US20120302768A1 - Oxidation process to produce a crude and/or purified carboxylic acid product - Google Patents
Oxidation process to produce a crude and/or purified carboxylic acid product Download PDFInfo
- Publication number
- US20120302768A1 US20120302768A1 US13/228,797 US201113228797A US2012302768A1 US 20120302768 A1 US20120302768 A1 US 20120302768A1 US 201113228797 A US201113228797 A US 201113228797A US 2012302768 A1 US2012302768 A1 US 2012302768A1
- Authority
- US
- United States
- Prior art keywords
- carboxylic acid
- weight
- acid composition
- ppm
- fdca
- Prior art date
- Legal status (The legal status is an assumption and is not a legal conclusion. Google has not performed a legal analysis and makes no representation as to the accuracy of the status listed.)
- Abandoned
Links
- 238000007254 oxidation reaction Methods 0.000 title claims abstract description 113
- 230000003647 oxidation Effects 0.000 title claims abstract description 109
- 238000000034 method Methods 0.000 title claims abstract description 57
- 230000008569 process Effects 0.000 title claims abstract description 49
- 150000001732 carboxylic acid derivatives Chemical class 0.000 title description 64
- CHTHALBTIRVDBM-UHFFFAOYSA-N furan-2,5-dicarboxylic acid Chemical compound OC(=O)C1=CC=C(C(O)=O)O1 CHTHALBTIRVDBM-UHFFFAOYSA-N 0.000 claims abstract description 269
- 239000000203 mixture Substances 0.000 claims abstract description 75
- 230000001590 oxidative effect Effects 0.000 claims abstract description 28
- 150000001875 compounds Chemical class 0.000 claims abstract description 26
- 150000001735 carboxylic acids Chemical class 0.000 claims abstract 27
- 239000002904 solvent Substances 0.000 claims description 70
- 239000007788 liquid Substances 0.000 claims description 62
- 239000003054 catalyst Substances 0.000 claims description 57
- GUTLYIVDDKVIGB-UHFFFAOYSA-N cobalt atom Chemical compound [Co] GUTLYIVDDKVIGB-UHFFFAOYSA-N 0.000 claims description 55
- 229910017052 cobalt Inorganic materials 0.000 claims description 54
- 239000010941 cobalt Substances 0.000 claims description 54
- 239000011572 manganese Substances 0.000 claims description 54
- PWHULOQIROXLJO-UHFFFAOYSA-N Manganese Chemical compound [Mn] PWHULOQIROXLJO-UHFFFAOYSA-N 0.000 claims description 42
- 229910052748 manganese Inorganic materials 0.000 claims description 42
- GDTBXPJZTBHREO-UHFFFAOYSA-N bromine Substances BrBr GDTBXPJZTBHREO-UHFFFAOYSA-N 0.000 claims description 31
- WKBOTKDWSSQWDR-UHFFFAOYSA-N Bromine atom Chemical compound [Br] WKBOTKDWSSQWDR-UHFFFAOYSA-N 0.000 claims description 30
- 229910052794 bromium Inorganic materials 0.000 claims description 30
- 239000002994 raw material Substances 0.000 claims description 21
- 238000001035 drying Methods 0.000 claims description 12
- 238000002425 crystallisation Methods 0.000 claims description 11
- 230000008025 crystallization Effects 0.000 claims description 11
- 125000004432 carbon atom Chemical group C* 0.000 claims description 5
- 238000001914 filtration Methods 0.000 claims description 3
- 150000007524 organic acids Chemical class 0.000 claims description 3
- 229920006395 saturated elastomer Polymers 0.000 claims description 3
- 239000002002 slurry Substances 0.000 abstract description 39
- 238000000746 purification Methods 0.000 abstract description 2
- QTBSBXVTEAMEQO-UHFFFAOYSA-N Acetic acid Chemical compound CC(O)=O QTBSBXVTEAMEQO-UHFFFAOYSA-N 0.000 description 116
- NOEGNKMFWQHSLB-UHFFFAOYSA-N 5-hydroxymethylfurfural Chemical compound OCC1=CC=C(C=O)O1 NOEGNKMFWQHSLB-UHFFFAOYSA-N 0.000 description 58
- 238000006243 chemical reaction Methods 0.000 description 46
- 239000007789 gas Substances 0.000 description 45
- 239000007787 solid Substances 0.000 description 44
- 229960000583 acetic acid Drugs 0.000 description 40
- JHJLBTNAGRQEKS-UHFFFAOYSA-M sodium bromide Chemical compound [Na+].[Br-] JHJLBTNAGRQEKS-UHFFFAOYSA-M 0.000 description 30
- 239000012535 impurity Substances 0.000 description 26
- -1 Aromatic dicarboxylic acids Chemical class 0.000 description 25
- 239000000523 sample Substances 0.000 description 24
- XLYOFNOQVPJJNP-UHFFFAOYSA-N water Substances O XLYOFNOQVPJJNP-UHFFFAOYSA-N 0.000 description 24
- 238000000926 separation method Methods 0.000 description 23
- 239000000243 solution Substances 0.000 description 19
- FKQRDXNGJULUOJ-UHFFFAOYSA-N 6-(aminomethyl)-3',6'-dihydroxyspiro[2-benzofuran-3,9'-xanthene]-1-one Chemical compound C12=CC=C(O)C=C2OC2=CC(O)=CC=C2C21OC(=O)C1=CC(CN)=CC=C21 FKQRDXNGJULUOJ-UHFFFAOYSA-N 0.000 description 17
- 238000006073 displacement reaction Methods 0.000 description 17
- LYCAIKOWRPUZTN-UHFFFAOYSA-N Ethylene glycol Chemical compound OCCO LYCAIKOWRPUZTN-UHFFFAOYSA-N 0.000 description 15
- XCOBLONWWXQEBS-KPKJPENVSA-N N,O-bis(trimethylsilyl)trifluoroacetamide Chemical compound C[Si](C)(C)O\C(C(F)(F)F)=N\[Si](C)(C)C XCOBLONWWXQEBS-KPKJPENVSA-N 0.000 description 13
- 239000012452 mother liquor Substances 0.000 description 13
- BMYNFMYTOJXKLE-UHFFFAOYSA-N 3-azaniumyl-2-hydroxypropanoate Chemical compound NCC(O)C(O)=O BMYNFMYTOJXKLE-UHFFFAOYSA-N 0.000 description 12
- 229910052799 carbon Inorganic materials 0.000 description 12
- IJOOHPMOJXWVHK-UHFFFAOYSA-N chlorotrimethylsilane Chemical compound C[Si](C)(C)Cl IJOOHPMOJXWVHK-UHFFFAOYSA-N 0.000 description 12
- OKTJSMMVPCPJKN-UHFFFAOYSA-N Carbon Chemical compound [C] OKTJSMMVPCPJKN-UHFFFAOYSA-N 0.000 description 11
- CPELXLSAUQHCOX-UHFFFAOYSA-N Hydrogen bromide Chemical compound Br CPELXLSAUQHCOX-UHFFFAOYSA-N 0.000 description 11
- 125000003118 aryl group Chemical group 0.000 description 10
- QVGXLLKOCUKJST-UHFFFAOYSA-N atomic oxygen Chemical compound [O] QVGXLLKOCUKJST-UHFFFAOYSA-N 0.000 description 10
- 239000001301 oxygen Substances 0.000 description 10
- 229910052760 oxygen Inorganic materials 0.000 description 10
- 125000000217 alkyl group Chemical group 0.000 description 9
- 125000000753 cycloalkyl group Chemical group 0.000 description 9
- 238000001212 derivatisation Methods 0.000 description 9
- 238000002474 experimental method Methods 0.000 description 9
- 239000000706 filtrate Substances 0.000 description 9
- 238000004817 gas chromatography Methods 0.000 description 9
- 239000007791 liquid phase Substances 0.000 description 9
- 230000004044 response Effects 0.000 description 9
- OUDFNZMQXZILJD-UHFFFAOYSA-N 5-methyl-2-furaldehyde Chemical compound CC1=CC=C(C=O)O1 OUDFNZMQXZILJD-UHFFFAOYSA-N 0.000 description 8
- IJGRMHOSHXDMSA-UHFFFAOYSA-N Atomic nitrogen Chemical compound N#N IJGRMHOSHXDMSA-UHFFFAOYSA-N 0.000 description 8
- KFSLWBXXFJQRDL-UHFFFAOYSA-N Peracetic acid Chemical compound CC(=O)OO KFSLWBXXFJQRDL-UHFFFAOYSA-N 0.000 description 8
- JUJWROOIHBZHMG-UHFFFAOYSA-N Pyridine Chemical compound C1=CC=NC=C1 JUJWROOIHBZHMG-UHFFFAOYSA-N 0.000 description 8
- 239000012159 carrier gas Substances 0.000 description 8
- 238000004587 chromatography analysis Methods 0.000 description 8
- DIOQZVSQGTUSAI-UHFFFAOYSA-N decane Chemical compound CCCCCCCCCC DIOQZVSQGTUSAI-UHFFFAOYSA-N 0.000 description 8
- 239000000543 intermediate Substances 0.000 description 8
- 239000000047 product Substances 0.000 description 8
- 239000011541 reaction mixture Substances 0.000 description 8
- 230000035484 reaction time Effects 0.000 description 8
- 239000012488 sample solution Substances 0.000 description 8
- 238000001816 cooling Methods 0.000 description 7
- 238000010926 purge Methods 0.000 description 7
- 230000000694 effects Effects 0.000 description 6
- 239000007800 oxidant agent Substances 0.000 description 6
- 239000012429 reaction media Substances 0.000 description 6
- 238000003756 stirring Methods 0.000 description 6
- 238000005406 washing Methods 0.000 description 6
- 150000001299 aldehydes Chemical class 0.000 description 5
- 239000008241 heterogeneous mixture Substances 0.000 description 5
- 238000005984 hydrogenation reaction Methods 0.000 description 5
- UOGMEBQRZBEZQT-UHFFFAOYSA-L manganese(2+);diacetate Chemical compound [Mn+2].CC([O-])=O.CC([O-])=O UOGMEBQRZBEZQT-UHFFFAOYSA-L 0.000 description 5
- 238000005259 measurement Methods 0.000 description 5
- 238000002156 mixing Methods 0.000 description 5
- RTZKZFJDLAIYFH-UHFFFAOYSA-N Diethyl ether Chemical compound CCOCC RTZKZFJDLAIYFH-UHFFFAOYSA-N 0.000 description 4
- KKEYFWRCBNTPAC-UHFFFAOYSA-N Terephthalic acid Chemical compound OC(=O)C1=CC=C(C(O)=O)C=C1 KKEYFWRCBNTPAC-UHFFFAOYSA-N 0.000 description 4
- RTAQQCXQSZGOHL-UHFFFAOYSA-N Titanium Chemical compound [Ti] RTAQQCXQSZGOHL-UHFFFAOYSA-N 0.000 description 4
- 238000002835 absorbance Methods 0.000 description 4
- ZBYYWKJVSFHYJL-UHFFFAOYSA-L cobalt(2+);diacetate;tetrahydrate Chemical compound O.O.O.O.[Co+2].CC([O-])=O.CC([O-])=O ZBYYWKJVSFHYJL-UHFFFAOYSA-L 0.000 description 4
- 238000001514 detection method Methods 0.000 description 4
- 150000002009 diols Chemical class 0.000 description 4
- 150000002148 esters Chemical class 0.000 description 4
- 239000012362 glacial acetic acid Substances 0.000 description 4
- 239000001307 helium Substances 0.000 description 4
- 229910052734 helium Inorganic materials 0.000 description 4
- SWQJXJOGLNCZEY-UHFFFAOYSA-N helium atom Chemical compound [He] SWQJXJOGLNCZEY-UHFFFAOYSA-N 0.000 description 4
- 239000008240 homogeneous mixture Substances 0.000 description 4
- 239000011261 inert gas Substances 0.000 description 4
- 230000002401 inhibitory effect Effects 0.000 description 4
- QQVIHTHCMHWDBS-UHFFFAOYSA-N isophthalic acid Chemical compound OC(=O)C1=CC=CC(C(O)=O)=C1 QQVIHTHCMHWDBS-UHFFFAOYSA-N 0.000 description 4
- 229910052757 nitrogen Inorganic materials 0.000 description 4
- LQERIDTXQFOHKA-UHFFFAOYSA-N nonadecane Chemical compound CCCCCCCCCCCCCCCCCCC LQERIDTXQFOHKA-UHFFFAOYSA-N 0.000 description 4
- 230000005408 paramagnetism Effects 0.000 description 4
- 239000004033 plastic Substances 0.000 description 4
- 229920003023 plastic Polymers 0.000 description 4
- 238000002360 preparation method Methods 0.000 description 4
- 238000012545 processing Methods 0.000 description 4
- UMJSCPRVCHMLSP-UHFFFAOYSA-N pyridine Natural products COC1=CC=CN=C1 UMJSCPRVCHMLSP-UHFFFAOYSA-N 0.000 description 4
- 239000007858 starting material Substances 0.000 description 4
- 239000010936 titanium Substances 0.000 description 4
- 229910052719 titanium Inorganic materials 0.000 description 4
- 239000005051 trimethylchlorosilane Substances 0.000 description 4
- 239000012855 volatile organic compound Substances 0.000 description 4
- 238000005303 weighing Methods 0.000 description 4
- CCDRPZFMDMKZSZ-UHFFFAOYSA-N 5-(ethoxymethyl)furan-2-carbaldehyde Chemical compound CCOCC1=CC=C(C=O)O1 CCDRPZFMDMKZSZ-UHFFFAOYSA-N 0.000 description 3
- MYMOFIZGZYHOMD-UHFFFAOYSA-N Dioxygen Chemical compound O=O MYMOFIZGZYHOMD-UHFFFAOYSA-N 0.000 description 3
- LFQSCWFLJHTTHZ-UHFFFAOYSA-N Ethanol Chemical compound CCO LFQSCWFLJHTTHZ-UHFFFAOYSA-N 0.000 description 3
- 238000010923 batch production Methods 0.000 description 3
- 230000003197 catalytic effect Effects 0.000 description 3
- 238000010924 continuous production Methods 0.000 description 3
- 229910001882 dioxygen Inorganic materials 0.000 description 3
- 229910052739 hydrogen Inorganic materials 0.000 description 3
- 150000002696 manganese Chemical class 0.000 description 3
- 230000004048 modification Effects 0.000 description 3
- 238000012986 modification Methods 0.000 description 3
- 239000012071 phase Substances 0.000 description 3
- 229920000728 polyester Polymers 0.000 description 3
- 229920000139 polyethylene terephthalate Polymers 0.000 description 3
- 239000005020 polyethylene terephthalate Substances 0.000 description 3
- 238000006116 polymerization reaction Methods 0.000 description 3
- 238000011084 recovery Methods 0.000 description 3
- 239000008247 solid mixture Substances 0.000 description 3
- 230000007704 transition Effects 0.000 description 3
- QAVITTVTXPZTSE-UHFFFAOYSA-N (5-formylfuran-2-yl)methyl acetate Chemical compound CC(=O)OCC1=CC=C(C=O)O1 QAVITTVTXPZTSE-UHFFFAOYSA-N 0.000 description 2
- JOOXCMJARBKPKM-UHFFFAOYSA-N 4-oxopentanoic acid Chemical compound CC(=O)CCC(O)=O JOOXCMJARBKPKM-UHFFFAOYSA-N 0.000 description 2
- SMMNUDQGZVFDTO-UHFFFAOYSA-N 5-ethoxycarbonylfuran-2-carboxylic acid Chemical compound CCOC(=O)C1=CC=C(C(O)=O)O1 SMMNUDQGZVFDTO-UHFFFAOYSA-N 0.000 description 2
- SHNRXUWGUKDPMA-UHFFFAOYSA-N 5-formyl-2-furoic acid Chemical compound OC(=O)C1=CC=C(C=O)O1 SHNRXUWGUKDPMA-UHFFFAOYSA-N 0.000 description 2
- CPELXLSAUQHCOX-UHFFFAOYSA-M Bromide Chemical compound [Br-] CPELXLSAUQHCOX-UHFFFAOYSA-M 0.000 description 2
- FERIUCNNQQJTOY-UHFFFAOYSA-N Butyric acid Chemical compound CCCC(O)=O FERIUCNNQQJTOY-UHFFFAOYSA-N 0.000 description 2
- OSUCNJVQJCFZIV-UHFFFAOYSA-N C.C.C.C.CCOC(=O)C1=CC=C(C(=O)O)O1.O=C(O)C1=CC=C(C(=O)O)O1.[H]C(=O)C1=CC=C(C(=O)O)O1.[H]C(=O)C1=CC=C(COCC)O1 Chemical compound C.C.C.C.CCOC(=O)C1=CC=C(C(=O)O)O1.O=C(O)C1=CC=C(C(=O)O)O1.[H]C(=O)C1=CC=C(C(=O)O)O1.[H]C(=O)C1=CC=C(COCC)O1 OSUCNJVQJCFZIV-UHFFFAOYSA-N 0.000 description 2
- BLKZSJMEXJOQPK-UHFFFAOYSA-N C.C.C.O=C(O)C1=CC=C(C(=O)O)O1.[H]C(=O)C1=CC=C(C(=O)O)O1.[H]C(=O)C1=CC=C(COC(C)=O)O1 Chemical compound C.C.C.O=C(O)C1=CC=C(C(=O)O)O1.[H]C(=O)C1=CC=C(C(=O)O)O1.[H]C(=O)C1=CC=C(COC(C)=O)O1 BLKZSJMEXJOQPK-UHFFFAOYSA-N 0.000 description 2
- UFHFLCQGNIYNRP-UHFFFAOYSA-N Hydrogen Chemical compound [H][H] UFHFLCQGNIYNRP-UHFFFAOYSA-N 0.000 description 2
- KDLHZDBZIXYQEI-UHFFFAOYSA-N Palladium Chemical compound [Pd] KDLHZDBZIXYQEI-UHFFFAOYSA-N 0.000 description 2
- 239000002253 acid Substances 0.000 description 2
- 239000003377 acid catalyst Substances 0.000 description 2
- 150000007933 aliphatic carboxylic acids Chemical class 0.000 description 2
- 125000001931 aliphatic group Chemical group 0.000 description 2
- GZUXJHMPEANEGY-UHFFFAOYSA-N bromomethane Chemical compound BrC GZUXJHMPEANEGY-UHFFFAOYSA-N 0.000 description 2
- 239000006227 byproduct Substances 0.000 description 2
- 150000001868 cobalt Chemical class 0.000 description 2
- 238000006482 condensation reaction Methods 0.000 description 2
- PDXRQENMIVHKPI-UHFFFAOYSA-N cyclohexane-1,1-diol Chemical class OC1(O)CCCCC1 PDXRQENMIVHKPI-UHFFFAOYSA-N 0.000 description 2
- XBDQKXXYIPTUBI-UHFFFAOYSA-N dimethylselenoniopropionate Natural products CCC(O)=O XBDQKXXYIPTUBI-UHFFFAOYSA-N 0.000 description 2
- 238000011049 filling Methods 0.000 description 2
- HYBBIBNJHNGZAN-UHFFFAOYSA-N furfural Chemical compound O=CC1=CC=CO1 HYBBIBNJHNGZAN-UHFFFAOYSA-N 0.000 description 2
- KQNPFQTWMSNSAP-UHFFFAOYSA-N isobutyric acid Chemical compound CC(C)C(O)=O KQNPFQTWMSNSAP-UHFFFAOYSA-N 0.000 description 2
- KWGKDLIKAYFUFQ-UHFFFAOYSA-M lithium chloride Chemical compound [Li+].[Cl-] KWGKDLIKAYFUFQ-UHFFFAOYSA-M 0.000 description 2
- 230000007246 mechanism Effects 0.000 description 2
- 229910052751 metal Inorganic materials 0.000 description 2
- 239000002184 metal Substances 0.000 description 2
- 238000001139 pH measurement Methods 0.000 description 2
- IOLCXVTUBQKXJR-UHFFFAOYSA-M potassium bromide Chemical compound [K+].[Br-] IOLCXVTUBQKXJR-UHFFFAOYSA-M 0.000 description 2
- 239000002244 precipitate Substances 0.000 description 2
- 238000003825 pressing Methods 0.000 description 2
- 239000012048 reactive intermediate Substances 0.000 description 2
- 238000001228 spectrum Methods 0.000 description 2
- 239000000126 substance Substances 0.000 description 2
- 239000000758 substrate Substances 0.000 description 2
- KDYFGRWQOYBRFD-UHFFFAOYSA-N succinic acid Chemical compound OC(=O)CCC(O)=O KDYFGRWQOYBRFD-UHFFFAOYSA-N 0.000 description 2
- 238000010977 unit operation Methods 0.000 description 2
- NQPDZGIKBAWPEJ-UHFFFAOYSA-N valeric acid Chemical compound CCCCC(O)=O NQPDZGIKBAWPEJ-UHFFFAOYSA-N 0.000 description 2
- HYZQBNDRDQEWAN-LNTINUHCSA-N (z)-4-hydroxypent-3-en-2-one;manganese(3+) Chemical compound [Mn+3].C\C(O)=C\C(C)=O.C\C(O)=C\C(C)=O.C\C(O)=C\C(C)=O HYZQBNDRDQEWAN-LNTINUHCSA-N 0.000 description 1
- 0 *C.*C.*C.C.FF.FF.O.O=C(O)C1=CC=C(C(=O)O)O1.O=O.[2H]F.[H]C(=O)C1=CC=C(C(=O)O)O1.[H]C(=O)C1=CC=C(C(=O)O)O1.[H]C(=O)C1=CC=C(CO)O1 Chemical compound *C.*C.*C.C.FF.FF.O.O=C(O)C1=CC=C(C(=O)O)O1.O=O.[2H]F.[H]C(=O)C1=CC=C(C(=O)O)O1.[H]C(=O)C1=CC=C(C(=O)O)O1.[H]C(=O)C1=CC=C(CO)O1 0.000 description 1
- RVHSTXJKKZWWDQ-UHFFFAOYSA-N 1,1,1,2-tetrabromoethane Chemical compound BrCC(Br)(Br)Br RVHSTXJKKZWWDQ-UHFFFAOYSA-N 0.000 description 1
- 238000004009 13C{1H}-NMR spectroscopy Methods 0.000 description 1
- 238000005160 1H NMR spectroscopy Methods 0.000 description 1
- PXJJKVNIMAZHCB-UHFFFAOYSA-N 2,5-diformylfuran Chemical compound O=CC1=CC=C(C=O)O1 PXJJKVNIMAZHCB-UHFFFAOYSA-N 0.000 description 1
- MLXDUYUQINCFFV-UHFFFAOYSA-N 2-acetyloxyacetic acid Chemical compound CC(=O)OCC(O)=O MLXDUYUQINCFFV-UHFFFAOYSA-N 0.000 description 1
- 239000007848 Bronsted acid Substances 0.000 description 1
- JATXZZDJJPHZIY-UHFFFAOYSA-N C.C.C.O=C(O)C1=CC=C(C(=O)O)O1.[H]C(=O)C1=CC=C(C(=O)O)O1.[H]C(=O)C1=CC=C(CO)O1 Chemical compound C.C.C.O=C(O)C1=CC=C(C(=O)O)O1.[H]C(=O)C1=CC=C(C(=O)O)O1.[H]C(=O)C1=CC=C(CO)O1 JATXZZDJJPHZIY-UHFFFAOYSA-N 0.000 description 1
- 241001481760 Erethizon dorsatum Species 0.000 description 1
- OFOBLEOULBTSOW-UHFFFAOYSA-N Malonic acid Chemical compound OC(=O)CC(O)=O OFOBLEOULBTSOW-UHFFFAOYSA-N 0.000 description 1
- WAEMQWOKJMHJLA-UHFFFAOYSA-N Manganese(2+) Chemical compound [Mn+2] WAEMQWOKJMHJLA-UHFFFAOYSA-N 0.000 description 1
- 238000005481 NMR spectroscopy Methods 0.000 description 1
- KJTLSVCANCCWHF-UHFFFAOYSA-N Ruthenium Chemical compound [Ru] KJTLSVCANCCWHF-UHFFFAOYSA-N 0.000 description 1
- 239000004809 Teflon Substances 0.000 description 1
- 229920006362 Teflon® Polymers 0.000 description 1
- CAJJMRSYGPHDED-UHFFFAOYSA-N [H]C(=O)C1=CC=C(C)O1.[H]C(=O)C1=CC=C(COC(=O)CC)O1.[H]C(=O)C1=CC=C(COC(=O)CCC)O1.[H]C(=O)C1=CC=C(COC(C)=O)O1.[H]C(=O)C1=CC=C(COC)O1.[H]C(=O)C1=CC=C(COCC)O1.[H]C(=O)C1=CC=C(COCCC)O1.[H]C(=O)C1=CC=C(COCCCC)O1.[H]C(=O)OCC1=CC=C(C([H])=O)O1 Chemical compound [H]C(=O)C1=CC=C(C)O1.[H]C(=O)C1=CC=C(COC(=O)CC)O1.[H]C(=O)C1=CC=C(COC(=O)CCC)O1.[H]C(=O)C1=CC=C(COC(C)=O)O1.[H]C(=O)C1=CC=C(COC)O1.[H]C(=O)C1=CC=C(COCC)O1.[H]C(=O)C1=CC=C(COCCC)O1.[H]C(=O)C1=CC=C(COCCCC)O1.[H]C(=O)OCC1=CC=C(C([H])=O)O1 CAJJMRSYGPHDED-UHFFFAOYSA-N 0.000 description 1
- SWLVFNYSXGMGBS-UHFFFAOYSA-N ammonium bromide Chemical compound [NH4+].[Br-] SWLVFNYSXGMGBS-UHFFFAOYSA-N 0.000 description 1
- 150000001450 anions Chemical class 0.000 description 1
- 239000012062 aqueous buffer Substances 0.000 description 1
- 239000007864 aqueous solution Substances 0.000 description 1
- 159000000032 aromatic acids Chemical class 0.000 description 1
- 150000001491 aromatic compounds Chemical class 0.000 description 1
- 230000008901 benefit Effects 0.000 description 1
- 230000015572 biosynthetic process Effects 0.000 description 1
- 125000001246 bromo group Chemical group Br* 0.000 description 1
- 239000000872 buffer Substances 0.000 description 1
- 125000002843 carboxylic acid group Chemical group 0.000 description 1
- 238000006555 catalytic reaction Methods 0.000 description 1
- 230000008859 change Effects 0.000 description 1
- 229940011182 cobalt acetate Drugs 0.000 description 1
- 150000001869 cobalt compounds Chemical class 0.000 description 1
- GVPFVAHMJGGAJG-UHFFFAOYSA-L cobalt dichloride Chemical compound [Cl-].[Cl-].[Co+2] GVPFVAHMJGGAJG-UHFFFAOYSA-L 0.000 description 1
- UFMZWBIQTDUYBN-UHFFFAOYSA-N cobalt dinitrate Chemical compound [Co+2].[O-][N+]([O-])=O.[O-][N+]([O-])=O UFMZWBIQTDUYBN-UHFFFAOYSA-N 0.000 description 1
- 229910001981 cobalt nitrate Inorganic materials 0.000 description 1
- GAYAMOAYBXKUII-UHFFFAOYSA-L cobalt(2+);dibenzoate Chemical compound [Co+2].[O-]C(=O)C1=CC=CC=C1.[O-]C(=O)C1=CC=CC=C1 GAYAMOAYBXKUII-UHFFFAOYSA-L 0.000 description 1
- NRLCNVYHWRDHTJ-UHFFFAOYSA-L cobalt(2+);naphthalene-1-carboxylate Chemical compound [Co+2].C1=CC=C2C(C(=O)[O-])=CC=CC2=C1.C1=CC=C2C(C(=O)[O-])=CC=CC2=C1 NRLCNVYHWRDHTJ-UHFFFAOYSA-L 0.000 description 1
- HWVKIRQMNIWOLT-UHFFFAOYSA-L cobalt(2+);octanoate Chemical compound [Co+2].CCCCCCCC([O-])=O.CCCCCCCC([O-])=O HWVKIRQMNIWOLT-UHFFFAOYSA-L 0.000 description 1
- QAHREYKOYSIQPH-UHFFFAOYSA-L cobalt(II) acetate Chemical compound [Co+2].CC([O-])=O.CC([O-])=O QAHREYKOYSIQPH-UHFFFAOYSA-L 0.000 description 1
- BZRRQSJJPUGBAA-UHFFFAOYSA-L cobalt(ii) bromide Chemical compound Br[Co]Br BZRRQSJJPUGBAA-UHFFFAOYSA-L 0.000 description 1
- FJDJVBXSSLDNJB-LNTINUHCSA-N cobalt;(z)-4-hydroxypent-3-en-2-one Chemical compound [Co].C\C(O)=C\C(C)=O.C\C(O)=C\C(C)=O.C\C(O)=C\C(C)=O FJDJVBXSSLDNJB-LNTINUHCSA-N 0.000 description 1
- 238000010960 commercial process Methods 0.000 description 1
- 230000000052 comparative effect Effects 0.000 description 1
- 238000010276 construction Methods 0.000 description 1
- 229920001577 copolymer Polymers 0.000 description 1
- 239000013078 crystal Substances 0.000 description 1
- 230000001627 detrimental effect Effects 0.000 description 1
- 230000007613 environmental effect Effects 0.000 description 1
- 238000011067 equilibration Methods 0.000 description 1
- 230000032050 esterification Effects 0.000 description 1
- 238000005886 esterification reaction Methods 0.000 description 1
- 238000001704 evaporation Methods 0.000 description 1
- 239000012530 fluid Substances 0.000 description 1
- 239000002803 fossil fuel Substances 0.000 description 1
- 239000001257 hydrogen Substances 0.000 description 1
- 230000005764 inhibitory process Effects 0.000 description 1
- 230000000977 initiatory effect Effects 0.000 description 1
- 229940040102 levulinic acid Drugs 0.000 description 1
- 229940071125 manganese acetate Drugs 0.000 description 1
- 150000002697 manganese compounds Chemical class 0.000 description 1
- MIVBAHRSNUNMPP-UHFFFAOYSA-N manganese(2+);dinitrate Chemical class [Mn+2].[O-][N+]([O-])=O.[O-][N+]([O-])=O MIVBAHRSNUNMPP-UHFFFAOYSA-N 0.000 description 1
- WPBNNNQJVZRUHP-UHFFFAOYSA-L manganese(2+);methyl n-[[2-(methoxycarbonylcarbamothioylamino)phenyl]carbamothioyl]carbamate;n-[2-(sulfidocarbothioylamino)ethyl]carbamodithioate Chemical compound [Mn+2].[S-]C(=S)NCCNC([S-])=S.COC(=O)NC(=S)NC1=CC=CC=C1NC(=S)NC(=O)OC WPBNNNQJVZRUHP-UHFFFAOYSA-L 0.000 description 1
- MMIPFLVOWGHZQD-UHFFFAOYSA-N manganese(3+) Chemical compound [Mn+3] MMIPFLVOWGHZQD-UHFFFAOYSA-N 0.000 description 1
- BDLGYWMNSPNNIV-UHFFFAOYSA-N manganese(3+);borate Chemical class [Mn+3].[O-]B([O-])[O-] BDLGYWMNSPNNIV-UHFFFAOYSA-N 0.000 description 1
- 239000000463 material Substances 0.000 description 1
- 150000002739 metals Chemical class 0.000 description 1
- 229940102396 methyl bromide Drugs 0.000 description 1
- 125000002496 methyl group Chemical group [H]C([H])([H])* 0.000 description 1
- 150000002763 monocarboxylic acids Chemical class 0.000 description 1
- 238000003541 multi-stage reaction Methods 0.000 description 1
- 229910052763 palladium Inorganic materials 0.000 description 1
- 239000002245 particle Substances 0.000 description 1
- JTJMJGYZQZDUJJ-UHFFFAOYSA-N phencyclidine Chemical class C1CCCCN1C1(C=2C=CC=CC=2)CCCCC1 JTJMJGYZQZDUJJ-UHFFFAOYSA-N 0.000 description 1
- 229910052698 phosphorus Inorganic materials 0.000 description 1
- IUGYQRQAERSCNH-UHFFFAOYSA-N pivalic acid Chemical compound CC(C)(C)C(O)=O IUGYQRQAERSCNH-UHFFFAOYSA-N 0.000 description 1
- 229920001225 polyester resin Polymers 0.000 description 1
- 239000004645 polyester resin Substances 0.000 description 1
- 230000000750 progressive effect Effects 0.000 description 1
- 235000019260 propionic acid Nutrition 0.000 description 1
- IUVKMZGDUIUOCP-BTNSXGMBSA-N quinbolone Chemical compound O([C@H]1CC[C@H]2[C@H]3[C@@H]([C@]4(C=CC(=O)C=C4CC3)C)CC[C@@]21C)C1=CCCC1 IUVKMZGDUIUOCP-BTNSXGMBSA-N 0.000 description 1
- 239000000376 reactant Substances 0.000 description 1
- 238000001953 recrystallisation Methods 0.000 description 1
- 230000009467 reduction Effects 0.000 description 1
- 229910052703 rhodium Inorganic materials 0.000 description 1
- 239000010948 rhodium Substances 0.000 description 1
- MHOVAHRLVXNVSD-UHFFFAOYSA-N rhodium atom Chemical compound [Rh] MHOVAHRLVXNVSD-UHFFFAOYSA-N 0.000 description 1
- 229910052707 ruthenium Inorganic materials 0.000 description 1
- 239000001384 succinic acid Substances 0.000 description 1
- 238000012546 transfer Methods 0.000 description 1
- ITMCEJHCFYSIIV-UHFFFAOYSA-N triflic acid Chemical compound OS(=O)(=O)C(F)(F)F ITMCEJHCFYSIIV-UHFFFAOYSA-N 0.000 description 1
- 239000003039 volatile agent Substances 0.000 description 1
Images
Classifications
-
- C—CHEMISTRY; METALLURGY
- C07—ORGANIC CHEMISTRY
- C07D—HETEROCYCLIC COMPOUNDS
- C07D307/00—Heterocyclic compounds containing five-membered rings having one oxygen atom as the only ring hetero atom
- C07D307/02—Heterocyclic compounds containing five-membered rings having one oxygen atom as the only ring hetero atom not condensed with other rings
- C07D307/34—Heterocyclic compounds containing five-membered rings having one oxygen atom as the only ring hetero atom not condensed with other rings having two or three double bonds between ring members or between ring members and non-ring members
- C07D307/56—Heterocyclic compounds containing five-membered rings having one oxygen atom as the only ring hetero atom not condensed with other rings having two or three double bonds between ring members or between ring members and non-ring members with hetero atoms or with carbon atoms having three bonds to hetero atoms with at the most one bond to halogen, e.g. ester or nitrile radicals, directly attached to ring carbon atoms
- C07D307/68—Carbon atoms having three bonds to hetero atoms with at the most one bond to halogen
Definitions
- the present invention relates to a process to produce a carboxylic acid composition.
- the process comprises oxidizing at least one oxidizable compound in an oxidizable raw material stream in the presence of an oxidizing gas stream, solvent stream, and at least one catalyst system.
- the present invention relates to a process to produce a carboxylic acid composition comprising furan-2,5-dicarboxylic acid (FDCA) and compositions thereof.
- the process comprises oxidizing 5-hydroxylmethyl)furfural in the presence of oxygen, a saturated organic acid solvent having from 2-6 carbon atoms, and a catalyst system at a temperature of about 100° C. to about 220° C. to produce the carboxylic acid composition comprising furan-2,5-dicarboxylic acid.
- Aromatic dicarboxylic acids such as terephthalic acid and isophthalic acid, are used to produce a variety of polyester products. Important examples of which are poly (ethylene terephthalate) and its copolymers. These aromatic dicarboxylic acids are synthesized by the catalytic oxidation of the corresponding dialkyl aromatic compounds which are obtained from fossil fuels, which is disclosed in U.S. Patent Application 2006/0205977 A1), which is herein incorporated by reference to the extent it does not contradict the statements herein.
- Furan-2,5-dicarboxylic acid is a versatile intermediate considered as a promising closest biobased alternative to terephthalic acid and isophthalic acid.
- FDCA can be condensed with diols such as ethylene glycol to make polyester resins similar to polyethylene terephthalate (PET) (Gandini, A.; Silvestre, A. J; Neto, C. P.; Sousa, A. F.; Gomes, M. J. Poly. Sci. A 2009, 47, 295.). Therefore, there is a need in the chemical industry for an efficient process to produce carboxylic acid compositions, especially FDCA.
- a high yield process minimum of 90% FDCA yield
- FIG. 1 illustrates different embodiments of the invention wherein a process to produce a dried purified carboxylic acid 710 is provided.
- FIG. 2 illustrates an embodiment of the invention, showing the GC chromatogram of the carboxylic acid composition 110 that has been dried.
- FIG. 3 illustrates an embodiment of the invention, showing a 1 H NMR of the carboxylic acid composition 110 that has been dried.
- FIG. 4 illustrates an embodiment of the invention, showing a 13 C ⁇ 1 H ⁇ NMR of the carboxylic acid composition 110 that has been dried.
- FIG. 5 illustrates an embodiment of the invention, showing the effects of temperature, pressure, cobalt and bromine concentrations have on the FDCA yield in the carboxylic acid composition 110 .
- FIG. 6 illustrates an embodiment of the invention, Effect of temperature on yield using an oxidizable raw material stream 30 comprising 5-AMF.
- the + symbol represents that Co is 2000 ppm and Br is 3000 ppm.
- the x symbol represents that Co is 2500 ppm and Br is 2500 ppm.
- FIG. 7 illustrates an embodiment of the invention, Effect of temperature on yield using an oxidizable raw material stream 30 comprising 5-EMF.
- the + symbol represents that Co is 2000 ppm and Br is 3000 ppm.
- the x symbol represents that Co is 2500 ppm and Br is 2500 ppm.
- the term “and/or,” when used in a list of two or more items, means that any one of the listed items can be employed by itself or any combination of two or more of the listed items can be employed. For example, if a composition is described as containing components A, B, and/or C, the composition can contain A alone; B alone; C alone; A and B in combination; A and C in combination, B and C in combination; or A, B, and C in combination.
- the terms “comprising,” “comprises,” and “comprise” are open-ended transition terms used to transition from a subject recited before the term to one or more elements recited after the term, where the element or elements listed after the transition term are not necessarily the only elements that make up the subject.
- each specific numerical value provided herein is to be construed as providing literal support for a broad, intermediate, and narrow range.
- the broad range associated with each specific numerical value is the numerical value plus and minus 60 percent of the numerical value, rounded to two significant digits.
- the intermediate range associated with each specific numerical value is the numerical value plus and minus 30 percent of the numerical value, rounded to two significant digits.
- the narrow range associated with each specific numerical value is the numerical value plus and minus 15 percent of the numerical value, rounded to two significant digits.
- the broad, intermediate, and narrow ranges for the pressure difference between these two streams would be 25 to 99 psi, 43 to 81 psi, and 53 to 71 psi, respectively.
- a process is provided to produce carboxylic acid composition and/or dry purified carboxylic acid 710 comprising furan-2,5-dicarboxylic acid (FDCA).
- FDCA furan-2,5-dicarboxylic acid
- FIG. 1 Embodiments of the process are represented in FIG. 1 .
- the process comprises oxidizing at least one oxidizable compound in an oxidizable raw material stream 30 in the presence of an oxidizing gas stream 10 , solvent stream 20 , and at least one catalyst system.
- the oxidizable raw material stream 30 comprises at least one oxidizable compound suitable to produce a carboxylic acid composition 110 comprising FDCA.
- the amount of FDCA in the carboxylic acid composition 110 can range from greater than 10 by weight percent in the carboxylic acid composition 110 , greater than 20 by weight percent in the carboxylic acid composition 110 , greater than 30 by weight percent in the carboxylic acid composition 110 .
- the carboxylic acid composition 110 comprises FDCA and solvent.
- the process comprises oxidizing at least one oxidizable compound in an oxidizable raw material stream 30 in the presence of an oxidizing gas stream 10 , solvent stream 20 , and at least one catalyst system.
- the process can optionally include removing impurities from the carboxylic acid composition 110 in a liquid displacement zone 225 to form a low impurity slurry stream 210 .
- the low impurity slurry stream 210 can be further treated in a secondary oxidation zone 335 to produce a secondary oxidation slurry stream 310 which can be routed to a crystallization zone 425 to form a crystallized slurry stream 410 .
- the crystallized slurry stream 410 is cooled in a cooling zone 430 and the cooled crystallized slurry stream 510 can be routed to a solid-liquid separation zone 625 to generate a purified wet cake stream 610 comprising FDCA that is dried in a drying zone 725 to generate a dried, purified carboxylic acid 710 comprising purified FDCA.
- a process is provided to produce a dried, purified carboxylic acid 710 comprising dried, purified furan-2,5-dicarboxylic acid (FDCA) and comprises the following steps:
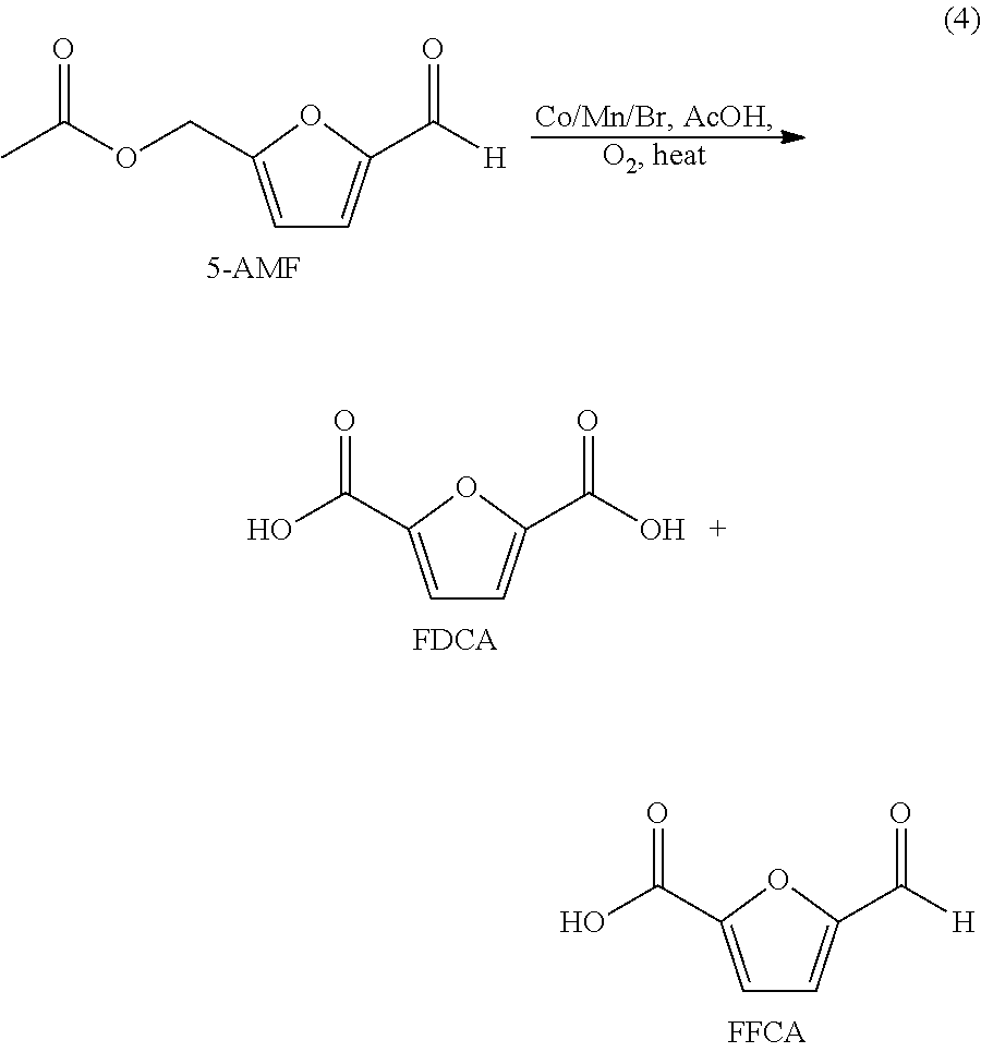
- the 5-HMF or its derivatives are oxidized with elemental O 2 in a multi-step reactions, eqs 1 and 2, to form FDCA with 5-formyl furan-2-carboxylc acid (FFCA) as a key intermediate.
- FFCA 5-formyl furan-2-carboxylc acid
- streams routed to the primary oxidation zone 125 comprises an oxidizing gas stream 10 comprising oxygen and a solvent stream 20 comprising solvent, an oxidizable raw material stream 30 , and a catalyst system.
- Oxidizable raw material stream 30 comprises a continuous liquid phase.
- the oxidizable raw material stream 30 , the oxidizing gas stream 10 , the solvent stream 20 and the catalyst system can be fed to the primary oxidization zone 125 as separate and individual streams or combined in any combination prior to entering the primary oxidation zone 125 wherein said feed streams may enter at a single location or in multiple locations in the primary oxidization zone 125 .
- the carboxylic acid composition 110 comprises FDCA and FFCA.
- the FFCA in the carboxylic acid composition 110 ranges from about 0.1 wt % (weight percent) to about 4 wt % or 0.1 wt % to about 0.5 wt %, or 0.1 wt % to about 1 wt %.
- the carboxylic acid composition 110 comprises FDCA and FFCA and at least one of 2,5-diformylfuran in an amount ranging from 0 wt % to about 0.2 wt %, levulinic acid in an amount ranging from 0 wt % to 0.5 wt %, succinic acid in an amount ranging from 0 wt % to 0.5 wt % and acetoxy acetic acid in an amount ranging from 0 wt % to 0.5 wt %.
- the carboxylic acid composition 110 comprises FDCA, FFCA and EFCA.
- the EFCA in the carboxylic acid composition 110 in an range from about 0.05 wt % to 4 wt %, or about 1 wt % to 2 wt %.
- the catalyst system comprises at least one catalyst suitable for oxidation. Any catalyst known in the art capable of oxidizing the oxidizable compound can be utilized.
- suitable catalysts comprise at least one selected from, but are not limited to, cobalt, bromine and manganese compounds, which are soluble in the selected oxidation solvent.
- the catalyst system comprises cobalt, manganese and bromine wherein the weight ratio of cobalt to manganese in the reaction mixture is from about 10 to about 400 and the weight ratio of cobalt to bromine is from about 0.7 to about 3.5.
- the oxidizing gas stream comprises oxygen.
- oxygen examples include, but are not limited to, air and purified oxygen.
- the amount of oxygen in the primary oxidation zone ranges from about 5 mole % to 45 mole %, 5 mole % to 60 mole % 5 mole % to 80 mole %.
- Suitable solvents include water and the aliphatic solvents.
- the solvents are aliphatic carboxylic acids which include, but are not limited to, aqueous solutions of C 2 to C 6 monocarboxylic acids, e.g., acetic acid, propionic acid, n-butyric acid, isobutyric acid, n-valeric acid, trimethylacetic acid, caprioic acid, and mixtures thereof.
- the solvent is volatile under the oxidation reaction conditions to allow it to be taken as an off-gas from the oxidation reactor.
- the solvent selected is also one in which the catalyst composition is soluble under the reaction conditions.
- the most common solvent used for the oxidation is an aqueous acetic acid solution, typically having a concentration of 80 to 99 wt. %.
- the solvent comprises a mixture of water and acetic acid which has a water content of 0% to about 15% by weight.
- a portion of the solvent feed to the primary oxidation reactor may be obtained from a recycle stream obtained by displacing about 80 to 90% of the mother liquor taken from the crude reaction mixture stream discharged from the primary oxidation reactor with fresh, wet acetic acid containing about 0 to 15% water.
- Suitable solvents include, but are not limited to, aliphatic mono-carboxylic acids, preferably containing 2 to 6 carbon atoms and mixtures thereof and mixtures of these compounds with water.
- aliphatic mono-carboxylic acids include, but are not limited to acetic acid.
- the oxidation temperature can vary from about 100° C. to about 220° C. and from about 110° C. to about 160° C.
- a process is provided to produce furan-2,5-dicarboxylic acid (FDCA) in high yields by liquid phase oxidation that minimizes solvent and starting material loss through carbon burn.
- the process comprises oxidizing at least one oxidizable compound in an oxidizable raw material stream 30 in the presence of an oxidizing gas stream 10 , solvent stream 20 , and at least one catalyst system in a primary oxidation zone 125 ; wherein the oxidizable compound is at least one selected from the group consisting of H(C ⁇ O)—R—(C ⁇ O)H, HOH2C—R—(C ⁇ O)H, and 5-(hydroxymethyl)furfural (5-HMF).
- the oxidizable compound can be oxidized in a solvent comprising acetic acid with or without the presence of water with oxygen in the presence of a catalyst system comprising cobalt, manganese and bromine, wherein the weight ratio of cobalt to manganese in the reaction mixture is from about 10 to about 400 and the weight ratio of cobalt to bromine is from about 0.7 to about 3.5.
- a catalyst system with improved Co:Mn ratio can lead to high yield of FDCA.
- the oxidation temperature can vary from about 100° C. to about 220° C., or another range from about 110° C. to about 160° C., which can minimize carbon burn.
- the cobalt concentration of the catalyst can range from about 1000 ppm to about 6000 ppm, and the amount of manganese from about 2 ppm to about 600 ppm, and the amount of bromine from about 300 ppm to about 4500 ppm with respect to the total weight of the liquid in the reaction medium of the primary oxidation zone 125 .
- process temperature is the temperature of the reaction mixture within the primary oxidation zone where liquid is present as the continuous phase.
- the primary oxidizer reactor will typically be characterized by a lower section where gas bubbles are dispersed in a continuous liquid phase. Solids can also be present in the lower section. In the upper section of the primary oxidizer, gas is in the continuous phase and entrained liquid drops can also be present.
- the catalyst compositions employed in the processes of the invention comprise cobalt atoms, manganese atoms, and bromine atoms, supplied by any suitable means, as further described below.
- the catalyst composition is typically soluble in the solvent under reaction conditions, or it is soluble in the reactants fed to the oxidation zone.
- the catalyst composition is soluble in the solvent at 40° C. and 1 atm, and is soluble in the solvent under the reaction conditions.
- the cobalt atoms may be provided in ionic form as inorganic cobalt salts, such as cobalt bromide, cobalt nitrate, or cobalt chloride, or organic cobalt compounds such as cobalt salts of aliphatic or aromatic acids having 2-22 carbon atoms, including cobalt acetate, cobalt octanoate, cobalt benzoate, cobalt acetylacetonate, and cobalt naphthalate.
- inorganic cobalt salts such as cobalt bromide, cobalt nitrate, or cobalt chloride
- organic cobalt compounds such as cobalt salts of aliphatic or aromatic acids having 2-22 carbon atoms, including cobalt acetate, cobalt octanoate, cobalt benzoate, cobalt acetylacetonate, and cobalt naphthalate.
- the oxidation state of cobalt when added as a compound to the reaction mixture is not limited, and includes both the +2 and +3 oxidation states.
- the manganese atoms may be provided as one or more inorganic manganese salts, such as manganese borates, manganese halides, manganese nitrates, or organometallic manganese compounds such as the manganese salts of lower aliphatic carboxylic acids, including manganese acetate, and manganese salts of beta-diketonates, including manganese acetylacetonate.
- inorganic manganese salts such as manganese borates, manganese halides, manganese nitrates, or organometallic manganese compounds such as the manganese salts of lower aliphatic carboxylic acids, including manganese acetate, and manganese salts of beta-diketonates, including manganese acetylacetonate.
- the bromine component may be added as elemental bromine, in combined form, or as an anion.
- Suitable sources of bromine include hydrobromic acid, sodium bromide, ammonium bromide, potassium bromide, and tetrabromoethane. Hydrobromic acid, or sodium bromide may be preferred bromine sources.
- a process for producing furan-2,5-dicarboxylic acid (FDCA) in high yields by liquid phase oxidation that minimizes solvent and starting material loss through carbon burn.
- the process comprises oxidizing at least one oxidizable compound in an oxidizable raw material stream 30 in the presence of an oxidizing gas stream 10 , solvent stream 20 , and at least one catalyst system in a primary oxidation zone 125 ; wherein the oxidizable compound is selected from the group consisting of 5-(acetoxymethyl)furfural (5-AMF), 5-(ethoxymethyl)furfural (5-EMF), 5-methyl furfural (5-MF); wherein the solvent stream 20 comprises acetic acid with or without the presence of water; wherein the catalyst system comprising cobalt, manganese and bromine, wherein the weight ratio of cobalt to manganese in the reaction mixture ranges from about 10 to about 400 and the weight ratio of cobalt to bromine is from about 0.7 to about 3.5.
- the catalyst system with improved Co:Mn ratio can lead to high yield of FDCA.
- the oxidation temperature can vary from about 100° C. to about 220° C., or from about 110° C. to about 160° C. to minimize carbon burn.
- the cobalt concentration in the catalyst system can range from about 500 ppm to about 6000 ppm, and the amount of manganese from about 2 ppm to about 600 ppm and the amount of bromine from about 300 ppm to about 4500 ppm with respect to the total weight of the liquid in the reaction medium.
- Mixed feedstocks of 5-AMF and 5-HMF or 5-EMF and 5-HMF or 5-MF and 5-HMF or 5-AMF, 5-EMF and 5-HMF, with varying ratios of the components can be used and similar results can be obtained.
- a process for producing furan-2,5-dicarboxylic acid (FDCA) in high yields by liquid phase oxidation that minimizes solvent and starting material loss through carbon burn.
- the process comprises oxidizing at least one oxidizable compound in an oxidizable raw material stream 30 in the presence of an oxidizing gas stream 10 , solvent stream 20 , and at least one catalyst system in a primary oxidation zone 125 ; wherein said oxidizable compound is 5-(hydroxymethyl)furfural (5-HMF); wherein said solvent stream comprises acetic acid with or without the presence of water; wherein said catalyst system comprising cobalt, manganese and bromine, wherein the weight ratio of cobalt to manganese in the reaction mixture is from about 10 to about 400.
- the temperature can vary from about 100° C. to about 220° C., from about 105° C. to about 180° C., and from about 110° C. to about 160° C.
- the cobalt concentration of the catalyst system can range from about 1000 ppm to about 6000 ppm, and the amount of manganese can range from about 2 ppm to about 600 ppm, and the amount of bromine can range from about 300 ppm to about 4500 ppm with respect to the total weight of the liquid in the reaction medium.
- the process comprises oxidizing at least one oxidizable compound in an oxidizable raw material stream 30 in the presence of an oxidizing gas stream 10 , solvent stream 20 , and at least one catalyst system in a primary oxidation zone 125 ; wherein said oxidizable compound is 5-(hydroxymethyl)furfural (5-HMF); wherein said solvent stream comprises a saturated organic acid having from 2-6 carbon atoms with or without the presence of water at a temperature of 100° C. to 220° C.
- the primary oxidation zone 125 comprises at least one primary oxidation reactor and wherein the catalyst system comprises cobalt in a range from about 500 ppm by weight to about 6000 ppm by weight with respect to the weight of the liquid in the reaction medium, manganese in an amount ranging from about 2 ppm by weight to about 600 ppm by weight with respect to the weight of the liquid in the reaction medium and bromine in an amount ranging from about 300 ppm by weight to about 4500 ppm by weight with respect to the weight of the liquid in the reaction medium.
- the cobalt to manganese ratio by weight is at least 10:1, 15:1, 20:1, 25:1, 30:1, 40:1, 50:1, 60:1, or 400 to 1.
- furan-2,5-dicarboxylic acid can be obtained by liquid phase oxidation of 5-(hydroxymethyl)furfural (5-HMF), 5-(acetoxymethyl)furfural (5-AMF) and 5-(ethoxymethyl)furfural (5-EMF) with molecular oxygen using Co/Mn/Br catalyst system in acetic acid solvent.
- 5-HMF hydroxymethyl)furfural
- 5-AMF amino acid-acetoxymethyl
- 5-EMF 5-(ethoxymethyl)furfural
- the FDCA precipitates out of solution.
- solids were obtained with a minimum of 90%, 92%, 94%, 96% FDCA content by weight.
- FDCA is obtained by liquid phase oxidation of 5-HMF, 5-AMF and 5-EMF with molecular oxygen using Co/Mn/Br catalyst system in acetic acid solvent. After the oxidation of 5-HMF/5-AMF/5-EMF in acetic acid, the FDCA precipitates out of solution. After filtration, washing with acetic acid and then with water, and drying, solids were obtained with a minimum of 96% FDCA content and a maximum b* of 15, 16, 17, 18, 19, or 20.
- the b* is one of the three-color attributes measured on a spectroscopic reflectance-based instrument.
- the color can be measured by any device known in the art.
- a Hunter Ultrascan XE instrument is typically the measuring device. Positive readings signify the degree of yellow (or absorbance of blue), while negative readings signify the degree of blue (or absorbance of yellow).
- a process for producing furan-2,5-dicarboxylic acid (FDCA) in minimum yields of 80% or 85% or 90% or greater by liquid phase oxidation that minimizes solvent and starting material loss through carbon burn.
- a process comprising oxidizing at least one oxidizable compound in an oxidizable raw material stream 30 in the presence of an oxidizing gas stream 10 , solvent stream 20 , and at least one catalyst system in a primary oxidation zone 125 ; wherein said oxidizable compound is selected from the group consisting of H(C ⁇ O)—R—(C ⁇ O)H, HOH2C—R—(C ⁇ O)H, 5-(hydroxymethyl)furfural (5-HMF); wherein said solvent stream comprises acetic acid with or without the presence of water; wherein said catalyst system comprises cobalt, manganese and bromine, wherein the weight ratio of cobalt to manganese in the reaction mixture is from about 10 to about 400 and the weight ratio of cobalt to bromine is from about 0.7 to about 3.5.
- Such a catalyst system with improved Co:Mn and Co:Br ratio can lead to high yield of FDCA (minimum of 90%), decrease in the formation of impurities (measured by b*) causing color in the downstream polymerization process while keeping the amount of CO and CO 2 in the off-gas at a minimum.
- the temperature in the primary oxidation zone can range from about 100° C. to about 220° C., and can range from about 110° C. to about 160° C. or can range from about 105° C. to about 180° C. or about 100° C. to about 200° C., or about 100° C. to about 190° C.
- One advantage of the disclosed primary oxidation conditions is low carbon burn as illustrated in Table 1.
- Oxidizer off gas stream 120 is routed to the oxidizer off gas treatment zone 825 to generate an inert gas stream 810 , liquid stream 820 comprising water, and a recovered solvent stream 830 comprising condensed solvent.
- At least a portion of recovered solvent stream 830 is routed to wash fed stream 620 and the combined stream is routed to the solid-liquid separation zone 625 for the purpose of washing the solids present in the solid-liquid separation zone 625 .
- the inert gas stream 810 can be vented to the atmosphere.
- at least a portion of the inert gas stream 810 can be used as an inert gas in the process for inerting vessels and or used for conveying gas for solids in the process.
- the composition of the liquid phase within the primary oxidizer can have a pH from about ⁇ 4.0 to about 1.0 or the feedstock pH is from about ⁇ 1.8 to about 1.0, or the feedstock pH is from about ⁇ 1.5 to about 1.0.
- steps (b)-(g) are optional and only one possible embodiment of a process to purified the carboxylic acid composition.
- Step (b) comprises routing the crude carboxylic composition 110 and fresh solvent stream 220 to a liquid displacement zone 225 to produce a displaced mother liquor stream 230 and low impurity slurry stream 210 comprising FDCA.
- the displaced mother liquor stream 230 comprises solvent and soluble matter dissolved in the solvent comprising dissolved impurities and dissolved catalyst.
- from about 5% to about 99%, from about 30% to about 90%, and most preferably from about 50 to about 85% of mother liquor present in the carboxylic acid composition 110 is displaced in the liquid displacement zone 225 resulting in dissolved matter comprising impurities present in the displaced mother liquor not going forward in the process.
- Sufficient fresh solvent is fed to the liquid displacement zone 225 that becomes mixed with solids present resulting in a low impurity slurry stream 210 being pumpable with weight % solids ranging from 1% to 50%, 10% to 40%, and preferably the weight % solids in stream 210 will range from 25% to 38%.
- the liquid displacement zone may be a single unit operation or multiple unit operations.
- the liquid displacement zone 225 may be any solid-liquid separation device capable of generating an isolated wet cake from a feed slurry and then mixing the isolated wet cake with fresh solvent in a separate mixing device to generate the low impurity slurry stream 210 .
- suitable solid-liquid separation devices include, but are not limited to, a continuous pressure drum filter, solid bowl centrifuges including, but not limited to, decanter and disc stack centrifuges, and batch pressure filters including, but not limited to, candle and leaf filters.
- the preferred solid-liquid separation device for this application is a continuous pressure drum filter.
- the solid-liquid separator is operated at temperatures between about 30 degrees C.
- the solid-liquid separator in the liquid displacement zone 225 may be operated in continuous or batch mode, although it will be appreciated that for commercial processes, the continuous mode is preferred. Alternatively, a portion of the mother liquor in stream 110 is displaced with fresh liquor stream 220 in a single device to form the low impurity slurry stream 210 without forming an isolated wet cake.
- Recovered solvent stream 910 comprises solvent and catalyst isolated from stream 230 and is recycled to the process. In one embodiment, recovered solvent stream 910 is recycled to the primary oxidation zone 125 and contains greater than 30% of the catalyst that entered the purge zone 235 in stream 230 .
- stream 910 is recycled to the primary oxidation zone 125 and contains greater than 50 weight %, contains greater than 70 weight %, and preferably greater than 90 weight % of the catalyst that enters the purge zone 235 in stream 230 on a continuous or batch basis.
- a portion up to 100% of the carboxylic acid composition 110 may be routed directly to a secondary oxidation zone 335 without being subjected to the liquid displacement zone 225 .
- up to 100% of the feed to the purge zone 235 may be a mother liquor stream 630 generated in a solid-liquid separation zone 625 which also produces the purified wet cake stream 610 .
- up to 100% of the feed to the purge zone 235 may be mother liquor generated in a secondary liquid displacement zone located at some location downstream of the secondary oxidation zone 325 .
- a secondary liquid displacement zone is not show in FIG. 1 , and it comprises equipment like that described for the liquid displacement zone 225 located after the primary oxidation zone 125 , and must be located after the secondary oxidation zone 335 .
- Step (c) comprises oxidizing the low impurity slurry stream 210 in a secondary oxidation zone 335 to form a purified slurry stream 310 .
- the low impurity slurry stream 210 is routed to a secondary oxidation zone 335 where it is heated to between about 115 degrees C. and about 220 degrees C., and preferably between about 120 degrees C. to about 200 degrees C. and further oxidized with an oxidizing gas, such as air, fed by line 320 to produce a purified slurry stream 310 .
- the secondary oxidation zone comprises at least one oxidation reactor vessel. In one embodiment, the secondary oxidation zone can be one or more oxidation vessels.
- the secondary oxidation zone is operated at a temperature ranging from about 115 degrees C. to about 220 degrees C., preferably between about 120 degrees C. to about 200 degrees C., and stream 210 is further oxidized with an oxidizing gas stream fed by line 320 to produce a purified slurry stream 310 .
- oxidation in the secondary oxidation zone 335 is at a higher temperature than the oxidation in the primary oxidation zone 125 to enhance the impurity removal.
- the secondary oxidation zone 335 is operated at about 30° C., 20° C., and preferably 10° C. higher temperature than the oxidation temperature in the primary oxidation zone 125 to enhance the impurity removal.
- the secondary oxidation zone 335 can be heated directly with solvent vapor, or steam via stream 320 or indirectly by any means known in the art.
- Additional purification of the low impurity slurry stream 210 is accomplished in the secondary oxidation zone by a mechanism involving recrystallization or crystal growth and oxidation of impurities and intermediates including FFCA.
- One of the functions of the secondary oxidation zone is to convert FFCA to FDCA.
- FFCA is considered monofunctional relative to a polyester condensation reaction because it contains only one carboxylic acid.
- FFCA is present in the carboxylic acid composition stream 110 and the low impurity slurry stream 210 .
- FFCA is generated in the primary oxidation zone 125 because the reaction of 5-HMF to FFCA can be about eight times faster than the reaction of FFCA to the desired di-functional product FDCA.
- Additional air or molecular oxygen may be fed in stream 320 to the secondary oxidation zone 335 in an amount necessary to oxidize a substantial portion of the partially oxidized products such as FFCA in the stream 210 to the corresponding carboxylic acid FDCA.
- FFCA partially oxidized products
- the secondary oxidation zone 335 at least 70% by weight of the FFCA present in the low impurity slurry stream 210 is converted to FDCA in the secondary oxidation zone 335 .
- At least 80% by weight of the FFCA present in the low impurity slurry stream 210 is converted to FDCA in the secondary oxidation zone 335 , and most preferably, at least 90% by weight of the FFCA present in the low impurity slurry stream 210 is converted to FDCA in the secondary oxidation zone 335 .
- Significant concentrations of monofunctional molecules like FFCA in the dried, purified FDCA product are particularly detrimental to polymerization processes as they may act as chain terminators during the polyester condensation reaction.
- the amount of oxygen fed in the secondary oxidation zone 335 in controlled to limit the burning of organic molecules to CO 2 .
- the amount of oxygen in stream 330 is monitored and used to control the amount of oxygen fed in stream 320 .
- Another function of the secondary oxidation zone 335 is to dissolve and recrystallize solids present in the low impurity slurry stream 210 fed to the secondary oxidation zone. At least 10% by weight, 25% by weight, 50% by weight, and preferably at least 85% by weight of solid impurities and oxidation by-products in stream 210 feed to the secondary oxidation zone 335 go into solution as the FDCA particles are dissolved and re-crystallized in the secondary oxidation zone 335 .
- VOCs volatile organic compounds
- VOCs including methyl bromide may be treated, for example by incineration in a catalytic oxidation unit.
- the purified slurry stream 310 generated in the secondary oxidation zone is routed to the crystallization zone 425 .
- Step (d) comprises crystallizing the secondary oxidation slurry 310 in a crystallization zone 425 to form a crystallized slurry stream 410 .
- the crystallization zone 425 comprises at least one crystallizer. Vapor from the crystallization zone can be condensed in at least one condenser and returned to the crystallization zone 425 or routed away from crystallization zone 425 .
- the liquid from the condenser or vapor product from the crystallization zone can be recycled, or it can be withdrawn or sent to an energy recovery device.
- the crystallizer off gas is removed via line 420 and can be routed to a recovery system where the solvent is removed, and crystallizer off gas comprising VOCs may be treated, for example, by incineration in a catalytic oxidation unit.
- the carboxylic acid is FDCA
- the purified slurry stream 310 from the secondary oxidation zone 335 is fed to a crystallization zone 425 comprising at least one crystallizer where it is cooled to a temperature between about 40.degrees C. to about 175 degrees C. to form a crystallized slurry stream 410 , preferably to a temperature between about 50 degrees C. to about 170 degrees C., and most preferably from about 60 degrees C. to about 165 degrees C.
- the crystallized slurry stream 410 is then routed to a cooling zone 430 to generate a cooled crystallized slurry stream 510 .
- the cooling of the crystallized slurry stream 410 can be accomplished by any means known in the art.
- the cooling zone 430 comprises a flash tank.
- the temperature of stream 510 can range from 35° C. to 160° C., 45° C. to 120° C., and preferably from 55° C. to 95° C.
- a portion of up to 100% of the secondary oxidation slurry stream 310 is routed directly to the cooling zone 425 , thus the portion is not subjected to a crystallization zone 430 .
- a portion of up to 100% of the crystallized slurry stream 410 is routed directly to a secondary liquid displacement zone which is not illustrated in FIG. 1 .
- Up to 100% of the slurry effluent comprising FDCA from a secondary liquid displacement zone can be routed to the solid-liquid separation zone 625 and or routed directly to the cooling zone 430 .
- the function of the secondary liquid displacement zone is to displace a portion of solvent in the crystallized slurry stream 410 with fresh solvent and or water wherein a portion must be greater than 5 weight percent.
- the secondary liquid displacement zone is separate and distinct from the liquid displacement zone 225 located after the primary oxidation zone 125 .
- the same type of equipment may be used for both the primary and secondary liquid displacement zones.
- crystallized slurry stream 410 can be routed directly to the solid-liquid separation zone 625 without being first processed in the cooling zone 430 .
- Step (e) comprises isolating, washing, and dewatering solids present in the cooled, crystallized slurry stream 510 in the solid-liquid separation zone 625 .
- the solid-liquid separation zone 625 comprises at least one solid-liquid separation device capable of separating solids and liquids, washing solids with a wash solvent stream 620 , and reducing the % moisture in the washed solids to less than 30 weight %, less than 25 weight %, less than 20 weight %, less than 15 weight %, and preferably less than 10 weight %.
- Equipment suitable for the solid liquid separation zone 625 can typically be comprised of, but not limited to, the following types of devices: centrifuges, cyclones, rotary drum filter, belt filters, pressure leaf filters, candle filters, etc.
- the preferred solid liquid separation device for the solid liquid separation zone 625 is a rotary pressure drum filter.
- the temperature of the cooled, crystallized slurry steam 510 which is routed to the solid-liquid separation zone 625 can range from 50° C. to 140° C., 70° C. to 120° C., and is preferably from 75° C. to 95° C.
- the wash solvent stream 620 comprises a liquid suitable for displacing and washing mother liquor from the solids.
- a suitable wash solvent comprises acetic acid and water.
- a suitable solvent comprises water up to 100% water.
- the temperature of the wash solvent can range from 20° C. to 135° C., 40° C. and 110° C., and preferably from 50° C. to 90° C.
- the amount of wash solvent used is defined as the wash ratio and equals the mass of wash divided by the mass of solids on a batch or continuous basis.
- the wash ratio can range from about 0.3 to about 5, about 0.4 to about 4, and preferably from about 0.5 to 3.
- dewatering involves reducing the mass of moisture present with the solids to less than 30% by weight, less than 25% by weight, less than 20% by weight, less than 15% by weight, and most preferably less than 10% by weight resulting in the generation of a purified wet cake stream 610 .
- dewatering is accomplished in a filter by passing a gas stream through the solids to displace free liquid after the solids have been washed with a wash solvent.
- dewatering is achieved by centrifugal forces in a perforated bowl or solid bowl centrifuge.
- Stream 630 generated in the solid-liquid separation zone 625 is a mother liquor stream comprising oxidation solvent, catalyst, and some impurities and oxidation byproducts.
- a portion of stream 630 is routed to a purge zone 235 and a portion is routed back to the primary oxidation zone 125 wherein a portion is at least 5 weight %.
- Wash liquor stream 640 is also generated in the solid-liquid separation zone 625 and comprises a portion of the mother liquor present in stream 510 and wash solvent wherein the ratio of mother liquor mass to wash solvent mass is less than 3 and preferably less than 2.
- Step (f) comprises drying the purified wet cake stream 610 in a drying zone 725 to generate a dry purified carboxylic acid 710 and a vapor stream 720 .
- vapor stream 720 comprises wash solvent vapor.
- vapor stream 720 comprises oxidation solvent and wash solvent.
- the drying zone 725 comprises at least one dryer and can be accomplished by any means known in the art that is capable of evaporating at least 10% of the volatiles remaining in the purified wet cake stream 610 to produce the dried, purified carboxylic acid 710 comprising purified FDCA and a vapor stream 720 .
- indirect contact dryers include, but are not limited to, a rotary steam tube dryer, a Single Shaft Porcupine® dryer, and a Bepex Solidaire® dryer.
- Direct contact dryers include, but are not limited to, a fluid bed dryer and drying in a convey line can be used for drying to produce stream 710 .
- the dried, purified carboxylic acid 710 comprising purified FDCA can be a carboxylic acid composition with less than 8% moisture, preferably less than 5% moisture, and more preferably less than 1% moisture, and even more preferably less than 0.5%, and yet more preferably less than 0.1%.
- the liquid portion of the purified wet cake stream 610 comprises water and contains less than 0.1 weight % acetic acid, less than 500 ppm wt acetic acid, and preferably less than 200 ppm wt, the stream 610 can be fed directly to a polymerization zone without first being dried.
- a vacuum system can be utilized to draw vapor stream 720 from the drying zone 725 .
- the pressure of stream 720 at the dryer outlet can range from about 760 mmHg to about 400 mmHg, from about 760 mmHg to about 600 mmHg, from about 760 mmHg to about 700 mmHg, from about 760 mmHg to about 720 mmHg, and from about 760 mmHg to about 740 mmHg wherein pressure is measured in mmHg above absolute vacuum.
- the contents of the conduit between solid-liquid separation zone 625 and drying zone 725 utilized to transfer the purified wet cake stream 610 comprises wet cake stream and gas wherein gas is the continuous phase.
- the pressure at the exit of the solid liquid separation zone 625 can be close to that of the pressure where vapor stream 720 exits the drying zone 725 , wherein close is defined as within 2 psig, within 0.8 psig, and preferably within 0.4 psig.
- the dried, purified carboxylic acid 710 has a b* less than about 9.0. In another embodiment of the invention, the b* color of the dried, purified carboxylic acid 710 is less than about 6.0. In another embodiment of the invention, the b* color of the dried, purified carboxylic acid 710 is less than about 5.0. In another embodiment of the invention, the b* color of the dried, purified carboxylic acid 710 is less than about 4.0. In another embodiment of the invention, the b* color of the dried, purified carboxylic acid 710 is less than about 3.
- the b* color is one of the three-color attributes measured on a spectroscopic reflectance-based instrument. A Hunter Ultrascan XE instrument in reflectance mode is typically the measuring device. Positive readings signify the degree of yellow (or absorbance of blue), while negative readings signify the degree of blue (or absorbance of yellow).
- process zones previously described can be utilized in any other logical order to produce the dried, purified carboxylic acid 710 . It should also be appreciated that when the process zones are reordered that the process conditions may change. It is also understood that all percent values are weight percents.
- Step (g) is an optionally step comprising decolorizing the FDCA in this process or an esterified FDCA with a diol stream via hydrogenation.
- the diol stream comprises ethylene glycol.
- the diol stream comprises isomers of cyclohexane diol, preferably the 1-4 cyclohexane diol isomer.
- the decolorizing of the FDCA in this process or an esterified FDCA can be accomplished by any means known in the art and is not limited to hydrogenation.
- the decolorizing can be accomplished by reacting a carboxylic acid that has undergone esterification treatment, for example with ethylene glycol, with molecular hydrogen in the presence of a hydrogenation catalyst in a reactor zone to produce a decolorized carboxylic acid solution or a decolorized ester product.
- the reactor zone there are no special limitations in the form or construction thereof, subject to an arrangement that allows supply of hydrogen to effect intimate contact of the carboxylic acid or ester product with the catalyst in the reactor zone.
- the hydrogenation catalyst is usually a single Group VIII metal or combination of Group VIII metals.
- the catalyst is selected from a group consisting of palladium, ruthenium, rhodium and combination thereof.
- the reactor zone comprises a hydrogenation reactor that operates at a temperature and pressure sufficient to hydrogenate a portion of the characteristically yellow compounds to colorless derivatives.
- the heterogeneous mixture was filtered to isolate the crude FDCA.
- the mass of the filtrate was recorded.
- the crude FDCA was washed with 60 mL of acetic acid two times and then twice with 100 mL of DI water.
- the washed crude FDCA was oven dried at 110° C. under vacuum overnight and then weighed.
- the solid and the filtrate were analyzed by Gas Chromatography using BSTFA derivatization method.
- the Off-gas was analyzed for CO and CO 2 by ND-1R (ABB, Advanced Optima) and O 2 by a paramagnetism detection system (Servomex, 1440 Model).
- Process samples were analyzed using a Shimadzu gas chromatograph Model 2010 (or equivalent) equipped with a split/heated injector (300° C.) and a flame ionization detector (300° C.).
- a capillary column 60 meter ⁇ 0.32 mm ID coated with (6% cyanopropylphenyl)-methylpolysiloxane at 1.0 ⁇ m film thickness (such as DB-1301 or equivalent) was employed.
- Helium was used as the carrier gas with an initial column head pressure of 29.5 psi and an initial column flow of 3.93 mL/minute while the carrier gas linear velocity of 45 cm/second was maintained constant throughout the entire oven temperature program.
- the column temperature was programmed as follows: The initial oven temperature was set at 80° C.
- the oven was ramped up to 150° C. at 4° C./minute and was held at 150° C. for 0 minute, the oven was ramped up to 240° C. at 10° C./minute and was held at 240° C. for 5 minutes, then the oven was ramped up to 290° C. at 10° C./minute and was held at 290° C. for 17.5 minutes (the total run time was 60 mins).
- 1.0- ⁇ l of the prepared sample solution was injected with a split ratio of 40:1.
- EZ-Chrom Elite chromatography data system software was used for data acquisition and data processing.
- the sample preparation was done by weighing 0.1 g (accurate to 0.1 mg) of sample in a GC vial and adding 200.0 ⁇ l ISTD solution (1% by volume of decane in pyridine) and 1000 ⁇ l of BSTFA (N, O-bis(trimethylsilyl) trifluoroacetamide) with 1% TMSCl (trimethylchlorosilane) to the GC vial.
- the content was heated at 80° C. for 30 minutes to ensure complete derivatization.
- 1.0- ⁇ l of this prepared sample solution was injected for GC analysis.
- Examples 1a, and 1b which use catalyst systems consisting of cobalt, manganese and aqueous hydrobromic acid source produced about 90% yield of FDCA with >98% purity of crude FDCA solid and with a b* of about 6.
- the crude FDCA solid also contains 5-Formylfuran-2-carboxylic acid (FFCA), only the hydroxylmethyl groups are oxidized to carboxylic acid groups, due to incomplete oxidation.
- FFCA 5-Formylfuran-2-carboxylic acid
- Oxidation of 5-AMF which contains an oxidizable ester and aldehydes moieties, produced FDCA, FFCA, and acetic acid, eq 4.
- Examples 2a to 2b demonstrate that a minimum of 99% purity FDCA solid with a b* of about 7 or less can be achieved using cobalt, manganese and aqueous hydrobromic acid catalyst system.
- the heterogeneous mixture was filtered to isolate the crude FDCA.
- the mass of the filtrate was recorded.
- the crude FDCA was washed with 60 mL of acetic acid two times and then twice with 100 mL of DI water.
- the washed crude FDCA was oven dried at 110° C. under vacuum overnight and then weighed.
- the solid and the filtrate were analyzed by Gas Chromatography using BSTFA derivatization method.
- the Off-gas was analyzed for CO and CO 2 by ND-1R (ABB, Advanced Optima) and O 2 by a paramagnetism detection system (Servomex, 1440 Model).
- Process samples were analyzed using a Shimadzu gas chromatograph Model 2010 (or equivalent) equipped with a split/heated injector (300° C.) and a flame ionization detector (300° C.).
- a capillary column 60 meter ⁇ 0.32 mm ID coated with (6% cyanopropylphenyl)-methylpolysiloxane at 1.0 ⁇ m film thickness (such as DB-1301 or equivalent) was employed.
- Helium was used as the carrier gas with an initial column head pressure of 29.5 psi and an initial column flow of 3.93 mL/minute while the carrier gas linear velocity of 45 cm/second was maintained constant throughout the entire oven temperature program.
- the column temperature was programmed as follows: The initial oven temperature was set at 80° C.
- the oven was ramped up to 150° C. at 4° C./minute and was held at 150 for 0 minute, the oven was ramped up to 240° C. at 10° C./minute and was held at 240 for 5 minutes, then the oven was ramped up to 290° C. at 10° C./minute and was held at 290 for 17.5 minutes (the total run time was 60 mins).
- 1.0- ⁇ l of the prepared sample solution was injected with a split ratio of 40:1.
- EZ-Chrom Elite chromatography data system software was used for data acquisition and data processing.
- the sample preparation was done by weighing 0.1 g (accurate to 0.1 mg) of sample in a GC vial and adding 200.0 ⁇ l ISTD solution (1% by volume of decane in pyridine) and 1000 ⁇ l of BSTFA (N,O-bis(trimethylsilyl) trifluoroacetamide) with 1% TMSCl (trimethylchlorosilane) to the GC vial.
- the content was heated at 80° C. for 30 minutes to ensure complete derivatization.
- 1.0- ⁇ l of this prepared sample solution was injected for GC analysis.
- the electrode for determining non-aqueous pH and millivolts was a Schott N6480-eth series electrode.
- the LiCl/EtOH filling solution was replaced with (Et) 4 N + Br ⁇ /ethylene glycol.
- the electrode response was monitored by Multi-T 2.2 software through a Jensen Systems cdv-70 series Sensolab interface box.
- the buffers (pH 4 and 7) were purchased from VWR, and the (Et) 4 N + Br ⁇ /ethylene glycol filling solution was from Metrohm.
- a non-aqueous electrode was initially calibrated using aqueous buffers of 4 and 7 allowing the electrode to equilibrate with each for two to three minutes before calibrating at the respective level.
- the samples were portioned ( ⁇ 15 mL) into smaller vials with mini-Teflon stir bars. The samples were then placed on a stir plate, and the electrode was lowered into the sample. The depth of the electrode was set to where the sample covered about half of the junction slide. Once the sample and electrode was ready, the sample was measured for non-aqueous pH over a period of three minutes. The time was sufficient for equilibration between the electrode and the sample. Between each sample measurement, the electrode was rinsed with Millipore-grade water and wiped with a Kimwipe. The results were recorded in non-aqueous pH units. The millivolts results were also recorded.
- Examples 5c, 5d, 5e and 5f which use catalyst systems consisting of cobalt, manganese and aqueous hydrobromic acid or aqueous hydrobromic acid and sodium bromide as a bromide source produced about 90% yield of FDCA, minimum colored impurities (measured by b*) and a minimum level of CO and CO 2 (CO x , mol/min) in the off-gas.
- One of the reasons for the differences in activity between hydrobromide and sodium bromide, in a single batch reaction, is due to faster oxidation of HBr by Mn(III), eq 6, than sodium bromide (it is about 22 times faster: Jiao, X. J.; Espenson, J. H. Inorg. Chem. 2000, 39, 1549).
- the activity of hydrobromic acid or sodium bromide reaction mediums can be increased by addition of a strong Br ⁇ nsted acid (such as triflic acid, HCl, etc.).
- Comparative examples 5g and 5h show the inhibiting effect of excess manganese. Therefore it is desirable to limit the amount of manganese, during the oxidation process, to achieve high yield of FDCA.
- the heterogeneous mixture was filtered to isolate the crude FDCA.
- the mass of the filtrate was recorded.
- the crude FDCA was washed with 60 mL of acetic acid two times and then twice with 100 mL of DI water.
- the washed crude FDCA was oven dried at 110° C. under vacuum overnight and then weighed.
- the solid and the filtrate were analyzed by Gas Chromatography using BSTFA derivatization method. A typical GC-chromatogram for isolated crude FDCA sample is shown in FIG. 2 . The purity of this solid was confirmed by NMR spectroscopy, FIGS. 3 and 4 .
- the Off-gas was analyzed for CO and CO 2 by ND-1R (ABB, Advanced Optima) and O 2 by a paramagnetism detection system (Servomex, 1440 Model).
- Process sample was analyzed using a Shimadzu gas chromatograph Model 2010 (or equivalent) equipped with a split/heated injector (300° C.) and a flame ionization detector (300° C.).
- a capillary column 60 meter ⁇ 0.32 mm ID coated with (6% cyanopropylphenyl)-methylpolysiloxane at 1.0 ⁇ m film thickness (such as DB-1301 or equivalent) was employed.
- Helium was used as the carrier gas with an initial column head pressure of 29.5 psi and an initial column flow of 3.93 ml/minute while the carrier gas linear velocity of 45 cm/second was maintained constant throughout the entire oven temperature program.
- the column temperature was programmed as follows: The initial oven temperature was set at 80° C.
- the oven was ramped up to 150° C. at 4° C./minute and was held at 150 for 0 minute, the oven was ramped up to 240° C. at 10° C./minute and was held at 240 for 5 minute, then the oven was ramped up to 290° C. at 10° C./minute and was held at 290 for 17.5 minutes (the total run time was 60 mins).
- 1.0- ⁇ l of the prepared sample solution was injected with a split ratio of 40:1.
- EZ-Chrom Elite chromatography data system software was used for data acquisition and data processing.
- the sample preparation was done by weighing 0.1 g (accurate to 0.1 mg) of sample in a GC vial and adding 200.0 ⁇ l ISTD solution (1% by volume of decane in pyridine) and 1000 ⁇ l of BSTFA (N,O-bis(trimethylsilyl) trifluoroacetamide) with 1% TMSCl (trimethylchlorosilane) to the GC vial.
- the content was heated at 80° C. for 30 minutes to ensure complete derivatization.
- 1.0- ⁇ l of this prepared sample solution was injected for GC analysis.
- Table 6 The data presented in Table 6 was used to develop a theoretical polynomial model to predict FDCA yield under different conditions, eq-7. Examples of predicted FDCA yields using this model is given in Table 7. Experiments No 72, 73, 85, and 86, Table 7, were conducted under the predicted conditions. As can be seen from the results they agree well with the predicted values within experimental error.
- the heterogeneous mixture was filtered to isolate the crude FDCA.
- the mass of the filtrate was recorded.
- the crude FDCA was washed with 60 mL of acetic acid two times and then twice with 100 mL of DI water.
- the washed crude FDCA was oven dried at 110° C. under vacuum overnight and then weighed.
- the solid and the filtrate were analyzed by Gas Chromatography using BSTFA derivatization method.
- the off-gas was analyzed for CO and CO 2 by ND-1R (ABB, Advanced Optima) and O 2 by a paramagnetism detection system (Servomex, 1440 Model).
- Process samples were analyzed using a Shimadzu gas chromatograph Model 2010 (or equivalent) equipped with a split/heated injector (300° C.) and a flame ionization detector (300° C.).
- a capillary column 60 meter ⁇ 0.32 mm ID coated with (6% cyanopropylphenyl)-methylpolysiloxane at 1.0 ⁇ m film thickness (such as DB-1301 or equivalent) was employed.
- Helium was used as the carrier gas with an initial column head pressure of 29.5 psi and an initial column flow of 3.93 mL/minute while the carrier gas linear velocity of 45 cm/second was maintained constant throughout the entire oven temperature program.
- the column temperature was programmed as follows: The initial oven temperature was set at 80° C.
- the oven was ramped up to 150° C. at 4° C./minute and was held at 150° C. for 0 minute, the oven was ramped up to 240° C. at 10° C./minute and was held at 240° C. for 5 minutes, then the oven was ramped up to 290° C. at 10° C./minute and was held at 290° C. for 17.5 minutes (the total run time was 60 mins).
- 1.0- ⁇ l of the prepared sample solution was injected with a split ratio of 40:1.
- EZ-Chrom Elite chromatography data system software was used for data acquisition and data processing.
- the sample preparation was done by weighing 0.1 g (accurate to 0.1 mg) of sample in a GC vial and adding 200.0 ⁇ l ISTD solution (1% by volume of decane in pyridine) and 1000 ⁇ l of BSTFA (N,O-bis(trimethylsilyl) trifluoroacetamide) with 1% TMSCl (trimethylchlorosilane) to the GC vial.
- the content was heated at 80° C. for 30 minutes to ensure complete derivatization.
- 1.0- ⁇ l of this prepared sample solution was injected for GC analysis.
- the weight ratio of cobalt to manganese was deliberately kept very high (i.e. 21) in all the reactions to avoid the inhibiting effect of excess manganese especially below 160° C.
- the factor that has the most impact on the yield of FDCA is temperature. It is also important to note that the yield can increase with increasing cobalt and bromine concentrations.
Landscapes
- Chemical & Material Sciences (AREA)
- Organic Chemistry (AREA)
- Low-Molecular Organic Synthesis Reactions Using Catalysts (AREA)
- Organic Low-Molecular-Weight Compounds And Preparation Thereof (AREA)
- Furan Compounds (AREA)
- Confectionery (AREA)
Abstract
Disclosed is an oxidation process to produce a crude carboxylic acid product carboxylic acid product. The process comprises oxidizing a feed stream comprising at least one oxidizable compound to generate a crude carboxylic acid slurry comprising furan-2,5-dicarboxylic acid (FDCA) and compositions thereof. Also disclosed is a process to produce a dry purified carboxylic acid product by utilizing various purification methods on the crude carboxylic acid.
Description
- This application claims priority to U.S. Provisional Application Ser. No. 61/489,488 filed May 24, 2011, the disclosures of which are herein incorporated by reference in their entirety to the extent they do not contradict the statements herein.
- The present invention relates to a process to produce a carboxylic acid composition. The process comprises oxidizing at least one oxidizable compound in an oxidizable raw material stream in the presence of an oxidizing gas stream, solvent stream, and at least one catalyst system.
- More particularly, the present invention relates to a process to produce a carboxylic acid composition comprising furan-2,5-dicarboxylic acid (FDCA) and compositions thereof. The process comprises oxidizing 5-hydroxylmethyl)furfural in the presence of oxygen, a saturated organic acid solvent having from 2-6 carbon atoms, and a catalyst system at a temperature of about 100° C. to about 220° C. to produce the carboxylic acid composition comprising furan-2,5-dicarboxylic acid.
- Aromatic dicarboxylic acids, such as terephthalic acid and isophthalic acid, are used to produce a variety of polyester products. Important examples of which are poly (ethylene terephthalate) and its copolymers. These aromatic dicarboxylic acids are synthesized by the catalytic oxidation of the corresponding dialkyl aromatic compounds which are obtained from fossil fuels, which is disclosed in U.S. Patent Application 2006/0205977 A1), which is herein incorporated by reference to the extent it does not contradict the statements herein.
- There is a growing interest in the use of renewable resources as feed stocks for the chemical industry mainly due to the progressive reduction of fossil reserves and their related environmental impacts. Furan-2,5-dicarboxylic acid (FDCA) is a versatile intermediate considered as a promising closest biobased alternative to terephthalic acid and isophthalic acid. Like aromatic diacids, FDCA can be condensed with diols such as ethylene glycol to make polyester resins similar to polyethylene terephthalate (PET) (Gandini, A.; Silvestre, A. J; Neto, C. P.; Sousa, A. F.; Gomes, M. J. Poly. Sci. A 2009, 47, 295.). Therefore, there is a need in the chemical industry for an efficient process to produce carboxylic acid compositions, especially FDCA. A high yield process (minimum of 90% FDCA yield) to produce a dry, purified FDCA product is provided herein.
-
FIG. 1 illustrates different embodiments of the invention wherein a process to produce a dried purifiedcarboxylic acid 710 is provided. -
FIG. 2 illustrates an embodiment of the invention, showing the GC chromatogram of thecarboxylic acid composition 110 that has been dried. -
FIG. 3 illustrates an embodiment of the invention, showing a 1H NMR of thecarboxylic acid composition 110 that has been dried. -
FIG. 4 illustrates an embodiment of the invention, showing a 13C{1H} NMR of thecarboxylic acid composition 110 that has been dried. -
FIG. 5 illustrates an embodiment of the invention, showing the effects of temperature, pressure, cobalt and bromine concentrations have on the FDCA yield in thecarboxylic acid composition 110. -
FIG. 6 illustrates an embodiment of the invention, Effect of temperature on yield using an oxidizableraw material stream 30 comprising 5-AMF. The + symbol represents that Co is 2000 ppm and Br is 3000 ppm. The x symbol represents that Co is 2500 ppm and Br is 2500 ppm. -
FIG. 7 illustrates an embodiment of the invention, Effect of temperature on yield using an oxidizableraw material stream 30 comprising 5-EMF. The + symbol represents that Co is 2000 ppm and Br is 3000 ppm. The x symbol represents that Co is 2500 ppm and Br is 2500 ppm. - It should be understood that the following is not intended to be an exclusive list of defined terms. Other definitions may be provided in the foregoing description, such as, for example, when accompanying the use of a defined term in context.
- As used herein, the terms “a,” “an,” and “the” mean one or more.
- As used herein, the term “and/or,” when used in a list of two or more items, means that any one of the listed items can be employed by itself or any combination of two or more of the listed items can be employed. For example, if a composition is described as containing components A, B, and/or C, the composition can contain A alone; B alone; C alone; A and B in combination; A and C in combination, B and C in combination; or A, B, and C in combination.
- As used herein, the terms “comprising,” “comprises,” and “comprise” are open-ended transition terms used to transition from a subject recited before the term to one or more elements recited after the term, where the element or elements listed after the transition term are not necessarily the only elements that make up the subject.
- As used herein, the terms “having,” “has,” and “have” have the same open-ended meaning as “comprising,” “comprises,” and “comprise” provided above.
- As used herein, the terms “including,” “includes,” and “include” have the same open-ended meaning as “comprising,” “comprises,” and “comprise” provided above.
- The present description uses numerical ranges to quantify certain parameters relating to the invention. It should be understood that when numerical ranges are provided, such ranges are to be construed as providing literal support for claim limitations that only recite the lower value of the range as well as claim limitations that only recite the upper value of the range. For example, a disclosed numerical range of 10 to 100 provides literal support for a claim reciting “greater than 10” (with no upper bounds) and a claim reciting “less than 100” (with no lower bounds).
- The present description uses specific numerical values to quantify certain parameters relating to the invention, where the specific numerical values are not expressly part of a numerical range. It should be understood that each specific numerical value provided herein is to be construed as providing literal support for a broad, intermediate, and narrow range. The broad range associated with each specific numerical value is the numerical value plus and minus 60 percent of the numerical value, rounded to two significant digits. The intermediate range associated with each specific numerical value is the numerical value plus and minus 30 percent of the numerical value, rounded to two significant digits. The narrow range associated with each specific numerical value is the numerical value plus and minus 15 percent of the numerical value, rounded to two significant digits. For example, if the specification describes a specific temperature of 62° F., such a description provides literal support for a broad numerical range of 25° F. to 99° F. (62° F.+/−37° F.), an intermediate numerical range of 43° F. to 81° F. (62° F.+/−19° F.), and a narrow numerical range of 53° F. to 71° F. (62° F.+/−9° F.). These broad, intermediate, and narrow numerical ranges should be applied not only to the specific values, but should also be applied to differences between these specific values. Thus, if the specification describes a first pressure of 110 psia and a second pressure of 48 psia (a difference of 62 psi), the broad, intermediate, and narrow ranges for the pressure difference between these two streams would be 25 to 99 psi, 43 to 81 psi, and 53 to 71 psi, respectively.
- In one embodiment of the invention, a process is provided to produce carboxylic acid composition and/or dry purified
carboxylic acid 710 comprising furan-2,5-dicarboxylic acid (FDCA). Embodiments of the process are represented inFIG. 1 . The process comprises oxidizing at least one oxidizable compound in an oxidizableraw material stream 30 in the presence of an oxidizinggas stream 10,solvent stream 20, and at least one catalyst system. The oxidizableraw material stream 30 comprises at least one oxidizable compound suitable to produce acarboxylic acid composition 110 comprising FDCA. The amount of FDCA in thecarboxylic acid composition 110 can range from greater than 10 by weight percent in thecarboxylic acid composition 110, greater than 20 by weight percent in thecarboxylic acid composition 110, greater than 30 by weight percent in thecarboxylic acid composition 110. Thecarboxylic acid composition 110 comprises FDCA and solvent. - In another embodiment of the invention, the process comprises oxidizing at least one oxidizable compound in an oxidizable
raw material stream 30 in the presence of an oxidizinggas stream 10,solvent stream 20, and at least one catalyst system. The oxidizableraw material stream 30 comprises at least one oxidizable compound selected from the group consisting of 5-(hydroxymethyl)furfural (5-HMF), 5-HMF esters (5-R(CO)OCH2-furfural where R=alkyl, cycloalkyl and aryl), 5-HMF ethers (5-R′OCH2-furfural, where R′=alkyl, cycloalkyl and aryl), 5-alkyl furfurals (5-R″-furfural, where R″=alkyl, cycloalkyl and aryl), mixed feedstocks of 5-HMF and 5-HMF esters, mixed feedstocks of 5-HMF and 5-HMF ethers, mixed feedstocks of 5-HMF and 5-alkyl furfurals to generate a carboxylic acid composition comprising FDCA. The process can optionally include removing impurities from thecarboxylic acid composition 110 in aliquid displacement zone 225 to form a lowimpurity slurry stream 210. The lowimpurity slurry stream 210 can be further treated in asecondary oxidation zone 335 to produce a secondaryoxidation slurry stream 310 which can be routed to acrystallization zone 425 to form a crystallizedslurry stream 410. The crystallizedslurry stream 410 is cooled in acooling zone 430 and the cooled crystallizedslurry stream 510 can be routed to a solid-liquid separation zone 625 to generate a purifiedwet cake stream 610 comprising FDCA that is dried in adrying zone 725 to generate a dried, purifiedcarboxylic acid 710 comprising purified FDCA. - In one embodiment of the invention, a process is provided to produce a dried, purified
carboxylic acid 710 comprising dried, purified furan-2,5-dicarboxylic acid (FDCA) and comprises the following steps: - Step (a) comprises oxidizing at least one oxidizable compound in an oxidizable
raw material stream 30 in the presence of an oxidizinggas stream 10,solvent stream 20, and at least one catalyst system in aprimary oxidation zone 125 which comprises at least one primary oxidizer reactor to produce acarboxylic acid composition 110 comprising furan-2,5-dicarboxylic (FDCA); wherein the oxidizableraw material stream 30 comprises at least one oxidizable compound selected from the group consisting of 5-(hydroxymethyl)furfural (5-HMF), 5-HMF esters (5-R(CO)OCH2-furfural where R=alkyl, cycloalkyl and aryl), 5-HMF ethers (5-R′OCH2-furfural, where R′=alkyl, cycloalkyl and aryl), 5-alkyl furfurals (5-R″-furfural, where R″=alkyl, cycloalkyl and aryl), mixed feedstocks of 5-HMF and 5-HMF esters, mixed feedstocks of 5-HMF and 5-HMF ethers, and mixed feedstocks of 5-HMF and 5-alkyl furfurals. Structures for the various oxidizable raw material compounds are outlined below: - The 5-HMF or its derivatives are oxidized with elemental O2 in a multi-step reactions,
1 and 2, to form FDCA with 5-formyl furan-2-carboxylc acid (FFCA) as a key intermediate.eqs - In one embodiment of this invention, streams routed to the
primary oxidation zone 125 comprises an oxidizinggas stream 10 comprising oxygen and asolvent stream 20 comprising solvent, an oxidizableraw material stream 30, and a catalyst system. Oxidizableraw material stream 30 comprises a continuous liquid phase. In another embodiment of the invention, the oxidizableraw material stream 30, the oxidizinggas stream 10, thesolvent stream 20 and the catalyst system can be fed to theprimary oxidization zone 125 as separate and individual streams or combined in any combination prior to entering theprimary oxidation zone 125 wherein said feed streams may enter at a single location or in multiple locations in theprimary oxidization zone 125. - The
carboxylic acid composition 110 comprises FDCA and FFCA. In another embodiment the FFCA in thecarboxylic acid composition 110 ranges from about 0.1 wt % (weight percent) to about 4 wt % or 0.1 wt % to about 0.5 wt %, or 0.1 wt % to about 1 wt %. In another embodiment of the invention thecarboxylic acid composition 110 comprises FDCA and FFCA and at least one of 2,5-diformylfuran in an amount ranging from 0 wt % to about 0.2 wt %, levulinic acid in an amount ranging from 0 wt % to 0.5 wt %, succinic acid in an amount ranging from 0 wt % to 0.5 wt % and acetoxy acetic acid in an amount ranging from 0 wt % to 0.5 wt %. - In another embodiment of the invention the
carboxylic acid composition 110 comprises FDCA, FFCA and EFCA. In other embodiment of the invention the EFCA in thecarboxylic acid composition 110 in an range from about 0.05 wt % to 4 wt %, or about 1 wt % to 2 wt %. - The catalyst system comprises at least one catalyst suitable for oxidation. Any catalyst known in the art capable of oxidizing the oxidizable compound can be utilized. Example of suitable catalysts comprise at least one selected from, but are not limited to, cobalt, bromine and manganese compounds, which are soluble in the selected oxidation solvent. In another embodiment of the invention, the catalyst system comprises cobalt, manganese and bromine wherein the weight ratio of cobalt to manganese in the reaction mixture is from about 10 to about 400 and the weight ratio of cobalt to bromine is from about 0.7 to about 3.5.
- The oxidizing gas stream comprises oxygen. Examples include, but are not limited to, air and purified oxygen. The amount of oxygen in the primary oxidation zone ranges from about 5 mole % to 45 mole %, 5 mole % to 60
mole % 5 mole % to 80 mole %. - Suitable solvents include water and the aliphatic solvents. In an embodiment of the invention, the solvents are aliphatic carboxylic acids which include, but are not limited to, aqueous solutions of C2 to C6 monocarboxylic acids, e.g., acetic acid, propionic acid, n-butyric acid, isobutyric acid, n-valeric acid, trimethylacetic acid, caprioic acid, and mixtures thereof. In another embodiment of the invention, the solvent is volatile under the oxidation reaction conditions to allow it to be taken as an off-gas from the oxidation reactor. In yet another embodiment of the invention the solvent selected is also one in which the catalyst composition is soluble under the reaction conditions.
- The most common solvent used for the oxidation is an aqueous acetic acid solution, typically having a concentration of 80 to 99 wt. %. In especially preferred embodiments, the solvent comprises a mixture of water and acetic acid which has a water content of 0% to about 15% by weight. Additionally, a portion of the solvent feed to the primary oxidation reactor may be obtained from a recycle stream obtained by displacing about 80 to 90% of the mother liquor taken from the crude reaction mixture stream discharged from the primary oxidation reactor with fresh, wet acetic acid containing about 0 to 15% water.
- Suitable solvents include, but are not limited to, aliphatic mono-carboxylic acids, preferably containing 2 to 6 carbon atoms and mixtures thereof and mixtures of these compounds with water. Examples of aliphatic mono-carboxylic acids, include, but are not limited to acetic acid.
- Generally, the oxidation temperature can vary from about 100° C. to about 220° C. and from about 110° C. to about 160° C.
- In another embodiment of the invention, a process is provided to produce furan-2,5-dicarboxylic acid (FDCA) in high yields by liquid phase oxidation that minimizes solvent and starting material loss through carbon burn. The process comprises oxidizing at least one oxidizable compound in an oxidizable
raw material stream 30 in the presence of an oxidizinggas stream 10,solvent stream 20, and at least one catalyst system in aprimary oxidation zone 125; wherein the oxidizable compound is at least one selected from the group consisting of H(C═O)—R—(C═O)H, HOH2C—R—(C═O)H, and 5-(hydroxymethyl)furfural (5-HMF). The oxidizable compound can be oxidized in a solvent comprising acetic acid with or without the presence of water with oxygen in the presence of a catalyst system comprising cobalt, manganese and bromine, wherein the weight ratio of cobalt to manganese in the reaction mixture is from about 10 to about 400 and the weight ratio of cobalt to bromine is from about 0.7 to about 3.5. Such a catalyst system with improved Co:Mn ratio can lead to high yield of FDCA. In this process, the oxidation temperature can vary from about 100° C. to about 220° C., or another range from about 110° C. to about 160° C., which can minimize carbon burn. The cobalt concentration of the catalyst can range from about 1000 ppm to about 6000 ppm, and the amount of manganese from about 2 ppm to about 600 ppm, and the amount of bromine from about 300 ppm to about 4500 ppm with respect to the total weight of the liquid in the reaction medium of theprimary oxidation zone 125. As used herein, process temperature is the temperature of the reaction mixture within the primary oxidation zone where liquid is present as the continuous phase. The primary oxidizer reactor will typically be characterized by a lower section where gas bubbles are dispersed in a continuous liquid phase. Solids can also be present in the lower section. In the upper section of the primary oxidizer, gas is in the continuous phase and entrained liquid drops can also be present. - In various embodiments of the invention, the catalyst compositions employed in the processes of the invention comprise cobalt atoms, manganese atoms, and bromine atoms, supplied by any suitable means, as further described below. The catalyst composition is typically soluble in the solvent under reaction conditions, or it is soluble in the reactants fed to the oxidation zone. Preferably, the catalyst composition is soluble in the solvent at 40° C. and 1 atm, and is soluble in the solvent under the reaction conditions.
- The cobalt atoms may be provided in ionic form as inorganic cobalt salts, such as cobalt bromide, cobalt nitrate, or cobalt chloride, or organic cobalt compounds such as cobalt salts of aliphatic or aromatic acids having 2-22 carbon atoms, including cobalt acetate, cobalt octanoate, cobalt benzoate, cobalt acetylacetonate, and cobalt naphthalate.
- The oxidation state of cobalt when added as a compound to the reaction mixture is not limited, and includes both the +2 and +3 oxidation states.
- The manganese atoms may be provided as one or more inorganic manganese salts, such as manganese borates, manganese halides, manganese nitrates, or organometallic manganese compounds such as the manganese salts of lower aliphatic carboxylic acids, including manganese acetate, and manganese salts of beta-diketonates, including manganese acetylacetonate.
- The bromine component may be added as elemental bromine, in combined form, or as an anion. Suitable sources of bromine include hydrobromic acid, sodium bromide, ammonium bromide, potassium bromide, and tetrabromoethane. Hydrobromic acid, or sodium bromide may be preferred bromine sources.
- In another embodiment of the invention, a process is provided for producing furan-2,5-dicarboxylic acid (FDCA) in high yields by liquid phase oxidation that minimizes solvent and starting material loss through carbon burn. The process comprises oxidizing at least one oxidizable compound in an oxidizable
raw material stream 30 in the presence of an oxidizinggas stream 10,solvent stream 20, and at least one catalyst system in aprimary oxidation zone 125; wherein the oxidizable compound is selected from the group consisting of 5-(acetoxymethyl)furfural (5-AMF), 5-(ethoxymethyl)furfural (5-EMF), 5-methyl furfural (5-MF); wherein thesolvent stream 20 comprises acetic acid with or without the presence of water; wherein the catalyst system comprising cobalt, manganese and bromine, wherein the weight ratio of cobalt to manganese in the reaction mixture ranges from about 10 to about 400 and the weight ratio of cobalt to bromine is from about 0.7 to about 3.5. The catalyst system with improved Co:Mn ratio can lead to high yield of FDCA. In this process, the oxidation temperature can vary from about 100° C. to about 220° C., or from about 110° C. to about 160° C. to minimize carbon burn. The cobalt concentration in the catalyst system can range from about 500 ppm to about 6000 ppm, and the amount of manganese from about 2 ppm to about 600 ppm and the amount of bromine from about 300 ppm to about 4500 ppm with respect to the total weight of the liquid in the reaction medium. Mixed feedstocks of 5-AMF and 5-HMF or 5-EMF and 5-HMF or 5-MF and 5-HMF or 5-AMF, 5-EMF and 5-HMF, with varying ratios of the components can be used and similar results can be obtained. - In another embodiment of the invention, a process is provided for producing furan-2,5-dicarboxylic acid (FDCA) in high yields by liquid phase oxidation that minimizes solvent and starting material loss through carbon burn. The process comprises oxidizing at least one oxidizable compound in an oxidizable
raw material stream 30 in the presence of an oxidizinggas stream 10,solvent stream 20, and at least one catalyst system in aprimary oxidation zone 125; wherein said oxidizable compound is 5-(hydroxymethyl)furfural (5-HMF); wherein said solvent stream comprises acetic acid with or without the presence of water; wherein said catalyst system comprising cobalt, manganese and bromine, wherein the weight ratio of cobalt to manganese in the reaction mixture is from about 10 to about 400. In this process, the temperature can vary from about 100° C. to about 220° C., from about 105° C. to about 180° C., and from about 110° C. to about 160° C. The cobalt concentration of the catalyst system can range from about 1000 ppm to about 6000 ppm, and the amount of manganese can range from about 2 ppm to about 600 ppm, and the amount of bromine can range from about 300 ppm to about 4500 ppm with respect to the total weight of the liquid in the reaction medium. - In another embodiment of the invention, the process comprises oxidizing at least one oxidizable compound in an oxidizable
raw material stream 30 in the presence of an oxidizinggas stream 10,solvent stream 20, and at least one catalyst system in aprimary oxidation zone 125; wherein said oxidizable compound is 5-(hydroxymethyl)furfural (5-HMF); wherein said solvent stream comprises a saturated organic acid having from 2-6 carbon atoms with or without the presence of water at a temperature of 100° C. to 220° C. to produce a dicarboxylic acid composition; wherein theprimary oxidation zone 125 comprises at least one primary oxidation reactor and wherein the catalyst system comprises cobalt in a range from about 500 ppm by weight to about 6000 ppm by weight with respect to the weight of the liquid in the reaction medium, manganese in an amount ranging from about 2 ppm by weight to about 600 ppm by weight with respect to the weight of the liquid in the reaction medium and bromine in an amount ranging from about 300 ppm by weight to about 4500 ppm by weight with respect to the weight of the liquid in the reaction medium. - In another embodiment of the invention, when the oxidizable
raw material stream 30 comprises 5-HMF, then the cobalt to manganese ratio by weight is at least 10:1, 15:1, 20:1, 25:1, 30:1, 40:1, 50:1, 60:1, or 400 to 1. - In another embodiment of the invention, when the
oxidizable material stream 30 comprises at least one oxidizable compound selected from the group consisting of 5-HMF esters (5-R(CO)OCH2-furfural where R=alkyl, cycloalkyl and aryl), 5-HMF ethers (5-R′OCH2-furfural, where R′=alkyl, cycloalkyl and aryl), 5-alkyl furfurals (5-R″-furfural, where R″=alkyl, cycloalkyl and aryl), mixed feedstocks of 5-HMF and 5-HMF esters, mixed feedstocks of 5-HMF and 5-HMF ethers, and mixed feed-stocks of 5-HMF and 5-alkyl furfurals, the cobalt to manganese ratio by weight of the catalyst system is at least 1:1, 10:1, 20:1, 50:1, 100:1, or 400:1. - In another embodiment of this invention, furan-2,5-dicarboxylic acid (FDCA) can be obtained by liquid phase oxidation of 5-(hydroxymethyl)furfural (5-HMF), 5-(acetoxymethyl)furfural (5-AMF) and 5-(ethoxymethyl)furfural (5-EMF) with molecular oxygen using Co/Mn/Br catalyst system in acetic acid solvent. After the oxidation of 5-HMF/5-AMF/5-EMF in presence of acetic acid, the FDCA precipitates out of solution. After filtration, washing with acetic acid and then with water, and drying, solids were obtained with a minimum of 90%, 92%, 94%, 96% FDCA content by weight.
- In another embodiment of the invention, FDCA is obtained by liquid phase oxidation of 5-HMF, 5-AMF and 5-EMF with molecular oxygen using Co/Mn/Br catalyst system in acetic acid solvent. After the oxidation of 5-HMF/5-AMF/5-EMF in acetic acid, the FDCA precipitates out of solution. After filtration, washing with acetic acid and then with water, and drying, solids were obtained with a minimum of 96% FDCA content and a maximum b* of 15, 16, 17, 18, 19, or 20.
- The b* is one of the three-color attributes measured on a spectroscopic reflectance-based instrument. The color can be measured by any device known in the art. A Hunter Ultrascan XE instrument is typically the measuring device. Positive readings signify the degree of yellow (or absorbance of blue), while negative readings signify the degree of blue (or absorbance of yellow).
- In another embodiment of the invention, a process is provided for producing furan-2,5-dicarboxylic acid (FDCA) in minimum yields of 80% or 85% or 90% or greater by liquid phase oxidation that minimizes solvent and starting material loss through carbon burn. As used herein, yield is defined as mass of FDCA obtained divided by the theoretical amount of FDCA that should be produced based on the amount of raw material use. For example, if one mole or 126.11 grams of 5-HMF are oxidized, it would theoretically generate one mole or 156.01 grams of FDCA. If for example, the actual amount of FDCA formed is only 150 grams, the yield for this reaction is calculated to be =(150/156.01)
times 100, which equals a yield of 96%. The same calculation applies for oxidation reaction conducted using 5-HMF derivatives or mixed feeds. - In another embodiment of this invention, a process is provided comprising oxidizing at least one oxidizable compound in an oxidizable
raw material stream 30 in the presence of an oxidizinggas stream 10,solvent stream 20, and at least one catalyst system in aprimary oxidation zone 125; wherein said oxidizable compound is selected from the group consisting of H(C═O)—R—(C═O)H, HOH2C—R—(C═O)H, 5-(hydroxymethyl)furfural (5-HMF); wherein said solvent stream comprises acetic acid with or without the presence of water; wherein said catalyst system comprises cobalt, manganese and bromine, wherein the weight ratio of cobalt to manganese in the reaction mixture is from about 10 to about 400 and the weight ratio of cobalt to bromine is from about 0.7 to about 3.5. Such a catalyst system with improved Co:Mn and Co:Br ratio can lead to high yield of FDCA (minimum of 90%), decrease in the formation of impurities (measured by b*) causing color in the downstream polymerization process while keeping the amount of CO and CO2 in the off-gas at a minimum. - The temperature in the primary oxidation zone can range from about 100° C. to about 220° C., and can range from about 110° C. to about 160° C. or can range from about 105° C. to about 180° C. or about 100° C. to about 200° C., or about 100° C. to about 190° C. One advantage of the disclosed primary oxidation conditions is low carbon burn as illustrated in Table 1. Oxidizer off
gas stream 120 is routed to the oxidizer offgas treatment zone 825 to generate aninert gas stream 810,liquid stream 820 comprising water, and a recoveredsolvent stream 830 comprising condensed solvent. In one embodiment, at least a portion of recoveredsolvent stream 830 is routed to wash fedstream 620 and the combined stream is routed to the solid-liquid separation zone 625 for the purpose of washing the solids present in the solid-liquid separation zone 625. In one embodiment, theinert gas stream 810 can be vented to the atmosphere. In another embodiment, at least a portion of theinert gas stream 810 can be used as an inert gas in the process for inerting vessels and or used for conveying gas for solids in the process. - In another embodiment of the invention, the composition of the liquid phase within the primary oxidizer can have a pH from about −4.0 to about 1.0 or the feedstock pH is from about −1.8 to about 1.0, or the feedstock pH is from about −1.5 to about 1.0.
- It should be understood that steps (b)-(g) are optional and only one possible embodiment of a process to purified the carboxylic acid composition.
- Step (b) comprises routing the
crude carboxylic composition 110 and freshsolvent stream 220 to aliquid displacement zone 225 to produce a displacedmother liquor stream 230 and lowimpurity slurry stream 210 comprising FDCA. The displacedmother liquor stream 230 comprises solvent and soluble matter dissolved in the solvent comprising dissolved impurities and dissolved catalyst. In various embodiments of the invention, from about 5% to about 99%, from about 30% to about 90%, and most preferably from about 50 to about 85% of mother liquor present in thecarboxylic acid composition 110 is displaced in theliquid displacement zone 225 resulting in dissolved matter comprising impurities present in the displaced mother liquor not going forward in the process. Sufficient fresh solvent is fed to theliquid displacement zone 225 that becomes mixed with solids present resulting in a lowimpurity slurry stream 210 being pumpable with weight % solids ranging from 1% to 50%, 10% to 40%, and preferably the weight % solids instream 210 will range from 25% to 38%. - The liquid displacement zone may be a single unit operation or multiple unit operations. In one embodiment of the invention, the
liquid displacement zone 225 may be any solid-liquid separation device capable of generating an isolated wet cake from a feed slurry and then mixing the isolated wet cake with fresh solvent in a separate mixing device to generate the lowimpurity slurry stream 210. Examples of suitable solid-liquid separation devices include, but are not limited to, a continuous pressure drum filter, solid bowl centrifuges including, but not limited to, decanter and disc stack centrifuges, and batch pressure filters including, but not limited to, candle and leaf filters. The preferred solid-liquid separation device for this application is a continuous pressure drum filter. The solid-liquid separator is operated at temperatures between about 30 degrees C. to about 200 degrees C., preferably 80 degrees C. to about 170.degree. C. The solid-liquid separator in theliquid displacement zone 225 may be operated in continuous or batch mode, although it will be appreciated that for commercial processes, the continuous mode is preferred. Alternatively, a portion of the mother liquor instream 110 is displaced withfresh liquor stream 220 in a single device to form the lowimpurity slurry stream 210 without forming an isolated wet cake. - In one embodiment, from 5% to 100% by weight of the displaced
mother liquor stream 230 is routed to apurge zone 235 wherein a portion of the impurities present instream 230 are isolated and exit the process aspurge stream 920, wherein a portion is 5% by weight or greater. Recoveredsolvent stream 910 comprises solvent and catalyst isolated fromstream 230 and is recycled to the process. In one embodiment, recoveredsolvent stream 910 is recycled to theprimary oxidation zone 125 and contains greater than 30% of the catalyst that entered thepurge zone 235 instream 230. In another embodiment,stream 910 is recycled to theprimary oxidation zone 125 and contains greater than 50 weight %, contains greater than 70 weight %, and preferably greater than 90 weight % of the catalyst that enters thepurge zone 235 instream 230 on a continuous or batch basis. - In another embodiment of this invention, a portion up to 100% of the
carboxylic acid composition 110 may be routed directly to asecondary oxidation zone 335 without being subjected to theliquid displacement zone 225. In another embodiment of the invention, up to 100% of the feed to thepurge zone 235 may be amother liquor stream 630 generated in a solid-liquid separation zone 625 which also produces the purifiedwet cake stream 610. - In yet another embodiment, up to 100% of the feed to the
purge zone 235 may be mother liquor generated in a secondary liquid displacement zone located at some location downstream of the secondary oxidation zone 325. A secondary liquid displacement zone is not show inFIG. 1 , and it comprises equipment like that described for theliquid displacement zone 225 located after theprimary oxidation zone 125, and must be located after thesecondary oxidation zone 335. - Step (c) comprises oxidizing the low
impurity slurry stream 210 in asecondary oxidation zone 335 to form a purifiedslurry stream 310. In one embodiment of the invention, the lowimpurity slurry stream 210 is routed to asecondary oxidation zone 335 where it is heated to between about 115 degrees C. and about 220 degrees C., and preferably between about 120 degrees C. to about 200 degrees C. and further oxidized with an oxidizing gas, such as air, fed byline 320 to produce apurified slurry stream 310. The secondary oxidation zone comprises at least one oxidation reactor vessel. In one embodiment, the secondary oxidation zone can be one or more oxidation vessels. When the carboxylic acid in lowimpurity slurry stream 210 is FDCA, the secondary oxidation zone is operated at a temperature ranging from about 115 degrees C. to about 220 degrees C., preferably between about 120 degrees C. to about 200 degrees C., andstream 210 is further oxidized with an oxidizing gas stream fed byline 320 to produce apurified slurry stream 310. - Generally, oxidation in the
secondary oxidation zone 335 is at a higher temperature than the oxidation in theprimary oxidation zone 125 to enhance the impurity removal. In one embodiment, thesecondary oxidation zone 335 is operated at about 30° C., 20° C., and preferably 10° C. higher temperature than the oxidation temperature in theprimary oxidation zone 125 to enhance the impurity removal. Thesecondary oxidation zone 335 can be heated directly with solvent vapor, or steam viastream 320 or indirectly by any means known in the art. - Additional purification of the low
impurity slurry stream 210 is accomplished in the secondary oxidation zone by a mechanism involving recrystallization or crystal growth and oxidation of impurities and intermediates including FFCA. One of the functions of the secondary oxidation zone is to convert FFCA to FDCA. FFCA is considered monofunctional relative to a polyester condensation reaction because it contains only one carboxylic acid. FFCA is present in the carboxylicacid composition stream 110 and the lowimpurity slurry stream 210. FFCA is generated in theprimary oxidation zone 125 because the reaction of 5-HMF to FFCA can be about eight times faster than the reaction of FFCA to the desired di-functional product FDCA. Additional air or molecular oxygen may be fed instream 320 to thesecondary oxidation zone 335 in an amount necessary to oxidize a substantial portion of the partially oxidized products such as FFCA in thestream 210 to the corresponding carboxylic acid FDCA. Generally, at least 70% by weight of the FFCA present in the lowimpurity slurry stream 210 is converted to FDCA in thesecondary oxidation zone 335. Preferably, at least 80% by weight of the FFCA present in the lowimpurity slurry stream 210 is converted to FDCA in thesecondary oxidation zone 335, and most preferably, at least 90% by weight of the FFCA present in the lowimpurity slurry stream 210 is converted to FDCA in thesecondary oxidation zone 335. Significant concentrations of monofunctional molecules like FFCA in the dried, purified FDCA product are particularly detrimental to polymerization processes as they may act as chain terminators during the polyester condensation reaction. - The amount of oxygen fed in the
secondary oxidation zone 335 in controlled to limit the burning of organic molecules to CO2. The amount of oxygen instream 330 is monitored and used to control the amount of oxygen fed instream 320. Another function of thesecondary oxidation zone 335 is to dissolve and recrystallize solids present in the lowimpurity slurry stream 210 fed to the secondary oxidation zone. At least 10% by weight, 25% by weight, 50% by weight, and preferably at least 85% by weight of solid impurities and oxidation by-products instream 210 feed to thesecondary oxidation zone 335 go into solution as the FDCA particles are dissolved and re-crystallized in thesecondary oxidation zone 335. Off gas from the secondary oxidation zone is withdrawn vialine 330 and fed to a recovery system where the solvent is removed from the off gas comprising volatile organic compounds (VOCs). VOCs including methyl bromide may be treated, for example by incineration in a catalytic oxidation unit. The purifiedslurry stream 310 generated in the secondary oxidation zone is routed to thecrystallization zone 425. - Step (d) comprises crystallizing the
secondary oxidation slurry 310 in acrystallization zone 425 to form a crystallizedslurry stream 410. Generally, thecrystallization zone 425 comprises at least one crystallizer. Vapor from the crystallization zone can be condensed in at least one condenser and returned to thecrystallization zone 425 or routed away fromcrystallization zone 425. Optionally, the liquid from the condenser or vapor product from the crystallization zone can be recycled, or it can be withdrawn or sent to an energy recovery device. In addition, the crystallizer off gas is removed vialine 420 and can be routed to a recovery system where the solvent is removed, and crystallizer off gas comprising VOCs may be treated, for example, by incineration in a catalytic oxidation unit. When the carboxylic acid is FDCA, the purifiedslurry stream 310 from thesecondary oxidation zone 335 is fed to acrystallization zone 425 comprising at least one crystallizer where it is cooled to a temperature between about 40.degrees C. to about 175 degrees C. to form a crystallizedslurry stream 410, preferably to a temperature between about 50 degrees C. to about 170 degrees C., and most preferably from about 60 degrees C. to about 165 degrees C. - The crystallized
slurry stream 410 is then routed to acooling zone 430 to generate a cooledcrystallized slurry stream 510. The cooling of the crystallizedslurry stream 410 can be accomplished by any means known in the art. Typically, thecooling zone 430 comprises a flash tank. The temperature ofstream 510 can range from 35° C. to 160° C., 45° C. to 120° C., and preferably from 55° C. to 95° C. - In another embodiment, a portion of up to 100% of the secondary
oxidation slurry stream 310 is routed directly to thecooling zone 425, thus the portion is not subjected to acrystallization zone 430. In yet another embodiment, a portion of up to 100% of the crystallizedslurry stream 410 is routed directly to a secondary liquid displacement zone which is not illustrated inFIG. 1 . Up to 100% of the slurry effluent comprising FDCA from a secondary liquid displacement zone can be routed to the solid-liquid separation zone 625 and or routed directly to thecooling zone 430. The function of the secondary liquid displacement zone is to displace a portion of solvent in the crystallizedslurry stream 410 with fresh solvent and or water wherein a portion must be greater than 5 weight percent. The secondary liquid displacement zone is separate and distinct from theliquid displacement zone 225 located after theprimary oxidation zone 125. The same type of equipment may be used for both the primary and secondary liquid displacement zones. In yet another embodiment, crystallizedslurry stream 410 can be routed directly to the solid-liquid separation zone 625 without being first processed in thecooling zone 430. - Step (e) comprises isolating, washing, and dewatering solids present in the cooled, crystallized
slurry stream 510 in the solid-liquid separation zone 625. These functions may be accomplished in a single solid-liquid separation device or multiple solid-liquid separation devices. The solid-liquid separation zone 625 comprises at least one solid-liquid separation device capable of separating solids and liquids, washing solids with a washsolvent stream 620, and reducing the % moisture in the washed solids to less than 30 weight %, less than 25 weight %, less than 20 weight %, less than 15 weight %, and preferably less than 10 weight %. - Equipment suitable for the solid
liquid separation zone 625 can typically be comprised of, but not limited to, the following types of devices: centrifuges, cyclones, rotary drum filter, belt filters, pressure leaf filters, candle filters, etc. The preferred solid liquid separation device for the solidliquid separation zone 625 is a rotary pressure drum filter. The temperature of the cooled, crystallizedslurry steam 510 which is routed to the solid-liquid separation zone 625 can range from 50° C. to 140° C., 70° C. to 120° C., and is preferably from 75° C. to 95° C. The washsolvent stream 620 comprises a liquid suitable for displacing and washing mother liquor from the solids. - In one embodiment of the invention, a suitable wash solvent comprises acetic acid and water. In another embodiment, a suitable solvent comprises water up to 100% water. The temperature of the wash solvent can range from 20° C. to 135° C., 40° C. and 110° C., and preferably from 50° C. to 90° C. The amount of wash solvent used is defined as the wash ratio and equals the mass of wash divided by the mass of solids on a batch or continuous basis. The wash ratio can range from about 0.3 to about 5, about 0.4 to about 4, and preferably from about 0.5 to 3.
- After solids are washed in the solid liquid separation zone, they are dewatered. Dewatering involves reducing the mass of moisture present with the solids to less than 30% by weight, less than 25% by weight, less than 20% by weight, less than 15% by weight, and most preferably less than 10% by weight resulting in the generation of a purified
wet cake stream 610. In one embodiment, dewatering is accomplished in a filter by passing a gas stream through the solids to displace free liquid after the solids have been washed with a wash solvent. In another embodiment, dewatering is achieved by centrifugal forces in a perforated bowl or solid bowl centrifuge.Stream 630 generated in the solid-liquid separation zone 625 is a mother liquor stream comprising oxidation solvent, catalyst, and some impurities and oxidation byproducts. In one embodiment, a portion ofstream 630 is routed to apurge zone 235 and a portion is routed back to theprimary oxidation zone 125 wherein a portion is at least 5 weight %. Washliquor stream 640 is also generated in the solid-liquid separation zone 625 and comprises a portion of the mother liquor present instream 510 and wash solvent wherein the ratio of mother liquor mass to wash solvent mass is less than 3 and preferably less than 2. - Step (f) comprises drying the purified
wet cake stream 610 in adrying zone 725 to generate a dry purifiedcarboxylic acid 710 and avapor stream 720. In one embodiment,vapor stream 720 comprises wash solvent vapor. In another embodiment,vapor stream 720 comprises oxidation solvent and wash solvent. The dryingzone 725 comprises at least one dryer and can be accomplished by any means known in the art that is capable of evaporating at least 10% of the volatiles remaining in the purifiedwet cake stream 610 to produce the dried, purifiedcarboxylic acid 710 comprising purified FDCA and avapor stream 720. For example, indirect contact dryers include, but are not limited to, a rotary steam tube dryer, a Single Shaft Porcupine® dryer, and a Bepex Solidaire® dryer. Direct contact dryers include, but are not limited to, a fluid bed dryer and drying in a convey line can be used for drying to producestream 710. The dried, purifiedcarboxylic acid 710 comprising purified FDCA can be a carboxylic acid composition with less than 8% moisture, preferably less than 5% moisture, and more preferably less than 1% moisture, and even more preferably less than 0.5%, and yet more preferably less than 0.1%. In another embodiment of this invention, if the liquid portion of the purifiedwet cake stream 610 comprises water and contains less than 0.1 weight % acetic acid, less than 500 ppm wt acetic acid, and preferably less than 200 ppm wt, thestream 610 can be fed directly to a polymerization zone without first being dried. - In one embodiment of the invention, a vacuum system can be utilized to draw
vapor stream 720 from the dryingzone 725. If a vacuum system is used in this fashion, the pressure ofstream 720 at the dryer outlet can range from about 760 mmHg to about 400 mmHg, from about 760 mmHg to about 600 mmHg, from about 760 mmHg to about 700 mmHg, from about 760 mmHg to about 720 mmHg, and from about 760 mmHg to about 740 mmHg wherein pressure is measured in mmHg above absolute vacuum. The contents of the conduit between solid-liquid separation zone 625 and dryingzone 725 utilized to transfer the purifiedwet cake stream 610 comprises wet cake stream and gas wherein gas is the continuous phase. The pressure at the exit of the solidliquid separation zone 625 can be close to that of the pressure wherevapor stream 720 exits the dryingzone 725, wherein close is defined as within 2 psig, within 0.8 psig, and preferably within 0.4 psig. - In an embodiment of the invention, the dried, purified
carboxylic acid 710 has a b* less than about 9.0. In another embodiment of the invention, the b* color of the dried, purifiedcarboxylic acid 710 is less than about 6.0. In another embodiment of the invention, the b* color of the dried, purifiedcarboxylic acid 710 is less than about 5.0. In another embodiment of the invention, the b* color of the dried, purifiedcarboxylic acid 710 is less than about 4.0. In another embodiment of the invention, the b* color of the dried, purifiedcarboxylic acid 710 is less than about 3. The b* color is one of the three-color attributes measured on a spectroscopic reflectance-based instrument. A Hunter Ultrascan XE instrument in reflectance mode is typically the measuring device. Positive readings signify the degree of yellow (or absorbance of blue), while negative readings signify the degree of blue (or absorbance of yellow). - It should be appreciated that the process zones previously described can be utilized in any other logical order to produce the dried, purified
carboxylic acid 710. It should also be appreciated that when the process zones are reordered that the process conditions may change. It is also understood that all percent values are weight percents. - Step (g) is an optionally step comprising decolorizing the FDCA in this process or an esterified FDCA with a diol stream via hydrogenation. In one embodiment, the diol stream comprises ethylene glycol. In another embodiment, the diol stream comprises isomers of cyclohexane diol, preferably the 1-4 cyclohexane diol isomer. The decolorizing of the FDCA in this process or an esterified FDCA can be accomplished by any means known in the art and is not limited to hydrogenation. However, for example, in one embodiment of the invention, the decolorizing can be accomplished by reacting a carboxylic acid that has undergone esterification treatment, for example with ethylene glycol, with molecular hydrogen in the presence of a hydrogenation catalyst in a reactor zone to produce a decolorized carboxylic acid solution or a decolorized ester product.
- For the reactor zone, there are no special limitations in the form or construction thereof, subject to an arrangement that allows supply of hydrogen to effect intimate contact of the carboxylic acid or ester product with the catalyst in the reactor zone. Typically, the hydrogenation catalyst is usually a single Group VIII metal or combination of Group VIII metals. Preferably, the catalyst is selected from a group consisting of palladium, ruthenium, rhodium and combination thereof. The reactor zone comprises a hydrogenation reactor that operates at a temperature and pressure sufficient to hydrogenate a portion of the characteristically yellow compounds to colorless derivatives.
- Since numerous modifications and changes will readily occur to those skilled in the art, it is not desired to limit this invention to the exact process and operations illustrated and described above, and accordingly all suitable modifications and equivalents may be resorted to, falling within the scope of the invention.
- This invention can be further illustrated by the following examples of embodiments thereof, although it will be understood that these examples are included merely for the purposes of illustration and are not intended to limit the scope of the invention unless otherwise specifically indicated.
- In Examples 1a-3d, glacial acetic acid and the catalyst components in concentrations described in Tables 1, 2 and 3 were transferred to a 300 mL titanium autoclave equipped with a high pressure condenser, a baffle and an Isco pump. Cobalt, manganese and ionic bromine were provided as cobalt (II) acetate tetrahydrate, manganese (II) acetate and sodium bromide and/or aqueous hydrobromic acid respectively. The autoclave was pressurized with approximately 50 psig of nitrogen and the homogeneous mixture was heated to the desired temperature in a closed system (i.e., with no gas flow) with stirring. At reaction temperature, an air flow of 1500 sccm was introduced at the bottom of the solution and the reaction pressure was adjusted to the desired pressure. A solution of 5-HMF/5-AMF/5-EMF in acetic acid was fed to the mixture at a rate of 0.833 mL/min via a high pressure Isco pump (this is t=0 for the reaction time). After 30 seconds from the start of substrate feeding, 1.0 g of peracetic acid in 5.0 mL of acetic acid was introduced using a blow-case to start the reaction. The feed was stopped after 1 h and the reaction continued for an additional hour at the same conditions of air flow, temperature and pressure. After the reaction time was completed, the air flow was stopped and the autoclave was cooled to room temperature and depressurized. The heterogeneous mixture was filtered to isolate the crude FDCA. The mass of the filtrate was recorded. The crude FDCA was washed with 60 mL of acetic acid two times and then twice with 100 mL of DI water. The washed crude FDCA was oven dried at 110° C. under vacuum overnight and then weighed. The solid and the filtrate were analyzed by Gas Chromatography using BSTFA derivatization method.
- The Off-gas was analyzed for CO and CO2 by ND-1R (ABB, Advanced Optima) and O2 by a paramagnetism detection system (Servomex, 1440 Model).
- Analytical
- Gas Chromatographic Method
- Process samples were analyzed using a Shimadzu gas chromatograph Model 2010 (or equivalent) equipped with a split/heated injector (300° C.) and a flame ionization detector (300° C.). A capillary column (60 meter×0.32 mm ID) coated with (6% cyanopropylphenyl)-methylpolysiloxane at 1.0 μm film thickness (such as DB-1301 or equivalent) was employed. Helium was used as the carrier gas with an initial column head pressure of 29.5 psi and an initial column flow of 3.93 mL/minute while the carrier gas linear velocity of 45 cm/second was maintained constant throughout the entire oven temperature program. The column temperature was programmed as follows: The initial oven temperature was set at 80° C. and was held for 6 minutes, the oven was ramped up to 150° C. at 4° C./minute and was held at 150° C. for 0 minute, the oven was ramped up to 240° C. at 10° C./minute and was held at 240° C. for 5 minutes, then the oven was ramped up to 290° C. at 10° C./minute and was held at 290° C. for 17.5 minutes (the total run time was 60 mins). 1.0-μl of the prepared sample solution was injected with a split ratio of 40:1. EZ-Chrom Elite chromatography data system software was used for data acquisition and data processing. The sample preparation was done by weighing 0.1 g (accurate to 0.1 mg) of sample in a GC vial and adding 200.0 μl ISTD solution (1% by volume of decane in pyridine) and 1000 μl of BSTFA (N, O-bis(trimethylsilyl) trifluoroacetamide) with 1% TMSCl (trimethylchlorosilane) to the GC vial. The content was heated at 80° C. for 30 minutes to ensure complete derivatization. 1.0-μl of this prepared sample solution was injected for GC analysis.
- 1) Assemble the Carver Press die as instructed in the directions—place the die on the base and place the bottom 40 mm cylinder polished side face-up.
2) Place a 40 mm plastic cup (Chemplex Plasticup, 39.7×6.4 mm) into the die.
3) Fill the cup with the sample to be analyzed. The exact amount of sample added is not important.
4) Place the top 40 mm cylinder polished side face-down on the sample.
5) Insert the plunger into the die. No “tilt” should be exhibited in the assembled die.
6) Place the die into the Carver Press, making sure that it is near the center of the lower platen. Close the safety door.
7) Raise the die until the upper platen makes contact with the plunger. Apply >20,000 lbs pressure. Then allow the die to remain under pressure for approximately 3 minutes (exact time not critical).
8) Release the pressure and lower the lower platen holding the die.
9) Disassemble the die and remove the cup. Place the cup into a labeled plastic bag (Nasco Whirl-Pak 4 oz).
10) Using a HunterLab Colorquest XE colorimeter, create the following method (Hunterlab EasyQuest QC software, version 3.6.2 or later) - 11) Standardize the instrument as prompted by the software using the light trap accessory and the certified white tile accessory pressed against the reflectance port.
12) Run a green tile standard using the certified white tile and compare the CIE X, Y, and Z values obtained against the certified values of the tile. The values obtained should be ±0.15 units on each scale of the stated values.
13) Analyze the sample in the bag by pressing it against the reflectance port and obtaining the spectrum and L*, a*, b* values. Obtain duplicate readings and average the values for the report. - During the oxidation of 5-HMF to FDCA the alcohol site (ArCH2OH) was converted into carboxylic acid (ArCOOH) mainly via aldehyde (ArCHO),
eq 3. Examples 1a, and 1b (Table-1) which use catalyst systems consisting of cobalt, manganese and aqueous hydrobromic acid source produced about 90% yield of FDCA with >98% purity of crude FDCA solid and with a b* of about 6. The crude FDCA solid also contains 5-Formylfuran-2-carboxylic acid (FFCA), only the hydroxylmethyl groups are oxidized to carboxylic acid groups, due to incomplete oxidation. - Oxidation of 5-AMF, which contains an oxidizable ester and aldehydes moieties, produced FDCA, FFCA, and acetic acid,
eq 4. Examples 2a to 2b (Table-2) demonstrate that a minimum of 99% purity FDCA solid with a b* of about 7 or less can be achieved using cobalt, manganese and aqueous hydrobromic acid catalyst system. - Oxidation of 5-EMF, which contains an oxidizable ether and aldehyde moieties, produced FDCA, FFCA, 5-(ethoxycarbonyl)furan-2-carboxylic acid (EFCA) and acetic acid,
eq 5. Examples 3a to 3d (Table-3) show that a minimum of 96% purity FDCA solid with a b* of about 6 or less can be achieved using cobalt, manganese and aqueous hydrobromic acid catalyst system. - It is very important to note that in a continuous process under the same conditions as described in this invention report (which was conducted as a batch process) even higher purity of crude FDCA is expected due to efficient mixing, relatively low concentrations of reactive intermediates, and other reasons familiar to those skilled in the art.
-
TABLE 1 Results from semi-batch reactions performed as described above using 5-HMF feed.* Mn conc Br conc Temp yield of FDCA yield of FFCA Solid Composition Example Co conc (ppm) (ppm) (ppm) (° C.) (%) (%) FDCA FFCA b* 1a 2000 93.3 3000 132 89.4 0.58 99.20 0.81 5.845 1b 2000 93.3 3000 132 88.6 0.8 98.67 0.77 6.175 *P = 130 psig. -
TABLE 2 Results from semi-batch reactions performed as described above using 5-AMF feed.* Mn conc Br conc Temp yield of FDCA yield of FFCA Solid Composition Example Co conc (ppm) (ppm) (ppm) (° C.) (%) (%) FDCA FFCA b* 2a 2500 116.8 2500 130 88.2 0.25 99.71 0.25 4.4 2b 2000 93.5 3000 130 90.2 0.16 99.44 0.16 6.8 *P = 130 psig. -
TABLE 3 Results from semi-batch reactions performed as described above using EMF feed.* Co conc Mn conc Br conc Temp yield of FDCA yield of FFCA yield of EFCA Solid Composition Example (ppm) (ppm) (ppm) (° C.) (%) (%) (%) FDCA FFCA EFCA b* 3a 2500 116.8 2500 130 89.0 0.02 0.23 99.04 0.02 0.02 3.97 3b 2500 116.8 2500 130 87.4 0.42 1.31 98.08 0.42 0.04 2.74 3c 2000 93.5 3000 130 88.0 0.09 0.43 99.20 0.09 0.05 5.845 3d 2000 93.5 3000 105 86.0 2.92 1.40 96.22 2.90 0.15 0.98 *P = 130 psig. - Air oxidation of 5-HMF using cobalt, manganese and ionic bromine catalysts system in acetic acid solvent were conducted. After reaction the heterogeneous mixture was filtered to isolate the crude FDCA. The crude FDCA was washed with acetic acid two times and then twice with DI water. The washed crude FDCA was oven dried at 110° C. under vacuum overnight. The solid and the filtrate were analyzed by Gas Chromatography using BSTFA derivatization method. b* of the solid was measured using a Hunter Ultrascan XE instrument. As shown in Table 4 we have discovered conditions that to generate yields of FDCA up to 89.4%, b*<6, and low carbon burn (<0.0006 mol/min CO+CO2)
-
TABLE 4 Results from semi-batch reactions.* Exam- Bromide Co conc Mn conc Br conc yield of yield of CO (total CO2 (total COx pH, before color ple source (ppm) (ppm) (ppm) FDCA (%) FFCA (%) mol) mol) (mol/min) reaction (b*) 4a solid NaBr 2000 93.3 3000 81.6 0.81 0.013 0.078 0.000758 −0.12 13.91 4b solid NaBr 2000 93.3 3000 82.6 0.87 0.013 0.092 0.000875 −0.12 14.14 4c aqueous HBr 2000 93.3 3000 89.4 0.58 0.003 0.061 0.000533 −1.03 5.845 4d aqueous HBr 2000 93.3 3000 88.6 0.8 0.0037 0.061 0.000539 −1.03 6.175 *P = 130 psig, COx (mol/min) = CO (mol/min) + CO2 (mol/min). - In Examples 5a-5h, glacial acetic acid and the catalyst components in concentrations described in Table-5 were transferred to a 300 mL titanium autoclave equipped with a high pressure condenser, a baffle and an Isco pump. Cobalt, manganese and ionic bromine were provided as cobalt (II) acetate tetrahydrate, manganese (II) acetate and sodium bromide and/or aqueous hydrobromic acid respectively. The autoclave was pressurized with approximately 50 psig of nitrogen and then the homogeneous mixture was heated to the desired temperature in a closed system (i.e., with no gas flow) with stirring. At reaction temperature, an air flow of 1500 sccm was introduced at the bottom of the solution and the reaction pressure was adjusted to the desired pressure. A solution of 5-HMF in acetic acid was fed to the mixture at a rate of 0.833 mL/min via a high pressure Isco pump (this is t=0 for the reaction time). After 30 seconds from the start of 5-HMF feeding, 1.0 g of peracetic acid in 5.0 mL of acetic acid was introduced using a blow-case to start the reaction. The feed was stopped after 1 h and the reaction continued for 1 more hour at the same conditions of air flow, temperature and pressure. After the reaction time was completed the air flow was stopped and the autoclave was cooled to room temperature and depressurized. The heterogeneous mixture was filtered to isolate the crude FDCA. The mass of the filtrate was recorded. The crude FDCA was washed with 60 mL of acetic acid two times and then twice with 100 mL of DI water. The washed crude FDCA was oven dried at 110° C. under vacuum overnight and then weighed. The solid and the filtrate were analyzed by Gas Chromatography using BSTFA derivatization method.
- The Off-gas was analyzed for CO and CO2 by ND-1R (ABB, Advanced Optima) and O2 by a paramagnetism detection system (Servomex, 1440 Model).
- Analytical
- Gas Chromatographic Method
- Process samples were analyzed using a Shimadzu gas chromatograph Model 2010 (or equivalent) equipped with a split/heated injector (300° C.) and a flame ionization detector (300° C.). A capillary column (60 meter×0.32 mm ID) coated with (6% cyanopropylphenyl)-methylpolysiloxane at 1.0 μm film thickness (such as DB-1301 or equivalent) was employed. Helium was used as the carrier gas with an initial column head pressure of 29.5 psi and an initial column flow of 3.93 mL/minute while the carrier gas linear velocity of 45 cm/second was maintained constant throughout the entire oven temperature program. The column temperature was programmed as follows: The initial oven temperature was set at 80° C. and was held for 6 minutes, the oven was ramped up to 150° C. at 4° C./minute and was held at 150 for 0 minute, the oven was ramped up to 240° C. at 10° C./minute and was held at 240 for 5 minutes, then the oven was ramped up to 290° C. at 10° C./minute and was held at 290 for 17.5 minutes (the total run time was 60 mins). 1.0-μl of the prepared sample solution was injected with a split ratio of 40:1. EZ-Chrom Elite chromatography data system software was used for data acquisition and data processing. The sample preparation was done by weighing 0.1 g (accurate to 0.1 mg) of sample in a GC vial and adding 200.0 μl ISTD solution (1% by volume of decane in pyridine) and 1000 μl of BSTFA (N,O-bis(trimethylsilyl) trifluoroacetamide) with 1% TMSCl (trimethylchlorosilane) to the GC vial. The content was heated at 80° C. for 30 minutes to ensure complete derivatization. 1.0-μl of this prepared sample solution was injected for GC analysis.
- pH Measurement.
- The electrode for determining non-aqueous pH and millivolts was a Schott N6480-eth series electrode. The LiCl/EtOH filling solution was replaced with (Et)4N+Br−/ethylene glycol. The electrode response was monitored by Multi-T 2.2 software through a Jensen Systems cdv-70 series Sensolab interface box. The buffers (
pH 4 and 7) were purchased from VWR, and the (Et)4N+Br−/ethylene glycol filling solution was from Metrohm. - To perform the pH measurements, a non-aqueous electrode was initially calibrated using aqueous buffers of 4 and 7 allowing the electrode to equilibrate with each for two to three minutes before calibrating at the respective level. Once the electrode was calibrated within 97.5% of 59.2 millivolts slope, the samples were portioned (−15 mL) into smaller vials with mini-Teflon stir bars. The samples were then placed on a stir plate, and the electrode was lowered into the sample. The depth of the electrode was set to where the sample covered about half of the junction slide. Once the sample and electrode was ready, the sample was measured for non-aqueous pH over a period of three minutes. The time was sufficient for equilibration between the electrode and the sample. Between each sample measurement, the electrode was rinsed with Millipore-grade water and wiped with a Kimwipe. The results were recorded in non-aqueous pH units. The millivolts results were also recorded.
- 1) Assemble the Carver Press die as instructed in the directions—place the die on the base and place the bottom 40 mm cylinder polished side face-up.
2) Place a 40 mm plastic cup (Chemplex Plasticup, 39.7×6.4 mm) into the die.
3) Fill the cup with the sample to be analyzed. The exact amount of sample added is not important.
4) Place the top 40 mm cylinder polished side face-down on the sample.
5) Insert the plunger into the die. No “tilt” should be exhibited in the assembled die.
6) Place the die into the Carver Press, making sure that it is near the center of the lower platen. Close the safety door.
7) Raise the die until the upper platen makes contact with the plunger. Apply >20,000 lbs pressure. Then allow the die to remain under pressure for approximately 3 minutes (exact time not critical).
8) Release the pressure and lower the lower platen holding the die.
9) Disassemble the die and remove the cup. Place the cup into a labeled plastic bag (Nasco Whirl-Pak 4 oz).
10) Using a HunterLab Colorquest XE colorimeter, create the following method (Hunterlab EasyQuest QC software, version 3.6.2 or later) - 11) Standardize the instrument as prompted by the software using the light trap accessory and the certified white tile accessory pressed against the reflectance port.
12) Run a green tile standard using the certified white tile and compare the CIE X, Y, and Z values obtained against the certified values of the tile. The values obtained should be ±0.15 units on each scale of the stated values.
13) Analyze the sample in the bag by pressing it against the reflectance port and obtaining the spectrum and L*, a*, b* values. Obtain duplicate readings and average the values for the report. - Interpretation of Results:
- Examples 5c, 5d, 5e and 5f (Table-5) which use catalyst systems consisting of cobalt, manganese and aqueous hydrobromic acid or aqueous hydrobromic acid and sodium bromide as a bromide source produced about 90% yield of FDCA, minimum colored impurities (measured by b*) and a minimum level of CO and CO2 (COx, mol/min) in the off-gas. One of the reasons for the differences in activity between hydrobromide and sodium bromide, in a single batch reaction, is due to faster oxidation of HBr by Mn(III),
eq 6, than sodium bromide (it is about 22 times faster: Jiao, X. J.; Espenson, J. H. Inorg. Chem. 2000, 39, 1549). The activity of hydrobromic acid or sodium bromide reaction mediums can be increased by addition of a strong Brønsted acid (such as triflic acid, HCl, etc.). -
Mn(OAc)3+2HBr→2HOAc+Mn(OAc)Br2→Mn(OAc)2+HBr2 (6) - Comparative examples 5g and 5h show the inhibiting effect of excess manganese. Therefore it is desirable to limit the amount of manganese, during the oxidation process, to achieve high yield of FDCA.
- It is very important to note that in a continuous process under the same conditions as described in this invention report (conducted as a batch process) higher than 90% yield of FDCA expected due to efficient supply of oxygen and mixing.
-
TABLE 5 Results from semi-batch reactions performed as described above.* Co conc Mn conc Br conc yield of yield of CO (total CO2 (total COx pH, before Example Bromide source (ppm) (ppm) (ppm) FDCA (%) FFCA (%) mol) mol) (mol/min) reaction color (b*) 5a solid NaBr 2000 93.3 3000 81.6 0.81 0.013 0.078 0.000758 −0.12 13.91 5b solid NaBr 2000 93.3 3000 82.6 0.87 0.013 0.092 0.000875 −0.12 14.14 5c aqueous HBr 2000 93.3 3000 89.4 0.58 0.003 0.061 0.000533 −1.03 5.845 5d aqueous HBr 2000 93.3 3000 88.6 0.8 0.0037 0.061 0.000539 −1.03 6.175 5e aqueous HBr + solid 2000 93.3 3000 91.7 0.96 0.008 0.07 0.000650 −0.63 8.185 NaBr 5f aqueous HBr + solid 2000 93.3 3000 90.2 0.87 0.008 0.072 0.000667 −0.63 7.95 NaBr 5g aqueous HBr 2000 2000 3000 79.4 1.08 0.009 0.072 0.000675 −0.84 6.21 5h aqueous HBr 2000 2000 3000 80.5 1.32 0.009 0.071 0.000667 −0.84 6.31 *T = 132 C, P = 130 psig. COx (mol/min) = CO (mol/min) + CO2 (mol/min). FFCA = 5-Formylfuran-2-carboxylic acid. - In Examples 1-34, 72, 73, 85, 86, 91, 92 and 93 glacial acetic acid and the catalyst components in concentrations described in the Tables 6 and 7 were transferred to a 300 mL titanium autoclave equipped with a high pressure condenser, a baffle and an Isco pump. Cobalt, manganese and ionic bromine were provided as cobalt (II) acetate tetrahydrate, manganese (II) acetate and sodium bromide/aqueous hydrobromic acid respectively. The autoclave was pressurized with approximately 50 psig of nitrogen and then the homogeneous mixture was heated to the desired temperature in a closed system (i.e., with no gas flow) with stirring. At reaction temperature, an air flow of 1500 sccm was introduced at the bottom of the solution and the reaction pressure was adjusted to the desired pressure. A solution of 5-HMF in acetic acid was fed to the mixture at a rate of 0.833 mL/min via a high pressure Isco pump (this is t=0 for the reaction time). After 30 seconds from the start of 5-HMF feeding, 1.0 g of peracetic acid in 5.0 mL of acetic acid was introduced using a blow-case to start the reaction. The feed was stopped after 1 h and the reaction continued for 1 more hour at the same conditions of air flow, temperature and pressure. After the reaction time was completed the air flow was stopped and the autoclave was cooled to room temperature and depressurized. The heterogeneous mixture was filtered to isolate the crude FDCA. The mass of the filtrate was recorded. The crude FDCA was washed with 60 mL of acetic acid two times and then twice with 100 mL of DI water. The washed crude FDCA was oven dried at 110° C. under vacuum overnight and then weighed. The solid and the filtrate were analyzed by Gas Chromatography using BSTFA derivatization method. A typical GC-chromatogram for isolated crude FDCA sample is shown in
FIG. 2 . The purity of this solid was confirmed by NMR spectroscopy,FIGS. 3 and 4 . - The Off-gas was analyzed for CO and CO2 by ND-1R (ABB, Advanced Optima) and O2 by a paramagnetism detection system (Servomex, 1440 Model).
- Analytical
- Gas Chromatographic Method
- Process sample was analyzed using a Shimadzu gas chromatograph Model 2010 (or equivalent) equipped with a split/heated injector (300° C.) and a flame ionization detector (300° C.). A capillary column (60 meter×0.32 mm ID) coated with (6% cyanopropylphenyl)-methylpolysiloxane at 1.0 μm film thickness (such as DB-1301 or equivalent) was employed. Helium was used as the carrier gas with an initial column head pressure of 29.5 psi and an initial column flow of 3.93 ml/minute while the carrier gas linear velocity of 45 cm/second was maintained constant throughout the entire oven temperature program. The column temperature was programmed as follows: The initial oven temperature was set at 80° C. and was held for 6 minutes, the oven was ramped up to 150° C. at 4° C./minute and was held at 150 for 0 minute, the oven was ramped up to 240° C. at 10° C./minute and was held at 240 for 5 minute, then the oven was ramped up to 290° C. at 10° C./minute and was held at 290 for 17.5 minutes (the total run time was 60 mins). 1.0-μl of the prepared sample solution was injected with a split ratio of 40:1. EZ-Chrom Elite chromatography data system software was used for data acquisition and data processing. The sample preparation was done by weighing 0.1 g (accurate to 0.1 mg) of sample in a GC vial and adding 200.0 μl ISTD solution (1% by volume of decane in pyridine) and 1000 μl of BSTFA (N,O-bis(trimethylsilyl) trifluoroacetamide) with 1% TMSCl (trimethylchlorosilane) to the GC vial. The content was heated at 80° C. for 30 minutes to ensure complete derivatization. 1.0-μl of this prepared sample solution was injected for GC analysis.
- Interpretation of Results:
- Experiments 1-34, Table 6, were conducted by varying temperature, pressure and levels of cobalt and bromine concentrations to determine optimum conditions and catalyst compositions that produces very high yield of FDCA with minimum amount of carbon burn. In this invention, the weight ratio of cobalt to manganese was deliberately kept very high (i.e. 21) in all the reactions to avoid the inhibiting effect of excess manganese especially below 160° C.
- As can be seen from
FIG. 5 , under the reaction conditions investigated in this invention the factor that has the most impact on the yield of FDCA is temperature. It is also important to note that the yield increases with increasing cobalt and bromine concentrations. - The data presented in Table 6 was used to develop a theoretical polynomial model to predict FDCA yield under different conditions, eq-7. Examples of predicted FDCA yields using this model is given in Table 7. Experiments No 72, 73, 85, and 86, Table 7, were conducted under the predicted conditions. As can be seen from the results they agree well with the predicted values within experimental error.
-
% yield of FDCA=−91.469+2.83*T−0.01*P−0.02*[Co]+0.003*[Br]−0.01*T 2+3.9*10−6*[Co]2 (7) - Examples 91-93, Table 8, were conducted under the US patent applications (US200310055271 A1) conditions using our set-up. As can be seen from Tables 6, 7 and 8, the patent application conditions gave much inferior yield of FDCA than the current invention.
-
TABLE 6 Results from semi-batch reactions performed as described above.* C: Cobalt D:Br A: Temperature B: Pressure Conc Conc % % yield of % yield of CO CO2 COx Run deg, C. psi ppm ppm conversion FDCA FFCA (total mol) (total mol) (mol/min) 1 130 200 4000 1500 99.26 75.7 1.1 0.011 0.088 0.00083 2 155 450 3000 2250 99.1 67.3 0.08 0.032 0.163 0.00163 3 180 200 4000 3000 100 68.7 0.037 0.049 0.161 0.00175 4 180 700 2000 3000 98.57 57.3 0.0049 0.044 0.17 0.00178 5 180 200 2000 1500 94.47 48.3 0.96 0.044 0.125 0.00141 6 155 450 3000 2250 99.07 67.2 0.07 0.031 0.158 0.00158 7 130 700 4000 3000 100 78 0.34 0.017 0.183 0.00167 8 130 200 2000 3000 97.11 82.1 1.1 0.012 0.095 0.00089 9 180 700 4000 1500 99.5 53 0.02 0.053 0.148 0.00168 10 155 450 3000 2250 99.38 70.9 0.148 0.032 0.16 0.00160 11 130 700 2000 1500 99.84 68 0.79 0.024 0.168 0.00160 12 180 200 4000 1500 99.26 53.3 0.003 0.061 0.185 0.00205 13 155 450 3000 2250 100 70 0.2 0.03 0.158 0.00157 14 130 200 2000 1500 96.2 74.6 1.49 0.015 0.093 0.00090 15 130 200 4000 3000 99.57 85.3 0.7 0.009 0.083 0.00077 16 130 700 4000 1500 99.9 73.9 0.87 0.018 0.129 0.00123 17 155 450 3000 2250 100 71.2 0.1 0.03 0.159 0.00158 18 130 700 2000 3000 99.89 70.3 0.54 0.02 0.13 0.00125 19 180 200 2000 3000 99.5 58.4 0.464 0.058 0.0193 0.00064 20 180 700 2000 1500 100 54.3 0.55 0.053 0.175 0.00190 21 155 450 3000 2250 100 58.5 0.089 0.029 0.155 0.00153 22 180 700 4000 3000 100 60 0.025 0.048 0.158 0.00172 23 200 450 3000 2250 100 23 0 0.158 0.284 0.00368 24 200 450 3000 2250 100 23.8 0 0.156 0.266 0.00352 25 155 450 3000 2250 99.69 66.2 0.143 0.028 0.154 0.00152 26 155 50 3000 2250 99.05 79 0.075 0.019 0.109 0.00107 27 155 450 3000 1500 98.14 67.4 0.18 0.032 0.15 0.00152 28 155 950 3000 2250 99.94 62.8 0.118 0.034 0.164 0.00165 29 155 450 3000 2250 99.81 68.9 0.093 0.027 0.152 0.00149 30 105 450 3000 2250 97.12 66.9 3.56 0.013 0.099 0.00093 31 155 450 4000 2250 99.92 66.4 0.06 0.032 0.158 0.00158 32 155 450 3000 3750 100 68.8 0.178 0.026 0.151 0.00148 33 155 450 3000 2250 99.76 72 0.1 0.027 0.154 0.00151 34 155 450 2000 2250 99.89 70.3 0.54 0.02 0.13 0.00125 *Cobalt to manganese weight ratio = 21 for all experiments -
TABLE 7 Predicted yields of FDCA. 72, 73, 74, 85 and 86 are experimental results.* Temper- Cobalt Br yield of yield of Number ature Pressure Conc Conc FDCA FFCA 35 139 50 3999 3000 85.1504 0.447749 36 139 50 4000 2981 85.0945 0.442835 37 138 70 4000 3000 85.0502 0.469564 38 138 74 4000 3000 85.0244 0.473723 39 138 63 3988 3000 84.9913 0.463436 40 139 50 3999 2948 84.976 0.435265 41 139 50 4000 2938 84.9472 0.432597 42 139 50 3981 2973 84.9129 0.443582 43 138 51 3951 2999 84.7494 0.455411 44 138 50 3935 2999 84.629 0.455856 45 138 50 3917 3000 84.4874 0.458526 46 138 53 3917 3000 84.4716 0.461423 47 138 50 4000 2777 84.3976 0.406641 48 138 50 3905 2998 84.3893 0.45981 49 137 50 3881 3000 84.2031 0.463274 50 139 50 3886 3000 84.1187 0.428238 51 137 50 4000 2596 83.7624 0.395897 52 137 50 3992 2606 83.724 0.39788 53 136 50 3804 3000 83.6075 0.473555 54 136 51 3780 3000 83.4262 0.477259 55 137 227 3994 3000 83.3911 0.433817 56 137 50 4000 2386 82.9936 0.394841 57 135 50 3694 2946 82.6042 0.479136 58 135 50 4000 2166 82.2022 0.446345 59 136 50 4000 2152 82.1354 0.433632 60 131 61 2000 3000 81.8774 1.49331 61 131 59 2002 2993 81.8506 1.4836 62 131 59 2000 2986 81.8418 1.48296 63 131 55 2026 3000 81.7822 1.4441 64 130 83 2000 3000 81.5573 1.48713 65 132 50 2074 3000 81.5533 1.34737 66 130 91 2000 3000 81.4703 1.47787 67 130 89 2000 3000 81.4632 1.4882 68 132 50 2103 3000 81.3982 1.28915 69 131 50 2005 2833 81.2848 1.37298 70 139 51 4000 1973 81.2207 0.327309 71 132 130 2000 3000 81.1875 1.33938 72. 132 130 2000 3000 81.5 0.79 Experimental result.* 73. 132 130 2000 3000 81.6 0.81 Experimental result.* 74. 132 130 2000 3000 81.6 0.81 Experimental result.* 75 132 50 2144 3000 81.1813 1.21129 76 131 50 2146 2993 81.1115 1.22154 77 132 50 2160 3000 81.1035 1.18214 78 132 50 2001 2739 81.0004 1.30911 79 132 50 2000 2681 80.7904 1.28011 80 133 50 2228 2993 80.7581 1.06473 81 133 52 2000 2563 80.3266 1.22742 82 133 50 2000 2484 80.0491 1.2075 83 130 51 3136 3000 79.8341 0.591352 84 133 50 4000 1542 79.8127 0.750216 85 135 50 3066 3000 79.7967 0.503153 85. 135 50 3066 3000 85.3 0.86 Experimental result.* 86. 135 50 3066 3000 83.2 0.96 Experimental result.* 87 134 50 4000 1527 79.7531 0.668935 88 135 206 2262 3000 78.9815 0.792438 89 132 50 2000 2052 78.3528 1.25619 90 137 627 2000 3000 75.8366 0.489432 *Cobalt to Manganese weight ratio = 21 for all experiments. -
TABLE 8 Reactions conducted using the patent application (US20030055271A1) conditions.a C: Cobalt D: Br % % yield of % yield of CO CO2 (total COx Run A: Temperature B: Pressure Conc Conc conversion FDCA FFCA (total mol) mol) (mol/min) patent 125 950 406 1102 44.7 2.4 (US2003/ 0055271A1) 91b 125 950 406 1102 98.42 40.1 2.3 0.03 0.128 0.00132 patent 100 950 406 1102 44.8 3.3 (US2003/ 0055271A1) 92b 100 950 406 1102 60.51 0.5 4.4 0.005 0.028 0.00028 93b 100 950 406 1102 64.33 0.9 2.7 0.005 0.031 0.00030 aCobalt to Manganese ratio = 1. bUnknown peaks in the GC. - In Examples 9a-11b, glacial acetic acid and the catalyst components in concentrations described in Tables 9, 10 and 11 were transferred to a 300 mL titanium autoclave equipped with a high pressure condenser, a baffle and an Isco pump. Cobalt, manganese and ionic bromine were provided as cobalt (II) acetate tetrahydrate, manganese (II) acetate and aqueous hydrobromic acid respectively. The autoclave was pressurized with approximately 50 psig of nitrogen and the homogeneous mixture was heated to the desired temperature in a closed system (i.e., with no gas flow) with stirring. At reaction temperature, an air flow of 1500 sccm was introduced at the bottom of the solution and the reaction pressure was adjusted to the desired pressure. A solution of 5-MF/5-AMF/5-EMF in acetic acid was fed to the mixture at a rate of 0.833 mL/min via a high pressure Isco pump (this is t=0 for the reaction time). After 30 seconds from the start of substrate feeding, 1.0 g of peracetic acid in 5.0 mL of acetic acid was introduced using a blow-case to start the reaction. The feed was stopped after 1 h and the reaction continued for an additional hour at the same conditions of air flow, temperature and pressure. After the reaction time was completed, the air flow was stopped and the autoclave was cooled to room temperature and depressurized. The heterogeneous mixture was filtered to isolate the crude FDCA. The mass of the filtrate was recorded. The crude FDCA was washed with 60 mL of acetic acid two times and then twice with 100 mL of DI water. The washed crude FDCA was oven dried at 110° C. under vacuum overnight and then weighed. The solid and the filtrate were analyzed by Gas Chromatography using BSTFA derivatization method.
- The off-gas was analyzed for CO and CO2 by ND-1R (ABB, Advanced Optima) and O2 by a paramagnetism detection system (Servomex, 1440 Model).
- Analytical
- Gas Chromatographic Method
- Process samples were analyzed using a Shimadzu gas chromatograph Model 2010 (or equivalent) equipped with a split/heated injector (300° C.) and a flame ionization detector (300° C.). A capillary column (60 meter×0.32 mm ID) coated with (6% cyanopropylphenyl)-methylpolysiloxane at 1.0 μm film thickness (such as DB-1301 or equivalent) was employed. Helium was used as the carrier gas with an initial column head pressure of 29.5 psi and an initial column flow of 3.93 mL/minute while the carrier gas linear velocity of 45 cm/second was maintained constant throughout the entire oven temperature program. The column temperature was programmed as follows: The initial oven temperature was set at 80° C. and was held for 6 minutes, the oven was ramped up to 150° C. at 4° C./minute and was held at 150° C. for 0 minute, the oven was ramped up to 240° C. at 10° C./minute and was held at 240° C. for 5 minutes, then the oven was ramped up to 290° C. at 10° C./minute and was held at 290° C. for 17.5 minutes (the total run time was 60 mins). 1.0-μl of the prepared sample solution was injected with a split ratio of 40:1. EZ-Chrom Elite chromatography data system software was used for data acquisition and data processing. The sample preparation was done by weighing 0.1 g (accurate to 0.1 mg) of sample in a GC vial and adding 200.0 μl ISTD solution (1% by volume of decane in pyridine) and 1000 μl of BSTFA (N,O-bis(trimethylsilyl) trifluoroacetamide) with 1% TMSCl (trimethylchlorosilane) to the GC vial. The content was heated at 80° C. for 30 minutes to ensure complete derivatization. 1.0-μl of this prepared sample solution was injected for GC analysis.
- Oxidation of 5-AMF, which contains an oxidizable ester and aldehydes moieties, produced FDCA, FFCA, and acetic acid,
eq 8. Experiments 9a-9k, Table 9, were conducted by varying temperature, and levels of cobalt and bromine concentrations to determine optimum conditions and catalyst compositions that produces very high yield of FDCA with minimum amount of carbon burn. In this invention, the weight ratio of cobalt to manganese was deliberately kept very high (i.e. 21) in all the reactions to avoid the inhibiting effect of excess manganese especially below 160° C. Further discussion on mechanism of initiation and inhibition by Mn(II) in oxidation can be found in Zakharov, I. V. Kinetics and Catalysis 1998, 39, 485; and Jiao, X. J.; Espenson, J. H. Inorg. Chem. 2000, 39, 1549. -
TABLE 9 Results from semi-batch reactions performed as described above using 5-AMF feed.* Factor 3Response Response Factor 1 Factor 2Cobalt Factor 4 1 2 Temperature Pressure conc Br conc % yield of % yield of Run (° C.) (psig) (ppmw) (ppmw) FDCA FFCA 9a 180 130 2500 2500 44.6 0.25 9b 130 130 2500 2500 88.2 0.25 9c 155 130 2000 3000 67.6 0.026 9d 130 130 2000 3000 90.2 0.16 9e 155 130 2500 2500 64.52 0.35 9f 180 130 2000 3000 49.5 0.15 9g 105 130 2000 3000 64.8 1.8 9h 180 130 2000 3000 42.3 0.007 9i 180 130 2500 2500 40.9 0.06 9j 130 130 2000 3000 86.9 0.79 9k 130 130 2500 2500 88.5 0.71 *Cobalt to Manganese weight ratio = 21 for all experiments - As can be seen from
FIG. 6 , under the reaction conditions investigated, in this invention, the factor that has the most impact on the yield of FDCA is temperature. It is also important to note that the yield can increase with increasing cobalt and bromine concentrations. - It is important to note that the same yield and selectivity can be obtained with mixed 5-HMF and 5-AMF feed-stocks with varying ratios of the two components.
- Oxidation of 5-EMF, which contains an oxidizable ether and aldehyde moieties, produced FDCA, FFCA, 5-(ethoxycarbonyl)furan-2-carboxylic acid (EFCA) and acetic acid,
eq 9. - Experiments 10a-10k, Table 10, were conducted by varying temperature, and levels of cobalt and bromine concentrations to determine optimum conditions and catalyst compositions that produces very high yield of FDCA with minimum amount of carbon burn. Similar to the 5-AMF oxidation described above the weight ratio of cobalt to manganese was deliberately kept very high (i.e. 21) in all the reactions to avoid the inhibiting effect of excess manganese especially below 160° C.
-
TABLE 10 Results from semi-batch reactions performed as described above using 5-EMF feed.* Factor 3Factor 1Factor 2Cobalt Factor 4 Response 1Response 2Response 3Temperature Pressure conc Br conc % yield of % yield of % yield of Run (° C.) (psig) (ppmw) (ppmw) FDCA FFCA EFCA 10a 180 130 2500 2500 52.3 0.031 0.117 10b 130 130 2500 2500 88.8 0.02 0.225 10c 155 130 2000 3000 57.5 0.058 0.28 10d 130 130 2000 3000 87.97 0.09 0.43 10e 155 130 2500 2500 64.52 0.35 0.47 10f 180 130 2000 3000 49.5 0.15 0.23 10g 105 130 2000 3000 86 2.92 1.4 10h 180 130 2000 3000 50.9 0.096 0.24 10i 180 130 2500 2500 48.9 0.4 0.61 10j 130 130 2000 3000 87.5 0.4 1.22 10k 130 130 2500 2500 87.4 0.42 1.3 *Cobalt to Manganese weight ratio = 21 for all experiments - As can be seen from
FIG. 7 , under the reaction conditions investigated in this invention the factor that has the most impact on the yield of FDCA is temperature. It is important to note that the same yield and selectivity can be obtained with mixed 5-HMF and 5-EMF feed-stocks with varying ratios of the two components. - Oxidation of 5-MF, which contains an oxidizable methyl and aldehydesmoieties, produced FDCA, and
FFCA eq 10. Experiments 11a and 11b, Table 11, demonstrate that moderate yield of FDCA with high purity can be obtained using 5-MF as a feed stock. -
TABLE 11 Results from semi-batch reactions performed as described above using 5-MF feed.* Factor 2Factor 3Factor 4Factor 1Pressure Cobalt Conc Br Conc Response 2 Response 3Temperature (psig) (ppmw) (ppmw) Response 1% yield of % yield of Run (° C.) psi ppm ppm % conversion FDCA FFCA 11a 130 130 2000 3000 100 61.3 0.082 11b 130 400 2500 2500 100 61.8 0.083 *Cobalt to Manganese weight ratio = 21. - It is very important to note that in a continuous process under the same conditions as described in this invention report (which was conducted as a batch process) with different feed stock even higher yields of crude FDCA is expected due to efficient mixing, relatively low concentrations of reactive intermediates, and other reasons familiar to those skilled in the art.
- The preferred forms of the invention described above are to be used as illustration only, and should not be used in a limiting sense to interpret the scope of the present invention. Modifications to the exemplary embodiments, set forth above, could be readily made by those skilled in the art without departing from the spirit of the present invention.
- The inventors hereby state their intent to rely on the Doctrine of Equivalents to determine and assess the reasonably fair scope of the present invention as it pertains to any apparatus not materially departing from but outside the literal scope of the invention as set forth in the following claims.
Claims (14)
1. A carboxylic acid composition comprising:
(a) furan-2,5-dicarboxylic acid in an amount greater than 90 weight percent;
(b) b* value less than 20; and
(c) FFCA in a range of from about 0.1 to about 4.0 weight percent
(d) EFCA in an amount from 0.1 to 4 wt %.
2. A carboxylic acid composition according to claim 1 where said furan-2,5-dicarboxylic acid is in an amount greater than 92 weight percent.
3. A carboxylic acid composition according to claim 2 wherein said carboxylic acid composition has a b* value less than 10.
4. A carboxylic acid composition according to claim 2 wherein said carboxylic acid composition has a b* value less than 5.
5. A carboxylic acid composition according to claim 1 where said furan-2,5-dicarboxylic acid is in an amount greater than 94 weight percent.
6. A carboxylic acid composition according to claim 5 wherein said carboxylic acid composition has a b* value less than 10.
7. A carboxylic acid composition according to claim 5 wherein said carboxylic acid composition has a b* value less than 5.
8. A carboxylic acid composition according to claim 1 where said furan-2,5-dicarboxylic acid is in an amount greater than 96 weight percent.
9. A carboxylic acid composition according to claim 8 wherein said carboxylic acid composition has a b* value less than 10.
10. A carboxylic acid composition according to claim 10 wherein said carboxylic acid composition has a b* value less than 5.
11. A carboxylic acid composition according to claim 1 where said furan-2,5-dicarboxylic acid is in an amount greater than 98 weight percent.
12. A furan-2,5-dicarboxylic acid (FDCA) composition produced by a process comprising:
(a) oxidizing in a primary oxidation zone at least one oxidizable compound in an oxidizable raw material stream comprising EMF and MHF in the presence of a solvent stream comprising a saturated organic acid solvent having from 2-6 carbon atoms and a catalyst system at a temperature of about 100° C. to about 220° C. to produce a carboxylic acid composition; wherein said carboxylic acid composition comprises FDCA; wherein said primary oxidation zone comprises at least one oxidation reactor and wherein said catalyst system comprises cobalt in a range from about 500 ppm by weight to about 6000 ppm by weight with respect to the weight of the liquid in the primary oxidation zone, manganese in an amount ranging from about 2 ppm by weight to about 600 ppm by weight with respect to the weight of the liquid in the primary oxidation zone and bromine in an amount ranging from about 300 ppm by weight to about 4500 ppm by weight with respect to the weight of the liquid in the primary oxidation zone;
(b) purifying said carboxylic acid composition to produce a dried purified carboxylic acid composition; wherein said purifying comprises a crystallization step, a filtering step and a drying step; wherein said dried purified carboxylic acid composition has a b* value less than 20.
13. A composition according to claim 12 wherein said oxidation reactor comprises a bubble column.
14. A composition according to claim 12 wherein said catalyst system comprises cobalt in a range from about 700 ppm to about 4500 ppm by weight with respect to the weight of the liquid in the primary oxidation zone, manganese in an amount ranging from about 20 ppm by weight to about 400 ppm by weight with respect to the weight of the liquid in the primary oxidation zone and bromine in an amount ranging from about 700 ppm by weight to about 4000 ppm by weight with respect to the weight of the liquid in the primary oxidation zone.
Applications Claiming Priority (2)
| Application Number | Priority Date | Filing Date | Title |
|---|---|---|---|
| US201161489488P | 2011-05-24 | 2011-05-24 | |
| US13/228,799 US8796477B2 (en) | 2011-05-24 | 2011-09-09 | Oxidation process to produce a crude and/or purified carboxylic acid product |
Related Child Applications (1)
| Application Number | Title | Priority Date | Filing Date |
|---|---|---|---|
| US14/495,785 Continuation US9428480B2 (en) | 2011-05-24 | 2014-09-24 | Oxidation process to produce a crude and/or purified carboxylic acid product |
Publications (1)
| Publication Number | Publication Date |
|---|---|
| US20120302768A1 true US20120302768A1 (en) | 2012-11-29 |
Family
ID=47217607
Family Applications (3)
| Application Number | Title | Priority Date | Filing Date |
|---|---|---|---|
| US13/228,797 Abandoned US20120302768A1 (en) | 2011-05-24 | 2011-09-09 | Oxidation process to produce a crude and/or purified carboxylic acid product |
| US13/228,799 Active 2032-02-27 US8796477B2 (en) | 2011-05-24 | 2011-09-09 | Oxidation process to produce a crude and/or purified carboxylic acid product |
| US14/495,785 Active 2032-01-12 US9428480B2 (en) | 2011-05-24 | 2014-09-24 | Oxidation process to produce a crude and/or purified carboxylic acid product |
Family Applications After (2)
| Application Number | Title | Priority Date | Filing Date |
|---|---|---|---|
| US13/228,799 Active 2032-02-27 US8796477B2 (en) | 2011-05-24 | 2011-09-09 | Oxidation process to produce a crude and/or purified carboxylic acid product |
| US14/495,785 Active 2032-01-12 US9428480B2 (en) | 2011-05-24 | 2014-09-24 | Oxidation process to produce a crude and/or purified carboxylic acid product |
Country Status (5)
| Country | Link |
|---|---|
| US (3) | US20120302768A1 (en) |
| EP (1) | EP2714671B2 (en) |
| BR (1) | BR112013028667B1 (en) |
| ES (1) | ES2595633T5 (en) |
| WO (2) | WO2012161970A2 (en) |
Cited By (45)
| Publication number | Priority date | Publication date | Assignee | Title |
|---|---|---|---|---|
| WO2014204313A1 (en) | 2013-06-20 | 2014-12-24 | Furanix Technologies B.V. | Process for the preparation of a fiber, a fiber and a yarn made from such a fiber |
| WO2015030590A1 (en) | 2013-08-30 | 2015-03-05 | Furanix Technologies B.V. | Process for purifying an acid composition comprising 2-formyl-furan-5-carboxylic acid and 2,5-furandicarboxylic acid |
| US9029580B2 (en) | 2012-07-20 | 2015-05-12 | Eastman Chemical Company | Oxidation process to produce a purified carboxylic acid product via solvent displacement and post oxidation |
| US9156805B2 (en) | 2012-11-20 | 2015-10-13 | Eastman Chemical Company | Oxidative purification method for producing purified dry furan-2,5-dicarboxylic acid |
| US9199958B2 (en) | 2011-05-24 | 2015-12-01 | Eastman Chemical Company | Oxidation process to produce a crude and/or purified carboxylic acid product |
| US9206149B2 (en) | 2012-08-30 | 2015-12-08 | Eastman Chemical Company | Oxidation process to produce a crude dry carboxylic acid product |
| US9249118B2 (en) | 2012-06-22 | 2016-02-02 | Eastman Chemical Company | Purifying crude furan 2,5-dicarboxylic acid by hydrogenation |
| WO2016076710A1 (en) | 2014-11-10 | 2016-05-19 | Furanix Technologies B.V. | Preparation of dialkyl esters of 2,5-furandicarboxylic acid |
| US9428480B2 (en) | 2011-05-24 | 2016-08-30 | Eastman Chemical Company | Oxidation process to produce a crude and/or purified carboxylic acid product |
| US9504994B2 (en) | 2014-05-08 | 2016-11-29 | Eastman Chemical Company | Furan-2,5-dicarboxylic acid purge process |
| US9707547B2 (en) | 2014-12-16 | 2017-07-18 | Industrial Technology Research Institute | Oxidation catalyst for furfural compounds and applying method thereof |
| USD792635S1 (en) | 2014-08-07 | 2017-07-18 | Ip Holdings, Llc | Horticulture grow light |
| US9752766B2 (en) | 2013-07-18 | 2017-09-05 | Ip Holdings, Llc | Air cooled horticulture lighting fixture |
| USD796728S1 (en) | 2016-06-06 | 2017-09-05 | Ip Holdings, Llc | Light fixture |
| USD796727S1 (en) | 2013-07-09 | 2017-09-05 | Ip Holdings, Llc | Horticulture grow light housing |
| USD804078S1 (en) | 2016-08-31 | 2017-11-28 | Ip Holdings, Llc | Light fixture |
| WO2018018035A1 (en) * | 2016-07-22 | 2018-01-25 | Virginia Commonwealth University | Prodrug and protected forms of 5-hydroxymethylfurfuranal (5-hmf) and its derivatives |
| US9888633B1 (en) | 2013-07-18 | 2018-02-13 | Ip Holdings, Llc | Air cooled horticulture lighting fixture |
| USD811647S1 (en) | 2014-12-11 | 2018-02-27 | Ip Holdings, Llc | Horticulture grow light |
| USD814687S1 (en) | 2015-01-08 | 2018-04-03 | Ip Holdings, Llc | Light fixture |
| US9943834B2 (en) | 2014-05-08 | 2018-04-17 | Eastman Chemical Company | Furan-2,5-dicarboxylic acid purge process |
| USD822882S1 (en) | 2017-05-17 | 2018-07-10 | Ip Holdings, Llc | Horticulture grow light |
| USD825827S1 (en) | 2016-01-05 | 2018-08-14 | Hgci, Inc. | Light fixture |
| USD825826S1 (en) | 2014-06-11 | 2018-08-14 | Hgci, Inc. | Sealed optics air cooled grow light |
| USD825828S1 (en) | 2016-01-07 | 2018-08-14 | Hgci, Inc. | Light fixture |
| USD826469S1 (en) | 2015-06-24 | 2018-08-21 | Hgci, Inc. | Horticulture grow light |
| USD826467S1 (en) | 2016-11-01 | 2018-08-21 | Hgci, Inc. | Light fixture |
| USD826468S1 (en) | 2012-06-26 | 2018-08-21 | Hgci, Inc. | Light fixture |
| US10087162B2 (en) | 2014-11-10 | 2018-10-02 | Synvina C.V. | Preparation of dialkyl esters of 2,5-furandicarboxylic acid |
| US10208006B2 (en) | 2016-01-13 | 2019-02-19 | Stora Enso Oyj | Processes for the preparation of 2,5-furandicarboxylic acid and intermediates and derivatives thereof |
| USD842532S1 (en) | 2017-10-25 | 2019-03-05 | Hgci, Inc. | Light fixture |
| USD843049S1 (en) | 2017-09-14 | 2019-03-12 | Hgci, Inc. | Horticulture grow light |
| USD843640S1 (en) | 2013-06-20 | 2019-03-19 | Hgci, Inc. | Horticulture grow light fixture |
| USD848664S1 (en) | 2017-11-07 | 2019-05-14 | Hgci, Inc. | Light fixture |
| USD848663S1 (en) | 2017-11-03 | 2019-05-14 | Hgci, Inc. | Light fixture |
| USD848665S1 (en) | 2017-11-08 | 2019-05-14 | Hgci, Inc. | Horticulture grow light |
| USD851804S1 (en) | 2016-08-31 | 2019-06-18 | Hgci, Inc. | Light fixture |
| US10473317B2 (en) | 2011-07-20 | 2019-11-12 | Hgci, Inc. | Cooling a horticulture light fixture using an isolation chamber |
| US10858332B1 (en) * | 2019-07-02 | 2020-12-08 | Far Eastern New Century Corporation | Method for purifying crude 2,5-furandicarboxylic acid composition |
| US11104656B2 (en) * | 2017-12-29 | 2021-08-31 | Nederlandse Organisatie Voor Toegepast-Natuurwetenschappelijk Onderzoek Tno | Method for purifying and removing color of FDCA |
| US11192872B2 (en) | 2017-07-12 | 2021-12-07 | Stora Enso Oyj | Purified 2,5-furandicarboxylic acid pathway products |
| US11236199B2 (en) * | 2018-06-25 | 2022-02-01 | Eastman Chemical Company | Oxidation process to produce 5-(alkoxycarbonyl)furan-2-carboxylic acids (ACFC) |
| CN114573531A (en) * | 2022-03-25 | 2022-06-03 | 南京先进生物材料与过程装备研究院有限公司 | Method for synthesizing FDCA through carbon dioxide oxidation and metal catalysis HMF |
| US11440895B2 (en) | 2018-06-25 | 2022-09-13 | Eastman Chemical Company | Oxidation process to produce 5-(alkoxycarbonyl)furan-2-carboxylic acids (ACFC) |
| US11787774B2 (en) | 2019-09-05 | 2023-10-17 | Eastman Chemical Company | Efficient process for producing 5-(alkoxycarbonyl)-furan-2-carboxylic acids |
Families Citing this family (18)
| Publication number | Priority date | Publication date | Assignee | Title |
|---|---|---|---|---|
| US20120302773A1 (en) * | 2011-05-24 | 2012-11-29 | Eastman Chemical Company | Oxidation process to produce a crude and/or purified carboxylic acid product |
| WO2013066776A1 (en) * | 2011-10-31 | 2013-05-10 | E. I. Du Pont De Nemours And Company | Processes for producing 5-(hydroxymethyl)furfural |
| US9018423B2 (en) | 2012-04-27 | 2015-04-28 | E I Du Pont De Nemours And Company | Production of alpha, omega-diols |
| US8748479B2 (en) | 2012-06-22 | 2014-06-10 | Eastman Chemical Company | Process for purifying crude furan 2,5-dicarboxylic acid using hydrogenation |
| US9029579B2 (en) * | 2012-11-08 | 2015-05-12 | Eastman Chemical Company | Method of synthesizing low color furan diesters |
| US9006470B2 (en) * | 2012-11-08 | 2015-04-14 | Eastman Chemical Company | Method of synthesizing low color furan diesters |
| NL2010572C2 (en) * | 2013-04-05 | 2014-10-07 | Furanix Technologies Bv | Process for the preaparation of 2,5-furan-dicarboxylic acid. |
| US9944615B2 (en) | 2014-05-08 | 2018-04-17 | Eastman Chemical Company | Purifying crude furan 2,5-dicarboxylic acid by hydrogenation and a purge zone |
| US10010812B2 (en) | 2014-05-08 | 2018-07-03 | Eastman Chemical Company | Furan-2,5-dicarboxylic acid purge process |
| CO2018005804A2 (en) * | 2015-12-10 | 2018-09-20 | Annikki Gmbh | Process for the production of 2,5-furandicarboxylic acid (fdca) |
| WO2018017382A1 (en) | 2016-07-22 | 2018-01-25 | Eastman Chemical Company | A furan-2,5-dicarboxylic acid purge process |
| CN108299357B (en) * | 2017-01-12 | 2025-08-12 | 中国科学院宁波材料技术与工程研究所 | Preparation method of disubstituted furan compound |
| US20190023837A1 (en) | 2017-07-20 | 2019-01-24 | Eastman Chemical Company | Production of polyethylene furanoate in a retrofitted polyester plant |
| US10344011B1 (en) | 2018-05-04 | 2019-07-09 | Eastman Chemical Company | Furan-2,5-dicarboxylic acid purge process |
| US20190337914A1 (en) * | 2018-05-04 | 2019-11-07 | Eastman Chemical Company | Furan-2,5-dicarboxylic acid purge process |
| US10544118B2 (en) | 2018-06-25 | 2020-01-28 | Eastman Chemical Company | Oxidation process to produce 5 methyl 5-methylfuran-2-carboxylate (MMFC) |
| US10526301B1 (en) | 2018-10-18 | 2020-01-07 | Eastman Chemical Company | Production of purified dialkyl-furan-2,5-dicarboxylate (DAFD) in a retrofitted DMT plant |
| JP7605363B1 (en) * | 2024-05-09 | 2024-12-24 | 三菱瓦斯化学株式会社 | Method for producing furan-2,5-dicarboxylic acid |
Citations (1)
| Publication number | Priority date | Publication date | Assignee | Title |
|---|---|---|---|---|
| US20110092720A1 (en) * | 2009-10-19 | 2011-04-21 | Canon Kabushiki Kaisha | Method of producing 2,5-furandicarboxylic acid |
Family Cites Families (52)
| Publication number | Priority date | Publication date | Assignee | Title |
|---|---|---|---|---|
| US2797197A (en) | 1956-07-02 | 1957-06-25 | Sun Oil Co | Soluble oil and preparation |
| CH400184A (en) | 1960-08-11 | 1965-10-15 | Ciba Geigy | Process for the preparation of heterocyclic compounds |
| US3203963A (en) | 1963-04-18 | 1965-08-31 | Atlas Chem Ind | Method of purifying dehydromucic acid |
| US3326944A (en) | 1964-03-09 | 1967-06-20 | Atlas Chem Ind | Method of producing dehydromucic acid |
| SU448177A2 (en) | 1972-10-30 | 1974-10-30 | ||
| DE3826073A1 (en) | 1988-07-30 | 1990-02-01 | Hoechst Ag | METHOD FOR THE OXIDATION OF 5-HYDROXYMETHYLFURFURAL |
| WO2001072732A2 (en) | 2000-03-27 | 2001-10-04 | E.I. Dupont De Nemours And Company | Oxidation of 5-(hydroxymethyl) furfural to 2,5-diformylfuran and subsequent decarbonylation to unsubstituted furan |
| US7196215B2 (en) | 2001-06-04 | 2007-03-27 | Eastman Chemical Company | Process for the production of purified terephthalic acid |
| US7074954B2 (en) | 2002-12-09 | 2006-07-11 | Eastman Chemical Company | Process for the oxidative purification of terephthalic acid |
| US6737481B1 (en) | 2002-12-19 | 2004-05-18 | E. I. Du Pont De Nemours And Company | Ester-modified dicarboxylate polymers |
| US7052764B2 (en) | 2002-12-19 | 2006-05-30 | E. I. Du Pont De Nemours And Company | Shaped articles comprising poly[(trimethylene-co-dianhydrosugar ester) dicarboxylate] or poly(trimethylene-co-dianhydro-dicarboxylate with improved stability |
| US7399882B2 (en) | 2004-09-02 | 2008-07-15 | Eastman Chemical Company | Optimized liquid-phase oxidation |
| US20060205977A1 (en) | 2005-03-08 | 2006-09-14 | Sumner Charles E Jr | Processes for producing terephthalic acid |
| US20070179312A1 (en) | 2006-02-02 | 2007-08-02 | O'meadhra Ruairi Seosamh | Process for the purification of a crude carboxylic axid slurry |
| EP2050742B1 (en) | 2006-03-10 | 2010-07-07 | Furanix Technologies B.V | Use of an organic acid esters of 5-hydroxymethylfurfural |
| EP1834950A1 (en) | 2006-03-10 | 2007-09-19 | Avantium International B.V. | Method for the synthesis of 5-alkoxymethylfurfural ethers and their use |
| JP5006561B2 (en) | 2006-03-28 | 2012-08-22 | キヤノン株式会社 | Method for producing furandicarboxylic acid |
| JP4804187B2 (en) | 2006-03-28 | 2011-11-02 | キヤノン株式会社 | Method for producing furan-2,5-dicarboxylic acid |
| JP2007261990A (en) | 2006-03-28 | 2007-10-11 | Canon Inc | Method for producing furan-2,5-dicarboxylic acid |
| CA2653706C (en) | 2006-06-06 | 2015-05-12 | Wisconsin Alumni Research Foundation | Catalytic process for producing furan derivatives from carbohydrates in a biphasic reactor |
| WO2008054804A2 (en) | 2006-10-31 | 2008-05-08 | Battelle Memorial Institute | Hydroxymethyl furfural oxidation methods |
| JP5147309B2 (en) | 2007-06-21 | 2013-02-20 | キヤノン株式会社 | Process for producing 2,5-furandicarboxylic acid |
| JP2009013079A (en) | 2007-07-02 | 2009-01-22 | Canon Inc | Method for producing furan-2,5-dicarboxylic acid |
| WO2009023174A2 (en) | 2007-08-10 | 2009-02-19 | Archer Daniels Midland Company | Enzymatic oxidation of hmf |
| WO2009030506A2 (en) | 2007-09-07 | 2009-03-12 | Furanix Technologies B.V. | Hydroxymethylfurfural ethers from sugars or hmf and branched alcohols |
| UA97690C2 (en) | 2007-09-07 | 2012-03-12 | Фураникс Технолоджиз Б.В. | Method for the manufacture of a mixture of 5-hydroxymethylfurfural ethers and a fuel or fuel composition comprising the ether mixture |
| US20100212217A1 (en) | 2007-09-07 | 2010-08-26 | Furanix Technologies B.V. | Hydroxymethylfurfural Ethers from HMF and Olefins |
| WO2009030507A2 (en) | 2007-09-07 | 2009-03-12 | Furanix Technologies B.V. | Hydroxymethylfurfural ethers from sugars and higher alcohols |
| US7385081B1 (en) | 2007-11-14 | 2008-06-10 | Bp Corporation North America Inc. | Terephthalic acid composition and process for the production thereof |
| MX2010006504A (en) | 2007-12-12 | 2010-08-31 | Archer Daniels Midland Co | Conversion of carbohydrates to hydroxy-methylfurfural (hmf) and derivatives. |
| JP5252969B2 (en) | 2008-03-31 | 2013-07-31 | エア・ウォーター株式会社 | Process for producing 2,5-furandicarboxylic acid |
| US8252953B2 (en) | 2008-05-01 | 2012-08-28 | Monsanto Technology Llc | Metal utilization in supported, metal-containing catalysts |
| NL2002382C2 (en) | 2008-12-30 | 2010-07-01 | Furanix Technologies Bv | A process for preparing a polymer having a 2,5-furandicarboxylate moiety within the polymer backbone and such (co)polymers. |
| US8541616B2 (en) | 2009-02-13 | 2013-09-24 | Eastman Chemical Company | Addition of a methyl hydrogen terephthalate reactor to a dimethyl terephthalate process |
| CN104744414B (en) | 2009-05-14 | 2017-04-12 | 阿彻丹尼尔斯米德兰德公司 | Oxidation Of Furfural Compounds |
| WO2011043661A1 (en) | 2009-10-07 | 2011-04-14 | Furanix Technologies B.V. | Method for the preparation of 2,5-furandicarboxylic acid and for the preparation of the dialkyl ester of 2,5-furandicarboxylic acid |
| CA2773640C (en) | 2009-10-07 | 2019-09-10 | Furanix Technologies B.V. | Method for the preparation of 2,5-furandicarboxylic acid and esters thereof |
| US8791278B2 (en) | 2011-05-24 | 2014-07-29 | Eastman Chemical Company | Oxidation process to produce a crude and/or purified carboxylic acid product |
| US20120302768A1 (en) | 2011-05-24 | 2012-11-29 | Eastman Chemical Company | Oxidation process to produce a crude and/or purified carboxylic acid product |
| US8791277B2 (en) | 2011-05-24 | 2014-07-29 | Eastman Chemical Company | Oxidation process to produce a crude and/or purified carboxylic acid product |
| US8846960B2 (en) | 2011-05-24 | 2014-09-30 | Eastman Chemical Company | Oxidation process to produce a crude and/or purified carboxylic acid product |
| US20120302773A1 (en) | 2011-05-24 | 2012-11-29 | Eastman Chemical Company | Oxidation process to produce a crude and/or purified carboxylic acid product |
| US8969404B2 (en) | 2012-06-22 | 2015-03-03 | Eastman Chemical Company | Purifying crude furan 2,5-dicarboxylic acid by hydrogenation |
| US8748479B2 (en) | 2012-06-22 | 2014-06-10 | Eastman Chemical Company | Process for purifying crude furan 2,5-dicarboxylic acid using hydrogenation |
| US8809556B2 (en) | 2012-07-20 | 2014-08-19 | Eastman Chemical Company | Oxidation process to produce a purified carboxylic acid product via solvent displacement and post oxidation |
| US9029580B2 (en) | 2012-07-20 | 2015-05-12 | Eastman Chemical Company | Oxidation process to produce a purified carboxylic acid product via solvent displacement and post oxidation |
| US8772513B2 (en) | 2012-08-30 | 2014-07-08 | Eastman Chemical Company | Oxidation process to produce a crude dry carboxylic acid product |
| US8916720B2 (en) | 2012-11-20 | 2014-12-23 | Eastman Chemical Company | Process for producing dry purified furan-2,5-dicarboxylic acid with oxidation off-gas treatment |
| US8916719B2 (en) | 2012-11-20 | 2014-12-23 | Eastman Chemical Company | Process for producing dry purified furan-2,5-dicarboxylic acid with oxidation off-gas treatment |
| US9156805B2 (en) | 2012-11-20 | 2015-10-13 | Eastman Chemical Company | Oxidative purification method for producing purified dry furan-2,5-dicarboxylic acid |
| CA2912760C (en) | 2013-05-29 | 2021-06-15 | Dow Global Technologies Llc | Dialkyl 2,5-furandicarboxylate plasticizers and plasticized polymeric compositions |
| WO2014197195A2 (en) | 2013-06-06 | 2014-12-11 | California Institute Of Technology | Diels-alder reactions catalyzed by lewis acid containing solids: renewable production of bio-plastics |
-
2011
- 2011-09-09 US US13/228,797 patent/US20120302768A1/en not_active Abandoned
- 2011-09-09 US US13/228,799 patent/US8796477B2/en active Active
-
2012
- 2012-05-10 BR BR112013028667A patent/BR112013028667B1/en active IP Right Grant
- 2012-05-10 WO PCT/US2012/037210 patent/WO2012161970A2/en not_active Ceased
- 2012-05-10 EP EP12788980.6A patent/EP2714671B2/en active Active
- 2012-05-10 ES ES12788980T patent/ES2595633T5/en active Active
- 2012-05-10 WO PCT/US2012/037204 patent/WO2012161967A1/en not_active Ceased
-
2014
- 2014-09-24 US US14/495,785 patent/US9428480B2/en active Active
Patent Citations (1)
| Publication number | Priority date | Publication date | Assignee | Title |
|---|---|---|---|---|
| US20110092720A1 (en) * | 2009-10-19 | 2011-04-21 | Canon Kabushiki Kaisha | Method of producing 2,5-furandicarboxylic acid |
Cited By (74)
| Publication number | Priority date | Publication date | Assignee | Title |
|---|---|---|---|---|
| US9199958B2 (en) | 2011-05-24 | 2015-12-01 | Eastman Chemical Company | Oxidation process to produce a crude and/or purified carboxylic acid product |
| US10350584B2 (en) | 2011-05-24 | 2019-07-16 | Eastman Chemical Company | Furan-2,5-dicarboxylic acid purge process |
| US9428480B2 (en) | 2011-05-24 | 2016-08-30 | Eastman Chemical Company | Oxidation process to produce a crude and/or purified carboxylic acid product |
| US10473317B2 (en) | 2011-07-20 | 2019-11-12 | Hgci, Inc. | Cooling a horticulture light fixture using an isolation chamber |
| US11877551B2 (en) | 2011-07-20 | 2024-01-23 | Hgci, Inc. | Cooling a horticulture light fixture using an isolation chamber |
| US10955127B2 (en) | 2011-07-20 | 2021-03-23 | Hgci, Inc. | Cooling a horticulture light fixture using an isolation chamber |
| US9249118B2 (en) | 2012-06-22 | 2016-02-02 | Eastman Chemical Company | Purifying crude furan 2,5-dicarboxylic acid by hydrogenation |
| USD826468S1 (en) | 2012-06-26 | 2018-08-21 | Hgci, Inc. | Light fixture |
| US9029580B2 (en) | 2012-07-20 | 2015-05-12 | Eastman Chemical Company | Oxidation process to produce a purified carboxylic acid product via solvent displacement and post oxidation |
| US10011579B2 (en) | 2012-07-20 | 2018-07-03 | Eastman Chemical Company | Oxidation process to produce a purified carboxylic acid product via solvent displacement and post oxidation |
| US9266850B2 (en) | 2012-07-20 | 2016-02-23 | Eastman Chemical Company | Oxidation process to produce a purified carboxylic acid product via solvent displacement and post oxidation |
| US9676740B2 (en) | 2012-07-20 | 2017-06-13 | Eastman Chemical Company | Oxidation process to produce a purified carboxylic acid product via solvent displacement and post oxidation |
| US9206149B2 (en) | 2012-08-30 | 2015-12-08 | Eastman Chemical Company | Oxidation process to produce a crude dry carboxylic acid product |
| US9156805B2 (en) | 2012-11-20 | 2015-10-13 | Eastman Chemical Company | Oxidative purification method for producing purified dry furan-2,5-dicarboxylic acid |
| US10351973B2 (en) | 2013-06-20 | 2019-07-16 | Furanix Technologies B.V. | Process for the preparation of a fiber, a fiber and a yarn made from such a fiber |
| USD843640S1 (en) | 2013-06-20 | 2019-03-19 | Hgci, Inc. | Horticulture grow light fixture |
| WO2014204313A1 (en) | 2013-06-20 | 2014-12-24 | Furanix Technologies B.V. | Process for the preparation of a fiber, a fiber and a yarn made from such a fiber |
| USD796727S1 (en) | 2013-07-09 | 2017-09-05 | Ip Holdings, Llc | Horticulture grow light housing |
| US9903578B1 (en) | 2013-07-18 | 2018-02-27 | Ip Holdings, Llc | Air cooled horticulture lighting fixture for a double ended high pressure sodium lamp |
| US9752766B2 (en) | 2013-07-18 | 2017-09-05 | Ip Holdings, Llc | Air cooled horticulture lighting fixture |
| US9888633B1 (en) | 2013-07-18 | 2018-02-13 | Ip Holdings, Llc | Air cooled horticulture lighting fixture |
| WO2015030590A1 (en) | 2013-08-30 | 2015-03-05 | Furanix Technologies B.V. | Process for purifying an acid composition comprising 2-formyl-furan-5-carboxylic acid and 2,5-furandicarboxylic acid |
| US9896425B2 (en) | 2013-08-30 | 2018-02-20 | Synvina C.V. | Process for purifying an acid composition comprising 2-formyl-furan-5-carboxylic acid and 2,5-furandicarboxylic acid |
| US9573120B2 (en) | 2014-05-08 | 2017-02-21 | Eastman Chemical Company | Furan-2,5-dicarboxylic acid purge process |
| US9604202B2 (en) | 2014-05-08 | 2017-03-28 | Eastman Chemical Company | Furan-2,5-dicarboxylic acid purge process |
| US9504994B2 (en) | 2014-05-08 | 2016-11-29 | Eastman Chemical Company | Furan-2,5-dicarboxylic acid purge process |
| US9943834B2 (en) | 2014-05-08 | 2018-04-17 | Eastman Chemical Company | Furan-2,5-dicarboxylic acid purge process |
| USD825826S1 (en) | 2014-06-11 | 2018-08-14 | Hgci, Inc. | Sealed optics air cooled grow light |
| USD854229S1 (en) | 2014-06-11 | 2019-07-16 | Hgci, Inc. | Sealed optics air cooled grow light |
| USD792635S1 (en) | 2014-08-07 | 2017-07-18 | Ip Holdings, Llc | Horticulture grow light |
| WO2016076710A1 (en) | 2014-11-10 | 2016-05-19 | Furanix Technologies B.V. | Preparation of dialkyl esters of 2,5-furandicarboxylic acid |
| US10053442B2 (en) | 2014-11-10 | 2018-08-21 | Synvina C.V. | Preparation of dialkyl esters of 2,5-furandicarboxylic acid |
| US10087162B2 (en) | 2014-11-10 | 2018-10-02 | Synvina C.V. | Preparation of dialkyl esters of 2,5-furandicarboxylic acid |
| USD811647S1 (en) | 2014-12-11 | 2018-02-27 | Ip Holdings, Llc | Horticulture grow light |
| US9707547B2 (en) | 2014-12-16 | 2017-07-18 | Industrial Technology Research Institute | Oxidation catalyst for furfural compounds and applying method thereof |
| USD814687S1 (en) | 2015-01-08 | 2018-04-03 | Ip Holdings, Llc | Light fixture |
| USD826469S1 (en) | 2015-06-24 | 2018-08-21 | Hgci, Inc. | Horticulture grow light |
| USD825827S1 (en) | 2016-01-05 | 2018-08-14 | Hgci, Inc. | Light fixture |
| USD825828S1 (en) | 2016-01-07 | 2018-08-14 | Hgci, Inc. | Light fixture |
| US10208006B2 (en) | 2016-01-13 | 2019-02-19 | Stora Enso Oyj | Processes for the preparation of 2,5-furandicarboxylic acid and intermediates and derivatives thereof |
| US10654819B2 (en) | 2016-01-13 | 2020-05-19 | Stora Enso Oyj | Processes for the preparation of 2,5-furandicarboxylic acid and intermediates and derivatives thereof |
| US10851074B2 (en) | 2016-01-13 | 2020-12-01 | Stora Enso Oyj | Processes for the preparation of 2,5-furandicarboxylic acid and intermediates and derivatives thereof |
| US10442780B2 (en) | 2016-01-13 | 2019-10-15 | Stora Enso Oyj | Processes for the preparation of 2,5-furandicarboxylic acid and intermediates and derivatives thereof |
| US11613523B2 (en) | 2016-01-13 | 2023-03-28 | Stora Enso Oyj | Processes for the preparation of 2,5-furandicarboxylic acid and intermediates and derivatives thereof |
| US11891370B2 (en) | 2016-01-13 | 2024-02-06 | Stora Enso Ojy | Processes for the preparation of 2,5-furandicarboxylic acid and intermediates and derivatives thereof |
| USD796728S1 (en) | 2016-06-06 | 2017-09-05 | Ip Holdings, Llc | Light fixture |
| USD839471S1 (en) | 2016-06-06 | 2019-01-29 | Hgci, Inc. | Light fixture |
| USD951525S1 (en) | 2016-06-06 | 2022-05-10 | Hgci, Inc. | Light fixture |
| WO2018018035A1 (en) * | 2016-07-22 | 2018-01-25 | Virginia Commonwealth University | Prodrug and protected forms of 5-hydroxymethylfurfuranal (5-hmf) and its derivatives |
| US10875834B2 (en) | 2016-07-22 | 2020-12-29 | Virginia Commonwealth University | Prodrug and protected forms of 5-hydroxymethylfurfuranal (5-HMF) and its derivatives |
| USD804078S1 (en) | 2016-08-31 | 2017-11-28 | Ip Holdings, Llc | Light fixture |
| USD851804S1 (en) | 2016-08-31 | 2019-06-18 | Hgci, Inc. | Light fixture |
| USD873467S1 (en) | 2016-08-31 | 2020-01-21 | Hgci, Inc. | Light fixture |
| USD826467S1 (en) | 2016-11-01 | 2018-08-21 | Hgci, Inc. | Light fixture |
| USD822882S1 (en) | 2017-05-17 | 2018-07-10 | Ip Holdings, Llc | Horticulture grow light |
| US12049456B2 (en) | 2017-07-12 | 2024-07-30 | Stora Enso Oyj | Purified 2,5-furandicarboxylic acid pathway products |
| US11192872B2 (en) | 2017-07-12 | 2021-12-07 | Stora Enso Oyj | Purified 2,5-furandicarboxylic acid pathway products |
| USD843049S1 (en) | 2017-09-14 | 2019-03-12 | Hgci, Inc. | Horticulture grow light |
| USD950833S1 (en) | 2017-09-14 | 2022-05-03 | Hgci, Inc. | Horticulture grow light |
| USD842532S1 (en) | 2017-10-25 | 2019-03-05 | Hgci, Inc. | Light fixture |
| USD848663S1 (en) | 2017-11-03 | 2019-05-14 | Hgci, Inc. | Light fixture |
| USD985181S1 (en) | 2017-11-03 | 2023-05-02 | Hgci, Inc. | Light fixture |
| USD848664S1 (en) | 2017-11-07 | 2019-05-14 | Hgci, Inc. | Light fixture |
| USD995886S1 (en) | 2017-11-07 | 2023-08-15 | Hgci, Inc. | Light fixture |
| USD942067S1 (en) | 2017-11-08 | 2022-01-25 | Hgci, Inc. | Horticulture grow light |
| USD848665S1 (en) | 2017-11-08 | 2019-05-14 | Hgci, Inc. | Horticulture grow light |
| USD994961S1 (en) | 2017-11-08 | 2023-08-08 | Hgci, Inc. | Horticulture grow light |
| US11104656B2 (en) * | 2017-12-29 | 2021-08-31 | Nederlandse Organisatie Voor Toegepast-Natuurwetenschappelijk Onderzoek Tno | Method for purifying and removing color of FDCA |
| US11236199B2 (en) * | 2018-06-25 | 2022-02-01 | Eastman Chemical Company | Oxidation process to produce 5-(alkoxycarbonyl)furan-2-carboxylic acids (ACFC) |
| US11655334B2 (en) | 2018-06-25 | 2023-05-23 | Eastman Chemical Company | Oxidation process to produce 5 methyl 5-methylfuran-2-carboxylate (MMFC) |
| US11440895B2 (en) | 2018-06-25 | 2022-09-13 | Eastman Chemical Company | Oxidation process to produce 5-(alkoxycarbonyl)furan-2-carboxylic acids (ACFC) |
| US10858332B1 (en) * | 2019-07-02 | 2020-12-08 | Far Eastern New Century Corporation | Method for purifying crude 2,5-furandicarboxylic acid composition |
| US11787774B2 (en) | 2019-09-05 | 2023-10-17 | Eastman Chemical Company | Efficient process for producing 5-(alkoxycarbonyl)-furan-2-carboxylic acids |
| CN114573531A (en) * | 2022-03-25 | 2022-06-03 | 南京先进生物材料与过程装备研究院有限公司 | Method for synthesizing FDCA through carbon dioxide oxidation and metal catalysis HMF |
Also Published As
| Publication number | Publication date |
|---|---|
| WO2012161967A1 (en) | 2012-11-29 |
| WO2012161970A3 (en) | 2014-05-01 |
| US20150011783A1 (en) | 2015-01-08 |
| EP2714671B1 (en) | 2016-09-07 |
| EP2714671B2 (en) | 2019-08-14 |
| EP2714671A4 (en) | 2014-11-05 |
| WO2012161970A2 (en) | 2012-11-29 |
| BR112013028667A8 (en) | 2018-01-23 |
| US8796477B2 (en) | 2014-08-05 |
| ES2595633T5 (en) | 2020-04-15 |
| EP2714671A1 (en) | 2014-04-09 |
| WO2012161967A8 (en) | 2013-01-31 |
| BR112013028667A2 (en) | 2016-08-09 |
| US20120302769A1 (en) | 2012-11-29 |
| US9428480B2 (en) | 2016-08-30 |
| ES2595633T3 (en) | 2017-01-02 |
| BR112013028667B1 (en) | 2019-11-26 |
Similar Documents
| Publication | Publication Date | Title |
|---|---|---|
| US9428480B2 (en) | Oxidation process to produce a crude and/or purified carboxylic acid product | |
| US8791278B2 (en) | Oxidation process to produce a crude and/or purified carboxylic acid product | |
| US8846960B2 (en) | Oxidation process to produce a crude and/or purified carboxylic acid product | |
| US8791277B2 (en) | Oxidation process to produce a crude and/or purified carboxylic acid product | |
| EP2714672B1 (en) | An oxidation process to produce a crude and/or purified carboxylic acid product | |
| US10011579B2 (en) | Oxidation process to produce a purified carboxylic acid product via solvent displacement and post oxidation | |
| US8809556B2 (en) | Oxidation process to produce a purified carboxylic acid product via solvent displacement and post oxidation | |
| US9199958B2 (en) | Oxidation process to produce a crude and/or purified carboxylic acid product |
Legal Events
| Date | Code | Title | Description |
|---|---|---|---|
| AS | Assignment |
Owner name: EASTMAN CHEMICAL COMPANY, TENNESSEE Free format text: ASSIGNMENT OF ASSIGNORS INTEREST;ASSIGNORS:JANKA, MESFIN EJERSSA;LANGE, DAVID MILTON;MORROW, MICHAEL C.;AND OTHERS;SIGNING DATES FROM 20110928 TO 20111109;REEL/FRAME:027302/0681 |
|
| STCB | Information on status: application discontinuation |
Free format text: ABANDONED -- FAILURE TO RESPOND TO AN OFFICE ACTION |







