US20140127174A1 - Glucagon analogues - Google Patents
Glucagon analogues Download PDFInfo
- Publication number
- US20140127174A1 US20140127174A1 US14/149,640 US201414149640A US2014127174A1 US 20140127174 A1 US20140127174 A1 US 20140127174A1 US 201414149640 A US201414149640 A US 201414149640A US 2014127174 A1 US2014127174 A1 US 2014127174A1
- Authority
- US
- United States
- Prior art keywords
- residue
- lys
- glu
- arg
- leu
- Prior art date
- Legal status (The legal status is an assumption and is not a legal conclusion. Google has not performed a legal analysis and makes no representation as to the accuracy of the status listed.)
- Abandoned
Links
- MASNOZXLGMXCHN-ZLPAWPGGSA-N glucagon Chemical class C([C@@H](C(=O)N[C@H](C(=O)N[C@@H](CCC(N)=O)C(=O)N[C@@H](CC=1C2=CC=CC=C2NC=1)C(=O)N[C@@H](CC(C)C)C(=O)N[C@@H](CCSC)C(=O)N[C@@H](CC(N)=O)C(=O)N[C@@H]([C@@H](C)O)C(O)=O)C(C)C)NC(=O)[C@H](CC(O)=O)NC(=O)[C@H](CCC(N)=O)NC(=O)[C@H](C)NC(=O)[C@H](CCCNC(N)=N)NC(=O)[C@H](CCCNC(N)=N)NC(=O)[C@H](CO)NC(=O)[C@H](CC(O)=O)NC(=O)[C@H](CC(C)C)NC(=O)[C@H](CC=1C=CC(O)=CC=1)NC(=O)[C@H](CCCCN)NC(=O)[C@H](CO)NC(=O)[C@H](CC=1C=CC(O)=CC=1)NC(=O)[C@H](CC(O)=O)NC(=O)[C@H](CO)NC(=O)[C@@H](NC(=O)[C@H](CC=1C=CC=CC=1)NC(=O)[C@@H](NC(=O)CNC(=O)[C@H](CCC(N)=O)NC(=O)[C@H](CO)NC(=O)[C@@H](N)CC=1NC=NC=1)[C@@H](C)O)[C@@H](C)O)C1=CC=CC=C1 MASNOZXLGMXCHN-ZLPAWPGGSA-N 0.000 title abstract description 50
- 108090000765 processed proteins & peptides Proteins 0.000 claims abstract description 57
- 238000011282 treatment Methods 0.000 claims abstract description 46
- 238000000034 method Methods 0.000 claims abstract description 27
- 235000019786 weight gain Nutrition 0.000 claims abstract description 19
- 230000004584 weight gain Effects 0.000 claims abstract description 9
- 230000004580 weight loss Effects 0.000 claims abstract description 9
- 230000001737 promoting effect Effects 0.000 claims abstract description 7
- 208000008589 Obesity Diseases 0.000 claims description 40
- 210000004027 cell Anatomy 0.000 claims description 40
- 235000020824 obesity Nutrition 0.000 claims description 34
- 150000007523 nucleic acids Chemical class 0.000 claims description 33
- 230000037396 body weight Effects 0.000 claims description 28
- 150000001413 amino acids Chemical group 0.000 claims description 27
- 108020004707 nucleic acids Proteins 0.000 claims description 24
- 102000039446 nucleic acids Human genes 0.000 claims description 24
- 208000001072 type 2 diabetes mellitus Diseases 0.000 claims description 20
- 239000013604 expression vector Substances 0.000 claims description 19
- 239000003937 drug carrier Substances 0.000 claims description 10
- 208000029078 coronary artery disease Diseases 0.000 claims description 9
- MTCFGRXMJLQNBG-UWTATZPHSA-N D-Serine Chemical compound OC[C@@H](N)C(O)=O MTCFGRXMJLQNBG-UWTATZPHSA-N 0.000 claims description 8
- 208000002705 Glucose Intolerance Diseases 0.000 claims description 8
- 206010018429 Glucose tolerance impaired Diseases 0.000 claims description 8
- 206010020772 Hypertension Diseases 0.000 claims description 8
- 206010022489 Insulin Resistance Diseases 0.000 claims description 8
- 239000008194 pharmaceutical composition Substances 0.000 claims description 8
- 230000000923 atherogenic effect Effects 0.000 claims description 7
- 206010003210 Arteriosclerosis Diseases 0.000 claims description 6
- 206010061218 Inflammation Diseases 0.000 claims description 6
- 208000006011 Stroke Diseases 0.000 claims description 6
- 208000011775 arteriosclerosis disease Diseases 0.000 claims description 6
- 208000012696 congenital leptin deficiency Diseases 0.000 claims description 6
- 208000020694 gallbladder disease Diseases 0.000 claims description 6
- 230000004054 inflammatory process Effects 0.000 claims description 6
- 208000001022 morbid obesity Diseases 0.000 claims description 6
- 201000002859 sleep apnea Diseases 0.000 claims description 6
- 101500028776 Homo sapiens Oxyntomodulin Proteins 0.000 claims description 4
- 244000137850 Marrubium vulgare Species 0.000 claims description 4
- 125000001433 C-terminal amino-acid group Chemical group 0.000 claims description 2
- 108010086246 Glucagon-Like Peptide-1 Receptor Proteins 0.000 abstract description 46
- 102000007446 Glucagon-Like Peptide-1 Receptor Human genes 0.000 abstract description 46
- 230000000694 effects Effects 0.000 abstract description 40
- 206010012601 diabetes mellitus Diseases 0.000 abstract description 18
- 102000004196 processed proteins & peptides Human genes 0.000 abstract description 18
- 101500028775 Homo sapiens Glucagon Proteins 0.000 abstract description 15
- 208000037265 diseases, disorders, signs and symptoms Diseases 0.000 abstract description 11
- 208000001145 Metabolic Syndrome Diseases 0.000 abstract description 5
- 201000000690 abdominal obesity-metabolic syndrome Diseases 0.000 abstract description 5
- 150000001875 compounds Chemical class 0.000 description 80
- KDXKERNSBIXSRK-YFKPBYRVSA-N L-lysine Chemical compound NCCCC[C@H](N)C(O)=O KDXKERNSBIXSRK-YFKPBYRVSA-N 0.000 description 43
- KDXKERNSBIXSRK-UHFFFAOYSA-N Lysine Natural products NCCCCC(N)C(O)=O KDXKERNSBIXSRK-UHFFFAOYSA-N 0.000 description 43
- 108010063919 Glucagon Receptors Proteins 0.000 description 40
- 102100040890 Glucagon receptor Human genes 0.000 description 38
- 229960004666 glucagon Drugs 0.000 description 30
- 102000051325 Glucagon Human genes 0.000 description 29
- WHUUTDBJXJRKMK-UHFFFAOYSA-N Glutamic acid Natural products OC(=O)C(N)CCC(O)=O WHUUTDBJXJRKMK-UHFFFAOYSA-N 0.000 description 29
- 108060003199 Glucagon Proteins 0.000 description 28
- WHUUTDBJXJRKMK-VKHMYHEASA-N L-glutamic acid Chemical compound OC(=O)[C@@H](N)CCC(O)=O WHUUTDBJXJRKMK-VKHMYHEASA-N 0.000 description 28
- -1 His Chemical compound 0.000 description 27
- 125000006850 spacer group Chemical group 0.000 description 24
- 125000001424 substituent group Chemical group 0.000 description 24
- WQZGKKKJIJFFOK-GASJEMHNSA-N Glucose Natural products OC[C@H]1OC(O)[C@H](O)[C@@H](O)[C@@H]1O WQZGKKKJIJFFOK-GASJEMHNSA-N 0.000 description 22
- 239000008103 glucose Substances 0.000 description 22
- 102400000319 Oxyntomodulin Human genes 0.000 description 21
- 101800001388 Oxyntomodulin Proteins 0.000 description 21
- 102100040918 Pro-glucagon Human genes 0.000 description 21
- PXZWGQLGAKCNKD-DPNMSELWSA-N molport-023-276-326 Chemical compound C([C@@H](C(=O)N[C@H](C(=O)N[C@@H](CCC(N)=O)C(=O)N[C@@H](CC=1C2=CC=CC=C2NC=1)C(=O)N[C@@H](CC(C)C)C(=O)N[C@@H](CCSC)C(=O)N[C@@H](CC(N)=O)C(=O)N[C@H](C(=O)N[C@@H](CCCCN)C(=O)N[C@@H](CCCNC(N)=N)C(=O)N[C@@H](CC(N)=O)C(=O)N[C@@H](CCCCN)C(=O)N[C@@H](CC(N)=O)C(=O)N[C@@H](CC(N)=O)C(=O)N[C@@H]([C@@H](C)CC)C(=O)N[C@@H](C)C(O)=O)[C@@H](C)O)C(C)C)NC(=O)[C@H](CC(O)=O)NC(=O)[C@H](CCC(N)=O)NC(=O)[C@H](C)NC(=O)[C@H](CCCNC(N)=N)NC(=O)[C@H](CCCNC(N)=N)NC(=O)[C@H](CO)NC(=O)[C@H](CC(O)=O)NC(=O)[C@H](CC(C)C)NC(=O)[C@H](CC=1C=CC(O)=CC=1)NC(=O)[C@H](CCCCN)NC(=O)[C@H](CO)NC(=O)[C@H](CC=1C=CC(O)=CC=1)NC(=O)[C@H](CC(O)=O)NC(=O)[C@H](CO)NC(=O)[C@@H](NC(=O)[C@H](CC=1C=CC=CC=1)NC(=O)[C@@H](NC(=O)CNC(=O)[C@H](CCC(N)=O)NC(=O)[C@H](CO)NC(=O)[C@@H](N)CC=1NC=NC=1)[C@@H](C)O)[C@@H](C)O)C1=CC=CC=C1 PXZWGQLGAKCNKD-DPNMSELWSA-N 0.000 description 21
- 241000699670 Mus sp. Species 0.000 description 19
- 210000004369 blood Anatomy 0.000 description 19
- 239000008280 blood Substances 0.000 description 19
- 125000003275 alpha amino acid group Chemical group 0.000 description 18
- 150000003839 salts Chemical class 0.000 description 18
- 101800000224 Glucagon-like peptide 1 Proteins 0.000 description 15
- 208000021017 Weight Gain Diseases 0.000 description 14
- NOESYZHRGYRDHS-UHFFFAOYSA-N insulin Chemical compound N1C(=O)C(NC(=O)C(CCC(N)=O)NC(=O)C(CCC(O)=O)NC(=O)C(C(C)C)NC(=O)C(NC(=O)CN)C(C)CC)CSSCC(C(NC(CO)C(=O)NC(CC(C)C)C(=O)NC(CC=2C=CC(O)=CC=2)C(=O)NC(CCC(N)=O)C(=O)NC(CC(C)C)C(=O)NC(CCC(O)=O)C(=O)NC(CC(N)=O)C(=O)NC(CC=2C=CC(O)=CC=2)C(=O)NC(CSSCC(NC(=O)C(C(C)C)NC(=O)C(CC(C)C)NC(=O)C(CC=2C=CC(O)=CC=2)NC(=O)C(CC(C)C)NC(=O)C(C)NC(=O)C(CCC(O)=O)NC(=O)C(C(C)C)NC(=O)C(CC(C)C)NC(=O)C(CC=2NC=NC=2)NC(=O)C(CO)NC(=O)CNC2=O)C(=O)NCC(=O)NC(CCC(O)=O)C(=O)NC(CCCNC(N)=N)C(=O)NCC(=O)NC(CC=3C=CC=CC=3)C(=O)NC(CC=3C=CC=CC=3)C(=O)NC(CC=3C=CC(O)=CC=3)C(=O)NC(C(C)O)C(=O)N3C(CCC3)C(=O)NC(CCCCN)C(=O)NC(C)C(O)=O)C(=O)NC(CC(N)=O)C(O)=O)=O)NC(=O)C(C(C)CC)NC(=O)C(CO)NC(=O)C(C(C)O)NC(=O)C1CSSCC2NC(=O)C(CC(C)C)NC(=O)C(NC(=O)C(CCC(N)=O)NC(=O)C(CC(N)=O)NC(=O)C(NC(=O)C(N)CC=1C=CC=CC=1)C(C)C)CC1=CN=CN1 NOESYZHRGYRDHS-UHFFFAOYSA-N 0.000 description 14
- 102000005962 receptors Human genes 0.000 description 14
- 108020003175 receptors Proteins 0.000 description 14
- 210000001789 adipocyte Anatomy 0.000 description 13
- 239000003981 vehicle Substances 0.000 description 13
- DTHNMHAUYICORS-KTKZVXAJSA-N Glucagon-like peptide 1 Chemical compound C([C@@H](C(=O)N[C@@H]([C@@H](C)CC)C(=O)N[C@@H](C)C(=O)N[C@@H](CC=1C2=CC=CC=C2NC=1)C(=O)N[C@@H](CC(C)C)C(=O)N[C@@H](C(C)C)C(=O)N[C@@H](CCCCN)C(=O)NCC(=O)N[C@@H](CCCNC(N)=N)C(N)=O)NC(=O)[C@H](CCC(O)=O)NC(=O)[C@H](CCCCN)NC(=O)[C@H](C)NC(=O)[C@H](C)NC(=O)[C@H](CCC(N)=O)NC(=O)CNC(=O)[C@H](CCC(O)=O)NC(=O)[C@H](CC(C)C)NC(=O)[C@H](CC=1C=CC(O)=CC=1)NC(=O)[C@H](CO)NC(=O)[C@H](CO)NC(=O)[C@@H](NC(=O)[C@H](CC(O)=O)NC(=O)[C@H](CO)NC(=O)[C@@H](NC(=O)[C@H](CC=1C=CC=CC=1)NC(=O)[C@@H](NC(=O)CNC(=O)[C@H](CCC(O)=O)NC(=O)[C@H](C)NC(=O)[C@@H](N)CC=1N=CNC=1)[C@@H](C)O)[C@@H](C)O)C(C)C)C1=CC=CC=C1 DTHNMHAUYICORS-KTKZVXAJSA-N 0.000 description 12
- 239000000556 agonist Substances 0.000 description 12
- 239000000203 mixture Substances 0.000 description 11
- CKLJMWTZIZZHCS-REOHCLBHSA-N L-aspartic acid Chemical compound OC(=O)[C@@H](N)CC(O)=O CKLJMWTZIZZHCS-REOHCLBHSA-N 0.000 description 10
- 125000002252 acyl group Chemical group 0.000 description 10
- 238000003556 assay Methods 0.000 description 10
- 230000037406 food intake Effects 0.000 description 10
- 150000001408 amides Chemical class 0.000 description 9
- 125000000539 amino acid group Chemical group 0.000 description 9
- 235000012631 food intake Nutrition 0.000 description 9
- FUOOLUPWFVMBKG-UHFFFAOYSA-N 2-Aminoisobutyric acid Chemical compound CC(C)(N)C(O)=O FUOOLUPWFVMBKG-UHFFFAOYSA-N 0.000 description 8
- 108010007622 LDL Lipoproteins Proteins 0.000 description 8
- 125000001183 hydrocarbyl group Chemical group 0.000 description 8
- 239000013598 vector Substances 0.000 description 8
- IVOMOUWHDPKRLL-KQYNXXCUSA-N Cyclic adenosine monophosphate Chemical compound C([C@H]1O2)OP(O)(=O)O[C@H]1[C@@H](O)[C@@H]2N1C(N=CN=C2N)=C2N=C1 IVOMOUWHDPKRLL-KQYNXXCUSA-N 0.000 description 7
- 108010010234 HDL Lipoproteins Proteins 0.000 description 7
- IVOMOUWHDPKRLL-UHFFFAOYSA-N UNPD107823 Natural products O1C2COP(O)(=O)OC2C(O)C1N1C(N=CN=C2N)=C2N=C1 IVOMOUWHDPKRLL-UHFFFAOYSA-N 0.000 description 7
- 229940095074 cyclic amp Drugs 0.000 description 7
- 230000004130 lipolysis Effects 0.000 description 7
- 239000002953 phosphate buffered saline Substances 0.000 description 7
- 238000006467 substitution reaction Methods 0.000 description 7
- PECYZEOJVXMISF-REOHCLBHSA-N 3-amino-L-alanine Chemical compound [NH3+]C[C@H](N)C([O-])=O PECYZEOJVXMISF-REOHCLBHSA-N 0.000 description 6
- 108010011459 Exenatide Proteins 0.000 description 6
- PEDCQBHIVMGVHV-UHFFFAOYSA-N Glycerine Chemical compound OCC(O)CO PEDCQBHIVMGVHV-UHFFFAOYSA-N 0.000 description 6
- 102000004877 Insulin Human genes 0.000 description 6
- 108090001061 Insulin Proteins 0.000 description 6
- 241001465754 Metazoa Species 0.000 description 6
- 241000700159 Rattus Species 0.000 description 6
- 230000015572 biosynthetic process Effects 0.000 description 6
- 239000000872 buffer Substances 0.000 description 6
- JUFFVKRROAPVBI-PVOYSMBESA-N chembl1210015 Chemical compound C([C@@H](C(=O)N[C@@H]([C@@H](C)CC)C(=O)N[C@@H](CCC(O)=O)C(=O)N[C@@H](CC=1C2=CC=CC=C2NC=1)C(=O)N[C@@H](CC(C)C)C(=O)N[C@@H](CCCCN)C(=O)N[C@@H](CC(=O)N[C@H]1[C@@H]([C@@H](O)[C@H](O[C@H]2[C@@H]([C@@H](O)[C@@H](O)[C@@H](CO[C@]3(O[C@@H](C[C@H](O)[C@H](O)CO)[C@H](NC(C)=O)[C@@H](O)C3)C(O)=O)O2)O)[C@@H](CO)O1)NC(C)=O)C(=O)NCC(=O)NCC(=O)N1[C@@H](CCC1)C(=O)N[C@@H](CO)C(=O)N[C@@H](CO)C(=O)NCC(=O)N[C@@H](C)C(=O)N1[C@@H](CCC1)C(=O)N1[C@@H](CCC1)C(=O)N1[C@@H](CCC1)C(=O)N[C@@H](CO)C(N)=O)NC(=O)[C@H](CC(C)C)NC(=O)[C@H](CCCNC(N)=N)NC(=O)[C@@H](NC(=O)[C@H](C)NC(=O)[C@H](CCC(O)=O)NC(=O)[C@H](CCC(O)=O)NC(=O)[C@H](CCC(O)=O)NC(=O)[C@H](CCSC)NC(=O)[C@H](CCC(N)=O)NC(=O)[C@H](CCCCN)NC(=O)[C@H](CO)NC(=O)[C@H](CC(C)C)NC(=O)[C@H](CC(O)=O)NC(=O)[C@H](CO)NC(=O)[C@@H](NC(=O)[C@H](CC=1C=CC=CC=1)NC(=O)[C@@H](NC(=O)CNC(=O)[C@H](CCC(O)=O)NC(=O)CNC(=O)[C@@H](N)CC=1NC=NC=1)[C@@H](C)O)[C@@H](C)O)C(C)C)C1=CC=CC=C1 JUFFVKRROAPVBI-PVOYSMBESA-N 0.000 description 6
- HVYWMOMLDIMFJA-DPAQBDIFSA-N cholesterol Chemical compound C1C=C2C[C@@H](O)CC[C@]2(C)[C@@H]2[C@@H]1[C@@H]1CC[C@H]([C@H](C)CCCC(C)C)[C@@]1(C)CC2 HVYWMOMLDIMFJA-DPAQBDIFSA-N 0.000 description 6
- 201000010099 disease Diseases 0.000 description 6
- 150000002148 esters Chemical class 0.000 description 6
- 229960001519 exenatide Drugs 0.000 description 6
- 229940125396 insulin Drugs 0.000 description 6
- 238000007920 subcutaneous administration Methods 0.000 description 6
- 230000001225 therapeutic effect Effects 0.000 description 6
- 239000002202 Polyethylene glycol Substances 0.000 description 5
- 108010058003 Proglucagon Proteins 0.000 description 5
- 238000004458 analytical method Methods 0.000 description 5
- 125000004432 carbon atom Chemical group C* 0.000 description 5
- 238000010367 cloning Methods 0.000 description 5
- 230000009977 dual effect Effects 0.000 description 5
- 239000012634 fragment Substances 0.000 description 5
- 125000004430 oxygen atom Chemical group O* 0.000 description 5
- 229920001223 polyethylene glycol Polymers 0.000 description 5
- 239000000047 product Substances 0.000 description 5
- FDDDEECHVMSUSB-UHFFFAOYSA-N sulfanilamide Chemical compound NC1=CC=C(S(N)(=O)=O)C=C1 FDDDEECHVMSUSB-UHFFFAOYSA-N 0.000 description 5
- 229940124530 sulfonamide Drugs 0.000 description 5
- 125000004434 sulfur atom Chemical group 0.000 description 5
- NQRYJNQNLNOLGT-UHFFFAOYSA-N tetrahydropyridine hydrochloride Natural products C1CCNCC1 NQRYJNQNLNOLGT-UHFFFAOYSA-N 0.000 description 5
- 150000007970 thio esters Chemical class 0.000 description 5
- PECYZEOJVXMISF-UHFFFAOYSA-N 3-aminoalanine Chemical compound [NH3+]CC(N)C([O-])=O PECYZEOJVXMISF-UHFFFAOYSA-N 0.000 description 4
- 235000012000 cholesterol Nutrition 0.000 description 4
- 208000035475 disorder Diseases 0.000 description 4
- 239000002552 dosage form Substances 0.000 description 4
- 239000001963 growth medium Substances 0.000 description 4
- 235000009200 high fat diet Nutrition 0.000 description 4
- 238000004128 high performance liquid chromatography Methods 0.000 description 4
- 238000010647 peptide synthesis reaction Methods 0.000 description 4
- 229920001184 polypeptide Polymers 0.000 description 4
- 230000003389 potentiating effect Effects 0.000 description 4
- 238000002360 preparation method Methods 0.000 description 4
- 238000011084 recovery Methods 0.000 description 4
- 229920005989 resin Polymers 0.000 description 4
- 239000011347 resin Substances 0.000 description 4
- 239000007790 solid phase Substances 0.000 description 4
- 239000000243 solution Substances 0.000 description 4
- YROXIXLRRCOBKF-UHFFFAOYSA-N sulfonylurea Chemical compound OC(=N)N=S(=O)=O YROXIXLRRCOBKF-UHFFFAOYSA-N 0.000 description 4
- 208000024172 Cardiovascular disease Diseases 0.000 description 3
- 108020004414 DNA Proteins 0.000 description 3
- RTZKZFJDLAIYFH-UHFFFAOYSA-N Diethyl ether Chemical compound CCOCC RTZKZFJDLAIYFH-UHFFFAOYSA-N 0.000 description 3
- 101001015516 Homo sapiens Glucagon-like peptide 1 receptor Proteins 0.000 description 3
- 238000008214 LDL Cholesterol Methods 0.000 description 3
- 208000017170 Lipid metabolism disease Diseases 0.000 description 3
- 239000004472 Lysine Substances 0.000 description 3
- 206010028980 Neoplasm Diseases 0.000 description 3
- 108091028043 Nucleic acid sequence Proteins 0.000 description 3
- 229940100389 Sulfonylurea Drugs 0.000 description 3
- 239000002253 acid Substances 0.000 description 3
- 230000009286 beneficial effect Effects 0.000 description 3
- 201000011510 cancer Diseases 0.000 description 3
- 230000003247 decreasing effect Effects 0.000 description 3
- 235000005911 diet Nutrition 0.000 description 3
- 230000037213 diet Effects 0.000 description 3
- 239000003814 drug Substances 0.000 description 3
- 238000009472 formulation Methods 0.000 description 3
- 230000001976 improved effect Effects 0.000 description 3
- 125000003588 lysine group Chemical group [H]N([H])C([H])([H])C([H])([H])C([H])([H])C([H])([H])C([H])(N([H])[H])C(*)=O 0.000 description 3
- 238000004519 manufacturing process Methods 0.000 description 3
- 230000004060 metabolic process Effects 0.000 description 3
- XZWYZXLIPXDOLR-UHFFFAOYSA-N metformin Chemical compound CN(C)C(=N)NC(N)=N XZWYZXLIPXDOLR-UHFFFAOYSA-N 0.000 description 3
- 229960003105 metformin Drugs 0.000 description 3
- 125000004433 nitrogen atom Chemical group N* 0.000 description 3
- 102000004169 proteins and genes Human genes 0.000 description 3
- 108090000623 proteins and genes Proteins 0.000 description 3
- 238000000746 purification Methods 0.000 description 3
- 230000010076 replication Effects 0.000 description 3
- 238000004007 reversed phase HPLC Methods 0.000 description 3
- 239000007787 solid Substances 0.000 description 3
- 239000002904 solvent Substances 0.000 description 3
- 239000000126 substance Substances 0.000 description 3
- 238000003786 synthesis reaction Methods 0.000 description 3
- 125000004169 (C1-C6) alkyl group Chemical group 0.000 description 2
- OGNSCSPNOLGXSM-UHFFFAOYSA-N 2,4-diaminobutyric acid Chemical compound NCCC(N)C(O)=O OGNSCSPNOLGXSM-UHFFFAOYSA-N 0.000 description 2
- 208000004611 Abdominal Obesity Diseases 0.000 description 2
- QTBSBXVTEAMEQO-UHFFFAOYSA-M Acetate Chemical compound CC([O-])=O QTBSBXVTEAMEQO-UHFFFAOYSA-M 0.000 description 2
- WEVYAHXRMPXWCK-UHFFFAOYSA-N Acetonitrile Chemical compound CC#N WEVYAHXRMPXWCK-UHFFFAOYSA-N 0.000 description 2
- 108010074051 C-Reactive Protein Proteins 0.000 description 2
- 102100032752 C-reactive protein Human genes 0.000 description 2
- 206010065941 Central obesity Diseases 0.000 description 2
- 108010067722 Dipeptidyl Peptidase 4 Proteins 0.000 description 2
- 102100025012 Dipeptidyl peptidase 4 Human genes 0.000 description 2
- 208000032928 Dyslipidaemia Diseases 0.000 description 2
- KCXVZYZYPLLWCC-UHFFFAOYSA-N EDTA Chemical compound OC(=O)CN(CC(O)=O)CCN(CC(O)=O)CC(O)=O KCXVZYZYPLLWCC-UHFFFAOYSA-N 0.000 description 2
- 108010049003 Fibrinogen Proteins 0.000 description 2
- 102000008946 Fibrinogen Human genes 0.000 description 2
- 229940089838 Glucagon-like peptide 1 receptor agonist Drugs 0.000 description 2
- 101800000221 Glucagon-like peptide 2 Proteins 0.000 description 2
- 108010023302 HDL Cholesterol Proteins 0.000 description 2
- 241000282412 Homo Species 0.000 description 2
- 101001040075 Homo sapiens Glucagon receptor Proteins 0.000 description 2
- 208000013016 Hypoglycemia Diseases 0.000 description 2
- AHLPHDHHMVZTML-BYPYZUCNSA-N L-Ornithine Chemical compound NCCC[C@H](N)C(O)=O AHLPHDHHMVZTML-BYPYZUCNSA-N 0.000 description 2
- 108010028554 LDL Cholesterol Proteins 0.000 description 2
- 241000124008 Mammalia Species 0.000 description 2
- JGFZNNIVVJXRND-UHFFFAOYSA-N N,N-Diisopropylethylamine (DIPEA) Chemical compound CCN(C(C)C)C(C)C JGFZNNIVVJXRND-UHFFFAOYSA-N 0.000 description 2
- AHLPHDHHMVZTML-UHFFFAOYSA-N Orn-delta-NH2 Natural products NCCCC(N)C(O)=O AHLPHDHHMVZTML-UHFFFAOYSA-N 0.000 description 2
- UTJLXEIPEHZYQJ-UHFFFAOYSA-N Ornithine Natural products OC(=O)C(C)CCCN UTJLXEIPEHZYQJ-UHFFFAOYSA-N 0.000 description 2
- 108010022233 Plasminogen Activator Inhibitor 1 Proteins 0.000 description 2
- 102100039418 Plasminogen activator inhibitor 1 Human genes 0.000 description 2
- 108010076504 Protein Sorting Signals Proteins 0.000 description 2
- 240000004808 Saccharomyces cerevisiae Species 0.000 description 2
- 235000014680 Saccharomyces cerevisiae Nutrition 0.000 description 2
- RAHZWNYVWXNFOC-UHFFFAOYSA-N Sulphur dioxide Chemical group O=S=O RAHZWNYVWXNFOC-UHFFFAOYSA-N 0.000 description 2
- 239000007983 Tris buffer Substances 0.000 description 2
- 239000003929 acidic solution Substances 0.000 description 2
- 230000002378 acidificating effect Effects 0.000 description 2
- 230000003213 activating effect Effects 0.000 description 2
- 230000004913 activation Effects 0.000 description 2
- 150000001447 alkali salts Chemical class 0.000 description 2
- 125000003277 amino group Chemical group 0.000 description 2
- 238000010171 animal model Methods 0.000 description 2
- 239000005557 antagonist Substances 0.000 description 2
- 230000036528 appetite Effects 0.000 description 2
- 235000019789 appetite Nutrition 0.000 description 2
- 210000001367 artery Anatomy 0.000 description 2
- 210000000227 basophil cell of anterior lobe of hypophysis Anatomy 0.000 description 2
- 239000002775 capsule Substances 0.000 description 2
- 125000003178 carboxy group Chemical group [H]OC(*)=O 0.000 description 2
- 230000001413 cellular effect Effects 0.000 description 2
- 238000005119 centrifugation Methods 0.000 description 2
- 239000003153 chemical reaction reagent Substances 0.000 description 2
- 239000003795 chemical substances by application Substances 0.000 description 2
- 150000001841 cholesterols Chemical class 0.000 description 2
- 238000003776 cleavage reaction Methods 0.000 description 2
- 238000002648 combination therapy Methods 0.000 description 2
- 239000002299 complementary DNA Substances 0.000 description 2
- 238000005859 coupling reaction Methods 0.000 description 2
- 150000001924 cycloalkanes Chemical class 0.000 description 2
- 230000006240 deamidation Effects 0.000 description 2
- 230000008021 deposition Effects 0.000 description 2
- 238000011161 development Methods 0.000 description 2
- 230000002526 effect on cardiovascular system Effects 0.000 description 2
- 238000002474 experimental method Methods 0.000 description 2
- 239000000284 extract Substances 0.000 description 2
- 229940012952 fibrinogen Drugs 0.000 description 2
- 239000003877 glucagon like peptide 1 receptor agonist Substances 0.000 description 2
- TWSALRJGPBVBQU-PKQQPRCHSA-N glucagon-like peptide 2 Chemical compound C([C@@H](C(=O)N[C@H](C(=O)N[C@@H](CC(N)=O)C(=O)N[C@@H](CC=1C2=CC=CC=C2NC=1)C(=O)N[C@@H](CC(C)C)C(=O)N[C@@H]([C@@H](C)CC)C(=O)N[C@@H](CCC(N)=O)C(=O)N[C@@H]([C@@H](C)O)C(=O)N[C@@H](CCCCN)C(=O)N[C@@H]([C@@H](C)CC)C(=O)N[C@@H]([C@@H](C)O)C(=O)N[C@@H](CC(O)=O)C(O)=O)[C@@H](C)CC)NC(=O)[C@H](CC(O)=O)NC(=O)[C@H](CCCNC(N)=N)NC(=O)[C@H](C)NC(=O)[C@H](C)NC(=O)[C@H](CC(C)C)NC(=O)[C@H](CC(N)=O)NC(=O)[C@H](CC(O)=O)NC(=O)[C@H](CC(C)C)NC(=O)[C@@H](NC(=O)[C@@H](NC(=O)[C@H](CC(N)=O)NC(=O)[C@H](CCSC)NC(=O)[C@H](CCC(O)=O)NC(=O)[C@H](CC(O)=O)NC(=O)[C@H](CO)NC(=O)[C@H](CC=1C=CC=CC=1)NC(=O)[C@H](CO)NC(=O)CNC(=O)[C@H](CC(O)=O)NC(=O)[C@H](C)NC(=O)[C@@H](N)CC=1NC=NC=1)[C@@H](C)O)[C@@H](C)CC)C1=CC=CC=C1 TWSALRJGPBVBQU-PKQQPRCHSA-N 0.000 description 2
- 230000002641 glycemic effect Effects 0.000 description 2
- 230000036541 health Effects 0.000 description 2
- HNDVDQJCIGZPNO-UHFFFAOYSA-N histidine Natural products OC(=O)C(N)CC1=CN=CN1 HNDVDQJCIGZPNO-UHFFFAOYSA-N 0.000 description 2
- 229940088597 hormone Drugs 0.000 description 2
- 239000005556 hormone Substances 0.000 description 2
- 102000056448 human GLP1R Human genes 0.000 description 2
- 201000001421 hyperglycemia Diseases 0.000 description 2
- 230000002218 hypoglycaemic effect Effects 0.000 description 2
- 238000011534 incubation Methods 0.000 description 2
- 239000003112 inhibitor Substances 0.000 description 2
- 238000002347 injection Methods 0.000 description 2
- 239000007924 injection Substances 0.000 description 2
- 230000003993 interaction Effects 0.000 description 2
- 239000007791 liquid phase Substances 0.000 description 2
- 210000004185 liver Anatomy 0.000 description 2
- 230000001404 mediated effect Effects 0.000 description 2
- 208000030159 metabolic disease Diseases 0.000 description 2
- 230000004048 modification Effects 0.000 description 2
- 238000012986 modification Methods 0.000 description 2
- GNZCSGYHILBXLL-UHFFFAOYSA-N n-tert-butyl-6,7-dichloro-3-methylsulfonylquinoxalin-2-amine Chemical compound ClC1=C(Cl)C=C2N=C(S(C)(=O)=O)C(NC(C)(C)C)=NC2=C1 GNZCSGYHILBXLL-UHFFFAOYSA-N 0.000 description 2
- 238000007410 oral glucose tolerance test Methods 0.000 description 2
- 229960003104 ornithine Drugs 0.000 description 2
- 125000001312 palmitoyl group Chemical group O=C([*])C([H])([H])C([H])([H])C([H])([H])C([H])([H])C([H])([H])C([H])([H])C([H])([H])C([H])([H])C([H])([H])C([H])([H])C([H])([H])C([H])([H])C([H])([H])C([H])([H])C([H])([H])[H] 0.000 description 2
- 239000002243 precursor Substances 0.000 description 2
- 230000000770 proinflammatory effect Effects 0.000 description 2
- 230000003331 prothrombotic effect Effects 0.000 description 2
- 238000003259 recombinant expression Methods 0.000 description 2
- 230000009467 reduction Effects 0.000 description 2
- 229920006395 saturated elastomer Polymers 0.000 description 2
- 230000007017 scission Effects 0.000 description 2
- 230000003248 secreting effect Effects 0.000 description 2
- 238000007619 statistical method Methods 0.000 description 2
- 230000000638 stimulation Effects 0.000 description 2
- 230000004083 survival effect Effects 0.000 description 2
- 239000000725 suspension Substances 0.000 description 2
- 208000011580 syndromic disease Diseases 0.000 description 2
- 230000002195 synergetic effect Effects 0.000 description 2
- DYHSDKLCOJIUFX-UHFFFAOYSA-N tert-butoxycarbonyl anhydride Chemical compound CC(C)(C)OC(=O)OC(=O)OC(C)(C)C DYHSDKLCOJIUFX-UHFFFAOYSA-N 0.000 description 2
- 238000012360 testing method Methods 0.000 description 2
- 125000003396 thiol group Chemical group [H]S* 0.000 description 2
- 210000001519 tissue Anatomy 0.000 description 2
- 150000003626 triacylglycerols Chemical class 0.000 description 2
- XLYOFNOQVPJJNP-UHFFFAOYSA-N water Substances O XLYOFNOQVPJJNP-UHFFFAOYSA-N 0.000 description 2
- NWZSZGALRFJKBT-KNIFDHDWSA-N (2s)-2,6-diaminohexanoic acid;(2s)-2-hydroxybutanedioic acid Chemical compound OC(=O)[C@@H](O)CC(O)=O.NCCCC[C@H](N)C(O)=O NWZSZGALRFJKBT-KNIFDHDWSA-N 0.000 description 1
- IXHPIPUIOSSAIS-NSHDSACASA-N (2s)-2-[(2-methylpropan-2-yl)oxycarbonylamino]-3-[1-[(2-methylpropan-2-yl)oxycarbonyl]imidazol-4-yl]propanoic acid Chemical compound CC(C)(C)OC(=O)N[C@H](C(O)=O)CC1=CN(C(=O)OC(C)(C)C)C=N1 IXHPIPUIOSSAIS-NSHDSACASA-N 0.000 description 1
- GOPWHXPXSPIIQZ-FQEVSTJZSA-N (4s)-4-(9h-fluoren-9-ylmethoxycarbonylamino)-5-[(2-methylpropan-2-yl)oxy]-5-oxopentanoic acid Chemical compound C1=CC=C2C(COC(=O)N[C@@H](CCC(O)=O)C(=O)OC(C)(C)C)C3=CC=CC=C3C2=C1 GOPWHXPXSPIIQZ-FQEVSTJZSA-N 0.000 description 1
- 125000004178 (C1-C4) alkyl group Chemical group 0.000 description 1
- 125000003088 (fluoren-9-ylmethoxy)carbonyl group Chemical group 0.000 description 1
- 0 *CC Chemical compound *CC 0.000 description 1
- FWMNVWWHGCHHJJ-SKKKGAJSSA-N 4-amino-1-[(2r)-6-amino-2-[[(2r)-2-[[(2r)-2-[[(2r)-2-amino-3-phenylpropanoyl]amino]-3-phenylpropanoyl]amino]-4-methylpentanoyl]amino]hexanoyl]piperidine-4-carboxylic acid Chemical compound C([C@H](C(=O)N[C@H](CC(C)C)C(=O)N[C@H](CCCCN)C(=O)N1CCC(N)(CC1)C(O)=O)NC(=O)[C@H](N)CC=1C=CC=CC=1)C1=CC=CC=C1 FWMNVWWHGCHHJJ-SKKKGAJSSA-N 0.000 description 1
- 125000004042 4-aminobutyl group Chemical group [H]C([*])([H])C([H])([H])C([H])([H])C([H])([H])N([H])[H] 0.000 description 1
- NKOHRVBBQISBSB-UHFFFAOYSA-N 5-[(4-hydroxyphenyl)methyl]-1,3-thiazolidine-2,4-dione Chemical compound C1=CC(O)=CC=C1CC1C(=O)NC(=O)S1 NKOHRVBBQISBSB-UHFFFAOYSA-N 0.000 description 1
- 239000005541 ACE inhibitor Substances 0.000 description 1
- 108010088751 Albumins Proteins 0.000 description 1
- 102000009027 Albumins Human genes 0.000 description 1
- ATRRKUHOCOJYRX-UHFFFAOYSA-N Ammonium bicarbonate Chemical compound [NH4+].OC([O-])=O ATRRKUHOCOJYRX-UHFFFAOYSA-N 0.000 description 1
- 229910000013 Ammonium bicarbonate Inorganic materials 0.000 description 1
- 241000024188 Andala Species 0.000 description 1
- 102000008873 Angiotensin II receptor Human genes 0.000 description 1
- 108050000824 Angiotensin II receptor Proteins 0.000 description 1
- 101710129690 Angiotensin-converting enzyme inhibitor Proteins 0.000 description 1
- 239000004475 Arginine Substances 0.000 description 1
- 201000001320 Atherosclerosis Diseases 0.000 description 1
- 210000002237 B-cell of pancreatic islet Anatomy 0.000 description 1
- 241000193830 Bacillus <bacterium> Species 0.000 description 1
- 244000063299 Bacillus subtilis Species 0.000 description 1
- 235000014469 Bacillus subtilis Nutrition 0.000 description 1
- 241000894006 Bacteria Species 0.000 description 1
- 101710086378 Bradykinin-potentiating and C-type natriuretic peptides Proteins 0.000 description 1
- 101800001415 Bri23 peptide Proteins 0.000 description 1
- YNXLOPYTAAFMTN-SBUIBGKBSA-N C([C@H](N)C(=O)N1CCC[C@H]1C(=O)N[C@@H]([C@@H](C)CC)C(=O)N[C@@H](CCCCN)C(=O)N1[C@@H](CCC1)C(=O)N[C@@H](CCC(O)=O)C(=O)N[C@@H](C)C(=O)N1[C@@H](CCC1)C(=O)NCC(=O)N[C@@H](CCC(O)=O)C(=O)N[C@@H](CC(O)=O)C(=O)N[C@@H](C)C(=O)N[C@@H](CO)C(=O)N1[C@@H](CCC1)C(=O)N[C@@H](CCC(O)=O)C(=O)N[C@@H](CCC(O)=O)C(=O)N[C@@H](CC(C)C)C(=O)N[C@@H](CC(N)=O)C(=O)N[C@@H](CCCNC(N)=N)C(=O)N[C@@H](CC=1C=CC(O)=CC=1)C(=O)N[C@@H](CC=1C=CC(O)=CC=1)C(=O)N[C@@H](C)C(=O)N[C@@H](CO)C(=O)N[C@@H](CC(C)C)C(=O)N[C@@H](CCCNC(N)=N)C(=O)N[C@@H](CC=1NC=NC=1)C(=O)N[C@@H](CC=1C=CC(O)=CC=1)C(=O)N[C@@H](CC(C)C)C(=O)N[C@@H](CC(N)=O)C(=O)N[C@@H](CC(C)C)C(=O)N[C@@H](C(C)C)C(=O)N[C@@H]([C@@H](C)O)C(=O)N[C@@H](CCCNC(N)=N)C(=O)N[C@@H](CCC(N)=O)C(=O)N[C@@H](CCCNC(N)=N)C(=O)N[C@@H](CC=1C=CC(O)=CC=1)C(N)=O)C1=CC=C(O)C=C1 Chemical compound C([C@H](N)C(=O)N1CCC[C@H]1C(=O)N[C@@H]([C@@H](C)CC)C(=O)N[C@@H](CCCCN)C(=O)N1[C@@H](CCC1)C(=O)N[C@@H](CCC(O)=O)C(=O)N[C@@H](C)C(=O)N1[C@@H](CCC1)C(=O)NCC(=O)N[C@@H](CCC(O)=O)C(=O)N[C@@H](CC(O)=O)C(=O)N[C@@H](C)C(=O)N[C@@H](CO)C(=O)N1[C@@H](CCC1)C(=O)N[C@@H](CCC(O)=O)C(=O)N[C@@H](CCC(O)=O)C(=O)N[C@@H](CC(C)C)C(=O)N[C@@H](CC(N)=O)C(=O)N[C@@H](CCCNC(N)=N)C(=O)N[C@@H](CC=1C=CC(O)=CC=1)C(=O)N[C@@H](CC=1C=CC(O)=CC=1)C(=O)N[C@@H](C)C(=O)N[C@@H](CO)C(=O)N[C@@H](CC(C)C)C(=O)N[C@@H](CCCNC(N)=N)C(=O)N[C@@H](CC=1NC=NC=1)C(=O)N[C@@H](CC=1C=CC(O)=CC=1)C(=O)N[C@@H](CC(C)C)C(=O)N[C@@H](CC(N)=O)C(=O)N[C@@H](CC(C)C)C(=O)N[C@@H](C(C)C)C(=O)N[C@@H]([C@@H](C)O)C(=O)N[C@@H](CCCNC(N)=N)C(=O)N[C@@H](CCC(N)=O)C(=O)N[C@@H](CCCNC(N)=N)C(=O)N[C@@H](CC=1C=CC(O)=CC=1)C(N)=O)C1=CC=C(O)C=C1 YNXLOPYTAAFMTN-SBUIBGKBSA-N 0.000 description 1
- 102400000107 C-terminal peptide Human genes 0.000 description 1
- 101800000655 C-terminal peptide Proteins 0.000 description 1
- OBMZMSLWNNWEJA-XNCRXQDQSA-N C1=CC=2C(C[C@@H]3NC(=O)[C@@H](NC(=O)[C@H](NC(=O)N(CC#CCN(CCCC[C@H](NC(=O)[C@@H](CC4=CC=CC=C4)NC3=O)C(=O)N)CC=C)NC(=O)[C@@H](N)C)CC3=CNC4=C3C=CC=C4)C)=CNC=2C=C1 Chemical compound C1=CC=2C(C[C@@H]3NC(=O)[C@@H](NC(=O)[C@H](NC(=O)N(CC#CCN(CCCC[C@H](NC(=O)[C@@H](CC4=CC=CC=C4)NC3=O)C(=O)N)CC=C)NC(=O)[C@@H](N)C)CC3=CNC4=C3C=CC=C4)C)=CNC=2C=C1 OBMZMSLWNNWEJA-XNCRXQDQSA-N 0.000 description 1
- 125000000882 C2-C6 alkenyl group Chemical group 0.000 description 1
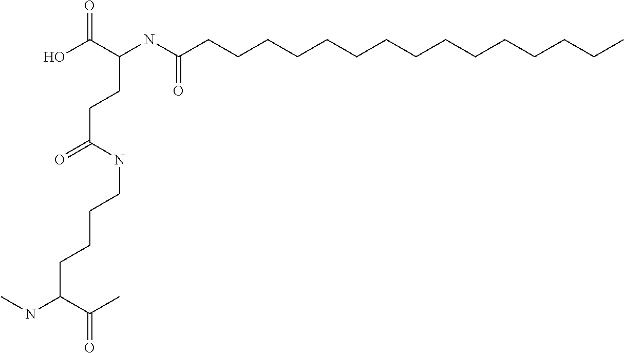
- RFYSISLDSVTTMB-UHFFFAOYSA-N CCCCCCCCCCCCCCCC(=O)NC(CCC(=O)NCCCCC(NC)C(C)=O)C(=O)O Chemical compound CCCCCCCCCCCCCCCC(=O)NC(CCC(=O)NCCCCC(NC)C(C)=O)C(=O)O RFYSISLDSVTTMB-UHFFFAOYSA-N 0.000 description 1
- DDPRYTUJYNYJKV-UHFFFAOYSA-N CCN1CCN(CC)CC1 Chemical compound CCN1CCN(CC)CC1 DDPRYTUJYNYJKV-UHFFFAOYSA-N 0.000 description 1
- 101100455752 Caenorhabditis elegans lys-3 gene Proteins 0.000 description 1
- 101100289888 Caenorhabditis elegans lys-5 gene Proteins 0.000 description 1
- 101100289894 Caenorhabditis elegans lys-7 gene Proteins 0.000 description 1
- OYPRJOBELJOOCE-UHFFFAOYSA-N Calcium Chemical compound [Ca] OYPRJOBELJOOCE-UHFFFAOYSA-N 0.000 description 1
- 229940127291 Calcium channel antagonist Drugs 0.000 description 1
- 102100033868 Cannabinoid receptor 1 Human genes 0.000 description 1
- 101710187010 Cannabinoid receptor 1 Proteins 0.000 description 1
- KRKNYBCHXYNGOX-UHFFFAOYSA-K Citrate Chemical compound [O-]C(=O)CC(O)(CC([O-])=O)C([O-])=O KRKNYBCHXYNGOX-UHFFFAOYSA-K 0.000 description 1
- 102000029816 Collagenase Human genes 0.000 description 1
- 108060005980 Collagenase Proteins 0.000 description 1
- 108091035707 Consensus sequence Proteins 0.000 description 1
- QNAYBMKLOCPYGJ-UHFFFAOYSA-N D-alpha-Ala Natural products CC([NH3+])C([O-])=O QNAYBMKLOCPYGJ-UHFFFAOYSA-N 0.000 description 1
- 238000001712 DNA sequencing Methods 0.000 description 1
- 206010061818 Disease progression Diseases 0.000 description 1
- 241000196324 Embryophyta Species 0.000 description 1
- 241000588722 Escherichia Species 0.000 description 1
- 241000588724 Escherichia coli Species 0.000 description 1
- 102000006419 Glucagon-Like Peptide Receptors Human genes 0.000 description 1
- 108010083749 Glucagon-Like Peptide Receptors Proteins 0.000 description 1
- 102100036442 Glutathione reductase, mitochondrial Human genes 0.000 description 1
- DHMQDGOQFOQNFH-UHFFFAOYSA-N Glycine Chemical compound NCC(O)=O DHMQDGOQFOQNFH-UHFFFAOYSA-N 0.000 description 1
- 239000007821 HATU Substances 0.000 description 1
- 241000238631 Hexapoda Species 0.000 description 1
- 101100283943 Homo sapiens GSR gene Proteins 0.000 description 1
- 101500028774 Homo sapiens Glucagon-like peptide 1 Proteins 0.000 description 1
- 101000581402 Homo sapiens Melanin-concentrating hormone receptor 1 Proteins 0.000 description 1
- DGAQECJNVWCQMB-PUAWFVPOSA-M Ilexoside XXIX Chemical compound C[C@@H]1CC[C@@]2(CC[C@@]3(C(=CC[C@H]4[C@]3(CC[C@@H]5[C@@]4(CC[C@@H](C5(C)C)OS(=O)(=O)[O-])C)C)[C@@H]2[C@]1(C)O)C)C(=O)O[C@H]6[C@@H]([C@H]([C@@H]([C@H](O6)CO)O)O)O.[Na+] DGAQECJNVWCQMB-PUAWFVPOSA-M 0.000 description 1
- 108010057186 Insulin Glargine Proteins 0.000 description 1
- 108010065920 Insulin Lispro Proteins 0.000 description 1
- COCFEDIXXNGUNL-RFKWWTKHSA-N Insulin glargine Chemical compound C([C@@H](C(=O)N[C@@H](CC(C)C)C(=O)N[C@H]1CSSC[C@H]2C(=O)N[C@H](C(=O)N[C@@H](CO)C(=O)N[C@H](C(=O)N[C@H](C(N[C@@H](CO)C(=O)N[C@@H](CC(C)C)C(=O)N[C@@H](CC=3C=CC(O)=CC=3)C(=O)N[C@@H](CCC(N)=O)C(=O)N[C@@H](CC(C)C)C(=O)N[C@@H](CCC(O)=O)C(=O)N[C@@H](CC(N)=O)C(=O)N[C@@H](CC=3C=CC(O)=CC=3)C(=O)N[C@@H](CSSC[C@H](NC(=O)[C@H](C(C)C)NC(=O)[C@H](CC(C)C)NC(=O)[C@H](CC=3C=CC(O)=CC=3)NC(=O)[C@H](CC(C)C)NC(=O)[C@H](C)NC(=O)[C@H](CCC(O)=O)NC(=O)[C@H](C(C)C)NC(=O)[C@H](CC(C)C)NC(=O)[C@H](CC=3NC=NC=3)NC(=O)[C@H](CO)NC(=O)CNC1=O)C(=O)NCC(=O)N[C@@H](CCC(O)=O)C(=O)N[C@@H](CCCNC(N)=N)C(=O)NCC(=O)N[C@@H](CC=1C=CC=CC=1)C(=O)N[C@@H](CC=1C=CC=CC=1)C(=O)N[C@@H](CC=1C=CC(O)=CC=1)C(=O)N[C@@H]([C@@H](C)O)C(=O)N1[C@@H](CCC1)C(=O)N[C@@H](CCCCN)C(=O)N[C@@H]([C@@H](C)O)C(=O)N[C@@H](CCCNC(N)=N)C(=O)N[C@@H](CCCNC(N)=N)C(O)=O)C(=O)NCC(O)=O)=O)CSSC[C@@H](C(N2)=O)NC(=O)[C@H](CCC(N)=O)NC(=O)[C@H](CCC(O)=O)NC(=O)[C@H](C(C)C)NC(=O)[C@@H](NC(=O)CN)[C@@H](C)CC)[C@@H](C)CC)[C@@H](C)O)NC(=O)[C@H](CCC(N)=O)NC(=O)[C@H](CC(N)=O)NC(=O)[C@@H](NC(=O)[C@@H](N)CC=1C=CC=CC=1)C(C)C)C1=CN=CN1 COCFEDIXXNGUNL-RFKWWTKHSA-N 0.000 description 1
- OGNSCSPNOLGXSM-VKHMYHEASA-N L-2,4-diaminobutyric acid Chemical compound NCC[C@H](N)C(O)=O OGNSCSPNOLGXSM-VKHMYHEASA-N 0.000 description 1
- ODKSFYDXXFIFQN-BYPYZUCNSA-P L-argininium(2+) Chemical compound NC(=[NH2+])NCCC[C@H]([NH3+])C(O)=O ODKSFYDXXFIFQN-BYPYZUCNSA-P 0.000 description 1
- HNDVDQJCIGZPNO-YFKPBYRVSA-N L-histidine Chemical compound OC(=O)[C@@H](N)CC1=CN=CN1 HNDVDQJCIGZPNO-YFKPBYRVSA-N 0.000 description 1
- FFEARJCKVFRZRR-BYPYZUCNSA-N L-methionine Chemical compound CSCC[C@H](N)C(O)=O FFEARJCKVFRZRR-BYPYZUCNSA-N 0.000 description 1
- 101150118523 LYS4 gene Proteins 0.000 description 1
- 206010024264 Lethargy Diseases 0.000 description 1
- 229940086609 Lipase inhibitor Drugs 0.000 description 1
- 102100027375 Melanin-concentrating hormone receptor 1 Human genes 0.000 description 1
- 102000004378 Melanocortin Receptors Human genes 0.000 description 1
- 108090000950 Melanocortin Receptors Proteins 0.000 description 1
- BAVYZALUXZFZLV-UHFFFAOYSA-N Methylamine Chemical compound NC BAVYZALUXZFZLV-UHFFFAOYSA-N 0.000 description 1
- 241000186359 Mycobacterium Species 0.000 description 1
- 241001467552 Mycobacterium bovis BCG Species 0.000 description 1
- 108091061960 Naked DNA Proteins 0.000 description 1
- 229930193140 Neomycin Natural products 0.000 description 1
- 239000004677 Nylon Substances 0.000 description 1
- 102000016979 Other receptors Human genes 0.000 description 1
- 229910019142 PO4 Inorganic materials 0.000 description 1
- 101710176384 Peptide 1 Proteins 0.000 description 1
- 108010088847 Peptide YY Proteins 0.000 description 1
- 102100029909 Peptide YY Human genes 0.000 description 1
- 208000018262 Peripheral vascular disease Diseases 0.000 description 1
- 229920000805 Polyaspartic acid Polymers 0.000 description 1
- 108010020346 Polyglutamic Acid Proteins 0.000 description 1
- 108010039918 Polylysine Proteins 0.000 description 1
- ZLMJMSJWJFRBEC-UHFFFAOYSA-N Potassium Chemical compound [K] ZLMJMSJWJFRBEC-UHFFFAOYSA-N 0.000 description 1
- 102000035554 Proglucagon Human genes 0.000 description 1
- 101710188315 Protein X Proteins 0.000 description 1
- 241000283984 Rodentia Species 0.000 description 1
- 241000607142 Salmonella Species 0.000 description 1
- LDEBVRIURYMKQS-WISUUJSJSA-N Ser-Thr Chemical compound C[C@@H](O)[C@@H](C(O)=O)NC(=O)[C@@H](N)CO LDEBVRIURYMKQS-WISUUJSJSA-N 0.000 description 1
- FAPWRFPIFSIZLT-UHFFFAOYSA-M Sodium chloride Chemical compound [Na+].[Cl-] FAPWRFPIFSIZLT-UHFFFAOYSA-M 0.000 description 1
- 241000906446 Theraps Species 0.000 description 1
- 206010067584 Type 1 diabetes mellitus Diseases 0.000 description 1
- 241000700605 Viruses Species 0.000 description 1
- 206010047513 Vision blurred Diseases 0.000 description 1
- PLFLRQISROSEIJ-MICDWDOJSA-N [2H]CB Chemical compound [2H]CB PLFLRQISROSEIJ-MICDWDOJSA-N 0.000 description 1
- 230000003187 abdominal effect Effects 0.000 description 1
- 230000001594 aberrant effect Effects 0.000 description 1
- 238000002835 absorbance Methods 0.000 description 1
- 159000000021 acetate salts Chemical class 0.000 description 1
- 125000002777 acetyl group Chemical group [H]C([H])([H])C(*)=O 0.000 description 1
- 239000013543 active substance Substances 0.000 description 1
- 230000001154 acute effect Effects 0.000 description 1
- 229910052783 alkali metal Inorganic materials 0.000 description 1
- 150000001340 alkali metals Chemical class 0.000 description 1
- 229910052784 alkaline earth metal Inorganic materials 0.000 description 1
- 150000001342 alkaline earth metals Chemical class 0.000 description 1
- 150000003973 alkyl amines Chemical class 0.000 description 1
- 125000005157 alkyl carboxy group Chemical group 0.000 description 1
- 125000005189 alkyl hydroxy group Chemical group 0.000 description 1
- 235000012538 ammonium bicarbonate Nutrition 0.000 description 1
- 239000001099 ammonium carbonate Substances 0.000 description 1
- 238000000540 analysis of variance Methods 0.000 description 1
- 229940044094 angiotensin-converting-enzyme inhibitor Drugs 0.000 description 1
- 230000001539 anorectic effect Effects 0.000 description 1
- 239000000883 anti-obesity agent Substances 0.000 description 1
- 229940125708 antidiabetic agent Drugs 0.000 description 1
- 239000003472 antidiabetic agent Substances 0.000 description 1
- 239000002220 antihypertensive agent Substances 0.000 description 1
- 229940125710 antiobesity agent Drugs 0.000 description 1
- 238000013459 approach Methods 0.000 description 1
- ODKSFYDXXFIFQN-UHFFFAOYSA-N arginine Natural products OC(=O)C(N)CCCNC(N)=N ODKSFYDXXFIFQN-UHFFFAOYSA-N 0.000 description 1
- 125000000637 arginyl group Chemical group N[C@@H](CCCNC(N)=N)C(=O)* 0.000 description 1
- 238000002820 assay format Methods 0.000 description 1
- 125000004429 atom Chemical group 0.000 description 1
- 239000002585 base Substances 0.000 description 1
- 125000003236 benzoyl group Chemical group [H]C1=C([H])C([H])=C(C([H])=C1[H])C(*)=O 0.000 description 1
- 239000002876 beta blocker Substances 0.000 description 1
- 229940097320 beta blocking agent Drugs 0.000 description 1
- UCMIRNVEIXFBKS-UHFFFAOYSA-N beta-alanine Chemical compound NCCC(O)=O UCMIRNVEIXFBKS-UHFFFAOYSA-N 0.000 description 1
- 238000004166 bioassay Methods 0.000 description 1
- 230000033228 biological regulation Effects 0.000 description 1
- 230000036772 blood pressure Effects 0.000 description 1
- 210000004899 c-terminal region Anatomy 0.000 description 1
- 229910052791 calcium Inorganic materials 0.000 description 1
- 239000011575 calcium Substances 0.000 description 1
- 239000000480 calcium channel blocker Substances 0.000 description 1
- 239000001506 calcium phosphate Substances 0.000 description 1
- 229910000389 calcium phosphate Inorganic materials 0.000 description 1
- 235000011010 calcium phosphates Nutrition 0.000 description 1
- 235000019577 caloric intake Nutrition 0.000 description 1
- 230000015556 catabolic process Effects 0.000 description 1
- 150000001768 cations Chemical class 0.000 description 1
- 238000004113 cell culture Methods 0.000 description 1
- 230000006727 cell loss Effects 0.000 description 1
- 238000006243 chemical reaction Methods 0.000 description 1
- 125000002160 cholyl group Chemical group [H]C([H])([C@]1(C([C@@]2([H])O[H])([H])[H])[H])[C@@](O[H])([H])C([H])([H])C([H])([H])[C@]1(C([H])([H])[H])[C@]1([H])[C@]2([H])[C@]2([H])C([H])([H])C([H])([H])[C@@]([C@](C([H])([H])[H])(C(C(C(=O)[*])([H])[H])([H])[H])[H])([H])[C@@]2(C([H])([H])[H])[C@](O[H])([H])C1([H])[H] 0.000 description 1
- 150000001860 citric acid derivatives Chemical class 0.000 description 1
- 229960002424 collagenase Drugs 0.000 description 1
- 230000001447 compensatory effect Effects 0.000 description 1
- 229940124301 concurrent medication Drugs 0.000 description 1
- 230000001143 conditioned effect Effects 0.000 description 1
- 229920001577 copolymer Polymers 0.000 description 1
- 230000008878 coupling Effects 0.000 description 1
- 238000010168 coupling process Methods 0.000 description 1
- 210000004748 cultured cell Anatomy 0.000 description 1
- 238000012258 culturing Methods 0.000 description 1
- 230000006378 damage Effects 0.000 description 1
- 230000034994 death Effects 0.000 description 1
- 238000006731 degradation reaction Methods 0.000 description 1
- 239000000841 delta opiate receptor agonist Substances 0.000 description 1
- 238000010511 deprotection reaction Methods 0.000 description 1
- 238000013461 design Methods 0.000 description 1
- 238000013229 diet-induced obese mouse Methods 0.000 description 1
- 235000014113 dietary fatty acids Nutrition 0.000 description 1
- ZBCBWPMODOFKDW-UHFFFAOYSA-N diethanolamine Chemical compound OCCNCCO ZBCBWPMODOFKDW-UHFFFAOYSA-N 0.000 description 1
- 229960004132 diethyl ether Drugs 0.000 description 1
- 239000003085 diluting agent Substances 0.000 description 1
- 238000010790 dilution Methods 0.000 description 1
- 239000012895 dilution Substances 0.000 description 1
- LOKCTEFSRHRXRJ-UHFFFAOYSA-I dipotassium trisodium dihydrogen phosphate hydrogen phosphate dichloride Chemical compound P(=O)(O)(O)[O-].[K+].P(=O)(O)([O-])[O-].[Na+].[Na+].[Cl-].[K+].[Cl-].[Na+] LOKCTEFSRHRXRJ-UHFFFAOYSA-I 0.000 description 1
- 230000005750 disease progression Effects 0.000 description 1
- 239000002934 diuretic Substances 0.000 description 1
- 229940030606 diuretics Drugs 0.000 description 1
- 229940079593 drug Drugs 0.000 description 1
- 238000001647 drug administration Methods 0.000 description 1
- 229940125542 dual agonist Drugs 0.000 description 1
- 230000008030 elimination Effects 0.000 description 1
- 238000003379 elimination reaction Methods 0.000 description 1
- 230000037149 energy metabolism Effects 0.000 description 1
- 238000005516 engineering process Methods 0.000 description 1
- 230000007613 environmental effect Effects 0.000 description 1
- 230000007515 enzymatic degradation Effects 0.000 description 1
- 230000007071 enzymatic hydrolysis Effects 0.000 description 1
- 238000006047 enzymatic hydrolysis reaction Methods 0.000 description 1
- 201000010063 epididymitis Diseases 0.000 description 1
- 229930195729 fatty acid Natural products 0.000 description 1
- 239000000194 fatty acid Substances 0.000 description 1
- 150000004665 fatty acids Chemical class 0.000 description 1
- 230000035611 feeding Effects 0.000 description 1
- 239000000706 filtrate Substances 0.000 description 1
- 238000007667 floating Methods 0.000 description 1
- 239000012530 fluid Substances 0.000 description 1
- 125000002485 formyl group Chemical group [H]C(*)=O 0.000 description 1
- 230000002538 fungal effect Effects 0.000 description 1
- 230000030136 gastric emptying Effects 0.000 description 1
- 208000004104 gestational diabetes Diseases 0.000 description 1
- 230000004110 gluconeogenesis Effects 0.000 description 1
- 150000002303 glucose derivatives Chemical class 0.000 description 1
- 230000014101 glucose homeostasis Effects 0.000 description 1
- 230000004116 glycogenolysis Effects 0.000 description 1
- 230000012010 growth Effects 0.000 description 1
- 230000005802 health problem Effects 0.000 description 1
- 210000003494 hepatocyte Anatomy 0.000 description 1
- 125000001072 heteroaryl group Chemical group 0.000 description 1
- WNRQPCUGRUFHED-DETKDSODSA-N humalog Chemical compound C([C@H](NC(=O)[C@H](CC(C)C)NC(=O)[C@H](CO)NC(=O)[C@H](CS)NC(=O)[C@H]([C@@H](C)CC)NC(=O)[C@H](CO)NC(=O)[C@H]([C@@H](C)O)NC(=O)[C@H](CS)NC(=O)[C@H](CS)NC(=O)[C@H](CCC(N)=O)NC(=O)[C@H](CCC(O)=O)NC(=O)[C@H](C(C)C)NC(=O)[C@@H](NC(=O)CN)[C@@H](C)CC)C(=O)N[C@@H](CCC(N)=O)C(=O)N[C@@H](CC(C)C)C(=O)N[C@@H](CCC(O)=O)C(=O)N[C@@H](CC(N)=O)C(=O)N[C@@H](CC=1C=CC(O)=CC=1)C(=O)N[C@@H](CS)C(=O)N[C@@H](CC(N)=O)C(O)=O)C1=CC=C(O)C=C1.C([C@@H](C(=O)N[C@@H](CC(C)C)C(=O)N[C@H](C(=O)N[C@@H](CCC(O)=O)C(=O)N[C@@H](C)C(=O)N[C@@H](CC(C)C)C(=O)N[C@@H](CC=1C=CC(O)=CC=1)C(=O)N[C@@H](CC(C)C)C(=O)N[C@@H](C(C)C)C(=O)N[C@@H](CS)C(=O)NCC(=O)N[C@@H](CCC(O)=O)C(=O)N[C@@H](CCCNC(N)=N)C(=O)NCC(=O)N[C@@H](CC=1C=CC=CC=1)C(=O)N[C@@H](CC=1C=CC=CC=1)C(=O)N[C@@H](CC=1C=CC(O)=CC=1)C(=O)N[C@@H]([C@@H](C)O)C(=O)N[C@@H](CCCCN)C(=O)N1[C@@H](CCC1)C(=O)N[C@@H]([C@@H](C)O)C(O)=O)C(C)C)NC(=O)[C@H](CO)NC(=O)CNC(=O)[C@H](CS)NC(=O)[C@H](CC(C)C)NC(=O)[C@H](CC=1NC=NC=1)NC(=O)[C@H](CCC(N)=O)NC(=O)[C@H](CC(N)=O)NC(=O)[C@@H](NC(=O)[C@@H](N)CC=1C=CC=CC=1)C(C)C)C1=CN=CN1 WNRQPCUGRUFHED-DETKDSODSA-N 0.000 description 1
- 229940038661 humalog Drugs 0.000 description 1
- IKDUDTNKRLTJSI-UHFFFAOYSA-N hydrazine monohydrate Substances O.NN IKDUDTNKRLTJSI-UHFFFAOYSA-N 0.000 description 1
- 150000003840 hydrochlorides Chemical class 0.000 description 1
- 125000001165 hydrophobic group Chemical group 0.000 description 1
- 125000004029 hydroxymethyl group Chemical group [H]OC([H])([H])* 0.000 description 1
- 230000006872 improvement Effects 0.000 description 1
- 238000000338 in vitro Methods 0.000 description 1
- 238000001727 in vivo Methods 0.000 description 1
- 230000002401 inhibitory effect Effects 0.000 description 1
- 230000000977 initiatory effect Effects 0.000 description 1
- 239000004026 insulin derivative Substances 0.000 description 1
- 230000003914 insulin secretion Effects 0.000 description 1
- 230000010354 integration Effects 0.000 description 1
- 230000000968 intestinal effect Effects 0.000 description 1
- 230000004068 intracellular signaling Effects 0.000 description 1
- 238000007918 intramuscular administration Methods 0.000 description 1
- 238000001990 intravenous administration Methods 0.000 description 1
- 238000002955 isolation Methods 0.000 description 1
- 150000003951 lactams Chemical group 0.000 description 1
- 150000002596 lactones Chemical group 0.000 description 1
- 229940060975 lantus Drugs 0.000 description 1
- 125000000400 lauroyl group Chemical group O=C([*])C([H])([H])C([H])([H])C([H])([H])C([H])([H])C([H])([H])C([H])([H])C([H])([H])C([H])([H])C([H])([H])C([H])([H])C([H])([H])[H] 0.000 description 1
- 230000037356 lipid metabolism Effects 0.000 description 1
- 210000004962 mammalian cell Anatomy 0.000 description 1
- 239000003550 marker Substances 0.000 description 1
- 235000012054 meals Nutrition 0.000 description 1
- 230000007246 mechanism Effects 0.000 description 1
- 230000010534 mechanism of action Effects 0.000 description 1
- 239000002609 medium Substances 0.000 description 1
- 230000002503 metabolic effect Effects 0.000 description 1
- 229930182817 methionine Natural products 0.000 description 1
- 125000000956 methoxy group Chemical group [H]C([H])([H])O* 0.000 description 1
- 244000005700 microbiome Species 0.000 description 1
- 238000012544 monitoring process Methods 0.000 description 1
- 230000002969 morbid Effects 0.000 description 1
- 125000001419 myristoyl group Chemical group O=C([*])C([H])([H])C([H])([H])C([H])([H])C([H])([H])C([H])([H])C([H])([H])C([H])([H])C([H])([H])C([H])([H])C([H])([H])C([H])([H])C([H])([H])C([H])([H])[H] 0.000 description 1
- 229960004927 neomycin Drugs 0.000 description 1
- 231100000252 nontoxic Toxicity 0.000 description 1
- 230000003000 nontoxic effect Effects 0.000 description 1
- VOMXSOIBEJBQNF-UTTRGDHVSA-N novorapid Chemical compound C([C@H](NC(=O)[C@H](CC(C)C)NC(=O)[C@H](CO)NC(=O)[C@H](CS)NC(=O)[C@H]([C@@H](C)CC)NC(=O)[C@H](CO)NC(=O)[C@H]([C@@H](C)O)NC(=O)[C@H](CS)NC(=O)[C@H](CS)NC(=O)[C@H](CCC(N)=O)NC(=O)[C@H](CCC(O)=O)NC(=O)[C@H](C(C)C)NC(=O)[C@@H](NC(=O)CN)[C@@H](C)CC)C(=O)N[C@@H](CCC(N)=O)C(=O)N[C@@H](CC(C)C)C(=O)N[C@@H](CCC(O)=O)C(=O)N[C@@H](CC(N)=O)C(=O)N[C@@H](CC=1C=CC(O)=CC=1)C(=O)N[C@@H](CS)C(=O)N[C@@H](CC(N)=O)C(O)=O)C1=CC=C(O)C=C1.C([C@@H](C(=O)N[C@@H](CC(C)C)C(=O)N[C@H](C(=O)N[C@@H](CCC(O)=O)C(=O)N[C@@H](C)C(=O)N[C@@H](CC(C)C)C(=O)N[C@@H](CC=1C=CC(O)=CC=1)C(=O)N[C@@H](CC(C)C)C(=O)N[C@@H](C(C)C)C(=O)N[C@@H](CS)C(=O)NCC(=O)N[C@@H](CCC(O)=O)C(=O)N[C@@H](CCCNC(N)=N)C(=O)NCC(=O)N[C@@H](CC=1C=CC=CC=1)C(=O)N[C@@H](CC=1C=CC=CC=1)C(=O)N[C@@H](CC=1C=CC(O)=CC=1)C(=O)N[C@@H]([C@@H](C)O)C(=O)N[C@@H](CC(O)=O)C(=O)N[C@@H](CCCCN)C(=O)N[C@@H]([C@@H](C)O)C(O)=O)C(C)C)NC(=O)[C@H](CO)NC(=O)CNC(=O)[C@H](CS)NC(=O)[C@H](CC(C)C)NC(=O)[C@H](CC=1NC=NC=1)NC(=O)[C@H](CCC(N)=O)NC(=O)[C@H](CC(N)=O)NC(=O)[C@@H](NC(=O)[C@@H](N)CC=1C=CC=CC=1)C(C)C)C1=CN=CN1 VOMXSOIBEJBQNF-UTTRGDHVSA-N 0.000 description 1
- 229920001778 nylon Polymers 0.000 description 1
- 208000001797 obstructive sleep apnea Diseases 0.000 description 1
- 238000001543 one-way ANOVA Methods 0.000 description 1
- 230000008520 organization Effects 0.000 description 1
- 201000008482 osteoarthritis Diseases 0.000 description 1
- 230000003647 oxidation Effects 0.000 description 1
- 238000007254 oxidation reaction Methods 0.000 description 1
- 239000006179 pH buffering agent Substances 0.000 description 1
- 210000000496 pancreas Anatomy 0.000 description 1
- 230000036961 partial effect Effects 0.000 description 1
- 230000001717 pathogenic effect Effects 0.000 description 1
- 230000007170 pathology Effects 0.000 description 1
- 230000006320 pegylation Effects 0.000 description 1
- 238000005897 peptide coupling reaction Methods 0.000 description 1
- 239000008177 pharmaceutical agent Substances 0.000 description 1
- 239000012071 phase Substances 0.000 description 1
- NBIIXXVUZAFLBC-UHFFFAOYSA-K phosphate Chemical compound [O-]P([O-])([O-])=O NBIIXXVUZAFLBC-UHFFFAOYSA-K 0.000 description 1
- 239000010452 phosphate Substances 0.000 description 1
- 230000035790 physiological processes and functions Effects 0.000 description 1
- 125000003386 piperidinyl group Chemical group 0.000 description 1
- 210000002381 plasma Anatomy 0.000 description 1
- 239000013612 plasmid Substances 0.000 description 1
- 239000013600 plasmid vector Substances 0.000 description 1
- 229920000729 poly(L-lysine) polymer Polymers 0.000 description 1
- 108010064470 polyaspartate Proteins 0.000 description 1
- 229920002643 polyglutamic acid Polymers 0.000 description 1
- 229920000656 polylysine Polymers 0.000 description 1
- 229920000642 polymer Polymers 0.000 description 1
- 229920005990 polystyrene resin Polymers 0.000 description 1
- 239000011148 porous material Substances 0.000 description 1
- 229910052700 potassium Inorganic materials 0.000 description 1
- 239000011591 potassium Substances 0.000 description 1
- 239000000843 powder Substances 0.000 description 1
- GCYXWQUSHADNBF-AAEALURTSA-N preproglucagon 78-108 Chemical compound C([C@@H](C(=O)N[C@@H]([C@@H](C)CC)C(=O)N[C@@H](C)C(=O)N[C@@H](CC=1C2=CC=CC=C2NC=1)C(=O)N[C@@H](CC(C)C)C(=O)N[C@@H](C(C)C)C(=O)N[C@@H](CCCCN)C(=O)NCC(=O)N[C@@H](CCCNC(N)=N)C(=O)NCC(O)=O)NC(=O)[C@H](CCC(O)=O)NC(=O)[C@H](CCCCN)NC(=O)[C@H](C)NC(=O)[C@H](C)NC(=O)[C@H](CCC(N)=O)NC(=O)CNC(=O)[C@H](CCC(O)=O)NC(=O)[C@H](CC(C)C)NC(=O)[C@H](CC=1C=CC(O)=CC=1)NC(=O)[C@H](CO)NC(=O)[C@H](CO)NC(=O)[C@@H](NC(=O)[C@H](CC(O)=O)NC(=O)[C@H](CO)NC(=O)[C@@H](NC(=O)[C@H](CC=1C=CC=CC=1)NC(=O)[C@@H](NC(=O)CNC(=O)[C@H](CCC(O)=O)NC(=O)[C@H](C)NC(=O)[C@@H](N)CC=1N=CNC=1)[C@@H](C)O)[C@@H](C)O)C(C)C)C1=CC=CC=C1 GCYXWQUSHADNBF-AAEALURTSA-N 0.000 description 1
- 230000002265 prevention Effects 0.000 description 1
- 230000008569 process Effects 0.000 description 1
- 230000000644 propagated effect Effects 0.000 description 1
- 230000000069 prophylactic effect Effects 0.000 description 1
- 125000006239 protecting group Chemical group 0.000 description 1
- 239000003087 receptor blocking agent Substances 0.000 description 1
- 230000002829 reductive effect Effects 0.000 description 1
- 230000003362 replicative effect Effects 0.000 description 1
- 230000003979 response to food Effects 0.000 description 1
- 230000028327 secretion Effects 0.000 description 1
- 210000002966 serum Anatomy 0.000 description 1
- 230000000391 smoking effect Effects 0.000 description 1
- 229910052708 sodium Inorganic materials 0.000 description 1
- 239000011734 sodium Substances 0.000 description 1
- 239000011780 sodium chloride Substances 0.000 description 1
- 238000012453 sprague-dawley rat model Methods 0.000 description 1
- 108010004034 stable plasma protein solution Proteins 0.000 description 1
- 125000003696 stearoyl group Chemical group O=C([*])C([H])([H])C([H])([H])C([H])([H])C([H])([H])C([H])([H])C([H])([H])C([H])([H])C([H])([H])C([H])([H])C([H])([H])C([H])([H])C([H])([H])C([H])([H])C([H])([H])C([H])([H])C([H])([H])C([H])([H])[H] 0.000 description 1
- 230000004936 stimulating effect Effects 0.000 description 1
- 238000003860 storage Methods 0.000 description 1
- 208000023516 stroke disease Diseases 0.000 description 1
- 125000003107 substituted aryl group Chemical group 0.000 description 1
- 208000024891 symptom Diseases 0.000 description 1
- 230000002194 synthesizing effect Effects 0.000 description 1
- 238000010189 synthetic method Methods 0.000 description 1
- 239000003826 tablet Substances 0.000 description 1
- 238000002560 therapeutic procedure Methods 0.000 description 1
- 150000003573 thiols Chemical class 0.000 description 1
- 230000035922 thirst Effects 0.000 description 1
- 230000000699 topical effect Effects 0.000 description 1
- 238000001890 transfection Methods 0.000 description 1
- 238000003151 transfection method Methods 0.000 description 1
- 238000013519 translation Methods 0.000 description 1
- QORWJWZARLRLPR-UHFFFAOYSA-H tricalcium bis(phosphate) Chemical compound [Ca+2].[Ca+2].[Ca+2].[O-]P([O-])([O-])=O.[O-]P([O-])([O-])=O QORWJWZARLRLPR-UHFFFAOYSA-H 0.000 description 1
- 125000004044 trifluoroacetyl group Chemical group FC(C(=O)*)(F)F 0.000 description 1
- 238000000825 ultraviolet detection Methods 0.000 description 1
- 210000002700 urine Anatomy 0.000 description 1
- 210000001835 viscera Anatomy 0.000 description 1
- 238000005303 weighing Methods 0.000 description 1
Images
Classifications
-
- C—CHEMISTRY; METALLURGY
- C07—ORGANIC CHEMISTRY
- C07K—PEPTIDES
- C07K14/00—Peptides having more than 20 amino acids; Gastrins; Somatostatins; Melanotropins; Derivatives thereof
- C07K14/435—Peptides having more than 20 amino acids; Gastrins; Somatostatins; Melanotropins; Derivatives thereof from animals; from humans
- C07K14/575—Hormones
- C07K14/605—Glucagons
-
- A—HUMAN NECESSITIES
- A61—MEDICAL OR VETERINARY SCIENCE; HYGIENE
- A61P—SPECIFIC THERAPEUTIC ACTIVITY OF CHEMICAL COMPOUNDS OR MEDICINAL PREPARATIONS
- A61P1/00—Drugs for disorders of the alimentary tract or the digestive system
- A61P1/16—Drugs for disorders of the alimentary tract or the digestive system for liver or gallbladder disorders, e.g. hepatoprotective agents, cholagogues, litholytics
-
- A—HUMAN NECESSITIES
- A61—MEDICAL OR VETERINARY SCIENCE; HYGIENE
- A61P—SPECIFIC THERAPEUTIC ACTIVITY OF CHEMICAL COMPOUNDS OR MEDICINAL PREPARATIONS
- A61P29/00—Non-central analgesic, antipyretic or antiinflammatory agents, e.g. antirheumatic agents; Non-steroidal antiinflammatory drugs [NSAID]
-
- A—HUMAN NECESSITIES
- A61—MEDICAL OR VETERINARY SCIENCE; HYGIENE
- A61P—SPECIFIC THERAPEUTIC ACTIVITY OF CHEMICAL COMPOUNDS OR MEDICINAL PREPARATIONS
- A61P3/00—Drugs for disorders of the metabolism
-
- A—HUMAN NECESSITIES
- A61—MEDICAL OR VETERINARY SCIENCE; HYGIENE
- A61P—SPECIFIC THERAPEUTIC ACTIVITY OF CHEMICAL COMPOUNDS OR MEDICINAL PREPARATIONS
- A61P3/00—Drugs for disorders of the metabolism
- A61P3/04—Anorexiants; Antiobesity agents
-
- A—HUMAN NECESSITIES
- A61—MEDICAL OR VETERINARY SCIENCE; HYGIENE
- A61P—SPECIFIC THERAPEUTIC ACTIVITY OF CHEMICAL COMPOUNDS OR MEDICINAL PREPARATIONS
- A61P3/00—Drugs for disorders of the metabolism
- A61P3/06—Antihyperlipidemics
-
- A—HUMAN NECESSITIES
- A61—MEDICAL OR VETERINARY SCIENCE; HYGIENE
- A61P—SPECIFIC THERAPEUTIC ACTIVITY OF CHEMICAL COMPOUNDS OR MEDICINAL PREPARATIONS
- A61P3/00—Drugs for disorders of the metabolism
- A61P3/08—Drugs for disorders of the metabolism for glucose homeostasis
- A61P3/10—Drugs for disorders of the metabolism for glucose homeostasis for hyperglycaemia, e.g. antidiabetics
-
- A—HUMAN NECESSITIES
- A61—MEDICAL OR VETERINARY SCIENCE; HYGIENE
- A61P—SPECIFIC THERAPEUTIC ACTIVITY OF CHEMICAL COMPOUNDS OR MEDICINAL PREPARATIONS
- A61P9/00—Drugs for disorders of the cardiovascular system
-
- A—HUMAN NECESSITIES
- A61—MEDICAL OR VETERINARY SCIENCE; HYGIENE
- A61P—SPECIFIC THERAPEUTIC ACTIVITY OF CHEMICAL COMPOUNDS OR MEDICINAL PREPARATIONS
- A61P9/00—Drugs for disorders of the cardiovascular system
- A61P9/10—Drugs for disorders of the cardiovascular system for treating ischaemic or atherosclerotic diseases, e.g. antianginal drugs, coronary vasodilators, drugs for myocardial infarction, retinopathy, cerebrovascula insufficiency, renal arteriosclerosis
-
- A—HUMAN NECESSITIES
- A61—MEDICAL OR VETERINARY SCIENCE; HYGIENE
- A61P—SPECIFIC THERAPEUTIC ACTIVITY OF CHEMICAL COMPOUNDS OR MEDICINAL PREPARATIONS
- A61P9/00—Drugs for disorders of the cardiovascular system
- A61P9/12—Antihypertensives
-
- A—HUMAN NECESSITIES
- A61—MEDICAL OR VETERINARY SCIENCE; HYGIENE
- A61K—PREPARATIONS FOR MEDICAL, DENTAL OR TOILETRY PURPOSES
- A61K38/00—Medicinal preparations containing peptides
Definitions
- the present invention relates to glucagon analogues and their medical use, for example in the treatment of excess food intake, obesity and excess weight.
- Preproglucagon is a 158 amino acid precursor polypeptide that is differentially processed in the tissues to form a number of structurally related proglucagon-derived peptides, including glucagon (Glu), glucagon-like peptide-1 (GLP-1), glucagon-like peptide-2 (GLP-2), and oxyntomodulin (OXM). These molecules are involved in a wide variety of physiological functions, including glucose homeostasis, insulin secretion, gastric emptying and intestinal growth, as well as regulation of food intake.
- Glu glucagon
- GLP-1 glucagon-like peptide-1
- GLP-2 glucagon-like peptide-2
- OXM oxyntomodulin
- Glucagon is a 29-amino acid peptide that corresponds to amino acids 53 to 81 of pre-proglucagon and has the sequence His-Ser-Gln-Gly-Thr-Phe-Thr-Ser-Asp-Tyr-Ser-Lys-Tyr-Leu-Asp-Ser-Arg-Arg-Ala-Gln-Asp-Phe-Val-Gln-Trp-Leu-Met-Asn-Thr (SEQ ID NO: 1).
- Oxyntomodulin is a 37 amino acid peptide which includes the complete 29 amino acid sequence of glucagon with an octapeptide carboxyterminal extension (amino acids 82 to 89 of pre-proglucagon, having the sequence Lys-Arg-Asn-Arg-Asn-Asn-Ile-Ala (SEQ ID NO: 2) and termed “intervening peptide 1” or IP-1; the full sequence of human oxyntomodulin is thus His-Ser-Gln-Gly-Thr-Phe-Thr-Ser-Asp-Tyr-Ser-Lys-Tyr-Leu-Asp-Ser-Arg-Arg-Ala-Gln-Asp-Phe-Val-Gln-Trp-Leu-Met-Asn-Thr-Lys-Arg-Asn-Arg-Asn-Asn-Ile-Ala) (SEQ ID NO: 3).
- Glucagon helps maintain the level of glucose in the blood by binding to glucagon receptors on hepatocytes, causing the liver to release glucose—stored in the form of glycogen—through a glycogenolysis. As these stores become depleted, glucagon stimulates the liver to synthesize additional glucose by gluconeogenesis. This glucose is released into the bloodstream, preventing the development of hypoglycemia.
- OXM is released into the blood in response to food ingestion and in proportion to meal calorie content.
- OXM has been shown to suppress appetite and inhibit food intake in humans (Cohen et al, Journal of Endocrinology and Metabolism, 88, 4696-4701, 2003; WO 2003/022304).
- OXM must also affect body weight by another mechanism, since rats treated with oxyntomodulin show less body weight gain than pair-fed rats (Bloom, Endocrinology 2004, 145, 2687).
- Treatment of obese rodents with OXM also improves their glucose tolerance (Parlevliet et al, Am J Physiol Endocrinol Metab, 294, E142-7, 2008) and suppresses body weight gain (WO 2003/022304).
- OXM activates both the glucagon receptor and the GLP-1 receptor with a two-fold higher potency for the glucagon receptor over the GLP-1 receptor, but is less potent than native glucagon and GLP-1 on their respective receptors.
- Glucagon is also capable of activating both receptors, though with a strong preference for the glucagon receptor over the GLP-1 receptor.
- GLP-1 on the other hand is not capable of activating the glucagon receptor.
- the mechanism of action of oxyntomodulin is not well understood. In particular, it is not known whether the effects of the hormone are mediated exclusively through the glucagon receptor and the GLP-1 receptor, or through one or more as-yet unidentified receptors.
- Obesity classified is a globally increasing health problem and is associated with various diseases, particularly cardiovascular disease (CVD), type 2 diabetes, obstructive sleep apnea, certain types of cancer, and osteoarthritis.
- CVD cardiovascular disease
- type 2 diabetes type 2 diabetes
- obstructive sleep apnea certain types of cancer
- osteoarthritis As a result, obesity has been found to reduce life expectancy.
- WHO projections by the World Health Organization there are 400 million adults (age>15) classified as obese worldwide. In the US, obesity is now believed to be the second-leading cause of preventable death after smoking.
- the rise in obesity drives an increase in diabetes, and approximately 90% of people with type 2 diabetes may be classified obese. There are 246 million people worldwide with diabetes, and by 2025 it is estimated that 380 million will have diabetes. Many have additional cardiovascular risk factors including high/aberrant LDL and triglycerides and low HDL.
- Cardiovascular disease accounts for about 50% of the mortality in people with diabetes. Young adults with diabetes have rates of coronary heart disease (CHD) 12-40 times higher than those in young adults without diabetes and together with the high incidence and prevalence of obesity and type 2 diabetes, the morbidity and mortality rates relating to these metabolic disorders underscore the medical need for efficacious treatment options.
- CHD coronary heart disease
- the invention provides a compound having the formula R 1 —X—Z—R 2
- R 1 is H, C 1-4 alkyl, acetyl, formyl, benzoyl or trifluoroacetyl;
- R 2 is OH or NH 2 ;
- X is a peptide which has the formula I:
- Ile-Glu-Trp-Leu-Glu-Ser-Ala or differs from formula I at up to 4 of the following positions whereby, if different from formula I: the residue at position 2 is selected from: Aib, D-Ser; the residue at position 16 is selected from: Arg, His, Lys, Glu, Gly, Asp; the residue at position 17 is selected from: Lys, Leu; the residue at position 18 is selected from: Lys, His, Ala, Ser, Tyr; the residue at position 20 is selected from: Gln, His, Arg, Glu, Asp; the residue at position 21 is: Glu; the residue at position 23 is selected from: Val, Leu; the residue at position 24 is selected from:
- X differs from formula I at up to 4 of the following positions whereby, if different from formula I:
- the residue at position 2 is selected from: Aib, D-Ser; the residue at position 16 is selected from: Arg, His, Lys, Glu, Gly; the residue at position 17 is selected from: Lys, Leu; the residue at position 18 is selected from: Lys, His, Ala, Ser, Tyr; the residue at position 23 is selected from: Val, Leu; the residue at position 27 is selected from: Met, Cys, Lys, Arg, Leu; the residue at position 28 is selected from: Asn, Arg, Lys, Glu, Ala, Leu; and the residue at position 29 is selected from: Thr, Glu, Lys;
- X differs from formula I at up to 4 of the following positions whereby, if different from formula I:
- the residue at position 2 is selected from: Aib, D-Ser; the residue at position 16 is selected from: Arg, His, Lys, Glu, Gly; the residue at position 17 is selected from: Lys, Leu; the residue at position 18 is selected from: Lys, His, Ala, Ser, Tyr; and the residue at position 23 is selected from: Val, Leu.
- X differs from formula I at up to 4 of the following positions whereby, if different from formula I:
- the residue at position 2 is selected from: Aib, D-Ser; the residue at position 23 is selected from: Val, Leu; the residue at position 27 is selected from: Met, Cys, Lys, Arg, Leu; the residue at position 28 is selected from: Asn, Arg, Lys, Glu, Ala, Leu; and the residue at position 29 is selected from: Thr, Glu, Lys.
- X comprises one or more of the following sets of residues:
- X may have the sequence:
- HSQGTFTSDYSLYLDSRRAQDFIEWLESA (SEQ ID NO: 5); HSQGTFTSDYSLYLDSRRAKDFVEWLESA (SEQ ID NO: 6); HSQGTFTSDYSLYLDSRRAKDFIQWLESA (SEQ ID NO: 7); HSQGTFTSDYSLYLDSRRAKDFIEWLEST (SEQ ID NO: 8); HSQGTFTSDYSLYLDSRRAKDFIEWLMNT (SEQ ID NO: 9); HSQGTFTSDYSLYLDSRRAQDFVQWLESA (SEQ ID NO: 10); HSQGTFTSDYSLYLDSRRAEDFIKWLESA (SEQ ID NO: 11); or HSQGTFTSDYSLYLDSRRAKDFIEWLESA (SEQ ID NO: 12).
- the invention further provides a nucleic acid (which may be DNA or RNA) encoding a compound of the invention, an expression vector comprising such a nucleic acid, and a host cell containing such a nucleic acid or expression vector.
- a nucleic acid which may be DNA or RNA
- an expression vector comprising such a nucleic acid
- a host cell containing such a nucleic acid or expression vector.
- the present invention provides a composition comprising a glucagon analogue peptide as defined herein, or a salt or derivative thereof, a nucleic acid encoding such a glucagon analogue peptide, an expression vector comprising such a nucleic acid, or a host cell containing such a nucleic acid or expression vector, in admixture with a carrier.
- the composition is a pharmaceutically acceptable composition and the carrier is a pharmaceutically acceptable carrier.
- the glucagon peptide analogue may be a pharmaceutically acceptable acid addition salt of the glucagon analogue.
- the compounds described find use in preventing weight gain or promoting weight loss.
- preventing is meant inhibiting or reducing weight gain when compared to the absence of treatment, and is not necessarily meant to imply complete cessation of weight gain.
- the peptides may cause a decrease in food intake and/or increased energy expenditure, resulting in the observed effect on body weight.
- the compounds of the invention may have a beneficial effect on glucose tolerance and circulating cholesterol levels, being capable of lowering circulating LDL levels and increasing HDL/LDL ratio.
- the compounds of the invention can be used for direct or indirect therapy of any condition caused or characterised by excess body weight, such as the treatment and/or prevention of obesity, morbid obesity, obesity linked inflammation, obesity linked gallbladder disease, obesity induced sleep apnea. They may also be used for the treatment of metabolic syndrome, insulin resistance, glucose intolerance, type-2 diabetes, hypertension, atherogenic dyslipidemia, atherosclerosis, arteriosclerosis, coronary heart disease, or stroke. Their effects in these conditions may be as a result of or associated with their effect on body weight, or may be independent thereof.
- the invention provides use of a compound of the invention in the treatment of a condition as described above, in an individual in need thereof.
- the invention also provides a compound of the invention for use in a method of medical treatment, particularly for use in a method of treatment of a condition as described above.
- the invention also provides the use of a compound of the invention in the preparation of a medicament for the treatment of a condition as described above.
- the invention extends to expression vectors comprising the above-described nucleic acid sequence, optionally in combination with sequences to direct its expression, and host cells containing the expression vectors.
- the host cells are capable of expressing and secreting the compound of the invention.
- the present invention provides a method of producing the compound, the method comprising culturing the host cells under conditions suitable for expressing the compound and purifying the compound thus produced.
- the invention further provides a nucleic acid of the invention, an expression vector of the invention, or a host cell capable of expressing and secreting a compound of the invention, for use in a method of medical treatment.
- the nucleic acid, expression vector and host cells may be used for treatment of any of the disorders described herein which may be treated with the compounds themselves.
- References to a therapeutic composition comprising a compound of the invention, administration of a compound of the invention, or any therapeutic use thereof, should therefore be construed to encompass the equivalent use of a nucleic acid, expression vector or host cell of the invention except where the context demands otherwise.
- FIG. 1 Effect of ZP2653 (SEQ ID NO: 4) on oral glucose tolerance in db/db mice.
- ZP2653 (SEQ ID NO: 4) significantly improved glucose tolerance in diabetic db/db mice.
- FIG. 2 Effect of 28 day treatment with ZP2653 (SEQ ID NO: 4) on body weight in diet induced obese (DIO) mice.
- C57BI/6 male mice were put on high fat diet (HFD) and treated (b.i.d.; s.c.) with ZP2653 (SEQ ID NO: 4) (500 nmol/kg) (ZP2653 (SEQ ID NO: 4)) or vehicle.
- a non-obese control group maintained on regular chow was treated with vehicle (CHOW) in the same treatment regime as the DIO groups.
- Body weights were recorded daily and used to administer the body weight-corrected doses of peptide throughout the study.
- ZP2653 (SEQ ID NO: 4) decreased body weight gain significantly compared to VEH-PBS reaching a level similar to that observed with chow feeding.
- FIG. 3 Effect of dual GluGLP-1 agonist treatment of DIO mice for 4 weeks (b.i.d.) on concentrations of LDL cholesterol.
- PBS pH 7.4 was the vehicle used for OXM, exendin-4 and ZP2653 (SEQ ID NO: 4).
- ZP2653 SEQ ID NO: 4
- FIG. 4 Effect of dual GluGLP-1 agonist treatment of DIO mice for 4 weeks (b.i.d.) on HDL/LDL ratios.
- PBS pH 7.4 was the vehicle used for OXM, exendin-4 and ZP2653 (SEQ ID NO: 4).
- ZP2653 SEQ ID NO: 4
- native glucagon refers to native human glucagon having the sequence H-His-Ser-Gln-Gly-Thr-Phe-Thr-Ser-Asp-Tyr-Ser-Lys-Tyr-Leu-Asp-Ser-Arg-Arg-Ala-Gln-Asp-Phe-Val-Gln-Trp-Leu-Met-Asn-Thr-OH (SEQ ID NO: 1).
- oxygentomodulin and “OXM” refer to native human oxyntomodulin having the sequence H-His-Ser-Gln-Gly-Thr-Phe-Thr-Ser-Asp-Tyr-Ser-Lys-Tyr-Leu-Asp-Ser-Arg-Arg-Ala-Gln-Asp-Phe-Val-Gln-Trp-Leu-Met-Asn-Thr-Lys-Arg-Asn-Arg-Asn-Asn-Ile-Ala-OH(SEQ ID NO: 3).
- the invention provides compounds as defined above.
- sequence of X only differs from Formula I at those positions which are stated to allow variation.
- Amino acids within the sequence X can be considered to be numbered consecutively from 1 to 29 in the conventional N-terminal to C-terminal direction.
- Reference to a “position” within X should be construed accordingly, as should reference to positions within native human glucagon and other molecules.
- the compounds of the invention may carry one or more intramolecular bridge within the peptide sequence X.
- Each such bridge is formed between the side chains of two amino acid residues of X which are typically separated by three amino acids in the linear sequence of X (i.e. between amino acid A and amino acid A+4).
- the bridge may be formed between the side chains of residue pairs 16 and 20, 17 and 21, 20 and 24, or 24 and 28.
- the two side chains can be linked to one another through ionic interactions, or by covalent bonds.
- these pairs of residues may comprise oppositely charged side chains in order to form a salt bridge by ionic interactions.
- one of the residues may be Glu or Asp, while the other may be Lys or Arg.
- the pairings of Lys and Glu and Lys and Asp may also be capable of reacting to form a lactam ring.
- a Tyr and a Glu or a Tyr and a Asp are capable of forming a lactone ring.
- residues at positions 20 and 24 may be capable of forming an intramolecular bridge.
- suitable pairs of residues at these positions include:
- Leu at position 12 increases potency and/or selectivity at the GLP-1 receptor.
- Substitution at position 23 may enhance potency and/or selectivity at the GLP-1 receptor.
- Substitution at position 24 may also enhance potency and/or selectivity at the GLP-1 receptor.
- the arginine residues at positions 17 and 18 of native glucagon appear to provide significant selectivity for the glucagon receptor.
- a number of substitutions at one or more of these positions can increase potency and/or selectivity for the GLP-1 receptor.
- Lys or Leu at position 17 may increase potency at the glucagon receptor. Lys may be particularly effective, especially when there is a negatively charged residue (e.g. Asp) at position 21, because of the potential to form an intramolecular bridge.
- a hydrophobic residue (e.g. Ala) at position 18 may increase potency at both GLP-1 and glucagon receptors, although other changes at this position (e.g. Lys, His, Ser or Tyr) may have similar effects.
- the residues at positions 27, 28 and 29 of native glucagon appear to provide significant selectivity for the glucagon receptor. Substitutions at one, two, or all three of these positions with respect to the native glucagon sequence may increase potency at and/or selectivity for the GLP-1 receptor, potentially without significant reduction of potency at the glucagon receptor.
- Particular examples include Glu at position 27, Ser at position 28 and Ala at position 29.
- Potency and/or selectivity at the GLP-1 receptor may also be increased by introducing residues that are likely to form an amphipathic helical structure, potentially without significant loss of potency at the glucagon receptor. This may be achieved by introduction of charged residues at one or more of positions 16, 20, 24, and 28.
- the residues of positions 20 and 24 may all be charged, the residues at positions 20, 24, and 28 may all be charged, or the residues at positions 16, 20, 24, and 28 may all be charged.
- the residue at position 20 may be Lys, His, Arg or Glu.
- the residue at position 24 may be Glu, Lys or Arg.
- the residue at position 28 may be Arg, Lys or Glu.
- the compounds may independently have Lys or Glu at both of positions 20 and 24, and may additionally have Ser or Arg at position 28.
- the compound may comprise a C-terminal peptide sequence Z of 1-20 amino acids, for example to stabilise the conformation and/or secondary structure of the glucagon analogue peptide, and/or to make the glucagon analogue peptide more resistant to enzymatic hydrolysis, e.g. as described in WO99/46283.
- Z represents a peptide sequence of 1-20 amino acid residues, e.g. in the range of 1-15, more preferably in the range of 1-10 in particular in the range of 1-7 amino acid residues, e.g., 1, 2, 3, 4, 5, 6 or 7 amino acid residues, such as 6 amino acid residues.
- Each of the amino acid residues in the peptide sequence Z may independently be selected from Ala, Leu, Ser, Thr, Tyr, Cys, Glu, Lys, Arg, Dbu (2,4 diaminobutyric acid), Dpr (2,3-diaminopropanoic acid) and Orn (ornithine).
- the amino acid residues are selected from Ser, Thr, Tyr, Cys, Glu, Lys, Arg, Dbu, Dpr and Orn, more preferably may be selected exclusively from Glu, Lys, and Cys.
- the above-mentioned amino acids may have either D- or L-configuration, but preferably have an L-configuration.
- Particularly preferred sequences Z are sequences of four, five, six or seven consecutive lysine residues (i.e. Lys3, Lys4 (SEQ ID NO:18), Lys5 (SEQ ID NO:19), Lys6 (SEQ ID NO:20) or Lys7 (SEQ ID NO:21)), and particularly five or six consecutive lysine residues.
- sequences of Z are shown in WO 01/04156.
- the C-terminal residue of the sequence Z may be a Cys residue. This may assist in modification (e.g. PEGylation) of the compound.
- the peptide sequence Z has no more than 25% sequence identity with the corresponding sequence of the IP-1 portion of human OXM (which has the sequence Lys-Arg-Asn-Arg-Asn-Asn-Ile-Ala (SEQ ID NO:2)).
- Percent (%) amino acid sequence identity of a given peptide or polypeptide sequence with respect to another polypeptide sequence (e.g. IP-1) is calculated as the percentage of amino acid residues in the given peptide sequence that are identical with corresponding amino acid residues in the corresponding sequence of that other polypeptide when the two are aligned with one another, introducing gaps for optimal alignment if necessary.
- a % amino acid sequence identity value is determined by the number of matching identical residues as determined by WU-BLAST-2, divided by the total number of residues of the reference sequence (gaps introduced by WU-BLAST-2 into the reference sequence to maximize the alignment score being ignored), multiplied by 100.
- One or more of the amino acid side chains in the compound of the invention may be conjugated to a lipophilic substituent.
- the lipophilic substituent may be covalently bonded to an atom in the amino acid side chain, or alternatively may be conjugated to the amino acid side chain by a spacer.
- the lipophilic substituent binds albumin in the blood stream, thus shielding the compounds of the invention from enzymatic degradation which can enhance the half-life of the compounds.
- the spacer when present, is used to provide a spacing between the compound and the lipophilic substituent.
- the lipophilic substituent may be attached to the amino acid side chain or to the spacer via an ester, a sulphonyl ester, a thioester, an amide or a sulphonamide.
- the lipophilic substituent includes an acyl group, a sulphonyl group, an N atom, an O atom or an S atom which forms part of the ester, sulphonyl ester, thioester, amide or sulphonamide.
- an acyl group in the lipophilic substituent forms part of an amide or ester with the amino acid side chain or the spacer.
- the lipophilic substituent may include a hydrocarbon chain having 4 to 30 C atoms. Preferably it has at least 8 or 12 C atoms, and preferably it has 24 C atoms or fewer, or 20 C atoms or fewer.
- the hydrocarbon chain may be linear or branched and may be saturated or unsaturated. It will be understood that the hydrocarbon chain is preferably substituted with a moiety which forms part of the attachment to the amino acid side chain or the spacer, for example an acyl group, a sulphonyl group, an N atom, an O atom or an S atom. Most preferably the hydrocarbon chain is substituted with acyl, and accordingly the hydrocarbon chain may be part of an alkanoyl group, for example palmitoyl, caproyl, lauroyl, myristoyl or stearoyl.
- the lipophilic substituent may have the formula shown below:
- A may be, for example, an acyl group, a sulphonyl group, NH, N-alkyl, an O atom or an S atom, preferably acyl.
- n is an integer from 3 to 29, preferably at least 7 or at least 11, and preferably 23 or less, more preferably 19 or less.
- the hydrocarbon chain may be further substituted. For example, it may be further substituted with up to three substituents selected from NH 2 , OH and COOH. If the hydrocarbon chain is further substituted, preferably it is further substituted with only one substituent. Alternatively or additionally, the hydrocarbon chain may include a cycloalkane or heterocycloalkane, for example as shown below:
- the cycloalkane or heterocycloalkane is a six-membered ring. Most preferably, it is piperidine.
- the lipophilic substituent may be based on a cyclopentanophenanthrene skeleton, which may be partially or fully unsaturated, or saturated.
- the carbon atoms in the skeleton each may be substituted with Me or OH.
- the lipophilic substituent may be cholyl, deoxycholyl or lithocholyl.
- the lipophilic substituent may be conjugated to the amino acid side chain by a spacer.
- the spacer is attached to the lipophilic substituent and to the amino acid side chain.
- the spacer may be attached to the lipophilic substituent and to the amino acid side chain independently by an ester, a sulphonyl ester, a thioester, an amide or a sulphonamide. Accordingly, it may include two moieties independently selected from acyl, sulphonyl, an N atom, an O atom or an S atom.
- the spacer may have the formula:
- B and D are each independently selected from acyl, sulphonyl, NH, N-alkyl, an O atom or an S atom, preferably from acyl and NH.
- n is an integer from 1 to 10, preferably from 1 to 5.
- the spacer may be further substituted with one or more substituents selected from C 1-6 alkyl, C 0-6 alkyl amine, C 0-6 alkyl hydroxy and C 0-6 alkyl carboxy.
- the spacer may have two or more repeat units of the formula above.
- B, D and n are each selected independently for each repeat unit.
- Adjacent repeat units may be covalently attached to each other via their respective B and D moieties.
- the B and D moieties of the adjacent repeat units may together form an ester, a sulphonyl ester, a thioester, an amide or a sulphonamide.
- the free B and D units at each end of the spacer are attached to the amino acid side chain and the lipophilic substituent as described above.
- the spacer has five or fewer, four or fewer or three or fewer repeat units. Most preferably the spacer has two repeat units, or is a single unit.
- the spacer (or one or more of the repeat units of the spacer, if it has repeat units) may be, for example, a natural or unnatural amino acid. It will be understood that for amino acids having functionalised side chains, B and/or D may be a moiety within the side chain of the amino acid.
- the spacer may be any naturally occurring or unnatural amino acid.
- the spacer (or one or more of the repeat units of the spacer, if it has repeat units) may be Gly, Pro, Ala, Val, Leu, Ile, Met, Cys, Phe, Tyr, Trp, His, Lys, Arg, Gln, Asn, ⁇ -Glu, ⁇ -Glu, Asp, Ser Thr, Gaba, Aib, ⁇ -Ala, 5-aminopentanoyl, 6-aminohexanoyl, 7-aminoheptanoyl, 8-aminooctanoyl, 9-aminononanoyl or 10-aminodecanoyl.
- the spacer may be a single amino acid selected from ⁇ -Glu, Gaba, b-Ala and ⁇ -Gly.
- the lipophilic substituent may be conjugated to any amino acid side chain in the compounds of the invention.
- the amino acid side chain includes an carboxy, hydroxyl, thiol, amide or amine group, for forming an ester, a sulphonyl ester, a thioester, an amide or a sulphonamide with the spacer or lipophilic substituent.
- the lipophilic substituent may be conjugated to Asn, Asp, Glu, Gln, His, Lys, Arg, Ser, Thr, Tyr, Trp, Cys or Dbu, Dpr or Orn.
- the lipophilic substituent is conjugated to Lys.
- any amino acid shown as Lys in the formulae provided herein may be replaced by Dbu, Dpr or Orn where a lipophilic substituent is added.
- a Lys from the compound of the present invention is covalently attached to ⁇ -Glu (the spacer) by via amide moiety. Palmitoyl is covalently attached to the ⁇ -Glu spacer via an amide moiety.
- One or more amino acid side chains in the compound of the invention may be conjugated to a polymeric moiety, for example, in order to increase solubility and/or half-life in vivo (e.g. in serum) and/or bioavailability. Such modification is also known to reduce clearance (e.g. renal clearance) of therapeutic proteins and peptides.
- the polymeric moiety is preferably water soluble (amphiphilic or hydrophilic), non-toxic, and pharmaceutically inert.
- Suitable polymeric moieties include polyethylene glycol (PEG), homo- or co-polymers of PEG, a monomethyl-substituted polymer of PEG (mPEG), or polyoxyethylene glycerol (POG). See, for example, Int. J. Hematology 68:1 (1998); Bioconjugate Chem. 6:150 (1995); and Crit. Rev. Therap. Drug Carrier Sys. 9:249 (1992).
- poly-amino acids such as poly-lysine, poly-aspartic acid and poly-glutamic acid
- poly-amino acids such as poly-lysine, poly-aspartic acid and poly-glutamic acid
- the polymeric moiety may be straight-chain or branched. It may have a molecular weight of 500-40,000 Da, for example 500-10,000 Da, 1000-5000 Da, 10,000-20,000 Da, or 20,000-40,000 Da.
- a compound may comprise two or more such moieties, in which case the total molecular weight of all such moieties will generally fall within the ranges provided above.
- the polymeric moiety may be coupled (by covalent linkage) to an amino, carboxyl or thiol group of an amino acid side chain.
- Preferred examples are the thiol group of Cys residues and the epsilon amino group of Lys residues, and the carboxyl groups of Asp and Glu residues may also be used.
- a PEG moiety carrying a methoxy group can be coupled to a Cys thiol group by a maleimido linkage using regents commercially available from Nektar Therapeutics AL. See also WO 2008/101017, and the references cited above for details of suitable chemistry.
- the compounds of this invention may be manufactured either by standard synthetic methods, recombinant expression systems, or any other state of the art method.
- the glucagon analogues may be synthesized in a number of ways including for example, a method which comprises:
- the nucleic acid fragments of the invention will normally be inserted in suitable vectors to form cloning or expression vectors carrying the nucleic acid fragments of the invention; such novel vectors are also part of the invention.
- the vectors can, depending on purpose and type of application, be in the form of plasmids, phages, cosmids, mini-chromosomes, or virus, but also naked DNA which is only expressed transiently in certain cells is an important vector.
- Preferred cloning and expression vectors (plasmid vectors) of the invention are capable of autonomous replication, thereby enabling high copy-numbers for the purposes of high-level expression or high-level replication for subsequent cloning.
- an expression vector comprises the following features in the 5′ ⁇ 3′ direction and in operable linkage: a promoter for driving expression of the nucleic acid fragment of the invention, optionally a nucleic acid sequence encoding a leader peptide enabling secretion (to the extracellular phase or, where applicable, into the periplasma), the nucleic acid fragment encoding the peptide of the invention, and optionally a nucleic acid sequence encoding a terminator. They may comprise additional features such as selectable markers and origins of replication. When operating with expression vectors in producer strains or cell lines it may be preferred that the vector is capable of integrating into the host cell genome. The skilled person is very familiar with suitable vectors and is able to design one according to their specific requirements.
- the vectors of the invention are used to transform host cells to produce the compound of the invention.
- Such transformed cells which are also part of the invention, can be cultured cells or cell lines used for propagation of the nucleic acid fragments and vectors of the invention, or used for recombinant production of the peptides of the invention.
- Preferred transformed cells of the invention are micro-organisms such as bacteria (such as the species Escherichia (e.g. E. coli ), Bacillus (e.g. Bacillus subtilis ), Salmonella , or Mycobacterium (preferably non-pathogenic, e.g. M. bovis BCG), yeasts (such as Saccharomyces cerevisiae ), and protozoans.
- the transformed cells may be derived from a multicellular organism, i.e. it may be fungal cell, an insect cell, a plant cell, or a mammalian cell.
- the transformed cell is capable of replicating the nucleic acid fragment of the invention.
- Cells expressing the nucleic fragment are useful embodiments of the invention; they can be used for small-scale or large-scale preparation of the peptides of the invention.
- Binding of the relevant compounds to GLP-1 or glucagon (Glu) receptors may be used as an indication of agonist activity, but in general it is preferred to use a biological assay which measures intracellular signalling caused by binding of the compound to the relevant receptor. For example, activation of the glucagon receptor by a glucagon agonist will stimulate cellular cyclic AMP (cAMP) formation. Similarly, activation of the GLP-1 receptor by a GLP-1 agonist will stimulate cellular cAMP formation. Thus, production of cAMP in suitable cells expressing one of these two receptors can be used to monitor the relevant receptor activity. Use of a suitable pair of cell types, each expressing one receptor but not the other, can hence be used to determine agonist activity towards both types of receptor.
- cAMP cyclic AMP
- the GLP-1 receptor and/or the glucagon receptor may have the sequence of the receptors as described in the examples.
- the assays may make use the human glucagon receptor (Glucagon-R) having primary accession number GI:4503947 and/or the human glucagon-like peptide 1 receptor (GLP-1R) having primary accession number GI:166795283.
- Glucagon-R human glucagon receptor
- GLP-1R human glucagon-like peptide 1 receptor
- EC 50 values may be used as a numerical measure of agonist potency at a given receptor.
- An EC 50 value is a measure of the concentration of a compound required to achieve half of that compound's maximal activity in a particular assay.
- a compound having EC 50 [GLP-1R] lower than the EC 50 [GLP-1R] of native glucagon in a particular assay may be considered to have higher potency at the GLP-1R than glucagon.
- the compounds described in this specification are typically Glu-GLP-1 dual agonists, i.e. they are capable of stimulating cAMP formation at both the glucagon receptor and the GLP-1 receptor.
- the stimulation of each receptor can be measured in independent assays and afterwards compared to each other.
- the relative GLP-1R selectivity can likewise be found:
- Relative GLP-1R selectivity [Compound] (1/EC 50 [GLP-1R]) ⁇ 100/(1/EC 50 [Glucagon-R]+1/EC 50 [GLP-1R])
- a compound's relative selectivity allows its effect on the GLP-1 or glucagon receptor to be compared directly to its effect on the other receptor. For example, the higher a compound's relative GLP-1R selectivity is, the more effective that compound is on the GLP-1 receptor as compared to the glucagon receptor.
- the compounds of the invention have a higher relative GLP-1R selectivity than human glucagon.
- the compound will display a higher level of GLP-1R agonist activity (i.e. greater potency at the GLP-1 receptor) than glucagon.
- the absolute potency of a particular compound at the glucagon and GLP-1 receptors may be higher, lower or approximately equal to that of native human glucagon, as long as the appropriate relative GLP-1R selectivity is achieved.
- the compounds of this invention may have a lower EC 50 [GLP-1R] than human glucagon.
- the compounds may have a lower EC 50 [GLP-1-R] than glucagon while maintaining an EC 50 [Glucagon-R] that is less than 10-fold higher than that of human glucagon, less than 5-fold higher than that of human glucagon, or less than 2-fold higher than that of human glucagon.
- the compounds of the invention may have an EC 50 [Glucagon-R] that is less than two-fold that of human glucagon.
- the compounds may have an EC 50 [Glucagon-R] that is less than two-fold that of human glucagon and have an EC 50 [GLP-1R] that is less than half that of human glucagon, less than a fifth of that of human glucagon, or less than a tenth of that of human glucagon.
- the relative GLP-1 selectivity of the compounds may be between 5% and 95%.
- the compounds may have a relative selectivity of 5-20%, 10-30%, 20-50%, 30-70%, or 50-80%; or of 30-50%, 40-60,%, 50-70% or 75-95%.
- the compounds of the invention may provide an attractive treatment option for obesity and metabolic diseases including type 2 diabetes.
- Diabetes mellitus often referred to simply as diabetes, is a syndrome of disordered metabolism, usually due to a combination of hereditary and environmental causes, resulting in abnormally high blood sugar levels (hyperglycemia).
- Blood glucose levels are controlled by the hormone insulin made in the beta cells of the pancreas. Diabetes develops due to destruction of insulin producing pancreatic beta-cells (in type 1 diabetes) or resistance to the effects of insulin (in gestational diabetes) followed by beta cell loss (in type 2 diabetes). Both types of diabetes lead to hyperglycemia, which largely causes the acute signs of diabetes: excessive urine production, resulting compensatory thirst and increased fluid intake, blurred vision, unexplained weight loss, lethargy, and changes in energy metabolism.
- Metabolic syndrome is characterized by a group of metabolic risk factors in one person. They include abdominal obesity (excessive fat tissue around the abdominal internal organs), atherogenic dyslipidemia (blood fat disorders including high triglycerides, low HDL cholesterol and/or high LDL cholesterol, which foster plaque buildup in artery walls), elevated blood pressure (hypertension), insulin resistance and glucose intolerance, prothrombotic state (e.g. high fibrinogen or plasminogen activator inhibitor-1 in the blood), and proinflammatory state (e.g., elevated C-reactive protein in the blood).
- abdominal obesity excessive fat tissue around the abdominal internal organs
- atherogenic dyslipidemia blood fat disorders including high triglycerides, low HDL cholesterol and/or high LDL cholesterol, which foster plaque buildup in artery walls
- elevated blood pressure hypertension
- insulin resistance and glucose intolerance hypertension
- prothrombotic state e.g. high fibrinogen or plasminogen activator inhibitor-1 in the blood
- proinflammatory state e.g
- the dominant underlying risk factors for this syndrome appear to be abdominal obesity and insulin resistance and glucose intolerance, prothrombotic state (e.g. high fibrinogen or plasminogen activator inhibitor-1 in the blood), and proinflammatory state (e.g., elevated C-reactive protein in the blood).
- prothrombotic state e.g. high fibrinogen or plasminogen activator inhibitor-1 in the blood
- proinflammatory state e.g., elevated C-reactive protein in the blood.
- the compounds of the invention act as GluGLP-1 dual agonists.
- the dual agonist combines the effect of glucagon on fat metabolism and of GLP-1 on blood glucose levels as well as food intake They might therefore act in a synergistic fashion to accelerate elimination of excessive fat deposition, induce sustainable weight loss, and directly decrease morbid glucose levels to normal levels, without the risk of hypoglycemia, which is associated with concomitant use of GLP-1 agonists and sulphonylurea.
- the synergetic effect of dual GluGLP-1 agonists also results in reduction of cardiovascular risk factors such as high cholesterol and LDL as well as an improvement in glucose tolerance, which may be entirely independent of their effect on body weight.
- the compounds of the present invention can therefore be used as pharmaceutical agents for preventing weight gain, promoting weight loss, reducing excess body weight or treating obesity (e.g. by control of appetite, feeding, food intake, calorie intake, and/or energy expenditure), including morbid obesity, as well as associated diseases and health conditions including but not limited to obesity linked inflammation, obesity linked gallbladder disease and obesity induced sleep apnea.
- obesity e.g. by control of appetite, feeding, food intake, calorie intake, and/or energy expenditure
- associated diseases and health conditions including but not limited to obesity linked inflammation, obesity linked gallbladder disease and obesity induced sleep apnea.
- the compounds of the invention may also be used for treatment of metabolic syndrome, insulin resistance, glucose intolerance, type 2 diabetes, hypertension, atherogenic dyslipidimia, atherosclerois, arteriosclerosis, coronary heart disease and stroke. These are all conditions which can be associated with obesity. However, the effects of the compounds of the invention on these conditions may be mediated in whole or in part via an effect on body weight, or may be independent thereof.
- the compounds of the present invention, or salts thereof, may be formulated as pharmaceutical compositions prepared for storage or administration, which typically comprise a therapeutically effective amount of a compound of the invention, or a salt thereof, in a pharmaceutically acceptable carrier.
- the therapeutically effective amount of a compound of the present invention will depend on the route of administration, the type of mammal being treated, and the physical characteristics of the specific mammal under consideration. These factors and their relationship to determining this amount are well known to skilled practitioners in the medical arts. This amount and the method of administration can be tailored to achieve optimal efficacy, and may depend on such factors as weight, diet, concurrent medication and other factors, well known to those skilled in the medical arts.
- the dosage sizes and dosing regimen most appropriate for human use may be guided by the results obtained by the present invention, and may be confirmed in properly designed clinical trials.
- An effective dosage and treatment protocol may be determined by conventional means, starting with a low dose in laboratory animals and then increasing the dosage while monitoring the effects, and systematically varying the dosage regimen as well. Numerous factors may be taken into consideration by a clinician when determining an optimal dosage for a given subject. Such considerations are known to the skilled person.
- pharmaceutically acceptable carrier includes any of the standard pharmaceutical carriers.
- Pharmaceutically acceptable carriers for therapeutic use are well known in the pharmaceutical art, and are described, for example, in Remington's Pharmaceutical Sciences, Mack Publishing Co. (A. R. Gennaro edit. 1985).
- sterile saline and phosphate-buffered saline at slightly acidic or physiological pH may be used.
- pH buffering agents may be phosphate, citrate, acetate, tris/hydroxymethyl)aminomethane (TRIS), N-Tris(hydroxymethyl)methyl-3-aminopropanesulphonic acid (TAPS), ammonium bicarbonate, diethanolamine, histidine, which is a preferred buffer, arginine, lysine, or acetate or mixtures thereof.
- TIS tris/hydroxymethyl)aminomethane
- TAPS N-Tris(hydroxymethyl)methyl-3-aminopropanesulphonic acid
- ammonium bicarbonate diethanolamine
- histidine which is a preferred buffer
- arginine arginine
- lysine or acetate or mixtures thereof.
- the term further encompasses any agents listed in the US Pharmacopeia for use in animals, including humans.
- salts include pharmaceutically acceptable salts such as acid addition salts and basic salts.
- acid addition salts include hydrochloride salts, citrate salts and acetate salts.
- basic salts include salts where the cation is selected from alkali metals, such as sodium and potassium, alkaline earth metals, such as calcium, and ammonium ions + N(R 3 ) 3 (R 4 ), where R 3 and R 4 independently designates optionally substituted C 1-6 -alkyl, optionally substituted C 2-6 -alkenyl, optionally substituted aryl, or optionally substituted heteroaryl.
- Treatment is an approach for obtaining beneficial or desired clinical results.
- beneficial or desired clinical results include, but are not limited to, alleviation of symptoms, diminishment of extent of disease, stabilized (i.e., not worsening) state of disease, delay or slowing of disease progression, amelioration or palliation of the disease state, and remission (whether partial or total), whether detectable or undetectable.
- Treatment can also mean prolonging survival as compared to expected survival if not receiving treatment.
- Treatment is an intervention performed with the intention of preventing the development or altering the pathology of a disorder. Accordingly, “treatment” refers to both therapeutic treatment and prophylactic or preventative measures. Those in need of treatment include those already with the disorder as well as those in which the disorder is to be prevented
- the pharmaceutical compositions can be in unit dosage form.
- the composition is divided into unit doses containing appropriate quantities of the active component.
- the unit dosage form can be a packaged preparation, the package containing discrete quantities of the preparations, for example, packeted tablets, capsules, and powders in vials or ampoules.
- the unit dosage form can also be a capsule, cachet, or tablet itself, or it can be the appropriate number of any of these packaged forms. It may be provided in single dose injectable form, for example in the form of a pen.
- Compositions may be formulated for any suitable route and means of administration.
- Pharmaceutically acceptable carriers or diluents include those used in formulations suitable for oral, rectal, nasal, topical (including buccal and sublingual), vaginal or parenteral (including subcutaneous, intramuscular, intravenous, intradermal, and transdermal) administration.
- the formulations may conveniently be presented in unit dosage form and may be prepared by any of the methods well known in the art of pharmacy.
- Subcutaneous or transdermal modes of administration may be particularly suitable for the compounds described herein.
- the compound of the invention may be administered as part of a combination therapy with an agent for treatment of diabetes, obesity or hypertension.
- the two active agents may be given together or separately, and as part of the same pharmaceutical formulation or as separate formulations.
- the compound of the invention can be used in combination with an anti-diabetic agent including but not limited to metformin, a sulfonylurea, a glinide, a DPP-IV inhibitor, a glitazone, or insulin.
- an anti-diabetic agent including but not limited to metformin, a sulfonylurea, a glinide, a DPP-IV inhibitor, a glitazone, or insulin.
- the compound or salt thereof is used in combination with insulin, DPP-IV inhibitor, sulfonylurea or metformin, particularly sulfonylurea or metformin, for achieving adequate glycemic control.
- the compound or salt thereof is used in combination with insulin or an insulin analogue for achieving adequate glycemic control.
- insulin analogues include but are not limited to Lantus, Novorapid, Humalog, Novomix, and Actraphane HM.
- the compound or salt thereof can further be used in combination with an anti-obesity agent including but not limited to a glucagon-like peptide receptor 1 agonist, peptide YY or analogue thereof, cannabinoid receptor 1 antagonist, lipase inhibitor, melanocortin receptor ⁇ agonist, or melanin concentrating hormone receptor 1 antagonist.
- an anti-obesity agent including but not limited to a glucagon-like peptide receptor 1 agonist, peptide YY or analogue thereof, cannabinoid receptor 1 antagonist, lipase inhibitor, melanocortin receptor ⁇ agonist, or melanin concentrating hormone receptor 1 antagonist.
- the analogue compound or salt thereof can be used in combination with an anti-hypertension agent including, but not limited to, an angiotensin-converting enzyme inhibitor, angiotensin II receptor blocker, diuretics, beta-blocker, or calcium channel blocker.
- an anti-hypertension agent including, but not limited to, an angiotensin-converting enzyme inhibitor, angiotensin II receptor blocker, diuretics, beta-blocker, or calcium channel blocker.
- Solid phase peptide synthesis was performed as SPPS on a microwave assisted synthesizer using standard Fmoc strategy in NMP on a polystyrene resin (TentaGel S Ram). HATU was used as coupling reagent together with DIPEA as base. Piperidine (20% in NMP) was used for deprotection. Pseudoprolines: Fmoc-Phe-Thr(.Psi. Me, Me pro)-OH and Fmoc-Asp-Ser(.Psi., Me, Me pro)-OH (purchased from NovaBiochem) were used where applicable.
- the crude peptide was cleaved from the resin by treatment with 95/2.5/2.5% (v/v) TFA/TIS/water at r.t. for 2 h.
- a mixture of 95/5% (v/v) TFA/EDT was used for peptides with a methionine in the sequence. Most of the TFA was removed at reduced pressure and the crude peptide was precipitated and washed with diethylether and allowed to dry to constant weight at ambient temperature.
- the crude peptides were purified by standard reverse phase HPLC on a PerSeptive Biosystems VISION Workstation. VISION 3.0 software was used for instrument control and data acquisition. The peptides were analysed using MS and purified to greater than 90% as determined by HPLC.
- the peptide backbone is synthesized as described above for the general synthesis of glucagon analogues, with the exception that it is acylated on the side chain of a lysine residue with the peptide still attached to the resin and fully protected on the side chain groups, except the epsilon-amine on the lysine to be acylated.
- the lysine to be acylated is incorporated with the use of Fmoc-Lys(ivDde)-OH.
- the N-terminal of the peptide is protected with a Boc group using Boc 2 O in NMP.
- the ivDde protecting group is selectively cleaved using 2% hydrazine hydrate in NMP.
- the unprotected lysine side chain is then first coupled with a spacer amino acid like Fmoc-Glu-OtBu, which is deprotected with piperidine and acylated with a fatty acid using standard peptide coupling methodology as described above.
- the histidine at the N-terminal could be incorporated from the beginning as Boc-His(Boc)-OH. Cleavage from the resin and purification are performed as described above
- the glucagon analogues were incubated as solid compounds at 40° C. and dissolved as solutions in 0.1 M aqueous HCl (2 mg/ml). The solutions were incubated at 40° The remaining intact glucagon analogs were measured at RP-HPLC by integration of the UV signal at 220 nM The percentage remaining is a measure for the relative stability.
- the cDNA encoding either the human glucagon receptor (Glucagon-R) (primary accession number P47871) or the human glucagon-like peptide 1 receptor (GLP-1-R) (primary accession number P43220) were cloned from the cDNA clones BC104854 (MGC:132514/IMAGE:8143857) and BC112126 (MGC:138331/IMAGE:8327594), respectively.
- the DNA encoding the Glucagon-R or the GLP-1-R was amplified by PCR using primers encoding terminal restriction sites for subcloning.
- the 5′-end primers additionally encoded a near Kozak consensus sequence to ensure efficient translation.
- the fidelity of the DNA encoding the Glucagon-R and the GLP-1-R was confirmed by DNA sequencing.
- the PCR products encoding the Glucagon-R or the GLP-1-R were subcloned into a mammalian expression vector containing a neomycin (G418) resistance marker.
- the mammalian expression vectors encoding the Glucagon-R or the GLP-1-R were transfected into HEK293 cells by a standard calcium phosphate transfection method. 48 hr after transfection cells were seeded for limited dilution cloning and selected with 1 mg/ml G418 in the culture medium. Three weeks later 12 surviving colonies of Glucagon-R and GLP-1-R expressing cells were picked, propagated and tested in the Glucagon-R and GLP-1-R efficacy assays as described below. One Glucagon-R expressing clone and one GLP-1-R expressing clone were chosen for compound profiling.
- HEK293 cells expressing the human Glucagon-R, or human GLP-1-R were seeded at 40,000 cells per well in 96-well microtiter plates coated with 0.01% poly-L-lysine and grown for 1 day in culture in 100 ⁇ l growth medium. On the day of analysis, growth medium was removed and the cells washed once with 200 ⁇ l Tyrode buffer. Cells were incubated in 100 ⁇ l Tyrode buffer containing increasing concentrations of test peptides, 100 ⁇ M IBMX, and 6 mM glucose for 15 min at 37° C. The reaction was stopped by addition of 25 ⁇ l 0.5 M HCl and incubated on ice for 60 min. The cAMP content was estimated using the FlashPlate® cAMP kit from Perkin-Elmer. EC 50 and relative efficacies compared to reference compounds (glucagon and GLP-1-1) were estimated by computer aided curve fitting.
- Adipocytes were isolated from epididymal fat dissected from normal young adult Sprague-Dawley rats. The fat lumps were minced, incubated and shaken (220 rpm) with collagenase (1 mg/ml) in Krebs-Ringer buffer containing 4% BSA (KRB-BSA) for 60 minutes at 37° C. The suspension was filtered through a nylon filter (160 ⁇ m pore size) and the filtrate centrifuged at 200 ⁇ g for 3 min. The subjacent medium beneath the upper floating layer of adipocytes was removed with a Pasteur-pipette.
- the adipocytes were washed 3 times in KRB-BSA buffer by re-suspension and centrifugation.
- the adipocytes were re-suspended in KRB-BSA, mixed, incubated in and shaken with test compounds in 96-deep well plates (50,000 cells/well) in a total volume of 1 ml at 37° C. for 60 min.
- the plates were placed on ice for at least 10 min after incubation followed by centrifugation at 200 ⁇ g for 3 min. 300 ⁇ l of the buffer beneath the adipocyte layer were collected in a 96-deep well plate. This process was repeated two more times and the 3 extracts collected from each culture pooled together.
- the glycerol formed by the lipolysis in the adipocyte cultures was measured by adding free glycerol reagent (200 ⁇ l) to aliquots (25 ⁇ l) of adipocyte extract, incubate at room temperature for 15 min and measure the absorbance at 540 nm.
- mice Four weeks before drug treatments, C57BI/6 male mice (7 weeks) (10-12 animals in each group) were put on high fat diet (HFD) and their day-night cycle reversed with lights On/Off at 2000/0800 hour. Experimental animals were conditioned to treatment by daily injections (s.c.) of 0.1 ml vehicle and acclimatized to handling by weighing them twice a week one week before start of drug administrations. The day before start of experiment, mice were stratified into groups with similar body weight (BW) and the next day groups of stratified mice were treated (b.i.d.; s.c.) with ZP2653 (SEQ ID NO: 4) (500 nmol/kg)), or vehicle (PBS, pH 7.4, 2.5 ⁇ l/g BW).
- BW body weight
- ZP2653 SEQ ID NO: 4
- a non-obese control group maintained on regular chow was treated with vehicle in the same treatment regime as the DIO groups.
- Body weights were recorded daily and used to administer the body weight-corrected doses of peptide throughout the study. Animals were fasted overnight before sacrifice.
- An eye blood sample (0.6 ml EDTA) was obtained the following morning immediately before cervical dislocation. Blood plasma samples were stored at ⁇ 80° C. until analyzed for cholesterol, HDL and LDL using commercially available kits. Body weight gains throughout the treatment period were calculated for each animal by subtracting its weight at the initiation of treatment.
- the compounds marked “*” are crude peptides with purity of less than 90%.
- the EC50 is corrected to a purity of 50%.
- OXM ZP2653 SEQ ID NO: 4
- ZP2653 (SEQ ID NO: 4) significantly improved glucose tolerance measured during an OGTT in diabetic db/db mice ( FIG. 1 ).
- ZP2653 (SEQ ID NO: 4) (45 nmol/kg) improved glucose tolerance (measured as decrease in Area Under the curve (AUC)) by 39.5% ( FIG. 1 ).
- ZP2653 (SEQ ID NO: 4) decreased body weight gain to a level similar to that observed with chow feeding ( FIG. 2 ). The body weight gain was statistically significantly less than the vehicle group.
- Exendin-4 is a very potent GLP-1R agonist, but has no effect on the GluR and has no effect in the rat adipocyte lipolysis assay described above. It has potent effects on glucose tolerance in db/db mice and food intake in normal mice, but had no effect on blood concentrations of total cholesterol, HDL, LDL or HDL/LDL ratios ( FIGS. 3 , 4 )
Landscapes
- Health & Medical Sciences (AREA)
- Chemical & Material Sciences (AREA)
- Life Sciences & Earth Sciences (AREA)
- Organic Chemistry (AREA)
- General Health & Medical Sciences (AREA)
- Medicinal Chemistry (AREA)
- Public Health (AREA)
- Engineering & Computer Science (AREA)
- Veterinary Medicine (AREA)
- Chemical Kinetics & Catalysis (AREA)
- General Chemical & Material Sciences (AREA)
- Bioinformatics & Cheminformatics (AREA)
- Nuclear Medicine, Radiotherapy & Molecular Imaging (AREA)
- Animal Behavior & Ethology (AREA)
- Pharmacology & Pharmacy (AREA)
- Diabetes (AREA)
- Obesity (AREA)
- Hematology (AREA)
- Endocrinology (AREA)
- Gastroenterology & Hepatology (AREA)
- Cardiology (AREA)
- Heart & Thoracic Surgery (AREA)
- Biophysics (AREA)
- Zoology (AREA)
- Proteomics, Peptides & Aminoacids (AREA)
- Molecular Biology (AREA)
- Genetics & Genomics (AREA)
- Biochemistry (AREA)
- Toxicology (AREA)
- Emergency Medicine (AREA)
- Urology & Nephrology (AREA)
- Vascular Medicine (AREA)
- Rheumatology (AREA)
- Pain & Pain Management (AREA)
- Child & Adolescent Psychology (AREA)
- Medicines That Contain Protein Lipid Enzymes And Other Medicines (AREA)
- Peptides Or Proteins (AREA)
- Micro-Organisms Or Cultivation Processes Thereof (AREA)
- Medicines Containing Material From Animals Or Micro-Organisms (AREA)
Abstract
The invention provides materials and methods for promoting weight loss or preventing weight gain, and in the treatment of diabetes, metabolic syndrome and associated disorders. In particular, the invention provides novel glucagon analogue peptides effective in such methods. The peptides may mediate their effect by having increased selectivity for the GLP-1 receptor as compared to human glucagon.
Description
- This application is a divisional of U.S. application Ser. No. 13/139,678, filed on Aug. 15, 2011, which is the U.S. National Stage filing under 35 U.S.C. §371 of International Application No. PCT/GB2008/004132, filed Dec. 15, 2008, both of which are hereby incorporated by reference in their entirety.
- The present invention relates to glucagon analogues and their medical use, for example in the treatment of excess food intake, obesity and excess weight.
- Preproglucagon is a 158 amino acid precursor polypeptide that is differentially processed in the tissues to form a number of structurally related proglucagon-derived peptides, including glucagon (Glu), glucagon-like peptide-1 (GLP-1), glucagon-like peptide-2 (GLP-2), and oxyntomodulin (OXM). These molecules are involved in a wide variety of physiological functions, including glucose homeostasis, insulin secretion, gastric emptying and intestinal growth, as well as regulation of food intake.
- Glucagon is a 29-amino acid peptide that corresponds to amino acids 53 to 81 of pre-proglucagon and has the sequence His-Ser-Gln-Gly-Thr-Phe-Thr-Ser-Asp-Tyr-Ser-Lys-Tyr-Leu-Asp-Ser-Arg-Arg-Ala-Gln-Asp-Phe-Val-Gln-Trp-Leu-Met-Asn-Thr (SEQ ID NO: 1). Oxyntomodulin (OXM) is a 37 amino acid peptide which includes the complete 29 amino acid sequence of glucagon with an octapeptide carboxyterminal extension (amino acids 82 to 89 of pre-proglucagon, having the sequence Lys-Arg-Asn-Arg-Asn-Asn-Ile-Ala (SEQ ID NO: 2) and termed “intervening peptide 1” or IP-1; the full sequence of human oxyntomodulin is thus His-Ser-Gln-Gly-Thr-Phe-Thr-Ser-Asp-Tyr-Ser-Lys-Tyr-Leu-Asp-Ser-Arg-Arg-Ala-Gln-Asp-Phe-Val-Gln-Trp-Leu-Met-Asn-Thr-Lys-Arg-Asn-Arg-Asn-Asn-Ile-Ala) (SEQ ID NO: 3). The major biologically active fragment of GLP-1 is produced as a 30-amino acid, C-terminally amidated peptide that corresponds to amino acids 98 to 127 of pre-proglucagon.
- Glucagon helps maintain the level of glucose in the blood by binding to glucagon receptors on hepatocytes, causing the liver to release glucose—stored in the form of glycogen—through a glycogenolysis. As these stores become depleted, glucagon stimulates the liver to synthesize additional glucose by gluconeogenesis. This glucose is released into the bloodstream, preventing the development of hypoglycemia.
- OXM is released into the blood in response to food ingestion and in proportion to meal calorie content. OXM has been shown to suppress appetite and inhibit food intake in humans (Cohen et al, Journal of Endocrinology and Metabolism, 88, 4696-4701, 2003; WO 2003/022304). In addition to those anorectic effects, which are similar to those of GLP-1, OXM must also affect body weight by another mechanism, since rats treated with oxyntomodulin show less body weight gain than pair-fed rats (Bloom, Endocrinology 2004, 145, 2687). Treatment of obese rodents with OXM also improves their glucose tolerance (Parlevliet et al, Am J Physiol Endocrinol Metab, 294, E142-7, 2008) and suppresses body weight gain (WO 2003/022304).
- OXM activates both the glucagon receptor and the GLP-1 receptor with a two-fold higher potency for the glucagon receptor over the GLP-1 receptor, but is less potent than native glucagon and GLP-1 on their respective receptors. Glucagon is also capable of activating both receptors, though with a strong preference for the glucagon receptor over the GLP-1 receptor. GLP-1 on the other hand is not capable of activating the glucagon receptor. The mechanism of action of oxyntomodulin is not well understood. In particular, it is not known whether the effects of the hormone are mediated exclusively through the glucagon receptor and the GLP-1 receptor, or through one or more as-yet unidentified receptors.
- Other peptides have been shown to bind and activate both the glucagon and the GLP-1 receptor (Hjort et al, Journal of Biological Chemistry, 269, 30121-30124) and to suppress body weight gain and reduce food intake (WO 2006/134340; WO 2007/100535; WO 2008/101017).
- Obesity, classified is a globally increasing health problem and is associated with various diseases, particularly cardiovascular disease (CVD),
type 2 diabetes, obstructive sleep apnea, certain types of cancer, and osteoarthritis. As a result, obesity has been found to reduce life expectancy. According to 2005 projections by the World Health Organization there are 400 million adults (age>15) classified as obese worldwide. In the US, obesity is now believed to be the second-leading cause of preventable death after smoking. - The rise in obesity drives an increase in diabetes, and approximately 90% of people with
type 2 diabetes may be classified obese. There are 246 million people worldwide with diabetes, and by 2025 it is estimated that 380 million will have diabetes. Many have additional cardiovascular risk factors including high/aberrant LDL and triglycerides and low HDL. - People with diabetes are 2 to 4 times more likely to develop cardiovascular disease than people without diabetes, making it the most common complication of diabetes. Cardiovascular disease accounts for about 50% of the mortality in people with diabetes. Young adults with diabetes have rates of coronary heart disease (CHD) 12-40 times higher than those in young adults without diabetes and together with the high incidence and prevalence of obesity and
type 2 diabetes, the morbidity and mortality rates relating to these metabolic disorders underscore the medical need for efficacious treatment options. - Accordingly, there is a strong medical need for treating obesity and improving glucose tolerance.
- The invention provides a compound having the formula R1—X—Z—R2
- wherein
- R1 is H, C1-4 alkyl, acetyl, formyl, benzoyl or trifluoroacetyl;
- R2 is OH or NH2;
- X is a peptide which has the formula I:
-
His-Ser-Gln-Gly-Thr-Phe-The-Ser-Asp-Tyr-Ser-Leu-Tyr-Leu-Asp-Ser-Arg-Arg-Ala-Lys-Asp-Phe- (SEQ ID NO: 4) Ile-Glu-Trp-Leu-Glu-Ser-Ala
or differs from formula I at up to 4 of the following positions whereby, if different from formula I:
the residue atposition 2 is selected from: Aib, D-Ser;
the residue at position 16 is selected from: Arg, His, Lys, Glu, Gly, Asp;
the residue at position 17 is selected from: Lys, Leu;
the residue at position 18 is selected from: Lys, His, Ala, Ser, Tyr;
the residue at position 20 is selected from: Gln, His, Arg, Glu, Asp;
the residue at position 21 is: Glu;
the residue at position 23 is selected from: Val, Leu;
the residue at position 24 is selected from: Gln, Leu, Ala, Lys, Arg, Asp;
the residue at position 27 is selected from: Met, Cys, Lys, Arg, Leu;
the residue at position 28 is selected from: Asn, Arg, Lys, Glu, Ala, Leu, Asp; and
the residue at position 29 is selected from: Thr, Glu, Lys;
and Z is absent or a peptide sequence of 1-20 amino acid units selected from the group consisting of Ala, Leu, Ser, Thr, Tyr, Cys, Glu, Lys, Arg, Dbu, Dpr and Orn;
or a pharmaceutically acceptable salt thereof. - In some embodiments, X differs from formula I at up to 4 of the following positions whereby, if different from formula I:
- the residue at
position 2 is selected from: Aib, D-Ser;
the residue at position 16 is selected from: Arg, His, Lys, Glu, Gly;
the residue at position 17 is selected from: Lys, Leu;
the residue at position 18 is selected from: Lys, His, Ala, Ser, Tyr;
the residue at position 23 is selected from: Val, Leu;
the residue at position 27 is selected from: Met, Cys, Lys, Arg, Leu;
the residue at position 28 is selected from: Asn, Arg, Lys, Glu, Ala, Leu; and
the residue at position 29 is selected from: Thr, Glu, Lys; - In some embodiments, X differs from formula I at up to 4 of the following positions whereby, if different from formula I:
- the residue at
position 2 is selected from: Aib, D-Ser;
the residue at position 16 is selected from: Arg, His, Lys, Glu, Gly;
the residue at position 17 is selected from: Lys, Leu;
the residue at position 18 is selected from: Lys, His, Ala, Ser, Tyr; and
the residue at position 23 is selected from: Val, Leu. - In some embodiments, X differs from formula I at up to 4 of the following positions whereby, if different from formula I:
- the residue at
position 2 is selected from: Aib, D-Ser;
the residue at position 23 is selected from: Val, Leu;
the residue at position 27 is selected from: Met, Cys, Lys, Arg, Leu;
the residue at position 28 is selected from: Asn, Arg, Lys, Glu, Ala, Leu; and
the residue at position 29 is selected from: Thr, Glu, Lys. - While maintaining consistency with the definitions above, it may be desirable that X comprises one or more of the following sets of residues:
- For example, X may have the sequence:
-
HSQGTFTSDYSLYLDSRRAQDFIEWLESA (SEQ ID NO: 5); HSQGTFTSDYSLYLDSRRAKDFVEWLESA (SEQ ID NO: 6); HSQGTFTSDYSLYLDSRRAKDFIQWLESA (SEQ ID NO: 7); HSQGTFTSDYSLYLDSRRAKDFIEWLEST (SEQ ID NO: 8); HSQGTFTSDYSLYLDSRRAKDFIEWLMNT (SEQ ID NO: 9); HSQGTFTSDYSLYLDSRRAQDFVQWLESA (SEQ ID NO: 10); HSQGTFTSDYSLYLDSRRAEDFIKWLESA (SEQ ID NO: 11); or HSQGTFTSDYSLYLDSRRAKDFIEWLESA (SEQ ID NO: 12). - The invention further provides a nucleic acid (which may be DNA or RNA) encoding a compound of the invention, an expression vector comprising such a nucleic acid, and a host cell containing such a nucleic acid or expression vector.
- In a further aspect, the present invention provides a composition comprising a glucagon analogue peptide as defined herein, or a salt or derivative thereof, a nucleic acid encoding such a glucagon analogue peptide, an expression vector comprising such a nucleic acid, or a host cell containing such a nucleic acid or expression vector, in admixture with a carrier. In preferred embodiments, the composition is a pharmaceutically acceptable composition and the carrier is a pharmaceutically acceptable carrier. The glucagon peptide analogue may be a pharmaceutically acceptable acid addition salt of the glucagon analogue.
- The compounds described find use in preventing weight gain or promoting weight loss. By “preventing” is meant inhibiting or reducing weight gain when compared to the absence of treatment, and is not necessarily meant to imply complete cessation of weight gain. The peptides may cause a decrease in food intake and/or increased energy expenditure, resulting in the observed effect on body weight. Independently of their effect on body weight, the compounds of the invention may have a beneficial effect on glucose tolerance and circulating cholesterol levels, being capable of lowering circulating LDL levels and increasing HDL/LDL ratio. Thus the compounds of the invention can be used for direct or indirect therapy of any condition caused or characterised by excess body weight, such as the treatment and/or prevention of obesity, morbid obesity, obesity linked inflammation, obesity linked gallbladder disease, obesity induced sleep apnea. They may also be used for the treatment of metabolic syndrome, insulin resistance, glucose intolerance, type-2 diabetes, hypertension, atherogenic dyslipidemia, atherosclerosis, arteriosclerosis, coronary heart disease, or stroke. Their effects in these conditions may be as a result of or associated with their effect on body weight, or may be independent thereof.
- Thus the invention provides use of a compound of the invention in the treatment of a condition as described above, in an individual in need thereof.
- The invention also provides a compound of the invention for use in a method of medical treatment, particularly for use in a method of treatment of a condition as described above.
- The invention also provides the use of a compound of the invention in the preparation of a medicament for the treatment of a condition as described above.
- As already described, the invention extends to expression vectors comprising the above-described nucleic acid sequence, optionally in combination with sequences to direct its expression, and host cells containing the expression vectors. Preferably the host cells are capable of expressing and secreting the compound of the invention. In a still further aspect, the present invention provides a method of producing the compound, the method comprising culturing the host cells under conditions suitable for expressing the compound and purifying the compound thus produced.
- The invention further provides a nucleic acid of the invention, an expression vector of the invention, or a host cell capable of expressing and secreting a compound of the invention, for use in a method of medical treatment. It will be understood that the nucleic acid, expression vector and host cells may be used for treatment of any of the disorders described herein which may be treated with the compounds themselves. References to a therapeutic composition comprising a compound of the invention, administration of a compound of the invention, or any therapeutic use thereof, should therefore be construed to encompass the equivalent use of a nucleic acid, expression vector or host cell of the invention except where the context demands otherwise.
-
FIG. 1 . Effect of ZP2653 (SEQ ID NO: 4) on oral glucose tolerance in db/db mice. - Db/db mice were fasted overnight and an initial blood sample (fasting blood glucose level) taken just before administration (i.p.) of vehicles or ZP2653 (SEQ ID NO: 4) (45 nmol/l). Fifteen minutes later an oral dose of glucose (1 g/kg in 5 ml/kg) was given and blood glucose (BG) levels were measured at t=30 min, t=60 min, t=120 min and t=240 min. Difference from baseline (t=0) was calculated for each time point and AUC0-240 min values were determined. ZP2653 (SEQ ID NO: 4) significantly improved glucose tolerance in diabetic db/db mice.
-
FIG. 2 . Effect of 28 day treatment with ZP2653 (SEQ ID NO: 4) on body weight in diet induced obese (DIO) mice. - C57BI/6 male mice were put on high fat diet (HFD) and treated (b.i.d.; s.c.) with ZP2653 (SEQ ID NO: 4) (500 nmol/kg) (ZP2653 (SEQ ID NO: 4)) or vehicle. A non-obese control group maintained on regular chow was treated with vehicle (CHOW) in the same treatment regime as the DIO groups. Body weights were recorded daily and used to administer the body weight-corrected doses of peptide throughout the study. ZP2653 (SEQ ID NO: 4) decreased body weight gain significantly compared to VEH-PBS reaching a level similar to that observed with chow feeding.
-
FIG. 3 . Effect of dual GluGLP-1 agonist treatment of DIO mice for 4 weeks (b.i.d.) on concentrations of LDL cholesterol. PBS (pH 7.4) was the vehicle used for OXM, exendin-4 and ZP2653 (SEQ ID NO: 4). The effect of OXM (P=0.002) and ZP2653 (SEQ ID NO: 4) (P=0.019) were significant compared to vehicle. -
FIG. 4 . Effect of dual GluGLP-1 agonist treatment of DIO mice for 4 weeks (b.i.d.) on HDL/LDL ratios. PBS (pH 7.4) was the vehicle used for OXM, exendin-4 and ZP2653 (SEQ ID NO: 4). The effect of OXM (P=0.004) and ZP2653 (SEQ ID NO: 4) (P=0.026) were significant compared to vehicle. - Throughout this specification, the conventional one letter and three letter codes for naturally occurring amino acids are used, as well as generally accepted three letter codes for other amino acids, such as Aib (α-aminoisobutyric acid), Orn (ornithine), Dbu (2,4 diaminobutyric acid) and Dpr (2,3-diaminopropanoic acid).
- The term “native glucagon” refers to native human glucagon having the sequence H-His-Ser-Gln-Gly-Thr-Phe-Thr-Ser-Asp-Tyr-Ser-Lys-Tyr-Leu-Asp-Ser-Arg-Arg-Ala-Gln-Asp-Phe-Val-Gln-Trp-Leu-Met-Asn-Thr-OH (SEQ ID NO: 1).
- The terms “oxyntomodulin” and “OXM” refer to native human oxyntomodulin having the sequence H-His-Ser-Gln-Gly-Thr-Phe-Thr-Ser-Asp-Tyr-Ser-Lys-Tyr-Leu-Asp-Ser-Arg-Arg-Ala-Gln-Asp-Phe-Val-Gln-Trp-Leu-Met-Asn-Thr-Lys-Arg-Asn-Arg-Asn-Asn-Ile-Ala-OH(SEQ ID NO: 3).
- The invention provides compounds as defined above. For the avoidance of doubt, in the definitions provided herein, it is generally intended that the sequence of X only differs from Formula I at those positions which are stated to allow variation. Amino acids within the sequence X can be considered to be numbered consecutively from 1 to 29 in the conventional N-terminal to C-terminal direction. Reference to a “position” within X should be construed accordingly, as should reference to positions within native human glucagon and other molecules.
- The compounds of the invention may carry one or more intramolecular bridge within the peptide sequence X. Each such bridge is formed between the side chains of two amino acid residues of X which are typically separated by three amino acids in the linear sequence of X (i.e. between amino acid A and amino acid A+4).
- More particularly, the bridge may be formed between the side chains of residue pairs 16 and 20, 17 and 21, 20 and 24, or 24 and 28. The two side chains can be linked to one another through ionic interactions, or by covalent bonds. Thus these pairs of residues may comprise oppositely charged side chains in order to form a salt bridge by ionic interactions. For example, one of the residues may be Glu or Asp, while the other may be Lys or Arg. The pairings of Lys and Glu and Lys and Asp, may also be capable of reacting to form a lactam ring. Likewise, a Tyr and a Glu or a Tyr and a Asp are capable of forming a lactone ring.
- In particular, the residues at positions 20 and 24 may be capable of forming an intramolecular bridge. Examples of suitable pairs of residues at these positions include:
- Without wishing to be bound by any particular theory, it is believed that such intramolecular bridges stabilise the alpha helical structure of the molecule and so increase potency and/or selectivity at the GLP-1 receptor and possibly also at the glucagon receptor.
- The presence of Leu at
position 12 increases potency and/or selectivity at the GLP-1 receptor. - Substitution at position 23 (e.g. by Ile) may enhance potency and/or selectivity at the GLP-1 receptor.
- Substitution at position 24 (e.g. by Glu) may also enhance potency and/or selectivity at the GLP-1 receptor.
- Without wishing to be bound by any particular theory, the arginine residues at positions 17 and 18 of native glucagon appear to provide significant selectivity for the glucagon receptor. A number of substitutions at one or more of these positions can increase potency and/or selectivity for the GLP-1 receptor. Lys or Leu at position 17 may increase potency at the glucagon receptor. Lys may be particularly effective, especially when there is a negatively charged residue (e.g. Asp) at position 21, because of the potential to form an intramolecular bridge. A hydrophobic residue (e.g. Ala) at position 18 may increase potency at both GLP-1 and glucagon receptors, although other changes at this position (e.g. Lys, His, Ser or Tyr) may have similar effects.
- Without wishing to be bound by any particular theory, the residues at positions 27, 28 and 29 of native glucagon appear to provide significant selectivity for the glucagon receptor. Substitutions at one, two, or all three of these positions with respect to the native glucagon sequence may increase potency at and/or selectivity for the GLP-1 receptor, potentially without significant reduction of potency at the glucagon receptor. Particular examples include Glu at position 27, Ser at position 28 and Ala at position 29.
- Substitution of the naturally-occurring Met residue at position 27 (e.g. with Leu, Lys or Glu) also reduces the potential for oxidation, so increasing the chemical stability of the compounds.
- Substitution of the naturally-occurring Asn residue at position 28 (e.g. by Arg, Lys, Glu, Ala, Ser or Leu) also reduces the potential for deamidation in acidic solution, so increasing the chemical stability of the compounds.
- Potency and/or selectivity at the GLP-1 receptor may also be increased by introducing residues that are likely to form an amphipathic helical structure, potentially without significant loss of potency at the glucagon receptor. This may be achieved by introduction of charged residues at one or more of positions 16, 20, 24, and 28. Thus the residues of positions 20 and 24 may all be charged, the residues at positions 20, 24, and 28 may all be charged, or the residues at positions 16, 20, 24, and 28 may all be charged. For example, the residue at position 20 may be Lys, His, Arg or Glu. The residue at position 24 may be Glu, Lys or Arg. The residue at position 28 may be Arg, Lys or Glu. For example, the compounds may independently have Lys or Glu at both of positions 20 and 24, and may additionally have Ser or Arg at position 28.
- Substitution of one or both of the naturally-occurring Gln residues at positions 20 and 24 also reduces the potential for deamidation in acidic solution, so increasing the chemical stability of the compounds.
- The compound may comprise a C-terminal peptide sequence Z of 1-20 amino acids, for example to stabilise the conformation and/or secondary structure of the glucagon analogue peptide, and/or to make the glucagon analogue peptide more resistant to enzymatic hydrolysis, e.g. as described in WO99/46283.
- When present, Z represents a peptide sequence of 1-20 amino acid residues, e.g. in the range of 1-15, more preferably in the range of 1-10 in particular in the range of 1-7 amino acid residues, e.g., 1, 2, 3, 4, 5, 6 or 7 amino acid residues, such as 6 amino acid residues. Each of the amino acid residues in the peptide sequence Z may independently be selected from Ala, Leu, Ser, Thr, Tyr, Cys, Glu, Lys, Arg, Dbu (2,4 diaminobutyric acid), Dpr (2,3-diaminopropanoic acid) and Orn (ornithine). Preferably, the amino acid residues are selected from Ser, Thr, Tyr, Cys, Glu, Lys, Arg, Dbu, Dpr and Orn, more preferably may be selected exclusively from Glu, Lys, and Cys. The above-mentioned amino acids may have either D- or L-configuration, but preferably have an L-configuration. Particularly preferred sequences Z are sequences of four, five, six or seven consecutive lysine residues (i.e. Lys3, Lys4 (SEQ ID NO:18), Lys5 (SEQ ID NO:19), Lys6 (SEQ ID NO:20) or Lys7 (SEQ ID NO:21)), and particularly five or six consecutive lysine residues. Other exemplary sequences of Z are shown in WO 01/04156. Alternatively the C-terminal residue of the sequence Z may be a Cys residue. This may assist in modification (e.g. PEGylation) of the compound. In such embodiments, the sequence Z may, for example, be only one amino acid in length (i.e. Z=Cys) or may be two, three, four, five, six or even more amino acids in length. The other amino acids therefore serve as a spacer between the peptide X and the terminal Cys residue.
- The peptide sequence Z has no more than 25% sequence identity with the corresponding sequence of the IP-1 portion of human OXM (which has the sequence Lys-Arg-Asn-Arg-Asn-Asn-Ile-Ala (SEQ ID NO:2)).
- “Percent (%) amino acid sequence identity” of a given peptide or polypeptide sequence with respect to another polypeptide sequence (e.g. IP-1) is calculated as the percentage of amino acid residues in the given peptide sequence that are identical with corresponding amino acid residues in the corresponding sequence of that other polypeptide when the two are aligned with one another, introducing gaps for optimal alignment if necessary. % identity values may be determined by WU-BLAST-2 (Altschul et al., Methods in Enzymology, 266:460-480 (1996)). WU-BLAST-2 uses several search parameters, most of which are set to the default values. The adjustable parameters are set with the following values: overlap span=1, overlap fraction=0.125, word threshold (T)=11. A % amino acid sequence identity value is determined by the number of matching identical residues as determined by WU-BLAST-2, divided by the total number of residues of the reference sequence (gaps introduced by WU-BLAST-2 into the reference sequence to maximize the alignment score being ignored), multiplied by 100.
- Thus, when Z is aligned optimally with the 8 amino acids of IP-1, it has no more than two amino acids which are identical with the corresponding amino acids of IP-1.
- One or more of the amino acid side chains in the compound of the invention may be conjugated to a lipophilic substituent. The lipophilic substituent may be covalently bonded to an atom in the amino acid side chain, or alternatively may be conjugated to the amino acid side chain by a spacer.
- Without wishing to be bound by theory, it is thought that the lipophilic substituent binds albumin in the blood stream, thus shielding the compounds of the invention from enzymatic degradation which can enhance the half-life of the compounds. The spacer, when present, is used to provide a spacing between the compound and the lipophilic substituent.
- The lipophilic substituent may be attached to the amino acid side chain or to the spacer via an ester, a sulphonyl ester, a thioester, an amide or a sulphonamide. Accordingly it will be understood that preferably the lipophilic substituent includes an acyl group, a sulphonyl group, an N atom, an O atom or an S atom which forms part of the ester, sulphonyl ester, thioester, amide or sulphonamide. Preferably, an acyl group in the lipophilic substituent forms part of an amide or ester with the amino acid side chain or the spacer.
- The lipophilic substituent may include a hydrocarbon chain having 4 to 30 C atoms. Preferably it has at least 8 or 12 C atoms, and preferably it has 24 C atoms or fewer, or 20 C atoms or fewer. The hydrocarbon chain may be linear or branched and may be saturated or unsaturated. It will be understood that the hydrocarbon chain is preferably substituted with a moiety which forms part of the attachment to the amino acid side chain or the spacer, for example an acyl group, a sulphonyl group, an N atom, an O atom or an S atom. Most preferably the hydrocarbon chain is substituted with acyl, and accordingly the hydrocarbon chain may be part of an alkanoyl group, for example palmitoyl, caproyl, lauroyl, myristoyl or stearoyl.
- Accordingly, the lipophilic substituent may have the formula shown below:
- A may be, for example, an acyl group, a sulphonyl group, NH, N-alkyl, an O atom or an S atom, preferably acyl. n is an integer from 3 to 29, preferably at least 7 or at least 11, and preferably 23 or less, more preferably 19 or less.
- The hydrocarbon chain may be further substituted. For example, it may be further substituted with up to three substituents selected from NH2, OH and COOH. If the hydrocarbon chain is further substituted, preferably it is further substituted with only one substituent. Alternatively or additionally, the hydrocarbon chain may include a cycloalkane or heterocycloalkane, for example as shown below:
- Preferably the cycloalkane or heterocycloalkane is a six-membered ring. Most preferably, it is piperidine.
- Alternatively, the lipophilic substituent may be based on a cyclopentanophenanthrene skeleton, which may be partially or fully unsaturated, or saturated. The carbon atoms in the skeleton each may be substituted with Me or OH. For example, the lipophilic substituent may be cholyl, deoxycholyl or lithocholyl.
- As mentioned above, the lipophilic substituent may be conjugated to the amino acid side chain by a spacer. When present, the spacer is attached to the lipophilic substituent and to the amino acid side chain. The spacer may be attached to the lipophilic substituent and to the amino acid side chain independently by an ester, a sulphonyl ester, a thioester, an amide or a sulphonamide. Accordingly, it may include two moieties independently selected from acyl, sulphonyl, an N atom, an O atom or an S atom. The spacer may have the formula:
- wherein B and D are each independently selected from acyl, sulphonyl, NH, N-alkyl, an O atom or an S atom, preferably from acyl and NH. Preferably, n is an integer from 1 to 10, preferably from 1 to 5. The spacer may be further substituted with one or more substituents selected from C1-6 alkyl, C0-6 alkyl amine, C0-6 alkyl hydroxy and C0-6 alkyl carboxy.
- Alternatively, the spacer may have two or more repeat units of the formula above. B, D and n are each selected independently for each repeat unit. Adjacent repeat units may be covalently attached to each other via their respective B and D moieties. For example, the B and D moieties of the adjacent repeat units may together form an ester, a sulphonyl ester, a thioester, an amide or a sulphonamide. The free B and D units at each end of the spacer are attached to the amino acid side chain and the lipophilic substituent as described above.
- Preferably the spacer has five or fewer, four or fewer or three or fewer repeat units. Most preferably the spacer has two repeat units, or is a single unit.
- The spacer (or one or more of the repeat units of the spacer, if it has repeat units) may be, for example, a natural or unnatural amino acid. It will be understood that for amino acids having functionalised side chains, B and/or D may be a moiety within the side chain of the amino acid. The spacer may be any naturally occurring or unnatural amino acid. For example, the spacer (or one or more of the repeat units of the spacer, if it has repeat units) may be Gly, Pro, Ala, Val, Leu, Ile, Met, Cys, Phe, Tyr, Trp, His, Lys, Arg, Gln, Asn, α-Glu, γ-Glu, Asp, Ser Thr, Gaba, Aib, β-Ala, 5-aminopentanoyl, 6-aminohexanoyl, 7-aminoheptanoyl, 8-aminooctanoyl, 9-aminononanoyl or 10-aminodecanoyl.
- For example, the spacer may be a single amino acid selected from γ-Glu, Gaba, b-Ala and α-Gly.
- The lipophilic substituent may be conjugated to any amino acid side chain in the compounds of the invention. Preferably, the amino acid side chain includes an carboxy, hydroxyl, thiol, amide or amine group, for forming an ester, a sulphonyl ester, a thioester, an amide or a sulphonamide with the spacer or lipophilic substituent. For example, the lipophilic substituent may be conjugated to Asn, Asp, Glu, Gln, His, Lys, Arg, Ser, Thr, Tyr, Trp, Cys or Dbu, Dpr or Orn. Preferably, the lipophilic substituent is conjugated to Lys. However, any amino acid shown as Lys in the formulae provided herein may be replaced by Dbu, Dpr or Orn where a lipophilic substituent is added.
- An example lipophilic substituent and spacer is shown in the formula below:
- Here, a Lys from the compound of the present invention is covalently attached to γ-Glu (the spacer) by via amide moiety. Palmitoyl is covalently attached to the γ-Glu spacer via an amide moiety. Alternatively or additionally, One or more amino acid side chains in the compound of the invention may be conjugated to a polymeric moiety, for example, in order to increase solubility and/or half-life in vivo (e.g. in serum) and/or bioavailability. Such modification is also known to reduce clearance (e.g. renal clearance) of therapeutic proteins and peptides.
- The polymeric moiety is preferably water soluble (amphiphilic or hydrophilic), non-toxic, and pharmaceutically inert. Suitable polymeric moieties include polyethylene glycol (PEG), homo- or co-polymers of PEG, a monomethyl-substituted polymer of PEG (mPEG), or polyoxyethylene glycerol (POG). See, for example, Int. J. Hematology 68:1 (1998); Bioconjugate Chem. 6:150 (1995); and Crit. Rev. Therap. Drug Carrier Sys. 9:249 (1992).
- Other suitable polymeric moieties include poly-amino acids such as poly-lysine, poly-aspartic acid and poly-glutamic acid (see for example Gombotz, et al. (1995), Bioconjugate Chem., vol. 6: 332-351; Hudecz, et al. (1992), Bioconjugate Chem., vol. 3, 49-57; Tsukada, et al. (1984), J. Natl. Cancer Inst., vol 73: 721-729; and Pratesi, et al. (1985), Br. J. Cancer, vol. 52: 841-848).
- The polymeric moiety may be straight-chain or branched. It may have a molecular weight of 500-40,000 Da, for example 500-10,000 Da, 1000-5000 Da, 10,000-20,000 Da, or 20,000-40,000 Da.
- A compound may comprise two or more such moieties, in which case the total molecular weight of all such moieties will generally fall within the ranges provided above.
- The polymeric moiety may be coupled (by covalent linkage) to an amino, carboxyl or thiol group of an amino acid side chain. Preferred examples are the thiol group of Cys residues and the epsilon amino group of Lys residues, and the carboxyl groups of Asp and Glu residues may also be used.
- The skilled reader will be well aware of suitable techniques which can be used to perform the coupling reaction. For example, a PEG moiety carrying a methoxy group can be coupled to a Cys thiol group by a maleimido linkage using regents commercially available from Nektar Therapeutics AL. See also WO 2008/101017, and the references cited above for details of suitable chemistry.
- The compounds of this invention may be manufactured either by standard synthetic methods, recombinant expression systems, or any other state of the art method. Thus the glucagon analogues may be synthesized in a number of ways including for example, a method which comprises:
- (a) synthesizing the peptide by means of solid phase or liquid phase methodology either stepwise or by fragment assembling and isolation and purification of the final peptide product;
(b) expressing a nucleic acid construct that encodes the peptide in a host cell and recovering the expression product from the host cell culture; or
(c) effecting cell-free in vitro expression of a nucleic acid construct that encodes the peptide and recovering the expression product;
or any combination of methods of (a), (b), and (c) to obtain fragments of the peptide, subsequently ligating the fragments to obtain the peptide, and recovering the peptide. - It is preferred to synthesize the analogues of the invention by means of solid phase or liquid phase peptide synthesis. In this context, reference is given to WO 98/11125 and, amongst many others, Fields, GB et al., 2002, “Principles and practice of solid-phase peptide synthesis”. In: Synthetic Peptides (2nd Edition) and the Examples herein.
- For recombinant expression, the nucleic acid fragments of the invention will normally be inserted in suitable vectors to form cloning or expression vectors carrying the nucleic acid fragments of the invention; such novel vectors are also part of the invention. The vectors can, depending on purpose and type of application, be in the form of plasmids, phages, cosmids, mini-chromosomes, or virus, but also naked DNA which is only expressed transiently in certain cells is an important vector. Preferred cloning and expression vectors (plasmid vectors) of the invention are capable of autonomous replication, thereby enabling high copy-numbers for the purposes of high-level expression or high-level replication for subsequent cloning.
- In general outline, an expression vector comprises the following features in the 5′→3′ direction and in operable linkage: a promoter for driving expression of the nucleic acid fragment of the invention, optionally a nucleic acid sequence encoding a leader peptide enabling secretion (to the extracellular phase or, where applicable, into the periplasma), the nucleic acid fragment encoding the peptide of the invention, and optionally a nucleic acid sequence encoding a terminator. They may comprise additional features such as selectable markers and origins of replication. When operating with expression vectors in producer strains or cell lines it may be preferred that the vector is capable of integrating into the host cell genome. The skilled person is very familiar with suitable vectors and is able to design one according to their specific requirements.
- The vectors of the invention are used to transform host cells to produce the compound of the invention. Such transformed cells, which are also part of the invention, can be cultured cells or cell lines used for propagation of the nucleic acid fragments and vectors of the invention, or used for recombinant production of the peptides of the invention.
- Preferred transformed cells of the invention are micro-organisms such as bacteria (such as the species Escherichia (e.g. E. coli), Bacillus (e.g. Bacillus subtilis), Salmonella, or Mycobacterium (preferably non-pathogenic, e.g. M. bovis BCG), yeasts (such as Saccharomyces cerevisiae), and protozoans. Alternatively, the transformed cells may be derived from a multicellular organism, i.e. it may be fungal cell, an insect cell, a plant cell, or a mammalian cell. For the purposes of cloning and/or optimised expression it is preferred that the transformed cell is capable of replicating the nucleic acid fragment of the invention. Cells expressing the nucleic fragment are useful embodiments of the invention; they can be used for small-scale or large-scale preparation of the peptides of the invention.
- When producing the peptide of the invention by means of transformed cells, it is convenient, although far from essential, that the expression product is secreted into the culture medium.
- Binding of the relevant compounds to GLP-1 or glucagon (Glu) receptors may be used as an indication of agonist activity, but in general it is preferred to use a biological assay which measures intracellular signalling caused by binding of the compound to the relevant receptor. For example, activation of the glucagon receptor by a glucagon agonist will stimulate cellular cyclic AMP (cAMP) formation. Similarly, activation of the GLP-1 receptor by a GLP-1 agonist will stimulate cellular cAMP formation. Thus, production of cAMP in suitable cells expressing one of these two receptors can be used to monitor the relevant receptor activity. Use of a suitable pair of cell types, each expressing one receptor but not the other, can hence be used to determine agonist activity towards both types of receptor.
- The skilled person will be aware of suitable assay formats, and examples are provided below. The GLP-1 receptor and/or the glucagon receptor may have the sequence of the receptors as described in the examples. For example, the assays may make use the human glucagon receptor (Glucagon-R) having primary accession number GI:4503947 and/or the human glucagon-like peptide 1 receptor (GLP-1R) having primary accession number GI:166795283. (Where sequences of precursor proteins are referred to, it should of course be understood that assays may make use of the mature protein, lacking the signal sequence).
- EC50 values may be used as a numerical measure of agonist potency at a given receptor. An EC50 value is a measure of the concentration of a compound required to achieve half of that compound's maximal activity in a particular assay. Thus, for example, a compound having EC50[GLP-1R] lower than the EC50[GLP-1R] of native glucagon in a particular assay may be considered to have higher potency at the GLP-1R than glucagon.
- The compounds described in this specification are typically Glu-GLP-1 dual agonists, i.e. they are capable of stimulating cAMP formation at both the glucagon receptor and the GLP-1 receptor. The stimulation of each receptor can be measured in independent assays and afterwards compared to each other.
- By comparing the EC50 value for the glucagon receptor (EC50 [Glucagon-R]) with the EC50 value for the GLP-1 receptor, (EC50 [GLP-1R]) for a given compound the relative glucagon selectivity (%) of that compound can be found:
- Relative Glucagon-R selectivity [Compound]=(1/EC50[Glucagon-R])×100/(1/EC50[Glucagon-R]+1/EC50[GLP-1R])
The relative GLP-1R selectivity can likewise be found:
Relative GLP-1R selectivity [Compound]=(1/EC50[GLP-1R])×100/(1/EC50[Glucagon-R]+1/EC50[GLP-1R]) - A compound's relative selectivity allows its effect on the GLP-1 or glucagon receptor to be compared directly to its effect on the other receptor. For example, the higher a compound's relative GLP-1R selectivity is, the more effective that compound is on the GLP-1 receptor as compared to the glucagon receptor.
- Using the assays described below, we have found the relative GLP-1 selectivity for human glucagon to be approximately 5%.
- The compounds of the invention have a higher relative GLP-1R selectivity than human glucagon. Thus, for a particular level of glucagon-R agonist activity, the compound will display a higher level of GLP-1R agonist activity (i.e. greater potency at the GLP-1 receptor) than glucagon. It will be understood that the absolute potency of a particular compound at the glucagon and GLP-1 receptors may be higher, lower or approximately equal to that of native human glucagon, as long as the appropriate relative GLP-1R selectivity is achieved.
- Nevertheless, the compounds of this invention may have a lower EC50[GLP-1R] than human glucagon. The compounds may have a lower EC50[GLP-1-R] than glucagon while maintaining an EC50[Glucagon-R] that is less than 10-fold higher than that of human glucagon, less than 5-fold higher than that of human glucagon, or less than 2-fold higher than that of human glucagon.
- The compounds of the invention may have an EC50[Glucagon-R] that is less than two-fold that of human glucagon. The compounds may have an EC50[Glucagon-R] that is less than two-fold that of human glucagon and have an EC50[GLP-1R] that is less than half that of human glucagon, less than a fifth of that of human glucagon, or less than a tenth of that of human glucagon.
- The relative GLP-1 selectivity of the compounds may be between 5% and 95%. For example, the compounds may have a relative selectivity of 5-20%, 10-30%, 20-50%, 30-70%, or 50-80%; or of 30-50%, 40-60,%, 50-70% or 75-95%.
- The compounds of the invention may provide an attractive treatment option for obesity and metabolic
diseases including type 2 diabetes. - Diabetes mellitus, often referred to simply as diabetes, is a syndrome of disordered metabolism, usually due to a combination of hereditary and environmental causes, resulting in abnormally high blood sugar levels (hyperglycemia).
- Blood glucose levels are controlled by the hormone insulin made in the beta cells of the pancreas. Diabetes develops due to destruction of insulin producing pancreatic beta-cells (in type 1 diabetes) or resistance to the effects of insulin (in gestational diabetes) followed by beta cell loss (in
type 2 diabetes). Both types of diabetes lead to hyperglycemia, which largely causes the acute signs of diabetes: excessive urine production, resulting compensatory thirst and increased fluid intake, blurred vision, unexplained weight loss, lethargy, and changes in energy metabolism. - Metabolic syndrome is characterized by a group of metabolic risk factors in one person. They include abdominal obesity (excessive fat tissue around the abdominal internal organs), atherogenic dyslipidemia (blood fat disorders including high triglycerides, low HDL cholesterol and/or high LDL cholesterol, which foster plaque buildup in artery walls), elevated blood pressure (hypertension), insulin resistance and glucose intolerance, prothrombotic state (e.g. high fibrinogen or plasminogen activator inhibitor-1 in the blood), and proinflammatory state (e.g., elevated C-reactive protein in the blood).
- Individuals with the metabolic syndrome are at increased risk of
type 2 diabetes as well as coronary heart disease and other diseases related to plaque buildups in artery walls (e.g., stroke and peripheral vascular disease). The dominant underlying risk factors for this syndrome appear to be abdominal obesity and insulin resistance and glucose intolerance, prothrombotic state (e.g. high fibrinogen or plasminogen activator inhibitor-1 in the blood), and proinflammatory state (e.g., elevated C-reactive protein in the blood). - Without wishing to be bound by any particular theory, it is believed that the compounds of the invention act as GluGLP-1 dual agonists. The dual agonist combines the effect of glucagon on fat metabolism and of GLP-1 on blood glucose levels as well as food intake They might therefore act in a synergistic fashion to accelerate elimination of excessive fat deposition, induce sustainable weight loss, and directly decrease morbid glucose levels to normal levels, without the risk of hypoglycemia, which is associated with concomitant use of GLP-1 agonists and sulphonylurea.
- The synergetic effect of dual GluGLP-1 agonists also results in reduction of cardiovascular risk factors such as high cholesterol and LDL as well as an improvement in glucose tolerance, which may be entirely independent of their effect on body weight.
- The compounds of the present invention can therefore be used as pharmaceutical agents for preventing weight gain, promoting weight loss, reducing excess body weight or treating obesity (e.g. by control of appetite, feeding, food intake, calorie intake, and/or energy expenditure), including morbid obesity, as well as associated diseases and health conditions including but not limited to obesity linked inflammation, obesity linked gallbladder disease and obesity induced sleep apnea.
- The compounds of the invention may also be used for treatment of metabolic syndrome, insulin resistance, glucose intolerance,
type 2 diabetes, hypertension, atherogenic dyslipidimia, atherosclerois, arteriosclerosis, coronary heart disease and stroke. These are all conditions which can be associated with obesity. However, the effects of the compounds of the invention on these conditions may be mediated in whole or in part via an effect on body weight, or may be independent thereof. - The compounds of the present invention, or salts thereof, may be formulated as pharmaceutical compositions prepared for storage or administration, which typically comprise a therapeutically effective amount of a compound of the invention, or a salt thereof, in a pharmaceutically acceptable carrier.
- The therapeutically effective amount of a compound of the present invention will depend on the route of administration, the type of mammal being treated, and the physical characteristics of the specific mammal under consideration. These factors and their relationship to determining this amount are well known to skilled practitioners in the medical arts. This amount and the method of administration can be tailored to achieve optimal efficacy, and may depend on such factors as weight, diet, concurrent medication and other factors, well known to those skilled in the medical arts. The dosage sizes and dosing regimen most appropriate for human use may be guided by the results obtained by the present invention, and may be confirmed in properly designed clinical trials.
- An effective dosage and treatment protocol may be determined by conventional means, starting with a low dose in laboratory animals and then increasing the dosage while monitoring the effects, and systematically varying the dosage regimen as well. Numerous factors may be taken into consideration by a clinician when determining an optimal dosage for a given subject. Such considerations are known to the skilled person.
- The term “pharmaceutically acceptable carrier” includes any of the standard pharmaceutical carriers. Pharmaceutically acceptable carriers for therapeutic use are well known in the pharmaceutical art, and are described, for example, in Remington's Pharmaceutical Sciences, Mack Publishing Co. (A. R. Gennaro edit. 1985). For example, sterile saline and phosphate-buffered saline at slightly acidic or physiological pH may be used. pH buffering agents may be phosphate, citrate, acetate, tris/hydroxymethyl)aminomethane (TRIS), N-Tris(hydroxymethyl)methyl-3-aminopropanesulphonic acid (TAPS), ammonium bicarbonate, diethanolamine, histidine, which is a preferred buffer, arginine, lysine, or acetate or mixtures thereof. The term further encompasses any agents listed in the US Pharmacopeia for use in animals, including humans.
- The term “pharmaceutically acceptable salt” refers to the salt of the compounds. Salts include pharmaceutically acceptable salts such as acid addition salts and basic salts. Examples of acid addition salts include hydrochloride salts, citrate salts and acetate salts. Examples of basic salts include salts where the cation is selected from alkali metals, such as sodium and potassium, alkaline earth metals, such as calcium, and ammonium ions +N(R3)3(R4), where R3 and R4 independently designates optionally substituted C1-6-alkyl, optionally substituted C2-6-alkenyl, optionally substituted aryl, or optionally substituted heteroaryl. Other examples of pharmaceutically acceptable salts are described in “Remington's Pharmaceutical Sciences”, 17th edition. Ed. Alfonso R. Gennaro (Ed.), Mark Publishing Company, Easton, Pa., U.S.A. 1985 and more recent editions, and in the Encyclopaedia of Pharmaceutical Technology.
- “Treatment” is an approach for obtaining beneficial or desired clinical results. For the purposes of this invention, beneficial or desired clinical results include, but are not limited to, alleviation of symptoms, diminishment of extent of disease, stabilized (i.e., not worsening) state of disease, delay or slowing of disease progression, amelioration or palliation of the disease state, and remission (whether partial or total), whether detectable or undetectable. “Treatment” can also mean prolonging survival as compared to expected survival if not receiving treatment. “Treatment” is an intervention performed with the intention of preventing the development or altering the pathology of a disorder. Accordingly, “treatment” refers to both therapeutic treatment and prophylactic or preventative measures. Those in need of treatment include those already with the disorder as well as those in which the disorder is to be prevented
- The pharmaceutical compositions can be in unit dosage form. In such form, the composition is divided into unit doses containing appropriate quantities of the active component. The unit dosage form can be a packaged preparation, the package containing discrete quantities of the preparations, for example, packeted tablets, capsules, and powders in vials or ampoules. The unit dosage form can also be a capsule, cachet, or tablet itself, or it can be the appropriate number of any of these packaged forms. It may be provided in single dose injectable form, for example in the form of a pen. Compositions may be formulated for any suitable route and means of administration. Pharmaceutically acceptable carriers or diluents include those used in formulations suitable for oral, rectal, nasal, topical (including buccal and sublingual), vaginal or parenteral (including subcutaneous, intramuscular, intravenous, intradermal, and transdermal) administration. The formulations may conveniently be presented in unit dosage form and may be prepared by any of the methods well known in the art of pharmacy.
- Subcutaneous or transdermal modes of administration may be particularly suitable for the compounds described herein.
- The compound of the invention may be administered as part of a combination therapy with an agent for treatment of diabetes, obesity or hypertension.
- In such cases, the two active agents may be given together or separately, and as part of the same pharmaceutical formulation or as separate formulations.
- Thus the compound of the invention (or the salt thereof) can be used in combination with an anti-diabetic agent including but not limited to metformin, a sulfonylurea, a glinide, a DPP-IV inhibitor, a glitazone, or insulin. In a preferred embodiment the compound or salt thereof is used in combination with insulin, DPP-IV inhibitor, sulfonylurea or metformin, particularly sulfonylurea or metformin, for achieving adequate glycemic control. In an even more preferred embodiment the compound or salt thereof is used in combination with insulin or an insulin analogue for achieving adequate glycemic control. Examples of insulin analogues include but are not limited to Lantus, Novorapid, Humalog, Novomix, and Actraphane HM.
- The compound or salt thereof can further be used in combination with an anti-obesity agent including but not limited to a glucagon-like peptide receptor 1 agonist, peptide YY or analogue thereof, cannabinoid receptor 1 antagonist, lipase inhibitor, melanocortin receptor δ agonist, or melanin concentrating hormone receptor 1 antagonist.
- The analogue compound or salt thereof can be used in combination with an anti-hypertension agent including, but not limited to, an angiotensin-converting enzyme inhibitor, angiotensin II receptor blocker, diuretics, beta-blocker, or calcium channel blocker.
- Solid phase peptide synthesis was performed as SPPS on a microwave assisted synthesizer using standard Fmoc strategy in NMP on a polystyrene resin (TentaGel S Ram). HATU was used as coupling reagent together with DIPEA as base. Piperidine (20% in NMP) was used for deprotection. Pseudoprolines: Fmoc-Phe-Thr(.Psi. Me, Me pro)-OH and Fmoc-Asp-Ser(.Psi., Me, Me pro)-OH (purchased from NovaBiochem) were used where applicable.
- The crude peptide was cleaved from the resin by treatment with 95/2.5/2.5% (v/v) TFA/TIS/water at r.t. for 2 h. For peptides with a methionine in the sequence a mixture of 95/5% (v/v) TFA/EDT was used. Most of the TFA was removed at reduced pressure and the crude peptide was precipitated and washed with diethylether and allowed to dry to constant weight at ambient temperature.
- The crude peptides were purified by standard reverse phase HPLC on a PerSeptive Biosystems VISION Workstation. VISION 3.0 software was used for instrument control and data acquisition. The peptides were analysed using MS and purified to greater than 90% as determined by HPLC.
- The peptide backbone is synthesized as described above for the general synthesis of glucagon analogues, with the exception that it is acylated on the side chain of a lysine residue with the peptide still attached to the resin and fully protected on the side chain groups, except the epsilon-amine on the lysine to be acylated. The lysine to be acylated is incorporated with the use of Fmoc-Lys(ivDde)-OH. The N-terminal of the peptide is protected with a Boc group using Boc2O in NMP. While the peptide is still attached to the resin, the ivDde protecting group is selectively cleaved using 2% hydrazine hydrate in NMP. The unprotected lysine side chain is then first coupled with a spacer amino acid like Fmoc-Glu-OtBu, which is deprotected with piperidine and acylated with a fatty acid using standard peptide coupling methodology as described above. Alternatively, the histidine at the N-terminal could be incorporated from the beginning as Boc-His(Boc)-OH. Cleavage from the resin and purification are performed as described above
- The glucagon analogues were incubated as solid compounds at 40° C. and dissolved as solutions in 0.1 M aqueous HCl (2 mg/ml). The solutions were incubated at 40° The remaining intact glucagon analogs were measured at RP-HPLC by integration of the UV signal at 220 nM The percentage remaining is a measure for the relative stability.
- The solid and solutions of glucagon compounds were prior to analysis diluted in HPLC solvent to a concentration of 0.2 mg/mL and analyzed at appropriate time points.
-
TABLE 1 Analytical HPLC set-up. Column Gemini C18 150 × 3 mm Gradient (time; % B) (0-3 min; 18% B) (3-22 min; 45% B) (22-23 min; 95% B) (23-24 min; 18% B) (24-30 min; 18% B) Solvent A 0.1% TFA in 1% MeCN: MQW Solvent B 0.085% TFA in MeCN Flow 0.300 mL/min Injection Volume 35 μL Column Temp. 30° C. UV detection 220 nm - The cDNA encoding either the human glucagon receptor (Glucagon-R) (primary accession number P47871) or the human glucagon-like peptide 1 receptor (GLP-1-R) (primary accession number P43220) were cloned from the cDNA clones BC104854 (MGC:132514/IMAGE:8143857) and BC112126 (MGC:138331/IMAGE:8327594), respectively. The DNA encoding the Glucagon-R or the GLP-1-R was amplified by PCR using primers encoding terminal restriction sites for subcloning. The 5′-end primers additionally encoded a near Kozak consensus sequence to ensure efficient translation. The fidelity of the DNA encoding the Glucagon-R and the GLP-1-R was confirmed by DNA sequencing. The PCR products encoding the Glucagon-R or the GLP-1-R were subcloned into a mammalian expression vector containing a neomycin (G418) resistance marker.
- The mammalian expression vectors encoding the Glucagon-R or the GLP-1-R were transfected into HEK293 cells by a standard calcium phosphate transfection method. 48 hr after transfection cells were seeded for limited dilution cloning and selected with 1 mg/ml G418 in the culture medium. Three weeks later 12 surviving colonies of Glucagon-R and GLP-1-R expressing cells were picked, propagated and tested in the Glucagon-R and GLP-1-R efficacy assays as described below. One Glucagon-R expressing clone and one GLP-1-R expressing clone were chosen for compound profiling.
- HEK293 cells expressing the human Glucagon-R, or human GLP-1-R were seeded at 40,000 cells per well in 96-well microtiter plates coated with 0.01% poly-L-lysine and grown for 1 day in culture in 100 μl growth medium. On the day of analysis, growth medium was removed and the cells washed once with 200 μl Tyrode buffer. Cells were incubated in 100 μl Tyrode buffer containing increasing concentrations of test peptides, 100 μM IBMX, and 6 mM glucose for 15 min at 37° C. The reaction was stopped by addition of 25 μl 0.5 M HCl and incubated on ice for 60 min. The cAMP content was estimated using the FlashPlate® cAMP kit from Perkin-Elmer. EC50 and relative efficacies compared to reference compounds (glucagon and GLP-1) were estimated by computer aided curve fitting.
- The effect of glucagon analogues on lipolysis was assessed in primary cultures of rat adipocytes. Adipocytes were isolated from epididymal fat dissected from normal young adult Sprague-Dawley rats. The fat lumps were minced, incubated and shaken (220 rpm) with collagenase (1 mg/ml) in Krebs-Ringer buffer containing 4% BSA (KRB-BSA) for 60 minutes at 37° C. The suspension was filtered through a nylon filter (160 μm pore size) and the filtrate centrifuged at 200×g for 3 min. The subjacent medium beneath the upper floating layer of adipocytes was removed with a Pasteur-pipette. The adipocytes were washed 3 times in KRB-BSA buffer by re-suspension and centrifugation. The adipocytes were re-suspended in KRB-BSA, mixed, incubated in and shaken with test compounds in 96-deep well plates (50,000 cells/well) in a total volume of 1 ml at 37° C. for 60 min. The plates were placed on ice for at least 10 min after incubation followed by centrifugation at 200×g for 3 min. 300 μl of the buffer beneath the adipocyte layer were collected in a 96-deep well plate. This process was repeated two more times and the 3 extracts collected from each culture pooled together. The glycerol formed by the lipolysis in the adipocyte cultures was measured by adding free glycerol reagent (200 μl) to aliquots (25 μl) of adipocyte extract, incubate at room temperature for 15 min and measure the absorbance at 540 nm.
- Db/db mice were fasted overnight and an initial blood sample (fasting blood glucose level) taken just before administration (i.p.) of vehicles (PBS) or ZP2653 (SEQ ID NO: 4((45 nmol/kg in PBS). The animals were kept fasted during the experiment to prevent confounding food intake. Fifteen minutes later an oral dose of glucose (1 g/kg in 5 ml/kg) was given and BG levels were measured at t=30 min, t=60 min, t=120 min and t=240 min.
- Difference from baseline (t=0) was calculated for each time point and AUC0-240 min values were determined. Statistical analyses of AUC values by one-way ANOVA and Dunnetts post-hoc analyses were performed with
GraphPad Prism version 4. Differences were considered significant at the p<0.05 level. - Effects of 28 Day Treatment of Diet Induced Obese (DIO) Mice with ZP2653 (SEQ ID NO: 4) on Body Weight Gain and Cholesterols
- Four weeks before drug treatments, C57BI/6 male mice (7 weeks) (10-12 animals in each group) were put on high fat diet (HFD) and their day-night cycle reversed with lights On/Off at 2000/0800 hour. Experimental animals were conditioned to treatment by daily injections (s.c.) of 0.1 ml vehicle and acclimatized to handling by weighing them twice a week one week before start of drug administrations. The day before start of experiment, mice were stratified into groups with similar body weight (BW) and the next day groups of stratified mice were treated (b.i.d.; s.c.) with ZP2653 (SEQ ID NO: 4) (500 nmol/kg)), or vehicle (PBS, pH 7.4, 2.5 μl/g BW). A non-obese control group maintained on regular chow was treated with vehicle in the same treatment regime as the DIO groups. Body weights were recorded daily and used to administer the body weight-corrected doses of peptide throughout the study. Animals were fasted overnight before sacrifice. An eye blood sample (0.6 ml EDTA) was obtained the following morning immediately before cervical dislocation. Blood plasma samples were stored at −80° C. until analyzed for cholesterol, HDL and LDL using commercially available kits. Body weight gains throughout the treatment period were calculated for each animal by subtracting its weight at the initiation of treatment.
- Statistical analyses of data on body weight gain and cholesterols among treatments by 2-way ANOVA with repeated measures and Bonferoni post-hoc analyses were performed with
GraphPad Prism version 4. Differences were considered significant at the p<0.05 level. -
-
TABLE 2 Results for recovery measured by RP-HPLC after stress. Recovery (%) Recovery (%) ZP Compound Solid peptide 0.1M HCl Glucagon 91 15 2653 (SEQ ID NO: 4) 108 102 - The results of incubation in HCl stress solutions are shown in Table 2. Both the analogue and glucagon were stable over 5 weeks at 40° C. with a recovery of over 90% purity. However, the result of the acidic degradation of the compounds shows that the glucagon analogue is six times more stable than native glucagon.
-
-
TABLE 3 EC50 values of glucagon analogues at Glucagon and GLP-1 receptors GLP-1R GLUR EC50 EC50 (nM) (nM) Glucagon 2.0 0.10 OXM 1.0 0.50 Exendin-4 0.02 >1,000 ZP2653 H-HSQGTFTSDYSLYLDSRRAKDFIEWLESA-NH2 0.30 0.05 (SEQ ID NO: 4) L006-0004 H-HSQGTFTSDYSLYLDSRRAQDFIEWLESA-NH2 0.59 0.07 (SEQ ID NO: 5)* L006-0005 H-HSQGTFTSDYSLYLDSRRAKDFVEWLESA-NH2 1.29 0.30 (SEQ ID NO: 6)* L006-0006 H-HSQGTFTSDYSLYLDSRRAKDFIQWLESA-NH2 0.15 0.09 (SEQ ID NO: 7)* L006-0009 H-HSQGTFTSDYSLYLDSRRAKDFIEWLEST-NH2 1.67 0.38 (SEQ ID NO: 8)* L006-0010 H-HSQGTFTSDYSLYLDSRRAKDFIEWLMNT-NH2 0.21 0.19 (SEQ ID NO: 9)* L006-0012 H-HSQGTFTSDYSLYLDSRRAQDFVQWLESA-NH2 1.39 0.12 (SEQ ID NO: 10)* L006-0013 H-HSQGTFTSDYSLYLDSRRAEDFIKWLESA-NH2 0.61 0.14 (SEQ ID NO: 11)* L006-0050 H-HSQGTFTSDYSLYLDSRRAKDFIEWLERA-NH2 0.17 0.10 (SEQ ID NO: 12)* - The compounds marked “*” are crude peptides with purity of less than 90%. The EC50 is corrected to a purity of 50%.
-
-
TABLE 4 Stimulation of lipolysis in primary rat adipocyte cultures (for details see Methods). Compound EC50 (nM) Exendin-4 No effect Glucagon 6 OXM 180 ZP2653 (SEQ ID NO: 4) 3.6 - The GLP-1 agonist, exendin-4 had no effect on lipolysis in primary adipocyte cultures in contrast to glucagon and OXM ZP2653 (SEQ ID NO: 4) was equipotent to glucagon and 50 times as potent as OXM. The finding that 4 weeks treatment of DIO mice with ZP2653 (SEQ ID NO: 4) significantly decreased fat deposition concurs with the effect observed (Table 4) on lipid metabolism in primary adipocyte cultures.
- ZP2653 (SEQ ID NO: 4) significantly improved glucose tolerance measured during an OGTT in diabetic db/db mice (
FIG. 1 ). ZP2653 (SEQ ID NO: 4) (45 nmol/kg) improved glucose tolerance (measured as decrease in Area Under the curve (AUC)) by 39.5% (FIG. 1 ). - ZP2653 (SEQ ID NO: 4) decreased body weight gain to a level similar to that observed with chow feeding (
FIG. 2 ). The body weight gain was statistically significantly less than the vehicle group. - Exendin-4 is a very potent GLP-1R agonist, but has no effect on the GluR and has no effect in the rat adipocyte lipolysis assay described above. It has potent effects on glucose tolerance in db/db mice and food intake in normal mice, but had no effect on blood concentrations of total cholesterol, HDL, LDL or HDL/LDL ratios (
FIGS. 3 , 4) - In contrast, four weeks treatment of DIO mice with ZP2653 (SEQ ID NO: 4) also had a significant effect on blood concentrations of LDL cholesterol (P=0.019) as well as HDL/LDL ratios (P=0.02.6) compared to vehicle (
FIGS. 3 , 4).
Claims (20)
1. A nucleic acid encoding a peptide having the formula X-Z
wherein
X is a peptide which has the formula I:
or differs from formula I at up to 4 of the following positions whereby, if different from formula I:
the residue at position 2 is selected from: Aib, D-Ser;
the residue at position 16 is selected from: Arg, His, Lys, Glu, Gly, Asp;
the residue at position 17 is selected from: Lys, Leu;
the residue at position 18 is selected from: Lys, His, Ala, Ser, Tyr;
the residue at position 20 is selected from: Gln, His, Arg, Glu, Asp;
the residue at position 21 is: Glu;
the residue at position 23 is selected from: Val, Leu;
the residue at position 24 is selected from: Gln, Leu, Ala, Lys, Arg, Asp;
the residue at position 27 is selected from: Met, Cys, Lys, Arg, Leu;
the residue at position 28 is selected from: Asn, Arg, Lys, Glu, Ala, Leu, Asp; and
the residue at position 29 is selected from: Thr, Glu, Lys;
and Z is absent or a peptide sequence of 1-20 amino acid units selected from the group consisting of Ala, Leu, Ser, Thr, Tyr, Cys, Glu, Lys, Arg, Dbu, Dpr and Orn;
2. The nucleic acid according to claim 1 , wherein X differs from formula I at up to 4 of the following positions whereby, if different from formula I:
the residue at position 2 is selected from: Aib, D-Ser;
the residue at position 16 is selected from: Arg, His, Lys, Glu, Gly;
the residue at position 17 is selected from: Lys, Leu;
the residue at position 18 is selected from: Lys, His, Ala, Ser, Tyr;
the residue at position 23 is selected from: Val, Leu;
the residue at position 27 is selected from: Met, Cys, Lys, Arg, Leu;
the residue at position 28 is selected from: Asn, Arg, Lys, Glu, Ala, Leu; and
the residue at position 29 is selected from: Thr, Glu, Lys;
3. A nucleic acid according to claim 2 , wherein X differs from formula I at up to 4 of the following positions whereby, if different from formula I:
the residue at position 2 is selected from: Aib, D-Ser;
the residue at position 16 is selected from: Arg, His, Lys, Glu, Gly;
the residue at position 17 is selected from: Lys, Leu;
the residue at position 18 is selected from: Lys, His, Ala, Ser, Tyr; and
the residue at position 23 is selected from: Val, Leu.
4. The nucleic acid according to claim 2 , wherein X differs from formula I at up to 4 of the following positions whereby, if different from formula I:
the residue at position 2 is selected from: Aib, D-Ser;
the residue at position 23 is selected from: Val, Leu;
the residue at position 27 is selected from: Met, Cys, Lys, Arg, Leu;
the residue at position 28 is selected from: Asn, Arg, Lys, Glu, Ala, Leu; and
the residue at position 29 is selected from: Thr, Glu, Lys.
5. The nucleic acid according to claim 1 , wherein X comprises one or more of the following sets of residues:
20-Lys, 24-Glu;
29-Ala;
20-Lys, 24-Glu, 29-Ala;
20-Lys, 23-Ile, 24-Glu;
27-Glu, 28-Ser, 29-Ala;
20-Gln;
23-Val;
24-Gln;
29-Thr;
27-Met, 28-Asn, 29-Thr;
20-Gln, 23-Val, 24-Gln;
20-Glu, 24-Lys; or
28-Arg.
6. The nucleic acid according to claim 1 wherein X has the sequence:
7. The nucleic acid according to claim 1 , wherein Z has no more than 25% sequence identity with the corresponding portion of the IP-1 sequence of human oxyntomodulin having the sequence Lys-Arg-Asn-Arg-Asn-Asn-Ile-Ala (SEQ ID NO:2).
8. The nucleic acid according to claim 1 , wherein Z has a Cys as the C-terminal residue.
9. The nucleic acid according to claim 1 , wherein Z is absent.
10. An expression vector comprising the nucleic acid according to claim 1 .
11. A host cell comprising the nucleic acid according to claim 1 .
12. A host cell comprising the expression vector according to claim 10 .
13. A pharmaceutical composition comprising the nucleic acid according to claim 1 , in admixture with a pharmaceutically acceptable carrier.
14. A pharmaceutical composition comprising the expression vector according to claim 10 , in admixture with a pharmaceutically acceptable carrier.
15. A pharmaceutical composition comprising the host cell according to claim 11 , in admixture with a pharmaceutically acceptable carrier.
16. A pharmaceutical composition comprising the host cell according to claim 12 , in admixture with a pharmaceutically acceptable carrier.
17. A method of reducing weight gain, promoting weight loss, or for treatment of a condition caused by or associated with excess body weight or obesity including morbid obesity, obesity linked inflammation, obesity linked gallbladder disease and obesity induced sleep apnea, or for treatment of insulin resistance, glucose intolerance, type 2 diabetes, hypertension, atherogenic dyslipidimia, atherosclerois, arteriosclerosis, coronary heart disease or stroke in a subject in need thereof, said method comprising administering the nucleic acid according to claim 1 to said subject.
18. A method of reducing weight gain, promoting weight loss, or for treatment of a condition caused by or associated with excess body weight or obesity including morbid obesity, obesity linked inflammation, obesity linked gallbladder disease and obesity induced sleep apnea, or for treatment of insulin resistance, glucose intolerance, type 2 diabetes, hypertension, atherogenic dyslipidimia, atherosclerois, arteriosclerosis, coronary heart disease or stroke in a subject in need thereof, said method comprising administering the expression vector according to claim 10 to said subject.
19. A method of reducing weight gain, promoting weight loss, or for treatment of a condition caused by or associated with excess body weight or obesity including morbid obesity, obesity linked inflammation, obesity linked gallbladder disease and obesity induced sleep apnea, or for treatment of insulin resistance, glucose intolerance, type 2 diabetes, hypertension, atherogenic dyslipidimia, atherosclerois, arteriosclerosis, coronary heart disease or stroke, said method comprising administering the host cell according to claim 11 to said subject.
20. A method of reducing weight gain, promoting weight loss, or for treatment of a condition caused by or associated with excess body weight or obesity including morbid obesity, obesity linked inflammation, obesity linked gallbladder disease and obesity induced sleep apnea, or for treatment of insulin resistance, glucose intolerance, type 2 diabetes, hypertension, atherogenic dyslipidimia, atherosclerois, arteriosclerosis, coronary heart disease or stroke, said method comprising administering the host cell according to claim 12 to said subject.
Priority Applications (1)
| Application Number | Priority Date | Filing Date | Title |
|---|---|---|---|
| US14/149,640 US20140127174A1 (en) | 2008-12-15 | 2014-01-07 | Glucagon analogues |
Applications Claiming Priority (3)
| Application Number | Priority Date | Filing Date | Title |
|---|---|---|---|
| PCT/GB2008/004132 WO2010070253A1 (en) | 2008-12-15 | 2008-12-15 | Glucagon analogues |
| US201113139678A | 2011-08-15 | 2011-08-15 | |
| US14/149,640 US20140127174A1 (en) | 2008-12-15 | 2014-01-07 | Glucagon analogues |
Related Parent Applications (2)
| Application Number | Title | Priority Date | Filing Date |
|---|---|---|---|
| US13/139,678 Division US8642541B2 (en) | 2008-12-15 | 2008-12-15 | Glucagon analogues |
| PCT/GB2008/004132 Division WO2010070253A1 (en) | 2008-12-15 | 2008-12-15 | Glucagon analogues |
Publications (1)
| Publication Number | Publication Date |
|---|---|
| US20140127174A1 true US20140127174A1 (en) | 2014-05-08 |
Family
ID=40591868
Family Applications (2)
| Application Number | Title | Priority Date | Filing Date |
|---|---|---|---|
| US13/139,678 Expired - Fee Related US8642541B2 (en) | 2008-12-15 | 2008-12-15 | Glucagon analogues |
| US14/149,640 Abandoned US20140127174A1 (en) | 2008-12-15 | 2014-01-07 | Glucagon analogues |
Family Applications Before (1)
| Application Number | Title | Priority Date | Filing Date |
|---|---|---|---|
| US13/139,678 Expired - Fee Related US8642541B2 (en) | 2008-12-15 | 2008-12-15 | Glucagon analogues |
Country Status (16)
| Country | Link |
|---|---|
| US (2) | US8642541B2 (en) |
| EP (1) | EP2370461B1 (en) |
| JP (1) | JP5635531B2 (en) |
| KR (1) | KR20110126591A (en) |
| CN (1) | CN102282166B (en) |
| AU (1) | AU2008365557A1 (en) |
| BR (1) | BRPI0823379A2 (en) |
| CA (1) | CA2747155A1 (en) |
| DK (1) | DK2370461T3 (en) |
| EA (1) | EA020497B1 (en) |
| ES (1) | ES2439499T3 (en) |
| IL (1) | IL213479A0 (en) |
| MX (1) | MX2011006320A (en) |
| PL (1) | PL2370461T3 (en) |
| WO (1) | WO2010070253A1 (en) |
| ZA (1) | ZA201104592B (en) |
Cited By (12)
| Publication number | Priority date | Publication date | Assignee | Title |
|---|---|---|---|---|
| US9156901B2 (en) | 2009-07-13 | 2015-10-13 | Ditte Riber | Acylated glucagon analogues |
| US9169310B2 (en) | 2010-06-24 | 2015-10-27 | Zealand Pharma A/S | Glucagon analogues |
| US9180169B2 (en) | 2012-09-17 | 2015-11-10 | Zealand Pharma A/S | Glucagon analogues |
| US9403894B2 (en) | 2010-06-23 | 2016-08-02 | Zealand Pharma A/S | Glucagon analogues |
| US9896495B2 (en) | 2013-10-17 | 2018-02-20 | Zealand Pharma A/S | Acylated glucagon analogues |
| US9988429B2 (en) | 2013-10-17 | 2018-06-05 | Zealand Pharma A/S | Glucagon analogues |
| US10093713B2 (en) | 2013-11-06 | 2018-10-09 | Zealand Pharma A/S | GIP-GLP-1 dual agonist compounds and methods |
| US10100097B2 (en) | 2012-05-03 | 2018-10-16 | Zealand Pharma A/S | GIP-GLP-1 dual agonist compounds and methods |
| US10131702B2 (en) | 2013-11-06 | 2018-11-20 | Zealand Pharma A/S | Glucagon-GLP-1-GIP triple agonist compounds |
| US10253078B2 (en) | 2014-10-29 | 2019-04-09 | Zealand Pharma A/S | GIP agonist compounds and methods |
| US10336802B2 (en) | 2015-04-16 | 2019-07-02 | Zealand Pharma A/S | Acylated glucagon analogue |
| US10442847B2 (en) | 2012-07-23 | 2019-10-15 | Zealand Pharma A/S | Glucagon analogues |
Families Citing this family (62)
| Publication number | Priority date | Publication date | Assignee | Title |
|---|---|---|---|---|
| CN102292348B (en) | 2008-12-15 | 2015-07-08 | 西兰制药公司 | Glucagon analogues |
| UA104605C2 (en) | 2008-12-15 | 2014-02-25 | Зіленд Фарма А/С | Glucagon analogues |
| ES2477880T3 (en) | 2008-12-15 | 2014-07-18 | Zealand Pharma A/S | Glucagon analogues |
| KR20130098873A (en) | 2010-04-27 | 2013-09-05 | 질랜드 파마 에이/에스 | Peptide conjugates of glp-1 receptor agonists and gastrin and their use |
| PH12013501495A1 (en) * | 2011-01-20 | 2013-09-16 | Zealand Pharma As | Combination of acylated glucagon analogues with insulin analogues |
| PE20181299A1 (en) | 2011-06-10 | 2018-08-09 | Hanmi Science Co Ltd | NOVELTY OXYNTHOMODULIN DERIVATIVES AND PHARMACEUTICAL COMPOSITION TO TREAT OBESITY INCLUDING THEM |
| SMT201900078T1 (en) | 2011-06-17 | 2019-02-28 | Hanmi Science Co Ltd | A conjugate comprising oxyntomodulin and an immunoglobulin fragment, and use thereof |
| WO2013004983A1 (en) | 2011-07-04 | 2013-01-10 | Imperial Innovations Limited | Novel compounds and their effects on feeding behaviour |
| CN104093735B (en) | 2011-09-23 | 2018-07-06 | 诺沃—诺迪斯克有限公司 | New glucagon analogue |
| MX2014005351A (en) | 2011-11-03 | 2014-05-28 | Zealand Pharma As | Glp-1 receptor agonist peptide gastrin conjugates. |
| DE102012006242A1 (en) | 2012-03-28 | 2013-10-02 | Mitsubishi Polyester Film Gmbh | Biaxially stretched polyester film, useful in food contact applications, comprises carbon black and outer layer, where black comprises polycyclic aromatic hydrocarbons and benzo(a)pyrene, and film has specified thickness and transparency |
| US9745359B2 (en) | 2012-05-18 | 2017-08-29 | Adda Biotech Inc. | Protein and protein conjugate for diabetes treatment, and applications thereof |
| CA2875743A1 (en) | 2012-06-14 | 2013-12-19 | Sanofi | Exendin-4 peptide analogues |
| KR101968344B1 (en) | 2012-07-25 | 2019-04-12 | 한미약품 주식회사 | A composition for treating hyperlipidemia comprising oxyntomodulin analog |
| EP2895506A1 (en) | 2012-09-17 | 2015-07-22 | Imperial Innovations Limited | Peptide analogues of glucagon and glp1 |
| GB2505941A (en) * | 2012-09-17 | 2014-03-19 | Imp Innovations Ltd | Peptide analogues of glucagon for the treatment of obesity and diabetes |
| AR092873A1 (en) | 2012-09-26 | 2015-05-06 | Cadila Healthcare Ltd | PEPTIDES AS TRIPLE AGONISTS OF GIP, GLP-1 AND GLUGAGON RECEPTORS |
| UA116217C2 (en) | 2012-10-09 | 2018-02-26 | Санофі | Exendin-4 derivatives as dual glp1/glucagon agonists |
| AU2013342321B2 (en) | 2012-11-06 | 2017-09-28 | Hanmi Pharm. Co., Ltd. | Liquid formulation of protein conjugate comprising the oxyntomodulin and an immunoglobulin fragment |
| KR101993393B1 (en) | 2012-11-06 | 2019-10-01 | 한미약품 주식회사 | A composition for treating diabetes or diabesity comprising oxyntomodulin analog |
| CA2894765A1 (en) | 2012-12-21 | 2014-06-26 | Sanofi | Exendin-4 derivatives as dual glp1/gip or trigonal glp1/gip/glucagon agonists |
| TWI629007B (en) | 2012-12-21 | 2018-07-11 | Philip Morris Products S. A. | Smoking article comprising an airflow directing element |
| WO2014147124A1 (en) | 2013-03-21 | 2014-09-25 | Sanofi-Aventis Deutschland Gmbh | Synthesis of hydantoin containing peptide products |
| MX365465B (en) | 2013-03-21 | 2019-06-04 | Sanofi Aventis Deutschland | Synthesis of cyclic imide containing peptide products. |
| AR095986A1 (en) | 2013-04-03 | 2015-11-25 | Sanofi Sa | MODIFIED PROTEINS THAT REGULATE GLUCOSE IN BLOOD WITH ALTERED PROFILE OF PHARMACOLOGICAL ACTIVITY AND PREPARATION OF THE SAME |
| BR112015025464A2 (en) | 2013-04-18 | 2017-10-10 | Novo Nordisk As | stable, prolonged glp-1 / glucagon receptor coagonists for medical use |
| CA2932477C (en) | 2013-12-06 | 2023-10-10 | Baikang (Suzhou) Co., Ltd | Bioreversable promoieties for nitrogen-containing and hydroxyl-containing drugs |
| WO2015086733A1 (en) | 2013-12-13 | 2015-06-18 | Sanofi | Dual glp-1/glucagon receptor agonists |
| WO2015086731A1 (en) | 2013-12-13 | 2015-06-18 | Sanofi | Exendin-4 peptide analogues as dual glp-1/glucagon receptor agonists |
| EP3080154B1 (en) | 2013-12-13 | 2018-02-07 | Sanofi | Dual glp-1/gip receptor agonists |
| WO2015086728A1 (en) | 2013-12-13 | 2015-06-18 | Sanofi | Exendin-4 peptide analogues as dual glp-1/gip receptor agonists |
| WO2015086730A1 (en) | 2013-12-13 | 2015-06-18 | Sanofi | Non-acylated exendin-4 peptide analogues |
| TW201625668A (en) | 2014-04-07 | 2016-07-16 | 賽諾菲公司 | Exendin-4 derivatives as peptidic dual GLP-1/glucagon receptor agonists |
| TW201625669A (en) | 2014-04-07 | 2016-07-16 | 賽諾菲公司 | Peptidic dual GLP-1/glucagon receptor agonists derived from Exendin-4 |
| TW201625670A (en) | 2014-04-07 | 2016-07-16 | 賽諾菲公司 | Dual GLP-1/glucagon receptor agonists derived from EXENDIN-4 |
| JP2017525656A (en) | 2014-06-04 | 2017-09-07 | ノヴォ ノルディスク アー/エス | GLP-1 / glucagon receptor co-agonist for medical use |
| US9932381B2 (en) | 2014-06-18 | 2018-04-03 | Sanofi | Exendin-4 derivatives as selective glucagon receptor agonists |
| JP5912151B2 (en) * | 2014-07-04 | 2016-04-27 | ジーランド ファーマ アクティーゼルスカブ | Glucagon analog |
| TWI802396B (en) | 2014-09-16 | 2023-05-11 | 南韓商韓美藥品股份有限公司 | Use of a long acting glp-1/glucagon receptor dual agonist for the treatment of non-alcoholic fatty liver disease |
| KR102418477B1 (en) | 2014-12-30 | 2022-07-08 | 한미약품 주식회사 | Gluagon Derivatives |
| AR103954A1 (en) | 2015-03-18 | 2017-06-14 | Zealand Pharma As | AMILINE ANALOGS |
| WO2016168388A2 (en) | 2015-04-14 | 2016-10-20 | Palatin Technologies, Inc. | Therapies for obesity, diabetes and related indications |
| AR105319A1 (en) | 2015-06-05 | 2017-09-27 | Sanofi Sa | PROPHARMS THAT INCLUDE A DUAL AGONIST GLU-1 / GLUCAGON CONJUGATE HIALURONIC ACID CONNECTOR |
| WO2016198628A1 (en) | 2015-06-12 | 2016-12-15 | Sanofi | Non-acylated exendin-4 derivatives as dual glp-1/glucagon receptor agonists |
| WO2016198624A1 (en) | 2015-06-12 | 2016-12-15 | Sanofi | Exendin-4 derivatives as trigonal glp-1/glucagon/gip receptor agonists |
| AR105284A1 (en) | 2015-07-10 | 2017-09-20 | Sanofi Sa | DERIVATIVES OF EXENDINA-4 AS SPECIFIC DUAL PEPTIDE AGONISTS OF GLP-1 / GLUCAGÓN RECEPTORS |
| WO2017214543A1 (en) | 2016-06-09 | 2017-12-14 | Amidebio, Llc | Glucagon analogs and methods of use thereof |
| AU2017307033B2 (en) | 2016-08-05 | 2020-11-26 | Boehringer Ingelheim International Gmbh | Oxadiazolopyridine derivates for use as ghrelin O-acyl transferase (GOAT) inhibitors |
| TWI784968B (en) | 2016-09-09 | 2022-12-01 | 丹麥商西蘭製藥公司 | Amylin analogues |
| AR110299A1 (en) | 2016-12-02 | 2019-03-13 | Sanofi Sa | CONJUGATES UNDERSTANDING A DUAL GLP-1 / GLUCAGON AGONIST, A CONNECTOR AND Hyaluronic Acid |
| CA3044915A1 (en) * | 2016-12-09 | 2018-06-14 | Zealand Pharma A/S | Glp-1/glp-2 dual agonists |
| JP6563614B1 (en) * | 2016-12-09 | 2019-08-21 | ジーランド・ファーマ・ア/エス | Acylated GLP-1 / GLP-2 dual agonist |
| CN116854804A (en) * | 2017-08-16 | 2023-10-10 | 东亚St株式会社 | Acylated oxyntomodulin peptide analogues |
| CN109942696A (en) * | 2017-12-21 | 2019-06-28 | 中国药科大学 | Long-acting glucagon-like peptide-1 (GLP-1) analog and its application |
| EA202091803A1 (en) | 2018-02-02 | 2020-12-16 | Бёрингер Ингельхайм Интернациональ Гмбх | TRIAZOLOPYRIMIDINE DERIVATIVES FOR USE AS GRELIN-O-ACYLTRANSFERASE (GOAT) INHIBITORS |
| CN111630055B (en) | 2018-02-02 | 2023-07-14 | 勃林格殷格翰国际有限公司 | Pyrazole-substituted and indazole-substituted oxadiazolopyridine derivatives useful as ghrelin O-acyltransferase (GOAT) inhibitors |
| KR20200116978A (en) | 2018-02-02 | 2020-10-13 | 베링거 인겔하임 인터내셔날 게엠베하 | Benzyl-substituted, (pyridin-3-yl)methyl-substituted or (pyridin-4-yl)methyl-substituted oxadiazolopyridine derivatives as ghrelin O-acyl transferase (GOAT) inhibitors |
| CA3087827A1 (en) | 2018-02-02 | 2019-08-08 | Boehringer Ingelheim International Gmbh | Heterocyclyl-substituted oxadiazolopyridine derivatives for use as ghrelin o-acyl transferase (goat) inhibitors |
| WO2020125744A1 (en) | 2018-12-21 | 2020-06-25 | 江苏恒瑞医药股份有限公司 | Bispecific protein |
| MX2022005661A (en) | 2019-11-11 | 2022-09-07 | Boehringer Ingelheim Int | Npy2 receptor agonists. |
| WO2021227989A1 (en) * | 2020-05-09 | 2021-11-18 | 天津药物研究院有限公司 | Polypeptide derivative having dual receptor agonistic action and use thereof |
| WO2022029231A1 (en) | 2020-08-07 | 2022-02-10 | Boehringer Ingelheim International Gmbh | Soluble npy2 receptor agonists |
Family Cites Families (49)
| Publication number | Priority date | Publication date | Assignee | Title |
|---|---|---|---|---|
| NZ202757A (en) | 1981-12-23 | 1985-11-08 | Novo Industri As | Peptides and medicaments |
| BRPI9711437B8 (en) | 1996-08-30 | 2021-05-25 | Novo Nordisk As | glp-1 derivatives |
| ES2239364T3 (en) | 1996-09-09 | 2005-09-16 | Zealand Pharma A/S | SYNTHESIS OF PEPTIDES IN SOLID PHASE. |
| CA2265454A1 (en) | 1996-09-09 | 1998-03-19 | Zealand Pharmaceuticals A/S | Peptide prodrugs containing an alpha-hydroxyacid linker |
| CA2310097C (en) | 1997-11-14 | 2014-07-29 | Amylin Pharmaceuticals, Inc. | Novel exendin agonist compounds |
| IL138214A0 (en) | 1998-03-09 | 2001-10-31 | Zealand Pharmaceuticals As | Pharmacolgically active peptide conjugates having a reduced tendency towards enzymatic hydrolysis |
| US6903186B1 (en) | 1998-12-07 | 2005-06-07 | Societe De Conseils De Recherches Et D'applications Scientifiques, S.A.S | Analogues of GLP-1 |
| US6451987B1 (en) | 1999-03-15 | 2002-09-17 | Novo Nordisk A/S | Ion exchange chromatography of proteins and peptides |
| CZ20013018A3 (en) | 1999-03-17 | 2002-02-13 | Novo Nordisk A/S | Process for acylation of a peptide or protein amino group and compound |
| EP1076066A1 (en) | 1999-07-12 | 2001-02-14 | Zealand Pharmaceuticals A/S | Peptides for lowering blood glucose levels |
| GB0121709D0 (en) | 2001-09-07 | 2001-10-31 | Imp College Innovations Ltd | Food inhibition agent |
| WO2003053460A1 (en) | 2001-12-19 | 2003-07-03 | Eli Lilly And Company | Crystalline compositions for controlling blood glucose |
| HUP0700126A2 (en) | 2001-12-20 | 2007-06-28 | Lilly Co Eli | Insulin molecule having protracted time action |
| GB0300571D0 (en) | 2003-01-10 | 2003-02-12 | Imp College Innovations Ltd | Modification of feeding behaviour |
| CA2518776A1 (en) | 2003-04-29 | 2004-11-11 | Eli Lilly And Company | Insulin analogs having protracted time action |
| RU2485135C2 (en) | 2005-06-13 | 2013-06-20 | Импиэриэл Инноувейшнс Лимитид | Oxyntomodulin compounds, pharmaceutical compositions thereof, method of treating and preventing obesity and comorbidities (versions) and medicine (versions) |
| US20090202497A1 (en) | 2005-08-23 | 2009-08-13 | The General Hospital Corporation | Use of glp-1, glp-1 derivatives or glp-1 fragments for skin regeneration, stimulation of hair growth, or treatment of diabetes |
| CN101534846B (en) | 2005-11-07 | 2014-11-05 | 印第安纳大学研究及科技有限公司 | Glucagon analogs exhibiting physiological solubility and stability |
| WO2007081824A2 (en) | 2006-01-06 | 2007-07-19 | Case Western Reserve University | Fibrillation resistant proteins |
| US7928058B2 (en) | 2006-02-22 | 2011-04-19 | Merck Sharp & Dohme Corp. | Pharmaceutical composition comprising oxyntomodulin derivatives and a method for reducing body weight using the composition |
| CA2658276A1 (en) | 2006-07-18 | 2008-01-24 | Sanofi-Aventis | Antagonist antibody for the treatment of cancer |
| EP2074140B8 (en) | 2006-10-04 | 2015-10-28 | Case Western Reserve University | Fibrillation-resistant insulin and insulin analogues |
| TWI428346B (en) | 2006-12-13 | 2014-03-01 | Imp Innovations Ltd | Novel compounds and their effects on feeding behaviour |
| AU2008216265B2 (en) * | 2007-02-15 | 2014-04-03 | Indiana University Research And Technology Corporation | Glucagon/GLP-1 receptor co-agonists |
| US7994122B2 (en) | 2007-06-15 | 2011-08-09 | Zealand Pharma A/S | Glucagon analogues |
| EP2025684A1 (en) | 2007-08-15 | 2009-02-18 | Zealand Pharma A/S | Glucagon analogues |
| US8946148B2 (en) | 2007-11-20 | 2015-02-03 | Ambrx, Inc. | Modified insulin polypeptides and their uses |
| DE102008003566A1 (en) | 2008-01-09 | 2009-07-16 | Sanofi-Aventis Deutschland Gmbh | New insulin analogs useful for treating diabetes |
| KR20100111682A (en) | 2008-01-09 | 2010-10-15 | 사노피-아벤티스 도이칠란트 게엠베하 | Novel insulin derivatives having an extremely delayed time-action profile |
| KR20100111683A (en) | 2008-01-09 | 2010-10-15 | 사노피-아벤티스 도이칠란트 게엠베하 | Novel insulin derivatives having an extremely delayed time-action profile |
| DE102008003568A1 (en) | 2008-01-09 | 2009-07-16 | Sanofi-Aventis Deutschland Gmbh | New insulin analogs useful for treating diabetes |
| WO2009129250A2 (en) | 2008-04-14 | 2009-10-22 | Case Western Reserve University | Meal-time insulin analogues of enhanced stability |
| RU2010147076A (en) | 2008-04-22 | 2012-05-27 | Кейз Вестерн Ризев Юнивесити (Us) | ANSULIN ANALOGUES SPECIFIC TO ISOFORM |
| TWI451876B (en) | 2008-06-13 | 2014-09-11 | Lilly Co Eli | Pegylated insulin lispro compounds |
| PA8830501A1 (en) | 2008-06-17 | 2010-07-27 | Univ Indiana Res & Tech Corp | GLUCAGON / GLP-1 RECEIVER CO-AGONISTS |
| CN102088989B (en) | 2008-06-17 | 2014-11-26 | 印第安纳大学研究及科技有限公司 | Glucagon analogs with enhanced solubility and stability in physiological pH buffers |
| PL219335B1 (en) | 2008-07-04 | 2015-04-30 | Inst Biotechnologii I Antybiotyków | New slow-release insulin analogues |
| WO2010014946A2 (en) | 2008-07-31 | 2010-02-04 | Case Western Reserve University | Halogen-stabilized insulin |
| CN102292348B (en) | 2008-12-15 | 2015-07-08 | 西兰制药公司 | Glucagon analogues |
| UA104605C2 (en) | 2008-12-15 | 2014-02-25 | Зіленд Фарма А/С | Glucagon analogues |
| ES2477880T3 (en) | 2008-12-15 | 2014-07-18 | Zealand Pharma A/S | Glucagon analogues |
| WO2010080609A1 (en) | 2008-12-19 | 2010-07-15 | Indiana University Research And Technology Corporation | Amide-based insulin prodrugs |
| CA2747490C (en) | 2008-12-19 | 2017-02-14 | Indiana University Research And Technology Corporation | Insulin analogs |
| CN101519446A (en) | 2009-03-31 | 2009-09-02 | 上海一就生物医药有限公司 | Method for preparing recombinant human insulin and analogs of recombinant human insulin |
| EA022816B1 (en) | 2009-07-13 | 2016-03-31 | Зилэнд Фарма А/С | Acylated glucagon analogues |
| CA2786934A1 (en) | 2010-01-20 | 2011-07-28 | Zealand Pharma A/S | Treatment of cardiac conditions |
| UY33462A (en) | 2010-06-23 | 2012-01-31 | Zealand Pharma As | GLUCAGON ANALOGS |
| JP6023048B2 (en) | 2010-06-24 | 2016-11-09 | ジーランド ファーマ アクティーゼルスカブ | Glucagon analog |
| PH12013501495A1 (en) | 2011-01-20 | 2013-09-16 | Zealand Pharma As | Combination of acylated glucagon analogues with insulin analogues |
-
2008
- 2008-12-15 CA CA2747155A patent/CA2747155A1/en not_active Abandoned
- 2008-12-15 JP JP2011540189A patent/JP5635531B2/en not_active Expired - Fee Related
- 2008-12-15 KR KR1020117016186A patent/KR20110126591A/en not_active Ceased
- 2008-12-15 BR BRPI0823379-9A patent/BRPI0823379A2/en not_active IP Right Cessation
- 2008-12-15 MX MX2011006320A patent/MX2011006320A/en active IP Right Grant
- 2008-12-15 DK DK08875672.1T patent/DK2370461T3/en active
- 2008-12-15 EP EP08875672.1A patent/EP2370461B1/en not_active Not-in-force
- 2008-12-15 ES ES08875672.1T patent/ES2439499T3/en active Active
- 2008-12-15 CN CN200880132681.XA patent/CN102282166B/en not_active Expired - Fee Related
- 2008-12-15 US US13/139,678 patent/US8642541B2/en not_active Expired - Fee Related
- 2008-12-15 EA EA201190054A patent/EA020497B1/en not_active IP Right Cessation
- 2008-12-15 AU AU2008365557A patent/AU2008365557A1/en not_active Abandoned
- 2008-12-15 WO PCT/GB2008/004132 patent/WO2010070253A1/en not_active Ceased
- 2008-12-15 PL PL08875672T patent/PL2370461T3/en unknown
-
2011
- 2011-06-12 IL IL213479A patent/IL213479A0/en unknown
- 2011-06-22 ZA ZA2011/04592A patent/ZA201104592B/en unknown
-
2014
- 2014-01-07 US US14/149,640 patent/US20140127174A1/en not_active Abandoned
Cited By (26)
| Publication number | Priority date | Publication date | Assignee | Title |
|---|---|---|---|---|
| US9156901B2 (en) | 2009-07-13 | 2015-10-13 | Ditte Riber | Acylated glucagon analogues |
| US10004786B2 (en) | 2009-07-13 | 2018-06-26 | Zealand Pharma A/S | Acylated glucagon analogues |
| US9403894B2 (en) | 2010-06-23 | 2016-08-02 | Zealand Pharma A/S | Glucagon analogues |
| US9169310B2 (en) | 2010-06-24 | 2015-10-27 | Zealand Pharma A/S | Glucagon analogues |
| US10100097B2 (en) | 2012-05-03 | 2018-10-16 | Zealand Pharma A/S | GIP-GLP-1 dual agonist compounds and methods |
| US11795204B2 (en) | 2012-07-23 | 2023-10-24 | Zealand Pharma A/S | Glucagon analogues |
| US10442847B2 (en) | 2012-07-23 | 2019-10-15 | Zealand Pharma A/S | Glucagon analogues |
| US10253081B2 (en) | 2012-09-17 | 2019-04-09 | Zealand Pharma A/S | Glucagon analogues |
| US9180169B2 (en) | 2012-09-17 | 2015-11-10 | Zealand Pharma A/S | Glucagon analogues |
| US9975939B2 (en) | 2012-09-17 | 2018-05-22 | Zealand Pharma A/S | Glucagon analogues |
| US9988429B2 (en) | 2013-10-17 | 2018-06-05 | Zealand Pharma A/S | Glucagon analogues |
| US11034747B2 (en) | 2013-10-17 | 2021-06-15 | Zealand Pharma A/S | Glucagon analogues and methods of use |
| US12473339B2 (en) | 2013-10-17 | 2025-11-18 | Zealand Pharma A/S | Acylated glucagon analogues |
| US11884713B2 (en) | 2013-10-17 | 2024-01-30 | Zealand Pharma A/S | Acylated glucagon analogues |
| US9896495B2 (en) | 2013-10-17 | 2018-02-20 | Zealand Pharma A/S | Acylated glucagon analogues |
| US10457714B2 (en) | 2013-10-17 | 2019-10-29 | Zealand Pharma A/S | Acylated glucagon analogues |
| US11091528B2 (en) | 2013-10-17 | 2021-08-17 | Zealand Pharma A/S | Acylated glucagon analogues |
| US11008375B2 (en) | 2013-11-06 | 2021-05-18 | Zealand Pharma A/S | GIP-GLP-1 dual agonist compounds and methods |
| US11111285B2 (en) | 2013-11-06 | 2021-09-07 | Zealand Pharma A/S | Glucagon-GLP-1-GIP triple agonist compounds |
| US10093713B2 (en) | 2013-11-06 | 2018-10-09 | Zealand Pharma A/S | GIP-GLP-1 dual agonist compounds and methods |
| US10131702B2 (en) | 2013-11-06 | 2018-11-20 | Zealand Pharma A/S | Glucagon-GLP-1-GIP triple agonist compounds |
| US10253078B2 (en) | 2014-10-29 | 2019-04-09 | Zealand Pharma A/S | GIP agonist compounds and methods |
| US11001619B2 (en) | 2014-10-29 | 2021-05-11 | Zealand Pharma A/S | GIP agonist compounds and methods |
| US11814417B2 (en) | 2014-10-29 | 2023-11-14 | Zealand Pharma A/S | GIP agonist compounds and methods |
| US11274136B2 (en) | 2015-04-16 | 2022-03-15 | Zealand Pharma A/S | Acylated glucagon analogue |
| US10336802B2 (en) | 2015-04-16 | 2019-07-02 | Zealand Pharma A/S | Acylated glucagon analogue |
Also Published As
| Publication number | Publication date |
|---|---|
| EA201190054A1 (en) | 2012-02-28 |
| US8642541B2 (en) | 2014-02-04 |
| DK2370461T3 (en) | 2013-12-16 |
| ZA201104592B (en) | 2013-11-27 |
| WO2010070253A1 (en) | 2010-06-24 |
| ES2439499T3 (en) | 2014-01-23 |
| CA2747155A1 (en) | 2010-06-24 |
| EP2370461B1 (en) | 2013-10-02 |
| AU2008365557A1 (en) | 2011-07-21 |
| CN102282166B (en) | 2015-04-01 |
| EA020497B1 (en) | 2014-11-28 |
| PL2370461T3 (en) | 2014-03-31 |
| JP5635531B2 (en) | 2014-12-03 |
| JP2012511901A (en) | 2012-05-31 |
| MX2011006320A (en) | 2011-09-22 |
| US20110293587A1 (en) | 2011-12-01 |
| KR20110126591A (en) | 2011-11-23 |
| EP2370461A1 (en) | 2011-10-05 |
| BRPI0823379A2 (en) | 2015-07-14 |
| IL213479A0 (en) | 2011-07-31 |
| CN102282166A (en) | 2011-12-14 |
Similar Documents
| Publication | Publication Date | Title |
|---|---|---|
| US8642541B2 (en) | Glucagon analogues | |
| US8680049B2 (en) | Glucagon analogues | |
| US8685919B2 (en) | Glucagon analogues | |
| US8642540B2 (en) | Glucagon analogues | |
| JP6006264B2 (en) | Glucagon analog |
Legal Events
| Date | Code | Title | Description |
|---|---|---|---|
| STCB | Information on status: application discontinuation |
Free format text: ABANDONED -- FAILURE TO RESPOND TO AN OFFICE ACTION |
