US20150079001A1 - Imaging agents and methods of imaging naaladase or psma - Google Patents
Imaging agents and methods of imaging naaladase or psma Download PDFInfo
- Publication number
- US20150079001A1 US20150079001A1 US14/285,282 US201414285282A US2015079001A1 US 20150079001 A1 US20150079001 A1 US 20150079001A1 US 201414285282 A US201414285282 A US 201414285282A US 2015079001 A1 US2015079001 A1 US 2015079001A1
- Authority
- US
- United States
- Prior art keywords
- optionally substituted
- compound
- ureido
- carboxy
- pentanedioic acid
- Prior art date
- Legal status (The legal status is an assumption and is not a legal conclusion. Google has not performed a legal analysis and makes no representation as to the accuracy of the status listed.)
- Abandoned
Links
- 238000003384 imaging method Methods 0.000 title claims abstract description 46
- 238000000034 method Methods 0.000 title claims abstract description 31
- 239000012216 imaging agent Substances 0.000 title description 22
- 150000001875 compounds Chemical class 0.000 claims abstract description 123
- 102100041003 Glutamate carboxypeptidase 2 Human genes 0.000 claims abstract description 45
- 101000892862 Homo sapiens Glutamate carboxypeptidase 2 Proteins 0.000 claims abstract description 42
- 206010028980 Neoplasm Diseases 0.000 claims abstract description 19
- 108090000369 Glutamate Carboxypeptidase II Proteins 0.000 claims abstract description 14
- 229920001481 poly(stearyl methacrylate) Polymers 0.000 claims abstract description 13
- 102100020995 Putative N-acetylated-alpha-linked acidic dipeptidase Human genes 0.000 claims abstract 11
- 125000004432 carbon atom Chemical group C* 0.000 claims description 72
- -1 125I Chemical compound 0.000 claims description 34
- 150000003839 salts Chemical class 0.000 claims description 28
- 230000027455 binding Effects 0.000 claims description 19
- 210000001519 tissue Anatomy 0.000 claims description 17
- 238000002600 positron emission tomography Methods 0.000 claims description 16
- 125000000547 substituted alkyl group Chemical group 0.000 claims description 16
- 125000000217 alkyl group Chemical group 0.000 claims description 14
- 125000005017 substituted alkenyl group Chemical group 0.000 claims description 13
- 125000004426 substituted alkynyl group Chemical group 0.000 claims description 13
- 239000000203 mixture Substances 0.000 claims description 12
- 125000001231 benzoyloxy group Chemical group C(C1=CC=CC=C1)(=O)O* 0.000 claims description 11
- 125000005415 substituted alkoxy group Chemical group 0.000 claims description 11
- 206010060862 Prostate cancer Diseases 0.000 claims description 10
- 208000000236 Prostatic Neoplasms Diseases 0.000 claims description 10
- 230000033115 angiogenesis Effects 0.000 claims description 10
- 125000001153 fluoro group Chemical group F* 0.000 claims description 10
- 229910052760 oxygen Inorganic materials 0.000 claims description 10
- 125000003107 substituted aryl group Chemical group 0.000 claims description 10
- 201000011510 cancer Diseases 0.000 claims description 9
- 208000037265 diseases, disorders, signs and symptoms Diseases 0.000 claims description 9
- 125000001997 phenyl group Chemical group [H]C1=C([H])C([H])=C(*)C([H])=C1[H] 0.000 claims description 9
- 125000003118 aryl group Chemical group 0.000 claims description 8
- 125000001797 benzyl group Chemical group [H]C1=C([H])C([H])=C(C([H])=C1[H])C([H])([H])* 0.000 claims description 8
- 239000008194 pharmaceutical composition Substances 0.000 claims description 8
- 125000004169 (C1-C6) alkyl group Chemical group 0.000 claims description 7
- 125000003709 fluoroalkyl group Chemical group 0.000 claims description 7
- 229910052736 halogen Inorganic materials 0.000 claims description 7
- 150000002367 halogens Chemical class 0.000 claims description 7
- 239000001301 oxygen Substances 0.000 claims description 7
- 208000035475 disorder Diseases 0.000 claims description 6
- 239000007850 fluorescent dye Substances 0.000 claims description 6
- 238000001727 in vivo Methods 0.000 claims description 6
- 230000024587 synaptic transmission, glutamatergic Effects 0.000 claims description 6
- 125000003282 alkyl amino group Chemical group 0.000 claims description 5
- 125000002102 aryl alkyloxo group Chemical group 0.000 claims description 5
- QVGXLLKOCUKJST-UHFFFAOYSA-N atomic oxygen Chemical group [O] QVGXLLKOCUKJST-UHFFFAOYSA-N 0.000 claims description 5
- 239000003937 drug carrier Substances 0.000 claims description 5
- 125000002887 hydroxy group Chemical group [H]O* 0.000 claims description 5
- 208000029147 Collagen-vascular disease Diseases 0.000 claims description 4
- 208000006011 Stroke Diseases 0.000 claims description 4
- 208000009443 Vascular Malformations Diseases 0.000 claims description 4
- 125000003710 aryl alkyl group Chemical group 0.000 claims description 4
- 125000000951 phenoxy group Chemical group [H]C1=C([H])C([H])=C(O*)C([H])=C1[H] 0.000 claims description 4
- 230000003518 presynaptic effect Effects 0.000 claims description 4
- 238000002603 single-photon emission computed tomography Methods 0.000 claims description 4
- 150000003573 thiols Chemical group 0.000 claims description 4
- 208000017442 Retinal disease Diseases 0.000 claims description 3
- 206010038923 Retinopathy Diseases 0.000 claims description 3
- 150000001356 alkyl thiols Chemical group 0.000 claims description 3
- 239000000298 carbocyanine Substances 0.000 claims description 3
- MHMNJMPURVTYEJ-UHFFFAOYSA-N fluorescein-5-isothiocyanate Chemical group O1C(=O)C2=CC(N=C=S)=CC=C2C21C1=CC=C(O)C=C1OC1=CC(O)=CC=C21 MHMNJMPURVTYEJ-UHFFFAOYSA-N 0.000 claims description 3
- 229910052739 hydrogen Inorganic materials 0.000 claims description 3
- 150000002431 hydrogen Chemical group 0.000 claims description 3
- 239000001257 hydrogen Substances 0.000 claims description 3
- QWYZFXLSWMXLDM-UHFFFAOYSA-M pinacyanol iodide Chemical compound [I-].C1=CC2=CC=CC=C2N(CC)C1=CC=CC1=CC=C(C=CC=C2)C2=[N+]1CC QWYZFXLSWMXLDM-UHFFFAOYSA-M 0.000 claims description 3
- 230000002285 radioactive effect Effects 0.000 claims description 3
- 150000003536 tetrazoles Chemical class 0.000 claims description 3
- 230000025366 tissue development Effects 0.000 claims description 3
- SIDURGOOUWWABT-UHFFFAOYSA-N 2-[(1-carboxy-4-fluoro-3-methylbutyl)carbamoylamino]pentanedioic acid Chemical compound FCC(C)CC(C(O)=O)NC(=O)NC(C(O)=O)CCC(O)=O SIDURGOOUWWABT-UHFFFAOYSA-N 0.000 claims description 2
- ZCEFBUNFMAZUCA-UHFFFAOYSA-N 2-[(1-carboxy-4-fluorobutyl)carbamoylamino]pentanedioic acid Chemical compound OC(=O)CCC(C(O)=O)NC(=O)NC(C(O)=O)CCCF ZCEFBUNFMAZUCA-UHFFFAOYSA-N 0.000 claims description 2
- JUWGPSVOKPPXPE-UHFFFAOYSA-N 2-[[1-carboxy-2-(2-fluoroethylsulfanyl)ethyl]carbamoylamino]pentanedioic acid Chemical compound OC(=O)CCC(C(O)=O)NC(=O)NC(C(O)=O)CSCCF JUWGPSVOKPPXPE-UHFFFAOYSA-N 0.000 claims description 2
- BYJQDHNZJRZCDQ-UHFFFAOYSA-N 2-[[1-carboxy-2-(2-fluorophenyl)ethyl]carbamoylamino]pentanedioic acid Chemical compound OC(=O)CCC(C(O)=O)NC(=O)NC(C(O)=O)CC1=CC=CC=C1F BYJQDHNZJRZCDQ-UHFFFAOYSA-N 0.000 claims description 2
- UTBHNBQNMBPVBT-UHFFFAOYSA-N 2-[[1-carboxy-2-(2-iodophenyl)ethyl]carbamoylamino]pentanedioic acid Chemical compound OC(=O)CCC(C(O)=O)NC(=O)NC(C(O)=O)CC1=CC=CC=C1I UTBHNBQNMBPVBT-UHFFFAOYSA-N 0.000 claims description 2
- QCFPTUSBCDYJPP-UHFFFAOYSA-N 2-[[1-carboxy-2-(3-fluorophenyl)ethyl]carbamoylamino]pentanedioic acid Chemical compound OC(=O)CCC(C(O)=O)NC(=O)NC(C(O)=O)CC1=CC=CC(F)=C1 QCFPTUSBCDYJPP-UHFFFAOYSA-N 0.000 claims description 2
- IDESCXKXWRDNON-UHFFFAOYSA-N 2-[[1-carboxy-2-(3-iodophenyl)ethyl]carbamoylamino]pentanedioic acid Chemical compound OC(=O)CCC(C(O)=O)NC(=O)NC(C(O)=O)CC1=CC=CC(I)=C1 IDESCXKXWRDNON-UHFFFAOYSA-N 0.000 claims description 2
- LUFUDRSGDBJDNH-UHFFFAOYSA-N 2-[[1-carboxy-2-(4-fluorophenyl)ethyl]carbamoylamino]pentanedioic acid Chemical compound OC(=O)CCC(C(O)=O)NC(=O)NC(C(O)=O)CC1=CC=C(F)C=C1 LUFUDRSGDBJDNH-UHFFFAOYSA-N 0.000 claims description 2
- GUNPTUQXZIVQBT-UHFFFAOYSA-N 2-[[1-carboxy-2-(4-hydroxy-3-iodophenyl)ethyl]carbamoylamino]pentanedioic acid Chemical compound OC(=O)CCC(C(O)=O)NC(=O)NC(C(O)=O)CC1=CC=C(O)C(I)=C1 GUNPTUQXZIVQBT-UHFFFAOYSA-N 0.000 claims description 2
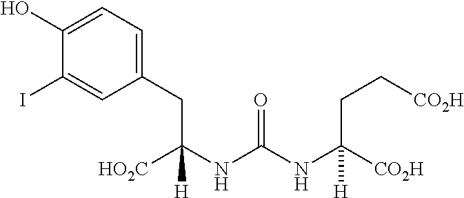
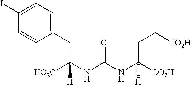
- ZKLFDLIKPAAAES-UHFFFAOYSA-N 2-[[1-carboxy-2-(4-iodophenyl)ethyl]carbamoylamino]pentanedioic acid Chemical compound OC(=O)CCC(C(O)=O)NC(=O)NC(C(O)=O)CC1=CC=C(I)C=C1 ZKLFDLIKPAAAES-UHFFFAOYSA-N 0.000 claims description 2
- MDVPKOIJGPTJAF-UHFFFAOYSA-N 2-[[1-carboxy-2-[(2-fluorophenyl)methylsulfanyl]ethyl]carbamoylamino]pentanedioic acid Chemical compound OC(=O)CCC(C(O)=O)NC(=O)NC(C(O)=O)CSCC1=CC=CC=C1F MDVPKOIJGPTJAF-UHFFFAOYSA-N 0.000 claims description 2
- AEOHUILBSLGAMP-UHFFFAOYSA-N 2-[[1-carboxy-2-[(3-fluorophenyl)methylsulfanyl]ethyl]carbamoylamino]pentanedioic acid Chemical compound OC(=O)CCC(C(O)=O)NC(=O)NC(C(O)=O)CSCC1=CC=CC(F)=C1 AEOHUILBSLGAMP-UHFFFAOYSA-N 0.000 claims description 2
- IDTMSHGCAZPVLC-UHFFFAOYSA-N 2-[[1-carboxy-2-[(4-fluorophenyl)methylsulfanyl]ethyl]carbamoylamino]pentanedioic acid Chemical compound OC(=O)CCC(C(O)=O)NC(=O)NC(C(O)=O)CSCC1=CC=C(F)C=C1 IDTMSHGCAZPVLC-UHFFFAOYSA-N 0.000 claims description 2
- RKJULOXEVQZOSJ-UHFFFAOYSA-N 2-[[1-carboxy-2-[4-(2-fluorobenzoyl)oxyphenyl]ethyl]carbamoylamino]pentanedioic acid Chemical compound C1=CC(CC(NC(=O)NC(CCC(=O)O)C(O)=O)C(O)=O)=CC=C1OC(=O)C1=CC=CC=C1F RKJULOXEVQZOSJ-UHFFFAOYSA-N 0.000 claims description 2
- CFWUANMQRGBBOM-UHFFFAOYSA-N 2-[[1-carboxy-2-[4-(3-fluorobenzoyl)oxyphenyl]ethyl]carbamoylamino]pentanedioic acid Chemical compound C1=CC(CC(NC(=O)NC(CCC(=O)O)C(O)=O)C(O)=O)=CC=C1OC(=O)C1=CC=CC(F)=C1 CFWUANMQRGBBOM-UHFFFAOYSA-N 0.000 claims description 2
- GQNYZJUPFXGVGQ-UHFFFAOYSA-N 2-[[1-carboxy-2-[4-(4-fluorobenzoyl)oxyphenyl]ethyl]carbamoylamino]pentanedioic acid Chemical compound C1=CC(CC(NC(=O)NC(CCC(=O)O)C(O)=O)C(O)=O)=CC=C1OC(=O)C1=CC=C(F)C=C1 GQNYZJUPFXGVGQ-UHFFFAOYSA-N 0.000 claims description 2
- FWMURRJBNVRSGN-UHFFFAOYSA-N 2-[[1-carboxy-2-[4-[(4-fluorophenyl)methoxy]phenyl]ethyl]carbamoylamino]pentanedioic acid Chemical compound C1=CC(CC(NC(=O)NC(CCC(=O)O)C(O)=O)C(O)=O)=CC=C1OCC1=CC=C(F)C=C1 FWMURRJBNVRSGN-UHFFFAOYSA-N 0.000 claims description 2
- JRPCSDZQQLXRPO-UHFFFAOYSA-N 2-[[1-carboxy-2-[4-[4-(4-fluorobutyl)benzoyl]oxyphenyl]ethyl]carbamoylamino]pentanedioic acid Chemical compound C1=CC(CC(NC(=O)NC(CCC(=O)O)C(O)=O)C(O)=O)=CC=C1OC(=O)C1=CC=C(CCCCF)C=C1 JRPCSDZQQLXRPO-UHFFFAOYSA-N 0.000 claims description 2
- MYBNMQWYRAFUAW-UHFFFAOYSA-N 2-[[1-carboxy-2-[4-[4-(fluoromethyl)benzoyl]oxyphenyl]ethyl]carbamoylamino]pentanedioic acid Chemical compound C1=CC(CC(NC(=O)NC(CCC(=O)O)C(O)=O)C(O)=O)=CC=C1OC(=O)C1=CC=C(CF)C=C1 MYBNMQWYRAFUAW-UHFFFAOYSA-N 0.000 claims description 2
- LFJQGJXDPAYSGA-UHFFFAOYSA-N 2-[[carboxy-(2-fluorophenyl)methyl]carbamoylamino]pentanedioic acid Chemical compound OC(=O)CCC(C(O)=O)NC(=O)NC(C(O)=O)C1=CC=CC=C1F LFJQGJXDPAYSGA-UHFFFAOYSA-N 0.000 claims description 2
- QCQKYMNWRHSRBO-UHFFFAOYSA-N 2-[[carboxy-(3-fluorophenyl)methyl]carbamoylamino]pentanedioic acid Chemical compound OC(=O)CCC(C(O)=O)NC(=O)NC(C(O)=O)C1=CC=CC(F)=C1 QCQKYMNWRHSRBO-UHFFFAOYSA-N 0.000 claims description 2
- AROXNFCISHDCLH-UHFFFAOYSA-N 2-[[carboxy-(4-fluorophenyl)methyl]carbamoylamino]pentanedioic acid Chemical compound OC(=O)CCC(C(O)=O)NC(=O)NC(C(O)=O)C1=CC=C(F)C=C1 AROXNFCISHDCLH-UHFFFAOYSA-N 0.000 claims description 2
- 241000282326 Felis catus Species 0.000 claims description 2
- 206010027476 Metastases Diseases 0.000 claims description 2
- 241001494479 Pecora Species 0.000 claims description 2
- 238000002329 infrared spectrum Methods 0.000 claims description 2
- 239000003446 ligand Substances 0.000 claims description 2
- 230000005062 synaptic transmission Effects 0.000 claims description 2
- 125000001589 carboacyl group Chemical group 0.000 claims 2
- 241000271566 Aves Species 0.000 claims 1
- 241000282693 Cercopithecidae Species 0.000 claims 1
- 238000001959 radiotherapy Methods 0.000 claims 1
- 238000003325 tomography Methods 0.000 claims 1
- 150000003672 ureas Chemical class 0.000 abstract description 25
- 210000000056 organ Anatomy 0.000 abstract description 7
- 238000011282 treatment Methods 0.000 abstract description 6
- 230000001225 therapeutic effect Effects 0.000 abstract description 2
- 210000003734 kidney Anatomy 0.000 description 17
- 239000000700 radioactive tracer Substances 0.000 description 16
- WEVYAHXRMPXWCK-UHFFFAOYSA-N Acetonitrile Chemical compound CC#N WEVYAHXRMPXWCK-UHFFFAOYSA-N 0.000 description 15
- 230000000694 effects Effects 0.000 description 14
- VCMJCVGFSROFHV-WZGZYPNHSA-N tenofovir disoproxil fumarate Chemical compound OC(=O)\C=C\C(O)=O.N1=CN=C2N(C[C@@H](C)OCP(=O)(OCOC(=O)OC(C)C)OCOC(=O)OC(C)C)C=NC2=C1N VCMJCVGFSROFHV-WZGZYPNHSA-N 0.000 description 14
- 239000007924 injection Substances 0.000 description 13
- 238000002347 injection Methods 0.000 description 13
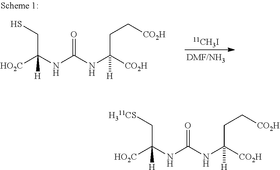
- 0 *C(COC=O)NC(=O)NC(CCC)C(=O)OC Chemical compound *C(COC=O)NC(=O)NC(CCC)C(=O)OC 0.000 description 12
- 241001465754 Metazoa Species 0.000 description 11
- ZMXDDKWLCZADIW-UHFFFAOYSA-N N,N-Dimethylformamide Chemical compound CN(C)C=O ZMXDDKWLCZADIW-UHFFFAOYSA-N 0.000 description 11
- 108090000790 Enzymes Proteins 0.000 description 10
- 102000004190 Enzymes Human genes 0.000 description 10
- FAPWRFPIFSIZLT-UHFFFAOYSA-M Sodium chloride Chemical compound [Na+].[Cl-] FAPWRFPIFSIZLT-UHFFFAOYSA-M 0.000 description 10
- 210000004369 blood Anatomy 0.000 description 10
- 239000008280 blood Substances 0.000 description 10
- XSQUKJJJFZCRTK-UHFFFAOYSA-N Urea Chemical compound NC(N)=O XSQUKJJJFZCRTK-UHFFFAOYSA-N 0.000 description 9
- 210000004556 brain Anatomy 0.000 description 9
- 235000013877 carbamide Nutrition 0.000 description 9
- 125000000623 heterocyclic group Chemical group 0.000 description 9
- 230000004060 metabolic process Effects 0.000 description 9
- 239000000243 solution Substances 0.000 description 9
- 241000288906 Primates Species 0.000 description 8
- 230000005855 radiation Effects 0.000 description 8
- XLYOFNOQVPJJNP-UHFFFAOYSA-N water Substances O XLYOFNOQVPJJNP-UHFFFAOYSA-N 0.000 description 8
- 241000699670 Mus sp. Species 0.000 description 7
- 239000002738 chelating agent Substances 0.000 description 7
- 239000011780 sodium chloride Substances 0.000 description 7
- 125000001424 substituent group Chemical group 0.000 description 7
- 230000008685 targeting Effects 0.000 description 7
- 241001504519 Papio ursinus Species 0.000 description 6
- 239000002253 acid Substances 0.000 description 6
- 125000004429 atom Chemical group 0.000 description 6
- 238000006243 chemical reaction Methods 0.000 description 6
- 238000004128 high performance liquid chromatography Methods 0.000 description 6
- 239000003112 inhibitor Substances 0.000 description 6
- 239000002243 precursor Substances 0.000 description 6
- 210000002307 prostate Anatomy 0.000 description 6
- 241000699666 Mus <mouse, genus> Species 0.000 description 5
- 125000003545 alkoxy group Chemical group 0.000 description 5
- 230000015572 biosynthetic process Effects 0.000 description 5
- 239000003638 chemical reducing agent Substances 0.000 description 5
- 238000009826 distribution Methods 0.000 description 5
- 238000003786 synthesis reaction Methods 0.000 description 5
- OPVPGKGADVGKTG-BQBZGAKWSA-N Ac-Asp-Glu Chemical compound CC(=O)N[C@@H](CC(O)=O)C(=O)N[C@H](C(O)=O)CCC(O)=O OPVPGKGADVGKTG-BQBZGAKWSA-N 0.000 description 4
- IJGRMHOSHXDMSA-UHFFFAOYSA-N Atomic nitrogen Chemical compound N#N IJGRMHOSHXDMSA-UHFFFAOYSA-N 0.000 description 4
- 241000283984 Rodentia Species 0.000 description 4
- DTQVDTLACAAQTR-UHFFFAOYSA-N Trifluoroacetic acid Chemical compound OC(=O)C(F)(F)F DTQVDTLACAAQTR-UHFFFAOYSA-N 0.000 description 4
- 125000002252 acyl group Chemical group 0.000 description 4
- 239000004202 carbamide Substances 0.000 description 4
- 210000004027 cell Anatomy 0.000 description 4
- 239000003795 chemical substances by application Substances 0.000 description 4
- 230000001054 cortical effect Effects 0.000 description 4
- 125000000753 cycloalkyl group Chemical group 0.000 description 4
- 125000001188 haloalkyl group Chemical group 0.000 description 4
- 229910052757 nitrogen Inorganic materials 0.000 description 4
- 231100000252 nontoxic Toxicity 0.000 description 4
- 230000003000 nontoxic effect Effects 0.000 description 4
- 125000004076 pyridyl group Chemical group 0.000 description 4
- 125000000714 pyrimidinyl group Chemical group 0.000 description 4
- 229920006395 saturated elastomer Polymers 0.000 description 4
- 239000000758 substrate Substances 0.000 description 4
- 125000001544 thienyl group Chemical group 0.000 description 4
- QGZKDVFQNNGYKY-UHFFFAOYSA-N Ammonia Chemical compound N QGZKDVFQNNGYKY-UHFFFAOYSA-N 0.000 description 3
- LFQSCWFLJHTTHZ-UHFFFAOYSA-N Ethanol Chemical compound CCO LFQSCWFLJHTTHZ-UHFFFAOYSA-N 0.000 description 3
- XEKOWRVHYACXOJ-UHFFFAOYSA-N Ethyl acetate Chemical compound CCOC(C)=O XEKOWRVHYACXOJ-UHFFFAOYSA-N 0.000 description 3
- PXGOKWXKJXAPGV-UHFFFAOYSA-N Fluorine Chemical compound FF PXGOKWXKJXAPGV-UHFFFAOYSA-N 0.000 description 3
- 125000003342 alkenyl group Chemical group 0.000 description 3
- 125000000304 alkynyl group Chemical group 0.000 description 3
- 230000000903 blocking effect Effects 0.000 description 3
- 229910052799 carbon Inorganic materials 0.000 description 3
- 210000003169 central nervous system Anatomy 0.000 description 3
- 125000001559 cyclopropyl group Chemical group [H]C1([H])C([H])([H])C1([H])* 0.000 description 3
- 238000001514 detection method Methods 0.000 description 3
- 238000003745 diagnosis Methods 0.000 description 3
- 201000010099 disease Diseases 0.000 description 3
- 125000001495 ethyl group Chemical group [H]C([H])([H])C([H])([H])* 0.000 description 3
- 230000029142 excretion Effects 0.000 description 3
- 229910052731 fluorine Inorganic materials 0.000 description 3
- 239000011737 fluorine Substances 0.000 description 3
- 125000002541 furyl group Chemical group 0.000 description 3
- 125000005842 heteroatom Chemical group 0.000 description 3
- 210000001320 hippocampus Anatomy 0.000 description 3
- 125000002883 imidazolyl group Chemical group 0.000 description 3
- 229910052740 iodine Inorganic materials 0.000 description 3
- 108010076560 isospaglumic acid Proteins 0.000 description 3
- 125000002496 methyl group Chemical group [H]C([H])([H])* 0.000 description 3
- 150000007522 mineralic acids Chemical class 0.000 description 3
- 125000002757 morpholinyl group Chemical group 0.000 description 3
- 210000003205 muscle Anatomy 0.000 description 3
- 125000001624 naphthyl group Chemical group 0.000 description 3
- 125000004433 nitrogen atom Chemical group N* 0.000 description 3
- 125000004193 piperazinyl group Chemical group 0.000 description 3
- 125000003386 piperidinyl group Chemical group 0.000 description 3
- 208000023958 prostate neoplasm Diseases 0.000 description 3
- 125000000719 pyrrolidinyl group Chemical group 0.000 description 3
- 125000000168 pyrrolyl group Chemical group 0.000 description 3
- 239000003381 stabilizer Substances 0.000 description 3
- 229910052717 sulfur Inorganic materials 0.000 description 3
- 239000003981 vehicle Substances 0.000 description 3
- SGRJLTOOQLQDRH-HTQZYQBOSA-N (2s)-2-[[[(2s)-2,4-dicarboxybutyl]-hydroxyphosphoryl]methyl]pentanedioic acid Chemical compound OC(=O)CC[C@@H](C(O)=O)CP(O)(=O)C[C@H](C(O)=O)CCC(O)=O SGRJLTOOQLQDRH-HTQZYQBOSA-N 0.000 description 2
- YYPNLXNMXQFMHG-GSEHKNNPSA-N (3r,5s,8s,9s,10s,13s,14s,17s)-17-acetyl-3-hydroxy-10,13-dimethyl-1,2,3,4,5,6,7,8,9,12,14,15,16,17-tetradecahydrocyclopenta[a]phenanthren-11-one;[2-[(3r,5s,8s,9s,10s,13s,14s,17s)-3-hydroxy-10,13-dimethyl-11-oxo-1,2,3,4,5,6,7,8,9,12,14,15,16,17-tetradecahyd Chemical compound C([C@@H]1CC2)[C@H](O)CC[C@]1(C)[C@@H]1[C@@H]2[C@@H]2CC[C@H](C(=O)C)[C@@]2(C)CC1=O.C([C@@H]1CC2)[C@H](O)CC[C@]1(C)[C@@H]1[C@@H]2[C@@H]2CC[C@H](C(=O)COC(=O)C)[C@@]2(C)CC1=O YYPNLXNMXQFMHG-GSEHKNNPSA-N 0.000 description 2
- 125000004178 (C1-C4) alkyl group Chemical group 0.000 description 2
- WXTMDXOMEHJXQO-UHFFFAOYSA-N 2,5-dihydroxybenzoic acid Chemical compound OC(=O)C1=CC(O)=CC=C1O WXTMDXOMEHJXQO-UHFFFAOYSA-N 0.000 description 2
- ZCYVEMRRCGMTRW-UHFFFAOYSA-N 7553-56-2 Chemical compound [I] ZCYVEMRRCGMTRW-UHFFFAOYSA-N 0.000 description 2
- QTBSBXVTEAMEQO-UHFFFAOYSA-M Acetate Chemical compound CC([O-])=O QTBSBXVTEAMEQO-UHFFFAOYSA-M 0.000 description 2
- 206010002091 Anaesthesia Diseases 0.000 description 2
- 241000272517 Anseriformes Species 0.000 description 2
- CIWBSHSKHKDKBQ-JLAZNSOCSA-N Ascorbic acid Chemical compound OC[C@H](O)[C@H]1OC(=O)C(O)=C1O CIWBSHSKHKDKBQ-JLAZNSOCSA-N 0.000 description 2
- BVKZGUZCCUSVTD-UHFFFAOYSA-M Bicarbonate Chemical compound OC([O-])=O BVKZGUZCCUSVTD-UHFFFAOYSA-M 0.000 description 2
- 241000283690 Bos taurus Species 0.000 description 2
- GUBOVMSAMQBUIR-UHFFFAOYSA-N CC.O=C=O.[H]C(CC1=CC=CC=C1)NC(=O)NC(CCC(=O)O)C(=O)O Chemical compound CC.O=C=O.[H]C(CC1=CC=CC=C1)NC(=O)NC(CCC(=O)O)C(=O)O GUBOVMSAMQBUIR-UHFFFAOYSA-N 0.000 description 2
- FAZLEIAXIMMONJ-UHFFFAOYSA-N CC.O=C=O.[H]C(NC(=O)NC(CCC(=O)O)C(=O)O)C1=CC=CC=C1 Chemical compound CC.O=C=O.[H]C(NC(=O)NC(CCC(=O)O)C(=O)O)C1=CC=CC=C1 FAZLEIAXIMMONJ-UHFFFAOYSA-N 0.000 description 2
- OKTJSMMVPCPJKN-UHFFFAOYSA-N Carbon Chemical compound [C] OKTJSMMVPCPJKN-UHFFFAOYSA-N 0.000 description 2
- 108010078791 Carrier Proteins Proteins 0.000 description 2
- RTZKZFJDLAIYFH-UHFFFAOYSA-N Diethyl ether Chemical compound CCOCC RTZKZFJDLAIYFH-UHFFFAOYSA-N 0.000 description 2
- 239000012630 HPLC buffer Substances 0.000 description 2
- KFZMGEQAYNKOFK-UHFFFAOYSA-N Isopropanol Chemical compound CC(C)O KFZMGEQAYNKOFK-UHFFFAOYSA-N 0.000 description 2
- WHUUTDBJXJRKMK-VKHMYHEASA-N L-glutamic acid Chemical compound OC(=O)[C@@H](N)CCC(O)=O WHUUTDBJXJRKMK-VKHMYHEASA-N 0.000 description 2
- 241000124008 Mammalia Species 0.000 description 2
- OTCCIMWXFLJLIA-UHFFFAOYSA-N N-acetyl-DL-aspartic acid Natural products CC(=O)NC(C(O)=O)CC(O)=O OTCCIMWXFLJLIA-UHFFFAOYSA-N 0.000 description 2
- OTCCIMWXFLJLIA-BYPYZUCNSA-N N-acetyl-L-aspartic acid Chemical compound CC(=O)N[C@H](C(O)=O)CC(O)=O OTCCIMWXFLJLIA-BYPYZUCNSA-N 0.000 description 2
- VMVLQIHJNHAVBE-UHFFFAOYSA-N O=C=O.[H]C(CSC)NC(=O)NC(CCC(=O)O)C(=O)O Chemical compound O=C=O.[H]C(CSC)NC(=O)NC(CCC(=O)O)C(=O)O VMVLQIHJNHAVBE-UHFFFAOYSA-N 0.000 description 2
- QRXIMVHJRNPDBS-UHFFFAOYSA-K O=C=O.[H]C(CS[Tc]12(=C)=S(CCS1)CCS2)NC(=O)NC(CCC(=O)O)C(=O)O Chemical compound O=C=O.[H]C(CS[Tc]12(=C)=S(CCS1)CCS2)NC(=O)NC(CCC(=O)O)C(=O)O QRXIMVHJRNPDBS-UHFFFAOYSA-K 0.000 description 2
- RSTLBGUNSDBPIZ-UHFFFAOYSA-N O=C=O.[H]C(C[Ar])NC(=O)NC(CCC(=O)O)C(=O)O Chemical compound O=C=O.[H]C(C[Ar])NC(=O)NC(CCC(=O)O)C(=O)O RSTLBGUNSDBPIZ-UHFFFAOYSA-N 0.000 description 2
- JFEFYBZWDOXBDS-UHFFFAOYSA-N O=C=O.[H]C([Ar])NC(=O)NC(CCC(=O)O)C(=O)O Chemical compound O=C=O.[H]C([Ar])NC(=O)NC(CCC(=O)O)C(=O)O JFEFYBZWDOXBDS-UHFFFAOYSA-N 0.000 description 2
- DPGBELTVIVOKAZ-LMOVPXPDSA-N O=C=O.[H]C([H])(CC1=CC=C(OC(=O)C2=CC=C(F)C=C2)C=C1)NC(=O)N[C@@]([H])(CCC(=O)O)C(=O)O Chemical compound O=C=O.[H]C([H])(CC1=CC=C(OC(=O)C2=CC=C(F)C=C2)C=C1)NC(=O)N[C@@]([H])(CCC(=O)O)C(=O)O DPGBELTVIVOKAZ-LMOVPXPDSA-N 0.000 description 2
- 239000008156 Ringer's lactate solution Substances 0.000 description 2
- UIIMBOGNXHQVGW-UHFFFAOYSA-M Sodium bicarbonate Chemical compound [Na+].OC([O-])=O UIIMBOGNXHQVGW-UHFFFAOYSA-M 0.000 description 2
- 241000282898 Sus scrofa Species 0.000 description 2
- WYURNTSHIVDZCO-UHFFFAOYSA-N Tetrahydrofuran Chemical compound C1CCOC1 WYURNTSHIVDZCO-UHFFFAOYSA-N 0.000 description 2
- 230000002378 acidificating effect Effects 0.000 description 2
- 125000001931 aliphatic group Chemical group 0.000 description 2
- 125000004644 alkyl sulfinyl group Chemical group 0.000 description 2
- 125000004390 alkyl sulfonyl group Chemical group 0.000 description 2
- 125000004414 alkyl thio group Chemical group 0.000 description 2
- 230000037005 anaesthesia Effects 0.000 description 2
- 125000006615 aromatic heterocyclic group Chemical group 0.000 description 2
- QVQLCTNNEUAWMS-UHFFFAOYSA-N barium oxide Chemical compound [Ba]=O QVQLCTNNEUAWMS-UHFFFAOYSA-N 0.000 description 2
- 239000002585 base Substances 0.000 description 2
- 125000000499 benzofuranyl group Chemical group O1C(=CC2=C1C=CC=C2)* 0.000 description 2
- 125000001164 benzothiazolyl group Chemical group S1C(=NC2=C1C=CC=C2)* 0.000 description 2
- 125000002619 bicyclic group Chemical group 0.000 description 2
- 210000000133 brain stem Anatomy 0.000 description 2
- 239000007975 buffered saline Substances 0.000 description 2
- FLJPGEWQYJVDPF-UHFFFAOYSA-L caesium sulfate Chemical compound [Cs+].[Cs+].[O-]S([O-])(=O)=O FLJPGEWQYJVDPF-UHFFFAOYSA-L 0.000 description 2
- 125000002837 carbocyclic group Chemical group 0.000 description 2
- 125000003178 carboxy group Chemical group [H]OC(*)=O 0.000 description 2
- 230000030570 cellular localization Effects 0.000 description 2
- 210000001638 cerebellum Anatomy 0.000 description 2
- 210000001072 colon Anatomy 0.000 description 2
- 238000007796 conventional method Methods 0.000 description 2
- 125000001995 cyclobutyl group Chemical group [H]C1([H])C([H])([H])C([H])(*)C1([H])[H] 0.000 description 2
- 125000000113 cyclohexyl group Chemical group [H]C1([H])C([H])([H])C([H])([H])C([H])(*)C([H])([H])C1([H])[H] 0.000 description 2
- 125000004210 cyclohexylmethyl group Chemical group [H]C([H])(*)C1([H])C([H])([H])C([H])([H])C([H])([H])C([H])([H])C1([H])[H] 0.000 description 2
- 125000001511 cyclopentyl group Chemical group [H]C1([H])C([H])([H])C([H])([H])C([H])(*)C1([H])[H] 0.000 description 2
- 125000004186 cyclopropylmethyl group Chemical group [H]C([H])(*)C1([H])C([H])([H])C1([H])[H] 0.000 description 2
- 230000003247 decreasing effect Effects 0.000 description 2
- ZUOUZKKEUPVFJK-UHFFFAOYSA-N diphenyl Chemical compound C1=CC=CC=C1C1=CC=CC=C1 ZUOUZKKEUPVFJK-UHFFFAOYSA-N 0.000 description 2
- 208000037765 diseases and disorders Diseases 0.000 description 2
- 239000000284 extract Substances 0.000 description 2
- 238000009472 formulation Methods 0.000 description 2
- 229930195712 glutamate Natural products 0.000 description 2
- 229940093915 gynecological organic acid Drugs 0.000 description 2
- 125000005843 halogen group Chemical group 0.000 description 2
- 150000002430 hydrocarbons Chemical group 0.000 description 2
- 125000004435 hydrogen atom Chemical group [H]* 0.000 description 2
- XLYOFNOQVPJJNP-UHFFFAOYSA-M hydroxide Chemical compound [OH-] XLYOFNOQVPJJNP-UHFFFAOYSA-M 0.000 description 2
- 238000000338 in vitro Methods 0.000 description 2
- 125000001041 indolyl group Chemical group 0.000 description 2
- 238000001802 infusion Methods 0.000 description 2
- 239000011630 iodine Substances 0.000 description 2
- 125000002183 isoquinolinyl group Chemical group C1(=NC=CC2=CC=CC=C12)* 0.000 description 2
- 125000000842 isoxazolyl group Chemical group 0.000 description 2
- 230000036210 malignancy Effects 0.000 description 2
- 239000002609 medium Substances 0.000 description 2
- 125000002950 monocyclic group Chemical group 0.000 description 2
- 238000005457 optimization Methods 0.000 description 2
- 150000007524 organic acids Chemical class 0.000 description 2
- 235000005985 organic acids Nutrition 0.000 description 2
- 125000000160 oxazolidinyl group Chemical group 0.000 description 2
- 125000002971 oxazolyl group Chemical group 0.000 description 2
- 125000004430 oxygen atom Chemical group O* 0.000 description 2
- VLTRZXGMWDSKGL-UHFFFAOYSA-N perchloric acid Chemical compound OCl(=O)(=O)=O VLTRZXGMWDSKGL-UHFFFAOYSA-N 0.000 description 2
- 125000003373 pyrazinyl group Chemical group 0.000 description 2
- 125000003226 pyrazolyl group Chemical group 0.000 description 2
- 125000002294 quinazolinyl group Chemical group N1=C(N=CC2=CC=CC=C12)* 0.000 description 2
- 125000002943 quinolinyl group Chemical group N1=C(C=CC2=CC=CC=C12)* 0.000 description 2
- 230000009467 reduction Effects 0.000 description 2
- 238000011160 research Methods 0.000 description 2
- 230000004044 response Effects 0.000 description 2
- 239000000523 sample Substances 0.000 description 2
- 210000000813 small intestine Anatomy 0.000 description 2
- 239000011734 sodium Substances 0.000 description 2
- 239000002904 solvent Substances 0.000 description 2
- 230000006641 stabilisation Effects 0.000 description 2
- 238000011105 stabilization Methods 0.000 description 2
- 230000003068 static effect Effects 0.000 description 2
- 239000000126 substance Substances 0.000 description 2
- 125000000472 sulfonyl group Chemical group *S(*)(=O)=O 0.000 description 2
- 150000003462 sulfoxides Chemical class 0.000 description 2
- 125000004434 sulfur atom Chemical group 0.000 description 2
- 229910052713 technetium Inorganic materials 0.000 description 2
- GKLVYJBZJHMRIY-UHFFFAOYSA-N technetium atom Chemical compound [Tc] GKLVYJBZJHMRIY-UHFFFAOYSA-N 0.000 description 2
- 125000003718 tetrahydrofuranyl group Chemical group 0.000 description 2
- 125000000335 thiazolyl group Chemical group 0.000 description 2
- 150000003568 thioethers Chemical class 0.000 description 2
- 125000004306 triazinyl group Chemical group 0.000 description 2
- 210000002700 urine Anatomy 0.000 description 2
- 239000003643 water by type Substances 0.000 description 2
- YXTDAZMTQFUZHK-ZVGUSBNCSA-L (2r,3r)-2,3-dihydroxybutanedioate;tin(2+) Chemical compound [Sn+2].[O-]C(=O)[C@H](O)[C@@H](O)C([O-])=O YXTDAZMTQFUZHK-ZVGUSBNCSA-L 0.000 description 1
- 125000006552 (C3-C8) cycloalkyl group Chemical group 0.000 description 1
- 125000004502 1,2,3-oxadiazolyl group Chemical group 0.000 description 1
- 125000004511 1,2,3-thiadiazolyl group Chemical group 0.000 description 1
- 125000001399 1,2,3-triazolyl group Chemical group N1N=NC(=C1)* 0.000 description 1
- 125000004504 1,2,4-oxadiazolyl group Chemical group 0.000 description 1
- 125000004514 1,2,4-thiadiazolyl group Chemical group 0.000 description 1
- 125000001376 1,2,4-triazolyl group Chemical group N1N=C(N=C1)* 0.000 description 1
- 125000004506 1,2,5-oxadiazolyl group Chemical group 0.000 description 1
- 125000004517 1,2,5-thiadiazolyl group Chemical group 0.000 description 1
- 125000001781 1,3,4-oxadiazolyl group Chemical group 0.000 description 1
- 125000004520 1,3,4-thiadiazolyl group Chemical group 0.000 description 1
- AZUYLZMQTIKGSC-UHFFFAOYSA-N 1-[6-[4-(5-chloro-6-methyl-1H-indazol-4-yl)-5-methyl-3-(1-methylindazol-5-yl)pyrazol-1-yl]-2-azaspiro[3.3]heptan-2-yl]prop-2-en-1-one Chemical compound ClC=1C(=C2C=NNC2=CC=1C)C=1C(=NN(C=1C)C1CC2(CN(C2)C(C=C)=O)C1)C=1C=C2C=NN(C2=CC=1)C AZUYLZMQTIKGSC-UHFFFAOYSA-N 0.000 description 1
- 125000005955 1H-indazolyl group Chemical group 0.000 description 1
- PYONUDVKVMNBIT-UHFFFAOYSA-N 2-[(1-carboxy-2-methylsulfanylethyl)carbamoylamino]-4-(2h-tetrazol-5-yl)butanoic acid Chemical compound CSCC(C(O)=O)NC(=O)NC(C(O)=O)CCC1=NN=NN1 PYONUDVKVMNBIT-UHFFFAOYSA-N 0.000 description 1
- GEBKIACMQKJRSQ-UHFFFAOYSA-N 2-[(1-methoxy-4-methylsulfanyl-1-oxobutan-2-yl)carbamoylamino]pentanedioic acid Chemical compound CSCCC(C(=O)OC)NC(=O)NC(CCC(O)=O)C(O)=O GEBKIACMQKJRSQ-UHFFFAOYSA-N 0.000 description 1
- XZJDAYMOJPBRKG-UHFFFAOYSA-N 2-[[carboxy-(4-methoxyphenyl)methyl]carbamoylamino]pentanedioic acid Chemical compound COC1=CC=C(C(NC(=O)NC(CCC(O)=O)C(O)=O)C(O)=O)C=C1 XZJDAYMOJPBRKG-UHFFFAOYSA-N 0.000 description 1
- 125000005273 2-acetoxybenzoic acid group Chemical group 0.000 description 1
- 125000001622 2-naphthyl group Chemical group [H]C1=C([H])C([H])=C2C([H])=C(*)C([H])=C([H])C2=C1[H] 0.000 description 1
- DUHUCHOQIDJXAT-OLVMNOGESA-N 3-hydroxy-(3-α,5-α)-Pregnane-11,20-dione Chemical compound C([C@@H]1CC2)[C@H](O)CC[C@]1(C)[C@@H]1[C@@H]2[C@@H]2CC[C@H](C(=O)C)[C@@]2(C)CC1=O DUHUCHOQIDJXAT-OLVMNOGESA-N 0.000 description 1
- 125000005925 3-methylpentyloxy group Chemical group 0.000 description 1
- GAMYYCRTACQSBR-UHFFFAOYSA-N 4-azabenzimidazole Chemical compound C1=CC=C2NC=NC2=N1 GAMYYCRTACQSBR-UHFFFAOYSA-N 0.000 description 1
- 125000002471 4H-quinolizinyl group Chemical group C=1(C=CCN2C=CC=CC12)* 0.000 description 1
- 229940122361 Bisphosphonate Drugs 0.000 description 1
- 206010005003 Bladder cancer Diseases 0.000 description 1
- CPELXLSAUQHCOX-UHFFFAOYSA-M Bromide Chemical compound [Br-] CPELXLSAUQHCOX-UHFFFAOYSA-M 0.000 description 1
- WKBOTKDWSSQWDR-UHFFFAOYSA-N Bromine atom Chemical compound [Br] WKBOTKDWSSQWDR-UHFFFAOYSA-N 0.000 description 1
- COVZYZSDYWQREU-UHFFFAOYSA-N Busulfan Chemical compound CS(=O)(=O)OCCCCOS(C)(=O)=O COVZYZSDYWQREU-UHFFFAOYSA-N 0.000 description 1
- YIUDZEAHEBNCMP-UHFFFAOYSA-N C(=O)(O)C(CC(C(C(=O)O)CCC(=O)O)([PH2]=O)O)CS Chemical compound C(=O)(O)C(CC(C(C(=O)O)CCC(=O)O)([PH2]=O)O)CS YIUDZEAHEBNCMP-UHFFFAOYSA-N 0.000 description 1
- AWJLIQRFYBCHID-HPWJVTAWSA-N C.C.CC.CC.CF.CF.O=C=O.O=C=O.O=C=O.O=C=O.[H]C([H])(CC1=CC=C(OC(=O)C2=CC=CC=C2)C=C1)NC(=O)N[C@@]([H])(CCC(=O)O)C(=O)O.[H]C([H])(CC1=CC=C(OC(=O)C2=CC=CC=C2)C=C1)NC(=O)N[C@@]([H])(CCC(=O)O)C(=O)O.[H]C([H])(CC1=CC=CC=C1)NC(=O)N[C@@]([H])(CCC(=O)O)C(=O)O.[H]C([H])(CC1=CC=CC=C1)NC(=O)N[C@@]([H])(CCC(=O)O)C(=O)O Chemical compound C.C.CC.CC.CF.CF.O=C=O.O=C=O.O=C=O.O=C=O.[H]C([H])(CC1=CC=C(OC(=O)C2=CC=CC=C2)C=C1)NC(=O)N[C@@]([H])(CCC(=O)O)C(=O)O.[H]C([H])(CC1=CC=C(OC(=O)C2=CC=CC=C2)C=C1)NC(=O)N[C@@]([H])(CCC(=O)O)C(=O)O.[H]C([H])(CC1=CC=CC=C1)NC(=O)N[C@@]([H])(CCC(=O)O)C(=O)O.[H]C([H])(CC1=CC=CC=C1)NC(=O)N[C@@]([H])(CCC(=O)O)C(=O)O AWJLIQRFYBCHID-HPWJVTAWSA-N 0.000 description 1
- CUMVRJWVEYYRJR-UHFFFAOYSA-N CC(C(O)=O)NC(NC(CCC(O)=O)C(O)=O)=O Chemical compound CC(C(O)=O)NC(NC(CCC(O)=O)C(O)=O)=O CUMVRJWVEYYRJR-UHFFFAOYSA-N 0.000 description 1
- 241000282472 Canis lupus familiaris Species 0.000 description 1
- 241000283707 Capra Species 0.000 description 1
- BVKZGUZCCUSVTD-UHFFFAOYSA-L Carbonate Chemical compound [O-]C([O-])=O BVKZGUZCCUSVTD-UHFFFAOYSA-L 0.000 description 1
- VEXZGXHMUGYJMC-UHFFFAOYSA-M Chloride anion Chemical compound [Cl-] VEXZGXHMUGYJMC-UHFFFAOYSA-M 0.000 description 1
- ZAMOUSCENKQFHK-UHFFFAOYSA-N Chlorine atom Chemical compound [Cl] ZAMOUSCENKQFHK-UHFFFAOYSA-N 0.000 description 1
- 241000699800 Cricetinae Species 0.000 description 1
- FBPFZTCFMRRESA-KVTDHHQDSA-N D-Mannitol Chemical compound OC[C@@H](O)[C@@H](O)[C@H](O)[C@H](O)CO FBPFZTCFMRRESA-KVTDHHQDSA-N 0.000 description 1
- RGHNJXZEOKUKBD-SQOUGZDYSA-M D-gluconate Chemical compound OC[C@@H](O)[C@@H](O)[C@H](O)[C@@H](O)C([O-])=O RGHNJXZEOKUKBD-SQOUGZDYSA-M 0.000 description 1
- FEWJPZIEWOKRBE-JCYAYHJZSA-N Dextrotartaric acid Chemical compound OC(=O)[C@H](O)[C@@H](O)C(O)=O FEWJPZIEWOKRBE-JCYAYHJZSA-N 0.000 description 1
- 108010016626 Dipeptides Proteins 0.000 description 1
- OTMSDBZUPAUEDD-UHFFFAOYSA-N Ethane Chemical compound CC OTMSDBZUPAUEDD-UHFFFAOYSA-N 0.000 description 1
- 241000287828 Gallus gallus Species 0.000 description 1
- 108091006151 Glutamate transporters Proteins 0.000 description 1
- 102000034575 Glutamate transporters Human genes 0.000 description 1
- 241000282412 Homo Species 0.000 description 1
- 229930194542 Keto Natural products 0.000 description 1
- 125000002435 L-phenylalanyl group Chemical group O=C([*])[C@](N([H])[H])([H])C([H])([H])C1=C([H])C([H])=C([H])C([H])=C1[H] 0.000 description 1
- 229930195725 Mannitol Natural products 0.000 description 1
- 108010006035 Metalloproteases Proteins 0.000 description 1
- 102000005741 Metalloproteases Human genes 0.000 description 1
- 206010029113 Neovascularisation Diseases 0.000 description 1
- KOMVYRWCBQBORV-LEEZPTOPSA-N O=C=O.O=C=O.O=C=O.[H]C([H])(CC1=CC=C(NC(=O)CCN2=C(/C=C/C=C/C=C/C=C3/NC4=C(C5=C(C=CC=C5)C=C4)C3(C)C)C(C)(C)C3=C2C=CC2=C3C=CC=C2)C=C1)NC(=O)N[C@@]([H])(CCC(=O)O)C(=O)O.[H]C1=C(C2C3=C(C=C(O)C=C3)CC3=CC(=O)C=CC32)C=CC(NC(=O)NCC(=O)CC2=CC=C(CC([H])([H])NC(=O)N[C@@]([H])(CCC(=O)O)C(=O)O)C=C2)=C1 Chemical compound O=C=O.O=C=O.O=C=O.[H]C([H])(CC1=CC=C(NC(=O)CCN2=C(/C=C/C=C/C=C/C=C3/NC4=C(C5=C(C=CC=C5)C=C4)C3(C)C)C(C)(C)C3=C2C=CC2=C3C=CC=C2)C=C1)NC(=O)N[C@@]([H])(CCC(=O)O)C(=O)O.[H]C1=C(C2C3=C(C=C(O)C=C3)CC3=CC(=O)C=CC32)C=CC(NC(=O)NCC(=O)CC2=CC=C(CC([H])([H])NC(=O)N[C@@]([H])(CCC(=O)O)C(=O)O)C=C2)=C1 KOMVYRWCBQBORV-LEEZPTOPSA-N 0.000 description 1
- KCBOKODUPAHMPS-FAGZNQJGSA-E O=C=O.O=C=O.O=C=O.[H]C([H])(CC1=CC=C(OC(=O)C2=CC=C(CS[Tc]34=S(CCS3)CCS4)C=C2)C=C1)NC(=O)N[C@@]([H])(CCC(=O)O)C(=O)O.[H]C([H])(CCS[Tc]12=S(CCS1)CCS2)NC(=O)N[C@@]([H])(CCC(=O)O)C(=O)O.[H]C([H])(CS[Tc]12=S(CCS1)CCS2)NC(=O)N[C@@]([H])(CCC1=NN=NC1)C(=O)O Chemical compound O=C=O.O=C=O.O=C=O.[H]C([H])(CC1=CC=C(OC(=O)C2=CC=C(CS[Tc]34=S(CCS3)CCS4)C=C2)C=C1)NC(=O)N[C@@]([H])(CCC(=O)O)C(=O)O.[H]C([H])(CCS[Tc]12=S(CCS1)CCS2)NC(=O)N[C@@]([H])(CCC(=O)O)C(=O)O.[H]C([H])(CS[Tc]12=S(CCS1)CCS2)NC(=O)N[C@@]([H])(CCC1=NN=NC1)C(=O)O KCBOKODUPAHMPS-FAGZNQJGSA-E 0.000 description 1
- UKAJLYSQHIPEDM-UHOBGDKHSA-N O=C=O.O=C=O.[11CH3]I.[H]C([H])(CC)NC(=O)N[C@@]([H])(CCC(=O)O)C(=O)O.[H]C([H])(CS)NC(=O)N[C@@]([H])(CCC(=O)O)C(=O)O Chemical compound O=C=O.O=C=O.[11CH3]I.[H]C([H])(CC)NC(=O)N[C@@]([H])(CCC(=O)O)C(=O)O.[H]C([H])(CS)NC(=O)N[C@@]([H])(CCC(=O)O)C(=O)O UKAJLYSQHIPEDM-UHOBGDKHSA-N 0.000 description 1
- FZZGVGRQQXADCX-UHFFFAOYSA-N O=C=O.O=C=O.[H]CCC([H])CP(=O)(O)CC(CCC(=O)O)C(=O)O Chemical compound O=C=O.O=C=O.[H]CCC([H])CP(=O)(O)CC(CCC(=O)O)C(=O)O FZZGVGRQQXADCX-UHFFFAOYSA-N 0.000 description 1
- HKRHROSVRLPBIL-UHFFFAOYSA-N O=C=O.[H]C(CC)NC(=O)NC(CCC(=O)O)C(=O)O Chemical compound O=C=O.[H]C(CC)NC(=O)NC(CCC(=O)O)C(=O)O HKRHROSVRLPBIL-UHFFFAOYSA-N 0.000 description 1
- OOAFAJFLVVFWRI-MTICXXPYSA-N O=C=O.[H]C([H])(CC(C)CF)NC(=O)N[C@@]([H])(CCC(=O)O)C(=O)O Chemical compound O=C=O.[H]C([H])(CC(C)CF)NC(=O)N[C@@]([H])(CCC(=O)O)C(=O)O OOAFAJFLVVFWRI-MTICXXPYSA-N 0.000 description 1
- SQMRWFGEDDQOQZ-MERQFXBCSA-N O=C=O.[H]C([H])(CC1=C(F)C=CC=C1)NC(=O)N[C@@]([H])(CCC(=O)O)C(=O)O Chemical compound O=C=O.[H]C([H])(CC1=C(F)C=CC=C1)NC(=O)N[C@@]([H])(CCC(=O)O)C(=O)O SQMRWFGEDDQOQZ-MERQFXBCSA-N 0.000 description 1
- WENXRLHPYGLDQP-MERQFXBCSA-N O=C=O.[H]C([H])(CC1=C(I)C=CC=C1)NC(=O)N[C@@]([H])(CCC(=O)O)C(=O)O Chemical compound O=C=O.[H]C([H])(CC1=C(I)C=CC=C1)NC(=O)N[C@@]([H])(CCC(=O)O)C(=O)O WENXRLHPYGLDQP-MERQFXBCSA-N 0.000 description 1
- CPUYARPMWCIOQN-MERQFXBCSA-N O=C=O.[H]C([H])(CC1=CC=C(F)C=C1)NC(=O)N[C@@]([H])(CCC(=O)O)C(=O)O Chemical compound O=C=O.[H]C([H])(CC1=CC=C(F)C=C1)NC(=O)N[C@@]([H])(CCC(=O)O)C(=O)O CPUYARPMWCIOQN-MERQFXBCSA-N 0.000 description 1
- XAUVIEIHIFQEJG-MERQFXBCSA-N O=C=O.[H]C([H])(CC1=CC=C(I)C=C1)NC(=O)N[C@@]([H])(CCC(=O)O)C(=O)O Chemical compound O=C=O.[H]C([H])(CC1=CC=C(I)C=C1)NC(=O)N[C@@]([H])(CCC(=O)O)C(=O)O XAUVIEIHIFQEJG-MERQFXBCSA-N 0.000 description 1
- PAXLWWVCFDRYJO-PPHPATTJSA-N O=C=O.[H]C([H])(CC1=CC=C(O)C(I)=C1)NC(=O)N[C@@]([H])(CCC(=O)O)C(=O)O Chemical compound O=C=O.[H]C([H])(CC1=CC=C(O)C(I)=C1)NC(=O)N[C@@]([H])(CCC(=O)O)C(=O)O PAXLWWVCFDRYJO-PPHPATTJSA-N 0.000 description 1
- TXERWIAAQWNIKG-LMOVPXPDSA-N O=C=O.[H]C([H])(CC1=CC=C(OC(=O)C2=C(F)C=CC=C2)C=C1)NC(=O)N[C@@]([H])(CCC(=O)O)C(=O)O Chemical compound O=C=O.[H]C([H])(CC1=CC=C(OC(=O)C2=C(F)C=CC=C2)C=C1)NC(=O)N[C@@]([H])(CCC(=O)O)C(=O)O TXERWIAAQWNIKG-LMOVPXPDSA-N 0.000 description 1
- JECBUBCKZUTYSB-LMOVPXPDSA-N O=C=O.[H]C([H])(CC1=CC=C(OC(=O)C2=CC(F)=CC=C2)C=C1)NC(=O)N[C@@]([H])(CCC(=O)O)C(=O)O Chemical compound O=C=O.[H]C([H])(CC1=CC=C(OC(=O)C2=CC(F)=CC=C2)C=C1)NC(=O)N[C@@]([H])(CCC(=O)O)C(=O)O JECBUBCKZUTYSB-LMOVPXPDSA-N 0.000 description 1
- JNKKVTGNIJJZGT-BOXHHOBZSA-N O=C=O.[H]C([H])(CC1=CC=C(OC(=O)C2=CC=C(CCCCF)C=C2)C=C1)NC(=O)N[C@@]([H])(CCC(=O)O)C(=O)O Chemical compound O=C=O.[H]C([H])(CC1=CC=C(OC(=O)C2=CC=C(CCCCF)C=C2)C=C1)NC(=O)N[C@@]([H])(CCC(=O)O)C(=O)O JNKKVTGNIJJZGT-BOXHHOBZSA-N 0.000 description 1
- UQHFKTAOIYCVNA-FERBBOLQSA-N O=C=O.[H]C([H])(CC1=CC=C(OC(=O)C2=CC=C(CF)C=C2)C=C1)NC(=O)N[C@@]([H])(CCC(=O)O)C(=O)O Chemical compound O=C=O.[H]C([H])(CC1=CC=C(OC(=O)C2=CC=C(CF)C=C2)C=C1)NC(=O)N[C@@]([H])(CCC(=O)O)C(=O)O UQHFKTAOIYCVNA-FERBBOLQSA-N 0.000 description 1
- HSAFQVJOOHAPFB-MERQFXBCSA-N O=C=O.[H]C([H])(CC1=CC=CC(F)=C1)NC(=O)N[C@@]([H])(CCC(=O)O)C(=O)O Chemical compound O=C=O.[H]C([H])(CC1=CC=CC(F)=C1)NC(=O)N[C@@]([H])(CCC(=O)O)C(=O)O HSAFQVJOOHAPFB-MERQFXBCSA-N 0.000 description 1
- SKLIHQGMQZARTQ-MERQFXBCSA-N O=C=O.[H]C([H])(CC1=CC=CC(I)=C1)NC(=O)N[C@@]([H])(CCC(=O)O)C(=O)O Chemical compound O=C=O.[H]C([H])(CC1=CC=CC(I)=C1)NC(=O)N[C@@]([H])(CCC(=O)O)C(=O)O SKLIHQGMQZARTQ-MERQFXBCSA-N 0.000 description 1
- KIWZCBUNIUPEGV-FJXQXJEOSA-N O=C=O.[H]C([H])(CCCF)NC(=O)N[C@@]([H])(CCC(=O)O)C(=O)O Chemical compound O=C=O.[H]C([H])(CCCF)NC(=O)N[C@@]([H])(CCC(=O)O)C(=O)O KIWZCBUNIUPEGV-FJXQXJEOSA-N 0.000 description 1
- DQXJLLLLLYSMAF-YIHIEIKQSA-N O=C=O.[H]C([H])(CCS[11CH3])NC(=O)N[C@@]([H])(CCC(=O)O)C(=O)O Chemical compound O=C=O.[H]C([H])(CCS[11CH3])NC(=O)N[C@@]([H])(CCC(=O)O)C(=O)O DQXJLLLLLYSMAF-YIHIEIKQSA-N 0.000 description 1
- SJGUNURJIFQCNC-QRPNPIFTSA-N O=C=O.[H]C([H])(CSC)NC(=O)N[C@@]([H])(CCC1=NN=NC1)C(=O)O Chemical compound O=C=O.[H]C([H])(CSC)NC(=O)N[C@@]([H])(CCC1=NN=NC1)C(=O)O SJGUNURJIFQCNC-QRPNPIFTSA-N 0.000 description 1
- QYHNXNKYHROYFC-YDALLXLXSA-N O=C=O.[H]C([H])(CSCC1=CC=C(F)C=C1)NC(=O)N[C@@]([H])(CCC(=O)O)C(=O)O Chemical compound O=C=O.[H]C([H])(CSCC1=CC=C(F)C=C1)NC(=O)N[C@@]([H])(CCC(=O)O)C(=O)O QYHNXNKYHROYFC-YDALLXLXSA-N 0.000 description 1
- AUZSTBFSEPKVGG-YDALLXLXSA-N O=C=O.[H]C([H])(CSCC1=CC=CC(F)=C1)NC(=O)N[C@@]([H])(CCC(=O)O)C(=O)O Chemical compound O=C=O.[H]C([H])(CSCC1=CC=CC(F)=C1)NC(=O)N[C@@]([H])(CCC(=O)O)C(=O)O AUZSTBFSEPKVGG-YDALLXLXSA-N 0.000 description 1
- PGPXGPLMFZSHIH-YDALLXLXSA-N O=C=O.[H]C([H])(CSCC1=CC=CC=C1F)NC(=O)N[C@@]([H])(CCC(=O)O)C(=O)O Chemical compound O=C=O.[H]C([H])(CSCC1=CC=CC=C1F)NC(=O)N[C@@]([H])(CCC(=O)O)C(=O)O PGPXGPLMFZSHIH-YDALLXLXSA-N 0.000 description 1
- PFWRYWPLHYWGKQ-FJXQXJEOSA-N O=C=O.[H]C([H])(CSCCF)NC(=O)N[C@@]([H])(CCC(=O)O)C(=O)O Chemical compound O=C=O.[H]C([H])(CSCCF)NC(=O)N[C@@]([H])(CCC(=O)O)C(=O)O PFWRYWPLHYWGKQ-FJXQXJEOSA-N 0.000 description 1
- UDFFQFYOKCHIHF-PPHPATTJSA-N O=C=O.[H]C([H])(NC(=O)N[C@@]([H])(CCC(=O)O)C(=O)O)C1=CC=C(F)C=C1 Chemical compound O=C=O.[H]C([H])(NC(=O)N[C@@]([H])(CCC(=O)O)C(=O)O)C1=CC=C(F)C=C1 UDFFQFYOKCHIHF-PPHPATTJSA-N 0.000 description 1
- FBCZGDWNJADMMF-MERQFXBCSA-N O=C=O.[H]C([H])(NC(=O)N[C@@]([H])(CCC(=O)O)C(=O)O)C1=CC=C(OC)C=C1 Chemical compound O=C=O.[H]C([H])(NC(=O)N[C@@]([H])(CCC(=O)O)C(=O)O)C1=CC=C(OC)C=C1 FBCZGDWNJADMMF-MERQFXBCSA-N 0.000 description 1
- STTZSPGSDHBWLA-PPHPATTJSA-N O=C=O.[H]C([H])(NC(=O)N[C@@]([H])(CCC(=O)O)C(=O)O)C1=CC=CC(F)=C1 Chemical compound O=C=O.[H]C([H])(NC(=O)N[C@@]([H])(CCC(=O)O)C(=O)O)C1=CC=CC(F)=C1 STTZSPGSDHBWLA-PPHPATTJSA-N 0.000 description 1
- MSFPVTDFYOURPE-PPHPATTJSA-N O=C=O.[H]C([H])(NC(=O)N[C@@]([H])(CCC(=O)O)C(=O)O)C1=CC=CC=C1F Chemical compound O=C=O.[H]C([H])(NC(=O)N[C@@]([H])(CCC(=O)O)C(=O)O)C1=CC=CC=C1F MSFPVTDFYOURPE-PPHPATTJSA-N 0.000 description 1
- DJYKNFKKWIHRQU-UKAYJITOSA-N O=C=O.[H][C@@](CCC(=O)O)(NC(=O)N[C@]([H])(C)CCS[11CH3])C(=O)O Chemical compound O=C=O.[H][C@@](CCC(=O)O)(NC(=O)N[C@]([H])(C)CCS[11CH3])C(=O)O DJYKNFKKWIHRQU-UKAYJITOSA-N 0.000 description 1
- FIZIVPDRBUXLJQ-UHFFFAOYSA-N OC(CCC(C(O)=O)NC(NC(Cc1ccccc1)C(O)=O)=O)=O Chemical compound OC(CCC(C(O)=O)NC(NC(Cc1ccccc1)C(O)=O)=O)=O FIZIVPDRBUXLJQ-UHFFFAOYSA-N 0.000 description 1
- ZKLFDLIKPAAAES-QWRGUYRKSA-N OC(CC[C@@H](C(O)=O)NC(N[C@@H](Cc(cc1)ccc1I)C(O)=O)=O)=O Chemical compound OC(CC[C@@H](C(O)=O)NC(N[C@@H](Cc(cc1)ccc1I)C(O)=O)=O)=O ZKLFDLIKPAAAES-QWRGUYRKSA-N 0.000 description 1
- CFWUANMQRGBBOM-IRXDYDNUSA-N OC(CC[C@@H](C(O)=O)NC(N[C@@H](Cc(cc1)ccc1OC(c1cc(F)ccc1)=O)C(O)=O)=O)=O Chemical compound OC(CC[C@@H](C(O)=O)NC(N[C@@H](Cc(cc1)ccc1OC(c1cc(F)ccc1)=O)C(O)=O)=O)=O CFWUANMQRGBBOM-IRXDYDNUSA-N 0.000 description 1
- BPQQTUXANYXVAA-UHFFFAOYSA-N Orthosilicate Chemical compound [O-][Si]([O-])([O-])[O-] BPQQTUXANYXVAA-UHFFFAOYSA-N 0.000 description 1
- 241000283973 Oryctolagus cuniculus Species 0.000 description 1
- 241000282516 Papio anubis Species 0.000 description 1
- 241000286209 Phasianidae Species 0.000 description 1
- 241000700159 Rattus Species 0.000 description 1
- 229910006069 SO3H Inorganic materials 0.000 description 1
- 229910018143 SeO3 Inorganic materials 0.000 description 1
- 238000000692 Student's t-test Methods 0.000 description 1
- 241000282887 Suidae Species 0.000 description 1
- QAOWNCQODCNURD-UHFFFAOYSA-L Sulfate Chemical compound [O-]S([O-])(=O)=O QAOWNCQODCNURD-UHFFFAOYSA-L 0.000 description 1
- NINIDFKCEFEMDL-UHFFFAOYSA-N Sulfur Chemical group [S] NINIDFKCEFEMDL-UHFFFAOYSA-N 0.000 description 1
- RAHZWNYVWXNFOC-UHFFFAOYSA-N Sulphur dioxide Chemical compound O=S=O RAHZWNYVWXNFOC-UHFFFAOYSA-N 0.000 description 1
- 229910021626 Tin(II) chloride Inorganic materials 0.000 description 1
- YZCKVEUIGOORGS-NJFSPNSNSA-N Tritium Chemical compound [3H] YZCKVEUIGOORGS-NJFSPNSNSA-N 0.000 description 1
- 208000007097 Urinary Bladder Neoplasms Diseases 0.000 description 1
- BBAWTPDTGRXPDG-UHFFFAOYSA-N [1,3]thiazolo[4,5-b]pyridine Chemical compound C1=CC=C2SC=NC2=N1 BBAWTPDTGRXPDG-UHFFFAOYSA-N 0.000 description 1
- 238000002835 absorbance Methods 0.000 description 1
- 238000009825 accumulation Methods 0.000 description 1
- PQLVXDKIJBQVDF-UHFFFAOYSA-N acetic acid;hydrate Chemical compound O.CC(O)=O PQLVXDKIJBQVDF-UHFFFAOYSA-N 0.000 description 1
- 125000000641 acridinyl group Chemical group C1(=CC=CC2=NC3=CC=CC=C3C=C12)* 0.000 description 1
- 125000005073 adamantyl group Chemical group C12(CC3CC(CC(C1)C3)C2)* 0.000 description 1
- 239000000654 additive Substances 0.000 description 1
- XWYBFXIUISNTQG-VKMGZQQJSA-N alfadolone Chemical compound C1[C@H](O)CC[C@]2(C)[C@H]3C(=O)C[C@](C)([C@H](CC4)C(=O)CO)[C@@H]4[C@@H]3CC[C@H]21 XWYBFXIUISNTQG-VKMGZQQJSA-N 0.000 description 1
- 229950008709 alfadolone Drugs 0.000 description 1
- 229960003305 alfaxalone Drugs 0.000 description 1
- 239000003513 alkali Substances 0.000 description 1
- 150000001336 alkenes Chemical class 0.000 description 1
- HSFWRNGVRCDJHI-UHFFFAOYSA-N alpha-acetylene Natural products C#C HSFWRNGVRCDJHI-UHFFFAOYSA-N 0.000 description 1
- 150000001412 amines Chemical class 0.000 description 1
- 125000004103 aminoalkyl group Chemical group 0.000 description 1
- 238000000540 analysis of variance Methods 0.000 description 1
- 239000003242 anti bacterial agent Substances 0.000 description 1
- 230000000844 anti-bacterial effect Effects 0.000 description 1
- 239000003429 antifungal agent Substances 0.000 description 1
- 229940121375 antifungal agent Drugs 0.000 description 1
- 239000003963 antioxidant agent Substances 0.000 description 1
- 235000006708 antioxidants Nutrition 0.000 description 1
- 238000013459 approach Methods 0.000 description 1
- 239000012062 aqueous buffer Substances 0.000 description 1
- 125000004104 aryloxy group Chemical group 0.000 description 1
- 229960005070 ascorbic acid Drugs 0.000 description 1
- 235000010323 ascorbic acid Nutrition 0.000 description 1
- 239000011668 ascorbic acid Substances 0.000 description 1
- 238000011914 asymmetric synthesis Methods 0.000 description 1
- 125000000852 azido group Chemical group *N=[N+]=[N-] 0.000 description 1
- 125000004931 azocinyl group Chemical group N1=C(C=CC=CC=C1)* 0.000 description 1
- 210000004227 basal ganglia Anatomy 0.000 description 1
- 230000009286 beneficial effect Effects 0.000 description 1
- 230000008901 benefit Effects 0.000 description 1
- 125000003785 benzimidazolyl group Chemical group N1=C(NC2=C1C=CC=C2)* 0.000 description 1
- 125000004604 benzisothiazolyl group Chemical group S1N=C(C2=C1C=CC=C2)* 0.000 description 1
- 125000004603 benzisoxazolyl group Chemical group O1N=C(C2=C1C=CC=C2)* 0.000 description 1
- WPYMKLBDIGXBTP-UHFFFAOYSA-N benzoic acid group Chemical group C(C1=CC=CC=C1)(=O)O WPYMKLBDIGXBTP-UHFFFAOYSA-N 0.000 description 1
- 125000004196 benzothienyl group Chemical group S1C(=CC2=C1C=CC=C2)* 0.000 description 1
- 125000004541 benzoxazolyl group Chemical group O1C(=NC2=C1C=CC=C2)* 0.000 description 1
- 125000005512 benztetrazolyl group Chemical group 0.000 description 1
- 125000000051 benzyloxy group Chemical group [H]C1=C([H])C([H])=C(C([H])=C1[H])C([H])([H])O* 0.000 description 1
- 125000002618 bicyclic heterocycle group Chemical group 0.000 description 1
- 230000005540 biological transmission Effects 0.000 description 1
- 235000010290 biphenyl Nutrition 0.000 description 1
- 239000004305 biphenyl Substances 0.000 description 1
- 150000004663 bisphosphonates Chemical class 0.000 description 1
- 230000008499 blood brain barrier function Effects 0.000 description 1
- 230000036772 blood pressure Effects 0.000 description 1
- 210000001218 blood-brain barrier Anatomy 0.000 description 1
- 210000001124 body fluid Anatomy 0.000 description 1
- 239000010839 body fluid Substances 0.000 description 1
- 230000037396 body weight Effects 0.000 description 1
- 210000000481 breast Anatomy 0.000 description 1
- GDTBXPJZTBHREO-UHFFFAOYSA-N bromine Substances BrBr GDTBXPJZTBHREO-UHFFFAOYSA-N 0.000 description 1
- 229910052794 bromium Inorganic materials 0.000 description 1
- 125000001246 bromo group Chemical group Br* 0.000 description 1
- 230000005587 bubbling Effects 0.000 description 1
- 125000000484 butyl group Chemical group [H]C([*])([H])C([H])([H])C([H])([H])C([H])([H])[H] 0.000 description 1
- FATUQANACHZLRT-KMRXSBRUSA-L calcium glucoheptonate Chemical compound [Ca+2].OC[C@@H](O)[C@@H](O)[C@H](O)[C@@H](O)C(O)C([O-])=O.OC[C@@H](O)[C@@H](O)[C@H](O)[C@@H](O)C(O)C([O-])=O FATUQANACHZLRT-KMRXSBRUSA-L 0.000 description 1
- BPKIGYQJPYCAOW-FFJTTWKXSA-I calcium;potassium;disodium;(2s)-2-hydroxypropanoate;dichloride;dihydroxide;hydrate Chemical compound O.[OH-].[OH-].[Na+].[Na+].[Cl-].[Cl-].[K+].[Ca+2].C[C@H](O)C([O-])=O BPKIGYQJPYCAOW-FFJTTWKXSA-I 0.000 description 1
- BMLSTPRTEKLIPM-UHFFFAOYSA-I calcium;potassium;disodium;hydrogen carbonate;dichloride;dihydroxide;hydrate Chemical compound O.[OH-].[OH-].[Na+].[Na+].[Cl-].[Cl-].[K+].[Ca+2].OC([O-])=O BMLSTPRTEKLIPM-UHFFFAOYSA-I 0.000 description 1
- 238000004364 calculation method Methods 0.000 description 1
- 125000000609 carbazolyl group Chemical group C1(=CC=CC=2C3=CC=CC=C3NC12)* 0.000 description 1
- 125000004623 carbolinyl group Chemical group 0.000 description 1
- 150000001721 carbon Chemical group 0.000 description 1
- 239000011203 carbon fibre reinforced carbon Substances 0.000 description 1
- 125000002915 carbonyl group Chemical group [*:2]C([*:1])=O 0.000 description 1
- 125000005518 carboxamido group Chemical group 0.000 description 1
- 150000001735 carboxylic acids Chemical class 0.000 description 1
- 210000000170 cell membrane Anatomy 0.000 description 1
- 238000005119 centrifugation Methods 0.000 description 1
- 239000013522 chelant Substances 0.000 description 1
- BJDCWCLMFKKGEE-CMDXXVQNSA-N chembl252518 Chemical compound C([C@@](OO1)(C)O2)C[C@H]3[C@H](C)CC[C@@H]4[C@@]31[C@@H]2O[C@H](O)[C@@H]4C BJDCWCLMFKKGEE-CMDXXVQNSA-N 0.000 description 1
- 238000007385 chemical modification Methods 0.000 description 1
- 235000013330 chicken meat Nutrition 0.000 description 1
- 238000004296 chiral HPLC Methods 0.000 description 1
- 239000000460 chlorine Substances 0.000 description 1
- 229910052801 chlorine Inorganic materials 0.000 description 1
- 125000001309 chloro group Chemical group Cl* 0.000 description 1
- 125000003016 chromanyl group Chemical group O1C(CCC2=CC=CC=C12)* 0.000 description 1
- 238000004587 chromatography analysis Methods 0.000 description 1
- 125000004230 chromenyl group Chemical group O1C(C=CC2=CC=CC=C12)* 0.000 description 1
- 125000000259 cinnolinyl group Chemical group N1=NC(=CC2=CC=CC=C12)* 0.000 description 1
- 238000000576 coating method Methods 0.000 description 1
- 239000000470 constituent Substances 0.000 description 1
- 238000012937 correction Methods 0.000 description 1
- 125000000332 coumarinyl group Chemical group O1C(=O)C(=CC2=CC=CC=C12)* 0.000 description 1
- 239000013078 crystal Substances 0.000 description 1
- 238000002425 crystallisation Methods 0.000 description 1
- 230000008025 crystallization Effects 0.000 description 1
- 125000004093 cyano group Chemical group *C#N 0.000 description 1
- 125000000582 cycloheptyl group Chemical group [H]C1([H])C([H])([H])C([H])([H])C([H])([H])C([H])(*)C([H])([H])C1([H])[H] 0.000 description 1
- 125000000640 cyclooctyl group Chemical group [H]C1([H])C([H])([H])C([H])([H])C([H])([H])C([H])(*)C([H])([H])C([H])([H])C1([H])[H] 0.000 description 1
- 210000000172 cytosol Anatomy 0.000 description 1
- 125000004856 decahydroquinolinyl group Chemical group N1(CCCC2CCCCC12)* 0.000 description 1
- 239000008356 dextrose and sodium chloride injection Substances 0.000 description 1
- 239000008355 dextrose injection Substances 0.000 description 1
- 239000003085 diluting agent Substances 0.000 description 1
- 125000002147 dimethylamino group Chemical group [H]C([H])([H])N(*)C([H])([H])[H] 0.000 description 1
- 239000002612 dispersion medium Substances 0.000 description 1
- GRWZHXKQBITJKP-UHFFFAOYSA-L dithionite(2-) Chemical compound [O-]S(=O)S([O-])=O GRWZHXKQBITJKP-UHFFFAOYSA-L 0.000 description 1
- 238000004980 dosimetry Methods 0.000 description 1
- 239000003814 drug Substances 0.000 description 1
- 230000009977 dual effect Effects 0.000 description 1
- 210000001198 duodenum Anatomy 0.000 description 1
- 239000000975 dye Substances 0.000 description 1
- 230000002526 effect on cardiovascular system Effects 0.000 description 1
- 210000002889 endothelial cell Anatomy 0.000 description 1
- 210000000981 epithelium Anatomy 0.000 description 1
- 125000002534 ethynyl group Chemical group [H]C#C* 0.000 description 1
- 238000002474 experimental method Methods 0.000 description 1
- 239000013020 final formulation Substances 0.000 description 1
- 125000003983 fluorenyl group Chemical group C1(=CC=CC=2C3=CC=CC=C3CC12)* 0.000 description 1
- 238000003682 fluorination reaction Methods 0.000 description 1
- 239000012458 free base Substances 0.000 description 1
- 230000006870 function Effects 0.000 description 1
- 125000003838 furazanyl group Chemical group 0.000 description 1
- 229960005219 gentisic acid Drugs 0.000 description 1
- 229940050410 gluconate Drugs 0.000 description 1
- 230000036541 health Effects 0.000 description 1
- 125000000592 heterocycloalkyl group Chemical group 0.000 description 1
- UWYVPFMHMJIBHE-OWOJBTEDSA-N hydroxymaleic acid group Chemical group O/C(/C(=O)O)=C/C(=O)O UWYVPFMHMJIBHE-OWOJBTEDSA-N 0.000 description 1
- 210000003016 hypothalamus Anatomy 0.000 description 1
- 125000002632 imidazolidinyl group Chemical group 0.000 description 1
- 125000002636 imidazolinyl group Chemical group 0.000 description 1
- 238000003364 immunohistochemistry Methods 0.000 description 1
- 125000003392 indanyl group Chemical group C1(CCC2=CC=CC=C12)* 0.000 description 1
- 125000004926 indolenyl group Chemical group 0.000 description 1
- 125000003387 indolinyl group Chemical group N1(CCC2=CC=CC=C12)* 0.000 description 1
- 125000003406 indolizinyl group Chemical group C=1(C=CN2C=CC=CC12)* 0.000 description 1
- 230000036512 infertility Effects 0.000 description 1
- 230000004941 influx Effects 0.000 description 1
- 229910052500 inorganic mineral Inorganic materials 0.000 description 1
- 238000012905 input function Methods 0.000 description 1
- 238000001990 intravenous administration Methods 0.000 description 1
- 238000010253 intravenous injection Methods 0.000 description 1
- 125000002346 iodo group Chemical group I* 0.000 description 1
- INQOMBQAUSQDDS-UHFFFAOYSA-N iodomethane Chemical compound IC INQOMBQAUSQDDS-UHFFFAOYSA-N 0.000 description 1
- 125000001977 isobenzofuranyl group Chemical group C=1(OC=C2C=CC=CC12)* 0.000 description 1
- 125000003384 isochromanyl group Chemical group C1(OCCC2=CC=CC=C12)* 0.000 description 1
- 125000005438 isoindazolyl group Chemical group 0.000 description 1
- 125000004594 isoindolinyl group Chemical group C1(NCC2=CC=CC=C12)* 0.000 description 1
- 125000000904 isoindolyl group Chemical group C=1(NC=C2C=CC=CC12)* 0.000 description 1
- 125000001449 isopropyl group Chemical group [H]C([H])([H])C([H])(*)C([H])([H])[H] 0.000 description 1
- 125000001786 isothiazolyl group Chemical group 0.000 description 1
- 239000007951 isotonicity adjuster Substances 0.000 description 1
- 125000000468 ketone group Chemical group 0.000 description 1
- 210000004185 liver Anatomy 0.000 description 1
- 244000144972 livestock Species 0.000 description 1
- 210000004072 lung Anatomy 0.000 description 1
- 230000014759 maintenance of location Effects 0.000 description 1
- 230000003211 malignant effect Effects 0.000 description 1
- 239000000594 mannitol Substances 0.000 description 1
- 235000010355 mannitol Nutrition 0.000 description 1
- 239000012528 membrane Substances 0.000 description 1
- 230000002503 metabolic effect Effects 0.000 description 1
- 230000037323 metabolic rate Effects 0.000 description 1
- 239000002207 metabolite Substances 0.000 description 1
- 230000009401 metastasis Effects 0.000 description 1
- QCAWEPFNJXQPAN-UHFFFAOYSA-N methoxyfenozide Chemical compound COC1=CC=CC(C(=O)NN(C(=O)C=2C=C(C)C=C(C)C=2)C(C)(C)C)=C1C QCAWEPFNJXQPAN-UHFFFAOYSA-N 0.000 description 1
- 235000010755 mineral Nutrition 0.000 description 1
- 239000011707 mineral Substances 0.000 description 1
- 230000004048 modification Effects 0.000 description 1
- 238000012986 modification Methods 0.000 description 1
- 238000012544 monitoring process Methods 0.000 description 1
- SYSQUGFVNFXIIT-UHFFFAOYSA-N n-[4-(1,3-benzoxazol-2-yl)phenyl]-4-nitrobenzenesulfonamide Chemical class C1=CC([N+](=O)[O-])=CC=C1S(=O)(=O)NC1=CC=C(C=2OC3=CC=CC=C3N=2)C=C1 SYSQUGFVNFXIIT-UHFFFAOYSA-N 0.000 description 1
- 125000004108 n-butyl group Chemical group [H]C([H])([H])C([H])([H])C([H])([H])C([H])([H])* 0.000 description 1
- 125000000740 n-pentyl group Chemical group [H]C([H])([H])C([H])([H])C([H])([H])C([H])([H])C([H])([H])* 0.000 description 1
- 125000004123 n-propyl group Chemical group [H]C([H])([H])C([H])([H])C([H])([H])* 0.000 description 1
- 125000004593 naphthyridinyl group Chemical group N1=C(C=CC2=CC=CN=C12)* 0.000 description 1
- 239000006225 natural substrate Substances 0.000 description 1
- 210000001577 neostriatum Anatomy 0.000 description 1
- 239000002858 neurotransmitter agent Substances 0.000 description 1
- 125000000449 nitro group Chemical group [O-][N+](*)=O 0.000 description 1
- 229910000069 nitrogen hydride Inorganic materials 0.000 description 1
- 239000012457 nonaqueous media Substances 0.000 description 1
- 230000009871 nonspecific binding Effects 0.000 description 1
- 230000008481 normal tissue growth Effects 0.000 description 1
- 238000009206 nuclear medicine Methods 0.000 description 1
- 125000004930 octahydroisoquinolinyl group Chemical group C1(NCCC2CCCC=C12)* 0.000 description 1
- 210000000956 olfactory bulb Anatomy 0.000 description 1
- 239000003960 organic solvent Substances 0.000 description 1
- 125000001715 oxadiazolyl group Chemical group 0.000 description 1
- QNNHQVPFZIFNFK-UHFFFAOYSA-N oxazolo[4,5-b]pyridine Chemical compound C1=CC=C2OC=NC2=N1 QNNHQVPFZIFNFK-UHFFFAOYSA-N 0.000 description 1
- 230000003647 oxidation Effects 0.000 description 1
- 238000007254 oxidation reaction Methods 0.000 description 1
- 230000001936 parietal effect Effects 0.000 description 1
- 125000006340 pentafluoro ethyl group Chemical group FC(F)(F)C(F)(F)* 0.000 description 1
- 125000003538 pentan-3-yl group Chemical group [H]C([H])([H])C([H])([H])C([H])(*)C([H])([H])C([H])([H])[H] 0.000 description 1
- 230000002093 peripheral effect Effects 0.000 description 1
- 239000000546 pharmaceutical excipient Substances 0.000 description 1
- 230000000144 pharmacologic effect Effects 0.000 description 1
- 125000004934 phenanthridinyl group Chemical group C1(=CC=CC2=NC=C3C=CC=CC3=C12)* 0.000 description 1
- 125000004625 phenanthrolinyl group Chemical group N1=C(C=CC2=CC=C3C=CC=NC3=C12)* 0.000 description 1
- 125000001791 phenazinyl group Chemical group C1(=CC=CC2=NC3=CC=CC=C3N=C12)* 0.000 description 1
- 125000001484 phenothiazinyl group Chemical group C1(=CC=CC=2SC3=CC=CC=C3NC12)* 0.000 description 1
- 125000005954 phenoxathiinyl group Chemical group 0.000 description 1
- 125000001644 phenoxazinyl group Chemical group C1(=CC=CC=2OC3=CC=CC=C3NC12)* 0.000 description 1
- WLJVXDMOQOGPHL-UHFFFAOYSA-N phenylacetic acid Chemical compound OC(=O)CC1=CC=CC=C1 WLJVXDMOQOGPHL-UHFFFAOYSA-N 0.000 description 1
- 239000008363 phosphate buffer Substances 0.000 description 1
- UEZVMMHDMIWARA-UHFFFAOYSA-M phosphonate Chemical class [O-]P(=O)=O UEZVMMHDMIWARA-UHFFFAOYSA-M 0.000 description 1
- 125000004592 phthalazinyl group Chemical group C1(=NN=CC2=CC=CC=C12)* 0.000 description 1
- 230000035790 physiological processes and functions Effects 0.000 description 1
- 230000003389 potentiating effect Effects 0.000 description 1
- 244000144977 poultry Species 0.000 description 1
- 235000013594 poultry meat Nutrition 0.000 description 1
- 239000002244 precipitate Substances 0.000 description 1
- 238000002360 preparation method Methods 0.000 description 1
- 239000003755 preservative agent Substances 0.000 description 1
- 150000003141 primary amines Chemical class 0.000 description 1
- 125000002924 primary amino group Chemical group [H]N([H])* 0.000 description 1
- 230000008569 process Effects 0.000 description 1
- 108090000765 processed proteins & peptides Proteins 0.000 description 1
- 102000004196 processed proteins & peptides Human genes 0.000 description 1
- 239000000047 product Substances 0.000 description 1
- 230000002035 prolonged effect Effects 0.000 description 1
- 125000004368 propenyl group Chemical group C(=CC)* 0.000 description 1
- 125000001436 propyl group Chemical group [H]C([*])([H])C([H])([H])C([H])([H])[H] 0.000 description 1
- 125000002568 propynyl group Chemical group [*]C#CC([H])([H])[H] 0.000 description 1
- 108090000623 proteins and genes Proteins 0.000 description 1
- 102000004169 proteins and genes Human genes 0.000 description 1
- ROSDSFDQCJNGOL-UHFFFAOYSA-N protonated dimethyl amine Chemical group CNC ROSDSFDQCJNGOL-UHFFFAOYSA-N 0.000 description 1
- 210000000512 proximal kidney tubule Anatomy 0.000 description 1
- 125000001042 pteridinyl group Chemical group N1=C(N=CC2=NC=CN=C12)* 0.000 description 1
- 238000000746 purification Methods 0.000 description 1
- 125000000561 purinyl group Chemical group N1=C(N=C2N=CNC2=C1)* 0.000 description 1
- 125000004309 pyranyl group Chemical group O1C(C=CC=C1)* 0.000 description 1
- 125000003072 pyrazolidinyl group Chemical group 0.000 description 1
- 125000002755 pyrazolinyl group Chemical group 0.000 description 1
- 125000002098 pyridazinyl group Chemical group 0.000 description 1
- 125000001422 pyrrolinyl group Chemical group 0.000 description 1
- 238000003908 quality control method Methods 0.000 description 1
- 238000011002 quantification Methods 0.000 description 1
- 150000003242 quaternary ammonium salts Chemical class 0.000 description 1
- 238000010791 quenching Methods 0.000 description 1
- 230000000171 quenching effect Effects 0.000 description 1
- 125000001567 quinoxalinyl group Chemical group N1=C(C=NC2=CC=CC=C12)* 0.000 description 1
- 125000004621 quinuclidinyl group Chemical group N12C(CC(CC1)CC2)* 0.000 description 1
- 239000012217 radiopharmaceutical Substances 0.000 description 1
- 229940121896 radiopharmaceutical Drugs 0.000 description 1
- 230000002799 radiopharmaceutical effect Effects 0.000 description 1
- 230000003439 radiotherapeutic effect Effects 0.000 description 1
- 208000037922 refractory disease Diseases 0.000 description 1
- 238000004007 reversed phase HPLC Methods 0.000 description 1
- 125000006413 ring segment Chemical group 0.000 description 1
- 238000002390 rotary evaporation Methods 0.000 description 1
- 238000005070 sampling Methods 0.000 description 1
- 125000002914 sec-butyl group Chemical group [H]C([H])([H])C([H])([H])C([H])(*)C([H])([H])[H] 0.000 description 1
- 125000000467 secondary amino group Chemical class [H]N([*:1])[*:2] 0.000 description 1
- 238000004904 shortening Methods 0.000 description 1
- 229910052708 sodium Inorganic materials 0.000 description 1
- 235000017557 sodium bicarbonate Nutrition 0.000 description 1
- 229910000030 sodium bicarbonate Inorganic materials 0.000 description 1
- 239000008354 sodium chloride injection Substances 0.000 description 1
- 239000012064 sodium phosphate buffer Substances 0.000 description 1
- 239000012453 solvate Substances 0.000 description 1
- 150000003413 spiro compounds Chemical class 0.000 description 1
- 238000010186 staining Methods 0.000 description 1
- 239000007858 starting material Substances 0.000 description 1
- 238000011146 sterile filtration Methods 0.000 description 1
- 210000003523 substantia nigra Anatomy 0.000 description 1
- 238000006467 substitution reaction Methods 0.000 description 1
- 125000000475 sulfinyl group Chemical group [*:2]S([*:1])=O 0.000 description 1
- 239000006228 supernatant Substances 0.000 description 1
- 229940095064 tartrate Drugs 0.000 description 1
- 125000000999 tert-butyl group Chemical group [H]C([H])([H])C(*)(C([H])([H])[H])C([H])([H])[H] 0.000 description 1
- 150000003512 tertiary amines Chemical group 0.000 description 1
- 125000006337 tetrafluoro ethyl group Chemical group 0.000 description 1
- YLQBMQCUIZJEEH-UHFFFAOYSA-N tetrahydrofuran Natural products C=1C=COC=1 YLQBMQCUIZJEEH-UHFFFAOYSA-N 0.000 description 1
- 125000003039 tetrahydroisoquinolinyl group Chemical group C1(NCCC2=CC=CC=C12)* 0.000 description 1
- 125000001712 tetrahydronaphthyl group Chemical group C1(CCCC2=CC=CC=C12)* 0.000 description 1
- 125000001412 tetrahydropyranyl group Chemical group 0.000 description 1
- 125000000147 tetrahydroquinolinyl group Chemical group N1(CCCC2=CC=CC=C12)* 0.000 description 1
- 210000001103 thalamus Anatomy 0.000 description 1
- 229940124597 therapeutic agent Drugs 0.000 description 1
- 238000002560 therapeutic procedure Methods 0.000 description 1
- 229920001169 thermoplastic Polymers 0.000 description 1
- 239000004416 thermosoftening plastic Substances 0.000 description 1
- 125000004627 thianthrenyl group Chemical group C1(=CC=CC=2SC3=CC=CC=C3SC12)* 0.000 description 1
- 125000003396 thiol group Chemical group [H]S* 0.000 description 1
- AXZWODMDQAVCJE-UHFFFAOYSA-L tin(II) chloride (anhydrous) Chemical compound [Cl-].[Cl-].[Sn+2] AXZWODMDQAVCJE-UHFFFAOYSA-L 0.000 description 1
- 238000006478 transmetalation reaction Methods 0.000 description 1
- 230000007723 transport mechanism Effects 0.000 description 1
- 125000003866 trichloromethyl group Chemical group ClC(Cl)(Cl)* 0.000 description 1
- 125000006168 tricyclic group Chemical group 0.000 description 1
- 125000004205 trifluoroethyl group Chemical group [H]C([H])(*)C(F)(F)F 0.000 description 1
- 125000002023 trifluoromethyl group Chemical group FC(F)(F)* 0.000 description 1
- LYRCQNDYYRPFMF-UHFFFAOYSA-N trimethyltin Chemical group C[Sn](C)C LYRCQNDYYRPFMF-UHFFFAOYSA-N 0.000 description 1
- 229910052722 tritium Inorganic materials 0.000 description 1
- 230000004614 tumor growth Effects 0.000 description 1
- 108020003234 urea transporter Proteins 0.000 description 1
- 102000006030 urea transporter Human genes 0.000 description 1
- 201000005112 urinary bladder cancer Diseases 0.000 description 1
- 210000003462 vein Anatomy 0.000 description 1
- 125000000391 vinyl group Chemical group [H]C([*])=C([H])[H] 0.000 description 1
- 238000005303 weighing Methods 0.000 description 1
- 125000001834 xanthenyl group Chemical group C1=CC=CC=2OC3=CC=CC=C3C(C12)* 0.000 description 1
Images
Classifications
-
- C—CHEMISTRY; METALLURGY
- C07—ORGANIC CHEMISTRY
- C07C—ACYCLIC OR CARBOCYCLIC COMPOUNDS
- C07C275/00—Derivatives of urea, i.e. compounds containing any of the groups, the nitrogen atoms not being part of nitro or nitroso groups
- C07C275/04—Derivatives of urea, i.e. compounds containing any of the groups, the nitrogen atoms not being part of nitro or nitroso groups having nitrogen atoms of urea groups bound to acyclic carbon atoms
- C07C275/20—Derivatives of urea, i.e. compounds containing any of the groups, the nitrogen atoms not being part of nitro or nitroso groups having nitrogen atoms of urea groups bound to acyclic carbon atoms of an unsaturated carbon skeleton
- C07C275/24—Derivatives of urea, i.e. compounds containing any of the groups, the nitrogen atoms not being part of nitro or nitroso groups having nitrogen atoms of urea groups bound to acyclic carbon atoms of an unsaturated carbon skeleton containing six-membered aromatic rings
-
- A—HUMAN NECESSITIES
- A61—MEDICAL OR VETERINARY SCIENCE; HYGIENE
- A61K—PREPARATIONS FOR MEDICAL, DENTAL OR TOILETRY PURPOSES
- A61K51/00—Preparations containing radioactive substances for use in therapy or testing in vivo
- A61K51/02—Preparations containing radioactive substances for use in therapy or testing in vivo characterised by the carrier, i.e. characterised by the agent or material covalently linked or complexing the radioactive nucleus
- A61K51/04—Organic compounds
- A61K51/0402—Organic compounds carboxylic acid carriers, fatty acids
-
- A—HUMAN NECESSITIES
- A61—MEDICAL OR VETERINARY SCIENCE; HYGIENE
- A61K—PREPARATIONS FOR MEDICAL, DENTAL OR TOILETRY PURPOSES
- A61K49/00—Preparations for testing in vivo
- A61K49/001—Preparation for luminescence or biological staining
- A61K49/0013—Luminescence
- A61K49/0017—Fluorescence in vivo
- A61K49/0019—Fluorescence in vivo characterised by the fluorescent group, e.g. oligomeric, polymeric or dendritic molecules
- A61K49/0021—Fluorescence in vivo characterised by the fluorescent group, e.g. oligomeric, polymeric or dendritic molecules the fluorescent group being a small organic molecule
- A61K49/0032—Methine dyes, e.g. cyanine dyes
-
- A—HUMAN NECESSITIES
- A61—MEDICAL OR VETERINARY SCIENCE; HYGIENE
- A61K—PREPARATIONS FOR MEDICAL, DENTAL OR TOILETRY PURPOSES
- A61K49/00—Preparations for testing in vivo
- A61K49/001—Preparation for luminescence or biological staining
- A61K49/0013—Luminescence
- A61K49/0017—Fluorescence in vivo
- A61K49/005—Fluorescence in vivo characterised by the carrier molecule carrying the fluorescent agent
- A61K49/0052—Small organic molecules
-
- A—HUMAN NECESSITIES
- A61—MEDICAL OR VETERINARY SCIENCE; HYGIENE
- A61P—SPECIFIC THERAPEUTIC ACTIVITY OF CHEMICAL COMPOUNDS OR MEDICINAL PREPARATIONS
- A61P35/00—Antineoplastic agents
-
- C—CHEMISTRY; METALLURGY
- C07—ORGANIC CHEMISTRY
- C07C—ACYCLIC OR CARBOCYCLIC COMPOUNDS
- C07C323/00—Thiols, sulfides, hydropolysulfides or polysulfides substituted by halogen, oxygen or nitrogen atoms, or by sulfur atoms not being part of thio groups
- C07C323/50—Thiols, sulfides, hydropolysulfides or polysulfides substituted by halogen, oxygen or nitrogen atoms, or by sulfur atoms not being part of thio groups containing thio groups and carboxyl groups bound to the same carbon skeleton
- C07C323/51—Thiols, sulfides, hydropolysulfides or polysulfides substituted by halogen, oxygen or nitrogen atoms, or by sulfur atoms not being part of thio groups containing thio groups and carboxyl groups bound to the same carbon skeleton having the sulfur atoms of the thio groups bound to acyclic carbon atoms of the carbon skeleton
- C07C323/57—Thiols, sulfides, hydropolysulfides or polysulfides substituted by halogen, oxygen or nitrogen atoms, or by sulfur atoms not being part of thio groups containing thio groups and carboxyl groups bound to the same carbon skeleton having the sulfur atoms of the thio groups bound to acyclic carbon atoms of the carbon skeleton the carbon skeleton being further substituted by nitrogen atoms, not being part of nitro or nitroso groups
- C07C323/58—Thiols, sulfides, hydropolysulfides or polysulfides substituted by halogen, oxygen or nitrogen atoms, or by sulfur atoms not being part of thio groups containing thio groups and carboxyl groups bound to the same carbon skeleton having the sulfur atoms of the thio groups bound to acyclic carbon atoms of the carbon skeleton the carbon skeleton being further substituted by nitrogen atoms, not being part of nitro or nitroso groups with amino groups bound to the carbon skeleton
- C07C323/59—Thiols, sulfides, hydropolysulfides or polysulfides substituted by halogen, oxygen or nitrogen atoms, or by sulfur atoms not being part of thio groups containing thio groups and carboxyl groups bound to the same carbon skeleton having the sulfur atoms of the thio groups bound to acyclic carbon atoms of the carbon skeleton the carbon skeleton being further substituted by nitrogen atoms, not being part of nitro or nitroso groups with amino groups bound to the carbon skeleton with acylated amino groups bound to the carbon skeleton
-
- C—CHEMISTRY; METALLURGY
- C07—ORGANIC CHEMISTRY
- C07F—ACYCLIC, CARBOCYCLIC OR HETEROCYCLIC COMPOUNDS CONTAINING ELEMENTS OTHER THAN CARBON, HYDROGEN, HALOGEN, OXYGEN, NITROGEN, SULFUR, SELENIUM OR TELLURIUM
- C07F11/00—Compounds containing elements of Groups 6 or 16 of the Periodic Table
- C07F11/005—Compounds containing elements of Groups 6 or 16 of the Periodic Table compounds without a metal-carbon linkage
-
- C—CHEMISTRY; METALLURGY
- C12—BIOCHEMISTRY; BEER; SPIRITS; WINE; VINEGAR; MICROBIOLOGY; ENZYMOLOGY; MUTATION OR GENETIC ENGINEERING
- C12Q—MEASURING OR TESTING PROCESSES INVOLVING ENZYMES, NUCLEIC ACIDS OR MICROORGANISMS; COMPOSITIONS OR TEST PAPERS THEREFOR; PROCESSES OF PREPARING SUCH COMPOSITIONS; CONDITION-RESPONSIVE CONTROL IN MICROBIOLOGICAL OR ENZYMOLOGICAL PROCESSES
- C12Q1/00—Measuring or testing processes involving enzymes, nucleic acids or microorganisms; Compositions therefor; Processes of preparing such compositions
- C12Q1/34—Measuring or testing processes involving enzymes, nucleic acids or microorganisms; Compositions therefor; Processes of preparing such compositions involving hydrolase
- C12Q1/37—Measuring or testing processes involving enzymes, nucleic acids or microorganisms; Compositions therefor; Processes of preparing such compositions involving hydrolase involving peptidase or proteinase
-
- G—PHYSICS
- G01—MEASURING; TESTING
- G01N—INVESTIGATING OR ANALYSING MATERIALS BY DETERMINING THEIR CHEMICAL OR PHYSICAL PROPERTIES
- G01N33/00—Investigating or analysing materials by specific methods not covered by groups G01N1/00 - G01N31/00
- G01N33/48—Biological material, e.g. blood, urine; Haemocytometers
- G01N33/50—Chemical analysis of biological material, e.g. blood, urine; Testing involving biospecific ligand binding methods; Immunological testing
- G01N33/5005—Chemical analysis of biological material, e.g. blood, urine; Testing involving biospecific ligand binding methods; Immunological testing involving human or animal cells
-
- G—PHYSICS
- G01—MEASURING; TESTING
- G01N—INVESTIGATING OR ANALYSING MATERIALS BY DETERMINING THEIR CHEMICAL OR PHYSICAL PROPERTIES
- G01N33/00—Investigating or analysing materials by specific methods not covered by groups G01N1/00 - G01N31/00
- G01N33/48—Biological material, e.g. blood, urine; Haemocytometers
- G01N33/50—Chemical analysis of biological material, e.g. blood, urine; Testing involving biospecific ligand binding methods; Immunological testing
- G01N33/58—Chemical analysis of biological material, e.g. blood, urine; Testing involving biospecific ligand binding methods; Immunological testing involving labelled substances
- G01N33/60—Chemical analysis of biological material, e.g. blood, urine; Testing involving biospecific ligand binding methods; Immunological testing involving labelled substances involving radioactive labelled substances
-
- G—PHYSICS
- G01—MEASURING; TESTING
- G01N—INVESTIGATING OR ANALYSING MATERIALS BY DETERMINING THEIR CHEMICAL OR PHYSICAL PROPERTIES
- G01N33/00—Investigating or analysing materials by specific methods not covered by groups G01N1/00 - G01N31/00
- G01N33/48—Biological material, e.g. blood, urine; Haemocytometers
- G01N33/50—Chemical analysis of biological material, e.g. blood, urine; Testing involving biospecific ligand binding methods; Immunological testing
- G01N33/62—Chemical analysis of biological material, e.g. blood, urine; Testing involving biospecific ligand binding methods; Immunological testing involving urea
-
- G—PHYSICS
- G01—MEASURING; TESTING
- G01N—INVESTIGATING OR ANALYSING MATERIALS BY DETERMINING THEIR CHEMICAL OR PHYSICAL PROPERTIES
- G01N33/00—Investigating or analysing materials by specific methods not covered by groups G01N1/00 - G01N31/00
- G01N33/48—Biological material, e.g. blood, urine; Haemocytometers
- G01N33/50—Chemical analysis of biological material, e.g. blood, urine; Testing involving biospecific ligand binding methods; Immunological testing
- G01N33/68—Chemical analysis of biological material, e.g. blood, urine; Testing involving biospecific ligand binding methods; Immunological testing involving proteins, peptides or amino acids
- G01N33/689—Chemical analysis of biological material, e.g. blood, urine; Testing involving biospecific ligand binding methods; Immunological testing involving proteins, peptides or amino acids related to pregnancy or the gonads
-
- A—HUMAN NECESSITIES
- A61—MEDICAL OR VETERINARY SCIENCE; HYGIENE
- A61B—DIAGNOSIS; SURGERY; IDENTIFICATION
- A61B6/00—Apparatus or devices for radiation diagnosis; Apparatus or devices for radiation diagnosis combined with radiation therapy equipment
- A61B6/50—Apparatus or devices for radiation diagnosis; Apparatus or devices for radiation diagnosis combined with radiation therapy equipment specially adapted for specific body parts; specially adapted for specific clinical applications
- A61B6/508—Apparatus or devices for radiation diagnosis; Apparatus or devices for radiation diagnosis combined with radiation therapy equipment specially adapted for specific body parts; specially adapted for specific clinical applications for non-human patients
-
- C—CHEMISTRY; METALLURGY
- C07—ORGANIC CHEMISTRY
- C07B—GENERAL METHODS OF ORGANIC CHEMISTRY; APPARATUS THEREFOR
- C07B2200/00—Indexing scheme relating to specific properties of organic compounds
- C07B2200/05—Isotopically modified compounds, e.g. labelled
-
- G—PHYSICS
- G01—MEASURING; TESTING
- G01N—INVESTIGATING OR ANALYSING MATERIALS BY DETERMINING THEIR CHEMICAL OR PHYSICAL PROPERTIES
- G01N2333/00—Assays involving biological materials from specific organisms or of a specific nature
- G01N2333/435—Assays involving biological materials from specific organisms or of a specific nature from animals; from humans
- G01N2333/705—Assays involving receptors, cell surface antigens or cell surface determinants
Definitions
- the present invention provides novel asymmetric urea compounds, particularly asymmetric urea compounds capable of binding with high selectivity and/or high affinity to N-Acylated alpha-linked L-amino dipeptidaase (NAALADase) (also known as glutamate carboxypeptidase II; GCP II) and/or prostate specific membrane antigen (PSMA).
- NAALADase N-Acylated alpha-linked L-amino dipeptidaase
- GCP II glutamate carboxypeptidase II
- PSMA prostate specific membrane antigen
- This invention also provides pharmaceutical compositions comprising such urea compounds. Additionally this invention provides imaging methods for localizing NAALADase and/or PSMA in tissues or cells using radiolabeled asymmetric urea compounds of the invention.
- the invention further provides treatment methods comprising administration of a high energy radiolabeled asymmetric urea to a patient, particularly patients suffering from prostate cancer.
- GCP II glutamate carboxypeptidase II
- NAAG N-acetyl-aspartyl-glutamate
- NAA N-acetyl-aspartate
- GCP II and PSMA are very similar enzymes, such that an imaging probe for GCP II may serve useful to image PSMA.
- PSMA is expressed in a variety of normal and malignant tissues in and outside of the central nervous system (CNS). Immunohistochemistry using the anti-PSMA antibody 7E11-C5 has shown PSMA to have a fairly restricted pattern of expression in human tissues, with the highest levels of activity demonstrated in a subset of proximal renal tubules, prostate epithelium, and within the duodenum and colon.
- An immuno-cytochemical study that focused on the brain distribution of GCP II revealed staining of areas previously noted to contain immunoreactivity for NAAG, the natural substrate for GCP II.
- PSMA expression is highest in high-grade and hormone-refractory disease.
- PSMA immunoreactivity has been demonstrated in tumor-associated neovasculature in a host of tumors, including breast, colon, and lung.
- GCP II also possesses 87% sequence homology with the prostate-specific membrane antigen (PSMA).
- PSMA prostate-specific membrane antigen
- GCP II and PSMA exhibit some differences in substrate specificity and cellular localization. More particularly, GCP II has only a membrane bound form, whereas PSMA is found both in cell membranes and within cytosol. Notwithstanding the differences in substrate specificity and cellular localization, the enzymes have been shown to have similar pharmacological profiles.
- Kozikowski et al recite a series of inhibitors of GCP II that maintain a structural motif similar to that of the phosphonic bis-dicarboxylic acid, 2-[(2,4-Dicarboxy-butyl)-hydroxy-phosphinoylmethyl]-pentanedioic acid, which is a potent inhibitor of GCP II, but has the central CH 2 P(O)(OH)CH 2 group replaced with a urea group (J. Med. Chem. 2001 44: 298-301).
- X is selected from —COOH, —C(O)NHOH, —C(O)NH 2 , —C(S)SH, —SO 3 H, —SO 2 H, —SOH, —SeO 3 H, —SeOH, —S(O) 2 NH 2 , —P(O)(OH) 2 , and —P(OH) 2 .
- J. Frangioni teaches, in WO 02/098885 and WO 02/38190, a series of phosphonate, bisphosphonate and ester compounds and the use of same as imaging agents.
- Frangioni in WO 01/72958, also teaches the use of various peptides in the diagnosis and treatment of diseases including bladder cancer.
- mAb imaging and therapy for prostate cancer based on agents that bind either to intra- or extra-cellular domains of PSMA has been reported and includes Prostascint, a clinical agent that utilizes single photon emission computed tomography (SPECT) (Cancer Res. 1990, 50:6423-6429; Cancer Metastasis Rev. 1999, 18:483-490; and Cancer Res. 2000, 60:6095-6100).
- SPECT single photon emission computed tomography
- the invention provides novel asymmetric urea compounds of Formula I, and pharmaceutical compositions comprising compounds of Formula I and at least one pharmaceutically acceptable carrier or excipient.
- Preferred asymmetric urea compounds of the invention exhibit high affinity for at least one of NAALADase, i.e., GCP II, or PSMA.
- the present invention provides asymmetric urea compounds according to Formula I
- R is selected from the group consisting of fluoroalky preferably having from 1 to 6 carbon atoms and about 1 and about 13 fluorine atoms, aryl, preferably having from 6 to about 12 carbon atoms and from 1 to 3 rings, benzyl, preferably having from 7 to 12 carbon atoms, thiol, and alkylthiol, preferably having from 1 to about 6 carbon atoms, each of which is optionally substituted with an optionally substituted alkyl, preferably having from 1 to about 6 carbon atoms, optionally substituted alkenyl, preferably having from 2 to about 6 carbon atoms, optionally substituted alkynyl, preferably having from 2 to about 6 carbon atoms, optionally substituted aryl, preferably having from 6 to about 12 carbon atoms in the ring and between about 1 and about 3 rings, optionally substituted alkanoyl, preferably having from 2 to about 6 carbon atoms, or optionally substituted aralky, preferably having from 7 to about 12
- Q is hydrogen, optionally substituted alkyl, optionally substituted benzyl or optionally substituted phenyl;
- Z is Q or a tetrazole; or a pharmaceutically acceptable salt thereof.
- the present invention provides asymmetric urea compounds of Formula I and subformula thereof which are substrates for the GCP II enzyme and are suitable for use in imaging or radiotherapeutic applications.
- the invention provides imaging agents comprising a radiolabeled or fluorescently labeled asymmetric urea of the invention which has one or more radioisotopes or fluorescent dyes which is capable of binding to GCP II. More particularly, the radiolabeled or fluorescently labeled asymmetric urea compounds of the invention are suitable for use in measuring GCP II activity in vivo under a variety of conditions wherein the radiation emitted by the radioisotope of the asymmetric urea is utilized to form the image.
- radiolabeled asymmetric urea compounds of the invention comprise one or more radioisotopes capable of emitting positron radiation and are suitable for use in positron emission tomography (PET).
- PET positron emission tomography
- Compounds of the invention are typically also suitable for binding to and imaging PSMA because of the high degree of sequence homology between GCP II and PSMA.
- One class of asymmetric urea compounds provided by the present invention includes those ureas prepared by chemical modification of a carbonyl linked dipeptide selected from, Cys-C(O)-Glu, Phe-C(O)-Glu, or Tyr-C(O)-Glu where a one or more groups comprising a radioisotope have been coupled to the thiol group (Cys-C(O)-Glu) or the phenyl group (Phe/Tyr-C(O)-Glu).
- Cys-C(O)-Glu was alkylated with 11 C-iodomethane to form 11 C-Me-Cys-C(O)-Glu ( 11 C-MCG; See Example 1).
- the present invention provides pharmaceutical compositions comprising radiolabeled or fluorescently labeled compounds of Formula I or the pharmaceutically acceptable salts or solvates thereof, which compositions are useful for the imaging of the above-recited enzymes, tissues expressing said enzymes, tumors or angiogenesis.
- the invention further provides methods of imaging patients suffering from any of the above-recited disorders or disorders with an effective amount of a compound or composition of the invention.
- this invention relates to the use of the compounds of the invention (particularly labeled compounds of this invention emitting high energy radiation) as therapeutic agents for the treatment of diseases and disorders associated with elevated expression of enzymes for which the asymmetric urea compounds of the invention have high binding affinity, e.g., disorders or diseases associated with elevated MAALADase ro PSMA expression.
- Typical disease and disorders include cancer, tumors, stroke, collagen vascular disease, vascular malformations, normal tissue growth, and the like.
- Preferred asymmetric urea compounds of the invention exhibit good binding activity and/or affinity for at least one of NAALADase and PSMA.
- Particularly preferred asymmetric urea compounds of the invention are GCP II inhibitors having a K i of about 1 micromolar or less, still more preferably a K i of about 100 nanomolar, 50 nanomolar or less or even more preferably a K i of about 10 nanomolar or less.
- FIG. 1 is a table of the binding specificity of 11 C-MCG to mouse kidney. Note decreasing 11 C-MCG uptake (up to approximately seven fold) with increasing concentration of unlabeled MCG blocker. Uptake is expressed in percentage of injected dose per gram of tissue.
- FIG. 2 is a table of the binding of 11 C-MCG in the presence of various amounts of another high affinity inhibitor of GCP II (PMPA) Sacrifice time was 30 minutes in each experiment. LSA low specific activity. Statistical significance is indicated by an asterisk over the error bar (p ⁇ 0.01).
- FIG. 3 is a series of photographs of a static baboon renal PET image obtained before (A) and after (B) administration of blocker (2 mg/kg PMPA). Note decrease in cortical radioactivity after blocker administration.
- FIG. 4 is a plot of baboon renal TAC before and after blocker (2 mg/kg PMPA). Note the decrease in renal cortical radioactivity after administration of the blocker.
- the invention is further directed to compounds and pharmaceutically acceptable salts of Formula I (shown above) wherein the compounds provided by the invention are compounds and salts of Formula IA.
- Ar is a carbocyclic aromatic group having from 6 to about 18 carbon atoms and between 1 and about 3 rings which is substituted with one or more groups selected from halogen (including fluorine, chlorine, bromine, or iodine), optionally substituted alkyl, preferably having from 1 to about 6 carbon atoms, amino, hydroxy, optionally substituted alkenyl, preferably having from 2 to about 6 carbon atoms, optionally substituted alkynyl, preferably having from 2 to about 6 carbon atoms, optionally substituted benzoyloxy, preferably having between about 7 and about 12 carbon atoms, and optionally substituted alkoxy, preferably having from 1 to about 6 carbon atoms; or a pharmaceutically acceptable salt thereof.
- halogen including fluorine, chlorine, bromine, or iodine
- Preferred compounds of Formula III include those compounds according to Formula IV:
- R 2 is selected from the group consisting of fluoro, chloro, bromo, iodo, hydroxy, amino, mono and di alkylamino (where each alkyl preferably having from 1 to about 6 carbon atoms), optionally substituted alkyl, preferably having from 1 to about 6 carbon atoms, optionally substituted alkenyl, preferably having from 2 to about 6 carbon atoms, optionally substituted alkynyl, preferably having from 2 to about 6 carbon atoms, optionally substituted aryl, preferably having from about 6 to about 12 carbon atoms and between about 1 and about 3 rings, optionally substituted benzoyloxy, preferably having between about 7 and about 12 carbon atoms, and optionally substituted alkoxy, preferably having from 1 to about 6 carbon atoms; and
- n is an integer from about 1 to about 5.
- Ar is a carbocyclic aromatic group having from 6 to about 18 carbon atoms and between 1 and about 3 rings which is substituted with one or more groups selected from halogen, alkyl, amino, hydroxy, optionally substituted alkyl, optionally substituted alkenyl, optionally substituted alkynyl, optionally substituted benzoyloxy, and optionally substituted alkoxy; or a pharmaceutically acceptable salt thereof.
- Preferred compounds of Formula V include those compounds according to Formula VI:
- R 2 is selected from the group consisting of fluoro, chloro, bromo, iodo, hydroxy, amino, mono and di alkylamino, optionally substituted alkyl, optionally substituted alkenyl, optionally substituted alkynyl, optionally substituted fluoroalkyl, optionally substituted aryl, optionally substituted benzoyloxy, and optionally substituted alkoxy; and
- n is an integer from about 1 to about 5.
- L is a chelating ligand suitable for coordination to Tc
- p 0, or 1
- n is an integer of from about 1 to about 6; or a pharmaceutically acceptable salt thereof.
- Preferred compounds of Formula VII include those compounds according to Formula VIII:
- Additional preferred asymmetric urea compounds having a fluorescent dye include those compounds of Formula IV which are represented by Formula IX:
- R 3 is a fluorescent dye which emits in the visible or near infrared spectrum.
- Particularly preferred compounds according to Formula IX include those compounds in which R 3 is FITC, a derivative thereof, carbocyanine, or a derivative thereof or other biocompatible dye capable of emitting sufficient radiation for detection and image acquisition.
- Preferred compounds of the invention include one or more radioisotopes capable of emitting one or more forms of radiation which are suitable for detection with any standard radiology equipment such as PET, SPECT, gamma cameras, MRI and the like.
- Preferred radioisotopes include tritium and isotopes of carbon, fluorine, technetium, iodine and other isotopes capable of emitting positrons.
- Particularly preferred radioisotopes include 11 C, 18 F, 99 TC, and 123 I.
- compounds of Formula II comprise a R 1 group having one or more radioisotopes.
- Particularly preferred R 1 groups include those selected from 11 C-methyl, optionally substituted C 1-6 alkyl, optionally substituted C 7-12 aralkyl, optionally substituted C 6-12 aryl, each of which may be substituted with one or more 11 C-methyl groups, 18 F, 99 Tc, 123 I, 125 I, 131 I, or a combination thereof.
- Preferred compounds of Formula III and V comprise an Ar group having one or more substitutents which have a radioisotope included therein, e.g., compounds of Formula IV and VI typically comprise one or more R 2 groups having a radioisotope therein.
- Particularly preferred compounds of Formula IV and VI include those wherein R 2 is selected from the group consisting of 11 C-methyl, 11 C-methoxy, optionally substituted C 1-6 alkyl, optionally substituted C 7-12 aralkyl, optionally substituted C 6-12 aryl, each of which may be substituted with one or more 11 C-methyl groups, 18 F, 99 Tc, 123 I, 125 I, 131 I, or a combination thereof.
- R 2 is selected from hydroxy, 11 C-methoxy, 11 C-methyl, 18 F, 123 I, 99 Tc coordination complexes, benzoyloxy which may be substituted with one or more fluoro groups, or a combination thereof.
- Compounds of any one of Formula I, Ia, II, III, IV, V, VI, VII, VIII, of IX possess a binding affinity to at least one of NAALADase and/or PSMA of 10 micromolar or less, more preferably of 1 micromolar or less, 100 nanomolar or less, 50 nanomolar or less, 25 nanomolar or less, or most preferably of 10 nanomolar or less.
- the present invention also provides technetium labeled complexes including the preferred complexes, as follows:
- the present invention also provides fluorescently labeled compounds including the preferred fluorescent asymmetric ureas having FITC or carbocyanine, as follows:
- the present invention further provides method of imaging which comprise the steps of:
- the imaging methods of the invention are suitable for imaging any physiological process or feature in which NAALADase or PSMA are involved.
- Preferred applications include imaging glutamateric neurotransmission, presynaptic glutamatergic neurotransmission, malignant tumors or cancer that express at least one of NAALADase or PSMA, prostate cancer (including metastasized prostate cancer), and angiogenesis.
- the methods of imaging angiogenesis provided by the present invention are suitable for use in imaging a variety of diseases and disorders in which angiogenesis takes place.
- Illustrative, non-limiting, examples include tumors, collagen vascular disease, cancer, stroke, vascular malformations, retinopathy.
- Methods of imaging angiogenesis provided by the present invention are also suitable for use in diagnosis and observation of normal tissue development.
- Preferred imaging methods provided by the invention include the use of compounds according to any one of Formula I, Ia, II, III, IV, V, VI, VII, VIII, of IX which are capable of generating at least a 2:1 target to background ratio of radiation intensity, or more preferably about a 5:1, about a 10:1 or about a 15:1 ratio of radiation intensity between target and background.
- the compounds of the invention are excreted from tissues of the body quickly to prevent prolonged exposure to the radiation of the radiolabeled compound administered to the patient.
- compounds according to Formula I or any subformula thereof are eliminated from the body in less than about 24 hours. More preferably, compounds of the invention are eliminated from the body in less than about 16 hours, 12 hours, 8 hours, 6 hours, 4 hours, 2 hours, 90 minutes, or 60 minutes. Typically preferred compounds are eliminated in between about 60 minutes and about 120 minutes.
- Preferred compounds of the invention are stable in vivo such that substantially all, e.g., more than about 50%, 60%, 70%, 80%, or more preferably 90% of the injected compound is not metabolized by the body prior to excretion.
- Compounds of the invention and imaging methods of the invention are useful in imaging a variety of conditions including presynaptic imaging of glutamatergic neurotransmission, identification of prostate tumors and metastasized prostate tumors, and imaging of angiogenesis.
- Methods of imaging angiogenesis provided by the present invention using radiolabeled asymmetric ureas are suitable for imaging angiogenesis associated with tumor growth, collagen vascular disease, stroke, vascular malformations, retinopathy and normal tissue development.
- NAALADase and PSMA are frequently expressed in endothelial cells of capillary vessels in peritumoral and endotumoral areas of various malignancies such that compounds of the invention and methods of imaging using same are suitable for imaging such malignancies.
- Typical subjects to which compounds of the invention may be administered will be mammals, particularly primates, especially humans.
- mammals particularly primates, especially humans.
- livestock such as cattle, sheep, goats, cows, swine and the like; poultry such as chickens, ducks, geese, turkeys, and the like; and domesticated animals particularly pets such as dogs and cats.
- rodents e.g. mice, rats, hamsters
- rabbits primates, and swine such as inbred pigs and the like.
- body fluids and cell samples of the above subjects will be suitable for use such as mammalian, particularly primate such as human, blood, urine or tissue samples, or blood urine or tissue samples of the animals mentioned for veterinary applications.
- the present invention also provide packaged pharmaceutical compositions comprising a pharmaceutical acceptable carrier and a compound or salt of any one of Formula I, Ia, II, III, IV, V, VI, VII, VIII, of IX.
- the packaged pharmaceutical composition will comprise the reaction precursors necessary generate the compound or salt according to Formula I or subformula thereof upon combination with a radiolabeled precursor.
- Other packaged pharmaceutical compositions provided by the present invention further comprise indicia comprising at least one of: instructions for using the composition to image cells or tissues expressing at least one of NAALADase or PSMA, or instructions for using the composition to image glutamatergic neurotransmission in a patient suffering from a stress-related disorder, or instructions for using the composition to image prostate cancer.
- the invention provides a kit according to the invention contains from about 1 to about 30 mCi of the radionuclide-labeled imaging agent described above, in combination with a pharmaceutically acceptable carrier.
- the imaging agent and carrier may be provided in solution or in lyophilized form.
- the kit may optionally contain a sterile and physiologically acceptable reconstitution medium such as water, saline, buffered saline, and the like.
- the kit of the invention may contain the targeting molecule which has been covalently or non-covalently combined with a chelating agent; an auxiliary molecule such as mannitol, gluconate, glucoheptonate, tartrate, and the like; and a reducing agent such as SnCl 2 , Na dithionite or tin tartrate.
- the targeting molecule/chelating agent and the auxiliary molecule may be present as separate components of the kit or they may be combined into one kit component.
- the unlabeled targeting molecule/chelating agent, the auxiliary molecule, and the reducing agent may be provided in solution or in lyophilized form, and these components of the kit of the invention may optionally contain stabilizers such as NaCl, silicate, phosphate buffers, ascorbic acid, gentisic acid, and the like. Additional stabilization of kit components may be provided in this embodiment, for example, by providing the reducing agent in an oxidation-resistant form.
- the kit may optionally contain a sterile and physiologically acceptable reconstitution medium such as water, saline, buffered saline, and the like.
- a sterile and physiologically acceptable reconstitution medium such as water, saline, buffered saline, and the like.
- Radionuclides including, but not limited to, 99m Tc obtained from a commercially available 99 Mo/ 99m Tc generator or commercially available 123 I, may be combined with the unlabeled targeting molecule/chelating agent and the reducing agent for a time and at a temperature sufficient to chelate the radionuclide to the targeting molecule/chelating agent, and the imaging agent thus formed is injected into the patient.
- Imaging agents of the invention may be used in accordance with the methods of the invention by one of skill in the art, e.g., by specialists in nuclear medicine, to image sites having a high density of NAALADase or PSMA concentration in a subject or patient. Ay site of increased enzyme concentration may be imaged by the imaging methods and imaging agents of the present invention.
- Images can be generated by virtue of differences in the spatial distribution of the imaging agents which accumulate at a site having a high density of NAALADase or PSMA.
- the spatial distribution may be measured using any means suitable for the particular label, for example, a gamma camera, a PET apparatus, a SPECT apparatus, and the like.
- the extent of accumulation of the imaging agent may be quantified using known methods for quantifying radioactive emissions.
- a particularly useful imaging approach employs more than one imaging agent to perform simultaneous studies.
- a detectably effective amount of the imaging agent of the invention is administered to a subject.
- a detectably effective amount is defined as an amount sufficient to yield an acceptable image using equipment which is available for clinical use.
- a detectably effective amount of the imaging agent of the invention may be administered in more than one injection.
- the detectably effective amount of the imaging agent of the invention can vary according to factors such as the degree of susceptibility of the individual, the age, sex, and weight of the individual, idiosyncratic responses of the individual, the dosimetry. Detectably effective amounts of the imaging agent of the invention can also vary according to instrument and film-related factors. Optimization of such factors is well within the level of skill in the art.
- the amount of imaging agent used for diagnostic purposes and the duration of the imaging study will depend upon the radionuclide used to label the agent, the body mass of the patient, the nature and severity of the condition being treated, the nature of therapeutic treatments which the patient has undergone, and on the idiosyncratic responses of the patient. Ultimately, the attending physician will decide the amount of imaging agent to administer to each individual patient and the duration of the imaging study.
- the compounds herein described may have one or more asymmetric centers or planes.
- Compounds of the present invention containing an asymmetrically substituted atom may be isolated in optically active or racemic forms. It is well known in the art how to prepare optically active forms, such as by resolution of racemic forms (racemates), by asymmetric synthesis, or by synthesis from optically active starting materials. Resolution of the racemates can be accomplished, for example, by conventional methods such as crystallization in the presence of a resolving agent, or chromatography, using, for example a chiral HPLC column. Many geometric isomers of olefins, C ⁇ N double bonds, and the like can also be present in the compounds described herein, and all such stable isomers are contemplated in the present invention.
- Cis and trans geometric isomers of the compounds of the present invention are described and may be isolated as a mixture of isomers or as separated isomeric forms. All chiral (enantiomeric and diastereomeric), and racemic forms, as well as all geometric isomeric forms of a structure are intended, unless the specific stereochemistry or isomeric form is specifically indicated.
- any variable occurs more than one time in any constituent or formula for a compound, its definition at each occurrence is independent of its definition at every other occurrence.
- a group is shown to be substituted with 0-2 R*, then said group may optionally be substituted with up to two R* groups and R* at each occurrence is selected independently from the definition of R*.
- combinations of substituents and/or variables are permissible only if such combinations result in stable compounds.
- substituents of the various formulae are “optionally substituted”, including Ar, R, R 1 , R 2 , R 3 , Q, or Z of Formula I and subformulae thereof, and such substituents as recited in the sub-formulae such as Formula I and subformulae.
- substituted means that any one or more hydrogens on the designated atom or group is replaced with a selection from the indicated group of substituents, provided that the designated atom's normal valence is not exceeded, and that the substitution results in a stable compound.
- substituents such as Ar, R, R 1 , R 2 , R 3 , Q, or Z of Formula I and subformulae thereof, and such substituents as recited in the sub-formulae are further substituted, they may be so substituted at one or more available positions, typically 1 to 3 or 4 positions, by one or more suitable groups such as those disclosed herein.
- Suitable groups that may be present on a “substituted” R 1 , R 2 , R 3 or other group include e.g., halogen; cyano; hydroxyl; nitro; azido; alkanoyl (such as a C 1-6 alkanoyl group such as acyl or the like); carboxamido; alkyl groups (including cycloalkyl groups, having 1 to about 8 carbon atoms, preferably 1, 2, 3, 4, 5, or 6 carbon atoms); alkenyl and alkynyl groups (including groups having one or more unsaturated linkages and from 2 to about 8, preferably 2, 3, 4, 5 or 6, carbon atoms); alkoxy groups having one or more oxygen linkages and from 1 to about 8, preferably 1, 2, 3, 4, 5 or 6 carbon atoms; aryloxy such as phenoxy; alkylthio groups including those having one or more thioether linkages and from 1 to about 8 carbon atoms, preferably 1, 2, 3, 4, 5 or 6 carbon atoms;
- alkyl is intended to include both branched and straight-chain saturated aliphatic hydrocarbon groups, having the specified number of carbon atoms.
- alkyl include, but are not limited to, methyl, ethyl, n-propyl, i-propyl, n-butyl, s-butyl, t-butyl, n-pentyl, and s-pentyl.
- Preferred alkyl groups are C 1 - 6 alkyl groups.
- Especially preferred alkyl groups are methyl, ethyl, propyl, butyl, and 3-pentyl.
- C 1-4 alkyl as used herein includes alkyl groups consisting of 1 to 4 carbon atoms, which may contain a cyclopropyl moiety. Suitable examples are methyl, ethyl, and cyclopropylmethyl.
- Cycloalkyl is intended to include saturated ring groups, having the specified number of carbon atoms, such as cyclopropyl, cyclobutyl, cyclopentyl, or cyclohexyl. Cycloalkyl groups typically will have 3 to about 8 ring members.
- (C 3-8 cycloalkyl)C 1 - 4 alkyl cycloalkyl, and alkyl are as defined above, and the point of attachment is on the alkyl group. This term encompasses, but is not limited to, cyclopropylmethyl, cyclohexylmethyl, and cyclohexylmethyl.
- Alkenyl is intended to include hydrocarbon chains of either a straight or branched configuration comprising one or more unsaturated carbon-carbon bonds, which may occur in any stable point along the chain, such as ethenyl and propenyl. Alkenyl groups typically will have 2 to about 8 carbon atoms, more typically 2 to about 6 carbon atoms.
- Alkynyl is intended to include hydrocarbon chains of either a straight or branched configuration comprising one or more carbon-carbon triple bonds, which may occur in any stable point along the chain, such as ethynyl and propynyl. Alkynyl groups typically will have 2 to about 8 carbon atoms, more typically 2 to about 6 carbon atoms.
- Haloalkyl is intended to include both branched and straight-chain saturated aliphatic hydrocarbon groups having the specified number of carbon atoms, substituted with 1 or more halogen atoms.
- haloalkyl include, but are not limited to, mono-, di-, or tri-fluoromethyl, mono-, di-, or tri-chloromethyl, mono-, di-, tri-, tetra-, or penta-fluoroethyl, and mono-, di-, tri-, tetra-, or penta-chloroethyl.
- Typical haloalkyl groups will have 1 to about 8 carbon atoms, more typically 1 to about 6 carbon atoms.
- Alkoxy represents an alkyl group as defined above with the indicated number of carbon atoms attached through an oxygen bridge. Examples of alkoxy include, but are not limited to, methoxy, ethoxy, n-propoxy, i-propoxy, n-butoxy, 2-butoxy, t-butoxy, n-pentoxy, 2-pentoxy, 3-pentoxy, isopentoxy, neopentoxy, n-hexoxy, 2-hexoxy, 3-hexoxy, and 3-methylpentoxy. Alkoxy groups typically have 1 to about 8 carbon atoms, more typically 1 to about 6 carbon atoms.
- Halolkoxy represents a haloalkyl group as defined above with the indicated number of carbon atoms attached through an oxygen bridge.
- alkylthio includes those groups having one or more thioether linkages and preferably from 1 to about 8 carbon atoms, more typically 1 to about 6 carbon atoms.
- alkylsulfinyl includes those groups having one or more sulfoxide (SO) linkage groups and typically from 1 to about 8 carbon atoms, more typically 1 to about 6 carbon atoms.
- SO sulfoxide
- alkylsulfonyl includes those groups having one or more sulfonyl (SO 2 ) linkage groups and typically from 1 to about 8 carbon atoms, more typically 1 to about 6 carbon atoms.
- alkylamino includes those groups having one or more primary, secondary and/or tertiary amine groups and typically from 1 to about 8 carbon atoms, more typically 1 to about 6 carbon atoms.
- Halo or “halogen” as used herein refers to fluoro, chloro, bromo, or iodo; and “counter-ion” is used to represent a small, negatively charged species such as chloride, bromide, hydroxide, acetate, sulfate, and the like.
- carrier group is intended to mean any stable 3- to 7-membered monocyclic or bicyclic or 7- to 13-membered bicyclic or tricyclic group, any of which may be saturated, partially unsaturated, or aromatic.
- examples of such carbocycles include, but are not limited to, cyclopropyl, cyclobutyl, cyclopentyl, cyclohexyl, cycloheptyl, adamantyl, cyclooctyl, [3.3.0]bicyclooctanyl, [4.3.0]bicyclononanyl, [4.4.0]bicyclodecanyl, [2.2.2]bicyclooctanyl, fluorenyl, phenyl, naphthyl, indanyl, and tetrahydronaphthyl.
- heterocyclic group is intended to include saturated, partially unsaturated, or unsaturated (aromatic) groups having 1 to 3 (preferably fused) rings with 3 to about 8 members per ring at least one ring containing an atom selected from N, O or S.
- the nitrogen and sulfur heteroatoms may optionally be oxidized.
- heterocycloalkyl is used to refer to saturated heterocyclic groups.
- the heterocyclic ring may be attached to its pendant group at any heteroatom or carbon atom that results in a stable structure.
- the heterocyclic rings described herein may be substituted on carbon or on a nitrogen atom if the resulting compound is stable.
- a nitrogen in the heterocycle may optionally be quaternized.
- aromatic heterocyclic system is intended to include any stable 5- to 7-membered monocyclic or 10- to 14-membered bicyclic heterocyclic aromatic ring system which comprises carbon atoms and from 1 to 4 heteroatoms independently selected from the group consisting of N, O and S. It is preferred that the total number of S and O atoms in the aromatic heterocycle is not more than 2, more preferably not more than 1.
- heterocycles include, but are not limited to, those exemplified elsewhere herein and further include acridinyl, azocinyl, benzimidazolyl, benzofuranyl, benzothiofuranyl, benzothiophenyl, benzoxazolyl, benzthiazolyl, benztriazolyl, benztetrazolyl, benzisoxazolyl, benzisothiazolyl, benzimidazolinyl, carbazolyl, NH-carbazolyl, carbolinyl, chromanyl, chromenyl, cinnolinyl, decahydroquinolinyl, 2H,6H-1,5,2-dithiazinyl, dihydrofuro[2,3-b]tetrahydrofuran, furanyl, furazanyl, imidazolidinyl, imidazolinyl, imidazolyl, 1H-indazolyl, indo
- Preferred heterocyclic groups include, but are not limited to, pyridinyl, pyrimidinyl, furanyl, thienyl, pyrrolyl, pyrazolyl, pyrrolidinyl, morpholinyl, piperidinyl, piperazinyl, and imidazolyl. Also included are fused ring and spiro compounds containing, for example, the above heterocycles.
- carbocyclic aryl includes groups that contain 1 to 3 separate or fused rings and from 6 to about 18 ring atoms, without hetero atoms as ring members.
- Specifically preferred carbocyclic aryl groups include phenyl, and naphthyl including 1-napthyl and 2-naphthyl.
- a “pharmaceutically acceptable carrier” refers to a biocompatible solution, having due regard to sterility, pH, isotonicity, stability, and the like and can include any and all solvents, diluents (including sterile saline, Sodium Chloride Injection, Ringer's Injection, Dextrose Injection, Dextrose and Sodium Chloride Injection, Lactated Ringer's Injection and other aqueous buffer solutions), dispersion media, coatings, antibacterial and antifungal agents, isotonic agents, and the like.
- the pharmaceutically acceptable carrier may also contain stabilizers, preservatives, antioxidants, or other additives, which are well known to one of skill in the art, or other vehicle as known in the art.
- pharmaceutically acceptable salts refer to derivatives of the disclosed compounds wherein the parent compound is modified by making non-toxic acid or base salts thereof.
- pharmaceutically acceptable salts include, but are not limited to, mineral or organic acid salts of basic residues such as amines; alkali or organic salts of acidic residues such as carboxylic acids; and the like.
- the pharmaceutically acceptable salts include the conventional non-toxic salts or the quaternary ammonium salts of the parent compound formed, for example, from non-toxic inorganic or organic acids.
- conventional non-toxic acid salts include those derived from inorganic acids such as hydrochloric, hydrobromic, sulfuric, sulfamic, phosphoric, nitric and the like; and the salts prepared from organic acids such as acetic, propionic, succinic, glycolic, stearic, lactic, malic, tartaric, citric, ascorbic, pamoic, malefic, hydroxymaleic, phenyl acetic, glutamic, benzoic, salicylic, mesylic, sulfanilic, 2-acetoxybenzoic, fumaric, toluenesulfonic, methanesulfonic, ethane disulfonic, oxalic, isethionic, HOOC—(CH 2 )n-COOH where n is 0-4, and the like.
- the pharmaceutically acceptable salts of the present invention can be synthesized from a parent compound that contains a basic or acidic moiety by conventional chemical methods.
- such salts can be prepared by reacting free acid forms of these compounds with a stoichiometric amount of the appropriate base (such as Na, Ca, Mg, or K hydroxide, carbonate, bicarbonate, or the like), or by reacting free base forms of these compounds with a stoichiometric amount of the appropriate acid.
- Such reactions are typically carried out in water or in an organic solvent, or in a mixture of the two.
- non-aqueous media like ether, ethyl acetate, ethanol, isopropanol, or acetonitrile are preferred, where practicable. Lists of additional suitable salts may be found, e.g., in Remington's Pharmaceutical Sciences, 17th ed., Mack Publishing Company, Easton, Pa., p. 1418 (1985).
- an imaging agent that can quantify GCP II activity is suitable for use in studying presynaptic glutamatergic transmission and diagnosis and monitoring of prostate cancer or tumor neoangiogenesis.
- the kidney was used as a surrogate organ for the in vivo 11 C-MCG uptake studies.
- 11 C-MCG may also possess some nonspecific binding because there is no 11 C-MCG uptake with blockade. That could be due to several factors, including the fact that the route of excretion of MCG is renal, so 11 C-MCG, which is not bound to GCP II, is also included in the “blocked” kidney, and that 11 C-MCG may be a substrate for other enzymes and nonspecific transporters present in kidney, although at much lower affinity.
- the kidney has urea and glutamate transporters (ref 16,17), each of which could be a target of 11 C-MCG and may be blocked in a dose-dependant manner. If so, they may contribute significantly to the blockade depicted in FIG. 1 . Further studies are necessary to uncover the GCP II-specific vs. transporter binding activity of 11 C-MCG in the kidney.
- 11 C-MCG also displayed salutary metabolic characteristics for an enzyme-based radiopharmaceutical, i.e., little metabolism either in the plasma or in the target organ which is beneficial for certain applications in tracer kinetic modeling used for quantification of enzyme activity.
- N,N-Dimethylformamide (DMF) was distilled under reduced pressure from barium oxide.
- High performance liquid chromatography (HPLC) equipment consisted of model 7126 injectors (Rheodyne, Rohnert, Calif.) model 590 EF pumps (Waters, Milford, Mass.), a model 440 ultraviolet (UV) absorbance detector (214 nm) (Waters), and a 5.08 cm (2 in.) NaI (Tl) crystal scintillation detector (model 276, Ortec, Oak Ridge, Tenn.).
- Model 3390A integrators Hewlett-Packard, Andover Mass.
- a Dynamax system Rosin Instrument, Woburn Mass.
- Semipreparative (10 ⁇ 250 mm) and analytical (4.6 ⁇ 250 mm) reverse-phase HPLC columns were used for purification and quality control, respectively, of the radiotracer.
- Facile radiosynthesis of 11 C-MCG was effected by treatment of the corresponding desmethyl precursor with 11 C-iodomethane as depicted in Scheme 1.
- a 0.1 mL aliquot of 11 C-MCG (typically approximately 3 mCi) was assayed for radioactivity and injected onto an analytical HPLC column using a mobile phase of 10/90 acetonitrile/0.01 M phosphoric acidat 2 mL/min.
- 3 mL of 8.4% sterile, sodium bicarbonate was added to the radiotracer to bring the pH fo the final formulation to approximately 7.
- Asymmetric ureas according to Formula III or Formula IV may be prepared by transmetallation and fluorination as described in J. Chem. Soc. Chem. Comm. 1986 pg 1623. Typically, a trimethyltin or dimethylamine substituted aryl group is treated at room temperature with cesium sulfate in acetonitrile followed by addition of a source of fluorine. See for example Scheme 2.
- mice Male CD-1 mice (Charles River, Wilmington, Mass.) weighing between 20 and 25 g were used and received an injection of 3.7 MBq (100 ⁇ Ci) of 11 C-MCG through the tail vein. That amounted to, at a maximum, 0.27 ⁇ g/kg.
- mice were killed by cervical dislocation at 5, 15, 30, 60, and 120 min after injection of the radiotracer in 200 ⁇ L of saline vehicle. The brains were removed and placed on ice, and the cerebellum, olfactory bulb, hypothalamus, hippocampus, striatum, parietal cortex, brainstem, and thalamus were harvested. Kidneys, blood, fat, muscle, small intestine, and prostate were also harvested.
- tissue samples were weighted, and their radioactivity content was determined in an automated ⁇ counter (1282 Compugamma CS: Pharmacia/LKB Nuclear, Gaithersburg Md.). Aliquots of the injected tracer were counted along with the samples and served as standards for the calculation of percentage injected dose per gram of tissue (% ID/g).
- groups of three mice each were pretreated with the high affinity GCP II inhibitor PMPA at does of 1, 10 and 100 mg/kg in 200 ⁇ L of saline vehicle 5 minutes prior to 11 C-MCG injection.
- animals were pretreated similarly with unlabeled MCG standard at doses of 5, 50, 100, 500, and 1000 ⁇ g/kg before 11 C-MCG injection
- the acid extracts were loaded onto a 4.6 ⁇ 250 mm Prodigy ODS-3 column (Phenomenex) eluted with 10% acetonitrile in 50 mM sodium phosphate buffer pH 2.5 at a flow rate of 2 mL/min. Radioactivity was measured by a dual BGO flow detector and the chromatograph analyzed by Laura software (Bioscan, Washington, D.C.). 11 C-MCG eluted after 4.0 minutes with a minor, earlier eluting product at 2.5 minutes.
- a dynamic PET study of the renal cortical uptake and clearance of 11 C-MCG was performed in an adult male baboon ( Papio anubis; body weight, approximately 30 kg). Before each study, two intraveneous catheters and a single arterial catheter were placed for infusion of anesthesia, injection of radiotracer and sampling of arterial blood, respectively. The animal was initially anestitized intramuscurally with 8-10 mg/kg alfadolone and alfaxalone acetate (Saffan; Pitman-Moore, Middlesex, UK) and was intubated. Anesthesia was maintained throughout the study by a continuous intravenous infusion drip of 6-9 mg/kg/h of Saffan. The animal was secured to the PET bed using an individually fitted thermoplastic mask.
- Pulse, blood pressure, and oxygen saturation were monitored continuously during the studies. Blood oxygen saturation was always maintained above 85%.
- transmission scanning was performed with a 370 MBq (10 mCi) 68 Ga source to allow for attenuation correction. PET scanning was started immediately after intravenous injection of 370 MBq (10 mCi) of high-specific-activity 11 C-MCG (corresponding, at a maximum, to 0.02 ⁇ g/kg).
- PET images were reconstructed from the raw data using a two-dimensional OSEM algorithm. Images were corrected for attenuation and decay and were scaled to the same maximum. A region of interest was chosen over the left lower pole renal cortex and time-activity curves (TACs) were generated. To assess binding specificity, 2 mg/kg of PMPA (in 6 mL of saline) was administered intravenously 10 minutes prior to injection of 11 C-MCG at the end of the first 90 minute scan. Static images obtained over 10 minutes were performed before and after blocker. See FIG. 3 .
- the effect of blocking with PMPA was evaluated by changes in the Dv and calculated as 100 ⁇ (DV baseline ⁇ DV blocker )/DV baseline .
- the model was fit to the PET data using nonlinear least squares minimization (ref 9)
Landscapes
- Health & Medical Sciences (AREA)
- Life Sciences & Earth Sciences (AREA)
- Chemical & Material Sciences (AREA)
- Engineering & Computer Science (AREA)
- Organic Chemistry (AREA)
- Immunology (AREA)
- Biomedical Technology (AREA)
- Molecular Biology (AREA)
- Hematology (AREA)
- Urology & Nephrology (AREA)
- General Health & Medical Sciences (AREA)
- Physics & Mathematics (AREA)
- Medicinal Chemistry (AREA)
- Biotechnology (AREA)
- Analytical Chemistry (AREA)
- Biochemistry (AREA)
- Microbiology (AREA)
- Food Science & Technology (AREA)
- Cell Biology (AREA)
- General Physics & Mathematics (AREA)
- Pathology (AREA)
- Proteomics, Peptides & Aminoacids (AREA)
- Public Health (AREA)
- Animal Behavior & Ethology (AREA)
- Veterinary Medicine (AREA)
- Zoology (AREA)
- Wood Science & Technology (AREA)
- Epidemiology (AREA)
- Pharmacology & Pharmacy (AREA)
- Tropical Medicine & Parasitology (AREA)
- General Engineering & Computer Science (AREA)
- Genetics & Genomics (AREA)
- Pregnancy & Childbirth (AREA)
- Gynecology & Obstetrics (AREA)
- Reproductive Health (AREA)
- Biophysics (AREA)
- Bioinformatics & Cheminformatics (AREA)
- Optics & Photonics (AREA)
- Nuclear Medicine, Radiotherapy & Molecular Imaging (AREA)
- General Chemical & Material Sciences (AREA)
Abstract
The present invention relates to compounds particularly asymmetric urea compounds which are labeled with one or more radioisotopes and which are suitable for imaging or therapeutic treatment of tissues, organs, or tumors which express NAALADase and/or PSMA. In another embodiment, the invention relates to methods of imaging tissues, organs, or tumors using radiolabeled compounds of the invention, particularly tissues, organs, or tumors which express NAALADase and/or PSMA to which the compounds of the invention have an affinity.
Description
- This application claims the benefit of U.S. Provisional Application Ser. No. 60/347,487 filed Jan. 10, 2002, the teachings of which are incorporated herein by reference.
- This invention was supported by National Institute of Health (NIH) Grant No. CA92871. The United States government has certain rights to the invention.
- 1. Field of the Invention
- The present invention provides novel asymmetric urea compounds, particularly asymmetric urea compounds capable of binding with high selectivity and/or high affinity to N-Acylated alpha-linked L-amino dipeptidaase (NAALADase) (also known as glutamate carboxypeptidase II; GCP II) and/or prostate specific membrane antigen (PSMA). This invention also provides pharmaceutical compositions comprising such urea compounds. Additionally this invention provides imaging methods for localizing NAALADase and/or PSMA in tissues or cells using radiolabeled asymmetric urea compounds of the invention. The invention further provides treatment methods comprising administration of a high energy radiolabeled asymmetric urea to a patient, particularly patients suffering from prostate cancer.
- 2. Background
- In the brain, the metalloprotease, glutamate carboxypeptidase II (GCP II; EC 3.4.17.21) cleaves N-acetyl-aspartyl-glutamate (NAAG) to N-acetyl-aspartate (NAA) and glutamate. The roles of GCP II in the brain are to terminate the neurotransmitter activity of NAAG and to produce glutamate that is then free to act as its various receptor subtypes.
- GCP II and PSMA are very similar enzymes, such that an imaging probe for GCP II may serve useful to image PSMA. PSMA is expressed in a variety of normal and malignant tissues in and outside of the central nervous system (CNS). Immunohistochemistry using the anti-PSMA antibody 7E11-C5 has shown PSMA to have a fairly restricted pattern of expression in human tissues, with the highest levels of activity demonstrated in a subset of proximal renal tubules, prostate epithelium, and within the duodenum and colon. An immuno-cytochemical study that focused on the brain distribution of GCP II revealed staining of areas previously noted to contain immunoreactivity for NAAG, the natural substrate for GCP II. Those areas included the basal ganglia, hippocampus, substantia nigra, among others, and included regions that did not demonstrate NAAG immunoreactivity. A study that employed 3H-NAAG demonstrated a 14-fold elevation of PSMA in human prostate cancer relative to normal prostate tissue. PSMA expression is highest in high-grade and hormone-refractory disease. Using a panel of anti-PSMA antibodies, PSMA immunoreactivity has been demonstrated in tumor-associated neovasculature in a host of tumors, including breast, colon, and lung.
- GCP II also possesses 87% sequence homology with the prostate-specific membrane antigen (PSMA). GCP II and PSMA exhibit some differences in substrate specificity and cellular localization. More particularly, GCP II has only a membrane bound form, whereas PSMA is found both in cell membranes and within cytosol. Notwithstanding the differences in substrate specificity and cellular localization, the enzymes have been shown to have similar pharmacological profiles.
- Kozikowski et al recite a series of inhibitors of GCP II that maintain a structural motif similar to that of the phosphonic bis-dicarboxylic acid, 2-[(2,4-Dicarboxy-butyl)-hydroxy-phosphinoylmethyl]-pentanedioic acid, which is a potent inhibitor of GCP II, but has the central CH2P(O)(OH)CH2 group replaced with a urea group (J. Med. Chem. 2001 44: 298-301).
- U.S. Pat. No. 6,479,470 issued to Kozikowski reports a series of compounds according to the formula:
- Where X is selected from —COOH, —C(O)NHOH, —C(O)NH2, —C(S)SH, —SO3H, —SO2H, —SOH, —SeO3H, —SeOH, —S(O)2NH2, —P(O)(OH)2, and —P(OH)2.
- J. Frangioni teaches, in WO 02/098885 and WO 02/38190, a series of phosphonate, bisphosphonate and ester compounds and the use of same as imaging agents. Frangioni, in WO 01/72958, also teaches the use of various peptides in the diagnosis and treatment of diseases including bladder cancer.
- mAb imaging and therapy for prostate cancer based on agents that bind either to intra- or extra-cellular domains of PSMA has been reported and includes Prostascint, a clinical agent that utilizes single photon emission computed tomography (SPECT) (Cancer Res. 1990, 50:6423-6429; Cancer Metastasis Rev. 1999, 18:483-490; and Cancer Res. 2000, 60:6095-6100).
- It would be desirable to have a family of compounds, including radiolabeled compounds, having high affinity for GCP and/or PSMA, which can be readily prepared.
- The invention provides novel asymmetric urea compounds of Formula I, and pharmaceutical compositions comprising compounds of Formula I and at least one pharmaceutically acceptable carrier or excipient. Preferred asymmetric urea compounds of the invention exhibit high affinity for at least one of NAALADase, i.e., GCP II, or PSMA.
- The present invention provides asymmetric urea compounds according to Formula I
- wherein
- R is selected from the group consisting of fluoroalky preferably having from 1 to 6 carbon atoms and about 1 and about 13 fluorine atoms, aryl, preferably having from 6 to about 12 carbon atoms and from 1 to 3 rings, benzyl, preferably having from 7 to 12 carbon atoms, thiol, and alkylthiol, preferably having from 1 to about 6 carbon atoms, each of which is optionally substituted with an optionally substituted alkyl, preferably having from 1 to about 6 carbon atoms, optionally substituted alkenyl, preferably having from 2 to about 6 carbon atoms, optionally substituted alkynyl, preferably having from 2 to about 6 carbon atoms, optionally substituted aryl, preferably having from 6 to about 12 carbon atoms in the ring and between about 1 and about 3 rings, optionally substituted alkanoyl, preferably having from 2 to about 6 carbon atoms, or optionally substituted aralky, preferably having from 7 to about 12 carbon atoms, optionally substituted alkoxy, preferably having from 1 to about 6 carbon atoms, optionally substituted aralkyloxy, preferably having from 7 to about 12 carbon atoms, or optionally substituted phenoxy, preferably having from about 6 to about 12 carbon atoms and from about 1 to about 3 rings;
- Q is hydrogen, optionally substituted alkyl, optionally substituted benzyl or optionally substituted phenyl; and
- Z is Q or a tetrazole; or a pharmaceutically acceptable salt thereof.
- The present invention provides asymmetric urea compounds of Formula I and subformula thereof which are substrates for the GCP II enzyme and are suitable for use in imaging or radiotherapeutic applications. The invention provides imaging agents comprising a radiolabeled or fluorescently labeled asymmetric urea of the invention which has one or more radioisotopes or fluorescent dyes which is capable of binding to GCP II. More particularly, the radiolabeled or fluorescently labeled asymmetric urea compounds of the invention are suitable for use in measuring GCP II activity in vivo under a variety of conditions wherein the radiation emitted by the radioisotope of the asymmetric urea is utilized to form the image. In preferred embodiments, radiolabeled asymmetric urea compounds of the invention comprise one or more radioisotopes capable of emitting positron radiation and are suitable for use in positron emission tomography (PET). Compounds of the invention are typically also suitable for binding to and imaging PSMA because of the high degree of sequence homology between GCP II and PSMA.
- One class of asymmetric urea compounds provided by the present invention includes those ureas prepared by chemical modification of a carbonyl linked dipeptide selected from, Cys-C(O)-Glu, Phe-C(O)-Glu, or Tyr-C(O)-Glu where a one or more groups comprising a radioisotope have been coupled to the thiol group (Cys-C(O)-Glu) or the phenyl group (Phe/Tyr-C(O)-Glu). In an illustrative embodiment, Cys-C(O)-Glu was alkylated with 11C-iodomethane to form 11C-Me-Cys-C(O)-Glu (11C-MCG; See Example 1). 11C-MCG exhibits high binding affinity for GCP II (Ki=1.9 nM) and the 11C-MCG is selectively taken up in tissue expressing at least one of GCP II or PSMA.
- According to yet another aspect, the present invention provides pharmaceutical compositions comprising radiolabeled or fluorescently labeled compounds of Formula I or the pharmaceutically acceptable salts or solvates thereof, which compositions are useful for the imaging of the above-recited enzymes, tissues expressing said enzymes, tumors or angiogenesis. The invention further provides methods of imaging patients suffering from any of the above-recited disorders or disorders with an effective amount of a compound or composition of the invention.
- Additionally this invention relates to the use of the compounds of the invention (particularly labeled compounds of this invention emitting high energy radiation) as therapeutic agents for the treatment of diseases and disorders associated with elevated expression of enzymes for which the asymmetric urea compounds of the invention have high binding affinity, e.g., disorders or diseases associated with elevated MAALADase ro PSMA expression. Typical disease and disorders include cancer, tumors, stroke, collagen vascular disease, vascular malformations, normal tissue growth, and the like.
- Preferred asymmetric urea compounds of the invention exhibit good binding activity and/or affinity for at least one of NAALADase and PSMA. Particularly preferred asymmetric urea compounds of the invention are GCP II inhibitors having a Ki of about 1 micromolar or less, still more preferably a Ki of about 100 nanomolar, 50 nanomolar or less or even more preferably a Ki of about 10 nanomolar or less.
-
FIG. 1 is a table of the binding specificity of 11C-MCG to mouse kidney. Note decreasing 11C-MCG uptake (up to approximately seven fold) with increasing concentration of unlabeled MCG blocker. Uptake is expressed in percentage of injected dose per gram of tissue. -
FIG. 2 is a table of the binding of 11C-MCG in the presence of various amounts of another high affinity inhibitor of GCP II (PMPA) Sacrifice time was 30 minutes in each experiment. LSA low specific activity. Statistical significance is indicated by an asterisk over the error bar (p<0.01). -
FIG. 3 is a series of photographs of a static baboon renal PET image obtained before (A) and after (B) administration of blocker (2 mg/kg PMPA). Note decrease in cortical radioactivity after blocker administration. -
FIG. 4 is a plot of baboon renal TAC before and after blocker (2 mg/kg PMPA). Note the decrease in renal cortical radioactivity after administration of the blocker. - In addition to compounds of Formula I, described above, the invention is further directed to compounds and pharmaceutically acceptable salts of Formula I (shown above) wherein the compounds provided by the invention are compounds and salts of Formula IA.
- Other preferred asymmetric urea compounds provided by the invention include those compounds according to Formula II:
- wherein R1 is selected from optionally substituted alkyl, preferably having from 1 to about 6 carbon atoms, optionally substituted alkenyl, preferably having from 2 to about 6 carbon atoms, optionally substituted alkynyl, preferably having from 2 to about 6 carbon atoms, optionally substituted fluoroalkyl, preferably having from 1 to about 6 carbon atoms and between 1 and 2n+1 fluorine atoms (where n=number of carbon atoms), optionally substituted aryl, preferably having from about 6 to about 12 carbon atoms and between about 1 and about 3 rings, optionally substituted aralkyl, preferably having from 7 to about 12 carbon atoms; or a pharmaceutically acceptable salt thereof.
- Yet other preferred asymmetric urea compounds provided by the invention include those compounds according to Formula III:
- wherein Ar is a carbocyclic aromatic group having from 6 to about 18 carbon atoms and between 1 and about 3 rings which is substituted with one or more groups selected from halogen (including fluorine, chlorine, bromine, or iodine), optionally substituted alkyl, preferably having from 1 to about 6 carbon atoms, amino, hydroxy, optionally substituted alkenyl, preferably having from 2 to about 6 carbon atoms, optionally substituted alkynyl, preferably having from 2 to about 6 carbon atoms, optionally substituted benzoyloxy, preferably having between about 7 and about 12 carbon atoms, and optionally substituted alkoxy, preferably having from 1 to about 6 carbon atoms; or a pharmaceutically acceptable salt thereof.
- Preferred compounds of Formula III include those compounds according to Formula IV:
- wherein R2 is selected from the group consisting of fluoro, chloro, bromo, iodo, hydroxy, amino, mono and di alkylamino (where each alkyl preferably having from 1 to about 6 carbon atoms), optionally substituted alkyl, preferably having from 1 to about 6 carbon atoms, optionally substituted alkenyl, preferably having from 2 to about 6 carbon atoms, optionally substituted alkynyl, preferably having from 2 to about 6 carbon atoms, optionally substituted aryl, preferably having from about 6 to about 12 carbon atoms and between about 1 and about 3 rings, optionally substituted benzoyloxy, preferably having between about 7 and about 12 carbon atoms, and optionally substituted alkoxy, preferably having from 1 to about 6 carbon atoms; and
- n is an integer from about 1 to about 5.
- Yet other preferred asymmetric urea compounds provided by the invention include those compounds according to Formula V:
- wherein Ar is a carbocyclic aromatic group having from 6 to about 18 carbon atoms and between 1 and about 3 rings which is substituted with one or more groups selected from halogen, alkyl, amino, hydroxy, optionally substituted alkyl, optionally substituted alkenyl, optionally substituted alkynyl, optionally substituted benzoyloxy, and optionally substituted alkoxy; or a pharmaceutically acceptable salt thereof.
- Preferred compounds of Formula V include those compounds according to Formula VI:
- wherein R2 is selected from the group consisting of fluoro, chloro, bromo, iodo, hydroxy, amino, mono and di alkylamino, optionally substituted alkyl, optionally substituted alkenyl, optionally substituted alkynyl, optionally substituted fluoroalkyl, optionally substituted aryl, optionally substituted benzoyloxy, and optionally substituted alkoxy; and
- n is an integer from about 1 to about 5.
- Other preferred asymmetric urea compounds provided by the invention include those compounds according to Formula VII:
- wherein
- L is a chelating ligand suitable for coordination to Tc;
- p is 0, or 1; and
- n is an integer of from about 1 to about 6; or a pharmaceutically acceptable salt thereof.
- Preferred compounds of Formula VII include those compounds according to Formula VIII:
- where E is oxygen or absent.
- Additional preferred asymmetric urea compounds having a fluorescent dye include those compounds of Formula IV which are represented by Formula IX:
- wherein R3 is a fluorescent dye which emits in the visible or near infrared spectrum.
- Particularly preferred compounds according to Formula IX include those compounds in which R3 is FITC, a derivative thereof, carbocyanine, or a derivative thereof or other biocompatible dye capable of emitting sufficient radiation for detection and image acquisition.
- Preferred compounds of the invention, particularly compounds suitable for use in the imaging methods provided by the invention, include one or more radioisotopes capable of emitting one or more forms of radiation which are suitable for detection with any standard radiology equipment such as PET, SPECT, gamma cameras, MRI and the like. Preferred radioisotopes include tritium and isotopes of carbon, fluorine, technetium, iodine and other isotopes capable of emitting positrons. Particularly preferred radioisotopes include 11C, 18F, 99TC, and 123I.
- Typically compounds of Formula II comprise a R1 group having one or more radioisotopes. Particularly preferred R1 groups include those selected from 11C-methyl, optionally substituted C1-6alkyl, optionally substituted C7-12aralkyl, optionally substituted C6-12aryl, each of which may be substituted with one or more 11C-methyl groups, 18F, 99Tc, 123I, 125I, 131I, or a combination thereof.
- Preferred compounds of Formula III and V comprise an Ar group having one or more substitutents which have a radioisotope included therein, e.g., compounds of Formula IV and VI typically comprise one or more R2 groups having a radioisotope therein. Particularly preferred compounds of Formula IV and VI include those wherein R2 is selected from the group consisting of 11C-methyl, 11C-methoxy, optionally substituted C1-6alkyl, optionally substituted C7-12aralkyl, optionally substituted C6-12aryl, each of which may be substituted with one or more 11C-methyl groups, 18F, 99Tc, 123I, 125I, 131I, or a combination thereof. Other particularly preferred compounds of Formula IV and VI include those wherein R2 is selected from hydroxy, 11C-methoxy, 11C-methyl, 18F, 123I, 99Tc coordination complexes, benzoyloxy which may be substituted with one or more fluoro groups, or a combination thereof.
- Compounds of any one of Formula I, Ia, II, III, IV, V, VI, VII, VIII, of IX possess a binding affinity to at least one of NAALADase and/or PSMA of 10 micromolar or less, more preferably of 1 micromolar or less, 100 nanomolar or less, 50 nanomolar or less, 25 nanomolar or less, or most preferably of 10 nanomolar or less.
- Particularly preferred compounds according to Formula I include the following non-limiting embodiments:
-
-
-
-
-
-
-
-
-
-
-
-
-
-
-
-
-
-
-
-
-
-
-
-
-
- The present invention also provides technetium labeled complexes including the preferred complexes, as follows:
- The present invention also provides fluorescently labeled compounds including the preferred fluorescent asymmetric ureas having FITC or carbocyanine, as follows:
- The present invention further provides method of imaging which comprise the steps of:
- Providing at least one radiolabeled compound according to any one of Formula I, Ia, II, III, IV, V, VI, VII, VIII, of IX;
- contacting cells or tissues with the radiolabeled compound; and
- making a radiographic image.
- The imaging methods of the invention are suitable for imaging any physiological process or feature in which NAALADase or PSMA are involved. Typically, imaging methods ore suitable for identification of areas of tissues or targets which express high concentrations of NAALADase or PSMA. Preferred applications include imaging glutamateric neurotransmission, presynaptic glutamatergic neurotransmission, malignant tumors or cancer that express at least one of NAALADase or PSMA, prostate cancer (including metastasized prostate cancer), and angiogenesis.
- The methods of imaging angiogenesis provided by the present invention are suitable for use in imaging a variety of diseases and disorders in which angiogenesis takes place. Illustrative, non-limiting, examples include tumors, collagen vascular disease, cancer, stroke, vascular malformations, retinopathy. Methods of imaging angiogenesis provided by the present invention are also suitable for use in diagnosis and observation of normal tissue development.
- Preferred imaging methods provided by the invention include the use of compounds according to any one of Formula I, Ia, II, III, IV, V, VI, VII, VIII, of IX which are capable of generating at least a 2:1 target to background ratio of radiation intensity, or more preferably about a 5:1, about a 10:1 or about a 15:1 ratio of radiation intensity between target and background.
- In preferred methods of the invention the compounds of the invention are excreted from tissues of the body quickly to prevent prolonged exposure to the radiation of the radiolabeled compound administered to the patient. Typically compounds according to Formula I or any subformula thereof are eliminated from the body in less than about 24 hours. More preferably, compounds of the invention are eliminated from the body in less than about 16 hours, 12 hours, 8 hours, 6 hours, 4 hours, 2 hours, 90 minutes, or 60 minutes. Typically preferred compounds are eliminated in between about 60 minutes and about 120 minutes.
- Preferred compounds of the invention are stable in vivo such that substantially all, e.g., more than about 50%, 60%, 70%, 80%, or more preferably 90% of the injected compound is not metabolized by the body prior to excretion.
- Compounds of the invention and imaging methods of the invention are useful in imaging a variety of conditions including presynaptic imaging of glutamatergic neurotransmission, identification of prostate tumors and metastasized prostate tumors, and imaging of angiogenesis. Methods of imaging angiogenesis provided by the present invention using radiolabeled asymmetric ureas are suitable for imaging angiogenesis associated with tumor growth, collagen vascular disease, stroke, vascular malformations, retinopathy and normal tissue development.
- NAALADase and PSMA are frequently expressed in endothelial cells of capillary vessels in peritumoral and endotumoral areas of various malignancies such that compounds of the invention and methods of imaging using same are suitable for imaging such malignancies.
- Typical subjects to which compounds of the invention may be administered will be mammals, particularly primates, especially humans. For veterinary applications, a wide variety of subjects will be suitable, e.g. livestock such as cattle, sheep, goats, cows, swine and the like; poultry such as chickens, ducks, geese, turkeys, and the like; and domesticated animals particularly pets such as dogs and cats. For diagnostic or research applications, a wide variety of mammals will be suitable subjects including rodents (e.g. mice, rats, hamsters), rabbits, primates, and swine such as inbred pigs and the like. Additionally, for in vitro applications, such as in vitro diagnostic and research applications, body fluids and cell samples of the above subjects will be suitable for use such as mammalian, particularly primate such as human, blood, urine or tissue samples, or blood urine or tissue samples of the animals mentioned for veterinary applications.
- The present invention also provide packaged pharmaceutical compositions comprising a pharmaceutical acceptable carrier and a compound or salt of any one of Formula I, Ia, II, III, IV, V, VI, VII, VIII, of IX. In certain embodiments the packaged pharmaceutical composition will comprise the reaction precursors necessary generate the compound or salt according to Formula I or subformula thereof upon combination with a radiolabeled precursor. Other packaged pharmaceutical compositions provided by the present invention further comprise indicia comprising at least one of: instructions for using the composition to image cells or tissues expressing at least one of NAALADase or PSMA, or instructions for using the composition to image glutamatergic neurotransmission in a patient suffering from a stress-related disorder, or instructions for using the composition to image prostate cancer.
- In certain preferred embodiments, the invention provides a kit according to the invention contains from about 1 to about 30 mCi of the radionuclide-labeled imaging agent described above, in combination with a pharmaceutically acceptable carrier. The imaging agent and carrier may be provided in solution or in lyophilized form. When the imaging agent and carrier of the kit are in lyophilized form, the kit may optionally contain a sterile and physiologically acceptable reconstitution medium such as water, saline, buffered saline, and the like.
- In another embodiment, the kit of the invention may contain the targeting molecule which has been covalently or non-covalently combined with a chelating agent; an auxiliary molecule such as mannitol, gluconate, glucoheptonate, tartrate, and the like; and a reducing agent such as SnCl2, Na dithionite or tin tartrate. The targeting molecule/chelating agent and the auxiliary molecule may be present as separate components of the kit or they may be combined into one kit component. The unlabeled targeting molecule/chelating agent, the auxiliary molecule, and the reducing agent may be provided in solution or in lyophilized form, and these components of the kit of the invention may optionally contain stabilizers such as NaCl, silicate, phosphate buffers, ascorbic acid, gentisic acid, and the like. Additional stabilization of kit components may be provided in this embodiment, for example, by providing the reducing agent in an oxidation-resistant form.
- Determination and optimization of such stabilizers and stabilization methods are well within the level of skill in the art. When the targeting molecule/chelating agent of this embodiment are in lyophilized form, the kit may optionally contain a sterile and physiologically acceptable reconstitution medium such as water, saline, buffered saline, and the like. The amounts of unlabeled targeting molecule/chelating agent, auxiliary molecule, and reducing agent in this embodiment are optimized in accordance with the methods for making the cardiovascular imaging agent set forth above. Radionuclides, including, but not limited to, 99mTc obtained from a commercially available 99Mo/99mTc generator or commercially available 123I, may be combined with the unlabeled targeting molecule/chelating agent and the reducing agent for a time and at a temperature sufficient to chelate the radionuclide to the targeting molecule/chelating agent, and the imaging agent thus formed is injected into the patient.
- Imaging agents of the invention may be used in accordance with the methods of the invention by one of skill in the art, e.g., by specialists in nuclear medicine, to image sites having a high density of NAALADase or PSMA concentration in a subject or patient. Ay site of increased enzyme concentration may be imaged by the imaging methods and imaging agents of the present invention.
- Images can be generated by virtue of differences in the spatial distribution of the imaging agents which accumulate at a site having a high density of NAALADase or PSMA. The spatial distribution may be measured using any means suitable for the particular label, for example, a gamma camera, a PET apparatus, a SPECT apparatus, and the like. The extent of accumulation of the imaging agent may be quantified using known methods for quantifying radioactive emissions. A particularly useful imaging approach employs more than one imaging agent to perform simultaneous studies.
- Preferably, a detectably effective amount of the imaging agent of the invention is administered to a subject. In accordance with the invention, “a detectably effective amount” of the imaging agent of the invention is defined as an amount sufficient to yield an acceptable image using equipment which is available for clinical use. A detectably effective amount of the imaging agent of the invention may be administered in more than one injection. The detectably effective amount of the imaging agent of the invention can vary according to factors such as the degree of susceptibility of the individual, the age, sex, and weight of the individual, idiosyncratic responses of the individual, the dosimetry. Detectably effective amounts of the imaging agent of the invention can also vary according to instrument and film-related factors. Optimization of such factors is well within the level of skill in the art.
- The amount of imaging agent used for diagnostic purposes and the duration of the imaging study will depend upon the radionuclide used to label the agent, the body mass of the patient, the nature and severity of the condition being treated, the nature of therapeutic treatments which the patient has undergone, and on the idiosyncratic responses of the patient. Ultimately, the attending physician will decide the amount of imaging agent to administer to each individual patient and the duration of the imaging study.
- The compounds herein described may have one or more asymmetric centers or planes. Compounds of the present invention containing an asymmetrically substituted atom may be isolated in optically active or racemic forms. It is well known in the art how to prepare optically active forms, such as by resolution of racemic forms (racemates), by asymmetric synthesis, or by synthesis from optically active starting materials. Resolution of the racemates can be accomplished, for example, by conventional methods such as crystallization in the presence of a resolving agent, or chromatography, using, for example a chiral HPLC column. Many geometric isomers of olefins, C═N double bonds, and the like can also be present in the compounds described herein, and all such stable isomers are contemplated in the present invention. Cis and trans geometric isomers of the compounds of the present invention are described and may be isolated as a mixture of isomers or as separated isomeric forms. All chiral (enantiomeric and diastereomeric), and racemic forms, as well as all geometric isomeric forms of a structure are intended, unless the specific stereochemistry or isomeric form is specifically indicated.
- When any variable occurs more than one time in any constituent or formula for a compound, its definition at each occurrence is independent of its definition at every other occurrence. Thus, for example, if a group is shown to be substituted with 0-2 R*, then said group may optionally be substituted with up to two R* groups and R* at each occurrence is selected independently from the definition of R*. Also, combinations of substituents and/or variables are permissible only if such combinations result in stable compounds.
- As indicated above, various substituents of the various formulae (compounds of Formula I, Ia, II, III, IV, V, VI, VII, VIII, of IX) are “optionally substituted”, including Ar, R, R1, R2, R3, Q, or Z of Formula I and subformulae thereof, and such substituents as recited in the sub-formulae such as Formula I and subformulae. The term “substituted,” as used herein, means that any one or more hydrogens on the designated atom or group is replaced with a selection from the indicated group of substituents, provided that the designated atom's normal valence is not exceeded, and that the substitution results in a stable compound. When a substituent is oxo (keto, i.e., ═O), then 2 hydrogens on an atom are replaced. The present invention is intended to include all isotopes (including radioisotopes) of atoms occurring in the present compounds.
- When substituents such as Ar, R, R1, R2, R3, Q, or Z of Formula I and subformulae thereof, and such substituents as recited in the sub-formulae are further substituted, they may be so substituted at one or more available positions, typically 1 to 3 or 4 positions, by one or more suitable groups such as those disclosed herein. Suitable groups that may be present on a “substituted” R1, R2, R3 or other group include e.g., halogen; cyano; hydroxyl; nitro; azido; alkanoyl (such as a C1-6 alkanoyl group such as acyl or the like); carboxamido; alkyl groups (including cycloalkyl groups, having 1 to about 8 carbon atoms, preferably 1, 2, 3, 4, 5, or 6 carbon atoms); alkenyl and alkynyl groups (including groups having one or more unsaturated linkages and from 2 to about 8, preferably 2, 3, 4, 5 or 6, carbon atoms); alkoxy groups having one or more oxygen linkages and from 1 to about 8, preferably 1, 2, 3, 4, 5 or 6 carbon atoms; aryloxy such as phenoxy; alkylthio groups including those having one or more thioether linkages and from 1 to about 8 carbon atoms, preferably 1, 2, 3, 4, 5 or 6 carbon atoms; alkylsulfinyl groups including those having one or more sulfinyl linkages and from 1 to about 8 carbon atoms, preferably 1, 2, 3, 4, 5, or 6 carbon atoms; alkylsulfonyl groups including those having one or more sulfonyl linkages and from 1 to about 8 carbon atoms, preferably 1, 2, 3, 4, 5, or 6 carbon atoms; aminoalkyl groups including groups having one or more N atoms and from 1 to about 8, preferably 1, 2, 3, 4, 5 or 6, carbon atoms; carbocyclic aryl having 6 or more carbons and one or more rings, (e.g., phenyl, biphenyl, naphthyl, or the like, each ring either substituted or unsubstituted aromatic); arylalkyl having 1 to 3 separate or fused rings and from 6 to about 18 ring carbon atoms, with benzyl being a preferred arylalkyl group; arylalkoxy having 1 to 3 separate or fused rings and from 6 to about 18 ring carbon atoms, with O-benzyl being a preferred arylalkoxy group; or a saturated, unsaturated, or aromatic heterocyclic group having 1 to 3 separate or fused rings with 3 to about 8 members per ring and one or more N, O or S atoms, e.g. coumarinyl, quinolinyl, isoquinolinyl, quinazolinyl, pyridyl, pyrazinyl, pyrimidyl, furanyl, pyrrolyl, thienyl, thiazolyl, triazinyl, oxazolyl, isoxazolyl, imidazolyl, indolyl, benzofuranyl, benzothiazolyl, tetrahydrofuranyl, tetrahydropyranyl, piperidinyl, morpholinyl, piperazinyl, and pyrrolidinyl. Such heterocyclic groups may be further substituted, e.g. with hydroxy, alkyl, alkoxy, halogen and amino.
- As used herein, “alkyl” is intended to include both branched and straight-chain saturated aliphatic hydrocarbon groups, having the specified number of carbon atoms. Examples of alkyl include, but are not limited to, methyl, ethyl, n-propyl, i-propyl, n-butyl, s-butyl, t-butyl, n-pentyl, and s-pentyl. Preferred alkyl groups are C1-6 alkyl groups. Especially preferred alkyl groups are methyl, ethyl, propyl, butyl, and 3-pentyl. The term C1-4 alkyl as used herein includes alkyl groups consisting of 1 to 4 carbon atoms, which may contain a cyclopropyl moiety. Suitable examples are methyl, ethyl, and cyclopropylmethyl.
- “Cycloalkyl” is intended to include saturated ring groups, having the specified number of carbon atoms, such as cyclopropyl, cyclobutyl, cyclopentyl, or cyclohexyl. Cycloalkyl groups typically will have 3 to about 8 ring members.
- In the term “(C3-8 cycloalkyl)C1-4 alkyl”, cycloalkyl, and alkyl are as defined above, and the point of attachment is on the alkyl group. This term encompasses, but is not limited to, cyclopropylmethyl, cyclohexylmethyl, and cyclohexylmethyl.
- “Alkenyl” is intended to include hydrocarbon chains of either a straight or branched configuration comprising one or more unsaturated carbon-carbon bonds, which may occur in any stable point along the chain, such as ethenyl and propenyl. Alkenyl groups typically will have 2 to about 8 carbon atoms, more typically 2 to about 6 carbon atoms.
- “Alkynyl” is intended to include hydrocarbon chains of either a straight or branched configuration comprising one or more carbon-carbon triple bonds, which may occur in any stable point along the chain, such as ethynyl and propynyl. Alkynyl groups typically will have 2 to about 8 carbon atoms, more typically 2 to about 6 carbon atoms.
- “Haloalkyl” is intended to include both branched and straight-chain saturated aliphatic hydrocarbon groups having the specified number of carbon atoms, substituted with 1 or more halogen atoms. Examples of haloalkyl include, but are not limited to, mono-, di-, or tri-fluoromethyl, mono-, di-, or tri-chloromethyl, mono-, di-, tri-, tetra-, or penta-fluoroethyl, and mono-, di-, tri-, tetra-, or penta-chloroethyl. Typical haloalkyl groups will have 1 to about 8 carbon atoms, more typically 1 to about 6 carbon atoms.
- “Alkoxy” represents an alkyl group as defined above with the indicated number of carbon atoms attached through an oxygen bridge. Examples of alkoxy include, but are not limited to, methoxy, ethoxy, n-propoxy, i-propoxy, n-butoxy, 2-butoxy, t-butoxy, n-pentoxy, 2-pentoxy, 3-pentoxy, isopentoxy, neopentoxy, n-hexoxy, 2-hexoxy, 3-hexoxy, and 3-methylpentoxy. Alkoxy groups typically have 1 to about 8 carbon atoms, more typically 1 to about 6 carbon atoms.
- “Halolkoxy” represents a haloalkyl group as defined above with the indicated number of carbon atoms attached through an oxygen bridge.
- As used herein, the term “alkylthio” includes those groups having one or more thioether linkages and preferably from 1 to about 8 carbon atoms, more typically 1 to about 6 carbon atoms.
- As used herein, the term “alkylsulfinyl” includes those groups having one or more sulfoxide (SO) linkage groups and typically from 1 to about 8 carbon atoms, more typically 1 to about 6 carbon atoms.
- As used herein, the term “alkylsulfonyl” includes those groups having one or more sulfonyl (SO2) linkage groups and typically from 1 to about 8 carbon atoms, more typically 1 to about 6 carbon atoms.
- As used herein, the term “alkylamino” includes those groups having one or more primary, secondary and/or tertiary amine groups and typically from 1 to about 8 carbon atoms, more typically 1 to about 6 carbon atoms.
- “Halo” or “halogen” as used herein refers to fluoro, chloro, bromo, or iodo; and “counter-ion” is used to represent a small, negatively charged species such as chloride, bromide, hydroxide, acetate, sulfate, and the like.
- As used herein, “carbocyclic group” is intended to mean any stable 3- to 7-membered monocyclic or bicyclic or 7- to 13-membered bicyclic or tricyclic group, any of which may be saturated, partially unsaturated, or aromatic. In addition to those exemplified elsewhere herein, examples of such carbocycles include, but are not limited to, cyclopropyl, cyclobutyl, cyclopentyl, cyclohexyl, cycloheptyl, adamantyl, cyclooctyl, [3.3.0]bicyclooctanyl, [4.3.0]bicyclononanyl, [4.4.0]bicyclodecanyl, [2.2.2]bicyclooctanyl, fluorenyl, phenyl, naphthyl, indanyl, and tetrahydronaphthyl.
- As used herein, the term “heterocyclic group” is intended to include saturated, partially unsaturated, or unsaturated (aromatic) groups having 1 to 3 (preferably fused) rings with 3 to about 8 members per ring at least one ring containing an atom selected from N, O or S. The nitrogen and sulfur heteroatoms may optionally be oxidized. The term or “heterocycloalkyl” is used to refer to saturated heterocyclic groups.
- The heterocyclic ring may be attached to its pendant group at any heteroatom or carbon atom that results in a stable structure. The heterocyclic rings described herein may be substituted on carbon or on a nitrogen atom if the resulting compound is stable. A nitrogen in the heterocycle may optionally be quaternized. As used herein, the term “aromatic heterocyclic system” is intended to include any stable 5- to 7-membered monocyclic or 10- to 14-membered bicyclic heterocyclic aromatic ring system which comprises carbon atoms and from 1 to 4 heteroatoms independently selected from the group consisting of N, O and S. It is preferred that the total number of S and O atoms in the aromatic heterocycle is not more than 2, more preferably not more than 1.
- Examples of heterocycles include, but are not limited to, those exemplified elsewhere herein and further include acridinyl, azocinyl, benzimidazolyl, benzofuranyl, benzothiofuranyl, benzothiophenyl, benzoxazolyl, benzthiazolyl, benztriazolyl, benztetrazolyl, benzisoxazolyl, benzisothiazolyl, benzimidazolinyl, carbazolyl, NH-carbazolyl, carbolinyl, chromanyl, chromenyl, cinnolinyl, decahydroquinolinyl, 2H,6H-1,5,2-dithiazinyl, dihydrofuro[2,3-b]tetrahydrofuran, furanyl, furazanyl, imidazolidinyl, imidazolinyl, imidazolyl, 1H-indazolyl, indolenyl, indolinyl, indolizinyl, indolyl, 3H-indolyl, isobenzofuranyl, isochromanyl, isoindazolyl, isoindolinyl, isoindolyl, isoquinolinyl, isothiazolyl, isoxazolyl, morpholinyl, naphthyridinyl, octahydroisoquinolinyl, oxadiazolyl, 1,2,3-oxadiazolyl, 1,2,4-oxadiazolyl; 1,2,5-oxadiazolyl, 1,3,4-oxadiazolyl, oxazolidinyl, oxazolyl, oxazolidinyl, pyrimidinyl, phenanthridinyl, phenanthrolinyl, phenazinyl, phenothiazinyl, phenoxathiinyl, phenoxazinyl, phthalazinyl, piperazinyl, piperidinyl, pteridinyl, purinyl, pyranyl, pyrazinyl, pyrazolidinyl, pyrazolinyl, pyrazolyl, pyridazinyl, pyridooxazole, pyridoimidazole, pyridothiazole, pyridinyl, pyridyl, pyrimidinyl, pyrrolidinyl, pyrrolinyl, 2H-pyrrolyl, pyrrolyl, quinazolinyl, quinolinyl, 4H-quinolizinyl, quinoxalinyl, quinuclidinyl, tetrahydrofuranyl, tetrahydroisoquinolinyl, tetrahydroquinolinyl, 6H-1,2,5-thiadiazinyl, 1,2,3-thiadiazolyl, 1,2,4-thiadiazolyl, 1,2,5-thiadiazolyl, 1,3,4-thiadiazolyl, thianthrenyl, thiazolyl, thienyl, thienothiazolyl, thienooxazolyl, thienoimidazolyl, thiophenyl, triazinyl, 1,2,3-triazolyl, 1,2,4-triazolyl, 1,2,5-triazolyl, 1,3,4-triazolyl, and xanthenyl.
- Preferred heterocyclic groups include, but are not limited to, pyridinyl, pyrimidinyl, furanyl, thienyl, pyrrolyl, pyrazolyl, pyrrolidinyl, morpholinyl, piperidinyl, piperazinyl, and imidazolyl. Also included are fused ring and spiro compounds containing, for example, the above heterocycles.
- As used herein, the term “carbocyclic aryl” includes groups that contain 1 to 3 separate or fused rings and from 6 to about 18 ring atoms, without hetero atoms as ring members. Specifically preferred carbocyclic aryl groups include phenyl, and naphthyl including 1-napthyl and 2-naphthyl.
- A “pharmaceutically acceptable carrier” refers to a biocompatible solution, having due regard to sterility, pH, isotonicity, stability, and the like and can include any and all solvents, diluents (including sterile saline, Sodium Chloride Injection, Ringer's Injection, Dextrose Injection, Dextrose and Sodium Chloride Injection, Lactated Ringer's Injection and other aqueous buffer solutions), dispersion media, coatings, antibacterial and antifungal agents, isotonic agents, and the like. The pharmaceutically acceptable carrier may also contain stabilizers, preservatives, antioxidants, or other additives, which are well known to one of skill in the art, or other vehicle as known in the art.
- As used herein, “pharmaceutically acceptable salts” refer to derivatives of the disclosed compounds wherein the parent compound is modified by making non-toxic acid or base salts thereof. Examples of pharmaceutically acceptable salts include, but are not limited to, mineral or organic acid salts of basic residues such as amines; alkali or organic salts of acidic residues such as carboxylic acids; and the like. The pharmaceutically acceptable salts include the conventional non-toxic salts or the quaternary ammonium salts of the parent compound formed, for example, from non-toxic inorganic or organic acids. For example, conventional non-toxic acid salts include those derived from inorganic acids such as hydrochloric, hydrobromic, sulfuric, sulfamic, phosphoric, nitric and the like; and the salts prepared from organic acids such as acetic, propionic, succinic, glycolic, stearic, lactic, malic, tartaric, citric, ascorbic, pamoic, malefic, hydroxymaleic, phenyl acetic, glutamic, benzoic, salicylic, mesylic, sulfanilic, 2-acetoxybenzoic, fumaric, toluenesulfonic, methanesulfonic, ethane disulfonic, oxalic, isethionic, HOOC—(CH2)n-COOH where n is 0-4, and the like. The pharmaceutically acceptable salts of the present invention can be synthesized from a parent compound that contains a basic or acidic moiety by conventional chemical methods. Generally, such salts can be prepared by reacting free acid forms of these compounds with a stoichiometric amount of the appropriate base (such as Na, Ca, Mg, or K hydroxide, carbonate, bicarbonate, or the like), or by reacting free base forms of these compounds with a stoichiometric amount of the appropriate acid. Such reactions are typically carried out in water or in an organic solvent, or in a mixture of the two. Generally, non-aqueous media like ether, ethyl acetate, ethanol, isopropanol, or acetonitrile are preferred, where practicable. Lists of additional suitable salts may be found, e.g., in Remington's Pharmaceutical Sciences, 17th ed., Mack Publishing Company, Easton, Pa., p. 1418 (1985).
- Because of the distribution and variety of functions for GCP II, an imaging agent that can quantify GCP II activity is suitable for use in studying presynaptic glutamatergic transmission and diagnosis and monitoring of prostate cancer or tumor neoangiogenesis.
- Because the rodent prostate does not demonstrate significant PSMA activity (ref 3) or [3H]PMPA uptake, the kidney was used as a surrogate organ for the in vivo 11C-MCG uptake studies. The high level of 11C-MCG uptake, prompt washout during the 90 minute study (Table 1), and significant blockage of the active sites by pretreatment with a known high affinity GCP II inhibitor, e.g., unlabeled MCG or PMPA (
FIGS. 1 and 2A respectively), suggest that 11C-MCG may be a site-selective imaging agent for GCP II. - Although not wishing to be bound by theory, 11C-MCG may also possess some nonspecific binding because there is no 11C-MCG uptake with blockade. That could be due to several factors, including the fact that the route of excretion of MCG is renal, so 11C-MCG, which is not bound to GCP II, is also included in the “blocked” kidney, and that 11C-MCG may be a substrate for other enzymes and nonspecific transporters present in kidney, although at much lower affinity. The kidney has urea and glutamate transporters (ref 16,17), each of which could be a target of 11C-MCG and may be blocked in a dose-dependant manner. If so, they may contribute significantly to the blockade depicted in
FIG. 1 . Further studies are necessary to uncover the GCP II-specific vs. transporter binding activity of 11C-MCG in the kidney. - 11C-MCG also displayed salutary metabolic characteristics for an enzyme-based radiopharmaceutical, i.e., little metabolism either in the plasma or in the target organ which is beneficial for certain applications in tracer kinetic modeling used for quantification of enzyme activity.
- In one primate PET study with 11C-MCG, blocking of 11C-MCG uptake was demonstrated when the animal was pretreated with a low dose (2 mg/kg) of PMPA, a previously determined safe dose to administer to primates (
FIG. 3 ). Because of renal excretion of 11C-MCG, less than complete blockade of radiotracer was demonstrated in the baboon renal cortex. Although concentration of GCP II has not been determined in the primate renal cortex and its relative concentration to that in the mouse kidney or to the prostate is unknown, GCP II activity is present in the human renal cortex. Little metabolism of the injected 11C-MCG was observed in primate plasma similar to the low metabolic rate of 11C-MCG seen in mouse plasma. - Brain uptake of 11C-MCG was low, suggesting that 11C-MCG, a preferred compound of the invention will have limited applicability as a probe of brain GCP II activity. That is due to its hydrophilicity (Log P=−0.235) and the lack of a suitable transport mechanism that is active within the time scale of a typical PET study (90 minutes). Other compounds of the invention including compounds of Formula I, Ia, II, III, and IV offer improved lipophilicity and may exhibit improved transport across the blood brain barrier such that these compounds may be suitable for use in imaging of the brain and the central nervous system.
- The present invention is further illustrated by the following examples which should not be construed as limiting in any way. The contents of all cited references (including literature references, issued patents, published patent applications) as cited throughout this application are hereby expressly incorporated by reference. The practice of the present invention will employ, unless otherwise indicated, conventional techniques, which are within the skill of the art. Such techniques are explained fully in the literature.
- N,N-Dimethylformamide (DMF) was distilled under reduced pressure from barium oxide. High performance liquid chromatography (HPLC) equipment consisted of model 7126 injectors (Rheodyne, Rohnert, Calif.) model 590 EF pumps (Waters, Milford, Mass.), a model 440 ultraviolet (UV) absorbance detector (214 nm) (Waters), and a 5.08 cm (2 in.) NaI (Tl) crystal scintillation detector (model 276, Ortec, Oak Ridge, Tenn.). Model 3390A integrators (Hewlett-Packard, Andover Mass.) and a Dynamax system (Rainin Instrument, Woburn Mass.) were used to record and analyze HPLC chromatograms. Semipreparative (10×250 mm) and analytical (4.6×250 mm) reverse-phase HPLC columns (C-18 Luna, Phenomenex, Torrance, Calif.) were used for purification and quality control, respectively, of the radiotracer.
- Facile radiosynthesis of 11C-MCG was effected by treatment of the corresponding desmethyl precursor with 11C-iodomethane as depicted in
Scheme 1. A carrier peak for 11C-MCG (tR=3.9 min) was not readily detected at the 214 nm wavelength. The analytical HPLC conditions can detect MCG at 20 nmol. Based on that detection limit, a minimum specific radioactivity of 11C-MCG of 167 gBq/μmol (4000 Ci/mmol) at end of synthesis was derived. In all likelihood, specific radio-activities for 11C-MCG are much higher based on our extensive preparation of other 11C-methylated radiotracers under similar reaction conditions. Radiochemical yield based on starting 11C-iodomethane was calculated to be 16% (n=6) and radiochemical purity was >97%. The time of synthesis including formulation was approximately 30 minutes (from the end of bombardment). - (2-[(2-Carboxy-3-mercapto-propyl)-hydroxy-phosphinoylmethyl]-pentanedioic acid (the S-desmethyl precursor of 11C-MCG; 1 mg) was dissolved in 0.1 mL of DMF To that solution was added 0.1 mL of a DMF/NH3 solution (freshly prepared by bubbling anhydrous ammonia at about 50 mL/min into 10 mL of DMF for 5 minutes) followed by 0.05 mL of water. The precursor solution, contained in a 1 mL spetum sealed vial, was cooled in a 20° C. bath and 11C-iodomethane prepared from a MeI MicroLab module (GE, Milwaukee, Wis.) and GE PET trace cyclotron was bubbled into the vial. The reaction vessel was subsequently heated in a 45° C. bath for 60 seconds before quenching the reaction with 0.6 mL of HPLC buffer (6/94/0.075 acetonitrile/water/trifluoroacetic acid) and 0.05 mL of 20% trifluoroacetic acid. The contents of the reaction vessel were injected onto a HPLC column using the above described HPLC buffer solution at a flow rate of 10 mL/min and UV detector at 214 nm. The radioproduct (tR=8.1 min) was well separated from the thiol precursor (tR=2.5 min) and was remotely collected. Rotary evaporation of the solvent (80° C. under vacuum) was followed by formulation of the radiotracer in 0.9% sterile saline (7 mL) and sterile filtration (Acro-disc 0.2 μm, 25 mm HT Tuffryin filter, PALL Gelman Laboratories, Ann Arbor, Mich.) into a 10 Ml sterile evacuated dose vial. For specific radioactivity determination, a 0.1 mL aliquot of 11C-MCG (typically approximately 3 mCi) was assayed for radioactivity and injected onto an analytical HPLC column using a mobile phase of 10/90 acetonitrile/0.01 M phosphoric acidat 2 mL/min. After determination of the specific radioactivity of 11C-MCG, 3 mL of 8.4% sterile, sodium bicarbonate was added to the radiotracer to bring the pH fo the final formulation to approximately 7. (Applicants have discovered that the addition of the bicarbonate solution prior to removal of an aliquot for specific radioactivity determination resulted in an undesired shortening of the retention time of the 11C-MCG and a noisier UV baseline.
- Asymmetric ureas according to Formula III or Formula IV may be prepared by transmetallation and fluorination as described in J. Chem. Soc. Chem. Comm. 1986 pg 1623. Typically, a trimethyltin or dimethylamine substituted aryl group is treated at room temperature with cesium sulfate in acetonitrile followed by addition of a source of fluorine. See for example Scheme 2.
- All animals studies were approved by the Animal Care and Use Committee of the Johns Hopkins University.
- Male CD-1 mice (Charles River, Wilmington, Mass.) weighing between 20 and 25 g were used and received an injection of 3.7 MBq (100 μCi) of 11C-MCG through the tail vein. That amounted to, at a maximum, 0.27 μg/kg. For kinetic studies, mice were killed by cervical dislocation at 5, 15, 30, 60, and 120 min after injection of the radiotracer in 200 μL of saline vehicle. The brains were removed and placed on ice, and the cerebellum, olfactory bulb, hypothalamus, hippocampus, striatum, parietal cortex, brainstem, and thalamus were harvested. Kidneys, blood, fat, muscle, small intestine, and prostate were also harvested. The tissue samples were weighted, and their radioactivity content was determined in an automated γ counter (1282 Compugamma CS: Pharmacia/LKB Nuclear, Gaithersburg Md.). Aliquots of the injected tracer were counted along with the samples and served as standards for the calculation of percentage injected dose per gram of tissue (% ID/g). To assess binding specificity, groups of three mice each were pretreated with the high affinity GCP II inhibitor PMPA at does of 1, 10 and 100 mg/kg in 200 μL of saline vehicle 5 minutes prior to 11C-MCG injection. In an additional binding specificity study, animals were pretreated similarly with unlabeled MCG standard at doses of 5, 50, 100, 500, and 1000 μg/kg before 11C-MCG injection
- ANOVA, which was used in rodent radiotracer uptake studies, was performed with StatView SE Graphic software, version 1.03 (SAS Institute, Cary, N.C.). For the Students t test, p<0.01 was considered to indicate statistical significance.
- Regional uptake at 5, 15, 30, 60, and 120 minutes for 11C-MCG in mouse organs is presented in Table 1. Radiotracer concentration was highest in the target organ, the kidneys, and showed prompt washout, that is, within the time course of the study. Kidney/blood and kidney/muscle ratios were 30 and 73 respectively, at 30 minutes after injection. Prostate uptake was 1.55±1.01% ID/G at 30 minutes (n=3). Little activity gained access to the brain, with <0.1% ID/g in the cerebellum, hippocampus, or cortex and only 0.12±0.03% ID/g in the brainstem at 30 minutes post injection.
FIG. 1 depicts the significant (inset p<0.0001 and p=0.0002 in the case of low-specific-activity (LSA) MCG and PMPA, respectively) blocking of radiotracer uptake when mice were pretreated with either an excess of unlabeled MCG (up to 1 mg/kg) or PMPA (1 mg/kg) (FIG. 2 ), indicating target binding specificity. An approximately sixfold reduction in uptake was demonstrated for either MCG or PMPA. -
TABLE 1 Biodistribution of 11C-MCG in Male CD-1 Mice % ID/g ± SD (N = 4) Tissue 5 min 15 min 30 min 60 min 120 min Blood 6.19 ± 0.94 3.27 ± 0.50 1.09 ± 0.22 0.25 ± 0.01 0.09 ± 0.03 Heart 2.43 ± 0.38 1.10 ± 0.10 0.38 ± 0.09 0.13 ± 0.00 0.07 ± 0.06 Liver 1.42 ± 0.20 0.87 ± 0.05 0.50 ± 0.09 0.30 ± 0.02 0.07 ± 0.03 Kidneys 60.94 ± 6.95 54.15 ± 3.69 32.99 ± 5.14 11.70 ± 1.99 0.22 ± 0.05 Muscle 2.23 ± 0.37 1.08 ± 0.48 0.45 ± 0.13 0.25 ± 0.22 0.09 ± 0.04 Fat 1.17 ± 0.93 0.75 ± 0.27 0.41 ± 0.16 0.12 ± 0.04 0.06 ± 0.05 Small Intestine 1.10 ± 0.41 0.70 ± 0.10 0.43 ± 0.12 0.23 ± 0.05 0.12 ± 0.02 - At different times after injection of 11C-MCG into mice, blood and kidneys were collected to determine the rate of metabolism of the radiotracer. Heparinized blood (0.2-0.3 mL) was diluted to 0.9 mL with cold 0.9% saline and acidified to 0.5 N by the rapid addition of 0.1 mL of 5 N perchloric acid. Following 5 minutes on ice, the precipitate was removed by centrifugation to yield an acid-soluble supernatant that was analyzed by HPLC. Similarly, an acid extract of mouse kidney was obtained from an initial homogenate of two kidneys in 0.8 mL of cold water.
- The acid extracts were loaded onto a 4.6×250 mm Prodigy ODS-3 column (Phenomenex) eluted with 10% acetonitrile in 50 mM sodium phosphate buffer pH 2.5 at a flow rate of 2 mL/min. Radioactivity was measured by a dual BGO flow detector and the chromatograph analyzed by Laura software (Bioscan, Washington, D.C.). 11C-MCG eluted after 4.0 minutes with a minor, earlier eluting product at 2.5 minutes.
- Metabolites were determined in vivo at 5, 15, 30, and 60 minutes and showed at most 9.2% metabolism in plasma at 60 minutes (n=2) and 10.4% metabolism in kidney (n=2). The 30 minute time points (n=2) showed 3.5 5 and 2.0% metabolism for plasma and kidney, respectively.
- A dynamic PET study of the renal cortical uptake and clearance of 11C-MCG was performed in an adult male baboon (Papio anubis; body weight, approximately 30 kg). Before each study, two intraveneous catheters and a single arterial catheter were placed for infusion of anesthesia, injection of radiotracer and sampling of arterial blood, respectively. The animal was initially anestitized intramuscurally with 8-10 mg/kg alfadolone and alfaxalone acetate (Saffan; Pitman-Moore, Middlesex, UK) and was intubated. Anesthesia was maintained throughout the study by a continuous intravenous infusion drip of 6-9 mg/kg/h of Saffan. The animal was secured to the PET bed using an individually fitted thermoplastic mask. Pulse, blood pressure, and oxygen saturation were monitored continuously during the studies. Blood oxygen saturation was always maintained above 85%. After the animal was positioned in the PET scanner, transmission scanning was performed with a 370 MBq (10 mCi) 68Ga source to allow for attenuation correction. PET scanning was started immediately after intravenous injection of 370 MBq (10 mCi) of high-specific-activity 11C-MCG (corresponding, at a maximum, to 0.02 μg/kg). Thirty-five simultaneous, contiguous (18 directed planes, 17 cross planes, z-axis 14.45 cm), sequential quantitative tomographic slices of the brain were obtained with a GE Advance PET tomograph (General Electric Medical Systems, Milwaukee, Wis.) in the high-resolution mode (4.25-5.00 mm full width at half maximum within the slice) over a 90 minute period. The animal was positioned so that the renal cortex was in the filed of view. Approximately 30 arterial blood samples (for radioassay and protein binding) were obtained over 90 minutes. To correct the input function for unmetabolized 11C-MCG, arterial samples were also obtained at 10, 20, 30, 45, 60, 75, and 90 minutes.
- PET images were reconstructed from the raw data using a two-dimensional OSEM algorithm. Images were corrected for attenuation and decay and were scaled to the same maximum. A region of interest was chosen over the left lower pole renal cortex and time-activity curves (TACs) were generated. To assess binding specificity, 2 mg/kg of PMPA (in 6 mL of saline) was administered intravenously 10 minutes prior to injection of 11C-MCG at the end of the first 90 minute scan. Static images obtained over 10 minutes were performed before and after blocker. See
FIG. 3 . - When 11C-MCG was administered to a male baboon, there was prominent uptake within the renal cortex, a peripheral site of GCP II in the primate (
FIG. 3 ). Pretreatment of the animal with 3 mg/kg PMPA showed a decrease in renal cortical radiotracer uptake as demonstrated inFIG. 3 , in the TACs (FIG. 4 ) and by a 37% reduction in the DV (from 1.38 to 0.878 mL/mL). - At baseline, peak metabolism of 11C-MCG was 9.0% at 90 minutes after injection. Administration of blocker (2 mg/kg PMPA), 10 minutes prior to tracer injection decreased 11C-MCG metabolism, which showed a peak value of 4.0% at 90 minutes post injection.
- A one-tissue, three parameter (K1=influx, k2 efflux, DV=distribution volume) model was applied to the TACs and to the metabolite-corrected renal uptake curves to describe tracer kinetics with DV (=K1/k2 in ml/ml) used as an index of receptor density. The effect of blocking with PMPA was evaluated by changes in the Dv and calculated as 100×(DVbaseline−DVblocker)/DVbaseline. The model was fit to the PET data using nonlinear least squares minimization (ref 9)
- The disclosures of all articles and references mentioned in this application, including patents, are incorporated herein by reference.
- The invention and the manner and process of making and using it, are now described in such full, clear, concise and exact terms as to enable any person skilled in the art to which it pertains, to make and use the same. It is to be understood that the foregoing describes preferred embodiments of the present invention and that modifications may be made therein without departing from the spirit or scope of the present invention as set forth in the claims. To particularly point out and distinctly claim the subject matter regarded as invention, the following claims conclude this specification.
Claims (47)
1. A compound according to Formula I
wherein
R is selected from the group consisting of fluoroalkyl, aryl, benzyl, thiol, and alkylthiol, each of which is optionally substituted with an optionally substituted alkyl, optionally substituted alkenyl, optionally substituted alkynyl, optionally substituted aryl, optionally substituted alkanoyl, or optionally substituted aralky, optionally substituted alkoxy, optionally substituted aralkyloxy, or optionally substituted phenoxy;
Q is hydrogen, optionally substituted alkyl, optionally substituted benzyl or optionally substituted phenyl; and
Z is Q or a tetrazole; or a pharmaceutically acceptable salt thereof.
2. The compound of claim 1 , wherein the R group comprises at least one radioactive isotope or fluorescent dye.
3. The compound of claim 1 , wherein the R group comprises one or more positron emitting radioactive isotopes.
4. The compound of claim 1 , wherein the R group comprises one or more isotopes selected from 11C, 18F, 99Tc, 123I or any combination thereof
6. The compound of claim 1 , wherein the compound is according to Formula II
7. The compound of claim 6 , wherein R1 comprises one or more fluorescent dyes, radioisotopes selected from 11C, 18F, 99Tc, 123I, or any combination thereof.
8. The compound of claim 6 , wherein R1 is selected from the group consisting of 11C-methyl, optionally substituted C1-6alkyl, optionally substituted C7-12aralkyl, optionally substituted C6-12aryl, each of which may be substituted with one or more 11C-methyl groups, 18F, 99Tc, 123I, 125I, 131I, or a combination thereof.
9. The compound of claim 8 , wherein R1 is 11C-methyl, C1-6alkyl substituted with one or more 18F, or benzyl substituted with one or more 18F.
10. The compound of claim 6 , wherein R1 comprises one or more radioisotope suitable for use in radiation therapy.
11. The compound of claim 1 , wherein the compound is according to Formula III:
wherein Ar is a carbocyclic aromatic group having from 6 to about 18 carbon atoms and between 1 and about 3 rings which is substituted with one or more groups selected from halogen, alkyl, amino, hydroxy, optionally substituted alkyl, optionally substituted alkenyl, optionally substituted alkynyl, optionally substituted benzoyloxy, and optionally substituted alkoxy; or a pharmaceutically acceptable salt thereof.
12. The compound of claim 11 , wherein the compound is according to Formula IV:
wherein R2 is selected from the group consisting of fluoro, chloro, bromo, iodo, hydroxy, amino, mono and di alkylamino, optionally substituted alkyl, optionally substituted alkenyl, optionally substituted alkynyl, optionally substituted fluoroalkyl, optionally substituted aryl, optionally substituted benzoyloxy, and optionally substituted alkoxy; and
n is an integer from about 1 to about 5.
13. The compound of claim 11 , wherein Ar comprises one or more positron emitting isotopes of 11C, 18F, 99Tc, 123I or any combination thereof.
14. The compound of claim 12 , wherein R2 is selected from the group consisting of 11C-methyl, 11C-methoxy, optionally substituted C1-6alkyl, optionally substituted C7-12aralkyl, optionally substituted C6-12aryl, each of which may be substituted with one or more 11C-methyl groups, 18F, 99Tc, 123I, 125I, 131I, or a combination thereof.
15. The compound of claim 12 , wherein R2 is phenyl substituted with one or more groups selected from hydroxy, 11C-methoxy, 11C-methyl, 18F, 123I, benzoyloxy which may be substituted with one or more fluoro groups, or a combination thereof.
16. A compound of claim 1 which has a binding affinity to NAALADase or PSMA of less than about 10 μM.
17. A compound of claim 1 which has a binding affinity to NAALADase or PSMA of less than about 1 μM.
18. A compound of claim 1 which has a binding affinity to NAALADase or PSMA of less than about 100 nM.
19. A compound of claim 1 which has a binding affinity to NAALADase or PSMA of less than about 10 nM.
20. A pharmaceutical composition comprising a pharmaceutically acceptable carrier and a compound or salt of claim 1 .
21. A package comprising a pharmaceutical composition of claim 20 in a container and further comprising indicia comprising at least one of:
instructions for using the composition to image cells or tissues expressing at least one of NAALADase or PSMA, or
instructions for using the composition to image glutamatergic neurotransmission in a patient suffering from a stress-related disorder, or
instructions for using the composition to image prostate cancer.
22. An imaging method comprising the steps of:
providing a radiolabeled compound according to the formula:
wherein
R is selected from the group consisting of fluoroalkyl, aryl, benzyl, thiol, and alkylthiol, each of which is optionally substituted with an optionally substituted alkyl, optionally substituted alkenyl, optionally substituted alkynyl, optionally substituted aryl, optionally substituted alkanoyl, or optionally substituted aralky, optionally substituted alkoxy, optionally substituted aralkyloxy, or optionally substituted phenoxy;
Q is hydrogen, optionally substituted alkyl, optionally substituted benzyl or optionally substituted phenyl; and
Z is Q or a tetrazole; or a pharmaceutically acceptable salt thereof;
contacting cells or tissues with the radiolabeled compound; and
making a radiographic image.
23. The method of claim 22 , wherein the imaging method is suitable for use in imaging glutamateric neurotransmission.
24. The method of claim 22 , wherein the imaging method is suitable for use in imaging presynaptic glutamatergic neurotransmission.
25. The method of claim 22 , wherein the imaging method is suitable for imaging of cancer which expresses at least one of NAALADase or PSMA.
26. The method of claim 22 , wherein the imaging method is suitable for imaging of prostate cancer.
27. The method of claim 26 , wherein the imaging method is suitable for imaging prostate cancer including metastases.
28. The method of claim 22 , wherein the imaging method is suitable for imaging angiogenesis.
29. The method of claim 28 , wherein the angiogenesis is associated with tumors, collagen vascular disease, cancer, stroke, vascular malformations, retinopathy, and normal tissue development.
30. The method of claim 22 , wherein the radiolabeled compound exhibits a target to non-target ratio of at least about 5:1.
31. The method of claim 22 , wherein the radiolabeled compound is stable in vivo.
32. The method of claim 22 , wherein the radiolabeled compound substantially localizes to a site or sites expressing at least one of NAALADase or PSMA, within about 120 minutes after administration.
33. The method of claim 22 , wherein the radiolabeled compound substantially localizes to a site or sites expressing at least one of NAALADase or PSMA, within about 60 minutes after administration.
34. The method of claim 22 , wherein the radiolabeled compound substantially localizes to a site or sites expressing at least one of NAALADase or PSMA, within about 30 minutes after administration.
35. The method of claim 22 , wherein the radiolabeled compound is detected by a gamma camera, positron emission tomography (PET) or single photon emission tomography (SPECT).
36. The method of claim 22 , wherein the subject is a human, rat, mouse, cat, dog, horse, sheep, cow, monkey, avian, or amphibian.
37. A compound which is 2-[3-(1-Carboxy-2-11C-methylsulfanyl-ethyl)-ureido]-pentanedioic acid.
38. The compound of claim 1 , wherein the compound is according to Formula V:
wherein Ar is a carbocyclic aromatic group having from 6 to about 18 carbon atoms and between 1 and about 3 rings which is substituted with one or more groups selected from halogen, alkyl, amino, hydroxy, optionally substituted alkyl, optionally substituted alkenyl, optionally substituted alkynyl, optionally substituted benzoyloxy, and optionally substituted alkoxy; or a pharmaceutically acceptable salt thereof.
39. The compound of claim 38 , wherein the compound is according to Formula VI:
wherein R2 is selected from the group consisting of fluoro, chloro, bromo, iodo, hydroxy, amino, mono and di alkylamino, optionally substituted alkyl, optionally substituted alkenyl, optionally substituted alkynyl, optionally substituted fluoroalkyl, optionally substituted aryl, optionally substituted benzoyloxy, and optionally substituted alkoxy; and
n is an integer from about 1 to about 5.
40. The compound of claim 38 , wherein Ar comprises one or more positron emitting isotopes of 11C, 18F, 99Tc, 123I or any combination thereof.
41. The compound of claim 39 , wherein R2 is selected from the group consisting of 11C-methyl, 11C-methoxy, optionally substituted C1-6alkyl, optionally substituted C7-12aralkyl, optionally substituted C6-12aryl, each of which may be substituted with one or more 11C-methyl groups, 18F, 99Tc, 123I, 125I, 131I, or a combination thereof.
42. The compound of claim 39 , wherein R2 is phenyl substituted with one or more groups selected from hydroxy, 11C-methoxy, 11C-methyl, 18F, 123I, benzoyloxy which may be substituted with one or more fluoro groups, or a combination thereof.
46. The compound of claim 45 , wherein R3 is FITC, a derivative thereof, carbocyanine, or a derivative thereof.
47. The compound of claim 1 , wherein the compound is selected from the group consisting of:
2-[3-(1-Carboxy-3-11C-methylsulfanyl-propyl)-ureido]-pentanedioic acid,
2-[3-(1-Methoxycarbonyl-3-11C-methylsulfanyl-propyl)-ureido]-pentanedioic acid,
2-[3-(1-Carboxy-2-11C-methylsulfanyl-ethyl)-ureido]-4-(1H-tetrazol-5-yl)-butyric acid,
2-{3-[Carboxy-(4-11C-methoxy-phenyl)-methyl]-ureido}-pentanedioic acid,
2-{3-[Carboxy-(4-fluoro-phenyl)-methyl]-ureido}-pentanedioic acid,
2-{3-[Carboxy-(3-fluoro-phenyl)-methyl]-ureido}-pentanedioic acid,
2-{3-[Carboxy-(2-fluoro-phenyl)-methyl]-ureido}-pentanedioic acid,
2-[3-(1-Carboxy-4-fluoro-butyl)-ureido]-pentanedioic acid,
2-[3-(1-Carboxy-4-fluoro-3-methyl-butyl)-ureido]-pentanedioic acid,
2-{3-[1-Carboxy-2-(2-fluoro-benzylsulfanyl)-ethyl]-ureido}-pentanedioic acid,
2-{3-[1-Carboxy-2-(3-fluoro-benzylsulfanyl)-ethyl]-ureido}-pentanedioic acid,
2-{3-[1-Carboxy-2-(4-fluoro-benzylsulfanyl)-ethyl]-ureido}-pentanedioic acid,
2-{3-[1-Carboxy-2-(2-fluoro-ethylsulfanyl)-ethyl]-ureido}-pentanedioic acid,
2-(3-{1-Carboxy-2-[4-(2-fluoro-benzoyloxy)-phenyl]-ethyl}-ureido)-pentanedioic acid,
2-(3-{1-Carboxy-2-[4-(3-fluoro-benzoyloxy)-phenyl]-ethyl}-ureido)-pentanedioic acid,
2-(3-{1-Carboxy-2-[4-(4-fluoro-benzoyloxy)-phenyl]-ethyl}-ureido)-pentanedioic acid,
2-(3-{1-Carboxy-2-[4-(4-fluoromethyl-benzoyloxy)-phenyl]-ethyl}-ureido)-pentanedioic acid,
2-[3-(1-Carboxy-2-{4-[4-(4-fluoro-butyl)-benzoyloxy]-phenyl}-ethyl)-ureido]-pentanedioic acid,
2-(3-{1-Carboxy-2-[4-(4-fluoro-benzyloxy)-phenyl]-ethyl}-ureido)-pentanedioic acid,
2-{3-[1-Carboxy-2-(4-hydroxy-3-iodo-phenyl)-ethyl]-ureido}-pentanedioic acid,
2-{3-[1-Carboxy-2-(4-fluoro-phenyl)-ethyl]-ureido}-pentanedioic acid,
2-{3-[1-Carboxy-2-(3-fluoro-phenyl)-ethyl]-ureido}-pentanedioic acid,
2-{3-[1-Carboxy-2-(2-fluoro-phenyl)-ethyl]-ureido}-pentanedioic acid,
2-{3-[1-Carboxy-2-(4-iodo-phenyl)-ethyl]-ureido}-pentanedioic acid,
2-{3-[1-Carboxy-2-(3-iodo-phenyl)-ethyl]-ureido}-pentanedioic acid, and
2-{3-[1-Carboxy-2-(2-iodo-phenyl)-ethyl]-ureido}-pentanedioic acid.
Priority Applications (1)
| Application Number | Priority Date | Filing Date | Title |
|---|---|---|---|
| US14/285,282 US20150079001A1 (en) | 2002-01-10 | 2014-05-22 | Imaging agents and methods of imaging naaladase or psma |
Applications Claiming Priority (5)
| Application Number | Priority Date | Filing Date | Title |
|---|---|---|---|
| US34748702P | 2002-01-10 | 2002-01-10 | |
| US10/340,864 US7408079B2 (en) | 2002-01-10 | 2003-01-10 | Imaging agents and methods of imaging NAALADase or PSMA |
| US12/154,445 US8227634B2 (en) | 2002-01-10 | 2008-05-22 | Imaging agents and methods of imaging NAALADase or PSMA |
| US13/537,789 US20120276007A1 (en) | 2002-01-10 | 2012-06-29 | Imaging agents and methods of imaging naaladase or psma |
| US14/285,282 US20150079001A1 (en) | 2002-01-10 | 2014-05-22 | Imaging agents and methods of imaging naaladase or psma |
Related Parent Applications (1)
| Application Number | Title | Priority Date | Filing Date |
|---|---|---|---|
| US13/537,789 Continuation US20120276007A1 (en) | 2002-01-10 | 2012-06-29 | Imaging agents and methods of imaging naaladase or psma |
Publications (1)
| Publication Number | Publication Date |
|---|---|
| US20150079001A1 true US20150079001A1 (en) | 2015-03-19 |
Family
ID=23363898
Family Applications (4)
| Application Number | Title | Priority Date | Filing Date |
|---|---|---|---|
| US10/340,864 Expired - Lifetime US7408079B2 (en) | 2002-01-10 | 2003-01-10 | Imaging agents and methods of imaging NAALADase or PSMA |
| US12/154,445 Expired - Fee Related US8227634B2 (en) | 2002-01-10 | 2008-05-22 | Imaging agents and methods of imaging NAALADase or PSMA |
| US13/537,789 Abandoned US20120276007A1 (en) | 2002-01-10 | 2012-06-29 | Imaging agents and methods of imaging naaladase or psma |
| US14/285,282 Abandoned US20150079001A1 (en) | 2002-01-10 | 2014-05-22 | Imaging agents and methods of imaging naaladase or psma |
Family Applications Before (3)
| Application Number | Title | Priority Date | Filing Date |
|---|---|---|---|
| US10/340,864 Expired - Lifetime US7408079B2 (en) | 2002-01-10 | 2003-01-10 | Imaging agents and methods of imaging NAALADase or PSMA |
| US12/154,445 Expired - Fee Related US8227634B2 (en) | 2002-01-10 | 2008-05-22 | Imaging agents and methods of imaging NAALADase or PSMA |
| US13/537,789 Abandoned US20120276007A1 (en) | 2002-01-10 | 2012-06-29 | Imaging agents and methods of imaging naaladase or psma |
Country Status (11)
| Country | Link |
|---|---|
| US (4) | US7408079B2 (en) |
| EP (1) | EP1472541B1 (en) |
| AT (1) | ATE443260T1 (en) |
| AU (1) | AU2003205077A1 (en) |
| CA (1) | CA2473289C (en) |
| DE (1) | DE60329274D1 (en) |
| DK (1) | DK1472541T3 (en) |
| ES (1) | ES2338414T3 (en) |
| PT (1) | PT1472541E (en) |
| SI (1) | SI1472541T1 (en) |
| WO (1) | WO2003060523A1 (en) |
Cited By (8)
| Publication number | Priority date | Publication date | Assignee | Title |
|---|---|---|---|---|
| US9951324B2 (en) | 2010-02-25 | 2018-04-24 | Purdue Research Foundation | PSMA binding ligand-linker conjugates and methods for using |
| US10046054B2 (en) | 2007-08-17 | 2018-08-14 | Purdue Research Foundation | PSMA binding ligand-linker conjugates and methods for using |
| US10398791B2 (en) | 2013-10-18 | 2019-09-03 | Deutsches Krebsforschungszentrum | Labeled inhibitors of prostate specific membrane antigen (PSMA), their use as imaging agents and pharmaceutical agents for the treatment of prostate cancer |
| US10898596B2 (en) | 2015-01-07 | 2021-01-26 | Endocyte, Inc. | Conjugates for imaging |
| US10912840B2 (en) | 2012-11-15 | 2021-02-09 | Endocyte, Inc. | Conjugates for treating diseases caused by PSMA expressing cells |
| US12178892B2 (en) | 2013-11-14 | 2024-12-31 | Purdue Research Foundation | Compounds for positron emission tomography |
| US12208102B2 (en) | 2018-04-17 | 2025-01-28 | Endocyte, Inc. | Methods of treating cancer |
| US12473265B2 (en) | 2019-05-20 | 2025-11-18 | Endocyte, Inc. | Methods for preparing PSMA conjugates |
Families Citing this family (61)
| Publication number | Priority date | Publication date | Assignee | Title |
|---|---|---|---|---|
| US6528499B1 (en) | 2000-04-27 | 2003-03-04 | Georgetown University | Ligands for metabotropic glutamate receptors and inhibitors of NAALADase |
| EP2360169B1 (en) | 2001-10-23 | 2015-10-14 | Psma Development Company, L.L.C. | PSMA antibodies |
| US20050215472A1 (en) | 2001-10-23 | 2005-09-29 | Psma Development Company, Llc | PSMA formulations and uses thereof |
| US9492400B2 (en) * | 2004-11-04 | 2016-11-15 | Massachusetts Institute Of Technology | Coated controlled release polymer particles as efficient oral delivery vehicles for biopharmaceuticals |
| US9267937B2 (en) | 2005-12-15 | 2016-02-23 | Massachusetts Institute Of Technology | System for screening particles |
| ES2776100T3 (en) * | 2006-03-31 | 2020-07-29 | Massachusetts Inst Technology | System for targeted delivery of therapeutic agents |
| US20110052697A1 (en) * | 2006-05-17 | 2011-03-03 | Gwangju Institute Of Science & Technology | Aptamer-Directed Drug Delivery |
| US9381477B2 (en) * | 2006-06-23 | 2016-07-05 | Massachusetts Institute Of Technology | Microfluidic synthesis of organic nanoparticles |
| US20100144845A1 (en) * | 2006-08-04 | 2010-06-10 | Massachusetts Institute Of Technology | Oligonucleotide systems for targeted intracellular delivery |
| ES2547481T3 (en) | 2006-11-08 | 2015-10-06 | Molecular Insight Pharmaceuticals, Inc. | Heterodimers of glutamic acid |
| US20100303723A1 (en) * | 2006-11-20 | 2010-12-02 | Massachusetts Institute Of Technology | Drug delivery systems using fc fragments |
| US9217129B2 (en) | 2007-02-09 | 2015-12-22 | Massachusetts Institute Of Technology | Oscillating cell culture bioreactor |
| WO2008124639A2 (en) * | 2007-04-04 | 2008-10-16 | Massachusetts Institute Of Technology | Poly (amino acid) targeting moieties |
| AU2015203742B2 (en) * | 2007-06-26 | 2016-12-01 | The Johns Hopkins University | Labeled inhibitors of prostate specific membrane antigen (psma), biological evaluation, and use as imaging agents |
| AU2008269094B2 (en) * | 2007-06-26 | 2015-04-09 | The Johns Hopkins University | Labeled inhibitors of prostate specific membrane antigen (PSMA), biological evaluation, and use as imaging agents |
| HUE035101T2 (en) | 2007-09-28 | 2018-05-02 | Pfizer | Cancer Cell Targeting Using Nanoparticles |
| AU2008314647B2 (en) * | 2007-10-12 | 2013-03-21 | Massachusetts Institute Of Technology | Vaccine nanotechnology |
| CA2723816C (en) | 2008-05-13 | 2017-06-20 | Yale University | Chimeric small molecules for the recruitment of antibodies to cancer cells |
| US8852630B2 (en) | 2008-05-13 | 2014-10-07 | Yale University | Chimeric small molecules for the recruitment of antibodies to cancer cells |
| US8613951B2 (en) * | 2008-06-16 | 2013-12-24 | Bind Therapeutics, Inc. | Therapeutic polymeric nanoparticles with mTor inhibitors and methods of making and using same |
| WO2010005725A2 (en) | 2008-06-16 | 2010-01-14 | Bind Biosciences, Inc. | Therapeutic polymeric nanoparticles comprising vinca alkaloids and methods of making and using same |
| ES2765240T3 (en) | 2008-06-16 | 2020-06-08 | Pfizer | Drug-loaded polymeric nanoparticles and manufacturing procedures and use thereof |
| US8591905B2 (en) | 2008-10-12 | 2013-11-26 | The Brigham And Women's Hospital, Inc. | Nicotine immunonanotherapeutics |
| US8277812B2 (en) | 2008-10-12 | 2012-10-02 | Massachusetts Institute Of Technology | Immunonanotherapeutics that provide IgG humoral response without T-cell antigen |
| WO2010065899A2 (en) | 2008-12-05 | 2010-06-10 | Molecular Insight Pharmaceuticals, Inc. | Technetium-and rhenium-bis(heteroaryl)complexes and methods of use thereof |
| US8563041B2 (en) | 2008-12-12 | 2013-10-22 | Bind Therapeutics, Inc. | Therapeutic particles suitable for parenteral administration and methods of making and using same |
| US20100216804A1 (en) * | 2008-12-15 | 2010-08-26 | Zale Stephen E | Long Circulating Nanoparticles for Sustained Release of Therapeutic Agents |
| EP3222617B1 (en) * | 2009-03-19 | 2022-07-06 | The Johns Hopkins University | Psma-targeting compounds and uses thereof |
| US20180009767A9 (en) | 2009-03-19 | 2018-01-11 | The Johns Hopkins University | Psma targeted fluorescent agents for image guided surgery |
| BR112012000210A2 (en) | 2009-06-15 | 2019-09-24 | Molecular Insight Pharm Inc | process for the production of glutamic acid heterodimers. |
| CA2768466C (en) | 2009-07-22 | 2018-08-14 | The Board Of Trustees Of The University Of Illinois | Hdac inhibitors and therapeutic methods using the same |
| JP5891175B2 (en) | 2009-12-11 | 2016-03-22 | バインド セラピューティックス インコーポレイテッド | Stable formulation against lyophilization of therapeutic particles |
| EP2515942B1 (en) | 2009-12-15 | 2020-02-12 | Pfizer Inc. | Therapeutic polymeric nanoparticle compositions with high glass transition temperature or high molecular weight copolymers |
| EP2338892A1 (en) | 2009-12-18 | 2011-06-29 | Bayer Schering Pharma Aktiengesellschaft | Prostate specific membrane antigen inhibitors |
| WO2012106343A2 (en) | 2011-02-01 | 2012-08-09 | The Board Of Trustees Of The University Of Illinois | Hdac inhibitors and therapeutic methods using the same |
| AU2012294639B2 (en) * | 2011-08-05 | 2017-10-26 | Molecular Insight Pharmaceuticals, Inc. | Radiolabeled prostate specific membrane antigen inhibitors |
| WO2013028664A1 (en) | 2011-08-22 | 2013-02-28 | Siemens Medical Solutions Usa, Inc. | Psma imaging agents |
| US20130116404A1 (en) | 2011-11-08 | 2013-05-09 | Case Western Reserve University | Targeted non-invasive imaging probes of egfr expressing cells |
| EP3524277B1 (en) * | 2011-11-30 | 2023-03-08 | The Johns Hopkins University | Psma-targeting compound and uses thereof |
| US9120837B2 (en) | 2012-01-06 | 2015-09-01 | Molecular Insight Pharmaceuticals | Metal complexes of poly(carboxyl)amine-containing ligands having an affinity for carbonic anhydrase IX |
| CA2885193C (en) | 2012-09-17 | 2021-04-27 | Bind Therapeutics, Inc. | Process for preparing therapeutic nanoparticles |
| CN105025933B (en) | 2013-01-14 | 2019-03-26 | 分子制药洞察公司 | Triazine Radiopharmaceuticals and Radioimaging Agents |
| ES2834927T3 (en) | 2014-03-14 | 2021-06-21 | Pfizer | Therapeutic nanoparticles comprising a therapeutic agent and methods of manufacture and use thereof |
| WO2016065142A2 (en) * | 2014-10-22 | 2016-04-28 | The Johns Hopkins University | New scaffolds and multifunctional intermediates for imaging psma and cancer therapy |
| WO2016112382A2 (en) * | 2015-01-09 | 2016-07-14 | The Johns Hopkins University | Intranasal administration of glutamate carboxypeptidase (gcp-ii) inhibitors |
| US10869940B2 (en) | 2015-06-12 | 2020-12-22 | The Board Of Trustees Of The Leland Stanford Junior University | Targeted photoacoustic compounds, formulations, and uses thereof |
| WO2017040564A1 (en) | 2015-09-03 | 2017-03-09 | The Board Of Trustees Of The University Of Illinois | Hdac inhibitors and therapeutic methods using the same |
| EP3805250A1 (en) | 2015-09-30 | 2021-04-14 | Deutsches Krebsforschungszentrum | Improved 18f - tagged inhibitors of prostate specific membrane antigen (psma) and their use as imaging agents for prostate cancer |
| US10688200B2 (en) | 2015-12-31 | 2020-06-23 | Five Eleven Pharma Inc. | Urea-based prostate specific membrane antigen (PSMA) inhibitors for imaging and therapy |
| US10456394B2 (en) | 2016-02-16 | 2019-10-29 | The Board Of Trustees Of The University Of Illinois | Tetrahydroquinoline substituted hydroxamic acids as selective histone deacetylase 6 inhibitors |
| US20170296679A1 (en) | 2016-04-18 | 2017-10-19 | Intuitive Surgical Operations, Inc. | Compositions of Near IR Closed Chain, Sulfo-Cyanine Dyes and Prostate Specific Membrane Antigen Ligands |
| US11472780B2 (en) | 2017-03-29 | 2022-10-18 | The George Washington University | Isoxazole hydroxamic acids as histone deacetylase 6 inhibitors |
| CA3056448A1 (en) | 2017-04-26 | 2018-11-01 | The Board Of Trustees Of The University Of Illinois | Nrf and hif activators/hdac inhibitors and therapeutic methods using the same |
| US11813340B2 (en) | 2018-02-06 | 2023-11-14 | The Johns Hopkins University | PSMA targeted radiohalogenated urea-polyaminocarboxylates for cancer radiotherapy |
| WO2019183633A1 (en) | 2018-03-23 | 2019-09-26 | Case Western Reserve Univeristy | Psma targeted conjugate compounds and uses thereof |
| EP3636635A1 (en) | 2018-10-11 | 2020-04-15 | Academisch Ziekenhuis Leiden h.o.d.n. LUMC | Imaging agents |
| KR20200043115A (en) * | 2018-10-17 | 2020-04-27 | 고려대학교 세종산학협력단 | Prostate-specific membrane antigen inhibitors and pharmaceutical composition for diagnosis and treatment of prostate cancer |
| MX2021013055A (en) * | 2019-04-26 | 2021-12-10 | Five Eleven Pharma Inc | Prostate-specific membrane antigen (psma) inhibitors as diagnostic and radionuclide therapeutic agents. |
| WO2022101352A1 (en) | 2020-11-12 | 2022-05-19 | Abx Advanced Biochemical Compounds Gmbh | Ligands of prostate specific membrane antigen (psma) containing heteroaromatic linker building blocks |
| AU2022388735A1 (en) | 2021-11-09 | 2024-05-30 | Case Western Reserve University | Psma targeted conjugate compounds and uses thereof |
| AU2024208501A1 (en) | 2023-01-10 | 2025-07-24 | Sun Pharma Advanced Research Company Limited | Ligand-drug conjugates |
Citations (2)
| Publication number | Priority date | Publication date | Assignee | Title |
|---|---|---|---|---|
| WO2000064911A1 (en) * | 1999-04-28 | 2000-11-02 | Georgetown University | Ligands for metabotropic glutamate receptors |
| WO2002022627A2 (en) * | 2000-09-15 | 2002-03-21 | Georgetwon University | Ligands for metabotropic glutamate receptors |
Family Cites Families (3)
| Publication number | Priority date | Publication date | Assignee | Title |
|---|---|---|---|---|
| US5962521A (en) * | 1997-04-04 | 1999-10-05 | Guilford Pharmaceuticals Inc. | Hydroxamic acid derivatives |
| BE1012622A3 (en) | 1999-04-21 | 2001-01-09 | Solvay | PROCESS TO SEPARATE AND REACTIVE ENANTIOMERS enantiopure. |
| WO2001072958A2 (en) | 2000-03-28 | 2001-10-04 | Beth Israel Deaconess Medical Center | Bladder cancer-specific peptides for diagnosis and therapy |
-
2003
- 2003-01-10 CA CA2473289A patent/CA2473289C/en not_active Expired - Fee Related
- 2003-01-10 ES ES03703745T patent/ES2338414T3/en not_active Expired - Lifetime
- 2003-01-10 AU AU2003205077A patent/AU2003205077A1/en not_active Abandoned
- 2003-01-10 PT PT03703745T patent/PT1472541E/en unknown
- 2003-01-10 EP EP03703745A patent/EP1472541B1/en not_active Expired - Lifetime
- 2003-01-10 DE DE60329274T patent/DE60329274D1/en not_active Expired - Lifetime
- 2003-01-10 WO PCT/US2003/000680 patent/WO2003060523A1/en not_active Ceased
- 2003-01-10 DK DK03703745.4T patent/DK1472541T3/en active
- 2003-01-10 AT AT03703745T patent/ATE443260T1/en active
- 2003-01-10 SI SI200331710T patent/SI1472541T1/en unknown
- 2003-01-10 US US10/340,864 patent/US7408079B2/en not_active Expired - Lifetime
-
2008
- 2008-05-22 US US12/154,445 patent/US8227634B2/en not_active Expired - Fee Related
-
2012
- 2012-06-29 US US13/537,789 patent/US20120276007A1/en not_active Abandoned
-
2014
- 2014-05-22 US US14/285,282 patent/US20150079001A1/en not_active Abandoned
Patent Citations (3)
| Publication number | Priority date | Publication date | Assignee | Title |
|---|---|---|---|---|
| WO2000064911A1 (en) * | 1999-04-28 | 2000-11-02 | Georgetown University | Ligands for metabotropic glutamate receptors |
| US6528499B1 (en) * | 2000-04-27 | 2003-03-04 | Georgetown University | Ligands for metabotropic glutamate receptors and inhibitors of NAALADase |
| WO2002022627A2 (en) * | 2000-09-15 | 2002-03-21 | Georgetwon University | Ligands for metabotropic glutamate receptors |
Non-Patent Citations (7)
| Title |
|---|
| DATABASE CAPLUS CHEMICAL ABSTRACTS SERVICE, COLUMBUS, OHIO, US; Database Accession No. 1974:108147, Abstract of Edwards et al., Journal of the Chemical Society, Perkin Transactions 1: Organic and Bio-Organic Chemistry (1972-1999) (1973), (20), 2397-402 * |
| DATABASE CAPLUS CHEMICAL ABSTRACTS SERVICE, COLUMBUS, OHIO, US; Database Accession No. 1974:521014, Abstract of Busse et al., Journal of the American Chemical Society (1974), 96(18), 5947-9 * |
| DATABASE CAPLUS CHEMICAL ABSTRACTS SERVICE, COLUMBUS, OHIO, US; Database Accession No. 1998:656995, Abstract of Nieuwenhuijzen et al., Tetrahedron Letters (1998), 39(42), 7811-7813 * |
| DATABASE CAPLUS CHEMICAL ABSTRACTS SERVICE, COLUMBUS, OHIO, US; Database Accession No. 2002:531043, Pomper et al., Molecular Imaging (2002), 1(2), 96-101 * |
| Konda et al., Tetrahedron 57:4311-4321 (2001) * |
| Kozikowski et al., J. Med. Chem., 44:298-301 (2001). * |
| Pomper et al, Molecular Imaging 1:96-101 (2002) * |
Cited By (31)
| Publication number | Priority date | Publication date | Assignee | Title |
|---|---|---|---|---|
| US11369590B2 (en) | 2007-08-17 | 2022-06-28 | Purdue Research Foundation | PSMA binding ligand-linker conjugates and methods for using |
| US10624969B2 (en) | 2007-08-17 | 2020-04-21 | Purdue Research Foundation | PSMA binding ligand-linker conjugates and methods for using |
| US12496292B2 (en) | 2007-08-17 | 2025-12-16 | Purdue Research Foundation | PSMA binding ligand-linker conjugates and methods for using |
| US10406240B2 (en) | 2007-08-17 | 2019-09-10 | Purdue Research Foundation | PSMA binding ligand-linker conjugates and methods for using |
| US11717514B2 (en) | 2007-08-17 | 2023-08-08 | Purdue Research Foundation | PSMA binding ligand-linker conjugates and methods for using |
| US10485878B2 (en) | 2007-08-17 | 2019-11-26 | Purdue Research Foundation | PSMA binding ligand-linker conjugates and methods for using |
| US10517956B2 (en) | 2007-08-17 | 2019-12-31 | Purdue Research Foundation | PSMA binding ligand-linker conjugates and methods for using |
| US10517957B2 (en) | 2007-08-17 | 2019-12-31 | Purdue Research Foundation | PSMA binding ligand-linker conjugates and methods for using |
| US11504357B2 (en) | 2007-08-17 | 2022-11-22 | Purdue Research Foundation | PSMA binding ligand-linker conjugates and methods for using |
| US11083710B2 (en) | 2007-08-17 | 2021-08-10 | Purdue Research Foundation | PSMA binding ligand-linker conjugates and methods for using |
| US10624971B2 (en) | 2007-08-17 | 2020-04-21 | Purdue Research Foundation | PSMA binding ligand-linker conjugates and methods for using |
| US10624970B2 (en) | 2007-08-17 | 2020-04-21 | Purdue Research Foundation | PSMA binding ligand-linker conjugates and methods for using |
| US10646581B2 (en) | 2007-08-17 | 2020-05-12 | Purdue Research Foundation | PSMA binding ligand-linker conjugates and methods for using |
| US10828282B2 (en) | 2007-08-17 | 2020-11-10 | Purdue Research Foundation | PSMA binding ligand-linker conjugates and methods for using |
| US10046054B2 (en) | 2007-08-17 | 2018-08-14 | Purdue Research Foundation | PSMA binding ligand-linker conjugates and methods for using |
| US11318121B2 (en) | 2007-08-17 | 2022-05-03 | Purdue Research Foundation | PSMA binding ligand-linker conjugates and methods for using |
| US11298341B2 (en) | 2007-08-17 | 2022-04-12 | Purdue Research Foundation | PSMA binding ligand-linker conjugates and methods for using |
| US10557128B2 (en) | 2010-02-25 | 2020-02-11 | Purdue Research Foundation | PSMA binding ligand-linker conjugates and methods for using |
| US11155800B2 (en) | 2010-02-25 | 2021-10-26 | Purdue Research Foundation | PSMA binding ligand-linker conjugates and methods for using |
| US12091693B2 (en) | 2010-02-25 | 2024-09-17 | Purdue Research Foundation | PSMA binding ligand-linker conjugates and methods for using |
| US9951324B2 (en) | 2010-02-25 | 2018-04-24 | Purdue Research Foundation | PSMA binding ligand-linker conjugates and methods for using |
| US10912840B2 (en) | 2012-11-15 | 2021-02-09 | Endocyte, Inc. | Conjugates for treating diseases caused by PSMA expressing cells |
| US11931430B2 (en) | 2013-10-18 | 2024-03-19 | Novartis Ag | Labeled inhibitors of prostate specific membrane antigen (PSMA) as agents for the treatment of prostate cancer |
| US10471160B2 (en) | 2013-10-18 | 2019-11-12 | Deutsches Krebsforschungszentrum | Labeled inhibitors of prostate specific membrane antigen (PSMA), their use as imaging agents and pharmaceutical agents for the treatment of prostate cancer |
| US11951190B2 (en) | 2013-10-18 | 2024-04-09 | Novartis Ag | Use of labeled inhibitors of prostate specific membrane antigen (PSMA), as agents for the treatment of prostate cancer |
| US11045564B2 (en) | 2013-10-18 | 2021-06-29 | Deutsches Krebsforschungszentrum | Labeled inhibitors of prostate specific membrane antigen (PSMA) as agents for the treatment of prostate cancer |
| US10398791B2 (en) | 2013-10-18 | 2019-09-03 | Deutsches Krebsforschungszentrum | Labeled inhibitors of prostate specific membrane antigen (PSMA), their use as imaging agents and pharmaceutical agents for the treatment of prostate cancer |
| US12178892B2 (en) | 2013-11-14 | 2024-12-31 | Purdue Research Foundation | Compounds for positron emission tomography |
| US10898596B2 (en) | 2015-01-07 | 2021-01-26 | Endocyte, Inc. | Conjugates for imaging |
| US12208102B2 (en) | 2018-04-17 | 2025-01-28 | Endocyte, Inc. | Methods of treating cancer |
| US12473265B2 (en) | 2019-05-20 | 2025-11-18 | Endocyte, Inc. | Methods for preparing PSMA conjugates |
Also Published As
| Publication number | Publication date |
|---|---|
| US20120276007A1 (en) | 2012-11-01 |
| US20040054190A1 (en) | 2004-03-18 |
| ES2338414T3 (en) | 2010-05-07 |
| EP1472541A1 (en) | 2004-11-03 |
| SI1472541T1 (en) | 2010-12-31 |
| EP1472541B1 (en) | 2009-09-16 |
| AU2003205077A1 (en) | 2003-07-30 |
| DK1472541T3 (en) | 2010-01-25 |
| US20090117042A1 (en) | 2009-05-07 |
| US7408079B2 (en) | 2008-08-05 |
| US8227634B2 (en) | 2012-07-24 |
| PT1472541E (en) | 2009-12-21 |
| DE60329274D1 (en) | 2009-10-29 |
| WO2003060523A1 (en) | 2003-07-24 |
| ATE443260T1 (en) | 2009-10-15 |
| CA2473289A1 (en) | 2003-07-24 |
| CA2473289C (en) | 2014-07-29 |
Similar Documents
| Publication | Publication Date | Title |
|---|---|---|
| US8227634B2 (en) | Imaging agents and methods of imaging NAALADase or PSMA | |
| JP7219497B2 (en) | PSMA binder and use thereof | |
| US8524193B2 (en) | Non-invasive diagnostic imaging technology for mitochondria using radiolabeled lipophilic salts | |
| HK40062845A (en) | Psma-binding agents and uses thereof |
Legal Events
| Date | Code | Title | Description |
|---|---|---|---|
| STCB | Information on status: application discontinuation |
Free format text: ABANDONED -- FAILURE TO RESPOND TO AN OFFICE ACTION |
|
| AS | Assignment |
Owner name: NATIONAL INSTITUTES OF HEALTH - DIRECTOR DEITR, MA Free format text: CONFIRMATORY LICENSE;ASSIGNOR:THE JOHNS HOPKINS UNIVERSITY;REEL/FRAME:046414/0825 Effective date: 20180716 |




















































