US20130338093A1 - Bile Acid Recycling Inhibitors for Treatment of Pediatric Cholestatic Liver Diseases - Google Patents
Bile Acid Recycling Inhibitors for Treatment of Pediatric Cholestatic Liver Diseases Download PDFInfo
- Publication number
- US20130338093A1 US20130338093A1 US13/866,906 US201313866906A US2013338093A1 US 20130338093 A1 US20130338093 A1 US 20130338093A1 US 201313866906 A US201313866906 A US 201313866906A US 2013338093 A1 US2013338093 A1 US 2013338093A1
- Authority
- US
- United States
- Prior art keywords
- alkyl
- substituted
- unsubstituted
- group
- carbamoyl
- Prior art date
- Legal status (The legal status is an assumption and is not a legal conclusion. Google has not performed a legal analysis and makes no representation as to the accuracy of the status listed.)
- Abandoned
Links
- 239000003613 bile acid Substances 0.000 title claims abstract description 199
- 206010008635 Cholestasis Diseases 0.000 title claims abstract description 159
- 239000003112 inhibitor Substances 0.000 title claims abstract description 57
- HSINOMROUCMIEA-FGVHQWLLSA-N (2s,4r)-4-[(3r,5s,6r,7r,8s,9s,10s,13r,14s,17r)-6-ethyl-3,7-dihydroxy-10,13-dimethyl-2,3,4,5,6,7,8,9,11,12,14,15,16,17-tetradecahydro-1h-cyclopenta[a]phenanthren-17-yl]-2-methylpentanoic acid Chemical compound C([C@@]12C)C[C@@H](O)C[C@H]1[C@@H](CC)[C@@H](O)[C@@H]1[C@@H]2CC[C@]2(C)[C@@H]([C@H](C)C[C@H](C)C(O)=O)CC[C@H]21 HSINOMROUCMIEA-FGVHQWLLSA-N 0.000 title claims description 133
- 238000011282 treatment Methods 0.000 title description 24
- 238000004064 recycling Methods 0.000 title description 7
- 238000000034 method Methods 0.000 claims abstract description 247
- 150000003839 salts Chemical class 0.000 claims abstract description 159
- 239000000203 mixture Substances 0.000 claims abstract description 123
- 210000002966 serum Anatomy 0.000 claims abstract description 64
- BPYKTIZUTYGOLE-IFADSCNNSA-N Bilirubin Chemical compound N1C(=O)C(C)=C(C=C)\C1=C\C1=C(C)C(CCC(O)=O)=C(CC2=C(C(C)=C(\C=C/3C(=C(C=C)C(=O)N\3)C)N2)CCC(O)=O)N1 BPYKTIZUTYGOLE-IFADSCNNSA-N 0.000 claims abstract description 46
- 210000004185 liver Anatomy 0.000 claims abstract description 40
- 208000003251 Pruritus Diseases 0.000 claims abstract description 37
- 230000002440 hepatic effect Effects 0.000 claims abstract description 32
- 102100021711 Ileal sodium/bile acid cotransporter Human genes 0.000 claims abstract description 13
- 108091006614 SLC10A2 Proteins 0.000 claims abstract description 13
- 208000019423 liver disease Diseases 0.000 claims abstract description 10
- 102000004190 Enzymes Human genes 0.000 claims abstract description 4
- 108090000790 Enzymes Proteins 0.000 claims abstract description 4
- -1 ammoniumalkyl Chemical group 0.000 claims description 308
- 125000000623 heterocyclic group Chemical group 0.000 claims description 199
- 125000000217 alkyl group Chemical group 0.000 claims description 173
- 229910052739 hydrogen Inorganic materials 0.000 claims description 152
- 125000003118 aryl group Chemical group 0.000 claims description 137
- 239000001257 hydrogen Substances 0.000 claims description 125
- 125000000753 cycloalkyl group Chemical group 0.000 claims description 117
- 125000001072 heteroaryl group Chemical group 0.000 claims description 112
- 125000004169 (C1-C6) alkyl group Chemical group 0.000 claims description 108
- 125000004435 hydrogen atom Chemical class [H]* 0.000 claims description 98
- 239000003833 bile salt Substances 0.000 claims description 95
- 125000003342 alkenyl group Chemical group 0.000 claims description 85
- 125000000304 alkynyl group Chemical group 0.000 claims description 84
- 125000003917 carbamoyl group Chemical group [H]N([H])C(*)=O 0.000 claims description 82
- IJGRMHOSHXDMSA-UHFFFAOYSA-N Atomic nitrogen Chemical group N#N IJGRMHOSHXDMSA-UHFFFAOYSA-N 0.000 claims description 80
- 229910052757 nitrogen Inorganic materials 0.000 claims description 79
- 239000002552 dosage form Substances 0.000 claims description 70
- 125000003710 aryl alkyl group Chemical group 0.000 claims description 67
- 229910052799 carbon Inorganic materials 0.000 claims description 65
- 230000007870 cholestasis Effects 0.000 claims description 65
- 231100000359 cholestasis Toxicity 0.000 claims description 65
- OKTJSMMVPCPJKN-UHFFFAOYSA-N Carbon Chemical group [C] OKTJSMMVPCPJKN-UHFFFAOYSA-N 0.000 claims description 56
- 230000009885 systemic effect Effects 0.000 claims description 52
- 125000001424 substituent group Chemical group 0.000 claims description 51
- 238000010521 absorption reaction Methods 0.000 claims description 49
- 229910052736 halogen Inorganic materials 0.000 claims description 49
- 150000002367 halogens Chemical class 0.000 claims description 47
- 108090000765 processed proteins & peptides Proteins 0.000 claims description 42
- 125000004404 heteroalkyl group Chemical group 0.000 claims description 41
- 125000005843 halogen group Chemical group 0.000 claims description 39
- QJGQUHMNIGDVPM-UHFFFAOYSA-N nitrogen group Chemical group [N] QJGQUHMNIGDVPM-UHFFFAOYSA-N 0.000 claims description 38
- 229910052760 oxygen Inorganic materials 0.000 claims description 38
- 125000001188 haloalkyl group Chemical group 0.000 claims description 34
- 230000001965 increasing effect Effects 0.000 claims description 34
- 125000002887 hydroxy group Chemical group [H]O* 0.000 claims description 33
- 125000003545 alkoxy group Chemical group 0.000 claims description 30
- UFHFLCQGNIYNRP-UHFFFAOYSA-N Hydrogen Chemical compound [H][H] UFHFLCQGNIYNRP-UHFFFAOYSA-N 0.000 claims description 28
- 125000002924 primary amino group Chemical group [H]N([H])* 0.000 claims description 28
- 239000004721 Polyphenylene oxide Substances 0.000 claims description 27
- 125000004452 carbocyclyl group Chemical group 0.000 claims description 27
- 229920000570 polyether Polymers 0.000 claims description 27
- GOJUJUVQIVIZAV-UHFFFAOYSA-N 2-amino-4,6-dichloropyrimidine-5-carbaldehyde Chemical group NC1=NC(Cl)=C(C=O)C(Cl)=N1 GOJUJUVQIVIZAV-UHFFFAOYSA-N 0.000 claims description 26
- 125000004429 atom Chemical group 0.000 claims description 25
- 125000004122 cyclic group Chemical group 0.000 claims description 25
- 125000000592 heterocycloalkyl group Chemical group 0.000 claims description 25
- 125000002877 alkyl aryl group Chemical group 0.000 claims description 24
- 125000001797 benzyl group Chemical group [H]C1=C([H])C([H])=C(C([H])=C1[H])C([H])([H])* 0.000 claims description 24
- VMWNQDUVQKEIOC-CYBMUJFWSA-N apomorphine Chemical compound C([C@H]1N(C)CC2)C3=CC=C(O)C(O)=C3C3=C1C2=CC=C3 VMWNQDUVQKEIOC-CYBMUJFWSA-N 0.000 claims description 22
- 201000005271 biliary atresia Diseases 0.000 claims description 22
- 206010010317 Congenital absence of bile ducts Diseases 0.000 claims description 21
- 239000003814 drug Substances 0.000 claims description 20
- 208000024891 symptom Diseases 0.000 claims description 20
- 125000000843 phenylene group Chemical group C1(=C(C=CC=C1)*)* 0.000 claims description 19
- 125000000008 (C1-C10) alkyl group Chemical group 0.000 claims description 18
- 125000004178 (C1-C4) alkyl group Chemical group 0.000 claims description 18
- 230000015572 biosynthetic process Effects 0.000 claims description 18
- 201000002150 Progressive familial intrahepatic cholestasis Diseases 0.000 claims description 17
- 206010048215 Xanthomatosis Diseases 0.000 claims description 17
- 125000002252 acyl group Chemical group 0.000 claims description 17
- 229940079593 drug Drugs 0.000 claims description 17
- 239000012453 solvate Substances 0.000 claims description 17
- 150000002148 esters Chemical class 0.000 claims description 16
- 125000005119 alkyl cycloalkyl group Chemical group 0.000 claims description 15
- 125000005213 alkyl heteroaryl group Chemical group 0.000 claims description 15
- 150000001413 amino acids Chemical class 0.000 claims description 15
- 125000001997 phenyl group Chemical group [H]C1=C([H])C([H])=C(*)C([H])=C1[H] 0.000 claims description 15
- 229920006395 saturated elastomer Polymers 0.000 claims description 15
- 150000001720 carbohydrates Chemical class 0.000 claims description 14
- 239000008194 pharmaceutical composition Substances 0.000 claims description 14
- 125000003178 carboxy group Chemical group [H]OC(*)=O 0.000 claims description 13
- 125000001495 ethyl group Chemical group [H]C([H])([H])C([H])([H])* 0.000 claims description 13
- 125000004191 (C1-C6) alkoxy group Chemical group 0.000 claims description 12
- 125000004454 (C1-C6) alkoxycarbonyl group Chemical group 0.000 claims description 12
- 125000006374 C2-C10 alkenyl group Chemical group 0.000 claims description 12
- NINIDFKCEFEMDL-UHFFFAOYSA-N Sulfur Chemical compound [S] NINIDFKCEFEMDL-UHFFFAOYSA-N 0.000 claims description 12
- 206010048214 Xanthoma Diseases 0.000 claims description 12
- 125000004946 alkenylalkyl group Chemical group 0.000 claims description 12
- 125000005038 alkynylalkyl group Chemical group 0.000 claims description 12
- 229920000080 bile acid sequestrant Polymers 0.000 claims description 12
- 125000004181 carboxyalkyl group Chemical group 0.000 claims description 12
- 125000002485 formyl group Chemical group [H]C(*)=O 0.000 claims description 12
- 125000004446 heteroarylalkyl group Chemical group 0.000 claims description 12
- 238000001727 in vivo Methods 0.000 claims description 12
- 125000002950 monocyclic group Chemical group 0.000 claims description 12
- 229920001184 polypeptide Polymers 0.000 claims description 12
- 102000004196 processed proteins & peptides Human genes 0.000 claims description 12
- 238000002054 transplantation Methods 0.000 claims description 12
- 125000000027 (C1-C10) alkoxy group Chemical group 0.000 claims description 11
- QVGXLLKOCUKJST-UHFFFAOYSA-N atomic oxygen Chemical compound [O] QVGXLLKOCUKJST-UHFFFAOYSA-N 0.000 claims description 11
- 201000001493 benign recurrent intrahepatic cholestasis Diseases 0.000 claims description 11
- 239000001301 oxygen Substances 0.000 claims description 11
- 125000004043 oxo group Chemical group O=* 0.000 claims description 10
- 229910052717 sulfur Inorganic materials 0.000 claims description 10
- 206010016654 Fibrosis Diseases 0.000 claims description 9
- 125000004423 acyloxy group Chemical group 0.000 claims description 9
- 125000002619 bicyclic group Chemical group 0.000 claims description 9
- 150000001721 carbon Chemical group 0.000 claims description 9
- 201000001883 cholelithiasis Diseases 0.000 claims description 9
- 125000004093 cyano group Chemical group *C#N 0.000 claims description 9
- 230000006378 damage Effects 0.000 claims description 9
- 206010016165 failure to thrive Diseases 0.000 claims description 9
- 239000000651 prodrug Substances 0.000 claims description 9
- 229940002612 prodrug Drugs 0.000 claims description 9
- 125000004916 (C1-C6) alkylcarbonyl group Chemical group 0.000 claims description 8
- 125000000882 C2-C6 alkenyl group Chemical group 0.000 claims description 8
- 125000003601 C2-C6 alkynyl group Chemical group 0.000 claims description 8
- 108010012071 Lipoprotein-X Proteins 0.000 claims description 8
- 125000002777 acetyl group Chemical group [H]C([H])([H])C(*)=O 0.000 claims description 8
- 125000004663 dialkyl amino group Chemical group 0.000 claims description 8
- 201000011374 Alagille syndrome Diseases 0.000 claims description 7
- 206010019837 Hepatocellular injury Diseases 0.000 claims description 7
- 125000004414 alkyl thio group Chemical group 0.000 claims description 7
- 150000001450 anions Chemical class 0.000 claims description 7
- 208000026586 benign recurrent intrahepatic cholestasis type 1 Diseases 0.000 claims description 7
- 150000001768 cations Chemical class 0.000 claims description 7
- 208000019425 cirrhosis of liver Diseases 0.000 claims description 7
- 125000004966 cyanoalkyl group Chemical group 0.000 claims description 7
- 208000001024 intrahepatic cholestasis Diseases 0.000 claims description 7
- 230000007872 intrahepatic cholestasis Effects 0.000 claims description 7
- 125000004433 nitrogen atom Chemical group N* 0.000 claims description 7
- 125000004076 pyridyl group Chemical group 0.000 claims description 7
- 125000000876 trifluoromethoxy group Chemical group FC(F)(F)O* 0.000 claims description 7
- 125000003903 2-propenyl group Chemical group [H]C([*])([H])C([H])=C([H])[H] 0.000 claims description 6
- 206010023126 Jaundice Diseases 0.000 claims description 6
- 239000005864 Sulphur Substances 0.000 claims description 6
- 125000004183 alkoxy alkyl group Chemical group 0.000 claims description 6
- 150000001408 amides Chemical class 0.000 claims description 6
- 125000004103 aminoalkyl group Chemical group 0.000 claims description 6
- 230000007882 cirrhosis Effects 0.000 claims description 6
- 230000001404 mediated effect Effects 0.000 claims description 6
- 230000000414 obstructive effect Effects 0.000 claims description 6
- 229910052698 phosphorus Inorganic materials 0.000 claims description 6
- 125000004964 sulfoalkyl group Chemical group 0.000 claims description 6
- 208000005595 Chronic Idiopathic Jaundice Diseases 0.000 claims description 5
- 206010012735 Diarrhoea Diseases 0.000 claims description 5
- 201000004943 Dubin-Johnson syndrome Diseases 0.000 claims description 5
- 229910004749 OS(O)2 Inorganic materials 0.000 claims description 5
- HSFWRNGVRCDJHI-UHFFFAOYSA-N alpha-acetylene Natural products C#C HSFWRNGVRCDJHI-UHFFFAOYSA-N 0.000 claims description 5
- 125000003236 benzoyl group Chemical group [H]C1=C([H])C([H])=C(C([H])=C1[H])C(*)=O 0.000 claims description 5
- 125000001584 benzyloxycarbonyl group Chemical group C(=O)(OCC1=CC=CC=C1)* 0.000 claims description 5
- 125000002534 ethynyl group Chemical group [H]C#C* 0.000 claims description 5
- 125000004170 methylsulfonyl group Chemical group [H]C([H])([H])S(*)(=O)=O 0.000 claims description 5
- 229920005862 polyol Polymers 0.000 claims description 5
- 150000003077 polyols Chemical class 0.000 claims description 5
- 208000010157 sclerosing cholangitis Diseases 0.000 claims description 5
- 239000000243 solution Substances 0.000 claims description 5
- 235000021476 total parenteral nutrition Nutrition 0.000 claims description 5
- 125000002023 trifluoromethyl group Chemical group FC(F)(F)* 0.000 claims description 5
- 206010008609 Cholangitis sclerosing Diseases 0.000 claims description 4
- 125000005098 aryl alkoxy carbonyl group Chemical group 0.000 claims description 4
- 231100000437 hepatocellular injury Toxicity 0.000 claims description 4
- UYWQUFXKFGHYNT-UHFFFAOYSA-N phenylmethyl ester of formic acid Natural products O=COCC1=CC=CC=C1 UYWQUFXKFGHYNT-UHFFFAOYSA-N 0.000 claims description 4
- 208000007232 portal hypertension Diseases 0.000 claims description 4
- 201000000742 primary sclerosing cholangitis Diseases 0.000 claims description 4
- 239000000725 suspension Substances 0.000 claims description 4
- 208000019256 Benign recurrent intrahepatic cholestasis type 2 Diseases 0.000 claims description 3
- 206010019663 Hepatic failure Diseases 0.000 claims description 3
- 206010033645 Pancreatitis Diseases 0.000 claims description 3
- 208000012347 Parenteral nutrition associated liver disease Diseases 0.000 claims description 3
- 208000033147 Parenteral nutrition-associated cholestasis Diseases 0.000 claims description 3
- 206010041969 Steatorrhoea Diseases 0.000 claims description 3
- 125000003705 anilinocarbonyl group Chemical group O=C([*])N([H])C1=C([H])C([H])=C([H])C([H])=C1[H] 0.000 claims description 3
- 201000001488 benign recurrent intrahepatic cholestasis 2 Diseases 0.000 claims description 3
- 125000002147 dimethylamino group Chemical group [H]C([H])([H])N(*)C([H])([H])[H] 0.000 claims description 3
- 206010016256 fatigue Diseases 0.000 claims description 3
- 231100000844 hepatocellular carcinoma Toxicity 0.000 claims description 3
- 206010073071 hepatocellular carcinoma Diseases 0.000 claims description 3
- 208000015181 infectious disease Diseases 0.000 claims description 3
- 231100000835 liver failure Toxicity 0.000 claims description 3
- 208000007903 liver failure Diseases 0.000 claims description 3
- 125000001160 methoxycarbonyl group Chemical group [H]C([H])([H])OC(*)=O 0.000 claims description 3
- 230000037390 scarring Effects 0.000 claims description 3
- 208000001162 steatorrhea Diseases 0.000 claims description 3
- 125000005504 styryl group Chemical group 0.000 claims description 3
- 208000011580 syndromic disease Diseases 0.000 claims description 3
- 210000002700 urine Anatomy 0.000 claims description 3
- 206010011878 Deafness Diseases 0.000 claims description 2
- 208000012671 Gastrointestinal haemorrhages Diseases 0.000 claims description 2
- 206010019842 Hepatomegaly Diseases 0.000 claims description 2
- 208000032571 Infant acute respiratory distress syndrome Diseases 0.000 claims description 2
- 208000037112 Intestinal Failure Diseases 0.000 claims description 2
- 206010067125 Liver injury Diseases 0.000 claims description 2
- 206010025476 Malabsorption Diseases 0.000 claims description 2
- 208000004155 Malabsorption Syndromes Diseases 0.000 claims description 2
- 206010028974 Neonatal respiratory distress syndrome Diseases 0.000 claims description 2
- 206010035664 Pneumonia Diseases 0.000 claims description 2
- 208000001647 Renal Insufficiency Diseases 0.000 claims description 2
- 206010041660 Splenomegaly Diseases 0.000 claims description 2
- 208000026953 Stauffer syndrome Diseases 0.000 claims description 2
- 208000022531 anorexia Diseases 0.000 claims description 2
- 230000004596 appetite loss Effects 0.000 claims description 2
- 201000001490 benign recurrent intrahepatic cholestasis 1 Diseases 0.000 claims description 2
- 239000011230 binding agent Substances 0.000 claims description 2
- 125000003739 carbamimidoyl group Chemical group C(N)(=N)* 0.000 claims description 2
- 239000007910 chewable tablet Substances 0.000 claims description 2
- 229940068682 chewable tablet Drugs 0.000 claims description 2
- 235000009508 confectionery Nutrition 0.000 claims description 2
- 206010061428 decreased appetite Diseases 0.000 claims description 2
- 230000007812 deficiency Effects 0.000 claims description 2
- 239000007919 dispersible tablet Substances 0.000 claims description 2
- 239000007938 effervescent tablet Substances 0.000 claims description 2
- 125000003754 ethoxycarbonyl group Chemical group C(=O)(OCC)* 0.000 claims description 2
- 208000009866 extrahepatic cholestasis Diseases 0.000 claims description 2
- 208000030304 gastrointestinal bleeding Diseases 0.000 claims description 2
- 239000007903 gelatin capsule Substances 0.000 claims description 2
- 239000008187 granular material Substances 0.000 claims description 2
- 230000010370 hearing loss Effects 0.000 claims description 2
- 231100000888 hearing loss Toxicity 0.000 claims description 2
- 208000016354 hearing loss disease Diseases 0.000 claims description 2
- 231100000753 hepatic injury Toxicity 0.000 claims description 2
- RCCPEORTSYDPMB-UHFFFAOYSA-N hydroxy benzenecarboximidothioate Chemical compound OSC(=N)C1=CC=CC=C1 RCCPEORTSYDPMB-UHFFFAOYSA-N 0.000 claims description 2
- 208000015525 isolated neonatal sclerosing cholangitis Diseases 0.000 claims description 2
- 201000006370 kidney failure Diseases 0.000 claims description 2
- 231100000832 liver cell necrosis Toxicity 0.000 claims description 2
- 235000011475 lollipops Nutrition 0.000 claims description 2
- 235000021266 loss of appetite Nutrition 0.000 claims description 2
- 208000019017 loss of appetite Diseases 0.000 claims description 2
- 210000004072 lung Anatomy 0.000 claims description 2
- 230000017074 necrotic cell death Effects 0.000 claims description 2
- 201000002652 newborn respiratory distress syndrome Diseases 0.000 claims description 2
- 229940095353 oral granules Drugs 0.000 claims description 2
- 229940042126 oral powder Drugs 0.000 claims description 2
- 239000006191 orally-disintegrating tablet Substances 0.000 claims description 2
- 239000000843 powder Substances 0.000 claims description 2
- 239000006188 syrup Substances 0.000 claims description 2
- 235000020357 syrup Nutrition 0.000 claims description 2
- 230000003247 decreasing effect Effects 0.000 abstract description 12
- 238000009472 formulation Methods 0.000 abstract description 12
- 150000001875 compounds Chemical class 0.000 description 153
- RAHZWNYVWXNFOC-UHFFFAOYSA-N sulfur dioxide Inorganic materials O=S=O RAHZWNYVWXNFOC-UHFFFAOYSA-N 0.000 description 78
- 239000003795 chemical substances by application Substances 0.000 description 53
- HVYWMOMLDIMFJA-DPAQBDIFSA-N cholesterol Chemical compound C1C=C2C[C@@H](O)CC[C@]2(C)[C@@H]2[C@@H]1[C@@H]1CC[C@H]([C@H](C)CCCC(C)C)[C@@]1(C)CC2 HVYWMOMLDIMFJA-DPAQBDIFSA-N 0.000 description 50
- 210000000941 bile Anatomy 0.000 description 45
- 210000001035 gastrointestinal tract Anatomy 0.000 description 42
- 230000000968 intestinal effect Effects 0.000 description 32
- 210000001072 colon Anatomy 0.000 description 30
- 229940093761 bile salts Drugs 0.000 description 29
- 210000000664 rectum Anatomy 0.000 description 28
- RUDATBOHQWOJDD-UHFFFAOYSA-N (3beta,5beta,7alpha)-3,7-Dihydroxycholan-24-oic acid Natural products OC1CC2CC(O)CCC2(C)C2C1C1CCC(C(CCC(O)=O)C)C1(C)CC2 RUDATBOHQWOJDD-UHFFFAOYSA-N 0.000 description 27
- 210000003405 ileum Anatomy 0.000 description 27
- 208000037265 diseases, disorders, signs and symptoms Diseases 0.000 description 24
- 210000000936 intestine Anatomy 0.000 description 23
- 230000028327 secretion Effects 0.000 description 23
- LMBFAGIMSUYTBN-MPZNNTNKSA-N teixobactin Chemical compound C([C@H](C(=O)N[C@@H]([C@@H](C)CC)C(=O)N[C@@H](CO)C(=O)N[C@H](CCC(N)=O)C(=O)N[C@H]([C@@H](C)CC)C(=O)N[C@@H]([C@@H](C)CC)C(=O)N[C@@H](CO)C(=O)N[C@H]1C(N[C@@H](C)C(=O)N[C@@H](C[C@@H]2NC(=N)NC2)C(=O)N[C@H](C(=O)O[C@H]1C)[C@@H](C)CC)=O)NC)C1=CC=CC=C1 LMBFAGIMSUYTBN-MPZNNTNKSA-N 0.000 description 23
- RUDATBOHQWOJDD-UZVSRGJWSA-N ursodeoxycholic acid Chemical compound C([C@H]1C[C@@H]2O)[C@H](O)CC[C@]1(C)[C@@H]1[C@@H]2[C@@H]2CC[C@H]([C@@H](CCC(O)=O)C)[C@@]2(C)CC1 RUDATBOHQWOJDD-UZVSRGJWSA-N 0.000 description 23
- 235000012000 cholesterol Nutrition 0.000 description 22
- 230000008569 process Effects 0.000 description 22
- 125000002496 methyl group Chemical group [H]C([H])([H])* 0.000 description 21
- 229960001661 ursodiol Drugs 0.000 description 21
- 230000032258 transport Effects 0.000 description 20
- 201000010099 disease Diseases 0.000 description 19
- 210000003494 hepatocyte Anatomy 0.000 description 17
- 150000001412 amines Chemical class 0.000 description 16
- 230000000694 effects Effects 0.000 description 15
- 102000006640 gamma-Glutamyltransferase Human genes 0.000 description 15
- 125000006239 protecting group Chemical group 0.000 description 15
- NKANXQFJJICGDU-QPLCGJKRSA-N Tamoxifen Chemical compound C=1C=CC=CC=1C(/CC)=C(C=1C=CC(OCCN(C)C)=CC=1)/C1=CC=CC=C1 NKANXQFJJICGDU-QPLCGJKRSA-N 0.000 description 14
- 150000001448 anilines Chemical class 0.000 description 14
- 238000012384 transportation and delivery Methods 0.000 description 14
- 102000002260 Alkaline Phosphatase Human genes 0.000 description 13
- 108020004774 Alkaline Phosphatase Proteins 0.000 description 13
- 150000002632 lipids Chemical class 0.000 description 13
- 229940088594 vitamin Drugs 0.000 description 13
- 229930003231 vitamin Natural products 0.000 description 13
- 235000013343 vitamin Nutrition 0.000 description 13
- 239000011782 vitamin Substances 0.000 description 13
- 102100028282 Bile salt export pump Human genes 0.000 description 12
- 150000001298 alcohols Chemical class 0.000 description 12
- 239000003925 fat Substances 0.000 description 12
- 235000019197 fats Nutrition 0.000 description 12
- 210000003608 fece Anatomy 0.000 description 12
- 238000003786 synthesis reaction Methods 0.000 description 12
- WBWWGRHZICKQGZ-HZAMXZRMSA-N taurocholic acid Chemical compound C([C@H]1C[C@H]2O)[C@H](O)CC[C@]1(C)[C@@H]1[C@@H]2[C@@H]2CC[C@H]([C@@H](CCC(=O)NCCS(O)(=O)=O)C)[C@@]2(C)[C@@H](O)C1 WBWWGRHZICKQGZ-HZAMXZRMSA-N 0.000 description 12
- 230000003044 adaptive effect Effects 0.000 description 11
- 230000001419 dependent effect Effects 0.000 description 11
- 229940088597 hormone Drugs 0.000 description 11
- 239000005556 hormone Substances 0.000 description 11
- 210000004379 membrane Anatomy 0.000 description 11
- 239000012528 membrane Substances 0.000 description 11
- 108010078791 Carrier Proteins Proteins 0.000 description 10
- PMATZTZNYRCHOR-CGLBZJNRSA-N Cyclosporin A Chemical compound CC[C@@H]1NC(=O)[C@H]([C@H](O)[C@H](C)C\C=C\C)N(C)C(=O)[C@H](C(C)C)N(C)C(=O)[C@H](CC(C)C)N(C)C(=O)[C@H](CC(C)C)N(C)C(=O)[C@@H](C)NC(=O)[C@H](C)NC(=O)[C@H](CC(C)C)N(C)C(=O)[C@H](C(C)C)NC(=O)[C@H](CC(C)C)N(C)C(=O)CN(C)C1=O PMATZTZNYRCHOR-CGLBZJNRSA-N 0.000 description 10
- 108010036949 Cyclosporine Proteins 0.000 description 10
- 101710107035 Gamma-glutamyltranspeptidase Proteins 0.000 description 10
- 101710173228 Glutathione hydrolase proenzyme Proteins 0.000 description 10
- DHMQDGOQFOQNFH-UHFFFAOYSA-N Glycine Chemical compound NCC(O)=O DHMQDGOQFOQNFH-UHFFFAOYSA-N 0.000 description 10
- 235000001014 amino acid Nutrition 0.000 description 10
- 229940024606 amino acid Drugs 0.000 description 10
- QGZKDVFQNNGYKY-UHFFFAOYSA-O ammonium group Chemical group [NH4+] QGZKDVFQNNGYKY-UHFFFAOYSA-O 0.000 description 10
- 238000006243 chemical reaction Methods 0.000 description 10
- 229960001265 ciclosporin Drugs 0.000 description 10
- 230000007423 decrease Effects 0.000 description 10
- 230000002401 inhibitory effect Effects 0.000 description 10
- 201000002162 progressive familial intrahepatic cholestasis 1 Diseases 0.000 description 10
- 230000008929 regeneration Effects 0.000 description 10
- 238000011069 regeneration method Methods 0.000 description 10
- XOAAWQZATWQOTB-UHFFFAOYSA-N taurine Chemical compound NCCS(O)(=O)=O XOAAWQZATWQOTB-UHFFFAOYSA-N 0.000 description 10
- 230000001225 therapeutic effect Effects 0.000 description 10
- FBOZXECLQNJBKD-ZDUSSCGKSA-N L-methotrexate Chemical compound C=1N=C2N=C(N)N=C(N)C2=NC=1CN(C)C1=CC=C(C(=O)N[C@@H](CCC(O)=O)C(O)=O)C=C1 FBOZXECLQNJBKD-ZDUSSCGKSA-N 0.000 description 9
- 102000030904 bile acid binding Human genes 0.000 description 9
- 108091022863 bile acid binding Proteins 0.000 description 9
- 210000004369 blood Anatomy 0.000 description 9
- 239000008280 blood Substances 0.000 description 9
- 235000014633 carbohydrates Nutrition 0.000 description 9
- 239000003246 corticosteroid Substances 0.000 description 9
- 230000002708 enhancing effect Effects 0.000 description 9
- 230000008508 epithelial proliferation Effects 0.000 description 9
- 230000000670 limiting effect Effects 0.000 description 9
- 229960000485 methotrexate Drugs 0.000 description 9
- 230000004936 stimulating effect Effects 0.000 description 9
- 125000000229 (C1-C4)alkoxy group Chemical group 0.000 description 8
- 101800000221 Glucagon-like peptide 2 Proteins 0.000 description 8
- DGAQECJNVWCQMB-PUAWFVPOSA-M Ilexoside XXIX Chemical compound C[C@@H]1CC[C@@]2(CC[C@@]3(C(=CC[C@H]4[C@]3(CC[C@@H]5[C@@]4(CC[C@@H](C5(C)C)OS(=O)(=O)[O-])C)C)[C@@H]2[C@]1(C)O)C)C(=O)O[C@H]6[C@@H]([C@H]([C@@H]([C@H](O6)CO)O)O)O.[Na+] DGAQECJNVWCQMB-PUAWFVPOSA-M 0.000 description 8
- 108010093662 Member 11 Subfamily B ATP Binding Cassette Transporter Proteins 0.000 description 8
- 102100040918 Pro-glucagon Human genes 0.000 description 8
- 239000002253 acid Substances 0.000 description 8
- 230000008901 benefit Effects 0.000 description 8
- 150000001735 carboxylic acids Chemical class 0.000 description 8
- 230000006870 function Effects 0.000 description 8
- 210000000232 gallbladder Anatomy 0.000 description 8
- TWSALRJGPBVBQU-PKQQPRCHSA-N glucagon-like peptide 2 Chemical compound C([C@@H](C(=O)N[C@H](C(=O)N[C@@H](CC(N)=O)C(=O)N[C@@H](CC=1C2=CC=CC=C2NC=1)C(=O)N[C@@H](CC(C)C)C(=O)N[C@@H]([C@@H](C)CC)C(=O)N[C@@H](CCC(N)=O)C(=O)N[C@@H]([C@@H](C)O)C(=O)N[C@@H](CCCCN)C(=O)N[C@@H]([C@@H](C)CC)C(=O)N[C@@H]([C@@H](C)O)C(=O)N[C@@H](CC(O)=O)C(O)=O)[C@@H](C)CC)NC(=O)[C@H](CC(O)=O)NC(=O)[C@H](CCCNC(N)=N)NC(=O)[C@H](C)NC(=O)[C@H](C)NC(=O)[C@H](CC(C)C)NC(=O)[C@H](CC(N)=O)NC(=O)[C@H](CC(O)=O)NC(=O)[C@H](CC(C)C)NC(=O)[C@@H](NC(=O)[C@@H](NC(=O)[C@H](CC(N)=O)NC(=O)[C@H](CCSC)NC(=O)[C@H](CCC(O)=O)NC(=O)[C@H](CC(O)=O)NC(=O)[C@H](CO)NC(=O)[C@H](CC=1C=CC=CC=1)NC(=O)[C@H](CO)NC(=O)CNC(=O)[C@H](CC(O)=O)NC(=O)[C@H](C)NC(=O)[C@@H](N)CC=1NC=NC=1)[C@@H](C)O)[C@@H](C)CC)C1=CC=CC=C1 TWSALRJGPBVBQU-PKQQPRCHSA-N 0.000 description 8
- 150000002989 phenols Chemical class 0.000 description 8
- 239000011347 resin Substances 0.000 description 8
- 229920005989 resin Polymers 0.000 description 8
- 235000015424 sodium Nutrition 0.000 description 8
- 239000011734 sodium Substances 0.000 description 8
- 229910052708 sodium Inorganic materials 0.000 description 8
- 238000012385 systemic delivery Methods 0.000 description 8
- 150000003573 thiols Chemical class 0.000 description 8
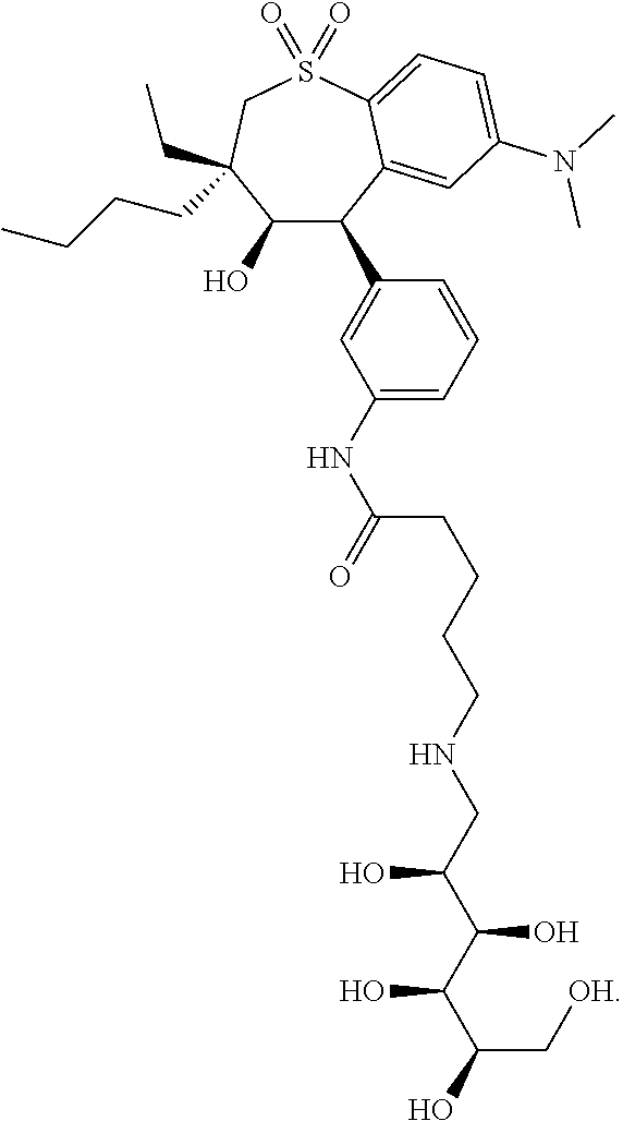
- CKFWDLFFXXVSBJ-DHIUTWEWSA-N (3r,5r)-3-butyl-3-ethyl-7,8-dimethoxy-5-phenyl-4,5-dihydro-2h-1$l^{6},4-benzothiazepine 1,1-dioxide Chemical compound C1([C@@H]2C3=CC(OC)=C(OC)C=C3S(=O)(=O)C[C@@](N2)(CC)CCCC)=CC=CC=C1 CKFWDLFFXXVSBJ-DHIUTWEWSA-N 0.000 description 7
- VOVIALXJUBGFJZ-KWVAZRHASA-N Budesonide Chemical compound C1CC2=CC(=O)C=C[C@]2(C)[C@@H]2[C@@H]1[C@@H]1C[C@H]3OC(CCC)O[C@@]3(C(=O)CO)[C@@]1(C)C[C@@H]2O VOVIALXJUBGFJZ-KWVAZRHASA-N 0.000 description 7
- 229930105110 Cyclosporin A Natural products 0.000 description 7
- 108010007979 Glycocholic Acid Proteins 0.000 description 7
- 241001465754 Metazoa Species 0.000 description 7
- LMEKQMALGUDUQG-UHFFFAOYSA-N azathioprine Chemical compound CN1C=NC([N+]([O-])=O)=C1SC1=NC=NC2=C1NC=N2 LMEKQMALGUDUQG-UHFFFAOYSA-N 0.000 description 7
- 229960002170 azathioprine Drugs 0.000 description 7
- IIBYAHWJQTYFKB-UHFFFAOYSA-N bezafibrate Chemical compound C1=CC(OC(C)(C)C(O)=O)=CC=C1CCNC(=O)C1=CC=C(Cl)C=C1 IIBYAHWJQTYFKB-UHFFFAOYSA-N 0.000 description 7
- 229960000516 bezafibrate Drugs 0.000 description 7
- 210000000013 bile duct Anatomy 0.000 description 7
- 229960004436 budesonide Drugs 0.000 description 7
- 210000004027 cell Anatomy 0.000 description 7
- JCKYGMPEJWAADB-UHFFFAOYSA-N chlorambucil Chemical compound OC(=O)CCCC1=CC=C(N(CCCl)CCCl)C=C1 JCKYGMPEJWAADB-UHFFFAOYSA-N 0.000 description 7
- 229960004630 chlorambucil Drugs 0.000 description 7
- BHQCQFFYRZLCQQ-OELDTZBJSA-N cholic acid Chemical compound C([C@H]1C[C@H]2O)[C@H](O)CC[C@]1(C)[C@@H]1[C@@H]2[C@@H]2CC[C@H]([C@@H](CCC(O)=O)C)[C@@]2(C)[C@@H](O)C1 BHQCQFFYRZLCQQ-OELDTZBJSA-N 0.000 description 7
- KXGVEGMKQFWNSR-UHFFFAOYSA-N deoxycholic acid Natural products C1CC2CC(O)CCC2(C)C2C1C1CCC(C(CCC(O)=O)C)C1(C)C(O)C2 KXGVEGMKQFWNSR-UHFFFAOYSA-N 0.000 description 7
- RFDAIACWWDREDC-FRVQLJSFSA-N glycocholic acid Chemical compound C([C@H]1C[C@H]2O)[C@H](O)CC[C@]1(C)[C@@H]1[C@@H]2[C@@H]2CC[C@H]([C@@H](CCC(=O)NCC(O)=O)C)[C@@]2(C)[C@@H](O)C1 RFDAIACWWDREDC-FRVQLJSFSA-N 0.000 description 7
- 229940125721 immunosuppressive agent Drugs 0.000 description 7
- 239000003018 immunosuppressive agent Substances 0.000 description 7
- JTEGQNOMFQHVDC-NKWVEPMBSA-N lamivudine Chemical compound O=C1N=C(N)C=CN1[C@H]1O[C@@H](CO)SC1 JTEGQNOMFQHVDC-NKWVEPMBSA-N 0.000 description 7
- 229960001627 lamivudine Drugs 0.000 description 7
- HPNSFSBZBAHARI-UHFFFAOYSA-N micophenolic acid Natural products OC1=C(CC=C(C)CCC(O)=O)C(OC)=C(C)C2=C1C(=O)OC2 HPNSFSBZBAHARI-UHFFFAOYSA-N 0.000 description 7
- 229940014456 mycophenolate Drugs 0.000 description 7
- HPNSFSBZBAHARI-RUDMXATFSA-N mycophenolic acid Chemical compound OC1=C(C\C=C(/C)CCC(O)=O)C(OC)=C(C)C2=C1C(=O)OC2 HPNSFSBZBAHARI-RUDMXATFSA-N 0.000 description 7
- XOFYZVNMUHMLCC-ZPOLXVRWSA-N prednisone Chemical compound O=C1C=C[C@]2(C)[C@H]3C(=O)C[C@](C)([C@@](CC4)(O)C(=O)CO)[C@@H]4[C@@H]3CCC2=C1 XOFYZVNMUHMLCC-ZPOLXVRWSA-N 0.000 description 7
- 229960004618 prednisone Drugs 0.000 description 7
- 210000000813 small intestine Anatomy 0.000 description 7
- MLKXDPUZXIRXEP-MFOYZWKCSA-N sulindac Chemical compound CC1=C(CC(O)=O)C2=CC(F)=CC=C2\C1=C/C1=CC=C(S(C)=O)C=C1 MLKXDPUZXIRXEP-MFOYZWKCSA-N 0.000 description 7
- 229960000894 sulindac Drugs 0.000 description 7
- 229960001603 tamoxifen Drugs 0.000 description 7
- 150000003568 thioethers Chemical class 0.000 description 7
- BHQCQFFYRZLCQQ-UHFFFAOYSA-N (3alpha,5alpha,7alpha,12alpha)-3,7,12-trihydroxy-cholan-24-oic acid Natural products OC1CC2CC(O)CCC2(C)C2C1C1CCC(C(CCC(O)=O)C)C1(C)C(O)C2 BHQCQFFYRZLCQQ-UHFFFAOYSA-N 0.000 description 6
- 239000004380 Cholic acid Substances 0.000 description 6
- 235000017284 Pometia pinnata Nutrition 0.000 description 6
- 240000007653 Pometia tomentosa Species 0.000 description 6
- 230000001580 bacterial effect Effects 0.000 description 6
- 150000003857 carboxamides Chemical class 0.000 description 6
- 235000019416 cholic acid Nutrition 0.000 description 6
- 229960002471 cholic acid Drugs 0.000 description 6
- 125000000524 functional group Chemical group 0.000 description 6
- 125000005842 heteroatom Chemical group 0.000 description 6
- 239000000463 material Substances 0.000 description 6
- 230000004060 metabolic process Effects 0.000 description 6
- 230000035772 mutation Effects 0.000 description 6
- 230000002829 reductive effect Effects 0.000 description 6
- 238000002560 therapeutic procedure Methods 0.000 description 6
- 125000002861 (C1-C4) alkanoyl group Chemical group 0.000 description 5
- 108020004206 Gamma-glutamyltransferase Proteins 0.000 description 5
- 239000004471 Glycine Substances 0.000 description 5
- 241000282412 Homo Species 0.000 description 5
- 101000724352 Homo sapiens Bile salt export pump Proteins 0.000 description 5
- 101000701363 Homo sapiens Phospholipid-transporting ATPase IC Proteins 0.000 description 5
- 241000124008 Mammalia Species 0.000 description 5
- WBWWGRHZICKQGZ-UHFFFAOYSA-N Taurocholic acid Natural products OC1CC2CC(O)CCC2(C)C2C1C1CCC(C(CCC(=O)NCCS(O)(=O)=O)C)C1(C)C(O)C2 WBWWGRHZICKQGZ-UHFFFAOYSA-N 0.000 description 5
- 238000009825 accumulation Methods 0.000 description 5
- 239000002585 base Substances 0.000 description 5
- 125000004432 carbon atom Chemical group C* 0.000 description 5
- RUDATBOHQWOJDD-BSWAIDMHSA-N chenodeoxycholic acid Chemical compound C([C@H]1C[C@H]2O)[C@H](O)CC[C@]1(C)[C@@H]1[C@@H]2[C@@H]2CC[C@H]([C@@H](CCC(O)=O)C)[C@@]2(C)CC1 RUDATBOHQWOJDD-BSWAIDMHSA-N 0.000 description 5
- 229960001334 corticosteroids Drugs 0.000 description 5
- 125000001651 cyanato group Chemical group [*]OC#N 0.000 description 5
- 230000029087 digestion Effects 0.000 description 5
- 210000001198 duodenum Anatomy 0.000 description 5
- 230000012010 growth Effects 0.000 description 5
- 244000005700 microbiome Species 0.000 description 5
- 125000004123 n-propyl group Chemical group [H]C([H])([H])C([H])([H])C([H])([H])* 0.000 description 5
- 108090000623 proteins and genes Proteins 0.000 description 5
- 150000003871 sulfonates Chemical class 0.000 description 5
- 229960003080 taurine Drugs 0.000 description 5
- POMVPJBWDDJCMP-RUKDTIIFSA-M (4r,5r)-5-[4-[[4-(1-aza-4-azoniabicyclo[2.2.2]octan-4-ylmethyl)phenyl]methoxy]phenyl]-3,3-dibutyl-7-(dimethylamino)-1,1-dioxo-4,5-dihydro-2h-1$l^{6}-benzothiepin-4-ol;chloride Chemical compound [Cl-].O[C@H]1C(CCCC)(CCCC)CS(=O)(=O)C2=CC=C(N(C)C)C=C2[C@H]1C(C=C1)=CC=C1OCC(C=C1)=CC=C1C[N+]1(CC2)CCN2CC1 POMVPJBWDDJCMP-RUKDTIIFSA-M 0.000 description 4
- GVJHHUAWPYXKBD-UHFFFAOYSA-N (±)-α-Tocopherol Chemical compound OC1=C(C)C(C)=C2OC(CCCC(C)CCCC(C)CCCC(C)C)(C)CCC2=C1C GVJHHUAWPYXKBD-UHFFFAOYSA-N 0.000 description 4
- 206010070545 Bacterial translocation Diseases 0.000 description 4
- YNXLOPYTAAFMTN-SBUIBGKBSA-N C([C@H](N)C(=O)N1CCC[C@H]1C(=O)N[C@@H]([C@@H](C)CC)C(=O)N[C@@H](CCCCN)C(=O)N1[C@@H](CCC1)C(=O)N[C@@H](CCC(O)=O)C(=O)N[C@@H](C)C(=O)N1[C@@H](CCC1)C(=O)NCC(=O)N[C@@H](CCC(O)=O)C(=O)N[C@@H](CC(O)=O)C(=O)N[C@@H](C)C(=O)N[C@@H](CO)C(=O)N1[C@@H](CCC1)C(=O)N[C@@H](CCC(O)=O)C(=O)N[C@@H](CCC(O)=O)C(=O)N[C@@H](CC(C)C)C(=O)N[C@@H](CC(N)=O)C(=O)N[C@@H](CCCNC(N)=N)C(=O)N[C@@H](CC=1C=CC(O)=CC=1)C(=O)N[C@@H](CC=1C=CC(O)=CC=1)C(=O)N[C@@H](C)C(=O)N[C@@H](CO)C(=O)N[C@@H](CC(C)C)C(=O)N[C@@H](CCCNC(N)=N)C(=O)N[C@@H](CC=1NC=NC=1)C(=O)N[C@@H](CC=1C=CC(O)=CC=1)C(=O)N[C@@H](CC(C)C)C(=O)N[C@@H](CC(N)=O)C(=O)N[C@@H](CC(C)C)C(=O)N[C@@H](C(C)C)C(=O)N[C@@H]([C@@H](C)O)C(=O)N[C@@H](CCCNC(N)=N)C(=O)N[C@@H](CCC(N)=O)C(=O)N[C@@H](CCCNC(N)=N)C(=O)N[C@@H](CC=1C=CC(O)=CC=1)C(N)=O)C1=CC=C(O)C=C1 Chemical compound C([C@H](N)C(=O)N1CCC[C@H]1C(=O)N[C@@H]([C@@H](C)CC)C(=O)N[C@@H](CCCCN)C(=O)N1[C@@H](CCC1)C(=O)N[C@@H](CCC(O)=O)C(=O)N[C@@H](C)C(=O)N1[C@@H](CCC1)C(=O)NCC(=O)N[C@@H](CCC(O)=O)C(=O)N[C@@H](CC(O)=O)C(=O)N[C@@H](C)C(=O)N[C@@H](CO)C(=O)N1[C@@H](CCC1)C(=O)N[C@@H](CCC(O)=O)C(=O)N[C@@H](CCC(O)=O)C(=O)N[C@@H](CC(C)C)C(=O)N[C@@H](CC(N)=O)C(=O)N[C@@H](CCCNC(N)=N)C(=O)N[C@@H](CC=1C=CC(O)=CC=1)C(=O)N[C@@H](CC=1C=CC(O)=CC=1)C(=O)N[C@@H](C)C(=O)N[C@@H](CO)C(=O)N[C@@H](CC(C)C)C(=O)N[C@@H](CCCNC(N)=N)C(=O)N[C@@H](CC=1NC=NC=1)C(=O)N[C@@H](CC=1C=CC(O)=CC=1)C(=O)N[C@@H](CC(C)C)C(=O)N[C@@H](CC(N)=O)C(=O)N[C@@H](CC(C)C)C(=O)N[C@@H](C(C)C)C(=O)N[C@@H]([C@@H](C)O)C(=O)N[C@@H](CCCNC(N)=N)C(=O)N[C@@H](CCC(N)=O)C(=O)N[C@@H](CCCNC(N)=N)C(=O)N[C@@H](CC=1C=CC(O)=CC=1)C(N)=O)C1=CC=C(O)C=C1 YNXLOPYTAAFMTN-SBUIBGKBSA-N 0.000 description 4
- 101800001982 Cholecystokinin Proteins 0.000 description 4
- 102100025841 Cholecystokinin Human genes 0.000 description 4
- 229920001268 Cholestyramine Polymers 0.000 description 4
- 229920000858 Cyclodextrin Polymers 0.000 description 4
- 101000955481 Homo sapiens Phosphatidylcholine translocator ABCB4 Proteins 0.000 description 4
- 206010061218 Inflammation Diseases 0.000 description 4
- RFDAIACWWDREDC-UHFFFAOYSA-N Na salt-Glycocholic acid Natural products OC1CC2CC(O)CCC2(C)C2C1C1CCC(C(CCC(=O)NCC(O)=O)C)C1(C)C(O)C2 RFDAIACWWDREDC-UHFFFAOYSA-N 0.000 description 4
- 102100029909 Peptide YY Human genes 0.000 description 4
- 108010088847 Peptide YY Proteins 0.000 description 4
- 102100039032 Phosphatidylcholine translocator ABCB4 Human genes 0.000 description 4
- 102100030448 Phospholipid-transporting ATPase IC Human genes 0.000 description 4
- 241000700159 Rattus Species 0.000 description 4
- BHTRKEVKTKCXOH-UHFFFAOYSA-N Taurochenodesoxycholsaeure Natural products OC1CC2CC(O)CCC2(C)C2C1C1CCC(C(CCC(=O)NCCS(O)(=O)=O)C)C1(C)CC2 BHTRKEVKTKCXOH-UHFFFAOYSA-N 0.000 description 4
- 150000001350 alkyl halides Chemical class 0.000 description 4
- 125000002947 alkylene group Chemical group 0.000 description 4
- 125000003277 amino group Chemical group 0.000 description 4
- 230000007375 bacterial translocation Effects 0.000 description 4
- 150000001732 carboxylic acid derivatives Chemical group 0.000 description 4
- JQXXHWHPUNPDRT-BQVAUQFYSA-N chembl1523493 Chemical compound O([C@](C1=O)(C)O\C=C/[C@@H]([C@H]([C@@H](OC(C)=O)[C@H](C)[C@H](O)[C@H](C)[C@@H](O)[C@@H](C)/C=C\C=C(C)/C(=O)NC=2C(O)=C3C(O)=C4C)C)OC)C4=C1C3=C(O)C=2C=NN1CCN(C)CC1 JQXXHWHPUNPDRT-BQVAUQFYSA-N 0.000 description 4
- 229960001091 chenodeoxycholic acid Drugs 0.000 description 4
- 229940107137 cholecystokinin Drugs 0.000 description 4
- 239000000731 choleretic agent Substances 0.000 description 4
- 230000001587 cholestatic effect Effects 0.000 description 4
- 230000001684 chronic effect Effects 0.000 description 4
- 235000005911 diet Nutrition 0.000 description 4
- 208000035475 disorder Diseases 0.000 description 4
- 239000012039 electrophile Substances 0.000 description 4
- 210000003158 enteroendocrine cell Anatomy 0.000 description 4
- 230000002550 fecal effect Effects 0.000 description 4
- 229910052731 fluorine Inorganic materials 0.000 description 4
- 239000011737 fluorine Substances 0.000 description 4
- 125000001153 fluoro group Chemical group F* 0.000 description 4
- 208000001130 gallstones Diseases 0.000 description 4
- 229940099347 glycocholic acid Drugs 0.000 description 4
- 230000004054 inflammatory process Effects 0.000 description 4
- 230000036457 multidrug resistance Effects 0.000 description 4
- 125000004108 n-butyl group Chemical group [H]C([H])([H])C([H])([H])C([H])([H])C([H])([H])* 0.000 description 4
- 239000012038 nucleophile Substances 0.000 description 4
- 150000003904 phospholipids Chemical class 0.000 description 4
- 229920000642 polymer Polymers 0.000 description 4
- CJMKTEIIPMBTJB-DXFHJFHKSA-M potassium;[(2r,3r,4s,5r,6r)-6-[[3-[(3s,4r,5r)-3-butyl-7-(dimethylamino)-3-ethyl-4-hydroxy-1,1-dioxo-4,5-dihydro-2h-1$l^{6}-benzothiepin-5-yl]phenyl]carbamoylamino]-3,5-dihydroxy-4-phenylmethoxyoxan-2-yl]methyl sulfate Chemical compound [K+].O([C@H]1[C@H](O)[C@@H](COS([O-])(=O)=O)O[C@H]([C@@H]1O)NC(=O)NC=1C=CC=C(C=1)[C@@H]1C2=CC(=CC=C2S(=O)(=O)C[C@@]([C@@H]1O)(CC)CCCC)N(C)C)CC1=CC=CC=C1 CJMKTEIIPMBTJB-DXFHJFHKSA-M 0.000 description 4
- 239000002243 precursor Substances 0.000 description 4
- 201000002148 progressive familial intrahepatic cholestasis 3 Diseases 0.000 description 4
- 125000001436 propyl group Chemical group [H]C([*])([H])C([H])([H])C([H])([H])[H] 0.000 description 4
- 235000018102 proteins Nutrition 0.000 description 4
- 102000004169 proteins and genes Human genes 0.000 description 4
- 229960001225 rifampicin Drugs 0.000 description 4
- IZTQOLKUZKXIRV-YRVFCXMDSA-N sincalide Chemical compound C([C@@H](C(=O)N[C@@H](CCSC)C(=O)NCC(=O)N[C@@H](CC=1C2=CC=CC=C2NC=1)C(=O)N[C@@H](CCSC)C(=O)N[C@@H](CC(O)=O)C(=O)N[C@@H](CC=1C=CC=CC=1)C(N)=O)NC(=O)[C@@H](N)CC(O)=O)C1=CC=C(OS(O)(=O)=O)C=C1 IZTQOLKUZKXIRV-YRVFCXMDSA-N 0.000 description 4
- 238000001356 surgical procedure Methods 0.000 description 4
- 231100000419 toxicity Toxicity 0.000 description 4
- 230000001988 toxicity Effects 0.000 description 4
- GHCZAUBVMUEKKP-UHFFFAOYSA-N ursodeoxycholic acid glycine-conjugate Natural products OC1CC2CC(O)CCC2(C)C2C1C1CCC(C(CCC(=O)NCC(O)=O)C)C1(C)CC2 GHCZAUBVMUEKKP-UHFFFAOYSA-N 0.000 description 4
- 239000011719 vitamin A Substances 0.000 description 4
- 239000011710 vitamin D Substances 0.000 description 4
- 239000011709 vitamin E Substances 0.000 description 4
- 239000011712 vitamin K Substances 0.000 description 4
- 102000004008 5'-Nucleotidase Human genes 0.000 description 3
- 101150048692 ABCB11 gene Proteins 0.000 description 3
- 229920002905 Colesevelam Polymers 0.000 description 3
- 102000004127 Cytokines Human genes 0.000 description 3
- 108090000695 Cytokines Proteins 0.000 description 3
- 102100025353 G-protein coupled bile acid receptor 1 Human genes 0.000 description 3
- 108010015031 Glycochenodeoxycholic Acid Proteins 0.000 description 3
- 101000857733 Homo sapiens G-protein coupled bile acid receptor 1 Proteins 0.000 description 3
- 208000031226 Hyperlipidaemia Diseases 0.000 description 3
- 208000002720 Malnutrition Diseases 0.000 description 3
- 208000012868 Overgrowth Diseases 0.000 description 3
- ZLMJMSJWJFRBEC-UHFFFAOYSA-N Potassium Chemical compound [K] ZLMJMSJWJFRBEC-UHFFFAOYSA-N 0.000 description 3
- 108010086019 Secretin Proteins 0.000 description 3
- 102100037505 Secretin Human genes 0.000 description 3
- QAOWNCQODCNURD-UHFFFAOYSA-L Sulfate Chemical compound [O-]S([O-])(=O)=O QAOWNCQODCNURD-UHFFFAOYSA-L 0.000 description 3
- 230000002159 abnormal effect Effects 0.000 description 3
- 239000004480 active ingredient Substances 0.000 description 3
- 125000002015 acyclic group Chemical group 0.000 description 3
- 150000001299 aldehydes Chemical class 0.000 description 3
- 150000003973 alkyl amines Chemical class 0.000 description 3
- 229940045714 alkyl sulfonate alkylating agent Drugs 0.000 description 3
- 150000008052 alkyl sulfonates Chemical class 0.000 description 3
- 150000008064 anhydrides Chemical class 0.000 description 3
- 125000006615 aromatic heterocyclic group Chemical group 0.000 description 3
- 125000002102 aryl alkyloxo group Chemical group 0.000 description 3
- 210000001815 ascending colon Anatomy 0.000 description 3
- 230000001174 ascending effect Effects 0.000 description 3
- 230000004071 biological effect Effects 0.000 description 3
- 230000015556 catabolic process Effects 0.000 description 3
- 229920001577 copolymer Polymers 0.000 description 3
- 229930182912 cyclosporin Natural products 0.000 description 3
- KXGVEGMKQFWNSR-LLQZFEROSA-N deoxycholic acid Chemical compound C([C@H]1CC2)[C@H](O)CC[C@]1(C)[C@@H]1[C@@H]2[C@@H]2CC[C@H]([C@@H](CCC(O)=O)C)[C@@]2(C)[C@@H](O)C1 KXGVEGMKQFWNSR-LLQZFEROSA-N 0.000 description 3
- 239000003599 detergent Substances 0.000 description 3
- 238000011161 development Methods 0.000 description 3
- 230000018109 developmental process Effects 0.000 description 3
- 230000000378 dietary effect Effects 0.000 description 3
- 210000001842 enterocyte Anatomy 0.000 description 3
- 230000010235 enterohepatic circulation Effects 0.000 description 3
- 150000002170 ethers Chemical class 0.000 description 3
- 230000004761 fibrosis Effects 0.000 description 3
- 230000037406 food intake Effects 0.000 description 3
- GHCZAUBVMUEKKP-GYPHWSFCSA-N glycochenodeoxycholic acid Chemical compound C([C@H]1C[C@H]2O)[C@H](O)CC[C@]1(C)[C@@H]1[C@@H]2[C@@H]2CC[C@H]([C@@H](CCC(=O)NCC(O)=O)C)[C@@]2(C)CC1 GHCZAUBVMUEKKP-GYPHWSFCSA-N 0.000 description 3
- 125000004438 haloalkoxy group Chemical group 0.000 description 3
- 229960000930 hydroxyzine Drugs 0.000 description 3
- ZQDWXGKKHFNSQK-UHFFFAOYSA-N hydroxyzine Chemical compound C1CN(CCOCCO)CCN1C(C=1C=CC(Cl)=CC=1)C1=CC=CC=C1 ZQDWXGKKHFNSQK-UHFFFAOYSA-N 0.000 description 3
- 230000005764 inhibitory process Effects 0.000 description 3
- 125000000959 isobutyl group Chemical group [H]C([H])([H])C([H])(C([H])([H])[H])C([H])([H])* 0.000 description 3
- 210000000265 leukocyte Anatomy 0.000 description 3
- 230000001071 malnutrition Effects 0.000 description 3
- 235000000824 malnutrition Nutrition 0.000 description 3
- 229940057917 medium chain triglycerides Drugs 0.000 description 3
- 230000002503 metabolic effect Effects 0.000 description 3
- 208000015380 nutritional deficiency disease Diseases 0.000 description 3
- 239000002245 particle Substances 0.000 description 3
- 239000000546 pharmaceutical excipient Substances 0.000 description 3
- DDBREPKUVSBGFI-UHFFFAOYSA-N phenobarbital Chemical compound C=1C=CC=CC=1C1(CC)C(=O)NC(=O)NC1=O DDBREPKUVSBGFI-UHFFFAOYSA-N 0.000 description 3
- 229940068196 placebo Drugs 0.000 description 3
- 239000000902 placebo Substances 0.000 description 3
- 125000003367 polycyclic group Chemical group 0.000 description 3
- 210000003240 portal vein Anatomy 0.000 description 3
- 229910052700 potassium Inorganic materials 0.000 description 3
- 239000011591 potassium Substances 0.000 description 3
- 229960003975 potassium Drugs 0.000 description 3
- 230000002265 prevention Effects 0.000 description 3
- 239000000047 product Substances 0.000 description 3
- 108010043671 prostatic acid phosphatase Proteins 0.000 description 3
- 230000001681 protective effect Effects 0.000 description 3
- 125000002943 quinolinyl group Chemical group N1=C(C=CC2=CC=CC=C12)* 0.000 description 3
- 150000003254 radicals Chemical class 0.000 description 3
- 230000009467 reduction Effects 0.000 description 3
- 229960002101 secretin Drugs 0.000 description 3
- OWMZNFCDEHGFEP-NFBCVYDUSA-N secretin human Chemical compound C([C@@H](C(=O)N[C@H](C(=O)N[C@@H](CO)C(=O)N[C@@H](CCC(O)=O)C(=O)N[C@@H](CC(C)C)C(=O)N[C@@H](CO)C(=O)N[C@@H](CCCNC(N)=N)C(=O)N[C@@H](CC(C)C)C(=O)N[C@@H](CCCNC(N)=N)C(=O)N[C@@H](CCC(O)=O)C(=O)NCC(=O)N[C@@H](C)C(=O)N[C@@H](CCCNC(N)=N)C(=O)N[C@@H](CC(C)C)C(=O)N[C@@H](CCC(N)=O)C(=O)N[C@@H](CCCNC(N)=N)C(=O)N[C@@H](CC(C)C)C(=O)N[C@@H](CC(C)C)C(=O)N[C@@H](CCC(N)=O)C(=O)NCC(=O)N[C@@H](CC(C)C)C(=O)N[C@@H](C(C)C)C(N)=O)[C@@H](C)O)NC(=O)[C@@H](NC(=O)CNC(=O)[C@H](CC(O)=O)NC(=O)[C@H](CO)NC(=O)[C@@H](N)CC=1NC=NC=1)[C@@H](C)O)C1=CC=CC=C1 OWMZNFCDEHGFEP-NFBCVYDUSA-N 0.000 description 3
- 239000003352 sequestering agent Substances 0.000 description 3
- 239000000126 substance Substances 0.000 description 3
- 239000011593 sulfur Chemical group 0.000 description 3
- BHTRKEVKTKCXOH-LBSADWJPSA-N tauroursodeoxycholic acid Chemical compound C([C@H]1C[C@@H]2O)[C@H](O)CC[C@]1(C)[C@@H]1[C@@H]2[C@@H]2CC[C@H]([C@@H](CCC(=O)NCCS(O)(=O)=O)C)[C@@]2(C)CC1 BHTRKEVKTKCXOH-LBSADWJPSA-N 0.000 description 3
- 125000000335 thiazolyl group Chemical group 0.000 description 3
- 210000003384 transverse colon Anatomy 0.000 description 3
- 150000003710 vitamin D derivatives Chemical class 0.000 description 3
- 229940046009 vitamin E Drugs 0.000 description 3
- 150000003721 vitamin K derivatives Chemical class 0.000 description 3
- 229940045997 vitamin a Drugs 0.000 description 3
- 229940046008 vitamin d Drugs 0.000 description 3
- 229940046010 vitamin k Drugs 0.000 description 3
- VRHOEJBXKXQDQB-SWIBWIMJSA-M (4r,5r)-5-[4-[4-(1-aza-4-azoniabicyclo[2.2.2]octan-4-yl)butoxy]phenyl]-3,3-dibutyl-7-(dimethylamino)-1,1-dioxo-4,5-dihydro-2h-1$l^{6}-benzothiepin-4-ol;methanesulfonate Chemical compound CS([O-])(=O)=O.O[C@H]1C(CCCC)(CCCC)CS(=O)(=O)C2=CC=C(N(C)C)C=C2[C@H]1C(C=C1)=CC=C1OCCCC[N+]1(CC2)CCN2CC1 VRHOEJBXKXQDQB-SWIBWIMJSA-M 0.000 description 2
- 125000006552 (C3-C8) cycloalkyl group Chemical group 0.000 description 2
- 125000003088 (fluoren-9-ylmethoxy)carbonyl group Chemical group 0.000 description 2
- VTAKZNRDSPNOAU-UHFFFAOYSA-M 2-(chloromethyl)oxirane;hydron;prop-2-en-1-amine;n-prop-2-enyldecan-1-amine;trimethyl-[6-(prop-2-enylamino)hexyl]azanium;dichloride Chemical compound Cl.[Cl-].NCC=C.ClCC1CO1.CCCCCCCCCCNCC=C.C[N+](C)(C)CCCCCCNCC=C VTAKZNRDSPNOAU-UHFFFAOYSA-M 0.000 description 2
- 102100033350 ATP-dependent translocase ABCB1 Human genes 0.000 description 2
- 108010088751 Albumins Proteins 0.000 description 2
- 102000009027 Albumins Human genes 0.000 description 2
- VVJKKWFAADXIJK-UHFFFAOYSA-N Allylamine Chemical compound NCC=C VVJKKWFAADXIJK-UHFFFAOYSA-N 0.000 description 2
- 206010059199 Anterior chamber cleavage syndrome Diseases 0.000 description 2
- BVKZGUZCCUSVTD-UHFFFAOYSA-M Bicarbonate Chemical compound OC([O-])=O BVKZGUZCCUSVTD-UHFFFAOYSA-M 0.000 description 2
- 229920001661 Chitosan Polymers 0.000 description 2
- CYQFCXCEBYINGO-DLBZAZTESA-N Dronabinol Natural products C1=C(C)CC[C@H]2C(C)(C)OC3=CC(CCCCC)=CC(O)=C3[C@H]21 CYQFCXCEBYINGO-DLBZAZTESA-N 0.000 description 2
- 108010035713 Glycodeoxycholic Acid Proteins 0.000 description 2
- WVULKSPCQVQLCU-UHFFFAOYSA-N Glycodeoxycholic acid Natural products C1CC2CC(O)CCC2(C)C2C1C1CCC(C(CCC(=O)NCC(O)=O)C)C1(C)C(O)C2 WVULKSPCQVQLCU-UHFFFAOYSA-N 0.000 description 2
- SMEROWZSTRWXGI-UHFFFAOYSA-N Lithocholsaeure Natural products C1CC2CC(O)CCC2(C)C2C1C1CCC(C(CCC(O)=O)C)C1(C)CC2 SMEROWZSTRWXGI-UHFFFAOYSA-N 0.000 description 2
- 102000003697 P-type ATPases Human genes 0.000 description 2
- 108090000069 P-type ATPases Proteins 0.000 description 2
- BHHGXPLMPWCGHP-UHFFFAOYSA-N Phenethylamine Chemical compound NCCC1=CC=CC=C1 BHHGXPLMPWCGHP-UHFFFAOYSA-N 0.000 description 2
- 239000002202 Polyethylene glycol Substances 0.000 description 2
- 208000017855 Progressive familial intrahepatic cholestasis type 1 Diseases 0.000 description 2
- 208000012619 Progressive familial intrahepatic cholestasis type 3 Diseases 0.000 description 2
- JUJWROOIHBZHMG-UHFFFAOYSA-N Pyridine Chemical compound C1=CC=NC=C1 JUJWROOIHBZHMG-UHFFFAOYSA-N 0.000 description 2
- CYQFCXCEBYINGO-UHFFFAOYSA-N THC Natural products C1=C(C)CCC2C(C)(C)OC3=CC(CCCCC)=CC(O)=C3C21 CYQFCXCEBYINGO-UHFFFAOYSA-N 0.000 description 2
- 102000003929 Transaminases Human genes 0.000 description 2
- 108090000340 Transaminases Proteins 0.000 description 2
- HCHKCACWOHOZIP-UHFFFAOYSA-N Zinc Chemical compound [Zn] HCHKCACWOHOZIP-UHFFFAOYSA-N 0.000 description 2
- 230000009471 action Effects 0.000 description 2
- 239000013543 active substance Substances 0.000 description 2
- 150000001266 acyl halides Chemical class 0.000 description 2
- 125000003282 alkyl amino group Chemical group 0.000 description 2
- 125000005907 alkyl ester group Chemical group 0.000 description 2
- 238000004458 analytical method Methods 0.000 description 2
- 125000000129 anionic group Chemical group 0.000 description 2
- 239000000739 antihistaminic agent Substances 0.000 description 2
- 238000013459 approach Methods 0.000 description 2
- 150000001502 aryl halides Chemical class 0.000 description 2
- 125000005362 aryl sulfone group Chemical group 0.000 description 2
- 125000005361 aryl sulfoxide group Chemical group 0.000 description 2
- 125000005110 aryl thio group Chemical group 0.000 description 2
- 125000004104 aryloxy group Chemical group 0.000 description 2
- 125000002393 azetidinyl group Chemical group 0.000 description 2
- 125000004069 aziridinyl group Chemical group 0.000 description 2
- 230000009286 beneficial effect Effects 0.000 description 2
- 125000005605 benzo group Chemical group 0.000 description 2
- 125000001164 benzothiazolyl group Chemical group S1C(=NC2=C1C=CC=C2)* 0.000 description 2
- 125000004541 benzoxazolyl group Chemical group O1C(=NC2=C1C=CC=C2)* 0.000 description 2
- 239000003858 bile acid conjugate Substances 0.000 description 2
- 210000000741 bile canaliculi Anatomy 0.000 description 2
- 208000027119 bilirubin metabolic disease Diseases 0.000 description 2
- 230000000903 blocking effect Effects 0.000 description 2
- 125000000484 butyl group Chemical group [H]C([*])([H])C([H])([H])C([H])([H])C([H])([H])[H] 0.000 description 2
- 239000003554 cannabinoid 1 receptor agonist Substances 0.000 description 2
- 239000002775 capsule Substances 0.000 description 2
- 239000003153 chemical reaction reagent Substances 0.000 description 2
- 229940099352 cholate Drugs 0.000 description 2
- 230000000112 colonic effect Effects 0.000 description 2
- 238000011284 combination treatment Methods 0.000 description 2
- 239000000470 constituent Substances 0.000 description 2
- 230000008602 contraction Effects 0.000 description 2
- 125000001995 cyclobutyl group Chemical group [H]C1([H])C([H])([H])C([H])(*)C1([H])[H] 0.000 description 2
- 229940097362 cyclodextrins Drugs 0.000 description 2
- 125000000113 cyclohexyl group Chemical group [H]C1([H])C([H])([H])C([H])([H])C([H])(*)C([H])([H])C1([H])[H] 0.000 description 2
- 125000001511 cyclopentyl group Chemical group [H]C1([H])C([H])([H])C([H])([H])C([H])(*)C1([H])[H] 0.000 description 2
- 125000001559 cyclopropyl group Chemical group [H]C1([H])C([H])([H])C1([H])* 0.000 description 2
- 230000002950 deficient Effects 0.000 description 2
- 230000006735 deficit Effects 0.000 description 2
- 238000006731 degradation reaction Methods 0.000 description 2
- CYQFCXCEBYINGO-IAGOWNOFSA-N delta1-THC Chemical compound C1=C(C)CC[C@H]2C(C)(C)OC3=CC(CCCCC)=CC(O)=C3[C@@H]21 CYQFCXCEBYINGO-IAGOWNOFSA-N 0.000 description 2
- 229940009976 deoxycholate Drugs 0.000 description 2
- 235000013367 dietary fats Nutrition 0.000 description 2
- 125000004852 dihydrofuranyl group Chemical group O1C(CC=C1)* 0.000 description 2
- 125000005043 dihydropyranyl group Chemical group O1C(CCC=C1)* 0.000 description 2
- 229960004242 dronabinol Drugs 0.000 description 2
- 230000008030 elimination Effects 0.000 description 2
- 238000003379 elimination reaction Methods 0.000 description 2
- XFLQIRAKKLNXRQ-UUWRZZSWSA-N elobixibat Chemical compound C12=CC(SC)=C(OCC(=O)N[C@@H](C(=O)NCC(O)=O)C=3C=CC=CC=3)C=C2S(=O)(=O)CC(CCCC)(CCCC)CN1C1=CC=CC=C1 XFLQIRAKKLNXRQ-UUWRZZSWSA-N 0.000 description 2
- 238000004945 emulsification Methods 0.000 description 2
- 238000009505 enteric coating Methods 0.000 description 2
- 239000002702 enteric coating Substances 0.000 description 2
- 230000002255 enzymatic effect Effects 0.000 description 2
- 230000008029 eradication Effects 0.000 description 2
- HHFAWKCIHAUFRX-UHFFFAOYSA-N ethoxide Chemical compound CC[O-] HHFAWKCIHAUFRX-UHFFFAOYSA-N 0.000 description 2
- 230000003203 everyday effect Effects 0.000 description 2
- 230000029142 excretion Effects 0.000 description 2
- 230000001605 fetal effect Effects 0.000 description 2
- 125000003709 fluoroalkyl group Chemical group 0.000 description 2
- 235000013305 food Nutrition 0.000 description 2
- 125000002541 furyl group Chemical group 0.000 description 2
- 230000002496 gastric effect Effects 0.000 description 2
- 230000009395 genetic defect Effects 0.000 description 2
- WVULKSPCQVQLCU-BUXLTGKBSA-N glycodeoxycholic acid Chemical compound C([C@H]1CC2)[C@H](O)CC[C@]1(C)[C@@H]1[C@@H]2[C@@H]2CC[C@H]([C@@H](CCC(=O)NCC(O)=O)C)[C@@]2(C)[C@@H](O)C1 WVULKSPCQVQLCU-BUXLTGKBSA-N 0.000 description 2
- 125000004051 hexyl group Chemical group [H]C([H])([H])C([H])([H])C([H])([H])C([H])([H])C([H])([H])C([H])([H])* 0.000 description 2
- 210000003917 human chromosome Anatomy 0.000 description 2
- 150000002429 hydrazines Chemical class 0.000 description 2
- 238000007327 hydrogenolysis reaction Methods 0.000 description 2
- 208000036796 hyperbilirubinemia Diseases 0.000 description 2
- 125000002883 imidazolyl group Chemical group 0.000 description 2
- 125000001041 indolyl group Chemical group 0.000 description 2
- 208000037817 intestinal injury Diseases 0.000 description 2
- 238000001990 intravenous administration Methods 0.000 description 2
- 239000012948 isocyanate Substances 0.000 description 2
- 150000002513 isocyanates Chemical class 0.000 description 2
- 125000001449 isopropyl group Chemical group [H]C([H])([H])C([H])(*)C([H])([H])[H] 0.000 description 2
- 125000002183 isoquinolinyl group Chemical group C1(=NC=CC2=CC=CC=C12)* 0.000 description 2
- 125000001786 isothiazolyl group Chemical group 0.000 description 2
- 125000000842 isoxazolyl group Chemical group 0.000 description 2
- 210000001630 jejunum Anatomy 0.000 description 2
- 150000002576 ketones Chemical class 0.000 description 2
- 229920005610 lignin Polymers 0.000 description 2
- 210000005229 liver cell Anatomy 0.000 description 2
- 230000003908 liver function Effects 0.000 description 2
- 238000011866 long-term treatment Methods 0.000 description 2
- 230000014759 maintenance of location Effects 0.000 description 2
- 238000004519 manufacturing process Methods 0.000 description 2
- 235000012054 meals Nutrition 0.000 description 2
- 230000007246 mechanism Effects 0.000 description 2
- 125000000956 methoxy group Chemical group [H]C([H])([H])O* 0.000 description 2
- 239000000693 micelle Substances 0.000 description 2
- 230000004048 modification Effects 0.000 description 2
- 238000012986 modification Methods 0.000 description 2
- 230000003232 mucoadhesive effect Effects 0.000 description 2
- LNLNLJFTSXTELN-TVKRVUGASA-N n-[2-[(1s,2r,3s)-3-hydroxy-3-phenyl-2-pyridin-2-yl-1-(pyridin-2-ylamino)propyl]phenyl]-11-[[(2r,3s,4r,5r)-2,3,4,5,6-pentahydroxyhexanoyl]amino]undecanamide Chemical compound OC[C@@H](O)[C@@H](O)[C@H](O)[C@@H](O)C(=O)NCCCCCCCCCCC(=O)NC1=CC=CC=C1[C@H]([C@@H]([C@H](O)C=1C=CC=CC=1)C=1N=CC=CC=1)NC1=CC=CC=N1 LNLNLJFTSXTELN-TVKRVUGASA-N 0.000 description 2
- WOQRXFBBHJZKOC-RDVQCKJUSA-N n-[3-[(3s,4r,5r)-3-butyl-7-(dimethylamino)-3-ethyl-4-hydroxy-1,1-dioxo-4,5-dihydro-2h-1$l^{6}-benzothiepin-5-yl]phenyl]-5-[[(2s,3r,4r,5r)-2,3,4,5,6-pentahydroxyhexyl]amino]pentanamide Chemical compound C1([C@@H]2C3=CC(=CC=C3S(=O)(=O)C[C@@]([C@@H]2O)(CC)CCCC)N(C)C)=CC=CC(NC(=O)CCCCNC[C@H](O)[C@@H](O)[C@H](O)[C@H](O)CO)=C1 WOQRXFBBHJZKOC-RDVQCKJUSA-N 0.000 description 2
- 125000000740 n-pentyl group Chemical group [H]C([H])([H])C([H])([H])C([H])([H])C([H])([H])C([H])([H])* 0.000 description 2
- 125000001624 naphthyl group Chemical group 0.000 description 2
- 125000000449 nitro group Chemical group [O-][N+](*)=O 0.000 description 2
- 231100000252 nontoxic Toxicity 0.000 description 2
- 230000003000 nontoxic effect Effects 0.000 description 2
- 235000015097 nutrients Nutrition 0.000 description 2
- 239000006186 oral dosage form Substances 0.000 description 2
- 210000000056 organ Anatomy 0.000 description 2
- 125000002971 oxazolyl group Chemical group 0.000 description 2
- 150000002924 oxiranes Chemical class 0.000 description 2
- 230000036961 partial effect Effects 0.000 description 2
- 230000037361 pathway Effects 0.000 description 2
- 125000001147 pentyl group Chemical group C(CCCC)* 0.000 description 2
- 230000009984 peri-natal effect Effects 0.000 description 2
- 230000003836 peripheral circulation Effects 0.000 description 2
- 229960002695 phenobarbital Drugs 0.000 description 2
- 230000035479 physiological effects, processes and functions Effects 0.000 description 2
- 125000004193 piperazinyl group Chemical group 0.000 description 2
- 229920001223 polyethylene glycol Polymers 0.000 description 2
- 230000000291 postprandial effect Effects 0.000 description 2
- 238000002360 preparation method Methods 0.000 description 2
- 108700005579 progressive familial intrahepatic 3 Cholestasis Proteins 0.000 description 2
- 230000035755 proliferation Effects 0.000 description 2
- 230000000069 prophylactic effect Effects 0.000 description 2
- 125000003226 pyrazolyl group Chemical group 0.000 description 2
- 125000000714 pyrimidinyl group Chemical group 0.000 description 2
- 125000000168 pyrrolyl group Chemical group 0.000 description 2
- 125000001567 quinoxalinyl group Chemical group N1=C(C=NC2=CC=CC=C12)* 0.000 description 2
- 230000000306 recurrent effect Effects 0.000 description 2
- 125000006413 ring segment Chemical group 0.000 description 2
- 210000001599 sigmoid colon Anatomy 0.000 description 2
- 210000003491 skin Anatomy 0.000 description 2
- 230000007480 spreading Effects 0.000 description 2
- 238000003892 spreading Methods 0.000 description 2
- 150000003461 sulfonyl halides Chemical class 0.000 description 2
- 229910021653 sulphate ion Inorganic materials 0.000 description 2
- 239000000829 suppository Substances 0.000 description 2
- 239000003826 tablet Substances 0.000 description 2
- 230000008685 targeting Effects 0.000 description 2
- AWDRATDZQPNJFN-VAYUFCLWSA-N taurodeoxycholic acid Chemical compound C([C@H]1CC2)[C@H](O)CC[C@]1(C)[C@@H]1[C@@H]2[C@@H]2CC[C@H]([C@@H](CCC(=O)NCCS(O)(=O)=O)C)[C@@]2(C)[C@@H](O)C1 AWDRATDZQPNJFN-VAYUFCLWSA-N 0.000 description 2
- XBXCNNQPRYLIDE-UHFFFAOYSA-N tert-butylcarbamic acid Chemical group CC(C)(C)NC(O)=O XBXCNNQPRYLIDE-UHFFFAOYSA-N 0.000 description 2
- 229940124597 therapeutic agent Drugs 0.000 description 2
- 125000001544 thienyl group Chemical group 0.000 description 2
- ZMZDMBWJUHKJPS-UHFFFAOYSA-N thiocyanic acid Chemical compound SC#N ZMZDMBWJUHKJPS-UHFFFAOYSA-N 0.000 description 2
- 210000001519 tissue Anatomy 0.000 description 2
- VZCYOOQTPOCHFL-UHFFFAOYSA-N trans-butenedioic acid Natural products OC(=O)C=CC(O)=O VZCYOOQTPOCHFL-UHFFFAOYSA-N 0.000 description 2
- 125000001425 triazolyl group Chemical group 0.000 description 2
- BHQCQFFYRZLCQQ-UTLSPDKDSA-N ursocholic acid Chemical compound C([C@H]1C[C@@H]2O)[C@H](O)CC[C@]1(C)[C@@H]1[C@@H]2[C@@H]2CC[C@H]([C@@H](CCC(O)=O)C)[C@@]2(C)[C@@H](O)C1 BHQCQFFYRZLCQQ-UTLSPDKDSA-N 0.000 description 2
- 239000003981 vehicle Substances 0.000 description 2
- 235000019155 vitamin A Nutrition 0.000 description 2
- 235000019166 vitamin D Nutrition 0.000 description 2
- 235000019165 vitamin E Nutrition 0.000 description 2
- 235000019168 vitamin K Nutrition 0.000 description 2
- 235000019195 vitamin supplement Nutrition 0.000 description 2
- XLYOFNOQVPJJNP-UHFFFAOYSA-N water Substances O XLYOFNOQVPJJNP-UHFFFAOYSA-N 0.000 description 2
- 239000000080 wetting agent Substances 0.000 description 2
- 239000011701 zinc Substances 0.000 description 2
- 229910052725 zinc Inorganic materials 0.000 description 2
- 238000013293 zucker diabetic fatty rat Methods 0.000 description 2
- ACFGDQMXVTYUCQ-UHFFFAOYSA-N (3,3-diethyl-1,1-dioxo-5-phenyl-4,5-dihydro-2h-1$l^{6},4-benzothiazepin-8-yl) hydrogen sulfate Chemical compound N1C(CC)(CC)CS(=O)(=O)C2=CC(OS(O)(=O)=O)=CC=C2C1C1=CC=CC=C1 ACFGDQMXVTYUCQ-UHFFFAOYSA-N 0.000 description 1
- WCGUUGGRBIKTOS-GPOJBZKASA-N (3beta)-3-hydroxyurs-12-en-28-oic acid Chemical compound C1C[C@H](O)C(C)(C)[C@@H]2CC[C@@]3(C)[C@]4(C)CC[C@@]5(C(O)=O)CC[C@@H](C)[C@H](C)[C@H]5C4=CC[C@@H]3[C@]21C WCGUUGGRBIKTOS-GPOJBZKASA-N 0.000 description 1
- GZYAYJSYQMGXEG-NHCUHLMSSA-N (3r,5r)-3-butyl-3-ethyl-1,1-dioxo-5-phenyl-4,5-dihydro-2h-1$l^{6},4-benzothiazepine-7,8-diol Chemical compound C1([C@@H]2C3=CC(O)=C(O)C=C3S(=O)(=O)C[C@@](N2)(CC)CCCC)=CC=CC=C1 GZYAYJSYQMGXEG-NHCUHLMSSA-N 0.000 description 1
- FNVGDCHCNYDTNB-NHCUHLMSSA-N (3r,5r)-3-butyl-3-ethyl-4-hydroxy-1,1-dioxo-5-phenyl-2,5-dihydro-1$l^{6},4-benzothiazepine-7,8-diol Chemical compound C1([C@@H]2C3=CC(O)=C(O)C=C3S(=O)(=O)C[C@@](N2O)(CC)CCCC)=CC=CC=C1 FNVGDCHCNYDTNB-NHCUHLMSSA-N 0.000 description 1
- LMKTUSIIFPZDCU-DHIUTWEWSA-N (3r,5r)-3-butyl-3-ethyl-4-hydroxy-7,8-dimethoxy-5-phenyl-2,5-dihydro-1$l^{6},4-benzothiazepine 1,1-dioxide Chemical compound C1([C@@H]2C3=CC(OC)=C(OC)C=C3S(=O)(=O)C[C@@](N2O)(CC)CCCC)=CC=CC=C1 LMKTUSIIFPZDCU-DHIUTWEWSA-N 0.000 description 1
- NLCSQMQPMRVENI-FGZHOGPDSA-N (3r,5r)-3-butyl-3-ethyl-7-methoxy-1,1-dioxo-5-phenyl-4,5-dihydro-2h-1$l^{6},4-benzothiazepin-8-ol Chemical compound C1([C@@H]2C3=CC(OC)=C(O)C=C3S(=O)(=O)C[C@@](N2)(CC)CCCC)=CC=CC=C1 NLCSQMQPMRVENI-FGZHOGPDSA-N 0.000 description 1
- TWOIQRCUTTZFTJ-FGZHOGPDSA-N (3r,5r)-3-butyl-3-ethyl-8-methoxy-1,1-dioxo-5-phenyl-4,5-dihydro-2h-1$l^{6},4-benzothiazepin-7-ol Chemical compound C1([C@@H]2C3=CC(O)=C(OC)C=C3S(=O)(=O)C[C@@](N2)(CC)CCCC)=CC=CC=C1 TWOIQRCUTTZFTJ-FGZHOGPDSA-N 0.000 description 1
- BYXNIXWNXSNWOH-WZONZLPQSA-N (3r,5r)-3-butyl-7,8-diethoxy-5-phenyl-2,3,4,5-tetrahydro-1$l^{6},4-benzothiazepine 1,1-dioxide Chemical compound C1([C@@H]2C3=CC(OCC)=C(OCC)C=C3S(=O)(=O)C[C@H](N2)CCCC)=CC=CC=C1 BYXNIXWNXSNWOH-WZONZLPQSA-N 0.000 description 1
- DLWMHLNMYDSEEI-FGZHOGPDSA-N (3r,5r)-7-bromo-3-butyl-3-ethyl-8-methoxy-5-phenyl-4,5-dihydro-2h-1$l^{6},4-benzothiazepine 1,1-dioxide Chemical compound C1([C@@H]2C3=CC(Br)=C(OC)C=C3S(=O)(=O)C[C@@](N2)(CC)CCCC)=CC=CC=C1 DLWMHLNMYDSEEI-FGZHOGPDSA-N 0.000 description 1
- MIJYXULNPSFWEK-LGSDIRQTSA-N (4as,6as,6br,10r,12ar)-10-hydroxy-2,2,6a,6b,9,9,12a-heptamethyl-1,3,4,5,6,6a,7,8,8a,10,11,12,13,14b-tetradecahydropicene-4a-carboxylic acid Chemical compound C1C[C@@H](O)C(C)(C)C2CC[C@@]3(C)[C@]4(C)CC[C@@]5(C(O)=O)CCC(C)(C)CC5C4=CCC3[C@]21C MIJYXULNPSFWEK-LGSDIRQTSA-N 0.000 description 1
- XBZYWSMVVKYHQN-MYPRUECHSA-N (4as,6as,6br,8ar,9r,10s,12ar,12br,14bs)-10-hydroxy-2,2,6a,6b,9,12a-hexamethyl-9-[(sulfooxy)methyl]-1,2,3,4,4a,5,6,6a,6b,7,8,8a,9,10,11,12,12a,12b,13,14b-icosahydropicene-4a-carboxylic acid Chemical compound C1C[C@H](O)[C@@](C)(COS(O)(=O)=O)[C@@H]2CC[C@@]3(C)[C@]4(C)CC[C@@]5(C(O)=O)CCC(C)(C)C[C@H]5C4=CC[C@@H]3[C@]21C XBZYWSMVVKYHQN-MYPRUECHSA-N 0.000 description 1
- 125000006832 (C1-C10) alkylene group Chemical group 0.000 description 1
- 125000004890 (C1-C6) alkylamino group Chemical group 0.000 description 1
- 125000003161 (C1-C6) alkylene group Chemical group 0.000 description 1
- 125000006700 (C1-C6) alkylthio group Chemical group 0.000 description 1
- 125000002733 (C1-C6) fluoroalkyl group Chemical group 0.000 description 1
- 125000000171 (C1-C6) haloalkyl group Chemical group 0.000 description 1
- 125000006716 (C1-C6) heteroalkyl group Chemical group 0.000 description 1
- CICPSCXBPAGDJY-UHFFFAOYSA-N 1,2,5-benzothiadiazepine Chemical class S1N=CC=NC2=CC=CC=C12 CICPSCXBPAGDJY-UHFFFAOYSA-N 0.000 description 1
- FHGWEHGZBUBQKL-UHFFFAOYSA-N 1,2-benzothiazepine Chemical class S1N=CC=CC2=CC=CC=C12 FHGWEHGZBUBQKL-UHFFFAOYSA-N 0.000 description 1
- SLKDGVPOSSLUAI-PGUFJCEWSA-N 1,2-dihexadecanoyl-sn-glycero-3-phosphoethanolamine zwitterion Chemical compound CCCCCCCCCCCCCCCC(=O)OC[C@H](COP(O)(=O)OCCN)OC(=O)CCCCCCCCCCCCCCC SLKDGVPOSSLUAI-PGUFJCEWSA-N 0.000 description 1
- TZCPCKNHXULUIY-RGULYWFUSA-N 1,2-distearoyl-sn-glycero-3-phosphoserine Chemical compound CCCCCCCCCCCCCCCCCC(=O)OC[C@H](COP(O)(=O)OC[C@H](N)C(O)=O)OC(=O)CCCCCCCCCCCCCCCCC TZCPCKNHXULUIY-RGULYWFUSA-N 0.000 description 1
- JPRPJUMQRZTTED-UHFFFAOYSA-N 1,3-dioxolanyl Chemical group [CH]1OCCO1 JPRPJUMQRZTTED-UHFFFAOYSA-N 0.000 description 1
- KYVHGCKMVJDCNV-UHFFFAOYSA-N 1,4-benzothiazepine Chemical class S1C=CN=CC2=CC=CC=C12 KYVHGCKMVJDCNV-UHFFFAOYSA-N 0.000 description 1
- KJFRSZASZNLCDF-UHFFFAOYSA-N 1,5-benzothiazepine Chemical class S1C=CC=NC2=CC=CC=C12 KJFRSZASZNLCDF-UHFFFAOYSA-N 0.000 description 1
- JXOSPTBRSOYXGC-UHFFFAOYSA-N 1-Chloro-4-iodobutane Chemical compound ClCCCCI JXOSPTBRSOYXGC-UHFFFAOYSA-N 0.000 description 1
- NIGNBCLEMMGDQP-UHFFFAOYSA-N 1-benzothiepine Chemical class S1C=CC=CC2=CC=CC=C12 NIGNBCLEMMGDQP-UHFFFAOYSA-N 0.000 description 1
- FPIPGXGPPPQFEQ-UHFFFAOYSA-N 13-cis retinol Natural products OCC=C(C)C=CC=C(C)C=CC1=C(C)CCCC1(C)C FPIPGXGPPPQFEQ-UHFFFAOYSA-N 0.000 description 1
- TZSDMELQUACXIN-UHFFFAOYSA-N 2,3,4,5-tetrahydro-1$l^{6}-benzothiepine 1,1-dioxide Chemical group O=S1(=O)CCCCC2=CC=CC=C12 TZSDMELQUACXIN-UHFFFAOYSA-N 0.000 description 1
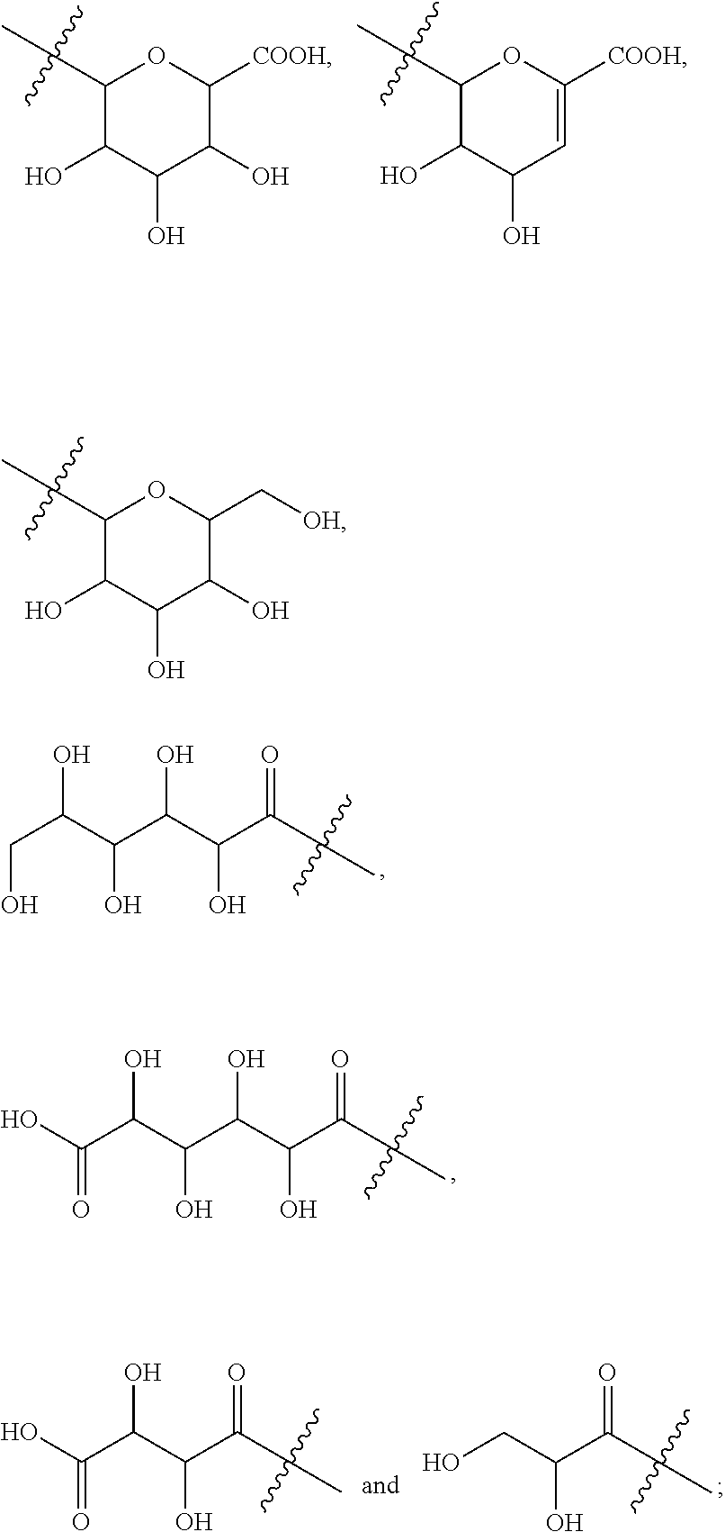
- GHCZAUBVMUEKKP-NHIHLBCISA-N 2-[[(4R)-4-[(3R,5S,7S,10S,13R,17R)-3,7-Dihydroxy-10,13-dimethyl-2,3,4,5,6,7,8,9,11,12,14,15,16,17-tetradecahydro-1H-cyclopenta[a]phenanthren-17-yl]pentanoyl]amino]acetic acid Chemical compound C([C@H]1C[C@@H]2O)[C@H](O)CC[C@]1(C)C1C2C2CC[C@H]([C@@H](CCC(=O)NCC(O)=O)C)[C@@]2(C)CC1 GHCZAUBVMUEKKP-NHIHLBCISA-N 0.000 description 1
- 125000000094 2-phenylethyl group Chemical group [H]C1=C([H])C([H])=C(C([H])=C1[H])C([H])([H])C([H])([H])* 0.000 description 1
- 125000001698 2H-pyranyl group Chemical group O1C(C=CC=C1)* 0.000 description 1
- 125000001627 3 membered heterocyclic group Chemical group 0.000 description 1
- VTSIDFMNNRNGHI-UHFFFAOYSA-N 3,3-dibutyl-1,1-dioxo-5-phenyl-4,5-dihydro-2h-1$l^{6},4-benzothiazepin-8-ol Chemical compound N1C(CCCC)(CCCC)CS(=O)(=O)C2=CC(O)=CC=C2C1C1=CC=CC=C1 VTSIDFMNNRNGHI-UHFFFAOYSA-N 0.000 description 1
- ZVLFOXFUZWSCJL-UHFFFAOYSA-N 3,3-diethyl-1,1-dioxo-5-phenyl-4,5-dihydro-2h-1$l^{6},4-benzothiazepin-8-ol Chemical compound N1C(CC)(CC)CS(=O)(=O)C2=CC(O)=CC=C2C1C1=CC=CC=C1 ZVLFOXFUZWSCJL-UHFFFAOYSA-N 0.000 description 1
- HFCFRZYWRIEMIT-UHFFFAOYSA-N 3,3-diethyl-4-hydroxy-7,8-dimethoxy-5-phenyl-2,5-dihydro-1$l^{6},4-benzothiazepine 1,1-dioxide Chemical compound ON1C(CC)(CC)CS(=O)(=O)C2=CC(OC)=C(OC)C=C2C1C1=CC=CC=C1 HFCFRZYWRIEMIT-UHFFFAOYSA-N 0.000 description 1
- XIAFGTCPGRIBAS-UHFFFAOYSA-N 3,3-diethyl-7,8-dimethoxy-5-phenyl-4,5-dihydro-2h-1$l^{6},4-benzothiazepine 1,1-dioxide Chemical compound N1C(CC)(CC)CS(=O)(=O)C2=CC(OC)=C(OC)C=C2C1C1=CC=CC=C1 XIAFGTCPGRIBAS-UHFFFAOYSA-N 0.000 description 1
- PZFKJLXCTGHOKS-UHFFFAOYSA-N 3,3-diethyl-7-methoxy-1,1-dioxo-5-phenyl-4,5-dihydro-2h-1$l^{6},4-benzothiazepin-8-ol Chemical compound N1C(CC)(CC)CS(=O)(=O)C2=CC(O)=C(OC)C=C2C1C1=CC=CC=C1 PZFKJLXCTGHOKS-UHFFFAOYSA-N 0.000 description 1
- PCPSLORJFHFVPJ-UHFFFAOYSA-N 3,3-diethyl-8-methoxy-5-phenyl-4,5-dihydro-2h-1$l^{6},4-benzothiazepine 1,1-dioxide Chemical compound N1C(CC)(CC)CS(=O)(=O)C2=CC(OC)=CC=C2C1C1=CC=CC=C1 PCPSLORJFHFVPJ-UHFFFAOYSA-N 0.000 description 1
- IGRCWJPBLWGNPX-UHFFFAOYSA-N 3-(2-chlorophenyl)-n-(4-chlorophenyl)-n,5-dimethyl-1,2-oxazole-4-carboxamide Chemical compound C=1C=C(Cl)C=CC=1N(C)C(=O)C1=C(C)ON=C1C1=CC=CC=C1Cl IGRCWJPBLWGNPX-UHFFFAOYSA-N 0.000 description 1
- FMIMFCRXYXVFTA-UHFFFAOYSA-N 3-Oxo-12-oleanen-28-oic acid Natural products C1CC(=O)C(C)(C)C2CCC3(C)C4(C)CCC5(C(O)=O)CCC(C)(C)CC5C4=CCC3C21C FMIMFCRXYXVFTA-UHFFFAOYSA-N 0.000 description 1
- RUWCWTXHTOBJIA-UHFFFAOYSA-N 3-butyl-3-ethyl-5-phenyl-4,5-dihydro-2h-1$l^{6},4-benzothiazepine 1,1-dioxide Chemical compound N1C(CCCC)(CC)CS(=O)(=O)C2=CC=CC=C2C1C1=CC=CC=C1 RUWCWTXHTOBJIA-UHFFFAOYSA-N 0.000 description 1
- 125000004364 3-pyrrolinyl group Chemical group [H]C1=C([H])C([H])([H])N(*)C1([H])[H] 0.000 description 1
- 125000001963 4 membered heterocyclic group Chemical group 0.000 description 1
- 125000001826 4H-pyranyl group Chemical group O1C(=CCC=C1)* 0.000 description 1
- 125000002373 5 membered heterocyclic group Chemical group 0.000 description 1
- 125000004070 6 membered heterocyclic group Chemical group 0.000 description 1
- KXPKWHNZKVLCRR-UHFFFAOYSA-N 6-aminopyrimidine-4-carboxylic acid Chemical compound NC1=CC(C(O)=O)=NC=N1 KXPKWHNZKVLCRR-UHFFFAOYSA-N 0.000 description 1
- HBAQYPYDRFILMT-UHFFFAOYSA-N 8-[3-(1-cyclopropylpyrazol-4-yl)-1H-pyrazolo[4,3-d]pyrimidin-5-yl]-3-methyl-3,8-diazabicyclo[3.2.1]octan-2-one Chemical class C1(CC1)N1N=CC(=C1)C1=NNC2=C1N=C(N=C2)N1C2C(N(CC1CC2)C)=O HBAQYPYDRFILMT-UHFFFAOYSA-N 0.000 description 1
- 206010000060 Abdominal distension Diseases 0.000 description 1
- QTBSBXVTEAMEQO-UHFFFAOYSA-M Acetate Chemical compound CC([O-])=O QTBSBXVTEAMEQO-UHFFFAOYSA-M 0.000 description 1
- 241000251468 Actinopterygii Species 0.000 description 1
- 241000233788 Arecaceae Species 0.000 description 1
- 206010003445 Ascites Diseases 0.000 description 1
- 208000028514 Axenfeld anomaly Diseases 0.000 description 1
- NOWKCMXCCJGMRR-UHFFFAOYSA-N Aziridine Chemical compound C1CN1 NOWKCMXCCJGMRR-UHFFFAOYSA-N 0.000 description 1
- 241000894006 Bacteria Species 0.000 description 1
- 241000283690 Bos taurus Species 0.000 description 1
- CPELXLSAUQHCOX-UHFFFAOYSA-M Bromide Chemical compound [Br-] CPELXLSAUQHCOX-UHFFFAOYSA-M 0.000 description 1
- FERIUCNNQQJTOY-UHFFFAOYSA-M Butyrate Chemical compound CCCC([O-])=O FERIUCNNQQJTOY-UHFFFAOYSA-M 0.000 description 1
- FERIUCNNQQJTOY-UHFFFAOYSA-N Butyric acid Natural products CCCC(O)=O FERIUCNNQQJTOY-UHFFFAOYSA-N 0.000 description 1
- OYPRJOBELJOOCE-UHFFFAOYSA-N Calcium Chemical compound [Ca] OYPRJOBELJOOCE-UHFFFAOYSA-N 0.000 description 1
- 241000282472 Canis lupus familiaris Species 0.000 description 1
- 241000283707 Capra Species 0.000 description 1
- 241000700198 Cavia Species 0.000 description 1
- 229920000623 Cellulose acetate phthalate Polymers 0.000 description 1
- 241000282693 Cercopithecidae Species 0.000 description 1
- VEXZGXHMUGYJMC-UHFFFAOYSA-M Chloride anion Chemical compound [Cl-] VEXZGXHMUGYJMC-UHFFFAOYSA-M 0.000 description 1
- 229940122502 Cholesterol absorption inhibitor Drugs 0.000 description 1
- 206010057573 Chronic hepatic failure Diseases 0.000 description 1
- KRKNYBCHXYNGOX-UHFFFAOYSA-K Citrate Chemical compound [O-]C(=O)CC(O)(CC([O-])=O)C([O-])=O KRKNYBCHXYNGOX-UHFFFAOYSA-K 0.000 description 1
- 229920002911 Colestipol Polymers 0.000 description 1
- 102100025892 Complement C1q tumor necrosis factor-related protein 1 Human genes 0.000 description 1
- 206010010356 Congenital anomaly Diseases 0.000 description 1
- RGHNJXZEOKUKBD-SQOUGZDYSA-M D-gluconate Chemical compound OC[C@@H](O)[C@@H](O)[C@H](O)[C@@H](O)C([O-])=O RGHNJXZEOKUKBD-SQOUGZDYSA-M 0.000 description 1
- FEWJPZIEWOKRBE-JCYAYHJZSA-N Dextrotartaric acid Chemical compound OC(=O)[C@H](O)[C@@H](O)C(O)=O FEWJPZIEWOKRBE-JCYAYHJZSA-N 0.000 description 1
- 208000010334 End Stage Liver Disease Diseases 0.000 description 1
- 208000037487 Endotoxemia Diseases 0.000 description 1
- 241000792859 Enema Species 0.000 description 1
- BRLQWZUYTZBJKN-UHFFFAOYSA-N Epichlorohydrin Chemical compound ClCC1CO1 BRLQWZUYTZBJKN-UHFFFAOYSA-N 0.000 description 1
- 241000283086 Equidae Species 0.000 description 1
- 241001125671 Eretmochelys imbricata Species 0.000 description 1
- 239000001116 FEMA 4028 Substances 0.000 description 1
- 208000023281 Fallot tetralogy Diseases 0.000 description 1
- 241000282326 Felis catus Species 0.000 description 1
- KRHYYFGTRYWZRS-UHFFFAOYSA-M Fluoride anion Chemical compound [F-] KRHYYFGTRYWZRS-UHFFFAOYSA-M 0.000 description 1
- PXGOKWXKJXAPGV-UHFFFAOYSA-N Fluorine Chemical compound FF PXGOKWXKJXAPGV-UHFFFAOYSA-N 0.000 description 1
- 208000004262 Food Hypersensitivity Diseases 0.000 description 1
- 206010016946 Food allergy Diseases 0.000 description 1
- VZCYOOQTPOCHFL-OWOJBTEDSA-N Fumaric acid Chemical compound OC(=O)\C=C\C(O)=O VZCYOOQTPOCHFL-OWOJBTEDSA-N 0.000 description 1
- 230000005526 G1 to G0 transition Effects 0.000 description 1
- 108010004460 Gastric Inhibitory Polypeptide Proteins 0.000 description 1
- 208000018522 Gastrointestinal disease Diseases 0.000 description 1
- 101800001586 Ghrelin Proteins 0.000 description 1
- 102400000442 Ghrelin-28 Human genes 0.000 description 1
- ZWZWYGMENQVNFU-UHFFFAOYSA-N Glycerophosphorylserin Natural products OC(=O)C(N)COP(O)(=O)OCC(O)CO ZWZWYGMENQVNFU-UHFFFAOYSA-N 0.000 description 1
- 208000035211 Heart Murmurs Diseases 0.000 description 1
- 241001272567 Hominoidea Species 0.000 description 1
- DGABKXLVXPYZII-UHFFFAOYSA-N Hyodeoxycholic acid Natural products C1C(O)C2CC(O)CCC2(C)C2C1C1CCC(C(CCC(O)=O)C)C1(C)CC2 DGABKXLVXPYZII-UHFFFAOYSA-N 0.000 description 1
- 208000026350 Inborn Genetic disease Diseases 0.000 description 1
- 208000035478 Interatrial communication Diseases 0.000 description 1
- 206010023129 Jaundice cholestatic Diseases 0.000 description 1
- 102000002397 Kinins Human genes 0.000 description 1
- 108010093008 Kinins Proteins 0.000 description 1
- WHUUTDBJXJRKMK-VKHMYHEASA-N L-glutamic acid Chemical compound OC(=O)[C@@H](N)CCC(O)=O WHUUTDBJXJRKMK-VKHMYHEASA-N 0.000 description 1
- 102000007330 LDL Lipoproteins Human genes 0.000 description 1
- 108010007622 LDL Lipoproteins Proteins 0.000 description 1
- 108010001831 LDL receptors Proteins 0.000 description 1
- 239000004367 Lipase Substances 0.000 description 1
- 102000004882 Lipase Human genes 0.000 description 1
- 108090001060 Lipase Proteins 0.000 description 1
- 108090001030 Lipoproteins Proteins 0.000 description 1
- 102000004895 Lipoproteins Human genes 0.000 description 1
- 102100024640 Low-density lipoprotein receptor Human genes 0.000 description 1
- FYYHWMGAXLPEAU-UHFFFAOYSA-N Magnesium Chemical compound [Mg] FYYHWMGAXLPEAU-UHFFFAOYSA-N 0.000 description 1
- 108010047230 Member 1 Subfamily B ATP Binding Cassette Transporter Proteins 0.000 description 1
- 102000001479 Member 11 Subfamily B ATP Binding Cassette Transporter Human genes 0.000 description 1
- CERQOIWHTDAKMF-UHFFFAOYSA-N Methacrylic acid Chemical compound CC(=C)C(O)=O CERQOIWHTDAKMF-UHFFFAOYSA-N 0.000 description 1
- AFVFQIVMOAPDHO-UHFFFAOYSA-N Methanesulfonic acid Chemical compound CS(O)(=O)=O AFVFQIVMOAPDHO-UHFFFAOYSA-N 0.000 description 1
- VVQNEPGJFQJSBK-UHFFFAOYSA-N Methyl methacrylate Chemical compound COC(=O)C(C)=C VVQNEPGJFQJSBK-UHFFFAOYSA-N 0.000 description 1
- 241000699670 Mus sp. Species 0.000 description 1
- 229910002651 NO3 Inorganic materials 0.000 description 1
- 206010028980 Neoplasm Diseases 0.000 description 1
- 206010029148 Nephrolithiasis Diseases 0.000 description 1
- NHNBFGGVMKEFGY-UHFFFAOYSA-N Nitrate Chemical compound [O-][N+]([O-])=O NHNBFGGVMKEFGY-UHFFFAOYSA-N 0.000 description 1
- 108020005497 Nuclear hormone receptor Proteins 0.000 description 1
- 102000007399 Nuclear hormone receptor Human genes 0.000 description 1
- 229910003849 O-Si Inorganic materials 0.000 description 1
- 206010061876 Obstruction Diseases 0.000 description 1
- 201000005267 Obstructive Jaundice Diseases 0.000 description 1
- MIJYXULNPSFWEK-UHFFFAOYSA-N Oleanolinsaeure Natural products C1CC(O)C(C)(C)C2CCC3(C)C4(C)CCC5(C(O)=O)CCC(C)(C)CC5C4=CCC3C21C MIJYXULNPSFWEK-UHFFFAOYSA-N 0.000 description 1
- 241000283973 Oryctolagus cuniculus Species 0.000 description 1
- 229910003872 O—Si Inorganic materials 0.000 description 1
- 229910019142 PO4 Inorganic materials 0.000 description 1
- 241000282579 Pan Species 0.000 description 1
- 241001494479 Pecora Species 0.000 description 1
- 229940122344 Peptidase inhibitor Drugs 0.000 description 1
- 108090000216 Phospholipid Transfer Proteins Proteins 0.000 description 1
- 102000003867 Phospholipid Transfer Proteins Human genes 0.000 description 1
- OAICVXFJPJFONN-UHFFFAOYSA-N Phosphorus Chemical compound [P] OAICVXFJPJFONN-UHFFFAOYSA-N 0.000 description 1
- 229920000148 Polycarbophil calcium Polymers 0.000 description 1
- 102000035554 Proglucagon Human genes 0.000 description 1
- 108010058003 Proglucagon Proteins 0.000 description 1
- XBDQKXXYIPTUBI-UHFFFAOYSA-M Propionate Chemical compound CCC([O-])=O XBDQKXXYIPTUBI-UHFFFAOYSA-M 0.000 description 1
- 208000030374 Pupillary disease Diseases 0.000 description 1
- 206010067171 Regurgitation Diseases 0.000 description 1
- 208000007014 Retinitis pigmentosa Diseases 0.000 description 1
- 241000283984 Rodentia Species 0.000 description 1
- 229910007161 Si(CH3)3 Inorganic materials 0.000 description 1
- XUIMIQQOPSSXEZ-UHFFFAOYSA-N Silicon Chemical compound [Si] XUIMIQQOPSSXEZ-UHFFFAOYSA-N 0.000 description 1
- 102000005157 Somatostatin Human genes 0.000 description 1
- 108010056088 Somatostatin Proteins 0.000 description 1
- 241000282898 Sus scrofa Species 0.000 description 1
- 201000003005 Tetralogy of Fallot Diseases 0.000 description 1
- 229920002807 Thiomer Polymers 0.000 description 1
- 238000008050 Total Bilirubin Reagent Methods 0.000 description 1
- OKJPEAGHQZHRQV-UHFFFAOYSA-N Triiodomethane Natural products IC(I)I OKJPEAGHQZHRQV-UHFFFAOYSA-N 0.000 description 1
- 231100000839 Vanishing bile duct syndrome Toxicity 0.000 description 1
- 208000001910 Ventricular Heart Septal Defects Diseases 0.000 description 1
- FPIPGXGPPPQFEQ-BOOMUCAASA-N Vitamin A Natural products OC/C=C(/C)\C=C\C=C(\C)/C=C/C1=C(C)CCCC1(C)C FPIPGXGPPPQFEQ-BOOMUCAASA-N 0.000 description 1
- 229930003316 Vitamin D Natural products 0.000 description 1
- QYSXJUFSXHHAJI-XFEUOLMDSA-N Vitamin D3 Natural products C1(/[C@@H]2CC[C@@H]([C@]2(CCC1)C)[C@H](C)CCCC(C)C)=C/C=C1\C[C@@H](O)CCC1=C QYSXJUFSXHHAJI-XFEUOLMDSA-N 0.000 description 1
- 229930003427 Vitamin E Natural products 0.000 description 1
- 229930003448 Vitamin K Natural products 0.000 description 1
- 208000027418 Wounds and injury Diseases 0.000 description 1
- 101150063830 abcB4 gene Proteins 0.000 description 1
- DHKHKXVYLBGOIT-UHFFFAOYSA-N acetaldehyde Diethyl Acetal Chemical group CCOC(C)OCC DHKHKXVYLBGOIT-UHFFFAOYSA-N 0.000 description 1
- 150000001241 acetals Chemical group 0.000 description 1
- DPXJVFZANSGRMM-UHFFFAOYSA-N acetic acid;2,3,4,5,6-pentahydroxyhexanal;sodium Chemical compound [Na].CC(O)=O.OCC(O)C(O)C(O)C(O)C=O DPXJVFZANSGRMM-UHFFFAOYSA-N 0.000 description 1
- 239000003377 acid catalyst Substances 0.000 description 1
- 150000007513 acids Chemical class 0.000 description 1
- 230000003213 activating effect Effects 0.000 description 1
- 230000006978 adaptation Effects 0.000 description 1
- 238000011374 additional therapy Methods 0.000 description 1
- 239000000556 agonist Substances 0.000 description 1
- 125000001931 aliphatic group Chemical group 0.000 description 1
- 229910052783 alkali metal Inorganic materials 0.000 description 1
- 229910052784 alkaline earth metal Inorganic materials 0.000 description 1
- 125000005236 alkanoylamino group Chemical group 0.000 description 1
- 125000004453 alkoxycarbonyl group Chemical group 0.000 description 1
- 125000005360 alkyl sulfoxide group Chemical group 0.000 description 1
- 230000029936 alkylation Effects 0.000 description 1
- 238000005804 alkylation reaction Methods 0.000 description 1
- FPIPGXGPPPQFEQ-OVSJKPMPSA-N all-trans-retinol Chemical compound OC\C=C(/C)\C=C\C=C(/C)\C=C\C1=C(C)CCCC1(C)C FPIPGXGPPPQFEQ-OVSJKPMPSA-N 0.000 description 1
- 229940125528 allosteric inhibitor Drugs 0.000 description 1
- 230000004075 alteration Effects 0.000 description 1
- 125000003368 amide group Chemical group 0.000 description 1
- 150000001409 amidines Chemical class 0.000 description 1
- 150000003863 ammonium salts Chemical class 0.000 description 1
- 229950003153 amsonate Drugs 0.000 description 1
- 238000010171 animal model Methods 0.000 description 1
- 229920006318 anionic polymer Polymers 0.000 description 1
- 230000002547 anomalous effect Effects 0.000 description 1
- 125000002178 anthracenyl group Chemical group C1(=CC=CC2=CC3=CC=CC=C3C=C12)* 0.000 description 1
- 230000003110 anti-inflammatory effect Effects 0.000 description 1
- 230000000845 anti-microbial effect Effects 0.000 description 1
- 230000000840 anti-viral effect Effects 0.000 description 1
- 210000000436 anus Anatomy 0.000 description 1
- 239000007864 aqueous solution Substances 0.000 description 1
- 150000004982 aromatic amines Chemical class 0.000 description 1
- 150000007860 aryl ester derivatives Chemical class 0.000 description 1
- 208000013914 atrial heart septal defect Diseases 0.000 description 1
- 206010003664 atrial septal defect Diseases 0.000 description 1
- HONIICLYMWZJFZ-UHFFFAOYSA-N azetidine Chemical compound C1CNC1 HONIICLYMWZJFZ-UHFFFAOYSA-N 0.000 description 1
- 229950011464 barixibat Drugs 0.000 description 1
- 230000005549 barrier dysfunction Effects 0.000 description 1
- 210000004082 barrier epithelial cell Anatomy 0.000 description 1
- 230000004888 barrier function Effects 0.000 description 1
- 125000003785 benzimidazolyl group Chemical group N1=C(NC2=C1C=CC=C2)* 0.000 description 1
- 229940050390 benzoate Drugs 0.000 description 1
- 125000000499 benzofuranyl group Chemical group O1C(=CC2=C1C=CC=C2)* 0.000 description 1
- 125000004601 benzofurazanyl group Chemical group N1=C2C(=NO1)C(=CC=C2)* 0.000 description 1
- WPYMKLBDIGXBTP-UHFFFAOYSA-N benzoic acid Chemical compound OC(=O)C1=CC=CC=C1 WPYMKLBDIGXBTP-UHFFFAOYSA-N 0.000 description 1
- 150000007657 benzothiazepines Chemical class 0.000 description 1
- 125000004196 benzothienyl group Chemical group S1C(=CC2=C1C=CC=C2)* 0.000 description 1
- WHGYBXFWUBPSRW-FOUAGVGXSA-N beta-cyclodextrin Chemical compound OC[C@H]([C@H]([C@@H]([C@H]1O)O)O[C@H]2O[C@@H]([C@@H](O[C@H]3O[C@H](CO)[C@H]([C@@H]([C@H]3O)O)O[C@H]3O[C@H](CO)[C@H]([C@@H]([C@H]3O)O)O[C@H]3O[C@H](CO)[C@H]([C@@H]([C@H]3O)O)O[C@H]3O[C@H](CO)[C@H]([C@@H]([C@H]3O)O)O3)[C@H](O)[C@H]2O)CO)O[C@@H]1O[C@H]1[C@H](O)[C@@H](O)[C@@H]3O[C@@H]1CO WHGYBXFWUBPSRW-FOUAGVGXSA-N 0.000 description 1
- 235000011175 beta-cyclodextrine Nutrition 0.000 description 1
- 229960004853 betadex Drugs 0.000 description 1
- 230000010234 biliary secretion Effects 0.000 description 1
- 230000035587 bioadhesion Effects 0.000 description 1
- 229920002988 biodegradable polymer Chemical group 0.000 description 1
- 239000004621 biodegradable polymer Chemical group 0.000 description 1
- 230000031018 biological processes and functions Effects 0.000 description 1
- 239000000090 biomarker Substances 0.000 description 1
- 125000005621 boronate group Chemical class 0.000 description 1
- ZADPBFCGQRWHPN-UHFFFAOYSA-N boronic acid Chemical class OBO ZADPBFCGQRWHPN-UHFFFAOYSA-N 0.000 description 1
- 235000021152 breakfast Nutrition 0.000 description 1
- 125000001246 bromo group Chemical group Br* 0.000 description 1
- 125000004369 butenyl group Chemical group C(=CCC)* 0.000 description 1
- 239000011575 calcium Substances 0.000 description 1
- 229910052791 calcium Inorganic materials 0.000 description 1
- 150000004657 carbamic acid derivatives Chemical class 0.000 description 1
- 235000013877 carbamide Nutrition 0.000 description 1
- 150000001718 carbodiimides Chemical class 0.000 description 1
- 150000001722 carbon compounds Chemical class 0.000 description 1
- 239000001768 carboxy methyl cellulose Substances 0.000 description 1
- 239000000969 carrier Substances 0.000 description 1
- 238000006555 catalytic reaction Methods 0.000 description 1
- 210000004534 cecum Anatomy 0.000 description 1
- 210000000170 cell membrane Anatomy 0.000 description 1
- 229940081734 cellulose acetate phthalate Drugs 0.000 description 1
- 239000013043 chemical agent Substances 0.000 description 1
- 238000001311 chemical methods and process Methods 0.000 description 1
- 229940009025 chenodeoxycholate Drugs 0.000 description 1
- 150000001801 chenodeoxycholic acids Chemical class 0.000 description 1
- 125000001309 chloro group Chemical group Cl* 0.000 description 1
- 208000003167 cholangitis Diseases 0.000 description 1
- 150000001841 cholesterols Chemical class 0.000 description 1
- 150000001842 cholic acids Chemical class 0.000 description 1
- 238000013375 chromatographic separation Methods 0.000 description 1
- 238000004587 chromatography analysis Methods 0.000 description 1
- 210000000349 chromosome Anatomy 0.000 description 1
- 208000011444 chronic liver failure Diseases 0.000 description 1
- 210000004913 chyme Anatomy 0.000 description 1
- 125000000259 cinnolinyl group Chemical group N1=NC(=CC2=CC=CC=C12)* 0.000 description 1
- 230000004087 circulation Effects 0.000 description 1
- 229940001468 citrate Drugs 0.000 description 1
- 238000011260 co-administration Methods 0.000 description 1
- 229960001152 colesevelam Drugs 0.000 description 1
- 229960000674 colesevelam hydrochloride Drugs 0.000 description 1
- 210000001953 common bile duct Anatomy 0.000 description 1
- 210000003459 common hepatic duct Anatomy 0.000 description 1
- 230000002860 competitive effect Effects 0.000 description 1
- 238000013270 controlled release Methods 0.000 description 1
- 239000003431 cross linking reagent Substances 0.000 description 1
- 125000000582 cycloheptyl group Chemical group [H]C1([H])C([H])([H])C([H])([H])C([H])([H])C([H])(*)C([H])([H])C1([H])[H] 0.000 description 1
- 125000000640 cyclooctyl group Chemical group [H]C1([H])C([H])([H])C([H])([H])C([H])([H])C([H])(*)C([H])([H])C([H])([H])C1([H])[H] 0.000 description 1
- 230000002354 daily effect Effects 0.000 description 1
- 230000007123 defense Effects 0.000 description 1
- 230000002939 deleterious effect Effects 0.000 description 1
- 229960003964 deoxycholic acid Drugs 0.000 description 1
- 230000008021 deposition Effects 0.000 description 1
- 210000004207 dermis Anatomy 0.000 description 1
- 210000001731 descending colon Anatomy 0.000 description 1
- 206010012601 diabetes mellitus Diseases 0.000 description 1
- 125000002576 diazepinyl group Chemical group N1N=C(C=CC=C1)* 0.000 description 1
- QGBSISYHAICWAH-UHFFFAOYSA-N dicyandiamide Chemical compound NC(N)=NC#N QGBSISYHAICWAH-UHFFFAOYSA-N 0.000 description 1
- 230000037213 diet Effects 0.000 description 1
- 230000001079 digestive effect Effects 0.000 description 1
- 102000038379 digestive enzymes Human genes 0.000 description 1
- 108091007734 digestive enzymes Proteins 0.000 description 1
- 208000010643 digestive system disease Diseases 0.000 description 1
- 125000005057 dihydrothienyl group Chemical group S1C(CC=C1)* 0.000 description 1
- 125000000532 dioxanyl group Chemical group 0.000 description 1
- 150000002016 disaccharides Chemical class 0.000 description 1
- KPUWHANPEXNPJT-UHFFFAOYSA-N disiloxane Chemical class [SiH3]O[SiH3] KPUWHANPEXNPJT-UHFFFAOYSA-N 0.000 description 1
- 238000006073 displacement reaction Methods 0.000 description 1
- 238000004821 distillation Methods 0.000 description 1
- 238000009826 distribution Methods 0.000 description 1
- 125000005883 dithianyl group Chemical group 0.000 description 1
- 125000005411 dithiolanyl group Chemical group S1SC(CC1)* 0.000 description 1
- POULHZVOKOAJMA-UHFFFAOYSA-M dodecanoate Chemical compound CCCCCCCCCCCC([O-])=O POULHZVOKOAJMA-UHFFFAOYSA-M 0.000 description 1
- 239000003937 drug carrier Substances 0.000 description 1
- 230000004064 dysfunction Effects 0.000 description 1
- 230000005584 early death Effects 0.000 description 1
- 239000003792 electrolyte Substances 0.000 description 1
- 229940095399 enema Drugs 0.000 description 1
- 239000007920 enema Substances 0.000 description 1
- 230000004890 epithelial barrier function Effects 0.000 description 1
- 210000002919 epithelial cell Anatomy 0.000 description 1
- 210000005081 epithelial layer Anatomy 0.000 description 1
- 210000000981 epithelium Anatomy 0.000 description 1
- 230000003628 erosive effect Effects 0.000 description 1
- 229940011871 estrogen Drugs 0.000 description 1
- 239000000262 estrogen Substances 0.000 description 1
- 239000000284 extract Substances 0.000 description 1
- 208000012479 extrahepatic biliary atresia Diseases 0.000 description 1
- 210000004700 fetal blood Anatomy 0.000 description 1
- 239000012467 final product Substances 0.000 description 1
- 125000004428 fluoroalkoxy group Chemical group 0.000 description 1
- 235000020932 food allergy Nutrition 0.000 description 1
- 238000001640 fractional crystallisation Methods 0.000 description 1
- 235000021588 free fatty acids Nutrition 0.000 description 1
- 229940050411 fumarate Drugs 0.000 description 1
- 125000003838 furazanyl group Chemical group 0.000 description 1
- 125000004612 furopyridinyl group Chemical group O1C(=CC2=C1C=CC=N2)* 0.000 description 1
- WIGCFUFOHFEKBI-UHFFFAOYSA-N gamma-tocopherol Natural products CC(C)CCCC(C)CCCC(C)CCCC1CCC2C(C)C(O)C(C)C(C)C2O1 WIGCFUFOHFEKBI-UHFFFAOYSA-N 0.000 description 1
- 238000007429 general method Methods 0.000 description 1
- 208000016361 genetic disease Diseases 0.000 description 1
- BGHSOEHUOOAYMY-JTZMCQEISA-N ghrelin Chemical compound C([C@@H](C(=O)N[C@@H](CC(C)C)C(=O)N[C@@H](CO)C(=O)N1[C@@H](CCC1)C(=O)N[C@@H](CCC(O)=O)C(=O)N[C@@H](CC=1N=CNC=1)C(=O)N[C@@H](CCC(N)=O)C(=O)N[C@@H](CCCNC(N)=N)C(=O)N[C@@H](C(C)C)C(=O)N[C@@H](CCC(N)=O)C(=O)N[C@@H](CCC(N)=O)C(=O)N[C@@H](CCCNC(N)=N)C(=O)N[C@@H](CCCCN)C(=O)N[C@@H](CCC(O)=O)C(=O)N[C@@H](CO)C(=O)N[C@@H](CCCCN)C(=O)N[C@@H](CCCCN)C(=O)N1[C@@H](CCC1)C(=O)N1[C@@H](CCC1)C(=O)N[C@@H](C)C(=O)N[C@@H](CCCCN)C(=O)N[C@@H](CC(C)C)C(=O)N[C@@H](CCC(N)=O)C(=O)N1[C@@H](CCC1)C(=O)N[C@@H](CCCNC(N)=N)C(O)=O)NC(=O)[C@H](CO)NC(=O)[C@H](CO)NC(=O)CN)C1=CC=CC=C1 BGHSOEHUOOAYMY-JTZMCQEISA-N 0.000 description 1
- 229960004580 glibenclamide Drugs 0.000 description 1
- 229940050410 gluconate Drugs 0.000 description 1
- 229930195712 glutamate Natural products 0.000 description 1
- ZNNLBTZKUZBEKO-UHFFFAOYSA-N glyburide Chemical compound COC1=CC=C(Cl)C=C1C(=O)NCCC1=CC=C(S(=O)(=O)NC(=O)NC2CCCCC2)C=C1 ZNNLBTZKUZBEKO-UHFFFAOYSA-N 0.000 description 1
- 150000004676 glycans Chemical class 0.000 description 1
- 150000002334 glycols Chemical class 0.000 description 1
- 210000005205 gut mucosa Anatomy 0.000 description 1
- 230000036541 health Effects 0.000 description 1
- 208000006454 hepatitis Diseases 0.000 description 1
- 231100000283 hepatitis Toxicity 0.000 description 1
- 230000003054 hormonal effect Effects 0.000 description 1
- 230000007412 host metabolism Effects 0.000 description 1
- 229940042795 hydrazides for tuberculosis treatment Drugs 0.000 description 1
- 150000007857 hydrazones Chemical class 0.000 description 1
- 150000002430 hydrocarbons Chemical group 0.000 description 1
- QAOWNCQODCNURD-UHFFFAOYSA-M hydrogensulfate Chemical compound OS([O-])(=O)=O QAOWNCQODCNURD-UHFFFAOYSA-M 0.000 description 1
- 230000002209 hydrophobic effect Effects 0.000 description 1
- 150000002443 hydroxylamines Chemical class 0.000 description 1
- 229940031704 hydroxypropyl methylcellulose phthalate Drugs 0.000 description 1
- 229920003132 hydroxypropyl methylcellulose phthalate Polymers 0.000 description 1
- DGABKXLVXPYZII-SIBKNCMHSA-M hyodeoxycholate Chemical compound C([C@H]1[C@@H](O)C2)[C@H](O)CC[C@]1(C)[C@@H]1[C@@H]2[C@@H]2CC[C@H]([C@@H](CCC([O-])=O)C)[C@@]2(C)CC1 DGABKXLVXPYZII-SIBKNCMHSA-M 0.000 description 1
- DGABKXLVXPYZII-SIBKNCMHSA-N hyodeoxycholic acid Chemical compound C([C@H]1[C@@H](O)C2)[C@H](O)CC[C@]1(C)[C@@H]1[C@@H]2[C@@H]2CC[C@H]([C@@H](CCC(O)=O)C)[C@@]2(C)CC1 DGABKXLVXPYZII-SIBKNCMHSA-N 0.000 description 1
- 150000002463 imidates Chemical class 0.000 description 1
- 125000002632 imidazolidinyl group Chemical group 0.000 description 1
- 125000002636 imidazolinyl group Chemical group 0.000 description 1
- 150000002466 imines Chemical class 0.000 description 1
- 230000001771 impaired effect Effects 0.000 description 1
- 230000006872 improvement Effects 0.000 description 1
- 238000010348 incorporation Methods 0.000 description 1
- 125000003453 indazolyl group Chemical group N1N=C(C2=C1C=CC=C2)* 0.000 description 1
- 125000003387 indolinyl group Chemical group N1(CCC2=CC=CC=C12)* 0.000 description 1
- 125000003406 indolizinyl group Chemical group C=1(C=CN2C=CC=CC12)* 0.000 description 1
- 208000027866 inflammatory disease Diseases 0.000 description 1
- 230000002757 inflammatory effect Effects 0.000 description 1
- 238000001802 infusion Methods 0.000 description 1
- 239000007924 injection Substances 0.000 description 1
- 238000002347 injection Methods 0.000 description 1
- 208000014674 injury Diseases 0.000 description 1
- 230000003993 interaction Effects 0.000 description 1
- 230000007358 intestinal barrier function Effects 0.000 description 1
- 208000028774 intestinal disease Diseases 0.000 description 1
- 210000003228 intrahepatic bile duct Anatomy 0.000 description 1
- 238000007918 intramuscular administration Methods 0.000 description 1
- 238000007912 intraperitoneal administration Methods 0.000 description 1
- 230000009545 invasion Effects 0.000 description 1
- 125000002346 iodo group Chemical group I* 0.000 description 1
- INQOMBQAUSQDDS-UHFFFAOYSA-N iodomethane Chemical compound IC INQOMBQAUSQDDS-UHFFFAOYSA-N 0.000 description 1
- 125000001261 isocyanato group Chemical group *N=C=O 0.000 description 1
- 125000000904 isoindolyl group Chemical group C=1(NC=C2C=CC=CC12)* 0.000 description 1
- 125000001972 isopentyl group Chemical group [H]C([H])([H])C([H])(C([H])([H])[H])C([H])([H])C([H])([H])* 0.000 description 1
- 150000002540 isothiocyanates Chemical class 0.000 description 1
- 125000001810 isothiocyanato group Chemical group *N=C=S 0.000 description 1
- 208000006443 lactic acidosis Diseases 0.000 description 1
- 229940070765 laurate Drugs 0.000 description 1
- 125000005647 linker group Chemical group 0.000 description 1
- 235000019421 lipase Nutrition 0.000 description 1
- 230000037356 lipid metabolism Effects 0.000 description 1
- SMEROWZSTRWXGI-HVATVPOCSA-N lithocholic acid Chemical compound C([C@H]1CC2)[C@H](O)CC[C@]1(C)[C@@H]1[C@@H]2[C@@H]2CC[C@H]([C@@H](CCC(O)=O)C)[C@@]2(C)CC1 SMEROWZSTRWXGI-HVATVPOCSA-N 0.000 description 1
- 231100000849 liver cell damage Toxicity 0.000 description 1
- 210000005228 liver tissue Anatomy 0.000 description 1
- 230000033001 locomotion Effects 0.000 description 1
- 230000007774 longterm Effects 0.000 description 1
- 210000001165 lymph node Anatomy 0.000 description 1
- 229910052749 magnesium Inorganic materials 0.000 description 1
- 239000011777 magnesium Substances 0.000 description 1
- 229940091250 magnesium supplement Drugs 0.000 description 1
- 229940049920 malate Drugs 0.000 description 1
- VZCYOOQTPOCHFL-UPHRSURJSA-N maleic acid Chemical compound OC(=O)\C=C/C(O)=O VZCYOOQTPOCHFL-UPHRSURJSA-N 0.000 description 1
- 125000005439 maleimidyl group Chemical class C1(C=CC(N1*)=O)=O 0.000 description 1
- BJEPYKJPYRNKOW-UHFFFAOYSA-N malic acid Chemical compound OC(=O)C(O)CC(O)=O BJEPYKJPYRNKOW-UHFFFAOYSA-N 0.000 description 1
- 238000002483 medication Methods 0.000 description 1
- 239000002609 medium Substances 0.000 description 1
- 230000008986 metabolic interaction Effects 0.000 description 1
- 239000002207 metabolite Substances 0.000 description 1
- 229910052751 metal Inorganic materials 0.000 description 1
- 239000002184 metal Substances 0.000 description 1
- XZWYZXLIPXDOLR-UHFFFAOYSA-N metformin Chemical compound CN(C)C(=N)NC(N)=N XZWYZXLIPXDOLR-UHFFFAOYSA-N 0.000 description 1
- 229920000609 methyl cellulose Polymers 0.000 description 1
- 235000010981 methylcellulose Nutrition 0.000 description 1
- 239000001923 methylcellulose Substances 0.000 description 1
- 210000000110 microvilli Anatomy 0.000 description 1
- 230000003278 mimic effect Effects 0.000 description 1
- 238000002156 mixing Methods 0.000 description 1
- 238000007479 molecular analysis Methods 0.000 description 1
- 150000002772 monosaccharides Chemical class 0.000 description 1
- NUIDFGZIRVOMGG-UHFFFAOYSA-N n-prop-2-enyldecan-1-amine;hydrochloride Chemical compound Cl.CCCCCCCCCCNCC=C NUIDFGZIRVOMGG-UHFFFAOYSA-N 0.000 description 1
- 125000004593 naphthyridinyl group Chemical group N1=C(C=CC2=CC=CN=C12)* 0.000 description 1
- 125000001971 neopentyl group Chemical group [H]C([*])([H])C(C([H])([H])[H])(C([H])([H])[H])C([H])([H])[H] 0.000 description 1
- 210000005036 nerve Anatomy 0.000 description 1
- 230000001537 neural effect Effects 0.000 description 1
- 210000002569 neuron Anatomy 0.000 description 1
- 150000005830 nonesterified fatty acids Chemical class 0.000 description 1
- 230000000269 nucleophilic effect Effects 0.000 description 1
- MXEMKMNFLXVQBW-UHFFFAOYSA-N oleanoic acid Natural products C1CCC(C)(C)C2CCC3(C)C4(C)CCC5(C(O)=O)CCC(C)(C)CC5C4=CCC3C21C MXEMKMNFLXVQBW-UHFFFAOYSA-N 0.000 description 1
- 229920001542 oligosaccharide Polymers 0.000 description 1
- 150000002482 oligosaccharides Chemical class 0.000 description 1
- 238000003305 oral gavage Methods 0.000 description 1
- 239000008184 oral solid dosage form Substances 0.000 description 1
- 238000006053 organic reaction Methods 0.000 description 1
- 125000001715 oxadiazolyl group Chemical group 0.000 description 1
- 125000003551 oxepanyl group Chemical group 0.000 description 1
- 125000003566 oxetanyl group Chemical group 0.000 description 1
- 230000001590 oxidative effect Effects 0.000 description 1
- 150000002923 oximes Chemical class 0.000 description 1
- 125000004430 oxygen atom Chemical group O* 0.000 description 1
- 208000003278 patent ductus arteriosus Diseases 0.000 description 1
- 230000008506 pathogenesis Effects 0.000 description 1
- 230000007310 pathophysiology Effects 0.000 description 1
- 230000002093 peripheral effect Effects 0.000 description 1
- 230000000144 pharmacologic effect Effects 0.000 description 1
- 229940117803 phenethylamine Drugs 0.000 description 1
- 235000021317 phosphate Nutrition 0.000 description 1
- NBIIXXVUZAFLBC-UHFFFAOYSA-K phosphate Chemical compound [O-]P([O-])([O-])=O NBIIXXVUZAFLBC-UHFFFAOYSA-K 0.000 description 1
- 239000010452 phosphate Substances 0.000 description 1
- WTJKGGKOPKCXLL-RRHRGVEJSA-N phosphatidylcholine Chemical compound CCCCCCCCCCCCCCCC(=O)OC[C@H](COP([O-])(=O)OCC[N+](C)(C)C)OC(=O)CCCCCCCC=CCCCCCCCC WTJKGGKOPKCXLL-RRHRGVEJSA-N 0.000 description 1
- 150000008301 phosphite esters Chemical class 0.000 description 1
- 150000008300 phosphoramidites Chemical class 0.000 description 1
- 239000011574 phosphorus Substances 0.000 description 1
- 125000004592 phthalazinyl group Chemical group C1(=NN=CC2=CC=CC=C12)* 0.000 description 1
- SHUZOJHMOBOZST-UHFFFAOYSA-N phylloquinone Natural products CC(C)CCCCC(C)CCC(C)CCCC(=CCC1=C(C)C(=O)c2ccccc2C1=O)C SHUZOJHMOBOZST-UHFFFAOYSA-N 0.000 description 1
- 230000000704 physical effect Effects 0.000 description 1
- 229960005235 piperonyl butoxide Drugs 0.000 description 1
- 125000004591 piperonyl group Chemical group C(C1=CC=2OCOC2C=C1)* 0.000 description 1
- 229920000083 poly(allylamine) Polymers 0.000 description 1
- 229920000768 polyamine Polymers 0.000 description 1
- 229950005134 polycarbophil Drugs 0.000 description 1
- 229920002851 polycationic polymer Polymers 0.000 description 1
- 229920001282 polysaccharide Polymers 0.000 description 1
- 239000005017 polysaccharide Substances 0.000 description 1
- 229940100467 polyvinyl acetate phthalate Drugs 0.000 description 1
- 229920000036 polyvinylpyrrolidone Polymers 0.000 description 1
- 235000013855 polyvinylpyrrolidone Nutrition 0.000 description 1
- 239000001267 polyvinylpyrrolidone Substances 0.000 description 1
- 230000003389 potentiating effect Effects 0.000 description 1
- 230000002028 premature Effects 0.000 description 1
- GCYXWQUSHADNBF-AAEALURTSA-N preproglucagon 78-108 Chemical compound C([C@@H](C(=O)N[C@@H]([C@@H](C)CC)C(=O)N[C@@H](C)C(=O)N[C@@H](CC=1C2=CC=CC=C2NC=1)C(=O)N[C@@H](CC(C)C)C(=O)N[C@@H](C(C)C)C(=O)N[C@@H](CCCCN)C(=O)NCC(=O)N[C@@H](CCCNC(N)=N)C(=O)NCC(O)=O)NC(=O)[C@H](CCC(O)=O)NC(=O)[C@H](CCCCN)NC(=O)[C@H](C)NC(=O)[C@H](C)NC(=O)[C@H](CCC(N)=O)NC(=O)CNC(=O)[C@H](CCC(O)=O)NC(=O)[C@H](CC(C)C)NC(=O)[C@H](CC=1C=CC(O)=CC=1)NC(=O)[C@H](CO)NC(=O)[C@H](CO)NC(=O)[C@@H](NC(=O)[C@H](CC(O)=O)NC(=O)[C@H](CO)NC(=O)[C@@H](NC(=O)[C@H](CC=1C=CC=CC=1)NC(=O)[C@@H](NC(=O)CNC(=O)[C@H](CCC(O)=O)NC(=O)[C@H](C)NC(=O)[C@@H](N)CC=1N=CNC=1)[C@@H](C)O)[C@@H](C)O)C(C)C)C1=CC=CC=C1 GCYXWQUSHADNBF-AAEALURTSA-N 0.000 description 1
- 150000003146 progesterones Chemical class 0.000 description 1
- 230000002250 progressing effect Effects 0.000 description 1
- 230000000750 progressive effect Effects 0.000 description 1
- 201000002149 progressive familial intrahepatic cholestasis 2 Diseases 0.000 description 1
- 208000020709 progressive familial intrahepatic cholestasis type 2 Diseases 0.000 description 1
- 230000000770 proinflammatory effect Effects 0.000 description 1
- 230000002035 prolonged effect Effects 0.000 description 1
- 125000004368 propenyl group Chemical group C(=CC)* 0.000 description 1
- 238000011321 prophylaxis Methods 0.000 description 1
- 230000004853 protein function Effects 0.000 description 1
- 230000005892 protein maturation Effects 0.000 description 1
- 125000001042 pteridinyl group Chemical group N1=C(N=CC2=NC=CN=C12)* 0.000 description 1
- 125000000561 purinyl group Chemical group N1=C(N=C2N=CNC2=C1)* 0.000 description 1
- 125000003373 pyrazinyl group Chemical group 0.000 description 1
- 125000003072 pyrazolidinyl group Chemical group 0.000 description 1
- 125000002755 pyrazolinyl group Chemical group 0.000 description 1
- 125000002098 pyridazinyl group Chemical group 0.000 description 1
- UMJSCPRVCHMLSP-UHFFFAOYSA-N pyridine Natural products COC1=CC=CN=C1 UMJSCPRVCHMLSP-UHFFFAOYSA-N 0.000 description 1
- 125000000719 pyrrolidinyl group Chemical group 0.000 description 1
- 150000003242 quaternary ammonium salts Chemical class 0.000 description 1
- 125000002294 quinazolinyl group Chemical group N1=C(N=CC2=CC=CC=C12)* 0.000 description 1
- 229910052705 radium Inorganic materials 0.000 description 1
- 102000005962 receptors Human genes 0.000 description 1
- 108020003175 receptors Proteins 0.000 description 1
- 238000001953 recrystallisation Methods 0.000 description 1
- 229940096976 rectal foam Drugs 0.000 description 1
- 229940041666 rectal gel Drugs 0.000 description 1
- 230000008439 repair process Effects 0.000 description 1
- 238000002271 resection Methods 0.000 description 1
- 230000004044 response Effects 0.000 description 1
- 229910052701 rubidium Inorganic materials 0.000 description 1
- MOODSJOROWROTO-UHFFFAOYSA-N salicylsulfuric acid Chemical compound OC(=O)C1=CC=CC=C1OS(O)(=O)=O MOODSJOROWROTO-UHFFFAOYSA-N 0.000 description 1
- 230000002000 scavenging effect Effects 0.000 description 1
- HFHDHCJBZVLPGP-UHFFFAOYSA-N schardinger α-dextrin Chemical group O1C(C(C2O)O)C(CO)OC2OC(C(C2O)O)C(CO)OC2OC(C(C2O)O)C(CO)OC2OC(C(O)C2O)C(CO)OC2OC(C(C2O)O)C(CO)OC2OC2C(O)C(O)C1OC2CO HFHDHCJBZVLPGP-UHFFFAOYSA-N 0.000 description 1
- 125000002914 sec-butyl group Chemical group [H]C([H])([H])C([H])([H])C([H])(*)C([H])([H])[H] 0.000 description 1
- 210000004739 secretory vesicle Anatomy 0.000 description 1
- 238000000926 separation method Methods 0.000 description 1
- 230000011664 signaling Effects 0.000 description 1
- 229910052710 silicon Inorganic materials 0.000 description 1
- 239000010703 silicon Substances 0.000 description 1
- DRNXZGJGRSUXHW-UHFFFAOYSA-N silyl carbamate Chemical class NC(=O)O[SiH3] DRNXZGJGRSUXHW-UHFFFAOYSA-N 0.000 description 1
- 235000019812 sodium carboxymethyl cellulose Nutrition 0.000 description 1
- 229920001027 sodium carboxymethylcellulose Polymers 0.000 description 1
- 239000007787 solid Substances 0.000 description 1
- 239000007909 solid dosage form Substances 0.000 description 1
- 230000007928 solubilization Effects 0.000 description 1
- 238000005063 solubilization Methods 0.000 description 1
- 230000003381 solubilizing effect Effects 0.000 description 1
- NHXLMOGPVYXJNR-ATOGVRKGSA-N somatostatin Chemical compound C([C@H]1C(=O)N[C@H](C(N[C@@H](CO)C(=O)N[C@@H](CSSC[C@@H](C(=O)N[C@@H](CCCCN)C(=O)N[C@@H](CC(N)=O)C(=O)N[C@@H](CC=2C=CC=CC=2)C(=O)N[C@@H](CC=2C=CC=CC=2)C(=O)N[C@@H](CC=2C3=CC=CC=C3NC=2)C(=O)N[C@@H](CCCCN)C(=O)N[C@H](C(=O)N1)[C@@H](C)O)NC(=O)CNC(=O)[C@H](C)N)C(O)=O)=O)[C@H](O)C)C1=CC=CC=C1 NHXLMOGPVYXJNR-ATOGVRKGSA-N 0.000 description 1
- 229960000553 somatostatin Drugs 0.000 description 1
- 241000894007 species Species 0.000 description 1
- 239000007858 starting material Substances 0.000 description 1
- 150000003429 steroid acids Chemical class 0.000 description 1
- 239000003270 steroid hormone Substances 0.000 description 1
- 150000003431 steroids Chemical group 0.000 description 1
- 230000000638 stimulation Effects 0.000 description 1
- 210000002784 stomach Anatomy 0.000 description 1
- 238000003860 storage Methods 0.000 description 1
- 230000035882 stress Effects 0.000 description 1
- 238000007920 subcutaneous administration Methods 0.000 description 1
- 125000000547 substituted alkyl group Chemical group 0.000 description 1
- 238000006467 substitution reaction Methods 0.000 description 1
- 229940086735 succinate Drugs 0.000 description 1
- KDYFGRWQOYBRFD-UHFFFAOYSA-L succinate(2-) Chemical compound [O-]C(=O)CCC([O-])=O KDYFGRWQOYBRFD-UHFFFAOYSA-L 0.000 description 1
- 229940124530 sulfonamide Drugs 0.000 description 1
- 150000003456 sulfonamides Chemical class 0.000 description 1
- 229940071103 sulfosalicylate Drugs 0.000 description 1
- 125000004434 sulfur atom Chemical group 0.000 description 1
- 230000000153 supplemental effect Effects 0.000 description 1
- 230000009469 supplementation Effects 0.000 description 1
- 230000004083 survival effect Effects 0.000 description 1
- 230000002459 sustained effect Effects 0.000 description 1
- 230000009747 swallowing Effects 0.000 description 1
- 238000010189 synthetic method Methods 0.000 description 1
- 230000001839 systemic circulation Effects 0.000 description 1
- 229940095064 tartrate Drugs 0.000 description 1
- 235000019640 taste Nutrition 0.000 description 1
- BHTRKEVKTKCXOH-AYSJQVDDSA-N taurochenodeoxycholic acid Chemical compound C([C@H]1C[C@@H]2O)[C@H](O)CC[C@]1(C)C1C2C2CC[C@H]([C@@H](CCC(=O)NCCS(O)(=O)=O)C)[C@@]2(C)CC1 BHTRKEVKTKCXOH-AYSJQVDDSA-N 0.000 description 1
- 125000000999 tert-butyl group Chemical group [H]C([H])([H])C(*)(C([H])([H])[H])C([H])([H])[H] 0.000 description 1
- ILMRJRBKQSSXGY-UHFFFAOYSA-N tert-butyl(dimethyl)silicon Chemical group C[Si](C)C(C)(C)C ILMRJRBKQSSXGY-UHFFFAOYSA-N 0.000 description 1
- 125000003718 tetrahydrofuranyl group Chemical group 0.000 description 1
- 125000001412 tetrahydropyranyl group Chemical group 0.000 description 1
- 125000005958 tetrahydrothienyl group Chemical group 0.000 description 1
- 125000004632 tetrahydrothiopyranyl group Chemical group S1C(CCCC1)* 0.000 description 1
- 125000003831 tetrazolyl group Chemical group 0.000 description 1
- 125000001113 thiadiazolyl group Chemical group 0.000 description 1
- JZRWCGZRTZMZEH-UHFFFAOYSA-N thiamine Chemical compound CC1=C(CCO)SC=[N+]1CC1=CN=C(C)N=C1N JZRWCGZRTZMZEH-UHFFFAOYSA-N 0.000 description 1
- 125000005308 thiazepinyl group Chemical group S1N=C(C=CC=C1)* 0.000 description 1
- 125000001583 thiepanyl group Chemical group 0.000 description 1
- 125000002053 thietanyl group Chemical group 0.000 description 1
- 125000000858 thiocyanato group Chemical group *SC#N 0.000 description 1
- 150000003585 thioureas Chemical class 0.000 description 1
- 238000004448 titration Methods 0.000 description 1
- 230000000699 topical effect Effects 0.000 description 1
- 238000012546 transfer Methods 0.000 description 1
- 230000009466 transformation Effects 0.000 description 1
- 238000000844 transformation Methods 0.000 description 1
- 230000005945 translocation Effects 0.000 description 1
- ODLHGICHYURWBS-LKONHMLTSA-N trappsol cyclo Chemical compound CC(O)COC[C@H]([C@H]([C@@H]([C@H]1O)O)O[C@H]2O[C@@H]([C@@H](O[C@H]3O[C@H](COCC(C)O)[C@H]([C@@H]([C@H]3O)O)O[C@H]3O[C@H](COCC(C)O)[C@H]([C@@H]([C@H]3O)O)O[C@H]3O[C@H](COCC(C)O)[C@H]([C@@H]([C@H]3O)O)O[C@H]3O[C@H](COCC(C)O)[C@H]([C@@H]([C@H]3O)O)O3)[C@H](O)[C@H]2O)COCC(O)C)O[C@@H]1O[C@H]1[C@H](O)[C@@H](O)[C@@H]3O[C@@H]1COCC(C)O ODLHGICHYURWBS-LKONHMLTSA-N 0.000 description 1
- 238000011269 treatment regimen Methods 0.000 description 1
- 150000003626 triacylglycerols Chemical class 0.000 description 1
- 125000004306 triazinyl group Chemical group 0.000 description 1
- IMNIMPAHZVJRPE-UHFFFAOYSA-N triethylenediamine Chemical compound C1CN2CCN1CC2 IMNIMPAHZVJRPE-UHFFFAOYSA-N 0.000 description 1
- RISCULYDRMPQKP-UHFFFAOYSA-M trimethyl-[6-(prop-2-enylamino)hexyl]azanium;chloride Chemical compound [Cl-].C[N+](C)(C)CCCCCCNCC=C RISCULYDRMPQKP-UHFFFAOYSA-M 0.000 description 1
- 125000002221 trityl group Chemical group [H]C1=C([H])C([H])=C([H])C([H])=C1C([*])(C1=C(C(=C(C(=C1[H])[H])[H])[H])[H])C1=C([H])C([H])=C([H])C([H])=C1[H] 0.000 description 1
- GXPHKUHSUJUWKP-UHFFFAOYSA-N troglitazone Chemical compound C1CC=2C(C)=C(O)C(C)=C(C)C=2OC1(C)COC(C=C1)=CC=C1CC1SC(=O)NC1=O GXPHKUHSUJUWKP-UHFFFAOYSA-N 0.000 description 1
- 229960001641 troglitazone Drugs 0.000 description 1
- GXPHKUHSUJUWKP-NTKDMRAZSA-N troglitazone Natural products C([C@@]1(OC=2C(C)=C(C(=C(C)C=2CC1)O)C)C)OC(C=C1)=CC=C1C[C@H]1SC(=O)NC1=O GXPHKUHSUJUWKP-NTKDMRAZSA-N 0.000 description 1
- 125000004417 unsaturated alkyl group Chemical group 0.000 description 1
- 150000003672 ureas Chemical class 0.000 description 1
- 150000003673 urethanes Chemical class 0.000 description 1
- 229940096998 ursolic acid Drugs 0.000 description 1
- PLSAJKYPRJGMHO-UHFFFAOYSA-N ursolic acid Natural products CC1CCC2(CCC3(C)C(C=CC4C5(C)CCC(O)C(C)(C)C5CCC34C)C2C1C)C(=O)O PLSAJKYPRJGMHO-UHFFFAOYSA-N 0.000 description 1
- 201000003130 ventricular septal defect Diseases 0.000 description 1
- 125000000391 vinyl group Chemical group [H]C([*])=C([H])[H] 0.000 description 1
- 230000004580 weight loss Effects 0.000 description 1
- 208000016261 weight loss Diseases 0.000 description 1
- 230000029663 wound healing Effects 0.000 description 1
Images
Classifications
-
- A—HUMAN NECESSITIES
- A61—MEDICAL OR VETERINARY SCIENCE; HYGIENE
- A61K—PREPARATIONS FOR MEDICAL, DENTAL OR TOILETRY PURPOSES
- A61K45/00—Medicinal preparations containing active ingredients not provided for in groups A61K31/00 - A61K41/00
- A61K45/06—Mixtures of active ingredients without chemical characterisation, e.g. antiphlogistics and cardiaca
-
- A—HUMAN NECESSITIES
- A61—MEDICAL OR VETERINARY SCIENCE; HYGIENE
- A61K—PREPARATIONS FOR MEDICAL, DENTAL OR TOILETRY PURPOSES
- A61K31/00—Medicinal preparations containing organic active ingredients
- A61K31/70—Carbohydrates; Sugars; Derivatives thereof
- A61K31/7042—Compounds having saccharide radicals and heterocyclic rings
-
- A—HUMAN NECESSITIES
- A61—MEDICAL OR VETERINARY SCIENCE; HYGIENE
- A61K—PREPARATIONS FOR MEDICAL, DENTAL OR TOILETRY PURPOSES
- A61K31/00—Medicinal preparations containing organic active ingredients
- A61K31/33—Heterocyclic compounds
- A61K31/395—Heterocyclic compounds having nitrogen as a ring hetero atom, e.g. guanethidine or rifamycins
- A61K31/495—Heterocyclic compounds having nitrogen as a ring hetero atom, e.g. guanethidine or rifamycins having six-membered rings with two or more nitrogen atoms as the only ring heteroatoms, e.g. piperazine or tetrazines
- A61K31/4995—Pyrazines or piperazines forming part of bridged ring systems
-
- A—HUMAN NECESSITIES
- A61—MEDICAL OR VETERINARY SCIENCE; HYGIENE
- A61K—PREPARATIONS FOR MEDICAL, DENTAL OR TOILETRY PURPOSES
- A61K31/00—Medicinal preparations containing organic active ingredients
- A61K31/13—Amines
- A61K31/155—Amidines (), e.g. guanidine (H2N—C(=NH)—NH2), isourea (N=C(OH)—NH2), isothiourea (—N=C(SH)—NH2)
-
- A—HUMAN NECESSITIES
- A61—MEDICAL OR VETERINARY SCIENCE; HYGIENE
- A61K—PREPARATIONS FOR MEDICAL, DENTAL OR TOILETRY PURPOSES
- A61K31/00—Medicinal preparations containing organic active ingredients
- A61K31/33—Heterocyclic compounds
- A61K31/38—Heterocyclic compounds having sulfur as a ring hetero atom
-
- A—HUMAN NECESSITIES
- A61—MEDICAL OR VETERINARY SCIENCE; HYGIENE
- A61K—PREPARATIONS FOR MEDICAL, DENTAL OR TOILETRY PURPOSES
- A61K31/00—Medicinal preparations containing organic active ingredients
- A61K31/33—Heterocyclic compounds
- A61K31/395—Heterocyclic compounds having nitrogen as a ring hetero atom, e.g. guanethidine or rifamycins
- A61K31/41—Heterocyclic compounds having nitrogen as a ring hetero atom, e.g. guanethidine or rifamycins having five-membered rings with two or more ring hetero atoms, at least one of which being nitrogen, e.g. tetrazole
-
- A—HUMAN NECESSITIES
- A61—MEDICAL OR VETERINARY SCIENCE; HYGIENE
- A61K—PREPARATIONS FOR MEDICAL, DENTAL OR TOILETRY PURPOSES
- A61K31/00—Medicinal preparations containing organic active ingredients
- A61K31/33—Heterocyclic compounds
- A61K31/395—Heterocyclic compounds having nitrogen as a ring hetero atom, e.g. guanethidine or rifamycins
- A61K31/495—Heterocyclic compounds having nitrogen as a ring hetero atom, e.g. guanethidine or rifamycins having six-membered rings with two or more nitrogen atoms as the only ring heteroatoms, e.g. piperazine or tetrazines
-
- A—HUMAN NECESSITIES
- A61—MEDICAL OR VETERINARY SCIENCE; HYGIENE
- A61K—PREPARATIONS FOR MEDICAL, DENTAL OR TOILETRY PURPOSES
- A61K31/00—Medicinal preparations containing organic active ingredients
- A61K31/33—Heterocyclic compounds
- A61K31/395—Heterocyclic compounds having nitrogen as a ring hetero atom, e.g. guanethidine or rifamycins
- A61K31/495—Heterocyclic compounds having nitrogen as a ring hetero atom, e.g. guanethidine or rifamycins having six-membered rings with two or more nitrogen atoms as the only ring heteroatoms, e.g. piperazine or tetrazines
- A61K31/4965—Non-condensed pyrazines
-
- A—HUMAN NECESSITIES
- A61—MEDICAL OR VETERINARY SCIENCE; HYGIENE
- A61K—PREPARATIONS FOR MEDICAL, DENTAL OR TOILETRY PURPOSES
- A61K31/00—Medicinal preparations containing organic active ingredients
- A61K31/33—Heterocyclic compounds
- A61K31/395—Heterocyclic compounds having nitrogen as a ring hetero atom, e.g. guanethidine or rifamycins
- A61K31/495—Heterocyclic compounds having nitrogen as a ring hetero atom, e.g. guanethidine or rifamycins having six-membered rings with two or more nitrogen atoms as the only ring heteroatoms, e.g. piperazine or tetrazines
- A61K31/4985—Pyrazines or piperazines ortho- or peri-condensed with heterocyclic ring systems
-
- A—HUMAN NECESSITIES
- A61—MEDICAL OR VETERINARY SCIENCE; HYGIENE
- A61K—PREPARATIONS FOR MEDICAL, DENTAL OR TOILETRY PURPOSES
- A61K31/00—Medicinal preparations containing organic active ingredients
- A61K31/33—Heterocyclic compounds
- A61K31/395—Heterocyclic compounds having nitrogen as a ring hetero atom, e.g. guanethidine or rifamycins
- A61K31/535—Heterocyclic compounds having nitrogen as a ring hetero atom, e.g. guanethidine or rifamycins having six-membered rings with at least one nitrogen and one oxygen as the ring hetero atoms, e.g. 1,2-oxazines
- A61K31/5375—1,4-Oxazines, e.g. morpholine
- A61K31/5377—1,4-Oxazines, e.g. morpholine not condensed and containing further heterocyclic rings, e.g. timolol
-
- A—HUMAN NECESSITIES
- A61—MEDICAL OR VETERINARY SCIENCE; HYGIENE
- A61K—PREPARATIONS FOR MEDICAL, DENTAL OR TOILETRY PURPOSES
- A61K31/00—Medicinal preparations containing organic active ingredients
- A61K31/33—Heterocyclic compounds
- A61K31/395—Heterocyclic compounds having nitrogen as a ring hetero atom, e.g. guanethidine or rifamycins
- A61K31/55—Heterocyclic compounds having nitrogen as a ring hetero atom, e.g. guanethidine or rifamycins having seven-membered rings, e.g. azelastine, pentylenetetrazole
- A61K31/554—Heterocyclic compounds having nitrogen as a ring hetero atom, e.g. guanethidine or rifamycins having seven-membered rings, e.g. azelastine, pentylenetetrazole having at least one nitrogen and one sulfur as ring hetero atoms, e.g. clothiapine, diltiazem
-
- A—HUMAN NECESSITIES
- A61—MEDICAL OR VETERINARY SCIENCE; HYGIENE
- A61K—PREPARATIONS FOR MEDICAL, DENTAL OR TOILETRY PURPOSES
- A61K9/00—Medicinal preparations characterised by special physical form
- A61K9/0012—Galenical forms characterised by the site of application
- A61K9/0053—Mouth and digestive tract, i.e. intraoral and peroral administration
-
- A—HUMAN NECESSITIES
- A61—MEDICAL OR VETERINARY SCIENCE; HYGIENE
- A61K—PREPARATIONS FOR MEDICAL, DENTAL OR TOILETRY PURPOSES
- A61K9/00—Medicinal preparations characterised by special physical form
- A61K9/0012—Galenical forms characterised by the site of application
- A61K9/0053—Mouth and digestive tract, i.e. intraoral and peroral administration
- A61K9/0056—Mouth soluble or dispersible forms; Suckable, eatable, chewable coherent forms; Forms rapidly disintegrating in the mouth; Lozenges; Lollipops; Bite capsules; Baked products; Baits or other oral forms for animals
-
- A—HUMAN NECESSITIES
- A61—MEDICAL OR VETERINARY SCIENCE; HYGIENE
- A61K—PREPARATIONS FOR MEDICAL, DENTAL OR TOILETRY PURPOSES
- A61K9/00—Medicinal preparations characterised by special physical form
- A61K9/14—Particulate form, e.g. powders, Processes for size reducing of pure drugs or the resulting products, Pure drug nanoparticles
- A61K9/16—Agglomerates; Granulates; Microbeadlets ; Microspheres; Pellets; Solid products obtained by spray drying, spray freeze drying, spray congealing,(multiple) emulsion solvent evaporation or extraction
- A61K9/1605—Excipients; Inactive ingredients
- A61K9/1611—Inorganic compounds
-
- A—HUMAN NECESSITIES
- A61—MEDICAL OR VETERINARY SCIENCE; HYGIENE
- A61K—PREPARATIONS FOR MEDICAL, DENTAL OR TOILETRY PURPOSES
- A61K9/00—Medicinal preparations characterised by special physical form
- A61K9/14—Particulate form, e.g. powders, Processes for size reducing of pure drugs or the resulting products, Pure drug nanoparticles
- A61K9/16—Agglomerates; Granulates; Microbeadlets ; Microspheres; Pellets; Solid products obtained by spray drying, spray freeze drying, spray congealing,(multiple) emulsion solvent evaporation or extraction
- A61K9/1605—Excipients; Inactive ingredients
- A61K9/1617—Organic compounds, e.g. phospholipids, fats
-
- A—HUMAN NECESSITIES
- A61—MEDICAL OR VETERINARY SCIENCE; HYGIENE
- A61K—PREPARATIONS FOR MEDICAL, DENTAL OR TOILETRY PURPOSES
- A61K9/00—Medicinal preparations characterised by special physical form
- A61K9/14—Particulate form, e.g. powders, Processes for size reducing of pure drugs or the resulting products, Pure drug nanoparticles
- A61K9/16—Agglomerates; Granulates; Microbeadlets ; Microspheres; Pellets; Solid products obtained by spray drying, spray freeze drying, spray congealing,(multiple) emulsion solvent evaporation or extraction
- A61K9/1605—Excipients; Inactive ingredients
- A61K9/1617—Organic compounds, e.g. phospholipids, fats
- A61K9/1623—Sugars or sugar alcohols, e.g. lactose; Derivatives thereof; Homeopathic globules
-
- A—HUMAN NECESSITIES
- A61—MEDICAL OR VETERINARY SCIENCE; HYGIENE
- A61K—PREPARATIONS FOR MEDICAL, DENTAL OR TOILETRY PURPOSES
- A61K9/00—Medicinal preparations characterised by special physical form
- A61K9/14—Particulate form, e.g. powders, Processes for size reducing of pure drugs or the resulting products, Pure drug nanoparticles
- A61K9/16—Agglomerates; Granulates; Microbeadlets ; Microspheres; Pellets; Solid products obtained by spray drying, spray freeze drying, spray congealing,(multiple) emulsion solvent evaporation or extraction
- A61K9/1605—Excipients; Inactive ingredients
- A61K9/1629—Organic macromolecular compounds
- A61K9/1635—Organic macromolecular compounds obtained by reactions only involving carbon-to-carbon unsaturated bonds, e.g. polyvinyl pyrrolidone, poly(meth)acrylates
-
- A—HUMAN NECESSITIES
- A61—MEDICAL OR VETERINARY SCIENCE; HYGIENE
- A61K—PREPARATIONS FOR MEDICAL, DENTAL OR TOILETRY PURPOSES
- A61K9/00—Medicinal preparations characterised by special physical form
- A61K9/20—Pills, tablets, discs, rods
- A61K9/2004—Excipients; Inactive ingredients
- A61K9/2009—Inorganic compounds
-
- A—HUMAN NECESSITIES
- A61—MEDICAL OR VETERINARY SCIENCE; HYGIENE
- A61K—PREPARATIONS FOR MEDICAL, DENTAL OR TOILETRY PURPOSES
- A61K9/00—Medicinal preparations characterised by special physical form
- A61K9/20—Pills, tablets, discs, rods
- A61K9/2004—Excipients; Inactive ingredients
- A61K9/2013—Organic compounds, e.g. phospholipids, fats
-
- A—HUMAN NECESSITIES
- A61—MEDICAL OR VETERINARY SCIENCE; HYGIENE
- A61K—PREPARATIONS FOR MEDICAL, DENTAL OR TOILETRY PURPOSES
- A61K9/00—Medicinal preparations characterised by special physical form
- A61K9/20—Pills, tablets, discs, rods
- A61K9/2004—Excipients; Inactive ingredients
- A61K9/2013—Organic compounds, e.g. phospholipids, fats
- A61K9/2018—Sugars, or sugar alcohols, e.g. lactose, mannitol; Derivatives thereof, e.g. polysorbates
-
- A—HUMAN NECESSITIES
- A61—MEDICAL OR VETERINARY SCIENCE; HYGIENE
- A61K—PREPARATIONS FOR MEDICAL, DENTAL OR TOILETRY PURPOSES
- A61K9/00—Medicinal preparations characterised by special physical form
- A61K9/20—Pills, tablets, discs, rods
- A61K9/2004—Excipients; Inactive ingredients
- A61K9/2022—Organic macromolecular compounds
- A61K9/2027—Organic macromolecular compounds obtained by reactions only involving carbon-to-carbon unsaturated bonds, e.g. polyvinyl pyrrolidone, poly(meth)acrylates
-
- A—HUMAN NECESSITIES
- A61—MEDICAL OR VETERINARY SCIENCE; HYGIENE
- A61K—PREPARATIONS FOR MEDICAL, DENTAL OR TOILETRY PURPOSES
- A61K9/00—Medicinal preparations characterised by special physical form
- A61K9/20—Pills, tablets, discs, rods
- A61K9/2004—Excipients; Inactive ingredients
- A61K9/2022—Organic macromolecular compounds
- A61K9/205—Polysaccharides, e.g. alginate, gums; Cyclodextrin
- A61K9/2054—Cellulose; Cellulose derivatives, e.g. hydroxypropyl methylcellulose
-
- A—HUMAN NECESSITIES
- A61—MEDICAL OR VETERINARY SCIENCE; HYGIENE
- A61K—PREPARATIONS FOR MEDICAL, DENTAL OR TOILETRY PURPOSES
- A61K9/00—Medicinal preparations characterised by special physical form
- A61K9/20—Pills, tablets, discs, rods
- A61K9/2004—Excipients; Inactive ingredients
- A61K9/2022—Organic macromolecular compounds
- A61K9/205—Polysaccharides, e.g. alginate, gums; Cyclodextrin
- A61K9/2059—Starch, including chemically or physically modified derivatives; Amylose; Amylopectin; Dextrin
-
- A—HUMAN NECESSITIES
- A61—MEDICAL OR VETERINARY SCIENCE; HYGIENE
- A61K—PREPARATIONS FOR MEDICAL, DENTAL OR TOILETRY PURPOSES
- A61K9/00—Medicinal preparations characterised by special physical form
- A61K9/20—Pills, tablets, discs, rods
- A61K9/2072—Pills, tablets, discs, rods characterised by shape, structure or size; Tablets with holes, special break lines or identification marks; Partially coated tablets; Disintegrating flat shaped forms
- A61K9/2077—Tablets comprising drug-containing microparticles in a substantial amount of supporting matrix; Multiparticulate tablets
- A61K9/2081—Tablets comprising drug-containing microparticles in a substantial amount of supporting matrix; Multiparticulate tablets with microcapsules or coated microparticles according to A61K9/50
-
- A—HUMAN NECESSITIES
- A61—MEDICAL OR VETERINARY SCIENCE; HYGIENE
- A61P—SPECIFIC THERAPEUTIC ACTIVITY OF CHEMICAL COMPOUNDS OR MEDICINAL PREPARATIONS
- A61P1/00—Drugs for disorders of the alimentary tract or the digestive system
- A61P1/10—Laxatives
-
- A—HUMAN NECESSITIES
- A61—MEDICAL OR VETERINARY SCIENCE; HYGIENE
- A61P—SPECIFIC THERAPEUTIC ACTIVITY OF CHEMICAL COMPOUNDS OR MEDICINAL PREPARATIONS
- A61P1/00—Drugs for disorders of the alimentary tract or the digestive system
- A61P1/14—Prodigestives, e.g. acids, enzymes, appetite stimulants, antidyspeptics, tonics, antiflatulents
-
- A—HUMAN NECESSITIES
- A61—MEDICAL OR VETERINARY SCIENCE; HYGIENE
- A61P—SPECIFIC THERAPEUTIC ACTIVITY OF CHEMICAL COMPOUNDS OR MEDICINAL PREPARATIONS
- A61P1/00—Drugs for disorders of the alimentary tract or the digestive system
- A61P1/16—Drugs for disorders of the alimentary tract or the digestive system for liver or gallbladder disorders, e.g. hepatoprotective agents, cholagogues, litholytics
-
- A—HUMAN NECESSITIES
- A61—MEDICAL OR VETERINARY SCIENCE; HYGIENE
- A61P—SPECIFIC THERAPEUTIC ACTIVITY OF CHEMICAL COMPOUNDS OR MEDICINAL PREPARATIONS
- A61P1/00—Drugs for disorders of the alimentary tract or the digestive system
- A61P1/18—Drugs for disorders of the alimentary tract or the digestive system for pancreatic disorders, e.g. pancreatic enzymes
-
- A—HUMAN NECESSITIES
- A61—MEDICAL OR VETERINARY SCIENCE; HYGIENE
- A61P—SPECIFIC THERAPEUTIC ACTIVITY OF CHEMICAL COMPOUNDS OR MEDICINAL PREPARATIONS
- A61P13/00—Drugs for disorders of the urinary system
- A61P13/02—Drugs for disorders of the urinary system of urine or of the urinary tract, e.g. urine acidifiers
-
- A—HUMAN NECESSITIES
- A61—MEDICAL OR VETERINARY SCIENCE; HYGIENE
- A61P—SPECIFIC THERAPEUTIC ACTIVITY OF CHEMICAL COMPOUNDS OR MEDICINAL PREPARATIONS
- A61P17/00—Drugs for dermatological disorders
- A61P17/04—Antipruritics
-
- A—HUMAN NECESSITIES
- A61—MEDICAL OR VETERINARY SCIENCE; HYGIENE
- A61P—SPECIFIC THERAPEUTIC ACTIVITY OF CHEMICAL COMPOUNDS OR MEDICINAL PREPARATIONS
- A61P3/00—Drugs for disorders of the metabolism
- A61P3/06—Antihyperlipidemics
-
- A—HUMAN NECESSITIES
- A61—MEDICAL OR VETERINARY SCIENCE; HYGIENE
- A61P—SPECIFIC THERAPEUTIC ACTIVITY OF CHEMICAL COMPOUNDS OR MEDICINAL PREPARATIONS
- A61P35/00—Antineoplastic agents
-
- A—HUMAN NECESSITIES
- A61—MEDICAL OR VETERINARY SCIENCE; HYGIENE
- A61P—SPECIFIC THERAPEUTIC ACTIVITY OF CHEMICAL COMPOUNDS OR MEDICINAL PREPARATIONS
- A61P43/00—Drugs for specific purposes, not provided for in groups A61P1/00-A61P41/00
-
- A—HUMAN NECESSITIES
- A61—MEDICAL OR VETERINARY SCIENCE; HYGIENE
- A61P—SPECIFIC THERAPEUTIC ACTIVITY OF CHEMICAL COMPOUNDS OR MEDICINAL PREPARATIONS
- A61P7/00—Drugs for disorders of the blood or the extracellular fluid
-
- C—CHEMISTRY; METALLURGY
- C07—ORGANIC CHEMISTRY
- C07D—HETEROCYCLIC COMPOUNDS
- C07D281/00—Heterocyclic compounds containing rings of more than six members having one nitrogen atom and one sulfur atom as the only ring hetero atoms
- C07D281/02—Seven-membered rings
- C07D281/04—Seven-membered rings having the hetero atoms in positions 1 and 4
- C07D281/08—Seven-membered rings having the hetero atoms in positions 1 and 4 condensed with carbocyclic rings or ring systems
- C07D281/10—Seven-membered rings having the hetero atoms in positions 1 and 4 condensed with carbocyclic rings or ring systems condensed with one six-membered ring
-
- C—CHEMISTRY; METALLURGY
- C07—ORGANIC CHEMISTRY
- C07D—HETEROCYCLIC COMPOUNDS
- C07D337/00—Heterocyclic compounds containing rings of more than six members having one sulfur atom as the only ring hetero atom
- C07D337/02—Seven-membered rings
- C07D337/06—Seven-membered rings condensed with carbocyclic rings or ring systems
- C07D337/08—Seven-membered rings condensed with carbocyclic rings or ring systems condensed with one six-membered ring
-
- C—CHEMISTRY; METALLURGY
- C07—ORGANIC CHEMISTRY
- C07D—HETEROCYCLIC COMPOUNDS
- C07D409/00—Heterocyclic compounds containing two or more hetero rings, at least one ring having sulfur atoms as the only ring hetero atoms
- C07D409/02—Heterocyclic compounds containing two or more hetero rings, at least one ring having sulfur atoms as the only ring hetero atoms containing two hetero rings
- C07D409/10—Heterocyclic compounds containing two or more hetero rings, at least one ring having sulfur atoms as the only ring hetero atoms containing two hetero rings linked by a carbon chain containing aromatic rings
-
- C—CHEMISTRY; METALLURGY
- C07—ORGANIC CHEMISTRY
- C07D—HETEROCYCLIC COMPOUNDS
- C07D487/00—Heterocyclic compounds containing nitrogen atoms as the only ring hetero atoms in the condensed system, not provided for by groups C07D451/00 - C07D477/00
- C07D487/02—Heterocyclic compounds containing nitrogen atoms as the only ring hetero atoms in the condensed system, not provided for by groups C07D451/00 - C07D477/00 in which the condensed system contains two hetero rings
- C07D487/08—Bridged systems
-
- C—CHEMISTRY; METALLURGY
- C07—ORGANIC CHEMISTRY
- C07H—SUGARS; DERIVATIVES THEREOF; NUCLEOSIDES; NUCLEOTIDES; NUCLEIC ACIDS
- C07H15/00—Compounds containing hydrocarbon or substituted hydrocarbon radicals directly attached to hetero atoms of saccharide radicals
- C07H15/26—Acyclic or carbocyclic radicals, substituted by hetero rings
-
- A—HUMAN NECESSITIES
- A61—MEDICAL OR VETERINARY SCIENCE; HYGIENE
- A61K—PREPARATIONS FOR MEDICAL, DENTAL OR TOILETRY PURPOSES
- A61K31/00—Medicinal preparations containing organic active ingredients
- A61K31/33—Heterocyclic compounds
- A61K31/395—Heterocyclic compounds having nitrogen as a ring hetero atom, e.g. guanethidine or rifamycins
- A61K31/435—Heterocyclic compounds having nitrogen as a ring hetero atom, e.g. guanethidine or rifamycins having six-membered rings with one nitrogen as the only ring hetero atom
- A61K31/44—Non condensed pyridines; Hydrogenated derivatives thereof
- A61K31/4427—Non condensed pyridines; Hydrogenated derivatives thereof containing further heterocyclic ring systems
- A61K31/4436—Non condensed pyridines; Hydrogenated derivatives thereof containing further heterocyclic ring systems containing a heterocyclic ring having sulfur as a ring hetero atom
Definitions
- compositions and methods for treating or ameliorating a pediatric cholestatic liver disease or pediatric cholestasis comprising non-systemically administering to a pediatric patient a therapeutically effective amount of a composition comprising an Apical Sodium-dependent Bile Transporter Inhibitor (ASBTI) or a pharmaceutically acceptable salt thereof.
- methods for treating or ameliorating a pediatric cholestatic liver disease comprising administering to an individual in need thereof a therapeutically effective amount of a composition comprising a non-systemically absorbed ASBTI or a pharmaceutically acceptable salt thereof.
- provided herein are methods for treating or ameliorating a pediatric cholestatic liver disease comprising non-systemically administering to a pediatric patient a therapeutically effective amount of a pediatric dosage form comprising an Apical Sodium-dependent Bile Transporter Inhibitor (ASBTI) or a pharmaceutically acceptable salt thereof.
- ASBTI Apical Sodium-dependent Bile Transporter Inhibitor
- methods for treating or ameliorating a pediatric cholestatic liver disease comprising administering to an individual in need thereof a therapeutically effective amount of a pediatric dosage form comprising a non-systemically absorbed ASBTI or a pharmaceutically acceptable salt thereof.
- pediatric dosage forms comprising a pediatric dosage of a non-systemically absorbed Apical Sodium-dependent Bile Acid Transporter Inhibitor (ASBTI) or a pharmaceutically acceptable salt thereof.
- ASBTI Apical Sodium-dependent Bile Acid Transporter Inhibitor
- pediatric dosage forms comprising any non-systemically absorbed ASBTI or a pharmaceutically acceptable salt thereof described herein.
- pediatric dosage forms comprising any non-systemically absorbed ASBTI or a pharmaceutically acceptable salt thereof and a second agent described herein.
- compositions and methods for treating or ameliorating pruritis comprising non-systemically administering to a pediatric patient suffering from a pediatric cholestatic liver disease a therapeutically effective amount of a composition comprising an ASBTI or a pharmaceutically acceptable salt thereof.
- methods for treating or ameliorating pruritis comprising administering to an individual in need thereof a therapeutically effective amount of a composition comprising a non-systemically absorbed ASBTI or a pharmaceutically acceptable salt thereof.
- provided herein are methods for treating or ameliorating pruritis comprising non-systemically administering to a pediatric patient suffering from a pediatric cholestatic liver disease a therapeutically effective amount of a pediatric dosage form comprising an ASBTI or a pharmaceutically acceptable salt thereof.
- methods for treating or ameliorating pruritis comprising administering to an individual in need thereof a therapeutically effective amount of a pediatric dosage form comprising a non-systemically absorbed ASBTI or a pharmaceutically acceptable salt thereof.
- compositions and methods for treating or ameliorating pediatric hypercholemia comprising non-systemically administering to a pediatric patient a therapeutically effective amount of a composition comprising an ASBTI or a pharmaceutically acceptable salt thereof.
- methods for treating or ameliorating pediatric hypercholemia comprising administering to an individual in need thereof a therapeutically effective amount of a composition comprising a non-systemically absorbed ASBTI or a pharmaceutically acceptable salt thereof.
- provided herein are methods for treating or ameliorating pediatric hypercholemia comprising non-systemically administering to a pediatric patient a therapeutically effective amount of a pediatric dosage form comprising an ASBTI or a pharmaceutically acceptable salt thereof. In certain embodiments, provided herein are methods for treating or ameliorating pediatric hypercholemia comprising administering to an individual in need thereof a therapeutically effective amount of a pediatric dosage form comprising a non-systemically absorbed ASBTI or a pharmaceutically acceptable salt thereof.
- compositions and methods for lowering serum bile acid concentrations or hepatic bile acid concentrations comprising non-systemically administering to a pediatric patient suffering from a pediatric cholestatic liver disease a therapeutically effective amount of a composition comprising an ASBTI or a pharmaceutically acceptable salt thereof.
- methods for decreasing serum bile acids or hepatic bile acids comprising administering to an individual in need thereof a therapeutically effective amount of a composition comprising a non-systemically absorbed ASBTI or a pharmaceutically acceptable salt thereof.
- provided herein are methods for decreasing serum bile acid levels or concentrations or hepatic bile acid levels or concentrations comprising non-systemically administering to a pediatric patient suffering from a pediatric cholestatic liver disease a therapeutically effective amount of a pediatric dosage form comprising an ASBTI or a pharmaceutically acceptable salt thereof.
- methods for decreasing serum bile acids or hepatic bile acids comprising administering to an individual in need thereof a therapeutically effective amount of a pediatric dosage form comprising a non-systemically absorbed ASBTI or a pharmaceutically acceptable salt thereof.
- compositions and methods provided herein decrease serum or hepatic bile acid levels by at least 50%, 45%, 40%, 35%, 30%, 25%, 20%, 15%, or 10%, as compared to the levels prior to administration of the compositions provided herein or as compared to control subjects.
- methods provided herein decrease serum or hepatic bile acid levels by at least 30%.
- methods provided herein decrease serum or hepatic bile acid levels by at least 25%.
- methods provided herein decrease serum or hepatic bile acid levels by at least 20%.
- methods provided herein decrease serum or hepatic bile acid levels by at least 15%.
- compositions and methods for treating or ameliorating xanthoma comprising non-systemically administering to a pediatric patient suffering from a pediatric cholestatic liver disease a therapeutically effective amount of a composition comprising an ASBTI or a pharmaceutically acceptable salt thereof.
- methods for treating or ameliorating xanthoma comprising administering to an individual in need thereof a therapeutically effective amount of a composition comprising a non-systemically absorbed ASBTI or a pharmaceutically acceptable salt thereof.
- provided herein are methods for treating or ameliorating xanthoma comprising non-systemically administering to a pediatric patient suffering from a pediatric cholestatic liver disease a therapeutically effective amount of a pediatric dosage form comprising an ASBTI or a pharmaceutically acceptable salt thereof.
- methods for treating or ameliorating xanthoma comprising administering to an individual in need thereof a therapeutically effective amount of a pediatric dosage form comprising a non-systemically absorbed ASBTI or a pharmaceutically acceptable salt thereof.
- compositions and methods decreasing serum lipoprotein X levels or concentrations comprising non-systemically administering to a pediatric patient suffering from xanthoma a therapeutically effective amount of a composition comprising an ASBTI or a pharmaceutically acceptable salt thereof.
- methods for decreasing serum lipoprotein X comprising administering to an individual in need thereof a therapeutically effective amount of a composition comprising a non-systemically absorbed ASBTI or a pharmaceutically acceptable salt thereof.
- provided herein are methods for decreasing serum lipoprotein X levels or concentrations comprising non-systemically administering to a pediatric patient suffering from xanthoma a therapeutically effective amount of a pediatric dosage form comprising an ASBTI or a pharmaceutically acceptable salt thereof.
- methods for decreasing serum lipoprotein X comprising administering to an individual in need thereof a therapeutically effective amount of a pediatric dosage form comprising a non-systemically absorbed ASBTI or a pharmaceutically acceptable salt thereof.
- compositions and methods for reducing serum levels of bilirubin, gamma-glutamyl transpeptidase or gamma-glutamyl transferase (GGT), or liver enzymes, such as alkaline phosphatase, ALT and AST, in an individual in need thereof comprising non-systemically administering a therapeutically effective amount of a composition of an ASBTI or a pharmaceutically acceptable salt thereof.
- methods comprise administering a therapeutically effective amount of a composition comprising a non-systemically absorbed ASBTI or a pharmaceutically acceptable salt thereof.
- methods for reducing serum levels of bilirubin, gamma-glutamyl transpeptidase or gamma-glutamyl transferase (GGT), or liver enzymes, such as alkaline phosphatase, ALT and AST, in an individual in need thereof comprising non-systemically administering a therapeutically effective amount of a pediatric dosage form of an ASBTI or a pharmaceutically acceptable salt thereof.
- methods comprise administering a therapeutically effective amount of a pediatric dosage form comprising a non-systemically absorbed ASBTI or a pharmaceutically acceptable salt thereof.
- methods provided herein comprise administering compounds that inhibit the ASBT or any recuperative bile salt transporter.
- use of the compounds provided herein reduces or inhibits recycling of bile acid salts in the gastrointestinal tract.
- the methods provided herein reduce intraenterocyte bile acids/salts or reduce necrosis and/or damage to intestinal or hepatocellular architecture.
- the methods described herein treat or ameliorate a pediatric cholestatic liver disease by increasing intraluminal concentrations of bile acids/salts, which are then excreted in the feces, thereby reducing overall bile acid and serum bile acid or hepatic bile acid load in an individual in need thereof.
- increasing intraluminal bile acid concentrations according to methods described herein provide protection and/or control of the integrity of an individual's liver and/or intestine that has been injured by cholestasis and/or cholestatic liver disease.
- the methods described herein treat or ameliorate pruritis by increasing intraluminal concentrations, and/or reducing serum concentrations, or hepatic concentrations of bile acids/salts in an individual in need thereof.
- increasing intraluminal bile acid concentrations according to methods described herein provide protection and/or control of the integrity of an individual's liver and/or intestine that has been injured by a cholestatic liver disease.
- the methods described herein lower serum bile acid concentrations or hepatic bile acid concentrations by increasing intraluminal concentrations of bile acids/salts in an individual in need thereof.
- increasing intraluminal bile acid concentrations according to methods described herein provide protection and/or control of the integrity of an individual's liver and/or intestine that has been injured by a cholestatic liver disease.
- an ASBTI or a pharmaceutically acceptable salt thereof for use in the treatment of a pediatric cholestatic liver disease wherein the ASBTI is non-systemically absorbed or is formulated to be non-systemically absorbed.
- a pharmaceutical composition for use in the treatment of a pediatric cholestatic liver disease wherein the composition comprises a pediatric dosage form of an ASBTI and a pharmaceutically acceptable excipient, wherein the ASBTI is non-systemically absorbed or is formulated to be non-systemically absorbed.
- a composition provided herein is suitable for non-systemically administering to the distal ileum, colon, and/or rectum.
- an ASBTI or a pharmaceutically acceptable salt thereof for use in the treatment of pruritis in a pediatric patient suffering from a pediatric cholestatic liver disease, wherein the ASBTI is non-systemically absorbed or is formulated to be non-systemically absorbed.
- a pharmaceutical composition for use in the treatment of pruritis wherein the composition comprises a pediatric dosage form of an ASBTI and a pharmaceutically acceptable excipient, wherein the ASBTI is non-systemically absorbed or is formulated to be non-systemically absorbed.
- a composition provided herein is suitable for non-systemically administering to the distal ileum, colon, and/or rectum.
- an ASBTI or a pharmaceutically acceptable salt thereof for use in lowering serum bile acid concentrations or hepatic bile acid concentrations in a pediatric patient suffering from a pediatric cholestatic liver disease, wherein the ASBTI is a non-systemically absorbed or is formulated to be non-systemically absorbed.
- a pharmaceutical composition for use in lowering serum bile acid concentrations or hepatic bile acid concentrations wherein the composition comprises a pediatric dosage form of an ASBTI and a pharmaceutically acceptable excipient, wherein the ASBTI is non-systemically absorbed or is formulated to be non-systemically absorbed.
- a composition provided herein is suitable for non-systemically administering to the distal ileum, colon, and/or rectum.
- an ASBTI provided herein is minimally absorbed or formulated to be minimally absorbed.
- a pediatric dosage form of an ASBTI is non-systemically administered to the distal ileum, colon, and/or rectum of an individual in need thereof.
- an ASBTI is non-systemically administered to the ileum, colon or rectum of an individual in need thereof.
- less than 50%, less than 40%, less than 30%, less than 20%, less than 10%, less than 9%, less than 8%, less than 7%, less than 6%, less than 5%, less than 4%, less than 3%, less than 2%, or less than 1% of the ASBTI is systemically absorbed.
- less than 10% of the ASBTI is systemically absorbed.
- less than 5% of the ASBTI is systemically absorbed.
- less than 1% of the ASBTI is systemically absorbed.
- provided herein is a method for treating a pediatric cholestatic liver disease in an individual in need thereof comprising non-systemically administering to the distal gastrointestinal tract of the individual in need thereof a therapeutically effective amount of a pediatric dosage form of an ASBTI or a pharmaceutically acceptable salt thereof.
- a method for treating pruritis in an individual in need thereof comprising non-systemically administering to the distal gastrointestinal tract of the individual in need thereof a therapeutically effective amount of a pediatric dosage form of an ASBTI or a pharmaceutically acceptable salt thereof.
- a method for lowering serum bile acid concentrations in an individual in need thereof comprising non-systemically administering to the distal gastrointestinal tract of the individual in need thereof a therapeutically effective amount of a pediatric dosage form of an ASBTI or a pharmaceutically acceptable salt thereof.
- the distal gastrointestinal tract is jejunum, ileum, colon, or rectum.
- the distal gastrointestinal tract is ileum, colon, or the rectum.
- the distal gastrointestinal tract is jejunum.
- the distal gastrointestinal tract is ileum.
- the pediatric cholestatic liver disease is progressive familial intrahepatic cholestasis (PFIC), PFIC type 1, PFIC type 2, PFIC type 3, Alagille syndrome, Dubin-Johnson Syndrome, biliary atresia, post-Kasai biliary atresia, post-liver transplantation biliary atresia, post-liver transplantation cholestasis, post-liver transplantation associated liver disease, intestinal failure associated liver disease, bile acid mediated liver injury, pediatric primary sclerosing cholangitis, MRP2 deficiency syndrome, neonatal sclerosing cholangitis, a pediatric obstructive cholestasis, a pediatric non-obstructive cholestasis, a pediatric extrahepatic cholestasis, a pediatric intrahepatic cholestasis, a pediatric primary intrahepatic cholestasis, a pediatric secondary intra
- a pediatric cholestatic liver disease is characterized by one or more symptoms selected from jaundice, pruritis, cirrhosis, hypercholemia, neonatal respiratory distress syndrome, lung pneumonia, increased serum concentration of bile acids, increased hepatic concentration of bile acids, increased serum concentration of bilirubin, hepatocellular injury, liver scarring, liver failure, hepatomegaly, xanthomas, malabsorption, splenomegaly, diarrhea, pancreatitis, hepatocellular necrosis, giant cell formation, hepatocellular carcinoma, gastrointestinal bleeding, portal hypertension, hearing loss, fatigue, loss of appetite, anorexia, peculiar smell, dark urine, light stools, steatorrhea, failure to thrive, and/or renal failure.
- the pediatric patient is a new born, a pre-term new born, an infant, a toddler, a pre-schooler, a school-age child, a pre-pubescent child, post-pubescent child, an adolescent, or a teenager under the age of eighteen.
- the pediatric patient is a new born, a pre-term new born, an infant, a toddler, a pre-schooler, or a school-age child.
- the pediatric patient is a new born, a pre-term new born, an infant, a toddler, or a pre-schooler.
- the pediatric patient is a new born, a pre-term new born, an infant, or a toddler.
- the pediatric patient is a new born, a pre-term new born, or an infant. In some embodiments, the pediatric patient is a new born. In some embodiments, the pediatric patient is an infant. In some embodiments, the pediatric patient is a toddler.
- the individual is an infant less than 2 years of age. In some cases, for any of the methods and/or compositions described herein, the individual is an infant between 0 to 18 months of age. In some cases, for any of the methods and/or compositions described herein, the individual is an infant between 1 to 18 months of age. In some cases, for any of the methods and/or compositions described herein, the individual is an infant between 2 to 18 months of age. In some cases, for any of the methods and/or compositions described herein, the individual is an infant between 3 to 18 months of age. In some cases, for any of the methods and/or compositions described herein, the individual is an infant between 4 to 18 months of age.
- the individual is an infant between 6 to 18 months of age. In some cases, for any of the methods and/or compositions described herein, the individual is an infant between 18 to 24 months of age. In some cases, for any of the methods and/or compositions described herein, the individual is an infant between 6 to 12 months of age. In some instances, for any of the methods and/or compositions described herein, the individual is a child of between about 2 to about 10 years of age. In some instances, the individual is less than about 10 years old. In some instances, the individual is between about 10 to about 17 years old.
- the individual is a child between 6 months to 12 years of age.
- compositions using compounds that inhibit the Apical Sodium-dependent Bile Transporter (ASBT) or a pharmaceutically acceptable salt thereof, or any recuperative bile salt transporter for treatment of a pediatric cholestatic liver disease or pruritis or for lowering serum bile acid concentrations.
- ASBT Apical Sodium-dependent Bile Transporter
- use of the compounds provided herein reduces or inhibits recycling of bile acid salts in the gastrointestinal tract.
- the methods provided herein reduce intraenterocyte bile acids/salts and/or damage to ileal or hepatocellular architecture caused by a pediatric cholestatic liver disease and/or allow for regeneration of the intestinal lining or liver.
- the bile transport inhibitors are non-systemic compounds. In other embodiments, the bile acid transporter inhibitors are systemic compounds delivered non-systemically. In other embodiments, the bile acid transporter inhibitors are systemic compounds. In certain embodiments, the bile transport inhibitors described herein enhance enteroendocrine peptide secretion by intestinal L-cells.
- the ASBTI is a compound of Formula I or a pharmaceutically acceptable salt thereof, as described herein.
- the ASBTI is a compound of Formula II or a pharmaceutically acceptable salt thereof, as described herein.
- the ASBTI is a compound of Formula III or a pharmaceutically acceptable salt thereof, as described herein.
- the ASBTI is a compound of Formula IV or a pharmaceutically acceptable salt thereof, as described herein.
- the ASBTI is a compound of Formula V or a pharmaceutically acceptable salt thereof, as described herein.
- the ASBTI is a compound of Formula VI or Formula VID or a pharmaceutically acceptable salt thereof, as described herein.
- provided herein is a method for treating or ameliorating a pediatric cholestatic liver disease comprising non-systemically administering to an individual in need thereof a therapeutically effective amount of a pediatric dosage form of an ASBTI of Formula I or a pharmaceutically acceptable salt thereof.
- a method for treating or ameliorating pruritis comprising non-systemically administering to an individual in need thereof a therapeutically effective amount of a pediatric dosage form of an ASBTI of Formula I or a pharmaceutically acceptable salt thereof.
- provided herein is a method for increasing the levels of an enteroendocrine peptide or hormone in an individual suffering from a pediatric cholestatic liver disease comprising non-systemically administering to the individual in need thereof a therapeutically effective amount of a pediatric dosage form of an ASBTI of Formula I or a pharmaceutically acceptable salt thereof.
- a method for lowering serum bile acid concentrations or hepatic bile acid concentration comprising non-systemically administering to an individual in need thereof a therapeutically effective amount of a pediatric dosage form of an ASBTI of Formula I or a pharmaceutically acceptable salt thereof.
- provided herein is a method for treating or ameliorating a pediatric cholestatic liver disease comprising non-systemically administering to an individual in need thereof a therapeutically effective amount of a pediatric dosage form of an ASBTI of Formula II or a pharmaceutically acceptable salt thereof.
- a method for treating or ameliorating pruritis comprising non-systemically administering to an individual in need thereof a therapeutically effective amount of a pediatric dosage form of an ASBTI of Formula II or a pharmaceutically acceptable salt thereof.
- provided herein is a method for increasing the levels of an enteroendocrine peptide or hormone in an individual suffering from a pediatric cholestatic liver disease comprising non-systemically administering to the individual in need thereof a therapeutically effective amount of a pediatric dosage form of an ASBTI of Formula II or a pharmaceutically acceptable salt thereof.
- a method for lowering serum bile acid concentrations or hepatic bile acid concentration comprising non-systemically administering to an individual in need thereof a therapeutically effective amount of a pediatric dosage form of an ASBTI of Formula II or a pharmaceutically acceptable salt thereof.
- provided herein is a method for treating or ameliorating a pediatric cholestatic liver disease comprising non-systemically administering to an individual in need thereof a therapeutically effective amount of a pediatric dosage form of an ASBTI of Formula III or a pharmaceutically acceptable salt thereof.
- a method for treating or ameliorating pruritis comprising non-systemically administering to an individual in need thereof a therapeutically effective amount of a pediatric dosage form of an ASBTI of Formula III or a pharmaceutically acceptable salt thereof.
- provided herein is a method for increasing the levels of an enteroendocrine peptide or hormone in an individual suffering from a pediatric cholestatic liver disease comprising non-systemically administering to the individual in need thereof a therapeutically effective amount of a pediatric dosage form of an ASBTI of Formula III or a pharmaceutically acceptable salt thereof.
- a method for lowering serum bile acid concentrations or hepatic bile acid concentration comprising non-systemically administering to an individual in need thereof a therapeutically effective amount of a pediatric dosage form of an ASBTI of Formula III or a pharmaceutically acceptable salt thereof.
- provided herein is a method for treating or ameliorating a pediatric cholestatic liver disease comprising non-systemically administering to an individual in need thereof a therapeutically effective amount of a pediatric dosage form of an ASBTI of Formula IV or a pharmaceutically acceptable salt thereof.
- a method for treating or ameliorating pruritis comprising non-systemically administering to an individual in need thereof a therapeutically effective amount of a pediatric dosage form of an ASBTI of Formula IV or a pharmaceutically acceptable salt thereof.
- provided herein is a method for increasing the levels of an enteroendocrine peptide or hormone in an individual suffering from a pediatric cholestatic liver disease comprising non-systemically administering to the individual in need thereof a therapeutically effective amount of a pediatric dosage form of an ASBTI of Formula IV or a pharmaceutically acceptable salt thereof.
- a method for lowering serum bile acid concentrations or hepatic bile acid concentration comprising non-systemically administering to an individual in need thereof a therapeutically effective amount of a pediatric dosage form of an ASBTI of Formula IV or a pharmaceutically acceptable salt thereof.
- provided herein is a method for treating or ameliorating a pediatric cholestatic liver disease comprising non-systemically administering to an individual in need thereof a therapeutically effective amount of a pediatric dosage form of an ASBTI of Formula V or a pharmaceutically acceptable salt thereof.
- a method for treating or ameliorating pruritis comprising non-systemically administering to an individual in need thereof a therapeutically effective amount of a pediatric dosage form of an ASBTI of Formula V or a pharmaceutically acceptable salt thereof.
- provided herein is a method for increasing the levels of an enteroendocrine peptide or hormone in an individual suffering from a pediatric cholestatic liver disease comprising non-systemically administering to the individual in need thereof a therapeutically effective amount of a pediatric dosage form of an ASBTI of Formula V or a pharmaceutically acceptable salt thereof.
- a method for lowering serum bile acid concentrations or hepatic bile acid concentration comprising non-systemically administering to an individual in need thereof a therapeutically effective amount of a pediatric dosage form of an ASBTI of Formula V or a pharmaceutically acceptable salt thereof.
- provided herein is a method for treating or ameliorating a pediatric cholestatic liver disease comprising non-systemically administering to an individual in need thereof a therapeutically effective amount of a pediatric dosage form of an ASBTI of Formula VI or a pharmaceutically acceptable salt thereof.
- a method for treating or ameliorating pruritis comprising non-systemically administering to an individual in need thereof a therapeutically effective amount of a pediatric dosage form of an ASBTI of Formula VI or a pharmaceutically acceptable salt thereof.
- provided herein is a method for increasing the levels of an enteroendocrine peptide or hormone in an individual suffering from a pediatric cholestatic liver disease comprising non-systemically administering to the individual in need thereof a therapeutically effective amount of a pediatric dosage form of an ASBTI of Formula VI or a pharmaceutically acceptable salt thereof.
- a method for lowering serum bile acid concentrations or hepatic bile acid concentration comprising non-systemically administering to an individual in need thereof a therapeutically effective amount of a pediatric dosage form of an ASBTI of Formula VI or a pharmaceutically acceptable salt thereof.
- an ASBTI is any compound described herein that inhibits recycling of bile acids/salts in the gastrointestinal tract of an individual.
- an ASBTI is ( ⁇ )-(3R,5R)-trans-3-butyl-3-ethyl-2,3,4,5-tetrahydro-7,8-dimethoxy-5-phenyl-1,4-benzothiazepine1,1-dioxide; (“Compound 100A”) or any other salt or analog thereof.
- an ASBTI is 1-[4-[4-[(4R,5R)-3,3-dibutyl-7-(dimethylamino)-2,3,4,5-tetrahydro-4-hydroxy-1,1-dioxido-1-benzothiepin-5-yl]phenoxy]butyl]4-aza-1-azoniabicyclo[2.2.2]octane methane sulfonate salt (“Compound 100B”) or any other salt or analog thereof.
- an ASBTI is N,N-dimethylimido-dicarbonimidic diamide (“Compound 100C”) or any salt or analog thereof.
- an ASBTI is any commercially available ASBTI including but not limited to SD-5613, A-3309, 264W94, S-8921, SAR-548304, BARI-1741, HMR-1453, TA-7552, R-146224, or SC-435.
- an ASBTI is 1,1-dioxo-3,3-dibutyl-5-phenyl-7-methylthio-8-(N— ⁇ (R)- ⁇ -[N—((R)-1-carboxy-2-methylthio-ethyl)carbamoyl]-4-hydroxybenzyl ⁇ carbamoylmethoxy)-2,3,4,5-tetrahydro-1,2,5-benzothiadiazepine; 1,1-dioxo-3,3-dibutyl-5-phenyl-7-methylthio-8-(N— ⁇ (R)- ⁇ -[N—((S)-1-carboxy-2-(R)-hydroxypropyl)carbamoyl]-4-hydroxybenzyl ⁇ carbamoylmethoxy)-2,3,4,5-tetrahydro-1,2,5-benzothiadiazepine; 1,1-dioxo-3,3-dibutyl-5-phenyl-7-methylthio-8-(N
- methods provided herein further comprise administration of a second agent selected from ursodiol, UDCA, cholestyramine/resins, antihistamine agents (e.g., hydroxyzine, diphenhydamine), rifampin, nalaxone, Phenobarbital, dronabinol (CB1 agonist), methotrexate, corticosteroids, cyclosporine, colchicines, TPGS—vitamin A, D, E, or K optionally with polyethylene glycol, zinc, and a resin or sequestrant for absorbing bile acids or an analog thereof.
- a second agent selected from ursodiol, UDCA, cholestyramine/resins, antihistamine agents (e.g., hydroxyzine, diphenhydamine), rifampin, nalaxone, Phenobarbital, dronabinol (CB1 agonist), methotrexate
- methods provided herein further comprise administration of a second agent selected from a bile acid or salt with reduced toxicity or a hydrophilic bile acid such as ursodiol, norursodiol, ursodeoxycholic acid, chenodeoxycholic acid, cholic acid, taurocholic acid, ursocholic acid, glycocholic acid, glycodeoxycholic acid, taurodeoxycholic acid, taurocholate, glycochenodeoxycholic acid, or tauroursodeoxycholic acid.
- a second agent selected from a bile acid or salt with reduced toxicity or a hydrophilic bile acid such as ursodiol, norursodiol, ursodeoxycholic acid, chenodeoxycholic acid, cholic acid, taurocholic acid, ursocholic acid, glycocholic acid, glycodeoxycholic acid, taurodeoxycholic acid, taurocholate, glycochenodeoxycholic acid, or tau
- pediatric dosage forms such as a solution, syrup, suspension, elixir, powder for reconstitution as suspension or solution, dispersible/effervescent tablet, chewable tablet, gummy candy, lollipop, freezer pops, troches, oral thin strips, orally disintegrating tablet, sachet, soft gelatin capsule, and sprinkle oral powder or granules.
- the pediatric dosage of an ASBTI is between about 1 ⁇ g/kg/day and about 10 mg/kg/day. In some embodiments, the pediatric dosage of an ASBTI is between about 5 ⁇ g/kg/day and about 1 mg/kg/day. In some embodiments, the pediatric dosage of an ASBTI is between about 10 ⁇ g/kg/day and about 300 ⁇ g/kg/day. In some embodiments, the pediatric dosage of an ASBTI is any dosage from about 14 ⁇ g/kg/day and about 280 ⁇ g/kg/day. In some embodiments, the pediatric dosage of an ASBTI is any dosage from about 14 ⁇ g/kg/day and about 140 ⁇ g/kg/day.
- the pediatric dosage of an ASBTI is between about 5 ⁇ g/kg/day and about 200 ⁇ g/kg/day. In some embodiments, the pediatric dosage of an ASBTI is between about 10 ⁇ g/kg/day and about 200 ⁇ g/kg/day. In some embodiments, the pediatric dosage of an ASBTI is between about 10 ⁇ g/kg/day and about 175 ⁇ g/kg/day. In some embodiments, the pediatric dosage of an ASBTI is between about 10 ⁇ g/kg/day and about 150 ⁇ g/kg/day. In some embodiments, the pediatric dosage of an ASBTI is between about 10 ⁇ g/kg/day and about 140 ⁇ g/kg/day.
- the pediatric dosage of an ASBTI is between about 25 ⁇ g/kg/day and about 140 ⁇ g/kg/day. In some embodiments, the pediatric dosage of an ASBTI is between about 50 ⁇ g/kg/day and about 140 ⁇ g/kg/day. In some embodiments, the pediatric dosage of an ASBTI is between about 70 ⁇ g/kg/day and about 140 ⁇ g/kg/day. In some embodiments, the pediatric dosage of an ASBTI is between about 10 ⁇ g/kg/day and about 100 ⁇ g/kg/day. In some embodiments, the pediatric dosage of an ASBTI is 10 ⁇ g/kg/day. In some embodiments, the pediatric dosage of an ASBTI is 20 ⁇ g/kg/day.
- the pediatric dosage of an ASBTI is 30 ⁇ g/kg/day. In some embodiments, the pediatric dosage of an ASBTI is 35 ⁇ g/kg/day. In some embodiments, the pediatric dosage of an ASBTI is 40 ⁇ g/kg/day. In some embodiments, the pediatric dosage of an ASBTI is 50 ⁇ g/kg/day. In some embodiments, the pediatric dosage of an ASBTI is 60 ⁇ g/kg/day. In some embodiments, the pediatric dosage of an ASBTI is 70 ⁇ g/kg/day. In some embodiments, the pediatric dosage of an ASBTI is 80 ⁇ g/kg/day. In some embodiments, the pediatric dosage of an ASBTI is 90 ⁇ g/kg/day.
- the pediatric dosage of an ASBTI is 100 ⁇ g/kg/day. In some embodiments, the pediatric dosage of an ASBTI is 110 ⁇ g/kg/day. In some embodiments, the pediatric dosage of an ASBTI is 120 ⁇ g/kg/day. In some embodiments, the pediatric dosage of an ASBTI is 130 ⁇ g/kg/day. In some embodiments, the pediatric dosage of an ASBTI is 140 ⁇ g/kg/day. In some embodiments, the pediatric dosage of an ASBTI is 150 ⁇ g/kg/day. In some embodiments, the pediatric dosage of an ASBTI is 175 ⁇ g/kg/day.
- pediatric dosages of an ASBTI between 14 ⁇ g/kg/day and 140 ⁇ g/kg/day, or between 14 ⁇ g/kg/day and 280 ⁇ g/kg/day.
- the pediatric dosage of an ASBTI is between about 0.5 mg/day and about 40 mg/day. In some embodiments, the pediatric dosage of an ASBTI is between about 0.5 mg/day and about 30 mg/day. In some embodiments, the pediatric dosage of an ASBTI is between about 1 mg/day and about 20 mg/day. In some embodiments, the pediatric dosage of an ASBTI is between about 1 mg/day and about 10 mg/day. In some embodiments, the pediatric dosage of an ASBTI is between about 1 mg/day and about 5 mg/day. In some embodiments, the pediatric dosage of an ASBTI is 1 mg/day. In some embodiments, the pediatric dosage of an ASBTI is 5 mg/day.
- the pediatric dosage of an ASBTI is 10 mg/day. In some embodiments, the pediatric dosage of an ASBTI is 20 mg/day. In some embodiments, the pediatric dosage of an ASBTI is between 0.5 mg/day and 5 mg/day. In some embodiments, the pediatric dosage of an ASBTI is between 0.5 mg/day and 4.5 mg/day. In some embodiments, the pediatric dosage of an ASBTI is between 0.5 mg/day and 4 mg/day. In some embodiments, the pediatric dosage of an ASBTI is between 0.5 mg/day and 3.5 mg/day. In some embodiments, the pediatric dosage of an ASBTI is between 0.5 mg/day and 3 mg/day.
- the pediatric dosage of an ASBTI is between 0.5 mg/day and 2.5 mg/day. In some embodiments, the pediatric dosage of an ASBTI is between 0.5 mg/day and 2 mg/day. In some embodiments, the pediatric dosage of an ASBTI is between 0.5 mg/day and 1.5 mg/day. In some embodiments, the pediatric dosage of an ASBTI is between 0.5 mg/day and 1 mg/day. In some embodiments, the pediatric dosage of an ASBTI is between 1 mg/day and 4.5 mg/day. In some embodiments, the pediatric dosage of an ASBTI is between 1 mg/day and 4 mg/day. In some embodiments, the pediatric dosage of an ASBTI is between 1 mg/day and 3.5 mg/day.
- the pediatric dosage of an ASBTI is between 1 mg/day and 3 mg/day. In some embodiments, the pediatric dosage of an ASBTI is between 1 mg/day and 2.5 mg/day. In some embodiments, the pediatric dosage of an ASBTI is between 1 mg/day and 2 mg/day. In some embodiments, the pediatric dosage of an ASBTI is 0.5 mg/day. In some embodiments, the pediatric dosage of an ASBTI is 1 mg/day. In some embodiments, the pediatric dosage of an ASBTI is 1.5 mg/day. In some embodiments, the pediatric dosage of an ASBTI is 2 mg/day. In some embodiments, the pediatric dosage of an ASBTI is 2.5 mg/day. In some embodiments, the pediatric dosage of an ASBTI is 3 mg/day.
- the pediatric dosage of an ASBTI is 3.5 mg/day. In some embodiments, the pediatric dosage of an ASBTI is 4 mg/day. In some embodiments, the pediatric dosage of an ASBTI is 4.5 mg/day. In some embodiments, the pediatric dosage of an ASBTI is 5 mg/day. In some embodiments, the pediatric dosage described herein is the dosage of the total composition administered.
- the pediatric dosage form comprises 0.5 mg of the ASBTI. In some embodiments, the pediatric dosage form comprises 1 mg of the ASBTI. In some embodiments, the pediatric dosage form comprises 2.5 mg of the ASBTI. In some embodiments, the pediatric dosage form comprises 5 mg of the ASBTI. In some embodiments, the pediatric dosage form comprises 10 mg of the ASBTI. In some embodiments, the pediatric dosage form comprises 20 mg of the ASBTI.
- the pediatric dosage of an ASBTI is given once a day. In some embodiments, the pediatric dosage of an ASBTI is given q.d. In some embodiments, the pediatric dosage of an ASBTI is given once a day in the morning. In some embodiments, the pediatric dosage of an ASBTI is given once a day at noon. In some embodiments, the pediatric dosage of an ASBTI is given once a day in the evening or night. In some embodiments, the pediatric dosage of an ASBTI is given twice a day. In some embodiments, the pediatric dosage of an ASBTI is given b.i.d. In some embodiments, the pediatric dosage of an ASBTI is given twice a day, in the morning and noon.
- the pediatric dosage of an ASBTI is given twice a day, in the morning and evening. In some embodiments, the pediatric dosage of an ASBTI is given twice a day, in the morning and night. In some embodiments, the pediatric dosage of an ASBTI is given twice a day, at noon and in the evening. In some embodiments, the pediatric dosage of an ASBTI is given twice a day, at noon and in the night. In some embodiments, the pediatric dosage of an ASBTI is given three times a day. In some embodiments, the pediatric dosage of an ASBTI is given t.i.d. In some embodiments, the pediatric dosage of an ASBTI is given four times a day. In some embodiments, the pediatric dosage of an ASBTI is given q.i.d.
- the pediatric dosage of an ASBTI is given every four hours. In some embodiments, the pediatric dosage of an ASBTI is given q.q.h. In some embodiments, the pediatric dosage of an ASBTI is given every other day. In some embodiments, the pediatric dosage of an ASBTI is given q.o.d. In some embodiments, the pediatric dosage of an ASBTI is given three times a week. In some embodiments, the pediatric dosage of an ASBTI is given t.i.w.
- kits for use in the treatment of a pediatric cholestatic liver disease or pruritis, or lowering serum bile acid concentrations comprising a therapeutically effective amount of an ASBTI, or a pharmaceutically acceptable salt thereof, and a carrier.
- a method for treating cholestasis and/or a cholestatic liver disease comprising orally administering a therapeutically effective amount of a minimally absorbed ASBTI, or a pharmaceutically acceptable salt thereof, to an individual in need thereof.
- a method for treating cholestasis and/or a cholestatic liver disease comprising orally administering a therapeutically effective amount of a minimally absorbed ASBTI, or a pharmaceutically acceptable salt thereof, to an individual in need thereof.
- ASBTI, or salt thereof is a minimally absorbed ASBTI.
- the dosage form is an enteric formulation, an ileal-pH sensitive release formulation, or a suppository or other suitable form.
- a composition for use in the treatment of a pediatric cholestatic liver disease or pruritis, or lowering serum bile acid concentrations comprises at least one of a spreading agent or a wetting agent.
- the composition comprises an absorption inhibitor.
- an absorption inhibitor is a mucoadhesive agent (e.g., a mucoadhesive polymer).
- the mucoadhesive agent is selected from methyl cellulose, polycarbophil, polyvinylpyrrolidone, sodium carboxymethyl cellulose, and combinations thereof.
- the enteroendocrine peptide secretion enhancing agent is covalently linked to the absorption inhibitor.
- the pharmaceutical composition comprises an enteric coating.
- a composition for use in treatment of cholestasis, a cholestatic liver disease or pruritis described above comprises a carrier.
- the carrier is a rectally suitable carrier.
- any pharmaceutical composition described herein is formulated as a suppository, an enema solution, a rectal foam, or a rectal gel.
- any pharmaceutical composition described herein comprises an orally suitable carrier.
- a pediatric dosage form comprising an ASBTI is administered orally.
- the ASBTI is administered as an ileal-pH sensitive release formulation that delivers the ASBTI to the distal ileum, colon and/or rectum of an individual.
- the ASBTI is administered as an enterically coated formulation.
- oral delivery of an ASBTI provided herein can include formulations, as are well known in the art, to provide prolonged or sustained delivery of the drug to the gastrointestinal tract by any number of mechanisms.
- enteric-coated and enteric-coated controlled release formulations are within the scope of the present invention.
- Suitable enteric coatings include cellulose acetate phthalate, polyvinylacetate phthalate, hydroxypropylmethylcellulose phthalate and anionic polymers of methacrylic acid and methacrylic acid methyl ester.
- the methods and compositions provided herein further comprise administration of a bile acid sequestrant or binder for reducing gastrointestinal side effects.
- methods comprise administering a labile bile acid sequestrant, wherein the labile bile acid sequestrant has a low affinity in the colon or rectum of the individual for at least one bile acid.
- a labile bile acid sequestrant provided herein releases a bile acid in the colon or the rectum of a human.
- a labile bile acid sequestrant provided herein does not sequester a bile acid for excretion or elimination in feces.
- a labile bile acid sequestrant provided herein is a non-systemic labile bile acid sequestrant.
- non-systemic labile bile acid sequestrant is less than 1%, 2%, 3%, 4%, 5%, 6%, 7%, 8%, 9%, 10%, 15%, 20%, 25%, 30%, 35%, 40%, 45% absorbed systemically.
- the labile bile acid sequestrant is lignin or a modified lignin.
- the labile bile acid sequestrant is a polycationic polymer or copolymer.
- the labile bile acid sequestrant is a polymer or copolymer comprising one or more N-alkenyl-N-alkylamine residues; one or more N,N,N-trialkyl-N—(N′-alkenylamino)alkyl-azanium residues; one or more N,N,N-trialkyl-N-alkenyl-azanium residues; one or more alkenyl-amine residues; cholestyramine, cholestipol, or cholesevelamor a combination thereof.
- a pediatric dosage form comprising an ASBTI is administered before ingestion of food. In some embodiments of the methods described above, a pediatric dosage form comprising an ASBTI is administered with or after ingestion of food.
- the methods provided herein further comprise administration of vitamin supplements to compensate for reduced digestion of vitamins, in particular fat-soluble vitamins, in an individual with a pediatric cholestatic liver disease, pruritis, or elevated serum bile acid levels or concentrations.
- the vitamin supplements comprise fat-soluble vitamins.
- the fat-soluble vitamins are vitamin A, D, E, or K.
- administering reduces intraenterocyte bile acids/salts in an individual in need thereof.
- the methods described herein reduce accumulation of bile acids/salts in ileal enterocytes of an individual in need thereof.
- administration of an ASBTI inhibits transport of bile acids/salts from ileal lumen into enterocytes of an individual in need thereof.
- administration of an ASBTI increases ileal luminal bile acids/salts in an individual in need thereof.
- administration of an ASBTI reduces damage to intestinal (e.g., ileal cells) or hepatocellular (e.g., liver cells) architecture associated with a pediatric cholestatic liver disease or elevated serum or hepatic bile acid concentrations in an individual in need thereof.
- administration of an ASBTI regenerates intestinal lining or liver cells that have been injured by cholestasis and/or by a cholestatic liver disease in an individual suffering from a cholestatic liver disease.
- provided herein are methods for the treatment of a pediatric cholestatic liver disease comprising administration of a therapeutically effective amount of a pediatric dosage form comprising a combination of an ASBTI and ursodiol to an individual in need thereof. In some embodiments, provided herein are methods for the treatment of a pediatric cholestatic liver disease comprising administration of a therapeutically effective amount of a combination of an ASBTI and a resin or sequestrant for absorbing bile acids to an individual in need thereof.
- an ASBTI is administered in combination with one or more agent selected from the group consisting of ursodiol, norursodiol, UDCA, ursodeoxycholic acid, chenodeoxycholic acid, cholic acid, taurocholic acid, ursocholic acid, glycocholic acid, glycodeoxycholic acid, taurodeoxycholic acid, taurocholate, glycochenodeoxycholic acid, tauroursodeoxycholic acid, cholestyramine/resins, antihistamine agents (e.g., hydroxyzine, diphenhydamine), rifampin, nalaxone, Phenobarbital, dronabinol (CB1 agonist), methotrexate, corticosteroids, cyclosporine, colchicines, TPGS—vitamin A, D, E, or K optionally with polyethylene glycol, zinc, a resin or sequestrant for absorbing bile acids.
- agent selected
- the methods provided herein further comprise partial external biliary diversion (PEBD) therapy.
- PEBD partial external biliary diversion
- kits comprising any composition described herein (e.g., a pharmaceutical composition formulated for rectal administration) and a device for localized delivery within the rectum or colon.
- the device is a syringe, bag, or a pressurized container.
- FIG. 1 Oral administration of 264W94 dose-dependently increased bile acids in the feces. Fecal bile acid concentrations were elevated up to 6.5 fold with an ED 50 of 0.17 mg/kg, when compared to vehicle treated rats. Fecal NEFA also slightly increased in 264W94 treated rats. Plasma bile acid concentrations were decreased dose-dependently in 264W94 treated rats.
- FIG. 2 Plasma bile acid levels of ZDF rats after administration of ascending doses of SC-435 and LUM002.
- Plasma bile acid levels were determined at the end of the second week. Data are expressed as mean values ⁇ SEM.
- SBA Serum bile acid
- FIG. 4 Fecal bile acid analysis of healthy subjects after administration of ascending multiple oral doses of LUM001 a randomized, double-blind, placebo-controlled study. Fecal samples were collected for all panels except the dose-titration panel, 2.5 (2) and 5 mg (2), on Days 9 through 14 and 23 through 28.
- FIG. 5 Fasting serum bile acid levels and morning post-prandial peak in children under the age of 12.
- LUM001 was administered once-a-day (QD) in the morning for fourteen days.
- the placebo patients had an average fasting serum bile acid level of 8.6 ⁇ mol/L and a post-prandial peak serum bile acid level of 11.9 ⁇ mol/L.
- the values were 6.5 ⁇ mol/L and 9.2, respectively, representing a 24% and 23% decrease.
- Bile acids/salts play a critical role in activating digestive enzymes and solubilizing fats and fat-soluble vitamins and are involved in liver, biliary, and intestinal disease.
- Bile acids are synthesized in the liver by a multistep, multiorganelle pathway. Hydroxyl groups are added to specific sites on the steroid structure, the double bond of the cholesterol B ring is reduced and the hydrocarbon chain is shortened by three carbon atoms resulting in a carboxyl group at the end of the chain.
- the most common bile acids are cholic acid and chenodeoxycholic acid (the “primary bile acids”).
- the bile acids are conjugated to either glycine (to produce glycocholic acid or glycochenodeoxycholic acid) or taurine (to produce taurocholic acid or taurochenodeoxycholic acid).
- the conjugated bile acids are called bile salts and their amphipathic nature makes them more efficient detergents than bile acids. Bile salts, not bile acids, are found in bile.
- Bile salts are excreted by the hepatocytes into the canaliculi to form bile.
- the canaliculi drain into the right and left hepatic ducts and the bile flows to the gallbladder. Bile is released from the gallbladder and travels to the duodenum, where it contributes to the metabolism and degradation of fat.
- the bile salts are reabsorbed in the terminal ileum and transported back to the liver via the portal vein. Bile salts often undergo multiple enterohepatic circulations before being excreted via feces. A small percentage of bile salts may be reabsorbed in the proximal intestine by either passive or carrier-mediated transport processes.
- ASBT sodium-dependent apically located bile acid transporter
- ASBT sodium-dependent apically located bile acid transporter
- a truncated version of ASBT is involved in vectorial transfer of bile acids/salts into the portal circulation.
- Completion of the enterohepatic circulation occurs at the basolateral surface of the hepatocyte by a transport process that is primarily mediated by a sodium-dependent bile acid transporter.
- Intestinal bile acid transport plays a key role in the enterohepatic circulation of bile salts. Molecular analysis of this process has recently led to important advances in our understanding of the biology, physiology and pathophysiology of intestinal bile acid transport.
- Bile acid concentrations vary, with the bulk of the reuptake occurring in the distal intestine. Bile acids/salts alter the growth of bacterial flora in the gut. Described herein are certain compositions and methods that control bile acid concentrations in the intestinal lumen, thereby controlling the hepatocellular damage caused by bile acid accumulation in the liver.
- compositions and methods provided herein increase bile acid concentrations in the gut.
- the increased concentrations of bile acids/salts stimulate subsequent secretion of factors that protect and control integrity of the intestine when it is injured by pediatric cholestasis and/or a pediatric cholestatic liver disease (e.g., a pediatric cholestatic liver disease associated with pruritis, or a pediatric cholestatic liver disease associated with elevated serum bile acid concentrations or hepatic bile acid concentrations).
- compositions and methods described herein have an advantage over systemically absorbed agents.
- the compositions and methods described herein utilize ASBT inhibitors that are not systemically absorbed.
- ASBT inhibitors that are not systemically absorbed.
- the pediatric formulations described herein have an advantage over existing adult dosage forms and dosages to reduce harmful side effects and increase compliance.
- compositions and methods described herein stimulate the release of enteroendocrine hormones GLP-2 and PYY.
- Increased secretion of GLP-2 or PYY allows for prevention or treatment of pediatric cholestasis and/or a pediatric cholestatic liver disease by controlling the adaptive process, attenuating intestinal injury, reducing bacterial translocation, inhibiting the release of free radical oxygen, inhibiting production of proinflammatory cytokines, or any combination thereof.
- Described herein is the use of inhibitors of the ASBT or any recuperative bile salt transporter that are active in the gastrointestinal (GI) tract for treating or preventing pediatric cholestasis and/or a pediatric cholestatic liver disease in an individual in need thereof.
- described herein is the use of inhibitors of the ASBT or any recuperative bile salt transporter that are active in the gastrointestinal (GI) tract for treating or preventing pruritis in an individual in need thereof.
- described herein is the use of inhibitors of the ASBT or any recuperative bile salt transporter that are active in the gastrointestinal (GI) tract for lowering serum bile acid concentrations or hepatic bile acid concentrations in an individual in need thereof.
- the methods provided herein comprise administering a therapeutically effective amount of an ASBTI to an individual in need thereof.
- ASBT inhibitors are not systemically absorbed.
- such bile salt transport inhibitors include a moiety or group that prevents, reduces or inhibits the systemic absorption of the compound in vivo.
- a charged moiety or group on the compounds prevents, reduces or inhibits the compounds from leaving the gastrointestinal tract and reduces the risk of side effects due to systemic absorption.
- such ASBT inhibitors are systemically absorbed.
- the ASBTI provided herein are formulated for non-systemic delivery to the distal ileum.
- an ASBTI is minimally absorbed.
- an ASBTI is non-systemically administered to the colon or the rectum of an individual in need thereof.
- such ASBT inhibitors are not systemically absorbed.
- such bile salt transport inhibitors include a moiety or group that prevents, reduces or inhibits the systemic absorption of the compound in vivo.
- a charged moiety or group on the compounds prevents, reduces or inhibits the compounds from leaving the gastrointestinal tract and reduces the risk of side effects due to systemic absorption.
- such ASBT inhibitors are systemically absorbed.
- the ASBTI are formulated for non-systemic delivery to the distal ileum.
- an ASBTI is minimally absorbed.
- an ASBTI is non-systemically administered to the colon or the rectum of an individual in need thereof.
- ASBTIs described herein inhibit scavenging of bile salts by recuperative bile acid salt transporters in the distal gastrointestinal tract (e.g., the distal ileum, the colon and/or the rectum).
- the inhibition of bile salt recycling results in higher concentrations of bile salts in the lumen of the distal gastrointestinal tract or portions thereof (e.g., the distal small bowel and/or colon and/or rectum).
- the distal gastrointestinal tract includes the region from the distal ileum to the anus.
- the compounds described herein reduce intraenterocyte bile acids/salts or accumulation thereof.
- the compounds described herein reduce damage to hepatocellular or intestinal architecture associated with cholestasis and/or a cholestatic liver disease.
- the integrated metabolism of the bile acid pools in the intestinal lumen lends itself to complex biochemical interactions between host and microbiome symbionts.
- Bile acids/salts are synthesized from cholesterol in the liver by a multi-enzyme coordinated process and are crucial for the absorption of dietary fats and lipid-soluble vitamins in the intestine. Bile acids/salts play a role in maintaining the intestinal barrier function to prevent intestinal bacterial overgrowth and translocation, as well as invasion of underlying tissues by enteric bacteria.
- gut microorganisms interact closely with the host's metabolism and are important determinants of health. Many bacterial species in the gut are capable of modifying and metabolizing bile acids/salts and the gut flora affects systemic processes such as metabolism and inflammation.
- Bile acids/salts have strong antimicrobial and antiviral effects—deficiency leads to bacterial overgrowth and increased deconjugation, leading to less ileal resorption. In animals, conjugated bile acid feeding abolishes bacterial overgrowth, decreases bacterial translocation to lymph nodes and reduces endotoxemia.
- the methods and compositions described herein allow for replacement, displacement, and/or redirection of bile acids/salts to different areas of the gastrointestinal tract thereby affecting (e.g., inhibiting or slowing) growth of microorganisms that may cause infection-associated cholestasis and/or a cholestatic liver disease.
- cholestasis means the disease or symptoms comprising impairment of bile formation and/or bile flow.
- cholestatic liver disease means a liver disease associated with cholestasis. Cholestatic liver diseases are often associated with jaundice, fatigue, and pruritis. Biomarkers of cholestatic liver disease include elevated serum bile acid concentrations, elevated serum alkaline phosphatase (AP), elevated gamma-glutamyltranspeptidease, elevated conjugated hyperbilirubinemia, and elevated serum cholesterol.
- AP serum alkaline phosphatase
- Cholestatic liver disease can be sorted clinicopathologically between two principal categories of obstructive, often extrahepatic, cholestasis, and nonobstructive, or intrahepatic, cholestasis. In the former, cholestasis results when bile flow is mechanically blocked, as by gallstones or tumor, or as in extrahepatic biliary atresia.
- cholestasis results when processes of bile secretion and modification, or of synthesis of constituents of bile, are caught up secondarily in hepatocellular injury so severe that nonspecific impairment of many functions can be expected, including those subserving bile formation.
- the second subgroup no presumed cause of hepatocellular injury can be identified. Cholestasis in such patients appears to result when one of the steps in bile secretion or modification, or of synthesis of constituents of bile, is constitutively damages. Such cholestasis is considered primary.
- kits for stimulating epithelial proliferation and/or regeneration of intestinal lining and/or enhancement of the adaptive processes in the intestine in individuals with cholestasis and/or a cholestatic liver disease comprise increasing bile acid concentrations and/or GLP-2 concentrations in the intestinal lumen.
- Hypercholemia, and elevated levels of AP alkaline phosphatase
- LAP leukocyte alkaline phosphatase
- gamma GT gamma-glutamyl transpeptidase
- 5′-nucleotidase are biochemical hallmarks of cholestasis and cholestatic liver disease.
- the methods comprise increasing bile acid concentrations concentrations in the intestinal lumen.
- AP alkaline phosphatase
- LAP leukocyte alkaline phosphatase
- gamma GT gamma-glutamyl transpeptidase
- 5′-nucleotidase comprising reducing overall bile acid load by excreting bile acid in the feces.
- Pruritus is often associated with pediatric cholestasis and pediatric cholestatic liver diseases. It has been suggested that pruritus results from bile salts acting on peripheral pain afferent nerves. The degree of pruritus varies with the individual (i.e., some individuals are more sensitive to elevated levels of bile acids/salts). Administration of agents that reduce serum bile acid concentrations has been shown to reduce pruritus in certain individuals. Accordingly, provided herein are methods and compositions for stimulating epithelial proliferation and/or regeneration of intestinal lining and/or enhancement of the adaptive processes in the intestine in individuals with pruritus. In some of such embodiments, the methods comprise increasing bile acid concentrations concentrations in the intestinal lumen. Further provided herein, are methods and compositions for treating pruritus comprising reducing overall bile acid load by excreting bile acid in the feces.
- Another symptom of pediatric cholestasis and pediatric cholestatic liver disease is the increase in serum concentration of conjugated bilirubin. Elevated serum concentrations of conjugated bilirubin result in jaundice and dark urine. The magnitude of elevation is not diagnostically important as no relationship has been established between serum levels of conjugated bilirubin and the severity of cholestasis and cholestatic liver disease. Conjugated bilirubin concentration rarely exceeds 30 mg/dL. Accordingly, provided herein are methods and compositions for stimulating epithelial proliferation and/or regeneration of intestinal lining and/or enhancement of the adaptive processes in the intestine in individuals with elevated serum concentrations of conjugated bilirubin.
- the methods comprise increasing bile acid concentrations concentrations in the intestinal lumen.
- methods and compositions for treating elevated serum concentrations of conjugated bilirubin comprising reducing overall bile acid load by excreting bile acid in the feces.
- Increased serum concentration of nonconjugated bilirubin is also considered diagnostic of cholestasis and cholestatic liver disease.
- Portions of serum bilirubin and covalently bound to albumin (delta bilirubin or biliprotein). This fraction may account for a large proportion of total bilirubin in patients with cholestatic jaundice. The presence of large quantities of delta bilirubin indicates long-standing cholestasis. Delta bilirubin in cord blood or the blood of a newborn is indicative of pediatric cholestasis/cholestatic liver disease that antedates birth.
- kits for stimulating epithelial proliferation and/or regeneration of intestinal lining and/or enhancement of the adaptive processes in the intestine in individuals with elevated serum concentrations of nonconjugated bilirubin or delta bilirubin comprise increasing bile acid concentrations concentrations in the intestinal lumen.
- methods and compositions for treating elevated serum concentrations of nonconjugated bilirubinand delta bilirubin comprising reducing overall bile acid load by excreting bile acid in the feces.
- cholestasis and cholestatic liver disease results in hypercholemia.
- the hepatocytes retains bile salts. Bile salts are regurgitated from the hepatocyte into the serum, which results in an increase in the concentration of bile salts in the peripheral circulation.
- the uptake of bile salts entering the liver in portal vein blood is inefficient, which results in spillage of bile salts into the peripheral circulation.
- provided herein are methods and compositions for stimulating epithelial proliferation and/or regeneration of intestinal lining and/or enhancement of the adaptive processes in the intestine in individuals with hypercholemia.
- the methods comprise increasing bile acid concentrations concentrations in the intestinal lumen.
- methods and compositions for treating hypercholemia comprising reducing overall bile acid load by excreting bile acid in the feces.
- Hyperlipidemia is characteristic of some but not all cholestatic diseases. Serum cholesterol is elevated in cholestasis due to the decrease in circulating bile salts which contribute to the metabolism and degradation of cholesterol. Cholesterol retention is associated with an increase in membrane cholesterol content and a reduction in membrane fluidity and membrane function. Furthermore, as bile salts are the metabolic products of cholesterol, the reduction in cholesterol metabolism results in a decrease in bile acid/salt synthesis. Serum cholesterol observed in children with cholestasis ranges between about 1,000 mg/dL and about 4,000 mg/dL. Accordingly, provided herein are methods and compositions for stimulating epithelial proliferation and/or regeneration of intestinal lining and/or enhancement of the adaptive processes in the intestine in individuals with hyperlipidemia.
- the methods comprise increasing bile acid concentrations concentrations in the intestinal lumen.
- methods and compositions for treating hyperlipidemia comprising reducing overall bile acid load by excreting bile acid in the feces.
- xanthomas develop from the deposition of excess circulating cholesterol into the dermis.
- the development of xanthomas is more characteristic of obstructive cholestasis than of hepatocellular cholestasis.
- Planar xanthomas first occur around the eyes and then in the creases of the palms and soles, followed by the neck.
- Tuberous xanthomas are associated with chronic and long-term cholestasis. Accordingly, provided herein are methods and compositions for stimulating epithelial proliferation and/or regeneration of intestinal lining and/or enhancement of the adaptive processes in the intestine in individuals with xanthomas.
- the methods comprise increasing bile acid concentrations concentrations in the intestinal lumen.
- methods and compositions for treating xanthomas comprising reducing overall bile acid load by excreting bile acid in the feces.
- Ursodeoxycholic acid which is used to treat some cholestatic conditions, does not form mixed micelles and has no effect on fat absorption. Accordingly, provided herein are methods and compositions for stimulating epithelial proliferation and/or regeneration of intestinal lining and/or enhancement of the adaptive processes in the intestine in individuals (e.g., children) with failure to thrive. In some of such embodiments, the methods comprise increasing bile acid concentrations concentrations in the intestinal lumen. Further provided herein, are methods and compositions for treating failure to thrive comprising reducing overall bile acid load by excreting bile acid in the feces.
- choleretic agents e.g., ursodiol
- phenobarbitols e.g., corticosteroids
- immunosuppressive agents e.g., azathioprine, cyclosporin A, methotrexate, chlorambucil and mycophenolate
- sulindac bezafibrate, tamoxifen, and lamivudine.
- any of the methods disclosed herein further comprise administration of an additional active agent selected from: choleretic agents (e.g., ursodiol), phenobarbitols, corticosteroids (e.g., prednisone and budesonide), immunosuppressive agents (e.g., azathioprine, cyclosporin A, methotrexate, chlorambucil and mycophenolate), sulindac, bezafibrate, tamoxifen, lamivudine, and combinations thereof.
- choleretic agents e.g., ursodiol
- phenobarbitols e.g., corticosteroids (e.g., prednisone and budesonide)
- immunosuppressive agents e.g., azathioprine, cyclosporin A, methotrexate, chlorambucil and mycophenolate
- sulindac e.g
- the methods are used to treat individuals that are non-responsive to treatment with choleretic agents (e.g., ursodiol), phenobarbitols, corticosteroids (e.g., prednisone and budesonide), immunosuppressive agents (e.g., azathioprine, cyclosporin A, methotrexate, chlorambucil and mycophenolate), sulindac, bezafibrate, tamoxifen, lamivudine, and combinations thereof.
- the methods are used to treat individuals that are non-responsive to treatment with choleretic agents.
- the methods are used to treat individuals that are non-responsive to treatment with ursodiol.
- PFIC 1 also known as, Byler disease or FIC1 deficiency
- FIC1 is associated with mutations in the ATP8B1 gene (also designated as FIC1).
- This gene which encodes a P-type ATPase, is located on human chromosome 18 and is also mutated in the milder phenotype, benign recurrent intrahepatic cholestasis type 1 (BRIC1) and in Greenland familial cholestasis.
- BRIC1 benign recurrent intrahepatic cholestasis type 1
- FIC1 protein is located on the canalicular membrane of the hepatocyte but within the liver it is mainly expressed in cholangiocytes.
- P-type ATPase appears to be an aminophospholipid transporter responsible for maintaining the enrichment of phosphatidylserine and phophatidylethanolamine on the inner leaflet of the plasma membrane in comparison of the outer leaflet.
- the asymmetric distribution of lipids in the membrane bilayer plays a protective role against high bile salt concentrations in the canalicular lumen.
- the abnormal protein function may indirectly disturb the biliary secretion of bile acids.
- the anomalous secretion of bile acids/salts leads to hepatocyte bile acid overload.
- PFIC-1 typically presents in infants (e.g., age 6-18 months). The infants may show signs of pruritus, jaundice, abdominal distension, diarrhea, malnutrition, and shortened stature. Biochemically, individuals with PFIC-1 have elevated serum transaminases, elevated bilirubin, elevated serum bile acid levels, and low levels of gammaGT. The individual may also have liver fibrosis. Individuals with PFIC-1 typically do not have bile duct proliferation. Most individuals with PFIC-1 will develop end-stage liver disease by 10 years of age. No medical treatments have proven beneficial for the long term treatment of PFIC-1. In order to reduce extrahepatic symptoms (e.g., malnutrition and failure to thrive), children are often administered medium chain triglycerides and fat-soluble vitamins. Ursodiol has not been demonstrated as effective in individuals with PFIC-1.
- ASBT inhibitors are not systemically absorbed.
- bile salt transport inhibitors include a moiety or group that prevents, reduces or inhibits the systemic absorption of the compound in vivo.
- a charged moiety or group on the compounds prevents, reduces or inhibits the compounds from leaving the gastrointestinal tract and reduces the risk of side effects due to systemic absorption.
- ASBT inhibitors are systemically absorbed.
- the ASBTI are formulated for non-systemic delivery to the distal ileum.
- an ASBTI is minimally absorbed.
- an ASBTI is non-systemically administered to the colon or the rectum of an individual in need thereof.
- the methods further comprise administering a therapeutically-effective amount of a secondary bile acid (e.g., ursodiol), a corticosteroid (e.g., prednisone and budesonide), an immunosuppressive agent (e.g., azathioprine, cyclosporin A, methotrexate, chlorambucil and mycophenolate), sulindac, bezafibrate, tamoxifen, lamivudine or any combination thereof.
- a secondary bile acid e.g., ursodiol
- a corticosteroid e.g., prednisone and budesonide
- an immunosuppressive agent e.g., azathioprine, cyclosporin A, methotrexate, chlorambucil and mycophenolate
- sulindac e.g., bezafibrate, tamoxifen, lam
- PFIC 2 (also known as, Byler Syndrome or BSEP deficiency) is associated with mutations in the ABCB11 gene (also designated BSEP).
- the ABCB11 gene encodes the ATP-dependent canalicular bile salt export pump (BSEP) of human liver and is located on human chromosome 2.
- BSEP protein expressed at the hepatocyte canalicular membrane, is the major exporter of primary bile acids/salts against extreme concentration gradients. Mutations in this protein are responsible for the decreased biliary bile salt secretion described in affected patients, leading to decreased bile flow and accumulation of bile salts inside the hepatocyte with ongoing severe hepatocellular damage.
- PFIC-2 typically presents in infants (e.g., age 6-18 months). The infants may show signs of pruritus. Biochemically, individuals with PFIC-2 have elevated serum transaminases, elevated bilirubin, elevated serum bile acid levels, and low levels of gammaGT. The individual may also have portal inflammation and giant cell hepatitis. Further, individuals often develop hepatocellular carcinoma. No medical treatments have proven beneficial for the long term treatment of PFIC-1. In order to reduce extrahepatic symptoms (e.g., malnutrition and failure to thrive), children are often administered medium chain triglycerides and fat-soluble vitamins Ursodiol has not been demonstrated as effective in individuals with PFIC-2.
- ASBT inhibitors are not systemically absorbed.
- bile salt transport inhibitors include a moiety or group that prevents, reduces or inhibits the systemic absorption of the compound in vivo.
- a charged moiety or group on the compounds prevents, reduces or inhibits the compounds from leaving the gastrointestinal tract and reduces the risk of side effects due to systemic absorption.
- ASBT inhibitors are systemically absorbed.
- the ASBTI are formulated for non-systemic delivery to the distal ileum.
- an ASBTI is minimally absorbed.
- an ASBTI is non-systemically administered to the colon or the rectum of an individual in need thereof.
- the methods further comprise administering a therapeutically-effective amount of a secondary bile acid (e.g., ursodiol), a corticosteroid (e.g., prednisone and budesonide), an immunosuppressive agent (e.g., azathioprine, cyclosporin A, methotrexate, chlorambucil and mycophenolate), sulindac, bezafibrate, tamoxifen, lamivudine or any combination thereof.
- a secondary bile acid e.g., ursodiol
- a corticosteroid e.g., prednisone and budesonide
- an immunosuppressive agent e.g., azathioprine, cyclosporin A, methotrexate, chlorambucil and mycophenolate
- sulindac e.g., bezafibrate, tamoxifen, lam
- PFIC3 (also known as MDR3 deficiency) is caused by a genetic defect in the ABCB4 gene (also designated MDR3) located on chromosome 7.
- MDR3 P-glycoprotein (P-gp) is a phospholipid translocator involved in biliary phospholipid (phosphatidylcholine) excretion in the canlicular membrane of the hepatocyte.
- PFIC3 results from the toxicity of bile in which detergent bile salts are not inactivated by phospholipids, leading to bile canaliculi and biliary epithelium injuries.
- PFIC-3 also presents in early childhood. As opposed to PFIC-1 and PFIC-2, individuals have elevated gammaGT levels. Individuals also have portal inflammation, fibrosis, cirrhosis, and massive bile duct proliferation. Individuals may also develop intrahepatic gallstone disease. Ursodiol has been effective in treating or ameliorating PFIC-3.
- ASBT inhibitors are not systemically absorbed.
- bile salt transport inhibitors include a moiety or group that prevents, reduces or inhibits the systemic absorption of the compound in vivo.
- a charged moiety or group on the compounds prevents, reduces or inhibits the compounds from leaving the gastrointestinal tract and reduces the risk of side effects due to systemic absorption.
- ASBT inhibitors are systemically absorbed.
- the ASBTI are formulated for non-systemic delivery to the distal ileum.
- an ASBTI is minimally absorbed.
- an ASBTI is non-systemically administered to the colon or the rectum of an individual in need thereof.
- the methods further comprise administering a therapeutically-effective amount of a secondary bile acid (e.g., ursodiol), a corticosteroid (e.g., prednisone and budesonide), an immunosuppressive agent (e.g., azathioprine, cyclosporin A, methotrexate, chlorambucil and mycophenolate), sulindac, bezafibrate, tamoxifen, lamivudine or any combination thereof.
- a secondary bile acid e.g., ursodiol
- a corticosteroid e.g., prednisone and budesonide
- an immunosuppressive agent e.g., azathioprine, cyclosporin A, methotrexate, chlorambucil and mycophenolate
- sulindac e.g., bezafibrate, tamoxifen, lam
- BRIC1 is caused by a genetic defect of the FIC1 protein in the canalicular membrane of hepatocytes.
- BRIC1 is typically associated with normal serum cholesterol and ⁇ -glutamyltranspeptidase levels, but elevated serum bile salts. Residual FIC1 expression and function is associated with BRIC1.
- cholestasis or cholestatic liver disease there is no progression to chronic liver disease in a majority of patients. During the attacks, the patients are severely jaundiced and have pruritis, steatorrhea, and weight loss. Some patients also have renal stones, pancreatitis, and diabetes.
- BRIC2 is caused by mutations in ABCB11, leading to defective BSEP expression and/or function in the canalicular membrane of hepatocytes.
- BRIC3 is related to the defective expression and/or function of MDR3 in the canalicular membrane of hepatocytes.
- Patients with MDR3 deficiency usually display elevated serum ⁇ -glutamyltranspeptidase levels in the presence of normal or slightly elevated bile acid levels.
- DJS is characterized by conjugated hyperbilirubinemia due to inherited dysfunction of MRP2. Hepatic function is preserved in affected patients. Several different mutations have been associated with this condition, resulting either in the complete absence of immunohistochemically detectable MRP2 in affected patients or impaired protein maturation and sorting.
- Pediatric PSC is a chronic inflammatory hepatic disorder slowly progressing to end stage liver failure in most of the affected patients. In pediatric PSC inflammation, fibrosis and obstruction of large and medium sized intra- and extrahepatic ductuli is predominant.
- Gallstone disease is one of the most common and costly of all digestive diseases with a prevalence of up to 17% in Caucasian women. Cholesterol containing gallstones are the major form of gallstones and supersaturation of bile with cholesterol is therefore a prerequisite for gallstone formation. ABCB4 mutations may be involved in the pathogenesis of cholesterol gallstone disease.
- Inhibition of BSEP function by drugs is an important mechanism of drug-induced cholestasis, leading to the hepatic accumulation of bile salts and subsequent liver cell damage.
- drugs have been implicated in BSEP inhibition. Most of these drugs, such as rifampicin, cyclosporine, glibenclamide, or troglitazone directly cis-inhibit ATP-dependent taurocholate transport in a competitive manner, while estrogen and progesterone metabolites indirectly trans-inhibits Bsep after secretion into the bile canaliculus by Mrp2.
- drug-mediated stimulation of MRP2 can promote cholestasis or cholestatic liver disease by changing bile composition.
- TPNAC is one of the most serious clinical scenarios where cholestasis or cholestatic liver disease occurs rapidly and is highly linked with early death. Infants, who are usually premature and who have had gut resections are dependent upon TPN for growth and frequently develop cholestasis or cholestatic liver disease that rapidly progresses to fibrosis, cirrhosis, and portal hypertension, usually before 6 months of life. The degree of cholestasis or cholestatic liver disease and chance of survival in these infants have been linked to the number of septic episodes, likely initiated by recurrent bacterial translocation across their gut mucosa. Although there are also cholestatic effects from the intravenous formulation in these infants, septic mediators likely contribute the most to altered hepatic function.
- Alagille syndrome is a genetic disorder that affects the liver and other organs. It often presents during infancy (e.g., age 6-18 months) through early childhood (e.g., age 3-5 years) and may stabilize after the age of 10. Symptoms may include chronic progressive cholestasis, ductopenia, jaundice, pruritus, xanthomas, congenital heart problems, paucity of intrahepatic bile ducts, poor linear growth, hormone resistance, posterior embryotoxon, Axenfeld anomaly, retinitis pigmentosa, pupillary abnormalities, cardiac murmur, atrial septal defect, ventricular septal defect, patent ductus arteriosus, and Tetralogy of Fallot.
- ASBT inhibitors are not systemically absorbed.
- such bile salt transport inhibitors include a moiety or group that prevents, reduces or inhibits the systemic absorption of the compound in vivo.
- a charged moiety or group on the compounds prevents, reduces or inhibits the compounds from leaving the gastrointestinal tract and reduces the risk of side effects due to systemic absorption.
- ASBT inhibitors are systemically absorbed.
- the ASBTI are formulated for non-systemic delivery to the distal ileum. In some embodiments, an ASBTI is minimally absorbed. In some embodiments, an ASBTI is non-systemically administered to the colon or the rectum of an individual in need thereof.
- the methods further comprise administering a therapeutically-effective amount of a secondary bile acid (e.g., ursodiol), a corticosteroid (e.g., prednisone and budesonide), an immunosuppressive agent (e.g., azathioprine, cyclosporin A, methotrexate, chlorambucil and mycophenolate), sulindac, bezafibrate, tamoxifen, lamivudine or any combination thereof.
- a secondary bile acid e.g., ursodiol
- a corticosteroid e.g., prednisone and budesonide
- an immunosuppressive agent e.g., azathioprine, cyclosporin A, methotrexate, chlorambucil and mycophenolate
- sulindac e.g., bezafibrate, tamoxifen, lam
- Biliary atresia is a life-threatening condition in infants in which the bile ducts inside or outside the liver do not have normal openings. With biliary atresia, bile becomes trapped, builds up, and damages the liver. The damage leads to scarring, loss of liver tissue, and cirrhosis. Without treatment, the liver eventually fails and the infant needs a liver transplant to stay alive.
- the two types of biliary atresia are fetal and perinatal. Fetal biliary atresia appears while the baby is in the womb. Perinatal biliary atresia is much more common and does not become evident until 2 to 4 weeks after birth.
- Biliary atresia is treated with surgery called the Kasai procedure or a liver transplant.
- the Kasai procedure is usually the first treatment for biliary atresia.
- the pediatric surgeon removes the infant's damaged bile ducts and brings up a loop of intestine to replace them. While the Kasai procedure can restore bile flow and correct many problems caused by biliary atresia, the surgery doesn't cure biliary atresia.
- the Kasai procedure is not successful, infants usually need a liver transplant within 1 to 2 years. Even after a successful surgery, most infants with biliary atresia slowly develop cirrhosis over the years and require a liver transplant by adulthood.
- Possible complications after the Kasai procedure include ascites, bacterial cholangitis, portal hypertension, and pruritis.
- liver transplantation is the only option. Although liver transplantation is generally successful at treating biliary atresia, liver transplantation may have complications such as organ rejection. Also, a donor liver may not become available. Further, in some patients, liver transplantation may not be successful at curing biliary atresia.
- Xanthoma is a skin condition associated cholestatic liver diseases, in which certain fats build up under the surface of the skin. Cholestasis results in several disturbances of lipid metabolism resulting in formation of an abnormal lipid particle in the blood called lipoprotein X. Lipoprotein X is formed by regurgitation of bile lipids into the blood from the liver and does not bind to the LDL receptor to deliver cholesterol to cells throughout the body as does normal LDL. Lipoprotein X increases liver cholesterol production by five fold and blocks normal removal of lipoprotein particles from the blood by the liver.
- ASBT inhibitors that reduce or inhibit bile acid recycling in the distal gastrointestinal (GI) tract, including the distal ileum, the colon and/or the rectum.
- the ASBTIs are systemically absorbed.
- the ASBTIs are not systemically absorbed.
- ASBTIs described herein are modified or substituted (e.g., with a -L-K group) to be non-systemic.
- any ASBT inhibitor is modified or substituted with one or more charged groups (e.g., K) and optionally, one or more linker (e.g., L), wherein L and K are as defined herein.
- an ASBTI suitable for the methods described herein is a compound of Formula I:
- R 1 is a straight chained C 1-6 alkyl group
- R 2 is a straight chained C 1-6 alkyl group
- R 3 is hydrogen or a group OR 11 in which R 11 is hydrogen, optionally substituted C 1-6 alkyl or a C 1-6 alkylcarbonyl group
- R 4 is pyridyl or optionally substituted phenyl or -L z -K z ; wherein z is 1, 2 or 3
- each L is independently a substituted or unsubstituted alkyl, a substituted or unsubstituted heteroalkyl, a substituted or unsubstituted alkoxy, a substituted or unsubstituted aminoalkyl group, a substituted or unsubstituted aryl, a substituted or unsubstituted heteroaryl, a substituted or unsubstituted cycloalkyl, or a substituted or unsubstituted heterocycloalkyl;
- the compound of Formula I is a compound wherein
- R 1 is a straight chained C 1-6 alkyl group
- R 2 is a straight chained C 1-6 alkyl group
- R 3 is hydrogen or a group OR 11 in which R 11 is hydrogen, optionally substituted C 1-6 alkyl or a C 1-6 alkylcarbonyl group
- R 4 is optionally substituted phenyl
- R 5 , R 6 and R 8 are independently selected from hydrogen, C 1-4 alkyl optionally substituted by fluorine, C 1-4 alkoxy, halogen, or hydroxy
- R 7 is selected from halogen, cyano, R 15 -acetylide, OR 15 , optionally substituted C 1-6 alkyl, COR 15 , CH(OH)R 15 , S(O) n R 15 , P(O)(OR 15 ) 2 , OCOR 15 , OCF 3 , OCN, SCN, HNCN, CH 2 OR 15 , CHO, (CH 2 ) p CN, CONR 12 R
- the compound of Formula I is a compound wherein
- R 1 is a straight chained C 1-6 alkyl group
- R 2 is a straight chained C 1-6 alkyl group
- R 3 is hydrogen or a group OR 11 in which R 11 is hydrogen, optionally substituted C 1-6 alkyl or a C 1-6 alkylcarbonyl group
- R 4 is un-substituted phenyl
- R 5 is hydrogen or halogen
- R 6 and R 8 are independently selected from hydrogen, C 1-4 alkyl optionally substituted by fluorine, C 1-4 alkoxy, halogen, or hydroxy
- R 7 is selected from OR 15 , S(O) n R 15 , OCOR 15 , OCF 3 , OCN, SCN, CHO, OCH 2 OR 15 , OCH ⁇ CHR 15 , O(CH 2 CH 2 O)nR 15 , O(CH 2 ) p SO 3 R 15 , O(CH 2 ) p NR 12 R 13 and O(CH 2 ) p N + R 12 R
- the compound of Formula I is a compound wherein
- R 1 is methyl, ethyl or n-propyl
- R 2 is methyl, ethyl, n-propyl, n-butyl or n-pentyl
- R 3 is hydrogen or a group OR 11 in which R 11 is hydrogen, optionally substituted C 1-6 alkyl or a C 1-6 alkylcarbonyl group;
- R 4 is un-substituted phenyl;
- R 5 is hydrogen;
- R 6 and R 8 are independently selected from hydrogen, C 1-4 alkyl optionally substituted by fluorine, C 1-4 alkoxy, halogen, or hydroxy;
- R 7 is selected from OR 15 , S(O) n R 15 , OCOR 15 , OCF 3 , OCN, SCN, CHO, OCH 2 OR 15 , OCH ⁇ CHR 15 , O(CH 2 CH 2 O)nR 15 , O(CH 2 ) p SO 3 R 15 , O(CH 2 ) p
- the compound of Formula I is a compound wherein
- R 1 is methyl, ethyl or n-propyl
- R 2 is methyl, ethyl, n-propyl, n-butyl or n-pentyl
- R 3 is hydrogen or a group OR 11 in which R 11 is hydrogen, optionally substituted C 1-6 alkyl or a C 1-6 alkylcarbonyl group; R 4 is un-substituted phenyl; R 5 is hydrogen; R 6 is C 1-4 alkoxy, halogen, or hydroxy;
- R 7 is OR 15 , wherein R 15 is hydrogen or optionally substituted C 1-6 alkyl; R 8 is hydrogen or halogen; R 9 and R 10 are the same or different and each is selected from hydrogen or C 1-6 alkyl; and salts, solvates and physiologically functional derivatives thereof.
- the compound of Formula I is (3R,5R)-3-Butyl-3-ethyl-2,3,4,5-tetrahydro-7,8-dimethoxy-5-phenyl-1,4-benzothiazepine 1,1-dioxide; (3R,5R)-3-Butyl-3-ethyl-2,3,4,5-tetrahydro-7,8-dimethoxy-5-phenyl-1,4-benzothiazepin-4-ol 1,1-dioxide; ( ⁇ )-Trans-3-butyl-3-ethyl-2,3,4,5-tetrahydro-7,8-dimethoxy-5-phenyl-1,4-benzothiazepine 1,1-dioxide; ( ⁇ )-Trans-3-butyl-3-ethyl-2,3,4,5-tetrahydro-7,8-dimethoxy-5-phenyl-1,4,-benzothiazepin-4-ol 1,1-dioxide; (3R,5R)-3-
- the compound of Formula I is N-(2-aminoethyl)-2-aminoethyl-N-(2-aminoethyl)-2-aminoethyl-N-(2-aminoethyl)-2-aminoethyl-N-(2-aminoethyl)-2-aminoethyl-N-(2-aminoethyl)-2-aminoethyl-N-N-phenyl-N-(2-aminoethyl)-2-aminoethyl-N-(2-aminoethyl)-2-aminoethyl-N-(2-aminoethyl)-2-aminoethyl-N-(2-aminoethyl)-2-aminoethyl-N-(2-aminoethyl)-2-aminoethyl
- the compound of Formula I is N-(2-aminoethyl)-2-aminoethyl-N-(2-aminoethyl)-2-aminoethyl-N-(2-aminoethyl)-2-aminoethyl-N-(2-aminoethyl)-2-aminoethyl-N-(2-aminoethyl)-2-aminoethyl
- the compound of Formula I is not a structure shown as:
- m represents an integer of 1 or 2
- R 3 and R 4 which may be mutually different, each represents an alkyl group having 1 to 5 carbon atoms.
- an ASBTI suitable for the methods described herein is a compound of Formula II
- the compound of Formula II is a compound wherein
- each R 9 and R 10 are each independently selected from the group consisting of H, alkyl, cycloalkyl, aryl, acyl, heterocycle, and arylalkyl;
- the compound of Formula II is a compound wherein
- the compound of Formula II is a compound wherein
- the compound of Formula II is a compound
- R 5 and R 6 are independently selected from the group consisting of H, aryl, heterocycle, quaternary heterocycle, and quarternary heteroaryl
- the compound of Formula II is a compound
- R 5 or R 6 is —Ar—(R y ) t
- the compound of Formula II is a compound wherein
- R 5 or R 6 is
- the compound of Formula II is a compound wherein n is 1 or 2. In some embodiments of the methods, the compound of Formula II is a compound wherein R 1 and R 2 are independently H or C 1-7 alkyl. In some embodiments of the methods, the compound of Formula II is a compound wherein each C 1-7 alkyl is independently ethyl, n-propyl, n-butyl, or isobutyl. In some embodiments of the methods, the compound of Formula II is a compound wherein R 3 and R 4 are independently H or OR 9 . In some embodiments of the methods, compound of Formula II is a compound wherein R 9 is H
- the compound of Formula II is a compound wherein one or more R x are in the 7-, 8- or 9-position of the benzo ring of Formula II. In some embodiments of the methods, the compound of Formula II is a compound wherein R x is in the 7-position of the benzo ring of Formula II. In some embodiments of the methods, the compound of Formula II is a compound wherein one or more Rx are independently selected from OR 13 and NR 13 R 14 .
- the compound of Formula II is a compound
- t is an integer from 0 to 5;
- a compound of Formula II is
- the compound of Formula II is N-(2-aminoethyl)-2-aminoethyl-N-(2-aminoethyl)-2-aminoethyl-N-(2-aminoethyl)-2-aminoethyl-N-(2-aminoethyl)-2-aminoethyl-N-(2-aminoethyl)-2-aminoethyl
- ASBTIs suitable for the methods described herein are non-systemic analogs of Compound 100C.
- Certain compounds provided herein are Compound 100C analogues modified or substituted to comprise a charged group.
- the Compound 100C analogues are modified or substituted with a charged group that is an ammonium group (e.g., a cyclic ar acyclic ammonium group).
- the ammonium group is a non-protic ammonium group that contains a quarternary nitrogen.
- a compound of Formula II is
- a compound of Formula II is 1-[[5-[[3-[(3S,4R,5R)-3-butyl-7-(dimethylamino)-3-ethyl-2,3,4,5-tetrahydro-4-hydroxy-1,1-dioxido-1-benzothiepin-5yl]phenyl]amino]-5-oxopentyl]amino]-1-deoxy-D-glucitol or SA HMR1741 (a.k.a. BARI-1741).
- a compound of Formula II is
- a compound of Formula II is potassium((2R,3R,4S,5R,6R)-4-benzyloxy-6- ⁇ 3-[3-((3S,4R,5R)-3-butyl-7-dimethylamino-3-ethyl-4-hydroxy-1,1-dioxo-2,3,4,5-tetrahydro-1H-benzo[b]thiepin-5-yl)-phenyl]-ureido ⁇ -3,5-dihydroxy-tetrahydro-pyran-2-ylmethyl)sulphate ethanolate, hydrate or SAR548304B (a.k.a. SAR-548304).
- an ASBTI suitable for the methods described herein is a compound of Formula III:
- R 1 and R 3 are -L-K. In some embodiments, R 1 , R 2 and R 3 are -L-K.
- R 1 , R 2 , R 3 , R 4 , R 5 , R 6 and R 7 is H.
- R 5 , R 6 , R 7 are H and R 1 , R 2 , R 3 and R 4 are alkyl, aryl, alkyl-aryl, or heteroalkyl.
- R 1 and R 2 are H.
- R 1 , R 2 , R 5 , R 6 and R 7 are H.
- R 6 and R 7 together form a bond.
- R 5 , R 6 and R 7 are H, alkyl or O-alkyl.
- R 1 and R 3 are -L-K. In some embodiments, R 1 , R 2 and R 3 are -L-K. In some embodiments, R 3 and R 4 are -L-K. In some embodiments, R 1 and R 2 together with the nitrogen to which they are attached form a 3-8 membered ring and the ring is substituted with -L-K. In some embodiments, R 1 or R 2 or R 3 or R 4 are aryl optionally substituted with -L-K. In some embodiments, R 1 or R 2 or R 3 or R 4 are alkyl optionally substituted with -L-K.
- R 1 or R 2 or R 3 or R 4 are alky-aryl optionally substituted with -L-K. In some embodiments, R 1 or R 2 or R 3 or R 4 are heteroalkyl optionally substituted with -L-K.
- L is a C 1 -C 7 alkyl. In some embodiments, L is heteroalkyl. In certain embodiments, L is C 1 -C 7 alkyl-aryl. In some embodiments, L is C 1 -C 7 alkyl-aryl-C 1 -C 7 alkyl.
- K is a non-protic charged group. In some specific embodiments, each K is a ammonium group. In some embodiments, each K is a cyclic non-protic ammonium group. In some embodiments, each K is an acyclic non-protic ammonium group.
- each K is a cyclic non-protic ammonium group of structure:
- K is an acyclic non-protic ammonium group of structure:
- the compounds further comprise 1, 2, 3 or 4 anionic counterions selected from Cl ⁇ , Br ⁇ , I ⁇ , R 11 SO 3 ⁇ , (SO 3 ⁇ —R 11 —SO 3 ⁇ ), R 11 CO 2 ⁇ , (CO 2 ⁇ —R 11 —CO 2 ⁇ ), (R 11 ) 2 (P ⁇ O)O ⁇ and (R 11 )(P ⁇ O)O 2 2 ⁇ wherein R 11 is as defined above.
- the counterion is Cl ⁇ , Br ⁇ , I ⁇ , CH 2 CO 2 ⁇ , CH 3 SO 3 ⁇ , or C 6 H 5 SO 3 ⁇ or CO 2 ⁇ —(CH 2 ) 2 —CO 2 ⁇ .
- the compound of Formula III has one K group and one counterion. In other embodiments, the compound of Formula III has one K group, and two molecules of the compound of Formula III have one counterion. In yet other embodiments, the compound of Formula III has two K groups and two counterions. In some other embodiments, the compound of Formula III has one K group comprising two ammonium groups and two counterions.
- L is A n , wherein each A is substituted or unsubstituted alkyl, or substituted or unsubstituted heteroalkyl, and n is 0-7.
- R 1 is H.
- R 1 and R 2 together with the nitrogen to which they are attached form a 3-8-membered ring that is optionally substituted with -L-K.
- R 3 is H. In certain embodiments, R 3 and R 4 are each -L-K. In some embodiments, R 3 is H and R 4 is substituted or unsubstituted alkyl, substituted or unsubstituted heteroalkyl, substituted or unsubstituted aryl, substituted or unsubstituted alkyl-aryl containing one or two -L-K groups.
- an ASBTI suitable for the methods described herein is a compound of Formula IIIC
- K is selected from
- an ASBTI suitable for the methods described herein is a compound of Formula IV:
- R 1 is a straight chain C 1-6 alkyl group
- R 2 is a straight chain C 1-6 alkyl group
- R 3 is hydrogen or a group OR 11 in which R 11 is hydrogen, optionally substituted C 1-6 alkyl or a C 1-6 alkylcarbonyl group;
- R 4 is pyridyl or an optionally substituted phenyl
- R 5 , R 6 and R 8 are the same or different and each is selected from:
- p is an integer from 1-4
- n is an integer from 0-3 and
- R 12 , R 13 , R 14 and R 15 are independently selected from hydrogen and optionally substituted C 1-6 alkyl;
- R 7 is a group of the formula
- R 16 is —COOH, —CH 2 —OH, —CH 2 —O-Acetyl, —COOMe or —COOEt;
- R 17 is H, —OH, —NH 2 , —COOH or COOR 18 ;
- R 18 is (C 1 -C 4 )-alkyl or —NH—(C 1 -C 4 )-alkyl;
- X is —NH— or —O—
- R 9 and R 10 are the same or different and each is hydrogen or C 1 -C 6 alkyl; and salts thereof.
- a compound of Formula IV has the structure of Formula IVA or Formula IVB:
- a compound of Formula IV has the structure of Formula IVC:
- X is O and R 7 is selected from
- a compound of Formula IV is:
- an ASBTI suitable for the methods described herein is a compound of Formula V:
- R v is selected from hydrogen or C 1-6 alkyl
- R 1 and R 2 are selected from hydrogen or C 1-6 alkyl and the other is selected from C 1-6 alkyl;
- R x and R y are independently selected from hydrogen, hydroxy, amino, mercapto, C 1-6 alkyl, C 1-6 alkoxy, N—(C 1-6 alkyl)amino, N,N—(C 1-6 alkyl) 2 amino, C 1-6 alkylS(O) a wherein a is 0 to 2;
- R z is selected from halo, nitr, cyano, hydroxy, amino, carboxy, carbamoyl, mercapto, sulphamoyl, C 1-6 alkyl, C 2-6 alkenyl, C 2-6 alkynyl, C 1-6 alkoxy, C 1-6 alkanoyl, C 1-6 alkanoyloxy, N—(C 1-6 alkyl)amino, N,N—(C 1-6 alkyl) 2 amino, C 1-6 alkanoylamino, N—(C 1-6 alkyl)carbamoyl, N,N—(C 1-6 alkyl) 2 carbamoyl, C 1-6 alkylS(O) a wherein a is 0 to 2, C 1-6 alkoxycarbonyl, N—(C 1-6 alkyl)sulphamoyl and N,N—(C 1-6 alkyl) 2 sulphamoyl;
- n 0-5;
- R 4 and R 5 are a group of formula (VA):
- R 3 and R 6 and the other of R 4 and R 5 are independently selected from hydrogen, halo, nitro, cyano, hydroxy, amino, carboxy, carbamoyl, mercapto, sulphamoyl, C 1-6 alkyl, C 2-6 alkenyl, C 2-6 alkynyl, C 1-6 alkoxy, C 1-6 alkanoyl, C 1-6 alkanoyloxy, N—(C 1-6 alkyl)amino, N,N—(C 1-6 alkyl) 2 amino, C 1-6 alkanoylamino, N—(C 1-6 alkyl)carbamoyl, N,N—(C 1-6 alkyl) 2 carbamoyl, C 1-6 alkylS(O) a wherein a is 0 to 2, C 1-6 alkoxycarbonyl, N—(C 1-6 alkyl)sulphamoyl and N,N—(C 1-6 alkyl) 2 sulphamoyl;
- X is —O—, —N(R a )—, —S(O) b — or —CH(R a )—;
- Ring A is aryl or heteroaryl
- R 7 is hydrogen, C 1-6 alkyl, carbocyclyl or heterocyclyl
- R 8 is hydrogen or C 1-6 -alkyl
- R 9 is hydrogen or C 1-6 alkyl
- R 10 is hydrogen, halo, nitro, cyano, hydroxy, amino, carbamoyl, mercapto, sulphamoyl, hydroxyaminocarbonyl, C 1-10 alkyl, C 2-10 alkynyl, C 2-10 alkynyl, C 1-10 alkanoyl, C 1-10 alkanoyloxy, N—(C 1-10 alkyl)amino, N,N—(C 1-10 alkyl) 2 amino, N,N,N—(C 1-10 alkyl) 3 ammonio, C 1-10 alkanoylamino, N—(C 1-10 alkyl)carbamoyl, N,N—(C 1-10 alkyl) 2 carbamoyl, C 1-10 alkylS(O) a wherein a is 0 to 2, N—(C 1-10 alkyl)sulphamoyl, N,N—(C 1-10 alkyl) 2 sulphamoyl, N—(C 1-10 al
- R 11 is hydrogen or C 1-6 -alkyl
- R 12 and R 13 are independently selected from hydrogen, halo, carbamoyl, sulphamoyl, C 1-10 alkyl, C 2-10 alkynyl, C 2-10 alkynyl, C 1-10 alkanoyl, N—(C 1-10 alkyl)carbamoyl, N,N—(C 1-10 alkyl) 2 carbamoyl, C 1-10 alkylS(O) a wherein a is 0 to 2, N—(C 1-10 alkyl)sulphamoyl, N,N—(C 1-10 alkyl) 2 sulphamoyl, N—(C 1-10 alkyl)sulphamoylamino, N,N—(C 1-10 alkyl) 2 sulphamoylamino, carbocyclyl or heterocyclyl; wherein R 12 and R 13 may be independently optionally substituted on carbon by one or more substituents selected from R 25 ; and wherein if said heterocyclyl contains an —
- R 14 is selected from hydrogen, halo, carbamoyl, sulphamoyl, hydroxyaminocarbonyl, C 1-10 alkyl, C 2-10 alkenyl, C 2-10 alkynyl, C 1-10 alkanoyl, N—(C 1-10 alkyl)carbamoyl, N,N—(C 1-10 alkyl) 2 carbamoyl, C 1-10 alkylS(O) a wherein a is 0 to 2, N—(C 1-10 alkyl)sulphamoyl, N,N—(C 1-10 alkyl) 2 sulphamoyl, N—(C 1-10 alkyl)sulphamoylamino, N,N—(C 1-10 alkyl) 2 sulphamoylamino, carbocyclyl, carbocyclylC 1-10 alkyl, heterocyclyl, heterocyclylC 1-10 alkyl, carbocyclyl-(C 1-10 alkylene) p
- R 15 is hydrogen or C 1-6 alkyl; and R 16 is hydrogen or C 1-6 alkyl; wherein R 16 may be optionally substituted on carbon by one or more groups selected from R 31 ;
- R 15 and R 16 together with the nitrogen to which they are attached form a heterocyclyl; wherein said heterocyclyl may be optionally substituted on carbon by one or more R 37 ; and wherein if said heterocyclyl contains an —NH— group, that nitrogen may be optionally substituted by a group selected from R 38 ;
- n 1-3; wherein the values of R 7 may be the same or different;
- R 17 , R 18 , R 19 , R 23 , R 25 , R 29 , R 31 and R 37 are independently selected from halo, nitro, cyano, hydroxy, amino, carbamoyl, mercapto, sulphamoyl, hydroxyaminocarbonyl, C 1-10 alkyl, C 2-10 alkenyl, C 2-10 alkynyl, C 1-10 alkoxy, C 1-10 alkanoyl, C 1-10 alkanoyloxy, N—(C 1-10 alkyl)amino, N,N—(C 1-10 alkyl) 2 amino, N,N,N—(C 1-10 alkyl) 3 ammonio, C 1-10 alkanoylamino, N—(C 1-10 alkyl)carbamoyl, N,N—(C 1-10 alkyl) 2 carbamoyl, C 1-10 alkylS(O) a wherein a is 0 to 2, N—(C 1-10 alkyl)s
- R 21 , R 22 , R 27 , R 28 , R 32 or R 33 are independently selected from —O—, —NR 36 —, —S(O) X , —NR 36 C(O)NR 36 —, —NR 36 C(S)NR 36 —, —OC(O)N ⁇ C—, —NR 36 C(O)— or —C(O)NR 36 —; wherein R 36 is selected from hydrogen or C 1-6 alkyl, and x is 0-2;
- p, q, r and s are independently selected from 0-2;
- R 34 is selected from halo, hydroxy, cyano, carbamoyl, ureido, amino, nitro, carbamoyl, mercapto, sulphamoyl, trifluoromethyl, trifluoromethoxy, methyl, ethyl, methoxy, ethoxy, vinyl, allyl, ethynyl, formyl, acetyl, formamido, acetylamino, acetoxy, methylamino, dimethylamino, N-methylcarbamoyl, N,N-dimethylcarbamoyl, methylthio, methylsulphinyl, mesyl, N-methylsulphamoyl, N,N-dimethylsulphamoyl, N-methylsulphamoylamino and N,N-dimethylsulphamoylamino;
- R 20 , R 24 , R 26 , R 30 , R 35 and R 38 are independently selected from C 1-6 alkyl, C 1-6 alkanoyl, C 1-6 alkylsulphonyl, C 1-6 alkoxycarbonyl, carbamoyl, N—(C 1-6 alkyl)carbamoyl, N,N—(C 1-6 alkyl)carbamoyl, benzyl, benzyloxycarbonyl, benzoyl and phenylsulphonyl; and
- heteroaryl is a totally unsaturated, mono or bicyclic ring containing 3-12 atoms of which at least one atom is chosen from nitrogen, sulphur and oxygen, which heteroaryl may, unless otherwise specified, be carbon or nitrogen linked;
- heterocyclyl is a saturated, partially saturated or unsaturated, mono or bicyclic ring containing 3-12 atoms of which at least one atom is chosen from nitrogen, sulphur and oxygen, which heterocyclyl may, unless otherwise specified, be carbon or nitrogen linked, wherein a —CH 2 — group can optionally be replaced by a —C(O)— group, and a ring sulphur atom may be optionally oxidised to form an S-oxide; and
- a “carbocyclyl” is a saturated, partially saturated or unsaturated, mono or bicyclic carbon ring that contains 3-12 atoms; wherein a —CH 2 — group can optionally be replaced by a —C(O) group;
- compound of Formula V is 1,1-dioxo-3,3-dibutyl-5-phenyl-7-methylthio-8-(N— ⁇ (R)- ⁇ -[N—((R)-1-carboxy-2-methylthio-ethyl)carbamoyl]-4-hydroxybenzyl ⁇ carbamoylmethoxy)-2,3,4,5-tetrahydro-1,2,5-benzothiadiazepine; 1,1-dioxo-3,3-dibutyl-5-phenyl-7-methylthio-8-(N— ⁇ (R)- ⁇ -[N—((S)-1-carboxy-2-(R)-hydroxypropyl)carbamoyl]-4-hydroxybenzyl ⁇ carbamoylmethoxy)-2,3,4,5-tetrahydro-1,2,5-benzothiadiazepine; 1,1-dioxo-3,3-dibutyl-5-phenyl-7-methylthio-8-(N
- compound of Formula V is N-(2-aminoethyl)-2-aminoethyl-N-(2-aminoethyl)-2-aminoethyl-N-(2-aminoethyl)-2-aminoethyl-N-(2-aminoethyl)-2-aminoethyl-N-(2-aminoethyl)-2-aminoethyl
- an ASBTI suitable for the methods described herein is a compound of Formula VI:
- R v and R w are independently selected from hydrogen or C 1-6 alkyl
- R 1 and R 2 are selected from hydrogen or C 1-6 alkyl and the other is selected from C 1-6 alkyl;
- R x and R y are independently selected from hydrogen or C 1-6 alkyl, or one of R x and R y is hydrogen or C 1-6 alkyl and the other is hydroxy or C 1-6 alkoxy;
- R z is selected from halo, nitro, cyano, hydroxy, amino, carboxy, carbamoyl, mercapto, sulphamoyl, C 1-6 alkyl, C 2-6 alkenyl, C 2-6 alkynyl, C 1-6 alkoxy, C 1-6 alkanoyl, C 1-6 alkanoyloxy, N—(C 1-6 alkyl)amino, N,N—(C 1-6 alkyl) 2 amino, C 1-6 alkanoylamino, N—(C 1-6 alkyl)carbamoyl, N,N—(C 1-6 alkyl) 2 carbamoyl, C 1-6 alkyl S(O) a wherein a is 0 to 2, C 1-6 alkoxycarbonyl, N—(C 1-6 alkyl)sulphamoyl and N,N—(C 1-6 alkyl) 2 sulphamoyl;
- n 0-5;
- R 4 and R 5 are a group of formula (VIA):
- R 3 and R 6 and the other of R 4 and R 5 are independently selected from hydrogen, halo, nitro, cyano, hydroxy, amino, carboxy, carbamoyl, mercapto, sulphamoyl, C 1-6 alkyl, C 2-6 alkenyl, C 2-6 alkynyl, C 1-6 alkoxy, C 1-6 alkanoyl, C 1-6 alkanoyloxy, N—(C 1-6 alkyl)amino, N,N—(C 1-6 alkyl) 2 amino, C 1-6 alkanoylamino, N—(C 1-6 alkyl)carbamoyl, N,N—(C 1-6 alkyl) 2 carbamoyl, C 1-6 alkylS(O) a wherein a is 0 to 2, C 1-6 alkoxycarbonyl, N—(C 1-6 alkyl)sulphamoyl and N,N—(C 1-6 alkyl) 2 sulphamoyl; where
- X is —O—, —N(R a )—, —S(O) b — or —CH(R a )—; wherein R a is hydrogen or C 1-6 alkyl and b is 0-2;
- Ring A is aryl or heteroaryl; wherein Ring A is optionally substituted on carbon by one or more substituents selected from R 18 ;
- R 7 is hydrogen, C 1-6 alkyl, carbocyclyl or heterocyclyl; wherein R 7 is optionally substituted on carbon by one or more substituents selected from R 19 ; and wherein if said heterocyclyl contains an —NH— group, that nitrogen may be optionally substituted by a group selected from R 20 ;
- R 8 is hydrogen or C 1-6 alkyl
- R 9 is hydrogen or C 1-6 alkyl
- R 10 is hydrogen, halo, nitro, cyano, hydroxy, amino, carbamoyl, mercapto, sulphamoyl, hydroxyaminocarbonyl, C 1-10 alkyl, C 2-10 alkenyl, C 2-10 alkynyl, C 1-10 alkoxy, C 1-10 alkanoyl, C 1-10 alkanoyloxy, N—(C 1-10 alkyl)amino, N,N—(C 1-10 alkyl) 2 amino, N,N,N—(C 1-10 alkyl) 3 ammonio, C 1-10 alkanoylamino, N—(C 1-10 alkyl)carbamoyl, N,N—(C 1-10 alkyl) 2 carbamoyl, C 1-10 alkylS(O) a wherein a is 0 to 2, N—(C 1-10 alkyl)sulphamoyl, N,N—(C 1-10 alkyl) 2 sulphamoyl, N
- R 11 is hydrogen or C 1-6 alkyl
- R 12 and R 13 are independently selected from hydrogen, halo, nitro, cyano, hydroxy, amino, carbamoyl, mercapto, sulphamoyl, C 1-10 alkyl, C 2-10 alkenyl, C 2-10 alkynyl, C 1-10 alkoxy, C 1-10 alkanoyl, C 1-10 alkanoyloxy, N—(C 1-10 alkyl)amino, N,N—(C 1-10 alkyl) 2 amino, C 1-10 alkanoylamino, N—(C 1-10 alkyl)carbamoyl, N,N—(C 1-10 alkyl) 2 carbamoyl, C 1-10 alkylS(O) a wherein a is 0 to 2, N—(C 1-10 alkyl)sulphamoyl, N,N—(C 1-10 alkyl) 2 sulphamoyl, N—(C 1-10 alkyl)sulphamoylamino, N,N—
- R 14 is selected from hydrogen, halo, nitro, cyano, hydroxy, amino, carbamoyl, mercapto, sulphamoyl, hydroxyaminocarbonyl, C 1-10 alkyl, C 2-10 alkenyl, C 2-10 alkynyl, C 1-10 alkoxy, C 1-10 alkanoyl, C 1-10 alkanoyloxy, N—(C 1-10 alkyl)amino, N,N—(C 1-10 alkyl) 2 amino, N,N,N—(C 1-10 alkyl) 3 ammonio, C 1-10 alkanoylamino, N—(C 1-10 alkyl)carbamoyl, N,N—(C 1-10 alkyl) 2 carbamoyl, C 1-10 alkylS(O) a wherein a is 0 to 2, N—(C 1-10 alkyl)sulphamoyl, N,N—(C 1-10 alkyl) 2 sulphamoyl
- R 15 is hydrogen or C 1-6 alkyl
- R 16 is hydrogen or C 1-6 alkyl; wherein R 16 may be optionally substituted on carbon by one or more groups selected from R 31 ;
- n 1-3; wherein the values of R 7 may be the same or different;
- R 17 , R 18 , R 19 , R 23 , R 25 , R 29 or R 31 are independently selected from halo, nitro, cyano, hydroxy, amino, carbamoyl, mercapto, sulphamoyl, hydroxyaminocarbonyl, amidino, C 1-10 alkyl, C 2-10 alkenyl, C 2-10 alkynyl, C 1-10 alkoxy, C 1-10 alkanoyl, C 1-10 alkanoyloxy, (C 1-10 alkyl) 3 silyl, N—(C 1-10 alkyl)amino, N,N—(C 1-10 alkyl) 2 amino, N,N,N—(C 1-10 alkyl) 3 ammonio, C 1-10 alkanoylamino, N—(C 1-10 alkyl)carbamoyl, N,N—(C 1-10 alkyl) 2 carbamoyl, C 1-10 alkylS(O) a wherein a is 0
- R 21 , R 22 , R 27 , R 28 , R 32 or R 33 are independently selected from —O—, —NR 36 —, —S(O) x —, —NR 36 C(O)NR 36 —, —NR 36 C(S)NR 36 —, —OC(O)N ⁇ C—, —NR 36 C(O)— or —C(O)NR 36 —; wherein R 36 is selected from hydrogen or C 1-6 alkyl, and x is 0-2;
- p, q, r and s are independently selected from 0-2;
- R 34 is selected from halo, hydroxy, cyano, carbamoyl, ureido, amino, nitro, carbamoyl, mercapto, sulphamoyl, trifluoromethyl, trifluoromethoxy, methyl, ethyl, methoxy, ethoxy, vinyl, allyl, ethynyl, formyl, acetyl, formamido, acetylamino, acetoxy, methylamino, dimethylamino, N-methylcarbamoyl, N,N-dimethylcarbamoyl, methylthio, methylsulphinyl, mesyl, N-methylsulphamoyl, N,N-dimethylsulphamoyl, N-methylsulphamoylamino and N,N-dimethylsulphamoylamino;
- R 20 , R 24 , R 26 , R 30 or R 35 are independently selected from C 1-6 alkyl, C 1-6 alkanoyl, C 1-6 alkylsulphonyl, C 1-6 alkoxycarbonyl, carbamoyl, N—(C 1-6 alkyl)carbamoyl, N,N—(C 1-6 alkyl)carbamoyl, benzyl, benzyloxycarbonyl, benzoyl and phenylsulphonyl;
- a compound of Formula VI has the structure of Formula VID:
- R 1 and R 2 are independently selected from C 1-6 alkyl; one of R 4 and R 5 is a group of formula (VIE):
- R 3 and R 6 and the other of R 4 and R 5 are independently selected from hydrogen, halo, nitro, cyano, hydroxy, amino, carboxy, carbamoyl, mercapto, sulphamoyl, C 1-4 alkyl, C 2-4 alkenyl, C 2-4 alkynyl, C 1-4 alkoxy, C 1-4 alkanoyl, C 1-4 alkanoyloxy, N—(C 1-4 alkyl)amino, N,N—(C 1-4 alkyl) 2 amino, C 1-4 alkanoylamino, N—(C 1-4 alkyl)carbamoyl, N,N—(C 1-4 alkyl) 2 carbamoyl, C 1-4 alkylS(O) a wherein a is 0 to 2, C 1-4 alkoxycarbonyl, N—(C 1-4 alkyl)sulphamoyl and N,N—(C 1-4 alkyl) 2 sulphamoyl; where
- R 7 is carboxy, sulpho, sulphino, phosphono, —P(O)(OR a )(OR b ), P(O)(OH)(OR a ), —P(O)(OH)(R a ) or P(O)(OR a )(R b ), wherein R a and R b are independently selected from C 1-6 alkyl; or R 7 is a group of formula (VIF):
- R 8 and R 9 are independently hydrogen, C 1-4 alkyl or a saturated cyclic group, or R 8 and R 9 together form C 2-6 alkylene; wherein R 8 and R 9 or R 8 and R 9 together may be independently optionally substituted on carbon by one or more substituents selected from R 15 ; and wherein if said saturated cyclic group contains an —NH— moiety, that nitrogen may be optionally substituted by one or more R 20 ;
- R 10 is hydrogen or C 1-4 alkyl; wherein R 10 is optionally substituted on carbon by one or more substituents selected from R 24 ;
- R 11 is hydrogen, C 1-4 alkyl, carbocyclyl or heterocyclyl; wherein R 11 is optionally substituted on carbon by one or more substituents selected from R 16 ; and wherein if said heterocyclyl contains an —NH— moiety, that nitrogen may be optionally substituted by one or more R 21 ;
- R 12 is hydrogen or C 1-4 alkyl, carbocyclyl or heterocyclyl; wherein R 12 optionally substituted on carbon by one or more substituents selected from R 17 ; and wherein if said heterocyclyl contains an —NH— moiety, that nitrogen may be optionally substituted by one or more R 22 ;
- R 13 is carboxy, sulpho, sulphino, phosphono, —P(O)(OR c )(OR d ), —P(O)(OH)(OR c ), —P(O)(OH)(R c ) or —P(O)(OR c )(R d ) wherein R c and R d are independently selected from C 1-6 alkyl;
- n 1-3; wherein the values of R 8 and R 9 may be the same or different;
- n 1-3; wherein the values of R 11 may be the same or different;
- R 12 is 1-3; wherein the values of R 12 may be the same or different;
- R 14 and R 16 are independently selected from halo, nitro, cyano, hydroxy, amino, carboxy, carbamoyl, mercapto, sulphamoyl, C 1-4 alkyl, C 2-4 alkenyl, C 2-4 alkynyl, C 1-4 alkoxy, C 1-4 alkanoyl, C 1-4 alkanoyloxy, N—(C 1-4 alkyl)amino, N,N—(C 1-4 alkyl) 2 amino, C 1-4 alkanoylamino, N—(C 1-4 alkyl)carbamoyl, N,N—(C 1-4 alkyl) 2 carbamoyl, C 1-4 alkylS(O) a wherein a is 0 to 2, C 1-4 alkoxycarbonyl, N—(C 1-4 alkyl)sulphamoyl and N,N—(C 1-4 alkyl) 2 sulphamoyl; wherein R 14 and R 16 may be independently optionally
- R 15 and R 17 are independently selected from halo, nitro, cyano, hydroxy, amino, carboxy, carbamoyl, mercapto, sulphamoyl, C 1-4 alkyl, C 2-4 alkenyl, C 2-4 alkynyl, C 1-4 alkoxy, C 1-4 alkanoyl, C 1-4 alkanoyloxy, N—(C 1-4 alkyl)amino, N,N—(C 1-4 alkyl) 2 amino, C 1-4 alkanoylamino, N—(C 1-4 alkyl)carbamoyl, N,N—(C 1-4 alkyl) 2 carbamoyl, C 1-4 alkylS(O) a wherein a is 0 to 2, C 1-4 alkoxycarbonyl, N—(C 1-4 alkyl)sulphamoyl and N,N—(C 1-4 alkyl) 2 sulphamoyl, carbocyclyl, heterocyclyl,
- R 18 , R 19 and R 25 are independently selected from halo, hydroxy, cyano, carbamoyl, ureido amino nitro, carboxy, carbamoyl, mercapto, sulphamoyl, trifluoromethyl, trifluoromethoxy, methyl, ethyl, methoxy, ethoxy, vinyl, allyl, ethynyl, methoxycarbonyl, formyl, acetyl, formamido, acetylamino, acetoxy, methylamino, dimethylamino, N-methylcarbamoyl, N,N-dimethylcarbamoyl, methylthio, methylsulphinyl, mesyl, N-methylsulphamoyl and N,N-dimethylsulphamoyl;
- R 20 , R 21 , R 22 , R 23 and R 26 are independently C 1-4 alkyl, C 1-4 alkanoyl, C 1-4 alkylsulphonyl, sulphamoyl, N—(C 1-4 alkyl)sulphamoyl, N,N—(C 1-4 alkyl) 2 sulphamoyl, C 1-4 alkoxycarbonyl, carbamoyl, N—(C 1-4 alkyl)carbamoyl, N,N—(C 1-4 alkyl) 2 carbamoyl, benzyl, phenethyl, benzoyl, phenylsulphonyl and phenyl;
- R 24 is selected from halo, nitro, cyano, hydroxy, amino, carboxy, carbamoyl, mercapto, sulphamoyl, C 1-4 alkyl, C 2-4 alkenyl, C 2-4 alkynyl, C 1-4 alkoxy, C 1-4 alkanoyl, C 1-4 alkanoyloxy, N—(C 1-4 alkyl)amino, N,N—(C 1-4 alkyl) 2 amino, C 1-4 alkanoylamino, N—(C 1-4 alkyl)carbamoyl, N,N—(C 1-4 alkyl) 2 carbamoyl, C 1-4 alkylS(O) a wherein a is 0 to 2, C 1-4 alkoxycarbonyl, N—(C 1-4 alkyl)sulphamoyl and N,N—(C 1-4 alkyl) 2 sulphamoyl, carbocyclyl, heterocyclyl; wherein R 24 may
- any saturated cyclic group is a totally or partially saturated, mono or bicyclic ring containing 3-12 atoms of which 0-4 atoms are chosen from nitrogen, sulphur or oxygen, which may be carbon or nitrogen linked;
- any heterocyclyl is a saturated, partially saturated or unsaturated, mono or bicyclic ring containing 3-12 atoms of which at least one atom is chosen from nitrogen, sulphur or oxygen, which may be carbon or nitrogen linked, wherein a —CH 2 — group can optionally be replaced by a —C(O)— or a ring sulphur atom may be optionally oxidised to form the S-oxides; and
- any carbocyclyl is a saturated, partially saturated or unsaturated, mono or bicyclic carbon ring that contains 3-12 atoms, wherein a —CH 2 — group can optionally be replaced by a —C(O)—;
- a compound of Formula IV is 1,1-dioxo-3,3-dibutyl-5-phenyl-7-methylthio-8-(N— ⁇ (R)-1′-phenyl-1′-[N′-(carboxymethyl)carbamoyl]methyl ⁇ carbamoylmethoxy)-2,3,4,5-tetrahydro-1,5-benzothiazepine; 1,1-dioxo-3,3-dibutyl-5-phenyl-7-methylthio-8-(N— ⁇ (R)- ⁇ -[N′—((S)-1-carboxypropyl)carbamoyl]-4-hydroxybenzyl ⁇ carbamoylmethoxy)-2,3,4,5-tetrahydro-1,5-benzothiazepine; 1,1-dioxo-3,3-dibutyl-5-phenyl-7-methylthio-8-(N— ⁇ (R)-1′-phenyl-1′-phenyl-1
- any compound described herein is covalently conjugated to a bile acid using any suitable method.
- compounds described herein are covalently bonded to a cyclodextrin or a biodegradable polymer (e.g., a polysaccharide).
- compounds described herein are not systemically absorbed.
- compounds that inhibit bile salt recycling in the gastrointestinal tract of an individual may not be transported from the gut lumen and/or do not interact with ASBT.
- compounds described herein do not affect, or minimally affect, fat digestion and/or absorption.
- the administration of a therapeutically effective amount of any compound described herein does not result in gastrointestinal disturbance or lactic acidosis in an individual.
- compounds described herein are administered orally.
- an ASBTI is released in the distal ileum.
- An ASBTI compatible with the methods described herein may be a direct inhibitor, an allosteric inhibitor, or a partial inhibitor of the Apical Sodium-dependent Bile acid Transporter.
- compounds that inhibit ASBT or any recuperative bile acid transporters are compounds that are described in EP1810689, U.S. Pat. Nos. 6,458,851, 7,413,536, 7,514,421, US Appl. Publication Nos.
- compounds that inhibit ASBT or any recuperative bile acid transporters are compounds described in WO93/16055, WO94/18183, WO94/18184, WO96/05188, WO96/08484, WO96/16051, WO97/33882, WO98/38182, WO99/35135, WO98/40375, WO99/64409, WO99/64410, WO00/01687, WO00/47568, WO00/61568, DE 19825804, WO00/38725, WO00/38726, WO00/38727 (including those compounds with a 2,3,4,5-tetrahydro-1-benzothiepine 1,1-dioxide structure), WO00/38728, WO01/66533, WO02/50051, EP0864582 (e.g.
- compounds that inhibit ASBT or any recuperative bile acid transporter are benzothiepines, benzothiazepines (including 1,2-benzothiazepines; 1,4-benzothiazepines; 1,5-benzothiazepines; and/or 1,2,5-benzothiadiazepines).
- compounds that inhibit ASBT or any recuperative bile acid transporter include and are not limited to S-8921 (disclosed in EP597107, WO 93/08155), 264W94 (GSK) disclosed in WO 96/05188; SC-435 (1-[4-[4-[(4R,5R)-3,3-dibutyl-7-(dimethylamino)-2,3,4,5-tetrahydro-4-hydroxy-1,1-dioxido-1-benzothiepin-5-yl]phenoxy]butyl]4-aza-1-azoniabicyclo[2.2.2]octane methanesulfonate salt), SC-635 (Searle); 2164U90 (3-butyl-3-ethyl-2,3,4,5-tetrahydro-5-phenyl-1,4-benzothiazepine 1,1-dioxide); BARI-1741 (Aventis SA), AZD 7508 (Astra Zeneca); barix
- compounds described herein have one or more chiral centers. As such, all stereoisomers are envisioned herein.
- compounds described herein are present in optically active or racemic forms. It is to be understood that the compounds of the present invention encompasses racemic, optically-active, regioisomeric and stereoisomeric forms, or combinations thereof that possess the therapeutically useful properties described herein. Preparation of optically active forms is achieve in any suitable manner, including by way of non-limiting example, by resolution of the racemic form by recrystallization techniques, by synthesis from optically-active starting materials, by chiral synthesis, or by chromatographic separation using a chiral stationary phase.
- mixtures of one or more isomer is utilized as the therapeutic compound described herein.
- compounds described herein contains one or more chiral centers. These compounds are prepared by any means, including enantioselective synthesis and/or separation of a mixture of enantiomers and/or diastereomers. Resolution of compounds and isomers thereof is achieved by any means including, by way of non-limiting example, chemical processes, enzymatic processes, fractional crystallization, distillation, chromatography, and the like.
- the compounds described herein are modified using various electrophiles and/or nucleophiles to form new functional groups or substituents.
- Table A entitled “Examples of Covalent Linkages and Precursors Thereof” lists selected non-limiting examples of covalent linkages and precursor functional groups which yield the covalent linkages. Table A is used as guidance toward the variety of electrophiles and nucleophiles combinations available that provide covalent linkages.
- Precursor functional groups are shown as electrophilic groups and nucleophilic groups.
- protective groups are removed by acid, base, reducing conditions (such as, for example, hydrogenolysis), and/or oxidative conditions.
- reducing conditions such as, for example, hydrogenolysis
- oxidative conditions such as, for example, hydrogenolysis
- Groups such as trityl, dimethoxytrityl, acetal and t-butyldimethylsilyl are acid labile and are used to protect carboxy and hydroxy reactive moieties in the presence of amino groups protected with Cbz groups, which are removable by hydrogenolysis, and Fmoc groups, which are base labile.
- Carboxylic acid and hydroxy reactive moieties are blocked with base labile groups such as, but not limited to, methyl, ethyl, and acetyl in the presence of amines blocked with acid labile groups such as t-butyl carbamate or with carbamates that are both acid and base stable but hydrolytically removable.
- base labile groups such as, but not limited to, methyl, ethyl, and acetyl in the presence of amines blocked with acid labile groups such as t-butyl carbamate or with carbamates that are both acid and base stable but hydrolytically removable.
- carboxylic acid and hydroxy reactive moieties are blocked with hydrolytically removable protective groups such as the benzyl group, while amine groups capable of hydrogen bonding with acids are blocked with base labile groups such as Fmoc.
- Carboxylic acid reactive moieties are protected by conversion to simple ester compounds as exemplified herein, which include conversion to alkyl esters, or are blocked with oxidatively-removable protective groups such as 2,4-dimethoxybenzyl, while co-existing amino groups are blocked with fluoride labile silyl carbamates.
- Allyl blocking groups are useful in the presence of acid- and base-protecting groups since the former are stable and are subsequently removed by metal or pi-acid catalysts.
- an allyl-blocked carboxylic acid is deprotected with a Pd 0 -catalyzed reaction in the presence of acid labile t-butyl carbamate or base-labile acetate amine protecting groups.
- Yet another form of protecting group is a resin to which a compound or intermediate is attached. As long as the residue is attached to the resin, that functional group is blocked and does not react. Once released from the resin, the functional group is available to react.
- blocking/protecting groups are selected from:
- ASBTIs described herein are synthesized as described in, for example, WO 96/05188, U.S. Pat. Nos. 5,994,391; 7,238,684; 6,906,058; 6,020,330; and 6,114,322.
- ASBTIs described herein are synthesized starting from compounds that are available from commercial sources or that are prepared using procedures outlined herein.
- compounds described herein are prepared according to the process set forth in Scheme 1:
- the synthesis begins with a reaction of 1,4-diazabicyclo[2.2.2]octane with 4-iodo-1-chloro butane to provide a compound of structure 1-I.
- Such compounds are prepared in any suitable manner, e.g., as set forth in Tremont, S. J. et. al., J. Med. Chem. 2005, 48, 5837-5852.
- the compound of structure 1-I is then subjected to a reaction with phenethylamine to provide a compound of structure 1-II.
- the compound of structure 1-II is then allowed to react with dicyanodiamide to provide a compound of Formula I.
- a first compound of Formula III is subjected to a further reaction to provide a second compound of Formula III as shown in Scheme 2 below.
- a first compound of Formula III, 1-IA is alkylated with iodomethane to provide a second compound of Formula III, 1-IB. Alkylation of 1-IB with a compound of structure 2-II provides a further compound of Formula III, IC.
- a first compound of Formula III, 1-IA is alkylated with a compound of structure 2-I to provide a second compound of Formula III, 1-IC
- compounds described herein are prepared according to the process set forth in
- bile acid includes steroid acids (and/or the carboxylate anion thereof), and salts thereof, found in the bile of an animal (e.g., a human), including, by way of non-limiting example, cholic acid, cholate, deoxycholic acid, deoxycholate, hyodeoxycholic acid, hyodeoxycholate, glycocholic acid, glycocholate, taurocholic acid, taurocholate, chenodeoxycholic acid, ursodeoxycholic acid, ursodiol, a tauroursodeoxycholic acid, a glycoursodeoxycholic acid, a 7-B-methyl cholic acid, a methyl lithocholic acid, chenodeoxycholate, lithocholic acid, lithocolate, and the like.
- Taurocholic acid and/or taurocholate are referred to herein as TCA.
- Any reference to a bile acid used herein includes reference to a bile acid, one and only one bile acid, one or more bile acids, or to at least one bile acid. Therefore, the terms “bile acid,” “bile salt,” “bile acid/salt,” “bile acids,” “bile salts,” and “bile acids/salts” are, unless otherwise indicated, utilized interchangeably herein.
- Any reference to a bile acid used herein includes reference to a bile acid or a salt thereof.
- bile acids are optionally utilized as the “bile acids” described herein, e.g., bile acids/salts conjugated to an amino acid (e.g., glycine or taurine).
- Other bile acid esters include, e.g., substituted or unsubstituted alkyl ester, substituted or unsubstituted heteroalkyl esters, substituted or unsubstituted aryl esters, substituted or unsubstituted heteroaryl esters, or the like.
- the term “bile acid” includes cholic acid conjugated with either glycine or taurine: glycocholate and taurocholate, respectively (and salts thereof).
- bile acid/salt mimics or mimetics described herein are compounds that mimic the agonist signaling properties of the bile acid/salt, especially at TGR5 (GPBAR1, BG37, Axor109) receptors. Examples include those described in WO 2010/014836, which is incorporated herein for such disclosure.
- bile acid mimetics include triterpenoid, such as oleanoic acid, ursolic acid, or the like.
- subject refers to mammals and non-mammals, e.g., suffering from a disorder described herein.
- mammals include, but are not limited to, any member of the mammalian class: humans, non-human primates such as chimpanzees, and other apes and monkey species; farm animals such as cattle, horses, sheep, goats, swine; domestic animals such as rabbits, dogs, and cats; laboratory animals including rodents, such as rats, mice and guinea pigs, and the like.
- non-mammals include, but are not limited to, birds, fish and the like.
- the mammal is a human.
- colon includes the cecum, ascending colon, hepatic flexure, splenic flexure, descending colon, and sigmoid.
- composition includes the disclosure of both a composition and a composition administered in a method as described herein.
- composition of the present invention is or comprises a “formulation,” an oral dosage form or a rectal dosage form as described herein.
- treat include alleviating, inhibiting or reducing symptoms, reducing or inhibiting severity of, reducing incidence of, reducing or inhibiting recurrence of, delaying onset of, delaying recurrence of, abating or ameliorating a disease or condition symptoms, ameliorating the underlying causes of symptoms, inhibiting the disease or condition, e.g., arresting the development of the disease or condition, relieving the disease or condition, causing regression of the disease or condition, relieving a condition caused by the disease or condition, or stopping the symptoms of the disease or condition.
- the terms further include achieving a therapeutic benefit.
- therapeutic benefit is meant eradication or amelioration of the underlying disorder being treated, and/or the eradication or amelioration of one or more of the physiological symptoms associated with the underlying disorder such that an improvement is observed in the patient.
- prevent include preventing additional symptoms, preventing the underlying causes of symptoms, inhibiting the disease or condition, e.g., arresting the development of the disease or condition and are intended to include prophylaxis.
- the terms further include achieving a prophylactic benefit.
- the compositions are optionally administered to a patient at risk of developing a particular disease, to a patient reporting one or more of the physiological symptoms of a disease, or to a patient at risk of reoccurrence of the disease.
- the agents described herein be limited by the particular nature of the combination.
- the agents described herein are optionally administered in combination as simple mixtures as well as chemical hybrids.
- An example of the latter is where the agent is covalently linked to a targeting carrier or to an active pharmaceutical.
- Covalent binding can be accomplished in many ways, such as, though not limited to, the use of a commercially available cross-linking agent.
- combination treatments are optionally administered separately or concomitantly.
- the terms “pharmaceutical combination”, “administering an additional therapy”, “administering an additional therapeutic agent” and the like refer to a pharmaceutical therapy resulting from the mixing or combining of more than one active ingredient and includes both fixed and non-fixed combinations of the active ingredients.
- the term “fixed combination” means that at least one of the agents described herein, and at least one co-agent, are both administered to a patient simultaneously in the form of a single entity or dosage.
- non-fixed combination means that at least one of the agents described herein, and at least one co-agent, are administered to a patient as separate entities either simultaneously, concurrently or sequentially with variable intervening time limits, wherein such administration provides effective levels of the two or more agents in the body of the patient.
- the co-agent is administered once or for a period of time, after which the agent is administered once or over a period of time. In other instances, the co-agent is administered for a period of time, after which, a therapy involving the administration of both the co-agent and the agent are administered. In still other embodiments, the agent is administered once or over a period of time, after which, the co-agent is administered once or over a period of time.
- cocktail therapies e.g. the administration of three or more active ingredients.
- the terms “co-administration”, “administered in combination with” and their grammatical equivalents are meant to encompass administration of the selected therapeutic agents to a single patient, and are intended to include treatment regimens in which the agents are administered by the same or different route of administration or at the same or different times.
- the agents described herein will be co-administered with other agents.
- These terms encompass administration of two or more agents to an animal so that both agents and/or their metabolites are present in the animal at the same time. They include simultaneous administration in separate compositions, administration at different times in separate compositions, and/or administration in a composition in which both agents are present.
- the agents described herein and the other agent(s) are administered in a single composition.
- the agents described herein and the other agent(s) are admixed in the composition.
- an “effective amount” or “therapeutically effective amount” as used herein refer to a sufficient amount of at least one agent being administered which achieve a desired result, e.g., to relieve to some extent one or more symptoms of a disease or condition being treated. In certain instances, the result is a reduction and/or alleviation of the signs, symptoms, or causes of a disease, or any other desired alteration of a biological system. In certain instances, an “effective amount” for therapeutic uses is the amount of the composition comprising an agent as set forth herein required to provide a clinically significant decrease in a disease. An appropriate “effective” amount in any individual case is determined using any suitable technique, such as a dose escalation study.
- administer refers to the methods that may be used to enable delivery of agents or compositions to the desired site of biological action. These methods include, but are not limited to oral routes, intraduodenal routes, parenteral injection (including intravenous, subcutaneous, intraperitoneal, intramuscular, intravascular or infusion), topical and rectal administration. Administration techniques that are optionally employed with the agents and methods described herein are found in sources e.g., Goodman and Gilman, The Pharmacological Basis of Therapeutics, current ed.; Pergamon; and Remington's, Pharmaceutical Sciences (current edition), Mack Publishing Co., Easton, Pa. In certain embodiments, the agents and compositions described herein are administered orally.
- pharmaceutically acceptable refers to a material that does not abrogate the biological activity or properties of the agents described herein, and is relatively nontoxic (i.e., the toxicity of the material significantly outweighs the benefit of the material).
- a pharmaceutically acceptable material may be administered to an individual without causing significant undesirable biological effects or significantly interacting in a deleterious manner with any of the components of the composition in which it is contained.
- carrier refers to relatively nontoxic chemical agents that, in certain instances, facilitate the incorporation of an agent into cells or tissues.
- non-systemic or “minimally absorbed” as used herein refers to low systemic bioavailability and/or absorption of an administered compound.
- a non-systemic compound is a compound that is substantially not absorbed systemically.
- ASBTI compositions described herein deliver the ASBTI to the distal ileum, colon, and/or rectum and not systemically (e.g., a substantial portion of the ASBTI is not systemically absorbed.
- the systemic absorption of a non-systemic compound is ⁇ 0.1%, ⁇ 0.3%, ⁇ 0.5%, ⁇ 0.6%, ⁇ 0.7%, ⁇ 0.8%, ⁇ 0.9%, ⁇ 1%, ⁇ 1.5%, ⁇ 2%, ⁇ 3%, or ⁇ 5% of the administered dose (wt. % or mol %).
- the systemic absorption of a non-systemic compound is ⁇ 10% of the administered dose.
- the systemic absorption of a non-systemic compound is ⁇ 15% of the administered dose.
- the systemic absorption of a non-systemic compound is ⁇ 25% of the administered dose.
- a non-systemic ASBTI is a compound that has lower systemic bioavailability relative to the systemic bioavailability of a systemic ASBTI (e.g., compound 100A, 100C).
- the bioavailability of a non-systemic ASBTI described herein is ⁇ 30%, ⁇ 40%, ⁇ 50%, ⁇ 60%, or ⁇ 70% of the bioavailability of a systemic ASBTI (e.g., compound 100A, 100C).
- compositions described herein are formulated to deliver ⁇ 10% of the administered dose of the ASBTI systemically. In some embodiments, the compositions described herein are formulated to deliver ⁇ 20% of the administered dose of the ASBTI systemically. In some embodiments, the compositions described herein are formulated to deliver ⁇ 30% of the administered dose of the ASBTI systemically. In some embodiments, the compositions described herein are formulated to deliver ⁇ 40% of the administered dose of the ASBTI systemically. In some embodiments, the compositions described herein are formulated to deliver ⁇ 50% of the administered dose of the ASBTI systemically. In some embodiments, the compositions described herein are formulated to deliver ⁇ 60% of the administered dose of the ASBTI systemically.
- compositions described herein are formulated to deliver ⁇ 70% of the administered dose of the ASBTI systemically.
- systemic absorption is determined in any suitable manner, including the total circulating amount, the amount cleared after administration, or the like.
- ASBT inhibitor refers to a compound that inhibits apical sodium-dependent bile transport or any recuperative bile salt transport.
- Apical Sodium-dependent Bile Transporter ASBT
- IBAT Ileal Bile Acid Transporter
- enhancing enteroendocrine peptide secretion refers to a sufficient increase in the level of the enteroendocrine peptide agent, for example, to treat any disease or disorder described herein.
- enhanced enteroendocrine peptide secretion reverses or alleviates symptoms of cholestasis or a cholestatic liver disease.
- pharmaceutically acceptable salts described herein include, by way of non-limiting example, a nitrate, chloride, bromide, phosphate, sulfate, acetate, hexafluorophosphate, citrate, gluconate, benzoate, propionate, butyrate, sulfosalicylate, maleate, laurate, malate, fumarate, succinate, tartrate, amsonate, pamoate, p-toluenenesulfonate, mesylate and the like.
- pharmaceutically acceptable salts include, by way of non-limiting example, alkaline earth metal salts (e.g., calcium or magnesium), alkali metal salts (e.g., sodium-dependent or potassium), ammonium salts and the like.
- the term “optionally substituted” or “substituted” means that the referenced group substituted with one or more additional group(s).
- the one or more additional group(s) are individually and independently selected from amide, ester, alkyl, cycloalkyl, heteroalkyl, aryl, heteroaryl, heteroalicyclic, hydroxy, alkoxy, aryloxy, alkylthio, arylthio, alkylsulfoxide, arylsulfoxide, ester, alkylsulfone, arylsulfone, cyano, halo, alkoyl, alkoyloxo, isocyanato, thiocyanato, isothiocyanato, nitro, haloalkyl, haloalkoxy, fluoroalkyl, amino, alkyl-amino, dialkyl-amino, amido.
- alkyl refers to an aliphatic hydrocarbon group. Reference to an alkyl group includes “saturated alkyl” and/or “unsaturated alkyl”. The alkyl group, whether saturated or unsaturated, includes branched, straight chain, or cyclic groups. By way of example only, alkyl includes methyl, ethyl, propyl, isopropyl, n-butyl, iso-butyl, sec-butyl, t-butyl, pentyl, iso-pentyl, neo-pentyl, and hexyl.
- alkyl groups include, but are in no way limited to, methyl, ethyl, propyl, isopropyl, butyl, isobutyl, tertiary butyl, pentyl, hexyl, ethenyl, propenyl, butenyl, cyclopropyl, cyclobutyl, cyclopentyl, cyclohexyl, and the like.
- a “lower alkyl” is a C 1 -C 6 alkyl.
- a “heteroalkyl” group substitutes any one of the carbons of the alkyl group with a heteroatom having the appropriate number of hydrogen atoms attached (e.g., a CH 2 group to an NH group or an O group).
- alkylene refers to a divalent alkyl radical. Any of the above mentioned monovalent alkyl groups may be an alkylene by abstraction of a second hydrogen atom from the alkyl. In one aspect, an alkelene is a C 1 -C 10 alkylene. In another aspect, an alkylene is a C 1 -C 6 alkylene.
- Typical alkylene groups include, but are not limited to, —CH 2 —, —CH(CH 3 )—, —C(CH 3 ) 2 —, —CH 2 CH 2 —, —CH 2 CH(CH 3 )—, —CH 2 C(CH 3 ) 2 —, —CH 2 CH 2 CH 2 —, —CH 2 CH 2 CH 2 CH 2 —, —CH 2 CH 2 CH 2 CH 2 CH 2 —, —CH 2 CH 2 CH 2 CH 2 CH 2 CH 2 —, —CH 2 CH 2 CH 2 CH 2 CH 2 CH 2 —, —CH 2 CH 2 CH 2 CH 2 CH 2 CH 2 —, and the like.
- alkoxy refers to a (alkyl)O— group, where alkyl is as defined herein.
- amide is a chemical moiety with formula —C(O)NHR or —NHC(O)R, where R is selected from alkyl, cycloalkyl, aryl, heteroaryl (bonded through a ring carbon) and heteroalicyclic (bonded through a ring carbon).
- esters refers to a chemical moiety with formula —C( ⁇ O)OR, where R is selected from the group consisting of alkyl, cycloalkyl, aryl, heteroaryl and heteroalicyclic.
- aryl refers to an aromatic ring wherein each of the atoms forming the ring is a carbon atom.
- Aryl rings described herein include rings having five, six, seven, eight, nine, or more than nine carbon atoms.
- Aryl groups are optionally substituted. Examples of aryl groups include, but are not limited to phenyl, and naphthalenyl.
- aromatic refers to a planar ring having a delocalized ⁇ -electron system containing 4n+2 ⁇ electrons, where n is an integer. Aromatic rings can be formed from five, six, seven, eight, nine, ten, or more than ten atoms. Aromatics are optionally substituted.
- aromatic includes both carbocyclic aryl (“aryl”, e.g., phenyl) and heterocyclic aryl (or “heteroaryl” or “heteroaromatic”) groups (e.g., pyridine).
- aryl e.g., phenyl
- heterocyclic aryl or “heteroaryl” or “heteroaromatic” groups
- pyridine monocyclic or fused-ring polycyclic (i.e., rings which share adjacent pairs of carbon atoms) groups.
- cycloalkyl refers to a monocyclic or polycyclic non-aromatic radical, wherein each of the atoms forming the ring (i.e. skeletal atoms) is a carbon atom.
- cycloalkyls are saturated, or partially unsaturated.
- cycloalkyls are fused with an aromatic ring.
- Cycloalkyl groups include groups having from 3 to 10 ring atoms.
- Illustrative examples of cycloalkyl groups include, but are not limited to, the following moieties:
- Monocyclic cycloalkyls include, but are not limited to, cyclopropyl, cyclobutyl, cyclopentyl, cyclohexyl, cycloheptyl, and cyclooctyl.
- heterocyclo refers to heteroaromatic and heteroalicyclic groups containing one to four ring heteroatoms each selected from O, S and N. In certain instances, each heterocyclic group has from 4 to 10 atoms in its ring system, and with the proviso that the ring of said group does not contain two adjacent O or S atoms.
- Non-aromatic heterocyclic groups include groups having 3 atoms in their ring system, but aromatic heterocyclic groups must have at least 5 atoms in their ring system.
- the heterocyclic groups include benzo-fused ring systems.
- An example of a 3-membered heterocyclic group is aziridinyl (derived from aziridine).
- An example of a 4-membered heterocyclic group is azetidinyl (derived from azetidine).
- An example of a 5-membered heterocyclic group is thiazolyl.
- An example of a 6-membered heterocyclic group is pyridyl, and an example of a 10-membered heterocyclic group is quinolinyl.
- non-aromatic heterocyclic groups are pyrrolidinyl, tetrahydrofuranyl, dihydrofuranyl, tetrahydrothienyl, tetrahydropyranyl, dihydropyranyl, tetrahydrothiopyranyl, piperidino, morpholino, thiomorpholino, thioxanyl, piperazinyl, aziridinyl, azetidinyl, oxetanyl, thietanyl, homopiperidinyl, oxepanyl, thiepanyl, oxazepinyl, diazepinyl, thiazepinyl, 1,2,3,6-tetrahydropyridinyl, 2-pyrrolinyl, 3-pyrrolinyl, indolinyl, 2H-pyranyl, 4H-pyranyl, dioxanyl, 1,3-dioxolanyl, pyrazol
- aromatic heterocyclic groups are pyridinyl, imidazolyl, pyrimidinyl, pyrazolyl, triazolyl, pyrazinyl, tetrazolyl, furyl, thienyl, isoxazolyl, thiazolyl, oxazolyl, isothiazolyl, pyrrolyl, quinolinyl, isoquinolinyl, indolyl, benzimidazolyl, benzofuranyl, cinnolinyl, indazolyl, indolizinyl, phthalazinyl, pyridazinyl, triazinyl, isoindolyl, pteridinyl, purinyl, oxadiazolyl, thiadiazolyl, furazanyl, benzofurazanyl, benzothiophenyl, benzothiazolyl, benzoxazolyl, quinazolinyl, quinox
- heteroaryl or, alternatively, “heteroaromatic” refers to an aryl group that includes one or more ring heteroatoms selected from nitrogen, oxygen and sulfur.
- An N-containing “heteroaromatic” or “heteroaryl” moiety refers to an aromatic group in which at least one of the skeletal atoms of the ring is a nitrogen atom.
- heteroaryl groups are monocyclic or polycyclic. Illustrative examples of heteroaryl groups include the following moieties:
- heteroalicyclic group or “heterocyclo” group refers to a cycloalkyl group, wherein at least one skeletal ring atom is a heteroatom selected from nitrogen, oxygen and sulfur.
- the radicals are with an aryl or heteroaryl.
- heterocyclo groups also referred to as non-aromatic heterocycles, include:
- heteroalicyclic also includes all ring forms of the carbohydrates, including but not limited to the monosaccharides, the disaccharides and the oligosaccharides.
- halo or, alternatively, “halogen” means fluoro, chloro, bromo and iodo.
- haloalkyl and “haloalkoxy” include alkyl and alkoxy structures that are substituted with one or more halogens. In embodiments, where more than one halogen is included in the group, the halogens are the same or they are different.
- fluoroalkyl and fluoroalkoxy include haloalkyl and haloalkoxy groups, respectively, in which the halo is fluorine.
- heteroalkyl include optionally substituted alkyl, alkenyl and alkynyl radicals which have one or more skeletal chain atoms selected from an atom other than carbon, e.g., oxygen, nitrogen, sulfur, phosphorus, silicon, or combinations thereof.
- the heteroatom(s) is placed at any interior position of the heteroalkyl group.
- Examples include, but are not limited to, —CH 2 —O—CH 3 , —CH 2 —CH 2 —O—CH 3 , —CH 2 —NH—CH 3 , —CH 2 —CH 2 —NH—CH 3 , —CH 2 —N(CH 3 )—CH 3 , —CH 2 —CH 2 —NH—CH 3 , —CH 2 —CH 2 —N(CH 3 )—CH 3 , —CH 2 —S—CH 2 —CH 3 , —CH 2 —CH 2 , —S(O)—CH 3 , —CH 2 —CH 2 —S(O) 2 —CH 3 , —CH ⁇ CH—O—CH 3 , —Si(CH 3 ) 3 , —CH 2 —CH ⁇ N—OCH 3 , and —CH ⁇ CH—N(CH 3 )—CH 3 .
- up to two heteroatoms are consecutive, such as, by way of example
- a “cyano” group refers to a —CN group.
- An “isocyanato” group refers to a —NCO group.
- a “thiocyanato” group refers to a —CNS group.
- An “isothiocyanato” group refers to a —NCS group.
- Alkoyloxy refers to a RC( ⁇ O)O— group.
- Alkoyl refers to a RC( ⁇ O)— group.
- module refers to having some affect on (e.g., increasing, enhancing or maintaining a certain level).
- optionally substituted or “substituted” means that the referenced group may be substituted with one or more additional group(s) individually and independently selected from C 1 -C 6 alkyl, C 3 -C 8 cycloalkyl, aryl, heteroaryl, C 2 -C 6 heteroalicyclic, hydroxy, C 1 -C 6 alkoxy, aryloxy, arylalkoxy, aralkyloxy, arylalkyloxy, C 1 -C 6 alkylthio, arylthio, C 1 -C 6 alkylsulfoxide, arylsulfoxide, C 1 -C 6 alkylsulfone, arylsulfone, cyano, halo, C 2 -C 8 acyl, C 2 -C 8 acyloxy, nitro, C 1 -C 6 haloalkyl, C 1 -C 6 fluoroalkyl, and amino, including C 1 -C 6 alkyla
- an optional substituents may be L s R s , wherein each L s is independently selected from a bond, —O—, —C( ⁇ O)—, —S—, —S( ⁇ O)—, —S( ⁇ O) 2 —, —NH—, —NHC( ⁇ O)—, —C( ⁇ O)NH—, S( ⁇ O) 2 NH—, —NHS( ⁇ O) 2 —, —OC( ⁇ O)NH—, —NHC( ⁇ O)O—, —(C 1 -C 6 alkyl)-, or —(C 2 -C 6 alkenyl)-; and each R s is independently selected from H, (C 1 -C 4 alkyl), (C 3 -C 8 cycloalkyl), heteroaryl, aryl, and C 1 -C 6 heteroalkyl.
- Optionally substituted non-aromatic groups may be substituted with one or more oxo ( ⁇ O).
- the protecting groups that may form the protective derivatives of the above substituents are known to those of skill in the art and may be found in references such as Greene and Wuts, above.
- alkyl groups described herein are optionally substituted with an O that is connected to two adjacent carbon atoms (i.e., forming an epoxide).
- terapéuticaally effective amount refers to a sufficient amount of a therapeutically active agent to provide a desired effect in a subject or individual.
- a “therapeutically effective amount” or an “effective amount” of an ASBTI refers to a sufficient amount of an ASBTI to treat cholestasis or a cholestatic liver disease in a subject or individual.
- enteroendocrine L-cells play a role in repair.
- the epithelial barrier is also a key component in host defense.
- a further pre-proglucagon splice product, GLP-2 is secreted by enteroendocrine L-cells in the distal small intestine and has been shown to improve intestinal wound healing in a TGF-B (anti-inflammatory cytokine TGF-B), mediated process, small bowel responding better than large bowel.
- TGF-B anti-inflammatory cytokine TGF-B
- GLP-2 has also been shown to ameliorate the barrier dysfunction induced by experimental stress and food allergy. Again, L-cells are activated by luminal nutrients, and the barrier compromise observed in TPN may partly reflect its hyposecretion in the absence of enteral stimuli.
- GLP-2 is also responsible, at least in part for growth and adaptation observed in short-bowel models. Therefore, abnormal enteroendocrine cells (EEC) function may predispose to GI inflammatory disorders, and the underlying nutrient-EEC-vagal pathways are targets in the injured gut as contemplated in the present embodiments.
- EEC enteroendocrine cells
- L-cells are scattered throughout the epithelial layer of the gut from the duodenum to the rectum, with the highest numbers occurring in the ileum, colon, and rectum. They are characterized by an open-cell morphology, with apical microvilli facing into the gut lumen and secretory vesicles located adjacent to the basolateral membrane, and are therefore in direct contact with nutrients in the intestinal lumen. Furthermore, L-cells are located in close proximity to both neurons and the microvasculature of the intestine, thereby allowing the L-cell to be affected by both neural and hormonal signals.
- L-cells also secrete peptide YY (PYY), and glutamate.
- the cells are just one member of a much larger family of enteroendocrine cells that secrete a range of hormones, including ghrelin, GIP, cholecystokinin, somatostatin, and secretin, which are involved in the local coordination of gut physiology, as well as in playing wider roles in the control of cytokine release and/or controlling the adaptive process, attenuating intestinal injury, reducing bacterial translocation, inhibiting the release of free radical oxygen, or any combination thereof L-cells are unevenly distributed in the gastrointestinal tract, within higher concentrations in the distal portion of the gastrointestinal tract (e.g., in the distal ileum, colon and rectum).
- Bile contains water, electrolytes and a numerous organic molecules including bile acids, cholesterol, phospholipids and bilirubin. Bile is secreted from the liver and stored in the gall bladder, and upon gall bladder contraction, due to ingestion of a fatty meal, bile passes through the bile duct into the intestine. Bile acids/salts are critical for digestion and absorption of fats and fat-soluble vitamins in the small intestine. Adult humans produce 400 to 800 mL of bile daily. The secretion of bile can be considered to occur in two stages.
- hepatocytes secrete bile into canaliculi, from which it flows into bile ducts and this hepatic bile contains large quantities of bile acids, cholesterol and other organic molecules. Then, as bile flows through the bile ducts, it is modified by addition of a watery, bicarbonate-rich secretion from ductal epithelial cells. Bile is concentrated, typically five-fold, during storage in the gall bladder.
- Cholecystokinin is a hormone which stimulates contractions of the gallbladder and common bile duct, resulting in delivery of bile into the gut.
- the most potent stimulus for release of cholecystokinin is the presence of fat in the duodenum.
- Secretin is a hormone secreted in response to acid in the duodenum, and it simulates biliary duct cells to secrete bicarbonate and water, which expands the volume of bile and increases its flow out into the intestine.
- Bile acids/salts are derivatives of cholesterol. Cholesterol, ingested as part of the diet or derived from hepatic synthesis, are converted into bile acids/salts in the hepatocyte. Examples of such bile acids/salts include cholic and chenodeoxycholic acids, which are then conjugated to an amino acid (such as glycine or taurine) to yield the conjugated form that is actively secreted into cannaliculi. The most abundant of the bile salts in humans are cholate and deoxycholate, and they are normally conjugated with either glycine or taurine to give glycocholate or taurocholate respectively.
- bile acids/salts Free cholesterol is virtually insoluble in aqueous solutions, however in bile it is made soluble by the presence of bile acids/salts and lipids. Hepatic synthesis of bile acids/salts accounts for the majority of cholesterol breakdown in the body. In humans, roughly 500 mg of cholesterol are converted to bile acids/salts and eliminated in bile every day. Therefore, secretion into bile is a major route for elimination of cholesterol. Large amounts of bile acids/salts are secreted into the intestine every day, but only relatively small quantities are lost from the body. This is because approximately 95% of the bile acids/salts delivered to the duodenum are absorbed back into blood within the ileum, by a process is known as “Enterohepatic Recirculation”.
- Bile biosynthesis represents the major metabolic fate of cholesterol, accounting for more than half of the approximate 800 mg/day of cholesterol that an average adult uses up in metabolic processes. In comparison, steroid hormone biosynthesis consumes only about 50 mg of cholesterol per day.
- Bile acids/salts are amphipathic, with the cholesterol-derived portion containing both hydrophobic (lipid soluble) and polar (hydrophilic) moieties while the amino acid conjugate is generally polar and hydrophilic. This amphipathic nature enables bile acids/salts to carry out two important functions: emulsification of lipid aggregates and solubilization and transport of lipids in an aqueous environment. Bile acids/salts have detergent action on particles of dietary fat which causes fat globules to break down or to be emulsified. Emulsification is important since it greatly increases the surface area of fat available for digestion by lipases which cannot access the inside of lipid droplets. Furthermore, bile acids/salts are lipid carriers and are able to solubilize many lipids by forming micelles and are critical for transport and absorption of the fat-soluble vitamins.
- compositions described herein are administered for delivery of enteroendocrine peptide secretion enhancing agents to a subject or individual.
- any compositions described herein are formulated for ileal, rectal and/or colonic delivery.
- the composition is formulated for non-systemic or local delivery to the rectum and/or colon. It is to be understood that as used herein, delivery to the colon includes delivery to sigmoid colon, transverse colon, and/or ascending colon.
- the composition is formulated for non-systemic or local delivery to the rectum and/or colon is administered rectally. In other specific embodiments, the composition is formulated for non-systemic or local delivery to the rectum and/or colon is administered orally.
- composition comprising an enteroendocrine peptide secretion enhancing agent and, optionally, a pharmaceutically acceptable carrier for alleviating symptoms of pediatric cholestasis or a pediatric cholestatic liver disease in an individual.
- the composition comprises an enteroendocrine peptide secretion enhancing agent and an absorption inhibitor.
- the absorption inhibitor is an inhibitor that inhibits the absorption of the (or at least one of the) specific enteroendocrine peptide secretion enhancing agent with which it is combined.
- the composition comprises an enteroendocrine peptide secretion enhancing agent, an absorption inhibitor and a carrier (e.g., an orally suitable carrier or a rectally suitable carrier, depending on the mode of intended administration).
- the composition comprises an enteroendocrine peptide secretion enhancing agent, an absorption inhibitor, a carrier, and one or more of a cholesterol absorption inhibitor, an enteroendocrine peptide, a peptidase inhibitor, a spreading agent, and a wetting agent.
- compositions described herein are administered orally for non-systemic delivery of the bile salt active component to the rectum and/or colon, including the sigmoid colon, transverse colon, and/or ascending colon.
- compositions formulated for oral administration are, by way of non-limiting example, enterically coated or formulated oral dosage forms, such as, tablets and/or capsules. It is to be understood that the terms “subject” and “individual” are utilized interchangeably herein and include, e.g., humans and human patients in need of treatment.
- composition described herein as being formulated for the non-systemic delivery of ASBTI further includes an absorption inhibitor.
- an absorption inhibitor includes an agent or group of agents that inhibit absorption of a bile acid/salt.
- Suitable bile acid absorption inhibitors include, by way of non-limiting example, anionic exchange matrices, polyamines, quaternary amine containing polymers, quaternary ammonium salts, polyallylamine polymers and copolymers, colesevelam, colesevelam hydrochloride, CholestaGel (N,N,N-trimethyl-6-(2-propenylamino)-1-hexanaminium chloride polymer with (chloromethyl)oxirane, 2-propen-1-amine and N-2-propenyl-1-decanamine hydrochloride), cyclodextrins, chitosan, chitosan derivatives, carbohydrates which bind bile acids, lipids which bind bile acids, proteins and proteinaceous materials which bind bile acids, and antibodies and albumins which bind bile acids.
- anionic exchange matrices include, by way of non-limiting example, anionic exchange matrices, polyamine
- Suitable cyclodextrins include those that bind bile acids/salts such as, by way of non-limiting example, ⁇ -cyclodextrin and hydroxypropyl- ⁇ -cyclodextrin.
- Suitable proteins include those that bind bile acids/salts such as, by way of non-limiting example, bovine serum albumin, egg albumin, casein, ⁇ ⁇ -acid glycoprotein, gelatin, soy proteins, peanut proteins, almond proteins, and wheat vegetable proteins.
- the absorption inhibitor is cholestyramine.
- cholestyramine is combined with a bile acid.
- Cholestyramine, an ion exchange resin is a styrene polymer containing quaternary ammonium groups crosslinked by divinylbenzene.
- the absorption inhibitor is colestipol.
- colestipol is combined with a bile acid.
- Colestipol, an ion exchange resin is a copolymer of diethylenetriamine and 1-chloro-2,3-epoxypropane.
- the ASBTI is linked to an absorption inhibitor, while in other embodiments the ASBTI and the absorption inhibitor are separate molecular entities.
- the bile acid, bile acid mimic or the modified bile acid is linked to a bile acid adsorption inhibitor described herein.
- a composition described herein optionally includes at least one cholesterol absorption inhibitor.
- Suitable cholesterol absorption inhibitors include, by way of non-limiting example, ezetimibe (SCH 58235), ezetimibe analogs, ACT inhibitors, stigmastanyl phosphorylcholine, stigmastanyl phosphorylcholine analogues, ⁇ -lactam cholesterol absorption inhibitors, sulfate polysaccharides, neomycin, plant sponins, plant sterols, phytostanol preparation FM-VP4, Sitostanol, ⁇ -sitosterol, acyl-CoA:cholesterol-O-acyltransferase (ACAT) inhibitors, Avasimibe, Implitapide, steroidal glycosides and the like.
- ezetimibe SCH 58235
- ezetimibe analogs include, by way of non-limiting example, ezetimibe (SCH 58235), ezetimibe analogs, ACT inhibitors, stigmastan
- Suitable enzetimibe analogs include, by way of non-limiting example, SCH 48461, SCH 58053 and the like.
- Suitable ACT inhibitors include, by way of non-limiting example, trimethoxy fatty acid anilides such as CI-976, 3-[decyldimethylsilyl]-N-[2-(4-methylphenyl)-1-phenylethyl]-propanamide, melinamide and the like.
- ⁇ -lactam cholesterol absorption inhibitors include, by way of non-limiting example, (3R-4S)-1,4-bis-(4-methoxyphenyl)-3-(3-phenylpropyl)-2-azetidinone and the like.
- compositions described herein optionally include at least one peptidase inhibitor.
- peptidase inhibitors include, but are not limited to, dipeptidyl peptidase-4 inhibitors (DPP-4), neutral endopeptidase inhibitors, and converting enzyme inhibitors.
- Suitable dipeptidyl peptidase-4 inhibitors include, by way of non-limiting example, Vildaglipti, 2S)-1- ⁇ 2-[(3-hydroxy-1-adamantyl)amino]acetyl ⁇ pyrrolidine-2-carbonitrile, Sitagliptin, (3R)-3-amino-1-[9-(trifluoromethyl)-1,4,7,8-tetrazabicyclo[4.3.0]nona-6,8-dien-4-yl]-4-(2,4,5-trifluorophenyl)butan-1-one, Saxagliptin, and (1S,3S,5S)-2-[(2S)-2-amino-2-(3-hydroxy-1-adamantyl)acetyl]-2-azabicyclo[3.1.0]hexane-3-carbonitrile.
- neutral endopeptidase inhibitors include, but are not limited to, Candoxatrilat and Ecadotril.
- the composition described herein optionally comprises a spreading agent.
- a spreading agent is utilized to improve spreading of the composition in the colon and/or rectum.
- Suitable spreading agents include, by way of non-limiting example, hydroxyethylcellulose, hydroxypropymethyl cellulose, polyethylene glycol, colloidal silicon dioxide, propylene glycol, cyclodextrins, microcrystalline cellulose, polyvinylpyrrolidone, polyoxyethylated glycerides, polycarbophil, di-n-octyl ethers, CetiolTMOE, fatty alcohol polyalkylene glycol ethers, AethoxalTMB), 2-ethylhexyl palmitate, CegesoftTMC 24), and isopropyl fatty acid esters.
- compositions described herein optionally comprise a wetting agent.
- a wetting agent is utilized to improve wettability of the composition in the colon and rectum.
- Suitable wetting agents include, by way of non-limiting example, ionic or non-ionic surfactants.
- surfactants are selected from, by way of non-limiting example, SLS, poloxamers (e.g., poloxamer 188), polysorbate (e.g., 20 or 80), stearyl hetanoate, caprylic/capric fatty acid esters of saturated fatty alcohols of chain length C 12 -C 18 , isostearyl diglycerol isostearic acid, sodium dodecyl sulphate, isopropyl myristate, isopropyl palmitate, and isopropyl myristate/isopropyl stearate/isopropyl palmitate mixture.
- SLS poloxamers
- poloxamers e.g., poloxamer 188
- polysorbate e.g., 20 or 80
- stearyl hetanoate e.g., caprylic/capric fatty acid esters of saturated fatty alcohols of chain length C 12 -C 18
- the methods provided herein further comprise administering one or more vitamins
- the vitamin is vitamin A, B1, B2, B3, B5, B6, B7, B9, B12, C, D, E, K, folic acid, pantothenic acid, niacin, riboflavin, thiamine, retinol, beta carotene, pyridoxine, ascorbic acid, cholecalciferol, cyanocobalamin, tocopherols, phylloquinone, menaquinone.
- the vitamin is a fat soluble vitamin such as vitamin A, D, E, K, retinol, beta carotene, cholecalciferol, tocopherols, phylloquinone.
- the fat soluble vitamin is tocopherol polyethylene glycol succinate (TPGS).
- a labile bile acid sequestrant is an enzyme dependent bile acid sequestrant.
- the enzyme is a bacterial enzyme.
- the enzyme is a bacterial enzyme found in high concentration in human colon or rectum relative to the concentration found in the small intestine. Examples of micro-flora activated systems include dosage forms comprising pectin, galactomannan, and/or Azo hydrogels and/or glycoside conjugates (e.g., conjugates of D-galactoside, ⁇ -D-xylopyranoside or the like) of the active agent.
- gastrointestinal micro-flora enzymes include bacterial glycosidases such as, for example, D-galactosidase, ⁇ -D-glucosidase, ⁇ -L-arabinofuranosidase, ⁇ -D-xylopyranosidase or the like.
- a labile bile acid sequestrant is a time dependent bile acid sequestrant. In some embodiments, a labile bile acid sequestrant releases a bile acid or is degraded after 1, 2, 3, 4, 5, 6, 7, 8, 9, or 10 seconds of sequestration. In some embodiments, a labile bile acid sequestrant releases a bile acid or is degraded after 15, 20, 25, 30, 35, 40, 45, 50, or 55 seconds of sequestration. In some embodiments, a labile bile acid sequestrant releases a bile acid or is degraded after 1, 2, 3, 4, 5, 6, 7, 8, 9, or 10 minutes of sequestration.
- a labile bile acid sequestrant releases a bile acid or is degraded after about 15, 20, 25, 30, 35, 45, 50, or 55 minutes of sequestration. In some embodiments, a labile bile acid sequestrant releases a bile acid or is degraded after about 1, 2, 3, 4, 5, 6, 7, 8, 9, 10, 11, 12, 13, 14, 15, 16, 17, 18, 19, 20, 21, 22, 23, or 24 hours of sequestration. In some embodiments, a labile bile acid sequestrant releases a bile acid or is degraded after 1, 2, or 3 days of sequestration.
- the labile bile acid sequestrant has a low affinity for bile acid. In certain embodiments, the labile bile acid sequestrant has a high affinity for a primary bile acid and a low affinity for a secondary bile acid.
- the labile bile acid sequestrant is a pH dependent bile acid sequestrant.
- the pH dependent bile acid sequestrant has a high affinity for bile acid at a pH of 6 or below and a low affinity for bile acid at a pH above 6.
- the pH dependent bile acid sequestrant has a high affinity for bile acid at a pH of 6.5 or below and a low affinity for bile acid at a pH above 6.5.
- the pH dependent bile acid sequestrant has a high affinity for bile acid at a pH of 7 or below and a low affinity for bile acid at a pH above 7.
- the pH dependent bile acid sequestrant has a high affinity for bile acid at a pH of 7.1 or below and a low affinity for bile acid at a pH above 7.1. In certain embodiments, the pH dependent bile acid sequestrant has a high affinity for bile acid at a pH of 7.2 or below and a low affinity for bile acid at a pH above 7.2. In certain embodiments, the pH dependent bile acid sequestrant has a high affinity for bile acid at a pH of 7.3 or below and a low affinity for bile acid at a pH above 7.3.
- the pH dependent bile acid sequestrant has a high affinity for bile acid at a pH of 7.4 or below and a low affinity for bile acid at a pH above 7.4. In certain embodiments, the pH dependent bile acid sequestrant has a high affinity for bile acid at a pH of 7.5 or below and a low affinity for bile acid at a pH above 7.5. In certain embodiments, the pH dependent bile acid sequestrant has a high affinity for bile acid at a pH of 7.6 or below and a low affinity for bile acid at a pH above 7.6.
- the pH dependent bile acid sequestrant has a high affinity for bile acid at a pH of 7.7 or below and a low affinity for bile acid at a pH above 7.7. In certain embodiments, the pH dependent bile acid sequestrant has a high affinity for bile acid at a pH of 7.8 or below and a low affinity for bile acid at a pH above 7.8. In some embodiments, the pH dependent bile acid sequestrant degrades at a pH above 6. In some embodiments, the pH dependent bile acid sequestrant degrades at a pH above 6.5. In some embodiments, the pH dependent bile acid sequestrant degrades at a pH above 7.
- the pH dependent bile acid sequestrant degrades at a pH above 7.1. In some embodiments, the pH dependent bile acid sequestrant degrades at a pH above 7.2. In some embodiments, the pH dependent bile acid sequestrant degrades at a pH above 7.3. In some embodiments, the pH dependent bile acid sequestrant degrades at a pH above 7.4. In some embodiments, the pH dependent bile acid sequestrant degrades at a pH above 7.5. In some embodiments, the pH dependent bile acid sequestrant degrades at a pH above 7.6. In some embodiments, the pH dependent bile acid sequestrant degrades at a pH above 7.7. In some embodiments, the pH dependent bile acid sequestrant degrades at a pH above 7.8. In some embodiments, the pH dependent bile acid sequestrant degrades at a pH above 7.9.
- the labile bile acid sequestrant is lignin or a modified lignin. In some embodiments, the labile bile acid sequestrant is a polycationic polymer or copolymer. In certain embodiments, the labile bile acid sequestrant is a polymer or copolymer comprising one or more N-alkenyl-N-alkylamine residues; one or more N,N,N-trialkyl-N—(N′-alkenylamino)alkyl-azanium residues; one or more N,N,N-trialkyl-N-alkenyl-azanium residues; one or more alkenyl-amine residues; or a combination thereof.
- the bile acid binder is cholestyramine, and various compositions including cholestyramine, which are described, for example, in U.S. Pat. Nos. 3,383,281; 3,308,020; 3,769,399; 3,846,541; 3,974,272; 4,172,120; 4,252,790; 4,340,585; 4,814,354; 4,874,744; 4,895,723; 5,695,749; and 6,066,336.
- the bile acid binder is cholestipol or cholesevelam.
- kits for treating pediatric cholestasis or a pediatric cholestatic liver disease comprising non-systemic administration of a therapeutically effective amount of an ASBTI.
- methods for treating pediatric cholestasis or a pediatric cholestatic liver disease comprising contacting the gastrointestinal tract, including the distal ileum and/or the colon and/or the rectum, of an individual in need thereof with an ASBTI.
- Also provided herein are methods for reducing intraenterocyte bile acids, reducing damage to hepatocellular or intestinal architecture caused by cholestasis or a cholestatic liver disease, of an individual comprising administration of a therapeutically effective amount of an ASBTI to an individual in need thereof.
- provided herein is a method of treating pediatric cholestasis or a pediatric cholestatic liver disease in an individual comprising delivering to ileum or colon of the individual a therapeutically effective amount of any ASBTI described herein.
- methods for reducing damage to hepatocellular or intestinal architecture or cells from cholestasis or a cholestatic liver disease comprising administration of a therapeutically effective amount of an ASBTI.
- methods for reducing intraenterocyte bile acids/salts comprising administration of a therapeutically effective amount of an ASBTI to an individual in need thereof.
- the methods provide for inhibition of bile salt recycling upon administration of any of the compounds described herein to an individual.
- an ASBTI described herein is systemically absorbed upon administration. In some embodiments, an ASBTI described herein is not absorbed systemically. In some embodiments, an ASBTI herein is administered to the individual orally. In some embodiments, an ASBTI described herein is delivered and/or released in the distal ileum of an individual.
- contacting the distal ileum of a pediatric individual with an ASBTI inhibits bile acid reuptake and increases the concentration of bile acids/salts in the vicinity of L-cells in the distal ileum and/or colon and/or rectum, thereby reducing intraenterocyte bile acids, reducing serum and/or hepatic bile acid levels, reducing overall bile acid load, and/or reducing damage to ileal architecture caused by cholestasis or a cholestatic liver disease.
- ASBTI e.g., any ASBTI described herein
- Administration of a compound described herein is achieved in any suitable manner including, by way of non-limiting example, by oral, enteric, parenteral (e.g., intravenous, subcutaneous, intramuscular), intranasal, buccal, topical, rectal, or transdermal administration routes.
- Any compound or composition described herein is administered in a method or formulation appropriate to treat a new born or an infant.
- Any compound or composition described herein is administered in an oral formulation (e.g., solid or liquid) to treat a new born or an infant.
- the pediatric dosage form is selected from a solution, syrup, suspension, elixir, powder for reconstitution as suspension or solution, dispersible/effervescent tablet, chewable tablet, lollipop, freezer pops, troches, oral thin strips, orally disintegrating tablet, orally disintegrating strip, and sprinkle oral powder or granules.
- a compound or composition described herein is administered in a method or pediatric dosage form formulation appropriate to treat children.
- a compound or composition described herein is administered in a method or pediatric dosage form formulation appropriate to treat adolescents.
- a compound or composition described herein is administered in a method or pediatric dosage form formulation appropriate to treat a newborn or an infant.
- a compound or composition described herein is administered in an oral formulation (e.g., solid or liquid) to treat a newborn or an infant.
- the pediatric dosage form described herein is administered prior to ingestion of food, with food or after ingestion of food.
- a compound or a composition comprising a compound described herein is administered for prophylactic and/or therapeutic treatments.
- the compositions are administered to an individual already suffering from a disease or condition, in an amount sufficient to cure or at least partially arrest the symptoms of the disease or condition.
- amounts effective for this use depend on the severity and course of the disease or condition, previous therapy, the individual's health status, weight, and response to the drugs, and the judgment of the treating physician.
- compounds or compositions containing compounds described herein are administered to an individual susceptible to or otherwise at risk of a particular disease, disorder or condition.
- the precise amounts of compound administered depend on the individual's state of health, weight, and the like.
- effective amounts for this use depend on the severity and course of the disease, disorder or condition, previous therapy, the individual's health status and response to the drugs, and the judgment of the treating physician.
- an individual's condition does not improve, upon the doctor's discretion the administration of a compound or composition described herein is optionally administered chronically, that is, for an extended period of time, including throughout the duration of the individual's life in order to ameliorate or otherwise control or limit the symptoms of the individual's disorder, disease or condition.
- an effective amount of a given agent varies depending upon one or more of a number of factors such as the particular compound, disease or condition and its severity, the identity (e.g., weight) of the subject or host in need of treatment, and is determined according to the particular circumstances surrounding the case, including, e.g., the specific agent being administered, the route of administration, the condition being treated, and the subject or host being treated.
- doses administered include those up to the maximum tolerable dose. In some embodiments, doses administered include those up to the maximum tolerable dose by a newborn or an infant.
- about 0.001-5000 mg per day, from about 0.001-1500 mg per day, about 0.001 to about 100 mg/day, about 0.001 to about 50 mg/day, or about 0.001 to about 30 mg/day, or about 0.001 to about 10 mg/day of a compound described herein is administered to an individual in need thereof.
- the desired dose is conveniently presented in a single dose or in divided doses administered simultaneously (or over a short period of time) or at appropriate intervals, for example as two, three, four or more sub-doses per day.
- a single dose is from about 0.001 mg/kg to about 500 mg/kg.
- a single dose is from about 0.001, 0.01, 0.1, 1, or 10 mg/kg to about 10, 50, 100, or 250 mg/kg.
- a single dose of an ASBTI is from about 0.001 mg/kg to about 100 mg/kg.
- a single dose of an ASBTI is from about 0.001 mg/kg to about 50 mg/kg.
- a single dose of an ASBTI is from about 0.001 mg/kg to about 10 mg/kg.
- a single dose of an ASBTI is administered every 6 hours, every 12 hours, every 24 hours, every 48 hours, every 72 hours, every 96 hours, every 5 days, every 6 days, or once a week.
- an ASBTI is optionally given continuously; alternatively, the dose of drug being administered is temporarily reduced or temporarily suspended for a certain length of time (i.e., a “drug holiday”).
- the length of the drug holiday optionally varies between 2 days and 1 year, including by way of example only, 2 days, 3 days, 4 days, 5 days, 6 days, 7 days, 10 days, 12 days, 15 days, 20 days, 28 days, 35 days, 50 days, 70 days, 100 days, 120 days, 150 days, 180 days, 200 days, 250 days, 280 days, 300 days, 320 days, 350 days, or 365 days.
- the dose reduction during a drug holiday includes from 10%-100%, including, by way of example only, 10%, 15%, 20%, 25%, 30%, 35%, 40%, 45%, 50%, 55%, 60%, 65%, 70%, 75%, 80%, 85%, 90%, 95%, or 100%.
- the total single dose of an ASBTI is in the range described above.
- a maintenance dose is administered if necessary. Subsequently, the dosage or the frequency of administration, or both, is reduced, as a function of the symptoms, to a level at which the improved disease, disorder or condition is retained.
- patients require intermittent treatment on a long-term basis upon any recurrence of symptoms.
- Toxicity and therapeutic efficacy of such therapeutic regimens are optionally determined by pharmaceutical procedures in cell cultures or experimental animals, including, but not limited to, the determination of the LD 50 (the dose lethal to 50% of the population) and the ED 50 (the dose therapeutically effective in 50% of the population).
- the dose ratio between the toxic and therapeutic effects is the therapeutic index and it can be expressed as the ratio between LD 50 and ED 50 .
- Compounds exhibiting high therapeutic indices are preferred.
- data obtained from cell culture assays and animal studies are used in formulating a range of dosage for use in human.
- the dosage of compounds described herein lies within a range of circulating concentrations that include the ED 50 with minimal toxicity. The dosage optionally varies within this range depending upon the dosage form employed and the route of administration utilized.
- the systemic exposure of a therapeutically effective amount of any non-systemic ASBTI described herein is reduced when compared to the systemic exposure of a therapeutically effective amount of any systemically absorbed ASBTI (e.g. Compounds 100A, 100C).
- a therapeutically effective amount of any systemically absorbed ASBTI e.g. Compounds 100A, 100C.
- the AUC of a therapeutically effective amount of any non-systemic ASBTI described herein is at least 10%, at least 20%, at least 30%, at least 40%, at least 50%, at least 60%, at least 70%, at least 80% or at least 90% reduced when compared to the AUC of any systemically absorbed ASBTI (e.g. Compounds 100A, 100C).
- the systemic exposure of a therapeutically effective amount of a compound of Formula I that is not systemically absorbed is reduced when compared to the systemic exposure of a therapeutically effective amount of Compound 100A.
- the AUC of a therapeutically effective amount of a compound of Formula I that is not systemically absorbed is about 10%, about 20%, about 30%, about 40%, about 50%, about 60%, about 70%, about 80% or about 90% reduced when compared to the AUC of a therapeutically effective amount of Compound 100A.
- the AUC of a therapeutically effective amount of a compound of Formula I that is not systemically absorbed is about 50% reduced when compared to the AUC of a therapeutically effective amount of Compound 100A.
- the AUC of a therapeutically effective amount of a compound of Formula I that is not systemically absorbed is about 75% reduced when compared to the AUC of a therapeutically effective amount of Compound 100A.
- the systemic exposure of a therapeutically effective amount of a compound of Formula II that is not systemically absorbed is reduced when compared to the systemic exposure of a therapeutically effective amount of Compound 100A.
- the AUC of a therapeutically effective amount of a compound of Formula II that is not systemically absorbed is about 10%, about 20%, about 30%, about 40%, about 50%, about 60%, about 70%, about 80% or about 90% reduced when compared to the AUC of a therapeutically effective amount of Compound 100A.
- the AUC of a therapeutically effective amount of a compound of Formula II that is not systemically absorbed is about 50% reduced when compared to the AUC of a therapeutically effective amount of Compound 100A.
- the AUC of a therapeutically effective amount of a compound of Formula II that is not systemically absorbed is about 75% reduced when compared to the AUC of a therapeutically effective amount of Compound 100A.
- the systemic exposure of a therapeutically effective amount of a compound of Formula III, IIIA, IIIB or IIIC is reduced when compared to the systemic exposure of a therapeutically effective amount of Compound 100C.
- the AUC of a therapeutically effective amount of a compound of Formula III, IIIA, IIIB or IIIC is about 10%, about 20%, about 30%, about 40%, about 50%, about 60%, about 70%, about 80% or about 90% reduced when compared to the AUC of a therapeutically effective amount of Compound 100C.
- the AUC of a therapeutically effective amount of a compound of Formula III, IIIA, IIIB or IIIC is about 50% reduced when compared to the AUC of a therapeutically effective amount of Compound 100C.
- the AUC of a therapeutically effective amount of a compound of Formula III, IIIA, IIIB or IIIC is about 75% reduced when compared to the AUC of a therapeutically effective amount of Compound 100C.
- the systemic exposure of a therapeutically effective amount of a compound of Formula IV that is not systemically absorbed is reduced when compared to the systemic exposure of a therapeutically effective amount of Compound 100A.
- the AUC of a therapeutically effective amount of a compound of Formula IV that is not systemically absorbed is about 10%, about 20%, about 30%, about 40%, about 50%, about 60%, about 70%, about 80% or about 90% reduced when compared to the AUC of a therapeutically effective amount of Compound 100A.
- the AUC of a therapeutically effective amount of a compound of Formula IV that is not systemically absorbed is about 50% reduced when compared to the AUC of a therapeutically effective amount of Compound 100A.
- the AUC of a therapeutically effective amount of a compound of Formula IV that is not systemically absorbed is about 75% reduced when compared to the AUC of a therapeutically effective amount of Compound 100A.
- the systemic exposure of a therapeutically effective amount of a compound of Formula V that is not systemically absorbed is reduced when compared to the systemic exposure of a therapeutically effective amount of Compound 100A.
- the AUC of a therapeutically effective amount of a compound of Formula V that is not systemically absorbed is about 10%, about 20%, about 30%, about 40%, about 50%, about 60%, about 70%, about 80% or about 90% reduced when compared to the AUC of a therapeutically effective amount of Compound 100A.
- the AUC of a therapeutically effective amount of a compound of Formula I that is not systemically absorbed is about 50% reduced when compared to the AUC of a therapeutically effective amount of Compound 100A.
- the AUC of a therapeutically effective amount of a compound of Formula I that is not systemically absorbed is about 75% reduced when compared to the AUC of a therapeutically effective amount of Compound 100A.
- the systemic exposure of a therapeutically effective amount of a compound of Formula VI or VID that is not systemically absorbed is reduced when compared to the systemic exposure of a therapeutically effective amount of Compound 100A.
- the AUC of a therapeutically effective amount of a compound of Formula VI or VID that is not systemically absorbed is about 10%, about 20%, about 30%, about 40%, about 50%, about 60%, about 70%, about 80% or about 90% reduced when compared to the AUC of a therapeutically effective amount of Compound 100A.
- the AUC of a therapeutically effective amount of a compound of Formula VI or VID that is not systemically absorbed is about 50% reduced when compared to the AUC of a therapeutically effective amount of Compound 100A.
- the AUC of a therapeutically effective amount of a compound of Formula I that is not systemically absorbed is about 75% reduced when compared to the AUC of a therapeutically effective amount of Compound 100A.
- the Cmax of a therapeutically effective amount of any non-systemic ASBTI described herein is at least 10%, at least 20%, at least 30%, at least 40%, at least 50%, at least 60%, at least 70%, at least 80% or at least 90% reduced when compared to the Cmax of any systemically absorbed ASBTI (e.g. Compound 100A).
- the Cmax of a therapeutically effective amount of a compound of Formula III, IIIA, IIIB or IIIC is about 10%, about 20%, about 30%, about 40%, about 50%, about 60%, about 70%, about 80% or about 90% reduced when compared to the Cmax of a therapeutically effective amount of Compound 100C.
- the Cmax of a therapeutically effective amount of a compound of Formula III, IIIA, IIIB or IIIC is about 25% reduced when compared to the Cmax of a therapeutically effective amount of Compound 100C.
- the Cmax of a therapeutically effective amount of a compound of III, IIIA or 111B is about 50% reduced when compared to the Cmax of a therapeutically effective amount of Compound 100C.
- the Cmax of a therapeutically effective amount of a compound of Formula III, IIIA, IIIB or IIIC is about 75% reduced when compared to the Cmax of a therapeutically effective amount of Compound 100C.
- the pharmaceutical composition administered includes a therapeutically effective amount of a bile salt, a bile acid mimic, or a bile salt mimic, an absorption inhibitor and a carrier (e.g., an orally suitable carrier or a rectally suitable carrier, depending on the mode of intended administration).
- a carrier e.g., an orally suitable carrier or a rectally suitable carrier, depending on the mode of intended administration.
- the pharmaceutical composition used or administered comprises a bile salt, a bile acid mimic, or a bile salt mimic, an absorption inhibitor, a carrier, and one or more of a cholesterol absorption inhibitor, an enteroendocrine peptide, a peptidase inhibitor, a spreading agent, and a wetting agent.
- the pharmaceutical composition used to prepare a rectal dosage form or administered rectally comprises a bile salt, a bile acid mimic, or a bile salt mimic, an absorption inhibitor, a rectally suitable carrier, an optional cholesterol absorption inhibitor, an optional enteroendocrine peptide, an optional peptidase inhibitor, an optional spreading agent, and an optional wetting agent.
- rectally administered compositions evokes an anorectal response.
- the anorectal response is an increase in secretion of one or more enteroendocrine by cells (e.g., L-cells) in the colon and/or rectum (e.g., in the epithelial layer of the colon and/or rectum).
- the anorectal response persists for at least 1, 2, 3, 4, 5, 6, 7, 8, 9, 10, 11, 12, 13, 14, 15, 16, 17, 18, 19, 20, 21, 22, 23 or 24 hours.
- the anorectal response persists for a period between 24 hours and 48 hours, while in other embodiments the anorectal response persists for persists for a period greater than 48 hours.
- the pharmaceutical composition used to prepare an oral dosage form or administered orally comprises a bile salt, a bile acid mimic, or a bile salt mimic, an absorption inhibitor, an orally suitable carrier, an optional cholesterol absorption inhibitor, an optional enteroendocrine peptide, an optional peptidase inhibitor, an optional spreading agent, and an optional wetting agent.
- the orally administered compositions evokes an anorectal response.
- the anorectal response is an increase in secretion of one or more enteroendocrine by cells in the colon and/or rectum (e.g., in L-cells the epithelial layer of the colon and/or rectum).
- the anorectal response persists for at least 1, 2, 3, 4, 5, 6, 7, 8, 9, 10, 11, 12, 13, 14, 15, 16, 17, 18, 19, 20, 21, 22, 23 or 24 hours. In other embodiments the anorectal response persists for a period between 24 hours and 48 hours, while in other embodiments the anorectal response persists for persists for a period greater than 48 hours.
- compositions described herein and the compositions administered in the methods described herein are formulated to inhibit bile acid reuptake, or reduce serum or hepatic bile acid levels.
- the compositions described herein are formulated for rectal or oral administration. In some embodiments, such formulations are administered rectally or orally, respectively.
- the compositions described herein are combined with a device for local delivery of the compositions to the rectum and/or colon (sigmoid colon, transverse colon, or ascending colon).
- compositions described herein are formulated as enemas, rectal gels, rectal foams, rectal aerosols, suppositories, jelly suppositories, or retention enemas.
- compositions described herein are formulated for oral administration and enteric delivery to the colon.
- compositions or methods described herein are non-systemic.
- compositions described herein deliver the ASBTI to the distal ileum, colon, and/or rectum and not systemically (e.g., a substantial portion of the enteroendocrine peptide secretion enhancing agent is not systemically absorbed).
- oral compositions described herein deliver the ASBTI to the distal ileum, colon, and/or rectum and not systemically (e.g., a substantial portion of the enteroendocrine peptide secretion enhancing agent is not systemically absorbed).
- rectal compositions described herein deliver the ASBTI to the distal ileum, colon, and/or rectum and not systemically (e.g., a substantial portion of the enteroendocrine peptide secretion enhancing agent is not systemically absorbed).
- non-systemic compositions described herein deliver less than 90% w/w of the ASBTI systemically.
- non-systemic compositions described herein deliver less than 80% w/w of the ASBTI systemically.
- non-systemic compositions described herein deliver less than 70% w/w of the ASBTI systemically.
- non-systemic compositions described herein deliver less than 60% w/w of the ASBTI systemically.
- non-systemic compositions described herein deliver less than 50% w/w of the ASBTI systemically. In certain embodiments, non-systemic compositions described herein deliver less than 40% w/w of the ASBTI systemically. In certain embodiments, non-systemic compositions described herein deliver less than 30% w/w of the ASBTI systemically. In certain embodiments, non-systemic compositions described herein deliver less than 25% w/w of the ASBTI systemically. In certain embodiments, non-systemic compositions described herein deliver less than 20% w/w of the ASBTI systemically. In certain embodiments, non-systemic compositions described herein deliver less than 15% w/w of the ASBTI systemically.
- non-systemic compositions described herein deliver less than 10% w/w of the ASBTI systemically. In certain embodiments, non-systemic compositions described herein deliver less than 5% w/w of the ASBTI systemically. In some embodiments, systemic absorption is determined in any suitable manner, including the total circulating amount, the amount cleared after administration, or the like.
- compositions and/or formulations described herein are administered at least once a day.
- the formulations containing the ASBTI are administered at least twice a day, while in other embodiments the formulations containing the ASBTI are administered at least three times a day.
- the formulations containing the ASBTI are administered up to five times a day. It is to be understood that in certain embodiments, the dosage regimen of composition containing the ASBTI described herein to is determined by considering various factors such as the patient's age, sex, and diet.
- the concentration of the ASBTI administered in the formulations described herein ranges from about 1 mM to about 1 M. In certain embodiments the concentration of the ASBTI administered in the formulations described herein ranges from about 1 mM to about 750 mM. In certain embodiments the concentration of the ASBTI administered in the formulations described herein ranges from about 1 mM to about 500 mM. In certain embodiments the concentration of the ASBTI administered in the formulations described herein ranges from about 5 mM to about 500 mM. In certain embodiments the concentration of the ASBTI administered in the formulations described herein ranges from about 10 mM to about 500 mM.
- the concentration of the administered in the formulations described herein ranges from about 25 mM to about 500 mM. In certain embodiments the concentration of the ASBTI administered in the formulations described herein ranges from about 50 mM to about 500 mM. In certain embodiments the concentration of the ASBTI administered in the formulations described herein ranges from about 100 mM to about 500 mM. In certain embodiments the concentration of the ASBTI administered in the formulations described herein ranges from about 200 mM to about 500 mM.
- any composition described herein comprises a therapeutically effective amount (e.g., to treat cholestasis or a cholestatic liver disease) of ursodiol.
- ursodiol may be substituted for any other therapeutic bile acid or salt.
- compositions described herein comprise or methods described herein comprise administering about 0.01 mg to about 10 g of ursodiol.
- a composition described herein comprises or a method described herein comprises administering about 0.1 mg to about 500 mg of ursodiol.
- a composition described herein comprises or a method described herein comprises administering about 0.1 mg to about 100 mg of ursodiol.
- a composition described herein comprises or a method described herein comprises administering about 0.1 mg to about 50 mg of ursodiol. In certain embodiments, a composition described herein comprises or a method described herein comprises administering about 0.1 mg to about 10 mg of ursodiol. In certain embodiments, a composition described herein comprises or a method described herein comprises administering about 0.5 mg to about 10 mg of ursodiol. In some embodiments, compositions described herein comprise or methods described herein comprise administering about 0.1 mmol to about 1 mol of ursodiol.
- a composition described herein comprises or a method described herein comprises administering about 0.01 mmol to about 500 mmol of ursodiol. In certain embodiments, a composition described herein comprises or a method described herein comprises administering about 0.1 mmol to about 100 mmol of ursodiol. In certain embodiments, a composition described herein comprises or a method described herein comprises administering about 0.5 mmol to about 30 mmol of ursodiol. In certain embodiments, a composition described herein comprises or a method described herein comprises administering about 0.5 mmol to about 20 mmol of ursodiol.
- a composition described herein comprises or a method described herein comprises administering about 1 mmol to about 10 mmol of ursodiol. In certain embodiments, a composition described herein comprises or a method described herein comprises administering about 0.01 mmol to about 5 mmol of ursodiol. In certain embodiments, a composition described herein comprises or a method described herein comprises administering about 0.1 mmol to about 1 mmol of ursodiol. In various embodiments, certain bile acids/salts have different potencies and dosing is optionally adjusted accordingly.
- TGR5-transfected CHO cells of TGR5 agonist potency of natural bile acids/salts indicates the following rank of potency: Lithocholic acid (LCA)>deoxycholic acid (DCA)>murocholic acid (Moro-CA)>lagodeoxycholic acid (lago-DCA)>chenodeoxycholic (CDCA)>cholic acid (CA)>hyodeoxycholic acid (HDCA>ursodeoxycholic acid (UDCA); and assays on TGR5-transfected CHO cells demonstrate that EC 50 (in ⁇ M) for UDCA was 36.4, TauroCA (TCA) 4.95 and LCA 0.58.
- LCA Lithocholic acid
- DCA deoxycholic acid
- Moro-CA lagodeoxycholic acid
- lago-DCA lagodeoxycholic acid
- CA cholic acid
- HDCA hyodeoxycholic acid
- UDCA ursodeoxycholic acid
- compositions and methods described herein provide efficacy (e.g., in reducing microbial growth and/or alleviating symptoms of cholestasis or a cholestatic liver disease) with a reduced dose of enteroendocrine peptide secretion enhancing agent (e.g., as compared to an oral dose that does not target the distal gastrointestinal tract).
- compositions described herein for the non-systemic delivery of a compound described herein to the rectum and/or colon are formulated for rectal administration as rectal enemas, rectal foams, rectal gels, and rectal suppositories.
- rectal formulations comprise rectal enemas, foams, gels, or suppositories.
- liquid carrier vehicles or co-solvents in the compositions and/or formulations described herein include, by way of non-limiting example, purified water, propylene glycol, PEG200, PEG300, PEG400, PEG600, polyethyleneglycol, ethanol, 1-propanol, 2-propanol, 1-propen-3-ol (allyl alcohol), propylene glycol, glycerol, 2-methyl-2-propanol, formamide, methyl formamide, dimethyl formamide, ethyl formamide, diethyl formamide, acetamide, methyl acetamide, dimethyl acetamide, ethyl acetamide, diethyl acetamide, 2-pyrrolidone, N-methyl-2-pyrrolidone, N-ethyl-2-pyrrolidone, tetramethyl urea, 1,3-dimethyl-2-imidazolidinone, propylene carbonate, 1,2-butylene carbonate, 2,3-
- stabilizers used in compositions and/or formulations described herein include, but are not limited to, partial glycerides of polyoxyethylenic saturated fatty acids.
- surfactants/emulsifiers used in the compositions and/or formulations described herein include, by way of non-limiting example, mixtures of cetostearylic alcohol with sorbitan esterified with polyoxyethylenic fatty acids, polyoxyethylene fatty ethers, polyoxyethylene fatty esters, fatty acids, sulfated fatty acids, phosphated fatty acids, sulfosuccinates, amphoteric surfactants, non-ionic poloxamers, non-ionic meroxapols, petroleum derivatives, aliphatic amines, polysiloxane derivatives, sorbitan fatty acid esters, laureth-4, PEG-2 dilaurate, stearic acid, sodium lauryl sulfate, dioctyl sodium sulfosuccinate, cocoamphopropionate, poloxamer 188, meroxapol 258, triethanolamine, dimethicone, polysorbate 60, sorbate
- non-ionic surfactants used in compositions and/or formulations described herein include, by way of non-limiting example, phospholipids, alkyl poly(ethylene oxide), poloxamers (e.g., poloxamer 188), polysorbates, sodium dioctyl sulfosuccinate, BrijTM-30 (Laureth-4), BrijTM-58 (Ceteth-20) and BrijTM-78 (Steareth-20), BrijTM-721 (Steareth-21), Crillet-1 (Polysorbate 20), Crillet-2 (Polysorbate 40), Crillet-3 (Polysorbate 60), Crillet 45 (Polysorbate 80), Myrj-52 (PEG-40 Stearate), Myrj-53 (PEG-50 Stearate), PluronicTM F77 (Poloxamer 217), PluronicTM F87 (Poloxamer 237), PluronicTM F98 (Poloxamer 288), PluronicTM L62 (Poloxamer 182),
- anionic surfactants used in compositions and/or formulations described herein include, by way of non-limiting example, sodium laurylsulphate, sodium dodecyl sulfate (SDS), ammonium lauryl sulfate, alkyl sulfate salts, alkyl benzene sulfonate, and combinations thereof.
- the cationic surfactants used in compositions and/or formulations described herein include, by way of non-limiting example, benzalkonium chloride, benzethonium chloride, cetyl trimethylammonium bromide, hexadecyl trimethyl ammonium bromide, other alkyltrimethylammonium salts, cetylpyridinium chloride, polyethoxylated tallow and combinations thereof.
- the thickeners used in compositions and/or formulations described herein include, by way of non-limiting example, natural polysaccharides, semi-synthetic polymers, synthetic polymers, and combinations thereof.
- Natural polysaccharides include, by way of non-limiting example, acacia, agar, alginates, carrageenan, guar, arabic, tragacanth gum, pectins, dextran, gellan and xanthan gums.
- Semi-synthetic polymers include, by way of non-limiting example, cellulose esters, modified starches, modified celluloses, carboxymethylcellulose, methyl cellulose, ethyl cellulose, hydroxyethyl cellulose, hydroxypropyl cellulose and hydroxypropyl methylcellulose.
- Synthetic polymers include, by way of non-limiting example, polyoxyalkylenes, polyvinyl alcohol, polyacrylamide, polyacrylates, carboxypolymethylene (carbomer), polyvinylpyrrolidone (povidones), polyvinylacetate, polyethylene glycols and poloxamer.
- thickeners include, by way of nonlimiting example, polyoxyethyleneglycol isostearate, cetyl alcohol, Polyglycol 300 isostearate, propyleneglycol, collagen, gelatin, and fatty acids (e.g., lauric acid, myristic acid, palmitic acid, stearic acid, palmitoleic acid, linoleic acid, linolenic acid, oleic acid and the like).
- fatty acids e.g., lauric acid, myristic acid, palmitic acid, stearic acid, palmitoleic acid, linoleic acid, linolenic acid, oleic acid and the like.
- chelating agents used in the compositions and/or formulations described herein include, by way of non-limiting example, ethylenediaminetetraacetic acid (EDTA) or salts thereof, phosphates and combinations thereof.
- EDTA ethylenediaminetetraacetic acid
- the concentration of the chelating agent or agents used in the rectal formulations described herein is a suitable concentration, e.g., about 0.1%, 0.15%, 0.2%, 0.25%, 0.3%, 0.4%, or 0.5% (w/v).
- preservatives used in compositions and/or formulations described herein include, by way of non-limiting example, parabens, ascorbyl palmitate, benzoic acid, butylated hydroxyanisole, butylated hydroxytoluene, chlorobutanol, ethylenediamine, ethylparaben, methylparaben, butyl paraben, propylparaben, monothioglycerol, phenol, phenylethyl alcohol, propylparaben, sodium benzoate, sodium propionate, sodium formaldehyde sulfoxylate, sodium metabisulfite, sorbic acid, sulfur dioxide, maleic acid, propyl gallate, benzalkonium chloride, benzethonium chloride, benzyl alcohol, chlorhexidine acetate, chlorhexidine gluconate, sorbic acid, potassium sorbitol, chlorbutanol, phenoxyethanol, cetylpyridin
- antioxidants used in compositions and/or formulations described herein include, by way of non-limiting example, ascorbic acid, ascorbyl palmitate, butylated hydroxyanisole, butylated hydroxytoluene, hypophosphorous acid, monothioglycerol, propyl gallate, sodium ascorbate, sodium sulfite, sodium bisulfite, sodium formaldehyde sulfoxylate, potassium metabisulphite, sodium metabisulfite, oxygen, quinones, t-butyl hydroquinone, erythorbic acid, olive (olea eurpaea) oil, pentasodium penetetate, pentetic acid, tocopheryl, tocopheryl acetate and combinations thereof.
- ascorbic acid ascorbyl palmitate
- butylated hydroxyanisole butylated hydroxytoluene
- hypophosphorous acid monothioglycerol
- propyl gallate sodium ascorbate
- preservatives include quaternary ammonium salts such as benzalkonium chloride, alcohols such as benzyl alcohol, organic acids or salts and derivatives thereof such as benzoic acid, sodium benzoate, sorbic acid, potassium sorbate, propionic acid, sodium propionate, parabens such as methyl parahydroxybenzoate, propyl parahydroxybenzoate, ethyl parahydroxybenzoate or butyl parahydroxybenzoate, aqua conservans; chlorhexidine diacetate,-digluconate.
- the preservatives are preferably suitable for pediatric use.
- Preferred preservatives are parabens such as methyl parahydroxybenzoate, propyl parahydroxybenzoate, ethyl parahydroxybenzoate or butyl parahydroxybenzoate, in particular methyl parahydroxybenzoate or propyl parahydroxybenzoate.
- the preservatives are present in a composition in a concentration in order to provide sufficient antimicrobial activity in the preconcentrate composition or in the liquid composition upon reconstitution.
- the concentration of the preservatives in a resulting reconstituted liquid composition ranges up to about 3% (w/w), more preferably up to about 2.5% (w/w), more preferably up to about 2% (w/w), depending on the actual preservative being used.
- composition of the present invention may also contain one or more anti-oxidants, such as, for example, sodium metabisulfite, sodium bisulfite, sodium sulfite, sodium thiosulfate, ascorbic acid, BHA (butylhydroxyanisol), BHT (butylhydroxytoluene), vitamin E, propylgallate, ascorbyl palmitate, or complex forming agents such as EDTA (ethylenediaminetetraacetic acid), citric acid, tartaric acid, sodium-hexametaphosphate and the like.
- anti-oxidants such as, for example, sodium metabisulfite, sodium bisulfite, sodium sulfite, sodium thiosulfate, ascorbic acid, BHA (butylhydroxyanisol), BHT (butylhydroxytoluene), vitamin E, propylgallate, ascorbyl palmitate, or complex forming agents such as EDTA (ethylenediaminetetraacetic acid), citric acid, tartaric acid
- concentration of the antioxidant or antioxidants used in the rectal formulations described herein is sufficient to achieve a desired result, e.g., about 0.1%, 0.15%, 0.2%, 0.25%, 0.3%, 0.4%, or 0.5% (w/v).
- lubricating agents used in compositions and/or formulations described herein include, by way of non-limiting example, natural or synthetic fat or oil (e.g., a tris-fatty acid glycerate and the like).
- lubricating agents include, by way of non-limiting example, glycerin (also called glycerine, glycerol, 1,2,3-propanetriol, and trihydroxypropane), polyethylene glycols (PEGs), polypropylene glycol, polyisobutene, polyethylene oxide, behenic acid, behenyl alcohol, sorbitol, mannitol, lactose, polydimethylsiloxane and combinations thereof.
- glycerin also called glycerine, glycerol, 1,2,3-propanetriol, and trihydroxypropane
- PEGs polyethylene glycols
- polypropylene glycol polyisobutene
- polyethylene oxide behenic acid
- behenyl alcohol
- mucoadhesive and/or bioadhesive polymers are used in the compositions and/or formulations described herein as agents for inhibiting absorption of the enteroendocrine peptide secretion enhancing agent across the rectal or colonic mucosa.
- Bioadhesive or mucoadhesive polymers include, by way of non-limiting example, hydroxypropyl cellulose, polyethylene oxide homopolymers, polyvinyl ether-maleic acid copolymers, methyl cellulose, ethyl cellulose, propyl cellulose, hydroxyethyl cellulose, hydroxypropyl cellulose, hydroxypropylmethyl cellulose, carboxymethylcellulose, polycarbophil, polyvinylpyrrolidone, carbopol, polyurethanes, polyethylene oxide-polypropyline oxide copolymers, sodium carboxymethyl cellulose, polyethylene, polypropylene, lectins, xanthan gum, alginates, sodium alginate, polyacrylic acid, chitosan, hyaluronic acid and ester derivatives thereof, vinyl acetate homopolymer, calcium polycarbophil, gelatin, natural gums, karaya, tragacanth, algin, chitosan, starches, pe
- buffers/pH adjusting agents used in compositions and/or formulations described herein include, by way of non-limiting example, phosphoric acid, monobasic sodium or potassium phosphate, triethanolamine (TRIS), BICINE, HEPES, Trizma, glycine, histidine, arginine, lysine, asparagine, aspartic acid, glutamine, glutamic acid, carbonate, bicarbonate, potassium metaphosphate, potassium phosphate, monobasic sodium acetate, acetic acid, acetate, citric acid, sodium citrate anhydrous, sodium citrate dihydrate and combinations thereof.
- an acid or a base is added to adjust the pH. Suitable acids or bases include, by way of non-limiting example, HCL, NaOH and KOH.
- concentration of the buffering agent or agents used in the rectal formulations described herein is sufficient to achieve or maintain a physiologically desirable pH, e.g., about 0.1%, 0.2%, 0.3%, 0.4%, 0.5%, 0.6%, 0.8%, 0.9%, or 1.0% (w/w).
- the tonicity modifiers used in compositions and/or formulations described herein include, by way of non-limiting example, sodium chloride, potassium chloride, sodium phosphate, mannitol, sorbitol or glucose.
- a pediatric dosage formulation or composition comprising a therapeutically effective amount of any compound described herein.
- the pharmaceutical composition comprises an ASBT inhibitor (e.g., any ASBTI described herein).
- suitable dosage forms include, by way of non-limiting example, aqueous or non-aqueous oral dispersions, liquids, gels, syrups, elixirs, slurries, suspensions, solutions, controlled release formulations, fast melt formulations, effervescent formulations, lyophilized formulations, chewable tablets, gummy candy, orally disintegrating tablets, powders for reconstitution as suspension or solution, sprinkle oral powder or granules, dragees, delayed release formulations, extended release formulations, pulsatile release formulations, multiparticulate formulations, and mixed immediate release and controlled release formulations.
- aqueous or non-aqueous oral dispersions liquids, gels, syrups, elixirs, slurries, suspensions, solutions, controlled release formulations, fast melt formulations, effervescent formulations, lyophilized formulations, chewable tablets, gummy candy, orally disintegrating tablets, powders for reconstitution as suspension or solution, sprinkle oral powder or gran
- a pharmaceutical composition wherein the pediatric dosage form is selected from a solution, syrup, suspension, elixir, powder for reconstitution as suspension or solution, dispersible/effervescent tablet, chewable tablet, gummy candy, lollipop, freezer pops, troches, oral thin strips, orally disintegrating tablet, orally disintegrating strip, sachet, and sprinkle oral powder or granules.
- a pharmaceutical composition wherein at least one excipient is a flavoring agent or a sweetener.
- a coating In some embodiments, provided herein is a taste-masking technology selected from coating of drug particles with a taste-neutral polymer by spray-drying, wet granulation, fluidized bed, and microencapsulation; coating with molten waxes of a mixture of molten waxes and other pharmaceutical adjuvants; entrapment of drug particles by complexation, flocculation or coagulation of an aqueous polymeric dispersion; adsorption of drug particles on resin and inorganic supports; and solid dispersion wherein a drug and one or more taste neutral compounds are melted and cooled, or co-precipitated by a solvent evaporation.
- a delayed or sustained release formulation comprising drug particles or granules in a rate controlling polymer or matrix.
- Suitable sweeteners include sucrose, glucose, fructose or intense sweeteners, i.e. agents with a high sweetening power when compared to sucrose (e.g. at least 10 times sweeter than sucrose).
- Suitable intense sweeteners comprise aspartame, saccharin, sodium or potassium or calcium saccharin, acesulfame potassium, sucralose, alitame, xylitol, cyclamate, neomate, neohesperidine dihydrochalcone or mixtures thereof, thaumatin, palatinit, stevioside, rebaudioside, Magnasweet®.
- the total concentration of the sweeteners may range from effectively zero to about 300 mg/ml based on the liquid composition upon reconstitution.
- one or more taste-making agents may be added to the composition in order to mask the taste of the ASBT inhibitor.
- a taste-masking agent can be a sweetener, a flavoring agent or a combination thereof.
- the taste-masking agents typically provide up to about 0.1% or 5% by weight of the total pharmaceutical composition.
- the composition contains both sweetener(s) and flavor(s).
- a flavoring agent herein is a substance capable of enhancing taste or aroma of a composition.
- suitable natural or synthetic flavoring agents can be selected from standard reference books, for example Fenaroli's Handbook of Flavor Ingredients, 3rd edition (1995).
- Non-limiting examples of flavoring agents and/or sweeteners useful in the formulations described herein include, e.g., acacia syrup, acesulfame K, alitame, anise, apple, aspartame, banana, Bavarian cream, berry, black currant, butterscotch, calcium citrate, camphor, caramel, cherry, cherry cream, chocolate, cinnamon, bubble gum, citrus, citrus punch, citrus cream, cotton candy, cocoa, cola, cool cherry, cool citrus, cyclamate, cylamate, dextrose, eucalyptus, eugenol, fructose, fruit punch, ginger, glycyrrhetinate, glycyrrhiza (licorice) syrup
- Flavoring agents can be used singly or in combinations of two or more.
- the aqueous liquid dispersion comprises a sweetening agent or flavoring agent in a concentration ranging from about 0.001% to about 5.0% the volume of the aqueous dispersion.
- the aqueous liquid dispersion comprises a sweetening agent or flavoring agent in a concentration ranging from about 0.001% to about 1.0% the volume of the aqueous dispersion.
- the aqueous liquid dispersion comprises a sweetening agent or flavoring agent in a concentration ranging from about 0.005% to about 0.5% the volume of the aqueous dispersion.
- the aqueous liquid dispersion comprises a sweetening agent or flavoring agent in a concentration ranging from about 0.01% to about 1.0% the volume of the aqueous dispersion. In yet another embodiment, the aqueous liquid dispersion comprises a sweetening agent or flavoring agent in a concentration ranging from about 0.01% to about 0.5% the volume of the aqueous dispersion.
- compositions are formulated in a conventional manner using one or more physiologically acceptable carriers including, e.g., excipients and auxiliaries which facilitate processing of the active compounds into preparations which are suitable for pharmaceutical use.
- physiologically acceptable carriers including, e.g., excipients and auxiliaries which facilitate processing of the active compounds into preparations which are suitable for pharmaceutical use.
- proper formulation is dependent upon the route of administration chosen.
- a pharmaceutical composition refers to a mixture of a compound described herein, such as, for example, a compound of Formula I-VI, with other chemical components, such as carriers, stabilizers, diluents, dispersing agents, suspending agents, thickening agents, and/or excipients.
- the pharmaceutical composition facilitates administration of the compound to an individual or cell.
- therapeutically effective amounts of compounds described herein are administered in a pharmaceutical composition to an individual having a disease, disorder, or condition to be treated.
- the individual is a human.
- the compounds described herein are either utilized singly or in combination with one or more additional therapeutic agents.
- the pharmaceutical formulations described herein are administered to an individual in any manner, including one or more of multiple administration routes, such as, by way of non-limiting example, oral, parenteral (e.g., intravenous, subcutaneous, intramuscular), intranasal, buccal, topical, rectal, or transdermal administration routes.
- oral parenteral
- parenteral e.g., intravenous, subcutaneous, intramuscular
- intranasal e.g., subcutaneous, intramuscular
- buccal e.g., topical, rectal, or transdermal administration routes.
- a pharmaceutical compositions described herein includes one or more compound described herein as an active ingredient in free-acid or free-base form, or in a pharmaceutically acceptable salt form.
- the compounds described herein are utilized as an N-oxide or in a crystalline or amorphous form (i.e., a polymorph).
- a compound described herein exists as tautomers. All tautomers are included within the scope of the compounds presented herein.
- a compound described herein exists in an unsolvated or solvated form, wherein solvated forms comprise any pharmaceutically acceptable solvent, e.g., water, ethanol, and the like. The solvated forms of the compounds presented herein are also considered to be described herein.
- a “carrier” includes, in some embodiments, a pharmaceutically acceptable excipient and is selected on the basis of compatibility with compounds described herein, such as, compounds of any of Formula I-VI, and the release profile properties of the desired dosage form.
- exemplary carrier materials include, e.g., binders, suspending agents, disintegration agents, filling agents, surfactants, solubilizers, stabilizers, lubricants, wetting agents, diluents, and the like. See, e.g., Remington: The Science and Practice of Pharmacy , Nineteenth Ed (Easton, Pa.: Mack Publishing Company, 1995); Hoover, John E., Remington's Pharmaceutical Sciences , Mack Publishing Co., Easton, Pa. 1975; Liberman, H. A.
- the pharmaceutical compositions described herein are formulated as a dosage form.
- a dosage form comprising a compound described herein, suitable for administration to an individual.
- suitable dosage forms include, by way of non-limiting example, aqueous oral dispersions, liquids, gels, syrups, elixirs, slurries, suspensions, solid oral dosage forms, aerosols, controlled release formulations, fast melt formulations, effervescent formulations, lyophilized formulations, tablets, powders, pills, dragees, capsules, delayed release formulations, extended release formulations, pulsatile release formulations, multiparticulate formulations, and mixed immediate release and controlled release formulations.
- the composition or formulation containing one or more compounds described herein is orally administered for local delivery of an ASBTI, or a compound described herein to the colon and/or rectum.
- Unit dosage forms of such compositions include a pill, tablet or capsules formulated for enteric delivery to colon.
- such pills, tablets or capsule contain the compositions described herein entrapped or embedded in microspheres.
- microspheres include, by way of non-limiting example, chitosan microcores HPMC capsules and cellulose acetate butyrate (CAB) microspheres.
- oral dosage forms are prepared using conventional methods known to those in the field of pharmaceutical formulation. For example, in certain embodiments, tablets are manufactured using standard tablet processing procedures and equipment.
- An exemplary method for forming tablets is by direct compression of a powdered, crystalline or granular composition containing the active agent(s), alone or in combination with one or more carriers, additives, or the like.
- tablets are prepared using wet-granulation or dry-granulation processes.
- tablets are molded rather than compressed, starting with a moist or otherwise tractable material.
- tablets prepared for oral administration contain various excipients, including, by way of non-limiting example, binders, diluents, lubricants, disintegrants, fillers, stabilizers, surfactants, preservatives, coloring agents, flavoring agents and the like.
- binders are used to impart cohesive qualities to a tablet, ensuring that the tablet remains intact after compression.
- Suitable binder materials include, by way of non-limiting example, starch (including corn starch and pregelatinized starch), gelatin, sugars (including sucrose, glucose, dextrose and lactose), polyethylene glycol, propylene glycol, waxes, and natural and synthetic gums, e.g., acacia sodium alginate, polyvinylpyrrolidone, cellulosic polymers (including hydroxypropyl cellulose, hydroxypropyl methylcellulose, methyl cellulose, ethyl cellulose, hydroxyethyl cellulose, and the like), Veegum, and combinations thereof.
- diluents are utilized to increase the bulk of the tablet so that a practical size tablet is provided.
- Suitable diluents include, by way of non-limiting example, dicalcium phosphate, calcium sulfate, lactose, cellulose, kaolin, mannitol, sodium chloride, dry starch, powdered sugar and combinations thereof.
- lubricants are used to facilitate tablet manufacture; examples of suitable lubricants include, by way of non-limiting example, vegetable oils such as peanut oil, cottonseed oil, sesame oil, olive oil, corn oil, and oil of theobroma, glycerin, magnesium stearate, calcium stearate, stearic acid and combinations thereof.
- disintegrants are used to facilitate disintegration of the tablet, and include, by way of non-limiting example, starches, clays, celluloses, algins, gums, crosslinked polymers and combinations thereof.
- Fillers include, by way of non-limiting example, materials such as silicon dioxide, titanium dioxide, alumina, talc, kaolin, powdered cellulose and microcrystalline cellulose, as well as soluble materials such as mannitol, urea, sucrose, lactose, dextrose, sodium chloride and sorbitol.
- stabilizers are used to inhibit or retard drug decomposition reactions that include, by way of example, oxidative reactions.
- surfactants are anionic, cationic, amphoteric or nonionic surface active agents.
- ASBTIs, or other compounds described herein are orally administered in association with a carrier suitable for delivery to the distal gastrointestinal tract (e.g., distal ileum, colon, and/or rectum).
- a carrier suitable for delivery to the distal gastrointestinal tract e.g., distal ileum, colon, and/or rectum.
- a composition described herein comprises an ASBTI, or other compounds described herein in association with a matrix (e.g., a matrix comprising hypermellose) that allows for controlled release of an active agent in the distal part of the ileum and/or the colon.
- a composition comprises a polymer that is pH sensitive (e.g., a MMXTM matrix from Cosmo Pharmaceuticals) and allows for controlled release of an active agent in the distal part of the ileum.
- pH sensitive polymers suitable for controlled release include and are not limited to polyacrylic polymers (e.g., anionic polymers of methacrylic acid and/or methacrylic acid esters, e.g., Carbopol® polymers) that comprise acidic groups (e.g., —COOH, —SO 3 H) and swell in basic pH of the intestine (e.g., pH of about 7 to about 8).
- a composition suitable for controlled release in the distal ileum comprises microparticulate active agent (e.g., micronized active agent).
- a non-enzymatically degrading poly(dl-lactide-co-glycolide) (PLGA) core is suitable for delivery of an enteroendocrine peptide secretion enhancing agent (e.g., bile acid) to the distal ileum.
- an enteroendocrine peptide secretion enhancing agent e.g., bile acid
- a dosage form comprising an enteroendocrine peptide secretion enhancing agent (e.g., bile acid) is coated with an enteric polymer (e.g., Eudragit® S-100, cellulose acetate phthalate, polyvinylacetate phthalate, hydroxypropylmethylcellulose phthalate, anionic polymers of methacrylic acid, methacrylic acid esters or the like) for site specific delivery to the distal ileum and/or the colon.
- enteric polymer e.g., Eudragit® S-100, cellulose acetate phthalate, polyvinylacetate phthalate, hydroxypropylmethylcellulose phthalate, anionic polymers of methacrylic acid, methacrylic acid esters or the like
- enteric polymer e.g., Eudragit® S-100, cellulose acetate phthalate, polyvinylacetate phthalate, hydroxypropylmethylcellulose phthalate, anionic polymers of methacrylic acid, meth
- micro-flora activated systems include dosage forms comprising pectin, galactomannan, and/or Azo hydrogels and/or glycoside conjugates (e.g., conjugates of D-galactoside, ( ⁇ -D-xylopyranoside or the like) of the active agent.
- glycoside conjugates e.g., conjugates of D-galactoside, ( ⁇ -D-xylopyranoside or the like
- gastrointestinal micro-flora enzymes include bacterial glycosidases such as, for example, D-galactosidase, ⁇ -D-glucosidase, ⁇ -L-arabinofuranosidase, ⁇ -D-xylopyranosidase or the like.
- the pharmaceutical composition described herein optionally include an additional therapeutic compound described herein and one or more pharmaceutically acceptable additives such as a compatible carrier, binder, filling agent, suspending agent, flavoring agent, sweetening agent, disintegrating agent, dispersing agent, surfactant, lubricant, colorant, diluent, solubilizer, moistening agent, plasticizer, stabilizer, penetration enhancer, wetting agent, anti-foaming agent, antioxidant, preservative, or one or more combination thereof.
- a compatible carrier such as those described in Remington's Pharmaceutical Sciences, 20th Edition (2000), a film coating is provided around the formulation of the compound of Formula I.
- a compound described herein is in the form of a particle and some or all of the particles of the compound are coated. In certain embodiments, some or all of the particles of a compound described herein are microencapsulated. In some embodiments, the particles of the compound described herein are not microencapsulated and are uncoated.
- a tablet or capsule comprising an ASBTI or other compounds described herein is film-coated for delivery to targeted sites within the gastrointestinal tract.
- enteric film coats include and are not limited to hydroxypropylmethylcellulose, polyvinyl pyrrolidone, hydroxypropyl cellulose, polyethylene glycol 3350, 4500, 8000, methyl cellulose, pseudo ethylcellulose, amylopectin and the like.
- Solid dosage forms for pediatric administration of the present invention can be manufactured by standard manufacturing techniques. Non-limiting examples of oral solid dosage forms for pediatric administration are described below.
- compositions of the invention may be prepared according to techniques well-known in the art of pharmacy.
- Effervescent formulations contain and effervescent couple of a base component and an acid component, which components reach in the presence of water to generate a gas.
- the base component may comprise, for example, an alkali metal or alkaline earth metal carbonate, or bicarbonate.
- the acid component may comprise, for example, an aliphatic carboxylic acid or a salt thereof, such as citric acid.
- the base and acid components may each independently constitute, for example, 25% to 55% (w/w) of the effervescent composition.
- the ratio of acid component to base component may be within the range of 1:2 to 2:1.
- the effervescent compositions of the invention may be formulated using additional pharmaceutically acceptable carriers or excipients as appropriate.
- additional pharmaceutically acceptable carriers or excipients for example, one or more taste masking agents may be used. Dyes may also be used, as pediatric patients often prefer colorful pharmaceutical combinations.
- the compositions may take the form of, for example, tablets, granules or powders, granules or powders presented in a sachet.
- the chewable tablets of the invention may be prepared according to techniques well-known in the art of pharmacy.
- Chewable tablets are tablets that are intended to disintegrate in the mouth under the action of chewing or sucking and where, in consequence, the active ingredient has greater opportunity to come into contact with the bitter-taste receptors on the tongue.
- Another approach involves forming the active ingredient into an aggregate along with a pre-swelled substantially anhydrous hydrocolloid.
- the hydrocolloid absorbs saliva and acquires a slippery texture which enables it to lubricate the particles of aggregate and mask the taste of the active ingredient. This approach is described in European patent application 0190826.
- Another approach involves employing a water-insoluble hygroscopic excipient such as microcrystalline cellulose. This approach is described in U.S. Pat. No. 5,275,823.
- the chewable tablets of the present invention can also contain other stand tabletting excipients such as a disintegrant and a taste-masking agent.
- the orodispersible tablets of the invention may be prepared according to techniques well-known in the art of pharmacy.
- the excipient mixtures is such as to provide it with a disintegration rate so that its disintegration in the buccal cavity occurs in an extremely short time and especially shorter than sixty seconds.
- the excipient mixture is characterized by the fact that the active substance is in the form of coated or non-coated microcrystals of microgranules.
- the orodispersible tablet comprises one or several disintegrating agents of the carboxymethylcellulose type or insoluble reticulated PVP type, one or several swelling agents which may comprise a carboxymethylcellulose, a starch, a modified starch, or a microcrystalline cellulose or optionally a direct compression sugar.
- the powder for reconstitution pharmaceutical compositions of the invention may be prepared according to techniques well-known in the art of pharmacy.
- the powder for reconstitution compositions of the invention comprise an effective amount of at least one internal dehydrating agent.
- the internal dehydrating agent can enhance the stability of the powder.
- the internal dehydrating agent is magnesium citrate or disodium carbonate.
- the powder composition comprises a pharmaceutically acceptable diluents, such as sucrose, dextrose, mannitol, xylitol, or lactose.
- Powder compositions of the inventions may be placed in sachets or bottles for contemporaneous dissolution or for short term storage in liquid form (e.g. 7 days).
- the gummy candies of the invention may be prepared according to techniques well-known in the art of pharmacy.
- the gummy candy pharmaceutical composition of the invention includes a binding agent, a sweetener, and an active ingredient.
- the binding agent is a pectin gel, gelatin, food starch, or any combination thereof.
- the gummy candy comprises sweeteners, a binding agent, natural and/or artificial flavors and colors and preservatives.
- the gummy candy comprises glucose syrup, natural cane juice, gelatin, citric acid, lactic acid, natural colors, natural flavors, fractionated coconut oil, and carnauba wax.
- the pharmaceutical liquid dosage forms of the invention may be prepared according to techniques well-known in the art of pharmacy.
- a solution refers to a liquid pharmaceutical formulation wherein the active ingredient is dissolved in the liquid.
- Pharmaceutical solutions of the invention include syrups and elixers.
- a suspension refers to a liquid pharmaceutical formulation wherein the active ingredient is in a precipitate in the liquid.
- a suitable buffer system can be used.
- the buffer system should have sufficient capacity to maintain the desired pH range.
- the buffer system useful in the present invention include but are not limited to, citrate buffers, phosphate buffers, or any other suitable buffer known in the art.
- the buffer system include sodium citrate, potassium citrate, sodium bicarbonate, potassium bicarbonate, sodium dihydrogen phosphate and potassium dihydrogen phosphate, etc.
- the concentration of the buffer system in the final suspension varies according to factors such as the strength of the buffer system and the pH/pH ranges required for the liquid dosage form. In one embodiment, the concentration is within the range of 0.005 to 0.5 w/v % in the final liquid dosage form.
- the pharmaceutical composition comprising the liquid dosage form of the present invention can also include a suspending/stabilizing agent to prevent settling of the active material. Over time the settling could lead to caking of the active to the inside walls of the product pack, leading to difficulties with redispersion and accurate dispensing.
- Suitable stabilising agents include but are not limited to, the polysaccharide stabilizers such as xanthan, guar and tragacanth gums as well as the cellulose derivatives HPMC (hydroxypropyl methylcellulose), methyl cellulose and Avicel RC-591 (microcrystalline cellulose/sodium carboxymethyl cellulose).
- polyvinylpyrrolidone (PVP) can also be used as a stabilizing agent.
- ASBTI oral suspension form can also optionally contain other excipients commonly found in pharmaceutical compositions such as alternative solvents, taste-masking agents, antioxidants, fillers, acidifiers, enzyme inhibitors and other components as described in Handbook of Pharmaceutical Excipients, Rowe et al., Eds., 4 th Edition, Pharmaceutical Press (2003), which is hereby incorporated by reference.
- an alternative solvent may help increase solubility of an active ingredient in the liquid dosage form, and consequently the absorption and bioavailability inside the body of a subject.
- the alternative solvents include methanol, ethanol or propylene glycol and the like.
- the present invention provides a process for preparing the liquid dosage form.
- the process comprises steps of bringing ASBTI or its pharmaceutically acceptable salts thereof into mixture with the components including glycerol or syrup or the mixture thereof, a preservative, a buffer system and a suspending/stabilizing agent, etc., in a liquid medium.
- the liquid dosage form is prepared by uniformly and intimately mixing these various components in the liquid medium.
- the components such as glycerol or syrup or the mixture thereof, a preservative, a buffer system and a suspending/stabilizing agent, etc., can be dissolved in water to form the aqueous solution, then the active ingredient can be then dispersed in the aqueous solution to form a suspension.
- the liquid dosage form provided herein can be in a volume of between 5 ml to 50 ml. In some embodiments, the liquid dosage form provided herein can be in a volume of between 5 ml to 40 ml. In some embodiments, the liquid dosage form provided herein can be in a volume of between 5 ml to 30 ml. In some embodiments, the liquid dosage form provided herein can be in a volume of between 5 ml to 20 ml. In some embodiments, the liquid dosage form provided herein can be in a volume of between 10 ml to 30 ml. In some embodiments, the ASBTI can be in an amount ranging from about 0.001% to 90% of the total volume.
- the ASBTI can be in an amount ranging from about 0.01% to 80% of the total volume. In some embodiments, the ASBTI can be in an amount ranging from about 0.1% to 70% of the total volume. In some embodiments, the ASBTI can be in an amount ranging from about 1% to 60% of the total volume. In some embodiments, the ASBTI can be in an amount ranging from about 1% to 50% of the total volume. In some embodiments, the ASBTI can be in an amount ranging from about 1% to 40% of the total volume. In some embodiments, the ASBTI can be in an amount ranging from about 1% to 30% of the total volume. In some embodiments, the ASBTI can be in an amount ranging from about 1% to 20% of the total volume.
- the ASBTI can be in an amount ranging from about 1% to 10% of the total volume. In some embodiments, the ASBTI can be in an amount ranging from about 5% to 70% of the total volume. In some embodiments, the ASBTI can be in an amount ranging from about 5% to 60% of the total volume. In some embodiments, the ASBTI can be in an amount ranging from about 5% to 50% of the total volume. In some embodiments, the ASBTI can be in an amount ranging from about 5% to 40% of the total volume. In some embodiments, the ASBTI can be in an amount ranging from about 5% to 30% of the total volume. In some embodiments, the ASBTI can be in an amount ranging from about 5% to 20% of the total volume.
- the ASBTI can be in an amount ranging from about 5% to 10% of the total volume. In some embodiments, the ASBTI can be in an amount ranging from about 10% to 50% of the total volume. In some embodiments, the ASBTI can be in an amount ranging from about 10% to 40% of the total volume. In some embodiments, the ASBTI can be in an amount ranging from about 10% to 30% of the total volume. In some embodiments, the ASBTI can be in an amount ranging from about 10% to 20% of the total volume.
- the resulted liquid dosage form can be in a liquid volume of 10 ml to 30 ml, preferably 20 ml, and the active ingredient can be in an amount ranging from about 0.001 mg/ml to about 16 mg/ml, or from about 0.025 mg/ml to about 8 mg/ml, or from about 0.1 mg/ml to about 4 mg/ml, or about 0.25 mg/ml, or about 0.5 mg/ml, or about 1 mg/ml, or about 2 mg/ml, or about 4 mg/ml, or about 5 mg/ml, or about 8 mg/ml, or about 10 mg/ml, or about 12 mg/ml, or about 14 mg/ml or about 16 mg/ml.
- an oral formulation for use in any method described herein is, e.g., an ASBTI in association with a labile bile acid sequestrant.
- a labile bile acid sequestrant is a bile acid sequestrant with a labile affinity for bile acids.
- a bile acid sequestrant described herein is an agent that sequesters (e.g., absorbs or is charged with) bile acid, and/or the salts thereof.
- the labile bile acid sequestrant is an agent that sequesters (e.g., absorbs or is charged with) bile acid, and/or the salts thereof, and releases at least a portion of the absorbed or charged bile acid, and/or salts thereof in the distal gastrointestinal tract (e.g., the colon, ascending colon, sigmoid colon, distal colon, rectum, or any combination thereof).
- the labile bile acid sequestrant is an enzyme dependent bile acid sequestrant.
- the enzyme is a bacterial enzyme.
- the enzyme is a bacterial enzyme found in high concentration in human colon or rectum relative to the concentration found in the small intestine.
- micro-flora activated systems include dosage forms comprising pectin, galactomannan, and/or Azo hydrogels and/or glycoside conjugates (e.g., conjugates of D-galactoside, ⁇ -D-xylopyranoside or the like) of the active agent.
- glycoside conjugates e.g., conjugates of D-galactoside, ⁇ -D-xylopyranoside or the like
- gastrointestinal micro-flora enzymes include bacterial glycosidases such as, for example, D-galactosidase, ⁇ -D-glucosidase, ⁇ -L-arabinofuranosidase, ⁇ -D-xylopyranosidase or the like.
- the labile bile acid sequestrant is a time dependent bile acid sequestrant (i.e., the bile acid sequesters the bile acid and/or salts thereof and after a time releases at least a portion of the bile acid and/or salts thereof).
- a time dependent bile acid sequestrant is an agent that degrades in an aqueous environment over time.
- a labile bile acid sequestrant described herein is a bile acid sequestrant that has a low affinity for bile acid and/or salts thereof, thereby allowing the bile acid sequestrant to continue to sequester bile acid and/or salts thereof in an environ where the bile acids/salts and/or salts thereof are present in high concentration and release them in an environ wherein bile acids/salts and/or salts thereof are present in a lower relative concentration.
- the labile bile acid sequestrant has a high affinity for a primary bile acid and a low affinity for a secondary bile acid, allowing the bile acid sequestrant to sequester a primary bile acid or salt thereof and subsequently release a secondary bile acid or salt thereof as the primary bile acid or salt thereof is converted (e.g., metabolized) to the secondary bile acid or salt thereof.
- the labile bile acid sequestrant is a pH dependent bile acid sequestrant.
- the pH dependent bile acid sequestrant has a high affinity for bile acid at a pH of 6 or below and a low affinity for bile acid at a pH above 6. In certain embodiments, the pH dependent bile acid sequestrant degrades at a pH above 6.
- labile bile acid sequestrants described herein include any compound, e.g., a macro-structured compound, that can sequester bile acids/salts and/or salts thereof through any suitable mechanism.
- bile acid sequestrants sequester bile acids/salts and/or salts thereof through ionic interactions, polar interactions, static interactions, hydrophobic interactions, lipophilic interactions, hydrophilic interactions, steric interactions, or the like.
- macrostructured compounds sequester bile acids/salts and/or sequestrants by trapping the bile acids/salts and/or salts thereof in pockets of the macrostructured compounds and, optionally, other interactions, such as those described above.
- bile acid sequestrants include, by way of non-limiting example, lignin, modified lignin, polymers, polycationic polymers and copolymers, polymers and/or copolymers comprising anyone one or more of N-alkenyl-N-alkylamine residues; one or more N,N,N-trialkyl-N—(N′-alkenylamino)alkyl-azanium residues; one or more N,N,N-trialkyl-N-alkenyl-azanium residues; one or more alkenyl-amine residues; or a combination thereof, or any combination thereof.
- strategies used for colon targeted delivery include, by way of non-limiting example, covalent linkage of the ASBTI or other compounds described herein to a carrier, coating the dosage form with a pH-sensitive polymer for delivery upon reaching the pH environment of the colon, using redox sensitive polymers, using a time released formulation, utilizing coatings that are specifically degraded by colonic bacteria, using bioadhesive system and using osmotically controlled drug delivery systems.
- compositions containing an ASBTI or other compounds described herein involves covalent linking to a carrier wherein upon oral administration the linked moiety remains intact in the stomach and small intestine. Upon entering the colon the covalent linkage is broken by the change in pH, enzymes, and/or degradation by intestinal microflora.
- the covalent linkage between the ASBTI and the carrier includes, by way of non-limiting example, azo linkage, glycoside conjugates, glucuronide conjugates, cyclodextrin conjugates, dextran conjugates, and amino-acid conjugates (high hydrophilicity and long chain length of the carrier amino acid).
- the oral dosage forms described herein are coated with an enteric coating to facilitate the delivery of an ASBTI or other compounds described herein to the colon and/or rectum.
- an enteric coating is one that remains intact in the low pH environment of the stomach, but readily dissolved when the optimum dissolution pH of the particular coating is reached which depends upon the chemical composition of the enteric coating.
- the thickness of the coating will depend upon the solubility characteristics of the coating material. In certain embodiments, the coating thicknesses used in such formulations described herein range from about 25 ⁇ m to about 200 ⁇ m.
- compositions or formulations described herein are coated such that an ASBTI or other compounds described herein of the composition or formulation is delivered to the colon and/or rectum without absorbing at the upper part of the intestine.
- specific delivery to the colon and/or rectum is achieved by coating of the dosage form with polymers that degrade only in the pH environment of the colon.
- the composition is coated with an enteric coat that dissolves in the pH of the intestines and an outer layer matrix that slowly erodes in the intestine.
- the matrix slowly erodes until only a core composition comprising an enteroendocrine peptide secretion enhancing agent (and, in some embodiments, an absorption inhibitor of the agent) is left and the core is delivered to the colon and/or rectum.
- pH-dependent systems exploit the progressively increasing pH along the human gastrointestinal tract (GIT) from the stomach (pH 1-2 which increases to 4 during digestion), small intestine (pH 6-7) at the site of digestion and it to 7-8 in the distal ileum.
- dosage forms for oral administration of the compositions described herein are coated with pH-sensitive polymer(s) to provide delayed release and protect the enteroendocrine peptide secretion enhancing agents from gastric fluid.
- such polymers are be able to withstand the lower pH values of the stomach and of the proximal part of the small intestine, but disintegrate at the neutral or slightly alkaline pH of the terminal ileum and/or ileocecal junction.
- an oral dosage form comprising a coating, the coating comprising a pH-sensitive polymer.
- the polymers used for colon and/or rectum targeting include, by way of non-limiting example, methacrylic acid copolymers, methacrylic acid and methyl methacrylate copolymers, Eudragit L100, Eudragit S100, Eudragit L-30D, Eudragit FS-30D, Eudragit L100-55, polyvinylacetate phthalate, hydroxypropyl ethyl cellulose phthalate, hydroxypropyl methyl cellulose phthalate 50, hydroxypropyl methyl cellulose phthalate 55, cellulose acetate trimelliate, cellulose acetate phthalate and combinations thereof.
- oral dosage forms suitable for delivery to the colon and/or rectum comprise a coating that has a biodegradable and/or bacteria degradable polymer or polymers that are degraded by the microflora (bacteria) in the colon.
- suitable polymers include, by way of non-limiting example, azo polymers, linear-type-segmented polyurethanes containing azo groups, polygalactomannans, pectin, glutaraldehyde crosslinked dextran, polysaccharides, amylose, guar gum, pectin, chitosan, inulin, cyclodextrins, chondroitin sulphate, dextrans, locust bean gum, chondroitin sulphate, chitosan, poly(-caprolactone), polylactic acid and poly(lactic-co-glycolic acid).
- azo polymers linear-type-segmented polyurethanes containing azo groups
- polygalactomannans pectin
- glutaraldehyde crosslinked dextran polysaccharides
- amylose amylose
- guar gum pectin
- chitosan inulin
- cyclodextrins chon
- compositions containing one or more ASBTIs or other compounds described herein are delivered to the colon without absorbing at the upper part of the intestine by coating of the dosage forms with redox sensitive polymers that are degraded by the microflora (bacteria) in the colon.
- redox sensitive polymers include, by way of non-limiting example, redox-sensitive polymers containing an azo and/or a disulfide linkage in the backbone.
- compositions formulated for delivery to the colon and/or rectum are formulated for time-release.
- time release formulations resist the acidic environment of the stomach, thereby delaying the release of the enteroendocrine peptide secretion enhancing agents until the dosage form enters the colon and/or rectum.
- the time released formulations described herein comprise a capsule (comprising an enteroendocrine peptide secretion enhancing agent and an optional absorption inhibitor) with hydrogel plug.
- the capsule and hydrogel plug are covered by a water-soluble cap and the whole unit is coated with an enteric polymer.
- enteric polymer When the capsule enters the small intestine the enteric coating dissolves and the hydrogels plug swells and dislodges from the capsule after a period of time and the composition is released from the capsule. The amount of hydrogel is used to adjust the period of time to the release the contents.
- an oral dosage form comprising a multi-layered coat, wherein the coat comprises different layers of polymers having different pH-sensitivities. As the coated dosage form moves along GIT the different layers dissolve depending on the pH encountered.
- Polymers used in such formulations include, by way of non-limiting example, polymethacrylates with appropriate pH dissolution characteristics, Eudragit® RL and Eudragit®RS (inner layer), and Eudragit® FS (outer layer).
- the dosage form is an enteric coated tablets having an outer shell of hydroxypropylcellulose or hydroxypropylmethylcellulose acetate succinate (HPMCAS).
- an oral dosage form that comprises coat with cellulose butyrate phthalate, cellulose hydrogen phthalate, cellulose proprionate phthalate, polyvinyl acetate phthalate, cellulose acetate phthalate, cellulose acetate trimellitate, hydroxypropyl methylcellulose phthalate, hydroxypropyl methylcellulose acetate, dioxypropyl methylcellulose succinate, carboxymethyl ethylcellulose, hydroxypropyl methylcellulose acetate succinate, polymers and copolymers formed from acrylic acid, methacrylic acid, and combinations thereof.
- combination compositions and/or therapies comprising any compound described herein and an additional therapeutic agent.
- the additional therapeutic agent is a L-cell endocrine peptide enhancer.
- the L-cell endocrine peptide enhancer is a GLP-2 enhancer.
- the GLP-2 enhancer is GLP-2, a GLP-2 secretion enhancer, a GLP-2 degradation inhibitor, the like, or a combination thereof.
- enhanced GLP-2 concentration provides regeneration of intestinal lining and/or heals injury to the gastrointestinal structures and/or reduces induction of cytokines and/or enhances the adaptive process, attenuates intestinal injury, reduces bacterial translocation, inhibits the release of free radical oxygen, or any combination thereof.
- the L-cell endocrine peptide enhancer is a PYY enhancer.
- the L-cell endocrine peptide enhancer is an oxyntomodulin enhancer.
- enhanced PYY or oxyntomodulin secretion heals injury to intestine caused by an cholestasis or a cholestatic liver disease.
- the additional therapeutic agent modulates bile acid receptors in the gastrointestinal lumen.
- the additional therapeutic agent agonizes or partially agonizes bile acid receptors (e.g., TGR5 receptors or Farnesoid-X receptors) in the gastrointestinal tract.
- the additional therapeutic agent is a bile acid analog.
- the additional therapeutic agent is a TGR5 agonist.
- administration of a TGR5 agonist in combination with any of the compounds described herein enhances the secretion of enteroendocrine peptides from L-cells.
- TGR5 modulators include, and are not limited to, the compounds described in, WO 2008/091540, WO 2008/067219 and U.S. Appl. No. 2008/0221161.
- the additional therapeutic agent is an enteroendocrine peptide.
- enteroendocrine peptides heals injury to intestine or liver due to a cholestatic liver disease.
- enteroendocrine peptides that are administered as additional therapeutic agents include and are not limited to GLP-1 or GLP-1 analogs such as Taspoglutide® (Ipsen), or the like.
- the methods provided herein further comprise administering one or more vitamins
- the vitamin is vitamin A, B1, B2, B3, B5, B6, B7, B9, B12, C, D, E, K, folic acid, pantothenic acid, niacin, riboflavin, thiamine, retinol, beta carotene, pyridoxine, ascorbic acid, cholecalciferol, cyanocobalamin, tocopherols, phylloquinone, menaquinone.
- the vitamin is a fat soluble vitamin such as vitamin A, D, E, K, retinol, beta carotene, cholecalciferol, tocopherols, phylloquinone.
- the fat soluble vitamin is tocopherol polyethylene glycol succinate (TPGS).
- the methods provided herein further comprise using partial external biliary diversion as a treatment for patients who have not yet developed cirrhosis. This treatment helps reduce the circulation of bile acids/salts in the liver in order to reduce complications and prevent the need for early transplantation in many patients.
- This surgical technique involves isolating a segment of intestine 10 cm long for use as a biliary conduit (a channel for the passage of bile) from the rest of the intestine. One end of the conduit is attached to the gallbladder and the other end is brought out to the skin to form a stoma (a surgically constructed opening to permit the passage of waste).
- Partial external biliary diversion may be used for patients who are unresponsive to all medical therapy, especially older, larger patients. This procedure may not be of help to young patients such as infants. Partial external biliary diversion may decrease the intensity of the itching and abnormally low levels of cholesterol in the blood.
- an ASBTI is administered in combination with ursodiol or ursodeoxycholic acid, chenodeoxycholic acid, cholic acid, taurocholic acid, ursocholic acid, glycocholic acid, glycodeoxycholic acid, taurodeoxycholic acid, taurocholate, glycochenodeoxycholic acid, tauroursodeoxycholic acid.
- an increase in the concentration of bile acids/salts in the distal intestine induces intestinal regeneration, attenuating intestinal injury, reducing bacterial translocation, inhibiting the release of free radical oxygen, inhibiting production of proinflammatory cytokines, or any combination thereof or any combination thereof.
- an ASBTI and a second active ingredient are used such that the combination is present in a therapeutically effective amount.
- That therapeutically effective amount arises from the use of a combination of an ASBTI and the other active ingredient (e.g., ursodiol) wherein each is used in a therapeutically effective amount, or by virtue of additive or synergistic effects arising from the combined use, each can also be used in a subclinical therapeutically effective amount, i.e., an amount that, if used alone, provides for reduced effectiveness for the therapeutic purposes noted herein, provided that the combined use is therapeutically effective.
- the use of a combination of an ASBTI and any other active ingredient as described herein encompasses combinations where the ASBTI or the other active ingredient is present in a therapeutically effective amount, and the other is present in a subclinical therapeutically effective amount, provided that the combined use is therapeutically effective owing to their additive or synergistic effects.
- additive effect describes the combined effect of two (or more) pharmaceutically active agents that is equal to the sum of the effect of each agent given alone.
- a syngergistic effect is one in which the combined effect of two (or more) pharmaceutically active agents is greater than the sum of the effect of each agent given alone.
- Any suitable combination of an ASBIT with one or more of the aforementioned other active ingredients and optionally with one or more other pharmacologically active substances is contemplated as being within the scope of the methods described herein.
- the particular choice of compounds depends upon the diagnosis of the attending physicians and their judgment of the condition of the individual and the appropriate treatment protocol.
- the compounds are optionally administered concurrently (e.g., simultaneously, essentially simultaneously or within the same treatment protocol) or sequentially, depending upon the nature of the disease, disorder, or condition, the condition of the individual, and the actual choice of compounds used.
- the determination of the order of administration, and the number of repetitions of administration of each therapeutic agent during a treatment protocol is based on an evaluation of the disease being treated and the condition of the individual.
- therapeutically-effective dosages vary when the drugs are used in treatment combinations. Methods for experimentally determining therapeutically-effective dosages of drugs and other agents for use in combination treatment regimens are described in the literature.
- dosages of the co-administered compounds vary depending on the type of co-drug employed, on the specific drug employed, on the disease or condition being treated and so forth.
- the compound provided herein is optionally administered either simultaneously with the biologically active agent(s), or sequentially. In certain instances, if administered sequentially, the attending physician will decide on the appropriate sequence of therapeutic compound described herein in combination with the additional therapeutic agent.
- the multiple therapeutic agents are optionally administered in any order or even simultaneously. If simultaneously, the multiple therapeutic agents are optionally provided in a single, unified form, or in multiple forms (by way of example only, either as a single pill or as two separate pills). In certain instances, one of the therapeutic agents is optionally given in multiple doses. In other instances, both are optionally given as multiple doses. If not simultaneous, the timing between the multiple doses is any suitable timing, e.g, from more than zero weeks to less than four weeks. In addition, the combination methods, compositions and formulations are not to be limited to the use of only two agents; the use of multiple therapeutic combinations are also envisioned (including two or more compounds described herein).
- a dosage regimen to treat, prevent, or ameliorate the condition(s) for which relief is sought is modified in accordance with a variety of factors. These factors include the disorder from which the subject suffers, as well as the age, weight, sex, diet, and medical condition of the subject. Thus, in various embodiments, the dosage regimen actually employed varies and deviates from the dosage regimens set forth herein.
- the pharmaceutical agents which make up the combination therapy described herein are provided in a combined dosage form or in separate dosage forms intended for substantially simultaneous administration.
- the pharmaceutical agents that make up the combination therapy are administered sequentially, with either therapeutic compound being administered by a regimen calling for two-step administration.
- two-step administration regimen calls for sequential administration of the active agents or spaced-apart administration of the separate active agents.
- the time period between the multiple administration steps varies, by way of non-limiting example, from a few minutes to several hours, depending upon the properties of each pharmaceutical agent, such as potency, solubility, bioavailability, plasma half-life and kinetic profile of the pharmaceutical agent.
- compositions described herein comprise an additional therapeutic agent.
- methods described herein comprise administration of a second dosage form comprising an additional therapeutic agent.
- combination therapies the compositions described herein are administered as part of a regimen. Therefore, additional therapeutic agents and/or additional pharmaceutical dosage form can be applied to a patient either directly or indirectly, and concomitantly or sequentially, with the compositions and formulations described herein.
- kits containing a device for rectal administration pre-filled a pharmaceutical composition described herein contain a device for oral administration and a pharmaceutical composition as described herein.
- the kits includes prefilled sachet or bottle for oral administration, while in other embodiments the kits include prefilled bags for administration of rectal gels.
- the kits includes prefilled syringes for administration of oral enemas, while in other embodiments the kits include prefilled syringes for administration of rectal gels.
- the kits includes prefilled pressurized cans for administration of rectal foams.
- a dosage form comprises a matrix (e.g., a matrix comprising hypermellose) that allows for controlled release of an active agent in the distal jejunum, proximal ileum, distal ileum and/or the colon.
- a dosage form comprises a polymer that is pH sensitive (e.g., a MMXTM matrix from Cosmo Pharmaceuticals) and allows for controlled release of an active agent in the ileum and/or the colon.
- pH sensitive polymers suitable for controlled release include and are not limited to polyacrylic polymers (e.g., anionic polymers of methacrylic acid and/or methacrylic acid esters, e.g., Carbopol® polymers) that comprise acidic groups (e.g., —COOH, —SO 3 H) and swell in basic pH of the intestine (e.g., pH of about 7 to about 8).
- a dosage form suitable for controlled release in the distal ileum comprises microparticulate active agent (e.g., micronized active agent).
- a non-enzymatically degrading poly(dl-lactide-co-glycolide) (PLGA) core is suitable for delivery of an ASBTI to the distal ileum.
- a dosage form comprising an ASBTI is coated with an enteric polymer (e.g., Eudragit® S-100, cellulose acetate phthalate, polyvinylacetate phthalate, hydroxypropylmethylcellulose phthalate, anionic polymers of methacrylic acid, methacrylic acid esters or the like) for site specific delivery to the ileum and/or the colon.
- enteric polymer e.g., Eudragit® S-100, cellulose acetate phthalate, polyvinylacetate phthalate, hydroxypropylmethylcellulose phthalate, anionic polymers of methacrylic acid, methacrylic acid esters or the like
- bacterially activated systems are suitable for targeted delivery to the ileum.
- micro-flora activated systems include dosage forms comprising pectin, galactomannan, and/or Azo hydrogels and/or glycoside conjugates (e.g., conjugates of D-galactoside, ⁇ -D-xylopyranoside or the like) of the active agent.
- glycoside conjugates e.g., conjugates of D-galactoside, ⁇ -D-xylopyranoside or the like
- gastrointestinal micro-flora enzymes include bacterial glycosidases such as, for example, D-galactosidase, ⁇ -D-glucosidase, ⁇ -L-arabinofuranosidase, ⁇ -D-xylopyranosidase or the like.
- the pharmaceutical solid dosage forms described herein optionally include an additional therapeutic compound described herein and one or more pharmaceutically acceptable additives such as a compatible carrier, binder, filling agent, suspending agent, flavoring agent, sweetening agent, disintegrating agent, dispersing agent, surfactant, lubricant, colorant, diluent, solubilizer, moistening agent, plasticizer, stabilizer, penetration enhancer, wetting agent, anti-foaming agent, antioxidant, preservative, or one or more combination thereof.
- a compatible carrier such as those described in Remington's Pharmaceutical Sciences, 20th Edition (2000), a film coating is provided around the formulation of the compound of Formula I-VI.
- a compound described herein is in the form of a particle and some or all of the particles of the compound are coated. In certain embodiments, some or all of the particles of a compound described herein are microencapsulated. In some embodiments, the particles of the compound described herein are not microencapsulated and are uncoated.
- An ASBT inhibitor (e.g., a compound of Formula I-VI) is used in the preparation of medicaments for the prophylactic and/or therapeutic treatment of cholestasis or a cholestatic liver disease.
- a method for treating any of the diseases or conditions described herein in an individual in need of such treatment involves administration of pharmaceutical compositions containing at least one ASBT inhibitor described herein, or a pharmaceutically acceptable salt, pharmaceutically acceptable N-oxide, pharmaceutically active metabolite, pharmaceutically acceptable prodrug, or pharmaceutically acceptable solvate thereof, in therapeutically effective amounts to said individual.
- kits for identifying compounds suitable for treating cholestasis or a cholestatic liver disease are provided herein.
- assays for identifying compounds that selectively inhibits the ASBT by:
- assays for identifying compounds that are non-systemic compounds are provided herein.
- non-systemic compounds are identified by suitable parallel artificial membrane permeability assays (PAMPA).
- PAMPA parallel artificial membrane permeability assays
- non-systemic compounds are identified by use of isolated vascular-perfused gut preparations.
- Step 1 Synthesis of 5-(1,4-diazabicyclo[2.2.2]octanyl)-1-iodo pentane, iodide salt
- 1,4-diazabicyclo[2.2.2]octane is suspended in THF.
- Diiodopentane is added dropwise and the mixture is refluxed overnight.
- the reaction mixture is filtered.
- Step 2 Synthesis of N-phenethyl-5-(1,4-diazabicyclo[2.2.2]octanyl)-1-iodo pentane, iodide salt
- Step 3 Synthesis of 1-phenethyl-1-((1,4-diazabicyclo[2.2.2]octanyl)pentyl)imidodicarbonimidic diamide, iodide salt
- N-phenethyl-5-(1,4-diazabicyclo[2.2.2]octanyl)-1-iodo pentane, iodide salt is heated with dicyanodiamide in n-butanol for 4 h. The reaction mixture is concentrated under reduced pressure.
- the compounds in Table 1 are prepared using methods as described herein, and using appropriate starting materials.
- Baby hamster kidney (BHK) cells are transfected with cDNA of human ASBT.
- the cells are seeded in 96-well tissue culture plates at 60,000 cells/well. Assays are run within 24 hours of seeding.
- the cell monolayer is washed with 100 mL of assay buffer.
- the test compound is added to each well along with 6 mM [ 14 C] taurocholate in assay buffer (final concentration of 3 mM [ 14 C] taurocholate in each well).
- the cell cultures are incubated for 2 h at 37° C.
- the wells are washed with PBS.
- Scintillation counting fluid is added to each well, the cells are shaken for 30 minutes prior to measuring amount of radioactivity in each well.
- a test compound that has significant ASBT inhibitory activity provides an assay wherein low levels of radioactivity are observed in the cells.
- Human NCI-H716 cells are used as a model for L-cells. Two days before each assay experiment, cells are seeded in 12-well culture plates coated with Matrigel® to induce cell adhesion. On the day of the assay, cells are washed with buffer. The cells are incubated for 2 hours with medium alone, or with test compound. The extracellular medium is assayed for the presence of GLP-2. Peptides in the medium are collected by reverse phase adsorption and the extracts are stored until assay. The presence of GLP-2 is assayed using ELISA. The detection of increased levels of GLP-2 in a well containing a test compound identifies the test compound as a compound that can enhance GLP-2 secretions from L-cells.
- test compounds are solubilized in saline solutions.
- Sprague Dawley rats are dosed at 2-10 mg/kg body weight by iv and oral dosing.
- Peripheral blood samples are taken from the femoral artery at selected time periods up to 8 hours. Plasma concentrations of the compounds are determined by quantitative HPLC and/or mass spectrometry. Clearance and AUC values are determined for the compounds.
- bioavailability is calculated by also drawing plasma samples from the portal vein. Cannulae are inserted in the femoral artery and the hepatic portal vein to obtain estimates of total absorption of drug without first-pass clearance in the liver. The fraction absorbed (F) is calculated by
- Ileal luminal bile acid levels in SD rats are determined by flushing a 3-cm section of distal ileum with sterile, cold PBS. After flushing with additional PBS, the same section of ileum is weighed and then homogenized in fresh PBS for determination of interenterocyte bile acid levels.
- a LC/MS/MS system is used to evaluate cholic acid, DCA, LCA, chnodeoxycholic acid, and ursodeoxycholic acid levels.
- Mdr2 knock out mouse model of cholestasis or a cholestatic liver disease induced rats is used to test compositions described herein.
- the animals are orally administered a composition comprising an ASBTI such as 100B, 264W94; SD5613; SAR548304B; SA HMR1741; 1,1-Dioxo-3,3-dibutyl-5-phenyl-7-methylthio-8-(N—[(R)- ⁇ -[N-(2-sulphoethyl)carbamoyl]-4-hydroxybenzyl]carbamoylmethoxy)-2,3,4,5-tetrahydro-1,2,5-benzothiadiazepine; 1,1-Dioxo-3,3-dibutyl-5-phenyl-7-methylthio-8-(N—[(R)- ⁇ -[N—((S)-1-carboxy-2-(R)-hydroxypropy
- ASBTI such as 100B, 264W94
- Cholestasis or cholestatic liver disease is quantitated by total bile acid and bilirubin in serum versus that in control mice/rats administered with placebo.
- Serum bile acids/salts are determined by ELISA with specific antibodies for cholic and CCDCA. Serum bilirubin levels are determined by automated routine assays. Alternatively, livers of the mice can be harvested and pathology of the hepatocellular damage can be measured.
- Blood samples in volume of 0.6 ml for each time point are taken from the caudal vein with a heparinized capillary tube 0, 1, 3 and 5 h after the administration of compounds and plasma GLP-2 level are determined Aprotinin and 10 ⁇ l of DPP-IV inhibitor per ml of blood are used for blood sample preservation during 10 min centrifugation and for storage at ⁇ 70° C. or below.
- GLP-2 (Active pM) is tested by any commercially available ELISA kits.
- 10 kg of a compound of Formula I-VI is first screened through a suitable screen (e.g. 500 micron). 25 kg Lactose monohydrate, 8 kg hydroxypropylmethyl cellulose, the screened compound of Formula I-V1 and 5 kg calcium hydrogen phosphate (anhydrous) are then added to a suitable blender (e.g. a tumble mixer) and blended. The blend is screened through a suitable screen (e.g. 500 micron) and reblended. About 50% of the lubricant (2.5 kg, magnesium stearate) is screened, added to the blend and blended briefly. The remaining lubricant (2 kg, magnesium stearate) is screened, added to the blend and blended briefly. The granules are screened (e.g.
- the granules are optionally coated with a drug release controlling polymer such as polyvinylpyrrolidine, hydroxypropylcellulose, hydroxypropylmethyl cellulose, methyl cellulose, or a methacrylic acid copolymer, to provide an extended release formulation.
- a drug release controlling polymer such as polyvinylpyrrolidine, hydroxypropylcellulose, hydroxypropylmethyl cellulose, methyl cellulose, or a methacrylic acid copolymer, to provide an extended release formulation.
- the granules are filled in gelatin capsules.
- the following example describes a large scale preparation (100 kg) of an ASBTI compound of Formula I-VI (e.g., LUM-001 or LUM-002).
- ASBTI compound of Formula I-VI e.g., LUM-001 or LUM-002.
- the active ingredient, anhydrous monosodium citrate, sodium bicarbonate and aspartame are mixed together and granulated by the addition of a solution of the polyvinylpyrrolidone in the alcohol.
- the granules obtained after mixing are dried and passed through a calibrator, and the resulting granules are then mixed with the sodium benzoate and flavorings.
- the granulated material is compressed into tablets using an alternative machine fitted with 20 mm punches.
- a rotative machine fitted with 20 mm punches may also be used for tabletting.
- Active ingredient 4.4 mg Sodium bicarbonate 20.5 mg Monosodium citrate anhydrous 20.6 mg Aspartame 1.25 mg Polyvinylpyrrolidone 1.0 mg Sodium benzoate 1.5 mg Orange flavor IFF 29G44 0.5 mg Lemon flavor IFF 29M194 0.25 mg Absolute alcohol for granulation
- the active ingredient granules and extragranular excipients were put into a cone blender and mixed thoroughly.
- the resulting mix was discharged from the blender and compressed on a suitable rotary tablet press fitted with the appropriate punches.
- the active ingredient is introduced in a fluidized air bed installation and a solution of ethylcellulose in ethanol is sprayed thereon.
- the excipients are sieved and the coated active ingredient is homogenized with the excipients in a mixing apparatus under dry conditions.
- Distribution and tabletting are carried out on a compressing machine equipped with punches having a diameter equal to 16 mm and a radius of curvature equal to 20 mm
- the pressure is 15 kNewtons ⁇ 1.
- the hardness of the thus obtained tablets is 50 Newtons ⁇ 5.
- the time of disintegration in the mouth is from 15 to 20 seconds.
- Active ingredient (with ethylcellulose) 4.0 mg Reticulated polyvinylpyrrolidone 20.0 mg Starch 40 mg Sweetener 1.0 mg Flavor 1.0 mg Magnesium stearate 1.0 mg 67.0 mg
- a pulverulent mixture of active ingredient and polyvidone (5 parts by weight) is granulated with 7% of purified water (weight/weight).
- a premix is prepared with the following constituents: carbasalate calcium (amount corresponding to parts by weight of acetylsalicylic acid); anhydrous citric acid (168 parts by weight); sodium bicarbonate (232 parts by weight); lactose (1500 parts by weight); magnesium citrate (180 parts by weight); potassium benzoate (250 parts by weight).
- carbasalate calcium (amount corresponding to parts by weight of acetylsalicylic acid); anhydrous citric acid (168 parts by weight); sodium bicarbonate (232 parts by weight); lactose (1500 parts by weight); magnesium citrate (180 parts by weight); potassium benzoate (250 parts by weight).
- the premix is then dry compacted.
- the pulverulent active ingredient mixture and the dry compacted premix, and the following compounds: aspartame and artificial vanilla flavoring, which are in powder form, are mixed.
- the mixture of powders can be packaged directly in sachets.
- the gelling compound is mixed with about 6 lbs of water, 38.3 lbs of sucrose, and 50 lbs of corn syrup to form the candy slurry. If the active ingredient is not a heat sensitive drug, the active ingredient is added to the candy slurry prior to cooking. About 0.1% sodium citrate by weight is be added to the candy slurry to maintain the pH of the slurry at about 3.0 to 3.5.
- the candy slurry is heated to a temperature of about 180° F. prior to being passed through the storage buffer tank, to the static cooker.
- the candy slurry is heated to a temperature of about 240° F. to 245° F., dehydrating the slurry to a brix of about 78.
- the cooked candy is sent to the vacuum chamber, where the candy is further dehydrated to a brix of about 80. After leaving the vacuum, the cooked candy is placed in the dosier where about 1.5% of strawberry flavoring by weight and about 1% of red cabbage coloring by weight is added to the cooked candy. To balance the flavoring, about 0.1% citric acid by weight and about 0.1% lactic acid by weight is added to the cooked candy.
- the cooked candy After adding the flavoring and coloring, the cooked candy is deposited into the mogul machine and then cured. After the candies are cured, they are added to a tumbling drum to break off any starch that is remaining on the candies. As the candies are being tumbled, about 1% fractionated coconut oil by weight and about 1% carnauba wax by weight is poured into the drum to coat the candies to prevent them from sticking together.
- Active ingredient (5 mg) 5% Lactic acid 1% Citric Acid 1% Sucrose 23.5% Corn Syrup 50.0% Gelatin 7% Sodium bisufate 0.1%-10% Flavoring (natural/artificial) 1.5% Colorant (natural/artificial) 1.0%
- An aqueous pharmaceutical composition of the present invention is formulated by preparing a mixture of hydroxyethylcellulose dissolved in 50 milliliters of purified water with 0.5 mL of -orange flavoring agent, with potassium phosphate dibasic and potassium phosphate monobasic added (from a hot water mixture). 4.0 mg of active ingredient is then added and mixed until dissolved. Sodium hydroxide is added to adjust the pH to from about 6.7 to about 6.9.
- a sweetener from 0.5% to 2% such as sucralose, mannitol, sucrose and/or a flavoring agent from 0.5% to 2% such as grape, cherry, bubble gum, orange, lemon, strawberry can be added.
- Polypropylene glycol can be replaced with one of the PEGs.
- a sweetener from 0.5% to 2% such as sucralose, mannitol, sucrose and/or a flavoring agent from 0.5% to 2% such as grape, cherry, bubble gum, orange, lemon, strawberry can be added.
- Sugar and sodium lauryl sulfate can be exchanged with other surfactants.
- mice Male Zucker diabetic fatty rats (ZDF/GmiCrl-fa/fa) were purchased from Charles River (Raleigh, N.C.) and housed under controlled conditions (12:12 light-dark cycle, 24° C. and 50% relative humidity) with free access to rodent food (Purina 5008, Harlan Teklad, Indianapolis, Ind.). All rats arrived at seven weeks of age ( ⁇ 3 days). After a one-week acclimation period, rats were anesthetized with isoflurane (Abbott Laboratories, IL) and tail-vein blood samples were collected at 9 am without fasting. Blood glucose levels were measured using a glucometer (Bayer, Leverkusen, Germany).
- ZDF rats were assigned to six treatment groups based upon baseline glucose: vehicle (0.5% HPMC, 0.1% Tween80) and five doses of 264W94 (0.001, 0.01, 0.1, 1, 10 mg/kg). All treatments were given via oral gavage twice a day and animals were followed for two weeks with blood samples collected from tail vein at the end of each week at 9 am without fasting. Fecal samples were collected for 24 hours during the second week of treatment.
- Non-esterified fatty acids NEFA
- bile acids bile acids
- bile acids in fecal extraction were measured using the Olympus AU640 clinical chemistry analyzer (Beckman Coulter, Irving, Tex.).
- Fecal Bile Acid Concentrations Changes in Fecal Bile Acid Excretion and Plasma Bile Acid Concentrations Oral administration of 264W94 dose-dependently increased bile acids in the feces. Fecal bile acid concentrations were elevated up to 6.5 fold with an ED 50 of 0.17 mg/kg, when compared to vehicle treated rats. Fecal NEFA also slightly increased in 264W94 treated rats. In contrast, plasma bile acid concentrations were decreased dose-dependently in 264W94 treated rats. See FIG. 1 .
- LUM001 was dissolved in water at concentrations that required the administration of 0.2 ml/kg of solution. Solutions were placed into gelatin capsules, Torpac Inc., size 13 Batch 594, East Hanover N.J., and administered orally.
- Male beagle dogs were obtained from Covance Research Products, Cumberland Va. or Marshall Farms USA, Inc., North Rose N.Y. A total of 20 dogs, 1 to 5 years old, 6.8 to 15.6 kg body weight, were used in these experiments. The dogs were conditioned to a 12 hour light/dark cycle and maintained on a feeding restriction of 1 hour per day access to food (Richman Standard Certified Canine Diet #5007, PMI Nutrition, Inc., St Louis Mo.) from 7 to 8 AM. They were trained to eat a special meal promptly within 20 minutes when presented (1 can. 397 g, Evanger's 100% Beef for Dogs, Evanger's Dog and Cat Food Co., Inc., Wheeling Ill., mixed with 50 g of sharp cheddar cheese.).
- SBA was measured by an enzymatic assay. SBA values are expressed as mg of total bile acids/ml of serum.
- LUM001 was administered at 0.05 and 0.2 mg/kg, p.o. to 6 dogs 1 hr after feeding them a meal. At 4 hours after the meal was offered, a second meal of 1 ⁇ 2 the size of the first meal was offered. It too was consumed as promptly and thoroughly as the first meal, and provided an extended, constant SBA plateau. Blood samples for SBA measurement were taken at 0, 1, 1.5, 2, 4, 4.5, 5, 5.5, 6, 6.5, 7, 7.5 and 8 hours from the time of offering the first meal. Mean SBA levels were compared to the mean SBA level at 1 hour, each dog serving as its own control. The end of activity is considered to occur at time point at which the mean SBA value is not significantly lower than the 1 hr mean value.
- Method 2 One Meal and Extended Interval Between Dosing and Feeding:
- the ED 50 dose (0.2 mg/kg) of LUM001 administered orally 1 hour after feeding significantly lowered serum bile acid levels within 30 minutes of dosing and these levels remained significantly lowered for at least 6 hours.
- a threshold dose of 0.05 mg/kg significantly lowered SBA levels within approximately 1 to 2 hours after dosing but the significant decrease was not sustained beyond 3 hours after dosing.
- Increasing the dose above the ED 50 level to 1 mg/kg did not shorten the onset time to significant SBA lowering and still sustained a maximal suppression for 2 hours after dosing.
- a dose of 0.2 mg/kg was required produce a significant effect that was sustained for at least 2-3 hours after feeding. The results from these studies indicate that the presence of food in the GI tract has a significant impact on the pharmacodynamic activity of the ASBT inhibitor, most likely by altering the residence time of the drug in the small intestine.
- LUM001 or placebo was administered each day of the treatment period (28 days) immediately prior to the morning meal at approximately 08:00 and after any necessary blood work was drawn.
- fecal bile acid species evaluated include chenodeoxycholic acid, cholic acid, deoxycholic acid, and lithocholic acid.
- LUM001 has been administered to forty patients under the age of 18 years old. Table below shows the exemplary characteristics of five children who received LUM001.
- the drug was administered once-a-day (QD) in the morning for fourteen days.
- the levels of systemic exposure of LUM001 were measured on day eight and the drug was confirmed to be minimally absorbed by the children. These doses are similar to those using to treat children with cholestatic diseases.
- LUM001 The efficacy of LUM001 was determined by measuring total serum bile acids after eight days of dosing in children and adolescents under the age of eighteen. Thirty minutes before the next drug administration, at approximately 8 am in the morning, serum bile acid levels were measured. The child had refrained from food for 12 hours prior to this sample thus providing a fasted level of serum bile acid. After breakfast, serum bile acids were measured for up to the next 4 hours (8 am to noon) and the peak serum bile acid concentration noted. LUM001 was shown to generally decrease both the fasting and post-prandial peak levels of serum bile acids (see table).
- the placebo patients had an average fasting serum bile acid level of 8.6 ⁇ mol/L and a post-prandial peak serum bile acid level of 11.9 ⁇ mol/L.
- the values were 6.5 mol/L and 9.2, respectively, representing a 24% and 23% decrease (see FIG. 5 ).
- Subjects under the age of 12, clinically diagnosed with cholestasis or a cholestatic liver disease will be enrolled.
- Subjects may be diagnosed by symptoms such as jaundice, chronic pruritis, total serum bile acid/bilirubin elevation.
- any of the following compounds can be the subject of the clinical trial: 264W94; SAR548304B; SA HMR1741; 1,1-Dioxo-3,3-dibutyl-5-phenyl-7-methylthio-8-(N—[(R)- ⁇ -[N-(2-sulphoethyl)carbamoyl]-4-hydroxybenzyl]carbamoylmethoxy)-2,3,4,5-tetrahydro-1,2,5-benzothiadiazepine; 1,1-Dioxo-3,3-dibutyl-5-phenyl-7-methylthio-8-(N—[(R)- ⁇ -[N—((S)-1-carboxy-2-(R)-hydroxypropyl)carbamoyl]-4-hydroxybenzyl]carbamoylmethoxy)-2,3,4,5-tetra
- the primary endpoint is the proportion of subjects showing resolution or improvement of baseline signs and symptoms, e.g., jaundice, serum levels of bile acids/salts and/or bilirubin, pruritis.
- Inclusion criteria include severe pruritus (greater than grade II); non-responsive to ursodiol; native liver; genetic or immunohistochemical findings consistent with PFIC1 or Alagille syndrome; informed consent; age 12 months or older.
- Exclusion criteria include chronic diarrhea requiring IV fluid or nutritional interventions; surgical interruption of the enterohepatic circulation; or decompensated cirrhosis (PT>16s, alb ⁇ 3.0 gr/dl, ascites, diuretic therapy, variceal hemorrhage, encephalopathy).
- any of the following compounds can be the subject of the clinical trial: 264W94; SAR548304B; SA HMR1741; 1,1-Dioxo-3,3-dibutyl-5-phenyl-7-methylthio-8-(N—[(R)- ⁇ -[N-(2-sulphoethyl)carbamoyl]-4-hydroxybenzyl]carbamoylmethoxy)-2,3,4,5-tetrahydro-1,2,5-benzothiadiazepine; 1,1-Dioxo-3,3-dibutyl-5-phenyl-7-methylthio-8-(N—[(R)- ⁇ -[N—((S)-1-carboxy-2-(R)-hydroxypropyl)carbamoyl]-4-hydroxybenzyl]carbamoylmethoxy)-2,3,4,5-tetrahydr
- Stage 1 will be a 4 week dose escalation study to determine patient minimum tolerated dose.
- Dose 1 14 ug/kg/day for 7 days; dose 2: 35 ug/kg/day for 7 days; dose 3; 70 ug/kg/day for 7 days; dose 4: 140 ug/kg/day for 7 days.
- Stage 2 will be a double-blind placebo controlled cross-over study. Subjects will be randomized to maximum tolerated dose or placebo for 8 weeks, followed by a 2 week drug holiday, and cross-over to receive the alternative regimen for 8 week.
- the primary endpoint is the proportion of subjects showing resolution or improvement of baseline signs and symptoms, e.g., jaundice, serum levels of bile acids/salts and/or bilirubin, pruritis.
- the purpose of this study is to determine the effect of a non-systemic ASBTI suspension in treating BRIC.
- An enteric ileal pH-release suspension of an ASBTI may also be administered to a subject once a day.
- any of the following compounds can be the subject of the clinical trial: 264W94; SD5613; SAR548304B; SA HMR1741; 1,1-Dioxo-3,3-dibutyl-5-phenyl-7-methylthio-8-(N—[(R)- ⁇ -[N-(2-sulphoethyl)carbamoyl]-4-hydroxybenzyl]carbamoylmethoxy)-2,3,4,5-tetrahydro-1,2,5-benzothiadiazepine; 1,1-Dioxo-3,3-dibutyl-5-phenyl-7-methylthio-8-(N—[(R)- ⁇ -[N—((S)-1-carboxy-2-(R)-hydroxypropyl)carbamoyl]-4-hydroxybenzyl]carbamoylmethoxy)-2,3,4,5
- the purpose of this study is to determine the effect of a non-systemic ASBTI suspension in treating TPN-AC.
- An enteric ileal pH-release suspension of an ASBTI may also be administered to a subject once a day.
- any of the following compounds can be the subject of the clinical trial: 264W94; SAR548304B; SA HMR1741; 1,1-Dioxo-3,3-dibutyl-5-phenyl-7-methylthio-8-(N—[(R)- ⁇ -[N-(2-sulphoethyl)carbamoyl]-4-hydroxybenzyl]carbamoylmethoxy)-2,3,4,5-tetrahydro-1,2,5-benzothiadiazepine; 1,1-Dioxo-3,3-dibutyl-5-phenyl-7-methylthio-8-(N—[(R)- ⁇ -[N—((S)-1-carboxy-2-(R)-hydroxypropyl)carbamoyl]-4-hydroxybenzyl]carbamoylmethoxy)-2,3,4,5-tetra
- Inclusion criteria will include (1) severe pruritus ( ⁇ grade II) unresponsive to routine pharmacologic therapy, (2) native liver, (3) genetic or clinical findings consistent with FIC1 disease or genetic findings of Alagille syndrome, and (4) informed consent and assent as appropriate.
- Exclusion criteria will include (1) chronic diarrhea requiring specific intravenous fluid or nutritional intervention for the diarrhea and/or its sequelae or (2) surgical interruption of the enterohepatic circulation, (3) decompensated cirrhosis (PT>16s, alb ⁇ 3.0 gr/dl, ascites, diuretic therapy, variceal hemorrhage, encephalopathy).
- Stage 1 4 week dose escalation of LUM-001 (doses based on adolescent/adult doses) to determine patient maximum tolerated dose. Dose 1-14 ⁇ g/kg/day for seven days; Dose 2-35 ⁇ g/kg/day for seven days; Dose 3-70 ⁇ g/kg/day for seven days; Dose 4-140 ⁇ g/kg/day for seven days.
- Stage 2 double-blinded placebo controlled cross-over study. Randomized to maximum tolerated dose or placebo for 8 weeks, followed by 2 weeks wash out, and crossed-over to receive the alternative regimen for 8 weeks.
- Baseline assessment will include: FIC1 or Jagged 1 genotyping, complete history and physical, comprehensive clinical laboratory profile, 72 hour fecal bile acid collection, serum levels of bile acids, bile acid synthesis marker (7 ⁇ C4).
- Stage 1-Baseline assessments (except genotyping, history and physical) will be repeated at the end of each 7-day treatment period. Pruritus scoring will be assessed by the parents, child (if possible) and by clinician(s) at the beginning and end of each dose.
- Stage 2-Baseline assessments (except genotyping, history and physical) will be repeated at the end of each 8 week treatment period.
- LUM-001 was shown to be well-tolerated in a pediatric multiple-dose study: 2 weeks daily up to 5 mg q.d. (39 treated subjects aged 10-17).
Landscapes
- Health & Medical Sciences (AREA)
- Chemical & Material Sciences (AREA)
- Life Sciences & Earth Sciences (AREA)
- General Health & Medical Sciences (AREA)
- Veterinary Medicine (AREA)
- Animal Behavior & Ethology (AREA)
- Medicinal Chemistry (AREA)
- Pharmacology & Pharmacy (AREA)
- Public Health (AREA)
- Organic Chemistry (AREA)
- Epidemiology (AREA)
- Engineering & Computer Science (AREA)
- Bioinformatics & Cheminformatics (AREA)
- Chemical Kinetics & Catalysis (AREA)
- General Chemical & Material Sciences (AREA)
- Nuclear Medicine, Radiotherapy & Molecular Imaging (AREA)
- Molecular Biology (AREA)
- Biophysics (AREA)
- Gastroenterology & Hepatology (AREA)
- Nutrition Science (AREA)
- Physiology (AREA)
- Inorganic Chemistry (AREA)
- Biochemistry (AREA)
- Biotechnology (AREA)
- Genetics & Genomics (AREA)
- Dermatology (AREA)
- Diabetes (AREA)
- Hematology (AREA)
- Zoology (AREA)
- Urology & Nephrology (AREA)
- Obesity (AREA)
- Pharmaceuticals Containing Other Organic And Inorganic Compounds (AREA)
- Medicines That Contain Protein Lipid Enzymes And Other Medicines (AREA)
- Medicinal Preparation (AREA)
- Acyclic And Carbocyclic Compounds In Medicinal Compositions (AREA)
- Steroid Compounds (AREA)
- Medicines Containing Material From Animals Or Micro-Organisms (AREA)
Abstract
Provided herein are methods of treating or ameliorating a pediatric cholestatic liver disease by non-systemically administering to an individual in need thereof a therapeutically effective amount of a pediatric formulation comprising an Apical Sodium-dependent Bile Acid Transporter Inhibitor (ASBTI) or a pharmaceutically acceptable salt thereof. Also provided are methods for treating or ameliorating a pediatric liver disease, decreasing the levels of serum bile acids or hepatic bile acids, treating or ameliorating pruritis, reducing liver enzymes, or reducing bilirubin comprising non-systemically administering to an individual in need thereof a therapeutically effective amount of a pediatric formulation comprising an ASBTI or a pharmaceutically acceptable salt thereof.
Description
- This application claims the benefit under 35 U.S.C. §119(e) of U.S. Provisional Application No. 61/553,094, filed Oct. 28, 2011, U.S. Provisional Application No. 61/607,487, filed Mar. 6, 2012, U.S. Provisional Application No. 61/607,503, filed Mar. 6, 2012, which are incorporated herein by reference in their entirety.
- Pediatric cholestatic liver diseases affect a small percentage of children, but therapy results in significant healthcare costs each year. Currently, many of the pediatric cholestatic liver diseases require invasive and costly treatments such as liver transplantation and surgery. An effective and less invasive treatment that is suitable for the pediatric population is not available.
- It is well understood and accepted that the therapeutic needs of children are sufficiently different than those of adults as to require specific studies of medications in children. For example, oral administration of a solid dosage form of medication is painless and simple for most adult patients, but for the pediatric patient population, swallowing an oral solid dosage form produced for adults can be problematic. In addition, the drugs used in solid dosages often have an unpleasant taste. More importantly, oral administration of adult medication targeting cholestatic liver diseases may result in side effects such as diarrhea and intestinal discomfort. Such problems pose a safety risk and affect compliance. Effective and acceptable forms of pediatric medication for pediatric cholestastatic liver diseases are needed.
- Provided herein are therapeutic compositions and methods for treating or ameliorating a pediatric cholestatic liver disease or pediatric cholestasis. In certain embodiments, provided herein are methods for treating or ameliorating a pediatric cholestatic liver disease comprising non-systemically administering to a pediatric patient a therapeutically effective amount of a composition comprising an Apical Sodium-dependent Bile Transporter Inhibitor (ASBTI) or a pharmaceutically acceptable salt thereof. In certain embodiments, provided herein are methods for treating or ameliorating a pediatric cholestatic liver disease comprising administering to an individual in need thereof a therapeutically effective amount of a composition comprising a non-systemically absorbed ASBTI or a pharmaceutically acceptable salt thereof. In certain embodiments, provided herein are methods for treating or ameliorating a pediatric cholestatic liver disease comprising non-systemically administering to a pediatric patient a therapeutically effective amount of a pediatric dosage form comprising an Apical Sodium-dependent Bile Transporter Inhibitor (ASBTI) or a pharmaceutically acceptable salt thereof. In certain embodiments, provided herein are methods for treating or ameliorating a pediatric cholestatic liver disease comprising administering to an individual in need thereof a therapeutically effective amount of a pediatric dosage form comprising a non-systemically absorbed ASBTI or a pharmaceutically acceptable salt thereof.
- In certain embodiments, provided herein are pediatric dosage forms comprising a pediatric dosage of a non-systemically absorbed Apical Sodium-dependent Bile Acid Transporter Inhibitor (ASBTI) or a pharmaceutically acceptable salt thereof. In some embodiments, provided herein are pediatric dosage forms comprising any non-systemically absorbed ASBTI or a pharmaceutically acceptable salt thereof described herein. In some embodiments, provided herein are pediatric dosage forms comprising any non-systemically absorbed ASBTI or a pharmaceutically acceptable salt thereof and a second agent described herein.
- Provided herein are therapeutic compositions and methods for treating or ameliorating pruritis. In certain embodiments, provided herein are methods for treating or ameliorating pruritis comprising non-systemically administering to a pediatric patient suffering from a pediatric cholestatic liver disease a therapeutically effective amount of a composition comprising an ASBTI or a pharmaceutically acceptable salt thereof. In certain embodiments, provided herein are methods for treating or ameliorating pruritis comprising administering to an individual in need thereof a therapeutically effective amount of a composition comprising a non-systemically absorbed ASBTI or a pharmaceutically acceptable salt thereof. In certain embodiments, provided herein are methods for treating or ameliorating pruritis comprising non-systemically administering to a pediatric patient suffering from a pediatric cholestatic liver disease a therapeutically effective amount of a pediatric dosage form comprising an ASBTI or a pharmaceutically acceptable salt thereof. In certain embodiments, provided herein are methods for treating or ameliorating pruritis comprising administering to an individual in need thereof a therapeutically effective amount of a pediatric dosage form comprising a non-systemically absorbed ASBTI or a pharmaceutically acceptable salt thereof.
- Provided herein are therapeutic compositions and methods for treating or ameliorating pediatric hypercholemia. In certain embodiments, provided herein are methods for treating or ameliorating pediatric hypercholemia comprising non-systemically administering to a pediatric patient a therapeutically effective amount of a composition comprising an ASBTI or a pharmaceutically acceptable salt thereof. In certain embodiments, provided herein are methods for treating or ameliorating pediatric hypercholemia comprising administering to an individual in need thereof a therapeutically effective amount of a composition comprising a non-systemically absorbed ASBTI or a pharmaceutically acceptable salt thereof. In certain embodiments, provided herein are methods for treating or ameliorating pediatric hypercholemia comprising non-systemically administering to a pediatric patient a therapeutically effective amount of a pediatric dosage form comprising an ASBTI or a pharmaceutically acceptable salt thereof. In certain embodiments, provided herein are methods for treating or ameliorating pediatric hypercholemia comprising administering to an individual in need thereof a therapeutically effective amount of a pediatric dosage form comprising a non-systemically absorbed ASBTI or a pharmaceutically acceptable salt thereof.
- Provided herein are therapeutic compositions and methods for lowering serum bile acid concentrations or hepatic bile acid concentrations. In certain embodiments, provided herein are methods for decreasing serum bile acid levels or concentrations or hepatic bile acid levels or concentrations comprising non-systemically administering to a pediatric patient suffering from a pediatric cholestatic liver disease a therapeutically effective amount of a composition comprising an ASBTI or a pharmaceutically acceptable salt thereof. In certain embodiments, provided herein are methods for decreasing serum bile acids or hepatic bile acids comprising administering to an individual in need thereof a therapeutically effective amount of a composition comprising a non-systemically absorbed ASBTI or a pharmaceutically acceptable salt thereof. In certain embodiments, provided herein are methods for decreasing serum bile acid levels or concentrations or hepatic bile acid levels or concentrations comprising non-systemically administering to a pediatric patient suffering from a pediatric cholestatic liver disease a therapeutically effective amount of a pediatric dosage form comprising an ASBTI or a pharmaceutically acceptable salt thereof. In certain embodiments, provided herein are methods for decreasing serum bile acids or hepatic bile acids comprising administering to an individual in need thereof a therapeutically effective amount of a pediatric dosage form comprising a non-systemically absorbed ASBTI or a pharmaceutically acceptable salt thereof.
- In some embodiments, compositions and methods provided herein decrease serum or hepatic bile acid levels by at least 50%, 45%, 40%, 35%, 30%, 25%, 20%, 15%, or 10%, as compared to the levels prior to administration of the compositions provided herein or as compared to control subjects. In some embodiments, methods provided herein decrease serum or hepatic bile acid levels by at least 30%. In some embodiments, methods provided herein decrease serum or hepatic bile acid levels by at least 25%. In some embodiments, methods provided herein decrease serum or hepatic bile acid levels by at least 20%. In some embodiments, methods provided herein decrease serum or hepatic bile acid levels by at least 15%.
- Provided herein are therapeutic compositions and methods for treating or ameliorating xanthoma. In certain embodiments, provided herein are methods for treating or ameliorating xanthoma comprising non-systemically administering to a pediatric patient suffering from a pediatric cholestatic liver disease a therapeutically effective amount of a composition comprising an ASBTI or a pharmaceutically acceptable salt thereof. In certain embodiments, provided herein are methods for treating or ameliorating xanthoma comprising administering to an individual in need thereof a therapeutically effective amount of a composition comprising a non-systemically absorbed ASBTI or a pharmaceutically acceptable salt thereof. In certain embodiments, provided herein are methods for treating or ameliorating xanthoma comprising non-systemically administering to a pediatric patient suffering from a pediatric cholestatic liver disease a therapeutically effective amount of a pediatric dosage form comprising an ASBTI or a pharmaceutically acceptable salt thereof. In certain embodiments, provided herein are methods for treating or ameliorating xanthoma comprising administering to an individual in need thereof a therapeutically effective amount of a pediatric dosage form comprising a non-systemically absorbed ASBTI or a pharmaceutically acceptable salt thereof.
- In some embodiments, provided herein are compositions and methods decreasing serum lipoprotein X levels or concentrations comprising non-systemically administering to a pediatric patient suffering from xanthoma a therapeutically effective amount of a composition comprising an ASBTI or a pharmaceutically acceptable salt thereof. In certain embodiments, provided herein are methods for decreasing serum lipoprotein X comprising administering to an individual in need thereof a therapeutically effective amount of a composition comprising a non-systemically absorbed ASBTI or a pharmaceutically acceptable salt thereof. In certain embodiments, provided herein are methods for decreasing serum lipoprotein X levels or concentrations comprising non-systemically administering to a pediatric patient suffering from xanthoma a therapeutically effective amount of a pediatric dosage form comprising an ASBTI or a pharmaceutically acceptable salt thereof. In certain embodiments, provided herein are methods for decreasing serum lipoprotein X comprising administering to an individual in need thereof a therapeutically effective amount of a pediatric dosage form comprising a non-systemically absorbed ASBTI or a pharmaceutically acceptable salt thereof.
- In certain embodiments, described herein are compositions and methods for reducing serum levels of bilirubin, gamma-glutamyl transpeptidase or gamma-glutamyl transferase (GGT), or liver enzymes, such as alkaline phosphatase, ALT and AST, in an individual in need thereof comprising non-systemically administering a therapeutically effective amount of a composition of an ASBTI or a pharmaceutically acceptable salt thereof. In some embodiments, methods comprise administering a therapeutically effective amount of a composition comprising a non-systemically absorbed ASBTI or a pharmaceutically acceptable salt thereof. In certain embodiments, described herein are methods for reducing serum levels of bilirubin, gamma-glutamyl transpeptidase or gamma-glutamyl transferase (GGT), or liver enzymes, such as alkaline phosphatase, ALT and AST, in an individual in need thereof comprising non-systemically administering a therapeutically effective amount of a pediatric dosage form of an ASBTI or a pharmaceutically acceptable salt thereof. In some embodiments, methods comprise administering a therapeutically effective amount of a pediatric dosage form comprising a non-systemically absorbed ASBTI or a pharmaceutically acceptable salt thereof.
- In certain embodiments, methods provided herein comprise administering compounds that inhibit the ASBT or any recuperative bile salt transporter. In certain embodiments, use of the compounds provided herein reduces or inhibits recycling of bile acid salts in the gastrointestinal tract. In some embodiments, the methods provided herein reduce intraenterocyte bile acids/salts or reduce necrosis and/or damage to intestinal or hepatocellular architecture.
- In certain embodiments, the methods described herein treat or ameliorate a pediatric cholestatic liver disease by increasing intraluminal concentrations of bile acids/salts, which are then excreted in the feces, thereby reducing overall bile acid and serum bile acid or hepatic bile acid load in an individual in need thereof. In certain embodiments, increasing intraluminal bile acid concentrations according to methods described herein provide protection and/or control of the integrity of an individual's liver and/or intestine that has been injured by cholestasis and/or cholestatic liver disease.
- In certain embodiments, the methods described herein treat or ameliorate pruritis by increasing intraluminal concentrations, and/or reducing serum concentrations, or hepatic concentrations of bile acids/salts in an individual in need thereof. In certain embodiments, increasing intraluminal bile acid concentrations according to methods described herein provide protection and/or control of the integrity of an individual's liver and/or intestine that has been injured by a cholestatic liver disease.
- In certain embodiments, the methods described herein lower serum bile acid concentrations or hepatic bile acid concentrations by increasing intraluminal concentrations of bile acids/salts in an individual in need thereof. In certain embodiments, increasing intraluminal bile acid concentrations according to methods described herein provide protection and/or control of the integrity of an individual's liver and/or intestine that has been injured by a cholestatic liver disease.
- In certain embodiments, provided herein is an ASBTI or a pharmaceutically acceptable salt thereof for use in the treatment of a pediatric cholestatic liver disease, wherein the ASBTI is non-systemically absorbed or is formulated to be non-systemically absorbed. In some embodiments, provided herein is a pharmaceutical composition for use in the treatment of a pediatric cholestatic liver disease, wherein the composition comprises a pediatric dosage form of an ASBTI and a pharmaceutically acceptable excipient, wherein the ASBTI is non-systemically absorbed or is formulated to be non-systemically absorbed. In some embodiments, a composition provided herein is suitable for non-systemically administering to the distal ileum, colon, and/or rectum.
- In certain embodiments, provided herein is an ASBTI or a pharmaceutically acceptable salt thereof for use in the treatment of pruritis in a pediatric patient suffering from a pediatric cholestatic liver disease, wherein the ASBTI is non-systemically absorbed or is formulated to be non-systemically absorbed. In some embodiments, provided herein is a pharmaceutical composition for use in the treatment of pruritis, wherein the composition comprises a pediatric dosage form of an ASBTI and a pharmaceutically acceptable excipient, wherein the ASBTI is non-systemically absorbed or is formulated to be non-systemically absorbed. In some embodiments, a composition provided herein is suitable for non-systemically administering to the distal ileum, colon, and/or rectum.
- In certain embodiments, provided herein is an ASBTI or a pharmaceutically acceptable salt thereof for use in lowering serum bile acid concentrations or hepatic bile acid concentrations in a pediatric patient suffering from a pediatric cholestatic liver disease, wherein the ASBTI is a non-systemically absorbed or is formulated to be non-systemically absorbed. In some embodiments, provided herein is a pharmaceutical composition for use in lowering serum bile acid concentrations or hepatic bile acid concentrations, wherein the composition comprises a pediatric dosage form of an ASBTI and a pharmaceutically acceptable excipient, wherein the ASBTI is non-systemically absorbed or is formulated to be non-systemically absorbed. In some embodiments, a composition provided herein is suitable for non-systemically administering to the distal ileum, colon, and/or rectum.
- In some embodiments, an ASBTI provided herein is minimally absorbed or formulated to be minimally absorbed. In some embodiments, a pediatric dosage form of an ASBTI is non-systemically administered to the distal ileum, colon, and/or rectum of an individual in need thereof. In some embodiments, an ASBTI is non-systemically administered to the ileum, colon or rectum of an individual in need thereof. In some embodiments, less than 50%, less than 40%, less than 30%, less than 20%, less than 10%, less than 9%, less than 8%, less than 7%, less than 6%, less than 5%, less than 4%, less than 3%, less than 2%, or less than 1% of the ASBTI is systemically absorbed. In a preferred embodiment, less than 10% of the ASBTI is systemically absorbed. In another preferred embodiment, less than 5% of the ASBTI is systemically absorbed.
- In another preferred embodiment, less than 1% of the ASBTI is systemically absorbed.
- In one aspect, provided herein is a method for treating a pediatric cholestatic liver disease in an individual in need thereof comprising non-systemically administering to the distal gastrointestinal tract of the individual in need thereof a therapeutically effective amount of a pediatric dosage form of an ASBTI or a pharmaceutically acceptable salt thereof. In one aspect, provided herein is a method for treating pruritis in an individual in need thereof comprising non-systemically administering to the distal gastrointestinal tract of the individual in need thereof a therapeutically effective amount of a pediatric dosage form of an ASBTI or a pharmaceutically acceptable salt thereof. In one aspect, provided herein is a method for lowering serum bile acid concentrations in an individual in need thereof comprising non-systemically administering to the distal gastrointestinal tract of the individual in need thereof a therapeutically effective amount of a pediatric dosage form of an ASBTI or a pharmaceutically acceptable salt thereof. In some embodiments, the distal gastrointestinal tract is jejunum, ileum, colon, or rectum. In some embodiments, the distal gastrointestinal tract is ileum, colon, or the rectum. In some embodiments, the distal gastrointestinal tract is jejunum. In some embodiments, the distal gastrointestinal tract is ileum.
- In certain embodiments, the pediatric cholestatic liver disease is progressive familial intrahepatic cholestasis (PFIC),
PFIC type 1,PFIC type 2,PFIC type 3, Alagille syndrome, Dubin-Johnson Syndrome, biliary atresia, post-Kasai biliary atresia, post-liver transplantation biliary atresia, post-liver transplantation cholestasis, post-liver transplantation associated liver disease, intestinal failure associated liver disease, bile acid mediated liver injury, pediatric primary sclerosing cholangitis, MRP2 deficiency syndrome, neonatal sclerosing cholangitis, a pediatric obstructive cholestasis, a pediatric non-obstructive cholestasis, a pediatric extrahepatic cholestasis, a pediatric intrahepatic cholestasis, a pediatric primary intrahepatic cholestasis, a pediatric secondary intrahepatic cholestasis, benign recurrent intrahepatic cholestasis (BRIC),BRIC type 1,BRIC type 2,BRIC type 3, total parenteral nutrition associated cholestasis, paraneoplastic cholestasis, Stauffer syndrome, drug-associated cholestasis, infection-associated cholestasis, or gallstone disease. In some embodiments, the pediatric cholestatic liver disease is a pediatric form of liver disease described herein. - In certain embodiments, a pediatric cholestatic liver disease is characterized by one or more symptoms selected from jaundice, pruritis, cirrhosis, hypercholemia, neonatal respiratory distress syndrome, lung pneumonia, increased serum concentration of bile acids, increased hepatic concentration of bile acids, increased serum concentration of bilirubin, hepatocellular injury, liver scarring, liver failure, hepatomegaly, xanthomas, malabsorption, splenomegaly, diarrhea, pancreatitis, hepatocellular necrosis, giant cell formation, hepatocellular carcinoma, gastrointestinal bleeding, portal hypertension, hearing loss, fatigue, loss of appetite, anorexia, peculiar smell, dark urine, light stools, steatorrhea, failure to thrive, and/or renal failure.
- In certain embodiments, the pediatric patient is a new born, a pre-term new born, an infant, a toddler, a pre-schooler, a school-age child, a pre-pubescent child, post-pubescent child, an adolescent, or a teenager under the age of eighteen. In some embodiments, the pediatric patient is a new born, a pre-term new born, an infant, a toddler, a pre-schooler, or a school-age child. In some embodiments, the pediatric patient is a new born, a pre-term new born, an infant, a toddler, or a pre-schooler. In some embodiments, the pediatric patient is a new born, a pre-term new born, an infant, or a toddler. In some embodiments, the pediatric patient is a new born, a pre-term new born, or an infant. In some embodiments, the pediatric patient is a new born. In some embodiments, the pediatric patient is an infant. In some embodiments, the pediatric patient is a toddler.
- In certain embodiments, the individual is an infant less than 2 years of age. In some cases, for any of the methods and/or compositions described herein, the individual is an infant between 0 to 18 months of age. In some cases, for any of the methods and/or compositions described herein, the individual is an infant between 1 to 18 months of age. In some cases, for any of the methods and/or compositions described herein, the individual is an infant between 2 to 18 months of age. In some cases, for any of the methods and/or compositions described herein, the individual is an infant between 3 to 18 months of age. In some cases, for any of the methods and/or compositions described herein, the individual is an infant between 4 to 18 months of age. In some cases, for any of the methods and/or compositions described herein, the individual is an infant between 6 to 18 months of age. In some cases, for any of the methods and/or compositions described herein, the individual is an infant between 18 to 24 months of age. In some cases, for any of the methods and/or compositions described herein, the individual is an infant between 6 to 12 months of age. In some instances, for any of the methods and/or compositions described herein, the individual is a child of between about 2 to about 10 years of age. In some instances, the individual is less than about 10 years old. In some instances, the individual is between about 10 to about 17 years old.
- In some cases, for any of the methods and/or compositions described herein, the individual is a child between 6 months to 12 years of age.
- Provided herein, in certain embodiments, are therapeutic methods and compositions using compounds that inhibit the Apical Sodium-dependent Bile Transporter (ASBT) or a pharmaceutically acceptable salt thereof, or any recuperative bile salt transporter for treatment of a pediatric cholestatic liver disease or pruritis or for lowering serum bile acid concentrations. In certain instances, use of the compounds provided herein reduces or inhibits recycling of bile acid salts in the gastrointestinal tract. In some embodiments, the methods provided herein reduce intraenterocyte bile acids/salts and/or damage to ileal or hepatocellular architecture caused by a pediatric cholestatic liver disease and/or allow for regeneration of the intestinal lining or liver. In some embodiments, the bile transport inhibitors are non-systemic compounds. In other embodiments, the bile acid transporter inhibitors are systemic compounds delivered non-systemically. In other embodiments, the bile acid transporter inhibitors are systemic compounds. In certain embodiments, the bile transport inhibitors described herein enhance enteroendocrine peptide secretion by intestinal L-cells.
- In some embodiments of the methods described above, the ASBTI is a compound of Formula I or a pharmaceutically acceptable salt thereof, as described herein. In some embodiments of the methods described above, the ASBTI is a compound of Formula II or a pharmaceutically acceptable salt thereof, as described herein. In some embodiments of the methods described above, the ASBTI is a compound of Formula III or a pharmaceutically acceptable salt thereof, as described herein. In some embodiments of the methods described above, the ASBTI is a compound of Formula IV or a pharmaceutically acceptable salt thereof, as described herein. In some embodiments of the methods described above, the ASBTI is a compound of Formula V or a pharmaceutically acceptable salt thereof, as described herein. In some embodiments of the methods described above, the ASBTI is a compound of Formula VI or Formula VID or a pharmaceutically acceptable salt thereof, as described herein.
- In some embodiments, provided herein is a method for treating or ameliorating a pediatric cholestatic liver disease comprising non-systemically administering to an individual in need thereof a therapeutically effective amount of a pediatric dosage form of an ASBTI of Formula I or a pharmaceutically acceptable salt thereof. In some embodiments, provided herein is a method for treating or ameliorating pruritis comprising non-systemically administering to an individual in need thereof a therapeutically effective amount of a pediatric dosage form of an ASBTI of Formula I or a pharmaceutically acceptable salt thereof. In some embodiments, provided herein is a method for increasing the levels of an enteroendocrine peptide or hormone in an individual suffering from a pediatric cholestatic liver disease comprising non-systemically administering to the individual in need thereof a therapeutically effective amount of a pediatric dosage form of an ASBTI of Formula I or a pharmaceutically acceptable salt thereof. In some embodiments, provided herein is a method for lowering serum bile acid concentrations or hepatic bile acid concentration comprising non-systemically administering to an individual in need thereof a therapeutically effective amount of a pediatric dosage form of an ASBTI of Formula I or a pharmaceutically acceptable salt thereof.
- In some embodiments, provided herein is a method for treating or ameliorating a pediatric cholestatic liver disease comprising non-systemically administering to an individual in need thereof a therapeutically effective amount of a pediatric dosage form of an ASBTI of Formula II or a pharmaceutically acceptable salt thereof. In some embodiments, provided herein is a method for treating or ameliorating pruritis comprising non-systemically administering to an individual in need thereof a therapeutically effective amount of a pediatric dosage form of an ASBTI of Formula II or a pharmaceutically acceptable salt thereof. In some embodiments, provided herein is a method for increasing the levels of an enteroendocrine peptide or hormone in an individual suffering from a pediatric cholestatic liver disease comprising non-systemically administering to the individual in need thereof a therapeutically effective amount of a pediatric dosage form of an ASBTI of Formula II or a pharmaceutically acceptable salt thereof. In some embodiments, provided herein is a method for lowering serum bile acid concentrations or hepatic bile acid concentration comprising non-systemically administering to an individual in need thereof a therapeutically effective amount of a pediatric dosage form of an ASBTI of Formula II or a pharmaceutically acceptable salt thereof.
- In some embodiments, provided herein is a method for treating or ameliorating a pediatric cholestatic liver disease comprising non-systemically administering to an individual in need thereof a therapeutically effective amount of a pediatric dosage form of an ASBTI of Formula III or a pharmaceutically acceptable salt thereof. In some embodiments, provided herein is a method for treating or ameliorating pruritis comprising non-systemically administering to an individual in need thereof a therapeutically effective amount of a pediatric dosage form of an ASBTI of Formula III or a pharmaceutically acceptable salt thereof. In some embodiments, provided herein is a method for increasing the levels of an enteroendocrine peptide or hormone in an individual suffering from a pediatric cholestatic liver disease comprising non-systemically administering to the individual in need thereof a therapeutically effective amount of a pediatric dosage form of an ASBTI of Formula III or a pharmaceutically acceptable salt thereof. In some embodiments, provided herein is a method for lowering serum bile acid concentrations or hepatic bile acid concentration comprising non-systemically administering to an individual in need thereof a therapeutically effective amount of a pediatric dosage form of an ASBTI of Formula III or a pharmaceutically acceptable salt thereof.
- In some embodiments, provided herein is a method for treating or ameliorating a pediatric cholestatic liver disease comprising non-systemically administering to an individual in need thereof a therapeutically effective amount of a pediatric dosage form of an ASBTI of Formula IV or a pharmaceutically acceptable salt thereof. In some embodiments, provided herein is a method for treating or ameliorating pruritis comprising non-systemically administering to an individual in need thereof a therapeutically effective amount of a pediatric dosage form of an ASBTI of Formula IV or a pharmaceutically acceptable salt thereof. In some embodiments, provided herein is a method for increasing the levels of an enteroendocrine peptide or hormone in an individual suffering from a pediatric cholestatic liver disease comprising non-systemically administering to the individual in need thereof a therapeutically effective amount of a pediatric dosage form of an ASBTI of Formula IV or a pharmaceutically acceptable salt thereof. In some embodiments, provided herein is a method for lowering serum bile acid concentrations or hepatic bile acid concentration comprising non-systemically administering to an individual in need thereof a therapeutically effective amount of a pediatric dosage form of an ASBTI of Formula IV or a pharmaceutically acceptable salt thereof.
- In some embodiments, provided herein is a method for treating or ameliorating a pediatric cholestatic liver disease comprising non-systemically administering to an individual in need thereof a therapeutically effective amount of a pediatric dosage form of an ASBTI of Formula V or a pharmaceutically acceptable salt thereof. In some embodiments, provided herein is a method for treating or ameliorating pruritis comprising non-systemically administering to an individual in need thereof a therapeutically effective amount of a pediatric dosage form of an ASBTI of Formula V or a pharmaceutically acceptable salt thereof. In some embodiments, provided herein is a method for increasing the levels of an enteroendocrine peptide or hormone in an individual suffering from a pediatric cholestatic liver disease comprising non-systemically administering to the individual in need thereof a therapeutically effective amount of a pediatric dosage form of an ASBTI of Formula V or a pharmaceutically acceptable salt thereof. In some embodiments, provided herein is a method for lowering serum bile acid concentrations or hepatic bile acid concentration comprising non-systemically administering to an individual in need thereof a therapeutically effective amount of a pediatric dosage form of an ASBTI of Formula V or a pharmaceutically acceptable salt thereof.
- In some embodiments, provided herein is a method for treating or ameliorating a pediatric cholestatic liver disease comprising non-systemically administering to an individual in need thereof a therapeutically effective amount of a pediatric dosage form of an ASBTI of Formula VI or a pharmaceutically acceptable salt thereof. In some embodiments, provided herein is a method for treating or ameliorating pruritis comprising non-systemically administering to an individual in need thereof a therapeutically effective amount of a pediatric dosage form of an ASBTI of Formula VI or a pharmaceutically acceptable salt thereof. In some embodiments, provided herein is a method for increasing the levels of an enteroendocrine peptide or hormone in an individual suffering from a pediatric cholestatic liver disease comprising non-systemically administering to the individual in need thereof a therapeutically effective amount of a pediatric dosage form of an ASBTI of Formula VI or a pharmaceutically acceptable salt thereof. In some embodiments, provided herein is a method for lowering serum bile acid concentrations or hepatic bile acid concentration comprising non-systemically administering to an individual in need thereof a therapeutically effective amount of a pediatric dosage form of an ASBTI of Formula VI or a pharmaceutically acceptable salt thereof.
- In certain embodiments, an ASBTI is any compound described herein that inhibits recycling of bile acids/salts in the gastrointestinal tract of an individual. In certain embodiments, an ASBTI is (−)-(3R,5R)-trans-3-butyl-3-ethyl-2,3,4,5-tetrahydro-7,8-dimethoxy-5-phenyl-1,4-benzothiazepine1,1-dioxide; (“Compound 100A”) or any other salt or analog thereof. In certain of any of the aforementioned embodiments, an ASBTI is 1-[4-[4-[(4R,5R)-3,3-dibutyl-7-(dimethylamino)-2,3,4,5-tetrahydro-4-hydroxy-1,1-dioxido-1-benzothiepin-5-yl]phenoxy]butyl]4-aza-1-azoniabicyclo[2.2.2]octane methane sulfonate salt (“Compound 100B”) or any other salt or analog thereof. In certain embodiments, an ASBTI is N,N-dimethylimido-dicarbonimidic diamide (“Compound 100C”) or any salt or analog thereof. In certain embodiments, an ASBTI is any commercially available ASBTI including but not limited to SD-5613, A-3309, 264W94, S-8921, SAR-548304, BARI-1741, HMR-1453, TA-7552, R-146224, or SC-435. In some embodiments, an ASBTI is 1,1-dioxo-3,3-dibutyl-5-phenyl-7-methylthio-8-(N—{(R)-α-[N—((R)-1-carboxy-2-methylthio-ethyl)carbamoyl]-4-hydroxybenzyl}carbamoylmethoxy)-2,3,4,5-tetrahydro-1,2,5-benzothiadiazepine; 1,1-dioxo-3,3-dibutyl-5-phenyl-7-methylthio-8-(N—{(R)-α-[N—((S)-1-carboxy-2-(R)-hydroxypropyl)carbamoyl]-4-hydroxybenzyl}carbamoylmethoxy)-2,3,4,5-tetrahydro-1,2,5-benzothiadiazepine; 1,1-dioxo-3,3-dibutyl-5-phenyl-7-methylthio-8-(N—{(R)-α-[N—((S)-1-carboxy-2-methylpropyl)carbamoyl]-4-hydroxybenzyl}carbamoylmethoxy)-2,3,4,5-tetrahydro-1,2,5-benzothiadiazepine; 1,1-dioxo-3,3-dibutyl-5-phenyl-7-methylthio-8-(N—{(R)-α-[N—((S)-1-carboxybutyl)carbamoyl]-4-hydroxybenzyl}carbamoylmethoxy)-2,3,4,5-tetrahydro-1,2,5-benzothiadiazepine; 1,1-dioxo-3,3-dibutyl-5-phenyl-7-methylthio-8-(N—{(R)-α-[N—((S)-1-carboxypropyl)carbamoyl]benzyl}carbamoylmethoxy)-2,3,4,5-tetrahydro-1,2,5-benzothiadiazepine; 1,1-dioxo-3,3-dibutyl-5-phenyl-7-methylthio-8-(N—{(R)-α-[N—((S)-1-carboxyethyl)carbamoyl]benzyl}carbamoylmethoxy)-2,3,4,5-tetrahydro-1,2,5-benzothiadiazepine; 1,1-dioxo-3,3-dibutyl-5-phenyl-7-methylthio-8-(N—{(R)-α-[N—((S)-1-carboxy-2-(R)-hydroxypropyl)carbamoyl]benzyl}carbamoylmethoxy)-2,3,4,5-tetrahydro-1,2,5-benzothiadiazepine; 1,1-dioxo-3,3-dibutyl-5-phenyl-7-methylthio-8-(N—{(R)-α-[N-(2-sulphoethyl)carbamoyl]-4-hydroxybenzyl}carbamoylmethoxy)-2,3,4,5-tetrahydro-1,2,5-benzothiadiazepine; 1,1-dioxo-3,3-dibutyl-5-phenyl-7-methylthio-8-(N—{(R)-α-[N—((S)-1-carboxyethyl)carbamoyl]-4-hydroxybenzyl}carbamoylmethoxy)-2,3,4,5-tetrahydro-1,2,5-benzothiadiazepine; 1,1-dioxo-3,3-dibutyl-5-phenyl-7-methylthio-8-(N—{(R)-α-[N—((R)-1-carboxy-2-methylthioethyl)carbamoyl]benzyl}carbamoylmethoxy)-2,3,4,5-tetrahydro-1,2,5-benzothiadiazepine; 1,1-dioxo-3,3-dibutyl-5-phenyl-7-methylthio-8-(N—{(R)-α-[N—{(S)-1-[N—((S)-2-hydroxy-1-carboxyethyl)carbamoyl]propyl}carbamoyl]benzyl}carbamoylmethoxy)-2,3,4,5-tetrahydro-1,2,5-benzothiadiazepine; 1,1-dioxo-3,3-dibutyl-5-phenyl-7-methylthio-8-(N—{(R)-α-[N—((S)-1-carboxy-2-methylpropyl)carbamoyl]benzyl}carbamoylmethoxy)-2,3,4,5-tetrahydro-1,2,5-benzothiadiazepine; 1,1-dioxo-3,3-dibutyl-5-phenyl-7-methylthio-8-(N—{(R)-α-[N—((S)-1-carboxypropyl)carbamoyl]-4-hydroxybenzyl}carbamoylmethoxy)-2,3,4,5-tetrahydro-1,2,5-benzothiadiazepine; 1,1-dioxo-3,3-dibutyl-5-phenyl-7-methylthio-8-[N—{(R)-α-carboxy-4-hydroxybenzyl}carbamoylmethoxy]-2,3,4,5-tetrahydro-1,2,5-benzothiadiazepine; or 1,1-dioxo-3,3-dibutyl-5-phenyl-7-methylthio-8-(N—{(R)-α-[N-(carboxymethyl)carbamoyl]benzyl}carbamoylmethoxy)-2,3,4,5-tetrahydro-1,2,5-benzothiadiazepine; 1,1-dioxo-3,3-dibutyl-5-phenyl-7-methylthio-8-(N—{(R)-1′-phenyl-1′-[N′-(carboxymethyl)carbamoyl]methyl}carbamoylmethoxy)-2,3,4,5-tetrahydro-1,5-benzothiazepine; 1,1-dioxo-3,3-dibutyl-5-phenyl-7-methylthio-8-(N—{(R)-α-[N′—((S)-1-carboxypropyl)carbamoyl]-4-hydroxybenzyl}carbamoylmethoxy)-2,3,4,5-tetrahydro-1,5-benzothiazepine; 1,1-dioxo-3,3-dibutyl-5-phenyl-7-methylthio-8-(N—{(R)-1′-phenyl-1′-[N′-(carboxymethyl)carbamoyl]methyl}carbamoylmethoxy)-2,3,4,5-tetrahydro-1,5-benzothiazepine; 1,1-dioxo-3,3-dibutyl-5-phenyl-7-methylthio-8-(N—{(R)-α-[N′—((S)-1-carboxyethyl)carbamoyl]benzyl}carbamoylmethoxy)-2,3,4,5-tetrahydro-1,5-benzothiazepine; or a pharmaceutically acceptable salt thereof; 1-[[5-[[3-[(3S,4R,5R)-3-butyl-7-(dimethylamino)-3-ethyl-2,3,4,5-tetrahydro-4-hydroxy-1,1-dioxido-1-benzothiepin-5-yl]phenyl]amino]-5-oxopentyl]amino]-1-deoxy-D-glucitol; or Potassium((2R,3R,4S,5R,6R)-4-benzyloxy-6-{3-[3-((3S,4R,5R)-3-butyl-7-dimethylamino-3-ethyl-4-hydroxy-1,1-dioxo-2,3,4,5-tetrahydro-1H-benzo[b]thiepin-5-yl)-phenyl]-ureido}-3,5-dihydroxy-tetrahydro-pyran-2-ylmethyl)sulphate ethanolate, hydrate. In certain embodiments, an ASBTI is 264W94 (Glaxo), SC-435 (Pfizer), SD-5613 (Pfizer), or A3309 (Astra-Zeneca).
- In certain embodiments, methods provided herein further comprise administration of a second agent selected from ursodiol, UDCA, cholestyramine/resins, antihistamine agents (e.g., hydroxyzine, diphenhydamine), rifampin, nalaxone, Phenobarbital, dronabinol (CB1 agonist), methotrexate, corticosteroids, cyclosporine, colchicines, TPGS—vitamin A, D, E, or K optionally with polyethylene glycol, zinc, and a resin or sequestrant for absorbing bile acids or an analog thereof. In certain embodiments, methods provided herein further comprise administration of a second agent selected from a bile acid or salt with reduced toxicity or a hydrophilic bile acid such as ursodiol, norursodiol, ursodeoxycholic acid, chenodeoxycholic acid, cholic acid, taurocholic acid, ursocholic acid, glycocholic acid, glycodeoxycholic acid, taurodeoxycholic acid, taurocholate, glycochenodeoxycholic acid, or tauroursodeoxycholic acid.
- In certain embodiments, provided herein are pediatric dosage forms such as a solution, syrup, suspension, elixir, powder for reconstitution as suspension or solution, dispersible/effervescent tablet, chewable tablet, gummy candy, lollipop, freezer pops, troches, oral thin strips, orally disintegrating tablet, sachet, soft gelatin capsule, and sprinkle oral powder or granules.
- In some embodiments, the pediatric dosage of an ASBTI is between about 1 μg/kg/day and about 10 mg/kg/day. In some embodiments, the pediatric dosage of an ASBTI is between about 5 μg/kg/day and about 1 mg/kg/day. In some embodiments, the pediatric dosage of an ASBTI is between about 10 μg/kg/day and about 300 μg/kg/day. In some embodiments, the pediatric dosage of an ASBTI is any dosage from about 14 μg/kg/day and about 280 μg/kg/day. In some embodiments, the pediatric dosage of an ASBTI is any dosage from about 14 μg/kg/day and about 140 μg/kg/day. In some embodiments, the pediatric dosage of an ASBTI is between about 5 μg/kg/day and about 200 μg/kg/day. In some embodiments, the pediatric dosage of an ASBTI is between about 10 μg/kg/day and about 200 μg/kg/day. In some embodiments, the pediatric dosage of an ASBTI is between about 10 μg/kg/day and about 175 μg/kg/day. In some embodiments, the pediatric dosage of an ASBTI is between about 10 μg/kg/day and about 150 μg/kg/day. In some embodiments, the pediatric dosage of an ASBTI is between about 10 μg/kg/day and about 140 μg/kg/day. In some embodiments, the pediatric dosage of an ASBTI is between about 25 μg/kg/day and about 140 μg/kg/day. In some embodiments, the pediatric dosage of an ASBTI is between about 50 μg/kg/day and about 140 μg/kg/day. In some embodiments, the pediatric dosage of an ASBTI is between about 70 μg/kg/day and about 140 μg/kg/day. In some embodiments, the pediatric dosage of an ASBTI is between about 10 μg/kg/day and about 100 μg/kg/day. In some embodiments, the pediatric dosage of an ASBTI is 10 μg/kg/day. In some embodiments, the pediatric dosage of an ASBTI is 20 μg/kg/day. In some embodiments, the pediatric dosage of an ASBTI is 30 μg/kg/day. In some embodiments, the pediatric dosage of an ASBTI is 35 μg/kg/day. In some embodiments, the pediatric dosage of an ASBTI is 40 μg/kg/day. In some embodiments, the pediatric dosage of an ASBTI is 50 μg/kg/day. In some embodiments, the pediatric dosage of an ASBTI is 60 μg/kg/day. In some embodiments, the pediatric dosage of an ASBTI is 70 μg/kg/day. In some embodiments, the pediatric dosage of an ASBTI is 80 μg/kg/day. In some embodiments, the pediatric dosage of an ASBTI is 90 μg/kg/day. In some embodiments, the pediatric dosage of an ASBTI is 100 μg/kg/day. In some embodiments, the pediatric dosage of an ASBTI is 110 μg/kg/day. In some embodiments, the pediatric dosage of an ASBTI is 120 μg/kg/day. In some embodiments, the pediatric dosage of an ASBTI is 130 μg/kg/day. In some embodiments, the pediatric dosage of an ASBTI is 140 μg/kg/day. In some embodiments, the pediatric dosage of an ASBTI is 150 μg/kg/day. In some embodiments, the pediatric dosage of an ASBTI is 175 μg/kg/day.
- In some embodiments, provided herein are pediatric dosages of an ASBTI between 14 μg/kg/day and 140 μg/kg/day, or between 14 μg/kg/day and 280 μg/kg/day.
- In some embodiments, the pediatric dosage of an ASBTI is between about 0.5 mg/day and about 40 mg/day. In some embodiments, the pediatric dosage of an ASBTI is between about 0.5 mg/day and about 30 mg/day. In some embodiments, the pediatric dosage of an ASBTI is between about 1 mg/day and about 20 mg/day. In some embodiments, the pediatric dosage of an ASBTI is between about 1 mg/day and about 10 mg/day. In some embodiments, the pediatric dosage of an ASBTI is between about 1 mg/day and about 5 mg/day. In some embodiments, the pediatric dosage of an ASBTI is 1 mg/day. In some embodiments, the pediatric dosage of an ASBTI is 5 mg/day. In some embodiments, the pediatric dosage of an ASBTI is 10 mg/day. In some embodiments, the pediatric dosage of an ASBTI is 20 mg/day. In some embodiments, the pediatric dosage of an ASBTI is between 0.5 mg/day and 5 mg/day. In some embodiments, the pediatric dosage of an ASBTI is between 0.5 mg/day and 4.5 mg/day. In some embodiments, the pediatric dosage of an ASBTI is between 0.5 mg/day and 4 mg/day. In some embodiments, the pediatric dosage of an ASBTI is between 0.5 mg/day and 3.5 mg/day. In some embodiments, the pediatric dosage of an ASBTI is between 0.5 mg/day and 3 mg/day. In some embodiments, the pediatric dosage of an ASBTI is between 0.5 mg/day and 2.5 mg/day. In some embodiments, the pediatric dosage of an ASBTI is between 0.5 mg/day and 2 mg/day. In some embodiments, the pediatric dosage of an ASBTI is between 0.5 mg/day and 1.5 mg/day. In some embodiments, the pediatric dosage of an ASBTI is between 0.5 mg/day and 1 mg/day. In some embodiments, the pediatric dosage of an ASBTI is between 1 mg/day and 4.5 mg/day. In some embodiments, the pediatric dosage of an ASBTI is between 1 mg/day and 4 mg/day. In some embodiments, the pediatric dosage of an ASBTI is between 1 mg/day and 3.5 mg/day. In some embodiments, the pediatric dosage of an ASBTI is between 1 mg/day and 3 mg/day. In some embodiments, the pediatric dosage of an ASBTI is between 1 mg/day and 2.5 mg/day. In some embodiments, the pediatric dosage of an ASBTI is between 1 mg/day and 2 mg/day. In some embodiments, the pediatric dosage of an ASBTI is 0.5 mg/day. In some embodiments, the pediatric dosage of an ASBTI is 1 mg/day. In some embodiments, the pediatric dosage of an ASBTI is 1.5 mg/day. In some embodiments, the pediatric dosage of an ASBTI is 2 mg/day. In some embodiments, the pediatric dosage of an ASBTI is 2.5 mg/day. In some embodiments, the pediatric dosage of an ASBTI is 3 mg/day. In some embodiments, the pediatric dosage of an ASBTI is 3.5 mg/day. In some embodiments, the pediatric dosage of an ASBTI is 4 mg/day. In some embodiments, the pediatric dosage of an ASBTI is 4.5 mg/day. In some embodiments, the pediatric dosage of an ASBTI is 5 mg/day. In some embodiments, the pediatric dosage described herein is the dosage of the total composition administered.
- In some embodiments, the pediatric dosage form comprises 0.5 mg of the ASBTI. In some embodiments, the pediatric dosage form comprises 1 mg of the ASBTI. In some embodiments, the pediatric dosage form comprises 2.5 mg of the ASBTI. In some embodiments, the pediatric dosage form comprises 5 mg of the ASBTI. In some embodiments, the pediatric dosage form comprises 10 mg of the ASBTI. In some embodiments, the pediatric dosage form comprises 20 mg of the ASBTI.
- In certain embodiments, the pediatric dosage of an ASBTI is given once a day. In some embodiments, the pediatric dosage of an ASBTI is given q.d. In some embodiments, the pediatric dosage of an ASBTI is given once a day in the morning. In some embodiments, the pediatric dosage of an ASBTI is given once a day at noon. In some embodiments, the pediatric dosage of an ASBTI is given once a day in the evening or night. In some embodiments, the pediatric dosage of an ASBTI is given twice a day. In some embodiments, the pediatric dosage of an ASBTI is given b.i.d. In some embodiments, the pediatric dosage of an ASBTI is given twice a day, in the morning and noon. In some embodiments, the pediatric dosage of an ASBTI is given twice a day, in the morning and evening. In some embodiments, the pediatric dosage of an ASBTI is given twice a day, in the morning and night. In some embodiments, the pediatric dosage of an ASBTI is given twice a day, at noon and in the evening. In some embodiments, the pediatric dosage of an ASBTI is given twice a day, at noon and in the night. In some embodiments, the pediatric dosage of an ASBTI is given three times a day. In some embodiments, the pediatric dosage of an ASBTI is given t.i.d. In some embodiments, the pediatric dosage of an ASBTI is given four times a day. In some embodiments, the pediatric dosage of an ASBTI is given q.i.d. In some embodiments, the pediatric dosage of an ASBTI is given every four hours. In some embodiments, the pediatric dosage of an ASBTI is given q.q.h. In some embodiments, the pediatric dosage of an ASBTI is given every other day. In some embodiments, the pediatric dosage of an ASBTI is given q.o.d. In some embodiments, the pediatric dosage of an ASBTI is given three times a week. In some embodiments, the pediatric dosage of an ASBTI is given t.i.w.
- Provided in certain embodiments herein are methods and dosage forms (e.g., oral or rectal dosage form) for use in the treatment of a pediatric cholestatic liver disease or pruritis, or lowering serum bile acid concentrations comprising a therapeutically effective amount of an ASBTI, or a pharmaceutically acceptable salt thereof, and a carrier. In some embodiments, provided herein is a method for treating cholestasis and/or a cholestatic liver disease comprising orally administering a therapeutically effective amount of a minimally absorbed ASBTI, or a pharmaceutically acceptable salt thereof, to an individual in need thereof. In some embodiments, provided herein is a method for treating cholestasis and/or a cholestatic liver disease comprising orally administering a therapeutically effective amount of a minimally absorbed ASBTI, or a pharmaceutically acceptable salt thereof, to an individual in need thereof. In some embodiments, the ASBTI, or salt thereof is a minimally absorbed ASBTI. In specific embodiments, the dosage form is an enteric formulation, an ileal-pH sensitive release formulation, or a suppository or other suitable form.
- In some embodiments, a composition for use in the treatment of a pediatric cholestatic liver disease or pruritis, or lowering serum bile acid concentrations comprises at least one of a spreading agent or a wetting agent. In some embodiments, the composition comprises an absorption inhibitor. In some cases an absorption inhibitor is a mucoadhesive agent (e.g., a mucoadhesive polymer). In certain embodiments, the mucoadhesive agent is selected from methyl cellulose, polycarbophil, polyvinylpyrrolidone, sodium carboxymethyl cellulose, and combinations thereof. In some embodiments, the enteroendocrine peptide secretion enhancing agent is covalently linked to the absorption inhibitor. In certain embodiments, the pharmaceutical composition comprises an enteric coating. In some embodiments, a composition for use in treatment of cholestasis, a cholestatic liver disease or pruritis described above comprises a carrier. In certain embodiments, the carrier is a rectally suitable carrier. In certain embodiments, any pharmaceutical composition described herein is formulated as a suppository, an enema solution, a rectal foam, or a rectal gel. In some embodiments, any pharmaceutical composition described herein comprises an orally suitable carrier.
- In some embodiments, a pediatric dosage form comprising an ASBTI is administered orally. In some embodiments, the ASBTI is administered as an ileal-pH sensitive release formulation that delivers the ASBTI to the distal ileum, colon and/or rectum of an individual. In some embodiments, the ASBTI is administered as an enterically coated formulation. In some embodiments, oral delivery of an ASBTI provided herein can include formulations, as are well known in the art, to provide prolonged or sustained delivery of the drug to the gastrointestinal tract by any number of mechanisms. These include, but are not limited to, pH sensitive release from the dosage form based on the changing pH of the small intestine, slow erosion of a tablet or capsule, retention in the stomach based on the physical properties of the formulation, bioadhesion of the dosage form to the mucosal lining of the intestinal tract, or enzymatic release of the active drug from the dosage form. The intended effect is to extend the time period over which the active drug molecule is delivered to the site of action (the ileum) by manipulation of the dosage form. Thus, enteric-coated and enteric-coated controlled release formulations are within the scope of the present invention. Suitable enteric coatings include cellulose acetate phthalate, polyvinylacetate phthalate, hydroxypropylmethylcellulose phthalate and anionic polymers of methacrylic acid and methacrylic acid methyl ester.
- In some embodiments, the methods and compositions provided herein further comprise administration of a bile acid sequestrant or binder for reducing gastrointestinal side effects. In some embodiments, methods comprise administering a labile bile acid sequestrant, wherein the labile bile acid sequestrant has a low affinity in the colon or rectum of the individual for at least one bile acid. In some embodiments, a labile bile acid sequestrant provided herein releases a bile acid in the colon or the rectum of a human. In some embodiments, a labile bile acid sequestrant provided herein does not sequester a bile acid for excretion or elimination in feces. In some embodiments, a labile bile acid sequestrant provided herein is a non-systemic labile bile acid sequestrant. In some embodiments, non-systemic labile bile acid sequestrant is less than 1%, 2%, 3%, 4%, 5%, 6%, 7%, 8%, 9%, 10%, 15%, 20%, 25%, 30%, 35%, 40%, 45% absorbed systemically. In some embodiments, the labile bile acid sequestrant is lignin or a modified lignin. In some embodiments, the labile bile acid sequestrant is a polycationic polymer or copolymer. In certain embodiments, the labile bile acid sequestrant is a polymer or copolymer comprising one or more N-alkenyl-N-alkylamine residues; one or more N,N,N-trialkyl-N—(N′-alkenylamino)alkyl-azanium residues; one or more N,N,N-trialkyl-N-alkenyl-azanium residues; one or more alkenyl-amine residues; cholestyramine, cholestipol, or cholesevelamor a combination thereof.
- In some embodiments of the methods described above, a pediatric dosage form comprising an ASBTI is administered before ingestion of food. In some embodiments of the methods described above, a pediatric dosage form comprising an ASBTI is administered with or after ingestion of food.
- In some embodiments, the methods provided herein further comprise administration of vitamin supplements to compensate for reduced digestion of vitamins, in particular fat-soluble vitamins, in an individual with a pediatric cholestatic liver disease, pruritis, or elevated serum bile acid levels or concentrations. In some embodiments, the vitamin supplements comprise fat-soluble vitamins. In some embodiments, the fat-soluble vitamins are vitamin A, D, E, or K.
- In some cases, for any of the methods described above, administration of an ASBTI reduces intraenterocyte bile acids/salts in an individual in need thereof. In some embodiments, the methods described herein reduce accumulation of bile acids/salts in ileal enterocytes of an individual in need thereof. In some cases, for any of the methods described above, administration of an ASBTI inhibits transport of bile acids/salts from ileal lumen into enterocytes of an individual in need thereof. In some cases, for any of the methods described above, administration of an ASBTI increases ileal luminal bile acids/salts in an individual in need thereof. In some cases, for any of the methods described above, administration of an ASBTI reduces damage to intestinal (e.g., ileal cells) or hepatocellular (e.g., liver cells) architecture associated with a pediatric cholestatic liver disease or elevated serum or hepatic bile acid concentrations in an individual in need thereof. In some cases, for any of the methods described above, administration of an ASBTI regenerates intestinal lining or liver cells that have been injured by cholestasis and/or by a cholestatic liver disease in an individual suffering from a cholestatic liver disease.
- In some embodiments, provided herein are methods for the treatment of a pediatric cholestatic liver disease comprising administration of a therapeutically effective amount of a pediatric dosage form comprising a combination of an ASBTI and ursodiol to an individual in need thereof. In some embodiments, provided herein are methods for the treatment of a pediatric cholestatic liver disease comprising administration of a therapeutically effective amount of a combination of an ASBTI and a resin or sequestrant for absorbing bile acids to an individual in need thereof. In some embodiments, an ASBTI is administered in combination with one or more agent selected from the group consisting of ursodiol, norursodiol, UDCA, ursodeoxycholic acid, chenodeoxycholic acid, cholic acid, taurocholic acid, ursocholic acid, glycocholic acid, glycodeoxycholic acid, taurodeoxycholic acid, taurocholate, glycochenodeoxycholic acid, tauroursodeoxycholic acid, cholestyramine/resins, antihistamine agents (e.g., hydroxyzine, diphenhydamine), rifampin, nalaxone, Phenobarbital, dronabinol (CB1 agonist), methotrexate, corticosteroids, cyclosporine, colchicines, TPGS—vitamin A, D, E, or K optionally with polyethylene glycol, zinc, a resin or sequestrant for absorbing bile acids.
- In some embodiments, the methods provided herein further comprise partial external biliary diversion (PEBD) therapy.
- Provided in some embodiments herein is a kit comprising any composition described herein (e.g., a pharmaceutical composition formulated for rectal administration) and a device for localized delivery within the rectum or colon. In certain embodiments, the device is a syringe, bag, or a pressurized container.
-
FIG. 1 . Oral administration of 264W94 dose-dependently increased bile acids in the feces. Fecal bile acid concentrations were elevated up to 6.5 fold with an ED50 of 0.17 mg/kg, when compared to vehicle treated rats. Fecal NEFA also slightly increased in 264W94 treated rats. Plasma bile acid concentrations were decreased dose-dependently in 264W94 treated rats. -
FIG. 2 . Plasma bile acid levels of ZDF rats after administration of ascending doses of SC-435 and LUM002. Male ZDF rats (n=4) were administered vehicle, SC-435 (1, 10 or 30 mg/kg) or LUM002 (0.3, 1, 3, 10 or 30 mg/kg) by oral gavage twice a day for 2 weeks. Plasma bile acid levels were determined at the end of the second week. Data are expressed as mean values±SEM. -
FIG. 3 . Serum bile acid (SBA) analysis of healthy subjects after administration of ascending multiple oral doses of LUM001 a randomized, double-blind, placebo-controlled study. Shown in the graphs are data from the 0.5 (n=16), 1.0 (n=8), 2.5 (n=8), 5.0 (n=8) and 10 (n=8) mg dosing groups. OnDay 1, blood was drawn for baseline SBA at approximately 30 minutes before and after breakfast and 30 minutes after lunch and dinner. Samples were obtained onday 14. -
FIG. 4 . Fecal bile acid analysis of healthy subjects after administration of ascending multiple oral doses of LUM001 a randomized, double-blind, placebo-controlled study. Fecal samples were collected for all panels except the dose-titration panel, 2.5 (2) and 5 mg (2), on Days 9 through 14 and 23 through 28. -
FIG. 5 . Fasting serum bile acid levels and morning post-prandial peak in children under the age of 12. LUM001 was administered once-a-day (QD) in the morning for fourteen days. The placebo patients had an average fasting serum bile acid level of 8.6 μmol/L and a post-prandial peak serum bile acid level of 11.9 μmol/L. For the LUM001 treated patients the values were 6.5 μmol/L and 9.2, respectively, representing a 24% and 23% decrease. - Bile acids/salts play a critical role in activating digestive enzymes and solubilizing fats and fat-soluble vitamins and are involved in liver, biliary, and intestinal disease. Bile acids are synthesized in the liver by a multistep, multiorganelle pathway. Hydroxyl groups are added to specific sites on the steroid structure, the double bond of the cholesterol B ring is reduced and the hydrocarbon chain is shortened by three carbon atoms resulting in a carboxyl group at the end of the chain. The most common bile acids are cholic acid and chenodeoxycholic acid (the “primary bile acids”). Before exiting the hepatocytes and forming bile, the bile acids are conjugated to either glycine (to produce glycocholic acid or glycochenodeoxycholic acid) or taurine (to produce taurocholic acid or taurochenodeoxycholic acid). The conjugated bile acids are called bile salts and their amphipathic nature makes them more efficient detergents than bile acids. Bile salts, not bile acids, are found in bile.
- Bile salts are excreted by the hepatocytes into the canaliculi to form bile. The canaliculi drain into the right and left hepatic ducts and the bile flows to the gallbladder. Bile is released from the gallbladder and travels to the duodenum, where it contributes to the metabolism and degradation of fat. The bile salts are reabsorbed in the terminal ileum and transported back to the liver via the portal vein. Bile salts often undergo multiple enterohepatic circulations before being excreted via feces. A small percentage of bile salts may be reabsorbed in the proximal intestine by either passive or carrier-mediated transport processes. Most bile salts are reclaimed in the distal ileum by a sodium-dependent apically located bile acid transporter referred to as apical sodium-dependent bile acid transporter (ASBT). At the basolateral surface of the enterocyte, a truncated version of ASBT is involved in vectorial transfer of bile acids/salts into the portal circulation. Completion of the enterohepatic circulation occurs at the basolateral surface of the hepatocyte by a transport process that is primarily mediated by a sodium-dependent bile acid transporter. Intestinal bile acid transport plays a key role in the enterohepatic circulation of bile salts. Molecular analysis of this process has recently led to important advances in our understanding of the biology, physiology and pathophysiology of intestinal bile acid transport.
- Within the intestinal lumen, bile acid concentrations vary, with the bulk of the reuptake occurring in the distal intestine. Bile acids/salts alter the growth of bacterial flora in the gut. Described herein are certain compositions and methods that control bile acid concentrations in the intestinal lumen, thereby controlling the hepatocellular damage caused by bile acid accumulation in the liver.
- In another aspect, the compositions and methods provided herein increase bile acid concentrations in the gut. The increased concentrations of bile acids/salts stimulate subsequent secretion of factors that protect and control integrity of the intestine when it is injured by pediatric cholestasis and/or a pediatric cholestatic liver disease (e.g., a pediatric cholestatic liver disease associated with pruritis, or a pediatric cholestatic liver disease associated with elevated serum bile acid concentrations or hepatic bile acid concentrations).
- In yet another aspect, the compositions and methods described herein have an advantage over systemically absorbed agents. The compositions and methods described herein utilize ASBT inhibitors that are not systemically absorbed. Thus the compositions are effective without leaving the gut lumen, thereby reducing any toxicity and/or side effects associated with systemic absorption. The pediatric formulations described herein have an advantage over existing adult dosage forms and dosages to reduce harmful side effects and increase compliance.
- In a further aspect, the compositions and methods described herein stimulate the release of enteroendocrine hormones GLP-2 and PYY. Increased secretion of GLP-2 or PYY allows for prevention or treatment of pediatric cholestasis and/or a pediatric cholestatic liver disease by controlling the adaptive process, attenuating intestinal injury, reducing bacterial translocation, inhibiting the release of free radical oxygen, inhibiting production of proinflammatory cytokines, or any combination thereof.
- Described herein is the use of inhibitors of the ASBT or any recuperative bile salt transporter that are active in the gastrointestinal (GI) tract for treating or preventing pediatric cholestasis and/or a pediatric cholestatic liver disease in an individual in need thereof. In certain embodiments, described herein is the use of inhibitors of the ASBT or any recuperative bile salt transporter that are active in the gastrointestinal (GI) tract for treating or preventing pruritis in an individual in need thereof. In certain embodiments, described herein is the use of inhibitors of the ASBT or any recuperative bile salt transporter that are active in the gastrointestinal (GI) tract for lowering serum bile acid concentrations or hepatic bile acid concentrations in an individual in need thereof. In certain embodiments, the methods provided herein comprise administering a therapeutically effective amount of an ASBTI to an individual in need thereof. In some embodiments, such ASBT inhibitors are not systemically absorbed. In some of such embodiments, such bile salt transport inhibitors include a moiety or group that prevents, reduces or inhibits the systemic absorption of the compound in vivo. In some embodiments, a charged moiety or group on the compounds prevents, reduces or inhibits the compounds from leaving the gastrointestinal tract and reduces the risk of side effects due to systemic absorption. In some other embodiments, such ASBT inhibitors are systemically absorbed. In some embodiments, the ASBTI provided herein are formulated for non-systemic delivery to the distal ileum. In some embodiments, an ASBTI is minimally absorbed. In some embodiments, an ASBTI is non-systemically administered to the colon or the rectum of an individual in need thereof.
- In some embodiments, such ASBT inhibitors are not systemically absorbed. In some of such embodiments, such bile salt transport inhibitors include a moiety or group that prevents, reduces or inhibits the systemic absorption of the compound in vivo. In some embodiments, a charged moiety or group on the compounds prevents, reduces or inhibits the compounds from leaving the gastrointestinal tract and reduces the risk of side effects due to systemic absorption. In some other embodiments, such ASBT inhibitors are systemically absorbed. In some embodiments, the ASBTI are formulated for non-systemic delivery to the distal ileum. In some embodiments, an ASBTI is minimally absorbed. In some embodiments, an ASBTI is non-systemically administered to the colon or the rectum of an individual in need thereof.
- In some embodiments, less than 50%, less than 40%, less than 30%, less than 20%, less than 10%, less than 9%, less than 8%, less than 7%, less than 6%, less than 5%, less than 4%, less than 3%, less than 2%, or less than 1% of the ASBTI is systemically absorbed. In certain embodiments, ASBTIs described herein inhibit scavenging of bile salts by recuperative bile acid salt transporters in the distal gastrointestinal tract (e.g., the distal ileum, the colon and/or the rectum).
- In some instances, the inhibition of bile salt recycling results in higher concentrations of bile salts in the lumen of the distal gastrointestinal tract or portions thereof (e.g., the distal small bowel and/or colon and/or rectum). As used herein, the distal gastrointestinal tract includes the region from the distal ileum to the anus. In some embodiments, the compounds described herein reduce intraenterocyte bile acids/salts or accumulation thereof. In some embodiments, the compounds described herein reduce damage to hepatocellular or intestinal architecture associated with cholestasis and/or a cholestatic liver disease.
- The integrated metabolism of the bile acid pools in the intestinal lumen lends itself to complex biochemical interactions between host and microbiome symbionts.
- Bile acids/salts are synthesized from cholesterol in the liver by a multi-enzyme coordinated process and are crucial for the absorption of dietary fats and lipid-soluble vitamins in the intestine. Bile acids/salts play a role in maintaining the intestinal barrier function to prevent intestinal bacterial overgrowth and translocation, as well as invasion of underlying tissues by enteric bacteria.
- Under normal conditions (i.e., when an individual is not suffering from pediatric cholestasis and/or a pediatric cholestatic liver disease), symbiotic gut microorganisms (microbiome) interact closely with the host's metabolism and are important determinants of health. Many bacterial species in the gut are capable of modifying and metabolizing bile acids/salts and the gut flora affects systemic processes such as metabolism and inflammation.
- Bile acids/salts have strong antimicrobial and antiviral effects—deficiency leads to bacterial overgrowth and increased deconjugation, leading to less ileal resorption. In animals, conjugated bile acid feeding abolishes bacterial overgrowth, decreases bacterial translocation to lymph nodes and reduces endotoxemia.
- Accordingly, the methods and compositions described herein allow for replacement, displacement, and/or redirection of bile acids/salts to different areas of the gastrointestinal tract thereby affecting (e.g., inhibiting or slowing) growth of microorganisms that may cause infection-associated cholestasis and/or a cholestatic liver disease.
- As used herein, “cholestasis” means the disease or symptoms comprising impairment of bile formation and/or bile flow. As used herein, “cholestatic liver disease” means a liver disease associated with cholestasis. Cholestatic liver diseases are often associated with jaundice, fatigue, and pruritis. Biomarkers of cholestatic liver disease include elevated serum bile acid concentrations, elevated serum alkaline phosphatase (AP), elevated gamma-glutamyltranspeptidease, elevated conjugated hyperbilirubinemia, and elevated serum cholesterol.
- Cholestatic liver disease can be sorted clinicopathologically between two principal categories of obstructive, often extrahepatic, cholestasis, and nonobstructive, or intrahepatic, cholestasis. In the former, cholestasis results when bile flow is mechanically blocked, as by gallstones or tumor, or as in extrahepatic biliary atresia.
- The latter group who has nonobstructive intrahepatic cholestasis in turn fall into two principal subgroups. In the first subgroup, cholestasis results when processes of bile secretion and modification, or of synthesis of constituents of bile, are caught up secondarily in hepatocellular injury so severe that nonspecific impairment of many functions can be expected, including those subserving bile formation. In the second subgroup, no presumed cause of hepatocellular injury can be identified. Cholestasis in such patients appears to result when one of the steps in bile secretion or modification, or of synthesis of constituents of bile, is constitutively damages. Such cholestasis is considered primary.
- Accordingly, provided herein are methods and compositions for stimulating epithelial proliferation and/or regeneration of intestinal lining and/or enhancement of the adaptive processes in the intestine in individuals with cholestasis and/or a cholestatic liver disease. In some of such embodiments, the methods comprise increasing bile acid concentrations and/or GLP-2 concentrations in the intestinal lumen.
- Hypercholemia, and elevated levels of AP (alkaline phosphatase), LAP (leukocyte alkaline phosphatase), gamma GT (gamma-glutamyl transpeptidase), and 5′-nucleotidase are biochemical hallmarks of cholestasis and cholestatic liver disease. Accordingly, provided herein are methods and compositions for stimulating epithelial proliferation and/or regeneration of intestinal lining and/or enhancement of the adaptive processes in the intestine in individuals with hypercholemia, and elevated levels of AP (alkaline phosphatase), LAP (leukocyte alkaline phosphatase), gamma GT (gamma-glutamyl transpeptidase or GGT), and/or 5′-nucleotidase. In some of such embodiments, the methods comprise increasing bile acid concentrations concentrations in the intestinal lumen. Further provided herein, are methods and compositions for reducing hypercholemia, and elevated levels of AP (alkaline phosphatase), LAP (leukocyte alkaline phosphatase), gamma GT (gamma-glutamyl transpeptidase), and 5′-nucleotidase comprising reducing overall bile acid load by excreting bile acid in the feces.
- Pruritus is often associated with pediatric cholestasis and pediatric cholestatic liver diseases. It has been suggested that pruritus results from bile salts acting on peripheral pain afferent nerves. The degree of pruritus varies with the individual (i.e., some individuals are more sensitive to elevated levels of bile acids/salts). Administration of agents that reduce serum bile acid concentrations has been shown to reduce pruritus in certain individuals. Accordingly, provided herein are methods and compositions for stimulating epithelial proliferation and/or regeneration of intestinal lining and/or enhancement of the adaptive processes in the intestine in individuals with pruritus. In some of such embodiments, the methods comprise increasing bile acid concentrations concentrations in the intestinal lumen. Further provided herein, are methods and compositions for treating pruritus comprising reducing overall bile acid load by excreting bile acid in the feces.
- Another symptom of pediatric cholestasis and pediatric cholestatic liver disease is the increase in serum concentration of conjugated bilirubin. Elevated serum concentrations of conjugated bilirubin result in jaundice and dark urine. The magnitude of elevation is not diagnostically important as no relationship has been established between serum levels of conjugated bilirubin and the severity of cholestasis and cholestatic liver disease. Conjugated bilirubin concentration rarely exceeds 30 mg/dL. Accordingly, provided herein are methods and compositions for stimulating epithelial proliferation and/or regeneration of intestinal lining and/or enhancement of the adaptive processes in the intestine in individuals with elevated serum concentrations of conjugated bilirubin. In some of such embodiments, the methods comprise increasing bile acid concentrations concentrations in the intestinal lumen. Further provided herein, are methods and compositions for treating elevated serum concentrations of conjugated bilirubin comprising reducing overall bile acid load by excreting bile acid in the feces.
- Increased serum concentration of nonconjugated bilirubin is also considered diagnostic of cholestasis and cholestatic liver disease. Portions of serum bilirubin and covalently bound to albumin (delta bilirubin or biliprotein). This fraction may account for a large proportion of total bilirubin in patients with cholestatic jaundice. The presence of large quantities of delta bilirubin indicates long-standing cholestasis. Delta bilirubin in cord blood or the blood of a newborn is indicative of pediatric cholestasis/cholestatic liver disease that antedates birth. Accordingly, provided herein are methods and compositions for stimulating epithelial proliferation and/or regeneration of intestinal lining and/or enhancement of the adaptive processes in the intestine in individuals with elevated serum concentrations of nonconjugated bilirubin or delta bilirubin. In some of such embodiments, the methods comprise increasing bile acid concentrations concentrations in the intestinal lumen. Further provided herein, are methods and compositions for treating elevated serum concentrations of nonconjugated bilirubinand delta bilirubin comprising reducing overall bile acid load by excreting bile acid in the feces.
- Pediatric cholestasis and cholestatic liver disease results in hypercholemia. During metabolic cholestasis, the hepatocytes retains bile salts. Bile salts are regurgitated from the hepatocyte into the serum, which results in an increase in the concentration of bile salts in the peripheral circulation. Furthermore, the uptake of bile salts entering the liver in portal vein blood is inefficient, which results in spillage of bile salts into the peripheral circulation. Accordingly, provided herein are methods and compositions for stimulating epithelial proliferation and/or regeneration of intestinal lining and/or enhancement of the adaptive processes in the intestine in individuals with hypercholemia. In some of such embodiments, the methods comprise increasing bile acid concentrations concentrations in the intestinal lumen. Further provided herein, are methods and compositions for treating hypercholemia comprising reducing overall bile acid load by excreting bile acid in the feces.
- Hyperlipidemia is characteristic of some but not all cholestatic diseases. Serum cholesterol is elevated in cholestasis due to the decrease in circulating bile salts which contribute to the metabolism and degradation of cholesterol. Cholesterol retention is associated with an increase in membrane cholesterol content and a reduction in membrane fluidity and membrane function. Furthermore, as bile salts are the metabolic products of cholesterol, the reduction in cholesterol metabolism results in a decrease in bile acid/salt synthesis. Serum cholesterol observed in children with cholestasis ranges between about 1,000 mg/dL and about 4,000 mg/dL. Accordingly, provided herein are methods and compositions for stimulating epithelial proliferation and/or regeneration of intestinal lining and/or enhancement of the adaptive processes in the intestine in individuals with hyperlipidemia. In some of such embodiments, the methods comprise increasing bile acid concentrations concentrations in the intestinal lumen. Further provided herein, are methods and compositions for treating hyperlipidemia comprising reducing overall bile acid load by excreting bile acid in the feces.
- In individuals with pediatric cholestasis and pediatric cholestatic liver diseases, xanthomas develop from the deposition of excess circulating cholesterol into the dermis. The development of xanthomas is more characteristic of obstructive cholestasis than of hepatocellular cholestasis. Planar xanthomas first occur around the eyes and then in the creases of the palms and soles, followed by the neck. Tuberous xanthomas are associated with chronic and long-term cholestasis. Accordingly, provided herein are methods and compositions for stimulating epithelial proliferation and/or regeneration of intestinal lining and/or enhancement of the adaptive processes in the intestine in individuals with xanthomas. In some of such embodiments, the methods comprise increasing bile acid concentrations concentrations in the intestinal lumen. Further provided herein, are methods and compositions for treating xanthomas comprising reducing overall bile acid load by excreting bile acid in the feces.
- In children with chronic cholestasis, one of the major consequences of pediatric cholestasis and pediatric cholestatic liver disease is failure to thrive. Failure to thrive is a consequence of reduced delivery of bile salts to the intestine, which contributes to inefficient digestion and absorption of fats, and reduced uptake of vitamins (vitamins E, D, K, and A are all malabsorbed in cholestasis). Furthermore, the delivery of fat into the colon can result in colonic secretion and diarrhea. Treatment of failure to thrive involves dietary substitution and supplementation with long-chain triglycerides, medium-chain triglycerides, and vitamins. Ursodeoxycholic acid, which is used to treat some cholestatic conditions, does not form mixed micelles and has no effect on fat absorption. Accordingly, provided herein are methods and compositions for stimulating epithelial proliferation and/or regeneration of intestinal lining and/or enhancement of the adaptive processes in the intestine in individuals (e.g., children) with failure to thrive. In some of such embodiments, the methods comprise increasing bile acid concentrations concentrations in the intestinal lumen. Further provided herein, are methods and compositions for treating failure to thrive comprising reducing overall bile acid load by excreting bile acid in the feces.
- Symptoms of pediatric cholestasis and pediatric cholestatic liver disease have been treated with choleretic agents (e.g., ursodiol), phenobarbitols, corticosteroids (e.g., prednisone and budesonide), immunosuppressive agents (e.g., azathioprine, cyclosporin A, methotrexate, chlorambucil and mycophenolate), sulindac, bezafibrate, tamoxifen, and lamivudine. Accordingly, in some embodiments, any of the methods disclosed herein further comprise administration of an additional active agent selected from: choleretic agents (e.g., ursodiol), phenobarbitols, corticosteroids (e.g., prednisone and budesonide), immunosuppressive agents (e.g., azathioprine, cyclosporin A, methotrexate, chlorambucil and mycophenolate), sulindac, bezafibrate, tamoxifen, lamivudine, and combinations thereof. In some embodiments, the methods are used to treat individuals that are non-responsive to treatment with choleretic agents (e.g., ursodiol), phenobarbitols, corticosteroids (e.g., prednisone and budesonide), immunosuppressive agents (e.g., azathioprine, cyclosporin A, methotrexate, chlorambucil and mycophenolate), sulindac, bezafibrate, tamoxifen, lamivudine, and combinations thereof. In some embodiments, the methods are used to treat individuals that are non-responsive to treatment with choleretic agents. In some embodiments, the methods are used to treat individuals that are non-responsive to treatment with ursodiol.
- PFIC 1 (also known as, Byler disease or FIC1 deficiency) is associated with mutations in the ATP8B1 gene (also designated as FIC1). This gene, which encodes a P-type ATPase, is located on human chromosome 18 and is also mutated in the milder phenotype, benign recurrent intrahepatic cholestasis type 1 (BRIC1) and in Greenland familial cholestasis. FIC1 protein is located on the canalicular membrane of the hepatocyte but within the liver it is mainly expressed in cholangiocytes. P-type ATPase appears to be an aminophospholipid transporter responsible for maintaining the enrichment of phosphatidylserine and phophatidylethanolamine on the inner leaflet of the plasma membrane in comparison of the outer leaflet. The asymmetric distribution of lipids in the membrane bilayer plays a protective role against high bile salt concentrations in the canalicular lumen. The abnormal protein function may indirectly disturb the biliary secretion of bile acids. The anomalous secretion of bile acids/salts leads to hepatocyte bile acid overload.
- PFIC-1 typically presents in infants (e.g., age 6-18 months). The infants may show signs of pruritus, jaundice, abdominal distension, diarrhea, malnutrition, and shortened stature. Biochemically, individuals with PFIC-1 have elevated serum transaminases, elevated bilirubin, elevated serum bile acid levels, and low levels of gammaGT. The individual may also have liver fibrosis. Individuals with PFIC-1 typically do not have bile duct proliferation. Most individuals with PFIC-1 will develop end-stage liver disease by 10 years of age. No medical treatments have proven beneficial for the long term treatment of PFIC-1. In order to reduce extrahepatic symptoms (e.g., malnutrition and failure to thrive), children are often administered medium chain triglycerides and fat-soluble vitamins. Ursodiol has not been demonstrated as effective in individuals with PFIC-1.
- Disclosed herein, in certain embodiments, are methods of treating PFIC-1 in an individual in need thereof comprising non-systemically administering a therapeutically effective amount of an Apical Sodium-dependent Bile Acid Transporter Inhibitor (ASBTI) or a pharmaceutically acceptable salt thereof. In some embodiments, such ASBT inhibitors are not systemically absorbed. In some of such embodiments, such bile salt transport inhibitors include a moiety or group that prevents, reduces or inhibits the systemic absorption of the compound in vivo. In some embodiments, a charged moiety or group on the compounds prevents, reduces or inhibits the compounds from leaving the gastrointestinal tract and reduces the risk of side effects due to systemic absorption. In some other embodiments, such ASBT inhibitors are systemically absorbed. In some embodiments, the ASBTI are formulated for non-systemic delivery to the distal ileum. In some embodiments, an ASBTI is minimally absorbed. In some embodiments, an ASBTI is non-systemically administered to the colon or the rectum of an individual in need thereof. In some embodiments, the methods further comprise administering a therapeutically-effective amount of a secondary bile acid (e.g., ursodiol), a corticosteroid (e.g., prednisone and budesonide), an immunosuppressive agent (e.g., azathioprine, cyclosporin A, methotrexate, chlorambucil and mycophenolate), sulindac, bezafibrate, tamoxifen, lamivudine or any combination thereof.
- PFIC 2 (also known as, Byler Syndrome or BSEP deficiency) is associated with mutations in the ABCB11 gene (also designated BSEP). The ABCB11 gene encodes the ATP-dependent canalicular bile salt export pump (BSEP) of human liver and is located on
human chromosome 2. BSEP protein, expressed at the hepatocyte canalicular membrane, is the major exporter of primary bile acids/salts against extreme concentration gradients. Mutations in this protein are responsible for the decreased biliary bile salt secretion described in affected patients, leading to decreased bile flow and accumulation of bile salts inside the hepatocyte with ongoing severe hepatocellular damage. - PFIC-2 typically presents in infants (e.g., age 6-18 months). The infants may show signs of pruritus. Biochemically, individuals with PFIC-2 have elevated serum transaminases, elevated bilirubin, elevated serum bile acid levels, and low levels of gammaGT. The individual may also have portal inflammation and giant cell hepatitis. Further, individuals often develop hepatocellular carcinoma. No medical treatments have proven beneficial for the long term treatment of PFIC-1. In order to reduce extrahepatic symptoms (e.g., malnutrition and failure to thrive), children are often administered medium chain triglycerides and fat-soluble vitamins Ursodiol has not been demonstrated as effective in individuals with PFIC-2.
- Disclosed herein, in certain embodiments, are methods of treating PFIC-2 in an individual in need thereof comprising non-systemically administering a therapeutically effective amount of an Apical Sodium-dependent Bile Acid Transporter Inhibitor (ASBTI) or a pharmaceutically acceptable salt thereof. In some embodiments, such ASBT inhibitors are not systemically absorbed. In some of such embodiments, such bile salt transport inhibitors include a moiety or group that prevents, reduces or inhibits the systemic absorption of the compound in vivo. In some embodiments, a charged moiety or group on the compounds prevents, reduces or inhibits the compounds from leaving the gastrointestinal tract and reduces the risk of side effects due to systemic absorption. In some other embodiments, such ASBT inhibitors are systemically absorbed. In some embodiments, the ASBTI are formulated for non-systemic delivery to the distal ileum. In some embodiments, an ASBTI is minimally absorbed. In some embodiments, an ASBTI is non-systemically administered to the colon or the rectum of an individual in need thereof. In some embodiments, the methods further comprise administering a therapeutically-effective amount of a secondary bile acid (e.g., ursodiol), a corticosteroid (e.g., prednisone and budesonide), an immunosuppressive agent (e.g., azathioprine, cyclosporin A, methotrexate, chlorambucil and mycophenolate), sulindac, bezafibrate, tamoxifen, lamivudine or any combination thereof.
- PFIC3 (also known as MDR3 deficiency) is caused by a genetic defect in the ABCB4 gene (also designated MDR3) located on chromosome 7. Class III Multidrug Resistance (MDR3) P-glycoprotein (P-gp), is a phospholipid translocator involved in biliary phospholipid (phosphatidylcholine) excretion in the canlicular membrane of the hepatocyte. PFIC3 results from the toxicity of bile in which detergent bile salts are not inactivated by phospholipids, leading to bile canaliculi and biliary epithelium injuries.
- PFIC-3 also presents in early childhood. As opposed to PFIC-1 and PFIC-2, individuals have elevated gammaGT levels. Individuals also have portal inflammation, fibrosis, cirrhosis, and massive bile duct proliferation. Individuals may also develop intrahepatic gallstone disease. Ursodiol has been effective in treating or ameliorating PFIC-3.
- Disclosed herein, in certain embodiments, are methods of treating PFIC-3 in an individual in need thereof comprising non-systemically administering a therapeutically effective amount of an Apical Sodium-dependent Bile Acid Transporter Inhibitor (ASBTI) or a pharmaceutically acceptable salt thereof. In some embodiments, such ASBT inhibitors are not systemically absorbed. In some of such embodiments, such bile salt transport inhibitors include a moiety or group that prevents, reduces or inhibits the systemic absorption of the compound in vivo. In some embodiments, a charged moiety or group on the compounds prevents, reduces or inhibits the compounds from leaving the gastrointestinal tract and reduces the risk of side effects due to systemic absorption. In some other embodiments, such ASBT inhibitors are systemically absorbed. In some embodiments, the ASBTI are formulated for non-systemic delivery to the distal ileum. In some embodiments, an ASBTI is minimally absorbed. In some embodiments, an ASBTI is non-systemically administered to the colon or the rectum of an individual in need thereof. In some embodiments, the methods further comprise administering a therapeutically-effective amount of a secondary bile acid (e.g., ursodiol), a corticosteroid (e.g., prednisone and budesonide), an immunosuppressive agent (e.g., azathioprine, cyclosporin A, methotrexate, chlorambucil and mycophenolate), sulindac, bezafibrate, tamoxifen, lamivudine or any combination thereof.
- BRIC1 is caused by a genetic defect of the FIC1 protein in the canalicular membrane of hepatocytes. BRIC1 is typically associated with normal serum cholesterol and γ-glutamyltranspeptidase levels, but elevated serum bile salts. Residual FIC1 expression and function is associated with BRIC1. Despite recurrent attacks of cholestasis or cholestatic liver disease, there is no progression to chronic liver disease in a majority of patients. During the attacks, the patients are severely jaundiced and have pruritis, steatorrhea, and weight loss. Some patients also have renal stones, pancreatitis, and diabetes.
- BRIC2 is caused by mutations in ABCB11, leading to defective BSEP expression and/or function in the canalicular membrane of hepatocytes.
- BRIC3 is related to the defective expression and/or function of MDR3 in the canalicular membrane of hepatocytes. Patients with MDR3 deficiency usually display elevated serum γ-glutamyltranspeptidase levels in the presence of normal or slightly elevated bile acid levels.
- DJS is characterized by conjugated hyperbilirubinemia due to inherited dysfunction of MRP2. Hepatic function is preserved in affected patients. Several different mutations have been associated with this condition, resulting either in the complete absence of immunohistochemically detectable MRP2 in affected patients or impaired protein maturation and sorting.
- Pediatric PSC is a chronic inflammatory hepatic disorder slowly progressing to end stage liver failure in most of the affected patients. In pediatric PSC inflammation, fibrosis and obstruction of large and medium sized intra- and extrahepatic ductuli is predominant.
- Gallstone disease is one of the most common and costly of all digestive diseases with a prevalence of up to 17% in Caucasian women. Cholesterol containing gallstones are the major form of gallstones and supersaturation of bile with cholesterol is therefore a prerequisite for gallstone formation. ABCB4 mutations may be involved in the pathogenesis of cholesterol gallstone disease.
- Inhibition of BSEP function by drugs is an important mechanism of drug-induced cholestasis, leading to the hepatic accumulation of bile salts and subsequent liver cell damage. Several drugs have been implicated in BSEP inhibition. Most of these drugs, such as rifampicin, cyclosporine, glibenclamide, or troglitazone directly cis-inhibit ATP-dependent taurocholate transport in a competitive manner, while estrogen and progesterone metabolites indirectly trans-inhibits Bsep after secretion into the bile canaliculus by Mrp2. Alternatively, drug-mediated stimulation of MRP2 can promote cholestasis or cholestatic liver disease by changing bile composition.
- TPNAC is one of the most serious clinical scenarios where cholestasis or cholestatic liver disease occurs rapidly and is highly linked with early death. Infants, who are usually premature and who have had gut resections are dependent upon TPN for growth and frequently develop cholestasis or cholestatic liver disease that rapidly progresses to fibrosis, cirrhosis, and portal hypertension, usually before 6 months of life. The degree of cholestasis or cholestatic liver disease and chance of survival in these infants have been linked to the number of septic episodes, likely initiated by recurrent bacterial translocation across their gut mucosa. Although there are also cholestatic effects from the intravenous formulation in these infants, septic mediators likely contribute the most to altered hepatic function.
- Alagille syndrome is a genetic disorder that affects the liver and other organs. It often presents during infancy (e.g., age 6-18 months) through early childhood (e.g., age 3-5 years) and may stabilize after the age of 10. Symptoms may include chronic progressive cholestasis, ductopenia, jaundice, pruritus, xanthomas, congenital heart problems, paucity of intrahepatic bile ducts, poor linear growth, hormone resistance, posterior embryotoxon, Axenfeld anomaly, retinitis pigmentosa, pupillary abnormalities, cardiac murmur, atrial septal defect, ventricular septal defect, patent ductus arteriosus, and Tetralogy of Fallot. Individuals diagnosed with Alagille syndrome have been treated with ursodiol, hydroxyzine, cholestyramine, rifampicin, and phenobarbitol. Due to a reduced ability to absorb fat-soluble vitamins, individuals with Alagille Syndrome are further administered high dose multivitamins.
- Disclosed herein, in certain embodiments, are methods of treating Alagille syndrome in an individual in need thereof comprising non-systemically administering a therapeutically effective amount of an ASBTI or a pharmaceutically acceptable salt thereof. In some embodiments, such ASBT inhibitors are not systemically absorbed. In some of such embodiments, such bile salt transport inhibitors include a moiety or group that prevents, reduces or inhibits the systemic absorption of the compound in vivo. In some embodiments, a charged moiety or group on the compounds prevents, reduces or inhibits the compounds from leaving the gastrointestinal tract and reduces the risk of side effects due to systemic absorption. In some other embodiments, such ASBT inhibitors are systemically absorbed. In some embodiments, the ASBTI are formulated for non-systemic delivery to the distal ileum. In some embodiments, an ASBTI is minimally absorbed. In some embodiments, an ASBTI is non-systemically administered to the colon or the rectum of an individual in need thereof. In some embodiments, the methods further comprise administering a therapeutically-effective amount of a secondary bile acid (e.g., ursodiol), a corticosteroid (e.g., prednisone and budesonide), an immunosuppressive agent (e.g., azathioprine, cyclosporin A, methotrexate, chlorambucil and mycophenolate), sulindac, bezafibrate, tamoxifen, lamivudine or any combination thereof.
- Biliary atresia is a life-threatening condition in infants in which the bile ducts inside or outside the liver do not have normal openings. With biliary atresia, bile becomes trapped, builds up, and damages the liver. The damage leads to scarring, loss of liver tissue, and cirrhosis. Without treatment, the liver eventually fails and the infant needs a liver transplant to stay alive. The two types of biliary atresia are fetal and perinatal. Fetal biliary atresia appears while the baby is in the womb. Perinatal biliary atresia is much more common and does not become evident until 2 to 4 weeks after birth.
- Biliary atresia is treated with surgery called the Kasai procedure or a liver transplant. The Kasai procedure is usually the first treatment for biliary atresia. During a Kasai procedure, the pediatric surgeon removes the infant's damaged bile ducts and brings up a loop of intestine to replace them. While the Kasai procedure can restore bile flow and correct many problems caused by biliary atresia, the surgery doesn't cure biliary atresia. If the Kasai procedure is not successful, infants usually need a liver transplant within 1 to 2 years. Even after a successful surgery, most infants with biliary atresia slowly develop cirrhosis over the years and require a liver transplant by adulthood. Possible complications after the Kasai procedure include ascites, bacterial cholangitis, portal hypertension, and pruritis.
- If the atresia is complete, liver transplantation is the only option. Although liver transplantation is generally successful at treating biliary atresia, liver transplantation may have complications such as organ rejection. Also, a donor liver may not become available. Further, in some patients, liver transplantation may not be successful at curing biliary atresia.
- Xanthoma is a skin condition associated cholestatic liver diseases, in which certain fats build up under the surface of the skin. Cholestasis results in several disturbances of lipid metabolism resulting in formation of an abnormal lipid particle in the blood called lipoprotein X. Lipoprotein X is formed by regurgitation of bile lipids into the blood from the liver and does not bind to the LDL receptor to deliver cholesterol to cells throughout the body as does normal LDL. Lipoprotein X increases liver cholesterol production by five fold and blocks normal removal of lipoprotein particles from the blood by the liver.
- In some embodiments, provided herein are ASBT inhibitors that reduce or inhibit bile acid recycling in the distal gastrointestinal (GI) tract, including the distal ileum, the colon and/or the rectum. In certain embodiments, the ASBTIs are systemically absorbed. In certain embodiments, the ASBTIs are not systemically absorbed. In some embodiments, ASBTIs described herein are modified or substituted (e.g., with a -L-K group) to be non-systemic. In certain embodiments, any ASBT inhibitor is modified or substituted with one or more charged groups (e.g., K) and optionally, one or more linker (e.g., L), wherein L and K are as defined herein.
- In some embodiments, an ASBTI suitable for the methods described herein is a compound of Formula I:
- wherein:
R1 is a straight chained C1-6 alkyl group;
R2 is a straight chained C1-6 alkyl group;
R3 is hydrogen or a group OR11 in which R11 is hydrogen, optionally substituted C1-6 alkyl or a C1-6 alkylcarbonyl group;
R4 is pyridyl or optionally substituted phenyl or -Lz-Kz; wherein z is 1, 2 or 3; each L is independently a substituted or unsubstituted alkyl, a substituted or unsubstituted heteroalkyl, a substituted or unsubstituted alkoxy, a substituted or unsubstituted aminoalkyl group, a substituted or unsubstituted aryl, a substituted or unsubstituted heteroaryl, a substituted or unsubstituted cycloalkyl, or a substituted or unsubstituted heterocycloalkyl; each K is a moiety that prevents systemic absorption;
R5, R6, R7 and R8 are the same or different and each is selected from hydrogen, halogen, cyano, R5-acetylide, OR15, optionally substituted C1-6 alkyl, COR15, CH(OH)R15, S(O)nR15, P(O)(OR15)2, OCOR15, OCF3, OCN, SCN, NHCN, CH2OR15, CHO, (CH2)pCN, CONR12R13, (CH2)pCO2R15, (CH2)pNR12R13, CO2R15, NHCOCF3, NHSO2R15, OCH2OR15, OCH═CHR15, O(CH2CH2O)nR15, O(CH2)pSO3R15, O(CH2)pNR12R13, O(CH2)pN+R12R13R14 and —W—R31, wherein W is O or NH and R31 is selected from -
- wherein p is an integer from 1-4, n is an integer from 0-3 and, R12, R13, R14 and R15 are independently selected from hydrogen and optionally substituted C1-6 alkyl; or
R6 and R7 are linked to form a group
- wherein p is an integer from 1-4, n is an integer from 0-3 and, R12, R13, R14 and R15 are independently selected from hydrogen and optionally substituted C1-6 alkyl; or
-
- wherein R12 and R13 are as hereinbefore defined and m is 1 or 2; and
R9 and R10 are the same or different and each is selected from hydrogen or C1-6 alkyl; and salts, solvates and physiologically functional derivatives thereof
- wherein R12 and R13 are as hereinbefore defined and m is 1 or 2; and
- In some embodiments of the methods, the compound of Formula I is a compound wherein
- R1 is a straight chained C1-6 alkyl group;
R2 is a straight chained C1-6 alkyl group;
R3 is hydrogen or a group OR11 in which R11 is hydrogen, optionally substituted C1-6 alkyl or a C1-6 alkylcarbonyl group;
R4 is optionally substituted phenyl;
R5, R6 and R8 are independently selected from hydrogen, C1-4 alkyl optionally substituted by fluorine, C1-4 alkoxy, halogen, or hydroxy;
R7 is selected from halogen, cyano, R15-acetylide, OR15, optionally substituted C1-6 alkyl, COR15, CH(OH)R15, S(O)nR15, P(O)(OR15)2, OCOR15, OCF3, OCN, SCN, HNCN, CH2OR15, CHO, (CH2)pCN, CONR12R13, (CH2)pCO2R15, (CH2)pNR12R13, CO2R15, NHCOCF3, NHSO2R15, OCH2OR15, OCH═CHR15, O(CH2CH2O)pR15, O(CH2)pSO3R15, O(CH2)pNR12R13 and O(CH2)pN+R12R13R14; -
- wherein n, p and R12 to R15 are as hereinbefore defined;
with the proviso that at least two of R5 to R8 are not hydrogen; and
salts solvates and physiologically functional derivatives thereof.
- wherein n, p and R12 to R15 are as hereinbefore defined;
- In some embodiments of the methods described herein, the compound of Formula I is a compound wherein
- R1 is a straight chained C1-6 alkyl group;
R2 is a straight chained C1-6 alkyl group;
R3 is hydrogen or a group OR11 in which R11 is hydrogen, optionally substituted C1-6 alkyl or a C1-6 alkylcarbonyl group;
R4 is un-substituted phenyl;
R5 is hydrogen or halogen;
R6 and R8 are independently selected from hydrogen, C1-4 alkyl optionally substituted by fluorine, C1-4 alkoxy, halogen, or hydroxy;
R7 is selected from OR15, S(O)nR15, OCOR15, OCF3, OCN, SCN, CHO, OCH2OR15, OCH═CHR15, O(CH2CH2O)nR15, O(CH2)pSO3R15, O(CH2)pNR12R13 and O(CH2)pN+R12R13R14 wherein p is an integer from 1-4, n is an integer from 0-3, and R12, R13, R14, and R15 are independently selected from hydrogen and optionally substituted C1-6 alkyl;
R9 and R10 are the same or different and each is selected from hydrogen or C1-6 alkyl; and salts, solvates and physiologically functional derivatives thereof. - In some embodiments of the methods, wherein the compound of Formula I is a compound wherein
- R1 is methyl, ethyl or n-propyl;
R2 is methyl, ethyl, n-propyl, n-butyl or n-pentyl;
R3 is hydrogen or a group OR11 in which R11 is hydrogen, optionally substituted C1-6 alkyl or a C1-6 alkylcarbonyl group;
R4 is un-substituted phenyl;
R5 is hydrogen;
R6 and R8 are independently selected from hydrogen, C1-4 alkyl optionally substituted by fluorine, C1-4 alkoxy, halogen, or hydroxy;
R7 is selected from OR15, S(O)nR15, OCOR15, OCF3, OCN, SCN, CHO, OCH2OR15, OCH═CHR15, O(CH2CH2O)nR15, O(CH2)pSO3R15, O(CH2)pNR12R13 and O(CH2)pN+R12R13R14 wherein p is an integer from 1-4, n is an integer from 0-3, and R12, R13, R14, and R15 are independently selected from hydrogen and optionally substituted C1-6 alkyl;
R9 and R10 are the same or different and each is selected from hydrogen or C1-6 alkyl; and salts, solvates and physiologically functional derivatives thereof. - In some embodiments of the methods, the compound of Formula I is a compound wherein
- R1 is methyl, ethyl or n-propyl;
R2 is methyl, ethyl, n-propyl, n-butyl or n-pentyl;
R3 is hydrogen or a group OR11 in which R11 is hydrogen, optionally substituted C1-6 alkyl or a C1-6 alkylcarbonyl group;
R4 is un-substituted phenyl;
R5 is hydrogen;
R6 is C1-4 alkoxy, halogen, or hydroxy;
R7 is OR15, wherein R15 is hydrogen or optionally substituted C1-6 alkyl;
R8 is hydrogen or halogen;
R9 and R10 are the same or different and each is selected from hydrogen or C1-6 alkyl; and salts, solvates and physiologically functional derivatives thereof. - In some embodiments of the methods, the compound of Formula I is (3R,5R)-3-Butyl-3-ethyl-2,3,4,5-tetrahydro-7,8-dimethoxy-5-phenyl-1,4-benzothiazepine 1,1-dioxide; (3R,5R)-3-Butyl-3-ethyl-2,3,4,5-tetrahydro-7,8-dimethoxy-5-phenyl-1,4-benzothiazepin-4-ol 1,1-dioxide; (±)-Trans-3-butyl-3-ethyl-2,3,4,5-tetrahydro-7,8-dimethoxy-5-phenyl-1,4-benzothiazepine 1,1-dioxide; (±)-Trans-3-butyl-3-ethyl-2,3,4,5-tetrahydro-7,8-dimethoxy-5-phenyl-1,4,-benzothiazepin-4-ol 1,1-dioxide; (3R,5R)-7-Bromo-3-butyl-3-ethyl-2,3,4,5-tetrahydro-8-methoxy-5-phenyl-1,4-benzothiazepine 1,1-dioxide; (3R,5R)-7-Bromo-3-butyl-3-ethyl-2,3,4,5-tetrahydro-8-methoxy-5-phenyl-1,4-benxothiaxepin-4-ol 1,1-dioxide; (3R,5R)-3-Butyl-3-ethyl-2,3,4,5-tetrahydro-5-phenyl-1,4-benzothiazepine-7,8-diol 1,1-dioxide; (3R,5R)-3-Butyl-3-ethyl-2,3,4,5-tetrahydro-8-methoxy-5-phenyl-1,4-benzothiazepin-7-ol 1,1-dioxide; (3R,5R)-3-Butyl-3-ethyl-2,3,4,5-tetrahydro-7-methoxy-5-phenyl-1,4-benzothiazepin-8-ol 1,1-dioxide; (±)-Trans-3-butyl-3-ethyl-2,3,4,5-tetrahydro-8-methoxy-5-phenyl-1,4-benzothiazepine 1,1-dioxide; (±)-Trans-3-butyl-3-ethyl-2,3,4,5-tetrahydro-5-phenyl-1,4-benzothiazepin-8-ol 1,1-dioxide; (±)-Trans-3-butyl-3-ethyl-2,3,4,5-tetrahydro-5-phenyl-1,4-benzothiazepine-4,8-diol; (±)-Trans-3-butyl-3-ethyl-2,3,4,5-tetrahydro-5-phenyl-1,4-benzothiazepin-8-thiol 1,1-dioxide; (±)-Trans-3-butyl-3-ethyl-2,3,4,5-tetrahydro-5-phenyl-1,4-benzothiazepin-8-sulfonic acid 1,1-dioxide; (±)-Trans-3-butyl-3-ethyl-2,3,4,5-tetrahydro-8,9-dimethoxy-5-phenyl-1,4-benzothiazepine 1,1-dioxide; (3R,5R)-3-butyl-7,8-diethoxy-2,3,4,5-tetrahydro-5-phenyl-1,4-benzothiazepine 1,1-dioxide; (±)-Trans-3-butyl-8-ethoxy-3-ethyl-2,3,4,5-tetrahydro-5-phenyl-1,4-benzothiazepine 1,1-dioxide; (±)-Trans-3-butyl-3-ethyl-2,3,4,5-tetrahydro-8-isopropoxy-5-phenyl-1,4-benzothiazepine 1,1-dioxide hydrochloride; (±)-Trans-3-butyl-3-ethyl-2,3,4,5-tetrahydro-5-phenyl-1,4-benzothiazepin-8-carbaldehyde-1,1-dioxide; 3,3-Diethyl-2,3,4,5-tetrahydro-7,8-dimethoxy-5-phenyl-1,4-benzothiazepine 1,1-dioxide; 3,3-Diethyl-2,3,4,5-tetrahydro-8-methoxy-5-phenyl-1,4-benzothiazepine 1,1-dioxide; 3,3-Diethyl-2,3,4,5-tetrahydro-5-phenyl-1,4-benzothiazpin-4,8-diol 1,1-dioxide; (RS)-3,3-Diethyl-2,3,4,5-tetrahydro-4-hydroxy-7,8-dimethoxy-5-phenyl-1,4-benzothiazepine 1,1-dioxide; (±)-Trans-3-butyl-8-ethoxy-3-ethyl-2,3,4,5-tetrahydro-5-phenyl-1,4-benzothiazepin-4-ol-1-dioxide; (±)-Trans-3-butyl-3-ethyl-2,3,4,5-tetrahydro-8-isopropoxy-5-phenyl-1,4-benzothiazepin-4-ol 1,1-dioxide; (±)-Trans-3-butyl-3-ethyl-2,3,4,5-tetrahydro-7,8,9-trimethoxy-5-phenyl-1,4-benzothiazepin-4-ol 1,1-dioxide; (3R,5R)-3-butyl-3-ethyl-2,3,4,5-tetrahydro-5-phenyl-1,4-benzothiazepin-4,7,8-triol 1,1-dioxide; (±)-Trans-3-butyl-3-ethyl-2,3,4,5-tetrahydro-4,7,8-trimethoxy-5-phenyl-1,4-benzothiazepine 1,1-dioxide; 3,3-Diethyl-2,3,4,5-tetrahydro-5-phenyl-1,4-benzothiazepin-8-ol 1,1-dioxide; 3,3-Diethyl-2,3,4,5-tetrahydro-7-methoxy-5-phenyl-1,4-benzothiazepin-8-ol 1,1-dioxide; 3,3-Dibutyl-2,3,4,5-tetrahydro-5-phenyl-1,4-benzothiazepin-8-ol 1,1-dioxide; (±)-Trans-3-Butyl-3-ethyl-2,3,4,5-tetrahydro-1,1-dioxo-5-phenyl-1,4-benzothiazepin-8-yl hydrogen sulfate; or 3,3-Diethyl-2,3,4,5-tetrahydro-1,1-dioxo-5-phenyl-1,4-benzothiazepin-8-yl hydrogen sulfate.
- In some embodiments, the compound of Formula I is
- In some embodiments of the methods, the compound of Formula I is
- In some embodiments, the compound of Formula I is not a structure shown as:
- wherein m represents an integer of 1 or 2, and R3 and R4, which may be mutually different, each represents an alkyl group having 1 to 5 carbon atoms.
- In some embodiments, an ASBTI suitable for the methods described herein is a compound of Formula II
- wherein:
-
- q is an integer from 1 to 4;
- n is an integer from 0 to 2;
- R1 and R2 are independently selected from the group consisting of H, alkyl, alkenyl, alkynyl, haloalkyl, alkylaryl, arylalkyl, alkoxy, alkoxyalkyl, dialkylamino, alkylthio, (polyalkyl)aryl, and cycloalkyl,
- wherein alkyl, alkenyl, alkynyl, haloalkyl, alkylaryl, arylalkyl, alkoxy, alkoxyalkyl, dialkylamino, alkylthio, (polyalkyl)aryl, and cycloalkyl optionally are substituted with one or more substituents selected from the group consisting of OR9, NR9R10, N+R9RwA−, SR9, S+R9R10A−, P+R9R10R11A−, S(O)R9, SO2R9, SO3R9, CO2R9, CN, halogen, oxo, and CONR9R10,
- wherein alkyl, alkenyl, alkynyl, alkylaryl, alkoxy, alkoxyalkyl, (polyalkyl)aryl, and cycloalkyl optionally have one or more carbons replaced by O, NR9, N+R9R10A−, S, SO, SO2, S+R9A−, P+R9R10A−, or phenylene,
- wherein R9, R10, and Rw are independently selected from the group consisting of H, alkyl, alkenyl, alkynyl, cycloalkyl, aryl, acyl, heterocycle, ammoniumalkyl, arylalkyl, and alkylammoniumalkyl; or
- R1 and R2 taken together with the carbon to which they are attached form C3-C10 cycloalkyl;
- R3 and R4 are independently selected from the group consisting of H, alkyl, alkenyl, alkynyl, acyloxy, aryl, heterocycle, OR9, NR9R10, SR9, S(O)R9, SO2R9, and SO3R9, wherein R9 and R10 are as defined above; or
- R3 and R4 together ═O, ═NOR11, ═S, ═NNR11R12, ═NR9, or ═CR11R12,
- wherein R11 and R12 are independently selected from the group consisting of H, alkyl, alkenyl, alkynyl, aryl, arylalkyl, alkenylalkyl, alkynylalkyl, heterocycle, carboxyalkyl, carboalkoxyalkyl, cyclo alkyl, cyanoalkyl, OR9, NR9R10, SR9, S(O)R9, SO2R9, SO3R9, CO2R9, CN, halogen, oxo, and CONR9R10, wherein R9 and R10 are as defined above, provided that both R3 and R4 cannot be OH, NH2, and SH, or
- R11 and R12 together with the nitrogen or carbon atom to which they are attached form a cyclic ring;
- R5 and R6 are independently selected from the group consisting of H, alkyl, alkenyl, alkynyl, aryl, cycloalkyl, heterocycle, quaternary heterocycle, quarternary heteroaryl, OR9, SR9, S(O)R9, SO2R9, SO3R9, and -Lz-Kz;
- wherein z is 1, 2 or 3; each L is independently a substituted or unsubstituted alkyl, a substituted or unsubstituted heteroalkyl, a substituted or unsubstituted alkoxy, a substituted or unsubstituted aminoalkyl group, a substituted or unsubstituted aryl, a substituted or unsubstituted heteroaryl, a substituted or unsubstituted cycloalkyl, or a substituted or unsubstituted heterocycloalkyl; each K is a moiety that prevents systemic absorption;
- wherein alkyl, alkenyl, alkynyl, aryl, cycloalkyl, heterocycle, quaternary heterocycle, and quaternary heteroaryl can be substituted with one or more substituent groups independently selected from the group consisting of alkyl, alkenyl, alkynyl, polyalkyl, polyether, aryl, haloalkyl, cycloalkyl, heterocycle, arylalkyl, quaternary heterocycle, quaternary heteroaryl, halogen, oxo, R15, OR13, OR13R14, NR13R14, SR13, S(O)R13, SO2R13, SO3R13, NR13OR14, NR13NR14R15, NO2, CO2R13, CN, OM, SO2OM, SO2NR13R14, C(O)NR13R14, C(O)OM, CR13, P(O)R13R14, P+R13R14R15A−, P(OR13)OR14, S+R13R14A−, and N+R9R11R12A−,
wherein: - A− is a pharmaceutically acceptable anion and M is a pharmaceutically acceptable cation, said alkyl, alkenyl, alkynyl, polyalkyl, polyether, aryl, haloalkyl, cycloalkyl, and heterocycle can be further substituted with one or more substituent groups selected from the group consisting of OR7, NR7R8, S(O)R7, SO2R7, SO3R7, CO2R7, CN, oxo, CONR7R8, N+R7R8R9A−, alkyl, alkenyl, alkynyl, aryl, cycloalkyl, heterocycle, arylalkyl, quaternary heterocycle, quaternary heteroaryl, P(O)R7R8, P+R7R8R9A−, and P(O)(OR7)OR8 and
- wherein said alkyl, alkenyl, alkynyl, polyalkyl, polyether, aryl, haloalkyl, cycloalkyl, and heterocycle can optionally have one or more carbons replaced by O, NR7, N+R7R8A−, S, SO, SO2, S+R7A−, PR7, P(O)R7, P+R7R8A−, or phenylene, and R13, R14, and R15 are independently selected from the group consisting of hydrogen, alkyl, alkenyl, alkynyl, polyalkyl, aryl, arylalkyl, cycloalkyl, heterocycle, heteroaryl, quaternary heterocycle, quaternary heteroaryl, quaternary heteroarylalkyl, and -G-T-V-W,
- wherein alkyl, alkenyl, alkynyl, arylalkyl, heterocycle, and polyalkyl optionally have one or more carbons replaced by O, NR9, N+R9R10A−, S, SO, SO2, S+R9A−, PR, P+R9R10A−, P(O)R9, phenylene, carbohydrate, C2-C7 polyol, amino acid, peptide, or polypeptide, and
- G, T and V are each independently a bond, —O—, —S—, —N(H)—, substituted or unsubstituted alkyl, —O-alkyl, —N(H)-alkyl, —C(O)N(H)—, —N(H)C(O)—, —N(H)C(O)N(H)—, substituted or unsubstituted alkenyl, substituted or unsubstituted alkynyl, substituted or unsubstituted aryl, substituted or unsubstituted arylalkyl, substituted or unsubstituted alkenylalkyl, alkynylalkyl, substituted or unsubstituted heteroalkyl, substituted or unsubstituted heterocycle, substituted or unsubstituted carboxyalkyl, substituted or unsubstituted carboalkoxyalkyl, or substituted or unsubstituted cycloalkyl, and
- W is quaternary heterocycle, quaternary heteroaryl, quaternary heteroarylalkyl, N+R9R11R12A−, P+R9R10R11A−, OS(O)2OM, or S+R9R10A−, and
- R13, R14 and R15 are optionally substituted with one or more groups selected from the group consisting of sulfoalkyl, quaternary heterocycle quaternary heteroaryl, OR9, NR9R10, N+R9R11R12A−, SR9, S(O)R9, SO2R9, SO3R9, oxo, CO2R9, CN, halogen, CONR9R10, SO2OM, SO2NR9R10, PO(OR16)OR17, P+R9R10R11A−, S+R9R10A−, and C(O)OM,
- wherein R16 and R17 are independently selected from the substituents constituting R9 and M; or
- R14 and R15, together with the nitrogen atom to which they are attached, form a cyclic ring; and
- is selected from the group consisting of alkyl, alkenyl, alkynyl, cycloalkyl, aryl, acyl, heterocycle, ammoniumalkyl, alkylammoniumalkyl, and arylalkyl; and
- R7 and R8 are independently selected from the group consisting of hydrogen and alkyl; and
- one or more Rx are independently selected from the group consisting of H, alkyl, alkenyl, alkynyl, polyalkyl, acyloxy, aryl, arylalkyl, halogen, haloalkyl, cycloalkyl, heterocycle, heteroaryl, polyether, quaternary heterocycle, quaternary heteroaryl, OR13, NR13R14, SR13, S(O)R13, S(O)2R13, SO3R13, S+R13R14A−, NR13OR14, NR13NR14R15, NO2, CO2R13, CN, OM, SO2OM, SO2NR13R14, NR14C(O)R13, C(O)NR13R14, NR14C(O)R13, C(O)OM, COR13, OR18, S(O)nNR18, NR13R18, NR18R14, N+R9R11R12A−, P+R9R11R12A−, amino acid, peptide, polypeptide, and carbohydrate,
- wherein alkyl, alkenyl, alkynyl, cycloalkyl, aryl, polyalkyl, heterocycle, acyloxy, arylalkyl, haloalkyl, polyether, quaternary heterocycle, and quaternary heteroaryl can be further substituted with OR9, NR9R10, N+R9R11R12A−, SR9, S(O)R9, SO2R9, SO3R9, oxo, CO2R9, CN, halogen, CONR9R10, SO2OM, SO2NR9R10, PO(OR16)OR17, P+R9R11R12A−, S+R9R10A−, or C(O)M, and
- wherein R18 is selected from the group consisting of acyl, arylalkoxycarbonyl, arylalkyl, heterocycle, heteroaryl, alkyl,
- wherein acyl, arylalkoxycarbonyl, arylalkyl, heterocycle, heteroaryl, alkyl, quaternary heterocycle, and quaternary heteroaryl optionally are substituted with one or more substituents selected from the group consisting of OR9,NR9R10, N+R9R11R12A−, SR9, S(O)R9, SO2R9, SO3R9, oxo, CO3R9, CN, halogen, CONR9R10, SO3R9, SO2OM, SO2NR9R10, PO(OR16)OR17, and C(O)OM,
- wherein in Rx, one or more carbons are optionally replaced by O, NR13, N+R13R14A−, S, SO, SO2, S+R13A−, PR13, P(O)R13, P+R13R14A−, phenylene, amino acid, peptide, polypeptide, carbohydrate, polyether, or polyalkyl,
- wherein in said polyalkyl, phenylene, amino acid, peptide, polypeptide, and carbohydrate, one or more carbons are optionally replaced by O, NR9, R9R10A−, S, SO, SO2, S+R9A−, PR9, P+R9R10A−, or P(O)R9;
- wherein quaternary heterocycle and quaternary heteroaryl are optionally substituted with one or more groups selected from the group consisting of alkyl, alkenyl, alkynyl, polyalkyl, polyether, aryl, haloalkyl, cycloalkyl, heterocycle, arylalkyl, halogen, oxo, OR13, NR13R14, SR13, S(O)R13, SO2R13, SO3R13, NR13OR14, NR13NR14R15, NO2, CO2R13, CN, OM, SO2OM, SO2NR13R14, C(O)NR13R14, C(O)OM, COR13, P(O)R13R14, P+R13R14R15A−, P(OR13)OR14, S+R13R14A−, and N+R9R11R12A−,
- provided that both R5 and R6 cannot be hydrogen or SH;
- provided that when R5 or R6 is phenyl, only one of R1 or R2 is H;
provided that when q=1 and Rx is styryl, anilido, or anilinocarbonyl, only one of R5 or R6 is alkyl; or a pharmaceutically acceptable salt, solvate, or prodrug thereof.
- In some embodiments of the methods, the compound of Formula II is a compound wherein
-
- q is an integer from 1 to 4;
- n is 2;
- R1 and R2 are independently selected from the group consisting of H, alkyl, alkoxy, dialkylamino, and alkylthio,
- wherein alkyl, alkoxy, dialkylamino, and alkylthio are optionally substituted with one or more substituents selected from the group consisting of OR9, NR9R10, SR9, SO2R9, CO2R9, CN, halogen, oxo, and CONR9R10;
- each R9 and R10 are each independently selected from the group consisting of H, alkyl, cycloalkyl, aryl, acyl, heterocycle, and arylalkyl;
-
- R3 and R4 are independently selected from the group consisting of H, alkyl, acyloxy, OR9, NR9R10, SR9, and SO2R9, wherein R9 and R10 are as defined above;
- R11 and R12 are independently selected from the group consisting of H, alkyl, alkenyl, alkynyl, aryl, arylalkyl, alkenylalkyl, alkynylalkyl, heterocycle, carboxyalkyl, carboalkoxyalkyl, cyclo alkyl, cyanoalkyl, OR9, NR9R10, SR9, S(O)R9, SO2R9, SO3R9, CO2R9, CN, halogen, oxo, and CONR9R10, wherein R9 and R10 are as defined above, provided that both R3 and R4 cannot be OH, NH2, and SH, or
- R11 and R12 together with the nitrogen or carbon atom to which they are attached form a cyclic ring;
- R5 and R6 are independently selected from the group consisting of H, alkyl, aryl, cycloalkyl, heterocycle, and -Lz-Kz;
- wherein z is 1 or 2; each L is independently a substituted or unsubstituted alkyl, a substituted or unsubstituted heteroalkyl, a substituted or unsubstituted aryl, a substituted or unsubstituted heteroaryl, a substituted or unsubstituted cycloalkyl, or a substituted or unsubstituted heterocycloalkyl; each K is a moiety that prevents systemic absorption;
- wherein alkyl, aryl, cycloalkyl, and heterocycle can be substituted with one or more substituent groups independently selected from the group consisting of alkyl, aryl, haloalkyl, cycloalkyl, heterocycle, arylalkyl, quaternary heterocycle, quaternary heteroaryl, halogen, oxo, OR13, OR13R14, NR13R14, SR13, SO2R13, NR13NR14R15, NO2, CO2R13, CN, OM, and CR13,
- wherein:
- A− is a pharmaceutically acceptable anion and M is a pharmaceutically acceptable cation;
- R13, R14, and R15 are independently selected from the group consisting of hydrogen, alkyl, alkenyl, alkynyl, polyalkyl, aryl, arylalkyl, cycloalkyl, heterocycle, heteroaryl, quaternary heterocycle, quaternary heteroaryl, and quaternary heteroarylalkyl, wherein R13, R14 and R15 are optionally substituted with one or more groups selected from the group consisting of quaternary heterocycle, quaternary heteroaryl, OR9, NR9R10, N+R9R11R12A−, SR9, S(O)R9, SO2R9, SO3R9, oxo, CO2R9, CN, halogen, and CONR9R10; or
- R14 and R15, together with the nitrogen atom to which they are attached, form a cyclic ring; and
- is selected from the group consisting of alkyl, alkenyl, alkynyl, cycloalkyl, aryl, acyl, heterocycle, ammoniumalkyl, alkylammoniumalkyl, and arylalkyl; and
- R7 and R8 are independently selected from the group consisting of hydrogen and alkyl; and one or more Rx are independently selected from the group consisting of H, alkyl, acyloxy, aryl, arylalkyl, halogen, haloalkyl, cycloalkyl, heterocycle, heteroaryl, OR13, NR13R14, SR13, S(O)2R13, NR13NR14R15, NO2, CO2R13, CN, SO2NR13R14, NR14C(O)R13, C(O)NR13R14, NR14C(O)R13, and COR13;
provided that both R5 and R6 cannot be hydrogen;
provided that when R5 or R6 is phenyl, only one of R1 or R2 is H;
provided that when q=1 and Rx is styryl, anilido, or anilinocarbonyl, only one of R5 or R6 is alkyl; or a pharmaceutically acceptable salt, solvate, or prodrug thereof.
- In some embodiments, the compound of Formula II is a compound wherein
-
- q is 1;
- n is 2;
- Rx is N(CH3)2;
- R7 and R8 are independently H;
- R1 and R2 is alkyl;
- R3 is H, and R4 is OH;
- R5 is H, and R6 is selected from the group consisting of alkyl, alkenyl, alkynyl, aryl, cycloalkyl, heterocycle, quaternary heterocycle, quarternary heteroaryl, OR9, SR9, S(O)R9, SO2R9, SO3R9, and -Lz-Kz;
- wherein z is 1, 2 or 3; each L is independently a substituted or unsubstituted alkyl, a substituted or unsubstituted heteroalkyl, a substituted or unsubstituted alkoxy, a substituted or unsubstituted aminoalkyl group, a substituted or unsubstituted aryl, a substituted or unsubstituted heteroaryl, a substituted or unsubstituted cycloalkyl, or a substituted or unsubstituted heterocycloalkyl; each K is a moiety that prevents systemic absorption;
- wherein alkyl, alkenyl, alkynyl, aryl, cycloalkyl, heterocycle, quaternary heterocycle, and quaternary heteroaryl can be substituted with one or more substituent groups independently selected from the group consisting of alkyl, alkenyl, alkynyl, polyalkyl, polyether, aryl, haloalkyl, cycloalkyl, heterocycle, arylalkyl, quaternary heterocycle, quaternary heteroaryl, halogen, oxo, R15, OR13, OR13R14, NR13R14, SR13, S(O)R13, SO2R13, SO3R13, NR13OR14, NR13NR14R15, NO2, CO2R13, CN, OM, SO2OM, SO2NR13R14, C(O)NR13R14, C(O)OM, CR13, P(O)R13R14, P+R13R14R15A−, P(OR13)OR14, S+R13R14A−, and N+R9R11R12A−,
- wherein A− is a pharmaceutically acceptable anion and M is a pharmaceutically acceptable cation, said alkyl, alkenyl, alkynyl, polyalkyl, polyether, aryl, haloalkyl, cycloalkyl, and heterocycle can be further substituted with one or more substituent groups selected from the group consisting of OR7, NR7R8, S(O)R7, SO2R7, SO3R7, CO2R7, CN, oxo, CONR7R8, N+R7R8R9A−, alkyl, alkenyl, alkynyl, aryl, cycloalkyl, heterocycle, arylalkyl, quaternary heterocycle, quaternary heteroaryl, P(O)R7R8, P+R7R8R9A−, and P(O)(OR7) OR8 and
- wherein said alkyl, alkenyl, alkynyl, polyalkyl, polyether, aryl, haloalkyl, cycloalkyl, and heterocycle can optionally have one or more carbons replaced by O, NR7, N+R7R8A−, S, SO, SO2, S+R7A−, PR7, P(O)R7, P+R7R8A−, or phenylene, and R13, R14, and R15 are independently selected from the group consisting of hydrogen, alkyl, alkenyl, alkynyl, polyalkyl, aryl, arylalkyl, cycloalkyl, heterocycle, heteroaryl, quaternary heterocycle, quaternary heteroaryl, quaternary heteroarylalkyl, and -G-T-V-W,
- wherein alkyl, alkenyl, alkynyl, arylalkyl, heterocycle, and polyalkyl optionally have one or more carbons replaced by O, NR9, N+R9R10A−, S, SO, SO2, S+R9A−, PR, P+R9R10A−, P(O)R9, phenylene, carbohydrate, C2-C7 polyol, amino acid, peptide, or polypeptide, and
- G, T and V are each independently a bond, —O—, —S—, —N(H)—, substituted or unsubstituted alkyl, —O-alkyl, —N(H)-alkyl, —C(O)N(H)—, —N(H)C(O)—, —N(H)C(O)N(H)—, substituted or unsubstituted alkenyl, substituted or unsubstituted alkynyl, substituted or unsubstituted aryl, substituted or unsubstituted arylalkyl, substituted or unsubstituted alkenylalkyl, alkynylalkyl, substituted or unsubstituted heteroalkyl, substituted or unsubstituted heterocycle, substituted or unsubstituted carboxyalkyl, substituted or unsubstituted carboalkoxyalkyl, or substituted or unsubstituted cycloalkyl, and
- W is quaternary heterocycle, quaternary heteroaryl, quaternary heteroarylalkyl, N+R9R11R12A−, P+R9R10R11A−, OS(O)2OM, or S+R9R10A−, and
- R9 and R10 are independently selected from the group consisting of H, alkyl, alkenyl, alkynyl, cycloalkyl, aryl, acyl, heterocycle, ammoniumalkyl, arylalkyl, and alkylammoniumalkyl;
- R11 and R12 are independently selected from the group consisting of H, alkyl, alkenyl, alkynyl, aryl, arylalkyl, alkenylalkyl, alkynylalkyl, heterocycle, carboxyalkyl, carboalkoxyalkyl, cyclo alkyl, cyanoalkyl, OR9, NR9R10, SR9, S(O)R9, SO2R9, SO3R9, CO2R9, CN, halogen, oxo, and CONR9R10, wherein R9 and R10 are as defined above, provided that both R3 and R4 cannot be OH, NH2, and SH, or
- R11 and R12 together with the nitrogen or carbon atom to which they are attached form a cyclic ring;
- R13, R14 and R15 are optionally substituted with one or more groups selected from the group consisting of sulfoalkyl, quaternary heterocycle, quaternary heteroaryl, OR9, NR9R10, N+R9R11R12A−, SR9, S(O) R9, SO2R9, SO3R9, oxo, CO2R9, CN, halogen, CONR9R10, SO2OM, SO2NR9R10, PO(OR16)OR17, P+R9R10R11A−, S+R9R10A−, and C(O)OM,
- wherein R16 and R17 are independently selected from the substituents constituting R9 and M; or
- R14 and R15, together with the nitrogen atom to which they are attached, form a cyclic ring; and is selected from the group consisting of alkyl, alkenyl, alkynyl, cycloalkyl, aryl, acyl, heterocycle, ammoniumalkyl, alkylammoniumalkyl, and arylalkyl;
- or a pharmaceutically acceptable salt, solvate, or prodrug thereof.
- In some embodiments, the compound of Formula II is a compound wherein
-
- q is 1;
- n is 2;
- Rx is N(CH3)2;
- R7 and R8 are independently H;
- R1 and R2 is independently C1-C4 alkyl;
- R3 is H, and R4 is OH;
- R5 is H, and R6 is arylsubstituted with one or more substituent groups independently selected from the group consisting of alkyl, alkenyl, alkynyl, polyalkyl, polyether, aryl, haloalkyl, cycloalkyl, heterocycle, arylalkyl, quaternary heterocycle, quaternary heteroaryl, halogen, oxo, R15, OR13, OR13R14, NR13R14, SR13, S(O)R13, SO2R13, SO3R13, NR13OR14, NR13NR14R15, NO2, CO2R13, CN, OM, SO2OM, SO2NR13R14, C(O)NR13R14, C(O)OM, CR13, P(O)R13R14, P+R13R14R15A−, P(OR13)OR14, S+R13R14A−, and N+R9R11R12A−,
- wherein A− is a pharmaceutically acceptable anion and M is a pharmaceutically acceptable cation, said alkyl, alkenyl, alkynyl, polyalkyl, polyether, aryl, haloalkyl, cycloalkyl, and heterocycle can be further substituted with one or more substituent groups selected from the group consisting of OR7, NR7R8, S(O)R7, SO2R7, SO3R7, CO2R7, CN, oxo, CONR7R8, N+R7R8R9A−, alkyl, alkenyl, alkynyl, aryl, cycloalkyl, heterocycle, arylalkyl, quaternary heterocycle, quaternary heteroaryl, P(O)R7R8, P+R7R8R9A−, and P(O)(OR7) OR8 and
- wherein said alkyl, alkenyl, alkynyl, polyalkyl, polyether, aryl, haloalkyl, cycloalkyl, and heterocycle can optionally have one or more carbons replaced by O, NR7, N+R7R8A−, S, SO, SO2, S+R7A−, PR7, P(O)R7, P+R7R8A−, or phenylene, and R13, R14, and R15 are independently selected from the group consisting of hydrogen, alkyl, alkenyl, alkynyl, polyalkyl, aryl, arylalkyl, cycloalkyl, heterocycle, heteroaryl, quaternary heterocycle, quaternary heteroaryl, quaternary heteroarylalkyl, and -G-T-V-W,
- wherein alkyl, alkenyl, alkynyl, arylalkyl, heterocycle, and polyalkyl optionally have one or more carbons replaced by O, NR9, N+R9R10A−, S, SO, SO2, S+R9A−, PR, P+R9R10A−, P(O)R9, phenylene, carbohydrate, C2-C7 polyol, amino acid, peptide, or polypeptide, and
- G, T and V are each independently a bond, —O—, —S—, —N(H)—, substituted or unsubstituted alkyl, —O-alkyl, —N(H)-alkyl, —C(O)N(H)—, —N(H)C(O)—, —N(H)C(O)N(H)—, substituted or unsubstituted alkenyl, substituted or unsubstituted alkynyl, substituted or unsubstituted aryl, substituted or unsubstituted arylalkyl, substituted or unsubstituted alkenylalkyl, alkynylalkyl, substituted or unsubstituted heteroalkyl, substituted or unsubstituted heterocycle, substituted or unsubstituted carboxyalkyl, substituted or unsubstituted carboalkoxyalkyl, or substituted or unsubstituted cycloalkyl, and
- W is quaternary heterocycle, quaternary heteroaryl, quaternary heteroarylalkyl, N+R9R11R12A−, P+R9R10R11A−, OS(O)2OM, or S+R9R10A−, and
- R9 and R10 are independently selected from the group consisting of H, alkyl, alkenyl, alkynyl, cycloalkyl, aryl, acyl, heterocycle, ammoniumalkyl, arylalkyl, and alkylammoniumalkyl;
- R11 and R12 are independently selected from the group consisting of H, alkyl, alkenyl, alkynyl, aryl, arylalkyl, alkenylalkyl, alkynylalkyl, heterocycle, carboxyalkyl, carboalkoxyalkyl, cyclo alkyl, cyanoalkyl, OR9, NR9R10, SR9, S(O)R9, SO2R9, SO3R9, CO2R9, CN, halogen, oxo, and CONR9R10, wherein R9 and R10 are as defined above, provided that both R3 and R4 cannot be OH, NH2, and SH, or
- R11 and R12 together with the nitrogen or carbon atom to which they are attached form a cyclic ring;
- R13, R14 and R15 are optionally substituted with one or more groups selected from the group consisting of sulfoalkyl, quaternary heterocycle, quaternary heteroaryl, OR9, NR9R10, N+R9R11R12A−, SR9, S(O) R9, SO2R9, SO3R9, oxo, CO2R9, CN, halogen, CONR9R10, SO2OM, SO2NR9R10, PO(OR16)OR17, P+R9R10R11A−, S+R9R10A−, and C(O)OM,
- wherein R16 and R17 are independently selected from the substituents constituting R9 and M; or
- R14 and R15, together with the nitrogen atom to which they are attached, form a cyclic ring; and is selected from the group consisting of alkyl, alkenyl, alkynyl, cycloalkyl, aryl, acyl, heterocycle, ammoniumalkyl, alkylammoniumalkyl, and arylalkyl;
- or a pharmaceutically acceptable salt, solvate, or prodrug thereof.
- In some embodiments of the methods, the compound of Formula II is a compound
- wherein
R5 and R6 are independently selected from the group consisting of H, aryl, heterocycle, quaternary heterocycle, and quarternary heteroaryl -
- wherein the aryl, heteroaryl, quaternary heterocycle and quaternary heteroaryl are optionally substituted with one or more groups selected from the group consisting of alkyl, alkenyl, alkynyl, polyalkyl, polyether, aryl, haloalkyl, cycloalkyl, heterocycle, arylalkyl, halogen, oxo, OR13, OR13R14, NR13R14, SR13, S(O)R13, SO2R13, SO3R13, NR13OR14, NR13NR14R15, NO2, CO2R13, CN, OM, SO2OM, SO2NR13R14, C(O)NR13R14, C(O)OM, COR13, P(O)R13R14P+R13R14R15A−, P(OR13)OR14, S+R13R14A−, N+R9R11R12A− and -Lz-Kz.
- In some embodiments of the methods, the compound of Formula II is a compound
- wherein
-
-
- t is an integer from 0 to 5;
- Ar is selected from the group consisting of phenyl, thiophenyl, pyridyl, piperazinyl, piperonyl, pyrrolyl, naphthyl, furanyl, anthracenyl, quinolinyl, isoquinolinyl, quinoxalinyl, imidazolyl, pyrazolyl, oxazolyl, isoxazolyl, pyrimidinyl, thiazolyl, triazolyl, isothiazolyl, indolyl, benzoimidazolyl, benzoxazolyl, benzothiazolyl, and benzoisothiazolyl; and
- one or more Ry are independently selected from the group consisting of alkyl, alkenyl, alkynyl, polyalkyl, polyether, aryl, halo alkyl, cycloalkyl, heterocycle, arylalkyl, halogen, oxo, OR13, OR13R14, NR13R14, SR13, S(O)R13, SO2R13, SO3R13, NR13OR14, NR13NR14R15, NO2, CO2R13, CN, OM, SO2OM, SO2NR13R14, C(O)NR13R14, C(O)OM, COR13, P(O)R13R14, P+R13R14R15A−, P(OR13)OR14, S+R13R14A−, N+R9R11R12A− and -Lz-Kz;
- wherein said alkyl, alkenyl, alkynyl, polyalkyl, polyether, aryl, haloalkyl, cycloalkyl, and heterocycle can be further substituted with one or more substituent groups selected from the group consisting of OR13, NR13R14, SR13, S(O)R13, SO2R13, SO3R13, NR13OR14, NR13NR14R15, NO2, CO2R13, CN, oxo, CONR7R8, N+R7R8R9A−, alkyl, alkenyl, alkynyl, aryl, cycloalkyl, heterocycle, arylalkyl, quaternary heterocycle, quaternary hetero aryl, P(O)R7R8, P+R7R8A−, and P(O)(OR7)OR8, and or phenylene;
- wherein said alkyl, alkenyl, alkynyl, polyalkyl, polyether, aryl, haloalkyl, cycloalkyl, and heterocycle can optionally have one or more carbons replaced by O, NR7, N+R7R8A−, S, SO, SO2, S+R7A−, PR7, P(O)R7, P+R7R8A−, or phenylene.
- In some embodiments of the methods, the compound of Formula II is a compound wherein
-
- In some embodiments of the methods, the compound of Formula II is a compound wherein n is 1 or 2. In some embodiments of the methods, the compound of Formula II is a compound wherein R1 and R2 are independently H or C1-7 alkyl. In some embodiments of the methods, the compound of Formula II is a compound wherein each C1-7 alkyl is independently ethyl, n-propyl, n-butyl, or isobutyl. In some embodiments of the methods, the compound of Formula II is a compound wherein R3 and R4 are independently H or OR9. In some embodiments of the methods, compound of Formula II is a compound wherein R9 is H
- In some embodiments of the methods, the compound of Formula II is a compound wherein one or more Rx are in the 7-, 8- or 9-position of the benzo ring of Formula II. In some embodiments of the methods, the compound of Formula II is a compound wherein Rx is in the 7-position of the benzo ring of Formula II. In some embodiments of the methods, the compound of Formula II is a compound wherein one or more Rx are independently selected from OR13 and NR13R14.
- In some embodiments of the methods, the compound of Formula II is a compound
- wherein:
-
- q is 1 or 2;
- n is 2;
- R1 and R2 are each alkyl;
- R3 is hydroxy;
- R4 and R6 are hydrogen;
- R5 has the formula
- wherein
t is an integer from 0 to 5; -
- one or more RY are OR13 or OR13R14;
- R13 and R14 are independently selected from the group consisting of hydrogen, alkyl, alkenyl, alkynyl, polyalkyl, aryl, arylalkyl, cycloalkyl, heterocycle, heteroaryl, quaternary heterocycle, quaternary heteroaryl, and quaternary heteroarylalkyl;
- wherein said alkyl, alkenyl, alkynyl, arylalkyl, heterocycle, and polyalkyl groups optionally have one or more carbons replaced by O, NR9, N+R9R10A−, S, SO, SO2, S+R9A−, PR9, P+R9R10A−, P(O)R9, phenylene, carbohydrate, amino acid, peptide, or polypeptide;
- R13 and R14 are optionally substituted with one or more groups independently selected from the group consisting of sulfoalkyl, quaternary heterocycle, quaternary heteroaryl, OR9, NR9R10, N+R9R11R12A−, SR9, S(O)R9, SO2R9, SO3R9, oxo, CO2R9, CN, halogen, CONR9R10, SO2OM, SO2NR9R10, PO(OR16)OR17, P+R9R10R11A−, S+R9R10A−, and C(O)OM,
- wherein A is a pharmaceutically acceptable anion, and M is a pharmaceutically acceptable cation,
- R9 and R10 are independently selected from the group consisting of H, alkyl, alkenyl, alkynyl, cycloalkyl, aryl, acyl, heterocycle, ammoniumalkyl, arylalkyl, and alkylammoniumalkyl;
- R11 and R12 are independently selected from the group consisting of H, alkyl, alkenyl, alkynyl, aryl, arylalkyl, alkenylalkyl, alkynylalkyl, heterocycle, carboxyalkyl, carboalkoxyalkyl, cycloalkyl, cyanoalkyl, OR9, NR9R10, SR9, S(O)R9, SO2R9, SO3R9, CO2R9, CN, halogen, oxo, and CONR9R10, wherein R9 and R10 are as defined above, provided that both R3 and R4 cannot be OH, NH2, and SH; or
- R11 and R12 together with the nitrogen or carbon atom to which they are attached form a cyclic ring; and
- R16 and R17 are independently selected from the substituents constituting R9 and M;
- R7 and R8 are hydrogen; and
- one or more Rx are independently selected from the group consisting of alkoxy, alkylamino and dialkylamino and —W—R31, wherein W is O or NH and R31 is selected from
-
- or a pharmaceutically acceptable salt, solvate, or prodrug thereof.
- In some embodiments, a compound of Formula II is
- or the like.
- In some embodiments of the methods, the compound of Formula II is
- In certain embodiments, ASBTIs suitable for the methods described herein are non-systemic analogs of Compound 100C. Certain compounds provided herein are Compound 100C analogues modified or substituted to comprise a charged group. In specific embodiments, the Compound 100C analogues are modified or substituted with a charged group that is an ammonium group (e.g., a cyclic ar acyclic ammonium group). In certain embodiments, the ammonium group is a non-protic ammonium group that contains a quarternary nitrogen.
- In some embodiments, a compound of Formula II is
- In some embodiments, a compound of Formula II is 1-[[5-[[3-[(3S,4R,5R)-3-butyl-7-(dimethylamino)-3-ethyl-2,3,4,5-tetrahydro-4-hydroxy-1,1-dioxido-1-benzothiepin-5yl]phenyl]amino]-5-oxopentyl]amino]-1-deoxy-D-glucitol or SA HMR1741 (a.k.a. BARI-1741).
- In some embodiments, a compound of Formula II is
- In some embodiments, a compound of Formula II is potassium((2R,3R,4S,5R,6R)-4-benzyloxy-6-{3-[3-((3S,4R,5R)-3-butyl-7-dimethylamino-3-ethyl-4-hydroxy-1,1-dioxo-2,3,4,5-tetrahydro-1H-benzo[b]thiepin-5-yl)-phenyl]-ureido}-3,5-dihydroxy-tetrahydro-pyran-2-ylmethyl)sulphate ethanolate, hydrate or SAR548304B (a.k.a. SAR-548304).
- In some embodiments, an ASBTI suitable for the methods described herein is a compound of Formula III:
- wherein:
-
- each R1, R2 is independently H, hydroxy, alkyl, alkoxy, —C(═X)YR8, —YC(═X)R8, substituted or unsubstituted alkyl, substituted or unsubstituted heteroalkyl, substituted or unsubstituted aryl, substituted or unsubstituted alkyl-aryl, substituted or unsubstituted cycloalkyl, substituted or unsubstituted alkyl-cycloalkyl, substituted or unsubstituted heteroaryl, substituted or unsubstituted alkyl-heteroaryl, substituted or unsubstituted heterocycloalkyl, substituted or unsubstituted alkyl-heterocycloalkyl, or -L-K; or R1 and R2 together with the nitrogen to which they are attached form a 3-8-membered ring that is optionally substituted with R8;
- each R3, R4 is independently H, hydroxy, alkyl, alkoxy, —C(═X)YR8, —YC(═X)R8, substituted or unsubstituted alkyl, substituted or unsubstituted heteroalkyl, substituted or unsubstituted aryl, substituted or unsubstituted alkyl-aryl, substituted or unsubstituted cycloalkyl, substituted or unsubstituted alkyl-cycloalkyl, substituted or unsubstituted heteroaryl, substituted or unsubstituted alkyl-heteroaryl, substituted or unsubstituted heterocycloalkyl, substituted or unsubstituted alkyl-heterocycloalkyl, or -L-K;
- R5 is H, hydroxy, alkyl, alkoxy, —C(═X)YR8, —YC(═X)R8, substituted or unsubstituted alkyl, substituted or unsubstituted heteroalkyl, substituted or unsubstituted aryl, substituted or unsubstituted alkyl-aryl, substituted or unsubstituted cycloalkyl, substituted or unsubstituted alkyl-cycloalkyl, substituted or unsubstituted heteroaryl, substituted or unsubstituted alkyl-heteroaryl, substituted or unsubstituted heterocycloalkyl, substituted or unsubstituted alkyl-heterocycloalkyl,
- each R6, R7 is independently H, hydroxy, alkyl, alkoxy, —C(═X)YR8, —YC(═X)R8, substituted or unsubstituted alkyl, substituted or unsubstituted heteroalkyl, substituted or unsubstituted aryl, substituted or unsubstituted alkyl-aryl, substituted or unsubstituted cycloalkyl, substituted or unsubstituted alkyl-cycloalkyl, substituted or unsubstituted heteroaryl, substituted or unsubstituted alkyl-heteroaryl, substituted or unsubstituted heterocycloalkyl, substituted or unsubstituted alkyl-heterocycloalkyl, or -L-K; or R6 and R7 taken together form a bond;
- each X is independently NH, S, or O;
- each Y is independently NH, S, or O;
- R8 is substituted or unsubstituted alkyl, substituted or unsubstituted heteroalkyl, substituted or unsubstituted aryl, substituted or unsubstituted alkyl-aryl, substituted or unsubstituted cycloalkyl, substituted or unsubstituted alkyl-cycloalkyl, substituted or unsubstituted heteroaryl, substituted or unsubstituted alkyl-heteroaryl, substituted or unsubstituted heterocycloalkyl, substituted or unsubstituted alkyl-heterocycloalkyl, or -L-K;
- L is An, wherein
- each A is independently NR1, S(O)m, O, C(═X)Y, Y(C═X), substituted or unsubstituted alkyl, substituted or unsubstituted heteroalkyl, substituted or unsubstituted aryl, substituted or unsubstituted heteroaryl, substituted or unsubstituted cycloalkyl, or substituted or unsubstituted heterocycloalkyl; wherein each m is independently 0-2;
- n is 0-7;
- K is a moiety that prevents systemic absorption;
- provided that at least one of R1, R2, R3 or R4 is -L-K;
- or a pharmaceutically acceptable prodrug thereof.
- In some embodiments of a compound of Formula III, R1 and R3 are -L-K. In some embodiments, R1, R2 and R3 are -L-K.
- In some embodiments, at least one of R1, R2, R3, R4, R5, R6 and R7 is H. In certain embodiments, R5, R6, R7 are H and R1, R2, R3 and R4 are alkyl, aryl, alkyl-aryl, or heteroalkyl. In some embodiments, R1 and R2 are H. In some embodiments, R1, R2, R5, R6 and R7 are H. In some embodiments, R6 and R7 together form a bond. In certain embodiments, R5, R6 and R7 are H, alkyl or O-alkyl.
- In some embodiments, R1 and R3 are -L-K. In some embodiments, R1, R2 and R3 are -L-K. In some embodiments, R3 and R4 are -L-K. In some embodiments, R1 and R2 together with the nitrogen to which they are attached form a 3-8 membered ring and the ring is substituted with -L-K. In some embodiments, R1 or R2 or R3 or R4 are aryl optionally substituted with -L-K. In some embodiments, R1 or R2 or R3 or R4 are alkyl optionally substituted with -L-K. In some embodiments, R1 or R2 or R3 or R4 are alky-aryl optionally substituted with -L-K. In some embodiments, R1 or R2 or R3 or R4 are heteroalkyl optionally substituted with -L-K.
- In some embodiments, L is a C1-C7alkyl. In some embodiments, L is heteroalkyl. In certain embodiments, L is C1-C7alkyl-aryl. In some embodiments, L is C1-C7alkyl-aryl-C1-C7alkyl.
- In certain embodiments, K is a non-protic charged group. In some specific embodiments, each K is a ammonium group. In some embodiments, each K is a cyclic non-protic ammonium group. In some embodiments, each K is an acyclic non-protic ammonium group.
- In certain embodiments, each K is a cyclic non-protic ammonium group of structure:
- In certain embodiments, K is an acyclic non-protic ammonium group of structure:
-
- wherein p, q, R9, R10 and Z are as defined above. In certain embodiments, p is 1. In other embodiments, p is 2. In further embodiments, p is 3. In some embodiments, q is 0. In other embodiments, q is 1. In some other embodiments, q is 2.
- The compounds further comprise 1, 2, 3 or 4 anionic counterions selected from Cl−, Br−, I−, R11SO3 −, (SO3 −—R11—SO3 −), R11CO2 −, (CO2 −—R11—CO2 −), (R11)2(P═O)O− and (R11)(P═O)O2 2− wherein R11 is as defined above. In some embodiments, the counterion is Cl−, Br−, I−, CH2CO2 −, CH3SO3 −, or C6H5SO3 − or CO2 −—(CH2)2—CO2 −. In some embodiments, the compound of Formula III has one K group and one counterion. In other embodiments, the compound of Formula III has one K group, and two molecules of the compound of Formula III have one counterion. In yet other embodiments, the compound of Formula III has two K groups and two counterions. In some other embodiments, the compound of Formula III has one K group comprising two ammonium groups and two counterions.
- Also described herein are compounds having the Formula IIIA:
- wherein:
-
- each R1, R2 is independently H, substituted or unsubstituted alkyl, or -L-K; or R1 and R2 together with the nitrogen to which they are attached form a 3-8-membered ring that is optionally substituted with R8;
- and R3, R4, R8, L and K are as defined above.
- In some embodiments of compounds of Formula IIIA, L is An, wherein each A is substituted or unsubstituted alkyl, or substituted or unsubstituted heteroalkyl, and n is 0-7. In certain specific embodiments of the compound of Formula IIIA, R1 is H. In some embodiments of Formula IIIA, R1 and R2 together with the nitrogen to which they are attached form a 3-8-membered ring that is optionally substituted with -L-K.
- Also described herein are compounds having the Formula IIIB:
- wherein:
-
- each R3, R4 is independently H, substituted or unsubstituted alkyl, substituted or unsubstituted heteroalkyl, substituted or unsubstituted aryl, substituted or unsubstituted alkyl-aryl, or -L-K;
- and R1, R2, L and K are as defined above.
- In certain embodiments of Formula IIIB, R3 is H. In certain embodiments, R3 and R4 are each -L-K. In some embodiments, R3 is H and R4 is substituted or unsubstituted alkyl, substituted or unsubstituted heteroalkyl, substituted or unsubstituted aryl, substituted or unsubstituted alkyl-aryl containing one or two -L-K groups.
- In some embodiments, an ASBTI suitable for the methods described herein is a compound of Formula IIIC
- wherein:
-
- each R1, R2 is independently H, hydroxy, alkyl, alkoxy, —C(═X)YR8, —YC(═X)R8, substituted or unsubstituted alkyl, substituted or unsubstituted heteroalkyl, substituted or unsubstituted aryl, substituted or unsubstituted alkyl-aryl, substituted or unsubstituted cycloalkyl, substituted or unsubstituted alkyl-cycloalkyl, substituted or unsubstituted heteroaryl, substituted or unsubstituted alkyl-heteroaryl, substituted or unsubstituted heterocycloalkyl, substituted or unsubstituted alkyl-heterocycloalkyl, or -L-K; or R1 and R2 together with the nitrogen to which they are attached form a 3-8-membered ring that is optionally substituted with R8;
- each R3, R4 is independently H, hydroxy, alkyl, alkoxy, —C(═X)YR8, —YC(═X)R8, substituted or unsubstituted alkyl, substituted or unsubstituted heteroalkyl, substituted or unsubstituted aryl, substituted or unsubstituted alkyl-aryl, substituted or unsubstituted cycloalkyl, substituted or unsubstituted alkyl-cycloalkyl, substituted or unsubstituted heteroaryl, substituted or unsubstituted alkyl-heteroaryl, substituted or unsubstituted heterocycloalkyl, substituted or unsubstituted alkyl-heterocycloalkyl, or -L-K;
- R5 is H, hydroxy, alkyl, alkoxy, —C(═X)YR8, —YC(═X)R8, substituted or unsubstituted alkyl, substituted or unsubstituted heteroalkyl, substituted or unsubstituted aryl, substituted or unsubstituted alkyl-aryl, substituted or unsubstituted cycloalkyl, substituted or unsubstituted alkyl-cycloalkyl, substituted or unsubstituted heteroaryl, substituted or unsubstituted alkyl-heteroaryl, substituted or unsubstituted heterocycloalkyl, substituted or unsubstituted alkyl-heterocycloalkyl,
- each R6, R7 is independently H, hydroxy, alkyl, alkoxy, —C(═X)YR8, —YC(═X)R8, substituted or unsubstituted alkyl, substituted or unsubstituted heteroalkyl, substituted or unsubstituted aryl, substituted or unsubstituted alkyl-aryl, substituted or unsubstituted cycloalkyl, substituted or unsubstituted alkyl-cycloalkyl, substituted or unsubstituted heteroaryl, substituted or unsubstituted alkyl-heteroaryl, substituted or unsubstituted heterocycloalkyl, substituted or unsubstituted alkyl-heterocycloalkyl, or -L-K; or R6 and R7 taken together form a bond;
- each X is independently NH, S, or O;
- each Y is independently NH, S, or O;
- R8 is substituted or unsubstituted alkyl, substituted or unsubstituted heteroalkyl, substituted or unsubstituted aryl, substituted or unsubstituted alkyl-aryl, substituted or unsubstituted cycloalkyl, substituted or unsubstituted alkyl-cycloalkyl, substituted or unsubstituted heteroaryl, substituted or unsubstituted alkyl-heteroaryl, substituted or unsubstituted heterocycloalkyl, substituted or unsubstituted alkyl-heterocycloalkyl, or -L-K;
- L is An, wherein
- each A is independently NR1, S(O)m, O, C(═X)Y, Y(C═X), substituted or unsubstituted alkyl, substituted or unsubstituted heteroalkyl, substituted or unsubstituted aryl, substituted or unsubstituted heteroaryl, substituted or unsubstituted cycloalkyl, or substituted or unsubstituted heterocycloalkyl; wherein each m is independently 0-2;
- n is 0-7;
- K is a moiety that prevents systemic absorption;
or a pharmaceutically acceptable salt thereof.
- In some specific embodiments of Formula I, II or III, K is selected from
- In some embodiments, an ASBTI suitable for the methods described herein is a compound of Formula IV:
- wherein
- R1 is a straight chain C1-6 alkyl group;
- R2 is a straight chain C1-6 alkyl group;
- R3 is hydrogen or a group OR11 in which R11 is hydrogen, optionally substituted C1-6 alkyl or a C1-6 alkylcarbonyl group;
- R4 is pyridyl or an optionally substituted phenyl;
- R5, R6 and R8 are the same or different and each is selected from:
-
- hydrogen, halogen, cyano, R15-acetylide, OR15, optionally substituted C1-6 alkyl, COR15, CH(OH)R15, S(O)nR15, P(O)(OR15)2, OCOR15, OCF3, OCN, SCN, NHCN, CH2OR15, CHO, (CH2)pCN, CONR12R13, (CH2)pCO2R15, (CH2)pNR12R13, CO2R15, NHCOCF3, NHSO2R15, OCH2OR15, OCH═CHR15, O(CH2CH2O)nR15, O(CH2)pSO3R15, O(CH2)pNR12R13 and O(CH2)pN+R12R13R14 wherein
- p is an integer from 1-4,
- n is an integer from 0-3 and
- R12, R13, R14 and R15 are independently selected from hydrogen and optionally substituted C1-6 alkyl;
- R7 is a group of the formula
-
- wherein the hydroxyl groups may be substituted by acetyl, benzyl,
- or —(C1-C6)-alkyl-R17,
- wherein the alkyl group may be substituted with one or more hydroxyl groups;
- wherein the hydroxyl groups may be substituted by acetyl, benzyl,
- R16 is —COOH, —CH2—OH, —CH2—O-Acetyl, —COOMe or —COOEt;
- R17 is H, —OH, —NH2, —COOH or COOR18;
- R18 is (C1-C4)-alkyl or —NH—(C1-C4)-alkyl;
- X is —NH— or —O—; and
- R9 and R10 are the same or different and each is hydrogen or C1-C6 alkyl; and salts thereof.
- In some embodiments, a compound of Formula IV has the structure of Formula IVA or Formula IVB:
- In some embodiments, a compound of Formula IV has the structure of Formula IVC:
- In some embodiments of Formula IV, X is O and R7 is selected from
- In some embodiments, a compound of Formula IV is:
- In some embodiments, an ASBTI suitable for the methods described herein is a compound of Formula V:
- wherein:
- Rv is selected from hydrogen or C1-6alkyl;
- One of R1 and R2 are selected from hydrogen or C1-6alkyl and the other is selected from C1-6alkyl;
- Rx and Ry are independently selected from hydrogen, hydroxy, amino, mercapto, C1-6alkyl, C1-6alkoxy, N—(C1-6alkyl)amino, N,N—(C1-6alkyl)2amino, C1-6alkylS(O)a wherein a is 0 to 2;
- Rz is selected from halo, nitr, cyano, hydroxy, amino, carboxy, carbamoyl, mercapto, sulphamoyl, C1-6alkyl, C2-6alkenyl, C2-6alkynyl, C1-6alkoxy, C1-6alkanoyl, C1-6alkanoyloxy, N—(C1-6alkyl)amino, N,N—(C1-6alkyl)2amino, C1-6alkanoylamino, N—(C1-6alkyl)carbamoyl, N,N—(C1-6alkyl)2carbamoyl, C1-6alkylS(O)a wherein a is 0 to 2, C1-6alkoxycarbonyl, N—(C1-6alkyl)sulphamoyl and N,N—(C1-6alkyl)2sulphamoyl;
- n is 0-5;
- one of R4 and R5 is a group of formula (VA):
- R3 and R6 and the other of R4 and R5 are independently selected from hydrogen, halo, nitro, cyano, hydroxy, amino, carboxy, carbamoyl, mercapto, sulphamoyl, C1-6alkyl, C2-6alkenyl, C2-6alkynyl, C1-6alkoxy, C1-6alkanoyl, C1-6alkanoyloxy, N—(C1-6alkyl)amino, N,N—(C1-6alkyl)2amino, C1-6alkanoylamino, N—(C1-6alkyl)carbamoyl, N,N—(C1-6alkyl)2carbamoyl, C1-6alkylS(O)a wherein a is 0 to 2, C1-6alkoxycarbonyl, N—(C1-6alkyl)sulphamoyl and N,N—(C1-6alkyl)2sulphamoyl;
-
- wherein R3 and R6 and the other of R4 and R5 may be optionally substituted on carbon by one or more R17;
- X is —O—, —N(Ra)—, —S(O)b— or —CH(Ra)—;
-
- wherein Ra is hydrogen or C1-6alkyl and b is 0-2;
- Ring A is aryl or heteroaryl;
-
- wherein Ring A is optionally substituted on carbon by one or more substituents selected from R18;
- R7 is hydrogen, C1-6alkyl, carbocyclyl or heterocyclyl;
-
- wherein R7 is optionally substituted on carbon by one or more substituents selected from R19; and wherein if said heterocyclyl contains an —NH— group, that nitrogen may be optionally substituted by a group selected from R20;
- R8 is hydrogen or C1-6-alkyl;
- R9 is hydrogen or C1-6alkyl;
- R10 is hydrogen, halo, nitro, cyano, hydroxy, amino, carbamoyl, mercapto, sulphamoyl, hydroxyaminocarbonyl, C1-10alkyl, C2-10alkynyl, C2-10alkynyl, C1-10alkanoyl, C1-10alkanoyloxy, N—(C1-10alkyl)amino, N,N—(C1-10alkyl)2amino, N,N,N—(C1-10alkyl)3ammonio, C1-10alkanoylamino, N—(C1-10alkyl)carbamoyl, N,N—(C1-10alkyl)2carbamoyl, C1-10alkylS(O)a wherein a is 0 to 2, N—(C1-10alkyl)sulphamoyl, N,N—(C1-10alkyl)2sulphamoyl, N—(C1-10alkyl)sulphamoylamino, N,N—(C1-10alkyl)2sulphamoylamino, C1-10alkoxycarbonylamino, carbocyclyl, carbocyclylC1-10alkyl, heterocyclyl, heterocyclylC1-10alkyl, carbocyclyl-(C1-10alkylene)p-R21—(C1-10alkylene)q- or heterocyclyl-(C1-10alkylene)r-R22—(C1-10alkylene)s-; wherein R10 is optionally substituted on carbon by one or more substituents selected from R23; and wherein if said heterocyclyl contains an —NH— group, that nitrogen may be optionally substituted by a group selected from R24; or R10 is a group of formula (VB):
- wherein:
- R11 is hydrogen or C1-6-alkyl;
- R12 and R13 are independently selected from hydrogen, halo, carbamoyl, sulphamoyl, C1-10alkyl, C2-10alkynyl, C2-10alkynyl, C1-10alkanoyl, N—(C1-10alkyl)carbamoyl, N,N—(C1-10alkyl)2carbamoyl, C1-10alkylS(O)a wherein a is 0 to 2, N—(C1-10alkyl)sulphamoyl, N,N—(C1-10alkyl)2sulphamoyl, N—(C1-10alkyl)sulphamoylamino, N,N—(C1-10alkyl)2sulphamoylamino, carbocyclyl or heterocyclyl; wherein R12 and R13 may be independently optionally substituted on carbon by one or more substituents selected from R25; and wherein if said heterocyclyl contains an —NH— group, that nitrogen may be optionally substituted by a group selected from R26;
- R14 is selected from hydrogen, halo, carbamoyl, sulphamoyl, hydroxyaminocarbonyl, C1-10alkyl, C2-10alkenyl, C2-10alkynyl, C1-10alkanoyl, N—(C1-10alkyl)carbamoyl, N,N—(C1-10alkyl)2carbamoyl, C1-10alkylS(O)a wherein a is 0 to 2, N—(C1-10alkyl)sulphamoyl, N,N—(C1-10alkyl)2sulphamoyl, N—(C1-10alkyl)sulphamoylamino, N,N—(C1-10alkyl)2sulphamoylamino, carbocyclyl, carbocyclylC1-10alkyl, heterocyclyl, heterocyclylC1-10alkyl, carbocyclyl-(C1-10alkylene)p-R27—(C1-10alkylene)q- or heterocyclyl-(C1-10alkylene)r-R28—(C1-10alkylene)s-; wherein R14 may be optionally substituted on carbon by one or more substituents selected from R29; and wherein if said heterocyclyl contains an —NH— group, that nitrogen may be optionally substituted by a group selected from R30; or R14 is a group of formula (VC):
- R15 is hydrogen or C1-6alkyl; and R16 is hydrogen or C1-6alkyl; wherein R16 may be optionally substituted on carbon by one or more groups selected from R31;
- or R15 and R16 together with the nitrogen to which they are attached form a heterocyclyl; wherein said heterocyclyl may be optionally substituted on carbon by one or more R37; and wherein if said heterocyclyl contains an —NH— group, that nitrogen may be optionally substituted by a group selected from R38;
- m is 1-3; wherein the values of R7 may be the same or different;
- R17, R18, R19, R23, R25, R29, R31 and R37 are independently selected from halo, nitro, cyano, hydroxy, amino, carbamoyl, mercapto, sulphamoyl, hydroxyaminocarbonyl, C1-10alkyl, C2-10alkenyl, C2-10alkynyl, C1-10alkoxy, C1-10alkanoyl, C1-10alkanoyloxy, N—(C1-10alkyl)amino, N,N—(C1-10alkyl)2amino, N,N,N—(C1-10alkyl)3ammonio, C1-10alkanoylamino, N—(C1-10alkyl)carbamoyl, N,N—(C1-10alkyl)2carbamoyl, C1-10alkylS(O)a wherein a is 0 to 2, N—(C1-10alkyl)sulphamoyl, N,N—(C1-10alkyl)2sulphamoyl, N—(C1-10alkyl)sulphamoylamino, N,N—(C1-10alkyl)2sulphamoylamino, C1-10alkoxycarbonylamino, carbocyclyl, carbocyclylC1-10alkyl, heterocyclyl, heterocyclylC1-10alkyl, carbocyclyl-(C1-10alkylene)p-R32—(C1-10alkylene)q- or heterocyclyl-(C1-10alkylene)r-R33—(C1-10alkylene)s-; wherein R17, R18, R19, R23, R25, R29, R31 and R37 may be independently optionally substituted on carbon by one or more R34; and wherein if said heterocyclyl contains an —NH— group, that nitrogen may be optionally substituted by a group selected from R35;
- R21, R22, R27, R28, R32 or R33 are independently selected from —O—, —NR36—, —S(O)X, —NR36C(O)NR36—, —NR36C(S)NR36—, —OC(O)N═C—, —NR36C(O)— or —C(O)NR36—; wherein R36 is selected from hydrogen or C1-6alkyl, and x is 0-2;
- p, q, r and s are independently selected from 0-2;
- R34 is selected from halo, hydroxy, cyano, carbamoyl, ureido, amino, nitro, carbamoyl, mercapto, sulphamoyl, trifluoromethyl, trifluoromethoxy, methyl, ethyl, methoxy, ethoxy, vinyl, allyl, ethynyl, formyl, acetyl, formamido, acetylamino, acetoxy, methylamino, dimethylamino, N-methylcarbamoyl, N,N-dimethylcarbamoyl, methylthio, methylsulphinyl, mesyl, N-methylsulphamoyl, N,N-dimethylsulphamoyl, N-methylsulphamoylamino and N,N-dimethylsulphamoylamino;
- R20, R24, R26, R30, R35 and R38 are independently selected from C1-6alkyl, C1-6alkanoyl, C1-6alkylsulphonyl, C1-6alkoxycarbonyl, carbamoyl, N—(C1-6alkyl)carbamoyl, N,N—(C1-6alkyl)carbamoyl, benzyl, benzyloxycarbonyl, benzoyl and phenylsulphonyl; and
- wherein a “heteroaryl” is a totally unsaturated, mono or bicyclic ring containing 3-12 atoms of which at least one atom is chosen from nitrogen, sulphur and oxygen, which heteroaryl may, unless otherwise specified, be carbon or nitrogen linked;
- wherein a “heterocyclyl” is a saturated, partially saturated or unsaturated, mono or bicyclic ring containing 3-12 atoms of which at least one atom is chosen from nitrogen, sulphur and oxygen, which heterocyclyl may, unless otherwise specified, be carbon or nitrogen linked, wherein a —CH2— group can optionally be replaced by a —C(O)— group, and a ring sulphur atom may be optionally oxidised to form an S-oxide; and
- wherein a “carbocyclyl” is a saturated, partially saturated or unsaturated, mono or bicyclic carbon ring that contains 3-12 atoms; wherein a —CH2— group can optionally be replaced by a —C(O) group;
- or a pharmaceutically acceptable salt or in vivo hydrolysable ester or amide formed on an available carboxy or hydroxy group thereof.
- In some embodiments, compound of Formula V is 1,1-dioxo-3,3-dibutyl-5-phenyl-7-methylthio-8-(N—{(R)-α-[N—((R)-1-carboxy-2-methylthio-ethyl)carbamoyl]-4-hydroxybenzyl}carbamoylmethoxy)-2,3,4,5-tetrahydro-1,2,5-benzothiadiazepine; 1,1-dioxo-3,3-dibutyl-5-phenyl-7-methylthio-8-(N—{(R)-α-[N—((S)-1-carboxy-2-(R)-hydroxypropyl)carbamoyl]-4-hydroxybenzyl}carbamoylmethoxy)-2,3,4,5-tetrahydro-1,2,5-benzothiadiazepine; 1,1-dioxo-3,3-dibutyl-5-phenyl-7-methylthio-8-(N—{(R)-α-[N—((S)-1-carboxy-2-methylpropyl)carbamoyl]-4-hydroxybenzyl}carbamoylmethoxy)-2,3,4,5-tetrahydro-1,2,5-benzothiadiazepine; 1,1-dioxo-3,3-dibutyl-5-phenyl-7-methylthio-8-(N—{(R)-α-[N—((S)-1-carboxybutyl)carbamoyl]-4-hydroxybenzyl}carbamoylmethoxy)-2,3,4,5-tetrahydro-1,2,5-benzothiadiazepine; 1,1-dioxo-3,3-dibutyl-5-phenyl-7-methylthio-8-(N—{(R)-α-[N—((S)-1-carboxypropyl)carbamoyl]benzyl}carbamoylmethoxy)-2,3,4,5-tetrahydro-1,2,5-benzothiadiazepine; 1,1-dioxo-3,3-dibutyl-5-phenyl-7-methylthio-8-(N—{(R)-α-[N—((S)-1-carboxyethyl)carbamoyl]benzyl}carbamoylmethoxy)-2,3,4,5-tetrahydro-1,2,5-benzothiadiazepine; 1,1-dioxo-3,3-dibutyl-5-phenyl-7-methylthio-8-(N—{(R)-α-[N—((S)-1-carboxy-2-(R)-hydroxypropyl)carbamoyl]benzyl}carbamoylmethoxy)-2,3,4,5-tetrahydro-1,2,5-benzothiadiazepine; 1,1-dioxo-3,3-dibutyl-5-phenyl-7-methylthio-8-(N—{(R)-α-[N-(2-sulphoethyl)carbamoyl]-4-hydroxybenzyl}carbamoylmethoxy)-2,3,4,5-tetrahydro-1,2,5-benzothiadiazepine; 1,1-dioxo-3,3-dibutyl-5-phenyl-7-methylthio-8-(N—{(R)-α-[N—((S)-1-carboxyethyl)carbamoyl]-4-hydroxybenzyl}carbamoylmethoxy)-2,3,4,5-tetrahydro-1,2,5-benzothiadiazepine; 1,1-dioxo-3,3-dibutyl-5-phenyl-7-methylthio-8-(N—{(R)-α-[N—((R)-1-carboxy-2-methylthioethyl)carbamoyl]benzyl}carbamoylmethoxy)-2,3,4,5-tetrahydro-1,2,5-benzothiadiazepine; 1,1-dioxo-3,3-dibutyl-5-phenyl-7-methylthio-8-(N—{(R)-α-[N-{(S)-1-[N—((S)-2-hydroxy-1-carboxyethyl)carbamoyl]propyl}carbamoyl]benzyl}carbamoylmethoxy)-2,3,4,5-tetrahydro-1,2,5-benzothiadiazepine; 1,1-dioxo-3,3-dibutyl-5-phenyl-7-methylthio-8-(N—{(R)-α-[N—((S)-1-carboxy-2-methylpropyl)carbamoyl]benzyl}carbamoylmethoxy)-2,3,4,5-tetrahydro-1,2,5-benzothiadiazepine; 1,1-dioxo-3,3-dibutyl-5-phenyl-7-methylthio-8-(N—{(R)-α-[N—((S)-1-carboxypropyl)carbamoyl]-4-hydroxybenzyl}carbamoylmethoxy)-2,3,4,5-tetrahydro-1,2,5-benzothiadiazepine; 1,1-dioxo-3,3-dibutyl-5-phenyl-7-methylthio-8-[N—{(R)-α-carboxy4-hydroxybenzyl}carbamoylmethoxy]-2,3,4,5-tetrahydro-1,2,5-benzothiadiazepine; or 1,1-dioxo-3,3-dibutyl-5-phenyl-7-methylthio-8-(N—{(R)-α-[N-(carboxymethyl)carbamoyl]benzyl}carbamoylmethoxy)-2,3,4,5-tetrahydro-1,2,5-benzothiadiazepine, or a salt thereof.
- In some embodiments, compound of Formula V is
- In some embodiments, an ASBTI suitable for the methods described herein is a compound of Formula VI:
- wherein:
- Rv and Rw are independently selected from hydrogen or C1-6alkyl;
- one of R1 and R2 is selected from hydrogen or C1-6alkyl and the other is selected from C1-6alkyl;
- Rx and Ry are independently selected from hydrogen or C1-6alkyl, or one of Rx and Ry is hydrogen or C1-6alkyl and the other is hydroxy or C1-6alkoxy;
- Rz is selected from halo, nitro, cyano, hydroxy, amino, carboxy, carbamoyl, mercapto, sulphamoyl, C1-6alkyl, C2-6alkenyl, C2-6alkynyl, C1-6alkoxy, C1-6alkanoyl, C1-6alkanoyloxy, N—(C1-6alkyl)amino, N,N—(C1-6alkyl)2amino, C1-6alkanoylamino, N—(C1-6alkyl)carbamoyl, N,N—(C1-6alkyl)2carbamoyl, C1-6alkyl S(O)a wherein a is 0 to 2, C1-6alkoxycarbonyl, N—(C1-6alkyl)sulphamoyl and N,N—(C1-6alkyl)2sulphamoyl;
- n is 0-5;
- one of R4 and R5 is a group of formula (VIA):
- R3 and R6 and the other of R4 and R5 are independently selected from hydrogen, halo, nitro, cyano, hydroxy, amino, carboxy, carbamoyl, mercapto, sulphamoyl, C1-6alkyl, C2-6alkenyl, C2-6alkynyl, C1-6alkoxy, C1-6alkanoyl, C1-6alkanoyloxy, N—(C1-6alkyl)amino, N,N—(C1-6alkyl)2amino, C1-6alkanoylamino, N—(C1-6alkyl)carbamoyl, N,N—(C1-6alkyl)2carbamoyl, C1-6alkylS(O)a wherein a is 0 to 2, C1-6alkoxycarbonyl, N—(C1-6alkyl)sulphamoyl and N,N—(C1-6alkyl)2sulphamoyl; wherein R3 and R6 and the other of R4 and R5 may be optionally substituted on carbon by one or more R17;
- X is —O—, —N(Ra)—, —S(O)b— or —CH(Ra)—; wherein Ra is hydrogen or C1-6alkyl and b is 0-2;
- Ring A is aryl or heteroaryl; wherein Ring A is optionally substituted on carbon by one or more substituents selected from R18;
- R7 is hydrogen, C1-6alkyl, carbocyclyl or heterocyclyl; wherein R7 is optionally substituted on carbon by one or more substituents selected from R19; and wherein if said heterocyclyl contains an —NH— group, that nitrogen may be optionally substituted by a group selected from R20;
- R8 is hydrogen or C1-6alkyl;
- R9 is hydrogen or C1-6alkyl;
- R10 is hydrogen, halo, nitro, cyano, hydroxy, amino, carbamoyl, mercapto, sulphamoyl, hydroxyaminocarbonyl, C1-10alkyl, C2-10alkenyl, C2-10alkynyl, C1-10alkoxy, C1-10alkanoyl, C1-10alkanoyloxy, N—(C1-10alkyl)amino, N,N—(C1-10alkyl)2amino, N,N,N—(C1-10alkyl)3ammonio, C1-10alkanoylamino, N—(C1-10alkyl)carbamoyl, N,N—(C1-10alkyl)2carbamoyl, C1-10alkylS(O)a wherein a is 0 to 2, N—(C1-10alkyl)sulphamoyl, N,N—(C1-10alkyl)2sulphamoyl, N—(C1-10alkyl)sulphamoylamino, N,N—(C1-10alkyl)2 sulphamoylamino, C1-10alkoxycarbonylamino, carbocyclyl, carbocyclylC1-10alkyl, heterocyclyl, heterocyclylC1-10alkyl, carbocyclyl-(C1-10alkylene)p-R21—(C1-10alkylene)q- or heterocyclyl-(C1-10alkylene)r-R22—(C1-10alkylene)s-; wherein R10 is optionally substituted on carbon by one or more substituents selected from R23; and wherein if said heterocyclyl contains an —NH— group, that nitrogen may be optionally substituted by a group selected from R24; or R10 is a group of formula (VIB):
- wherein:
- R11 is hydrogen or C1-6alkyl;
- R12 and R13 are independently selected from hydrogen, halo, nitro, cyano, hydroxy, amino, carbamoyl, mercapto, sulphamoyl, C1-10alkyl, C2-10alkenyl, C2-10alkynyl, C1-10alkoxy, C1-10alkanoyl, C1-10alkanoyloxy, N—(C1-10alkyl)amino, N,N—(C1-10alkyl)2amino, C1-10alkanoylamino, N—(C1-10alkyl)carbamoyl, N,N—(C1-10alkyl)2carbamoyl, C1-10alkylS(O)a wherein a is 0 to 2, N—(C1-10alkyl)sulphamoyl, N,N—(C1-10alkyl)2sulphamoyl, N—(C1-10alkyl)sulphamoylamino, N,N—(C1-10alkyl)2sulphamoylamino, carbocyclyl or heterocyclyl; wherein R12 and R13 may be independently optionally substituted on carbon by one or more substituents selected from R25; and wherein if said heterocyclyl contains an —NH— group, that nitrogen may be optionally substituted by a group selected from R26;
- R14 is selected from hydrogen, halo, nitro, cyano, hydroxy, amino, carbamoyl, mercapto, sulphamoyl, hydroxyaminocarbonyl, C1-10alkyl, C2-10alkenyl, C2-10alkynyl, C1-10alkoxy, C1-10alkanoyl, C1-10alkanoyloxy, N—(C1-10alkyl)amino, N,N—(C1-10alkyl)2amino, N,N,N—(C1-10alkyl)3ammonio, C1-10alkanoylamino, N—(C1-10alkyl)carbamoyl, N,N—(C1-10alkyl)2carbamoyl, C1-10alkylS(O)a wherein a is 0 to 2, N—(C1-10alkyl)sulphamoyl, N,N—(C1-10alkyl)2sulphamoyl, N—(C1-10alkyl)sulphamoylamino, N,N—(C1-10alkyl)2sulphamoylamino, C1-10alkoxycarbonylamino, carbocyclyl, carbocyclylC1-10alkyl, heterocyclyl, heterocyclylC1-10alkyl, carbocyclyl-(C1-10alkylene)p-R27—(C1-10alkylene)q- or heterocyclyl-(C1-10alkylene)r-R28—(C1-10alkylene)s-; wherein R14 may be optionally substituted on carbon by one or more substituents selected from R29; and wherein if said heterocyclyl contains an —NH— group, that nitrogen may be optionally substituted by a group selected from R30; or R14 is a group of formula (VIC):
- R15 is hydrogen or C1-6alkyl;
- R16 is hydrogen or C1-6alkyl; wherein R16 may be optionally substituted on carbon by one or more groups selected from R31;
- n is 1-3; wherein the values of R7 may be the same or different;
- R17, R18, R19, R23, R25, R29 or R31 are independently selected from halo, nitro, cyano, hydroxy, amino, carbamoyl, mercapto, sulphamoyl, hydroxyaminocarbonyl, amidino, C1-10alkyl, C2-10alkenyl, C2-10alkynyl, C1-10alkoxy, C1-10alkanoyl, C1-10alkanoyloxy, (C1-10alkyl)3silyl, N—(C1-10alkyl)amino, N,N—(C1-10alkyl)2amino, N,N,N—(C1-10alkyl)3ammonio, C1-10alkanoylamino, N—(C1-10alkyl)carbamoyl, N,N—(C1-10alkyl)2carbamoyl, C1-10alkylS(O)a wherein a is 0 to 2, N—(C1-10alkyl)sulphamoyl, N,N—(C1-10alkyl)2sulphamoyl, N—(C1-10alkyl)sulphamoylamino, N,N—(C1-10alkyl)2sulphamoylamino, C1-10alkoxycarbonylamino, carbocyclyl, carbocyclylC1-10alkyl, heterocyclyl, heterocyclylC1-10alkyl, carbocyclyl-(C1-10alkylene)p-R32—(C1-10alkylene)q- or heterocyclyl-(C1-10alkylene)r-R33—(C1-10alkylene)s-; wherein R17, R18, R19, R23, R25, R29 or R31 may be independently optionally substituted on carbon by one or more R34; and wherein if said heterocyclyl contains an —NH— group, that nitrogen may be optionally substituted by a group selected from R35;
- R21, R22, R27, R28, R32 or R33 are independently selected from —O—, —NR36—, —S(O)x—, —NR36C(O)NR36—, —NR36C(S)NR36—, —OC(O)N═C—, —NR36C(O)— or —C(O)NR36—; wherein R36 is selected from hydrogen or C1-6alkyl, and x is 0-2;
- p, q, r and s are independently selected from 0-2;
- R34 is selected from halo, hydroxy, cyano, carbamoyl, ureido, amino, nitro, carbamoyl, mercapto, sulphamoyl, trifluoromethyl, trifluoromethoxy, methyl, ethyl, methoxy, ethoxy, vinyl, allyl, ethynyl, formyl, acetyl, formamido, acetylamino, acetoxy, methylamino, dimethylamino, N-methylcarbamoyl, N,N-dimethylcarbamoyl, methylthio, methylsulphinyl, mesyl, N-methylsulphamoyl, N,N-dimethylsulphamoyl, N-methylsulphamoylamino and N,N-dimethylsulphamoylamino;
- R20, R24, R26, R30 or R35 are independently selected from C1-6alkyl, C1-6alkanoyl, C1-6alkylsulphonyl, C1-6alkoxycarbonyl, carbamoyl, N—(C1-6alkyl)carbamoyl, N,N—(C1-6alkyl)carbamoyl, benzyl, benzyloxycarbonyl, benzoyl and phenylsulphonyl;
- or a pharmaceutically acceptable salt, solvate or solvate of such a salt, or an in vivo hydrolysable ester formed on an available carboxy or hydroxy thereof, or an in vivo hydrolysable amide formed on an available carboxy thereof.
- In some embodiments, a compound of Formula VI has the structure of Formula VID:
- wherein:
- R1 and R2 are independently selected from C1-6alkyl; one of R4 and R5 is a group of formula (VIE):
- R3 and R6 and the other of R4 and R5 are independently selected from hydrogen, halo, nitro, cyano, hydroxy, amino, carboxy, carbamoyl, mercapto, sulphamoyl, C1-4alkyl, C2-4alkenyl, C2-4alkynyl, C1-4alkoxy, C1-4 alkanoyl, C1-4 alkanoyloxy, N—(C1-4 alkyl)amino, N,N—(C1-4 alkyl)2amino, C1-4 alkanoylamino, N—(C1-4alkyl)carbamoyl, N,N—(C1-4alkyl)2carbamoyl, C1-4alkylS(O)a wherein a is 0 to 2, C1-4alkoxycarbonyl, N—(C1-4alkyl)sulphamoyl and N,N—(C1-4alkyl)2sulphamoyl; wherein R3 and R6 and the other of R4 and R5 may be optionally substituted on carbon by one or more R14;
- R7 is carboxy, sulpho, sulphino, phosphono, —P(O)(ORa)(ORb), P(O)(OH)(ORa), —P(O)(OH)(Ra) or P(O)(ORa)(Rb), wherein Ra and Rb are independently selected from C1-6alkyl; or R7 is a group of formula (VIF):
- R8 and R9 are independently hydrogen, C1-4alkyl or a saturated cyclic group, or R8 and R9 together form C2-6alkylene; wherein R8 and R9 or R8 and R9 together may be independently optionally substituted on carbon by one or more substituents selected from R15; and wherein if said saturated cyclic group contains an —NH— moiety, that nitrogen may be optionally substituted by one or more R20;
- R10 is hydrogen or C1-4alkyl; wherein R10 is optionally substituted on carbon by one or more substituents selected from R24;
- R11 is hydrogen, C1-4alkyl, carbocyclyl or heterocyclyl; wherein R11 is optionally substituted on carbon by one or more substituents selected from R16; and wherein if said heterocyclyl contains an —NH— moiety, that nitrogen may be optionally substituted by one or more R21;
- R12 is hydrogen or C1-4alkyl, carbocyclyl or heterocyclyl; wherein R12 optionally substituted on carbon by one or more substituents selected from R17; and wherein if said heterocyclyl contains an —NH— moiety, that nitrogen may be optionally substituted by one or more R22;
- R13 is carboxy, sulpho, sulphino, phosphono, —P(O)(ORc)(ORd), —P(O)(OH)(ORc), —P(O)(OH)(Rc) or —P(O)(ORc)(Rd) wherein Rc and Rd are independently selected from C1-6alkyl;
- m is 1-3; wherein the values of R8 and R9 may be the same or different;
- n is 1-3; wherein the values of R11 may be the same or different;
- p is 1-3; wherein the values of R12 may be the same or different;
- R14 and R16 are independently selected from halo, nitro, cyano, hydroxy, amino, carboxy, carbamoyl, mercapto, sulphamoyl, C1-4alkyl, C2-4alkenyl, C2-4alkynyl, C1-4alkoxy, C1-4alkanoyl, C1-4alkanoyloxy, N—(C1-4alkyl)amino, N,N—(C1-4 alkyl)2amino, C1-4alkanoylamino, N—(C1-4alkyl)carbamoyl, N,N—(C1-4alkyl)2carbamoyl, C1-4alkylS(O)a wherein a is 0 to 2, C1-4alkoxycarbonyl, N—(C1-4alkyl)sulphamoyl and N,N—(C1-4alkyl)2sulphamoyl; wherein R14 and R16 may be independently optionally substituted on carbon by one or more R18;
- R15 and R17 are independently selected from halo, nitro, cyano, hydroxy, amino, carboxy, carbamoyl, mercapto, sulphamoyl, C1-4 alkyl, C2-4alkenyl, C2-4alkynyl, C1-4 alkoxy, C1-4alkanoyl, C1-4alkanoyloxy, N—(C1-4alkyl)amino, N,N—(C1-4 alkyl)2amino, C1-4alkanoylamino, N—(C1-4alkyl)carbamoyl, N,N—(C1-4alkyl)2carbamoyl, C1-4alkylS(O)a wherein a is 0 to 2, C1-4alkoxycarbonyl, N—(C1-4alkyl)sulphamoyl and N,N—(C1-4alkyl)2sulphamoyl, carbocyclyl, heterocyclyl, sulpho, sulphino, amidino, phosphono, —P(O)(ORe)(ORf), —P(O)(OH)(ORe), —P(O)(OH)(Re) or —P(O)(ORe)(Rf), wherein Re and Rf are independently selected from C1-6alkyl; wherein R15 and R17 may be independently optionally substituted on carbon by one or more R19; and wherein if said heterocyclyl contains an —NH— moiety, that nitrogen may be optionally substituted by one or more R23;
- R18, R19 and R25 are independently selected from halo, hydroxy, cyano, carbamoyl, ureido amino nitro, carboxy, carbamoyl, mercapto, sulphamoyl, trifluoromethyl, trifluoromethoxy, methyl, ethyl, methoxy, ethoxy, vinyl, allyl, ethynyl, methoxycarbonyl, formyl, acetyl, formamido, acetylamino, acetoxy, methylamino, dimethylamino, N-methylcarbamoyl, N,N-dimethylcarbamoyl, methylthio, methylsulphinyl, mesyl, N-methylsulphamoyl and N,N-dimethylsulphamoyl;
- R20, R21, R22, R23 and R26 are independently C1-4alkyl, C1-4alkanoyl, C1-4alkylsulphonyl, sulphamoyl, N—(C1-4alkyl)sulphamoyl, N,N—(C1-4 alkyl)2sulphamoyl, C1-4 alkoxycarbonyl, carbamoyl, N—(C1-4alkyl)carbamoyl, N,N—(C1-4alkyl)2carbamoyl, benzyl, phenethyl, benzoyl, phenylsulphonyl and phenyl;
- R24 is selected from halo, nitro, cyano, hydroxy, amino, carboxy, carbamoyl, mercapto, sulphamoyl, C1-4alkyl, C2-4alkenyl, C2-4alkynyl, C1-4 alkoxy, C1-4 alkanoyl, C1-4alkanoyloxy, N—(C1-4 alkyl)amino, N,N—(C1-4alkyl)2amino, C1-4alkanoylamino, N—(C1-4 alkyl)carbamoyl, N,N—(C1-4alkyl)2carbamoyl, C1-4 alkylS(O)a wherein a is 0 to 2, C1-4alkoxycarbonyl, N—(C1-4alkyl)sulphamoyl and N,N—(C1-4alkyl)2sulphamoyl, carbocyclyl, heterocyclyl; wherein R24 may be independently optionally substituted on carbon by one or more R25; and wherein if said heterocyclyl contains an —NH— moiety, that nitrogen may be optionally substituted by one or more R26;
- wherein any saturated cyclic group is a totally or partially saturated, mono or bicyclic ring containing 3-12 atoms of which 0-4 atoms are chosen from nitrogen, sulphur or oxygen, which may be carbon or nitrogen linked;
- wherein any heterocyclyl is a saturated, partially saturated or unsaturated, mono or bicyclic ring containing 3-12 atoms of which at least one atom is chosen from nitrogen, sulphur or oxygen, which may be carbon or nitrogen linked, wherein a —CH2— group can optionally be replaced by a —C(O)— or a ring sulphur atom may be optionally oxidised to form the S-oxides; and
- wherein any carbocyclyl is a saturated, partially saturated or unsaturated, mono or bicyclic carbon ring that contains 3-12 atoms, wherein a —CH2— group can optionally be replaced by a —C(O)—;
- or a pharmaceutically acceptable salt thereof.
- In some embodiments, a compound of Formula IV is 1,1-dioxo-3,3-dibutyl-5-phenyl-7-methylthio-8-(N—{(R)-1′-phenyl-1′-[N′-(carboxymethyl)carbamoyl]methyl}carbamoylmethoxy)-2,3,4,5-tetrahydro-1,5-benzothiazepine; 1,1-dioxo-3,3-dibutyl-5-phenyl-7-methylthio-8-(N—{(R)-α-[N′—((S)-1-carboxypropyl)carbamoyl]-4-hydroxybenzyl}carbamoylmethoxy)-2,3,4,5-tetrahydro-1,5-benzothiazepine; 1,1-dioxo-3,3-dibutyl-5-phenyl-7-methylthio-8-(N—{(R)-1′-phenyl-1′-[N′-(carboxymethyl)carbamoyl]methyl}carbamoylmethoxy)-2,3,4,5-tetrahydro-1,5-benzothiazepine; 1,1-dioxo-3,3-dibutyl-5-phenyl-7-methylthio-8-(N—{(R)-α-[N′—((S)-1-carboxyethyl)carbamoyl]benzyl}carbamoylmethoxy)-2,3,4,5-tetrahydro-1,5-benzothiazepine; or a salt thereof.
- In some embodiments, any compound described herein is covalently conjugated to a bile acid using any suitable method. In some embodiments, compounds described herein are covalently bonded to a cyclodextrin or a biodegradable polymer (e.g., a polysaccharide).
- In certain embodiments compounds described herein are not systemically absorbed. Moreover, provided herein are compounds that inhibit bile salt recycling in the gastrointestinal tract of an individual. In some embodiments, compounds described herein, may not be transported from the gut lumen and/or do not interact with ASBT. In some embodiments, compounds described herein, do not affect, or minimally affect, fat digestion and/or absorption. In certain embodiments, the administration of a therapeutically effective amount of any compound described herein does not result in gastrointestinal disturbance or lactic acidosis in an individual. In certain embodiments, compounds described herein are administered orally. In some embodiments, an ASBTI is released in the distal ileum. An ASBTI compatible with the methods described herein may be a direct inhibitor, an allosteric inhibitor, or a partial inhibitor of the Apical Sodium-dependent Bile acid Transporter.
- In certain embodiments, compounds that inhibit ASBT or any recuperative bile acid transporters are compounds that are described in EP1810689, U.S. Pat. Nos. 6,458,851, 7,413,536, 7,514,421, US Appl. Publication Nos. 2002/0147184, 2003/0119809, 2003/0149010, 2004/0014806, 2004/0092500, 2004/0180861, 2004/0180860, 2005/0031651, 2006/0069080, 2006/0199797, 2006/0241121, 2007/0065428, 2007/0066644, 2007/0161578, 2007/0197628, 2007/0203183, 2007/0254952, 2008/0070888, 2008/0070892, 2008/0070889, 2008/0070984, 2008/0089858, 2008/0096921, 2008/0161400, 2008/0167356, 2008/0194598, 2008/0255202, 2008/0261990, WO 2002/50027, WO2005/046797, WO2006/017257, WO2006/105913, WO2006/105912, WO2006/116499, WO2006/117076, WO2006/121861, WO2006/122186, WO2006/124713, WO2007/050628, WO2007/101531, WO2007/134862, WO2007/140934, WO2007/140894, WO2008/028590, WO2008/033431, WO2008/033464, WO2008/031501, WO2008/031500, WO2008/033465, WO2008/034534, WO2008/039829, WO2008/064788, WO2008/064789, WO2008/088836, WO2008/104306, WO2008/124505, and WO2008/130616; the compounds described therein that inhibit recuperative bile acid transport are hereby incorporated herein by reference.
- In certain embodiments, compounds that inhibit ASBT or any recuperative bile acid transporters are compounds described in WO93/16055, WO94/18183, WO94/18184, WO96/05188, WO96/08484, WO96/16051, WO97/33882, WO98/38182, WO99/35135, WO98/40375, WO99/64409, WO99/64410, WO00/01687, WO00/47568, WO00/61568, DE 19825804, WO00/38725, WO00/38726, WO00/38727 (including those compounds with a 2,3,4,5-tetrahydro-1-benzothiepine 1,1-dioxide structure), WO00/38728, WO01/66533, WO02/50051, EP0864582 (e.g. (3R,5R)-3-butyl-3-ethyl-1,1-dioxido-5-Phenyl-2,3,4,5-tetrahydro-1,4-benzo-thiazepin-8-yl(β-D-glucopyranosiduronic acid, WO94/24087, WO98/07749, WO98/56757, WO99/32478, WO99/35135, WO00/20392, WO00/20393, WO00/20410, WO00/20437, WO01/34570, WO00/35889, WO01/68637, WO01/68096, WO02/08211, WO03/020710, WO03/022825, WO03/022830, WO03/0222861, JP10072371, U.S. Pat. Nos. 5,910,494; 5,723,458; 5,817,652; 5,663,165; 5,998,400; 6,465,451, 5,994,391; 6,107,494; 6,387,924; 6,784,201; 6,875,877; 6,740,663; 6,852,753; 5,070,103, 6,114,322, 6,020,330, 7,179,792, EP251315, EP417725, EP489-423, EP549967, EP573848, EP624593, EP624594, EP624595, EP869121, EP1070703, WO04/005247, compounds disclosed as having IBAT activity in Drugs of the Future, 24, 425-430 (1999), Journal of Medicinal Chemistry, 48, 5837-5852, (2005) and Current Medicinal Chemistry, 13, 997-1016, (2006); the compounds described therein that inhibit recuperative bile acid transport are hereby incorporated herein by reference.
- In some embodiments, compounds that inhibit ASBT or any recuperative bile acid transporter are benzothiepines, benzothiazepines (including 1,2-benzothiazepines; 1,4-benzothiazepines; 1,5-benzothiazepines; and/or 1,2,5-benzothiadiazepines). In some embodiments, compounds that inhibit ASBT or any recuperative bile acid transporter include and are not limited to S-8921 (disclosed in EP597107, WO 93/08155), 264W94 (GSK) disclosed in WO 96/05188; SC-435 (1-[4-[4-[(4R,5R)-3,3-dibutyl-7-(dimethylamino)-2,3,4,5-tetrahydro-4-hydroxy-1,1-dioxido-1-benzothiepin-5-yl]phenoxy]butyl]4-aza-1-azoniabicyclo[2.2.2]octane methanesulfonate salt), SC-635 (Searle); 2164U90 (3-butyl-3-ethyl-2,3,4,5-tetrahydro-5-phenyl-1,4-benzothiazepine 1,1-dioxide); BARI-1741 (Aventis SA), AZD 7508 (Astra Zeneca); barixibat (11-(D-gluconamido)-N-{2-[(1S,2R,3S)-3-hydroxy-3-phenyl-2-(2-pyridyl)-1-(2-pyridylamino)propyl]phenyl}undecanamide) or the like, or combinations thereof. In some embodiments, an ASBTI is:
- In certain embodiments, compounds described herein have one or more chiral centers. As such, all stereoisomers are envisioned herein. In various embodiments, compounds described herein are present in optically active or racemic forms. It is to be understood that the compounds of the present invention encompasses racemic, optically-active, regioisomeric and stereoisomeric forms, or combinations thereof that possess the therapeutically useful properties described herein. Preparation of optically active forms is achieve in any suitable manner, including by way of non-limiting example, by resolution of the racemic form by recrystallization techniques, by synthesis from optically-active starting materials, by chiral synthesis, or by chromatographic separation using a chiral stationary phase. In some embodiments, mixtures of one or more isomer is utilized as the therapeutic compound described herein. In certain embodiments, compounds described herein contains one or more chiral centers. These compounds are prepared by any means, including enantioselective synthesis and/or separation of a mixture of enantiomers and/or diastereomers. Resolution of compounds and isomers thereof is achieved by any means including, by way of non-limiting example, chemical processes, enzymatic processes, fractional crystallization, distillation, chromatography, and the like.
- The compounds described herein, and other related compounds having different substituents are synthesized using techniques and materials described herein and as described, for example, in Fieser and Fieser's Reagents for Organic Synthesis, Volumes 1-17 (John Wiley and Sons, 1991); Rodd's Chemistry of Carbon Compounds, Volumes 1-5 and Supplementals (Elsevier Science Publishers, 1989); Organic Reactions, Volumes 1-40 (John Wiley and Sons, 1991), Larock's Comprehensive Organic Transformations (VCH Publishers Inc., 1989), March, A
DVANCED ORGANIC C HEMISTRY 4th Ed., (Wiley 1992); Carey and Sundberg, ADVANCED ORGANIC C HEMISTRY 4th Ed., Vols. A and B (Plenum 2000, 2001), and Green and Wuts, PROTECTIVE GROUPS IN ORGANIC S YNTHESIS 3rd Ed., (Wiley 1999) (all of which are incorporated by reference for such disclosure). General methods for the preparation of compound as described herein are modified by the use of appropriate reagents and conditions, for the introduction of the various moieties found in the formulae as provided herein. As a guide the following synthetic methods are utilized. - Formation of Covalent Linkages by Reaction of an Electrophile with a Nucleophile
- The compounds described herein are modified using various electrophiles and/or nucleophiles to form new functional groups or substituents. Table A entitled “Examples of Covalent Linkages and Precursors Thereof” lists selected non-limiting examples of covalent linkages and precursor functional groups which yield the covalent linkages. Table A is used as guidance toward the variety of electrophiles and nucleophiles combinations available that provide covalent linkages. Precursor functional groups are shown as electrophilic groups and nucleophilic groups.
-
TABLE A Examples of Covalent Linkages and Precursors Thereof Covalent Linkage Product Electrophile Nucleophile Carboxamides Activated esters amines/anilines Carboxamides acyl azides amines/anilines Carboxamides acyl halides amines/anilines Esters acyl halides alcohols/phenols Esters acyl nitriles alcohols/phenols Carboxamides acyl nitriles amines/anilines Imines Aldehydes amines/anilines Hydrazones aldehydes or ketones Hydrazines Oximes aldehydes or ketones Hydroxylamines Alkyl amines alkyl halides amines/anilines Esters alkyl halides carboxylic acids Thioethers alkyl halides Thiols Ethers alkyl halides alcohols/phenols Thioethers alkyl sulfonates Thiols Esters alkyl sulfonates carboxylic acids Ethers alkyl sulfonates alcohols/phenols Esters Anhydrides alcohols/phenols Carboxamides Anhydrides amines/anilines Thiophenols aryl halides Thiols Aryl amines aryl halides Amines Thioethers Azindines Thiols Boronate esters Boronates Glycols Carboxamides carboxylic acids amines/anilines Esters carboxylic acids Alcohols hydrazines Hydrazides carboxylic acids N-acylureas or Anhydrides carbodiimides carboxylic acids Esters diazoalkanes carboxylic acids Thioethers Epoxides Thiols Thioethers haloacetamides Thiols Ammotriazines halotriazines amines/anilines Triazinyl ethers halotriazines alcohols/phenols Amidines imido esters amines/anilines Ureas Isocyanates amines/anilines Urethanes Isocyanates alcohols/phenols Thioureas isothiocyanates amines/anilines Thioethers Maleimides Thiols Phosphite esters phosphoramidites Alcohols Silyl ethers silyl halides Alcohols Alkyl amines sulfonate esters amines/anilines Thioethers sulfonate esters Thiols Esters sulfonate esters carboxylic acids Ethers sulfonate esters Alcohols Sulfonamides sulfonyl halides amines/anilines Sulfonate esters sulfonyl halides phenols/alcohols - In the reactions described, it is necessary to protect reactive functional groups, for example hydroxy, amino, imino, thio or carboxy groups, where these are desired in the final product, in order to avoid their unwanted participation in reactions. Protecting groups are used to block some or all of the reactive moieties and prevent such groups from participating in chemical reactions until the protective group is removed. In some embodiments it is contemplated that each protective group be removable by a different means. Protective groups that are cleaved under totally disparate reaction conditions fulfill the requirement of differential removal.
- In some embodiments, protective groups are removed by acid, base, reducing conditions (such as, for example, hydrogenolysis), and/or oxidative conditions. Groups such as trityl, dimethoxytrityl, acetal and t-butyldimethylsilyl are acid labile and are used to protect carboxy and hydroxy reactive moieties in the presence of amino groups protected with Cbz groups, which are removable by hydrogenolysis, and Fmoc groups, which are base labile. Carboxylic acid and hydroxy reactive moieties are blocked with base labile groups such as, but not limited to, methyl, ethyl, and acetyl in the presence of amines blocked with acid labile groups such as t-butyl carbamate or with carbamates that are both acid and base stable but hydrolytically removable.
- In some embodiments carboxylic acid and hydroxy reactive moieties are blocked with hydrolytically removable protective groups such as the benzyl group, while amine groups capable of hydrogen bonding with acids are blocked with base labile groups such as Fmoc. Carboxylic acid reactive moieties are protected by conversion to simple ester compounds as exemplified herein, which include conversion to alkyl esters, or are blocked with oxidatively-removable protective groups such as 2,4-dimethoxybenzyl, while co-existing amino groups are blocked with fluoride labile silyl carbamates.
- Allyl blocking groups are useful in the presence of acid- and base-protecting groups since the former are stable and are subsequently removed by metal or pi-acid catalysts. For example, an allyl-blocked carboxylic acid is deprotected with a Pd0-catalyzed reaction in the presence of acid labile t-butyl carbamate or base-labile acetate amine protecting groups. Yet another form of protecting group is a resin to which a compound or intermediate is attached. As long as the residue is attached to the resin, that functional group is blocked and does not react. Once released from the resin, the functional group is available to react.
- Typically blocking/protecting groups are selected from:
- Other protecting groups, plus a detailed description of techniques applicable to the creation of protecting groups and their removal are described in Greene and Wuts, Protective Groups in Organic Synthesis, 3rd Ed., John Wiley & Sons, New York, N.Y., 1999, and Kocienski, Protective Groups, Thieme Verlag, New York, N.Y., 1994, which are incorporated herein by reference for such disclosure.
- In some embodiments, ASBTIs described herein are synthesized as described in, for example, WO 96/05188, U.S. Pat. Nos. 5,994,391; 7,238,684; 6,906,058; 6,020,330; and 6,114,322. In some embodiments, ASBTIs described herein are synthesized starting from compounds that are available from commercial sources or that are prepared using procedures outlined herein. In some embodiments, compounds described herein are prepared according to the process set forth in Scheme 1:
- In certain embodiments, the synthesis begins with a reaction of 1,4-diazabicyclo[2.2.2]octane with 4-iodo-1-chloro butane to provide a compound of structure 1-I. Such compounds are prepared in any suitable manner, e.g., as set forth in Tremont, S. J. et. al., J. Med. Chem. 2005, 48, 5837-5852. The compound of structure 1-I is then subjected to a reaction with phenethylamine to provide a compound of structure 1-II. The compound of structure 1-II is then allowed to react with dicyanodiamide to provide a compound of Formula I.
- In some embodiments, a first compound of Formula III is subjected to a further reaction to provide a second compound of Formula III as shown in
Scheme 2 below. - A first compound of Formula III, 1-IA, is alkylated with iodomethane to provide a second compound of Formula III, 1-IB. Alkylation of 1-IB with a compound of structure 2-II provides a further compound of Formula III, IC. In an alternative embodiment, a first compound of Formula III, 1-IA, is alkylated with a compound of structure 2-I to provide a second compound of Formula III, 1-IC
- In some embodiments, compounds described herein are prepared according to the process set forth in
- The term “bile acid,” as used herein, includes steroid acids (and/or the carboxylate anion thereof), and salts thereof, found in the bile of an animal (e.g., a human), including, by way of non-limiting example, cholic acid, cholate, deoxycholic acid, deoxycholate, hyodeoxycholic acid, hyodeoxycholate, glycocholic acid, glycocholate, taurocholic acid, taurocholate, chenodeoxycholic acid, ursodeoxycholic acid, ursodiol, a tauroursodeoxycholic acid, a glycoursodeoxycholic acid, a 7-B-methyl cholic acid, a methyl lithocholic acid, chenodeoxycholate, lithocholic acid, lithocolate, and the like. Taurocholic acid and/or taurocholate are referred to herein as TCA. Any reference to a bile acid used herein includes reference to a bile acid, one and only one bile acid, one or more bile acids, or to at least one bile acid. Therefore, the terms “bile acid,” “bile salt,” “bile acid/salt,” “bile acids,” “bile salts,” and “bile acids/salts” are, unless otherwise indicated, utilized interchangeably herein. Any reference to a bile acid used herein includes reference to a bile acid or a salt thereof. Furthermore, pharmaceutically acceptable bile acid esters are optionally utilized as the “bile acids” described herein, e.g., bile acids/salts conjugated to an amino acid (e.g., glycine or taurine). Other bile acid esters include, e.g., substituted or unsubstituted alkyl ester, substituted or unsubstituted heteroalkyl esters, substituted or unsubstituted aryl esters, substituted or unsubstituted heteroaryl esters, or the like. For example, the term “bile acid” includes cholic acid conjugated with either glycine or taurine: glycocholate and taurocholate, respectively (and salts thereof). Any reference to a bile acid used herein includes reference to an identical compound naturally or synthetically prepared. Furthermore, it is to be understood that any singular reference to a component (bile acid or otherwise) used herein includes reference to one and only one, one or more, or at least one of such components. Similarly, any plural reference to a component used herein includes reference to one and only one, one or more, or at least one of such components, unless otherwise noted. Moreover, as used herein, bile acid/salt mimics or mimetics described herein are compounds that mimic the agonist signaling properties of the bile acid/salt, especially at TGR5 (GPBAR1, BG37, Axor109) receptors. Examples include those described in WO 2010/014836, which is incorporated herein for such disclosure. In some embodiments, bile acid mimetics include triterpenoid, such as oleanoic acid, ursolic acid, or the like.
- The term “subject”, “patient” or “individual” are used interchangeably herein and refer to mammals and non-mammals, e.g., suffering from a disorder described herein. Examples of mammals include, but are not limited to, any member of the mammalian class: humans, non-human primates such as chimpanzees, and other apes and monkey species; farm animals such as cattle, horses, sheep, goats, swine; domestic animals such as rabbits, dogs, and cats; laboratory animals including rodents, such as rats, mice and guinea pigs, and the like. Examples of non-mammals include, but are not limited to, birds, fish and the like. In one embodiment of the methods and compositions provided herein, the mammal is a human.
- Unless otherwise stated, the following terms used in this application, including the specification and claims, have the definitions given below with regard to “pediatric” or “pediatric patients” includes Neonatal (children ages 0 to 4 weeks), Infant Children (
ages 4 weeks to 2 years), Children (ages 2 to 5 years), Children (ages 6 to 11 years) and Adolescents (12 to 18 years). - The term “about,” as used herein, includes any value that is within 10% of the described value.
- The term “between,” as used herein, is inclusive of the lower and upper number of the range.
- The term “colon,” as used herein, includes the cecum, ascending colon, hepatic flexure, splenic flexure, descending colon, and sigmoid.
- The term “composition,” as used herein includes the disclosure of both a composition and a composition administered in a method as described herein. Furthermore, in some embodiments, the composition of the present invention is or comprises a “formulation,” an oral dosage form or a rectal dosage form as described herein.
- The terms “treat,” “treating” or “treatment,” and other grammatical equivalents as used herein, include alleviating, inhibiting or reducing symptoms, reducing or inhibiting severity of, reducing incidence of, reducing or inhibiting recurrence of, delaying onset of, delaying recurrence of, abating or ameliorating a disease or condition symptoms, ameliorating the underlying causes of symptoms, inhibiting the disease or condition, e.g., arresting the development of the disease or condition, relieving the disease or condition, causing regression of the disease or condition, relieving a condition caused by the disease or condition, or stopping the symptoms of the disease or condition. The terms further include achieving a therapeutic benefit. By therapeutic benefit is meant eradication or amelioration of the underlying disorder being treated, and/or the eradication or amelioration of one or more of the physiological symptoms associated with the underlying disorder such that an improvement is observed in the patient.
- The terms “prevent,” “preventing” or “prevention,” and other grammatical equivalents as used herein, include preventing additional symptoms, preventing the underlying causes of symptoms, inhibiting the disease or condition, e.g., arresting the development of the disease or condition and are intended to include prophylaxis. The terms further include achieving a prophylactic benefit. For prophylactic benefit, the compositions are optionally administered to a patient at risk of developing a particular disease, to a patient reporting one or more of the physiological symptoms of a disease, or to a patient at risk of reoccurrence of the disease.
- Where combination treatments or prevention methods are contemplated, it is not intended that the agents described herein be limited by the particular nature of the combination. For example, the agents described herein are optionally administered in combination as simple mixtures as well as chemical hybrids. An example of the latter is where the agent is covalently linked to a targeting carrier or to an active pharmaceutical. Covalent binding can be accomplished in many ways, such as, though not limited to, the use of a commercially available cross-linking agent. Furthermore, combination treatments are optionally administered separately or concomitantly.
- As used herein, the terms “pharmaceutical combination”, “administering an additional therapy”, “administering an additional therapeutic agent” and the like refer to a pharmaceutical therapy resulting from the mixing or combining of more than one active ingredient and includes both fixed and non-fixed combinations of the active ingredients. The term “fixed combination” means that at least one of the agents described herein, and at least one co-agent, are both administered to a patient simultaneously in the form of a single entity or dosage. The term “non-fixed combination” means that at least one of the agents described herein, and at least one co-agent, are administered to a patient as separate entities either simultaneously, concurrently or sequentially with variable intervening time limits, wherein such administration provides effective levels of the two or more agents in the body of the patient. In some instances, the co-agent is administered once or for a period of time, after which the agent is administered once or over a period of time. In other instances, the co-agent is administered for a period of time, after which, a therapy involving the administration of both the co-agent and the agent are administered. In still other embodiments, the agent is administered once or over a period of time, after which, the co-agent is administered once or over a period of time. These also apply to cocktail therapies, e.g. the administration of three or more active ingredients.
- As used herein, the terms “co-administration”, “administered in combination with” and their grammatical equivalents are meant to encompass administration of the selected therapeutic agents to a single patient, and are intended to include treatment regimens in which the agents are administered by the same or different route of administration or at the same or different times. In some embodiments the agents described herein will be co-administered with other agents. These terms encompass administration of two or more agents to an animal so that both agents and/or their metabolites are present in the animal at the same time. They include simultaneous administration in separate compositions, administration at different times in separate compositions, and/or administration in a composition in which both agents are present. Thus, in some embodiments, the agents described herein and the other agent(s) are administered in a single composition. In some embodiments, the agents described herein and the other agent(s) are admixed in the composition.
- The terms “effective amount” or “therapeutically effective amount” as used herein, refer to a sufficient amount of at least one agent being administered which achieve a desired result, e.g., to relieve to some extent one or more symptoms of a disease or condition being treated. In certain instances, the result is a reduction and/or alleviation of the signs, symptoms, or causes of a disease, or any other desired alteration of a biological system. In certain instances, an “effective amount” for therapeutic uses is the amount of the composition comprising an agent as set forth herein required to provide a clinically significant decrease in a disease. An appropriate “effective” amount in any individual case is determined using any suitable technique, such as a dose escalation study.
- The terms “administer,” “administering”, “administration,” and the like, as used herein, refer to the methods that may be used to enable delivery of agents or compositions to the desired site of biological action. These methods include, but are not limited to oral routes, intraduodenal routes, parenteral injection (including intravenous, subcutaneous, intraperitoneal, intramuscular, intravascular or infusion), topical and rectal administration. Administration techniques that are optionally employed with the agents and methods described herein are found in sources e.g., Goodman and Gilman, The Pharmacological Basis of Therapeutics, current ed.; Pergamon; and Remington's, Pharmaceutical Sciences (current edition), Mack Publishing Co., Easton, Pa. In certain embodiments, the agents and compositions described herein are administered orally.
- The term “pharmaceutically acceptable” as used herein, refers to a material that does not abrogate the biological activity or properties of the agents described herein, and is relatively nontoxic (i.e., the toxicity of the material significantly outweighs the benefit of the material). In some instances, a pharmaceutically acceptable material may be administered to an individual without causing significant undesirable biological effects or significantly interacting in a deleterious manner with any of the components of the composition in which it is contained.
- The term “carrier” as used herein, refers to relatively nontoxic chemical agents that, in certain instances, facilitate the incorporation of an agent into cells or tissues.
- The term “non-systemic” or “minimally absorbed” as used herein refers to low systemic bioavailability and/or absorption of an administered compound. In some instances a non-systemic compound is a compound that is substantially not absorbed systemically. In some embodiments, ASBTI compositions described herein deliver the ASBTI to the distal ileum, colon, and/or rectum and not systemically (e.g., a substantial portion of the ASBTI is not systemically absorbed. In some embodiments, the systemic absorption of a non-systemic compound is <0.1%, <0.3%, <0.5%, <0.6%, <0.7%, <0.8%, <0.9%, <1%, <1.5%, <2%, <3%, or <5% of the administered dose (wt. % or mol %). In some embodiments, the systemic absorption of a non-systemic compound is <10% of the administered dose. In some embodiments, the systemic absorption of a non-systemic compound is <15% of the administered dose. In some embodiments, the systemic absorption of a non-systemic compound is <25% of the administered dose. In an alternative approach, a non-systemic ASBTI is a compound that has lower systemic bioavailability relative to the systemic bioavailability of a systemic ASBTI (e.g., compound 100A, 100C). In some embodiments, the bioavailability of a non-systemic ASBTI described herein is <30%, <40%, <50%, <60%, or <70% of the bioavailability of a systemic ASBTI (e.g., compound 100A, 100C).
- In another alternative approach, the compositions described herein are formulated to deliver <10% of the administered dose of the ASBTI systemically. In some embodiments, the compositions described herein are formulated to deliver <20% of the administered dose of the ASBTI systemically. In some embodiments, the compositions described herein are formulated to deliver <30% of the administered dose of the ASBTI systemically. In some embodiments, the compositions described herein are formulated to deliver <40% of the administered dose of the ASBTI systemically. In some embodiments, the compositions described herein are formulated to deliver <50% of the administered dose of the ASBTI systemically. In some embodiments, the compositions described herein are formulated to deliver <60% of the administered dose of the ASBTI systemically. In some embodiments, the compositions described herein are formulated to deliver <70% of the administered dose of the ASBTI systemically. In some embodiments, systemic absorption is determined in any suitable manner, including the total circulating amount, the amount cleared after administration, or the like.
- The term “ASBT inhibitor” refers to a compound that inhibits apical sodium-dependent bile transport or any recuperative bile salt transport. The term Apical Sodium-dependent Bile Transporter (ASBT) is used interchangeably with the term Ileal Bile Acid Transporter (IBAT).
- The term “enhancing enteroendocrine peptide secretion” refers to a sufficient increase in the level of the enteroendocrine peptide agent, for example, to treat any disease or disorder described herein. In some embodiments, enhanced enteroendocrine peptide secretion reverses or alleviates symptoms of cholestasis or a cholestatic liver disease.
- In various embodiments, pharmaceutically acceptable salts described herein include, by way of non-limiting example, a nitrate, chloride, bromide, phosphate, sulfate, acetate, hexafluorophosphate, citrate, gluconate, benzoate, propionate, butyrate, sulfosalicylate, maleate, laurate, malate, fumarate, succinate, tartrate, amsonate, pamoate, p-toluenenesulfonate, mesylate and the like. Furthermore, pharmaceutically acceptable salts include, by way of non-limiting example, alkaline earth metal salts (e.g., calcium or magnesium), alkali metal salts (e.g., sodium-dependent or potassium), ammonium salts and the like.
- The term “optionally substituted” or “substituted” means that the referenced group substituted with one or more additional group(s). In certain embodiments, the one or more additional group(s) are individually and independently selected from amide, ester, alkyl, cycloalkyl, heteroalkyl, aryl, heteroaryl, heteroalicyclic, hydroxy, alkoxy, aryloxy, alkylthio, arylthio, alkylsulfoxide, arylsulfoxide, ester, alkylsulfone, arylsulfone, cyano, halo, alkoyl, alkoyloxo, isocyanato, thiocyanato, isothiocyanato, nitro, haloalkyl, haloalkoxy, fluoroalkyl, amino, alkyl-amino, dialkyl-amino, amido.
- An “alkyl” group refers to an aliphatic hydrocarbon group. Reference to an alkyl group includes “saturated alkyl” and/or “unsaturated alkyl”. The alkyl group, whether saturated or unsaturated, includes branched, straight chain, or cyclic groups. By way of example only, alkyl includes methyl, ethyl, propyl, isopropyl, n-butyl, iso-butyl, sec-butyl, t-butyl, pentyl, iso-pentyl, neo-pentyl, and hexyl. In some embodiments, alkyl groups include, but are in no way limited to, methyl, ethyl, propyl, isopropyl, butyl, isobutyl, tertiary butyl, pentyl, hexyl, ethenyl, propenyl, butenyl, cyclopropyl, cyclobutyl, cyclopentyl, cyclohexyl, and the like. A “lower alkyl” is a C1-C6 alkyl. A “heteroalkyl” group substitutes any one of the carbons of the alkyl group with a heteroatom having the appropriate number of hydrogen atoms attached (e.g., a CH2 group to an NH group or an O group).
- The term “alkylene” refers to a divalent alkyl radical. Any of the above mentioned monovalent alkyl groups may be an alkylene by abstraction of a second hydrogen atom from the alkyl. In one aspect, an alkelene is a C1-C10alkylene. In another aspect, an alkylene is a C1-C6alkylene. Typical alkylene groups include, but are not limited to, —CH2—, —CH(CH3)—, —C(CH3)2—, —CH2CH2—, —CH2CH(CH3)—, —CH2C(CH3)2—, —CH2CH2CH2—, —CH2CH2CH2CH2—, —CH2CH2CH2CH2CH2—, —CH2CH2CH2CH2CH2CH2—, and the like.
- An “alkoxy” group refers to a (alkyl)O— group, where alkyl is as defined herein.
- The term “alkylamine” refers to the —N(alkyl)xHy group, wherein alkyl is as defined herein and x and y are selected from the group x=1, y=1 and x=2, y=0. When x=2, the alkyl groups, taken together with the nitrogen to which they are attached, optionally form a cyclic ring system.
- An “amide” is a chemical moiety with formula —C(O)NHR or —NHC(O)R, where R is selected from alkyl, cycloalkyl, aryl, heteroaryl (bonded through a ring carbon) and heteroalicyclic (bonded through a ring carbon).
- The term “ester” refers to a chemical moiety with formula —C(═O)OR, where R is selected from the group consisting of alkyl, cycloalkyl, aryl, heteroaryl and heteroalicyclic.
- As used herein, the term “aryl” refers to an aromatic ring wherein each of the atoms forming the ring is a carbon atom. Aryl rings described herein include rings having five, six, seven, eight, nine, or more than nine carbon atoms. Aryl groups are optionally substituted. Examples of aryl groups include, but are not limited to phenyl, and naphthalenyl.
- The term “aromatic” refers to a planar ring having a delocalized π-electron system containing 4n+2π electrons, where n is an integer. Aromatic rings can be formed from five, six, seven, eight, nine, ten, or more than ten atoms. Aromatics are optionally substituted. The term “aromatic” includes both carbocyclic aryl (“aryl”, e.g., phenyl) and heterocyclic aryl (or “heteroaryl” or “heteroaromatic”) groups (e.g., pyridine). The term includes monocyclic or fused-ring polycyclic (i.e., rings which share adjacent pairs of carbon atoms) groups.
- The term “cycloalkyl” refers to a monocyclic or polycyclic non-aromatic radical, wherein each of the atoms forming the ring (i.e. skeletal atoms) is a carbon atom. In various embodiments, cycloalkyls are saturated, or partially unsaturated. In some embodiments, cycloalkyls are fused with an aromatic ring. Cycloalkyl groups include groups having from 3 to 10 ring atoms. Illustrative examples of cycloalkyl groups include, but are not limited to, the following moieties:
- and the like. Monocyclic cycloalkyls include, but are not limited to, cyclopropyl, cyclobutyl, cyclopentyl, cyclohexyl, cycloheptyl, and cyclooctyl.
- The term “heterocyclo” refers to heteroaromatic and heteroalicyclic groups containing one to four ring heteroatoms each selected from O, S and N. In certain instances, each heterocyclic group has from 4 to 10 atoms in its ring system, and with the proviso that the ring of said group does not contain two adjacent O or S atoms. Non-aromatic heterocyclic groups include groups having 3 atoms in their ring system, but aromatic heterocyclic groups must have at least 5 atoms in their ring system. The heterocyclic groups include benzo-fused ring systems. An example of a 3-membered heterocyclic group is aziridinyl (derived from aziridine). An example of a 4-membered heterocyclic group is azetidinyl (derived from azetidine). An example of a 5-membered heterocyclic group is thiazolyl. An example of a 6-membered heterocyclic group is pyridyl, and an example of a 10-membered heterocyclic group is quinolinyl. Examples of non-aromatic heterocyclic groups are pyrrolidinyl, tetrahydrofuranyl, dihydrofuranyl, tetrahydrothienyl, tetrahydropyranyl, dihydropyranyl, tetrahydrothiopyranyl, piperidino, morpholino, thiomorpholino, thioxanyl, piperazinyl, aziridinyl, azetidinyl, oxetanyl, thietanyl, homopiperidinyl, oxepanyl, thiepanyl, oxazepinyl, diazepinyl, thiazepinyl, 1,2,3,6-tetrahydropyridinyl, 2-pyrrolinyl, 3-pyrrolinyl, indolinyl, 2H-pyranyl, 4H-pyranyl, dioxanyl, 1,3-dioxolanyl, pyrazolinyl, dithianyl, dithiolanyl, dihydropyranyl, dihydrothienyl, dihydrofuranyl, pyrazolidinyl, imidazolinyl, imidazolidinyl, 3-azabicyclo[3.1.0]hexanyl, 3-azabicyclo[4.1.0]heptanyl, 3H-indolyl and quinolizinyl. Examples of aromatic heterocyclic groups are pyridinyl, imidazolyl, pyrimidinyl, pyrazolyl, triazolyl, pyrazinyl, tetrazolyl, furyl, thienyl, isoxazolyl, thiazolyl, oxazolyl, isothiazolyl, pyrrolyl, quinolinyl, isoquinolinyl, indolyl, benzimidazolyl, benzofuranyl, cinnolinyl, indazolyl, indolizinyl, phthalazinyl, pyridazinyl, triazinyl, isoindolyl, pteridinyl, purinyl, oxadiazolyl, thiadiazolyl, furazanyl, benzofurazanyl, benzothiophenyl, benzothiazolyl, benzoxazolyl, quinazolinyl, quinoxalinyl, naphthyridinyl, and furopyridinyl.
- The terms “heteroaryl” or, alternatively, “heteroaromatic” refers to an aryl group that includes one or more ring heteroatoms selected from nitrogen, oxygen and sulfur. An N-containing “heteroaromatic” or “heteroaryl” moiety refers to an aromatic group in which at least one of the skeletal atoms of the ring is a nitrogen atom. In certain embodiments, heteroaryl groups are monocyclic or polycyclic. Illustrative examples of heteroaryl groups include the following moieties:
- and the like.
- A “heteroalicyclic” group or “heterocyclo” group refers to a cycloalkyl group, wherein at least one skeletal ring atom is a heteroatom selected from nitrogen, oxygen and sulfur. In various embodiments, the radicals are with an aryl or heteroaryl. Illustrative examples of heterocyclo groups, also referred to as non-aromatic heterocycles, include:
- and the like. The term heteroalicyclic also includes all ring forms of the carbohydrates, including but not limited to the monosaccharides, the disaccharides and the oligosaccharides.
- The term “halo” or, alternatively, “halogen” means fluoro, chloro, bromo and iodo.
- The terms “haloalkyl,” and “haloalkoxy” include alkyl and alkoxy structures that are substituted with one or more halogens. In embodiments, where more than one halogen is included in the group, the halogens are the same or they are different. The terms “fluoroalkyl” and “fluoroalkoxy” include haloalkyl and haloalkoxy groups, respectively, in which the halo is fluorine.
- The term “heteroalkyl” include optionally substituted alkyl, alkenyl and alkynyl radicals which have one or more skeletal chain atoms selected from an atom other than carbon, e.g., oxygen, nitrogen, sulfur, phosphorus, silicon, or combinations thereof. In certain embodiments, the heteroatom(s) is placed at any interior position of the heteroalkyl group. Examples include, but are not limited to, —CH2—O—CH3, —CH2—CH2—O—CH3, —CH2—NH—CH3, —CH2—CH2—NH—CH3, —CH2—N(CH3)—CH3, —CH2—CH2—NH—CH3, —CH2—CH2—N(CH3)—CH3, —CH2—S—CH2—CH3, —CH2—CH2, —S(O)—CH3, —CH2—CH2—S(O)2—CH3, —CH═CH—O—CH3, —Si(CH3)3, —CH2—CH═N—OCH3, and —CH═CH—N(CH3)—CH3. In some embodiments, up to two heteroatoms are consecutive, such as, by way of example, —CH2—NH—OCH3 and —CH2—O—Si(CH3)3.
- A “cyano” group refers to a —CN group.
- An “isocyanato” group refers to a —NCO group.
- A “thiocyanato” group refers to a —CNS group.
- An “isothiocyanato” group refers to a —NCS group.
- “Alkoyloxy” refers to a RC(═O)O— group.
- “Alkoyl” refers to a RC(═O)— group.
- The term “modulate,” as used herein refers to having some affect on (e.g., increasing, enhancing or maintaining a certain level).
- The term “optionally substituted” or “substituted” means that the referenced group may be substituted with one or more additional group(s) individually and independently selected from C1-C6alkyl, C3-C8cycloalkyl, aryl, heteroaryl, C2-C6heteroalicyclic, hydroxy, C1-C6alkoxy, aryloxy, arylalkoxy, aralkyloxy, arylalkyloxy, C1-C6alkylthio, arylthio, C1-C6alkylsulfoxide, arylsulfoxide, C1-C6alkylsulfone, arylsulfone, cyano, halo, C2-C8acyl, C2-C8acyloxy, nitro, C1-C6haloalkyl, C1-C6fluoroalkyl, and amino, including C1-C6alkylamino, and the protected derivatives thereof. By way of example, an optional substituents may be LsRs, wherein each Ls is independently selected from a bond, —O—, —C(═O)—, —S—, —S(═O)—, —S(═O)2—, —NH—, —NHC(═O)—, —C(═O)NH—, S(═O)2NH—, —NHS(═O)2—, —OC(═O)NH—, —NHC(═O)O—, —(C1-C6alkyl)-, or —(C2-C6alkenyl)-; and each Rs is independently selected from H, (C1-C4alkyl), (C3-C8cycloalkyl), heteroaryl, aryl, and C1-C6heteroalkyl. Optionally substituted non-aromatic groups may be substituted with one or more oxo (═O). The protecting groups that may form the protective derivatives of the above substituents are known to those of skill in the art and may be found in references such as Greene and Wuts, above. In some embodiments, alkyl groups described herein are optionally substituted with an O that is connected to two adjacent carbon atoms (i.e., forming an epoxide).
- The term “therapeutically effective amount” or an “effective amount” as used herein, refers to a sufficient amount of a therapeutically active agent to provide a desired effect in a subject or individual. In some embodiments, a “therapeutically effective amount” or an “effective amount” of an ASBTI refers to a sufficient amount of an ASBTI to treat cholestasis or a cholestatic liver disease in a subject or individual.
- Inventors have discovered that enteroendocrine L-cells play a role in repair. The epithelial barrier is also a key component in host defense. A further pre-proglucagon splice product, GLP-2, is secreted by enteroendocrine L-cells in the distal small intestine and has been shown to improve intestinal wound healing in a TGF-B (anti-inflammatory cytokine TGF-B), mediated process, small bowel responding better than large bowel. GLP-2 has also been shown to ameliorate the barrier dysfunction induced by experimental stress and food allergy. Again, L-cells are activated by luminal nutrients, and the barrier compromise observed in TPN may partly reflect its hyposecretion in the absence of enteral stimuli. Moreover, GLP-2 is also responsible, at least in part for growth and adaptation observed in short-bowel models. Therefore, abnormal enteroendocrine cells (EEC) function may predispose to GI inflammatory disorders, and the underlying nutrient-EEC-vagal pathways are targets in the injured gut as contemplated in the present embodiments.
- L-cells are scattered throughout the epithelial layer of the gut from the duodenum to the rectum, with the highest numbers occurring in the ileum, colon, and rectum. They are characterized by an open-cell morphology, with apical microvilli facing into the gut lumen and secretory vesicles located adjacent to the basolateral membrane, and are therefore in direct contact with nutrients in the intestinal lumen. Furthermore, L-cells are located in close proximity to both neurons and the microvasculature of the intestine, thereby allowing the L-cell to be affected by both neural and hormonal signals. As well as Glucagon-Like Peptide 1 (GLP-1) and Glucagon-Like Peptide 2 (GLP-2), L-cells also secrete peptide YY (PYY), and glutamate. The cells are just one member of a much larger family of enteroendocrine cells that secrete a range of hormones, including ghrelin, GIP, cholecystokinin, somatostatin, and secretin, which are involved in the local coordination of gut physiology, as well as in playing wider roles in the control of cytokine release and/or controlling the adaptive process, attenuating intestinal injury, reducing bacterial translocation, inhibiting the release of free radical oxygen, or any combination thereof L-cells are unevenly distributed in the gastrointestinal tract, within higher concentrations in the distal portion of the gastrointestinal tract (e.g., in the distal ileum, colon and rectum).
- Bile contains water, electrolytes and a numerous organic molecules including bile acids, cholesterol, phospholipids and bilirubin. Bile is secreted from the liver and stored in the gall bladder, and upon gall bladder contraction, due to ingestion of a fatty meal, bile passes through the bile duct into the intestine. Bile acids/salts are critical for digestion and absorption of fats and fat-soluble vitamins in the small intestine. Adult humans produce 400 to 800 mL of bile daily. The secretion of bile can be considered to occur in two stages. Initially, hepatocytes secrete bile into canaliculi, from which it flows into bile ducts and this hepatic bile contains large quantities of bile acids, cholesterol and other organic molecules. Then, as bile flows through the bile ducts, it is modified by addition of a watery, bicarbonate-rich secretion from ductal epithelial cells. Bile is concentrated, typically five-fold, during storage in the gall bladder.
- The flow of bile is lowest during fasting, and a majority of that is diverted into the gallbladder for concentration. When chyme from an ingested meal enters the small intestine, acid and partially digested fats and proteins stimulate secretion of cholecystokinin and secretin, both of which are important for secretion and flow of bile. Cholecystokinin (cholecysto=gallbladder and kinin=movement) is a hormone which stimulates contractions of the gallbladder and common bile duct, resulting in delivery of bile into the gut. The most potent stimulus for release of cholecystokinin is the presence of fat in the duodenum. Secretin is a hormone secreted in response to acid in the duodenum, and it simulates biliary duct cells to secrete bicarbonate and water, which expands the volume of bile and increases its flow out into the intestine.
- Bile acids/salts are derivatives of cholesterol. Cholesterol, ingested as part of the diet or derived from hepatic synthesis, are converted into bile acids/salts in the hepatocyte. Examples of such bile acids/salts include cholic and chenodeoxycholic acids, which are then conjugated to an amino acid (such as glycine or taurine) to yield the conjugated form that is actively secreted into cannaliculi. The most abundant of the bile salts in humans are cholate and deoxycholate, and they are normally conjugated with either glycine or taurine to give glycocholate or taurocholate respectively.
- Free cholesterol is virtually insoluble in aqueous solutions, however in bile it is made soluble by the presence of bile acids/salts and lipids. Hepatic synthesis of bile acids/salts accounts for the majority of cholesterol breakdown in the body. In humans, roughly 500 mg of cholesterol are converted to bile acids/salts and eliminated in bile every day. Therefore, secretion into bile is a major route for elimination of cholesterol. Large amounts of bile acids/salts are secreted into the intestine every day, but only relatively small quantities are lost from the body. This is because approximately 95% of the bile acids/salts delivered to the duodenum are absorbed back into blood within the ileum, by a process is known as “Enterohepatic Recirculation”.
- Venous blood from the ileum goes straight into the portal vein, and hence through the sinusoids of the liver. Hepatocytes extract bile acids/salts very efficiently from sinusoidal blood, and little escapes the healthy liver into systemic circulation. Bile acids/salts are then transported across the hepatocytes to be resecreted into canaliculi. The net effect of this enterohepatic recirculation is that each bile salt molecule is reused about 20 times, often two or three times during a single digestive phase. Bile biosynthesis represents the major metabolic fate of cholesterol, accounting for more than half of the approximate 800 mg/day of cholesterol that an average adult uses up in metabolic processes. In comparison, steroid hormone biosynthesis consumes only about 50 mg of cholesterol per day. Much more that 400 mg of bile salts is required and secreted into the intestine per day, and this is achieved by re-cycling the bile salts. Most of the bile salts secreted into the upper region of the small intestine are absorbed along with the dietary lipids that they emulsified at the lower end of the small intestine. They are separated from the dietary lipid and returned to the liver for re-use. Re-cycling thus enables 20-30 g of bile salts to be secreted into the small intestine each day.
- Bile acids/salts are amphipathic, with the cholesterol-derived portion containing both hydrophobic (lipid soluble) and polar (hydrophilic) moieties while the amino acid conjugate is generally polar and hydrophilic. This amphipathic nature enables bile acids/salts to carry out two important functions: emulsification of lipid aggregates and solubilization and transport of lipids in an aqueous environment. Bile acids/salts have detergent action on particles of dietary fat which causes fat globules to break down or to be emulsified. Emulsification is important since it greatly increases the surface area of fat available for digestion by lipases which cannot access the inside of lipid droplets. Furthermore, bile acids/salts are lipid carriers and are able to solubilize many lipids by forming micelles and are critical for transport and absorption of the fat-soluble vitamins.
- In some embodiments, compositions described herein are administered for delivery of enteroendocrine peptide secretion enhancing agents to a subject or individual. In certain embodiments, any compositions described herein are formulated for ileal, rectal and/or colonic delivery. In more specific embodiments, the composition is formulated for non-systemic or local delivery to the rectum and/or colon. It is to be understood that as used herein, delivery to the colon includes delivery to sigmoid colon, transverse colon, and/or ascending colon. In still more specific embodiments, the composition is formulated for non-systemic or local delivery to the rectum and/or colon is administered rectally. In other specific embodiments, the composition is formulated for non-systemic or local delivery to the rectum and/or colon is administered orally.
- In some embodiments, provided herein is a composition comprising an enteroendocrine peptide secretion enhancing agent and, optionally, a pharmaceutically acceptable carrier for alleviating symptoms of pediatric cholestasis or a pediatric cholestatic liver disease in an individual.
- In certain embodiments, the composition comprises an enteroendocrine peptide secretion enhancing agent and an absorption inhibitor. In specific embodiments, the absorption inhibitor is an inhibitor that inhibits the absorption of the (or at least one of the) specific enteroendocrine peptide secretion enhancing agent with which it is combined. In some embodiments, the composition comprises an enteroendocrine peptide secretion enhancing agent, an absorption inhibitor and a carrier (e.g., an orally suitable carrier or a rectally suitable carrier, depending on the mode of intended administration). In certain embodiments, the composition comprises an enteroendocrine peptide secretion enhancing agent, an absorption inhibitor, a carrier, and one or more of a cholesterol absorption inhibitor, an enteroendocrine peptide, a peptidase inhibitor, a spreading agent, and a wetting agent.
- In other embodiments, the compositions described herein are administered orally for non-systemic delivery of the bile salt active component to the rectum and/or colon, including the sigmoid colon, transverse colon, and/or ascending colon. In specific embodiments, compositions formulated for oral administration are, by way of non-limiting example, enterically coated or formulated oral dosage forms, such as, tablets and/or capsules. It is to be understood that the terms “subject” and “individual” are utilized interchangeably herein and include, e.g., humans and human patients in need of treatment.
- In certain embodiments, the composition described herein as being formulated for the non-systemic delivery of ASBTI further includes an absorption inhibitor. As used herein, an absorption inhibitor includes an agent or group of agents that inhibit absorption of a bile acid/salt.
- Suitable bile acid absorption inhibitors (also described herein as absorption inhibiting agents) include, by way of non-limiting example, anionic exchange matrices, polyamines, quaternary amine containing polymers, quaternary ammonium salts, polyallylamine polymers and copolymers, colesevelam, colesevelam hydrochloride, CholestaGel (N,N,N-trimethyl-6-(2-propenylamino)-1-hexanaminium chloride polymer with (chloromethyl)oxirane, 2-propen-1-amine and N-2-propenyl-1-decanamine hydrochloride), cyclodextrins, chitosan, chitosan derivatives, carbohydrates which bind bile acids, lipids which bind bile acids, proteins and proteinaceous materials which bind bile acids, and antibodies and albumins which bind bile acids. Suitable cyclodextrins include those that bind bile acids/salts such as, by way of non-limiting example, β-cyclodextrin and hydroxypropyl-β-cyclodextrin. Suitable proteins, include those that bind bile acids/salts such as, by way of non-limiting example, bovine serum albumin, egg albumin, casein, α□-acid glycoprotein, gelatin, soy proteins, peanut proteins, almond proteins, and wheat vegetable proteins.
- In certain embodiments the absorption inhibitor is cholestyramine. In specific embodiments, cholestyramine is combined with a bile acid. Cholestyramine, an ion exchange resin, is a styrene polymer containing quaternary ammonium groups crosslinked by divinylbenzene. In other embodiments, the absorption inhibitor is colestipol. In specific embodiments, colestipol is combined with a bile acid. Colestipol, an ion exchange resin, is a copolymer of diethylenetriamine and 1-chloro-2,3-epoxypropane.
- In certain embodiments of the compositions and methods described herein the ASBTI is linked to an absorption inhibitor, while in other embodiments the ASBTI and the absorption inhibitor are separate molecular entities. In specific embodiments the bile acid, bile acid mimic or the modified bile acid is linked to a bile acid adsorption inhibitor described herein.
- In certain embodiments, a composition described herein optionally includes at least one cholesterol absorption inhibitor. Suitable cholesterol absorption inhibitors include, by way of non-limiting example, ezetimibe (SCH 58235), ezetimibe analogs, ACT inhibitors, stigmastanyl phosphorylcholine, stigmastanyl phosphorylcholine analogues, β-lactam cholesterol absorption inhibitors, sulfate polysaccharides, neomycin, plant sponins, plant sterols, phytostanol preparation FM-VP4, Sitostanol, β-sitosterol, acyl-CoA:cholesterol-O-acyltransferase (ACAT) inhibitors, Avasimibe, Implitapide, steroidal glycosides and the like. Suitable enzetimibe analogs include, by way of non-limiting example, SCH 48461, SCH 58053 and the like. Suitable ACT inhibitors include, by way of non-limiting example, trimethoxy fatty acid anilides such as CI-976, 3-[decyldimethylsilyl]-N-[2-(4-methylphenyl)-1-phenylethyl]-propanamide, melinamide and the like. β-lactam cholesterol absorption inhibitors include, by way of non-limiting example, (3R-4S)-1,4-bis-(4-methoxyphenyl)-3-(3-phenylpropyl)-2-azetidinone and the like.
- In some embodiments, the compositions described herein optionally include at least one peptidase inhibitor. Such peptidase inhibitors include, but are not limited to, dipeptidyl peptidase-4 inhibitors (DPP-4), neutral endopeptidase inhibitors, and converting enzyme inhibitors. Suitable dipeptidyl peptidase-4 inhibitors (DPP-4) include, by way of non-limiting example, Vildaglipti, 2S)-1-{2-[(3-hydroxy-1-adamantyl)amino]acetyl}pyrrolidine-2-carbonitrile, Sitagliptin, (3R)-3-amino-1-[9-(trifluoromethyl)-1,4,7,8-tetrazabicyclo[4.3.0]nona-6,8-dien-4-yl]-4-(2,4,5-trifluorophenyl)butan-1-one, Saxagliptin, and (1S,3S,5S)-2-[(2S)-2-amino-2-(3-hydroxy-1-adamantyl)acetyl]-2-azabicyclo[3.1.0]hexane-3-carbonitrile. Such neutral endopeptidase inhibitors include, but are not limited to, Candoxatrilat and Ecadotril.
- In certain embodiments, the composition described herein optionally comprises a spreading agent. In some embodiments, a spreading agent is utilized to improve spreading of the composition in the colon and/or rectum. Suitable spreading agents include, by way of non-limiting example, hydroxyethylcellulose, hydroxypropymethyl cellulose, polyethylene glycol, colloidal silicon dioxide, propylene glycol, cyclodextrins, microcrystalline cellulose, polyvinylpyrrolidone, polyoxyethylated glycerides, polycarbophil, di-n-octyl ethers, Cetiol™OE, fatty alcohol polyalkylene glycol ethers, Aethoxal™B), 2-ethylhexyl palmitate, Cegesoft™C 24), and isopropyl fatty acid esters.
- In some embodiments, the compositions described herein optionally comprise a wetting agent. In some embodiments, a wetting agent is utilized to improve wettability of the composition in the colon and rectum. Suitable wetting agents include, by way of non-limiting example, ionic or non-ionic surfactants. In some embodiments, surfactants are selected from, by way of non-limiting example, SLS, poloxamers (e.g., poloxamer 188), polysorbate (e.g., 20 or 80), stearyl hetanoate, caprylic/capric fatty acid esters of saturated fatty alcohols of chain length C12-C18, isostearyl diglycerol isostearic acid, sodium dodecyl sulphate, isopropyl myristate, isopropyl palmitate, and isopropyl myristate/isopropyl stearate/isopropyl palmitate mixture.
- In some embodiments, the methods provided herein further comprise administering one or more vitamins
- In some embodiments, the vitamin is vitamin A, B1, B2, B3, B5, B6, B7, B9, B12, C, D, E, K, folic acid, pantothenic acid, niacin, riboflavin, thiamine, retinol, beta carotene, pyridoxine, ascorbic acid, cholecalciferol, cyanocobalamin, tocopherols, phylloquinone, menaquinone.
- In some embodiments, the vitamin is a fat soluble vitamin such as vitamin A, D, E, K, retinol, beta carotene, cholecalciferol, tocopherols, phylloquinone. In a preferred embodiment, the fat soluble vitamin is tocopherol polyethylene glycol succinate (TPGS).
- In some embodiments, a labile bile acid sequestrant is an enzyme dependent bile acid sequestrant. In certain embodiments, the enzyme is a bacterial enzyme. In some embodiments, the enzyme is a bacterial enzyme found in high concentration in human colon or rectum relative to the concentration found in the small intestine. Examples of micro-flora activated systems include dosage forms comprising pectin, galactomannan, and/or Azo hydrogels and/or glycoside conjugates (e.g., conjugates of D-galactoside, β-D-xylopyranoside or the like) of the active agent. Examples of gastrointestinal micro-flora enzymes include bacterial glycosidases such as, for example, D-galactosidase, β-D-glucosidase, α-L-arabinofuranosidase, β-D-xylopyranosidase or the like.
- In certain embodiments, a labile bile acid sequestrant is a time dependent bile acid sequestrant. In some embodiments, a labile bile acid sequestrant releases a bile acid or is degraded after 1, 2, 3, 4, 5, 6, 7, 8, 9, or 10 seconds of sequestration. In some embodiments, a labile bile acid sequestrant releases a bile acid or is degraded after 15, 20, 25, 30, 35, 40, 45, 50, or 55 seconds of sequestration. In some embodiments, a labile bile acid sequestrant releases a bile acid or is degraded after 1, 2, 3, 4, 5, 6, 7, 8, 9, or 10 minutes of sequestration. In some embodiments, a labile bile acid sequestrant releases a bile acid or is degraded after about 15, 20, 25, 30, 35, 45, 50, or 55 minutes of sequestration. In some embodiments, a labile bile acid sequestrant releases a bile acid or is degraded after about 1, 2, 3, 4, 5, 6, 7, 8, 9, 10, 11, 12, 13, 14, 15, 16, 17, 18, 19, 20, 21, 22, 23, or 24 hours of sequestration. In some embodiments, a labile bile acid sequestrant releases a bile acid or is degraded after 1, 2, or 3 days of sequestration.
- In some embodiments, the labile bile acid sequestrant has a low affinity for bile acid. In certain embodiments, the labile bile acid sequestrant has a high affinity for a primary bile acid and a low affinity for a secondary bile acid.
- In some embodiments, the labile bile acid sequestrant is a pH dependent bile acid sequestrant. In certain embodiments, the pH dependent bile acid sequestrant has a high affinity for bile acid at a pH of 6 or below and a low affinity for bile acid at a pH above 6. In certain embodiments, the pH dependent bile acid sequestrant has a high affinity for bile acid at a pH of 6.5 or below and a low affinity for bile acid at a pH above 6.5. In certain embodiments, the pH dependent bile acid sequestrant has a high affinity for bile acid at a pH of 7 or below and a low affinity for bile acid at a pH above 7. In certain embodiments, the pH dependent bile acid sequestrant has a high affinity for bile acid at a pH of 7.1 or below and a low affinity for bile acid at a pH above 7.1. In certain embodiments, the pH dependent bile acid sequestrant has a high affinity for bile acid at a pH of 7.2 or below and a low affinity for bile acid at a pH above 7.2. In certain embodiments, the pH dependent bile acid sequestrant has a high affinity for bile acid at a pH of 7.3 or below and a low affinity for bile acid at a pH above 7.3. In certain embodiments, the pH dependent bile acid sequestrant has a high affinity for bile acid at a pH of 7.4 or below and a low affinity for bile acid at a pH above 7.4. In certain embodiments, the pH dependent bile acid sequestrant has a high affinity for bile acid at a pH of 7.5 or below and a low affinity for bile acid at a pH above 7.5. In certain embodiments, the pH dependent bile acid sequestrant has a high affinity for bile acid at a pH of 7.6 or below and a low affinity for bile acid at a pH above 7.6. In certain embodiments, the pH dependent bile acid sequestrant has a high affinity for bile acid at a pH of 7.7 or below and a low affinity for bile acid at a pH above 7.7. In certain embodiments, the pH dependent bile acid sequestrant has a high affinity for bile acid at a pH of 7.8 or below and a low affinity for bile acid at a pH above 7.8. In some embodiments, the pH dependent bile acid sequestrant degrades at a pH above 6. In some embodiments, the pH dependent bile acid sequestrant degrades at a pH above 6.5. In some embodiments, the pH dependent bile acid sequestrant degrades at a pH above 7. In some embodiments, the pH dependent bile acid sequestrant degrades at a pH above 7.1. In some embodiments, the pH dependent bile acid sequestrant degrades at a pH above 7.2. In some embodiments, the pH dependent bile acid sequestrant degrades at a pH above 7.3. In some embodiments, the pH dependent bile acid sequestrant degrades at a pH above 7.4. In some embodiments, the pH dependent bile acid sequestrant degrades at a pH above 7.5. In some embodiments, the pH dependent bile acid sequestrant degrades at a pH above 7.6. In some embodiments, the pH dependent bile acid sequestrant degrades at a pH above 7.7. In some embodiments, the pH dependent bile acid sequestrant degrades at a pH above 7.8. In some embodiments, the pH dependent bile acid sequestrant degrades at a pH above 7.9.
- In certain embodiments, the labile bile acid sequestrant is lignin or a modified lignin. In some embodiments, the labile bile acid sequestrant is a polycationic polymer or copolymer. In certain embodiments, the labile bile acid sequestrant is a polymer or copolymer comprising one or more N-alkenyl-N-alkylamine residues; one or more N,N,N-trialkyl-N—(N′-alkenylamino)alkyl-azanium residues; one or more N,N,N-trialkyl-N-alkenyl-azanium residues; one or more alkenyl-amine residues; or a combination thereof.
- In some embodiments, the bile acid binder is cholestyramine, and various compositions including cholestyramine, which are described, for example, in U.S. Pat. Nos. 3,383,281; 3,308,020; 3,769,399; 3,846,541; 3,974,272; 4,172,120; 4,252,790; 4,340,585; 4,814,354; 4,874,744; 4,895,723; 5,695,749; and 6,066,336. In some embodiments, the bile acid binder is cholestipol or cholesevelam.
- Provided herein, in certain embodiments, are methods for treating pediatric cholestasis or a pediatric cholestatic liver disease comprising non-systemic administration of a therapeutically effective amount of an ASBTI. Provided herein, in certain embodiments, are methods for treating pediatric cholestasis or a pediatric cholestatic liver disease comprising contacting the gastrointestinal tract, including the distal ileum and/or the colon and/or the rectum, of an individual in need thereof with an ASBTI. Also provided herein are methods for reducing intraenterocyte bile acids, reducing damage to hepatocellular or intestinal architecture caused by cholestasis or a cholestatic liver disease, of an individual comprising administration of a therapeutically effective amount of an ASBTI to an individual in need thereof.
- In some embodiments, provided herein is a method of treating pediatric cholestasis or a pediatric cholestatic liver disease in an individual comprising delivering to ileum or colon of the individual a therapeutically effective amount of any ASBTI described herein. In some embodiments, provided herein are methods for reducing damage to hepatocellular or intestinal architecture or cells from cholestasis or a cholestatic liver disease comprising administration of a therapeutically effective amount of an ASBTI. In certain embodiments, provided herein are methods for reducing intraenterocyte bile acids/salts comprising administration of a therapeutically effective amount of an ASBTI to an individual in need thereof.
- In some embodiments, the methods provide for inhibition of bile salt recycling upon administration of any of the compounds described herein to an individual. In some embodiments, an ASBTI described herein is systemically absorbed upon administration. In some embodiments, an ASBTI described herein is not absorbed systemically. In some embodiments, an ASBTI herein is administered to the individual orally. In some embodiments, an ASBTI described herein is delivered and/or released in the distal ileum of an individual.
- In certain instances, contacting the distal ileum of a pediatric individual with an ASBTI (e.g., any ASBTI described herein) inhibits bile acid reuptake and increases the concentration of bile acids/salts in the vicinity of L-cells in the distal ileum and/or colon and/or rectum, thereby reducing intraenterocyte bile acids, reducing serum and/or hepatic bile acid levels, reducing overall bile acid load, and/or reducing damage to ileal architecture caused by cholestasis or a cholestatic liver disease. Without being limited to any particular theory, reducing serum and/or hepatic bile acid levels ameliorates cholestasis and/or cholestatic disease.
- Administration of a compound described herein is achieved in any suitable manner including, by way of non-limiting example, by oral, enteric, parenteral (e.g., intravenous, subcutaneous, intramuscular), intranasal, buccal, topical, rectal, or transdermal administration routes. Any compound or composition described herein is administered in a method or formulation appropriate to treat a new born or an infant. Any compound or composition described herein is administered in an oral formulation (e.g., solid or liquid) to treat a new born or an infant. In some embodiments, the pediatric dosage form is selected from a solution, syrup, suspension, elixir, powder for reconstitution as suspension or solution, dispersible/effervescent tablet, chewable tablet, lollipop, freezer pops, troches, oral thin strips, orally disintegrating tablet, orally disintegrating strip, and sprinkle oral powder or granules. In some embodiments, a compound or composition described herein is administered in a method or pediatric dosage form formulation appropriate to treat children. In some embodiments, a compound or composition described herein is administered in a method or pediatric dosage form formulation appropriate to treat adolescents. In some embodiments, a compound or composition described herein is administered in a method or pediatric dosage form formulation appropriate to treat a newborn or an infant. In some embodiments, a compound or composition described herein is administered in an oral formulation (e.g., solid or liquid) to treat a newborn or an infant. In some embodiments, the pediatric dosage form described herein is administered prior to ingestion of food, with food or after ingestion of food.
- In certain embodiments, a compound or a composition comprising a compound described herein is administered for prophylactic and/or therapeutic treatments. In therapeutic applications, the compositions are administered to an individual already suffering from a disease or condition, in an amount sufficient to cure or at least partially arrest the symptoms of the disease or condition. In various instances, amounts effective for this use depend on the severity and course of the disease or condition, previous therapy, the individual's health status, weight, and response to the drugs, and the judgment of the treating physician.
- In prophylactic applications, compounds or compositions containing compounds described herein are administered to an individual susceptible to or otherwise at risk of a particular disease, disorder or condition. In certain embodiments of this use, the precise amounts of compound administered depend on the individual's state of health, weight, and the like. Furthermore, in some instances, when a compound or composition described herein is administered to an individual, effective amounts for this use depend on the severity and course of the disease, disorder or condition, previous therapy, the individual's health status and response to the drugs, and the judgment of the treating physician.
- In certain instances, wherein following administration of a selected dose of a compound or composition described herein, an individual's condition does not improve, upon the doctor's discretion the administration of a compound or composition described herein is optionally administered chronically, that is, for an extended period of time, including throughout the duration of the individual's life in order to ameliorate or otherwise control or limit the symptoms of the individual's disorder, disease or condition.
- In certain embodiments, an effective amount of a given agent varies depending upon one or more of a number of factors such as the particular compound, disease or condition and its severity, the identity (e.g., weight) of the subject or host in need of treatment, and is determined according to the particular circumstances surrounding the case, including, e.g., the specific agent being administered, the route of administration, the condition being treated, and the subject or host being treated. In some embodiments, doses administered include those up to the maximum tolerable dose. In some embodiments, doses administered include those up to the maximum tolerable dose by a newborn or an infant.
- In certain embodiments, about 0.001-5000 mg per day, from about 0.001-1500 mg per day, about 0.001 to about 100 mg/day, about 0.001 to about 50 mg/day, or about 0.001 to about 30 mg/day, or about 0.001 to about 10 mg/day of a compound described herein is administered to an individual in need thereof. In various embodiments, the desired dose is conveniently presented in a single dose or in divided doses administered simultaneously (or over a short period of time) or at appropriate intervals, for example as two, three, four or more sub-doses per day. In various embodiments, a single dose is from about 0.001 mg/kg to about 500 mg/kg. In various embodiments, a single dose is from about 0.001, 0.01, 0.1, 1, or 10 mg/kg to about 10, 50, 100, or 250 mg/kg. In various embodiments, a single dose of an ASBTI is from about 0.001 mg/kg to about 100 mg/kg. In various embodiments, a single dose of an ASBTI is from about 0.001 mg/kg to about 50 mg/kg. In various embodiments, a single dose of an ASBTI is from about 0.001 mg/kg to about 10 mg/kg. In various embodiments, a single dose of an ASBTI is administered every 6 hours, every 12 hours, every 24 hours, every 48 hours, every 72 hours, every 96 hours, every 5 days, every 6 days, or once a week.
- In the case wherein the patient's status does improve, upon the doctor's discretion an ASBTI is optionally given continuously; alternatively, the dose of drug being administered is temporarily reduced or temporarily suspended for a certain length of time (i.e., a “drug holiday”). The length of the drug holiday optionally varies between 2 days and 1 year, including by way of example only, 2 days, 3 days, 4 days, 5 days, 6 days, 7 days, 10 days, 12 days, 15 days, 20 days, 28 days, 35 days, 50 days, 70 days, 100 days, 120 days, 150 days, 180 days, 200 days, 250 days, 280 days, 300 days, 320 days, 350 days, or 365 days. The dose reduction during a drug holiday includes from 10%-100%, including, by way of example only, 10%, 15%, 20%, 25%, 30%, 35%, 40%, 45%, 50%, 55%, 60%, 65%, 70%, 75%, 80%, 85%, 90%, 95%, or 100%. In some embodiments the total single dose of an ASBTI is in the range described above.
- Once improvement of the patient's conditions has occurred, a maintenance dose is administered if necessary. Subsequently, the dosage or the frequency of administration, or both, is reduced, as a function of the symptoms, to a level at which the improved disease, disorder or condition is retained. In some embodiments, patients require intermittent treatment on a long-term basis upon any recurrence of symptoms.
- In certain instances, there are a large number of variables in regard to an individual treatment regime, and considerable excursions from these recommended values are considered within the scope described herein. Dosages described herein are optionally altered depending on a number of variables such as, by way of non-limiting example, the activity of the compound used, the disease or condition to be treated, the mode of administration, the requirements of the individual subject, the severity of the disease or condition being treated, and the judgment of the practitioner.
- Toxicity and therapeutic efficacy of such therapeutic regimens are optionally determined by pharmaceutical procedures in cell cultures or experimental animals, including, but not limited to, the determination of the LD50 (the dose lethal to 50% of the population) and the ED50 (the dose therapeutically effective in 50% of the population). The dose ratio between the toxic and therapeutic effects is the therapeutic index and it can be expressed as the ratio between LD50 and ED50. Compounds exhibiting high therapeutic indices are preferred. In certain embodiments, data obtained from cell culture assays and animal studies are used in formulating a range of dosage for use in human. In specific embodiments, the dosage of compounds described herein lies within a range of circulating concentrations that include the ED50 with minimal toxicity. The dosage optionally varies within this range depending upon the dosage form employed and the route of administration utilized.
- In some embodiments, the systemic exposure of a therapeutically effective amount of any non-systemic ASBTI described herein (e.g., an ASBTI that comprises a non-systemic moiety such as L-K or other groups described herein) is reduced when compared to the systemic exposure of a therapeutically effective amount of any systemically absorbed ASBTI (e.g. Compounds 100A, 100C). In some embodiments, the AUC of a therapeutically effective amount of any non-systemic ASBTI described herein (e.g., an ASBTI that comprises a non-systemic moiety such as L-K or other groups described herein) is at least 10%, at least 20%, at least 30%, at least 40%, at least 50%, at least 60%, at least 70%, at least 80% or at least 90% reduced when compared to the AUC of any systemically absorbed ASBTI (e.g. Compounds 100A, 100C).
- In some embodiments, the systemic exposure of a therapeutically effective amount of a compound of Formula I that is not systemically absorbed (e.g., a compound of Formula I that comprises a non-systemic moiety such as L-K or other groups described herein) is reduced when compared to the systemic exposure of a therapeutically effective amount of Compound 100A. In some embodiments, the AUC of a therapeutically effective amount of a compound of Formula I that is not systemically absorbed (e.g., a compound of Formula I that comprises a non-systemic moiety such as L-K or other groups described herein) is about 10%, about 20%, about 30%, about 40%, about 50%, about 60%, about 70%, about 80% or about 90% reduced when compared to the AUC of a therapeutically effective amount of Compound 100A. In some embodiments, the AUC of a therapeutically effective amount of a compound of Formula I that is not systemically absorbed (e.g., a compound of Formula I that comprises a non-systemic moiety such as L-K or other groups described herein) is about 50% reduced when compared to the AUC of a therapeutically effective amount of Compound 100A. In other embodiments, the AUC of a therapeutically effective amount of a compound of Formula I that is not systemically absorbed (e.g., a compound of Formula I that comprises a non-systemic moiety such as L-K or other groups described herein) is about 75% reduced when compared to the AUC of a therapeutically effective amount of Compound 100A.
- In some embodiments, the systemic exposure of a therapeutically effective amount of a compound of Formula II that is not systemically absorbed (e.g., a compound of Formula II that comprises a non-systemic moiety such as L-K or other groups described herein) is reduced when compared to the systemic exposure of a therapeutically effective amount of Compound 100A. In some embodiments, the AUC of a therapeutically effective amount of a compound of Formula II that is not systemically absorbed (e.g., a compound of Formula II that comprises a non-systemic moiety such as L-K or other groups described herein) is about 10%, about 20%, about 30%, about 40%, about 50%, about 60%, about 70%, about 80% or about 90% reduced when compared to the AUC of a therapeutically effective amount of Compound 100A. In some embodiments, the AUC of a therapeutically effective amount of a compound of Formula II that is not systemically absorbed (e.g., a compound of Formula II that comprises a non-systemic moiety such as L-K or other groups described herein) is about 50% reduced when compared to the AUC of a therapeutically effective amount of Compound 100A. In other embodiments, the AUC of a therapeutically effective amount of a compound of Formula II that is not systemically absorbed (e.g., a compound of Formula II that comprises a non-systemic moiety such as L-K or other groups described herein) is about 75% reduced when compared to the AUC of a therapeutically effective amount of Compound 100A.
- In some embodiments, the systemic exposure of a therapeutically effective amount of a compound of Formula III, IIIA, IIIB or IIIC is reduced when compared to the systemic exposure of a therapeutically effective amount of Compound 100C. In some embodiments, the AUC of a therapeutically effective amount of a compound of Formula III, IIIA, IIIB or IIIC is about 10%, about 20%, about 30%, about 40%, about 50%, about 60%, about 70%, about 80% or about 90% reduced when compared to the AUC of a therapeutically effective amount of Compound 100C. In some embodiments, the AUC of a therapeutically effective amount of a compound of Formula III, IIIA, IIIB or IIIC is about 50% reduced when compared to the AUC of a therapeutically effective amount of Compound 100C. In other embodiments, the AUC of a therapeutically effective amount of a compound of Formula III, IIIA, IIIB or IIIC is about 75% reduced when compared to the AUC of a therapeutically effective amount of Compound 100C.
- In some embodiments, the systemic exposure of a therapeutically effective amount of a compound of Formula IV that is not systemically absorbed (e.g., a compound of Formula IV that comprises a non-systemic moiety such as L-K or other groups described herein) is reduced when compared to the systemic exposure of a therapeutically effective amount of Compound 100A. In some embodiments, the AUC of a therapeutically effective amount of a compound of Formula IV that is not systemically absorbed (e.g., a compound of Formula I that comprises a non-systemic moiety such as L-K or other groups described herein) is about 10%, about 20%, about 30%, about 40%, about 50%, about 60%, about 70%, about 80% or about 90% reduced when compared to the AUC of a therapeutically effective amount of Compound 100A. In some embodiments, the AUC of a therapeutically effective amount of a compound of Formula IV that is not systemically absorbed (e.g., a compound of Formula IV that comprises a non-systemic moiety such as L-K or other groups described herein) is about 50% reduced when compared to the AUC of a therapeutically effective amount of Compound 100A. In other embodiments, the AUC of a therapeutically effective amount of a compound of Formula IV that is not systemically absorbed (e.g., a compound of Formula IV that comprises a non-systemic moiety such as L-K or other groups described herein) is about 75% reduced when compared to the AUC of a therapeutically effective amount of Compound 100A.
- In some embodiments, the systemic exposure of a therapeutically effective amount of a compound of Formula V that is not systemically absorbed (e.g., a compound of Formula V that comprises a non-systemic moiety such as L-K or other groups described herein) is reduced when compared to the systemic exposure of a therapeutically effective amount of Compound 100A. In some embodiments, the AUC of a therapeutically effective amount of a compound of Formula V that is not systemically absorbed (e.g., a compound of Formula V that comprises a non-systemic moiety such as L-K or other groups described herein) is about 10%, about 20%, about 30%, about 40%, about 50%, about 60%, about 70%, about 80% or about 90% reduced when compared to the AUC of a therapeutically effective amount of Compound 100A. In some embodiments, the AUC of a therapeutically effective amount of a compound of Formula I that is not systemically absorbed (e.g., a compound of Formula V that comprises a non-systemic moiety such as L-K or other groups described herein) is about 50% reduced when compared to the AUC of a therapeutically effective amount of Compound 100A. In other embodiments, the AUC of a therapeutically effective amount of a compound of Formula I that is not systemically absorbed (e.g., a compound of Formula V that comprises a non-systemic moiety such as L-K or other groups described herein) is about 75% reduced when compared to the AUC of a therapeutically effective amount of Compound 100A.
- In some embodiments, the systemic exposure of a therapeutically effective amount of a compound of Formula VI or VID that is not systemically absorbed (e.g., a compound of Formula VI or VID that comprises a non-systemic moiety such as L-K or other groups described herein) is reduced when compared to the systemic exposure of a therapeutically effective amount of Compound 100A. In some embodiments, the AUC of a therapeutically effective amount of a compound of Formula VI or VID that is not systemically absorbed (e.g., a compound of Formula VI or VID that comprises a non-systemic moiety such as L-K or other groups described herein) is about 10%, about 20%, about 30%, about 40%, about 50%, about 60%, about 70%, about 80% or about 90% reduced when compared to the AUC of a therapeutically effective amount of Compound 100A. In some embodiments, the AUC of a therapeutically effective amount of a compound of Formula VI or VID that is not systemically absorbed (e.g., a compound of Formula VI or VID that comprises a non-systemic moiety such as L-K or other groups described herein) is about 50% reduced when compared to the AUC of a therapeutically effective amount of Compound 100A. In other embodiments, the AUC of a therapeutically effective amount of a compound of Formula I that is not systemically absorbed (e.g., a compound of Formula VI or VID that comprises a non-systemic moiety such as L-K or other groups described herein) is about 75% reduced when compared to the AUC of a therapeutically effective amount of Compound 100A.
- In certain embodiments, the Cmax of a therapeutically effective amount of any non-systemic ASBTI described herein (e.g., an ASBTI that comprises a non-systemic moiety such as L-K or other groups described herein) is at least 10%, at least 20%, at least 30%, at least 40%, at least 50%, at least 60%, at least 70%, at least 80% or at least 90% reduced when compared to the Cmax of any systemically absorbed ASBTI (e.g. Compound 100A).
- By way of example, the Cmax of a therapeutically effective amount of a compound of Formula III, IIIA, IIIB or IIIC is about 10%, about 20%, about 30%, about 40%, about 50%, about 60%, about 70%, about 80% or about 90% reduced when compared to the Cmax of a therapeutically effective amount of Compound 100C. In some embodiments, the Cmax of a therapeutically effective amount of a compound of Formula III, IIIA, IIIB or IIIC is about 25% reduced when compared to the Cmax of a therapeutically effective amount of Compound 100C. In certain embodiments, the Cmax of a therapeutically effective amount of a compound of III, IIIA or 111B is about 50% reduced when compared to the Cmax of a therapeutically effective amount of Compound 100C. In other embodiments, the Cmax of a therapeutically effective amount of a compound of Formula III, IIIA, IIIB or IIIC is about 75% reduced when compared to the Cmax of a therapeutically effective amount of Compound 100C.
- In certain embodiments, the pharmaceutical composition administered includes a therapeutically effective amount of a bile salt, a bile acid mimic, or a bile salt mimic, an absorption inhibitor and a carrier (e.g., an orally suitable carrier or a rectally suitable carrier, depending on the mode of intended administration). In certain embodiments, the pharmaceutical composition used or administered comprises a bile salt, a bile acid mimic, or a bile salt mimic, an absorption inhibitor, a carrier, and one or more of a cholesterol absorption inhibitor, an enteroendocrine peptide, a peptidase inhibitor, a spreading agent, and a wetting agent.
- In a specific embodiment, the pharmaceutical composition used to prepare a rectal dosage form or administered rectally comprises a bile salt, a bile acid mimic, or a bile salt mimic, an absorption inhibitor, a rectally suitable carrier, an optional cholesterol absorption inhibitor, an optional enteroendocrine peptide, an optional peptidase inhibitor, an optional spreading agent, and an optional wetting agent. In certain embodiments, rectally administered compositions evokes an anorectal response. In specific embodiments, the anorectal response is an increase in secretion of one or more enteroendocrine by cells (e.g., L-cells) in the colon and/or rectum (e.g., in the epithelial layer of the colon and/or rectum). In some embodiments, the anorectal response persists for at least 1, 2, 3, 4, 5, 6, 7, 8, 9, 10, 11, 12, 13, 14, 15, 16, 17, 18, 19, 20, 21, 22, 23 or 24 hours. In other embodiments the anorectal response persists for a period between 24 hours and 48 hours, while in other embodiments the anorectal response persists for persists for a period greater than 48 hours.
- In another specific embodiment, the pharmaceutical composition used to prepare an oral dosage form or administered orally comprises a bile salt, a bile acid mimic, or a bile salt mimic, an absorption inhibitor, an orally suitable carrier, an optional cholesterol absorption inhibitor, an optional enteroendocrine peptide, an optional peptidase inhibitor, an optional spreading agent, and an optional wetting agent. In certain embodiments, the orally administered compositions evokes an anorectal response. In specific embodiments, the anorectal response is an increase in secretion of one or more enteroendocrine by cells in the colon and/or rectum (e.g., in L-cells the epithelial layer of the colon and/or rectum). In some embodiments, the anorectal response persists for at least 1, 2, 3, 4, 5, 6, 7, 8, 9, 10, 11, 12, 13, 14, 15, 16, 17, 18, 19, 20, 21, 22, 23 or 24 hours. In other embodiments the anorectal response persists for a period between 24 hours and 48 hours, while in other embodiments the anorectal response persists for persists for a period greater than 48 hours.
- In some embodiments, the compositions described herein and the compositions administered in the methods described herein are formulated to inhibit bile acid reuptake, or reduce serum or hepatic bile acid levels. In certain embodiments, the compositions described herein are formulated for rectal or oral administration. In some embodiments, such formulations are administered rectally or orally, respectively. In some embodiments, the compositions described herein are combined with a device for local delivery of the compositions to the rectum and/or colon (sigmoid colon, transverse colon, or ascending colon). In certain embodiments, for rectal administration the composition described herein are formulated as enemas, rectal gels, rectal foams, rectal aerosols, suppositories, jelly suppositories, or retention enemas. In some embodiments, for oral administration the compositions described herein are formulated for oral administration and enteric delivery to the colon.
- In certain embodiments, the compositions or methods described herein are non-systemic. In some embodiments, compositions described herein deliver the ASBTI to the distal ileum, colon, and/or rectum and not systemically (e.g., a substantial portion of the enteroendocrine peptide secretion enhancing agent is not systemically absorbed). In some embodiments, oral compositions described herein deliver the ASBTI to the distal ileum, colon, and/or rectum and not systemically (e.g., a substantial portion of the enteroendocrine peptide secretion enhancing agent is not systemically absorbed). In some embodiments, rectal compositions described herein deliver the ASBTI to the distal ileum, colon, and/or rectum and not systemically (e.g., a substantial portion of the enteroendocrine peptide secretion enhancing agent is not systemically absorbed). In certain embodiments, non-systemic compositions described herein deliver less than 90% w/w of the ASBTI systemically. In certain embodiments, non-systemic compositions described herein deliver less than 80% w/w of the ASBTI systemically. In certain embodiments, non-systemic compositions described herein deliver less than 70% w/w of the ASBTI systemically. In certain embodiments, non-systemic compositions described herein deliver less than 60% w/w of the ASBTI systemically. In certain embodiments, non-systemic compositions described herein deliver less than 50% w/w of the ASBTI systemically. In certain embodiments, non-systemic compositions described herein deliver less than 40% w/w of the ASBTI systemically. In certain embodiments, non-systemic compositions described herein deliver less than 30% w/w of the ASBTI systemically. In certain embodiments, non-systemic compositions described herein deliver less than 25% w/w of the ASBTI systemically. In certain embodiments, non-systemic compositions described herein deliver less than 20% w/w of the ASBTI systemically. In certain embodiments, non-systemic compositions described herein deliver less than 15% w/w of the ASBTI systemically. In certain embodiments, non-systemic compositions described herein deliver less than 10% w/w of the ASBTI systemically. In certain embodiments, non-systemic compositions described herein deliver less than 5% w/w of the ASBTI systemically. In some embodiments, systemic absorption is determined in any suitable manner, including the total circulating amount, the amount cleared after administration, or the like.
- In certain embodiments, the compositions and/or formulations described herein are administered at least once a day. In certain embodiments, the formulations containing the ASBTI are administered at least twice a day, while in other embodiments the formulations containing the ASBTI are administered at least three times a day. In certain embodiments, the formulations containing the ASBTI are administered up to five times a day. It is to be understood that in certain embodiments, the dosage regimen of composition containing the ASBTI described herein to is determined by considering various factors such as the patient's age, sex, and diet.
- The concentration of the ASBTI administered in the formulations described herein ranges from about 1 mM to about 1 M. In certain embodiments the concentration of the ASBTI administered in the formulations described herein ranges from about 1 mM to about 750 mM. In certain embodiments the concentration of the ASBTI administered in the formulations described herein ranges from about 1 mM to about 500 mM. In certain embodiments the concentration of the ASBTI administered in the formulations described herein ranges from about 5 mM to about 500 mM. In certain embodiments the concentration of the ASBTI administered in the formulations described herein ranges from about 10 mM to about 500 mM. In certain embodiments the concentration of the administered in the formulations described herein ranges from about 25 mM to about 500 mM. In certain embodiments the concentration of the ASBTI administered in the formulations described herein ranges from about 50 mM to about 500 mM. In certain embodiments the concentration of the ASBTI administered in the formulations described herein ranges from about 100 mM to about 500 mM. In certain embodiments the concentration of the ASBTI administered in the formulations described herein ranges from about 200 mM to about 500 mM.
- In certain embodiments, any composition described herein comprises a therapeutically effective amount (e.g., to treat cholestasis or a cholestatic liver disease) of ursodiol. In some embodiments, ursodiol may be substituted for any other therapeutic bile acid or salt. In some embodiments, compositions described herein comprise or methods described herein comprise administering about 0.01 mg to about 10 g of ursodiol. In certain embodiments, a composition described herein comprises or a method described herein comprises administering about 0.1 mg to about 500 mg of ursodiol. In certain embodiments, a composition described herein comprises or a method described herein comprises administering about 0.1 mg to about 100 mg of ursodiol. In certain embodiments, a composition described herein comprises or a method described herein comprises administering about 0.1 mg to about 50 mg of ursodiol. In certain embodiments, a composition described herein comprises or a method described herein comprises administering about 0.1 mg to about 10 mg of ursodiol. In certain embodiments, a composition described herein comprises or a method described herein comprises administering about 0.5 mg to about 10 mg of ursodiol. In some embodiments, compositions described herein comprise or methods described herein comprise administering about 0.1 mmol to about 1 mol of ursodiol. In certain embodiments, a composition described herein comprises or a method described herein comprises administering about 0.01 mmol to about 500 mmol of ursodiol. In certain embodiments, a composition described herein comprises or a method described herein comprises administering about 0.1 mmol to about 100 mmol of ursodiol. In certain embodiments, a composition described herein comprises or a method described herein comprises administering about 0.5 mmol to about 30 mmol of ursodiol. In certain embodiments, a composition described herein comprises or a method described herein comprises administering about 0.5 mmol to about 20 mmol of ursodiol. In certain embodiments, a composition described herein comprises or a method described herein comprises administering about 1 mmol to about 10 mmol of ursodiol. In certain embodiments, a composition described herein comprises or a method described herein comprises administering about 0.01 mmol to about 5 mmol of ursodiol. In certain embodiments, a composition described herein comprises or a method described herein comprises administering about 0.1 mmol to about 1 mmol of ursodiol. In various embodiments, certain bile acids/salts have different potencies and dosing is optionally adjusted accordingly. For example, the investigation in TGR5-transfected CHO cells of TGR5 agonist potency of natural bile acids/salts indicates the following rank of potency: Lithocholic acid (LCA)>deoxycholic acid (DCA)>murocholic acid (Moro-CA)>lagodeoxycholic acid (lago-DCA)>chenodeoxycholic (CDCA)>cholic acid (CA)>hyodeoxycholic acid (HDCA>ursodeoxycholic acid (UDCA); and assays on TGR5-transfected CHO cells demonstrate that EC50 (in μM) for UDCA was 36.4, TauroCA (TCA) 4.95 and LCA 0.58.
- In certain embodiments, by targeting the distal gastrointestinal tract (e.g., distal ileum, colon, and/or rectum), compositions and methods described herein provide efficacy (e.g., in reducing microbial growth and/or alleviating symptoms of cholestasis or a cholestatic liver disease) with a reduced dose of enteroendocrine peptide secretion enhancing agent (e.g., as compared to an oral dose that does not target the distal gastrointestinal tract).
- The pharmaceutical compositions described herein for the non-systemic delivery of a compound described herein to the rectum and/or colon are formulated for rectal administration as rectal enemas, rectal foams, rectal gels, and rectal suppositories. The components of such formulations are described herein. It is to be understood that as used herein, pharmaceutical compositions and compositions are or comprise the formulations as described herein. In some embodiments, rectal formulations comprise rectal enemas, foams, gels, or suppositories.
- In certain embodiments, liquid carrier vehicles or co-solvents in the compositions and/or formulations described herein include, by way of non-limiting example, purified water, propylene glycol, PEG200, PEG300, PEG400, PEG600, polyethyleneglycol, ethanol, 1-propanol, 2-propanol, 1-propen-3-ol (allyl alcohol), propylene glycol, glycerol, 2-methyl-2-propanol, formamide, methyl formamide, dimethyl formamide, ethyl formamide, diethyl formamide, acetamide, methyl acetamide, dimethyl acetamide, ethyl acetamide, diethyl acetamide, 2-pyrrolidone, N-methyl-2-pyrrolidone, N-ethyl-2-pyrrolidone, tetramethyl urea, 1,3-dimethyl-2-imidazolidinone, propylene carbonate, 1,2-butylene carbonate, 2,3-butylene carbonate, dimethyl sulfoxide, diethyl sulfoxide, hexamethyl phosphoramide, pyruvic aldehyde dimethylacetal, dimethylisosorbide and combinations thereof.
- In some embodiments, stabilizers used in compositions and/or formulations described herein include, but are not limited to, partial glycerides of polyoxyethylenic saturated fatty acids.
- In certain embodiments, surfactants/emulsifiers used in the compositions and/or formulations described herein include, by way of non-limiting example, mixtures of cetostearylic alcohol with sorbitan esterified with polyoxyethylenic fatty acids, polyoxyethylene fatty ethers, polyoxyethylene fatty esters, fatty acids, sulfated fatty acids, phosphated fatty acids, sulfosuccinates, amphoteric surfactants, non-ionic poloxamers, non-ionic meroxapols, petroleum derivatives, aliphatic amines, polysiloxane derivatives, sorbitan fatty acid esters, laureth-4, PEG-2 dilaurate, stearic acid, sodium lauryl sulfate, dioctyl sodium sulfosuccinate, cocoamphopropionate, poloxamer 188, meroxapol 258, triethanolamine, dimethicone, polysorbate 60, sorbitan monostearate, pharmaceutically acceptable salts thereof, and combinations thereof.
- In some embodiments, non-ionic surfactants used in compositions and/or formulations described herein include, by way of non-limiting example, phospholipids, alkyl poly(ethylene oxide), poloxamers (e.g., poloxamer 188), polysorbates, sodium dioctyl sulfosuccinate, Brij™-30 (Laureth-4), Brij™-58 (Ceteth-20) and Brij™-78 (Steareth-20), Brij™-721 (Steareth-21), Crillet-1 (Polysorbate 20), Crillet-2 (Polysorbate 40), Crillet-3 (Polysorbate 60), Crillet 45 (Polysorbate 80), Myrj-52 (PEG-40 Stearate), Myrj-53 (PEG-50 Stearate), Pluronic™ F77 (Poloxamer 217), Pluronic™ F87 (Poloxamer 237), Pluronic™ F98 (Poloxamer 288), Pluronic™ L62 (Poloxamer 182), Pluronic™ L64 (Poloxamer 184), Pluronic™ F68 (Poloxamer 188), Pluronic™ L81 (Poloxamer 231), Pluronic™ L92 (Poloxamer 282), Pluronic™ L101 (Poloxamer 331), Pluronic™ P103 (Poloxamer 333), Pluracare™ F 108 NF (Poloxamer 338), and Pluracare™ F 127 NF (Poloxamer 407) and combinations thereof. Pluronic™ polymers are commercially purchasable from BASF, USA and Germany.
- In certain embodiments, anionic surfactants used in compositions and/or formulations described herein include, by way of non-limiting example, sodium laurylsulphate, sodium dodecyl sulfate (SDS), ammonium lauryl sulfate, alkyl sulfate salts, alkyl benzene sulfonate, and combinations thereof.
- In some embodiments, the cationic surfactants used in compositions and/or formulations described herein include, by way of non-limiting example, benzalkonium chloride, benzethonium chloride, cetyl trimethylammonium bromide, hexadecyl trimethyl ammonium bromide, other alkyltrimethylammonium salts, cetylpyridinium chloride, polyethoxylated tallow and combinations thereof.
- In certain embodiments, the thickeners used in compositions and/or formulations described herein include, by way of non-limiting example, natural polysaccharides, semi-synthetic polymers, synthetic polymers, and combinations thereof. Natural polysaccharides include, by way of non-limiting example, acacia, agar, alginates, carrageenan, guar, arabic, tragacanth gum, pectins, dextran, gellan and xanthan gums. Semi-synthetic polymers include, by way of non-limiting example, cellulose esters, modified starches, modified celluloses, carboxymethylcellulose, methyl cellulose, ethyl cellulose, hydroxyethyl cellulose, hydroxypropyl cellulose and hydroxypropyl methylcellulose. Synthetic polymers include, by way of non-limiting example, polyoxyalkylenes, polyvinyl alcohol, polyacrylamide, polyacrylates, carboxypolymethylene (carbomer), polyvinylpyrrolidone (povidones), polyvinylacetate, polyethylene glycols and poloxamer. Other thickeners include, by way of nonlimiting example, polyoxyethyleneglycol isostearate, cetyl alcohol, Polyglycol 300 isostearate, propyleneglycol, collagen, gelatin, and fatty acids (e.g., lauric acid, myristic acid, palmitic acid, stearic acid, palmitoleic acid, linoleic acid, linolenic acid, oleic acid and the like).
- In some embodiments, chelating agents used in the compositions and/or formulations described herein include, by way of non-limiting example, ethylenediaminetetraacetic acid (EDTA) or salts thereof, phosphates and combinations thereof.
- In some embodiments, the concentration of the chelating agent or agents used in the rectal formulations described herein is a suitable concentration, e.g., about 0.1%, 0.15%, 0.2%, 0.25%, 0.3%, 0.4%, or 0.5% (w/v).
- In some embodiments, preservatives used in compositions and/or formulations described herein include, by way of non-limiting example, parabens, ascorbyl palmitate, benzoic acid, butylated hydroxyanisole, butylated hydroxytoluene, chlorobutanol, ethylenediamine, ethylparaben, methylparaben, butyl paraben, propylparaben, monothioglycerol, phenol, phenylethyl alcohol, propylparaben, sodium benzoate, sodium propionate, sodium formaldehyde sulfoxylate, sodium metabisulfite, sorbic acid, sulfur dioxide, maleic acid, propyl gallate, benzalkonium chloride, benzethonium chloride, benzyl alcohol, chlorhexidine acetate, chlorhexidine gluconate, sorbic acid, potassium sorbitol, chlorbutanol, phenoxyethanol, cetylpyridinium chloride, phenylmercuric nitrate, thimerosol, and combinations thereof.
- In certain embodiments, antioxidants used in compositions and/or formulations described herein include, by way of non-limiting example, ascorbic acid, ascorbyl palmitate, butylated hydroxyanisole, butylated hydroxytoluene, hypophosphorous acid, monothioglycerol, propyl gallate, sodium ascorbate, sodium sulfite, sodium bisulfite, sodium formaldehyde sulfoxylate, potassium metabisulphite, sodium metabisulfite, oxygen, quinones, t-butyl hydroquinone, erythorbic acid, olive (olea eurpaea) oil, pentasodium penetetate, pentetic acid, tocopheryl, tocopheryl acetate and combinations thereof.
- Pharmaceutically acceptable preservatives include quaternary ammonium salts such as benzalkonium chloride, alcohols such as benzyl alcohol, organic acids or salts and derivatives thereof such as benzoic acid, sodium benzoate, sorbic acid, potassium sorbate, propionic acid, sodium propionate, parabens such as methyl parahydroxybenzoate, propyl parahydroxybenzoate, ethyl parahydroxybenzoate or butyl parahydroxybenzoate, aqua conservans; chlorhexidine diacetate,-digluconate. Given the intended use of the present composition, the preservatives are preferably suitable for pediatric use. Preferred preservatives are parabens such as methyl parahydroxybenzoate, propyl parahydroxybenzoate, ethyl parahydroxybenzoate or butyl parahydroxybenzoate, in particular methyl parahydroxybenzoate or propyl parahydroxybenzoate. The preservatives are present in a composition in a concentration in order to provide sufficient antimicrobial activity in the preconcentrate composition or in the liquid composition upon reconstitution. Preferably, the concentration of the preservatives in a resulting reconstituted liquid composition ranges up to about 3% (w/w), more preferably up to about 2.5% (w/w), more preferably up to about 2% (w/w), depending on the actual preservative being used.
- The composition of the present invention may also contain one or more anti-oxidants, such as, for example, sodium metabisulfite, sodium bisulfite, sodium sulfite, sodium thiosulfate, ascorbic acid, BHA (butylhydroxyanisol), BHT (butylhydroxytoluene), vitamin E, propylgallate, ascorbyl palmitate, or complex forming agents such as EDTA (ethylenediaminetetraacetic acid), citric acid, tartaric acid, sodium-hexametaphosphate and the like. Given the intended use of the present composition, the antioxidants or the complex forming agents are preferably suitable for pediatric use. Preferred antioxidants are BHA, BHT, vitamin E or propylgallate. In some embodiments, concentration of the antioxidant or antioxidants used in the rectal formulations described herein is sufficient to achieve a desired result, e.g., about 0.1%, 0.15%, 0.2%, 0.25%, 0.3%, 0.4%, or 0.5% (w/v).
- The lubricating agents used in compositions and/or formulations described herein include, by way of non-limiting example, natural or synthetic fat or oil (e.g., a tris-fatty acid glycerate and the like). In some embodiments, lubricating agents include, by way of non-limiting example, glycerin (also called glycerine, glycerol, 1,2,3-propanetriol, and trihydroxypropane), polyethylene glycols (PEGs), polypropylene glycol, polyisobutene, polyethylene oxide, behenic acid, behenyl alcohol, sorbitol, mannitol, lactose, polydimethylsiloxane and combinations thereof.
- In certain embodiments, mucoadhesive and/or bioadhesive polymers are used in the compositions and/or formulations described herein as agents for inhibiting absorption of the enteroendocrine peptide secretion enhancing agent across the rectal or colonic mucosa. Bioadhesive or mucoadhesive polymers include, by way of non-limiting example, hydroxypropyl cellulose, polyethylene oxide homopolymers, polyvinyl ether-maleic acid copolymers, methyl cellulose, ethyl cellulose, propyl cellulose, hydroxyethyl cellulose, hydroxypropyl cellulose, hydroxypropylmethyl cellulose, carboxymethylcellulose, polycarbophil, polyvinylpyrrolidone, carbopol, polyurethanes, polyethylene oxide-polypropyline oxide copolymers, sodium carboxymethyl cellulose, polyethylene, polypropylene, lectins, xanthan gum, alginates, sodium alginate, polyacrylic acid, chitosan, hyaluronic acid and ester derivatives thereof, vinyl acetate homopolymer, calcium polycarbophil, gelatin, natural gums, karaya, tragacanth, algin, chitosan, starches, pectins, and combinations thereof.
- In some embodiments, buffers/pH adjusting agents used in compositions and/or formulations described herein include, by way of non-limiting example, phosphoric acid, monobasic sodium or potassium phosphate, triethanolamine (TRIS), BICINE, HEPES, Trizma, glycine, histidine, arginine, lysine, asparagine, aspartic acid, glutamine, glutamic acid, carbonate, bicarbonate, potassium metaphosphate, potassium phosphate, monobasic sodium acetate, acetic acid, acetate, citric acid, sodium citrate anhydrous, sodium citrate dihydrate and combinations thereof. In certain embodiments, an acid or a base is added to adjust the pH. Suitable acids or bases include, by way of non-limiting example, HCL, NaOH and KOH.
- In certain embodiments, concentration of the buffering agent or agents used in the rectal formulations described herein is sufficient to achieve or maintain a physiologically desirable pH, e.g., about 0.1%, 0.2%, 0.3%, 0.4%, 0.5%, 0.6%, 0.8%, 0.9%, or 1.0% (w/w).
- The tonicity modifiers used in compositions and/or formulations described herein include, by way of non-limiting example, sodium chloride, potassium chloride, sodium phosphate, mannitol, sorbitol or glucose.
- Provided herein, in certain embodiments, is a pediatric dosage formulation or composition comprising a therapeutically effective amount of any compound described herein. In certain instances, the pharmaceutical composition comprises an ASBT inhibitor (e.g., any ASBTI described herein).
- In certain embodiments, suitable dosage forms include, by way of non-limiting example, aqueous or non-aqueous oral dispersions, liquids, gels, syrups, elixirs, slurries, suspensions, solutions, controlled release formulations, fast melt formulations, effervescent formulations, lyophilized formulations, chewable tablets, gummy candy, orally disintegrating tablets, powders for reconstitution as suspension or solution, sprinkle oral powder or granules, dragees, delayed release formulations, extended release formulations, pulsatile release formulations, multiparticulate formulations, and mixed immediate release and controlled release formulations. In some embodiments, provided herein is a pharmaceutical composition wherein the pediatric dosage form is selected from a solution, syrup, suspension, elixir, powder for reconstitution as suspension or solution, dispersible/effervescent tablet, chewable tablet, gummy candy, lollipop, freezer pops, troches, oral thin strips, orally disintegrating tablet, orally disintegrating strip, sachet, and sprinkle oral powder or granules.
- In another aspect, provide herein is a pharmaceutical composition wherein at least one excipient is a flavoring agent or a sweetener. In some embodiments, provided herein is a coating. In some embodiments, provided herein is a taste-masking technology selected from coating of drug particles with a taste-neutral polymer by spray-drying, wet granulation, fluidized bed, and microencapsulation; coating with molten waxes of a mixture of molten waxes and other pharmaceutical adjuvants; entrapment of drug particles by complexation, flocculation or coagulation of an aqueous polymeric dispersion; adsorption of drug particles on resin and inorganic supports; and solid dispersion wherein a drug and one or more taste neutral compounds are melted and cooled, or co-precipitated by a solvent evaporation. In some embodiments, provided herein is a delayed or sustained release formulation comprising drug particles or granules in a rate controlling polymer or matrix.
- Suitable sweeteners include sucrose, glucose, fructose or intense sweeteners, i.e. agents with a high sweetening power when compared to sucrose (e.g. at least 10 times sweeter than sucrose). Suitable intense sweeteners comprise aspartame, saccharin, sodium or potassium or calcium saccharin, acesulfame potassium, sucralose, alitame, xylitol, cyclamate, neomate, neohesperidine dihydrochalcone or mixtures thereof, thaumatin, palatinit, stevioside, rebaudioside, Magnasweet®. The total concentration of the sweeteners may range from effectively zero to about 300 mg/ml based on the liquid composition upon reconstitution.
- In order to increase the palatability of the liquid composition upon reconstitution with an aqueous medium, one or more taste-making agents may be added to the composition in order to mask the taste of the ASBT inhibitor. A taste-masking agent can be a sweetener, a flavoring agent or a combination thereof. The taste-masking agents typically provide up to about 0.1% or 5% by weight of the total pharmaceutical composition. In a preferred embodiment of the present invention, the composition contains both sweetener(s) and flavor(s).
- A flavoring agent herein is a substance capable of enhancing taste or aroma of a composition. Suitable natural or synthetic flavoring agents can be selected from standard reference books, for example Fenaroli's Handbook of Flavor Ingredients, 3rd edition (1995). Non-limiting examples of flavoring agents and/or sweeteners useful in the formulations described herein, include, e.g., acacia syrup, acesulfame K, alitame, anise, apple, aspartame, banana, Bavarian cream, berry, black currant, butterscotch, calcium citrate, camphor, caramel, cherry, cherry cream, chocolate, cinnamon, bubble gum, citrus, citrus punch, citrus cream, cotton candy, cocoa, cola, cool cherry, cool citrus, cyclamate, cylamate, dextrose, eucalyptus, eugenol, fructose, fruit punch, ginger, glycyrrhetinate, glycyrrhiza (licorice) syrup, grape, grapefruit, honey, isomalt, lemon, lime, lemon cream, monoammonium glyrrhizinate (MagnaSweet®), maltol, mannitol, maple, marshmallow, menthol, mint cream, mixed berry, neohesperidine DC, neotame, orange, pear, peach, peppermint, peppermint cream, Prosweet® Powder, raspberry, root beer, rum, saccharin, safrole, sorbitol, spearmint, spearmint cream, strawberry, strawberry cream, stevia, sucralose, sucrose, sodium saccharin, saccharin, aspartame, acesulfame potassium, mannitol, talin, sylitol, sucralose, sorbitol, Swiss cream, tagatose, tangerine, thaumatin, tutti fruitti, vanilla, walnut, watermelon, wild cherry, wintergreen, xylitol, or any combination of these flavoring ingredients, e.g., anise-menthol, cherry-anise, cinnamon-orange, cherry-cinnamon, chocolate-mint, honey-lemon, lemon-lime, lemon-mint, menthol-eucalyptus, orange-cream, vanilla-mint, and mixtures thereof. Flavoring agents can be used singly or in combinations of two or more. In some embodiments, the aqueous liquid dispersion comprises a sweetening agent or flavoring agent in a concentration ranging from about 0.001% to about 5.0% the volume of the aqueous dispersion. In one embodiment, the aqueous liquid dispersion comprises a sweetening agent or flavoring agent in a concentration ranging from about 0.001% to about 1.0% the volume of the aqueous dispersion. In another embodiment, the aqueous liquid dispersion comprises a sweetening agent or flavoring agent in a concentration ranging from about 0.005% to about 0.5% the volume of the aqueous dispersion. In yet another embodiment, the aqueous liquid dispersion comprises a sweetening agent or flavoring agent in a concentration ranging from about 0.01% to about 1.0% the volume of the aqueous dispersion. In yet another embodiment, the aqueous liquid dispersion comprises a sweetening agent or flavoring agent in a concentration ranging from about 0.01% to about 0.5% the volume of the aqueous dispersion.
- In certain embodiments, pharmaceutical compositions are formulated in a conventional manner using one or more physiologically acceptable carriers including, e.g., excipients and auxiliaries which facilitate processing of the active compounds into preparations which are suitable for pharmaceutical use. In certain embodiments, proper formulation is dependent upon the route of administration chosen. A summary of pharmaceutical compositions described herein is found, for example, in Remington: The Science and Practice of Pharmacy, Nineteenth Ed (Easton, Pa.: Mack Publishing Company, 1995); Hoover, John E., Remington's Pharmaceutical Sciences, Mack Publishing Co., Easton, Pa. 1975; Liberman, H. A. and Lachman, L., Eds., Pharmaceutical Dosage Forms, Marcel Decker, New York, N.Y., 1980; and Pharmaceutical Dosage Forms and Drug Delivery Systems, Seventh Ed. (Lippincott Williams & Wilkins 1999).
- A pharmaceutical composition, as used herein, refers to a mixture of a compound described herein, such as, for example, a compound of Formula I-VI, with other chemical components, such as carriers, stabilizers, diluents, dispersing agents, suspending agents, thickening agents, and/or excipients. In certain instances, the pharmaceutical composition facilitates administration of the compound to an individual or cell. In certain embodiments of practicing the methods of treatment or use provided herein, therapeutically effective amounts of compounds described herein are administered in a pharmaceutical composition to an individual having a disease, disorder, or condition to be treated. In specific embodiments, the individual is a human. As discussed herein, the compounds described herein are either utilized singly or in combination with one or more additional therapeutic agents.
- In certain embodiments, the pharmaceutical formulations described herein are administered to an individual in any manner, including one or more of multiple administration routes, such as, by way of non-limiting example, oral, parenteral (e.g., intravenous, subcutaneous, intramuscular), intranasal, buccal, topical, rectal, or transdermal administration routes.
- In certain embodiments, a pharmaceutical compositions described herein includes one or more compound described herein as an active ingredient in free-acid or free-base form, or in a pharmaceutically acceptable salt form. In some embodiments, the compounds described herein are utilized as an N-oxide or in a crystalline or amorphous form (i.e., a polymorph). In some situations, a compound described herein exists as tautomers. All tautomers are included within the scope of the compounds presented herein. In certain embodiments, a compound described herein exists in an unsolvated or solvated form, wherein solvated forms comprise any pharmaceutically acceptable solvent, e.g., water, ethanol, and the like. The solvated forms of the compounds presented herein are also considered to be described herein.
- A “carrier” includes, in some embodiments, a pharmaceutically acceptable excipient and is selected on the basis of compatibility with compounds described herein, such as, compounds of any of Formula I-VI, and the release profile properties of the desired dosage form. Exemplary carrier materials include, e.g., binders, suspending agents, disintegration agents, filling agents, surfactants, solubilizers, stabilizers, lubricants, wetting agents, diluents, and the like. See, e.g., Remington: The Science and Practice of Pharmacy, Nineteenth Ed (Easton, Pa.: Mack Publishing Company, 1995); Hoover, John E., Remington's Pharmaceutical Sciences, Mack Publishing Co., Easton, Pa. 1975; Liberman, H. A. and Lachman, L., Eds., Pharmaceutical Dosage Forms, Marcel Decker, New York, N.Y., 1980; and Pharmaceutical Dosage Forms and Drug Delivery Systems, Seventh Ed. (Lippincott Williams & Wilkins 1999).
- Moreover, in certain embodiments, the pharmaceutical compositions described herein are formulated as a dosage form. As such, in some embodiments, provided herein is a dosage form comprising a compound described herein, suitable for administration to an individual. In certain embodiments, suitable dosage forms include, by way of non-limiting example, aqueous oral dispersions, liquids, gels, syrups, elixirs, slurries, suspensions, solid oral dosage forms, aerosols, controlled release formulations, fast melt formulations, effervescent formulations, lyophilized formulations, tablets, powders, pills, dragees, capsules, delayed release formulations, extended release formulations, pulsatile release formulations, multiparticulate formulations, and mixed immediate release and controlled release formulations.
- In certain aspects, the composition or formulation containing one or more compounds described herein is orally administered for local delivery of an ASBTI, or a compound described herein to the colon and/or rectum. Unit dosage forms of such compositions include a pill, tablet or capsules formulated for enteric delivery to colon. In certain embodiments, such pills, tablets or capsule contain the compositions described herein entrapped or embedded in microspheres. In some embodiments, microspheres include, by way of non-limiting example, chitosan microcores HPMC capsules and cellulose acetate butyrate (CAB) microspheres. In certain embodiments, oral dosage forms are prepared using conventional methods known to those in the field of pharmaceutical formulation. For example, in certain embodiments, tablets are manufactured using standard tablet processing procedures and equipment. An exemplary method for forming tablets is by direct compression of a powdered, crystalline or granular composition containing the active agent(s), alone or in combination with one or more carriers, additives, or the like. In alternative embodiments, tablets are prepared using wet-granulation or dry-granulation processes. In some embodiments, tablets are molded rather than compressed, starting with a moist or otherwise tractable material.
- In certain embodiments, tablets prepared for oral administration contain various excipients, including, by way of non-limiting example, binders, diluents, lubricants, disintegrants, fillers, stabilizers, surfactants, preservatives, coloring agents, flavoring agents and the like. In some embodiments, binders are used to impart cohesive qualities to a tablet, ensuring that the tablet remains intact after compression. Suitable binder materials include, by way of non-limiting example, starch (including corn starch and pregelatinized starch), gelatin, sugars (including sucrose, glucose, dextrose and lactose), polyethylene glycol, propylene glycol, waxes, and natural and synthetic gums, e.g., acacia sodium alginate, polyvinylpyrrolidone, cellulosic polymers (including hydroxypropyl cellulose, hydroxypropyl methylcellulose, methyl cellulose, ethyl cellulose, hydroxyethyl cellulose, and the like), Veegum, and combinations thereof. In certain embodiments, diluents are utilized to increase the bulk of the tablet so that a practical size tablet is provided. Suitable diluents include, by way of non-limiting example, dicalcium phosphate, calcium sulfate, lactose, cellulose, kaolin, mannitol, sodium chloride, dry starch, powdered sugar and combinations thereof. In certain embodiments, lubricants are used to facilitate tablet manufacture; examples of suitable lubricants include, by way of non-limiting example, vegetable oils such as peanut oil, cottonseed oil, sesame oil, olive oil, corn oil, and oil of theobroma, glycerin, magnesium stearate, calcium stearate, stearic acid and combinations thereof. In some embodiments, disintegrants are used to facilitate disintegration of the tablet, and include, by way of non-limiting example, starches, clays, celluloses, algins, gums, crosslinked polymers and combinations thereof. Fillers include, by way of non-limiting example, materials such as silicon dioxide, titanium dioxide, alumina, talc, kaolin, powdered cellulose and microcrystalline cellulose, as well as soluble materials such as mannitol, urea, sucrose, lactose, dextrose, sodium chloride and sorbitol. In certain embodiments, stabilizers are used to inhibit or retard drug decomposition reactions that include, by way of example, oxidative reactions. In certain embodiments, surfactants are anionic, cationic, amphoteric or nonionic surface active agents.
- In some embodiments, ASBTIs, or other compounds described herein are orally administered in association with a carrier suitable for delivery to the distal gastrointestinal tract (e.g., distal ileum, colon, and/or rectum).
- In certain embodiments, a composition described herein comprises an ASBTI, or other compounds described herein in association with a matrix (e.g., a matrix comprising hypermellose) that allows for controlled release of an active agent in the distal part of the ileum and/or the colon. In some embodiments, a composition comprises a polymer that is pH sensitive (e.g., a MMX™ matrix from Cosmo Pharmaceuticals) and allows for controlled release of an active agent in the distal part of the ileum. Examples of such pH sensitive polymers suitable for controlled release include and are not limited to polyacrylic polymers (e.g., anionic polymers of methacrylic acid and/or methacrylic acid esters, e.g., Carbopol® polymers) that comprise acidic groups (e.g., —COOH, —SO3H) and swell in basic pH of the intestine (e.g., pH of about 7 to about 8). In some embodiments, a composition suitable for controlled release in the distal ileum comprises microparticulate active agent (e.g., micronized active agent). In some embodiments, a non-enzymatically degrading poly(dl-lactide-co-glycolide) (PLGA) core is suitable for delivery of an enteroendocrine peptide secretion enhancing agent (e.g., bile acid) to the distal ileum. In some embodiments, a dosage form comprising an enteroendocrine peptide secretion enhancing agent (e.g., bile acid) is coated with an enteric polymer (e.g., Eudragit® S-100, cellulose acetate phthalate, polyvinylacetate phthalate, hydroxypropylmethylcellulose phthalate, anionic polymers of methacrylic acid, methacrylic acid esters or the like) for site specific delivery to the distal ileum and/or the colon. In some embodiments, bacterially activated systems are suitable for targeted delivery to the distal part of the ileum. Examples of micro-flora activated systems include dosage forms comprising pectin, galactomannan, and/or Azo hydrogels and/or glycoside conjugates (e.g., conjugates of D-galactoside, (β-D-xylopyranoside or the like) of the active agent. Examples of gastrointestinal micro-flora enzymes include bacterial glycosidases such as, for example, D-galactosidase, β-D-glucosidase, α-L-arabinofuranosidase,β-D-xylopyranosidase or the like.
- The pharmaceutical composition described herein optionally include an additional therapeutic compound described herein and one or more pharmaceutically acceptable additives such as a compatible carrier, binder, filling agent, suspending agent, flavoring agent, sweetening agent, disintegrating agent, dispersing agent, surfactant, lubricant, colorant, diluent, solubilizer, moistening agent, plasticizer, stabilizer, penetration enhancer, wetting agent, anti-foaming agent, antioxidant, preservative, or one or more combination thereof. In some aspects, using standard coating procedures, such as those described in Remington's Pharmaceutical Sciences, 20th Edition (2000), a film coating is provided around the formulation of the compound of Formula I. In one embodiment, a compound described herein is in the form of a particle and some or all of the particles of the compound are coated. In certain embodiments, some or all of the particles of a compound described herein are microencapsulated. In some embodiments, the particles of the compound described herein are not microencapsulated and are uncoated.
- In further embodiments, a tablet or capsule comprising an ASBTI or other compounds described herein is film-coated for delivery to targeted sites within the gastrointestinal tract. Examples of enteric film coats include and are not limited to hydroxypropylmethylcellulose, polyvinyl pyrrolidone, hydroxypropyl cellulose, polyethylene glycol 3350, 4500, 8000, methyl cellulose, pseudo ethylcellulose, amylopectin and the like.
- Solid dosage forms for pediatric administration of the present invention can be manufactured by standard manufacturing techniques. Non-limiting examples of oral solid dosage forms for pediatric administration are described below.
- The effervescent compositions of the invention may be prepared according to techniques well-known in the art of pharmacy.
- Effervescent formulations contain and effervescent couple of a base component and an acid component, which components reach in the presence of water to generate a gas. In some embodiments, the base component may comprise, for example, an alkali metal or alkaline earth metal carbonate, or bicarbonate. The acid component may comprise, for example, an aliphatic carboxylic acid or a salt thereof, such as citric acid. The base and acid components may each independently constitute, for example, 25% to 55% (w/w) of the effervescent composition. The ratio of acid component to base component may be within the range of 1:2 to 2:1.
- The effervescent compositions of the invention may be formulated using additional pharmaceutically acceptable carriers or excipients as appropriate. For example, one or more taste masking agents may be used. Dyes may also be used, as pediatric patients often prefer colorful pharmaceutical combinations. The compositions may take the form of, for example, tablets, granules or powders, granules or powders presented in a sachet.
- The chewable tablets of the invention may be prepared according to techniques well-known in the art of pharmacy.
- Chewable tablets are tablets that are intended to disintegrate in the mouth under the action of chewing or sucking and where, in consequence, the active ingredient has greater opportunity to come into contact with the bitter-taste receptors on the tongue.
- One method of overcoming this issue is to absorb the active ingredient onto a suitable substrate. This approach is described in U.S. Pat. No. 4,647,459.
- Another approach involves forming the active ingredient into an aggregate along with a pre-swelled substantially anhydrous hydrocolloid. The hydrocolloid absorbs saliva and acquires a slippery texture which enables it to lubricate the particles of aggregate and mask the taste of the active ingredient. This approach is described in European patent application 0190826.
- Another approach involves employing a water-insoluble hygroscopic excipient such as microcrystalline cellulose. This approach is described in U.S. Pat. No. 5,275,823.
- In addition to the above approaches, the chewable tablets of the present invention can also contain other stand tabletting excipients such as a disintegrant and a taste-masking agent.
- The orodispersible tablets of the invention may be prepared according to techniques well-known in the art of pharmacy.
- In orodispersible tablets of the invention, the excipient mixtures is such as to provide it with a disintegration rate so that its disintegration in the buccal cavity occurs in an extremely short time and especially shorter than sixty seconds. In some embodiments, the excipient mixture is characterized by the fact that the active substance is in the form of coated or non-coated microcrystals of microgranules. In some embodiments, the orodispersible tablet comprises one or several disintegrating agents of the carboxymethylcellulose type or insoluble reticulated PVP type, one or several swelling agents which may comprise a carboxymethylcellulose, a starch, a modified starch, or a microcrystalline cellulose or optionally a direct compression sugar.
- The powder for reconstitution pharmaceutical compositions of the invention may be prepared according to techniques well-known in the art of pharmacy.
- In some embodiments, the powder for reconstitution compositions of the invention comprise an effective amount of at least one internal dehydrating agent. The internal dehydrating agent can enhance the stability of the powder. In some embodiments, the internal dehydrating agent is magnesium citrate or disodium carbonate. In some embodiments, the powder composition comprises a pharmaceutically acceptable diluents, such as sucrose, dextrose, mannitol, xylitol, or lactose.
- Powder compositions of the inventions may be placed in sachets or bottles for contemporaneous dissolution or for short term storage in liquid form (e.g. 7 days).
- The gummy candies of the invention may be prepared according to techniques well-known in the art of pharmacy.
- Traditional gummy candy is made from a gelatin base. Gelatin gives the candy its elasticity, the desired chewy consistency, and a longer shelf life. In some embodiments, the gummy candy pharmaceutical composition of the invention includes a binding agent, a sweetener, and an active ingredient.
- In some embodiments, the binding agent is a pectin gel, gelatin, food starch, or any combination thereof.
- In some embodiments, the gummy candy comprises sweeteners, a binding agent, natural and/or artificial flavors and colors and preservatives. In some embodiments, the gummy candy comprises glucose syrup, natural cane juice, gelatin, citric acid, lactic acid, natural colors, natural flavors, fractionated coconut oil, and carnauba wax.
- The pharmaceutical liquid dosage forms of the invention may be prepared according to techniques well-known in the art of pharmacy.
- A solution refers to a liquid pharmaceutical formulation wherein the active ingredient is dissolved in the liquid. Pharmaceutical solutions of the invention include syrups and elixers. A suspension refers to a liquid pharmaceutical formulation wherein the active ingredient is in a precipitate in the liquid.
- In a liquid dosage form, it is desirable to have a particular pH and/or to be maintained within a specific pH range. In order to control the pH, a suitable buffer system can be used. In addition, the buffer system should have sufficient capacity to maintain the desired pH range. Examples of the buffer system useful in the present invention include but are not limited to, citrate buffers, phosphate buffers, or any other suitable buffer known in the art. Preferably the buffer system include sodium citrate, potassium citrate, sodium bicarbonate, potassium bicarbonate, sodium dihydrogen phosphate and potassium dihydrogen phosphate, etc. The concentration of the buffer system in the final suspension varies according to factors such as the strength of the buffer system and the pH/pH ranges required for the liquid dosage form. In one embodiment, the concentration is within the range of 0.005 to 0.5 w/v % in the final liquid dosage form.
- The pharmaceutical composition comprising the liquid dosage form of the present invention can also include a suspending/stabilizing agent to prevent settling of the active material. Over time the settling could lead to caking of the active to the inside walls of the product pack, leading to difficulties with redispersion and accurate dispensing. Suitable stabilising agents include but are not limited to, the polysaccharide stabilizers such as xanthan, guar and tragacanth gums as well as the cellulose derivatives HPMC (hydroxypropyl methylcellulose), methyl cellulose and Avicel RC-591 (microcrystalline cellulose/sodium carboxymethyl cellulose). In another embodiment, polyvinylpyrrolidone (PVP) can also be used as a stabilizing agent.
- In addition to the aforementioned components, the ASBTI oral suspension form can also optionally contain other excipients commonly found in pharmaceutical compositions such as alternative solvents, taste-masking agents, antioxidants, fillers, acidifiers, enzyme inhibitors and other components as described in Handbook of Pharmaceutical Excipients, Rowe et al., Eds., 4th Edition, Pharmaceutical Press (2003), which is hereby incorporated by reference.
- Addition of an alternative solvent may help increase solubility of an active ingredient in the liquid dosage form, and consequently the absorption and bioavailability inside the body of a subject. Preferably the alternative solvents include methanol, ethanol or propylene glycol and the like.
- In another aspect, the present invention provides a process for preparing the liquid dosage form. The process comprises steps of bringing ASBTI or its pharmaceutically acceptable salts thereof into mixture with the components including glycerol or syrup or the mixture thereof, a preservative, a buffer system and a suspending/stabilizing agent, etc., in a liquid medium. In general, the liquid dosage form is prepared by uniformly and intimately mixing these various components in the liquid medium. For example, the components such as glycerol or syrup or the mixture thereof, a preservative, a buffer system and a suspending/stabilizing agent, etc., can be dissolved in water to form the aqueous solution, then the active ingredient can be then dispersed in the aqueous solution to form a suspension.
- In some embodiments, the liquid dosage form provided herein can be in a volume of between 5 ml to 50 ml. In some embodiments, the liquid dosage form provided herein can be in a volume of between 5 ml to 40 ml. In some embodiments, the liquid dosage form provided herein can be in a volume of between 5 ml to 30 ml. In some embodiments, the liquid dosage form provided herein can be in a volume of between 5 ml to 20 ml. In some embodiments, the liquid dosage form provided herein can be in a volume of between 10 ml to 30 ml. In some embodiments, the ASBTI can be in an amount ranging from about 0.001% to 90% of the total volume. In some embodiments, the ASBTI can be in an amount ranging from about 0.01% to 80% of the total volume. In some embodiments, the ASBTI can be in an amount ranging from about 0.1% to 70% of the total volume. In some embodiments, the ASBTI can be in an amount ranging from about 1% to 60% of the total volume. In some embodiments, the ASBTI can be in an amount ranging from about 1% to 50% of the total volume. In some embodiments, the ASBTI can be in an amount ranging from about 1% to 40% of the total volume. In some embodiments, the ASBTI can be in an amount ranging from about 1% to 30% of the total volume. In some embodiments, the ASBTI can be in an amount ranging from about 1% to 20% of the total volume. In some embodiments, the ASBTI can be in an amount ranging from about 1% to 10% of the total volume. In some embodiments, the ASBTI can be in an amount ranging from about 5% to 70% of the total volume. In some embodiments, the ASBTI can be in an amount ranging from about 5% to 60% of the total volume. In some embodiments, the ASBTI can be in an amount ranging from about 5% to 50% of the total volume. In some embodiments, the ASBTI can be in an amount ranging from about 5% to 40% of the total volume. In some embodiments, the ASBTI can be in an amount ranging from about 5% to 30% of the total volume. In some embodiments, the ASBTI can be in an amount ranging from about 5% to 20% of the total volume. In some embodiments, the ASBTI can be in an amount ranging from about 5% to 10% of the total volume. In some embodiments, the ASBTI can be in an amount ranging from about 10% to 50% of the total volume. In some embodiments, the ASBTI can be in an amount ranging from about 10% to 40% of the total volume. In some embodiments, the ASBTI can be in an amount ranging from about 10% to 30% of the total volume. In some embodiments, the ASBTI can be in an amount ranging from about 10% to 20% of the total volume. In one embodiment, the resulted liquid dosage form can be in a liquid volume of 10 ml to 30 ml, preferably 20 ml, and the active ingredient can be in an amount ranging from about 0.001 mg/ml to about 16 mg/ml, or from about 0.025 mg/ml to about 8 mg/ml, or from about 0.1 mg/ml to about 4 mg/ml, or about 0.25 mg/ml, or about 0.5 mg/ml, or about 1 mg/ml, or about 2 mg/ml, or about 4 mg/ml, or about 5 mg/ml, or about 8 mg/ml, or about 10 mg/ml, or about 12 mg/ml, or about 14 mg/ml or about 16 mg/ml.
- In certain embodiments, an oral formulation for use in any method described herein is, e.g., an ASBTI in association with a labile bile acid sequestrant. A labile bile acid sequestrant is a bile acid sequestrant with a labile affinity for bile acids. In certain embodiments, a bile acid sequestrant described herein is an agent that sequesters (e.g., absorbs or is charged with) bile acid, and/or the salts thereof.
- In specific embodiments, the labile bile acid sequestrant is an agent that sequesters (e.g., absorbs or is charged with) bile acid, and/or the salts thereof, and releases at least a portion of the absorbed or charged bile acid, and/or salts thereof in the distal gastrointestinal tract (e.g., the colon, ascending colon, sigmoid colon, distal colon, rectum, or any combination thereof). In certain embodiments, the labile bile acid sequestrant is an enzyme dependent bile acid sequestrant. In specific embodiments, the enzyme is a bacterial enzyme. In some embodiments, the enzyme is a bacterial enzyme found in high concentration in human colon or rectum relative to the concentration found in the small intestine. Examples of micro-flora activated systems include dosage forms comprising pectin, galactomannan, and/or Azo hydrogels and/or glycoside conjugates (e.g., conjugates of D-galactoside, β-D-xylopyranoside or the like) of the active agent. Examples of gastrointestinal micro-flora enzymes include bacterial glycosidases such as, for example, D-galactosidase, β-D-glucosidase, α-L-arabinofuranosidase, β-D-xylopyranosidase or the like. In some embodiments, the labile bile acid sequestrant is a time dependent bile acid sequestrant (i.e., the bile acid sequesters the bile acid and/or salts thereof and after a time releases at least a portion of the bile acid and/or salts thereof). In some embodiments, a time dependent bile acid sequestrant is an agent that degrades in an aqueous environment over time. In certain embodiments, a labile bile acid sequestrant described herein is a bile acid sequestrant that has a low affinity for bile acid and/or salts thereof, thereby allowing the bile acid sequestrant to continue to sequester bile acid and/or salts thereof in an environ where the bile acids/salts and/or salts thereof are present in high concentration and release them in an environ wherein bile acids/salts and/or salts thereof are present in a lower relative concentration. In some embodiments, the labile bile acid sequestrant has a high affinity for a primary bile acid and a low affinity for a secondary bile acid, allowing the bile acid sequestrant to sequester a primary bile acid or salt thereof and subsequently release a secondary bile acid or salt thereof as the primary bile acid or salt thereof is converted (e.g., metabolized) to the secondary bile acid or salt thereof. In some embodiments, the labile bile acid sequestrant is a pH dependent bile acid sequestrant. In some embodiments, the pH dependent bile acid sequestrant has a high affinity for bile acid at a pH of 6 or below and a low affinity for bile acid at a pH above 6. In certain embodiments, the pH dependent bile acid sequestrant degrades at a pH above 6.
- In some embodiments, labile bile acid sequestrants described herein include any compound, e.g., a macro-structured compound, that can sequester bile acids/salts and/or salts thereof through any suitable mechanism. For example, in certain embodiments, bile acid sequestrants sequester bile acids/salts and/or salts thereof through ionic interactions, polar interactions, static interactions, hydrophobic interactions, lipophilic interactions, hydrophilic interactions, steric interactions, or the like. In certain embodiments, macrostructured compounds sequester bile acids/salts and/or sequestrants by trapping the bile acids/salts and/or salts thereof in pockets of the macrostructured compounds and, optionally, other interactions, such as those described above. In some embodiments, bile acid sequestrants (e.g., labile bile acid sequestrants) include, by way of non-limiting example, lignin, modified lignin, polymers, polycationic polymers and copolymers, polymers and/or copolymers comprising anyone one or more of N-alkenyl-N-alkylamine residues; one or more N,N,N-trialkyl-N—(N′-alkenylamino)alkyl-azanium residues; one or more N,N,N-trialkyl-N-alkenyl-azanium residues; one or more alkenyl-amine residues; or a combination thereof, or any combination thereof.
- Covalent Linkage of the Drug with a Carrier
- In some embodiments, strategies used for colon targeted delivery include, by way of non-limiting example, covalent linkage of the ASBTI or other compounds described herein to a carrier, coating the dosage form with a pH-sensitive polymer for delivery upon reaching the pH environment of the colon, using redox sensitive polymers, using a time released formulation, utilizing coatings that are specifically degraded by colonic bacteria, using bioadhesive system and using osmotically controlled drug delivery systems.
- In certain embodiments of such oral administration of a composition containing an ASBTI or other compounds described herein involves covalent linking to a carrier wherein upon oral administration the linked moiety remains intact in the stomach and small intestine. Upon entering the colon the covalent linkage is broken by the change in pH, enzymes, and/or degradation by intestinal microflora. In certain embodiments, the covalent linkage between the ASBTI and the carrier includes, by way of non-limiting example, azo linkage, glycoside conjugates, glucuronide conjugates, cyclodextrin conjugates, dextran conjugates, and amino-acid conjugates (high hydrophilicity and long chain length of the carrier amino acid).
- Coating with Polymers: pH-Sensitive Polymers
- In some embodiments, the oral dosage forms described herein are coated with an enteric coating to facilitate the delivery of an ASBTI or other compounds described herein to the colon and/or rectum. In certain embodiments, an enteric coating is one that remains intact in the low pH environment of the stomach, but readily dissolved when the optimum dissolution pH of the particular coating is reached which depends upon the chemical composition of the enteric coating. The thickness of the coating will depend upon the solubility characteristics of the coating material. In certain embodiments, the coating thicknesses used in such formulations described herein range from about 25 μm to about 200 μm.
- In certain embodiments, the compositions or formulations described herein are coated such that an ASBTI or other compounds described herein of the composition or formulation is delivered to the colon and/or rectum without absorbing at the upper part of the intestine. In a specific embodiment, specific delivery to the colon and/or rectum is achieved by coating of the dosage form with polymers that degrade only in the pH environment of the colon. In alternative embodiments, the composition is coated with an enteric coat that dissolves in the pH of the intestines and an outer layer matrix that slowly erodes in the intestine. In some of such embodiments, the matrix slowly erodes until only a core composition comprising an enteroendocrine peptide secretion enhancing agent (and, in some embodiments, an absorption inhibitor of the agent) is left and the core is delivered to the colon and/or rectum.
- In certain embodiments, pH-dependent systems exploit the progressively increasing pH along the human gastrointestinal tract (GIT) from the stomach (pH 1-2 which increases to 4 during digestion), small intestine (pH 6-7) at the site of digestion and it to 7-8 in the distal ileum. In certain embodiments, dosage forms for oral administration of the compositions described herein are coated with pH-sensitive polymer(s) to provide delayed release and protect the enteroendocrine peptide secretion enhancing agents from gastric fluid. In certain embodiments, such polymers are be able to withstand the lower pH values of the stomach and of the proximal part of the small intestine, but disintegrate at the neutral or slightly alkaline pH of the terminal ileum and/or ileocecal junction. Thus, in certain embodiments, provided herein is an oral dosage form comprising a coating, the coating comprising a pH-sensitive polymer. In some embodiments, the polymers used for colon and/or rectum targeting include, by way of non-limiting example, methacrylic acid copolymers, methacrylic acid and methyl methacrylate copolymers, Eudragit L100, Eudragit S100, Eudragit L-30D, Eudragit FS-30D, Eudragit L100-55, polyvinylacetate phthalate, hydroxypropyl ethyl cellulose phthalate, hydroxypropyl methyl cellulose phthalate 50, hydroxypropyl methyl cellulose phthalate 55, cellulose acetate trimelliate, cellulose acetate phthalate and combinations thereof.
- In certain embodiments, oral dosage forms suitable for delivery to the colon and/or rectum comprise a coating that has a biodegradable and/or bacteria degradable polymer or polymers that are degraded by the microflora (bacteria) in the colon. In such biodegradable systems suitable polymers include, by way of non-limiting example, azo polymers, linear-type-segmented polyurethanes containing azo groups, polygalactomannans, pectin, glutaraldehyde crosslinked dextran, polysaccharides, amylose, guar gum, pectin, chitosan, inulin, cyclodextrins, chondroitin sulphate, dextrans, locust bean gum, chondroitin sulphate, chitosan, poly(-caprolactone), polylactic acid and poly(lactic-co-glycolic acid).
- In certain embodiments of such oral administration of compositions containing one or more ASBTIs or other compounds described herein, the compositions are delivered to the colon without absorbing at the upper part of the intestine by coating of the dosage forms with redox sensitive polymers that are degraded by the microflora (bacteria) in the colon. In such biodegradable systems such polymers include, by way of non-limiting example, redox-sensitive polymers containing an azo and/or a disulfide linkage in the backbone.
- In some embodiments, compositions formulated for delivery to the colon and/or rectum are formulated for time-release. In some embodiments, time release formulations resist the acidic environment of the stomach, thereby delaying the release of the enteroendocrine peptide secretion enhancing agents until the dosage form enters the colon and/or rectum.
- In certain embodiments the time released formulations described herein comprise a capsule (comprising an enteroendocrine peptide secretion enhancing agent and an optional absorption inhibitor) with hydrogel plug. In certain embodiments, the capsule and hydrogel plug are covered by a water-soluble cap and the whole unit is coated with an enteric polymer. When the capsule enters the small intestine the enteric coating dissolves and the hydrogels plug swells and dislodges from the capsule after a period of time and the composition is released from the capsule. The amount of hydrogel is used to adjust the period of time to the release the contents.
- In some embodiments, provided herein is an oral dosage form comprising a multi-layered coat, wherein the coat comprises different layers of polymers having different pH-sensitivities. As the coated dosage form moves along GIT the different layers dissolve depending on the pH encountered. Polymers used in such formulations include, by way of non-limiting example, polymethacrylates with appropriate pH dissolution characteristics, Eudragit® RL and Eudragit®RS (inner layer), and Eudragit® FS (outer layer). In other embodiments the dosage form is an enteric coated tablets having an outer shell of hydroxypropylcellulose or hydroxypropylmethylcellulose acetate succinate (HPMCAS).
- In some embodiments, provided herein is an oral dosage form that comprises coat with cellulose butyrate phthalate, cellulose hydrogen phthalate, cellulose proprionate phthalate, polyvinyl acetate phthalate, cellulose acetate phthalate, cellulose acetate trimellitate, hydroxypropyl methylcellulose phthalate, hydroxypropyl methylcellulose acetate, dioxypropyl methylcellulose succinate, carboxymethyl ethylcellulose, hydroxypropyl methylcellulose acetate succinate, polymers and copolymers formed from acrylic acid, methacrylic acid, and combinations thereof.
- In certain instances, provided herein are combination compositions and/or therapies comprising any compound described herein and an additional therapeutic agent. In some embodiments, the additional therapeutic agent is a L-cell endocrine peptide enhancer. In some instances, the L-cell endocrine peptide enhancer is a GLP-2 enhancer. In some embodiments, the GLP-2 enhancer is GLP-2, a GLP-2 secretion enhancer, a GLP-2 degradation inhibitor, the like, or a combination thereof. In certain instances, enhanced GLP-2 concentration provides regeneration of intestinal lining and/or heals injury to the gastrointestinal structures and/or reduces induction of cytokines and/or enhances the adaptive process, attenuates intestinal injury, reduces bacterial translocation, inhibits the release of free radical oxygen, or any combination thereof. In some instances, the L-cell endocrine peptide enhancer is a PYY enhancer. In some instances, the L-cell endocrine peptide enhancer is an oxyntomodulin enhancer. In some instances, enhanced PYY or oxyntomodulin secretion heals injury to intestine caused by an cholestasis or a cholestatic liver disease.
- In some instances, the additional therapeutic agent modulates bile acid receptors in the gastrointestinal lumen. In some embodiments, the additional therapeutic agent agonizes or partially agonizes bile acid receptors (e.g., TGR5 receptors or Farnesoid-X receptors) in the gastrointestinal tract. In some embodiments, the additional therapeutic agent is a bile acid analog. In certain instances the additional therapeutic agent is a TGR5 agonist. In certain instances, administration of a TGR5 agonist in combination with any of the compounds described herein enhances the secretion of enteroendocrine peptides from L-cells. TGR5 modulators (e.g., agonists) include, and are not limited to, the compounds described in, WO 2008/091540, WO 2008/067219 and U.S. Appl. No. 2008/0221161.
- In some embodiments, the additional therapeutic agent is an enteroendocrine peptide. In some embodiments, enteroendocrine peptides heals injury to intestine or liver due to a cholestatic liver disease. Examples of enteroendocrine peptides that are administered as additional therapeutic agents include and are not limited to GLP-1 or GLP-1 analogs such as Taspoglutide® (Ipsen), or the like.
- Combination Therapy with Fat Soluble Vitamins
- In some embodiments, the methods provided herein further comprise administering one or more vitamins In some embodiments, the vitamin is vitamin A, B1, B2, B3, B5, B6, B7, B9, B12, C, D, E, K, folic acid, pantothenic acid, niacin, riboflavin, thiamine, retinol, beta carotene, pyridoxine, ascorbic acid, cholecalciferol, cyanocobalamin, tocopherols, phylloquinone, menaquinone.
- In some embodiments, the vitamin is a fat soluble vitamin such as vitamin A, D, E, K, retinol, beta carotene, cholecalciferol, tocopherols, phylloquinone. In a preferred embodiment, the fat soluble vitamin is tocopherol polyethylene glycol succinate (TPGS).
- Combination Therapy with Partial External Biliary Diversion (PEBD)
- In some embodiments, the methods provided herein further comprise using partial external biliary diversion as a treatment for patients who have not yet developed cirrhosis. This treatment helps reduce the circulation of bile acids/salts in the liver in order to reduce complications and prevent the need for early transplantation in many patients.
- This surgical technique involves isolating a segment of
intestine 10 cm long for use as a biliary conduit (a channel for the passage of bile) from the rest of the intestine. One end of the conduit is attached to the gallbladder and the other end is brought out to the skin to form a stoma (a surgically constructed opening to permit the passage of waste). Partial external biliary diversion may be used for patients who are unresponsive to all medical therapy, especially older, larger patients. This procedure may not be of help to young patients such as infants. Partial external biliary diversion may decrease the intensity of the itching and abnormally low levels of cholesterol in the blood. - Combination Therapy with ASBTI and Ursodiol
- In some embodiments, an ASBTI is administered in combination with ursodiol or ursodeoxycholic acid, chenodeoxycholic acid, cholic acid, taurocholic acid, ursocholic acid, glycocholic acid, glycodeoxycholic acid, taurodeoxycholic acid, taurocholate, glycochenodeoxycholic acid, tauroursodeoxycholic acid. In some instances an increase in the concentration of bile acids/salts in the distal intestine induces intestinal regeneration, attenuating intestinal injury, reducing bacterial translocation, inhibiting the release of free radical oxygen, inhibiting production of proinflammatory cytokines, or any combination thereof or any combination thereof.
- An ASBTI and a second active ingredient are used such that the combination is present in a therapeutically effective amount. That therapeutically effective amount arises from the use of a combination of an ASBTI and the other active ingredient (e.g., ursodiol) wherein each is used in a therapeutically effective amount, or by virtue of additive or synergistic effects arising from the combined use, each can also be used in a subclinical therapeutically effective amount, i.e., an amount that, if used alone, provides for reduced effectiveness for the therapeutic purposes noted herein, provided that the combined use is therapeutically effective. In some embodiments, the use of a combination of an ASBTI and any other active ingredient as described herein encompasses combinations where the ASBTI or the other active ingredient is present in a therapeutically effective amount, and the other is present in a subclinical therapeutically effective amount, provided that the combined use is therapeutically effective owing to their additive or synergistic effects. As used herein, the term “additive effect” describes the combined effect of two (or more) pharmaceutically active agents that is equal to the sum of the effect of each agent given alone. A syngergistic effect is one in which the combined effect of two (or more) pharmaceutically active agents is greater than the sum of the effect of each agent given alone. Any suitable combination of an ASBIT with one or more of the aforementioned other active ingredients and optionally with one or more other pharmacologically active substances is contemplated as being within the scope of the methods described herein.
- In some embodiments, the particular choice of compounds depends upon the diagnosis of the attending physicians and their judgment of the condition of the individual and the appropriate treatment protocol. The compounds are optionally administered concurrently (e.g., simultaneously, essentially simultaneously or within the same treatment protocol) or sequentially, depending upon the nature of the disease, disorder, or condition, the condition of the individual, and the actual choice of compounds used. In certain instances, the determination of the order of administration, and the number of repetitions of administration of each therapeutic agent during a treatment protocol, is based on an evaluation of the disease being treated and the condition of the individual.
- In some embodiments, therapeutically-effective dosages vary when the drugs are used in treatment combinations. Methods for experimentally determining therapeutically-effective dosages of drugs and other agents for use in combination treatment regimens are described in the literature.
- In some embodiments of the combination therapies described herein, dosages of the co-administered compounds vary depending on the type of co-drug employed, on the specific drug employed, on the disease or condition being treated and so forth. In addition, when co-administered with one or more biologically active agents, the compound provided herein is optionally administered either simultaneously with the biologically active agent(s), or sequentially. In certain instances, if administered sequentially, the attending physician will decide on the appropriate sequence of therapeutic compound described herein in combination with the additional therapeutic agent.
- The multiple therapeutic agents (at least one of which is a therapeutic compound described herein) are optionally administered in any order or even simultaneously. If simultaneously, the multiple therapeutic agents are optionally provided in a single, unified form, or in multiple forms (by way of example only, either as a single pill or as two separate pills). In certain instances, one of the therapeutic agents is optionally given in multiple doses. In other instances, both are optionally given as multiple doses. If not simultaneous, the timing between the multiple doses is any suitable timing, e.g, from more than zero weeks to less than four weeks. In addition, the combination methods, compositions and formulations are not to be limited to the use of only two agents; the use of multiple therapeutic combinations are also envisioned (including two or more compounds described herein).
- In certain embodiments, a dosage regimen to treat, prevent, or ameliorate the condition(s) for which relief is sought, is modified in accordance with a variety of factors. These factors include the disorder from which the subject suffers, as well as the age, weight, sex, diet, and medical condition of the subject. Thus, in various embodiments, the dosage regimen actually employed varies and deviates from the dosage regimens set forth herein.
- In some embodiments, the pharmaceutical agents which make up the combination therapy described herein are provided in a combined dosage form or in separate dosage forms intended for substantially simultaneous administration. In certain embodiments, the pharmaceutical agents that make up the combination therapy are administered sequentially, with either therapeutic compound being administered by a regimen calling for two-step administration. In some embodiments, two-step administration regimen calls for sequential administration of the active agents or spaced-apart administration of the separate active agents. In certain embodiments, the time period between the multiple administration steps varies, by way of non-limiting example, from a few minutes to several hours, depending upon the properties of each pharmaceutical agent, such as potency, solubility, bioavailability, plasma half-life and kinetic profile of the pharmaceutical agent.
- In certain embodiments, provided herein are combination therapies. In certain embodiments, the compositions described herein comprise an additional therapeutic agent. In some embodiments, the methods described herein comprise administration of a second dosage form comprising an additional therapeutic agent. In certain embodiments, combination therapies the compositions described herein are administered as part of a regimen. Therefore, additional therapeutic agents and/or additional pharmaceutical dosage form can be applied to a patient either directly or indirectly, and concomitantly or sequentially, with the compositions and formulations described herein.
- In another aspect, provided herein are kits containing a device for rectal administration pre-filled a pharmaceutical composition described herein. In certain embodiments, kits contain a device for oral administration and a pharmaceutical composition as described herein. In certain embodiments the kits includes prefilled sachet or bottle for oral administration, while in other embodiments the kits include prefilled bags for administration of rectal gels. In certain embodiments the kits includes prefilled syringes for administration of oral enemas, while in other embodiments the kits include prefilled syringes for administration of rectal gels. In certain embodiments the kits includes prefilled pressurized cans for administration of rectal foams.
- Release in Distal Ileum and/or Colon
- In certain embodiments, a dosage form comprises a matrix (e.g., a matrix comprising hypermellose) that allows for controlled release of an active agent in the distal jejunum, proximal ileum, distal ileum and/or the colon. In some embodiments, a dosage form comprises a polymer that is pH sensitive (e.g., a MMX™ matrix from Cosmo Pharmaceuticals) and allows for controlled release of an active agent in the ileum and/or the colon. Examples of such pH sensitive polymers suitable for controlled release include and are not limited to polyacrylic polymers (e.g., anionic polymers of methacrylic acid and/or methacrylic acid esters, e.g., Carbopol® polymers) that comprise acidic groups (e.g., —COOH, —SO3H) and swell in basic pH of the intestine (e.g., pH of about 7 to about 8). In some embodiments, a dosage form suitable for controlled release in the distal ileum comprises microparticulate active agent (e.g., micronized active agent). In some embodiments, a non-enzymatically degrading poly(dl-lactide-co-glycolide) (PLGA) core is suitable for delivery of an ASBTI to the distal ileum. In some embodiments, a dosage form comprising an ASBTI is coated with an enteric polymer (e.g., Eudragit® S-100, cellulose acetate phthalate, polyvinylacetate phthalate, hydroxypropylmethylcellulose phthalate, anionic polymers of methacrylic acid, methacrylic acid esters or the like) for site specific delivery to the ileum and/or the colon. In some embodiments, bacterially activated systems are suitable for targeted delivery to the ileum. Examples of micro-flora activated systems include dosage forms comprising pectin, galactomannan, and/or Azo hydrogels and/or glycoside conjugates (e.g., conjugates of D-galactoside, β-D-xylopyranoside or the like) of the active agent. Examples of gastrointestinal micro-flora enzymes include bacterial glycosidases such as, for example, D-galactosidase, β-D-glucosidase, α-L-arabinofuranosidase, β-D-xylopyranosidase or the like.
- The pharmaceutical solid dosage forms described herein optionally include an additional therapeutic compound described herein and one or more pharmaceutically acceptable additives such as a compatible carrier, binder, filling agent, suspending agent, flavoring agent, sweetening agent, disintegrating agent, dispersing agent, surfactant, lubricant, colorant, diluent, solubilizer, moistening agent, plasticizer, stabilizer, penetration enhancer, wetting agent, anti-foaming agent, antioxidant, preservative, or one or more combination thereof. In some aspects, using standard coating procedures, such as those described in Remington's Pharmaceutical Sciences, 20th Edition (2000), a film coating is provided around the formulation of the compound of Formula I-VI. In one embodiment, a compound described herein is in the form of a particle and some or all of the particles of the compound are coated. In certain embodiments, some or all of the particles of a compound described herein are microencapsulated. In some embodiments, the particles of the compound described herein are not microencapsulated and are uncoated.
- An ASBT inhibitor (e.g., a compound of Formula I-VI) is used in the preparation of medicaments for the prophylactic and/or therapeutic treatment of cholestasis or a cholestatic liver disease. A method for treating any of the diseases or conditions described herein in an individual in need of such treatment, involves administration of pharmaceutical compositions containing at least one ASBT inhibitor described herein, or a pharmaceutically acceptable salt, pharmaceutically acceptable N-oxide, pharmaceutically active metabolite, pharmaceutically acceptable prodrug, or pharmaceutically acceptable solvate thereof, in therapeutically effective amounts to said individual.
- Provided in certain embodiments herein are processes and kits for identifying compounds suitable for treating cholestasis or a cholestatic liver disease. In certain embodiments, provided herein are assays for identifying compounds that selectively inhibits the ASBT by:
-
- a. providing cells that are a model of intestinal cells;
- b. contacting the cells with a compound (e.g., a compound as described herein);
- c. detecting or measuring the effect of the compound on the inhibition of ASBT activity.
- In certain embodiments, provided herein are assays for identifying compounds that are non-systemic compounds by
-
- a. providing cells that are a model of intestinal permeability (e.g., Caco-2 cells);
- b. culturing the cells as a monolayer on semi-permeable plastic supports that are fitted into the wells of multi-well culture plates;
- c. contacting the apical or basolateral surface of the cells with a compound (e.g., a compound as described herein) and incubating for a suitable length of time;
- d. detecting or measuring the concentration of the compound on both sides of the monolayer by liquid-chromatography-mass spectrometry (LC-MS) and computing intestinal permeability of the compound.
- In certain embodiments, non-systemic compounds are identified by suitable parallel artificial membrane permeability assays (PAMPA).
- In certain embodiments, non-systemic compounds are identified by use of isolated vascular-perfused gut preparations.
- In certain embodiments, provided herein are assays for identifying compounds that inhibit recycling of bile acid salts by
-
- a. providing cells that are a model of intestinal cells with apical bile acid transporters (e.g., BHK cells, CHO cells);
- b. incubating the cells with a compound (e.g., a compound as described herein) and/or a radiolabeled bile acid (e.g., 14C taurocholate) for a suitable length of time;
- c. washing the cells with a suitable buffer (e.g. phosphate buffered saline);
- d. detecting or measuring the residual concentration of the radiolabeled bile acid in the cells.
-
-
- 1,4-diazabicyclo[2.2.2]octane is suspended in THF. Diiodopentane is added dropwise and the mixture is refluxed overnight. The reaction mixture is filtered.
-
- 5-(1,4-diazabicyclo[2.2.2]octanyl)-1-iodo pentane, iodide salt is suspended in acetonitrile. Phenethylamine is added dropwise and the mixture is refluxed overnight. The reaction mixture is filtered.
- N-phenethyl-5-(1,4-diazabicyclo[2.2.2]octanyl)-1-iodo pentane, iodide salt is heated with dicyanodiamide in n-butanol for 4 h. The reaction mixture is concentrated under reduced pressure.
- The compounds in Table 1 are prepared using methods as described herein, and using appropriate starting materials.
- Baby hamster kidney (BHK) cells are transfected with cDNA of human ASBT. The cells are seeded in 96-well tissue culture plates at 60,000 cells/well. Assays are run within 24 hours of seeding.
- On the day of the assay the cell monolayer is washed with 100 mL of assay buffer. The test compound is added to each well along with 6 mM [14C] taurocholate in assay buffer (final concentration of 3 mM [14C] taurocholate in each well). The cell cultures are incubated for 2 h at 37° C. The wells are washed with PBS. Scintillation counting fluid is added to each well, the cells are shaken for 30 minutes prior to measuring amount of radioactivity in each well. A test compound that has significant ASBT inhibitory activity provides an assay wherein low levels of radioactivity are observed in the cells.
- Human NCI-H716 cells are used as a model for L-cells. Two days before each assay experiment, cells are seeded in 12-well culture plates coated with Matrigel® to induce cell adhesion. On the day of the assay, cells are washed with buffer. The cells are incubated for 2 hours with medium alone, or with test compound. The extracellular medium is assayed for the presence of GLP-2. Peptides in the medium are collected by reverse phase adsorption and the extracts are stored until assay. The presence of GLP-2 is assayed using ELISA. The detection of increased levels of GLP-2 in a well containing a test compound identifies the test compound as a compound that can enhance GLP-2 secretions from L-cells.
- The test compounds are solubilized in saline solutions. Sprague Dawley rats are dosed at 2-10 mg/kg body weight by iv and oral dosing. Peripheral blood samples are taken from the femoral artery at selected time periods up to 8 hours. Plasma concentrations of the compounds are determined by quantitative HPLC and/or mass spectrometry. Clearance and AUC values are determined for the compounds.
- For oral dosing, bioavailability is calculated by also drawing plasma samples from the portal vein. Cannulae are inserted in the femoral artery and the hepatic portal vein to obtain estimates of total absorption of drug without first-pass clearance in the liver. The fraction absorbed (F) is calculated by
-
F=AUCpo/AUCiv - Ileal luminal bile acid levels in SD rats are determined by flushing a 3-cm section of distal ileum with sterile, cold PBS. After flushing with additional PBS, the same section of ileum is weighed and then homogenized in fresh PBS for determination of interenterocyte bile acid levels. A LC/MS/MS system is used to evaluate cholic acid, DCA, LCA, chnodeoxycholic acid, and ursodeoxycholic acid levels.
- Mdr2 knock out mouse model of cholestasis or a cholestatic liver disease induced rats (by carbon tetrachloride/phenobarbital) is used to test compositions described herein. The animals are orally administered a composition comprising an ASBTI such as 100B, 264W94; SD5613; SAR548304B; SA HMR1741; 1,1-Dioxo-3,3-dibutyl-5-phenyl-7-methylthio-8-(N—[(R)-α-[N-(2-sulphoethyl)carbamoyl]-4-hydroxybenzyl]carbamoylmethoxy)-2,3,4,5-tetrahydro-1,2,5-benzothiadiazepine; 1,1-Dioxo-3,3-dibutyl-5-phenyl-7-methylthio-8-(N—[(R)-α-[N—((S)-1-carboxy-2-(R)-hydroxypropyl)carbamoyl]-4-hydroxybenzyl]carbamoylmethoxy)-2,3,4,5-tetrahydro-1,2,5-benzothiadiazepine; 1,1-Dioxo-3,3-dibutyl-5-phenyl-7-methylthio-8-(N—[(R)-α-[N—((S)-1-carboxy-2-methylpropyl)carbamoyl]-4-hydroxybenzyl]carbamoylmethoxy)-2,3,4,5-tetrahydro-1,2,5-benzothiadiazepine; 1,1-dioxo-3,3-dibutyl-5-phenyl-7-methylthio-8-(N—{(R)-α-[N—((S)-1-carboxypropyl)carbamoyl]-4-hydroxybenzyl}carbamoylmethoxy)-2,3,4,5-tetrahydro-1,2,5-benzothiadiazepine; or 1,1-dioxo-3,3-dibutyl-5-phenyl-7-methylthio-8-[N4-((R)-α-carboxy-4-hydroxybenzyl)carbamoylmethoxy]-2,3,4,5-tetrahydro-1,2,5-benzothiadiazepine.
- Cholestasis or cholestatic liver disease is quantitated by total bile acid and bilirubin in serum versus that in control mice/rats administered with placebo. Serum bile acids/salts are determined by ELISA with specific antibodies for cholic and CCDCA. Serum bilirubin levels are determined by automated routine assays. Alternatively, livers of the mice can be harvested and pathology of the hepatocellular damage can be measured.
- 12-week-old male HSD rats are fasted for 16 h and given oral dose of 0, 3, 30, 100 mg/kg of the ASBTIs LUM001 or 1-[4-[4-[(4R,5R)-3,3-dibutyl-7-(dimethylamino)-2,3,4,5-tetrahydro-4-hydroxy-1,1-dioxido-1-benzothiepin-5-yl]phenoxy]butyl]4-aza-1-azoniabicyclo[2.2.2]octane methane sulfonate (Synthesized by Nanosyn Inc., CA, USA) in a mixture of valine-pyrrolidine in water (n=5 per group). Blood samples in volume of 0.6 ml for each time point are taken from the caudal vein with a heparinized
0, 1, 3 and 5 h after the administration of compounds and plasma GLP-2 level are determined Aprotinin and 10 μl of DPP-IV inhibitor per ml of blood are used for blood sample preservation during 10 min centrifugation and for storage at −70° C. or below. GLP-2 (Active pM) is tested by any commercially available ELISA kits.capillary tube - 10 kg of a compound of Formula I-VI is first screened through a suitable screen (e.g. 500 micron). 25 kg Lactose monohydrate, 8 kg hydroxypropylmethyl cellulose, the screened compound of Formula I-V1 and 5 kg calcium hydrogen phosphate (anhydrous) are then added to a suitable blender (e.g. a tumble mixer) and blended. The blend is screened through a suitable screen (e.g. 500 micron) and reblended. About 50% of the lubricant (2.5 kg, magnesium stearate) is screened, added to the blend and blended briefly. The remaining lubricant (2 kg, magnesium stearate) is screened, added to the blend and blended briefly. The granules are screened (e.g. 200 micron) to obtain granulation particles of the desired size. In some embodiments, the granules are optionally coated with a drug release controlling polymer such as polyvinylpyrrolidine, hydroxypropylcellulose, hydroxypropylmethyl cellulose, methyl cellulose, or a methacrylic acid copolymer, to provide an extended release formulation. The granules are filled in gelatin capsules.
- Disintegrating Tablet Formulation
- The following example describes a large scale preparation (100 kg) of an ASBTI compound of Formula I-VI (e.g., LUM-001 or LUM-002).
-
Active ingredient (LUM-001) 2.5 kg Lactose monohydrate NF 47.5 kg Pregelatinized starch NF 18 kg microcrystalline cellulose NF 17 kg croscarmellose sodium NF 6.5 kg povidone K29/32 USP 8.5 kg 100 kg - Pass ASBTI (2.5 kg), lactose monohydrate NF (47.5 kg), pregelatinized starch NF (18 kg), microcrystalline cellulose NF (17 kg), croscarmellose sodium NF (6.5 kg) and povidone K29/32 USP (8.5 kg) through a #10 mesh screen. Add the screened material to a 600 Collette mixer. Mix for 6 minutes at low speed, without chopper. Add the direct blend mixture from the previous step to a 20-cubic foot V-shell PK blender (Model C266200). Pass magnesium stearate NF (0.5 to 1 kg) through a 10 mesh screen into a properly prepared container. Add approximately half of the magnesium stearate to each side of the PK blender and blend for 5 minutes. Add the blended mixture from the previous step to Kikusui tablet press for compression into tablets. The compression equipment can be outfitted to make tooling for 50 mg tablet, 75 mg tablet and 100 mg tablet.
- The active ingredient, anhydrous monosodium citrate, sodium bicarbonate and aspartame are mixed together and granulated by the addition of a solution of the polyvinylpyrrolidone in the alcohol. The granules obtained after mixing are dried and passed through a calibrator, and the resulting granules are then mixed with the sodium benzoate and flavorings. The granulated material is compressed into tablets using an alternative machine fitted with 20 mm punches.
- A rotative machine fitted with 20 mm punches may also be used for tabletting.
-
Active ingredient 4.4 mg Sodium bicarbonate 20.5 mg Monosodium citrate anhydrous 20.6 mg Aspartame 1.25 mg Polyvinylpyrrolidone 1.0 mg Sodium benzoate 1.5 mg Orange flavor IFF 29G44 0.5 mg Lemon flavor IFF 29M194 0.25 mg Absolute alcohol for granulation - A 40% (w/w) solution of the Eudragit E100 in ethanol was added with mixing to the active ingredient and blended until granules were formed. The resulting granules were dried and then sieved through a 16 mesh screen.
-
Active ingredient 4.0 mg Eudragit E100 0.6 mg Sorbitol: Direct Compression Grade 18.8 mg Lactose: Direct Compression Grade 15.6 mg Croscarmellose Sodium Type A 1.2 mg Aspartame 0.3 mg Aniseed flavoring 0.6 mg Butterscotch flavoring 0.6 mg Magnesium Stearate 0.6 mg Microcrystalline Cellulose 4.7 mg (Avicel PH102) 47 mg - The active ingredient granules and extragranular excipients were put into a cone blender and mixed thoroughly. The resulting mix was discharged from the blender and compressed on a suitable rotary tablet press fitted with the appropriate punches.
- The active ingredient is introduced in a fluidized air bed installation and a solution of ethylcellulose in ethanol is sprayed thereon.
- The excipients are sieved and the coated active ingredient is homogenized with the excipients in a mixing apparatus under dry conditions.
- Distribution and tabletting are carried out on a compressing machine equipped with punches having a diameter equal to 16 mm and a radius of curvature equal to 20 mm
- The pressure is 15 kNewtons±1. The hardness of the thus obtained tablets is 50 Newtons±5. The time of disintegration in the mouth is from 15 to 20 seconds.
-
Active ingredient (with ethylcellulose) 4.0 mg Reticulated polyvinylpyrrolidone 20.0 mg Starch 40 mg Sweetener 1.0 mg Flavor 1.0 mg Magnesium stearate 1.0 mg 67.0 mg - A pulverulent mixture of active ingredient and polyvidone (5 parts by weight) is granulated with 7% of purified water (weight/weight).
- A premix is prepared with the following constituents: carbasalate calcium (amount corresponding to parts by weight of acetylsalicylic acid); anhydrous citric acid (168 parts by weight); sodium bicarbonate (232 parts by weight); lactose (1500 parts by weight); magnesium citrate (180 parts by weight); potassium benzoate (250 parts by weight). The premix is then dry compacted.
- The pulverulent active ingredient mixture and the dry compacted premix, and the following compounds: aspartame and artificial vanilla flavoring, which are in powder form, are mixed.
- The mixture of powders can be packaged directly in sachets.
-
Active ingredient 4.0 mg Polividone 0.2 mg Carbasalate calcium 2.6 mg Citic acid 6.7 mg Sodium bicarbonate 9.3 mg Lactose 60 mg Magnesium citrate 7.2 mg Potassium benzoate 10 mg 100 mg - About 50 lbs of warm water is mixed with about 50 lbs of gelatin in the mixing tank, to form 100 lbs of gelling compound having a homogeneous 50/50 blend of water and gelatin. About 0.1% to 10% of sodium bisulfate by weight is added to the gelling compound to reduce the pH of the gelling compound to about 3.5.
- In the mixing weigh vessel, the gelling compound is mixed with about 6 lbs of water, 38.3 lbs of sucrose, and 50 lbs of corn syrup to form the candy slurry. If the active ingredient is not a heat sensitive drug, the active ingredient is added to the candy slurry prior to cooking. About 0.1% sodium citrate by weight is be added to the candy slurry to maintain the pH of the slurry at about 3.0 to 3.5.
- Next, the candy slurry is heated to a temperature of about 180° F. prior to being passed through the storage buffer tank, to the static cooker. In the static cooker, the candy slurry is heated to a temperature of about 240° F. to 245° F., dehydrating the slurry to a brix of about 78.
- After the candy is cooked, the cooked candy is sent to the vacuum chamber, where the candy is further dehydrated to a brix of about 80. After leaving the vacuum, the cooked candy is placed in the dosier where about 1.5% of strawberry flavoring by weight and about 1% of red cabbage coloring by weight is added to the cooked candy. To balance the flavoring, about 0.1% citric acid by weight and about 0.1% lactic acid by weight is added to the cooked candy.
- After adding the flavoring and coloring, the cooked candy is deposited into the mogul machine and then cured. After the candies are cured, they are added to a tumbling drum to break off any starch that is remaining on the candies. As the candies are being tumbled, about 1% fractionated coconut oil by weight and about 1% carnauba wax by weight is poured into the drum to coat the candies to prevent them from sticking together.
-
Active ingredient (5 mg) 5% Lactic acid 1 % Citric Acid 1% Sucrose 23.5% Corn Syrup 50.0% Gelatin 7% Sodium bisufate 0.1%-10% Flavoring (natural/artificial) 1.5% Colorant (natural/artificial) 1.0% - An aqueous pharmaceutical composition of the present invention is formulated by preparing a mixture of hydroxyethylcellulose dissolved in 50 milliliters of purified water with 0.5 mL of -orange flavoring agent, with potassium phosphate dibasic and potassium phosphate monobasic added (from a hot water mixture). 4.0 mg of active ingredient is then added and mixed until dissolved. Sodium hydroxide is added to adjust the pH to from about 6.7 to about 6.9.
-
Active ingredient 4.0 mg Hydroxyethylcellulose 10 mg Potassium phosphate dibasic 4.5 mg Potassium phosphate monobasic 4.5 mg Sodium hydroxide 0.1 mL Orange flavoring 0.5 mL Purified water 50 mL - Alternative liquid oral formulations are provided below. For each of the formulations below, a sweetener from 0.5% to 2% such as sucralose, mannitol, sucrose and/or a flavoring agent from 0.5% to 2% such as grape, cherry, bubble gum, orange, lemon, strawberry can be added. Polypropylene glycol can be replaced with one of the PEGs.
-
Ingredients Concentration LUM001 0.02 to 4 mg/ mL Propylene glycol 10 to 300 mg/mL Water, q.s. to 1 mL LUM001 0.02 to 4 mg/mL PEG 200 (or 300, 400, 600) 10 to 300 mg/mL Water, q.s. to 1 mL LUM001 0.02 to 4 mg/ mL Propylene glycol 10 to 300 mg/mL Sodium lauryl sulfate 1 to 10 mg/mL Water, q.s. to 1 mL LUM001 0.02 to 4 mg/ mL Propylene glycol 10 to 300 mg/mL Poloxamer 188 1 to 10 mg/mL Water, q.s. to 1 mL - The following formulation is used to produce a sachet for pediatric use. A sweetener from 0.5% to 2% such as sucralose, mannitol, sucrose and/or a flavoring agent from 0.5% to 2% such as grape, cherry, bubble gum, orange, lemon, strawberry can be added. Sugar and sodium lauryl sulfate can be exchanged with other surfactants.
-
Ingredients Concentration LUM001 0.05 to 10 mg Soluble Diluent 10 to 500 mg Sugar 10 to 250 mg Sodium lauryl sulfate 5 to 50 mg Flavoring agent 10 to 100 mg - Animal Preparation.
- Male Zucker diabetic fatty rats (ZDF/GmiCrl-fa/fa) were purchased from Charles River (Raleigh, N.C.) and housed under controlled conditions (12:12 light-dark cycle, 24° C. and 50% relative humidity) with free access to rodent food (Purina 5008, Harlan Teklad, Indianapolis, Ind.). All rats arrived at seven weeks of age (±3 days). After a one-week acclimation period, rats were anesthetized with isoflurane (Abbott Laboratories, IL) and tail-vein blood samples were collected at 9 am without fasting. Blood glucose levels were measured using a glucometer (Bayer, Leverkusen, Germany). In order to ensure balanced treatment groups, ZDF rats were assigned to six treatment groups based upon baseline glucose: vehicle (0.5% HPMC, 0.1% Tween80) and five doses of 264W94 (0.001, 0.01, 0.1, 1, 10 mg/kg). All treatments were given via oral gavage twice a day and animals were followed for two weeks with blood samples collected from tail vein at the end of each week at 9 am without fasting. Fecal samples were collected for 24 hours during the second week of treatment.
- Measurement of Clinical Chemistry Parameters.
- Non-esterified fatty acids (NEFA), bile acids, and bile acids in fecal extraction were measured using the Olympus AU640 clinical chemistry analyzer (Beckman Coulter, Irving, Tex.).
- Changes in Fecal Bile Acid Excretion and Plasma Bile Acid Concentrations Oral administration of 264W94 dose-dependently increased bile acids in the feces. Fecal bile acid concentrations were elevated up to 6.5 fold with an ED50 of 0.17 mg/kg, when compared to vehicle treated rats. Fecal NEFA also slightly increased in 264W94 treated rats. In contrast, plasma bile acid concentrations were decreased dose-dependently in 264W94 treated rats. See
FIG. 1 . - Plasma Bile Acid Levels of ZDF Rats after Administration of Ascending Doses of SC-435 and LUM002.
- Male ZDF rats (n=4) were administered vehicle, SC-435 (1, 10 or 30 mg/kg) or LUM002 (0.3, 1, 3, 10 or 30 mg/kg) by oral gavage twice a day for 2 weeks. Plasma bile acid levels were determined at the end of the second week. Plasma bile acid levels were decreased for all doses of SC-435 and LUM002. Data are expressed as mean values±SEM. See
FIG. 2 . - Test Compound: LUM001-Form I
- Dosage Preparation and Administration:
- LUM001 was dissolved in water at concentrations that required the administration of 0.2 ml/kg of solution. Solutions were placed into gelatin capsules, Torpac Inc., size 13 Batch 594, East Hanover N.J., and administered orally.
- Dogs:
- Male beagle dogs were obtained from Covance Research Products, Cumberland Va. or Marshall Farms USA, Inc., North Rose N.Y. A total of 20 dogs, 1 to 5 years old, 6.8 to 15.6 kg body weight, were used in these experiments. The dogs were conditioned to a 12 hour light/dark cycle and maintained on a feeding restriction of 1 hour per day access to food (Richman Standard Certified Canine Diet #5007, PMI Nutrition, Inc., St Louis Mo.) from 7 to 8 AM. They were trained to eat a special meal promptly within 20 minutes when presented (1 can. 397 g, Evanger's 100% Beef for Dogs, Evanger's Dog and Cat Food Co., Inc., Wheeling Ill., mixed with 50 g of sharp cheddar cheese.).
- Serum Total Bile Acid (SBA) Measurement:
- SBA was measured by an enzymatic assay. SBA values are expressed as mg of total bile acids/ml of serum.
- Control Experiments to Estimate the Rise and Duration of Elevation in Systemic Serum Bile Acid:
- Previous work demonstrated that SBA of beagle dogs rises to a peak level one hour after feeding the meal described above, and remains at a plateau for 4 hours and then declines. To estimate the details of this plateau, 6 dogs were given a test meal and blood samples for SBA measurement were collected at −30, 0, 30, 60, 65, 70, 80, 90, 120, 180, 240, 360, 480, 720, 1410 and 1440 minutes from the time of feeding. Any remaining food was removed 20 min after it was first presented to the dogs. To establish a method for extending the elevated plateau of SBA, 6 dogs were given the meal at 0 hr and an additional ½ size meal again 4 hr after their first meal. Blood samples were taken at 0, 1, 2, 3, 4, 4.5, 6, 7 and 8 hr. The curves for SBA level vs time obtained in these experiments were used as references for determining blood sampling times in experiments with LUM001. Wherever possible, experimental design permitting, in experiments with test compound, each dog served as its own simultaneous control, and the mean 1 hr SBA value served as the reference to which all other mean values were compared.
- Experiments to Measure Time to Onset of Activity of LUM001:
- LUM001 was administered at 0, 0.01, 0.05, 0.2 and 1 mg/kg, p.o. to dogs, n=6, 1 hr after feeding the standard experimental meal. Blood samples for SBA measurement were taken at −30, 0, 30, 60, 65, 70, 80, 90, 120 and 180 minutes from the time of feeding. Each dog served as its own control, and mean SBA levels were compared to the mean SBA level at 60 minutes.
-
TABLE 1 Onset of Activity of LUM001 on Dog Serum Bile Acids Serum Bile Acid (μg/ml) SD-5613 Water, n = 6 0.01 mg/kg, n = 6 0.05 mg/kg, n = 6 0.2 mg/kg, n = 6 1 mg/kg, n = 6 Time (min) Mean sem Mean sem Mean sem Mean sem Mean sem −30 2.2 0.3 1.5 0.1 1.4 0.1 2.4 0.5 2.1 0.2 0 2.0 0.3 1.4 0.1 2.1 0.6 1.9 0.2 2.8 0.4 30 6.9 2.1 5.8 2.5 6.8 2.3 9.1 2.1 7.6 1.8 60 17.8 3.2 14.6 2.8 10.4 1.2 19.1 2.7 13.8 1.4 65 16.6 3.6 13.9 2.4 12.2 1.7 14.9 1.7 13.5 1.4 70 16.2 1.9 14.1 2.2 12.0 1.6 16.7 2.3 15.4 1.8 80 16.1 2.3 12.8 1.8 10.0 1.3 14.3 2.2 12.1 1.4 90 15.2 2.8 11.0 2.0 8.8 1.6 9.8* 0.6 7.4* 1.2 120 15.5 3.6 10.8 1.7 6.5* 1.2 4.8* 0.3 3.0* 0.1 180 14.7 3.1 11.0 1.6 6.5* 1.2 4.0 0.6 2.6* 0.2 All animals were fed at 0 minutes and dosed at 60 minutes. *= p < 0.05 compared to 60 minute value in the same curve by two-tailed paired two-sample t-test. - Experiments to Measure the Duration of Action of LUM001:
- In dogs a single experimental meal produces a postprandial rise in SBA that is elevated to a peak at 1 hour after feeding and constant for an additional 3 hours. Previous experiments (2) indicate that LUM001 remains active for more than 4.5 hours. To measure the duration of action of an ASBT inhibitor using postprandial SBA levels requires that in the control situation the SBA levels remain elevated and constant for the entire period of compound action, or that the compound be administered long before the postprandial rise occurs, and remain active in the empty digestive system for long periods before feeding. Accordingly, two alternative methods were used to provide a window of constant SBA elevation that could be used to measure the duration of action of ASBT inhibitors.
- Method 1: Two Meals for Extended SBA Elevation:
- LUM001 was administered at 0.05 and 0.2 mg/kg, p.o. to 6
dogs 1 hr after feeding them a meal. At 4 hours after the meal was offered, a second meal of ½ the size of the first meal was offered. It too was consumed as promptly and thoroughly as the first meal, and provided an extended, constant SBA plateau. Blood samples for SBA measurement were taken at 0, 1, 1.5, 2, 4, 4.5, 5, 5.5, 6, 6.5, 7, 7.5 and 8 hours from the time of offering the first meal. Mean SBA levels were compared to the mean SBA level at 1 hour, each dog serving as its own control. The end of activity is considered to occur at time point at which the mean SBA value is not significantly lower than the 1 hr mean value. -
TABLE 2 Duration of Action of LUM001 on Dog Serum Bile Acids I Serum Bile Acid (μg/ml) SD-5613 Water, n = 6 0.05 mg/kg, n = 6 0.2 mg/kg, n = 6 Time (hr) Mean SEM Mean SEM Mean SEM 0 2.5 0.5 1.4 0.1 1.3 0.1 1 13.1 1.3 9.2 1.8 11.1 1.5 1.5 9.6 2.0 9.1 0.6 2 14.6 1.2 6.7 0.8 3.8* 0.4 3 14.4 1.7 4 14.8 1.2 5.1* 0.7 2.5* 0.4 4.5 16.6 1.5 6.4 0.7 3.3* 0.6 5 15.8 2.0 7.0 0.7 3.1* 0.4 6 15.5 2.1 7.0 0.9 3.6* 0.7 7 14.4 2.5 7.4 0.8 3.9* 0.5 8 13.3 1.5 6.5 1.1 5.8* 0.8 All animals were fed a full meal at 0 hour, dosed orally with the compound at 1 hour and then fed an additional one-half meal at 4 hours. *= p < 0.05 compared to the mean value in the same curve at 1 hour by two-tailed paired two-sample t-test. - Method 2: One Meal and Extended Interval Between Dosing and Feeding:
- Alternatively, 6 dogs were dosed with water or LUM001, at 0.05 mg/kg, p.o. at 1.5 hours prior to being fed, or 0.05, or 0.2 mg/kg, at 2 hours prior to feeding. This moved the elevated SBA plateau out in time from the dose point. Blood samples for SBA measurement were taken immediately before dosing (0 or 0.5 hr), at feeding (2 hr), 2.5, 3, 4 and 5 hours after feeding. This allowed detection of activity out to 5.5 and 6 hours after dosing without feeding the dogs a second time. Mean SBA levels were compared to the corresponding mean SBA levels in water treated controls. The end of activity is considered to occur at the first time point at which the mean SBA value is not significantly lower than the corresponding control mean value.
-
TABLE 3 Duration of Action of LUM001 on Dog Serum Bile Acids II Serum Bile Acid (μg/ml) Dosing Time 0.5 hr 0 hr 0 hr Feeding Time 2 hr 2 hr 2 hr 2 hr Water, 0.05 mg/kg, 0.05 mg/kg, 0.2 mg/kg, SD-5613 n = 6 n = 9 n = 9 n = 6 Time (hr) Mean SEM Mean SEM Mean SEM Mean SEM 0 1.7 0.1 1.3 0.1 0.5 1.8 0.3 2 2.0 0.3 1.7 0.1 2.0 0.5 1.7 0.3 2.5 6.9 2.1 2.5 0.6 3 17.8 3.2 9.7 2.6 9.0* 1.4 4.1* 0.6 4 15.5 3.6 12.4 2.0 10.8 1.2 6.5* 0.8 5 14.7 3.1 11.6 2.4 10.6 0.9 7.9* 1.1 *= p < 0.05 vs water treatment by two-tailed two-sample t-test without assuming equal variances. - Conclusion:
- In the dog SBA model, the ED50 dose (0.2 mg/kg) of LUM001 administered orally 1 hour after feeding significantly lowered serum bile acid levels within 30 minutes of dosing and these levels remained significantly lowered for at least 6 hours. By comparison, a threshold dose of 0.05 mg/kg significantly lowered SBA levels within approximately 1 to 2 hours after dosing but the significant decrease was not sustained beyond 3 hours after dosing. Increasing the dose above the ED50 level to 1 mg/kg did not shorten the onset time to significant SBA lowering and still sustained a maximal suppression for 2 hours after dosing. When LUM001 was administered 2 hours prior to feeding, a dose of 0.2 mg/kg was required produce a significant effect that was sustained for at least 2-3 hours after feeding. The results from these studies indicate that the presence of food in the GI tract has a significant impact on the pharmacodynamic activity of the ASBT inhibitor, most likely by altering the residence time of the drug in the small intestine.
- This
Phase 1 study was a randomized, double-blind, placebo-controlled study of ascending multiple oral doses of LUM001 in healthy, adult subjects. This study was conducted at a single center. There were 13 LUM001 dosing panels: 10, 20, 60, 100, and 20 mg every morning (qAM) (2) (i.e., the regimen was tested a second time in the study), 5 mg every evening (qPM), 0.5, 1, 2.5, 5, 2.5 (2), 5 (2), and 0.5 to 5 mg qAM dose titration. Most of the dosing panels included subjects treated with matching placebo. Shown in the graphs are data from the 0.5 (n=16), 1.0 (n=8), 2.5 (n=8), 5.0 (n=8) and 10 (n=8) mg dosing groups. - For the qAM dosing panels, LUM001 or placebo was administered each day of the treatment period (28 days) immediately prior to the morning meal at approximately 08:00 and after any necessary blood work was drawn.
- Serum Bile Acid (SBA) Analysis:
- On Day −1, blood was drawn for baseline SBA at approximately 30 minutes before and after breakfast and 30 minutes after lunch and dinner. During the treatment period, samples were obtained on
2, 14 and 28 (14 day results are presented indays FIG. 3 ) at −30, 30, 60 120, and 240 minutes after each of the 3 daily meals for analysis. For each sample, approximately 3 mL of venous blood were collected by venipuncture or saline lock. - SBA were analyzed as part of the routine clinical analysis of the serum samples collected at each time point.
- Fecal Bile Acid Analysis:
- Fecal samples were collected for all panels except the dose-titration panel, 2.5 (2) and 5 mg (2), on Days 9 through 14 and 23 through 28 (data shown in
FIG. 4 ). Twenty-four hour FBA excretions were quantified by Pharmacia for Days 9 through 14 and 23 through 28. Feces were collected in a 24-hour collection container beginning at 08:00 and ending 24 hours later. This procedure was followed on Days 9 through 14 and 23 through 28, with new collection containers issued for each 24-hour period. The weight of each 24-hour fecal collection was recorded on the CRFs. Specimens were stored in 24-hour containers, frozen at approximately −80° C. prior to analysis. - An aliquot for each 24-hour fecal sample collected on
Days 23 through 28 was combined, homogenized, and analyzed for bile acid species concentrations by ANAPHARM. The fecal bile acid species evaluated include chenodeoxycholic acid, cholic acid, deoxycholic acid, and lithocholic acid. - Conclusion:
- The results showed a significant reduction in serum bile acids and significant increase in fecal bile acids.
- LUM001 has been administered to forty patients under the age of 18 years old. Table below shows the exemplary characteristics of five children who received LUM001. The drug was administered once-a-day (QD) in the morning for fourteen days. The levels of systemic exposure of LUM001 were measured on day eight and the drug was confirmed to be minimally absorbed by the children. These doses are similar to those using to treat children with cholestatic diseases.
-
TABLE 4 Pharmacokinetics of LUM001 in pediatric subjects (study NB-00-02-014) LUM001 Subject treatment Dose Average serum drug Number (mg) Sex μg/kg exposure (ng/ml) 0309 1.0 MALE 35.0 0.0 0304 1.0 MALE 24.3 0.0 0308 1.0 MALE 28.9 0.0 0410 2.5 FEMALE 42.0 0.0 0510 5.0 MALE 168.4 0.0 - The efficacy of LUM001 was determined by measuring total serum bile acids after eight days of dosing in children and adolescents under the age of eighteen. Thirty minutes before the next drug administration, at approximately 8 am in the morning, serum bile acid levels were measured. The child had refrained from food for 12 hours prior to this sample thus providing a fasted level of serum bile acid. After breakfast, serum bile acids were measured for up to the next 4 hours (8 am to noon) and the peak serum bile acid concentration noted. LUM001 was shown to generally decrease both the fasting and post-prandial peak levels of serum bile acids (see table). In the table below the placebo patients had an average fasting serum bile acid level of 8.6 μmol/L and a post-prandial peak serum bile acid level of 11.9 μmol/L. For the LUM001 treated patients the values were 6.5 mol/L and 9.2, respectively, representing a 24% and 23% decrease (see
FIG. 5 ). -
TABLE 5 Fasting SBA and morning post-prandial peak in pediatric subjects Patients 301 307 405 408 508 304 308 309 401 510 Drug dose (mg) Placebo Placebo Placebo Placebo Placebo 1 1 1 2.5 5 Fasting serum bile 9.1 7.4 10.5 8.3 7.7 5.6 6.8 6.9 6.0 7.4 acid (μmol/l) Morning Post-prandial 11.9 10.7 13.1 13.4 10.4 8.4 9.3 10.0 6.8 11.3 peak (μmol/l) - This study will determine efficacy of ASBTI treatment in patients afflicted with pediatric cholestasis or a pediatric cholestatic liver disease.
- Subjects under the age of 12, clinically diagnosed with cholestasis or a cholestatic liver disease will be enrolled. Subjects may be diagnosed by symptoms such as jaundice, chronic pruritis, total serum bile acid/bilirubin elevation.
- Subjects who have life threatening renal disease, cardiovascular disease, or congenital anomalities will be excluded.
- Subjects will be administered a daily oral dose of compound LUM001 formulated for release in the distal ileum. Alternatively, any of the following compounds can be the subject of the clinical trial: 264W94; SAR548304B; SA HMR1741; 1,1-Dioxo-3,3-dibutyl-5-phenyl-7-methylthio-8-(N—[(R)-α-[N-(2-sulphoethyl)carbamoyl]-4-hydroxybenzyl]carbamoylmethoxy)-2,3,4,5-tetrahydro-1,2,5-benzothiadiazepine; 1,1-Dioxo-3,3-dibutyl-5-phenyl-7-methylthio-8-(N—[(R)-α-[N—((S)-1-carboxy-2-(R)-hydroxypropyl)carbamoyl]-4-hydroxybenzyl]carbamoylmethoxy)-2,3,4,5-tetrahydro-1,2,5-benzothiadiazepine; 1,1-Dioxo-3,3-dibutyl-5-phenyl-7-methylthio-8-(N—[(R)-α-[N—((S)-1-carboxy-2-methylpropyl)carbamoyl]-4-hydroxybenzyl]carbamoylmethoxy)-2,3,4,5-tetrahydro-1,2,5-benzothiadiazepine; 1,1-dioxo-3,3-dibutyl-5-phenyl-7-methylthio-8-(N—{(R)-α-[N—((S)-1-carboxypropyl)carbamoyl]-4-hydroxybenzyl}carbamoylmethoxy)-2,3,4,5-tetrahydro-1,2,5-benzothiadiazepine; or 1,1-dioxo-3,3-dibutyl-5-phenyl-7-methylthio-8-[N—((R)-α-carboxy-4-hydroxybenzyl)carbamoylmethoxy]-2,3,4,5-tetrahydro-1,2,5-benzothiadiazepine.
- The primary endpoint is the proportion of subjects showing resolution or improvement of baseline signs and symptoms, e.g., jaundice, serum levels of bile acids/salts and/or bilirubin, pruritis.
- This study will determine efficacy of an ASBTI for treatment in pediatric patients afflicted with PFIC1.
- Patients genetically diagnosed with anomalies in ATP8B1, ABCB11, or ABCB4 gene and who present with PFIC-1 are eligible for enrollment.
- Inclusion criteria include severe pruritus (greater than grade II); non-responsive to ursodiol; native liver; genetic or immunohistochemical findings consistent with PFIC1 or Alagille syndrome; informed consent; age 12 months or older.
- Exclusion criteria include chronic diarrhea requiring IV fluid or nutritional interventions; surgical interruption of the enterohepatic circulation; or decompensated cirrhosis (PT>16s, alb<3.0 gr/dl, ascites, diuretic therapy, variceal hemorrhage, encephalopathy).
- Subjects will be administered a daily oral dose of LUM001 formulated for release in the distal ileum. Alternatively, any of the following compounds can be the subject of the clinical trial: 264W94; SAR548304B; SA HMR1741; 1,1-Dioxo-3,3-dibutyl-5-phenyl-7-methylthio-8-(N—[(R)-α-[N-(2-sulphoethyl)carbamoyl]-4-hydroxybenzyl]carbamoylmethoxy)-2,3,4,5-tetrahydro-1,2,5-benzothiadiazepine; 1,1-Dioxo-3,3-dibutyl-5-phenyl-7-methylthio-8-(N—[(R)-α-[N—((S)-1-carboxy-2-(R)-hydroxypropyl)carbamoyl]-4-hydroxybenzyl]carbamoylmethoxy)-2,3,4,5-tetrahydro-1,2,5-benzothiadiazepine; 1,1-Dioxo-3,3-dibutyl-5-phenyl-7-methylthio-8-(N—[(R)-α-[N—((S)-1-carboxy-2-methylpropyl)carbamoyl]-4-hydroxybenzyl]carbamoylmethoxy)-2,3,4,5-tetrahydro-1,2,5-benzothiadiazepine; 1,1-dioxo-3,3-dibutyl-5-phenyl-7-methylthio-8-(N—{(R)-α-[N—((S)-1-carboxypropyl)carbamoyl]-4-hydroxybenzyl}carbamoylmethoxy)-2,3,4,5-tetrahydro-1,2,5-benzothiadiazepine; or 1,1-dioxo-3,3-dibutyl-5-phenyl-7-methylthio-8-[N—((R)-α-carboxy-4-hydroxybenzyl)carbamoylmethoxy]-2,3,4,5-tetrahydro-1,2,5-benzothiadiazepine.
-
Stage 1 will be a 4 week dose escalation study to determine patient minimum tolerated dose. Dose 1: 14 ug/kg/day for 7 days; dose 2: 35 ug/kg/day for 7 days;dose 3; 70 ug/kg/day for 7 days; dose 4: 140 ug/kg/day for 7 days. -
Stage 2 will be a double-blind placebo controlled cross-over study. Subjects will be randomized to maximum tolerated dose or placebo for 8 weeks, followed by a 2 week drug holiday, and cross-over to receive the alternative regimen for 8 week. - The primary endpoint is the proportion of subjects showing resolution or improvement of baseline signs and symptoms, e.g., jaundice, serum levels of bile acids/salts and/or bilirubin, pruritis.
- The purpose of this study is to determine the effect of a non-systemic ASBTI suspension in treating BRIC. An enteric ileal pH-release suspension of an ASBTI may also be administered to a subject once a day.
- Pediatric patients genetically diagnosed with anomalies in ATP8B1, ABCB11, or ABCB4 gene and present non-chronic but recurrent cholestasis or a cholestatic liver disease symptoms will be enrolled.
- Subjects will be administered a daily oral dose of compound LUM001 formulated for release in the distal ileum. Alternatively, any of the following compounds can be the subject of the clinical trial: 264W94; SD5613; SAR548304B; SA HMR1741; 1,1-Dioxo-3,3-dibutyl-5-phenyl-7-methylthio-8-(N—[(R)-α-[N-(2-sulphoethyl)carbamoyl]-4-hydroxybenzyl]carbamoylmethoxy)-2,3,4,5-tetrahydro-1,2,5-benzothiadiazepine; 1,1-Dioxo-3,3-dibutyl-5-phenyl-7-methylthio-8-(N—[(R)-α-[N—((S)-1-carboxy-2-(R)-hydroxypropyl)carbamoyl]-4-hydroxybenzyl]carbamoylmethoxy)-2,3,4,5-tetrahydro-1,2,5-benzothiadiazepine; 1,1-Dioxo-3,3-dibutyl-5-phenyl-7-methylthio-8-(N—[(R)-α-[N—((S)-1-carboxy-2-methylpropyl)carbamoyl]-4-hydroxybenzyl]carbamoylmethoxy)-2,3,4,5-tetrahydro-1,2,5-benzothiadiazepine; 1,1-dioxo-3,3-dibutyl-5-phenyl-7-methylthio-8-(N—{(R)-α-[N—((S)-1-carboxypropyl)carbamoyl]-4-hydroxybenzyl}carbamoylmethoxy)-2,3,4,5-tetrahydro-1,2,5-benzothiadiazepine; or 1,1-dioxo-3,3-dibutyl-5-phenyl-7-methylthio-8-[N—((R)-α-carboxy-4-hydroxybenzyl)carbamoylmethoxy]-2,3,4,5-tetrahydro-1,2,5-benzothiadiazepine. The primary endpoint is the proportion of subjects showing resolution or improvement of baseline signs and symptoms, e.g., jaundice, serum levels of bile acids/salts and/or bilirubin, pruritis.
- The purpose of this study is to determine the effect of a non-systemic ASBTI suspension in treating TPN-AC. An enteric ileal pH-release suspension of an ASBTI may also be administered to a subject once a day.
- Pediatric patients clinically diagnosed with TPN-AC and associated symptoms will be enrolled.
- Subjects will be administered a daily oral dose of compound LUM001 formulated for release in the distal ileum. Alternatively, any of the following compounds can be the subject of the clinical trial: 264W94; SAR548304B; SA HMR1741; 1,1-Dioxo-3,3-dibutyl-5-phenyl-7-methylthio-8-(N—[(R)-α-[N-(2-sulphoethyl)carbamoyl]-4-hydroxybenzyl]carbamoylmethoxy)-2,3,4,5-tetrahydro-1,2,5-benzothiadiazepine; 1,1-Dioxo-3,3-dibutyl-5-phenyl-7-methylthio-8-(N—[(R)-α-[N—((S)-1-carboxy-2-(R)-hydroxypropyl)carbamoyl]-4-hydroxybenzyl]carbamoylmethoxy)-2,3,4,5-tetrahydro-1,2,5-benzothiadiazepine; 1,1-Dioxo-3,3-dibutyl-5-phenyl-7-methylthio-8-(N—[(R)-α-[N—((S)-1-carboxy-2-methylpropyl)carbamoyl]-4-hydroxybenzyl]carbamoylmethoxy)-2,3,4,5-tetrahydro-1,2,5-benzothiadiazepine; 1,1-dioxo-3,3-dibutyl-5-phenyl-7-methylthio-8-(N—{(R)-α-[N—((S)-1-carboxypropyl)carbamoyl]-4-hydroxybenzyl}carbamoylmethoxy)-2,3,4,5-tetrahydro-1,2,5-benzothiadiazepine; or 1,1-dioxo-3,3-dibutyl-5-phenyl-7-methylthio-8-[N—((R)-α-carboxy-4-hydroxybenzyl)carbamoylmethoxy]-2,3,4,5-tetrahydro-1,2,5-benzothiadiazepine. The primary endpoint is the proportion of subjects showing resolution or improvement of baseline signs and symptoms, e.g., jaundice, serum levels of bile acids/salts and/or bilirubin, pruritis.
- Pediatric patients who suffer from FIC1 disease (n=15) and Alagille syndrome (n=20) aged 12 months and older will be tested.
- Inclusion criteria will include (1) severe pruritus (≧grade II) unresponsive to routine pharmacologic therapy, (2) native liver, (3) genetic or clinical findings consistent with FIC1 disease or genetic findings of Alagille syndrome, and (4) informed consent and assent as appropriate.
- Exclusion criteria will include (1) chronic diarrhea requiring specific intravenous fluid or nutritional intervention for the diarrhea and/or its sequelae or (2) surgical interruption of the enterohepatic circulation, (3) decompensated cirrhosis (PT>16s, alb<3.0 gr/dl, ascites, diuretic therapy, variceal hemorrhage, encephalopathy).
- Stage 1: 4 week dose escalation of LUM-001 (doses based on adolescent/adult doses) to determine patient maximum tolerated dose. Dose 1-14 μg/kg/day for seven days; Dose 2-35 μg/kg/day for seven days; Dose 3-70 μg/kg/day for seven days; Dose 4-140 μg/kg/day for seven days.
- Stage 2: double-blinded placebo controlled cross-over study. Randomized to maximum tolerated dose or placebo for 8 weeks, followed by 2 weeks wash out, and crossed-over to receive the alternative regimen for 8 weeks.
-
Possible Stage 3 with open label therapy. - Primary endpoint: safety and tolerability of LUM-001.
- Secondary endpoints: changes in pruritus scores, clinical laboratories, fecal bile acid secretion, serum bile acids and serum 7α-hydroxy-4-cholesten-3-one (7αC4).
- Baseline assessment will include: FIC1 or Jagged 1 genotyping, complete history and physical, comprehensive clinical laboratory profile, 72 hour fecal bile acid collection, serum levels of bile acids, bile acid synthesis marker (7αC4).
- Stage 1-Baseline assessments (except genotyping, history and physical) will be repeated at the end of each 7-day treatment period. Pruritus scoring will be assessed by the parents, child (if possible) and by clinician(s) at the beginning and end of each dose.
- Stage 2-Baseline assessments (except genotyping, history and physical) will be repeated at the end of each 8 week treatment period.
- LUM-001 was shown to be well-tolerated in a pediatric multiple-dose study: 2 weeks daily up to 5 mg q.d. (39 treated subjects aged 10-17).
- While preferred embodiments of the present invention have been shown and described herein, it will be obvious to those skilled in the art that such embodiments are provided by way of example only. Numerous variations, changes, and substitutions will now occur to those skilled in the art without departing from the invention. It should be understood that various alternatives to the embodiments of the invention described herein may be employed in practicing the invention. It is intended that the following claims define the scope of the invention and that methods and structures within the scope of these claims and their equivalents be covered thereby.
Claims (20)
1.-30. (canceled)
31. A method for treating or ameliorating a pediatric cholestatic liver disease comprising non-systemically administering to a pediatric patient a therapeutically effective amount of a pharmaceutical composition comprising an Apical Sodium-dependent Bile Acid Transporter Inhibitor (ASBTI) of Formula II:
wherein:
q is an integer from 1 to 4;
n is an integer from 0 to 2;
R1 and R2 are independently selected from the group consisting of H, alkyl, alkenyl, alkynyl, haloalkyl, alkylaryl, arylalkyl, alkoxy, alkoxyalkyl, dialkylamino, alkylthio, (polyalkyl)aryl, and cycloalkyl,
wherein alkyl, alkenyl, alkynyl, haloalkyl, alkylaryl, arylalkyl, alkoxy, alkoxyalkyl, dialkylamino, alkylthio, (polyalkyl)aryl, and cycloalkyl optionally are substituted with one or more substituents selected from the group consisting of OR9, NR9R10, N+R9R10RwA−, SR9, S+R9R10A−, P+R9R10R11A−, S(O)R9, SO2R9, SO3R9, CO2R9, CN, halogen, oxo, and CONR9R10,
wherein alkyl, alkenyl, alkynyl, alkylaryl, alkoxy, alkoxyalkyl, (polyalkyl)aryl, and cycloalkyl optionally have one or more carbons replaced by O, NR9, N+R9R10A−, S, SO, SO2, S+R9A−, P+R9R10A−, or phenylene,
wherein R9, R10, and Rw are independently selected from the group consisting of H, alkyl, alkenyl, alkynyl, cycloalkyl, aryl, acyl, heterocycle, ammoniumalkyl, arylalkyl, and alkylammoniumalkyl; or
R1 and R2 taken together with the carbon to which they are attached form C3-C10 cycloalkyl;
R3 and R4 are independently selected from the group consisting of H, alkyl, alkenyl, alkynyl, acyloxy, aryl, heterocycle, OR9, NR9R10, SR9, S(O)R9, SO2R9, and SO3R9, wherein R9 and R10 are as defined above; or
R3 and R4 together ═O, ═NOR11, ═S, ═NNR11R12, ═NR9, or ═CR11R12,
wherein R11 and R12 are independently selected from the group consisting of H, alkyl, alkenyl, alkynyl, aryl, arylalkyl, alkenylalkyl, alkynylalkyl, heterocycle, carboxyalkyl, carboalkoxyalkyl, cycloalkyl, cyanoalkyl, OR9, NR9R10, SR9, S(O)R9, SO2R9, SO3R9, CO2R9, CN, halogen, oxo, and CONR9R10, wherein R9 and R10 are as defined above, provided that both R3 and R4 cannot be OH, NH2, and SH, or
R11 and R12 together with the nitrogen or carbon atom to which they are attached form a cyclic ring;
R5 and R6 are independently selected from the group consisting of H, alkyl, alkenyl, alkynyl, aryl, cycloalkyl, heterocycle, quaternary heterocycle, quaternary heteroaryl, OR9, SR9, S(O)R9, SO2R9, SO3R9, and -Lz-Kz;
wherein z is 1, 2 or 3; each L is independently a substituted or unsubstituted alkyl, a substituted or unsubstituted heteroalkyl, a substituted or unsubstituted alkoxy, a substituted or unsubstituted aminoalkyl group, a substituted or unsubstituted aryl, a substituted or unsubstituted heteroaryl, a substituted or unsubstituted cycloalkyl, or a substituted or unsubstituted heterocycloalkyl; each K is a moiety that prevents systemic absorption;
wherein alkyl, alkenyl, alkynyl, aryl, cycloalkyl, heterocycle, quaternary heterocycle, and quaternary heteroaryl can be substituted with one or more substituent groups independently selected from the group consisting of alkyl, alkenyl, alkynyl, polyalkyl, polyether, aryl, haloalkyl, cycloalkyl, heterocycle, arylalkyl, quaternary heterocycle, quaternary heteroaryl, halogen, oxo, R15, OR13, OR13R14, NR13R14,SR13, S(O)R13, SO2R13, SO3R13, NR13OR14, NR13NR14R15, NO2, CO2R13, CN, OM, SO2OM, SO2NR13R14, C(O)NR13R14, C(O)OM, CR13, P(O)R13R14, P+R13R14R15A−, P(OR13)OR14, S+R13R14A−, and N+R9R11R12A−,
wherein:
A− is a pharmaceutically acceptable anion and M is a pharmaceutically acceptable cation, said alkyl, alkenyl, alkynyl, polyalkyl, polyether, aryl, haloalkyl, cycloalkyl, and heterocycle can be further substituted with one or more substituent groups selected from the group consisting of OR7, NR7R8, S(O)R7, SO2R7, SO3R7, CO2R7, CN, oxo, CONR7R8, N+R7R8R9A−, alkyl, alkenyl, alkynyl, aryl, cycloalkyl, heterocycle, arylalkyl, quaternary heterocycle, quaternary heteroaryl, P(O)R7R8, P+R7R8R9A−, and P(O)(OR7) OR8 and
wherein said alkyl, alkenyl, alkynyl, polyalkyl, polyether, aryl, haloalkyl, cycloalkyl, and heterocycle can optionally have one or more carbons replaced by O, NR7, N+R7R8A−, S, SO, SO2, S+R7A−, PR7, P(O)R7, P+R7R8A−, or phenylene, and R13, R14, and R15 are independently selected from the group consisting of hydrogen, alkyl, alkenyl, alkynyl, polyalkyl, aryl, arylalkyl, cycloalkyl, heterocycle, heteroaryl, quaternary heterocycle, quaternary heteroaryl, quaternary heteroarylalkyl, and -G-T-V-W,
wherein alkyl, alkenyl, alkynyl, arylalkyl, heterocycle, and polyalkyl optionally have one or more carbons replaced by O, NR9, N+R9R10A−, S, SO, SO2, S+R9A−, PR, P+R9R10A−, P(O)R9, phenylene, carbohydrate, C2-C7 polyol, amino acid, peptide, or polypeptide, and
G, T and V are each independently a bond, —O—, —S—, —N(H)—, substituted or unsubstituted alkyl, —O-alkyl, —N(H)-alkyl, —C(O)N(H)—, —N(H)C(O)—, —N(H)C(O)N(H)—, substituted or unsubstituted alkenyl, substituted or unsubstituted alkynyl, substituted or unsubstituted aryl, substituted or unsubstituted arylalkyl, substituted or unsubstituted alkenylalkyl, alkynylalkyl, substituted or unsubstituted heteroalkyl, substituted or unsubstituted heterocycle, substituted or unsubstituted carboxyalkyl, substituted or unsubstituted carboalkoxyalkyl, or substituted or unsubstituted cycloalkyl, and
W is quaternary heterocycle, quaternary heteroaryl, quaternary heteroarylalkyl, N+R9R11R12A−, P+R9R10R11A−, OS(O)2OM, or S+R9R10A−, and
R13, R14 and R15 are optionally substituted with one or more groups selected from the group consisting of sulfoalkyl, quaternary heterocycle, quaternary heteroaryl, OR9, NR9R10, N+R9R11R12A−, SR9, S(O) R9, SO2R9, SO3R9, oxo, CO2R9, CN, halogen, CONR9R10, SO2OM, SO2NR9R10, PO(OR16)OR17, P+R9R10R11A−, S+R9R10A−, and C(O)OM,
wherein R16 and R17 are independently selected from the substituents constituting R9 and M; or
R14 and R15, together with the nitrogen atom to which they are attached, form a cyclic ring; and
is selected from the group consisting of alkyl, alkenyl, alkynyl, cycloalkyl, aryl, acyl, heterocycle, ammoniumalkyl, alkylammoniumalkyl, and arylalkyl; and
R7 and R8 are independently selected from the group consisting of hydrogen and alkyl; and
one or more Rx are independently selected from the group consisting of H, alkyl, alkenyl, alkynyl, polyalkyl, acyloxy, aryl, arylalkyl, halogen, haloalkyl, cycloalkyl, heterocycle, heteroaryl, polyether, quaternary heterocycle, quaternary heteroaryl, OR13, NR13R14, SR13, S(O)R13, S(O)2R13, SO3R13, S+R13R14A−, NR13OR14, NR13NR14R15, NO2, CO2R13, CN, OM, SO2OM, SO2NR13R14, NR14C(O)R13, C(O)NR13R14, NR14C(O)R13, C(O)OM, COR13, OR18, S(O)nNR18, NR13R18, NR18R14, N+R9R11R12A−, P+R9R11R12A−, amino acid, peptide, polypeptide, and carbohydrate;
wherein alkyl, alkenyl, alkynyl, cycloalkyl, aryl, polyalkyl, heterocycle, acyloxy, arylalkyl, haloalkyl, polyether, quaternary heterocycle, and quaternary heteroaryl can be further substituted with OR9, NR9R10, N+R9R11R12A−, SR9, S(O)R9, SO2R9, SO3R9, oxo, CO2R9, CN, halogen, CONR9R10, SO2OM, SO2NR9R10, PO(OR16)OR17, P+R9R11R12A−, S+R9R10A−, or C(O)M,
wherein W is O or NH, R31 is selected from
wherein R18 is selected from the group consisting of acyl, arylalkoxycarbonyl, arylalkyl, heterocycle, heteroaryl, alkyl,
wherein acyl, arylalkoxycarbonyl, arylalkyl, heterocycle, heteroaryl, alkyl, quaternary heterocycle, and quaternary heteroaryl optionally are substituted with one or more substituents selected from the group consisting of OR9,NR9R10, N+R9R11R12A−, SR9, S(O)R9, SO2R9, SO3R9, oxo, CO3R9, CN, halogen, CONR9R10, SO3R9, SO2OM, SO2NR9R10, PO(OR16)OR17, and C(O)OM,
wherein in Rx, one or more carbons are optionally replaced by O, NR13, N+R13R14A−, S, SO, SO2, S+R13A−, PR13, P(O)R13, P+R13R14A−, phenylene, amino acid, peptide, polypeptide, carbohydrate, polyether, or polyalkyl,
wherein in said polyalkyl, phenylene, amino acid, peptide, polypeptide, and carbohydrate, one or more carbons are optionally replaced by O, NR9, R9R10A−, S, SO, SO2, S+R9A−, PR9, P+R9R10A−, or P(O)R9;
wherein quaternary heterocycle and quaternary heteroaryl are optionally substituted with one or more groups selected from the group consisting of alkyl, alkenyl, alkynyl, polyalkyl, polyether, aryl, haloalkyl, cycloalkyl, heterocycle, arylalkyl, halogen, oxo, OR13, NR13R14, S R13, S(O)R13, SO2R13, SO3R13, NR13OR14, NR13NR14R15, NO2, CO2R13, CN, OM, SO2OM, SO2NR13R14, C(O)OM, COR13, P(O)R13R14, P+R13R14R15A−, P(OR13)OR14, S+R13R14A−, and N+R9R11R12A−,
provided that both R5 and R6 cannot be hydrogen or SH;
provided that when R5 or R6 is phenyl, only one of R1 or R2 is H;
provided that when q=1 and Rx is styryl, anilido, or anilinocarbonyl, only one of R5 or R6 is alkyl; or a pharmaceutically acceptable salt, solvate, or prodrug thereof.
32. The method of claim 31 , wherein:
q is 1;
n is 2;
Rx is N(CH3)2;
R7 and R8 are independently H;
R1 and R2 is alkyl;
R3 is H, and R4 is OH;
R5 is H, and R6 is selected from the group consisting of alkyl, alkenyl, alkynyl, aryl, cycloalkyl, heterocycle, quaternary heterocycle, quaternary heteroaryl, OR9, SR9, S(O)R9, SO2R9, SO3R9, and -Lz-Kz;
wherein z is 1, 2 or 3; each L is independently a substituted or unsubstituted alkyl, a substituted or unsubstituted heteroalkyl, a substituted or unsubstituted alkoxy, a substituted or unsubstituted aminoalkyl group, a substituted or unsubstituted aryl, a substituted or unsubstituted heteroaryl, a substituted or unsubstituted cycloalkyl, or a substituted or unsubstituted heterocycloalkyl; each K is a moiety that prevents systemic absorption;
wherein alkyl, alkenyl, alkynyl, aryl, cycloalkyl, heterocycle, quaternary heterocycle, and quaternary heteroaryl can be substituted with one or more substituent groups independently selected from the group consisting of alkyl, alkenyl, alkynyl, polyalkyl, polyether, aryl, haloalkyl, cycloalkyl, heterocycle, arylalkyl, quaternary heterocycle, quaternary heteroaryl, halogen, oxo, R15, OR13, OR13R14, NR13R14, SR13, S(O)R13, SO2R13, SO3R13, NR13OR14, NR13NR14R15, NO2, CO2R13, CN, OM, SO2OM, SO2NR13R14, C(O)NR13R14, C(O)OM, CR13, P(O)R13R14, P+R13R14R15A−, P(OR13)OR14, S+R13R14A−, and N+R9R11R12A−,
wherein A− is a pharmaceutically acceptable anion and M is a pharmaceutically acceptable cation, said alkyl, alkenyl, alkynyl, polyalkyl, polyether, aryl, haloalkyl, cycloalkyl, and heterocycle can be further substituted with one or more substituent groups selected from the group consisting of OR7, NR7R8, S(O)R7, SO2R7, SO3R7, CO2R7, CN, oxo, CONR7R8, N+R7R8R9A−, alkyl, alkenyl, alkynyl, aryl, cycloalkyl, heterocycle, arylalkyl, quaternary heterocycle, quaternary heteroaryl, P(O)R7R8, P+R7R8R9A−, and P(O)(OR7)OR8 and
wherein said alkyl, alkenyl, alkynyl, polyalkyl, polyether, aryl, haloalkyl, cycloalkyl, and heterocycle can optionally have one or more carbons replaced by O, NR7, N+R7R8A−, S, SO, SO2, S+R7A−, PR7, P(O)R7, P+R7R8A−, or phenylene, and R13, R14, and R15 are independently selected from the group consisting of hydrogen, alkyl, alkenyl, alkynyl, polyalkyl, aryl, arylalkyl, cycloalkyl, heterocycle, heteroaryl, quaternary heterocycle, quaternary heteroaryl, quaternary heteroarylalkyl, and -G-T-V-W,
wherein alkyl, alkenyl, alkynyl, arylalkyl, heterocycle, and polyalkyl optionally have one or more carbons replaced by O, NR9, N+R9R10A−, S, SO, SO2, S+R9A−, PR, P+R9R10A−, P(O)R9, phenylene, carbohydrate, C2-C7 polyol, amino acid, peptide, or polypeptide, and
G, T and V are each independently a bond, —O—, —S—, —N(H)—, substituted or unsubstituted alkyl, —O-alkyl, —N(H)-alkyl, —C(O)N(H)—, —N(H)C(O)—, —N(H)C(O)N(H)—, substituted or unsubstituted alkenyl, substituted or unsubstituted alkynyl, substituted or unsubstituted aryl, substituted or unsubstituted arylalkyl, substituted or unsubstituted alkenylalkyl, alkynylalkyl, substituted or unsubstituted heteroalkyl, substituted or unsubstituted heterocycle, substituted or unsubstituted carboxyalkyl, substituted or unsubstituted carboalkoxyalkyl, or substituted or unsubstituted cycloalkyl, and
W is quaternary heterocycle, quaternary heteroaryl, quaternary heteroarylalkyl, N+R9R11R12A−, P+R9R10R11A−, OS(O)2OM, or S+R9R10A−, and
R9 and R10 are independently selected from the group consisting of H, alkyl, alkenyl, alkynyl, cycloalkyl, aryl, acyl, heterocycle, ammoniumalkyl, arylalkyl, and alkylammoniumalkyl;
R11 and R12 are independently selected from the group consisting of H, alkyl, alkenyl, alkynyl, aryl, arylalkyl, alkenylalkyl, alkynylalkyl, heterocycle, carboxyalkyl, carboalkoxyalkyl, cycloalkyl, cyanoalkyl, OR9, NR9R10, SR9, S(O)R9, SO2R9, SO3R9, CO2R9, CN, halogen, oxo, and CONR9R10, wherein R9 and R10 are as defined above, provided that both R3 and R4 cannot be OH, NH2, and SH, or
R11 and R12 together with the nitrogen or carbon atom to which they are attached form a cyclic ring;
R13, R14 and R15 are optionally substituted with one or more groups selected from the group consisting of sulfoalkyl, quaternary heterocycle, quaternary heteroaryl OR9, NR9R10, N+R9R11R12A−, SR9, S(O)R9, SO2R9, SO3R9, oxo, CO2R9, CN, halogen, CONR9R10, SO2OM, SO2NR9R10, PO(OR16)OR17, P+R9R10R11A−, S+R9R10A−, and C(O)OM,
wherein R16 and R17 are independently selected from the substituents constituting R9 and M; or
R14 and R15, together with the nitrogen atom to which they are attached, form a cyclic ring; and is selected from the group consisting of alkyl, alkenyl, alkynyl, cycloalkyl, aryl, acyl, heterocycle, ammoniumalkyl, alkylammoniumalkyl, and arylalkyl;
or a pharmaceutically acceptable salt, solvate, or prodrug thereof.
33. The method of claim 31 , wherein the method comprises reducing xanthoma, serum lipoprotein X, liver enzymes, bilirubin, intraenterocyte bile acids/salts, or necrosis and/or damage to hepatocellular architecture.
34. The method of claim 31 , wherein the composition is a pediatric dosage form.
35. The method of claim 34 , wherein the pediatric dosage form is selected from a solution, syrup, suspension, elixir, powder for reconstitution as suspension or solution, dispersible/effervescent tablet, chewable tablet, gummy candy, lollipop, freezer pops, troches, oral thin strips, orally disintegrating tablet, sachet, soft gelatin capsule, and sprinkle oral powder or granules.
36. The method of claim 31 , wherein the dosage comprises between 0.1 to 20 mg of the ASBTI.
37. The method of claim 31 , wherein the dosage of the ASBTI is any dosage from about 0.5 mg to about 40 mg.
38. The method of claim 31 , wherein the dosage of the ASBTI is any dosage from about 1 mg to about 20 mg.
39. The method of claim 31 , wherein the dosage of the ASBTI is any dosage from about 1 mg to about 10 mg.
40. The method of claim 31 , wherein the pediatric cholestatic liver disease is progressive familial intrahepatic cholestasis (PFIC), PFIC type 1, PFIC type 2, PFIC type 3, Alagille syndrome, Dubin-Johnson Syndrome, biliary atresia, post-Kasai biliary atresia, post-liver transplantation biliary atresia, post-liver transplantation cholestasis, post-liver transplantation associated liver disease, intestinal failure associated liver disease, bile acid mediated liver injury, pediatric primary sclerosing cholangitis, MRP2 deficiency syndrome, neonatal sclerosing cholangitis, a pediatric obstructive cholestasis, a pediatric non-obstructive cholestasis, a pediatric extrahepatic cholestasis, a pediatric intrahepatic cholestasis, a pediatric primary intrahepatic cholestasis, a pediatric secondary intrahepatic cholestasis, benign recurrent intrahepatic cholestasis (BRIC), BRIC type 1, BRIC type 2, BRIC type 3, total parenteral nutrition associated cholestasis, paraneoplastic cholestasis, Stauffer syndrome, drug-associated cholestasis, infection-associated cholestasis, or gallstone disease.
41. The method of claim 31 , wherein the pediatric cholestatic liver disease is characterized by one or more symptoms selected from jaundice, pruritis, cirrhosis, hypercholemia, neonatal respiratory distress syndrome, lung pneumonia, increased serum concentration of bile acids, increased hepatic concentration of bile acids, increased serum concentration of bilirubin, hepatocellular injury, liver scarring, liver failure, hepatomegaly, xanthomas, malabsorption, splenomegaly, diarrhea, pancreatitis, hepatocellular necrosis, giant cell formation, hepatocellular carcinoma, gastrointestinal bleeding, portal hypertension, hearing loss, fatigue, loss of appetite, anorexia, peculiar smell, dark urine, light stools, steatorrhea, failure to thrive, and renal failure.
42. The method of claim 31 , wherein the pediatric patient is between 6 months to 12 years old.
43. The method of claim 31 , wherein less than 10% of the ASBTI is systemically absorbed.
44. The method of claim 31 , wherein the composition further comprises a bile acid sequestrant or binder.
45. A method for treating or ameliorating a pediatric cholestatic liver disease comprising non-systemically administering to a pediatric patient a therapeutically effective amount of a pharmaceutical composition comprising an Apical Sodium-dependent Bile Acid Transporter Inhibitor (ASBTI) of Formula I:
wherein:
R1 is a straight chained C1-6 alkyl group;
R2 is a straight chained C1-6 alkyl group;
R3 is hydrogen or a group OR11 in which R11 is hydrogen, optionally substituted C1-6 alkyl or a C1-6 alkylcarbonyl group;
R4 is pyridyl or optionally substituted phenyl or -Lz-Kz; wherein z is 1, 2 or 3; each L is independently a substituted or unsubstituted alkyl, a substituted or unsubstituted heteroalkyl, a substituted or unsubstituted alkoxy, a substituted or unsubstituted aminoalkyl group, a substituted or unsubstituted aryl, a substituted or unsubstituted heteroaryl, a substituted or unsubstituted cycloalkyl, or a substituted or unsubstituted heterocycloalkyl; each K is a moiety that prevents systemic absorption;
R5, R6, R7 and R8 are the same or different and each is selected from hydrogen, halogen, cyano, R5-acetylide, OR15, optionally substituted C1-6 alkyl, COR15, CH(OH)R15, S(O)nR15, P(O)(OR15)2, OCOR15, OCF3, OCN, SCN, NHCN, CH2OR15, CHO, (CH2)pCN, CONR12R13, (CH2)pCO2R15, (CH2)pNR12R13, CO2R15, NHCOCF3, NHSO2R15, OCH2OR15, OCH═CHR15, O(CH2CH2O)nR15, O(CH2)pSO3R15, O(CH2)pNR12R13, O(CH2)pN+R12R13R14 and —W—R31, wherein W is O or NH, and R31 is selected from
wherein p is an integer from 1-4, n is an integer from 0-3 and, R12, R13, R14 and R15 are independently selected from hydrogen and optionally substituted C1-6 alkyl; or
R6 and R7 are linked to form a group
46. A method for treating or ameliorating a pediatric cholestatic liver disease comprising non-systemically administering to a pediatric patient a therapeutically effective amount of a pharmaceutical composition comprising an Apical Sodium-dependent Bile Acid Transporter Inhibitor (ASBTI) of Formula III:
wherein:
each R1, R2 is independently H, hydroxy, alkyl, alkoxy, —C(═X)YR8, —YC(═X)R8, substituted or unsubstituted alkyl, substituted or unsubstituted heteroalkyl, substituted or unsubstituted aryl, substituted or unsubstituted alkyl-aryl, substituted or unsubstituted cycloalkyl, substituted or unsubstituted alkyl-cycloalkyl, substituted or unsubstituted heteroaryl, substituted or unsubstituted alkyl-heteroaryl, substituted or unsubstituted heterocycloalkyl, substituted or unsubstituted alkyl-heterocycloalkyl, or -L-K; or R1 and R2 together with the nitrogen to which they are attached form a 3-8-membered ring that is optionally substituted with R8;
each R3, R4 is independently H, hydroxy, alkyl, alkoxy, —C(═X)YR8, —YC(═X)R8, substituted or unsubstituted alkyl, substituted or unsubstituted heteroalkyl, substituted or unsubstituted aryl, substituted or unsubstituted alkyl-aryl, substituted or unsubstituted cycloalkyl, substituted or unsubstituted alkyl-cycloalkyl, substituted or unsubstituted heteroaryl, substituted or unsubstituted alkyl-heteroaryl, substituted or unsubstituted heterocycloalkyl, substituted or unsubstituted alkyl-heterocycloalkyl, or -L-K;
R5 is H, hydroxy, alkyl, alkoxy, —C(═X)YR8, —YC(═X)R8, substituted or unsubstituted alkyl, substituted or unsubstituted heteroalkyl, substituted or unsubstituted aryl, substituted or unsubstituted alkyl-aryl, substituted or unsubstituted cycloalkyl, substituted or unsubstituted alkyl-cycloalkyl, substituted or unsubstituted heteroaryl, substituted or unsubstituted alkyl-heteroaryl, substituted or unsubstituted heterocycloalkyl, substituted or unsubstituted alkyl-heterocycloalkyl,
each R6, R7 is independently H, hydroxy, alkyl, alkoxy, —C(═X)YR8, —YC(═X)R8, substituted or unsubstituted alkyl, substituted or unsubstituted heteroalkyl, substituted or unsubstituted aryl, substituted or unsubstituted alkyl-aryl, substituted or unsubstituted cycloalkyl, substituted or unsubstituted alkyl-cycloalkyl, substituted or unsubstituted heteroaryl, substituted or unsubstituted alkyl-heteroaryl, substituted or unsubstituted heterocycloalkyl, substituted or unsubstituted alkyl-heterocycloalkyl, or -L-K; or R6 and R7 taken together form a bond;
each X is independently NH, S, or O;
each Y is independently NH, S, or O;
R8 is substituted or unsubstituted alkyl, substituted or unsubstituted heteroalkyl, substituted or unsubstituted aryl, substituted or unsubstituted alkyl-aryl, substituted or unsubstituted cycloalkyl, substituted or unsubstituted alkyl-cycloalkyl, substituted or unsubstituted heteroaryl, substituted or unsubstituted alkyl-heteroaryl, substituted or unsubstituted heterocycloalkyl, substituted or unsubstituted alkyl-heterocycloalkyl, or -L-K;
L is An, wherein
each A is independently NR1, S(O)m, O, C(═X)Y, Y(C═X), substituted or unsubstituted alkyl, substituted or unsubstituted heteroalkyl, substituted or unsubstituted aryl, substituted or unsubstituted heteroaryl, substituted or unsubstituted cycloalkyl, or substituted or unsubstituted heterocycloalkyl; wherein each m is independently 0-2;
n is 0-7;
K is a moiety that prevents systemic absorption;
provided that at least one of R1, R2, R3 or R4 is -L-K;
or a pharmaceutically acceptable prodrug thereof.
47. A method for treating or ameliorating a pediatric cholestatic liver disease comprising non-systemically administering to a pediatric patient a therapeutically effective amount of a pharmaceutical composition comprising an Apical Sodium-dependent Bile Acid Transporter Inhibitor (ASBTI) of Formula IV:
wherein
R1 is a straight chain C1-6 alkyl group;
R2 is a straight chain C1-6 alkyl group;
R3 is hydrogen or a group OR11 in which R11 is hydrogen, optionally substituted C1-6 alkyl or a C1-6 alkylcarbonyl group;
R4 is pyridyl or an optionally substituted phenyl;
R5, R6 and R8 are the same or different and each is selected from:
hydrogen, halogen, cyano, R15-acetylide, OR15, optionally substituted C1-6 alkyl, COR15, CH(OH)R15, S(O)nR15, P(O)(OR15)2, OCOR15, OCF3, OCN, SCN, NHCN, CH2OR15, CHO, (CH2)pCN, CONR12R13, (CH2)pCO2R15, (CH2)pNR12R13, CO2R15, NHCOCF3, NHSO2R15, OCH2OR15, OCH═CHR15, O(CH2CH2O)nR15, O(CH2)pSO3R15, O(CH2)pNR12R13 and O(CH2)pN+R12R13R14 wherein
p is an integer from 1-4,
n is an integer from 0-3 and
R12, R13, R14 and R15 are independently selected from hydrogen and optionally substituted C1-6 alkyl;
R7 is a group of the formula
wherein the hydroxyl groups may be substituted by acetyl, benzyl,
or —(C1-C6)-alkyl-R17,
wherein the alkyl group may be substituted with one or more hydroxyl groups;
R16 is —COOH, —CH2—OH, —CH2—O-Acetyl, —COOMe or —COOEt;
R17 is H, —OH, —NH2, —COOH or COOR18;
R18 is (C1-C4)-alkyl or —NH—(C1-C4)-alkyl;
X is —NH— or —O—; and
R9 and R10 are the same or different and each is hydrogen or C1-C6 alkyl; and salts thereof.
48. A method for treating or ameliorating a pediatric cholestatic liver disease comprising non-systemically administering to a pediatric patient a therapeutically effective amount of a pharmaceutical composition comprising an Apical Sodium-dependent Bile Acid Transporter Inhibitor (ASBTI) of Formula V:
wherein:
Rv is selected from hydrogen or C1-6alkyl;
One of R1 and R2 are selected from hydrogen or C1-6alkyl and the other is selected from C1-6alkyl;
Rx and Ry are independently selected from hydrogen, hydroxy, amino, mercapto, C1-6alkyl, C1-6alkoxy, N—(C1-6alkyl)amino, N,N—(C1-6alkyl)2amino, C1-6alkylS(O)a wherein a is 0 to 2;
Rz is selected from halo, nitro, cyano, hydroxy, amino, carboxy, carbamoyl, mercapto, sulphamoyl, C1-6alkyl, C2-6alkenyl, C2-6alkynyl, C1-6alkoxy, C1-6alkanoyl, C1-6alkanoyloxy, N—(C1-6alkyl)amino, N,N—(C1-6alkyl)2amino, C1-6alkanoylamino, N—(C1-6alkyl)carbamoyl, N,N—(C1-6alkyl)2carbamoyl, C1-6alkylS(O)a wherein a is 0 to 2, C1-6alkoxycarbonyl, N—(C1-6-alkyl)sulphamoyl and N,N—(C1-6alkyl)2sulphamoyl;
n is 0-5;
one of R4 and R5 is a group of formula (VA):
R3 and R6 and the other of R4 and R5 are independently selected from hydrogen, halo, nitro, cyano, hydroxy, amino, carboxy, carbamoyl, mercapto, sulphamoyl, C1-6alkyl, C2-6alkenyl, C2-6alkynyl, C1-6alkoxy, C1-6alkanoyl, C1-6alkanoyloxy, N—(C1-6alkyl)amino, N,N—(C1-6alkyl)2amino, C1-6alkanoylamino, N—(C1-6alkyl)carbamoyl, N,N—(C1-6alkyl)2carbamoyl, C1-6alkylS(O)a wherein a is 0 to 2, C1-6alkoxycarbonyl, N—(C1-6alkyl)sulphamoyl and N,N—(C1-6alkyl)2sulphamoyl;
wherein R3 and R6 and the other of R4 and R5 may be optionally substituted on carbon by one or more R17;
X is —O—, —N(Ra)—, —S(O)b— or —CH(Ra)—;
wherein Ra is hydrogen or C1-6alkyl and b is 0-2;
Ring A is aryl or heteroaryl;
wherein Ring A is optionally substituted on carbon by one or more substituents selected from R18;
R7 is hydrogen, C1-6alkyl, carbocyclyl or heterocyclyl;
wherein R7 is optionally substituted on carbon by one or more substituents selected from R19; and wherein if said heterocyclyl contains an —NH— group, that nitrogen may be optionally substituted by a group selected from R20;
R8 is hydrogen or C1-6-alkyl;
R9 is hydrogen or C1-6alkyl;
R10 is hydrogen, halo, nitro, cyano, hydroxy, amino, carbamoyl, mercapto, sulphamoyl, hydroxyaminocarbonyl, C1-10alkyl, C2-10alkynyl, C2-10alkynyl, C1-10alkoxy, C1-10alkanoyl, C1-10alkanoyloxy, N—(C1-10alkyl)amino, N,N—(C1-10alkyl)2amino, N,N,N—(C1-10alkyl)3ammonio, C1-10alkanoylamino, N—(C1-10alkyl)carbamoyl, N,N—(C1-10alkyl)2carbamoyl, C1-10alkylS(O)a wherein a is 0 to 2, N—(C1-10alkyl)sulphamoyl, N,N—(C1-10alkyl)2sulphamoyl, N—(C1-10alkyl)sulphamoylamino, N,N—(C1-10alkyl)2sulphamoylamino, C1-10alkoxycarbonylamino, carbocyclyl, carbocyclylC1-10alkyl, heterocyclyl, heterocyclylC1-10alkyl, carbocyclyl-(C1-10alkylene)p-R21—(C1-10alkylene)q- or heterocyclyl-(C1-10alkylene)r-R22—(C1-10alkylene)s-; wherein R10 is optionally substituted on carbon by one or more substituents selected from R23; and wherein if said heterocyclyl contains an —NH— group, that nitrogen may be optionally substituted by a group selected from R24; or R10 is a group of formula (VB):
wherein:
R11 is hydrogen or C1-6-alkyl;
R12 and R13 are independently selected from hydrogen, halo, carbamoyl, sulphamoyl, C1-10alkyl, C2-10alkynyl, C2-10alkynyl, C1-10alkanoyl, N—(C1-10alkyl)carbamoyl, N,N—(C1-10alkyl)2carbamoyl, C1-10alkylS(O)a wherein a is 0 to 2, N—(C1-10alkyl)sulphamoyl, N,N—(C1-10alkyl)2sulphamoyl, N—(C1-10alkyl)sulphamoylamino, N,N—(C1-10alkyl)2sulphamoylamino, carbocyclyl or heterocyclyl; wherein R12 and R13 may be independently optionally substituted on carbon by one or more substituents selected from R25; and wherein if said heterocyclyl contains an —NH— group, that nitrogen may be optionally substituted by a group selected from R26;
R14 is selected from hydrogen, halo, carbamoyl, sulphamoyl, hydroxyaminocarbonyl, C1-10alkyl, C2-10alkenyl, C2-10alkynyl, C1-10alkanoyl, N—(C1-10alkyl)carbamoyl, N,N—(C1-10alkyl)2carbamoyl, C1-10alkylS(O)a wherein a is 0 to 2, N—(C1-10alkyl)sulphamoyl, N,N—(C1-10alkyl)2sulphamoyl, N—(C1-10alkyl)sulphamoylamino, N,N—(C1-10alkyl)2sulphamoylamino, carbocyclyl, carbocyclylC1-10alkyl, heterocyclyl, heterocyclylC1-10alkyl, carbocyclyl-(C1-10alkylene)p-R27—(C1-10alkylene)q- or heterocyclyl-(C1-10alkylene)r-R28—(C1-10alkylene)s-; wherein R14 may be optionally substituted on carbon by one or more substituents selected from R29; and wherein if said heterocyclyl contains an —NH— group, that nitrogen may be optionally substituted by a group selected from R30; or R14 is a group of formula (VC):
R15 is hydrogen or C1-6alkyl; and R16 is hydrogen or C1-6alkyl; wherein R16 may be optionally substituted on carbon by one or more groups selected from R31;
or R15 and R16 together with the nitrogen to which they are attached form a heterocyclyl; wherein said heterocyclyl may be optionally substituted on carbon by one or more R37; and wherein if said heterocyclyl contains an —NH— group, that nitrogen may be optionally substituted by a group selected from R38;
M is 1-3; wherein the values of R7 may be the same or different;
R17, R18, R19, R23, R25, R29, R31 and R37 are independently selected from halo, nitro, cyano, hydroxy, amino, carbamoyl, mercapto, sulphamoyl, hydroxyaminocarbonyl, C1-10alkyl, C2-10alkenyl, C2-10alkynyl, C1-10alkoxy, C1-10alkanoyl, C1-10alkanoyloxy, N—(C1-10alkyl)amino, N,N—(C1-10alkyl)2amino, N,N,N—(C1-10alkyl)3ammonio, C1-10alkanoylamino, N—(C1-10alkyl)carbamoyl, N,N—(C1-10alkyl)2carbamoyl, C1-10alkylS(O)a wherein a is 0 to 2, N—(C1-10alkyl)sulphamoyl, N,N—(C1-10alkyl)2sulphamoyl, N—(C1-10alkyl)sulphamoylamino, N,N—(C1-10alkyl)2sulphamoylamino, C1-10alkoxycarbonylamino, carbocyclyl, carbocyclylC1-10alkyl, heterocyclyl, heterocyclylC1-10alkyl, carbocyclyl-(C1-10alkylene)p-R32—(C1-10alkylene)q- or heterocyclyl-(C1-10alkylene)r-R33—(C1-10alkylene)s-; wherein R17, R18, R19, R23, R25, R29, R31 and R37 may be independently optionally substituted on carbon by one or more R34; and wherein if said heterocyclyl contains an —NH— group, that nitrogen may be optionally substituted by a group selected from R35;
R21, R22, R27, R28, R32 or R33 are independently selected from —O—, —NR36—, —S(O)x—, —NR36C(O)NR36—, —NR36C(S)NR36—, —OC(O)N═C—, —NR36C(O)— or —C(O)NR36—; wherein R36 is selected from hydrogen or C1-6alkyl, and x is 0-2;
p, q, r and s are independently selected from 0-2;
R34 is selected from halo, hydroxy, cyano, carbamoyl, ureido, amino, nitro, carbamoyl, mercapto, sulphamoyl, trifluoromethyl, trifluoromethoxy, methyl, ethyl, methoxy, ethoxy, vinyl, allyl, ethynyl, formyl, acetyl, formamido, acetylamino, acetoxy, methylamino, dimethylamino, N-methylcarbamoyl, N,N-dimethylcarbamoyl, methylthio, methylsulphinyl, mesyl, N-methylsulphamoyl, N,N-dimethylsulphamoyl, N-methylsulphamoylamino and N,N-dimethylsulphamoylamino;
R20, R24, R26, R30, R35 and R38 are independently selected from C1-6alkyl, C1-6alkanoyl, C1-6alkylsulphonyl, C1-6alkoxycarbonyl, carbamoyl, N—(C1-6alkyl)carbamoyl, N,N—(C1-6alkyl)carbamoyl, benzyl, benzyloxycarbonyl, benzoyl and phenylsulphonyl; and
wherein a “heteroaryl” is a totally unsaturated, mono or bicyclic ring containing 3-12 atoms of which at least one atom is chosen from nitrogen, sulphur and oxygen, which heteroaryl may, unless otherwise specified, be carbon or nitrogen linked;
wherein a “heterocyclyl” is a saturated, partially saturated or unsaturated, mono or bicyclic ring containing 3-12 atoms of which at least one atom is chosen from nitrogen, sulphur and oxygen, which heterocyclyl may, unless otherwise specified, be carbon or nitrogen linked, wherein a —CH2— group can optionally be replaced by a —C(O)— group, and a ring sulphur atom may be optionally oxidized to form an S-oxide; and
wherein a “carbocyclyl” is a saturated, partially saturated or unsaturated, mono or bicyclic carbon ring that contains 3-12 atoms; wherein a —CH2— group can optionally be replaced by a —C(O) group;
or a pharmaceutically acceptable salt or in vivo hydrolysable ester or amide formed on an available carboxy or hydroxy group thereof.
49. A method for treating or ameliorating a pediatric cholestatic liver disease comprising non-systemically administering to a pediatric patient a therapeutically effective amount of a pharmaceutical composition comprising an Apical Sodium-dependent Bile Acid Transporter Inhibitor (ASBTI) of Formula VI:
wherein:
Rv and Rw are independently selected from hydrogen or C1-6alkyl;
one of R1 and R2 is selected from hydrogen or C1-6alkyl and the other is selected from C1-6alkyl;
Rx and Ry are independently selected from hydrogen or C1-6alkyl, or one of Rx and Ry is hydrogen or C1-6alkyl and the other is hydroxy or C1-6alkoxy;
Rz is selected from halo, nitro, cyano, hydroxy, amino, carboxy, carbamoyl, mercapto, sulphamoyl, C1-6alkyl, C2-6alkenyl, C2-6alkynyl, C1-6alkoxy, C1-6alkanoyl, C1-6alkanoyloxy, N—(C1-6alkyl)amino, N,N—(C1-6alkyl)2amino, C1-6alkanoylamino, N—(C1-6alkyl)carbamoyl, N,N—(C1-6alkyl)2carbamoyl, C1-6alkylS(O)a wherein a is 0 to 2, C1-6alkoxycarbonyl, N—(C1-6alkyl)sulphamoyl and N,N—(C1-6alkyl)2sulphamoyl;
n is 0-5;
one of R4 and R5 is a group of formula (VIA):
R3 and R6 and the other of R4 and R5 are independently selected from hydrogen, halo, nitro, cyano, hydroxy, amino, carboxy, carbamoyl, mercapto, sulphamoyl, C1-6alkyl, C2-6alkenyl, C2-6alkynyl, C1-6alkoxy, C1-6alkanoyl, C1-6alkanoyloxy, N—(C1-6alkyl)amino, N,N—(C1-6alkyl)2amino, C1-6alkanoylamino, N—(C1-6alkyl)carbamoyl, N,N—(C1-6alkyl)2carbamoyl, C1-6alkylS(O)a wherein a is 0 to 2, C1-6alkoxycarbonyl, N—(C1-6alkyl)sulphamoyl and N,N—(C1-6alkyl)2sulphamoyl; wherein R3 and R6 and the other of R4 and R5 may be optionally substituted on carbon by one or more R17;
X is —O—, —N(Ra)—, —S(O)b— or —CH(Ra)—; wherein Ra is hydrogen or C1-6alkyl and b is 0-2;
Ring A is aryl or heteroaryl; wherein Ring A is optionally substituted on carbon by one or more substituents selected from R18;
R7 is hydrogen, C1-6alkyl, carbocyclyl or heterocyclyl; wherein R7 is optionally substituted on carbon by one or more substituents selected from R19; and wherein if said heterocyclyl contains an —NH— group, that nitrogen may be optionally substituted by a group selected from R20;
R8 is hydrogen or C1-6alkyl;
R9 is hydrogen or C1-6alkyl;
R10 is hydrogen, halo, nitro, cyano, hydroxy, amino, carbamoyl, mercapto, sulphamoyl, hydroxyaminocarbonyl, C1-10alkyl, C2-10alkenyl, C2-10alkynyl, C1-10alkoxy, C1-10alkanoyl, C1-10alkanoyloxy, N—(C1-10alkyl)amino, N,N—(C1-10alkyl)2amino, N,N,N—(C1-10alkyl)3ammonio, C1-10alkanoylamino, N—(C1-10alkyl)carbamoyl, N,N—(C1-10alkyl)2carbamoyl, C1-10alkylS(O)a wherein a is 0 to 2, N—(C1-10alkyl)sulphamoyl, N,N—(C1-10alkyl)2sulphamoyl, N—(C1-10alkyl)sulphamoylamino, N,N—(C1-10alkyl)2sulphamoylamino, C1-10alkoxycarbonylamino, carbocyclyl, carbocyclylC1-10alkyl, heterocyclyl, heterocyclylC1-10alkyl, carbocyclyl-(C1-10alkylene)p-R21—(C1-10alkylene)q- or heterocyclyl-(C1-10alkylene)r-R22—(C1-10alkylene)s-; wherein R10 is optionally substituted on carbon by one or more substituents selected from R23; and wherein if said heterocyclyl contains an —NH— group, that nitrogen may be optionally substituted by a group selected from R24; or R10 is a group of formula (VIB):
wherein:
R11 is hydrogen or C1-6alkyl;
R12 and R13 are independently selected from hydrogen, halo, nitro, cyano, hydroxy, amino, carbamoyl, mercapto, sulphamoyl, C1-10alkyl, C2-10alkenyl, C2-10alkynyl, C1-10alkoxy, C1-10alkanoyl, C1-10alkanoyloxy, N—(C1-10alkyl)amino, N,N—(C1-10alkyl)2amino, C1-10alkanoylamino, N—(C1-10alkyl)carbamoyl, N,N—(C1-10alkyl)2carbamoyl, C1-10alkylS(O)a wherein a is 0 to 2, N—(C1-10alkyl)sulphamoyl, N,N—(C1-10alkyl)2sulphamoyl, N—(C1-10alkyl)sulphamoylamino, N,N—(C1-10alkyl)2sulphamoylamino, carbocyclyl or heterocyclyl; wherein R12 and R13 may be independently optionally substituted on carbon by one or more substituents selected from R25; and wherein if said heterocyclyl contains an —NH— group, that nitrogen may be optionally substituted by a group selected from R26;
R14 is selected from hydrogen, halo, nitro, cyano, hydroxy, amino, carbamoyl, mercapto, sulphamoyl, hydroxyaminocarbonyl, C1-10alkyl, C2-10alkenyl, C2-10alkynyl, C1-10alkoxy, C1-10alkanoyl, C1-10alkanoyloxy, N—(C1-10alkyl)amino, N,N—(C1-10alkyl)2amino, N,N,N—(C1-10alkyl)3ammonio, C1-10alkanoylamino, N—(C1-10alkyl)carbamoyl, N,N—(C1-10alkyl)2carbamoyl, C1-10alkylS(O)a wherein a is 0 to 2, N—(C1-10alkyl)sulphamoyl, N,N—(C1-10alkyl)2sulphamoyl, N—(C1-10alkyl)sulphamoylamino, N,N—(C1-10alkyl)2sulphamoylamino, C1-10alkoxycarbonylamino, carbocyclyl, carbocyclylC1-10alkyl, heterocyclyl, heterocyclylC1-10alkyl, carbocyclyl-(C1-10alkylene)p-R27—(C1-10alkylene)q- or heterocyclyl-(C1-10alkylene)r-R28—(C1-10alkylene)s-; wherein R14 may be optionally substituted on carbon by one or more substituents selected from R29; and wherein if said heterocyclyl contains an —NH— group, that nitrogen may be optionally substituted by a group selected from R30; or R14 is a group of formula (VIC):
R15 is hydrogen or C1-6alkyl;
R16 is hydrogen or C1-6alkyl; wherein R16 may be optionally substituted on carbon by one or more groups selected from R31;
n is 1-3; wherein the values of R7 may be the same or different;
R17, R18, R19, R23, R25, R29 or R31 are independently selected from halo, nitro, cyano, hydroxy, amino, carbamoyl, mercapto, sulphamoyl, hydroxyaminocarbonyl, amidino, C1-10alkyl, C2-10alkenyl, C2-10alkynyl, C1-10alkoxy, C1-10alkanoyl, C1-10alkanoyloxy, (C1-10alkyl)3silyl, N—(C1-10alkyl)amino, N,N—(C1-10alkyl)2amino, N,N,N—(C1-10alkyl)3ammonio, C1-10alkanoylamino, N—(C1-10alkyl)carbamoyl, N,N—(C1-10alkyl)2carbamoyl, C1-10alkylS(O)a wherein a is 0 to 2, N—(C1-10alkyl)sulphamoyl, N,N—(C1-10alkyl)2sulphamoyl, N—(C1-10alkyl)sulphamoylamino, N,N—(C1-10alkyl)2sulphamoylamino, C1-10alkoxycarbonylamino, carbocyclyl, carbocyclylC1-10alkyl, heterocyclyl, heterocyclylC1-10alkyl, carbocyclyl-(C1-10alkylene)p-R32—(C1-10alkylene)q- or heterocyclyl-(C1-10alkylene)r-R33—(C1-10alkylene)s-; wherein R17, R18, R19, R23, R25, R29 or R31 may be independently optionally substituted on carbon by one or more R34; and wherein if said heterocyclyl contains an —NH— group, that nitrogen may be optionally substituted by a group selected from R35;
R21, R22, R27, R28, R32 or R33 are independently selected from —O—, —NR36—, —S(O)x—, —NR36C(O)NR36—, —NR36C(S)NR36—, —OC(O)N═C—, —NR36C(O)— or —C(O)NR36—; wherein R36 is selected from hydrogen or C1-6alkyl, and x is 0-2;
p, q, r and s are independently selected from 0-2;
R34 is selected from halo, hydroxy, cyano, carbamoyl, ureido, amino, nitro, carbamoyl, mercapto, sulphamoyl, trifluoromethyl, trifluoromethoxy, methyl, ethyl, methoxy, ethoxy, vinyl, allyl, ethynyl, formyl, acetyl, formamido, acetylamino, acetoxy, methylamino, dimethylamino, N-methylcarbamoyl, N,N-dimethylcarbamoyl, methylthio, methylsulphinyl, mesyl, N-methylsulphamoyl, N,N-dimethylsulphamoyl, N-methylsulphamoylamino and N,N-dimethylsulphamoylamino;
R20, R24, R26, R30 or R35 are independently selected from C1-6alkyl, C1-6alkanoyl, C1-6alkylsulphonyl, C1-6alkoxycarbonyl, carbamoyl, N—(C1-6alkyl)carbamoyl, N,N—(C1-6alkyl)carbamoyl, benzyl, benzyloxycarbonyl, benzoyl and phenylsulphonyl;
or a pharmaceutically acceptable salt, solvate or solvate of such a salt, or an in vivo hydrolysable ester formed on an available carboxy or hydroxy thereof, or an in vivo hydrolysable amide formed on an available carboxy thereof.
Priority Applications (8)
| Application Number | Priority Date | Filing Date | Title |
|---|---|---|---|
| US13/866,906 US20130338093A1 (en) | 2011-10-28 | 2013-04-19 | Bile Acid Recycling Inhibitors for Treatment of Pediatric Cholestatic Liver Diseases |
| US15/137,323 US10512657B2 (en) | 2011-10-28 | 2016-04-25 | Bile acid recycling inhibitors for treatment of pediatric cholestatic liver diseases |
| US15/699,478 US20170368085A1 (en) | 2011-10-28 | 2017-09-08 | Bile acid recycling inhibitors for treatment of pediatric cholestatic liver diseases |
| US16/679,864 US11229661B2 (en) | 2011-10-28 | 2019-11-11 | Bile acid recycling inhibitors for treatment of pediatric cholestatic liver diseases |
| US16/679,894 US20200069715A1 (en) | 2011-10-28 | 2019-11-11 | Bile acid recycling inhibitors for treatment of pediatric cholestatic liver diseases |
| US17/498,586 US11376251B2 (en) | 2011-10-28 | 2021-10-11 | Bile acid recycling inhibitors for treatment of pediatric cholestatic liver diseases |
| US17/730,737 US12350267B2 (en) | 2011-10-28 | 2022-04-27 | Bile acid recycling inhibitors for treatment of pediatric cholestatic liver diseases |
| US19/215,124 US20250281482A1 (en) | 2011-10-28 | 2025-05-21 | Bile acid recycling inhibitors for treatment of pediatric cholestatic liver diseases |
Applications Claiming Priority (5)
| Application Number | Priority Date | Filing Date | Title |
|---|---|---|---|
| US201161553094P | 2011-10-28 | 2011-10-28 | |
| US201261607487P | 2012-03-06 | 2012-03-06 | |
| US201261607503P | 2012-03-06 | 2012-03-06 | |
| US13/662,387 US20130109671A1 (en) | 2011-10-28 | 2012-10-26 | Bile Acid Recycling Inhibitors for Treatment of Pediatric Cholestatic Liver Diseases |
| US13/866,906 US20130338093A1 (en) | 2011-10-28 | 2013-04-19 | Bile Acid Recycling Inhibitors for Treatment of Pediatric Cholestatic Liver Diseases |
Related Parent Applications (1)
| Application Number | Title | Priority Date | Filing Date |
|---|---|---|---|
| US13/662,387 Continuation US20130109671A1 (en) | 2011-10-28 | 2012-10-26 | Bile Acid Recycling Inhibitors for Treatment of Pediatric Cholestatic Liver Diseases |
Related Child Applications (1)
| Application Number | Title | Priority Date | Filing Date |
|---|---|---|---|
| US15/137,323 Continuation US10512657B2 (en) | 2011-10-28 | 2016-04-25 | Bile acid recycling inhibitors for treatment of pediatric cholestatic liver diseases |
Publications (1)
| Publication Number | Publication Date |
|---|---|
| US20130338093A1 true US20130338093A1 (en) | 2013-12-19 |
Family
ID=48168608
Family Applications (10)
| Application Number | Title | Priority Date | Filing Date |
|---|---|---|---|
| US14/354,548 Abandoned US20140243281A1 (en) | 2011-10-28 | 2012-10-26 | Bile acid recycling inhibitors for treatment of pediatric cholestatic liver diseases |
| US13/662,387 Abandoned US20130109671A1 (en) | 2011-10-28 | 2012-10-26 | Bile Acid Recycling Inhibitors for Treatment of Pediatric Cholestatic Liver Diseases |
| US13/866,906 Abandoned US20130338093A1 (en) | 2011-10-28 | 2013-04-19 | Bile Acid Recycling Inhibitors for Treatment of Pediatric Cholestatic Liver Diseases |
| US15/137,323 Active US10512657B2 (en) | 2011-10-28 | 2016-04-25 | Bile acid recycling inhibitors for treatment of pediatric cholestatic liver diseases |
| US15/699,478 Abandoned US20170368085A1 (en) | 2011-10-28 | 2017-09-08 | Bile acid recycling inhibitors for treatment of pediatric cholestatic liver diseases |
| US16/679,864 Active US11229661B2 (en) | 2011-10-28 | 2019-11-11 | Bile acid recycling inhibitors for treatment of pediatric cholestatic liver diseases |
| US16/679,894 Abandoned US20200069715A1 (en) | 2011-10-28 | 2019-11-11 | Bile acid recycling inhibitors for treatment of pediatric cholestatic liver diseases |
| US17/498,586 Active US11376251B2 (en) | 2011-10-28 | 2021-10-11 | Bile acid recycling inhibitors for treatment of pediatric cholestatic liver diseases |
| US17/730,737 Active 2034-06-20 US12350267B2 (en) | 2011-10-28 | 2022-04-27 | Bile acid recycling inhibitors for treatment of pediatric cholestatic liver diseases |
| US19/215,124 Pending US20250281482A1 (en) | 2011-10-28 | 2025-05-21 | Bile acid recycling inhibitors for treatment of pediatric cholestatic liver diseases |
Family Applications Before (2)
| Application Number | Title | Priority Date | Filing Date |
|---|---|---|---|
| US14/354,548 Abandoned US20140243281A1 (en) | 2011-10-28 | 2012-10-26 | Bile acid recycling inhibitors for treatment of pediatric cholestatic liver diseases |
| US13/662,387 Abandoned US20130109671A1 (en) | 2011-10-28 | 2012-10-26 | Bile Acid Recycling Inhibitors for Treatment of Pediatric Cholestatic Liver Diseases |
Family Applications After (7)
| Application Number | Title | Priority Date | Filing Date |
|---|---|---|---|
| US15/137,323 Active US10512657B2 (en) | 2011-10-28 | 2016-04-25 | Bile acid recycling inhibitors for treatment of pediatric cholestatic liver diseases |
| US15/699,478 Abandoned US20170368085A1 (en) | 2011-10-28 | 2017-09-08 | Bile acid recycling inhibitors for treatment of pediatric cholestatic liver diseases |
| US16/679,864 Active US11229661B2 (en) | 2011-10-28 | 2019-11-11 | Bile acid recycling inhibitors for treatment of pediatric cholestatic liver diseases |
| US16/679,894 Abandoned US20200069715A1 (en) | 2011-10-28 | 2019-11-11 | Bile acid recycling inhibitors for treatment of pediatric cholestatic liver diseases |
| US17/498,586 Active US11376251B2 (en) | 2011-10-28 | 2021-10-11 | Bile acid recycling inhibitors for treatment of pediatric cholestatic liver diseases |
| US17/730,737 Active 2034-06-20 US12350267B2 (en) | 2011-10-28 | 2022-04-27 | Bile acid recycling inhibitors for treatment of pediatric cholestatic liver diseases |
| US19/215,124 Pending US20250281482A1 (en) | 2011-10-28 | 2025-05-21 | Bile acid recycling inhibitors for treatment of pediatric cholestatic liver diseases |
Country Status (23)
| Country | Link |
|---|---|
| US (10) | US20140243281A1 (en) |
| EP (2) | EP2771003B1 (en) |
| JP (4) | JP6217938B2 (en) |
| KR (2) | KR20190134828A (en) |
| CN (2) | CN107375932B (en) |
| AU (3) | AU2012328526B2 (en) |
| BR (1) | BR112014010223B8 (en) |
| CA (1) | CA2853285C (en) |
| DK (1) | DK2771003T3 (en) |
| EA (2) | EA201891154A1 (en) |
| ES (1) | ES2633766T3 (en) |
| FI (1) | FIC20230019I1 (en) |
| FR (1) | FR23C1022I2 (en) |
| HK (1) | HK1248117A1 (en) |
| IL (2) | IL232150A (en) |
| MX (3) | MX369466B (en) |
| NL (1) | NL301234I2 (en) |
| NO (1) | NO2023023I1 (en) |
| PL (1) | PL2771003T3 (en) |
| PT (1) | PT2771003T (en) |
| SG (3) | SG10201909122QA (en) |
| WO (1) | WO2013063512A1 (en) |
| ZA (3) | ZA201403368B (en) |
Cited By (7)
| Publication number | Priority date | Publication date | Assignee | Title |
|---|---|---|---|---|
| US20130108573A1 (en) * | 2011-10-28 | 2013-05-02 | Lumena Pharmaceuticals, Inc. | Bile Acid Recycling Inhibitors for Treatment of Hypercholemia and Cholestatic Liver Disease |
| WO2015175381A1 (en) | 2014-05-12 | 2015-11-19 | Conatus Pharmaceuticals, Inc. | Treatment of the complications of chronic liver disease with caspase inhibitors |
| WO2016064082A3 (en) * | 2014-10-20 | 2016-06-09 | 씨제이헬스케어 주식회사 | Novel aminoalkyl benzothiazepine derivative and use thereof |
| WO2017117478A1 (en) | 2015-12-31 | 2017-07-06 | Conatus Pharmaceuticals Inc. | Methods of using caspase inhibitors in treatment of liver disease |
| US10512657B2 (en) | 2011-10-28 | 2019-12-24 | Lumena Pharmaceutials Llc | Bile acid recycling inhibitors for treatment of pediatric cholestatic liver diseases |
| US11273123B2 (en) | 2018-07-18 | 2022-03-15 | USpharma Ltd | Chewable pharmaceutical dosage forms |
| US12390416B2 (en) | 2018-07-18 | 2025-08-19 | USpharma Ltd | Chewable pharmaceutical dosage forms |
Families Citing this family (51)
| Publication number | Priority date | Publication date | Assignee | Title |
|---|---|---|---|---|
| CA2683728C (en) | 2007-04-13 | 2016-03-29 | Nike International Ltd. | Vision cognition and coordination testing and training |
| CA2815749C (en) | 2010-11-04 | 2019-12-03 | Albireo Ab | Ibat inhibitors for the treatment of liver diseases |
| AU2014228850A1 (en) * | 2013-03-15 | 2015-10-29 | Lumena Pharmaceuticals Llc | Bile acid recycling inhibitors for treatment of primary sclerosing cholangitis and inflammatory bowel disease |
| JO3301B1 (en) | 2013-04-26 | 2018-09-16 | Albireo Ab | Crystal modifications of elobixibat |
| JP6751020B2 (en) | 2014-06-25 | 2020-09-02 | Eaファーマ株式会社 | Solid preparation and method for preventing or reducing coloration thereof |
| EP3012252A1 (en) | 2014-10-24 | 2016-04-27 | Ferring BV | Crystal modifications of elobixibat |
| CN104324307A (en) * | 2014-10-24 | 2015-02-04 | 济南高达信息技术有限公司 | Traditional Chinese medicinal oral liquid preparation for treating fatty diarrhea and preparation method thereof |
| HRP20200690T1 (en) | 2015-05-20 | 2020-07-24 | Amgen Inc. | Triazole agonists of the apj receptor |
| KR101632839B1 (en) | 2015-07-10 | 2016-06-23 | 아주대학교산학협력단 | Pharmaceutical compositions for preventing or treating liver cirrhosis or fibrosis comprising resveratrol derivative |
| US10786529B2 (en) | 2016-02-09 | 2020-09-29 | Albireo Ab | Oral cholestyramine formulation and use thereof |
| US10441605B2 (en) | 2016-02-09 | 2019-10-15 | Albireo Ab | Oral cholestyramine formulation and use thereof |
| US10441604B2 (en) | 2016-02-09 | 2019-10-15 | Albireo Ab | Cholestyramine pellets and methods for preparation thereof |
| WO2017192485A1 (en) | 2016-05-03 | 2017-11-09 | Amgen Inc. | Heterocyclic triazole compounds as agonists of the apj receptor |
| WO2018093579A1 (en) | 2016-11-16 | 2018-05-24 | Amgen Inc. | Triazole phenyl compounds as agonists of the apj receptor |
| EP3541805B1 (en) | 2016-11-16 | 2020-10-14 | Amgen Inc. | Heteroaryl-substituted triazoles as apj receptor agonists |
| WO2018097944A1 (en) | 2016-11-16 | 2018-05-31 | Amgen Inc. | Triazole furan compounds as agonists of the apj receptor |
| MA46824A (en) | 2016-11-16 | 2019-09-25 | Amgen Inc | ALKYL SUBSTITUTED TRIAZOLE COMPOUNDS AS APJ RECEPTOR AGONISTS |
| WO2018093580A1 (en) | 2016-11-16 | 2018-05-24 | Amgen Inc. | Triazole pyridyl compounds as agonists of the apj receptor |
| MA46827A (en) | 2016-11-16 | 2019-09-25 | Amgen Inc | CYCLOALKYL SUBSTITUTE TRIAZOLE COMPOUNDS AS APJ RECEPTOR AGONISTS |
| SG11201907084VA (en) * | 2017-02-24 | 2019-09-27 | Genfit | Pharmaceutical compositions for combination therapy |
| CA3071285A1 (en) | 2017-08-09 | 2019-02-14 | Albireo Ab | Cholestyramine granules, oral cholestyramine formulations and use thereof |
| MA50509A (en) | 2017-11-03 | 2021-06-02 | Amgen Inc | APJ RECEPTOR FUSED TRIAZOLE AGONISTS |
| TW201943410A (en) * | 2018-04-10 | 2019-11-16 | 荷蘭商帝斯曼知識產權資產管理有限公司 | Multiparticulate solid dosage form having an elastic texture |
| US11807624B2 (en) | 2018-05-01 | 2023-11-07 | Amgen Inc. | Substituted pyrimidinones as agonists of the APJ receptor |
| US10793534B2 (en) | 2018-06-05 | 2020-10-06 | Albireo Ab | Benzothia(di)azepine compounds and their use as bile acid modulators |
| TW202015699A (en) | 2018-06-05 | 2020-05-01 | 瑞典商艾爾比瑞歐公司 | Benzothia(di)azepine compounds and their use as bile acid modulators |
| WO2019245448A1 (en) * | 2018-06-20 | 2019-12-26 | Albireo Ab | Crystal modifications of odevixibat |
| US11801226B2 (en) | 2018-06-20 | 2023-10-31 | Albireo Ab | Pharmaceutical formulation of odevixibat |
| US11007142B2 (en) | 2018-08-09 | 2021-05-18 | Albireo Ab | Oral cholestyramine formulation and use thereof |
| US11549878B2 (en) | 2018-08-09 | 2023-01-10 | Albireo Ab | In vitro method for determining the adsorbing capacity of an insoluble adsorbant |
| US10722457B2 (en) | 2018-08-09 | 2020-07-28 | Albireo Ab | Oral cholestyramine formulation and use thereof |
| US10941127B2 (en) | 2019-02-06 | 2021-03-09 | Albireo Ab | Benzothiadiazepine compounds and their use as bile acid modulators |
| MX2021008981A (en) | 2019-02-06 | 2021-09-08 | Albireo Ab | BENZOTHIADIAZEPINE COMPOUNDS AND THEIR USE AS BILE ACID MODULATORS. |
| US10975045B2 (en) | 2019-02-06 | 2021-04-13 | Aibireo AB | Benzothiazepine compounds and their use as bile acid modulators |
| WO2020167964A1 (en) | 2019-02-12 | 2020-08-20 | Mirum Pharmaceuticals, Inc. | Genotype and dose-dependent response to an asbti in patients with bile salt export pump deficiency |
| BR112022010505A2 (en) | 2019-12-04 | 2022-09-06 | Albireo Ab | BENZOTHYA(DI)AZEPINE COMPOUNDS AND THEIR USE AS BILIARY ACID MODULATION |
| US11014898B1 (en) | 2020-12-04 | 2021-05-25 | Albireo Ab | Benzothiazepine compounds and their use as bile acid modulators |
| CN114761018B (en) | 2019-12-04 | 2025-12-02 | 阿尔比里奥公司 | Benzothiazazacycloheptatriene compounds and their uses as bile acid regulators |
| CN114761080B (en) | 2019-12-04 | 2024-07-23 | 阿尔比里奥公司 | Benzothia(di)azepine compounds and their use as bile acid regulators |
| CN114786772B (en) | 2019-12-04 | 2024-04-09 | 阿尔比里奥公司 | Benzothia(di)azepine compounds and their use as bile acid regulators |
| TWI877263B (en) * | 2019-12-04 | 2025-03-21 | 瑞典商艾爾比瑞歐公司 | Benzothiadiazepine compounds and their use as bile acid modulators |
| CA3186857A1 (en) | 2020-08-03 | 2022-02-10 | Per-Goran Gillberg | Benzothia(di)azepine compounds and their use as bile acid modulators |
| JP2023549226A (en) | 2020-11-12 | 2023-11-22 | アルビレオ エービー | Odevixibat for the treatment of progressive familial intrahepatic cholestasis (PFIC) |
| CN116710100A (en) * | 2020-11-12 | 2023-09-05 | 阿尔比里奥公司 | Odyscibate for the treatment of progressive familial intrahepatic cholestasis (PFIC) |
| WO2022117778A1 (en) | 2020-12-04 | 2022-06-09 | Albireo Ab | Benzothia(di)azepine compounds and their use as bile acid modulators |
| US20240366785A1 (en) * | 2021-05-24 | 2024-11-07 | Audentes Therapeutics, Inc. | Compositions and methods for improved treatment of x-linked myotubular myopathy |
| TW202313579A (en) | 2021-06-03 | 2023-04-01 | 瑞典商艾爾比瑞歐公司 | Benzothia(di)azepine compounds and their use as bile acid modulators |
| TW202333722A (en) * | 2021-10-26 | 2023-09-01 | 美商米魯姆製藥公司 | Apical sodium-dependent transporter inhibitor compositions |
| TW202333723A (en) * | 2021-10-26 | 2023-09-01 | 美商米魯姆製藥公司 | Methods of dosing of apical sodium-dependent bile acid transporter inhibitors (asbtis) |
| JP2025516153A (en) | 2022-04-22 | 2025-05-27 | アルビレオ・アクチボラグ | Subcutaneous administration of ASBT inhibitors |
| CN116421590B (en) * | 2023-06-14 | 2023-08-29 | 深圳市第二人民医院(深圳市转化医学研究院) | Application of chlorhexidine diacetate in preparing medicine for preventing or/and treating liver cancer |
Citations (6)
| Publication number | Priority date | Publication date | Assignee | Title |
|---|---|---|---|---|
| US4997665A (en) * | 1989-10-05 | 1991-03-05 | Michigan Biotechnology Institute | Dietary fibers and a process for their production |
| US20020004065A1 (en) * | 2000-01-20 | 2002-01-10 | David Kanios | Compositions and methods to effect the release profile in the transdermal administration of active agents |
| US6586434B2 (en) * | 2000-03-10 | 2003-07-01 | G.D. Searle, Llc | Method for the preparation of tetrahydrobenzothiepines |
| WO2008058630A1 (en) * | 2006-11-14 | 2008-05-22 | Sanofi-Aventis Deutschland Gmbh | Novel 1,4-benzothiepin-1,1-dioxide derivatives which are substituted with fluorine, method for producing the same, drugs containing said compounds and use thereof |
| US20130108573A1 (en) * | 2011-10-28 | 2013-05-02 | Lumena Pharmaceuticals, Inc. | Bile Acid Recycling Inhibitors for Treatment of Hypercholemia and Cholestatic Liver Disease |
| US20130109671A1 (en) * | 2011-10-28 | 2013-05-02 | Lumena Pharmaceuticals, Inc. | Bile Acid Recycling Inhibitors for Treatment of Pediatric Cholestatic Liver Diseases |
Family Cites Families (287)
| Publication number | Priority date | Publication date | Assignee | Title |
|---|---|---|---|---|
| BE580490A (en) | 1958-07-15 | 1960-01-08 | Merck & Co Inc | Compositions and methods for lowering the cholesterol content of the blood |
| US3308020A (en) | 1961-09-22 | 1967-03-07 | Merck & Co Inc | Compositions and method for binding bile acids in vivo including hypocholesteremics |
| US3383281A (en) | 1961-09-22 | 1968-05-14 | Merck & Co Inc | Method for binding bile acids in vivo |
| US3389144A (en) | 1965-06-08 | 1968-06-18 | Mcneilab Inc | 5-pyridyl-2, 3, 4, 5-tetrahydrobenzothiepin-5-ols |
| US3287370A (en) | 1965-06-08 | 1966-11-22 | Mcneilab Inc | Tetrahydrobenzothiepins |
| DE1593760A1 (en) | 1967-02-01 | 1972-06-08 | Boehringer Sohn Ingelheim | Process for the production of new benz-epine derivatives |
| US3444176A (en) | 1967-04-28 | 1969-05-13 | Mcneilab Inc | Certain 4-diloweralkylamino-lower alkyl - 5 - pyridyl (or phenyl)-2,3-dihydro - 1 - benzothiepins and derivatives thereof |
| GB1269551A (en) | 1969-03-27 | 1972-04-06 | Science Union & Cie | New tricyclic derivatives and process for their manufacture |
| NL7017227A (en) | 1969-12-27 | 1971-06-29 | ||
| US3694446A (en) | 1970-02-24 | 1972-09-26 | William J Houlihan | 5-(substituted-benzyl)-benzocycloheptenes and-1-benzthiepines |
| CH531000A (en) | 1970-03-11 | 1972-11-30 | Sandoz Ag | Process for the preparation of new benzocycloheptathiophenes |
| CH537404A (en) | 1970-09-24 | 1973-05-31 | Sandoz Ag | Benzocyclo heptathiophene prodn - esp 4-(amino alkylidene) -4h- benzo (4,5) cyclohepta(1,2-b) thiophene-10 (9h) - ones from the |
| US3758528A (en) | 1970-03-13 | 1973-09-11 | Science Union & Cie | Tricyclic compounds |
| US3821249A (en) | 1970-03-13 | 1974-06-28 | En Nom Collectif Science Union | Dibenzothiazefin derivatives |
| GB1348642A (en) | 1970-10-15 | 1974-03-20 | Howard A N | Hypocholesterolaemic compositions |
| US3769399A (en) | 1971-03-05 | 1973-10-30 | L Hagerman | Intestinal bile acid binding process and compositions |
| GB1428110A (en) | 1972-05-30 | 1976-03-17 | Reckitt & Colmann Prod Ltd | Pharmaceutical antihypertensive and vasodilator compositions |
| US3974272A (en) | 1972-09-01 | 1976-08-10 | Merck & Co., Inc. | Palatable cholestyramine coacervate compositions |
| CH582699A5 (en) | 1973-03-26 | 1976-12-15 | Sandoz Ag | |
| CH593970A5 (en) | 1973-03-30 | 1977-12-30 | Hoffmann La Roche | 10-(4-Substd. piperazino) dibenzo (b,f) thiepins - CNS depressants without cataleptic side-effects |
| US3954764A (en) | 1973-03-30 | 1976-05-04 | Hoffmann-La Roche Inc. | Dibenzo [b,f]thiepins bearing piperazinyl substitution |
| US4044010A (en) | 1973-03-30 | 1977-08-23 | Hoffmann-La Roche Inc. | Dibenzo[b,f] thiepins bearing piperazinyl substitution |
| US3928383A (en) | 1973-06-08 | 1975-12-23 | Hoffmann La Roche | Propynylamine-substituted dibenzo{8 b,f{9 thiepins and dibenz{8 b,f{9 oxepins |
| SE7504508L (en) | 1974-05-10 | 1975-11-11 | Ciba Geigy Ag | NEW HETEROCYCLIC S-IMINO-S-OXIDES. |
| SE420725B (en) | 1974-09-26 | 1981-10-26 | Ciba Geigy Ag | SET TO PREPARE 2,3-DIHYDRO-1-BENSTIEPIN-4-CARBOXYLIC ACID AMID |
| US4252790A (en) | 1974-10-23 | 1981-02-24 | Interx Research Corporation | Method for treating gastric ulcer-prone patients |
| GB1566609A (en) | 1977-03-10 | 1980-05-08 | Reckitt & Colmann Prod Ltd | Pharmaceutical compositions containing cholestyramine and alginic acid |
| US4153612A (en) | 1977-10-31 | 1979-05-08 | The Upjohn Company | 2-Benzoxepins |
| US4251526A (en) | 1977-10-31 | 1981-02-17 | Mccall John M | 2-Benzothiepins and compositions and methods of use therefore |
| US4207239A (en) | 1977-10-31 | 1980-06-10 | The Upjohn Company | Benzothiepins |
| US4247553A (en) | 1977-10-31 | 1981-01-27 | The Upjohn Company | Methods of treating psychosis |
| US4247533A (en) | 1978-05-01 | 1981-01-27 | The Rockefeller University | Hemoglobin A1c radioimmunoassay |
| IT1106718B (en) | 1978-12-21 | 1985-11-18 | Alfa Farmaceutici Spa | PHARMACOLOGICALLY ACTIVE SALONIZED ANIONIC RESIN BASED COMPOSITIONS |
| US5169857A (en) | 1988-01-20 | 1992-12-08 | Bayer Aktiengesellschaft | 7-(polysubstituted pyridyl)-hept-6-endates useful for treating hyperproteinaemia, lipoproteinaemia or arteriosclerosis |
| AU548253B2 (en) | 1981-05-11 | 1985-12-05 | Pierre Fabre S.A. | Benzoxepine derivatives and sulphur and nitrogen analogues thereof |
| US4647459A (en) | 1983-07-20 | 1987-03-03 | Warner-Lambert Company | Confectionery compositions containing magnesium trisilicate adsorbates |
| NO170760C (en) | 1985-01-10 | 1992-12-02 | Tanabe Seiyaku Co | ANALOGY PROCEDURE FOR THE PREPARATION OF THERAPEUTICALLY ACTIVE NAPHENSE DERIVATIVES |
| US4747881A (en) | 1985-02-05 | 1988-05-31 | Warner-Lambert Company | Ingestible aggregate and delivery system prepared therefrom |
| AU597671B2 (en) | 1986-06-20 | 1990-06-07 | Suntory Limited | 2-Phenylbenzoxepin derivative |
| JPS6310746A (en) | 1986-07-01 | 1988-01-18 | Tanabe Seiyaku Co Ltd | Naphthalene derivative |
| US4895723A (en) | 1986-09-08 | 1990-01-23 | Amer And Company | Cholestyramine compositions and method for preparation thereof |
| US4814354A (en) | 1986-09-26 | 1989-03-21 | Warner-Lambert Company | Lipid regulating agents |
| ZA876930B (en) | 1986-10-07 | 1988-05-25 | Hoffmann La Roche | Pharmaceutical compositions |
| AU626881B2 (en) | 1988-07-14 | 1992-08-13 | F. Hoffmann-La Roche Ag | Benzofused heterocyclics used as pharmaceuticals |
| US5164387A (en) | 1988-07-14 | 1992-11-17 | Hoffmann-Laroche Inc. | Condensed heterocyclic compounds |
| US5158943A (en) | 1988-11-21 | 1992-10-27 | Takeda Chemical Industries, Ltd. | Sulfur-containing heterocyclic compounds |
| US4874744A (en) | 1989-03-13 | 1989-10-17 | University Of Cincinnati | Method of using melanocyte stimulating hormone as dermatis treatment |
| US5275823A (en) | 1989-04-27 | 1994-01-04 | Smith Kline & French Laboratories Ltd. | Pharmaceutical compositions |
| DE3930696A1 (en) | 1989-09-14 | 1991-03-28 | Hoechst Ag | GALLENSAEUREDERIVATE, METHOD FOR THE PRODUCTION THEREOF, USE AS MEDICAMENT |
| FR2661676A1 (en) | 1990-05-02 | 1991-11-08 | Lipha | Aminobenzocycloalkane derivatives, preparation processes and medicaments containing them |
| IL100240A (en) | 1990-12-06 | 1995-10-31 | Hoechst Ag | Bile acid derivatives process for their preparation and use of these compounds as pharmaceuticals |
| IT1245890B (en) | 1991-04-12 | 1994-10-25 | Alfa Wassermann Spa | PHARMACEUTICAL FORMULATIONS FOR ORAL USE GASTRORESANTS CONTAINING BILE ACIDS. |
| AU1886892A (en) | 1991-04-12 | 1992-11-17 | Schering Corporation | Bicyclic amides as inhibitors of acyl-coenzyme a: cholesterol acyl transferase |
| ES2129733T3 (en) | 1991-10-17 | 1999-06-16 | Shionogi & Co | PROCEDURE FOR THE PREPARATION OF LIGNIN ANALOGS AND STARTING PRODUCTS FOR THESE. |
| ES2087422T3 (en) | 1991-12-20 | 1996-07-16 | Hoechst Ag | POLYMERS AND OLIGOMERS OF BILIAR ACID DERIVATIVES, PROCEDURE FOR THEIR PREPARATION AND USE AS A MEDICINE. |
| GB9203347D0 (en) | 1992-02-17 | 1992-04-01 | Wellcome Found | Hypolipidaemic compounds |
| ATE160783T1 (en) | 1992-06-12 | 1997-12-15 | Hoechst Ag | BALE ACID DERIVATIVES, METHOD FOR THE PRODUCTION THEREOF AND USE OF THESE COMPOUNDS AS MEDICINAL PRODUCTS |
| US5415872A (en) | 1992-06-22 | 1995-05-16 | Digestive Care Inc. | Compositions of gastric acid-resistant microspheres containing salts of bile acids |
| FR2698873B1 (en) | 1992-12-07 | 1995-02-24 | Lipha | Benzocycloheptenes, benzoxepines and benzothiepins activators of potassium channels, preparation process, pharmaceutical composition containing them. |
| IL108634A0 (en) | 1993-02-15 | 1994-05-30 | Wellcome Found | Hypolipidaemic heterocyclic compounds, their prepatation and pharmaceutical compositions containing them |
| ZA941003B (en) | 1993-02-15 | 1995-08-14 | Wellcome Found | Hypolipidaemic compounds |
| US5594001A (en) | 1993-04-08 | 1997-01-14 | The Dupont Merck Pharmaceutical Company | Polycyclic systems, and derivatives thereof, as neurotransmitter release enhancers useful in the treatment of cognitive disorders |
| US5488134A (en) | 1993-04-16 | 1996-01-30 | Shionogi & Co., Ltd. | Preparation of compounds of lignan series |
| DE4314583A1 (en) | 1993-04-29 | 1994-11-03 | Astra Chem Gmbh | Composition containing colestyramine and process for its preparation |
| TW289020B (en) | 1993-05-08 | 1996-10-21 | Hoechst Sktiengesellschaft | |
| TW289021B (en) | 1993-05-08 | 1996-10-21 | Hoechst Ag | |
| EP0624593A3 (en) | 1993-05-08 | 1995-06-07 | Hoechst Ag | Bile acid derivatives, a process for their production and use as medicaments. |
| US5607669A (en) | 1994-06-10 | 1997-03-04 | Geltex Pharmaceuticals, Inc. | Amine polymer sequestrant and method of cholesterol depletion |
| DE59407041D1 (en) * | 1993-08-30 | 1998-11-12 | Medichemie Ag | Medicinal product containing ursodeoxycholic acid in liquid dosage form |
| US5589358A (en) | 1993-12-29 | 1996-12-31 | Univ Wake Forest | Ileal bile acid transporter compositions and methods |
| US5491152A (en) | 1994-03-23 | 1996-02-13 | The Du Pont Merck Pharmaceutical Company | Derivatives of cyclic ethers and sulfides for the treatment of atherosclerosis |
| TW474813B (en) | 1994-06-10 | 2002-02-01 | Geltex Pharma Inc | Alkylated composition for removing bile salts from a patient |
| KR970005178Y1 (en) | 1994-07-06 | 1997-05-24 | 김상수 | Improved furnace tube boiler |
| ZA956647B (en) | 1994-08-10 | 1997-02-10 | Wellcome Found | Hypolipidaemic compounds. |
| US6642268B2 (en) | 1994-09-13 | 2003-11-04 | G.D. Searle & Co. | Combination therapy employing ileal bile acid transport inhibiting benzothipines and HMG Co-A reductase inhibitors |
| US6268392B1 (en) | 1994-09-13 | 2001-07-31 | G. D. Searle & Co. | Combination therapy employing ileal bile acid transport inhibiting benzothiepines and HMG Co-A reductase inhibitors |
| US6107494A (en) | 1994-09-13 | 2000-08-22 | G.D. Searle And Company | Substituted 5-aryl-benzothiepines having activity as inhibitors of ileal bile acid transport and taurocholate uptake |
| CN1084741C (en) | 1994-09-13 | 2002-05-15 | 孟山都公司 | New benzothiodines that act as inhibitors of ileal bile acid transport and taurocholate uptake |
| US5994391A (en) | 1994-09-13 | 1999-11-30 | G.D. Searle And Company | Benzothiepines having activity as inhibitors of ileal bile acid transport and taurocholate uptake |
| US6262277B1 (en) | 1994-09-13 | 2001-07-17 | G.D. Searle And Company | Intermediates and processes for the preparation of benzothiepines having activity as inhibitors of ileal bile acid transport and taurocholate uptake |
| US5547975A (en) | 1994-09-20 | 1996-08-20 | Talley; John J. | Benzopyranopyrazolyl derivatives for the treatment of inflammation |
| US6034118A (en) | 1994-11-04 | 2000-03-07 | Gilead Sciences, Inc. | Thiepane compounds |
| GB9423172D0 (en) | 1994-11-17 | 1995-01-04 | Wellcom Foundation The Limited | Hypolipidemic benzothiazepines |
| US5721103A (en) | 1994-12-30 | 1998-02-24 | Ligand Pharmaceuticals Incorporated | Trienoic retinoid compounds and methods |
| US6861053B1 (en) | 1999-08-11 | 2005-03-01 | Cedars-Sinai Medical Center | Methods of diagnosing or treating irritable bowel syndrome and other disorders caused by small intestinal bacterial overgrowth |
| US5798374A (en) | 1995-06-07 | 1998-08-25 | Sugen Inc. | Methods of inhibiting phosphatase activity and treatment of disorders associated therewith |
| TWI238064B (en) | 1995-06-20 | 2005-08-21 | Takeda Chemical Industries Ltd | A pharmaceutical composition for prophylaxis and treatment of diabetes |
| US5886016A (en) | 1995-09-15 | 1999-03-23 | G.D. Searle & Co. | Benzopyranopyrazolyl derivatives for the treatment of inflammation |
| DE69636783T2 (en) | 1995-11-02 | 2007-10-18 | Warner-Lambert Co. Llc | METHOD AND PHARMACEUTICAL COMPOSITION FOR REGULATING LIPID CONCENTRATION |
| WO1997025864A1 (en) * | 1996-01-16 | 1997-07-24 | University Technology Corporation | Use of antioxidant agents to treat cholestatic liver disease |
| GB9601697D0 (en) | 1996-01-27 | 1996-03-27 | Pfizer Ltd | Therapeutic agents |
| CN1515567A (en) | 1996-03-11 | 2004-07-28 | G.D.ɪ����˾ | Novel benzothiepines having activity as inhibitors of ileal bile acid transport and taurocholate uptake |
| DE122010000020I1 (en) | 1996-04-25 | 2010-07-08 | Prosidion Ltd | Method for lowering the blood glucose level in mammals |
| JP2002508652A (en) | 1996-08-23 | 2002-03-19 | ヒューマン ジノーム サイエンシーズ,インコーポレイテッド | Novel human growth factor |
| JPH1072371A (en) | 1996-08-28 | 1998-03-17 | Sankyo Co Ltd | Inhibitor of ileum type bile acid transporter |
| US6251852B1 (en) | 1996-09-18 | 2001-06-26 | Merck & Co., Inc. | Combination therapy for reducing the risks associated with cardiovascular disease |
| US5908830A (en) | 1996-10-31 | 1999-06-01 | Merck & Co., Inc. | Combination therapy for the treatment of diabetes and obesity |
| GB9704208D0 (en) | 1997-02-28 | 1997-04-16 | Glaxo Group Ltd | Chemical compounds |
| MXPA99008417A (en) | 1997-03-11 | 2005-02-03 | Searle & Co | COMBINATION THERAPY EMPLOYING ILEAL BILE ACID TRANSPORT INHIBITING BENZOTHIEPINES AND HMG Co-A REDUCTASE INHIBITORS. |
| DK0864582T3 (en) | 1997-03-14 | 2003-09-29 | Aventis Pharma Gmbh | Hypolidemic 1,4-benzothiazepine-1,1-dioxides |
| DE19845402B4 (en) | 1998-10-02 | 2005-04-07 | Aventis Pharma Deutschland Gmbh | Heterocyclic substituted propanolamine derivatives, process for their preparation, pharmaceutical compositions containing them and their use |
| ES2223091T3 (en) | 1997-04-04 | 2005-02-16 | Aventis Pharma Deutschland Gmbh | HYPOLIPIDEMIC PROPANOLAMINE DERIVATIVES. |
| IT1292092B1 (en) | 1997-06-05 | 1999-01-25 | Geange Ltd | USE OF NITROGEN AROMATIC HETEROCYCLIC DERIVATIVES IN THE TOPICAL TREATMENT OF EPITHELIAL TISSUES |
| WO1998056757A1 (en) | 1997-06-11 | 1998-12-17 | Sankyo Company, Limited | Benzylamine derivatives |
| GB9714274D0 (en) | 1997-07-08 | 1997-09-10 | Zeneca Ltd | Pharmaceutical composition |
| US6180660B1 (en) | 1997-08-26 | 2001-01-30 | Merck & Co., Inc. | Cholesterol-lowering therapy |
| US6066336A (en) | 1997-09-29 | 2000-05-23 | Bristol-Myers Squibb Company | Cholesterol-lowering tablets |
| US5900233A (en) | 1997-10-16 | 1999-05-04 | Day; Charles E. | Epichlorohydrin and 1-(3-aminopropyl) imidazole copolymer and its use in treating irritable bowel syndrome |
| US6245797B1 (en) | 1997-10-22 | 2001-06-12 | Merck & Co., Inc. | Combination therapy for reducing the risks associated with cardio-and-cerebrovascular disease |
| US6083497A (en) | 1997-11-05 | 2000-07-04 | Geltex Pharmaceuticals, Inc. | Method for treating hypercholesterolemia with unsubstituted polydiallylamine polymers |
| DE19755480A1 (en) | 1997-12-13 | 1999-06-24 | Gruenenthal Gmbh | Substituted heterocyclic benzocycloalkenes and their use as analgesic substances |
| EP1042314B1 (en) | 1997-12-19 | 2003-03-19 | G.D. Searle & Co. | Method of preparing enantiomerically-enriched tetrahydrobenzothiepine oxides |
| GB9800428D0 (en) | 1998-01-10 | 1998-03-04 | Glaxo Group Ltd | Chemical compounds |
| CA2819705C (en) | 1998-02-02 | 2014-07-08 | Trustees Of Tufts College | Method of regulating glucose metabolism, and reagents related thereto |
| DE19825804C2 (en) | 1998-06-10 | 2000-08-24 | Aventis Pharma Gmbh | 1,4-Benzothiepin-1,1-dioxide derivatives, processes for their preparation and medicaments containing these compounds |
| US6221897B1 (en) | 1998-06-10 | 2001-04-24 | Aventis Pharma Deutschland Gmbh | Benzothiepine 1,1-dioxide derivatives, a process for their preparation, pharmaceuticals comprising these compounds, and their use |
| JP2000026300A (en) | 1998-07-02 | 2000-01-25 | Pola Chem Ind Inc | Pharmaceutical composition for protecting vascular endothelial cell |
| CA2339662A1 (en) | 1998-08-07 | 2000-02-17 | Takeda Chemical Industries, Ltd. | Benzothiepin derivatives, their production and use |
| US6096780A (en) | 1998-08-20 | 2000-08-01 | Takeda Chemical Industries, Ltd. | Quaternary ammonium salts and their use |
| DE19845406C2 (en) | 1998-10-02 | 2001-10-18 | Aventis Pharma Gmbh | Substituted 1,3-diaryl-2-pyridin-2-yl-3- (pyridin-2-ylamino) propanol derivatives, process for their preparation, medicaments containing these compounds and their use |
| DE19845405C2 (en) | 1998-10-02 | 2000-07-13 | Aventis Pharma Gmbh | Aryl-substituted propanolamine derivatives and their use |
| DE19845403B4 (en) | 1998-10-02 | 2005-02-10 | Aventis Pharma Deutschland Gmbh | Propanolamine derivatives linked to bile acids, process for their preparation, pharmaceutical compositions containing them and their use |
| WO2000035889A1 (en) | 1998-12-11 | 2000-06-22 | Sankyo Company, Limited | Substituted benzylamines |
| US6235771B1 (en) | 1998-12-21 | 2001-05-22 | Takeda Chemical Industries, Ltd. | Anilide derivative, production and use thereof |
| ATE228012T1 (en) * | 1998-12-23 | 2002-12-15 | Searle Llc | COMBINATIONS OF ILEUMGALLIC ACID TRANSPORT INHIBITORS AND BALE ACID SEQUESTRING AGENTS FOR CARDIOVASCULAR INDICATIONS |
| EP1354604A1 (en) | 1998-12-23 | 2003-10-22 | G.D. Searle LLC. | Combinations for cardiovascular indications |
| KR20010102964A (en) | 1998-12-23 | 2001-11-17 | 윌리암스 로저 에이 | Combinations of ileal bile acid transport inhibitors and fibric acid derivatives for cardiovascular indications |
| EA005815B1 (en) | 1998-12-23 | 2005-06-30 | Джи.Ди.Сирл Ллс | Combinations od ileal bile acid transport inhibitors and cholesteryl transfer protein inhibitors for cardiovascular indications |
| CN1195748C (en) | 1999-02-12 | 2005-04-06 | G.D.瑟尔有限公司 | 1,2-benzothiazepines for the treatment of hyperlipidemic diseases |
| CN1095238C (en) | 1999-02-23 | 2002-11-27 | 东京零件工业株式会社 | Small motor adapting reflux soldering |
| DE19916108C1 (en) | 1999-04-09 | 2001-01-11 | Aventis Pharma Gmbh | 1,4-Benzothiazepine-1,1-dioxide derivatives substituted with sugar residues, process for their preparation and their use |
| SE9901387D0 (en) * | 1999-04-19 | 1999-04-19 | Astra Ab | New pharmaceutical foromaulations |
| US6309663B1 (en) | 1999-08-17 | 2001-10-30 | Lipocine Inc. | Triglyceride-free compositions and methods for enhanced absorption of hydrophilic therapeutic agents |
| TR200002099A2 (en) | 1999-07-22 | 2001-06-21 | Sankyo Company Limited | Cyclobutene derivatives, their preparation and therapeutic uses |
| US7413536B1 (en) | 1999-09-14 | 2008-08-19 | Xenoport, Inc. | Substrates and screening methods for transport proteins |
| WO2001034570A1 (en) | 1999-11-08 | 2001-05-17 | Sankyo Company, Limited | Nitrogenous heterocycle derivatives |
| DK1741446T3 (en) | 2000-01-21 | 2008-06-02 | Novartis Pharma Ag | Combinations containing dipeptidyl peptidase IV inhibitors and antidiabetic agents |
| US20030144255A1 (en) | 2000-03-06 | 2003-07-31 | Bain Allen I | Compositions for prevention and treatment of dementia |
| SE0000772D0 (en) | 2000-03-08 | 2000-03-08 | Astrazeneca Ab | Chemical compounds |
| US20020061888A1 (en) * | 2000-03-10 | 2002-05-23 | Keller Bradley T. | Combination therapy for the prophylaxis and treatment of hyperlipidemic conditions and disorders |
| AU2001246905A1 (en) | 2000-04-12 | 2001-10-23 | Takeda Chemical Industries Ltd. | Novel g protein-coupled receptor protein and dna thereof |
| IT1316130B1 (en) | 2000-05-18 | 2003-03-28 | High Technology Investiments B | MOTOR SYSTEM WITH APPARATUS FOR DISCONNECTING AND REGULATED AND / OR MODULATED DISCONNECTION OF A CABLEWAY. |
| HUP0301724A2 (en) | 2000-07-17 | 2003-08-28 | Basf Aktiengesellschaft | Preparation of 4-thioalkylbromobenzene derivatives |
| US20020183307A1 (en) | 2000-07-26 | 2002-12-05 | Tremont Samuel J. | Novel 1,4-benzothiazephine and 1,5-benzothiazepine compounds as inhibitors of apical sodium co-dependent bile acid transport and taurocholate uptake |
| HRP20030029B1 (en) | 2000-07-28 | 2005-06-30 | F. Hoffmann - La Roche Ag | New pharmaceutical composition |
| AU2001264325A1 (en) | 2000-10-13 | 2002-04-29 | Bridgestone Corporation | Polyurethane foam compound for ink holder, ink holder and method for securing close contact of ink holder |
| SE0003766D0 (en) | 2000-10-18 | 2000-10-18 | Astrazeneca Ab | Novel formulation |
| WO2002040669A1 (en) | 2000-11-17 | 2002-05-23 | Banyu Pharmaceutical Co., Ltd. | Novel guanosine triphosphate (gtp) binding protein-coupled receptor protein, bg37 |
| EG26979A (en) | 2000-12-21 | 2015-03-01 | Astrazeneca Ab | Chemical compounds |
| DE50111751D1 (en) | 2000-12-21 | 2007-02-08 | Sanofi Aventis Deutschland | NEW DIPHENZYLAZETIDINONE, PROCESS FOR THE PRODUCTION THEREOF, MEDICAMENT CONTAINING THESE COMPOUNDS AND THEIR USE FOR THE TREATMENT OF LIPID METABOLISM DISORDER |
| KR20040025890A (en) | 2001-01-26 | 2004-03-26 | 쉐링 코포레이션 | Combinations of sterol absorption inhibitor(s) with blood modifier(s) for treating vascular conditions |
| AU2002306868A1 (en) | 2001-03-28 | 2002-10-15 | Pharmacia Corporation | Therapeutic combinations for cardiovascular and inflammatory indications |
| OA12983A (en) | 2001-07-19 | 2006-10-13 | Pharmacia Corp | Combination of an aldosterone receptor antagonist and an HMG COA reductase inhibitor. |
| WO2003018024A1 (en) | 2001-08-22 | 2003-03-06 | Aventis Pharma Deutschland Gmbh | Combined preparations, containing 1,4-benzothiepine-1,1-dioxide derivatives and other active substances, and the use thereof |
| GB0121337D0 (en) | 2001-09-04 | 2001-10-24 | Astrazeneca Ab | Chemical compounds |
| GB0121622D0 (en) | 2001-09-07 | 2001-10-31 | Astrazeneca Ab | Chemical compounds |
| GB0121621D0 (en) | 2001-09-07 | 2001-10-31 | Astrazeneca Ab | Chemical compounds |
| MY131995A (en) * | 2001-09-08 | 2007-09-28 | Astrazeneca Ab | Benzothiazepine and benzothiadiazepine derivatives with illeal bile acid transport (ibat) inhibitory activity for the treatment hyperlipidaemia |
| EP1432721A4 (en) | 2001-09-13 | 2008-02-20 | Bristol Myers Squibb Co | Process for the preparation of rebeccamycin and analogs thereof |
| DK1429756T3 (en) | 2001-09-21 | 2007-03-19 | Schering Corp | Treatment of xanthoma with azetidinone derivatives as sterol absorption inhibitors |
| US7635688B2 (en) | 2001-10-01 | 2009-12-22 | The United States Of America As Represented By The Department Of Health And Human Services | Development of a preventive vaccine for filovirus infection in primates |
| US7342117B2 (en) | 2001-10-30 | 2008-03-11 | Astellas Pharma Inc. | α-form or β-form crystal of acetanilide derivative |
| EP1448546A4 (en) | 2001-11-02 | 2005-02-02 | Searle Llc | Novel mono- and di-fluorinated benzothiepine compounds as inhibitors of apical sodium co-dependent bile acid transport (asbt) and taurocholate uptake |
| JP2005521653A (en) | 2002-01-17 | 2005-07-21 | ファルマシア コーポレイション | Novel alkyl / arylhydroxy or ketothiepine compounds as inhibitors of advanced sodium co-dependent bile acid transport (ASBT) and taurocholate uptake |
| GB0201850D0 (en) | 2002-01-26 | 2002-03-13 | Astrazeneca Ab | Therapeutic treatment |
| US20040014806A1 (en) | 2002-03-08 | 2004-01-22 | Pharmacia Corporation | Methods and compositions for lowering levels of blood lipids |
| GB0209467D0 (en) | 2002-04-25 | 2002-06-05 | Astrazeneca Ab | Chemical compounds |
| US6987121B2 (en) | 2002-04-25 | 2006-01-17 | Smithkline Beecham Corporation | Compositions and methods for hepatoprotection and treatment of cholestasis |
| MXPA04011584A (en) | 2002-05-23 | 2005-03-31 | Umd Inc | COMPOSITIONS AND METHOD FOR THE ADMINISTRATION AND CRIOPROTECTION OF TRANSMUCOSAL DRUGS. |
| GB0213669D0 (en) | 2002-06-14 | 2002-07-24 | Astrazeneca Ab | Chemical compounds |
| GB0215579D0 (en) | 2002-07-05 | 2002-08-14 | Astrazeneca Ab | Chemical compounds |
| GB0216321D0 (en) | 2002-07-13 | 2002-08-21 | Astrazeneca Ab | Therapeutic treatment |
| US6861464B2 (en) | 2002-07-19 | 2005-03-01 | Diversified Chemical Technologies, Inc. | Two component, curable, hot melt adhesive |
| KR100990524B1 (en) | 2002-08-28 | 2010-10-29 | 아사히 가세이 파마 가부시키가이샤 | Novel Quaternary Ammonium Compounds |
| US7312208B2 (en) * | 2002-08-28 | 2007-12-25 | Asahi Kasei Pharma Corporation | Quaternary ammonium compounds |
| US20040092499A1 (en) | 2002-11-06 | 2004-05-13 | Schering Corporation | Methods and therapeutic combinations for the treatment of autoimmune disorders |
| US20040122033A1 (en) | 2002-12-10 | 2004-06-24 | Nargund Ravi P. | Combination therapy for the treatment of obesity |
| US20040138145A1 (en) | 2002-12-12 | 2004-07-15 | Aventis Pharma S.A. | Application of intestinal biliary acid reuptake inhibitors for the prevention and treatment of alzheimer's disease |
| CA2507948A1 (en) | 2002-12-12 | 2004-07-29 | Aventis Pharma S.A. | Aminoindazole derivates and use thereof as kinase inhibitors |
| FR2848452B1 (en) * | 2002-12-12 | 2007-04-06 | Aventis Pharma Sa | APPLICATION OF INTESTINAL BILIARY ACID RECAPTURE INHIBITORS FOR THE PREVENTION AND TREATMENT OF ALZHEIMER'S DISEASE |
| US20040147774A1 (en) | 2002-12-20 | 2004-07-29 | Aventis Pharma S.A. | Novel chiral compounds derived from hexanoic acid esters, preparation process and intermediates, use in the synthesis of chiral 2-(bromomethyl)-2-ethylhexanoic acid |
| US20050031651A1 (en) | 2002-12-24 | 2005-02-10 | Francine Gervais | Therapeutic formulations for the treatment of beta-amyloid related diseases |
| GB0304194D0 (en) | 2003-02-25 | 2003-03-26 | Astrazeneca Ab | Chemical compounds |
| CN1756755A (en) | 2003-03-07 | 2006-04-05 | 先灵公司 | Substituted azetidinone compounds, formulations and uses thereof for the treatment of hypercholesterolemia |
| ATE418551T1 (en) | 2003-03-07 | 2009-01-15 | Schering Corp | SUBSTITUTED AZETIDINONE DERIVATIVES, THEIR PHARMACEUTICAL FORMULATIONS AND THEIR USE IN THE TREATMENT OF HYPERCHOLESTEROLEMIA |
| GB0307918D0 (en) | 2003-04-05 | 2003-05-14 | Astrazeneca Ab | Therapeutic use |
| EP1624913B1 (en) | 2003-05-08 | 2010-07-21 | Novo Nordisk A/S | Skin mountable injection device with a detachable needle insertion actuation portion |
| JP2005044778A (en) | 2003-07-19 | 2005-02-17 | Samsung Sdi Co Ltd | Electroluminescent device |
| JP2005097216A (en) | 2003-09-26 | 2005-04-14 | Kaneka Corp | PPARgamma LIGAND AGENT |
| WO2005046797A2 (en) | 2003-11-05 | 2005-05-26 | Schering Corporation | Combinations of lipid modulating agents and substituted azetidinones and treatments for vascular conditions |
| EP1564554A1 (en) | 2004-02-12 | 2005-08-17 | Pepscan Systems B.V. | Method for the detection of early B cell populations in vaccine development |
| JP4711953B2 (en) * | 2004-02-27 | 2011-06-29 | 旭化成ファーマ株式会社 | Novel benzothiazepine and benzothiepine compounds |
| DE102004016845A1 (en) | 2004-04-07 | 2005-10-27 | Bayer Healthcare Ag | Phenylthioacetic acid derivatives and their use |
| WO2006017257A2 (en) | 2004-07-12 | 2006-02-16 | Phenomix Corporation | Azetidinone derivatives |
| US7501955B2 (en) | 2004-09-13 | 2009-03-10 | Avery Dennison Corporation | RFID device with content insensitivity and position insensitivity |
| WO2006031931A2 (en) | 2004-09-15 | 2006-03-23 | The President And Fellows Of Harvard College | Reducing er stress in the treatment of obesity and diabetes |
| DE102004046623A1 (en) | 2004-09-25 | 2006-03-30 | Bayer Healthcare Ag | New pyrimidine derivatives and their use |
| CA2581596A1 (en) | 2004-09-29 | 2006-04-13 | Schering Corporation | Combinations of substituted azetidonones and cb1 antagonists |
| WO2006039829A1 (en) | 2004-10-13 | 2006-04-20 | Maschinenfabrik Rieter Ag | Method for fixing a lining strip on a lid bar, lining clip and compression tool for machining a lining clip |
| US20100055066A1 (en) | 2004-10-15 | 2010-03-04 | Kazuo Suzuki | Agent for prophylactic and/or therapeutic treatment of diabetes |
| US20090253752A1 (en) | 2004-10-25 | 2009-10-08 | Bryan Burkey | Combination of dpp-iv inhibitor, ppar antidiabetic and metmorfin |
| AU2004325203A1 (en) | 2004-11-24 | 2006-06-01 | Seo Hong Yoo | Dried forms of aqueous solubilized bile acid dosage formulation: preparation and uses thereof |
| DE102004058062A1 (en) | 2004-12-02 | 2006-06-08 | Bayer Healthcare Ag | Cyclic iminocarbamates and their use |
| CA2589483C (en) | 2004-12-03 | 2013-10-29 | Schering Corporation | Substituted piperazines as cb1 antagonists |
| WO2006086727A2 (en) | 2005-02-09 | 2006-08-17 | Entelos, Inc. | Treating diabetes with glucagon-like peptide-1 secretagogues |
| US7441178B2 (en) | 2005-02-24 | 2008-10-21 | Keyeye Communications | Low complexity decoding of low density parity check codes |
| US20060193895A1 (en) | 2005-02-25 | 2006-08-31 | Use-Techno Corporation | Additive for food and beverage, pharmaceutical composition, GLUT4 translocator, and method for translocating GLUT4 |
| DE102005027150A1 (en) | 2005-03-12 | 2006-09-28 | Bayer Healthcare Ag | Pyrimidinecarboxylic acid derivatives and their use |
| FR2883284A1 (en) | 2005-03-15 | 2006-09-22 | Commissariat Energie Atomique | NOVEL DIHYDROPYRIMIDINE DERIVATIVES AND THEIR USE AS ANTI-CANCER AGENTS |
| UY29445A1 (en) | 2005-03-30 | 2006-10-02 | Generex Pharm Inc | COMPOSITIONS FOR THE ORAL TRANSMUCTIVE TRANSMISSION OF METFORMIN |
| US20080031968A1 (en) | 2005-04-01 | 2008-02-07 | The Brigham And Women's Hospital, Inc. | Methods for increasing cellular energy expenditure |
| US9155778B2 (en) | 2005-04-04 | 2015-10-13 | Julius-Maxmillians-Universitat Wurzburg | Tripeptides that down regulate the activity of plasma membrane transporters including sodium-D-glucose cotransporter SgIt1 |
| EP1874330A2 (en) | 2005-04-04 | 2008-01-09 | Julius-Maximilians-Universität Würzburg | Peptides that down regulate the activity of plasma membrane transporters including sodium-d-glucose cotransporter sglt1 |
| JP2008539255A (en) | 2005-04-26 | 2008-11-13 | マイクロビア インコーポレーテッド | 4-Bialyl-1-phenylazetidin-2-one glucuronide derivatives for hypercholesterolemia |
| DE102005020229A1 (en) | 2005-04-30 | 2006-11-09 | Bayer Healthcare Ag | Use of indoline-phenylsulfonamide derivatives |
| WO2006116814A1 (en) | 2005-05-02 | 2006-11-09 | Vanadis Bioscience Ltd | Composition and uses thereof |
| EP1877373A2 (en) | 2005-05-05 | 2008-01-16 | Microbia, Inc. | Biphenylazetidinone cholesterol absorption inhibitors |
| EP1879860A2 (en) | 2005-05-10 | 2008-01-23 | Microbia Inc. | 1,4-diphenyl-3-hydroxyalkyl-2-azetidinone derivatives for treating hypercholestrolemia |
| JP2008540573A (en) | 2005-05-13 | 2008-11-20 | マイクロビア インコーポレーテッド | 4-Bialyl-1-phenylazetidin-2-ones |
| DE102005033099A1 (en) | 2005-07-15 | 2007-01-18 | Sanofi-Aventis Deutschland Gmbh | Novel 1,4-benzothiazepine 1,1-dioxide derivative with improved properties, process for its preparation, medicines containing it and its use |
| US20070025953A1 (en) | 2005-07-27 | 2007-02-01 | Jones Michael R | Co-therapy for diabetic conditions |
| EP1931665A1 (en) | 2005-09-20 | 2008-06-18 | Schering Corporation | 1-[[1-[(2-amin0-6-methyl-4-pyridinyl)methyl]-4-flu0r0-4-piperidinyl,]carbonyl]-4-[2-(2-pyridinyl)-3h-imidaz0[4, 5-b]pyridin-3-yl]piperidine useful as histamine h3 antagonist |
| US7459584B2 (en) | 2005-09-22 | 2008-12-02 | Board Of Trustees Of Michigan State University | Process for the preparation of lactic acid and glyceric acid |
| CN101272780A (en) | 2005-09-30 | 2008-09-24 | 诺瓦提斯公司 | DPP IV Inhibitors for the Treatment of Autoimmune Diseases and Transplant Rejection |
| EP1948280A4 (en) | 2005-10-24 | 2011-07-06 | Andrew Young | Biliary/pancreatic shunt device and method for treatment of metabolic and other diseases |
| WO2007076260A2 (en) | 2005-12-19 | 2007-07-05 | Smithkline Beecham Corporation | Farnesoid x receptor agonists |
| EP1962835A2 (en) | 2005-12-21 | 2008-09-03 | Schering Corporation | Treatment of nonalcoholic fatty liver disease using cholesterol lowering agents and/or h3 receptor antagonist/inverse agonist |
| WO2007084319A2 (en) | 2006-01-13 | 2007-07-26 | Schering Corporation | Diaryl piperidines as cb1 modulators |
| NZ569814A (en) | 2006-01-18 | 2011-10-28 | Schering Corp | Cannibinoid receptor modulators |
| JP2009530231A (en) | 2006-01-20 | 2009-08-27 | スミスクライン ビーチャム コーポレーション | Use of sulfonamide derivatives in the treatment of metabolic and nervous system diseases |
| WO2007095174A2 (en) | 2006-02-14 | 2007-08-23 | Intercept Pharmaceuticals, Inc. | Bile acid derivatives as fxr ligands for the prevention or treatment of fxr-mediated diseases or conditions |
| DE102006009813A1 (en) | 2006-03-01 | 2007-09-06 | Bayer Healthcare Ag | Use of A2b / A1 receptor agonists to modulate lipid levels |
| US20070254952A1 (en) | 2006-04-21 | 2007-11-01 | Yuguang Wang | Cannabinoid receptor modulators |
| DE102006024024A1 (en) | 2006-05-23 | 2007-11-29 | Bayer Healthcare Aktiengesellschaft | Substituted arylimidazolones and triazolones and their use |
| DE102006026585A1 (en) | 2006-06-07 | 2007-12-13 | Bayer Healthcare Aktiengesellschaft | Substituted 4-aryl-1,4-dihydro-1,6-naphthyridines and their use |
| DE102006026583A1 (en) | 2006-06-07 | 2007-12-13 | Bayer Healthcare Aktiengesellschaft | Aryl-substituted hetero-bicyclic compounds and their use |
| DK2040713T3 (en) | 2006-06-27 | 2014-09-29 | Intercept Pharmaceuticals Inc | BILIC ACID DERIVATIVES AS FXR LIGANDS FOR THE PREVENTION OR TREATMENT OF FXR-MEDIATED DISEASES OR CONDITIONS |
| US20080065136A1 (en) | 2006-08-30 | 2008-03-13 | Andrew Young | Distender device and method for treatment of obesity and metabolic and other diseases |
| DE102006042143A1 (en) | 2006-09-08 | 2008-03-27 | Bayer Healthcare Aktiengesellschaft | Novel substituted bipyridine derivatives and their use |
| DE102006043519A1 (en) | 2006-09-12 | 2008-03-27 | Bayer Healthcare Ag | 4-phenoxy-nicotinic acid derivatives and their use |
| DE102006043520A1 (en) | 2006-09-12 | 2008-03-27 | Bayer Healthcare Ag | 2-phenoxy-nicotinic acid derivatives and their use |
| EP2061462A2 (en) | 2006-09-15 | 2009-05-27 | Schering Corporation | Treating pain, diabetes and lipid metabolism disorders |
| US20080076750A1 (en) | 2006-09-15 | 2008-03-27 | Aslanian Robert G | Azetidinone Derivatives and Methods of Use Thereof |
| WO2008033447A1 (en) | 2006-09-15 | 2008-03-20 | Schering Corporation | Azetidine and azetidone derivatives useful in treating pain and disorders of lipid metabolism |
| US20080070984A1 (en) | 2006-09-15 | 2008-03-20 | Tran Pierre V | Compositions and Methods of Treating Schizophrenia |
| AU2007294771A1 (en) | 2006-09-15 | 2008-03-20 | Schering Corporation | Azetidine and azetidone derivatives useful in treating pain and disorders of lipid metabolism |
| WO2008033464A2 (en) | 2006-09-15 | 2008-03-20 | Schering Corporation | Azetidinone derivatives for the treatment of disorders of the lipid metabolism |
| CN101541795A (en) | 2006-09-15 | 2009-09-23 | 先灵公司 | Spiro-condensed azetidine derivatives useful in treating pain, diabetes and disorders of lipid metabilism |
| MX2009002924A (en) | 2006-09-15 | 2009-05-28 | Schering Corp | Spirocyclic azetidinone derivatives for the treatment of disorders of lipid metabolism, pain, diabetes and other disorders. |
| DE102006044696A1 (en) | 2006-09-22 | 2008-03-27 | Bayer Healthcare Ag | 3-cyano-5-thiazaheteroaryl-dihydropyridines and their use |
| WO2008039829A2 (en) | 2006-09-26 | 2008-04-03 | Ironwood Pharmaceuticals, Inc. | Diphenylheterocycle cholesterol absorption inhibitors |
| CL2007003035A1 (en) | 2006-10-24 | 2008-05-16 | Smithkline Beechman Corp | COMPOUNDS DERIVED FROM ISOXAZOL REPLACED, FARNESOID X RECEIVER AGONISTS; PREPARATION PROCEDURE; PHARMACEUTICAL COMPOSITION THAT UNDERSTANDS IT; AND USE OF THE COMPOUND IN THE TREATMENT OF OBESITY, DIABETES MELLITUS, FIBROSIS IN ORGANS, |
| WO2008052044A2 (en) | 2006-10-26 | 2008-05-02 | Xenoport, Inc. | Use of derivatives of propofol for treating diseases associated with oxidative stress |
| DE102006053635B4 (en) * | 2006-11-14 | 2011-06-30 | Sanofi-Aventis Deutschland GmbH, 65929 | Novel benzyl-substituted 1,4-benzothiepine-1,1-dioxide derivatives, drugs containing these compounds and their use |
| DE502007006208D1 (en) | 2006-11-14 | 2011-02-17 | Sanofi Aventis Deutschland | NEW 1,4-BENZOTHIEPINE-1,1-DIOXIDE DERIVATIVES WITH IMPROVED PROPERTIES, METHOD FOR THE PRODUCTION THEREOF, AND THE MEDICAMENTS CONTAINING THESE COMPOUNDS AND THEIR USE |
| US20090035306A1 (en) | 2006-11-29 | 2009-02-05 | Kalypsys, Inc. | Quinazolinone modulators of tgr5 |
| DE102006056739A1 (en) | 2006-12-01 | 2008-06-05 | Bayer Healthcare Ag | Substituted 4-amino-3,5-dicyano-2-thiopyridines and their use |
| DE102006056740A1 (en) | 2006-12-01 | 2008-06-05 | Bayer Healthcare Ag | Cyclic substituted 3,5-dicyano-2-thiopyridines and their use |
| WO2008088836A2 (en) | 2007-01-16 | 2008-07-24 | The Burnham Institute For Medical Research | Compositions and methods for treatment of colorectal cancer |
| EA017714B1 (en) | 2007-01-19 | 2013-02-28 | Интерсепт Фармасьютикалз, Инк. | Tgr5 modulators and methods of use thereof |
| WO2008097976A1 (en) | 2007-02-09 | 2008-08-14 | Kalypsys, Inc. | Heterocyclic modulators of tgr5 for treatment of disease |
| DE102007009494A1 (en) | 2007-02-27 | 2008-08-28 | Bayer Healthcare Ag | New 1,6-naphthyridine or 8-azaquinazoline derivatives useful for treating aldosteronism, hypertension, cardiac insufficiency, myocardial infarct sequelae, liver cirrhosis, renal insufficiency and stroke |
| WO2008124505A2 (en) | 2007-04-05 | 2008-10-16 | Ironwood Pharmaceuticals,Inc. | Soluble guanylate cyclase (sgc) modulators for treatment of lipid related disorders |
| US20100197564A1 (en) | 2007-04-19 | 2010-08-05 | Schering Corporation | Diaryl morpholines as cb1 modulators |
| BRPI0815708B8 (en) | 2007-08-23 | 2021-05-25 | Theracos Sub Llc | compound, prodrug ester, pharmaceutical composition, and, method of treating a disease or condition |
| WO2009115398A1 (en) | 2008-03-18 | 2009-09-24 | INSERM (Institut National de la Santé et de la Recherche Médicale) | Vitamin d compounds for the treatment of biliary diseases |
| EP2146210A1 (en) | 2008-04-07 | 2010-01-20 | Arena Pharmaceuticals, Inc. | Methods of using A G protein-coupled receptor to identify peptide YY (PYY) secretagogues and compounds useful in the treatment of conditions modulated by PYY |
| WO2009147967A1 (en) | 2008-06-05 | 2009-12-10 | 株式会社Adeka | Aluminum phenoxides and process for production of stabilized polymers by using the aluminum phenoxides |
| EP2324046B1 (en) | 2008-07-30 | 2014-09-03 | Intercept Pharmaceuticals, Inc. | Tgr5 modulators and methods of use thereof |
| JP2010072371A (en) | 2008-09-18 | 2010-04-02 | Mitsubishi Heavy Ind Ltd | Fixing device and fixing method, and electrophotographic printer |
| JP5535233B2 (en) | 2008-11-19 | 2014-07-02 | インターセプト ファーマシューティカルズ, インコーポレイテッド | TGR5 modulator and method of using the same |
| CN102316872B (en) * | 2008-11-26 | 2016-12-21 | 萨蒂奥根制药公司 | Bile acid recycling inhibitors for the treatment of obesity and diabetes |
| WO2010062863A2 (en) | 2008-11-26 | 2010-06-03 | Satiogen Pharmaceuticals, Inc. | Compositions containing satiogens and methods of use |
| US20110065676A1 (en) | 2009-06-24 | 2011-03-17 | Schering Corporation | Combination therapies comprising par1 antagonists with nar agonists |
| SG178562A1 (en) * | 2009-08-25 | 2012-03-29 | Victor Ling | Polyhydroxylated bile acids for treatment of biliary disorders |
| US20110152204A1 (en) | 2009-12-18 | 2011-06-23 | Satiogen Pharmaceuticals, Inc. | Treatment of Obesity or Diabetes with Bile Acid Sequestrants |
| EP4137137A1 (en) | 2010-05-26 | 2023-02-22 | Satiogen Pharmaceuticals, Inc. | Bile acid recycling inhibitors and satiogens for treatment of diabetes, obesity, and inflammatory gastrointestinal conditions |
| CA2815749C (en) * | 2010-11-04 | 2019-12-03 | Albireo Ab | Ibat inhibitors for the treatment of liver diseases |
| AU2011326873B2 (en) | 2010-11-08 | 2015-02-19 | Albireo Ab | IBAT inhibitors for treatment of metabolic disorders and related conditions |
| SG190433A1 (en) | 2010-11-08 | 2013-06-28 | Albireo Ab | A pharmaceutical combination comprising an ibat inhibitor and a bile acid binder |
| US20120114588A1 (en) | 2010-11-08 | 2012-05-10 | Albireo Ab | Ibat inhibitors for treatment of metabolic disorders and related conditions |
| US20130022551A1 (en) * | 2011-07-22 | 2013-01-24 | Trustees Of Boston University | DEspR ANTAGONISTS AND AGONISTS AS THERAPEUTICS |
| US8987482B2 (en) | 2011-10-28 | 2015-03-24 | Basf Se | Process for producing a supported silver catalyst |
| US9007272B2 (en) | 2012-07-19 | 2015-04-14 | Tensorcom, Inc. | Method and apparatus for the alignment of a 60 GHz endfire antenna |
| AU2014228850A1 (en) | 2013-03-15 | 2015-10-29 | Lumena Pharmaceuticals Llc | Bile acid recycling inhibitors for treatment of primary sclerosing cholangitis and inflammatory bowel disease |
| EP3435996B1 (en) | 2016-03-31 | 2025-04-30 | Genfit | Elafibranor for use in the treatment of primary biliary cholangitis |
| KR102699958B1 (en) | 2017-04-18 | 2024-08-29 | 장피트 | Combinations containing a PPAR agonist such as elafibranor and an acetyl-COA carboxylase (ACC) inhibitor |
-
2012
- 2012-10-26 PT PT128014420T patent/PT2771003T/en unknown
- 2012-10-26 CN CN201710187916.6A patent/CN107375932B/en active Active
- 2012-10-26 SG SG10201909122Q patent/SG10201909122QA/en unknown
- 2012-10-26 KR KR1020197034944A patent/KR20190134828A/en not_active Ceased
- 2012-10-26 MX MX2018002094A patent/MX369466B/en unknown
- 2012-10-26 SG SG10201407013QA patent/SG10201407013QA/en unknown
- 2012-10-26 EA EA201891154A patent/EA201891154A1/en unknown
- 2012-10-26 JP JP2014539087A patent/JP6217938B2/en active Active
- 2012-10-26 EP EP12801442.0A patent/EP2771003B1/en active Active
- 2012-10-26 EP EP17166814.8A patent/EP3266457A1/en active Pending
- 2012-10-26 EA EA201490876A patent/EA030839B1/en not_active IP Right Cessation
- 2012-10-26 ES ES12801442.0T patent/ES2633766T3/en active Active
- 2012-10-26 WO PCT/US2012/062284 patent/WO2013063512A1/en not_active Ceased
- 2012-10-26 DK DK12801442.0T patent/DK2771003T3/en active
- 2012-10-26 CN CN201280065637.8A patent/CN104023727B/en active Active
- 2012-10-26 MX MX2014005121A patent/MX354242B/en active IP Right Grant
- 2012-10-26 BR BR112014010223A patent/BR112014010223B8/en active IP Right Grant
- 2012-10-26 KR KR1020147014266A patent/KR102051030B1/en active Active
- 2012-10-26 US US14/354,548 patent/US20140243281A1/en not_active Abandoned
- 2012-10-26 PL PL12801442T patent/PL2771003T3/en unknown
- 2012-10-26 SG SG11201401849QA patent/SG11201401849QA/en unknown
- 2012-10-26 CA CA2853285A patent/CA2853285C/en active Active
- 2012-10-26 AU AU2012328526A patent/AU2012328526B2/en active Active
- 2012-10-26 US US13/662,387 patent/US20130109671A1/en not_active Abandoned
-
2013
- 2013-04-19 US US13/866,906 patent/US20130338093A1/en not_active Abandoned
-
2014
- 2014-04-22 IL IL232150A patent/IL232150A/en active IP Right Grant
- 2014-04-28 MX MX2019013263A patent/MX2019013263A/en unknown
- 2014-05-12 ZA ZA2014/03368A patent/ZA201403368B/en unknown
-
2016
- 2016-04-25 US US15/137,323 patent/US10512657B2/en active Active
-
2017
- 2017-08-09 AU AU2017213485A patent/AU2017213485B2/en active Active
- 2017-08-15 ZA ZA2017/05523A patent/ZA201705523B/en unknown
- 2017-09-08 US US15/699,478 patent/US20170368085A1/en not_active Abandoned
- 2017-09-11 JP JP2017174408A patent/JP6443950B2/en active Active
- 2017-10-17 IL IL255090A patent/IL255090B2/en unknown
-
2018
- 2018-06-13 HK HK18107669.5A patent/HK1248117A1/en unknown
- 2018-11-21 JP JP2018218627A patent/JP7237544B2/en active Active
-
2019
- 2019-02-04 ZA ZA2019/00729A patent/ZA201900729B/en unknown
- 2019-04-24 AU AU2019202884A patent/AU2019202884C1/en active Active
- 2019-11-11 US US16/679,864 patent/US11229661B2/en active Active
- 2019-11-11 US US16/679,894 patent/US20200069715A1/en not_active Abandoned
-
2021
- 2021-10-11 US US17/498,586 patent/US11376251B2/en active Active
-
2022
- 2022-04-27 US US17/730,737 patent/US12350267B2/en active Active
- 2022-11-11 JP JP2022181456A patent/JP2023022082A/en active Pending
-
2023
- 2023-05-24 NO NO2023023C patent/NO2023023I1/en unknown
- 2023-05-24 FI FIC20230019C patent/FIC20230019I1/en unknown
- 2023-05-25 FR FR23C1022C patent/FR23C1022I2/en active Active
- 2023-06-08 NL NL301234C patent/NL301234I2/en unknown
-
2025
- 2025-05-21 US US19/215,124 patent/US20250281482A1/en active Pending
Patent Citations (8)
| Publication number | Priority date | Publication date | Assignee | Title |
|---|---|---|---|---|
| US4997665A (en) * | 1989-10-05 | 1991-03-05 | Michigan Biotechnology Institute | Dietary fibers and a process for their production |
| US20020004065A1 (en) * | 2000-01-20 | 2002-01-10 | David Kanios | Compositions and methods to effect the release profile in the transdermal administration of active agents |
| US6586434B2 (en) * | 2000-03-10 | 2003-07-01 | G.D. Searle, Llc | Method for the preparation of tetrahydrobenzothiepines |
| WO2008058630A1 (en) * | 2006-11-14 | 2008-05-22 | Sanofi-Aventis Deutschland Gmbh | Novel 1,4-benzothiepin-1,1-dioxide derivatives which are substituted with fluorine, method for producing the same, drugs containing said compounds and use thereof |
| US20100062991A1 (en) * | 2006-11-14 | 2010-03-11 | Sanofi-Aventis Deutuschland Gmbh | Novel 1,4-benzothiepin-1,1-dioxide derivatives which are substituted with fluorine, method for producing the same, drugs containing said compounds and use thereof |
| US20130108573A1 (en) * | 2011-10-28 | 2013-05-02 | Lumena Pharmaceuticals, Inc. | Bile Acid Recycling Inhibitors for Treatment of Hypercholemia and Cholestatic Liver Disease |
| US20130109671A1 (en) * | 2011-10-28 | 2013-05-02 | Lumena Pharmaceuticals, Inc. | Bile Acid Recycling Inhibitors for Treatment of Pediatric Cholestatic Liver Diseases |
| US20140243281A1 (en) * | 2011-10-28 | 2014-08-28 | Lumena Pharmaceuticals, Inc. | Bile acid recycling inhibitors for treatment of pediatric cholestatic liver diseases |
Non-Patent Citations (4)
| Title |
|---|
| Emerick et al. Features of Alagille syndrome in 92 patients: frequencey and relation to prognosis. Hepatology, Vol. 29, Issue 3, first published online on 30 December 2003. * |
| Fischler et al. Cholestatic liver disease in adults may be due to an inherited defect in bile acid biosynthesis. Journal of Internal Medicine, 2007; 262: 254-261. * |
| Lykavieris et al. Outcome of liver disease in children with Alagille syndrome: a study of 163 patients. Gut, 2001; 49: 431-435. * |
| Sun et al. Sorting of rat liver and ileal sodium-dependent bile acid transporters in polarized epithelial cells. Am. J. Physiol. 1998, Nov. 275 (Pt. 1): G1045-55, Abstract only. * |
Cited By (16)
| Publication number | Priority date | Publication date | Assignee | Title |
|---|---|---|---|---|
| US20130108573A1 (en) * | 2011-10-28 | 2013-05-02 | Lumena Pharmaceuticals, Inc. | Bile Acid Recycling Inhibitors for Treatment of Hypercholemia and Cholestatic Liver Disease |
| US12350267B2 (en) | 2011-10-28 | 2025-07-08 | Shire Human Genetic Therapies, Inc. | Bile acid recycling inhibitors for treatment of pediatric cholestatic liver diseases |
| US12145959B2 (en) | 2011-10-28 | 2024-11-19 | Shire Human Genetic Therapies, Inc. | Bile acid recycling inhibitors for treatment of hypercholemia and cholestatic liver disease |
| US11376251B2 (en) | 2011-10-28 | 2022-07-05 | Shire Human Genetic Therapies, Inc. | Bile acid recycling inhibitors for treatment of pediatric cholestatic liver diseases |
| US11229661B2 (en) | 2011-10-28 | 2022-01-25 | Shire Human Genetic Therapies, Inc. | Bile acid recycling inhibitors for treatment of pediatric cholestatic liver diseases |
| US10512657B2 (en) | 2011-10-28 | 2019-12-24 | Lumena Pharmaceutials Llc | Bile acid recycling inhibitors for treatment of pediatric cholestatic liver diseases |
| EP3444011A1 (en) | 2014-05-12 | 2019-02-20 | Conatus Pharmaceuticals, Inc. | Treatment of the complications of chronic liver disease with emricasan |
| WO2015175381A1 (en) | 2014-05-12 | 2015-11-19 | Conatus Pharmaceuticals, Inc. | Treatment of the complications of chronic liver disease with caspase inhibitors |
| AU2015336400A8 (en) * | 2014-10-20 | 2018-04-05 | Hk Inno.N Corporation | Novel Aminoalkyl benzothiazepine Derivatives And Uses Thereof |
| AU2015336400B8 (en) * | 2014-10-20 | 2018-04-05 | Hk Inno.N Corporation | Novel Aminoalkyl benzothiazepine Derivatives And Uses Thereof |
| US9890129B2 (en) | 2014-10-20 | 2018-02-13 | Cj Healthcare Corporation | Aminoalkylbenzothiazepine derivatives and uses thereof |
| AU2015336400B2 (en) * | 2014-10-20 | 2017-12-07 | Hk Inno.N Corporation | Novel Aminoalkyl benzothiazepine Derivatives And Uses Thereof |
| WO2016064082A3 (en) * | 2014-10-20 | 2016-06-09 | 씨제이헬스케어 주식회사 | Novel aminoalkyl benzothiazepine derivative and use thereof |
| WO2017117478A1 (en) | 2015-12-31 | 2017-07-06 | Conatus Pharmaceuticals Inc. | Methods of using caspase inhibitors in treatment of liver disease |
| US11273123B2 (en) | 2018-07-18 | 2022-03-15 | USpharma Ltd | Chewable pharmaceutical dosage forms |
| US12390416B2 (en) | 2018-07-18 | 2025-08-19 | USpharma Ltd | Chewable pharmaceutical dosage forms |
Also Published As
Similar Documents
| Publication | Publication Date | Title |
|---|---|---|
| US12350267B2 (en) | Bile acid recycling inhibitors for treatment of pediatric cholestatic liver diseases | |
| US12145959B2 (en) | Bile acid recycling inhibitors for treatment of hypercholemia and cholestatic liver disease | |
| US11918578B2 (en) | Methods for treating cholestasis | |
| HK40118603A (en) | Genotype and dose-dependent response to an asbti in patients with bile salt export pump deficiency |
Legal Events
| Date | Code | Title | Description |
|---|---|---|---|
| AS | Assignment |
Owner name: LUMENA PHARMACEUTICALS, INC., CALIFORNIA Free format text: ASSIGNMENT OF ASSIGNORS INTEREST;ASSIGNORS:GEDULIN, BRONISLAVA;GREY, MICHAEL;O'DONNELL, NIALL;SIGNING DATES FROM 20121102 TO 20121108;REEL/FRAME:030330/0497 |
|
| STCB | Information on status: application discontinuation |
Free format text: ABANDONED -- FAILURE TO RESPOND TO AN OFFICE ACTION |






















































































