US20130045993A1 - Inhibitors of cyclin-dependent kinases and their use - Google Patents
Inhibitors of cyclin-dependent kinases and their use Download PDFInfo
- Publication number
- US20130045993A1 US20130045993A1 US13/585,006 US201213585006A US2013045993A1 US 20130045993 A1 US20130045993 A1 US 20130045993A1 US 201213585006 A US201213585006 A US 201213585006A US 2013045993 A1 US2013045993 A1 US 2013045993A1
- Authority
- US
- United States
- Prior art keywords
- methyl
- trans
- chromen
- phenyl
- pyrrolidin
- Prior art date
- Legal status (The legal status is an assumption and is not a legal conclusion. Google has not performed a legal analysis and makes no representation as to the accuracy of the status listed.)
- Abandoned
Links
- 108091007914 CDKs Proteins 0.000 title abstract description 36
- 102000003903 Cyclin-dependent kinases Human genes 0.000 title abstract description 24
- 108090000266 Cyclin-dependent kinases Proteins 0.000 title abstract description 23
- 239000003112 inhibitor Substances 0.000 title description 15
- 150000001875 compounds Chemical class 0.000 claims abstract description 660
- 238000000034 method Methods 0.000 claims abstract description 53
- 238000011282 treatment Methods 0.000 claims abstract description 24
- 206010028980 Neoplasm Diseases 0.000 claims abstract description 13
- 201000011510 cancer Diseases 0.000 claims abstract description 7
- -1 cyano, carboxy Chemical group 0.000 claims description 197
- 239000001257 hydrogen Substances 0.000 claims description 107
- 229910052739 hydrogen Inorganic materials 0.000 claims description 107
- 125000000956 methoxy group Chemical group [H]C([H])([H])O* 0.000 claims description 106
- 125000002887 hydroxy group Chemical group [H]O* 0.000 claims description 89
- 229910052736 halogen Inorganic materials 0.000 claims description 86
- 150000002367 halogens Chemical class 0.000 claims description 86
- 125000001424 substituent group Chemical group 0.000 claims description 78
- 125000004178 (C1-C4) alkyl group Chemical group 0.000 claims description 66
- 125000000449 nitro group Chemical group [O-][N+](*)=O 0.000 claims description 62
- 229920006395 saturated elastomer Polymers 0.000 claims description 53
- 150000002431 hydrogen Chemical group 0.000 claims description 51
- 125000000229 (C1-C4)alkoxy group Chemical group 0.000 claims description 50
- 150000003839 salts Chemical class 0.000 claims description 49
- 125000002023 trifluoromethyl group Chemical group FC(F)(F)* 0.000 claims description 42
- 125000004435 hydrogen atom Chemical group [H]* 0.000 claims description 35
- 125000001997 phenyl group Chemical group [H]C1=C([H])C([H])=C(*)C([H])=C1[H] 0.000 claims description 29
- UFHFLCQGNIYNRP-UHFFFAOYSA-N Hydrogen Chemical compound [H][H] UFHFLCQGNIYNRP-UHFFFAOYSA-N 0.000 claims description 24
- 125000002861 (C1-C4) alkanoyl group Chemical group 0.000 claims description 13
- 239000005711 Benzoic acid Substances 0.000 claims description 9
- YMQPSSGYWXIJPA-CVEARBPZSA-N 8-[(2r,3s)-2-(hydroxymethyl)-1-methylpyrrolidin-3-yl]-5,7-dimethoxy-2-[4-(trifluoromethyl)phenyl]chromen-4-one Chemical compound C=1([C@H]2[C@@H](N(C)CC2)CO)C(OC)=CC(OC)=C(C(C=2)=O)C=1OC=2C1=CC=C(C(F)(F)F)C=C1 YMQPSSGYWXIJPA-CVEARBPZSA-N 0.000 claims description 8
- QLUYMIVVAYRECT-OCCSQVGLSA-N 2-(2-chlorophenyl)-5,7-dihydroxy-8-[(2r,3s)-2-(hydroxymethyl)-1-methylpyrrolidin-3-yl]chromen-4-one Chemical compound OC[C@@H]1N(C)CC[C@H]1C1=C(O)C=C(O)C2=C1OC(C=1C(=CC=CC=1)Cl)=CC2=O QLUYMIVVAYRECT-OCCSQVGLSA-N 0.000 claims description 7
- SGOPLMPANFDPFL-ZBFHGGJFSA-N 2-(2-chlorophenyl)-8-[(2r,3s)-2-(hydroxymethyl)-1-methylpyrrolidin-3-yl]-5,7-dimethoxychromen-4-one Chemical compound C=1([C@H]2[C@@H](N(C)CC2)CO)C(OC)=CC(OC)=C(C(C=2)=O)C=1OC=2C1=CC=CC=C1Cl SGOPLMPANFDPFL-ZBFHGGJFSA-N 0.000 claims description 7
- 206010025323 Lymphomas Diseases 0.000 claims description 6
- JFDZBHWFFUWGJE-UHFFFAOYSA-N benzonitrile Substances N#CC1=CC=CC=C1 JFDZBHWFFUWGJE-UHFFFAOYSA-N 0.000 claims description 6
- 229910052794 bromium Inorganic materials 0.000 claims description 6
- 229910052801 chlorine Inorganic materials 0.000 claims description 6
- 230000003287 optical effect Effects 0.000 claims description 6
- 239000012453 solvate Substances 0.000 claims description 6
- DRFNMIASSQGEMC-CVEARBPZSA-N 2-(3-fluorophenyl)-8-[(2r,3s)-2-(hydroxymethyl)-1-methylpyrrolidin-3-yl]-5,7-dimethoxychromen-4-one Chemical compound C=1([C@H]2[C@@H](N(C)CC2)CO)C(OC)=CC(OC)=C(C(C=2)=O)C=1OC=2C1=CC=CC(F)=C1 DRFNMIASSQGEMC-CVEARBPZSA-N 0.000 claims description 5
- OWZVYRSJGGGJGZ-SJORKVTESA-N 4-[8-[(2r,3s)-2-(hydroxymethyl)-1-methylpyrrolidin-3-yl]-5,7-dimethoxy-4-oxochromen-2-yl]benzonitrile Chemical compound C=1([C@H]2[C@@H](N(C)CC2)CO)C(OC)=CC(OC)=C(C(C=2)=O)C=1OC=2C1=CC=C(C#N)C=C1 OWZVYRSJGGGJGZ-SJORKVTESA-N 0.000 claims description 5
- 208000032839 leukemia Diseases 0.000 claims description 5
- 229910052731 fluorine Inorganic materials 0.000 claims description 4
- JIZVHXJPPGAMCT-BZNIZROVSA-N 2-(2,4-dichloro-5-fluorophenyl)-8-[(2r,3s)-2-(hydroxymethyl)-1-methylpyrrolidin-3-yl]-5,7-dimethoxychromen-4-one Chemical compound C=1([C@H]2[C@@H](N(C)CC2)CO)C(OC)=CC(OC)=C(C(C=2)=O)C=1OC=2C1=CC(F)=C(Cl)C=C1Cl JIZVHXJPPGAMCT-BZNIZROVSA-N 0.000 claims description 3
- PZBHLMVVHAHMAW-MFKMUULPSA-N 2-(2,6-difluorophenyl)-5,7-dihydroxy-8-[(2r,3s)-2-(hydroxymethyl)-1-methylpyrrolidin-3-yl]chromen-4-one Chemical compound OC[C@@H]1N(C)CC[C@H]1C1=C(O)C=C(O)C2=C1OC(C=1C(=CC=CC=1F)F)=CC2=O PZBHLMVVHAHMAW-MFKMUULPSA-N 0.000 claims description 3
- XKEKCNIHHDRNGV-DOMZBBRYSA-N 2-(2,6-difluorophenyl)-8-[(2r,3s)-2-(hydroxymethyl)-1-methylpyrrolidin-3-yl]-5,7-dimethoxychromen-4-one Chemical compound C=1([C@H]2[C@@H](N(C)CC2)CO)C(OC)=CC(OC)=C(C(C=2)=O)C=1OC=2C1=C(F)C=CC=C1F XKEKCNIHHDRNGV-DOMZBBRYSA-N 0.000 claims description 3
- ZMMIWNJEXSYVHQ-MFKMUULPSA-N 2-(2-bromo-3-fluorophenyl)-5,7-dihydroxy-8-[(2r,3s)-2-(hydroxymethyl)-1-methylpyrrolidin-3-yl]chromen-4-one Chemical compound OC[C@@H]1N(C)CC[C@H]1C1=C(O)C=C(O)C2=C1OC(C=1C(=C(F)C=CC=1)Br)=CC2=O ZMMIWNJEXSYVHQ-MFKMUULPSA-N 0.000 claims description 3
- GFLJIRLKPACUKN-DOMZBBRYSA-N 2-(2-bromo-3-fluorophenyl)-8-[(2r,3s)-2-(hydroxymethyl)-1-methylpyrrolidin-3-yl]-5,7-dimethoxychromen-4-one Chemical compound C=1([C@H]2[C@@H](N(C)CC2)CO)C(OC)=CC(OC)=C(C(C=2)=O)C=1OC=2C1=CC=CC(F)=C1Br GFLJIRLKPACUKN-DOMZBBRYSA-N 0.000 claims description 3
- VWMKVDDBMWLXRM-OCCSQVGLSA-N 2-(2-bromo-4-hydroxyphenyl)-5,7-dihydroxy-8-[(2r,3s)-2-(hydroxymethyl)-1-methylpyrrolidin-3-yl]chromen-4-one Chemical compound OC[C@@H]1N(C)CC[C@H]1C1=C(O)C=C(O)C2=C1OC(C=1C(=CC(O)=CC=1)Br)=CC2=O VWMKVDDBMWLXRM-OCCSQVGLSA-N 0.000 claims description 3
- DGTMESTXNBJUII-HIFRSBDPSA-N 2-(2-bromo-4-methoxyphenyl)-5,7-dihydroxy-8-[(2r,3s)-2-(hydroxymethyl)-1-methylpyrrolidin-3-yl]chromen-4-one Chemical compound BrC1=CC(OC)=CC=C1C1=CC(=O)C2=C(O)C=C(O)C([C@H]3[C@@H](N(C)CC3)CO)=C2O1 DGTMESTXNBJUII-HIFRSBDPSA-N 0.000 claims description 3
- DUFCTYSEEUHWIU-WBVHZDCISA-N 2-(2-bromo-4-methoxyphenyl)-8-[(2r,3s)-2-(hydroxymethyl)-1-methylpyrrolidin-3-yl]-5,7-dimethoxychromen-4-one Chemical compound BrC1=CC(OC)=CC=C1C1=CC(=O)C2=C(OC)C=C(OC)C([C@H]3[C@@H](N(C)CC3)CO)=C2O1 DUFCTYSEEUHWIU-WBVHZDCISA-N 0.000 claims description 3
- CBZBGXYVQVHJEQ-OCCSQVGLSA-N 2-(2-bromo-4-nitrophenyl)-5,7-dihydroxy-8-[(2r,3s)-2-(hydroxymethyl)-1-methylpyrrolidin-3-yl]chromen-4-one Chemical compound OC[C@@H]1N(C)CC[C@H]1C1=C(O)C=C(O)C2=C1OC(C=1C(=CC(=CC=1)[N+]([O-])=O)Br)=CC2=O CBZBGXYVQVHJEQ-OCCSQVGLSA-N 0.000 claims description 3
- YRSXYHXDTKVPNC-ZBFHGGJFSA-N 2-(2-bromo-4-nitrophenyl)-8-[(2r,3s)-2-(hydroxymethyl)-1-methylpyrrolidin-3-yl]-5,7-dimethoxychromen-4-one Chemical compound C=1([C@H]2[C@@H](N(C)CC2)CO)C(OC)=CC(OC)=C(C(C=2)=O)C=1OC=2C1=CC=C([N+]([O-])=O)C=C1Br YRSXYHXDTKVPNC-ZBFHGGJFSA-N 0.000 claims description 3
- GBPYOBMJRSHVKK-RISCZKNCSA-N 2-(2-bromo-5-chlorophenyl)-5,7-dihydroxy-8-[(2r,3s)-2-(hydroxymethyl)-1-methylpyrrolidin-3-yl]chromen-4-one Chemical compound OC[C@@H]1N(C)CC[C@H]1C1=C(O)C=C(O)C2=C1OC(C=1C(=CC=C(Cl)C=1)Br)=CC2=O GBPYOBMJRSHVKK-RISCZKNCSA-N 0.000 claims description 3
- IGTIIIUEKVAIBT-CJNGLKHVSA-N 2-(2-bromo-5-chlorophenyl)-8-[(2r,3s)-2-(hydroxymethyl)-1-methylpyrrolidin-3-yl]-5,7-dimethoxychromen-4-one Chemical compound C=1([C@H]2[C@@H](N(C)CC2)CO)C(OC)=CC(OC)=C(C(C=2)=O)C=1OC=2C1=CC(Cl)=CC=C1Br IGTIIIUEKVAIBT-CJNGLKHVSA-N 0.000 claims description 3
- JQXZUTOKJQMULO-RISCZKNCSA-N 2-(2-bromo-5-fluorophenyl)-5,7-dihydroxy-8-[(2r,3s)-2-(hydroxymethyl)-1-methylpyrrolidin-3-yl]chromen-4-one Chemical compound OC[C@@H]1N(C)CC[C@H]1C1=C(O)C=C(O)C2=C1OC(C=1C(=CC=C(F)C=1)Br)=CC2=O JQXZUTOKJQMULO-RISCZKNCSA-N 0.000 claims description 3
- BNKOPTLXYPPYNP-CJNGLKHVSA-N 2-(2-bromo-5-fluorophenyl)-8-[(2r,3s)-2-(hydroxymethyl)-1-methylpyrrolidin-3-yl]-5,7-dimethoxychromen-4-one Chemical compound C=1([C@H]2[C@@H](N(C)CC2)CO)C(OC)=CC(OC)=C(C(C=2)=O)C=1OC=2C1=CC(F)=CC=C1Br BNKOPTLXYPPYNP-CJNGLKHVSA-N 0.000 claims description 3
- AWZSHBGGYXVKBR-DOMZBBRYSA-N 2-(2-bromo-5-methoxyphenyl)-5,7-dihydroxy-8-[(2r,3s)-2-(hydroxymethyl)-1-methylpyrrolidin-3-yl]chromen-4-one Chemical compound COC1=CC=C(Br)C(C=2OC3=C([C@H]4[C@@H](N(C)CC4)CO)C(O)=CC(O)=C3C(=O)C=2)=C1 AWZSHBGGYXVKBR-DOMZBBRYSA-N 0.000 claims description 3
- GFYOLBIUNKYWKD-CJNGLKHVSA-N 2-(2-bromo-5-nitrophenyl)-8-[(2r,3s)-2-(hydroxymethyl)-1-methylpyrrolidin-3-yl]-5,7-dimethoxychromen-4-one Chemical compound C=1([C@H]2[C@@H](N(C)CC2)CO)C(OC)=CC(OC)=C(C(C=2)=O)C=1OC=2C1=CC([N+]([O-])=O)=CC=C1Br GFYOLBIUNKYWKD-CJNGLKHVSA-N 0.000 claims description 3
- LWHOQLVHTGPEBL-OCCSQVGLSA-N 2-(2-bromophenyl)-5,7-dihydroxy-8-[(2r,3s)-2-(hydroxymethyl)-1-methylpyrrolidin-3-yl]chromen-4-one Chemical compound OC[C@@H]1N(C)CC[C@H]1C1=C(O)C=C(O)C2=C1OC(C=1C(=CC=CC=1)Br)=CC2=O LWHOQLVHTGPEBL-OCCSQVGLSA-N 0.000 claims description 3
- ZIEJMLIYRHJMRV-ZBFHGGJFSA-N 2-(2-bromophenyl)-8-[(2r,3s)-2-(hydroxymethyl)-1-methylpyrrolidin-3-yl]-5,7-dimethoxychromen-4-one Chemical compound C=1([C@H]2[C@@H](N(C)CC2)CO)C(OC)=CC(OC)=C(C(C=2)=O)C=1OC=2C1=CC=CC=C1Br ZIEJMLIYRHJMRV-ZBFHGGJFSA-N 0.000 claims description 3
- ZXZVHNSWRBTIBI-MFKMUULPSA-N 2-(2-chloro-3-fluorophenyl)-5,7-dihydroxy-8-[(2r,3s)-2-(hydroxymethyl)-1-methylpyrrolidin-3-yl]chromen-4-one Chemical compound OC[C@@H]1N(C)CC[C@H]1C1=C(O)C=C(O)C2=C1OC(C=1C(=C(F)C=CC=1)Cl)=CC2=O ZXZVHNSWRBTIBI-MFKMUULPSA-N 0.000 claims description 3
- GGDOWIIVLYNGLW-OCCSQVGLSA-N 2-(2-chloro-4-hydroxyphenyl)-5,7-dihydroxy-8-[(2R,3S)-2-(hydroxymethyl)-1-methylpyrrolidin-3-yl]chromen-4-one Chemical compound ClC1=C(C=CC(=C1)O)C=1OC2=C(C(=CC(=C2C(C1)=O)O)O)[C@H]1[C@@H](N(CC1)C)CO GGDOWIIVLYNGLW-OCCSQVGLSA-N 0.000 claims description 3
- YJXGUNSTEVJZOF-WBVHZDCISA-N 2-(2-chloro-4-methoxyphenyl)-8-[(2R,3S)-2-(hydroxymethyl)-1-methylpyrrolidin-3-yl]-5,7-dimethoxychromen-4-one Chemical compound ClC1=C(C=CC(=C1)OC)C=1OC2=C(C(=CC(=C2C(C1)=O)OC)OC)[C@H]1[C@@H](N(CC1)C)CO YJXGUNSTEVJZOF-WBVHZDCISA-N 0.000 claims description 3
- SOFVMKHFGXVQLP-RISCZKNCSA-N 2-(2-chloro-5-fluorophenyl)-5,7-dihydroxy-8-[(2r,3s)-2-(hydroxymethyl)-1-methylpyrrolidin-3-yl]chromen-4-one Chemical compound OC[C@@H]1N(C)CC[C@H]1C1=C(O)C=C(O)C2=C1OC(C=1C(=CC=C(F)C=1)Cl)=CC2=O SOFVMKHFGXVQLP-RISCZKNCSA-N 0.000 claims description 3
- QMBMMGVPAHTJCO-CJNGLKHVSA-N 2-(2-chloro-5-fluorophenyl)-8-[(2r,3s)-2-(hydroxymethyl)-1-methylpyrrolidin-3-yl]-5,7-dimethoxychromen-4-one Chemical compound C=1([C@H]2[C@@H](N(C)CC2)CO)C(OC)=CC(OC)=C(C(C=2)=O)C=1OC=2C1=CC(F)=CC=C1Cl QMBMMGVPAHTJCO-CJNGLKHVSA-N 0.000 claims description 3
- IPMVJHPDQMFZBQ-RISCZKNCSA-N 2-(2-chloro-5-iodophenyl)-5,7-dihydroxy-8-[(2r,3s)-2-(hydroxymethyl)-1-methylpyrrolidin-3-yl]chromen-4-one Chemical compound OC[C@@H]1N(C)CC[C@H]1C1=C(O)C=C(O)C2=C1OC(C=1C(=CC=C(I)C=1)Cl)=CC2=O IPMVJHPDQMFZBQ-RISCZKNCSA-N 0.000 claims description 3
- XITTXHUPPCSENT-CJNGLKHVSA-N 2-(2-chloro-5-iodophenyl)-8-[(2r,3s)-2-(hydroxymethyl)-1-methylpyrrolidin-3-yl]-5,7-dimethoxychromen-4-one Chemical compound C=1([C@H]2[C@@H](N(C)CC2)CO)C(OC)=CC(OC)=C(C(C=2)=O)C=1OC=2C1=CC(I)=CC=C1Cl XITTXHUPPCSENT-CJNGLKHVSA-N 0.000 claims description 3
- PIGMBCOWWDVOLL-DOMZBBRYSA-N 2-(2-chloro-5-methylphenyl)-5,7-dihydroxy-8-[(2r,3s)-2-(hydroxymethyl)-1-methylpyrrolidin-3-yl]chromen-4-one Chemical compound OC[C@@H]1N(C)CC[C@H]1C1=C(O)C=C(O)C2=C1OC(C=1C(=CC=C(C)C=1)Cl)=CC2=O PIGMBCOWWDVOLL-DOMZBBRYSA-N 0.000 claims description 3
- RHPOCSRFNDEPEZ-PBHICJAKSA-N 2-(2-chloro-5-methylphenyl)-8-[(2r,3s)-2-(hydroxymethyl)-1-methylpyrrolidin-3-yl]-5,7-dimethoxychromen-4-one Chemical compound C=1([C@H]2[C@@H](N(C)CC2)CO)C(OC)=CC(OC)=C(C(C=2)=O)C=1OC=2C1=CC(C)=CC=C1Cl RHPOCSRFNDEPEZ-PBHICJAKSA-N 0.000 claims description 3
- WIZAIQZEMFQXAY-OCCSQVGLSA-N 2-(2-fluorophenyl)-5,7-dihydroxy-8-[(2r,3s)-2-(hydroxymethyl)-1-methylpyrrolidin-3-yl]chromen-4-one Chemical compound OC[C@@H]1N(C)CC[C@H]1C1=C(O)C=C(O)C2=C1OC(C=1C(=CC=CC=1)F)=CC2=O WIZAIQZEMFQXAY-OCCSQVGLSA-N 0.000 claims description 3
- UQDJHAYMWZNALO-ZBFHGGJFSA-N 2-(2-fluorophenyl)-8-[(2r,3s)-2-(hydroxymethyl)-1-methylpyrrolidin-3-yl]-5,7-dimethoxychromen-4-one Chemical compound C=1([C@H]2[C@@H](N(C)CC2)CO)C(OC)=CC(OC)=C(C(C=2)=O)C=1OC=2C1=CC=CC=C1F UQDJHAYMWZNALO-ZBFHGGJFSA-N 0.000 claims description 3
- GDYMWZRMBBTNSY-KGLIPLIRSA-N 2-(3-chlorophenyl)-5,7-dihydroxy-8-[(2r,3s)-2-(hydroxymethyl)-1-methylpyrrolidin-3-yl]chromen-4-one Chemical compound OC[C@@H]1N(C)CC[C@H]1C1=C(O)C=C(O)C2=C1OC(C=1C=C(Cl)C=CC=1)=CC2=O GDYMWZRMBBTNSY-KGLIPLIRSA-N 0.000 claims description 3
- OCZYTHJPBPAAQE-CABCVRRESA-N 2-(3-chlorophenyl)-5-hydroxy-8-[(2r,3s)-2-(hydroxymethyl)-1-methylpyrrolidin-3-yl]-7-methoxychromen-4-one Chemical compound C=1([C@H]2[C@@H](N(C)CC2)CO)C(OC)=CC(O)=C(C(C=2)=O)C=1OC=2C1=CC=CC(Cl)=C1 OCZYTHJPBPAAQE-CABCVRRESA-N 0.000 claims description 3
- DXCADNNMPVJZSA-OCCSQVGLSA-N 2-(4-amino-2-bromophenyl)-5,7-dihydroxy-8-[(2r,3s)-2-(hydroxymethyl)-1-methylpyrrolidin-3-yl]chromen-4-one Chemical compound OC[C@@H]1N(C)CC[C@H]1C1=C(O)C=C(O)C2=C1OC(C=1C(=CC(N)=CC=1)Br)=CC2=O DXCADNNMPVJZSA-OCCSQVGLSA-N 0.000 claims description 3
- PTVQVCIVVBVMRD-ZBFHGGJFSA-N 2-(4-amino-2-bromophenyl)-8-[(2r,3s)-2-(hydroxymethyl)-1-methylpyrrolidin-3-yl]-5,7-dimethoxychromen-4-one Chemical compound C=1([C@H]2[C@@H](N(C)CC2)CO)C(OC)=CC(OC)=C(C(C=2)=O)C=1OC=2C1=CC=C(N)C=C1Br PTVQVCIVVBVMRD-ZBFHGGJFSA-N 0.000 claims description 3
- QDDFGQYXVSNWQH-KGLIPLIRSA-N 2-(4-bromophenyl)-5,7-dihydroxy-8-[(2r,3s)-2-(hydroxymethyl)-1-methylpyrrolidin-3-yl]chromen-4-one Chemical compound OC[C@@H]1N(C)CC[C@H]1C1=C(O)C=C(O)C2=C1OC(C=1C=CC(Br)=CC=1)=CC2=O QDDFGQYXVSNWQH-KGLIPLIRSA-N 0.000 claims description 3
- HLAAITJEUGEEDZ-CABCVRRESA-N 2-(4-bromophenyl)-5-hydroxy-8-[(2r,3s)-2-(hydroxymethyl)-1-methylpyrrolidin-3-yl]-7-methoxychromen-4-one Chemical compound C=1([C@H]2[C@@H](N(C)CC2)CO)C(OC)=CC(O)=C(C(C=2)=O)C=1OC=2C1=CC=C(Br)C=C1 HLAAITJEUGEEDZ-CABCVRRESA-N 0.000 claims description 3
- ITMQMYNJCHVJIC-CVEARBPZSA-N 2-(4-bromophenyl)-8-[(2r,3s)-2-(hydroxymethyl)-1-methylpyrrolidin-3-yl]-5,7-dimethoxychromen-4-one Chemical compound C=1([C@H]2[C@@H](N(C)CC2)CO)C(OC)=CC(OC)=C(C(C=2)=O)C=1OC=2C1=CC=C(Br)C=C1 ITMQMYNJCHVJIC-CVEARBPZSA-N 0.000 claims description 3
- FURDWMZQTYKKMO-QAPCUYQASA-N 2-[2-chloro-5-(dimethylamino)phenyl]-8-[(2R,3S)-2-(hydroxymethyl)-1-methylpyrrolidin-3-yl]-5,7-dimethoxychromen-4-one Chemical compound ClC1=C(C=C(C=C1)N(C)C)C=1OC2=C(C(=CC(=C2C(C1)=O)OC)OC)[C@H]1[C@@H](N(CC1)C)CO FURDWMZQTYKKMO-QAPCUYQASA-N 0.000 claims description 3
- YMZQLBHVELPFNR-HIFRSBDPSA-N 3-chloro-4-[5,7-dihydroxy-8-[(2r,3s)-2-(hydroxymethyl)-1-methylpyrrolidin-3-yl]-4-oxochromen-2-yl]benzonitrile Chemical compound OC[C@@H]1N(C)CC[C@H]1C1=C(O)C=C(O)C2=C1OC(C=1C(=CC(=CC=1)C#N)Cl)=CC2=O YMZQLBHVELPFNR-HIFRSBDPSA-N 0.000 claims description 3
- ALCBBBWGMNFNRG-WBVHZDCISA-N 3-chloro-4-[8-[(2r,3s)-2-(hydroxymethyl)-1-methylpyrrolidin-3-yl]-5,7-dimethoxy-4-oxochromen-2-yl]benzonitrile Chemical compound C=1([C@H]2[C@@H](N(C)CC2)CO)C(OC)=CC(OC)=C(C(C=2)=O)C=1OC=2C1=CC=C(C#N)C=C1Cl ALCBBBWGMNFNRG-WBVHZDCISA-N 0.000 claims description 3
- ZJZZGGBEMVKXTH-CVEARBPZSA-N 4-[5,7-dihydroxy-8-[(2r,3s)-2-(hydroxymethyl)-1-methylpyrrolidin-3-yl]-4-oxochromen-2-yl]-3-methylbenzonitrile Chemical compound OC[C@@H]1N(C)CC[C@H]1C1=C(O)C=C(O)C2=C1OC(C=1C(=CC(=CC=1)C#N)C)=CC2=O ZJZZGGBEMVKXTH-CVEARBPZSA-N 0.000 claims description 3
- MTBOKCZGBYWUIR-MSOLQXFVSA-N 4-[8-[(2r,3s)-2-(hydroxymethyl)-1-methylpyrrolidin-3-yl]-5,7-dimethoxy-4-oxochromen-2-yl]-3-methylbenzonitrile Chemical compound C=1([C@H]2[C@@H](N(C)CC2)CO)C(OC)=CC(OC)=C(C(C=2)=O)C=1OC=2C1=CC=C(C#N)C=C1C MTBOKCZGBYWUIR-MSOLQXFVSA-N 0.000 claims description 3
- SOIJPGDNIWUEQU-KGLIPLIRSA-N 5,7-dihydroxy-8-[(2r,3s)-2-(hydroxymethyl)-1-methylpyrrolidin-3-yl]-2-[4-(trifluoromethyl)phenyl]chromen-4-one Chemical compound OC[C@@H]1N(C)CC[C@H]1C1=C(O)C=C(O)C2=C1OC(C=1C=CC(=CC=1)C(F)(F)F)=CC2=O SOIJPGDNIWUEQU-KGLIPLIRSA-N 0.000 claims description 3
- HRTOUPQLDWWXIX-KGLIPLIRSA-N 5,7-dihydroxy-8-[(2r,3s)-2-(hydroxymethyl)-1-methylpyrrolidin-3-yl]-2-phenylchromen-4-one Chemical compound OC[C@@H]1N(C)CC[C@H]1C1=C(O)C=C(O)C2=C1OC(C=1C=CC=CC=1)=CC2=O HRTOUPQLDWWXIX-KGLIPLIRSA-N 0.000 claims description 3
- FPESSUZPGGOEAR-ZBFHGGJFSA-N 8-[(2r,3s)-2-(hydroxymethyl)-1-methylpyrrolidin-3-yl]-5,7-dimethoxy-2-(2-methoxyphenyl)chromen-4-one Chemical compound COC1=CC=CC=C1C1=CC(=O)C2=C(OC)C=C(OC)C([C@H]3[C@@H](N(C)CC3)CO)=C2O1 FPESSUZPGGOEAR-ZBFHGGJFSA-N 0.000 claims description 3
- WEWJMVDVZBTPDP-CVEARBPZSA-N 8-[(2r,3s)-2-(hydroxymethyl)-1-methylpyrrolidin-3-yl]-5,7-dimethoxy-2-phenylchromen-4-one Chemical compound C=1([C@H]2[C@@H](N(C)CC2)CO)C(OC)=CC(OC)=C(C(C=2)=O)C=1OC=2C1=CC=CC=C1 WEWJMVDVZBTPDP-CVEARBPZSA-N 0.000 claims description 3
- YBAVBZYPCVENEX-OLZOCXBDSA-N 8-[(2r,3s)-2-(hydroxymethyl)-1-methylpyrrolidin-3-yl]-5,7-dimethoxy-2-thiophen-2-ylchromen-4-one Chemical compound C=1([C@H]2[C@@H](N(C)CC2)CO)C(OC)=CC(OC)=C(C(C=2)=O)C=1OC=2C1=CC=CS1 YBAVBZYPCVENEX-OLZOCXBDSA-N 0.000 claims description 3
- 241000124008 Mammalia Species 0.000 claims description 3
- KGZRQWIOZZIRNQ-PBHICJAKSA-N 2-(2-bromo-5-methoxyphenyl)-8-[(2r,3s)-2-(hydroxymethyl)-1-methylpyrrolidin-3-yl]-5,7-dimethoxychromen-4-one Chemical compound COC1=CC=C(Br)C(C=2OC3=C([C@H]4[C@@H](N(C)CC4)CO)C(OC)=CC(OC)=C3C(=O)C=2)=C1 KGZRQWIOZZIRNQ-PBHICJAKSA-N 0.000 claims description 2
- FGYDDFAFJOOJLU-DOMZBBRYSA-N 2-(2-chloro-3-fluorophenyl)-8-[(2r,3s)-2-(hydroxymethyl)-1-methylpyrrolidin-3-yl]-5,7-dimethoxychromen-4-one Chemical compound C=1([C@H]2[C@@H](N(C)CC2)CO)C(OC)=CC(OC)=C(C(C=2)=O)C=1OC=2C1=CC=CC(F)=C1Cl FGYDDFAFJOOJLU-DOMZBBRYSA-N 0.000 claims description 2
- WOGDWUZEIONWTP-UHFFFAOYSA-N 2-(2-chloro-4-fluorophenyl)-5,7-dihydroxy-8-[2-(hydroxymethyl)-1-methylpyrrolidin-3-yl]chromen-4-one Chemical compound OCC1N(C)CCC1C1=C(O)C=C(O)C2=C1OC(C=1C(=CC(F)=CC=1)Cl)=CC2=O WOGDWUZEIONWTP-UHFFFAOYSA-N 0.000 claims description 2
- FNMIUXLTQAUTDL-CVEARBPZSA-N 2-(3-chlorophenyl)-8-[(2r,3s)-2-(hydroxymethyl)-1-methylpyrrolidin-3-yl]-5,7-dimethoxychromen-4-one Chemical compound C=1([C@H]2[C@@H](N(C)CC2)CO)C(OC)=CC(OC)=C(C(C=2)=O)C=1OC=2C1=CC=CC(Cl)=C1 FNMIUXLTQAUTDL-CVEARBPZSA-N 0.000 claims description 2
- UEEMHTZUOYUYNS-DOMZBBRYSA-N 2-[2-chloro-5-(methylamino)phenyl]-5,7-dihydroxy-8-[(2R,3S)-2-(hydroxymethyl)-1-methylpyrrolidin-3-yl]chromen-4-one Chemical compound ClC1=C(C=C(C=C1)NC)C=1OC2=C(C(=CC(=C2C(C1)=O)O)O)[C@H]1[C@@H](N(CC1)C)CO UEEMHTZUOYUYNS-DOMZBBRYSA-N 0.000 claims description 2
- UXNOKHBYVLWZRB-CABCVRRESA-N 4-[5,7-dihydroxy-8-[(2r,3s)-2-(hydroxymethyl)-1-methylpyrrolidin-3-yl]-4-oxochromen-2-yl]benzonitrile Chemical compound OC[C@@H]1N(C)CC[C@H]1C1=C(O)C=C(O)C2=C1OC(C=1C=CC(=CC=1)C#N)=CC2=O UXNOKHBYVLWZRB-CABCVRRESA-N 0.000 claims description 2
- UTDZZZOIPTXKBL-OCCSQVGLSA-N 5,7-dihydroxy-8-[(2r,3s)-2-(hydroxymethyl)-1-methylpyrrolidin-3-yl]-2-(2-iodophenyl)chromen-4-one Chemical compound OC[C@@H]1N(C)CC[C@H]1C1=C(O)C=C(O)C2=C1OC(C=1C(=CC=CC=1)I)=CC2=O UTDZZZOIPTXKBL-OCCSQVGLSA-N 0.000 claims description 2
- SOIJPGDNIWUEQU-UHFFFAOYSA-N 5,7-dihydroxy-8-[2-(hydroxymethyl)-1-methylpyrrolidin-3-yl]-2-[4-(trifluoromethyl)phenyl]chromen-4-one Chemical compound OCC1N(C)CCC1C1=C(O)C=C(O)C2=C1OC(C=1C=CC(=CC=1)C(F)(F)F)=CC2=O SOIJPGDNIWUEQU-UHFFFAOYSA-N 0.000 claims description 2
- QKZDCWKGQNARJL-ZBFHGGJFSA-N 8-[(2r,3s)-2-(hydroxymethyl)-1-methylpyrrolidin-3-yl]-2-(2-iodophenyl)-5,7-dimethoxychromen-4-one Chemical compound C=1([C@H]2[C@@H](N(C)CC2)CO)C(OC)=CC(OC)=C(C(C=2)=O)C=1OC=2C1=CC=CC=C1I QKZDCWKGQNARJL-ZBFHGGJFSA-N 0.000 claims description 2
- 208000024893 Acute lymphoblastic leukemia Diseases 0.000 claims description 2
- 208000014697 Acute lymphocytic leukaemia Diseases 0.000 claims description 2
- 208000031261 Acute myeloid leukaemia Diseases 0.000 claims description 2
- 208000003950 B-cell lymphoma Diseases 0.000 claims description 2
- 208000032791 BCR-ABL1 positive chronic myelogenous leukemia Diseases 0.000 claims description 2
- 201000008808 Fibrosarcoma Diseases 0.000 claims description 2
- 208000032612 Glial tumor Diseases 0.000 claims description 2
- 206010018338 Glioma Diseases 0.000 claims description 2
- 208000033761 Myelogenous Chronic BCR-ABL Positive Leukemia Diseases 0.000 claims description 2
- 208000033776 Myeloid Acute Leukemia Diseases 0.000 claims description 2
- 206010029260 Neuroblastoma Diseases 0.000 claims description 2
- 208000006664 Precursor Cell Lymphoblastic Leukemia-Lymphoma Diseases 0.000 claims description 2
- 201000010208 Seminoma Diseases 0.000 claims description 2
- 230000001154 acute effect Effects 0.000 claims description 2
- 201000001441 melanoma Diseases 0.000 claims description 2
- 201000008968 osteosarcoma Diseases 0.000 claims description 2
- 210000004765 promyelocyte Anatomy 0.000 claims description 2
- 208000001608 teratocarcinoma Diseases 0.000 claims description 2
- 206010005003 Bladder cancer Diseases 0.000 claims 1
- 206010006187 Breast cancer Diseases 0.000 claims 1
- 208000026310 Breast neoplasm Diseases 0.000 claims 1
- 208000010833 Chronic myeloid leukaemia Diseases 0.000 claims 1
- 206010009944 Colon cancer Diseases 0.000 claims 1
- 229940121968 Cyclin-dependent kinase 2 inhibitor Drugs 0.000 claims 1
- 229940083347 Cyclin-dependent kinase 4 inhibitor Drugs 0.000 claims 1
- 208000008839 Kidney Neoplasms Diseases 0.000 claims 1
- 206010058467 Lung neoplasm malignant Diseases 0.000 claims 1
- 206010033128 Ovarian cancer Diseases 0.000 claims 1
- 206010061535 Ovarian neoplasm Diseases 0.000 claims 1
- 206010061902 Pancreatic neoplasm Diseases 0.000 claims 1
- 206010060862 Prostate cancer Diseases 0.000 claims 1
- 208000000236 Prostatic Neoplasms Diseases 0.000 claims 1
- 206010038389 Renal cancer Diseases 0.000 claims 1
- 208000000453 Skin Neoplasms Diseases 0.000 claims 1
- 208000005718 Stomach Neoplasms Diseases 0.000 claims 1
- 208000024770 Thyroid neoplasm Diseases 0.000 claims 1
- 208000007097 Urinary Bladder Neoplasms Diseases 0.000 claims 1
- 208000006105 Uterine Cervical Neoplasms Diseases 0.000 claims 1
- 208000029742 colonic neoplasm Diseases 0.000 claims 1
- 206010017758 gastric cancer Diseases 0.000 claims 1
- 201000010982 kidney cancer Diseases 0.000 claims 1
- 201000007270 liver cancer Diseases 0.000 claims 1
- 208000014018 liver neoplasm Diseases 0.000 claims 1
- 201000005202 lung cancer Diseases 0.000 claims 1
- 208000020816 lung neoplasm Diseases 0.000 claims 1
- 208000015486 malignant pancreatic neoplasm Diseases 0.000 claims 1
- 201000002528 pancreatic cancer Diseases 0.000 claims 1
- 208000008443 pancreatic carcinoma Diseases 0.000 claims 1
- 201000009410 rhabdomyosarcoma Diseases 0.000 claims 1
- 201000000849 skin cancer Diseases 0.000 claims 1
- 201000011549 stomach cancer Diseases 0.000 claims 1
- 201000002510 thyroid cancer Diseases 0.000 claims 1
- 201000005112 urinary bladder cancer Diseases 0.000 claims 1
- 239000000203 mixture Substances 0.000 abstract description 42
- 208000037265 diseases, disorders, signs and symptoms Diseases 0.000 abstract description 24
- 238000002360 preparation method Methods 0.000 abstract description 17
- 230000008569 process Effects 0.000 abstract description 16
- 239000003814 drug Substances 0.000 abstract description 13
- 230000004663 cell proliferation Effects 0.000 abstract description 11
- 201000010099 disease Diseases 0.000 abstract description 11
- 230000002401 inhibitory effect Effects 0.000 abstract description 8
- ZYGHJZDHTFUPRJ-UHFFFAOYSA-N coumarin Chemical class C1=CC=C2OC(=O)C=CC2=C1 ZYGHJZDHTFUPRJ-UHFFFAOYSA-N 0.000 abstract description 5
- 239000013543 active substance Substances 0.000 abstract description 4
- 230000005764 inhibitory process Effects 0.000 abstract description 4
- 238000011321 prophylaxis Methods 0.000 abstract description 4
- 239000000126 substance Substances 0.000 abstract description 4
- 239000008194 pharmaceutical composition Substances 0.000 abstract description 3
- 239000003937 drug carrier Substances 0.000 abstract description 2
- HEDRZPFGACZZDS-MICDWDOJSA-N Trichloro(2H)methane Chemical compound [2H]C(Cl)(Cl)Cl HEDRZPFGACZZDS-MICDWDOJSA-N 0.000 description 224
- IAZDPXIOMUYVGZ-UHFFFAOYSA-N Dimethylsulphoxide Chemical compound CS(C)=O IAZDPXIOMUYVGZ-UHFFFAOYSA-N 0.000 description 161
- 238000005160 1H NMR spectroscopy Methods 0.000 description 152
- 125000002496 methyl group Chemical group [H]C([H])([H])* 0.000 description 110
- OKKJLVBELUTLKV-UHFFFAOYSA-N Methanol Chemical compound OC OKKJLVBELUTLKV-UHFFFAOYSA-N 0.000 description 99
- CBOIHMRHGLHBPB-UHFFFAOYSA-N hydroxymethyl Chemical compound O[CH2] CBOIHMRHGLHBPB-UHFFFAOYSA-N 0.000 description 97
- AOJFQRQNPXYVLM-UHFFFAOYSA-N pyridin-1-ium;chloride Chemical compound [Cl-].C1=CC=[NH+]C=C1 AOJFQRQNPXYVLM-UHFFFAOYSA-N 0.000 description 96
- ZMXDDKWLCZADIW-UHFFFAOYSA-N N,N-Dimethylformamide Chemical compound CN(C)C=O ZMXDDKWLCZADIW-UHFFFAOYSA-N 0.000 description 88
- 229910001868 water Inorganic materials 0.000 description 84
- XLYOFNOQVPJJNP-UHFFFAOYSA-N water Substances O XLYOFNOQVPJJNP-UHFFFAOYSA-N 0.000 description 81
- XEKOWRVHYACXOJ-UHFFFAOYSA-N Ethyl acetate Chemical compound CCOC(C)=O XEKOWRVHYACXOJ-UHFFFAOYSA-N 0.000 description 72
- 239000000243 solution Substances 0.000 description 72
- IJGRMHOSHXDMSA-UHFFFAOYSA-N Atomic nitrogen Chemical compound N#N IJGRMHOSHXDMSA-UHFFFAOYSA-N 0.000 description 70
- 229910052757 nitrogen Inorganic materials 0.000 description 70
- HEDRZPFGACZZDS-UHFFFAOYSA-N Chloroform Chemical compound ClC(Cl)Cl HEDRZPFGACZZDS-UHFFFAOYSA-N 0.000 description 68
- 125000003118 aryl group Chemical group 0.000 description 64
- 125000000217 alkyl group Chemical group 0.000 description 58
- 239000011541 reaction mixture Substances 0.000 description 55
- 229910000104 sodium hydride Inorganic materials 0.000 description 51
- 125000005842 heteroatom Chemical group 0.000 description 50
- 229910052717 sulfur Inorganic materials 0.000 description 48
- 238000004458 analytical method Methods 0.000 description 47
- 125000000623 heterocyclic group Chemical group 0.000 description 46
- CDBYLPFSWZWCQE-UHFFFAOYSA-L Sodium Carbonate Chemical compound [Na+].[Na+].[O-]C([O-])=O CDBYLPFSWZWCQE-UHFFFAOYSA-L 0.000 description 39
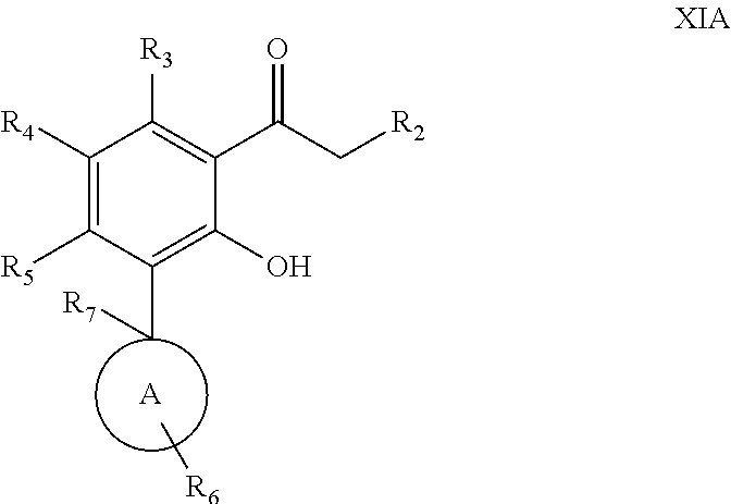
- 0 *.[1*]C1=C([2*])C(=C)C2=C([3*])C([4*])=C([5*])C(C[7*])=C2O1.[6*]C Chemical compound *.[1*]C1=C([2*])C(=C)C2=C([3*])C([4*])=C([5*])C(C[7*])=C2O1.[6*]C 0.000 description 37
- 125000004433 nitrogen atom Chemical group N* 0.000 description 37
- HEMHJVSKTPXQMS-UHFFFAOYSA-M Sodium hydroxide Chemical compound [OH-].[Na+] HEMHJVSKTPXQMS-UHFFFAOYSA-M 0.000 description 36
- 229910052760 oxygen Inorganic materials 0.000 description 36
- RTZKZFJDLAIYFH-UHFFFAOYSA-N Diethyl ether Chemical compound CCOCC RTZKZFJDLAIYFH-UHFFFAOYSA-N 0.000 description 33
- 239000001301 oxygen Substances 0.000 description 33
- 235000019439 ethyl acetate Nutrition 0.000 description 32
- 125000004169 (C1-C6) alkyl group Chemical group 0.000 description 31
- NINIDFKCEFEMDL-UHFFFAOYSA-N Sulfur Chemical compound [S] NINIDFKCEFEMDL-UHFFFAOYSA-N 0.000 description 31
- QVGXLLKOCUKJST-UHFFFAOYSA-N atomic oxygen Chemical compound [O] QVGXLLKOCUKJST-UHFFFAOYSA-N 0.000 description 31
- 239000011593 sulfur Substances 0.000 description 31
- 125000000882 C2-C6 alkenyl group Chemical group 0.000 description 28
- 125000004093 cyano group Chemical group *C#N 0.000 description 27
- 239000007832 Na2SO4 Substances 0.000 description 25
- PMZURENOXWZQFD-UHFFFAOYSA-L Sodium Sulfate Chemical compound [Na+].[Na+].[O-]S([O-])(=O)=O PMZURENOXWZQFD-UHFFFAOYSA-L 0.000 description 25
- 125000003178 carboxy group Chemical group [H]OC(*)=O 0.000 description 25
- 239000000460 chlorine Substances 0.000 description 25
- 125000004430 oxygen atom Chemical group O* 0.000 description 25
- 229910052938 sodium sulfate Inorganic materials 0.000 description 25
- QGZKDVFQNNGYKY-UHFFFAOYSA-N Ammonia Chemical compound N QGZKDVFQNNGYKY-UHFFFAOYSA-N 0.000 description 24
- UIIMBOGNXHQVGW-UHFFFAOYSA-M Sodium bicarbonate Chemical compound [Na+].OC([O-])=O UIIMBOGNXHQVGW-UHFFFAOYSA-M 0.000 description 24
- 210000004027 cell Anatomy 0.000 description 23
- 239000000284 extract Substances 0.000 description 23
- JUJWROOIHBZHMG-UHFFFAOYSA-N Pyridine Chemical compound C1=CC=NC=C1 JUJWROOIHBZHMG-UHFFFAOYSA-N 0.000 description 22
- VYPSYNLAJGMNEJ-UHFFFAOYSA-N Silicium dioxide Chemical compound O=[Si]=O VYPSYNLAJGMNEJ-UHFFFAOYSA-N 0.000 description 22
- ZMANZCXQSJIPKH-UHFFFAOYSA-N Triethylamine Chemical compound CCN(CC)CC ZMANZCXQSJIPKH-UHFFFAOYSA-N 0.000 description 22
- 125000004182 2-chlorophenyl group Chemical group [H]C1=C([H])C(Cl)=C(*)C([H])=C1[H] 0.000 description 21
- YMWUJEATGCHHMB-UHFFFAOYSA-N Dichloromethane Chemical compound ClCCl YMWUJEATGCHHMB-UHFFFAOYSA-N 0.000 description 20
- 239000002585 base Substances 0.000 description 20
- QTBSBXVTEAMEQO-UHFFFAOYSA-N Acetic acid Chemical compound CC(O)=O QTBSBXVTEAMEQO-UHFFFAOYSA-N 0.000 description 19
- 239000000741 silica gel Substances 0.000 description 19
- 229910002027 silica gel Inorganic materials 0.000 description 19
- 229910000029 sodium carbonate Inorganic materials 0.000 description 19
- 125000004434 sulfur atom Chemical group 0.000 description 18
- 238000006243 chemical reaction Methods 0.000 description 17
- WYURNTSHIVDZCO-UHFFFAOYSA-N Tetrahydrofuran Chemical compound C1CCOC1 WYURNTSHIVDZCO-UHFFFAOYSA-N 0.000 description 16
- 238000003756 stirring Methods 0.000 description 16
- WFDIJRYMOXRFFG-UHFFFAOYSA-N Acetic anhydride Chemical compound CC(=O)OC(C)=O WFDIJRYMOXRFFG-UHFFFAOYSA-N 0.000 description 15
- VEXZGXHMUGYJMC-UHFFFAOYSA-N Hydrochloric acid Chemical compound Cl VEXZGXHMUGYJMC-UHFFFAOYSA-N 0.000 description 15
- KFZMGEQAYNKOFK-UHFFFAOYSA-N Isopropanol Chemical compound CC(C)O KFZMGEQAYNKOFK-UHFFFAOYSA-N 0.000 description 15
- OAICVXFJPJFONN-UHFFFAOYSA-N Phosphorus Chemical compound [P] OAICVXFJPJFONN-UHFFFAOYSA-N 0.000 description 15
- 230000017858 demethylation Effects 0.000 description 15
- 238000010520 demethylation reaction Methods 0.000 description 15
- 229910052698 phosphorus Inorganic materials 0.000 description 15
- 239000011574 phosphorus Substances 0.000 description 15
- 239000000651 prodrug Substances 0.000 description 15
- 229940002612 prodrug Drugs 0.000 description 15
- 239000002904 solvent Substances 0.000 description 15
- XHXFXVLFKHQFAL-UHFFFAOYSA-N phosphoryl trichloride Chemical compound ClP(Cl)(Cl)=O XHXFXVLFKHQFAL-UHFFFAOYSA-N 0.000 description 14
- BWHMMNNQKKPAPP-UHFFFAOYSA-L potassium carbonate Chemical compound [K+].[K+].[O-]C([O-])=O BWHMMNNQKKPAPP-UHFFFAOYSA-L 0.000 description 14
- LPXPTNMVRIOKMN-UHFFFAOYSA-M sodium nitrite Chemical compound [Na+].[O-]N=O LPXPTNMVRIOKMN-UHFFFAOYSA-M 0.000 description 14
- LFQSCWFLJHTTHZ-UHFFFAOYSA-N Ethanol Chemical compound CCO LFQSCWFLJHTTHZ-UHFFFAOYSA-N 0.000 description 13
- QAOWNCQODCNURD-UHFFFAOYSA-N Sulfuric acid Chemical compound OS(O)(=O)=O QAOWNCQODCNURD-UHFFFAOYSA-N 0.000 description 13
- 125000004432 carbon atom Chemical group C* 0.000 description 13
- 208000035475 disorder Diseases 0.000 description 13
- 125000001570 methylene group Chemical group [H]C([H])([*:1])[*:2] 0.000 description 13
- RYHBNJHYFVUHQT-UHFFFAOYSA-N 1,4-Dioxane Chemical compound C1COCCO1 RYHBNJHYFVUHQT-UHFFFAOYSA-N 0.000 description 12
- MEKOFIRRDATTAG-UHFFFAOYSA-N 2,2,5,8-tetramethyl-3,4-dihydrochromen-6-ol Chemical compound C1CC(C)(C)OC2=C1C(C)=C(O)C=C2C MEKOFIRRDATTAG-UHFFFAOYSA-N 0.000 description 12
- 125000002252 acyl group Chemical group 0.000 description 12
- 125000003342 alkenyl group Chemical group 0.000 description 12
- 125000003545 alkoxy group Chemical group 0.000 description 12
- 229910021529 ammonia Inorganic materials 0.000 description 12
- 150000003857 carboxamides Chemical group 0.000 description 12
- 239000003054 catalyst Substances 0.000 description 12
- 229940124530 sulfonamide Drugs 0.000 description 12
- 150000003456 sulfonamides Chemical group 0.000 description 12
- 108050006400 Cyclin Proteins 0.000 description 11
- 102000016736 Cyclin Human genes 0.000 description 11
- 230000000694 effects Effects 0.000 description 11
- 150000002148 esters Chemical class 0.000 description 11
- 239000005457 ice water Substances 0.000 description 11
- 239000000543 intermediate Substances 0.000 description 11
- 125000002924 primary amino group Chemical group [H]N([H])* 0.000 description 11
- 230000002062 proliferating effect Effects 0.000 description 11
- UMJSCPRVCHMLSP-UHFFFAOYSA-N pyridine Natural products COC1=CC=CN=C1 UMJSCPRVCHMLSP-UHFFFAOYSA-N 0.000 description 11
- 229910000030 sodium bicarbonate Inorganic materials 0.000 description 11
- OKTJSMMVPCPJKN-UHFFFAOYSA-N Carbon Chemical group [C] OKTJSMMVPCPJKN-UHFFFAOYSA-N 0.000 description 10
- 108010024986 Cyclin-Dependent Kinase 2 Proteins 0.000 description 10
- 102100036239 Cyclin-dependent kinase 2 Human genes 0.000 description 10
- 108091000080 Phosphotransferase Proteins 0.000 description 10
- 102000020233 phosphotransferase Human genes 0.000 description 10
- 239000000047 product Substances 0.000 description 10
- CSCPPACGZOOCGX-UHFFFAOYSA-N Acetone Chemical compound CC(C)=O CSCPPACGZOOCGX-UHFFFAOYSA-N 0.000 description 9
- 102000013701 Cyclin-Dependent Kinase 4 Human genes 0.000 description 9
- 108010025464 Cyclin-Dependent Kinase 4 Proteins 0.000 description 9
- RWRDLPDLKQPQOW-UHFFFAOYSA-N Pyrrolidine Chemical compound C1CCNC1 RWRDLPDLKQPQOW-UHFFFAOYSA-N 0.000 description 9
- 229960000583 acetic acid Drugs 0.000 description 9
- 150000001299 aldehydes Chemical class 0.000 description 9
- 125000005129 aryl carbonyl group Chemical group 0.000 description 9
- 125000004104 aryloxy group Chemical group 0.000 description 9
- 239000000825 pharmaceutical preparation Substances 0.000 description 9
- 239000007787 solid Substances 0.000 description 9
- 239000012359 Methanesulfonyl chloride Substances 0.000 description 8
- 239000002253 acid Substances 0.000 description 8
- 125000004448 alkyl carbonyl group Chemical group 0.000 description 8
- 125000000304 alkynyl group Chemical group 0.000 description 8
- 239000000872 buffer Substances 0.000 description 8
- 150000001721 carbon Chemical group 0.000 description 8
- 229910052799 carbon Inorganic materials 0.000 description 8
- 238000005859 coupling reaction Methods 0.000 description 8
- 229930003944 flavone Natural products 0.000 description 8
- 235000011949 flavones Nutrition 0.000 description 8
- QARBMVPHQWIHKH-UHFFFAOYSA-N methanesulfonyl chloride Chemical compound CS(Cl)(=O)=O QARBMVPHQWIHKH-UHFFFAOYSA-N 0.000 description 8
- 108090000623 proteins and genes Proteins 0.000 description 8
- 238000006467 substitution reaction Methods 0.000 description 8
- 125000000472 sulfonyl group Chemical group *S(*)(=O)=O 0.000 description 8
- QUEKGYQTRJVEQC-UHFFFAOYSA-N 2516-96-3 Chemical compound OC(=O)C1=CC([N+]([O-])=O)=CC=C1Cl QUEKGYQTRJVEQC-UHFFFAOYSA-N 0.000 description 7
- 108010058546 Cyclin D1 Proteins 0.000 description 7
- 108090000257 Cyclin E Proteins 0.000 description 7
- 102100024165 G1/S-specific cyclin-D1 Human genes 0.000 description 7
- KDLHZDBZIXYQEI-UHFFFAOYSA-N Palladium Chemical compound [Pd] KDLHZDBZIXYQEI-UHFFFAOYSA-N 0.000 description 7
- GAMYVSCDDLXAQW-AOIWZFSPSA-N Thermopsosid Natural products O(C)c1c(O)ccc(C=2Oc3c(c(O)cc(O[C@H]4[C@H](O)[C@@H](O)[C@H](O)[C@H](CO)O4)c3)C(=O)C=2)c1 GAMYVSCDDLXAQW-AOIWZFSPSA-N 0.000 description 7
- XSQUKJJJFZCRTK-UHFFFAOYSA-N Urea Chemical compound NC(N)=O XSQUKJJJFZCRTK-UHFFFAOYSA-N 0.000 description 7
- 239000004480 active ingredient Substances 0.000 description 7
- 125000004453 alkoxycarbonyl group Chemical group 0.000 description 7
- BIIVYFLTOXDAOV-YVEFUNNKSA-N alvocidib Chemical compound O[C@@H]1CN(C)CC[C@@H]1C1=C(O)C=C(O)C2=C1OC(C=1C(=CC=CC=1)Cl)=CC2=O BIIVYFLTOXDAOV-YVEFUNNKSA-N 0.000 description 7
- 229950010817 alvocidib Drugs 0.000 description 7
- 238000003556 assay Methods 0.000 description 7
- 239000012267 brine Substances 0.000 description 7
- 230000022131 cell cycle Effects 0.000 description 7
- 230000008878 coupling Effects 0.000 description 7
- 238000010168 coupling process Methods 0.000 description 7
- 125000000753 cycloalkyl group Chemical group 0.000 description 7
- 238000011065 in-situ storage Methods 0.000 description 7
- 150000007529 inorganic bases Chemical class 0.000 description 7
- LBNPBOFVHYOPIB-UHFFFAOYSA-N methyl 5-amino-2-chlorobenzoate Chemical compound COC(=O)C1=CC(N)=CC=C1Cl LBNPBOFVHYOPIB-UHFFFAOYSA-N 0.000 description 7
- 239000003208 petroleum Substances 0.000 description 7
- 229910000027 potassium carbonate Inorganic materials 0.000 description 7
- HPALAKNZSZLMCH-UHFFFAOYSA-M sodium;chloride;hydrate Chemical compound O.[Na+].[Cl-] HPALAKNZSZLMCH-UHFFFAOYSA-M 0.000 description 7
- 125000003396 thiol group Chemical class [H]S* 0.000 description 7
- VHBFFQKBGNRLFZ-UHFFFAOYSA-N vitamin p Natural products O1C2=CC=CC=C2C(=O)C=C1C1=CC=CC=C1 VHBFFQKBGNRLFZ-UHFFFAOYSA-N 0.000 description 7
- LKUDPHPHKOZXCD-UHFFFAOYSA-N 1,3,5-trimethoxybenzene Chemical compound COC1=CC(OC)=CC(OC)=C1 LKUDPHPHKOZXCD-UHFFFAOYSA-N 0.000 description 6
- 125000004801 4-cyanophenyl group Chemical group [H]C1=C([H])C(C#N)=C([H])C([H])=C1* 0.000 description 6
- 125000004199 4-trifluoromethylphenyl group Chemical group [H]C1=C([H])C(=C([H])C([H])=C1*)C(F)(F)F 0.000 description 6
- KZMGYPLQYOPHEL-UHFFFAOYSA-N Boron trifluoride etherate Chemical compound FB(F)F.CCOCC KZMGYPLQYOPHEL-UHFFFAOYSA-N 0.000 description 6
- 102000003909 Cyclin E Human genes 0.000 description 6
- 241000238631 Hexapoda Species 0.000 description 6
- 229910019213 POCl3 Inorganic materials 0.000 description 6
- NQRYJNQNLNOLGT-UHFFFAOYSA-N Piperidine Chemical compound C1CCNCC1 NQRYJNQNLNOLGT-UHFFFAOYSA-N 0.000 description 6
- 239000003153 chemical reaction reagent Substances 0.000 description 6
- OTAFHZMPRISVEM-UHFFFAOYSA-N chromone Chemical class C1=CC=C2C(=O)C=COC2=C1 OTAFHZMPRISVEM-UHFFFAOYSA-N 0.000 description 6
- 229940043378 cyclin-dependent kinase inhibitor Drugs 0.000 description 6
- 150000002212 flavone derivatives Chemical class 0.000 description 6
- 125000000524 functional group Chemical group 0.000 description 6
- RAXXELZNTBOGNW-UHFFFAOYSA-N imidazole Natural products C1=CNC=N1 RAXXELZNTBOGNW-UHFFFAOYSA-N 0.000 description 6
- 150000002576 ketones Chemical class 0.000 description 6
- 239000003921 oil Substances 0.000 description 6
- 150000007530 organic bases Chemical class 0.000 description 6
- 239000012044 organic layer Substances 0.000 description 6
- 238000007363 ring formation reaction Methods 0.000 description 6
- 239000000725 suspension Substances 0.000 description 6
- 238000002560 therapeutic procedure Methods 0.000 description 6
- 229940086542 triethylamine Drugs 0.000 description 6
- NGNBDVOYPDDBFK-UHFFFAOYSA-N 2-[2,4-di(pentan-2-yl)phenoxy]acetyl chloride Chemical compound CCCC(C)C1=CC=C(OCC(Cl)=O)C(C(C)CCC)=C1 NGNBDVOYPDDBFK-UHFFFAOYSA-N 0.000 description 5
- 125000002373 5 membered heterocyclic group Chemical group 0.000 description 5
- 125000004070 6 membered heterocyclic group Chemical group 0.000 description 5
- HBAQYPYDRFILMT-UHFFFAOYSA-N 8-[3-(1-cyclopropylpyrazol-4-yl)-1H-pyrazolo[4,3-d]pyrimidin-5-yl]-3-methyl-3,8-diazabicyclo[3.2.1]octan-2-one Chemical class C1(CC1)N1N=CC(=C1)C1=NNC2=C1N=C(N=C2)N1C2C(N(CC1CC2)C)=O HBAQYPYDRFILMT-UHFFFAOYSA-N 0.000 description 5
- 241000196324 Embryophyta Species 0.000 description 5
- 230000018199 S phase Effects 0.000 description 5
- VMHLLURERBWHNL-UHFFFAOYSA-M Sodium acetate Chemical compound [Na+].CC([O-])=O VMHLLURERBWHNL-UHFFFAOYSA-M 0.000 description 5
- 125000002015 acyclic group Chemical group 0.000 description 5
- 150000001408 amides Chemical class 0.000 description 5
- 230000001028 anti-proliverative effect Effects 0.000 description 5
- 239000000706 filtrate Substances 0.000 description 5
- 238000000338 in vitro Methods 0.000 description 5
- 238000004519 manufacturing process Methods 0.000 description 5
- VXORHTLUPYQIFE-UHFFFAOYSA-N methyl 2-chloro-4-methoxybenzoate Chemical compound COC(=O)C1=CC=C(OC)C=C1Cl VXORHTLUPYQIFE-UHFFFAOYSA-N 0.000 description 5
- JAVRNIFMYIJXIE-UHFFFAOYSA-N methyl 2-chlorobenzoate Chemical compound COC(=O)C1=CC=CC=C1Cl JAVRNIFMYIJXIE-UHFFFAOYSA-N 0.000 description 5
- 235000018102 proteins Nutrition 0.000 description 5
- 102000004169 proteins and genes Human genes 0.000 description 5
- 230000009467 reduction Effects 0.000 description 5
- 238000006722 reduction reaction Methods 0.000 description 5
- 230000001105 regulatory effect Effects 0.000 description 5
- 125000006413 ring segment Chemical group 0.000 description 5
- 210000001519 tissue Anatomy 0.000 description 5
- 231100000331 toxic Toxicity 0.000 description 5
- 230000002588 toxic effect Effects 0.000 description 5
- 125000004191 (C1-C6) alkoxy group Chemical group 0.000 description 4
- CRUILBNAQILVHZ-UHFFFAOYSA-N 1,2,3-trimethoxybenzene Chemical compound COC1=CC=CC(OC)=C1OC CRUILBNAQILVHZ-UHFFFAOYSA-N 0.000 description 4
- 208000024827 Alzheimer disease Diseases 0.000 description 4
- 108010068192 Cyclin A Proteins 0.000 description 4
- 102000002554 Cyclin A Human genes 0.000 description 4
- 102000004190 Enzymes Human genes 0.000 description 4
- 108090000790 Enzymes Proteins 0.000 description 4
- XEEYBQQBJWHFJM-UHFFFAOYSA-N Iron Chemical compound [Fe] XEEYBQQBJWHFJM-UHFFFAOYSA-N 0.000 description 4
- UYQMRAQWCFNNAV-NEPJUHHUSA-N [(2r,3s)-1-methyl-3-(2,4,6-trimethoxyphenyl)pyrrolidin-2-yl]methanol Chemical compound COC1=CC(OC)=CC(OC)=C1[C@H]1[C@H](CO)N(C)CC1 UYQMRAQWCFNNAV-NEPJUHHUSA-N 0.000 description 4
- LCXUOXHNZORLNL-WBVHZDCISA-N [2-acetyl-6-[(2R,3S)-2-(acetyloxymethyl)-1-methylpyrrolidin-3-yl]-3,5-dimethoxyphenyl] 2-chloropyridine-3-carboxylate Chemical compound C(C)(=O)OC[C@@H]1N(CC[C@H]1C1=C(C(=C(C=C1OC)OC)C(C)=O)OC(C1=C(N=CC=C1)Cl)=O)C LCXUOXHNZORLNL-WBVHZDCISA-N 0.000 description 4
- 230000002378 acidificating effect Effects 0.000 description 4
- 239000000654 additive Substances 0.000 description 4
- 125000005199 aryl carbonyloxy group Chemical group 0.000 description 4
- 210000000481 breast Anatomy 0.000 description 4
- 125000002915 carbonyl group Chemical group [*:2]C([*:1])=O 0.000 description 4
- 239000003795 chemical substances by application Substances 0.000 description 4
- 238000002425 crystallisation Methods 0.000 description 4
- 230000008025 crystallization Effects 0.000 description 4
- 229940079593 drug Drugs 0.000 description 4
- 238000001914 filtration Methods 0.000 description 4
- 239000012362 glacial acetic acid Substances 0.000 description 4
- 238000005984 hydrogenation reaction Methods 0.000 description 4
- JSNXIWYWUKTWAX-UHFFFAOYSA-N methyl 4-bromo-2-chlorobenzoate Chemical compound COC(=O)C1=CC=C(Br)C=C1Cl JSNXIWYWUKTWAX-UHFFFAOYSA-N 0.000 description 4
- 150000007522 mineralic acids Chemical class 0.000 description 4
- 150000007524 organic acids Chemical class 0.000 description 4
- 239000003960 organic solvent Substances 0.000 description 4
- 125000003367 polycyclic group Chemical group 0.000 description 4
- 230000035755 proliferation Effects 0.000 description 4
- 125000001436 propyl group Chemical group [H]C([*])([H])C([H])([H])C([H])([H])[H] 0.000 description 4
- 238000000746 purification Methods 0.000 description 4
- 125000004076 pyridyl group Chemical group 0.000 description 4
- 238000000926 separation method Methods 0.000 description 4
- 125000000547 substituted alkyl group Chemical group 0.000 description 4
- 125000005147 toluenesulfonyl group Chemical group C=1(C(=CC=CC1)S(=O)(=O)*)C 0.000 description 4
- 125000004209 (C1-C8) alkyl group Chemical group 0.000 description 3
- CEXGTXNIIFSPSF-UHFFFAOYSA-N 2-bromo-4-nitrobenzoic acid Chemical compound OC(=O)C1=CC=C([N+]([O-])=O)C=C1Br CEXGTXNIIFSPSF-UHFFFAOYSA-N 0.000 description 3
- QAVCQCQQTYJKSO-UHFFFAOYSA-N 2-chloro-11-cyclopropyl-4-methyl-5h-dipyrido[2,3-b:2',3'-f][1,4]diazepin-6-one Chemical compound C12=NC=CC=C2C(=O)NC=2C(C)=CC(Cl)=NC=2N1C1CC1 QAVCQCQQTYJKSO-UHFFFAOYSA-N 0.000 description 3
- 125000001627 3 membered heterocyclic group Chemical group 0.000 description 3
- 125000004179 3-chlorophenyl group Chemical group [H]C1=C([H])C(*)=C([H])C(Cl)=C1[H] 0.000 description 3
- 125000001963 4 membered heterocyclic group Chemical group 0.000 description 3
- 125000004800 4-bromophenyl group Chemical group [H]C1=C([H])C(*)=C([H])C([H])=C1Br 0.000 description 3
- 102100032857 Cyclin-dependent kinase 1 Human genes 0.000 description 3
- 101710106279 Cyclin-dependent kinase 1 Proteins 0.000 description 3
- 108020004414 DNA Proteins 0.000 description 3
- PEDCQBHIVMGVHV-UHFFFAOYSA-N Glycerine Chemical compound OCC(O)CO PEDCQBHIVMGVHV-UHFFFAOYSA-N 0.000 description 3
- MHAJPDPJQMAIIY-UHFFFAOYSA-N Hydrogen peroxide Chemical compound OO MHAJPDPJQMAIIY-UHFFFAOYSA-N 0.000 description 3
- 238000006957 Michael reaction Methods 0.000 description 3
- GRYLNZFGIOXLOG-UHFFFAOYSA-N Nitric acid Chemical compound O[N+]([O-])=O GRYLNZFGIOXLOG-UHFFFAOYSA-N 0.000 description 3
- IOVCWXUNBOPUCH-UHFFFAOYSA-N Nitrous acid Chemical compound ON=O IOVCWXUNBOPUCH-UHFFFAOYSA-N 0.000 description 3
- MUBZPKHOEPUJKR-UHFFFAOYSA-N Oxalic acid Chemical compound OC(=O)C(O)=O MUBZPKHOEPUJKR-UHFFFAOYSA-N 0.000 description 3
- NBIIXXVUZAFLBC-UHFFFAOYSA-N Phosphoric acid Chemical compound OP(O)(O)=O NBIIXXVUZAFLBC-UHFFFAOYSA-N 0.000 description 3
- 201000004681 Psoriasis Diseases 0.000 description 3
- 229920002684 Sepharose Polymers 0.000 description 3
- IQFYYKKMVGJFEH-XLPZGREQSA-N Thymidine Chemical compound O=C1NC(=O)C(C)=CN1[C@@H]1O[C@H](CO)[C@@H](O)C1 IQFYYKKMVGJFEH-XLPZGREQSA-N 0.000 description 3
- 208000036142 Viral infection Diseases 0.000 description 3
- 150000001298 alcohols Chemical class 0.000 description 3
- 125000004414 alkyl thio group Chemical group 0.000 description 3
- 150000008064 anhydrides Chemical class 0.000 description 3
- 230000001093 anti-cancer Effects 0.000 description 3
- 239000002246 antineoplastic agent Substances 0.000 description 3
- 239000007864 aqueous solution Substances 0.000 description 3
- 125000003710 aryl alkyl group Chemical group 0.000 description 3
- 239000012298 atmosphere Substances 0.000 description 3
- 230000015572 biosynthetic process Effects 0.000 description 3
- 239000004202 carbamide Substances 0.000 description 3
- 235000013877 carbamide Nutrition 0.000 description 3
- 239000000969 carrier Substances 0.000 description 3
- 210000003679 cervix uteri Anatomy 0.000 description 3
- 239000003638 chemical reducing agent Substances 0.000 description 3
- KRKNYBCHXYNGOX-UHFFFAOYSA-N citric acid Chemical compound OC(=O)CC(O)(C(O)=O)CC(O)=O KRKNYBCHXYNGOX-UHFFFAOYSA-N 0.000 description 3
- 210000001072 colon Anatomy 0.000 description 3
- BERDEBHAJNAUOM-UHFFFAOYSA-N copper(I) oxide Inorganic materials [Cu]O[Cu] BERDEBHAJNAUOM-UHFFFAOYSA-N 0.000 description 3
- KRFJLUBVMFXRPN-UHFFFAOYSA-N cuprous oxide Chemical compound [O-2].[Cu+].[Cu+] KRFJLUBVMFXRPN-UHFFFAOYSA-N 0.000 description 3
- 125000006165 cyclic alkyl group Chemical group 0.000 description 3
- 239000002254 cytotoxic agent Substances 0.000 description 3
- 229940127089 cytotoxic agent Drugs 0.000 description 3
- 231100000599 cytotoxic agent Toxicity 0.000 description 3
- 239000003480 eluent Substances 0.000 description 3
- 210000003527 eukaryotic cell Anatomy 0.000 description 3
- 229940093915 gynecological organic acid Drugs 0.000 description 3
- 125000001072 heteroaryl group Chemical group 0.000 description 3
- 125000001183 hydrocarbyl group Chemical group 0.000 description 3
- 125000004029 hydroxymethyl group Chemical group [H]OC([H])([H])* 0.000 description 3
- 125000002883 imidazolyl group Chemical group 0.000 description 3
- 229910052740 iodine Inorganic materials 0.000 description 3
- RBTARNINKXHZNM-UHFFFAOYSA-K iron trichloride Chemical class Cl[Fe](Cl)Cl RBTARNINKXHZNM-UHFFFAOYSA-K 0.000 description 3
- 238000000021 kinase assay Methods 0.000 description 3
- 210000004072 lung Anatomy 0.000 description 3
- 210000004962 mammalian cell Anatomy 0.000 description 3
- 229910052751 metal Inorganic materials 0.000 description 3
- 239000002184 metal Substances 0.000 description 3
- VRTQLDFCPNVQNT-UHFFFAOYSA-N methyl 2-bromo-5-methoxybenzoate Chemical compound COC(=O)C1=CC(OC)=CC=C1Br VRTQLDFCPNVQNT-UHFFFAOYSA-N 0.000 description 3
- VAZWXPJOOFSNLB-UHFFFAOYSA-N methyl 4-(trifluoromethyl)benzoate Chemical compound COC(=O)C1=CC=C(C(F)(F)F)C=C1 VAZWXPJOOFSNLB-UHFFFAOYSA-N 0.000 description 3
- 125000001624 naphthyl group Chemical group 0.000 description 3
- 229910017604 nitric acid Inorganic materials 0.000 description 3
- 239000012299 nitrogen atmosphere Substances 0.000 description 3
- QJGQUHMNIGDVPM-UHFFFAOYSA-N nitrogen group Chemical group [N] QJGQUHMNIGDVPM-UHFFFAOYSA-N 0.000 description 3
- 235000005985 organic acids Nutrition 0.000 description 3
- YJVFFLUZDVXJQI-UHFFFAOYSA-L palladium(ii) acetate Chemical compound [Pd+2].CC([O-])=O.CC([O-])=O YJVFFLUZDVXJQI-UHFFFAOYSA-L 0.000 description 3
- 230000026731 phosphorylation Effects 0.000 description 3
- 238000006366 phosphorylation reaction Methods 0.000 description 3
- 238000007157 ring contraction reaction Methods 0.000 description 3
- 239000001632 sodium acetate Substances 0.000 description 3
- 235000017281 sodium acetate Nutrition 0.000 description 3
- 125000005346 substituted cycloalkyl group Chemical group 0.000 description 3
- 239000006188 syrup Substances 0.000 description 3
- 235000020357 syrup Nutrition 0.000 description 3
- 150000007970 thio esters Chemical class 0.000 description 3
- 230000009385 viral infection Effects 0.000 description 3
- 125000004890 (C1-C6) alkylamino group Chemical group 0.000 description 2
- LVEYOSJUKRVCCF-UHFFFAOYSA-N 1,3-bis(diphenylphosphino)propane Chemical compound C=1C=CC=CC=1P(C=1C=CC=CC=1)CCCP(C=1C=CC=CC=1)C1=CC=CC=C1 LVEYOSJUKRVCCF-UHFFFAOYSA-N 0.000 description 2
- JJSDPGSJXCYILH-MNOVXSKESA-N 1-[2-hydroxy-3-[(2r,3s)-2-(hydroxymethyl)-1-methylpyrrolidin-3-yl]-4,6-dimethoxyphenyl]ethanone Chemical compound COC1=CC(OC)=C(C(C)=O)C(O)=C1[C@H]1[C@H](CO)N(C)CC1 JJSDPGSJXCYILH-MNOVXSKESA-N 0.000 description 2
- UNILWMWFPHPYOR-KXEYIPSPSA-M 1-[6-[2-[3-[3-[3-[2-[2-[3-[[2-[2-[[(2r)-1-[[2-[[(2r)-1-[3-[2-[2-[3-[[2-(2-amino-2-oxoethoxy)acetyl]amino]propoxy]ethoxy]ethoxy]propylamino]-3-hydroxy-1-oxopropan-2-yl]amino]-2-oxoethyl]amino]-3-[(2r)-2,3-di(hexadecanoyloxy)propyl]sulfanyl-1-oxopropan-2-yl Chemical compound O=C1C(SCCC(=O)NCCCOCCOCCOCCCNC(=O)COCC(=O)N[C@@H](CSC[C@@H](COC(=O)CCCCCCCCCCCCCCC)OC(=O)CCCCCCCCCCCCCCC)C(=O)NCC(=O)N[C@H](CO)C(=O)NCCCOCCOCCOCCCNC(=O)COCC(N)=O)CC(=O)N1CCNC(=O)CCCCCN\1C2=CC=C(S([O-])(=O)=O)C=C2CC/1=C/C=C/C=C/C1=[N+](CC)C2=CC=C(S([O-])(=O)=O)C=C2C1 UNILWMWFPHPYOR-KXEYIPSPSA-M 0.000 description 2
- HUUPVABNAQUEJW-UHFFFAOYSA-N 1-methylpiperidin-4-one Chemical compound CN1CCC(=O)CC1 HUUPVABNAQUEJW-UHFFFAOYSA-N 0.000 description 2
- MBYBPXMWCPUHFV-RISCZKNCSA-N 2-(2-bromo-5-hydroxyphenyl)-5,7-dihydroxy-8-[(2r,3s)-2-(hydroxymethyl)-1-methylpyrrolidin-3-yl]chromen-4-one Chemical compound OC[C@@H]1N(C)CC[C@H]1C1=C(O)C=C(O)C2=C1OC(C=1C(=CC=C(O)C=1)Br)=CC2=O MBYBPXMWCPUHFV-RISCZKNCSA-N 0.000 description 2
- FZALPBGEMZIIMQ-ZBFHGGJFSA-N 2-(2-chlorophenyl)-5,7-dihydroxy-8-[(2R,3S)-2-(hydroxymethyl)-1-propylpyrrolidin-3-yl]chromen-4-one Chemical compound ClC1=C(C=CC=C1)C=1OC2=C(C(=CC(=C2C(C1)=O)O)O)[C@H]1[C@@H](N(CC1)CCC)CO FZALPBGEMZIIMQ-ZBFHGGJFSA-N 0.000 description 2
- IIRDEGXBMFVRST-WBVHZDCISA-N 2-(2-chlorophenyl)-5,7-dihydroxy-8-[(2R,3S)-2-(imidazol-1-ylmethyl)-1-methylpyrrolidin-3-yl]chromen-4-one Chemical compound ClC1=C(C=CC=C1)C=1OC2=C(C(=CC(=C2C(C1)=O)O)O)[C@H]1[C@@H](N(CC1)C)CN1C=NC=C1 IIRDEGXBMFVRST-WBVHZDCISA-N 0.000 description 2
- KRQCTMXHDNYMNU-IRLDBZIGSA-N 2-(2-chlorophenyl)-8-[(2R,3S)-2-(hydroxymethyl)-1-(4-methoxyphenyl)pyrrolidin-3-yl]-5,7-dimethoxychromen-4-one Chemical compound ClC1=C(C=CC=C1)C=1OC2=C(C(=CC(=C2C(C1)=O)OC)OC)[C@H]1[C@@H](N(CC1)C1=CC=C(C=C1)OC)CO KRQCTMXHDNYMNU-IRLDBZIGSA-N 0.000 description 2
- PZRHSJSZCFVRAF-AEFFLSMTSA-N 2-(2-chlorophenyl)-8-[(2R,3S)-2-(hydroxymethyl)-1-propylpyrrolidin-3-yl]-5,7-dimethoxychromen-4-one Chemical compound ClC1=C(C=CC=C1)C=1OC2=C(C(=CC(=C2C(C1)=O)OC)OC)[C@H]1[C@@H](N(CC1)CCC)CO PZRHSJSZCFVRAF-AEFFLSMTSA-N 0.000 description 2
- BPQXHCWZQRBSLW-HIFRSBDPSA-N 2-[(2S,3S)-3-[2-(2-chlorophenyl)-5,7-dihydroxy-4-oxochromen-8-yl]-1-methylpyrrolidin-2-yl]acetonitrile Chemical compound ClC1=C(C=CC=C1)C=1OC2=C(C(=CC(=C2C(C1)=O)O)O)[C@H]1[C@@H](N(CC1)C)CC#N BPQXHCWZQRBSLW-HIFRSBDPSA-N 0.000 description 2
- JHFVJZYSOSQUDW-UHFFFAOYSA-N 2-bromo-4-nitrobenzonitrile Chemical compound [O-][N+](=O)C1=CC=C(C#N)C(Br)=C1 JHFVJZYSOSQUDW-UHFFFAOYSA-N 0.000 description 2
- UVFWYVCDRKRAJH-UHFFFAOYSA-N 2-bromo-5-nitrobenzoic acid Chemical compound OC(=O)C1=CC([N+]([O-])=O)=CC=C1Br UVFWYVCDRKRAJH-UHFFFAOYSA-N 0.000 description 2
- 125000006276 2-bromophenyl group Chemical group [H]C1=C([H])C(Br)=C(*)C([H])=C1[H] 0.000 description 2
- IBRSSZOHCGUTHI-UHFFFAOYSA-N 2-chloropyridine-3-carboxylic acid Chemical compound OC(=O)C1=CC=CN=C1Cl IBRSSZOHCGUTHI-UHFFFAOYSA-N 0.000 description 2
- 125000004198 2-fluorophenyl group Chemical group [H]C1=C([H])C(F)=C(*)C([H])=C1[H] 0.000 description 2
- 125000000954 2-hydroxyethyl group Chemical group [H]C([*])([H])C([H])([H])O[H] 0.000 description 2
- 125000006304 2-iodophenyl group Chemical group [H]C1=C([H])C(I)=C(*)C([H])=C1[H] 0.000 description 2
- NHQDETIJWKXCTC-UHFFFAOYSA-N 3-chloroperbenzoic acid Chemical compound OOC(=O)C1=CC=CC(Cl)=C1 NHQDETIJWKXCTC-UHFFFAOYSA-N 0.000 description 2
- 125000004180 3-fluorophenyl group Chemical group [H]C1=C([H])C(*)=C([H])C(F)=C1[H] 0.000 description 2
- HVBSAKJJOYLTQU-UHFFFAOYSA-N 4-aminobenzenesulfonic acid Chemical compound NC1=CC=C(S(O)(=O)=O)C=C1 HVBSAKJJOYLTQU-UHFFFAOYSA-N 0.000 description 2
- 125000004172 4-methoxyphenyl group Chemical group [H]C1=C([H])C(OC([H])([H])[H])=C([H])C([H])=C1* 0.000 description 2
- YYROPELSRYBVMQ-UHFFFAOYSA-N 4-toluenesulfonyl chloride Chemical compound CC1=CC=C(S(Cl)(=O)=O)C=C1 YYROPELSRYBVMQ-UHFFFAOYSA-N 0.000 description 2
- VRGDGGVQPBQORM-OCCSQVGLSA-N 8-[(2R,3S)-2-(aminomethyl)-1-methylpyrrolidin-3-yl]-2-(2-chlorophenyl)-5,7-dihydroxychromen-4-one Chemical compound NC[C@@H]1N(CC[C@H]1C=1C(=CC(=C2C(C=C(OC12)C1=C(C=CC=C1)Cl)=O)O)O)C VRGDGGVQPBQORM-OCCSQVGLSA-N 0.000 description 2
- VAYGXLXLKFMWGO-ZBFHGGJFSA-N 8-[(2R,3S)-2-(aminomethyl)-1-methylpyrrolidin-3-yl]-2-(2-chlorophenyl)-5,7-dimethoxychromen-4-one Chemical compound NC[C@@H]1N(CC[C@H]1C=1C(=CC(=C2C(C=C(OC12)C1=C(C=CC=C1)Cl)=O)OC)OC)C VAYGXLXLKFMWGO-ZBFHGGJFSA-N 0.000 description 2
- CQDIUJLELZZAKV-ZBFHGGJFSA-N 8-[(2R,3S)-2-(azidomethyl)-1-methylpyrrolidin-3-yl]-2-(2-chlorophenyl)-5,7-dimethoxychromen-4-one Chemical compound N(=[N+]=[N-])C[C@@H]1N(CC[C@H]1C=1C(=CC(=C2C(C=C(OC12)C1=C(C=CC=C1)Cl)=O)OC)OC)C CQDIUJLELZZAKV-ZBFHGGJFSA-N 0.000 description 2
- CIWBSHSKHKDKBQ-JLAZNSOCSA-N Ascorbic acid Chemical compound OC[C@H](O)[C@H]1OC(=O)C(O)=C1O CIWBSHSKHKDKBQ-JLAZNSOCSA-N 0.000 description 2
- 201000001320 Atherosclerosis Diseases 0.000 description 2
- 208000020084 Bone disease Diseases 0.000 description 2
- WKBOTKDWSSQWDR-UHFFFAOYSA-N Bromine atom Chemical compound [Br] WKBOTKDWSSQWDR-UHFFFAOYSA-N 0.000 description 2
- 101100439046 Caenorhabditis elegans cdk-2 gene Proteins 0.000 description 2
- 101100005789 Caenorhabditis elegans cdk-4 gene Proteins 0.000 description 2
- 208000004652 Cardiovascular Abnormalities Diseases 0.000 description 2
- ZAMOUSCENKQFHK-UHFFFAOYSA-N Chlorine atom Chemical compound [Cl] ZAMOUSCENKQFHK-UHFFFAOYSA-N 0.000 description 2
- XFXPMWWXUTWYJX-UHFFFAOYSA-N Cyanide Chemical compound N#[C-] XFXPMWWXUTWYJX-UHFFFAOYSA-N 0.000 description 2
- 108010025454 Cyclin-Dependent Kinase 5 Proteins 0.000 description 2
- 108010025468 Cyclin-Dependent Kinase 6 Proteins 0.000 description 2
- 102100026804 Cyclin-dependent kinase 6 Human genes 0.000 description 2
- 102100026805 Cyclin-dependent-like kinase 5 Human genes 0.000 description 2
- FEWJPZIEWOKRBE-JCYAYHJZSA-N Dextrotartaric acid Chemical compound OC(=O)[C@H](O)[C@@H](O)C(O)=O FEWJPZIEWOKRBE-JCYAYHJZSA-N 0.000 description 2
- PXGOKWXKJXAPGV-UHFFFAOYSA-N Fluorine Chemical compound FF PXGOKWXKJXAPGV-UHFFFAOYSA-N 0.000 description 2
- BDAGIHXWWSANSR-UHFFFAOYSA-M Formate Chemical compound [O-]C=O BDAGIHXWWSANSR-UHFFFAOYSA-M 0.000 description 2
- VZCYOOQTPOCHFL-OWOJBTEDSA-N Fumaric acid Chemical compound OC(=O)\C=C\C(O)=O VZCYOOQTPOCHFL-OWOJBTEDSA-N 0.000 description 2
- 230000004707 G1/S transition Effects 0.000 description 2
- 230000010337 G2 phase Effects 0.000 description 2
- WQZGKKKJIJFFOK-GASJEMHNSA-N Glucose Natural products OC[C@H]1OC(O)[C@H](O)[C@@H](O)[C@@H]1O WQZGKKKJIJFFOK-GASJEMHNSA-N 0.000 description 2
- AEMRFAOFKBGASW-UHFFFAOYSA-N Glycolic acid Chemical compound OCC(O)=O AEMRFAOFKBGASW-UHFFFAOYSA-N 0.000 description 2
- ZRALSGWEFCBTJO-UHFFFAOYSA-N Guanidine Chemical compound NC(N)=N ZRALSGWEFCBTJO-UHFFFAOYSA-N 0.000 description 2
- CPELXLSAUQHCOX-UHFFFAOYSA-N Hydrogen bromide Chemical compound Br CPELXLSAUQHCOX-UHFFFAOYSA-N 0.000 description 2
- 206010061218 Inflammation Diseases 0.000 description 2
- 231100000070 MTS assay Toxicity 0.000 description 2
- 238000000719 MTS assay Methods 0.000 description 2
- CPLXHLVBOLITMK-UHFFFAOYSA-N Magnesium oxide Chemical compound [Mg]=O CPLXHLVBOLITMK-UHFFFAOYSA-N 0.000 description 2
- AFVFQIVMOAPDHO-UHFFFAOYSA-N Methanesulfonic acid Chemical compound CS(O)(=O)=O AFVFQIVMOAPDHO-UHFFFAOYSA-N 0.000 description 2
- YNAVUWVOSKDBBP-UHFFFAOYSA-N Morpholine Chemical compound C1COCCN1 YNAVUWVOSKDBBP-UHFFFAOYSA-N 0.000 description 2
- PCLIMKBDDGJMGD-UHFFFAOYSA-N N-bromosuccinimide Chemical compound BrN1C(=O)CCC1=O PCLIMKBDDGJMGD-UHFFFAOYSA-N 0.000 description 2
- 238000005481 NMR spectroscopy Methods 0.000 description 2
- 201000000582 Retinoblastoma Diseases 0.000 description 2
- KEAYESYHFKHZAL-UHFFFAOYSA-N Sodium Chemical compound [Na] KEAYESYHFKHZAL-UHFFFAOYSA-N 0.000 description 2
- PXIPVTKHYLBLMZ-UHFFFAOYSA-N Sodium azide Chemical compound [Na+].[N-]=[N+]=[N-] PXIPVTKHYLBLMZ-UHFFFAOYSA-N 0.000 description 2
- FAPWRFPIFSIZLT-UHFFFAOYSA-M Sodium chloride Chemical compound [Na+].[Cl-] FAPWRFPIFSIZLT-UHFFFAOYSA-M 0.000 description 2
- WQDUMFSSJAZKTM-UHFFFAOYSA-N Sodium methoxide Chemical compound [Na+].[O-]C WQDUMFSSJAZKTM-UHFFFAOYSA-N 0.000 description 2
- VBOROSPDYUXPTN-QUCCMNQESA-N [(2R,3S)-3-[2-(2-chlorophenyl)-5,7-dimethoxy-4-oxochromen-8-yl]-1-propylpyrrolidin-2-yl]methyl acetate Chemical compound ClC1=C(C=CC=C1)C=1OC2=C(C(=CC(=C2C(C=1)=O)OC)OC)[C@H]1[C@@H](N(CC1)CCC)COC(C)=O VBOROSPDYUXPTN-QUCCMNQESA-N 0.000 description 2
- VHSSDPGJIIXGFG-MSOLQXFVSA-N [(2R,3S)-3-[7-acetyloxy-5-hydroxy-2-(4-nitrophenyl)-4-oxochromen-8-yl]-1-methylpyrrolidin-2-yl]methyl acetate Chemical compound C(C)(=O)OC[C@@H]1N(CC[C@H]1C=1C(=CC(=C2C(C=C(OC=12)C1=CC=C(C=C1)[N+](=O)[O-])=O)O)OC(C)=O)C VHSSDPGJIIXGFG-MSOLQXFVSA-N 0.000 description 2
- 230000002159 abnormal effect Effects 0.000 description 2
- 230000004913 activation Effects 0.000 description 2
- 125000001931 aliphatic group Chemical group 0.000 description 2
- 125000005194 alkoxycarbonyloxy group Chemical group 0.000 description 2
- 125000005196 alkyl carbonyloxy group Chemical group 0.000 description 2
- VSCWAEJMTAWNJL-UHFFFAOYSA-K aluminium trichloride Chemical compound Cl[Al](Cl)Cl VSCWAEJMTAWNJL-UHFFFAOYSA-K 0.000 description 2
- 125000003368 amide group Chemical group 0.000 description 2
- 235000001014 amino acid Nutrition 0.000 description 2
- 125000004202 aminomethyl group Chemical group [H]N([H])C([H])([H])* 0.000 description 2
- 206010003246 arthritis Diseases 0.000 description 2
- 125000004659 aryl alkyl thio group Chemical group 0.000 description 2
- 125000002102 aryl alkyloxo group Chemical group 0.000 description 2
- 125000004429 atom Chemical group 0.000 description 2
- 239000011324 bead Substances 0.000 description 2
- WPYMKLBDIGXBTP-UHFFFAOYSA-N benzoic acid Chemical compound OC(=O)C1=CC=CC=C1 WPYMKLBDIGXBTP-UHFFFAOYSA-N 0.000 description 2
- WXNOJTUTEXAZLD-UHFFFAOYSA-L benzonitrile;dichloropalladium Chemical compound Cl[Pd]Cl.N#CC1=CC=CC=C1.N#CC1=CC=CC=C1 WXNOJTUTEXAZLD-UHFFFAOYSA-L 0.000 description 2
- 125000002619 bicyclic group Chemical group 0.000 description 2
- GDTBXPJZTBHREO-UHFFFAOYSA-N bromine Substances BrBr GDTBXPJZTBHREO-UHFFFAOYSA-N 0.000 description 2
- 125000003917 carbamoyl group Chemical group [H]N([H])C(*)=O 0.000 description 2
- 150000001733 carboxylic acid esters Chemical class 0.000 description 2
- 230000010261 cell growth Effects 0.000 description 2
- 238000004440 column chromatography Methods 0.000 description 2
- 210000002808 connective tissue Anatomy 0.000 description 2
- 238000001816 cooling Methods 0.000 description 2
- JZCCFEFSEZPSOG-UHFFFAOYSA-L copper(II) sulfate pentahydrate Chemical compound O.O.O.O.O.[Cu+2].[O-]S([O-])(=O)=O JZCCFEFSEZPSOG-UHFFFAOYSA-L 0.000 description 2
- DOBRDRYODQBAMW-UHFFFAOYSA-N copper(i) cyanide Chemical compound [Cu+].N#[C-] DOBRDRYODQBAMW-UHFFFAOYSA-N 0.000 description 2
- 239000002875 cyclin dependent kinase inhibitor Substances 0.000 description 2
- 231100000135 cytotoxicity Toxicity 0.000 description 2
- 230000003013 cytotoxicity Effects 0.000 description 2
- 238000002784 cytotoxicity assay Methods 0.000 description 2
- 231100000263 cytotoxicity test Toxicity 0.000 description 2
- 230000003831 deregulation Effects 0.000 description 2
- 239000012954 diazonium Substances 0.000 description 2
- VAYGXNSJCAHWJZ-UHFFFAOYSA-N dimethyl sulfate Chemical compound COS(=O)(=O)OC VAYGXNSJCAHWJZ-UHFFFAOYSA-N 0.000 description 2
- XBDQKXXYIPTUBI-UHFFFAOYSA-N dimethylselenoniopropionate Natural products CCC(O)=O XBDQKXXYIPTUBI-UHFFFAOYSA-N 0.000 description 2
- ZUOUZKKEUPVFJK-UHFFFAOYSA-N diphenyl Chemical compound C1=CC=CC=C1C1=CC=CC=C1 ZUOUZKKEUPVFJK-UHFFFAOYSA-N 0.000 description 2
- KPUWHANPEXNPJT-UHFFFAOYSA-N disiloxane Chemical compound [SiH3]O[SiH3] KPUWHANPEXNPJT-UHFFFAOYSA-N 0.000 description 2
- 239000002270 dispersing agent Substances 0.000 description 2
- 125000001495 ethyl group Chemical group [H]C([H])([H])C([H])([H])* 0.000 description 2
- 125000003983 fluorenyl group Chemical group C1(=CC=CC=2C3=CC=CC=C3CC12)* 0.000 description 2
- 239000011737 fluorine Substances 0.000 description 2
- 238000009472 formulation Methods 0.000 description 2
- 238000001640 fractional crystallisation Methods 0.000 description 2
- 239000012458 free base Substances 0.000 description 2
- 230000002538 fungal effect Effects 0.000 description 2
- 108010023700 galanin-(1-13)-bradykinin-(2-9)-amide Proteins 0.000 description 2
- 239000007789 gas Substances 0.000 description 2
- 239000007903 gelatin capsule Substances 0.000 description 2
- 239000008103 glucose Substances 0.000 description 2
- 201000005787 hematologic cancer Diseases 0.000 description 2
- 208000024200 hematopoietic and lymphoid system neoplasm Diseases 0.000 description 2
- 244000052637 human pathogen Species 0.000 description 2
- 238000006197 hydroboration reaction Methods 0.000 description 2
- 230000007062 hydrolysis Effects 0.000 description 2
- 238000006460 hydrolysis reaction Methods 0.000 description 2
- 150000002466 imines Chemical class 0.000 description 2
- 230000002779 inactivation Effects 0.000 description 2
- 208000015181 infectious disease Diseases 0.000 description 2
- 230000004054 inflammatory process Effects 0.000 description 2
- 229910001867 inorganic solvent Inorganic materials 0.000 description 2
- 239000003049 inorganic solvent Substances 0.000 description 2
- SUMDYPCJJOFFON-UHFFFAOYSA-N isethionic acid Chemical compound OCCS(O)(=O)=O SUMDYPCJJOFFON-UHFFFAOYSA-N 0.000 description 2
- 125000000959 isobutyl group Chemical group [H]C([H])([H])C([H])(C([H])([H])[H])C([H])([H])* 0.000 description 2
- 125000001449 isopropyl group Chemical group [H]C([H])([H])C([H])(*)C([H])([H])[H] 0.000 description 2
- JVTAAEKCZFNVCJ-UHFFFAOYSA-N lactic acid Chemical compound CC(O)C(O)=O JVTAAEKCZFNVCJ-UHFFFAOYSA-N 0.000 description 2
- 239000010410 layer Substances 0.000 description 2
- 239000003446 ligand Substances 0.000 description 2
- KWGKDLIKAYFUFQ-UHFFFAOYSA-M lithium chloride Chemical compound [Li+].[Cl-] KWGKDLIKAYFUFQ-UHFFFAOYSA-M 0.000 description 2
- 239000000463 material Substances 0.000 description 2
- AWIJRPNMLHPLNC-UHFFFAOYSA-N methanethioic s-acid Chemical compound SC=O AWIJRPNMLHPLNC-UHFFFAOYSA-N 0.000 description 2
- PFYHAAAQPNMZHO-UHFFFAOYSA-N methoxy-benzoic acid methyl ester Natural products COC(=O)C1=CC=CC=C1OC PFYHAAAQPNMZHO-UHFFFAOYSA-N 0.000 description 2
- GLZBUNHGODEJPT-UHFFFAOYSA-N methyl 2-chloro-4-cyanobenzoate Chemical compound COC(=O)C1=CC=C(C#N)C=C1Cl GLZBUNHGODEJPT-UHFFFAOYSA-N 0.000 description 2
- DSHBGNPOIBSIOQ-UHFFFAOYSA-N methyl 4-amino-2-chlorobenzoate Chemical compound COC(=O)C1=CC=C(N)C=C1Cl DSHBGNPOIBSIOQ-UHFFFAOYSA-N 0.000 description 2
- KKZMIDYKRKGJHG-UHFFFAOYSA-N methyl 4-cyanobenzoate Chemical compound COC(=O)C1=CC=C(C#N)C=C1 KKZMIDYKRKGJHG-UHFFFAOYSA-N 0.000 description 2
- QPJVMBTYPHYUOC-UHFFFAOYSA-N methyl benzoate Chemical compound COC(=O)C1=CC=CC=C1 QPJVMBTYPHYUOC-UHFFFAOYSA-N 0.000 description 2
- 230000011987 methylation Effects 0.000 description 2
- 238000007069 methylation reaction Methods 0.000 description 2
- 230000002297 mitogenic effect Effects 0.000 description 2
- 230000004048 modification Effects 0.000 description 2
- 238000012986 modification Methods 0.000 description 2
- 125000002950 monocyclic group Chemical group 0.000 description 2
- 210000001616 monocyte Anatomy 0.000 description 2
- PSHKMPUSSFXUIA-UHFFFAOYSA-N n,n-dimethylpyridin-2-amine Chemical compound CN(C)C1=CC=CC=N1 PSHKMPUSSFXUIA-UHFFFAOYSA-N 0.000 description 2
- 230000000802 nitrating effect Effects 0.000 description 2
- 125000002524 organometallic group Chemical group 0.000 description 2
- 230000002018 overexpression Effects 0.000 description 2
- CTSLXHKWHWQRSH-UHFFFAOYSA-N oxalyl chloride Chemical compound ClC(=O)C(Cl)=O CTSLXHKWHWQRSH-UHFFFAOYSA-N 0.000 description 2
- 125000000636 p-nitrophenyl group Chemical group [H]C1=C([H])C(=C([H])C([H])=C1*)[N+]([O-])=O 0.000 description 2
- NFHFRUOZVGFOOS-UHFFFAOYSA-N palladium;triphenylphosphane Chemical compound [Pd].C1=CC=CC=C1P(C=1C=CC=CC=1)C1=CC=CC=C1.C1=CC=CC=C1P(C=1C=CC=CC=1)C1=CC=CC=C1.C1=CC=CC=C1P(C=1C=CC=CC=1)C1=CC=CC=C1.C1=CC=CC=C1P(C=1C=CC=CC=1)C1=CC=CC=C1 NFHFRUOZVGFOOS-UHFFFAOYSA-N 0.000 description 2
- 230000001575 pathological effect Effects 0.000 description 2
- 230000037361 pathway Effects 0.000 description 2
- VLTRZXGMWDSKGL-UHFFFAOYSA-N perchloric acid Chemical compound OCl(=O)(=O)=O VLTRZXGMWDSKGL-UHFFFAOYSA-N 0.000 description 2
- 230000000144 pharmacologic effect Effects 0.000 description 2
- YBYRMVIVWMBXKQ-UHFFFAOYSA-N phenylmethanesulfonyl fluoride Chemical compound FS(=O)(=O)CC1=CC=CC=C1 YBYRMVIVWMBXKQ-UHFFFAOYSA-N 0.000 description 2
- 239000006187 pill Substances 0.000 description 2
- 125000004193 piperazinyl group Chemical group 0.000 description 2
- 125000000587 piperidin-1-yl group Chemical group [H]C1([H])N(*)C([H])([H])C([H])([H])C([H])([H])C1([H])[H] 0.000 description 2
- 125000003386 piperidinyl group Chemical group 0.000 description 2
- BASFCYQUMIYNBI-UHFFFAOYSA-N platinum Chemical compound [Pt] BASFCYQUMIYNBI-UHFFFAOYSA-N 0.000 description 2
- 210000002307 prostate Anatomy 0.000 description 2
- 125000000719 pyrrolidinyl group Chemical group 0.000 description 2
- 125000000168 pyrrolyl group Chemical group 0.000 description 2
- 230000002829 reductive effect Effects 0.000 description 2
- 238000011160 research Methods 0.000 description 2
- 208000037803 restenosis Diseases 0.000 description 2
- YGSDEFSMJLZEOE-UHFFFAOYSA-N salicylic acid Chemical compound OC(=O)C1=CC=CC=C1O YGSDEFSMJLZEOE-UHFFFAOYSA-N 0.000 description 2
- 125000002914 sec-butyl group Chemical group [H]C([H])([H])C([H])([H])C([H])(*)C([H])([H])[H] 0.000 description 2
- 210000002460 smooth muscle Anatomy 0.000 description 2
- 239000011734 sodium Chemical class 0.000 description 2
- 239000012279 sodium borohydride Substances 0.000 description 2
- 229910000033 sodium borohydride Inorganic materials 0.000 description 2
- 239000012312 sodium hydride Substances 0.000 description 2
- 238000010561 standard procedure Methods 0.000 description 2
- 125000003107 substituted aryl group Chemical group 0.000 description 2
- 239000000758 substrate Substances 0.000 description 2
- 239000000829 suppository Substances 0.000 description 2
- 238000003786 synthesis reaction Methods 0.000 description 2
- 125000000999 tert-butyl group Chemical group [H]C([H])([H])C(*)(C([H])([H])[H])C([H])([H])[H] 0.000 description 2
- 230000001225 therapeutic effect Effects 0.000 description 2
- DUYAAUVXQSMXQP-UHFFFAOYSA-M thioacetate Chemical compound CC([S-])=O DUYAAUVXQSMXQP-UHFFFAOYSA-M 0.000 description 2
- 125000002813 thiocarbonyl group Chemical group *C(*)=S 0.000 description 2
- UMGDCJDMYOKAJW-UHFFFAOYSA-N thiourea Chemical compound NC(N)=S UMGDCJDMYOKAJW-UHFFFAOYSA-N 0.000 description 2
- CFOAUYCPAUGDFF-UHFFFAOYSA-N tosmic Chemical compound CC1=CC=C(S(=O)(=O)C[N+]#[C-])C=C1 CFOAUYCPAUGDFF-UHFFFAOYSA-N 0.000 description 2
- VZCYOOQTPOCHFL-UHFFFAOYSA-N trans-butenedioic acid Natural products OC(=O)C=CC(O)=O VZCYOOQTPOCHFL-UHFFFAOYSA-N 0.000 description 2
- 230000009466 transformation Effects 0.000 description 2
- LALRXNPLTWZJIJ-UHFFFAOYSA-N triethylborane Chemical compound CCB(CC)CC LALRXNPLTWZJIJ-UHFFFAOYSA-N 0.000 description 2
- ITMCEJHCFYSIIV-UHFFFAOYSA-M triflate Chemical compound [O-]S(=O)(=O)C(F)(F)F ITMCEJHCFYSIIV-UHFFFAOYSA-M 0.000 description 2
- WJKHJLXJJJATHN-UHFFFAOYSA-N triflic anhydride Chemical compound FC(F)(F)S(=O)(=O)OS(=O)(=O)C(F)(F)F WJKHJLXJJJATHN-UHFFFAOYSA-N 0.000 description 2
- 229940030010 trimethoxybenzene Drugs 0.000 description 2
- RIOQSEWOXXDEQQ-UHFFFAOYSA-N triphenylphosphine Chemical compound C1=CC=CC=C1P(C=1C=CC=CC=1)C1=CC=CC=C1 RIOQSEWOXXDEQQ-UHFFFAOYSA-N 0.000 description 2
- 230000001173 tumoral effect Effects 0.000 description 2
- 241000701447 unidentified baculovirus Species 0.000 description 2
- VCGRFBXVSFAGGA-UHFFFAOYSA-N (1,1-dioxo-1,4-thiazinan-4-yl)-[6-[[3-(4-fluorophenyl)-5-methyl-1,2-oxazol-4-yl]methoxy]pyridin-3-yl]methanone Chemical compound CC=1ON=C(C=2C=CC(F)=CC=2)C=1COC(N=C1)=CC=C1C(=O)N1CCS(=O)(=O)CC1 VCGRFBXVSFAGGA-UHFFFAOYSA-N 0.000 description 1
- WDODWBQJVMBHCO-LDWIPMOCSA-N (1r,4s)-7,7-dimethyl-3-oxobicyclo[2.2.1]heptane-4-carboxylic acid Chemical compound C1C[C@@]2(C(O)=O)C(=O)C[C@@H]1C2(C)C WDODWBQJVMBHCO-LDWIPMOCSA-N 0.000 description 1
- FVWNFIRLCIFHPR-ZBFHGGJFSA-N (2R,3S)-3-[2-(2-chlorophenyl)-5,7-dimethoxy-4-oxochromen-8-yl]-1-methylpyrrolidine-2-carbaldehyde Chemical compound C=1([C@H]2[C@@H](N(C)CC2)C=O)C(OC)=CC(OC)=C(C(C=2)=O)C=1OC=2C1=CC=CC=C1Cl FVWNFIRLCIFHPR-ZBFHGGJFSA-N 0.000 description 1
- VUMBNVHHJWIPGN-YEJXKQKISA-N (2R,3S)-3-[2-(2-chlorophenyl)-5,7-dimethoxy-4-oxochromen-8-yl]-1-methylpyrrolidine-2-carboxylic acid Chemical compound C=1([C@H]2[C@@H](N(C)CC2)C(O)=O)C(OC)=CC(OC)=C(C(C=2)=O)C=1OC=2C1=CC=CC=C1Cl VUMBNVHHJWIPGN-YEJXKQKISA-N 0.000 description 1
- ITOFPJRDSCGOSA-KZLRUDJFSA-N (2s)-2-[[(4r)-4-[(3r,5r,8r,9s,10s,13r,14s,17r)-3-hydroxy-10,13-dimethyl-2,3,4,5,6,7,8,9,11,12,14,15,16,17-tetradecahydro-1h-cyclopenta[a]phenanthren-17-yl]pentanoyl]amino]-3-(1h-indol-3-yl)propanoic acid Chemical compound C([C@H]1CC2)[C@H](O)CC[C@]1(C)[C@@H](CC[C@]13C)[C@@H]2[C@@H]3CC[C@@H]1[C@H](C)CCC(=O)N[C@H](C(O)=O)CC1=CNC2=CC=CC=C12 ITOFPJRDSCGOSA-KZLRUDJFSA-N 0.000 description 1
- IWZSHWBGHQBIML-ZGGLMWTQSA-N (3S,8S,10R,13S,14S,17S)-17-isoquinolin-7-yl-N,N,10,13-tetramethyl-2,3,4,7,8,9,11,12,14,15,16,17-dodecahydro-1H-cyclopenta[a]phenanthren-3-amine Chemical compound CN(C)[C@H]1CC[C@]2(C)C3CC[C@@]4(C)[C@@H](CC[C@@H]4c4ccc5ccncc5c4)[C@@H]3CC=C2C1 IWZSHWBGHQBIML-ZGGLMWTQSA-N 0.000 description 1
- 125000004454 (C1-C6) alkoxycarbonyl group Chemical group 0.000 description 1
- 125000006645 (C3-C4) cycloalkyl group Chemical group 0.000 description 1
- 125000006552 (C3-C8) cycloalkyl group Chemical group 0.000 description 1
- BJEPYKJPYRNKOW-REOHCLBHSA-N (S)-malic acid Chemical compound OC(=O)[C@@H](O)CC(O)=O BJEPYKJPYRNKOW-REOHCLBHSA-N 0.000 description 1
- UWYVPFMHMJIBHE-OWOJBTEDSA-N (e)-2-hydroxybut-2-enedioic acid Chemical compound OC(=O)\C=C(\O)C(O)=O UWYVPFMHMJIBHE-OWOJBTEDSA-N 0.000 description 1
- MOWXJLUYGFNTAL-DEOSSOPVSA-N (s)-[2-chloro-4-fluoro-5-(7-morpholin-4-ylquinazolin-4-yl)phenyl]-(6-methoxypyridazin-3-yl)methanol Chemical compound N1=NC(OC)=CC=C1[C@@H](O)C1=CC(C=2C3=CC=C(C=C3N=CN=2)N2CCOCC2)=C(F)C=C1Cl MOWXJLUYGFNTAL-DEOSSOPVSA-N 0.000 description 1
- OTMSDBZUPAUEDD-UHFFFAOYSA-N *.CC Chemical compound *.CC OTMSDBZUPAUEDD-UHFFFAOYSA-N 0.000 description 1
- SKXUAUDPXSNLDY-UHFFFAOYSA-N 1-(4-methoxyphenyl)-4-(2,4,6-trimethoxyphenyl)-3,6-dihydro-2h-pyridine Chemical compound C1=CC(OC)=CC=C1N1CC=C(C=2C(=CC(OC)=CC=2OC)OC)CC1 SKXUAUDPXSNLDY-UHFFFAOYSA-N 0.000 description 1
- FJXYJABLLVYJAB-UHFFFAOYSA-N 1-(4-methoxyphenyl)-4-(2,4,6-trimethoxyphenyl)piperidin-3-ol Chemical compound C1=CC(OC)=CC=C1N1CC(O)C(C=2C(=CC(OC)=CC=2OC)OC)CC1 FJXYJABLLVYJAB-UHFFFAOYSA-N 0.000 description 1
- MHCJYEJFOPYGEL-UHFFFAOYSA-N 1-(4-methoxyphenyl)piperidin-4-one Chemical compound C1=CC(OC)=CC=C1N1CCC(=O)CC1 MHCJYEJFOPYGEL-UHFFFAOYSA-N 0.000 description 1
- ABDDQTDRAHXHOC-QMMMGPOBSA-N 1-[(7s)-5,7-dihydro-4h-thieno[2,3-c]pyran-7-yl]-n-methylmethanamine Chemical compound CNC[C@@H]1OCCC2=C1SC=C2 ABDDQTDRAHXHOC-QMMMGPOBSA-N 0.000 description 1
- KAWBDJWQSCMYSF-IAGOWNOFSA-N 1-[2-hydroxy-3-[(3S,4S)-3-hydroxy-1-(4-methoxyphenyl)piperidin-4-yl]-4,6-dimethoxyphenyl]ethanone Chemical compound OC1=C(C(=CC(=C1[C@H]1[C@@H](CN(CC1)C1=CC=C(C=C1)OC)O)OC)OC)C(C)=O KAWBDJWQSCMYSF-IAGOWNOFSA-N 0.000 description 1
- HNGILLDYMAAHTF-GHMZBOCLSA-N 1-[2-hydroxy-3-[(3S,4S)-3-hydroxy-1-methylpiperidin-4-yl]-4,6-dimethoxyphenyl]ethanone Chemical compound OC1=C(C(=CC(=C1[C@H]1[C@@H](CN(CC1)C)O)OC)OC)C(C)=O HNGILLDYMAAHTF-GHMZBOCLSA-N 0.000 description 1
- VGBYLNRPCPKABJ-UHFFFAOYSA-M 1-benzyl-1-methylpiperidin-1-ium-4-one;bromide Chemical compound [Br-].C=1C=CC=CC=1C[N+]1(C)CCC(=O)CC1 VGBYLNRPCPKABJ-UHFFFAOYSA-M 0.000 description 1
- CYNYIHKIEHGYOZ-UHFFFAOYSA-N 1-bromopropane Chemical compound CCCBr CYNYIHKIEHGYOZ-UHFFFAOYSA-N 0.000 description 1
- 125000004066 1-hydroxyethyl group Chemical group [H]OC([H])([*])C([H])([H])[H] 0.000 description 1
- VWRZNLHDQXFHDR-UHFFFAOYSA-N 1-methyl-4-(2,4,6-trimethoxyphenyl)-3,6-dihydro-2h-pyridine Chemical compound COC1=CC(OC)=CC(OC)=C1C1=CCN(C)CC1 VWRZNLHDQXFHDR-UHFFFAOYSA-N 0.000 description 1
- 125000004214 1-pyrrolidinyl group Chemical group [H]C1([H])N(*)C([H])([H])C([H])([H])C1([H])[H] 0.000 description 1
- 125000001462 1-pyrrolyl group Chemical group [*]N1C([H])=C([H])C([H])=C1[H] 0.000 description 1
- VGYMDCTZOUYUEW-UHFFFAOYSA-N 2,3-dibutyl-2,3-dihydroxybutanedioic acid Chemical compound CCCCC(O)(C(O)=O)C(O)(C(O)=O)CCCC VGYMDCTZOUYUEW-UHFFFAOYSA-N 0.000 description 1
- RPZXUSJCSDQNTE-UHFFFAOYSA-N 2,4-dichloro-5-fluorobenzoyl chloride Chemical compound FC1=CC(C(Cl)=O)=C(Cl)C=C1Cl RPZXUSJCSDQNTE-UHFFFAOYSA-N 0.000 description 1
- FPLRFIGCPLRMCT-RISCZKNCSA-N 2-(2-bromo-5-nitrophenyl)-5,7-dihydroxy-8-[(2r,3s)-2-(hydroxymethyl)-1-methylpyrrolidin-3-yl]chromen-4-one Chemical compound OC[C@@H]1N(C)CC[C@H]1C1=C(O)C=C(O)C2=C1OC(C=1C(=CC=C(C=1)[N+]([O-])=O)Br)=CC2=O FPLRFIGCPLRMCT-RISCZKNCSA-N 0.000 description 1
- FPLRFIGCPLRMCT-UHFFFAOYSA-N 2-(2-bromo-5-nitrophenyl)-5,7-dihydroxy-8-[2-(hydroxymethyl)-1-methylpyrrolidin-3-yl]chromen-4-one Chemical compound OCC1N(C)CCC1C1=C(O)C=C(O)C2=C1OC(C=1C(=CC=C(C=1)[N+]([O-])=O)Br)=CC2=O FPLRFIGCPLRMCT-UHFFFAOYSA-N 0.000 description 1
- PGIHMMNHROHSEF-AEFFLSMTSA-N 2-(2-chlorophenyl)-5,7-diethoxy-8-[(2r,3s)-2-(hydroxymethyl)-1-methylpyrrolidin-3-yl]chromen-4-one Chemical compound C=1([C@H]2[C@@H](N(C)CC2)CO)C(OCC)=CC(OCC)=C(C(C=2)=O)C=1OC=2C1=CC=CC=C1Cl PGIHMMNHROHSEF-AEFFLSMTSA-N 0.000 description 1
- BIIVYFLTOXDAOV-UHFFFAOYSA-N 2-(2-chlorophenyl)-5,7-dihydroxy-8-(3-hydroxy-1-methylpiperidin-4-yl)chromen-4-one Chemical compound OC1CN(C)CCC1C1=C(O)C=C(O)C2=C1OC(C=1C(=CC=CC=1)Cl)=CC2=O BIIVYFLTOXDAOV-UHFFFAOYSA-N 0.000 description 1
- FWMZREGZXKCWQD-RHSMWYFYSA-N 2-(2-chlorophenyl)-8-[(3S,4S)-3-hydroxy-1-methylpiperidin-4-yl]-5,7-dimethoxychromen-4-one Chemical compound ClC1=C(C=CC=C1)C=1OC2=C(C(=CC(=C2C(C1)=O)OC)OC)[C@H]1[C@@H](CN(CC1)C)O FWMZREGZXKCWQD-RHSMWYFYSA-N 0.000 description 1
- JQSSINJEOFQQFO-VQIMIIECSA-N 2-(2-chlorophenyl)-8-[(3S,4S)-3-hydroxy-1-propylpiperidin-4-yl]-5,7-dimethoxychromen-4-one Chemical compound ClC1=C(C=CC=C1)C=1OC2=C(C(=CC(=C2C(C1)=O)OC)OC)[C@H]1[C@@H](CN(CC1)CCC)O JQSSINJEOFQQFO-VQIMIIECSA-N 0.000 description 1
- TYCBFPXCARZYGQ-CZUORRHYSA-N 2-(2-chlorophenyl)-8-[(3S,4S)-3-hydroxypiperidin-4-yl]-5,7-dimethoxychromen-4-one Chemical compound ClC1=C(C=CC=C1)C=1OC2=C(C(=CC(=C2C(C1)=O)OC)OC)[C@H]1[C@@H](CNCC1)O TYCBFPXCARZYGQ-CZUORRHYSA-N 0.000 description 1
- YIFMENXHBGRVSR-PWSUYJOCSA-N 2-(2-chloropyridin-3-yl)-5,7-dihydroxy-8-[(2r,3s)-2-(hydroxymethyl)-1-methylpyrrolidin-3-yl]chromen-4-one Chemical compound OC[C@@H]1N(C)CC[C@H]1C1=C(O)C=C(O)C2=C1OC(C=1C(=NC=CC=1)Cl)=CC2=O YIFMENXHBGRVSR-PWSUYJOCSA-N 0.000 description 1
- ZYZHFUZOFMTUOR-OCCSQVGLSA-N 2-(2-chloropyridin-3-yl)-8-[(2r,3s)-2-(hydroxymethyl)-1-methylpyrrolidin-3-yl]-5,7-dimethoxychromen-4-one Chemical compound C=1([C@H]2[C@@H](N(C)CC2)CO)C(OC)=CC(OC)=C(C(C=2)=O)C=1OC=2C1=CC=CN=C1Cl ZYZHFUZOFMTUOR-OCCSQVGLSA-N 0.000 description 1
- YPGIDWHKOBEOTL-KGLIPLIRSA-N 2-(3-fluorophenyl)-5,7-dihydroxy-8-[(2r,3s)-2-(hydroxymethyl)-1-methylpyrrolidin-3-yl]chromen-4-one Chemical compound OC[C@@H]1N(C)CC[C@H]1C1=C(O)C=C(O)C2=C1OC(C=1C=C(F)C=CC=1)=CC2=O YPGIDWHKOBEOTL-KGLIPLIRSA-N 0.000 description 1
- SNOIZYBFPDDLKL-KGLIPLIRSA-N 2-(4-aminophenyl)-5,7-dihydroxy-8-[(2r,3s)-2-(hydroxymethyl)-1-methylpyrrolidin-3-yl]chromen-4-one Chemical compound OC[C@@H]1N(C)CC[C@H]1C1=C(O)C=C(O)C2=C1OC(C=1C=CC(N)=CC=1)=CC2=O SNOIZYBFPDDLKL-KGLIPLIRSA-N 0.000 description 1
- OVWDEZWOJVBRAY-OCCSQVGLSA-N 2-(4-bromo-2-chlorophenyl)-5,7-dihydroxy-8-[(2r,3s)-2-(hydroxymethyl)-1-methylpyrrolidin-3-yl]chromen-4-one Chemical compound OC[C@@H]1N(C)CC[C@H]1C1=C(O)C=C(O)C2=C1OC(C=1C(=CC(Br)=CC=1)Cl)=CC2=O OVWDEZWOJVBRAY-OCCSQVGLSA-N 0.000 description 1
- CLPCLWGGPCDUAY-ZBFHGGJFSA-N 2-(4-bromo-2-chlorophenyl)-8-[(2r,3s)-2-(hydroxymethyl)-1-methylpyrrolidin-3-yl]-5,7-dimethoxychromen-4-one Chemical compound C=1([C@H]2[C@@H](N(C)CC2)CO)C(OC)=CC(OC)=C(C(C=2)=O)C=1OC=2C1=CC=C(Br)C=C1Cl CLPCLWGGPCDUAY-ZBFHGGJFSA-N 0.000 description 1
- LBLYYCQCTBFVLH-UHFFFAOYSA-N 2-Methylbenzenesulfonic acid Chemical compound CC1=CC=CC=C1S(O)(=O)=O LBLYYCQCTBFVLH-UHFFFAOYSA-N 0.000 description 1
- LLRQOPBDYZUBIB-WBVHZDCISA-N 2-[(2S,3S)-3-[2-(2-chlorophenyl)-5,7-dimethoxy-4-oxochromen-8-yl]-1-methylpyrrolidin-2-yl]acetonitrile Chemical compound ClC1=C(C=CC=C1)C=1OC2=C(C(=CC(=C2C(C1)=O)OC)OC)[C@H]1[C@@H](N(CC1)C)CC#N LLRQOPBDYZUBIB-WBVHZDCISA-N 0.000 description 1
- JKMHFZQWWAIEOD-UHFFFAOYSA-N 2-[4-(2-hydroxyethyl)piperazin-1-yl]ethanesulfonic acid Chemical compound OCC[NH+]1CCN(CCS([O-])(=O)=O)CC1 JKMHFZQWWAIEOD-UHFFFAOYSA-N 0.000 description 1
- RILZRCJGXSFXNE-UHFFFAOYSA-N 2-[4-(trifluoromethoxy)phenyl]ethanol Chemical compound OCCC1=CC=C(OC(F)(F)F)C=C1 RILZRCJGXSFXNE-UHFFFAOYSA-N 0.000 description 1
- 125000000022 2-aminoethyl group Chemical group [H]C([*])([H])C([H])([H])N([H])[H] 0.000 description 1
- SEJVMKLJNIKFAF-UHFFFAOYSA-N 2-bromo-4-methoxybenzoic acid Chemical compound COC1=CC=C(C(O)=O)C(Br)=C1 SEJVMKLJNIKFAF-UHFFFAOYSA-N 0.000 description 1
- CGPPWNTVTNCHDO-UHFFFAOYSA-N 2-bromo-4-nitroaniline Chemical compound NC1=CC=C([N+]([O-])=O)C=C1Br CGPPWNTVTNCHDO-UHFFFAOYSA-N 0.000 description 1
- MVODTGURFNTEKX-UHFFFAOYSA-N 2-bromo-n-(2-bromoethyl)-n-(thiophen-2-ylmethyl)ethanamine;hydrobromide Chemical compound Br.BrCCN(CCBr)CC1=CC=CS1 MVODTGURFNTEKX-UHFFFAOYSA-N 0.000 description 1
- XRXMNWGCKISMOH-UHFFFAOYSA-N 2-bromobenzoic acid Chemical compound OC(=O)C1=CC=CC=C1Br XRXMNWGCKISMOH-UHFFFAOYSA-N 0.000 description 1
- 125000004974 2-butenyl group Chemical group C(C=CC)* 0.000 description 1
- 125000000069 2-butynyl group Chemical group [H]C([H])([H])C#CC([H])([H])* 0.000 description 1
- IKCLCGXPQILATA-UHFFFAOYSA-N 2-chlorobenzoic acid Chemical compound OC(=O)C1=CC=CC=C1Cl IKCLCGXPQILATA-UHFFFAOYSA-N 0.000 description 1
- 125000004204 2-methoxyphenyl group Chemical group [H]C1=C([H])C(*)=C(OC([H])([H])[H])C([H])=C1[H] 0.000 description 1
- 125000006020 2-methyl-1-propenyl group Chemical group 0.000 description 1
- PIAOLBVUVDXHHL-UHFFFAOYSA-N 2-nitroethenylbenzene Chemical class [O-][N+](=O)C=CC1=CC=CC=C1 PIAOLBVUVDXHHL-UHFFFAOYSA-N 0.000 description 1
- TYEYBOSBBBHJIV-UHFFFAOYSA-M 2-oxobutanoate Chemical compound CCC(=O)C([O-])=O TYEYBOSBBBHJIV-UHFFFAOYSA-M 0.000 description 1
- KPGXRSRHYNQIFN-UHFFFAOYSA-N 2-oxoglutaric acid Chemical compound OC(=O)CCC(=O)C(O)=O KPGXRSRHYNQIFN-UHFFFAOYSA-N 0.000 description 1
- WLJVXDMOQOGPHL-PPJXEINESA-N 2-phenylacetic acid Chemical compound O[14C](=O)CC1=CC=CC=C1 WLJVXDMOQOGPHL-PPJXEINESA-N 0.000 description 1
- 125000001494 2-propynyl group Chemical group [H]C#CC([H])([H])* 0.000 description 1
- 125000004485 2-pyrrolidinyl group Chemical group [H]N1C([H])([H])C([H])([H])C([H])([H])C1([H])* 0.000 description 1
- 125000000389 2-pyrrolyl group Chemical group [H]N1C([*])=C([H])C([H])=C1[H] 0.000 description 1
- HCDMJFOHIXMBOV-UHFFFAOYSA-N 3-(2,6-difluoro-3,5-dimethoxyphenyl)-1-ethyl-8-(morpholin-4-ylmethyl)-4,7-dihydropyrrolo[4,5]pyrido[1,2-d]pyrimidin-2-one Chemical compound C=1C2=C3N(CC)C(=O)N(C=4C(=C(OC)C=C(OC)C=4F)F)CC3=CN=C2NC=1CN1CCOCC1 HCDMJFOHIXMBOV-UHFFFAOYSA-N 0.000 description 1
- BYHQTRFJOGIQAO-GOSISDBHSA-N 3-(4-bromophenyl)-8-[(2R)-2-hydroxypropyl]-1-[(3-methoxyphenyl)methyl]-1,3,8-triazaspiro[4.5]decan-2-one Chemical compound C[C@H](CN1CCC2(CC1)CN(C(=O)N2CC3=CC(=CC=C3)OC)C4=CC=C(C=C4)Br)O BYHQTRFJOGIQAO-GOSISDBHSA-N 0.000 description 1
- WNEODWDFDXWOLU-QHCPKHFHSA-N 3-[3-(hydroxymethyl)-4-[1-methyl-5-[[5-[(2s)-2-methyl-4-(oxetan-3-yl)piperazin-1-yl]pyridin-2-yl]amino]-6-oxopyridin-3-yl]pyridin-2-yl]-7,7-dimethyl-1,2,6,8-tetrahydrocyclopenta[3,4]pyrrolo[3,5-b]pyrazin-4-one Chemical compound C([C@@H](N(CC1)C=2C=NC(NC=3C(N(C)C=C(C=3)C=3C(=C(N4C(C5=CC=6CC(C)(C)CC=6N5CC4)=O)N=CC=3)CO)=O)=CC=2)C)N1C1COC1 WNEODWDFDXWOLU-QHCPKHFHSA-N 0.000 description 1
- BMYNFMYTOJXKLE-UHFFFAOYSA-N 3-azaniumyl-2-hydroxypropanoate Chemical compound NCC(O)C(O)=O BMYNFMYTOJXKLE-UHFFFAOYSA-N 0.000 description 1
- 125000000474 3-butynyl group Chemical group [H]C#CC([H])([H])C([H])([H])* 0.000 description 1
- DCMHKQKYWBSFKE-UHFFFAOYSA-N 3-hydroxychromen-4-one Chemical class C1=CC=C2C(=O)C(O)=COC2=C1 DCMHKQKYWBSFKE-UHFFFAOYSA-N 0.000 description 1
- 125000004575 3-pyrrolidinyl group Chemical group [H]N1C([H])([H])C([H])([H])C([H])(*)C1([H])[H] 0.000 description 1
- 125000001397 3-pyrrolyl group Chemical group [H]N1C([H])=C([*])C([H])=C1[H] 0.000 description 1
- USBGJMMDIJIETP-CVEARBPZSA-N 4-[5-hydroxy-8-[(2r,3s)-2-(hydroxymethyl)-1-methylpyrrolidin-3-yl]-7-methoxy-4-oxochromen-2-yl]benzonitrile Chemical compound C=1([C@H]2[C@@H](N(C)CC2)CO)C(OC)=CC(O)=C(C(C=2)=O)C=1OC=2C1=CC=C(C#N)C=C1 USBGJMMDIJIETP-CVEARBPZSA-N 0.000 description 1
- KVCQTKNUUQOELD-UHFFFAOYSA-N 4-amino-n-[1-(3-chloro-2-fluoroanilino)-6-methylisoquinolin-5-yl]thieno[3,2-d]pyrimidine-7-carboxamide Chemical compound N=1C=CC2=C(NC(=O)C=3C4=NC=NC(N)=C4SC=3)C(C)=CC=C2C=1NC1=CC=CC(Cl)=C1F KVCQTKNUUQOELD-UHFFFAOYSA-N 0.000 description 1
- JAVZWSOFJKYSDY-UHFFFAOYSA-N 4-bromo-2-chlorobenzoic acid Chemical compound OC(=O)C1=CC=C(Br)C=C1Cl JAVZWSOFJKYSDY-UHFFFAOYSA-N 0.000 description 1
- WVSYONICNIDYBE-UHFFFAOYSA-N 4-fluorobenzenesulfonic acid Chemical compound OS(=O)(=O)C1=CC=C(F)C=C1 WVSYONICNIDYBE-UHFFFAOYSA-N 0.000 description 1
- TYMLOMAKGOJONV-UHFFFAOYSA-N 4-nitroaniline Chemical compound NC1=CC=C([N+]([O-])=O)C=C1 TYMLOMAKGOJONV-UHFFFAOYSA-N 0.000 description 1
- OTLNPYWUJOZPPA-UHFFFAOYSA-N 4-nitrobenzoic acid Chemical compound OC(=O)C1=CC=C([N+]([O-])=O)C=C1 OTLNPYWUJOZPPA-UHFFFAOYSA-N 0.000 description 1
- XZASAHHFHKMYAQ-YPMHNXCESA-N 5,7-dihydroxy-8-[(2r,3s)-2-(hydroxymethyl)-1-methylpyrrolidin-3-yl]-2-(2-hydroxyphenyl)chromen-4-one Chemical compound OC[C@@H]1N(C)CC[C@H]1C1=C(O)C=C(O)C2=C1OC(C=1C(=CC=CC=1)O)=CC2=O XZASAHHFHKMYAQ-YPMHNXCESA-N 0.000 description 1
- SGVVUKNDJOIFPS-KGLIPLIRSA-N 5,7-dihydroxy-8-[(2r,3s)-2-(hydroxymethyl)-1-methylpyrrolidin-3-yl]-2-(4-nitrophenyl)chromen-4-one Chemical compound OC[C@@H]1N(C)CC[C@H]1C1=C(O)C=C(O)C2=C1OC(C=1C=CC(=CC=1)[N+]([O-])=O)=CC2=O SGVVUKNDJOIFPS-KGLIPLIRSA-N 0.000 description 1
- RFWWCSIWLYZCLP-MNOVXSKESA-N 5,7-dihydroxy-8-[(2r,3s)-2-(hydroxymethyl)-1-methylpyrrolidin-3-yl]-2-thiophen-2-ylchromen-4-one Chemical compound OC[C@@H]1N(C)CC[C@H]1C1=C(O)C=C(O)C2=C1OC(C=1SC=CC=1)=CC2=O RFWWCSIWLYZCLP-MNOVXSKESA-N 0.000 description 1
- RTUZVPPGTJRELI-UHFFFAOYSA-N 5-amino-2-(4-amino-3-fluorophenyl)-6,8-difluoro-7-methylchromen-4-one Chemical compound FC=1C(C)=C(F)C(N)=C(C(C=2)=O)C=1OC=2C1=CC=C(N)C(F)=C1 RTUZVPPGTJRELI-UHFFFAOYSA-N 0.000 description 1
- KCBWAFJCKVKYHO-UHFFFAOYSA-N 6-(4-cyclopropyl-6-methoxypyrimidin-5-yl)-1-[[4-[1-propan-2-yl-4-(trifluoromethyl)imidazol-2-yl]phenyl]methyl]pyrazolo[3,4-d]pyrimidine Chemical compound C1(CC1)C1=NC=NC(=C1C1=NC=C2C(=N1)N(N=C2)CC1=CC=C(C=C1)C=1N(C=C(N=1)C(F)(F)F)C(C)C)OC KCBWAFJCKVKYHO-UHFFFAOYSA-N 0.000 description 1
- CYJRNFFLTBEQSQ-UHFFFAOYSA-N 8-(3-methyl-1-benzothiophen-5-yl)-N-(4-methylsulfonylpyridin-3-yl)quinoxalin-6-amine Chemical compound CS(=O)(=O)C1=C(C=NC=C1)NC=1C=C2N=CC=NC2=C(C=1)C=1C=CC2=C(C(=CS2)C)C=1 CYJRNFFLTBEQSQ-UHFFFAOYSA-N 0.000 description 1
- XVPVLMBVUKWENW-CVEARBPZSA-N 8-[(2r,3s)-2-(hydroxymethyl)-1-methylpyrrolidin-3-yl]-5,7-dimethoxy-2-(4-nitrophenyl)chromen-4-one Chemical compound C=1([C@H]2[C@@H](N(C)CC2)CO)C(OC)=CC(OC)=C(C(C=2)=O)C=1OC=2C1=CC=C([N+]([O-])=O)C=C1 XVPVLMBVUKWENW-CVEARBPZSA-N 0.000 description 1
- QAYNSPOKTRVZRC-UHFFFAOYSA-N 99-60-5 Chemical compound OC(=O)C1=CC=C([N+]([O-])=O)C=C1Cl QAYNSPOKTRVZRC-UHFFFAOYSA-N 0.000 description 1
- 208000030507 AIDS Diseases 0.000 description 1
- 208000036762 Acute promyelocytic leukaemia Diseases 0.000 description 1
- 201000004384 Alopecia Diseases 0.000 description 1
- 108010039627 Aprotinin Proteins 0.000 description 1
- 239000004475 Arginine Substances 0.000 description 1
- 241001225321 Aspergillus fumigatus Species 0.000 description 1
- BSYNRYMUTXBXSQ-UHFFFAOYSA-N Aspirin Chemical compound CC(=O)OC1=CC=CC=C1C(O)=O BSYNRYMUTXBXSQ-UHFFFAOYSA-N 0.000 description 1
- 125000000041 C6-C10 aryl group Chemical group 0.000 description 1
- 125000005915 C6-C14 aryl group Chemical group 0.000 description 1
- CNPLCHADWDMUHG-UHFFFAOYSA-N C=C1C=COC2=CC=CC=C12 Chemical compound C=C1C=COC2=CC=CC=C12 CNPLCHADWDMUHG-UHFFFAOYSA-N 0.000 description 1
- NHVJMRHABPVQTR-UHFFFAOYSA-N CC(C)C1=C(Cl)N=CC=C1 Chemical compound CC(C)C1=C(Cl)N=CC=C1 NHVJMRHABPVQTR-UHFFFAOYSA-N 0.000 description 1
- GAWIXWVDTYZWAW-UHFFFAOYSA-N C[CH]O Chemical group C[CH]O GAWIXWVDTYZWAW-UHFFFAOYSA-N 0.000 description 1
- 241000222122 Candida albicans Species 0.000 description 1
- 201000009030 Carcinoma Diseases 0.000 description 1
- 208000024172 Cardiovascular disease Diseases 0.000 description 1
- 229910021589 Copper(I) bromide Inorganic materials 0.000 description 1
- 229920002261 Corn starch Polymers 0.000 description 1
- 102000003910 Cyclin D Human genes 0.000 description 1
- 108090000259 Cyclin D Proteins 0.000 description 1
- 108010058545 Cyclin D3 Proteins 0.000 description 1
- 102100036329 Cyclin-dependent kinase 3 Human genes 0.000 description 1
- 102100026810 Cyclin-dependent kinase 7 Human genes 0.000 description 1
- 102100024456 Cyclin-dependent kinase 8 Human genes 0.000 description 1
- 102100024457 Cyclin-dependent kinase 9 Human genes 0.000 description 1
- 241000701022 Cytomegalovirus Species 0.000 description 1
- FBPFZTCFMRRESA-KVTDHHQDSA-N D-Mannitol Chemical compound OC[C@@H](O)[C@@H](O)[C@H](O)[C@H](O)CO FBPFZTCFMRRESA-KVTDHHQDSA-N 0.000 description 1
- ZAFNJMIOTHYJRJ-UHFFFAOYSA-N Diisopropyl ether Chemical compound CC(C)OC(C)C ZAFNJMIOTHYJRJ-UHFFFAOYSA-N 0.000 description 1
- MYMOFIZGZYHOMD-UHFFFAOYSA-N Dioxygen Chemical compound O=O MYMOFIZGZYHOMD-UHFFFAOYSA-N 0.000 description 1
- SNRUBQQJIBEYMU-UHFFFAOYSA-N Dodecane Natural products CCCCCCCCCCCC SNRUBQQJIBEYMU-UHFFFAOYSA-N 0.000 description 1
- 241001671252 Dysoxylum binectariferum Species 0.000 description 1
- 241000305071 Enterobacterales Species 0.000 description 1
- 241000588724 Escherichia coli Species 0.000 description 1
- WSFSSNUMVMOOMR-UHFFFAOYSA-N Formaldehyde Chemical compound O=C WSFSSNUMVMOOMR-UHFFFAOYSA-N 0.000 description 1
- BDAGIHXWWSANSR-UHFFFAOYSA-N Formic acid Chemical compound OC=O BDAGIHXWWSANSR-UHFFFAOYSA-N 0.000 description 1
- 238000005727 Friedel-Crafts reaction Methods 0.000 description 1
- 206010017533 Fungal infection Diseases 0.000 description 1
- 230000010190 G1 phase Effects 0.000 description 1
- 102100037859 G1/S-specific cyclin-D3 Human genes 0.000 description 1
- 206010018364 Glomerulonephritis Diseases 0.000 description 1
- WHUUTDBJXJRKMK-UHFFFAOYSA-N Glutamic acid Natural products OC(=O)C(N)CCC(O)=O WHUUTDBJXJRKMK-UHFFFAOYSA-N 0.000 description 1
- 239000007995 HEPES buffer Substances 0.000 description 1
- 241000282412 Homo Species 0.000 description 1
- 101000715946 Homo sapiens Cyclin-dependent kinase 3 Proteins 0.000 description 1
- 101000715942 Homo sapiens Cyclin-dependent kinase 4 Proteins 0.000 description 1
- 101000911952 Homo sapiens Cyclin-dependent kinase 7 Proteins 0.000 description 1
- 101000980937 Homo sapiens Cyclin-dependent kinase 8 Proteins 0.000 description 1
- 101000980930 Homo sapiens Cyclin-dependent kinase 9 Proteins 0.000 description 1
- 101001072338 Homo sapiens Proliferating cell nuclear antigen Proteins 0.000 description 1
- 241000725303 Human immunodeficiency virus Species 0.000 description 1
- 208000023105 Huntington disease Diseases 0.000 description 1
- XQFRJNBWHJMXHO-RRKCRQDMSA-N IDUR Chemical compound C1[C@H](O)[C@@H](CO)O[C@H]1N1C(=O)NC(=O)C(I)=C1 XQFRJNBWHJMXHO-RRKCRQDMSA-N 0.000 description 1
- 238000004566 IR spectroscopy Methods 0.000 description 1
- 229910021578 Iron(III) chloride Inorganic materials 0.000 description 1
- 238000006000 Knoevenagel condensation reaction Methods 0.000 description 1
- ONIBWKKTOPOVIA-BYPYZUCNSA-N L-Proline Chemical compound OC(=O)[C@@H]1CCCN1 ONIBWKKTOPOVIA-BYPYZUCNSA-N 0.000 description 1
- ODKSFYDXXFIFQN-BYPYZUCNSA-P L-argininium(2+) Chemical compound NC(=[NH2+])NCCC[C@H]([NH3+])C(O)=O ODKSFYDXXFIFQN-BYPYZUCNSA-P 0.000 description 1
- WHUUTDBJXJRKMK-VKHMYHEASA-N L-glutamic acid Chemical compound OC(=O)[C@@H](N)CCC(O)=O WHUUTDBJXJRKMK-VKHMYHEASA-N 0.000 description 1
- KDXKERNSBIXSRK-YFKPBYRVSA-N L-lysine Chemical compound NCCCC[C@H](N)C(O)=O KDXKERNSBIXSRK-YFKPBYRVSA-N 0.000 description 1
- GUBGYTABKSRVRQ-QKKXKWKRSA-N Lactose Natural products OC[C@H]1O[C@@H](O[C@H]2[C@H](O)[C@@H](O)C(O)O[C@@H]2CO)[C@H](O)[C@@H](O)[C@H]1O GUBGYTABKSRVRQ-QKKXKWKRSA-N 0.000 description 1
- 208000031671 Large B-Cell Diffuse Lymphoma Diseases 0.000 description 1
- GDBQQVLCIARPGH-UHFFFAOYSA-N Leupeptin Natural products CC(C)CC(NC(C)=O)C(=O)NC(CC(C)C)C(=O)NC(C=O)CCCN=C(N)N GDBQQVLCIARPGH-UHFFFAOYSA-N 0.000 description 1
- KDXKERNSBIXSRK-UHFFFAOYSA-N Lysine Natural products NCCCCC(N)C(O)=O KDXKERNSBIXSRK-UHFFFAOYSA-N 0.000 description 1
- 239000004472 Lysine Substances 0.000 description 1
- 229930195725 Mannitol Natural products 0.000 description 1
- 208000029578 Muscle disease Diseases 0.000 description 1
- 208000021642 Muscular disease Diseases 0.000 description 1
- 208000031888 Mycoses Diseases 0.000 description 1
- AYCPARAPKDAOEN-LJQANCHMSA-N N-[(1S)-2-(dimethylamino)-1-phenylethyl]-6,6-dimethyl-3-[(2-methyl-4-thieno[3,2-d]pyrimidinyl)amino]-1,4-dihydropyrrolo[3,4-c]pyrazole-5-carboxamide Chemical compound C1([C@H](NC(=O)N2C(C=3NN=C(NC=4C=5SC=CC=5N=C(C)N=4)C=3C2)(C)C)CN(C)C)=CC=CC=C1 AYCPARAPKDAOEN-LJQANCHMSA-N 0.000 description 1
- CHJJGSNFBQVOTG-UHFFFAOYSA-N N-methyl-guanidine Natural products CNC(N)=N CHJJGSNFBQVOTG-UHFFFAOYSA-N 0.000 description 1
- 229910019142 PO4 Inorganic materials 0.000 description 1
- 208000018737 Parkinson disease Diseases 0.000 description 1
- 102000004160 Phosphoric Monoester Hydrolases Human genes 0.000 description 1
- 108090000608 Phosphoric Monoester Hydrolases Proteins 0.000 description 1
- 241000224016 Plasmodium Species 0.000 description 1
- ONIBWKKTOPOVIA-UHFFFAOYSA-N Proline Natural products OC(=O)C1CCCN1 ONIBWKKTOPOVIA-UHFFFAOYSA-N 0.000 description 1
- OFOBLEOULBTSOW-UHFFFAOYSA-N Propanedioic acid Natural products OC(=O)CC(O)=O OFOBLEOULBTSOW-UHFFFAOYSA-N 0.000 description 1
- 102000001253 Protein Kinase Human genes 0.000 description 1
- 239000007868 Raney catalyst Substances 0.000 description 1
- NPXOKRUENSOPAO-UHFFFAOYSA-N Raney nickel Chemical compound [Al].[Ni] NPXOKRUENSOPAO-UHFFFAOYSA-N 0.000 description 1
- 229910000564 Raney nickel Inorganic materials 0.000 description 1
- 108050002653 Retinoblastoma protein Proteins 0.000 description 1
- 241000235525 Rhizomucor pusillus Species 0.000 description 1
- 240000005384 Rhizopus oryzae Species 0.000 description 1
- 235000013752 Rhizopus oryzae Nutrition 0.000 description 1
- 208000010112 Spinocerebellar Degenerations Diseases 0.000 description 1
- 235000021355 Stearic acid Nutrition 0.000 description 1
- 208000007107 Stomach Ulcer Diseases 0.000 description 1
- PPBRXRYQALVLMV-UHFFFAOYSA-N Styrene Natural products C=CC1=CC=CC=C1 PPBRXRYQALVLMV-UHFFFAOYSA-N 0.000 description 1
- KDYFGRWQOYBRFD-UHFFFAOYSA-N Succinic acid Natural products OC(=O)CCC(O)=O KDYFGRWQOYBRFD-UHFFFAOYSA-N 0.000 description 1
- 210000001744 T-lymphocyte Anatomy 0.000 description 1
- FEWJPZIEWOKRBE-UHFFFAOYSA-N Tartaric acid Natural products [H+].[H+].[O-]C(=O)C(O)C(O)C([O-])=O FEWJPZIEWOKRBE-UHFFFAOYSA-N 0.000 description 1
- 229910003074 TiCl4 Inorganic materials 0.000 description 1
- ATJFFYVFTNAWJD-UHFFFAOYSA-N Tin Chemical compound [Sn] ATJFFYVFTNAWJD-UHFFFAOYSA-N 0.000 description 1
- 241000223996 Toxoplasma Species 0.000 description 1
- 241000223104 Trypanosoma Species 0.000 description 1
- 108010040002 Tumor Suppressor Proteins Proteins 0.000 description 1
- 102000001742 Tumor Suppressor Proteins Human genes 0.000 description 1
- 208000008383 Wilms tumor Diseases 0.000 description 1
- 238000007239 Wittig reaction Methods 0.000 description 1
- LXRZVMYMQHNYJB-UNXOBOICSA-N [(1R,2S,4R)-4-[[5-[4-[(1R)-7-chloro-1,2,3,4-tetrahydroisoquinolin-1-yl]-5-methylthiophene-2-carbonyl]pyrimidin-4-yl]amino]-2-hydroxycyclopentyl]methyl sulfamate Chemical compound CC1=C(C=C(S1)C(=O)C1=C(N[C@H]2C[C@H](O)[C@@H](COS(N)(=O)=O)C2)N=CN=C1)[C@@H]1NCCC2=C1C=C(Cl)C=C2 LXRZVMYMQHNYJB-UNXOBOICSA-N 0.000 description 1
- XSZBBJLZDJFILK-KGLIPLIRSA-N [(2R,3S)-1-methyl-3-(2,4,6-trimethoxyphenyl)pyrrolidin-2-yl]methyl acetate Chemical compound CN1[C@H]([C@@H](CC1)C1=C(C=C(C=C1OC)OC)OC)COC(C)=O XSZBBJLZDJFILK-KGLIPLIRSA-N 0.000 description 1
- MDHIKZFSLXTVBZ-VWNXMTODSA-N [(2R,3S)-3-[2-(2-chlorophenyl)-5,7-dimethoxy-4-oxochromen-8-yl]-1-(4-methoxyphenyl)pyrrolidin-2-yl]methyl acetate Chemical compound ClC1=C(C=CC=C1)C=1OC2=C(C(=CC(=C2C(C=1)=O)OC)OC)[C@H]1[C@@H](N(CC1)C1=CC=C(C=C1)OC)COC(C)=O MDHIKZFSLXTVBZ-VWNXMTODSA-N 0.000 description 1
- RIYGVWPZTGPGKT-OLZOCXBDSA-N [(2r,3s)-3-(3-acetyl-2-hydroxy-4,6-dimethoxyphenyl)-1-methylpyrrolidin-2-yl]methyl acetate Chemical compound COC1=CC(OC)=C(C(C)=O)C(O)=C1[C@H]1[C@H](COC(C)=O)N(C)CC1 RIYGVWPZTGPGKT-OLZOCXBDSA-N 0.000 description 1
- DOPKQHDOUQZEOT-WIYYLYMNSA-N [(3S,4S)-4-(3-acetyl-2-hydroxy-4,6-dimethoxyphenyl)-1-(4-methoxyphenyl)piperidin-3-yl] acetate Chemical compound C(C)(=O)C=1C(=C(C(=CC=1OC)OC)[C@H]1[C@@H](CN(CC1)C1=CC=C(C=C1)OC)OC(C)=O)O DOPKQHDOUQZEOT-WIYYLYMNSA-N 0.000 description 1
- QVDIRANZYULMRF-OPAMFIHVSA-N [(3S,4S)-4-[2-(2-chlorophenyl)-5,7-dimethoxy-4-oxochromen-8-yl]-1-cyanopiperidin-3-yl] acetate Chemical compound ClC1=C(C=CC=C1)C=1OC2=C(C(=CC(=C2C(C=1)=O)OC)OC)[C@H]1[C@@H](CN(CC1)C#N)OC(C)=O QVDIRANZYULMRF-OPAMFIHVSA-N 0.000 description 1
- HYPPDPCBOOENFQ-OPAMFIHVSA-N [(3S,4S)-4-[2-(2-chlorophenyl)-5,7-dimethoxy-4-oxochromen-8-yl]-1-methylpiperidin-3-yl] acetate Chemical compound ClC1=C(C=CC=C1)C=1OC2=C(C(=CC(=C2C(C=1)=O)OC)OC)[C@H]1[C@@H](CN(CC1)C)OC(C)=O HYPPDPCBOOENFQ-OPAMFIHVSA-N 0.000 description 1
- BUJZRQHHRSLQDF-UZUQRXQVSA-N [(3S,4S)-4-[2-(2-chlorophenyl)-5,7-dimethoxy-4-oxochromen-8-yl]-1-propylpiperidin-3-yl] methanesulfonate Chemical compound ClC1=C(C=CC=C1)C=1OC2=C(C(=CC(=C2C(C=1)=O)OC)OC)[C@H]1[C@@H](CN(CC1)CCC)OS(=O)(=O)C BUJZRQHHRSLQDF-UZUQRXQVSA-N 0.000 description 1
- XPCHHDCFFKPAKZ-QUCCMNQESA-N [2-acetyl-6-[(2R,3S)-2-(acetyloxymethyl)-1-methylpyrrolidin-3-yl]-3,5-dimethoxyphenyl] 2-bromo-4-methoxybenzoate Chemical compound C(C)(=O)OC[C@@H]1N(CC[C@H]1C1=C(C(=C(C=C1OC)OC)C(C)=O)OC(C1=C(C=C(C=C1)OC)Br)=O)C XPCHHDCFFKPAKZ-QUCCMNQESA-N 0.000 description 1
- JCRIYEKWKPRNHB-APWZRJJASA-N [2-acetyl-6-[(2R,3S)-2-(acetyloxymethyl)-1-methylpyrrolidin-3-yl]-3,5-dimethoxyphenyl] 2-bromo-5-nitrobenzoate Chemical compound C(C)(=O)OC[C@@H]1N(CC[C@H]1C1=C(C(=C(C=C1OC)OC)C(C)=O)OC(C1=C(C=CC(=C1)[N+](=O)[O-])Br)=O)C JCRIYEKWKPRNHB-APWZRJJASA-N 0.000 description 1
- WFXCIAZHWIPJHZ-MOPGFXCFSA-N [2-acetyl-6-[(2R,3S)-2-(acetyloxymethyl)-1-methylpyrrolidin-3-yl]-3,5-dimethoxyphenyl] 4-nitrobenzoate Chemical compound C(C)(=O)OC[C@@H]1N(CC[C@H]1C1=C(C(=C(C=C1OC)OC)C(C)=O)OC(C1=CC=C(C=C1)[N+](=O)[O-])=O)C WFXCIAZHWIPJHZ-MOPGFXCFSA-N 0.000 description 1
- 238000010958 [3+2] cycloaddition reaction Methods 0.000 description 1
- CKUAXEQHGKSLHN-UHFFFAOYSA-N [C].[N] Chemical compound [C].[N] CKUAXEQHGKSLHN-UHFFFAOYSA-N 0.000 description 1
- ZVQOOHYFBIDMTQ-UHFFFAOYSA-N [methyl(oxido){1-[6-(trifluoromethyl)pyridin-3-yl]ethyl}-lambda(6)-sulfanylidene]cyanamide Chemical compound N#CN=S(C)(=O)C(C)C1=CC=C(C(F)(F)F)N=C1 ZVQOOHYFBIDMTQ-UHFFFAOYSA-N 0.000 description 1
- WEVYAHXRMPXWCK-UHFFFAOYSA-N acetonitrile Substances CC#N WEVYAHXRMPXWCK-UHFFFAOYSA-N 0.000 description 1
- 150000008065 acid anhydrides Chemical class 0.000 description 1
- 239000008186 active pharmaceutical agent Substances 0.000 description 1
- 230000010933 acylation Effects 0.000 description 1
- 238000005917 acylation reaction Methods 0.000 description 1
- 125000004423 acyloxy group Chemical group 0.000 description 1
- 230000000996 additive effect Effects 0.000 description 1
- 239000000443 aerosol Substances 0.000 description 1
- 238000001042 affinity chromatography Methods 0.000 description 1
- 125000002723 alicyclic group Chemical group 0.000 description 1
- 229910052783 alkali metal Inorganic materials 0.000 description 1
- 229910052784 alkaline earth metal Inorganic materials 0.000 description 1
- 125000004849 alkoxymethyl group Chemical group 0.000 description 1
- 125000005119 alkyl cycloalkyl group Chemical group 0.000 description 1
- 231100000360 alopecia Toxicity 0.000 description 1
- HSFWRNGVRCDJHI-UHFFFAOYSA-N alpha-acetylene Natural products C#C HSFWRNGVRCDJHI-UHFFFAOYSA-N 0.000 description 1
- AWUCVROLDVIAJX-UHFFFAOYSA-N alpha-glycerophosphate Natural products OCC(O)COP(O)(O)=O AWUCVROLDVIAJX-UHFFFAOYSA-N 0.000 description 1
- BJEPYKJPYRNKOW-UHFFFAOYSA-N alpha-hydroxysuccinic acid Natural products OC(=O)C(O)CC(O)=O BJEPYKJPYRNKOW-UHFFFAOYSA-N 0.000 description 1
- 229910000147 aluminium phosphate Inorganic materials 0.000 description 1
- 159000000013 aluminium salts Chemical class 0.000 description 1
- 125000005021 aminoalkenyl group Chemical group 0.000 description 1
- 125000004103 aminoalkyl group Chemical group 0.000 description 1
- 125000005014 aminoalkynyl group Chemical group 0.000 description 1
- 206010002026 amyotrophic lateral sclerosis Diseases 0.000 description 1
- 230000033115 angiogenesis Effects 0.000 description 1
- 229940040526 anhydrous sodium acetate Drugs 0.000 description 1
- 238000005349 anion exchange Methods 0.000 description 1
- 125000002178 anthracenyl group Chemical group C1(=CC=CC2=CC3=CC=CC=C3C=C12)* 0.000 description 1
- 230000000843 anti-fungal effect Effects 0.000 description 1
- 229940121363 anti-inflammatory agent Drugs 0.000 description 1
- 239000002260 anti-inflammatory agent Substances 0.000 description 1
- 230000003110 anti-inflammatory effect Effects 0.000 description 1
- 239000003429 antifungal agent Substances 0.000 description 1
- 229940121375 antifungal agent Drugs 0.000 description 1
- 229940041181 antineoplastic drug Drugs 0.000 description 1
- 229940045988 antineoplastic drug protein kinase inhibitors Drugs 0.000 description 1
- 239000003963 antioxidant agent Substances 0.000 description 1
- 235000006708 antioxidants Nutrition 0.000 description 1
- 229940125687 antiparasitic agent Drugs 0.000 description 1
- 239000003096 antiparasitic agent Substances 0.000 description 1
- 230000006907 apoptotic process Effects 0.000 description 1
- 238000013459 approach Methods 0.000 description 1
- 229960004405 aprotinin Drugs 0.000 description 1
- 125000001204 arachidyl group Chemical group [H]C([*])([H])C([H])([H])C([H])([H])C([H])([H])C([H])([H])C([H])([H])C([H])([H])C([H])([H])C([H])([H])C([H])([H])C([H])([H])C([H])([H])C([H])([H])C([H])([H])C([H])([H])C([H])([H])C([H])([H])C([H])([H])C([H])([H])C([H])([H])[H] 0.000 description 1
- ODKSFYDXXFIFQN-UHFFFAOYSA-N arginine Natural products OC(=O)C(N)CCCNC(N)=N ODKSFYDXXFIFQN-UHFFFAOYSA-N 0.000 description 1
- 235000010323 ascorbic acid Nutrition 0.000 description 1
- 239000011668 ascorbic acid Substances 0.000 description 1
- 229960005070 ascorbic acid Drugs 0.000 description 1
- 229940091771 aspergillus fumigatus Drugs 0.000 description 1
- 238000011914 asymmetric synthesis Methods 0.000 description 1
- 125000002785 azepinyl group Chemical group 0.000 description 1
- 125000002393 azetidinyl group Chemical group 0.000 description 1
- 125000000852 azido group Chemical group *N=[N+]=[N-] 0.000 description 1
- 230000008901 benefit Effects 0.000 description 1
- SRSXLGNVWSONIS-UHFFFAOYSA-N benzenesulfonic acid Chemical compound OS(=O)(=O)C1=CC=CC=C1 SRSXLGNVWSONIS-UHFFFAOYSA-N 0.000 description 1
- 229940092714 benzenesulfonic acid Drugs 0.000 description 1
- 125000003785 benzimidazolyl group Chemical group N1=C(NC2=C1C=CC=C2)* 0.000 description 1
- 125000004601 benzofurazanyl group Chemical group N1=C2C(=NO1)C(=CC=C2)* 0.000 description 1
- 235000010233 benzoic acid Nutrition 0.000 description 1
- 229960004365 benzoic acid Drugs 0.000 description 1
- 125000001164 benzothiazolyl group Chemical group S1C(=NC2=C1C=CC=C2)* 0.000 description 1
- 125000004541 benzoxazolyl group Chemical group O1C(=NC2=C1C=CC=C2)* 0.000 description 1
- AGEZXYOZHKGVCM-UHFFFAOYSA-N benzyl bromide Chemical compound BrCC1=CC=CC=C1 AGEZXYOZHKGVCM-UHFFFAOYSA-N 0.000 description 1
- 125000001797 benzyl group Chemical group [H]C1=C([H])C([H])=C(C([H])=C1[H])C([H])([H])* 0.000 description 1
- WQZGKKKJIJFFOK-VFUOTHLCSA-N beta-D-glucose Chemical compound OC[C@H]1O[C@@H](O)[C@H](O)[C@@H](O)[C@@H]1O WQZGKKKJIJFFOK-VFUOTHLCSA-N 0.000 description 1
- 239000004305 biphenyl Substances 0.000 description 1
- 235000010290 biphenyl Nutrition 0.000 description 1
- 238000009835 boiling Methods 0.000 description 1
- KGBXLFKZBHKPEV-UHFFFAOYSA-N boric acid Chemical compound OB(O)O KGBXLFKZBHKPEV-UHFFFAOYSA-N 0.000 description 1
- 239000004327 boric acid Substances 0.000 description 1
- 125000004799 bromophenyl group Chemical group 0.000 description 1
- 125000006380 bromopyridyl group Chemical group 0.000 description 1
- KDYFGRWQOYBRFD-NUQCWPJISA-N butanedioic acid Chemical compound O[14C](=O)CC[14C](O)=O KDYFGRWQOYBRFD-NUQCWPJISA-N 0.000 description 1
- 125000000484 butyl group Chemical group [H]C([*])([H])C([H])([H])C([H])([H])C([H])([H])[H] 0.000 description 1
- 229910052791 calcium Inorganic materials 0.000 description 1
- LSPHULWDVZXLIL-QUBYGPBYSA-N camphoric acid Chemical compound CC1(C)[C@H](C(O)=O)CC[C@]1(C)C(O)=O LSPHULWDVZXLIL-QUBYGPBYSA-N 0.000 description 1
- MIOPJNTWMNEORI-UHFFFAOYSA-N camphorsulfonic acid Chemical compound C1CC2(CS(O)(=O)=O)C(=O)CC1C2(C)C MIOPJNTWMNEORI-UHFFFAOYSA-N 0.000 description 1
- 229940095731 candida albicans Drugs 0.000 description 1
- 239000002775 capsule Substances 0.000 description 1
- 125000000609 carbazolyl group Chemical group C1(=CC=CC=2C3=CC=CC=C3NC12)* 0.000 description 1
- 125000002837 carbocyclic group Chemical group 0.000 description 1
- CREMABGTGYGIQB-UHFFFAOYSA-N carbon carbon Chemical compound C.C CREMABGTGYGIQB-UHFFFAOYSA-N 0.000 description 1
- 239000011203 carbon fibre reinforced carbon Substances 0.000 description 1
- 150000007942 carboxylates Chemical class 0.000 description 1
- 150000001732 carboxylic acid derivatives Chemical class 0.000 description 1
- 230000003197 catalytic effect Effects 0.000 description 1
- 238000009903 catalytic hydrogenation reaction Methods 0.000 description 1
- 238000005341 cation exchange Methods 0.000 description 1
- 238000004113 cell culture Methods 0.000 description 1
- 230000006369 cell cycle progression Effects 0.000 description 1
- 238000001516 cell proliferation assay Methods 0.000 description 1
- 238000010568 chiral column chromatography Methods 0.000 description 1
- WBLIXGSTEMXDSM-UHFFFAOYSA-N chloromethane Chemical compound Cl[CH2] WBLIXGSTEMXDSM-UHFFFAOYSA-N 0.000 description 1
- 125000000068 chlorophenyl group Chemical group 0.000 description 1
- 125000006378 chloropyridyl group Chemical group 0.000 description 1
- OEYIOHPDSNJKLS-UHFFFAOYSA-N choline Chemical compound C[N+](C)(C)CCO OEYIOHPDSNJKLS-UHFFFAOYSA-N 0.000 description 1
- 229960001231 choline Drugs 0.000 description 1
- 210000001612 chondrocyte Anatomy 0.000 description 1
- 150000004777 chromones Chemical class 0.000 description 1
- 230000001684 chronic effect Effects 0.000 description 1
- 208000037976 chronic inflammation Diseases 0.000 description 1
- 230000006020 chronic inflammation Effects 0.000 description 1
- 235000015165 citric acid Nutrition 0.000 description 1
- 239000003086 colorant Substances 0.000 description 1
- 238000002648 combination therapy Methods 0.000 description 1
- 229940125810 compound 20 Drugs 0.000 description 1
- 238000009833 condensation Methods 0.000 description 1
- 230000005494 condensation Effects 0.000 description 1
- 230000008602 contraction Effects 0.000 description 1
- 230000001276 controlling effect Effects 0.000 description 1
- 229910000365 copper sulfate Inorganic materials 0.000 description 1
- ARUVKPQLZAKDPS-UHFFFAOYSA-L copper(II) sulfate Chemical compound [Cu+2].[O-][S+2]([O-])([O-])[O-] ARUVKPQLZAKDPS-UHFFFAOYSA-L 0.000 description 1
- 239000008120 corn starch Substances 0.000 description 1
- 238000006880 cross-coupling reaction Methods 0.000 description 1
- ATDGTVJJHBUTRL-UHFFFAOYSA-N cyanogen bromide Chemical compound BrC#N ATDGTVJJHBUTRL-UHFFFAOYSA-N 0.000 description 1
- 238000006352 cycloaddition reaction Methods 0.000 description 1
- 125000001316 cycloalkyl alkyl group Chemical group 0.000 description 1
- 125000000582 cycloheptyl group Chemical group [H]C1([H])C([H])([H])C([H])([H])C([H])([H])C([H])(*)C([H])([H])C1([H])[H] 0.000 description 1
- UKJLNMAFNRKWGR-UHFFFAOYSA-N cyclohexatrienamine Chemical group NC1=CC=C=C[CH]1 UKJLNMAFNRKWGR-UHFFFAOYSA-N 0.000 description 1
- 239000000824 cytostatic agent Substances 0.000 description 1
- 230000001085 cytostatic effect Effects 0.000 description 1
- YKGMKSIHIVVYKY-UHFFFAOYSA-N dabrafenib mesylate Chemical compound CS(O)(=O)=O.S1C(C(C)(C)C)=NC(C=2C(=C(NS(=O)(=O)C=3C(=CC=CC=3F)F)C=CC=2)F)=C1C1=CC=NC(N)=N1 YKGMKSIHIVVYKY-UHFFFAOYSA-N 0.000 description 1
- 238000000354 decomposition reaction Methods 0.000 description 1
- 125000002704 decyl group Chemical group [H]C([H])([H])C([H])([H])C([H])([H])C([H])([H])C([H])([H])C([H])([H])C([H])([H])C([H])([H])C([H])([H])C([H])([H])* 0.000 description 1
- 230000032459 dedifferentiation Effects 0.000 description 1
- 230000005786 degenerative changes Effects 0.000 description 1
- 230000003412 degenerative effect Effects 0.000 description 1
- 238000012217 deletion Methods 0.000 description 1
- 230000037430 deletion Effects 0.000 description 1
- 238000001212 derivatisation Methods 0.000 description 1
- 238000001514 detection method Methods 0.000 description 1
- 238000011161 development Methods 0.000 description 1
- 230000018109 developmental process Effects 0.000 description 1
- 206010012601 diabetes mellitus Diseases 0.000 description 1
- 150000001989 diazonium salts Chemical class 0.000 description 1
- 238000006193 diazotization reaction Methods 0.000 description 1
- IJGRMHOSHXDMSA-UHFFFAOYSA-O diazynium Chemical compound [NH+]#N IJGRMHOSHXDMSA-UHFFFAOYSA-O 0.000 description 1
- 125000004188 dichlorophenyl group Chemical group 0.000 description 1
- ZBCBWPMODOFKDW-UHFFFAOYSA-N diethanolamine Chemical compound OCCNCCO ZBCBWPMODOFKDW-UHFFFAOYSA-N 0.000 description 1
- 238000000113 differential scanning calorimetry Methods 0.000 description 1
- 230000004069 differentiation Effects 0.000 description 1
- 125000004212 difluorophenyl group Chemical group 0.000 description 1
- SWSQBOPZIKWTGO-UHFFFAOYSA-N dimethylaminoamidine Natural products CN(C)C(N)=N SWSQBOPZIKWTGO-UHFFFAOYSA-N 0.000 description 1
- ZLCCLBKPLLUIJC-UHFFFAOYSA-L disodium tetrasulfane-1,4-diide Chemical compound [Na+].[Na+].[S-]SS[S-] ZLCCLBKPLLUIJC-UHFFFAOYSA-L 0.000 description 1
- 125000003438 dodecyl group Chemical group [H]C([H])([H])C([H])([H])C([H])([H])C([H])([H])C([H])([H])C([H])([H])C([H])([H])C([H])([H])C([H])([H])C([H])([H])C([H])([H])C([H])([H])* 0.000 description 1
- 229940088679 drug related substance Drugs 0.000 description 1
- 238000001035 drying Methods 0.000 description 1
- 238000000921 elemental analysis Methods 0.000 description 1
- 230000008030 elimination Effects 0.000 description 1
- 238000003379 elimination reaction Methods 0.000 description 1
- 239000003995 emulsifying agent Substances 0.000 description 1
- 239000000839 emulsion Substances 0.000 description 1
- 230000003511 endothelial effect Effects 0.000 description 1
- 238000001952 enzyme assay Methods 0.000 description 1
- 125000004185 ester group Chemical group 0.000 description 1
- 238000010931 ester hydrolysis Methods 0.000 description 1
- AFAXGSQYZLGZPG-UHFFFAOYSA-N ethanedisulfonic acid Chemical compound OS(=O)(=O)CCS(O)(=O)=O AFAXGSQYZLGZPG-UHFFFAOYSA-N 0.000 description 1
- SPCFCNSKNBMRGO-UHFFFAOYSA-N ethyl 4-cyano-2-methylbenzoate Chemical compound CCOC(=O)C1=CC=C(C#N)C=C1C SPCFCNSKNBMRGO-UHFFFAOYSA-N 0.000 description 1
- JZGZKRJVTIRPOK-UHFFFAOYSA-N ethyl thiophene-2-carboxylate Chemical compound CCOC(=O)C1=CC=CS1 JZGZKRJVTIRPOK-UHFFFAOYSA-N 0.000 description 1
- 125000002534 ethynyl group Chemical group [H]C#C* 0.000 description 1
- 230000029142 excretion Effects 0.000 description 1
- 238000002474 experimental method Methods 0.000 description 1
- 239000003925 fat Substances 0.000 description 1
- 230000000893 fibroproliferative effect Effects 0.000 description 1
- 239000000945 filler Substances 0.000 description 1
- 238000003818 flash chromatography Methods 0.000 description 1
- 150000002213 flavones Chemical class 0.000 description 1
- 229930003935 flavonoid Natural products 0.000 description 1
- 235000017173 flavonoids Nutrition 0.000 description 1
- 239000000796 flavoring agent Substances 0.000 description 1
- 235000019634 flavors Nutrition 0.000 description 1
- 125000001207 fluorophenyl group Chemical group 0.000 description 1
- 125000006379 fluoropyridyl group Chemical group 0.000 description 1
- 235000019253 formic acid Nutrition 0.000 description 1
- 239000001530 fumaric acid Substances 0.000 description 1
- 108020001507 fusion proteins Proteins 0.000 description 1
- 102000037865 fusion proteins Human genes 0.000 description 1
- 230000014509 gene expression Effects 0.000 description 1
- 230000000762 glandular Effects 0.000 description 1
- 239000004220 glutamic acid Substances 0.000 description 1
- 235000013922 glutamic acid Nutrition 0.000 description 1
- 229960002989 glutamic acid Drugs 0.000 description 1
- 239000008187 granular material Substances 0.000 description 1
- 230000012010 growth Effects 0.000 description 1
- 150000004820 halides Chemical class 0.000 description 1
- 125000001188 haloalkyl group Chemical group 0.000 description 1
- 125000005843 halogen group Chemical group 0.000 description 1
- 230000036541 health Effects 0.000 description 1
- 238000010438 heat treatment Methods 0.000 description 1
- 125000003187 heptyl group Chemical group [H]C([*])([H])C([H])([H])C([H])([H])C([H])([H])C([H])([H])C([H])([H])C([H])([H])[H] 0.000 description 1
- 125000004051 hexyl group Chemical group [H]C([H])([H])C([H])([H])C([H])([H])C([H])([H])C([H])([H])C([H])([H])* 0.000 description 1
- 102000048992 human CDK4 Human genes 0.000 description 1
- 150000004677 hydrates Chemical class 0.000 description 1
- BHEPBYXIRTUNPN-UHFFFAOYSA-N hydridophosphorus(.) (triplet) Chemical compound [PH] BHEPBYXIRTUNPN-UHFFFAOYSA-N 0.000 description 1
- 230000037417 hyperactivation Effects 0.000 description 1
- 150000002460 imidazoles Chemical class 0.000 description 1
- 230000002519 immonomodulatory effect Effects 0.000 description 1
- 208000026278 immune system disease Diseases 0.000 description 1
- 238000002650 immunosuppressive therapy Methods 0.000 description 1
- 238000002513 implantation Methods 0.000 description 1
- 125000001041 indolyl group Chemical group 0.000 description 1
- 230000006698 induction Effects 0.000 description 1
- 230000001939 inductive effect Effects 0.000 description 1
- ZPNFWUPYTFPOJU-LPYSRVMUSA-N iniprol Chemical compound C([C@H]1C(=O)NCC(=O)NCC(=O)N[C@H]2CSSC[C@H]3C(=O)N[C@@H](CCCCN)C(=O)N[C@@H](C)C(=O)N[C@@H](CCCNC(N)=N)C(=O)N[C@H](C(N[C@H](C(=O)N[C@@H](CCCNC(N)=N)C(=O)N[C@@H](CC=4C=CC(O)=CC=4)C(=O)N[C@@H](CC=4C=CC=CC=4)C(=O)N[C@@H](CC=4C=CC(O)=CC=4)C(=O)N[C@@H](CC(N)=O)C(=O)N[C@@H](C)C(=O)N[C@@H](CCCCN)C(=O)N[C@@H](C)C(=O)NCC(=O)N[C@@H](CC(C)C)C(=O)N[C@@H](CSSC[C@H](NC(=O)[C@H](CC(O)=O)NC(=O)[C@H](CCC(O)=O)NC(=O)[C@H](C)NC(=O)[C@H](CO)NC(=O)[C@H](CCCCN)NC(=O)[C@H](CC=4C=CC=CC=4)NC(=O)[C@H](CC(N)=O)NC(=O)[C@H](CC(N)=O)NC(=O)[C@H](CCCNC(N)=N)NC(=O)[C@H](CCCCN)NC(=O)[C@H](C)NC(=O)[C@H](CCCNC(N)=N)NC2=O)C(=O)N[C@@H](CCSC)C(=O)N[C@@H](CCCNC(N)=N)C(=O)N[C@@H]([C@@H](C)O)C(=O)N[C@@H](CSSC[C@H](NC(=O)[C@H](CC=2C=CC=CC=2)NC(=O)[C@H](CC(O)=O)NC(=O)[C@H]2N(CCC2)C(=O)[C@@H](N)CCCNC(N)=N)C(=O)N[C@@H](CC(C)C)C(=O)N[C@@H](CCC(O)=O)C(=O)N2[C@@H](CCC2)C(=O)N2[C@@H](CCC2)C(=O)N[C@@H](CC=2C=CC(O)=CC=2)C(=O)N[C@@H]([C@@H](C)O)C(=O)NCC(=O)N2[C@@H](CCC2)C(=O)N3)C(=O)NCC(=O)NCC(=O)N[C@@H](C)C(O)=O)C(=O)N[C@@H](CCC(N)=O)C(=O)N[C@H](C(=O)N[C@@H](CC=2C=CC=CC=2)C(=O)N[C@H](C(=O)N1)C(C)C)[C@@H](C)O)[C@@H](C)CC)=O)[C@@H](C)CC)C1=CC=C(O)C=C1 ZPNFWUPYTFPOJU-LPYSRVMUSA-N 0.000 description 1
- 239000007924 injection Substances 0.000 description 1
- 238000002347 injection Methods 0.000 description 1
- 239000002917 insecticide Substances 0.000 description 1
- PNDPGZBMCMUPRI-UHFFFAOYSA-N iodine Chemical compound II PNDPGZBMCMUPRI-UHFFFAOYSA-N 0.000 description 1
- 229910052742 iron Inorganic materials 0.000 description 1
- 229940045996 isethionic acid Drugs 0.000 description 1
- 125000000904 isoindolyl group Chemical group C=1(NC=C2C=CC=CC12)* 0.000 description 1
- 125000001972 isopentyl group Chemical group [H]C([H])([H])C([H])(C([H])([H])[H])C([H])([H])C([H])([H])* 0.000 description 1
- 125000005956 isoquinolyl group Chemical group 0.000 description 1
- 210000003734 kidney Anatomy 0.000 description 1
- 150000003951 lactams Chemical class 0.000 description 1
- 239000004310 lactic acid Substances 0.000 description 1
- 235000014655 lactic acid Nutrition 0.000 description 1
- 239000008101 lactose Substances 0.000 description 1
- 210000000265 leukocyte Anatomy 0.000 description 1
- GDBQQVLCIARPGH-ULQDDVLXSA-N leupeptin Chemical compound CC(C)C[C@H](NC(C)=O)C(=O)N[C@@H](CC(C)C)C(=O)N[C@H](C=O)CCCN=C(N)N GDBQQVLCIARPGH-ULQDDVLXSA-N 0.000 description 1
- 108010052968 leupeptin Proteins 0.000 description 1
- 239000011968 lewis acid catalyst Substances 0.000 description 1
- 239000007788 liquid Substances 0.000 description 1
- 229910052744 lithium Inorganic materials 0.000 description 1
- 239000012280 lithium aluminium hydride Substances 0.000 description 1
- 210000004185 liver Anatomy 0.000 description 1
- 239000006166 lysate Substances 0.000 description 1
- 239000012139 lysis buffer Substances 0.000 description 1
- 229910052749 magnesium Inorganic materials 0.000 description 1
- 239000000395 magnesium oxide Substances 0.000 description 1
- VZCYOOQTPOCHFL-UPHRSURJSA-N maleic acid Chemical compound OC(=O)\C=C/C(O)=O VZCYOOQTPOCHFL-UPHRSURJSA-N 0.000 description 1
- 239000011976 maleic acid Substances 0.000 description 1
- 239000001630 malic acid Substances 0.000 description 1
- 235000011090 malic acid Nutrition 0.000 description 1
- 239000000594 mannitol Substances 0.000 description 1
- 235000010355 mannitol Nutrition 0.000 description 1
- 238000002844 melting Methods 0.000 description 1
- 230000008018 melting Effects 0.000 description 1
- 229940098779 methanesulfonic acid Drugs 0.000 description 1
- UDCCTNIBELHUQN-UHFFFAOYSA-N methyl 2-bromo-3-fluorobenzoate Chemical compound COC(=O)C1=CC=CC(F)=C1Br UDCCTNIBELHUQN-UHFFFAOYSA-N 0.000 description 1
- BIECSXCXIXHDBC-UHFFFAOYSA-N methyl 2-bromo-5-chlorobenzoate Chemical compound COC(=O)C1=CC(Cl)=CC=C1Br BIECSXCXIXHDBC-UHFFFAOYSA-N 0.000 description 1
- FCMQMRAFVRTHCR-UHFFFAOYSA-N methyl 2-bromo-5-fluorobenzoate Chemical compound COC(=O)C1=CC(F)=CC=C1Br FCMQMRAFVRTHCR-UHFFFAOYSA-N 0.000 description 1
- AIWIFVOBRBJANE-UHFFFAOYSA-N methyl 2-bromo-5-hydroxybenzoate Chemical compound COC(=O)C1=CC(O)=CC=C1Br AIWIFVOBRBJANE-UHFFFAOYSA-N 0.000 description 1
- SWGQITQOBPXVRC-UHFFFAOYSA-N methyl 2-bromobenzoate Chemical compound COC(=O)C1=CC=CC=C1Br SWGQITQOBPXVRC-UHFFFAOYSA-N 0.000 description 1
- NRTGZMADMOJUAV-UHFFFAOYSA-N methyl 2-chloro-3-fluorobenzoate Chemical compound COC(=O)C1=CC=CC(F)=C1Cl NRTGZMADMOJUAV-UHFFFAOYSA-N 0.000 description 1
- BJZFMXJQJZUATE-UHFFFAOYSA-N methyl 2-chloro-4-hydroxybenzoate Chemical compound COC(=O)C1=CC=C(O)C=C1Cl BJZFMXJQJZUATE-UHFFFAOYSA-N 0.000 description 1
- PICNSXCJRMYANX-UHFFFAOYSA-N methyl 2-chloro-4-nitrobenzoate Chemical compound COC(=O)C1=CC=C([N+]([O-])=O)C=C1Cl PICNSXCJRMYANX-UHFFFAOYSA-N 0.000 description 1
- PQXJXWHRTKTFAJ-UHFFFAOYSA-N methyl 2-chloro-5-(dimethylamino)benzoate Chemical compound COC(=O)C1=CC(N(C)C)=CC=C1Cl PQXJXWHRTKTFAJ-UHFFFAOYSA-N 0.000 description 1
- RGLQGCVEXOWXEK-UHFFFAOYSA-N methyl 2-chloro-5-cyanobenzoate Chemical compound COC(=O)C1=CC(C#N)=CC=C1Cl RGLQGCVEXOWXEK-UHFFFAOYSA-N 0.000 description 1
- NRKMNOPYHIGOKT-UHFFFAOYSA-N methyl 2-chloro-5-fluorobenzoate Chemical compound COC(=O)C1=CC(F)=CC=C1Cl NRKMNOPYHIGOKT-UHFFFAOYSA-N 0.000 description 1
- UCNCJYKKAJVLQK-UHFFFAOYSA-N methyl 2-chloro-5-hydroxybenzoate Chemical compound COC(=O)C1=CC(O)=CC=C1Cl UCNCJYKKAJVLQK-UHFFFAOYSA-N 0.000 description 1
- OXUBUSSEVOLEPD-UHFFFAOYSA-N methyl 2-chloro-5-methoxybenzoate Chemical compound COC(=O)C1=CC(OC)=CC=C1Cl OXUBUSSEVOLEPD-UHFFFAOYSA-N 0.000 description 1
- DLULLCMISBPNTK-UHFFFAOYSA-N methyl 2-chloro-5-methylbenzoate Chemical compound COC(=O)C1=CC(C)=CC=C1Cl DLULLCMISBPNTK-UHFFFAOYSA-N 0.000 description 1
- VCYWZLGOWNCJNJ-UHFFFAOYSA-N methyl 2-chloro-5-nitrobenzoate Chemical compound COC(=O)C1=CC([N+]([O-])=O)=CC=C1Cl VCYWZLGOWNCJNJ-UHFFFAOYSA-N 0.000 description 1
- QAFJIJWLEBLXHH-UHFFFAOYSA-N methyl 2-fluorobenzoate Chemical compound COC(=O)C1=CC=CC=C1F QAFJIJWLEBLXHH-UHFFFAOYSA-N 0.000 description 1
- BXXLTVBTDZXPTN-UHFFFAOYSA-N methyl 2-iodobenzoate Chemical compound COC(=O)C1=CC=CC=C1I BXXLTVBTDZXPTN-UHFFFAOYSA-N 0.000 description 1
- XRDRKVPNHIWTBX-UHFFFAOYSA-N methyl 3-chlorobenzoate Chemical compound COC(=O)C1=CC=CC(Cl)=C1 XRDRKVPNHIWTBX-UHFFFAOYSA-N 0.000 description 1
- YXZNVLYXBIIIOB-UHFFFAOYSA-N methyl 3-fluorobenzoate Chemical compound COC(=O)C1=CC=CC(F)=C1 YXZNVLYXBIIIOB-UHFFFAOYSA-N 0.000 description 1
- CZNGTXVOZOWWKM-UHFFFAOYSA-N methyl 4-bromobenzoate Chemical compound COC(=O)C1=CC=C(Br)C=C1 CZNGTXVOZOWWKM-UHFFFAOYSA-N 0.000 description 1
- OFDWPQOLEQDJIX-UHFFFAOYSA-N methyl 5-amino-2-bromobenzoate Chemical compound COC(=O)C1=CC(N)=CC=C1Br OFDWPQOLEQDJIX-UHFFFAOYSA-N 0.000 description 1
- 229940095102 methyl benzoate Drugs 0.000 description 1
- UJNZOIKQAUQOCN-UHFFFAOYSA-N methyl(diphenyl)phosphane Chemical compound C=1C=CC=CC=1P(C)C1=CC=CC=C1 UJNZOIKQAUQOCN-UHFFFAOYSA-N 0.000 description 1
- 230000001035 methylating effect Effects 0.000 description 1
- 125000004170 methylsulfonyl group Chemical group [H]C([H])([H])S(*)(=O)=O 0.000 description 1
- 230000011278 mitosis Effects 0.000 description 1
- 125000006203 morpholinoethyl group Chemical group [H]C([H])(*)C([H])([H])N1C([H])([H])C([H])([H])OC([H])([H])C1([H])[H] 0.000 description 1
- 125000002757 morpholinyl group Chemical group 0.000 description 1
- 125000001421 myristyl group Chemical group [H]C([*])([H])C([H])([H])C([H])([H])C([H])([H])C([H])([H])C([H])([H])C([H])([H])C([H])([H])C([H])([H])C([H])([H])C([H])([H])C([H])([H])C([H])([H])C([H])([H])[H] 0.000 description 1
- LNOPIUAQISRISI-UHFFFAOYSA-N n'-hydroxy-2-propan-2-ylsulfonylethanimidamide Chemical compound CC(C)S(=O)(=O)CC(N)=NO LNOPIUAQISRISI-UHFFFAOYSA-N 0.000 description 1
- 125000004108 n-butyl group Chemical group [H]C([H])([H])C([H])([H])C([H])([H])C([H])([H])* 0.000 description 1
- 125000004123 n-propyl group Chemical group [H]C([H])([H])C([H])([H])C([H])([H])* 0.000 description 1
- 239000007922 nasal spray Substances 0.000 description 1
- 230000035407 negative regulation of cell proliferation Effects 0.000 description 1
- 230000009826 neoplastic cell growth Effects 0.000 description 1
- 210000000653 nervous system Anatomy 0.000 description 1
- 230000004770 neurodegeneration Effects 0.000 description 1
- 208000015122 neurodegenerative disease Diseases 0.000 description 1
- 230000007935 neutral effect Effects 0.000 description 1
- 238000006396 nitration reaction Methods 0.000 description 1
- LYGJENNIWJXYER-UHFFFAOYSA-N nitromethane Chemical compound C[N+]([O-])=O LYGJENNIWJXYER-UHFFFAOYSA-N 0.000 description 1
- 231100000252 nontoxic Toxicity 0.000 description 1
- 230000003000 nontoxic effect Effects 0.000 description 1
- 125000001400 nonyl group Chemical group [H]C([*])([H])C([H])([H])C([H])([H])C([H])([H])C([H])([H])C([H])([H])C([H])([H])C([H])([H])C([H])([H])[H] 0.000 description 1
- QIQXTHQIDYTFRH-UHFFFAOYSA-N octadecanoic acid Chemical compound CCCCCCCCCCCCCCCCCC(O)=O QIQXTHQIDYTFRH-UHFFFAOYSA-N 0.000 description 1
- OQCDKBAXFALNLD-UHFFFAOYSA-N octadecanoic acid Natural products CCCCCCCC(C)CCCCCCCCC(O)=O OQCDKBAXFALNLD-UHFFFAOYSA-N 0.000 description 1
- 125000002347 octyl group Chemical group [H]C([*])([H])C([H])([H])C([H])([H])C([H])([H])C([H])([H])C([H])([H])C([H])([H])C([H])([H])[H] 0.000 description 1
- GTVPOLSIJWJJNY-UHFFFAOYSA-N olomoucine Chemical compound N1=C(NCCO)N=C2N(C)C=NC2=C1NCC1=CC=CC=C1 GTVPOLSIJWJJNY-UHFFFAOYSA-N 0.000 description 1
- 210000001672 ovary Anatomy 0.000 description 1
- 235000006408 oxalic acid Nutrition 0.000 description 1
- 125000002971 oxazolyl group Chemical group 0.000 description 1
- BHAAPTBBJKJZER-UHFFFAOYSA-N p-anisidine Chemical compound COC1=CC=C(N)C=C1 BHAAPTBBJKJZER-UHFFFAOYSA-N 0.000 description 1
- 230000020477 pH reduction Effects 0.000 description 1
- 229910052763 palladium Inorganic materials 0.000 description 1
- 150000002940 palladium Chemical class 0.000 description 1
- LXNAVEXFUKBNMK-UHFFFAOYSA-N palladium(II) acetate Substances [Pd].CC(O)=O.CC(O)=O LXNAVEXFUKBNMK-UHFFFAOYSA-N 0.000 description 1
- 125000000913 palmityl group Chemical group [H]C([*])([H])C([H])([H])C([H])([H])C([H])([H])C([H])([H])C([H])([H])C([H])([H])C([H])([H])C([H])([H])C([H])([H])C([H])([H])C([H])([H])C([H])([H])C([H])([H])C([H])([H])C([H])([H])[H] 0.000 description 1
- WLJNZVDCPSBLRP-UHFFFAOYSA-N pamoic acid Chemical compound C1=CC=C2C(CC=3C4=CC=CC=C4C=C(C=3O)C(=O)O)=C(O)C(C(O)=O)=CC2=C1 WLJNZVDCPSBLRP-UHFFFAOYSA-N 0.000 description 1
- 210000000496 pancreas Anatomy 0.000 description 1
- FJKROLUGYXJWQN-UHFFFAOYSA-N papa-hydroxy-benzoic acid Natural products OC(=O)C1=CC=C(O)C=C1 FJKROLUGYXJWQN-UHFFFAOYSA-N 0.000 description 1
- 244000045947 parasite Species 0.000 description 1
- 244000052769 pathogen Species 0.000 description 1
- 125000001147 pentyl group Chemical group C(CCCC)* 0.000 description 1
- 239000000546 pharmaceutical excipient Substances 0.000 description 1
- 125000001644 phenoxazinyl group Chemical group C1(=CC=CC=2OC3=CC=CC=C3NC12)* 0.000 description 1
- 125000000951 phenoxy group Chemical group [H]C1=C([H])C([H])=C(O*)C([H])=C1[H] 0.000 description 1
- 239000010452 phosphate Substances 0.000 description 1
- 125000004437 phosphorous atom Chemical group 0.000 description 1
- UHZYTMXLRWXGPK-UHFFFAOYSA-N phosphorus pentachloride Chemical compound ClP(Cl)(Cl)(Cl)Cl UHZYTMXLRWXGPK-UHFFFAOYSA-N 0.000 description 1
- 238000000053 physical method Methods 0.000 description 1
- 125000004482 piperidin-4-yl group Chemical group N1CCC(CC1)* 0.000 description 1
- 229910052697 platinum Inorganic materials 0.000 description 1
- 229920000137 polyphosphoric acid Polymers 0.000 description 1
- 229910052700 potassium Chemical class 0.000 description 1
- 230000003389 potentiating effect Effects 0.000 description 1
- 238000000634 powder X-ray diffraction Methods 0.000 description 1
- 239000002244 precipitate Substances 0.000 description 1
- 238000001556 precipitation Methods 0.000 description 1
- 125000001844 prenyl group Chemical group [H]C([*])([H])C([H])=C(C([H])([H])[H])C([H])([H])[H] 0.000 description 1
- 239000003755 preservative agent Substances 0.000 description 1
- 230000002265 prevention Effects 0.000 description 1
- BDERNNFJNOPAEC-UHFFFAOYSA-N propan-1-ol Chemical compound CCCO BDERNNFJNOPAEC-UHFFFAOYSA-N 0.000 description 1
- 235000019260 propionic acid Nutrition 0.000 description 1
- 108060006633 protein kinase Proteins 0.000 description 1
- 239000003909 protein kinase inhibitor Substances 0.000 description 1
- 125000003226 pyrazolyl group Chemical group 0.000 description 1
- 125000000714 pyrimidinyl group Chemical group 0.000 description 1
- 238000000197 pyrolysis Methods 0.000 description 1
- 125000002112 pyrrolidino group Chemical group [*]N1C([H])([H])C([H])([H])C([H])([H])C1([H])[H] 0.000 description 1
- IUVKMZGDUIUOCP-BTNSXGMBSA-N quinbolone Chemical compound O([C@H]1CC[C@H]2[C@H]3[C@@H]([C@]4(C=CC(=O)C=C4CC3)C)CC[C@@]21C)C1=CCCC1 IUVKMZGDUIUOCP-BTNSXGMBSA-N 0.000 description 1
- 125000005493 quinolyl group Chemical group 0.000 description 1
- 239000002516 radical scavenger Substances 0.000 description 1
- 150000003254 radicals Chemical class 0.000 description 1
- 238000001959 radiotherapy Methods 0.000 description 1
- 230000008707 rearrangement Effects 0.000 description 1
- 238000006476 reductive cyclization reaction Methods 0.000 description 1
- 238000010992 reflux Methods 0.000 description 1
- 230000022983 regulation of cell cycle Effects 0.000 description 1
- 230000008439 repair process Effects 0.000 description 1
- 230000004044 response Effects 0.000 description 1
- 239000011369 resultant mixture Substances 0.000 description 1
- 201000006845 reticulosarcoma Diseases 0.000 description 1
- 208000029922 reticulum cell sarcoma Diseases 0.000 description 1
- 238000007142 ring opening reaction Methods 0.000 description 1
- 229960004889 salicylic acid Drugs 0.000 description 1
- 239000000523 sample Substances 0.000 description 1
- 229930195734 saturated hydrocarbon Natural products 0.000 description 1
- 238000007423 screening assay Methods 0.000 description 1
- 125000003548 sec-pentyl group Chemical group [H]C([H])([H])C([H])([H])C([H])([H])C([H])(*)C([H])([H])[H] 0.000 description 1
- 238000010898 silica gel chromatography Methods 0.000 description 1
- 239000000377 silicon dioxide Substances 0.000 description 1
- XGVXKJKTISMIOW-ZDUSSCGKSA-N simurosertib Chemical compound N1N=CC(C=2SC=3C(=O)NC(=NC=3C=2)[C@H]2N3CCC(CC3)C2)=C1C XGVXKJKTISMIOW-ZDUSSCGKSA-N 0.000 description 1
- 210000003491 skin Anatomy 0.000 description 1
- 238000010583 slow cooling Methods 0.000 description 1
- 210000000329 smooth muscle myocyte Anatomy 0.000 description 1
- AWUCVROLDVIAJX-GSVOUGTGSA-N sn-glycerol 3-phosphate Chemical compound OC[C@@H](O)COP(O)(O)=O AWUCVROLDVIAJX-GSVOUGTGSA-N 0.000 description 1
- 229910052708 sodium Inorganic materials 0.000 description 1
- 239000011780 sodium chloride Substances 0.000 description 1
- MNWBNISUBARLIT-UHFFFAOYSA-N sodium cyanide Chemical compound [Na+].N#[C-] MNWBNISUBARLIT-UHFFFAOYSA-N 0.000 description 1
- 238000002415 sodium dodecyl sulfate polyacrylamide gel electrophoresis Methods 0.000 description 1
- 239000008247 solid mixture Substances 0.000 description 1
- 239000012265 solid product Substances 0.000 description 1
- 229940071182 stannate Drugs 0.000 description 1
- 125000005402 stannate group Chemical group 0.000 description 1
- 239000008117 stearic acid Substances 0.000 description 1
- 125000004079 stearyl group Chemical group [H]C([*])([H])C([H])([H])C([H])([H])C([H])([H])C([H])([H])C([H])([H])C([H])([H])C([H])([H])C([H])([H])C([H])([H])C([H])([H])C([H])([H])C([H])([H])C([H])([H])C([H])([H])C([H])([H])C([H])([H])C([H])([H])[H] 0.000 description 1
- 239000008174 sterile solution Substances 0.000 description 1
- 210000002784 stomach Anatomy 0.000 description 1
- 229950000244 sulfanilic acid Drugs 0.000 description 1
- BDHFUVZGWQCTTF-UHFFFAOYSA-M sulfonate Chemical compound [O-]S(=O)=O BDHFUVZGWQCTTF-UHFFFAOYSA-M 0.000 description 1
- 239000003826 tablet Substances 0.000 description 1
- 239000011975 tartaric acid Substances 0.000 description 1
- 235000002906 tartaric acid Nutrition 0.000 description 1
- 102000013498 tau Proteins Human genes 0.000 description 1
- 108010026424 tau Proteins Proteins 0.000 description 1
- YLQBMQCUIZJEEH-UHFFFAOYSA-N tetrahydrofuran Natural products C=1C=COC=1 YLQBMQCUIZJEEH-UHFFFAOYSA-N 0.000 description 1
- 125000001412 tetrahydropyranyl group Chemical group 0.000 description 1
- 230000004797 therapeutic response Effects 0.000 description 1
- 125000004568 thiomorpholinyl group Chemical group 0.000 description 1
- 210000001685 thyroid gland Anatomy 0.000 description 1
- XJDNKRIXUMDJCW-UHFFFAOYSA-J titanium tetrachloride Chemical compound Cl[Ti](Cl)(Cl)Cl XJDNKRIXUMDJCW-UHFFFAOYSA-J 0.000 description 1
- 125000002088 tosyl group Chemical group [H]C1=C([H])C(=C([H])C([H])=C1C([H])([H])[H])S(*)(=O)=O 0.000 description 1
- 231100000419 toxicity Toxicity 0.000 description 1
- 230000001988 toxicity Effects 0.000 description 1
- 230000002103 transcriptional effect Effects 0.000 description 1
- 238000012546 transfer Methods 0.000 description 1
- 230000007704 transition Effects 0.000 description 1
- 125000002827 triflate group Chemical group FC(S(=O)(=O)O*)(F)F 0.000 description 1
- LENZDBCJOHFCAS-UHFFFAOYSA-N tris Chemical compound OCC(N)(CO)CO LENZDBCJOHFCAS-UHFFFAOYSA-N 0.000 description 1
- IHIXIJGXTJIKRB-UHFFFAOYSA-N trisodium vanadate Chemical compound [Na+].[Na+].[Na+].[O-][V]([O-])([O-])=O IHIXIJGXTJIKRB-UHFFFAOYSA-N 0.000 description 1
- 229960000281 trometamol Drugs 0.000 description 1
- 239000000225 tumor suppressor protein Substances 0.000 description 1
- 125000002948 undecyl group Chemical group [H]C([*])([H])C([H])([H])C([H])([H])C([H])([H])C([H])([H])C([H])([H])C([H])([H])C([H])([H])C([H])([H])C([H])([H])C([H])([H])[H] 0.000 description 1
- 210000003932 urinary bladder Anatomy 0.000 description 1
- 208000019553 vascular disease Diseases 0.000 description 1
- 125000000391 vinyl group Chemical group [H]C([*])=C([H])[H] 0.000 description 1
- 229920002554 vinyl polymer Polymers 0.000 description 1
- 239000011534 wash buffer Substances 0.000 description 1
- 238000001262 western blot Methods 0.000 description 1
- 238000010626 work up procedure Methods 0.000 description 1
- 239000011592 zinc chloride Substances 0.000 description 1
- JIAARYAFYJHUJI-UHFFFAOYSA-L zinc dichloride Chemical compound [Cl-].[Cl-].[Zn+2] JIAARYAFYJHUJI-UHFFFAOYSA-L 0.000 description 1
Images
Classifications
-
- A—HUMAN NECESSITIES
- A61—MEDICAL OR VETERINARY SCIENCE; HYGIENE
- A61K—PREPARATIONS FOR MEDICAL, DENTAL OR TOILETRY PURPOSES
- A61K31/00—Medicinal preparations containing organic active ingredients
- A61K31/33—Heterocyclic compounds
- A61K31/395—Heterocyclic compounds having nitrogen as a ring hetero atom, e.g. guanethidine or rifamycins
- A61K31/40—Heterocyclic compounds having nitrogen as a ring hetero atom, e.g. guanethidine or rifamycins having five-membered rings with one nitrogen as the only ring hetero atom, e.g. sulpiride, succinimide, tolmetin, buflomedil
- A61K31/4025—Heterocyclic compounds having nitrogen as a ring hetero atom, e.g. guanethidine or rifamycins having five-membered rings with one nitrogen as the only ring hetero atom, e.g. sulpiride, succinimide, tolmetin, buflomedil not condensed and containing further heterocyclic rings, e.g. cromakalim
-
- A—HUMAN NECESSITIES
- A61—MEDICAL OR VETERINARY SCIENCE; HYGIENE
- A61P—SPECIFIC THERAPEUTIC ACTIVITY OF CHEMICAL COMPOUNDS OR MEDICINAL PREPARATIONS
- A61P35/00—Antineoplastic agents
-
- A—HUMAN NECESSITIES
- A61—MEDICAL OR VETERINARY SCIENCE; HYGIENE
- A61P—SPECIFIC THERAPEUTIC ACTIVITY OF CHEMICAL COMPOUNDS OR MEDICINAL PREPARATIONS
- A61P35/00—Antineoplastic agents
- A61P35/02—Antineoplastic agents specific for leukemia
-
- A—HUMAN NECESSITIES
- A61—MEDICAL OR VETERINARY SCIENCE; HYGIENE
- A61P—SPECIFIC THERAPEUTIC ACTIVITY OF CHEMICAL COMPOUNDS OR MEDICINAL PREPARATIONS
- A61P35/00—Antineoplastic agents
- A61P35/04—Antineoplastic agents specific for metastasis
-
- C—CHEMISTRY; METALLURGY
- C07—ORGANIC CHEMISTRY
- C07D—HETEROCYCLIC COMPOUNDS
- C07D405/00—Heterocyclic compounds containing both one or more hetero rings having oxygen atoms as the only ring hetero atoms, and one or more rings having nitrogen as the only ring hetero atom
- C07D405/02—Heterocyclic compounds containing both one or more hetero rings having oxygen atoms as the only ring hetero atoms, and one or more rings having nitrogen as the only ring hetero atom containing two hetero rings
- C07D405/04—Heterocyclic compounds containing both one or more hetero rings having oxygen atoms as the only ring hetero atoms, and one or more rings having nitrogen as the only ring hetero atom containing two hetero rings directly linked by a ring-member-to-ring-member bond
-
- C—CHEMISTRY; METALLURGY
- C07—ORGANIC CHEMISTRY
- C07D—HETEROCYCLIC COMPOUNDS
- C07D405/00—Heterocyclic compounds containing both one or more hetero rings having oxygen atoms as the only ring hetero atoms, and one or more rings having nitrogen as the only ring hetero atom
- C07D405/14—Heterocyclic compounds containing both one or more hetero rings having oxygen atoms as the only ring hetero atoms, and one or more rings having nitrogen as the only ring hetero atom containing three or more hetero rings
Definitions
- the present invention relates to novel inhibitors of cyclin-dependent kinases (CDKs), to processes for their preparation, their use as active ingredients in pharmaceuticals, in particular for the treatment of proliferative disorders, and to pharmaceutical preparations comprising them.
- CDKs cyclin-dependent kinases
- the ability of eukaryotic cells to proliferate in response to a growth signal is tightly controlled by a complex network of ordered biochemical events collectively known as the cell cycle.
- Mitogenic signals commit cells to entry into a series of regulated steps of the cell, cycle.
- the synthesis of DNA (S phase), and separation of two daughter cells (M phase) are die main features of cell cycle progression.
- the G1 phase separates the M and S phases and prepares the cell for DNA duplication upon receiving mitogenic signals.
- the period between the S and M phases is known as the G2 phase during which cells repair errors that occurred during DNA duplication.
- CDKs Cyclin-dependent kinases
- CDKs consist of a catalytic subunit (the actual cyclin-dependent kinase or CDK) and a regulatory subunit (cyclin).
- CDKs There are at least nine CDKs (CDK1, CDK2, CDK3, CDK4, CDK5, CDK6, CDK7, CDK8, CDK9, etc.) and 15 different types of cyclins (cyclin A, B1, B2, D1, D2, D3, E etc).
- CDK2/cyclin A G1/S transition
- CDK4/cyclin D1-D3, CDK6/cyclin D3 S phase
- S phase CDK2/cyclin A
- G2 phase CDK1/cyclin A
- G2/M transition phase CDK1/cyclins B
- CDKs are able to phosphorylate many proteins that are involved in cell cycle events, including tumor suppressor proteins, such as the retinoblastoma, gene product Rb.
- the Rb is involved in the G1/S transition of the cell cycle and its phosphorylation by CDKs results in its inactivation (U.S. Pat. No. 5,723,313), which in turn leads to the release of the transcriptional factor E2F and the activation of E2F-responsive genes necessary for progression to the S phase.
- CDKs A wide variety of diseases are characterized by uncontrolled cell proliferation that results from some fault in the regulatory pathways in the cell cycle [e.g. overexpression of cyclins or deletions of genes encoding CKIs (CDK inhibitory proteins)].
- the overexpression of cyclinD1 leads to the deregulation of CDK4-D1 kinase activity and thereby contributes to uncontrolled cell proliferation.
- CDKs are attractive targets for the development of anti-tumor drugs.
- the first potent molecule to be developed as an effective CDK inhibitor was a flavone compound, namely flavopiridol [cis- ⁇ 2-(2-Chloro-phenyl)-5,7-dihydroxy-8-(3-hydroxy-1-methyl-piperidin-4-yl)-chromen-4-one hydrochloride ⁇ ].
- Flavopiridol is known to inhibit different CDKs and it exhibits anti-proliferative activity in vitro against a broad range of human cancer cells. Further research on flavones as a class of compounds offers a potential approach to anti-proliferative therapy. As a result, analogs of flavopiridol have been the subject of other publications.
- U.S. Pat. No. 5,849,733 discloses 2-thio and 2-oxo analogs of flavopiridol as protein kinase inhibitors for the treatment of proliferative diseases.
- WO 01/83469 discloses 3-hydroxychromen-4-one derivatives as inhibitors of cyclin dependent kinases.
- U.S. Pat. No. 5,116,954 and US H1427 disclose flavonoid compounds having anticancer and immunomodulatory activity.
- U.S. Pat. No. 5,284,856 discloses use of benzopyran-4-one derivatives for the control of tumoral diseases.
- 4,900,727 discloses benzopyran-4-one derivatives antiinflammatory agents.
- Anti-inflammatory benzopyran-4-one derivative from Dysoxylum binectariferum is described by R. G. Naik et al in Tetrahedron, 1988, 44 (7), 2081-2086.
- CDK/cyclin kinase complexes in particular CDK4/cyclin D kinase complexes, in the induction of cell proliferation and their deregulation in tumors, makes them ideal targets for developing highly specific anti-proliferative agents.
- CDK inhibitors which can be used as anti-proliferative agents in an efficient or more specific manner.
- a focused research on CDK inhibitors by the present inventors resulted in the discovery of novel flavone analogs possessing structural features not envisaged in the prior art, as effective inhibitors of CDKs.
- the compounds of the invention inhibit CDKs effectively with greater selectivity than the known CDK inhibitors, which are under clinical trials (Curr. Pharm. Biotechnol. 2000, July (1): 107-116) and also show comparatively low cytotoxicity against various different proliferative cell lines. Therefore, the compounds of the present invention are candidate agents for the treatment of various cell proliferation related disorders.
- the present invention generally relates to compounds of the general formula (Ia), prodrugs, tautomeric forms, stereoisomers, optical isomers, pharmaceutically acceptable salts, pharmaceutically acceptable solvates or polymorphs thereof.
- R 1 is aryl, heterocycle, NR 9 R 10 , OR 11 or SR 11 ;
- R 2 is hydrogen, alkyl, aryl, heterocycle, OR 11 , halogen, cyano, nitro, N 9 R 10 , or SR 11 ;
- R 3 , R 4 and R 5 are each independently selected from: hydrogen, alkyl, halogen, OR 11 , arylalkoxy, alkylcarbonyloxy, alkoxycarbonyloxy, arylcarbonyloxy, carboxy, cyano, nitro, NR 9 R 10 , SR 11 , arylalkylthio, —SO 4 -alkyl, SO 2 -aryl, SO 2 NR 9 R 10 , aryl and heterocycle;
- R 6 is hydrogen, alkyl, acyl, hydroxyl, NR 9 R 10 , alkyloxy, alkyloxycarbonyl, aryloxy,
- R 7 is hydrogen, alkyl, alkylcarbonyl or arylcarbonyl
- R 8 is hydrogen, alkyl, aryl, carboxamide, sulfonamide, NR 9 R 10 or OR 11 ;
- R 9 and R 10 are each independently selected from: hydrogen, alkyl, aryl, acyl, heterocycle, alkoxycarbonyl, alkylcarbonyl, arylcarbonyl, heterocyclocarbonyl, carboxamide and sulfonamide; or
- R 9 and R 10 together with the nitrogen atom to which they are bonded, form a heterocyclic ring, which can have at least one further heteroatom selected from: nitrogen, oxygen, sulfur and phosphorus, and which is saturated, partially unsaturated or aromatic;
- R 11 is hydrogen, alkyl, acyl, aryl or alkoxycarbonyl
- R 12 is hydrogen, halogen, alkyl, aryl, N 9 R 10 , OR 9 , or heterocycle;
- Z is an oxygen atom, a sulfur atom, or NR 8 ; provided that when Z is an oxygen atom,
- R 1 is other than OR 11 or SR 11 ;
- n is an integer of 1 or 2;
- A is a 5- to 7-membered ring; wherein:
- X 1 and X 2 are each independently selected from: a methylene group and a heteroatom selected from: an oxygen atom, a sulfur atom, S(O) p , a nitrogen atom, provided that at least one of X 1 and X 2 is a heteroatom, and wherein the nitrogen atom is at least monosubstituted by R 13 , wherein R 13 is selected from: hydrogen, alkyl, lower alkenyl, aryl, hydroxyl, alkoxy, alkylcarbonyl, cyano, —SO 2 R 10 and —CO—(CH 2 ) m —R 14 ;
- R 6 is hydrogen or a substituent as defined above on at least one carbon atom ring member
- R 14 is hydrogen, alkyl, hydroxyl, NR 9 R 10 , halogen, —Sid, —S-alkyl, —S-aryl, heterocycle or aryl;
- R 7 , R 9 and R 10 are as defined above;
- p is an integer of 1 or 2;
- n is an integer of 0 to 6;
- X 3 is an oxygen atom, a sulfur atom, S(O) p , or a nitrogen atom, wherein the nitrogen atom is at least monosubstituted by R 13 , wherein R 13 is selected from: hydrogen, alkyl, lower alkenyl, aryl, hydroxyl, alkoxy, alkylcarbonyl, cyano, —SO 2 R 10 and —CO—(CH 2 ) m —R 14 ; R 6 is hydrogen or a substituent as defined above on at least one ring member at any of positions 2, 3, 5 or 6;
- R 13 is hydrogen, alkyl, C 1 -C 4 alkanoyl or aryl
- R 6 is other than hydrogen or a substituent at position 2 or 6 of the 6-membered ring A selected from: hydroxyl, C 1 -C 4 -alkyloxy, C 1 -C 4 -alkyloxycarbonyl, aryloxy and N 9 R 10 ;
- R 7 , R 9 , R 10 , R 14 , p and m are as defined above;
- X 3 is an oxygen atom, a sulfur atom, S(O) p , or a nitrogen atom, wherein the nitrogen atom is at least monosubstituted by R 13 , wherein R 13 is selected from: hydrogen, alkyl, lower alkenyl, aryl, hydroxyl, alkoxy, alkylcarbonyl, cyano, —SO 2 R 10 , and —CO—(CH 2 ) m —R 14 ;
- R 6 is hydrogen or a substituent as defined above on at least one ring member at any of positions 2, 3, 4, 6 or 7 of A; with the proviso that when Z is an oxygen atom and X 3 is NR 13 , wherein R 13 is hydrogen, alkyl, alkanoyl or aryl, then R 6 is other than hydrogen or a substituent at position 7 of the 7-membered ring A selected from: hydroxyl, C 1 -C 4 -alkyloxy, C 1 -C 4 -alkyloxycarbonyl, aryloxy and N 9 R 10 ;
- R 7 , R 9 , R 10 , R 14 , p and m are as defined above.
- the present invention further relates to a sub-group of compounds of formula (Ib), prodrugs. Tautomeric forms, stereoisomers, optical isomers, pharmaceutically acceptable salts, pharmaceutically acceptable solvates and polymorphs thereof.
- R 1 is aryl, heterocycle, NR 9 R 10 , OR 11 , or SR 11 ;
- R 2 is hydrogen, alkyl, aryl, heterocycle, OR 11 , halogen, cyano, nitro, NR 11 R 11 , or SR 11 ;
- R 3 , R 4 and R 5 are each independently selected from: hydrogen, alkyl, halogen, OR 11 , arylalkoxy, alkylcarbonyloxy, alkoxycarbonyloxy, arylcarbonyloxy, carboxy, cyano, nitro, NR 10 R 11 , SR 11 , arylalkylthio, —SO-alkyl, SO 2 -aryl, SO 2 N 10 R 11 , aryl and heterocycle;
- R 6 is hydrogen, alkyl, acyl, hydroxyl, NR 10 R 11 , alkyloxy, alkyloxycarbonyl, aryloxy,
- R 7 is hydrogen, alkyl, alkylcarbonyl or arylcarbonyl
- R 8 is hydrogen, alkyl, aryl, carboxamide, sulfonamide, NR 10 R 11 or OR 11 ;
- R 10 and R 11 are each independently selected from: hydrogen, alkyl, aryl, acyl, heterocycle, alkoxycarbonyl, alkylcarbonyl, arylcarbonyl, heterocyclocarbonyl, carboxamide and sulfonamide; or
- R 9 and R 10 together with the nitrogen atom to which they are bonded, form a 3-, 4-, 5- or 6-membered heterocyclic ring, which can have at least one further heteroatom selected from: nitrogen, oxygen and sulfur, and which is saturated, partially unsaturated or aromatic;
- R 11 is hydrogen, alkyl, acyl aryl, or alkoxycarbonyl
- R 12 is hydrogen, halogen, alkyl, aryl, NR 10 R 11 , OR 9 or heterocycle;
- Z is an oxygen atom, a sulfur atom, or NR 8 ;
- n is an integer of 1 or 2;
- A is a saturated 5 membered ring represented by any one of the general structures (i) to (v);
- X 1 and X 2 are each independently selected from: a methylene group and a heteroatom, wherein the heteroatom is selected from: an oxygen atom, a sulfur atom and a nitrogen atom, provided that at least one of X 1 and X 2 is a heteroatom and wherein the nitrogen atom is at least monosubstituted by R 13 , wherein R 13 is selected from: hydrogen, alkyl, lower alkenyl, and, hydroxyl, alkoxy, alkylcarbonyl, cyano, —SO 2 R 10 and —CO—(CH 2 ) m —R 14 ;
- R 6 is hydrogen or a substituent as defined above on at least one carbon atom ring member
- R 7 , R 9 and R 10 are as defined above;
- R 14 is hydrogen, alkyl, hydroxyl, NR 10 R 11 , halogen, —SH, —S-alkyl, —S-aryl, a heterocycle or aryl; and m is an integer of 0 to 6.
- the present compounds are inhibitors of mammalian CDK/cyclin complexes, as well as inhibitors of insect CDK, plant CDK and of fungal CDK complexes.
- the present compounds are inhibitors of the kinase activity of CDK/cyclin complexes, e.g. the CDK2/cyclin E and CDK4/cyclin D1 complexes.
- the present invention further relates to processes for the preparation of compounds of formula (Ia) or (Ib), use of the compounds as active ingredients in pharmaceuticals, and pharmaceutical preparations comprising them.
- the pharmaceutical preparations can be used to inhibit excessive proliferation of a eukaryotic cell, e.g., a mammalian cell, an insect cell, a plant cell, and/or a fungal cell, and/or prevent dedifferentiation of such cells.
- a eukaryotic cell e.g., a mammalian cell, an insect cell, a plant cell, and/or a fungal cell, and/or prevent dedifferentiation of such cells.
- the present compounds can be used in the treatment of proliferative disorders in mammals, especially humans, marked by unwanted proliferation of endogenous tissue.
- FIGS. 1 to 6 represent schemes of preferred processes for the preparation of example compounds of the present invention.
- the present compounds are inhibitors of CDKs, particularly CDK/cyclin complexes and find use in antiproliferative therapies for diseases characterized by excessive cell growth such as cancers, cardiovascular abnormalities, nephrological disorders, psoriasis, Alzheimer's disease, immunological disorders involving unwanted proliferation of leukocytes, restenosis and other proliferative smooth muscle disorders, viral infections, and mycotic infections.
- flavone chromone
- benzopyranone or their analogs mean compounds that can be represented by the following basic structure:
- Z may represent an oxygen atom, a sulfur atom or NR 8 (where R 8 is defined as hereinabove).
- alkyl refers to the radical of saturated aliphatic groups, including straight-chain alkyl groups, branched-chain alkyl groups, cycloalkyl (alicyclic) groups, alkyl substituted cycloalkyl groups, and cycloalkyl substituted alkyl groups. Furthermore, unless stated otherwise, the term “alkyl” includes unsubstituted alkyl groups as well as alkyl groups, which are substituted by one or more different subsume tits.
- a straight chain or branched chain alkyl has 30 or fewer carbon atoms in its backbone (e.g., C 1 -C 30 for straight chain, C 3 -C 30 for branched chain), and more preferably 20 or fewer.
- preferred cycloalkyls have from 3-10 carbon atoms in their ring structure, and more preferably have 5, 6 or 7 carbons in the ring structure.
- alkyl residues containing from 1 to 20 carbon atoms are: methyl, ethyl, propyl, butyl, pentyl, hexyl, heptyl, octyl, nonyl, decyl, undecyl, dodecyl, tetradecyl, hexadecyl, octadecyl and eicosyl, the n-isomers of all these residues, isopropyl, isobutyl, 1-methylbutyl, isopentyl, neopentyl 2,2-dimethylbutyl 2-methylpentyl 3-methylpentyl isohexyl, 2,3,4-trimethylhexyl, isodecyl, sec-butyl, or tert-butyl.
- alkyl residues containing 3, 4, 5, 6 or 7 ring carbon atoms are cyclopropyl cyclobutyl, cyclopentyl cyclohexyl or cycloheptyl which can also be substituted.
- alkyl as used herein also comprises cycloalkyl-substituted alkyl groups and alkyl-substituted cycloalkyl groups.
- cycloalkyl-substituted alkyl groups are: cyclopropylmethyl-, cyclobutylmethyl-, cyclopentylmethyl-, cyclohexylmethyl-, cycloheptylmethyl-, 1-cyclopropylethyl-, 1-cyclobutylethyl-, 1-cyclopentylethyl-, 1-cyclohexylethyl-, 1-cycloheptylethyl-, 2-cyclopropylethyl-, 2-cyclobutylethyl-, 2-cyclopentylethyl-, 2-cyclohexylethyl-, 2-cycloheptylethyl-, 3-cyclopropylpropyl-, 3-cyclobutylpropyl-, 3-cyclopentylpropyl-, 3-cyclohexylpropyl-, 3-cycloheptylpropyl-, etc. in which groups the cycloalkyl group as well as
- a cyclic alkyl group has to contain at least three carbon atoms.
- a group like (C 1 -C 8 )-alkyl is to be understood as comprising, among others, saturated acyclic (C 1 -C 8 -alkyl, (C 3 -C 8 )-cycloalkyl, alkyl-cycloalkyl groups or cycloalkyl-alkyl groups like (C 3 -C 7 )-cycloalkyl-(C 1 -C 3 )-alkyl-, wherein the total number of carbon atoms can range from 4 to 8.
- a group like (C 1 -C 4 )-alkyl is to be understood as comprising, among others, saturated acyclic (C 1 -C 4 )-alkyl, (C 3 -C 4 )-cycloalkyl, cyclopropyl-methyl- or methyl-cyclopropyl-.
- alkyl preferably comprises acyclic saturated hydrocarbon residues which have from 1 to 6 carbon atoms and which can be linear or branched, and cyclic alkyl groups containing from 3 to 8 ring carbon atoms, in particular from 3 to 6 ring carbon atoms.
- a particular group of saturated acyclic alkyl residues is formed by (C 1 -C 4 )-alkyl residues like methyl, ethyl, n-propyl, isopropyl, n-butyl, isobutyl, sec-butyl and tert-butyl.
- alkyl groups can in general be unsubstituted or substituted by one or more, for example 1, 2, 3, 4 or 5 identical or different substituents. Any kind of substituents present in substituted alkyl residues can be present in any desired position provided that the substitution does not lead to an unstable molecule.
- a substituted alkyl refers to an alkyl residue in which one or more, for example, 1, 2, 3, 4 or 5, hydrogen atoms are replaced with substituents, for example, halogen, hydroxyl, carbonyl, alkoxyl, ester, ether, cyano, amino, amido, imino, sulfhydryl, alkylthio, thioester, sulfonyl, nitro, azido, acyloxy, heterocyclo, aralkyl, or an aryl or heteroaryl group.
- the carbon backbone of the alkyl group may be interrupted by heteroatoms such as oxygen, sulfur or nitrogen.
- substituted acyclic alkyls are hydroxymethyl, hydroxyethyl, 2-hydroxyethyl, aminoethyl or morpholinoethyl.
- substituted cycloalkyl groups are cycloalkyl groups which carry as substituent one or more, for example 1, 2, 3, 4 or 5, identical or different acyclic alkyl groups, for example acyclic (C 1 -C 4 )-alkyl groups like methyl groups.
- substituted cycloalkyl groups are 4-methylcyclohexyl, 4-tert-butylcyclohexyl or 2,3-dimethylcyclopentyl.
- the moieties substituted on die hydrocarbon chain can themselves be substituted, if appropriate, for example, the substituents of a substituted alkyl may include substituted and unsubstituted forms of amino, imino, amido, sulfonyl (including sulfonate and sulfonamide), as well as ether, alkylthio, carbonyl (including ketones, aldehydes, carboxylates, and esters), —CF 3 , —CN and the like.
- Cycloalkyls can be further substituted with alkyl, alkenyl, alkoxyl, alkylthio, aminoalkyls, carbonyl-substituted alkyl, —CF cyano (CN), and the like.
- alkoxyl refers to an alkyl group, as defined above, haying an oxygen radical attached thereto.
- Representative alkoxyl groups include methoxy, ethoxy, propoxy, tert-butoxy and the like.
- aralkyl refers to an alkyl group, as defined above, substituted with an aryl or heteroaryl group (defined below).
- exemplary aralkyl groups include benzyl, —(CH 2 )-pyridyl, etc.
- alkenyl and alkynyl refer to unsaturated aliphatic groups analogous in length and possible substitution to the alkyls described above, but that contain at least one double or triple bond, respectively, for example 1, 2 or 3 double bonds and/or triple bonds, provided that the double bonds are not located within a cyclic alkyl group in such a manner that an aromatic system results.
- alkenyl groups include vinyl, 1-propenyl 2-propenyl, 2-butenyl, 2-methyl-1-propenyl or 3-methyl-2-butenyl.
- alkynyl groups include ethynyl, 2-propynyl, 2-butynyl or 3-butynyl. Alkyl groups can also be unsaturated when they are substituted.
- alkenyl and alkynyl include unsubstituted alkenyl and alkynyl groups as well as alkenyl and alkynyl groups which are substituted by one or more, for example 1, 2, 3, 4 or 5, identical or different groups mentioned above for alkyl, for example, aminoalkenyl, aminoalkynyl, amidoalkenyl, amidoalkynyl, iminoalkenyl, iminoalkynyl, thioalkenyl, thioalkynyl, carbonyl-substituted alkenyl or alkynyl, alkenoxyl or alkynoxyl.
- aryl refers to monocyclic or polycyclic hydrocarbon groups having up to 14 ring carbon atoms in which at least one carbocyclic ring is present that has a conjugated pi electron system.
- Examples of (C 6 -C 14 )-aryl residues are phenyl, naphthyl, biphenyl, fluorenyl or anthracenyl.
- Examples of (C 6 -C 10 )-aryl residues are phenyl or naphthyl.
- aryl residues for example phenyl, naphthyl or fluorenyl, can in general be unsubstituted or substituted by one or more, for example 1, 2, 3, 4 or 5, identical or different substituents.
- substituents that can be present in substituted aryl groups are: F, Cl, Br, I, alkyl, alkenyl, alkynyl, CF 3 , hydroxyl, aryloxy, amino, cyano, nitro, thiol, imine, amide or carbonyl (such as carboxyl, formate, carbamide, an ester, ketone or aldehyde), sulfhydryl, silyl ether, thiocarbonyl (such as thioester, thioacetate or thioformate), sulfonyl, aminoacid ester, or a heterocyclo group which is saturated, partially unsaturated or aromatic aryl residues can be bonded via any desired position, and in substituted aryl residues the substituents can be located in any desired position.
- die substituent in mono substituted phenyl residues die substituent can be located in the 2-position, the 3-position, the 4-position or the 5-position, with the 2-position being preferred. If the phenyl group carries two substituents, they can be located in 2,3-position, 2,4-position, 2,5-position, 2,6-position, 3,4-position or 3,5-position.
- heterocycle and “heterocyclo” refer to a saturated, partially unsaturated or aromatic monocyclic or polycyclic heterocyclic ring system containing 3, 4, 5, 6, 7, 8, 9, 10, 11, 12, 13 or 14 ring atoms of which 1, 2, 3 or 4 are identical or different heteroatoms selected from the series consisting of nitrogen, oxygen, sulfur and phosphorus.
- the heterocyclo group may, for example, have 1 or 2 oxygen atoms and/or 1 or 2 sulfur atoms, 1 to 4 nitrogen atoms and/or 1 or 2 phosphorus atoms in the ring.
- heterocyclo preferably is a 3-membered, 4-membered, 5-membered, 6-membered or 7-membered ring, particularly preferably a 5-membered or 6-membered ring.
- heterocyclo groups are piperazinyl and piperidinyl.
- heterocyclo may comprise either fused rings in which two or more carbons are common to two adjoining rings, or bridged rings in which rings are joined through non-adjacent atoms.
- heterocyclo preferably comprises two fused rings (bicyclic) one of which is a 5-membered or 6-membered heterocyclic ring and the other of which is a 5-membered or 6-membered heterocyclic ring.
- bicyclic and tricyclic heterocyclic groups include benzoxazolyl, quinolyl, isoquinolyl, carbazolyl, indolyl, isoindolyl, phenoxazinyl, benzothiazolyl, benzimidazolyl, benzoxadiazolyl and benzofurazanyl.
- the ring heteroatoms can be present in any desired number and in any position with respect to each other provided that the resulting heterocyclic system is known in the art and is stable and suitable as a subgroup in a drug substance.
- heterocyclo groups examples include: pyrrolyl, fund, thiophen-yl, imidazolyl, oxazolyl, isoxazolyl thiazolyl, isothiazolyl triazolyl, pyrazolyl, pyridinyl, pyrazinyl pyridazinyl, pyrimidinyl, azepinyl, tetrahydrothiophen-yl, tetrahydrofuran-yl, morpholinyl, thiomorpholinyl, tetrahydropyranyl, lactams, pyrrolidinyl, azetidinyl.
- the heterocyclo group may be bonded via any ring carbon atom, and in the case of nitrogen heterocycles via any suitable ring nitrogen atom.
- a pyrrolyl residue can be 1-pyrrolyl, 2-pyrrolyl or 3-pyrrolyl
- imidazolyl can be 1-imidazolyl, 2-imidazolyl, 4-imidazolyl or 5-imidazolyl.
- R 9 and R 10 may, together with the nitrogen atom to which they are attached form a heterocyclic ring having one or more heteroatoms.
- Heterocyclo comprises saturated heterocyclic ring systems which do not contain any double bonds within the rings, as well as mono unsaturated and poly-unsaturated heterocyclic ring systems which contain one or more, for example 1, 2, 3, 4 or 5, double bonds within the rings provided that the resulting system is stable.
- Unsaturated rings may be non-aromatic or aromatic.
- Aromatic heterocyclo groups may also be referred to by the customary term “heteroaryl” for which all the definitions and explanations above and below relating to heterocyclo apply.
- the heterocyclo group can be unsubstituted or substituted on ring carbon atoms with one or more, for example 1, 2, 3, 4 or 5 identical or different substituents.
- Each suitable ring nitrogen atom in a heterocyclo group can independently of each other be unsubstituted. i.e. carry a hydrogen atom, or can be substituted.
- substituents for the ring carbon and ring nitrogen atoms are: (C 1 -C 8 )-alkyl, in particular (C 1 -C 4 )-alkyl, alkoxy, halogen, hydroxyl, hydroxy-(C 1 -C 4 )-alkyl such as, for example, hydroxymethyl or 1-hydroxyethyl or 2-hydroxyethyl, alkenyl, alkynyl, CF 3 , aryloxy, amino, cyano, nitro, thiol, imine, amide or carbonyl (such as carboxyl, formate, carbamide, an ester, ketone or aldehyde), silyl ether, thiocarbonyl (such as thioesters, a thioacetate or a thioformate), sulfonyl, aminoacid ester, heterocyclo, aryl or the like.
- the substituents can be present at one or more positions provided that a stable molecule results
- heteroatom as used herein means an atom of any element other than carbon or hydrogen. Preferred heteroatoms are nitrogen, oxygen, sulfur and phosphorous.
- Halogen is fluorine, chlorine, bromine or iodine, preferably fluorine, chlorine or bromine.
- substitution or “substituted with” includes the implicit proviso that such substitution is in accordance with permitted valence of the substituted acorn and the substituent, as well as represents a stable compound, which docs not readily undergo transformation such as by rearrangement, cyclization, elimination, etc.
- any heteroatom with unsatisfied valences is assumed to have the hydrogen atom to satisfy the valences.
- Specific inhibitors or “specific inhibition” implies the selectivity of the drug for its inhibitory effect towards a particular CDK-cyclin complex.
- Certain compounds of the present invention may exist in particular geometric or stereoisomeric forms. Centers of asymmetry that are present in the compounds of formula (Ia) or (Ib) all independently of one another have S configuration or R configuration.
- the present invention includes all possible enantiomers and diastereomers in pure or substantially pure form and mixtures of two or more stereoisomers, for example mixtures of enantiomers and/or diastereomers, in all ratios.
- compounds according to the present invention which can exist as enantiomers can be present in enantiomerically pure form, both as levorotatory and as dextrorotatory antipodes, in the form of racemates and in the form of mixtures of the two enantiomers in all ratios.
- the invention includes both the cis form and the trans form as well as mixtures of these forms in all ratios.
- the preparation of individual stereoisomers can be carried out, if desired, by separation of a mixture by customary methods.
- the racemic forms can be resolved by physical methods, such as fractional crystallization or separation by chiral column chromatography.
- the individual optical isomers can be synthesized in the optically pure form by the use of enzymes or through asymmetric synthesis.
- a particular enantiomer of a compound of the present invention may be prepared by derivatization with a chiral auxiliary whereby the resulting diastereomeric mixture is separated and the auxiliary group cleaved to provide the pure desired enantiomer.
- the compound contains a basic functional group such as an amino or an acidic functional group such as a carboxyl
- diasteromeric salts are formed by reacting the compound with an appropriate optically active acid or base, respectively.
- the diastereomeric salts thus formed are separated by fractional crystallization or chromatographic means well known in the art and the pure enantiomers are subsequently isolated from the diastereomeric salts.
- the separation of a mixture of stereoisomers can be carried out at the stage of the compounds of formula (Ia) or (Ib) or at the stage of an intermediate during the synthesis.
- the present invention also includes all tautomeric forms of the compounds of formula (Ia) or (Ib). Additional asymmetric carbon atoms may be present in a substituent such as an alkyl group. All such isomers, as well as mixtures thereof, are intended to be included in this invention.
- the invention also comprises their corresponding pharmaceutically or toxicologically acceptable salts, in particular their pharmaceutically utilizable salts.
- suitable inorganic acids include: boric acid, perchloric acid, hydrochloric acid, hydrobromic acid, sulfuric acid, sulfamic acid, phosphoric acid, nitric acid and other inorganic acids known to the person skilled in the art.
- Suitable organic acids include: acetic acid, propionic acid, succinic acid, glycolic acid, stearic acid, lactic acid, malic acid, tartaric acid, citric acid, ascorbic acid, pamoic acid, maleic acid, hydroxymaleic acid, phenylacetic acid, glutamic acid, benzoic acid, salicylic acid, sulfanilic acid, 2-acetoxybenzoic acid, fumaric acid, toluenesulfonic acid, methanesulfonic acid, ethane disulfonic acid, oxalic acid, isethionic acid, ketoglutaric acid, benzenesulfonic acid, glycerophosphoric acid and other organic acids known to the person skilled in the art.
- the compounds of formula (Ia) or (Ib) which contain acidic groups can be used according to the invention, for example, as alkali metal salts like Li, Na, and K salts, as alkaline earth metal salts like Ca, Mg salts, as aluminium salts, as salts of organic bases such as lysine, arginine, guanidine, diethanolamine, choline, tromethamine, or as salts with ammonia.
- the pharmaceutically acceptable salts of the present invention can be synthesized from the subject compound which contains a basic or acidic moiety by conventional chemical methods.
- the salts are prepared by contacting the free base or acid with stoichiometric amounts or with an excess of the desired salt-forming inorganic or organic acid or base in a suitable solvent or dispersant or by anion exchange or cation exchange with other salts.
- suitable solvents are, for example, ethyl acetate, ether, alcohols, acetone, THF, dioxane or mixtures of these solvents.
- the present invention furthermore includes all solvates of compounds of formula (Ia) or (Ib), for example hydrates or adducts with alcohols and also derivatives and prodrugs of the compounds of formula (Ia) or (Ib) which contain physiologically tolerable and cleavable groups, for example esters and amides.
- polymorphs of compounds of general formula (Ia) or (Ib) forming part of this invention may be prepared by crystallization of compounds of formula (Ia) or (Ib) under different conditions. For example, using different commonly used solvents or their mixtures for crystallization; crystallization at different temperatures; various modes of cooling, ranging from very fast to very slow cooling during crystallizations. Polymorphs may also be obtained by hearing or melting the compound followed by gradual or fast cooling. The presence of polymorphs may be: determined by IR spectroscopy, solid probe NMR spectroscopy, differential scanning calorimetry, powder X-ray diffraction or such other techniques.
- Preferred compounds are those: in which one or more of the groups contained therein have the meanings given below, with all the combinations of preferred substituent definitions being a subject of the present invention.
- the present invention also includes all stereoisomeric forms and mixtures thereof in all ratios and their pharmaceutically acceptable salts.
- all preferred compounds of formula (Ia) or (Ib) are a subject of the present invention in the form of their prodrugs and other derivatives, for example in the form of their esters and amides.
- the present invention relates to compounds of general formula (Ic), prodrugs, tautomeric forms, stereoisomers, optical isomers, pharmaceutically acceptable salts, pharmaceutically acceptable solvates or polymorphs thereof
- R 1 is aryl, unsubstituted or substituted by at least one substituent selected from: halogen, C 1 -C 4 -alkyl, C 1 -C 4 -alkoxy, C 2 -C 6 -alkenyl, C 3 -C 6 -alkynyl, C 2 -C 4 -alkanoyl, nitro, NR 9 R 10 , SR 11 , trifluoromethyl, hydroxyl, cyano, carboxy, C 1 -C 4 -alkoxycarbonyl and —C 1 -C 4 -alkylenehydroxyl; saturated, partially unsaturated or aromatic heterocycle having 1, 2, 3 or 4 identical or different heteroatoms selected from: nitrogen, oxygen, sulfur and phosphorus, wherein the heterocycle is unsubstituted or substituted by at least one substituent selected from: halogen, C 1 -C 4 -alkyl, C 1 -C 4 -alkoxy, C 2 -C 6 -alken
- R 2 is hydrogen; C 1 -C 6 -alkyl; aryl, unsubstituted or substituted by at least one substituent selected from: halogen, C 1 -C 4 -alkyl, C 1 -C 4 -alkoxy, C 2 -C 6 -alkenyl, C 3 -C 6 -alkynyl, C 2 -C 4 -alkanoyl, nitro, NR 9 R 10 , SR 11 , trifluoromethyl, hydroxyl, cyano, carboxy, C 1 -C 4 -alkoxycarbonyl and —C 1 -C 4 -alkylenehydroxyl; saturated, partially unsaturated or aromatic heterocycle having 1, 2, 3 or 4 identical or different heteroatoms selected from: nitrogen, oxygen, sulfur and phosphorus and which is unsubstituted or substituted by at least one substituent selected from: halogen, C 1 -C 4 -alkyl C 1 -C 4 -alkoxy, C
- R 3 , R 4 and R 5 are each independently selected from: hydrogen; C 1 -C 6 -alkyl; halogen; OR 11 ; aryl C 1 -C 4 -alkoxy; C 1 -C 4 -alkylcarbonyloxy; C 1 -C 4 -alkoxycarbonyloxy; arylcarbonyloxy; carboxy; cyano; nitro; N 9 R 10 , SR 11 ; aryl-C 1 -C 4 -alkylthio; SO 2 —C 1 -C 4 -alkyl; SO 2 -aryl; SO 2 NR 9 R 10 ; aryl; and saturated, partially unsaturated or aromatic heterocycle having 1, 2, 3 or 4 identical or different heteroatoms selected from: nitrogen, oxygen, sulfur and phosphorus;
- R 6 is —C 1 -C 4 -alkyleneOR 11 ;
- R 8 is hydrogen; C 1 -C 4 -alkyl; aryl; carboxamide; sulfonamide; NR 9 R 10 ; or OR 11 ;
- R 9 and R 10 are each independently selected from: hydrogen; C 1 -C 6 -alkyl; aryl; C 1 -C 4 -alkanoyl; heterocycle, which contains 1, 2, 3 or 4 heteroatoms selected from: nitrogen, oxygen, sulfur and phosphorus; C 1 -C 4 -alkoxy carbonyl; C 1 -C 4 -alkylcarbonyl; arylcarbonyl; heterocyclocarbonyl, wherein the heterocyclo- contains 1, 2, 3 or 4 heteroatoms selected from: nitrogen, oxygen, sulfur and phosphorus; carboxamide; and sulfonamide; wherein the aryl and heterocycle or heterocyclo- are either unsubstituted or substituted by at least one substituent selected from: halogen, C 1 -C 4 -alkyl, C 1 -C 4 -alkoxy, C 2 -C 6 -alkenyl, C 3 -C 6 -alkynyl, C 2 -C 6 -alkano
- R 9 and R 10 together with the nitrogen atom to which they are bonded, form a heterocyclic ring which can have at least one further heteroatom selected from: nitrogen, oxygen and sulfur and which is saturated, partially unsaturated or aromatic, the heterocyclic ring being either unsubstituted or substituted by at least one substituent selected from: halogen, C 1 -C 4 -alkyl, C 1 -C 4 -alkoxy, C 2 -C 6 -alkenyl, C 3 -C 6 -alkynyl, C 2 -C 4 -alkanoyl, nitro, NR 9 and R 10 , SR 11 , trifluoromethyl, hydroxyl, cyano, carboxy, —C 1 -C 4 -alkoxycarbonyl and —C 1 -C 4 -alkylenehydroxyl;
- R 11 is hydrogen; C 1 -C 6 -alkyl; C 1 -C 4 -alkanoyl; aryl, unsubstituted or substituted by at least one substituent selected from: halogen, C 1 -C 4 -alkyl, C 1 -C 4 -alkoxy, C 2 -C 6 -alkenyl, C 3 -C 6 -alkynyl, C 2 -C 4 -alkanoyl, nitro, N 9 R 10 , SR 11 , trifluoromethyl, hydroxyl, cyano, carboxy, C 1 -C 4 -alkoxycarbonyl and —C 1 -C 4 -alkylenehydroxyl; or C 1 -C 4 -alkoxycarbonyl-;
- Z is an oxygen atom; a sulfur atom; or NR 8 ;
- A is a 5-, 6- or 7-membered ring; wherein:
- the 5-membered ring is saturated or unsaturated and represented by any one of the general structures (i) to (v);
- X 1 and X 2 are each independently selected from: a methylene group and a heteroatom selected from: an oxygen atom, a sulfur atom, S(O) p and a nitrogen atom, provided that at least one of X 1 and X 2 is a heteroatom, and wherein the nitrogen atom is at least monosubstituted by R 13 , wherein R 13 is selected from: hydrogen; C 1 -C 6 -alkyl, unsubstituted or substituted by at least one substituent selected from: halogen, hydroxyl, carboxyl, C 1 -C 4 -alkoxy, amino, nitro, C 1 -C 4 -alkylthio, sulfhydryl and sulfonyl; C 2 -C 6 -alkenyl, unsubstituted or substituted by at least one substituent selected from: halogen, hydroxyl, carboxyl, C 1 -C 4 -alkoxy, amino, nitro, C 1 -
- R 6 is a substituent as defined above on at least one carbon atom ring member
- R 7 is hydrogen; C 1 -C 4 -alkyl; C 1 -C 4 -alkylcarbonyl; or arylcarbonyl;
- R 14 is hydrogen; C 1 -C 4 -alkyl; hydroxyl; NR 9 R 10 ; halogen; —SH; —S—C 1 -C 4 ; —S-aryl; and; wherein the aryl is unsubstituted or substituted by at least one substituent selected from: halogen, C 1 -C 4 -alkyl, C 1 -C 4 -alkoxy, C 2 -C 6 -alkenyl, C 3 -C 6 -alkynyl, C 2 -C 4 -alkanoyl, nitro, NR 9 R 10 , SR 11 , trifluoromethyl, hydroxyl, cyano, carboxy, C 1 -C 4 -alkoxy carbonyl and —C 1 -C 4 -alkylenehydroxyl; a heterocycle containing 1, 2, 3 or 4 heteroatoms selected from: nitrogen, oxygen, sulfur and phosphorus, the heterocycle being unsubstituted or substituted
- p is an integer of 1 or 2;
- n is an integer of 0 to 6;
- X 3 is an oxygen atom, a sulfur atom, S(O) p , or a nitrogen atom, wherein the nitrogen atom is at least monosubstituted by R 13 , wherein R 13 is as defined above;
- R 6 is a substituent as defined above on at least one ring member at any of positions 2, 3, 5 or 6;
- R 7 is hydrogen; C 1 -C 4 -alkyl; C 1 -C 4 -alkylcarbonyl; or arylcarbonyl; and
- the 7-membered ring is a saturated ring of the general structure (vii);
- X 3 is an oxygen atom, a sulfur atom, S(O) p , or a nitrogen atom, wherein the nitrogen atom is at least monosubstituted by R 13 , wherein R 13 is as defined above;
- R 6 is a substituent as defined above on at least one ring member at any of positions 2, 3, 4, 6 or 7; and R 7 is hydrogen; C 1 -C 4 -alkyl; C 1 -C 4 -alkylcarbonyl; or arylcarbonyl.
- R 1 is phenyl, which is unsubstituted or substituted by 1, 2, or 3 identical or different substituents selected from: halogen, C 1 -C 4 -alkyl, C 1 -C 4 -alkoxy, nitro, NR 9 R 10 , SR 11 , trifluoromethyl, hydroxyl, cyano, carboxy, C 1 -C 4 -alkoxycarbonyl and, —C 1 -C 4 -alkylenehydroxyl, or is
- heterocycle which is a saturated, partially unsaturated or aromatic ring containing 5 or 6 ring atoms of which 1, 2 or 3 are identical or different heteroatoms selected from: nitrogen, oxygen, sulfur, and phosphorus, and where the heterocycle is unsubstituted or substituted by 1, 2, or 3 identical or different substituents selected from: halogen, C 1 -C 4 -alkyl, C 1 -C 4 -alkoxy, nitro, NR 9 R 10 , SR 11 , trifluoromethyl, hydroxyl, cyano, carboxy, C 1 -C 4 -alkoxycarbonyl and —C 1 -C 4 -alkylenehydroxyl;
- R 2 is hydrogen; C 1 -C 6 -alkyl; phenyl, which is unsubstituted or substituted by 1, 2, or 3 identical or different substituents selected from: halogen, C 1 -C 4 -alkyl, C 1 -C 4 -alkoxy, nitro, NR 9 R 10 , SR 11 , trifluoromethyl, hydroxyl, cyano, carboxy, C 1 -C 4 -alkoxycarbonyl and —C 1 -C 4 -alkylenehydroxyl; OR 11 ; halogen; cyano; nitro; NR 9 R 10 or SR 11 ;
- R 3 , R 4 and R 5 are each independently selected from: hydrogen, C 1 -C 4 -alkyl, halogen, OR 11 , C 1 -C 4 -alkylcarbonyloxy, NR 9 R 10 , SO 2 NR 9 R 10 , carboxyl, cyano and nitro;
- Z is an oxygen or sulfur atom
- A is a 5- or 6-membered ring; wherein:
- X 1 and X 2 are each independently selected from: a methylene group and a heteroatom selected from: oxygen, sulfur, and nitrogen, provided that at least one of X 1 and X 2 is a heteroatom, and wherein the nitrogen atom is at least monosubstituted by R 13 , wherein R 13 is selected from: hydrogen; unsubstituted C 1 -C 6 -alkyl; or C 1 -C 6 -alkyl substituted by halogen, hydroxyl or carboxyl; C 2 -C 6 -alkenyl; hydroxyl; C 1 -C 6 -alkoxy; C 1 -C 4 -alkylcarbonyl; toluenesulfonyl; cyano; SO 2 R 10 ; —CO—(CH 2 ) m —R 14 ; and phenyl, which is unsubstituted or
- X 3 is an oxygen atom, a sulfur atom, or a nitrogen atom, wherein the nitrogen atom is at least monosubstituted by R 13 wherein R 13 is selected from: hydrogen; unsubstituted C 1 -C 6 -alkyl; or C 1 -C 6 -alkyl substituted by halogen, hydroxyl, or carboxyl; C 2 -C 6 -alkenyl; hydroxyl; C 1 -C 6 -alkoxy; C 1 -C 4 -alkylcarbonyl; toluenesulfonyl; cyano; SO 2 R 10 ; —CO—(CH 2 ) m —R 14 ; and phenyl, which is unsubstituted or substituted by at least one substituent selected from: halogen, C 1 -C 4 -alkyl, C 1 -C 4 -alkoxy, nitro, N 9 R
- R 9 and R 10 are each independently selected from: hydrogen, C 1 -C 4 -alkyl, C 1 -C 4 -alkanoyl, C 1 -C 4 -alkoxycarbonyl, C 1 -C 4 -alkylcarbonyl, carboxamide and sulfonamide, or R 9 and R 10 , together with the nitrogen atom to which they are bonded, form a 3-, 4-, 5- or 6-membered heterocyclic ring which can have at least one further heteroatom selected from: nitrogen, oxygen and sulfur, which ring is saturated, partially unsaturated or aromatic, and either unsubstituted or substituted by at least one substituent selected from: halogen, C 1 -C 4 -alkyl, C 1 -C 4 -alkoxy, C 2 -C 6 -alkenyl, C 3 -C 6 -alkynyl, C 2 -C 4 -alkanoyl, nitro, NR 9 R 10 , SR 11 ,
- R 11 is hydrogen, C 1 -C 4 -alkyl, C 1 -C 4 -alkanoyl, or C 1 -C 4 -alkoxycarbonyl;
- R 14 is hydrogen, C 1 -C 4 -alkyl, hydroxyl, —N 9 R 10 , halogen, —SH, or —S—C 1 -C 4 -alkyl.
- A is a 5-membered saturated or unsaturated ring represented by any one of the general structures (i) to (iv);
- X 1 is either a methylene group or a heteroatom selected from: oxygen, sulfur, and nitrogen, except that in structures (ii) and (iv) X 1 is either a methylene group or a nitrogen atom; and R 6 and R 13 are as defined above; or a 6-membered saturated ring represented by the general structure (vi):
- R 6 and R 13 are as defined above.
- R 1 is phenyl, which is unsubstituted or substituted by 1, 2, or 3 identical or different substituents selected from: halogen, C 1 -C 4 -alkyl, C 1 -C 4 -alkoxy, nitro, NR 9 R 10 , SR 11 , trifluoromethyl, hydroxyl, cyano, carboxy, C 1 -C 4 -alkoxycarbonyl and —C 1 -C 4 -alkylenehydroxyl, or is a heterocycle, which is a saturated, partially unsaturated or aromatic ring containing 6 ring atoms of which 1, 2 or 3 are identical or different heteroatoms selected from: nitrogen, oxygen and sulfur, and where the heterocyclic is unsubstituted or substituted by 1, 2, or 3 identical or different substituents selected from: halogen, C 1 -C 4 alkyl, C 1 -C 4 -alkoxy, nitro, NR 9 R 10
- R 2 and R 4 are hydrogen
- R 3 , and R 5 are each independently selected from: hydroxyl, C 1 -C 4 -alkoxyl and C 1 -C 4 -alkylcarbonyloxy.
- the present invention relates to compounds of general formula (Ig) prodrugs, tautomeric forms, stereoisomers, optical isomers, pharmaceutically acceptable salts, pharmaceutically acceptable solvates or polymorphs thereof
- R 1 is aryl, unsubstituted or substituted by at least one substituent selected from: halogen, C 1 -C 4 -alkyl, C 1 -C 4 -alkoxy, C 2 -C 6 -alkenyl, C 3 -C 6 -alkynyl, C 2 -C 4 -alkanoyl, nitro, N 9 R 10 , SR 11 , trifluoromethyl, hydroxyl, cyano, carboxy, —C 1 -C 4 -alkoxycarbonyl and —C 1 -C 4 -alkylenehydroxyl; saturated, partially unsaturated or aromatic heterocycle having 1, 2, 3 or 4 identical or different heteroatoms selected from: nitrogen, oxygen, sulfur and phosphorus, wherein the heterocycle is unsubstituted or substituted by at least one substituent selected from: halogen, C 1 -C 4 -alkyl, C 1 -C 4 -alkoxy, C 2 -C 6 -al
- R 1 is hydrogen; C 1 -C 4 -alkyl; aryl, unsubstituted or substituted by at least one substituent selected from: halogen, C 1 -C 4 -alkyl, C 1 -C 4 -alkoxy, C 2 -C 6 -alkenyl, C 3 -C 6 -alkynyl, C 2 -C 4 -alkanoyl, nitro, NR 9 R 10 , SR 11 , trifluoromethyl, hydroxyl, cyano, carboxy, —C 1 -C 4 -alkoxycarbonyl and —C 1 -C 4 -alkylenehydroxyl; saturated, partially unsaturated or aromatic heterocycle having 1, 2, 3 or 4 identical or different heteroatoms selected from: nitrogen, oxygen, sulfur and phosphorus, and which is unsubstituted or substituted by at least one substituent selected from: halogen, C 1 -C 4 -alkyl, C 1 -C 4 -al
- R 3 , R 4 and R 5 are each independently selected from: hydrogen; C 1 -C 6 -alkyl; halogen; OR 11 ; aryl C 1 -C 4 -alkoxy; C 1 -C 4 -alkylcarbonyloxy; C 1 -C 4 -alkoxycarbonyloxy; arylcarbonyloxy; carboxy; cyano; nitro; NR 9 R 10 ; SR 11 , aryl-C 1 -C 4 -alkylthio; SO 2 —C 1 -C 4 -alkyl; SO 2 -aryl; SO 2 NR 9 R 10 ; aryl; and saturated, partially unsaturated or aromatic heterocycle having 1, 2, 3 or 4 identical or different heteroatoms selected from: nitrogen, oxygen, sulfur and phosphorus;
- R 6 is hydrogen, C 1 -C 4 -alkyl, C 1 -C 4 -alkanoyl, hydroxyl, C 1 -C 4 -alkoxyl, —C 1 -C 4 -alkoxycarbonyl, —C 1 -C 4 -alkyleneOR 11 , —C 1 -C 4 -alkylenehalo, C 1 -C 4 -alkyleneNR 9 R 10 , —C 1 -C 4 -alkyleneC(O)OR 9 , phenoxy, —NR 9 R 10 , SR 12 , S(O) n R 12 , —C(O)R 12 or —C(S)R 12 ;
- R 8 is hydrogen; C 1 -C 4 -alkyl, and, C 1 -C 4 -alkoxycarbonyl, carboxamide, sulfonamide, NR 9 R 10 or OR 11 ;
- R 9 and R 10 are each independently selected from: hydrogen; C 1 -C 6 -alkyl; aryl; C 1 -C 4 -alkanoyl; heterocycle, which has 1, 2, 3 or 4 heteroatoms selected from: nitrogen, oxygen, sulfur and phosphorus; C 1 -C 4 -alkoxycarbonyl; C 1 -C 4 -alkylcarbonyl; arylcarbonyl; heterocyclocarbonyl, wherein the heterocyclo- has 1, 2, 3 or 4 heteroatoms selected from: nitrogen, oxygen, sulfur and phosphorus; carboxamide, and sulfonamide; wherein the aryl and heterocycle or heterocyclo- are either unsubstituted or substituted by at least one substituent selected from: halogen, C 1 -C 4 -alkyl, C 1 -C 4 -alkoxy, C 2 -C 6 -alkenyl, C 3 -C 6 -alkynyl, C 2 -C 4 -alkano
- R 11 is hydrogen; C 1 -C 6 -alkyl; C 1 -C 4 -alkanoyl; aryl, unsubstituted or substituted by at least one substituent selected from: halogen, C 1 -C 4 -alkyl, C 1 -C 4 -alkoxy, C 2 -C 6 -alkenyl, C 3 -C 6 -alkynyl, C 2 -C 4 -alkanoyl, nitro, NR 9 R 10 ; SR 11 , trifluoromethyl, hydroxyl, cyano, carboxy, —C 1 -C 4 -alkoxycarbonyl and —C 1 -C 4 -alkylenehydroxyl; or C 1 -C 4 -alkoxycarbonyl;
- R 12 is hydrogen; halogen; C 1 -C 6 -alkyl; aryl, unsubstituted or substituted by at least one substituent selected from: halogen, C 1 -C 4 -alkyl, C 1 -C 4 -alkoxy, C 2 -C 6 -alkenyl, C 3 -C 6 -alkynyl, C 2 -C 4 -alkanoyl, nitro, NR 9 R 10 , SR 11 , trifluoromethyl, hydroxyl, cyano, carboxy, —C 1 -C 4 -alkoxycarbonyl and —C 1 -C 4 -alkylenehydroxyl; NR 9 R 10 ; OR 11 ; or a heterocycle, unsubstituted or substituted by at least one substituent selected from: halogen, C 1 -C 4 -alkyl, C 1 -C 4 -alkoxy, C 2 -C 6 -alkenyl, C
- Z is an oxygen atom; a sulfur atom; or NR 8 ;
- A is a 5-membered saturated or unsaturated ring represented by any one of the general structures (i) to (v);
- X 1 and X 2 are each independently selected from: a methylene group and a heteroatom selected from: an oxygen atom, a sulfur atom, S(O) p , and a nitrogen atom, provided that at least one of X 1 and X 2 is a heteroatom, and wherein the nitrogen atom is at least monosubstituted by R 13 , wherein R 13 is selected from: hydrogen; C 1 -C 6 -alkyl, unsubstituted or substituted by at least one substituent selected from: halogen, hydroxyl, carboxyl, C 1 -C 4 -alkoxy, amino, nitro, C 1 -C 4 -alkylthio, sulfhydryl and sulfonyl; C 2 -C 6 -alkenyl, unsubstituted or substituted by at least one substituent selected from: halogen, hydroxyl, carboxyl, C 1 -C 4 -alkoxy, amino, nitro, C 1
- R 6 is a substituent as defined above on at least one carbon atom ring member
- R 14 is hydrogen, C 1 -C 4 -alkyl, hydroxyl, NR 9 R 10 , halogen, —SH, and —S—C 1 -C 4 -alkyl;
- p is an integer of 1 or 2;
- n is an integer of 0 to 6;
- n is an integer of 1 or 2.
- R 1 is phenyl, which is unsubstituted or substituted by 1, 2, or 3 identical or different substituents selected from: halogen, C 1 -C 4 -alkyl, C 1 -C 4 -alkoxy, nitro, NR 9 R 10 , SR 11 , trifluoromethyl, hydroxyl, cyano, carboxy, C 1 -C 4 alkoxycarbonyl and —C 1 -C 4 -alkylenehydroxyl, or is a heterocycle, which is a saturated, partially unsaturated or aromatic ring containing 5 or 6 ring atoms of which 1, 2 or 3 are identical or different heteroatoms selected from: nitrogen, oxygen, sulfur and phosphorus, and where the heterocycle is unsubstituted or substituted by 1, 2, or 3 identical or different substituents selected from: halogen, C 1 -C 4 -alkyl, C 1 -C 4 -alkoxy, nitro, NR 9 R 10 , SR 11 , trifluor
- R 2 is hydrogen; C 1 -C 6 -alkyl; phenyl, unsubstituted or substituted by at least one substituent selected from: halogen, C 1 -C 4 -alkyl, C 1 -C 4 -alkoxy, nitro, NR 9 R 10 , SR 11 , trifluoromethyl, hydroxyl, cyano, carboxy, —C 1 -C 4 -alkoxycarbonyl and —C 1 -C 4 -alkylenehydroxyl; OR 11 ; halogen; cyano; nitro; NR 9 R 10 or SR 11 ;
- R 3 , R 4 and R 5 are each independently selected from: hydrogen, C 1 -C 4 alkyl, halogen, OR 11 , C 1 -C 4 -alkylcarbonyloxy, NR 9 R 10 , SO 2 NR 9 R 10 , carboxyl, cyano and nitro;
- A is a 5-membered saturated ring represented by any one of the general structures (i) to (v);
- X 1 and X 2 are each independently selected from: a methylene group and a heteroatom selected from: oxygen, sulfur, and nitrogen, provided that at least one of X 1 and X 2 is a heteroatom, and wherein the nitrogen atom is at least monosubstituted by R 13 , wherein R 13 is selected from: hydrogen; unsubstituted C 1 -C 6 -alkyl; or C 1 -C 6 -alkyl substituted by halogen, hydroxyl, or carboxyl; C 2 -C 6 -alkenyl; hydroxyl; C 1 -C 6 -alkoxy; C 1 -C 4 -alkylcarbonyl; toluenesulfonyl; cyano; SO 2 R 10 ; —CO—(CH 2 ) m —R 14 ; and phenyl, which is unsubstituted or substituted by 1, 2, or 3 identical or different substituents selected from: halogen, C 1 -C
- R 9 and R 10 are each independently selected from: hydrogen, C 1 -C 4 alkyl, C 1 -C 4 -alkanoyl, C 1 -C 4 -alkoxycarbonyl, C 1 -C 4 -alkylcarbonyl, carboxamide and sulfonamide; or
- R 9 and R 10 together with the nitrogen atom to which they are bonded, form a 3-, 4-, 5- or 6-membered heterocyclic ring which can have at least one further heteroatom selected from: nitrogen, oxygen and sulfur, which ring is saturated, partially unsaturated or aromatic and either unsubstituted or substituted by at least one substituent selected from: halogen, C 1 -C 4 -alkyl, C 1 -C 4 -alkoxy, C 2 -C 6 -alkenyl, C 3 -C 6 -alkynyl, C 2 -C 4 -alkanoy-1, nitro, NR 9 R 10 , SR 11 , trifluoromethyl, hydroxyl, cyano, carboxy, —C 1 -C 4 -alkoxycarbonyl and —C 1 -C 4 -alkylenehydroxyl;
- R 11 is hydrogen, C 1 -C 4 -alkyl, C 1 -C 4 -alkanoyl or C 1 -C 4 -alkoxycarbonyl;
- R 12 is hydrogen, halogen, C 1 -C 4 -alkyl, —N 9 R 10 , or OR 9 ;
- R 14 is hydrogen C 1 -C 4 -alkyl, hydroxyl, —N 9 R 10 , halogen, —SH, or —S—C 1 -C 4 -alkyl;
- Z is an oxygen atom or a sulfur atom.
- R 1 can be phenyl, which is unsubstituted or substituted by 1, 2, or 3 identical or different substituents selected from: halogen, C 1 -C 4 -alkyl, C 1 -C 4 -alkoxy, nitro, NR 9 R 10 , SR 11 , trifluoromethyl, hydroxyl, cyano, carboxy, —C 1 -C 4 -alkoxycarbonyl and —C 1 -C 4 alkylenehydroxyl; or can be a heterocycle, which is a saturated, partially unsaturated or aromatic ring containing 6 ring atoms of which 1, 2 or 3 are identical or different heteroatoms selected from: nitrogen, oxygen and sulfur, and where the heterocycle is unsubstituted or substituted by 1, 2, or 3 identical or different substituents selected from: halogen, C 1 -C 4 -alkyl, C 1 -C 4 -alkoxy, nitro, NR 9 R 10
- R 2 and R 4 can be hydrogen
- R 3 and R 5 can be each independently selected from: hydroxyl, C 1 -C 4 -alkoxyl and C 1 -C 4 -alkylcarbonyloxy.
- A in a fourth embodiment of compounds of the formula (Ig), A can be represented by any one of the general structures (i) to (iv):
- X 1 is either a methylene group or a heteroatom selected from: oxygen, sulfur, and nitrogen, except that in structures (ii) and (iv) X 1 is either a methylene group or a nitrogen atom
- R 13 is selected from: hydrogen; unsubstituted C 1 -C 6 -alkyl; or C 1 -C 6 -alkyl substituted by halogen, hydroxyl, or carboxyl; C 2 -C 6 -alkenyl; hydroxyl; C 1 -C 6 -alkoxy; C 1 -C 4 -alkylcarbonyl; toluenesulfonyl; cyano; SO 2 R 10 ; —CO—(CH 2 ) m —R 14 ; and phenyl, which is unsubstituted or substituted by 1, 2, or 3 identical or different substituents selected from: halogen, C 1 -C 4 -alkyl, C 1 -C 4 -al
- the present invention relates to compounds of the general formula (Ic) or (Ig), wherein R 1 is phenyl or pyridinyl, substituted by 1, 2 or 3 identical or different substituents selected from: halogen and nitro, R 2 and R 4 are hydrogen, R 3 and R 5 are hydroxyl, A is a saturated 5-membered ring represented by any one of the general structures (i) to (v), wherein X 1 , X 2 , R 6 and R 13 are as defined. More particularly, X 1 is carbon, X 2 is nitrogen, R 6 is —C 1 -C 4 -alkylenehydroxyl, R 13 is C 1 -C 4 -alkyl and Z is an oxygen atom.
- substituents R 1 to R 7 , A and Z and the groups aryl and heterocyclo or heterocycle, independently from each other have the following meanings.
- substituents R 1 to R 7 and A and Z can have the preferred or particularly preferred meanings given below.
- R 1 can be selected from: aryl and heterocyclo, each of which can be unsubstituted, mono- or polysubstituted by halogen, C 1 -C 4 -alkyl, C 1 -C 4 -alkoxy, hydroxyl, carboxyl, COO-alkyl, CONH 2 , CONHOH, CONH-alkyl, CON(alkyl) 2 , nitro, trifluoromethyl, amino, C 1 -C 4 -alkylamino, di-C 1 -C 4 alkylamino, or phenyl.
- the heterocyclo can be an unsaturated 5 or 6-membered ring containing 1 or 2 nitrogen atoms, unsubstituted or mono- or polysubstituted as indicated above.
- R 1 can be selected from: unsubstituted phenyl; phenyl mono- or polysubstituted by halogen, C 1 -C 4 -alkyl, C 1 -C 4 -alkoxy, hydroxyl, carboxyl, COO-alkyl, CONH 2 , CONH-alkyl, CON(alkyl) 2 , nitro, trifluoromethyl, amino, C 1 -C 4 -alkylamino, di-C 1 -C 4 -alkylamino or phenyl; and pyridyl mono- or polysubstituted by the substituents indicated above for phenyl.
- R 1 can be selected from: phenyl, chlorophenyl, dichlorophenyl, chlorofluorophenyl, dichlorofluorophenyl, chlorohydroxylphenyl, chlorocarboxyphenyl, chloronitrophenyl, aminochlorophenyl, N-hydroxycarboxychlorophenyl, cyanochlorophenyl, bromophenyl, dibromophenyl, bromofluorophenyl, bromohydroxylphenyl, bromocarboxyphenyl, bromonitrophenyl, aminobromophenyl, N-hydroxycarboxybromophenyl, bromocyanophenyl, fluorophenyl, difluorophenyl, fluorohydroxylphenyl, pyridyl, chloropyridyl, dichloropyridyl, chlorofluoropyridyl, chlorohydroxylpyridyl, bromo
- R 2 can be selected from: hydrogen, C 1 -C 6 -alkyl, C 1 -C 6 -alkoxyl, hydroxyl, nitro, amino and a halogen.
- R 3 , R 4 and R 5 can be selected from: hydrogen, C 1 -C 4 -alkyl, unsubstituted or substituted by: halogen, hydroxyl, or carboxyl; C 1 -C 4 -alkoxyl; hydroxyl; carboxyl; nitro; amino; and —O-acyl.
- R 3 and R 5 are hydroxyl or C 1 -C 4 -alkylcarbonyloxy, and R 4 is hydrogen.
- R 6 can be selected from: hydrogen; hydroxyl; unsubstituted C 1 -C 6 -alkyl; C 1 -C 6 -alkyl substituted by halogen, hydroxyl or carboxy; C 1 -C 6 -alkoxyl; C 1 -C 6 -alkoxycarbonyl; aryloxy; amino; C 1 -C 6 -alkylamino; di C 1 -C 6 -alkylamino; and —C 1 -C 4 -alkylene-O—C 1 -C 4 -alkyl.
- R 6 can be —C 1 -C 4 -alkylene-OH, and is preferably —CH 2 OH.
- R 7 can be hydrogen atom.
- Z can be an oxygen atom.
- A can be a saturated or unsaturated 5-membered ring or a saturated 6-membered ring containing at least one heteroatom selected from: nitrogen, oxygen and sulfur, the ring being unsubstituted or at least monosubstituted by R 6 .
- the unsaturated 5-membered ring can have one or two double bonds in its ring structure.
- A can in particular be a saturated 5-membered ring containing 1 or 2 nitrogen atoms, and in formula (Ia) or (Ic) a saturated 6-membered ring containing 1 nitrogen atom, wherein in both cases the ring is unsubstituted or at least monosubstituted by R 6 .
- A is a 5-membered ring of general structures (i) to (v) and both X 1 and X 2 independently represent a heteroatom selected from nitrogen, oxygen and sulfur, the following conditions apply:
- A can be unsaturated as valence and stability may permit.
- X 1 can only be the heteroatom nitrogen in the general structures (it) and (v) and X 2 can be any one of the heteroatoms indicated above,
- R 6 can be attached to the carbon ring member at position 4 or 5 when A is of general structure (i),
- R 6 can be attached to the carbon ring member at position 2, 4 or 5 when A is of general structure (ii),
- R 6 can be attached to the carbon ring member at position 2 or 4 when A is of general structure (iii),
- R 6 can be attached to the carbon ring member at position 2 or 5 when A is of general structure (iv), and
- R 6 can be attached to the carbon ring member at position 2, 3 or 4 when A is of general structure (v).
- compounds of formula (Ia), (Ib) or (Ig) are compounds in which A is a saturated 5-membered ring, X 2 is NR 13 , where R 13 is hydrogen, C 1 -C 6 -alkyl or acyl, X 1 is a methylene group, R 6 is selected from: hydrogen, unsubstituted C 1 -C 6 -alkyl, C 1 -C 4 -alkyl substituted by halogen, hydroxyl or carboxyl, and R 7 is hydrogen.
- compounds of formula (Ia) are compounds in which A is a 6-membered ring, X 3 is NR 13 , where R 13 is hydrogen, C 1 -C 6 -alkyl or acyl, R 6 is selected from: hydrogen, unsubstituted C 1 -C 6 -alkyl, C 1 -C 6 -alkyl substituted by halogen, hydroxyl or carboxyl, and R 7 is hydrogen.
- compounds of formula (Ia) are compounds in which A is a 7-membered ring, X 3 is NR 13 , where R 13 is hydrogen, C 1 -C 6 -alkyl or acyl, R 6 is selected from: hydrogen, unsubstituted C 1 -C 6 -alkyl, C 1 -C 6 -alkyl substituted by halogen, hydroxyl or carboxyl, and R 7 is hydrogen.
- R 6 can be —C 1 -C 6 -alkylene-OH
- R 13 can be —CH 3 .
- compounds of formula (Ia) or (Ib) are compounds in which R 2 is hydrogen, halogen, nitro, cyano, N 9 R 10 , wherein R 9 and R 10 are as defined above, or OR 11 , wherein R 11 is hydrogen or alkyl; R 3 and R 5 are each independently selected from: hydrogen and OR 11 , wherein R 11 is hydrogen, alkyl, acyl or aryl; R 4 is hydrogen; Z is an oxygen atom, a sulfur atom, or NR 8 , wherein R 8 is hydrogen, alkyl, aryl, carboxamide, NR 9 R 10 or OR 11 , wherein R 11 and R 10 are each independently selected from: hydrogen, alkyl, acyl, heterocycle, alkoxycarbonyl, carboxamide and sulfonamide, and R 11 is selected from: hydrogen, alkyl and acyl.
- compounds of formula (Ia) or (Ib) are compounds in which R 1 is aryl, or a heterocycle; R 2 is hydrogen; at least one of R 3 and R 5 is OR 13 , wherein R 11 is hydrogen or alkyl; R 4 is hydrogen; R 6 is hydroxymethyl, alkoxy methyl or alkylcarbonyloxymethyl; R 7 is hydrogen; and Z is an oxygen atom.
- the present invention also relates to processes for the preparation of compounds of formula (Ia), (Ib), (Ic) or (Ig) or pharmaceutically acceptable salts thereof.
- One such process comprises reacting a benzopyranone of formula (II)
- R 1 , R 2 , R 3 , R 4 , R 5 and Z have the meaning defined above and P is a functional group, with a compound of formula (III),
- A is substituted by R 6 and R 7 , and A, R 6 and R 7 have the meaning defined above, except that A is other than a 5-membered ring of the general structure (ii) and (v) above, wherein X 1 is a nitrogen atom; Q is a functional group bound to a saturated or unsaturated carbon atom in the A ring, P and Q being capable of forming a carbon-carbon coupling between the respective carbon atoms to which they are attached, and
- X 2 and R 6 have the meaning defined above, in the presence of a metal catalyst, an organic or inorganic base and an organic or inorganic solvent, to form a nitrogen-carbon coupling between the carbon of the compound of formula (II) to which P is attached and the nitrogen of the compound of formula (IIIA), and, it appropriate, converting the resultant compound of formula (Ia), (Ib), (Ic) or (Ig) into a pharmaceutically acceptable salt.
- a compound of formula (Ia), (Ib), (Ic) or (Ig) or a pharmaceutically acceptable salt thereof can be prepared by reacting a compound of formula (XA):
- R 1 , R 2 , R 3 , R 4 , R 5 , R 6 , R 7 and A are as defined above, with an inorganic base, subsequently adding an acid to the reaction mixture capable of effecting cyclization, and then adding an inorganic base and, if appropriate, converting the resultant compound of formula (Ia), (Ib), (Ic) or (Ig) into a pharmaceutically acceptable salt.
- A can be selected from:
- R 11 can be hydrogen and/or R 13 can be methyl.
- R 1 , R 2 , R 3 , R 4 , R 5 , R 13 and Z are as defined above, with a reagent suitable to effect replacement of the —OH group on the piperidino ring by a good leaving group, in the presence of an organic or inorganic base, followed by adding a suitable organic base in the presence of a suitable organic solvent to effect contraction of the piperidino ring and, if appropriate, converting the resultant compound of formula (XIII) into a pharmaceutically acceptable salt.
- R 1 , R 2 , R 3 , R 4 , R 5 and Z are as defined above, comprises reacting a benzopyranone of formula (XXXA):
- R 1 , R 2 , R 3 , R 4 , R 5 and Z are as defined above, with N-allyl N-chlorotosylamide in the presence of an alkylborane and, if appropriate, converting the resultant compound of formula (XXXIA) into a pharmaceutically acceptable salt.
- R 1 , R 2 , R 3 , R 4 , R 5 , and Z are as defined above, with a suitable reducing agent capable of converting the ester group —C(O)OEt on the imidazolyl ring into the group —CH 2 OH and, if appropriate, converting the resultant compound of formula (XXXVII) into a pharmaceutically acceptable salt.
- a suitable reducing agent capable of converting the ester group —C(O)OEt on the imidazolyl ring into the group —CH 2 OH and, if appropriate, converting the resultant compound of formula (XXXVII) into a pharmaceutically acceptable salt.
- the compound of formula (XXXVI) above is prepared by reacting a compound of formula (XXXV):
- R 1 , R 2 , R 3 , R 4 , R 5 and Z are as defined, with an isocyanide in the presence of an inorganic base in an organic solvent.
- the present invention also relates to a process for the resolution of a compound of general formula (VIIIA) or a pharmaceuticallv acceptable salt thereof:
- R 3 , R 4 , R 5 , R 6 , and A are as defined, which process comprises reacting the racemic compound of formula (VIIIA) with a chiral auxiliary in the presence of a solvent, crystallising out the required diastereomeric salt and subsequently treating with base to obtain the desired enantiomer of the compound of formula (VIII A).
- the compounds of the present invention are formed in scheme 1 by a metal catalyzed C—C bond coupling reaction well known in the art.
- P is a functional group, for example, Li, a halogen such as Cl, Br or I, a triflate or p-fluorobenzenesulfonate.
- A may be an optionally substituted 5-, 6- or 7-membered ring as defined above.
- Q is attached to an unsaturated bond at position C 1 of ring A and is a halogen or a functionality suitable for coupling with the compound of formula (II) using organometallic catalysts. If Q is triflate then P is selected from Cl, Br or I and vice-versa.
- Organometallic catalysts such as palladium complexes, for example, Pd(OAc) 2 , PdCl 2 (PhCN) 2 and Pd(Ph 3 P) 4 may be used for coupling.
- Coupling is carried out in presence of bases like sodium carbonate, potassium carbonate, piperidine and pyrrolidine, using solvents such as DMF.
- bases like sodium carbonate, potassium carbonate, piperidine and pyrrolidine
- solvents such as DMF.
- the double bond at position Q may be reduced after cross coupling, using standard methods like hydroboration or catalytic hydrogenation using catalysts such as palladium or platinum.
- the coupling of P and Q may be effected using an appropriate organostannane (wherein Q may represent the stannate part) and ligand/catalyst such as 1,3-bis(diphenylphosphino)propane, palladium diacetate, lithium chloride and diphenylmethylphosphine and a leaving group such as aryl p-fluorobenzenesulfonate.
- organostannane wherein Q may represent the stannate part
- ligand/catalyst such as 1,3-bis(diphenylphosphino)propane, palladium diacetate, lithium chloride and diphenylmethylphosphine and a leaving group such as aryl p-fluorobenzenesulfonate.
- A is a 5-membered ring having the general structure (ii) or (v), wherein X 1 is N
- the 5-membered heterocycle may be coupled directly with the compound of formula (II) using a suitable catalyst such as Pd(OAc) 2 , PdCl 2 (PhCN) 2 , Pd(Ph 3 P) 4 and Cu1. Coupling is carried out in presence of bases like sodium carbonate, potassium carbonate, piperidine and pyrrolidine using solvents such as DMF.
- the hydroxyl function on the piperidine ring may be converted to a good leaving group such as tosyl, mesyl, triflate or halide by treatment with appropriate reagents like p-toluenesulfonylchloride, methanesulfonylchloride, triflic anhydride or PCl 5 in the presence of an appropriate organic or inorganic base like triethylamine, pyridine, K 2 CO or Na 2 CO 3 , followed by ring contraction using a base such as sodium acetate in a solvent such as isopropanol.
- a good leaving group such as tosyl, mesyl, triflate or halide
- appropriate reagents like p-toluenesulfonylchloride, methanesulfonylchloride, triflic anhydride or PCl 5
- an appropriate organic or inorganic base like triethylamine, pyridine, K 2 CO or Na
- the ring contraction involved in this step may be effected before, flavone formation as depicted in Scheme 2 or it may be done after building the flavone with desired substitutions.
- the compound of general formula (VIII) may be resolved by reacting it with a chiral auxiliary such as (+)-dibutyl tartaric acid, (+)-ketopinic acid, (+)-camphor-10-sulphonic acid or (+)-camphoric acid in the presence of a solvent such as methanol, isopropanol, diisopropyl ether, ethyl acetate or chloroform, crystallising out the required diastereomeric salt and subsequently treating with base such as NaHCO 3 , Na 2 CO, or K 2 CO, to obtain the desired enantiomer of compound of formula (VIII).
- a chiral auxiliary such as (+)-dibutyl tartaric acid, (+)-ketopinic acid, (+)-camphor-10-sulphonic acid or (+)-camphoric
- the compound of formula (VIII) may then be treated with an acylating agent such as a carboxylic acid, an acid chloride, an acid anhydride or any activated form of an acid, in the presence of a Lewis acid catalyst such as BF 3 .Et 2 O, ZnCl 2 , AlCl 3 or TiCl 4 to obtain the corresponding acylated compound of formula (IX).
- a Lewis acid catalyst such as BF 3 .Et 2 O, ZnCl 2 , AlCl 3 or TiCl 4
- the compound of formula (IX) can be converted to the compound of formula (X) by treating it with a reagent like an acid chloride of the type R 1 COCl, an anhydride of the type (R 1 CO) 2 O, an ester of the type R 1 COOCH 3 or any like reagent wherein R 1 is as defined hereinabove.
- the said conversion can also be brought about by treating the compound of formula (IX) with an acid of the type R 1 COOH and phosphorus oxychloride in presence of an acid scavenger such as pyridine to obtain an acid chloride in situ under neutral conditions. Conversion of the compound of formula (IX) to the compound of formula (X) can also be brought about by a combination of R 1 COOH and polyphosphoric acid.
- the compound of the formula (IX) may be converted to that of the formula (XI) by standard ester hydrolysis using bases like KOH or NaOH in aqueous ethanol or methanol.
- the resultant alcohol of formula (XI) may be converted to a ⁇ -diketone of formula (XII) by treatment with an appropriate carboxylic acid ester such as R 1 COOMe, R 1 COOEt etc. or with an acid chloride like R 1 COX wherein X is a halogen or with an activated ester such as an anhydride in the presence of a base such as NaH in a solvent such as DMF, THF or 1,4-dioxane.
- an appropriate carboxylic acid ester such as R 1 COOMe, R 1 COOEt etc.
- the ⁇ -diketone of formula (XII) may finally be converted into the required flavone of formula (XIII) by treatment with a base such as NaH followed by cyclization using a strong acid such as concentrated HQ and subsequent treatment with a mild base such as Na 2 CO 3 , NaHCO 3 or K 2 CO 3 .
- die intermediate of formula (X) may be converted into the flavone of formula (XIII) by treatment with a base such as NaH followed by cyclization using a strong acid like concentrated HQ followed by treatment with a mild base like Na 2 CO 3 , NaHCO 3 , or K 2 CO 3 .
- Scheme 3 outlines the preparation of the intermediate compound represented by formula (XVIII), which is subsequently converted to a compound of formula (XXII) by following similar process steps as described in Scheme 2 for the conversion of the compound of formula (VIII) to the compound of formula (XIII).
- the compound of formula (XXII) as prepared herein is a compound of general formula (Ia), (Ib), (Ic) or (Ig) above wherein Z is O, A is a 5-membered ring corresponding to general structure (I), (iii) or (iv) wherein X 1 is C and X 2 is NR 13 and the substitutions R 6 and R 7 on A are —CH 2 OR 11 , and H, respectively.
- the compound of formula (XVIII) is prepared in three steps starting from an aldehyde of formula (XIV).
- the compound of formula (XIV) is first converted into the compound of formula (XVII) in two steps involving condensation of the compound of formula (XIV) with an appropriate ketone using a Knoevenagel reaction, followed by a Michael reaction of the resulting intermediate of formula (XV) with nitromethane in the presence of base to obtain the compound of formula (XVII).
- the Michael reaction in the presence of a chiral base such as proline leads to chiral compound of formula (XVII).
- the compound of formula (XVII) can be obtained by first converting the aldehyde (XIV) into the nitrostyrene derivative of formula (XVI) which in turn is reacted with an appropriate ketone by a Michael reaction, using base as described above.
- the resulting compound of formula (XVII) is then subjected to a sequence of reactions involving selective reduction of the nitro group by known methods such as treatment with Tin/HCl or Iron/HCl followed by cyclization and subsequent reduction to yield the compound of formula (XVIII).
- a catalyst like Raney nickel directly gives the compound of formula (XVIII).
- This pivotal intermediate is then converted to the compound of formula (XXII) as described in scheme 3.
- Process steps from the compound of formula (XVIII) to the compound of formula (XXII) are as described for the conversion of the compound of formula (VIII) to the compound of formula (XIII) in scheme 2.
- the compound of formula (XXXI) is prepared starting from the aldehyde of formula (XXIII).
- the compound of formula (XXIII) is converted using a Wittig reaction to the corresponding styrene compound of formula (XXIV) which in turn is converted into the compound of formula (XXV) by a [3+2]cycloaddition with N-allyl N-chlorotosylamide in the presence of alkylboranes such as triethyl borane (Et 3 B) (Oshima et. al. Org. Lett., 2001, 3, 2709-2711).
- the compound of formula (XXV) is then converted into the compound of formula (XXXI) via the compounds of formulae (XXVI), (XXVII) and (XXVIII) as described in scheme 2.
- the use of an alternative intermediate of formula (XXIX) also leads to the compound of formula (XXXI) by following the above cycloaddition route.
- the compound of formula (XXXVI) is prepared starting from the compound of formula (XXXII).
- the compound of formula (XXXII) on nitration provides the compound of formula (XXXIII) which on reduction gives the corresponding amino compound of formula (XXXIV) (Larget et al, Bioorganic Med. Chem. Lett., 2000, 10, 835).
- Conversion of amino flavone of formula (XXXIV) to the compound of formula (XXXV) may be effected by treatment with ethyl glyoxylate in methanol. Further conversion of the intermediate of formula (XXXV) to that of formula (XXXVI) may be brought about by employing the method described in the literature (Tet.
- the key intermediate of formula (VIII), which corresponds to the compound of formula (XXXXIII) in FIG. 6 may be prepared by the alternative process steps illustrated in scheme 6.
- the compound of formula (XXXXIII) may be prepared starting from the chiral compound of formula (XXXVIII), which in tarn is prepared in accordance with the procedure described in Syn. Commun., 1993, 23(20), 2839-2844.
- the compounds according to the general formula (Ia), (Ib), (Ic) or (Ig) can be used to inhibit the activity of various cyclin-dependent kinases and are helpful pharmaceutical compounds for the treatment of various diseases.
- treatment includes the therapy as well as the prophylaxis of the respective diseases.
- the compounds of the present invention are for use in regulating cell proliferation.
- the compounds of the present invention are capable of inhibiting cell proliferation and are therefore useful in treating diseases which are due to an excessive or abnormal cell growth.
- pathological conditions with excessive or abnormal cell proliferation against which the compounds of the invention can act to provide therapeutic benefits.
- pathological conditions include:
- various cancers and leukemias including (but not limited to) the following:
- i. carcinoma including that of bladder, breast, colon, kidney, liver, lung, ovary, pancreas, stomach, cervix, thyroid, prostate, and skin;
- lymphoid lineage including acute lymphocytic leukemia, B cell lymphoma, and Burkett's lymphoma;
- hematopoietic tumors of myeloid lineage including acute and chronic myelogenous leukemias and promyelocytic leukemia;
- tumors of mesenchymal origin including fibrosarcoma and rhabdomysarcoma
- tumors including melanoma, seminoma, teratocarcinoma, osteosarcoma, neuroblastoma and glioma,
- fibroproliferative disorders such as those involving connective tissues, atherosclerosis and other smooth muscle proliferative disorders, as well as chronic inflammation;
- cardiovascular abnormalities restenosis, tumoral angiogenesis, atherosclerosis
- nephrology glomerulonephritis
- i. parasitology unicellular parasites such as Plasmodium, Trypanosoma, Toxoplasma , etc.
- viral infections cytomegalovirus, human immunodeficiency virus, herpes
- the present compounds can be used in the treatment of differentiative disorders which result from, for example, de-differentiation of tissue, optionally accompanied by abortive reentry into mitosis.
- degenerative disorders include chronic neurodegenerative diseases of the nervous system, including Alzheimers's disease as suggested by the finding that CDK5 is involved in the phosphorylation of tau protein (J. Bio. Chem. 1995, 117, 741-749), Parkinson's disease, Huntington's chorea, amyotrophic lateral sclerosis and the like, as well as spinocerebellar degenerations.
- disorders associated with connective tissue such as those that may occur due to de-differentiation of chondrocytes or osteocytcs, as well as vascular disorders which involve de-differentiation of endothelial tissue and smooth muscle cells, gastric ulcers characterized by degenerative changes in glandular cells, and renal conditions marked by failure to differentiate, e.g. Wilm's tumors.
- the compounds of the present invention can be used as a cell culture additive for controlling proliferative and/or differentiation states of cells in vitro and can also be used for ex vivo tissue generation as for example, to enhance the generation of prosthetic tissue devices for implantation such as described in U.S. Pat. No. 5,733,920 which is incorporated herein by reference.
- ⁇ -fungal or anti-parasitic agents can be selected from the subject compounds of general formula (Ia), (Ib), (Ic) or (Ig).
- Such inhibitors are useful in patients where fungal infections are a particular problem such as in patients with leukemias and lymphomas, diabetes mellitus, AIDS, or in people who are receiving immunosuppressive therapy.
- the formulations of the inhibitors can be provided with those inhibitors which inhibit a cyclin-dependent kinase complex of the human pathogen with an IC 50 at least an order of magnitude less than an IC 50 for inhibition of a human cyclin-dependent kinase complex, though more preferably at least two or three orders of magnitude less.
- certain of the present compounds can be selected on the basis of inhibitory specificity for insect or plant CDK's relative to the mammalian enzyme in a differential screen.
- Such insect or plant CDK inhibitors of the present invention find use in insecticides and agricultural applications, respectively.
- the present invention therefore also relates to the compounds of the formula (Ia), (Ib), (Ic) or (Ig) and/or their pharmaceutically acceptable salts and/or their prodrugs for use as pharmaceuticals (or medicaments), to the use of the compounds of the formula (Ia), (Ib), (Ic) or (Ig) and/or their physiologically tolerable salts and/or their prodrugs for the production of pharmaceuticals for the inhibition of cell proliferation or for the therapy or prophylaxis of the diseases mentioned above, for example for the production of pharmaceuticals for the therapy and prophylaxis of cancer, inflammation and arthritis, psoriasis, bone diseases, mycotic or viral infections, cardiovascular disorders, Alzheimers's disease, etc., and to methods of treatment aiming at such purposes including methods for said therapies and prophylaxes.
- the present invention furthermore relates to pharmaceutical compositions that contain an effective amount of at least one compound of the formula (Ia), (Ib), (Ic) or (Ig) and/or its physiologically tolerable salts and/or its prodrugs in addition to a customary pharmaceutically acceptable carrier, and to a process for the production of a pharmaceutical, which comprises bringing at least one compound of formula (Ia), (Ib), (Ic) or (Ig) into a suitable administration form using a pharmaceutically suitable and physiologically tolerable excipient and, if appropriate, further suitable active compounds, additives or auxiliaries.
- the pharmaceutical preparation comprises the compound of formula (Ia), (Ib), (Ic) or (Ig) in an amount adequate to inhibit proliferation of a eukaryotic cell, which may be a mammalian cell, a human pathogen, such as Candida albicans, Aspergillus fumigatus, Rhizopus arrhizus, Mucor pusillus , an insect cell or a plant cell.
- a eukaryotic cell which may be a mammalian cell, a human pathogen, such as Candida albicans, Aspergillus fumigatus, Rhizopus arrhizus, Mucor pusillus , an insect cell or a plant cell.
- the present invention also relates to a method for the preparation of a medicament for the treatment or prevention of disorders associated with excessive cell proliferation, characterized in that at least one compound of the general formula (Ia), (Ib), (Ic) or (Ig) is used as the pharmaceutically active substance.
- the pharmaceuticals can be administered orally, for example in the form of pills, tablets, coated tablets, capsules, granules or elixirs. Administration, however, can also be carried out rectally, for example in the form of suppositories, or parentally, for example intravenously, intramuscularly or subcutaneously, in the form of injectable sterile solutions or suspensions, or topically, for example in the form of solutions or transdermal patches, or in other ways, for example in the form of aerosols or nasal sprays.
- compositions according to the invention are prepared in a manner known per se and familiar to one skilled in the art.
- Pharmaceutically acceptable inert inorganic and/or organic carriers and/or additives can be used in addition to the compound(s) of the formula (Ia), (Ib), (Ic) or (Ig) and/or its (their) physiologically tolerable salts and/or its (their) prodrugs, for the production of pills, tablets, coated tablets and hard gelatin capsules it is possible to use, for example, lactose, corn starch or derivatives thereof, gum arable, magnesia or glucose, etc.
- Carriers for soft gelatin capsules and suppositories are, for example, fats, wax, natural or hardened oils, etc.
- Suitable carriers for the production of solutions for example injection solutions, or of emulsions or syrups are, for example, water, physiological sodium chloride solution or alcohols, for example, ethanol, propanol or glycerol, sugar solutions, such as glucose solutions or mannitol solutions, or a mixture of the various solvents which have been mentioned.
- the pharmaceutical preparations normally contain about 1 to 99%, preferably about 5 to 70%, most preferably from about 10 to about 30% by weight of the compounds of the formula (Ia), (Ib), (Ic) or (Ig) and/or their physiologically tolerable salts and/or their prodrugs.
- the amount of the active ingredient of the formula (Ia), (Ib), (Ic) or (Ig) and/or its physiologically tolerable salts and/or its prodrugs in the pharmaceutical preparations normally is from about 5 to 500 mg.
- the dose of the compounds of this invention, which is to be administered can cover a wide range.
- the dose to be administered daily is to be selected to suit the desired effect. About 20 to 1,000 mg are preferably administered daily per patient.
- the selected dosage level will depend upon a variety of factors including the activity of the particular compound of the present invention employed, or the ester, salt or amide thereof, the route of administration, the time of administration, the rate of excretion of the particular compound being employed, the duration of the treatment, other drugs, compounds and/or materials used in combination with the particular compounds employed, the age, sex, weight, condition, general health and prior medical history of the patient being treated, and like factors well known in the medical arts.
- the pharmaceutical preparations can contain additives such as, for example, fillers, antioxidants, dispersants, emulsifiers, defoamers, flavor corrigants, preservatives, solubilizers or colorants. They can also contain two or more compounds of the formula (Ia), (Ib), (Ic) or (Ig) and/or their physiologically tolerable salts and/or their prodrugs.
- the pharmaceutical preparations can also contain one or more other therapeutically or prophylactically active ingredients.
- the compounds of the present invention may be used as drugs in the treatment of proliferative disorders either alone or as part of combined therapies.
- the compounds of the present invention may be used in combination with known anti-cancer, cytostatic, and cytotoxic agents. If formulated as a fixed dose, such combination products employ the compounds of the present invention within the dosage range described above and the other pharmaceutically active agent within its approved dosage range.
- the CDK inhibitor olomoucine has been found to act synergistically with known cytotoxic agents in inducing apoptosis (J. Cell Sci, 1995, 108, 2897).
- Compounds of general formula (Ia), (Ib), (Ic) or (Ig) may be used sequentially with known drugs such as anticancer or cytotoxic agents when a combination formulation is inappropriate.
- (+/ ⁇ )-trans-[1-Methyl-3-(2,4,6-trimethoxy-phenyl)-pyrrolidin-2-yl]-methanol (Compound No. 4) (27.3 g, 97.1 mmol), was dissolved in methanol (100 mL) and heated to 70° C. To this hot solution was added (+)DBTA (36.51 g, 101.9 mmol) and the heating was continued for 10 min. It was concentrated to get a solid (63.81 g), which was crystallized using methanol (45 mL) and isopropanol (319 mL).
- the salt (9 g) was suspended in ethyl acetate (100 mL). To this suspension 5% aqueous NaHCO 3 solution (100 mL) was added and the mixture was stirred for 30 minutes. The organic portion was separated and the aqueous portion was further extracted using ethyl acetate (2 ⁇ 50 mL). The organic portions were combined and concentrated to obtain the title compound (5).
- (+)-trans-1-[2-Hydroxy-3-(2-hydroxymethyl-1-methyl-pyrrolidin-3-yl)-4,6-dimethoxyphenyl]-1-ethanone was prepared from (+)-trans-[1-Methyl-3-(2,4,6-trimethoxy-phenyl)-pyrrolidin-2-yl]-methanol using the procedures described in examples 6 & 7.
- Compound 13, (0.7 g, 2.2 mmol) was reacted with methyl 2 chlorobenzoate (1.15 g, 6.75 mmol) in dry DMF (15 mL) in the presence of NaH (50%, 0.54 g, 11.25 mmol), using the procedure described in example 8 to afford the title compound (14).
- IR cm ⁇ 1 3500, 2220, 1660.
- trans-2-Chloro-nicotinic acid 2-(2-acetoxymethyl-1-methyl-pyrrolidin-3-yl)-6-acetyl-3,5-dimethoxy-phenyl ester (63) obtained in situ was converted to die title compound (64) using NaH (50%, 2.44 g, 50.83 mmol) in 1,4-dioxane (50 mL) as described in Example 26.
- (+/ ⁇ )-trans-Acetic acid 3-(3-acetyl-2-hydroxy-4,6-dimethoxy-phenyl)-1-methyl-pyrrolidin-2-ylmethyl ester (1.65 g, 4.7 mmol) was reacted with 2-chloro-pyridine-3-carboxylic acid (2.44 g, 15.49 mmol) in the presence of dry pyridine (25 mL) and POCl 3 (2.1 mL, 23.43 mmol) using the conditions described in example 52 to get trans-2-Chloro-nicotinic acid 2-(2-acetoxymethyl-1-methyl-pyrrolidin-3-yl)6-acetyl-3,5-dimethoxy-phenyl ester. This was converted in situ to the title compound (66) using NaH (1.29 g, 26.86 mmol) in 1,4-dioxane (25 mL) as described in example 26.
- IR cm ⁇ 1 3500, 1660, 1540.
- Glacial acetic acid 75 mL was added dropwise with stirring, at 40-50° C. to a mixture of compound (72) (15 g, 57.62 mmol) and iron dust (15 g, 0.267 mol) in water (120 mL).
- the reaction mixture was stirred vigorously at room temperature for 1 h. It was poured into water (200 mL), basified using saturated aqueous Na 2 CO 3 solution and extracted with EtOAc (3 ⁇ 250 mL). The organic extract was washed, dried (anhy. Na 2 SO 4 ) and concentrated to obtain the title compound (73).
- compound (80) (4 g, 21.4 mmol) was subjected to methylation using NaH (50%, 1 g), dry 1,4-dioxane (20 mL) as solvent and dimethyl sulfate (5.4 g, 42.8 mmol). Purification using a silica gel column and 20% EtOAc in petroleum ether (60-80° C.) as eluant afforded the title compound (81).
Landscapes
- Chemical & Material Sciences (AREA)
- Organic Chemistry (AREA)
- Health & Medical Sciences (AREA)
- Life Sciences & Earth Sciences (AREA)
- Veterinary Medicine (AREA)
- Public Health (AREA)
- General Health & Medical Sciences (AREA)
- Animal Behavior & Ethology (AREA)
- Medicinal Chemistry (AREA)
- Pharmacology & Pharmacy (AREA)
- Nuclear Medicine, Radiotherapy & Molecular Imaging (AREA)
- General Chemical & Material Sciences (AREA)
- Chemical Kinetics & Catalysis (AREA)
- Oncology (AREA)
- Epidemiology (AREA)
- Hematology (AREA)
- Pharmaceuticals Containing Other Organic And Inorganic Compounds (AREA)
- Plural Heterocyclic Compounds (AREA)
Abstract
The present invention relates to novel compounds for the inhibition of cyclindependent kinases, and more particularly, to chromenone derivatives of formula (Ia),
wherein R1, R2, R3, R4, R5, R6, R7, and A have the meanings indicated in the claims. The invention also relates to processes for the preparation of the compounds of formula (Ia), to methods of inhibiting cyclin-dependent kinases and of inhibiting cell proliferation, to the use of the compounds of formula (Ia) in the treatment and prophylaxis of diseases, which can be treated or prevented by the inhibition of cyclindependent kinases such as cancer, to the use of the compounds of formula (Ia) in the preparation of medicaments to be applied in such diseases. The invention further relates to compositions containing a compound of formula (Ia) either alone or in combination with another active agent, in admixture or otherwise in association with an inert carrier, in particular pharmaceutical compositions containing a compound of formula (Ia) either alone or in combination with another active agent, together with pharmaceutically acceptable carrier substances and auxiliary substances.
Description
- This application is a continuation of U.S. patent application Ser. No. 13/026,503 filed on Feb. 4, 2011, which is a divisional of U.S. patent application Ser. No. 11/779,577 filed on Jul. 18, 2007, now U.S. Pat. No. 7,915,301, which is a divisional of U.S. patent application Ser. No. 10/611,539 filed on Jul. 1, 2003, now U.S. Pat. No. 7,271,193, which claims priority from Indian Patent Application No. IN 616/MUM/2002 filed Jul. 8, 2002, the disclosures of which are incorporated herein by reference in their entirety.
- The present invention relates to novel inhibitors of cyclin-dependent kinases (CDKs), to processes for their preparation, their use as active ingredients in pharmaceuticals, in particular for the treatment of proliferative disorders, and to pharmaceutical preparations comprising them.
- The ability of eukaryotic cells to proliferate in response to a growth signal is tightly controlled by a complex network of ordered biochemical events collectively known as the cell cycle. Mitogenic signals commit cells to entry into a series of regulated steps of the cell, cycle. The synthesis of DNA (S phase), and separation of two daughter cells (M phase) are die main features of cell cycle progression. The G1 phase separates the M and S phases and prepares the cell for DNA duplication upon receiving mitogenic signals. The period between the S and M phases is known as the G2 phase during which cells repair errors that occurred during DNA duplication.
- Regulators of the cell cycle have gained widespread importance in proliferative diseases. Cyclin-dependent kinases (CDKs) are a family of enzymes which become activated in specific phases of the cell cycle. CDKs consist of a catalytic subunit (the actual cyclin-dependent kinase or CDK) and a regulatory subunit (cyclin). There are at least nine CDKs (CDK1, CDK2, CDK3, CDK4, CDK5, CDK6, CDK7, CDK8, CDK9, etc.) and 15 different types of cyclins (cyclin A, B1, B2, D1, D2, D3, E etc). Each step of the cell cycle is thought to be regulated by such CDK complexes: G1/S transition (CDK2/cyclin A, CDK4/cyclin D1-D3, CDK6/cyclin D3) (Senderwicz A. M. and Sausville. E. A., J. Natl. Cancer Inst. 2000, 376-387), S phase (CDK2/cyclin A), G2 phase (CDK1/cyclin A), G2/M transition phase (CDK1/cyclins B).
- CDKs are able to phosphorylate many proteins that are involved in cell cycle events, including tumor suppressor proteins, such as the retinoblastoma, gene product Rb. The Rb is involved in the G1/S transition of the cell cycle and its phosphorylation by CDKs results in its inactivation (U.S. Pat. No. 5,723,313), which in turn leads to the release of the transcriptional factor E2F and the activation of E2F-responsive genes necessary for progression to the S phase.
- A wide variety of diseases are characterized by uncontrolled cell proliferation that results from some fault in the regulatory pathways in the cell cycle [e.g. overexpression of cyclins or deletions of genes encoding CKIs (CDK inhibitory proteins)]. The overexpression of cyclinD1 leads to the deregulation of CDK4-D1 kinase activity and thereby contributes to uncontrolled cell proliferation. With knowledge of the role of CDKs in cell cycle regulation and the discovery that approximately 90% of all neoplasias are associated with CDK hyperactivation leading to the inactivation of the Rb pathway, CDKs are attractive targets for the development of anti-tumor drugs.
- The first potent molecule to be developed as an effective CDK inhibitor was a flavone compound, namely flavopiridol [cis-{2-(2-Chloro-phenyl)-5,7-dihydroxy-8-(3-hydroxy-1-methyl-piperidin-4-yl)-chromen-4-one hydrochloride}]. Flavopiridol is known to inhibit different CDKs and it exhibits anti-proliferative activity in vitro against a broad range of human cancer cells. Further research on flavones as a class of compounds offers a potential approach to anti-proliferative therapy. As a result, analogs of flavopiridol have been the subject of other publications. U.S. Pat. No. 5,733,920 describes novel chromone analogs as inhibitors of CDK/Cyclin complexes. U.S. Pat. No. 5,849,733 discloses 2-thio and 2-oxo analogs of flavopiridol as protein kinase inhibitors for the treatment of proliferative diseases. WO 01/83469 discloses 3-hydroxychromen-4-one derivatives as inhibitors of cyclin dependent kinases. U.S. Pat. No. 5,116,954 and US H1427 disclose flavonoid compounds having anticancer and immunomodulatory activity. U.S. Pat. No. 5,284,856 discloses use of benzopyran-4-one derivatives for the control of tumoral diseases. U.S. Pat. No. 4,900,727 discloses benzopyran-4-one derivatives antiinflammatory agents. Anti-inflammatory benzopyran-4-one derivative from Dysoxylum binectariferum is described by R. G. Naik et al in Tetrahedron, 1988, 44 (7), 2081-2086.
- The prominent role of CDK/cyclin kinase complexes, in particular CDK4/cyclin D kinase complexes, in the induction of cell proliferation and their deregulation in tumors, makes them ideal targets for developing highly specific anti-proliferative agents.
- There is a clear need, however, for CDK inhibitors which can be used as anti-proliferative agents in an efficient or more specific manner. A focused research on CDK inhibitors by the present inventors resulted in the discovery of novel flavone analogs possessing structural features not envisaged in the prior art, as effective inhibitors of CDKs. Moreover, the compounds of the invention inhibit CDKs effectively with greater selectivity than the known CDK inhibitors, which are under clinical trials (Curr. Pharm. Biotechnol. 2000, July (1): 107-116) and also show comparatively low cytotoxicity against various different proliferative cell lines. Therefore, the compounds of the present invention are candidate agents for the treatment of various cell proliferation related disorders.
- The present invention generally relates to compounds of the general formula (Ia), prodrugs, tautomeric forms, stereoisomers, optical isomers, pharmaceutically acceptable salts, pharmaceutically acceptable solvates or polymorphs thereof.
- wherein
- R1 is aryl, heterocycle, NR9R10, OR11 or SR11;
- R2 is hydrogen, alkyl, aryl, heterocycle, OR11, halogen, cyano, nitro, N9R10, or SR11;
- R3, R4 and R5 are each independently selected from: hydrogen, alkyl, halogen, OR11, arylalkoxy, alkylcarbonyloxy, alkoxycarbonyloxy, arylcarbonyloxy, carboxy, cyano, nitro, NR9R10, SR11, arylalkylthio, —SO4-alkyl, SO2-aryl, SO2NR9R10, aryl and heterocycle;
- R6 is hydrogen, alkyl, acyl, hydroxyl, NR9R10, alkyloxy, alkyloxycarbonyl, aryloxy,
- R7 is hydrogen, alkyl, alkylcarbonyl or arylcarbonyl;
- R8 is hydrogen, alkyl, aryl, carboxamide, sulfonamide, NR9R10 or OR11;
- R9 and R10 are each independently selected from: hydrogen, alkyl, aryl, acyl, heterocycle, alkoxycarbonyl, alkylcarbonyl, arylcarbonyl, heterocyclocarbonyl, carboxamide and sulfonamide; or
- R9 and R10 together with the nitrogen atom to which they are bonded, form a heterocyclic ring, which can have at least one further heteroatom selected from: nitrogen, oxygen, sulfur and phosphorus, and which is saturated, partially unsaturated or aromatic;
- R11 is hydrogen, alkyl, acyl, aryl or alkoxycarbonyl;
- R12 is hydrogen, halogen, alkyl, aryl, N9R10, OR9, or heterocycle;
- Z is an oxygen atom, a sulfur atom, or NR8; provided that when Z is an oxygen atom,
- R1 is other than OR11 or SR11;
- n is an integer of 1 or 2;
- A is a 5- to 7-membered ring; wherein:
- (I) when A is a 5-membered ring it is saturated or unsaturated and represented by any one of the general structures (i) to (v);
- wherein X1 and X2 are each independently selected from: a methylene group and a heteroatom selected from: an oxygen atom, a sulfur atom, S(O)p, a nitrogen atom, provided that at least one of X1 and X2 is a heteroatom, and wherein the nitrogen atom is at least monosubstituted by R13, wherein R13 is selected from: hydrogen, alkyl, lower alkenyl, aryl, hydroxyl, alkoxy, alkylcarbonyl, cyano, —SO2R10 and —CO—(CH2)m—R14;
- R6 is hydrogen or a substituent as defined above on at least one carbon atom ring member;
- R14 is hydrogen, alkyl, hydroxyl, NR9R10, halogen, —Sid, —S-alkyl, —S-aryl, heterocycle or aryl;
- R7, R9 and R10 are as defined above;
- p is an integer of 1 or 2;
- m is an integer of 0 to 6;
- with the provisos that:
- (a) in case of general structures (i) to (w), when Z is an oxygen atom, X2 is NR13, wherein R13 is hydrogen, alkyl, C1-C4 alkanoyl or aryl, and X1 is a methylene group, then R6 is other than hydrogen or a substituent on the ring member at position 5 selected from: hydroxyl, C1-C4-alkyloxy, C1-C4-alkyloxycarbonyl, aryloxy and NR9R10;
- (b) in general structure (iv), when Z is an oxygen atom, X1 is NR13, wherein R13 is hydrogen, alkyl, C1-C4 alkanoyl or aryl and X2 is a methylene group, then R6 is other than hydrogen or a substituent on the ring member at
position 2 selected from: hydroxyl, C1-C4-alkyloxy, C1-C4-alkyloxycarbonyl, aryloxy and N9R10; - (c) when either X1 or X2 is a heteroatom, or both X1 and X2 are heteroatoms, and A is unsaturated, there is no double, bond between ring members at
positions 1 and 2 or 1 and 5; or - (d) in case of general structure (v), when S(O)p is at position 5, then R6 is other than hydrogen;
- (II) when A is a 6-membered ring, it is a saturated ring of the general structure (vi):
- wherein X3 is an oxygen atom, a sulfur atom, S(O)p, or a nitrogen atom, wherein the nitrogen atom is at least monosubstituted by R13, wherein R13 is selected from: hydrogen, alkyl, lower alkenyl, aryl, hydroxyl, alkoxy, alkylcarbonyl, cyano, —SO2R10 and —CO—(CH2)m—R14; R6 is hydrogen or a substituent as defined above on at least one ring member at any of
positions 2, 3, 5 or 6; - with the proviso that when Z is an oxygen atom and X3 is NR13 wherein R13 is hydrogen, alkyl, C1-C4 alkanoyl or aryl, then R6 is other than hydrogen or a substituent at
position 2 or 6 of the 6-membered ring A selected from: hydroxyl, C1-C4-alkyloxy, C1-C4-alkyloxycarbonyl, aryloxy and N9R10; - R7, R9, R10, R14, p and m are as defined above; and
- (III) when A is a 7-membered ring, it is a saturated ring of the general structure (vii);
- wherein X3 is an oxygen atom, a sulfur atom, S(O)p, or a nitrogen atom, wherein the nitrogen atom is at least monosubstituted by R13, wherein R13 is selected from: hydrogen, alkyl, lower alkenyl, aryl, hydroxyl, alkoxy, alkylcarbonyl, cyano, —SO2R10, and —CO—(CH2)m—R14;
- R6 is hydrogen or a substituent as defined above on at least one ring member at any of
2, 3, 4, 6 or 7 of A; with the proviso that when Z is an oxygen atom and X3 is NR13, wherein R13 is hydrogen, alkyl, alkanoyl or aryl, then R6 is other than hydrogen or a substituent atpositions position 7 of the 7-membered ring A selected from: hydroxyl, C1-C4-alkyloxy, C1-C4-alkyloxycarbonyl, aryloxy and N9R10; - R7, R9, R10, R14, p and m are as defined above.
- The present invention further relates to a sub-group of compounds of formula (Ib), prodrugs. Tautomeric forms, stereoisomers, optical isomers, pharmaceutically acceptable salts, pharmaceutically acceptable solvates and polymorphs thereof.
- wherein
- R1 is aryl, heterocycle, NR9R10, OR11, or SR11;
- R2 is hydrogen, alkyl, aryl, heterocycle, OR11, halogen, cyano, nitro, NR11R11, or SR11;
- R3, R4 and R5 are each independently selected from: hydrogen, alkyl, halogen, OR11, arylalkoxy, alkylcarbonyloxy, alkoxycarbonyloxy, arylcarbonyloxy, carboxy, cyano, nitro, NR10R11, SR11, arylalkylthio, —SO-alkyl, SO2-aryl, SO2N10R11, aryl and heterocycle;
- R6 is hydrogen, alkyl, acyl, hydroxyl, NR10R11, alkyloxy, alkyloxycarbonyl, aryloxy,
- R7 is hydrogen, alkyl, alkylcarbonyl or arylcarbonyl;
- R8 is hydrogen, alkyl, aryl, carboxamide, sulfonamide, NR10R11 or OR11;
- R10 and R11 are each independently selected from: hydrogen, alkyl, aryl, acyl, heterocycle, alkoxycarbonyl, alkylcarbonyl, arylcarbonyl, heterocyclocarbonyl, carboxamide and sulfonamide; or
- R9 and R10, together with the nitrogen atom to which they are bonded, form a 3-, 4-, 5- or 6-membered heterocyclic ring, which can have at least one further heteroatom selected from: nitrogen, oxygen and sulfur, and which is saturated, partially unsaturated or aromatic;
- R11 is hydrogen, alkyl, acyl aryl, or alkoxycarbonyl;
- R12 is hydrogen, halogen, alkyl, aryl, NR10R11, OR9 or heterocycle;
- Z is an oxygen atom, a sulfur atom, or NR8;
- n is an integer of 1 or 2;
- A is a saturated 5 membered ring represented by any one of the general structures (i) to (v);
- wherein X1 and X2 are each independently selected from: a methylene group and a heteroatom, wherein the heteroatom is selected from: an oxygen atom, a sulfur atom and a nitrogen atom, provided that at least one of X1 and X2 is a heteroatom and wherein the nitrogen atom is at least monosubstituted by R13, wherein R13 is selected from: hydrogen, alkyl, lower alkenyl, and, hydroxyl, alkoxy, alkylcarbonyl, cyano, —SO2R10 and —CO—(CH2)m—R14;
- R6 is hydrogen or a substituent as defined above on at least one carbon atom ring member;
- R7, R9 and R10 are as defined above;
- R14 is hydrogen, alkyl, hydroxyl, NR10R11, halogen, —SH, —S-alkyl, —S-aryl, a heterocycle or aryl; and m is an integer of 0 to 6.
- In one embodiment, the present compounds are inhibitors of mammalian CDK/cyclin complexes, as well as inhibitors of insect CDK, plant CDK and of fungal CDK complexes. In another embodiment the present compounds are inhibitors of the kinase activity of CDK/cyclin complexes, e.g. the CDK2/cyclin E and CDK4/cyclin D1 complexes.
- As described in more detail below, the present invention further relates to processes for the preparation of compounds of formula (Ia) or (Ib), use of the compounds as active ingredients in pharmaceuticals, and pharmaceutical preparations comprising them. The pharmaceutical preparations can be used to inhibit excessive proliferation of a eukaryotic cell, e.g., a mammalian cell, an insect cell, a plant cell, and/or a fungal cell, and/or prevent dedifferentiation of such cells. Accordingly, the present compounds can be used in the treatment of proliferative disorders in mammals, especially humans, marked by unwanted proliferation of endogenous tissue.
-
FIGS. 1 to 6 represent schemes of preferred processes for the preparation of example compounds of the present invention. - The present compounds are inhibitors of CDKs, particularly CDK/cyclin complexes and find use in antiproliferative therapies for diseases characterized by excessive cell growth such as cancers, cardiovascular abnormalities, nephrological disorders, psoriasis, Alzheimer's disease, immunological disorders involving unwanted proliferation of leukocytes, restenosis and other proliferative smooth muscle disorders, viral infections, and mycotic infections.
- Listed below are definitions of various terms used to describe the compounds of the present invention. These definitions apply to the terms as they are used throughout the specification (unless they are otherwise limited in specific instances) either individually or as part of a larger group. They should not be interpreted in the literal sense. They are not general definitions and are relevant only for this application.
- The terms “flavone”, “chromone” and “benzopyranone” or their analogs mean compounds that can be represented by the following basic structure:
- wherein Z may represent an oxygen atom, a sulfur atom or NR8 (where R8 is defined as hereinabove).
- As used herein, the term “alkyl” refers to the radical of saturated aliphatic groups, including straight-chain alkyl groups, branched-chain alkyl groups, cycloalkyl (alicyclic) groups, alkyl substituted cycloalkyl groups, and cycloalkyl substituted alkyl groups. Furthermore, unless stated otherwise, the term “alkyl” includes unsubstituted alkyl groups as well as alkyl groups, which are substituted by one or more different subsume tits. In preferred embodiments, a straight chain or branched chain alkyl has 30 or fewer carbon atoms in its backbone (e.g., C1-C30 for straight chain, C3-C30 for branched chain), and more preferably 20 or fewer. Likewise, preferred cycloalkyls have from 3-10 carbon atoms in their ring structure, and more preferably have 5, 6 or 7 carbons in the ring structure. Examples of alkyl residues containing from 1 to 20 carbon atoms are: methyl, ethyl, propyl, butyl, pentyl, hexyl, heptyl, octyl, nonyl, decyl, undecyl, dodecyl, tetradecyl, hexadecyl, octadecyl and eicosyl, the n-isomers of all these residues, isopropyl, isobutyl, 1-methylbutyl, isopentyl,
neopentyl 2,2-dimethylbutyl 2-methylpentyl 3-methylpentyl isohexyl, 2,3,4-trimethylhexyl, isodecyl, sec-butyl, or tert-butyl. - Examples of cycloalkyl residues containing 3, 4, 5, 6 or 7 ring carbon atoms are cyclopropyl cyclobutyl, cyclopentyl cyclohexyl or cycloheptyl which can also be substituted. The term alkyl as used herein also comprises cycloalkyl-substituted alkyl groups and alkyl-substituted cycloalkyl groups. Examples of cycloalkyl-substituted alkyl groups are: cyclopropylmethyl-, cyclobutylmethyl-, cyclopentylmethyl-, cyclohexylmethyl-, cycloheptylmethyl-, 1-cyclopropylethyl-, 1-cyclobutylethyl-, 1-cyclopentylethyl-, 1-cyclohexylethyl-, 1-cycloheptylethyl-, 2-cyclopropylethyl-, 2-cyclobutylethyl-, 2-cyclopentylethyl-, 2-cyclohexylethyl-, 2-cycloheptylethyl-, 3-cyclopropylpropyl-, 3-cyclobutylpropyl-, 3-cyclopentylpropyl-, 3-cyclohexylpropyl-, 3-cycloheptylpropyl-, etc. in which groups the cycloalkyl group as well as acyclic group can be substituted.
- Of course, a cyclic alkyl group has to contain at least three carbon atoms. Thus, a group like (C1-C8)-alkyl is to be understood as comprising, among others, saturated acyclic (C1-C8-alkyl, (C3-C8)-cycloalkyl, alkyl-cycloalkyl groups or cycloalkyl-alkyl groups like (C3-C7)-cycloalkyl-(C1-C3)-alkyl-, wherein the total number of carbon atoms can range from 4 to 8. Similarly, a group like (C1-C4)-alkyl is to be understood as comprising, among others, saturated acyclic (C1-C4)-alkyl, (C3-C4)-cycloalkyl, cyclopropyl-methyl- or methyl-cyclopropyl-.
- Unless stated otherwise, the term “alkyl” preferably comprises acyclic saturated hydrocarbon residues which have from 1 to 6 carbon atoms and which can be linear or branched, and cyclic alkyl groups containing from 3 to 8 ring carbon atoms, in particular from 3 to 6 ring carbon atoms. A particular group of saturated acyclic alkyl residues is formed by (C1-C4)-alkyl residues like methyl, ethyl, n-propyl, isopropyl, n-butyl, isobutyl, sec-butyl and tert-butyl.
- Unless stated otherwise, and irrespective of any specific substituents bonded to alkyl groups that are indicated in the definition of the compounds of the formula (Ia) or (Ib), alkyl groups can in general be unsubstituted or substituted by one or more, for example 1, 2, 3, 4 or 5 identical or different substituents. Any kind of substituents present in substituted alkyl residues can be present in any desired position provided that the substitution does not lead to an unstable molecule. A substituted alkyl refers to an alkyl residue in which one or more, for example, 1, 2, 3, 4 or 5, hydrogen atoms are replaced with substituents, for example, halogen, hydroxyl, carbonyl, alkoxyl, ester, ether, cyano, amino, amido, imino, sulfhydryl, alkylthio, thioester, sulfonyl, nitro, azido, acyloxy, heterocyclo, aralkyl, or an aryl or heteroaryl group. The carbon backbone of the alkyl group may be interrupted by heteroatoms such as oxygen, sulfur or nitrogen. Examples of substituted acyclic alkyls are hydroxymethyl, hydroxyethyl, 2-hydroxyethyl, aminoethyl or morpholinoethyl. Examples of substituted cycloalkyl groups are cycloalkyl groups which carry as substituent one or more, for example 1, 2, 3, 4 or 5, identical or different acyclic alkyl groups, for example acyclic (C1-C4)-alkyl groups like methyl groups. Examples of substituted cycloalkyl groups are 4-methylcyclohexyl, 4-tert-butylcyclohexyl or 2,3-dimethylcyclopentyl.
- It will be understood by those skilled in the art that the moieties substituted on die hydrocarbon chain can themselves be substituted, if appropriate, for example, the substituents of a substituted alkyl may include substituted and unsubstituted forms of amino, imino, amido, sulfonyl (including sulfonate and sulfonamide), as well as ether, alkylthio, carbonyl (including ketones, aldehydes, carboxylates, and esters), —CF3, —CN and the like. Cycloalkyls can be further substituted with alkyl, alkenyl, alkoxyl, alkylthio, aminoalkyls, carbonyl-substituted alkyl, —CF cyano (CN), and the like.
- The terms “alkoxyl” or “alkoxy” as used herein refers to an alkyl group, as defined above, haying an oxygen radical attached thereto. Representative alkoxyl groups include methoxy, ethoxy, propoxy, tert-butoxy and the like.
- The term “aralkyl” as used herein refers to an alkyl group, as defined above, substituted with an aryl or heteroaryl group (defined below). Exemplary aralkyl groups include benzyl, —(CH2)-pyridyl, etc.
- The terms “alkenyl” and “alkynyl” refer to unsaturated aliphatic groups analogous in length and possible substitution to the alkyls described above, but that contain at least one double or triple bond, respectively, for example 1, 2 or 3 double bonds and/or triple bonds, provided that the double bonds are not located within a cyclic alkyl group in such a manner that an aromatic system results. Examples of alkenyl groups include vinyl, 1-propenyl 2-propenyl, 2-butenyl, 2-methyl-1-propenyl or 3-methyl-2-butenyl. Examples of alkynyl groups include ethynyl, 2-propynyl, 2-butynyl or 3-butynyl. Alkyl groups can also be unsaturated when they are substituted.
- Furthermore, unless otherwise stated, the terms “alkenyl” and “alkynyl” include unsubstituted alkenyl and alkynyl groups as well as alkenyl and alkynyl groups which are substituted by one or more, for example 1, 2, 3, 4 or 5, identical or different groups mentioned above for alkyl, for example, aminoalkenyl, aminoalkynyl, amidoalkenyl, amidoalkynyl, iminoalkenyl, iminoalkynyl, thioalkenyl, thioalkynyl, carbonyl-substituted alkenyl or alkynyl, alkenoxyl or alkynoxyl.
- The term “aryl” as used herein refers to monocyclic or polycyclic hydrocarbon groups having up to 14 ring carbon atoms in which at least one carbocyclic ring is present that has a conjugated pi electron system. Examples of (C6-C14)-aryl residues are phenyl, naphthyl, biphenyl, fluorenyl or anthracenyl. Examples of (C6-C10)-aryl residues are phenyl or naphthyl. Unless stated otherwise, and irrespective of any specific substituents bonded to aryl groups which are indicated in the definition of the compounds of formula (Ia) or (Ib), aryl residues, for example phenyl, naphthyl or fluorenyl, can in general be unsubstituted or substituted by one or more, for example 1, 2, 3, 4 or 5, identical or different substituents. Unless stated otherwise, substituents that can be present in substituted aryl groups are: F, Cl, Br, I, alkyl, alkenyl, alkynyl, CF3, hydroxyl, aryloxy, amino, cyano, nitro, thiol, imine, amide or carbonyl (such as carboxyl, formate, carbamide, an ester, ketone or aldehyde), sulfhydryl, silyl ether, thiocarbonyl (such as thioester, thioacetate or thioformate), sulfonyl, aminoacid ester, or a heterocyclo group which is saturated, partially unsaturated or aromatic aryl residues can be bonded via any desired position, and in substituted aryl residues the substituents can be located in any desired position. For example, in mono substituted phenyl residues die substituent can be located in the 2-position, the 3-position, the 4-position or the 5-position, with the 2-position being preferred. If the phenyl group carries two substituents, they can be located in 2,3-position, 2,4-position, 2,5-position, 2,6-position, 3,4-position or 3,5-position.
- The terms “heterocycle” and “heterocyclo” refer to a saturated, partially unsaturated or aromatic monocyclic or polycyclic heterocyclic ring system containing 3, 4, 5, 6, 7, 8, 9, 10, 11, 12, 13 or 14 ring atoms of which 1, 2, 3 or 4 are identical or different heteroatoms selected from the series consisting of nitrogen, oxygen, sulfur and phosphorus. The heterocyclo group may, for example, have 1 or 2 oxygen atoms and/or 1 or 2 sulfur atoms, 1 to 4 nitrogen atoms and/or 1 or 2 phosphorus atoms in the ring. In monocyclic groups, heterocyclo preferably is a 3-membered, 4-membered, 5-membered, 6-membered or 7-membered ring, particularly preferably a 5-membered or 6-membered ring. Examples of such heterocyclo groups are piperazinyl and piperidinyl. In polycyclic groups, heterocyclo may comprise either fused rings in which two or more carbons are common to two adjoining rings, or bridged rings in which rings are joined through non-adjacent atoms. In polycyclic groups, heterocyclo preferably comprises two fused rings (bicyclic) one of which is a 5-membered or 6-membered heterocyclic ring and the other of which is a 5-membered or 6-membered heterocyclic ring. Exemplary bicyclic and tricyclic heterocyclic groups include benzoxazolyl, quinolyl, isoquinolyl, carbazolyl, indolyl, isoindolyl, phenoxazinyl, benzothiazolyl, benzimidazolyl, benzoxadiazolyl and benzofurazanyl.
- The ring heteroatoms can be present in any desired number and in any position with respect to each other provided that the resulting heterocyclic system is known in the art and is stable and suitable as a subgroup in a drug substance. Preferred are heterocyclo groups having 1 or 2 identical or different heteroatoms from the group consisting of: nitrogen, oxygen and sulfur. Examples of such heterocyclo groups are: pyrrolyl, fund, thiophen-yl, imidazolyl, oxazolyl, isoxazolyl thiazolyl, isothiazolyl triazolyl, pyrazolyl, pyridinyl, pyrazinyl pyridazinyl, pyrimidinyl, azepinyl, tetrahydrothiophen-yl, tetrahydrofuran-yl, morpholinyl, thiomorpholinyl, tetrahydropyranyl, lactams, pyrrolidinyl, azetidinyl.
- The heterocyclo group may be bonded via any ring carbon atom, and in the case of nitrogen heterocycles via any suitable ring nitrogen atom. Thus, for example, a pyrrolyl residue can be 1-pyrrolyl, 2-pyrrolyl or 3-pyrrolyl, a pyrrolidinyl residue can be 1-pyrrolidinyl (=pyrrolidino), 2-pyrrolidinyl or 3-pyrrolidinyl, and imidazolyl can be 1-imidazolyl, 2-imidazolyl, 4-imidazolyl or 5-imidazolyl.
- In the group —N9R10, R9, and R10 may, together with the nitrogen atom to which they are attached form a heterocyclic ring having one or more heteroatoms. Suitable examples of heterocyclic rings formed by R9 and R10, together with the nitrogen to which they are attached, are piperidine, pyrrolidine, morpholine, piperazinyl or imidazole, which can be unsubstituted or substituted as indicated below.
- Heterocyclo comprises saturated heterocyclic ring systems which do not contain any double bonds within the rings, as well as mono unsaturated and poly-unsaturated heterocyclic ring systems which contain one or more, for example 1, 2, 3, 4 or 5, double bonds within the rings provided that the resulting system is stable. Unsaturated rings may be non-aromatic or aromatic. Aromatic heterocyclo groups may also be referred to by the customary term “heteroaryl” for which all the definitions and explanations above and below relating to heterocyclo apply.
- Unless stated otherwise, and irrespective of any substituents bonded to heterocyclo groups which are indicated in the definition of the compounds of formula (Ia) or (Ib), the heterocyclo group can be unsubstituted or substituted on ring carbon atoms with one or more, for example 1, 2, 3, 4 or 5 identical or different substituents. Each suitable ring nitrogen atom in a heterocyclo group can independently of each other be unsubstituted. i.e. carry a hydrogen atom, or can be substituted. Examples of substituents for the ring carbon and ring nitrogen atoms are: (C1-C8)-alkyl, in particular (C1-C4)-alkyl, alkoxy, halogen, hydroxyl, hydroxy-(C1-C4)-alkyl such as, for example, hydroxymethyl or 1-hydroxyethyl or 2-hydroxyethyl, alkenyl, alkynyl, CF3, aryloxy, amino, cyano, nitro, thiol, imine, amide or carbonyl (such as carboxyl, formate, carbamide, an ester, ketone or aldehyde), silyl ether, thiocarbonyl (such as thioesters, a thioacetate or a thioformate), sulfonyl, aminoacid ester, heterocyclo, aryl or the like. The substituents can be present at one or more positions provided that a stable molecule results.
- The term “heteroatom” as used herein means an atom of any element other than carbon or hydrogen. Preferred heteroatoms are nitrogen, oxygen, sulfur and phosphorous.
- Halogen is fluorine, chlorine, bromine or iodine, preferably fluorine, chlorine or bromine.
- It will be understood that “substitution” or “substituted with” includes the implicit proviso that such substitution is in accordance with permitted valence of the substituted acorn and the substituent, as well as represents a stable compound, which docs not readily undergo transformation such as by rearrangement, cyclization, elimination, etc.
- It should be noted that any heteroatom with unsatisfied valences is assumed to have the hydrogen atom to satisfy the valences.
- “Specific inhibitors” or “specific inhibition” implies the selectivity of the drug for its inhibitory effect towards a particular CDK-cyclin complex.
- Certain compounds of the present invention may exist in particular geometric or stereoisomeric forms. Centers of asymmetry that are present in the compounds of formula (Ia) or (Ib) all independently of one another have S configuration or R configuration. The present invention includes all possible enantiomers and diastereomers in pure or substantially pure form and mixtures of two or more stereoisomers, for example mixtures of enantiomers and/or diastereomers, in all ratios. Thus, compounds according to the present invention which can exist as enantiomers can be present in enantiomerically pure form, both as levorotatory and as dextrorotatory antipodes, in the form of racemates and in the form of mixtures of the two enantiomers in all ratios. In the case of a cis/trans isomerism the invention includes both the cis form and the trans form as well as mixtures of these forms in all ratios. The preparation of individual stereoisomers can be carried out, if desired, by separation of a mixture by customary methods. For example, the racemic forms can be resolved by physical methods, such as fractional crystallization or separation by chiral column chromatography. The individual optical isomers can be synthesized in the optically pure form by the use of enzymes or through asymmetric synthesis. A particular enantiomer of a compound of the present invention may be prepared by derivatization with a chiral auxiliary whereby the resulting diastereomeric mixture is separated and the auxiliary group cleaved to provide the pure desired enantiomer. Alternatively, where the compound contains a basic functional group such as an amino or an acidic functional group such as a carboxyl, diasteromeric salts are formed by reacting the compound with an appropriate optically active acid or base, respectively. The diastereomeric salts thus formed are separated by fractional crystallization or chromatographic means well known in the art and the pure enantiomers are subsequently isolated from the diastereomeric salts. The separation of a mixture of stereoisomers can be carried out at the stage of the compounds of formula (Ia) or (Ib) or at the stage of an intermediate during the synthesis. The present invention also includes all tautomeric forms of the compounds of formula (Ia) or (Ib). Additional asymmetric carbon atoms may be present in a substituent such as an alkyl group. All such isomers, as well as mixtures thereof, are intended to be included in this invention.
- In case the compounds according to formula (Ia) or (Ib) contain one or more acidic or basic groups, the invention also comprises their corresponding pharmaceutically or toxicologically acceptable salts, in particular their pharmaceutically utilizable salts.
- Compounds of formula (Ia) or (Ib) which contain one or more basic groups, i.e. groups which can be protonated, can be present and can be used according to the invention in the form of their addition salts with non-toxic inorganic or organic acids.
- Examples of suitable inorganic acids include: boric acid, perchloric acid, hydrochloric acid, hydrobromic acid, sulfuric acid, sulfamic acid, phosphoric acid, nitric acid and other inorganic acids known to the person skilled in the art. Examples of suitable organic acids include: acetic acid, propionic acid, succinic acid, glycolic acid, stearic acid, lactic acid, malic acid, tartaric acid, citric acid, ascorbic acid, pamoic acid, maleic acid, hydroxymaleic acid, phenylacetic acid, glutamic acid, benzoic acid, salicylic acid, sulfanilic acid, 2-acetoxybenzoic acid, fumaric acid, toluenesulfonic acid, methanesulfonic acid, ethane disulfonic acid, oxalic acid, isethionic acid, ketoglutaric acid, benzenesulfonic acid, glycerophosphoric acid and other organic acids known to the person skilled in the art. The compounds of formula (Ia) or (Ib) which contain acidic groups can be used according to the invention, for example, as alkali metal salts like Li, Na, and K salts, as alkaline earth metal salts like Ca, Mg salts, as aluminium salts, as salts of organic bases such as lysine, arginine, guanidine, diethanolamine, choline, tromethamine, or as salts with ammonia. The pharmaceutically acceptable salts of the present invention can be synthesized from the subject compound which contains a basic or acidic moiety by conventional chemical methods. Generally the salts are prepared by contacting the free base or acid with stoichiometric amounts or with an excess of the desired salt-forming inorganic or organic acid or base in a suitable solvent or dispersant or by anion exchange or cation exchange with other salts. Suitable solvents are, for example, ethyl acetate, ether, alcohols, acetone, THF, dioxane or mixtures of these solvents.
- The present invention furthermore includes all solvates of compounds of formula (Ia) or (Ib), for example hydrates or adducts with alcohols and also derivatives and prodrugs of the compounds of formula (Ia) or (Ib) which contain physiologically tolerable and cleavable groups, for example esters and amides.
- Various polymorphs of compounds of general formula (Ia) or (Ib) forming part of this invention may be prepared by crystallization of compounds of formula (Ia) or (Ib) under different conditions. For example, using different commonly used solvents or their mixtures for crystallization; crystallization at different temperatures; various modes of cooling, ranging from very fast to very slow cooling during crystallizations. Polymorphs may also be obtained by hearing or melting the compound followed by gradual or fast cooling. The presence of polymorphs may be: determined by IR spectroscopy, solid probe NMR spectroscopy, differential scanning calorimetry, powder X-ray diffraction or such other techniques.
- Preferred compounds are those: in which one or more of the groups contained therein have the meanings given below, with all the combinations of preferred substituent definitions being a subject of the present invention. With respect to all preferred compounds of formula (Ia) or (Ib) the present invention also includes all stereoisomeric forms and mixtures thereof in all ratios and their pharmaceutically acceptable salts. Further, also all preferred compounds of formula (Ia) or (Ib) are a subject of the present invention in the form of their prodrugs and other derivatives, for example in the form of their esters and amides.
- In a first preferred embodiment, the present invention relates to compounds of general formula (Ic), prodrugs, tautomeric forms, stereoisomers, optical isomers, pharmaceutically acceptable salts, pharmaceutically acceptable solvates or polymorphs thereof
- wherein
- R1 is aryl, unsubstituted or substituted by at least one substituent selected from: halogen, C1-C4-alkyl, C1-C4-alkoxy, C2-C6-alkenyl, C3-C6-alkynyl, C2-C4-alkanoyl, nitro, NR9R10, SR11, trifluoromethyl, hydroxyl, cyano, carboxy, C1-C4-alkoxycarbonyl and —C1-C4-alkylenehydroxyl; saturated, partially unsaturated or aromatic heterocycle having 1, 2, 3 or 4 identical or different heteroatoms selected from: nitrogen, oxygen, sulfur and phosphorus, wherein the heterocycle is unsubstituted or substituted by at least one substituent selected from: halogen, C1-C4-alkyl, C1-C4-alkoxy, C2-C6-alkenyl, C3-C6-alkynyl C2-C4-alkanoyl, nitro, NR9R10, SR11, trifluoromethyl, hydroxyl, cyano, carboxy, C1-C4-alkoxycarbonyl and —C1-C4-alkylenehydroxyl; NR9R10; OR11; or SR11;
- R2 is hydrogen; C1-C6-alkyl; aryl, unsubstituted or substituted by at least one substituent selected from: halogen, C1-C4-alkyl, C1-C4-alkoxy, C2-C6-alkenyl, C3-C6-alkynyl, C2-C4-alkanoyl, nitro, NR9R10, SR11, trifluoromethyl, hydroxyl, cyano, carboxy, C1-C4-alkoxycarbonyl and —C1-C4-alkylenehydroxyl; saturated, partially unsaturated or aromatic heterocycle having 1, 2, 3 or 4 identical or different heteroatoms selected from: nitrogen, oxygen, sulfur and phosphorus and which is unsubstituted or substituted by at least one substituent selected from: halogen, C1-C4-alkyl C1-C4-alkoxy, C2-C6-alkenyl C3-C6-alkynyl, C2-C4-alkanoyl, nitro, NR9R10, SR11, trifluoromethyl, hydroxyl, cyano, carboxy, C1-C4-alkoxycarbonyl and —C1-C4-alkylenehydroxyl; OR11; halogen; cyano; nitro; NR9R10; or SR11;
- R3, R4 and R5 are each independently selected from: hydrogen; C1-C6-alkyl; halogen; OR11; aryl C1-C4-alkoxy; C1-C4-alkylcarbonyloxy; C1-C4-alkoxycarbonyloxy; arylcarbonyloxy; carboxy; cyano; nitro; N9R10, SR11; aryl-C1-C4-alkylthio; SO2—C1-C4-alkyl; SO2-aryl; SO2NR9R10; aryl; and saturated, partially unsaturated or aromatic heterocycle having 1, 2, 3 or 4 identical or different heteroatoms selected from: nitrogen, oxygen, sulfur and phosphorus;
- R6 is —C1-C4-alkyleneOR11;
- R8 is hydrogen; C1-C4-alkyl; aryl; carboxamide; sulfonamide; NR9R10; or OR11;
- R9 and R10 are each independently selected from: hydrogen; C1-C6-alkyl; aryl; C1-C4-alkanoyl; heterocycle, which contains 1, 2, 3 or 4 heteroatoms selected from: nitrogen, oxygen, sulfur and phosphorus; C1-C4-alkoxy carbonyl; C1-C4-alkylcarbonyl; arylcarbonyl; heterocyclocarbonyl, wherein the heterocyclo- contains 1, 2, 3 or 4 heteroatoms selected from: nitrogen, oxygen, sulfur and phosphorus; carboxamide; and sulfonamide; wherein the aryl and heterocycle or heterocyclo- are either unsubstituted or substituted by at least one substituent selected from: halogen, C1-C4-alkyl, C1-C4-alkoxy, C2-C6-alkenyl, C3-C6-alkynyl, C2-C6-alkanoyl, nitro, NR9R10, SR11, trifluoromethyl, hydroxyl, cyano, carboxy, C1-C4-alkoxycarbonyl and —C1-C4-alkylenehydroxyl; or
- R9 and R10, together with the nitrogen atom to which they are bonded, form a heterocyclic ring which can have at least one further heteroatom selected from: nitrogen, oxygen and sulfur and which is saturated, partially unsaturated or aromatic, the heterocyclic ring being either unsubstituted or substituted by at least one substituent selected from: halogen, C1-C4-alkyl, C1-C4-alkoxy, C2-C6-alkenyl, C3-C6-alkynyl, C2-C4-alkanoyl, nitro, NR9 and R10, SR11, trifluoromethyl, hydroxyl, cyano, carboxy, —C1-C4-alkoxycarbonyl and —C1-C4-alkylenehydroxyl;
- R11 is hydrogen; C1-C6-alkyl; C1-C4-alkanoyl; aryl, unsubstituted or substituted by at least one substituent selected from: halogen, C1-C4-alkyl, C1-C4-alkoxy, C2-C6-alkenyl, C3-C6-alkynyl, C2-C4-alkanoyl, nitro, N9R10, SR11, trifluoromethyl, hydroxyl, cyano, carboxy, C1-C4-alkoxycarbonyl and —C1-C4-alkylenehydroxyl; or C1-C4-alkoxycarbonyl-;
- Z is an oxygen atom; a sulfur atom; or NR8;
- A is a 5-, 6- or 7-membered ring; wherein:
- (I) the 5-membered ring is saturated or unsaturated and represented by any one of the general structures (i) to (v);
- wherein X1 and X2 are each independently selected from: a methylene group and a heteroatom selected from: an oxygen atom, a sulfur atom, S(O)p and a nitrogen atom, provided that at least one of X1 and X2 is a heteroatom, and wherein the nitrogen atom is at least monosubstituted by R13, wherein R13 is selected from: hydrogen; C1-C6-alkyl, unsubstituted or substituted by at least one substituent selected from: halogen, hydroxyl, carboxyl, C1-C4-alkoxy, amino, nitro, C1-C4-alkylthio, sulfhydryl and sulfonyl; C2-C6-alkenyl, unsubstituted or substituted by at least one substituent selected from: halogen, hydroxyl, carboxyl, C1-C4-alkoxy, amino, nitro, C1-C4-alkylthio-, sulfhydryl and sulfonyl; aryl, unsubstituted or substituted by at least one substituent selected from: halogen, C1-C4-alkyl, C1-C4-alkoxy, C2-C6-alkenyl, C3-C6-alkynyl, C2-C4-alkanoyl, nitro, NR9R10, SR11, trifluoromethyl, hydroxyl, cyano, carboxy, C1-C4-alkoxycarbonyl and —C1-C4-alkylenehydroxyl; hydroxyl; C1-C4-alkoxy; C1-C4-alkylcarbonyl; cyano; —SO2R10; and —CO—(CH2)m—R14;
- R6 is a substituent as defined above on at least one carbon atom ring member;
- R7 is hydrogen; C1-C4-alkyl; C1-C4-alkylcarbonyl; or arylcarbonyl;
- R14 is hydrogen; C1-C4-alkyl; hydroxyl; NR9R10; halogen; —SH; —S—C1-C4; —S-aryl; and; wherein the aryl is unsubstituted or substituted by at least one substituent selected from: halogen, C1-C4-alkyl, C1-C4-alkoxy, C2-C6-alkenyl, C3-C6-alkynyl, C2-C4-alkanoyl, nitro, NR9R10, SR11, trifluoromethyl, hydroxyl, cyano, carboxy, C1-C4-alkoxy carbonyl and —C1-C4-alkylenehydroxyl; a heterocycle containing 1, 2, 3 or 4 heteroatoms selected from: nitrogen, oxygen, sulfur and phosphorus, the heterocycle being unsubstituted or substituted by at least one substituent selected from: halogen, C1-C4-alkyl, C1-C4-alkoxy, C2-C6-alkenyl, C3-C6-alkynyl, C2-C4-alkanoyl, nitro, N9R10, SR11, trifluoromethyl, hydroxyl, cyano, carboxy, C1-C4-alkoxycarbonyl and —C1-C4-alkylenehydroxyl;
- p is an integer of 1 or 2; and
- m is an integer of 0 to 6;
- (II) the 6-membered ring is a saturated ring of the general structure (vi):
- wherein X3 is an oxygen atom, a sulfur atom, S(O)p, or a nitrogen atom, wherein the nitrogen atom is at least monosubstituted by R13, wherein R13 is as defined above;
- R6 is a substituent as defined above on at least one ring member at any of
positions 2, 3, 5 or 6; R7 is hydrogen; C1-C4-alkyl; C1-C4-alkylcarbonyl; or arylcarbonyl; and - (III) the 7-membered ring is a saturated ring of the general structure (vii);
- wherein X3 is an oxygen atom, a sulfur atom, S(O)p, or a nitrogen atom, wherein the nitrogen atom is at least monosubstituted by R13, wherein R13 is as defined above;
- R6 is a substituent as defined above on at least one ring member at any of
2, 3, 4, 6 or 7; and R7 is hydrogen; C1-C4-alkyl; C1-C4-alkylcarbonyl; or arylcarbonyl.positions - In a second preferred embodiment of the compounds of the formula (Ic) above, the groups R1 to R5, R7, R9 to R11, R13, R14, Z and A, independently from each other, have the preferred meanings given below:
- R1 is phenyl, which is unsubstituted or substituted by 1, 2, or 3 identical or different substituents selected from: halogen, C1-C4-alkyl, C1-C4-alkoxy, nitro, NR9R10, SR11, trifluoromethyl, hydroxyl, cyano, carboxy, C1-C4-alkoxycarbonyl and, —C1-C4-alkylenehydroxyl, or is
- a heterocycle, which is a saturated, partially unsaturated or aromatic ring containing 5 or 6 ring atoms of which 1, 2 or 3 are identical or different heteroatoms selected from: nitrogen, oxygen, sulfur, and phosphorus, and where the heterocycle is unsubstituted or substituted by 1, 2, or 3 identical or different substituents selected from: halogen, C1-C4-alkyl, C1-C4-alkoxy, nitro, NR9R10, SR11, trifluoromethyl, hydroxyl, cyano, carboxy, C1-C4-alkoxycarbonyl and —C1-C4-alkylenehydroxyl;
- R2 is hydrogen; C1-C6-alkyl; phenyl, which is unsubstituted or substituted by 1, 2, or 3 identical or different substituents selected from: halogen, C1-C4-alkyl, C1-C4-alkoxy, nitro, NR9R10, SR11, trifluoromethyl, hydroxyl, cyano, carboxy, C1-C4-alkoxycarbonyl and —C1-C4-alkylenehydroxyl; OR11; halogen; cyano; nitro; NR9R10 or SR11;
- R3, R4 and R5 are each independently selected from: hydrogen, C1-C4-alkyl, halogen, OR11, C1-C4-alkylcarbonyloxy, NR9R10, SO2NR9R10, carboxyl, cyano and nitro;
- Z is an oxygen or sulfur atom;
- A is a 5- or 6-membered ring; wherein:
- in the 5-membered saturated or unsaturated ring represented by any one of the general structures (i) to (v), X1 and X2 are each independently selected from: a methylene group and a heteroatom selected from: oxygen, sulfur, and nitrogen, provided that at least one of X1 and X2 is a heteroatom, and wherein the nitrogen atom is at least monosubstituted by R13, wherein R13 is selected from: hydrogen; unsubstituted C1-C6-alkyl; or C1-C6-alkyl substituted by halogen, hydroxyl or carboxyl; C2-C6-alkenyl; hydroxyl; C1-C6-alkoxy; C1-C4-alkylcarbonyl; toluenesulfonyl; cyano; SO2R10; —CO—(CH2)m—R14; and phenyl, which is unsubstituted or substituted by at least one substituent selected from: halogen, C1-C4-alkyl, C1-C4-alkoxy, nitro, NR9R10, SR11, trifluoromethyl, hydroxyl, cyano, carboxy, C1-C4-alkoxycarbonyl and —C1-C4-alkylenehydroxyl; and R7 is hydrogen;
- in the 6-membered saturated ring of the general structure (vi), X3 is an oxygen atom, a sulfur atom, or a nitrogen atom, wherein the nitrogen atom is at least monosubstituted by R13 wherein R13 is selected from: hydrogen; unsubstituted C1-C6-alkyl; or C1-C6-alkyl substituted by halogen, hydroxyl, or carboxyl; C2-C6-alkenyl; hydroxyl; C1-C6-alkoxy; C1-C4-alkylcarbonyl; toluenesulfonyl; cyano; SO2R10; —CO—(CH2)m—R14; and phenyl, which is unsubstituted or substituted by at least one substituent selected from: halogen, C1-C4-alkyl, C1-C4-alkoxy, nitro, N9R10, SR11, trifluoromethyl, hydroxyl, cyano, carboxy, C1-C4-alkoxycarbonyl and —C1-C4-alkylenehydroxyl; and R7 is hydrogen;
- R9 and R10 are each independently selected from: hydrogen, C1-C4-alkyl, C1-C4-alkanoyl, C1-C4-alkoxycarbonyl, C1-C4-alkylcarbonyl, carboxamide and sulfonamide, or R9 and R10, together with the nitrogen atom to which they are bonded, form a 3-, 4-, 5- or 6-membered heterocyclic ring which can have at least one further heteroatom selected from: nitrogen, oxygen and sulfur, which ring is saturated, partially unsaturated or aromatic, and either unsubstituted or substituted by at least one substituent selected from: halogen, C1-C4-alkyl, C1-C4-alkoxy, C2-C6-alkenyl, C3-C6-alkynyl, C2-C4-alkanoyl, nitro, NR9R10, SR11, trifluoromethyl, hydroxyl, cyano, carboxy, C1-C4-alkoxy carbonyl and —C1-C4-alkylenehydroxyl;
- R11, is hydrogen, C1-C4-alkyl, C1-C4-alkanoyl, or C1-C4-alkoxycarbonyl; and
- R14 is hydrogen, C1-C4-alkyl, hydroxyl, —N9R10, halogen, —SH, or —S—C1-C4-alkyl.
- In a third preferred embodiment of compounds of the general formula (Ic), A is a 5-membered saturated or unsaturated ring represented by any one of the general structures (i) to (iv);
- wherein X1 is either a methylene group or a heteroatom selected from: oxygen, sulfur, and nitrogen, except that in structures (ii) and (iv) X1 is either a methylene group or a nitrogen atom; and R6 and R13 are as defined above; or a 6-membered saturated ring represented by the general structure (vi):
- wherein R6 and R13 are as defined above.
- In a fourth embodiment of the compounds of the formula (Ic), R1 is phenyl, which is unsubstituted or substituted by 1, 2, or 3 identical or different substituents selected from: halogen, C1-C4-alkyl, C1-C4-alkoxy, nitro, NR9R10, SR11, trifluoromethyl, hydroxyl, cyano, carboxy, C1-C4-alkoxycarbonyl and —C1-C4-alkylenehydroxyl, or is a heterocycle, which is a saturated, partially unsaturated or aromatic ring containing 6 ring atoms of which 1, 2 or 3 are identical or different heteroatoms selected from: nitrogen, oxygen and sulfur, and where the heterocyclic is unsubstituted or substituted by 1, 2, or 3 identical or different substituents selected from: halogen, C1-C4 alkyl, C1-C4-alkoxy, nitro, NR9R10, SR11, trifluoromethyl, hydroxyl, cyano, carboxy, C1-C4-alkoxycarbonyl and —C1-C4-alkylenehydroxyl;
- R2 and R4 are hydrogen; and
- R3, and R5 are each independently selected from: hydroxyl, C1-C4-alkoxyl and C1-C4-alkylcarbonyloxy.
- In a first alternative embodiment, the present invention relates to compounds of general formula (Ig) prodrugs, tautomeric forms, stereoisomers, optical isomers, pharmaceutically acceptable salts, pharmaceutically acceptable solvates or polymorphs thereof
- wherein
- R1 is aryl, unsubstituted or substituted by at least one substituent selected from: halogen, C1-C4-alkyl, C1-C4-alkoxy, C2-C6-alkenyl, C3-C6-alkynyl, C2-C4-alkanoyl, nitro, N9R10, SR11, trifluoromethyl, hydroxyl, cyano, carboxy, —C1-C4-alkoxycarbonyl and —C1-C4-alkylenehydroxyl; saturated, partially unsaturated or aromatic heterocycle having 1, 2, 3 or 4 identical or different heteroatoms selected from: nitrogen, oxygen, sulfur and phosphorus, wherein the heterocycle is unsubstituted or substituted by at least one substituent selected from: halogen, C1-C4-alkyl, C1-C4-alkoxy, C2-C6-alkenyl, C3-C6-alkynyl, C2-C4-alkanoyl, nitro, N9R10, SR11, trifluoromethyl, hydroxyl, cyano, carboxy, C1-C4-alkoxycarbonyl and —C1-C4-alkylenehydroxyl; NR9R10; OR11; or SR11;
- R1 is hydrogen; C1-C4-alkyl; aryl, unsubstituted or substituted by at least one substituent selected from: halogen, C1-C4-alkyl, C1-C4-alkoxy, C2-C6-alkenyl, C3-C6-alkynyl, C2-C4-alkanoyl, nitro, NR9R10, SR11, trifluoromethyl, hydroxyl, cyano, carboxy, —C1-C4-alkoxycarbonyl and —C1-C4-alkylenehydroxyl; saturated, partially unsaturated or aromatic heterocycle having 1, 2, 3 or 4 identical or different heteroatoms selected from: nitrogen, oxygen, sulfur and phosphorus, and which is unsubstituted or substituted by at least one substituent selected from: halogen, C1-C4-alkyl, C1-C4-alkoxy, C2-C6-alkenyl, C3-C6-alkynyl, C2-C4-alkanoyl, nitro, NR9R10, SR11, trifluoromethyl, hydroxyl, cyano, carboxy, —C1-C4-alkoxycarbonyl and —C1-C4-alkylenehydroxyl; OR11; halogen; cyano; nitro; NR9R10; or SR11;
- R3, R4 and R5 are each independently selected from: hydrogen; C1-C6-alkyl; halogen; OR11; aryl C1-C4-alkoxy; C1-C4-alkylcarbonyloxy; C1-C4-alkoxycarbonyloxy; arylcarbonyloxy; carboxy; cyano; nitro; NR9R10; SR11, aryl-C1-C4-alkylthio; SO2—C1-C4-alkyl; SO2-aryl; SO2NR9R10; aryl; and saturated, partially unsaturated or aromatic heterocycle having 1, 2, 3 or 4 identical or different heteroatoms selected from: nitrogen, oxygen, sulfur and phosphorus;
- R6 is hydrogen, C1-C4-alkyl, C1-C4-alkanoyl, hydroxyl, C1-C4-alkoxyl, —C1-C4-alkoxycarbonyl, —C1-C4-alkyleneOR11, —C1-C4-alkylenehalo, C1-C4-alkyleneNR9R10, —C1-C4-alkyleneC(O)OR9, phenoxy, —NR9R10, SR12, S(O)nR12, —C(O)R12 or —C(S)R12;
- R8 is hydrogen; C1-C4-alkyl, and, C1-C4-alkoxycarbonyl, carboxamide, sulfonamide, NR9R10 or OR11;
- R9 and R10 are each independently selected from: hydrogen; C1-C6-alkyl; aryl; C1-C4-alkanoyl; heterocycle, which has 1, 2, 3 or 4 heteroatoms selected from: nitrogen, oxygen, sulfur and phosphorus; C1-C4-alkoxycarbonyl; C1-C4-alkylcarbonyl; arylcarbonyl; heterocyclocarbonyl, wherein the heterocyclo- has 1, 2, 3 or 4 heteroatoms selected from: nitrogen, oxygen, sulfur and phosphorus; carboxamide, and sulfonamide; wherein the aryl and heterocycle or heterocyclo- are either unsubstituted or substituted by at least one substituent selected from: halogen, C1-C4-alkyl, C1-C4-alkoxy, C2-C6-alkenyl, C3-C6-alkynyl, C2-C4-alkanoyl, nitro, NR9R10, SR11, trifluoromethyl, hydroxyl, cyano, carboxy, —C1-C4-alkoxycarbonyl and —C1-C4-alkylenehydroxyl; or R9 and R10, together with the nitrogen atom to which they are bonded, form a heterocyclic ring which can have at least one further heteroatom selected from: nitrogen, oxygen and sulfur and which is saturated, partially unsaturated or aromatic, the heterocyclic ring being either unsubstituted or substituted by at least one substituent selected from: halogen, C1-C4-alkyl, C1-C4-alkoxy, C2-C6-alkenyl, C3-C6-alkynyl, C2-C4-alkanoyl, nitro, NR9R10, SR11, trifluoromethyl, hydroxyl, cyano, carboxy, —C1-C4-alkoxycarbonyl and —C1-C4-alkylenehydroxyl;
- R11 is hydrogen; C1-C6-alkyl; C1-C4-alkanoyl; aryl, unsubstituted or substituted by at least one substituent selected from: halogen, C1-C4-alkyl, C1-C4-alkoxy, C2-C6-alkenyl, C3-C6-alkynyl, C2-C4-alkanoyl, nitro, NR9R10; SR11, trifluoromethyl, hydroxyl, cyano, carboxy, —C1-C4-alkoxycarbonyl and —C1-C4-alkylenehydroxyl; or C1-C4-alkoxycarbonyl;
- R12 is hydrogen; halogen; C1-C6-alkyl; aryl, unsubstituted or substituted by at least one substituent selected from: halogen, C1-C4-alkyl, C1-C4-alkoxy, C2-C6-alkenyl, C3-C6-alkynyl, C2-C4-alkanoyl, nitro, NR9R10, SR11, trifluoromethyl, hydroxyl, cyano, carboxy, —C1-C4-alkoxycarbonyl and —C1-C4-alkylenehydroxyl; NR9R10; OR11; or a heterocycle, unsubstituted or substituted by at least one substituent selected from: halogen, C1-C4-alkyl, C1-C4-alkoxy, C2-C6-alkenyl, C3-C6-alkynyl, C2-C4-alkanoyl, nitro, NR9R10, SR11, trifluoromethyl, hydroxyl, cyano, carboxy, —C1-C4-alkoxycarbonyl and —C1-C4-alkylenehydroxyl;
- Z is an oxygen atom; a sulfur atom; or NR8;
- A is a 5-membered saturated or unsaturated ring represented by any one of the general structures (i) to (v);
- wherein X1 and X2 are each independently selected from: a methylene group and a heteroatom selected from: an oxygen atom, a sulfur atom, S(O)p, and a nitrogen atom, provided that at least one of X1 and X2 is a heteroatom, and wherein the nitrogen atom is at least monosubstituted by R13, wherein R13 is selected from: hydrogen; C1-C6-alkyl, unsubstituted or substituted by at least one substituent selected from: halogen, hydroxyl, carboxyl, C1-C4-alkoxy, amino, nitro, C1-C4-alkylthio, sulfhydryl and sulfonyl; C2-C6-alkenyl, unsubstituted or substituted by at least one substituent selected from: halogen, hydroxyl, carboxyl, C1-C4-alkoxy, amino, nitro, C1-C4-alkylthio-, sulfhydryl and sulfonyl; aryl, unsubstituted or substituted by at least one substituent selected from: halogen, C1-C4-alkyl, C1-C4-alkoxy, C2-C6-alkenyl, C3-C6-alkynyl, C2-C4-alkanoyl, nitro, NR9R10, SR11, trifluoromethyl, hydroxyl, cyano, carboxy, C1-C4-alkoxycarbonyl and —C1-C4-alkylenehydroxyl; hydroxyl; C1-C4-alkoxy; —C1-C4-alkylcarbonyl; cyano; —SO2R10; and —CO—(CH2)m—R14;
- R6 is a substituent as defined above on at least one carbon atom ring member;
- R14 is hydrogen, C1-C4-alkyl, hydroxyl, NR9R10, halogen, —SH, and —S—C1-C4-alkyl;
- p is an integer of 1 or 2;
- m is an integer of 0 to 6; and
- n is an integer of 1 or 2.
- In a second embodiment of compounds of general formula (Ig), R1 is phenyl, which is unsubstituted or substituted by 1, 2, or 3 identical or different substituents selected from: halogen, C1-C4-alkyl, C1-C4-alkoxy, nitro, NR9R10, SR11, trifluoromethyl, hydroxyl, cyano, carboxy, C1-C4alkoxycarbonyl and —C1-C4-alkylenehydroxyl, or is a heterocycle, which is a saturated, partially unsaturated or aromatic ring containing 5 or 6 ring atoms of which 1, 2 or 3 are identical or different heteroatoms selected from: nitrogen, oxygen, sulfur and phosphorus, and where the heterocycle is unsubstituted or substituted by 1, 2, or 3 identical or different substituents selected from: halogen, C1-C4-alkyl, C1-C4-alkoxy, nitro, NR9R10, SR11 trifluoromethyl, hydroxyl, cyano, carboxy, C1-C4-alkoxycarbonyl and —C1-C4-alkylenehydroxyl;
- R2 is hydrogen; C1-C6-alkyl; phenyl, unsubstituted or substituted by at least one substituent selected from: halogen, C1-C4-alkyl, C1-C4-alkoxy, nitro, NR9R10, SR11, trifluoromethyl, hydroxyl, cyano, carboxy, —C1-C4-alkoxycarbonyl and —C1-C4-alkylenehydroxyl; OR11; halogen; cyano; nitro; NR9R10 or SR11;
- R3, R4 and R5 are each independently selected from: hydrogen, C1-C4alkyl, halogen, OR11, C1-C4-alkylcarbonyloxy, NR9R10, SO2NR9R10, carboxyl, cyano and nitro;
- A is a 5-membered saturated ring represented by any one of the general structures (i) to (v);
- wherein X1 and X2 are each independently selected from: a methylene group and a heteroatom selected from: oxygen, sulfur, and nitrogen, provided that at least one of X1 and X2 is a heteroatom, and wherein the nitrogen atom is at least monosubstituted by R13, wherein R13 is selected from: hydrogen; unsubstituted C1-C6-alkyl; or C1-C6-alkyl substituted by halogen, hydroxyl, or carboxyl; C2-C6-alkenyl; hydroxyl; C1-C6-alkoxy; C1-C4-alkylcarbonyl; toluenesulfonyl; cyano; SO2R10; —CO—(CH2)m—R14; and phenyl, which is unsubstituted or substituted by 1, 2, or 3 identical or different substituents selected from: halogen, C1-C4-alkyl, C1-C4-alkoxy, nitro, NR9R10, SR11, trifluoromethyl, hydroxyl, cyano, carboxy, C1-C4-alkoxycarbonyl and —C1-C4-alkylenehydroxyl;
- R9 and R10 are each independently selected from: hydrogen, C1-C4alkyl, C1-C4-alkanoyl, C1-C4-alkoxycarbonyl, C1-C4-alkylcarbonyl, carboxamide and sulfonamide; or
- R9 and R10, together with the nitrogen atom to which they are bonded, form a 3-, 4-, 5- or 6-membered heterocyclic ring which can have at least one further heteroatom selected from: nitrogen, oxygen and sulfur, which ring is saturated, partially unsaturated or aromatic and either unsubstituted or substituted by at least one substituent selected from: halogen, C1-C4-alkyl, C1-C4-alkoxy, C2-C6-alkenyl, C3-C6-alkynyl, C2-C4-alkanoy-1, nitro, NR9R10, SR11, trifluoromethyl, hydroxyl, cyano, carboxy, —C1-C4-alkoxycarbonyl and —C1-C4-alkylenehydroxyl;
- R11, is hydrogen, C1-C4-alkyl, C1-C4-alkanoyl or C1-C4-alkoxycarbonyl;
- R12 is hydrogen, halogen, C1-C4-alkyl, —N9R10, or OR9;
- R14 is hydrogen C1-C4-alkyl, hydroxyl, —N9R10, halogen, —SH, or —S—C1-C4-alkyl; and
- Z is an oxygen atom or a sulfur atom.
- In a third embodiment of compounds of formula (Ig), R1 can be phenyl, which is unsubstituted or substituted by 1, 2, or 3 identical or different substituents selected from: halogen, C1-C4-alkyl, C1-C4-alkoxy, nitro, NR9R10, SR11, trifluoromethyl, hydroxyl, cyano, carboxy, —C1-C4-alkoxycarbonyl and —C1-C4 alkylenehydroxyl; or can be a heterocycle, which is a saturated, partially unsaturated or aromatic ring containing 6 ring atoms of which 1, 2 or 3 are identical or different heteroatoms selected from: nitrogen, oxygen and sulfur, and where the heterocycle is unsubstituted or substituted by 1, 2, or 3 identical or different substituents selected from: halogen, C1-C4-alkyl, C1-C4-alkoxy, nitro, NR9R10, SR11, trifluoromethyl, hydroxyl, cyano, carboxy, C1-C4-alkoxycarbonyl and —C1-C4-alkylenehydroxyl;
- R2 and R4 can be hydrogen; and
- R3 and R5 can be each independently selected from: hydroxyl, C1-C4-alkoxyl and C1-C4-alkylcarbonyloxy.
- In a fourth embodiment of compounds of the formula (Ig), A can be represented by any one of the general structures (i) to (iv):
- wherein X1 is either a methylene group or a heteroatom selected from: oxygen, sulfur, and nitrogen, except that in structures (ii) and (iv) X1 is either a methylene group or a nitrogen atom, and wherein R13 is selected from: hydrogen; unsubstituted C1-C6-alkyl; or C1-C6-alkyl substituted by halogen, hydroxyl, or carboxyl; C2-C6-alkenyl; hydroxyl; C1-C6-alkoxy; C1-C4-alkylcarbonyl; toluenesulfonyl; cyano; SO2R10; —CO—(CH2)m—R14; and phenyl, which is unsubstituted or substituted by 1, 2, or 3 identical or different substituents selected from: halogen, C1-C4-alkyl, C1-C4-alkoxy, nitro, NR9R10, SR11, trifluoromethyl, hydroxyl, cyano, carboxy, C1-C4-alkoxycarbonyl and —C1-C4-alkylenehydroxyl.
- In a further embodiment, the present invention relates to compounds of the general formula (Ic) or (Ig), wherein R1 is phenyl or pyridinyl, substituted by 1, 2 or 3 identical or different substituents selected from: halogen and nitro, R2 and R4 are hydrogen, R3 and R5 are hydroxyl, A is a saturated 5-membered ring represented by any one of the general structures (i) to (v), wherein X1, X2, R6 and R13 are as defined. More particularly, X1 is carbon, X2 is nitrogen, R6 is —C1-C4-alkylenehydroxyl, R13 is C1-C4-alkyl and Z is an oxygen atom.
- In alternative compounds of the formula (Ia) or (Ib), the substituents R1 to R7, A and Z and the groups aryl and heterocyclo or heterocycle, independently from each other, have the following meanings. Hence, one or more of the substituents R1 to R7 and A and Z can have the preferred or particularly preferred meanings given below.
- R1 can be selected from: aryl and heterocyclo, each of which can be unsubstituted, mono- or polysubstituted by halogen, C1-C4-alkyl, C1-C4-alkoxy, hydroxyl, carboxyl, COO-alkyl, CONH2, CONHOH, CONH-alkyl, CON(alkyl)2, nitro, trifluoromethyl, amino, C1-C4-alkylamino, di-C1-C4alkylamino, or phenyl. In one embodiment, the heterocyclo can be an unsaturated 5 or 6-membered ring containing 1 or 2 nitrogen atoms, unsubstituted or mono- or polysubstituted as indicated above. In another embodiment, R1 can be selected from: unsubstituted phenyl; phenyl mono- or polysubstituted by halogen, C1-C4-alkyl, C1-C4-alkoxy, hydroxyl, carboxyl, COO-alkyl, CONH2, CONH-alkyl, CON(alkyl)2, nitro, trifluoromethyl, amino, C1-C4-alkylamino, di-C1-C4-alkylamino or phenyl; and pyridyl mono- or polysubstituted by the substituents indicated above for phenyl. In yet another embodiment, R1 can be selected from: phenyl, chlorophenyl, dichlorophenyl, chlorofluorophenyl, dichlorofluorophenyl, chlorohydroxylphenyl, chlorocarboxyphenyl, chloronitrophenyl, aminochlorophenyl, N-hydroxycarboxychlorophenyl, cyanochlorophenyl, bromophenyl, dibromophenyl, bromofluorophenyl, bromohydroxylphenyl, bromocarboxyphenyl, bromonitrophenyl, aminobromophenyl, N-hydroxycarboxybromophenyl, bromocyanophenyl, fluorophenyl, difluorophenyl, fluorohydroxylphenyl, pyridyl, chloropyridyl, dichloropyridyl, chlorofluoropyridyl, chlorohydroxylpyridyl, bromopyridyl, dibromopyridyl, bromofluoropyridyl, bromohydroxylpyridyl, fluoropyridyl, difluoropyridyl, fluorohydroxylpyridyl, and bis-trifluoromethylphenyl.
- R2 can be selected from: hydrogen, C1-C6-alkyl, C1-C6-alkoxyl, hydroxyl, nitro, amino and a halogen.
- R3, R4 and R5 can be selected from: hydrogen, C1-C4-alkyl, unsubstituted or substituted by: halogen, hydroxyl, or carboxyl; C1-C4-alkoxyl; hydroxyl; carboxyl; nitro; amino; and —O-acyl. In one embodiment, R3 and R5 are hydroxyl or C1-C4-alkylcarbonyloxy, and R4 is hydrogen.
- R6 can be selected from: hydrogen; hydroxyl; unsubstituted C1-C6-alkyl; C1-C6-alkyl substituted by halogen, hydroxyl or carboxy; C1-C6-alkoxyl; C1-C6-alkoxycarbonyl; aryloxy; amino; C1-C6-alkylamino; di C1-C6-alkylamino; and —C1-C4-alkylene-O—C1-C4-alkyl. R6 can be —C1-C4-alkylene-OH, and is preferably —CH2OH.
- R7 can be hydrogen atom.
- Z can be an oxygen atom.
- In formula (Ia) or (Ic), A can be a saturated or unsaturated 5-membered ring or a saturated 6-membered ring containing at least one heteroatom selected from: nitrogen, oxygen and sulfur, the ring being unsubstituted or at least monosubstituted by R6. The unsaturated 5-membered ring can have one or two double bonds in its ring structure. In formula (Ia), (Ib), (Ic) or (Ig), A can in particular be a saturated 5-membered ring containing 1 or 2 nitrogen atoms, and in formula (Ia) or (Ic) a saturated 6-membered ring containing 1 nitrogen atom, wherein in both cases the ring is unsubstituted or at least monosubstituted by R6.
- When A is a 5-membered ring of general structures (i) to (v) and both X1 and X2 independently represent a heteroatom selected from nitrogen, oxygen and sulfur, the following conditions apply:
- (a) A can be unsaturated as valence and stability may permit.
- (b) X1 can only be the heteroatom nitrogen in the general structures (it) and (v) and X2 can be any one of the heteroatoms indicated above,
- (c) R6 can be attached to the carbon ring member at
position 4 or 5 when A is of general structure (i), - (d) R6 can be attached to the carbon ring member at
2, 4 or 5 when A is of general structure (ii),position - (e) R6 can be attached to the carbon ring member at
2 or 4 when A is of general structure (iii),position - (f) R6 can be attached to the carbon ring member at
position 2 or 5 when A is of general structure (iv), and - (g) R6 can be attached to the carbon ring member at
2, 3 or 4 when A is of general structure (v).position - In another embodiment, compounds of formula (Ia), (Ib) or (Ig) are compounds in which A is a saturated 5-membered ring, X2 is NR13, where R13 is hydrogen, C1-C6-alkyl or acyl, X1 is a methylene group, R6 is selected from: hydrogen, unsubstituted C1-C6-alkyl, C1-C4-alkyl substituted by halogen, hydroxyl or carboxyl, and R7 is hydrogen.
- In yet another embodiment, compounds of formula (Ia) are compounds in which A is a 6-membered ring, X3 is NR13, where R13 is hydrogen, C1-C6-alkyl or acyl, R6 is selected from: hydrogen, unsubstituted C1-C6-alkyl, C1-C6-alkyl substituted by halogen, hydroxyl or carboxyl, and R7 is hydrogen.
- In a further embodiment, compounds of formula (Ia) are compounds in which A is a 7-membered ring, X3 is NR13, where R13 is hydrogen, C1-C6-alkyl or acyl, R6 is selected from: hydrogen, unsubstituted C1-C6-alkyl, C1-C6-alkyl substituted by halogen, hydroxyl or carboxyl, and R7 is hydrogen.
- R6 can be —C1-C6-alkylene-OH,
- R13 can be —CH3.
- In yet a further embodiment, compounds of formula (Ia) or (Ib) are compounds in which R2 is hydrogen, halogen, nitro, cyano, N9R10, wherein R9 and R10 are as defined above, or OR11, wherein R11 is hydrogen or alkyl; R3 and R5 are each independently selected from: hydrogen and OR11, wherein R11 is hydrogen, alkyl, acyl or aryl; R4 is hydrogen; Z is an oxygen atom, a sulfur atom, or NR8, wherein R8 is hydrogen, alkyl, aryl, carboxamide, NR9R10 or OR11, wherein R11 and R10 are each independently selected from: hydrogen, alkyl, acyl, heterocycle, alkoxycarbonyl, carboxamide and sulfonamide, and R11 is selected from: hydrogen, alkyl and acyl.
- In a still further embodiment, compounds of formula (Ia) or (Ib) are compounds in which R1 is aryl, or a heterocycle; R2 is hydrogen; at least one of R3 and R5 is OR13, wherein R11 is hydrogen or alkyl; R4 is hydrogen; R6 is hydroxymethyl, alkoxy methyl or alkylcarbonyloxymethyl; R7 is hydrogen; and Z is an oxygen atom.
- Examples of preferred compounds according to the present invention are listed below:
- (+/−)-trans-2-(2-Chloro-phenyl)-8-(2-hydroymethyl-1-methyl-pyrrolidin-3-yl)-5,7-dimethoxy-chromen-4-one;
- (+)-trans-2-(2-Chloro-phenyl)-8-(2-hydroxymethyl-1-methyl pyrrolidin-3-yl)-5,7-diethoxy-chromen-4-one;
- (+)-trans-2-(2-Chloro-phenyl)-5,7-dihydroxy-8-(2-hydroxymethyl-1-methyl-pyrrolidin-3-yl)-chromen-4-one;
- (−)-trans-2-(2-Chloro-phenyl)-8-(2 hydroxymethyl-1-methyl-pyrrolidin-3-yl)-5,7-dimethoxy-chromen-4-one;
- (−)-trans-2-(2-Chloro-phenyl)-5,7-dihydroxy-8-(2-hydroxymethyl-1-methyl-pyrrolidin-3-yl)-chromen-4-one;
- (+)-trans-2-(2-Bromo-phenyl)-8-(2-hydroxymethyl-1-methyl-pyrrolidin-3-yl)-5,7-dimethoxy-chromen-4-one;
- (+)-trans-2-(2-Bromo-phenyl)-5,7-dihydroxy-8-(2-hydroxymethyl-1-methyl-pyrrolidin-3-yl)-chromen-4-one;
- (+)-trans-2-(4-Bromo-phenyl)-8-(2-hydroxymethyl-1-methyl-pyrrolidin-3-yl)-5,7-dimethoxy-chromen-4-one;
- (+)-trans-2-(4-Bromo-phenyl)-5-hydroxy-8-(2-hydroxymethyl-1-methyl-pyrrolidin-3-yl)-7-methoxy-chromen-4-one;
- (+)-trans-2-(4-Bromo-phenyl)-5,7-dihydroxy-8-(2-hydroxymethyl-1-methyl-pyrrolidin-3-yl)-chromen-4-one;
- (+)-trans-2-(3-Chloro-phenyl)-8-(2-hydroxymethyl-1-methyl-pyrrolidin-3-yl)-5,7-dimethoxy-chromen-4-one;
- (+)-trans-2-(3-Chloro-phenyl)-5-hydroxy-8-(2-hydroxymethyl-1-methyl-pyrrolidin-3-yl)-7-methoxy-chromen-4-one;
- (+)-trans-2-(3-Chloro-phenyl)-5,7-dihydroxy-8-(2-hydroxymethyl-1-methyl-pyrrolidin-3-yl)-chromen-4-one;
- (+)-trans-8-(2-hydroxymethyl-1-methyl-pyrrolidin-3-yl)-2-(2-iodo-phenyl)-5,7-dimethoxy-chromen-4-one;
- (+)-trans-5,7-Dihydroxy-8-(2-hydroxymethyl-1-methyl-pyrrolidin-3-yl)-2-(2-iodo-phenyl)-chromen-4-one;
- (+)-trans-2-(2-Fluoro-phenyl)-8-(2-hydroxymethyl-1-methyl-pyrrolidin-3-yl)-5,7-dimethoxy-chromen-4-one;
- (+)-trans-2-(2-Fluoro-phenyl)-5,7-dihydroxy-8-(2-hydroxymethyl-1-methyl-pyrrolidin-3-yl)-chromen-4-one,
- (+)-trans-2-(3-Fluoro-phenyl)-5,7-dimethoxy-8-(2-hydroxymethyl-1-methyl-pyrrolidin-3-yl)-chromen-4-one;
- (+)-trans-2-(3-Fluoro-phenyl)-8-(2-hydroxymethyl-1-methyl-pyrrolidin-3-yl)-5,7-dimethoxy-chromen-4-one;
- (+)-trans-2-(2,6-Difluoro-phenyl)-8-(2-hydroxymethyl-1-methyl-pyrrolidin-3-yl)-5,7-dimethoxy-chromen-4-one;
- (+)-trans-2-(2,6-Difluoro-phenyl)-5,7-dihydroxy-8-(2-hydroxymethyl-1-methyl-pyrrolidin-3-yl)-chromen-4-one;
- (+/−)-trans-4-[8-(2-hydroxymethyl-1-methyl-pyrrolidin-3-yl)-5,7-dimethoxy-4-oxo-4H-chromen-2-yl]-benzonitrile;
- (+/−)-trans-4-[5,7-Dihydroxy-8-(2-hydroxymethyl-1-methyl-pyrrolidin-3-yl)-4-oxo-4H-chromen-2-yl]-benzonitrile;
- (+)-trans-4-{8-[2-hydroxymethyl-1-methyl-pyrrolidin-3-yl]-5,7-dimethoxy-4 oxo-4H-chromen-2-yl}-benzonitrile;
- (+)-trans-4-{5,7-Dihydroxy-8-[2-hydroxymethyl-1-methyl-pyrrolidin 3 yl-4-oxo-4H-chromen-2-yl}-benzonitrile;
- (+/−)-trans-8-(2-hydroxymethyl-1-methyl-pyrrolidin-3-yl)-5,7-dimethoxy-2-(4-trifluoromethyl-phenyl)-chromen-4-one;
- (+/−)-trans 5,7-Dihydroxy-8-(2-hydroxymethyl-1-methyl-pyrrolidin-3-yl)-2-(4-trifluoromethyl-phenyl)-chromen 4-one;
- (+)-trans-8-(2 hydroxymethyl-1 methyl-pyrrolidin-3-yl)-5,7-dimethoxy-2-(4-trifluoromethyl-phenyl)-chromen-4-one;
- (+)-trans-5,7-Dihydroxy-8-(2-hydroxymethyl-1-methyl-pyrrolidin-3-yl-2-(4-trifluoromethyl-phenyl)-chromen-4-one;
- (−)-trans-8-(2-hydroxymethyl-1-methyl-pyrrolidin-3-yl)-5,7-dimethoxy-2-(4-trifluoromethyl-phenyl)-chromen-4-one;
- (−)-trans-5,7-Dihydroxy-8-(2-hydroxymethyl-1-methyl-pyrrolidin-3-yl)-2-(4-trifluoromethyl-phenyl)-chromen-4-one;
- (+)-trans-8-(2-hydroxymethyl-1-methyl-pyrrolidin-3-yl)-5,7-dimethoxy-2-phenyl-chromen-4-one;
- (+)-trans-5,7-Dihydroxy-8-(2-hydroxymethyl-1-methyl-pyrrolidin-3-yl)-2-phenyl-chromen-4-one;
- (+)trans-8-(2-hydroxymethyl-1-methyl-pyrrolidin-3-yl)-5,7-dimethoxy-2 thiophen-2-yl-chromen-4-one;
- (+)-trans-5,7-Dihydroxy-8-[2-hydromethyl-1-methyl-pyrrolidin-3-yl]-2-thiophen-2-yl-chromen-4-one;
- (+)-trans-4-[5,7-Dihydroxy-8-(2-hydroxymethyl-1-methyl-pyrrolidine-3-yl)4-oxo-4H-chromen-2-yl]-3-methyl-benzonitrile;
- (+)-trans-4-[8-(2-hydroxymethyl-1-methyl-pyrrolidine-3-yl)-5,7-dimethoxy-4-oxo-4H-chromen-2-yl]-3-methyl-benzonitrile;
- (+/−)-trans-2-[2-Bromo-5-methoxy-phenyl)-8-(2-hydroxymethyl-1-methyl-pyrrolidin-3-yl]-5,7-dimethoxy-chromen-4-one;
- (+/−)-trans-2-(2-Bromo-5-methoxy-phenyl)-5,7-dihydroxy-8-(2-hydroxymethyl-1-methyl-pyrrolidin-3-yl)-chromen-4-one;
- (+)-trans-2-[2-Bromo-5-methoxy-phenyl)-8-(2-hydroxymethyl-1-methyl-pyrrolidin-3-yl]-5,7-dimethoxy-chromen-4-one;
- (+)-trans-2-(2-Bromo-5-methoxy-phenyl)-5,7-dihydroxy-8-(2-hydroxymethyl-1-methyl-pyrrolidin-3-yl)-chromen-4-one;
- (+/−)-trans-2-(2-Bromo-5-hydroxy-phenyl)-5,7-dihydroxy-8-(2-hydroxymethyl-1-methyl-pyrrolidin-3-yl)-chromen-4-one;
- (+)-trans-2-(2-Bromo-5-hydroxy-phenyl)-5,7-dihydroxy-8-(2-hydroxymethyl-1-methyl-pyrrolidin-3-yl)-chromen-4-one;
- (+/−)-trans-2-[(3,5-Bis-trifluoromethyl)-phenyl]-8-[2-hydroxymethyl-1-methyl-pyrrolidin-3-yl]-5,7-dimethoxy-chromen-4-one;
- (+/−)-trans-2-[(3,5-Bis-trifluoromethyl)-phenyl]-5,7-dihydroxy-8-[2-hydroxymethyl-1-methyl-pyrrolidin-3-yl]-chromen-4-one;
- (+)-trans-2-(2-Chloro-5-methyl-phenyl)-8-(2-hydroxymethyl-1-methyl-pyrrolidin-3-yl)-5,7-dimethoxy-chromen-4-one;
- (+)-trans-2-(2-Chloro-5-methyl-phenyl)-5,7-dihydroxy-8-(2-hydroxymethyl-1-methyl-pyrrolidin-3-yl)-chromen-4-one;
- (+)-trans-2-[2-Bromo-5-nitro-phenyl]-8-[-2-hydroxymethyl-1-methyl-pyrrolidin-3-yl]-5,7-dimethoxy-chromen-4-one;
- [2-Bromo-5 nitro-phenyl]-8-[2-hydroxymethyl-1-methyl-pyrrolidin-3-yl]-5,7-dihydroxy-chromen-4-one;
- (+/−)-trans-2-(-2-Chloro-pyridin-3-yl)-8-(2-hydroxymethyl-1-methyl-pyrrolidin-3-yl)-5,7-dimethoxy-chromen-4-one;
- (+/−)-trans-2-(-2-Chloro-pyridin-3-yl)-5,7-dihydroxy-8-(2-hydroxymethyl-1-methyl-pyrrolidin-3-yl)-chromen-4-one;
- (+/−)-trans-2-[2-Bromo-5-nitrophenyl-8-[2-hydroxymethyl-1-methyl-pyrrolidin-3-yl]-5,7-dihydroxy-chromen-4-one;
- (+)-trans-2-(-2-Chloro-pyridin-3-yl)-5,7-dihydroxy-8-(2-hydroxymethyl-1-methyl-pyrrolidin-3-yl-chromen-4-one;
- (+/−)-trans-8-(2-hydroxymethyl-1-methyl-pyrrolidin-3-yl)-5,7-dimethoxy-2-(4-nitrophenyl)-4H-chromen-4-one;
- (+/−)-trans-5,7-Dihydroxy-8-(2-hydroxymethyl-1-methyl-pyrrolidine-3-yl)-2-(4-nitrophenyl)-chromen-4-one;
- (+/−)-trans-2-(4-Aminophenyl)-5,7-dihydroxy-8-(2-hydroxymethyl-1-methyl-pyrrolidin-3-yl)-chromen-4-one;
- (+/−)-trans-8-(2-hydroxymethyl-1-methyl-pyrrolidin-3-yl)-5,7-dimethoxy-2-(2-methoxy-phenyl)-chromen-4-one;
- (+/−)-trans-5,7-Dihydroxy-8-(2-hydroxymethyl-1-methyl-pyrrolidin-3-yl)-2-(2-hydroxy-1-phenyl)-chromen-4-one;
- (+)-trans-3-Chloro-4-[8-(2-hydroxymethyl-1-methyl-pyrrolidin-3-yl)-5,7-dimethoxy-4-oxo-4H-chromen-2-yl]-benzonitrile;
- (+)-trans-3-Chloro-4-[5,7-dihydroxy-8-(2-hydroxymethyl-1-methyl-pyrrolidin-3-yl)4-oxo-4H-chromen-2-yl]-benzonitrile;
- (+)-trans-2-(4-Bromo-2-chloro-phenyl)-8-(2-hydroxymethyl-1-methyl-pyrrolidin-3-yl)-5,7-dimethoxy-1-chromen-4-one;
- (+)-trans-2-(4-Bromo-2-chloro-phenyl)-5,7-dihydroxy-8-(2-hydromethyl-1-methyl-pyrrolidin-3-yl)-chromen-4-one;
- (+/−)-trans-2-(2-Chloro-5-dimethylamino-phenyl)-8-(2-hydroxymethyl-1-methyl-pyrrolidin-3-yl)-5,7-dimethoxy-chromen-4-one;
- (+/−)-trans-2-(2-Chloro-5-methylamino-phenyl)-5,7-dihydroxy-8-(-2-hydroxy methyl-1-methyl-pyrrolidin-3-yl)-chromen-4-one;
- (+/−)-trans-2-(2-Chloro-4-methoxy-phenyl)-8-(2-hydroxymethyl-1-methyl-pyrrolidin-3-yl) 5,7-dimethoxy-chromen-4-one;
- (+/−)-trans-2-(2-Chloro-4-hydroxy-phenyl)-5,7-dihydroxy-8-[2-hydroxymethyl-1-methyl-pyrrolidin-3-yl]chromen-4-one;
- (+/−)-trans 2-(2-Chloro-5-fluoro-phenyl)-8-(2-hydroxymethyl-1-methyl-pyrrolidin-3-yl)-5,7-dimethoxy-chromen-4-one;
- (+/−)-trans-2-(2-Chloro-5-fluoro-phenyl)-5,7-dihydroxy-8-(2-hydroxymethyl 1-methyl-pyrrolidin-3-yl)-chromen-4-one;
- (+/−)-trans-2-(2-Chloro-5-methoxy-phenyl)-8-(2-hydroxymethyl-1-methyl-pyrrolidin-3-yl)-5,7-dimethoxy-chromen-4-one;
- (+/−)-trans-2-(2-Chloro-5-hydroxy-phenyl)-5,7-dihydroxy-8-(2-hydroxymethyl-1-methyl-pyrrolidin-3-yl)-chromen-4-one;
- (+/−)-trans-2-(2-Chloro-5-methoxy-phenyl)-5,7-dihydroxy-8-(2-hydroxymethyl-1-methyl-pyrrolidin-3-yl)-chromen-4-one;
- (+/−)-trans-8-(2-Azidomethyl-1-methyl-pyrrolidin-3-yl)-2-(2-chloro-phenyl)-5,7-dimethoxy-chromen-4-one;
- (+/−)-trans-8-(2-Aminomethyl-1-methyl-pyrrolidin-3-yl)-2-(2-chloro-phenyl)-5,7-dimethoxy-chromen-4-one;
- (+/−)-trans-8-(2-Aminomethyl-1-methyl-pyrrolidin-3-yl)-2-(2-chloro-phenyl)-5,7-dihydroxy-chromen-4-one;
- (+/−)-trans-3-{2-(2-Chloro-phenyl)-5,7-dimethoxy-4-oxo-4H-chromen-8-yl]-1-methyl-pyrrolidin-2-yl}-acetonitrile;
- (+/−)-trans-{3-[2-(2-Chloro-phenyl)-5,7-dihydroxy-4-oxo-4H-chromen-8-yl]-1-methyl-pyrrolidin-2-yl}acetonitrile;
- (+/−)-trans-2-(2-Chloro-phenyl)-8-(2-imidazol-1-ylmethyl-1-methyl-pyrrolidin-3-yl)-5,7-dimethoxy-1-chromen-4-one;
- (+/−)-trans-2-(2-Chloro-phenyl)-5,7-dihydroxy-8-(2-imidazol-1-ylmethyl-1-methyl-pyrrolidin-3-yl)-chromen-4-one;
- (+/−)-trans 2-[2-Chloro-phenyl-8-(2-mercaptomethyl-1-methyl-pyrrolidin-3-yl)]-5,7-dimethoxy-chromen-4-one;
- (+/−)-trans-2-(2-Chloro-phenyl)-5,7-dihydroxy-8-(2-mercaptomethyl-1-methyl-pyrrolidin-3-yl)-chromen-4-one;
- (+/−)-trans-2-(2-Chlorophenyl)-8-[3-hydroxy-1-(4-methoxyphenyl)piperidin-4-yl]-5,7-dimethoxy-chromen-4-one;
- (+/−)-trans-Acetic acid 3-[2-(2-chloro-phenyl)-5,7-dimethoxy-4-oxo-4H-chromen-8-yl]-1-(4-methoxy-phenyl)-pyrrolidin-2-ylmethyl ester;
- (+/−)-trans-2-(2-Chloro-phenyl)-8-[2-hydroxymethyl-1-(4-methoxy-phenyl)-pyrrolidin-3-yl]-5,7-dimethoxy-chromen-4-one;
- (+/−)-trans-2-(2-Chloro-phenyl)-5,7-dihydroxy-8-[2-hydroxymethyl-1-(4-methoxy-phenyl)-pyrrolidin-3-yl]-chromen-4-one;
- (+/−)-trans-Acetic acid-3-[2-(2-chloro-phenyl)-5,7-dimethoxy-4-oxo-4H-chromen-8-yl]-1-propyl-pyrrolidin-2-ylmethyl ester;
- (+/−)-trans-2-(2-Chloro-phenyl)-8-[2-hydroxymethyl-1-propyl-pyrrolidin-3-yl]-5,7-dimethoxy-chromen-4-one;
- (+/−)-trans-2-(2-Chloro-phenyl)-5,7-dihydroxy-8-(2-hydroxymethyl-1-propyl-pyrrolidin-3-yl)-chromen-4-one;
- (+/−)-trans-2-(2-Chloro-4-nitro-phenyl-5,7-dihydroxy-8-(2-hydroxymethyl-1-methyl-pyrrolidin-3-yl)-chromen-4-one;
- (+/−)-trans-2-(2-Bromo-4-nitro-phenyl-5,7-dihydroxy-8-(2-hydroxymethyl-1-methyl-pyrrolidin-3-yl)-chromen-4-one;
- (+/−)-trans-3-Chloro-4-[5,7-dihydroxy-8-(2-hydroxymethyl-1-methyl-pyrrolidin-3-yl)4-oxo-4H-chromen-2-yl]-benzoic acid;
- (+/−)-trans-3-Bromo-4-[5,7-dihydroxy-8-(2-hydroxymethyl-1-methyl-pyrrolidin-3-yl)4-oxo-4H-chromen-2-yl]-benzoic acid;
- (+/−)-trans 2-(2-Chloro-4-fluoro-phenyl)-5,7-dihydroxy-8-(2-hydroxymethyl-1-methyl-pyrrolidin-3-yl)-chromen-4-one;
- (+/−)-trans-2-(4-Amino-2-chloro-phenyl)-5,7-dihydroxy-8-(2-hydroxymethyl-1-methyl-pyrrolidin-3-yl)-chromen-4-one;
- (+/−)-trans-2-(2-Bromo-4-fluoro-phenyl)-5,7-dihydroxy-8-(2-hydroxymethyl-1-methyl-pyrrolidin-3-yl)-chromen-4-one;
- (+/−)-trans-2-(4-Amino-2-bromo-phenyl)-5,7-dihydroxy-8-(2-hydroxymethyl-1-methyl-pyrrolidin-3-yl)-chromen-4-one;
- (+/−)-trans-4-Chloro-3-[5,7-dihydroxy-8-(2-hydroxymethyl-1-methyl-pyrrolidin-3-yl)-4-oxo-4H-chromen-2-yl]-benzoic acid;
- (+/−)-trans-4-Bromo-3-[5,7-dihydroxy-8-(2-hydroxymethyl-1-methyl-pyrrolidin-3-yl)4-oxo-4H-chromen-2-yl]-benzoic acid;
- (+/−)-trans-4-Bromo-3-[5,7-dihydroxy-8-(2-hydroxymethyl-1-methyl-pyrrolidin-3-yl)4-oxo-4H-chromen-2-yl]-N-hydroxy-benzamide;
- (+/−)-trans-4-Chloro-3-[5,7-dihydroxy-8-(2 hydroxylmethyl-1-methyl-pyrrolidin-3-yl)4-oxo-4H-chromen-2-yl]-N-hydroxy-benzamide;
- (+/−)-trans-3-Chloro-4-[5,7-dihydroxy-8-(2-hydroxymethyl-1-methyl-pyrrolidin-3-yl)4-oxo-4H-chromen-2-yl]-N-hydroxy-benzamide;
- (+/−)-trans-3-Bromo-4-[5,7-dihydroxy-8-(2-hydroxymethyl-1-methyl-pyrrolidin-3-yl)4-oxo-4H-chromen-2-yl]-N-hydroxy-benzamide;
- (+/−)-trans-2-(2,4-Difluoro-phenyl)-5,7-dihydroxy-8-(2-hydroxymethyl-1-methyl-pyrrolidin-3-yl)-chromen-4-one;
- (+)-trans-2-(2-Chloro-3-fluoro-phenyl)-8-(2-hydroxymethyl-1-methyl-pyrrolidin-3-yl)-5,7-dimethoxy-chromen-4-one;
- (+)-trans-2-(2-Chloro-3-fluoro-phenyl)-5,7-dihydroxy-8-(2-hydroxymethyl-1-methyl-pyrrolidin-3-yl)-chromen-4-one;
- (+)-trans-2-(2-Bromo-3-fluoro-phenyl)-8-(2-hydroxymethyl-1-methyl-pyrrolidin-3-yl)-5,7-dimethoxy-chromen-4-one;
- (+)-trans-2-(2-Bromo-3-fluoro-phenyl)-5,7-dihydroxy-8-(2-hydroxymethyl-1-methyl-pyrrolidin-3-yl)-chromen-4-one;
- (+)-trans-2-(2-Bromo-5-fluoro-phenyl)-8-(2-hydroxymethyl-1-methyl-pyrrolidin-3-yl)-5,7-dimethoxy-chromen-4-one;
- (+)-trans-2-(2-Bromo-5-fluoro-phenyl)-5,7-dihydroxy-8-(2-hydroxymethyl-1-methyl-pyrrolidin-3-yl)-chromen-4-one;
- (+)-trans-2-(2-Chloro-5-iodo-phenyl)-8-(2-hydroxymethyl-1-methyl-pyrrolidin-3-yl)-5,7-dimethoxy-chromen-4-one;
- (+)-trans-2-(2-Chloro-5-iodo-phenyl)-5,7-dihydroxy-8-(2-hydroxymethyl-1-methyl-pyrrolidin-3-yl)-chromen-4-one;
- (+)-trans-2-(2-Bromo-5-chloro-phenyl)-8-(2-hydroxymethyl-1-methyl-pyrrolidin-3-yl)-5,7-dimethoxy-chromen-4-one;
- (+)-trans-2-(2-Bromo-5-chloro-phenyl)-5,7-dihydroxy-8-(2-hydroxymethyl-1-methyl-pyrrolidin-3-yl)-chromen-4-one;
- (+/−)-trans-2-(2-Chloro-phenyl)-5,7-dihydroxy-8-(2-hydroxymethyl-1-methyl-1-oxy-pyrrolidin-3-yl)-chromen-4-one;
- (+)-trans-2-(2-Bromo-4-nitro-phenyl)-8-(2-hydroxymethyl-1-methylpyrrolidin-3-yl)-5,7-dimethoxy-chromen-4-one;
- (+)-trans-2-(2-Bromo-4-nitro-phenyl)-5,7-dihydroxy-8-(2-hydroxymethyl-1-methyl-pyrrolidin-3-yl)-chromen-4-one;
- (+)-trans-2-(4-Amino-2-bromo-phenyl)-8-(2-hydroxymethyl-1-methyl-pyrrolidin-3-yl)-5,7-dimethoxy-chromen-4-one;
- (+)-trans-2-(4-Amino-2-bromo-phenyl)-5,7-dihydroxy-8-(2-hydroxymethyl-1-methyl-pyrrolidin-3-yl)-chromen-4-one;
- (+)-trans-2-(2-Bromo-4-methoxy-phenyl)-8-(2-hydroxymethyl-1-methyl-pyrrolidin-3-yl)-5,7-dimethoxy-chromen-4-one;
- (+)-trans-2-(2-Bromo-4-methoxy-phenyl)-5,7-dihydroxy-8-(2-hydroxymethyl-1-methyl-pyrrolidin-3-yl)-chromen-4-one;
- (+)-trans-2-(2-Bromo-4-hydroxy-phenyl) 5,7-dihydroxy-8-(2-hydroxymethyl-1-methyl-pyrrolidin-3-yl)-chromen-4-one;
- (+)-trans-Acetic acid 8-(2-acetoxymethyl-1-methyl-pyrrolidin-3-yl)-5-hydroxy-2-(4-nitro-phenyl)4-oxo-4H-chromen-7-yl ester;
- (+)-trans-2-(2,4-Dichloro-5-fluoro-phenyl)-8-(2-hydroxymethyl-1-methyl-pyrrolidin-3-yl)-5,7-dimethoxy-chromen-4-one; and
- (+)-trans-2-(2,4-Dichloro-5-fluoro-phenyl-5,7-dihydroxy-8-(2-hydroxymethyl-1-methyl-pyrrolidin-3-yl)-chromen-4-one;
- including pharmaceutically acceptable salts of the above listed compounds.
- The present invention also relates to processes for the preparation of compounds of formula (Ia), (Ib), (Ic) or (Ig) or pharmaceutically acceptable salts thereof. One such process comprises reacting a benzopyranone of formula (II)
- wherein R1, R2, R3, R4, R5 and Z have the meaning defined above and P is a functional group, with a compound of formula (III),
- wherein A is substituted by R6 and R7, and A, R6 and R7 have the meaning defined above, except that A is other than a 5-membered ring of the general structure (ii) and (v) above, wherein X1 is a nitrogen atom; Q is a functional group bound to a saturated or unsaturated carbon atom in the A ring, P and Q being capable of forming a carbon-carbon coupling between the respective carbon atoms to which they are attached, and
- i) where Q is bound to an unsaturated carbon atom, carrying out the reaction in the presence of a metal catalyst, an organic or inorganic base and an organic or inorganic solvent, and followed by treatment with a reducing agent to reduce any double bond between members at
positions 1 and 2 or 1 and 5 of 5-membered ring A, between members atpositions 1 and 6 or 1 and 2 of 6-membered ring A and between members at 1 and 2 or 1 and 7 of 7-membered ring A to a single bond, andpositions - ii) where Q is bound to a saturated carbon atom, carrying out the reaction in the presence of a suitable ligand or catalyst and a leaving group,
- and, if appropriate, converting the resultant compound of formula (Ia), (Ib), (Ic) or (Ig) into a pharmaceutically acceptable salt.
- In another process for the preparation of compounds of formula (Ia), (Ib), (Ic) or (Ig) or pharmaceutically acceptable salts thereof, a benzopyranone of formula (II):
- wherein R1, R2, R3, R4, R5 and Z have the meaning defined above and P is a functional group, is reacted with a compound of formula (IIIA),
- wherein X2 and R6 have the meaning defined above, in the presence of a metal catalyst, an organic or inorganic base and an organic or inorganic solvent, to form a nitrogen-carbon coupling between the carbon of the compound of formula (II) to which P is attached and the nitrogen of the compound of formula (IIIA), and, it appropriate, converting the resultant compound of formula (Ia), (Ib), (Ic) or (Ig) into a pharmaceutically acceptable salt.
- Alternatively, a compound of formula (Ia), (Ib), (Ic) or (Ig) or a pharmaceutically acceptable salt thereof can be prepared by reacting a compound of formula (XA):
- or a compound of formula (XIIA):
- wherein in each case R1, R2, R3, R4, R5, R6, R7 and A are as defined above, with an inorganic base, subsequently adding an acid to the reaction mixture capable of effecting cyclization, and then adding an inorganic base and, if appropriate, converting the resultant compound of formula (Ia), (Ib), (Ic) or (Ig) into a pharmaceutically acceptable salt.
- Compound of formula (XIIA) is obtained from compound of formula (XIA)
- by treatment with an appropriate carboxylic acid ester such as R1COOMe, R1COOEt etc. or with an acid chloride like R1COX wherein X is a halogen or with an activated ester such as an anhydride in the presence of a base such as NaH in a solvent such as DMF, THF or 1,4-dioxane.
- In the process, A can be selected from:
- R11 can be hydrogen and/or R13 can be methyl.
- A process for the preparation of a compound of formula (XIIIA) or a pharmaceutically acceptable salt thereof
- wherein R1, R2, R3, R4, R5, R13 and Z are as defined above, comprises reacting a compound of formula (VIIA)
- wherein R1, R2, R3, R4, R5, R13 and Z are as defined above, with a reagent suitable to effect replacement of the —OH group on the piperidino ring by a good leaving group, in the presence of an organic or inorganic base, followed by adding a suitable organic base in the presence of a suitable organic solvent to effect contraction of the piperidino ring and, if appropriate, converting the resultant compound of formula (XIII) into a pharmaceutically acceptable salt.
- A process for the preparation of a compound of formula (XXXIA) or a pharmaceutically acceptable salt thereof
- wherein R1, R2, R3, R4, R5 and Z are as defined above, comprises reacting a benzopyranone of formula (XXXA):
- wherein R1, R2, R3, R4, R5 and Z are as defined above, with N-allyl N-chlorotosylamide in the presence of an alkylborane and, if appropriate, converting the resultant compound of formula (XXXIA) into a pharmaceutically acceptable salt.
- A process for the preparation of a compound of formula (XXXVII):
- wherein R1, R2, R3, R4, R5 and Z are as defined, comprises reacting a compound of formula (XXXVI):
- wherein R1, R2, R3, R4, R5, and Z are as defined above, with a suitable reducing agent capable of converting the ester group —C(O)OEt on the imidazolyl ring into the group —CH2OH and, if appropriate, converting the resultant compound of formula (XXXVII) into a pharmaceutically acceptable salt. The compound of formula (XXXVI) above is prepared by reacting a compound of formula (XXXV):
- wherein R1, R2, R3, R4, R5 and Z are as defined, with an isocyanide in the presence of an inorganic base in an organic solvent.
- The present invention also relates to a process for the resolution of a compound of general formula (VIIIA) or a pharmaceuticallv acceptable salt thereof:
- wherein R3, R4, R5, R6, and A are as defined, which process comprises reacting the racemic compound of formula (VIIIA) with a chiral auxiliary in the presence of a solvent, crystallising out the required diastereomeric salt and subsequently treating with base to obtain the desired enantiomer of the compound of formula (VIII A).
- Compounds of general formula (Ia), (Ib), (Ic) or (Ig) and intermediates thereof may be prepared by any of the general schemes outlined below and illustrated in
FIGS. 1-6 . Unless otherwise specified, the groups A, Z, R1, R2, R3, R4, R5, R11, and R13 are as defined in respect of general formula (Ia), (Ib), (Ic) or (Ig) above. - Scheme 1 (
FIG. 1 ) - The compounds of the present invention are formed in scheme 1 by a metal catalyzed C—C bond coupling reaction well known in the art. In the compound of formula (II), P is a functional group, for example, Li, a halogen such as Cl, Br or I, a triflate or p-fluorobenzenesulfonate. In the compounds of formulae (I) and (III), A may be an optionally substituted 5-, 6- or 7-membered ring as defined above. In die case of the 5-membered rings of general structures (i), (iii) and (iv), the 6-membered ring of general structure (vi), and the 7-membered ring of general structure (vii), Q is attached to an unsaturated bond at position C1 of ring A and is a halogen or a functionality suitable for coupling with the compound of formula (II) using organometallic catalysts. If Q is triflate then P is selected from Cl, Br or I and vice-versa. Organometallic catalysts such as palladium complexes, for example, Pd(OAc)2, PdCl2(PhCN)2 and Pd(Ph3P)4 may be used for coupling. Coupling is carried out in presence of bases like sodium carbonate, potassium carbonate, piperidine and pyrrolidine, using solvents such as DMF. The double bond at position Q may be reduced after cross coupling, using standard methods like hydroboration or catalytic hydrogenation using catalysts such as palladium or platinum.
- Where Q is attached to carbon-1 bearing a single bond, the coupling of P and Q may be effected using an appropriate organostannane (wherein Q may represent the stannate part) and ligand/catalyst such as 1,3-bis(diphenylphosphino)propane, palladium diacetate, lithium chloride and diphenylmethylphosphine and a leaving group such as aryl p-fluorobenzenesulfonate. (Ref Badone, Cecchi et al, journal of Organic (Chemistry, 1992, Vol 57, 6321-6323).
- Where A is a 5-membered ring having the general structure (ii) or (v), wherein X1 is N, the 5-membered heterocycle may be coupled directly with the compound of formula (II) using a suitable catalyst such as Pd(OAc)2, PdCl2(PhCN)2, Pd(Ph3P)4 and Cu1. Coupling is carried out in presence of bases like sodium carbonate, potassium carbonate, piperidine and pyrrolidine using solvents such as DMF.
- Scheme 2 (
FIG. 2 ) - Alternatively, the preparation of compounds of general formula (Ia), (Ib), (Ic) or (Ig) (denoted as compounds of formula (XIII)) wherein Z is O, A is a 5-membered ring corresponding to general structures (i), (iii) or (iv) wherein X1 is C, X2 is NR13, R6 is alkyl and R7 is hydrogen (wherein both R6 and R7 are substitutions on A as defined hereinabove) can be carried out in accordance with the steps shown in the scheme in
FIG. 2 . - In compounds of the formulae (VI) to (XIII), the group R13 as depicted in
Scheme 2 is preferably alkyl. As outlined inScheme 2, the preparation steps up to compounds of formula (VII) starting from the compound of general formula (IV) are described in U.S. Pat. No. 4,900,727, which is incorporated herein by reference. In the conversion of the compound of formula (VII) to that of formula (VIII) inScheme 2, the hydroxyl function on the piperidine ring may be converted to a good leaving group such as tosyl, mesyl, triflate or halide by treatment with appropriate reagents like p-toluenesulfonylchloride, methanesulfonylchloride, triflic anhydride or PCl5 in the presence of an appropriate organic or inorganic base like triethylamine, pyridine, K2CO or Na2CO3, followed by ring contraction using a base such as sodium acetate in a solvent such as isopropanol. The ring contraction involved in this step may be effected before, flavone formation as depicted inScheme 2 or it may be done after building the flavone with desired substitutions. The compound of general formula (VIII) may be resolved by reacting it with a chiral auxiliary such as (+)-dibutyl tartaric acid, (+)-ketopinic acid, (+)-camphor-10-sulphonic acid or (+)-camphoric acid in the presence of a solvent such as methanol, isopropanol, diisopropyl ether, ethyl acetate or chloroform, crystallising out the required diastereomeric salt and subsequently treating with base such as NaHCO3, Na2CO, or K2CO, to obtain the desired enantiomer of compound of formula (VIII). The compound of formula (VIII) may then be treated with an acylating agent such as a carboxylic acid, an acid chloride, an acid anhydride or any activated form of an acid, in the presence of a Lewis acid catalyst such as BF3.Et2O, ZnCl2, AlCl3 or TiCl4 to obtain the corresponding acylated compound of formula (IX). Subsequently the compound of formula (IX) can be converted to the compound of formula (X) by treating it with a reagent like an acid chloride of the type R1COCl, an anhydride of the type (R1CO)2O, an ester of the type R1COOCH3 or any like reagent wherein R1 is as defined hereinabove. The said conversion can also be brought about by treating the compound of formula (IX) with an acid of the type R1COOH and phosphorus oxychloride in presence of an acid scavenger such as pyridine to obtain an acid chloride in situ under neutral conditions. Conversion of the compound of formula (IX) to the compound of formula (X) can also be brought about by a combination of R1COOH and polyphosphoric acid. The compound of the formula (IX) may be converted to that of the formula (XI) by standard ester hydrolysis using bases like KOH or NaOH in aqueous ethanol or methanol. The resultant alcohol of formula (XI) may be converted to a β-diketone of formula (XII) by treatment with an appropriate carboxylic acid ester such as R1COOMe, R1COOEt etc. or with an acid chloride like R1COX wherein X is a halogen or with an activated ester such as an anhydride in the presence of a base such as NaH in a solvent such as DMF, THF or 1,4-dioxane. The β-diketone of formula (XII) may finally be converted into the required flavone of formula (XIII) by treatment with a base such as NaH followed by cyclization using a strong acid such as concentrated HQ and subsequent treatment with a mild base such as Na2CO3, NaHCO3 or K2CO3. Alternatively, die intermediate of formula (X) may be converted into the flavone of formula (XIII) by treatment with a base such as NaH followed by cyclization using a strong acid like concentrated HQ followed by treatment with a mild base like Na2CO3, NaHCO3, or K2CO3. - An alternative method for preparing the compound of formula (VIII), which is a key intermediate in the preparation of a compound of general formula (Ia), (Ib), (Ic) or (Ig), is represented in
FIG. 6 (compound of formula (XXXXIII). - Scheme 3 (
FIG. 3 ) - Scheme 3 outlines the preparation of the intermediate compound represented by formula (XVIII), which is subsequently converted to a compound of formula (XXII) by following similar process steps as described in
Scheme 2 for the conversion of the compound of formula (VIII) to the compound of formula (XIII). The compound of formula (XXII) as prepared herein is a compound of general formula (Ia), (Ib), (Ic) or (Ig) above wherein Z is O, A is a 5-membered ring corresponding to general structure (I), (iii) or (iv) wherein X1 is C and X2 is NR13 and the substitutions R6 and R7 on A are —CH2OR11, and H, respectively. - As outlined in scheme 3, the compound of formula (XVIII) is prepared in three steps starting from an aldehyde of formula (XIV). The compound of formula (XIV) is first converted into the compound of formula (XVII) in two steps involving condensation of the compound of formula (XIV) with an appropriate ketone using a Knoevenagel reaction, followed by a Michael reaction of the resulting intermediate of formula (XV) with nitromethane in the presence of base to obtain the compound of formula (XVII). The Michael reaction in the presence of a chiral base such as proline leads to chiral compound of formula (XVII). Alternatively, the compound of formula (XVII) can be obtained by first converting the aldehyde (XIV) into the nitrostyrene derivative of formula (XVI) which in turn is reacted with an appropriate ketone by a Michael reaction, using base as described above.
- The resulting compound of formula (XVII) is then subjected to a sequence of reactions involving selective reduction of the nitro group by known methods such as treatment with Tin/HCl or Iron/HCl followed by cyclization and subsequent reduction to yield the compound of formula (XVIII). Alternatively, reductive cyclization of the compound of formula (XVII) using a catalyst like Raney nickel directly gives the compound of formula (XVIII). This pivotal intermediate is then converted to the compound of formula (XXII) as described in scheme 3. Process steps from the compound of formula (XVIII) to the compound of formula (XXII) are as described for the conversion of the compound of formula (VIII) to the compound of formula (XIII) in
scheme 2. - Scheme 4 (
FIG. 4 ) - Another method of obtaining a compound of general formula (Ia), (Ib), (Ic) or (Ig) (denoted as formula XXXI), wherein Z is O, A is a 5-membered ring represented by general structure (i), (iii) or (iv) wherein X1=C and X2=NR13, wherein R13 represents p-toluenesulfonyl (Ts), R6 is a haloalkyl group, with the halo atom preferably being Cl, and R7 is H, is described in
scheme 4. - As outlined in
scheme 4, the compound of formula (XXXI) is prepared starting from the aldehyde of formula (XXIII). The compound of formula (XXIII) is converted using a Wittig reaction to the corresponding styrene compound of formula (XXIV) which in turn is converted into the compound of formula (XXV) by a [3+2]cycloaddition with N-allyl N-chlorotosylamide in the presence of alkylboranes such as triethyl borane (Et3B) (Oshima et. al. Org. Lett., 2001, 3, 2709-2711). The compound of formula (XXV) is then converted into the compound of formula (XXXI) via the compounds of formulae (XXVI), (XXVII) and (XXVIII) as described inscheme 2. The use of an alternative intermediate of formula (XXIX) also leads to the compound of formula (XXXI) by following the above cycloaddition route. - Scheme 5 (
FIG. 5 ) - Preparation of the preferred compound of general formula (Ia) or (Ic) (denoted as the compound of formula (XXXVII), wherein A is a 5-membered ring corresponding to general structure (ii), wherein X1=N, X2=N, A is an unsaturated ring and the substitution R6 on A is —CH2OH, is depicted in Scheme 5.
- As outlined in scheme 5, the compound of formula (XXXVI) is prepared starting from the compound of formula (XXXII). The compound of formula (XXXII) on nitration provides the compound of formula (XXXIII) which on reduction gives the corresponding amino compound of formula (XXXIV) (Larget et al, Bioorganic Med. Chem. Lett., 2000, 10, 835). Conversion of amino flavone of formula (XXXIV) to the compound of formula (XXXV) may be effected by treatment with ethyl glyoxylate in methanol. Further conversion of the intermediate of formula (XXXV) to that of formula (XXXVI) may be brought about by employing the method described in the literature (Tet. Lett., 2000, 41, 5453) for the transformation of α-anilino-α-alkoxyacetates to imidazoles using tosylmethylisocyanide (TosMIC) in presence of a base such as Na2CO3 or K2CO3 in a solvent such as ethanol or methanol. The compound of formula (XXXVI) may then be converted to the required final compound of the formula (XXXVII) by reduction using a reagent like lithium aluminium hydride.
- Scheme 6 (
FIG. 6 ) - As stated herein above in respect of
scheme 2, the key intermediate of formula (VIII), which corresponds to the compound of formula (XXXXIII) inFIG. 6 , may be prepared by the alternative process steps illustrated in scheme 6. The compound of formula (XXXXIII) may be prepared starting from the chiral compound of formula (XXXVIII), which in tarn is prepared in accordance with the procedure described in Syn. Commun., 1993, 23(20), 2839-2844. The compound of formula (XXXVIII) on reacting with trimethoxybenzene (formula (XXXIX) under Friedel-Crafts conditions gives the resulting ketone of formula (XXXX), which on treatment with Ph3P═CHCH2Cl using Wittig conditions leads to the compound of formula (XXXXI). Ring opening using a mild aqueous base followed by cyclization in the presence of a base such as sodium hydride leads to the compound of formula (XXXXII). Subsequent hydrogenation of the double bond in the 5-membered ring by a conventional reducing agent gives the corresponding compound of formula (XXXXIII) (corresponding to the compound of formula (VIII) in scheme 2), which may be further converted to the compound of formula (XIII) (corresponding to the compound of general formula (Ia), (Ib), (Ic) or (Ig) by following the same process steps as described inscheme 2 for the conversion of the compound of formula (VIII) to the compound of formula XIII. - Intermediates of this invention may also be prepared by a process disclosed in the prior art or by a modification of the procedure described in U.S. Pat. No. 4,900,727, which is incorporated as reference herein.
- The compounds according to the general formula (Ia), (Ib), (Ic) or (Ig) can be used to inhibit the activity of various cyclin-dependent kinases and are helpful pharmaceutical compounds for the treatment of various diseases. In the context of the present invention, treatment includes the therapy as well as the prophylaxis of the respective diseases.
- In one embodiment, the compounds of the present invention are for use in regulating cell proliferation. The compounds of the present invention are capable of inhibiting cell proliferation and are therefore useful in treating diseases which are due to an excessive or abnormal cell growth.
- There are a wide variety of pathological conditions with excessive or abnormal cell proliferation against which the compounds of the invention can act to provide therapeutic benefits. Examples of such pathological conditions include:
- a. various cancers and leukemias including (but not limited to) the following:
- i. carcinoma, including that of bladder, breast, colon, kidney, liver, lung, ovary, pancreas, stomach, cervix, thyroid, prostate, and skin;
- ii. hematopoietic tumors of lymphoid lineage, including acute lymphocytic leukemia, B cell lymphoma, and Burkett's lymphoma;
- iii. hematopoietic tumors of myeloid lineage, including acute and chronic myelogenous leukemias and promyelocytic leukemia;
- iv. tumors of mesenchymal origin, including fibrosarcoma and rhabdomysarcoma; and
- v. other tumors including melanoma, seminoma, teratocarcinoma, osteosarcoma, neuroblastoma and glioma,
- b. chemotherapy- and/or radiation-therapy induced epithelial cytotoxicity side-effects such as alopecia;
- c. dermatology (psoriasis);
- d. bone diseases;
- e. inflammation and arthritis;
- f. fibroproliferative disorders such as those involving connective tissues, atherosclerosis and other smooth muscle proliferative disorders, as well as chronic inflammation;
- g. cardiovascular abnormalities (restenosis, tumoral angiogenesis, atherosclerosis);
- h. nephrology (glomerulonephritis);
- i. parasitology (unicellular parasites such as Plasmodium, Trypanosoma, Toxoplasma, etc);
- j. neurology (Alzheimer's disease, stroke);
- k. viral infections (cytomegalovirus, human immunodeficiency virus, herpes); and
- l. mycotic infections.
- In addition to proliferative disorders, the present compounds can be used in the treatment of differentiative disorders which result from, for example, de-differentiation of tissue, optionally accompanied by abortive reentry into mitosis. Such degenerative disorders include chronic neurodegenerative diseases of the nervous system, including Alzheimers's disease as suggested by the finding that CDK5 is involved in the phosphorylation of tau protein (J. Bio. Chem. 1995, 117, 741-749), Parkinson's disease, Huntington's chorea, amyotrophic lateral sclerosis and the like, as well as spinocerebellar degenerations. Other differentiative disorders include, for example, disorders associated with connective tissue, such as those that may occur due to de-differentiation of chondrocytes or osteocytcs, as well as vascular disorders which involve de-differentiation of endothelial tissue and smooth muscle cells, gastric ulcers characterized by degenerative changes in glandular cells, and renal conditions marked by failure to differentiate, e.g. Wilm's tumors.
- In addition to therapeutic applications (e.g., for both human and veterinary uses) it will be apparent that the compounds of the present invention can be used as a cell culture additive for controlling proliferative and/or differentiation states of cells in vitro and can also be used for ex vivo tissue generation as for example, to enhance the generation of prosthetic tissue devices for implantation such as described in U.S. Pat. No. 5,733,920 which is incorporated herein by reference.
- Differential screening assays known in the art can be used to select for those compounds of the present invention with specificity for non-human CDK enzymes. Thus, compounds which act specifically on eukaryotic pathogens, e.g., anti-fungal or anti-parasitic agents, can be selected from the subject compounds of general formula (Ia), (Ib), (Ic) or (Ig). Such inhibitors are useful in patients where fungal infections are a particular problem such as in patients with leukemias and lymphomas, diabetes mellitus, AIDS, or in people who are receiving immunosuppressive therapy.
- When selected for ant-mycotic uses the formulations of the inhibitors can be provided with those inhibitors which inhibit a cyclin-dependent kinase complex of the human pathogen with an IC50 at least an order of magnitude less than an IC50 for inhibition of a human cyclin-dependent kinase complex, though more preferably at least two or three orders of magnitude less.
- In a similar manner, certain of the present compounds can be selected on the basis of inhibitory specificity for insect or plant CDK's relative to the mammalian enzyme in a differential screen. Such insect or plant CDK inhibitors of the present invention find use in insecticides and agricultural applications, respectively.
- The present invention therefore also relates to the compounds of the formula (Ia), (Ib), (Ic) or (Ig) and/or their pharmaceutically acceptable salts and/or their prodrugs for use as pharmaceuticals (or medicaments), to the use of the compounds of the formula (Ia), (Ib), (Ic) or (Ig) and/or their physiologically tolerable salts and/or their prodrugs for the production of pharmaceuticals for the inhibition of cell proliferation or for the therapy or prophylaxis of the diseases mentioned above, for example for the production of pharmaceuticals for the therapy and prophylaxis of cancer, inflammation and arthritis, psoriasis, bone diseases, mycotic or viral infections, cardiovascular disorders, Alzheimers's disease, etc., and to methods of treatment aiming at such purposes including methods for said therapies and prophylaxes. The present invention furthermore relates to pharmaceutical compositions that contain an effective amount of at least one compound of the formula (Ia), (Ib), (Ic) or (Ig) and/or its physiologically tolerable salts and/or its prodrugs in addition to a customary pharmaceutically acceptable carrier, and to a process for the production of a pharmaceutical, which comprises bringing at least one compound of formula (Ia), (Ib), (Ic) or (Ig) into a suitable administration form using a pharmaceutically suitable and physiologically tolerable excipient and, if appropriate, further suitable active compounds, additives or auxiliaries. The pharmaceutical preparation comprises the compound of formula (Ia), (Ib), (Ic) or (Ig) in an amount adequate to inhibit proliferation of a eukaryotic cell, which may be a mammalian cell, a human pathogen, such as Candida albicans, Aspergillus fumigatus, Rhizopus arrhizus, Mucor pusillus, an insect cell or a plant cell.
- The present invention also relates to a method for the preparation of a medicament for the treatment or prevention of disorders associated with excessive cell proliferation, characterized in that at least one compound of the general formula (Ia), (Ib), (Ic) or (Ig) is used as the pharmaceutically active substance.
- The pharmaceuticals can be administered orally, for example in the form of pills, tablets, coated tablets, capsules, granules or elixirs. Administration, however, can also be carried out rectally, for example in the form of suppositories, or parentally, for example intravenously, intramuscularly or subcutaneously, in the form of injectable sterile solutions or suspensions, or topically, for example in the form of solutions or transdermal patches, or in other ways, for example in the form of aerosols or nasal sprays.
- The pharmaceutical preparations according to the invention are prepared in a manner known per se and familiar to one skilled in the art. Pharmaceutically acceptable inert inorganic and/or organic carriers and/or additives can be used in addition to the compound(s) of the formula (Ia), (Ib), (Ic) or (Ig) and/or its (their) physiologically tolerable salts and/or its (their) prodrugs, for the production of pills, tablets, coated tablets and hard gelatin capsules it is possible to use, for example, lactose, corn starch or derivatives thereof, gum arable, magnesia or glucose, etc. Carriers for soft gelatin capsules and suppositories are, for example, fats, wax, natural or hardened oils, etc. Suitable carriers for the production of solutions, for example injection solutions, or of emulsions or syrups are, for example, water, physiological sodium chloride solution or alcohols, for example, ethanol, propanol or glycerol, sugar solutions, such as glucose solutions or mannitol solutions, or a mixture of the various solvents which have been mentioned.
- The pharmaceutical preparations normally contain about 1 to 99%, preferably about 5 to 70%, most preferably from about 10 to about 30% by weight of the compounds of the formula (Ia), (Ib), (Ic) or (Ig) and/or their physiologically tolerable salts and/or their prodrugs. The amount of the active ingredient of the formula (Ia), (Ib), (Ic) or (Ig) and/or its physiologically tolerable salts and/or its prodrugs in the pharmaceutical preparations normally is from about 5 to 500 mg. The dose of the compounds of this invention, which is to be administered, can cover a wide range. The dose to be administered daily is to be selected to suit the desired effect. About 20 to 1,000 mg are preferably administered daily per patient. If required, higher or lower daily doses can also be administered. Actual dosage levels of the active ingredients in the pharmaceutical compositions of this invention may be varied so as to obtain an amount of the active ingredient which is effective to achieve the desired therapeutic response for a particular patient, composition, and mode of administration without being toxic to the patient.
- The selected dosage level will depend upon a variety of factors including the activity of the particular compound of the present invention employed, or the ester, salt or amide thereof, the route of administration, the time of administration, the rate of excretion of the particular compound being employed, the duration of the treatment, other drugs, compounds and/or materials used in combination with the particular compounds employed, the age, sex, weight, condition, general health and prior medical history of the patient being treated, and like factors well known in the medical arts.
- In addition to the active ingredients of the formula (Ia), (Ib), (Ic) or (Ig) and/or their physiologically acceptable salts and/or prodrugs and to carrier substances, the pharmaceutical preparations can contain additives such as, for example, fillers, antioxidants, dispersants, emulsifiers, defoamers, flavor corrigants, preservatives, solubilizers or colorants. They can also contain two or more compounds of the formula (Ia), (Ib), (Ic) or (Ig) and/or their physiologically tolerable salts and/or their prodrugs. Furthermore, in addition to at least one compound of the formula (Ia), (Ib), (Ic) or (Ig) and/or its physiologically tolerable salts and/or its prodrugs, the pharmaceutical preparations can also contain one or more other therapeutically or prophylactically active ingredients.
- The compounds of the present invention may be used as drugs in the treatment of proliferative disorders either alone or as part of combined therapies. For instance, the compounds of the present invention may be used in combination with known anti-cancer, cytostatic, and cytotoxic agents. If formulated as a fixed dose, such combination products employ the compounds of the present invention within the dosage range described above and the other pharmaceutically active agent within its approved dosage range. For example, the CDK inhibitor olomoucine has been found to act synergistically with known cytotoxic agents in inducing apoptosis (J. Cell Sci, 1995, 108, 2897). Compounds of general formula (Ia), (Ib), (Ic) or (Ig) may be used sequentially with known drugs such as anticancer or cytotoxic agents when a combination formulation is inappropriate.
- It is understood that modifications that do not substantially affect the activity of the various embodiments of this invention are included within the invention disclosed herein. Accordingly, the following examples are intended to illustrate, but not to limit the present invention.
- Note:
- 1) Elemental analysis: The value in parenthesis stands for the theoretical value.
- (Compound No. 1
- 1-methyl-4-piperidone (340 g, 3×103 mmol) was added slowly, to a solution of 1,3,5-trimethoxy benzene (500 g, 2.96×103 mmol) in glacial acetic acid (600 mL), maintaining the temperature of the reaction mixture below 40° C. Concentrated HCl (450 mL) was added over 20 min. The temperature was raised to 85-90° C. and the reaction mixture was stirred for 3.5 h. It was allowed to cool to 40° C., poured over crushed ice (4 kg) and stirred for 20 min. The precipitated unreacted 1,3,5-trimethoxy benzene was filtered off. The filtrate was basified, at below 10° C., to pH 11-12 using a 50% aqueous NaOH solution. The off white solid (1) obtained was filtered, washed with water and dried.
- Yield: 580 g (74%).
- mp: 117-119° C.
- IR cm−1: 1600, 2800.
- 1HNMR (CDCl3): δ 6.15 (s, 2H), 5.55 (s, 1H), 3.75 (s, 6H), 3.85 (s, 3H), 3.1 (d, 2H), 2.55 (t, 2H), 2.4 (s, 3H), 2.35 (s, 1H), 2.0 (s, 1H).
- MS: m/e 263 (M+).
- (Compound No. 2)
- Boron trifluoride etherate (300 mL, 2.37 mol) was added slowly with stirring, under an atmosphere of nitrogen, at 0° C., to a solution of compound (I) (300 g, 1.14×103 mmol) and NaBH4 (75 gm, 1.97×103 mmol) in dry THF (2.25 L). The temperature of the reaction mixture was slowly raised to 55° C. and it was stirred for 1.5 h. It was cooled to 30° C. Ice cold water (100 mL) was slowly added followed by acidification with concentrated HCl (375 mL). The reaction mixture was stirred for 1 h at 50-55° C. It was cooled to 30° C. and basified using 50% aqueous NaOH solution to pH 11-12. Hydrogen peroxide (30%, 225 mL) was added over 0.5 h. The reaction mixture was stirred at 55-60° C. for 1.5 h. It was cooled to 30° C. and sufficient water added to dissolve the precipitated salts. The organic layer was separated and the aqueous portion extracted with EtOAc (2×1 L). The organic extracts were dried (anhy. Na2SO4) and concentrated. The crude viscous brown oil obtained was treated with 4N HCl (1.2 L) and extracted with EtOAc (2×500 mL). The aqueous portion was cooled, basified with 50% aqueous NaOH solution and extracted using EtOAc (2×1 L). The organic extract was dried (anhy. Na2SO4) and concentrated to give the product (2).
- Yield: 210 g (65.6%).
- mp: 89-91° C.
- IR cm−1: 3500.
- 1HNMR (CDCl3): δ 6.15 (s, 2H), 4.4 (m, 1H), 3.79 (s, 3H), 3.74 (s, 6H), 2.4 (s, 3H), 3.3 (m, 1H), 2.55 (t, 2H), 2.35 (s, 1H), 2.0 (s, 1H).
- MS: m/e 281 (M+), 263 (M-H2O).
- Distilled triethyl amine (344 mL, 2.49×103 mmol) was added slowly to a solution of compound (2) (350 g, 1.25×103 mmol) in dry CH2Cl, (2.5 L). To the reaction mixture methanesulfonyl chloride (122 mL, 171.1 g, 1.49×103 mmol) was added with stirring, at 0° C., under an atmosphere of N2, and over a period of 20 mm. The reaction mixture was further stirred for 1 h at 0° C. It was poured over saturated aqueous NaHCO3 solution (1.5 L). The organic layer was separated, washed with brine, dried (anhy. Na2SO4) and concentrated to obtained the O-mesylated derivative. It was dissolved in distilled isopropyl alcohol (1.5 L), anhydrous sodium acetate (408 g, 4.97 mmol) was added and the reaction mixture was refluxed for 1 h. It was cooled to room temperature. Sodium acetate was filtered off and washed with CHCl3. The filtrate was concentrated to obtain the title compound (3), which was purified using a silica gel column and 60% EtOAc/petroleum ether 60-80° C. as eluant.
- Yield: 241 g (60%).
- 1HNMR (CDCl3): δ 6.15, (s, 2H), 3.92 (m, 1H), 3.79 (s, 3H), 3.74 (s, 6H), 3.6 (dd, 1H), 3.45 (dd, 1H), 3.2 (m, 1H), 2.78 (m, 1H), 2.6 (m, 1H), 2.42 (s, 3H), 2.2 (s, 3H), 2.0 (m, 2H).
- MS: m/e 323 (M+).
- A 10% aqueous NaOH solution (596 mL, 149 mmol) was added to a solution of the product (3) (241 g, 746 mmol) in methanol (596 ml). The reaction mixture was stirred at 50° C. for 45 min. It was concentrated to approximately half its volume and then poured into ice water (2 L). It was then extracted using ethyl acetate (2×1 L), washed with brine and dried (anhy. Na2S4) to obtain the title compound (4) as a light yellow syrup.
- Yield: 198 g (94%).
- 1HNMR (CDCl3): δ 6.15 (s, 2H), 3.92 (m, 1H), 3.79 (s, 3H), 3.74 (s, 6H), 3.6 (dd, 1H), 3.45 (dd, 1H), 3.2 (m, 1H), 2.78 (m, 1H), 2.6 (m, 1H), 2.42 (s, 3H), 2.0 (m, 2H).
- MS: m/e 281 (M+), 249 (M−31).
- (+/−)-trans-[1-Methyl-3-(2,4,6-trimethoxy-phenyl)-pyrrolidin-2-yl]-methanol (Compound No. 4) (27.3 g, 97.1 mmol), was dissolved in methanol (100 mL) and heated to 70° C. To this hot solution was added (+)DBTA (36.51 g, 101.9 mmol) and the heating was continued for 10 min. It was concentrated to get a solid (63.81 g), which was crystallized using methanol (45 mL) and isopropanol (319 mL). Filtration and an isopropanol wash with subsequent drying afforded the crystalline tartarate salt (13.14 g), [α]D 25=+55.34° (c=1.14, methanol). This product was then recrystallized using methanol (10 mL) and isopropanol (40 mL). It was isolated as described above, yield: 9.04 g, [α]D 25=+49.67° (c=1.248, methanol). The free base was obtained from this product as follows.
- The salt (9 g) was suspended in ethyl acetate (100 mL). To this suspension 5% aqueous NaHCO3 solution (100 mL) was added and the mixture was stirred for 30 minutes. The organic portion was separated and the aqueous portion was further extracted using ethyl acetate (2×50 mL). The organic portions were combined and concentrated to obtain the title compound (5).
- Yield: 3.6 g (91.51%).
- [α]D 25=−17.6° (c=1.1, methanol).
- 1HNMR (CDCl3): δ 6.15 (s, 2H), 3.92 (m, 1H), 3.79 (s, 3H), 3.74 (s, 6H), 3.6 (dd, 1H), 3.45 (dd, 1H), 3.2 (m, 1H), 2.78 (m, 1H), 2.6 (m, 1H), 2.42 (s, 3H), 2.0 (m, 2H).
- MS: m/e 281 (M+), 249 (M-31).
- BF3-etherate (32.5 mL, 250 mmol) was added dropwise, with stirring, at 0° C., under N, atmosphere to a solution of product (5) (14.4 g, 51 mmol) in acetic anhydride (26 mL, 250 mmol). The reaction mixture was stirred at room temperature for 2 h. It was poured over crushed ice (1 kg) and basified using a saturated aqueous Na2CO3 solution. It was extracted using EtOAc (3×200 mL). The organic extract was washed with brine, dried (anhy. Na2SO4) and concentrated to get title compound (6).
- Yield: 11.5 g (64%).
- 1HNMR (CDCl3): δ 14.2 (s, 1H), 5.95 (s, 1H), 4.1 (d, 2H), 3.92-3.75 (m, 7H), 3.25 (m, 1H), 2.82 (m, 2H), 2.65 (s, 3H), 2.5 (s, 3H), 2.1 (m, 5H).
- [α]D 25=−7.02° (c=0.7, methanol).
- To a solution of (−)-trans-Acetic acid 3-(3-acetyl-2-hydroxy-4,6-dimethoxy-phenyl)-1-methyl-pyrrolidin-2-yl methyl ester (11 g, 31 mmol), obtained from compound (4), as described in Example 6 in methanol (25 ml) was added with stirring, at room temperature, a 10% aqueous NaOH (25 mL, 62 mmol) solution. The temperature of the reaction mixture was raised to 50° C. for 45 min. It was cooled to room temperature, acidified using concentrated HQ and concentrated to remove methanol. It was basified using a saturated aqueous. Na2CO3 solution. The precipitated title compound (7) was filtered, washed with water and dried.
- Yield: 8.5 g, (87%).
- 1HNMR (CDCl3): δ 5.9 (s, 1H), 3.98 (m, 1H), 3.9 (two singlets, 6H), 3.6 (dd, 1H), 3.38 (d, 1H), 3.15 (m, 1H), 2.8 (m, 1H), 2.6 (s, 3H), 2.58 (m, 1H), 2.4 (s, 3H), 2.0 (m, 2H).
- MS: m/e 309 (M+), 278 (M−31).
- Sodium hydride (50%, 2.17 g, 45.3 mmol) was added in portions to a solution of compound (7) (2.8 g, 9 mmol) in dry DMF (30 mL) at 0° C., under nitrogen atmosphere and with stirring. After 10 min. methyl 2-chlorobenzoate (5.09 g, 29.9 mmol) was added. The reaction mixture was stirred at room temperature for 2 h. Methanol was added carefully at below 20° C. followed by, addition of concentrated HQ (25 ml) and passage of a strong stream of HCl gas for 2 h. The reaction mixture was poured over crushed ice (300 g) and made basic using a saturated aqueous Na2CO3 solution. The mixture was extracted using CHCl3), (3×200 ml).
- The organic extract was washed with water, dried (anhy. Na2SO4) and concentrated to obtain the title compound (8) which was purified using a silica gel column and a mixture of 2% methanol+1% liquor ammonia in CHCl3, as eluant.
- Yield: 2.5 g (64.6%).
- mp: 95-97° C.
- IR cm−1: 3400, 1660.
- 1HNMR (CDCl3): δ 7.7 (dd, 1H), 7.55 (m, 1H), 7.45 (m, 2H), 6.45 (s, 1H), 6.55 (s, 1H), 4.17 (m, 1H), 3.95 (s, 3H), 4.05 (s, 3H), 3.65 (dd, 1H), 3.37 (dd, 1H), 3.15 (m, 1H), 2.77 (d, 1H), 2.5 (m, 1H), 2.3 (s, 3H), 2.05 (m, 2H).
- MS: m/e 430 (M+), 398 (M-31).
- Analysis: C23H24ClO5N.2H2O, C, 59.67 (59.29); H, 5.37 (6.05); N, 3.24 (3.0); Cl, 7.56 (7.6).
- A mixture of compound (8) (0.25 g, 0.5 mmol) and dry pyridine hydrochloride (2.5 g, 21 mmol) was heated at 180° C. for 1.5 h. The reaction mixture was cooled to room temperature, treated with water (50 mL) and basified using an aq. saturated Na2CO3 solution. It was extracted using CHCl3 (3×100 mL). The organic extract was washed with water, dried (anhy. Na2SO4) and concentrated. Traces of pyridine were removed using high vacuum. Purification was carried out using a silica gel column and a mixture of 5% methanol+1% liquor ammonia in CHCl3 as eluant to obtain title compound (9).
- Yield: 0.133 g (56%).
- mp: 228-230° C.
- 1HNMR (CDCl3): δ 12.6 (s, 1H), 7.5 (m, 4H), 6.45 (s, 1H), 6.3 (s, 1H), 4.15 (m, 1H), 3.9 (m, 2H), 3.29 (m, 2H), 2.92 (m, 1H), 2.78 (s, 3H), 2.48 (m, 1H), 1.98 (m, 1H).
- MS: m/e 402 (M+1), 384 (M−18), 370 (M−31).
- IR cm−1: 3350, 3180, 1680.
- Analysis: C21H20ClNO5.2H2O, C, 59.45 (60.00); H, 5.17 (5.28); N, 3.68 (3.33); Cl, 8.84 (8.44).
- Compound (5) was converted into (−)-trans-1-[2-Hydroxy-3-(2-hydroxymethyl-1-methy-pyrrolidin-3-yl)-4,6-dimethoxyphenyl]-1-ethanone (compound (10) using the procedures described in examples 6 & 7. Compound (10) (0.75 g, 2.4 mmol), was reacted with methyl 2-chlorobenzoate (1.36 g, 7.9 mmol) in dry DMF (15 mL) in the presence of NaH (50%, 0.582 g, 12.9 mmol), using the procedure described in example 8 to get the title compound (11).
- Yield: 0.67 g (64%).
- mp: 95-97° C.
- IR cm−1: 3400, 1660.
- 1HNMR (CDCl3): δ 7.7 (dd, 1H), 7.55 (m, 1H), 7.45 (m, 2H), 6.45 (s, 1H), 6.55 (s, 1H), 4.17 (m, 1H), 3.95 (s, 3H), 4.05 (s, 3H), 3.65 (dd, 1H), 3.37 (dd, 1H), 3.15 (m, 1H), 2.77 (d, 1H), 2.5 (m, 1H), 2.3 (s, 3H), 2.05 (m, 2H).
- MS: m/e 430 (M+), 398 (M−31).
- Analysis: C23H24ClNO5.2H2O, C, 59.67 (59.29); H, 5.37 (6.05); N, 3.24 (3.0); Cl, 7.56 (7.6).
- Compound (11) (0.4 g, 0.9 mmol) subjected to demethylation using pyridine, hydrochloride (4.1 g, 35.4 mmol) as described in example 9, afforded the title compound (12).
- Yield: 0.2 g, (56%).
- mp: 228-230° C.
- 1HNMR (CDCl3): δ 12.6 (s, 1H), 7.5 (m, 4H), 6.45 (s, 1H), 6.3 (s, 1H), 4.15 (m, 1H), 3.9 (m, 2H), 3.29 (m, 2H), 2.92 (m, 1H), 2.78 (s, 3H), 2.48 (m, 1H), 1.98 (m, 1H).
- MS: m/e 402 (M+1), 384 (M−18), 370 (M−31).
- IR cm−1: 3350, 3180, 1680.
- Analysis: C21H20ClNO5.2H2O, C, 59.45 (60.00); H, 5.17 (5.28); N, 3.68 (3.33); Cl, 8.84 (8.44).
- [α]D 25=+12.12° (c=0.132, methanol:CHCl3, 40:60).
- (+)-trans-1-[2-Hydroxy-3-(2-hydroxymethyl-1-methyl-pyrrolidin-3-yl)-4,6-dimethoxyphenyl]-1-ethanone (compound 13), was prepared from (+)-trans-[1-Methyl-3-(2,4,6-trimethoxy-phenyl)-pyrrolidin-2-yl]-methanol using the procedures described in examples 6 & 7.
Compound 13, (0.7 g, 2.2 mmol) was reacted withmethyl 2 chlorobenzoate (1.15 g, 6.75 mmol) in dry DMF (15 mL) in the presence of NaH (50%, 0.54 g, 11.25 mmol), using the procedure described in example 8 to afford the title compound (14). - Yield: 0.25 g (26%).
- mp: 95-97° C.
- IR cm−1: 3400, 1660.
- 1HNMR (CDCl3): δ 7.7 (dd, 1H), 7.55 (m, 1H), 7.45 (m, 2H), 6.45 (s, 1H), 6.55 (s, 1H), 4.17 (m, 1H), 4.05 (s, 3H), 3.95 (s, 3H), 3.65 (dd, 1H), 3.37 (dd, 1H), 3.15 (m, 1H), 2.77 (d, 1H), 2.5 (m, 1H), 2.3 (s, 3H), 2.05 (m, 2H).
- MS: m/e 430 (M+), 398 (M−31).
- Compound (14) (0.2 g, 0.46 mmol) subjected to demethylation using pyridine hydrochloride (2 g, 17.3 mmol), as described in example 9, afforded the title compound (15).
- Yield: 0.1 g (56%).
- mp: 228-230° C.
- 1HNMR (CDCl3): δ 12.6 (s, 1H), 7.5 (m, 4H), 6.45 (s, 1H), 6.3 (s, 1H), 4.15 (m, 1H), 3.9 (m, 2H), 3.29 (m, 2H), 2.92 (m, 1H), 2.78 (s, 3H), 2.48 (m, 1H), 1.98 (m, 1H).
- MS: m/e 402 (M+1), 384 (M−18), 370 (M−31).
- IR cm−1: 3350, 3180, 1680.
- Analysis: C21H21ClNO5.2H2O, C, 59.45 (60); H, 5.17 (5.28); N, 3.68 (3.33); Cl, 8.84 (8.44).
- [α]D 25=−12.28° (c=0.114, methanol:CHCl3, 40:60).
- Compound (10) (0.7 g, 2.26 mmol) in dry DMF (10 mL) was reacted with methyl 2-bromobenzoate (1.6 g, 7.44 mmol) in the presence of NaH (50%, 0.54 g, 11.3 mmol) as detailed in example 8, to afford the title compound (16).
- Yield; 0.4 g (37.3%).
- 1HNMR(CDCl3): δ 7.7 (d, 1H), 7.65 (t, 1H), 7.4 (m, 2H), 6.45 (s, 1H), 6.4 (s, 1H), 4.15 (m, 1H), 3.9 (two singlets, 6H), 3.65 (dd, 1H), 3.38 (d, 1H), 3.08 (m, 1H), 2.68 (d, 1H), 2.45 (m, 1H), 2.27 (s, 3H), 2.05 (m, 2H).
- MS: m/e 474 (M+), 442 (M−31).
- Compound (16) (0.36 g, 0.76 mmol) subjected to demethylation using pyridine hydrochloride (3.6 g, 31.6 mmol) as described in example 9, afforded the title compound (17).
- Yield: 0.182 g (58%).
- mp: 235-237° C.
- 1HNMR (CDCl3): δ 12.75 (s, 1H), 7.86 (d, 1H), 7.74 (d, 1H), 7.56 (m, 2H), 6.44 (s, 1H), 6.12 (s, 1H), 3.78 (m, 1H), 3.6-3.12 (m, 3H), 2.9 (m, 1H), 2.85 (m, 1H), 2.4 (s, 3H), 2.15 (m, 1H), 1.8 (m, 1H).
- IR cm−1: 3450, 1660.
- MS: m/e 447 (M+), 428 (M−32).
- Analysis: C21H20BrNO5, C, 56.53 (56.52); H, 4.65 (4.52); N, 4.17 (3.14); Br, 17.75 (17.90).
- Compound (10) (0.83 g, 2.6 mmol) in dry DMF (10 mL) was reacted with methyl 4-bromobenzoate (1.87 g, 8.70 mmol) in the presence of NaH (50%, 0.63 g, 13.18 mmol) as described in example 8, to afford the title compound (18).
- Yield: 0.97 g (78%).
- 1HNMR(CDCl3): δ 7.9 (d, 2H), 7.6 (d, 2H), 6.65 (s, 1H), 6.45 (s, 1H), 4.35 (m, 1H), 4.05 (two singlets, 6H), 3.75 (dd, 1H), 3.35 (m, 2H), 2.75 (m, 2H), 2.45 (s, 3H), 2.15 (m, 2H).
- MS: m/e 474 (M+), 442 (M−32).
- and
- Compound (18) (0.61 g, 1.29 mmol) subjected to demethylation with pyridine hydrochloride (6.1 g, 52.81 mmol) as described in example 9, afforded the two title compounds (19) and (20) which were separated using column chromatography.
- Compound 19:
- Yield: 0.2 g (36%).
- mp.: 163-165° C.
- IR cm−1: 3420, 2970, 1680.
- 1HNMR (DMSO d6): δ 13.1 (s, 1H), 8.1 (d, 2H), 7.8 (d, 2H), 7.1 (s, 1H), 6.65 (s, 1H), 3.99 (m, 4H), 3.55 (m, 2H), 3.3 (m, 1H), 2.75 (m, 1H), 2.45 (s, 3H), 2.05 (m, 2H).
- MS: m/e 461 (M+), 428 (M−32).
- Analysis: C22H22BrNO5.H2O, C, 54.95 (55.24); H, 4.66 (5.05); N, 3.39 (2.93); Br, 16.68 16.70.
- Compound 20:
- Yield: 0.21 g (38%).
- mp: 193-195° C.
- IR cm−1: 3410, 1710.
- 1HNMR (DMSO d6): δ 12.85 (s, 1H), 8.09 (d, 2H), 7.8 (d, 2H), 6.95 (s, 1H), 6.15 (s, 1H), 4.0 (m, 1H), 3.5-3.25 (m, 2H), 3.2 (s, 1H), 2.95 (m, 2H), 2.5 (s, 3H), 2.25 (m, 1H), 1.97 (m, 1H).
- MS: m/e 446 (M+), 428 (M−18), 414 (M−32).
- Analysis: C21H20BrNO5.H2O, C, 54.00 (54.23); H, 4.59 (4.76); N, 3.10 (3.01); Br, 17.37 (17.17).
- Compound (10) (1 g, 3.24 mmol) in DMF (15 mL), reacted with methyl 3-chlorobenzoate (2.66 g, 15.6 mmol) in the presence of NaH (0.776 g, 16.16 mmol) as described in example 8, afforded the title compound (21).
- Yield: 0.35 g (25%).
- 1HNMR (CDCl3): δ 8.08 (d, 1H), 7.9 (d, 1H), 7.45 (m, 2H), 6.65 (s, 1H), 6.45 (s, 1H), 4.4 (m, 1H), 4.0 (two doublets, 6H), 3.75 (dd, 1H), 3.35 (m, 2H), 2.75 (m, 2H), 2.45 (s, 3H), 2.1 (m, 2H).
- MS: m/e 430 (M+1), 398 (M−32).
- and
- Compound (21) (0.25 g, 0.58 mmol) subjected to demethylation using pyridine hydrochloride (2.5 g, 21.64 mmol) as described in example 9, afforded the title compounds (22) and (23).
- Compound (22):
- Yield: 0.035 g (17%).
- mp: 146-147° C.
- IR cm−1: 3300, 1650.
- 1HNMR (DMSO d6): δ 13.1 (s, 1H), 8.27 (s, 1H), 8.1 (d, 1H), 7.65 (m, 2H), 7.15 (s, 1H), 6.65 (s, 1H), 4.4 (bs, 1H), 3.95 (s, 3H), 3.6-3.3 (m, 2H), 3.12 (m, 1H), 2.9-2.6 (m, 2H), 2.45 (s, 3H), 2.05 (m, 2H).
- MS: m/e 416 (M−), 384 (M−32).
- Analysis: C22H22ClNO5.2H2O C, 58.76 (58.47); H, 5.19 (5.70); N, 3.34 (3.1); Cl, 7.43 (7.84).
- Compound (23):
- Yield: 0.085 g (41%).
- mp: 215-217° C.
- IR cm−1: 3400, 1660.
- 1HNMR (DMSO d6): δ 12.8 (s, 1H), 8.2 (s, 1H), 8.08 (d, 1H), 7.65 (m, 2H), 7.0 (s, 1H), 6.18 (s, 1H), 4.0 (m, 1H), 3.6-3.1 (m, 2H), 3.0 (m, 3H), 2.45 (s, 3H), 2.25 (m, 1H), 1.98 (m, 1H).
- MS: m/e 402 (M−), 384 (M−18), 370 (M−32).
- Analysis: C21H20ClNO5.½H2O, C, 61.18 (61.39); H, 5.03 (5.15); N, 3.46 (3.4); Cl, 8.97 (8.62).
- Compound (10) (0.45 g, 1.46 mmol) in dry DMF (10 mL) reacted with methyl 2-iodobenzoate (2.5 g, 9.54 mmol) in the presence of NaH (0.35 g, 50%, 7.29 mmol) as described in example 8, afforded die title compound (24).
- Yield: 0.29 g (40%).
- 1HNMR (CDCl3): δ 7.98 (d, 1H), 7.5 (m, 2H), 7.3 (s, 1H), 6.45 (s, 1H), 6.35 (s, 1H), 4.15 (m, 1H), 4.0 (two singlets, 6H), 3.7 (dd, 1H), 3.55 (d, 1H), 3.25 (m, 1H), 3.05 (m, 1H), 2.57 (m, 1H), 2.4 (s, 3H), 2.15 (m, 2H).
- MS: m/e 522 (M+1), 490 (M−32).
- Compound (24) (0.29 g, 0.588 mmol) subjected to demethylation using pyridine hydrochloride (3 g, 25.97 mmol) as described in example 9, afforded the title compound (25).
- Yield: 0.145 g (50%).
- mp: 233-235° C.
- IR cm−1: 3400, 1660.
- 1HNMR (DMSO d6): δ 12.8 (s, 1H), 8.2 (s, 1H), 8.08 (d, 1H), 7.65 (m, 2H), 7.0 (s, 1H), 6.18 (s, 1H), 4.0 (m, 1H), 3.6-3.1 (m, 2H), 3.0 (m, 3H), 2.45 (s, 3H), 2.25 (m, 1H), 1.98 (m, 1H).
- MS: m/e 494 (M+) 368 (M−127).
- Analysis: C21H20INO5.H2O C, 49.5 (49.33); H, 4.05 (4.33); N, 2.84 (2.73); I, 24.48 (24.81).
- [α]D 25=+1.92° (c=0.208, 1:1MeOH:CHCl3).
- Compound (10) (0.8 g, 2.5 mmol) in dry DMF (10 mL) treated with methyl 2-fluorobenzoate (1.76 g, 11.42 mmol) in the presence of NaH (0.62 g, 50%, 12.9 mmol) as described in example 8, afforded the title compound (26).
- Yield: 0.68 g (65%).
- 1HNMR (CDCl3): δ 7.98 (d, 1H), 7.5 (m, 2H), 7.3 (s, 1H), 6.45 (s, 1H), 6.35 (s, 1H), 4.15 (m, 1H), 4.0 (two singlets, 6H), 3.7 (dd, 1H), 3.55 (d, 1H), 3.25 (m, 1H), 3.05 (m, 1H), 2.57 (m, 1H), 2.4 (s, 3H), 2.15 (m, 2H).
- MS: m/e 414 (M+1), 382 (M−32).
- Compound (26) (0.07 g, 0.169 mmol) subjected to demethylation with pyridine, hydrochloride (1 g, 8.65 mmol) as described in example 9, afforded the title compound (27).
- Yield: 0.017 g (26%).
- mp: 206-208° C.
- IR cm−1: 3400, 1660.
- 1HNMR (DMSO d6): δ 12.8 (s, 1H), 8.08 (m, 1H), 7.65 (m, 1H), 7.4 (m, 2H), 6.68 (s, 1H), 6.18 (s, 1H), 4.2 (m, 1H), 3.85 (dd, 1H), 3.7 (m, 1H), 3.58 (m, 1H), 3.48 (m, 1H), 3.3 (m, 1H), 2.85 (s, 3H), 2.35 (m, 2H).
- MS: m/e 386 (M+1).
- Analysis: C21H20FNO5.H2O, C, 63.09 (62.53); H, 5.5 (4.99); N, 3.4 (3.4)
- Compound (10) (0.83 g, 2.69 mmol) in dry DMF (10 mL) reacted with methyl 3-fluorobenzoate (1.82 g, 11.82 mmol) in the presence of NaH (0.64 g, 50%, 13.33 mmol) as described in example 8, afforded the title compound (28).
- Yield: 0.73 g (68%).
- 1HNMR (CDCl3): δ 8.05 (t, 2H), 7.65 (dd, 1H), 7.45 (m, 1H), 7.12 (s, 1H), 6.6 (s, 1H), 4.35 (m, 1H), 3.95 (two doublets, 6H), 3.6-3.25 (m, 4H), 3.05 (m, 1H), 2.65 (m, 1H), 2.35 (s, 3H), 1.97 (m, 2H).
- MS: m/e 414 (M+1), 382 (M−32).
- Compound (28) (0.51 g, 1.23 mmol) demethylated using pyridine hydrochloride (5.1 g, 44.15 mmol) as described in example 9, gave die title compound (29).
- Yield: 0.25 g (52.8%).
- mp: 218-220° C.
- IR cm−1: 3390, 1660.
- 1HNMR (DMSO d6): δ 12.85 (s, 1H), 8.0 (m, 2H), 7.65 (m, 1H), 7.45 (m, 1H), 7.05 (s, 1H), 6.18 (s, 1H), 4.05 (m, 1H), 3.7-3.2 (m, 2H), 2.95 (m, 3H), 2.5 (s, 3H), 2.25 (m, 1H), 1.98 (m, 1H).
- MS: m/e 386 (M+1), 368 (M−18), 354 (M−32).
- Analysis: C21H20FNO5.½H2O, C, 63.25 (63.96); H, 5.09 (5.36); N, 3.57 (3.55).
- Compound (10) (1.5 g, 4.85 mmol) in dry DMF (20 mL) was reacted with 2,6-difluoro-1-benzoyl chloride (0.8 mL, 1.13 g, 6.4 mmol) at 0-5° C., in the presence of NaH (1.02 g, 50%, 21.25 mmol) as described in example (8).
- The reaction mixture was diluted with ice water and extracted using EtOAc (3×100 mL). The organic portion was washed with water, dried (anhy. Na2SO4) and concentrated. The semisolid residue thus obtained was treated with concentrated HQ (50 mL) and stirred at room temperature for 2 h. Further purification done as described in example 8, afforded the title compound (30).
- Yield: 0.09 g (5%).
- 1HNMR (CDCl3): δ 7.5 (m, 1H), 7.1 (t, 2H), 6.42 (two singlets, 2H), 4.11 (m, 1H), 3.97 (two singlets, 6H), 3.66 (dd, 1H), 3.52 (d, 1H), 3.25 (m, 1H), 2.95 (m, 1H), 2.65 (m, 1H), 2.45 (s, 3H), 2.0 (m, 2H).
- MS: m/e 432 (M+1), 400 (M−32).
- Compound (30) (0.09 g, 0.208 mmol) subjected to demethylation using pyridine hydrochloride (1 g, 8.66 mmol), as described in example 9, afforded the title compound (31).
- Yield: 0.032 g (38%).
- mp: 242-244° C.
- IR cm−1: 3300, 1660.
- 1HNMR (DMSO d6): δ 12.65 (s, 1H), 7.75 (m, 1H), 7.4 (t, 2H), 6.6 (s, 1H), 6.15 (s, 1H), 3.7 (m, 1H), 3.6-3.1 (m, 2H), 3.88 (m, 3H), 2.45 (s, 3H), 2.15 (m, 1H), 1.85 (m, 1H).
- MS: m/e 404 (M+1), 386 (M−18), 372 (M−32).
- Analysis: C21H19F2NO5.H2O, C, 60.43 (59.85); H, 4.96 (5.02); N, 3.96 (3.32).
- Compound (7) (1.5 g, 4.85 mmol) in dry DMF (15 mL) reacted with methyl 4-cyanobenzoate (2.57 g, 1.5.9 mmol) in the presence of NaH (1.2 g, 50%, 25 mmol), as described example 8, afforded the title compound (32).
- Yield: 0.65 g (31.8%)
- mp: 214-216° C.
- IR cm−1: 3400, 2210, 1640.
- 1HNMR (CDCl3): δ 8.15 (d, 2H), 7.78 (d, 2H), 6.75 (s, 1H), 6.48 (s, 1H), 4.45 (m, 1H), 4.02 (two singlets, 6H), 3.7 (dd, 1H), 3.3 (m, 3H), 2.78 (m, 1H), 2.6 (d, 1H), 2.42 (s, 3H), 2.08 (m, 2H),
- MS: m/e 421 (M+1), 378 (M−42).
- Analysis: C24H24ClN2O5.½H2O, C, 67.05 (67.12); H, 5.78 (5.63); N, 6.1 (6.5).
- and
- Compound (32) (0.30 g, 0.71 mmol) was reacted with pyridine hydrochloride (3 g, 26.0 mmol) as described in example 9. This afforded the title compounds, (33) and (34).
- Compound (33):
- Yield: 0.033 g (10%).
- mp: decomposition>250° C.
- IR cm−1: 3320, 2210, 1640.
- 1HNMR (CDCl3): δ 12.98 (s, 1H), 8.35 (d, 2H), 8.08 (d, 2H), 7.2 (s, 1H), 6.65 (s, 1H), 3.38 (m, 1H), 3.95 (s, 3H), 3.5-3.2 (m, 2H), 3.1 (m, 2H), 2.65 (m, 1H), 2.4 (s, 3H), 2.0 (m, 2H).
- MS: m/e: 407 (M+1).
- Analysis: C23H22N2O5.½H2O, C, 63.96 (63.73); H, 5.46 (5.81); N, 5.63 (5.46).
- Compound (34):
- Yield: 0.1 g (36%).
- mp: 273-275° C.
- IR cm−1: 3500, 2220, 1660.
- 1HNMR (DMSO d6): δ 12.8 (s, 1H), 8.26 (d, 2H), 8.08 (d, 2H), 7.1 (s, 1H), 6.15 (s, 1H), 4.05 (m, 1H), 3.7-3.4 (m, 2H), 2.95 (m, 3H), 2.55 (s, 3H), 2.25 (m, 1H), 2.0 (m, 1H).
- MS: m/e 393 (M+1), 376 (M−18).
- Analysis: C22H20N2O5.¼H2O, C, 66.59 (66.57); H, 5.26 (5.2); N, 6.63 (7.05).
- Compound (10) (0.98 g, 3.17 mmol) in dry DMF (15 mL) reacted with methyl 4-cyanobenzoate (1.02 g, 6.34 mmol) in the presence of NaH (50%, 0.762 g, 15.86 mmol) as described in example 8, afforded the title compound (35).
- Yield: 0.56 g (43%).
- IR cm−1: 3400, 2210, 1640.
- 1HNMR (DMSO d6): δ 8.28 (d, 2H), 8.05 (d, 2H), 6.98 (s, 1H), 6.7 (s, 1H), 4.3 (m, 1H), 4.0 (s, 3H), 3.95 (s, 3H), 3.55-3.4 (m, 2H), 3.25-3.15 (m, 2H), 2.65 (m, 1H), 2.4 (s, 3H), 2.0 (m, 2H).
- MS: m/e 421 (M+1), 378 (M−42).
- and
- Compound (35) (0.50 g, 1.19 mmol) reacted with pyridine hydrochloride (5 g, 43.29 mmol) as described in example 9, afforded the title compounds (36) and (37).
- Compound (36):
- Yield: 0.1 g (20%).
- mp: 117-119° C.
- IR cm−1: 3420, 2250, 1660.
- 1HNMR (DMSO d6): δ 12.98 (s, 1H), 8.35 (d, 2H), 8.08 (d, 2H), 7.2 (s, 1H), 6.65 (s, 1H), 4.3 (m, 1H), 3.95 (s, 3H), 3.5-3.2 (m, 3H), 3.08 (m, 1H), 2.6 (m, 1H), 2.35 (s, 3H), 1.98 (m, 2H).
- MS: m/e 407 (M+1), 375 (M−32).
- Analysis: C23H22N2O5.½H2O, C, 64.44 (64.39); H, 5.11 (5.6); N, 6.31 (6.53).
- Compound (37):
- Yield: 0.19 g (40%).
- mp: 245-246° C.
- IR cm−1: 3400, 2240, 1660.
- 1HNMR (DMSO d6): δ 12.8 (s, 1H), 8.28 (d, 2H), 8.05 (d, 2H), 7.1 (s, 1H), 6.15 (s, 1H), 4.0 (m, 1H), 3.6-3.4 (m, 2H), 3.0 (m, 3H), 2.5 (s, 3H), 2.25 (m, 1H), 1.98 (m, 1H).
- MS: m/e 393 (M+1), 376 (M−18).
- Analysis: C22H20N2O5.½H2O, C, 63.38 (63.0); H, 5.22 (5.52); N, 6.64 (6.67).
- Compound (7) (1.5 g, 4.84 mmol) in dry DMF (15 mL) was reacted with methyl 4-trifluoromethylbenzoate (3.27 g, 16.02 mmol) in the presence of NaH (1.2 g, 50%, 25 mmol) as described in example 8, to obtain the title compound (38).
- Yield: 0.7 g (31.8%).
- mp: 114-115° C.
- IR cm−1: 3450, 1640.
- 1HNMR (CDCl3): δ 8.17 (d, 2H), 7.78 (d, 2H), 6.75 (s, 1H), 6.48 (s, 1H), 4.38 (m, 1H), 4.0 (two singlets, 6H), 3.7 (dd, 1H), 3.38 (d, 1H), 3.28 (t, 1H), 2.75 (q, 1H), 2.65 (d, 1H), 2.44 (s, 3H), 2.08 (m, 2H).
- MS: m/e 464 (M+1), 421 (M−42).
- Analysis: C24H24F3NO5.H2O, C, 59.13 (59.8); H, 5.51 (5.44); N, 2.34 (2.9).
- Compound (38) (0.5 g, 1.08 mmol) was demethylated using pyridine hydrochloride (4.5 g, 38.96 mmol) as described in example 9, to obtain the title compound (39).
- Yield: 0.28 g, (59%).
- mp: 238° C.
- IR cm−1: 3350, 1660.
- 1HNMR (DMSO d6): δ 12.7 (s, 1H), 8.33 (d, 2H), 7.98 (d, 1H), 7.08 (s, 1H), 6.18 (s, 1H), 4.05 (m, 1H), 3.6-3.4 (m, 2H), 3.0 (m, 3H), 2.55 (s, 3H), 2.25 (m, 1H), 1.98 (m, 1H).
- MS: m/e 434 (M−1), 404 (M−31).
- Analysis: C22H20F3NO5, C, 60.34 (60.69); H, 4.48 (4.63); N, 2.89 (3.42).
- Compound (10) (0.8 g, 2.6 mmol) in dry DMF (15 mL) was reacted with methyl 4-trifluoromethylbenzoate (1.74 g, 8.53 mmol) in the presence of NaH (0.63 g, 50%, 13.13 mmol) as described in example 8, to obtain the title compound (40).
- Yield: 1.0 g (87%).
- mp: 114-115° C.
- 1HNMR (CDCl3): δ 8.15 (d, 2H), 7.78 (d, 2H), 6.75 (s, 1H), 6.48 (s, 1H), 4.48 (m, 1H), 4.0 (two singlets, 6H), 3.8 (d, 1H), 3.46 (m, 2H), 2.88 (m, 2H), 2.55 (s, 3H), 2.18 (m, 2H).
- MS: m/e 464 (M+1), 432 (M−31).
- Compound (40) (0.7 g, 1.51 mmol) was demethylated using pyridine hydrochloride (7 g, 60.60 mmol) as described in example 9, to obtain the title compound (41).
- Yield: 0.28 g (42%).
- mp: 235-237° C.
- IR cm−1: 3400, 1660.
- 1HNMR (DMSO d6): δ 12.82 (s, 1H), 8.35 (d, 2H), 7.95 (d, 2H), 7.08 (s, 1H), 6.17 (s, 1H), 4.05 (m, 1H), 3.56 (m, 2H), 2.98 (m, 3H), 2.5 (s, 3H), 2.25 (m, 1H), 1.98 (m, 1H).
- MS: m/e 436 (M+1), 404 (M−32).
- Analysis: C22H20F3NO5. 2H2O, C, 55.79 (56.04); H, 4.53 (5.1); N, 2.91 (2.97).
- Compound (13) (1 g, 3.24 mmol) in dry DMF (35 mL) was reacted with methyl 4-trifluoromethylbenzoate (2.1 g, 10.29 mmol) in the presence of NaH (0.776 g, 50%, 16.16 mmol) as described in example 8, to obtain the title compound (42).
- Yield: 0.6 g (40%).
- 1HNMR (CDCl3): δ 8.15 (d, 2H), 7.78 (d, 2H), 6.72 (s, 1H), 6.45 (s, 1H), 4.42 (m, 1H), 4.05 (two singlets, 6H), 3.75 (dd, 1H), 3.35 (m, 2H), 2.78 (m, 2H), 2.45 (s, 3H), 2.1 (m, 2H).
- MS: m/e 464 (M+1), 432 (M−31).
- Compound (42) (0.5, 1.08 mmol) was demethylated using pyridine hydrochloride (5 g, 43.29 mmol) as described in example 9, to obtain the title compound (43).
- Yield: 0.195 g (42%).
- mp: 234-236° C.
- IR cm−1: 3380, 1660.
- 1HNMR (DMSO d6): δ 12.8 (s, 1H), 8.32 (d, 2H), 7.95 (d, 2H), 7.1 (s, 1H), 6.15 (s, 1H), 4.05 (m, 1H), 3.58 (m, 2H), 3.0 (m, 3H), 2.5 (s, 3H), 2.22 (s, 1H), 1.95 (s, 1H).
- MS: m/e 436 (M+1), 404 (M−32).
- Analysis: C22H20F3NO5.½H2O, C, 57.08 (57.15); H, 4.51 (5.05); N, 3.0 (3.02).
- Compound (10) (1 g, 3.23 mmol) in dry DMF (15 mL) was reacted with methyl benzoate (2.29 g, 16.84 mmol) in the presence of NaH (50%, 0.77 g, 16.04 mmol) as described in example (8) to obtain the title compound (44).
- Yield: 0.49 g (38.3%).
- 1HNMR (CDCl3): δ 8.00 (m, 2H), 7.5 (m, 3H), 6.68 (s, 1H), 6.45 (s, 1H), 4.4 (m, 1H), 4.0 (two singlets, 6H), 3.72 (dd, 1H), 3.45 (d, 1H), 3.35 (m, 1H), 2.82 (m, 2H), 2.48 (s, 3H), 2.1 (m, 2H).
- MS: m/e 395 (M+).
- Compound (44) (0.5 g, 1.27 mmol) was treated with dry pyridine hydrochloride (5 g, 43.29 mmol) as described in the example 9, to obtain the title compound (45).
- Yield: 0.3 g (64%).
- mp: 21.2-215° C.
- IR cm−1: 3420, 1660.
- 1HNMR (DMSO d6): δ 12.9 (s, 1H), 8.1 (d, 2H), 7.62 (m, 3H), 6.95 (s, 1H), 6.18 (s, 1H), 4.05 (m, 1H), 3.55 (m, 2H), 3.0 (m, 3H), 2.52 (s, 3H), 2.25 (m, 1H), 1.95 (m, 1H).
- MS: m/e 368 (M+1), 363 (M−32).
- Analysis: C21H21NO5.½H2O, C, 66.95 (67.0); H, 5.81 (5.89); N, 3.67 (3.72).
- Compound (10) (0.95 g, 3.07 mmol) in dry DMF (15 mL) was treated with thiophene-2-carboxylic acid ethyl ester (2.25 g, 14.42 mmol) in the presence of NaH (0.741 g, 50%, 15.43 mmol) as described in example 8, to get the title compound (46).
- Yield: 0.5 g (40%).
- 1HNMR (CDCl3): δ 7.88 (d, 1H), 7.55 (d, 1H), 7.18 (t, 1H), 6.55 (s, 1H), 6.45 (s, 1H), 4.38 (m, 1H), 4.0 (two singlets, 6H), 3.75 (dd, 1H), 3.45 (m, 2H), 2.92 (m, 2H), 2.58 (s, 3H), 2.2 (m, 2H).
- MS: m/e 402 (M+1), 369 (M−31).
- Compound (46) (0.29 g, 0.72 mmol) of was subjected to demethylation using pyridine hydrochloride (2.9 g, 25.11 mmol) as described in example 9 to obtain the title compound (47).
- Yield: 0.149 g (55%).
- mp: 218-220° C.
- IR cm−1: 3340, 1650.
- 1HNMR (DMSO d6): δ 12.9 (s, 1H), 8.08 (d, 1H), 8.0 (d, 1H), 7.32 (t, 1H), 6.85 (s, 1H), 6.2 (s, 1H), 3.95 (m, 1H), 3.58 (m, 2H), 2.52 (m, 3H), 2.65 (s, 3H), 2.25 (m, 1H), 2.15 (m, 1H).
- MS: m/e 374 (M+1), 342 (M−31).
- Analysis: C19H19NO5S.1.5H2O, C, 57.11 (56.96); H, 5.03 (5.5); N, 3.44 (3.49).
- Compound (10) (1.0 g, 3.24 mmol) in dry DMF (15 mL) was reacted with ethyl 2-methyl-4-cyanobenzoate (1.34 g, 7.09 mmol) in the presence of NaH (50%, 0.776 g, 16.16 mmol) as described in example 8, to get the title compound (48).
- Yield: 0.8 g (57%).
- 1HNMR (CDCl3): δ 7.76 (d, 1H), 7.65 (bs, 2H), 6.48 (s, 1H), 6.35 (s, 1H), 4.2 (m, 1H), 4.0 (two singlets, 6H), 3.74 (d, 1H), 3.4 (d, 1H), 3.35 (m, 1H), 2.86 (d, 1H), 2.75 (m, 1H), 2.5 (two singlets, 6H), 2.08 (m, 2H).
- MS: m/e 435 (M+1), 403 (M−32).
- Compound (48) (0.6 g, 1.38 mmol) was demethylated using pyridine hydrochloride (6 g, 51.95 mmol) as described in example 9 to obtain the title compound (49).
- Yield: 0.35 g (62%).
- mp: 145-147° C.
- IR cm−1: 3400, 2250, 1670.
- 1HNMR (DMSO d6): δ 12.52 (s, 1H), 7.55 (m, 3H), 6.25 (two singlets, 2H), 4.05 (m, 1H), 3.7 (d, 2H), 3.34 (m, 1H), 3.2 (m, 2H), 3.05 (m, 1H), 2.65 (s, 3H), 2.55 (m, 1H), 2.48 (s, 3H), 2.32 (m, 1H), 2.02 (m, 1H).
- MS: m/e 407 (M+1), 375 (M−32).
- Analysis: C23H22N2O5.2H2O, C, 62.35 (62.43); H, 5.06 (5.0); N, 6.1 (6.63).
- Compound (7) (1.5 g, 4.85 mmol) in dry DMF (25 mL) was reacted with methyl 2-bromo-5-methoxybenzoate (3.11 g, 12.69 mmol) in the presence of NaH (50%, 1.16 g, 24.17 mmol) as described in example 8, to obtain the title compound (50).
- Yield: 1.8 g (73.6%).
- 1HNMR (CDCl3): δ 7.55 (d, 1H), 7.12 (d, 1H), 6.9 (dd, 1H), 6.4 (two singlets, 2H), 4.15 (m, 1H), 4.0 (two singlets, 6H), 3.85 (s, 3H), 3.65 (dd, 1H), 3.4 (d, 1H), 3.15 (m, 1H), 2.75 (d, 1H), 2.5 (m, 1H), 2.34 (s, 3H), 2.05 (m, 2H).
- MS: m/e 504 (M+), 472 (M−31), 394 (M−1H).
- and
- Compound (50) (0.97 g, 1.92 mmol) was demethylated using pyridine hydrochloride (15 g, 129.87 mmol) as described in example 9 to obtain the title compounds (51) & (52) respectively.
- Compound (51):
- Yield: 0.2 g (21.8%).
- mp: 233-235° C.
- 1HNMR (DMSO d6): δ 12.8 (s, 1H), 7.75 (d, 1H), 7.35 (d, 1H), 7.15 (dd, 1H), 6.5 (s, 1H), 6.15 (s, 1H), 3.85 (s, 4H), 3.65-3.2 (m, 2H), 2.95 (m, 3H), 2.5 (s, 3H), 2.22 (m, 1H, 1.85 (m, 1H).
- MS: m/e 476 (M+), 458 (M−18), 444 (M−32).
- Compound (52):
- Yield: 0.14 g (15.7%).
- mp.: 256-258° C.
- 1HNMR (DMSO d6): δ 12.8 (s, 1H), 7.6 (d, 1H), 7.1 (d, 1H), 6.94 (dd, 1H), 6.4 (s, 1H), 6.15 (s, 1H), 3.8 (m, 1H), 3.65-3.2 (m, 2H), 3.0-2.8 (m, 3H), 2.5 (s, 3H), 2.2 (m, 1H), 1.85 (m, 1H).
- MS: m/e 463 (M+1), 430 (M−32).
- Compound (10) (1.9 g, 6.12 mmol) in dry DMF (25 mL) was reacted with methyl 2-bromo-5-methoxybenzoate (4.3 g, 17.55 mmol) in the presence of NaH (50%, 1.92 g, 40 mmol) as described in example 8, to obtain the title compound (53).
- Yield: 2.0 g (66%).
- 1HNMR (CDCl3): δ 7.58 (d, 1H), 7.33 (d, 1H), 6.92 (dd, 1H), 6.38 (s, 1H), 6.48 (s, 1H), 4.15 (m, 1H), 4.0 (s, 3H), 3.98 (s, 3H), 3.85 (s, 3H), 3.62 (dd, 1H), 3.35 (bd, 1H), 3.1 (t, 1H), 2.70 (d, 1H), 2.5 (m, 1H), 2.28 (s, 3H), 1.9 (m, 2H).
- MS: m/e 504 (M+).
- and
- Compound (53) (1.7 g, 3.37 mmol) was demethylated using pyridine hydrochloride (24 g, 236 mmol) as described in example 9 to obtain the title compounds (54) & (55) respectively.
- Compound (54):
- Yield: 0.4 g (25%).
- mp: 233-235° C.
- 1HNMR (DMSO d6): δ 12.8 (s, 1H), 7.8 (d, 1H), 7.35 (d, 1H), 7.1 (m, 1H), 6.4 (s, 1H), 6.2 (s, 1H), 3.8 (s, 3H), 3.8-3.2 (m, 3H), 2.85 (m, 3H), 2.5 (s, 3H), 2.2 (m, 1H), 1.85 (m, 1H).
- MS: m/e 476 (M+1)
- Compound (55):
- Yield: 0.23 g (15%).
- mp.: 256-258° C.
- 1HNMR (DMSO d6): δ 12.8 (s, 1H), 7.75 (d, 1H), 7.1 (d, 1H), 6.9 (m, 1H), 6.5 (s, 1H), 6.2 (s, 1H), 3.8 (s, 1H), 3.6-3.2 (m, 2H), 3.1 (m, 2H), 2.8 (m, 1H), 2.48 (s, 3H), 2.22 (m, 1H), 1.9 (m, 1H).
- MS: m/e 460 (M−1).
- Compound (7) (1.26 g, 3.59 mmol) in dry DMF (20 mL) was condensed with 3,5-bis-(trifluoromethyl)-1-benzoyl chloride (1 g, 3.62 mmol) in the presence of NaH (50%, 0.72 g, 15 mmol), as described in example 26 to obtain the title compound (56).
- Yield; 0.85 g (44.5%).
- 1HNMR (CDCl3): δ 8.52 (s, 2H), 8.0 (s, 1H), 7.75 (s, 1H), 6.5 (s, 1H), 4.42 (m, 1H), 4.05 (two singlets, 6H), 3.75 (dd, 1H), 3.3 (m, 2H), 2.9-2.6 (m, 2H), 2.45 (s, 3H), 2.1 (m, 2H).
- MS: m/e 532 (M+1).
- Compound (56) (0.71 g, 1.34 mmol) was reacted with pyridine hydrochloride (7.1 g, 61.47 mmol) as described in example (9) to obtain the title compound (57).
- Yield: 0.4 g (59%).
- mp: 228-230° C.
- IR cm−1: 3400, 1650.
- 1HNMR (DMSO d6): δ 12.8 (s, 1H), 8.72 (s, 2H), 8.4 (s, 1H), 7.32 (s, 1H), 6.2 (s, 1H), 4.0 (m, 1H), 3.55 (m, 2H), 3.2-2.9 (m, 3H), 2.5 (s, 3H), 2.1 (m, 2H).
- MS: m/e 504 (M+1), 486 (M−18).
- Analysis: C23H19F6NO5, C, 54.1 (54.8); H, 4.13 (3.8); N, 2.82 (2.78).
- Compound (10) (1 g, 3.2 mmol) in dry DMF (30 mL) was reacted with methyl 2-chloro-5-methylbenzoate (3.97 g, 21.5 mmol) in the presence of NaH (50%, 0.776 g, 16.2 mmol) as described in example 8, to get the title compound (58).
- Yield: 0.537 g (37.4%).
- 1HNMR (CDCl3): δ 7.58 (s, 1H), 7.4 (d, 1H), 7.2 (d, 2H), 6.55 (s, 1H), 6.45 (s, 1H), 4.2 (m, 1H), 4.0 (two singlets, 6H), 3.65 (dd, 1H), 3.4 (d, 1H), 3.18 (m, 1H), 2.75 (d, 1H), 2.55 (m, 1H), 2.4 (two singlets, 6H), 2.05 (m, 2H).
- MS; m/e 444.5 (M+)
- Compound (58), (0.48 g, 1.1 mmol) was reacted with pyridine hydrochloride (5 g, 43.3 mmol) as described in example (9) to obtain the title compound (59).
- Yield: 0.31 g (68%).
- mp: 206-208° C.
- 1HNMR(CDCl3): δ 12.59 (s, 1H), 7.35 ft, 2H), 7.18 (d, 1H), 6.35 (s, 1H), 6.2 (s, 1H), 4.05 (d, 1H), 3.72 (m, 2H), 3.15 (m, 2H), 2.9 (q, 1H), 2.6 (s, 3H), 2.35 (s, 4H), 1.9 (m, 1H).
- IR cm−1: 3200, 1735
- MS: m/e 415 (M+1), 384 (M−31)
- 2-Bromo-5-nitrobenzoic acid (2.85 g, 12.5 mmol) was added to a solution of compound (6) (2.2 g, 6.27 mmol) in dry pyridine (25 mL), with stirring, under N2 atmosphere at 0° C. POCl3 (5.2 mL, 8.73 g, 57.32 mmol) was added dropwise and the reaction mixture stirred for 1.5 h at 0-5° C. It was then poured over crushed ice, treated with saturated aqueous Na2CO3 solution and extracted with chloroform (3×200 mL). The organic extract was washed with brine, dried (anhy. Na2SO4) and concentrated. Traces of pyridine were removed under high vacuum to obtain (+)-trans-2-Bromo-5-nitro-benzoic acid 2-(2-acetoxymethyl-1-methyl-pyrrolidin-3-yl)-6-acetyl-3,5-dimethoxy-phenyl ester (compound No. 60) (3.62 g, 6.25 mmol) a viscous oil, which was converted to the title compound (61) in situ using NaH (50%, 1.5 g, 31.2 mmol) in dry 1,4-dioxane (50 mL) as described in Example 26.
- Yield: 0.13 g (10%).
- 1HNMR (CDCl3): δ 8.5 (d, 1H), 8.22 (dd, 1H), 7.9 (d, 1H), 6.45 (two singlets, 2H), 4.18 (m, 1H), 4 (two singlets, 6H), 3.65 (dd, 1H), 3.35 (d, 1H), 3.15 (m, 1H), 2.72 (m, 1H), 2.5 (m, 1H), 2.32 (s, 3H), 2.02 (m, 2H).
- MS: m/e 519 (M+).
- Compound (61) (0.12 g, 0.23 mmol) was demethylated using pyridine hydrochloride (1.2 g, 10.39 mmol) as described in example 9 to obtain the title compound (62).
- Yield: 0.07 g (61%)
- IR cm−1: 3350, 1660.
- 1HNMR (DMSO d6): δ 12.4 (s, 1H), 8.45 (d, 1H), 8.2 (dd, 1H), 7.62 (d, 1H), 6.48 (s, 1H), 6.2 (s, 1H), 4.02 (m, 1H), 3.7 (m, 2H), 3.4-2.9 (m, 2H), 2.6 (s, 3H), 2.32 (m, 1M), 1.9 (m, 2H).
- MS: m/e 491
- Compound (6) (4.2 g, 11.97 mmol) was reacted with 2-chloro-pyridine-3-carboxylic acid (3.78 g, 24 mmol) in presence of dry pyridine (25 mL) and POCl3 (4.4 ml, 7.35 g, 47.88 mmol) using the conditions described in example 52. trans-2-Chloro-nicotinic acid 2-(2-acetoxymethyl-1-methyl-pyrrolidin-3-yl)-6-acetyl-3,5-dimethoxy-phenyl ester (63) obtained in situ was converted to die title compound (64) using NaH (50%, 2.44 g, 50.83 mmol) in 1,4-dioxane (50 mL) as described in Example 26.
- Yield: 0.63 g (12%).
- 1HNMR (CDCl3): δ 8.52 (d, 1H), 8.25 (d, 1H), 7.42 (m, 1H), 6.45 (s, 1H), 6.12 (s, 1H), 6.18 (s, 1H), 4.05 (two singlets, 6H), 3.65 (d, 1H), 3.35 (d, 1H), 3.18 (t, 1H), 2.8-2.5 (m, 2H), 2.3 (s, 3H), 2.08 (m, 2H).
- MS: m/e 431 (M+1), 399 (M−32).
- Compound (64) (0.58 g, 1.35 mmol) was demethylated using pyridine hydrochloride (5.8 g, 50.22 mmol) as described in example 9, to obtain the title compound (65).
- Yield: 0.1 g (18%).
- mp: 125-127° C.
- IR cm−1: 3380, 1660.
- 1HNMR (CDCl3+DMSO d6): δ 12.5 (s, 1H), 8.5 (dd, 1H), 8.0 (d, 1H), 7.4 (dd, 1H), 6.45 (s, 1H), 6.28 (s, 1H), 4.1 (m, 1H), 3.7 (m, 2H), 3.25 (m, 3H), 2.65 (s, 3H), 2.35 (m, 1H), 2.0 (m, 1H).
- MS: m/e 403 (M+1).
- Analysis: C20H19ClN2O5.H2O C, 57.29 (57.17); H, 5.1 (5.01); N, 6.36 (6.66); Cl, 8.94 (8.44).
- (+/−)-trans-Acetic acid 3-(3-acetyl-2-hydroxy-4,6-dimethoxy-phenyl)-1-methyl-pyrrolidin-2-ylmethyl ester (1.65 g, 4.7 mmol) was reacted with 2-chloro-pyridine-3-carboxylic acid (2.44 g, 15.49 mmol) in the presence of dry pyridine (25 mL) and POCl3 (2.1 mL, 23.43 mmol) using the conditions described in example 52 to get trans-2-Chloro-nicotinic acid 2-(2-acetoxymethyl-1-methyl-pyrrolidin-3-yl)6-acetyl-3,5-dimethoxy-phenyl ester. This was converted in situ to the title compound (66) using NaH (1.29 g, 26.86 mmol) in 1,4-dioxane (25 mL) as described in example 26.
- Yield: 0.38 g (19%).
- 1HNMR (CDCl3): δ 8.55 (d, 1H), 8.22 (d, 1H), 7.45 (m, 1H), 6.7 (s, 1H), 6.48 (s, 1H), 4.25 (m, 1H), 4.02 (two singlets, 6H), 3.7 (dd, 1H), 3.4 (d, 1H), 3.24 (s, 1H), 2.9-2.6 (m, 2H), 2.45 (s, 3H), 2.15 (m, 2H).
- MS: m/e 431 (M+1), 399 (M−32).
- Compound (66) (0.3 g, 0.69 mmol) was demethylated using pyridine hydrochloride (3 g, 25.97 mmol) as described in example 9 to obtain the title compound (67).
- Yield: 0.072 g (25%).
- 1HNMR (DMSO d6): δ 12.7 (s, 1H), 8.68 (d, 1H), 8.25 (m, 1H), 7.65 (m, 1H), 6.65 (s, 1H), 6.15 (s, 1H), 3.95-3.2 (m, 3H), 3.0-2.7 (m, 3H), 2.5 (s, 3H), 2.2 (m, 1H), 1.85 (m, 1H).
- MS: m/e 403 (M+1), 385 (M−18), 371 (M−32).
- Analysis: C20H19ClN2O5.H2O C, 57.29 (57.17); H, 5.1 (5.01); N, 6.36 (6.66); Cl, 8.94 (8.44).
- Compound (6) (5.19 g, 14.79 mmol) was reacted with 4-nitrobenzoic acid (5.01 g, 30 mmol) in the presence of dry pyridine (35 mL) and POCl3 (5.5 mL, 23.43 mmol) using the conditions described in example 52 to get
trans 4 nitro benzoic acid 2-(2-acetoxymethyl-1-methyl-pyrrolidin-3-yl)-6-acetyl-3,5-dimethoxy-phenyl ester (Compound No. 68). This was converted in situ to the title compound (69) using NaH (50%, 3.41 g, 71.04 mmol) in 1,4-dioxane (90 mL) as described in example 26. - Yield: 1.9 g (30%).
- 1HNMR (CDCl3+DMSO d6): δ 8.3 (d, 2H), 8.18 (d, 2H), 6.7 (s, 1H), 6.4 (s, 1H), 4.32 (m, 1H), 3.98 (two singlets, 6H), 3.68 (dd, 1H), 3.3 (m, 2H), 2.85-2.5 (m, 2H), 2.45 (s, 3H), 2.08 (m, 2H).
- MS: m/e 441 (M+1), 423 (M−18), 411 (M−31).
- Compound (69) (1.9 g, 4.32 mmol) was demethylated using pyridine hydrochloride (19 g, 164.5 mmol) as described in example 9 to obtain the title compound (70).
- Yield: 1.2 g (75%).
- mp: 275-277° C.
- IR cm−1: 3500, 1660, 1540.
- 1HNMR (DMSO d6): δ 12.7 (s, 1H), 8.35 (s, 4H), 7.1 (s, 1H), 6.15 (s, 1H), 4.15 (m, 1H), 3.6 (m, 2H), 3.05 (m, 3H), 2.55 (s, 3H), 2.25 (m, 1H), 2.0 (m, 1H).
- MS: m/e 413 (M+1), 381 (M−31), 365 (M−46).
- Analysis: C21H20N2O7, C, 61.48 (61.16); H, 4.68 (4.89); N, 6.81 (6.79).
- Compound (70) (1 g, 2.43 mmol) was dissolved in methanol (20 mL) and subjected to hydrogenation at 35 psi using Pd—C (10%, 0.05 g) as a catalyst for 2 h. Pd—C was then filtered. The filtrate was concentrated and the solid product obtained was purified using a silica gel column and 5% methanol+1% liquor ammonia in CHCl3 as eluant to obtain the title compound (71)
- Yield: 0.72 g (77%).
- mp: 172-174° C.
- IR cm−1: 3340, 1660.
- 1HNMR (DMSO d6): δ 13.2 (s, 1H), 7.8 (d, 2H), 6.7 (d, 2H), 6.6 (s, 2H), 6.1 (two singlets, 2H), 4.0 (m, 1H), 3.6-3.3 (m, 2H), 3.1-2.85 (m, 3H), 2.5 (s, 3H), 2.2 (m, 1H), 1.98 (m, 1H).
- MS: m/e 383 (M+1), 365 (M−17), 351 (M−32).
- Analysis: C21H22N2O5.½H2O, C, 63.88 (64.4); H, 5.92 (5.92); K, 7.12 (7.15).
- 2-bromobenzoic acid (10 g, 49.75 mmol) was added in portions with stirring to an ice cold nitrating mixture (98% H2SO4, 25 mL and 69% HNO3, 12 mL maintaining the temperature of the mixture below 5° C. The reaction mixture was stirred for 1 h below 5° C. It was poured into ice water (200 mL). The white, crystalline product (72) obtained was filtered, washed with water and dried.
- Yield: 7.5 g (66%).
- 1HNMR(CDCl3): δ 8.68 (d, 1H), 8.15 (dd, 1H), 7.85 (d, 1H).
- MS: m/e 246 (M+).
- Glacial acetic acid (75 mL) was added dropwise with stirring, at 40-50° C. to a mixture of compound (72) (15 g, 57.62 mmol) and iron dust (15 g, 0.267 mol) in water (120 mL). The reaction mixture was stirred vigorously at room temperature for 1 h. It was poured into water (200 mL), basified using saturated aqueous Na2CO3 solution and extracted with EtOAc (3×250 mL). The organic extract was washed, dried (anhy. Na2SO4) and concentrated to obtain the title compound (73).
- Yield: 12 g (90%).
- 1HNMR (CDCl3): δ 7.38 (d, 1H), 7.14 (d, 1H), 6.65 (m, 1H), 3.99 (s, 3H)
- MS: m/e 231 (M+), 199 (M−32), 150 (M−80).
- Compound (73) (12 g, 52.1 mmol) was added to 10% aqueous sulfuric acid (110 mL) at 0° C. An aqueous solution (40 ml) of NaNO2 (4.3 g, 62.32 mmol) was added dropwise, with stirring at 0-5° C. The reaction mixture was stirred for 10 min. and then it was added to an ice cold aqueous solution of copper sulfate (156 g, 1 L, 625 mmol) containing Cu2O (6.8 g, 47.55 mmol). The resultant mixture was stirred at 0° C. for 10 min. It was diluted with water and extracted using EtOAc (3×500 mL). The organic extract was washed with water dried (anhy. Na2SO4), concentrated and purified using a silica gel column and 2% EtOAc in petroleum ether (60-80° C.) as eluant to obtain the title compound (74).
- Yield: 6.5 g (53%).
- 1HNMR (CDCl3): δ 7.5 (d, 1H), 7.35 (d, 1H), 6.85 (m, 1H), 5.35 (bs, —OH), 3.95 (s, 3H).
- MS: m/e: 231 (M+), 198 (M−32).
- Compound (74) (6.5 g, 28.1 mmol) was dissolved in dry 1,4-dioxane (50 mL) under dry N2 atmosphere. To this solution NaH (50%, 3.37 g, 70.20 mmol) was added in portions at room temperature. The reaction mixture was stirred for 10 min at room temperature. Dimethyl sulfate (4 mL, 5.31 g, 40.48 mmol) was added and the reaction mixture was stirred at 50° C. for 1 h. It was poured into ice water, acidified using 6N HCl and extracted using EtOAc (3×100 mL). The organic extract was washed with water, dried (anhy. Na2SO4), concentrated and purified using a silica gel column and 5% EtOAc in pet ether (60-80° C.) as eluant to obtain the title compound (75).
- Yield: 3.9 g (57%).
- 1HNMR (CDCl3): δ 7.55 (d, 1H), 7.32 (d, 1H), 6.9 (m 1H), 3.95 (s, 3H), 3.8 (s, 3H).
- MS: m/e 246 (M+1), 215 (M−31).
- 2-Chlorobenzoic acid (2 g, 12.7 mmol) was added with stirring at room temperature to a nitrating mixture (20 mL) prepared from 1:1 HNO3 (70%) and H2SO4 (98%). It was stirred for 1 h and poured into ice water. The title compound (76) obtained was filtered and dried.
- Yield: 2.0 g (95%).
- 1HNMR (CDCl3): δ 8.6 (s, 1H), 8.2 (d, 1H), 7.6 (d, 1H).
- MS: m/e 200.9 (M−1).
- 2-Chloro-5-nitrobenzoic acid (76) (11 g, 54.5 mmol) was dissolved in methanol (100 mL). Concentrated H2SO4 (2 mL) was added slowly and the reaction mixture heated to reflux for 4 h. The mixture was concentrated and the residue was allowed to cool to room temperature. It was poured over crushed ice. The organic product was extracted using diethyl ether (2×200 mL). The organic extract was washed with water, 10% aqueous NaHCO3, dried (anhy. Na2SO4) and concentrated to get the title compound (77).
- Yield: 12 g (100%).
- 1HNMR (CDCl3): δ 8.6 (s, 1H), 8.2 (d, 1H), 7.6 (d, 1H), 3.9 (s, 3H).
- MS: m/e 214.9 (M−1).
- Compound (77) (12 g, 55.6 mmol) was dissolved in a mixture of CHCl3:MeOH (4:1) (50 mL) and subjected to hydrogenation using Pd—C as a catalyst (10%, 0.2 g) to furnish the title compound (78).
- Yield: 10.1 g (95%).
- 1HNMR (CDCl3): δ 7.1 (d, 1H), 7.05 (d, 1H), 6.8 (dd, 1H), 3.8 (s, 3H).
- MS: m/e 185.03 (M+).
- A solution of NaNO2 (3.69 g, 53.4 mmol in 50 mL water) was added dropwise to a stirred suspension of methyl 5-amino-2-chlorobenzoate (78) (9 g, 48.5 mmol) in HQ (10%, 90 mL), keeping the temperature between 0-5° C. The reaction mixture was stirred for ten minutes and a solution of fluoroboric acid (70%, excess) was added to the mixture. A precipitate of diazonium fluoroborate salt separated which was filtered, washed with water and dried. The pyrolysis of this salt was then carried out at 140° C. for 15-20 ruin. The residue was purified using a silica gel column and 10% CHCl3 in petroleum ether (60-80° C.) as an eluent to furnish the title compound (79).
- Yield: 2.8 g (30%).
- 1HNMR(CDCl3): δ 3.95 (s, 3H), 7.15 (m, 1H), 7.4 (m, 1H), 7.55 (dd, 1H).
- MS: m/e 189.99 (M+1).
- Compound (78) (9 g, 48.5 mmol) was subjected to diazotization using NaNO2 (4.5 g 48.5 mmol) in water (50 ml) and H2SO4 (10%, 100 mL). Excess nitrous acid was neutralized with urea. The reaction mixture was poured into a suspension of CuSO4.5H2O (144 g, 577 mmol) and Cu2O (5.22 g, 41.4 mmol) in water (900 mL) at 0° C. The reaction mixture was stirred for 15 min. at 0-5° C. and was then extracted using diethyl ether (200 mL×3). The organic extract was washed, dried (anhy. Na2SO4), concentrated and purified using a silica gel column and 10% EtOAc in petroleum ether (60-80° C.) as eluant to obtain the title compound (80).
- Yield: 4 g (44%).
- 1HNMR (CDCl3): δ 3.9 (s, 3H), 6.9 (dd 1H), 7.25 (d, 1H), 7.3 (t, 1H),
- MS: m/e 187.93 (M+1).
- As described in example 64, compound (80) (4 g, 21.4 mmol) was subjected to methylation using NaH (50%, 1 g), dry 1,4-dioxane (20 mL) as solvent and dimethyl sulfate (5.4 g, 42.8 mmol). Purification using a silica gel column and 20% EtOAc in petroleum ether (60-80° C.) as eluant afforded the title compound (81).
- Yield: 4.1 g, (96%).
- 1HNMR (CDCl3); δ 3.7 (s, 3H), 3.9 (s, 3H), 6.9 (dd, 1H), 7.25 (d, 1H), 7.3 (t, 1H).
- Compound (76) (4 g, 19.8 mmol) from example 65 was subjected to hydrogenation (40 psi, Pd—C (10%, 50 mg) under methylating conditions using aqueous HCHO (40%, 8 mL) and HCOOH (100%, 8 mL) for 4 h.
- The catalyst was filtered off and the filtrate concentrated to get the title compound (82).
- Yield: 4 g (95%).
- 1HNMR (CDCl3): δ 3.0 (s, 6H), 3.9 (s, 3H), 6.9 (d, 1H), 7.3 (t, 1H), 7.35 (d, 1H).
- MS: m/e 213 (M+).
- 2-Chloro-4-nitrobenzoic acid (50 g, 248 mmol) was subjected to methylation using methanol (500 mL) and H2SO4 (98%, 15 mL) according to the procedure described in the example 66 to obtain the title compound (83)
- Compound (83) (50 g, 232 mmol) was subjected to reduction as described in example 67 to obtain the title compound (84).
- Yield: 40 g (93%).
- 1HNMR (CDCl3): δ 3.7 (s, 3H), 6.5 (dd, 1H), 6.7 (s, 1H), 7.8 (d, 1H).
- MS: m/e 186.06 (M+).
- Compound (84) (7.9 g, 42.5 mmol) suspended in 10% aqueous H2SO4 (80 mL) was reacted with NaNO2 (3.5 g, 52.1 mmol in 35 mL water) as described in example 69. It was treated with a solution of CuSO4.5H2O (128 g, 513 mmol) and Cu2O (5.5 g, 38.4 mmol) in water (800 mL) as described in the same procedure to obtain the title compound (85).
- Yield: 2.5 g (31%).
- 1HNMR (CDCl3): δ 3.9 (s, 3H), 6.75 (d, 1H), 6.95 (s, 1H), 7.89 (d, 1H).
- To a solution of compound (85) (2.8 g, 15 mmol) in dry dioxane (50 mL) was added NaH (50%, 1.44 g, 30 mmol) and DMS (3.78 g, 30 mmol). It was stirred at 60-65° C. for 1 h. It was poured into ice water and extracted with EtOAc (100 mL×2)
- The organic extract was washed with brine, dried (anhy. Na2SO4) and concentrated to obtain the title compound (86).
- Yield: 2.5 g (83%)
- NMR (CDCl3): δ 7.85 (d, 1H), 6.95 (s, 1H), 6.75 (d, 1H), 3.9 (s, 3H), 3.85 (s, 3H).
- 4-Amino-2-chloro-benzoic acid methyl ester (25 g, 72.7 mmol) was dissolved in 10% aqueous H2SO4 (150 mL) and the solution was cooled to 0° C. A solution of NaNO2 (11.15 g, 16.88 mmol) in water (50 mL) was added dropwise maintaining the temperature between 0-5° C. The mixture was stirred for 10 min., excess nitrous acid was neutralized using a saturated aqueous NaHCO3 solution. The resulting mixture was then added to a precooled (0-5° C.) suspension of CuCN (13.87 g, 155 mmol) and KCN (10.07 g, 155 mmol) in water (200 mL). It was stirred for 10 min., then allowed to attain room temperature. It was stirred for 0.5 h and finally heated on a steam bath for 0.5 h. Excess saturated FeCl3 solution was then added to the reaction mixture. It was extracted using EtOAc (200 mL×3).
- The organic extract was washed with water, dried (anhy.), concentrated and purified using a silica gel column and CHCl3:petroleum ether (60-80° C.) (1:1) as eluant to obtain the title compound (87).
- Yield: 12 g (84%).
- 1HNMR (CDCl3): δ 4.0 (s, 3H), 7.6 (d, 1H), 7.75 (s, 1H), 7.9 (d, 1H).
- MS: m/e: 196.88 (M+1).
- Compound (84) (10 g, 54 mmol) was subjected to diazotisation, using HBr (48%, 16 mL, water 150 mL) and NaNO2 (4.1 g, 59.4 mmol in 20 mL water). The diazonium salt formed was poured into a hot (70-80° C.) solution of CuBr (4.25 g, 29.6 mmol) in HBr (48%, 5 mL, water 100 mL). The reaction mixture was stirred at room temperature for 15 min. It was extracted using diethyl ether (3×100 mL), processed and purified as described in example 74 to obtain the title compound (88).
- Yield: 8.0 g (59%).
- 1HNMR (CDCl3): δ 3.95 (s, 3H), 7.45 (d, 1H), 7.65 (s, 1H), 7.75 (d, 1H).
- MS: m/e 249.8 (M−1).
- Compound (78)(10 g, 54 mmol) was diazotized using the procedure and quantities of reagents as described in example 76 to get the title compound (89)
- Yield: 8.0 g (59%).
- 1HNMR (CDCl3): δ 3.95 (s, 3H), 7.35 (m, 1H), 7.7 (d, 1H), 7.95 (d, 1H).
- Compound (7) (0.7 g, 2.2 mmol) in dry DMF (10 mL) was reacted with 2-Methoxy-benzoic acid methyl ester (1.13 g, 6.8 mmol) in the presence of NaH (50%, 0.272 g) as described in example 8, to obtain the title compound (90).
- Yield: 0.4 g (41%).
- 1HNMR (CDCl3): δ 2.1 (m, 2H), 2.65 (s, 3H), 2.85 (m, 2H), 3.4 (m, 1H), 3.64 (d, 1H), 3.67 (d, 1H), 3.95 (two singlets, 9H), 4.25 (m, 1H), 5.95 (s, 1H), 6.45 (s, 1H), 7.0 (d, 1H), 7.1 (t, 1H), 7.45 (t, 1H), 8.0 (d, 1H).
- MS: m/e 426.06 (M+1).
- Compound (90) (0.4 g 0.9 mmol) was demethylated using pyridine hydrochloride (6 g. 52.0 mmol) as described in example 9 to obtain the title compound (91).
- Yield: 0.1 g (29%).
- mp: 212-213° C.
- IR cm−1: 3400, 1650.
- MS: m/e 384.15 (M−1).
- Analysis: C, 59.32 (58.87); H, 5.35 (5.88); N, 3.74 (3.26).
- Compound (10) (0.7 g, 2.2 mmol) in dry DMF (15 mL) was reacted with methyl 2-chloro-4-cyanobenzoate (0.885 g, 4.5 mmol) in the presence of NaH (50%, 0.272 g) as described in example 8, to obtain the title compound (92).
- Yield: 0.31 g (31%).
- 1HNMR (CDCl3): δ 2.1 (m, 2H), 2.65 (s, 3H), 2.85 (m, 2H), 3.4 (m, 1H), 3.64 (d 1H), 3.67 (d, 1H), 3.95 (two singlets, 6H), 4.25 (m, 1H), 6.45 (s, 1H), 7.05 (s, 1H), 7.25 (s, 1H), 7.4 (d 1H), 8.3 (d, 1H).
- MS: m/e 455.12 (M+1).
- Compound (92) (0.3 g, 0.6 mmol) was demethylated using pyridine hydrochloride (3 g, 26.0 mmol) as described in example 9 to obtain the title compound (93).
- Yield: 0.12 g (46%).
- mp: 237-239° C.
- IR cm−1: 3450, 2210, 1650
- 1HNMR (DMSO d6): δ 13.0 (s, 1H), 8.05 (d, 1H), 7.25 (m, 2H), 7.2 (s, 1H), 6.2 (s 1H), 4.04 (m, 1H), 2.65 (s, 3H), 2.1 (m, 2H).
- MS: m/e 426.86 (M−1)
- Analysis: C22H19ClN2O5.½H2O, C, 60.47 (60.60); H, 5.07 (4.62); N, 7.36 (6.42); Cl, 8.88 (8.13)
- Compound (10)(0.7 g, 2.2 mmol) in dry DMF (15 mL) was reacted with methyl 4-bromo-2-chlorobenzoate (88) (1.13 g, 4.5 mmol) in the presence of NaH (50%, 0.271 g, 11.3 mmol) as described in example 8, to obtain the title compound (94).
- Yield: 0.3 g (27%).
- 1HNMR (CDCl3): δ 7.95 (d, 1H), 7.68 (d, 1H), 7.55 (d, 1H), 6.55 (s, 1H), 6.45 (s 1H), 4.15 (m, 1H), 4.05 (two singlets, 6H), 3.7 (m, 1H), 3.4 (t 1H), 3.25 (m, 1H), 2.7 (m, 2H), 2.4 (s, 3H), 2.1 (m, 2H).
- MS: m/e 509.95 (M+1).
- Compound (94) (0.3 g, 0.59 mmol) was demethylated using pyridine hydrochloride (3 g, 26.0 mmol) as described in example 9 to obtain the title compound (95).
- Yield: 0.1 g (35%).
- mp: 155-156° C.
- IR cm−1: 3400, 1660.
- 1HNMR (DMSO d6): δ 12.7 (s, 1H), 8.32 (s, 1H), 8.02 (s, 1H), 7.8 (s, 1H), 6.55 (s, 1H), 6.12 (s, 1H), 3.8 (m, 1H), 3.5 (m, 3H), 2.3 (m, 2H), 2.5 (s, 3H), 2.2 (m, 1H), 1.9 (m, 1H).
- MS: m/e 482.9 (M+1).
- Analysis: C21H19BrClNO5.5H2O: C, 50.81 (50.69); H, 4.27 (4.25); N, (2.98 (2.81); Halogens (Cl+Br), 23.97 (23.18).
- Compound (7) (0.8 g, 2.58 mmol) in dry DMF (15 mL) was reacted with ester (82) in the presence of NaH (50%, 0.31 g, 12.9 mmol) as described in example 8, to obtain the title compound (96).
- Yield: 0.150 g (12%).
- 1HNMR (CDCl3): δ 7.68 (d, 1H), 6.75 (d, 1H), 6.66 (m, 1H), 6.4 (s, 1H), 6.0 (s, 1H), 3.7 (m, 2H), 3.0 (s, 6H), 2.9 (m, 2H), 2.65 (s, 3H), 2.2 (m, 2H).
- MS: m/e 471.08 (M−1).
- Compound (96) (0.25 g, 0.53 mmol) was demethylated using pyridine hydrochloride (2.5 g, 21.6 mmol) as described in example 9 to obtain the title compound (97).
- Yield: 0.04 g, (17%).
- MP: 208-210° C.
- 1HNMR (DMSO d6): δ 12.75 (s, 1H), 7.4 (d, 1H), 6.6 (d, 1H), 6.5 (d, 1H), 6.38 (s, 1H), 6.2 (s, 1H), 3.8 (m, 2H), 3.3 (m, 2H), 3.0 (m, 2H), 2.8 (d, 3H), 2.6 (s, 3H), 2.35 (m, 1H), 2.0 (m, 1H).
- MS: m/e 431.42 (M+1).
- Analysis: C22H23ClN2O5.3H2O, C, 54.83 (54.49); H, 5.58 (6.02); N, 5.33 (5.77).
- Compound (7) (1.0 g, 3.2 mmol) in dry DMF (25 mL) was reacted with methyl 2-chloro-4-methoxybenzoate (86) (1.29 g, 6.4 mmol) in the presence of NaH (50%, 0.388 g, 16 mmol) as described in example 8, to obtain the title compound (98).
- Yield; 0.28 g (19%).
- 1HNMR (CDCl3): δ 7.7 (d, 1H), 7.02 (s, 1H), 6.9 (d, 1H), 6.55 (s, 1H), 6.45 (s, 1H), 4.2 (m, 1H), 4.05 (two singlets, 6H), 3.86 (s, 3H), 3.7 (dd, 1H), 3.45 (d, 1H), 3.2 (m, 1H), 2.8 (d, 1H), 2.7 (d, 1H), 2.4 (s, 3H), 2.1 (m, 2H).
- MS: m/e 460.23 (M+1).
- Compound (98) (0.25 g, 0.54 mmol) was demethylated using pyridine hydrochloride (4.0 g, 34.6 mmol) as described in example 9 to obtain the title compound (99).
- Yield: 0.1 g (44%).
- mp: 300° C.
- IR cm−1: 3400, 1660.
- 1HNMR (DMSO d6): δ 12.7 (s, 1H), 7.4 (d, 1H), 6.9 (s 1H), 6.8 (d, 1H), 6.35 (s, 1H), 6.25 (s, 1H), 4.1 (m, 1H), 3.8 (d, 1H), 3.6 (m, 1H), 3.4 (m, 2H), 3.2 (m, 1H), 2.7 (s, 3H), 2.2 (m, 2H).
- MS: m/e 416.22 (M−1).
- Compound (7) (1.0 g, 3.2 mmol) in dry DMF (25 mL) was reacted with compound (79) (1.22 g, 6.4 mmol) in the presence of NaH (50%, 0.388 g, 16 mmol) as described in example 8, to obtain the title compound (100).
- Yield: 0.9 g (63%).
- 1HNMR (CDCl3): δ 7.55 (m, 1H), 7.46 (m, 1H), 7.15 (m, 1H), 6.6 (s, 1H), 6.45 (s 1H), 4.25 (m, 1H), 4.05 (two singlets 6H), 3.7 (d, 1H), 3.4 (d, 1H), 3.3 (m, 1H), 2.8 (d, 1H), 2.6 (m, 1H), 2.5 (s, 3H), 2.1 (m, 2H).
- MS: m/e 448.21 (M+1).
- Compound (100) (0.8 g, 1.78 mmol) was demethylated using pyridine hydrochloride (8.0 g, 69.0 mmol) as described in example 9 to obtain the title compound (101).
- Yield: 0.45 g (60%).
- mp: 253-254° C.
- IR cm−1: 3450, 1665.
- 1HNMR (DMSO d6): δ 12.7 (s, 1H), 7.8 (m, 2M), 7.55 (m, 1H), 6.55 (s, 1H), 6.15 (s, 1H), 3.9 (m, 1H), 3.6 (m, 3H), 2.9 (m, 2H), 2.5 (s, 3H), 2.2 (m, 1H), 1.9 (m, 1H).
- MS: m/e 420.31 (M+1).
- Analysis: C21H19ClFNO5, C, 60.2 (60.08); H, 4.53 (4.56); N, 3.86 (3.34); Cl, 8.17 (8.44).
- Compound (7) (1.0 g, 3.2 mmol) in dry DMF (25 mL) was reacted with compound (81) (1.3 g, 6.4 mmol) in the presence of NaH (50%, 0.776 g, 16.0 mmol) as described in example 8, to obtain the title compound (102).
- Yield: 0.8 g (54%).
- 1HNMR (CDCl3): δ 7.4 (d, 1H), 7.18 (s, 1H), 6.95 (m, 1H), 6.46 (s, 1H), 6.42 (s, 1H), 4.2 (m, 1H), 4.05 (two singlets, 6H), 3.85 (s, 3H), 3.6 (d, 1H), 3.45 (d, 1H), 3.2 (m, 1H), 3.0 (s, 1H), 2.8 (d, 1H), 2.6 (m, 3H), 2.1 (m, 2H).
- MS: m/e 460.36 (M+1).
- and
- Compound (102) (0.75 g, 1.63 mmol) was demethylated using pyridine hydrochloride (8.0 g, 69.0 mmol) as described in example 9 to obtain the title compounds (103) and (104).
- Compound (103)
- Yield: 0.05 g (7%)
- mp: 220-221° C.
- IR cm−1: 3450, 1655.
- 1HNMR (CDCl3): δ 12.6 (s, 1H), 7.4 (d, 1H), 7.1 (d, 1H), 7.0 (m, 1H), 6.45 (s, 1H), 6.3 (s, 1H), 4.2 (m, 1H), 3.85 (s, 3H), 3.4 (m, 1H), 3.3 (m, 1H), 3.2 (m, 1H), 2.7 (s, 3H), 2.65 (m, 1H), 2.4 (m, 1H), 2.1 (m, 1H).
- MS: m/e 430.19 (M−1).
- Analysis: C22H22ClNO6.2H2O, C, 56.6 (56.47); H, 4.76 (5.60); N, 2.45 (2.99).
- Compound (104):
- Yield: 0.3 g (44%).
- mp: 266-267° C.
- IR cm−1: 3500, 1660.
- 1HNMR (DMSO d6): δ 12.7 (s, 1H), 7.47 (d, 1H), 7.12 (s, 1H), 7.0 (m, 1H), 6.45 (s, 1H), 6.25 (s, 1H), 3.35 (m, 1H), 3.5 (m, 3H), 3.0 (m, 2H), 2.5 (s, 3H), 2.2 (m, 1H), 1.9 (m, 1H).
- MS: m/e 416 (M−1).
- Analysis: C21H20ClNO6.½H2O, C, 59.48 (59.09); H, 4.88 (4.95); N, 3.53 (3.28); Cl, 8.0 (8.3).
- Compound (2) (15 g, 53.4 mmol) was reacted with acetic anhydride (27.2 g, 269 mmol) in the presence of BF3.Et2O) (37.9 g, 267 mmol) at room temperature overnight.
- The reaction mixture was poured onto crushed ice, made basic using sat. Na2CO3 solution. It was extracted using CHCl3 (200 mL×3). The organic extract was washed with water, dried (anhy.), and concentrated. The solid obtained was treated with 5% aqueous NaOH (85 mL) at 55-60° C. for 1 h. It was treated with, ice water (100 mL), acetic acid (pH 5), then made basic using aqueous Na2CO3 until the precipitation of the product was complete.
- Filtration afforded the title compound (105) which was washed with water and dried.
- Yield: 9 g (54.5%).
- 1HNMR(CDCl3): δ 5.98 (s, 1H), 4.45 (m, 1H), 3.90 (d, 6H), 3.25 (dd, 1H), 3.1 (t, 1H), 2.95 (d, 1H), 2.6 (s, 3H), 2.35 (s, 3H), 2.1 (t, 1H), 1.95 (t, 1H), 1.58 (m, 2H).
- MS: m/e 310 (M+1).
- Compound (105) (9 g, 29 mmol) in dry DMF (50 mL) was reacted methyl 2-chlorobenzoate (16.5 g, 96.7 mmol) in the presence of NaH (50%, 6.99 g, 145.6 mmol) as described in example 8, to obtain the title compound (106).
- Yield: 7.5 g (60%)
- 1HNMR (CDCl3): δ 7.65 (d, 1H), 7.55-7.4 (m, 3H), 6.4 (d, 2H), 4.55 (m, 1H), 3.95 (s, 6H), 3.45 (t, 1H), 3.35-3.2 (m, 2H), 2.95 (d, 1H), 2.4 (s, 3H), 2.0 (m, 1H), 1.6 (d, 2H).
- MS: m/e 429.05 (M−1).
- Et3N (0.705 g, 7 mmol) was added to a solution of compound (106) (1.5 g, 3.5 mmol) in dry CH2Cl2 (25 mL) with stirring at (0-5° C.), followed by a drop wise addition of methane sulfonyl chloride (0.479 g, 4.1 mmol). The reaction mixture was, then stirred for 30 min. in an ice-bath, poured into ice water, extracted with EtOAc (2×100 mL), washed with, brine, then a saturated aqueous NaHCO3 solution, dried (anhy. Na2SO4) and concentrated to obtain a syrup. It was dissolved in DMF (25 mL) treated with NaN3 (0.57 g, 8.7 mmol) and stirred for 2 h at 60-70° C. The reaction mixture was poured onto crushed ice, extracted using CHCl3 (100 mL×3). The organic extract was washed with water, dried (anhy. Na2SO4) and concentrated to obtain the title compound (107) which was subjected to purification by column chromatography using silica gel and EtOAc: pet ether (1:1) as eluant.
- Yield: 0.6 g (37%).
- IR cm−1: 2160, 1640.
- 1HNMR (CDCl3): δ 7.6 (d, 1H), 7.36-7.5 (m, 3H), 6.46 (d, 2H), 4.05 (hump, 1H), 4.05 (d, 6H), 3.45 (two doublets, 1H), 3.3-3.1 (hump, 2H), 2.7 (m, 1H), 2.43 (m, 1H), 2.35 (s, 3H), 2.2 (m, 1H), 2.0 (m, 1H).
- MS: m/e 455.09 (M−1).
- Compound (107) (0.6 g, 1.6 mmol) and Ph3P (0.414 g, 1.58 mmol) were dissolved in THF (10 mL) containing water (0.1 mL). The resultant solution was stirred for 12 h. It was concentrated and the residue obtained was subjected to flash column chromatography using silica gel and 5%. IPA+1% liquor ammonia in CHCl3 as eluant to obtain the title compound (108).
- Yield: 0.45 g (81%)
- 1HNMR (CDCl3): δ 7.6-7.45 (m, 4H), 6.45 (s, 2H), 4.0 (d, 6H), 3.95 (m, 1H), 3.08 (t, 1H), 2.75 (dd, 1H), 2.58 (d, 1H), 2.5 (m, 1H), 2.35 (m, 1H), 2.25 (s, 3H), 2.0 (m, 2H).
- MS: m/e 429.03 (M−1).
- Compound (108) (0.45 g, 1.0 mmol) was demethylated using pyridine hydrochloride (5.0 g, 43.0 mmol) as described in example 9 to obtain the title compound (109).
- Yield: 0.25 g (62%)
- mp: 218-219° C.
- IR cm−1: 3450, 1660
- 1HNMR (DMSO d6): δ 12.7 (s, 1H), 7.7-7.5 (m, 4H), 6.2 (s, 1H), 5.8 (s, 1H), 3.55 (m, 1H), 2.85-2.65 (m, 3H), 2.38 (m, 1H), 2.2 (s, 3H), 2.05 (m, 1H), 1.9 (m, 2H).
- MS: m/e 400.95 (M−1).
- Analysis: C21H21ClN2O4, C, 62.52 (62.92); H, 5.28 (5.28); N, 7.24 (6.99); Cl, 8.51 (8.84).
- Et3N (0.352 g, 3.5 mmol) was added to a solution of compound (106) (1.0 g, 2.3 mmol) in dry CH2C2 (20 mL) with stirring at (0-5° C.), followed by a drop wise addition of methane sulfonyl chloride (0.319 g, 2.8 mmol). The reaction mixture was then stirred for 30 min, at (0-5° C.), diluted with CHCl3 (100 mL), washed with, water, saturated aqueous NaHCO3 solution, dried (anhy. Na2SO4) and concentrated. The residue was dissolved in isopropanol (20 mL) and treated with KCN (0.925 g, 14.2 mmol). The reaction mixture was then stirred at 80° C. for 1 h. Aqueous FeCl3 was added to destroy excess KCN. It was basified with aqueous Na2CO3 extracted with EtOAc (100 mL×3), washed with water, dried (anhy. Na2SO4), and concentrated. The crude obtained was purified using a silica gel column and 30% EtOAc+1% liq. ammonia in CHCl3 as an eluent to obtain the title compound (110).
- Yield: 0.5 g (49.5%)
- 1HNMR (CDCl3): δ 7.6 (d, 1H), 7.55-7.35 (m, 3H), 6.45 (d, 2H), 4.05 (d, 6H), 3.9 (m, 1H), 3.1 (t, 1H), 2.78 (m, 1H), 2.4 (m, 2H), 2.35 (s, 3H), 2.18 (m, 1H), 2.0 (m, 1H), 1.8 (m, 1H).
- MS: m/e 437.9 (M−1).
- Compound (110) (0.45 g, 1.0 mmol) was demethylated using pyridine hydrochloride (4.5 g, 39.0 mmol) as described in example 9 to obtain the title compound (111).
- Yield: 0.35 g (85%)
- mp: 107-108° C.
- IR cm−1: 3400, 2300, 1650
- 1HNMR (DMSO d6): δ 12.7 (s, 1H), 7.75 (d, 1H), 7.6-7.4 (m, 3H), 6.5 (s, 1H), 6.3 (s, 1H), 4.15 (d, 1H), 3.55 (t, 1H), 3.35 (t, 1H), 2.8-2.4 (m, 4H), 2.6 (s, 3H), 2.0 (m, 1H)
- MS: m/e 411 (M+1)
- Analysis: C22H21ClN2O4, C, 64.22 (64.00); H, 4.74 (5.13); N, 6.54 (6.79); Cl, 8.93 (8.59).
- Compound (106), (0.7 g, 1.6 mmol) in CHCl3 (20 mL) was treated with triethyl-amine (0.3 g, 2.8 mmol) and subsequently with methane sulfonyl chloride (0.28 g 2.4 mmol) as described in example 98. The sulfonyl ester obtained was reacted with imidazole (0.44 g, 6.5 mmol) to get the title compound (112).
- Yield: 0.35 g (46%)
- 1HNMR (CDCl3): δ 7.54-7.3 (m, 5H), 6.77 (s, 1H), 6.67 (s, 1H), 6.4 (d, 2H), 4.0 (two singlets, 6H), 3.9 (m, 1H), 3.8 (m, 1H), 3.1 (m, 2H), 2.4 (m, 1H), 2.25 (s, 3H), 2.1 (m, 1H), 1.9 (m, 2H).
- MS: m/e 480.04 (M+1).
- A mixture of compound (112) (0.3 g, 0.625 mmol) and pyridine hydrochloride (3.0 g, 26.0 mmol) was heated as described in example 9 to get the title compound (113).
- Yield: 0.15 g (53%)
- mp: 249-250° C.
- IR cm−1: 3500, 1670
- 1HNMR (DMSO d6): δ 12.7 (s, 1H), 7.67 (s, 1H), 7.6-7.4 (m, 4H), 6.97 (s, 1H), 6.87 (s, 1H), 6.45-6.3 (d, 2H), 4.25 (m, 1H), 4.05 (m, 1H), 3.88 (m, 1H), 3.45 (m, 1H), 2.95 (m, 2H), 2.5 (s, 3H), 2.28 (m, 1H), 2.0 (m, 1H).
- MS: m/e 451.96
- Analysis: C24H22ClN3O4, C, 63.97 (63.79); H, 5.10 (4.91); N, 8.96 (9.30); Cl, 7.99 (7.85).
- Compound (106) (1.0 g, 2.3 mmol) in CHCl3 (20 mL) was treated with triethylamine (0.3 g, 2.8 mmol) and subsequently with methane sulfonyl chloride (0.319 g, 2.8 mmol) as described in example 98. The sulfonyl ester obtained was reacted with thiourea (0.7 g, 9.2 mmol) to get the title compound (114).
- Yield: 0.6 g, (58.5%)
- 1HNMR (CDCl3): δ 7.6-7.4 (m, 4H), 6.4 (d, 2H), 4.6-4.3 (m, 4H), 4.0 (two singlets 6H), 3.3 (m, 1H), 3.1 (m, 1H), 2.8-2.6 (m, 3H), 2.3 (s, 3H), 2.0 (m, 2H).
- MS: m/e 444 (M−1).
- Compound (114) (0.6 g, 1.3 mmol) was demethylated using pyridine hydrochloride (6.0 g, 52.0 mmol) as described in example 9 to obtain the title compound (115).
- Yield: 0.15 g (28%)
- mp: 205-206° C.
- IR cm−1: 3400, 1650.
- 1HNMR (CDCl3): δ 12.7 (s, 1H), 7.6 (m, 1H), 7.5 (m, 2H), 7.35 (m, 1H), 6.6 (s, 1H), 6.5 (s, 1H), 4.2 (m, 2H), 3.7 (t, 1H), 3.6 (t, 1H), 3.4 (d, 1H), 3.3 (m, 1H), 3.1 (m, 1H), 2.9 (m, 1H), 2.5 (s, 3H), 2.3 (m, 2H).
- MS: m/e 418.05 (M+1)
- Analysis: C21H20ClN2O4S.½H2O, C, 59.43 (59.08); H, 5.58 (4.95); N, 3.7 (3.28).
- To a solution of 1-methyl-4-piperidinone (15 g, 132.6 mmol) in dry acetone (100 mL) was added 1-bromomethylbenzene (24.9 g, 145 mmol) dropwise. It was stirred for 3 h. The title compound (116) separated which was filtered, washed with dry acetone and dried.
- Yield: 35 g (93%)
- Anhy. K2CO3 was added to a solution of 4-methoxyaniline (1.0 g, 8.1 mmol) in ethanol (10 mL) followed by a dropwise addition of a solution of compound (116) (2.77 g, 9.8 mmol) in water (3.0 mL). The reaction mixture was heated at 100° C. for 1 h. It was allowed to cool to room temperature, poured into ice water (100 mL) and extracted using EtOAc (50 mL×3). The organic extract was washed with water, dried (anhy.) and concentrated to get the title compound (117).
- Yield: 1.58 g (79%)
- 1HNMR (CDCl3): δ 6.95 (d, 2H), 6.85 (d, 2H), 3.8 (s, 3H), 3.45 (t, 4H), 2.6 (t, 4H).
- MS: m/e 205 (M+).
- Compound (117) (19.0 g, 92 mmol) was added to a solution of 1,3,5-trimethoxy benzene (21.8 g, 130 mmol) in glacial acetic acid (50 mL) at room temperature. HCl gas was bubbled through the reaction mixture for 1 h, slowly raising the temperature up to 90° C. Acetic acid was removed under reduced pressure and the semisolid residue was poured over crashed ice (300 g). The resulting solution was made basic using an aqueous 50% NaOH solution. The precipitated solid was filtered, washed with water and dried. The solid was added slowly to boiling methanol, stirred for fifteen minutes and filtered to remove traces of trimethoxy benzene and the filtrate was concentrated to get the title compound (118)
- Yield: 30 g (91%)
- 1HNMR: (DMSO d6): δ 6.97 (d, 2H), 6.87 (d, 2H), 6.15 (s, 2H), 5.6 (s, 1H), 3.85 (s, 3H), 3.80 (s, 9H), 3.4 (t, 2H), 2.45 (bs, 2H).
- MS: m/e 355 (M−1).
- (Compound Nod 19).
- Compound (118) (15 g, 42 mmol) was subjected to hydroboration using NaBH4 (2.7 g, 71.4 mmol) and BF3.Et2O (12.6 g, 88.8 mmol) in THF (50 mL). Excess diborane was destroyed by the addition of water. Concentrated HCl (15 mL) was added and the reaction mixture was stirred at 50-55° C. for 1 h. It was cooled to room temp. The resulting mixture, was made basic (pH 12-14) using an aqueous 50% NaOH solution. 30% H2O2 (9 mL) was added and the reaction mixture, was stirred at 50-55° C. for 1 h. The reaction mixture was processed as described in example 2 to obtain the title compound (119).
- Yield: 9.5 g (60.2%)
- 1HNMR (CDCl3): δ 7.0 (d, 2H), 6.9 (d, 2H), 6.2 (s, 2H), 4.5 (m, 1H), 3.85 (3s, 9H), 3.8 (s, 3H), 3.65 (d, 1H), 3.2 (m, 1H), 2.7 (m, 1H), 2.6 (m 2H), 1.6 (m, 2H).
- MS: m/e 374 (M+1).
- Compound (119) (0.5 g, 1.3 mmol) was subjected to acylation using BF3.Et2O (0.82 mL, 0.95 g, 6.7 mmol) and acetic anhydride (0.68 g, 6.7 mmol) according to die procedure described in the example 6 to obtain the title compound (120).
- Yield: 0.15 g (25%).
- 1HNMR (CDCl3): δ 7.1 (d, 2H), 6.9 (d, 2H), 5.95 (s, 1H), 5.8 (m, 1H), 3.95 (two singlets, 6H), 3.8 (m, 2H), 3.0-2.8 (m, 2H), 2.7 (s, 3H), 1.75 (m, 2H), 1.9 (s, 3H).
- MS: m/e 443 (M−1).
- Compound (120) (0.25 g, 0.5 mmol) was subjected to hydrolysis for 30 minutes using aqueous NaOH (2.5%, 2.0 mL) as given in example 7, to obtain the title compound (121).
- Yield: 0.2 g (88%).
- 1HNMR (CDCl3): δ 6.95 (d, 2H), 6.8 (d, 2H), 6.0 (1H), 4.5 (m, 1H), 3.95 (two singlets, 6H), 3.85 (m, 1H), 3.8 (s, 3H), 3.55 (d, 1H), 3.2 (m, 1H), 2.7 (m, 1H), 2.65 (s, 3H), 2.55 (m, 1H), 1.7 (m, 2H).
- MS: m/e 401 (M−1).
- Compound (121) (2.0 g, 5.0 mmol) in dry DMF (25 mL) was reacted with methyl 2-chlorobenzoate (2.55 g, 15 mmol) in the presence of NaH (50%, 1.19 g, 25 mmol) as described in example 8, to obtain the title compound (122).
- Yield: 1.8 g (69%).
- 1HNMR (CDCl3): δ 7.8 (m, 4H), 7.6 (d, 1H), 7.45 (m, 1H), 6.9 (m, 1H), 6.8 (d, 1H), 6.46 (s 1H), 6.4 (s, 1H), 4.6 (m, 1H), 4.0 (s, 6H), 3.85 (m, 1H), 3.75 (s, 3H), 3.55 (m, 1H), 3.4 (m, 1H), 2.75 (m, 1H), 2.55 (m, 1H), 1.75 (m, 2H).
- MS: m/e 521 (M−1).
- (Compound No. 123)
- Compound (122) (1.7 g, 3.2 mmol) was subjected to ring contraction as described in example 3 using methane sulfonyl chloride (0.448 g, 0.3 mL, 3.9 mmol), Et-N (0.66 g, 0.95 mL, 6.5 mmol) and anhy. sodium acetate (1.06 g, 13 mmol) to furnish the title compound (123).
- Yield: 1.2 g (66%).
- 1HNMR (CDCl3): δ 7.5 (d, 1H), 7.4 (d, 1H), 7.3 (t, 1H), 7.1 (t, 1H), 6.8 (d, 2H), 6.65 (d, 2H), 6.55 (s, 1H), 6.35 (s, 1H), 4.35 (m, 1H), 4.28 (m, 1H), 4.2 (m, 1H), 4.12 (s, 3H), 3.95 (m, 1H), 3.78 (s, 3H), 3.7 (s, 3H), 3.5 (m, 1H), 3.35 (m, 1H), 2.25 (m, 2H), 1.75 (s, 3H).
- Compound (123) (1.1 g, 1.94 mmol) was hydrolyzed for 1 h using 2% methanolic NaOH (10 mL) at 50° C., to get the title compound (124).
- The workup process is as described in example 4.
- Yield: 0.7 g (69%).
- 1HNMR (CDCl3): δ 7.6 (m, 1H), 7.4 (d, 1H), 7.3 (m, 1H), 7.05 (m, 1H), 6.8 (d, 2H), 6.65 (m, 2H), 6.6 (s, 1H), 6.4 (s, 1H), 4.4 (m, 1H), 4.0 (s, 6H), 4.15 (m, 1H), 3.85 (m, 1H), 3.75 (s, 3H), 3.65 (m, 1H), 3.5 (m, 1H), 3.4 (t, 1H), 2.4-2.1 (m, 2H).
- MS: m/e 522.53 (M+1).
- Compound (124) (0.7 g, 1.3 mmol) was demethylated using pyridine hydrocloride (10.5 g, 9.0 mmol) as described in example 9 to obtain the title compound (125).
- Yield: 0.03 g (5%).
- mp: 212-213° C.
- 1HNMR (CDCl3): δ 7.6 (m, 1H), 7.45-7.25 (m, 3H), 6.77 (d, 2H), 6.7 (d, 2H), 6.42 (s, 1H), 6.35 (s, 1H), 4.6 (m, 1H), 3.65 (d, 1H), 3.45 (d, 1H), 3.2 (m, 1H), 2.6-2.3 (m, 2H), 1.65 (d, 1H), 0.8 (m, 1H).
- MS: m/e 480.17 (M+1).
- To a solution of compound (106) (3.35 g, 7.79 mmol) in dry CHCl3 (25 mL) was added acetic anhydride (1.76 g, 17.43 mmol) at room temperature with stirring, followed by the addition of dimethylamino pyridine (0.033 g 1% w/w). The mixture was stirred for 0.5 h. It was poured into ice water (50 mL), basified using a saturated aqueous Na2CO3 solution and extracted using CHCl3 (100 mL×3). The organic extract was washed with water, dried (anhy. Na2SO4) and concentrated. The oil obtained was purified using a silica gel column and 0.1% MeOH+1% ammonia in CHCl3 as eluent to get the title compound (126).
- Yield: 3.33 g (89.7%)
- 1HNMR (CDCl3): δ 7.68 (dd, 1H), 7.6 (dd, 1H), 7.42 (t, 2H), 6.5 (s, 1H), 6.38 (s, 1H), 5.5 (m, 1H), 4.0 (s, 6H), 3.5 (m, 1H), 3.22 (d, 1H), 2.95 (m, 1H), 2.55 (m, 1H), 2.4 (s, 3H), 2.08 (m, 2H), 1.7 (s, 3H).
- MS: m/e 472 (M+1), 412 (M−60).
- To compound (126) (2.9 g, 0.615 mmol) in dry CHCl3 (40 mL) at 0° C. was added cyanogen bromide (2.1 g, 19.8 mmol). The reaction mixture was stirred at room temperature for 8 h. It was poured into water (100 mL) and extracted with CHCl3 (100 mL×3). The organic extract was washed with water, dried (anhy. Na2SO4) and concentrated. The solid residue obtained was purified using a silica gel column and 2% IPA+1% liquor ammonia in CHCl3 as eluant to obtain the title compound (127).
- Yield: 2.218 g (75%)
- IR cm−1: 3400, 2220, 1740, 1640
- 1HNMR (CDCl3): δ 7.52 (m, 4H), 6.45 (two doublets, 2H), 5.68 (m, 1H), 4.02 (s, 7H), 3.6 (m, 3H), 3.1 (t, 1H), 2.9 (t, 1H), 2.58 (m, 1H), 1.7 (s, 3H).
- MS: m/e 483.3 (M+1), 423 (M−60).
- Compound (127) (2 g, 4.14 mmol) was stirred with H3PO4 (6N, 50 mL) at 100° C. for 1.5 h. The solution was cooled to room temperature and poured onto ice (˜100 g). It was made basic using a saturated aqueous Na2CO3 solution and extracted with EtOAc (3×150 mL). The organic extract was washed with water, dried (anhy.), and concentrated. The crude obtained was purified using a silica gel column and 10% methanol+1% ammonia in CHCl3 as eluant to furnish the title compound (128).
- Yield: 0.87 g (50.5%)
- 1HNMR (CDCl3+DMSO d6): δ 7.5 (dd, 1H), 7.25 (m, 3H), 6.28 (two singlets, 2H), 4.15 (s, 1H), 3.8 (two singlets, 6H), 3.2 (m, 3H), 2.9 (m, 1H), 2.35 (m, 2H), 2.05 (m, 1H).
- MS: m/e 416 (M+1), 397 (M−18), 380 (M−36).
- A mixture of compounds 28) (0.871 g, 2.09 mmol), n-propyl bromide (0.335 g, 2.72 mmol) and anhydrous K2CO3 (1.15 g, 8.33 mmol) in dry DMF (20 mL) was stirred at room temperature for 2 h. The reaction mixture was treated with water and extracted with EtOAc (2×100 mL). The organic extract was washed with water, dried (anhy. Na2SO4) and concentrated. The crude obtained was purified on a silica gel column using a mixture of 1% MeOH+1% ammonia in CHCl3 as eluant to get the title compound (129).
- Yield: 0.53 g (57.4%)
- 1HNMR (CDCl3): δ 7.62 (d, 1H), 7.45 (m, 3H), 6.42 (two doublets 2H), 4.65 (m, 1H), 3.98 (two singlets, 6H), 3.35 (m, 2H), 3.05 (s, 1H), 2.5 (s, 3H), 2.1 (m, 3H), 1.62 (d, 2H), 0.92 (t, 3H).
- MS: m/e 458.4 (M+1), 440 (M−18), 428 (M−29).
- Methane sulfonyl chloride (0.178 g, 1.55 mmol) was added to a mixture of compound (129) (0.55 g, 1.2 mmol) and triethylamine (1 mL) in CHCl3 (10 mL), with stirring, at 0° C. The reaction mixture was stirred for 1 h. It was poured carefully into a cold saturated aqueous solution of Na2CO3. The organic layer was separated and the aqueous layer was extracted using CHCl3 (2×50 mL). The combined organic extracts were washed with water, dried (anhy. Na2SO4) and concentrated to obtain compound (+/−)-trans-Methanesulfonic acid 4-[2-(2-chloro-phenyl)-5,7-dimethoxy-4-oxo-4H-chromen-8-yl]-1-propyl-piperidin-3-yl ester (130). It was dissolved in dry IPA at 80-90° C. and anhy. NaOAc (0.49 g, 5.98 mmol) was added. It was stirred for 2.5 h at 80-90° C. The mixture was allowed to attain room temperature and poured into ice water (100 mL). It was basified using a sat. aq. Na2CO3 solution. It was extracted using EtOAc (2×100 mL). The organic extract was washed with water, dried (anhy. Na2SO4) and concentrated. The oily residue was purified using a silica gel column and 1% IPA+1% ammonia in CHCl3 as eluant to obtain the title compound (131).
- Yield: 0.2 g (33.8%)
- 1HNMR (CDCl3): δ 7.5 (m, 4H), 6.45 (s, 2H), 4.02 (two singlets, 8H), 3.1 (m, 2H), 2.25 (m, 4H), 1.65 (m, 7H), 0.9 (t, 3H).
- MS: m/e 500.4 (M+1), 440.0 (M−60).
- Compound (131) (0.2 g, 0.04 mmol) was subjected to hydrolysis using a 1% methanolic NaOH solution (10 mL) according to the procedure in example 4 to get the title compound (132).
- Yield: 0.17 g (92.8%)
- 1HNMR (CDCl3): δ 7.7 (dd, 1H), 7.48 (m, 3H), 6.48 (two singlets, 2H), 4.2 (m, 1H), 4.0 (two singlets, 6H), 3.66 (dd, 1H), 3.4 (m, 2H), 3.1 (bs, 1H), 2.8 (m, 1H), 2.62 (m, 1H), 2.15 (m, 3H), 1.6 (m, 2H), 0.9 (t, 3H).
- MS: m/e 458.4 (M+1), 426.4 (M−32).
- Following the procedure in example 9, compound (132) (0.155 g, 0.33 mmol) was demethylated using pyridine hydrochloride (2.0 g, 17.3 mmol) to obtain the title compound (133).
- Yield: 0.046 g (31.6%)
- mp: 94-96° C.
- IR cm−1: 3000, 1650
- 1HNMR (CDCl3): δ 7.61 (dd, 1H), 7.45 (m, 3H), 6.45 (s, 3H), 6.3 (s, 1H), 4.15 (m, 1H), 3.85 (m, 2H), 3.4 (m, 2H), 2.9 (m, 3H), 2.45 (m, 1H), 2.08 (m, 1H), 1.68 (m, 2H), 0.95 (t, 3H).
- MS: m/e 430.5 (M+1), 412.4 (M−18).
- Compound (6) (0.9 g, 2.9 mmol) in dry DMF (10 mL) was reacted with methyl 2-Chloro-3-fluorobenzoate (0.656 g, 3.48 mmol) in the presence of 50% NaH (0.696 g, 14.5 mmol) as detailed in example 8, to obtain the title compound (134).
- Yield: 29%.
- 1HNMR (CDCl3): δ 7.58 (d, 1H), 7.35 (m, 2H), 6.55 (s, 1H), 6.45 (s, 1H), 4.2 (m, 1H), 4.08 (s, 3H), 3.98 (s, 3H), 3.68 (dd, 1H), 3.4 (m, 1H), 3.2 (bt, 1H), 2.75 (bd, 1H), 2.6 (m, 1H), 2.35 (s, 3H), 2.05 (m, 2H).
- MS: m/e 448 (M+1), 416 (M−32).
- Compound (134) (0.31 g, 0.74 mmol) was subjected to demethylation using pyridine hydrochloride (3.1 g, 26.84 mmol) as described in example 9, to obtain the title compound (135).
- Yield: 41.8%
- mp: 221-223° C.
- IR cm−1: 3400, 1650, 1200
- 1HNMR (DMSO d6): δ 12.3 (s, 1H, exchangeable), 7.18 (m, 3H), 6.18 (s, 1H), 5.98 (s, 1H), 3.8 (m, 1H), 3.5 (m, 2H), 2.96 (m, 2H), 2.75 (m, 1H), 2.42 (s, 3H), 2.1 (m, 1H), 1.7 (m, 1H).
- MS: m/e 420 (M+1), 387 (M−32).
- Analysis: C21H19FNO5, C, 58.77 (58.87); H, 4.61 (4.67); N, 3.27 (3.27), Cl, 7.86 (7.8).
- Compound (6) (1.1 g, 3.6 mmol) in dry DMF (10 mL) was reacted with methyl 2-bromo-3-fluorobenzoate (2 g, 8.58 mmol) in the presence of 50% NaH (0.854 g, 17.79 mmol) as detailed in example 8, to obtain the title compound (136).
- Yield: 28.5%.
- 1HNMR (CDCl3): δ 7.75 (m, 1H), 7.4 (m, 2H), 6.46 (s, 1H), 6.42 (s, 1H), 4.15 (m, 1H), 4.02 (s, 3H), 3.98 (s, 3H), 3.65 (m, 1H), 3.35 (m, 1H), 3.1 (m, 1H), 2.7 (m, 1H), 2.45 (m, 1H), 2.28 (s, 3H), 2.02 (m, 2H).
- MS: m/e 491.8 (M+1), 462 (M−32).
- Compound (136) (0.45 g, 0.914 mmol) was subjected to demethylation using pyridine hydrochloride (4.5 g, 38.96 mmol) as described in example 9, to obtain the title compound (137).
- Yield: 49.5%.
- mp: 237-239° C.
- IR cm−1: 3400, 1650
- 1HNMR (CDCl3+TFA d): δ 12.5 (s, 1H, exchangeable), 7.6 (m, 1H), 7.4 (m, 2H), 6.85 (s, 1H), 6.65 (s, 1H), 4.06 (m, 5H), 3.5 (m, 1H), 3.1 (s, 3H), 2.5 (m, 1H), 2.4 (m, 1H).
- MS: m/e 465 (M+1), 43.3 (M−31).
- Analysis: C21H19BrFNO5, C, 53.47 (53.29); H, 3.53 (4.2); N, 2.51 (2.95), Br, 16.45 (16.88)
- Compound (6) (6 g, 19.42 mmol) in dry DMF (60 mL) was reacted with methyl 2-bromo-5-fluorobenzoate (6.7 g, 28.75 mmol) in the presence of 50% NaH (3.88 g, 80.8 mmol) as detailed in example: 8, to obtain the title compound (138).
- Yield: 47.1%.
- 1HNMR (CDCl3): δ 7.68 (m, 1H), 7.45 (m, 1H), 7.1 (m, 1H), 6.48 (s, 1H), 6.4 (s, 1H), 4.15 (m, 1H), 4.02 (s, 3H), 3.92 (s, 3H), 3.64 (m, 1H), 3.35 (d, 1H), 3.1 (m, 1H), 2.65 (m, 1H), 2.45 (m, 1H), 2.3 (s, 3H), 2.0 (m, 2H).
- MS: m/e 493 (M+1), 461 (M−32)
- Compound (138) (3.9 g, 7.92 mmol) was subjected to demethylation using pyridine hydrochloride (39 g, 337.6 mmol) as described in example 9, to obtain the title compound (139).
- Yield: 48.9%
- mp: 145-147° C.
- IR cm−1: 3450, 640
- 1HNMR (CDCl3+TFA d): δ 12.4 (s, 1H, exchangeable), 7.55 (m, 1H), 7.28 (m, 1H), 7.0 (m, 1H), 6.31 (s, 1H), 6.28 (s, 1H), 3.98 (m, 1H), 3.68 (m, 2H), 3.5 (m, 2H), 3.15 (m, 1H), 2.8 (s, 3H), 2.3 (m, 1H), 2.08 (m, 1H).
- MS: m/e 465 (M+1).
- Analysis: Methanesulfonate salt C22H23BrFSO8.H2O, C, 46.08 (45.68); H, 4.61 (4.35); N, 2.63 (2.42); Br, 14.73 (13.81); S, 4.99 (5.54).
- Compound (6) (0.6 g, 1.94 mmol; in dry DMF (10 mL) was reacted with methyl 2-Choro-5-iodobenzoate (1.269, 4.24 mmol) in the presence of 50% NaH (0.466 g, 9.7 mmol) as detailed in example 8, to obtain the title compound (140).
- Yield: 27.8%.
- 1HNMR (CDCl3): δ 8.08 (d, 1H), 7.75 (m, 2H), 6.58 (s, 1H), 6.42 (s, 1H), 4.2 (m, 1H), 4.02 (s, 3H), 3.98 (s, 3H), 3.7 (m, 1H), 3.38 (m, 1H), 3.2 (m, 1H), 2.7 (m, 1H), 2.55 (m, 1H), 2.32 (s, 3H), 2.05 (m, 1H).
- MS: m/e 556 (M+1), 524 (M−32)
- Compound (140) (0.1 g, 0.18 mmol) was subjected to demethylation using pyridine hydrochloride (1 g, 8.65 mmol) as described in example 9, to obtain the title compound (141).
- Yield: 52.6%
- IR cm−1: 3450, 640
- 1HNMR (CDCl3): δ 12.4 (s, 1H, exchangeable), 7.9 (s, 1H), 7.8 (d, 1H), 7.1 (d, 1H), 6.2 (s, 1H), 6.10, 1H), 3.98 (m, 1H), 3.8 (m, 2H), 3.1 (m, 2H), 2.7 (m, 1H), 2.5 (s, 3H), 2.2 (m, 1H), 1.9 (m, 1H).
- MS: m/e 528 (M+1).
- Compound (6) (1 g, 3.23 mmol) in dry DMF (10 mL) was reacted with methyl 2-Bromo-5-chlorobenzoate (1.59 g, 6.25 mmol) in the presence of 50% NaH (0.768 g, 16 mmol) as detailed in example 8, to obtain the title compound (142).
- Yield: 8%
- 1HNMR (CDCl3): δ 7.7 (m, 1H), 7.4 (m, 1H), 6.96 (d, 1H), 6.48 (s, 2H), 4.2 (m, 1H), 3.98 (s, 3H), 3.95 (s, 3H), 3.7 (m, 1H), 3.4 (m, 1H), 3.2 (m, 1H), 2.75 (m, 2H), 2.35 (s, 3H), 2.02 (m, 2H).
- MS: m/e 510 (M+1), 478 (M−32).
- Compound (142) (0.11 g, 0.216 mmol) was subjected to demethylation using pyridine hydrochloride (1.1 g, 9.9 mmol) as described in example 9, to obtain the title compound (143).
- Yield: 48%
- mp: 233-235° C.
- IR cm−1: 3400, 1640
- 1HNMR (CDCl3 DMSO d6): δ 12.4 (s, 1H, exchangeable), 7.48 (d, 1H), 7.3 (s, 1H), 7.12 (d, 1H), 6.12 (s, 1H), 5.98 (s, 1H), 3.85 (m, 1H), 3.5 (m, 2H), 2.98 (m, 1H), 2.75 (m, 1H), 2.45 (s, 3H), 2.31 (m, 1H), 2.15 (m, 1H), 1.7 (m, 1H).
- MS: m/e 481 (M+1), 449 (M−31).
- Analysis: C21H19BrClNO5, C, 51.27 (51.53); H, 4.26 (4.11); N, 3.07 (2.86).
- Dimethyl sulfoxide (1.8 ml, 25.3 mmol) in methylene chloride (20 ml) was added to a stirred solution of oxalyl chloride (840 .mu.l, 9.84 mmol) in dry methylene chloride (120 ml) drop wise at −50° C. The reaction mixture was stirred for half an hour. Compound (8) (2.0 g, 4.65 mmol) in methylene chloride (20 ml) was added dropwise to the reaction mixture. The resulting mixture was further stirred for one and half hour. Triethyl amine was then added dropwise at −50° C. Reaction mixture was then warmed to room temperature and basified with NaHCO3 solution (10 ml). Reaction mixture was extracted with methylene chloride, organic layer was washed with water, brine and dried (anhydrous Na2SO4) to afford the title compound (144)
- Yield: 0.950 g (47.7%)
- 1HNMR (CDCl3): δ 7.4-7.6 (m, 4H), 6.5 (s, 1H), 6.4 (s, 1H), 4.2 (m, 1H), 3.95 (s, 3H), 3.85 (s, 3H), 3.18 (m, 1H), 3.1 (m, 1H), 2.45 (m, 1H), 2.3 (s, 3H), 2.05 (m, 2H)
- MS: m/e (M+1) 428, (M−30) 398.
- 55% m-chloro perbenzoic acid (2.193 g, 0.7 mmol) in tetrahydrofuran (20 ml) was added drop wise to precooled (0° C.) solution of compound (144) (1 g, 2.33 mmol) in THF (50 ml). Reaction mixture was brought to room temperature in 2 hours and concentrated to obtain a solid. Saturated NaHCO3 solution was added to the solid, stirred for 5 min, filtered, washed with water and dried in vacuum to afford the title compound (145)
- Yield: 0.7 g (65.3%)
- 1HNMR (CDCl3+DMSO d6): δ 7.32 (dd, 1H), 7.05-7.17 (m, 3H), 6.15 (s, 1H), 6.05 (s, 1H), 4.2 (m, 1H), 3.9 (d, 1H), 3.65 (s, 3H), 3.6 (s, 3H), 3.3 (m, 2H), 3.05 (br s, 3H), 2.2 (m, 2H).
- 10% Pd/C (30 mg) was added to a solution of compound (145) (400 mg, 0.869 mmol) in 50 ml methanol. The reaction mixture was hydrogenated at 10 psi for 2 h.
- Reaction mass was then filtered (celite) and purified using HP-20 column and water and methanol in the ratio 75:25 as an eluant to obtain the title compound (146)
- Yield: 0.230 g (59.6%)
- mp: 165-167° C.
- 1HNMR (D2O): δ 7.75 (dd, 1H), 7.4-7.6 (m, 3H), 6.25 (s, 1H), 6.5 (s, 1H), 4.12 (m, 1H), 3.82 (s, 3H), 3.9 (s, 3H), 3.52 (m, 2H), 3.15 (m, 1H), 2.78 (s, 3H), 2.1 (m, 1H)
- MS: m/e 444 (M+1), 410 (M−35)
- Compound (146) (0.25 g, 0.563 mmol) was treated with pyridine hydrochloride (2.5 g) at 180° C. Reaction mixture was further heated at 180° C. for 2 h. 1 ml water was added after completion of the reaction and reaction mixture was purified on HP-20 column using as eluant water, followed by methanol and water in the ratio 70:30 to obtain the title compound (147)
- Yield: 0.102 g (43.6%)
- mp: 295-297° C.
- 1HNMR (CDCl3+DMSO d6+TFA d): δ 7.52 (dd, 1H), 7.0-7.4 (m, 3H), 6.05 (s, 1H), 6.1 (s, 1H), 4.1 (m, 1H), 3.9 (m, 1H), 3.46 (m, 1H), 3.1 (m, 1H), 2.65 (s, 3H), 2.05 (m, 2H)
- MS: m/e 416 (M+1), 382 (M−35).
- Analysis: C21H18ClNO6.½H2O C, 59.22 (59.37); H, 4.20 (4.50); N, 2.85 (3.29); Cl, 8.14 (8.34)
- Compound (147) (0.1 g, 0.249 mmol) in methylene chloride was added to m-chloroperbenzoic acid (0.078 g, 0.250 mmol). Methanol (30 ml) was added to dissolve the reaction mixture and it was stirred for 30 min. It was concentrated to obtain a solid mixture, basified with saturated NaHCO3 solution and stirred further for 5 mins. Mixture was then filtered, washed with water and dried in vacuum to obtain the title compound (148)
- Yield: 0.035 g (33.4%)
- 1HNMR (CDCl3+TFA d+DMSO d6): δ 7.4-7.55 (m, 4H), 6.4 (s, 1H), 6.47 (s, 1H), 4.2 (m, 2H), 3.96 (m, 2H, 1H), 3.65 (s, 3H), 3.58 (m, 1H), 2.21 (m, 1H), 2.52 (m, 1H).
- MS: m/e (M+1) 416
- N-Bromosuccinimide (26 gm, 146 mmol) was added to a stirred solution of 4-nitro aniline (20 gm, 145 mmol) in 75 ml dry DMF in portions under stirring at temperature 25-30° C. Reaction mixture was stirred for 30 min. It was poured over crushed ice slowly under vigorous stirring, filtered and dried, to afford the title compound (149)
- Yield: 30 gm (95%)
- 1HNMR (CDCl3): δ 8.4 (s, 1H), 8.1 (d, 1H), 6.75 (d, 1H), 4.85 (bs, 2H).
- MS: m/e 218 (M+1).
- Compound (149) (20 g, 92.2 mmol) was dissolved in 10% aqueous H2SO4 (100 mL) and the solution was cooled to 0° C. A solution of NaNO2 (7.64 g, 110 mmol) in water (20 mL) was added dropwise maintaining the temperature between 0-5° C. The mixture was stirred for 10 min., excess nitrous acid was neutralized using a saturated aqueous NaHCO3 solution. The resulting mixture was then added to a precooled (0-5° C.) suspension of CuCN (9.46 g, 105 mmol and NaCN (5.20 g, 106 mmol) in water (200 mL). It was stirred for 10 min., then allowed to attain room temperature. It was stirred for 0.5 h and finally heated on a steam bath for 0.5 h. Excess saturated FeCl3 solution was then added to the reaction mixture. It was extracted using EtOAc (200 mL×3). The organic extract was washed with water, dried (anhy. Na2SO4), concentrated and purified using a silica gel column and CHCl3:petroleum ether (60-80° C.) (1:1) as eluant to obtain the title compound (150).
- Yield: 3.6 gm (17%)
- 1HNMR (CDCl3): δ 8.58 (s, 1H), 8.3 (d, 1H), 7.9 (d, 1H).
- MS: m/e 228 (M+1).
- IR cm−1: 3100, 2233, 1600, 1350.
- 2-Bromo-4-nitro-benzonitrile (0.5 gm, 2.34 mmol) was hydrolysed using H2SO4 (2.2 ml) in 2.7 ml water at 80° C. for 8 hrs. After completion of reaction solution was poured over crushed ice, basified with sodium carbonate and extracted with ethyl acetate. Aqueous layer was separated, acidified with 1:1 HCl and extracted with ethyl acetate. Combined organic layer was then concentrated to obtained compound (151).
- Yield: 300 mg (55.0%)
- mp: 164-166° C.
- 1HNMR (DMSO d6): δ 8.4 (s, 1H), 8.1 (d, 1H), 7.85 (d, 1H), 5.95 (s, 1H).
- MS: m/e El 248 (M+1).
- IR cm−1: 3100, 1700, 1534, 1350.
- 2 Bromo-4-nitrobenzoic acid (3.70 gm, 15 mmol) was reacted with compound (6) (2.12 g, 6 mmol) in dry pyridine (25 mL) using POCl3 (7 gm, 45.8 mmol) as described in Example 52 to obtain (+)-trans-2-Bromo-4 nitro-benzoic acid 2-(2-acetoxymethyl-4-methyl-pyrrolidin-3-yl)-6-acetyl-3,5-dimethoxy-phenyl ester (compound no. 152) (3.4 gm, 5.9 mmol) a viscous oil, which was converted to the title compound (153) in situ using NaH (50%, 2.8 g, 50 mmol) in dry 1,4-dioxane (100 mL) as described in Example 26.
- Yield: 11%
- IR cm−1: 3400, 1660, 1525, 1350
- 1HNMR (CDCl3): δ 8.6 (s, 1H), 8.32 (d, 1H), 7.95 (d, 1H), 6.6 (s, 1H), 6.44 (s, 1H), 4.2 (m, 1H), 4.02 (s, 3H), 3.98 (s, 3H), 3.65 (dd, 1H), 3.2 (m, 1H), 2.75 (d, 1H), 2.6 (d, 1H), 2.45 (s, 3H), 2.1 (m, 2H).
- MS: m/e 521 (M+1), 489 (M−32).
- Compound (153) (0.3 g, 0.6 mmol) was demethylated using pyridine hydrochloride (3 g, 26 mmol) as described in example 9 to obtain the title compound (154).
- Yield: 54%
- mp: 186° C.
- IR cm−1: 3400, 1650, 1525, 1350
- 1HNMR (CDCl3+DMSO d6): δ 12.2 (s, 1H, exchangeable), 8.5 (s, 1H, 8.25 (d, 1H), 7.75 (d, 1H), 6.35 (s, 1H), 6.15 (s, 1H), 3.95 (m, 1H), 3.65 (m, 1H), 3.25 (m, 2H), 3.1 (m, 2H), 2.6 (s, 3H), 2.25 (m, 1H), 2.02 (m, 1H).
- MS: m/e 493 (M+1).
- Compound (153) (300 mg, 0.6 mmol) was treated with iron dust (300 mg) in water (1.2 ml) and glacial acetic acid (1.2 mL) as described in 1 Example 62 to obtain the title compound (155)
- Yield: 88%.
- 1HNMR (CDCl3): δ 7.45 (d, 1H), 6.95 (s, 1H), 6.7 (d, 1H), 6.48 (s, 1H), 6.24 (s, 1H), 4.15 (m, 1H), 4.05 (s, 3H), 3.95 (s, 3H), 3.6 (dd, 1H), 3.5 (m, 1H), 3.15 (m, 1H), 2.64 (m, 1H), 2.58 (m, 1H), 2.35 (s, 3H), 2.01 (m, 2H).
- MS: m/e 491 (M+1), 159 (M−32).
- Compound (155) (150 mg, 0.3 mmol) was demethylated using pyridine hydrochloride (1.5 g, 13 mmol) as described in example 9 to obtain the title compound (156).
- Yield: 70 mg (50%)
- mp: 208° C.
- IR cm−1: 3400, 1650, 1575, 1380
- 1HNMR (CDCl3+DMSO d6): δ 12.28 (s, 1H, exchangeable), 6.85 (d, 1H), 6.5 (s, 1H), 6.2 (d, 1H), 5.8 (s, 1H), 5.65 (s, 1H), 3.54 (m, 1H), 3.2 (d, 2H), 2.64 (m, 3H), 2.15 (s, 3H), 1.8 (m, 1H), 1.4 (m, 1H).
- MS: m/e 462 (M+1),
- 2-Bromo-4-nitro benzoic acid (3 gm, 12.2 mmol) was reacted with sodium methoxide (6 gm, 111 mmol) in dry DMSO (250 ml) at 80° C.
- After completion of reaction mixture was poured over crushed ice, acidified with 1:1 HCl and extracted with ethyl acetate.
- Organic layer was then concentrated to obtain the title compound (157).
- Yield: 81%
- 1HNMR (DMSO d6): δ 13.2 (s, 1H), 8.2 (d, 1H), 8.02 (d, 1H), 7.85 (d, 1H), 3.85 (s, 3H).
- MS: m/e 232 (M+1).
- Compound (157) (2.8 gm, 12.1 mmol) was reacted with compound (6) (2.2 gm, 6.3 mmol) in dry pyridine (25 mL) using POCl3 (7 gm, 45.8 mmol) as described in Example 52 to obtain (+)-trans-2-Bromo-4-methoxy benzoic acid 2-(2-acetoxymethyl-1-methyl-pyrrolidin-3-yl)-6-acetyl-3,5-dimethoxy-phenyl ester (compound no. 158) (3.2 gm, 5.7 mmol) a viscous oil, which was converted to the title compound (159) in situ using NaH (50%, 2.8 gm, 50 mmol) in dry 1,4-dioxane (100 mL) as described in Example 26.
- Yield: 19%
- 1HNMR (CDCl3): δ 7.6 (d, 1H), 7.2 (s, 1H), 7.02 (d, 1H), 6.8 (s, 1H), 6.45 (s, 1H), 4.2 (m, 1H), 4.08 (s, 3H), 4.01 (s, 3H), 3.8 (s, 3H), 3.65 (m, 1H), 3.4 (m, 1H), 3.5 (m, 1H), 2.8 (m, 1H), 2.6 (m, 1H), 2.45 (s, 3H), 2.12 (m, 2H)
- MS: m/e 504 (M+1), 473 (M−32).
- Compound (159) (155 mg, 0.3 mmol) was demethylated using pyridine hydrochloride (1.6 g, 13.9 mmol) as described in example 9 to obtain the title compound (160).
- Yield: 70 mg (49%)
- 1HNMR (CDCl3+DMSO d6): δ 12.6 (s, 1H exchange), 7.4 (d, 1H), 7.1 (s, 1H), 6.8 (d, 1H), 6.25 (s, 1H), 6.15 (s, 1H), 4.01 (m, 1H), 3.75 (s, 3H), 3.25 (m, 2H), 3.05 (m, 3H), 2.65 (s, 3H), 2.2 (m, 1H), 1.98 (m, 1H).
- Compound (160) (150 mg, 0.25 mmol) was demethylated using pyridine hydrochloride (1.5 gm, 13 mmol) as described in example 9 to obtain the title compound (161)
- Yield: 42%
- 1HNMR (CDCl3+DMSO d6): δ 12.85 (s, 1H exchange), 7.4 (d, 1H), 7.1 (s, 1H), 6.85 (d, 1H), 6.32 (s, 1H), 6.25 (s, 1H), 4.1 (m, 1H), 3.62 (m, 1H), 3.45 (m, 2H), 3.15 (m, 1H), 2.95 (m, 1H), 2.7 (s, 3H), 2.45 (m, 1H) 2.2 (m, 1H).
- MS: m/e 462 (M+1).
- To a solution of compound (70) (50 mg, 0.12 mmol) in dichloromethane (10 mL) were added acetic anhydride (30 mg, 0.3 mmol) and dimethylaminopyridine (3 mg). The mixture was stirred for 45 min. at room temperature.
- Reaction mixture was then adsorbed on 0.5 gm silica, concentrated and was purified using silica gel chromatography using 2% MeOH in chloroform 4-1% liquor ammonia as eluant to obtain the title compound (162).
- Yield: 20 mg (33%)
- 1HNMR (CDCl3): δ 12.5 (s, 1H exchange), 8.4 (d, 2H), 8.05 (d, 2H), 6.75 (s, 1H), 6.32 (s, 1H), 4.55 (m, 1H), 4.2 (m, 2H), 3.4 (m, 2H), 2.9 (m, 1H), 2.7 (s, 3H), 2.45 (m, 2H), 2.15 (s, 3H), 2.05 (s, 3H).
- MS: m/e 494.93 (M−1), 454.5 (M−42)
- Compound (6) (0.8 g, 2.58 mmol) in dry DMF (10 mL) was reacted with NaH (0.62 g, 12.5 mmol) at 0° C. for 10 min. It was then reacted with 2,4-Dichloro-5-fluoro-benzoyl chloride (0.887 g, 3.9 mmol) as detailed in example 8, to obtain the title compound (163).
- Yield: 0.54 gm (40%)
- 1HNMR (CDCl3): δ 7.75 (d, 1H), 7.6 (d, 1H), 6.6 (s, 1H), 6.45 (s, 1H), 4.2 (m, 1H), 4.0 (d, 6H), 3.7 (m, 1H), 3.35 (d, 1H), 3.2 (m, 1H), 2.65 (m, 2H), 2.35 (s, 3H), 2.1 (m, 2H),
- MS: m/e 481.91 (M+1)
- Compound (163) (0.53 g, 1.1 mmol) was subjected to demethylation using pyridine hydrochloride (5.5 g, 47.6 mmol) as described in example 9, to obtain the title compound (164).
- Yield: 0.29 (55%)
- 1HNMR (CDCl3+DMSO d6): δ 7.4 (m, 2H), 6.3 (s, 1H), 6.05 (s, 1H), 3.9 (d, 1H), 3.6 (m, 2H), 3.0 (m, 2H), 2.8 (q, 1H), 2.5 (s, 3H), 2.45 (s, 1H), 2.25 (m, 1H).
- MS: m/e 454 (M+1)
-
TABLE OF EXAMPLES Compound no. R1 R3 R5 R6 R13 (±) 8 2-Chloro-phenyl OCH3 OCH3 CH2OH CH3 (±) 9 2-Chloro-phenyl OH OH CH2OH CH3 (+) 11 2-Chloro-phenyl OCH3 OCH3 CH2OH CH3 (+) 12 2-Chloro-phenyl OH OH CH2OHI CH3 (−) 14 2-Chloro-phenyl OCH3 OCH3 CH2OH CH3 (−) 15 2-Chloro-phenyl OH OH CH2OH CH3 (+) 16 2-Bromo-phenyl OCH3 OCH3 CH2OH CH3 (+) 17 2-Bromo-phenyl OH OH CH2OH CH3 (+) 18 4-Bromo-phenyl OCH3 OCH3 CH2OH CH3 (+) 19 4-Bromo-phenyl OH OCH3 CH2OH CH3 (+) 20 4-Bromo-phenyl OH OH CH2OH CH3 (+) 21 3-Chloro-phenyl OCH3 OCH3 CH2OH CH3 (+) 22 3-Chloro-phenyl OH OCH3 CH2OH CH3 (+) 23 3-Chloro-phenyl OH OH CH2OH CH3 (+) 24 2-iodo-phenyl OCH3 OCH3 CH2OH CH3 (+) 25 2-iodo-phenyl OH OH CH2OH CH3 (+) 26 2-Fluoro-phenyl OCH3 OCH3 CH2OH CH3 (+) 27 2-Fluoro-phenyl OH OH CH2OH CH3 (+) 28 3-Fluoro-phenyl OCH3 OCH3 CH2OH CH3 (+) 29 3-Fluoro-phenyl OH OH CH2OH CH3 (+) 30 2,6-Difluoro-phenyl OCH3 OCH3 CH2OH CH3 (+) 31 2,6-Difluoro-phenyl OH OH CH2OH CH3 (±) 32 4-cyano-phenyl OCH3 OCH3 CH2OH CH3 (±) 33 4-cyano-phenyl OH OCH3 CH2OH CH3 (±) 34 4-cyano-phenyl OH OH CH2OH CH3 (+) 35 4-cyano-phenyl OCH3 OCH3 CH2OH CH3 (+) 36 4-cyano-phenyl OH OCH3 CH2OH CH3 (+) 37 4-cyano-phenyl OH OH CH2OH CH3 (±) 38 4-trifluoromethyl-phenyl OCH3 OCH3 CH2OH CH3 (±) 39 4-trifluoromethyl-phenyl OH OH CH2OH CH3 (+) 40 4-trifluoromethyl-phenyl OCH3 OCH3 CH2OH CH3 (+) 41 4-trifluoromethyl-phenyl OH OH CH2OH CH3 (−) 42 4-trifluoromethyl-phenyl OCH3 OCH3 CH2OH CH3 (−) 43 4-trifluoromethyl-phenyl OH OH CH2OH CH3 (+) 44 2-phenyl OCH3 OCH3 CH2OH CH3 (+) 45 2-phenyl OH OH CH2OH CH3 (+) 46 2-thiophen-2-yl OCH3 OCH3 CH2OH CH3 (+) 47 2-thiophen-2-yl OH OH CH2OH CH3 (+) 48 2-methyl-4-cyano-phenyl OCH3 OCH3 CH2OH CH3 (+) 49 2-methyl-4-cyano-phenyl OH OH CH2OH CH3 (±) 50 2-Bromo-5-methoxy-phenyl OCH3 OCH3 CH2OH CH3 (±) 51 2-Bromo-5-methoxy-phenyl OH OH CH2OH CH3 (±) 52 2-Bromo-5-hydroxy-phenyl OH OH CH2OH CH3 (+) 53 2-Bromo-5-methoxy-phenyl OCH3 OCH3 CH2OH CH3 (+) 54 2-Bromo-5-methoxy-phenyl OH OH CH2OH CH3 (+) 55 2-Bromo-5-hydroxy-phenyl OH OH CH2OH CH3 (±) 56 3,5-Bis-trifluoromethyl-phenyl OCH3 OCH3 CH2OH CH3 (±) 57 3,5-Bis-trifluoromethyl-phenyl OH OH CH2OH CH3 (+) 58 2-Chloro-5-methyl-phenyl OCH3 OCH3 CH2OH CH3 (+) 59 2-Chloro-5-methyl-phenyl OH OH CH2OH CH3 (+) 61 2-Bromo-5-nitro-phenyl OCH3 OCH3 CH2OH CH3 (+) 62 2-Bromo-5-nitro-phenyl OH OH CH2OH CH3 (+) 64 OCH3 OCH3 CH2OH CH3 (+) 65 2-Chloro-pyridin-3-yl OH OH CH2OH CH3 (±) 66 2-Chloro-pyridin-3-yl OCH3 OCH3 CH2OH CH3 (±) 67 2-Chloro-pyridin-3-yl OH OH CH2OH CH3 (+) 69 4-nitro-phenyl OCH3 OCH3 CH2OH CH3 (+) 70 4-nitro-phenyl OH OH CH2OH CH3 (+) 71 4-Amino-phenyl OH OH CH2OH CH3 (±) 90 2-methoxy-phenyl OCH3 OCH3 CH2OH CH3 (±) 91 2-hydroxy-phenyl OH OH CH2OH CH3 (+) 92 2 Chloro-4-cyano phenyl OCH3 OCH3 CH2OH CH3 (+) 93 2 Chloro-4-cyano phenyl OH OH CH2OH CH3 (+) 94 4-Bromo-2-chloro-phenyl OCH3 OCH3 CH2OH CH3 (+) 95 4-Bromo-2-chloro-phenyl OH OH CH2OH CH3 (±) 96 2-Chloro-5-dimethylamino-phenyl OCH3 OCH3 CH2OH CH3 (±) 97 2-Chloro-5-methylamino-phenyl OH OH CH2OH CH3 (±) 98 2-Chloro-4-methoxy-phenyl OCH3 OCH3 CH2OH CH3 (±) 99 2-Chloro-4-hydroxy-phenyl OH OH CH2OH CH3 (±) 100 2-Chloro-5-fluoro-phenyl OCH3 OCH3 CH2OH CH3 (±) 101 2-Chloro-5-fluoro-phenyl OH OH CH2OH CH3 (±) 102 2-Chloro-5-methoxy-phenyl OCH3 OCH3 CH2OH CH3 (±) 103 2-Chloro-5-hydroxy-phenyl OH OH CH2OH CH3 (±) 104 2-Chloro-5-methoxy-phenyl OH OH CH2OH CH3 (±) 107 2-Chloro-phenyl OCH3 OCH3 Azidomethyl CH3 (±) 108 2-Chloro-phenyl OCH3 OCH3 Aminomethyl CH3 (±) 109 2-Chloro-phenyl OH OH Aminomethyl CH3 (±) 110 2-Chloro-phenyl OCH3 OCH3 CH2CN CH3 (±) 111 2-Chloro-phenyl OH OH CH2CN CH3 (±) 112 2-Chloro-phenyl OCH3 OCH3 2-imidazol-1-ylmethyl CH3 (±) 113 2-Chloro-phenyl OH OH 2-imidazol-1-ylmethyl CH3 (±) 114 2-Chloro-phenyl OCH3 OCH3 2-mercapto-methyl CH3 (±) 115 2-Chloro-phenyl OH OH 2-mercapto-methyl CH3 (±) 124 2-Chloro-phenyl OCH3 OCH3 CH2OH 4-methoxy-phenyl (±) 125 2-Chloro-phenyl OH OH CH2OH 4-methoxy-phenyl (±) 131 2-Chloro-phenyl OCH3 OCH3 CH2OC(O)CH3 propyl (±) 132 2-Chloro-phenyl OCH3 OCH3 CH2OH propyl (±) 133 2-Chloro-phenyl OH OH CH2OH propyl (+) 134 2-Chloro-3-fluoro-phenyl OCH3 OCH3 CH2OH CH3 (+) 135 2-Chloro-3-fluoro-phenyl OH OH CH2OH CH3 (+) 136 2-Bromo-3-fluoro-phenyl OCH3 OCH3 CH2OH CH3 (+) 137 2-Bromo-3-fluoro-phenyl OH OH CH2OH CH3 (+) 138 2-Bromo-5-fluoro-phenyl OCH3 OCH3 CH2OH CH3 (+) 139 2-Bromo-5-fluoro-phenyl OH OH CH2OH CH3 (+) 140 2-Chloro-5-iodo-phenyl OCH3 OCH3 CH2OH CH3 (+) 141 2-Chloro-5-iodo-phenyl OH OH CH2OH CH3 (+) 142 2-Bromo-5-chloro-phenyl OCH3 OCH3 CH2OH CH3 (+) 143 2-Bromo-5-chloro-phenyl OH OH CH2OH CH3 (±) 148 2-Chloro-phenyl OH OH CH2OH methyl and oxide (+) 153 2-Bromo-4-nitro-phenyl OCH3 OCH3 CH2OH CH3 (+) 154 2-Bromo-4-nitro-phenyl OH OH CH2OH CH3 (+) 155 4-Amino-2-bromo-phenyl OCH3 OCH3 CH2OH CH3 (+) 156 4-Amino-2-bromo-phenyl OH OH CH2OH CH3 (+) 159 2-Bromo-4-methoxy-phenyl OCH3 OCH3 CH2OH CH3 (+) 160 2-Bromo-4-methoxy-phenyl OH OH CH2OH CH3 (+) 161 2-Bromo-4-hydroxy-phenyl OH OH CH2OH CH3 (+) 163 2,4-Dichloro-5-fluoro-phenyl OCH3 OCH3 CH2OH CH3 (+) 164 2,4-Dichloro-5-fluoro-phenyl OH OH CH2OH CH3 - The efficacy of the present compounds in inhibiting the activity of cyclin-dependent kinases can be determined by a number of pharmacological assays well known in the art, such as described below or, for example, in Losiewics, M. D., et al. Biochcm. Biophys. Res. Commun., 1994, 201, 589. The kinases, cyclins, and substrates used in the in vitro kinase assay can be proteins isolated from mammalian cells, or alternatively, they can be proteins produced recombinantly. The exemplified pharmacological assays which follow hereinbelow have been carried out with the compounds of the present invention and their salts.
- CDK4/Cyclin D1 Kinase Assay and CDK2/Cyclin E Kinase Assay
- The assays measure phosphorylation of retinoblastoma protein (Rb) by CDK4 or CDK2 upon activation by cyclin D1 or cyclin E, respectively, through the transfer of (γ32P)-phosphate from γ32P-ATP in a 96-well filter plate assay.
- Materials:
- CDK4 or CDK2 was coexpressed with cyclin D1 or cyclin E, respectively, by a baculovirus expression system in insect cells. For this, 1×107 Sf9 cells were coinfected with baculoviruses containing human CDK-4 or 2 and cyclin D1 or E genes and after 72 hours cells were lysed in 500 μL of a lysis buffer (50 mM HEPES (pH 7.5), 10 mM Mg (1 mM DTT, 5 μg/ml of aprotinin, 5 μg/ml of leupeptin, 0.1 mM NaF, 0.2 mM phenylmethylsulphonyl fluoride (PMSF), and sodium orthovanadate). Centrifuged lysate was purified on a GST-sepharose column. Purity of the proteins was checked by SDS-PAGE followed by western blots using specific antibodies (Santacruz Biotec, USA) to CDK4 or CDK2.
- GST-retinoblastoma (Rb) (aa 776-928) fusion protein is expressed in the bacteria E. coli and purified by GSH-Sepharose affinity chromatography. The GST-Rb bound to these beads served as the substrate in the assay.
- Readout
- Quantitation was by scintillation detection of (32P)-GST-Rb in 96-well filter plates using Top Count scintillation 96-well counter (Packard, USA).
- Procedure:
- The
CDK 4 orCDK 2 enzyme assay was run in 96-well format using Millipore Multiscreen filtration plates. All assay steps took place in a single filter plate (Unifilter plates, Packard, USA). The filtration wells were pre-wet with kinase buffer (100 μl/well) and the solution was then removed by the application of vacuum, with the filter plate on a vacuum manifold and the vacuum on. 50 μl of GST-Rb bound to GSH-Sepharose beads in kinase buffer (0.5 μg GST-Rb/50 μl) was added to each well and vacuum was applied to removed the buffer. A further 25 μl of a reaction mix containing ATP (cold+hot) and phosphatase inhibitors diluted in kinase buffer were added to each well, followed by the addition of lest compound (4× final concentration in kinase buffer) or kinase buffer (control) in an additional 25 μl volume. Finally 50 μl (100 ng) of human CDK4/D1 or CDK-2/E enzyme in kinase buffer was added to each well to initiate the reaction. The reaction was incubated for 30 min at 30° C. After the reaction was complete, vacuum was applied and the plate was washed with the wash buffer (TNEN buffer) three times. The filter plate was air-dried and placed in a Multiscreen adapter plate. To each well, 30 μl Packard Microscint-O cocktail was added and the plate was covered with a Top-Seal A film. The plate was counted in a Packard Top Count Scintillation Counter for 10 min. Flavopiridol was used as a standard inhibitor in all the experiments. - The concentration of compound at which 50% of phosphokinase activity of CDK4-cyclin D1 and CDK2-cyclin E was inhibited (IC50) was calculated for representative compounds described in the Examples. The results are indicated in Table 1.
-
TABLE 1 IC50 (μM) Compound CDK4- CDK2- Ratio of IC50 No. No. Cyclin D1 Cyclin E CDK2/E:CDK/D1 1 31 0.28 8.75 31.2 2 54 0.08 6.00 75.0 3 Flavopiridol 0.04 0.18 4.5 - The results indicate that the compounds of the present invention have significant inhibitory effects against CDK4/cyclin D1 and CDK2/cyclin E with greater selectivity towards CDK4-D1.
- In Vitro Cell Proliferation and Cytotoxicity Assays:
- Exponentially growing cultures often human cancerous cell lines (HL-60 Promyelocyte Leukemia, PC-3 Prostate, H-460 Lung, MDA-MB-231 Breast, MCF-7 Breast, HeLa Cervix, Colo-205 Colon, 119 Lymphoma (T Cells), U-937 Histiocytic Lymphoma (monocytes) and CaCO-2 Colon) obtained from NCCS, Pune, India were used. The in vitro cell proliferation (NCI, USA protocol) and cytotoxicity assays were carried out using standard procedures viz. 3H-Thymidine uptake and MTS assay, respectively (For 3H-Thymidine uptake: Cell Biology, A Laboratory Handbook, 1998, Vol 1 Ed Julio E. Cells, and For MTS assay: Promega Protocol, USA, 2000). In the 3H-Thymidine uptake assay, cells were harvested after 72 hours onto GF/B unifilter plates (Packard, USA) using a Packard Filtermate Universal harvester and the plates were counted on a Packard TopCount 96-well liquid scintillation counter. The concentration of compound at which 50% of proliferative activity was inhibited (IC50) and the degree of toxicity of compound were calculated for representative compounds described in the Examples. The results are indicated in Table 2 below.
-
TABLE 2 IC50 (μM) U-937 MDAMB- Histiocytic Compound HeLa MCF-7 PC-3 231 H460 lymphoma No. No. Cervix Breast Prostate Breast Lung (monocytes) 1 12 0.1-0.5 0.5-1 0.5-1 0.5-1 5.0-10 0.1-1 ++ NT ++ NT NT + 2 17 0.1-1 0.5-1 1.0-10 0.1 >10 0.1-1 + + NT NT NT + 3 Flavopiridol 0.1-0.5 0.5 0.05-0.1 0.1 0.05 0.1 +++ + ++ ++ + ++ NA: not active >10 μM NT: not toxic ≦30% +: 30-50% toxic ++: 50-70% toxic +++: above 70% toxic
Claims (9)
1. A method for the treatment of cancer in a mammal in need thereof comprising:
administering to said mammal an effective amount of a compound of the formula (Ig), or a stereoisomer, optical isomer, a pharmaceutically acceptable salt, or a pharmaceutically acceptable solvate thereof, where the formula (Ig) is represented by:
wherein:
R1 is phenyl, which is unsubstituted or substituted by 1, 2, or 3 identical or different substituents selected from: halogen, C1-C4-alkyl, C1-C4-alkoxy, nitro, SR11, trifluoromethyl, hydroxyl, cyano, carboxy, C1-C4alkoxycarbonyl and —C1-C4-alkylenehydroxyl;
R2 and R4 are hydrogen;
R3 and R5 are hydroxy or C1-C4-alkoxy;
Z is O; and
A is a saturated 5-membered ring represented by the following formula (I):
2. The method of claim 1 ;
wherein:
R1 is phenyl, which is substituted by 1 or 2 identical or different substituents selected from:
halogen and C1-C4-alkoxy;
R2 and R4 are hydrogen;
R3 and R5 are hydroxy or C1-C4-alkoxy;
R6 is —C1-C4-alkylene-OH; and
R13 is C1-C4-alkyl.
3. The method of claim 2 ;
wherein:
R1 is phenyl, which is substituted by 1 or 2 identical or different substituents selected from:
F, Cl, Br and —OCH3;
R2 and R4 are hydrogen;
R3 and R5 are hydroxy;
R6 is —CH2OH; and
R13 is CH3.
4. Hie method of claim 3 ;
wherein R1 is phenyl, substituted with Cl in the 2-position.
5. The method of claim 3 ;
wherein R1 is phenyl, substituted with Br in the 2-position.
6. Hie method of claim 3 ;
wherein R1 is phenyl, substituted with F in the 2- and 6-positions.
7. The method of claim 3 ;
wherein R1 is phenyl which is substituted with Br in the 2-position and —OCH3 in the 5-position.
8. The method of claim 1 ;
wherein the compound of formula (Ig) is selected from the group consisting of:
(+/−)-trans-2-(2-Chloro-phenyl)-8-(2-hydroxymethyl-1-methyl-pyrrolidin-3-yl)-5,7-dimethoxy-chromen-4-one;
(+)-trans-2-(2-Chloro-phenyl)-8-(2-hydroxymethyl-1-methyl-pyrrolidin-3-yl)-5,7-dimethoxy-chromen-4-one;
(+)-trans-2-(2-Chloro-phenyl)-5,7-dihydroxy-8-(2-hydroxymethyl-1-methyl-pyrrolidin-3-yl)-chromen-4-one;
(−)-trans-2-(2-Chloro-phenyl)-8-(2 hydroxymethyl-1-methyl-pyrrolidin-3-yl)-5,7-dimethoxy-chromen-4-one;
(−)-trans-2-(2-Chloro-phenyl)-5,7-dihydroxy-8-(2-hydroxymethyl-1-methyl-pyrrolidin-3-yl)-chromen-4-one;
(+)-trans-2-(2-Bromo-phenyl)-8-(2-hydroxymethyl-1-methyl-pyrrolidin-3-yl)-5,7-dimethoxy-chromen-4-one;
(+)-trans-2-(2-Bromo-phenyl)-5,7-dihydroxy-8-(2-hydroxymethyl-1-methyl-pyrrolidin-3-yl)-chromen-4-one;
(+)-trans-2-(4-Bromo-phenyl)-8-(2-hydroxymethyl-1-methyl-pyrrolidin-3-yl)-5,7-dimethoxy-chromen-4-one;
(+)-trans-2-(4-Bromo-phenyl)-5-hydroxy-8-(2-hydroxymethyl-1-methyl-pyrrolidin-3-yl)-7-methoxy-chromen-4-one;
(+)-trans-2-(4-Bromo-phenyl)-5,7-dihydroxy-8-(2-hydroxymethyl-1-methyl-pyrrolidin-3-yl)-chromen-4-one;
(+)-trans-2-(3-Chloro-phenyl)-8-(2-hydroxymethyl-1-methyl-pyrrolidin-3-yl)-5,7-dimethoxy-chromen-4-one;
(+)-trans-2-(3-Chloro-phenyl)-5-hydroxy-8-(2-hydroxymethyl-1-methyl-pyrrolidin-3-yl)-7-methoxy-chromen-4-one;
(+)-trans-2-(3-Chloro-phenyl)-5,7-dihydroxy-8-(2-hydroxymethyl-1-methyl-pyrrolidin-3-yl)-chromen-4-one;
(+)-trans-8-(2-hydroxymethyl-1-methyl-pyrrolidin-3-yl)-2-(2-iodophenyl)-5,7-dimethoxy-chromen-4-one;
(+)-trans-5,7-Dihydroxy-8-(2-hydroxymethyl-1-methyl-pyrrolidin-3-yl)-2-(2-iodophenyl)-chromen-4-one;
(+)-trans-2-(2-Fluoro-phenyl)-8-(2-hydroxymethyl-1-methyl-pyrrolidin-3-yl)-5,7-dimethoxy-chromen-4-one;
(+)-trans-2-(2-Fluoro-phenyl)-5,7-dihydroxy-8-(2-hydroxymethyl-1-methyl-pyrrolidin-3-yl)-chromen-4-one,
(+)-trans-2-(3-Fluoro-phenyl)-5,7-dimethoxy-8-(2-hydroxymethyl-1-methyl-pyrrolidin-3-yl)-chromen-4-one;
(+)-trans-2-(3-Fluoro-phenyl)-8-(2-hydroxymethyl-1-methyl-pyrrolidin-3-yl)-5,7-dimethoxy-chromen-4-one;
(+)-trans-2-(2,6-Difluoro-phenyl)-8-(2-hydroxymethyl-1-methyl-pyrrolidin-3-yl)-5,7-dimethoxy-chromen-4-one;
(+)-trans-2-(2,6-Difluoro-phenyl)-5,7-dihydroxy-8-(2-hydroxymethyl-1-methyl-pyrrolidin-3-yl)-chromen-4-one;
(+/−)-trans-4-[8-(2-Hydroxymethyl-1-methyl-pyrrolidin-3-yl)-5,7-dimethoxy-4-oxo-4H-chromen-2-yl]-benzonitrile;
(+/−)-trans-4-[5,7-Dihydroxy-8-(2-hydroxymethyl-1-methyl-pyrrolidin-3-yl)-4-oxo-4H-chromen-2-yl]-benzonitrile;
(+)-trans-4-[8-[2-Hydroxymethyl-1-methyl-pyrrolidin-3-yl]-5,7-dimethoxy-4 oxo-4H-chromen-2-yl]-benzonitrile;
(+)-trans-4-[5,7-Dihydroxy-8-(2-hydroxymethyl-1-methyl-pyrrolidin 3 yl)-4-oxo-4H-chromen-2-yl]-benzonitrile;
(+/−)-trans-8-(2-Hydroxymethyl-1-methyl-pyrrolidin-3-yl)-5,7-dimethoxy-2-(4-trifluoromethyl-phenyl)-chromen-4-one;
(+/−)-trans 5,7-Dihydroxy-8-(2-hydroxymethyl-1-methyl-pyrrolidin-3-yl)-2-(4-trifluoromethyl-phenyl)-chromen 4-one;
(+)-trans-8-(2-Hydroxymethyl-1 methyl-pyrrolidin-3-yl)-5,7-dimethoxy-2-(4-trifluoromethyl-phenyl)-chromen-4-one;
(+)-trans-5,7-Dihydroxy-8-(2-hydroxymethyl-1-methyl-pyrrolidin-3-yl-2-(4-trifluoromethyl-phenyl)-chromen-4-one;
(−)-trans-8-(2-Hydroxymethyl-1-methyl-pyrrolidin-3-yl)-5,7-dimethoxy-2-(4-trifluoromethyl-phenyl)-chromen-4-one;
(−)-trans-5,7-Dihydroxy-8-(2-hydroxymethyl-1-methyl-pyrrolidin-3-yl)-2-(4-trifluoromethyl-phenyl)-chromen-4-one;
(+)-trans-8-(2-Hydroxymethyl-1-methyl-pyrrolidin-3-yl)-5,7-dimethoxy-2-phenyl-chromen-4-one;
(+)-trans-5,7-Dihydroxy-8-(2-hydroxymethyl-1-methyl-pyrrolidin-3-yl)-2-phenyl-chromen-4-one;
(+)trans-8-(2-Hydroxymethyl-1-methyl-pyrrolidin-3-yl)-5,7-dimethoxy-2-thiophen-2-yl-chromen-4-one;
(+)-trans-5,7-Dihydroxy-8-(2-hydromethyl-1-methyl-pyrrolidin-3-yl)-2-thiophen-2-yl-chromen-4-one;
(+)-trans-4-[5,7-Dihydroxy-8-(2-Hydroxymethyl-1-methyl-pyrrolidine-3-yl)-4-oxo-4H-chromen-2-yl]-3-methyl-benzonitrile;
(+)-trans-4-[8-(2-Hydroxymethyl-1-methyl-pyrrolidin-3-yl)-5,7-dimethoxy-4-oxo-4H-chromen-2-yl]-3-methyl-benzonitrile;
(+/−)-trans-2-[2-Bromo-5-methoxy-phenyl)-8-(2-hydroxymethyl-1-methyl-pyrrolidin-3-yl]-5,7-dimethoxy-chromen-4-one;
(+/−)-trans-2-(2-Bromo-5-methoxy-phenyl)-5,7-dihydroxy-8-(2-hydroxymethyl-1-methyl-pyrrolidin-3-yl)-chromen-4-one;
(+)-trans-2-[2-Bromo-5-methoxy-phenyl)-8-(2-hydroxymethyl-1-methyl-pyrrolidin-3-yl]-5,7-dimethoxy-chromen-4-one;
(+)-trans-2-(2-Bromo-5-methoxy-phenyl)-5,7-dihydroxy-8-(2-hydroxymethyl-1-methyl-pyrrolidin-3-yl)-chromen-4-one;
(+/−)-trans-2-(2-bromo-5-hydroxy-phenyl)-5,7-dihydroxy-8-(2-hydroxymethyl-1-methyl-pyrrolidin-3-yl)-chromen-4-one;
(+)-trans-2-(2-bromo-5-hydroxy-phenyl)-8-(2-hydroxymethyl-1-methyl-pyrrolidin-3-yl)-5,7-chromen-4-one;
(+/−)-trans-2-[(3,5-Bis-trifluoromethyl)-phenyl]-8-(2-hydroxymethyl-1-methyl-pyrrolidin-3-yl)-5,7-dimethoxy-chromen-4-one;
(+/−)-trans-2-[(3,5-Bis-trifluoromethyl)-phenyl]-5,7-dihydroxy-8-(2-hydroxymethyl-1-methyl-pyrrolidin-3-yl)-chromen-4-one;
(+)-trans-2-(2-Chloro-5-methyl-phenyl)-8-(2-hydroxymethyl-1-methyl-pyrrolidin-3-yl)-5,7-dimethoxy-chromen-4-one;
(+)-trans-2-(2-Chloro-5-methyl-phenyl)-5,7-dihydroxy-8-(2-hydroxymethyl-1-methyl-pyrrolidin-3-yl)-chromen-4-one;
(+)-trans-2-[2-Bromo-5-nitro-phenyl]-8-(2-hydroxymethyl-1-methyl-pyrrolidin-3-yl)-5,7-dimethoxy-chromen-4-one;
(+/−)-trans-2-(2-Bromo-5 nitro-phenyl)-8-(2-hydroxymethyl-1-methyl-pyrrolidin-3-yl)-5,7-dihydroxy-chromen-4-one;
(+/−)-trans-2-(2-Chloro-pyridin-3-yl)-8-(2-hydroxymethyl-1-methyl-pyrrolidin-3-yl)-5,7-dimethoxy-chromen-4-one;
(+/−)-trans-2-(2-Chloro-pyridin-3-yl)-5,7-dihydroxy-8-(2-hydroxymethyl-1-methyl-pyrrolidin-3-yl)-chromen-4-one;
(+/−)-trans-2-(2-Bromo-5-nitrophenyl-8-(2-hydroxymethyl-1-methyl-pyrrolidin-3-yl)-5,7-dihydroxy-chromen-4-one;
(+)-trans-2-(2-Chloro-pyridin-3-yl)-5,7-dihydroxy-8-(2-hydroxymethyl-1-methyl-pyrrolidin-3-yl-chromen-4-one;
(+/−)-trans-8-(2-Hydroxymethyl-1-methyl-pyrrolidin-3-yl)-5,7-dimethoxy-2-(4-nitrophenyl)-4H-chromen-4-one;
(+/−)-trans-5,7-Dihydroxy-8-(2-hydroxymethyl-1-methyl-pyrrolidine-3-yl)-2-(4-nitrophenyl)-chromen-4-one;
(+/−)-trans-2-(4-Aminophenyl)-5,7-dihydroxy-8-(2-hydroxymethyl-1-methyl-pyrrolidin-3-yl)-chromen-4-one;
(+/−)-trans-8-(2-Hydroxymethyl-1-methyl-pyrrolidin-3-yl)-5,7-dimethoxy-2-(2-methoxy-phenyl)-chromen-4-one;
(+/−)-trans-5,7-Dihydroxy-8-(2-hydroxymethyl-1-methyl-pyrrolidin-3-yl)-2-(2-hydroxy-1-phenyl)-chromen-4-one;
(+)-trans-3-Chloro-4-[8-(2-hydroxymethyl-1-methyl-pyrrolidin-3-yl)-5,7-dimethoxy-4-oxo-4H-chromen-2-yl]-benzonitrile;
(+)-trans-3-Chloro-4-[5,7-dihydroxy-8-(2-hydroxymethyl-1-methyl-pyrrolidin-3-yl)-4-oxo-4H-chromen-2-yl]-benzonitrile;
(+)-trans-2-(4-Bromo-2-chloro-phenyl)-8-(2-hydroxymethyl-1-methyl-pyrrolidin-3-yl)-5,7-dimethoxy-1-chromen-4-one;
(+)-trans-2-(4-Bromo-2-chloro-phenyl)-5,7-dihydroxy-8-(2-hydromethyl-1-methyl-pyrrolidin-3-yl)-chromen-4-one;
(+/−)-trans-2-(2-Chloro-5-dimethylamino-phenyl)-8-(2-hydroxymethyl-1-methyl-pyrrolidin-3-yl)-5,7-dimethoxy-chromen-4-one;
(+/−)-trans-2-(2-Chloro-5-methylamino-phenyl)-5,7-dihydroxy-8-(-2-hydroxymethyl-1-methyl-pyrrolidin-3-yl)-chromen-4-one;
(+/−)-trans-2-(2-Chloro-4-methoxy-phenyl)-8-(2-hydroxymethyl-1-methyl-pyrrolidin-3-yl) 5,7-dimethoxy-chromen-4-one;
(+/−)-trans-2-(2-Chloro-4-hydroxy-phenyl)-5,7-dihydroxy-8-[2-hydroxymethyl-1-methyl-pyrrolidin-3-yl]chromen-4-one;
(+/−)-trans 2-(2-Chloro-5-fluoro-phenyl)-8-(2-hydroxymethyl-1-methyl-pyrrolidin-3-yl)-5,7-dimethoxy-chromen-4-one;
(+/−)-trans-2-(2-Chloro-5-fluoro-phenyl)-5,7-dihydroxy-8-(2-hydroxymethyl 1-methyl-pyrrolidin-3-yl)-chromen-4-one;
(+/−)-trans-2-(2-Chloro-5-methoxy-phenyl)-8-(2-hydroxymethyl-1-methyl-pyrrolidin-3-yl)-5,7-dimethoxy-chromen-4-one;
(+/−)-trans-2-(2-Chloro-5-hydroxy-phenyl)-5,7-dihydroxy-8-(2-hydroxymethyl-1-methyl-pyrrolidin-3-yl)-chromen-4-one;
(+/−)-trans-2-(2-Chloro-5-methoxy-phenyl)-5,7-dihydroxy-8-(2-hydroxymethyl-1-methyl-pyrrolidin-3-yl)-chromen-4-one;
(+/−)-trans-2-(2-Chloro-phenyl)-8-[2-hydroxymethyl-1-(4-methoxy-phenyl)-pyrolidin-3-yl]-5,7-dimethoxy-chromen-4-one;
(+/−)-trans-2-(2-Chloro-phenyl)-5,7-dihydroxy-8-[2-hydroxymethyl-1-(4-methoxy-phenyl)-pyrrolidin-3-yl]-chromen-4-one;
(+/−)-trans-2-(2-Chloro-4-nitro-phenyl)-5,7-dihydroxy-8-(2-hydroxymethyl-1-methylpyrrolidin-3-yl)-chromen-4-one;
(+/−)-trans-2-(2-Bromo-4-nitro-phenyl-5,7-dihydroxy-8-(2-hydroxymethyl-1-methylpyrrolidin-3-yl)-chromen-4-one;
(+/−)-trans-3-Chloro-4-[5,7-dihydroxy-8-(2-hydroxymethyl-1-methyl-pyrrolidin-3-yl)-4-oxo-4H-chromen-2-yl]-benzoic acid;
(+/−)-trans-3-Bromo-4-[5,7-dihydroxy-8-(2-hydroxymethyl-1-methyl-pyrrolidin-3-yl)-4-oxo-4H-chromen-2-yl]-benzoic acid;
(+/−)-trans 2-(2-Chloro-4-fluoro-phenyl)-5,7-dihydroxy-8-(2-hydroxymethyl-1-methyl-pyrrolidin-3-yl)-chromen-4-one;
(+/−)-trans-2-(4-Amino-2-chloro-phenyl)-5,7-dihydroxy-8-(2-hydroxymethyl-1-methyl-pyrrolidin-3-yl)-chromen-4-one;
(+/−)-trans-2-(2-Bromo-5-fluoro-phenyl)-5,7-dihydroxy-8-(2-hydroxymethyl-1-methyl-pyrrolidin-3-yl)-chromen-4-one;
(+/−)-trans-2-(4-Amino-2-bromo-phenyl)-5,7-dihydroxy-8-(2-hydroxymethyl-1-methyl-pyrrolidin-3-yl)-chromen-4-one;
(+/−)-trans-4-Chloro-3-[5,7-dihydroxy-8-(2-hydroxymethyl-1-methyl-pyrrolidin-3-yl)-4-oxo-4H-chromen-2-yl]-benzoic acid;
(+/−)-trans-4-Bromo-3-[5,7-dihydroxy-8-(2-hydroxymethyl-1-methyl-pyrrolidin-3-yl)-4-oxo-4H-chromen-2-yl]-benzoic acid;
(+/−)-trans-4-Bromo-3-[5,7-dihydroxy-8-(2-hydroxymethyl-1-methyl-pyrrolidin-3-yl)-4-oxo-4H-chromen-2-yl]-N-hydroxy-benzamide;
(+/−)-trans-4-Chloro-3-[5,7-dihydroxy-8-(2 hydroxylmethyl-1-methyl-pyrrolidin-3-yl)-4-oxo-4H-chromen-2-yl]-N-hydroxy-benzamide;
(+/−)-trans-3-Chloro-4-[5,7-dihydroxy-8-(2-hydroxymethyl-1-methyl-pyrrolidin-3-yl)-4-oxo-4H-chromen-2-yl]-N-hydroxy-benzamide;
(+/−)-trans-3-Bromo-4-[5,7-dihydroxy-8-(2-hydroxymethyl-1-methyl-pyrrolidin-3-yl)-4-oxo-4H-chromen-2-yl]-N-hydroxy-benzamide;
(+/−)-trans-2-(2,4-Difluoro-phenyl)-5,7-dihydroxy-8-(2-hydroxymethyl-1-methyl-pyrrolidin-3-yl)-chromen-4-one;
(+)-trans-2-(2-Chloro-3-fluoro-phenyl)-8-(2-hydroxymethyl-1-methyl-pyrrolidin-3-yl)-5,7-dimethoxy-chromen-4-one;
(+)-trans-2-(2-Chloro-3-fluoro-phenyl)-5,7-dihydroxy-8-(2-hydroxymethyl-1-methyl-pyrrolidin-3-yl)-chromen-4-one;
(+)-trans-2-(2-Bromo-3-fluoro-phenyl)-8-(2-hydroxymethyl-1-methyl-pyrrolidin-3-yl)-5,7-dimethoxy-chromen-4-one;
(+)-trans-2-(2-Bromo-3-fluoro-phenyl)-5,7-dihydroxy-8-(2-hydroxymethyl-1-methyl-pyrrolidin-3-yl)-chromen-4-one;
(+)-trans-2-(2-Bromo-5-fluoro-phenyl)-8-(2-hydroxymethyl-1-methyl-pyrrolidin-3-yl)-5,7-dimethoxy-chromen-4-one;
(+)-trans-2-(2-Bromo-5-fluoro-phenyl)-5,7-dihydroxy-8-(2-hydroxymethyl-1-methyl-pyrrolidin-3-yl)-chromen-4-one;
(+)-trans-2-(2-Chloro-5-iodo-phenyl)-8-(2-hydroxymethyl-1-methyl-pyrrolidin-3-yl)-5,7-dimethoxy-chromen-4-one;
(+)-trans-2-(2-Chloro-5-iodo-phenyl)-5,7-dihydroxy-8-(2-hydroxymethyl-1-methyl-pyrrolidin-3-yl)-chromen-4-one;
(+)-trans-2-(2-Bromo-5-chloro-phenyl)-8-(2-hydroxymethyl-1-methyl-pyrrolidin-3-yl)-5,7-dimethoxy-chromen-4-one;
(+)-trans-2-(2-Bromo-5-chloro-phenyl)-5,7-dihydroxy-8-(2-hydroxymethyl-1-methyl-pyrrolidin-3-yl)-chromen-4-one;
(+/−)-trans-2-(2-Chloro-phenyl)-5,7-dihydroxy-8-(2-hydroxymethyl-1-methyl-1-oxy-pyrrolidin-3-yl)-chromen-4-one;
(+)-trans-2-(2-Bromo-4-nitro-phenyl)-8-(2-hydroxymethyl-1-methylpyrrolidin-3-yl)-5,7-dimethoxy-chromen-4-one;
(+)-trans-2-(2-Bromo-4-nitro-phenyl)-5,7-dihydroxy-8-(2-hydroxymethyl-1-methyl-pyrrolidin-3-yl)-chromen-4-one;
(+)-trans-2-(4-Amino-2-bromo-phenyl)-8-(2-hydroxymethyl-1-methyl-pyrrolidin-3-yl)-5,7-dimethoxy-chromen-4-one;
(+)-trans-2-(4-Amino-2-bromo-phenyl)-5,7-dihydroxy-8-(2-hydroxymethyl-1-methyl-pyrrolidin-3-yl)-chromen-4-one;
(+)-trans-2-(2-Bromo-4-methoxy-phenyl)-8-(2-hydroxymethyl-1-methyl-pyrrolidin-3-yl)-5,7-dimethoxy-chromen-4-one;
(+)-trans-2-(2-Bromo-4-methoxy-phenyl)-5,7-dihydroxy-8-(2-hydroxymethyl-1-methyl-pyrrolidin-3-yl)-chromen-4-one;
(+)-trans-2-(2-Bromo-4-hydroxy-phenyl) 5,7-dihydroxy-8-(2-hydroxymethyl-1-methyl-pyrrolidin-3-yl)-chromen-4-one;
(+)-trans-2-(2,4-Dichloro-5-fluoro-phenyl)-8-(2-hydroxymethyl-1-methyl-pyrrolidin-3-yl)-5,7-dimethoxy-chromen-4-one; and
(+)-trans-2-(2,4-Dichloro-5-fluoro-phenyl-5,7-dihydroxy-8-(2-hydroxymethyl-1-methyl-pyrrolidin-3-yl)-chromen-4-one.
9. The method of claim 1 ;
wherein the cancer is selected from the group consisting of:
bladder cancer, breast cancer, colon cancer, kidney cancer, liver cancer, lung cancer, ovarian cancer, pancreatic cancer, stomach cancer, cancer of the cervix, thyroid cancer, prostate cancer, skin cancer, leukemia, acute lymphocytic leukemia, B-cell lymphoma, hystiolytic lymphoma, Burkett's lymphoma, acute and chronic myelogenous leukemia, promyelocyte leukemia, fibrosarcoma, rhabdomyosarcoma, neuroblastoma, glioma, melanoma, seminoma, teratocarcinoma, and osteosarcoma.
Priority Applications (1)
| Application Number | Priority Date | Filing Date | Title |
|---|---|---|---|
| US13/585,006 US20130045993A1 (en) | 2002-07-08 | 2012-08-14 | Inhibitors of cyclin-dependent kinases and their use |
Applications Claiming Priority (6)
| Application Number | Priority Date | Filing Date | Title |
|---|---|---|---|
| IN616MU2002 | 2002-07-08 | ||
| IN616/MUM/2002 | 2002-07-08 | ||
| US10/611,539 US7271193B2 (en) | 2002-07-08 | 2003-07-01 | Inhibitors of cyclin-dependent kinases and their use |
| US11/779,577 US7915301B2 (en) | 2002-07-08 | 2007-07-18 | Inhibitors of cyclin dependent kinases and their use |
| US13/026,503 US8304449B2 (en) | 2002-07-08 | 2011-02-14 | Inhibitors of cyclin dependent kinases and their use |
| US13/585,006 US20130045993A1 (en) | 2002-07-08 | 2012-08-14 | Inhibitors of cyclin-dependent kinases and their use |
Related Parent Applications (1)
| Application Number | Title | Priority Date | Filing Date |
|---|---|---|---|
| US13/026,503 Continuation US8304449B2 (en) | 2002-07-08 | 2011-02-14 | Inhibitors of cyclin dependent kinases and their use |
Publications (1)
| Publication Number | Publication Date |
|---|---|
| US20130045993A1 true US20130045993A1 (en) | 2013-02-21 |
Family
ID=39360474
Family Applications (3)
| Application Number | Title | Priority Date | Filing Date |
|---|---|---|---|
| US11/779,577 Expired - Lifetime US7915301B2 (en) | 2002-07-08 | 2007-07-18 | Inhibitors of cyclin dependent kinases and their use |
| US13/026,503 Expired - Fee Related US8304449B2 (en) | 2002-07-08 | 2011-02-14 | Inhibitors of cyclin dependent kinases and their use |
| US13/585,006 Abandoned US20130045993A1 (en) | 2002-07-08 | 2012-08-14 | Inhibitors of cyclin-dependent kinases and their use |
Family Applications Before (2)
| Application Number | Title | Priority Date | Filing Date |
|---|---|---|---|
| US11/779,577 Expired - Lifetime US7915301B2 (en) | 2002-07-08 | 2007-07-18 | Inhibitors of cyclin dependent kinases and their use |
| US13/026,503 Expired - Fee Related US8304449B2 (en) | 2002-07-08 | 2011-02-14 | Inhibitors of cyclin dependent kinases and their use |
Country Status (1)
| Country | Link |
|---|---|
| US (3) | US7915301B2 (en) |
Cited By (4)
| Publication number | Priority date | Publication date | Assignee | Title |
|---|---|---|---|---|
| US10245251B2 (en) | 2011-05-31 | 2019-04-02 | Piramal Enterprises Limited | Synergistic pharmaceutical combination for the treatment of squamous cell carcinoma of head and neck |
| US20190349363A1 (en) * | 2018-05-14 | 2019-11-14 | GM Global Technology Operations LLC | Biometric authentication with enhanced biometric data protection |
| WO2020055758A1 (en) | 2018-09-10 | 2020-03-19 | Mirati Therapeutics, Inc. | Combination therapies |
| US11007174B2 (en) | 2013-07-12 | 2021-05-18 | Piramal Enterprises Limited | Pharmaceutical combination for the treatment of melanoma |
Families Citing this family (8)
| Publication number | Priority date | Publication date | Assignee | Title |
|---|---|---|---|---|
| DK2154971T3 (en) * | 2007-05-15 | 2012-04-02 | Piramal Life Sciences Ltd | Synergistic pharmaceutical combination for the treatment of cancer |
| US20150353542A1 (en) | 2013-01-14 | 2015-12-10 | Amgen Inc. | Methods of using cell-cycle inhibitors to modulate one or more properties of a cell culture |
| EP4086264B1 (en) | 2015-05-18 | 2023-10-25 | Sumitomo Pharma Oncology, Inc. | Alvocidib prodrugs having increased bioavailability |
| US11279694B2 (en) * | 2016-11-18 | 2022-03-22 | Sumitomo Dainippon Pharma Oncology, Inc. | Alvocidib prodrugs and their use as protein kinase inhibitors |
| JP7196160B2 (en) | 2017-09-12 | 2022-12-26 | スミトモ ファーマ オンコロジー, インコーポレイテッド | Treatment Regimens for Cancers Insensitive to BCL-2 Inhibitors Using the MCL-1 Inhibitor Albocidib |
| AU2019391097B2 (en) | 2018-12-04 | 2025-07-03 | Sumitomo Pharma America, Inc. | CDK9 inhibitors and polymorphs thereof for use as agents for treatment of cancer |
| JP2022525149A (en) | 2019-03-20 | 2022-05-11 | スミトモ ダイニッポン ファーマ オンコロジー, インコーポレイテッド | Treatment of Acute Myeloid Leukemia (AML) with Venetoclax Failure |
| KR20220023333A (en) | 2019-04-11 | 2022-03-02 | 메이 파마, 아이엔씨. | Boruciclib polymorphs and methods of making and using the same |
Family Cites Families (12)
| Publication number | Priority date | Publication date | Assignee | Title |
|---|---|---|---|---|
| IN164232B (en) | 1986-04-11 | 1989-02-04 | Hoechst India | |
| USH1427H (en) | 1988-04-06 | 1995-04-04 | Briet; Phillipe | Substituted flavonoid compounds, their salts, their manufacture and their use in combination with interleukin-2 |
| US5116954A (en) | 1988-04-06 | 1992-05-26 | Lipha, Lyonnaise Industrielle Pharmaceutique | Pharmaceutically useful flavonoic compounds containing at least one substituent on the benzopyranone ring moiety |
| US5284856A (en) | 1988-10-28 | 1994-02-08 | Hoechst Aktiengesellschaft | Oncogene-encoded kinases inhibition using 4-H-1-benzopyran-4-one derivatives |
| US5723313A (en) | 1995-09-27 | 1998-03-03 | St. Jude Children's Research Hospital | ARF-p19, a novel regulator of the mammalian cell cycle |
| US5733920A (en) | 1995-10-31 | 1998-03-31 | Mitotix, Inc. | Inhibitors of cyclin dependent kinases |
| US5849733A (en) | 1996-05-10 | 1998-12-15 | Bristol-Myers Squibb Co. | 2-thio or 2-oxo flavopiridol analogs |
| IL151946A0 (en) * | 2000-03-29 | 2003-04-10 | Cyclacel Ltd | 2-substituted 4-heteroaryl-pyrimidines and their use in the treatment of proliferative disorders |
| CN1433410A (en) | 2000-05-03 | 2003-07-30 | 株式会社Lg生命科学 | CDK inhibitors having 3-hydroxychromen-4-one structure |
| KR20030017569A (en) * | 2000-06-28 | 2003-03-03 | 테바 파마슈티컬 인더스트리즈 리미티드 | Carvedilol |
| TWI331034B (en) | 2002-07-08 | 2010-10-01 | Piramal Life Sciences Ltd | Inhibitors of cyclin-dependent kinases and their use |
| KR101209397B1 (en) | 2006-06-21 | 2012-12-06 | 피라말 라이프 사이언시스 리미티드 | Enantiomerically pure flavone derivatives for the treatment of poliferative disorders and processes for their preparation |
-
2007
- 2007-07-18 US US11/779,577 patent/US7915301B2/en not_active Expired - Lifetime
-
2011
- 2011-02-14 US US13/026,503 patent/US8304449B2/en not_active Expired - Fee Related
-
2012
- 2012-08-14 US US13/585,006 patent/US20130045993A1/en not_active Abandoned
Cited By (6)
| Publication number | Priority date | Publication date | Assignee | Title |
|---|---|---|---|---|
| US10245251B2 (en) | 2011-05-31 | 2019-04-02 | Piramal Enterprises Limited | Synergistic pharmaceutical combination for the treatment of squamous cell carcinoma of head and neck |
| US11007174B2 (en) | 2013-07-12 | 2021-05-18 | Piramal Enterprises Limited | Pharmaceutical combination for the treatment of melanoma |
| US11839591B2 (en) | 2013-07-12 | 2023-12-12 | Piramal Enterprises Limited | Pharmaceutical combination for the treatment of melanoma |
| US12383530B2 (en) | 2013-07-12 | 2025-08-12 | Piramal Enterprises Limited | Pharmaceutical combination for the treatment of melanoma |
| US20190349363A1 (en) * | 2018-05-14 | 2019-11-14 | GM Global Technology Operations LLC | Biometric authentication with enhanced biometric data protection |
| WO2020055758A1 (en) | 2018-09-10 | 2020-03-19 | Mirati Therapeutics, Inc. | Combination therapies |
Also Published As
| Publication number | Publication date |
|---|---|
| US20080108690A1 (en) | 2008-05-08 |
| US20110136873A1 (en) | 2011-06-09 |
| US8304449B2 (en) | 2012-11-06 |
| US7915301B2 (en) | 2011-03-29 |
Similar Documents
| Publication | Publication Date | Title |
|---|---|---|
| EP1556375B1 (en) | Flavone derivatives as inhibitors of cyclin-dependent kinases | |
| US8304449B2 (en) | Inhibitors of cyclin dependent kinases and their use | |
| US7884127B2 (en) | Inhibitors of cyclin dependent kinases and their use | |
| JP5498782B2 (en) | Process for the preparation of enantiomerically pure flavone derivatives for the treatment of proliferative diseases | |
| EP1119548B1 (en) | 3-(3-chloro-4-hydroxyphenylamino)-4-(2-nitrophenyl)-1h-pyrrole-2,5-dione as glycogen synthase kinase-3 inhibitor (gsk-3) | |
| US7271193B2 (en) | Inhibitors of cyclin-dependent kinases and their use | |
| AU2002358772B2 (en) | Pyrrolidine derivatives as prostaglandin modulators | |
| KR20190077048A (en) | 3,4-bipyridylpyrazole derivatives, processes for their preparation and their medical applications | |
| RU2418786C2 (en) | Enantiomerically pure flavone derivatives for treatment of proliferative disorders and methods of their obtaining | |
| EA048455B1 (en) | COMPOUND AS AN Akt KINASE INHIBITOR | |
| HK1126761B (en) | Enantiomerically pure flavone derivatives for the treatment of proliferative disorders and processes for their preparation |
Legal Events
| Date | Code | Title | Description |
|---|---|---|---|
| AS | Assignment |
Owner name: PIRAMAL ENTERPRISES LIMITED, INDIA Free format text: CHANGE OF NAME;ASSIGNOR:PIRAMAL HEALTHCARE LIMITED;REEL/FRAME:029501/0861 Effective date: 20120731 |
|
| STCB | Information on status: application discontinuation |
Free format text: ABANDONED -- FAILURE TO RESPOND TO AN OFFICE ACTION |





































