGF and VEGF fit and their purposes in the symptom for the treatment of PDGF and VEGF mediations |
| JP7008405B2 (en) | 2013-11-21 | 2022-01-25 | ソマロジック・インコーポレーテッド | Cytidine-5-carboxamide modified nucleotide compositions and related methods |
-
2011
- 2011-04-12 MX MX2012011771A patent/MX2012011771A/en active IP Right Grant
- 2011-04-12 KR KR1020197004119A patent/KR102185779B1/en active Active
- 2011-04-12 MX MX2016005612A patent/MX373860B/en unknown
- 2011-04-12 CN CN201610828700.9A patent/CN107033204A/en active Pending
- 2011-04-12 WO PCT/US2011/032017 patent/WO2011130195A1/en not_active Ceased
- 2011-04-12 NO NO11769451A patent/NO2558478T3/no unknown
- 2011-04-12 US US13/085,256 patent/US20110275794A1/en not_active Abandoned
- 2011-04-12 ES ES11769393.7T patent/ES2610159T3/en active Active
- 2011-04-12 TW TW100112666A patent/TWI505833B/en not_active IP Right Cessation
- 2011-04-12 CA CA2797188A patent/CA2797188C/en active Active
- 2011-04-12 UA UAA201212806A patent/UA105290C2/en unknown
- 2011-04-12 AR ARP110101235A patent/AR081452A1/en unknown
- 2011-04-12 CN CN201180018781.1A patent/CN102858990B/en not_active Expired - Fee Related
- 2011-04-12 CN CN201410340470.2A patent/CN104069512A/en active Pending
- 2011-04-12 PH PH1/2012/501838A patent/PH12012501838A1/en unknown
- 2011-04-12 CN CN201180028946.3A patent/CN102985435B/en active Active
- 2011-04-12 ES ES17200661T patent/ES2905656T3/en active Active
- 2011-04-12 EP EP11769393.7A patent/EP2558586B1/en not_active Not-in-force
- 2011-04-12 JP JP2013505056A patent/JP5901610B2/en active Active
- 2011-04-12 CA CA2793451A patent/CA2793451A1/en not_active Abandoned
- 2011-04-12 US US13/634,618 patent/US8598140B2/en not_active Expired - Fee Related
- 2011-04-12 EA EA201291034A patent/EA022429B1/en not_active IP Right Cessation
- 2011-04-12 KR KR1020127029502A patent/KR101842269B1/en active Active
- 2011-04-12 CA CA3066785A patent/CA3066785A1/en active Pending
- 2011-04-12 SG SG2014006522A patent/SG2014006522A/en unknown
- 2011-04-12 MX MX2012011779A patent/MX2012011779A/en not_active Application Discontinuation
- 2011-04-12 WO PCT/US2011/032143 patent/WO2011130289A1/en not_active Ceased
- 2011-04-12 ES ES11769451.3T patent/ES2667491T3/en active Active
- 2011-04-12 DK DK11769451.3T patent/DK2558478T3/en active
- 2011-04-12 NZ NZ602618A patent/NZ602618A/en not_active IP Right Cessation
- 2011-04-12 AU AU2011240677A patent/AU2011240677B2/en active Active
- 2011-04-12 SG SG2012068565A patent/SG184089A1/en unknown
- 2011-04-12 AU AU2011240774A patent/AU2011240774B2/en not_active Ceased
- 2011-04-12 SG SG2012074647A patent/SG184497A1/en unknown
- 2011-04-12 MX MX2020003168A patent/MX392756B/en unknown
- 2011-04-12 JP JP2013505029A patent/JP6012591B2/en not_active Expired - Fee Related
- 2011-04-12 EP EP17200661.1A patent/EP3345915B1/en active Active
- 2011-04-12 BR BR112012025872A patent/BR112012025872B8/en active IP Right Grant
- 2011-04-12 MY MYPI2012004319A patent/MY160608A/en unknown
- 2011-04-12 KR KR1020127026771A patent/KR20130043099A/en not_active Ceased
- 2011-04-12 KR KR1020187006712A patent/KR101952671B1/en active Active
- 2011-04-12 EP EP11769451.3A patent/EP2558478B1/en active Active
- 2011-04-12 BR BR122021003805A patent/BR122021003805B8/en active IP Right Grant
- 2011-10-11 TW TW108120336A patent/TWI684596B/en active
- 2011-10-11 TW TW106114660A patent/TWI643864B/en active
- 2011-10-11 TW TW109100780A patent/TW202019943A/en unknown
- 2011-10-11 TW TW105113101A patent/TWI593701B/en active
- 2011-10-11 TW TW107132304A patent/TWI671309B/en active
-
2012
- 2012-10-10 IL IL222339A patent/IL222339A/en active IP Right Grant
- 2012-10-12 CO CO12181026A patent/CO6630139A2/en unknown
-
2013
- 2013-11-01 US US14/069,798 patent/US9163056B2/en active Active
-
2015
- 2015-03-06 HK HK15102316.6A patent/HK1201740A1/en unknown
- 2015-09-08 US US14/847,150 patent/US20150376223A1/en not_active Abandoned
- 2015-10-12 IL IL242038A patent/IL242038A/en active IP Right Grant
-
2016
- 2016-03-04 JP JP2016041782A patent/JP6352324B2/en active Active
- 2016-04-04 US US15/090,406 patent/US20160355540A1/en not_active Abandoned
-
2017
- 2017-06-06 IL IL252703A patent/IL252703A/en active IP Right Grant
- 2017-07-14 US US15/650,281 patent/US10221207B2/en active Active
- 2017-11-30 IL IL256013A patent/IL256013B/en active IP Right Grant
- 2017-11-30 IL IL256014A patent/IL256014B/en active IP Right Grant
-
2018
- 2018-02-28 JP JP2018034436A patent/JP7025818B2/en active Active
-
2019
- 2019-01-22 US US16/254,127 patent/US20190233461A1/en not_active Abandoned
Cited By (2)
| Publication number | Priority date | Publication date | Assignee | Title |
|---|---|---|---|---|
| US9938314B2 (en) | 2013-11-21 | 2018-04-10 | Somalogic, Inc. | Cytidine-5-carboxamide modified nucleotide compositions and methods related thereto |
| US10239908B2 (en) | 2013-11-21 | 2019-03-26 | Somalogic, Inc. | Cytidine-5-carboxamide modified nucleotide compositions and methods related thereto |
Also Published As
Similar Documents
| Publication | Publication Date | Title |
|---|---|---|
| US10221207B2 (en) | 5-position modified pyrimidines and their use | |
| AU2013202528B2 (en) | 5-position modified pyrimidines and their use | |
| TWI541249B (en) | 5-position modified pyrimidines and their use | |
| HK1252803B (en) | 5-position modified pyrimidines and their use | |
| HK1175474A (en) | 5-position modified pyrimidines and their use | |
| HK1175474B (en) | 5-position modified pyrimidines and their use | |
| HK1235792A1 (en) | 5-position modified pyrimidines and their use |
Legal Events
| Date | Code | Title | Description |
|---|---|---|---|
| AS | Assignment |
Owner name: SOMALOGIC, INC., COLORADO Free format text: ASSIGNMENT OF ASSIGNORS INTEREST;ASSIGNORS:ROHLOFF, JOHN;JANJIC, NEBOJSA;CARTER, JEFFREY. D.;AND OTHERS;SIGNING DATES FROM 20110601 TO 20110602;REEL/FRAME:038189/0739 |
|
| STCB | Information on status: application discontinuation |
Free format text: ABANDONED -- FAILURE TO RESPOND TO AN OFFICE ACTION |










































