US20150203782A1 - Poly(meth)acrylate viscosity index improver, and lubricating oil composition and lubricating oil additive containing said viscosity index improver - Google Patents
Poly(meth)acrylate viscosity index improver, and lubricating oil composition and lubricating oil additive containing said viscosity index improver Download PDFInfo
- Publication number
- US20150203782A1 US20150203782A1 US14/413,773 US201314413773A US2015203782A1 US 20150203782 A1 US20150203782 A1 US 20150203782A1 US 201314413773 A US201314413773 A US 201314413773A US 2015203782 A1 US2015203782 A1 US 2015203782A1
- Authority
- US
- United States
- Prior art keywords
- viscosity index
- meth
- acrylate
- index improver
- poly
- Prior art date
- Legal status (The legal status is an assumption and is not a legal conclusion. Google has not performed a legal analysis and makes no representation as to the accuracy of the status listed.)
- Abandoned
Links
- 0 [1*]C(C)(CC)C(=O)O[2*] Chemical compound [1*]C(C)(CC)C(=O)O[2*] 0.000 description 11
Classifications
-
- C—CHEMISTRY; METALLURGY
- C10—PETROLEUM, GAS OR COKE INDUSTRIES; TECHNICAL GASES CONTAINING CARBON MONOXIDE; FUELS; LUBRICANTS; PEAT
- C10M—LUBRICATING COMPOSITIONS; USE OF CHEMICAL SUBSTANCES EITHER ALONE OR AS LUBRICATING INGREDIENTS IN A LUBRICATING COMPOSITION
- C10M145/00—Lubricating compositions characterised by the additive being a macromolecular compound containing oxygen
- C10M145/02—Macromolecular compounds obtained by reactions only involving carbon-to-carbon unsaturated bonds
- C10M145/10—Macromolecular compounds obtained by reactions only involving carbon-to-carbon unsaturated bonds containing monomers having an unsaturated radical bound to a carboxyl radical, e.g. acrylate
- C10M145/12—Macromolecular compounds obtained by reactions only involving carbon-to-carbon unsaturated bonds containing monomers having an unsaturated radical bound to a carboxyl radical, e.g. acrylate monocarboxylic
- C10M145/14—Acrylate; Methacrylate
-
- C—CHEMISTRY; METALLURGY
- C10—PETROLEUM, GAS OR COKE INDUSTRIES; TECHNICAL GASES CONTAINING CARBON MONOXIDE; FUELS; LUBRICANTS; PEAT
- C10M—LUBRICATING COMPOSITIONS; USE OF CHEMICAL SUBSTANCES EITHER ALONE OR AS LUBRICATING INGREDIENTS IN A LUBRICATING COMPOSITION
- C10M2209/00—Organic macromolecular compounds containing oxygen as ingredients in lubricant compositions
- C10M2209/02—Macromolecular compounds obtained by reactions only involving carbon-to-carbon unsaturated bonds
- C10M2209/08—Macromolecular compounds obtained by reactions only involving carbon-to-carbon unsaturated bonds containing monomers having an unsaturated radical bound to a carboxyl radical, e.g. acrylate type
- C10M2209/084—Acrylate; Methacrylate
-
- C—CHEMISTRY; METALLURGY
- C10—PETROLEUM, GAS OR COKE INDUSTRIES; TECHNICAL GASES CONTAINING CARBON MONOXIDE; FUELS; LUBRICANTS; PEAT
- C10N—INDEXING SCHEME ASSOCIATED WITH SUBCLASS C10M RELATING TO LUBRICATING COMPOSITIONS
- C10N2020/00—Specified physical or chemical properties or characteristics, i.e. function, of component of lubricating compositions
- C10N2020/01—Physico-chemical properties
- C10N2020/04—Molecular weight; Molecular weight distribution
-
- C—CHEMISTRY; METALLURGY
- C10—PETROLEUM, GAS OR COKE INDUSTRIES; TECHNICAL GASES CONTAINING CARBON MONOXIDE; FUELS; LUBRICANTS; PEAT
- C10N—INDEXING SCHEME ASSOCIATED WITH SUBCLASS C10M RELATING TO LUBRICATING COMPOSITIONS
- C10N2030/00—Specified physical or chemical properties which is improved by the additive characterising the lubricating composition, e.g. multifunctional additives
- C10N2030/02—Pour-point; Viscosity index
-
- C—CHEMISTRY; METALLURGY
- C10—PETROLEUM, GAS OR COKE INDUSTRIES; TECHNICAL GASES CONTAINING CARBON MONOXIDE; FUELS; LUBRICANTS; PEAT
- C10N—INDEXING SCHEME ASSOCIATED WITH SUBCLASS C10M RELATING TO LUBRICATING COMPOSITIONS
- C10N2030/00—Specified physical or chemical properties which is improved by the additive characterising the lubricating composition, e.g. multifunctional additives
- C10N2030/06—Oiliness; Film-strength; Anti-wear; Resistance to extreme pressure
-
- C—CHEMISTRY; METALLURGY
- C10—PETROLEUM, GAS OR COKE INDUSTRIES; TECHNICAL GASES CONTAINING CARBON MONOXIDE; FUELS; LUBRICANTS; PEAT
- C10N—INDEXING SCHEME ASSOCIATED WITH SUBCLASS C10M RELATING TO LUBRICATING COMPOSITIONS
- C10N2030/00—Specified physical or chemical properties which is improved by the additive characterising the lubricating composition, e.g. multifunctional additives
- C10N2030/68—Shear stability
-
- C—CHEMISTRY; METALLURGY
- C10—PETROLEUM, GAS OR COKE INDUSTRIES; TECHNICAL GASES CONTAINING CARBON MONOXIDE; FUELS; LUBRICANTS; PEAT
- C10N—INDEXING SCHEME ASSOCIATED WITH SUBCLASS C10M RELATING TO LUBRICATING COMPOSITIONS
- C10N2040/00—Specified use or application for which the lubricating composition is intended
- C10N2040/04—Oil-bath; Gear-boxes; Automatic transmissions; Traction drives
-
- C—CHEMISTRY; METALLURGY
- C10—PETROLEUM, GAS OR COKE INDUSTRIES; TECHNICAL GASES CONTAINING CARBON MONOXIDE; FUELS; LUBRICANTS; PEAT
- C10N—INDEXING SCHEME ASSOCIATED WITH SUBCLASS C10M RELATING TO LUBRICATING COMPOSITIONS
- C10N2040/00—Specified use or application for which the lubricating composition is intended
- C10N2040/25—Internal-combustion engines
Definitions
- the present invention relates to a poly(meth)acrylate-based viscosity index improver, a lubricating oil additive and a lubricating composition containing the viscosity index improver.
- lubricating oils used for internal combustion engines such as a vehicle engine
- lubricating oils for an internal combustion engine engine oils
- a method of increasing a viscosity index of a lubricating oil by adding a viscosity index improver to a lubricating base oil has been known.
- lubricating oils used for transmissions of vehicles such as ATF, MTF, and CVTF
- ATF, MTF, and CVTF also referred to as “lubricating oils for a transmission” or “drive system oils”
- drive system oils there is a method of decreasing viscosity resistance by lowering the viscosity of a lubricating oil for a transmission.
- the viscosity of a lubricating oil for a transmission is lowered, other problems such as oil leak and seizure may arise.
- a method for improving a fuel saving property there is a method involving use of a viscosity index improver.
- This method increases the viscosity index of a lubricating oil for a transmission by using a viscosity index improver, and suppresses the viscosity increase in a low-temperature region while maintaining the viscosity in a high-temperature region.
- a viscosity index improver the use of various viscosity index improvers has been proposed, and in particular, the use of poly(meth)acrylate-based viscosity index improvers has been often proposed (for example, refer to Patent Literatures 1 to 7).
- Patent Literature 1 Japanese Patent Application Laid-Open No. 7-48421
- Patent Literature 2 Japanese Patent Application Laid-Open No. 7-62372
- Patent Literature 3 Japanese Patent Application Laid-Open No. 6-145258
- Patent Literature 4 Japanese Patent Application Laid-Open No. 3-100099
- Patent Literature 5 Japanese Patent Application Laid-Open No. 2002-302687
- Patent Literature 6 Japanese Patent Application Laid-Open No. 2004-124080
- Patent Literature 7 Japanese Patent Application Laid-Open No. 2005-187736
- the above-described conventional viscosity index improvers attempt to improve a viscosity property in a high-temperature region and a low-temperature region by improving the viscosity index, and they are not considered to be sufficient in terms of a friction loss decreasing effect.
- an object of the present invention is to provide a viscosity index improver capable of achieving a fuel saving property, a lubricating oil additive and a lubricating composition containing the viscosity index improver.
- another object of the present invention is to provide a viscosity index improver capable of sufficiently lowering a high shear viscosity at 100° C. while maintaining a high shear viscosity at 150° C., a lubricating oil additive and a lubricating composition containing the viscosity index improver.
- another object of the present invention is to provide a viscosity index improver which is capable of imparting a sufficient friction loss decreasing effect to a lubricating oil, a lubricating oil additive and a lubricating composition containing the viscosity index improver.
- first poly(meth)acrylate-based viscosity index improver which has a specific structure and in which the weight-average molecular weight, and the ratio of the weight-average molecular weight Mw to the number average molecular weight Mn, Mw/Mn satisfy specific conditions
- first poly(meth)acrylate-based viscosity index improver can sufficiently lower a high shear viscosity at 100° C. while maintaining a high shear viscosity at 150° C., which leads to accomplish the present invention.
- the present invention provides a poly(meth)acrylate-based viscosity index improver comprising a polymer chain comprising a structural unit represented by the following formula (1), wherein the weight-average molecular weight Mw is 100000 or more, and the ratio of the weight-average molecular weight Mw to the number average molecular weight Mn, Mw/Mn, is 1.6 or less.
- R 1 represents hydrogen or a methyl group
- R 2 represents a C1 to C36 alkyl group.
- first poly(meth)acrylate-based viscosity index improver which has a specific structure and in which the weight-average molecular weight and the ratio of the weight-average molecular weight Mw to the number average molecular weight Mn, Mw/Mn, satisfy specific conditions
- first poly(meth)acrylate-based viscosity index improver can impart a friction loss decreasing effect, which leads to accomplish the present invention.
- the present invention provides a poly(meth)acrylate-based viscosity index improver comprising a polymer chain comprising a structural unit represented by the following formula (1), wherein the weight-average molecular weight Mw is less than 100000, and the ratio of the weight-average molecular weight Mw to the number average molecular weight Mn, Mw/Mn, is 1.6 or less.
- R 1 represents hydrogen or a methyl group
- R 2 represents a C1 to C36 alkyl group.
- the present invention provides a lubricating oil additive comprising at least one selected from the above-described first poly(meth)acrylate-based viscosity index improver and second poly(meth)acrylate-based viscosity index improver.
- the present invention provides a lubricating composition
- a lubricating composition comprising a lubricating base oil, and at least one selected from the above-described first poly(meth)acrylate-based viscosity index improver and second poly(meth)acrylate-based viscosity index improver.
- a viscosity index improver capable of achieving a fuel saving property, a lubricating oil additive and a lubricating composition containing the viscosity index improver are provided.
- a viscosity index improver capable of sufficiently lowering a high shear viscosity at 100° C. while maintaining a high shear viscosity at 150° C., a lubricating oil additive and a lubricating composition containing the viscosity index improver can be provided.
- a viscosity index improver which is capable of decreasing friction loss, a lubricating oil additive and a lubricating composition containing the viscosity index improver can be provided.
- a poly(meth)acrylate-based viscosity index improver comprises a polymer chain containing a structural unit represented by the following formula (1).
- the weight-average molecular weight Mw (hereinafter, just referred to as “Mw” in some cases) of the poly(meth)acrylate-based viscosity index improver is 100000 or more, and the ratio of the weight-average molecular weight Mw to the number average molecular weight Mn (hereinafter, just referred to as “Mn” in some cases), Mw/Mn (hereinafter, just referred to as “Mw/Mn” in some cases), is 1.6 or less.
- R 1 represents hydrogen or a methyl group
- R 2 represents a C1 to C36 alkyl group.
- R 1 may be either hydrogen or a methyl group, and is preferably a methyl group.
- the number of carbon atoms of the alkyl group represented by R 2 is 1 to 36 as described above, preferably 1 to 30, more preferably 1 to 26, and further preferably 1 to 22 from the viewpoint of handleability and ease of manufacture.
- the alkyl group represented by R 2 may be straight-chain or branched.
- R 1 s and R 2 s may be the same or different between the respective structural units.
- the polymer chain contains preferably 10 to 45 mass %, more preferably 15 to 45 mass %, and further preferably 20 to 45 mass % of the structural unit in which R 2 is a methyl group, based on the total amount of the structural units contained in the polymer chain.
- the polymer chain contains preferably 10 mass % or more, more preferably 15 mass % or more, and further preferably 20 mass % or more of the structural unit in which R 2 is an alkyl group having 18 or more carbon atoms, based on the total amount of the structural units contained in the polymer chain.
- the polymer chain may contain only the structural unit represented by the above formula (1), or may further contain a structural unit other than the structural unit represented by the above formula (1) in addition to the structural unit represented by the above formula (1).
- terminals of the polymer chain are not particularly limited.
- a polymer chain containing only the structural unit represented by the above formula (1), whose terminals are hydrogen atoms, that is, a polymer chain represented by the following formula (2) is preferable.
- R 1 represents hydrogen or a methyl group
- R 2 represents a C1 to C36 alkyl group
- n represents an integer selected such that the Mw and the Mw/Mn satisfy the above-described conditions.
- n is an integer of 400 to 2000.
- the weight-average molecular weight Mw is 100000 or more, and it is preferably 125000 or more, more preferably 150000 or more, and further preferably 175000 or more from the viewpoint of a fuel saving property.
- the upper limit of Mw is not particularly limited, and the Mw is, for example, 500000 or less.
- the number average molecular weight Mn is arbitrarily selected such that the Mw/Mn satisfies the above-described condition.
- the Mn is preferably 75000 or more, more preferably 94000 or more, and further preferably 110000 or more from the viewpoint of lowering the HTHS viscosity at 100° C.
- the upper limit of Mn is not particularly limited, and the Mn is, for example, 300000 or less.
- the Mw/Mn is 1.6 or less, and it is preferably 1.5 or less, more preferably 1.4 or less, and further preferably 1.2 or less from the viewpoint of a fuel saving property. Moreover, from the viewpoint of the yield of poly(meth)acrylate, the Mw/Mn is preferably 1.0 or more, more preferably 1.01 or more, and further preferably 1.02 or more.
- the weight-average molecular weight Mw”, “the number average molecular weight Mn”, and “the ratio Mw/Mn of the weight-average molecular weight Mw to the number average molecular weight Mn” in the present invention mean Mw, Mn, and Mw/Mn (converted values with polystyrene (standard sample)) obtained by GPC analysis. Specifically, they are measured as follows, for example.
- a solution whose sample concentration is 2 mass % is prepared by dilution using tetrahydrofuran as a solvent.
- the sample solution is analyzed using GPC equipment (Waters Alliance2695).
- the analysis is carried out at the flow rate of the solvent of 1 ml/min, by using a column whose analyzable molecular weight is 10000 to 256000, and a refractive index as a detector. It is to be noted that the relationship between the column retention time and the molecular weight is determined using a polystyrene standard whose molecular weight is clear and a calibration curve is separately made, and after that, the molecular weight is determined from the obtained retention time.
- the manufacturing method of the poly(meth)acrylate-based viscosity index improver according to the present embodiment is not particularly limited, examples thereof include a method in which an initiator is added to a mixed solution containing an alkyl(meth)acrylate, a polymerization reagent, and a solvent to polymerize the alkyl(meth)acrylate at predetermined temperature.
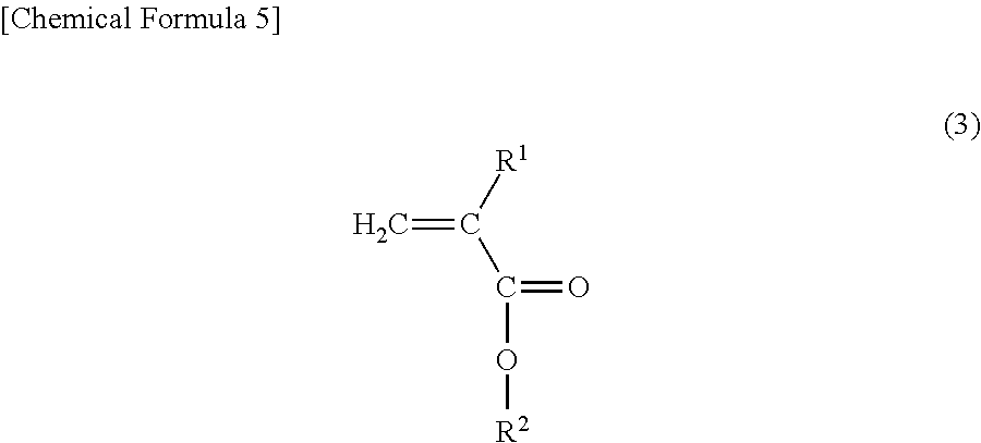
- alkyl(meth)acrylate an alkyl(meth)acrylate represented by the following formula (3) can be used.
- R 1 represents hydrogen or a methyl group
- R 2 represents a C1 to C36 alkyl group.
- R 1 is preferably a methyl group.
- the number of carbon atoms of the alkyl group represented by R 2 is preferably 1 to 30, more preferably 1 to 26, and further preferably 1 to 22.
- one of the alkyl(meth)acrylate represented by the above formula (3) can be used alone, or two or more thereof can be mixed to be used, and preferably, two or more thereof are mixed to be used.
- the content of methyl(meth)acrylate in which R 2 is a methyl group is preferably 5 to 50 mass %, more preferably 10 to 50 mass %, and further preferably 20 to 45 mass % based on the total amount of the alkyl(meth)acrylate.
- the content of an alkyl(meth)acrylate in which R 2 is an alkyl group having 18 or more carbon atoms is preferably 10 mass % or more, more preferably 15 mass % or more, and further preferably 20 mass % or more based on the total amount of the alkyl(meth)acrylate.
- polymerization reagent for example, compounds having a thiocarbonyl group, such as cumyl dithiobenzoic acid, can be used.
- examples of a preferred polymerization reagent include cumyl dithiobenzoic acid.
- solvent for example, highly-refined mineral oils, anisole, and toluene can be used.
- examples of a preferred solvent include highly-refined mineral oils.
- azobisisobutyronitrile for example, azobisisobutyronitrile, azobismethylvaleronitrile, and azobismethylbutyronitrile can be used.
- examples of a preferred initiator include azobisisobutyronitrile.
- the reaction temperature when polymerizing the alkyl(meth)acrylate is preferably 70 to 120° C., more preferably 80 to 110° C., and further preferably 90 to 100° C.
- the Mw/Mn of the obtained poly(meth)acrylate-based viscosity index improver becomes easy to be 1.6 or less.
- the reaction temperature is 90 to 100° C.
- the Mw/Mn tends to be 1.0 to 1.2
- the reaction temperature is 100 to 110° C.
- the Mw/Mn tends to be 1.2 to 1.4
- the reaction temperature is 110 to 120° C.
- the Mw/Mn tends to be 1.4 to 1.6.
- the reaction time can be arbitrarily selected in accordance with the kinds and the amounts used of the alkyl(meth)acrylate, the polymerization reagent, the solvent, and the initiator, which are raw materials, reaction conditions such as a reaction temperature, and desired Mw and Mw/Mn of the poly(meth)acrylate.
- Examples of preferred reaction time include 10 to 14 hours.
- the polymerization of the alkyl(meth)acrylate is preferably carried out in a nitrogen atmosphere.
- a lubricating oil additive according to the second embodiment of the present invention contains a poly(meth)acrylate-based viscosity index improver comprising a polymer chain containing a structural unit represented by the above formula (1), wherein the weight-average molecular weight Mw is 100000 or more, and the ratio of the weight-average molecular weight Mw to the number average molecular weight Mn, Mw/Mn, is 1.6 or less.
- the poly(meth)acrylate-based viscosity index improver in the present embodiment is the same as the viscosity index improver in the above-described first embodiment, and an overlapping explanation is omitted here.
- the lubricating oil additive may consist of only the above-described poly(meth)acrylate-based viscosity index improver, or may be a mixture of the viscosity index improver and other additives (that is, additive composition).
- the mixing ratio thereof is not particularly limited and can be arbitrarily selected depending on the intended use.
- additives such as viscosity index improvers other than the above-described poly(meth)acrylate-based viscosity index improver, antioxidants, antiwear agents (or extreme pressure agents), corrosion inhibitors, rust-preventive agents, viscosity index improvers, pour-point depressants, demulsifiers, metal deactivators, antifoamers, and ashless friction modifiers.
- additives such as viscosity index improvers other than the above-described poly(meth)acrylate-based viscosity index improver, antioxidants, antiwear agents (or extreme pressure agents), corrosion inhibitors, rust-preventive agents, viscosity index improvers, pour-point depressants, demulsifiers, metal deactivators, antifoamers, and ashless friction modifiers.
- additives such as viscosity index improvers other than the above-described poly(meth)acrylate-based viscosity index improver, antioxidants, antiwear agents (or extreme pressure agents),
- Examples of the viscosity index improvers other than the above-described poly(meth)acrylate-based viscosity index improver include poly(meth)acrylate-based viscosity index improvers other than the above-described poly(meth)acrylate-based viscosity index improver, polyisobutene-based viscosity index improvers, ethylene-propylene copolymer-based viscosity index improvers, and styrene-butadiene hydrogenated copolymer-based viscosity index improvers.
- antioxidants examples include ashless antioxidants such as phenolic or amine antioxidants, and metallic antioxidants such as zinc, copper, or molybdenum antioxidants.
- phenolic antioxidants examples include 4,4′-methylenebis(2,6-di-tert-butylphenol), 4,4′-bis(2,6-di-tert-butylphenol), 4,4′-bis(2-methyl-6-tert-butylphenol), 2,2′-methylenebis(4-ethyl-6-tert-butylphenol), 2,2′-methylenebis(4-methyl-6-tert-butylphenol), 4,4′-butylidenebis(3-methyl-6-tert-butylphenol), 4,4′-isopropylidenebis(2,6-di-tert-butylphenol), 2,2′-methylenebis(4-methyl-6-nonyl phenol), 2,2′-isobutylidenebis(4,6-dimethylphenol), 2,2′-methylenebis(4-methyl-6-cyclohexylphenol), 2,6-di-tert-butyl-4-methylphenol, 2,6-di-tert-butyl
- amine antioxidants examples include known amine antioxidants generally used for lubricating oils, such as aromatic amine compounds, alkyldiphenyl amines, alkylnaphthylamines, phenyl- ⁇ -naphthylamine, and alkylphenyl- ⁇ -naphthylamines.
- corrosion inhibitors examples include benzotriazole, tolyltriazole, thiadiazole, and imidazole compounds.
- rust-preventive agents examples include petroleum sulfonates, alkylbenzene sulfonates, dinonylnaphthalene sulfonates, alkenylsuccinic acid esters, and polyhydric alcohol esters.
- metal deactivators examples include imidazoline, pyrimidine derivatives, alkylthiadiazoles, mercaptobenzothiazole, benzotriazole or derivatives thereof, 1,3,4-thiadiazole polysulfide, 1,3,4-thiadiazolyl-2,5-bisdialkyldithiocarbamate, 2-(alkyldithio)benzimidazole, and ⁇ -(o-carboxybenzylthio)propionitrile.
- antifoamers examples include silicone oil whose kinematic viscosity at 25° C. is 1000 to 100000 mm 2 /s, alkenylsuccinic acid derivatives, esters of polyhydroxy aliphatic alcohols and long-chain fatty acids, methylsalicylate, and o-hydroxybenzyl alcohol.
- ashless friction modifiers arbitrary compounds generally used as ashless friction modifiers for lubricating oils can be used, and examples thereof include ashless friction modifiers such as amine compounds, fatty acid esters, fatty acid amides, fatty acids, aliphatic alcohols, and aliphatic ethers, each of which has at least one alkyl group or alkenyl group having 6 to 30 carbon atoms, in particular straight-chain alkyl group or straight-chain alkenyl group having 6 to 30 carbon atoms in a molecule.
- nitrogen-containing compounds and acid-modified derivatives thereof and the like described in Japanese Patent Application Laid-Open No. 2009-286831 and various ashless friction modifiers exemplified in International Publication No. WO 2005/037967 Pamphlet can also be used.
- the lubricating oil additive according to the present embodiment may further contain a solvent.
- a solvent highly-refined mineral oils, anisole, and toluene can be used. Among them, it is preferable to use highly-refined mineral oils.
- the content of the solvent is preferably 5 to 75 mass %, and more preferably 30 to 60 mass % based on the total amount of the lubricating oil additive from the viewpoint of handling as an additive.
- a lubricating composition according to the third embodiment contains a lubricating base oil, and a poly(meth)acrylate-based viscosity index improver comprising a polymer chain containing a structural unit represented by the above formula (1), wherein the weight-average molecular weight Mw is 100000 or more, and the ratio of the weight-average molecular weight Mw to the number average molecular weight Mn, Mw/Mn, is 1.6 or less.
- the lubricating composition according to the present embodiment includes an aspect containing a lubricating base oil and the lubricating oil additive according to the above-described second embodiment.
- the poly(meth)acrylate-based viscosity index improver in the present embodiment is the same as the poly(meth)acrylate-based viscosity index improvers in the above-described first embodiment and second embodiment, and furthermore, other additives and a solvent which can be contained in the lubricating composition are the same as the other additives and the solvent in the second embodiment, and an overlapping explanation is omitted here.
- the lubricating base oil is not particularly limited, and lubricating base oils used for general lubricating oils can be used. Specifically, mineral lubricating base oils, synthetic lubricating base oils, a mixture in which two or more lubricating base oils selected therefrom are mixed at an arbitrary ratio and the like can be used.
- mineral lubricating base oils examples include those obtained by refining a lubricating oil fraction obtained by reduced-pressure distillation of an atmospheric residue obtained by atmospheric distillation of a crude oil by carrying out one or more treatment, such as solvent deasphalting, solvent extraction, hydrocracking, solvent dewaxing, and hydrorefining, and base oils manufactured by a method of isomerizing wax-isomerized mineral oils and GTL waxes (gas-to-liquid waxes).
- Examples of the synthetic lubricating oils include polybutene or hydrides thereof; poly- ⁇ -olefins such as 1-octene oligomer and 1-decene oligomer, or hydrides thereof; diesters such as ditridecyl glutarate, di-2-ethylhexyl adipate, diisodecyl adipate, ditridecyl adipate, and di-2-ethylhexyl sebacate; polyol esters such as trimethylolpropane caprylate, trimethylolpropane pelargonate, pentaerythritol-2-ethylhexanoate, and pentaerythritol pelargonate; aromatic synthetic oils such as alkylnaphthalenes and alkylbenzenes, and mixtures thereof.
- the kinematic viscosity at 100° C. of the lubricating base oil is preferably 2.5 to 10.0 mm 2 /s, more preferably 3.0 to 8.0 mm 2 /s, and further preferably 3.5 to 6.0 mm 2 /s.
- the viscosity index of the lubricating base oil is preferably 90 to 165, more preferably 100 to 155, and further preferably 120 to 150.
- the saturated component of the lubricating base oil by chromatography analysis is preferably 80% or more, more preferably 85% or more, further preferably 90% or more, and most preferably 95% or more so as to make it easy to exert an effect of additives such as the poly(meth)acrylate-based viscosity index improver according to the first embodiment.
- the content of the poly(meth)acrylate-based viscosity index improver according to the first embodiment is preferably 0.1 to 20.0 mass %, more preferably 0.5 to 15.0 mass %, and further preferably 1.0 to 10.0 mass % based on the total amount of the lubricating composition.
- the content is the above-described lower limit or more, a sufficient effect of addition becomes easy to be obtained, and on the other hand, when the content is the above-described upper limit or less, shear stability increases and fuel consumption sustainability is improved.
- the kinematic viscosity at 100° C. of the lubricating composition is preferably 3.0 to 16.3 mm 2 /s, more preferably 3.5 to 12.5 mm 2 /s, and further preferably 4.0 to 9.3 mm 2 /s.
- a lubricating property becomes easy to be ensured
- the kinematic viscosity at 100° C. is the above-described upper limit or less
- a fuel saving property is further improved.
- the kinematic viscosity at 100° C. in the present invention means a kinematic viscosity at 100° C. defined by JIS K-2283-1993.
- the viscosity index of the lubricating composition is preferably 150 to 250, more preferably 160 to 240, and further preferably 170 to 230.
- the viscosity index is the above-described lower limit or more, a fuel saving property can be further improved, and moreover, the low-temperature viscosity becomes easy to be lowered while maintaining the HTHS viscosity.
- the viscosity index is the above-described upper limit or less, low-temperature fluidity, solubility of additives, and compatibility with a sealing material can be ensured.
- the viscosity index in the present invention means a viscosity index defined by JIS K 2283-1993.
- the HTHS viscosity at 150° C. of the lubricating composition is preferably 1.7 mPa ⁇ s or more, more preferably 2.0 mPa ⁇ s or more, further preferably 2.3 mPa ⁇ s or more, and most preferably 2.6 mPa ⁇ s or more.
- the HTHS viscosity at 150° C. is the above-described lower limit or more, evaporation of the lubricating composition can be suppressed, and a lubricating property can be ensured.
- the HTHS viscosity at 100° C. is the above-described upper limit or less, a higher fuel saving property can be obtained. It is to be noted that the HTHS viscosity at 150° C. or 100° C. in the present invention means a high temperature high shear viscosity at 150° C. or 100° C. defined by ASTM D-4683.
- the viscosity index improver according to the first embodiment, the lubricating oil additive according to the second embodiment, and the lubricating composition according to the third embodiment, which are described above, can be used in a wide range of fields such as lubricating oils for an internal combustion engine and drive system lubricating oils, and in particular, are useful in the field of lubricating oils for an internal combustion engine.
- Fuel of the internal combustion engine in this case may be either gasoline or diesel fuel.
- a poly(meth)acrylate-based viscosity index improver comprises a polymer chain containing a structural unit represented by the following formula (1).
- the weight-average molecular weight Mw (hereinafter, just referred to as “Mw” in some cases) of the poly(meth)acrylate-based viscosity index improver is less than 100000, and the ratio of the weight-average molecular weight Mw to the number average molecular weight Mn (hereinafter, just referred to as “Mn” in some cases), Mw/Mn (hereinafter, just referred to as “Mw/Mn” in some cases), is 1.6 or less.
- R 1 represents hydrogen or a methyl group
- R 2 represents a C1 to C36 alkyl group.
- R 1 may be either hydrogen or a methyl group, and is preferably a methyl group.
- the number of carbon atoms of the alkyl group represented by R 2 is 1 to 36 as described above, preferably 1 to 30, more preferably 1 to 26, and further preferably 1 to 22 from the viewpoint of handleability and ease of manufacture.
- the alkyl group represented by R 2 may be straight-chain or branched.
- R 1 s and R 2 s may be the same or different between the respective structural units.
- the polymer chain contains preferably 10 to 45 mass %, more preferably 15 to 45 mass %, and further preferably 20 to 45 mass % of the structural unit in which R 2 is a methyl group, based on the total amount of the structural units contained in the polymer chain.
- the polymer chain contains preferably 10 mass % or more, more preferably 15 mass % or more, and further preferably 20 mass % or more of the structural unit in which R 2 is an alkyl group having 18 or more carbon atoms, based on the total amount of the structural units contained in the polymer chain.
- the polymer chain may contain only the structural unit represented by the above formula (1), or may further contain a structural unit other than the structural unit represented by the above formula (1) in addition to the structural unit represented by the above formula (1).
- terminals of the polymer chain are not particularly limited.
- a polymer chain containing only the structural unit represented by the above formula (1), whose terminals are hydrogen atoms, that is, a polymer chain represented by the following formula (2) is preferable.
- R 1 represents hydrogen or a methyl group
- R 2 represents a C1 to C36 alkyl group
- n represents an integer selected such that the Mw and the Mw/Mn satisfy the above-described conditions.
- n is an integer of 40 to 450.
- the weight-average molecular weight Mw is less than 100000, and it is preferably 80000 or less, more preferably 70000 or less, and further preferably 60000 or less from the viewpoint of a fuel saving property.
- the lower limit of Mw is not particularly limited, and the Mw is, for example, 10000 or more.
- the number average molecular weight Mn is arbitrarily selected such that the Mw/Mn satisfies the above-described condition.
- the Mn is preferably 6000 or more, more preferably 10000 or more, and further preferably 12500 or more from the viewpoint of a fuel saving property.
- the upper limit of Mn is not particularly limited, and the Mn is, for example, 60000 or less.
- the Mw/Mn is 1.6 or less, and from the viewpoint of a fuel saving property, is preferably 1.5 or less, more preferably 1.4 or less, and further preferably 1.3 or less. Moreover, the Mw/Mn is, from the viewpoint of a fuel saving property, preferably 1.0 or more, more preferably 1.01 or more, and further preferably 1.02 or more.
- the weight-average molecular weight Mw”, “the number average molecular weight Mn”, and “the ratio Mw/Mn of the weight-average molecular weight Mw to the number average molecular weight Mn” in the present invention mean Mw, Mn, and Mw/Mn (converted values with polystyrene (standard sample)) obtained by GPC analysis. Specifically, they are measured as follows, for example.
- a solution whose sample concentration is 2 mass % is prepared by dilution using tetrahydrofuran as a solvent.
- the sample solution is analyzed using GPC equipment (Waters Alliance2695).
- the analysis is carried out at the flow rate of the solvent of 1 ml/min, by using a column whose analyzable molecular weight is 10000 to 256000, and a refractive index as a detector. It is to be noted that the relationship between the column retention time and the molecular weight is determined using a polystyrene standard whose molecular weight is definite and the molecular weight is determined from the obtained retention time based on the calibration curve which is separately made.
- the manufacturing method of the poly(meth)acrylate-based viscosity index improver according to the present embodiment is not particularly limited, examples thereof include a method in which an initiator is added to a mixed solution containing an alkyl(meth)acrylate, a polymerization reagent, and a solvent to polymerize the alkyl(meth)acrylate at predetermined temperature.
- alkyl(meth)acrylate an alkyl(meth)acrylate represented by the following formula (3) can be used.
- R 1 represents hydrogen or a methyl group
- R 2 represents a C1 to C36 alkyl group.
- R 1 is preferably a methyl group.
- the number of carbon atoms of the alkyl group represented by R 2 is preferably 1 to 36, more preferably 1 to 30, and further preferably 1 to 22.
- one of the alkyl(meth)acrylate represented by the above formula (3) can be used alone, or two or more thereof can be mixed to be used, and preferably, two or more thereof are mixed to be used.
- the content of methyl(meth)acrylate in which R 2 is a methyl group is preferably 5 to 50 mass %, more preferably 10 to 50 mass %, and further preferably 20 to 45 mass % based on the total amount of the alkyl(meth)acrylate.
- the content of an alkyl(meth)acrylate in which R 2 is an alkyl group having 18 or more carbon atoms is preferably 10 mass % or more, more preferably 15 mass % or more, and further preferably 20 mass % or more based on the total amount of the alkyl(meth)acrylate.
- polymerization reagent for example, materials containing a thiocarbonyl group, such as cumyl dithiobenzoic acid, can be used.
- a preferred polymerization reagent include cumyl dithiobenzoic acid.
- solvent for example, highly-refined mineral oils, anisole, and toluene can be used.
- examples of a preferred solvent include highly-refined mineral oils.
- azobisisobutyronitrile for example, azobisisobutyronitrile, azobisdimethylvaleronitrile, and azobismethylbutyronitrile can be used.
- examples of a preferred initiator include azobisisobutyronitrile.
- the reaction temperature when polymerizing the alkyl(meth)acrylate is preferably 70 to 120° C., more preferably 80 to 110° C., and further preferably 80 to 120° C.
- Mw/Mn of the obtained poly(meth)acrylate-based viscosity index improver becomes easy to be 1.6 or less.
- Mw/Mn tends to be 1.0 to 1.2
- Mw/Mn tends to be 1.2 to 1.4
- Mw/Mn tends to be 1.4 to 1.6.
- the reaction time can be arbitrarily selected in accordance with the kinds and the amounts used of the alkyl(meth)acrylate, the polymerization reagent, the solvent, and the initiator, which are raw materials, reaction conditions such as a reaction temperature, and desired Mw and Mw/Mn of the poly(meth)acrylate.
- Examples of preferred reaction time include 10 to 14 hours.
- the polymerization of the alkyl(meth)acrylate is preferably carried out in a nitrogen atmosphere.
- a lubricating oil additive according to the fifth embodiment of the present invention contains a poly(meth)acrylate-based viscosity index improver comprising a polymer chain containing a structural unit represented by the above formula (1), wherein the weight-average molecular weight Mw is less than 100000, and the ratio of the weight-average molecular weight Mw to the number average molecular weight Mn, Mw/Mn, is 1.6 or less.
- the poly(meth)acrylate-based viscosity index improver in the present embodiment is the same as the viscosity index improver in the above-described fourth embodiment, and an overlapping explanation is omitted here.
- the lubricating oil additive may be one composed of only the above-described poly(meth)acrylate-based viscosity index improver, or may be a mixture of the viscosity index improver and other additives (that is, additive composition).
- the lubricating oil additive is a mixture of the viscosity index improver and other additives, the mixing ratio thereof is not particularly limited and can be arbitrarily selected depending on the intended use.
- the other additives are the same as the other additives in the above-described second embodiment, and an overlapping explanation is omitted here.
- the lubricating oil additive according to the present embodiment may further contain a solvent.
- a solvent highly-refined mineral oils, solvent-refined mineral oils, and synthetic oils can be used. Among them, highly-refined mineral oils are preferably used.
- the content of the solvent is preferably 5 to 75 mass %, and more preferably 30 to 60 mass % based on the total amount of the lubricating oil additive.
- a lubricating composition according to the sixth embodiment contains a lubricating base oil, and a poly(meth)acrylate-based viscosity index improver comprising a polymer chain containing a structural unit represented by the above formula (1), wherein the weight-average molecular weight Mw is less than 100000, and the ratio of the weight-average molecular weight Mw to the number average molecular weight Mn, Mw/Mn, is 1.6 or less.
- the lubricating composition according to the present embodiment includes an aspect containing a lubricating base oil and the lubricating oil additive according to the above-described fifth embodiment.
- the poly(meth)acrylate-based viscosity index improver in the present embodiment is the same as the poly(meth)acrylate-based viscosity index improvers in the above-described fourth embodiment and fifth embodiment, and furthermore, other additives and a solvent which can be contained in the lubricating composition are the same as the other additives and the solvent in the fifth embodiment, and an overlapping explanation is omitted here.
- the lubricating base oil is the same as the lubricating base oil in the above-described third embodiment, and an overlapping explanation is omitted here.
- the content of the poly(meth)acrylate-based viscosity index improver according to the fourth embodiment is preferably 0.1 to 20.0 mass %, more preferably 0.5 to 15.0 mass %, and further preferably 1.0 to 10.0 mass % based on the total amount of the lubricating composition.
- the content is the above-described lower limit or more, a sufficient effect of addition becomes easy to be obtained, and on the other hand, when the content is the above-described upper limit or less, shear stability increases and fuel consumption sustainability is improved.
- the kinematic viscosity at 100° C. of the lubricating composition is preferably 2.0 to 16.3 mm 2 /s, more preferably 2.5 to 12.5 mm 2 /s, and further preferably 3.0 to 10.0 mm 2 /s.
- a lubricating property becomes easy to be ensured
- the kinematic viscosity at 100° C. is the above-described upper limit or less
- a fuel saving property is further improved.
- the kinematic viscosity at 100° C. in the present invention means a kinematic viscosity at 100° C. defined by HS K-2283-1993.
- the viscosity index of the lubricating composition is preferably 130 to 250, more preferably 140 to 240, and further preferably 160 to 230.
- the viscosity index is the above-described lower limit or more, a fuel saving property can be further improved, and moreover, the low-temperature viscosity becomes easy to be lowered while maintaining the HTHS viscosity.
- the viscosity index is the above-described upper limit or less, low-temperature fluidity, solubility of additives, and compatibility with a sealing material can be ensured.
- the viscosity index in the present invention means a viscosity index defined by JIS K 2283-1993.
- the viscosity index improver according to the fourth embodiment, the lubricating oil additive according to the fifth embodiment, and the lubricating composition according to the sixth embodiment, which are described above, can be used in a wide range of fields such as lubricating oils for an internal combustion engine and drive system lubricating oils, and in particular, are useful in the field of drive system lubricating oils.
- a driving device in this case may be any of an automatic transmission (AT), a continuously variable transmission (CVT), and a stepped transmission (TM).
- a poly(meth)acrylate-based viscosity index improver was synthesized in the following condition (designated as “Synthesis Condition 1-1”).
- the solution was cooled to 0° C. on an ice bath, and vacuum deaeration/nitrogen purge of a reaction system was carried out 5 times using a diaphragm pump. Furthermore, from the sample inlet, as a radical initiator, 0.052 g of azobisisobutyronitrile (AIBN) was charged under nitrogen flow, and then, polymerization was carried out for 12 hours at the solution temperature of 110° C. under a nitrogen atmosphere to obtain a solution containing a poly(meth)acrylate-based viscosity index improver.
- AIBN azobisisobutyronitrile
- the weight-average molecular weight Mw and the number average molecular weight Mn were measured by GPC analysis.
- the weight-average molecular weight Mw was 230000
- the number average molecular weight Mn was 152000
- the Mw/Mn was 1.51.
- the procedure of the GPC analysis is as follows.
- a solution whose sample concentration is 2 mass % was prepared by dilution using tetrahydrofuran as a solvent.
- the sample solution was analyzed using GPC equipment (Waters Alliance2695). The analysis was carried out at the flow rate of the solvent of 1 ml/min, by using a column whose analyzable molecular weight is 10000 to 256000, and a refractive index as a detector. It is to be noted that the relationship between the column retention time and the molecular weight was determined using a polystyrene standard whose molecular weight is definite and the molecular weight was determined from the obtained retention time based on the calibration curve which was separately made.
- a poly(meth)acrylate-based viscosity index improver was synthesized in the following condition (designated as “Synthesis Condition 1-2”).
- Example 1-1 For the obtained poly(meth)acrylate-based viscosity index improver, GPC analysis was carried out in the same manner as Example 1-1, and as a result, the weight-average molecular weight Mw was 220000, the number average molecular weight Mn was 167000, and the Mw/Mn was 1.32.
- a poly(meth)acrylate-based viscosity index improver was synthesized in the following condition (designated as “Synthesis Condition 1-3”).
- a poly(meth)acrylate-based viscosity index improver was synthesized in the following condition (designated as “Synthesis Condition 1-4”).
- a raw material in which 12 g of methyl methacrylate (C1-MA) and 18 g of stearyl methacrylate (C18-MA) as raw material monomers, and 0.12 g of azobisisobutyronitrile (AIBN) as a radical initiator are mixed was charged into the dropping funnel for introducing a sample, and the raw material was dropped in the reaction flask for 70 minutes. After that, polymerization was carried out for 8 hours at 85° C. under nitrogen flow while maintaining stirring to obtain a solution containing a poly(meth)acrylate-based viscosity index improver. After that, unreacted monomers were removed from the above-described solution by carrying out vacuum distillation for 3 hours at 130° C. and 1 mmHg.
- AIBN azobisisobutyronitrile
- Example 1-1 For the obtained poly(meth)acrylate-based viscosity index improver, GPC analysis was carried out in the same manner as Example 1-1, and as a result, the weight-average molecular weight Mw was 260000, the number average molecular weight Mn was 158000, and the Mw/Mn was 1.65.
- a poly(meth)acrylate-based viscosity index improver was synthesized in the same manner as any of the above-described Synthesis Conditions 1-1 to 1-4 other than changing the amount of the raw material blended as shown in Tables 1, 3, 5, and 7.
- C12-MA represents a compound in which R 1 and R 2 in the formula (3) are a methyl group and a dodecyl group (straight-chain alkyl group having 12 carbon atoms), respectively
- C22-MA represents a compound in which R 1 and R 2 in the formula (3) are a methyl group and a docosanyl group (straight-chain alkyl group having 22 carbon atoms), respectively.
- Mw, Mn, and Mw/Mn of the obtained poly(meth)acrylate-based viscosity index improver are shown in Tables 2, 4, 6, and 8.
- a metallic (calcium sulfonate) cleaner an ashless dispersant (succinimide), a friction modifier (glycerin monooleate), and a wear inhibitor (zinc dithiophosphate)
- a highly-refined mineral oil Group III base oil, kinematic viscosity at 100° C.:
- Example Example Example 1-6 1-7 1-8 1-9 1-10 Amount Blended (g) C1-MA 9.0 13.5 9.0 6.0 13.5 C18-MA 21.0 16.5 9.0 9.0 9.0 C12-MA — — 15.0 15.0 7.5 C22-MA — — — — — CDTBA 0.079 0.028 0.079 0.078 0.021 AIBN 0.014 0.005 0.013 0.012 0.003 Synthesis 1-3 1-1 1-1 1-3 1-1 Condition Yield (%) 95.3 95.0 93.8 94.8 95.2
- a poly(meth)acrylate-based viscosity index improver was synthesized in the following condition (designated as “Synthesis Condition 2-1”).
- the solution was cooled to 0° C. on an ice bath, and vacuum deaeration/nitrogen purge of a reaction system was carried out 5 times using a diaphragm pump. Furthermore, from the sample inlet, as a radical initiator, 0.014 g of azobisisobutyronitrile (AIBN) was charged under nitrogen flow, and then, polymerization was carried out for 12 hours at the solution temperature of 110° C. under a nitrogen atmosphere to obtain a solution containing a poly(meth)acrylate-based viscosity index improver.
- AIBN azobisisobutyronitrile
- the weight-average molecular weight Mw and the number average molecular weight Mn were measured by GPC analysis.
- the weight-average molecular weight Mw was 83000
- the number average molecular weight Mn was 55000
- Mw/Mn was 1.51.
- the procedure of the GPC analysis is as follows.
- a solution whose sample concentration is 2 mass % was prepared by dilution using tetrahydrofuran as a solvent.
- the sample solution was analyzed using GPC equipment (Waters Alliance2695). The analysis was carried out at the flow rate of the solvent of 1 ml/min, by using a column whose analyzable molecular weight is 10000 to 256000, and a refractive index as a detector. It is to be noted that the relationship between the column retention time and the molecular weight was determined using a polystyrene standard whose molecular weight is definite and the molecular weight was determined from the obtained retention time based on the calibration curve which was separately made.
- the molecular weight (Mw and Mn) of the arm can be calculated by dividing the obtained molecular weight (Mw and Mn) by the number of functional groups of an initiator.
- a poly(meth)acrylate-based viscosity index improver was synthesized in the following condition (designated as “Synthesis Condition 2-2”).
- a poly(meth)acrylate-based viscosity index improver was synthesized in the following condition (designated as “Synthesis Condition 2-3”).
- a poly(meth)acrylate-based viscosity index improver was synthesized in the following condition (designated as “Synthesis Condition 2-4”).
- a raw material in which 12 g of methyl methacrylate (C1-MA) and 18 g of stearyl methacrylate (C18-MA) as raw material monomers, and 0.068 g of azobisisobutyronitrile (AIBN) as a radical initiator are mixed was charged into the dropping funnel for introducing a sample, and the raw material was dropped in the reaction flask for 70 minutes. After that, polymerization was carried out for 8 hours at 85° C. under nitrogen flow while maintaining stirring to obtain a solution containing a poly(meth)acrylate-based viscosity index improver. After that, unreacted monomers were removed from the above-described solution by carrying out vacuum distillation for 3 hours at 130° C. and 1 mmHg.
- AIBN azobisisobutyronitrile
- a poly(meth)acrylate-based viscosity index improver was synthesized in the same manner as any of the above-described Synthesis Conditions 2-1 to 2-4 other than changing the amount of the raw material blended as shown in Tables 9, 11, 13, and 15.
- C12-MA represents a compound in which R 1 and R 2 in the formula (3) are a methyl group and a dodecyl group (straight-chain alkyl group having 12 carbon atoms), respectively
- C22-MA represents a compound in which R 1 and R 2 in the formula (3) are a methyl group and a docosanyl group (straight-chain alkyl group having 22 carbon atoms), respectively.
- Mw, Mn, and Mw/Mn of the obtained poly(meth)acrylate-based viscosity index improver are shown in Tables 2, 4, 6, and 8.
- a metallic calcium sulfonate whose TBN is 300 mgKOH/g
- an ashless dispersant succinimide
- a friction modifier oleylamide
- a wear inhibitor
- each lubricating composition of Examples 2-1 to 2-14 and Comparative Examples 2-1 to 2-5 was evaluated by a friction coefficient in a condition of constant load using a two cylinder rolling sliding friction tester. Specifically, a friction coefficient was averaged for 10 minutes from the start of the test in conditions where the test temperature is 80° C., the load is 142 N, the surface pressure is 0.48 GPa, the peripheral speed is 1.0 m/s, and the sliding ratio is 5.1%. The results are shown in Tables 10, 12, 14, and 16.
- Example Example Example 2-1 2-2 2-3 2-4 2-5 Amount Blended (g) C1-MA 12.0 12.0 12.0 12.0 C18-MA 18.0 18.0 18.0 18.0 18.0 C12-MA — — — — — — C22-MA — — — — — CDTBA 0.081 0.085 0.084 0.079 0.402 AIBN 0.014 0.013 0.014 0.013 0.066 Synthesis 2-1 2-2 2-3 2-3 2-1 Condition Yield (%) 95.2 94.3 94.5 90.8 98.8
- Example Example Example Example 2-6 2-7 2-8 2-9 2-10 Amount Blended (g) C1-MA 9.0 13.5 6.0 6.0 13.5 C18-MA 21.0 16.5 9.0 9.0 9.0 C12-MA — — 15.0 15.0 7.5 C22-MA — — — — — CDTBA 0.385 0.370 0.222 0.218 0.208 AIBN 0.071 0.070 0.035 0.033 0.031 Synthesis 2-3 2-1 2-1 2-3 2-1 Condition Yield (%) 95.3 95.0 93.8 94.8 95.2
Landscapes
- Chemical & Material Sciences (AREA)
- Chemical Kinetics & Catalysis (AREA)
- General Chemical & Material Sciences (AREA)
- Oil, Petroleum & Natural Gas (AREA)
- Organic Chemistry (AREA)
- Lubricants (AREA)
Abstract
The present invention provides a poly(meth)acrylate-based viscosity index improver comprising a polymer chain comprising a structural unit represented by the following formula (1), wherein a weight-average molecular weight Mw is 100000 or more, and a ratio of the weight-average molecular weight Mw to a number average molecular weight Mn, Mw/Mn, is 1.6 or less.
[In the formula (1), R1 represents hydrogen or a methyl group, and R2 represents a C1 to C36 alkyl group.]
Description
- The present invention relates to a poly(meth)acrylate-based viscosity index improver, a lubricating oil additive and a lubricating composition containing the viscosity index improver.
- Conventionally, in the field of lubricating oils, improvement of lubricating oils has been studied from the viewpoint of an energy saving property. Especially in recent years, a trend toward the global environmental protection has increased, and a need for an energy saving property improving effect for lubricating oils has been further strengthened.
- For example, in the case of lubricating oils used for internal combustion engines such as a vehicle engine (also referred to as “lubricating oils for an internal combustion engine” or “engine oils”), as one means of improving a fuel saving property, a method of increasing a viscosity index of a lubricating oil by adding a viscosity index improver to a lubricating base oil has been known.
- Moreover, for example, in the case of lubricating oils used for transmissions of vehicles, such as ATF, MTF, and CVTF (also referred to as “lubricating oils for a transmission” or “drive system oils”), as one means of improving a fuel saving property, there is a method of decreasing viscosity resistance by lowering the viscosity of a lubricating oil for a transmission. However, when the viscosity of a lubricating oil for a transmission is lowered, other problems such as oil leak and seizure may arise.
- Therefore, as another method for improving a fuel saving property, there is a method involving use of a viscosity index improver. This method increases the viscosity index of a lubricating oil for a transmission by using a viscosity index improver, and suppresses the viscosity increase in a low-temperature region while maintaining the viscosity in a high-temperature region.
- Regarding a viscosity index improver, the use of various viscosity index improvers has been proposed, and in particular, the use of poly(meth)acrylate-based viscosity index improvers has been often proposed (for example, refer to Patent Literatures 1 to 7).
- Patent Literature 1: Japanese Patent Application Laid-Open No. 7-48421
- Patent Literature 2: Japanese Patent Application Laid-Open No. 7-62372
- Patent Literature 3: Japanese Patent Application Laid-Open No. 6-145258
- Patent Literature 4: Japanese Patent Application Laid-Open No. 3-100099
- Patent Literature 5: Japanese Patent Application Laid-Open No. 2002-302687
- Patent Literature 6: Japanese Patent Application Laid-Open No. 2004-124080
- Patent Literature 7: Japanese Patent Application Laid-Open No. 2005-187736
- However, for example, in lubricating oils for an internal combustion engine, in the case where the above-described conventional poly(meth)acrylate-based viscosity index improvers are used, there is a room for improvement in a high shear viscosity so as to achieve a practically sufficient fuel saving property. Especially, in 0W-20 whose requirement for fuel saving property is high, there is a need to maintain the high shear viscosity at a high level to some extent at 150° C., and on the other hand, to lower the high shear viscosity at 100° C. In contrast, in the conventional poly(meth)acrylate-based viscosity index improvers, it is difficult to lower the high shear viscosity at 100° C. while maintaining the high shear viscosity at 150° C.
- Moreover, for example, for lubricating oils for a transmission, as one cause of deterioration in a fuel saving property, there is friction loss of a gear in a driving device during power transmission. Therefore, if a lubricating oil whose viscosity resistance is low in a high shear condition can be achieved, friction loss can be decreased and a fuel saving property can be farther improved.
- However, the above-described conventional viscosity index improvers attempt to improve a viscosity property in a high-temperature region and a low-temperature region by improving the viscosity index, and they are not considered to be sufficient in terms of a friction loss decreasing effect.
- Therefore, an object of the present invention is to provide a viscosity index improver capable of achieving a fuel saving property, a lubricating oil additive and a lubricating composition containing the viscosity index improver.
- Moreover, another object of the present invention is to provide a viscosity index improver capable of sufficiently lowering a high shear viscosity at 100° C. while maintaining a high shear viscosity at 150° C., a lubricating oil additive and a lubricating composition containing the viscosity index improver.
- Furthermore, another object of the present invention is to provide a viscosity index improver which is capable of imparting a sufficient friction loss decreasing effect to a lubricating oil, a lubricating oil additive and a lubricating composition containing the viscosity index improver.
- The present inventors made extensive research and found that a poly(meth)acrylate-based viscosity index improver which has a specific structure and in which the weight-average molecular weight, and the ratio of the weight-average molecular weight Mw to the number average molecular weight Mn, Mw/Mn satisfy specific conditions (hereinafter, referred to as “first poly(meth)acrylate-based viscosity index improver”) can sufficiently lower a high shear viscosity at 100° C. while maintaining a high shear viscosity at 150° C., which leads to accomplish the present invention.
- That is, the present invention provides a poly(meth)acrylate-based viscosity index improver comprising a polymer chain comprising a structural unit represented by the following formula (1), wherein the weight-average molecular weight Mw is 100000 or more, and the ratio of the weight-average molecular weight Mw to the number average molecular weight Mn, Mw/Mn, is 1.6 or less.
- [In the formula (1), R1 represents hydrogen or a methyl group, and R2 represents a C1 to C36 alkyl group.]
- Moreover, the present inventors made extensive research and found that a poly(meth)acrylate-based viscosity index improver which has a specific structure and in which the weight-average molecular weight and the ratio of the weight-average molecular weight Mw to the number average molecular weight Mn, Mw/Mn, satisfy specific conditions (hereinafter, referred to as “first poly(meth)acrylate-based viscosity index improver”) can impart a friction loss decreasing effect, which leads to accomplish the present invention.
- That is, the present invention provides a poly(meth)acrylate-based viscosity index improver comprising a polymer chain comprising a structural unit represented by the following formula (1), wherein the weight-average molecular weight Mw is less than 100000, and the ratio of the weight-average molecular weight Mw to the number average molecular weight Mn, Mw/Mn, is 1.6 or less.
- [In the formula (1), R1 represents hydrogen or a methyl group, and R2 represents a C1 to C36 alkyl group.]
- Moreover, the present invention provides a lubricating oil additive comprising at least one selected from the above-described first poly(meth)acrylate-based viscosity index improver and second poly(meth)acrylate-based viscosity index improver.
- Furthermore, the present invention provides a lubricating composition comprising a lubricating base oil, and at least one selected from the above-described first poly(meth)acrylate-based viscosity index improver and second poly(meth)acrylate-based viscosity index improver.
- According to the present invention, a viscosity index improver capable of achieving a fuel saving property, a lubricating oil additive and a lubricating composition containing the viscosity index improver are provided.
- Moreover, according to the present invention, a viscosity index improver capable of sufficiently lowering a high shear viscosity at 100° C. while maintaining a high shear viscosity at 150° C., a lubricating oil additive and a lubricating composition containing the viscosity index improver can be provided.
- According to the present invention, a viscosity index improver which is capable of decreasing friction loss, a lubricating oil additive and a lubricating composition containing the viscosity index improver can be provided.
- Hereinafter, preferred embodiments of the present invention will be described in detail, but the present invention is not limited to the following embodiments.
- A poly(meth)acrylate-based viscosity index improver according to the first embodiment comprises a polymer chain containing a structural unit represented by the following formula (1). The weight-average molecular weight Mw (hereinafter, just referred to as “Mw” in some cases) of the poly(meth)acrylate-based viscosity index improver is 100000 or more, and the ratio of the weight-average molecular weight Mw to the number average molecular weight Mn (hereinafter, just referred to as “Mn” in some cases), Mw/Mn (hereinafter, just referred to as “Mw/Mn” in some cases), is 1.6 or less.
-
- [In the formula (1), R1 represents hydrogen or a methyl group, and R2 represents a C1 to C36 alkyl group.]
- R1 may be either hydrogen or a methyl group, and is preferably a methyl group.
- The number of carbon atoms of the alkyl group represented by R2 is 1 to 36 as described above, preferably 1 to 30, more preferably 1 to 26, and further preferably 1 to 22 from the viewpoint of handleability and ease of manufacture. Moreover, the alkyl group represented by R2 may be straight-chain or branched.
- In the case where two or more structural units represented by the above formula (1) are contained in the polymer chain, R1s and R2s may be the same or different between the respective structural units. In the case where two or more structural units in which R2s are different are contained, from the viewpoint of a fuel saving property and solubility, the polymer chain contains preferably 10 to 45 mass %, more preferably 15 to 45 mass %, and further preferably 20 to 45 mass % of the structural unit in which R2 is a methyl group, based on the total amount of the structural units contained in the polymer chain. Moreover, from the viewpoint of a fuel saving property, the polymer chain contains preferably 10 mass % or more, more preferably 15 mass % or more, and further preferably 20 mass % or more of the structural unit in which R2 is an alkyl group having 18 or more carbon atoms, based on the total amount of the structural units contained in the polymer chain.
- The polymer chain may contain only the structural unit represented by the above formula (1), or may further contain a structural unit other than the structural unit represented by the above formula (1) in addition to the structural unit represented by the above formula (1). Moreover, terminals of the polymer chain are not particularly limited. Among these polymer chains, a polymer chain containing only the structural unit represented by the above formula (1), whose terminals are hydrogen atoms, that is, a polymer chain represented by the following formula (2) is preferable.
- In the formula (2), R1 represents hydrogen or a methyl group, R2 represents a C1 to C36 alkyl group, and n represents an integer selected such that the Mw and the Mw/Mn satisfy the above-described conditions. For example, n is an integer of 400 to 2000.
- The weight-average molecular weight Mw is 100000 or more, and it is preferably 125000 or more, more preferably 150000 or more, and further preferably 175000 or more from the viewpoint of a fuel saving property. The upper limit of Mw is not particularly limited, and the Mw is, for example, 500000 or less.
- The number average molecular weight Mn is arbitrarily selected such that the Mw/Mn satisfies the above-described condition. The Mn is preferably 75000 or more, more preferably 94000 or more, and further preferably 110000 or more from the viewpoint of lowering the HTHS viscosity at 100° C. The upper limit of Mn is not particularly limited, and the Mn is, for example, 300000 or less.
- The Mw/Mn is 1.6 or less, and it is preferably 1.5 or less, more preferably 1.4 or less, and further preferably 1.2 or less from the viewpoint of a fuel saving property. Moreover, from the viewpoint of the yield of poly(meth)acrylate, the Mw/Mn is preferably 1.0 or more, more preferably 1.01 or more, and further preferably 1.02 or more.
- It is to be noted that “the weight-average molecular weight Mw”, “the number average molecular weight Mn”, and “the ratio Mw/Mn of the weight-average molecular weight Mw to the number average molecular weight Mn” in the present invention mean Mw, Mn, and Mw/Mn (converted values with polystyrene (standard sample)) obtained by GPC analysis. Specifically, they are measured as follows, for example.
- A solution whose sample concentration is 2 mass % is prepared by dilution using tetrahydrofuran as a solvent. The sample solution is analyzed using GPC equipment (Waters Alliance2695). The analysis is carried out at the flow rate of the solvent of 1 ml/min, by using a column whose analyzable molecular weight is 10000 to 256000, and a refractive index as a detector. It is to be noted that the relationship between the column retention time and the molecular weight is determined using a polystyrene standard whose molecular weight is clear and a calibration curve is separately made, and after that, the molecular weight is determined from the obtained retention time.
- Although the manufacturing method of the poly(meth)acrylate-based viscosity index improver according to the present embodiment is not particularly limited, examples thereof include a method in which an initiator is added to a mixed solution containing an alkyl(meth)acrylate, a polymerization reagent, and a solvent to polymerize the alkyl(meth)acrylate at predetermined temperature.
- As the alkyl(meth)acrylate, an alkyl(meth)acrylate represented by the following formula (3) can be used.
- In the formula (3), R1 represents hydrogen or a methyl group, and R2 represents a C1 to C36 alkyl group.
- R1 is preferably a methyl group. The number of carbon atoms of the alkyl group represented by R2 is preferably 1 to 30, more preferably 1 to 26, and further preferably 1 to 22.
- As the alkyl(meth)acrylate, one of the alkyl(meth)acrylate represented by the above formula (3) can be used alone, or two or more thereof can be mixed to be used, and preferably, two or more thereof are mixed to be used. In the case two or more thereof are mixed to be used, the content of methyl(meth)acrylate in which R2 is a methyl group is preferably 5 to 50 mass %, more preferably 10 to 50 mass %, and further preferably 20 to 45 mass % based on the total amount of the alkyl(meth)acrylate. Moreover, the content of an alkyl(meth)acrylate in which R2 is an alkyl group having 18 or more carbon atoms is preferably 10 mass % or more, more preferably 15 mass % or more, and further preferably 20 mass % or more based on the total amount of the alkyl(meth)acrylate.
- As the polymerization reagent, for example, compounds having a thiocarbonyl group, such as cumyl dithiobenzoic acid, can be used. Examples of a preferred polymerization reagent include cumyl dithiobenzoic acid.
- As the solvent, for example, highly-refined mineral oils, anisole, and toluene can be used. Examples of a preferred solvent include highly-refined mineral oils.
- As the initiator, for example, azobisisobutyronitrile, azobismethylvaleronitrile, and azobismethylbutyronitrile can be used. Examples of a preferred initiator include azobisisobutyronitrile.
- The reaction temperature when polymerizing the alkyl(meth)acrylate is preferably 70 to 120° C., more preferably 80 to 110° C., and further preferably 90 to 100° C. By making the reaction temperature be within the above-described range, the Mw/Mn of the obtained poly(meth)acrylate-based viscosity index improver becomes easy to be 1.6 or less. For example, when the reaction temperature is 90 to 100° C., the Mw/Mn tends to be 1.0 to 1.2, when the reaction temperature is 100 to 110° C., the Mw/Mn tends to be 1.2 to 1.4, and when the reaction temperature is 110 to 120° C., the Mw/Mn tends to be 1.4 to 1.6.
- The reaction time can be arbitrarily selected in accordance with the kinds and the amounts used of the alkyl(meth)acrylate, the polymerization reagent, the solvent, and the initiator, which are raw materials, reaction conditions such as a reaction temperature, and desired Mw and Mw/Mn of the poly(meth)acrylate. Examples of preferred reaction time include 10 to 14 hours.
- The polymerization of the alkyl(meth)acrylate is preferably carried out in a nitrogen atmosphere.
- A lubricating oil additive according to the second embodiment of the present invention contains a poly(meth)acrylate-based viscosity index improver comprising a polymer chain containing a structural unit represented by the above formula (1), wherein the weight-average molecular weight Mw is 100000 or more, and the ratio of the weight-average molecular weight Mw to the number average molecular weight Mn, Mw/Mn, is 1.6 or less. It is to be noted that the poly(meth)acrylate-based viscosity index improver in the present embodiment is the same as the viscosity index improver in the above-described first embodiment, and an overlapping explanation is omitted here.
- The lubricating oil additive may consist of only the above-described poly(meth)acrylate-based viscosity index improver, or may be a mixture of the viscosity index improver and other additives (that is, additive composition). In the case where the lubricating oil additive is a mixture of the viscosity index improver and other additives, the mixing ratio thereof is not particularly limited and can be arbitrarily selected depending on the intended use.
- Examples of the other additives include additives such as viscosity index improvers other than the above-described poly(meth)acrylate-based viscosity index improver, antioxidants, antiwear agents (or extreme pressure agents), corrosion inhibitors, rust-preventive agents, viscosity index improvers, pour-point depressants, demulsifiers, metal deactivators, antifoamers, and ashless friction modifiers. One of these additives can be used alone, or two or more thereof can be used in combination.
- Examples of the viscosity index improvers other than the above-described poly(meth)acrylate-based viscosity index improver include poly(meth)acrylate-based viscosity index improvers other than the above-described poly(meth)acrylate-based viscosity index improver, polyisobutene-based viscosity index improvers, ethylene-propylene copolymer-based viscosity index improvers, and styrene-butadiene hydrogenated copolymer-based viscosity index improvers.
- Examples of the antioxidants include ashless antioxidants such as phenolic or amine antioxidants, and metallic antioxidants such as zinc, copper, or molybdenum antioxidants.
- Examples of the phenolic antioxidants include 4,4′-methylenebis(2,6-di-tert-butylphenol), 4,4′-bis(2,6-di-tert-butylphenol), 4,4′-bis(2-methyl-6-tert-butylphenol), 2,2′-methylenebis(4-ethyl-6-tert-butylphenol), 2,2′-methylenebis(4-methyl-6-tert-butylphenol), 4,4′-butylidenebis(3-methyl-6-tert-butylphenol), 4,4′-isopropylidenebis(2,6-di-tert-butylphenol), 2,2′-methylenebis(4-methyl-6-nonyl phenol), 2,2′-isobutylidenebis(4,6-dimethylphenol), 2,2′-methylenebis(4-methyl-6-cyclohexylphenol), 2,6-di-tert-butyl-4-methylphenol, 2,6-di-tert-butyl-4-ethylphenol, 2,4-dimethyl-6-tert-butylphenol, 2,6-di-tert-α-dimethylamino-p-cresol, 2,6-di-tert-butyl-4-(N,N-dimethylaminomethylphenol), 4,4′-thiobis(2-methyl-6-tert-butylphenol), 4,4′-thiobis(3-methyl-6-tert-butylphenol), 2,2′-thiobis(4-methyl-6-tert-butylphenol), bis(3-methyl-4-hydroxy-5-tert-butylbenzyl)sulfide, bis(3,5-di-tert-butyl-4-hydroxybenzyl)sulfide, 2,2′-thio-diethylenebis[3-(3,5-di-tert-butyl-4-hydroxyphenyl)propionate], tridecyl-3-(3,5-di-tert-butyl-4-hydroxyphenyl)propionate, pentaerythrityl-tetrakis[3-(3,5-di-tert-butyl-4-hydroxyphenyl)propionate], octyl-3-(3,5-di-tert-butyl-4-hydroxyphenyl)propionate, stearyl 3-(3,5-di-tert-butyl-4-hydroxyphenyl)propionate, and octyl-3-(3-methyl-5-di-tert-butyl-4-hydroxyphenyl)propionate. Two or more thereof may be mixed to be used.
- Examples of the amine antioxidants include known amine antioxidants generally used for lubricating oils, such as aromatic amine compounds, alkyldiphenyl amines, alkylnaphthylamines, phenyl-α-naphthylamine, and alkylphenyl-α-naphthylamines.
- Examples of the corrosion inhibitors include benzotriazole, tolyltriazole, thiadiazole, and imidazole compounds.
- Examples of the rust-preventive agents include petroleum sulfonates, alkylbenzene sulfonates, dinonylnaphthalene sulfonates, alkenylsuccinic acid esters, and polyhydric alcohol esters.
- Examples of the metal deactivators include imidazoline, pyrimidine derivatives, alkylthiadiazoles, mercaptobenzothiazole, benzotriazole or derivatives thereof, 1,3,4-thiadiazole polysulfide, 1,3,4-thiadiazolyl-2,5-bisdialkyldithiocarbamate, 2-(alkyldithio)benzimidazole, and β-(o-carboxybenzylthio)propionitrile.
- Examples of the antifoamers include silicone oil whose kinematic viscosity at 25° C. is 1000 to 100000 mm2/s, alkenylsuccinic acid derivatives, esters of polyhydroxy aliphatic alcohols and long-chain fatty acids, methylsalicylate, and o-hydroxybenzyl alcohol.
- As the ashless friction modifiers, arbitrary compounds generally used as ashless friction modifiers for lubricating oils can be used, and examples thereof include ashless friction modifiers such as amine compounds, fatty acid esters, fatty acid amides, fatty acids, aliphatic alcohols, and aliphatic ethers, each of which has at least one alkyl group or alkenyl group having 6 to 30 carbon atoms, in particular straight-chain alkyl group or straight-chain alkenyl group having 6 to 30 carbon atoms in a molecule. Moreover, nitrogen-containing compounds and acid-modified derivatives thereof and the like described in Japanese Patent Application Laid-Open No. 2009-286831 and various ashless friction modifiers exemplified in International Publication No. WO 2005/037967 Pamphlet can also be used.
- Furthermore, the lubricating oil additive according to the present embodiment may further contain a solvent. As the solvent, highly-refined mineral oils, anisole, and toluene can be used. Among them, it is preferable to use highly-refined mineral oils. In the case where the lubricating oil additive contains the solvent, the content of the solvent is preferably 5 to 75 mass %, and more preferably 30 to 60 mass % based on the total amount of the lubricating oil additive from the viewpoint of handling as an additive.
- A lubricating composition according to the third embodiment contains a lubricating base oil, and a poly(meth)acrylate-based viscosity index improver comprising a polymer chain containing a structural unit represented by the above formula (1), wherein the weight-average molecular weight Mw is 100000 or more, and the ratio of the weight-average molecular weight Mw to the number average molecular weight Mn, Mw/Mn, is 1.6 or less. The lubricating composition according to the present embodiment includes an aspect containing a lubricating base oil and the lubricating oil additive according to the above-described second embodiment. The poly(meth)acrylate-based viscosity index improver in the present embodiment is the same as the poly(meth)acrylate-based viscosity index improvers in the above-described first embodiment and second embodiment, and furthermore, other additives and a solvent which can be contained in the lubricating composition are the same as the other additives and the solvent in the second embodiment, and an overlapping explanation is omitted here.
- The lubricating base oil is not particularly limited, and lubricating base oils used for general lubricating oils can be used. Specifically, mineral lubricating base oils, synthetic lubricating base oils, a mixture in which two or more lubricating base oils selected therefrom are mixed at an arbitrary ratio and the like can be used.
- Examples of the mineral lubricating base oils include those obtained by refining a lubricating oil fraction obtained by reduced-pressure distillation of an atmospheric residue obtained by atmospheric distillation of a crude oil by carrying out one or more treatment, such as solvent deasphalting, solvent extraction, hydrocracking, solvent dewaxing, and hydrorefining, and base oils manufactured by a method of isomerizing wax-isomerized mineral oils and GTL waxes (gas-to-liquid waxes).
- Examples of the synthetic lubricating oils include polybutene or hydrides thereof; poly-α-olefins such as 1-octene oligomer and 1-decene oligomer, or hydrides thereof; diesters such as ditridecyl glutarate, di-2-ethylhexyl adipate, diisodecyl adipate, ditridecyl adipate, and di-2-ethylhexyl sebacate; polyol esters such as trimethylolpropane caprylate, trimethylolpropane pelargonate, pentaerythritol-2-ethylhexanoate, and pentaerythritol pelargonate; aromatic synthetic oils such as alkylnaphthalenes and alkylbenzenes, and mixtures thereof.
- The kinematic viscosity at 100° C. of the lubricating base oil is preferably 2.5 to 10.0 mm2/s, more preferably 3.0 to 8.0 mm2/s, and further preferably 3.5 to 6.0 mm2/s. Moreover, the viscosity index of the lubricating base oil is preferably 90 to 165, more preferably 100 to 155, and further preferably 120 to 150.
- The saturated component of the lubricating base oil by chromatography analysis is preferably 80% or more, more preferably 85% or more, further preferably 90% or more, and most preferably 95% or more so as to make it easy to exert an effect of additives such as the poly(meth)acrylate-based viscosity index improver according to the first embodiment.
- The content of the poly(meth)acrylate-based viscosity index improver according to the first embodiment is preferably 0.1 to 20.0 mass %, more preferably 0.5 to 15.0 mass %, and further preferably 1.0 to 10.0 mass % based on the total amount of the lubricating composition. When the content is the above-described lower limit or more, a sufficient effect of addition becomes easy to be obtained, and on the other hand, when the content is the above-described upper limit or less, shear stability increases and fuel consumption sustainability is improved.
- The kinematic viscosity at 100° C. of the lubricating composition is preferably 3.0 to 16.3 mm2/s, more preferably 3.5 to 12.5 mm2/s, and further preferably 4.0 to 9.3 mm2/s. When the kinematic viscosity at 100° C. is the above-described lower limit or more, a lubricating property becomes easy to be ensured, and on the other hand, when the kinematic viscosity at 100° C. is the above-described upper limit or less, a fuel saving property is further improved. It is to be noted that the kinematic viscosity at 100° C. in the present invention means a kinematic viscosity at 100° C. defined by JIS K-2283-1993.
- The viscosity index of the lubricating composition is preferably 150 to 250, more preferably 160 to 240, and further preferably 170 to 230. When the viscosity index is the above-described lower limit or more, a fuel saving property can be further improved, and moreover, the low-temperature viscosity becomes easy to be lowered while maintaining the HTHS viscosity. On the other hand, when the viscosity index is the above-described upper limit or less, low-temperature fluidity, solubility of additives, and compatibility with a sealing material can be ensured. It is to be noted that the viscosity index in the present invention means a viscosity index defined by JIS K 2283-1993.
- The HTHS viscosity at 150° C. of the lubricating composition is preferably 1.7 mPa·s or more, more preferably 2.0 mPa·s or more, further preferably 2.3 mPa·s or more, and most preferably 2.6 mPa·s or more. When the HTHS viscosity at 150° C. is the above-described lower limit or more, evaporation of the lubricating composition can be suppressed, and a lubricating property can be ensured. Moreover, the HTHS viscosity at 100° C. of the lubricating composition is preferably 5.2 mPa·s or less, more preferably 5.1 mPa·s or less, and further preferably 5.0 mPa·s or less. When the HTHS viscosity at 100° C. is the above-described upper limit or less, a higher fuel saving property can be obtained. It is to be noted that the HTHS viscosity at 150° C. or 100° C. in the present invention means a high temperature high shear viscosity at 150° C. or 100° C. defined by ASTM D-4683.
- The viscosity index improver according to the first embodiment, the lubricating oil additive according to the second embodiment, and the lubricating composition according to the third embodiment, which are described above, can be used in a wide range of fields such as lubricating oils for an internal combustion engine and drive system lubricating oils, and in particular, are useful in the field of lubricating oils for an internal combustion engine. Fuel of the internal combustion engine in this case may be either gasoline or diesel fuel.
- A poly(meth)acrylate-based viscosity index improver according to the fourth embodiment comprises a polymer chain containing a structural unit represented by the following formula (1). The weight-average molecular weight Mw (hereinafter, just referred to as “Mw” in some cases) of the poly(meth)acrylate-based viscosity index improver is less than 100000, and the ratio of the weight-average molecular weight Mw to the number average molecular weight Mn (hereinafter, just referred to as “Mn” in some cases), Mw/Mn (hereinafter, just referred to as “Mw/Mn” in some cases), is 1.6 or less.
- [In the formula (1), R1 represents hydrogen or a methyl group, and R2 represents a C1 to C36 alkyl group.]
- R1 may be either hydrogen or a methyl group, and is preferably a methyl group.
- The number of carbon atoms of the alkyl group represented by R2 is 1 to 36 as described above, preferably 1 to 30, more preferably 1 to 26, and further preferably 1 to 22 from the viewpoint of handleability and ease of manufacture. Moreover, the alkyl group represented by R2 may be straight-chain or branched.
- In the case where two or more structural units represented by the above formula (1) are contained in the polymer chain, R1s and R2s may be the same or different between the respective structural units. In the case where two or more structural units in which R2s are different are contained, from the viewpoint of a viscosity-temperature property, the polymer chain contains preferably 10 to 45 mass %, more preferably 15 to 45 mass %, and further preferably 20 to 45 mass % of the structural unit in which R2 is a methyl group, based on the total amount of the structural units contained in the polymer chain. Moreover, from the viewpoint of a fuel saving property, the polymer chain contains preferably 10 mass % or more, more preferably 15 mass % or more, and further preferably 20 mass % or more of the structural unit in which R2 is an alkyl group having 18 or more carbon atoms, based on the total amount of the structural units contained in the polymer chain.
- The polymer chain may contain only the structural unit represented by the above formula (1), or may further contain a structural unit other than the structural unit represented by the above formula (1) in addition to the structural unit represented by the above formula (1). Moreover, terminals of the polymer chain are not particularly limited. Among these polymer chains, a polymer chain containing only the structural unit represented by the above formula (1), whose terminals are hydrogen atoms, that is, a polymer chain represented by the following formula (2) is preferable.
- In the formula (2), R1 represents hydrogen or a methyl group, R2 represents a C1 to C36 alkyl group, and n represents an integer selected such that the Mw and the Mw/Mn satisfy the above-described conditions. For example, n is an integer of 40 to 450.
- The weight-average molecular weight Mw is less than 100000, and it is preferably 80000 or less, more preferably 70000 or less, and further preferably 60000 or less from the viewpoint of a fuel saving property. The lower limit of Mw is not particularly limited, and the Mw is, for example, 10000 or more.
- The number average molecular weight Mn is arbitrarily selected such that the Mw/Mn satisfies the above-described condition. The Mn is preferably 6000 or more, more preferably 10000 or more, and further preferably 12500 or more from the viewpoint of a fuel saving property. The upper limit of Mn is not particularly limited, and the Mn is, for example, 60000 or less.
- The Mw/Mn is 1.6 or less, and from the viewpoint of a fuel saving property, is preferably 1.5 or less, more preferably 1.4 or less, and further preferably 1.3 or less. Moreover, the Mw/Mn is, from the viewpoint of a fuel saving property, preferably 1.0 or more, more preferably 1.01 or more, and further preferably 1.02 or more.
- It is to be noted that “the weight-average molecular weight Mw”, “the number average molecular weight Mn”, and “the ratio Mw/Mn of the weight-average molecular weight Mw to the number average molecular weight Mn” in the present invention mean Mw, Mn, and Mw/Mn (converted values with polystyrene (standard sample)) obtained by GPC analysis. Specifically, they are measured as follows, for example.
- A solution whose sample concentration is 2 mass % is prepared by dilution using tetrahydrofuran as a solvent. The sample solution is analyzed using GPC equipment (Waters Alliance2695). The analysis is carried out at the flow rate of the solvent of 1 ml/min, by using a column whose analyzable molecular weight is 10000 to 256000, and a refractive index as a detector. It is to be noted that the relationship between the column retention time and the molecular weight is determined using a polystyrene standard whose molecular weight is definite and the molecular weight is determined from the obtained retention time based on the calibration curve which is separately made.
- Although the manufacturing method of the poly(meth)acrylate-based viscosity index improver according to the present embodiment is not particularly limited, examples thereof include a method in which an initiator is added to a mixed solution containing an alkyl(meth)acrylate, a polymerization reagent, and a solvent to polymerize the alkyl(meth)acrylate at predetermined temperature.
- As the alkyl(meth)acrylate, an alkyl(meth)acrylate represented by the following formula (3) can be used.
- In the formula (3), R1 represents hydrogen or a methyl group, and R2 represents a C1 to C36 alkyl group.
- R1 is preferably a methyl group. The number of carbon atoms of the alkyl group represented by R2 is preferably 1 to 36, more preferably 1 to 30, and further preferably 1 to 22.
- As the alkyl(meth)acrylate, one of the alkyl(meth)acrylate represented by the above formula (3) can be used alone, or two or more thereof can be mixed to be used, and preferably, two or more thereof are mixed to be used. In the case where two or more thereof are mixed to be used, the content of methyl(meth)acrylate in which R2 is a methyl group is preferably 5 to 50 mass %, more preferably 10 to 50 mass %, and further preferably 20 to 45 mass % based on the total amount of the alkyl(meth)acrylate. Moreover, the content of an alkyl(meth)acrylate in which R2 is an alkyl group having 18 or more carbon atoms is preferably 10 mass % or more, more preferably 15 mass % or more, and further preferably 20 mass % or more based on the total amount of the alkyl(meth)acrylate.
- As the polymerization reagent, for example, materials containing a thiocarbonyl group, such as cumyl dithiobenzoic acid, can be used. Examples of a preferred polymerization reagent include cumyl dithiobenzoic acid.
- As the solvent, for example, highly-refined mineral oils, anisole, and toluene can be used. Examples of a preferred solvent include highly-refined mineral oils.
- As the initiator, for example, azobisisobutyronitrile, azobisdimethylvaleronitrile, and azobismethylbutyronitrile can be used. Examples of a preferred initiator include azobisisobutyronitrile.
- The reaction temperature when polymerizing the alkyl(meth)acrylate is preferably 70 to 120° C., more preferably 80 to 110° C., and further preferably 80 to 120° C. By making the reaction temperature be within the above-described range, Mw/Mn of the obtained poly(meth)acrylate-based viscosity index improver becomes easy to be 1.6 or less. For example, when the reaction temperature is 90 to 100° C., Mw/Mn tends to be 1.0 to 1.2, and when the reaction temperature is 100 to 110° C., Mw/Mn tends to be 1.2 to 1.4, and when the reaction temperature is 110 to 120° C., Mw/Mn tends to be 1.4 to 1.6.
- The reaction time can be arbitrarily selected in accordance with the kinds and the amounts used of the alkyl(meth)acrylate, the polymerization reagent, the solvent, and the initiator, which are raw materials, reaction conditions such as a reaction temperature, and desired Mw and Mw/Mn of the poly(meth)acrylate. Examples of preferred reaction time include 10 to 14 hours.
- The polymerization of the alkyl(meth)acrylate is preferably carried out in a nitrogen atmosphere.
- A lubricating oil additive according to the fifth embodiment of the present invention contains a poly(meth)acrylate-based viscosity index improver comprising a polymer chain containing a structural unit represented by the above formula (1), wherein the weight-average molecular weight Mw is less than 100000, and the ratio of the weight-average molecular weight Mw to the number average molecular weight Mn, Mw/Mn, is 1.6 or less. It is to be noted that the poly(meth)acrylate-based viscosity index improver in the present embodiment is the same as the viscosity index improver in the above-described fourth embodiment, and an overlapping explanation is omitted here.
- The lubricating oil additive may be one composed of only the above-described poly(meth)acrylate-based viscosity index improver, or may be a mixture of the viscosity index improver and other additives (that is, additive composition). In the case where the lubricating oil additive is a mixture of the viscosity index improver and other additives, the mixing ratio thereof is not particularly limited and can be arbitrarily selected depending on the intended use. The other additives are the same as the other additives in the above-described second embodiment, and an overlapping explanation is omitted here.
- Further more, the lubricating oil additive according to the present embodiment may further contain a solvent. As the solvent, highly-refined mineral oils, solvent-refined mineral oils, and synthetic oils can be used. Among them, highly-refined mineral oils are preferably used. In the case where the lubricating oil additive contains the solvent, the content of the solvent is preferably 5 to 75 mass %, and more preferably 30 to 60 mass % based on the total amount of the lubricating oil additive.
- A lubricating composition according to the sixth embodiment contains a lubricating base oil, and a poly(meth)acrylate-based viscosity index improver comprising a polymer chain containing a structural unit represented by the above formula (1), wherein the weight-average molecular weight Mw is less than 100000, and the ratio of the weight-average molecular weight Mw to the number average molecular weight Mn, Mw/Mn, is 1.6 or less. The lubricating composition according to the present embodiment includes an aspect containing a lubricating base oil and the lubricating oil additive according to the above-described fifth embodiment. The poly(meth)acrylate-based viscosity index improver in the present embodiment is the same as the poly(meth)acrylate-based viscosity index improvers in the above-described fourth embodiment and fifth embodiment, and furthermore, other additives and a solvent which can be contained in the lubricating composition are the same as the other additives and the solvent in the fifth embodiment, and an overlapping explanation is omitted here.
- The lubricating base oil is the same as the lubricating base oil in the above-described third embodiment, and an overlapping explanation is omitted here.
- The content of the poly(meth)acrylate-based viscosity index improver according to the fourth embodiment is preferably 0.1 to 20.0 mass %, more preferably 0.5 to 15.0 mass %, and further preferably 1.0 to 10.0 mass % based on the total amount of the lubricating composition. When the content is the above-described lower limit or more, a sufficient effect of addition becomes easy to be obtained, and on the other hand, when the content is the above-described upper limit or less, shear stability increases and fuel consumption sustainability is improved.
- The kinematic viscosity at 100° C. of the lubricating composition is preferably 2.0 to 16.3 mm2/s, more preferably 2.5 to 12.5 mm2/s, and further preferably 3.0 to 10.0 mm2/s. When the kinematic viscosity at 100° C. is the above-described lower limit or more, a lubricating property becomes easy to be ensured, and on the other hand, when the kinematic viscosity at 100° C. is the above-described upper limit or less, a fuel saving property is further improved. It is to be noted that the kinematic viscosity at 100° C. in the present invention means a kinematic viscosity at 100° C. defined by HS K-2283-1993.
- The viscosity index of the lubricating composition is preferably 130 to 250, more preferably 140 to 240, and further preferably 160 to 230. When the viscosity index is the above-described lower limit or more, a fuel saving property can be further improved, and moreover, the low-temperature viscosity becomes easy to be lowered while maintaining the HTHS viscosity. On the other hand, when the viscosity index is the above-described upper limit or less, low-temperature fluidity, solubility of additives, and compatibility with a sealing material can be ensured. It is to be noted that the viscosity index in the present invention means a viscosity index defined by JIS K 2283-1993.
- The viscosity index improver according to the fourth embodiment, the lubricating oil additive according to the fifth embodiment, and the lubricating composition according to the sixth embodiment, which are described above, can be used in a wide range of fields such as lubricating oils for an internal combustion engine and drive system lubricating oils, and in particular, are useful in the field of drive system lubricating oils. A driving device in this case may be any of an automatic transmission (AT), a continuously variable transmission (CVT), and a stepped transmission (TM).
- Hereinafter, the present invention will be described in further detail with reference to Examples, but the present invention is not limited to the following Examples.
- A poly(meth)acrylate-based viscosity index improver was synthesized in the following condition (designated as “Synthesis Condition 1-1”).
- 12 g of methyl methacrylate (compound in which both R1 and R2 in the formula (3) are methyl groups, and hereinafter, designated as “C1-MA”), 18 g of stearyl methacrylate (compound in which R1 and R2 in the formula (3) are a methyl group and a stearyl group (straight-chain alkyl group having 18 carbon atoms), respectively, and hereinafter, designated as “C18-MA”), 0.030 g of cumyl dithiobenzoic acid (CDTBA), and 30 g of a highly-refined mineral oil as a solvent were charged into a 300 ml five-neck separable flask fitted with an anchor-type metal stirring blade (with vacuum seal), a Dimroth condenser, a three-way cock for introducing nitrogen, and a sample inlet, and a homogeneous solution was obtained under stirring. The solution was cooled to 0° C. on an ice bath, and vacuum deaeration/nitrogen purge of a reaction system was carried out 5 times using a diaphragm pump. Furthermore, from the sample inlet, as a radical initiator, 0.052 g of azobisisobutyronitrile (AIBN) was charged under nitrogen flow, and then, polymerization was carried out for 12 hours at the solution temperature of 110° C. under a nitrogen atmosphere to obtain a solution containing a poly(meth)acrylate-based viscosity index improver.
- For the obtained poly(meth)acrylate-based viscosity index improver, the weight-average molecular weight Mw and the number average molecular weight Mn were measured by GPC analysis. As a result, the weight-average molecular weight Mw was 230000, the number average molecular weight Mn was 152000, and the Mw/Mn was 1.51. The procedure of the GPC analysis is as follows.
- A solution whose sample concentration is 2 mass % was prepared by dilution using tetrahydrofuran as a solvent. The sample solution was analyzed using GPC equipment (Waters Alliance2695). The analysis was carried out at the flow rate of the solvent of 1 ml/min, by using a column whose analyzable molecular weight is 10000 to 256000, and a refractive index as a detector. It is to be noted that the relationship between the column retention time and the molecular weight was determined using a polystyrene standard whose molecular weight is definite and the molecular weight was determined from the obtained retention time based on the calibration curve which was separately made.
- A poly(meth)acrylate-based viscosity index improver was synthesized in the following condition (designated as “Synthesis Condition 1-2”).
- 12 g of methyl methacrylate (C1-MA), 18 g of stearyl methacrylate (C18-MA), 0.031 g of cumyl dithiobenzoic acid (CDTBA), and 30 g of a highly-refined mineral oil as a solvent were charged into a 300 ml five-neck separable flask fitted with an anchor-type metal stirring blade (with vacuum seal), a Dimroth condenser, a three-way cock for introducing nitrogen, and a sample inlet, and a homogeneous solution was obtained under stirring. The solution was cooled to 0° C. with an ice bath, and vacuum deaeration/nitrogen purge of a reaction system was carried out 5 times using a diaphragm pump. Furthermore, from the sample inlet, as a radical initiator, 0.051 g of azobisisobutyronitrile (AIBN) was charged under nitrogen flow, and then, polymerization was carried out for 12 hours at the solution temperature of 100° C. under a nitrogen atmosphere to obtain a solution containing a poly(meth)acrylate-based viscosity index improver.
- For the obtained poly(meth)acrylate-based viscosity index improver, GPC analysis was carried out in the same manner as Example 1-1, and as a result, the weight-average molecular weight Mw was 220000, the number average molecular weight Mn was 167000, and the Mw/Mn was 1.32.
- A poly(meth)acrylate-based viscosity index improver was synthesized in the following condition (designated as “Synthesis Condition 1-3”).
- 12 g of methyl methacrylate (C1-MA), 18 g of stearyl methacrylate (C18-MA), 0.033 g of cumyl dithiobenzoic acid (CDTBA), and 30 g of a highly-refined mineral oil as a solvent were charged into a 300 ml five-neck separable flask fitted with an anchor-type metal stirring blade (with vacuum seal), a Dimroth condenser, a three-way cock for introducing nitrogen, and a sample inlet, and a homogeneous solution was obtained under stirring. The solution was cooled to 0° C. on an ice bath, and vacuum deaeration/nitrogen purge of a reaction system was carried out 5 times using a diaphragm pump. Furthermore, from the sample inlet, as a radical initiator, 0.055 g of azobisisobutyronitrile (AIBN) was charged under nitrogen flow, and then, polymerization was carried out for 12 hours at the solution temperature of 90° C. under a nitrogen atmosphere to obtain a solution containing a poly(meth)acrylate-based viscosity index improver.
- For the obtained poly(meth)acrylate-based viscosity index improver, GPC analysis was carried out in the same manner as Example 1-1, and as a result, the weight-average molecular weight Mw was 210000, the number average molecular weight Mn was 186000, and the Mw/Mn was 1.13.
- A poly(meth)acrylate-based viscosity index improver was synthesized in the following condition (designated as “Synthesis Condition 1-4”).
- 30 g of a highly-refined mineral oil as a solvent was charged into a 300 ml four-neck reaction flask fitted with a stirring blade (with vacuum seal), a Dimroth condenser, a three-way cock for introducing nitrogen, and a dropping funnel for introducing a sample, and it was stirred for 1 hour in an oil bath at 85° C. while carrying out nitrogen purge. A raw material in which 12 g of methyl methacrylate (C1-MA) and 18 g of stearyl methacrylate (C18-MA) as raw material monomers, and 0.12 g of azobisisobutyronitrile (AIBN) as a radical initiator are mixed was charged into the dropping funnel for introducing a sample, and the raw material was dropped in the reaction flask for 70 minutes. After that, polymerization was carried out for 8 hours at 85° C. under nitrogen flow while maintaining stirring to obtain a solution containing a poly(meth)acrylate-based viscosity index improver. After that, unreacted monomers were removed from the above-described solution by carrying out vacuum distillation for 3 hours at 130° C. and 1 mmHg.
- For the obtained poly(meth)acrylate-based viscosity index improver, GPC analysis was carried out in the same manner as Example 1-1, and as a result, the weight-average molecular weight Mw was 260000, the number average molecular weight Mn was 158000, and the Mw/Mn was 1.65.
- A poly(meth)acrylate-based viscosity index improver was synthesized in the same manner as any of the above-described Synthesis Conditions 1-1 to 1-4 other than changing the amount of the raw material blended as shown in Tables 1, 3, 5, and 7. It is to be noted that, in Tables, C12-MA represents a compound in which R1 and R2 in the formula (3) are a methyl group and a dodecyl group (straight-chain alkyl group having 12 carbon atoms), respectively, and moreover, C22-MA represents a compound in which R1 and R2 in the formula (3) are a methyl group and a docosanyl group (straight-chain alkyl group having 22 carbon atoms), respectively. Mw, Mn, and Mw/Mn of the obtained poly(meth)acrylate-based viscosity index improver are shown in Tables 2, 4, 6, and 8.
- The poly(meth)acrylate-based viscosity index improver obtained in each of Examples 1-1 to 1-15 and Comparative Examples 1-1 to 1-4, performance additives including a metallic (calcium sulfonate) cleaner, an ashless dispersant (succinimide), a friction modifier (glycerin monooleate), and a wear inhibitor (zinc dithiophosphate), and a highly-refined mineral oil (Group III base oil, kinematic viscosity at 100° C.: 4.2 mm2/s, VI: 125) were blended at a ratio shown in Tables 2, 4, 6, and 8 to prepare a lubricating composition.
- For each lubricating composition of Examples 1-1 to 1-15 and Comparative Examples 1-1 to 1-4, the kinematic viscosity at 100° C., the viscosity index, and the HTHS viscosities at 100° C. and 150° C. were respectively measured by methods in conformity with the following. The results are shown in Tables 2, 4, 6, and 8.
- Kinematic Viscosity: JIS K-2283-1993
- Viscosity Index: JIS K-2283-1993
- HTHS Viscosity: ASTM D-4683
-
TABLE 1 Amount Blended Example Example Example Example Example (g) 1-1 1-2 1-3 1-4 1-5 C1-MA 12.0 12.0 12.0 12.0 12.0 C18-MA 18.0 18.0 18.0 18.0 18.0 C12-MA — — — — — C22-MA — — — — — CDTBA 0.030 0.031 0.033 0.078 0.077 AIBN 0.052 0.051 0.055 0.013 0.013 Synthesis 1-1 1-2 1-3 1-3 1-1 Condition Yield (%) 95.2 94.3 94.5 90.8 98.8 -
TABLE 2 Example Example Example Example Example 1-1 1-2 1-3 1-4 1-5 Alkyl(meth)acrylate Blending Ratio (mass %) C1-MA 40 40 40 40 40 C18-MA 60 60 60 60 60 C12-MA — — — — — C22-MA — — — — — Mw 230,000 220,000 210,000 110,000 108,000 Mn 152,000 167,000 186,000 102,000 70,000 Mw/Mn 1.51 1.32 1.13 1.03 1.55 Blending Proportion in Lubricating composition (mass %) Base Oil Balance Balance Balance Balance Balance Performance Additive 9.5 9.5 9.5 9.5 9.5 Viscosity Index Improver 2.8 2. 2.7 2.8 3.3 Kinematic Viscosity 7.29 7.21 7.18 7.85 7.53 (mm2/s)/100° C. Viscosity Index 197 195 194 198 199 HTHS VISCOSITY (mPa · s) 150° C. 2.60 2.60 2.60 2.60 2.60 100° C. 4.98 4.89 4.80 4.88 4.96 -
TABLE 3 Example Example Example Example Example 1-6 1-7 1-8 1-9 1-10 Amount Blended (g) C1-MA 9.0 13.5 9.0 6.0 13.5 C18-MA 21.0 16.5 9.0 9.0 9.0 C12-MA — — 15.0 15.0 7.5 C22-MA — — — — — CDTBA 0.079 0.028 0.079 0.078 0.021 AIBN 0.014 0.005 0.013 0.012 0.003 Synthesis 1-3 1-1 1-1 1-3 1-1 Condition Yield (%) 95.3 95.0 93.8 94.8 95.2 -
TABLE 4 Example Example Example Example Example 1-6 1-7 1-8 1-9 1-10 Alkyl(meth)acrylate Blending Ratio (mass %) C1-MA 20 45 20 20 45 C18-MA 80 55 30 30 30 C12-MA — — 50 50 25 C22-MA — — — — — Mw 105,000 250,000 106,000 110,000 280,000 Mn 94,000 185,000 69,000 100,000 190,000 Mw/Mn 1.12 1.04 1.54 1.10 1.46 Blending Proportion in Lubricating composition (mass %) Base Oil Balance Balance Balance Balance Balance Performance Additive 9.5 9.5 9.5 9.5 9.5 Viscosity Index Improver 3.2 2.5 2.4 2.9 2.7 Kinematic Viscosity 7.62 7.14 7.62 7.53 7.47 (mm2/s)/100° C. Viscosity Index 198 194 191 198 205 HTHS VISCOSITY (mPa · s) 150° C. 2.60 2.60 2.60 2.60 2.60 100° C. 4.96 4.76 5.04 4.99 4.86 -
TABLE 5 Example Example Example Example Example 1-11 1-12 1-13 1-14 1-15 Amount Blended (g) C1-MA 12.0 12.0 12.0 13.5 13.5 C18-MA 9.0 9.0 9.0 16.5 7.5 C12-MA — 4.5 9.0 — 4.5 C22-MA 9.0 4.5 — — 4.5 CDTBA 0.031 0.039 0.031 0.029 0.042 AIBN 0.005 0.007 0.005 0.005 0.007 Synthesis 1-2 1-3 1-3 1-3 1-3 Condition Yield (%) 95.2 94.3 94.5 90.8 97.2 -
TABLE 6 Example Example Example Example Example 1-11 1-12 1-13 1-14 1-15 Alkyl(meth)acrylate Blending Ratio (mass %) C1-MA 40 40 40 45 45 C18-MA 30 30 30 55 25 C12-MA — 15 30 — 15 C22-MA 30 15 — — 15 Mw 230,000 198,000 228,000 250,000 198,000 Mn 174,000 175,000 211,000 247,000 187,000 Mw/Mn 1.32 1.13 1.08 1.01 1.06 Blending Proportion in Lubricating composition (mass %) Base Oil Balance Balance Balance Balance Balance Performance Additive 9.5 9.5 9.5 9.5 9.5 Viscosity Index Improver 2.8 3.3 3.2 2.5 2.9 Kinematic Viscosity 7.35 7.53 7.62 7.14 7.41 (mm2/s)/100° C. Viscosity Index 198 199 198 194 194 HTHS VISCOSITY (mPa · s) 150° C. 2.60 2.60 2.60 2.60 2.60 100° C. 4.92 4.89 4.82 4.80 5.18 -
TABLE 7 Comparative Comparative Comparative Comparative Example 1-1 Example 1-2 Example 1-3 Example 1-4 Amount Blended (g) C1-MA 12.0 12.0 9.0 9.0 C18-MA 18.0 18.0 9.0 9.0 C12-MA — — 12.0 12.0 C22-MA — — — — CDTBA — 0.085 0.029 — AIBN 0.010 0.013 0.010 0.091 Synthesis 1-4 1-1 1-1 1-4 Condition Yield (%) 95.1 98.9 96.2 99.5 -
TABLE 8 Comparative Comparative Comparative Comparative Example 1-1 Example 1-2 Example 1-3 Example 1-4 Alkyl(meth)acrylate Blending Ratio (mass %) C1-MA 45 45 30 30 C18-MA 55 55 30 30 C12-MA — — 40 40 C22-MA — — — — Mw 260,000 98,000 240,000 240,000 Mn 158,000 90,000 148,000 148,000 Mw/Mn 1.65 1.09 1.62 1.62 Blending Proportion in Lubricating composition (mass %) Base Oil Balance Balance Balance Balance Performance Additive 9.5 9.5 9.5 9.5 Viscosity Index Improver 2.2 3.8 2.9 2.9 Kinematic Viscosity 7.28 7.13 7.39 7.39 (mm2/s)/100° C. Viscosity Index 195 189 215 215 HTHS VISCOSITY (mPa · s) 150° C. 2.60 2.60 2.60 2.60 100° C. 5.28 5.45 5.48 5.45 - A poly(meth)acrylate-based viscosity index improver was synthesized in the following condition (designated as “Synthesis Condition 2-1”).
- 12 g of methyl methacrylate (compound in which both R1 and R2 in the formula (3) are methyl groups, and hereinafter, designated as “C1-MA”), 18 g of stearyl methacrylate (compound in which R1 and R2 in the formula (3) are a methyl group and a stearyl group (straight-chain alkyl group having 18 carbon atoms), respectively, and hereinafter, designated as “C18-MA”), 0.081 g of cumyl dithiobenzoic acid (CDTBA), and 30 g of a highly-refined mineral oil as a solvent were charged into a 300 ml five-neck separable flask fitted with an anchor-type metal stirring blade (with vacuum seal), a Dimroth condenser, a three-way cock for introducing nitrogen, and a sample inlet, and a homogeneous solution was obtained under stirring. The solution was cooled to 0° C. on an ice bath, and vacuum deaeration/nitrogen purge of a reaction system was carried out 5 times using a diaphragm pump. Furthermore, from the sample inlet, as a radical initiator, 0.014 g of azobisisobutyronitrile (AIBN) was charged under nitrogen flow, and then, polymerization was carried out for 12 hours at the solution temperature of 110° C. under a nitrogen atmosphere to obtain a solution containing a poly(meth)acrylate-based viscosity index improver.
- For the obtained poly(meth)acrylate-based viscosity index improver, the weight-average molecular weight Mw and the number average molecular weight Mn were measured by GPC analysis. As a result, the weight-average molecular weight Mw was 83000, the number average molecular weight Mn was 55000, and Mw/Mn was 1.51. The procedure of the GPC analysis is as follows.
- A solution whose sample concentration is 2 mass % was prepared by dilution using tetrahydrofuran as a solvent. The sample solution was analyzed using GPC equipment (Waters Alliance2695). The analysis was carried out at the flow rate of the solvent of 1 ml/min, by using a column whose analyzable molecular weight is 10000 to 256000, and a refractive index as a detector. It is to be noted that the relationship between the column retention time and the molecular weight was determined using a polystyrene standard whose molecular weight is definite and the molecular weight was determined from the obtained retention time based on the calibration curve which was separately made. The molecular weight (Mw and Mn) of the arm can be calculated by dividing the obtained molecular weight (Mw and Mn) by the number of functional groups of an initiator.
- A poly(meth)acrylate-based viscosity index improver was synthesized in the following condition (designated as “Synthesis Condition 2-2”).
- 12 g of methyl methacrylate (C1-MA), 18 g of stearyl methacrylate (C18-MA), 0.085 g of cumyl dithiobenzoic acid (CDTBA), and 30 g of a highly-refined mineral oil as a solvent were charged into a 300 ml five-neck separable flask fitted with an anchor-type metal stirring blade (with vacuum seal), a Dimroth condenser, a three-way cock for introducing nitrogen, and a sample inlet, and a homogeneous solution was obtained under stirring. The solution was cooled to 0° C. on an ice bath, and vacuum deaeration/nitrogen purge of a reaction system was carried out 5 times using a diaphragm pump. Furthermore, from the sample inlet, as a radical initiator, 0.013 g of azobisisobutyronitrile (AIBN) was charged under nitrogen flow, and then, polymerization was carried out for 12 hours at the solution temperature of 100° C. under a nitrogen atmosphere to obtain a solution containing a poly(meth)acrylate-based viscosity index improver.
- For the obtained poly(meth)acrylate-based viscosity index improver, GPC analysis was carried out in the same manner as Example 2-1, and as a result, the weight-average molecular weight Mw was 78000, the number average molecular weight Mn was 59000, and Mw/Mn was 1.32.
- A poly(meth)acrylate-based viscosity index improver was synthesized in the following condition (designated as “Synthesis Condition 2-3”).
- 12 g of methyl methacrylate (C1-MA), 18 g of stearyl methacrylate (C18-MA), 0.084 g of cumyl dithiobenzoic acid (CDTBA), and 30 g of a highly-refined mineral oil as a solvent were charged into a 300 ml five-neck separable flask fitted with an anchor-type metal stirring blade (with vacuum seal), a Dimroth condenser, a three-way cock for introducing nitrogen, and a sample inlet, and a homogeneous solution was obtained under stirring. The solution was cooled to 0° C. on an ice bath, and vacuum deaeration/nitrogen purge of a reaction system was carried out 5 times using a diaphragm pump. Furthermore, from the sample inlet, as a radical initiator, 0.014 g of azobisisobutyronitrile (AIBN) was charged under nitrogen flow, and then, polymerization was carried out for 12 hours at the solution temperature of 90° C. under a nitrogen atmosphere to obtain a solution containing a poly(meth)acrylate-based viscosity index improver.
- For the obtained poly(meth)acrylate-based viscosity index improver, GPC analysis was carried out in the same manner as Example 2-1, and as a result, the weight-average molecular weight Mw was 85000, the number average molecular weight Mn was 75000, and Mw/Mn was 1.13.
- A poly(meth)acrylate-based viscosity index improver was synthesized in the following condition (designated as “Synthesis Condition 2-4”).
- 30 g of a highly-refined mineral oil as a solvent was charged into a 300 ml four-neck reaction flask fitted with a stirring blade (with vacuum seal), a Dimroth condenser, a three-way cock for introducing nitrogen, and a dropping funnel for introducing a sample, and it was stirred for 1 hour in an oil bath at 85° C. while carrying out nitrogen purge. A raw material in which 12 g of methyl methacrylate (C1-MA) and 18 g of stearyl methacrylate (C18-MA) as raw material monomers, and 0.068 g of azobisisobutyronitrile (AIBN) as a radical initiator are mixed was charged into the dropping funnel for introducing a sample, and the raw material was dropped in the reaction flask for 70 minutes. After that, polymerization was carried out for 8 hours at 85° C. under nitrogen flow while maintaining stirring to obtain a solution containing a poly(meth)acrylate-based viscosity index improver. After that, unreacted monomers were removed from the above-described solution by carrying out vacuum distillation for 3 hours at 130° C. and 1 mmHg.
- For the obtained poly(meth)acrylate-based viscosity index improver, GPC analysis was carried out in the same manner as Example 2-1, and as a result, the weight-average molecular weight Mw was 18000, the number average molecular weight Mn was 11000, and Mw/Mn was 1.65.
- A poly(meth)acrylate-based viscosity index improver was synthesized in the same manner as any of the above-described Synthesis Conditions 2-1 to 2-4 other than changing the amount of the raw material blended as shown in Tables 9, 11, 13, and 15. It is to be noted that, in Tables, C12-MA represents a compound in which R1 and R2 in the formula (3) are a methyl group and a dodecyl group (straight-chain alkyl group having 12 carbon atoms), respectively, and moreover, C22-MA represents a compound in which R1 and R2 in the formula (3) are a methyl group and a docosanyl group (straight-chain alkyl group having 22 carbon atoms), respectively. Mw, Mn, and Mw/Mn of the obtained poly(meth)acrylate-based viscosity index improver are shown in Tables 2, 4, 6, and 8.
- The poly(meth)acrylate-based viscosity index improver obtained in each of Examples 2-1 to 2-14 and Comparative Examples 2-1 to 2-5, performance additives including a metallic (calcium sulfonate whose TBN is 300 mgKOH/g) cleaner, an ashless dispersant (succinimide), a friction modifier (oleylamide), a wear inhibitor (phosphoric acid), an antioxidant (diphenylamine), a metal deactivator (thiadiazole), and a sulfur additive (sulfide ester), and a highly-refined mineral oil (Group II base oil, kinematic viscosity at 100° C.: 3.3 mm2/s, VI: 110) were blended at a ratio shown in Tables 10, 12, 14, and 16 to prepare a lubricating composition.
- For each lubricating composition of Examples 2-1 to 14 and Comparative Examples 2-1 to 5, the kinematic viscosity at 100° C. and the viscosity index were respectively measured by methods in conformity with the following. The results are shown in Tables 10, 12, 14, and 16.
- Kinematic Viscosity: JIS K-2283-1993
- Viscosity Index: JIS K 2283-1993
- Moreover, the friction property of each lubricating composition of Examples 2-1 to 2-14 and Comparative Examples 2-1 to 2-5 was evaluated by a friction coefficient in a condition of constant load using a two cylinder rolling sliding friction tester. Specifically, a friction coefficient was averaged for 10 minutes from the start of the test in conditions where the test temperature is 80° C., the load is 142 N, the surface pressure is 0.48 GPa, the peripheral speed is 1.0 m/s, and the sliding ratio is 5.1%. The results are shown in Tables 10, 12, 14, and 16.
-
TABLE 9 Example Example Example Example Example 2-1 2-2 2-3 2-4 2-5 Amount Blended (g) C1-MA 12.0 12.0 12.0 12.0 12.0 C18-MA 18.0 18.0 18.0 18.0 18.0 C12-MA — — — — — C22-MA — — — — — CDTBA 0.081 0.085 0.084 0.079 0.402 AIBN 0.014 0.013 0.014 0.013 0.066 Synthesis 2-1 2-2 2-3 2-3 2-1 Condition Yield (%) 95.2 94.3 94.5 90.8 98.8 -
TABLE 10 Example Example Example Example Example 2-1 2-2 2-3 2-4 2-5 Alkyl(meth)acrylate Blending Ratio (mass %) C1-MA 40 40 40 40 40 C18-MA 60 60 60 60 60 C12-MA — — — — — C22-MA — — — — — Mw 83,000 78,000 85,000 98,000 18,000 Mn 55,000 59.000 75,000 95,000 11,600 Mw/Mn 1.51 1.32 1.13 1.03 1.55 Blending Proportion in Lubricating composition (mass %) Base Oil Balance Balance Balance Balance Balance Performance Additive 12.0 12.0 12.0 12.0 12.0 Viscosity Index Improver 1.8 2.1 2.2 2.1 3.5 Kinematic Viscosity 5.83 5.85 5.79 5.81 5.79 (mm2/s)/100° C. Viscosity Index 159 161 162 159 155 Friction Coefficient by 0.028 0.027 0.024 0.026 0.025 Two Cylinder Test -
TABLE 11 Example Example Example Example Example 2-6 2-7 2-8 2-9 2-10 Amount Blended (g) C1-MA 9.0 13.5 6.0 6.0 13.5 C18-MA 21.0 16.5 9.0 9.0 9.0 C12-MA — — 15.0 15.0 7.5 C22-MA — — — — — CDTBA 0.385 0.370 0.222 0.218 0.208 AIBN 0.071 0.070 0.035 0.033 0.031 Synthesis 2-3 2-1 2-1 2-3 2-1 Condition Yield (%) 95.3 95.0 93.8 94.8 95.2 -
TABLE 12 Example Example Example Example Example 2-6 2-7 2-8 2-9 2-10 Alkyl(meth)acrylate Blending Ratio (mass %) C1-MA 20 45 20 20 45 C18-MA 80 55 30 30 30 C12-MA — — 50 50 25 C22-MA — — — — — Mw 21,000 23,000 36,000 31,000 36,000 Mn 18,800 22,000 23,000 28,000 25,000 Mw/Mn 1.12 1.04 1.54 1.10 1.46 Blending Proportion in Lubricating composition (mass %) Base Oil Balance Balance Balance Balance Balance Performance Additive 12.0 12.0 12.0 12.0 12.0 Viscosity Index Improver 3.2 3.3 1.8 2.1 2.2 Kinematic Viscosity 5.83 5.88 5.83 5.85 5.91 (mm2/s)/100° C. Viscosity Index 156 157 156 157 158 Friction Coefficient by 0.027 0.024 0.023 0.024 0.023 Two Cylinder Test -
TABLE 13 Example Example Example Example 2-11 2-12 2-13 2-14 Amount Blended (g) C1-MA 12.0 12.0 12.0 13.5 C18-MA 9.0 9.0 9.0 16.5 C12-MA — 4.5 9.0 C22-MA 9.0 4.5 — — CDTBA 0.212 0.207 0.182 0.132 AIBN 0.032 0.030 0.026 0.022 Synthesis Condition 2-2 2-3 2-3 2-3 Yield (%) 95.2 94.3 94.5 90.8 -
TABLE 14 Example Example Example Example 2-11 2-12 2-13 2-14 Alkyl(meth)- acrylate Blending Ratio (mass %) C1-MA 40 40 40 45 C18-MA 30 30 30 55 C12-MA — 15 30 — C22-MA 30 15 — — Mw 33,000 38,000 48,000 60,000 Mn 25,000 33,000 44,000 59,000 Mw/Mn 1.32 1.13 1.08 1.01 Blending Proportion in Lubricating composition (mass %) Base Oil Balance Balance Balance Balance Performance 12.0 12.0 12.0 12.0 Additive Viscosity Index 2.1 3.5 3.2 3.3 Improver Kinematic 5.88 5.78 5.78 5.82 Viscosity (mm2/s)/ 100° C. Viscosity Index 157 158 159 158 Friction 0.024 0.023 0.025 0.024 Coefficient by Two Cylinder Test -
TABLE 15 Comp. Comp. Comp. Comp. Comp. Example Example Example Example Example 2-1 2-2 2-3 2-4 2-5 Amount Blended (g) C1-MA 12.0 12.0 9.0 12.0 9.0 C18-MA 18.0 18.0 9.0 18.0 9.0 C12-MA — — 12.0 — 12.0 C22-MA — — — — — CDTBA 0.404 0.070 0.072 — — AIBN 0.068 0.011 0.013 0.15 0.16 Synthesis 2-1 2-1 2-1 2-4 2-4 Condition Yield (%) 95.1 98.9 96.2 98.8 99.5 -
TABLE 16 Comp. Comp. Comp. Comp. Comp. Example Example Example Example Example 2-1 2-2 2-3 2-4 2-5 Alkyl(meth)acrylate Blending Ratio (mass %) C1-MA 45 45 30 40 30 C18-MA 55 55 30 60 30 C12-MA — — 40 — 40 C22-MA — — — — — Mw 18,000 120,000 116,000 95,000 89,000 Mn 11,000 110,000 71,000 49,000 40,000 Mw/Mn 1.65 1.09 1.62 1.95 2.23 Blending Proportion in Lubricating composition (mass %) Base Oil Balance Balance Balance Balance Balance Performance Additive 12.0 12.0 12.0 12.0 12.0 Viscosity Index Improver 1.8 2.1 2.2 2.4 2.1 Kinematic Viscosity 5.81 5.77 5.83 5.78 5.84 (mm2/s)/100° C. Viscosity Index 151 152 149 151 152 Friction Coefficient by 0.048 0.038 0.056 0.055 0.062 Two Cylinder Test
Claims (6)
1. A poly(meth)acrylate-based viscosity index improver comprising a polymer chain comprising a structural unit represented by the following formula (1), wherein a weight-average molecular weight Mw is 100000 or more, and a ratio of the weight-average molecular weight Mw to a number average molecular weight Mn, Mw/Mn, is 1.6 or less.
2. A poly(meth)acrylate-based viscosity index improver comprising a polymer chain comprising a structural unit represented by the following formula (1), wherein a weight-average molecular weight Mw is less than 100000, and a ratio of the weight-average molecular weight Mw to a number average molecular weight Mn, Mw/Mn, is 1.6 or less.
3. A lubricating oil additive comprising the poly(meth)acrylate-based viscosity index improver according to claim 1 .
4. A lubricating composition comprising:
a lubricating base oil; and
the poly(meth)acrylate-based viscosity index improver according to claim 1 .
5. A lubricating oil additive comprising the poly(meth)acrylate-based viscosity index improver according to claim 2 .
6. A lubricating composition comprising:
a lubricating base oil; and
the poly(meth)acrylate-based viscosity index improver according to claim 2 .
Applications Claiming Priority (21)
| Application Number | Priority Date | Filing Date | Title |
|---|---|---|---|
| JP2012-163622 | 2012-07-24 | ||
| JP2012163619 | 2012-07-24 | ||
| JP2012-163624 | 2012-07-24 | ||
| JP2012163624 | 2012-07-24 | ||
| JP2012-163619 | 2012-07-24 | ||
| JP2012163622 | 2012-07-24 | ||
| JP2013-079828 | 2013-04-05 | ||
| JP2013079830 | 2013-04-05 | ||
| JP2013-079830 | 2013-04-05 | ||
| JP2013079829 | 2013-04-05 | ||
| JP2013-079829 | 2013-04-05 | ||
| JP2013079828 | 2013-04-05 | ||
| JP2013079832 | 2013-04-05 | ||
| JP2013079816 | 2013-04-05 | ||
| JP2013-079832 | 2013-04-05 | ||
| JP2013-079816 | 2013-04-05 | ||
| JP2013142014A JP6018981B2 (en) | 2013-07-05 | 2013-07-05 | Poly (meth) acrylate viscosity index improver, and lubricating oil additive and lubricating oil composition containing the viscosity index improver |
| JP2013-142014 | 2013-07-05 | ||
| JP2013-142036 | 2013-07-05 | ||
| JP2013142036A JP6018982B2 (en) | 2013-07-05 | 2013-07-05 | Poly (meth) acrylate viscosity index improver, and lubricating oil additive and lubricating oil composition containing the viscosity index improver |
| PCT/JP2013/070100 WO2014017558A1 (en) | 2012-07-24 | 2013-07-24 | Poly(meth)acrylate viscosity index improver, and lubricating oil composition and lubricating oil additive containing said viscosity index improver |
Publications (1)
| Publication Number | Publication Date |
|---|---|
| US20150203782A1 true US20150203782A1 (en) | 2015-07-23 |
Family
ID=49997367
Family Applications (1)
| Application Number | Title | Priority Date | Filing Date |
|---|---|---|---|
| US14/413,773 Abandoned US20150203782A1 (en) | 2012-07-24 | 2013-07-24 | Poly(meth)acrylate viscosity index improver, and lubricating oil composition and lubricating oil additive containing said viscosity index improver |
Country Status (4)
| Country | Link |
|---|---|
| US (1) | US20150203782A1 (en) |
| EP (1) | EP2878657B1 (en) |
| CN (1) | CN104411811A (en) |
| WO (1) | WO2014017558A1 (en) |
Cited By (5)
| Publication number | Priority date | Publication date | Assignee | Title |
|---|---|---|---|---|
| US20170183601A1 (en) * | 2014-03-31 | 2017-06-29 | Idemitsu Kosan Co., Ltd. | Lubricating oil composition for an internal combustion engine |
| US10443013B2 (en) | 2014-09-17 | 2019-10-15 | Nippon Shokubai Co., Ltd. | Viscosity index improver, method for producing the same and lubricating oil composition |
| US10759888B2 (en) | 2016-01-12 | 2020-09-01 | Kuraray Co., Ltd. | (Meth) acrylate polymers |
| US10982167B2 (en) | 2016-09-21 | 2021-04-20 | Nippon Shokubai Co., Ltd. | Viscosity index improver and lubricating oil composition |
| US12168756B2 (en) | 2020-08-20 | 2024-12-17 | Sanyo Chemical Industries, Ltd. | Viscosity index improver composition and lubricating oil composition |
Families Citing this family (4)
| Publication number | Priority date | Publication date | Assignee | Title |
|---|---|---|---|---|
| US20200123295A1 (en) * | 2017-06-30 | 2020-04-23 | Kuraray Co., Ltd. | Methacrylic copolymer and solution containing same |
| CN111057606B (en) * | 2018-10-16 | 2022-03-11 | 中国石油化工股份有限公司 | Viscosity index improver and preparation method and application thereof |
| CN113150857A (en) * | 2020-11-30 | 2021-07-23 | 大连同康新材料科技有限公司 | Application of polymethacrylate as viscosity index improver of energy-saving hydraulic oil and energy-saving hydraulic oil |
| CN114369196B (en) * | 2022-01-17 | 2024-04-02 | 新乡市瑞丰新材料股份有限公司 | Polymethacrylate viscosity index improver and preparation method thereof |
Citations (13)
| Publication number | Priority date | Publication date | Assignee | Title |
|---|---|---|---|---|
| US4299714A (en) * | 1979-08-06 | 1981-11-10 | Nippon Oil Company, Ltd. | Hydrocarbon based central system fluid composition |
| US20040176256A1 (en) * | 2002-11-07 | 2004-09-09 | Nippon Oil Corporation | Lubricating oil composition for transmissions |
| WO2006009083A1 (en) * | 2004-07-16 | 2006-01-26 | Kuraray Co., Ltd. | Lubricating oil additive containing acrylic polymer and lubricating oil compositions |
| US20060135378A1 (en) * | 2003-02-21 | 2006-06-22 | Nippon Oil Corporation | Lubricating oil composition for transmissions |
| US20070244018A1 (en) * | 2004-10-25 | 2007-10-18 | Visger Daniel C | Star Polymers and Compositions Thereof |
| US20080280793A1 (en) * | 2003-11-28 | 2008-11-13 | Chevron Oronite S.A. | Additive composition for transmission oil containing hexagonal boron nitride and polymethacrylate or dispersant olefin co-polymer |
| US20090118150A1 (en) * | 2004-10-25 | 2009-05-07 | Marina Baum | Process for Preparing Polymers and Compositions Thereof |
| US20090305068A1 (en) * | 2006-12-01 | 2009-12-10 | Kuraray Co., Ltd. | Pressure-sensitive adhesive for optical films |
| US20100022728A1 (en) * | 2007-03-07 | 2010-01-28 | Shigeru Yamago | Living radical polymerization promoter |
| JP2011127029A (en) * | 2009-12-18 | 2011-06-30 | Sanyo Chem Ind Ltd | Viscosity index improver and lubricant composition |
| US20120071375A1 (en) * | 2009-06-04 | 2012-03-22 | Jx Nippon Oil & Energy Corporation | Lubricant oil composition |
| US20120283159A1 (en) * | 2010-01-07 | 2012-11-08 | Jx Nippon Oil & Energy Corporation | Lubricant composition |
| US20120289444A1 (en) * | 2006-04-24 | 2012-11-15 | The Lubrizol Corporation | Star Polymer Lubricating Composition |
Family Cites Families (19)
| Publication number | Priority date | Publication date | Assignee | Title |
|---|---|---|---|---|
| DE3930142A1 (en) | 1989-09-09 | 1991-03-21 | Roehm Gmbh | DISPERGING VISCOSITY INDEX IMPROVERS |
| CA2090200C (en) | 1992-03-20 | 2005-04-26 | Chung Y. Lai | Ashless dispersant polymethacrylate polymers |
| US5312884A (en) | 1993-04-30 | 1994-05-17 | Rohm And Haas Company | Copolymer useful as a pour point depressant for a lubricating oil |
| HUT69298A (en) | 1993-07-23 | 1995-09-28 | Rohm & Haas | Method of making a copolymer useful as viscosity index improving additive for hydraulic fluids |
| JP3831203B2 (en) | 2001-04-06 | 2006-10-11 | 三洋化成工業株式会社 | Viscosity index improver and lubricating oil composition |
| DE10335360B4 (en) | 2002-08-02 | 2010-09-09 | Sanyo Chemical Industries, Ltd. | Use of an oil-soluble copolymer as a viscosity index improver |
| JP4448311B2 (en) * | 2002-10-11 | 2010-04-07 | 三洋化成工業株式会社 | Viscosity index improver and lubricating oil composition |
| EP1686167B1 (en) | 2003-10-16 | 2016-05-25 | Nippon Oil Corporation | Lubricating oil additive and lubricating oil composition |
| JP4950667B2 (en) * | 2003-11-26 | 2012-06-13 | アーケマ・インコーポレイテッド | Precision radical method acrylic copolymer thickener |
| JP4536370B2 (en) | 2003-12-26 | 2010-09-01 | 三洋化成工業株式会社 | Lubricating oil composition |
| DE102005015931A1 (en) * | 2005-04-06 | 2006-10-12 | Rohmax Additives Gmbh | Polyalkyl (meth) acrylate copolymers with excellent properties |
| DE102005041528A1 (en) * | 2005-08-31 | 2007-03-01 | Rohmax Additives Gmbh | Multi-arm star-shaped polymer for use as lubricating oil additive, e.g. viscosity modifier or dispersant, has at least three arms containing units derived from esters of higher alkanols and unsaturated carboxylic acids |
| US9528070B2 (en) * | 2006-04-24 | 2016-12-27 | The Lubrizol Corporation | Star polymer lubricating composition |
| US9359577B2 (en) * | 2006-04-24 | 2016-06-07 | The Lubrizol Corporation | Star polymer lubricating composition |
| JP5607923B2 (en) * | 2006-05-08 | 2014-10-15 | ザ ルブリゾル コーポレイション | Novel polymers and methods for controlling viscosity |
| JP5184214B2 (en) | 2008-05-27 | 2013-04-17 | Jx日鉱日石エネルギー株式会社 | Lubricating oil composition for metal belt type continuously variable transmission |
| CN102239241B (en) * | 2008-10-07 | 2013-09-18 | 吉坤日矿日石能源株式会社 | Lubricant base oil and a process for producing the same, and lubricating oil composition |
| JP5829374B2 (en) * | 2009-06-04 | 2015-12-09 | Jx日鉱日石エネルギー株式会社 | Lubricating oil composition |
| WO2012076676A1 (en) * | 2010-12-10 | 2012-06-14 | Evonik Rohmax Additives Gmbh | A viscosity index improver comprising a polyalkyl(meth)acrylate polymer |
-
2013
- 2013-07-24 US US14/413,773 patent/US20150203782A1/en not_active Abandoned
- 2013-07-24 EP EP13823599.9A patent/EP2878657B1/en not_active Not-in-force
- 2013-07-24 CN CN201380034045.4A patent/CN104411811A/en active Pending
- 2013-07-24 WO PCT/JP2013/070100 patent/WO2014017558A1/en not_active Ceased
Patent Citations (14)
| Publication number | Priority date | Publication date | Assignee | Title |
|---|---|---|---|---|
| US4299714A (en) * | 1979-08-06 | 1981-11-10 | Nippon Oil Company, Ltd. | Hydrocarbon based central system fluid composition |
| US20040176256A1 (en) * | 2002-11-07 | 2004-09-09 | Nippon Oil Corporation | Lubricating oil composition for transmissions |
| US20060135378A1 (en) * | 2003-02-21 | 2006-06-22 | Nippon Oil Corporation | Lubricating oil composition for transmissions |
| US20080280793A1 (en) * | 2003-11-28 | 2008-11-13 | Chevron Oronite S.A. | Additive composition for transmission oil containing hexagonal boron nitride and polymethacrylate or dispersant olefin co-polymer |
| US20080058234A1 (en) * | 2004-07-16 | 2008-03-06 | Kuraray Co., Ltd. | Lubricating Oil Additive Containing Acrylic Polymer and Lubricating Oil Compositions |
| WO2006009083A1 (en) * | 2004-07-16 | 2006-01-26 | Kuraray Co., Ltd. | Lubricating oil additive containing acrylic polymer and lubricating oil compositions |
| US20070244018A1 (en) * | 2004-10-25 | 2007-10-18 | Visger Daniel C | Star Polymers and Compositions Thereof |
| US20090118150A1 (en) * | 2004-10-25 | 2009-05-07 | Marina Baum | Process for Preparing Polymers and Compositions Thereof |
| US20120289444A1 (en) * | 2006-04-24 | 2012-11-15 | The Lubrizol Corporation | Star Polymer Lubricating Composition |
| US20090305068A1 (en) * | 2006-12-01 | 2009-12-10 | Kuraray Co., Ltd. | Pressure-sensitive adhesive for optical films |
| US20100022728A1 (en) * | 2007-03-07 | 2010-01-28 | Shigeru Yamago | Living radical polymerization promoter |
| US20120071375A1 (en) * | 2009-06-04 | 2012-03-22 | Jx Nippon Oil & Energy Corporation | Lubricant oil composition |
| JP2011127029A (en) * | 2009-12-18 | 2011-06-30 | Sanyo Chem Ind Ltd | Viscosity index improver and lubricant composition |
| US20120283159A1 (en) * | 2010-01-07 | 2012-11-08 | Jx Nippon Oil & Energy Corporation | Lubricant composition |
Non-Patent Citations (1)
| Title |
|---|
| Karanikolopoulos, Giorgos et al "On the polymerization of alkyl Methacrylates with the Achiral Dimethylzirconocene Precursor Cp2ZrMe2", June 2001, Macromolecules, 34, 4697-4705 * |
Cited By (5)
| Publication number | Priority date | Publication date | Assignee | Title |
|---|---|---|---|---|
| US20170183601A1 (en) * | 2014-03-31 | 2017-06-29 | Idemitsu Kosan Co., Ltd. | Lubricating oil composition for an internal combustion engine |
| US10443013B2 (en) | 2014-09-17 | 2019-10-15 | Nippon Shokubai Co., Ltd. | Viscosity index improver, method for producing the same and lubricating oil composition |
| US10759888B2 (en) | 2016-01-12 | 2020-09-01 | Kuraray Co., Ltd. | (Meth) acrylate polymers |
| US10982167B2 (en) | 2016-09-21 | 2021-04-20 | Nippon Shokubai Co., Ltd. | Viscosity index improver and lubricating oil composition |
| US12168756B2 (en) | 2020-08-20 | 2024-12-17 | Sanyo Chemical Industries, Ltd. | Viscosity index improver composition and lubricating oil composition |
Also Published As
| Publication number | Publication date |
|---|---|
| EP2878657A4 (en) | 2015-07-08 |
| CN104411811A (en) | 2015-03-11 |
| EP2878657B1 (en) | 2018-06-13 |
| EP2878657A1 (en) | 2015-06-03 |
| WO2014017558A1 (en) | 2014-01-30 |
Similar Documents
| Publication | Publication Date | Title |
|---|---|---|
| EP2878657B1 (en) | Poly(meth)acrylate viscosity index improver, and lubricating oil composition and lubricating oil additive containing said viscosity index improver | |
| US20150322370A1 (en) | Poly(meth)acrylate-based viscosity index improver, lubricant additive and lubricant composition containing viscosity index improver | |
| US20150175926A1 (en) | Poly(meth)acrylate viscosity index improver, and lubricating oil composition and lubricating oil additive containing said viscosity index improver | |
| US10815445B2 (en) | Lubricating oil composition, lubricating method, and transmission | |
| US8785359B2 (en) | Lubricant oil composition | |
| WO2007001000A1 (en) | Base oil for hydraulic oil and hydraulic oil compositions | |
| US9783757B2 (en) | Poly(meth)acrylate-based viscosity index improver, lubricant additive and lubricant composition containing viscosity index improver | |
| JP6043245B2 (en) | Poly (meth) acrylate viscosity index improver, and lubricating oil additive and lubricating oil composition containing the viscosity index improver | |
| US11149227B2 (en) | Lubricating oil composition, lubricating method, and transmission | |
| JP6077954B2 (en) | Poly (meth) acrylate viscosity index improver, and lubricating oil additive and lubricating oil composition containing the viscosity index improver | |
| US10844311B2 (en) | Lubricating oil composition, lubricating method, and transmission | |
| JP6077955B2 (en) | Poly (meth) acrylate viscosity index improver, and lubricating oil additive and lubricating oil composition containing the viscosity index improver | |
| JP6088924B2 (en) | Poly (meth) acrylate viscosity index improver, and lubricating oil additive and lubricating oil composition containing the viscosity index improver | |
| JP6018982B2 (en) | Poly (meth) acrylate viscosity index improver, and lubricating oil additive and lubricating oil composition containing the viscosity index improver | |
| JP6077956B2 (en) | Poly (meth) acrylate viscosity index improver, and lubricating oil additive and lubricating oil composition containing the viscosity index improver | |
| JP6018981B2 (en) | Poly (meth) acrylate viscosity index improver, and lubricating oil additive and lubricating oil composition containing the viscosity index improver | |
| JP6113004B2 (en) | Poly (meth) acrylate viscosity index improver, and lubricating oil additive and lubricating oil composition containing the viscosity index improver |
Legal Events
| Date | Code | Title | Description |
|---|---|---|---|
| AS | Assignment |
Owner name: JX NIPPON OIL & ENERGY CORPORATION, JAPAN Free format text: ASSIGNMENT OF ASSIGNORS INTEREST;ASSIGNORS:MATSUI, SHIGEKI;MIYAMOTO, HIROYA;MATSUDA, HIROMITSU;AND OTHERS;SIGNING DATES FROM 20141212 TO 20141216;REEL/FRAME:034672/0670 |
|
| STPP | Information on status: patent application and granting procedure in general |
Free format text: NON FINAL ACTION MAILED |
|
| STCB | Information on status: application discontinuation |
Free format text: ABANDONED -- FAILURE TO RESPOND TO AN OFFICE ACTION |










