US20150041839A1 - Electron beam curable resin composition, resin frame for reflectors, reflector, semiconductor light emitting device, and method for producing molded body - Google Patents
Electron beam curable resin composition, resin frame for reflectors, reflector, semiconductor light emitting device, and method for producing molded body Download PDFInfo
- Publication number
- US20150041839A1 US20150041839A1 US14/372,280 US201314372280A US2015041839A1 US 20150041839 A1 US20150041839 A1 US 20150041839A1 US 201314372280 A US201314372280 A US 201314372280A US 2015041839 A1 US2015041839 A1 US 2015041839A1
- Authority
- US
- United States
- Prior art keywords
- electron beam
- resin composition
- curable resin
- beam curable
- crosslinking agent
- Prior art date
- Legal status (The legal status is an assumption and is not a legal conclusion. Google has not performed a legal analysis and makes no representation as to the accuracy of the status listed.)
- Granted
Links
- 0 [1*]N1C(=O)N([2*])C(=O)N([3*])C1=O Chemical compound [1*]N1C(=O)N([2*])C(=O)N([3*])C1=O 0.000 description 10
- RBACIKXCRWGCBB-UHFFFAOYSA-N CCC1CO1 Chemical compound CCC1CO1 RBACIKXCRWGCBB-UHFFFAOYSA-N 0.000 description 9
- QQONPFPTGQHPMA-UHFFFAOYSA-N C=CC Chemical compound C=CC QQONPFPTGQHPMA-UHFFFAOYSA-N 0.000 description 8
- FWZUNOYOVVKUNF-UHFFFAOYSA-N C=CCOC(C)=O Chemical compound C=CCOC(C)=O FWZUNOYOVVKUNF-UHFFFAOYSA-N 0.000 description 4
- VQTUBCCKSQIDNK-UHFFFAOYSA-N C=C(C)C Chemical compound C=C(C)C VQTUBCCKSQIDNK-UHFFFAOYSA-N 0.000 description 3
- BAPJBEWLBFYGME-UHFFFAOYSA-N C=CC(=O)OC Chemical compound C=CC(=O)OC BAPJBEWLBFYGME-UHFFFAOYSA-N 0.000 description 3
Images
Classifications
-
- B—PERFORMING OPERATIONS; TRANSPORTING
- B29—WORKING OF PLASTICS; WORKING OF SUBSTANCES IN A PLASTIC STATE IN GENERAL
- B29C—SHAPING OR JOINING OF PLASTICS; SHAPING OF MATERIAL IN A PLASTIC STATE, NOT OTHERWISE PROVIDED FOR; AFTER-TREATMENT OF THE SHAPED PRODUCTS, e.g. REPAIRING
- B29C45/00—Injection moulding, i.e. forcing the required volume of moulding material through a nozzle into a closed mould; Apparatus therefor
- B29C45/0001—Injection moulding, i.e. forcing the required volume of moulding material through a nozzle into a closed mould; Apparatus therefor characterised by the choice of material
-
- B—PERFORMING OPERATIONS; TRANSPORTING
- B29—WORKING OF PLASTICS; WORKING OF SUBSTANCES IN A PLASTIC STATE IN GENERAL
- B29B—PREPARATION OR PRETREATMENT OF THE MATERIAL TO BE SHAPED; MAKING GRANULES OR PREFORMS; RECOVERY OF PLASTICS OR OTHER CONSTITUENTS OF WASTE MATERIAL CONTAINING PLASTICS
- B29B13/00—Conditioning or physical treatment of the material to be shaped
- B29B13/08—Conditioning or physical treatment of the material to be shaped by using wave energy or particle radiation
-
- B—PERFORMING OPERATIONS; TRANSPORTING
- B29—WORKING OF PLASTICS; WORKING OF SUBSTANCES IN A PLASTIC STATE IN GENERAL
- B29C—SHAPING OR JOINING OF PLASTICS; SHAPING OF MATERIAL IN A PLASTIC STATE, NOT OTHERWISE PROVIDED FOR; AFTER-TREATMENT OF THE SHAPED PRODUCTS, e.g. REPAIRING
- B29C35/00—Heating, cooling or curing, e.g. crosslinking or vulcanising; Apparatus therefor
- B29C35/02—Heating or curing, e.g. crosslinking or vulcanizing during moulding, e.g. in a mould
- B29C35/08—Heating or curing, e.g. crosslinking or vulcanizing during moulding, e.g. in a mould by wave energy or particle radiation
- B29C35/0866—Heating or curing, e.g. crosslinking or vulcanizing during moulding, e.g. in a mould by wave energy or particle radiation using particle radiation
-
- B—PERFORMING OPERATIONS; TRANSPORTING
- B29—WORKING OF PLASTICS; WORKING OF SUBSTANCES IN A PLASTIC STATE IN GENERAL
- B29C—SHAPING OR JOINING OF PLASTICS; SHAPING OF MATERIAL IN A PLASTIC STATE, NOT OTHERWISE PROVIDED FOR; AFTER-TREATMENT OF THE SHAPED PRODUCTS, e.g. REPAIRING
- B29C71/00—After-treatment of articles without altering their shape; Apparatus therefor
- B29C71/04—After-treatment of articles without altering their shape; Apparatus therefor by wave energy or particle radiation, e.g. for curing or vulcanising preformed articles
-
- C—CHEMISTRY; METALLURGY
- C08—ORGANIC MACROMOLECULAR COMPOUNDS; THEIR PREPARATION OR CHEMICAL WORKING-UP; COMPOSITIONS BASED THEREON
- C08F—MACROMOLECULAR COMPOUNDS OBTAINED BY REACTIONS ONLY INVOLVING CARBON-TO-CARBON UNSATURATED BONDS
- C08F255/00—Macromolecular compounds obtained by polymerising monomers on to polymers of hydrocarbons as defined in group C08F10/00
- C08F255/08—Macromolecular compounds obtained by polymerising monomers on to polymers of hydrocarbons as defined in group C08F10/00 on to polymers of olefins having four or more carbon atoms
-
- C—CHEMISTRY; METALLURGY
- C08—ORGANIC MACROMOLECULAR COMPOUNDS; THEIR PREPARATION OR CHEMICAL WORKING-UP; COMPOSITIONS BASED THEREON
- C08K—Use of inorganic or non-macromolecular organic substances as compounding ingredients
- C08K3/00—Use of inorganic substances as compounding ingredients
- C08K3/18—Oxygen-containing compounds, e.g. metal carbonyls
- C08K3/20—Oxides; Hydroxides
- C08K3/22—Oxides; Hydroxides of metals
-
- C—CHEMISTRY; METALLURGY
- C08—ORGANIC MACROMOLECULAR COMPOUNDS; THEIR PREPARATION OR CHEMICAL WORKING-UP; COMPOSITIONS BASED THEREON
- C08K—Use of inorganic or non-macromolecular organic substances as compounding ingredients
- C08K3/00—Use of inorganic substances as compounding ingredients
- C08K3/34—Silicon-containing compounds
- C08K3/36—Silica
-
- C—CHEMISTRY; METALLURGY
- C08—ORGANIC MACROMOLECULAR COMPOUNDS; THEIR PREPARATION OR CHEMICAL WORKING-UP; COMPOSITIONS BASED THEREON
- C08K—Use of inorganic or non-macromolecular organic substances as compounding ingredients
- C08K5/00—Use of organic ingredients
- C08K5/16—Nitrogen-containing compounds
- C08K5/34—Heterocyclic compounds having nitrogen in the ring
- C08K5/3467—Heterocyclic compounds having nitrogen in the ring having more than two nitrogen atoms in the ring
- C08K5/3477—Six-membered rings
- C08K5/3492—Triazines
- C08K5/34924—Triazines containing cyanurate groups; Tautomers thereof
-
- C—CHEMISTRY; METALLURGY
- C08—ORGANIC MACROMOLECULAR COMPOUNDS; THEIR PREPARATION OR CHEMICAL WORKING-UP; COMPOSITIONS BASED THEREON
- C08K—Use of inorganic or non-macromolecular organic substances as compounding ingredients
- C08K7/00—Use of ingredients characterised by shape
- C08K7/02—Fibres or whiskers
- C08K7/04—Fibres or whiskers inorganic
- C08K7/14—Glass
-
- C—CHEMISTRY; METALLURGY
- C08—ORGANIC MACROMOLECULAR COMPOUNDS; THEIR PREPARATION OR CHEMICAL WORKING-UP; COMPOSITIONS BASED THEREON
- C08L—COMPOSITIONS OF MACROMOLECULAR COMPOUNDS
- C08L23/00—Compositions of homopolymers or copolymers of unsaturated aliphatic hydrocarbons having only one carbon-to-carbon double bond; Compositions of derivatives of such polymers
- C08L23/02—Compositions of homopolymers or copolymers of unsaturated aliphatic hydrocarbons having only one carbon-to-carbon double bond; Compositions of derivatives of such polymers not modified by chemical after-treatment
- C08L23/18—Homopolymers or copolymers of hydrocarbons having four or more carbon atoms
- C08L23/20—Homopolymers or copolymers of hydrocarbons having four or more carbon atoms having four to nine carbon atoms
-
- H01L33/60—
-
- H—ELECTRICITY
- H10—SEMICONDUCTOR DEVICES; ELECTRIC SOLID-STATE DEVICES NOT OTHERWISE PROVIDED FOR
- H10H—INORGANIC LIGHT-EMITTING SEMICONDUCTOR DEVICES HAVING POTENTIAL BARRIERS
- H10H20/00—Individual inorganic light-emitting semiconductor devices having potential barriers, e.g. light-emitting diodes [LED]
- H10H20/80—Constructional details
- H10H20/85—Packages
-
- H—ELECTRICITY
- H10—SEMICONDUCTOR DEVICES; ELECTRIC SOLID-STATE DEVICES NOT OTHERWISE PROVIDED FOR
- H10H—INORGANIC LIGHT-EMITTING SEMICONDUCTOR DEVICES HAVING POTENTIAL BARRIERS
- H10H20/00—Individual inorganic light-emitting semiconductor devices having potential barriers, e.g. light-emitting diodes [LED]
- H10H20/80—Constructional details
- H10H20/85—Packages
- H10H20/852—Encapsulations
- H10H20/854—Encapsulations characterised by their material, e.g. epoxy or silicone resins
-
- H—ELECTRICITY
- H10—SEMICONDUCTOR DEVICES; ELECTRIC SOLID-STATE DEVICES NOT OTHERWISE PROVIDED FOR
- H10H—INORGANIC LIGHT-EMITTING SEMICONDUCTOR DEVICES HAVING POTENTIAL BARRIERS
- H10H20/00—Individual inorganic light-emitting semiconductor devices having potential barriers, e.g. light-emitting diodes [LED]
- H10H20/80—Constructional details
- H10H20/85—Packages
- H10H20/855—Optical field-shaping means, e.g. lenses
- H10H20/856—Reflecting means
-
- B—PERFORMING OPERATIONS; TRANSPORTING
- B29—WORKING OF PLASTICS; WORKING OF SUBSTANCES IN A PLASTIC STATE IN GENERAL
- B29C—SHAPING OR JOINING OF PLASTICS; SHAPING OF MATERIAL IN A PLASTIC STATE, NOT OTHERWISE PROVIDED FOR; AFTER-TREATMENT OF THE SHAPED PRODUCTS, e.g. REPAIRING
- B29C35/00—Heating, cooling or curing, e.g. crosslinking or vulcanising; Apparatus therefor
- B29C35/02—Heating or curing, e.g. crosslinking or vulcanizing during moulding, e.g. in a mould
- B29C35/08—Heating or curing, e.g. crosslinking or vulcanizing during moulding, e.g. in a mould by wave energy or particle radiation
- B29C35/0866—Heating or curing, e.g. crosslinking or vulcanizing during moulding, e.g. in a mould by wave energy or particle radiation using particle radiation
- B29C2035/0877—Heating or curing, e.g. crosslinking or vulcanizing during moulding, e.g. in a mould by wave energy or particle radiation using particle radiation using electron radiation, e.g. beta-rays
-
- B—PERFORMING OPERATIONS; TRANSPORTING
- B29—WORKING OF PLASTICS; WORKING OF SUBSTANCES IN A PLASTIC STATE IN GENERAL
- B29K—INDEXING SCHEME ASSOCIATED WITH SUBCLASSES B29B, B29C OR B29D, RELATING TO MOULDING MATERIALS OR TO MATERIALS FOR MOULDS, REINFORCEMENTS, FILLERS OR PREFORMED PARTS, e.g. INSERTS
- B29K2035/00—Use of polymers of unsaturated polycarboxylic acids or derivatives thereof as moulding material
-
- B—PERFORMING OPERATIONS; TRANSPORTING
- B29—WORKING OF PLASTICS; WORKING OF SUBSTANCES IN A PLASTIC STATE IN GENERAL
- B29K—INDEXING SCHEME ASSOCIATED WITH SUBCLASSES B29B, B29C OR B29D, RELATING TO MOULDING MATERIALS OR TO MATERIALS FOR MOULDS, REINFORCEMENTS, FILLERS OR PREFORMED PARTS, e.g. INSERTS
- B29K2039/00—Use of polymers with unsaturated aliphatic radicals and with a nitrogen or a heterocyclic ring containing nitrogen in a side chain or derivatives thereof as moulding material
-
- B—PERFORMING OPERATIONS; TRANSPORTING
- B29—WORKING OF PLASTICS; WORKING OF SUBSTANCES IN A PLASTIC STATE IN GENERAL
- B29K—INDEXING SCHEME ASSOCIATED WITH SUBCLASSES B29B, B29C OR B29D, RELATING TO MOULDING MATERIALS OR TO MATERIALS FOR MOULDS, REINFORCEMENTS, FILLERS OR PREFORMED PARTS, e.g. INSERTS
- B29K2105/00—Condition, form or state of moulded material or of the material to be shaped
- B29K2105/0005—Condition, form or state of moulded material or of the material to be shaped containing compounding ingredients
- B29K2105/0032—Pigments, colouring agents or opacifiyng agents
-
- B—PERFORMING OPERATIONS; TRANSPORTING
- B29—WORKING OF PLASTICS; WORKING OF SUBSTANCES IN A PLASTIC STATE IN GENERAL
- B29K—INDEXING SCHEME ASSOCIATED WITH SUBCLASSES B29B, B29C OR B29D, RELATING TO MOULDING MATERIALS OR TO MATERIALS FOR MOULDS, REINFORCEMENTS, FILLERS OR PREFORMED PARTS, e.g. INSERTS
- B29K2105/00—Condition, form or state of moulded material or of the material to be shaped
- B29K2105/06—Condition, form or state of moulded material or of the material to be shaped containing reinforcements, fillers or inserts
- B29K2105/16—Fillers
-
- B—PERFORMING OPERATIONS; TRANSPORTING
- B29—WORKING OF PLASTICS; WORKING OF SUBSTANCES IN A PLASTIC STATE IN GENERAL
- B29K—INDEXING SCHEME ASSOCIATED WITH SUBCLASSES B29B, B29C OR B29D, RELATING TO MOULDING MATERIALS OR TO MATERIALS FOR MOULDS, REINFORCEMENTS, FILLERS OR PREFORMED PARTS, e.g. INSERTS
- B29K2509/00—Use of inorganic materials not provided for in groups B29K2503/00 - B29K2507/00, as filler
- B29K2509/02—Ceramics
-
- B—PERFORMING OPERATIONS; TRANSPORTING
- B29—WORKING OF PLASTICS; WORKING OF SUBSTANCES IN A PLASTIC STATE IN GENERAL
- B29K—INDEXING SCHEME ASSOCIATED WITH SUBCLASSES B29B, B29C OR B29D, RELATING TO MOULDING MATERIALS OR TO MATERIALS FOR MOULDS, REINFORCEMENTS, FILLERS OR PREFORMED PARTS, e.g. INSERTS
- B29K2509/00—Use of inorganic materials not provided for in groups B29K2503/00 - B29K2507/00, as filler
- B29K2509/08—Glass
-
- B—PERFORMING OPERATIONS; TRANSPORTING
- B29—WORKING OF PLASTICS; WORKING OF SUBSTANCES IN A PLASTIC STATE IN GENERAL
- B29L—INDEXING SCHEME ASSOCIATED WITH SUBCLASS B29C, RELATING TO PARTICULAR ARTICLES
- B29L2012/00—Frames
-
- C—CHEMISTRY; METALLURGY
- C08—ORGANIC MACROMOLECULAR COMPOUNDS; THEIR PREPARATION OR CHEMICAL WORKING-UP; COMPOSITIONS BASED THEREON
- C08K—Use of inorganic or non-macromolecular organic substances as compounding ingredients
- C08K3/00—Use of inorganic substances as compounding ingredients
- C08K3/18—Oxygen-containing compounds, e.g. metal carbonyls
- C08K3/20—Oxides; Hydroxides
- C08K3/22—Oxides; Hydroxides of metals
- C08K2003/2237—Oxides; Hydroxides of metals of titanium
- C08K2003/2241—Titanium dioxide
-
- C—CHEMISTRY; METALLURGY
- C08—ORGANIC MACROMOLECULAR COMPOUNDS; THEIR PREPARATION OR CHEMICAL WORKING-UP; COMPOSITIONS BASED THEREON
- C08L—COMPOSITIONS OF MACROMOLECULAR COMPOUNDS
- C08L2201/00—Properties
- C08L2201/08—Stabilised against heat, light or radiation or oxydation
-
- C—CHEMISTRY; METALLURGY
- C08—ORGANIC MACROMOLECULAR COMPOUNDS; THEIR PREPARATION OR CHEMICAL WORKING-UP; COMPOSITIONS BASED THEREON
- C08L—COMPOSITIONS OF MACROMOLECULAR COMPOUNDS
- C08L2312/00—Crosslinking
- C08L2312/06—Crosslinking by radiation
-
- H—ELECTRICITY
- H10—SEMICONDUCTOR DEVICES; ELECTRIC SOLID-STATE DEVICES NOT OTHERWISE PROVIDED FOR
- H10F—INORGANIC SEMICONDUCTOR DEVICES SENSITIVE TO INFRARED RADIATION, LIGHT, ELECTROMAGNETIC RADIATION OF SHORTER WAVELENGTH OR CORPUSCULAR RADIATION
- H10F77/00—Constructional details of devices covered by this subclass
- H10F77/30—Coatings
- H10F77/306—Coatings for devices having potential barriers
- H10F77/311—Coatings for devices having potential barriers for photovoltaic cells
-
- H—ELECTRICITY
- H10—SEMICONDUCTOR DEVICES; ELECTRIC SOLID-STATE DEVICES NOT OTHERWISE PROVIDED FOR
- H10H—INORGANIC LIGHT-EMITTING SEMICONDUCTOR DEVICES HAVING POTENTIAL BARRIERS
- H10H20/00—Individual inorganic light-emitting semiconductor devices having potential barriers, e.g. light-emitting diodes [LED]
- H10H20/80—Constructional details
- H10H20/84—Coatings, e.g. passivation layers or antireflective coatings
- H10H20/841—Reflective coatings, e.g. dielectric Bragg reflectors
-
- H—ELECTRICITY
- H10—SEMICONDUCTOR DEVICES; ELECTRIC SOLID-STATE DEVICES NOT OTHERWISE PROVIDED FOR
- H10H—INORGANIC LIGHT-EMITTING SEMICONDUCTOR DEVICES HAVING POTENTIAL BARRIERS
- H10H20/00—Individual inorganic light-emitting semiconductor devices having potential barriers, e.g. light-emitting diodes [LED]
- H10H20/80—Constructional details
- H10H20/85—Packages
- H10H20/851—Wavelength conversion means
- H10H20/8511—Wavelength conversion means characterised by their material, e.g. binder
-
- H10W74/476—
-
- Y—GENERAL TAGGING OF NEW TECHNOLOGICAL DEVELOPMENTS; GENERAL TAGGING OF CROSS-SECTIONAL TECHNOLOGIES SPANNING OVER SEVERAL SECTIONS OF THE IPC; TECHNICAL SUBJECTS COVERED BY FORMER USPC CROSS-REFERENCE ART COLLECTIONS [XRACs] AND DIGESTS
- Y10—TECHNICAL SUBJECTS COVERED BY FORMER USPC
- Y10T—TECHNICAL SUBJECTS COVERED BY FORMER US CLASSIFICATION
- Y10T428/00—Stock material or miscellaneous articles
- Y10T428/24—Structurally defined web or sheet [e.g., overall dimension, etc.]
- Y10T428/24273—Structurally defined web or sheet [e.g., overall dimension, etc.] including aperture
Definitions
- the present invention relates to an electron beam curable resin composition, a resin frame for reflectors, a reflector, a semiconductor light emitting device, and a method for producing a molded body.
- a method for mounting an electronic component on a substrate a method (a reflow method) in which an electronic component is temporarily fixed to a predetermined position of a substrate to which solder is attached in advance, the substrate is then heated by means of infrared light, hot air, or the like to melt the solder, and an electronic component is fixed has been adopted. It is possible to increase the mounting density of the electronic component on the surface of the substrate by the method.
- the electronic component which has been used in the related art has insufficient heat resistance and particularly, in a reflow process using infrared heating, a problem that the surface temperature of the component increases locally, or the like arises.
- a resin composition and an electronic component having further excellent heat resistance there has been a demand for a resin composition and an electronic component having further excellent heat resistance.
- LED elements have been widely used as a light source of a display lamp, or the like.
- an LED element having higher brightness has been produced at a relatively low cost, and thus, the use of LED elements as a light source in place of a fluorescent lamp and a light bulb has been considered.
- LED elements are used as such a light source
- a method has been frequently used in which plural LED elements are arranged on a surface mounting type LED package, that is, a metal substrate (LED mounting substrate) of aluminum or the like, and a reflector (a reflecting body) which reflects light in a predetermined direction is arranged in the vicinity of each LED element to obtain high illuminance.
- a polymer composition which is used in a reflector of a light emitting diode is proposed and specifically, a polymer composition including polyphthalamide, carbon black, titanium dioxide, glass fibers, and an antioxidant is disclosed.
- the reflectivity of the composition is measured after the composition undergoes heat aging.
- the composition has satisfactory reflectivity with less yellowing compared to a polymer composition not including carbon black.
- thermosetting light reflecting resin composition using an optical semiconductor device in which an optical semiconductor element and wavelength converting means such as a fluorescent substance are combined is disclosed.
- thermosetting light reflecting resin composition disclosed in PTL 2 is performed under a more practical condition of 150° C. for 500 hours for verification.
- the molding time is 90 seconds, which is longer than a molding time of a thermoplastic resin, and post-curing at 150° C. for 2 hours is required.
- the heat aging test of the polymer composition disclosed in PTL 1 is an evaluation for a short period of time of 3 hours at 170° C., and thus, whether or not satisfactory results in heat resistance and durability can be obtained under the practical condition for a longer period of time is not clear.
- an object of the present invention is to provide an electron beam curable resin composition which can exhibit excellent heat resistance in the reflow process and can exhibit excellent heat resistance even when being formed into a molded body such as a reflector, a resin frame for reflectors using the resin composition, a reflector, a semiconductor light emitting device, and a molding method using the resin composition.
- the present invention is as follows.
- An electron beam curable resin composition including: polymethylpentene; and a crosslinking agent, wherein the crosslinking agent has a saturated or unsaturated ring structure, at least one atom among atoms forming at least one ring is bonded to any allylic substituent of an allyl group, a methallyl group, an allyl group through a linking group, and a methallyl group through a linking group, and a molecular weight is 1,000 or less.
- R 1 to R 3 are each independently any allylic substituent of an allyl group, a methallyl group, an allyl group through ester bonding, and a methallyl group through ester bonding.
- R 1 to R 3 are each independently any allylic substituent of an allyl group, a methallyl group, an allyl group through ester bonding, and a methallyl group through ester bonding.
- a resin frame for reflectors including: a cured product of the electron beam curable resin composition according to any one of [1] to [9].
- a reflector including: a cured product of the electron beam curable resin composition according to any one of [1] to [9].
- a semiconductor light emitting device including: an optical semiconductor element; and a reflector which is provided in the vicinity of the optical semiconductor element and reflects light from the optical semiconductor element in a predetermined direction, wherein the optical semiconductor element and the reflector are provided on a substrate, and at least a part of the light reflecting surface of the reflector is composed of a cured product of the electron beam curable resin composition according to any one of [1] to [9].
- a method for producing a molded body including: an injection molding process of performing injection molding on the electron beam curable resin composition according to any one of [1] to [9] at an injection temperature of 200° C. to 400° C. and at a mold temperature of 20° C. to 100° C.; and an electron beam irradiation process of performing electron beam irradiation treatment before and after the injection molding process.
- an electron beam curable resin composition which can exhibit excellent heat resistance in a reflow process and can exhibit excellent heat resistance even when being formed into a molded body such as a reflector, a resin frame for reflectors using the resin composition, a reflector, a semiconductor light emitting device, and a molding method using the resin composition.
- FIG. 1 is a schematic cross-sectional view showing an example of a semiconductor light emitting device of the present invention.
- FIG. 2 is a schematic cross-sectional view showing an example of the semiconductor light emitting device of the present invention.
- An electron beam curable resin composition of the present invention includes polymethylpentene and a specific crosslinking agent.
- the refractive index of polymethylpentene is 1.46, and this value is very close to the refractive index of a silica particle. Thus, it is possible to suppress inhibition of optical properties such as transmittance and reflectivity even when polymethylpentene is mixed.
- the curable resin composition is suitably used as a reflector of a semiconductor light emitting device.
- a resin composition exhibiting a sufficient heat resistance even in a reflow process can be obtained by containing a specific crosslinking agent in polymethylpentene and irradiating the resin with an electron beam. Accordingly, even when the resin composition is formed into a reflector, it is possible to prevent the reflector from being deformed by melting of the resin.
- Polymethylpentene has properties of having a high melting point of 232° C., not being decomposed even at a processing temperature of about 280° C., and having a decomposition temperature close to 300° C.
- organic peroxides and photopolymerization initiators having such properties are not generally present, crosslinking by the organic peroxides and crosslinking by ultraviolet light are not possible.
- Such a crosslinking agent has a saturated or unsaturated ring structure, and at least one atom among atoms forming at least one ring is bonded to any allylic substituent of an allyl group, a methallyl group, an allyl group through a linking group, and a methallyl group through a linking group.
- Examples of the saturated or unsaturated ring structure include a cyclo ring, a hetero ring, and an aromatic ring.
- the number of atoms forming the ring structure is preferably 3 to 12, more preferably 5 to 8, and a 6-membered ring is still more preferable.
- the molecular weight of the crosslinking agent according to the present invention is 1,000 or less, preferably 500 or less, and more preferably 300 or less.
- the molecular weight is more than 1,000, the dispersibility in the resin composition is deteriorated and thus, an effective crosslinking reaction cannot occur even when the resin is irradiated with the electron beam.
- the number of the ring structures is preferably 1 to 3, more preferably 1 or 2, and still more preferably 1.
- examples of the linking group of the crosslinking agent according to the present invention include ester bonding, ether bonding, an alkylene group, and a (hetero)allylene group.
- An atom that is not bonded to the allylic substituent among the atoms forming the ring is bonded with hydrogen, oxygen, nitrogen, and the like, or is bonded with various substituents.
- the crosslinking agent according to the present invention it is preferable that at least two atoms among the atoms forming one ring of the crosslinking agent are each independently bonded to the allylic substituent.
- the ring structure is a 6-membered ring, it is preferable that at least two atoms among the atoms forming the ring are each independently bonded to the allylic substituent, and with respect to an atom to which one the allylic substituent is bonded, another allylic substituent is bonded to an atom in a meta position.
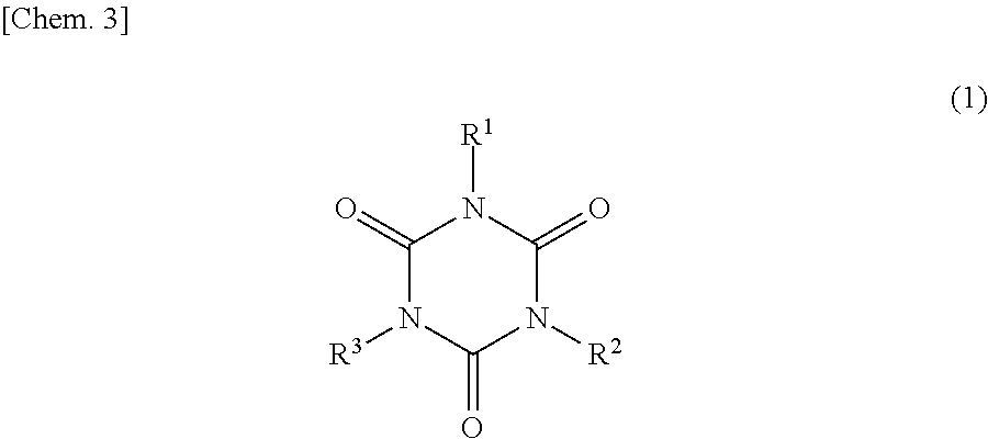
- crosslinking agent according to the present invention be expressed by the following Formula (1) or (2).
- R 1 to R 3 are each independently any allylic substituent of an allyl group, a methallyl group, an allyl group through ester bonding, and a methallyl group through ester bonding.
- R 1 to R 3 are each independently any allylic substituent of an allyl group, a methallyl group, an allyl group through ester bonding, and a methallyl group through ester bonding.
- crosslinking agent expressed by the above Formula (1) examples include trially isocyanurate, methyl diallyl isocyanurate, diallyl monoglycidyl isocyanuric acid, monoallyl diglycidyl isocyanurate, and trimethallyl isocyanurate.
- crosslinking agent expressed by the above Formula (2) examples include orthophthalic acid diallyl ester, and isophthalic acid diallyl ester.
- the amount of the crosslinking agent blended according to the present invention is preferably 0.1 parts by mass to 15 parts by mass, more preferably 0.5 parts by mass to 5 parts by mass, and still more preferably 0.1 parts by mass to 2.5 parts by mass with respect to 100 parts by mass of polymethylpentene.
- the polymethylpentene resin a homopolymer of 4-methylpentene-1 is preferable.
- the polymethylpentene resin may be a copolymer of 4-methylpentene-1 and other ⁇ -olefin, for example, ⁇ -olefin having 2 to 20 carbon atoms such as ethylene, propylene, 1-butene, 1-pentene, 1-hexene, 1-octene, 1-decene, 1-dodecene, 1-tetradecene, 1-octadecene, 1-eicocene, 3-methyl-1-butene, or 3-methyl-1-pentene, or may be a copolymer mainly including 4-methylpentene-1 containing 90 mol % or more of 4-methyl-1-pentene.
- the weight average molecular weight Mw in terms of polystyrene, measured by gel permeation chromatography, is 1,000 or more, and particularly preferably 5,000 or more.
- the electron beam curable resin composition of the present invention include a white pigment.
- the resin composition can be used for a reflector or the like.
- the resin composition include inorganic particles other than the white pigment.
- the inorganic particles other than the white pigment include spherical fused silica particles, modified cross-section glass fibers “Flat FiberTM”, and other glass fibers, and spherical fused silica particles and/or modified cross-section glass fibers are preferable.
- Such an electron beam curable resin composition is particularly suitable for a reflector.
- titanium oxide, zinc sulfide, zinc oxide, barium sulfide, potassium titanate, and the like can be used singly or in a mixture. Among them, titanium oxide is preferable.
- the content of the white pigment is preferably 5 parts by mass to 200 parts by mass, more preferably 10 parts by mass to 150 parts by mass, and still more preferably 20 parts by mass to 80 parts by mass, with respect to 100 parts by mass of polymethylpentene resin.
- the average particle size of the white pigment is preferably 0.10 ⁇ m to 0.50 ⁇ m, more preferably 0.10 ⁇ m to 0.40 ⁇ m, and still more preferably 0.21 ⁇ m to 0.25 ⁇ m in a primary particle size distribution.
- the average particle size can be obtained as an average mass value D50 in particle size distribution measurement by a laser beam diffraction method.
- thermoplastic resin compositions and thermosetting resin compositions such as epoxy resin, acryl resin, and silicone resin, and the resultants can be used singly or in a mixture.
- the term of “spherical” of the “spherical fused silica particles” does not refer to a fibrous shape such as glass fibers, a shape having a large unevenness difference, and a flaky shape having a thin thickness, but refers to a shape in which the longest distance and the shortest distance between the center and the surface are almost the same.
- the term of “spherical” refers to a substantially spherical shape or a spherical shape in which the following average sphericity is 0.8 or more. Since the spherical fused silica particles have a substantially spherical shape or a spherical shape, the particles are not anisotropic and are highly fillable. In addition, fluidity to a mold, mold wear resistance, and the like are excellent.
- the average sphericity can be measured by performing image analysis of a particle image imaged by using, for example, a scanning electron microscope “FE-SEM, Model JSM-6301F” manufactured by Nippon Electronics Co., Ltd. That is, a projected area (A) and peripheral length (PM) of a particle are measured from the resulting image.
- FE-SEM scanning electron microscope
- PM peripheral length
- A/B an area of a complete circle corresponding to the peripheral length (PM)
- the circularity of the particle can be indicated as A/B.
- the thus obtained sphericity of 200 arbitrary particles is calculated and an average value thereof is used as an average sphericity of powder.
- products having “a spherical shape” have an average sphericity of 0.8 or more.
- the spherical fused silica particles are produced through a process of injecting a silicon dioxide powder raw material (for example, silica stone powder) from a burner into a flame formed in a melting zone inside a furnace in a powder state to accompany a carrier gas such as air.
- a silicon dioxide powder raw material for example, silica stone powder
- a carrier gas such as air.
- commercially available products can be used.
- the volume average particle size of the spherical fused silica particles is preferably 0.1 ⁇ m to 500 ⁇ m, more preferably 1 ⁇ m to 200 ⁇ m, and still more preferably 5 ⁇ m to 150 ⁇ m from the viewpoint of the balance between heat resistance and formability.
- the volume average particle size can be obtained as an average mass value D50 in particle size distribution measurement by a laser beam diffraction method.
- modified cross-section glass fibers refer to fibers having a cross-sectional shape in which a minor axis and a major axis of the cross section are different. Since an almost equal degree of reinforcement can be made in a resin flow direction (MD) and a vertical direction (TD) thereof, the fiber is excellent in warpage prevention of a molded product.
- the glass fibers are preferably glass fibers having a cross sectional shape in which the minor axis D1 of the cross section is 0.5 ⁇ m to 25 ⁇ m, the major axis D2 is 0.6 ⁇ m to 300 and a ratio D2/D1 of D2 relative to D1 is 1.2 to 30, and an average fiber length of 0.75 ⁇ m to 300 ⁇ m.
- the fiber size and the fiber length can be obtained in such a manner that a predetermined amount of glass fibers are randomly extracted from an arbitrary point of a glass fiber laminated body, the extracted fibers are pulverized with a mortar, or the like, and the resultant is measured by an image processing apparatus.
- the content of the spherical fused silica particles and/or the modified cross-section glass fibers is preferably 10 parts by mass to 300 parts by mass, more preferably 30 parts by mass to 200 parts by mass, and still more preferably 50 parts by mass to 120 parts by mass with respect to 100 parts by mass of the polymethylpentene resin.
- the electron beam curable resin composition of the present invention can be prepared by mixing the aforementioned polymethylpentene resin and the crosslinking agent with at least any inorganic particles selected from the spherical fused silica particles, the modified cross-section glass fibers, and other glass fibers, and the white pigment, as required, at the aforementioned predetermined ratio.
- known means such as stirrers such as a two-roll mill, a three-roll mill, a homogenizer, and a planetary mixer, and melt kneading machines such as a Polylab system, and a Labo Plastomill can be applied.
- the aforementioned means may be used under any condition of room temperature, a cooled state, a heated state, normal pressure, a decompressed state, and a pressurized state.
- various additives can be added.
- various additives such as whiskers, silicone powders, thermoplastic elastomers, organic synthetic rubbers, internal releasing agents such as fatty acid ester, glyceric acid esters, zinc stearate, and calcium stearate, antioxidants such as benzophenone-based antioxidants, salicylic acid-based antioxidants, cyanoacrylate-based antioxidants, isocyanurate-based antioxidants, anilide oxalate-based antioxidants, benzoate-based antioxidants, hindered amine-based antioxidants, benzotriazole-based antioxidants, and phenol-based antioxidants, and light stabilizers such as hindered amine-based light stabilizers and benzoate-based light stabilizers can be blended.
- various molded bodies can be molded and a thin molded body (for example, a reflector) having a thinner thickness can be prepared.
- Such a molded body is preferably produced by a molding method of the present invention. That is, the molded body is preferably prepared by a molding method including an injection molding process of performing injection molding on the electron beam curable resin composition of the present invention at a cylinder temperature of 200° C. to 400° C. and a mold temperature of 20° C. to 100° C., and an electron beam irradiation process of performing electron beam irradiation treatment before and after the injection molding process.
- the acceleration voltage of the electron beam can be appropriately selected depending on a resin and a thickness of the layer to be used.
- a resin typically, an uncured resin layer is preferably cured at an acceleration voltage of about 250 kV to 2,000 kV.
- the acceleration voltage is selected so that the transmission depth of the electron beam becomes substantially equal to the thickness of the resin layer, and thus, excessive electron beam irradiation to the base material can be suppressed and deterioration of the base material by the excessive electron beam can be minimized.
- the absorbed radiation dose when the resin is irradiated with the electron beam is appropriately selected depending on the constitution of the resin composition.
- a dose in which the crosslinking density of the resin layer is saturated is preferable, and the dose is preferably 10 kGy to 400 kGy, and more preferably 50 kGy to 200 kGy.
- the electron beam source is not particularly limited.
- various electron beam accelerators such as a Cockcroft-Walton accelerator, a van de Graaff accelerator, a resonance transformer accelerator, an insulated core transformer accelerator, a linear accelerator, a dynamitron accelerator, and a high frequency accelerator can be used.
- Such an electron beam curable resin composition of the present invention can be applied to various uses as a composite material obtained by applying and curing the resin composition on a base material or a cured product of the electron beam curable resin composition.
- the resin composition can be applied to a heat resistant insulating film, a heat resistant release sheet, a heat resistant transparent base material, a light reflecting sheet of a solar cell, lighting such as LED, and a light source reflector for a television.
- a resin frame for reflectors of the present invention is made of a cured product obtained by molding the aforementioned electron beam curable resin composition of the present invention.
- the resin for reflectors of the present invention is used as a pellet, and is formed into a resin frame having a desired shape by injection molding to produce a resin frame for reflectors of the present invention.
- the thickness of the resin frame for reflectors is preferably 0.1 mm to 3.0 mm, more preferably 0.1 mm to 1.0 mm, and still more preferably 0.1 mm to 0.5 mm.
- a thinner resin frame can be prepared compared to a resin frame, for example, using glass fiber whose shape is anisotropic. Specifically, a resin frame having a thickness of 0.1 mm to 3.0 mm can be produced. In addition, even when the thickness of the thus molded resin frame for reflectors of the present invention is reduced, warpage caused by including an anisotropic filler such as a glass fiber does not occur, and thus, shape stability and handleability are excellent.
- the resin frame for reflectors of the present invention When an LED chip is mounted on the resin frame for reflectors of the present invention, and further the resin frame is sealed with a known sealing agent, and subjected to die bonding so as to have a desired shape, the resin frame can be used as a semiconductor light emitting device.
- the resin frame for reflectors of the present invention acts as a reflector, and also functions as a frame for supporting the semiconductor light emitting device.
- Foaming caused by water is suppressed in the process of producing the frame by containing the spherical fused silica particles in the resin frame for reflectors of the present invention compared to a case in which porous silica particles are blended, and thus, micropores small enough to cause a defect are not formed. Accordingly, in a product using the frame (for example, a semiconductor light emitting element), a defect caused by the micropores does not easily occur and thus, the durability of the product can be improved.
- a reflector of the present invention is made of a cured product obtained by curing the aforementioned electron beam curable resin composition of the present invention.
- the reflector may be used in combination with a semiconductor light emitting device, which will be described later, or may be used in combination with a semiconductor light emitting device (a substrate for mounting LED) made of another material.
- the reflector of the present invention has an action of mainly reflecting light from an LED element of a semiconductor light emitting device to a lens (a light emitting portion). Details of the reflector are the same as the details of a reflector (a reflector 12 which will be described later) applied to the semiconductor light emitting device of the present invention, and thus, the description thereof will be omitted.
- Foaming caused by water is suppressed in the process of producing the reflector by containing the spherical fused silica particles in the reflector of the present invention, and thus, micropores small enough to cause a defect are not formed. Accordingly, in a product using the reflector (for example, a semiconductor light emitting element), a defect caused by the micropores does not easily occur and thus, the durability of the product can be improved.
- a defect caused by the micropores does not easily occur and thus, the durability of the product can be improved.
- a semiconductor light emitting device of the present invention includes an optical semiconductor element (for example, an LED element) 10 , and a reflector 12 which is provided in the vicinity of the optical semiconductor element 10 and reflects light from the optical semiconductor element 10 to a predetermined direction, and the optical semiconductor element and the reflector are provided on a substrate 14 . Then, at least a part of the light reflecting surface of the reflector 12 (the entire surface in FIG. 1 ) is made of a cured product of the aforementioned reflector composition of the present invention.
- an optical semiconductor element for example, an LED element
- a reflector 12 which is provided in the vicinity of the optical semiconductor element 10 and reflects light from the optical semiconductor element 10 to a predetermined direction, and the optical semiconductor element and the reflector are provided on a substrate 14 . Then, at least a part of the light reflecting surface of the reflector 12 (the entire surface in FIG. 1 ) is made of a cured product of the aforementioned reflector composition of the present invention.
- the optical semiconductor element 10 is a semiconductor chip (a light emitting body) which emits radiated light (UV or blue light in the case of a white light LED, in general) and has a double-hetero structure in which an active layer formed of, for example, AlGaAs, AlGaInP, GaP or GaN, is interposed between n-type and p-type clad layers, and is shaped in the form of, for example, a hexahedron, each side having a length of about 0.5 mm.
- the LED element is mounted by wire bonding, the LED element is connected to an electrode (not shown) (a connecting terminal) through a lead wire 16 .
- the shape of the reflector 12 depends on the shape of the end portion (junction portion) of a lens 18 and is typically cylindrical or annular such as square-shaped, circular-shaped, and ellipse-shaped. In the schematic cross-sectional view of FIG. 1 , the reflector 12 is cylindrical (annular). The entire end surface of the reflector 12 is in contact with and fixed to the surface of the substrate 14 .
- the inner surface of the reflector 12 may be tapered so as to extend upward in order to increase the degree of directivity of light from the optical semiconductor element 10 (refer to FIG. 1 ).
- the reflector 12 can function as a lens holder.
- the light reflecting surface of the reflector 12 may be used as a light reflecting layer 12 a made of the electron beam curable resin composition of the present invention.
- the thickness of the light reflecting layer 12 a is preferably 500 ⁇ m or less, and more preferably 300 ⁇ m or less, from the viewpoint of lowering heat resistance.
- a member 12 b in which the light reflecting layer 12 a is formed can be made of known heat resistant resin.
- the lens 18 is provided on the reflector 12 .
- the lens 18 is typically made of a resin and can be formed into a variety of structures according to the purpose, the application and the like and may be colored.
- a space portion which is formed by the substrate 14 , the reflector 12 , and the lens 18 may be a transparent sealing portion or a gap portion as required.
- the space portion is usually a transparent sealing portion filled with a material that provides translucency and insulation properties or the like. With the space portion, it is possible to prevent electrical failures caused when, in wire-bonding mounting, the lead wire 16 is disconnected, cut or short-circuited from the connection portion with the optical semiconductor element 10 and/or the connection portion with the electrode due to a force applied by direct contact to the lead wire 16 and a vibration, an impact and the like applied indirectly. Additionally, it is possible not only to protect the optical semiconductor element 10 from moisture, dust and the like but also to maintain reliability for a prolonged period.
- Examples of the material (a transparent sealant composition) that provides translucency and insulation properties generally include a silicone resin, an epoxy silicone resin, an epoxy-based resin, an acryl-based resin, a polyimide-based resin, a polycarbonate resin and the like.
- a silicone resin is preferable in terms of heat resistance, weather resistance, low contraction and resistance to discoloration.
- the reflective resin composition of the present invention is molded into the reflector 12 having a predetermined shape by transfer molding, compression molding, injection molding, or the like using a mold having a cavity space of a predetermined shape. Then, the optical semiconductor element 10 , electrode, and lead wire 16 prepared separately are fixed to the substrate 14 by an adhesive or a joining member, and further, the reflector 12 is fixed to the substrate 14 . Subsequently, a transparent sealant composition including a silicone resin and the like is injected into a recess portion formed by the substrate 14 and the reflector 12 , cured by heating, and drying to form a transparent sealing portion. Then, the lens 18 is arranged on the transparent sealing portion to obtain the semiconductor light emitting device shown in FIG. 1 .
- the composition may be cured.
- Polymethylpentene resin TPX RT18 (manufactured by Mitsui Chemicals, Inc., molecular weight: MW 500,000 to 600,000)
- Cyclic polyolefin copolymer resin COC APL6015 (manufactured by Mitsui Chemicals, Inc., glass transition temperature: 145° C.)
- crosslinking agents are as follows.
- crosslinking agents in which the structure can be specified among the following crosslinking agents are shown in Tables 1-1 and 1-2 and shown by the chemical formulae below.
- Crosslinking agent 1 DAP monomer (orthophthalic acid diallyl ester), manufactured by DAISO CO., LTD.
- Crosslinking agent 2 DAP 100 monomer (isophthalic acid diallyl ester), manufactured by DAISO CO., LTD.
- Crosslinking agent 3 TAIC (trially isocyanurate), manufactured by Nippon Kasei Chemical Co., Ltd.
- Crosslinking agent 4 MeDAIC (methyl diallyl isocyanurate), manufactured by SHIKOKU CHEMICALS CORPORATION
- Crosslinking agent 5 DA-MGIC (diallyl monoglycidyl isocyanuric acid), manufactured by SHIKOKU CHEMICALS CORPORATION
- Crosslinking agent 6 MA-DGIC (monoallyl diglycidyl isocyanurate), manufactured by SHIKOKU CHEMICALS CORPORATION
- Crosslinking agent 7 TMAIC (trimethallyl isocyanurate), manufactured by Nippon Kasei Chemical Co., Ltd.
- Crosslinking agent 8 RICON 153 (polybutadiene), manufactured by Sartomer Company Inc.
- Crosslinking agent 9 RICON 154 (polybutadiene), manufactured by Sartomer Company Inc.
- Crosslinking agent 10 RICON 157 (polybutadiene), manufactured by Sartomer Company Inc.
- Crosslinking agent 11 TAIL prepolymer (trially isocyanurate prepolymer), manufactured by Nippon Kasei Chemical Co., Ltd.
- Crosslinking agent 12 TEPIC (1,3,5-trisglycidyl isocyanuric acid), manufactured by NISSAN CHEMICAL INDUSTRIES, LTD.
- Crosslinking agent 13 TEPIC-PAS (mixture of 1,3,5-trisglycidyl isocyanuric acid and phthalic anhydride), manufactured by NISSAN CHEMICAL INDUSTRIES, LTD.
- Crosslinking agent 14 1,3,5-tris(2-carboxyethyl) isocyanurate acrylate
- Crosslinking agent 15 M315 (EC-modified isocyanurate triacrylate), manufactured by Toagosei Chemical Industries, Co., Ltd.
- Crosslinking agent 16 DPHA (dipentaerythritol hexaac rylate), manufactured by Nippon Kayaku Co., Ltd.
- Modified cross-section glass fiber “Flat FiberTM” CSG 3PA-820 (manufactured by Nitto Boseki Co., Ltd., fiber length: 3 mm)
- Titanium oxide particles PF-691 (manufactured by Ishihara Sangyo Kaisha, Ltd., rutile-type structure, average particle size: 0.21 ⁇ m)
- Silane coupling agent KBM-303 (manufactured by Shin-Etsu Chemical Co., Ltd.)
- Antioxidant IRGANOX 1010 (manufactured by BASF Japan Ltd.)
- IRGAFOS 168 manufactured by BASF Japan Ltd.
- compositions were press-molded under the condition of 250° C. for 30 seconds at 20 MPa to have a size of 750 mm ⁇ 750 mm and a thickness of 0.2 mm, thereby preparing molded bodies.
- the molded bodies were irradiated with an electron beam at an acceleration voltage of 250 kV with a predetermined absorbed radiation dose.
- the following properties of the molded bodies were evaluated. The results are shown in Tables 2, 3, and 4.
- the storage elastic modulus of each molded sample was evaluated using RSA III (manufactured by TA Instruments) under the conditions of a measurement temperature of 25° C. to 300° C., a temperature rising rate of 5° C./min, and a strain of 0.1%.
- the storage elastic modulus at 260° C. is shown in Tables 2 and 3 below.
- the light reflectivity was measured at a wavelength of 230 nm to 780 nm using a spectroscopic photometer UV-2550 (manufactured by Shimadzu Corporation) before and after each molded sample was left at 150° C. for 24 hours and 500 hours.
- Table 4 the results at a wavelength of 450 nm are shown.
- Example 15 exhibited the best dimensional stability and long-term heat resistance.
- the resin composition of the present invention is useful for a reflector, and a reflecting material for semiconductor light emitting devices.
Landscapes
- Chemical & Material Sciences (AREA)
- Health & Medical Sciences (AREA)
- Chemical Kinetics & Catalysis (AREA)
- Medicinal Chemistry (AREA)
- Polymers & Plastics (AREA)
- Organic Chemistry (AREA)
- Toxicology (AREA)
- Engineering & Computer Science (AREA)
- Mechanical Engineering (AREA)
- Manufacturing & Machinery (AREA)
- Thermal Sciences (AREA)
- Oral & Maxillofacial Surgery (AREA)
- Physics & Mathematics (AREA)
- Compositions Of Macromolecular Compounds (AREA)
- Led Device Packages (AREA)
- Treatments Of Macromolecular Shaped Articles (AREA)
- Processes Of Treating Macromolecular Substances (AREA)
- Microelectronics & Electronic Packaging (AREA)
Abstract
Description
- The present invention relates to an electron beam curable resin composition, a resin frame for reflectors, a reflector, a semiconductor light emitting device, and a method for producing a molded body.
- In the related art, as a method for mounting an electronic component on a substrate, a method (a reflow method) in which an electronic component is temporarily fixed to a predetermined position of a substrate to which solder is attached in advance, the substrate is then heated by means of infrared light, hot air, or the like to melt the solder, and an electronic component is fixed has been adopted. It is possible to increase the mounting density of the electronic component on the surface of the substrate by the method.
- However, the electronic component which has been used in the related art has insufficient heat resistance and particularly, in a reflow process using infrared heating, a problem that the surface temperature of the component increases locally, or the like arises. Thus, there has been a demand for a resin composition and an electronic component having further excellent heat resistance.
- In addition, since an LED element as a semiconductor light emitting device has a small size, a long life, and excellent power saving performance, LED elements have been widely used as a light source of a display lamp, or the like. In recent years, an LED element having higher brightness has been produced at a relatively low cost, and thus, the use of LED elements as a light source in place of a fluorescent lamp and a light bulb has been considered. When LED elements are used as such a light source, a method has been frequently used in which plural LED elements are arranged on a surface mounting type LED package, that is, a metal substrate (LED mounting substrate) of aluminum or the like, and a reflector (a reflecting body) which reflects light in a predetermined direction is arranged in the vicinity of each LED element to obtain high illuminance.
- However, since LED elements give off heat generation during light emitting, in an LED light device adopting such a method, the reflector is deteriorated due to a rising temperature during light emitting of the LED elements, and the reflectivity is degraded and brightness is degraded. Thus, the lifetime of the LED element is shortened. Accordingly, heat resistance is required for the reflector.
- In order to respond to the requirement of the heat resistance, in PTL 1, a polymer composition which is used in a reflector of a light emitting diode is proposed and specifically, a polymer composition including polyphthalamide, carbon black, titanium dioxide, glass fibers, and an antioxidant is disclosed. The reflectivity of the composition is measured after the composition undergoes heat aging. The composition has satisfactory reflectivity with less yellowing compared to a polymer composition not including carbon black.
- In addition, in PTL 2, a thermosetting light reflecting resin composition using an optical semiconductor device in which an optical semiconductor element and wavelength converting means such as a fluorescent substance are combined is disclosed.
- [PTL 1] PCT Japanese Translation Patent Publication No. 2006-503160
- [PTL 2] Japanese Unexamined Patent Application Publication No. 2009-149845
- However, the heat aging test of the thermosetting light reflecting resin composition disclosed in PTL 2 is performed under a more practical condition of 150° C. for 500 hours for verification. However, the molding time is 90 seconds, which is longer than a molding time of a thermoplastic resin, and post-curing at 150° C. for 2 hours is required. Thus, there is a problem in productivity.
- The heat aging test of the polymer composition disclosed in PTL 1 is an evaluation for a short period of time of 3 hours at 170° C., and thus, whether or not satisfactory results in heat resistance and durability can be obtained under the practical condition for a longer period of time is not clear.
- From the above, an object of the present invention is to provide an electron beam curable resin composition which can exhibit excellent heat resistance in the reflow process and can exhibit excellent heat resistance even when being formed into a molded body such as a reflector, a resin frame for reflectors using the resin composition, a reflector, a semiconductor light emitting device, and a molding method using the resin composition.
- As the result of intensive studies to achieve the above object, the present inventor has been found that the object can be achieved by the following inventions. That is, the present invention is as follows.
- [1] An electron beam curable resin composition including: polymethylpentene; and a crosslinking agent, wherein the crosslinking agent has a saturated or unsaturated ring structure, at least one atom among atoms forming at least one ring is bonded to any allylic substituent of an allyl group, a methallyl group, an allyl group through a linking group, and a methallyl group through a linking group, and a molecular weight is 1,000 or less.
- [2] The electron beam curable resin composition according to [1], wherein at least two atoms among the atoms forming one ring of the crosslinking agent are each independently bonded to the allylic substituent.
- [3] The electron beam curable resin composition according to [2], wherein the ring of the crosslinking agent is a six-membered ring, at least two atoms among the atoms forming the ring are each independently bonded to the allylic substituent, and another allylic substituent is bonded to an atom in a meta position with respect to an atom bonded with one allylic substituent.
- [4] The electron beam curable resin composition according to any one of [1] to [3], wherein the crosslinking agent is expressed by the following Formula (1).
- (In the Formula (1), R1 to R3 are each independently any allylic substituent of an allyl group, a methallyl group, an allyl group through ester bonding, and a methallyl group through ester bonding.)
- [5] The electron beam curable resin composition according to any one of [1] to [3], wherein the crosslinking agent is expressed by the following Formula (2).
- (In the Formula (2), R1 to R3 are each independently any allylic substituent of an allyl group, a methallyl group, an allyl group through ester bonding, and a methallyl group through ester bonding.)
- [6] The electron beam curable resin composition according to any one of [1] to [5], wherein 0.1 parts by mass to 15 parts by mass of the crosslinking agent is blended with respect to 100 parts by mass of polymethylpentene.
- [7] The electron beam curable resin composition according to any one of [1] to [6], further including a white pigment.
- [8] The electron beam curable resin composition according to [7], further including inorganic particles other than the white pigment.
- [9] The electron beam curable resin composition according to [8], wherein the inorganic particles other than the white pigment are spherical fused silica particles and/or modified cross-section glass fibers.
- [10] A resin frame for reflectors including: a cured product of the electron beam curable resin composition according to any one of [1] to [9].
- [11] The resin frame for reflectors according to [10], wherein a thickness is 0.1 mm to 3.0 mm.
- [12] A reflector including: a cured product of the electron beam curable resin composition according to any one of [1] to [9].
- [13] A semiconductor light emitting device including: an optical semiconductor element; and a reflector which is provided in the vicinity of the optical semiconductor element and reflects light from the optical semiconductor element in a predetermined direction, wherein the optical semiconductor element and the reflector are provided on a substrate, and at least a part of the light reflecting surface of the reflector is composed of a cured product of the electron beam curable resin composition according to any one of [1] to [9].
- [14] A method for producing a molded body including: an injection molding process of performing injection molding on the electron beam curable resin composition according to any one of [1] to [9] at an injection temperature of 200° C. to 400° C. and at a mold temperature of 20° C. to 100° C.; and an electron beam irradiation process of performing electron beam irradiation treatment before and after the injection molding process.
- According to the present invention, it is possible to provide an electron beam curable resin composition which can exhibit excellent heat resistance in a reflow process and can exhibit excellent heat resistance even when being formed into a molded body such as a reflector, a resin frame for reflectors using the resin composition, a reflector, a semiconductor light emitting device, and a molding method using the resin composition.
-
FIG. 1 is a schematic cross-sectional view showing an example of a semiconductor light emitting device of the present invention. -
FIG. 2 is a schematic cross-sectional view showing an example of the semiconductor light emitting device of the present invention. - [1. Electron Beam Curable Resin Composition]
- An electron beam curable resin composition of the present invention includes polymethylpentene and a specific crosslinking agent.
- The refractive index of polymethylpentene is 1.46, and this value is very close to the refractive index of a silica particle. Thus, it is possible to suppress inhibition of optical properties such as transmittance and reflectivity even when polymethylpentene is mixed. Considering this point, for example, the curable resin composition is suitably used as a reflector of a semiconductor light emitting device.
- However, heat resistance was not sufficient in a reflow process in some cases. To solve this problem, in the present invention, a resin composition exhibiting a sufficient heat resistance even in a reflow process can be obtained by containing a specific crosslinking agent in polymethylpentene and irradiating the resin with an electron beam. Accordingly, even when the resin composition is formed into a reflector, it is possible to prevent the reflector from being deformed by melting of the resin.
- Polymethylpentene has properties of having a high melting point of 232° C., not being decomposed even at a processing temperature of about 280° C., and having a decomposition temperature close to 300° C. On the other hand, since organic peroxides and photopolymerization initiators having such properties are not generally present, crosslinking by the organic peroxides and crosslinking by ultraviolet light are not possible.
- In addition, even when polymethylpentene is irradiated with an electron beam (for example, absorbed radiation dose: 200 kGy), molecular chains are cut simultaneously with the crosslinking, and thus, effective crosslinking does not occur only by the resin. However, since an effective crosslinking reaction occurs through electron beam irradiation by containing the crosslinking agent according to the present invention, it is possible to prevent deformation by melting of the resin even in a reflow process.
- Such a crosslinking agent has a saturated or unsaturated ring structure, and at least one atom among atoms forming at least one ring is bonded to any allylic substituent of an allyl group, a methallyl group, an allyl group through a linking group, and a methallyl group through a linking group. By containing the crosslinking agent having such a structure, satisfactory electron beam curability is exhibited and thus, a resin composition having excellent heat resistance can be formed.
- Examples of the saturated or unsaturated ring structure include a cyclo ring, a hetero ring, and an aromatic ring. The number of atoms forming the ring structure is preferably 3 to 12, more preferably 5 to 8, and a 6-membered ring is still more preferable.
- In addition, the molecular weight of the crosslinking agent according to the present invention is 1,000 or less, preferably 500 or less, and more preferably 300 or less. When the molecular weight is more than 1,000, the dispersibility in the resin composition is deteriorated and thus, an effective crosslinking reaction cannot occur even when the resin is irradiated with the electron beam.
- Further, the number of the ring structures is preferably 1 to 3, more preferably 1 or 2, and still more preferably 1.
- Here, examples of the linking group of the crosslinking agent according to the present invention include ester bonding, ether bonding, an alkylene group, and a (hetero)allylene group. An atom that is not bonded to the allylic substituent among the atoms forming the ring is bonded with hydrogen, oxygen, nitrogen, and the like, or is bonded with various substituents.
- In the crosslinking agent according to the present invention, it is preferable that at least two atoms among the atoms forming one ring of the crosslinking agent are each independently bonded to the allylic substituent. When the ring structure is a 6-membered ring, it is preferable that at least two atoms among the atoms forming the ring are each independently bonded to the allylic substituent, and with respect to an atom to which one the allylic substituent is bonded, another allylic substituent is bonded to an atom in a meta position.
- Further, it is preferable that the crosslinking agent according to the present invention be expressed by the following Formula (1) or (2).
- (In the Formula (1), R1 to R3 are each independently any allylic substituent of an allyl group, a methallyl group, an allyl group through ester bonding, and a methallyl group through ester bonding.)
- (In the Formula (2), R1 to R3 are each independently any allylic substituent of an allyl group, a methallyl group, an allyl group through ester bonding, and a methallyl group through ester bonding.)
- Examples of the crosslinking agent expressed by the above Formula (1) include trially isocyanurate, methyl diallyl isocyanurate, diallyl monoglycidyl isocyanuric acid, monoallyl diglycidyl isocyanurate, and trimethallyl isocyanurate.
- Examples of the crosslinking agent expressed by the above Formula (2) include orthophthalic acid diallyl ester, and isophthalic acid diallyl ester.
- The amount of the crosslinking agent blended according to the present invention is preferably 0.1 parts by mass to 15 parts by mass, more preferably 0.5 parts by mass to 5 parts by mass, and still more preferably 0.1 parts by mass to 2.5 parts by mass with respect to 100 parts by mass of polymethylpentene. By blending 0.1 parts by mass to 15 parts by mass of the crosslinking agent, crosslinking can proceed effectively without bleed-out.
- As the polymethylpentene resin, a homopolymer of 4-methylpentene-1 is preferable. However, the polymethylpentene resin may be a copolymer of 4-methylpentene-1 and other α-olefin, for example, α-olefin having 2 to 20 carbon atoms such as ethylene, propylene, 1-butene, 1-pentene, 1-hexene, 1-octene, 1-decene, 1-dodecene, 1-tetradecene, 1-octadecene, 1-eicocene, 3-methyl-1-butene, or 3-methyl-1-pentene, or may be a copolymer mainly including 4-methylpentene-1 containing 90 mol % or more of 4-methyl-1-pentene.
- Regarding the molecular weight of the homopolymer of 4-methylpentene-1, the weight average molecular weight Mw in terms of polystyrene, measured by gel permeation chromatography, is 1,000 or more, and particularly preferably 5,000 or more.
- It is preferable that the electron beam curable resin composition of the present invention include a white pigment. By including the white pigment, the resin composition can be used for a reflector or the like. In addition, it is preferable that the resin composition include inorganic particles other than the white pigment. Examples of the inorganic particles other than the white pigment include spherical fused silica particles, modified cross-section glass fibers “Flat Fiber™”, and other glass fibers, and spherical fused silica particles and/or modified cross-section glass fibers are preferable. Such an electron beam curable resin composition is particularly suitable for a reflector.
- As the white pigment according to the present invention, titanium oxide, zinc sulfide, zinc oxide, barium sulfide, potassium titanate, and the like can be used singly or in a mixture. Among them, titanium oxide is preferable. The content of the white pigment is preferably 5 parts by mass to 200 parts by mass, more preferably 10 parts by mass to 150 parts by mass, and still more preferably 20 parts by mass to 80 parts by mass, with respect to 100 parts by mass of polymethylpentene resin.
- In consideration of formability, and from the viewpoint of obtaining high reflectivity, the average particle size of the white pigment is preferably 0.10 μm to 0.50 μm, more preferably 0.10 μm to 0.40 μm, and still more preferably 0.21 μm to 0.25 μm in a primary particle size distribution. The average particle size can be obtained as an average mass value D50 in particle size distribution measurement by a laser beam diffraction method.
- The spherical fused silica particles and the modified cross-section glass fibers according to the present invention can be blended with typical thermoplastic resin compositions and thermosetting resin compositions such as epoxy resin, acryl resin, and silicone resin, and the resultants can be used singly or in a mixture.
- Here, the term of “spherical” of the “spherical fused silica particles” does not refer to a fibrous shape such as glass fibers, a shape having a large unevenness difference, and a flaky shape having a thin thickness, but refers to a shape in which the longest distance and the shortest distance between the center and the surface are almost the same. Specifically, the term of “spherical” refers to a substantially spherical shape or a spherical shape in which the following average sphericity is 0.8 or more. Since the spherical fused silica particles have a substantially spherical shape or a spherical shape, the particles are not anisotropic and are highly fillable. In addition, fluidity to a mold, mold wear resistance, and the like are excellent.
- The average sphericity can be measured by performing image analysis of a particle image imaged by using, for example, a scanning electron microscope “FE-SEM, Model JSM-6301F” manufactured by Nippon Electronics Co., Ltd. That is, a projected area (A) and peripheral length (PM) of a particle are measured from the resulting image. When an area of a complete circle corresponding to the peripheral length (PM) is (B), the circularity of the particle can be indicated as A/B. Assuming a complete circle having the same peripheral length as the peripheral length (PM) of the sample particle, since PM=2πr and B=πr2, the expression of B=π×(PM/2π)2 is established. Thus, the sphericity of each particle can be calculated as sphericity=A/B=A×4π/(PM)2. The thus obtained sphericity of 200 arbitrary particles is calculated and an average value thereof is used as an average sphericity of powder. Among commercially available products, products having “a spherical shape” have an average sphericity of 0.8 or more.
- For example, the spherical fused silica particles are produced through a process of injecting a silicon dioxide powder raw material (for example, silica stone powder) from a burner into a flame formed in a melting zone inside a furnace in a powder state to accompany a carrier gas such as air. Generally, commercially available products can be used.
- The volume average particle size of the spherical fused silica particles is preferably 0.1 μm to 500 μm, more preferably 1 μm to 200 μm, and still more preferably 5 μm to 150 μm from the viewpoint of the balance between heat resistance and formability. The volume average particle size can be obtained as an average mass value D50 in particle size distribution measurement by a laser beam diffraction method.
- In addition, the “modified cross-section glass fibers” refer to fibers having a cross-sectional shape in which a minor axis and a major axis of the cross section are different. Since an almost equal degree of reinforcement can be made in a resin flow direction (MD) and a vertical direction (TD) thereof, the fiber is excellent in warpage prevention of a molded product.
- In the present invention, the glass fibers are preferably glass fibers having a cross sectional shape in which the minor axis D1 of the cross section is 0.5 μm to 25 μm, the major axis D2 is 0.6 μm to 300 and a ratio D2/D1 of D2 relative to D1 is 1.2 to 30, and an average fiber length of 0.75 μm to 300 μm. The fiber size and the fiber length can be obtained in such a manner that a predetermined amount of glass fibers are randomly extracted from an arbitrary point of a glass fiber laminated body, the extracted fibers are pulverized with a mortar, or the like, and the resultant is measured by an image processing apparatus.
- The content of the spherical fused silica particles and/or the modified cross-section glass fibers is preferably 10 parts by mass to 300 parts by mass, more preferably 30 parts by mass to 200 parts by mass, and still more preferably 50 parts by mass to 120 parts by mass with respect to 100 parts by mass of the polymethylpentene resin.
- The electron beam curable resin composition of the present invention can be prepared by mixing the aforementioned polymethylpentene resin and the crosslinking agent with at least any inorganic particles selected from the spherical fused silica particles, the modified cross-section glass fibers, and other glass fibers, and the white pigment, as required, at the aforementioned predetermined ratio. As for the mixing method, known means such as stirrers such as a two-roll mill, a three-roll mill, a homogenizer, and a planetary mixer, and melt kneading machines such as a Polylab system, and a Labo Plastomill can be applied. The aforementioned means may be used under any condition of room temperature, a cooled state, a heated state, normal pressure, a decompressed state, and a pressurized state.
- As long as the effect of the present invention is not impaired, various additives can be added. For example, for the purpose of improving the properties of the resin composition, various additives such as whiskers, silicone powders, thermoplastic elastomers, organic synthetic rubbers, internal releasing agents such as fatty acid ester, glyceric acid esters, zinc stearate, and calcium stearate, antioxidants such as benzophenone-based antioxidants, salicylic acid-based antioxidants, cyanoacrylate-based antioxidants, isocyanurate-based antioxidants, anilide oxalate-based antioxidants, benzoate-based antioxidants, hindered amine-based antioxidants, benzotriazole-based antioxidants, and phenol-based antioxidants, and light stabilizers such as hindered amine-based light stabilizers and benzoate-based light stabilizers can be blended.
- By using the electron beam curable resin composition of the present invention, various molded bodies can be molded and a thin molded body (for example, a reflector) having a thinner thickness can be prepared.
- Such a molded body is preferably produced by a molding method of the present invention. That is, the molded body is preferably prepared by a molding method including an injection molding process of performing injection molding on the electron beam curable resin composition of the present invention at a cylinder temperature of 200° C. to 400° C. and a mold temperature of 20° C. to 100° C., and an electron beam irradiation process of performing electron beam irradiation treatment before and after the injection molding process.
- As long as formability is not impaired, a crosslinking reaction by electron beam irradiation can be performed before the molding.
- The acceleration voltage of the electron beam can be appropriately selected depending on a resin and a thickness of the layer to be used. For example, when a molded product has a thickness of about 1 mm, typically, an uncured resin layer is preferably cured at an acceleration voltage of about 250 kV to 2,000 kV. In the electron beam irradiation, the higher the acceleration voltage is, the higher the transmission capacity is. Thus, when a base material which is deteriorated by the electron beam is used as a base material, the acceleration voltage is selected so that the transmission depth of the electron beam becomes substantially equal to the thickness of the resin layer, and thus, excessive electron beam irradiation to the base material can be suppressed and deterioration of the base material by the excessive electron beam can be minimized. In addition, the absorbed radiation dose when the resin is irradiated with the electron beam is appropriately selected depending on the constitution of the resin composition. However, a dose in which the crosslinking density of the resin layer is saturated is preferable, and the dose is preferably 10 kGy to 400 kGy, and more preferably 50 kGy to 200 kGy. Further, the electron beam source is not particularly limited. For example, various electron beam accelerators such as a Cockcroft-Walton accelerator, a van de Graaff accelerator, a resonance transformer accelerator, an insulated core transformer accelerator, a linear accelerator, a dynamitron accelerator, and a high frequency accelerator can be used.
- Such an electron beam curable resin composition of the present invention can be applied to various uses as a composite material obtained by applying and curing the resin composition on a base material or a cured product of the electron beam curable resin composition. For example, the resin composition can be applied to a heat resistant insulating film, a heat resistant release sheet, a heat resistant transparent base material, a light reflecting sheet of a solar cell, lighting such as LED, and a light source reflector for a television.
- [2. Resin Frame for Reflectors]
- A resin frame for reflectors of the present invention is made of a cured product obtained by molding the aforementioned electron beam curable resin composition of the present invention. Specifically, the resin for reflectors of the present invention is used as a pellet, and is formed into a resin frame having a desired shape by injection molding to produce a resin frame for reflectors of the present invention. The thickness of the resin frame for reflectors is preferably 0.1 mm to 3.0 mm, more preferably 0.1 mm to 1.0 mm, and still more preferably 0.1 mm to 0.5 mm.
- Using the electron beam curable resin composition of the present invention, a thinner resin frame can be prepared compared to a resin frame, for example, using glass fiber whose shape is anisotropic. Specifically, a resin frame having a thickness of 0.1 mm to 3.0 mm can be produced. In addition, even when the thickness of the thus molded resin frame for reflectors of the present invention is reduced, warpage caused by including an anisotropic filler such as a glass fiber does not occur, and thus, shape stability and handleability are excellent.
- When an LED chip is mounted on the resin frame for reflectors of the present invention, and further the resin frame is sealed with a known sealing agent, and subjected to die bonding so as to have a desired shape, the resin frame can be used as a semiconductor light emitting device. The resin frame for reflectors of the present invention acts as a reflector, and also functions as a frame for supporting the semiconductor light emitting device.
- Foaming caused by water is suppressed in the process of producing the frame by containing the spherical fused silica particles in the resin frame for reflectors of the present invention compared to a case in which porous silica particles are blended, and thus, micropores small enough to cause a defect are not formed. Accordingly, in a product using the frame (for example, a semiconductor light emitting element), a defect caused by the micropores does not easily occur and thus, the durability of the product can be improved.
- [3. Reflector]
- A reflector of the present invention is made of a cured product obtained by curing the aforementioned electron beam curable resin composition of the present invention.
- The reflector may be used in combination with a semiconductor light emitting device, which will be described later, or may be used in combination with a semiconductor light emitting device (a substrate for mounting LED) made of another material.
- The reflector of the present invention has an action of mainly reflecting light from an LED element of a semiconductor light emitting device to a lens (a light emitting portion). Details of the reflector are the same as the details of a reflector (a
reflector 12 which will be described later) applied to the semiconductor light emitting device of the present invention, and thus, the description thereof will be omitted. - Foaming caused by water is suppressed in the process of producing the reflector by containing the spherical fused silica particles in the reflector of the present invention, and thus, micropores small enough to cause a defect are not formed. Accordingly, in a product using the reflector (for example, a semiconductor light emitting element), a defect caused by the micropores does not easily occur and thus, the durability of the product can be improved.
- As described above, in a semiconductor light emitting element in which a reflector is formed using the electron beam curable resin composition containing the spherical fused silica particles, micropores small enough to cause a defect in the reflector are not formed, and thus, a defect caused by the micropores does not easily occur. Therefore, the durability of the product can be improved.
- [4. Semiconductor Light Emitting Device]
- As shown in
FIG. 1 , a semiconductor light emitting device of the present invention includes an optical semiconductor element (for example, an LED element) 10, and areflector 12 which is provided in the vicinity of theoptical semiconductor element 10 and reflects light from theoptical semiconductor element 10 to a predetermined direction, and the optical semiconductor element and the reflector are provided on asubstrate 14. Then, at least a part of the light reflecting surface of the reflector 12 (the entire surface inFIG. 1 ) is made of a cured product of the aforementioned reflector composition of the present invention. - The
optical semiconductor element 10 is a semiconductor chip (a light emitting body) which emits radiated light (UV or blue light in the case of a white light LED, in general) and has a double-hetero structure in which an active layer formed of, for example, AlGaAs, AlGaInP, GaP or GaN, is interposed between n-type and p-type clad layers, and is shaped in the form of, for example, a hexahedron, each side having a length of about 0.5 mm. In the case in which the LED element is mounted by wire bonding, the LED element is connected to an electrode (not shown) (a connecting terminal) through alead wire 16. - The shape of the
reflector 12 depends on the shape of the end portion (junction portion) of alens 18 and is typically cylindrical or annular such as square-shaped, circular-shaped, and ellipse-shaped. In the schematic cross-sectional view ofFIG. 1 , thereflector 12 is cylindrical (annular). The entire end surface of thereflector 12 is in contact with and fixed to the surface of thesubstrate 14. - The inner surface of the
reflector 12 may be tapered so as to extend upward in order to increase the degree of directivity of light from the optical semiconductor element 10 (refer toFIG. 1 ). - Further, when the end portion of the
reflector 12 close to thelens 18 is processed into a shape according to a shape of thelens 18, thereflector 12 can function as a lens holder. - As shown in
FIG. 2 , only the light reflecting surface of thereflector 12 may be used as alight reflecting layer 12 a made of the electron beam curable resin composition of the present invention. In this case, the thickness of thelight reflecting layer 12 a is preferably 500 μm or less, and more preferably 300 μm or less, from the viewpoint of lowering heat resistance. Amember 12 b in which thelight reflecting layer 12 a is formed can be made of known heat resistant resin. - As described above, the
lens 18 is provided on thereflector 12. Thelens 18 is typically made of a resin and can be formed into a variety of structures according to the purpose, the application and the like and may be colored. - A space portion which is formed by the
substrate 14, thereflector 12, and thelens 18 may be a transparent sealing portion or a gap portion as required. The space portion is usually a transparent sealing portion filled with a material that provides translucency and insulation properties or the like. With the space portion, it is possible to prevent electrical failures caused when, in wire-bonding mounting, thelead wire 16 is disconnected, cut or short-circuited from the connection portion with theoptical semiconductor element 10 and/or the connection portion with the electrode due to a force applied by direct contact to thelead wire 16 and a vibration, an impact and the like applied indirectly. Additionally, it is possible not only to protect theoptical semiconductor element 10 from moisture, dust and the like but also to maintain reliability for a prolonged period. - Examples of the material (a transparent sealant composition) that provides translucency and insulation properties generally include a silicone resin, an epoxy silicone resin, an epoxy-based resin, an acryl-based resin, a polyimide-based resin, a polycarbonate resin and the like. Among them, a silicone resin is preferable in terms of heat resistance, weather resistance, low contraction and resistance to discoloration.
- An example of a method for producing the semiconductor light emitting device shown in
FIG. 1 will be described below. - First, the reflective resin composition of the present invention is molded into the
reflector 12 having a predetermined shape by transfer molding, compression molding, injection molding, or the like using a mold having a cavity space of a predetermined shape. Then, theoptical semiconductor element 10, electrode, andlead wire 16 prepared separately are fixed to thesubstrate 14 by an adhesive or a joining member, and further, thereflector 12 is fixed to thesubstrate 14. Subsequently, a transparent sealant composition including a silicone resin and the like is injected into a recess portion formed by thesubstrate 14 and thereflector 12, cured by heating, and drying to form a transparent sealing portion. Then, thelens 18 is arranged on the transparent sealing portion to obtain the semiconductor light emitting device shown inFIG. 1 . - After the
lens 18 is placed in a state where the transparent sealant composition is not cured, the composition may be cured. - Next, the present invention will be described in more detail using examples, but the present invention is not limited to these examples.
- Materials used in Examples 1 to 15 and Comparative Examples 1 to 12 are as follows.
- (A) Resin
- Polymethylpentene resin: TPX RT18 (manufactured by Mitsui Chemicals, Inc., molecular weight: MW 500,000 to 600,000)
- Cyclic polyolefin copolymer resin: COC APL6015 (manufactured by Mitsui Chemicals, Inc., glass transition temperature: 145° C.)
- Polybutylene terephthlate resin: Novaduran 5008 (manufactured by Mitsubishi Engineering-Plastics Corporation, intrinsic viscosity [η]=0.9 dl/g, melting temperature: 224° C.)
- (B) Crosslinking Agent
- The crosslinking agents are as follows. In addition, crosslinking agents in which the structure can be specified among the following crosslinking agents are shown in Tables 1-1 and 1-2 and shown by the chemical formulae below.
- Crosslinking agent 1: DAP monomer (orthophthalic acid diallyl ester), manufactured by DAISO CO., LTD.
- Crosslinking agent 2: DAP 100 monomer (isophthalic acid diallyl ester), manufactured by DAISO CO., LTD.
- Crosslinking agent 3: TAIC (trially isocyanurate), manufactured by Nippon Kasei Chemical Co., Ltd.
- Crosslinking agent 4: MeDAIC (methyl diallyl isocyanurate), manufactured by SHIKOKU CHEMICALS CORPORATION
- Crosslinking agent 5: DA-MGIC (diallyl monoglycidyl isocyanuric acid), manufactured by SHIKOKU CHEMICALS CORPORATION
- Crosslinking agent 6: MA-DGIC (monoallyl diglycidyl isocyanurate), manufactured by SHIKOKU CHEMICALS CORPORATION
- Crosslinking agent 7: TMAIC (trimethallyl isocyanurate), manufactured by Nippon Kasei Chemical Co., Ltd.
- Crosslinking agent 8: RICON 153 (polybutadiene), manufactured by Sartomer Company Inc.
- Crosslinking agent 9: RICON 154 (polybutadiene), manufactured by Sartomer Company Inc.
- Crosslinking agent 10: RICON 157 (polybutadiene), manufactured by Sartomer Company Inc.
- Crosslinking agent 11: TAIL prepolymer (trially isocyanurate prepolymer), manufactured by Nippon Kasei Chemical Co., Ltd.
- Crosslinking agent 12: TEPIC (1,3,5-trisglycidyl isocyanuric acid), manufactured by NISSAN CHEMICAL INDUSTRIES, LTD.
- Crosslinking agent 13: TEPIC-PAS (mixture of 1,3,5-trisglycidyl isocyanuric acid and phthalic anhydride), manufactured by NISSAN CHEMICAL INDUSTRIES, LTD.
- Crosslinking agent 14: 1,3,5-tris(2-carboxyethyl) isocyanurate acrylate
- Crosslinking agent 15: M315 (EC-modified isocyanurate triacrylate), manufactured by Toagosei Chemical Industries, Co., Ltd.
- Crosslinking agent 16: DPHA (dipentaerythritol hexaac rylate), manufactured by Nippon Kayaku Co., Ltd.
-
TABLE 1 Table 1-1 Crosslinking agent and co- crosslinking agent (molecular Structure weight) Formula R1 R2 R3 Crosslinking agent 1 DAP monomer (246.3) Formula (2) — Crosslinking agent 2 DAP 100 monomer (246.3) Formula (2) — Crosslinking agent 3 TAIC (249.3) Formula (1) Crosslinking agent 4 MeDAIC (223.2) Formula (1) CH3 Crosslinking agent 5 DA-MGIC (265.3) Formula (1) Crosslinking agent 6 MA-DGIC (281.3) Formula (1) Crosslinking agent 7 TMAIC (291.4) Formula (1) -
TABLE 2 Table 1-2 Crosslinking agent and co- crosslinking agent (molecular Structure weight) Formula R1 R2 R3 Crosslinking RICON 153 Formula Having polybutadiene skeleton and agent 8 (4,700) (3) large number of allyl groups present Crosslinking RICON 154 Formula Having polybutadiene skeleton and agent 9 (5,200) (3) large number of allyl groups present Crosslinking RICON 157 Formula Having polybutadiene skeleton and agent 10 (1,800) (3) large number of allyl groups present Crosslinking TAIC Large number of ring structure expressed agent 11 Prepolymer by Formula (1) present (3,000 or more) Crosslinking agent 12TEPIC (297) Formula (1) Crosslinking agent 13 TEPIC-PAS Formula (1) Crosslinking agent 14CIC acid acrylate (639.6) Formula (1) Crosslinking agent 15 M315 (423) Formula (1) Crosslinking DPHA Formula — agent 16 (578) (4) - Formulae (1) to (4) showing structures in Tables 1-1 and 1-2 are as follows.
- (C) Inorganic Particle
- Modified cross-section glass fiber “Flat Fiber™”: CSG 3PA-820 (manufactured by Nitto Boseki Co., Ltd., fiber length: 3 mm)
- (D) White Pigment
- Titanium oxide particles: PF-691 (manufactured by Ishihara Sangyo Kaisha, Ltd., rutile-type structure, average particle size: 0.21 μm)
- (E) Additive
- Silane coupling agent: KBM-303 (manufactured by Shin-Etsu Chemical Co., Ltd.)
- Releasing agent: SZ-2000 (manufactured by Sakai Chemical Industry Co., Ltd.)
- Antioxidant: IRGANOX 1010 (manufactured by BASF Japan Ltd.)
- Processing stabilizer: IRGAFOS 168 (manufactured by BASF Japan Ltd.)
- Various materials were mixed and kneaded to obtain resin compositions as shown in Tables 2, 3, and 4. Here, the kneading was performed using a Polylab system (batch type biaxial kneader).
- These compositions were press-molded under the condition of 250° C. for 30 seconds at 20 MPa to have a size of 750 mm×750 mm and a thickness of 0.2 mm, thereby preparing molded bodies.
- The molded bodies were irradiated with an electron beam at an acceleration voltage of 250 kV with a predetermined absorbed radiation dose. The following properties of the molded bodies were evaluated. The results are shown in Tables 2, 3, and 4.
- (Evaluation 1)
- Storage Elastic Modulus
- The storage elastic modulus of each molded sample was evaluated using RSA III (manufactured by TA Instruments) under the conditions of a measurement temperature of 25° C. to 300° C., a temperature rising rate of 5° C./min, and a strain of 0.1%. The storage elastic modulus at 260° C. is shown in Tables 2 and 3 below.
- (Evaluation 2)
- Reflow Heat Resistance
- Whether or not each molded sample was deformed was evaluated through a small nitrogen atmosphere reflow apparatus RN-S (manufactured by Panasonic Electric Works Co., Ltd.) which was set such that the maximum temperature of the sample surface was retained at 260° C. for 10 seconds based on a dimensional change rate (a sum of a change rate in a vertical direction and change rate in a horizontal direction). The results are shown in Table 4 below.
- (Evaluation 3)
- Long-Term Heat Resistance
- The light reflectivity was measured at a wavelength of 230 nm to 780 nm using a spectroscopic photometer UV-2550 (manufactured by Shimadzu Corporation) before and after each molded sample was left at 150° C. for 24 hours and 500 hours. In Table 4, the results at a wavelength of 450 nm are shown.
-
TABLE 3 Comparative Example Example 1 2 3 4 5 6 7 1 2 Material Resin Parts 100 100 100 100 100 100 100 100 100 blending by mass Crosslinking Type Cross- Cross- Cross- Cross- Cross- Cross- Cross- Cross- Cross- agent linking linking linking linking linking linking linking linking linking agent 1 agent 2 agent 3 agent 4 agent 5 agent 6 agent 7 agent 8 agent 9 Parts 2 2 2 2 2 2 2 2 2 by mass Storage Electron 100 Unmeasurable 128 143 158 104 Unmeasurable Unmeasurable Unmeasurable elastic beam kGy modulus/kPa absorbed 200 Unmeasurable 9 169 4 29 Unmeasurable Unmeasurable Unmeasurable radiation kGy dose 400 0.11 19 358 18 20 12 67 Unmeasurable kGy Comparative Example 3 4 5 6 7 8 9 Material Resin Parts 100 100 100 100 100 100 100 blending by mass Crosslinking Type Cross- Cross- Cross- Cross- Cross- Cross- Cross- agent linking linking linking linking linking linking linking agent agent agent agent agent agent agent 10 11 12 13 14 15 16 Parts 2 2 2 2 2 2 2 by mass Storage Electron 100 Unmeasurable elastic beam kGy modulus/kPa absorbed 200 Unmeasurable radiation kGy dose 400 Unmeasurable kGy -
TABLE 4 Comparative Example Example 8 9 10 11 12 13 10 Material Resin Parts by mass 100 100 100 100 100 100 100 blending Crosslinking Type Crosslinking agent 3 agent Parts by mass 0.5 1 2 3 5 10 0 Storage Electron 50 kGy Unmeasurable 22 60 80 155 213 Unmeasurable elastic beam 100 kGy Unmeasurable 30 143 150 508 675 Unmeasurable modulus/ absorbed 200 kGy 1 40 169 248 787 2270 Unmeasurable kPa radiation dose -
TABLE 5 Comparative Example Example Composition (parts by mass) 14 15 11 12 Material Resin Polymethylpentene TPX RT- 100 100 blending 18 Cyclic polyolefin 100 copolymer APL6015 Polybutylene terephthlate 100 Novaduran 5008 Crosslinking agent Crosslinking agent 3: TAIC 2 2 2 2 (trially isocyanurate) Inorganic particle Modified cross-section 60 60 60 glass CSG 3PA-820 White pigment Titanium oxide PF-691 45 45 45 45 Additives KBM-303 1.5 1.5 1.5 1.5 SZ-2000 0.5 0.5 0.5 0.5 IRGANOX 1010 1 1 1 1 IRGAFOS 168 0.5 0.5 0.5 0.5 Electron beam absorbed radiation dose (kGy) @ acceleration voltage 100 100 100 100 250 kV Evaluation Reflow heat Dimensional Vertical + Horizontal 0.7% 0.1% 0.6% 0.3% result resistance change rate MAX 260° C. Long-term Reflectivity Initial* 96% 95% 85% 94% heat @ 450 nm 24 h later 94% 92% 84% 92% resistance 500 h later 86% 83% 76% 82% 150° C. *“initial” means that before the sample is left at 150° C. - As seen from Tables 2 and 3, when the resin composition of the present invention was irradiated with the electron beam under the presence of a specific crosslinking agent, the resin composition was not melted even in a high temperature range and the storage elastic modulus was able to be obtained. Accordingly, it was confirmed that an effective crosslinking reaction proceeded by the electron beam irradiation under the presence of a specific crosslinking agent.
- From Table 3, it was confirmed that the storage elastic modulus also increased as the amount of the crosslinking agent and the electron beam irradiation dose increased. Accordingly, it was confirmed that the degree of crosslinking was dependent on the amount of the crosslinking agent and the electron beam irradiation dose.
- In a case of the resin composition only composed of resin and a crosslinking agent, when the amount of the crosslinking agent increased, press molding was not likely to be performed. However, press molding was possible by blending inorganic particles or a white pigment with the resin composition.
- From Table 4, it was confirmed that the deformation of the reflecting resin composition irradiated with the electron beam by the reflow test was significantly reduced. In addition, it was confirmed that long-term heat resistance was excellent. Particularly, comparing the results of Example 15 and Comparative Examples 11 and 12 in which the types of the resins were different, it was found that Example 15 exhibited the best dimensional stability and long-term heat resistance.
- As described above, the resin composition of the present invention is useful for a reflector, and a reflecting material for semiconductor light emitting devices.
-
-
- 10 . . . Optical semiconductor element
- 12 . . . Reflector
- 14 . . . Substrate
- 16 . . . Lead wire
- 18 . . . Lens
Claims (14)
Applications Claiming Priority (3)
| Application Number | Priority Date | Filing Date | Title |
|---|---|---|---|
| JP2012-007387 | 2012-01-17 | ||
| JP2012007387 | 2012-01-17 | ||
| PCT/JP2013/050753 WO2013108814A1 (en) | 2012-01-17 | 2013-01-17 | Electron beam curable resin composition, resin frame for reflectors, reflector, semiconductor light emitting device, and method for producing molded body |
Related Parent Applications (1)
| Application Number | Title | Priority Date | Filing Date |
|---|---|---|---|
| PCT/JP2013/050753 A-371-Of-International WO2013108814A1 (en) | 2012-01-17 | 2013-01-17 | Electron beam curable resin composition, resin frame for reflectors, reflector, semiconductor light emitting device, and method for producing molded body |
Related Child Applications (1)
| Application Number | Title | Priority Date | Filing Date |
|---|---|---|---|
| US15/288,449 Continuation US9884441B2 (en) | 2012-01-17 | 2016-10-07 | Electron beam curable resin composition, resin frame for reflectors, reflector, semiconductor light emitting device, and method for producing molded body |
Publications (2)
| Publication Number | Publication Date |
|---|---|
| US20150041839A1 true US20150041839A1 (en) | 2015-02-12 |
| US9975284B2 US9975284B2 (en) | 2018-05-22 |
Family
ID=48799238
Family Applications (2)
| Application Number | Title | Priority Date | Filing Date |
|---|---|---|---|
| US14/372,280 Expired - Fee Related US9975284B2 (en) | 2012-01-17 | 2013-01-17 | Electron beam curable resin composition, resin frame for reflectors, reflector, semiconductor light emitting device, and method for producing molded body |
| US15/288,449 Expired - Fee Related US9884441B2 (en) | 2012-01-17 | 2016-10-07 | Electron beam curable resin composition, resin frame for reflectors, reflector, semiconductor light emitting device, and method for producing molded body |
Family Applications After (1)
| Application Number | Title | Priority Date | Filing Date |
|---|---|---|---|
| US15/288,449 Expired - Fee Related US9884441B2 (en) | 2012-01-17 | 2016-10-07 | Electron beam curable resin composition, resin frame for reflectors, reflector, semiconductor light emitting device, and method for producing molded body |
Country Status (5)
| Country | Link |
|---|---|
| US (2) | US9975284B2 (en) |
| JP (3) | JP5751260B2 (en) |
| CN (1) | CN104169359A (en) |
| TW (1) | TWI634145B (en) |
| WO (1) | WO2013108814A1 (en) |
Cited By (12)
| Publication number | Priority date | Publication date | Assignee | Title |
|---|---|---|---|---|
| US20150062923A1 (en) * | 2013-08-30 | 2015-03-05 | Toshiba Lighting & Technology Corporation | Light-Emitting Module and Lighting System |
| US20170261186A1 (en) * | 2016-03-08 | 2017-09-14 | Lilibrand Llc | Lighting system with lens assembly |
| WO2019117725A1 (en) | 2017-12-15 | 2019-06-20 | Holland Colours N.V. | Concentrate for polyester-based materials |
| WO2019137753A1 (en) * | 2018-01-15 | 2019-07-18 | Gkn Driveline International Gmbh | Method for producing a bellows |
| WO2020106156A1 (en) | 2018-11-23 | 2020-05-28 | Holland Colours N.V. | Cyclic olefin polymer concentrate for polyester-based materials |
| US11028980B2 (en) | 2013-10-30 | 2021-06-08 | Ecosense Lighting Inc. | Flexible strip lighting apparatus and methods |
| US11041609B2 (en) | 2018-05-01 | 2021-06-22 | Ecosense Lighting Inc. | Lighting systems and devices with central silicone module |
| US11296057B2 (en) | 2017-01-27 | 2022-04-05 | EcoSense Lighting, Inc. | Lighting systems with high color rendering index and uniform planar illumination |
| US11339932B2 (en) | 2017-03-09 | 2022-05-24 | Korrus, Inc. | Fixtures and lighting accessories for lighting devices |
| US11353200B2 (en) | 2018-12-17 | 2022-06-07 | Korrus, Inc. | Strip lighting system for direct input of high voltage driving power |
| US11760873B2 (en) | 2017-12-29 | 2023-09-19 | Penn Color, Inc. | Polyester packaging material |
| US12388056B1 (en) | 2017-01-27 | 2025-08-12 | Korrus, Inc. | Linear lighting systems and processes |
Families Citing this family (15)
| Publication number | Priority date | Publication date | Assignee | Title |
|---|---|---|---|---|
| WO2014119693A1 (en) * | 2013-01-31 | 2014-08-07 | 大日本印刷株式会社 | Electron beam curable resin composition, reflector resin frame, reflector, semiconductor light-emitting device, and molded article production method |
| KR20150111939A (en) | 2013-01-31 | 2015-10-06 | 다이니폰 인사츠 가부시키가이샤 | Electron beam curable resin composition, reflector resin frame, reflector, semiconductor light-emitting device, and molded article production method |
| JP6264777B2 (en) * | 2013-08-12 | 2018-01-24 | 大日本印刷株式会社 | Lead frame with resin, multi-sided body of lead frame with resin, optical semiconductor device, multi-sided body of optical semiconductor device, manufacturing method of multi-sided body of lead frame with resin, and manufacturing method of optical semiconductor device |
| CN108276412B (en) | 2013-11-25 | 2021-02-02 | 四国化成工业株式会社 | Glycolurils having glycidyl group and use thereof |
| WO2015076399A1 (en) | 2013-11-25 | 2015-05-28 | 四国化成工業株式会社 | Glycolurils having functional group and use thereof |
| JP6311319B2 (en) | 2014-01-14 | 2018-04-18 | 大日本印刷株式会社 | Resin composition, reflector, lead frame with reflector, and semiconductor light emitting device |
| JP5920497B2 (en) | 2014-03-31 | 2016-05-18 | 大日本印刷株式会社 | Semiconductor light emitting device and substrate for mounting optical semiconductor |
| JP2015198226A (en) * | 2014-04-03 | 2015-11-09 | 大日本印刷株式会社 | Semiconductor light emitting device and substrate for mounting optical semiconductor |
| JP5921789B1 (en) * | 2014-07-04 | 2016-05-24 | フドー株式会社 | Light reflector material, light reflector, and lighting apparatus |
| JP2016035010A (en) * | 2014-08-01 | 2016-03-17 | 大日本印刷株式会社 | Resin composition, reflector, lead frame with reflector, and semiconductor light emitting device |
| WO2016017818A1 (en) * | 2014-08-01 | 2016-02-04 | 大日本印刷株式会社 | Reflector and resin composition |
| JP2017066239A (en) * | 2015-09-29 | 2017-04-06 | 住友電気工業株式会社 | Molded body and manufacturing method therefor |
| WO2017110755A1 (en) * | 2015-12-25 | 2017-06-29 | 日産化学工業株式会社 | Light-reflecting material composition including ammeline |
| JP6944660B2 (en) * | 2018-02-27 | 2021-10-06 | 東芝ライテック株式会社 | Vehicle lighting equipment and vehicle lighting equipment |
| JP7513467B2 (en) * | 2020-08-20 | 2024-07-09 | 株式会社カネカ | Graft-modified polymethylpentene composition, molded article, and copper-clad laminate |
Citations (8)
| Publication number | Priority date | Publication date | Assignee | Title |
|---|---|---|---|---|
| US4097448A (en) * | 1977-03-04 | 1978-06-27 | Gulf Oil Corporation | Thermosettable epoxide-polyanhydride compositions |
| JPS5959712A (en) * | 1982-09-29 | 1984-04-05 | Dainichi Nippon Cables Ltd | 4-methylpentene-1 polymer composition |
| US4996137A (en) * | 1987-08-24 | 1991-02-26 | Fuji Photo Film Co., Ltd. | Method for forming a direct positive image |
| JPH03111843A (en) * | 1989-09-27 | 1991-05-13 | Oji Paper Co Ltd | Support for photographic paper |
| US20020134986A1 (en) * | 2000-06-08 | 2002-09-26 | Takayuki Kamemura | Semiconductor light-emitting device |
| US20030031850A1 (en) * | 2001-05-08 | 2003-02-13 | Roehm Gmbh & Co. Kg | IR reflective elements made of impact-resistance plastic, and a process for their production |
| US20090268279A1 (en) * | 2005-09-29 | 2009-10-29 | Idemitsu Kosan Co, Ltd. | Reflective material and reflector for light-emitting diode |
| US20090315049A1 (en) * | 2006-06-02 | 2009-12-24 | Naoyuki Urasaki | Optical semiconductor element mounting package, and optical semiconductor device using the same |
Family Cites Families (12)
| Publication number | Priority date | Publication date | Assignee | Title |
|---|---|---|---|---|
| DE2513255C2 (en) * | 1975-03-26 | 1982-10-14 | Bayer Ag, 5090 Leverkusen | Stable organic, low-shrinkage hardenable dispersions based on unsaturated polyester resins and thermoplastic polymers |
| JPS5454332A (en) * | 1977-10-08 | 1979-04-28 | Tokyo Shibaura Electric Co | Valve apparatus |
| JPS6030339B2 (en) | 1978-10-18 | 1985-07-16 | 三井化学株式会社 | Method for modifying 4↓-methyl↓-1↓-pentene polymer |
| JPS60135415A (en) | 1983-12-24 | 1985-07-18 | Matsushita Electric Works Ltd | Curable resin composition and its production |
| JPH0524109A (en) * | 1991-07-18 | 1993-02-02 | Hitachi Cable Ltd | Method of manufacturing heat shrink tube |
| JPH05295043A (en) * | 1991-10-28 | 1993-11-09 | Nippon Kasei Chem Co Ltd | Method for crosslinking olefin polymer composition |
| EP1489113B1 (en) * | 2002-03-14 | 2014-05-21 | Daikin Industries, Ltd. | Fluorocopolymer, process for producing fluorocopolymer, curable fluorocopolymer composition, and cured object |
| EP1554762B2 (en) | 2002-10-15 | 2014-04-30 | Solvay Specialty Polymers USA, LLC. | Anti-yellowing polycondensation polymer compositions and articles |
| JP2006008972A (en) * | 2004-05-26 | 2006-01-12 | Kri Inc | Resin composition, resin molded article, and method for producing resin molded article |
| JP5572936B2 (en) | 2007-11-26 | 2014-08-20 | 日立化成株式会社 | Thermosetting light reflecting resin composition, optical semiconductor element mounting substrate using the same, method for producing the same, and optical semiconductor device |
| CN103588917B (en) * | 2009-11-06 | 2015-10-14 | 三井化学株式会社 | 4-methyl-1-pentene alpha-olefin copolymer and the composition containing this multipolymer |
| JP5699329B2 (en) * | 2011-02-28 | 2015-04-08 | 大日本印刷株式会社 | Reflector resin composition, reflector resin frame, reflector, and semiconductor light emitting device |
-
2013
- 2013-01-17 CN CN201380014798.9A patent/CN104169359A/en active Pending
- 2013-01-17 JP JP2013006084A patent/JP5751260B2/en not_active Expired - Fee Related
- 2013-01-17 US US14/372,280 patent/US9975284B2/en not_active Expired - Fee Related
- 2013-01-17 WO PCT/JP2013/050753 patent/WO2013108814A1/en not_active Ceased
- 2013-01-17 TW TW102101769A patent/TWI634145B/en not_active IP Right Cessation
-
2015
- 2015-03-30 JP JP2015069430A patent/JP6036898B2/en not_active Expired - Fee Related
-
2016
- 2016-10-07 US US15/288,449 patent/US9884441B2/en not_active Expired - Fee Related
- 2016-11-01 JP JP2016214409A patent/JP6197933B2/en not_active Expired - Fee Related
Patent Citations (8)
| Publication number | Priority date | Publication date | Assignee | Title |
|---|---|---|---|---|
| US4097448A (en) * | 1977-03-04 | 1978-06-27 | Gulf Oil Corporation | Thermosettable epoxide-polyanhydride compositions |
| JPS5959712A (en) * | 1982-09-29 | 1984-04-05 | Dainichi Nippon Cables Ltd | 4-methylpentene-1 polymer composition |
| US4996137A (en) * | 1987-08-24 | 1991-02-26 | Fuji Photo Film Co., Ltd. | Method for forming a direct positive image |
| JPH03111843A (en) * | 1989-09-27 | 1991-05-13 | Oji Paper Co Ltd | Support for photographic paper |
| US20020134986A1 (en) * | 2000-06-08 | 2002-09-26 | Takayuki Kamemura | Semiconductor light-emitting device |
| US20030031850A1 (en) * | 2001-05-08 | 2003-02-13 | Roehm Gmbh & Co. Kg | IR reflective elements made of impact-resistance plastic, and a process for their production |
| US20090268279A1 (en) * | 2005-09-29 | 2009-10-29 | Idemitsu Kosan Co, Ltd. | Reflective material and reflector for light-emitting diode |
| US20090315049A1 (en) * | 2006-06-02 | 2009-12-24 | Naoyuki Urasaki | Optical semiconductor element mounting package, and optical semiconductor device using the same |
Cited By (28)
| Publication number | Priority date | Publication date | Assignee | Title |
|---|---|---|---|---|
| US20150062923A1 (en) * | 2013-08-30 | 2015-03-05 | Toshiba Lighting & Technology Corporation | Light-Emitting Module and Lighting System |
| US11028980B2 (en) | 2013-10-30 | 2021-06-08 | Ecosense Lighting Inc. | Flexible strip lighting apparatus and methods |
| US11060702B2 (en) | 2016-03-08 | 2021-07-13 | Ecosense Lighting Inc. | Lighting system with lens assembly |
| US12129990B2 (en) | 2016-03-08 | 2024-10-29 | Korrus, Inc. | Lighting system with lens assembly |
| US11867382B2 (en) | 2016-03-08 | 2024-01-09 | Korrus, Inc. | Lighting system with lens assembly |
| US10132476B2 (en) * | 2016-03-08 | 2018-11-20 | Lilibrand Llc | Lighting system with lens assembly |
| US20170261186A1 (en) * | 2016-03-08 | 2017-09-14 | Lilibrand Llc | Lighting system with lens assembly |
| US11512838B2 (en) | 2016-03-08 | 2022-11-29 | Korrus, Inc. | Lighting system with lens assembly |
| US11359796B2 (en) | 2016-03-08 | 2022-06-14 | Korrus, Inc. | Lighting system with lens assembly |
| US12388056B1 (en) | 2017-01-27 | 2025-08-12 | Korrus, Inc. | Linear lighting systems and processes |
| US12062645B2 (en) | 2017-01-27 | 2024-08-13 | Korrus, Inc. | Lighting systems with high color rendering index and uniform planar illumination |
| US11658163B2 (en) | 2017-01-27 | 2023-05-23 | Korrus, Inc. | Lighting systems with high color rendering index and uniform planar illumination |
| US11296057B2 (en) | 2017-01-27 | 2022-04-05 | EcoSense Lighting, Inc. | Lighting systems with high color rendering index and uniform planar illumination |
| US11339932B2 (en) | 2017-03-09 | 2022-05-24 | Korrus, Inc. | Fixtures and lighting accessories for lighting devices |
| WO2019117725A1 (en) | 2017-12-15 | 2019-06-20 | Holland Colours N.V. | Concentrate for polyester-based materials |
| EP3910007A1 (en) | 2017-12-15 | 2021-11-17 | Holland Colours N. V. | Concentrate for polyester-based materials |
| US11732095B2 (en) | 2017-12-15 | 2023-08-22 | Holland Colours N.V. | Concentrate for polyester-based materials |
| CN111712532A (en) * | 2017-12-15 | 2020-09-25 | 荷兰颜料股份有限公司 | Concentrates for polyester based materials |
| US12098274B2 (en) | 2017-12-29 | 2024-09-24 | Penn Color, Inc. | Polyester packaging material |
| US11760873B2 (en) | 2017-12-29 | 2023-09-19 | Penn Color, Inc. | Polyester packaging material |
| US11326021B2 (en) | 2018-01-15 | 2022-05-10 | Gkn Driveline International Gmbh | Producing a bellows |
| WO2019137753A1 (en) * | 2018-01-15 | 2019-07-18 | Gkn Driveline International Gmbh | Method for producing a bellows |
| US11578857B2 (en) | 2018-05-01 | 2023-02-14 | Korrus, Inc. | Lighting systems and devices with central silicone module |
| US11041609B2 (en) | 2018-05-01 | 2021-06-22 | Ecosense Lighting Inc. | Lighting systems and devices with central silicone module |
| CN113330067A (en) * | 2018-11-23 | 2021-08-31 | 荷兰颜料股份有限公司 | Cycloolefin polymer concentrate for polyester-based materials |
| WO2020106156A1 (en) | 2018-11-23 | 2020-05-28 | Holland Colours N.V. | Cyclic olefin polymer concentrate for polyester-based materials |
| US11708966B2 (en) | 2018-12-17 | 2023-07-25 | Korrus, Inc. | Strip lighting system for direct input of high voltage driving power |
| US11353200B2 (en) | 2018-12-17 | 2022-06-07 | Korrus, Inc. | Strip lighting system for direct input of high voltage driving power |
Also Published As
| Publication number | Publication date |
|---|---|
| JP2015129308A (en) | 2015-07-16 |
| JP6197933B2 (en) | 2017-09-20 |
| TWI634145B (en) | 2018-09-01 |
| TW201408720A (en) | 2014-03-01 |
| US9975284B2 (en) | 2018-05-22 |
| JP2017031429A (en) | 2017-02-09 |
| US20170021535A1 (en) | 2017-01-26 |
| WO2013108814A1 (en) | 2013-07-25 |
| CN104169359A (en) | 2014-11-26 |
| JP5751260B2 (en) | 2015-07-22 |
| JP6036898B2 (en) | 2016-11-30 |
| US9884441B2 (en) | 2018-02-06 |
| JP2013166926A (en) | 2013-08-29 |
Similar Documents
| Publication | Publication Date | Title |
|---|---|---|
| US9884441B2 (en) | Electron beam curable resin composition, resin frame for reflectors, reflector, semiconductor light emitting device, and method for producing molded body | |
| US20150372205A1 (en) | Electron beam curable resin composition, reflector resin frame, reflector, semiconductor light-emitting device, and molded article production method | |
| TWI644957B (en) | Resin composition, reflector, lead frame with reflector, and semiconductor light emitting device | |
| US10400085B2 (en) | Electron beam curable resin composition, reflector resin frame, reflector, semiconductor light-emitting device, and molded article production method | |
| JP6102413B2 (en) | Electron beam curable resin composition, resin frame for reflector, reflector, semiconductor light emitting device, and method for producing molded article | |
| JP6277592B2 (en) | Electron beam curable resin composition for reflector, resin frame for reflector, reflector, semiconductor light emitting device, method for producing molded article, and method for producing semiconductor light emitting device | |
| JP6167603B2 (en) | Electron beam curable resin composition, resin frame for reflector, reflector, semiconductor light emitting device, method for producing molded article, and method for producing semiconductor light emitting device | |
| JP6155929B2 (en) | SEMICONDUCTOR LIGHT EMITTING DEVICE, SEMICONDUCTOR LIGHT EMITTING DEVICE COMPONENT AND ITS MANUFACTURING METHOD, AND REFLECTOR AND MANUFACTURING METHOD THEREOF | |
| JP6094412B2 (en) | Semiconductor light emitting device manufacturing method, molded body manufacturing method, electron beam curable resin composition, reflector resin frame, and reflector | |
| JP6155928B2 (en) | Semiconductor light emitting device manufacturing method, semiconductor light emitting device component manufacturing method, reflector manufacturing method, and reflector forming composition | |
| JP2015023099A (en) | Method of manufacturing semiconductor light-emitting device, method of manufacturing molded body, electron beam curable resin composition, resin frame for reflector, and reflector | |
| WO2016017818A1 (en) | Reflector and resin composition | |
| WO2015152098A1 (en) | Semiconductor light-emitting device and optical-semiconductor-mounting substrate |
Legal Events
| Date | Code | Title | Description |
|---|---|---|---|
| AS | Assignment |
Owner name: DAI NIPPON PRINTING CO., LTD., JAPAN Free format text: ASSIGNMENT OF ASSIGNORS INTEREST;ASSIGNOR:SAKAI, TOSHIYUKI;REEL/FRAME:033312/0850 Effective date: 20140708 |
|
| STCF | Information on status: patent grant |
Free format text: PATENTED CASE |
|
| FEPP | Fee payment procedure |
Free format text: MAINTENANCE FEE REMINDER MAILED (ORIGINAL EVENT CODE: REM.); ENTITY STATUS OF PATENT OWNER: LARGE ENTITY |
|
| LAPS | Lapse for failure to pay maintenance fees |
Free format text: PATENT EXPIRED FOR FAILURE TO PAY MAINTENANCE FEES (ORIGINAL EVENT CODE: EXP.); ENTITY STATUS OF PATENT OWNER: LARGE ENTITY |
|
| STCH | Information on status: patent discontinuation |
Free format text: PATENT EXPIRED DUE TO NONPAYMENT OF MAINTENANCE FEES UNDER 37 CFR 1.362 |
|
| FP | Lapsed due to failure to pay maintenance fee |
Effective date: 20220522 |












