US20150307745A1 - Siloxane-urethane foul release coatings - Google Patents
Siloxane-urethane foul release coatings Download PDFInfo
- Publication number
- US20150307745A1 US20150307745A1 US14/795,088 US201514795088A US2015307745A1 US 20150307745 A1 US20150307745 A1 US 20150307745A1 US 201514795088 A US201514795088 A US 201514795088A US 2015307745 A1 US2015307745 A1 US 2015307745A1
- Authority
- US
- United States
- Prior art keywords
- composition
- weight
- curable composition
- percent based
- isocyanate
- Prior art date
- Legal status (The legal status is an assumption and is not a legal conclusion. Google has not performed a legal analysis and makes no representation as to the accuracy of the status listed.)
- Abandoned
Links
- 238000000576 coating method Methods 0.000 title claims abstract description 45
- 239000000203 mixture Substances 0.000 claims abstract description 82
- 229920005862 polyol Polymers 0.000 claims abstract description 64
- -1 polysiloxane Polymers 0.000 claims abstract description 54
- 150000003077 polyols Chemical class 0.000 claims abstract description 42
- 239000012948 isocyanate Substances 0.000 claims abstract description 31
- 150000002513 isocyanates Chemical class 0.000 claims abstract description 31
- 229920001296 polysiloxane Polymers 0.000 claims abstract description 28
- 239000002904 solvent Substances 0.000 claims abstract description 25
- 239000011248 coating agent Substances 0.000 claims abstract description 22
- 229920000642 polymer Polymers 0.000 claims abstract description 19
- 150000002894 organic compounds Chemical class 0.000 claims abstract description 14
- 239000000758 substrate Substances 0.000 claims abstract description 12
- 125000003396 thiol group Chemical group [H]S* 0.000 claims abstract description 8
- 238000000034 method Methods 0.000 claims abstract description 7
- 239000007787 solid Substances 0.000 claims description 23
- 239000000654 additive Substances 0.000 claims description 15
- 239000002318 adhesion promoter Substances 0.000 claims description 13
- RRAMGCGOFNQTLD-UHFFFAOYSA-N hexamethylene diisocyanate Chemical compound O=C=NCCCCCCN=C=O RRAMGCGOFNQTLD-UHFFFAOYSA-N 0.000 claims description 13
- 239000005057 Hexamethylene diisocyanate Substances 0.000 claims description 12
- 239000000049 pigment Substances 0.000 claims description 11
- 239000003921 oil Substances 0.000 claims description 9
- 239000013638 trimer Substances 0.000 claims description 9
- 239000003054 catalyst Substances 0.000 claims description 8
- 239000003795 chemical substances by application Substances 0.000 claims description 8
- AZYRZNIYJDKRHO-UHFFFAOYSA-N 1,3-bis(2-isocyanatopropan-2-yl)benzene Chemical compound O=C=NC(C)(C)C1=CC=CC(C(C)(C)N=C=O)=C1 AZYRZNIYJDKRHO-UHFFFAOYSA-N 0.000 claims description 6
- NIMLQBUJDJZYEJ-UHFFFAOYSA-N isophorone diisocyanate Chemical compound CC1(C)CC(N=C=O)CC(C)(CN=C=O)C1 NIMLQBUJDJZYEJ-UHFFFAOYSA-N 0.000 claims description 6
- 239000006096 absorbing agent Substances 0.000 claims description 5
- 239000003963 antioxidant agent Substances 0.000 claims description 5
- 239000002216 antistatic agent Substances 0.000 claims description 5
- 238000007872 degassing Methods 0.000 claims description 5
- 239000006185 dispersion Substances 0.000 claims description 5
- 239000000975 dye Substances 0.000 claims description 5
- 239000012757 flame retardant agent Substances 0.000 claims description 5
- 239000012760 heat stabilizer Substances 0.000 claims description 5
- 239000004611 light stabiliser Substances 0.000 claims description 5
- 239000000314 lubricant Substances 0.000 claims description 5
- 239000004014 plasticizer Substances 0.000 claims description 5
- BPSIOYPQMFLKFR-UHFFFAOYSA-N trimethoxy-[3-(oxiran-2-ylmethoxy)propyl]silane Chemical group CO[Si](OC)(OC)CCCOCC1CO1 BPSIOYPQMFLKFR-UHFFFAOYSA-N 0.000 claims description 5
- 229920000058 polyacrylate Polymers 0.000 claims description 4
- XSCLFFBWRKTMTE-UHFFFAOYSA-N 1,3-bis(isocyanatomethyl)cyclohexane Chemical compound O=C=NCC1CCCC(CN=C=O)C1 XSCLFFBWRKTMTE-UHFFFAOYSA-N 0.000 claims description 3
- ROHUXHMNZLHBSF-UHFFFAOYSA-N 1,4-bis(isocyanatomethyl)cyclohexane Chemical compound O=C=NCC1CCC(CN=C=O)CC1 ROHUXHMNZLHBSF-UHFFFAOYSA-N 0.000 claims description 3
- KGRVJHAUYBGFFP-UHFFFAOYSA-N 2,2'-Methylenebis(4-methyl-6-tert-butylphenol) Chemical compound CC(C)(C)C1=CC(C)=CC(CC=2C(=C(C=C(C)C=2)C(C)(C)C)O)=C1O KGRVJHAUYBGFFP-UHFFFAOYSA-N 0.000 claims description 3
- KQWGXHWJMSMDJJ-UHFFFAOYSA-N cyclohexyl isocyanate Chemical compound O=C=NC1CCCCC1 KQWGXHWJMSMDJJ-UHFFFAOYSA-N 0.000 claims description 3
- 125000005442 diisocyanate group Chemical group 0.000 claims description 3
- 238000002156 mixing Methods 0.000 claims description 3
- 239000004721 Polyphenylene oxide Substances 0.000 claims description 2
- 239000004417 polycarbonate Substances 0.000 claims description 2
- 229920000515 polycarbonate Polymers 0.000 claims description 2
- 229920005906 polyester polyol Polymers 0.000 claims description 2
- 229920000570 polyether Polymers 0.000 claims description 2
- 239000008199 coating composition Substances 0.000 abstract description 9
- 230000003373 anti-fouling effect Effects 0.000 abstract description 2
- 239000004205 dimethyl polysiloxane Substances 0.000 description 20
- 229920000435 poly(dimethylsiloxane) Polymers 0.000 description 20
- 238000012360 testing method Methods 0.000 description 19
- XLYOFNOQVPJJNP-UHFFFAOYSA-N water Substances O XLYOFNOQVPJJNP-UHFFFAOYSA-N 0.000 description 13
- 125000002887 hydroxy group Chemical group [H]O* 0.000 description 12
- 238000009472 formulation Methods 0.000 description 11
- 239000000463 material Substances 0.000 description 11
- KPUWHANPEXNPJT-UHFFFAOYSA-N disiloxane Chemical class [SiH3]O[SiH3] KPUWHANPEXNPJT-UHFFFAOYSA-N 0.000 description 10
- 230000000052 comparative effect Effects 0.000 description 8
- 235000019198 oils Nutrition 0.000 description 8
- BLRPTPMANUNPDV-UHFFFAOYSA-N Silane Chemical compound [SiH4] BLRPTPMANUNPDV-UHFFFAOYSA-N 0.000 description 7
- 229910000077 silane Inorganic materials 0.000 description 7
- 239000000126 substance Substances 0.000 description 7
- 235000015112 vegetable and seed oil Nutrition 0.000 description 7
- 229920000728 polyester Polymers 0.000 description 6
- 239000004814 polyurethane Substances 0.000 description 6
- DKPFZGUDAPQIHT-UHFFFAOYSA-N Butyl acetate Natural products CCCCOC(C)=O DKPFZGUDAPQIHT-UHFFFAOYSA-N 0.000 description 5
- JOYRKODLDBILNP-UHFFFAOYSA-N Ethyl urethane Chemical compound CCOC(N)=O JOYRKODLDBILNP-UHFFFAOYSA-N 0.000 description 5
- 125000000524 functional group Chemical group 0.000 description 5
- IQPQWNKOIGAROB-UHFFFAOYSA-N isocyanate group Chemical group [N-]=C=O IQPQWNKOIGAROB-UHFFFAOYSA-N 0.000 description 5
- 239000005056 polyisocyanate Substances 0.000 description 5
- 229920001228 polyisocyanate Polymers 0.000 description 5
- 229920002635 polyurethane Polymers 0.000 description 5
- 229920002818 (Hydroxyethyl)methacrylate Polymers 0.000 description 4
- 239000004593 Epoxy Substances 0.000 description 4
- WOBHKFSMXKNTIM-UHFFFAOYSA-N Hydroxyethyl methacrylate Chemical compound CC(=C)C(=O)OCCO WOBHKFSMXKNTIM-UHFFFAOYSA-N 0.000 description 4
- NTIZESTWPVYFNL-UHFFFAOYSA-N Methyl isobutyl ketone Chemical compound CC(C)CC(C)=O NTIZESTWPVYFNL-UHFFFAOYSA-N 0.000 description 4
- UIHCLUNTQKBZGK-UHFFFAOYSA-N Methyl isobutyl ketone Natural products CCC(C)C(C)=O UIHCLUNTQKBZGK-UHFFFAOYSA-N 0.000 description 4
- VVQNEPGJFQJSBK-UHFFFAOYSA-N Methyl methacrylate Chemical compound COC(=O)C(C)=C VVQNEPGJFQJSBK-UHFFFAOYSA-N 0.000 description 4
- CQEYYJKEWSMYFG-UHFFFAOYSA-N butyl acrylate Chemical compound CCCCOC(=O)C=C CQEYYJKEWSMYFG-UHFFFAOYSA-N 0.000 description 4
- 150000002009 diols Chemical class 0.000 description 4
- 239000000178 monomer Substances 0.000 description 4
- VAASRZPDHFMMMC-UHFFFAOYSA-N (2,3,4,5,6-pentanitrooxycyclohexyl) nitrate Chemical compound [O-][N+](=O)OC1C(O[N+]([O-])=O)C(O[N+]([O-])=O)C(O[N+]([O-])=O)C(O[N+]([O-])=O)C1O[N+]([O-])=O VAASRZPDHFMMMC-UHFFFAOYSA-N 0.000 description 3
- 0 C.C.C.C.C.C.[1*][Si]([2*])([10*])O[Si]([3*])([9*])O[Si]([4*])([8*])O[Si]([5*])([6*])[7*] Chemical compound C.C.C.C.C.C.[1*][Si]([2*])([10*])O[Si]([3*])([9*])O[Si]([4*])([8*])O[Si]([5*])([6*])[7*] 0.000 description 3
- PEDCQBHIVMGVHV-UHFFFAOYSA-N Glycerine Chemical compound OCC(O)CO PEDCQBHIVMGVHV-UHFFFAOYSA-N 0.000 description 3
- 241001465754 Metazoa Species 0.000 description 3
- 229910000831 Steel Inorganic materials 0.000 description 3
- YXFVVABEGXRONW-UHFFFAOYSA-N Toluene Chemical compound CC1=CC=CC=C1 YXFVVABEGXRONW-UHFFFAOYSA-N 0.000 description 3
- 125000001931 aliphatic group Chemical group 0.000 description 3
- 239000003925 fat Substances 0.000 description 3
- FUZZWVXGSFPDMH-UHFFFAOYSA-M hexanoate Chemical compound CCCCCC([O-])=O FUZZWVXGSFPDMH-UHFFFAOYSA-M 0.000 description 3
- 229910052751 metal Inorganic materials 0.000 description 3
- 239000002184 metal Substances 0.000 description 3
- 239000010959 steel Substances 0.000 description 3
- RAUWPNXIALNKQM-UHFFFAOYSA-N 4-nitro-1,2-phenylenediamine Chemical compound NC1=CC=C([N+]([O-])=O)C=C1N RAUWPNXIALNKQM-UHFFFAOYSA-N 0.000 description 2
- CSCPPACGZOOCGX-UHFFFAOYSA-N Acetone Chemical compound CC(C)=O CSCPPACGZOOCGX-UHFFFAOYSA-N 0.000 description 2
- IJGRMHOSHXDMSA-UHFFFAOYSA-N Atomic nitrogen Chemical compound N#N IJGRMHOSHXDMSA-UHFFFAOYSA-N 0.000 description 2
- 235000004977 Brassica sinapistrum Nutrition 0.000 description 2
- VTYYLEPIZMXCLO-UHFFFAOYSA-L Calcium carbonate Chemical compound [Ca+2].[O-]C([O-])=O VTYYLEPIZMXCLO-UHFFFAOYSA-L 0.000 description 2
- XMSXQFUHVRWGNA-UHFFFAOYSA-N Decamethylcyclopentasiloxane Chemical compound C[Si]1(C)O[Si](C)(C)O[Si](C)(C)O[Si](C)(C)O[Si](C)(C)O1 XMSXQFUHVRWGNA-UHFFFAOYSA-N 0.000 description 2
- GWEVSGVZZGPLCZ-UHFFFAOYSA-N Titan oxide Chemical compound O=[Ti]=O GWEVSGVZZGPLCZ-UHFFFAOYSA-N 0.000 description 2
- 230000000996 additive effect Effects 0.000 description 2
- 229910052782 aluminium Inorganic materials 0.000 description 2
- XAGFODPZIPBFFR-UHFFFAOYSA-N aluminium Chemical compound [Al] XAGFODPZIPBFFR-UHFFFAOYSA-N 0.000 description 2
- 238000013459 approach Methods 0.000 description 2
- BTMVHUNTONAYDX-UHFFFAOYSA-N butyl propionate Chemical compound CCCCOC(=O)CC BTMVHUNTONAYDX-UHFFFAOYSA-N 0.000 description 2
- 150000001875 compounds Chemical class 0.000 description 2
- 238000012936 correction and preventive action Methods 0.000 description 2
- 238000005336 cracking Methods 0.000 description 2
- 229920006332 epoxy adhesive Polymers 0.000 description 2
- 150000002148 esters Chemical class 0.000 description 2
- 230000001747 exhibiting effect Effects 0.000 description 2
- 230000009477 glass transition Effects 0.000 description 2
- AOGQPLXWSUTHQB-UHFFFAOYSA-N hexyl acetate Chemical compound CCCCCCOC(C)=O AOGQPLXWSUTHQB-UHFFFAOYSA-N 0.000 description 2
- HMMGMWAXVFQUOA-UHFFFAOYSA-N octamethylcyclotetrasiloxane Chemical compound C[Si]1(C)O[Si](C)(C)O[Si](C)(C)O[Si](C)(C)O1 HMMGMWAXVFQUOA-UHFFFAOYSA-N 0.000 description 2
- 239000003973 paint Substances 0.000 description 2
- 229920001610 polycaprolactone Polymers 0.000 description 2
- 239000004632 polycaprolactone Substances 0.000 description 2
- MCSINKKTEDDPNK-UHFFFAOYSA-N propyl propionate Chemical compound CCCOC(=O)CC MCSINKKTEDDPNK-UHFFFAOYSA-N 0.000 description 2
- 239000002994 raw material Substances 0.000 description 2
- 229920005989 resin Polymers 0.000 description 2
- 239000011347 resin Substances 0.000 description 2
- 229920002379 silicone rubber Polymers 0.000 description 2
- 150000004670 unsaturated fatty acids Chemical class 0.000 description 2
- 235000021122 unsaturated fatty acids Nutrition 0.000 description 2
- 239000008158 vegetable oil Substances 0.000 description 2
- 235000013311 vegetables Nutrition 0.000 description 2
- 239000002023 wood Substances 0.000 description 2
- HFZLSTDPRQSZCQ-UHFFFAOYSA-N 1-pyrrolidin-3-ylpyrrolidine Chemical compound C1CCCN1C1CNCC1 HFZLSTDPRQSZCQ-UHFFFAOYSA-N 0.000 description 1
- UHOPWFKONJYLCF-UHFFFAOYSA-N 2-(2-sulfanylethyl)isoindole-1,3-dione Chemical compound C1=CC=C2C(=O)N(CCS)C(=O)C2=C1 UHOPWFKONJYLCF-UHFFFAOYSA-N 0.000 description 1
- 241001133760 Acoelorraphe Species 0.000 description 1
- 244000144725 Amygdalus communis Species 0.000 description 1
- 235000011437 Amygdalus communis Nutrition 0.000 description 1
- 235000017060 Arachis glabrata Nutrition 0.000 description 1
- 244000105624 Arachis hypogaea Species 0.000 description 1
- 235000010777 Arachis hypogaea Nutrition 0.000 description 1
- 235000018262 Arachis monticola Nutrition 0.000 description 1
- 235000000832 Ayote Nutrition 0.000 description 1
- 235000007689 Borago officinalis Nutrition 0.000 description 1
- 240000004355 Borago officinalis Species 0.000 description 1
- 235000014698 Brassica juncea var multisecta Nutrition 0.000 description 1
- 240000002791 Brassica napus Species 0.000 description 1
- 235000006008 Brassica napus var napus Nutrition 0.000 description 1
- 235000006618 Brassica rapa subsp oleifera Nutrition 0.000 description 1
- 244000188595 Brassica sinapistrum Species 0.000 description 1
- RLOMXYMMTKIUKO-UHFFFAOYSA-N CCCCCCC(CO)CCC(CO)CCCCCCCC(=O)OCC1CCCCC1.CCO Chemical compound CCCCCCC(CO)CCC(CO)CCCCCCCC(=O)OCC1CCCCC1.CCO RLOMXYMMTKIUKO-UHFFFAOYSA-N 0.000 description 1
- 244000025254 Cannabis sativa Species 0.000 description 1
- 235000012766 Cannabis sativa ssp. sativa var. sativa Nutrition 0.000 description 1
- 235000012765 Cannabis sativa ssp. sativa var. spontanea Nutrition 0.000 description 1
- 239000004215 Carbon black (E152) Substances 0.000 description 1
- 235000003255 Carthamus tinctorius Nutrition 0.000 description 1
- 244000020518 Carthamus tinctorius Species 0.000 description 1
- 241000132536 Cirsium Species 0.000 description 1
- RYGMFSIKBFXOCR-UHFFFAOYSA-N Copper Chemical compound [Cu] RYGMFSIKBFXOCR-UHFFFAOYSA-N 0.000 description 1
- 240000009226 Corylus americana Species 0.000 description 1
- 235000001543 Corylus americana Nutrition 0.000 description 1
- 235000007466 Corylus avellana Nutrition 0.000 description 1
- 229920000742 Cotton Polymers 0.000 description 1
- 241000195493 Cryptophyta Species 0.000 description 1
- 240000004244 Cucurbita moschata Species 0.000 description 1
- 235000009854 Cucurbita moschata Nutrition 0.000 description 1
- 235000009804 Cucurbita pepo subsp pepo Nutrition 0.000 description 1
- 241000196324 Embryophyta Species 0.000 description 1
- LFQSCWFLJHTTHZ-UHFFFAOYSA-N Ethanol Chemical compound CCO LFQSCWFLJHTTHZ-UHFFFAOYSA-N 0.000 description 1
- 235000010469 Glycine max Nutrition 0.000 description 1
- 244000068988 Glycine max Species 0.000 description 1
- 241000219146 Gossypium Species 0.000 description 1
- 244000020551 Helianthus annuus Species 0.000 description 1
- 235000003222 Helianthus annuus Nutrition 0.000 description 1
- 240000000950 Hippophae rhamnoides Species 0.000 description 1
- 235000003145 Hippophae rhamnoides Nutrition 0.000 description 1
- 239000005058 Isophorone diisocyanate Substances 0.000 description 1
- 229920005930 JONCRYL® 500 Polymers 0.000 description 1
- 241000221089 Jatropha Species 0.000 description 1
- 240000007049 Juglans regia Species 0.000 description 1
- 235000009496 Juglans regia Nutrition 0.000 description 1
- 235000004431 Linum usitatissimum Nutrition 0.000 description 1
- 240000006240 Linum usitatissimum Species 0.000 description 1
- 235000018330 Macadamia integrifolia Nutrition 0.000 description 1
- 235000003800 Macadamia tetraphylla Nutrition 0.000 description 1
- 240000000912 Macadamia tetraphylla Species 0.000 description 1
- 235000016698 Nigella sativa Nutrition 0.000 description 1
- 244000090896 Nigella sativa Species 0.000 description 1
- CTQNGGLPUBDAKN-UHFFFAOYSA-N O-Xylene Chemical compound CC1=CC=CC=C1C CTQNGGLPUBDAKN-UHFFFAOYSA-N 0.000 description 1
- 241000219925 Oenothera Species 0.000 description 1
- 235000004496 Oenothera biennis Nutrition 0.000 description 1
- 240000007817 Olea europaea Species 0.000 description 1
- 229910019142 PO4 Inorganic materials 0.000 description 1
- 244000025272 Persea americana Species 0.000 description 1
- 235000008673 Persea americana Nutrition 0.000 description 1
- 235000003447 Pistacia vera Nutrition 0.000 description 1
- 240000006711 Pistacia vera Species 0.000 description 1
- 239000004793 Polystyrene Substances 0.000 description 1
- 235000009827 Prunus armeniaca Nutrition 0.000 description 1
- 244000018633 Prunus armeniaca Species 0.000 description 1
- 235000004443 Ricinus communis Nutrition 0.000 description 1
- 235000005066 Rosa arkansana Nutrition 0.000 description 1
- 241000109365 Rosa arkansana Species 0.000 description 1
- 235000003434 Sesamum indicum Nutrition 0.000 description 1
- 244000000231 Sesamum indicum Species 0.000 description 1
- XSQUKJJJFZCRTK-UHFFFAOYSA-N Urea Chemical compound NC(N)=O XSQUKJJJFZCRTK-UHFFFAOYSA-N 0.000 description 1
- 229920006311 Urethane elastomer Polymers 0.000 description 1
- 240000008042 Zea mays Species 0.000 description 1
- 235000005824 Zea mays ssp. parviglumis Nutrition 0.000 description 1
- 235000002017 Zea mays subsp mays Nutrition 0.000 description 1
- YIMQCDZDWXUDCA-UHFFFAOYSA-N [4-(hydroxymethyl)cyclohexyl]methanol Chemical compound OCC1CCC(CO)CC1 YIMQCDZDWXUDCA-UHFFFAOYSA-N 0.000 description 1
- 238000005299 abrasion Methods 0.000 description 1
- NIXOWILDQLNWCW-UHFFFAOYSA-N acrylic acid group Chemical group C(C=C)(=O)O NIXOWILDQLNWCW-UHFFFAOYSA-N 0.000 description 1
- 235000020224 almond Nutrition 0.000 description 1
- 150000004945 aromatic hydrocarbons Chemical class 0.000 description 1
- TZCXTZWJZNENPQ-UHFFFAOYSA-L barium sulfate Chemical compound [Ba+2].[O-]S([O-])(=O)=O TZCXTZWJZNENPQ-UHFFFAOYSA-L 0.000 description 1
- 235000015278 beef Nutrition 0.000 description 1
- 230000005587 bubbling Effects 0.000 description 1
- 229910000019 calcium carbonate Inorganic materials 0.000 description 1
- 235000009120 camo Nutrition 0.000 description 1
- 239000004202 carbamide Substances 0.000 description 1
- 239000006229 carbon black Substances 0.000 description 1
- 235000005607 chanvre indien Nutrition 0.000 description 1
- 239000004927 clay Substances 0.000 description 1
- 229910052570 clay Inorganic materials 0.000 description 1
- 238000004140 cleaning Methods 0.000 description 1
- 239000002131 composite material Substances 0.000 description 1
- 239000004567 concrete Substances 0.000 description 1
- 229910052802 copper Inorganic materials 0.000 description 1
- 239000010949 copper Substances 0.000 description 1
- XCJYREBRNVKWGJ-UHFFFAOYSA-N copper(II) phthalocyanine Chemical compound [Cu+2].C12=CC=CC=C2C(N=C2[N-]C(C3=CC=CC=C32)=N2)=NC1=NC([C]1C=CC=CC1=1)=NC=1N=C1[C]3C=CC=CC3=C2[N-]1 XCJYREBRNVKWGJ-UHFFFAOYSA-N 0.000 description 1
- 235000005822 corn Nutrition 0.000 description 1
- 238000004132 cross linking Methods 0.000 description 1
- 101150038956 cup-4 gene Proteins 0.000 description 1
- NINOVVRCHXVOKB-UHFFFAOYSA-N dialuminum;dioxido(dioxo)chromium Chemical compound [Al+3].[Al+3].[O-][Cr]([O-])(=O)=O.[O-][Cr]([O-])(=O)=O.[O-][Cr]([O-])(=O)=O NINOVVRCHXVOKB-UHFFFAOYSA-N 0.000 description 1
- 235000014113 dietary fatty acids Nutrition 0.000 description 1
- MTHSVFCYNBDYFN-UHFFFAOYSA-N diethylene glycol Chemical class OCCOCCO MTHSVFCYNBDYFN-UHFFFAOYSA-N 0.000 description 1
- 125000000118 dimethyl group Chemical group [H]C([H])([H])* 0.000 description 1
- 230000009977 dual effect Effects 0.000 description 1
- 238000005516 engineering process Methods 0.000 description 1
- 238000002474 experimental method Methods 0.000 description 1
- 239000004744 fabric Substances 0.000 description 1
- 239000000194 fatty acid Substances 0.000 description 1
- 229930195729 fatty acid Natural products 0.000 description 1
- 150000004665 fatty acids Chemical class 0.000 description 1
- 229940013317 fish oils Drugs 0.000 description 1
- 235000004426 flaxseed Nutrition 0.000 description 1
- 239000011521 glass Substances 0.000 description 1
- 229940087559 grape seed Drugs 0.000 description 1
- 238000010438 heat treatment Methods 0.000 description 1
- 239000011487 hemp Substances 0.000 description 1
- CATSNJVOTSVZJV-UHFFFAOYSA-N heptan-2-one Chemical compound CCCCCC(C)=O CATSNJVOTSVZJV-UHFFFAOYSA-N 0.000 description 1
- 229930195733 hydrocarbon Natural products 0.000 description 1
- 230000002209 hydrophobic effect Effects 0.000 description 1
- 238000007654 immersion Methods 0.000 description 1
- 230000003116 impacting effect Effects 0.000 description 1
- 239000001023 inorganic pigment Substances 0.000 description 1
- JEIPFZHSYJVQDO-UHFFFAOYSA-N iron(III) oxide Inorganic materials O=[Fe]O[Fe]=O JEIPFZHSYJVQDO-UHFFFAOYSA-N 0.000 description 1
- 150000002576 ketones Chemical class 0.000 description 1
- 150000002739 metals Chemical class 0.000 description 1
- 125000002496 methyl group Chemical group [H]C([H])([H])* 0.000 description 1
- 244000005700 microbiome Species 0.000 description 1
- 229930014626 natural product Natural products 0.000 description 1
- 229910052757 nitrogen Inorganic materials 0.000 description 1
- 239000012860 organic pigment Substances 0.000 description 1
- 235000020232 peanut Nutrition 0.000 description 1
- 238000005191 phase separation Methods 0.000 description 1
- NBIIXXVUZAFLBC-UHFFFAOYSA-K phosphate Chemical compound [O-]P([O-])([O-])=O NBIIXXVUZAFLBC-UHFFFAOYSA-K 0.000 description 1
- 239000010452 phosphate Substances 0.000 description 1
- 235000020233 pistachio Nutrition 0.000 description 1
- 229920003023 plastic Polymers 0.000 description 1
- 239000004033 plastic Substances 0.000 description 1
- 229920001451 polypropylene glycol Polymers 0.000 description 1
- 229920002223 polystyrene Polymers 0.000 description 1
- 239000011527 polyurethane coating Substances 0.000 description 1
- LLHKCFNBLRBOGN-UHFFFAOYSA-N propylene glycol methyl ether acetate Chemical compound COCC(C)OC(C)=O LLHKCFNBLRBOGN-UHFFFAOYSA-N 0.000 description 1
- 235000015136 pumpkin Nutrition 0.000 description 1
- 230000000284 resting effect Effects 0.000 description 1
- 229920006395 saturated elastomer Polymers 0.000 description 1
- 239000004447 silicone coating Substances 0.000 description 1
- 238000005507 spraying Methods 0.000 description 1
- PXQLVRUNWNTZOS-UHFFFAOYSA-N sulfanyl Chemical compound [SH] PXQLVRUNWNTZOS-UHFFFAOYSA-N 0.000 description 1
- 239000003760 tallow Substances 0.000 description 1
- 238000010998 test method Methods 0.000 description 1
- 239000004408 titanium dioxide Substances 0.000 description 1
- 150000003626 triacylglycerols Chemical class 0.000 description 1
- UFTFJSFQGQCHQW-UHFFFAOYSA-N triformin Chemical compound O=COCC(OC=O)COC=O UFTFJSFQGQCHQW-UHFFFAOYSA-N 0.000 description 1
- 235000020234 walnut Nutrition 0.000 description 1
- 239000008096 xylene Substances 0.000 description 1
Classifications
-
- C—CHEMISTRY; METALLURGY
- C08—ORGANIC MACROMOLECULAR COMPOUNDS; THEIR PREPARATION OR CHEMICAL WORKING-UP; COMPOSITIONS BASED THEREON
- C08G—MACROMOLECULAR COMPOUNDS OBTAINED OTHERWISE THAN BY REACTIONS ONLY INVOLVING UNSATURATED CARBON-TO-CARBON BONDS
- C08G18/00—Polymeric products of isocyanates or isothiocyanates
- C08G18/06—Polymeric products of isocyanates or isothiocyanates with compounds having active hydrogen
- C08G18/70—Polymeric products of isocyanates or isothiocyanates with compounds having active hydrogen characterised by the isocyanates or isothiocyanates used
- C08G18/72—Polyisocyanates or polyisothiocyanates
- C08G18/77—Polyisocyanates or polyisothiocyanates having heteroatoms in addition to the isocyanate or isothiocyanate nitrogen and oxygen or sulfur
- C08G18/78—Nitrogen
- C08G18/7806—Nitrogen containing -N-C=0 groups
- C08G18/7843—Nitrogen containing -N-C=0 groups containing urethane groups
-
- C—CHEMISTRY; METALLURGY
- C09—DYES; PAINTS; POLISHES; NATURAL RESINS; ADHESIVES; COMPOSITIONS NOT OTHERWISE PROVIDED FOR; APPLICATIONS OF MATERIALS NOT OTHERWISE PROVIDED FOR
- C09D—COATING COMPOSITIONS, e.g. PAINTS, VARNISHES OR LACQUERS; FILLING PASTES; CHEMICAL PAINT OR INK REMOVERS; INKS; CORRECTING FLUIDS; WOODSTAINS; PASTES OR SOLIDS FOR COLOURING OR PRINTING; USE OF MATERIALS THEREFOR
- C09D183/00—Coating compositions based on macromolecular compounds obtained by reactions forming in the main chain of the macromolecule a linkage containing silicon, with or without sulfur, nitrogen, oxygen, or carbon only; Coating compositions based on derivatives of such polymers
- C09D183/04—Polysiloxanes
- C09D183/08—Polysiloxanes containing silicon bound to organic groups containing atoms other than carbon, hydrogen, and oxygen
-
- C—CHEMISTRY; METALLURGY
- C09—DYES; PAINTS; POLISHES; NATURAL RESINS; ADHESIVES; COMPOSITIONS NOT OTHERWISE PROVIDED FOR; APPLICATIONS OF MATERIALS NOT OTHERWISE PROVIDED FOR
- C09D—COATING COMPOSITIONS, e.g. PAINTS, VARNISHES OR LACQUERS; FILLING PASTES; CHEMICAL PAINT OR INK REMOVERS; INKS; CORRECTING FLUIDS; WOODSTAINS; PASTES OR SOLIDS FOR COLOURING OR PRINTING; USE OF MATERIALS THEREFOR
- C09D183/00—Coating compositions based on macromolecular compounds obtained by reactions forming in the main chain of the macromolecule a linkage containing silicon, with or without sulfur, nitrogen, oxygen, or carbon only; Coating compositions based on derivatives of such polymers
- C09D183/10—Block or graft copolymers containing polysiloxane sequences
-
- C—CHEMISTRY; METALLURGY
- C08—ORGANIC MACROMOLECULAR COMPOUNDS; THEIR PREPARATION OR CHEMICAL WORKING-UP; COMPOSITIONS BASED THEREON
- C08G—MACROMOLECULAR COMPOUNDS OBTAINED OTHERWISE THAN BY REACTIONS ONLY INVOLVING UNSATURATED CARBON-TO-CARBON BONDS
- C08G18/00—Polymeric products of isocyanates or isothiocyanates
- C08G18/06—Polymeric products of isocyanates or isothiocyanates with compounds having active hydrogen
- C08G18/08—Processes
- C08G18/10—Prepolymer processes involving reaction of isocyanates or isothiocyanates with compounds having active hydrogen in a first reaction step
-
- C—CHEMISTRY; METALLURGY
- C08—ORGANIC MACROMOLECULAR COMPOUNDS; THEIR PREPARATION OR CHEMICAL WORKING-UP; COMPOSITIONS BASED THEREON
- C08L—COMPOSITIONS OF MACROMOLECULAR COMPOUNDS
- C08L83/00—Compositions of macromolecular compounds obtained by reactions forming in the main chain of the macromolecule a linkage containing silicon with or without sulfur, nitrogen, oxygen or carbon only; Compositions of derivatives of such polymers
- C08L83/04—Polysiloxanes
-
- B—PERFORMING OPERATIONS; TRANSPORTING
- B05—SPRAYING OR ATOMISING IN GENERAL; APPLYING FLUENT MATERIALS TO SURFACES, IN GENERAL
- B05D—PROCESSES FOR APPLYING FLUENT MATERIALS TO SURFACES, IN GENERAL
- B05D3/00—Pretreatment of surfaces to which liquids or other fluent materials are to be applied; After-treatment of applied coatings, e.g. intermediate treating of an applied coating preparatory to subsequent applications of liquids or other fluent materials
- B05D3/007—After-treatment
-
- C—CHEMISTRY; METALLURGY
- C08—ORGANIC MACROMOLECULAR COMPOUNDS; THEIR PREPARATION OR CHEMICAL WORKING-UP; COMPOSITIONS BASED THEREON
- C08G—MACROMOLECULAR COMPOUNDS OBTAINED OTHERWISE THAN BY REACTIONS ONLY INVOLVING UNSATURATED CARBON-TO-CARBON BONDS
- C08G18/00—Polymeric products of isocyanates or isothiocyanates
- C08G18/06—Polymeric products of isocyanates or isothiocyanates with compounds having active hydrogen
- C08G18/28—Polymeric products of isocyanates or isothiocyanates with compounds having active hydrogen characterised by the compounds used containing active hydrogen
- C08G18/40—High-molecular-weight compounds
- C08G18/42—Polycondensates having carboxylic or carbonic ester groups in the main chain
- C08G18/4266—Polycondensates having carboxylic or carbonic ester groups in the main chain prepared from hydroxycarboxylic acids and/or lactones
- C08G18/4269—Lactones
- C08G18/4277—Caprolactone and/or substituted caprolactone
-
- C—CHEMISTRY; METALLURGY
- C08—ORGANIC MACROMOLECULAR COMPOUNDS; THEIR PREPARATION OR CHEMICAL WORKING-UP; COMPOSITIONS BASED THEREON
- C08G—MACROMOLECULAR COMPOUNDS OBTAINED OTHERWISE THAN BY REACTIONS ONLY INVOLVING UNSATURATED CARBON-TO-CARBON BONDS
- C08G18/00—Polymeric products of isocyanates or isothiocyanates
- C08G18/06—Polymeric products of isocyanates or isothiocyanates with compounds having active hydrogen
- C08G18/28—Polymeric products of isocyanates or isothiocyanates with compounds having active hydrogen characterised by the compounds used containing active hydrogen
- C08G18/40—High-molecular-weight compounds
- C08G18/61—Polysiloxanes
-
- C—CHEMISTRY; METALLURGY
- C08—ORGANIC MACROMOLECULAR COMPOUNDS; THEIR PREPARATION OR CHEMICAL WORKING-UP; COMPOSITIONS BASED THEREON
- C08G—MACROMOLECULAR COMPOUNDS OBTAINED OTHERWISE THAN BY REACTIONS ONLY INVOLVING UNSATURATED CARBON-TO-CARBON BONDS
- C08G18/00—Polymeric products of isocyanates or isothiocyanates
- C08G18/06—Polymeric products of isocyanates or isothiocyanates with compounds having active hydrogen
- C08G18/28—Polymeric products of isocyanates or isothiocyanates with compounds having active hydrogen characterised by the compounds used containing active hydrogen
- C08G18/40—High-molecular-weight compounds
- C08G18/62—Polymers of compounds having carbon-to-carbon double bonds
- C08G18/6216—Polymers of alpha-beta ethylenically unsaturated carboxylic acids or of derivatives thereof
- C08G18/622—Polymers of esters of alpha-beta ethylenically unsaturated carboxylic acids
- C08G18/6225—Polymers of esters of acrylic or methacrylic acid
-
- C—CHEMISTRY; METALLURGY
- C08—ORGANIC MACROMOLECULAR COMPOUNDS; THEIR PREPARATION OR CHEMICAL WORKING-UP; COMPOSITIONS BASED THEREON
- C08G—MACROMOLECULAR COMPOUNDS OBTAINED OTHERWISE THAN BY REACTIONS ONLY INVOLVING UNSATURATED CARBON-TO-CARBON BONDS
- C08G18/00—Polymeric products of isocyanates or isothiocyanates
- C08G18/06—Polymeric products of isocyanates or isothiocyanates with compounds having active hydrogen
- C08G18/70—Polymeric products of isocyanates or isothiocyanates with compounds having active hydrogen characterised by the isocyanates or isothiocyanates used
- C08G18/72—Polyisocyanates or polyisothiocyanates
- C08G18/77—Polyisocyanates or polyisothiocyanates having heteroatoms in addition to the isocyanate or isothiocyanate nitrogen and oxygen or sulfur
-
- C—CHEMISTRY; METALLURGY
- C08—ORGANIC MACROMOLECULAR COMPOUNDS; THEIR PREPARATION OR CHEMICAL WORKING-UP; COMPOSITIONS BASED THEREON
- C08G—MACROMOLECULAR COMPOUNDS OBTAINED OTHERWISE THAN BY REACTIONS ONLY INVOLVING UNSATURATED CARBON-TO-CARBON BONDS
- C08G18/00—Polymeric products of isocyanates or isothiocyanates
- C08G18/06—Polymeric products of isocyanates or isothiocyanates with compounds having active hydrogen
- C08G18/70—Polymeric products of isocyanates or isothiocyanates with compounds having active hydrogen characterised by the isocyanates or isothiocyanates used
- C08G18/72—Polyisocyanates or polyisothiocyanates
- C08G18/77—Polyisocyanates or polyisothiocyanates having heteroatoms in addition to the isocyanate or isothiocyanate nitrogen and oxygen or sulfur
- C08G18/78—Nitrogen
- C08G18/79—Nitrogen characterised by the polyisocyanates used, these having groups formed by oligomerisation of isocyanates or isothiocyanates
- C08G18/791—Nitrogen characterised by the polyisocyanates used, these having groups formed by oligomerisation of isocyanates or isothiocyanates containing isocyanurate groups
- C08G18/792—Nitrogen characterised by the polyisocyanates used, these having groups formed by oligomerisation of isocyanates or isothiocyanates containing isocyanurate groups formed by oligomerisation of aliphatic and/or cycloaliphatic isocyanates or isothiocyanates
-
- C—CHEMISTRY; METALLURGY
- C08—ORGANIC MACROMOLECULAR COMPOUNDS; THEIR PREPARATION OR CHEMICAL WORKING-UP; COMPOSITIONS BASED THEREON
- C08G—MACROMOLECULAR COMPOUNDS OBTAINED OTHERWISE THAN BY REACTIONS ONLY INVOLVING UNSATURATED CARBON-TO-CARBON BONDS
- C08G77/00—Macromolecular compounds obtained by reactions forming a linkage containing silicon with or without sulfur, nitrogen, oxygen or carbon in the main chain of the macromolecule
- C08G77/04—Polysiloxanes
- C08G77/22—Polysiloxanes containing silicon bound to organic groups containing atoms other than carbon, hydrogen and oxygen
- C08G77/26—Polysiloxanes containing silicon bound to organic groups containing atoms other than carbon, hydrogen and oxygen nitrogen-containing groups
-
- C—CHEMISTRY; METALLURGY
- C08—ORGANIC MACROMOLECULAR COMPOUNDS; THEIR PREPARATION OR CHEMICAL WORKING-UP; COMPOSITIONS BASED THEREON
- C08G—MACROMOLECULAR COMPOUNDS OBTAINED OTHERWISE THAN BY REACTIONS ONLY INVOLVING UNSATURATED CARBON-TO-CARBON BONDS
- C08G77/00—Macromolecular compounds obtained by reactions forming a linkage containing silicon with or without sulfur, nitrogen, oxygen or carbon in the main chain of the macromolecule
- C08G77/42—Block-or graft-polymers containing polysiloxane sequences
- C08G77/458—Block-or graft-polymers containing polysiloxane sequences containing polyurethane sequences
-
- C—CHEMISTRY; METALLURGY
- C08—ORGANIC MACROMOLECULAR COMPOUNDS; THEIR PREPARATION OR CHEMICAL WORKING-UP; COMPOSITIONS BASED THEREON
- C08L—COMPOSITIONS OF MACROMOLECULAR COMPOUNDS
- C08L75/00—Compositions of polyureas or polyurethanes; Compositions of derivatives of such polymers
- C08L75/04—Polyurethanes
-
- C—CHEMISTRY; METALLURGY
- C09—DYES; PAINTS; POLISHES; NATURAL RESINS; ADHESIVES; COMPOSITIONS NOT OTHERWISE PROVIDED FOR; APPLICATIONS OF MATERIALS NOT OTHERWISE PROVIDED FOR
- C09D—COATING COMPOSITIONS, e.g. PAINTS, VARNISHES OR LACQUERS; FILLING PASTES; CHEMICAL PAINT OR INK REMOVERS; INKS; CORRECTING FLUIDS; WOODSTAINS; PASTES OR SOLIDS FOR COLOURING OR PRINTING; USE OF MATERIALS THEREFOR
- C09D175/00—Coating compositions based on polyureas or polyurethanes; Coating compositions based on derivatives of such polymers
- C09D175/04—Polyurethanes
-
- C—CHEMISTRY; METALLURGY
- C09—DYES; PAINTS; POLISHES; NATURAL RESINS; ADHESIVES; COMPOSITIONS NOT OTHERWISE PROVIDED FOR; APPLICATIONS OF MATERIALS NOT OTHERWISE PROVIDED FOR
- C09D—COATING COMPOSITIONS, e.g. PAINTS, VARNISHES OR LACQUERS; FILLING PASTES; CHEMICAL PAINT OR INK REMOVERS; INKS; CORRECTING FLUIDS; WOODSTAINS; PASTES OR SOLIDS FOR COLOURING OR PRINTING; USE OF MATERIALS THEREFOR
- C09D175/00—Coating compositions based on polyureas or polyurethanes; Coating compositions based on derivatives of such polymers
- C09D175/04—Polyurethanes
- C09D175/08—Polyurethanes from polyethers
-
- C—CHEMISTRY; METALLURGY
- C09—DYES; PAINTS; POLISHES; NATURAL RESINS; ADHESIVES; COMPOSITIONS NOT OTHERWISE PROVIDED FOR; APPLICATIONS OF MATERIALS NOT OTHERWISE PROVIDED FOR
- C09D—COATING COMPOSITIONS, e.g. PAINTS, VARNISHES OR LACQUERS; FILLING PASTES; CHEMICAL PAINT OR INK REMOVERS; INKS; CORRECTING FLUIDS; WOODSTAINS; PASTES OR SOLIDS FOR COLOURING OR PRINTING; USE OF MATERIALS THEREFOR
- C09D183/00—Coating compositions based on macromolecular compounds obtained by reactions forming in the main chain of the macromolecule a linkage containing silicon, with or without sulfur, nitrogen, oxygen, or carbon only; Coating compositions based on derivatives of such polymers
- C09D183/04—Polysiloxanes
-
- C—CHEMISTRY; METALLURGY
- C09—DYES; PAINTS; POLISHES; NATURAL RESINS; ADHESIVES; COMPOSITIONS NOT OTHERWISE PROVIDED FOR; APPLICATIONS OF MATERIALS NOT OTHERWISE PROVIDED FOR
- C09D—COATING COMPOSITIONS, e.g. PAINTS, VARNISHES OR LACQUERS; FILLING PASTES; CHEMICAL PAINT OR INK REMOVERS; INKS; CORRECTING FLUIDS; WOODSTAINS; PASTES OR SOLIDS FOR COLOURING OR PRINTING; USE OF MATERIALS THEREFOR
- C09D183/00—Coating compositions based on macromolecular compounds obtained by reactions forming in the main chain of the macromolecule a linkage containing silicon, with or without sulfur, nitrogen, oxygen, or carbon only; Coating compositions based on derivatives of such polymers
- C09D183/04—Polysiloxanes
- C09D183/06—Polysiloxanes containing silicon bound to oxygen-containing groups
-
- C—CHEMISTRY; METALLURGY
- C09—DYES; PAINTS; POLISHES; NATURAL RESINS; ADHESIVES; COMPOSITIONS NOT OTHERWISE PROVIDED FOR; APPLICATIONS OF MATERIALS NOT OTHERWISE PROVIDED FOR
- C09D—COATING COMPOSITIONS, e.g. PAINTS, VARNISHES OR LACQUERS; FILLING PASTES; CHEMICAL PAINT OR INK REMOVERS; INKS; CORRECTING FLUIDS; WOODSTAINS; PASTES OR SOLIDS FOR COLOURING OR PRINTING; USE OF MATERIALS THEREFOR
- C09D183/00—Coating compositions based on macromolecular compounds obtained by reactions forming in the main chain of the macromolecule a linkage containing silicon, with or without sulfur, nitrogen, oxygen, or carbon only; Coating compositions based on derivatives of such polymers
- C09D183/14—Coating compositions based on macromolecular compounds obtained by reactions forming in the main chain of the macromolecule a linkage containing silicon, with or without sulfur, nitrogen, oxygen, or carbon only; Coating compositions based on derivatives of such polymers in which at least two but not all the silicon atoms are connected by linkages other than oxygen atoms
-
- C—CHEMISTRY; METALLURGY
- C09—DYES; PAINTS; POLISHES; NATURAL RESINS; ADHESIVES; COMPOSITIONS NOT OTHERWISE PROVIDED FOR; APPLICATIONS OF MATERIALS NOT OTHERWISE PROVIDED FOR
- C09D—COATING COMPOSITIONS, e.g. PAINTS, VARNISHES OR LACQUERS; FILLING PASTES; CHEMICAL PAINT OR INK REMOVERS; INKS; CORRECTING FLUIDS; WOODSTAINS; PASTES OR SOLIDS FOR COLOURING OR PRINTING; USE OF MATERIALS THEREFOR
- C09D5/00—Coating compositions, e.g. paints, varnishes or lacquers, characterised by their physical nature or the effects produced; Filling pastes
- C09D5/16—Antifouling paints; Underwater paints
-
- C—CHEMISTRY; METALLURGY
- C09—DYES; PAINTS; POLISHES; NATURAL RESINS; ADHESIVES; COMPOSITIONS NOT OTHERWISE PROVIDED FOR; APPLICATIONS OF MATERIALS NOT OTHERWISE PROVIDED FOR
- C09D—COATING COMPOSITIONS, e.g. PAINTS, VARNISHES OR LACQUERS; FILLING PASTES; CHEMICAL PAINT OR INK REMOVERS; INKS; CORRECTING FLUIDS; WOODSTAINS; PASTES OR SOLIDS FOR COLOURING OR PRINTING; USE OF MATERIALS THEREFOR
- C09D5/00—Coating compositions, e.g. paints, varnishes or lacquers, characterised by their physical nature or the effects produced; Filling pastes
- C09D5/16—Antifouling paints; Underwater paints
- C09D5/1656—Antifouling paints; Underwater paints characterised by the film-forming substance
- C09D5/1662—Synthetic film-forming substance
-
- C—CHEMISTRY; METALLURGY
- C09—DYES; PAINTS; POLISHES; NATURAL RESINS; ADHESIVES; COMPOSITIONS NOT OTHERWISE PROVIDED FOR; APPLICATIONS OF MATERIALS NOT OTHERWISE PROVIDED FOR
- C09D—COATING COMPOSITIONS, e.g. PAINTS, VARNISHES OR LACQUERS; FILLING PASTES; CHEMICAL PAINT OR INK REMOVERS; INKS; CORRECTING FLUIDS; WOODSTAINS; PASTES OR SOLIDS FOR COLOURING OR PRINTING; USE OF MATERIALS THEREFOR
- C09D7/00—Features of coating compositions, not provided for in group C09D5/00; Processes for incorporating ingredients in coating compositions
- C09D7/40—Additives
- C09D7/60—Additives non-macromolecular
- C09D7/63—Additives non-macromolecular organic
-
- Y—GENERAL TAGGING OF NEW TECHNOLOGICAL DEVELOPMENTS; GENERAL TAGGING OF CROSS-SECTIONAL TECHNOLOGIES SPANNING OVER SEVERAL SECTIONS OF THE IPC; TECHNICAL SUBJECTS COVERED BY FORMER USPC CROSS-REFERENCE ART COLLECTIONS [XRACs] AND DIGESTS
- Y10—TECHNICAL SUBJECTS COVERED BY FORMER USPC
- Y10T—TECHNICAL SUBJECTS COVERED BY FORMER US CLASSIFICATION
- Y10T428/00—Stock material or miscellaneous articles
- Y10T428/26—Web or sheet containing structurally defined element or component, the element or component having a specified physical dimension
- Y10T428/269—Web or sheet containing structurally defined element or component, the element or component having a specified physical dimension including synthetic resin or polymer layer or component
-
- Y—GENERAL TAGGING OF NEW TECHNOLOGICAL DEVELOPMENTS; GENERAL TAGGING OF CROSS-SECTIONAL TECHNOLOGIES SPANNING OVER SEVERAL SECTIONS OF THE IPC; TECHNICAL SUBJECTS COVERED BY FORMER USPC CROSS-REFERENCE ART COLLECTIONS [XRACs] AND DIGESTS
- Y10—TECHNICAL SUBJECTS COVERED BY FORMER USPC
- Y10T—TECHNICAL SUBJECTS COVERED BY FORMER US CLASSIFICATION
- Y10T428/00—Stock material or miscellaneous articles
- Y10T428/31504—Composite [nonstructural laminate]
- Y10T428/31551—Of polyamidoester [polyurethane, polyisocyanate, polycarbamate, etc.]
Definitions
- This invention relates to two-part moisture curable coating compositions capable of forming polyurethane-polysiloxane networks.
- the coating compositions are useful in the field of marine antifouling coatings.
- Bio-fouling occurs everywhere in the marine environment and is a significant problem for marine objects, such as ships.
- One approach to limit fouling microorganisms from accumulating is to use self-cleaning foul releasing coatings based on silicone elastomers.
- Polydimethylsiloxane (PDMS) based silicone elastomer foul release coatings have a rubbery elasticity, a low surface energy and a smooth surface; making it easier for marine organisms to detach from the coating surface under shear stress generated by hydrodynamic drag.
- PDMS is soft, easily wears off, and requires frequent reapplications; thereby costing time and money to maintain.
- PU polyurethane
- U.S. Pat. No. 8,299,200 discloses a polysiloxane-modified polyurethane coating prepared by reacting a mixture comprising polyisocyanate; polyol; and polysiloxane having functional groups capable of reacting with the polyisocyanate.
- the functional groups capable of reacting with the polyisocyanate are attached to only a single end of the polyorganosiloxane chain. It is theorized that coatings that have a polysiloxane tethered at only one end, can result is a highly mobile surface and may permit easier release of fouling organisms.
- U.S. Pat. No. 5,820,491 discloses a two-part urethane topcoat including a polyol component, an isocyanate component and a hydroxyl functional, polyether-modified polysiloxane copolymer component. Coatings prepared with this system fail to exhibit all the required performance parameters of coatings in a marine environment. What is needed is an alternative, inexpensive, simple and uniform coating composition that blends the properties of both PDMS and PU and meets or exceeds the required performance parameters of coatings in a marine environment.
- the present invention provides a two-part moisture curable composition
- a two-part moisture curable composition comprising: (a) a first part comprising at least one multifunctional polyol; (b) a second part comprising: (i) at least one polysiloxane polymer with at least two isocyanate functional groups and (ii) at least one isocyanate functional organic compound; and (c) solvent.
- the present invention further provides a method of coating a substrate comprising: (a) forming a two-part moisture curable composition comprising: (i) a first part comprising at least one multifunctional polyol; (ii) a second part comprising: (A) at least one polysiloxane polymer with at least two isocyanate functional groups and (B) at least one isocyanate functional organic compound; and (iii) solvent; (b) optionally blending in one or more of pigments, dyes, gloss reducing additives, cure catalysts, flow and leveling agents, degassing additives, adhesion promoters, dispersion aids, flame-retardant agents, heat stabilizers, light stabilizers, antioxidants, plasticizers, antistatic agents, ultraviolet (UV) absorbers, lubricants or combinations thereof; and (c) applying the composition of steps (a) and (b) to a substrate and curing the composition.
- a two-part moisture curable composition comprising: (i) a first part
- the present invention further provides a two-part moisture curable composition
- a two-part moisture curable composition comprising: (a) a first part comprising: (i) at least one multifunctional polyol and (ii) at least one polysiloxane polymer with at least two mercapto functional groups; (b) a second part comprising at least one isocyanate functional organic compound; and (c) solvent.
- the present invention further provides a method of coating a substrate comprising: (a) forming a two-part moisture curable composition comprising: (i) a first part comprising: (A) at least one multifunctional polyol and (B) at least one polysiloxane polymer with at least two mercapto functional groups; (ii) a second part comprising at least one isocyanate functional organic compound; and (iii) solvent; (b) optionally blending in one or more of pigments, dyes, gloss reducing additives, cure catalysts, flow and leveling agents, degassing additives, adhesion promoters, dispersion aids, flame-retardant agents, heat stabilizers, light stabilizers, antioxidants, plasticizers, antistatic agents, ultraviolet (UV) absorbers, lubricants or combinations thereof; and (c) applying the composition of steps (a) and (b) to a substrate and curing the composition.
- a two-part moisture curable composition comprising: (i) a first part
- polyol is an alcohol molecule containing multiple hydroxyl groups.
- multifunctional polyol means a polyol that has more than one reactive site capable of cross-linking.
- polyurethane means a resin in which the polymer units are linked by urethane linkages, i.e., —O—CO—NH—, and/or one or more urea linkages, i.e., —NH—CO—NH—.
- isocyante means a functional group with the formula —N ⁇ C ⁇ O.
- mercapto means a functional group with the formula —SH, which may also be referred to as a thiol group.
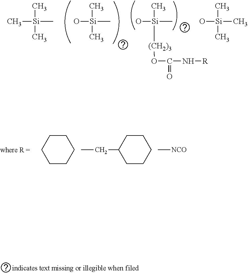
- the polysiloxane polymer of the present invention has the formula:
- each R 1 , R 2 , R 3 , R 4 , R 5 , R 6 , R 7 , R 8 , R 9 , or R 10 group is independently selected from substituted or unsubstituted C 1 to C 60 hydrocarbon radicals, provided that (i) at least one of the R 1 through R 10 groups is substituted with an isocyanate functional group or a mercapto group and (ii) the polysiloxane polymer has at least two isocyante or mercapto functional groups.
- at least one of the R 1 through R 10 groups is substituted with an isocyanate functional group and the polysiloxane polymer has at least two isocyante functional groups.
- the isocyanate functional polysiloxane has a number average molecular weight in the range of from 4,000 to 15,000, more preferably from 6,000 to 10,000.
- the number average molecular weight is determined by GPC Viscotek VE2001 using a Mixed D column and polystyrene standard.
- suitable isocyanate functional polysiloxanes include without limitation, Silmer® Di-50 and D-100 materials from Siltech Corp., which are linear-difunctional polysiloxanes represented by the formula:
- the polysiloxane polymer of the present invention makes up from 2 to 40 weight percent based on the total solids weight of the curable composition (i.e. excluding the solvent used in the curable composition).
- the polysiloxane polymer is from 5 to 30 weight percent based on the total solids weight of the curable composition and most preferably from 10 to 25 weight percent based on the total solids weight of the curable composition.
- the multi-functional polyol of the present invention may be selected from acrylic polyols, natural oil polyols, polyester polyols, polyether polyols, polycarbonate polyols, and blends thereof.
- Acrylic polyols are preferred.
- Suitable acrylic polyols include acrylic polymers that range in Tg from 0-45° C. preferably from 10-40° C., and most preferably 20-35° C. and have number average molecular weights (Mn) in the range of 2,000-25,000 g/mol, preferably 3,000-15,000 g/mol and most preferably 4,000-8,000 g/mol.
- the multi-functional polyol of the present invention makes up from 35 to 60 weight percent based on the total weight of the curable composition.
- the multi-functional polyol is from 40 to 55 weight percent based on the total weight of the curable composition and most preferably from 40 to 50 weight percent based on the total weight of the curable composition.
- the glass transition temperature (“Tg” herein) of the acrylic polymers are measured using a DSC from TA Instruments Model Q100 V9.8 Build 296 with a standard Cell FC.
- Suitable natural oil polyols include non-modified NOPs, such as, for example, natural seed oil diol monomers; and modified NOPs, such as, for example, commercially available Gen 1 NOP DWD 2080 from The Dow Chemical Company, which are reconstructed NOP molecules with the monomers of saturated, mono-hydroxyl, bi-hydroxyl and tri-hydroxyl methyl esters at a weight ratio of approximately 32%, 38%, 28% and 2%.
- Gen 1 NOP DWD 2080 from The Dow Chemical Company
- Gen 4 NOP is obtained by reacting UnoxolTM diol and seed oil diol monomers which are separated from seed oil monomer.
- UnoxolTM diol is a mixture of cis, trans-1,3- and cis, trans-1,4-cyclohexane dimethanol, and is available from The Dow Chemical Company.
- Gen 4 NOP has following structure with the hydroxyl equivalent weight of 170 g/mol.
- the natural oil derived polyols are polyols based on or derived from renewable feedstock resources such as natural and/or genetically modified plant vegetable seed oils and/or animal source fats.
- oils and/or fats are generally comprised of triglycerides, that is, fatty acids linked together with glycerol.
- Preferred are vegetable oils that have at least about 70 percent unsaturated fatty acids in the triglyceride.
- the natural product may contain at least about 85 percent by weight unsaturated fatty acids.
- Examples of preferred vegetable oils include, but are not limited to, for example, those from castor, soybean, olive, peanut, rapeseed, corn, sesame, cotton, canola, safflower, linseed, palm, grapeseed, black caraway, pumpkin kernel, borage seed, wood germ, apricot kernel, pistachio, almond, macadamia nut, avocado, sea buckthorn, hemp, hazelnut, evening primrose, wild rose, thistle, walnut, sunflower, jatropha seed oils, or a combination thereof.
- oils obtained from organisms such as algae may also be used.
- animal products include lard, beef tallow, fish oils and mixtures thereof.
- a combination of vegetable and animal based oils/fats may also be used.
- the average hydroxyl functionality of the NOP is in the range of from 1 to 10; preferably in the range of from 2 to 6.
- the NOP may have a number average molecular weight in the range of from 100 to 3,000; preferably from 300 to 2,000; and more preferably from 350 to 1,500.
- Suitable isocyanate functional organic compounds include aliphatic or cycloaliphatic polyisocyanates such as hexamethylene diisocyanate (HDI), isophorone diisocyanate (IPDI), methylene bis(p-cyclohexyl isocyanate) (H 12 MDI), meta-tetramethylxylene diisocyanate (m-TMXDI), cyclohexyl diisocyanate (CHDI), 1,3-bis(isocyanatomethyl)cyclohexane and 1,4-bis(isocyanatomethyl)cyclohexane; trimers of diisocyanates such as the trimer of hexamethylene diisocyanate (HDI) sold under the trademark Desmodur®N-3390 from Bayer MaterialScience AG, the trimer of isophorone diisocyanate (IPDI) sold under the tradename Tolanate® IDT-70 from Perstorp Polyols, Inc., and blends thereof.
- the isocyanate functional organic compounds are trimers of hexmethylene diisocyanate (HDI) and isophorone diisocyanate (IPDI); and most preferably trimers of hexamethylene diisocyanate (HDI).
- the isocyanate functional organic compounds of the present invention make up from 8 to 30 weight percent based on the total weight of the curable composition.
- isocyanate functional organic compounds are from 10 to 30 weight percent based on the total weight of the curable composition and most preferably from 15 to 25 weight percent based on the total weight of the curable composition.
- Suitable urethane grade solvents include aromatic hydrocarbons such as xylene, toluene; ketones such as methyl isobutyl ketone, methyl amyl ketone, or acetone, esters such as butyl acetate, or hexyl acetate; glycol ether esters such as propylene glycol monomethyl ether acetate; esters such as propyl propionate or butyl propionate, and blends thereof.
- the solvent makes up from 10 to 60 weight percent based on the total weight of the curable composition.
- solvent is from 15 to 50 weight percent based on the total weight of the curable composition and most preferably from 20 to 40 weight percent based on the total weight of the curable composition.
- the curable compositions are useful as coatings and may include various additives ordinarily incorporated in compositions of this type.
- additional additives include, but are not limited to, pigments, dyes, gloss reducing additives, cure catalysts, flow and leveling agents, degassing additives, adhesion promoters, dispersion aids, flame-retardant agents, heat stabilizers, light stabilizers, antioxidants, plasticizers, antistatic agents, ultraviolet (UV) absorbers, lubricants or combinations including one or more of the foregoing additives.
- Suitable adhesion promoters include silane adhesion promoters, such as 3-glycidoxypropyl trimethoxysilane, which can enhance the wet adhesion of the fouling release top coat without the need for a mid or tie coat.
- silane adhesion promoter is in the range of from 0.5 to 3 weight percent based on the total weight of the curable composition, more preferably from 1 to 3 weight percent based on the total weight of the curable composition, and most preferably from 1.5 to 3 weight percent based on the total weight of the curable composition.
- Curable coating compositions of the present invention can be un-pigmented transparent clear coats, or pigmented systems for primer, basecoat and topcoat applications.
- the pigment may be any typical organic or inorganic pigment. Several different pigments may be needed to achieve a desirable color for a particular application. Examples of suitable pigments include without limitation, titanium dioxide, barytes, clay, calcium carbonate, red iron oxide, CI Pigment Yellow 42, CI Pigment Blue 15, 15:1, 15:2, 15:3, 15:4 (copper phthalocyanines), CI Pigment Red 49:1, CI Pigment Red 57:1 and carbon black.
- the resulting coating compositions can be applied onto a substrate using techniques known in the art; e.g. by spraying, draw-down, roll-coating.
- the nominal dry film thickness (DFT) of the coating is greater than or equal to 2 mils, preferably greater than 2.5 mils and more preferably greater than 3 mils.
- substrates that may be coated include without limitation, plastics, wood, metals such as aluminum, steel or galvanized sheeting, tin-plated steel, concrete, glass, composites, urethane elastomers, primed (painted) substrates, and the like.
- the coatings can be cured at room temperature or at an elevated temperature in a forced air oven or with other types of heating sources.
- Acrylic Polyol A comprises by weight, in Polyol Synthesized in polymerized form, 42% methyl methacrylate laboratory. (MMA), 30% hydroxyethylmethacrylate (HEMA) and 28% butyl acrylate (BA), with a Tg of 31° C., a solution hydroxyl equivalent weight of 552 at 80.3% solids and a Mn of 4600.
- Acrylic Polyol B comprises by weight, in Polyol Synthesized in polymerized form, 30% MMA, 30% HEMA and laboratory. 40% BA, with a Tg of 14° C., a solution hydroxyl equivalent weight of 551 at 76.4% solids and a Mn of 3800.
- Acrylic Polyol C comprises by weight, in Polyol Synthesized in polymerized form, 16% MMA, 30% HEMA and laboratory. 54% BA, with a Tg of ⁇ 3° C., a solution hydroxyl equivalent weight of 557 at 73.1% solids and a Mn of 5000.
- Acrylic Polyol D is the same composition as Polyol Synthesized in Acrylic Polyol A, but with a solution hydroxyl laboratory. equivalent weight of 610 at 77.5% solids and a Mn of 3500.
- Polyester 1 Natural Oil Polyol
- Polyester 2 (CAPA TM 3091 polycaprolactone), Polyol Perstorp Polyols, CAS Number 37625-56-2 with a molecular Inc. weight of 900.
- Polyester 3 (CAPA TM 3050 polycaprolactone), Polyol Perstorp Polyols, CAS Number 37625-56-2 with a molecular Inc. weight of 540.
- Siloxane 1 MCR-C62 mono-dicarbinol Hydroxy functional Gelest, Inc. terminated polydimethylsiloxane
- PDMS molecular weight 5,000 Siloxane 2 (Dow Corning ® 54 Additive dimethyl, Hydroxy functional Dow Corning methyl(polypropylene oxide) siloxane), CAS siloxane Corporation Number 68957-00-6, Siloxane 3 (Dow Corning ® 29 Additive Hydroxy functional Dow Corning octamethylcyclotetrasiloxane and siloxane Corporation decamethylcyclopentasiloxane), CAS Numbers 556-67-2 and 541-02-6 n-Butyl Propionate Solvent The Dow Chemical Company n-Propyl Propionate Solvent The Dow Chemical Company Methyl Isobutyl Ketone (MIBK) Solvent Honeywell Burdick- Jackson, a subsidiary of Honeywell International, Inc. Z-6040 silane (glycidoxy
- the test was carried out according to a modified procedure as described in reference (Kohl JG& Singer IL, Pull-off behavior of epoxy bonded to silicone duplex coatings, Progress in Organic Coatings, 1999, 36:15-20) using an Instron machine under the trade designation InstronTM Model 1122.
- Ten-millimeter diameter aluminum studs were used and glued to the surface of the coated panels using an epoxy adhesive (Hysol® 1C from Henkel Loctite Americas, www.loctite.com). The excessive epoxy was trimmed after about one hour cure.
- the epoxy adhesive was then allowed to harden for at least three days at room temperature.
- the stud was then pulled off using an Instron machine until the stud detached from the coating surface.
- the threshold of pseudo-barnacle pull off strength was 0.6 MPa.
- the water contact angle of the coatings was measured using a VCA Optima contact angle measuring device from AST Products, Inc. A water droplet, 0.5-1 ⁇ l was placed on the coating surface. After the equilibrium time the contact angle was measured. A higher contact angle means the coating surface is hydrophobic. For a fouling release coating the contact angle should be ⁇ 100°.
- the impact resistance of the coating was determined by using a Gardner impact tester according to ASTM D2794. This test involves dropping a weight onto an indenter which is resting on the surface of the coating. The weight is dropped from a known height and the indenter forms a dimple in the coated panel. The coating is observed for cracking or delaminating on or around the dimple. The force to produce cracking/delaminating is recorded in inch-pounds (in-lb). The highest force that does not result in coating failure up to 160 in-lbs is recorded. The test is performed by impacting the coating directly (direct), coating facing upward. The threshold of impact resistance was 80 in-lbs.
- Cross hatch adhesion was measured according to ASTM D3359. A rating of 4B or 5B is considered an acceptable level of adhesion.
- the cured panels were immersed in hot water (80° C.) for 5 days. Upon completion the panels were removed from the hot water bath, dried and allowed to cool to ambient lab temperatures. The coatings were visually inspected for delaminating, blistering, bubbling, etc. in the scribed area from the cross-hatch adhesion test. If no damage was observed, the top coat was rated as a pass for adhesion.
- Coatings were applied to 4 inch by 12 inch aluminum chromate pre-treated and steel phosphate pre-treated panels using a wire wound rod or a 8 path wet film applicator.
- the panels were pre-cleaned by wiping with a lint free cloth and IPA to remove oils and dried with compressed air or nitrogen.
- the coated panels were allowed to cure for a minimum of 7 days at 50% relative humidity (RH) and ambient laboratory temperatures ( ⁇ 24° C.) prior to testing.
- RH relative humidity
- ambient laboratory temperatures ⁇ 24° C.
- the coating formulations were prepared in a FlackTek SpeedMixwerTM (Model DAC 150 FV-K, FlackTek, Inc.) dual asymmetric centrifuge.
- the formulations were prepared as follow:
- a solvent blend was prepared from equal parts by weight of MIBK, n-butyl propionate, and n-propyl propionate unless another solvent was specified in the formulation tables 2.
- a 1% catalyst solution was prepared using the above solvent blend and 1% DBTDL 3.
- the polyols, solvents, and catalyst solution, and adhesion promoter (if present in formulation) were charged to a SpeedMixer cup 4.
- the blend was mixed for 30 seconds at ⁇ 3000 rpm 5.
- the isocyanate functional components were added to the SpeedMixer cup 6.
- the blend was mixed for 30 seconds at ⁇ 3000 rpm 7. Panels were coated and allowed to cure as described above
- isocyanate functional PDMS provide tough coatings (impact resistance) and good release properties.
- the range of isocyanate functional PDMS in these formulations is between 5-20% based on total solids in the formulation. They also highlight that different MW isocyanate functional PDMS polymers can be used: Silmer NCO Di-50 (MW 4300 g/mol) and Silmer NCO Di-100 (MW 8000 g/mol).
- the range of isocyanate functional PDMS in these formulations is between 20-30% of the totals solids in the formulation.
- Example Example 18 19 Material Solids Eq Wt G G G Polyester 1 100 165 7.2 0 Polyester 2 100 306.6 0 8 Desmodur N3390 90 214 9.5 5.6 Silmer NCO Di-100 100 3950 5.4 4.4 1% DBTDL 1 0.3 0.3 Solvent Blend 0 13.1 10.9
- Examples 20-25 demonstrate that a tie or mid coat layer is not required to achieve acceptable fouling release properties and adhesion to the primer.
- Examples 20-25 were prepared as described above and applied to treated metal panels that were primed with a commercial marine epoxy primer (Interguard 264 manufacturer by International Paint) per the manufacturer's recommendations. The primer was applied to the panels and allowed to cure for 24, 48, 72, 96, and 168 hours respectively (Ex 20-25—examples 24 & 25 applied after 168 hours—different levels of silicone) and allowed to cure as described above.
- Examples 26-29 demonstrate that a silane adhesion promoter can be used to further enhance the wet adhesion of the fouling release top coat without the need for a mid or tie coat.
- Examples 24-27 were prepared as described above and applied to treated metal panels that were primed with a commercial marine epoxy primer (Interguard 264 manufacturer by International Paint) per the manufacturer's recommendations.
- the primer was applied to the panels and allowed to cure for 24, 48, 72 or 96 hours respectively (Ex 24-27).
- the nominal dry film thickness (DFT) of the primer was between 4-4.5 mils.
- the top coat was applied to achieve a DFT of >2.5 mils and allowed to cure as described above.
- the comparative examples below are 2K urethane systems. However they are differentiated from the present invention in performance and in cured coating composition.
Landscapes
- Chemical & Material Sciences (AREA)
- Organic Chemistry (AREA)
- Chemical Kinetics & Catalysis (AREA)
- Polymers & Plastics (AREA)
- Health & Medical Sciences (AREA)
- Medicinal Chemistry (AREA)
- Materials Engineering (AREA)
- Wood Science & Technology (AREA)
- Engineering & Computer Science (AREA)
- Life Sciences & Earth Sciences (AREA)
- Polyurethanes Or Polyureas (AREA)
- Paints Or Removers (AREA)
- Application Of Or Painting With Fluid Materials (AREA)
Abstract
A two-part moisture curable coating compositions capable of forming polyurethane-polysiloxane networks is provided. The coating compositions which are useful in marine antifouling coatings provide a two-part moisture curable composition comprising: (a) a first part comprising at least one multifunctional polyol; (b) a second part comprising: (i) at least one polysiloxane polymer with at least two isocyanate or mercapto functional groups and (ii) at least one isocyanate functional organic compound; and (c) solvent. Also provided are methods of coating substrates with the curable composition and articles produced from such coated substrates.
Description
- This invention relates to two-part moisture curable coating compositions capable of forming polyurethane-polysiloxane networks. The coating compositions are useful in the field of marine antifouling coatings.
- Bio-fouling occurs everywhere in the marine environment and is a significant problem for marine objects, such as ships. One approach to limit fouling microorganisms from accumulating is to use self-cleaning foul releasing coatings based on silicone elastomers. Polydimethylsiloxane (PDMS) based silicone elastomer foul release coatings have a rubbery elasticity, a low surface energy and a smooth surface; making it easier for marine organisms to detach from the coating surface under shear stress generated by hydrodynamic drag. However, PDMS is soft, easily wears off, and requires frequent reapplications; thereby costing time and money to maintain.
- One effective approach to improve the mechanical properties of PDMS based silicone coating is to blend PDMS with other polymers with better mechanical properties, such as polyurethane (PU). Polysiloxanes and polyurethanes possess very different, but highly useful, physical and mechanical properties which have led to their widespread use. Polyurethanes stand out by virtue of mechanical strength, elasticity, adhesion resistance and abrasion resistance when combined with polydimethylsiloxane in foul releasing coatings. However uniform physical blends of polysiloxanes and polyurethanes are difficult to obtain, due to incompatible properties of these resins and their pronounced tendency to undergo phase separation following initial admixture.
- U.S. Pat. No. 8,299,200 (claiming priority to the international patent published as WO2009/025924) discloses a polysiloxane-modified polyurethane coating prepared by reacting a mixture comprising polyisocyanate; polyol; and polysiloxane having functional groups capable of reacting with the polyisocyanate. The functional groups capable of reacting with the polyisocyanate are attached to only a single end of the polyorganosiloxane chain. It is theorized that coatings that have a polysiloxane tethered at only one end, can result is a highly mobile surface and may permit easier release of fouling organisms. However, such siloxanes are expensive and coatings prepared with this system fail to exhibit all the required performance parameters of coatings in a marine environment. U.S. Pat. No. 5,820,491 discloses a two-part urethane topcoat including a polyol component, an isocyanate component and a hydroxyl functional, polyether-modified polysiloxane copolymer component. Coatings prepared with this system fail to exhibit all the required performance parameters of coatings in a marine environment. What is needed is an alternative, inexpensive, simple and uniform coating composition that blends the properties of both PDMS and PU and meets or exceeds the required performance parameters of coatings in a marine environment.
- The present invention provides a two-part moisture curable composition comprising: (a) a first part comprising at least one multifunctional polyol; (b) a second part comprising: (i) at least one polysiloxane polymer with at least two isocyanate functional groups and (ii) at least one isocyanate functional organic compound; and (c) solvent. The present invention further provides a method of coating a substrate comprising: (a) forming a two-part moisture curable composition comprising: (i) a first part comprising at least one multifunctional polyol; (ii) a second part comprising: (A) at least one polysiloxane polymer with at least two isocyanate functional groups and (B) at least one isocyanate functional organic compound; and (iii) solvent; (b) optionally blending in one or more of pigments, dyes, gloss reducing additives, cure catalysts, flow and leveling agents, degassing additives, adhesion promoters, dispersion aids, flame-retardant agents, heat stabilizers, light stabilizers, antioxidants, plasticizers, antistatic agents, ultraviolet (UV) absorbers, lubricants or combinations thereof; and (c) applying the composition of steps (a) and (b) to a substrate and curing the composition.
- The present invention further provides a two-part moisture curable composition comprising: (a) a first part comprising: (i) at least one multifunctional polyol and (ii) at least one polysiloxane polymer with at least two mercapto functional groups; (b) a second part comprising at least one isocyanate functional organic compound; and (c) solvent. The present invention further provides a method of coating a substrate comprising: (a) forming a two-part moisture curable composition comprising: (i) a first part comprising: (A) at least one multifunctional polyol and (B) at least one polysiloxane polymer with at least two mercapto functional groups; (ii) a second part comprising at least one isocyanate functional organic compound; and (iii) solvent; (b) optionally blending in one or more of pigments, dyes, gloss reducing additives, cure catalysts, flow and leveling agents, degassing additives, adhesion promoters, dispersion aids, flame-retardant agents, heat stabilizers, light stabilizers, antioxidants, plasticizers, antistatic agents, ultraviolet (UV) absorbers, lubricants or combinations thereof; and (c) applying the composition of steps (a) and (b) to a substrate and curing the composition.
- The term “polyol” is an alcohol molecule containing multiple hydroxyl groups. The term “multifunctional polyol” means a polyol that has more than one reactive site capable of cross-linking. The term “polyurethane” means a resin in which the polymer units are linked by urethane linkages, i.e., —O—CO—NH—, and/or one or more urea linkages, i.e., —NH—CO—NH—. The term “isocyante” means a functional group with the formula —N═C═O. The term “mercapto” means a functional group with the formula —SH, which may also be referred to as a thiol group.
- The polysiloxane polymer of the present invention has the formula:
- wherein each R1, R2, R3, R4, R5, R6, R7, R8, R9, or R10 group is independently selected from substituted or unsubstituted C1 to C60 hydrocarbon radicals, provided that (i) at least one of the R1 through R10 groups is substituted with an isocyanate functional group or a mercapto group and (ii) the polysiloxane polymer has at least two isocyante or mercapto functional groups. Preferably, at least one of the R1 through R10 groups is substituted with an isocyanate functional group and the polysiloxane polymer has at least two isocyante functional groups. Each of m and n is independently an integer from 0 and above, provided that m+n≧1. Preferably, the isocyanate functional polysiloxane has a number average molecular weight in the range of from 4,000 to 15,000, more preferably from 6,000 to 10,000. The number average molecular weight is determined by GPC Viscotek VE2001 using a Mixed D column and polystyrene standard. Examples of suitable isocyanate functional polysiloxanes include without limitation, Silmer® Di-50 and D-100 materials from Siltech Corp., which are linear-difunctional polysiloxanes represented by the formula:
- where a ≧1 and Silmer® C50 from Siltech Corp., a multi-functional polysiloxane represented by the formula:
- where a≧1 and b>1.
- The polysiloxane polymer of the present invention makes up from 2 to 40 weight percent based on the total solids weight of the curable composition (i.e. excluding the solvent used in the curable composition). Preferably the polysiloxane polymer is from 5 to 30 weight percent based on the total solids weight of the curable composition and most preferably from 10 to 25 weight percent based on the total solids weight of the curable composition.
- The multi-functional polyol of the present invention may be selected from acrylic polyols, natural oil polyols, polyester polyols, polyether polyols, polycarbonate polyols, and blends thereof. Acrylic polyols are preferred. Suitable acrylic polyols include acrylic polymers that range in Tg from 0-45° C. preferably from 10-40° C., and most preferably 20-35° C. and have number average molecular weights (Mn) in the range of 2,000-25,000 g/mol, preferably 3,000-15,000 g/mol and most preferably 4,000-8,000 g/mol. Examples of commercially available suitable acrylic polyols include Paraloid™ AU-750 from The Dow Chemical Company, Paraloid™ AU-830 from The Dow Chemical Company, Desmophen® A365 from Bayer Material Science AG, and Joncryl® 500 from BASF Corporation. The multi-functional polyol of the present invention makes up from 35 to 60 weight percent based on the total weight of the curable composition. Preferably the multi-functional polyol is from 40 to 55 weight percent based on the total weight of the curable composition and most preferably from 40 to 50 weight percent based on the total weight of the curable composition. The glass transition temperature (“Tg” herein) of the acrylic polymers are measured using a DSC from TA Instruments Model Q100 V9.8 Build 296 with a standard Cell FC.
- Suitable natural oil polyols (NOPs) include non-modified NOPs, such as, for example, natural seed oil diol monomers; and modified NOPs, such as, for example, commercially available Gen 1 NOP DWD 2080 from The Dow Chemical Company, which are reconstructed NOP molecules with the monomers of saturated, mono-hydroxyl, bi-hydroxyl and tri-hydroxyl methyl esters at a weight ratio of approximately 32%, 38%, 28% and 2%. In another example, a commercially available Gen 4 NOP is obtained by reacting Unoxol™ diol and seed oil diol monomers which are separated from seed oil monomer. Unoxol™ diol is a mixture of cis, trans-1,3- and cis, trans-1,4-cyclohexane dimethanol, and is available from The Dow Chemical Company. The Gen 4 NOP has following structure with the hydroxyl equivalent weight of 170 g/mol.
- The natural oil derived polyols are polyols based on or derived from renewable feedstock resources such as natural and/or genetically modified plant vegetable seed oils and/or animal source fats. Such oils and/or fats are generally comprised of triglycerides, that is, fatty acids linked together with glycerol. Preferred are vegetable oils that have at least about 70 percent unsaturated fatty acids in the triglyceride. The natural product may contain at least about 85 percent by weight unsaturated fatty acids. Examples of preferred vegetable oils include, but are not limited to, for example, those from castor, soybean, olive, peanut, rapeseed, corn, sesame, cotton, canola, safflower, linseed, palm, grapeseed, black caraway, pumpkin kernel, borage seed, wood germ, apricot kernel, pistachio, almond, macadamia nut, avocado, sea buckthorn, hemp, hazelnut, evening primrose, wild rose, thistle, walnut, sunflower, jatropha seed oils, or a combination thereof.
- Additionally, oils obtained from organisms such as algae may also be used. Examples of animal products include lard, beef tallow, fish oils and mixtures thereof. A combination of vegetable and animal based oils/fats may also be used.
- The average hydroxyl functionality of the NOP is in the range of from 1 to 10; preferably in the range of from 2 to 6. The NOP may have a number average molecular weight in the range of from 100 to 3,000; preferably from 300 to 2,000; and more preferably from 350 to 1,500.
- Suitable isocyanate functional organic compounds include aliphatic or cycloaliphatic polyisocyanates such as hexamethylene diisocyanate (HDI), isophorone diisocyanate (IPDI), methylene bis(p-cyclohexyl isocyanate) (H12MDI), meta-tetramethylxylene diisocyanate (m-TMXDI), cyclohexyl diisocyanate (CHDI), 1,3-bis(isocyanatomethyl)cyclohexane and 1,4-bis(isocyanatomethyl)cyclohexane; trimers of diisocyanates such as the trimer of hexamethylene diisocyanate (HDI) sold under the trademark Desmodur®N-3390 from Bayer MaterialScience AG, the trimer of isophorone diisocyanate (IPDI) sold under the tradename Tolanate® IDT-70 from Perstorp Polyols, Inc., and blends thereof. Preferably the isocyanate functional organic compounds are trimers of hexmethylene diisocyanate (HDI) and isophorone diisocyanate (IPDI); and most preferably trimers of hexamethylene diisocyanate (HDI). The isocyanate functional organic compounds of the present invention make up from 8 to 30 weight percent based on the total weight of the curable composition. Preferably isocyanate functional organic compounds are from 10 to 30 weight percent based on the total weight of the curable composition and most preferably from 15 to 25 weight percent based on the total weight of the curable composition.
- Suitable urethane grade solvents include aromatic hydrocarbons such as xylene, toluene; ketones such as methyl isobutyl ketone, methyl amyl ketone, or acetone, esters such as butyl acetate, or hexyl acetate; glycol ether esters such as propylene glycol monomethyl ether acetate; esters such as propyl propionate or butyl propionate, and blends thereof. The solvent makes up from 10 to 60 weight percent based on the total weight of the curable composition. Preferably solvent is from 15 to 50 weight percent based on the total weight of the curable composition and most preferably from 20 to 40 weight percent based on the total weight of the curable composition.
- The curable compositions are useful as coatings and may include various additives ordinarily incorporated in compositions of this type. Examples of additional additives include, but are not limited to, pigments, dyes, gloss reducing additives, cure catalysts, flow and leveling agents, degassing additives, adhesion promoters, dispersion aids, flame-retardant agents, heat stabilizers, light stabilizers, antioxidants, plasticizers, antistatic agents, ultraviolet (UV) absorbers, lubricants or combinations including one or more of the foregoing additives.
- Suitable adhesion promoters include silane adhesion promoters, such as 3-glycidoxypropyl trimethoxysilane, which can enhance the wet adhesion of the fouling release top coat without the need for a mid or tie coat. Preferably the silane adhesion promoter is in the range of from 0.5 to 3 weight percent based on the total weight of the curable composition, more preferably from 1 to 3 weight percent based on the total weight of the curable composition, and most preferably from 1.5 to 3 weight percent based on the total weight of the curable composition.
- Curable coating compositions of the present invention can be un-pigmented transparent clear coats, or pigmented systems for primer, basecoat and topcoat applications. The pigment may be any typical organic or inorganic pigment. Several different pigments may be needed to achieve a desirable color for a particular application. Examples of suitable pigments include without limitation, titanium dioxide, barytes, clay, calcium carbonate, red iron oxide, CI Pigment Yellow 42, CI Pigment Blue 15, 15:1, 15:2, 15:3, 15:4 (copper phthalocyanines), CI Pigment Red 49:1, CI Pigment Red 57:1 and carbon black.
- The resulting coating compositions can be applied onto a substrate using techniques known in the art; e.g. by spraying, draw-down, roll-coating. The nominal dry film thickness (DFT) of the coating is greater than or equal to 2 mils, preferably greater than 2.5 mils and more preferably greater than 3 mils. Examples of substrates that may be coated include without limitation, plastics, wood, metals such as aluminum, steel or galvanized sheeting, tin-plated steel, concrete, glass, composites, urethane elastomers, primed (painted) substrates, and the like. The coatings can be cured at room temperature or at an elevated temperature in a forced air oven or with other types of heating sources.
- The following examples are illustrative of the invention.
- The raw materials used in the Examples are described below.
-
-
Material Function Supplier Acrylic Polyol A comprises by weight, in Polyol Synthesized in polymerized form, 42% methyl methacrylate laboratory. (MMA), 30% hydroxyethylmethacrylate (HEMA) and 28% butyl acrylate (BA), with a Tg of 31° C., a solution hydroxyl equivalent weight of 552 at 80.3% solids and a Mn of 4600. Acrylic Polyol B comprises by weight, in Polyol Synthesized in polymerized form, 30% MMA, 30% HEMA and laboratory. 40% BA, with a Tg of 14° C., a solution hydroxyl equivalent weight of 551 at 76.4% solids and a Mn of 3800. Acrylic Polyol C comprises by weight, in Polyol Synthesized in polymerized form, 16% MMA, 30% HEMA and laboratory. 54% BA, with a Tg of −3° C., a solution hydroxyl equivalent weight of 557 at 73.1% solids and a Mn of 5000. Acrylic Polyol D is the same composition as Polyol Synthesized in Acrylic Polyol A, but with a solution hydroxyl laboratory. equivalent weight of 610 at 77.5% solids and a Mn of 3500. Polyester 1 (Natural Oil Polyol) with a solution Polyol The Dow Chemical hydroxyl equivalent weight of 170 at 77.5% Company solids Polyester 2 (CAPA ™ 3091 polycaprolactone), Polyol Perstorp Polyols, CAS Number 37625-56-2 with a molecular Inc. weight of 900. Polyester 3 (CAPA ™ 3050 polycaprolactone), Polyol Perstorp Polyols, CAS Number 37625-56-2 with a molecular Inc. weight of 540. Silmer ® NCO Di-50, molecular weight of 4300 Isocyanate Siltech Corp. g/mol according to manufacturer functional PDMS Silmer ® NCO Di-100, molecular weight of 8000 Isocyanate Siltech Corp. g/mol according to manufacturer functional PDMS Silmer ® NCO C-50, molecular weight of 12,400 Isocyanate Siltech Corp. g/mol according to the manufacturer functional PDMS Desmodur ® N3390 aliphatic polyisocyanate (HDI Isocyanate Bayer Trimer 90% solids in butyl acetate) functional organic MaterialScience AG compound Tolanate ® IDT-70 aliphatic polyisocyante (IPDI Isocyanate Perstorp Polyols, Trimer 70% Solids in butyl acetate) functional organic Inc. compound Siloxane 1 (MCR-C62 mono-dicarbinol Hydroxy functional Gelest, Inc. terminated polydimethylsiloxane), with a PDMS molecular weight of 5,000 Siloxane 2 (Dow Corning ® 54 Additive dimethyl, Hydroxy functional Dow Corning methyl(polypropylene oxide) siloxane), CAS siloxane Corporation Number 68957-00-6, Siloxane 3 (Dow Corning ® 29 Additive Hydroxy functional Dow Corning octamethylcyclotetrasiloxane and siloxane Corporation decamethylcyclopentasiloxane), CAS Numbers 556-67-2 and 541-02-6 n-Butyl Propionate Solvent The Dow Chemical Company n-Propyl Propionate Solvent The Dow Chemical Company Methyl Isobutyl Ketone (MIBK) Solvent Honeywell Burdick- Jackson, a subsidiary of Honeywell International, Inc. Z-6040 silane (glycidoxypropyl trimethoxy- Silane adhesion Dow Corning silane) promoter Corporation Dibutytin dilaurate (DBTDL) Catalyst Sigma-Aldrich Co. - The test was carried out according to a modified procedure as described in reference (Kohl JG& Singer IL, Pull-off behavior of epoxy bonded to silicone duplex coatings, Progress in Organic Coatings, 1999, 36:15-20) using an Instron machine under the trade designation Instron™ Model 1122. Ten-millimeter diameter aluminum studs were used and glued to the surface of the coated panels using an epoxy adhesive (Hysol® 1C from Henkel Loctite Americas, www.loctite.com). The excessive epoxy was trimmed after about one hour cure. The epoxy adhesive was then allowed to harden for at least three days at room temperature. The stud was then pulled off using an Instron machine until the stud detached from the coating surface. For each test, at least two and preferably three replicate samples were employed and the average value for pull off strength (measured in MPa units) was recorded. The threshold of pseudo-barnacle pull off strength was 0.6 MPa.
- The water contact angle of the coatings was measured using a VCA Optima contact angle measuring device from AST Products, Inc. A water droplet, 0.5-1 μl was placed on the coating surface. After the equilibrium time the contact angle was measured. A higher contact angle means the coating surface is hydrophobic. For a fouling release coating the contact angle should be ≧100°.
- The impact resistance of the coating was determined by using a Gardner impact tester according to ASTM D2794. This test involves dropping a weight onto an indenter which is resting on the surface of the coating. The weight is dropped from a known height and the indenter forms a dimple in the coated panel. The coating is observed for cracking or delaminating on or around the dimple. The force to produce cracking/delaminating is recorded in inch-pounds (in-lb). The highest force that does not result in coating failure up to 160 in-lbs is recorded. The test is performed by impacting the coating directly (direct), coating facing upward. The threshold of impact resistance was 80 in-lbs.
- Cross hatch adhesion was measured according to ASTM D3359. A rating of 4B or 5B is considered an acceptable level of adhesion.
- The cured panels were immersed in hot water (80° C.) for 5 days. Upon completion the panels were removed from the hot water bath, dried and allowed to cool to ambient lab temperatures. The coatings were visually inspected for delaminating, blistering, bubbling, etc. in the scribed area from the cross-hatch adhesion test. If no damage was observed, the top coat was rated as a pass for adhesion.
- Coatings were applied to 4 inch by 12 inch aluminum chromate pre-treated and steel phosphate pre-treated panels using a wire wound rod or a 8 path wet film applicator. The panels were pre-cleaned by wiping with a lint free cloth and IPA to remove oils and dried with compressed air or nitrogen. The coated panels were allowed to cure for a minimum of 7 days at 50% relative humidity (RH) and ambient laboratory temperatures (˜24° C.) prior to testing.
- The coating formulations were prepared in a FlackTek SpeedMixwer™ (Model DAC 150 FV-K, FlackTek, Inc.) dual asymmetric centrifuge. The formulations were prepared as follow:
- 1. A solvent blend was prepared from equal parts by weight of MIBK, n-butyl propionate, and n-propyl propionate unless another solvent was specified in the formulation tables
2. A 1% catalyst solution was prepared using the above solvent blend and 1% DBTDL
3. The polyols, solvents, and catalyst solution, and adhesion promoter (if present in formulation) were charged to a SpeedMixer cup
4. The blend was mixed for 30 seconds at ˜3000 rpm
5. The isocyanate functional components were added to the SpeedMixer cup
6. The blend was mixed for 30 seconds at ˜3000 rpm
7. Panels were coated and allowed to cure as described above -
Examples 1 2 3 4 5 6 Material Solids Eq Wt G G G G G G Acrylic Polyol A 80.3 552 11 11 Acrylic Polyol B 76.4 551 12 12 Acrylic Polyol C 73.1 557 12 12 Desmodur N3390 90 214 4.4 4.8 4.8 4.4 4.8 4.8 Silmer NCO C-50 100 4133 1.5 1.5 1.5 Silmer NCO Di-100 100 3950 1.4 1.5 1.5 1% DBTDL 1 0.3 0.3 0.3 0.3 0.3 0.3 Solvent Blend 0 4.7 4.3 3.7 4.6 4.4 3.6 -
-
Pseudo-Barnacle Impact Contact Adhesion Direct Indirect Example Angle MPa In-lbs In-lbs 1 107° 0.18 >160 >160 2 109° 0.23 >160 >160 3 106° 0.23 >160 >160 4 106° 0.11 >160 >160 5 106° 0.12 >160 >160 6 106° 0.16 >160 >160 - These results illustrate that acrylic polyols of different glass transition temperatures yield coatings with excellent toughness as illustrated by the impact resistance results and release properties. They also illustrate that different level of isocyanate functionality on the PDMS polymers (Silmer C-50 is a tri-functional whereas Silmer Di-100 is di-functional) provide the same results. The level of isocyanate functional PDMS in these examples is 10% based on total solids in the formulation.
-
Examples 7 8 9 10 11 12 Material Solids Eq Wt G G G G G G Acrylic Polyol A 80.3 552 13 12.5 11 13.1 12.4 11 Desmodur N3390 90 214 5.2 4.9 4.2 5.3 5 4.3 Silmer NCO Di-50 100 2150 0.8 1.6 3.1 Silmer NCO Di-100 100 3950 0.8 1.6 3.2 1% DBTDL 1 0.4 0.4 0.3 0.4 0.4 0.3 Solvent Blend 0 4.2 5.2 6.9 4.2 5.2 7.1 -
-
Pseudo-Barnacle Impact Contact Adhesion Direct Indirect Example Angle MPa In-lbs In-lbs 7 103° 0.24 >160 >160 8 103° 0.3 >160 >160 9 109° 0.24 >160 >160 10 105° 0.23 >160 >160 11 103° 0.16 >160 >160 12 100° 0.08 >160 >160 - These results illustrate that different level of the isocyanate functional PDMS provide tough coatings (impact resistance) and good release properties. The range of isocyanate functional PDMS in these formulations is between 5-20% based on total solids in the formulation. They also highlight that different MW isocyanate functional PDMS polymers can be used: Silmer NCO Di-50 (MW 4300 g/mol) and Silmer NCO Di-100 (MW 8000 g/mol).
-
Examples 13 14 15 Material Solids Eq Wt G G G Acrylic Polyol A 80.3 552 10.2 9.2 11 Desmodur N3390 90 214 3.9 3.5 4.4 Silmer NCO Di-100 100 3950 3.9 4.5 3.2 1% DBTDL 1 0.3 0.3 0.3 Solvent Blend 0 7.9 8.6 7.1 -
-
Pseudo-Barnacle Impact Contact Adhesion Direct Indirect Example Angle MPa In-lbs In-lbs 13 102° 0.1 >160 120 14 101° 0.11 >160 80 15 100° 0.13 >160 100 - These results further expand the level of the isocyanate functional PDMS to provide tough coatings (impact resistance) and good release properties. The range of isocyanate functional PDMS in these formulations is between 20-30% of the totals solids in the formulation.
-
Examples 16 17 Material Solids Eq Wt G G Acrylic Polyol D 80.27 552 10.2 11 Desmodur N3390 90 214 3.6 3.9 Silmer NCO Di-100 100 3950 3.7 3 1% DBTDL 1 0.3 0.3 Solvent Blend 0 6.9 6.8 -
-
Pseudo-Barnacle Impact Contact Adhesion Direct Indirect Example Angle MPa in/lbs in/lbs 16 103° 0.24 >160 >160 17 101° 0.26 >160 >160 - This data confirms the earlier data at 20 and 25% isocyanate functional PDMS in the formulations using a new lot of Acrylic Polyol A, labeled Acrylic Polyol D (slightly higher OH equivalent weight) still illustrating excellent toughness (impact resistance) and release properties.
-
Example Example 18 19 Material Solids Eq Wt G G Polyester 1 100 165 7.2 0 Polyester 2 100 306.6 0 8 Desmodur N3390 90 214 9.5 5.6 Silmer NCO Di-100 100 3950 5.4 4.4 1% DBTDL 1 0.3 0.3 Solvent Blend 0 13.1 10.9 -
-
Pseudo-Barnacle Impact Contact Adhesion Direct Example Angle MPa in/lbs 18 105° 0.2 >160 19 121° 0.57 >160 - This data confirms that polyols other than acrylic can be used. However, acrylic polyols are preferred.
-
Examples 20 21 22 23 24 25 Material Solids Eq Wt G G G G G G Acrylic Polyol D 77.5 609.7 4.5 4.5 4.5 4.5 11 10.2 Desmodur N3390 90 214 1.6 1.6 1.6 1.6 3.9 3.6 Silmer NCO Di-100 100 3950 1.7 1.7 1.7 1.7 3 3.7 1% DBTDL 1 0.1 0.1 0.1 0.1 0.3 0.3 Solvent Blend 0 3.1 3.1 3.1 3.1 6.8 6.9 -
-
Overcoat Pseudo-Barnacle Interval Adhesion Cross Hatch Hot Water Example Hours MPa Adhesion Adhesion 20 24 0.32 5B Pass 21 48 0.29 5B Pass 22 72 0.23 5B Pass 23 96 0.31 5B Pass 24 168 0.2 5B Fail 25 168 0.23 5B Fail - Examples 20-25 demonstrate that a tie or mid coat layer is not required to achieve acceptable fouling release properties and adhesion to the primer. Examples 20-25 were prepared as described above and applied to treated metal panels that were primed with a commercial marine epoxy primer (Interguard 264 manufacturer by International Paint) per the manufacturer's recommendations. The primer was applied to the panels and allowed to cure for 24, 48, 72, 96, and 168 hours respectively (Ex 20-25—examples 24 & 25 applied after 168 hours—different levels of silicone) and allowed to cure as described above.
- These examples demonstrate that excellent release properties can be achieved without the use of a tie or mid coat applied between a primer and the fouling release top coat. These results also show a preferred over coat window between applying the top coat over the primer between 24 and 144 hours, preferably between 24 and 120 hours, and more preferably between 48-96 hours with excellent adhesion as demonstrated by the hot water adhesion test.
-
Examples 26 27 28 29 Material Solids Eq Wt G G G G Acrylic Polyol D 77.5 609.7 4.2 4.2 4.2 4.2 Desmodur N3390 90 214 1.4 1.5 1.5 1.5 Silmer NCO Di-100 100 3950 1.6 1.6 1.6 1.6 Z-6040 100 0.2 0.2 0.2 0.2 1% DBTDL 1 0.1 0.1 0.1 0.1 Solvent Blend 0 3.1 3.0 3.0 3.0 -
-
Overcoat Pseudo-Barnacle Interval Adhesion Cross Hatch Hot Water Example Hours MPa Adhesion Adhesion 26 24 0.32 5B Pass 27 48 0.24 5B Pass 28 72 0.26 5B Pass 29 96 0.25 5B Pass - Examples 26-29 demonstrate that a silane adhesion promoter can be used to further enhance the wet adhesion of the fouling release top coat without the need for a mid or tie coat.
- Examples 24-27 were prepared as described above and applied to treated metal panels that were primed with a commercial marine epoxy primer (Interguard 264 manufacturer by International Paint) per the manufacturer's recommendations. The primer was applied to the panels and allowed to cure for 24, 48, 72 or 96 hours respectively (Ex 24-27). The nominal dry film thickness (DFT) of the primer was between 4-4.5 mils. The top coat was applied to achieve a DFT of >2.5 mils and allowed to cure as described above.
- These examples demonstrate that excellent release properties can be achieved without the use of a tie or mid coat applied between a primer and the fouling release top coat with excellent adhesion as demonstrated by the hot water adhesion test when a silane adhesion promoter is added to the top coat formulation. Visually the panels for examples 26-29 looked better after the hot water adhesion test than those of examples 20-23. The range of silane adhesion promoter should be between 0.5-3% based on weight, preferably between 1-3% % based on weight, and more preferably between 1.5-3% based on weight.
- The comparative examples below are 2K urethane systems. However they are differentiated from the present invention in performance and in cured coating composition.
-
Comparative Examples 1 2 3 Material Solids Eq Wt G G G Polyester 3 90 201 5.5 5.5 5.5 Tolanate IDT 70 70 343 10.50 10.6 10.8 Siloxane 1 100 2500 1.40 0 0 Siloxane 2 100 2000 0 1.4 0 Siloxane 3 100 1200 0 0 1.4 1% DBTDL 1 0.3 0.3 0.3 n-butyl acetate 0 3.4 3.4 3.5 -
-
Pseudo-Barnacle Comparative Contact Adhesion Cross Hatch Hot Water Example Angle MPa Adhesion Adhesion 1 91° 0.06 5B Fail 2 74° 0.13 5B Fail 3 50° 0.02 5B Fail - None of the contact angles met the threshold for a fouling release coating exhibiting a water contact angle of ≧100°. The coating quality for each of the comparative examples was extremely poor due to severe blooming of the siloxane component that could be easily wiped from the surface. Although the pseudo-barnacle adhesion meets the requirement, none of the coatings passed the hot water adhesion test after immersion—all of the coating severely delaminated from the substrate and cracked. These comparative examples highlight the performance advantages of the present invention compared to other 2K urethane fouling release technologies, by exhibiting better adhesion without a mid or tie coat and better coating quality.
Claims (13)
1. A two-part moisture curable composition comprising:
(a) a first part comprising: (i) at least one multifunctional polyol and (ii) at least one polysiloxane polymer with at least two mercapto functional groups;
(b) a second part comprising at least one isocyanate functional organic compound; and
(c) solvent.
2. The composition of claim 1 wherein the polysiloxane polymer has a number average molecular weight in the range of from 4,000 to 15,000.
3. The composition of claim 1 wherein the polysiloxane polymer is from 2 to 40 weight percent based on the total solids weight of the curable composition.
4. The composition of claim 1 wherein the multifunctional polyol is selected from the group consisting of acrylic polyols, natural oil polyols, polyester polyols, polyether polyols, polycarbonate polyols, and blends thereof.
5. The composition of claim 1 wherein the multifunctional polyol is an acrylic polymer with a Tg in the range of from 0° C. to 45° C. and a number average molecular weight in the range of from 2,000 g/mol to 25,000 g/mol.
6. The composition of claim 1 wherein the multifunctional polyol is from 35 to 60 weight percent based on the total weight of the curable composition.
7. The composition of claim 1 wherein the isocyanate functional organic compound is selected from the group consisting of hexamethylene diisocyanate (HDI), isophorone diisocyanate (IPDI), methylene bis(p-cyclohexyl isocyanate) (H12MDI), meta-tetramethylxylene diisocyanate (m-TMXDI), cyclohexyl diisocyanate (CHDI), 1,3-bis(isocyanatomethyl)cyclohexane, 1,4-bis(isocyanatomethyl)cyclohexane, trimers of diisocyanates, and blends thereof.
8. The composition of claim 1 wherein the isocyanate functional organic compound is from 8 to 30 weight percent based on the total weight of the curable composition.
9. The composition of claim 1 further comprising one or more of pigments, dyes, gloss reducing additives, cure catalysts, flow and leveling agents, degassing additives, adhesion promoters, dispersion aids, flame-retardant agents, heat stabilizers, light stabilizers, antioxidants, plasticizers, antistatic agents, ultraviolet (UV) absorbers, lubricants or combinations thereof.
10. The composition of claim 9 wherein the adhesion promoter is 3-glycidoxypropyl trimethoxysilane.
11. The composition of claim 1 wherein:
(a) the polysiloxane polymer is from 2 to 40 weight percent based on the total solids weight of the curable composition and has a number average molecular weight in the range of from 4,000 to 15,000;
(b) the multifunctional polyol is from 35 to 60 weight percent based on the total weight of the curable composition and is an acrylic polymer with a Tg in the range of from 0° C. to 45° C. and a number average molecular weight in the range of from 2,000 g/mol to 25,000 g/mol; and
(c) the isocyanate functional organic compound is from 8 to 30 weight percent based on the total weight of the curable composition and is selected from the group consisting of hexamethylene diisocyanate (HDI), isophorone diisocyanate (IPDI), methylene bis(p-cyclohexyl isocyanate) (H12MDI), meta-tetramethylxylene diisocyanate (m-TMXDI), cyclohexyl diisocyanate (CHDI), 1,3-bis(isocyanatomethyl)cyclohexane, 1,4-bis(isocyanatomethyl)cyclohexane, trimers of diisocyanates, and blends thereof.
12. A method of coating a substrate comprising:
(a) forming a two-part moisture curable composition comprising:
(i) a first part comprising: (A) at least one multifunctional polyol and (B) at least one polysiloxane polymer with at least two mercapto functional groups;
(ii) a second part comprising at least one isocyanate functional organic compound; and
(iii) solvent;
(b) optionally blending in one or more of pigments, dyes, gloss reducing additives, cure catalysts, flow and leveling agents, degassing additives, adhesion promoters, dispersion aids, flame-retardant agents, heat stabilizers, light stabilizers, antioxidants, plasticizers, antistatic agents, ultraviolet (UV) absorbers, lubricants or combinations thereof;
(c) applying the composition of steps (a) and (b) to a substrate and curing the composition.
13. A coated article made by the method of claim 12 .
Priority Applications (1)
| Application Number | Priority Date | Filing Date | Title |
|---|---|---|---|
| US14/795,088 US20150307745A1 (en) | 2012-12-31 | 2015-07-09 | Siloxane-urethane foul release coatings |
Applications Claiming Priority (4)
| Application Number | Priority Date | Filing Date | Title |
|---|---|---|---|
| CN201210599271.4 | 2012-12-31 | ||
| CN201210599271.4A CN103910853B (en) | 2012-12-31 | 2012-12-31 | The stained desorption coating of siloxanes-carbamate groups |
| US14/132,119 US9145500B2 (en) | 2012-12-31 | 2013-12-18 | Siloxane-urethane foul release coatings |
| US14/795,088 US20150307745A1 (en) | 2012-12-31 | 2015-07-09 | Siloxane-urethane foul release coatings |
Related Parent Applications (1)
| Application Number | Title | Priority Date | Filing Date |
|---|---|---|---|
| US14/132,119 Division US9145500B2 (en) | 2012-12-31 | 2013-12-18 | Siloxane-urethane foul release coatings |
Publications (1)
| Publication Number | Publication Date |
|---|---|
| US20150307745A1 true US20150307745A1 (en) | 2015-10-29 |
Family
ID=49816851
Family Applications (2)
| Application Number | Title | Priority Date | Filing Date |
|---|---|---|---|
| US14/132,119 Active 2034-03-25 US9145500B2 (en) | 2012-12-31 | 2013-12-18 | Siloxane-urethane foul release coatings |
| US14/795,088 Abandoned US20150307745A1 (en) | 2012-12-31 | 2015-07-09 | Siloxane-urethane foul release coatings |
Family Applications Before (1)
| Application Number | Title | Priority Date | Filing Date |
|---|---|---|---|
| US14/132,119 Active 2034-03-25 US9145500B2 (en) | 2012-12-31 | 2013-12-18 | Siloxane-urethane foul release coatings |
Country Status (6)
| Country | Link |
|---|---|
| US (2) | US9145500B2 (en) |
| EP (2) | EP2927255A1 (en) |
| JP (1) | JP6235329B2 (en) |
| KR (1) | KR102104265B1 (en) |
| CN (1) | CN103910853B (en) |
| BR (1) | BR102013032886B8 (en) |
Cited By (12)
| Publication number | Priority date | Publication date | Assignee | Title |
|---|---|---|---|---|
| US9392841B2 (en) | 2014-08-27 | 2016-07-19 | Nike Innovate C.V. | Article of footwear with soil-shedding performance |
| US10070686B2 (en) | 2014-08-27 | 2018-09-11 | Nike, Inc. | Soil-shedding article of footwear, components thereof, and methods of making the article |
| US10314364B2 (en) | 2014-08-27 | 2019-06-11 | Nike, Inc. | Soil-shedding article of footwear, and method of using the same |
| US10362834B2 (en) | 2016-03-02 | 2019-07-30 | Nike, Inc. | Hydrogel connection |
| US10405604B2 (en) | 2014-08-27 | 2019-09-10 | Nike, Inc. | Article of footwear with soil-shedding performance |
| US10455893B2 (en) | 2016-03-02 | 2019-10-29 | Nike, Inc. | Hydrogel with mesh for soil deflection |
| US10463105B2 (en) | 2014-08-27 | 2019-11-05 | Nike, Inc. | Articles of footwear, apparel, and sports equipment with soil-shedding properties |
| US10531705B2 (en) | 2016-03-02 | 2020-01-14 | Nike, Inc. | Hydrogel tie layer |
| US10675609B2 (en) | 2016-03-02 | 2020-06-09 | Nike, Inc. | Articles with soil-shedding performance |
| US10919257B2 (en) | 2017-10-19 | 2021-02-16 | Nike, Inc. | Composite materials, methods of making, methods of use, and articles incorporating the composite materials |
| EP3822297A1 (en) * | 2019-11-15 | 2021-05-19 | Covestro Deutschland AG | Polysiloxane functionalized polyurethanes for enhancing hydrophobisation of surfaces |
| US11084239B2 (en) | 2017-08-01 | 2021-08-10 | Nike, Inc. | Method of manufacturing a component of an outsole for use in an article of footwear |
Families Citing this family (17)
| Publication number | Priority date | Publication date | Assignee | Title |
|---|---|---|---|---|
| US10835905B2 (en) | 2011-05-25 | 2020-11-17 | Cidra Corporate Services Inc. | Recovery media for mineral processing |
| CA2941109A1 (en) * | 2014-03-12 | 2015-09-17 | Rust-Oleum Corporation | Vegetable oil-modified, hydrophobic polyurethane dispersions |
| ES2628870T3 (en) * | 2015-03-09 | 2017-08-04 | SWISS KRONO Tec AG | Composition of binder and its use in sheets of wood-derived matter |
| JP6443648B2 (en) * | 2015-04-28 | 2018-12-26 | エイチピー・インディゴ・ビー・ブイHP Indigo B.V. | Coating system |
| CN105400405B (en) * | 2015-10-30 | 2018-06-22 | 华南理工大学 | A kind of selfreparing organic silicon polyurethane/polyureas anti-fouling material and its method and application |
| CA3010306C (en) * | 2016-01-07 | 2022-11-08 | Cidra Corporate Services Llc | Open cell or reticulated foam functionalized open-network structure for selective separation of mineral particles in an aqueous system |
| ES2785680T3 (en) * | 2016-05-24 | 2020-10-07 | Basf Coatings Gmbh | Coating agents and coatings produced therefrom with improved dirt resistance and (self) cleaning properties as well as their use |
| KR101854047B1 (en) * | 2016-11-14 | 2018-05-02 | 주식회사 케이씨씨 | Antifouling paint compositions |
| CN108920891A (en) * | 2018-07-10 | 2018-11-30 | 哈尔滨理工大学 | Polyethylene and montmorillonite trap level evaluation method based on density functional theory |
| CN110511671B (en) * | 2019-08-07 | 2021-11-30 | 安徽海德化工科技有限公司 | Cracking-resistant heat-resistant coating for petroleum distillation tower |
| CN110511672B (en) * | 2019-08-15 | 2021-05-04 | 广东普赛达密封粘胶有限公司 | A kind of primer active siloxane composition and its preparation method and application |
| CN110791193A (en) * | 2019-11-18 | 2020-02-14 | 上海君子兰新材料股份有限公司 | Water-based bi-component bright white paint with excellent comprehensive performance and preparation method thereof |
| CN111808515A (en) * | 2020-06-24 | 2020-10-23 | 中国船舶重工集团公司第七二五研究所 | A kind of preparation method of degradable amphiphilic fouling anti-adhesion antifouling resin |
| CN113583557B (en) * | 2021-09-09 | 2022-04-01 | 斯博锐精细化学品(广东)有限公司 | Preparation method of polypropylene-polyurethane weather-resistant paint |
| CN114106690B (en) * | 2021-10-28 | 2022-06-21 | 吉林大学 | Microphase separation type marine antifouling anticorrosive coating and preparation method thereof |
| CN114409869B (en) * | 2022-01-12 | 2023-07-11 | 万华化学集团股份有限公司 | Multi-curing isocyanate prepolymer and preparation method and application thereof |
| EP4644447A1 (en) | 2022-12-27 | 2025-11-05 | Asahi Kasei Kabushiki Kaisha | Polyol-containing composition, and polyurethane and water-based polyurethane made therefrom |
Family Cites Families (21)
| Publication number | Priority date | Publication date | Assignee | Title |
|---|---|---|---|---|
| US4002794A (en) * | 1975-07-18 | 1977-01-11 | Nashua Corporation | Adhesive material and articles incorporating same |
| US4234697A (en) * | 1979-01-18 | 1980-11-18 | Dow Corning Corporation | Method of preparing cross-linked polydiorganosiloxane using organic isocyanates and products prepared therefrom |
| US4684538A (en) * | 1986-02-21 | 1987-08-04 | Loctite Corporation | Polysiloxane urethane compounds and adhesive compositions, and method of making and using the same |
| US4902767A (en) | 1987-05-28 | 1990-02-20 | Lord Corporation | High slip urethane-siloxane coatings |
| NZ231770A (en) | 1988-12-14 | 1991-08-27 | Bramite Ltd | A curable liquid composition containing polyurethane and polysiloxanes; use as a coating composition |
| DE4004628A1 (en) * | 1990-02-15 | 1991-08-22 | Beutelrock Geb Wehrmann Caroli | MEDIUM FOR PAINT-REPELLENT COATING OF SUBSTRATES |
| GB9127171D0 (en) | 1991-12-20 | 1992-02-19 | Courtaulds Coatings Holdings | Coating compositions |
| JP3073915B2 (en) * | 1995-06-27 | 2000-08-07 | 信越化学工業株式会社 | Method for producing thermoplastic silicone-modified polyurethane resin |
| US5820491A (en) | 1996-02-07 | 1998-10-13 | Ppg Industries, Inc. | Abrasion resistant urethane topcoat |
| TW415952B (en) * | 1998-12-14 | 2000-12-21 | Chung Shan Inst Of Science | A modifier and a method for improving the flexibility of a cured epoxy resin |
| US6545114B1 (en) * | 2001-08-09 | 2003-04-08 | Chung-Shan Institute Of Science & Technology | Polysiloxaneurethane-poly(acrylic acid)/polyacrylate copolymer and method for making the same |
| KR100542428B1 (en) | 2003-12-31 | 2006-01-11 | 주식회사 케이씨씨 | 1-coat urethane film composition |
| US8062729B2 (en) * | 2005-01-14 | 2011-11-22 | Ndsu Research Foundation | Polymeric material with surface microdomains |
| WO2008008077A2 (en) | 2005-07-29 | 2008-01-17 | Ndsu Research Foundation | Functionalized polysiloxane polymers |
| CA2660730A1 (en) * | 2006-08-14 | 2008-02-21 | Bayer Materialscience Llc | Low surface energy polyisocyanates and their use in two-component coating compositions |
| KR20100055383A (en) | 2007-06-11 | 2010-05-26 | 엔디에스유 리서치 파운데이션 | Anchored polysiloxane-modified polyurethane coatings and uses thereof |
| EP2058355A1 (en) * | 2007-11-08 | 2009-05-13 | Bayer MaterialScience AG | Polysiloxane modified polyisocyanate |
| JP4798396B2 (en) | 2008-07-07 | 2011-10-19 | 信越化学工業株式会社 | Underwater biological adhesion prevention coating composition and underwater structure using the same |
| CN102757719B (en) * | 2011-04-25 | 2014-08-20 | 陶氏环球技术有限公司 | Dual-packaging moisture-curable coating compound |
| US8450242B2 (en) * | 2011-04-26 | 2013-05-28 | Eastman Kodak Company | Thermal transfer donor element |
| US8716396B2 (en) * | 2012-04-19 | 2014-05-06 | Arrowstar Llc | Nonfluorinated polyurethanes and methods of making and using thereof |
-
2012
- 2012-12-31 CN CN201210599271.4A patent/CN103910853B/en not_active Expired - Fee Related
-
2013
- 2013-12-17 EP EP15163590.1A patent/EP2927255A1/en not_active Withdrawn
- 2013-12-17 EP EP13197662.3A patent/EP2749583B1/en not_active Not-in-force
- 2013-12-18 US US14/132,119 patent/US9145500B2/en active Active
- 2013-12-19 BR BR102013032886A patent/BR102013032886B8/en not_active IP Right Cessation
- 2013-12-20 JP JP2013264148A patent/JP6235329B2/en not_active Expired - Fee Related
- 2013-12-20 KR KR1020130160349A patent/KR102104265B1/en not_active Expired - Fee Related
-
2015
- 2015-07-09 US US14/795,088 patent/US20150307745A1/en not_active Abandoned
Cited By (37)
| Publication number | Priority date | Publication date | Assignee | Title |
|---|---|---|---|---|
| US11103026B2 (en) | 2014-08-27 | 2021-08-31 | Nike, Inc. | Article of footwear with soil-shedding performance |
| US10463105B2 (en) | 2014-08-27 | 2019-11-05 | Nike, Inc. | Articles of footwear, apparel, and sports equipment with soil-shedding properties |
| US10051913B2 (en) | 2014-08-27 | 2018-08-21 | Nike, Inc. | Article of footwear with soil-shedding performance |
| US10064447B2 (en) | 2014-08-27 | 2018-09-04 | Nike, Inc. | Article of footwear with soil-shedding performance |
| US10070685B2 (en) | 2014-08-27 | 2018-09-11 | Nike, Inc. | Article of footwear with soil-shedding performance |
| US12342900B2 (en) | 2014-08-27 | 2025-07-01 | Nike, Inc. | Article of footwear with soil-shedding performance |
| US10076156B2 (en) | 2014-08-27 | 2018-09-18 | Nike, Inc. | Article of footwear with soil-shedding performance |
| US10076157B2 (en) | 2014-08-27 | 2018-09-18 | Nike, Inc. | Article of footwear with soil-shedding performance |
| US10076158B2 (en) | 2014-08-27 | 2018-09-18 | Nike, Inc. | Article of footwear with soil-shedding performance |
| US10076155B2 (en) | 2014-08-27 | 2018-09-18 | Nike, Inc. | Article of footwear with soil-shedding performance |
| US10076159B2 (en) | 2014-08-27 | 2018-09-18 | Nike, Inc. | Soil-shedding article of footwear, and method of using the same |
| US10076154B2 (en) | 2014-08-27 | 2018-09-18 | Nike, Inc. | Article of footwear with soil-shedding performance |
| US10085513B2 (en) | 2014-08-27 | 2018-10-02 | Nike, Inc. | Article of footwear with soil-shedding performance |
| US10092062B2 (en) | 2014-08-27 | 2018-10-09 | Nike, Inc. | Article of footwear with soil-shedding performance |
| US10130140B2 (en) | 2014-08-27 | 2018-11-20 | Nike, Inc. | Article of footwear with soil-shedding performance |
| US10314364B2 (en) | 2014-08-27 | 2019-06-11 | Nike, Inc. | Soil-shedding article of footwear, and method of using the same |
| US11517071B2 (en) | 2014-08-27 | 2022-12-06 | Nike, Inc. | Article of footwear with soil-shedding performance |
| US10405604B2 (en) | 2014-08-27 | 2019-09-10 | Nike, Inc. | Article of footwear with soil-shedding performance |
| US9456654B2 (en) | 2014-08-27 | 2016-10-04 | Nike, Inc. | Article of footwear with soil-shedding performance |
| US11445782B2 (en) | 2014-08-27 | 2022-09-20 | Nike, Inc. | Articles of footwear, apparel, and sports equipment with soil-shedding properties |
| US10070686B2 (en) | 2014-08-27 | 2018-09-11 | Nike, Inc. | Soil-shedding article of footwear, components thereof, and methods of making the article |
| US11178933B2 (en) | 2014-08-27 | 2021-11-23 | Nike, Inc. | Article of footwear with soil-shedding performance |
| US9392841B2 (en) | 2014-08-27 | 2016-07-19 | Nike Innovate C.V. | Article of footwear with soil-shedding performance |
| US10675609B2 (en) | 2016-03-02 | 2020-06-09 | Nike, Inc. | Articles with soil-shedding performance |
| US10362834B2 (en) | 2016-03-02 | 2019-07-30 | Nike, Inc. | Hydrogel connection |
| US11540591B2 (en) | 2016-03-02 | 2023-01-03 | Nike, Inc. | Hydrogel tie layer |
| US10455893B2 (en) | 2016-03-02 | 2019-10-29 | Nike, Inc. | Hydrogel with mesh for soil deflection |
| US10531705B2 (en) | 2016-03-02 | 2020-01-14 | Nike, Inc. | Hydrogel tie layer |
| US11840036B2 (en) | 2017-08-01 | 2023-12-12 | Nike, Inc. | Method of manufacturing a component of an outsole for use in an article of footwear |
| US11084239B2 (en) | 2017-08-01 | 2021-08-10 | Nike, Inc. | Method of manufacturing a component of an outsole for use in an article of footwear |
| US12358251B2 (en) | 2017-08-01 | 2025-07-15 | Nike, Inc. | Method of manufacturing a component of an outsole for use in an article of footwear |
| US11001031B2 (en) | 2017-10-19 | 2021-05-11 | Nike, Inc. | Composite materials, methods of making, methods of use, and articles incorporating the composite materials |
| US10919257B2 (en) | 2017-10-19 | 2021-02-16 | Nike, Inc. | Composite materials, methods of making, methods of use, and articles incorporating the composite materials |
| US11975517B2 (en) | 2017-10-19 | 2024-05-07 | Nike, Inc. | Color change materials, methods of making, methods of use, and articles incorporating the color change materials |
| US11130309B2 (en) | 2017-10-19 | 2021-09-28 | Nike, Inc. | Color change materials, methods of making, methods of use, and articles incorporating the color change materials |
| EP3822297A1 (en) * | 2019-11-15 | 2021-05-19 | Covestro Deutschland AG | Polysiloxane functionalized polyurethanes for enhancing hydrophobisation of surfaces |
| WO2021094229A1 (en) * | 2019-11-15 | 2021-05-20 | Covestro Intellectual Property Gmbh & Co. Kg | Polysiloxane-functionalized polyurethanes for boosting the hydrophobicity of surfaces |
Also Published As
| Publication number | Publication date |
|---|---|
| EP2749583B1 (en) | 2018-11-21 |
| US9145500B2 (en) | 2015-09-29 |
| CN103910853A (en) | 2014-07-09 |
| JP6235329B2 (en) | 2017-11-22 |
| JP2014129524A (en) | 2014-07-10 |
| CN103910853B (en) | 2016-05-18 |
| EP2927255A1 (en) | 2015-10-07 |
| EP2749583A3 (en) | 2014-11-05 |
| KR20140088011A (en) | 2014-07-09 |
| EP2749583A2 (en) | 2014-07-02 |
| BR102013032886A2 (en) | 2019-10-15 |
| BR102013032886B1 (en) | 2021-07-06 |
| BR102013032886B8 (en) | 2021-08-24 |
| KR102104265B1 (en) | 2020-04-24 |
| US20140186621A1 (en) | 2014-07-03 |
Similar Documents
| Publication | Publication Date | Title |
|---|---|---|
| US9145500B2 (en) | Siloxane-urethane foul release coatings | |
| US8722815B2 (en) | Two-component moisture curable coating compositions | |
| US20140088219A1 (en) | Moisture curable compositions and low surface energy coating compositions made therefrom | |
| US10759950B2 (en) | Non-isocyanate siloxane-modified glycidyl carbamate resins and coatings containing them | |
| CA2988018C (en) | Erosion resistant coating compositions | |
| US8652568B2 (en) | Coating composition | |
| KR102521247B1 (en) | Coating compositions comprising polysiloxane-modified polyurethanes for soft-feel, antifouling coatings | |
| CN103540250A (en) | Coating compound for plastic | |
| JP2018177844A (en) | Coating composition and method of forming multilayer coating film | |
| EP2288660A1 (en) | Polyester and polytrimethylene ether diol based coating composition | |
| JP2019137856A (en) | Polyisocyanate composition, coating composition, method for producing coating film, and coating film | |
| MX2010011493A (en) | Coating composition containing polytrimethylene ether diol. | |
| JP5441239B2 (en) | Resin composition | |
| WO2019188574A1 (en) | Coated body | |
| JP7435117B2 (en) | Modified polyisocyanate composition | |
| KR101803314B1 (en) | Hard-Coating Composition Containing Thermosetting Resin having Versatic Structure, and Coating Film | |
| KR20170088464A (en) | High glossy paint composition for interial parts | |
| TW202018026A (en) | Coating composition comprising polysiloxane-modified polyurethane for soft-feel, stain resistant coatings | |
| HK40048012B (en) | Coating composition comprising polysiloxane-modified polyurethane for soft-feel stain resistant coatings | |
| HK40048012A (en) | Coating composition comprising polysiloxane-modified polyurethane for soft-feel stain resistant coatings |
Legal Events
| Date | Code | Title | Description |
|---|---|---|---|
| STCB | Information on status: application discontinuation |
Free format text: ABANDONED -- FAILURE TO RESPOND TO AN OFFICE ACTION |



