US20140187434A1 - Nucleic Acid Labeling Compounds - Google Patents
Nucleic Acid Labeling Compounds Download PDFInfo
- Publication number
- US20140187434A1 US20140187434A1 US13/929,317 US201313929317A US2014187434A1 US 20140187434 A1 US20140187434 A1 US 20140187434A1 US 201313929317 A US201313929317 A US 201313929317A US 2014187434 A1 US2014187434 A1 US 2014187434A1
- Authority
- US
- United States
- Prior art keywords
- nucleic acid
- hydrogen
- labeling compound
- alkyl
- acid labeling
- Prior art date
- Legal status (The legal status is an assumption and is not a legal conclusion. Google has not performed a legal analysis and makes no representation as to the accuracy of the status listed.)
- Abandoned
Links
- 0 *[C@@H]1[C@H](O)[C@@H](COC)O[C@H]1N1C=C(/C=C\CC(CCCC2SCC3NC(=O)NC32)ONC)C(=O)NC1=O Chemical compound *[C@@H]1[C@H](O)[C@@H](COC)O[C@H]1N1C=C(/C=C\CC(CCCC2SCC3NC(=O)NC32)ONC)C(=O)NC1=O 0.000 description 14
- CYMYUACFLYULPN-UHFFFAOYSA-K BC1OC(COP(=O)([O-])OP(=O)([O-])OP(=O)([O-])O)C(C)C1[Y] Chemical compound BC1OC(COP(=O)([O-])OP(=O)([O-])OP(=O)([O-])O)C(C)C1[Y] CYMYUACFLYULPN-UHFFFAOYSA-K 0.000 description 1
- KLZUSSNALQRJNF-VKDINAEDSA-N CC(=O)OC(C)=O.CS(=O)(=O)SCCNC(=O)C(F)(F)F.[H]C1(O)[C@@]([H])(CO)O[C@@]2([H])N3C=CC(=O)N=C3O[C@]12[H].[H]C1(O)[C@H](S)[C@]([H])(N2C=CC(=O)NC2=O)O[C@]1([H])CO.[H]C1(O)[C@H](SSCCNC(=O)C(F)(F)F)[C@]([H])(N2C=CC(=O)NC2=O)O[C@]1([H])CO.[H]C1(O)[C@H](SSCCNC)[C@]([H])(N2C=CC(=O)NC2=O)O[C@]1([H])CC.[H]C1(OC(C)=O)[C@@]([H])(CC)O[C@@]2([H])N3C=CC(=O)N=C3O[C@]12[H] Chemical compound CC(=O)OC(C)=O.CS(=O)(=O)SCCNC(=O)C(F)(F)F.[H]C1(O)[C@@]([H])(CO)O[C@@]2([H])N3C=CC(=O)N=C3O[C@]12[H].[H]C1(O)[C@H](S)[C@]([H])(N2C=CC(=O)NC2=O)O[C@]1([H])CO.[H]C1(O)[C@H](SSCCNC(=O)C(F)(F)F)[C@]([H])(N2C=CC(=O)NC2=O)O[C@]1([H])CO.[H]C1(O)[C@H](SSCCNC)[C@]([H])(N2C=CC(=O)NC2=O)O[C@]1([H])CC.[H]C1(OC(C)=O)[C@@]([H])(CC)O[C@@]2([H])N3C=CC(=O)N=C3O[C@]12[H] KLZUSSNALQRJNF-VKDINAEDSA-N 0.000 description 1
- RSIQJLDQUJFBAD-UHFFFAOYSA-N CC1=CC=C(S(=O)(=O)O)C=C1.CCNS.COCC1CN(C(=O)C(F)(F)F)CC(N2C=CC(=O)NC2=O)O1.COCC1CNCC(N2C=CC(=O)NC2=O)O1.COCCN1CC(COC)OC(N2C=CC(=O)NC2=O)C1.N.O.O=C1C2=CC=CC=C2OP1Cl.[HH].[HH].[H]OCC1CN(C(=O)C(F)(F)F)CC(N2C=CC(=O)NC2=O)O1.[H]OCC1CNCC(N2C=CC(=O)NC2=O)O1 Chemical compound CC1=CC=C(S(=O)(=O)O)C=C1.CCNS.COCC1CN(C(=O)C(F)(F)F)CC(N2C=CC(=O)NC2=O)O1.COCC1CNCC(N2C=CC(=O)NC2=O)O1.COCCN1CC(COC)OC(N2C=CC(=O)NC2=O)C1.N.O.O=C1C2=CC=CC=C2OP1Cl.[HH].[HH].[H]OCC1CN(C(=O)C(F)(F)F)CC(N2C=CC(=O)NC2=O)O1.[H]OCC1CNCC(N2C=CC(=O)NC2=O)O1 RSIQJLDQUJFBAD-UHFFFAOYSA-N 0.000 description 1
- LEYLICBNVVNTRQ-URZURZDSSA-N CC1=CC=CC=C1C1=C2C=CC(=O)C=C2OC2=CC(O)=CC=C21.COC[C@H]1O[C@@H](C)C[C@@H]1NC(=O)CCCCCNC(C)=O Chemical compound CC1=CC=CC=C1C1=C2C=CC(=O)C=C2OC2=CC(O)=CC=C21.COC[C@H]1O[C@@H](C)C[C@@H]1NC(=O)CCCCCNC(C)=O LEYLICBNVVNTRQ-URZURZDSSA-N 0.000 description 1
- KJRHXWQGQGRXHQ-HRBVBMKFSA-N CNOC(C#CC1=CN([C@H]2CC[C@@H](COC)O2)C(=O)NC1=O)C(ON(C)C)C1=C2C=C(C)C(=O)C=C2OC2=CC(O)=C(C)C=C21 Chemical compound CNOC(C#CC1=CN([C@H]2CC[C@@H](COC)O2)C(=O)NC1=O)C(ON(C)C)C1=C2C=C(C)C(=O)C=C2OC2=CC(O)=C(C)C=C21 KJRHXWQGQGRXHQ-HRBVBMKFSA-N 0.000 description 1
- DSCZRCMAAROXNA-UHFFFAOYSA-N COCC1OC(N2C=C(C)C(=O)NC2=O)C([Y])C1C.COCC1OC(N2C=C(C)C(=O)NC2=O)C([Y])C1C.COCNCCCCCC(=O)N=S Chemical compound COCC1OC(N2C=C(C)C(=O)NC2=O)C([Y])C1C.COCC1OC(N2C=C(C)C(=O)NC2=O)C([Y])C1C.COCNCCCCCC(=O)N=S DSCZRCMAAROXNA-UHFFFAOYSA-N 0.000 description 1
- JIRBLOOGWFHHDZ-HVKUTMBPSA-L COC[C@H]1O[C@@H](C)C[C@@H]1NC(=S)NC1=CC=C(C2=C3C=CC(=O)C=C3OC3=C2C=CC([O-])=C3)C(C(=O)[O-])=C1 Chemical compound COC[C@H]1O[C@@H](C)C[C@@H]1NC(=S)NC1=CC=C(C2=C3C=CC(=O)C=C3OC3=C2C=CC([O-])=C3)C(C(=O)[O-])=C1 JIRBLOOGWFHHDZ-HVKUTMBPSA-L 0.000 description 1
Images
Classifications
-
- C—CHEMISTRY; METALLURGY
- C07—ORGANIC CHEMISTRY
- C07D—HETEROCYCLIC COMPOUNDS
- C07D239/00—Heterocyclic compounds containing 1,3-diazine or hydrogenated 1,3-diazine rings
- C07D239/02—Heterocyclic compounds containing 1,3-diazine or hydrogenated 1,3-diazine rings not condensed with other rings
- C07D239/24—Heterocyclic compounds containing 1,3-diazine or hydrogenated 1,3-diazine rings not condensed with other rings having three or more double bonds between ring members or between ring members and non-ring members
- C07D239/28—Heterocyclic compounds containing 1,3-diazine or hydrogenated 1,3-diazine rings not condensed with other rings having three or more double bonds between ring members or between ring members and non-ring members with hetero atoms or with carbon atoms having three bonds to hetero atoms with at the most one bond to halogen, directly attached to ring carbon atoms
- C07D239/46—Two or more oxygen, sulphur or nitrogen atoms
- C07D239/47—One nitrogen atom and one oxygen or sulfur atom, e.g. cytosine
-
- C—CHEMISTRY; METALLURGY
- C12—BIOCHEMISTRY; BEER; SPIRITS; WINE; VINEGAR; MICROBIOLOGY; ENZYMOLOGY; MUTATION OR GENETIC ENGINEERING
- C12Q—MEASURING OR TESTING PROCESSES INVOLVING ENZYMES, NUCLEIC ACIDS OR MICROORGANISMS; COMPOSITIONS OR TEST PAPERS THEREFOR; PROCESSES OF PREPARING SUCH COMPOSITIONS; CONDITION-RESPONSIVE CONTROL IN MICROBIOLOGICAL OR ENZYMOLOGICAL PROCESSES
- C12Q1/00—Measuring or testing processes involving enzymes, nucleic acids or microorganisms; Compositions therefor; Processes of preparing such compositions
- C12Q1/68—Measuring or testing processes involving enzymes, nucleic acids or microorganisms; Compositions therefor; Processes of preparing such compositions involving nucleic acids
- C12Q1/6813—Hybridisation assays
- C12Q1/6816—Hybridisation assays characterised by the detection means
-
- A—HUMAN NECESSITIES
- A61—MEDICAL OR VETERINARY SCIENCE; HYGIENE
- A61P—SPECIFIC THERAPEUTIC ACTIVITY OF CHEMICAL COMPOUNDS OR MEDICINAL PREPARATIONS
- A61P35/00—Antineoplastic agents
-
- C—CHEMISTRY; METALLURGY
- C07—ORGANIC CHEMISTRY
- C07H—SUGARS; DERIVATIVES THEREOF; NUCLEOSIDES; NUCLEOTIDES; NUCLEIC ACIDS
- C07H19/00—Compounds containing a hetero ring sharing one ring hetero atom with a saccharide radical; Nucleosides; Mononucleotides; Anhydro-derivatives thereof
- C07H19/02—Compounds containing a hetero ring sharing one ring hetero atom with a saccharide radical; Nucleosides; Mononucleotides; Anhydro-derivatives thereof sharing nitrogen
- C07H19/04—Heterocyclic radicals containing only nitrogen atoms as ring hetero atom
- C07H19/06—Pyrimidine radicals
-
- C—CHEMISTRY; METALLURGY
- C07—ORGANIC CHEMISTRY
- C07H—SUGARS; DERIVATIVES THEREOF; NUCLEOSIDES; NUCLEOTIDES; NUCLEIC ACIDS
- C07H7/00—Compounds containing non-saccharide radicals linked to saccharide radicals by a carbon-to-carbon bond
-
- C—CHEMISTRY; METALLURGY
- C07—ORGANIC CHEMISTRY
- C07H—SUGARS; DERIVATIVES THEREOF; NUCLEOSIDES; NUCLEOTIDES; NUCLEIC ACIDS
- C07H7/00—Compounds containing non-saccharide radicals linked to saccharide radicals by a carbon-to-carbon bond
- C07H7/06—Heterocyclic radicals
Definitions
- Gene expression in diseased and healthy individuals is oftentimes different and characterizable.
- the ability to monitor gene expression in such cases provides medical professionals with a powerful diagnostic tool. This form of diagnosis is especially important in the area of oncology, where it is thought that the overexpression of an oncogene, or the underexpression of a tumor suppressor gene, results in tumorogenesis. See Mikkelson et al. J. Cell. Biochem. 1991, 46, 3-8.
- the nucleic acid is chemically or biochemically labeled with a detectable moiety and allowed to hybridize with a localized nucleic acid probe of known sequence. The detection of a labeled nucleic acid at the probe position indicates that the targeted gene has been expressed. See, e.g., International Application Publication Nos. WO 97/27317, WO 92/10588 and WO 97/10365.
- the labeling of a nucleic acid is typically performed by covalently attaching a detectable group (label) to either an internal or terminal position.
- a detectable group label
- scientists have reported a number of detectable nucleotide analogues that have been enzymatically incorporated into an oligo- or polynucleotide.
- Langer et al. for example, disclosed analogues of dUTP and UTP that contain a covalently bound biotin moiety. Proc. Natl. Acad. Sci. USA 1981, 78, 6633-6637.
- the analogues shown below, possess an allylamine linker arm that is attached to the C-5 position of the pyrimidine ring.
- Petrie et al. disclosed a dATP analogue, 3-[5-[(N-biotinyl-6-aminocaproyl)-amino]pentyl]-1-(2-deoxy- ⁇ -D-erythro-pentofuranosyl)-1H-pyrazolo[3,4-d]pyrimidin-4-amine-5′-triphosphate. Bioconjugate Chem. 1991, 2, 441-446. The analogue, shown below, is modified at the 3-position with a linker arm that is attached to a biotin moiety. Petrie et al. reported that the compound wherein R is biotin is incorporated into DNA by nick translation.
- Prober et al. disclosed a set of four dideoxynucleotides, each containing a succinylfluorescein dye. Science 1987, 238, 336-341.
- the dideoxynucleotides one of which is shown below, were enzymatically incorporated into an oligonucleotide through a template directed extension of a primer.
- the compounds provided for a DNA sequencing method based on gel migration.
- Herrlein et al. disclosed modified nucleoside trisphosphates of the four DNA bases. Helv. Chim. Acta 1994, 77, 586-596. The compounds, one of which is shown below, contain a 3′-amino group containing radioactive or fluorescent moieties. Herrlein et al. further described the use of the nucleoside analogues as DNA chain terminators.
- Cech et al. disclosed 3′-amino-functionalized nucleoside triphosphates. Collect. Czech. Chem. Commun. 1999, 61, S297-S300. The compounds, one of which is shown below, contain a fluorescein attached to the 3′-position through an amino linker. Cech et al. proposed that the described functionalized nucleosides would be useful as terminators for DNA sequencing.
- nucleic acid labeling compounds that are effectively incorporated into a nucleic acid to provide a readily detectable composition would benefit genetic analysis technologies. It would aid, for example, in the monitoring of gene expression and the detection and screening of mutations and polymorphisms. Such a compound should be suitable for enzymatic incorporation into a nucleic acid. Furthermore, the nucleic acid to which the labeling compound is attached should maintain its ability to bind to a probe, such as a complementary nucleic acid.
- nucleic acid labeling compounds for use as coupling agents for probes are available there is a continuing need for additional compounds that are more efficient labeling compounds. There also exists a need for compounds that have increased solubility. This will make the compounds more useful for monitoring gene expression.
- the present invention relates to nucleic acid labeling compounds. More specifically, the invention provides compounds containing a detectable moiety. The invention also provides methods of making these compounds. It further provides methods of attaching the compounds to a nucleic acid.
- the nucleic acid labeling compounds or the present invention are effectively incorporated into a nucleic acids to provide readily detectable compositions that are useful for genetic analysis technologies. These compounds and the detectable compositions can aid, for example, in the monitoring of gene expression and the detection and screening of mutations and polymorphisms.
- the compounds of the invention are suitable for enzymatic incorporation into nucleic acids.
- the nucleic acids to which the labeling compound are attached maintain their ability to bind to a probe, such as, for example a complementary nucleic acid.
- the present invention provides nucleic acid labeling compounds that are capable of being enzymatically incorporated into a nucleic acid.
- the nucleic acids to which the compounds are attached maintain their ability to bind to a complementary nucleic acid sequence.
- FIG. 1 illustrates a non-limiting set of template moieties.
- FIG. 2-10 illustrate synthetic routes to fluorescein and biotin labeled compounds of the invention.
- A is hydrogen or a functional group that permits the attachment of the nucleic acid labeling compound to a nucleic acid
- T is a template moiety
- H c is a heterocyclic group
- L is a linker moiety
- M is a connecting group
- Q is a detectable moiety.
- nucleic acid labeling compounds have the following structures:
- A is hydrogen or a functional group that permits the attachment of the nucleic acid labeling compound to a nucleic acid
- X is O, S, NR 1 or CHR 2 , wherein R 1 and R 2 are, independently, hydrogen, alkyl, or aryl
- Y is hydrogen, N 3 , F, OR 9 , SR 9 or NHR 9 , wherein R 9 is hydrogen, alkyl or aryl
- Z is hydrogen, N 3 , F, OR 9 , SR 9 or NHR 10 , wherein R 10 is hydrogen, alkyl or aryl
- L is a linker moiety
- Q is a detectable moiety
- M is a connecting group, wherein m is an integer ranging from 0 to about 20.
- A is H or H 4 O 9 P 3 —;
- X is O;
- Y is H or OR 9 , wherein R 9 is hydrogen, alkyl or aryl;
- Z is hydrogen, N 3 , F or OR 10 , wherein R 10 is hydrogen, alkyl or aryl; and
- L is amido alkyl and M is -(M 1 ) a -(M 2 ) b - wherein a and b are independently integers from 0 to about 5 and the sum of a and b is not greater than 15.
- L is —(CH 2 ) n C(O)NR 3 — wherein R 3 is hydrogen, alkyl or aryl and n is an integer ranging from about 1 to about 10; M 1 is —(CH 2 ) i O— and M 2 is —(CH 2 ) j NH—, wherein i and j are independently integers from 1 to about 5.
- Y is OH; Z is OH; -L-(M) m - is —CH 2 C(O)NH—(CH 2 CH 2 O) 3 —CH 2 CH 2 NH—; and Q is biotin or Y is OH; Z is OH; -L-(M) m - is —CH 2 C(O)NH—(CH 2 CH 2 O) 3 —CH 2 CH 2 NH—; Q is carboxyfluorescein.
- A is H or H 4 O 9 P 3 —;
- X is O;
- Y is H or OR 9 , wherein R 9 is hydrogen, alkyl or aryl;
- Z is hydrogen, N 3 , F or OR 10 , wherein R 10 is hydrogen, alkyl or aryl; and
- L is amido alkyl and M is -(M 1 ) a -(M 2 ) b -(M 3 ) c -(M 4 ) d - wherein a, b, c, and d are independently integers from 0 to about 5 and the sum of a, b, c, and d is not greater than 15.
- L is —(CH 2 ) n C(O)NR 3 —, wherein R 3 is hydrogen, alkyl or aryl and n is an integer ranging from about 1 to about 10; each M is independently —C(O)(CH 2 ) k O—, —(CH 2 ) i O— or —(CH 2 ) j NH—, wherein i, j and k are independently integers from 1 to about 5.
- L is —CH 2 C(O)NR 3 —, wherein R 3 is hydrogen or, alkyl; M 1 is —(CH 2 ) 2 NH—, M 2 is —C(O)(CH 2 ) 2 O—, M 3 is —(CH 2 CH 2 O) 3 — and M 4 is —(CH 2 ) 2 NH—.
- Y is OH; Z is OH; -L-(M) m - is —CH 2 C(O)NH—CH 2 CH 2 NH—C(O)CH 2 CH 2 O—(CH 2 CH 2 O) 3 —CH 2 CH 2 NH—; Q is biotin.
- Y is OH; Z is OH; -L-(M) m - is —CH 2 C(O)NH—CH 2 CH 2 NH—; m is 1; and Q is carboxyfluorescein.
- L is —(CH 2 ) 2 C(O)NR 3 —, wherein R 3 is hydrogen or, alkyl; M 1 is —(CH 2 ) 2 NH—, M 2 is —C(O)(CH 2 ) 2 O—, M 3 is —(CH 2 CH 2 O) 3 — and M 4 is —(CH 2 ) 2 NH—.
- Y is OH; Z is OH; -L-(M) m - is —CH 2 C(O)NH—CH 2 CH 2 NH—C(O)CH 2 CH 2 O—(CH 2 CH 2 O) 3 —CH 2 CH 2 NH—; Q is biotin.
- Y is OH; Z is OH; -L-(M) m - is —CH 2 CH 2 C(O)NH—CH 2 CH 2 NH—; m is 1; and Q is carboxyfluorescein.
- A is H or H 4 O 9 P 3 —;
- X is O;
- Y is H or OR 9 , wherein R 9 is hydrogen, alkyl or aryl;
- Z is hydrogen, N 3 , F or OR 10 , wherein R 10 is hydrogen, alkyl or aryl;
- L is functionalized alkyl and M is —(M 1 ) a -(M 2 ) b -(M 3 ) c -(M 2 ) d - wherein a, b, c, and d are independently integers from 0 to about 5 and the sum of a, b, c, and d is not greater than 15.
- L is —(CH 2 ) n O—, wherein n is an integer ranging from about 1 to about 10; each M is independently —C(O)(CH 2 ) k O—, —(CH 2 ) i O— or —(CH 2 ) j NH—, wherein i,j and k are independently integers from 1 to about 5.
- Y is OH; Z is OH; -L-(M) m - is —CH 2 O—CH 2 CH 2 NH—C(O)(CH 2 ) 2 O—(CH 2 CH 2 O) 3 —CH 2 CH 2 NH—; Q is biotin or Y is OH; Z is OH; -L-(M) m - is —CH 2 O—CH 2 CH 2 NH—; m is 1; and Q is carboxyfluorescein.
- L is —(CH 2 ) n NR 3 —, wherein R 3 is hydrogen, alkyl or aryl and n is an integer ranging from about 1 to about 10; each M is independently —C(O)(CH 2 ) k O—, —(CH 2 ), O— or —(CH 2 ) j NH—, wherein i, j and k are independently integers from 1 to about 5.
- Y is OH; Z is OH; -L-(M) m - is —(CH 2 ) 6 NH—C(O)(CH 2 ) 2 O—(CH 2 CH 2 O) 3 —CH 2 CH 2 NH—; and Q is biotin or Y is OH; Z is OH; L is —(CH 2 ) 6 NH—; m is 0; and Q is carboxyfluorescein.
- A is H or H 4 O 9 P 3 —;
- X is O;
- Y is H or OR 9 , wherein R 9 is hydrogen, alkyl or aryl;
- Z is hydrogen, N 3 , F or OR 10 , wherein R 10 is hydrogen, alkyl or aryl;
- L is alkenyl alkyl and M is -(M 1 ) a -(M 2 ) b -(M 3 ) c -(M 4 ) d - wherein a, b, c, and d are independently integers from 0 to about 5 and the sum of a, b, c, and d is not greater than 15.
- L is structure —CH ⁇ CH—(CH 2 ) n C(O)N(R 6 )—, wherein R 6 is hydrogen, alkyl or aryl and n is an integer ranging from about 0 to about 10; each M is independently —C(O)(CH 2 ) k O—, —(CH 2 ) i O— or —(CH 2 ) j NH—, wherein i,j and k are independently integers from 1 to about 5.
- L is —CH ⁇ CH—C(O)N(H); M 1 is —(CH 2 ) 2 NH—, M 2 is —C(O)(CH 2 ) 2 O—, M 3 is —(CH 2 CH 2 O) 3 — and M 4 is —(CH 2 ) 2 NH—.
- Y is OH; Z is OH; -L-(M) m - is —CH ⁇ CH—C(O)NH—CH 2 CH 2 NH—C(O)(CH 2 ) 2 O—(CH 2 CH 2 O) 3 —CH 2 CH 2 NH—; Q is biotin or Y is OH; Z is OH; -L-(M) m - is —CH ⁇ CH—C(O)NH—CH 2 CH 2 NH—; m is 1; and Q is carboxyfluorescein.
- nucleic acid labeling compounds have the following structure:
- A is hydrogen or a functional group that permits the attachment of the nucleic acid labeling compound to a nucleic acid
- L is a linker moiety
- Q is a detectable moiety
- M is a connecting group, wherein m is an integer ranging from 0 to about 3.
- A is H or H 4 O 9 P 3 —;
- L is alkanoyl; and
- Q is biotin or a carboxyfluorescein;
- M is —NR 3 — where R 3 is hydrogen or alkyl, and wherein m is 1 or 0.
- L is —C(O)(CH 2 ) n — wherein n is an integer ranging from about 1 to about 10; M is —NH—; Q is biotin or a carboxyfluorescein.
- -L-(M) m - is —C(O)(CH 2 ) 6 —NH—; and Q is biotin or -L-(M) m - is —C(O)(CH 2 ) 6 —NH—; and Q is carboxyfluorescein.
- nucleic acid labeling compounds have the following structures:
- A is hydrogen or a functional group that permits the attachment of the nucleic acid labeling compound to a nucleic acid
- X 1 is O, S, NR 1 or CHR 2 , wherein R 1 and R 2 are, independently, hydrogen, alkyl or aryl
- R 15 is hydrogen, alkyl or aryl
- Y 1 is hydrogen, N 3 , F, OR 9 , SR 9 or NHR 9 , wherein R 9 is hydrogen, alkyl or aryl
- Z 1 is hydrogen, N 3 , F, OR 9 , SR 9 or NHR 10 , wherein R 10 is hydrogen, alkyl or aryl
- one of Y 1 or Z 1 is a group having the formula —X 2 L-(M) m -Q
- X 2 is O, S, or NR 16
- R 16 is hydrogen, alkyl or aryl
- L is a linker moiety
- Q is a detectable moiety
- M is a connecting group, wherein m
- A is H or H 4 O 9 P 3 —;
- X 1 is O
- Y 1 is hydrogen, OR 9 , wherein R 9 is hydrogen, or alkyl, or —NR 16 -(M) m -Q; wherein R 16 is hydrogen, alkyl or aryl;
- Z 1 is hydrogen OR 10 , wherein R 10 is hydrogen, or alkyl, or —NR 16 -L-(M) m -Q, wherein R 16 is hydrogen, or alkyl; L is N-alkyl amido;
- R 15 is hydrogen or alkyl;
- M is —(CH 2 ) n NR 3 — where R 3 is hydrogen or alkyl, and m is from 1 to about 15.
- Y 1 is hydrogen or OH;
- Z 1 is —NH-L-(M) m -Q;
- L is —(CH 2 ) n NHC(O)— where n is an integer from 1 to about 10;
- M is —NH(CH 2 ) p — where p is an integer from 1 to about 10;
- R 15 is hydrogen or methyl; and
- Q is biotin or a carboxyfluorescein.
- Y 1 is OH; R 15 is hydrogen; -L-(M) m - is —(CH 2 ) 4 NH—C(O)(CH 2 ) 5 NH—; and Q is biotin.
- Y 1 is OH; R 15 is hydrogen; -L-(M) m - is —(CH 2 ) 4 NH—C(O)(CH 2 ) 5 NH—; and Q is a carboxyfluorescein.
- Y 1 is OH; R 15 is methyl; -L-(M) m - is —(CH 2 ) 4 NH—C(O)(CH 2 ) 5 NH—; and Q is biotin.
- Y 1 is OH; R 15 is methyl; -L-(M) m - is —(CH 2 ) 4 NH—C(O)(CH 2 ) 5 NH—; and Q is a carboxyfluorescein.
- Y 1 is —NH-L-(M) m -Q;
- Z 1 is hydrogen or OH;
- L is —(CH 2 ) n NHC(O)— where n is an integer from 1 to about 10;
- M is —NH(CH 2 ) p — where n is an integer from 1 to about 10;
- R 15 is hydrogen or methyl; and
- Q is biotin or a carboxyfluorescein.
- Z 1 is OH; R 15 is hydrogen; -L-(M) m - is —(CH 2 ) 4 NH—C(O)(CH 2 ) 5 NH—; and Q is biotin.
- Z 1 is OH; R 15 is hydrogen; -L-(M) m - is —(CH 2 ) 4 NH—C(O)(CH 2 ) 5 NH—; and Q is a carboxyfluorescein.
- Z 1 is OH; R 15 is methyl; -L-(M) m - is —(CH 2 ) 4 NH—C(O)(CH 2 ) 5 NH—; and Q is biotin.
- Z 1 is OH; R 15 is methyl; -L-(M) m - is —(CH 2 ) 4 NH—C(O)(CH 2 ) 5 NH—; and Q is a carboxyfluorescein.
- A is H or H 4 O 9 P 3 —;
- X 1 is O;
- Y 1 is hydrogen, OR 9 , wherein R 9 is hydrogen, or alkyl, or —O-L(M) m -Q;
- Z 1 is hydrogen OR 10 , wherein R 10 is hydrogen, or alkyl, or —O-L(M) m -Q, or alkyl;
- L is alkylene; and
- m is from 1 to about 10.
- Y 1 is hydrogen or OH;
- Z 1 is —O-L-(M) m -Q;
- L is —(CH 2 ) n — where a is an integer from 1 to about 12;
- M is —NH—;
- R 15 is hydrogen or methyl; and
- Q is biotin or a carboxyfluorescein.
- Y 1 is OH; R 15 is hydrogen; -L-(M) m - is —(CH 2 ) 6 —NH—; and Q is biotin.
- Y 1 is OH; R 15 is hydrogen; -L-(M) m - is —(CH 2 ) 6 —NH—; and Q is a carboxyfluorescein.
- Y 1 is OH; R 15 is methyl; -L-(M) m - is —(CH 2 ) 6 —NH—; and Q is biotin.
- Y 1 is OH; R 15 is methyl; -L-(M) m - is —(CH 2 ) 6 —NH—; and Q is a carboxyfluorescein.
- Y 1 is —O-L-(M) m -Q;
- Z 1 is hydrogen or OH;
- L is —(CH 2 ) n — where n is an integer from 1 to about 12;
- M is —NH—;
- R 15 is hydrogen or methyl; and
- Q is biotin or a carboxyfluorescein.
- Z 1 is OH; R 15 is hydrogen; -L-(M) m - is —(CH 2 ) 6 —NH—; and Q is biotin.
- Z 1 is OH; R 15 is hydrogen; -L-(M) m - is —(CH 2 ) 6 —NH—; and Q is a carboxyfluorescein.
- Z 1 is OH; R 15 is methyl; -L-(M) m - is —(CH 2 ) 6 —NH—; and Q is biotin.
- Z 1 is OH; R 15 is methyl; -L-(M) m - is —(CH 2 ) 6 —NH—; and Q is a carboxyfluorescein.
- A is H or H 4 O 9 P 3 —;
- X 1 is O;
- Y 1 is hydrogen, OR 9 , wherein R 9 is hydrogen, or alkyl, or —S-L-(M) m -Q;
- Z 1 is hydrogen OR 10 , wherein R 10 is hydrogen, or alkyl, or —S-L-(M) m -Q;
- L is alkylene;
- X 2 is S; and m is from 1 to about 10.
- Y 1 is hydrogen or OH;
- Z 1 is —S-L-(M) m -Q;
- L is —S—(CH 2 ) n — where n is an integer from 1 to about 10;
- M is —NH—;
- R 15 is hydrogen or methyl; and
- Q is biotin or a carboxyfluorescein.
- Y 1 is OH; R 15 is hydrogen; -L-(M) m - is —S—(CH 2 ) 2 —NH—; and Q is biotin.
- Y 1 is OH; R 15 is hydrogen; -L-(M) m - is —S—(CH 2 ) 2 —NH—; and Q is a carboxyfluorescein.
- Y 1 is OH; R 15 is methyl; -L-(M) m - is —S—(CH 2 ) 2 —NH—; and Q is biotin.
- Y 1 is OH; R 15 is methyl; -L-(M) m - is —S—(CH 2 ) 2 —NH—; and Q is a carboxyfluorescein.
- Y 1 is —S-L-(M) m -Q;
- Z 1 is hydrogen or OH;
- L is —S—(CH 2 ) n — where n is an integer from 1 to about 10;
- M is —NH—;
- R 15 is hydrogen or methyl; and
- Q is biotin or a carboxyfluorescein.
- —Z 1 is OH; R 15 is hydrogen; -L-(M) m - is —S—(CH 2 ) 2 —NH—; and Q is biotin.
- Z 1 is OH; R 15 is hydrogen; -L-(M) m - is —S—(CH 2 ) 2 —NH—; and Q is a carboxyfluorescein.
- Z 1 is OH; R 15 is methyl; -L-(M) m - is —S—(CH 2 ) 2 —NH—; and Q is biotin.
- Z 1 is OH; R 15 is methyl; -L-(M) m - is —S—(CH 2 ) 2 —NH—; and Q is a carboxyfluorescein.
- nucleic acid labeling compounds have the following structure:
- A is hydrogen or a functional group that permits the attachment of the nucleic acid labeling compound to a nucleic acid
- X 1 is O, S, NR 1 or CHR 2 , wherein R 1 and R 2 are, independently, hydrogen, alkyl or aryl
- X 2 is a bond or alkylene
- Q is a detectable moiety
- G is -L-(M) m - where L is a linker moiety and each M a connecting group, where m is from 0 to about 20.
- A is H or H 4 O 9 P 3 —;
- X 1 is O;
- X 2 is a bond; and
- G is —C(O)NR 3 —(CH 2 ) m —(CH 2 CH 2 O) n —CH 2 CH 2 —C(O)NR 3 —, where R 3 is hydrogen or alkyl, and m and n are independently an integer from 1 to about 15.
- G is
- n is from 1 to about 4.
- n is 3 or 4 and m is 5 or 6.
- A is H or H 4 O 9 P 3 —;
- X 1 is O;
- X 2 is CH 2 ; and
- G is —C(O)NR 3 —(CH 2 ) m —(CH 2 CH 2 O) n —CH 2 CH 2 —C(O)NR 3 —, where R 3 is hydrogen or alkyl, and m and n are independently an integer from 1 to about 15.
- A is H or H 4 O 9 P 3 —;
- X 1 is O;
- X 2 is CH 2 ; and
- G is —C(O)NR 3 —(CH 2 ) m —(CH 2 CH 2 O) n —CH 2 CH 2 —C(O)NR 3 —, where R 3 is hydrogen or alkyl, and m and n are independently an integer from 1 to about 15.
- the present invention also provides nucleic acid derivatives produced by coupling a nucleic acid labeling compound with a nucleic acid and hybridization products comprising the nucleic acid derivatives bound to a complementary probe.
- the present invention also provides nucleic acid derivatives produced by coupling one of the nucleic acid labeling compounds of the invention with a nucleic acid and the hybridization products comprising the nucleic acid derivatives bound to a complementary probe.
- the hybridization product formed from the nucleic acid derivatives comprise the nucleic acid derivative bound to a complementary probe.
- the probe is attached to a glass chip.
- the present invention also provides methods of synthesizing nucleic acid derivatives by attaching a nucleic acid labeling compound to a nucleic acid. It further provides methods of detecting nucleic acids involving incubating the nucleic acid derivatives with a probe.
- the methods involve the steps of (a) providing at least one nucleic acid coupled to a support; (b) providing a labeled moiety capable of being coupled with a terminal transferase to said nucleic acid; (c) providing said terminal transferase; and (d) coupling said labeled moiety to said nucleic acid using said terminal transferase.
- the methods involve the steps of: (a) providing at least two nucleic acids coupled to a support; (b) increasing the number of monomer units of said nucleic acids to form a common nucleic acid tail on said at least two nucleic acids; (c) providing a labeled moiety capable of recognizing said common nucleic acid tails; and (d) contacting said common nucleic acid tails and said labeled moiety.
- the methods involve the steps of: (a) providing at least one nucleic acid coupled to a support; (b) providing a labeled moiety capable of being coupled with a ligase to said nucleic acid; (c) providing said ligase; and (d) coupling said labeled moiety to said nucleic acid using said ligase.
- This invention also provides compounds of the formulas described herein.
- Halo is fluoro, chloro, bromo, or iodo.
- Alkyl, alkoxy, aralkyl, alkylaryl, etc. denote both straight and branched alkyl groups; but reference to an individual radical such as “propyl” embraces only the straight chain radical, a branched chain isomer such as “isopropyl” being specifically referred to.
- Aryl includes a phenyl radical or an ortho-fused bicyclic carbocyclic radical having about nine to ten ring atoms in which at least one ring is aromatic.
- Heteroaryl encompasses a radical attached via a ring carbon of a monocyclic aromatic ring containing five or six ring atoms consisting of carbon and one to four heteroatoms each selected from the group consisting of non-peroxide oxygen, sulfur, and N(X) wherein X is absent or is H, O, (C 1 -C 4 )alkyl, phenyl or benzyl, as well as a radical of as ortho-fused bicyclic heterocycle of about eight to ten ring atoms derived therefrom, particularly a benz-derivative or one derived by fusing a propylene, trimethylene, or tetramethylene diradical thereto.
- Alkyl refers to a straight chain, branched or cyclic chemical groups containing only carbon and hydrogen. Alkyl groups include, without limitation, ethyl, propyl, butyl, pentyl, cyclopentyl and 2-methylbutyl. Alkyl groups are unsubstituted or substituted with 1 or more substituents (e.g., halogen, alkoxy, amino).
- Alkylene refers to a straight chain, branched or cyclic chemical group containing only carbon and hydrogen. Alkyl groups include, without limitation, ethylene, propylene, butylene, pentylene, and 2-methylbutylene. Alkyl groups are unsubstituted or substituted with 1 or more substituents (e.g., halogen, alkoxy, amino).
- Aryl refers to a monovalent, unsaturated aromatic carbocyclic group.
- Aryl groups include, without limitation, phenyl, naphthyl, anthryl and biphenyl. Aryl groups are unsubstituted or substituted with 1 or more substituents (e.g. halogen, alkoxy, amino).
- Arylene refers to a divalent aryl group.
- amido refers to a chemical group having the structure —C(O)NR 3 —, wherein R 3 is hydrogen, alkyl or aryl.
- the amido group is of the structure —C(O)NR 3 — where R 3 is hydrogen or alkyl having from about 1 to about 6 carbon atoms. More preferably, the amido alkyl group is of the structure —C(O)NH—.
- Alkanoyl refers to a chemical group having the structure —(CH 2 ) n C(O)—, n is an integer ranging from 0 to about 10.
- the alkanoyl group is of the structure —(CH 2 ) n C(O)—, wherein n is an integer ranging from about 2 to about 10. More preferably, the alkanoyl group is of the structure —(CH 2 ) n C(O)—, wherein n is an integer ranging from about 2 to about 6.
- the alkanoyl group is of the structure —CH 2 C(O)—.
- Alkyl amido refers to a chemical group having the structure —R 4 C(O)NR 3 —, wherein R 3 is hydrogen, alkyl or aryl, and R 4 is alkylene or arylene.
- the alkyl amido group is of the structure —(CH 2 ) n C(O)NH—, wherein n is an integer ranging from about 1 to about 10. More preferably, n is an integer ranging from about 1 to about 6.
- the alkyl amido group has the structure —(CH 2 ) 2 C(O)NH— or the structure —CH 2 C(O)NH—.
- N-Amido alkyl refers to a chemical group having the structure —C(O)NR 3 R 4 —, wherein R 3 is hydrogen, alkyl or aryl, and R 4 is alkylene or arylene.
- the N-amido alkyl group is of the structure —C(O)NH(CH 2 ) n R 5 —, wherein n is an integer ranging from about 2 to about 10, and R 5 is O, NR 6 , or C(O), and wherein R 6 is hydrogen, alkyl or aryl.
- the N-amido alkyl group is of the structure —C(O)NH(CH 2 ) n N(H)—, wherein n is an integer ranging from about 2 to about 6. Most preferably, the N-amido alkyl group is of the structure —C(O)NH(CH 2 ) 4 N(H)—.
- Alkynyl alkyl refers to a chemical group having the structure —C ⁇ C—R 4 —, wherein R 4 is alkyl or aryl.
- the alkynyl alkyl group is of the structure —C ⁇ C—(CH 2 n R 5 —, wherein n is an integer ranging from 1 to about 10, and R 5 is O, NR 6 or C(O), wherein R 6 is hydrogen, alkyl or aryl.
- the alkynyl alkyl group is of the structure —C ⁇ C—(CH 2 ) n N(H)—, wherein n is an integer ranging from 1 to about 4.
- the alkynyl alkyl group is of the structure —C ⁇ C—CH 2 N(H)—.
- Alkenyl alkyl refers to a chemical group having the structure —CH ⁇ CH—R 4 —, wherein R 4 is a bond, alkyl or aryl.
- the alkenyl alkyl group is of the structure —CH ⁇ CH—(CH 2 ) n R 5 —, wherein n is an integer ranging from 0 to about 10, and R 5 is O, NR 6 , C(O) or C(O)NR 6 , wherein R 6 is hydrogen, alkyl or aryl.
- the alkenyl alkyl group is of the structure —CH ⁇ CH—(CH 2 ) n C(O)NR 6 —, wherein n is an integer ranging from 0 to about 4.
- the alkenyl alkyl group is of the structure —CH ⁇ CH—C(O)N(H)—.
- “Functionalized alkyl” refers to a chemical group of the structure —(CH 2 ) n R 7 —, wherein n is an integer ranging from 1 to about 10, and R 7 is O, S, NH or C(O).
- the functionalized alkyl group is of the structure —(CH 2 ) n C(O)—, wherein n is an integer ranging from 1 to about 4. More preferably, the functionalized alkyl group is of the structure —CH 2 C(O)—.
- Alkoxy refers to a chemical group of the structure —O(CH 2 ) n R 8 —, wherein n is an integer ranging from 2 to about 10, and R 8 is a bond, O, S, NH or C(O).
- the alkoxy group is of the structure —O(CH 2 ) n — wherein n is an integer ranging from 2 to about 4. More preferably, the alkoxy group is of the structure —OCH 2 CH 2 —.
- Alkyl thio refers to a chemical group of the structure —S(CH 2 ) n R 8 —, wherein n is an integer ranging from 1 to about 10, and R 8 is a bond, O, S, NH or C(O).
- the alkyl thio group is of the structure —S(CH 2 ) n —, wherein n is an integer ranging from 2 to about 4. More preferably, the thio group is of the structure —SCH 2 CH 2 C(O)—.
- amino alkyl refers to a chemical group having an amino group attached to an alkyl group.
- an amino alkyl is of the structure —(CH 2 ) n NH—, wherein n is an integer ranging from about 2 to about 10. More preferably it is of the structure —(CH 2 ) n NH—, wherein n is an integer ranging from about 2 to about 4. Most preferably, the amino alkyl group is of the structure —(CH 2 ) 2 NH—.
- Nucleic acid refers to a polymer comprising 2 or more nucleotides and includes single-, doable- and triple stranded polymers.
- Nucleotide refers to both naturally occurring and non-naturally occurring compounds and comprises a heterocyclic base, a sugar, and a linking group, preferably a phosphate ester.
- structural groups may be added to the ribosyl or deoxyribosyl unit of the nucleotide, such as a methyl or allyl group at the 2′-O position or a fluoro group that substitutes for the 2 ′-O group.
- nucleic acid may be substituted or modified, for example with methyl phosphonates or O-methyl phosphates.
- Bases and sugars can also be modified, as is known in the art.
- Nucleic acid for the purposes of this disclosure, also includes “peptide nucleic acids” in which native or modified nucleic acid bases are attached to a polyamide backbone.
- Coupled to a support means bound directly or indirectly thereto including attachment by covalent binding, hydrogen bonding, ionic interaction, hydrophobic interaction, or otherwise.
- Probe refers to a nucleic acid that can be used to detect, by hybridization, a target nucleic acid.
- the probe is complementary to the target nucleic acid along the entire length of the probe, but hybridization can occur in the presence of one or more base mismatches between probe and target.
- Perfect match probe refers to a probe that has a sequence that is perfectly complementary to a particular target sequence.
- the test probe is typically perfectly complementary to a portion (subsequently) of the target sequence.
- the perfect match (PM) probe can be a “test probe”, a “normalization control” probe, an expression level control probe and the like.
- a perfect match control or perfect snatch probe is, however, distinguished from a “mismatch control” or “mismatch probe.”
- perfect match probes are typically preselected (designed) to be complementary to particular sequences or subsequences of target nucleic acids (e.g., particular genes).
- target nucleic acids e.g., particular genes
- the particular target sequences are typically unknown.
- perfect match probe in this context is to distinguish that probe from a corresponding “mismatch control” that differs from the perfect match in one or more particular preselected nucleotides as described below.
- mismatch control or “mismatch probe”, in expression monitoring arrays, refers to probes whose sequence is deliberately selected not to be perfectly complementary to a particular target sequence. For each mismatch (MM) control in a high-density array there preferably exists a corresponding perfect match (PM) probe that is perfectly complementary to the same particular target sequence.
- PM perfect match
- probes are preferably provided as pairs where each pair of probes differ in one or more preselected nucleotides.
- the perfect match and mismatch probes need not be provided as pairs, but may be provided as larger collections (e.g., 3, 4, 5, or more) of probes that differ from each other in particular preselected nucleotides. While the mismatch(s) may be located anywhere in the mismatch probe, terminal mismatches are less desirable as a terminal mismatch is less likely to prevent hybridization of the target sequence.
- the mismatch is located at or near the center of the probe such that the mismatch is most likely to destabilize the duplex with the target sequence under the test hybridization conditions.
- perfect matches differ from mismatch controls in a single centrally-located nucleotide.
- Labeled moiety refers to a moiety capable of being detected by the various methods discussed herein or known in the art.
- A-O—CH 2 -T-H c -L-(M) m -Q or A-O—CH 2 -T(H) c -L-(M) m -Q, or A-O—CH 2 -T-Q
- A is hydrogen or a functional group that permits the attachment of the nucleic acid labeling compound to a nucleic acid
- T is an optional template moiety
- H c is an heterocyclic group
- L is a linker moiety
- Q is a detectable moiety
- M is an connecting group, wherein m is an integer ranging from 0 to about 20. In a preferred embodiment m is from 0 to about 15. In a more preferred embodiment m is from 0 to about 10. In the most preferred embodiment m is from 0 to about 5.
- the group A is either hydrogen or a functional group that permits the attachment of a nucleic acid labeling compound to a nucleic acid.
- groups include the following: monophosphate; diphosphate; triphosphate (H 4 O 9 P); phosphoramidite ((R 2 N)(R′O)P), wherein R is linear, branched or cyclic alkyl, and R′ is a protecting group such as 2-cyanoethyl; and H-phosphonate (HP)(O)O—HNR 3 ), wherein R is linear, branched or cyclic alkyl.
- the template moiety (T) is covalently attached to a methylene group (CH 2 ) at one position and a heterocyclic group (H c ) or the linker moiety at another position.
- a nonlimiting set of template moieties is shown in FIG. 1 , wherein the substituents are defined as follows: X is O, S, NR 1 or CHR 2 ; Y is H, N 3 , F, OR 9 , SR 9 or NHR 9 ; Z is H, N 3 , F or OR 10 ; W is O, S or CH 2 ; D is O or S; and, G is O, NH or CH 2 .
- the substituents R 1 , R 2 , R 9 and R 10 are independent of one another and are H, alkyl or aryl.
- the heterocyclic group (H c ) is a cyclic moiety containing both carbon and a heteroatom.
- linker moiety (L) of the nucleic acid labeling compound is covalently bound to the heterocycle (H c ) or the template moiety at one terminal position. It is attached to the detectable moiety (Q) at another terminal position, either directly or through a connecting group (M). It is of a structure that is sterically and electronically suitable for incorporation into a nucleic acid.
- linker moieties include amido alkyl groups, functionalized alkyl groups, alkenyl alkyl groups, alkanoyl groups, and N-alkyl amido groups.
- Amido groups have the structure —C(O)NR 3 —, wherein R 3 is hydrogen, alkyl or aryl.
- the amido group is of the structure —C(O)NR 3 — where R3 is hydrogen or alkyl having from about 1 to about 6 carbon atoms. More preferably, the amido alkyl group is of the structure —C(O)NH—.
- Alkanoyl groups have the structure —(CH 2 ) n C(O)—, n is an integer ranging from 0 to about 10.
- the alkanoyl group is of the structure —(CH 2 ) n C(O)—, wherein n is an integer ranging from about 2 to about 10. More preferably, the alkanoyl group is of the structure —(CH 2 ) n C(O)—, wherein n is an integer ranging from about 2 to about 6.
- the alkanoyl group is of the structure —CH 2 C(O)—.
- Amido alkyl groups have the structure —R 4 C(O)NR 3 —, wherein R 3 is hydrogen, alkyl or aryl, and R 4 is alkyl or aryl.
- the amido alkyl group is preferably of the structure —(CH 2 ) n C(O)NH—, wherein n is an integer ranging from about 1 to about 10. More preferably, n is an integer ranging from about 1 to about 6. Most preferably, the alkyl amido group has the structure —(CH 2 ) 2 C(O)NH— or the structure —CH 2 C(O)NH—.
- N-Amido alkyl groups have the structure —C(O)NR 3 R 4 —, wherein R 3 is hydrogen, alkyl or aryl, and R 4 is alkylene or arylene.
- the N-amido alkyl group is of the structure —C(O)NH(CH 2 ) n R 5 —, wherein n is an integer ranging from about 2 to about 10, and R 5 is O, NR 6 , or C(O), and wherein R 6 is hydrogen, alkyl or aryl.
- the N-amido alkyl group is of the structure —C(O)NH(CH 2 ) n N(H)—, wherein n is an integer ranging from about 2 to about 6.
- the N-amido alkyl group is of the structure —C(O)NH(CH 2 ) 4 N(H)—.
- Alkenyl alkyl groups are of the structure —CH ⁇ CH—R 4 —, wherein R 4 is alkyl or aryl.
- the alkenyl alkyl group is preferably of the structure —CH ⁇ CH(CH 2 ) n R 5 —, wherein n is an integer ranging from 1 to about 10, and R 5 is O, NR 6 , C(O) or C(O)NR 6 , wherein R 6 is hydrogen, alkyl or aryl.
- the alkenyl alkyl group is of the structure —CH ⁇ CH—(CH 2 ) n C(O)NR 6 —, wherein n is an integer ranging from 0 to about 4.
- the alkenyl alkyl group is of the structure —CH ⁇ CH—C(O)N(H)—.
- Functionalized alkyl groups are of the structure —(CH 2 ) n R 7 —, wherein n is an integer ranging from 1 to about 10, and R 7 is O, S, NH, or C(O).
- the functionalized alkyl group is preferably of the structure —(CH 2 ) n C(O)—, wherein n is an integer ranging from 1 to about 4. More preferably, the functionalized alkyl group is —CH 2 C(O)—.
- Alkoxy groups are of the structure —O(CH 2 ) n R 8 —, wherein n is an integer ranging from 2 to about 10, and R 8 is O, S, NH, or C(O).
- the alkoxy group is preferably of the structure —O(CH 2 ) n — or —O(CH 2 ) n C(O)—, wherein n is an integer ranging from 2 to about 4. More preferably, the alkoxy group is of the structure —OCH 2 CH 2 — or —OCH 2 CH 2 C(O)—.
- Alkyl thio groups are of the structure —S(CH 2 ) n R 8 —, wherein n is an integer ranging from 2 to about 10, and R 8 is O, S, NH, or C(O).
- the alkyl thio group is preferably of the structure —S(CH 2 ) n C(O)—, wherein n is an integer ranging from 2 to about 4. More preferably, the alkyl thio group is of the structure —SCH 2 CH 2 C(O)—.
- Amino alkyl groups comprise an amino group attached to an alkyl group.
- amino alkyl groups are of the structure —NH(CH 2 ) n NH—, wherein n is an integer ranging from about 2 to about 10.
- the amino alkyl group is more preferably of the structure —(CH 2 ) n NH—, wherein n is an integer ranging from about 2 to about 4.
- the amino alkyl group is of the structure —(CH 2 ) 4 NH—.
- the detectable moiety (Q) is a chemical group that provides an signal.
- the signal is detectable by any suitable means, including spectroscopic, photochemical, biochemical, immunochemical, electrical, optical or chemical means. In certain cases, the signal is detectable by 2 or more means.
- the detectable moiety provides the signal either directly or indirectly.
- a direct signal is produced where the labeling group spontaneously emits a signal, or generates a signal upon the introduction of a suitable stimulus.
- Radiolabels such as 3 H, 125 I, 35 S, 14 C or 32 P, and magnetic particles, such as DynabeadsTM, are nonlimiting examples of groups that directly and spontaneously provide a signal.
- Labeling groups that directly provide a signal in the presence of a stimulus include the following nonlimiting examples: colloidal gold (40-80 nm diameter), which scatters green light with high efficiency; fluorescent labels, such as fluorescein, texas red, rhodamine, and green fluorescent protein (Molecular Probes, Eugene, Oreg.), which absorb and subsequently emit light; chemiluminescent or bioluminescent labels, such as luminol, lophine, acridine salts and luciferins, which are electronically excited as the result of a chemical or biological reaction and subsequently emit light; spin labels, such as vanadium, copper, iron, manganese and nitroxide free radicals, which are detected by electron spin resonance (ESR) spectroscopy; dyes, such as quinoline dyes, triarylmethane dyes and acridine dyes, which absorb specific wavelengths of light; and colored glass or plastic (e.g., polystyrene, polypropylene, latex, etc
- a detectable moiety provides an indirect signal where it interacts with a second compound that spontaneously emits a signal, or generates a signal upon the introduction of a suitable stimulus.
- Biotin for example, produces a signal by forming a conjugate with streptavidin, which is then detected. See Hybridization With Nucleic Acid Probes. In Laboratory Techniques in Biochemistry and Molecular Biology ; Tijssen, P., Ed.; Elsevier: New York, 1993; Vol. 24.
- An enzyme such as horseradish peroxidase or alkaline phosphatase, that is attached to an antibody in a label-antibody-antibody as in an ELISA assay, also produces an indirect signal.
- a preferred detectable moiety is a fluorescent group.
- Fluorescent groups typically produce a high signal to noise ratio, thereby providing increased resolution and sensitivity in a detection procedure.
- the fluorescent group absorbs light with a wavelength above about 300 nm, more preferably above about 350 nm, and most preferably above about 400 nm.
- the wavelength of the light emitted by the fluorescent group is preferably above about 310 nm, more preferably above about 360 nm, and most preferably above about 410 nm.
- the fluorescent detectable moiety is selected from a variety of structural classes, including the following nonlimiting examples: 1- and 2-aminonaphthalene, p,p′diaminostilbenes, pyrenes, quaternary phenanthridine salts, 9-aminoacridines, p,p′-diaminobenzophenone imines, anthracenes, oxacarbocyanine, marocyanine, 3-aminoequilenin, perylene, bisbenzoxazole, bis-p-oxazolyl benzene, 1,2-benzophenazin, retinol, bis-3-aminopridinium salts, hellebrigenin, tetracycline, sterophenol, benzimidazolyl phenylamine, 2-oxo-3-chromen, indole, xanthen, 7-hydroxycoumarin, phenoxazine, salicylate, strophanthidin, porphyrins
- fluorescent compounds are suitable for incorporation into the present invention.
- Nonlimiting examples of such compounds include the following: dansyl chloride; fluoresceins, such as 3,6-dihydroxy-9-phenylxanthhydrol; rhodamineisothiocyanate; N-phenyl-1-amino-8-sulfonatonaphthalene; N-phenyl-2-amino-6-sulfonatonaphthanlene; 4-acetamido-4-isothiocyanatostilbene-2,2′-disulfonic acid; pyrene-3-sulfonic acid; 2-toluidinonapththalene-6-sulfonate; N-phenyl, N-methyl 2-aminonaphthalene-6-sulfonate; ethidium bromide; stebrine; auromine-0,2-(9′-anthroyl)palmitate; dansyl phosphatidylethanolamin; N,N′-dio
- colloidal gold Another preferred detectable moiety is colloidal gold.
- the colloidal gold particle is typically 40 to 80 nm in diameter.
- the colloidal gold may be attached to a labeling compound in a variety of ways.
- the linker moiety of the nucleic acid labeling compound terminates in a thiol group (—SH), and the thiol group is directly bound to colloidal gold through a dative bond.
- —SH thiol group
- it is attached indirectly, for instance through the interaction between colloidal gold conjugates of antibiotin and a biotinylated labeling compound.
- the detection of the gold labeled compound may be enhanced through the use of a silver enhancement method. See Danscher et al. J. Histotech 1993, 16, 201-207.
- the connecting groups (M) m may serve to covalently attach the linker group (L) to the detectable moiety (Q).
- Each M group can be the same or different and can independently be any suitable structure that will not interfere with the function of the labeling compound.
- M groups include the following: amino alkyl, —CO(CH 2 ) 5 NH—, —CO—, —NH—, —CO(O)—, —CO(NH)—, —(CH 2 ) i O—, —(CH 2 ) j NH—, —C(O)(CH 2 ) h O—, —CO(CH 2 ) 5 NHCO(CH 2 ) 5 NH—, —NH(CH 2 CH 2 O) k NH— and —CO(CH 2 ) 5 —; wherein, k is an integer from 1 to about 5, preferably k is 1 or 2; m is an integer ranging from 0 to about 5, preferably 0 to about 3; h, i and
- FIG. 2 illustrates a synthetic route to nucleic acid labeling compound, 4, starting from 2-amino-5-( ⁇ -D-ribofuranosyl)-4(1H)-pyrimidinone, 1.
- the hydroxy groups are protected as the trimethyl silylethers according to the procedure described in J. Antibiot. 1977, 30, 129.
- the N1 nitrogen atom is alkylated using a substituted iodoamide having a biotin label attached, according to the procedure described in Tetrahedron 1984, 40, 33.
- PEO-iodoacetyl biotin can be purchased from Pierce Chemical Co.
- the silyl protecting groups are removed, providing a compound having free alcohol groups using acetic acid in methanol.
- the product is converted into a 5′-triphosphate to afford labeled compound 4.
- FIG. 3 illustrates a synthetic route to nucleic acid labeling compounds, 6 and 7, starting from 2-amino-5-( ⁇ -D-ribofuranosyl)-4(1H)-pyrimidinone, 1.
- the hydroxy groups are protected as the trimethyl silylethers according to the procedure described in J. Antibiot. 1977, 30, 129.
- the N1 nitrogen atom is alkylated according to the procedure described in Tetrahedron 1984, 40, 33, using ethyl iodoacetate.
- the ester is converted to amide, 5, using ethylene diamine.
- the biotin labeled compound is prepared by reacting amide, 5, with biotin-dPEG4TM-NHS (purchased from Quanta Biodesign).
- amide 5 is reacted with 5-carboxyfluorescein-NHS.
- the silyl protecting groups are removed to provide a compound having free alcohol groups, using acetic acid in methanol.
- the product is converted into a 5′-triphosphate using standard phosphorylation conditions to afford, respectively, nucleic acid labeling compounds 6 and 7.
- FIG. 4 illustrates an alternate synthetic route to nucleic acid labeling compounds, 6 and 7, starting from 2-amino-5-( ⁇ -D-ribofuranosyl)-4(1H)-pyrimidinone, 1.
- the hydroxy groups are protected as acetyl esters using acetic anhydride in pyridine.
- the N1 nitrogen atom is alkylated according to the procedure described in Tetrahedron 1984, 40, 33, using ethyl iodoacetate.
- the ester is converted to amide, 8, using ethylene diamine.
- the biotin labeled compound is prepared by reacting amide, 8, with biotin-dPEG4TM-NHS (purchased from Quanta Biodesign).
- amide 8 is reacted with 5-carboxyfluorescein-NHS.
- the silyl protecting groups are removed to provide a compound having free alcohol groups, using acetic acid in methanol.
- the product is converted into a 5′-triphosphate using standard phosphorylation conditions to afford, respectively, nucleic acid labeling compounds 6 and 7.
- FIG. 5 illustrates a synthetic route to nucleic acid labeling compounds, 10 and 11, starting from 2-amino-5-( ⁇ -D-ribofuranosyl)-4(1H)-pyrimidinone, 1.
- the hydroxy groups are protected as acetyl esters using acetic anhydride in pyridine.
- the N1 nitrogen atom is alkylated according to the procedure described in K. Muhlegger, et al. 1996, WO 96/28640, using methyl acrylate in triethyl amine.
- the ester, 8 is converted to amide, 9, using ethylene diamine.
- the biotin labeled compound is prepared by reacting amide, 9, with biotin-dPEG4TM-NHS (purchased from Quanta Biodesign). Alternatively, amide 9 is reacted with 5-carboxyfluorescein-NHS.
- the product is converted into a 5′-triphosphate using standard phosphorylation conditions to afford, respectively, nucleic acid labeling
- FIG. 6 illustrates a synthetic route to nucleic acid labeling compounds, 14 and 15, starting from 2-amino-5-( ⁇ -D-ribofuranosyl)-4(1H)-pyrimidinone, 1.
- the hydroxy groups are protected as acetyl esters using acetic anhydride in pyridine.
- the N1 nitrogen atom is alkylated according to the procedure described in Tet Lett 1995 36, 3261, using methyl propynoate.
- the ester, 12 is converted to amide, 9, using ethylene diamine.
- the biotin labeled compound is prepared by reacting amide, 9, with biotin-dPEG4TM-NHS (purchased from Quanta Biodesign). Alternatively, amide 9 is reacted with 5-carboxyfluorescein-NHS.
- the product is converted into a 5′-triphosphate using standard phosphorylation conditions to afford, respectively, nucleic acid labeling compounds 14 and 15.
- FIG. 7 illustrates a synthetic route to nucleic acid labeling compounds, 17 and 18, starting from 2-amino-5-( ⁇ -D-ribofuranosyl)-4(1H)-pyrimidinone, 1.
- the hydroxy groups are protected as the trimethyl silylethers according to the procedure described in J. Antibiot. 1971, 30, 129.
- the N1 nitrogen atom is alkylated, using 2-(2-chloromethoxy-ethyl)-isoindole-1,3-dione, according to the procedure described in Chemo 1985, 31, 151.
- the product, 16 is treated with hydrazine in ethanol to remove the protecting groups.
- the biotin labeled compound is prepared by reacting the ether-amine with biotin-dPEG4TM-NHS (purchased from Quanta Biodesign) using standard conditions. Alternatively, the ether-amine is reacted with (Ac) 2 F1-NHS using standard conditions. The product is converted into a 5′-triphosphate using standard phosphorylation conditions to afford, respectively, nucleic acid labeling compounds 17 and 18.
- FIG. 8 illustrates a synthetic route to nucleic acid labeling compounds, 20 and 21, starting from 2-amino-5-( ⁇ -D-ribofuranosyl)-4(1H)-pyrimidinone, 1.
- the hydroxy groups are protected as acetyl esters using acetic anhydride in pyridine.
- the N1 nitrogen atom is alkylated using (6-trifluoroacetamido)hexyl alcohol in the presence of triphenyl phosphane ((Ph) 3 P), and diethylazodicarboxylate (DEAD), according to the procedure described in Brossette, T. et al., J. Org. Chem.
- the N1 nitrogen atom is alkylated using (6-trifluoroacetamido)hexyl alcohol according to the procedure described in J. Antibiot. 1977, 30, 129.
- the protecting groups are removed to provide a compound having free amine and alcohol groups, using ammonia in methanol.
- the biotin labeled compound is prepared by reacting the ether-amine with biotin-dPEG4TM-NHS (purchased from Quanta Biodesign) using standard conditions. Alternatively, the ether-amine is reacted with (Ac) 2 F1-NHS using standard conditions. The product is converted into a 5′-triphosphate using standard phosphorylation conditions to afford, respectively, nucleic acid labeling compounds 20 and 21 .
- FIG. 9 illustrates a synthetic route to nucleic acid labeling compounds, 23 and 24, starting from 2-amino-5-( ⁇ -D-ribofuranosyl)-4(1H)-pyrimidinone, 1.
- the hydroxy groups are protected as acetyl esters using acetic anhydride in pyridine.
- the N1 nitrogen atom is alkylated using 2-(6-iodo-hexyl)-isoindole-1,3-dione according to the procedure described in J. Antibiot. 1977, 30, 129.
- the product, 22 is treated with hydrazine in ethanol to remove the protecting groups.
- the biotin labeled compound is prepared by reacting the free amine with biotin-dPEG4TM-NHS (purchased from Quanta Biodesign) using standard conditions. Alternatively, the ether-amine is reacted with (Ac) 2 F1-NHS using standard conditions. The product is converted into a 5′-triphosphate using standard phosphorylation conditions to afford, respectively, nucleic acid labeling compounds 23 and 24.
- FIG. 10 illustrates a synthetic route to nucleic acid labeling compounds, 36, starting from [1,4]Dioxan-2-one, Shahi, S. P., et al., J. Org. Chem. (1999), 64: 4509-11, Nishimura, T., et al., J. Org. Chem. 1999, 64 6750-55, Nishida, H., et al., J. Polym. Sci. 2000, 38: 1560-67; (2-Hydroxy-ethoxy)-acetic acid methyl ester, Kitano, M,; and Ohashi, N., EP 787728 A1(1997), or a polymer thereof, Nishida H, et al., J.
- the compound is reacted with a diamine having a suitable linker moiety, e.g., a polyethylene oxide, alkylene, a combination there of and the like.
- the labeled compound is prepared by reacting the ether-amine with a suitable labeling compound using standard conditions. The product is converted into a 5′-triphosphate using standard phosphorylation conditions to afford, respectively, nucleic acid labeling compound 36.
- Nucleic acids can be isolated from a biological sample or synthesized, on a solid support or in solution for example, according to methods known to those of skill in the art. As used herein, there is limitation on the length or source of the nucleic acid used in a labeling-process. Exemplary methods of nucleic acid isolation and purification are described in Theory and Nucleic Acid Preparation. In Laboratory Techniques in Biochemistry and Molecular Biology; Hybridization With Nucleic Acid Probes ; P. Tijssen, Ed,; Part I; Elsevier; N.Y., 1993. A preferred method of isolation involves an acid guanidinium-phenol-chloroform extraction followed by oligo dT column chromotography or (dT)n magnetic bead use.
- the nucleic acids are increased in quantity through amplification.
- Suitable amplification methods include, but are not limited to, the following examples: polymerase chain reaction (PCR) (Innis, et al. PCR Protocols, A guide to Methods and Application; Academic Press; San Diego, 1990); ligase chain reaction (LCR) (Wu and Wallace, Genomics 1989, 4, 560; Landgren, et al. Science 1988, 241, 1077; and Barringer, et al. Gene 1990, 89, 117); transcription amplification (Kwoh et al. Proc. Natl. Acad. Sci. USA 1989, 86, 1173); and self-sustained sequence replication (Guatelli, et al. Proc. Nat. Acad. Sci. USA 1990, 87, 1874).
- PCR polymerase chain reaction
- LCR ligase chain reaction
- the nucleic acid labeling compound can be incorporated into a nucleic acid using a number of method. For example, it can be directly attached to an original nucleic acid sample (e.g., MRNA, polyA mRNA, cDNA) or to an amplification product. Methods of attaching a labeling compound to a nucleic acid include, without limitation, nick translation, 3-end-labeling, ligation, in vitro transcription (IVT) or random priming. Where the nucleic acid is an RNA, a labeled riboligonucleotide is ligated, for example, using an RNA ligase such as T4 RNA Ligase. In The Enzymes ; Uhlenbeck and Greensport, Eds.; Vol.
- Terminal transferase is used to add deoxy-, dideoxy- or ribonucleoside triphosphates (dNTPs, ddNTPs or NTPs), for example, where the nucleic acid is single stranded DNA.
- the labeling compound can also be incorporated at an internal position of a nucleic acid.
- PCR in the presence of a labeling compound provides an internally labeled amplification product.
- IVT in the presence of a labeling compound can provide an internally labeled nucleic acid.
- the nucleic acid to which the labeling compound is attached can be detected after hybridization with a nucleic acid probe.
- the probe can be labeled, depending upon the experimental scheme preferred by the user.
- Use probe is a nucleic acid, or a modified nucleic acid, that is either attached to a solid support or is in solution. It is complementary in structure to the labeled nucleic acid with which it hybridizes.
- the solid support is of any suitable material, including polystyrene based beads and glass chips.
- the probe or target nucleic acid is attached to a glass chip, such as a GeneChip® product (Affymetrix, Inc., Santa Clara, Calif.). See International Publication Nos.
- nucleic acid labeling compound Because probe hybridization is often a step in the detection of a nucleic acid, the nucleic acid labeling compound must be of a structure that does not substantially interfere with that process. The steric and electronic nature of the labeling compound, therefore, is compatible with the binding of the attached nucleic acid to a complementary structure.
- Reagents were purchased from Aldrich Chemical Company (Milwaukee, Wis.) in the highest available purity. All listed solvents were anhydrous. Intermediates were characterized by 1 H NMR and mass spectrometry.
- TdT Labeling Efficiencies % Labeled X (3′) Y (2′) B (1′b) 40U 160U OH H uracil 100.0 100.0 NH2 H thymine 100 100 NHCO(CH2)5NH— H thymine 1.3 2.2 (CO—FL) OH NH2 uracil 65 95 OH NHCO(CH2)5NH—(CO—FL) uracil 3.0 6.6 OH O(CH2)6NH—(CO—FL) uracil 2.6 7.0 OH O(CH2)6NHCO—(CH2)5— uracil 15.0 17.0 NHCO-Biotin OH NH(CH2)5CH3 uracil 45 5.0
- the compounds of the invention having general formulas I, IA IB, II, III, IIIA, IIIB, and IV as disclosed herein can be prepared using available reagents and procedures that are standard in the art. In addition, examples of these procedures are illustrated in FIGS. 2-10 .
- the incorporation efficiency is expressed as the fraction of oligonucleotide that is labeled. This number is determined by dividing the peak area measured at 260 nm absorbance of the labeled oligonucleotide by the sum of the peak areas of the unlabeled and labeled oligonucleotide. (The retention time of fluorescein-labeled dT 16 is on the order of 2 to 3 min. longer than the unlabeled dT 16 .) The error in this type of assay is about 10%.
- the percentage labeling efficiency for 4 types of nucleic acid labeling compounds is shown below in Table 1.
- [1,4]Dioxan-2-one, (2-Hydroxy-ethoxy)-acetic acid methyl ester, or a polymer thereof, 33 is reacted with a diamine having a linker moiety, e.g., a polyethylene oxide, alkylene, a combination there of.
- the labeled compound is prepared by reacting the ether-amine with a suitable labeling compound using standard conditions. The product is converted into a 5′-triphosphate using standard phosphorylation conditions to afford, respectively, nucleic acid labeling compound 36.
- 4,4-Diethoxy-butylamine is reacted with an activated N-labeled caproyl amine, 37 to provide the N-labeled diethoxy butyl caproyl amide, 38.
- the amide, 38 is reacted with aqueous hydrochloric acid (0.04 N) to produce the N-labeled aldehyde, the aldehyde is reacted with phosphorylated 1-(3-Amino-4-hydroxy-5-hydroxymethyl-tetrahydro-furan-2-yl)-1H-pyrimidine-2,4-dione, 39, to furnish labeled N-alkyl 2′-amino-2′-deoxyuridine triphosphate, 40.
- the reaction is illustrated in Scheme 4.
- the protected phthalimide, 41 (available from RI Chemicals, 500 mg), is reacted successively with a) hydrazine/ethanol, b) Trifluoroacetic acid-imidazole at 0° C. and c) Acetic acid/methanol to provide compound, 42.
- the alcohol-amine is converted into a 5′-triphosphate using standard phosphorylation conditions followed by conjugation to a label to afford, respectively, nucleic acid labeling compounds, 43.
- 3-Hydroxy-2-hydroxymethyl-2,3,3a,9a-tetrahydro-furo[2′,3′:4,5]oxazolo[3,2-a]pyrimidin-6-one, 44 is treated with acetic anhydride in pyridine to protect the hydroxy groups.
- the protected compound, 45 is reacted with thioacetic acid/dioxane at 100° C., according to the procedure in J. Chem. Soc. Perkin Trans 1, 1992, 2587, the product is treated with ammonia provide thiol, 46.
- the thiol is reacted with disulfide, 99, to provide disulfide, 47, the disulvide is converted into a 5′-triphosphate using standard phosphorylation conditions followed by reaction with a labeled reagent to afford, respectively, nucleic acid labeling compounds, 43.
Landscapes
- Chemical & Material Sciences (AREA)
- Organic Chemistry (AREA)
- Life Sciences & Earth Sciences (AREA)
- Health & Medical Sciences (AREA)
- Engineering & Computer Science (AREA)
- General Health & Medical Sciences (AREA)
- Biotechnology (AREA)
- Genetics & Genomics (AREA)
- Molecular Biology (AREA)
- Biochemistry (AREA)
- Zoology (AREA)
- Wood Science & Technology (AREA)
- Proteomics, Peptides & Aminoacids (AREA)
- Immunology (AREA)
- Biophysics (AREA)
- Microbiology (AREA)
- Analytical Chemistry (AREA)
- Physics & Mathematics (AREA)
- Bioinformatics & Cheminformatics (AREA)
- General Engineering & Computer Science (AREA)
- Medicinal Chemistry (AREA)
- General Chemical & Material Sciences (AREA)
- Chemical Kinetics & Catalysis (AREA)
- Nuclear Medicine, Radiotherapy & Molecular Imaging (AREA)
- Pharmacology & Pharmacy (AREA)
- Animal Behavior & Ethology (AREA)
- Public Health (AREA)
- Veterinary Medicine (AREA)
- Heterocyclic Carbon Compounds Containing A Hetero Ring Having Oxygen Or Sulfur (AREA)
- Measuring Or Testing Involving Enzymes Or Micro-Organisms (AREA)
- Saccharide Compounds (AREA)
Abstract
Nucleic acid labeling compounds are disclosed. The compounds are synthesized by condensing a heterocyclic derivative with a cyclic group (e.g. a ribofuranose derivative). The labeling compounds are suitable for enzymatic attachment to a nucleic acid, either terminally or internally, to provide a mechanism of nucleic acid detection.
Description
- This application claims priority from U.S. provisional patent Application Ser. No. 60/275,202, filed on Mar. 12, 2001, which is herein incorporated by reference for all purposes.
- This invention was made with Government support under contract 70NANB5H1031 awarded by the Advanced Technology Program of the National Institute of Standards and Technology. The Government has certain rights in this invention.
- Gene expression in diseased and healthy individuals is oftentimes different and characterizable. The ability to monitor gene expression in such cases provides medical professionals with a powerful diagnostic tool. This form of diagnosis is especially important in the area of oncology, where it is thought that the overexpression of an oncogene, or the underexpression of a tumor suppressor gene, results in tumorogenesis. See Mikkelson et al. J. Cell. Biochem. 1991, 46, 3-8.
- One can indirectly monitor gene expression, for example, by measuring a nucleic acid (e.g., mRNA) that is the transcription product of a targeted gene. The nucleic acid is chemically or biochemically labeled with a detectable moiety and allowed to hybridize with a localized nucleic acid probe of known sequence. The detection of a labeled nucleic acid at the probe position indicates that the targeted gene has been expressed. See, e.g., International Application Publication Nos. WO 97/27317, WO 92/10588 and WO 97/10365.
- The labeling of a nucleic acid is typically performed by covalently attaching a detectable group (label) to either an internal or terminal position. Scientists have reported a number of detectable nucleotide analogues that have been enzymatically incorporated into an oligo- or polynucleotide. Langer et al., for example, disclosed analogues of dUTP and UTP that contain a covalently bound biotin moiety. Proc. Natl. Acad. Sci. USA 1981, 78, 6633-6637. The analogues, shown below, possess an allylamine linker arm that is attached to the C-5 position of the pyrimidine ring. The dUTP and UTP analogues, wherein R is H or OH, were incorporated into a polynucleotide.
- Petrie et al. disclosed a dATP analogue, 3-[5-[(N-biotinyl-6-aminocaproyl)-amino]pentyl]-1-(2-deoxy-β-D-erythro-pentofuranosyl)-1H-pyrazolo[3,4-d]pyrimidin-4-amine-5′-triphosphate. Bioconjugate Chem. 1991, 2, 441-446. The analogue, shown below, is modified at the 3-position with a linker arm that is attached to a biotin moiety. Petrie et al. reported that the compound wherein R is biotin is incorporated into DNA by nick translation.
- Prober et al. disclosed a set of four dideoxynucleotides, each containing a succinylfluorescein dye. Science 1987, 238, 336-341. The dideoxynucleotides, one of which is shown below, were enzymatically incorporated into an oligonucleotide through a template directed extension of a primer. The compounds provided for a DNA sequencing method based on gel migration.
- Herrlein et al. disclosed modified nucleoside trisphosphates of the four DNA bases. Helv. Chim. Acta 1994, 77, 586-596. The compounds, one of which is shown below, contain a 3′-amino group containing radioactive or fluorescent moieties. Herrlein et al. further described the use of the nucleoside analogues as DNA chain terminators.
- Cech et al. disclosed 3′-amino-functionalized nucleoside triphosphates. Collect. Czech. Chem. Commun. 1999, 61, S297-S300. The compounds, one of which is shown below, contain a fluorescein attached to the 3′-position through an amino linker. Cech et al. proposed that the described functionalized nucleosides would be useful as terminators for DNA sequencing.
- The development of novel nucleic acid labeling compounds that are effectively incorporated into a nucleic acid to provide a readily detectable composition would benefit genetic analysis technologies. It would aid, for example, in the monitoring of gene expression and the detection and screening of mutations and polymorphisms. Such a compound should be suitable for enzymatic incorporation into a nucleic acid. Furthermore, the nucleic acid to which the labeling compound is attached should maintain its ability to bind to a probe, such as a complementary nucleic acid.
- Although nucleic acid labeling compounds for use as coupling agents for probes are available there is a continuing need for additional compounds that are more efficient labeling compounds. There also exists a need for compounds that have increased solubility. This will make the compounds more useful for monitoring gene expression.
- The present invention relates to nucleic acid labeling compounds. More specifically, the invention provides compounds containing a detectable moiety. The invention also provides methods of making these compounds. It further provides methods of attaching the compounds to a nucleic acid. The nucleic acid labeling compounds or the present invention are effectively incorporated into a nucleic acids to provide readily detectable compositions that are useful for genetic analysis technologies. These compounds and the detectable compositions can aid, for example, in the monitoring of gene expression and the detection and screening of mutations and polymorphisms. Thus, the compounds of the invention are suitable for enzymatic incorporation into nucleic acids. Furthermore, the nucleic acids to which the labeling compound are attached maintain their ability to bind to a probe, such as, for example a complementary nucleic acid.
- The present invention provides nucleic acid labeling compounds that are capable of being enzymatically incorporated into a nucleic acid. The nucleic acids to which the compounds are attached maintain their ability to bind to a complementary nucleic acid sequence.
-
FIG. 1 illustrates a non-limiting set of template moieties. -
FIG. 2-10 illustrate synthetic routes to fluorescein and biotin labeled compounds of the invention. - The nucleic acid labeling compounds of the present invention have the following structure:
-
A-T-Hc-L-(M)m-Q, or A-T(Hc)-L-(M)m-Q, or A-T-Q - wherein A is hydrogen or a functional group that permits the attachment of the nucleic acid labeling compound to a nucleic acid; T is a template moiety; Hc is a heterocyclic group; L is a linker moiety; M is a connecting group; and Q is a detectable moiety.
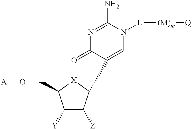
- In one embodiment, the nucleic acid labeling compounds have the following structures:
- wherein A is hydrogen or a functional group that permits the attachment of the nucleic acid labeling compound to a nucleic acid; X is O, S, NR1 or CHR2, wherein R1 and R2 are, independently, hydrogen, alkyl, or aryl; Y is hydrogen, N3, F, OR9, SR9 or NHR9, wherein R9 is hydrogen, alkyl or aryl; Z is hydrogen, N3, F, OR9, SR9 or NHR10, wherein R10 is hydrogen, alkyl or aryl; L is a linker moiety; Q is a detectable moiety; and M is a connecting group, wherein m is an integer ranging from 0 to about 20.
- In another embodiment, A is H or H4O9P3—; X is O; Y is H or OR9, wherein R9 is hydrogen, alkyl or aryl; Z is hydrogen, N3, F or OR10, wherein R10 is hydrogen, alkyl or aryl; and L is amido alkyl and M is -(M1)a-(M2)b- wherein a and b are independently integers from 0 to about 5 and the sum of a and b is not greater than 15.
- In another embodiment, L is —(CH2)nC(O)NR3— wherein R3 is hydrogen, alkyl or aryl and n is an integer ranging from about 1 to about 10; M1 is —(CH2)iO— and M2 is —(CH2)jNH—, wherein i and j are independently integers from 1 to about 5.
- In another embodiment, Y is H of OH; Z is H or OH; -L is —CH2C(O)NH—; M1 is —(CH2CH2O)3— and M2 is —CH2CH2NH—; and Q is biotin or a carboxyfluorescein.
- In another embodiment, Y is OH; Z is OH; -L-(M)m- is —CH2C(O)NH—(CH2CH2O)3—CH2CH2NH—; and Q is biotin or Y is OH; Z is OH; -L-(M)m- is —CH2C(O)NH—(CH2CH2O)3—CH2CH2NH—; Q is carboxyfluorescein.
- In another embodiment, A is H or H4O9P3—; X is O; Y is H or OR9, wherein R9 is hydrogen, alkyl or aryl; Z is hydrogen, N3, F or OR10, wherein R10 is hydrogen, alkyl or aryl; and L is amido alkyl and M is -(M1)a-(M2)b-(M3)c-(M4)d- wherein a, b, c, and d are independently integers from 0 to about 5 and the sum of a, b, c, and d is not greater than 15.
- In another embodiment, L is —(CH2)nC(O)NR3—, wherein R3 is hydrogen, alkyl or aryl and n is an integer ranging from about 1 to about 10; each M is independently —C(O)(CH2)kO—, —(CH2)iO— or —(CH2)jNH—, wherein i, j and k are independently integers from 1 to about 5.
- In another embodiment, L is —CH2C(O)NR3—, wherein R3 is hydrogen or, alkyl; M1 is —(CH2)2NH—, M2 is —C(O)(CH2)2O—, M3 is —(CH2CH2O)3 — and M4 is —(CH2)2NH—.
- In another embodiment, Y is OH; Z is OH; -L-(M)m- is —CH2C(O)NH—CH2CH2NH—C(O)CH2CH2O—(CH2CH2O)3—CH2CH2NH—; Q is biotin.
- In another embodiment, Y is OH; Z is OH; -L-(M)m- is —CH2C(O)NH—CH2CH2NH—; m is 1; and Q is carboxyfluorescein.
- In another embodiment, L is —(CH2)2C(O)NR3—, wherein R3 is hydrogen or, alkyl; M1 is —(CH2)2NH—, M2 is —C(O)(CH2)2O—, M3 is —(CH2CH2O)3— and M4 is —(CH2)2NH—.
- In another embodiment, Y is OH; Z is OH; -L-(M)m- is —CH2C(O)NH—CH2CH2NH—C(O)CH2CH2O—(CH2CH2O)3—CH2CH2NH—; Q is biotin.
- In another embodiment, Y is OH; Z is OH; -L-(M)m- is —CH2CH2C(O)NH—CH2CH2NH—; m is 1; and Q is carboxyfluorescein.
- In another embodiment, A is H or H4O9P3—; X is O; Y is H or OR9, wherein R9 is hydrogen, alkyl or aryl; Z is hydrogen, N3, F or OR10, wherein R10 is hydrogen, alkyl or aryl; and L is functionalized alkyl and M is —(M1)a-(M2)b-(M3)c-(M2)d- wherein a, b, c, and d are independently integers from 0 to about 5 and the sum of a, b, c, and d is not greater than 15.
- In another embodiment, L is —(CH2)nO—, wherein n is an integer ranging from about 1 to about 10; each M is independently —C(O)(CH2)kO—, —(CH2)iO— or —(CH2)jNH—, wherein i,j and k are independently integers from 1 to about 5.
- In another embodiment, L is —CH2O—; M1 is —(CH2)2NH—, M2 is —C(O)(CH2)2O—, M3 is —(CH2CH2O)3— and M4 is —(CH2)2NH—.
- In another embodiment, Y is OH; Z is OH; -L-(M)m- is —CH2O—CH2CH2NH—C(O)(CH2)2O—(CH2CH2O)3—CH2CH2NH—; Q is biotin or Y is OH; Z is OH; -L-(M)m- is —CH2O—CH2CH2NH—; m is 1; and Q is carboxyfluorescein.
- In another embodiment, L is —(CH2)nNR3—, wherein R3 is hydrogen, alkyl or aryl and n is an integer ranging from about 1 to about 10; each M is independently —C(O)(CH2)kO—, —(CH2), O— or —(CH2)jNH—, wherein i, j and k are independently integers from 1 to about 5.
- In another embodiment, L is —(CH2)6NH—; M1 is —(CH2)2NH—, M2 is —C(O)(CH2)2O—, and M3 is —(CH2CH2O)3—. In another embodiment, Y is OH; Z is OH; -L-(M)m- is —(CH2)6NH—C(O)(CH2)2O—(CH2CH2O)3—CH2CH2NH—; and Q is biotin or Y is OH; Z is OH; L is —(CH2)6NH—; m is 0; and Q is carboxyfluorescein.
- In another embodiment, A is H or H4O9P3—; X is O; Y is H or OR9, wherein R9 is hydrogen, alkyl or aryl; Z is hydrogen, N3, F or OR10, wherein R10 is hydrogen, alkyl or aryl; and L is alkenyl alkyl and M is -(M1)a-(M2)b-(M3)c-(M4)d- wherein a, b, c, and d are independently integers from 0 to about 5 and the sum of a, b, c, and d is not greater than 15.
- In another embodiment, L is structure —CH═CH—(CH2)nC(O)N(R6)—, wherein R6 is hydrogen, alkyl or aryl and n is an integer ranging from about 0 to about 10; each M is independently —C(O)(CH2)kO—, —(CH2)iO— or —(CH2)jNH—, wherein i,j and k are independently integers from 1 to about 5.
- In another embodiment, L is —CH═CH—C(O)N(H); M1 is —(CH2)2NH—, M2 is —C(O)(CH2)2O—, M3 is —(CH2CH2O)3— and M4 is —(CH2)2NH—.
- In another embodiment, Y is OH; Z is OH; -L-(M)m- is —CH═CH—C(O)NH—CH2CH2NH—C(O)(CH2)2O—(CH2CH2O)3—CH2CH2NH—; Q is biotin or Y is OH; Z is OH; -L-(M)m- is —CH═CH—C(O)NH—CH2CH2NH—; m is 1; and Q is carboxyfluorescein.
- In another embodiment, the nucleic acid labeling compounds have the following structure:
- wherein A is hydrogen or a functional group that permits the attachment of the nucleic acid labeling compound to a nucleic acid; L is a linker moiety; Q is a detectable moiety; and M is a connecting group, wherein m is an integer ranging from 0 to about 3.
- In another embodiment, A is H or H4O9P3—; L is alkanoyl; and Q is biotin or a carboxyfluorescein; M is —NR3— where R3 is hydrogen or alkyl, and wherein m is 1 or 0.
- In another embodiment, L is —C(O)(CH2)n— wherein n is an integer ranging from about 1 to about 10; M is —NH—; Q is biotin or a carboxyfluorescein.
- In another embodiment, -L-(M)m- is —C(O)(CH2)6—NH—; and Q is biotin or -L-(M)m- is —C(O)(CH2)6—NH—; and Q is carboxyfluorescein.
- In another embodiment, the nucleic acid labeling compounds have the following structures:
- wherein A is hydrogen or a functional group that permits the attachment of the nucleic acid labeling compound to a nucleic acid; X1 is O, S, NR1 or CHR2, wherein R1 and R2 are, independently, hydrogen, alkyl or aryl; R15 is hydrogen, alkyl or aryl; Y1 is hydrogen, N3, F, OR9, SR9 or NHR9, wherein R9 is hydrogen, alkyl or aryl; Z1 is hydrogen, N3, F, OR9, SR9 or NHR10, wherein R10 is hydrogen, alkyl or aryl; wherein one of Y1 or Z1 is a group having the formula —X2L-(M)m-Q; X2 is O, S, or NR16, and R16 is hydrogen, alkyl or aryl; L is a linker moiety; Q is a detectable moiety; and M is a connecting group, wherein m is an integer ranging from 0 to about 20.
- In another embodiment, A is H or H4O9P3—; X1 is O, Y1 is hydrogen, OR9, wherein R9 is hydrogen, or alkyl, or —NR16-(M)m-Q; wherein R16 is hydrogen, alkyl or aryl; Z1 is hydrogen OR10, wherein R10 is hydrogen, or alkyl, or —NR16-L-(M)m-Q, wherein R16 is hydrogen, or alkyl; L is N-alkyl amido; R15 is hydrogen or alkyl; M is —(CH2)nNR3— where R3 is hydrogen or alkyl, and m is from 1 to about 15.
- In another embodiment, Y1 is hydrogen or OH; Z1 is —NH-L-(M)m-Q; L is —(CH2)nNHC(O)— where n is an integer from 1 to about 10; M is —NH(CH2)p— where p is an integer from 1 to about 10; R15 is hydrogen or methyl; and Q is biotin or a carboxyfluorescein.
- In another embodiment, Y1 is OH; R15 is hydrogen; -L-(M)m- is —(CH2)4NH—C(O)(CH2)5NH—; and Q is biotin.
- In another embodiment, Y1 is OH; R15 is hydrogen; -L-(M)m- is —(CH2)4NH—C(O)(CH2)5NH—; and Q is a carboxyfluorescein.
- In another embodiment, Y1 is OH; R15 is methyl; -L-(M)m- is —(CH2)4NH—C(O)(CH2)5NH—; and Q is biotin.
- In another embodiment, Y1 is OH; R15 is methyl; -L-(M)m- is —(CH2)4NH—C(O)(CH2)5NH—; and Q is a carboxyfluorescein.
- In another embodiment, Y1 is —NH-L-(M)m-Q; Z1 is hydrogen or OH; L is —(CH2)nNHC(O)— where n is an integer from 1 to about 10; M is —NH(CH2)p— where n is an integer from 1 to about 10; R15 is hydrogen or methyl; and Q is biotin or a carboxyfluorescein.
- In another embodiment, Z1 is OH; R15 is hydrogen; -L-(M)m- is —(CH2)4NH—C(O)(CH2)5NH—; and Q is biotin.
- In another embodiment, of the nucleic acid labeling compound, Z1 is OH; R15 is hydrogen; -L-(M)m- is —(CH2)4NH—C(O)(CH2)5NH—; and Q is a carboxyfluorescein.
- In another embodiment, Z1 is OH; R15 is methyl; -L-(M)m- is —(CH2)4NH—C(O)(CH2)5NH—; and Q is biotin.
- In another embodiment, Z1 is OH; R15 is methyl; -L-(M)m- is —(CH2)4NH—C(O)(CH2)5NH—; and Q is a carboxyfluorescein.
- In another embodiment, A is H or H4O9P3—; X1 is O; Y1 is hydrogen, OR9, wherein R9 is hydrogen, or alkyl, or —O-L(M)m-Q; Z1 is hydrogen OR10, wherein R10 is hydrogen, or alkyl, or —O-L(M)m-Q, or alkyl; L is alkylene; and m is from 1 to about 10.
- In another embodiment, Y1 is hydrogen or OH; Z1 is —O-L-(M)m-Q; L is —(CH2)n— where a is an integer from 1 to about 12; M is —NH—; R15 is hydrogen or methyl; and Q is biotin or a carboxyfluorescein.
- In another embodiment, Y1 is OH; R15 is hydrogen; -L-(M)m- is —(CH2)6—NH—; and Q is biotin.
- In another embodiment, wherein Y1 is OH; R15 is hydrogen; -L-(M)m- is —(CH2)6—NH—; and Q is a carboxyfluorescein.
- In another embodiment, Y1 is OH; R15 is methyl; -L-(M)m- is —(CH2)6—NH—; and Q is biotin.
- In another embodiment, Y1 is OH; R15 is methyl; -L-(M)m- is —(CH2)6—NH—; and Q is a carboxyfluorescein.
- In another embodiment, Y1 is —O-L-(M)m-Q; Z1 is hydrogen or OH; L is —(CH2)n— where n is an integer from 1 to about 12; M is —NH—; R15 is hydrogen or methyl; and Q is biotin or a carboxyfluorescein.
- In another embodiment, Z1 is OH; R15 is hydrogen; -L-(M)m- is —(CH2)6—NH—; and Q is biotin.
- In another embodiment, Z1 is OH; R15 is hydrogen; -L-(M)m- is —(CH2)6—NH—; and Q is a carboxyfluorescein.
- In another embodiment, Z1 is OH; R15 is methyl; -L-(M)m- is —(CH2)6—NH—; and Q is biotin.
- In another embodiment, Z1 is OH; R15 is methyl; -L-(M)m- is —(CH2)6—NH—; and Q is a carboxyfluorescein.
- In another embodiment, A is H or H4O9P3—; X1 is O; Y1 is hydrogen, OR9, wherein R9 is hydrogen, or alkyl, or —S-L-(M)m-Q; Z1 is hydrogen OR10, wherein R10 is hydrogen, or alkyl, or —S-L-(M)m-Q; L is alkylene; X2 is S; and m is from 1 to about 10.
- In another embodiment, Y1 is hydrogen or OH; Z1 is —S-L-(M)m-Q; L is —S—(CH2)n— where n is an integer from 1 to about 10; M is —NH—; R15 is hydrogen or methyl; and Q is biotin or a carboxyfluorescein.
- In another embodiment, Y1 is OH; R15 is hydrogen; -L-(M)m- is —S—(CH2)2—NH—; and Q is biotin.
- In another embodiment, Y1 is OH; R15 is hydrogen; -L-(M)m- is —S—(CH2)2—NH—; and Q is a carboxyfluorescein.
- In another embodiment, Y1 is OH; R15 is methyl; -L-(M)m- is —S—(CH2)2—NH—; and Q is biotin.
- In another embodiment, Y1 is OH; R15 is methyl; -L-(M)m- is —S—(CH2)2—NH—; and Q is a carboxyfluorescein.
- In another embodiment, Y1 is —S-L-(M)m-Q; Z1 is hydrogen or OH; L is —S—(CH2)n— where n is an integer from 1 to about 10; M is —NH—; R15 is hydrogen or methyl; and Q is biotin or a carboxyfluorescein.
- In another embodiment, —Z1 is OH; R15 is hydrogen; -L-(M)m- is —S—(CH2)2—NH—; and Q is biotin.
- In another embodiment, Z1 is OH; R15 is hydrogen; -L-(M)m- is —S—(CH2)2—NH—; and Q is a carboxyfluorescein.
- In another embodiment, Z1 is OH; R15 is methyl; -L-(M)m- is —S—(CH2)2—NH—; and Q is biotin.
- In another embodiment, Z1 is OH; R15 is methyl; -L-(M)m- is —S—(CH2)2—NH—; and Q is a carboxyfluorescein.
- In another embodiment, the nucleic acid labeling compounds have the following structure:
- wherein A is hydrogen or a functional group that permits the attachment of the nucleic acid labeling compound to a nucleic acid; X1 is O, S, NR1 or CHR2, wherein R1 and R2 are, independently, hydrogen, alkyl or aryl; X2 is a bond or alkylene; Q is a detectable moiety; and G is -L-(M)m- where L is a linker moiety and each M a connecting group, where m is from 0 to about 20.
- In another embodiment, A is H or H4O9P3—; X1 is O; X2 is a bond; and G is —C(O)NR3—(CH2)m—(CH2CH2O)n—CH2CH2—C(O)NR3—, where R3 is hydrogen or alkyl, and m and n are independently an integer from 1 to about 15.
- In another embodiment, G is
-
—C(O)NH—(CH2)m—(CH2CH2O)n—CH2CH2—C(O)NH— - where m is from 1 to about 6 and n is from 1 to about 4. Preferably, n is 3 or 4 and m is 5 or 6.
- In another embodiment, A is H or H4O9P3—; X1 is O; X2 is CH2; and G is —C(O)NR3—(CH2)m—(CH2CH2O)n—CH2CH2—C(O)NR3—, where R3 is hydrogen or alkyl, and m and n are independently an integer from 1 to about 15.
- In another embodiment, A is H or H4O9P3—; X1 is O; X2 is CH2; and G is —C(O)NR3—(CH2)m—(CH2CH2O)n—CH2CH2—C(O)NR3—, where R3 is hydrogen or alkyl, and m and n are independently an integer from 1 to about 15.
- The present invention also provides nucleic acid derivatives produced by coupling a nucleic acid labeling compound with a nucleic acid and hybridization products comprising the nucleic acid derivatives bound to a complementary probe.
- The present invention also provides nucleic acid derivatives produced by coupling one of the nucleic acid labeling compounds of the invention with a nucleic acid and the hybridization products comprising the nucleic acid derivatives bound to a complementary probe. The hybridization product formed from the nucleic acid derivatives comprise the nucleic acid derivative bound to a complementary probe. In one embodiment, the probe is attached to a glass chip.
- The present invention also provides methods of synthesizing nucleic acid derivatives by attaching a nucleic acid labeling compound to a nucleic acid. It further provides methods of detecting nucleic acids involving incubating the nucleic acid derivatives with a probe.
- In yet another embodiment, the methods involve the steps of (a) providing at least one nucleic acid coupled to a support; (b) providing a labeled moiety capable of being coupled with a terminal transferase to said nucleic acid; (c) providing said terminal transferase; and (d) coupling said labeled moiety to said nucleic acid using said terminal transferase.
- In still another embodiment, the methods involve the steps of: (a) providing at least two nucleic acids coupled to a support; (b) increasing the number of monomer units of said nucleic acids to form a common nucleic acid tail on said at least two nucleic acids; (c) providing a labeled moiety capable of recognizing said common nucleic acid tails; and (d) contacting said common nucleic acid tails and said labeled moiety.
- In still yet another embodiment, the methods involve the steps of: (a) providing at least one nucleic acid coupled to a support; (b) providing a labeled moiety capable of being coupled with a ligase to said nucleic acid; (c) providing said ligase; and (d) coupling said labeled moiety to said nucleic acid using said ligase.
- This invention also provides compounds of the formulas described herein.
- The following definitions are used, unless otherwise described. Halo is fluoro, chloro, bromo, or iodo. Alkyl, alkoxy, aralkyl, alkylaryl, etc. denote both straight and branched alkyl groups; but reference to an individual radical such as “propyl” embraces only the straight chain radical, a branched chain isomer such as “isopropyl” being specifically referred to. Aryl includes a phenyl radical or an ortho-fused bicyclic carbocyclic radical having about nine to ten ring atoms in which at least one ring is aromatic. Heteroaryl encompasses a radical attached via a ring carbon of a monocyclic aromatic ring containing five or six ring atoms consisting of carbon and one to four heteroatoms each selected from the group consisting of non-peroxide oxygen, sulfur, and N(X) wherein X is absent or is H, O, (C1-C4)alkyl, phenyl or benzyl, as well as a radical of as ortho-fused bicyclic heterocycle of about eight to ten ring atoms derived therefrom, particularly a benz-derivative or one derived by fusing a propylene, trimethylene, or tetramethylene diradical thereto.
- “Alkyl” refers to a straight chain, branched or cyclic chemical groups containing only carbon and hydrogen. Alkyl groups include, without limitation, ethyl, propyl, butyl, pentyl, cyclopentyl and 2-methylbutyl. Alkyl groups are unsubstituted or substituted with 1 or more substituents (e.g., halogen, alkoxy, amino).
- “Alkylene” refers to a straight chain, branched or cyclic chemical group containing only carbon and hydrogen. Alkyl groups include, without limitation, ethylene, propylene, butylene, pentylene, and 2-methylbutylene. Alkyl groups are unsubstituted or substituted with 1 or more substituents (e.g., halogen, alkoxy, amino).
- “Aryl” refers to a monovalent, unsaturated aromatic carbocyclic group. Aryl groups include, without limitation, phenyl, naphthyl, anthryl and biphenyl. Aryl groups are unsubstituted or substituted with 1 or more substituents (e.g. halogen, alkoxy, amino). “Arylene” refers to a divalent aryl group.
- “Amido” refers to a chemical group having the structure —C(O)NR3—, wherein R3 is hydrogen, alkyl or aryl. Preferably, the amido group is of the structure —C(O)NR3— where R3 is hydrogen or alkyl having from about 1 to about 6 carbon atoms. More preferably, the amido alkyl group is of the structure —C(O)NH—.
- “Alkanoyl” refers to a chemical group having the structure —(CH2)nC(O)—, n is an integer ranging from 0 to about 10. Preferably, the alkanoyl group is of the structure —(CH2)nC(O)—, wherein n is an integer ranging from about 2 to about 10. More preferably, the alkanoyl group is of the structure —(CH2)nC(O)—, wherein n is an integer ranging from about 2 to about 6. Most preferably, the alkanoyl group is of the structure —CH2C(O)—.
- “Alkyl amido” refers to a chemical group having the structure —R4C(O)NR3—, wherein R3 is hydrogen, alkyl or aryl, and R4 is alkylene or arylene. Preferably, the alkyl amido group is of the structure —(CH2)nC(O)NH—, wherein n is an integer ranging from about 1 to about 10. More preferably, n is an integer ranging from about 1 to about 6. Most preferably, the alkyl amido group has the structure —(CH2)2C(O)NH— or the structure —CH2C(O)NH—.
- “N-Amido alkyl” refers to a chemical group having the structure —C(O)NR3R4—, wherein R3 is hydrogen, alkyl or aryl, and R4 is alkylene or arylene. Preferably, the N-amido alkyl group is of the structure —C(O)NH(CH2)nR5—, wherein n is an integer ranging from about 2 to about 10, and R5 is O, NR6, or C(O), and wherein R6 is hydrogen, alkyl or aryl. More preferably, the N-amido alkyl group is of the structure —C(O)NH(CH2)nN(H)—, wherein n is an integer ranging from about 2 to about 6. Most preferably, the N-amido alkyl group is of the structure —C(O)NH(CH2)4N(H)—.
- “Alkynyl alkyl” refers to a chemical group having the structure —C≡C—R4—, wherein R4 is alkyl or aryl. Preferably, the alkynyl alkyl group is of the structure —C≡C—(CH2 nR5—, wherein n is an integer ranging from 1 to about 10, and R5 is O, NR6 or C(O), wherein R6 is hydrogen, alkyl or aryl. More preferably, the alkynyl alkyl group is of the structure —C≡C—(CH2)nN(H)—, wherein n is an integer ranging from 1 to about 4. Most preferably, the alkynyl alkyl group is of the structure —C≡C—CH2N(H)—.
- “Alkenyl alkyl” refers to a chemical group having the structure —CH═CH—R4—, wherein R4 is a bond, alkyl or aryl. Preferably, the alkenyl alkyl group is of the structure —CH═CH—(CH2)nR5—, wherein n is an integer ranging from 0 to about 10, and R5 is O, NR6, C(O) or C(O)NR6, wherein R6 is hydrogen, alkyl or aryl. More preferably, the alkenyl alkyl group is of the structure —CH═CH—(CH2)nC(O)NR6—, wherein n is an integer ranging from 0 to about 4. Most preferably, the alkenyl alkyl group is of the structure —CH═CH—C(O)N(H)—.
- “Functionalized alkyl” refers to a chemical group of the structure —(CH2)nR7—, wherein n is an integer ranging from 1 to about 10, and R7 is O, S, NH or C(O). Preferably, the functionalized alkyl group is of the structure —(CH2)nC(O)—, wherein n is an integer ranging from 1 to about 4. More preferably, the functionalized alkyl group is of the structure —CH2C(O)—.
- “Alkoxy” refers to a chemical group of the structure —O(CH2)nR8—, wherein n is an integer ranging from 2 to about 10, and R8 is a bond, O, S, NH or C(O). Preferably, the alkoxy group is of the structure —O(CH2)n— wherein n is an integer ranging from 2 to about 4. More preferably, the alkoxy group is of the structure —OCH2CH2—.
- “Alkyl thio” refers to a chemical group of the structure —S(CH2)nR8—, wherein n is an integer ranging from 1 to about 10, and R8 is a bond, O, S, NH or C(O). Preferably, the alkyl thio group is of the structure —S(CH2)n—, wherein n is an integer ranging from 2 to about 4. More preferably, the thio group is of the structure —SCH2CH2C(O)—.
- “Amino alkyl” refers to a chemical group having an amino group attached to an alkyl group. Preferably an amino alkyl is of the structure —(CH2)nNH—, wherein n is an integer ranging from about 2 to about 10. More preferably it is of the structure —(CH2)nNH—, wherein n is an integer ranging from about 2 to about 4. Most preferably, the amino alkyl group is of the structure —(CH2)2NH—.
- “Nucleic acid” refers to a polymer comprising 2 or more nucleotides and includes single-, doable- and triple stranded polymers. “Nucleotide” refers to both naturally occurring and non-naturally occurring compounds and comprises a heterocyclic base, a sugar, and a linking group, preferably a phosphate ester. For example, structural groups may be added to the ribosyl or deoxyribosyl unit of the nucleotide, such as a methyl or allyl group at the 2′-O position or a fluoro group that substitutes for the 2′-O group. The linking group, such as a phosphodiester, of the nucleic acid may be substituted or modified, for example with methyl phosphonates or O-methyl phosphates. Bases and sugars can also be modified, as is known in the art. “Nucleic acid,” for the purposes of this disclosure, also includes “peptide nucleic acids” in which native or modified nucleic acid bases are attached to a polyamide backbone.
- The phrase “coupled to a support” means bound directly or indirectly thereto including attachment by covalent binding, hydrogen bonding, ionic interaction, hydrophobic interaction, or otherwise.
- “Probe” refers to a nucleic acid that can be used to detect, by hybridization, a target nucleic acid. Preferably, the probe is complementary to the target nucleic acid along the entire length of the probe, but hybridization can occur in the presence of one or more base mismatches between probe and target.
- “Perfect match probe” refers to a probe that has a sequence that is perfectly complementary to a particular target sequence. The test probe is typically perfectly complementary to a portion (subsequently) of the target sequence. The perfect match (PM) probe can be a “test probe”, a “normalization control” probe, an expression level control probe and the like. A perfect match control or perfect snatch probe is, however, distinguished from a “mismatch control” or “mismatch probe.” In the case of expression monitoring arrays, perfect match probes are typically preselected (designed) to be complementary to particular sequences or subsequences of target nucleic acids (e.g., particular genes). In contrast, in generic difference screening arrays, the particular target sequences are typically unknown. In the latter case, prefect match probes cannot be preselected. The term perfect match probe in this context is to distinguish that probe from a corresponding “mismatch control” that differs from the perfect match in one or more particular preselected nucleotides as described below.
- “Mismatch control” or “mismatch probe”, in expression monitoring arrays, refers to probes whose sequence is deliberately selected not to be perfectly complementary to a particular target sequence. For each mismatch (MM) control in a high-density array there preferably exists a corresponding perfect match (PM) probe that is perfectly complementary to the same particular target sequence. In “generic” (e.g., random, arbitrary, haphazard, etc.) arrays, since the target nucleic acid(s) are unknown perfect match and mismatch probes cannot be a priori determined, designed, or selected. In this instance, the probes are preferably provided as pairs where each pair of probes differ in one or more preselected nucleotides. Thus, while it is not known a priori which of the probes in the pair is the perfect match, it is known that when one probe specifically hybridizes to a particular target sequence, the other probe of the pair will act as a mismatch control for that target sequence. It will be appreciated that the perfect match and mismatch probes need not be provided as pairs, but may be provided as larger collections (e.g., 3, 4, 5, or more) of probes that differ from each other in particular preselected nucleotides. While the mismatch(s) may be located anywhere in the mismatch probe, terminal mismatches are less desirable as a terminal mismatch is less likely to prevent hybridization of the target sequence. In a particularly preferred embodiment, the mismatch is located at or near the center of the probe such that the mismatch is most likely to destabilize the duplex with the target sequence under the test hybridization conditions. In a particularly preferred embodiment, perfect matches differ from mismatch controls in a single centrally-located nucleotide.
- “Labeled moiety” refers to a moiety capable of being detected by the various methods discussed herein or known in the art.
- The nucleic acid labeling compounds of the present invention are of the following structure:
-
A-O—CH2-T-Hc-L-(M)m-Q, or A-O—CH2-T(H)c-L-(M)m-Q, or A-O—CH2-T-Q - wherein A is hydrogen or a functional group that permits the attachment of the nucleic acid labeling compound to a nucleic acid; T is an optional template moiety; Hc is an heterocyclic group; L is a linker moiety; Q is a detectable moiety; and M is an connecting group, wherein m is an integer ranging from 0 to about 20. In a preferred embodiment m is from 0 to about 15. In a more preferred embodiment m is from 0 to about 10. In the most preferred embodiment m is from 0 to about 5.
- The group A is either hydrogen or a functional group that permits the attachment of a nucleic acid labeling compound to a nucleic acid. Nonlimiting examples of such groups include the following: monophosphate; diphosphate; triphosphate (H4O9P); phosphoramidite ((R2N)(R′O)P), wherein R is linear, branched or cyclic alkyl, and R′ is a protecting group such as 2-cyanoethyl; and H-phosphonate (HP)(O)O—HNR3), wherein R is linear, branched or cyclic alkyl.
- The template moiety (T) is covalently attached to a methylene group (CH2) at one position and a heterocyclic group (Hc) or the linker moiety at another position. A nonlimiting set of template moieties is shown in
FIG. 1 , wherein the substituents are defined as follows: X is O, S, NR1 or CHR2; Y is H, N3, F, OR9, SR9 or NHR9; Z is H, N3, F or OR10; W is O, S or CH2; D is O or S; and, G is O, NH or CH2. The substituents R1, R2, R9 and R10 are independent of one another and are H, alkyl or aryl. - The heterocyclic group (Hc) is a cyclic moiety containing both carbon and a heteroatom.
- The linker moiety (L) of the nucleic acid labeling compound is covalently bound to the heterocycle (Hc) or the template moiety at one terminal position. It is attached to the detectable moiety (Q) at another terminal position, either directly or through a connecting group (M). It is of a structure that is sterically and electronically suitable for incorporation into a nucleic acid. Nonlimiting examples of linker moieties include amido alkyl groups, functionalized alkyl groups, alkenyl alkyl groups, alkanoyl groups, and N-alkyl amido groups.
- Amido groups have the structure —C(O)NR3—, wherein R3 is hydrogen, alkyl or aryl. Preferably, the amido group is of the structure —C(O)NR3— where R3 is hydrogen or alkyl having from about 1 to about 6 carbon atoms. More preferably, the amido alkyl group is of the structure —C(O)NH—.
- Alkanoyl groups have the structure —(CH2)nC(O)—, n is an integer ranging from 0 to about 10. Preferably, the alkanoyl group is of the structure —(CH2)nC(O)—, wherein n is an integer ranging from about 2 to about 10. More preferably, the alkanoyl group is of the structure —(CH2)nC(O)—, wherein n is an integer ranging from about 2 to about 6. Most preferably, the alkanoyl group is of the structure —CH2C(O)—.
- Amido alkyl groups have the structure —R4C(O)NR3—, wherein R3 is hydrogen, alkyl or aryl, and R4 is alkyl or aryl. The amido alkyl group is preferably of the structure —(CH2)nC(O)NH—, wherein n is an integer ranging from about 1 to about 10. More preferably, n is an integer ranging from about 1 to about 6. Most preferably, the alkyl amido group has the structure —(CH2)2C(O)NH— or the structure —CH2C(O)NH—.
- N-Amido alkyl groups have the structure —C(O)NR3R4—, wherein R3 is hydrogen, alkyl or aryl, and R4 is alkylene or arylene. Preferably, the N-amido alkyl group is of the structure —C(O)NH(CH2)nR5—, wherein n is an integer ranging from about 2 to about 10, and R5 is O, NR6, or C(O), and wherein R6 is hydrogen, alkyl or aryl. More preferably, the N-amido alkyl group is of the structure —C(O)NH(CH2)nN(H)—, wherein n is an integer ranging from about 2 to about 6. Most preferably, the N-amido alkyl group is of the structure —C(O)NH(CH2)4N(H)—.
- Alkenyl alkyl groups are of the structure —CH═CH—R4—, wherein R4 is alkyl or aryl. The alkenyl alkyl group is preferably of the structure —CH═CH(CH2)nR5—, wherein n is an integer ranging from 1 to about 10, and R5 is O, NR6, C(O) or C(O)NR6, wherein R6 is hydrogen, alkyl or aryl. More preferably, the alkenyl alkyl group is of the structure —CH═CH—(CH2)nC(O)NR6—, wherein n is an integer ranging from 0 to about 4. Most preferably, the alkenyl alkyl group is of the structure —CH═CH—C(O)N(H)—.
- Functionalized alkyl groups are of the structure —(CH2)nR7—, wherein n is an integer ranging from 1 to about 10, and R7 is O, S, NH, or C(O). The functionalized alkyl group is preferably of the structure —(CH2)nC(O)—, wherein n is an integer ranging from 1 to about 4. More preferably, the functionalized alkyl group is —CH2C(O)—.
- Alkoxy groups are of the structure —O(CH2)nR8—, wherein n is an integer ranging from 2 to about 10, and R8 is O, S, NH, or C(O). The alkoxy group is preferably of the structure —O(CH2)n— or —O(CH2)nC(O)—, wherein n is an integer ranging from 2 to about 4. More preferably, the alkoxy group is of the structure —OCH2CH2— or —OCH2CH2C(O)—.
- Alkyl thio groups are of the structure —S(CH2)nR8—, wherein n is an integer ranging from 2 to about 10, and R8 is O, S, NH, or C(O). The alkyl thio group is preferably of the structure —S(CH2)nC(O)—, wherein n is an integer ranging from 2 to about 4. More preferably, the alkyl thio group is of the structure —SCH2CH2C(O)—.
- Amino alkyl groups comprise an amino group attached to an alkyl group. Preferably, amino alkyl groups are of the structure —NH(CH2)nNH—, wherein n is an integer ranging from about 2 to about 10. The amino alkyl group is more preferably of the structure —(CH2)nNH—, wherein n is an integer ranging from about 2 to about 4. Most preferably, the amino alkyl group is of the structure —(CH2)4NH—.
- The detectable moiety (Q) is a chemical group that provides an signal. The signal is detectable by any suitable means, including spectroscopic, photochemical, biochemical, immunochemical, electrical, optical or chemical means. In certain cases, the signal is detectable by 2 or more means.
- The detectable moiety provides the signal either directly or indirectly. A direct signal is produced where the labeling group spontaneously emits a signal, or generates a signal upon the introduction of a suitable stimulus. Radiolabels, such as 3H, 125I, 35S, 14C or 32P, and magnetic particles, such as Dynabeads™, are nonlimiting examples of groups that directly and spontaneously provide a signal. Labeling groups that directly provide a signal in the presence of a stimulus include the following nonlimiting examples: colloidal gold (40-80 nm diameter), which scatters green light with high efficiency; fluorescent labels, such as fluorescein, texas red, rhodamine, and green fluorescent protein (Molecular Probes, Eugene, Oreg.), which absorb and subsequently emit light; chemiluminescent or bioluminescent labels, such as luminol, lophine, acridine salts and luciferins, which are electronically excited as the result of a chemical or biological reaction and subsequently emit light; spin labels, such as vanadium, copper, iron, manganese and nitroxide free radicals, which are detected by electron spin resonance (ESR) spectroscopy; dyes, such as quinoline dyes, triarylmethane dyes and acridine dyes, which absorb specific wavelengths of light; and colored glass or plastic (e.g., polystyrene, polypropylene, latex, etc.) beads. See U.S. Pat. Nos. 3,817,837; 3,850,752; 3,939,350; 3,996,345; 4,277,437; 4,275,149 and 4,366,241.
- A detectable moiety provides an indirect signal where it interacts with a second compound that spontaneously emits a signal, or generates a signal upon the introduction of a suitable stimulus. Biotin, for example, produces a signal by forming a conjugate with streptavidin, which is then detected. See Hybridization With Nucleic Acid Probes. In Laboratory Techniques in Biochemistry and Molecular Biology; Tijssen, P., Ed.; Elsevier: New York, 1993; Vol. 24. An enzyme, such as horseradish peroxidase or alkaline phosphatase, that is attached to an antibody in a label-antibody-antibody as in an ELISA assay, also produces an indirect signal.
- A preferred detectable moiety is a fluorescent group. Fluorescent groups typically produce a high signal to noise ratio, thereby providing increased resolution and sensitivity in a detection procedure. Preferably, the fluorescent group absorbs light with a wavelength above about 300 nm, more preferably above about 350 nm, and most preferably above about 400 nm. The wavelength of the light emitted by the fluorescent group is preferably above about 310 nm, more preferably above about 360 nm, and most preferably above about 410 nm.
- The fluorescent detectable moiety is selected from a variety of structural classes, including the following nonlimiting examples: 1- and 2-aminonaphthalene, p,p′diaminostilbenes, pyrenes, quaternary phenanthridine salts, 9-aminoacridines, p,p′-diaminobenzophenone imines, anthracenes, oxacarbocyanine, marocyanine, 3-aminoequilenin, perylene, bisbenzoxazole, bis-p-oxazolyl benzene, 1,2-benzophenazin, retinol, bis-3-aminopridinium salts, hellebrigenin, tetracycline, sterophenol, benzimidazolyl phenylamine, 2-oxo-3-chromen, indole, xanthen, 7-hydroxycoumarin, phenoxazine, salicylate, strophanthidin, porphyrins, triarylmethanes, flavin, xanthene dyes (e.g., fluorescein and rhodamine dyes); cyanine dyes; 4,4-difluoro-4-bora-3a,4a-diaza-s-indacene dyes and fluorescent proteins (e.g., green fluorescent protein, phycobiliprotein).
- A number of fluorescent compounds are suitable for incorporation into the present invention. Nonlimiting examples of such compounds include the following: dansyl chloride; fluoresceins, such as 3,6-dihydroxy-9-phenylxanthhydrol; rhodamineisothiocyanate; N-phenyl-1-amino-8-sulfonatonaphthalene; N-phenyl-2-amino-6-sulfonatonaphthanlene; 4-acetamido-4-isothiocyanatostilbene-2,2′-disulfonic acid; pyrene-3-sulfonic acid; 2-toluidinonapththalene-6-sulfonate; N-phenyl, N-methyl 2-aminonaphthalene-6-sulfonate; ethidium bromide; stebrine; auromine-0,2-(9′-anthroyl)palmitate; dansyl phosphatidylethanolamin; N,N′-dioctadecyl oxacarbocycanine; N,N′-dihexyl oxacarbocyanine; merocyanine, 4-(3′-pyrenyl)butryate; d-3-aminodesoxy-equilenin; 12-(9′-anthroyl)stearate; 2-methylanthracene; 9-vinylanthracene; 2,2′-(vinylene-p-phenylene)bisbenzoxazole; p-bis[2-(4-methyl-5-phenyl oxazolyl)]benzene; 6-dimethylamino-1,2-benzophenzin; retinol; bis(3′-aminopyridinium)-1,10-decandiyl diiodide; sulfonaphthylhydrazone of hellibrienin; chlorotetracycline; N-(7-dimethylamino-4-methyl-2-oxo-3-chromenyl)maleimide; N-[p-(2-benzimidazolyl)phenyl]maleimide; N-(4-fluoranthyl)maleimide; bis(homovanillic acid); resazarin; 4-chloro-7-nitro-2,1,3-benzooxadizole; merocyanine 540; resorufin; rose bengal and 2,4-diphenyl-3(2H)-furanone. Preferably, the fluorescent detectable moiety is a fluorescein or rhodamine dye.
- Another preferred detectable moiety is colloidal gold. The colloidal gold particle is typically 40 to 80 nm in diameter. The colloidal gold may be attached to a labeling compound in a variety of ways. In one embodiment, the linker moiety of the nucleic acid labeling compound terminates in a thiol group (—SH), and the thiol group is directly bound to colloidal gold through a dative bond. See Mirkin et al. Nature 1996, 382, 607-609. In another embodiment, it is attached indirectly, for instance through the interaction between colloidal gold conjugates of antibiotin and a biotinylated labeling compound. The detection of the gold labeled compound may be enhanced through the use of a silver enhancement method. See Danscher et al.
J. Histotech 1993, 16, 201-207. - The connecting groups (M)m may serve to covalently attach the linker group (L) to the detectable moiety (Q). Each M group can be the same or different and can independently be any suitable structure that will not interfere with the function of the labeling compound. Nonlimiting examples of M groups include the following: amino alkyl, —CO(CH2)5NH—, —CO—, —NH—, —CO(O)—, —CO(NH)—, —(CH2)iO—, —(CH2)jNH—, —C(O)(CH2)hO—, —CO(CH2)5NHCO(CH2)5NH—, —NH(CH2CH2O)kNH— and —CO(CH2)5—; wherein, k is an integer from 1 to about 5, preferably k is 1 or 2; m is an integer ranging from 0 to about 5, preferably 0 to about 3; h, i and j are independently integers from 1 to about 5, preferably 1 to about 3.
-
FIG. 2 illustrates a synthetic route to nucleic acid labeling compound, 4, starting from 2-amino-5-(β-D-ribofuranosyl)-4(1H)-pyrimidinone, 1. The hydroxy groups are protected as the trimethyl silylethers according to the procedure described in J. Antibiot. 1977, 30, 129. The N1 nitrogen atom is alkylated using a substituted iodoamide having a biotin label attached, according to the procedure described inTetrahedron 1984, 40, 33. (PEO-iodoacetyl biotin can be purchased from Pierce Chemical Co.) The silyl protecting groups are removed, providing a compound having free alcohol groups using acetic acid in methanol. The product is converted into a 5′-triphosphate to afford labeledcompound 4. -
FIG. 3 illustrates a synthetic route to nucleic acid labeling compounds, 6 and 7, starting from 2-amino-5-(β-D-ribofuranosyl)-4(1H)-pyrimidinone, 1. The hydroxy groups are protected as the trimethyl silylethers according to the procedure described in J. Antibiot. 1977, 30, 129. The N1 nitrogen atom is alkylated according to the procedure described inTetrahedron 1984, 40, 33, using ethyl iodoacetate. The ester is converted to amide, 5, using ethylene diamine. The biotin labeled compound is prepared by reacting amide, 5, with biotin-dPEG4™-NHS (purchased from Quanta Biodesign). Alternatively, amide 5 is reacted with 5-carboxyfluorescein-NHS. The silyl protecting groups are removed to provide a compound having free alcohol groups, using acetic acid in methanol. The product is converted into a 5′-triphosphate using standard phosphorylation conditions to afford, respectively, nucleicacid labeling compounds 6 and 7. -
FIG. 4 illustrates an alternate synthetic route to nucleic acid labeling compounds, 6 and 7, starting from 2-amino-5-(β-D-ribofuranosyl)-4(1H)-pyrimidinone, 1. The hydroxy groups are protected as acetyl esters using acetic anhydride in pyridine. The N1 nitrogen atom is alkylated according to the procedure described inTetrahedron 1984, 40, 33, using ethyl iodoacetate. The ester is converted to amide, 8, using ethylene diamine. The biotin labeled compound is prepared by reacting amide, 8, with biotin-dPEG4™-NHS (purchased from Quanta Biodesign). Alternatively, amide 8 is reacted with 5-carboxyfluorescein-NHS. The silyl protecting groups are removed to provide a compound having free alcohol groups, using acetic acid in methanol. The product is converted into a 5′-triphosphate using standard phosphorylation conditions to afford, respectively, nucleicacid labeling compounds 6 and 7. -
FIG. 5 illustrates a synthetic route to nucleic acid labeling compounds, 10 and 11, starting from 2-amino-5-(β-D-ribofuranosyl)-4(1H)-pyrimidinone, 1. The hydroxy groups are protected as acetyl esters using acetic anhydride in pyridine. The N1 nitrogen atom is alkylated according to the procedure described in K. Muhlegger, et al. 1996, WO 96/28640, using methyl acrylate in triethyl amine. The ester, 8 is converted to amide, 9, using ethylene diamine. The biotin labeled compound is prepared by reacting amide, 9, with biotin-dPEG4™-NHS (purchased from Quanta Biodesign). Alternatively, amide 9 is reacted with 5-carboxyfluorescein-NHS. The product is converted into a 5′-triphosphate using standard phosphorylation conditions to afford, respectively, nucleic acid labeling compounds 10 and 11. -
FIG. 6 illustrates a synthetic route to nucleic acid labeling compounds, 14 and 15, starting from 2-amino-5-(β-D-ribofuranosyl)-4(1H)-pyrimidinone, 1. The hydroxy groups are protected as acetyl esters using acetic anhydride in pyridine. The N1 nitrogen atom is alkylated according to the procedure described in Tet Lett 1995 36, 3261, using methyl propynoate. The ester, 12 is converted to amide, 9, using ethylene diamine. The biotin labeled compound is prepared by reacting amide, 9, with biotin-dPEG4™-NHS (purchased from Quanta Biodesign). Alternatively, amide 9 is reacted with 5-carboxyfluorescein-NHS. The product is converted into a 5′-triphosphate using standard phosphorylation conditions to afford, respectively, nucleic acid labeling compounds 14 and 15. -
FIG. 7 illustrates a synthetic route to nucleic acid labeling compounds, 17 and 18, starting from 2-amino-5-(β-D-ribofuranosyl)-4(1H)-pyrimidinone, 1. The hydroxy groups are protected as the trimethyl silylethers according to the procedure described in J. Antibiot.1971, 30, 129. The N1 nitrogen atom is alkylated, using 2-(2-chloromethoxy-ethyl)-isoindole-1,3-dione, according to the procedure described in Chemo 1985, 31, 151. The product, 16 is treated with hydrazine in ethanol to remove the protecting groups. The biotin labeled compound is prepared by reacting the ether-amine with biotin-dPEG4™-NHS (purchased from Quanta Biodesign) using standard conditions. Alternatively, the ether-amine is reacted with (Ac)2F1-NHS using standard conditions. The product is converted into a 5′-triphosphate using standard phosphorylation conditions to afford, respectively, nucleic acid labeling compounds 17 and 18. -
FIG. 8 illustrates a synthetic route to nucleic acid labeling compounds, 20 and 21, starting from 2-amino-5-(β-D-ribofuranosyl)-4(1H)-pyrimidinone, 1. The hydroxy groups are protected as acetyl esters using acetic anhydride in pyridine. The N1 nitrogen atom is alkylated using (6-trifluoroacetamido)hexyl alcohol in the presence of triphenyl phosphane ((Ph)3P), and diethylazodicarboxylate (DEAD), according to the procedure described in Brossette, T. et al., J. Org. Chem. 1999, 64, 5083 and Nuclesies, Nucleotides and Nucleic Acids 2000, 19, 867. The N1 nitrogen atom is alkylated using (6-trifluoroacetamido)hexyl alcohol according to the procedure described in J. Antibiot. 1977, 30, 129. The protecting groups are removed to provide a compound having free amine and alcohol groups, using ammonia in methanol. The biotin labeled compound is prepared by reacting the ether-amine with biotin-dPEG4™-NHS (purchased from Quanta Biodesign) using standard conditions. Alternatively, the ether-amine is reacted with (Ac)2F1-NHS using standard conditions. The product is converted into a 5′-triphosphate using standard phosphorylation conditions to afford, respectively, nucleic acid labeling compounds 20 and 21. -
FIG. 9 illustrates a synthetic route to nucleic acid labeling compounds, 23 and 24, starting from 2-amino-5-(β-D-ribofuranosyl)-4(1H)-pyrimidinone, 1. The hydroxy groups are protected as acetyl esters using acetic anhydride in pyridine. The N1 nitrogen atom is alkylated using 2-(6-iodo-hexyl)-isoindole-1,3-dione according to the procedure described in J. Antibiot. 1977, 30, 129. The product, 22 is treated with hydrazine in ethanol to remove the protecting groups. The biotin labeled compound is prepared by reacting the free amine with biotin-dPEG4™-NHS (purchased from Quanta Biodesign) using standard conditions. Alternatively, the ether-amine is reacted with (Ac)2F1-NHS using standard conditions. The product is converted into a 5′-triphosphate using standard phosphorylation conditions to afford, respectively, nucleic acid labeling compounds 23 and 24. -
FIG. 10 illustrates a synthetic route to nucleic acid labeling compounds, 36, starting from [1,4]Dioxan-2-one, Shahi, S. P., et al., J. Org. Chem. (1999), 64: 4509-11, Nishimura, T., et al., J. Org. Chem. 1999, 64 6750-55, Nishida, H., et al., J. Polym. Sci. 2000, 38: 1560-67; (2-Hydroxy-ethoxy)-acetic acid methyl ester, Kitano, M,; and Ohashi, N., EP 787728 A1(1997), or a polymer thereof, Nishida H, et al., J. Polym. Sci., (2000), 38: 1560-67, 33. The compound is reacted with a diamine having a suitable linker moiety, e.g., a polyethylene oxide, alkylene, a combination there of and the like. The labeled compound is prepared by reacting the ether-amine with a suitable labeling compound using standard conditions. The product is converted into a 5′-triphosphate using standard phosphorylation conditions to afford, respectively, nucleicacid labeling compound 36. - Nucleic acids can be isolated from a biological sample or synthesized, on a solid support or in solution for example, according to methods known to those of skill in the art. As used herein, there is limitation on the length or source of the nucleic acid used in a labeling-process. Exemplary methods of nucleic acid isolation and purification are described in Theory and Nucleic Acid Preparation. In Laboratory Techniques in Biochemistry and Molecular Biology; Hybridization With Nucleic Acid Probes; P. Tijssen, Ed,; Part I; Elsevier; N.Y., 1993. A preferred method of isolation involves an acid guanidinium-phenol-chloroform extraction followed by oligo dT column chromotography or (dT)n magnetic bead use. Sambrook et al. Molecular Cloning: A Laboratory Manual, 2nd ed.; Cold Spring Harbor Laboratory, 1989; Vols. 1-3; and Current Protocols in Molecular Biology; F. Ansubel et al. Eds.; Greene Publishing and Wiley Interscience: N.Y., 1987.
- In certain cases, the nucleic acids are increased in quantity through amplification. Suitable amplification methods include, but are not limited to, the following examples: polymerase chain reaction (PCR) (Innis, et al. PCR Protocols, A guide to Methods and Application; Academic Press; San Diego, 1990); ligase chain reaction (LCR) (Wu and Wallace,
Genomics 1989, 4, 560; Landgren, et al. Science 1988, 241, 1077; and Barringer, et al. Gene 1990, 89, 117); transcription amplification (Kwoh et al. Proc. Natl. Acad. Sci. USA 1989, 86, 1173); and self-sustained sequence replication (Guatelli, et al. Proc. Nat. Acad. Sci. USA 1990, 87, 1874). - The nucleic acid labeling compound can be incorporated into a nucleic acid using a number of method. For example, it can be directly attached to an original nucleic acid sample (e.g., MRNA, polyA mRNA, cDNA) or to an amplification product. Methods of attaching a labeling compound to a nucleic acid include, without limitation, nick translation, 3-end-labeling, ligation, in vitro transcription (IVT) or random priming. Where the nucleic acid is an RNA, a labeled riboligonucleotide is ligated, for example, using an RNA ligase such as T4 RNA Ligase. In The Enzymes; Uhlenbeck and Greensport, Eds.; Vol. XV, Part B, pp. 31-58; and, Sambrook et al., pp. 5.66-5.69. Terminal transferase is used to add deoxy-, dideoxy- or ribonucleoside triphosphates (dNTPs, ddNTPs or NTPs), for example, where the nucleic acid is single stranded DNA.
- The labeling compound can also be incorporated at an internal position of a nucleic acid. For example, PCR in the presence of a labeling compound provides an internally labeled amplification product. See, e.g., Yu et al.
Nucleic Acids Research 1994, 22, 3226-3232. Similarly, IVT in the presence of a labeling compound can provide an internally labeled nucleic acid. - The nucleic acid to which the labeling compound is attached can be detected after hybridization with a nucleic acid probe. Alternatively, the probe can be labeled, depending upon the experimental scheme preferred by the user. Use probe is a nucleic acid, or a modified nucleic acid, that is either attached to a solid support or is in solution. It is complementary in structure to the labeled nucleic acid with which it hybridizes. The solid support is of any suitable material, including polystyrene based beads and glass chips. In a preferred embodiment, the probe or target nucleic acid is attached to a glass chip, such as a GeneChip® product (Affymetrix, Inc., Santa Clara, Calif.). See International Publication Nos. WO 97/10363, WO 97/29212, WO 97/27317, WO 95/11995, WO 90/15070, and U.S. Pat. Nos. 5,744,305 and 5,445,934 which are hereby incorporated by reference.
- Because probe hybridization is often a step in the detection of a nucleic acid, the nucleic acid labeling compound must be of a structure that does not substantially interfere with that process. The steric and electronic nature of the labeling compound, therefore, is compatible with the binding of the attached nucleic acid to a complementary structure.
- The following examples are offered to illustrate, but not to limit, the present invention.
- Reagents were purchased from Aldrich Chemical Company (Milwaukee, Wis.) in the highest available purity. All listed solvents were anhydrous. Intermediates were characterized by 1H NMR and mass spectrometry.
- To 0.5 umoles (50 uL of a 10 mM solution) of the amino nucleotide triphosphate (1or 2) in a 0.5 ml ependorf tube was added 25 ul of a 1 M aqueous solution of sodium borate, pH 8, 87 uL of methanol, and 88 uL (10 umol, 20 equiv) of a 100 mM solution of 5-carboxyfluorescein-X—NHS ester in methanol. The mixture was vortexed briefly and allowed to stand at room temperature in the dark for 15 hours. The sample was then purified by ion-exchange HPLC to afford the
3 or 4 in about 78-84% yield. Relative efficiencies of incorporation of these compounds by TdT are shown in Table 1.fluoresceinated derivatives -
TABLE 1 Incorporation of triphosphate compounds by TdT. TdT Labeling Efficiencies % Labeled X (3′) Y (2′) B (1′b) 40U 160U OH H uracil 100.0 100.0 NH2 H thymine 100 100 NHCO(CH2)5NH— H thymine 1.3 2.2 (CO—FL) OH NH2 uracil 65 95 OH NHCO(CH2)5NH—(CO—FL) uracil 3.0 6.6 OH O(CH2)6NH—(CO—FL) uracil 2.6 7.0 OH O(CH2)6NHCO—(CH2)5— uracil 15.0 17.0 NHCO-Biotin OH NH(CH2)5CH3 uracil 45 5.0 - Synthesis of the N1-labeled 2-amino-5-(β-D-ribofuranosyl)-4(1H)-pyrimidinone, 55, involved alkylation at N1 using conditions similar to those described by Muehlegger, et al. (WO 96/28640) for the N1-alkylation of pyrazalo-[4,3-d]pyrimidines (
FIG. 3A ). - Morhpholino-uracil tosylate salt 25 (30 mg) was co-evaporated with pyridine (3×3 ml) and dissolved is 2 ml of pyridine and cooled to 0° C. Trifluoroacetic anhydride (30 uL) was added and stirred for 1 hour. The reaction was followed by HPLC until complete. The pyridine was removed and the residue was dissolved in 1 ml of water and filtered. The product was purified by HPLC on a Waters C-18 bondapak cartridge (Buffer: A=50 mM TEM pH 7.0; B=acetonitrile) using a gradient of 0-25% B in 30 minutes (retention time=22 min). The product was desalted on a Sep-Pak cartridge and freeze-dried to give 151 mg of 26. Phosphorylation of 2 using the POCl3 method gave 27. The removal of the trifluoroacetyl group with conc. NH4OH at 50° C. for 30 min to provide the free amine, 28. Conjugation of 28 to 5-carboxyfluoroscein-aminocaproic acid N-hydroxysuccinimide (F1-X—NHS) under standard conditions provided amide 29. The mass spectral and NMR data for compounds 25-29 were consistent with the proposed structures.
- The compounds of the invention having general formulas I, IA IB, II, III, IIIA, IIIB, and IV as disclosed herein can be prepared using available reagents and procedures that are standard in the art. In addition, examples of these procedures are illustrated in
FIGS. 2-10 . - 3 uM dT16 template
- 15(30) uM NTP
- 40 U TdT (Promega)
- 1× buffer, pH 7.5 (Promega)
- Procedure: incubate 1 hr. at 37° C., then for 10 min. at 70° C., followed by the addition of EDTA (2 mM final concentration) in a volume of 50 uL
- 4.6 mm×250 mm Nucleopac PA-100 ion-exchange column (Dionex) buffer A: 20 mM NaOH (or 20 mM Tris pH 8, in the case of TdT incorporation of nucleotide triphoshates that are not dye-labeled) buffer B: 20 mM NaOH, 1M NaCl (or 20 mM Tris pH 8, 1M NaCl, in the case of TdT incorporation of nucleotide triphoshates that are not dye-labeled)
- Dilute the reaction with 50 uL of buffer A. Inject 50 uL of this sample onto the HPLC column and fractionate using a gradient of 5 to 100% buffer B over 30 minutes at a flow rate of 1 mL/min. Detect the peaks simultaneously at 260 mm absorbance and the absorbance maximum of the dye (or the fluorescence emission maximum of the dye).
- The incorporation efficiency is expressed as the fraction of oligonucleotide that is labeled. This number is determined by dividing the peak area measured at 260 nm absorbance of the labeled oligonucleotide by the sum of the peak areas of the unlabeled and labeled oligonucleotide. (The retention time of fluorescein-labeled dT16 is on the order of 2 to 3 min. longer than the unlabeled dT16.) The error in this type of assay is about 10%. The percentage labeling efficiency for 4 types of nucleic acid labeling compounds is shown below in Table 1.
- Compounds having general formula can be prepared using available reagents and procedures that are standard in the art. In addition, examples of these procedures are illustrated in
Schemes 3 andFIG. 10 . - [1,4]Dioxan-2-one, (2-Hydroxy-ethoxy)-acetic acid methyl ester, or a polymer thereof, 33, is reacted with a diamine having a linker moiety, e.g., a polyethylene oxide, alkylene, a combination there of. The labeled compound is prepared by reacting the ether-amine with a suitable labeling compound using standard conditions. The product is converted into a 5′-triphosphate using standard phosphorylation conditions to afford, respectively, nucleic
acid labeling compound 36. - 4,4-Diethoxy-butylamine is reacted with an activated N-labeled caproyl amine, 37 to provide the N-labeled diethoxy butyl caproyl amide, 38. The amide, 38, is reacted with aqueous hydrochloric acid (0.04 N) to produce the N-labeled aldehyde, the aldehyde is reacted with phosphorylated 1-(3-Amino-4-hydroxy-5-hydroxymethyl-tetrahydro-furan-2-yl)-1H-pyrimidine-2,4-dione, 39, to furnish labeled N-
alkyl 2′-amino-2′-deoxyuridine triphosphate, 40. The reaction is illustrated inScheme 4. - The protected phthalimide, 41, (available from RI Chemicals, 500 mg), is reacted successively with a) hydrazine/ethanol, b) Trifluoroacetic acid-imidazole at 0° C. and c) Acetic acid/methanol to provide compound, 42. The alcohol-amine is converted into a 5′-triphosphate using standard phosphorylation conditions followed by conjugation to a label to afford, respectively, nucleic acid labeling compounds, 43.
- 3-Hydroxy-2-hydroxymethyl-2,3,3a,9a-tetrahydro-furo[2′,3′:4,5]oxazolo[3,2-a]pyrimidin-6-one, 44, is treated with acetic anhydride in pyridine to protect the hydroxy groups. The protected compound, 45, is reacted with thioacetic acid/dioxane at 100° C., according to the procedure in J. Chem. Soc.
Perkin Trans 1, 1992, 2587, the product is treated with ammonia provide thiol, 46. The thiol is reacted with disulfide, 99, to provide disulfide, 47, the disulvide is converted into a 5′-triphosphate using standard phosphorylation conditions followed by reaction with a labeled reagent to afford, respectively, nucleic acid labeling compounds, 43. - All patents, patent applications, and literature cited in the specification are hereby incorporated by reference in their entirety. In the case of any inconsistencies, the present disclosure, including any definitions therein will prevail.
- The invention has been described with reference to various specific and preferred embodiments and techniques. However, it should be understood that many variations and modifications may be made while remaining within the spirit and scope of the invention.
Claims (81)
1. A nucleic acid labeling compound having the formula:
wherein A is hydrogen or a functional group that permits the attachment of the nucleic acid labeling compound to a nucleic acid;
X is O, S, NR1 or CHR2, wherein R1 and R2 are, independently, hydrogen, alkyl or aryl;
Y is hydrogen, N3, F, OR9, SR9 or NHR9, wherein R9 is hydrogen, alkyl or aryl;
Z is hydrogen, N3, F, OR9, SR9 or NHR10, wherein R10 is hydrogen, alkyl or aryl;
L is a linker moiety; Q is a detectable moiety; and
M is a connecting group, wherein m is an integer ranging from 0 to about 20.
2. The nucleic acid labeling compound of claim 1 , wherein A is H or H4O9P3—; X is O; Y is H or OR9, wherein R9 is hydrogen, alkyl or aryl; Z is hydrogen, N3, F or OR10, wherein R10 is hydrogen, alkyl or aryl; and L is amido alkyl and M is -(M1 a-(M2)b- wherein a and b are independently integers from 0 to about 5 and the sum of a and b is not greater than 15.
3. The nucleic acid labeling compound of claim 2 , wherein L is —(CH2)nC(O)NR3—, wherein R3 is hydrogen, alkyl or aryl and n is an integer ranging from about 1 to about 10; M1 is —(CH2)iO— and M2 is —(CH2)jNH—, wherein i and j are independently integers from 1 to about 5.
4. The nucleic acid labeling compound of claim 3 , wherein Y is H or OH; Z is H or OH; -L is —CH2C(O)NH—; M1 is —(CH2CH2O)3— and M2 is —CH2CH2NH—; and Q is biotin or a carboxyfluorescein.
5. The nucleic acid labeling compound of claim 4 , wherein Y is OH; Z is OH; -L-(M)m- is —CH2C(O)NH—(CH2CH2O)3—CH2CH2NH—; and Q is biotin.
6. The nucleic acid labeling compound of claim 4 , wherein Y is OH; Z is OH; -L-(M)m- is —CH2C(O)NH—(CH2CH2O)3—CH2CH2NH—; Q is carboxyfluorescein.
7. The nucleic acid labeling compound of claim 1 , wherein A is H or H4O9P3—; X is O; Y is H or OR9, wherein R9 is hydrogen, alkyl or aryl; Z is hydrogen, N3, F or OR10, wherein R10 is hydrogen, alkyl or aryl; and L is amido alkyl and M is -(M1)a-(M2)b-(M3)c-(M4)d- wherein a, b, c, and d are independently integers from 0 to about 5 and the sum of a, b, c, and d is not greater than 15.
8. The nucleic acid labeling compound of claim 7 , wherein L is —(CH2)nC(O)NR3—, wherein R3 is hydrogen, alkyl or aryl and n is an integer ranging from about 1 to about 10; each M is independently —C(O)(CH2)kO—, —(CH2)iO— or —(CH2)jNH—, wherein i, j and k are independently integers from 1 into about 5.
9. The nucleic acid labeling compound of claim 8 , wherein L is —CH2C(O)NR3—, wherein R3 is hydrogen or, alkyl; M1 is —(CH2)2NH—, M2 is —C(O)(CH2)2O—, M3 is —(CH2CH2O)3—and M4 is —(CH2)2NH—.
10. The nucleic acid labeling compound of claim 9 , wherein Y is OH; Z is OH; -L-(M)m- is —CH2C(O)NH—CH2CH2NH—C(O)CH2CH2O—(CH2CH2O)3—CH2CH2NH—; Q is biotin.
11. The nucleic acid labeling compound of claim 9 , wherein Y is OH; Z is OH; -L-(M)m- is —CH2C(O)NH—CH2CH2NH—; m is 1; and Q is carboxyfluorescein.
12. The nucleic acid labeling compound of claim 8 , wherein L is —(CH2)2C(O)NR3—, wherein R3 is hydrogen or, alkyl; M1 is —(CH2)2NH—, M2 is —C(O)(CH2)2O—, M3 is —(CH2CH2O)3— and M4 is —(CH2)2NH—.
13. The nucleic acid labeling compound of claim 12 , wherein Y is OH; Z is OH; -L-(M)m- is —CH2C(O)NH—CH2CH2NH—C(O)CH2CH2O—(CH2CH2O)3—CH2CH2NH—; Q is biotin.
14. The nucleic acid labeling compound of claim 12 , wherein Y is OH; Z is OH; -L-(M)m- is —CH2CH2C(O)NH—CH2CH2NH—; m is 1; and Q is carboxyfluorescein.
15. The nucleic acid labeling compound of claim 1 , wherein A is H or H4O9P3—; X is O; Y is H or OR9, wherein R9 is hydrogen, alkyl or aryl; Z is hydrogen, N3, F or OR10, wherein R10 is hydrogen, alkyl or aryl; and L is functionalized alkyl and M is -(M1)a-(M2)b-(M3)c-(M2)d- wherein a, b, c, and d are independently integers from 0 to about 5 and the sum of a, b, c, and d is not greater than 15.
16. The nucleic acid labeling compound of claim 15 , wherein L is —(CH2)nO—, wherein n is an integer ranging from about 1 to about 10; each M is independently —C(O)(CH2)kO—, —(CH2)iO— or —(CH2)jNH—, wherein i, j and k are independently integers from 1 to about 5.
17. The nucleic acid labeling compound of claim 16 , wherein L is —CH2O—, M1 is —(CH2)2NH—, M2 is —C(O)(CH2)2O—, M3 is —(CH2CH2O)3— and M4 is —(CH2)2NH—.
18. The nucleic acid labeling compound of claim 17 , wherein Y is OH; Z is OH; -L-(M)m- is —CH2O—CH2CH2NH—C(O)(CH2)2O—(CH2CH2O)3—CH2CH2NH—; Q is biotin.
19. The nucleic acid labeling compound of claim 17 , wherein Y is OH; Z is OH; -L-(M)m- is —CH2O—CH2CH2NH—; m is 1; and Q is carboxyfluorescein.
20. The nucleic acid labeling compound of claim 15 , wherein L is —(CH2)nNR3—, wherein R3 is hydrogen, alkyl or aryl and n is an integer ranging from about 1 to about 10; each M is independently —C(O)(CH2)kO—, —(CH2)iO— or —(CH2)jNH—, wherein i, j and k are independently integers from 1 to about 5.
21. The nucleic acid labeling compound of claim 20 , wherein L is —(CH2)6NH—; M1 is —(CH2)2NH—, M2 is —C(O)(CH2)2O—, and M3 is —(CH2CH2O)3—.
22. The nucleic acid labeling compound of claim 21 , wherein Y is OH; Z is OH; -L-(M)m- is —(CH2)6NH—C(O)(CH2)2O—(CH2CH2O)3—CH2CH2NH—; and Q is biotin.
23. The nucleic acid labeling compound of claim 21 , wherein Y is OH; Z is OH; L is —(CH2)6NH—; m is 0; and Q is carboxyfluorescein.
24. The nucleic acid labeling compound of claim 1 , wherein A is H or H4O9P3—; X is O; Y is H or OR9, wherein R9 is hydrogen, alkyl or aryl; Z is hydrogen, N3, F or OR10, wherein R10 is hydrogen, alkyl or aryl; and L is alkenyl alkyl and M is -(M1)a-(M2)b-(M3)c-(M4)d- wherein a, b, c, and d are independently integers from 0 to about 5 and the sum of a, b, c, and d is not greater than 15.
25. The nucleic acid labeling compound of claim 7 , wherein L is structure —CH═CH—(CH2)nC(O)N(R6)—, wherein R6 is hydrogen, alkyl or aryl and n is an integer ranging from about 0 to about 10; each M is independently —C(O)(CH2)kO—, —(CH2)iO— or —(CH2)jNH—, wherein i, j and k are independently integers from 1 to about 5.
26. The nucleic acid labeling compound of claim 2 , wherein L is —CH═CH—C(O)N(H); M1 is —(CH2)2NH—, M2 is —C(O)(CH2)2O—, M3 is —(CH2CH2O)— and M4 is —(CH2)2NH—.
27. The nucleic acid labeling compound of claim 12 , wherein -L-(M)m- is —CH═CH—C(O)NH—CH2CH2NH—C(O)CH2CH2O—(CH2CH2O)3CH2CH2NH—; Y is OH; Z is OH; Q is biotin.
28. The nucleic acid labeling compound of claim 12 , wherein Y is OH; Z is OH; -L-(M)m- is —CH═CH—C(O)NH—CH2CH2NH—; m is 1; and Q is carboxyfluorescein.
31. A nucleic acid labeling compound having the formula:
32. The nucleic acid labeling compound of claim 31 , wherein A is H or H4O9P3—; L is alkanoyl; and Q is biotin or a carboxyfluorescein; M is —NR3— where R3 is hydrogen or alkyl, and wherein m is 1 or 0.
33. The nucleic acid labeling compound of claim 32 , wherein L is —C(O)(CH2)n— wherein n is an integer ranging from about 1 to about 10; M is —NH—; Q is biotin or a carboxyfluorescein.
34. The nucleic acid labeling compound of claim 33 , wherein -L-(M)m- is —C(O)(CH2)6—NH—; and Q is biotin.
35. The nucleic acid labeling compound of claim 33 , wherein -L-(M)m- is —C(O)(CH2)6—NH—; and Q is carboxyfluorescein.
36. A nucleic acid labeling compound having the formula:
wherein A is hydrogen or a functional group that permits the attachment of the nucleic acid labeling compound to a nucleic acid;
X1 is O, S, NR1 or CHR2, wherein R1 and R2 are, independently, hydrogen, alkyl or aryl;
R15 is hydrogen, alkyl or aryl;
Y1 is hydrogen, N3, F, OR9, SR9 or NHR9, wherein R9 is hydrogen, alkyl or aryl;
Z1 is hydrogen, N3, F, OR9, SR9 or NHR10, wherein R10 is hydrogen, alkyl or aryl;
wherein one of Y1 or Z1 is a group having the formula —X2L-(M)m-Q;
X2 is O, S, or NR16, and R16 is hydrogen, alkyl or aryl;
L is a linker moiety; Q is a detectable moiety; and
M is a connecting group, wherein m is an integer ranging from 0 to about 20.
37. The nucleic acid labeling compound of claim 36 , wherein A is H or H4O9P3—; X1 is O; Y1 is hydrogen, OR9, wherein R9 is hydrogen, or alkyl, or —NR16-L-(M)m-Q; wherein R16 is hydrogen, alkyl or aryl; Z1 is hydrogen OR10, wherein R10 is hydrogen, or alkyl, or —NR16-L-(M)m-Q, wherein R16 is hydrogen, or alkyl; L is N-alkyl amido; R15 is hydrogen or alkyl; M is —(CH2)nNR3— where R3 is hydrogen or alkyl, and m is from 1 to about 15.
38. The nucleic acid labeling compound of claim 37 , wherein Y1 is hydrogen or OH; Z1 is —NH-L-(M)m-Q; L is —(CH2)nNHC(O)— where n is an integer from 1 to about 10; M is —NH(CH2)p— where p is an integer from 1 to about 10; R15 is hydrogen or methyl; and Q is biotin or a carboxyfluorescein.
39. The nucleic acid labeling compound of claim 38 wherein Y1 is OH: R15 is hydrogen; -L-(M)m- is —(CH2)4NH—C(O)(CH2)5NH—; and Q is biotin.
40. The nucleic acid labeling compound of claim 39 , wherein Y1 is OH; R15 is hydrogen; -L-(M)m- is —(CH2)4NH—C(O)(CH2)5NH—; and Q is a carboxyfluorescein.
41. The nucleic acid labeling compound of claim 39 wherein Y1 is OH; R15 is methyl; -L-(M)m- is —(CH2)4NH—C(O)(CH2)5NH—; and Q is biotin.
42. The nucleic acid labeling compound of claim 39 , wherein Y1 is OH; R15 is methyl; -L-(M)m- is —(CH2)4NH—C(O)(CH2)5NH—; and Q is a carboxyfluorescein.
43. The nucleic acid labeling compound of claim 37 , wherein Y1 is —NH-L-(M)m-Q; Z1 is hydrogen or OH; L is —(CH2)nNHC(O)— where n is an integer from 1 to about 10; M is —NH(CH2)p— where n is an integer from 1 to about 10; R15 is hydrogen or methyl; and Q is biotin or a carboxyfluorescein.
44. The nucleic acid labeling compound of claim 43 , wherein Z1 is OH; R15 is hydrogen; -L-(M)m- is —(CH2)4NH—C(O)(CH2)5NH—; and Q is biotin.
45. The nucleic acid labeling compound of claim 43 , wherein Z1 is OH; R15 is hydrogen; -L-(M)m- is —(CH2)4NH—C(O)(CH2)5NH—; and Q is a carboxyfluorescein.
46. The nucleic acid labeling compound of claim 43 , wherein Z1 is OH; R15 is methyl; -L-(M)m- is —(CH2)4NH—C(O)(CH2)5NH—; and Q is biotin.
47. The nucleic acid labeling compound of claim 43 , wherein Z1 is OH; R15 is methyl; -L-(M)m- is —(CH2)4NH—C(O)(CH2)5NH—; and Q is a carboxyfluorescein.
48. The nucleic acid labeling compound of claim 37 , wherein A is H or H4O9P3—; X1 is O; Y1 is hydrogen, OR9, wherein R9 is hydrogen, or alkyl, or —O-L-(M)m-Q; Z1 is hydrogen OR10, wherein R10 is hydrogen, or alkyl, or —O-L-(M)m-Q, or alkyl; L is alkylene; and m is from 1 to about 10.
49. The nucleic acid labeling compound of claim 48 , wherein Y1 is hydrogen or OH; Z1 is —O-L-(M)m-Q; L is -(CH2)n— where n is an integer from 1 to about 12; M is —NH—; R15 is hydrogen or methyl; and Q is biotin or a carboxyfluorescein.
50. The nucleic acid labeling compound of claim 49 , wherein Y1 is OH; R15 is hydrogen; -L-(M)m- is —(CH2)6—NH—; and Q is biotin.
51. The nucleic acid labeling compound of claim 49 , wherein Y1 is OH; R15 is hydrogen; -L-(M)m- is —(CH2)6—NH—; and Q is a carboxyfluorescein.
52. The nucleic acid labeling compound of claim 49 , wherein Y1 is OH; R15 is methyl; -L-(M)m- is —(CH2)6—NH—; and Q is biotin.
53. The nucleic acid labeling compound of claim 49 , wherein Y1 is OH; R15 is methyl; -L-(M)m- is —(CH2)6—NH—; and Q is a carboxyfluorescein.
54. The nucleic acid labeling compound of claim 37 , wherein Y1 is —O-L-(M)m-Q; Z1 is hydrogen or OH; L is —(CH2)n— where n is an integer from 1 to about 12; M is —NH—; R15 is hydrogen or methyl; and Q is biotin or a carboxyfluorescein.
55. The nucleic acid labeling compound of claim 54 , wherein Z1 is OH; R15 is hydrogen; -L-(M)m- is —(CH2)6—NH—; and Q is biotin.
56. The nucleic acid labeling compound of claim 54 , wherein Z1 is OH; R15 is hydrogen; -L-(M)m- is —(CH2)6—NH—; and Q is a carboxyfluorescein.
57. The nucleic acid labeling compound of claim 54 , wherein Z1 is OH; R15 is methyl; -L-(M)m- is —(CH2)6—NH—; and Q is biotin
58. The nucleic acid labeling compound of claim 54 , wherein Z1 is OH; R15 is methyl; -L-(M)m- is —(CH2)6—NHC—; and Q is a carboxyfluorescein.
59. The nucleic acid labeling compound of claim 37 , wherein A is H or H4O9P3—; X1 is O; Y1 is hydrogen, OR9, wherein R9 is hydrogen, or alkyl, or —S-L-(M)m-Q; Z1 is hydrogen OR10, wherein R10 is hydrogen, or alkyl, or —S-L-(M)m-Q; L is alkyl thio; and m is from 1 to about 10.
60. The nucleic acid labeling compound of claim 59 , wherein Y1 is hydrogen, or OH; Z1 is —S-L-(M)m-Q; L is —S—(CH2)n- where n is an integer from 1 to about 10; M is —NH—; R15 is hydrogen or methyl; and Q is biotin or a carboxyfluorescein.
61. The nucleic acid labeling compound of claim 60 , wherein Y1 is OH; R15 is hydrogen; -L-(M)m- is —S—(CH2)2—NH—; and Q is biotin.
62. The nucleic acid labeling compound of claim 60 , wherein Y1 is OH; R15 is hydrogen; -L-(M)m- is —S—(CH2)2—NH—; and Q is a carboxyfluorescein.
63. The nucleic acid labeling compound of claim 60 , wherein Y1 is OH; R15 is methyl; -L-(M)m- is —S—(CH2)2—NH—; and Q is biotin.
64. The nucleic acid labeling compound of claim 60 , wherein Y1 is OH; R15 is methyl; -L-(M)m- is —S—(CH2)2—NR—; and Q is a carboxyfluorescein.
65. The nucleic acid labeling compound of claim 37 , wherein Y1 is —S-L-(M)m-Q; Z1 is hydrogen or OH; L is —S—(CH2)n— where n is an integer from 1 to about 10; M is —NH—; R15 is hydrogen or methyl; and Q is biotin or a carboxyfluorescein.
66. The nucleic acid labeling compound of claim 65 , wherein Z1 is OH; R15 is hydrogen; -L-(M)m- is —S—(CH2)2—NH—; and Q is biotin.
67. The nucleic acid labeling compound of claim 65 , wherein Z1 is OH; R15 is hydrogen; -L-(M)m- is —S—(CH2)2—NH—; and Q is a carboxyfluorescein.
68. The nucleic acid labeling compound of claim 65 , wherein Z1 is OH; R15 is methyl; -L-(M)m- is —S—(CH2)2—NH—; and Q is biotin.
69. The nucleic acid labeling compound of claim 65 , wherein Z1 is OH; R15 is methyl; -L-(M)m- is —S—(CH2)2—NH—; and Q is a carboxyfluorescein.
70. A nucleic acid labeling compound having the formula:
71. The nucleic acid labeling compound of claim 70 , wherein A is H or H4O9P3—; X1 is O; X2 is a bond; and G is —C(O)NR3—(CH2)m—(CH2CH2O)n—CH2CH2—C(O)NR3—, where R3 is hydrogen or alkyl, and m and n are independently an integer from 1 to about 15.
72. The nucleic acid labeling compound of claim 71 , wherein G is —C(O)NH—(CH2)m—(CH2CH2O)n—CH2CH2—C(O)NH— where m is from 1 to about 6 and n is from 1 to about 4.
73. The nucleic acid labeling compound of claim 70 , wherein A is H or H4O9P3—; X1 is O; X2 is CH2; and G is —C(O)NR3—(CH2 m—(CH2CH2O)n—CH2CH2—C(O)NR3—, where R3 is hydrogen or alkyl, and m and n are independently an integer from 1 to about 15.
74. The nucleic acid labeling compound of claim 73 , wherein G is —C(O)NH—(CH2)m—(CH2CH2O)n—CH2CH2—C(O)NH— wherein m is from 1 to about 6 and n is from 1 to about 4.
75. A nucleic acid derivative produced by coupling a nucleic acid labeling compound of claim 2 , 7 , 12 , 15 , 20 , 24 , 32 , 37 , or 71 with a nucleic acid.
76. A hybridization product, wherein the hybridization product comprises the nucleic acid derivative of claim 75 bound to a complementary probe.
77. The hybridization product of claim 76 , wherein the probe is attached to a glass chip.
78. A hybridization product, wherein the hybridization product comprises the nucleic acid derivative of claim 75 bound to a complementary probe.
79. A method of synthesizing a labeled nucleic acid comprising attaching a nucleic acid labeling compound of claim 2 , 7 , 12 , 15 , 20 , 24 , 32 , 37 , or 71 to a nucleic acid.
80. A method of detecting a nucleic acid comprising incubating a nucleic acid derivative according to claim 75 with a probe.
81. A method according to claim 80 , wherein the probe is attached to a glass chip.
Priority Applications (1)
| Application Number | Priority Date | Filing Date | Title |
|---|---|---|---|
| US13/929,317 US20140187434A1 (en) | 2001-03-12 | 2013-06-27 | Nucleic Acid Labeling Compounds |
Applications Claiming Priority (5)
| Application Number | Priority Date | Filing Date | Title |
|---|---|---|---|
| US27520201P | 2001-03-12 | 2001-03-12 | |
| US10/097,113 US7468243B2 (en) | 2001-03-12 | 2002-03-12 | 2-aminopyrimidin-4-one nucleic acid labeling compounds |
| US12/163,528 US8026057B2 (en) | 2001-03-12 | 2008-06-27 | Nucleic acid labeling compounds |
| US12/892,531 US8076072B2 (en) | 2001-03-12 | 2010-09-28 | Nucleic acid labeling compounds |
| US13/929,317 US20140187434A1 (en) | 2001-03-12 | 2013-06-27 | Nucleic Acid Labeling Compounds |
Related Parent Applications (1)
| Application Number | Title | Priority Date | Filing Date |
|---|---|---|---|
| US12/892,531 Continuation US8076072B2 (en) | 2001-03-12 | 2010-09-28 | Nucleic acid labeling compounds |
Publications (1)
| Publication Number | Publication Date |
|---|---|
| US20140187434A1 true US20140187434A1 (en) | 2014-07-03 |
Family
ID=23051286
Family Applications (5)
| Application Number | Title | Priority Date | Filing Date |
|---|---|---|---|
| US10/097,113 Expired - Lifetime US7468243B2 (en) | 1996-01-23 | 2002-03-12 | 2-aminopyrimidin-4-one nucleic acid labeling compounds |
| US12/163,528 Expired - Fee Related US8026057B2 (en) | 2001-03-12 | 2008-06-27 | Nucleic acid labeling compounds |
| US12/892,531 Expired - Fee Related US8076072B2 (en) | 2001-03-12 | 2010-09-28 | Nucleic acid labeling compounds |
| US13/286,870 Expired - Fee Related US8497064B2 (en) | 2001-03-12 | 2011-11-01 | Nucleic acid labelling compounds |
| US13/929,317 Abandoned US20140187434A1 (en) | 2001-03-12 | 2013-06-27 | Nucleic Acid Labeling Compounds |
Family Applications Before (4)
| Application Number | Title | Priority Date | Filing Date |
|---|---|---|---|
| US10/097,113 Expired - Lifetime US7468243B2 (en) | 1996-01-23 | 2002-03-12 | 2-aminopyrimidin-4-one nucleic acid labeling compounds |
| US12/163,528 Expired - Fee Related US8026057B2 (en) | 2001-03-12 | 2008-06-27 | Nucleic acid labeling compounds |
| US12/892,531 Expired - Fee Related US8076072B2 (en) | 2001-03-12 | 2010-09-28 | Nucleic acid labeling compounds |
| US13/286,870 Expired - Fee Related US8497064B2 (en) | 2001-03-12 | 2011-11-01 | Nucleic acid labelling compounds |
Country Status (5)
| Country | Link |
|---|---|
| US (5) | US7468243B2 (en) |
| EP (1) | EP1385829A4 (en) |
| AU (1) | AU2002258502A1 (en) |
| CA (1) | CA2440615A1 (en) |
| WO (1) | WO2002072779A2 (en) |
Families Citing this family (22)
| Publication number | Priority date | Publication date | Assignee | Title |
|---|---|---|---|---|
| US7282327B2 (en) * | 1996-01-23 | 2007-10-16 | Affymetrix, Inc. | Nucleic acid labeling compounds |
| US7291463B2 (en) * | 1996-01-23 | 2007-11-06 | Affymetrix, Inc. | Nucleic acid labeling compounds |
| US7875440B2 (en) | 1998-05-01 | 2011-01-25 | Arizona Board Of Regents | Method of determining the nucleotide sequence of oligonucleotides and DNA molecules |
| US6780591B2 (en) | 1998-05-01 | 2004-08-24 | Arizona Board Of Regents | Method of determining the nucleotide sequence of oligonucleotides and DNA molecules |
| US6818395B1 (en) | 1999-06-28 | 2004-11-16 | California Institute Of Technology | Methods and apparatus for analyzing polynucleotide sequences |
| US7501245B2 (en) | 1999-06-28 | 2009-03-10 | Helicos Biosciences Corp. | Methods and apparatuses for analyzing polynucleotide sequences |
| WO2002072779A2 (en) * | 2001-03-12 | 2002-09-19 | Affymetrix, Inc. | Nucleic acid labeling compounds |
| JP2004523243A (en) | 2001-03-12 | 2004-08-05 | カリフォルニア インスティチュート オブ テクノロジー | Method and apparatus for analyzing polynucleotide sequences by asynchronous base extension |
| EP1466919A1 (en) * | 2003-04-05 | 2004-10-13 | Roche Diagnostics GmbH | Nucleotide analogs with six membered rings |
| CA2463719A1 (en) | 2003-04-05 | 2004-10-05 | F. Hoffmann-La Roche Ag | Nucleotide analogs with six membered rings |
| US7169560B2 (en) | 2003-11-12 | 2007-01-30 | Helicos Biosciences Corporation | Short cycle methods for sequencing polynucleotides |
| CA2557177A1 (en) | 2004-02-19 | 2005-09-01 | Stephen Quake | Methods and kits for analyzing polynucleotide sequences |
| US7635562B2 (en) | 2004-05-25 | 2009-12-22 | Helicos Biosciences Corporation | Methods and devices for nucleic acid sequence determination |
| US7476734B2 (en) | 2005-12-06 | 2009-01-13 | Helicos Biosciences Corporation | Nucleotide analogs |
| US7220549B2 (en) | 2004-12-30 | 2007-05-22 | Helicos Biosciences Corporation | Stabilizing a nucleic acid for nucleic acid sequencing |
| US7482120B2 (en) | 2005-01-28 | 2009-01-27 | Helicos Biosciences Corporation | Methods and compositions for improving fidelity in a nucleic acid synthesis reaction |
| US7666593B2 (en) | 2005-08-26 | 2010-02-23 | Helicos Biosciences Corporation | Single molecule sequencing of captured nucleic acids |
| US7397546B2 (en) | 2006-03-08 | 2008-07-08 | Helicos Biosciences Corporation | Systems and methods for reducing detected intensity non-uniformity in a laser beam |
| US11180756B2 (en) | 2017-03-09 | 2021-11-23 | Ionis Pharmaceuticals | Morpholino modified oligomeric compounds |
| JP7287942B2 (en) * | 2017-07-24 | 2023-06-06 | クアンタム-エスアイ インコーポレイテッド | High Intensity Labeling Reactant Compositions and Methods for Sequencing |
| AU2019300169A1 (en) | 2018-07-13 | 2021-01-28 | Quantum-Si Incorporated | Biconjugatable labels and methods of use |
| WO2020154546A1 (en) | 2019-01-23 | 2020-07-30 | Quantum-Si Incorporated | High intensity labeled reactant compositions and methods for sequencing |
Family Cites Families (66)
| Publication number | Priority date | Publication date | Assignee | Title |
|---|---|---|---|---|
| US3352849A (en) | 1965-10-24 | 1967-11-14 | Merck & Co Inc | 6-aza-2'-deoxyuridines |
| NL154598B (en) | 1970-11-10 | 1977-09-15 | Organon Nv | PROCEDURE FOR DETERMINING AND DETERMINING LOW MOLECULAR COMPOUNDS AND PROTEINS THAT CAN SPECIFICALLY BIND THESE COMPOUNDS AND TEST PACKAGING. |
| DE2122991C2 (en) | 1971-05-04 | 1982-06-09 | Schering Ag, 1000 Berlin Und 4619 Bergkamen | Process for the preparation of cytosine and 6-azacytosine nucleosides |
| US3817837A (en) | 1971-05-14 | 1974-06-18 | Syva Corp | Enzyme amplification assay |
| US3939350A (en) | 1974-04-29 | 1976-02-17 | Board Of Trustees Of The Leland Stanford Junior University | Fluorescent immunoassay employing total reflection for activation |
| US3996345A (en) | 1974-08-12 | 1976-12-07 | Syva Company | Fluorescence quenching with immunological pairs in immunoassays |
| US4275149A (en) | 1978-11-24 | 1981-06-23 | Syva Company | Macromolecular environment control in specific receptor assays |
| US4277437A (en) | 1978-04-05 | 1981-07-07 | Syva Company | Kit for carrying out chemically induced fluorescence immunoassay |
| US4366241A (en) | 1980-08-07 | 1982-12-28 | Syva Company | Concentrating zone method in heterogeneous immunoassays |
| US4594339A (en) | 1982-04-06 | 1986-06-10 | Sloan-Kettering Institute For Cancer Research | Anti-herpes virus compositions containing 5-substituted 1-2'(deoxy-2-'-substituted-β-d-arabinofuranosyl)pyrimedene nucleosides |
| JPS6010174A (en) | 1983-06-29 | 1985-01-19 | Fuji Photo Film Co Ltd | Gene screening method using autoradiography |
| FR2551442B1 (en) | 1983-09-05 | 1987-04-30 | Centre Nat Rech Scient | NEW FURANIC DERIVATIVES, THEIR PREPARATION AND THEIR APPLICATION |
| CA1260372A (en) | 1984-04-27 | 1989-09-26 | Elazar Rabbani | Hybridization method for the detection of genetic materials |
| JPS61109797A (en) | 1984-11-01 | 1986-05-28 | Yuki Gosei Yakuhin Kogyo Kk | Labeled nucleotide and labeled polynucleotide |
| US4981783A (en) | 1986-04-16 | 1991-01-01 | Montefiore Medical Center | Method for detecting pathological conditions |
| US5091519A (en) * | 1986-05-01 | 1992-02-25 | Amoco Corporation | Nucleotide compositions with linking groups |
| US5151507A (en) | 1986-07-02 | 1992-09-29 | E. I. Du Pont De Nemours And Company | Alkynylamino-nucleotides |
| CA1340806C (en) | 1986-07-02 | 1999-11-02 | James Merrill Prober | Method, system and reagents for dna sequencing |
| US5242796A (en) | 1986-07-02 | 1993-09-07 | E. I. Du Pont De Nemours And Company | Method, system and reagents for DNA sequencing |
| US4987066A (en) | 1986-11-07 | 1991-01-22 | Max Planck-Gesellschaft Zur Forderung Der Wissenschaften E.V. | Process for the detection of restriction fragment length polymorphisms in eukaryotic genomes |
| US5202231A (en) | 1987-04-01 | 1993-04-13 | Drmanac Radoje T | Method of sequencing of genomes by hybridization of oligonucleotide probes |
| US6211158B1 (en) | 1987-04-10 | 2001-04-03 | Roche Diagnostics Gmbh | Desazapurine-nucleotide derivatives, processes for the preparation thereof, pharmaceutical compositions containing them and the use thereof for nucleic acid sequencing and as antiviral agents |
| AU622426B2 (en) | 1987-12-11 | 1992-04-09 | Abbott Laboratories | Assay using template-dependent nucleic acid probe reorganization |
| EP0322311B1 (en) | 1987-12-21 | 1994-03-23 | Applied Biosystems, Inc. | Method and kit for detecting a nucleic acid sequence |
| GB8810400D0 (en) | 1988-05-03 | 1988-06-08 | Southern E | Analysing polynucleotide sequences |
| CA1341584C (en) | 1988-04-06 | 2008-11-18 | Bruce Wallace | Method of amplifying and detecting nucleic acid sequences |
| US5002867A (en) | 1988-04-25 | 1991-03-26 | Macevicz Stephen C | Nucleic acid sequence determination by multiple mixed oligonucleotide probes |
| WO1990000626A1 (en) | 1988-07-14 | 1990-01-25 | Baylor College Of Medicine | Solid phase assembly and reconstruction of biopolymers |
| US4997928A (en) | 1988-09-15 | 1991-03-05 | E. I. Du Pont De Nemours And Company | Fluorescent reagents for the preparation of 5'-tagged oligonucleotides |
| US5262536A (en) | 1988-09-15 | 1993-11-16 | E. I. Du Pont De Nemours And Company | Reagents for the preparation of 5'-tagged oligonucleotides |
| WO1990003370A1 (en) | 1988-09-28 | 1990-04-05 | Microprobe Corporation | DERIVATIVES OF PYRAZOLO[3,4-d]PYRIMIDINE |
| US6040138A (en) | 1995-09-15 | 2000-03-21 | Affymetrix, Inc. | Expression monitoring by hybridization to high density oligonucleotide arrays |
| US5744101A (en) | 1989-06-07 | 1998-04-28 | Affymax Technologies N.V. | Photolabile nucleoside protecting groups |
| US5424186A (en) | 1989-06-07 | 1995-06-13 | Affymax Technologies N.V. | Very large scale immobilized polymer synthesis |
| US5143854A (en) | 1989-06-07 | 1992-09-01 | Affymax Technologies N.V. | Large scale photolithographic solid phase synthesis of polypeptides and receptor binding screening thereof |
| CA2088258C (en) | 1990-07-27 | 2004-09-14 | Phillip Dan Cook | Nuclease resistant, pyrimidine modified oligonucleotides that detect and modulate gene expression |
| CA2097708A1 (en) | 1990-12-06 | 1992-06-07 | Stephen P. A. Fodor | Very large scale immobilized polymer synthesis |
| WO1992010588A1 (en) | 1990-12-06 | 1992-06-25 | Affymax Technologies N.V. | Sequencing by hybridization of a target nucleic acid to a matrix of defined oligonucleotides |
| RU1794088C (en) | 1991-03-18 | 1993-02-07 | Институт Молекулярной Биологии Ан@ Ссср | Method of dna nucleotide sequence determination and a device for its realization |
| US5422241A (en) | 1991-07-03 | 1995-06-06 | Ambion, Inc. | Methods for the recovery of nucleic acids from reaction mixtures |
| US5324633A (en) | 1991-11-22 | 1994-06-28 | Affymax Technologies N.V. | Method and apparatus for measuring binding affinity |
| DE69333073T2 (en) | 1992-02-12 | 2004-04-15 | Chromagen, Inc., San Diego | USES OF FLUORESCENT N-NUCLEOSIDES AND THEIR ANALOGS |
| ATE278807T1 (en) | 1992-02-19 | 2004-10-15 | New York Health Res Inst | NEW ARRANGEMENTS OF OLIGONUCLEOTIDES AND THEIR USE FOR SORTING, ISOLATION, SEQUENCING AND MANIPULATION OF NUCLEIC ACIDS |
| US5543292A (en) | 1992-06-16 | 1996-08-06 | Hitachi, Ltd. | Process for the measurement of nucleic acids |
| US6114114A (en) | 1992-07-17 | 2000-09-05 | Incyte Pharmaceuticals, Inc. | Comparative gene transcript analysis |
| AU7212494A (en) | 1993-06-25 | 1995-01-17 | Affymax Technologies N.V. | Hybridization and sequencing of nucleic acids |
| WO1995011995A1 (en) | 1993-10-26 | 1995-05-04 | Affymax Technologies N.V. | Arrays of nucleic acid probes on biological chips |
| RU2041262C1 (en) | 1993-08-11 | 1995-08-09 | Институт молекулярной биологии им.В.А.Энгельгардта РАН | Method for immobilization of water soluble bioorganic compounds on capillary-porous carrier |
| RU2041263C1 (en) | 1993-08-11 | 1995-08-09 | Геннадий Моисеевич Ершов | Method and apparatus for microdosing and dispensing of aqueous solutions onto carrier |
| RU2041261C1 (en) | 1993-08-11 | 1995-08-09 | Институт молекулярной биологии им.В.А.Энгельгардта РАН | Method for manufacturing of matrix for detecting of mismatches |
| EP0758403B1 (en) | 1994-05-05 | 1998-06-24 | Beckman Instruments, Inc. | Oligonucleotide repeat arrays |
| US5571639A (en) | 1994-05-24 | 1996-11-05 | Affymax Technologies N.V. | Computer-aided engineering system for design of sequence arrays and lithographic masks |
| US5807522A (en) | 1994-06-17 | 1998-09-15 | The Board Of Trustees Of The Leland Stanford Junior University | Methods for fabricating microarrays of biological samples |
| US6974666B1 (en) | 1994-10-21 | 2005-12-13 | Appymetric, Inc. | Methods of enzymatic discrimination enhancement and surface-bound double-stranded DNA |
| US5795716A (en) | 1994-10-21 | 1998-08-18 | Chee; Mark S. | Computer-aided visualization and analysis system for sequence evaluation |
| DE69509058T2 (en) | 1995-01-04 | 1999-08-05 | Sunstar Giken K.K., Takatsuki, Osaka | Aqueous two-component adhesive that is cross-linked by aminosiloxanes |
| US6174998B1 (en) | 1996-03-12 | 2001-01-16 | Roche Diagnostics Gmbh | C-nucleoside derivatives and their use in the detection of nucleic acids |
| DE19509038A1 (en) | 1995-03-14 | 1996-09-19 | Boehringer Mannheim Gmbh | C-nucleoside derivatives and their use in the detection of nucleic acids |
| JP2002515738A (en) * | 1996-01-23 | 2002-05-28 | アフィメトリックス,インコーポレイティド | Nucleic acid analysis |
| US20010018514A1 (en) | 1998-07-31 | 2001-08-30 | Mcgall Glenn H. | Nucleic acid labeling compounds |
| US6864059B2 (en) * | 1996-01-23 | 2005-03-08 | Affymetrix, Inc. | Biotin containing C-glycoside nucleic acid labeling compounds |
| GB9602028D0 (en) | 1996-02-01 | 1996-04-03 | Amersham Int Plc | Nucleoside analogues |
| AU2189397A (en) | 1996-02-08 | 1997-08-28 | Affymetrix, Inc. | Chip-based speciation and phenotypic characterization of microorganisms |
| WO1997039120A2 (en) | 1996-04-17 | 1997-10-23 | Aronex Pharmaceuticals, Inc. | Antisense inhibitors of vascular endothelial growth factor (vefg/vpf) expression |
| DE19637042A1 (en) | 1996-09-12 | 1998-03-19 | Boehringer Mannheim Gmbh | Heterocyclic compounds and their use in the detection of nucleic acids |
| WO2002072779A2 (en) * | 2001-03-12 | 2002-09-19 | Affymetrix, Inc. | Nucleic acid labeling compounds |
-
2002
- 2002-03-12 WO PCT/US2002/007584 patent/WO2002072779A2/en not_active Ceased
- 2002-03-12 US US10/097,113 patent/US7468243B2/en not_active Expired - Lifetime
- 2002-03-12 EP EP02728452A patent/EP1385829A4/en not_active Withdrawn
- 2002-03-12 AU AU2002258502A patent/AU2002258502A1/en not_active Abandoned
- 2002-03-12 CA CA002440615A patent/CA2440615A1/en not_active Abandoned
-
2008
- 2008-06-27 US US12/163,528 patent/US8026057B2/en not_active Expired - Fee Related
-
2010
- 2010-09-28 US US12/892,531 patent/US8076072B2/en not_active Expired - Fee Related
-
2011
- 2011-11-01 US US13/286,870 patent/US8497064B2/en not_active Expired - Fee Related
-
2013
- 2013-06-27 US US13/929,317 patent/US20140187434A1/en not_active Abandoned
Also Published As
| Publication number | Publication date |
|---|---|
| US8026057B2 (en) | 2011-09-27 |
| US20120053336A1 (en) | 2012-03-01 |
| US8497064B2 (en) | 2013-07-30 |
| US20080287667A1 (en) | 2008-11-20 |
| EP1385829A2 (en) | 2004-02-04 |
| US20020182625A1 (en) | 2002-12-05 |
| WO2002072779A2 (en) | 2002-09-19 |
| EP1385829A4 (en) | 2005-10-19 |
| WO2002072779A3 (en) | 2003-11-20 |
| US20110082289A1 (en) | 2011-04-07 |
| AU2002258502A1 (en) | 2002-09-24 |
| US7468243B2 (en) | 2008-12-23 |
| CA2440615A1 (en) | 2002-09-19 |
| US8076072B2 (en) | 2011-12-13 |
Similar Documents
| Publication | Publication Date | Title |
|---|---|---|
| US8497064B2 (en) | Nucleic acid labelling compounds | |
| US6844433B2 (en) | Nucleic acid labeling compounds | |
| US7291463B2 (en) | Nucleic acid labeling compounds | |
| US20090054258A1 (en) | Nucleic Acid Labeling Methods | |
| US7282327B2 (en) | Nucleic acid labeling compounds | |
| US6864059B2 (en) | Biotin containing C-glycoside nucleic acid labeling compounds | |
| US6965020B2 (en) | Nucleic acid labeling compounds | |
| JP2002517474A (en) | Directed combinatorial compound libraries and high-throughput assays for screening them | |
| US7423143B2 (en) | Nucleic acid labeling compounds | |
| US20040210045A1 (en) | Nucleic acid labeling compounds | |
| US20050064479A1 (en) | Compounds and methods for post incorporation labeling of nucleic acids | |
| WO2022097151A1 (en) | Rna sensors and uses thereof |
Legal Events
| Date | Code | Title | Description |
|---|---|---|---|
| STCB | Information on status: application discontinuation |
Free format text: ABANDONED -- FAILURE TO RESPOND TO AN OFFICE ACTION |



















