US20110201501A1 - Substituted Pyridines Having a Herbicidal Effect - Google Patents
Substituted Pyridines Having a Herbicidal Effect Download PDFInfo
- Publication number
- US20110201501A1 US20110201501A1 US13/126,270 US200913126270A US2011201501A1 US 20110201501 A1 US20110201501 A1 US 20110201501A1 US 200913126270 A US200913126270 A US 200913126270A US 2011201501 A1 US2011201501 A1 US 2011201501A1
- Authority
- US
- United States
- Prior art keywords
- formula
- compounds
- alkyl
- och
- row
- Prior art date
- Legal status (The legal status is an assumption and is not a legal conclusion. Google has not performed a legal analysis and makes no representation as to the accuracy of the status listed.)
- Abandoned
Links
- 150000003222 pyridines Chemical class 0.000 title abstract description 10
- 230000002363 herbicidal effect Effects 0.000 title description 30
- -1 pyridine compound Chemical class 0.000 claims abstract description 175
- 150000003839 salts Chemical class 0.000 claims abstract description 74
- 239000000203 mixture Substances 0.000 claims abstract description 68
- 238000000034 method Methods 0.000 claims abstract description 28
- 239000004009 herbicide Substances 0.000 claims abstract description 20
- 150000001875 compounds Chemical class 0.000 claims description 677
- 125000002023 trifluoromethyl group Chemical group FC(F)(F)* 0.000 claims description 185
- 125000002496 methyl group Chemical group [H]C([H])([H])* 0.000 claims description 102
- 125000001309 chloro group Chemical group Cl* 0.000 claims description 86
- 125000001449 isopropyl group Chemical group [H]C([H])([H])C([H])(*)C([H])([H])[H] 0.000 claims description 63
- 125000000956 methoxy group Chemical group [H]C([H])([H])O* 0.000 claims description 58
- 125000001495 ethyl group Chemical group [H]C([H])([H])C([H])([H])* 0.000 claims description 56
- JNCMHMUGTWEVOZ-UHFFFAOYSA-N F[CH]F Chemical compound F[CH]F JNCMHMUGTWEVOZ-UHFFFAOYSA-N 0.000 claims description 36
- 125000000876 trifluoromethoxy group Chemical group FC(F)(F)O* 0.000 claims description 36
- 125000004786 difluoromethoxy group Chemical group [H]C(F)(F)O* 0.000 claims description 35
- 229910052757 nitrogen Inorganic materials 0.000 claims description 30
- 239000003112 inhibitor Substances 0.000 claims description 29
- RMRFFCXPLWYOOY-UHFFFAOYSA-N allyl radical Chemical compound [CH2]C=C RMRFFCXPLWYOOY-UHFFFAOYSA-N 0.000 claims description 28
- 229910052739 hydrogen Inorganic materials 0.000 claims description 28
- 229910052760 oxygen Inorganic materials 0.000 claims description 28
- 229910052717 sulfur Inorganic materials 0.000 claims description 27
- 229910052736 halogen Inorganic materials 0.000 claims description 26
- 125000006412 propinylene group Chemical group [H]C#CC([H])([H])* 0.000 claims description 26
- 125000000217 alkyl group Chemical group 0.000 claims description 24
- 150000002367 halogens Chemical class 0.000 claims description 24
- 125000004765 (C1-C4) haloalkyl group Chemical group 0.000 claims description 20
- 125000004435 hydrogen atom Chemical class [H]* 0.000 claims description 20
- 125000000999 tert-butyl group Chemical group [H]C([H])([H])C(*)(C([H])([H])[H])C([H])([H])[H] 0.000 claims description 20
- 125000003545 alkoxy group Chemical group 0.000 claims description 19
- 125000005842 heteroatom Chemical group 0.000 claims description 19
- 239000001257 hydrogen Substances 0.000 claims description 19
- 125000002950 monocyclic group Chemical group 0.000 claims description 19
- 125000001188 haloalkyl group Chemical group 0.000 claims description 17
- 125000001797 benzyl group Chemical group [H]C1=C([H])C([H])=C(C([H])=C1[H])C([H])([H])* 0.000 claims description 16
- 125000001997 phenyl group Chemical group [H]C1=C([H])C([H])=C(*)C([H])=C1[H] 0.000 claims description 16
- WBLIXGSTEMXDSM-UHFFFAOYSA-N chloromethane Chemical compound Cl[CH2] WBLIXGSTEMXDSM-UHFFFAOYSA-N 0.000 claims description 15
- 125000004209 (C1-C8) alkyl group Chemical group 0.000 claims description 13
- 125000004178 (C1-C4) alkyl group Chemical group 0.000 claims description 12
- 229920006395 saturated elastomer Polymers 0.000 claims description 12
- 125000001181 organosilyl group Chemical group [SiH3]* 0.000 claims description 10
- 229910052794 bromium Inorganic materials 0.000 claims description 9
- 125000004432 carbon atom Chemical group C* 0.000 claims description 9
- 125000004122 cyclic group Chemical group 0.000 claims description 9
- 229910052731 fluorine Inorganic materials 0.000 claims description 9
- 125000004169 (C1-C6) alkyl group Chemical group 0.000 claims description 8
- 125000002618 bicyclic heterocycle group Chemical group 0.000 claims description 8
- 125000000882 C2-C6 alkenyl group Chemical group 0.000 claims description 7
- 150000001204 N-oxides Chemical class 0.000 claims description 7
- 125000002619 bicyclic group Chemical group 0.000 claims description 7
- 230000015572 biosynthetic process Effects 0.000 claims description 7
- 125000000229 (C1-C4)alkoxy group Chemical group 0.000 claims description 6
- 125000004648 C2-C8 alkenyl group Chemical group 0.000 claims description 6
- 125000004649 C2-C8 alkynyl group Chemical group 0.000 claims description 6
- 229910052799 carbon Inorganic materials 0.000 claims description 6
- 125000004433 nitrogen atom Chemical group N* 0.000 claims description 6
- 125000003601 C2-C6 alkynyl group Chemical group 0.000 claims description 5
- OKTJSMMVPCPJKN-UHFFFAOYSA-N Carbon Chemical group [C] OKTJSMMVPCPJKN-UHFFFAOYSA-N 0.000 claims description 5
- QUPDWYMUPZLYJZ-UHFFFAOYSA-N ethyl Chemical compound C[CH2] QUPDWYMUPZLYJZ-UHFFFAOYSA-N 0.000 claims description 5
- 125000004916 (C1-C6) alkylcarbonyl group Chemical group 0.000 claims description 4
- 125000004739 (C1-C6) alkylsulfonyl group Chemical group 0.000 claims description 4
- 125000000171 (C1-C6) haloalkyl group Chemical group 0.000 claims description 4
- 229930192334 Auxin Natural products 0.000 claims description 4
- 239000002363 auxin Substances 0.000 claims description 4
- 125000005843 halogen group Chemical group 0.000 claims description 4
- SEOVTRFCIGRIMH-UHFFFAOYSA-N indole-3-acetic acid Chemical compound C1=CC=C2C(CC(=O)O)=CNC2=C1 SEOVTRFCIGRIMH-UHFFFAOYSA-N 0.000 claims description 4
- 239000011814 protection agent Substances 0.000 claims description 4
- OCBFFGCSTGGPSQ-UHFFFAOYSA-N [CH2]CC Chemical compound [CH2]CC OCBFFGCSTGGPSQ-UHFFFAOYSA-N 0.000 claims description 3
- 230000000269 nucleophilic effect Effects 0.000 claims description 3
- 108010020183 3-phosphoshikimate 1-carboxyvinyltransferase Proteins 0.000 claims description 2
- 108020001991 Protoporphyrinogen Oxidase Proteins 0.000 claims description 2
- 102000005135 Protoporphyrinogen oxidase Human genes 0.000 claims description 2
- 150000001721 carbon Chemical group 0.000 claims description 2
- 150000001728 carbonyl compounds Chemical class 0.000 claims description 2
- 230000008166 cellulose biosynthesis Effects 0.000 claims description 2
- 239000003795 chemical substances by application Substances 0.000 claims description 2
- ZDXPYRJPNDTMRX-UHFFFAOYSA-N glutamine Natural products OC(=O)C(N)CCC(N)=O ZDXPYRJPNDTMRX-UHFFFAOYSA-N 0.000 claims description 2
- 150000002632 lipids Chemical class 0.000 claims description 2
- 238000004519 manufacturing process Methods 0.000 claims description 2
- 125000001624 naphthyl group Chemical group 0.000 claims description 2
- 230000029553 photosynthesis Effects 0.000 claims description 2
- 238000010672 photosynthesis Methods 0.000 claims description 2
- 150000004669 very long chain fatty acids Chemical class 0.000 claims description 2
- 229910052705 radium Inorganic materials 0.000 claims 3
- WPWHSFAFEBZWBB-UHFFFAOYSA-N 1-butyl radical Chemical compound [CH2]CCC WPWHSFAFEBZWBB-UHFFFAOYSA-N 0.000 claims 2
- LMBFAGIMSUYTBN-MPZNNTNKSA-N teixobactin Chemical compound C([C@H](C(=O)N[C@@H]([C@@H](C)CC)C(=O)N[C@@H](CO)C(=O)N[C@H](CCC(N)=O)C(=O)N[C@H]([C@@H](C)CC)C(=O)N[C@@H]([C@@H](C)CC)C(=O)N[C@@H](CO)C(=O)N[C@H]1C(N[C@@H](C)C(=O)N[C@@H](C[C@@H]2NC(=N)NC2)C(=O)N[C@H](C(=O)O[C@H]1C)[C@@H](C)CC)=O)NC)C1=CC=CC=C1 LMBFAGIMSUYTBN-MPZNNTNKSA-N 0.000 claims 1
- JUJWROOIHBZHMG-UHFFFAOYSA-N pyridine Substances C1=CC=NC=C1 JUJWROOIHBZHMG-UHFFFAOYSA-N 0.000 abstract description 12
- UMJSCPRVCHMLSP-UHFFFAOYSA-N pyridine Natural products COC1=CC=CN=C1 UMJSCPRVCHMLSP-UHFFFAOYSA-N 0.000 abstract description 8
- 239000000543 intermediate Substances 0.000 abstract description 5
- 230000008569 process Effects 0.000 abstract description 4
- HKELWJONQIFBPO-UHFFFAOYSA-N 1-(2,4-dichlorophenyl)-5-(trichloromethyl)-1,2,4-triazole-3-carboxylic acid Chemical compound N1=C(C(=O)O)N=C(C(Cl)(Cl)Cl)N1C1=CC=C(Cl)C=C1Cl HKELWJONQIFBPO-UHFFFAOYSA-N 0.000 description 151
- XEJNEDVTJPXRSM-UHFFFAOYSA-N 1-(2,4-dichlorophenyl)-5-methyl-4,5-dihydro-1H-pyrazole-3,5-dicarboxylic acid Chemical compound OC(=O)C1(C)CC(C(O)=O)=NN1C1=CC=C(Cl)C=C1Cl XEJNEDVTJPXRSM-UHFFFAOYSA-N 0.000 description 151
- PFJJMJDEVDLPNE-UHFFFAOYSA-N Benoxacor Chemical compound C1=CC=C2N(C(=O)C(Cl)Cl)C(C)COC2=C1 PFJJMJDEVDLPNE-UHFFFAOYSA-N 0.000 description 151
- YRMLFORXOOIJDR-UHFFFAOYSA-N Dichlormid Chemical compound ClC(Cl)C(=O)N(CC=C)CC=C YRMLFORXOOIJDR-UHFFFAOYSA-N 0.000 description 151
- ICJSJAJWTWPSBD-UHFFFAOYSA-N cloquintocet Chemical compound C1=CN=C2C(OCC(=O)O)=CC=C(Cl)C2=C1 ICJSJAJWTWPSBD-UHFFFAOYSA-N 0.000 description 151
- ITGSCCPVERXFGN-UHFFFAOYSA-N isoxadifen Chemical compound C1C(C(=O)O)=NOC1(C=1C=CC=CC=1)C1=CC=CC=C1 ITGSCCPVERXFGN-UHFFFAOYSA-N 0.000 description 151
- 239000005562 Glyphosate Substances 0.000 description 142
- XDDAORKBJWWYJS-UHFFFAOYSA-N glyphosate Chemical compound OC(=O)CNCP(O)(O)=O XDDAORKBJWWYJS-UHFFFAOYSA-N 0.000 description 124
- 229940097068 glyphosate Drugs 0.000 description 124
- 239000005591 Pendimethalin Substances 0.000 description 105
- CHIFOSRWCNZCFN-UHFFFAOYSA-N pendimethalin Chemical compound CCC(CC)NC1=C([N+]([O-])=O)C=C(C)C(C)=C1[N+]([O-])=O CHIFOSRWCNZCFN-UHFFFAOYSA-N 0.000 description 105
- FZXISNSWEXTPMF-UHFFFAOYSA-N terbutylazine Chemical compound CCNC1=NC(Cl)=NC(NC(C)(C)C)=N1 FZXISNSWEXTPMF-UHFFFAOYSA-N 0.000 description 72
- 239000005507 Diflufenican Substances 0.000 description 65
- WYEHFWKAOXOVJD-UHFFFAOYSA-N diflufenican Chemical compound FC1=CC(F)=CC=C1NC(=O)C1=CC=CN=C1OC1=CC=CC(C(F)(F)F)=C1 WYEHFWKAOXOVJD-UHFFFAOYSA-N 0.000 description 65
- MXWJVTOOROXGIU-UHFFFAOYSA-N atrazine Chemical compound CCNC1=NC(Cl)=NC(NC(C)C)=N1 MXWJVTOOROXGIU-UHFFFAOYSA-N 0.000 description 57
- 150000002148 esters Chemical class 0.000 description 57
- 239000005580 Metazachlor Substances 0.000 description 56
- STEPQTYSZVCJPV-UHFFFAOYSA-N metazachlor Chemical compound CC1=CC=CC(C)=C1N(C(=O)CCl)CN1N=CC=C1 STEPQTYSZVCJPV-UHFFFAOYSA-N 0.000 description 56
- 241000196324 Embryophyta Species 0.000 description 50
- IYMLUHWAJFXAQP-UHFFFAOYSA-N topramezone Chemical compound CC1=C(C(=O)C2=C(N(C)N=C2)O)C=CC(S(C)(=O)=O)=C1C1=NOCC1 IYMLUHWAJFXAQP-UHFFFAOYSA-N 0.000 description 49
- 239000005586 Nicosulfuron Substances 0.000 description 41
- 239000005620 Tembotrione Substances 0.000 description 41
- RTCOGUMHFFWOJV-UHFFFAOYSA-N nicosulfuron Chemical compound COC1=CC(OC)=NC(NC(=O)NS(=O)(=O)C=2C(=CC=CN=2)C(=O)N(C)C)=N1 RTCOGUMHFFWOJV-UHFFFAOYSA-N 0.000 description 41
- IUQAXCIUEPFPSF-UHFFFAOYSA-N tembotrione Chemical compound ClC1=C(COCC(F)(F)F)C(S(=O)(=O)C)=CC=C1C(=O)C1C(=O)CCCC1=O IUQAXCIUEPFPSF-UHFFFAOYSA-N 0.000 description 41
- 239000000460 chlorine Substances 0.000 description 39
- 239000005578 Mesotrione Substances 0.000 description 38
- KPUREKXXPHOJQT-UHFFFAOYSA-N mesotrione Chemical compound [O-][N+](=O)C1=CC(S(=O)(=O)C)=CC=C1C(=O)C1C(=O)CCCC1=O KPUREKXXPHOJQT-UHFFFAOYSA-N 0.000 description 38
- JCXJVPUVTGWSNB-UHFFFAOYSA-N Nitrogen dioxide Chemical compound O=[N]=O JCXJVPUVTGWSNB-UHFFFAOYSA-N 0.000 description 35
- ZMANZCXQSJIPKH-UHFFFAOYSA-N Triethylamine Chemical compound CCN(CC)CC ZMANZCXQSJIPKH-UHFFFAOYSA-N 0.000 description 30
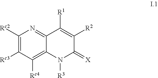
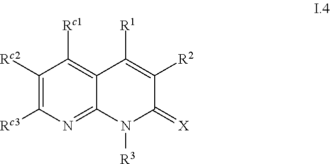
- 0 [1*]C1=C([2*])C(=C)[Y]C2=CC=C*=C21 Chemical compound [1*]C1=C([2*])C(=C)[Y]C2=CC=C*=C21 0.000 description 30
- YMWUJEATGCHHMB-UHFFFAOYSA-N Dichloromethane Chemical compound ClCCl YMWUJEATGCHHMB-UHFFFAOYSA-N 0.000 description 27
- XLYOFNOQVPJJNP-UHFFFAOYSA-N water Substances O XLYOFNOQVPJJNP-UHFFFAOYSA-N 0.000 description 26
- CASLETQIYIQFTQ-UHFFFAOYSA-N 3-[[5-(difluoromethoxy)-1-methyl-3-(trifluoromethyl)pyrazol-4-yl]methylsulfonyl]-5,5-dimethyl-4h-1,2-oxazole Chemical compound CN1N=C(C(F)(F)F)C(CS(=O)(=O)C=2CC(C)(C)ON=2)=C1OC(F)F CASLETQIYIQFTQ-UHFFFAOYSA-N 0.000 description 25
- NCHPMVGTNJBUGS-UHFFFAOYSA-N Flupyrsulfuron-methyl sodium Chemical compound [NaH].COC(=O)C1=CC=C(C(F)(F)F)N=C1S(=O)(=O)NC(=O)NC1=NC(OC)=CC(OC)=N1 NCHPMVGTNJBUGS-UHFFFAOYSA-N 0.000 description 25
- 239000005597 Pinoxaden Substances 0.000 description 25
- 239000005607 Pyroxsulam Substances 0.000 description 25
- JBDHZKLJNAIJNC-LLVKDONJSA-N clodinafop-propargyl Chemical group C1=CC(O[C@H](C)C(=O)OCC#C)=CC=C1OC1=NC=C(Cl)C=C1F JBDHZKLJNAIJNC-LLVKDONJSA-N 0.000 description 25
- PQKBPHSEKWERTG-LLVKDONJSA-N ethyl (2r)-2-[4-[(6-chloro-1,3-benzoxazol-2-yl)oxy]phenoxy]propanoate Chemical group C1=CC(O[C@H](C)C(=O)OCC)=CC=C1OC1=NC2=CC=C(Cl)C=C2O1 PQKBPHSEKWERTG-LLVKDONJSA-N 0.000 description 25
- GLBLPMUBLHYFCW-UHFFFAOYSA-N n-(5,7-dimethoxy-[1,2,4]triazolo[1,5-a]pyrimidin-2-yl)-2-methoxy-4-(trifluoromethyl)pyridine-3-sulfonamide Chemical compound N1=C2N=C(OC)C=C(OC)N2N=C1NS(=O)(=O)C1=C(OC)N=CC=C1C(F)(F)F GLBLPMUBLHYFCW-UHFFFAOYSA-N 0.000 description 25
- 125000004123 n-propyl group Chemical group [H]C([H])([H])C([H])([H])C([H])([H])* 0.000 description 25
- MGOHCFMYLBAPRN-UHFFFAOYSA-N pinoxaden Chemical compound CCC1=CC(C)=CC(CC)=C1C(C1=O)=C(OC(=O)C(C)(C)C)N2N1CCOCC2 MGOHCFMYLBAPRN-UHFFFAOYSA-N 0.000 description 25
- RTZKZFJDLAIYFH-UHFFFAOYSA-N Diethyl ether Chemical compound CCOCC RTZKZFJDLAIYFH-UHFFFAOYSA-N 0.000 description 24
- 244000038559 crop plants Species 0.000 description 24
- 125000004108 n-butyl group Chemical group [H]C([H])([H])C([H])([H])C([H])([H])C([H])([H])* 0.000 description 24
- 239000003053 toxin Substances 0.000 description 23
- 231100000765 toxin Toxicity 0.000 description 23
- 108700012359 toxins Proteins 0.000 description 23
- 229910052783 alkali metal Inorganic materials 0.000 description 22
- IAJOBQBIJHVGMQ-UHFFFAOYSA-N 2-amino-4-[hydroxy(methyl)phosphoryl]butanoic acid Chemical compound CP(O)(=O)CCC(N)C(O)=O IAJOBQBIJHVGMQ-UHFFFAOYSA-N 0.000 description 21
- WEVYAHXRMPXWCK-UHFFFAOYSA-N Acetonitrile Chemical compound CC#N WEVYAHXRMPXWCK-UHFFFAOYSA-N 0.000 description 18
- 150000001340 alkali metals Chemical class 0.000 description 18
- RUCAXVJJQQJZGU-UHFFFAOYSA-M hydron;2-(phosphonatomethylamino)acetate;trimethylsulfanium Chemical compound C[S+](C)C.OP(O)(=O)CNCC([O-])=O RUCAXVJJQQJZGU-UHFFFAOYSA-M 0.000 description 18
- 239000002904 solvent Substances 0.000 description 18
- PVSGXWMWNRGTKE-UHFFFAOYSA-N 5-methyl-2-[4-methyl-5-oxo-4-(propan-2-yl)-4,5-dihydro-1H-imidazol-2-yl]pyridine-3-carboxylic acid Chemical compound N1C(=O)C(C(C)C)(C)N=C1C1=NC=C(C)C=C1C(O)=O PVSGXWMWNRGTKE-UHFFFAOYSA-N 0.000 description 17
- 239000005499 Clomazone Substances 0.000 description 17
- RXCPQSJAVKGONC-UHFFFAOYSA-N Flumetsulam Chemical compound N1=C2N=C(C)C=CN2N=C1S(=O)(=O)NC1=C(F)C=CC=C1F RXCPQSJAVKGONC-UHFFFAOYSA-N 0.000 description 17
- 239000005560 Foramsulfuron Substances 0.000 description 17
- XVOKUMIPKHGGTN-UHFFFAOYSA-N Imazethapyr Chemical compound OC(=O)C1=CC(CC)=CN=C1C1=NC(C)(C(C)C)C(=O)N1 XVOKUMIPKHGGTN-UHFFFAOYSA-N 0.000 description 17
- 239000005583 Metribuzin Substances 0.000 description 17
- KIEDNEWSYUYDSN-UHFFFAOYSA-N clomazone Chemical compound O=C1C(C)(C)CON1CC1=CC=CC=C1Cl KIEDNEWSYUYDSN-UHFFFAOYSA-N 0.000 description 17
- FOUWCSDKDDHKQP-UHFFFAOYSA-N flumioxazin Chemical compound FC1=CC=2OCC(=O)N(CC#C)C=2C=C1N(C1=O)C(=O)C2=C1CCCC2 FOUWCSDKDDHKQP-UHFFFAOYSA-N 0.000 description 17
- PXDNXJSDGQBLKS-UHFFFAOYSA-N foramsulfuron Chemical compound COC1=CC(OC)=NC(NC(=O)NS(=O)(=O)C=2C(=CC=C(NC=O)C=2)C(=O)N(C)C)=N1 PXDNXJSDGQBLKS-UHFFFAOYSA-N 0.000 description 17
- FOXFZRUHNHCZPX-UHFFFAOYSA-N metribuzin Chemical compound CSC1=NN=C(C(C)(C)C)C(=O)N1N FOXFZRUHNHCZPX-UHFFFAOYSA-N 0.000 description 17
- OORLZFUTLGXMEF-UHFFFAOYSA-N sulfentrazone Chemical compound O=C1N(C(F)F)C(C)=NN1C1=CC(NS(C)(=O)=O)=C(Cl)C=C1Cl OORLZFUTLGXMEF-UHFFFAOYSA-N 0.000 description 17
- ZSDSQXJSNMTJDA-UHFFFAOYSA-N trifluralin Chemical compound CCCN(CCC)C1=C([N+]([O-])=O)C=C(C(F)(F)F)C=C1[N+]([O-])=O ZSDSQXJSNMTJDA-UHFFFAOYSA-N 0.000 description 17
- NIFKBBMCXCMCAO-UHFFFAOYSA-N methyl 2-[(4,6-dimethoxypyrimidin-2-yl)carbamoylsulfamoyl]-4-(methanesulfonamidomethyl)benzoate Chemical group COC(=O)C1=CC=C(CNS(C)(=O)=O)C=C1S(=O)(=O)NC(=O)NC1=NC(OC)=CC(OC)=N1 NIFKBBMCXCMCAO-UHFFFAOYSA-N 0.000 description 16
- 108090000623 proteins and genes Proteins 0.000 description 15
- 239000000049 pigment Substances 0.000 description 14
- 125000001436 propyl group Chemical group [H]C([*])([H])C([H])([H])C([H])([H])[H] 0.000 description 14
- 240000008042 Zea mays Species 0.000 description 13
- 229910052784 alkaline earth metal Inorganic materials 0.000 description 13
- 238000009472 formulation Methods 0.000 description 13
- 239000000243 solution Substances 0.000 description 13
- 239000005561 Glufosinate Substances 0.000 description 12
- ZMXDDKWLCZADIW-UHFFFAOYSA-N N,N-Dimethylformamide Chemical compound CN(C)C=O ZMXDDKWLCZADIW-UHFFFAOYSA-N 0.000 description 12
- YXFVVABEGXRONW-UHFFFAOYSA-N Toluene Chemical compound CC1=CC=CC=C1 YXFVVABEGXRONW-UHFFFAOYSA-N 0.000 description 12
- 235000005824 Zea mays ssp. parviglumis Nutrition 0.000 description 12
- 235000002017 Zea mays subsp mays Nutrition 0.000 description 12
- 235000005822 corn Nutrition 0.000 description 12
- 239000003921 oil Substances 0.000 description 12
- BWHMMNNQKKPAPP-UHFFFAOYSA-L potassium carbonate Chemical compound [K+].[K+].[O-]C([O-])=O BWHMMNNQKKPAPP-UHFFFAOYSA-L 0.000 description 12
- 125000002924 primary amino group Chemical group [H]N([H])* 0.000 description 12
- 102000004169 proteins and genes Human genes 0.000 description 12
- 238000006243 chemical reaction Methods 0.000 description 11
- 238000011282 treatment Methods 0.000 description 11
- NUPJIGQFXCQJBK-UHFFFAOYSA-N 2-(4-isopropyl-4-methyl-5-oxo-4,5-dihydro-1H-imidazol-2-yl)-5-(methoxymethyl)nicotinic acid Chemical compound OC(=O)C1=CC(COC)=CN=C1C1=NC(C)(C(C)C)C(=O)N1 NUPJIGQFXCQJBK-UHFFFAOYSA-N 0.000 description 10
- VTYYLEPIZMXCLO-UHFFFAOYSA-L Calcium carbonate Chemical compound [Ca+2].[O-]C([O-])=O VTYYLEPIZMXCLO-UHFFFAOYSA-L 0.000 description 10
- 229920000742 Cotton Polymers 0.000 description 10
- 241000219146 Gossypium Species 0.000 description 10
- 239000005566 Imazamox Substances 0.000 description 10
- WYURNTSHIVDZCO-UHFFFAOYSA-N Tetrahydrofuran Chemical compound C1CCOC1 WYURNTSHIVDZCO-UHFFFAOYSA-N 0.000 description 10
- 239000002253 acid Substances 0.000 description 10
- 239000002585 base Substances 0.000 description 10
- OAWUUPVZMNKZRY-UHFFFAOYSA-N cyprosulfamide Chemical compound COC1=CC=CC=C1C(=O)NS(=O)(=O)C1=CC=C(C(=O)NC2CC2)C=C1 OAWUUPVZMNKZRY-UHFFFAOYSA-N 0.000 description 10
- 238000010790 dilution Methods 0.000 description 10
- 239000012895 dilution Substances 0.000 description 10
- FIKAKWIAUPDISJ-UHFFFAOYSA-L paraquat dichloride Chemical compound [Cl-].[Cl-].C1=C[N+](C)=CC=C1C1=CC=[N+](C)C=C1 FIKAKWIAUPDISJ-UHFFFAOYSA-L 0.000 description 10
- RBSXHDIPCIWOMG-UHFFFAOYSA-N 1-(4,6-dimethoxypyrimidin-2-yl)-3-(2-ethylsulfonylimidazo[1,2-a]pyridin-3-yl)sulfonylurea Chemical compound CCS(=O)(=O)C=1N=C2C=CC=CN2C=1S(=O)(=O)NC(=O)NC1=NC(OC)=CC(OC)=N1 RBSXHDIPCIWOMG-UHFFFAOYSA-N 0.000 description 9
- 239000005631 2,4-Dichlorophenoxyacetic acid Substances 0.000 description 9
- CLQMBPJKHLGMQK-UHFFFAOYSA-N 2-(4-isopropyl-4-methyl-5-oxo-4,5-dihydro-1H-imidazol-2-yl)nicotinic acid Chemical compound N1C(=O)C(C(C)C)(C)N=C1C1=NC=CC=C1C(O)=O CLQMBPJKHLGMQK-UHFFFAOYSA-N 0.000 description 9
- ZWEHNKRNPOVVGH-UHFFFAOYSA-N 2-Butanone Chemical compound CCC(C)=O ZWEHNKRNPOVVGH-UHFFFAOYSA-N 0.000 description 9
- MAYMYMXYWIVVOK-UHFFFAOYSA-N 2-[(4,6-dimethoxypyrimidin-2-yl)carbamoylsulfamoyl]-4-(methanesulfonamidomethyl)benzoic acid Chemical compound COC1=CC(OC)=NC(NC(=O)NS(=O)(=O)C=2C(=CC=C(CNS(C)(=O)=O)C=2)C(O)=O)=N1 MAYMYMXYWIVVOK-UHFFFAOYSA-N 0.000 description 9
- KRQUFUKTQHISJB-YYADALCUSA-N 2-[(E)-N-[2-(4-chlorophenoxy)propoxy]-C-propylcarbonimidoyl]-3-hydroxy-5-(thian-3-yl)cyclohex-2-en-1-one Chemical compound CCC\C(=N/OCC(C)OC1=CC=C(Cl)C=C1)C1=C(O)CC(CC1=O)C1CCCSC1 KRQUFUKTQHISJB-YYADALCUSA-N 0.000 description 9
- IRJQWZWMQCVOLA-ZBKNUEDVSA-N 2-[(z)-n-[(3,5-difluorophenyl)carbamoylamino]-c-methylcarbonimidoyl]pyridine-3-carboxylic acid Chemical compound N=1C=CC=C(C(O)=O)C=1C(/C)=N\NC(=O)NC1=CC(F)=CC(F)=C1 IRJQWZWMQCVOLA-ZBKNUEDVSA-N 0.000 description 9
- CABMTIJINOIHOD-UHFFFAOYSA-N 2-[4-methyl-5-oxo-4-(propan-2-yl)-4,5-dihydro-1H-imidazol-2-yl]quinoline-3-carboxylic acid Chemical compound N1C(=O)C(C(C)C)(C)N=C1C1=NC2=CC=CC=C2C=C1C(O)=O CABMTIJINOIHOD-UHFFFAOYSA-N 0.000 description 9
- IOYNQIMAUDJVEI-ZFNPBRLTSA-N 2-[N-[(E)-3-chloroprop-2-enoxy]-C-ethylcarbonimidoyl]-3-hydroxy-5-(oxan-4-yl)cyclohex-2-en-1-one Chemical compound C1C(=O)C(C(=NOC\C=C\Cl)CC)=C(O)CC1C1CCOCC1 IOYNQIMAUDJVEI-ZFNPBRLTSA-N 0.000 description 9
- UFAPVJDEYHLLBG-UHFFFAOYSA-N 2-{2-chloro-4-(methylsulfonyl)-3-[(tetrahydrofuran-2-ylmethoxy)methyl]benzoyl}cyclohexane-1,3-dione Chemical compound ClC1=C(COCC2OCCC2)C(S(=O)(=O)C)=CC=C1C(=O)C1C(=O)CCCC1=O UFAPVJDEYHLLBG-UHFFFAOYSA-N 0.000 description 9
- XMTQQYYKAHVGBJ-UHFFFAOYSA-N 3-(3,4-DICHLOROPHENYL)-1,1-DIMETHYLUREA Chemical compound CN(C)C(=O)NC1=CC=C(Cl)C(Cl)=C1 XMTQQYYKAHVGBJ-UHFFFAOYSA-N 0.000 description 9
- VTNQPKFIQCLBDU-UHFFFAOYSA-N Acetochlor Chemical compound CCOCN(C(=O)CCl)C1=C(C)C=CC=C1CC VTNQPKFIQCLBDU-UHFFFAOYSA-N 0.000 description 9
- CSCPPACGZOOCGX-UHFFFAOYSA-N Acetone Chemical compound CC(C)=O CSCPPACGZOOCGX-UHFFFAOYSA-N 0.000 description 9
- 239000005468 Aminopyralid Substances 0.000 description 9
- 239000005472 Bensulfuron methyl Substances 0.000 description 9
- 239000005500 Clopyralid Substances 0.000 description 9
- OFSLKOLYLQSJPB-UHFFFAOYSA-N Cyclosulfamuron Chemical compound COC1=CC(OC)=NC(NC(=O)NS(=O)(=O)NC=2C(=CC=CC=2)C(=O)C2CC2)=N1 OFSLKOLYLQSJPB-UHFFFAOYSA-N 0.000 description 9
- 239000005501 Cycloxydim Substances 0.000 description 9
- 239000005502 Cyhalofop-butyl Substances 0.000 description 9
- TYIYMOAHACZAMQ-CQSZACIVSA-N Cyhalofop-butyl Chemical group C1=CC(O[C@H](C)C(=O)OCCCC)=CC=C1OC1=CC=C(C#N)C=C1F TYIYMOAHACZAMQ-CQSZACIVSA-N 0.000 description 9
- 239000005504 Dicamba Substances 0.000 description 9
- 239000005509 Dimethenamid-P Substances 0.000 description 9
- 239000005510 Diuron Substances 0.000 description 9
- BXEHUCNTIZGSOJ-UHFFFAOYSA-N Esprocarb Chemical compound CC(C)C(C)N(CC)C(=O)SCC1=CC=CC=C1 BXEHUCNTIZGSOJ-UHFFFAOYSA-N 0.000 description 9
- LLQPHQFNMLZJMP-UHFFFAOYSA-N Fentrazamide Chemical compound N1=NN(C=2C(=CC=CC=2)Cl)C(=O)N1C(=O)N(CC)C1CCCCC1 LLQPHQFNMLZJMP-UHFFFAOYSA-N 0.000 description 9
- 239000005531 Flufenacet Substances 0.000 description 9
- 239000005533 Fluometuron Substances 0.000 description 9
- CAWXEEYDBZRFPE-UHFFFAOYSA-N Hexazinone Chemical compound O=C1N(C)C(N(C)C)=NC(=O)N1C1CCCCC1 CAWXEEYDBZRFPE-UHFFFAOYSA-N 0.000 description 9
- 239000005981 Imazaquin Substances 0.000 description 9
- NAGRVUXEKKZNHT-UHFFFAOYSA-N Imazosulfuron Chemical compound COC1=CC(OC)=NC(NC(=O)NS(=O)(=O)C=2N3C=CC=CC3=NC=2Cl)=N1 NAGRVUXEKKZNHT-UHFFFAOYSA-N 0.000 description 9
- 239000005567 Imazosulfuron Substances 0.000 description 9
- PMAAYIYCDXGUAP-UHFFFAOYSA-N Indanofan Chemical compound O=C1C2=CC=CC=C2C(=O)C1(CC)CC1(C=2C=C(Cl)C=CC=2)CO1 PMAAYIYCDXGUAP-UHFFFAOYSA-N 0.000 description 9
- JUJFQMPKBJPSFZ-UHFFFAOYSA-M Iodosulfuron-methyl-sodium Chemical compound [Na+].COC(=O)C1=CC=C(I)C=C1S(=O)(=O)[N-]C(=O)NC1=NC(C)=NC(OC)=N1 JUJFQMPKBJPSFZ-UHFFFAOYSA-M 0.000 description 9
- 239000005570 Isoxaben Substances 0.000 description 9
- WMFOQBRAJBCJND-UHFFFAOYSA-M Lithium hydroxide Chemical compound [Li+].[OH-] WMFOQBRAJBCJND-UHFFFAOYSA-M 0.000 description 9
- 239000005577 Mesosulfuron Substances 0.000 description 9
- OKKJLVBELUTLKV-UHFFFAOYSA-N Methanol Chemical compound OC OKKJLVBELUTLKV-UHFFFAOYSA-N 0.000 description 9
- FCOHEOSCARXMMS-UHFFFAOYSA-N Oxaziclomefone Chemical compound C1OC(C)=C(C=2C=CC=CC=2)C(=O)N1C(C)(C)C1=CC(Cl)=CC(Cl)=C1 FCOHEOSCARXMMS-UHFFFAOYSA-N 0.000 description 9
- 239000005590 Oxyfluorfen Substances 0.000 description 9
- OQMBBFQZGJFLBU-UHFFFAOYSA-N Oxyfluorfen Chemical compound C1=C([N+]([O-])=O)C(OCC)=CC(OC=2C(=CC(=CC=2)C(F)(F)F)Cl)=C1 OQMBBFQZGJFLBU-UHFFFAOYSA-N 0.000 description 9
- SYJGKVOENHZYMQ-UHFFFAOYSA-N Penoxsulam Chemical compound N1=C2C(OC)=CN=C(OC)N2N=C1NS(=O)(=O)C1=C(OCC(F)F)C=CC=C1C(F)(F)F SYJGKVOENHZYMQ-UHFFFAOYSA-N 0.000 description 9
- 239000005592 Penoxsulam Substances 0.000 description 9
- 239000005596 Picolinafen Substances 0.000 description 9
- KWYUFKZDYYNOTN-UHFFFAOYSA-M Potassium hydroxide Chemical compound [OH-].[K+] KWYUFKZDYYNOTN-UHFFFAOYSA-M 0.000 description 9
- 239000005599 Profoxydim Substances 0.000 description 9
- 239000005603 Prosulfocarb Substances 0.000 description 9
- BGNQYGRXEXDAIQ-UHFFFAOYSA-N Pyrazosulfuron-ethyl Chemical group C1=NN(C)C(S(=O)(=O)NC(=O)NC=2N=C(OC)C=C(OC)N=2)=C1C(=O)OCC BGNQYGRXEXDAIQ-UHFFFAOYSA-N 0.000 description 9
- 239000005608 Quinmerac Substances 0.000 description 9
- 239000005616 Rimsulfuron Substances 0.000 description 9
- HEMHJVSKTPXQMS-UHFFFAOYSA-M Sodium hydroxide Chemical compound [OH-].[Na+] HEMHJVSKTPXQMS-UHFFFAOYSA-M 0.000 description 9
- 235000002595 Solanum tuberosum Nutrition 0.000 description 9
- 244000061456 Solanum tuberosum Species 0.000 description 9
- 239000005618 Sulcotrione Substances 0.000 description 9
- 239000005619 Sulfosulfuron Substances 0.000 description 9
- QHTQREMOGMZHJV-UHFFFAOYSA-N Thiobencarb Chemical compound CCN(CC)C(=O)SCC1=CC=C(Cl)C=C1 QHTQREMOGMZHJV-UHFFFAOYSA-N 0.000 description 9
- 239000005624 Tralkoxydim Substances 0.000 description 9
- 239000005625 Tri-allate Substances 0.000 description 9
- MWBPRDONLNQCFV-UHFFFAOYSA-N Tri-allate Chemical compound CC(C)N(C(C)C)C(=O)SCC(Cl)=C(Cl)Cl MWBPRDONLNQCFV-UHFFFAOYSA-N 0.000 description 9
- 239000005629 Tritosulfuron Substances 0.000 description 9
- NIXXQNOQHKNPEJ-UHFFFAOYSA-N aminopyralid Chemical compound NC1=CC(Cl)=NC(C(O)=O)=C1Cl NIXXQNOQHKNPEJ-UHFFFAOYSA-N 0.000 description 9
- XMQFTWRPUQYINF-UHFFFAOYSA-N bensulfuron-methyl Chemical group COC(=O)C1=CC=CC=C1CS(=O)(=O)NC(=O)NC1=NC(OC)=CC(OC)=N1 XMQFTWRPUQYINF-UHFFFAOYSA-N 0.000 description 9
- FUHMZYWBSHTEDZ-UHFFFAOYSA-M bispyribac-sodium Chemical compound [Na+].COC1=CC(OC)=NC(OC=2C(=C(OC=3N=C(OC)C=C(OC)N=3)C=CC=2)C([O-])=O)=N1 FUHMZYWBSHTEDZ-UHFFFAOYSA-M 0.000 description 9
- HFEJHAAIJZXXRE-UHFFFAOYSA-N cafenstrole Chemical compound CCN(CC)C(=O)N1C=NC(S(=O)(=O)C=2C(=CC(C)=CC=2C)C)=N1 HFEJHAAIJZXXRE-UHFFFAOYSA-N 0.000 description 9
- GGWHBJGBERXSLL-NBVRZTHBSA-N chembl113137 Chemical compound C1C(=O)C(C(=N/OCC)/CCC)=C(O)CC1C1CSCCC1 GGWHBJGBERXSLL-NBVRZTHBSA-N 0.000 description 9
- HUBANNPOLNYSAD-UHFFFAOYSA-N clopyralid Chemical compound OC(=O)C1=NC(Cl)=CC=C1Cl HUBANNPOLNYSAD-UHFFFAOYSA-N 0.000 description 9
- IWEDIXLBFLAXBO-UHFFFAOYSA-N dicamba Chemical compound COC1=C(Cl)C=CC(Cl)=C1C(O)=O IWEDIXLBFLAXBO-UHFFFAOYSA-N 0.000 description 9
- JLYFCTQDENRSOL-VIFPVBQESA-N dimethenamid-P Chemical compound COC[C@H](C)N(C(=O)CCl)C=1C(C)=CSC=1C JLYFCTQDENRSOL-VIFPVBQESA-N 0.000 description 9
- 239000002270 dispersing agent Substances 0.000 description 9
- IANUJLZYFUDJIH-UHFFFAOYSA-N flufenacet Chemical compound C=1C=C(F)C=CC=1N(C(C)C)C(=O)COC1=NN=C(C(F)(F)F)S1 IANUJLZYFUDJIH-UHFFFAOYSA-N 0.000 description 9
- RZILCCPWPBTYDO-UHFFFAOYSA-N fluometuron Chemical compound CN(C)C(=O)NC1=CC=CC(C(F)(F)F)=C1 RZILCCPWPBTYDO-UHFFFAOYSA-N 0.000 description 9
- ZEKANFGSDXODPD-UHFFFAOYSA-N glyphosate-isopropylammonium Chemical compound CC(C)N.OC(=O)CNCP(O)(O)=O ZEKANFGSDXODPD-UHFFFAOYSA-N 0.000 description 9
- PUIYMUZLKQOUOZ-UHFFFAOYSA-N isoproturon Chemical compound CC(C)C1=CC=C(NC(=O)N(C)C)C=C1 PUIYMUZLKQOUOZ-UHFFFAOYSA-N 0.000 description 9
- PMHURSZHKKJGBM-UHFFFAOYSA-N isoxaben Chemical compound O1N=C(C(C)(CC)CC)C=C1NC(=O)C1=C(OC)C=CC=C1OC PMHURSZHKKJGBM-UHFFFAOYSA-N 0.000 description 9
- XIGAUIHYSDTJHW-UHFFFAOYSA-N mefenacet Chemical compound N=1C2=CC=CC=C2SC=1OCC(=O)N(C)C1=CC=CC=C1 XIGAUIHYSDTJHW-UHFFFAOYSA-N 0.000 description 9
- VLKZOEOYAKHREP-UHFFFAOYSA-N n-Hexane Chemical compound CCCCCC VLKZOEOYAKHREP-UHFFFAOYSA-N 0.000 description 9
- CWKFPEBMTGKLKX-UHFFFAOYSA-N picolinafen Chemical compound C1=CC(F)=CC=C1NC(=O)C1=CC=CC(OC=2C=C(C=CC=2)C(F)(F)F)=N1 CWKFPEBMTGKLKX-UHFFFAOYSA-N 0.000 description 9
- LFULEKSKNZEWOE-UHFFFAOYSA-N propanil Chemical compound CCC(=O)NC1=CC=C(Cl)C(Cl)=C1 LFULEKSKNZEWOE-UHFFFAOYSA-N 0.000 description 9
- NQLVQOSNDJXLKG-UHFFFAOYSA-N prosulfocarb Chemical compound CCCN(CCC)C(=O)SCC1=CC=CC=C1 NQLVQOSNDJXLKG-UHFFFAOYSA-N 0.000 description 9
- FFSSWMQPCJRCRV-UHFFFAOYSA-N quinclorac Chemical compound ClC1=CN=C2C(C(=O)O)=C(Cl)C=CC2=C1 FFSSWMQPCJRCRV-UHFFFAOYSA-N 0.000 description 9
- ALZOLUNSQWINIR-UHFFFAOYSA-N quinmerac Chemical compound OC(=O)C1=C(Cl)C=CC2=CC(C)=CN=C21 ALZOLUNSQWINIR-UHFFFAOYSA-N 0.000 description 9
- MEFOUWRMVYJCQC-UHFFFAOYSA-N rimsulfuron Chemical compound CCS(=O)(=O)C1=CC=CN=C1S(=O)(=O)NC(=O)NC1=NC(OC)=CC(OC)=N1 MEFOUWRMVYJCQC-UHFFFAOYSA-N 0.000 description 9
- JUNDBKFAZXZKRA-MAFYXNADSA-M sodium;2-[(e)-n-[(3,5-difluorophenyl)carbamoylamino]-c-methylcarbonimidoyl]pyridine-3-carboxylate Chemical compound [Na+].N=1C=CC=C(C([O-])=O)C=1C(/C)=N/NC(=O)NC1=CC(F)=CC(F)=C1 JUNDBKFAZXZKRA-MAFYXNADSA-M 0.000 description 9
- 239000007787 solid Substances 0.000 description 9
- PQTBTIFWAXVEPB-UHFFFAOYSA-N sulcotrione Chemical compound ClC1=CC(S(=O)(=O)C)=CC=C1C(=O)C1C(=O)CCCC1=O PQTBTIFWAXVEPB-UHFFFAOYSA-N 0.000 description 9
- XSKZXGDFSCCXQX-UHFFFAOYSA-N thiencarbazone-methyl Chemical compound COC(=O)C1=CSC(C)=C1S(=O)(=O)NC(=O)N1C(=O)N(C)C(OC)=N1 XSKZXGDFSCCXQX-UHFFFAOYSA-N 0.000 description 9
- DQFPEYARZIQXRM-LTGZKZEYSA-N tralkoxydim Chemical compound C1C(=O)C(C(/CC)=N/OCC)=C(O)CC1C1=C(C)C=C(C)C=C1C DQFPEYARZIQXRM-LTGZKZEYSA-N 0.000 description 9
- KVEQCVKVIFQSGC-UHFFFAOYSA-N tritosulfuron Chemical compound FC(F)(F)C1=NC(OC)=NC(NC(=O)NS(=O)(=O)C=2C(=CC=CC=2)C(F)(F)F)=N1 KVEQCVKVIFQSGC-UHFFFAOYSA-N 0.000 description 9
- HEDRZPFGACZZDS-UHFFFAOYSA-N Chloroform Chemical compound ClC(Cl)Cl HEDRZPFGACZZDS-UHFFFAOYSA-N 0.000 description 8
- JGFZNNIVVJXRND-UHFFFAOYSA-N N,N-Diisopropylethylamine (DIPEA) Chemical compound CCN(C(C)C)C(C)C JGFZNNIVVJXRND-UHFFFAOYSA-N 0.000 description 8
- IUFUITYPUYMIHI-UHFFFAOYSA-N N-[1-(3,5-dimethylphenoxy)propan-2-yl]-6-(2-fluoropropan-2-yl)-1,3,5-triazine-2,4-diamine Chemical compound N=1C(N)=NC(C(C)(C)F)=NC=1NC(C)COC1=CC(C)=CC(C)=C1 IUFUITYPUYMIHI-UHFFFAOYSA-N 0.000 description 8
- MVPPADPHJFYWMZ-UHFFFAOYSA-N chlorobenzene Chemical compound ClC1=CC=CC=C1 MVPPADPHJFYWMZ-UHFFFAOYSA-N 0.000 description 8
- 239000000839 emulsion Substances 0.000 description 8
- OQZCSNDVOWYALR-UHFFFAOYSA-N flurochloridone Chemical compound FC(F)(F)C1=CC=CC(N2C(C(Cl)C(CCl)C2)=O)=C1 OQZCSNDVOWYALR-UHFFFAOYSA-N 0.000 description 8
- 238000010353 genetic engineering Methods 0.000 description 8
- 239000008187 granular material Substances 0.000 description 8
- 229910052740 iodine Inorganic materials 0.000 description 8
- OLZQTUCTGLHFTQ-UHFFFAOYSA-N octan-2-yl 2-(4-amino-3,5-dichloro-6-fluoropyridin-2-yl)oxyacetate Chemical group CCCCCCC(C)OC(=O)COC1=NC(F)=C(Cl)C(N)=C1Cl OLZQTUCTGLHFTQ-UHFFFAOYSA-N 0.000 description 8
- 239000003960 organic solvent Substances 0.000 description 8
- JRQGDDUXDKCWRF-UHFFFAOYSA-M sodium;n-(2-methoxycarbonylphenyl)sulfonyl-4-methyl-5-oxo-3-propoxy-1,2,4-triazole-1-carboximidate Chemical compound [Na+].O=C1N(C)C(OCCC)=NN1C(=O)[N-]S(=O)(=O)C1=CC=CC=C1C(=O)OC JRQGDDUXDKCWRF-UHFFFAOYSA-M 0.000 description 8
- 239000000725 suspension Substances 0.000 description 8
- GETQZCLCWQTVFV-UHFFFAOYSA-N trimethylamine Chemical compound CN(C)C GETQZCLCWQTVFV-UHFFFAOYSA-N 0.000 description 8
- CTQNGGLPUBDAKN-UHFFFAOYSA-N O-Xylene Chemical compound CC1=CC=CC=C1C CTQNGGLPUBDAKN-UHFFFAOYSA-N 0.000 description 7
- 238000002156 mixing Methods 0.000 description 7
- 239000000843 powder Substances 0.000 description 7
- 125000001424 substituent group Chemical group 0.000 description 7
- PAMIQIKDUOTOBW-UHFFFAOYSA-N 1-methylpiperidine Chemical compound CN1CCCCC1 PAMIQIKDUOTOBW-UHFFFAOYSA-N 0.000 description 6
- OISVCGZHLKNMSJ-UHFFFAOYSA-N 2,6-dimethylpyridine Chemical class CC1=CC=CC(C)=N1 OISVCGZHLKNMSJ-UHFFFAOYSA-N 0.000 description 6
- VHYFNPMBLIVWCW-UHFFFAOYSA-N 4-Dimethylaminopyridine Chemical class CN(C)C1=CC=NC=C1 VHYFNPMBLIVWCW-UHFFFAOYSA-N 0.000 description 6
- 235000006008 Brassica napus var napus Nutrition 0.000 description 6
- IAZDPXIOMUYVGZ-UHFFFAOYSA-N Dimethylsulphoxide Chemical compound CS(C)=O IAZDPXIOMUYVGZ-UHFFFAOYSA-N 0.000 description 6
- MZRVEZGGRBJDDB-UHFFFAOYSA-N N-Butyllithium Chemical compound [Li]CCCC MZRVEZGGRBJDDB-UHFFFAOYSA-N 0.000 description 6
- URLKBWYHVLBVBO-UHFFFAOYSA-N Para-Xylene Chemical group CC1=CC=C(C)C=C1 URLKBWYHVLBVBO-UHFFFAOYSA-N 0.000 description 6
- OFBQJSOFQDEBGM-UHFFFAOYSA-N Pentane Chemical compound CCCCC OFBQJSOFQDEBGM-UHFFFAOYSA-N 0.000 description 6
- VYPSYNLAJGMNEJ-UHFFFAOYSA-N Silicium dioxide Chemical compound O=[Si]=O VYPSYNLAJGMNEJ-UHFFFAOYSA-N 0.000 description 6
- WQDUMFSSJAZKTM-UHFFFAOYSA-N Sodium methoxide Chemical compound [Na+].[O-]C WQDUMFSSJAZKTM-UHFFFAOYSA-N 0.000 description 6
- 150000007513 acids Chemical class 0.000 description 6
- 229910000272 alkali metal oxide Inorganic materials 0.000 description 6
- RDOXTESZEPMUJZ-UHFFFAOYSA-N anisole Chemical compound COC1=CC=CC=C1 RDOXTESZEPMUJZ-UHFFFAOYSA-N 0.000 description 6
- 239000006185 dispersion Substances 0.000 description 6
- 125000001072 heteroaryl group Chemical group 0.000 description 6
- IVSZLXZYQVIEFR-UHFFFAOYSA-N m-xylene Chemical compound CC1=CC=CC(C)=C1 IVSZLXZYQVIEFR-UHFFFAOYSA-N 0.000 description 6
- FDPIMTJIUBPUKL-UHFFFAOYSA-N pentan-3-one Chemical compound CCC(=O)CC FDPIMTJIUBPUKL-UHFFFAOYSA-N 0.000 description 6
- 229910000027 potassium carbonate Inorganic materials 0.000 description 6
- 238000002360 preparation method Methods 0.000 description 6
- 238000012360 testing method Methods 0.000 description 6
- 240000002791 Brassica napus Species 0.000 description 5
- 235000010469 Glycine max Nutrition 0.000 description 5
- 244000068988 Glycine max Species 0.000 description 5
- 229910000019 calcium carbonate Inorganic materials 0.000 description 5
- 239000000969 carrier Substances 0.000 description 5
- 229910052801 chlorine Inorganic materials 0.000 description 5
- 239000003995 emulsifying agent Substances 0.000 description 5
- 125000001183 hydrocarbyl group Chemical group 0.000 description 5
- XGZVUEUWXADBQD-UHFFFAOYSA-L lithium carbonate Chemical compound [Li+].[Li+].[O-]C([O-])=O XGZVUEUWXADBQD-UHFFFAOYSA-L 0.000 description 5
- 229910052808 lithium carbonate Inorganic materials 0.000 description 5
- 238000002953 preparative HPLC Methods 0.000 description 5
- 239000004094 surface-active agent Substances 0.000 description 5
- 238000003786 synthesis reaction Methods 0.000 description 5
- 125000004206 2,2,2-trifluoroethyl group Chemical group [H]C([H])(*)C(F)(F)F 0.000 description 4
- LCUJVSMXBPMRSK-UHFFFAOYSA-N 3-[difluoro-[2-methyl-5-(trifluoromethyl)triazol-4-yl]methyl]sulfonyl-4-fluoro-5,5-dimethyl-4h-1,2-oxazole Chemical compound CN1N=C(C(F)(F)F)C(C(F)(F)S(=O)(=O)C=2C(C(C)(C)ON=2)F)=N1 LCUJVSMXBPMRSK-UHFFFAOYSA-N 0.000 description 4
- IJGRMHOSHXDMSA-UHFFFAOYSA-N Atomic nitrogen Chemical compound N#N IJGRMHOSHXDMSA-UHFFFAOYSA-N 0.000 description 4
- 241000894006 Bacteria Species 0.000 description 4
- LYCAIKOWRPUZTN-UHFFFAOYSA-N Ethylene glycol Chemical compound OCCO LYCAIKOWRPUZTN-UHFFFAOYSA-N 0.000 description 4
- WHXSMMKQMYFTQS-UHFFFAOYSA-N Lithium Chemical compound [Li] WHXSMMKQMYFTQS-UHFFFAOYSA-N 0.000 description 4
- HEDRZPFGACZZDS-MICDWDOJSA-N Trichloro(2H)methane Chemical compound [2H]C(Cl)(Cl)Cl HEDRZPFGACZZDS-MICDWDOJSA-N 0.000 description 4
- DTQVDTLACAAQTR-UHFFFAOYSA-N Trifluoroacetic acid Chemical compound OC(=O)C(F)(F)F DTQVDTLACAAQTR-UHFFFAOYSA-N 0.000 description 4
- 150000001298 alcohols Chemical class 0.000 description 4
- 150000001342 alkaline earth metals Chemical class 0.000 description 4
- 125000003342 alkenyl group Chemical group 0.000 description 4
- 230000000844 anti-bacterial effect Effects 0.000 description 4
- 150000004945 aromatic hydrocarbons Chemical class 0.000 description 4
- QVGXLLKOCUKJST-UHFFFAOYSA-N atomic oxygen Chemical group [O] QVGXLLKOCUKJST-UHFFFAOYSA-N 0.000 description 4
- 239000003899 bactericide agent Substances 0.000 description 4
- 238000009395 breeding Methods 0.000 description 4
- 150000001768 cations Chemical class 0.000 description 4
- XCJYREBRNVKWGJ-UHFFFAOYSA-N copper(II) phthalocyanine Chemical compound [Cu+2].C12=CC=CC=C2C(N=C2[N-]C(C3=CC=CC=C32)=N2)=NC1=NC([C]1C=CC=CC1=1)=NC=1N=C1[C]3C=CC=CC3=C2[N-]1 XCJYREBRNVKWGJ-UHFFFAOYSA-N 0.000 description 4
- JHIVVAPYMSGYDF-UHFFFAOYSA-N cyclohexanone Chemical compound O=C1CCCCC1 JHIVVAPYMSGYDF-UHFFFAOYSA-N 0.000 description 4
- 230000006378 damage Effects 0.000 description 4
- 235000013399 edible fruits Nutrition 0.000 description 4
- 150000008282 halocarbons Chemical class 0.000 description 4
- 238000003306 harvesting Methods 0.000 description 4
- 125000000623 heterocyclic group Chemical group 0.000 description 4
- 230000001965 increasing effect Effects 0.000 description 4
- 230000000749 insecticidal effect Effects 0.000 description 4
- 150000002576 ketones Chemical class 0.000 description 4
- 239000000395 magnesium oxide Substances 0.000 description 4
- CPLXHLVBOLITMK-UHFFFAOYSA-N magnesium oxide Inorganic materials [Mg]=O CPLXHLVBOLITMK-UHFFFAOYSA-N 0.000 description 4
- AXZKOIWUVFPNLO-UHFFFAOYSA-N magnesium;oxygen(2-) Chemical compound [O-2].[Mg+2] AXZKOIWUVFPNLO-UHFFFAOYSA-N 0.000 description 4
- 235000012054 meals Nutrition 0.000 description 4
- 244000005700 microbiome Species 0.000 description 4
- 239000012074 organic phase Substances 0.000 description 4
- 125000004287 oxazol-2-yl group Chemical group [H]C1=C([H])N=C(*)O1 0.000 description 4
- 239000001301 oxygen Substances 0.000 description 4
- 239000003208 petroleum Substances 0.000 description 4
- 239000012071 phase Substances 0.000 description 4
- 239000000047 product Substances 0.000 description 4
- 125000004307 pyrazin-2-yl group Chemical group [H]C1=C([H])N=C(*)C([H])=N1 0.000 description 4
- 125000004289 pyrazol-3-yl group Chemical group [H]N1N=C(*)C([H])=C1[H] 0.000 description 4
- 125000004940 pyridazin-4-yl group Chemical group N1=NC=C(C=C1)* 0.000 description 4
- 125000000246 pyrimidin-2-yl group Chemical group [H]C1=NC(*)=NC([H])=C1[H] 0.000 description 4
- 125000004527 pyrimidin-4-yl group Chemical group N1=CN=C(C=C1)* 0.000 description 4
- 125000004528 pyrimidin-5-yl group Chemical group N1=CN=CC(=C1)* 0.000 description 4
- 230000002829 reductive effect Effects 0.000 description 4
- 229910000104 sodium hydride Inorganic materials 0.000 description 4
- 241000894007 species Species 0.000 description 4
- 239000007858 starting material Substances 0.000 description 4
- 150000003512 tertiary amines Chemical class 0.000 description 4
- 125000000437 thiazol-2-yl group Chemical group [H]C1=C([H])N=C(*)S1 0.000 description 4
- 125000004495 thiazol-4-yl group Chemical group S1C=NC(=C1)* 0.000 description 4
- 125000004496 thiazol-5-yl group Chemical group S1C=NC=C1* 0.000 description 4
- IMFACGCPASFAPR-UHFFFAOYSA-N tributylamine Chemical compound CCCCN(CCCC)CCCC IMFACGCPASFAPR-UHFFFAOYSA-N 0.000 description 4
- 239000000080 wetting agent Substances 0.000 description 4
- 125000004767 (C1-C4) haloalkoxy group Chemical group 0.000 description 3
- RYHBNJHYFVUHQT-UHFFFAOYSA-N 1,4-Dioxane Chemical compound C1COCCO1 RYHBNJHYFVUHQT-UHFFFAOYSA-N 0.000 description 3
- ZFFBIQMNKOJDJE-UHFFFAOYSA-N 2-bromo-1,2-diphenylethanone Chemical compound C=1C=CC=CC=1C(Br)C(=O)C1=CC=CC=C1 ZFFBIQMNKOJDJE-UHFFFAOYSA-N 0.000 description 3
- CAAMSDWKXXPUJR-UHFFFAOYSA-N 3,5-dihydro-4H-imidazol-4-one Chemical class O=C1CNC=N1 CAAMSDWKXXPUJR-UHFFFAOYSA-N 0.000 description 3
- VFBQFSYFYDFGKD-UHFFFAOYSA-N 3-[[5-(2,2-difluoroethoxy)-1-methyl-3-(trifluoromethyl)pyrazol-4-yl]methylsulfonyl]-4-fluoro-5,5-dimethyl-4h-1,2-oxazole Chemical compound CN1N=C(C(F)(F)F)C(CS(=O)(=O)C=2C(C(C)(C)ON=2)F)=C1OCC(F)F VFBQFSYFYDFGKD-UHFFFAOYSA-N 0.000 description 3
- FHUDINAZGMOGNA-UHFFFAOYSA-N 3-[difluoro-[2-methyl-5-(trifluoromethyl)triazol-4-yl]methyl]sulfonyl-5,5-dimethyl-4h-1,2-oxazole Chemical compound CN1N=C(C(F)(F)F)C(C(F)(F)S(=O)(=O)C=2CC(C)(C)ON=2)=N1 FHUDINAZGMOGNA-UHFFFAOYSA-N 0.000 description 3
- CSDQQAQKBAQLLE-UHFFFAOYSA-N 4-(4-chlorophenyl)-4,5,6,7-tetrahydrothieno[3,2-c]pyridine Chemical compound C1=CC(Cl)=CC=C1C1C(C=CS2)=C2CCN1 CSDQQAQKBAQLLE-UHFFFAOYSA-N 0.000 description 3
- NAJJAWIHBCDROS-UHFFFAOYSA-N 4-fluoro-5,5-dimethyl-3-[[2-methyl-5-(trifluoromethyl)triazol-4-yl]methylsulfonyl]-4h-1,2-oxazole Chemical compound FC(F)(F)C1=NN(C)N=C1CS(=O)(=O)C1=NOC(C)(C)C1F NAJJAWIHBCDROS-UHFFFAOYSA-N 0.000 description 3
- WNEWVOULVJYHTF-UHFFFAOYSA-N 4-hydroxy-1-methyl-3-[2-(trifluoromethyl)phenyl]-1,5-naphthyridin-2-one Chemical compound O=C1N(C)C2=CC=CN=C2C(O)=C1C1=CC=CC=C1C(F)(F)F WNEWVOULVJYHTF-UHFFFAOYSA-N 0.000 description 3
- PNPNODBCBPCWDW-UHFFFAOYSA-N 4-hydroxy-3-[2-(trifluoromethyl)phenyl]-1h-1,5-naphthyridin-2-one Chemical compound O=C1NC2=CC=CN=C2C(O)=C1C1=CC=CC=C1C(F)(F)F PNPNODBCBPCWDW-UHFFFAOYSA-N 0.000 description 3
- HBEPCMVYUAJZMQ-UHFFFAOYSA-N 5,5-dimethyl-3-[[2-methyl-5-(trifluoromethyl)triazol-4-yl]methylsulfonyl]-4h-1,2-oxazole Chemical compound FC(F)(F)C1=NN(C)N=C1CS(=O)(=O)C1=NOC(C)(C)C1 HBEPCMVYUAJZMQ-UHFFFAOYSA-N 0.000 description 3
- 108010000700 Acetolactate synthase Proteins 0.000 description 3
- QGZKDVFQNNGYKY-UHFFFAOYSA-O Ammonium Chemical compound [NH4+] QGZKDVFQNNGYKY-UHFFFAOYSA-O 0.000 description 3
- WVDDGKGOMKODPV-UHFFFAOYSA-N Benzyl alcohol Chemical compound OCC1=CC=CC=C1 WVDDGKGOMKODPV-UHFFFAOYSA-N 0.000 description 3
- 241000335053 Beta vulgaris Species 0.000 description 3
- XDTMQSROBMDMFD-UHFFFAOYSA-N Cyclohexane Chemical compound C1CCCCC1 XDTMQSROBMDMFD-UHFFFAOYSA-N 0.000 description 3
- NDUPDOJHUQKPAG-UHFFFAOYSA-N Dalapon Chemical compound CC(Cl)(Cl)C(O)=O NDUPDOJHUQKPAG-UHFFFAOYSA-N 0.000 description 3
- ZAFNJMIOTHYJRJ-UHFFFAOYSA-N Diisopropyl ether Chemical compound CC(C)OC(C)C ZAFNJMIOTHYJRJ-UHFFFAOYSA-N 0.000 description 3
- LFQSCWFLJHTTHZ-UHFFFAOYSA-N Ethanol Chemical compound CCO LFQSCWFLJHTTHZ-UHFFFAOYSA-N 0.000 description 3
- XEKOWRVHYACXOJ-UHFFFAOYSA-N Ethyl acetate Chemical compound CCOC(C)=O XEKOWRVHYACXOJ-UHFFFAOYSA-N 0.000 description 3
- PEDCQBHIVMGVHV-UHFFFAOYSA-N Glycerine Chemical compound OCC(O)CO PEDCQBHIVMGVHV-UHFFFAOYSA-N 0.000 description 3
- 244000020551 Helianthus annuus Species 0.000 description 3
- 235000003222 Helianthus annuus Nutrition 0.000 description 3
- XEEYBQQBJWHFJM-UHFFFAOYSA-N Iron Chemical compound [Fe] XEEYBQQBJWHFJM-UHFFFAOYSA-N 0.000 description 3
- BZLVMXJERCGZMT-UHFFFAOYSA-N Methyl tert-butyl ether Chemical compound COC(C)(C)C BZLVMXJERCGZMT-UHFFFAOYSA-N 0.000 description 3
- FXHOOIRPVKKKFG-UHFFFAOYSA-N N,N-Dimethylacetamide Chemical compound CN(C)C(C)=O FXHOOIRPVKKKFG-UHFFFAOYSA-N 0.000 description 3
- DNIAPMSPPWPWGF-UHFFFAOYSA-N Propylene glycol Chemical compound CC(O)CO DNIAPMSPPWPWGF-UHFFFAOYSA-N 0.000 description 3
- YNQSILKYZQZHFJ-UHFFFAOYSA-N R-29148 Chemical compound CC1CN(C(=O)C(Cl)Cl)C(C)(C)O1 YNQSILKYZQZHFJ-UHFFFAOYSA-N 0.000 description 3
- KEAYESYHFKHZAL-UHFFFAOYSA-N Sodium Chemical compound [Na] KEAYESYHFKHZAL-UHFFFAOYSA-N 0.000 description 3
- 241000607479 Yersinia pestis Species 0.000 description 3
- 239000004480 active ingredient Substances 0.000 description 3
- 150000001338 aliphatic hydrocarbons Chemical class 0.000 description 3
- 229910001860 alkaline earth metal hydroxide Inorganic materials 0.000 description 3
- 229910000287 alkaline earth metal oxide Inorganic materials 0.000 description 3
- 150000004791 alkyl magnesium halides Chemical class 0.000 description 3
- 125000000304 alkynyl group Chemical group 0.000 description 3
- 150000001408 amides Chemical class 0.000 description 3
- 150000001450 anions Chemical class 0.000 description 3
- 239000012298 atmosphere Substances 0.000 description 3
- 230000001580 bacterial effect Effects 0.000 description 3
- WPYMKLBDIGXBTP-UHFFFAOYSA-N benzoic acid Chemical compound OC(=O)C1=CC=CC=C1 WPYMKLBDIGXBTP-UHFFFAOYSA-N 0.000 description 3
- FJDQFPXHSGXQBY-UHFFFAOYSA-L caesium carbonate Chemical compound [Cs+].[Cs+].[O-]C([O-])=O FJDQFPXHSGXQBY-UHFFFAOYSA-L 0.000 description 3
- 229910000024 caesium carbonate Inorganic materials 0.000 description 3
- AXCZMVOFGPJBDE-UHFFFAOYSA-L calcium dihydroxide Chemical compound [OH-].[OH-].[Ca+2] AXCZMVOFGPJBDE-UHFFFAOYSA-L 0.000 description 3
- 239000000920 calcium hydroxide Substances 0.000 description 3
- 229910001861 calcium hydroxide Inorganic materials 0.000 description 3
- BRPQOXSCLDDYGP-UHFFFAOYSA-N calcium oxide Chemical compound [O-2].[Ca+2] BRPQOXSCLDDYGP-UHFFFAOYSA-N 0.000 description 3
- 239000000292 calcium oxide Substances 0.000 description 3
- ODINCKMPIJJUCX-UHFFFAOYSA-N calcium oxide Inorganic materials [Ca]=O ODINCKMPIJJUCX-UHFFFAOYSA-N 0.000 description 3
- OSGAYBCDTDRGGQ-UHFFFAOYSA-L calcium sulfate Chemical compound [Ca+2].[O-]S([O-])(=O)=O OSGAYBCDTDRGGQ-UHFFFAOYSA-L 0.000 description 3
- 235000013877 carbamide Nutrition 0.000 description 3
- 239000004359 castor oil Substances 0.000 description 3
- 235000019438 castor oil Nutrition 0.000 description 3
- 239000003054 catalyst Substances 0.000 description 3
- 230000003197 catalytic effect Effects 0.000 description 3
- 235000013339 cereals Nutrition 0.000 description 3
- 239000012141 concentrate Substances 0.000 description 3
- 230000035613 defoliation Effects 0.000 description 3
- 235000014113 dietary fatty acids Nutrition 0.000 description 3
- 125000002147 dimethylamino group Chemical group [H]C([H])([H])N(*)C([H])([H])[H] 0.000 description 3
- HPYNZHMRTTWQTB-UHFFFAOYSA-N dimethylpyridine Chemical class CC1=CC=CN=C1C HPYNZHMRTTWQTB-UHFFFAOYSA-N 0.000 description 3
- 238000010410 dusting Methods 0.000 description 3
- 150000002170 ethers Chemical class 0.000 description 3
- 239000000194 fatty acid Substances 0.000 description 3
- 229930195729 fatty acid Natural products 0.000 description 3
- 150000004665 fatty acids Chemical class 0.000 description 3
- ZEMPKEQAKRGZGQ-XOQCFJPHSA-N glycerol triricinoleate Natural products CCCCCC[C@@H](O)CC=CCCCCCCCC(=O)OC[C@@H](COC(=O)CCCCCCCC=CC[C@@H](O)CCCCCC)OC(=O)CCCCCCCC=CC[C@H](O)CCCCCC ZEMPKEQAKRGZGQ-XOQCFJPHSA-N 0.000 description 3
- 150000002484 inorganic compounds Chemical class 0.000 description 3
- 229910010272 inorganic material Inorganic materials 0.000 description 3
- 229910052500 inorganic mineral Inorganic materials 0.000 description 3
- 239000007788 liquid Substances 0.000 description 3
- AFRJJFRNGGLMDW-UHFFFAOYSA-N lithium amide Chemical compound [Li+].[NH2-] AFRJJFRNGGLMDW-UHFFFAOYSA-N 0.000 description 3
- 229910000103 lithium hydride Inorganic materials 0.000 description 3
- FUJCRWPEOMXPAD-UHFFFAOYSA-N lithium oxide Chemical compound [Li+].[Li+].[O-2] FUJCRWPEOMXPAD-UHFFFAOYSA-N 0.000 description 3
- 229910001947 lithium oxide Inorganic materials 0.000 description 3
- CCERQOYLJJULMD-UHFFFAOYSA-M magnesium;carbanide;chloride Chemical compound [CH3-].[Mg+2].[Cl-] CCERQOYLJJULMD-UHFFFAOYSA-M 0.000 description 3
- CRGZYKWWYNQGEC-UHFFFAOYSA-N magnesium;methanolate Chemical compound [Mg+2].[O-]C.[O-]C CRGZYKWWYNQGEC-UHFFFAOYSA-N 0.000 description 3
- UZKWTJUDCOPSNM-UHFFFAOYSA-N methoxybenzene Substances CCCCOC=C UZKWTJUDCOPSNM-UHFFFAOYSA-N 0.000 description 3
- DVSDBMFJEQPWNO-UHFFFAOYSA-N methyllithium Chemical compound C[Li] DVSDBMFJEQPWNO-UHFFFAOYSA-N 0.000 description 3
- 239000011707 mineral Substances 0.000 description 3
- 235000010755 mineral Nutrition 0.000 description 3
- 150000002825 nitriles Chemical class 0.000 description 3
- 150000007530 organic bases Chemical class 0.000 description 3
- 239000006072 paste Substances 0.000 description 3
- NHKJPPKXDNZFBJ-UHFFFAOYSA-N phenyllithium Chemical compound [Li]C1=CC=CC=C1 NHKJPPKXDNZFBJ-UHFFFAOYSA-N 0.000 description 3
- 108010082527 phosphinothricin N-acetyltransferase Proteins 0.000 description 3
- PJGSXYOJTGTZAV-UHFFFAOYSA-N pinacolone Chemical compound CC(=O)C(C)(C)C PJGSXYOJTGTZAV-UHFFFAOYSA-N 0.000 description 3
- 229920002451 polyvinyl alcohol Polymers 0.000 description 3
- 239000001267 polyvinylpyrrolidone Substances 0.000 description 3
- 229920000036 polyvinylpyrrolidone Polymers 0.000 description 3
- 235000013855 polyvinylpyrrolidone Nutrition 0.000 description 3
- RPDAUEIUDPHABB-UHFFFAOYSA-N potassium ethoxide Chemical compound [K+].CC[O-] RPDAUEIUDPHABB-UHFFFAOYSA-N 0.000 description 3
- NTTOTNSKUYCDAV-UHFFFAOYSA-N potassium hydride Chemical compound [KH] NTTOTNSKUYCDAV-UHFFFAOYSA-N 0.000 description 3
- 229910000105 potassium hydride Inorganic materials 0.000 description 3
- LPNYRYFBWFDTMA-UHFFFAOYSA-N potassium tert-butoxide Chemical compound [K+].CC(C)(C)[O-] LPNYRYFBWFDTMA-UHFFFAOYSA-N 0.000 description 3
- FVSKHRXBFJPNKK-UHFFFAOYSA-N propionitrile Chemical compound CCC#N FVSKHRXBFJPNKK-UHFFFAOYSA-N 0.000 description 3
- WPFGFHJALYCVMO-UHFFFAOYSA-L rubidium carbonate Chemical compound [Rb+].[Rb+].[O-]C([O-])=O WPFGFHJALYCVMO-UHFFFAOYSA-L 0.000 description 3
- 229910000026 rubidium carbonate Inorganic materials 0.000 description 3
- ODZPKZBBUMBTMG-UHFFFAOYSA-N sodium amide Chemical compound [NH2-].[Na+] ODZPKZBBUMBTMG-UHFFFAOYSA-N 0.000 description 3
- QDRKDTQENPPHOJ-UHFFFAOYSA-N sodium ethoxide Chemical compound [Na+].CC[O-] QDRKDTQENPPHOJ-UHFFFAOYSA-N 0.000 description 3
- 239000012312 sodium hydride Substances 0.000 description 3
- KKCBUQHMOMHUOY-UHFFFAOYSA-N sodium oxide Chemical compound [O-2].[Na+].[Na+] KKCBUQHMOMHUOY-UHFFFAOYSA-N 0.000 description 3
- 229910001948 sodium oxide Inorganic materials 0.000 description 3
- 238000009331 sowing Methods 0.000 description 3
- YLQBMQCUIZJEEH-UHFFFAOYSA-N tetrahydrofuran Natural products C=1C=COC=1 YLQBMQCUIZJEEH-UHFFFAOYSA-N 0.000 description 3
- OYCBVIRLZGXECE-UHFFFAOYSA-N (2,3,4,5,6-pentafluorophenyl) 3-hydroxypyridine-2-carboxylate Chemical compound OC1=CC=CN=C1C(=O)OC1=C(F)C(F)=C(F)C(F)=C1F OYCBVIRLZGXECE-UHFFFAOYSA-N 0.000 description 2
- 238000005160 1H NMR spectroscopy Methods 0.000 description 2
- QWWHRELOCZEQNZ-UHFFFAOYSA-N 2,2-dichloro-1-(1-oxa-4-azaspiro[4.5]decan-4-yl)ethanone Chemical compound ClC(Cl)C(=O)N1CCOC11CCCCC1 QWWHRELOCZEQNZ-UHFFFAOYSA-N 0.000 description 2
- XBNGYFFABRKICK-UHFFFAOYSA-N 2,3,4,5,6-pentafluorophenol Chemical compound OC1=C(F)C(F)=C(F)C(F)=C1F XBNGYFFABRKICK-UHFFFAOYSA-N 0.000 description 2
- RORCLOSIOBZREW-UHFFFAOYSA-N 2-[2-(trifluoromethyl)phenyl]acetyl chloride Chemical compound FC(F)(F)C1=CC=CC=C1CC(Cl)=O RORCLOSIOBZREW-UHFFFAOYSA-N 0.000 description 2
- 125000002941 2-furyl group Chemical group O1C([*])=C([H])C([H])=C1[H] 0.000 description 2
- 125000004105 2-pyridyl group Chemical group N1=C([*])C([H])=C([H])C([H])=C1[H] 0.000 description 2
- 125000000175 2-thienyl group Chemical group S1C([*])=C([H])C([H])=C1[H] 0.000 description 2
- VOTNROPSMWIKIZ-UHFFFAOYSA-N 3-[[5-(2,2-difluoroethoxy)-1-methyl-3-(trifluoromethyl)pyrazol-4-yl]-difluoromethyl]sulfonyl-4-fluoro-5,5-dimethyl-4h-1,2-oxazole Chemical compound CN1N=C(C(F)(F)F)C(C(F)(F)S(=O)(=O)C=2C(C(C)(C)ON=2)F)=C1OCC(F)F VOTNROPSMWIKIZ-UHFFFAOYSA-N 0.000 description 2
- HKHBIUKDOABFOU-UHFFFAOYSA-N 3-[[5-(2,2-difluoroethoxy)-1-methyl-3-(trifluoromethyl)pyrazol-4-yl]-difluoromethyl]sulfonyl-5,5-dimethyl-4h-1,2-oxazole Chemical compound CN1N=C(C(F)(F)F)C(C(F)(F)S(=O)(=O)C=2CC(C)(C)ON=2)=C1OCC(F)F HKHBIUKDOABFOU-UHFFFAOYSA-N 0.000 description 2
- GQCUQQVPKPIKPF-UHFFFAOYSA-N 3-[[5-(2,2-difluoroethoxy)-1-methyl-3-(trifluoromethyl)pyrazol-4-yl]-fluoromethyl]sulfonyl-5,5-dimethyl-4h-1,2-oxazole Chemical compound CN1N=C(C(F)(F)F)C(C(F)S(=O)(=O)C=2CC(C)(C)ON=2)=C1OCC(F)F GQCUQQVPKPIKPF-UHFFFAOYSA-N 0.000 description 2
- YXKOTMKSUGABDT-UHFFFAOYSA-N 3-[fluoro-[2-methyl-5-(trifluoromethyl)triazol-4-yl]methyl]sulfonyl-5,5-dimethyl-4h-1,2-oxazole Chemical compound FC(F)(F)C1=NN(C)N=C1C(F)S(=O)(=O)C1=NOC(C)(C)C1 YXKOTMKSUGABDT-UHFFFAOYSA-N 0.000 description 2
- 125000003682 3-furyl group Chemical group O1C([H])=C([*])C([H])=C1[H] 0.000 description 2
- BRARRAHGNDUELT-UHFFFAOYSA-N 3-hydroxypicolinic acid Chemical compound OC(=O)C1=NC=CC=C1O BRARRAHGNDUELT-UHFFFAOYSA-N 0.000 description 2
- 125000003349 3-pyridyl group Chemical group N1=C([H])C([*])=C([H])C([H])=C1[H] 0.000 description 2
- 125000001541 3-thienyl group Chemical group S1C([H])=C([*])C([H])=C1[H] 0.000 description 2
- PLJCPAJZBGUOCZ-UHFFFAOYSA-N 4-[3-(trifluoromethyl)phenoxy]-2-[4-(trifluoromethyl)phenyl]pyrimidine Chemical compound C1=CC(C(F)(F)F)=CC=C1C1=NC=CC(OC=2C=C(C=CC=2)C(F)(F)F)=N1 PLJCPAJZBGUOCZ-UHFFFAOYSA-N 0.000 description 2
- VWABZMUUXIHCCP-UHFFFAOYSA-N 4-hydroxy-3-[3-(trifluoromethoxy)phenyl]pyrano[3,2-b]pyridin-2-one Chemical compound O=C1OC=2C=CC=NC=2C(O)=C1C1=CC=CC(OC(F)(F)F)=C1 VWABZMUUXIHCCP-UHFFFAOYSA-N 0.000 description 2
- 125000000339 4-pyridyl group Chemical group N1=C([H])C([H])=C([*])C([H])=C1[H] 0.000 description 2
- QTQAVGKGOZFLRA-UHFFFAOYSA-N 5-[2-[4-(4-fluorophenyl)piperazin-1-yl]ethoxy]-4-methyl-1,3-thiazole;trihydrochloride Chemical compound Cl.Cl.Cl.N1=CSC(OCCN2CCN(CC2)C=2C=CC(F)=CC=2)=C1C QTQAVGKGOZFLRA-UHFFFAOYSA-N 0.000 description 2
- GZJVZGUUTYWVTP-UHFFFAOYSA-N 6-chloro-3-(2-cyclopropyl-6-methylphenoxy)-1h-pyridazin-4-one Chemical compound N=1N=C(Cl)C=C(O)C=1OC=1C(C)=CC=CC=1C1CC1 GZJVZGUUTYWVTP-UHFFFAOYSA-N 0.000 description 2
- HBAQYPYDRFILMT-UHFFFAOYSA-N 8-[3-(1-cyclopropylpyrazol-4-yl)-1H-pyrazolo[4,3-d]pyrimidin-5-yl]-3-methyl-3,8-diazabicyclo[3.2.1]octan-2-one Chemical class C1(CC1)N1N=CC(=C1)C1=NNC2=C1N=C(N=C2)N1C2C(N(CC1CC2)C)=O HBAQYPYDRFILMT-UHFFFAOYSA-N 0.000 description 2
- QTBSBXVTEAMEQO-UHFFFAOYSA-M Acetate Chemical compound CC([O-])=O QTBSBXVTEAMEQO-UHFFFAOYSA-M 0.000 description 2
- 239000005995 Aluminium silicate Substances 0.000 description 2
- 244000237956 Amaranthus retroflexus Species 0.000 description 2
- 241000193830 Bacillus <bacterium> Species 0.000 description 2
- KXDAEFPNCMNJSK-UHFFFAOYSA-N Benzamide Chemical compound NC(=O)C1=CC=CC=C1 KXDAEFPNCMNJSK-UHFFFAOYSA-N 0.000 description 2
- 235000021533 Beta vulgaris Nutrition 0.000 description 2
- WKBOTKDWSSQWDR-UHFFFAOYSA-N Bromine atom Chemical compound [Br] WKBOTKDWSSQWDR-UHFFFAOYSA-N 0.000 description 2
- 208000003643 Callosities Diseases 0.000 description 2
- 239000004215 Carbon black (E152) Substances 0.000 description 2
- 235000009344 Chenopodium album Nutrition 0.000 description 2
- ZAMOUSCENKQFHK-UHFFFAOYSA-N Chlorine atom Chemical compound [Cl] ZAMOUSCENKQFHK-UHFFFAOYSA-N 0.000 description 2
- QOSSAOTZNIDXMA-UHFFFAOYSA-N Dicylcohexylcarbodiimide Chemical compound C1CCCCC1N=C=NC1CCCCC1 QOSSAOTZNIDXMA-UHFFFAOYSA-N 0.000 description 2
- RUPBZQFQVRMKDG-UHFFFAOYSA-M Didecyldimethylammonium chloride Chemical compound [Cl-].CCCCCCCCCC[N+](C)(C)CCCCCCCCCC RUPBZQFQVRMKDG-UHFFFAOYSA-M 0.000 description 2
- IAZDPXIOMUYVGZ-WFGJKAKNSA-N Dimethyl sulfoxide Chemical compound [2H]C([2H])([2H])S(=O)C([2H])([2H])[2H] IAZDPXIOMUYVGZ-WFGJKAKNSA-N 0.000 description 2
- ROSDSFDQCJNGOL-UHFFFAOYSA-N Dimethylamine Chemical compound CNC ROSDSFDQCJNGOL-UHFFFAOYSA-N 0.000 description 2
- 239000005630 Diquat Substances 0.000 description 2
- 240000002989 Euphorbia neriifolia Species 0.000 description 2
- PXGOKWXKJXAPGV-UHFFFAOYSA-N Fluorine Chemical compound FF PXGOKWXKJXAPGV-UHFFFAOYSA-N 0.000 description 2
- 241000233866 Fungi Species 0.000 description 2
- 235000004341 Gossypium herbaceum Nutrition 0.000 description 2
- 240000002024 Gossypium herbaceum Species 0.000 description 2
- 240000005979 Hordeum vulgare Species 0.000 description 2
- 235000007340 Hordeum vulgare Nutrition 0.000 description 2
- 206010020649 Hyperkeratosis Diseases 0.000 description 2
- 241000255777 Lepidoptera Species 0.000 description 2
- CSNNHWWHGAXBCP-UHFFFAOYSA-L Magnesium sulfate Chemical compound [Mg+2].[O-][S+2]([O-])([O-])[O-] CSNNHWWHGAXBCP-UHFFFAOYSA-L 0.000 description 2
- 241001465754 Metazoa Species 0.000 description 2
- LRHPLDYGYMQRHN-UHFFFAOYSA-N N-Butanol Chemical compound CCCCO LRHPLDYGYMQRHN-UHFFFAOYSA-N 0.000 description 2
- UFWIBTONFRDIAS-UHFFFAOYSA-N Naphthalene Chemical compound C1=CC=CC2=CC=CC=C21 UFWIBTONFRDIAS-UHFFFAOYSA-N 0.000 description 2
- GRSMWKLPSNHDHA-UHFFFAOYSA-N Naphthalic anhydride Chemical compound C1=CC(C(=O)OC2=O)=C3C2=CC=CC3=C1 GRSMWKLPSNHDHA-UHFFFAOYSA-N 0.000 description 2
- 241000244206 Nematoda Species 0.000 description 2
- 240000007594 Oryza sativa Species 0.000 description 2
- 235000007164 Oryza sativa Nutrition 0.000 description 2
- ISWSIDIOOBJBQZ-UHFFFAOYSA-N Phenol Chemical compound OC1=CC=CC=C1 ISWSIDIOOBJBQZ-UHFFFAOYSA-N 0.000 description 2
- 235000010582 Pisum sativum Nutrition 0.000 description 2
- 240000004713 Pisum sativum Species 0.000 description 2
- 229920003171 Poly (ethylene oxide) Polymers 0.000 description 2
- 239000004372 Polyvinyl alcohol Substances 0.000 description 2
- 108090000829 Ribosome Inactivating Proteins Proteins 0.000 description 2
- 240000006394 Sorghum bicolor Species 0.000 description 2
- 229940100389 Sulfonylurea Drugs 0.000 description 2
- 239000005621 Terbuthylazine Substances 0.000 description 2
- DKGAVHZHDRPRBM-UHFFFAOYSA-N Tert-Butanol Chemical compound CC(C)(C)O DKGAVHZHDRPRBM-UHFFFAOYSA-N 0.000 description 2
- 244000098338 Triticum aestivum Species 0.000 description 2
- XSQUKJJJFZCRTK-UHFFFAOYSA-N Urea Chemical compound NC(N)=O XSQUKJJJFZCRTK-UHFFFAOYSA-N 0.000 description 2
- CLWRFNUKIFTVHQ-UHFFFAOYSA-N [N].C1=CC=NC=C1 Chemical group [N].C1=CC=NC=C1 CLWRFNUKIFTVHQ-UHFFFAOYSA-N 0.000 description 2
- 125000002777 acetyl group Chemical group [H]C([H])([H])C(*)=O 0.000 description 2
- 230000009471 action Effects 0.000 description 2
- 239000013543 active substance Substances 0.000 description 2
- 239000000853 adhesive Substances 0.000 description 2
- 230000001070 adhesive effect Effects 0.000 description 2
- 239000002671 adjuvant Substances 0.000 description 2
- 125000006323 alkenyl amino group Chemical group 0.000 description 2
- 125000003302 alkenyloxy group Chemical group 0.000 description 2
- 125000003282 alkyl amino group Chemical group 0.000 description 2
- 150000008055 alkyl aryl sulfonates Chemical group 0.000 description 2
- 150000005215 alkyl ethers Chemical class 0.000 description 2
- 230000029936 alkylation Effects 0.000 description 2
- 238000005804 alkylation reaction Methods 0.000 description 2
- 125000006319 alkynyl amino group Chemical group 0.000 description 2
- 125000005133 alkynyloxy group Chemical group 0.000 description 2
- 235000012211 aluminium silicate Nutrition 0.000 description 2
- HOPRXXXSABQWAV-UHFFFAOYSA-N anhydrous collidine Natural products CC1=CC=NC(C)=C1C HOPRXXXSABQWAV-UHFFFAOYSA-N 0.000 description 2
- 239000007798 antifreeze agent Substances 0.000 description 2
- 238000006254 arylation reaction Methods 0.000 description 2
- OTSAMNSACVKIOJ-UHFFFAOYSA-N azane;carbamoyl(ethoxy)phosphinic acid Chemical compound [NH4+].CCOP([O-])(=O)C(N)=O OTSAMNSACVKIOJ-UHFFFAOYSA-N 0.000 description 2
- 244000052616 bacterial pathogen Species 0.000 description 2
- GINJFDRNADDBIN-FXQIFTODSA-N bilanafos Chemical compound OC(=O)[C@H](C)NC(=O)[C@H](C)NC(=O)[C@@H](N)CCP(C)(O)=O GINJFDRNADDBIN-FXQIFTODSA-N 0.000 description 2
- 230000001488 breeding effect Effects 0.000 description 2
- GDTBXPJZTBHREO-UHFFFAOYSA-N bromine Substances BrBr GDTBXPJZTBHREO-UHFFFAOYSA-N 0.000 description 2
- GZUXJHMPEANEGY-UHFFFAOYSA-N bromomethane Chemical compound BrC GZUXJHMPEANEGY-UHFFFAOYSA-N 0.000 description 2
- 125000000484 butyl group Chemical group [H]C([*])([H])C([H])([H])C([H])([H])C([H])([H])[H] 0.000 description 2
- OOCMUZJPDXYRFD-UHFFFAOYSA-L calcium;2-dodecylbenzenesulfonate Chemical compound [Ca+2].CCCCCCCCCCCCC1=CC=CC=C1S([O-])(=O)=O.CCCCCCCCCCCCC1=CC=CC=C1S([O-])(=O)=O OOCMUZJPDXYRFD-UHFFFAOYSA-L 0.000 description 2
- 125000002915 carbonyl group Chemical group [*:2]C([*:1])=O 0.000 description 2
- PNCNFDRSHBFIDM-WOJGMQOQSA-N chembl111617 Chemical compound C=CCO\N=C(/CCC)C1=C(O)C(C(=O)OC)C(C)(C)CC1=O PNCNFDRSHBFIDM-WOJGMQOQSA-N 0.000 description 2
- 239000007795 chemical reaction product Substances 0.000 description 2
- 239000011248 coating agent Substances 0.000 description 2
- 238000000576 coating method Methods 0.000 description 2
- UTBIMNXEDGNJFE-UHFFFAOYSA-N collidine Natural products CC1=CC=C(C)C(C)=N1 UTBIMNXEDGNJFE-UHFFFAOYSA-N 0.000 description 2
- 239000003086 colorant Substances 0.000 description 2
- 239000007822 coupling agent Substances 0.000 description 2
- 238000005520 cutting process Methods 0.000 description 2
- MZZBPDKVEFVLFF-UHFFFAOYSA-N cyanazine Chemical compound CCNC1=NC(Cl)=NC(NC(C)(C)C#N)=N1 MZZBPDKVEFVLFF-UHFFFAOYSA-N 0.000 description 2
- 125000000753 cycloalkyl group Chemical group 0.000 description 2
- 125000000113 cyclohexyl group Chemical group [H]C1([H])C([H])([H])C([H])([H])C([H])(*)C([H])([H])C1([H])[H] 0.000 description 2
- NXQGGXCHGDYOHB-UHFFFAOYSA-L cyclopenta-1,4-dien-1-yl(diphenyl)phosphane;dichloropalladium;iron(2+) Chemical compound [Fe+2].Cl[Pd]Cl.[CH-]1C=CC(P(C=2C=CC=CC=2)C=2C=CC=CC=2)=C1.[CH-]1C=CC(P(C=2C=CC=CC=2)C=2C=CC=CC=2)=C1 NXQGGXCHGDYOHB-UHFFFAOYSA-L 0.000 description 2
- 125000001511 cyclopentyl group Chemical group [H]C1([H])C([H])([H])C([H])([H])C([H])(*)C1([H])[H] 0.000 description 2
- 230000007123 defense Effects 0.000 description 2
- 125000004663 dialkyl amino group Chemical group 0.000 description 2
- 238000001035 drying Methods 0.000 description 2
- 239000000975 dye Substances 0.000 description 2
- 230000000694 effects Effects 0.000 description 2
- XPEVJXBWHXAUDR-UHFFFAOYSA-N epyrifenacil Chemical compound CCOC(=O)COC1=NC=CC=C1OC1=CC(N2C(N(C)C(=CC2=O)C(F)(F)F)=O)=C(F)C=C1Cl XPEVJXBWHXAUDR-UHFFFAOYSA-N 0.000 description 2
- 238000002474 experimental method Methods 0.000 description 2
- 238000001125 extrusion Methods 0.000 description 2
- 239000011737 fluorine Substances 0.000 description 2
- 235000013305 food Nutrition 0.000 description 2
- 244000053095 fungal pathogen Species 0.000 description 2
- 239000000499 gel Substances 0.000 description 2
- 230000035784 germination Effects 0.000 description 2
- 102000005396 glutamine synthetase Human genes 0.000 description 2
- 108020002326 glutamine synthetase Proteins 0.000 description 2
- 150000004676 glycans Chemical class 0.000 description 2
- 229930195733 hydrocarbon Natural products 0.000 description 2
- 125000002962 imidazol-1-yl group Chemical group [*]N1C([H])=NC([H])=C1[H] 0.000 description 2
- 125000003037 imidazol-2-yl group Chemical group [H]N1C([*])=NC([H])=C1[H] 0.000 description 2
- 125000002140 imidazol-4-yl group Chemical group [H]N1C([H])=NC([*])=C1[H] 0.000 description 2
- 125000000336 imidazol-5-yl group Chemical group [H]N1C([H])=NC([H])=C1[*] 0.000 description 2
- 125000001793 isothiazol-3-yl group Chemical group [H]C1=C([H])C(*)=NS1 0.000 description 2
- 125000004500 isothiazol-4-yl group Chemical group S1N=CC(=C1)* 0.000 description 2
- 125000004501 isothiazol-5-yl group Chemical group S1N=CC=C1* 0.000 description 2
- 125000004284 isoxazol-3-yl group Chemical group [H]C1=C([H])C(*)=NO1 0.000 description 2
- 125000004498 isoxazol-4-yl group Chemical group O1N=CC(=C1)* 0.000 description 2
- 125000004499 isoxazol-5-yl group Chemical group O1N=CC=C1* 0.000 description 2
- NLYAJNPCOHFWQQ-UHFFFAOYSA-N kaolin Chemical compound O.O.O=[Al]O[Si](=O)O[Si](=O)O[Al]=O NLYAJNPCOHFWQQ-UHFFFAOYSA-N 0.000 description 2
- 230000000670 limiting effect Effects 0.000 description 2
- 239000000463 material Substances 0.000 description 2
- WSFSSNUMVMOOMR-NJFSPNSNSA-N methanone Chemical compound O=[14CH2] WSFSSNUMVMOOMR-NJFSPNSNSA-N 0.000 description 2
- 238000002703 mutagenesis Methods 0.000 description 2
- 231100000350 mutagenesis Toxicity 0.000 description 2
- PSZYNBSKGUBXEH-UHFFFAOYSA-N naphthalene-1-sulfonic acid Chemical class C1=CC=C2C(S(=O)(=O)O)=CC=CC2=C1 PSZYNBSKGUBXEH-UHFFFAOYSA-N 0.000 description 2
- 150000002790 naphthalenes Chemical class 0.000 description 2
- FBUKVWPVBMHYJY-UHFFFAOYSA-N nonanoic acid Chemical compound CCCCCCCCC(O)=O FBUKVWPVBMHYJY-UHFFFAOYSA-N 0.000 description 2
- 125000003145 oxazol-4-yl group Chemical group O1C=NC(=C1)* 0.000 description 2
- 125000004304 oxazol-5-yl group Chemical group O1C=NC=C1* 0.000 description 2
- IZUPBVBPLAPZRR-UHFFFAOYSA-N pentachloro-phenol Natural products OC1=C(Cl)C(Cl)=C(Cl)C(Cl)=C1Cl IZUPBVBPLAPZRR-UHFFFAOYSA-N 0.000 description 2
- 239000000575 pesticide Substances 0.000 description 2
- 150000002989 phenols Chemical class 0.000 description 2
- WLJVXDMOQOGPHL-UHFFFAOYSA-N phenylacetic acid Chemical compound OC(=O)CC1=CC=CC=C1 WLJVXDMOQOGPHL-UHFFFAOYSA-N 0.000 description 2
- SIOXPEMLGUPBBT-UHFFFAOYSA-N picolinic acid Chemical class OC(=O)C1=CC=CC=N1 SIOXPEMLGUPBBT-UHFFFAOYSA-N 0.000 description 2
- 229940099800 pigment red 48 Drugs 0.000 description 2
- 229920003023 plastic Polymers 0.000 description 2
- 229920000151 polyglycol Polymers 0.000 description 2
- 239000010695 polyglycol Substances 0.000 description 2
- 229920001282 polysaccharide Polymers 0.000 description 2
- 239000005017 polysaccharide Substances 0.000 description 2
- 125000004353 pyrazol-1-yl group Chemical group [H]C1=NN(*)C([H])=C1[H] 0.000 description 2
- 125000002206 pyridazin-3-yl group Chemical group [H]C1=C([H])C([H])=C(*)N=N1 0.000 description 2
- GNHDVXLWBQYPJE-UHFFFAOYSA-N saflufenacil Chemical compound C1=C(Cl)C(C(=O)NS(=O)(=O)N(C)C(C)C)=CC(N2C(N(C)C(=CC2=O)C(F)(F)F)=O)=C1F GNHDVXLWBQYPJE-UHFFFAOYSA-N 0.000 description 2
- 239000000741 silica gel Substances 0.000 description 2
- 229910002027 silica gel Inorganic materials 0.000 description 2
- 239000011734 sodium Substances 0.000 description 2
- 229910052708 sodium Inorganic materials 0.000 description 2
- 239000007921 spray Substances 0.000 description 2
- 238000005507 spraying Methods 0.000 description 2
- 238000003756 stirring Methods 0.000 description 2
- 238000005728 strengthening Methods 0.000 description 2
- 239000000126 substance Substances 0.000 description 2
- GFYHSKONPJXCDE-UHFFFAOYSA-N sym-collidine Natural products CC1=CN=C(C)C(C)=C1 GFYHSKONPJXCDE-UHFFFAOYSA-N 0.000 description 2
- 239000002562 thickening agent Substances 0.000 description 2
- 150000003918 triazines Chemical class 0.000 description 2
- 150000003672 ureas Chemical class 0.000 description 2
- 235000013311 vegetables Nutrition 0.000 description 2
- 244000052613 viral pathogen Species 0.000 description 2
- 239000004562 water dispersible granule Substances 0.000 description 2
- VIXCLRUCUMWJFF-KGLIPLIRSA-N (1R,5S)-benzobicyclon Chemical compound CS(=O)(=O)c1ccc(C(=O)C2=C(Sc3ccccc3)[C@H]3CC[C@H](C3)C2=O)c(Cl)c1 VIXCLRUCUMWJFF-KGLIPLIRSA-N 0.000 description 1
- GXEKYRXVRROBEV-FBXFSONDSA-N (1r,2s,3r,4s)-7-oxabicyclo[2.2.1]heptane-2,3-dicarboxylic acid Chemical compound C1C[C@@H]2[C@@H](C(O)=O)[C@@H](C(=O)O)[C@H]1O2 GXEKYRXVRROBEV-FBXFSONDSA-N 0.000 description 1
- LTUCSFLPOBNIHD-UHFFFAOYSA-N (2-chloropyridin-3-yl)methanamine Chemical compound NCC1=CC=CN=C1Cl LTUCSFLPOBNIHD-UHFFFAOYSA-N 0.000 description 1
- IPPAUTOBDWNELX-UHFFFAOYSA-N (2-ethoxy-2-oxoethyl) 5-[2-chloro-4-(trifluoromethyl)phenoxy]-2-nitrobenzoate Chemical group C1=C([N+]([O-])=O)C(C(=O)OCC(=O)OCC)=CC(OC=2C(=CC(=CC=2)C(F)(F)F)Cl)=C1 IPPAUTOBDWNELX-UHFFFAOYSA-N 0.000 description 1
- PLJGSWAPCHRWMD-CUZNLEPHSA-N (2S)-2-[[(2S)-2-[[(2S)-1-[(2S)-2-[[(2S)-2-[[2-[[(2S)-1-[(2S)-1-[(2S)-2-[[(2S)-6-amino-2-[[(2S)-2,6-diaminohexanoyl]amino]hexanoyl]amino]-5-(diaminomethylideneamino)pentanoyl]pyrrolidine-2-carbonyl]pyrrolidine-2-carbonyl]amino]acetyl]amino]-3-phenylpropanoyl]amino]-3-hydroxypropanoyl]pyrrolidine-2-carbonyl]amino]-3-phenylpropanoyl]amino]-5-(diaminomethylideneamino)pentanoic acid Chemical compound NCCCC[C@H](N)C(=O)N[C@@H](CCCCN)C(=O)N[C@@H](CCCN=C(N)N)C(=O)N1CCC[C@H]1C(=O)N1CCC[C@H]1C(=O)NCC(=O)N[C@@H](Cc1ccccc1)C(=O)N[C@@H](CO)C(=O)N1CCC[C@H]1C(=O)N[C@@H](Cc1ccccc1)C(=O)N[C@@H](CCCN=C(N)N)C(O)=O PLJGSWAPCHRWMD-CUZNLEPHSA-N 0.000 description 1
- ROBSGBGTWRRYSK-SNVBAGLBSA-N (2r)-2-[4-(4-cyano-2-fluorophenoxy)phenoxy]propanoic acid Chemical compound C1=CC(O[C@H](C)C(O)=O)=CC=C1OC1=CC=C(C#N)C=C1F ROBSGBGTWRRYSK-SNVBAGLBSA-N 0.000 description 1
- MPPOHAUSNPTFAJ-SECBINFHSA-N (2r)-2-[4-[(6-chloro-1,3-benzoxazol-2-yl)oxy]phenoxy]propanoic acid Chemical compound C1=CC(O[C@H](C)C(O)=O)=CC=C1OC1=NC2=CC=C(Cl)C=C2O1 MPPOHAUSNPTFAJ-SECBINFHSA-N 0.000 description 1
- WMMQJAQJAPXWDO-UHFFFAOYSA-N (4-chlorophenyl) n-methylcarbamate Chemical compound CNC(=O)OC1=CC=C(Cl)C=C1 WMMQJAQJAPXWDO-UHFFFAOYSA-N 0.000 description 1
- 125000006570 (C5-C6) heteroaryl group Chemical group 0.000 description 1
- WRIDQFICGBMAFQ-UHFFFAOYSA-N (E)-8-Octadecenoic acid Natural products CCCCCCCCCC=CCCCCCCC(O)=O WRIDQFICGBMAFQ-UHFFFAOYSA-N 0.000 description 1
- MZHCENGPTKEIGP-RXMQYKEDSA-N (R)-dichlorprop Chemical compound OC(=O)[C@@H](C)OC1=CC=C(Cl)C=C1Cl MZHCENGPTKEIGP-RXMQYKEDSA-N 0.000 description 1
- WNTGYJSOUMFZEP-SSDOTTSWSA-N (R)-mecoprop Chemical compound OC(=O)[C@@H](C)OC1=CC=C(Cl)C=C1C WNTGYJSOUMFZEP-SSDOTTSWSA-N 0.000 description 1
- ADDQHLREJDZPMT-AWEZNQCLSA-N (S)-metamifop Chemical compound O=C([C@@H](OC=1C=CC(OC=2OC3=CC(Cl)=CC=C3N=2)=CC=1)C)N(C)C1=CC=CC=C1F ADDQHLREJDZPMT-AWEZNQCLSA-N 0.000 description 1
- OVXMBIVWNJDDSM-UHFFFAOYSA-N (benzhydrylideneamino) 2,6-bis[(4,6-dimethoxypyrimidin-2-yl)oxy]benzoate Chemical compound COC1=CC(OC)=NC(OC=2C(=C(OC=3N=C(OC)C=C(OC)N=3)C=CC=2)C(=O)ON=C(C=2C=CC=CC=2)C=2C=CC=CC=2)=N1 OVXMBIVWNJDDSM-UHFFFAOYSA-N 0.000 description 1
- PYKLUAIDKVVEOS-RAXLEYEMSA-N (e)-n-(cyanomethoxy)benzenecarboximidoyl cyanide Chemical compound N#CCO\N=C(\C#N)C1=CC=CC=C1 PYKLUAIDKVVEOS-RAXLEYEMSA-N 0.000 description 1
- 125000006079 1,1,2-trimethyl-2-propenyl group Chemical group 0.000 description 1
- 125000006059 1,1-dimethyl-2-butenyl group Chemical group 0.000 description 1
- 125000006033 1,1-dimethyl-2-propenyl group Chemical group 0.000 description 1
- 125000006060 1,1-dimethyl-3-butenyl group Chemical group 0.000 description 1
- 125000005919 1,2,2-trimethylpropyl group Chemical group 0.000 description 1
- YGTAZGSLCXNBQL-UHFFFAOYSA-N 1,2,4-thiadiazole Chemical class C=1N=CSN=1 YGTAZGSLCXNBQL-UHFFFAOYSA-N 0.000 description 1
- KANAPVJGZDNSCZ-UHFFFAOYSA-N 1,2-benzothiazole 1-oxide Chemical class C1=CC=C2S(=O)N=CC2=C1 KANAPVJGZDNSCZ-UHFFFAOYSA-N 0.000 description 1
- 125000006061 1,2-dimethyl-1-butenyl group Chemical group 0.000 description 1
- 125000006034 1,2-dimethyl-1-propenyl group Chemical group 0.000 description 1
- 125000006062 1,2-dimethyl-2-butenyl group Chemical group 0.000 description 1
- 125000006035 1,2-dimethyl-2-propenyl group Chemical group 0.000 description 1
- XQEMNBNCQVQXMO-UHFFFAOYSA-M 1,2-dimethyl-3,5-diphenylpyrazol-1-ium;methyl sulfate Chemical compound COS([O-])(=O)=O.C[N+]=1N(C)C(C=2C=CC=CC=2)=CC=1C1=CC=CC=C1 XQEMNBNCQVQXMO-UHFFFAOYSA-M 0.000 description 1
- 125000006063 1,2-dimethyl-3-butenyl group Chemical group 0.000 description 1
- 125000005918 1,2-dimethylbutyl group Chemical group 0.000 description 1
- 150000004869 1,3,4-thiadiazoles Chemical class 0.000 description 1
- BDNKZNFMNDZQMI-UHFFFAOYSA-N 1,3-diisopropylcarbodiimide Chemical compound CC(C)N=C=NC(C)C BDNKZNFMNDZQMI-UHFFFAOYSA-N 0.000 description 1
- 125000006064 1,3-dimethyl-1-butenyl group Chemical group 0.000 description 1
- 125000006065 1,3-dimethyl-2-butenyl group Chemical group 0.000 description 1
- 125000006066 1,3-dimethyl-3-butenyl group Chemical group 0.000 description 1
- KYELMCNJUSZMMA-UHFFFAOYSA-N 1-[2-(5-methyl-2-propan-2-ylphenoxy)ethyl]piperazine Chemical compound CC(C)C1=CC=C(C)C=C1OCCN1CCNCC1 KYELMCNJUSZMMA-UHFFFAOYSA-N 0.000 description 1
- LVYDDRHDOKXFMW-UHFFFAOYSA-N 1-benzylindole-3-carboxylic acid Chemical compound C12=CC=CC=C2C(C(=O)O)=CN1CC1=CC=CC=C1 LVYDDRHDOKXFMW-UHFFFAOYSA-N 0.000 description 1
- 125000004973 1-butenyl group Chemical group C(=CCC)* 0.000 description 1
- 125000004972 1-butynyl group Chemical group [H]C([H])([H])C([H])([H])C#C* 0.000 description 1
- FKKAGFLIPSSCHT-UHFFFAOYSA-N 1-dodecoxydodecane;sulfuric acid Chemical class OS(O)(=O)=O.CCCCCCCCCCCCOCCCCCCCCCCCC FKKAGFLIPSSCHT-UHFFFAOYSA-N 0.000 description 1
- 125000006073 1-ethyl-1-butenyl group Chemical group 0.000 description 1
- 125000006080 1-ethyl-1-methyl-2-propenyl group Chemical group 0.000 description 1
- 125000006036 1-ethyl-1-propenyl group Chemical group 0.000 description 1
- 125000006074 1-ethyl-2-butenyl group Chemical group 0.000 description 1
- 125000006081 1-ethyl-2-methyl-1-propenyl group Chemical group 0.000 description 1
- 125000006082 1-ethyl-2-methyl-2-propenyl group Chemical group 0.000 description 1
- 125000006037 1-ethyl-2-propenyl group Chemical group 0.000 description 1
- 125000006075 1-ethyl-3-butenyl group Chemical group 0.000 description 1
- 125000006218 1-ethylbutyl group Chemical group [H]C([H])([H])C([H])([H])C([H])([H])C([H])(*)C([H])([H])C([H])([H])[H] 0.000 description 1
- HNEGJTWNOOWEMH-UHFFFAOYSA-N 1-fluoropropane Chemical group [CH2]CCF HNEGJTWNOOWEMH-UHFFFAOYSA-N 0.000 description 1
- 125000006039 1-hexenyl group Chemical group 0.000 description 1
- BXKKQFGRMSOANI-UHFFFAOYSA-N 1-methoxy-3-[4-[(2-methoxy-2,4,4-trimethyl-3h-chromen-7-yl)oxy]phenyl]-1-methylurea Chemical compound C1=CC(NC(=O)N(C)OC)=CC=C1OC1=CC=C2C(C)(C)CC(C)(OC)OC2=C1 BXKKQFGRMSOANI-UHFFFAOYSA-N 0.000 description 1
- 125000006025 1-methyl-1-butenyl group Chemical group 0.000 description 1
- 125000006044 1-methyl-1-pentenyl group Chemical group 0.000 description 1
- 125000006019 1-methyl-1-propenyl group Chemical group 0.000 description 1
- 125000006028 1-methyl-2-butenyl group Chemical group 0.000 description 1
- 125000006048 1-methyl-2-pentenyl group Chemical group 0.000 description 1
- 125000006021 1-methyl-2-propenyl group Chemical group 0.000 description 1
- 125000006030 1-methyl-3-butenyl group Chemical group 0.000 description 1
- 125000006052 1-methyl-3-pentenyl group Chemical group 0.000 description 1
- WXJYKXOIFICRPR-UHFFFAOYSA-L 1-methyl-4-(1-methylpyridin-1-ium-4-yl)pyridin-1-ium;methyl sulfate Chemical compound COS([O-])(=O)=O.COS([O-])(=O)=O.C1=C[N+](C)=CC=C1C1=CC=[N+](C)C=C1 WXJYKXOIFICRPR-UHFFFAOYSA-L 0.000 description 1
- 125000006055 1-methyl-4-pentenyl group Chemical group 0.000 description 1
- 125000006018 1-methyl-ethenyl group Chemical group 0.000 description 1
- 125000006023 1-pentenyl group Chemical group 0.000 description 1
- 125000006017 1-propenyl group Chemical group 0.000 description 1
- 125000000530 1-propynyl group Chemical group [H]C([H])([H])C#C* 0.000 description 1
- XUJLWPFSUCHPQL-UHFFFAOYSA-N 11-methyldodecan-1-ol Chemical compound CC(C)CCCCCCCCCCO XUJLWPFSUCHPQL-UHFFFAOYSA-N 0.000 description 1
- 125000000453 2,2,2-trichloroethyl group Chemical group [H]C([H])(*)C(Cl)(Cl)Cl 0.000 description 1
- MCNOFYBITGAAGM-UHFFFAOYSA-N 2,2-dichloro-1-[5-(furan-2-yl)-2,2-dimethyl-1,3-oxazolidin-3-yl]ethanone Chemical compound C1N(C(=O)C(Cl)Cl)C(C)(C)OC1C1=CC=CO1 MCNOFYBITGAAGM-UHFFFAOYSA-N 0.000 description 1
- 125000004781 2,2-dichloro-2-fluoroethyl group Chemical group [H]C([H])(*)C(F)(Cl)Cl 0.000 description 1
- 125000004778 2,2-difluoroethyl group Chemical group [H]C([H])(*)C([H])(F)F 0.000 description 1
- 125000006067 2,2-dimethyl-3-butenyl group Chemical group 0.000 description 1
- KNGWEAQJZJKFLI-UHFFFAOYSA-N 2,2-dimethyl-4h-1,3-benzodioxine-6-carbaldehyde Chemical compound O=CC1=CC=C2OC(C)(C)OCC2=C1 KNGWEAQJZJKFLI-UHFFFAOYSA-N 0.000 description 1
- LWEAHXKXKDCSIE-UHFFFAOYSA-M 2,3-di(propan-2-yl)naphthalene-1-sulfonate Chemical compound C1=CC=C2C(S([O-])(=O)=O)=C(C(C)C)C(C(C)C)=CC2=C1 LWEAHXKXKDCSIE-UHFFFAOYSA-M 0.000 description 1
- 125000006068 2,3-dimethyl-1-butenyl group Chemical group 0.000 description 1
- 125000006069 2,3-dimethyl-2-butenyl group Chemical group 0.000 description 1
- 125000006070 2,3-dimethyl-3-butenyl group Chemical group 0.000 description 1
- CGNBQYFXGQHUQP-UHFFFAOYSA-N 2,3-dinitroaniline Chemical class NC1=CC=CC([N+]([O-])=O)=C1[N+]([O-])=O CGNBQYFXGQHUQP-UHFFFAOYSA-N 0.000 description 1
- MHKBMNACOMRIAW-UHFFFAOYSA-N 2,3-dinitrophenol Chemical class OC1=CC=CC([N+]([O-])=O)=C1[N+]([O-])=O MHKBMNACOMRIAW-UHFFFAOYSA-N 0.000 description 1
- OVSKIKFHRZPJSS-UHFFFAOYSA-N 2,4-D Chemical compound OC(=O)COC1=CC=C(Cl)C=C1Cl OVSKIKFHRZPJSS-UHFFFAOYSA-N 0.000 description 1
- 239000002794 2,4-DB Substances 0.000 description 1
- YIVXMZJTEQBPQO-UHFFFAOYSA-N 2,4-DB Chemical compound OC(=O)CCCOC1=CC=C(Cl)C=C1Cl YIVXMZJTEQBPQO-UHFFFAOYSA-N 0.000 description 1
- YOYAIZYFCNQIRF-UHFFFAOYSA-N 2,6-dichlorobenzonitrile Chemical compound ClC1=CC=CC(Cl)=C1C#N YOYAIZYFCNQIRF-UHFFFAOYSA-N 0.000 description 1
- KGKGSIUWJCAFPX-UHFFFAOYSA-N 2,6-dichlorothiobenzamide Chemical compound NC(=S)C1=C(Cl)C=CC=C1Cl KGKGSIUWJCAFPX-UHFFFAOYSA-N 0.000 description 1
- HHVVFSZNIUHMEJ-UHFFFAOYSA-N 2-(1-benzoyl-5-methoxy-2-methylindol-3-yl)acetic acid Chemical compound CC1=C(CC(O)=O)C2=CC(OC)=CC=C2N1C(=O)C1=CC=CC=C1 HHVVFSZNIUHMEJ-UHFFFAOYSA-N 0.000 description 1
- BDQWWOHKFDSADC-UHFFFAOYSA-N 2-(2,4-dichloro-3-methylphenoxy)-n-phenylpropanamide Chemical compound C=1C=CC=CC=1NC(=O)C(C)OC1=CC=C(Cl)C(C)=C1Cl BDQWWOHKFDSADC-UHFFFAOYSA-N 0.000 description 1
- GIAFURWZWWWBQT-UHFFFAOYSA-N 2-(2-aminoethoxy)ethanol Chemical compound NCCOCCO GIAFURWZWWWBQT-UHFFFAOYSA-N 0.000 description 1
- PAWQVTBBRAZDMG-UHFFFAOYSA-N 2-(3-bromo-2-fluorophenyl)acetic acid Chemical compound OC(=O)CC1=CC=CC(Br)=C1F PAWQVTBBRAZDMG-UHFFFAOYSA-N 0.000 description 1
- GOCUAJYOYBLQRH-UHFFFAOYSA-N 2-(4-{[3-chloro-5-(trifluoromethyl)pyridin-2-yl]oxy}phenoxy)propanoic acid Chemical compound C1=CC(OC(C)C(O)=O)=CC=C1OC1=NC=C(C(F)(F)F)C=C1Cl GOCUAJYOYBLQRH-UHFFFAOYSA-N 0.000 description 1
- YUVKUEAFAVKILW-UHFFFAOYSA-N 2-(4-{[5-(trifluoromethyl)pyridin-2-yl]oxy}phenoxy)propanoic acid Chemical compound C1=CC(OC(C)C(O)=O)=CC=C1OC1=CC=C(C(F)(F)F)C=N1 YUVKUEAFAVKILW-UHFFFAOYSA-N 0.000 description 1
- OWZPCEFYPSAJFR-UHFFFAOYSA-N 2-(butan-2-yl)-4,6-dinitrophenol Chemical compound CCC(C)C1=CC([N+]([O-])=O)=CC([N+]([O-])=O)=C1O OWZPCEFYPSAJFR-UHFFFAOYSA-N 0.000 description 1
- HCNBYBFTNHEQQJ-UHFFFAOYSA-N 2-[(4,6-dimethoxypyrimidin-2-yl)carbamoylsulfamoyl]-6-(trifluoromethyl)pyridine-3-carboxylic acid Chemical compound COC1=CC(OC)=NC(NC(=O)NS(=O)(=O)C=2C(=CC=C(N=2)C(F)(F)F)C(O)=O)=N1 HCNBYBFTNHEQQJ-UHFFFAOYSA-N 0.000 description 1
- UWHURBUBIHUHSU-UHFFFAOYSA-N 2-[(4-methoxy-6-methyl-1,3,5-triazin-2-yl)carbamoylsulfamoyl]benzoic acid Chemical compound COC1=NC(C)=NC(NC(=O)NS(=O)(=O)C=2C(=CC=CC=2)C(O)=O)=N1 UWHURBUBIHUHSU-UHFFFAOYSA-N 0.000 description 1
- GQQIAHNFBAFBCS-UHFFFAOYSA-N 2-[2-chloro-5-(1,3-dioxo-4,5,6,7-tetrahydroisoindol-2-yl)-4-fluorophenoxy]acetic acid Chemical compound C1=C(Cl)C(OCC(=O)O)=CC(N2C(C3=C(CCCC3)C2=O)=O)=C1F GQQIAHNFBAFBCS-UHFFFAOYSA-N 0.000 description 1
- AKUDZIUZBOHUFI-UHFFFAOYSA-N 2-[3-(trifluoromethoxy)phenyl]acetyl chloride Chemical compound FC(F)(F)OC1=CC=CC(CC(Cl)=O)=C1 AKUDZIUZBOHUFI-UHFFFAOYSA-N 0.000 description 1
- OOLBCHYXZDXLDS-UHFFFAOYSA-N 2-[4-(2,4-dichlorophenoxy)phenoxy]propanoic acid Chemical compound C1=CC(OC(C)C(O)=O)=CC=C1OC1=CC=C(Cl)C=C1Cl OOLBCHYXZDXLDS-UHFFFAOYSA-N 0.000 description 1
- MPPOHAUSNPTFAJ-UHFFFAOYSA-N 2-[4-[(6-chloro-1,3-benzoxazol-2-yl)oxy]phenoxy]propanoic acid Chemical compound C1=CC(OC(C)C(O)=O)=CC=C1OC1=NC2=CC=C(Cl)C=C2O1 MPPOHAUSNPTFAJ-UHFFFAOYSA-N 0.000 description 1
- IQWMUTFHGXREBR-UHFFFAOYSA-N 2-[5-(5-tert-butyl-2-oxo-1,3,4-oxadiazol-3-yl)-2,4-dichlorophenoxy]acetonitrile Chemical group O=C1OC(C(C)(C)C)=NN1C1=CC(OCC#N)=C(Cl)C=C1Cl IQWMUTFHGXREBR-UHFFFAOYSA-N 0.000 description 1
- KLGTXQOZQXTQPQ-UHFFFAOYSA-N 2-benzyl-1,2-oxazolidin-3-one Chemical class O=C1CCON1CC1=CC=CC=C1 KLGTXQOZQXTQPQ-UHFFFAOYSA-N 0.000 description 1
- 125000005999 2-bromoethyl group Chemical group 0.000 description 1
- 125000004974 2-butenyl group Chemical group C(C=CC)* 0.000 description 1
- 125000000069 2-butynyl group Chemical group [H]C([H])([H])C#CC([H])([H])* 0.000 description 1
- 125000004780 2-chloro-2,2-difluoroethyl group Chemical group [H]C([H])(*)C(F)(F)Cl 0.000 description 1
- 125000004779 2-chloro-2-fluoroethyl group Chemical group [H]C([H])(*)C([H])(F)Cl 0.000 description 1
- YHKBGVDUSSWOAB-UHFFFAOYSA-N 2-chloro-3-{2-chloro-5-[4-(difluoromethyl)-3-methyl-5-oxo-4,5-dihydro-1H-1,2,4-triazol-1-yl]-4-fluorophenyl}propanoic acid Chemical compound O=C1N(C(F)F)C(C)=NN1C1=CC(CC(Cl)C(O)=O)=C(Cl)C=C1F YHKBGVDUSSWOAB-UHFFFAOYSA-N 0.000 description 1
- QEGVVEOAVNHRAA-UHFFFAOYSA-N 2-chloro-6-(4,6-dimethoxypyrimidin-2-yl)sulfanylbenzoic acid Chemical compound COC1=CC(OC)=NC(SC=2C(=C(Cl)C=CC=2)C(O)=O)=N1 QEGVVEOAVNHRAA-UHFFFAOYSA-N 0.000 description 1
- SVOAUHHKPGKPQK-UHFFFAOYSA-N 2-chloro-9-hydroxyfluorene-9-carboxylic acid Chemical compound C1=C(Cl)C=C2C(C(=O)O)(O)C3=CC=CC=C3C2=C1 SVOAUHHKPGKPQK-UHFFFAOYSA-N 0.000 description 1
- WVQBLGZPHOPPFO-UHFFFAOYSA-N 2-chloro-N-(2-ethyl-6-methylphenyl)-N-(1-methoxypropan-2-yl)acetamide Chemical compound CCC1=CC=CC(C)=C1N(C(C)COC)C(=O)CCl WVQBLGZPHOPPFO-UHFFFAOYSA-N 0.000 description 1
- KZNDFYDURHAESM-UHFFFAOYSA-N 2-chloro-n-(2-ethyl-6-methylphenyl)-n-(propan-2-yloxymethyl)acetamide Chemical compound CCC1=CC=CC(C)=C1N(COC(C)C)C(=O)CCl KZNDFYDURHAESM-UHFFFAOYSA-N 0.000 description 1
- VONWPEXRCLHKRJ-UHFFFAOYSA-N 2-chloro-n-phenylacetamide Chemical class ClCC(=O)NC1=CC=CC=C1 VONWPEXRCLHKRJ-UHFFFAOYSA-N 0.000 description 1
- 125000001340 2-chloroethyl group Chemical group [H]C([H])(Cl)C([H])([H])* 0.000 description 1
- KKZUMAMOMRDVKA-UHFFFAOYSA-N 2-chloropropane Chemical group [CH2]C(C)Cl KKZUMAMOMRDVKA-UHFFFAOYSA-N 0.000 description 1
- IRCMYGHHKLLGHV-UHFFFAOYSA-N 2-ethoxy-3,3-dimethyl-2,3-dihydro-1-benzofuran-5-yl methanesulfonate Chemical compound C1=C(OS(C)(=O)=O)C=C2C(C)(C)C(OCC)OC2=C1 IRCMYGHHKLLGHV-UHFFFAOYSA-N 0.000 description 1
- 125000006076 2-ethyl-1-butenyl group Chemical group 0.000 description 1
- 125000006077 2-ethyl-2-butenyl group Chemical group 0.000 description 1
- 125000006078 2-ethyl-3-butenyl group Chemical group 0.000 description 1
- 125000006176 2-ethylbutyl group Chemical group [H]C([H])([H])C([H])([H])C([H])(C([H])([H])*)C([H])([H])C([H])([H])[H] 0.000 description 1
- 125000004777 2-fluoroethyl group Chemical group [H]C([H])(F)C([H])([H])* 0.000 description 1
- 125000006040 2-hexenyl group Chemical group 0.000 description 1
- 125000004200 2-methoxyethyl group Chemical group [H]C([H])([H])OC([H])([H])C([H])([H])* 0.000 description 1
- 125000006026 2-methyl-1-butenyl group Chemical group 0.000 description 1
- 125000006045 2-methyl-1-pentenyl group Chemical group 0.000 description 1
- 125000006020 2-methyl-1-propenyl group Chemical group 0.000 description 1
- 125000006029 2-methyl-2-butenyl group Chemical group 0.000 description 1
- 125000006049 2-methyl-2-pentenyl group Chemical group 0.000 description 1
- 125000006022 2-methyl-2-propenyl group Chemical group 0.000 description 1
- 125000006031 2-methyl-3-butenyl group Chemical group 0.000 description 1
- 125000006053 2-methyl-3-pentenyl group Chemical group 0.000 description 1
- LLWADFLAOKUBDR-UHFFFAOYSA-N 2-methyl-4-chlorophenoxybutyric acid Chemical compound CC1=CC(Cl)=CC=C1OCCCC(O)=O LLWADFLAOKUBDR-UHFFFAOYSA-N 0.000 description 1
- 125000006056 2-methyl-4-pentenyl group Chemical group 0.000 description 1
- LJXPWUAAAAXJBX-UHFFFAOYSA-N 2-methylallyl radical Chemical compound [CH2]C(C)=C LJXPWUAAAAXJBX-UHFFFAOYSA-N 0.000 description 1
- 125000004493 2-methylbut-1-yl group Chemical group CC(C*)CC 0.000 description 1
- 125000005916 2-methylpentyl group Chemical group 0.000 description 1
- 125000006024 2-pentenyl group Chemical group 0.000 description 1
- JFJWVJAVVIQZRT-UHFFFAOYSA-N 2-phenyl-1,3-dihydropyrazole Chemical class C1C=CNN1C1=CC=CC=C1 JFJWVJAVVIQZRT-UHFFFAOYSA-N 0.000 description 1
- QBGQIMOGHUXVKB-UHFFFAOYSA-N 2-phenyl-4,5,6,7-tetrahydroisoindole-1,3-dione Chemical class O=C1C(CCCC2)=C2C(=O)N1C1=CC=CC=C1 QBGQIMOGHUXVKB-UHFFFAOYSA-N 0.000 description 1
- 125000003903 2-propenyl group Chemical group [H]C([*])([H])C([H])=C([H])[H] 0.000 description 1
- 125000001494 2-propynyl group Chemical group [H]C#CC([H])([H])* 0.000 description 1
- PNKYIZBUGAZUHQ-UHFFFAOYSA-N 2-quinolin-8-yloxyacetic acid Chemical class C1=CN=C2C(OCC(=O)O)=CC=CC2=C1 PNKYIZBUGAZUHQ-UHFFFAOYSA-N 0.000 description 1
- ABOOPXYCKNFDNJ-UHFFFAOYSA-N 2-{4-[(6-chloroquinoxalin-2-yl)oxy]phenoxy}propanoic acid Chemical compound C1=CC(OC(C)C(O)=O)=CC=C1OC1=CN=C(C=C(Cl)C=C2)C2=N1 ABOOPXYCKNFDNJ-UHFFFAOYSA-N 0.000 description 1
- LQJBNNIYVWPHFW-UHFFFAOYSA-N 20:1omega9c fatty acid Natural products CCCCCCCCCCC=CCCCCCCCC(O)=O LQJBNNIYVWPHFW-UHFFFAOYSA-N 0.000 description 1
- REEXLQXWNOSJKO-UHFFFAOYSA-N 2h-1$l^{4},2,3-benzothiadiazine 1-oxide Chemical class C1=CC=C2S(=O)NN=CC2=C1 REEXLQXWNOSJKO-UHFFFAOYSA-N 0.000 description 1
- JSIAIROWMJGMQZ-UHFFFAOYSA-N 2h-triazol-4-amine Chemical class NC1=CNN=N1 JSIAIROWMJGMQZ-UHFFFAOYSA-N 0.000 description 1
- ACNUVXZPCIABEX-UHFFFAOYSA-N 3',6'-diaminospiro[2-benzofuran-3,9'-xanthene]-1-one Chemical compound O1C(=O)C2=CC=CC=C2C21C1=CC=C(N)C=C1OC1=CC(N)=CC=C21 ACNUVXZPCIABEX-UHFFFAOYSA-N 0.000 description 1
- 125000006071 3,3-dimethyl-1-butenyl group Chemical group 0.000 description 1
- 125000006072 3,3-dimethyl-2-butenyl group Chemical group 0.000 description 1
- UPMXNNIRAGDFEH-UHFFFAOYSA-N 3,5-dibromo-4-hydroxybenzonitrile Chemical compound OC1=C(Br)C=C(C#N)C=C1Br UPMXNNIRAGDFEH-UHFFFAOYSA-N 0.000 description 1
- OESIYRDPAOFILI-UHFFFAOYSA-N 3-[2,6-dichloro-4-(trifluoromethyl)phenoxy]-5-methyl-n-(oxolan-2-ylmethyl)pyrazole-1-carboxamide Chemical compound N=1N(C(=O)NCC2OCCC2)C(C)=CC=1OC1=C(Cl)C=C(C(F)(F)F)C=C1Cl OESIYRDPAOFILI-UHFFFAOYSA-N 0.000 description 1
- AKEFYEVMGYAWMB-UHFFFAOYSA-N 3-[2-chloro-6-fluoro-4-(trifluoromethyl)phenoxy]-5-methyl-n-(oxolan-2-ylmethyl)pyrazole-1-carboxamide Chemical compound N=1N(C(=O)NCC2OCCC2)C(C)=CC=1OC1=C(F)C=C(C(F)(F)F)C=C1Cl AKEFYEVMGYAWMB-UHFFFAOYSA-N 0.000 description 1
- SKJURLIGYZALIU-UHFFFAOYSA-N 3-[2-chloro-6-fluoro-4-(trifluoromethyl)phenoxy]-n-ethyl-5-methylpyrazole-1-carboxamide Chemical compound C1=C(C)N(C(=O)NCC)N=C1OC1=C(F)C=C(C(F)(F)F)C=C1Cl SKJURLIGYZALIU-UHFFFAOYSA-N 0.000 description 1
- 125000004975 3-butenyl group Chemical group C(CC=C)* 0.000 description 1
- 125000000474 3-butynyl group Chemical group [H]C#CC([H])([H])C([H])([H])* 0.000 description 1
- 125000006041 3-hexenyl group Chemical group 0.000 description 1
- 125000006027 3-methyl-1-butenyl group Chemical group 0.000 description 1
- 125000006046 3-methyl-1-pentenyl group Chemical group 0.000 description 1
- 125000006050 3-methyl-2-pentenyl group Chemical group 0.000 description 1
- 125000006032 3-methyl-3-butenyl group Chemical group 0.000 description 1
- 125000006054 3-methyl-3-pentenyl group Chemical group 0.000 description 1
- 125000006057 3-methyl-4-pentenyl group Chemical group 0.000 description 1
- 125000003542 3-methylbutan-2-yl group Chemical group [H]C([H])([H])C([H])(*)C([H])(C([H])([H])[H])C([H])([H])[H] 0.000 description 1
- 125000005917 3-methylpentyl group Chemical group 0.000 description 1
- ZXVONLUNISGICL-UHFFFAOYSA-N 4,6-dinitro-o-cresol Chemical compound CC1=CC([N+]([O-])=O)=CC([N+]([O-])=O)=C1O ZXVONLUNISGICL-UHFFFAOYSA-N 0.000 description 1
- SLYAVQCIBHSIQW-UHFFFAOYSA-N 4-amino-3,6-dichloropyridine-2-carboxylic acid;1-[bis(2-hydroxypropyl)amino]propan-2-ol Chemical compound NC1=CC(Cl)=NC(C(O)=O)=C1Cl.CC(O)CN(CC(C)O)CC(C)O SLYAVQCIBHSIQW-UHFFFAOYSA-N 0.000 description 1
- 125000006042 4-hexenyl group Chemical group 0.000 description 1
- MBFHUWCOCCICOK-UHFFFAOYSA-N 4-iodo-2-[(4-methoxy-6-methyl-1,3,5-triazin-2-yl)carbamoylsulfamoyl]benzoic acid Chemical compound COC1=NC(C)=NC(NC(=O)NS(=O)(=O)C=2C(=CC=C(I)C=2)C(O)=O)=N1 MBFHUWCOCCICOK-UHFFFAOYSA-N 0.000 description 1
- 125000006047 4-methyl-1-pentenyl group Chemical group 0.000 description 1
- 125000006051 4-methyl-2-pentenyl group Chemical group 0.000 description 1
- 125000003119 4-methyl-3-pentenyl group Chemical group [H]\C(=C(/C([H])([H])[H])C([H])([H])[H])C([H])([H])C([H])([H])* 0.000 description 1
- 125000006058 4-methyl-4-pentenyl group Chemical group 0.000 description 1
- UPVBDBGGMYYXBK-UHFFFAOYSA-N 4-methyl-5-[2-(4-phenylpiperazin-1-yl)ethoxy]-1,3-thiazole;trihydrochloride Chemical compound Cl.Cl.Cl.N1=CSC(OCCN2CCN(CC2)C=2C=CC=CC=2)=C1C UPVBDBGGMYYXBK-UHFFFAOYSA-N 0.000 description 1
- OHNYZXJXEITQBS-UHFFFAOYSA-N 4-methyl-5-[2-[4-[3-(trifluoromethyl)phenyl]piperazin-1-yl]ethoxy]-1,3-thiazole;dihydrochloride Chemical compound Cl.Cl.N1=CSC(OCCN2CCN(CC2)C=2C=C(C=CC=2)C(F)(F)F)=C1C OHNYZXJXEITQBS-UHFFFAOYSA-N 0.000 description 1
- HHWWADRFXUFZDH-UHFFFAOYSA-N 5,6-dichloro-2-cyclopropylpyrimidine-4-carboxylic acid Chemical compound ClC1=C(Cl)C(C(=O)O)=NC(C2CC2)=N1 HHWWADRFXUFZDH-UHFFFAOYSA-N 0.000 description 1
- NYRMIJKDBAQCHC-UHFFFAOYSA-N 5-(methylamino)-2-phenyl-4-[3-(trifluoromethyl)phenyl]furan-3(2H)-one Chemical compound O1C(NC)=C(C=2C=C(C=CC=2)C(F)(F)F)C(=O)C1C1=CC=CC=C1 NYRMIJKDBAQCHC-UHFFFAOYSA-N 0.000 description 1
- UYHOHZXLKWBUTR-UHFFFAOYSA-N 5-[2-[4-(2-methoxyphenyl)piperazin-1-yl]ethoxy]-4-methyl-1,3-thiazole;trihydrochloride Chemical compound Cl.Cl.Cl.COC1=CC=CC=C1N1CCN(CCOC2=C(N=CS2)C)CC1 UYHOHZXLKWBUTR-UHFFFAOYSA-N 0.000 description 1
- QQOGZMUZAZWLJH-UHFFFAOYSA-N 5-[2-chloro-6-fluoro-4-(trifluoromethyl)phenoxy]-n-ethylsulfonyl-2-nitrobenzamide Chemical compound C1=C([N+]([O-])=O)C(C(=O)NS(=O)(=O)CC)=CC(OC=2C(=CC(=CC=2F)C(F)(F)F)Cl)=C1 QQOGZMUZAZWLJH-UHFFFAOYSA-N 0.000 description 1
- CTSLUCNDVMMDHG-UHFFFAOYSA-N 5-bromo-3-(butan-2-yl)-6-methylpyrimidine-2,4(1H,3H)-dione Chemical compound CCC(C)N1C(=O)NC(C)=C(Br)C1=O CTSLUCNDVMMDHG-UHFFFAOYSA-N 0.000 description 1
- 125000006043 5-hexenyl group Chemical group 0.000 description 1
- HZKBYBNLTLVSPX-UHFFFAOYSA-N 6-[(6,6-dimethyl-5,7-dihydropyrrolo[2,1-c][1,2,4]thiadiazol-3-ylidene)amino]-7-fluoro-4-prop-2-ynyl-1,4-benzoxazin-3-one Chemical compound C#CCN1C(=O)COC(C=C2F)=C1C=C2N=C1SN=C2CC(C)(C)CN21 HZKBYBNLTLVSPX-UHFFFAOYSA-N 0.000 description 1
- ZUSHSDOEVHPTCU-UHFFFAOYSA-N 6-chloro-3-phenyl-1h-pyridazin-4-one Chemical compound N1C(Cl)=CC(=O)C(C=2C=CC=CC=2)=N1 ZUSHSDOEVHPTCU-UHFFFAOYSA-N 0.000 description 1
- QKMATZIOKUNXOE-UHFFFAOYSA-N 6-hydroxy-7-phenylmethoxychromen-2-one Chemical compound OC1=CC=2C=CC(=O)OC=2C=C1OCC1=CC=CC=C1 QKMATZIOKUNXOE-UHFFFAOYSA-N 0.000 description 1
- ZCYVEMRRCGMTRW-UHFFFAOYSA-N 7553-56-2 Chemical compound [I] ZCYVEMRRCGMTRW-UHFFFAOYSA-N 0.000 description 1
- QSBYPNXLFMSGKH-UHFFFAOYSA-N 9-Heptadecensaeure Natural products CCCCCCCC=CCCCCCCCC(O)=O QSBYPNXLFMSGKH-UHFFFAOYSA-N 0.000 description 1
- 108010066676 Abrin Proteins 0.000 description 1
- 239000002890 Aclonifen Substances 0.000 description 1
- XKJMBINCVNINCA-UHFFFAOYSA-N Alfalone Chemical compound CON(C)C(=O)NC1=CC=C(Cl)C(Cl)=C1 XKJMBINCVNINCA-UHFFFAOYSA-N 0.000 description 1
- 235000005255 Allium cepa Nutrition 0.000 description 1
- 244000291564 Allium cepa Species 0.000 description 1
- 235000013479 Amaranthus retroflexus Nutrition 0.000 description 1
- 235000004135 Amaranthus viridis Nutrition 0.000 description 1
- 239000003666 Amidosulfuron Substances 0.000 description 1
- CTTHWASMBLQOFR-UHFFFAOYSA-N Amidosulfuron Chemical compound COC1=CC(OC)=NC(NC(=O)NS(=O)(=O)N(C)S(C)(=O)=O)=N1 CTTHWASMBLQOFR-UHFFFAOYSA-N 0.000 description 1
- KLSJWNVTNUYHDU-UHFFFAOYSA-N Amitrole Chemical compound NC1=NC=NN1 KLSJWNVTNUYHDU-UHFFFAOYSA-N 0.000 description 1
- 239000004254 Ammonium phosphate Substances 0.000 description 1
- 244000144725 Amygdalus communis Species 0.000 description 1
- 235000011437 Amygdalus communis Nutrition 0.000 description 1
- 235000011446 Amygdalus persica Nutrition 0.000 description 1
- 229920000945 Amylopectin Polymers 0.000 description 1
- 244000099147 Ananas comosus Species 0.000 description 1
- 235000007119 Ananas comosus Nutrition 0.000 description 1
- NXQDBZGWYSEGFL-UHFFFAOYSA-N Anilofos Chemical compound COP(=S)(OC)SCC(=O)N(C(C)C)C1=CC=C(Cl)C=C1 NXQDBZGWYSEGFL-UHFFFAOYSA-N 0.000 description 1
- 241001666377 Apera Species 0.000 description 1
- 244000105624 Arachis hypogaea Species 0.000 description 1
- 235000010777 Arachis hypogaea Nutrition 0.000 description 1
- 241000239290 Araneae Species 0.000 description 1
- 241000238421 Arthropoda Species 0.000 description 1
- 244000003416 Asparagus officinalis Species 0.000 description 1
- 235000005340 Asparagus officinalis Nutrition 0.000 description 1
- 241000209764 Avena fatua Species 0.000 description 1
- 244000075850 Avena orientalis Species 0.000 description 1
- 235000007319 Avena orientalis Nutrition 0.000 description 1
- 239000005469 Azimsulfuron Substances 0.000 description 1
- 108010017443 B 43 Proteins 0.000 description 1
- 241000193388 Bacillus thuringiensis Species 0.000 description 1
- 239000005471 Benfluralin Substances 0.000 description 1
- QGQSRQPXXMTJCM-UHFFFAOYSA-N Benfuresate Chemical compound CCS(=O)(=O)OC1=CC=C2OCC(C)(C)C2=C1 QGQSRQPXXMTJCM-UHFFFAOYSA-N 0.000 description 1
- 239000005476 Bentazone Substances 0.000 description 1
- NCLRGQCNIDLTDW-UHFFFAOYSA-M Bentazone-sodium Chemical compound [Na+].C1=CC=C2[N-]S(=O)(=O)N(C(C)C)C(=O)C2=C1 NCLRGQCNIDLTDW-UHFFFAOYSA-M 0.000 description 1
- JDWQITFHZOBBFE-UHFFFAOYSA-N Benzofenap Chemical compound C=1C=C(Cl)C(C)=C(Cl)C=1C(=O)C=1C(C)=NN(C)C=1OCC(=O)C1=CC=C(C)C=C1 JDWQITFHZOBBFE-UHFFFAOYSA-N 0.000 description 1
- 239000005711 Benzoic acid Substances 0.000 description 1
- 235000016068 Berberis vulgaris Nutrition 0.000 description 1
- 101710163256 Bibenzyl synthase Proteins 0.000 description 1
- BVKZGUZCCUSVTD-UHFFFAOYSA-M Bicarbonate Chemical compound OC([O-])=O BVKZGUZCCUSVTD-UHFFFAOYSA-M 0.000 description 1
- 239000005484 Bifenox Substances 0.000 description 1
- 239000002028 Biomass Substances 0.000 description 1
- 239000005488 Bispyribac Substances 0.000 description 1
- 235000006463 Brassica alba Nutrition 0.000 description 1
- 235000011303 Brassica alboglabra Nutrition 0.000 description 1
- 244000060924 Brassica campestris Species 0.000 description 1
- 235000005637 Brassica campestris Nutrition 0.000 description 1
- 244000140786 Brassica hirta Species 0.000 description 1
- 244000178924 Brassica napobrassica Species 0.000 description 1
- 235000011297 Brassica napobrassica Nutrition 0.000 description 1
- 240000000385 Brassica napus var. napus Species 0.000 description 1
- 235000011291 Brassica nigra Nutrition 0.000 description 1
- 244000180419 Brassica nigra Species 0.000 description 1
- 240000007124 Brassica oleracea Species 0.000 description 1
- 235000011302 Brassica oleracea Nutrition 0.000 description 1
- CPELXLSAUQHCOX-UHFFFAOYSA-M Bromide Chemical compound [Br-] CPELXLSAUQHCOX-UHFFFAOYSA-M 0.000 description 1
- XTFNPKDYCLFGPV-OMCISZLKSA-N Bromofenoxim Chemical compound C1=C(Br)C(O)=C(Br)C=C1\C=N\OC1=CC=C([N+]([O-])=O)C=C1[N+]([O-])=O XTFNPKDYCLFGPV-OMCISZLKSA-N 0.000 description 1
- 239000005489 Bromoxynil Substances 0.000 description 1
- OEYOMNZEMCPTKN-UHFFFAOYSA-N Butamifos Chemical compound CCC(C)NP(=S)(OCC)OC1=CC(C)=CC=C1[N+]([O-])=O OEYOMNZEMCPTKN-UHFFFAOYSA-N 0.000 description 1
- SPNQRCTZKIBOAX-UHFFFAOYSA-N Butralin Chemical compound CCC(C)NC1=C([N+]([O-])=O)C=C(C(C)(C)C)C=C1[N+]([O-])=O SPNQRCTZKIBOAX-UHFFFAOYSA-N 0.000 description 1
- ZOGDSYNXUXQGHF-XIEYBQDHSA-N Butroxydim Chemical compound CCCC(=O)C1=C(C)C=C(C)C(C2CC(=O)C(\C(CC)=N\OCC)=C(O)C2)=C1C ZOGDSYNXUXQGHF-XIEYBQDHSA-N 0.000 description 1
- BMTAFVWTTFSTOG-UHFFFAOYSA-N Butylate Chemical compound CCSC(=O)N(CC(C)C)CC(C)C BMTAFVWTTFSTOG-UHFFFAOYSA-N 0.000 description 1
- FERIUCNNQQJTOY-UHFFFAOYSA-M Butyrate Chemical compound CCCC([O-])=O FERIUCNNQQJTOY-UHFFFAOYSA-M 0.000 description 1
- FERIUCNNQQJTOY-UHFFFAOYSA-N Butyric acid Natural products CCCC(O)=O FERIUCNNQQJTOY-UHFFFAOYSA-N 0.000 description 1
- WQTSDPWCGDCDSE-UHFFFAOYSA-N CC1=C(F)C=CC=C1F.CC1=NN(C)C(C(F)(F)F)=N1.CC1=NN(C)C(OC(F)F)=C1C.CC1=NN(C)C(OCC(F)(F)F)=C1C.CC1=NN(C)N=C1C Chemical compound CC1=C(F)C=CC=C1F.CC1=NN(C)C(C(F)(F)F)=N1.CC1=NN(C)C(OC(F)F)=C1C.CC1=NN(C)C(OCC(F)(F)F)=C1C.CC1=NN(C)N=C1C WQTSDPWCGDCDSE-UHFFFAOYSA-N 0.000 description 1
- HUYBEDCQLAEVPD-UHFFFAOYSA-N COCCOCC1=NC(C(F)(F)F)=CC=C1C(=O)C(C1=O)=C(O)C2CC1CC2 Chemical compound COCCOCC1=NC(C(F)(F)F)=CC=C1C(=O)C(C1=O)=C(O)C2CC1CC2 HUYBEDCQLAEVPD-UHFFFAOYSA-N 0.000 description 1
- OYPRJOBELJOOCE-UHFFFAOYSA-N Calcium Chemical compound [Ca] OYPRJOBELJOOCE-UHFFFAOYSA-N 0.000 description 1
- 108090000312 Calcium Channels Proteins 0.000 description 1
- 102000003922 Calcium Channels Human genes 0.000 description 1
- 244000052707 Camellia sinensis Species 0.000 description 1
- 239000005490 Carbetamide Substances 0.000 description 1
- BVKZGUZCCUSVTD-UHFFFAOYSA-L Carbonate Chemical compound [O-]C([O-])=O BVKZGUZCCUSVTD-UHFFFAOYSA-L 0.000 description 1
- 239000005492 Carfentrazone-ethyl Substances 0.000 description 1
- 235000003255 Carthamus tinctorius Nutrition 0.000 description 1
- 244000020518 Carthamus tinctorius Species 0.000 description 1
- 244000068645 Carya illinoensis Species 0.000 description 1
- 235000009025 Carya illinoensis Nutrition 0.000 description 1
- 240000006122 Chenopodium album Species 0.000 description 1
- 235000005484 Chenopodium berlandieri Nutrition 0.000 description 1
- 235000009332 Chenopodium rubrum Nutrition 0.000 description 1
- 102000012286 Chitinases Human genes 0.000 description 1
- 108010022172 Chitinases Proteins 0.000 description 1
- DXXVCXKMSWHGTF-UHFFFAOYSA-N Chlomethoxyfen Chemical compound C1=C([N+]([O-])=O)C(OC)=CC(OC=2C(=CC(Cl)=CC=2)Cl)=C1 DXXVCXKMSWHGTF-UHFFFAOYSA-N 0.000 description 1
- NLYNUTMZTCLNOO-UHFFFAOYSA-N Chlorbromuron Chemical compound CON(C)C(=O)NC1=CC=C(Br)C(Cl)=C1 NLYNUTMZTCLNOO-UHFFFAOYSA-N 0.000 description 1
- VEXZGXHMUGYJMC-UHFFFAOYSA-M Chloride anion Chemical compound [Cl-] VEXZGXHMUGYJMC-UHFFFAOYSA-M 0.000 description 1
- 239000005494 Chlorotoluron Substances 0.000 description 1
- 239000005647 Chlorpropham Substances 0.000 description 1
- KZCBXHSWMMIEQU-UHFFFAOYSA-N Chlorthal Chemical compound OC(=O)C1=C(Cl)C(Cl)=C(C(O)=O)C(Cl)=C1Cl KZCBXHSWMMIEQU-UHFFFAOYSA-N 0.000 description 1
- 108010089254 Cholesterol oxidase Proteins 0.000 description 1
- WMLPCIHUFDKWJU-UHFFFAOYSA-N Cinosulfuron Chemical compound COCCOC1=CC=CC=C1S(=O)(=O)NC(=O)NC1=NC(OC)=NC(OC)=N1 WMLPCIHUFDKWJU-UHFFFAOYSA-N 0.000 description 1
- 235000008733 Citrus aurantifolia Nutrition 0.000 description 1
- 235000005979 Citrus limon Nutrition 0.000 description 1
- 244000131522 Citrus pyriformis Species 0.000 description 1
- 235000009088 Citrus pyriformis Nutrition 0.000 description 1
- 235000005976 Citrus sinensis Nutrition 0.000 description 1
- 240000002319 Citrus sinensis Species 0.000 description 1
- 239000005497 Clethodim Substances 0.000 description 1
- 239000005498 Clodinafop Substances 0.000 description 1
- 235000007460 Coffea arabica Nutrition 0.000 description 1
- 240000007154 Coffea arabica Species 0.000 description 1
- 241000228031 Coffea liberica Species 0.000 description 1
- 244000016593 Coffea robusta Species 0.000 description 1
- 235000002187 Coffea robusta Nutrition 0.000 description 1
- 241000254173 Coleoptera Species 0.000 description 1
- RYGMFSIKBFXOCR-UHFFFAOYSA-N Copper Chemical compound [Cu] RYGMFSIKBFXOCR-UHFFFAOYSA-N 0.000 description 1
- 235000009849 Cucumis sativus Nutrition 0.000 description 1
- 240000008067 Cucumis sativus Species 0.000 description 1
- VYNOULHXXDFBLU-UHFFFAOYSA-N Cumyluron Chemical compound C=1C=CC=CC=1C(C)(C)NC(=O)NCC1=CC=CC=C1Cl VYNOULHXXDFBLU-UHFFFAOYSA-N 0.000 description 1
- DFCAFRGABIXSDS-UHFFFAOYSA-N Cycloate Chemical compound CCSC(=O)N(CC)C1CCCCC1 DFCAFRGABIXSDS-UHFFFAOYSA-N 0.000 description 1
- 244000052363 Cynodon dactylon Species 0.000 description 1
- 102000015833 Cystatin Human genes 0.000 description 1
- FBPFZTCFMRRESA-JGWLITMVSA-N D-glucitol Chemical class OC[C@H](O)[C@@H](O)[C@H](O)[C@H](O)CO FBPFZTCFMRRESA-JGWLITMVSA-N 0.000 description 1
- NPOJQCVWMSKXDN-UHFFFAOYSA-N Dacthal Chemical group COC(=O)C1=C(Cl)C(Cl)=C(C(=O)OC)C(Cl)=C1Cl NPOJQCVWMSKXDN-UHFFFAOYSA-N 0.000 description 1
- 244000000626 Daucus carota Species 0.000 description 1
- 235000002767 Daucus carota Nutrition 0.000 description 1
- 239000005644 Dazomet Substances 0.000 description 1
- 239000005503 Desmedipham Substances 0.000 description 1
- HCRWJJJUKUVORR-UHFFFAOYSA-N Desmetryn Chemical compound CNC1=NC(NC(C)C)=NC(SC)=N1 HCRWJJJUKUVORR-UHFFFAOYSA-N 0.000 description 1
- MDNWOSOZYLHTCG-UHFFFAOYSA-N Dichlorophen Chemical compound OC1=CC=C(Cl)C=C1CC1=CC(Cl)=CC=C1O MDNWOSOZYLHTCG-UHFFFAOYSA-N 0.000 description 1
- 239000005505 Dichlorprop-P Substances 0.000 description 1
- 239000005506 Diclofop Substances 0.000 description 1
- QNXAVFXEJCPCJO-UHFFFAOYSA-N Diclosulam Chemical compound N=1N2C(OCC)=NC(F)=CC2=NC=1S(=O)(=O)NC1=C(Cl)C=CC=C1Cl QNXAVFXEJCPCJO-UHFFFAOYSA-N 0.000 description 1
- LBGPXIPGGRQBJW-UHFFFAOYSA-N Difenzoquat Chemical compound C[N+]=1N(C)C(C=2C=CC=CC=2)=CC=1C1=CC=CC=C1 LBGPXIPGGRQBJW-UHFFFAOYSA-N 0.000 description 1
- DHWRNDJOGMTCPB-UHFFFAOYSA-N Dimefuron Chemical compound ClC1=CC(NC(=O)N(C)C)=CC=C1N1C(=O)OC(C(C)(C)C)=N1 DHWRNDJOGMTCPB-UHFFFAOYSA-N 0.000 description 1
- 239000005508 Dimethachlor Substances 0.000 description 1
- IKYICRRUVNIHPP-UHFFFAOYSA-N Dimethametryn Chemical compound CCNC1=NC(NC(C)C(C)C)=NC(SC)=N1 IKYICRRUVNIHPP-UHFFFAOYSA-N 0.000 description 1
- PHVNLLCAQHGNKU-UHFFFAOYSA-N Dimethipin Chemical compound CC1=C(C)S(=O)(=O)CCS1(=O)=O PHVNLLCAQHGNKU-UHFFFAOYSA-N 0.000 description 1
- OFDYMSKSGFSLLM-UHFFFAOYSA-N Dinitramine Chemical compound CCN(CC)C1=C([N+]([O-])=O)C=C(C(F)(F)F)C(N)=C1[N+]([O-])=O OFDYMSKSGFSLLM-UHFFFAOYSA-N 0.000 description 1
- IIPZYDQGBIWLBU-UHFFFAOYSA-N Dinoterb Chemical compound CC(C)(C)C1=CC([N+]([O-])=O)=CC([N+]([O-])=O)=C1O IIPZYDQGBIWLBU-UHFFFAOYSA-N 0.000 description 1
- 102000016680 Dioxygenases Human genes 0.000 description 1
- 108010028143 Dioxygenases Proteins 0.000 description 1
- QAHFOPIILNICLA-UHFFFAOYSA-N Diphenamid Chemical compound C=1C=CC=CC=1C(C(=O)N(C)C)C1=CC=CC=C1 QAHFOPIILNICLA-UHFFFAOYSA-N 0.000 description 1
- 241000255925 Diptera Species 0.000 description 1
- YUBJPYNSGLJZPQ-UHFFFAOYSA-N Dithiopyr Chemical compound CSC(=O)C1=C(C(F)F)N=C(C(F)(F)F)C(C(=O)SC)=C1CC(C)C YUBJPYNSGLJZPQ-UHFFFAOYSA-N 0.000 description 1
- 101710158332 Diuretic hormone Proteins 0.000 description 1
- GUVLYNGULCJVDO-UHFFFAOYSA-N EPTC Chemical compound CCCN(CCC)C(=O)SCC GUVLYNGULCJVDO-UHFFFAOYSA-N 0.000 description 1
- UPEZCKBFRMILAV-JNEQICEOSA-N Ecdysone Natural products O=C1[C@H]2[C@@](C)([C@@H]3C([C@@]4(O)[C@@](C)([C@H]([C@H]([C@@H](O)CCC(O)(C)C)C)CC4)CC3)=C1)C[C@H](O)[C@H](O)C2 UPEZCKBFRMILAV-JNEQICEOSA-N 0.000 description 1
- 240000003133 Elaeis guineensis Species 0.000 description 1
- 235000001950 Elaeis guineensis Nutrition 0.000 description 1
- 101000925646 Enterobacteria phage T4 Endolysin Proteins 0.000 description 1
- 102000004190 Enzymes Human genes 0.000 description 1
- 108090000790 Enzymes Proteins 0.000 description 1
- HMEKVHWROSNWPD-UHFFFAOYSA-N Erioglaucine A Chemical compound [NH4+].[NH4+].C=1C=C(C(=C2C=CC(C=C2)=[N+](CC)CC=2C=C(C=CC=2)S([O-])(=O)=O)C=2C(=CC=CC=2)S([O-])(=O)=O)C=CC=1N(CC)CC1=CC=CC(S([O-])(=O)=O)=C1 HMEKVHWROSNWPD-UHFFFAOYSA-N 0.000 description 1
- 241000588698 Erwinia Species 0.000 description 1
- PTFJIKYUEPWBMS-UHFFFAOYSA-N Ethalfluralin Chemical compound CC(=C)CN(CC)C1=C([N+]([O-])=O)C=C(C(F)(F)F)C=C1[N+]([O-])=O PTFJIKYUEPWBMS-UHFFFAOYSA-N 0.000 description 1
- 239000005512 Ethofumesate Substances 0.000 description 1
- UWVKRNOCDUPIDM-UHFFFAOYSA-N Ethoxysulfuron Chemical compound CCOC1=CC=CC=C1OS(=O)(=O)NC(=O)NC1=NC(OC)=CC(OC)=N1 UWVKRNOCDUPIDM-UHFFFAOYSA-N 0.000 description 1
- IAYPIBMASNFSPL-UHFFFAOYSA-N Ethylene oxide Chemical compound C1CO1 IAYPIBMASNFSPL-UHFFFAOYSA-N 0.000 description 1
- ICWUMLXQKFTJMH-UHFFFAOYSA-N Etobenzanid Chemical compound C1=CC(OCOCC)=CC=C1C(=O)NC1=CC=CC(Cl)=C1Cl ICWUMLXQKFTJMH-UHFFFAOYSA-N 0.000 description 1
- NRFQZTCQAYEXEE-UHFFFAOYSA-N Fenclorim Chemical compound ClC1=CC(Cl)=NC(C=2C=CC=CC=2)=N1 NRFQZTCQAYEXEE-UHFFFAOYSA-N 0.000 description 1
- PQKBPHSEKWERTG-UHFFFAOYSA-N Fenoxaprop ethyl Chemical group C1=CC(OC(C)C(=O)OCC)=CC=C1OC1=NC2=CC=C(Cl)C=C2O1 PQKBPHSEKWERTG-UHFFFAOYSA-N 0.000 description 1
- 239000005513 Fenoxaprop-P Substances 0.000 description 1
- YQVMVCCFZCMYQB-UHFFFAOYSA-N Flamprop Chemical compound C=1C=C(F)C(Cl)=CC=1N(C(C)C(O)=O)C(=O)C1=CC=CC=C1 YQVMVCCFZCMYQB-UHFFFAOYSA-N 0.000 description 1
- 239000005514 Flazasulfuron Substances 0.000 description 1
- HWATZEJQIXKWQS-UHFFFAOYSA-N Flazasulfuron Chemical compound COC1=CC(OC)=NC(NC(=O)NS(=O)(=O)C=2C(=CC=CN=2)C(F)(F)F)=N1 HWATZEJQIXKWQS-UHFFFAOYSA-N 0.000 description 1
- 239000005529 Florasulam Substances 0.000 description 1
- QZXATCCPQKOEIH-UHFFFAOYSA-N Florasulam Chemical compound N=1N2C(OC)=NC=C(F)C2=NC=1S(=O)(=O)NC1=C(F)C=CC=C1F QZXATCCPQKOEIH-UHFFFAOYSA-N 0.000 description 1
- 239000005530 Fluazifop-P Substances 0.000 description 1
- FICWGWVVIRLNRB-UHFFFAOYSA-N Flucetosulfuron Chemical compound COCC(=O)OC(C(C)F)C1=NC=CC=C1S(=O)(=O)NC(=O)NC1=NC(OC)=CC(OC)=N1 FICWGWVVIRLNRB-UHFFFAOYSA-N 0.000 description 1
- MNFMIVVPXOGUMX-UHFFFAOYSA-N Fluchloralin Chemical compound CCCN(CCCl)C1=C([N+]([O-])=O)C=C(C(F)(F)F)C=C1[N+]([O-])=O MNFMIVVPXOGUMX-UHFFFAOYSA-N 0.000 description 1
- IRECWLYBCAZIJM-UHFFFAOYSA-N Flumiclorac pentyl Chemical group C1=C(Cl)C(OCC(=O)OCCCCC)=CC(N2C(C3=C(CCCC3)C2=O)=O)=C1F IRECWLYBCAZIJM-UHFFFAOYSA-N 0.000 description 1
- KRHYYFGTRYWZRS-UHFFFAOYSA-M Fluoride anion Chemical compound [F-] KRHYYFGTRYWZRS-UHFFFAOYSA-M 0.000 description 1
- DHAHEVIQIYRFRG-UHFFFAOYSA-N Fluoroglycofen Chemical compound C1=C([N+]([O-])=O)C(C(=O)OCC(=O)O)=CC(OC=2C(=CC(=CC=2)C(F)(F)F)Cl)=C1 DHAHEVIQIYRFRG-UHFFFAOYSA-N 0.000 description 1
- AOQMRUTZEYVDIL-UHFFFAOYSA-N Flupoxam Chemical compound C=1C=C(Cl)C(COCC(F)(F)C(F)(F)F)=CC=1N1N=C(C(=O)N)N=C1C1=CC=CC=C1 AOQMRUTZEYVDIL-UHFFFAOYSA-N 0.000 description 1
- PXRROZVNOOEPPZ-UHFFFAOYSA-N Flupropanate Chemical compound OC(=O)C(F)(F)C(F)F PXRROZVNOOEPPZ-UHFFFAOYSA-N 0.000 description 1
- GXAMYUGOODKVRM-UHFFFAOYSA-N Flurecol Chemical compound C1=CC=C2C(C(=O)O)(O)C3=CC=CC=C3C2=C1 GXAMYUGOODKVRM-UHFFFAOYSA-N 0.000 description 1
- YWBVHLJPRPCRSD-UHFFFAOYSA-N Fluridone Chemical compound O=C1C(C=2C=C(C=CC=2)C(F)(F)F)=CN(C)C=C1C1=CC=CC=C1 YWBVHLJPRPCRSD-UHFFFAOYSA-N 0.000 description 1
- VEVZCONIUDBCDC-UHFFFAOYSA-N Flurprimidol Chemical compound C=1N=CN=CC=1C(O)(C(C)C)C1=CC=C(OC(F)(F)F)C=C1 VEVZCONIUDBCDC-UHFFFAOYSA-N 0.000 description 1
- 239000005559 Flurtamone Substances 0.000 description 1
- UKSLKNUCVPZQCQ-UHFFFAOYSA-N Fluxofenim Chemical compound C=1C=C(Cl)C=CC=1C(C(F)(F)F)=NOCC1OCCO1 UKSLKNUCVPZQCQ-UHFFFAOYSA-N 0.000 description 1
- BDAGIHXWWSANSR-UHFFFAOYSA-M Formate Chemical compound [O-]C=O BDAGIHXWWSANSR-UHFFFAOYSA-M 0.000 description 1
- 235000016623 Fragaria vesca Nutrition 0.000 description 1
- 244000307700 Fragaria vesca Species 0.000 description 1
- 230000005526 G1 to G0 transition Effects 0.000 description 1
- 108700042658 GAP-43 Proteins 0.000 description 1
- 108700032487 GAP-43-3 Proteins 0.000 description 1
- 102000051366 Glycosyltransferases Human genes 0.000 description 1
- 108700023372 Glycosyltransferases Proteins 0.000 description 1
- 235000014751 Gossypium arboreum Nutrition 0.000 description 1
- 240000001814 Gossypium arboreum Species 0.000 description 1
- 240000000047 Gossypium barbadense Species 0.000 description 1
- 235000009429 Gossypium barbadense Nutrition 0.000 description 1
- 244000299507 Gossypium hirsutum Species 0.000 description 1
- 235000009432 Gossypium hirsutum Nutrition 0.000 description 1
- LXKOADMMGWXPJQ-UHFFFAOYSA-N Halosulfuron Chemical compound COC1=CC(OC)=NC(NC(=O)NS(=O)(=O)C=2N(N=C(Cl)C=2C(O)=O)C)=N1 LXKOADMMGWXPJQ-UHFFFAOYSA-N 0.000 description 1
- 239000005564 Halosulfuron methyl Substances 0.000 description 1
- FMGZEUWROYGLAY-UHFFFAOYSA-N Halosulfuron-methyl Chemical group ClC1=NN(C)C(S(=O)(=O)NC(=O)NC=2N=C(OC)C=C(OC)N=2)=C1C(=O)OC FMGZEUWROYGLAY-UHFFFAOYSA-N 0.000 description 1
- 239000005565 Haloxyfop-P Substances 0.000 description 1
- 229930191111 Helicokinin Natural products 0.000 description 1
- 244000043261 Hevea brasiliensis Species 0.000 description 1
- 101000953492 Homo sapiens Inositol hexakisphosphate and diphosphoinositol-pentakisphosphate kinase 1 Proteins 0.000 description 1
- 101000953488 Homo sapiens Inositol hexakisphosphate and diphosphoinositol-pentakisphosphate kinase 2 Proteins 0.000 description 1
- 235000008694 Humulus lupulus Nutrition 0.000 description 1
- 244000025221 Humulus lupulus Species 0.000 description 1
- UFHFLCQGNIYNRP-UHFFFAOYSA-N Hydrogen Chemical compound [H][H] UFHFLCQGNIYNRP-UHFFFAOYSA-N 0.000 description 1
- 102000004286 Hydroxymethylglutaryl CoA Reductases Human genes 0.000 description 1
- 108090000895 Hydroxymethylglutaryl CoA Reductases Proteins 0.000 description 1
- DGAQECJNVWCQMB-PUAWFVPOSA-M Ilexoside XXIX Chemical compound C[C@@H]1CC[C@@]2(CC[C@@]3(C(=CC[C@H]4[C@]3(CC[C@@H]5[C@@]4(CC[C@@H](C5(C)C)OS(=O)(=O)[O-])C)C)[C@@H]2[C@]1(C)O)C)C(=O)O[C@H]6[C@@H]([C@H]([C@@H]([C@H](O6)CO)O)O)O.[Na+] DGAQECJNVWCQMB-PUAWFVPOSA-M 0.000 description 1
- 102100037739 Inositol hexakisphosphate and diphosphoinositol-pentakisphosphate kinase 1 Human genes 0.000 description 1
- 102100037736 Inositol hexakisphosphate and diphosphoinositol-pentakisphosphate kinase 2 Human genes 0.000 description 1
- 239000005568 Iodosulfuron Substances 0.000 description 1
- 108090000862 Ion Channels Proteins 0.000 description 1
- 102000004310 Ion Channels Human genes 0.000 description 1
- 235000002678 Ipomoea batatas Nutrition 0.000 description 1
- 244000017020 Ipomoea batatas Species 0.000 description 1
- JLLJHQLUZAKJFH-UHFFFAOYSA-N Isouron Chemical compound CN(C)C(=O)NC=1C=C(C(C)(C)C)ON=1 JLLJHQLUZAKJFH-UHFFFAOYSA-N 0.000 description 1
- 239000005571 Isoxaflutole Substances 0.000 description 1
- 235000009496 Juglans regia Nutrition 0.000 description 1
- 240000007049 Juglans regia Species 0.000 description 1
- UQVYUTAMNICZNI-UHFFFAOYSA-N Karbutilate Chemical compound CN(C)C(=O)NC1=CC=CC(NC(=O)OC(C)(C)C)=C1 UQVYUTAMNICZNI-UHFFFAOYSA-N 0.000 description 1
- 239000005909 Kieselgur Substances 0.000 description 1
- VGALFAWDSNRXJK-VIFPVBQESA-N L-aspartic acid beta-benzyl ester Chemical compound OC(=O)[C@@H](N)CC(=O)OCC1=CC=CC=C1 VGALFAWDSNRXJK-VIFPVBQESA-N 0.000 description 1
- 239000005572 Lenacil Substances 0.000 description 1
- 240000004322 Lens culinaris Species 0.000 description 1
- 235000010666 Lens esculenta Nutrition 0.000 description 1
- 239000002841 Lewis acid Substances 0.000 description 1
- 235000019738 Limestone Nutrition 0.000 description 1
- 235000004431 Linum usitatissimum Nutrition 0.000 description 1
- 240000006240 Linum usitatissimum Species 0.000 description 1
- 239000005573 Linuron Substances 0.000 description 1
- 235000007688 Lycopersicon esculentum Nutrition 0.000 description 1
- SUSRORUBZHMPCO-UHFFFAOYSA-N MC-4379 Chemical compound C1=C([N+]([O-])=O)C(C(=O)OC)=CC(OC=2C(=CC(Cl)=CC=2)Cl)=C1 SUSRORUBZHMPCO-UHFFFAOYSA-N 0.000 description 1
- 239000005574 MCPA Substances 0.000 description 1
- AZFKQCNGMSSWDS-UHFFFAOYSA-N MCPA-thioethyl Chemical group CCSC(=O)COC1=CC=C(Cl)C=C1C AZFKQCNGMSSWDS-UHFFFAOYSA-N 0.000 description 1
- 239000005575 MCPB Substances 0.000 description 1
- 101150039283 MCPB gene Proteins 0.000 description 1
- FYYHWMGAXLPEAU-UHFFFAOYSA-N Magnesium Chemical compound [Mg] FYYHWMGAXLPEAU-UHFFFAOYSA-N 0.000 description 1
- 239000005983 Maleic hydrazide Substances 0.000 description 1
- BGRDGMRNKXEXQD-UHFFFAOYSA-N Maleic hydrazide Chemical compound OC1=CC=C(O)N=N1 BGRDGMRNKXEXQD-UHFFFAOYSA-N 0.000 description 1
- 208000002720 Malnutrition Diseases 0.000 description 1
- 241000220225 Malus Species 0.000 description 1
- 240000003183 Manihot esculenta Species 0.000 description 1
- 235000004456 Manihot esculenta Nutrition 0.000 description 1
- 239000005576 Mecoprop-P Substances 0.000 description 1
- 235000010624 Medicago sativa Nutrition 0.000 description 1
- 240000004658 Medicago sativa Species 0.000 description 1
- OKIBNKKYNPBDRS-UHFFFAOYSA-N Mefluidide Chemical compound CC(=O)NC1=CC(NS(=O)(=O)C(F)(F)F)=C(C)C=C1C OKIBNKKYNPBDRS-UHFFFAOYSA-N 0.000 description 1
- 239000002169 Metam Substances 0.000 description 1
- 239000005579 Metamitron Substances 0.000 description 1
- RRVIAQKBTUQODI-UHFFFAOYSA-N Methabenzthiazuron Chemical compound C1=CC=C2SC(N(C)C(=O)NC)=NC2=C1 RRVIAQKBTUQODI-UHFFFAOYSA-N 0.000 description 1
- FMINYZXVCTYSNY-UHFFFAOYSA-N Methyldymron Chemical compound C=1C=CC=CC=1N(C)C(=O)NC(C)(C)C1=CC=CC=C1 FMINYZXVCTYSNY-UHFFFAOYSA-N 0.000 description 1
- VGHPMIFEKOFHHQ-UHFFFAOYSA-N Metosulam Chemical compound N1=C2N=C(OC)C=C(OC)N2N=C1S(=O)(=O)NC1=C(Cl)C=CC(C)=C1Cl VGHPMIFEKOFHHQ-UHFFFAOYSA-N 0.000 description 1
- 239000005582 Metosulam Substances 0.000 description 1
- 239000005584 Metsulfuron-methyl Substances 0.000 description 1
- 229920000881 Modified starch Polymers 0.000 description 1
- LKJPSUCKSLORMF-UHFFFAOYSA-N Monolinuron Chemical compound CON(C)C(=O)NC1=CC=C(Cl)C=C1 LKJPSUCKSLORMF-UHFFFAOYSA-N 0.000 description 1
- 241000234295 Musa Species 0.000 description 1
- WXZVAROIGSFCFJ-UHFFFAOYSA-N N,N-diethyl-2-(naphthalen-1-yloxy)propanamide Chemical compound C1=CC=C2C(OC(C)C(=O)N(CC)CC)=CC=CC2=C1 WXZVAROIGSFCFJ-UHFFFAOYSA-N 0.000 description 1
- SECXISVLQFMRJM-UHFFFAOYSA-N N-Methylpyrrolidone Chemical compound CN1CCCC1=O SECXISVLQFMRJM-UHFFFAOYSA-N 0.000 description 1
- NWBJYWHLCVSVIJ-UHFFFAOYSA-N N-benzyladenine Chemical compound N=1C=NC=2NC=NC=2C=1NCC1=CC=CC=C1 NWBJYWHLCVSVIJ-UHFFFAOYSA-N 0.000 description 1
- NTBVTCXMRYKRTB-UHFFFAOYSA-N N-{2-[(4,6-dimethoxypyrimidin-2-yl)(hydroxy)methyl]-6-(methoxymethyl)phenyl}-1,1-difluoromethanesulfonamide Chemical compound COCC1=CC=CC(C(O)C=2N=C(OC)C=C(OC)N=2)=C1NS(=O)(=O)C(F)F NTBVTCXMRYKRTB-UHFFFAOYSA-N 0.000 description 1
- 229910002651 NO3 Inorganic materials 0.000 description 1
- LVKTWOXHRYGDMM-UHFFFAOYSA-N Naproanilide Chemical compound C=1C=C2C=CC=CC2=CC=1OC(C)C(=O)NC1=CC=CC=C1 LVKTWOXHRYGDMM-UHFFFAOYSA-N 0.000 description 1
- 239000005585 Napropamide Substances 0.000 description 1
- CCGPUGMWYLICGL-UHFFFAOYSA-N Neburon Chemical compound CCCCN(C)C(=O)NC1=CC=C(Cl)C(Cl)=C1 CCGPUGMWYLICGL-UHFFFAOYSA-N 0.000 description 1
- 241000208134 Nicotiana rustica Species 0.000 description 1
- 235000002637 Nicotiana tabacum Nutrition 0.000 description 1
- 244000061176 Nicotiana tabacum Species 0.000 description 1
- NHNBFGGVMKEFGY-UHFFFAOYSA-N Nitrate Chemical compound [O-][N+]([O-])=O NHNBFGGVMKEFGY-UHFFFAOYSA-N 0.000 description 1
- IGFHQQFPSIBGKE-UHFFFAOYSA-N Nonylphenol Natural products CCCCCCCCCC1=CC=C(O)C=C1 IGFHQQFPSIBGKE-UHFFFAOYSA-N 0.000 description 1
- JZTPOMIFAFKKSK-UHFFFAOYSA-N O-phosphonohydroxylamine Chemical compound NOP(O)(O)=O JZTPOMIFAFKKSK-UHFFFAOYSA-N 0.000 description 1
- 241000207836 Olea <angiosperm> Species 0.000 description 1
- 235000002725 Olea europaea Nutrition 0.000 description 1
- 240000007817 Olea europaea Species 0.000 description 1
- 239000005642 Oleic acid Substances 0.000 description 1
- ZQPPMHVWECSIRJ-UHFFFAOYSA-N Oleic acid Natural products CCCCCCCCC=CCCCCCCCC(O)=O ZQPPMHVWECSIRJ-UHFFFAOYSA-N 0.000 description 1
- 239000005587 Oryzalin Substances 0.000 description 1
- WFVUIONFJOAYPK-KAMYIIQDSA-N Oxabetrinil Chemical compound C=1C=CC=CC=1C(/C#N)=N\OCC1OCCO1 WFVUIONFJOAYPK-KAMYIIQDSA-N 0.000 description 1
- 239000005588 Oxadiazon Substances 0.000 description 1
- CHNUNORXWHYHNE-UHFFFAOYSA-N Oxadiazon Chemical compound C1=C(Cl)C(OC(C)C)=CC(N2C(OC(=N2)C(C)(C)C)=O)=C1Cl CHNUNORXWHYHNE-UHFFFAOYSA-N 0.000 description 1
- 239000005589 Oxasulfuron Substances 0.000 description 1
- 108090000854 Oxidoreductases Proteins 0.000 description 1
- 102000004316 Oxidoreductases Human genes 0.000 description 1
- 229910019142 PO4 Inorganic materials 0.000 description 1
- 108090000526 Papain Proteins 0.000 description 1
- 101710091688 Patatin Proteins 0.000 description 1
- 101710096342 Pathogenesis-related protein Proteins 0.000 description 1
- SGEJQUSYQTVSIU-UHFFFAOYSA-N Pebulate Chemical compound CCCCN(CC)C(=O)SCCC SGEJQUSYQTVSIU-UHFFFAOYSA-N 0.000 description 1
- 239000005643 Pelargonic acid Substances 0.000 description 1
- WGVWLKXZBUVUAM-UHFFFAOYSA-N Pentanochlor Chemical compound CCCC(C)C(=O)NC1=CC=C(C)C(Cl)=C1 WGVWLKXZBUVUAM-UHFFFAOYSA-N 0.000 description 1
- 239000005593 Pethoxamid Substances 0.000 description 1
- 235000010617 Phaseolus lunatus Nutrition 0.000 description 1
- 244000100170 Phaseolus lunatus Species 0.000 description 1
- 235000010627 Phaseolus vulgaris Nutrition 0.000 description 1
- 244000046052 Phaseolus vulgaris Species 0.000 description 1
- 239000005594 Phenmedipham Substances 0.000 description 1
- NBIIXXVUZAFLBC-UHFFFAOYSA-L Phosphate ion(2-) Chemical compound OP([O-])([O-])=O NBIIXXVUZAFLBC-UHFFFAOYSA-L 0.000 description 1
- 241001148062 Photorhabdus Species 0.000 description 1
- 241000233622 Phytophthora infestans Species 0.000 description 1
- 244000193463 Picea excelsa Species 0.000 description 1
- 235000008124 Picea excelsa Nutrition 0.000 description 1
- 239000005595 Picloram Substances 0.000 description 1
- 235000005205 Pinus Nutrition 0.000 description 1
- 241000218602 Pinus <genus> Species 0.000 description 1
- UNLYSVIDNRIVFJ-UHFFFAOYSA-N Piperophos Chemical compound CCCOP(=S)(OCCC)SCC(=O)N1CCCCC1C UNLYSVIDNRIVFJ-UHFFFAOYSA-N 0.000 description 1
- 235000003447 Pistacia vera Nutrition 0.000 description 1
- 240000006711 Pistacia vera Species 0.000 description 1
- 108010089814 Plant Lectins Proteins 0.000 description 1
- 241000209504 Poaceae Species 0.000 description 1
- 229920002873 Polyethylenimine Polymers 0.000 description 1
- 239000004721 Polyphenylene oxide Substances 0.000 description 1
- ZLMJMSJWJFRBEC-UHFFFAOYSA-N Potassium Chemical compound [K] ZLMJMSJWJFRBEC-UHFFFAOYSA-N 0.000 description 1
- YLPGTOIOYRQOHV-UHFFFAOYSA-N Pretilachlor Chemical compound CCCOCCN(C(=O)CCl)C1=C(CC)C=CC=C1CC YLPGTOIOYRQOHV-UHFFFAOYSA-N 0.000 description 1
- GPGLBXMQFQQXDV-UHFFFAOYSA-N Primisulfuron Chemical compound OC(=O)C1=CC=CC=C1S(=O)(=O)NC(=O)NC1=NC(OC(F)F)=CC(OC(F)F)=N1 GPGLBXMQFQQXDV-UHFFFAOYSA-N 0.000 description 1
- RSVPPPHXAASNOL-UHFFFAOYSA-N Prodiamine Chemical compound CCCN(CCC)C1=C([N+]([O-])=O)C=C(C(F)(F)F)C(N)=C1[N+]([O-])=O RSVPPPHXAASNOL-UHFFFAOYSA-N 0.000 description 1
- 239000005600 Propaquizafop Substances 0.000 description 1
- XBDQKXXYIPTUBI-UHFFFAOYSA-M Propionate Chemical compound CCC([O-])=O XBDQKXXYIPTUBI-UHFFFAOYSA-M 0.000 description 1
- 239000005601 Propoxycarbazone Substances 0.000 description 1
- 239000005602 Propyzamide Substances 0.000 description 1
- LTUNNEGNEKBSEH-UHFFFAOYSA-N Prosulfuron Chemical compound COC1=NC(C)=NC(NC(=O)NS(=O)(=O)C=2C(=CC=CC=2)CCC(F)(F)F)=N1 LTUNNEGNEKBSEH-UHFFFAOYSA-N 0.000 description 1
- 239000005604 Prosulfuron Substances 0.000 description 1
- 239000004365 Protease Substances 0.000 description 1
- 235000009827 Prunus armeniaca Nutrition 0.000 description 1
- 244000018633 Prunus armeniaca Species 0.000 description 1
- 244000007021 Prunus avium Species 0.000 description 1
- 235000010401 Prunus avium Nutrition 0.000 description 1
- 235000005805 Prunus cerasus Nutrition 0.000 description 1
- 240000002878 Prunus cerasus Species 0.000 description 1
- 244000141353 Prunus domestica Species 0.000 description 1
- 235000011435 Prunus domestica Nutrition 0.000 description 1
- 240000005809 Prunus persica Species 0.000 description 1
- IHHMUBRVTJMLQO-UHFFFAOYSA-N Pyraclonil Chemical compound C#CCN(C)C1=C(C#N)C=NN1C1=NN(CCCC2)C2=C1Cl IHHMUBRVTJMLQO-UHFFFAOYSA-N 0.000 description 1
- 239000005605 Pyraflufen-ethyl Substances 0.000 description 1
- VXMNDQDDWDDKOQ-UHFFFAOYSA-N Pyrazosulfuron Chemical compound COC1=CC(OC)=NC(NC(=O)NS(=O)(=O)C=2N(N=CC=2C(O)=O)C)=N1 VXMNDQDDWDDKOQ-UHFFFAOYSA-N 0.000 description 1
- JTZCTMAVMHRNTR-UHFFFAOYSA-N Pyridate Chemical compound CCCCCCCCSC(=O)OC1=CC(Cl)=NN=C1C1=CC=CC=C1 JTZCTMAVMHRNTR-UHFFFAOYSA-N 0.000 description 1
- 239000005606 Pyridate Substances 0.000 description 1
- RRKHIAYNPVQKEF-UHFFFAOYSA-N Pyriftalid Chemical compound COC1=CC(OC)=NC(SC=2C=3C(=O)OC(C)C=3C=CC=2)=N1 RRKHIAYNPVQKEF-UHFFFAOYSA-N 0.000 description 1
- CNILNQMBAHKMFS-UHFFFAOYSA-M Pyrithiobac-sodium Chemical compound [Na+].COC1=CC(OC)=NC(SC=2C(=C(Cl)C=CC=2)C([O-])=O)=N1 CNILNQMBAHKMFS-UHFFFAOYSA-M 0.000 description 1
- 235000014443 Pyrus communis Nutrition 0.000 description 1
- 240000001987 Pyrus communis Species 0.000 description 1
- OBLNWSCLAYSJJR-UHFFFAOYSA-N Quinoclamin Chemical compound C1=CC=C2C(=O)C(N)=C(Cl)C(=O)C2=C1 OBLNWSCLAYSJJR-UHFFFAOYSA-N 0.000 description 1
- 239000002167 Quinoclamine Substances 0.000 description 1
- 239000005609 Quizalofop-P Substances 0.000 description 1
- 239000005614 Quizalofop-P-ethyl Substances 0.000 description 1
- 239000005615 Quizalofop-P-tefuryl Substances 0.000 description 1
- 241001506137 Rapa Species 0.000 description 1
- 244000281247 Ribes rubrum Species 0.000 description 1
- 235000016911 Ribes sativum Nutrition 0.000 description 1
- 108010039491 Ricin Proteins 0.000 description 1
- 235000004443 Ricinus communis Nutrition 0.000 description 1
- 240000000528 Ricinus communis Species 0.000 description 1
- GHBAYRBVXCRIHT-VIFPVBQESA-N S-benzyl-L-cysteine zwitterion Chemical compound OC(=O)[C@@H](N)CSCC1=CC=CC=C1 GHBAYRBVXCRIHT-VIFPVBQESA-N 0.000 description 1
- OKUGPJPKMAEJOE-UHFFFAOYSA-N S-propyl dipropylcarbamothioate Chemical compound CCCSC(=O)N(CCC)CCC OKUGPJPKMAEJOE-UHFFFAOYSA-N 0.000 description 1
- 235000007201 Saccharum officinarum Nutrition 0.000 description 1
- 240000000111 Saccharum officinarum Species 0.000 description 1
- 108010084592 Saporins Proteins 0.000 description 1
- 241000239226 Scorpiones Species 0.000 description 1
- 235000007238 Secale cereale Nutrition 0.000 description 1
- 244000082988 Secale cereale Species 0.000 description 1
- 241000228160 Secale cereale x Triticum aestivum Species 0.000 description 1
- 244000200882 Setaria barbata Species 0.000 description 1
- 235000001561 Setaria barbata Nutrition 0.000 description 1
- 241001355178 Setaria faberi Species 0.000 description 1
- CSPPKDPQLUUTND-NBVRZTHBSA-N Sethoxydim Chemical compound CCO\N=C(/CCC)C1=C(O)CC(CC(C)SCC)CC1=O CSPPKDPQLUUTND-NBVRZTHBSA-N 0.000 description 1
- JXVIIQLNUPXOII-UHFFFAOYSA-N Siduron Chemical compound CC1CCCCC1NC(=O)NC1=CC=CC=C1 JXVIIQLNUPXOII-UHFFFAOYSA-N 0.000 description 1
- 108010052164 Sodium Channels Proteins 0.000 description 1
- 102000018674 Sodium Channels Human genes 0.000 description 1
- 229920002125 Sokalan® Polymers 0.000 description 1
- 235000018967 Solanum bulbocastanum Nutrition 0.000 description 1
- 241001327161 Solanum bulbocastanum Species 0.000 description 1
- 240000003768 Solanum lycopersicum Species 0.000 description 1
- 101000611441 Solanum lycopersicum Pathogenesis-related leaf protein 6 Proteins 0.000 description 1
- 235000007230 Sorghum bicolor Nutrition 0.000 description 1
- 229920002472 Starch Polymers 0.000 description 1
- 241001655322 Streptomycetales Species 0.000 description 1
- QAOWNCQODCNURD-UHFFFAOYSA-L Sulfate Chemical compound [O-]S([O-])(=O)=O QAOWNCQODCNURD-UHFFFAOYSA-L 0.000 description 1
- NINIDFKCEFEMDL-UHFFFAOYSA-N Sulfur Chemical group [S] NINIDFKCEFEMDL-UHFFFAOYSA-N 0.000 description 1
- HBPDKDSFLXWOAE-UHFFFAOYSA-N Tebuthiuron Chemical compound CNC(=O)N(C)C1=NN=C(C(C)(C)C)S1 HBPDKDSFLXWOAE-UHFFFAOYSA-N 0.000 description 1
- NBQCNZYJJMBDKY-UHFFFAOYSA-N Terbacil Chemical compound CC=1NC(=O)N(C(C)(C)C)C(=O)C=1Cl NBQCNZYJJMBDKY-UHFFFAOYSA-N 0.000 description 1
- 235000006468 Thea sinensis Nutrition 0.000 description 1
- KDWQYMVPYJGPHS-UHFFFAOYSA-N Thenylchlor Chemical compound C1=CSC(CN(C(=O)CCl)C=2C(=CC=CC=2C)C)=C1OC KDWQYMVPYJGPHS-UHFFFAOYSA-N 0.000 description 1
- 244000299461 Theobroma cacao Species 0.000 description 1
- 235000009470 Theobroma cacao Nutrition 0.000 description 1
- YIJZJEYQBAAWRJ-UHFFFAOYSA-N Thiazopyr Chemical compound N1=C(C(F)F)C(C(=O)OC)=C(CC(C)C)C(C=2SCCN=2)=C1C(F)(F)F YIJZJEYQBAAWRJ-UHFFFAOYSA-N 0.000 description 1
- HFCYZXMHUIHAQI-UHFFFAOYSA-N Thidiazuron Chemical compound C=1C=CC=CC=1NC(=O)NC1=CN=NS1 HFCYZXMHUIHAQI-UHFFFAOYSA-N 0.000 description 1
- 239000005622 Thiencarbazone Substances 0.000 description 1
- 239000005623 Thifensulfuron-methyl Substances 0.000 description 1
- 235000011941 Tilia x europaea Nutrition 0.000 description 1
- PHSUVQBHRAWOQD-UHFFFAOYSA-N Tiocarbazil Chemical compound CCC(C)N(C(C)CC)C(=O)SCC1=CC=CC=C1 PHSUVQBHRAWOQD-UHFFFAOYSA-N 0.000 description 1
- GWEVSGVZZGPLCZ-UHFFFAOYSA-N Titan oxide Chemical compound O=[Ti]=O GWEVSGVZZGPLCZ-UHFFFAOYSA-N 0.000 description 1
- 206010044278 Trace element deficiency Diseases 0.000 description 1
- WHKUVVPPKQRRBV-UHFFFAOYSA-N Trasan Chemical compound CC1=CC(Cl)=CC=C1OCC(O)=O WHKUVVPPKQRRBV-UHFFFAOYSA-N 0.000 description 1
- 239000005626 Tribenuron Substances 0.000 description 1
- 239000005627 Triclopyr Substances 0.000 description 1
- IBZHOAONZVJLOB-UHFFFAOYSA-N Tridiphane Chemical compound ClC1=CC(Cl)=CC(C2(CC(Cl)(Cl)Cl)OC2)=C1 IBZHOAONZVJLOB-UHFFFAOYSA-N 0.000 description 1
- HFBWPRKWDIRYNX-UHFFFAOYSA-N Trietazine Chemical compound CCNC1=NC(Cl)=NC(N(CC)CC)=N1 HFBWPRKWDIRYNX-UHFFFAOYSA-N 0.000 description 1
- DTQVDTLACAAQTR-UHFFFAOYSA-M Trifluoroacetate Chemical compound [O-]C(=O)C(F)(F)F DTQVDTLACAAQTR-UHFFFAOYSA-M 0.000 description 1
- 239000005628 Triflusulfuron Substances 0.000 description 1
- 235000015724 Trifolium pratense Nutrition 0.000 description 1
- 240000002913 Trifolium pratense Species 0.000 description 1
- 235000019714 Triticale Nutrition 0.000 description 1
- 235000021307 Triticum Nutrition 0.000 description 1
- 235000007264 Triticum durum Nutrition 0.000 description 1
- 241000209143 Triticum turgidum subsp. durum Species 0.000 description 1
- 101150077913 VIP3 gene Proteins 0.000 description 1
- 235000010749 Vicia faba Nutrition 0.000 description 1
- 240000006677 Vicia faba Species 0.000 description 1
- 235000002096 Vicia faba var. equina Nutrition 0.000 description 1
- 241000700605 Viruses Species 0.000 description 1
- 235000014787 Vitis vinifera Nutrition 0.000 description 1
- 240000006365 Vitis vinifera Species 0.000 description 1
- 229920004482 WACKER® Polymers 0.000 description 1
- 241000607757 Xenorhabdus Species 0.000 description 1
- 235000007244 Zea mays Nutrition 0.000 description 1
- HCHKCACWOHOZIP-UHFFFAOYSA-N Zinc Chemical compound [Zn] HCHKCACWOHOZIP-UHFFFAOYSA-N 0.000 description 1
- AMRQXHFXNZFDCH-SECBINFHSA-N [(2r)-1-(ethylamino)-1-oxopropan-2-yl] n-phenylcarbamate Chemical compound CCNC(=O)[C@@H](C)OC(=O)NC1=CC=CC=C1 AMRQXHFXNZFDCH-SECBINFHSA-N 0.000 description 1
- MVEFZZKZBYQFPP-UHFFFAOYSA-N [3-(ethoxycarbonylamino)phenyl] n-(3-methylphenyl)carbamate Chemical group CCOC(=O)NC1=CC=CC(OC(=O)NC=2C=C(C)C=CC=2)=C1 MVEFZZKZBYQFPP-UHFFFAOYSA-N 0.000 description 1
- NXHUEECQPUKSTG-UHFFFAOYSA-N [Na].CCCONNC(=O)N=N Chemical compound [Na].CCCONNC(=O)N=N NXHUEECQPUKSTG-UHFFFAOYSA-N 0.000 description 1
- 230000006578 abscission Effects 0.000 description 1
- 108040004627 acetyl-CoA synthetase acetyltransferase activity proteins Proteins 0.000 description 1
- NUFNQYOELLVIPL-UHFFFAOYSA-N acifluorfen Chemical compound C1=C([N+]([O-])=O)C(C(=O)O)=CC(OC=2C(=CC(=CC=2)C(F)(F)F)Cl)=C1 NUFNQYOELLVIPL-UHFFFAOYSA-N 0.000 description 1
- DDBMQDADIHOWIC-UHFFFAOYSA-N aclonifen Chemical compound C1=C([N+]([O-])=O)C(N)=C(Cl)C(OC=2C=CC=CC=2)=C1 DDBMQDADIHOWIC-UHFFFAOYSA-N 0.000 description 1
- 239000000654 additive Substances 0.000 description 1
- 239000000910 agglutinin Substances 0.000 description 1
- XCSGPAVHZFQHGE-UHFFFAOYSA-N alachlor Chemical compound CCC1=CC=CC(CC)=C1N(COC)C(=O)CCl XCSGPAVHZFQHGE-UHFFFAOYSA-N 0.000 description 1
- 150000001299 aldehydes Chemical class 0.000 description 1
- 125000001931 aliphatic group Chemical group 0.000 description 1
- 125000000033 alkoxyamino group Chemical group 0.000 description 1
- 125000002877 alkyl aryl group Chemical group 0.000 description 1
- 125000005037 alkyl phenyl group Chemical group 0.000 description 1
- 150000008051 alkyl sulfates Chemical class 0.000 description 1
- UPEZCKBFRMILAV-UHFFFAOYSA-N alpha-Ecdysone Natural products C1C(O)C(O)CC2(C)C(CCC3(C(C(C(O)CCC(C)(C)O)C)CCC33O)C)C3=CC(=O)C21 UPEZCKBFRMILAV-UHFFFAOYSA-N 0.000 description 1
- HSFWRNGVRCDJHI-UHFFFAOYSA-N alpha-acetylene Natural products C#C HSFWRNGVRCDJHI-UHFFFAOYSA-N 0.000 description 1
- RQVYBGPQFYCBGX-UHFFFAOYSA-N ametryn Chemical compound CCNC1=NC(NC(C)C)=NC(SC)=N1 RQVYBGPQFYCBGX-UHFFFAOYSA-N 0.000 description 1
- ORFPWVRKFLOQHK-UHFFFAOYSA-N amicarbazone Chemical compound CC(C)C1=NN(C(=O)NC(C)(C)C)C(=O)N1N ORFPWVRKFLOQHK-UHFFFAOYSA-N 0.000 description 1
- 150000001412 amines Chemical class 0.000 description 1
- 229910000148 ammonium phosphate Inorganic materials 0.000 description 1
- 235000019289 ammonium phosphates Nutrition 0.000 description 1
- 150000003863 ammonium salts Chemical class 0.000 description 1
- BFNBIHQBYMNNAN-UHFFFAOYSA-N ammonium sulfate Chemical compound N.N.OS(O)(=O)=O BFNBIHQBYMNNAN-UHFFFAOYSA-N 0.000 description 1
- 229910052921 ammonium sulfate Inorganic materials 0.000 description 1
- 235000011130 ammonium sulphate Nutrition 0.000 description 1
- 229940051881 anilide analgesics and antipyretics Drugs 0.000 description 1
- 150000003931 anilides Chemical class 0.000 description 1
- 239000006053 animal diet Substances 0.000 description 1
- 229940019748 antifibrinolytic proteinase inhibitors Drugs 0.000 description 1
- 239000007864 aqueous solution Substances 0.000 description 1
- 125000003118 aryl group Chemical group 0.000 description 1
- 125000004104 aryloxy group Chemical group 0.000 description 1
- VGPYEHKOIGNJKV-UHFFFAOYSA-N asulam Chemical compound COC(=O)NS(=O)(=O)C1=CC=C(N)C=C1 VGPYEHKOIGNJKV-UHFFFAOYSA-N 0.000 description 1
- 208000014347 autosomal dominant hyaline body myopathy Diseases 0.000 description 1
- XOEMATDHVZOBSG-UHFFFAOYSA-N azafenidin Chemical compound C1=C(OCC#C)C(Cl)=CC(Cl)=C1N1C(=O)N2CCCCC2=N1 XOEMATDHVZOBSG-UHFFFAOYSA-N 0.000 description 1
- MAHPNPYYQAIOJN-UHFFFAOYSA-N azimsulfuron Chemical compound COC1=CC(OC)=NC(NC(=O)NS(=O)(=O)C=2N(N=CC=2C2=NN(C)N=N2)C)=N1 MAHPNPYYQAIOJN-UHFFFAOYSA-N 0.000 description 1
- 235000012733 azorubine Nutrition 0.000 description 1
- HYJSGOXICXYZGS-UHFFFAOYSA-N benazolin Chemical compound C1=CC=C2SC(=O)N(CC(=O)O)C2=C1Cl HYJSGOXICXYZGS-UHFFFAOYSA-N 0.000 description 1
- WQRCEBAZAUAUQC-UHFFFAOYSA-N benazolin-ethyl Chemical group C1=CC=C2SC(=O)N(CC(=O)OCC)C2=C1Cl WQRCEBAZAUAUQC-UHFFFAOYSA-N 0.000 description 1
- LVKBXDHACCFCTA-UHFFFAOYSA-N bencarbazone Chemical compound C1=C(C(N)=S)C(NS(=O)(=O)CC)=CC(N2C(N(C)C(=N2)C(F)(F)F)=O)=C1F LVKBXDHACCFCTA-UHFFFAOYSA-N 0.000 description 1
- SMDHCQAYESWHAE-UHFFFAOYSA-N benfluralin Chemical compound CCCCN(CC)C1=C([N+]([O-])=O)C=C(C(F)(F)F)C=C1[N+]([O-])=O SMDHCQAYESWHAE-UHFFFAOYSA-N 0.000 description 1
- PPWBRCCBKOWDNB-UHFFFAOYSA-N bensulfuron Chemical compound COC1=CC(OC)=NC(NC(=O)NS(=O)(=O)CC=2C(=CC=CC=2)C(O)=O)=N1 PPWBRCCBKOWDNB-UHFFFAOYSA-N 0.000 description 1
- ZOMSMJKLGFBRBS-UHFFFAOYSA-N bentazone Chemical compound C1=CC=C2NS(=O)(=O)N(C(C)C)C(=O)C2=C1 ZOMSMJKLGFBRBS-UHFFFAOYSA-N 0.000 description 1
- 229940054066 benzamide antipsychotics Drugs 0.000 description 1
- CNBGNNVCVSKAQZ-UHFFFAOYSA-N benzidamine Natural products C12=CC=CC=C2C(OCCCN(C)C)=NN1CC1=CC=CC=C1 CNBGNNVCVSKAQZ-UHFFFAOYSA-N 0.000 description 1
- DMSMPAJRVJJAGA-UHFFFAOYSA-N benzo[d]isothiazol-3-one Chemical compound C1=CC=C2C(=O)NSC2=C1 DMSMPAJRVJJAGA-UHFFFAOYSA-N 0.000 description 1
- 235000010233 benzoic acid Nutrition 0.000 description 1
- 125000003236 benzoyl group Chemical group [H]C1=C([H])C([H])=C(C([H])=C1[H])C(*)=O 0.000 description 1
- MKQSWTQPLLCSOB-UHFFFAOYSA-N benzyl 2-chloro-4-(trifluoromethyl)-1,3-thiazole-5-carboxylate Chemical compound N1=C(Cl)SC(C(=O)OCC=2C=CC=CC=2)=C1C(F)(F)F MKQSWTQPLLCSOB-UHFFFAOYSA-N 0.000 description 1
- 235000019445 benzyl alcohol Nutrition 0.000 description 1
- YOUGRGFIHBUKRS-UHFFFAOYSA-N benzyl(trimethyl)azanium Chemical compound C[N+](C)(C)CC1=CC=CC=C1 YOUGRGFIHBUKRS-UHFFFAOYSA-N 0.000 description 1
- HUYBEDCQLAEVPD-MNOVXSKESA-N bicyclopyrone Chemical compound COCCOCc1nc(ccc1C(=O)C1=C(O)[C@@H]2CC[C@@H](C2)C1=O)C(F)(F)F HUYBEDCQLAEVPD-MNOVXSKESA-N 0.000 description 1
- RYVIXQCRCQLFCM-UHFFFAOYSA-N bispyribac Chemical compound COC1=CC(OC)=NC(OC=2C(=C(OC=3N=C(OC)C=C(OC)N=3)C=CC=2)C(O)=O)=N1 RYVIXQCRCQLFCM-UHFFFAOYSA-N 0.000 description 1
- 238000009835 boiling Methods 0.000 description 1
- 235000012745 brilliant blue FCF Nutrition 0.000 description 1
- 239000004161 brilliant blue FCF Substances 0.000 description 1
- WZDDLAZXUYIVMU-UHFFFAOYSA-N bromobutide Chemical compound CC(C)(C)C(Br)C(=O)NC(C)(C)C1=CC=CC=C1 WZDDLAZXUYIVMU-UHFFFAOYSA-N 0.000 description 1
- 108010049223 bryodin Proteins 0.000 description 1
- HKPHPIREJKHECO-UHFFFAOYSA-N butachlor Chemical compound CCCCOCN(C(=O)CCl)C1=C(CC)C=CC=C1CC HKPHPIREJKHECO-UHFFFAOYSA-N 0.000 description 1
- JEDYYFXHPAIBGR-UHFFFAOYSA-N butafenacil Chemical compound O=C1N(C)C(C(F)(F)F)=CC(=O)N1C1=CC=C(Cl)C(C(=O)OC(C)(C)C(=O)OCC=C)=C1 JEDYYFXHPAIBGR-UHFFFAOYSA-N 0.000 description 1
- VAIZTNZGPYBOGF-UHFFFAOYSA-N butyl 2-(4-{[5-(trifluoromethyl)pyridin-2-yl]oxy}phenoxy)propanoate Chemical group C1=CC(OC(C)C(=O)OCCCC)=CC=C1OC1=CC=C(C(F)(F)F)C=N1 VAIZTNZGPYBOGF-UHFFFAOYSA-N 0.000 description 1
- PSGPXWYGJGGEEG-UHFFFAOYSA-N butyl 9-hydroxyfluorene-9-carboxylate Chemical group C1=CC=C2C(C(=O)OCCCC)(O)C3=CC=CC=C3C2=C1 PSGPXWYGJGGEEG-UHFFFAOYSA-N 0.000 description 1
- 125000006251 butylcarbonyl group Chemical group 0.000 description 1
- 239000011575 calcium Substances 0.000 description 1
- 229910052791 calcium Inorganic materials 0.000 description 1
- 150000004657 carbamic acid derivatives Chemical class 0.000 description 1
- 239000004202 carbamide Substances 0.000 description 1
- 125000003178 carboxy group Chemical group [H]OC(*)=O 0.000 description 1
- 229920002678 cellulose Polymers 0.000 description 1
- 239000001913 cellulose Substances 0.000 description 1
- ALLOLPOYFRLCCX-UHFFFAOYSA-N chembl1986529 Chemical compound COC1=CC=CC=C1N=NC1=C(O)C=CC2=CC=CC=C12 ALLOLPOYFRLCCX-UHFFFAOYSA-N 0.000 description 1
- MXZACTZQSGYANA-UHFFFAOYSA-N chembl545463 Chemical compound Cl.C1=CC(OC)=CC=C1C(N=C1)=CN2C1=NC(C)=C2O MXZACTZQSGYANA-UHFFFAOYSA-N 0.000 description 1
- WYKYKTKDBLFHCY-UHFFFAOYSA-N chloridazon Chemical compound O=C1C(Cl)=C(N)C=NN1C1=CC=CC=C1 WYKYKTKDBLFHCY-UHFFFAOYSA-N 0.000 description 1
- RIUXZHMCCFLRBI-UHFFFAOYSA-N chlorimuron Chemical compound COC1=CC(Cl)=NC(NC(=O)NS(=O)(=O)C=2C(=CC=CC=2)C(O)=O)=N1 RIUXZHMCCFLRBI-UHFFFAOYSA-N 0.000 description 1
- NSWAMPCUPHPTTC-UHFFFAOYSA-N chlorimuron-ethyl Chemical group CCOC(=O)C1=CC=CC=C1S(=O)(=O)NC(=O)NC1=NC(Cl)=CC(OC)=N1 NSWAMPCUPHPTTC-UHFFFAOYSA-N 0.000 description 1
- 125000004775 chlorodifluoromethyl group Chemical group FC(F)(Cl)* 0.000 description 1
- 125000004773 chlorofluoromethyl group Chemical group [H]C(F)(Cl)* 0.000 description 1
- 125000004218 chloromethyl group Chemical group [H]C([H])(Cl)* 0.000 description 1
- JXCGFZXSOMJFOA-UHFFFAOYSA-N chlorotoluron Chemical compound CN(C)C(=O)NC1=CC=C(C)C(Cl)=C1 JXCGFZXSOMJFOA-UHFFFAOYSA-N 0.000 description 1
- IVUXTESCPZUGJC-UHFFFAOYSA-N chloroxuron Chemical compound C1=CC(NC(=O)N(C)C)=CC=C1OC1=CC=C(Cl)C=C1 IVUXTESCPZUGJC-UHFFFAOYSA-N 0.000 description 1
- CWJSHJJYOPWUGX-UHFFFAOYSA-N chlorpropham Chemical compound CC(C)OC(=O)NC1=CC=CC(Cl)=C1 CWJSHJJYOPWUGX-UHFFFAOYSA-N 0.000 description 1
- 238000004587 chromatography analysis Methods 0.000 description 1
- 238000011097 chromatography purification Methods 0.000 description 1
- NNKKTZOEKDFTBU-YBEGLDIGSA-N cinidon ethyl Chemical compound C1=C(Cl)C(/C=C(\Cl)C(=O)OCC)=CC(N2C(C3=C(CCCC3)C2=O)=O)=C1 NNKKTZOEKDFTBU-YBEGLDIGSA-N 0.000 description 1
- 235000020971 citrus fruits Nutrition 0.000 description 1
- 239000004927 clay Substances 0.000 description 1
- SILSDTWXNBZOGF-JWGBMQLESA-N clethodim Chemical compound CCSC(C)CC1CC(O)=C(C(CC)=NOC\C=C\Cl)C(=O)C1 SILSDTWXNBZOGF-JWGBMQLESA-N 0.000 description 1
- YUIKUTLBPMDDNQ-MRVPVSSYSA-N clodinafop Chemical compound C1=CC(O[C@H](C)C(O)=O)=CC=C1OC1=NC=C(Cl)C=C1F YUIKUTLBPMDDNQ-MRVPVSSYSA-N 0.000 description 1
- YIANBKOBVRMNPR-UHFFFAOYSA-N cloransulam Chemical compound N=1N2C(OCC)=NC(F)=CC2=NC=1S(=O)(=O)NC1=C(Cl)C=CC=C1C(O)=O YIANBKOBVRMNPR-UHFFFAOYSA-N 0.000 description 1
- BIKACRYIQSLICJ-UHFFFAOYSA-N cloransulam-methyl Chemical group N=1N2C(OCC)=NC(F)=CC2=NC=1S(=O)(=O)NC1=C(Cl)C=CC=C1C(=O)OC BIKACRYIQSLICJ-UHFFFAOYSA-N 0.000 description 1
- 239000011280 coal tar Substances 0.000 description 1
- 239000007931 coated granule Substances 0.000 description 1
- 239000000084 colloidal system Substances 0.000 description 1
- 239000012230 colorless oil Substances 0.000 description 1
- 229920001577 copolymer Polymers 0.000 description 1
- 229910052802 copper Inorganic materials 0.000 description 1
- 239000010949 copper Substances 0.000 description 1
- 239000012043 crude product Substances 0.000 description 1
- 239000002178 crystalline material Substances 0.000 description 1
- 125000000392 cycloalkenyl group Chemical group 0.000 description 1
- 125000000000 cycloalkoxy group Chemical group 0.000 description 1
- 125000006254 cycloalkyl carbonyl group Chemical group 0.000 description 1
- 125000001995 cyclobutyl group Chemical group [H]C1([H])C([H])([H])C([H])(*)C1([H])[H] 0.000 description 1
- HPXRVTGHNJAIIH-UHFFFAOYSA-N cyclohexanol Chemical compound OC1CCCCC1 HPXRVTGHNJAIIH-UHFFFAOYSA-N 0.000 description 1
- 125000006639 cyclohexyl carbonyl group Chemical group 0.000 description 1
- 125000004145 cyclopenten-1-yl group Chemical group [H]C1=C(*)C([H])([H])C([H])([H])C1([H])[H] 0.000 description 1
- 125000006638 cyclopentyl carbonyl group Chemical group 0.000 description 1
- 125000006255 cyclopropyl carbonyl group Chemical group [H]C1([H])C([H])([H])C1([H])C(*)=O 0.000 description 1
- 125000001559 cyclopropyl group Chemical group [H]C1([H])C([H])([H])C1([H])* 0.000 description 1
- 125000004186 cyclopropylmethyl group Chemical group [H]C([H])(*)C1([H])C([H])([H])C1([H])[H] 0.000 description 1
- 108050004038 cystatin Proteins 0.000 description 1
- QAYICIQNSGETAS-UHFFFAOYSA-N dazomet Chemical compound CN1CSC(=S)N(C)C1 QAYICIQNSGETAS-UHFFFAOYSA-N 0.000 description 1
- 230000023753 dehiscence Effects 0.000 description 1
- 238000001212 derivatisation Methods 0.000 description 1
- 239000002274 desiccant Substances 0.000 description 1
- WZJZMXBKUWKXTQ-UHFFFAOYSA-N desmedipham Chemical compound CCOC(=O)NC1=CC=CC(OC(=O)NC=2C=CC=CC=2)=C1 WZJZMXBKUWKXTQ-UHFFFAOYSA-N 0.000 description 1
- 238000001514 detection method Methods 0.000 description 1
- 238000011161 development Methods 0.000 description 1
- 230000018109 developmental process Effects 0.000 description 1
- MNNHAPBLZZVQHP-UHFFFAOYSA-N diammonium hydrogen phosphate Chemical compound [NH4+].[NH4+].OP([O-])([O-])=O MNNHAPBLZZVQHP-UHFFFAOYSA-N 0.000 description 1
- 150000004891 diazines Chemical class 0.000 description 1
- WCGGWVOVFQNRRS-UHFFFAOYSA-N dichloroacetamide Chemical class NC(=O)C(Cl)Cl WCGGWVOVFQNRRS-UHFFFAOYSA-N 0.000 description 1
- 125000004774 dichlorofluoromethyl group Chemical group FC(Cl)(Cl)* 0.000 description 1
- 125000004772 dichloromethyl group Chemical group [H]C(Cl)(Cl)* 0.000 description 1
- 229960003887 dichlorophen Drugs 0.000 description 1
- 239000002283 diesel fuel Substances 0.000 description 1
- ZBCBWPMODOFKDW-UHFFFAOYSA-N diethanolamine Chemical compound OCCNCCO ZBCBWPMODOFKDW-UHFFFAOYSA-N 0.000 description 1
- XXWNKVBJDWSYBN-UHFFFAOYSA-N diethoxy-phenoxy-sulfanylidene-$l^{5}-phosphane Chemical compound CCOP(=S)(OCC)OC1=CC=CC=C1 XXWNKVBJDWSYBN-UHFFFAOYSA-N 0.000 description 1
- 125000001028 difluoromethyl group Chemical group [H]C(F)(F)* 0.000 description 1
- 230000029087 digestion Effects 0.000 description 1
- NBIIXXVUZAFLBC-UHFFFAOYSA-M dihydrogenphosphate Chemical compound OP(O)([O-])=O NBIIXXVUZAFLBC-UHFFFAOYSA-M 0.000 description 1
- UAOMVDZJSHZZME-UHFFFAOYSA-N diisopropylamine Chemical compound CC(C)NC(C)C UAOMVDZJSHZZME-UHFFFAOYSA-N 0.000 description 1
- BWUPSGJXXPATLU-UHFFFAOYSA-N dimepiperate Chemical compound C=1C=CC=CC=1C(C)(C)SC(=O)N1CCCCC1 BWUPSGJXXPATLU-UHFFFAOYSA-N 0.000 description 1
- SCCDDNKJYDZXMM-UHFFFAOYSA-N dimethachlor Chemical compound COCCN(C(=O)CCl)C1=C(C)C=CC=C1C SCCDDNKJYDZXMM-UHFFFAOYSA-N 0.000 description 1
- FMSYNRGOFIGJMM-NXEZZACHSA-N dimethyl (4r,5r)-2-phenyl-1,3-dioxolane-4,5-dicarboxylate Chemical compound O1[C@@H](C(=O)OC)[C@H](C(=O)OC)OC1C1=CC=CC=C1 FMSYNRGOFIGJMM-NXEZZACHSA-N 0.000 description 1
- USIUVYZYUHIAEV-UHFFFAOYSA-N diphenyl ether Chemical class C=1C=CC=CC=1OC1=CC=CC=C1 USIUVYZYUHIAEV-UHFFFAOYSA-N 0.000 description 1
- SYJFEGQWDCRVNX-UHFFFAOYSA-N diquat Chemical compound C1=CC=[N+]2CC[N+]3=CC=CC=C3C2=C1 SYJFEGQWDCRVNX-UHFFFAOYSA-N 0.000 description 1
- SDIXRDNYIMOKSG-UHFFFAOYSA-L disodium methyl arsenate Chemical compound [Na+].[Na+].C[As]([O-])([O-])=O SDIXRDNYIMOKSG-UHFFFAOYSA-L 0.000 description 1
- YSVBPNGJESBVRM-UHFFFAOYSA-L disodium;4-[(1-oxido-4-sulfonaphthalen-2-yl)diazenyl]naphthalene-1-sulfonate Chemical compound [Na+].[Na+].C1=CC=C2C(N=NC3=C(C4=CC=CC=C4C(=C3)S([O-])(=O)=O)O)=CC=C(S([O-])(=O)=O)C2=C1 YSVBPNGJESBVRM-UHFFFAOYSA-L 0.000 description 1
- 239000004491 dispersible concentrate Substances 0.000 description 1
- 238000009826 distribution Methods 0.000 description 1
- LQZZUXJYWNFBMV-UHFFFAOYSA-N dodecan-1-ol Chemical compound CCCCCCCCCCCCO LQZZUXJYWNFBMV-UHFFFAOYSA-N 0.000 description 1
- 239000010459 dolomite Substances 0.000 description 1
- 229910000514 dolomite Inorganic materials 0.000 description 1
- 244000013123 dwarf bean Species 0.000 description 1
- 235000005489 dwarf bean Nutrition 0.000 description 1
- UPEZCKBFRMILAV-JMZLNJERSA-N ecdysone Chemical compound C1[C@@H](O)[C@@H](O)C[C@]2(C)[C@@H](CC[C@@]3([C@@H]([C@@H]([C@H](O)CCC(C)(C)O)C)CC[C@]33O)C)C3=CC(=O)[C@@H]21 UPEZCKBFRMILAV-JMZLNJERSA-N 0.000 description 1
- 239000004495 emulsifiable concentrate Substances 0.000 description 1
- 239000002158 endotoxin Substances 0.000 description 1
- 230000002708 enhancing effect Effects 0.000 description 1
- 230000007613 environmental effect Effects 0.000 description 1
- 229940088598 enzyme Drugs 0.000 description 1
- IINNWAYUJNWZRM-UHFFFAOYSA-L erythrosin B Chemical compound [Na+].[Na+].[O-]C(=O)C1=CC=CC=C1C1=C2C=C(I)C(=O)C(I)=C2OC2=C(I)C([O-])=C(I)C=C21 IINNWAYUJNWZRM-UHFFFAOYSA-L 0.000 description 1
- IRLGCAJYYKDTCG-UHFFFAOYSA-N ethametsulfuron Chemical compound CCOC1=NC(NC)=NC(NC(=O)NS(=O)(=O)C=2C(=CC=CC=2)C(O)=O)=N1 IRLGCAJYYKDTCG-UHFFFAOYSA-N 0.000 description 1
- ZINJLDJMHCUBIP-UHFFFAOYSA-N ethametsulfuron-methyl Chemical group CCOC1=NC(NC)=NC(NC(=O)NS(=O)(=O)C=2C(=CC=CC=2)C(=O)OC)=N1 ZINJLDJMHCUBIP-UHFFFAOYSA-N 0.000 description 1
- 229940052303 ethers for general anesthesia Drugs 0.000 description 1
- MLKCGVHIFJBRCD-UHFFFAOYSA-N ethyl 2-chloro-3-{2-chloro-5-[4-(difluoromethyl)-3-methyl-5-oxo-4,5-dihydro-1H-1,2,4-triazol-1-yl]-4-fluorophenyl}propanoate Chemical group C1=C(Cl)C(CC(Cl)C(=O)OCC)=CC(N2C(N(C(F)F)C(C)=N2)=O)=C1F MLKCGVHIFJBRCD-UHFFFAOYSA-N 0.000 description 1
- OSUHJPCHFDQAIT-UHFFFAOYSA-N ethyl 2-{4-[(6-chloroquinoxalin-2-yl)oxy]phenoxy}propanoate Chemical group C1=CC(OC(C)C(=O)OCC)=CC=C1OC1=CN=C(C=C(Cl)C=C2)C2=N1 OSUHJPCHFDQAIT-UHFFFAOYSA-N 0.000 description 1
- 125000002534 ethynyl group Chemical group [H]C#C* 0.000 description 1
- 238000011156 evaluation Methods 0.000 description 1
- QMTNOLKHSWIQBE-FGTMMUONSA-N exo-(+)-cinmethylin Chemical compound O([C@H]1[C@]2(C)CC[C@@](O2)(C1)C(C)C)CC1=CC=CC=C1C QMTNOLKHSWIQBE-FGTMMUONSA-N 0.000 description 1
- 150000002191 fatty alcohols Chemical class 0.000 description 1
- 239000003337 fertilizer Substances 0.000 description 1
- 239000000835 fiber Substances 0.000 description 1
- 239000007888 film coating Substances 0.000 description 1
- 238000009501 film coating Methods 0.000 description 1
- 239000000706 filtrate Substances 0.000 description 1
- 238000001914 filtration Methods 0.000 description 1
- 235000004426 flaxseed Nutrition 0.000 description 1
- YUVKUEAFAVKILW-SECBINFHSA-N fluazifop-P Chemical compound C1=CC(O[C@H](C)C(O)=O)=CC=C1OC1=CC=C(C(F)(F)F)C=N1 YUVKUEAFAVKILW-SECBINFHSA-N 0.000 description 1
- VAIZTNZGPYBOGF-CYBMUJFWSA-N fluazifop-P-butyl Chemical group C1=CC(O[C@H](C)C(=O)OCCCC)=CC=C1OC1=CC=C(C(F)(F)F)C=N1 VAIZTNZGPYBOGF-CYBMUJFWSA-N 0.000 description 1
- GINFBXXYGUODAT-UHFFFAOYSA-N flucarbazone Chemical compound O=C1N(C)C(OC)=NN1C(=O)NS(=O)(=O)C1=CC=CC=C1OC(F)(F)F GINFBXXYGUODAT-UHFFFAOYSA-N 0.000 description 1
- UOUXAYAIONPXDH-UHFFFAOYSA-M flucarbazone-sodium Chemical compound [Na+].O=C1N(C)C(OC)=NN1C(=O)[N-]S(=O)(=O)C1=CC=CC=C1OC(F)(F)F UOUXAYAIONPXDH-UHFFFAOYSA-M 0.000 description 1
- WFZSZAXUALBVNX-UHFFFAOYSA-N flufenpyr Chemical compound O=C1C(C)=C(C(F)(F)F)C=NN1C1=CC(OCC(O)=O)=C(Cl)C=C1F WFZSZAXUALBVNX-UHFFFAOYSA-N 0.000 description 1
- DNUAYCRATWAJQE-UHFFFAOYSA-N flufenpyr-ethyl Chemical group C1=C(Cl)C(OCC(=O)OCC)=CC(N2C(C(C)=C(C=N2)C(F)(F)F)=O)=C1F DNUAYCRATWAJQE-UHFFFAOYSA-N 0.000 description 1
- 125000001153 fluoro group Chemical group F* 0.000 description 1
- 125000004216 fluoromethyl group Chemical group [H]C([H])(F)* 0.000 description 1
- XWROTTLWMHCFEC-LGMDPLHJSA-N fluthiacet Chemical compound C1=C(Cl)C(SCC(=O)O)=CC(\N=C/2N3CCCCN3C(=O)S\2)=C1F XWROTTLWMHCFEC-LGMDPLHJSA-N 0.000 description 1
- ZCNQYNHDVRPZIH-UHFFFAOYSA-N fluthiacet-methyl Chemical group C1=C(Cl)C(SCC(=O)OC)=CC(N=C2N3CCCCN3C(=O)S2)=C1F ZCNQYNHDVRPZIH-UHFFFAOYSA-N 0.000 description 1
- BGZZWXTVIYUUEY-UHFFFAOYSA-N fomesafen Chemical compound C1=C([N+]([O-])=O)C(C(=O)NS(=O)(=O)C)=CC(OC=2C(=CC(=CC=2)C(F)(F)F)Cl)=C1 BGZZWXTVIYUUEY-UHFFFAOYSA-N 0.000 description 1
- 230000002538 fungal effect Effects 0.000 description 1
- 239000003349 gelling agent Substances 0.000 description 1
- 230000002068 genetic effect Effects 0.000 description 1
- 235000002532 grape seed extract Nutrition 0.000 description 1
- 238000000227 grinding Methods 0.000 description 1
- 150000004820 halides Chemical class 0.000 description 1
- 125000004438 haloalkoxy group Chemical group 0.000 description 1
- 150000003977 halocarboxylic acids Chemical class 0.000 description 1
- 125000004970 halomethyl group Chemical group 0.000 description 1
- GOCUAJYOYBLQRH-MRVPVSSYSA-N haloxyfop-P Chemical compound C1=CC(O[C@H](C)C(O)=O)=CC=C1OC1=NC=C(C(F)(F)F)C=C1Cl GOCUAJYOYBLQRH-MRVPVSSYSA-N 0.000 description 1
- MFSWTRQUCLNFOM-SECBINFHSA-N haloxyfop-P-methyl Chemical group C1=CC(O[C@H](C)C(=O)OC)=CC=C1OC1=NC=C(C(F)(F)F)C=C1Cl MFSWTRQUCLNFOM-SECBINFHSA-N 0.000 description 1
- 125000006343 heptafluoro propyl group Chemical group 0.000 description 1
- 150000004761 hexafluorosilicates Chemical class 0.000 description 1
- 125000004051 hexyl group Chemical group [H]C([H])([H])C([H])([H])C([H])([H])C([H])([H])C([H])([H])C([H])([H])* 0.000 description 1
- 239000003864 humus Substances 0.000 description 1
- YPGCWEMNNLXISK-UHFFFAOYSA-N hydratropic acid Chemical compound OC(=O)C(C)C1=CC=CC=C1 YPGCWEMNNLXISK-UHFFFAOYSA-N 0.000 description 1
- QAOWNCQODCNURD-UHFFFAOYSA-M hydrogensulfate Chemical compound OS([O-])(=O)=O QAOWNCQODCNURD-UHFFFAOYSA-M 0.000 description 1
- WGCNASOHLSPBMP-UHFFFAOYSA-N hydroxyacetaldehyde Natural products OCC=O WGCNASOHLSPBMP-UHFFFAOYSA-N 0.000 description 1
- 150000002460 imidazoles Chemical class 0.000 description 1
- 230000001771 impaired effect Effects 0.000 description 1
- 230000001976 improved effect Effects 0.000 description 1
- 230000006872 improvement Effects 0.000 description 1
- 230000001939 inductive effect Effects 0.000 description 1
- 239000004615 ingredient Substances 0.000 description 1
- 239000011630 iodine Substances 0.000 description 1
- PNDPGZBMCMUPRI-UHFFFAOYSA-N iodine Chemical compound II PNDPGZBMCMUPRI-UHFFFAOYSA-N 0.000 description 1
- INQOMBQAUSQDDS-UHFFFAOYSA-N iodomethane Chemical compound IC INQOMBQAUSQDDS-UHFFFAOYSA-N 0.000 description 1
- 150000002500 ions Chemical class 0.000 description 1
- NRXQIUSYPAHGNM-UHFFFAOYSA-N ioxynil Chemical compound OC1=C(I)C=C(C#N)C=C1I NRXQIUSYPAHGNM-UHFFFAOYSA-N 0.000 description 1
- 229910052742 iron Inorganic materials 0.000 description 1
- 125000000959 isobutyl group Chemical group [H]C([H])([H])C([H])(C([H])([H])[H])C([H])([H])* 0.000 description 1
- 125000004491 isohexyl group Chemical group C(CCC(C)C)* 0.000 description 1
- QXJSBBXBKPUZAA-UHFFFAOYSA-N isooleic acid Natural products CCCCCCCC=CCCCCCCCCC(O)=O QXJSBBXBKPUZAA-UHFFFAOYSA-N 0.000 description 1
- 125000001972 isopentyl group Chemical group [H]C([H])([H])C([H])(C([H])([H])[H])C([H])([H])C([H])([H])* 0.000 description 1
- MGIYRDNGCNKGJU-UHFFFAOYSA-N isothiazolinone Chemical compound O=C1C=CSN1 MGIYRDNGCNKGJU-UHFFFAOYSA-N 0.000 description 1
- OYIKARCXOQLFHF-UHFFFAOYSA-N isoxaflutole Chemical compound CS(=O)(=O)C1=CC(C(F)(F)F)=CC=C1C(=O)C1=C(C2CC2)ON=C1 OYIKARCXOQLFHF-UHFFFAOYSA-N 0.000 description 1
- 229940088649 isoxaflutole Drugs 0.000 description 1
- 150000002547 isoxazolines Chemical class 0.000 description 1
- 108010080576 juvenile hormone esterase Proteins 0.000 description 1
- 239000003350 kerosene Substances 0.000 description 1
- CONWAEURSVPLRM-UHFFFAOYSA-N lactofen Chemical compound C1=C([N+]([O-])=O)C(C(=O)OC(C)C(=O)OCC)=CC(OC=2C(=CC(=CC=2)C(F)(F)F)Cl)=C1 CONWAEURSVPLRM-UHFFFAOYSA-N 0.000 description 1
- ZTMKADLOSYKWCA-UHFFFAOYSA-N lenacil Chemical compound O=C1NC=2CCCC=2C(=O)N1C1CCCCC1 ZTMKADLOSYKWCA-UHFFFAOYSA-N 0.000 description 1
- 150000007517 lewis acids Chemical class 0.000 description 1
- 239000004571 lime Substances 0.000 description 1
- 239000006028 limestone Substances 0.000 description 1
- SXQCTESRRZBPHJ-UHFFFAOYSA-M lissamine rhodamine Chemical compound [Na+].C=12C=CC(=[N+](CC)CC)C=C2OC2=CC(N(CC)CC)=CC=C2C=1C1=CC=C(S([O-])(=O)=O)C=C1S([O-])(=O)=O SXQCTESRRZBPHJ-UHFFFAOYSA-M 0.000 description 1
- 229910052744 lithium Inorganic materials 0.000 description 1
- 235000020667 long-chain omega-3 fatty acid Nutrition 0.000 description 1
- 239000011777 magnesium Substances 0.000 description 1
- 229910052749 magnesium Inorganic materials 0.000 description 1
- 229910052943 magnesium sulfate Inorganic materials 0.000 description 1
- 235000019341 magnesium sulphate Nutrition 0.000 description 1
- WPBNNNQJVZRUHP-UHFFFAOYSA-L manganese(2+);methyl n-[[2-(methoxycarbonylcarbamothioylamino)phenyl]carbamothioyl]carbamate;n-[2-(sulfidocarbothioylamino)ethyl]carbamodithioate Chemical compound [Mn+2].[S-]C(=S)NCCNC([S-])=S.COC(=O)NC(=S)NC1=CC=CC=C1NC(=S)NC(=O)OC WPBNNNQJVZRUHP-UHFFFAOYSA-L 0.000 description 1
- 230000007246 mechanism Effects 0.000 description 1
- HYVVJDQGXFXBRZ-UHFFFAOYSA-N metam Chemical compound CNC(S)=S HYVVJDQGXFXBRZ-UHFFFAOYSA-N 0.000 description 1
- VHCNQEUWZYOAEV-UHFFFAOYSA-N metamitron Chemical compound O=C1N(N)C(C)=NN=C1C1=CC=CC=C1 VHCNQEUWZYOAEV-UHFFFAOYSA-N 0.000 description 1
- OKKJLVBELUTLKV-VMNATFBRSA-N methanol-d1 Chemical compound [2H]OC OKKJLVBELUTLKV-VMNATFBRSA-N 0.000 description 1
- RBNIGDFIUWJJEV-LLVKDONJSA-N methyl (2r)-2-(n-benzoyl-3-chloro-4-fluoroanilino)propanoate Chemical group C=1C=C(F)C(Cl)=CC=1N([C@H](C)C(=O)OC)C(=O)C1=CC=CC=C1 RBNIGDFIUWJJEV-LLVKDONJSA-N 0.000 description 1
- PHFSQKHHIVKMCH-VZKYLMKOSA-N methyl (2s)-2-[[(2s,3z,5s,6e,8r)-8-amino-2-benzyl-5-propan-2-yl-9-sulfanylnona-3,6-dienoyl]amino]-4-methylsulfanylbutanoate Chemical compound SC[C@H](N)/C=C/[C@@H](C(C)C)\C=C/[C@@H](C(=O)N[C@@H](CCSC)C(=O)OC)CC1=CC=CC=C1 PHFSQKHHIVKMCH-VZKYLMKOSA-N 0.000 description 1
- MFSWTRQUCLNFOM-UHFFFAOYSA-N methyl 2-(4-{[3-chloro-5-(trifluoromethyl)pyridin-2-yl]oxy}phenoxy)propanoate Chemical group C1=CC(OC(C)C(=O)OC)=CC=C1OC1=NC=C(C(F)(F)F)C=C1Cl MFSWTRQUCLNFOM-UHFFFAOYSA-N 0.000 description 1
- RBNIGDFIUWJJEV-UHFFFAOYSA-N methyl 2-(n-benzoyl-3-chloro-4-fluoroanilino)propanoate Chemical group C=1C=C(F)C(Cl)=CC=1N(C(C)C(=O)OC)C(=O)C1=CC=CC=C1 RBNIGDFIUWJJEV-UHFFFAOYSA-N 0.000 description 1
- JTHMVYBOQLDDIY-UHFFFAOYSA-N methyl 2-[(4-methyl-5-oxo-3-propoxy-1,2,4-triazole-1-carbonyl)sulfamoyl]benzoate Chemical compound O=C1N(C)C(OCCC)=NN1C(=O)NS(=O)(=O)C1=CC=CC=C1C(=O)OC JTHMVYBOQLDDIY-UHFFFAOYSA-N 0.000 description 1
- BACHBFVBHLGWSL-UHFFFAOYSA-N methyl 2-[4-(2,4-dichlorophenoxy)phenoxy]propanoate Chemical group C1=CC(OC(C)C(=O)OC)=CC=C1OC1=CC=C(Cl)C=C1Cl BACHBFVBHLGWSL-UHFFFAOYSA-N 0.000 description 1
- LYPWWQLKWQNQKV-UHFFFAOYSA-N methyl 2-[5-ethyl-2-[[4-[3-methyl-2,6-dioxo-4-(trifluoromethyl)pyrimidin-1-yl]phenoxy]methyl]phenoxy]propanoate Chemical compound COC(=O)C(C)OC1=CC(CC)=CC=C1COC1=CC=C(N2C(N(C)C(=CC2=O)C(F)(F)F)=O)C=C1 LYPWWQLKWQNQKV-UHFFFAOYSA-N 0.000 description 1
- ZTYVMAQSHCZXLF-UHFFFAOYSA-N methyl 2-[[4,6-bis(difluoromethoxy)pyrimidin-2-yl]carbamoylsulfamoyl]benzoate Chemical group COC(=O)C1=CC=CC=C1S(=O)(=O)NC(=O)NC1=NC(OC(F)F)=CC(OC(F)F)=N1 ZTYVMAQSHCZXLF-UHFFFAOYSA-N 0.000 description 1
- LINPVWIEWJTEEJ-UHFFFAOYSA-N methyl 2-chloro-9-hydroxyfluorene-9-carboxylate Chemical group C1=C(Cl)C=C2C(C(=O)OC)(O)C3=CC=CC=C3C2=C1 LINPVWIEWJTEEJ-UHFFFAOYSA-N 0.000 description 1
- KOQUWEBRGTUYNL-UHFFFAOYSA-N methyl 3-(methylamino)pyridine-2-carboxylate Chemical compound CNC1=CC=CN=C1C(=O)OC KOQUWEBRGTUYNL-UHFFFAOYSA-N 0.000 description 1
- RZFDGJBERVLWQQ-UHFFFAOYSA-N methyl 3-[[2-[2-(trifluoromethyl)phenyl]acetyl]amino]pyridine-2-carboxylate Chemical compound COC(=O)C1=NC=CC=C1NC(=O)CC1=CC=CC=C1C(F)(F)F RZFDGJBERVLWQQ-UHFFFAOYSA-N 0.000 description 1
- VYBXGXBUSPFGTD-UHFFFAOYSA-N methyl 3-[methyl-[2-[2-(trifluoromethyl)phenyl]acetyl]amino]pyridine-2-carboxylate Chemical compound COC(=O)C1=NC=CC=C1N(C)C(=O)CC1=CC=CC=C1C(F)(F)F VYBXGXBUSPFGTD-UHFFFAOYSA-N 0.000 description 1
- WXUNXXKSYBUHMK-UHFFFAOYSA-N methyl 4-methyl-2-(4-methyl-5-oxo-4-propan-2-yl-1h-imidazol-2-yl)benzoate;methyl 5-methyl-2-(4-methyl-5-oxo-4-propan-2-yl-1h-imidazol-2-yl)benzoate Chemical compound COC(=O)C1=CC=C(C)C=C1C1=NC(C)(C(C)C)C(=O)N1.COC(=O)C1=CC(C)=CC=C1C1=NC(C)(C(C)C)C(=O)N1 WXUNXXKSYBUHMK-UHFFFAOYSA-N 0.000 description 1
- PBTHJVDBCFJQGG-UHFFFAOYSA-N methyl azide Chemical compound CN=[N+]=[N-] PBTHJVDBCFJQGG-UHFFFAOYSA-N 0.000 description 1
- 229940102396 methyl bromide Drugs 0.000 description 1
- YLGXILFCIXHCMC-JHGZEJCSSA-N methyl cellulose Chemical compound COC1C(OC)C(OC)C(COC)O[C@H]1O[C@H]1C(OC)C(OC)C(OC)OC1COC YLGXILFCIXHCMC-JHGZEJCSSA-N 0.000 description 1
- 229920000609 methyl cellulose Polymers 0.000 description 1
- 239000001923 methylcellulose Substances 0.000 description 1
- 229960002939 metizoline Drugs 0.000 description 1
- DSRNRYQBBJQVCW-UHFFFAOYSA-N metoxuron Chemical compound COC1=CC=C(NC(=O)N(C)C)C=C1Cl DSRNRYQBBJQVCW-UHFFFAOYSA-N 0.000 description 1
- RSMUVYRMZCOLBH-UHFFFAOYSA-N metsulfuron methyl Chemical group COC(=O)C1=CC=CC=C1S(=O)(=O)NC(=O)NC1=NC(C)=NC(OC)=N1 RSMUVYRMZCOLBH-UHFFFAOYSA-N 0.000 description 1
- 108091040857 miR-604 stem-loop Proteins 0.000 description 1
- 239000002480 mineral oil Substances 0.000 description 1
- 235000010446 mineral oil Nutrition 0.000 description 1
- 230000001483 mobilizing effect Effects 0.000 description 1
- 230000004048 modification Effects 0.000 description 1
- 238000012986 modification Methods 0.000 description 1
- 108091005573 modified proteins Proteins 0.000 description 1
- 102000035118 modified proteins Human genes 0.000 description 1
- 235000019426 modified starch Nutrition 0.000 description 1
- DEDOPGXGGQYYMW-UHFFFAOYSA-N molinate Chemical compound CCSC(=O)N1CCCCCC1 DEDOPGXGGQYYMW-UHFFFAOYSA-N 0.000 description 1
- JITOKQVGRJSHHA-UHFFFAOYSA-M monosodium methyl arsenate Chemical compound [Na+].C[As](O)([O-])=O JITOKQVGRJSHHA-UHFFFAOYSA-M 0.000 description 1
- 230000035772 mutation Effects 0.000 description 1
- 239000002636 mycotoxin Substances 0.000 description 1
- KRKPYFLIYNGWTE-UHFFFAOYSA-N n,o-dimethylhydroxylamine Chemical compound CNOC KRKPYFLIYNGWTE-UHFFFAOYSA-N 0.000 description 1
- JHNRZXQVBKRYKN-UHFFFAOYSA-N n-(1-phenylethylidene)hydroxylamine Chemical class ON=C(C)C1=CC=CC=C1 JHNRZXQVBKRYKN-UHFFFAOYSA-N 0.000 description 1
- AIMMSOZBPYFASU-UHFFFAOYSA-N n-(4,6-dimethoxypyrimidin-2-yl)-n'-[3-(2,2,2-trifluoroethoxy)pyridin-1-ium-2-yl]sulfonylcarbamimidate Chemical compound COC1=CC(OC)=NC(NC(=O)NS(=O)(=O)C=2C(=CC=CN=2)OCC(F)(F)F)=N1 AIMMSOZBPYFASU-UHFFFAOYSA-N 0.000 description 1
- SYSQUGFVNFXIIT-UHFFFAOYSA-N n-[4-(1,3-benzoxazol-2-yl)phenyl]-4-nitrobenzenesulfonamide Chemical class C1=CC([N+](=O)[O-])=CC=C1S(=O)(=O)NC1=CC=C(C=2OC3=CC=CC=C3N=2)C=C1 SYSQUGFVNFXIIT-UHFFFAOYSA-N 0.000 description 1
- CHEDHKBPPDKBQF-UPONEAKYSA-N n-[5-[(6s,7ar)-6-fluoro-1,3-dioxo-5,6,7,7a-tetrahydropyrrolo[1,2-c]imidazol-2-yl]-2-chloro-4-fluorophenyl]-1-chloromethanesulfonamide Chemical compound N1([C@@H](C2=O)C[C@@H](C1)F)C(=O)N2C1=CC(NS(=O)(=O)CCl)=C(Cl)C=C1F CHEDHKBPPDKBQF-UPONEAKYSA-N 0.000 description 1
- VHEWQRWLIDWRMR-UHFFFAOYSA-N n-[methoxy-(4-methyl-2-nitrophenoxy)phosphinothioyl]propan-2-amine Chemical group CC(C)NP(=S)(OC)OC1=CC=C(C)C=C1[N+]([O-])=O VHEWQRWLIDWRMR-UHFFFAOYSA-N 0.000 description 1
- WNPVAXLJVUXYFU-UHFFFAOYSA-N n-cyclohex-2-en-1-ylidenehydroxylamine Chemical compound ON=C1CCCC=C1 WNPVAXLJVUXYFU-UHFFFAOYSA-N 0.000 description 1
- JXTHEWSKYLZVJC-UHFFFAOYSA-N naptalam Chemical compound OC(=O)C1=CC=CC=C1C(=O)NC1=CC=CC2=CC=CC=C12 JXTHEWSKYLZVJC-UHFFFAOYSA-N 0.000 description 1
- 125000001971 neopentyl group Chemical group [H]C([*])([H])C(C([H])([H])[H])(C([H])([H])[H])C([H])([H])[H] 0.000 description 1
- 231100000989 no adverse effect Toxicity 0.000 description 1
- 125000005246 nonafluorobutyl group Chemical group FC(F)(F)C(F)(F)C(F)(F)C(F)(F)* 0.000 description 1
- 231100001184 nonphytotoxic Toxicity 0.000 description 1
- SNQQPOLDUKLAAF-UHFFFAOYSA-N nonylphenol Chemical compound CCCCCCCCCC1=CC=CC=C1O SNQQPOLDUKLAAF-UHFFFAOYSA-N 0.000 description 1
- NVGOPFQZYCNLDU-UHFFFAOYSA-N norflurazon Chemical compound O=C1C(Cl)=C(NC)C=NN1C1=CC=CC(C(F)(F)F)=C1 NVGOPFQZYCNLDU-UHFFFAOYSA-N 0.000 description 1
- 238000000655 nuclear magnetic resonance spectrum Methods 0.000 description 1
- 235000016709 nutrition Nutrition 0.000 description 1
- JPMIIZHYYWMHDT-UHFFFAOYSA-N octhilinone Chemical compound CCCCCCCCN1SC=CC1=O JPMIIZHYYWMHDT-UHFFFAOYSA-N 0.000 description 1
- ZQPPMHVWECSIRJ-KTKRTIGZSA-N oleic acid Chemical compound CCCCCCCC\C=C/CCCCCCCC(O)=O ZQPPMHVWECSIRJ-KTKRTIGZSA-N 0.000 description 1
- 235000021315 omega 9 monounsaturated fatty acids Nutrition 0.000 description 1
- LLLFASISUZUJEQ-UHFFFAOYSA-N orbencarb Chemical compound CCN(CC)C(=O)SCC1=CC=CC=C1Cl LLLFASISUZUJEQ-UHFFFAOYSA-N 0.000 description 1
- UCDPMNSCCRBWIC-UHFFFAOYSA-N orthosulfamuron Chemical compound COC1=CC(OC)=NC(NC(=O)NS(=O)(=O)NC=2C(=CC=CC=2)C(=O)N(C)C)=N1 UCDPMNSCCRBWIC-UHFFFAOYSA-N 0.000 description 1
- UNAHYJYOSSSJHH-UHFFFAOYSA-N oryzalin Chemical compound CCCN(CCC)C1=C([N+]([O-])=O)C=C(S(N)(=O)=O)C=C1[N+]([O-])=O UNAHYJYOSSSJHH-UHFFFAOYSA-N 0.000 description 1
- 150000004866 oxadiazoles Chemical class 0.000 description 1
- IOXAXYHXMLCCJJ-UHFFFAOYSA-N oxetan-3-yl 2-[(4,6-dimethylpyrimidin-2-yl)carbamoylsulfamoyl]benzoate Chemical compound CC1=CC(C)=NC(NC(=O)NS(=O)(=O)C=2C(=CC=CC=2)C(=O)OC2COC2)=N1 IOXAXYHXMLCCJJ-UHFFFAOYSA-N 0.000 description 1
- 150000002924 oxiranes Chemical class 0.000 description 1
- 125000004430 oxygen atom Chemical group O* 0.000 description 1
- 230000020477 pH reduction Effects 0.000 description 1
- 229940055729 papain Drugs 0.000 description 1
- 235000019834 papain Nutrition 0.000 description 1
- 239000012188 paraffin wax Substances 0.000 description 1
- 125000006340 pentafluoro ethyl group Chemical group FC(F)(F)C(F)(F)* 0.000 description 1
- 125000003538 pentan-3-yl group Chemical group [H]C([H])([H])C([H])([H])C([H])(*)C([H])([H])C([H])([H])[H] 0.000 description 1
- JZPKLLLUDLHCEL-UHFFFAOYSA-N pentoxazone Chemical compound O=C1C(=C(C)C)OC(=O)N1C1=CC(OC2CCCC2)=C(Cl)C=C1F JZPKLLLUDLHCEL-UHFFFAOYSA-N 0.000 description 1
- 125000001147 pentyl group Chemical group C(CCCC)* 0.000 description 1
- 239000000137 peptide hydrolase inhibitor Substances 0.000 description 1
- CSWIKHNSBZVWNQ-UHFFFAOYSA-N pethoxamide Chemical compound CCOCCN(C(=O)CCl)C(=C(C)C)C1=CC=CC=C1 CSWIKHNSBZVWNQ-UHFFFAOYSA-N 0.000 description 1
- 238000005191 phase separation Methods 0.000 description 1
- IDOWTHOLJBTAFI-UHFFFAOYSA-N phenmedipham Chemical compound COC(=O)NC1=CC=CC(OC(=O)NC=2C=C(C)C=CC=2)=C1 IDOWTHOLJBTAFI-UHFFFAOYSA-N 0.000 description 1
- 125000000951 phenoxy group Chemical group [H]C1=C([H])C([H])=C(O*)C([H])=C1[H] 0.000 description 1
- 229960003424 phenylacetic acid Drugs 0.000 description 1
- 239000003279 phenylacetic acid Substances 0.000 description 1
- 150000008048 phenylpyrazoles Chemical class 0.000 description 1
- 239000010452 phosphate Substances 0.000 description 1
- 230000003032 phytopathogenic effect Effects 0.000 description 1
- NQQVFXUMIDALNH-UHFFFAOYSA-N picloram Chemical compound NC1=C(Cl)C(Cl)=NC(C(O)=O)=C1Cl NQQVFXUMIDALNH-UHFFFAOYSA-N 0.000 description 1
- 239000003726 plant lectin Substances 0.000 description 1
- 239000004033 plastic Substances 0.000 description 1
- 239000002798 polar solvent Substances 0.000 description 1
- 229920005646 polycarboxylate Polymers 0.000 description 1
- 229920000570 polyether Polymers 0.000 description 1
- 229920001451 polypropylene glycol Polymers 0.000 description 1
- 229920001296 polysiloxane Polymers 0.000 description 1
- 229920002689 polyvinyl acetate Polymers 0.000 description 1
- 239000011118 polyvinyl acetate Substances 0.000 description 1
- 229910052700 potassium Inorganic materials 0.000 description 1
- 239000011591 potassium Substances 0.000 description 1
- 235000012015 potatoes Nutrition 0.000 description 1
- 125000001844 prenyl group Chemical group [H]C([*])([H])C([H])=C(C([H])([H])[H])C([H])([H])[H] 0.000 description 1
- ISEUFVQQFVOBCY-UHFFFAOYSA-N prometon Chemical compound COC1=NC(NC(C)C)=NC(NC(C)C)=N1 ISEUFVQQFVOBCY-UHFFFAOYSA-N 0.000 description 1
- AAEVYOVXGOFMJO-UHFFFAOYSA-N prometryn Chemical compound CSC1=NC(NC(C)C)=NC(NC(C)C)=N1 AAEVYOVXGOFMJO-UHFFFAOYSA-N 0.000 description 1
- MFOUDYKPLGXPGO-UHFFFAOYSA-N propachlor Chemical compound ClCC(=O)N(C(C)C)C1=CC=CC=C1 MFOUDYKPLGXPGO-UHFFFAOYSA-N 0.000 description 1
- BDERNNFJNOPAEC-UHFFFAOYSA-N propan-1-ol Chemical compound CCCO BDERNNFJNOPAEC-UHFFFAOYSA-N 0.000 description 1
- IKVXBIIHQGXQRQ-CYBMUJFWSA-N propan-2-yl (2r)-2-(n-benzoyl-3-chloro-4-fluoroanilino)propanoate Chemical group C=1C=C(F)C(Cl)=CC=1N([C@H](C)C(=O)OC(C)C)C(=O)C1=CC=CC=C1 IKVXBIIHQGXQRQ-CYBMUJFWSA-N 0.000 description 1
- IKVXBIIHQGXQRQ-UHFFFAOYSA-N propan-2-yl 2-(n-benzoyl-3-chloro-4-fluoroanilino)propanoate Chemical group C=1C=C(F)C(Cl)=CC=1N(C(C)C(=O)OC(C)C)C(=O)C1=CC=CC=C1 IKVXBIIHQGXQRQ-UHFFFAOYSA-N 0.000 description 1
- FKLQIONHGSFYJY-UHFFFAOYSA-N propan-2-yl 5-[4-bromo-1-methyl-5-(trifluoromethyl)pyrazol-3-yl]-2-chloro-4-fluorobenzoate Chemical compound C1=C(Cl)C(C(=O)OC(C)C)=CC(C=2C(=C(N(C)N=2)C(F)(F)F)Br)=C1F FKLQIONHGSFYJY-UHFFFAOYSA-N 0.000 description 1
- FROBCXTULYFHEJ-OAHLLOKOSA-N propaquizafop Chemical compound C1=CC(O[C@H](C)C(=O)OCCON=C(C)C)=CC=C1OC1=CN=C(C=C(Cl)C=C2)C2=N1 FROBCXTULYFHEJ-OAHLLOKOSA-N 0.000 description 1
- WJNRPILHGGKWCK-UHFFFAOYSA-N propazine Chemical compound CC(C)NC1=NC(Cl)=NC(NC(C)C)=N1 WJNRPILHGGKWCK-UHFFFAOYSA-N 0.000 description 1
- VXPLXMJHHKHSOA-UHFFFAOYSA-N propham Chemical compound CC(C)OC(=O)NC1=CC=CC=C1 VXPLXMJHHKHSOA-UHFFFAOYSA-N 0.000 description 1
- PHNUZKMIPFFYSO-UHFFFAOYSA-N propyzamide Chemical compound C#CC(C)(C)NC(=O)C1=CC(Cl)=CC(Cl)=C1 PHNUZKMIPFFYSO-UHFFFAOYSA-N 0.000 description 1
- 230000001681 protective effect Effects 0.000 description 1
- 108020001580 protein domains Proteins 0.000 description 1
- 238000000746 purification Methods 0.000 description 1
- YXIIPOGUBVYZIW-UHFFFAOYSA-N pyraflufen Chemical compound ClC1=C(OC(F)F)N(C)N=C1C1=CC(OCC(O)=O)=C(Cl)C=C1F YXIIPOGUBVYZIW-UHFFFAOYSA-N 0.000 description 1
- APTZNLHMIGJTEW-UHFFFAOYSA-N pyraflufen-ethyl Chemical group C1=C(Cl)C(OCC(=O)OCC)=CC(C=2C(=C(OC(F)F)N(C)N=2)Cl)=C1F APTZNLHMIGJTEW-UHFFFAOYSA-N 0.000 description 1
- 150000003217 pyrazoles Chemical class 0.000 description 1
- ASRAWSBMDXVNLX-UHFFFAOYSA-N pyrazolynate Chemical compound C=1C=C(Cl)C=C(Cl)C=1C(=O)C=1C(C)=NN(C)C=1OS(=O)(=O)C1=CC=C(C)C=C1 ASRAWSBMDXVNLX-UHFFFAOYSA-N 0.000 description 1
- FKERUJTUOYLBKB-UHFFFAOYSA-N pyrazoxyfen Chemical compound C=1C=C(Cl)C=C(Cl)C=1C(=O)C=1C(C)=NN(C)C=1OCC(=O)C1=CC=CC=C1 FKERUJTUOYLBKB-UHFFFAOYSA-N 0.000 description 1
- VTRWMTJQBQJKQH-UHFFFAOYSA-N pyributicarb Chemical compound COC1=CC=CC(N(C)C(=S)OC=2C=C(C=CC=2)C(C)(C)C)=N1 VTRWMTJQBQJKQH-UHFFFAOYSA-N 0.000 description 1
- 150000004892 pyridazines Chemical class 0.000 description 1
- YEYHFKBVNARCNE-UHFFFAOYSA-N pyrido[2,3-b]pyrazine Chemical class N1=CC=NC2=CC=CN=C21 YEYHFKBVNARCNE-UHFFFAOYSA-N 0.000 description 1
- 150000003230 pyrimidines Chemical class 0.000 description 1
- 125000000714 pyrimidinyl group Chemical group 0.000 description 1
- DEIKMOQTJBGGAX-DJKKODMXSA-N pyriminobac Chemical compound CO\N=C(/C)C1=CC=CC(OC=2N=C(OC)C=C(OC)N=2)=C1C(O)=O DEIKMOQTJBGGAX-DJKKODMXSA-N 0.000 description 1
- USSIUIGPBLPCDF-KEBDBYFISA-N pyriminobac-methyl Chemical group CO\N=C(/C)C1=CC=CC(OC=2N=C(OC)C=C(OC)N=2)=C1C(=O)OC USSIUIGPBLPCDF-KEBDBYFISA-N 0.000 description 1
- 238000005956 quaternization reaction Methods 0.000 description 1
- LOAUVZALPPNFOQ-UHFFFAOYSA-N quinaldic acid Chemical compound C1=CC=CC2=NC(C(=O)O)=CC=C21 LOAUVZALPPNFOQ-UHFFFAOYSA-N 0.000 description 1
- ABOOPXYCKNFDNJ-SNVBAGLBSA-N quizalofop-P Chemical compound C1=CC(O[C@H](C)C(O)=O)=CC=C1OC1=CN=C(C=C(Cl)C=C2)C2=N1 ABOOPXYCKNFDNJ-SNVBAGLBSA-N 0.000 description 1
- OSUHJPCHFDQAIT-GFCCVEGCSA-N quizalofop-P-ethyl Chemical group C1=CC(O[C@H](C)C(=O)OCC)=CC=C1OC1=CN=C(C=C(Cl)C=C2)C2=N1 OSUHJPCHFDQAIT-GFCCVEGCSA-N 0.000 description 1
- BBKDWPHJZANJGB-IKJXHCRLSA-N quizalofop-P-tefuryl Chemical group O=C([C@H](OC=1C=CC(OC=2N=C3C=CC(Cl)=CC3=NC=2)=CC=1)C)OCC1CCCO1 BBKDWPHJZANJGB-IKJXHCRLSA-N 0.000 description 1
- BBKDWPHJZANJGB-UHFFFAOYSA-N quizalofop-p-tefuryl Chemical group C=1C=C(OC=2N=C3C=CC(Cl)=CC3=NC=2)C=CC=1OC(C)C(=O)OCC1CCCO1 BBKDWPHJZANJGB-UHFFFAOYSA-N 0.000 description 1
- BACHBFVBHLGWSL-JTQLQIEISA-N rac-diclofop methyl Natural products C1=CC(O[C@@H](C)C(=O)OC)=CC=C1OC1=CC=C(Cl)C=C1Cl BACHBFVBHLGWSL-JTQLQIEISA-N 0.000 description 1
- 150000003254 radicals Chemical class 0.000 description 1
- 239000002994 raw material Substances 0.000 description 1
- 239000011541 reaction mixture Substances 0.000 description 1
- 230000006798 recombination Effects 0.000 description 1
- 238000005215 recombination Methods 0.000 description 1
- 238000001953 recrystallisation Methods 0.000 description 1
- 235000013526 red clover Nutrition 0.000 description 1
- 230000009467 reduction Effects 0.000 description 1
- 238000010992 reflux Methods 0.000 description 1
- 230000004044 response Effects 0.000 description 1
- 230000002441 reversible effect Effects 0.000 description 1
- PYWVYCXTNDRMGF-UHFFFAOYSA-N rhodamine B Chemical compound [Cl-].C=12C=CC(=[N+](CC)CC)C=C2OC2=CC(N(CC)CC)=CC=C2C=1C1=CC=CC=C1C(O)=O PYWVYCXTNDRMGF-UHFFFAOYSA-N 0.000 description 1
- 235000009566 rice Nutrition 0.000 description 1
- 239000012266 salt solution Substances 0.000 description 1
- 239000004576 sand Substances 0.000 description 1
- 229930195734 saturated hydrocarbon Natural products 0.000 description 1
- 125000002914 sec-butyl group Chemical group [H]C([H])([H])C([H])([H])C([H])(*)C([H])([H])[H] 0.000 description 1
- 125000003548 sec-pentyl group Chemical group [H]C([H])([H])C([H])([H])C([H])([H])C([H])(*)C([H])([H])[H] 0.000 description 1
- 238000000926 separation method Methods 0.000 description 1
- 239000003001 serine protease inhibitor Substances 0.000 description 1
- 238000004904 shortening Methods 0.000 description 1
- 150000004760 silicates Chemical class 0.000 description 1
- 239000000377 silicon dioxide Substances 0.000 description 1
- ODCWYMIRDDJXKW-UHFFFAOYSA-N simazine Chemical compound CCNC1=NC(Cl)=NC(NCC)=N1 ODCWYMIRDDJXKW-UHFFFAOYSA-N 0.000 description 1
- MGLWZSOBALDPEK-UHFFFAOYSA-N simetryn Chemical compound CCNC1=NC(NCC)=NC(SC)=N1 MGLWZSOBALDPEK-UHFFFAOYSA-N 0.000 description 1
- 238000002791 soaking Methods 0.000 description 1
- CLHHSSXFXYAXDB-UHFFFAOYSA-M sodium;2-(naphthalen-1-ylcarbamoyl)benzoate Chemical compound [Na+].[O-]C(=O)C1=CC=CC=C1C(=O)NC1=CC=CC2=CC=CC=C12 CLHHSSXFXYAXDB-UHFFFAOYSA-M 0.000 description 1
- 239000002689 soil Substances 0.000 description 1
- 239000004550 soluble concentrate Substances 0.000 description 1
- 238000001228 spectrum Methods 0.000 description 1
- 238000001694 spray drying Methods 0.000 description 1
- 238000003892 spreading Methods 0.000 description 1
- 230000007480 spreading Effects 0.000 description 1
- 230000000087 stabilizing effect Effects 0.000 description 1
- 239000008107 starch Substances 0.000 description 1
- 235000019698 starch Nutrition 0.000 description 1
- 108010076424 stilbene synthase Proteins 0.000 description 1
- 230000004936 stimulating effect Effects 0.000 description 1
- 239000004575 stone Substances 0.000 description 1
- 238000006467 substitution reaction Methods 0.000 description 1
- 239000000758 substrate Substances 0.000 description 1
- FZMKKCQHDROFNI-UHFFFAOYSA-N sulfometuron Chemical compound CC1=CC(C)=NC(NC(=O)NS(=O)(=O)C=2C(=CC=CC=2)C(O)=O)=N1 FZMKKCQHDROFNI-UHFFFAOYSA-N 0.000 description 1
- ZDXMLEQEMNLCQG-UHFFFAOYSA-N sulfometuron methyl Chemical group COC(=O)C1=CC=CC=C1S(=O)(=O)NC(=O)NC1=NC(C)=CC(C)=N1 ZDXMLEQEMNLCQG-UHFFFAOYSA-N 0.000 description 1
- 229940124530 sulfonamide Drugs 0.000 description 1
- 150000003456 sulfonamides Chemical class 0.000 description 1
- RWSOTUBLDIXVET-UHFFFAOYSA-O sulfonium Chemical compound [SH3+] RWSOTUBLDIXVET-UHFFFAOYSA-O 0.000 description 1
- 125000005537 sulfoxonium group Chemical group 0.000 description 1
- 239000011593 sulfur Chemical group 0.000 description 1
- 125000004434 sulfur atom Chemical group 0.000 description 1
- 230000002195 synergetic effect Effects 0.000 description 1
- 229920002994 synthetic fiber Polymers 0.000 description 1
- 239000000454 talc Substances 0.000 description 1
- 235000012222 talc Nutrition 0.000 description 1
- 229910052623 talc Inorganic materials 0.000 description 1
- UJMBCXLDXJUMFB-GLCFPVLVSA-K tartrazine Chemical compound [Na+].[Na+].[Na+].[O-]C(=O)C1=NN(C=2C=CC(=CC=2)S([O-])(=O)=O)C(=O)C1\N=N\C1=CC=C(S([O-])(=O)=O)C=C1 UJMBCXLDXJUMFB-GLCFPVLVSA-K 0.000 description 1
- 235000012756 tartrazine Nutrition 0.000 description 1
- 239000004149 tartrazine Substances 0.000 description 1
- RJKCKKDSSSRYCB-UHFFFAOYSA-N tebutam Chemical compound CC(C)(C)C(=O)N(C(C)C)CC1=CC=CC=C1 RJKCKKDSSSRYCB-UHFFFAOYSA-N 0.000 description 1
- BCQMBFHBDZVHKU-UHFFFAOYSA-N terbumeton Chemical compound CCNC1=NC(NC(C)(C)C)=NC(OC)=N1 BCQMBFHBDZVHKU-UHFFFAOYSA-N 0.000 description 1
- IROINLKCQGIITA-UHFFFAOYSA-N terbutryn Chemical compound CCNC1=NC(NC(C)(C)C)=NC(SC)=N1 IROINLKCQGIITA-UHFFFAOYSA-N 0.000 description 1
- 125000001973 tert-pentyl group Chemical group [H]C([H])([H])C([H])([H])C(*)(C([H])([H])[H])C([H])([H])[H] 0.000 description 1
- DZLFLBLQUQXARW-UHFFFAOYSA-N tetrabutylammonium Chemical compound CCCC[N+](CCCC)(CCCC)CCCC DZLFLBLQUQXARW-UHFFFAOYSA-N 0.000 description 1
- CXWXQJXEFPUFDZ-UHFFFAOYSA-N tetralin Chemical compound C1=CC=C2CCCCC2=C1 CXWXQJXEFPUFDZ-UHFFFAOYSA-N 0.000 description 1
- QEMXHQIAXOOASZ-UHFFFAOYSA-N tetramethylammonium Chemical compound C[N+](C)(C)C QEMXHQIAXOOASZ-UHFFFAOYSA-N 0.000 description 1
- WROMPOXWARCANT-UHFFFAOYSA-N tfa trifluoroacetic acid Chemical compound OC(=O)C(F)(F)F.OC(=O)C(F)(F)F WROMPOXWARCANT-UHFFFAOYSA-N 0.000 description 1
- GLDAZAQRGCSFNP-UHFFFAOYSA-N thiencarbazone Chemical compound O=C1N(C)C(OC)=NN1C(=O)NS(=O)(=O)C1=C(C)SC=C1C(O)=O GLDAZAQRGCSFNP-UHFFFAOYSA-N 0.000 description 1
- LOQQVLXUKHKNIA-UHFFFAOYSA-N thifensulfuron Chemical compound COC1=NC(C)=NC(NC(=O)NS(=O)(=O)C2=C(SC=C2)C(O)=O)=N1 LOQQVLXUKHKNIA-UHFFFAOYSA-N 0.000 description 1
- AHTPATJNIAFOLR-UHFFFAOYSA-N thifensulfuron-methyl Chemical group S1C=CC(S(=O)(=O)NC(=O)NC=2N=C(OC)N=C(C)N=2)=C1C(=O)OC AHTPATJNIAFOLR-UHFFFAOYSA-N 0.000 description 1
- 150000007970 thio esters Chemical class 0.000 description 1
- 210000001519 tissue Anatomy 0.000 description 1
- 235000010215 titanium dioxide Nutrition 0.000 description 1
- 230000001988 toxicity Effects 0.000 description 1
- 231100000419 toxicity Toxicity 0.000 description 1
- 230000009261 transgenic effect Effects 0.000 description 1
- 229910052723 transition metal Inorganic materials 0.000 description 1
- 150000003624 transition metals Chemical class 0.000 description 1
- XOPFESVZMSQIKC-UHFFFAOYSA-N triasulfuron Chemical compound COC1=NC(C)=NC(NC(=O)NS(=O)(=O)C=2C(=CC=CC=2)OCCCl)=N1 XOPFESVZMSQIKC-UHFFFAOYSA-N 0.000 description 1
- 125000004306 triazinyl group Chemical group 0.000 description 1
- BQZXUHDXIARLEO-UHFFFAOYSA-N tribenuron Chemical compound COC1=NC(C)=NC(N(C)C(=O)NS(=O)(=O)C=2C(=CC=CC=2)C(O)=O)=N1 BQZXUHDXIARLEO-UHFFFAOYSA-N 0.000 description 1
- YMXOXAPKZDWXLY-QWRGUYRKSA-N tribenuron methyl Chemical group COC(=O)[C@H]1CCCC[C@@H]1S(=O)(=O)NC(=O)N(C)C1=NC(C)=NC(OC)=N1 YMXOXAPKZDWXLY-QWRGUYRKSA-N 0.000 description 1
- REEQLXCGVXDJSQ-UHFFFAOYSA-N trichlopyr Chemical compound OC(=O)COC1=NC(Cl)=C(Cl)C=C1Cl REEQLXCGVXDJSQ-UHFFFAOYSA-N 0.000 description 1
- 125000003866 trichloromethyl group Chemical group ClC(Cl)(Cl)* 0.000 description 1
- AKTQJCBOGPBERP-UHFFFAOYSA-N triflusulfuron Chemical compound FC(F)(F)COC1=NC(N(C)C)=NC(NC(=O)NS(=O)(=O)C=2C(=CC=CC=2C)C(O)=O)=N1 AKTQJCBOGPBERP-UHFFFAOYSA-N 0.000 description 1
- IMEVJVISCHQJRM-UHFFFAOYSA-N triflusulfuron-methyl Chemical group COC(=O)C1=CC=CC(C)=C1S(=O)(=O)NC(=O)NC1=NC(OCC(F)(F)F)=NC(N(C)C)=N1 IMEVJVISCHQJRM-UHFFFAOYSA-N 0.000 description 1
- 239000002753 trypsin inhibitor Substances 0.000 description 1
- 125000000391 vinyl group Chemical group [H]C([*])=C([H])[H] 0.000 description 1
- 230000003612 virological effect Effects 0.000 description 1
- 239000002699 waste material Substances 0.000 description 1
- 239000003021 water soluble solvent Substances 0.000 description 1
- 239000002023 wood Substances 0.000 description 1
- 238000010626 work up procedure Methods 0.000 description 1
- 239000000230 xanthan gum Substances 0.000 description 1
- 229920001285 xanthan gum Polymers 0.000 description 1
- 235000010493 xanthan gum Nutrition 0.000 description 1
- 229940082509 xanthan gum Drugs 0.000 description 1
- 239000008096 xylene Substances 0.000 description 1
- 239000011701 zinc Substances 0.000 description 1
- 229910052725 zinc Inorganic materials 0.000 description 1
Classifications
-
- C—CHEMISTRY; METALLURGY
- C07—ORGANIC CHEMISTRY
- C07D—HETEROCYCLIC COMPOUNDS
- C07D491/00—Heterocyclic compounds containing in the condensed ring system both one or more rings having oxygen atoms as the only ring hetero atoms and one or more rings having nitrogen atoms as the only ring hetero atoms, not provided for by groups C07D451/00 - C07D459/00, C07D463/00, C07D477/00 or C07D489/00
- C07D491/02—Heterocyclic compounds containing in the condensed ring system both one or more rings having oxygen atoms as the only ring hetero atoms and one or more rings having nitrogen atoms as the only ring hetero atoms, not provided for by groups C07D451/00 - C07D459/00, C07D463/00, C07D477/00 or C07D489/00 in which the condensed system contains two hetero rings
- C07D491/04—Ortho-condensed systems
- C07D491/044—Ortho-condensed systems with only one oxygen atom as ring hetero atom in the oxygen-containing ring
- C07D491/052—Ortho-condensed systems with only one oxygen atom as ring hetero atom in the oxygen-containing ring the oxygen-containing ring being six-membered
-
- A—HUMAN NECESSITIES
- A01—AGRICULTURE; FORESTRY; ANIMAL HUSBANDRY; HUNTING; TRAPPING; FISHING
- A01N—PRESERVATION OF BODIES OF HUMANS OR ANIMALS OR PLANTS OR PARTS THEREOF; BIOCIDES, e.g. AS DISINFECTANTS, AS PESTICIDES OR AS HERBICIDES; PEST REPELLANTS OR ATTRACTANTS; PLANT GROWTH REGULATORS
- A01N43/00—Biocides, pest repellants or attractants, or plant growth regulators containing heterocyclic compounds
- A01N43/90—Biocides, pest repellants or attractants, or plant growth regulators containing heterocyclic compounds having two or more relevant hetero rings, condensed among themselves or with a common carbocyclic ring system
-
- C—CHEMISTRY; METALLURGY
- C07—ORGANIC CHEMISTRY
- C07D—HETEROCYCLIC COMPOUNDS
- C07D311/00—Heterocyclic compounds containing six-membered rings having one oxygen atom as the only hetero atom, condensed with other rings
- C07D311/02—Heterocyclic compounds containing six-membered rings having one oxygen atom as the only hetero atom, condensed with other rings ortho- or peri-condensed with carbocyclic rings or ring systems
- C07D311/04—Benzo[b]pyrans, not hydrogenated in the carbocyclic ring
- C07D311/06—Benzo[b]pyrans, not hydrogenated in the carbocyclic ring with oxygen or sulfur atoms directly attached in position 2
- C07D311/08—Benzo[b]pyrans, not hydrogenated in the carbocyclic ring with oxygen or sulfur atoms directly attached in position 2 not hydrogenated in the hetero ring
- C07D311/12—Benzo[b]pyrans, not hydrogenated in the carbocyclic ring with oxygen or sulfur atoms directly attached in position 2 not hydrogenated in the hetero ring substituted in position 3 and unsubstituted in position 7
-
- C—CHEMISTRY; METALLURGY
- C07—ORGANIC CHEMISTRY
- C07D—HETEROCYCLIC COMPOUNDS
- C07D471/00—Heterocyclic compounds containing nitrogen atoms as the only ring hetero atoms in the condensed system, at least one ring being a six-membered ring with one nitrogen atom, not provided for by groups C07D451/00 - C07D463/00
- C07D471/02—Heterocyclic compounds containing nitrogen atoms as the only ring hetero atoms in the condensed system, at least one ring being a six-membered ring with one nitrogen atom, not provided for by groups C07D451/00 - C07D463/00 in which the condensed system contains two hetero rings
- C07D471/04—Ortho-condensed systems
Definitions
- the present invention relates substituted pyridines of the formula I
- the invention relates to processes and intermediates for preparing the pyridines of the formula I and the N-oxides thereof, the agriculturally usable salts thereof, and also to active compound combinations comprising them, to compositions comprising them and to their use as herbicides, i.e. for controlling harmful plants, and also to a method for controlling unwanted vegetation which comprises allowing a herbicidally effective amount of at least one pyridine compound of the formula I or of an agriculturally suitable salt of I to act on plants, their seed and/or their habitat.
- WO 2008/009908, WO 2008/071918 describe herbicidal pyridopyrazines; however, their herbicidal action at low application rates and/or their compatibility with crop plants leave scope for improvement.
- active compounds having strong herbicidal action in particular even at low application rates, whose compatibility with crop plants is sufficient for commercial application.
- the compounds according to the invention can be prepared analogously to the synthesis routes described in WO 2008/009908 and WO 2008/071918 according to standard processes of organic chemistry, for example according to the following synthesis route:
- Pyridine carboxylic acids of the formula II can be reacted with carbonyl compounds of the formula III to give compounds of the formula IV.
- the variables have the meaning given for formula I.
- the group Hal is a halogen atom or another suitable nucleophilic leaving group, such as alkoxy or phenoxy.
- This reaction is usually carried out at temperatures of from ⁇ 78° C. to 120° C., preferably from ⁇ 20° C. to 50° C., in an inert organic solvent in the presence of a base, such as, for example, triethylamine (cf. J. Agric. and Food Chem. 1994, 42(4), 1019-1025), a catalyst, such as, for example, dicyclohexylcarbodiimide (cf. Egyptian Journal of Chemistry 1994, 37(3), 273-282) or other known coupling agents.
- a base such as, for example, triethylamine (cf. J. Agric. and Food Chem. 1994, 42(4), 1019-1025)
- a catalyst such as, for example, dicyclohexylcarbodiimide (cf. Egyptian Journal of Chemistry 1994, 37(3), 273-282) or other known coupling agents.
- Suitable solvents are aliphatic hydrocarbons, such as pentane, hexane, cyclohexane and petroleum ether, aromatic hydrocarbons, such as toluene, o-, m- and p-xylene, halogenated hydrocarbons, such as methylene chloride, chloroform and chlorobenzene, ethers, such as diethyl ether, diisopropyl ether, tert-butyl methyl ether, dioxane, anisole and tetrahydrofuran, nitriles, such as acetonitrile and propionitrile, ketones, such as acetone, methyl ethyl ketone, diethyl ketone and tert-butyl methyl ketone, and also dimethyl sulfoxide, dimethylformamide and dimethylacetamide, particularly preferably halogenated hydrocarbons, such as methylene chloride, chloroform and chlorobenzene
- Suitable bases are, in general, inorganic compounds, such as alkali metal and alkaline earth metal hydroxides, such as lithium hydroxide, sodium hydroxide, potassium hydroxide and calcium hydroxide, alkali metal and alkaline earth metal oxides, such as lithium oxide, sodium oxide, calcium oxide and magnesium oxide, alkali metal and alkaline earth metal hydrides, such as lithium hydride, sodium hydride, potassium hydride and calcium hydride, alkali metal amides, such as lithium amide, sodium amide and potassium amide, alkali metal and alkaline earth metal carbonates, such as lithium carbonate, potassium carbonate and calcium carbonate, and also alkali metal bicarbonates, such as sodium bicarbonate, organometallic compounds, in particular alkali metal alkyls, such as methyllithium, butyllithium and phenyllithium, alkylmagnesium halides, such as methylmagnesium chloride, and also alkali metal and alkaline earth metal alkoxides
- tertiary amines such as trimethylamine, triethylamine, tributylamine, diisopropylethylamine.
- the bases are generally employed in catalytic amounts; however, they can also be used in equimolar amounts, in excess or, if appropriate, as solvents.
- the starting materials are generally reacted with one another in equimolar amounts.
- Suitable leaving groups L 1 are, in general, groups which increase the electrophilicity of the carbonyl group, for example O-alkyl, O-aryl, halides, activated esters or aldehydes (such as, for example, Weinreb amide), in particular pentafluorophenoxy.
- This reaction is usually carried out at temperatures of from ⁇ 78° C. to 120° C., preferably from ⁇ 20° C. to 50° C., in an inert organic solvent in the presence of a base, such as, for example, triethylamine (cf. J. Agric. and Food Chem. 1994, 42(4), 1019-1025), a catalyst, such as, for example, dicyclohexylcarbodiimide (cf. Egyptian Journal of Chemistry 1994, 37(3), 273-282) or other known coupling agents.
- a base such as, for example, triethylamine (cf. J. Agric. and Food Chem. 1994, 42(4), 1019-1025)
- a catalyst such as, for example, dicyclohexylcarbodiimide (cf. Egyptian Journal of Chemistry 1994, 37(3), 273-282) or other known coupling agents.
- Suitable solvents are aliphatic hydrocarbons, such as pentane, hexane, cyclohexane and petroleum ether, aromatic hydrocarbons, such as toluene, o-, m- and p-xylene, halogenated hydrocarbons, such as methylene chloride, chloroform and chlorobenzene, ethers, such as diethyl ether, diisopropyl ether, tert-butyl methyl ether, dioxane, anisole and tetrahydrofuran, nitriles, such as acetonitrile and propionitrile, ketones, such as acetone, methyl ethyl ketone, diethyl ketone and tert-butyl methyl ketone, and also dimethyl sulfoxide, dimethylformamide and dimethylacetamide, particularly preferably methylene chloride and toluene. It is also possible to use mixtures of the solvents mentioned
- Suitable bases are, in general, inorganic compounds, such as alkali metal and alkaline earth metal hydroxides, such as lithium hydroxide, sodium hydroxide, potassium hydroxide and calcium hydroxide, alkali metal and alkaline earth metal oxides, such as lithium oxide, sodium oxide, calcium oxide and magnesium oxide, alkali metal and alkaline earth metal hydrides, such as lithium hydride, sodium hydride, potassium hydride and calcium hydride, alkali metal amides, such as lithium amide, sodium amide and potassium amide, alkali metal and alkaline earth metal carbonates, such as lithium carbonate, potassium carbonate and calcium carbonate, and also alkali metal bicarbonates, such as sodium bicarbonate, organometallic compounds, in particular alkali metal alkyls, such as methyllithium, butyllithium and phenyllithium, alkylmagnesium halides, such as methylmagnesium chloride, and also alkali metal and alkaline earth metal alkoxides
- alkali metal and alkaline earth metal carbonates such as lithium carbonate, potassium carbonate, calcium carbonate, cesium carbonate and rubidium carbonate.
- the bases are generally employed in catalytic amounts; however, they can also be used in equimolar amounts, in excess or, if appropriate, as solvents.
- the starting materials are generally reacted with one another in equimolar amounts.
- Suitable agents H-L 1 are alcohols, optionally subst. phenols, N,O-dialkyl-hydroxylamine, in particular pentafluorophenol or N,O-dimethylhydroxylamine.
- the compounds of the formula V are cyclized to give the compounds of the formula I.
- This reaction is usually carried out at temperatures of from ⁇ 78° C. to 120° C., preferably from ⁇ 20° C. to 50° C., in an inert organic solvent in the presence of a base or a Lewis acid or a catalyst [cf. Silverman, Richard B. J. Am. Chem. Soc. 1981, 103(13), 3910].
- Suitable solvents are aliphatic hydrocarbons, such as pentane, hexane, cyclohexane and petroleum ether, aromatic hydrocarbons, such as toluene, o-, m- and p-xylene, halogenated hydrocarbons, such as methylene chloride, chloroform and chloro-benzene, ethers, such as diethyl ether, diisopropyl ether, tert-butyl methyl ether, dioxane, anisole and tetrahydrofuran, nitriles, such as acetonitrile and propionitrile, ketones, such as acetone, methyl ethyl ketone, diethyl ketone and tert-butyl methyl ketone, and also dimethyl sulfoxide, dimethylformamide and dimethylacetamide, particularly preferably acetonitrile and dimethylformamide. It is also possible to use mixtures of the solvents
- Suitable bases are, in general, inorganic compounds, such as alkali metal and alkaline earth metal hydroxides, such as lithium hydroxide, sodium hydroxide, potassium hydroxide and calcium hydroxide, alkali metal and alkaline earth metal oxides, such as lithium oxide, sodium oxide, calcium oxide and magnesium oxide, alkali metal and alkaline earth metal hydrides, such as lithium hydride, sodium hydride, potassium hydride and calcium hydride, alkali metal amides, such as lithium amide, sodium amide and potassium amide, alkali metal and alkaline earth metal carbonates, such as lithium carbonate, potassium carbonate, calcium carbonate, cesium carbonate and rubidium carbonate, and also alkali metal bicarbonates, such as sodium bicarbonate, organometallic compounds, in particular alkali metal alkyls, such as methyllithium, butyllithium and phenyllithium, alkylmagnesium halides, such as methylmagnesium chloride, and also alkali metal
- the bases are generally employed in catalytic amounts; however, they can also be used in equimolar amounts, in excess or, if appropriate, as solvents.
- the starting materials are generally reacted with one another in equimolar amounts.
- the compounds of the formula I can also be obtained via a reverse reaction sequence, i.e. the reaction of the compounds of the formula II with compounds H-L 1 gives the activated derivatives of the formula VI.
- this reaction is carried out under the conditions mentioned for the reaction of the formula IV with H-L 1 .
- reaction mixtures are worked up in a customary manner, for example by mixing with water, separating the phases and, if appropriate, chromatographic purification of the crude products.
- Some of the intermediates and end products are obtained in the form of colorless or slightly brownish viscous oils which are purified or freed from volatile components under reduced pressure and at moderately elevated temperature. If the intermediates and end products are obtained as solids, the purification can also be carried out by recrystallization or digestion.
- organic moieties mentioned for the substituents of the compounds according to the invention are collective terms for individual enumerations of the individual group members.
- halogenated substituents preferably carry one to five identical or different halogen atoms, in particular fluorine atoms or chlorine atoms.
- halogen denotes in each case fluorine, chlorine, bromine or iodine.
- alkyl and the alkyl moieties for example in alkoxy, alkylamino, dialkylamino, N-alkyl-sulfonylamino, alkylaminosulfonylamino, dialkylaminosulfonylamino, N-(alkenyl)-N-(alkyl)amino, N-(alkynyl)-N-(alkyl)amino, N-(alkoxy)-N-(alkyl)amino: saturated straight-chain or branched hydrocarbon radicals having one or more carbon atoms, for example 1 or 2, 1 to 4 or 1 to 6 carbon atoms, for example C 1 -C 6 -alkyl, such as methyl, ethyl, propyl, 1-methylethyl, butyl, 1-methylpropyl, 2-methylpropyl, 1,1-dimethylethyl, pentyl, 1-methylbutyl, 2-methylbutyl, 3-methylbutyl
- alkyl denotes small alkyl groups, such as C 1 -C 4 -alkyl. In another embodiment according to the invention, alkyl denotes relatively large alkyl groups, such as C 5 -C 6 -alkyl.
- Haloalkyl an alkyl radical as mentioned above, some or all of whose hydrogen atoms are substituted by halogen atoms, such as fluorine, chlorine, bromine and/or iodine, for example chloromethyl, dichloromethyl, trichloromethyl, fluoromethyl, difluoro-methyl, trifluoromethyl, chlorofluoromethyl, dichlorofluoromethyl, chlorodifluoromethyl, 2-fluoroethyl, 2-chloroethyl, 2-bromoethyl, 2-iodoethyl, 2,2-difluoroethyl, 2,2,2-trifluoro-ethyl, 2-chloro-2-fluoroethyl, 2-chloro-2,2-difluoroethyl, 2,2-dichloro-2-fluoroethyl, 2,2,2-trichloroethyl, pentafluoroethyl, 2-fluoropropyl,
- Cycloalkyl and the cycloalkyl moieties for example in cycloalkoxy or cycloalkylcarbonyl monocyclic saturated hydrocarbon groups having three or more carbon atoms, for example 3 to 6 carbon ring members, such as cyclopropyl, cyclobutyl, cyclopentyl and cyclohexyl.
- Cycloalkenyl monocyclic monounsaturated hydrocarbon groups having 3 to 6, preferably 5 or 6, carbon ring members, such as cyclopenten-1-yl, cyclopenten-3-yl, cyclohexen-1-yl, cyclohexen-3-yl, cyclohexen-4-yl.
- Alkoxy alkyl as defined above which is attached via an oxygen atom, for example methoxy, ethoxy, n-propoxy, 1-methylethoxy, butoxy, 1-methylpropoxy, 2-methyl-propoxy or 1,1-dimethylethoxy, pentoxy, 1-methylbutoxy, 2-methylbutoxy, 3-methyl-butoxy, 1,1-dimethylpropoxy, 1,2-dimethylpropoxy, 2,2-dimethylpropoxy, 1-ethyl-propoxy, hexoxy, 1-methylpentoxy, 2-methylpentoxy, 3-methylpentoxy, 4-methyl-pentoxy, 1,1-dimethylbutoxy, 1,2-dimethylbutoxy, 1,3-dimethylbutoxy, 2,2-dimethyl-butoxy, 2,3-dimethylbutoxy, 3,3-dimethylbutoxy, 1-ethylbutoxy, 2-ethylbutoxy, 1,1,2-trimethylpropoxy, 1,2,2-trimethylpropoxy, 1-ethyl-1-methylpropoxy or 1-ethyl-2-methylprop
- 3- to 7-membered monocyclic or 9- or 10-membered bicyclic saturated, unsaturated or aromatic heterocycle which contains 1, 2, 3 or 4 heteroatoms selected from the group consisting of O, N and S and which can be attached via C or N.
- Preferred from among these are 5- or 6-membered heterocycles.
- Saturated or unsaturated heterocyclic groups which are attached via N such as: pyridazin-3-yl, pyridazin-4-yl, pyrimidin-2-yl, pyrimidin-4-yl, pyrimidin-5-yl, pyrazin-2-yl, 2-furyl, 3-furyl, 2-thienyl, 3-thienyl, pyrazol-1-yl, pyrazol-3-yl, pyrazol-4-yl, isoxazol-3-yl, isoxazol-4-yl, isoxazol-5-yl, isothiazol-3-yl, isothiazol-4-yl, isothiazol-5-yl, imidazol-1-yl, imidazol-2-yl, imidazol-4-yl, oxazol-2-yl, oxazol-4-yl, oxazol-5-yl, thiazol-2-yl, thi
- Heteroaromatic groups which are attached via C such as: pyrazol-3-yl, imidazol-5-yl, oxazol-2-yl, thiazol-2-yl, thiazol-4-yl, thiazol-5-yl, pyridin-2-yl, pyridin-3-yl, pyridin-4-yl, pyrimidin-2-yl, pyrimidin-4-yl, pyrimidin-5-yl, pyridazin-4-yl, pyrazin-2-yl, [1H]-tetrazol-5-yl and [2H]-tetrazol-5-yl.
- the compounds of the formula I may, depending on the substitution pattern, contain one or more further centers of chirality. Accordingly, the compounds according to the invention can be present as pure enantiomers or diastereomers or as enantiomer or diastereomer mixtures. The invention provides both the pure enantiomers or diastereomers and their mixtures.
- the compounds of the formula I may also be present in the form of the N-oxides and/or of their agriculturally useful salts, the type of salt generally not being important.
- Suitable salts are generally the salts of those cations or the acid addition salts of those acids whose cations and anions, respectively, have no adverse effect on the herbicidal activity of the compounds I.
- Suitable cations are in particular ions of the alkali metals, preferably lithium, sodium or potassium, of the alkaline earth metals, preferably calcium or magnesium, and of the transition metals, preferably manganese, copper, zinc or iron.
- Another cation that may be used is ammonium, where, if desired, one to four hydrogen atoms may be replaced by C 1 -C 4 -alkyl, hydroxy-C 1 -C 4 -alkyl, C 1 -C 4 -alkoxy-C 1 -C 4 -alkyl, hydroxy-C 1 -C 4 -alkoxy-C 1 -C 4 -alkyl, phenyl or benzyl, preferably ammonium, dimethylammonium, diisopropyl-ammonium, tetramethylammonium, tetrabutylammonium, 2-(2-hydroxyeth-1-oxy)eth-1-ylammonium, di(2-hydroxyeth-1-yl)
- ammonium cation is the pyridine nitrogen atom of the formula I quaternized by alkylation or arylation.
- phosphonium ions preferably tri(C 1 -C 4 -alkyl)sulfonium, or sulfoxonium ions, preferably tri(C 1 -C 4 -alkyl)sulfoxonium.
- Anions of suitable acid addition salts are primarily chloride, bromide, fluoride, hydrogensulfate, sulfate, dihydrogenphosphate, hydrogenphosphate, nitrate, bicarbonate, carbonate, hexafluorosilicate, hexafluorophosphate, benzoate and also the anions of C 1 -C 4 -alkanoic acids, preferably formate, acetate, propionate, butyrate or trifluoroacetate.
- variables of the compounds of the formula I have the following meanings, these meanings, both on their own and in combination with one another, being particular embodiments of the compounds of the formula I:
- A is N and E, G and M are C—R c . These compounds correspond to the formula I.1
- R c2 is H, OH, CN, halogen, alkyl, alkoxy, haloalkyl, in particular H, Br, OH and OCH 3 ;
- R c3 is H, OH, CN, halogen, alkyl, alkoxy, haloalkyl, in particular H;
- R c4 is H, OH, CN, halogen, alkyl, alkoxy, haloalkyl, in particular H.
- R 1 is selected from the group consisting of OH, OCH 3 , OC(O)CH 3 , OC(O)CH 2 CH 3 , OC(O)CH(CH 3 ) 2 , OC(O)C(CH 3 ) 3 , OC(O)-c-C 3 H 5 , OC(O)—C 6 H 5 , OC(O)—CH 2 C 6 H 5 , OC(O)CH 2 Cl, OC(O)—CF 3 , OC(O)—CH 2 OCH 3 , OC(O)—N(CH 3 ) 2 and OC(O)—OCH 2 CH 3 .
- R 2 is phenyl which is substituted by a group selected from the group consisting of 2-Br, 2-Cl, 2,4-Cl 2 , 2-Cl-4-F, 2-Cl-5-F, 2-Cl-6-F, 2-Cl-4-CF 3 , 2-Cl-5-CF 3 , 2-Cl-6-CF 3 , 2-Cl-3,6-F 2 , 2-F, 2,4-F 2 , 2,5-F 2 , 2,6-F 2 , 2-F-4-CF 3 , 2-F-5-CF 3 , 2-F-6-CF 3 , 2,3,6-F 3 , 2-NO 2 , 2-NO 2 -4-F, 2-NO 2 -5-F, 2-NO 2 -6-F, 2-NO 2 -4-CF 3 , 2-NO 2 -5-CF 3 , 2-NO 2 -6-CF 3 , 2-NO 2 -3,6-F 2 , 2-CN, 2-CH 3 , 2-
- X is selected from the group consisting of oxygen and sulfur.
- A, G and M are C—R c and E is N. These compounds correspond to the formula I.2
- A, E and M are C—R c and G is N. These compounds correspond to the formula I.3
- R c1 is H, OH, CN, halogen, alkyl, alkoxy, haloalkyl;
- R c2 is H, OH, CN, halogen, alkyl, alkoxy, haloalkyl, in particular H, Br, OH and OCH 3 ;
- R c4 is H, OH, CN, halogen; alkyl, alkoxy, haloalkyl, in particular H, Br, OH and OCH 3 .
- A, E and G are C—R c and M is N. These compounds correspond to the formula I.4
- R c1 is H, OH, CN, halogen, alkyl, alkoxy, haolalkyl, in particular H;
- R c2 is H, OH, CN, halogen, alkyl, alkoxy, haloalkyl, in particular H;
- R c3 is H, OH, CN, halogen, alkyl, alkoxy, haloalkyl, in particular H, Br, OH and OCH 3 .
- At least one group R c1 , R c2 and R c3 is not hydrogen.
- Particularly preferred aspects of the compounds of the formula I relate to those of each of the formulae I.1 to I.14 in which the variables have the meanings preferred for formula I.
- R 1 is O—R A .
- R 1 is S(O) n —R A where n is preferably 0 or 2, in particular 2.
- R 1 is O—S(O) n —R A where n is preferably 0 or 2, in particular 2, such as, for example, OS(O) 2 —CH 3 , OS(O) 2 —C 2 H 5 , OS(O) 2 —C 3 H 7 , OS(O) 2 —C 6 H 5 or OS(O) 2 -(4-CH 3 —C 6 H 4 ).
- R 1 is O—S(O) n —NR i R ii which has in particular the groups NR i R ii mentioned below as being preferred.
- R A is in particular H, C 1 -C 6 -alkylcarbonyl, such as C(O)CH 3 , C(O)CH 2 CH 3 , C(O)CH(CH 3 ) 2 or C(O)C(CH 3 ) 3 ; C 1 -C 6 -cycloalkylcarbonyl, such as cyclopropylcarbonyl, cyclopentylcarbonyl or cyclohexylcarbonyl; C 2 -C 6 -alkenylcarbonyl, such as C(O)CH ⁇ CH 2 or C(O)CH 2 CH ⁇ CH 2 , optionally subst.
- C 1 -C 6 -alkylcarbonyl such as C(O)CH 3 , C(O)CH 2 CH 3 , C(O)CH(CH 3 ) 2 or C(O)C(CH 3 ) 3
- C 1 -C 6 -cycloalkylcarbonyl such as cyclopropylcarbonyl, cyclopen
- R A is H or C 1 -C 6 -alkylcarbonyl.
- R A is selected from the group consisting of H, OCH 3 , C(O)CH 3 , C(O)CH 2 CH 3 , C(O)CH(CH 3 ) 2 , C(O)C(CH 3 ) 3 , C(O)-c-C 3 H 5 , C(O)—C 6 H 5 , C(O)—CH 2 C 6 H 5 , C(O)CH 2 Cl, C(O)CF 3 , C(O)CH 2 OCH 3 , C(O)N(CH 3 ) 2 and C(O)OCH 2 CH 3 .
- R A is NR i R ii .
- R A is Z—NR i —C(O)—NR i R ii , where R i and R ii are as defined at the outset and preferably as defined below.
- R i and R ii are preferably C 1 -C 8 -alkyl, C 1 -C 4 -haloalkyl, Z—C 3 -C 6 -cycloalkyl, Z—C 1 -C 8 -alkoxy, Z—C 1 -C 8 -haloalkoxy, Z-phenyl, Z—C( ⁇ O)—R a or Z-hetaryl.
- substituents are C 1 -C 4 -alkyl-carbonyl or C 1 -C 4 -haloalkylcarbonyl, in particular C( ⁇ O)—CH 3 , C( ⁇ O)—C 2 H 5 , C( ⁇ O)—C 3 H 7 , C( ⁇ O)—CH(CH 3 ) 2 , butylcarbonyl and C( ⁇ O)—CH 2 Cl.
- Particularly preferred aspects of the group NR i R ii are N(di-C 1 -C 4 -alkyl), in particular N(CH 3 )—C 1 -C 4 -alkyl, such as N(CH 3 ) 2 , N(CH 3 )CH 2 CH 3 , N(CH 3 )C 3 H 7 and N(CH 3 )CH(CH 3 ) 2 .
- NR i R ii are NH-aryl, where aryl is preferably phenyl which is substituted—in particular in the 2- and 6-position—by one to three identical or different halogen, CH 3 , halo-C 1 -C 2 -alkyl, halo-C 1 -C 2 -alkoxy and carboxyl groups, such as 2-Cl,6-COOH—C 6 H 3 , 2,6-Cl 2 -C 6 H 3 , 2,6-F 2 —C 6 H 3 , 2,6-Cl 2 3-C 6 H 2 , 2-CF 3 ,6-CH 2 CHF 2 —C 6 H 3 , 2-CF 3 ,6-OCF 3 —C 6 H 3 and 2-CF 3 ,6-CH 2 CHF 2 —C 6 H 3 .
- aryl is preferably phenyl which is substituted—in particular in the 2- and 6-position—by one to three identical or different halogen, CH 3 , halo-C 1
- NR i R ii are NH-heteroaryl, where heteroaryl is preferably one of the preferred heteroaromatic groups below, in particular triazinyl, pyrimidinyl or triazolopyrimidinyl, such as [1,2,4]triazolo[1,5-a]pyrimidin-2-yl, which groups may be substituted, in particular by C 1 -C 4 -alkoxy and/or halogen.
- R A is a 5- or 6-membered heterocycle optionally substituted by R b as defined above, which preferably has either 1, 2, 3 or 4 nitrogen atoms or 1 oxygen or 1 sulfur atom and if appropriate 1 or 2 nitrogen atoms as ring members and which is unsubstituted or may have 1 or 2 substituents selected from R b .
- Heteroaromatic groups pyridazin-3-yl, pyridazin-4-yl, pyrimidin-2-yl, pyrimidin-4-yl, pyrimidin-5-yl, pyrazin-2-yl, 2-furyl, 3-furyl, 2-thienyl, 3-thienyl, pyrazol-1-yl, pyrazol-3-yl, pyrazol-4-yl, isoxazol-3-yl, isoxazol-4-yl, isoxazol-5-yl, isothiazol-3-yl, isothiazol-4-yl, isothiazol-5-yl, imidazol-1-yl, imidazol-2-yl, imidazol-4-yl, oxazol-2-yl, oxazol-4-yl, oxazol-5-yl, thiazol-2-yl, thiazol-4-yl and thiazol-5
- R A is a heteroaromatic group attached via carbon, such as pyrazol-3-yl, imidazol-5-yl, oxazol-2-yl, thiazol-2-yl, thiazol-4-yl, thiazol-5-yl, pyridin-2-yl, pyridin-3-yl, pyridin-4-yl, pyrimidin-2-yl, pyrimidin-4-yl, pyrimidin-5-yl, pyridazin-4-yl, pyrazin-2-yl, [1H]-tetrazol-5-yl and [2H]-tetrazol-5-yl, where each of the heterocycles mentioned here in an exemplary manner may have 1 or 2 substituents selected from R b .
- Preferred groups R b are in particular F, Cl, CN, NO 2 , CH 3 , C 2 H 5 , OCH 3 , OC 2 H 5 , OCHF 2 , O
- R 2 is phenyl which is unsubstituted or partially or fully substituted by groups R b .
- Particular preference is given to compounds in which a group R b is located in the ortho-position.
- Such compounds of the formula I are described by the formula I.A:
- the index m is zero or an integer from one to four, preferably 0, 1 or 2, in particular 0 or 1.
- R 5 and R 6 are groups R b as defined at the outset, preferably halogen, NO 2 , C 1 -C 4 -alkyl, C 1 -C 2 -haloalkyl and C 1 -C 4 -alkoxy.
- One group R 6 is preferably located in position 5.
- a grouip R 6 in position 3 is a further preferred embodiment.
- R 5 is Br, F, NO 2 , CN, CH 3 , OCH 3 , CHF 2 or OCHF 2 .
- R 6 is particularly preferably halogen or halomethyl, such as Cl, F or CF 3 .
- (R 6 ) m is selected from the group consisting of 4-F, 5-F, 6-F, 4-CF 3 , 5-CF 3 and 3,6-F 2 .
- X is O.
- X is S.
- X is NR 3 .
- R 3 is preferably H, C 1 -C 6 -alkyl, such as CH 3 , C 2 H 5 , n-C 3 H 7 , CH(CH 3 ) 2 , n-C 3 H 9 , or C(CH 3 ) 3 ; C 3 -C 6 -cycloalkyl-C 1 -C 4 -alkyl, such as cyclopropylmethyl, C 3 -C 6 -alkenyl, such as CH 2 CH ⁇ CH 2 , CH 2 C(CH 3 ) ⁇ CH 2 , CH 2 CH 2 H ⁇ CH 2 , CH 2 CH 2 C(CH 3 )—CH 2 , CH 2 CH 2 CH 2 CH ⁇ CH 2 , CH 2 CH 2 CH 2 C(CH 3 ) ⁇ CH 2 , or optionally subst.
- C 1 -C 6 -alkyl such as CH 3 , C 2 H 5 , n-C 3 H 7 , CH(CH 3 ) 2 , n-C 3 H 9 , or
- R 3 is H. If the compounds of the formula I have two groups R 3 , these groups can be identical or different. A preferred aspect of R 3 is CH 2 CN, a further is CH 2 C 6 H 5 .
- R 3 is optionally substituted phenyl, such as C 6 H 5 , 4-CH 3 —C 6 H 4 , 4-F—C 6 H 4 or S(O) n —R N , where R N is C 1 -C 6 -haloalkyl, such as CH 2 CF 3 , CH 2 CHF 2 .
- a further embodiment relates to the N-oxides of the compounds of the formula I.
- a further embodiment relates to salts of the compounds of the formula I, in particular those which are obtainable by quaternization of the pyridine nitrogen atom, which may preferably take place by alkylation or arylation of the compounds of the formula I.
- Preferred salts of the compounds are thus the N-alkyl salts, in particular the N-methyl salts, and the N-phenyl salts.
- One aspect relates to the compounds of tables 11 to 20 and 31 to 60, the compounds A-1 to A-14 and A-29 to A-341 of tables 21 to 30 and the compounds in which R 1 is a group attached via OS(O) 2 —.
- a further aspect relates to the compounds of tables 131 to 140 and 151 to 180, the compounds A-1 to A-14 and A-29 to A-341 of tables 141 to 150 and the compounds in which R 1 is a group attached via OS(O) 2 —.
- the compounds I and their agriculturally useful salts are suitable, both as isomer mixtures and in the form of the pure isomers, as herbicides. They are suitable as such or as an appropriately formulated composition.
- the herbicidal compositions comprising the compound I, in particular the preferred aspects thereof, control vegetation on non-crop areas very efficiently, especially at high rates of application. They act against broad-leaved weeds and weed grasses in crops such as wheat, rice, corn, soybeans and cotton without causing any significant damage to the crop plants. This effect is mainly observed at low rates of application.
- the compounds I in particular the preferred aspects thereof, or compositions comprising them can additionally be employed in a further number of crop plants for eliminating unwanted plants.
- suitable crops are the following:
- crop plants also includes plants which have been modified by breeding, mutagenesis or genetic engineering. Genetically modified plants are plants whose genetic material has been modified in a manner which does not occur under natural conditions by crossing, mutations or natural recombination (i.e. reassembly of the genetic information).
- genetically modified plants are plants whose genetic material has been modified in a manner which does not occur under natural conditions by crossing, mutations or natural recombination (i.e. reassembly of the genetic information).
- one or more genes are integrated into the genetic material of the plant to improve the properties of the plant.
- crop plants also includes plants which, by breeding and genetic engineering, have acquired tolerance to certain classes of herbicides, such as hydroxyphenylpyruvate dioxygenase (HPPD) inhibitors, acetolactate synthase (ALS) inhibitors, such as, for example, sulfonylureas (EP-A-0257993, U.S. Pat. No. 5,013,659) or imidazolinones (see, for example, U.S. Pat. No.
- herbicides such as hydroxyphenylpyruvate dioxygenase (HPPD) inhibitors, acetolactate synthase (ALS) inhibitors, such as, for example, sulfonylureas (EP-A-0257993, U.S. Pat. No. 5,013,659) or imidazolinones (see, for example, U.S. Pat. No.
- EPSPS enolpyruvylshikimate 3-phosphate synthase
- EPSPS enolpyruvylshikimate 3-phosphate synthase
- GS glutamine synthetase
- glufosinate see, for example, EP-A-0242236, EP-A-242246, or oxynil herbicides (see, for example, U.S. Pat. No. 5,559,024).
- Crop plants for example Clearfield® oilseed rape, tolerant to imidazolinones, for example imazamox, have been generated with the aid of classic breeding methods (mutagenesis).
- Crop plants such as soybeans, cotton, corn, beet and oilseed rape, resistant to glyphosate or glufosinate, which are available under the tradenames RoundupReady® (glyphosate) and Liberty Link® (glufosinate) have been generated with the aid of genetic engineering methods.
- crop plants also includes plants which, with the aid of genetic engineering, produce one or more toxins, for example those of the bacterial strain Bacillus ssp.
- Toxins which are produced by such genetically modified plants include, for example, insecticidal proteins of Bacillus spp., in particular B.
- thuringiensis such as the endotoxins Cry1Ab, Cry1Ac, Cry1F, Cry1Fa2, Cry2Ab, Cry3A, Cry3Bb1, Cry9c, Cry34Ab1 or Cry35Ab1; or vegetative insecticidal proteins (VIPs), for example VIP1, VIP2, VIP3, or VIP3A; insecticidal proteins of nematode-colonizing bacteria, for example Photorhabdus spp.
- VIPs vegetative insecticidal proteins
- toxins of animal organisms for example wasp, spider or scorpion toxins
- fungal toxins for example from Streptomycetes
- plant lectins for example from peas or barley
- agglutinins proteinase inhibitors, for example trypsin inhibitors, serine protease inhibitors, patatin, cystatin or papain inhibitors, ribosome-inactivating proteins (RIPs), for example ricin, corn-RIP, abrin, luffin, saporin or bryodin
- steroid-metabolizing enzymes for example 3-hydroxysteroid oxidase, ecdysteroid-IDP glycosyl transferase, cholesterol oxidase, ecdysone inhibitors, or HMG-CoA reductase
- ion channel blockers for example inhibitors of sodium channels or calcium channels
- juvenile hormone esterase for example wasp, spider or scorpion toxins
- fungal toxins for example from Streptomycetes
- these toxins may also be produced as pretoxins, hybrid proteins or truncated or otherwise modified proteins.
- Hybrid proteins are characterized by a novel combination of different protein domains (see, for example, WO 2002/015701).
- Further examples of such toxins or genetically modified plants which produce these toxins are disclosed in EP-A 374 753, WO 93/007278; WO 95/34656, EP-A 427 529, EP-A 451 878, WO 03/018810 and WO 03/052073.
- the methods for producing these genetically modified plants are known to the person skilled in the art and disclosed, for example, in the publications mentioned above.
- crop plants also includes plants which, with the aid of genetic engineering, produce one or more proteins which are more robust or have increased resistance to bacterial, viral or fungal pathogens, such as, for example, pathogenesis-related proteins (PR proteins, see EP-A 0 392 225), resistance proteins (for example potato varieties producing two resistance genes against Phytophthora infestans from the wild Mexican potato Solanum bulbocastanum ) or T4 lysozyme (for example potato cultivars which, by producing this protein, are resistant to bacteria such as Erwinia amylvora ).
- PR proteins pathogenesis-related proteins
- resistance proteins for example potato varieties producing two resistance genes against Phytophthora infestans from the wild Mexican potato Solanum bulbocastanum
- T4 lysozyme for example potato cultivars which, by producing this protein, are resistant to bacteria such as Erwinia amylvora ).
- crop plants also includes plants whose productivity has been improved with the aid of genetic engineering methods, for example by enhancing the potential yield (for example biomass, grain yield, starch, oil or protein content), tolerance to drought, salt or other limiting environmental factors or resistance to pests and fungal, bacterial and viral pathogens.
- potential yield for example biomass, grain yield, starch, oil or protein content
- tolerance to drought for example drought, salt or other limiting environmental factors or resistance to pests and fungal, bacterial and viral pathogens.
- crop plants also includes plants whose ingredients have been modified with the aid of genetic engineering methods in particular for improving human or animal diet, for example by oil plants producing health-promoting long-chain omega 3 fatty acids or monounsaturated omega 9 fatty acids (for example Nexera® oilseed rape).
- crop plants also includes plants which have been modified with the aid of genetic engineering methods for improving the production of raw materials, for example by increasing the amylopectin content of potatoes (Amflora® potato).
- the compounds of the formula I are also suitable for the defoliation and/or desiccation of plant parts, for which crop plants such as cotton, potato, oilseed rape, sunflower, soybean or field beans, in particular cotton, are suitable.
- crop plants such as cotton, potato, oilseed rape, sunflower, soybean or field beans, in particular cotton
- compositions for the desiccation and/or defoliation of plants processes for preparing these compositions and methods for desiccating and/or defoliating plants using the compounds of the formula I.
- the compounds of the formula I are particularly suitable for desiccating the above-ground parts of crop plants such as potato, oilseed rape, sunflower and soybean, but also cereals. This makes possible the fully mechanical harvesting of these important crop plants.
- Also of economic interest is to facilitate harvesting, which is made possible by concentrating within a certain period of time the dehiscence, or reduction of adhesion to the tree, in citrus fruit, olives and other species and varieties of pomaceous fruit, stone fruit and nuts.
- the same mechanism i.e. the promotion of the development of abscission tissue between fruit part or leaf part and shoot part of the plants is also essential for the readily controllable defoliation of useful plants, in particular cotton.
- the compounds I, or the herbicidal compositions comprising the compounds I can be used, for example, in the form of ready-to-spray aqueous solutions, powders, suspensions, also highly concentrated aqueous, oily or other suspensions or dispersions, emulsions, oil dispersions, pastes, dusts, materials for broadcasting, or granules, by means of spraying, atomizing, dusting, spreading, watering or treatment of the seed or mixing with the seed.
- the use forms depend on the intended purpose; in each case, they should ensure the finest possible distribution of the active ingredients according to the invention.
- the herbicidal compositions comprise a herbicidally effective amount of at least one compound of the formula I or an agriculturally useful salt of I, and auxiliaries which are customary for the formulation of crop protection agents.
- auxiliaries customary for the formulation of crop protection agents are inert auxiliaries, solid carriers, surfactants (such as dispersants, protective colloids, emulsifiers, wetting agents and tackifiers), organic and inorganic thickeners, bactericides, antifreeze agents, antifoams, if appropriate colorants and, for seed formulations, adhesives.
- surfactants such as dispersants, protective colloids, emulsifiers, wetting agents and tackifiers
- organic and inorganic thickeners such as bactericides, antifreeze agents, antifoams, if appropriate colorants and, for seed formulations, adhesives.
- thickeners i.e. compounds which impart to the formulation modified flow properties, i.e. high viscosity in the state of rest and low viscosity in motion
- thickeners are polysaccharides, such as xanthan gum (Kelzan® from Kelco), Rhodopol® 23 (Rhone Poulenc) or Veegum® (from R.T. Vanderbilt), and also organic and inorganic sheet minerals, such as Attaclay® (from Engelhardt).
- antifoams examples include silicone emulsions (such as, for example, Silikon® SRE, Wacker or Rhodorsil® from Rhodia), long-chain alcohols, fatty acids, salts of fatty acids, organofluorine compounds and mixtures thereof.
- Bactericides can be added for stabilizing the aqueous herbicidal formulation.
- bactericides are bactericides based on dichlorophen and benzyl alcohol hemiformal (Proxel® from ICI or Acticide® RS from Thor Chemie and Kathon® MK from Rohm & Haas), and also isothiazolinone derivates, such as alkylisothiazolinones and benzisothiazolinones (Acticide MBS from Thor Chemie).
- antifreeze agents are ethylene glycol, propylene glycol, urea or glycerol.
- colorants are both sparingly water-soluble pigments and water-soluble dyes. Examples which may be mentioned are the dyes known under the names Rhodamin B, C.I. Pigment Red 112 and C.I. Solvent Red 1, and also pigment blue 15:4, pigment blue 15:3, pigment blue 15:2, pigment blue 15:1, pigment blue 80, pigment yellow 1, pigment yellow 13, pigment red 112, pigment red 48:2, pigment red 48:1, pigment red 57:1, pigment red 53:1, pigment orange 43, pigment orange 34, pigment orange 5, pigment green 36, pigment green 7, pigment white 6, pigment brown 25, basic violet 10, basic violet 49, acid red 51, acid red 52, acid red 14, acid blue 9, acid yellow 23, basic red 10, basic red 108.
- adhesives are polyvinylpyrrolidone, polyvinyl acetate, polyvinyl alcohol and tylose.
- Suitable inert auxiliaries are, for example, the following:
- mineral oil fractions of medium to high boiling point such as kerosene and diesel oil, furthermore coal tar oils and oils of vegetable or animal origin, aliphatic, cyclic and aromatic hydrocarbons, for example paraffin, tetrahydronaphthalene, alkylated naphthalenes and their derivatives, alkylated benzenes and their derivatives, alcohols such as methanol, ethanol, propanol, butanol and cyclohexanol, ketones such as cyclohexanone or strongly polar solvents, for example amines such as N-methylpyrrolidone, and water.
- paraffin tetrahydronaphthalene
- alkylated naphthalenes and their derivatives alkylated benzenes and their derivatives
- alcohols such as methanol, ethanol, propanol, butanol and cyclohexanol
- ketones such as cyclohexanone or strongly polar
- Solid carriers are mineral earths such as silicas, silica gels, silicates, talc, kaolin, limestone, lime, chalk, bole, loess, clay, dolomite, diatomaceous earth, calcium sulfate, magnesium sulfate and magnesium oxide, ground synthetic materials, fertilizers such as ammonium sulfate, ammonium phosphate, ammonium nitrate and ureas, and products of vegetable origin, such as cereal meal, tree bark meal, wood meal and nutshell meal, cellulose powders, or other solid carriers.
- mineral earths such as silicas, silica gels, silicates, talc, kaolin, limestone, lime, chalk, bole, loess, clay, dolomite, diatomaceous earth, calcium sulfate, magnesium sulfate and magnesium oxide, ground synthetic materials, fertilizers such as ammonium sulfate, ammonium phosphate, ammonium nitrate and urea
- Suitable surfactants are the alkali metal salts, alkaline earth metal salts and ammonium salts of aromatic sulfonic acids, for example lignosulfonic acids (e.g.
- methylcellulose methylcellulose
- hydrophobically modified starches polyvinyl alcohol (Mowiol types Clariant), polycarboxylates (BASF SE, Sokalan types), polyalkoxylates, polyvinylamine (BASF SE, Lupamine types), polyethyleneimine (BASF SE, Lupasol types), polyvinylpyrrolidone and copolymers thereof.
- Powders, materials for broadcasting and dusts can be prepared by mixing or grinding the active ingredients together with a solid carrier.
- Granules for example coated granules, impregnated granules and homogeneous granules, can be prepared by binding the active ingredients to solid carriers.
- Aqueous use forms can be prepared from emulsion concentrates, suspensions, pastes, wettable powders or water-dispersible granules by adding water.
- emulsions, pastes or oil dispersions the compounds of the formula I or Ia, either as such or dissolved in an oil or solvent, can be homogenized in water by means of a wetting agent, tackifier, dispersant or emulsifier.
- a wetting agent, tackifier, dispersant or emulsifier can be homogenized in water by means of a wetting agent, tackifier, dispersant or emulsifier.
- concentrates comprising active substance, wetting agent, tackifier, dispersant or emulsifier and, if desired, solvent or oil, which are suitable for dilution with water.
- concentrations of the compounds of the formula I in the ready-to-use preparations can be varied within wide ranges.
- the formulations comprise from 0.001 to 98% by weight, preferably 0.01 to 95% by weight of at least one active compound.
- the active compounds are employed in a purity of from 90% to 100%, preferably 95% to 100% (according to NMR spectrum).
- the compounds I of the invention can for example be formulated as follows:
- active compound 10 parts by weight of active compound are dissolved in 90 parts by weight of water or a water-soluble solvent. As an alternative, wetters or other adjuvants are added. The active compound dissolves upon dilution with water. This gives a formulation with an active compound content of 10% by weight.
- active compound 20 parts by weight of active compound are dissolved in 70 parts by weight of cyclohexanone with addition of 10 parts by weight of a dispersant, for example polyvinylpyrrolidone. Dilution with water gives a dispersion.
- a dispersant for example polyvinylpyrrolidone.
- the active compound content is 20% by weight.
- active compound 15 parts by weight of active compound are dissolved in 75 parts by weight of an organic solvent (e.g. alkylaromatics) with addition of calcium dodecylbenzenesulfonate and castor oil ethoxylate (in each case 5 parts by weight). Dilution with water gives an emulsion.
- the formulation has an active compound content of 15% by weight.
- active compound 25 parts by weight of active compound are dissolved in 35 parts by weight of an organic solvent (e.g. alkylaromatics) with addition of calcium dodecylbenzenesulfonate and castor oil ethoxylate (in each case 5 parts by weight).
- organic solvent e.g. alkylaromatics
- calcium dodecylbenzenesulfonate and castor oil ethoxylate in each case 5 parts by weight.
- This mixture is introduced into 30 parts by weight of water by means of an emulsifier (e.g. Ultraturrax) and made into a homogeneous emulsion. Dilution with water gives an emulsion.
- emulsifier e.g. Ultraturrax
- active compound 20 parts by weight of active compound are comminuted with addition of 10 parts by weight of dispersants and wetters and 70 parts by weight of water or an organic solvent to give a fine active compound suspension. Dilution with water gives a stable suspension of the active compound.
- the active compound content in the formulation is 20% by weight.
- active compound 50 parts by weight of active compound are ground finely with addition of 50 parts by weight of dispersants and wetters and made into water-dispersible or water-soluble granules by means of technical appliances (for example extrusion, spray tower, fluidized bed). Dilution with water gives a stable dispersion or solution of the active compound.
- the formulation has an active compound content of 50% by weight.
- active compound 75 parts by weight of active compound are ground in a rotor-stator mill with addition of 25 parts by weight of dispersants, wetters and silica gel. Dilution with water gives a stable dispersion or solution of the active compound.
- the active compound content of the formulation is 75% by weight.
- active compound 0.5 parts by weight are ground finely and associated with 99.5 parts by weight of carriers. Current methods here are extrusion, spray-drying or the fluidized bed. This gives granules to be applied undiluted with an active compound content of 0.5% by weight.
- the compounds I or the herbicidal compositions comprising them can be applied pre- or post-emergence, or together with the seed of a crop plant. It is also possible to apply the herbicidal compositions or active compounds by applying seed, pretreated with the herbicidal compositions or active compounds, of a crop plant. If the active compounds are less well tolerated by certain crop plants, application techniques may be used in which the herbicidal compositions are sprayed, with the aid of the spraying equipment, in such a way that as far as possible they do not come into contact with the leaves of the sensitive crop plants, while the active compounds reach the leaves of undesirable plants growing underneath, or the bare soil surface (post-directed, lay-by).
- the compounds of the formula I or the herbicidal compositions can be applied by treating seed.
- the treatment of seed comprises essentially all procedures familiar to the person skilled in the art (seed dressing, seed coating, seed dusting, seed soaking, seed film coating, seed multilayer coating, seed encrusting, seed dripping and seed pelleting) based on the compounds of the formula I according to the invention or the compositions prepared therefrom.
- the herbicidal compositions can be applied diluted or undiluted.
- seed comprises seed of all types, such as, for example, corns, seeds, fruits, tubers, cuttings and similar forms.
- seed describes corns and seeds.
- the seed used can be seed of the useful plants mentioned above, but also the seed of transgenic plants or plants obtained by customary breeding methods.
- the rates of application of active compound are from 0.001 to 3.0, preferably 0.01 to 1.0, kg/ha of active substance (a.s.), depending on the control target, the season, the target plants and the growth stage.
- the compounds I are generally employed in amounts of from 0.001 to 10 kg per 100 kg of seed.
- Safeners are chemical compounds which prevent or reduce damage to useful plants without substantially affecting the herbicidal action of the compounds of the formula I on unwanted plants. They can be used both before sowing (for example in the treatment of seed, or on cuttings or seedlings) and before or after the emergence of the useful plant.
- the safeners and the compounds of the formula I can be used simultaneously or in succession.
- Suitable safeners are, for example, (quinolin-8-oxy)acetic acids, 1-phenyl-5-haloalkyl-1H-1,2,4-triazole-3-carboxylic acids, 1-phenyl-4,5-dihydro-5-alkyl-1H-pyrazole-3,5-dicarboxylic acids, 4,5-dihydro-5,5-diaryl-3-isoxazolecarboxylic acids, dichloroacetamides, alpha-oximinophenylacetonitriles, acetophenone oximes, 4,6-dihalo-2-phenylpyrimidines, N-[[4-(aminocarbonyl)phenyl]-sulfonyl]-2-benzamides, 1,8-naphthalic anhydride, 2-halo-4-(haloalkyl)-5-thiazole-carboxylic acids, phosphorothiolates and O-phenyl N-alkylcarbamates and their agriculturally useful salt
- the compounds of the formula I can be mixed and jointly applied with numerous representatives of other herbicidal or growth-regulating groups of active compounds or with safeners.
- Suitable mixing partners are, for example, 1,2,4-thiadiazoles, 1,3,4-thiadiazoles, amides, aminophosphoric acid and its derivatives, aminotriazoles, anilides, aryloxy/heteroaryl-oxyalkanoic acids and their derivatives, benzoic acid and its derivatives, benzothiadiazinones, 2-(hetaroyl/aroyl)-1,3-cyclohexanediones, heteroaryl aryl ketones, benzylisoxazolidinones, meta-CF 3 -phenyl derivatives, carbamates, quinoline carboxylic acid and its derivatives, chloroacetanilides, cyclohexenone oxime ether derivates, diazines, dichloropropionic acid and its
- herbicides which can be used in combination with the pyridine compounds of the formula I according to the present invention are:
- ametryn amicarbazone, atrazine, bentazone, bentazone-sodium, bromacil, bromofenoxim, bromoxynil and its salts and esters, chlorobromuron, chloridazone, chlorotoluron, chloroxuron, cyanazine, desmedipham, desmetryn, dimefuron, dimethametryn, diquat, diquat-dibromide, diuron, fluometuron, hexazinone, ioxynil and its salts and esters, isoproturon, isouron, karbutilate, lenacil, linuron, metamitron, methabenzthiazuron, metobenzuron, metoxuron, metribuzin, monolinuron, neburon, paraquat, paraquat-dichloride, paraquat-dimetilsulfate, pentanochlor, phenmedipham, phenmedipham-e
- acifluorfen acifluorfen-sodium, azafenidin, bencarbazone, benzfendizone, bifenox, butafenacil, carfentrazone, carfentrazone-ethyl, chlomethoxyfen, cinidon-ethyl, fluazolate, flufenpyr, flufenpyr-ethyl, flumiclorac, flumiclorac-pentyl, flumioxazin, fluoroglycofen, fluoroglycofen-ethyl, fluthiacet, fluthiacet-methyl, fomesafen, halosafen, lactofen, oxadiargyl, oxadiazon, oxyfluorfen, pentoxazone, profluazol, pyraclonil, pyraflufen, pyraflufen-ethyl, saflufenacil, sulfentrazone,
- glyphosate glyphosate, glyphosate-isopropylammonium and glyphosate-trimesium (sulfosate);
- bilanaphos (bialaphos), bilanaphos-sodium, glufosinate and glufosinate-ammonium;
- amiprophos amiprophos-methyl, benfluralin, butamiphos, butralin, carbetamide, chlorpropham, chlorthal, chlorthal-dimethyl, dinitramine, dithiopyr, ethalfluralin, fluchloralin, oryzalin, pendimethalin, prodiamine, propham, propyzamide, tebutam, thiazopyr and trifluralin;
- acetochlor alachlor, anilofos, butachlor, cafenstrole, dimethachlor, dimethanamid, dimethenamid-P, diphenamid, fentrazamide, flufenacet, mefenacet, metazachior, metolachlor, metolachlor-S, naproanilide, napropamide, pethoxamid, piperophos, pretilachlor, propachlor, propisochlor, pyroxasulfone (KIH-485) and thenylchlor;
- Y is phenyl or 5- or 6-membered heteroaryl as defined at the outset, which radicals may be substituted by one to three groups R aa ; R 21 , R 22 , R 23 , R 24 are H, halogen or C 1 -C 4 -alkyl; X is O or NH; N is 0 or 1.
- R 21 , R 22 , R 23 , R 24 are H, Cl, F or CH 3 ;
- R 25 is halogen, C 1 -C 4 -alkyl or C 1 -C 4 -haloalkyl;
- R 26 is C 1 -C 4 -alkyl;
- R 27 is halogen, C 1 -C 4 -alkoxy or C 1 -C 4 -haloalkoxy;
- R 28 is H, halogen, C 1 -C 4 -haloalkyl or C 1 -C 4 -haloalkoxy;
- M is 0, 1, 2 or 3;
- X is oxygen;
- N is 0 or 1.
- Preferred compounds of the formula 2 have the following meanings:
- R 21 is H; R 22 , R 23 are F; R 24 is H or F; X is oxygen; N is 0 or 1.
- Particularly preferred compounds of the formula 2 are:
- auxin transport inhibitors diflufenzopyr, diflufenzopyr-sodium, naptalam and naptalam-sodium;
- Examples of preferred safeners C are benoxacor, cloquintocet, cyometrinil, cyprosulfamide, dichlormid, dicyclonone, dietholate, fenchlorazole, fenclorim, flurazole, fluxofenim, furilazole, isoxadifen, mefenpyr, mephenate, naphthalic anhydride, oxabetrinil, 4-(dichloroacetyl)-1-oxa-4-azaspiro[4.5]decane (H-11; MON4660, CAS 71526-07-3) and 2,2,5-trimethyl-3-(dichloroacetyl)-1,3-oxazolidine (H-12; R-29148, CAS 52836-31-4).
- the active compounds of groups b1) to b15) and the safeners C are known herbicides and safeners, see, for example, The Compendium of Pesticide Common Names (http://www.alanwood.net/pesticides/); B. Hock, C. Fedtke, R. R. Schmidt, Herbizide [Herbicides], Georg Thieme Verlag, Stuttgart, 1995. Further herbicidally active compounds are known from WO 96/26202, WO 97/41116, WO 97/41117, WO 97/41118, WO 01/83459 and WO 2008/074991 and from W. Kramer et al. (ed.) “Modern Crop Protection Compounds”, Vol. 1, Wiley VCH, 2007 and the literature quoted therein.
- the invention also relates to compositions in the form of a crop protection composition formulated as a 1-component composition
- a crop protection composition formulated as a 1-component composition
- an active compound combination comprising at least one pyridine compound of the formula I and at least one further active compound, preferably selected from the active compounds of groups b1 to b15, and at least one solid or liquid carrier and/or one or more surfactants and, if desired, one or more further auxiliaries customary for crop protection compositions.
- the invention also relates to compositions in the form of a crop protection composition formulated as a 2-component composition
- a first component comprising at least one pyridine compound of the formula I, a solid or liquid carrier and/or one or more surfactants and a second component comprising at least one further active compound selected from the active compounds of groups b1 to b15, a solid or liquid carrier and/or one or more surfactants, where additionally both components may also comprise further auxiliaries customary for crop protection compositions.
- the weight ratio of the active compounds A:B is generally in the range of from 1:1000 to 1000:1, preferably in the range of from 1:500 to 500:1, in particular in the range of from 1:250 to 250:1 and particularly preferably in the range of from 1:75 to 75:1.
- the weight ratio of the active compounds A:C is generally in the range of from 1:1000 to 1000:1, preferably in the range of from 1:500 to 500:1, in particular in the range of from 1:250 to 250:1 and particularly preferably in the range of from 1:75 to 75:1.
- the relative parts by weight of the components A:B are generally in the range of from 1:1000 to 1000:1, preferably in the range of from 1:500 to 500:1, in particular in the range of from 1:250 to 250:1 and particularly preferably in the range of from 1:75 to 75:1;
- the weight ratio of the components A:C is generally in the range of from 1:1000 to 1000:1, preferably in the range of from 1:500 to 500:1, in particular in the range of from 1:250 to 250:1 and particularly preferably in the range of from 1:75 to 75:1;
- the weight ratio of the components B:C is generally in the range of from 1:1000 to 1000:1, preferably in the range of from 1:500 to 500:1, in particular in the range of from 1:250 to 250:1 and particularly preferably in the range of from 1:75 to 75:1.
- the weight ratio of the components A+B to the component C is in the
- compositions according to the invention comprising in each case one individualized compound of the formula I and one mixing partner or a mixing partner combination are given in Table B below.
- a further aspect of the invention relates to the compositions B-1 to B-1227 listed in Table B below, where in each case one row of Table B corresponds to a herbicidal composition comprising one of the compounds of the formula I individualized in the above description (component 1) and the further active compound from groups b1) to b15) and/or safener C stated in each case in the row in question (component 2).
- the active compounds in the compositions described are in each case preferably present in synergistically effective amounts.
- the compounds I and the compositions according to the invention may also have a plant-strengthening action. Accordingly, they are suitable for mobilizing the defense system of the plants against attack by unwanted microorganisms, such as harmful fungi, but also viruses and bacteria.
- Plant-strengthening (resistance-inducing) substances are to be understood as meaning, in the present context, those substances which are capable of stimulating the defense system of treated plants in such a way that, when subsequently inoculated by unwanted microorganisms, the treated plants display a substantial degree of resistance to these microorganisms.
- the compounds I can be employed for protecting plants against attack by unwanted microorganisms within a certain period of time after the treatment.
- the period of time within which their protection is effected generally extends from 1 to 28 days, preferably from 1 to 14 days, after the treatment of the plants with the compounds I, or, after treatment of the seed, for up to 9 months after sowing.
- the compounds I and the compositions according to the invention are also suitable for increasing the harvest yield.
- the culture containers used were plastic flowerpots containing loamy sand with approximately 3.0% of humus as the substrate.
- the seeds of the test plants were sown separately for each species.
- the active compounds which had been suspended or emulsified in water, were applied directly after sowing by means of finely distributing nozzles.
- the containers were irrigated gently to promote germination and growth and subsequently covered with transparent plastic hoods until the plants had rooted. This cover caused uniform germination of the test plants, unless this has been impaired by the active compounds.
- test plants were first grown to a height of 3 to 15 cm, depending on the plant habit, and then treated with the active compounds which had been suspended or emulsified in water.
- the test plants were either sown directly and grown in the same containers, or they were first grown separately as seedlings and transplanted into the test containers a few days prior to treatment.
- Evaluation was carried out using a scale from 0 to 100. 100 means no emergence of the plants, or complete destruction of at least the aerial moieties, and 0 means no damage, or normal course of growth. A good herbicidal activity is given at values of at least 70 and a very good herbicidal activity is given at values of at least 85.
Landscapes
- Chemical & Material Sciences (AREA)
- Organic Chemistry (AREA)
- Life Sciences & Earth Sciences (AREA)
- Agronomy & Crop Science (AREA)
- Pest Control & Pesticides (AREA)
- Plant Pathology (AREA)
- Health & Medical Sciences (AREA)
- Engineering & Computer Science (AREA)
- Dentistry (AREA)
- General Health & Medical Sciences (AREA)
- Wood Science & Technology (AREA)
- Zoology (AREA)
- Environmental Sciences (AREA)
- Agricultural Chemicals And Associated Chemicals (AREA)
- Plural Heterocyclic Compounds (AREA)
- Pyridine Compounds (AREA)
- Nitrogen Condensed Heterocyclic Rings (AREA)
- Heterocyclic Carbon Compounds Containing A Hetero Ring Having Oxygen Or Sulfur (AREA)
Abstract
Substituted pyridines of the formula I
in which the variables are defined according to the description, their agriculturally suitable salts, processes and intermediates for preparing the pyridines of the formula I, compositions comprising them and their use as herbicides, i.e. for controlling harmful plants, and also a method for controlling unwanted vegetation which comprises allowing a herbicidally effective amount of at least one pyridine compound of the formula I to act on plants, their seed and/or their habitat.
Description
- The present invention relates substituted pyridines of the formula I
- in which the variables have the following meaning:
- R1 is O—RA, S(O)n—RA or O—S(O)n—RA;
- RA is hydrogen, C1-C4-alkyl, Z—C3-C6-cycloalkyl, C1-C4-haloalkyl, C2-C6-alkenyl, Z—C3-C6-cycloalkenyl, C2-C6-alkynyl, Z—(tri-C1-C4-alkyl)silyl, Z—C(═O)—Ra, Z—NRi—C(O)—NRiRii, Z—P(═O)(Ra)2, NRiRii, a 3- to 7-membered monocyclic or 9- or 10-membered bicyclic saturated, unsaturated or aromatic heterocycle which contains 1, 2, 3 or 4 heteroatoms selected from the group consisting of O, N and S, which may be partially or fully substituted by groups Ra and/or Rb,
- Ra is hydrogen, OH, C1-C8-alkyl, C1-C4-haloalkyl, Z—C3-C6-cycloalkyl, C2-C8-alkenyl, Z—C5-C6-cycloalkenyl, C2-C8-alkynyl, Z—C1-C6-alkoxy, Z—C1-C4-haloalkoxy, Z—C3-C8-alkenyloxy, Z—C3-C8-alkynyloxy, NRiRii, C1-C6-alkylsulfonyl, Z-(tri-C1-C4-alkyl)silyl, Z-phenyl, Z-phenoxy, Z-phenylamino or a 5- or 6-membered monocyclic or 9- or 10-membered bicyclic heterocycle which contains 1, 2, 3 or 4 heteroatoms selected from the group consisting of O, N and S, where the cyclic groups are unsubstituted or substituted by 1, 2, 3 or 4 groups Rb;
- Ri, Rii independently of one another are hydrogen, C1-C8-alkyl, C1-C4-haloalkyl, C3-C8-alkenyl, C3-C8-alkynyl, Z—C3-C6-cycloalkyl, Z—C1-C8-alkoxy, Z—C1-C8-haloalkoxy, Z—C(═O)—Ra, Z-phenyl, a 3- to 7-membered monocyclic or 9- or 10-membered bicyclic saturated, unsaturated or aromatic heterocycle which contains 1, 2, 3 or 4 heteroatoms selected from the group consisting of O, N and S and which is attached via Z;
- Ri and Rii together with the nitrogen atom to which they are attached may also form a 5- or 6-membered monocyclic or 9- or 10-membered bicyclic heterocycle which contains 1, 2, 3 or 4 heteroatoms selected from the group consisting of O, N and S;
- Z is a covalent bond or C1-C4-alkylene;
- Ra is hydrogen, OH, C1-C8-alkyl, C1-C4-haloalkyl, Z—C3-C6-cycloalkyl, C2-C8-alkenyl, Z—C5-C6-cycloalkenyl, C2-C8-alkynyl, Z—C1-C6-alkoxy, Z—C1-C4-haloalkoxy, Z—C3-C8-alkenyloxy, Z—C3-C8-alkynyloxy, NRiRii, C1-C6-alkylsulfonyl, Z-(tri-C1-C4-alkyl)silyl, Z-phenyl, Z-phenoxy, Z-phenylamino or a 5- or 6-membered monocyclic or 9- or 10-membered bicyclic heterocycle which contains 1, 2, 3 or 4 heteroatoms selected from the group consisting of O, N and S, where the cyclic groups are unsubstituted or substituted by 1, 2, 3 or 4 groups Rb;
- n is 0, 1 or 2;
- RA is hydrogen, C1-C4-alkyl, Z—C3-C6-cycloalkyl, C1-C4-haloalkyl, C2-C6-alkenyl, Z—C3-C6-cycloalkenyl, C2-C6-alkynyl, Z—(tri-C1-C4-alkyl)silyl, Z—C(═O)—Ra, Z—NRi—C(O)—NRiRii, Z—P(═O)(Ra)2, NRiRii, a 3- to 7-membered monocyclic or 9- or 10-membered bicyclic saturated, unsaturated or aromatic heterocycle which contains 1, 2, 3 or 4 heteroatoms selected from the group consisting of O, N and S, which may be partially or fully substituted by groups Ra and/or Rb,
- R2 is phenyl, naphthyl or a 5- or 6-membered monocyclic or 9- or 10-membered bicyclic aromatic heterocycle which contains 1, 2, 3 or 4 heteroatoms selected from the group consisting of O, N and S, where the cyclic groups are unsubstituted or substituted by 1, 2, 3 or 4 groups Rb;
- Rb independently of one another are Z—CN, Z—OH, Z—NO2, Z-halogen, C1-C8-alkyl, C1-C4-haloalkyl, C2-C8-alkenyl, C2-C8-alkynyl, Z—C1-C8-alkoxy, Z—C1-C8-haloalkoxy, Z—C3-C10-cycloalkyl, O—Z_C3-C10-cycloalkyl, Z—C(═O)—Ra, NRiRii, Z-(tri-C1-C4-alkyl)silyl, Z-phenyl and S(O)nRbb,
- where Rbb is C1-C8-alkyl or C1-C6-haloalkyl and
- n is 0, 1 or 2;
- Rb together with the group Rb attached to the adjacent carbon atom may also form a five- or six-membered saturated or partially or fully unsaturated ring which, in addition to carbon atoms, may contain 1, 2 or 3 heteroatoms selected from the group consisting of O, N and S;
- R3 is hydrogen, C1-C6-alkyl, C1-C4-haloalkyl, C2-C6-alkenyl, C3-C6-alkynyl, Z—C3-C10-cycloalkyl, C1-C6-alkoxy-C1-C6-alkyl, C1-C6-cyanoalkyl, Z-phenyl, Z—C(═O)—Ra2 or tri-C1-C4-alkylsilyl;
- Ra2 is C1-C6-alkyl, C1-C4-haloalkyl, Z—C1-C6-alkoxy, Z—C1-C4-halo-alkoxy or NRiRii;
- Rb independently of one another are Z—CN, Z—OH, Z—NO2, Z-halogen, C1-C8-alkyl, C1-C4-haloalkyl, C2-C8-alkenyl, C2-C8-alkynyl, Z—C1-C8-alkoxy, Z—C1-C8-haloalkoxy, Z—C3-C10-cycloalkyl, O—Z_C3-C10-cycloalkyl, Z—C(═O)—Ra, NRiRii, Z-(tri-C1-C4-alkyl)silyl, Z-phenyl and S(O)nRbb,
- A, E, G, M are N or C—Rc, one of these groups being N;
- Rb is hydrogen or one of the groups mentioned for Rb;
where in the groups RA and R3 and their subsubtituents, the carbon chains and/or the cyclic groups may be partially or fully substituted by groups Rb, or a N-oxide or an agriculturally suitable salt thereof.
- Rb is hydrogen or one of the groups mentioned for Rb;
- Moreover, the invention relates to processes and intermediates for preparing the pyridines of the formula I and the N-oxides thereof, the agriculturally usable salts thereof, and also to active compound combinations comprising them, to compositions comprising them and to their use as herbicides, i.e. for controlling harmful plants, and also to a method for controlling unwanted vegetation which comprises allowing a herbicidally effective amount of at least one pyridine compound of the formula I or of an agriculturally suitable salt of I to act on plants, their seed and/or their habitat.
- Further embodiments of the present invention can be found in the claims, the description and the examples. It is to be understood that the features mentioned above and those still to be illustrated below of the subject matter of the invention can be applied not only in the respective given combination but also in other combinations without leaving the scope of the invention.
- WO 2008/009908, WO 2008/071918 describe herbicidal pyridopyrazines; however, their herbicidal action at low application rates and/or their compatibility with crop plants leave scope for improvement.
- It is an object of the present invention to provide compounds having herbicidal action. To be provided are in particular active compounds having strong herbicidal action, in particular even at low application rates, whose compatibility with crop plants is sufficient for commercial application.
- These and further objects are achieved by the compounds of the formula I defined at the outset and by their N-oxides and also their agriculturally suitable salts.
- The compounds according to the invention can be prepared analogously to the synthesis routes described in WO 2008/009908 and WO 2008/071918 according to standard processes of organic chemistry, for example according to the following synthesis route:
- Pyridine carboxylic acids of the formula II can be reacted with carbonyl compounds of the formula III to give compounds of the formula IV. In the formulae. II and III, the variables have the meaning given for formula I. The group Hal is a halogen atom or another suitable nucleophilic leaving group, such as alkoxy or phenoxy.
- This reaction is usually carried out at temperatures of from −78° C. to 120° C., preferably from −20° C. to 50° C., in an inert organic solvent in the presence of a base, such as, for example, triethylamine (cf. J. Agric. and Food Chem. 1994, 42(4), 1019-1025), a catalyst, such as, for example, dicyclohexylcarbodiimide (cf. Egyptian Journal of Chemistry 1994, 37(3), 273-282) or other known coupling agents.
- Suitable solvents are aliphatic hydrocarbons, such as pentane, hexane, cyclohexane and petroleum ether, aromatic hydrocarbons, such as toluene, o-, m- and p-xylene, halogenated hydrocarbons, such as methylene chloride, chloroform and chlorobenzene, ethers, such as diethyl ether, diisopropyl ether, tert-butyl methyl ether, dioxane, anisole and tetrahydrofuran, nitriles, such as acetonitrile and propionitrile, ketones, such as acetone, methyl ethyl ketone, diethyl ketone and tert-butyl methyl ketone, and also dimethyl sulfoxide, dimethylformamide and dimethylacetamide, particularly preferably halogenated hydrocarbons, such as methylene chloride, chloroform and chlorobenzene. It is also possible to use mixtures of the solvents mentioned.
- Suitable bases are, in general, inorganic compounds, such as alkali metal and alkaline earth metal hydroxides, such as lithium hydroxide, sodium hydroxide, potassium hydroxide and calcium hydroxide, alkali metal and alkaline earth metal oxides, such as lithium oxide, sodium oxide, calcium oxide and magnesium oxide, alkali metal and alkaline earth metal hydrides, such as lithium hydride, sodium hydride, potassium hydride and calcium hydride, alkali metal amides, such as lithium amide, sodium amide and potassium amide, alkali metal and alkaline earth metal carbonates, such as lithium carbonate, potassium carbonate and calcium carbonate, and also alkali metal bicarbonates, such as sodium bicarbonate, organometallic compounds, in particular alkali metal alkyls, such as methyllithium, butyllithium and phenyllithium, alkylmagnesium halides, such as methylmagnesium chloride, and also alkali metal and alkaline earth metal alkoxides, such as sodium methoxide, sodium ethoxide, potassium ethoxide, potassium tert-butoxide and dimethoxymagnesium, moreover organic bases, for example tertiary amines, such as trimethylamine, triethylamine, tributylamine, diisopropylethylamine and N-methylpiperidine, pyridine, substituted pyridines, such as cbllidine, lutidine and 4-dimethylaminopyridine, and also bicyclic amines. Particular preference is given to tertiary amines such as trimethylamine, triethylamine, tributylamine, diisopropylethylamine. The bases are generally employed in catalytic amounts; however, they can also be used in equimolar amounts, in excess or, if appropriate, as solvents.
- The starting materials are generally reacted with one another in equimolar amounts.
- The compounds of the formula IV are activated by introducing a leaving group L1. Suitable leaving groups L1 are, in general, groups which increase the electrophilicity of the carbonyl group, for example O-alkyl, O-aryl, halides, activated esters or aldehydes (such as, for example, Weinreb amide), in particular pentafluorophenoxy.
- This reaction is usually carried out at temperatures of from −78° C. to 120° C., preferably from −20° C. to 50° C., in an inert organic solvent in the presence of a base, such as, for example, triethylamine (cf. J. Agric. and Food Chem. 1994, 42(4), 1019-1025), a catalyst, such as, for example, dicyclohexylcarbodiimide (cf. Egyptian Journal of Chemistry 1994, 37(3), 273-282) or other known coupling agents.
- Suitable solvents are aliphatic hydrocarbons, such as pentane, hexane, cyclohexane and petroleum ether, aromatic hydrocarbons, such as toluene, o-, m- and p-xylene, halogenated hydrocarbons, such as methylene chloride, chloroform and chlorobenzene, ethers, such as diethyl ether, diisopropyl ether, tert-butyl methyl ether, dioxane, anisole and tetrahydrofuran, nitriles, such as acetonitrile and propionitrile, ketones, such as acetone, methyl ethyl ketone, diethyl ketone and tert-butyl methyl ketone, and also dimethyl sulfoxide, dimethylformamide and dimethylacetamide, particularly preferably methylene chloride and toluene. It is also possible to use mixtures of the solvents mentioned.
- Suitable bases are, in general, inorganic compounds, such as alkali metal and alkaline earth metal hydroxides, such as lithium hydroxide, sodium hydroxide, potassium hydroxide and calcium hydroxide, alkali metal and alkaline earth metal oxides, such as lithium oxide, sodium oxide, calcium oxide and magnesium oxide, alkali metal and alkaline earth metal hydrides, such as lithium hydride, sodium hydride, potassium hydride and calcium hydride, alkali metal amides, such as lithium amide, sodium amide and potassium amide, alkali metal and alkaline earth metal carbonates, such as lithium carbonate, potassium carbonate and calcium carbonate, and also alkali metal bicarbonates, such as sodium bicarbonate, organometallic compounds, in particular alkali metal alkyls, such as methyllithium, butyllithium and phenyllithium, alkylmagnesium halides, such as methylmagnesium chloride, and also alkali metal and alkaline earth metal alkoxides, such as sodium methoxide, sodium ethoxide, potassium ethoxide, potassium tert-butoxide and dimethoxymagnesium, moreover organic bases, for example tertiary amines, such as trimethylamine, triethylamine, tributylamine, diisopropylethylamine and N-methylpiperidine, pyridine, substituted pyridines, such as collidine, lutidine and 4-dimethylaminopyridine, and also bicyclic amines. Particular preference is given to alkali metal and alkaline earth metal carbonates, such as lithium carbonate, potassium carbonate, calcium carbonate, cesium carbonate and rubidium carbonate. The bases are generally employed in catalytic amounts; however, they can also be used in equimolar amounts, in excess or, if appropriate, as solvents.
- The starting materials are generally reacted with one another in equimolar amounts.
- Suitable agents H-L1 are alcohols, optionally subst. phenols, N,O-dialkyl-hydroxylamine, in particular pentafluorophenol or N,O-dimethylhydroxylamine.
- The compounds of the formula V are cyclized to give the compounds of the formula I.
- This reaction is usually carried out at temperatures of from −78° C. to 120° C., preferably from −20° C. to 50° C., in an inert organic solvent in the presence of a base or a Lewis acid or a catalyst [cf. Silverman, Richard B. J. Am. Chem. Soc. 1981, 103(13), 3910].
- Suitable solvents are aliphatic hydrocarbons, such as pentane, hexane, cyclohexane and petroleum ether, aromatic hydrocarbons, such as toluene, o-, m- and p-xylene, halogenated hydrocarbons, such as methylene chloride, chloroform and chloro-benzene, ethers, such as diethyl ether, diisopropyl ether, tert-butyl methyl ether, dioxane, anisole and tetrahydrofuran, nitriles, such as acetonitrile and propionitrile, ketones, such as acetone, methyl ethyl ketone, diethyl ketone and tert-butyl methyl ketone, and also dimethyl sulfoxide, dimethylformamide and dimethylacetamide, particularly preferably acetonitrile and dimethylformamide. It is also possible to use mixtures of the solvents mentioned.
- Suitable bases are, in general, inorganic compounds, such as alkali metal and alkaline earth metal hydroxides, such as lithium hydroxide, sodium hydroxide, potassium hydroxide and calcium hydroxide, alkali metal and alkaline earth metal oxides, such as lithium oxide, sodium oxide, calcium oxide and magnesium oxide, alkali metal and alkaline earth metal hydrides, such as lithium hydride, sodium hydride, potassium hydride and calcium hydride, alkali metal amides, such as lithium amide, sodium amide and potassium amide, alkali metal and alkaline earth metal carbonates, such as lithium carbonate, potassium carbonate, calcium carbonate, cesium carbonate and rubidium carbonate, and also alkali metal bicarbonates, such as sodium bicarbonate, organometallic compounds, in particular alkali metal alkyls, such as methyllithium, butyllithium and phenyllithium, alkylmagnesium halides, such as methylmagnesium chloride, and also alkali metal and alkaline earth metal alkoxides, such as sodium methoxide, sodium ethoxide, potassium ethoxide, potassium tert-butoxide and dimethoxymagnesium, moreover organic bases, for example tertiary amines, such as trimethylamine, triethylamine, tributylamine, diisopropylethylamine and N-methylpiperidine, pyridine, substituted pyridines, such as collidine, lutidine and 4-dimethylaminopyridine, and also bicyclic amines. Particular preference is given to alkali metal and alkaline earth metal carbonates, such as lithium carbonate, potassium carbonate, calcium carbonate, cesium carbonate and rubidium carbonate.
- The bases are generally employed in catalytic amounts; however, they can also be used in equimolar amounts, in excess or, if appropriate, as solvents.
- The starting materials are generally reacted with one another in equimolar amounts.
- Alternatively, the compounds of the formula I can also be obtained via a reverse reaction sequence, i.e. the reaction of the compounds of the formula II with compounds H-L1 gives the activated derivatives of the formula VI.
- Per se, this reaction is carried out under the conditions mentioned for the reaction of the formula IV with H-L1.
- The compounds of the formula VI can then be reacted with compounds III to give the derivatives of the formula V.
- Per se, this reaction is carried out under the conditions mentioned for the reaction of the formula II with III.
- The reaction mixtures are worked up in a customary manner, for example by mixing with water, separating the phases and, if appropriate, chromatographic purification of the crude products. Some of the intermediates and end products are obtained in the form of colorless or slightly brownish viscous oils which are purified or freed from volatile components under reduced pressure and at moderately elevated temperature. If the intermediates and end products are obtained as solids, the purification can also be carried out by recrystallization or digestion.
- If individual compounds I cannot be obtained by the routes described above, they can be prepared by derivatization of other compounds I.
- If the synthesis yields mixtures of isomers, a separation is generally however not necessarily required since in some cases the individual isomers can be interconverted during work-up for use or during application (for example under the action of light, acids or bases). Such conversions may also take place after application, for example in the case of the treatment of plants in the treated plant or in the harmful plant to be controlled.
- The organic moieties mentioned for the substituents of the compounds according to the invention are collective terms for individual enumerations of the individual group members. All hydrocarbon chains, such as alkyl, haloalkyl, alkenyl, alkynyl, and the alkyl moieties and alkenyl moieties in alkoxy, haloalkoxy, alkylamino, dialkylamino, N-alkylsulfonylamino, alkenyloxy, alkynyloxy, alkoxyamino, alkylaminosulfonylamino, dialkylaminosulfonylamino, alkenylamino, alkynylamino, N-(alkenyl)-N-(alkyl)amino, N-(alkynyl)-N-(alkyl)amino, N-(alkoxy)-N-(alkyl)amino, N-(alkenyl)-N-(alkoxy)amino or N-(alkynyl)-N-(alkoxy)amino can be straight-chain or branched.
- The prefix Cn—Cm— indicates the respective number of carbons of the hydrocarbon unit. Unless indicated otherwise, halogenated substituents preferably carry one to five identical or different halogen atoms, in particular fluorine atoms or chlorine atoms.
- The meaning halogen denotes in each case fluorine, chlorine, bromine or iodine.
- Examples of other meanings are:
- alkyl and the alkyl moieties for example in alkoxy, alkylamino, dialkylamino, N-alkyl-sulfonylamino, alkylaminosulfonylamino, dialkylaminosulfonylamino, N-(alkenyl)-N-(alkyl)amino, N-(alkynyl)-N-(alkyl)amino, N-(alkoxy)-N-(alkyl)amino: saturated straight-chain or branched hydrocarbon radicals having one or more carbon atoms, for example 1 or 2, 1 to 4 or 1 to 6 carbon atoms, for example C1-C6-alkyl, such as methyl, ethyl, propyl, 1-methylethyl, butyl, 1-methylpropyl, 2-methylpropyl, 1,1-dimethylethyl, pentyl, 1-methylbutyl, 2-methylbutyl, 3-methylbutyl, 2,2-dimethylpropyl, 1-ethylpropyl, hexyl, 1,1-dimethylpropyl, 1,2-dimethylpropyl, 1-methylpentyl, 2-methylpentyl, 3-methylpentyl, 4-methylpentyl, 1,1-dimethylbutyl, 1,2-dimethylbutyl, 1,3-dimethylbutyl, 2,2-dimethyl-butyl, 2,3-dimethylbutyl, 3,3-dimethylbutyl, 1-ethylbutyl, 2-ethylbutyl, 1,1,2-trimethyl-propyl, 1,2,2-trimethylpropyl, 1-ethyl-1-methylpropyl, 1-ethyl-2-methylpropyl. In one embodiment according to the invention, alkyl denotes small alkyl groups, such as C1-C4-alkyl. In another embodiment according to the invention, alkyl denotes relatively large alkyl groups, such as C5-C6-alkyl.
- Haloalkyl: an alkyl radical as mentioned above, some or all of whose hydrogen atoms are substituted by halogen atoms, such as fluorine, chlorine, bromine and/or iodine, for example chloromethyl, dichloromethyl, trichloromethyl, fluoromethyl, difluoro-methyl, trifluoromethyl, chlorofluoromethyl, dichlorofluoromethyl, chlorodifluoromethyl, 2-fluoroethyl, 2-chloroethyl, 2-bromoethyl, 2-iodoethyl, 2,2-difluoroethyl, 2,2,2-trifluoro-ethyl, 2-chloro-2-fluoroethyl, 2-chloro-2,2-difluoroethyl, 2,2-dichloro-2-fluoroethyl, 2,2,2-trichloroethyl, pentafluoroethyl, 2-fluoropropyl, 3-fluoropropyl, 2,2-difluoropropyl, 2,3-difluoropropyl, 2-chloropropyl, 3-chloropropyl, 2,3-dichloropropyl, 2-bromopropyl, 3-bromopropyl, 3,3,3-trifluoropropyl, 3,3,3-trichloropropyl, 2,2,3,3,3-pentafluoropropyl, heptafluoropropyl, 1-(fluoromethyl)-2-fluoroethyl, 1-(chloromethyl)-2-chloroethyl, 1-(bromomethyl)-2-bromoethyl, 4-fluorobutyl, 4-chlorobutyl, 4-bromobutyl and nonafluorobutyl.
- Cycloalkyl and the cycloalkyl moieties for example in cycloalkoxy or cycloalkylcarbonyl: monocyclic saturated hydrocarbon groups having three or more carbon atoms, for example 3 to 6 carbon ring members, such as cyclopropyl, cyclobutyl, cyclopentyl and cyclohexyl.
- Alkenyl and the alkenyl moieties for example in alkenylamino, alkenyloxy, N-(alkenyl)-N-(alkyl)amino, N-(alkenyl)-N-(alkoxy)amino: monounsaturated straight-chain or branched hydrocarbon radicals having two or more carbon atoms, for example 2 to 4, 2 to 6 or 3 to 6 carbon atoms, and a double bond in any position, for example C2-C6-alkenyl, such as ethenyl, 1-propenyl, 2-propenyl, 1-methylethenyl, 1-butenyl, 2-butenyl, 3-butenyl, 1-methyl-1-propenyl, 2-methyl-1-propenyl, 1-methyl-2-propenyl, 2-methyl-2-propenyl, 1-pentenyl, 2-pentenyl, 3-pentenyl, 4-pentenyl, 1-methyl-1-butenyl, 2-methyl-1-butenyl, 3-methyl-1-butenyl, 1-methyl-2-butenyl, 2-methyl-2-butenyl, 3-methyl-2-butenyl, 1-methyl-3-butenyl, 2-methyl-3-butenyl, 3-methyl-3-butenyl, 1,1-dimethyl-2-propenyl, 1,2-dimethyl-1-propenyl, 1,2-dimethyl-2-propenyl, 1-ethyl-1-propenyl, 1-ethyl-2-propenyl, 1-hexenyl, 2-hexenyl, 3-hexenyl, 4-hexenyl, 5-hexenyl, 1-methyl-1-pentenyl, 2-methyl-1-pentenyl, 3-methyl-1-pentenyl, 4-methyl-1-pentenyl, 1-methyl-2-pentenyl, 2-methyl-2-pentenyl, 3-methyl-2-pentenyl, 4-methyl-2-pentenyl, 1-methyl-3-pentenyl, 2-methyl-3-pentenyl, 3-methyl-3-pentenyl, 4-methyl-3-pentenyl, 1-methyl-4-pentenyl, 2-methyl-4-pentenyl, 3-methyl-4-pentenyl, 4-methyl-4-pentenyl, 1,1-dimethyl-2-butenyl, 1,1-dimethyl-3-butenyl, 1,2-dimethyl-1-butenyl, 1,2-dimethyl-2-butenyl, 1,2-dimethyl-3-butenyl, 1,3-dimethyl-1-butenyl, 1,3-dimethyl-2-butenyl, 1,3-dimethyl-3-butenyl, 2,2-dimethyl-3-butenyl, 2,3-dimethyl-1-butenyl, 2,3-dimethyl-2-butenyl, 2,3-dimethyl-3-butenyl, 3,3-dimethyl-1-butenyl, 3,3-dimethyl-2-butenyl, 1-ethyl-1-butenyl, 1-ethyl-2-butenyl, 1-ethyl-3-butenyl, 2-ethyl-1-butenyl, 2-ethyl-2-butenyl, 2-ethyl-3-butenyl, 1,1,2-trimethyl-2-propenyl, 1-ethyl-1-methyl-2-propenyl, 1-ethyl-2-methyl-1-propenyl, 1-ethyl-2-methyl-2-propenyl.
- Cycloalkenyl: monocyclic monounsaturated hydrocarbon groups having 3 to 6, preferably 5 or 6, carbon ring members, such as cyclopenten-1-yl, cyclopenten-3-yl, cyclohexen-1-yl, cyclohexen-3-yl, cyclohexen-4-yl.
- Alkynyl and the alkynyl moieties for example in alkynyloxy, alkynylamino, N-(alkynyl)-N-(alkyl)amino or N-(alkynyl)-N-(alkoxy)amino: straight-chain or branched hydrocarbon groups having two or more carbon atoms, for example 2 to 4, 2 to 6 or 3 to 6 carbon atoms, and a triple bond in any position, for example C2-C6-alkynyl, such as ethynyl, 1-propynyl, 2-propynyl, 1-butynyl, 2-butynyl, 3-butynyl, 1-methyl-2-propynyl, 1-pentynyl, 2-pentynyl, 3-pentynyl, 4-pentynyl, 1-methyl-2-butynyl, 1-methyl-3-butynyl, 2-methyl-3-butynyl, 3-methyl-1-butynyl, 1,1-dimethyl-2-propynyl, 1-ethyl-2-propynyl, 1-hexynyl, 2-hexynyl, 3-hexynyl, 4-hexynyl, 5-hexynyl, 1-methyl-2-pentynyl, 1-methyl-3-pentynyl, 1-methyl-4-pentynyl, 2-methyl-3-pentynyl, 2-methyl-4-pentynyl, 3-methyl-1-pentynyl, 3-methyl-4-pentynyl, 4-methyl-1-pentynyl, 4-methyl-2-pentynyl, 1,1-dimethyl-2-butynyl, 1,1-dimethyl-3-butynyl, 1,2-dimethyl-3-butynyl, 2,2-dimethyl-3-butynyl, 3,3-dimethyl-1-butynyl, 1-ethyl-2-butynyl, 1-ethyl-3-butynyl, 2-ethyl-3-butynyl, 1-ethyl-1-methyl-2-propynyl.
- Alkoxy: alkyl as defined above which is attached via an oxygen atom, for example methoxy, ethoxy, n-propoxy, 1-methylethoxy, butoxy, 1-methylpropoxy, 2-methyl-propoxy or 1,1-dimethylethoxy, pentoxy, 1-methylbutoxy, 2-methylbutoxy, 3-methyl-butoxy, 1,1-dimethylpropoxy, 1,2-dimethylpropoxy, 2,2-dimethylpropoxy, 1-ethyl-propoxy, hexoxy, 1-methylpentoxy, 2-methylpentoxy, 3-methylpentoxy, 4-methyl-pentoxy, 1,1-dimethylbutoxy, 1,2-dimethylbutoxy, 1,3-dimethylbutoxy, 2,2-dimethyl-butoxy, 2,3-dimethylbutoxy, 3,3-dimethylbutoxy, 1-ethylbutoxy, 2-ethylbutoxy, 1,1,2-trimethylpropoxy, 1,2,2-trimethylpropoxy, 1-ethyl-1-methylpropoxy or 1-ethyl-2-methylpropoxy.
- 3- to 7-membered monocyclic or 9- or 10-membered bicyclic saturated, unsaturated or aromatic heterocycle which contains 1, 2, 3 or 4 heteroatoms selected from the group consisting of O, N and S and which can be attached via C or N. Preferred from among these are 5- or 6-membered heterocycles.
- Saturated or unsaturated heterocyclic groups which are attached via N, such as: pyridazin-3-yl, pyridazin-4-yl, pyrimidin-2-yl, pyrimidin-4-yl, pyrimidin-5-yl, pyrazin-2-yl, 2-furyl, 3-furyl, 2-thienyl, 3-thienyl, pyrazol-1-yl, pyrazol-3-yl, pyrazol-4-yl, isoxazol-3-yl, isoxazol-4-yl, isoxazol-5-yl, isothiazol-3-yl, isothiazol-4-yl, isothiazol-5-yl, imidazol-1-yl, imidazol-2-yl, imidazol-4-yl, oxazol-2-yl, oxazol-4-yl, oxazol-5-yl, thiazol-2-yl, thiazol-4-yl and thiazol-5-yl.
- Heteroaromatic groups which are attached via C, such as: pyrazol-3-yl, imidazol-5-yl, oxazol-2-yl, thiazol-2-yl, thiazol-4-yl, thiazol-5-yl, pyridin-2-yl, pyridin-3-yl, pyridin-4-yl, pyrimidin-2-yl, pyrimidin-4-yl, pyrimidin-5-yl, pyridazin-4-yl, pyrazin-2-yl, [1H]-tetrazol-5-yl and [2H]-tetrazol-5-yl.
- The compounds of the formula I may, depending on the substitution pattern, contain one or more further centers of chirality. Accordingly, the compounds according to the invention can be present as pure enantiomers or diastereomers or as enantiomer or diastereomer mixtures. The invention provides both the pure enantiomers or diastereomers and their mixtures.
- The compounds of the formula I may also be present in the form of the N-oxides and/or of their agriculturally useful salts, the type of salt generally not being important. Suitable salts are generally the salts of those cations or the acid addition salts of those acids whose cations and anions, respectively, have no adverse effect on the herbicidal activity of the compounds I.
- Suitable cations are in particular ions of the alkali metals, preferably lithium, sodium or potassium, of the alkaline earth metals, preferably calcium or magnesium, and of the transition metals, preferably manganese, copper, zinc or iron. Another cation that may be used is ammonium, where, if desired, one to four hydrogen atoms may be replaced by C1-C4-alkyl, hydroxy-C1-C4-alkyl, C1-C4-alkoxy-C1-C4-alkyl, hydroxy-C1-C4-alkoxy-C1-C4-alkyl, phenyl or benzyl, preferably ammonium, dimethylammonium, diisopropyl-ammonium, tetramethylammonium, tetrabutylammonium, 2-(2-hydroxyeth-1-oxy)eth-1-ylammonium, di(2-hydroxyeth-1-yl)ammonium, trimethylbenzylammonium. Another suitable ammonium cation is the pyridine nitrogen atom of the formula I quaternized by alkylation or arylation. Also suitable are phosphonium ions, sulfonium ions, preferably tri(C1-C4-alkyl)sulfonium, or sulfoxonium ions, preferably tri(C1-C4-alkyl)sulfoxonium.
- Anions of suitable acid addition salts are primarily chloride, bromide, fluoride, hydrogensulfate, sulfate, dihydrogenphosphate, hydrogenphosphate, nitrate, bicarbonate, carbonate, hexafluorosilicate, hexafluorophosphate, benzoate and also the anions of C1-C4-alkanoic acids, preferably formate, acetate, propionate, butyrate or trifluoroacetate.
- With respect to the variables, the particularly preferred embodiments of the intermediates correspond to those of the groups of the formula I.
- In a particular embodiment, the variables of the compounds of the formula I have the following meanings, these meanings, both on their own and in combination with one another, being particular embodiments of the compounds of the formula I:
- In one preferred embodiment of the compounds of the formula I, A is N and E, G and M are C—Rc. These compounds correspond to the formula I.1
- in which the groups Rc2, Rc3 and Rc4 each correspond to a group Rc and preferably have the following meanings:
- Rc2 is H, OH, CN, halogen, alkyl, alkoxy, haloalkyl, in particular H, Br, OH and OCH3;
- Rc3 is H, OH, CN, halogen, alkyl, alkoxy, haloalkyl, in particular H; and
- Rc4 is H, OH, CN, halogen, alkyl, alkoxy, haloalkyl, in particular H.
- In particularly preferred embodiments of the compounds of the formula I and in particular those of the formula I.1, R1 is selected from the group consisting of OH, OCH3, OC(O)CH3, OC(O)CH2CH3, OC(O)CH(CH3)2, OC(O)C(CH3)3, OC(O)-c-C3H5, OC(O)—C6H5, OC(O)—CH2C6H5, OC(O)CH2Cl, OC(O)—CF3, OC(O)—CH2OCH3, OC(O)—N(CH3)2 and OC(O)—OCH2CH3.
- In particularly preferred embodiments of the compounds of the formula I and in particular those of the formula I.1, R2 is phenyl which is substituted by a group selected from the group consisting of 2-Br, 2-Cl, 2,4-Cl2, 2-Cl-4-F, 2-Cl-5-F, 2-Cl-6-F, 2-Cl-4-CF3, 2-Cl-5-CF3, 2-Cl-6-CF3, 2-Cl-3,6-F2, 2-F, 2,4-F2, 2,5-F2, 2,6-F2, 2-F-4-CF3, 2-F-5-CF3, 2-F-6-CF3, 2,3,6-F3, 2-NO2, 2-NO2-4-F, 2-NO2-5-F, 2-NO2-6-F, 2-NO2-4-CF3, 2-NO2-5-CF3, 2-NO2-6-CF3, 2-NO2-3,6-F2, 2-CN, 2-CH3, 2-CH3-4-F, 2-CH3-5-F, 2-CH3-6-F, 2-CH3-4-CF3, 2-CH3-5-CF3, 2-CH3-6-CF3, 2-CH3-3,6-F2, 2-OCH3, 2-OCH3-4-F, 2-OCH3-5-F, 2-OCH3-6-F, 2-OCH3-4-CF3, 2-OCH3-5-CF3, 2-OCH3-6-CF3, 2-OCH3-3,6-F2, 2-CHF2, 2-CHF2-4-F, 2-CHF2-5-F, 2-CHF2-6-F, 2-CHF2-4-CF3, 2-CHF2-5-CF3, 2-CHF2-6-CF3, 2-CHF2-3,6-F2, 2-CF3, 2-CF3-4-F, 2-CF3-5-F, 2-CF3-6-F, 2-CF3-4-CF3, 2-CF3-5-CF3, 2-CF3-6-CF3, 2-CF3-3,6-F2, 2-OCHF2, 2-OCHF2-4-F, 2-OCHF2-5-F, 2-OCHF2-6-F, 2-OCHF2-4-CF3, 2-OCHF2-5-CF3, 2-OCHF2-6-CF3, 2-OCHF2-3,6-F2, 2-OCF3, 2-OCF3-4-F, 2-OCF3-5-F, 2-OCF3-6-F, 2-OCF3-4-CF3, 2-OCF3-5-CF3, 2-OCF3-6-CF3 and 2-OCF3-3,6-F2.
- In particularly preferred embodiments of the compounds of the formula I and in particular those of the formula I.1, X is selected from the group consisting of oxygen and sulfur.
- In a further embodiment of the compounds of the formula I, A, G and M are C—Rc and E is N. These compounds correspond to the formula I.2
- in which the groups Rc1, Rc3 and Rc4 each correspond to a group Rc.
- In a further embodiment of the compounds of the formula I, A, E and M are C—Rc and G is N. These compounds correspond to the formula I.3
- in which the groups Rc1, Rc2 and Rc4 each correspond to a group Rc and preferably have the following meanings:
- Rc1 is H, OH, CN, halogen, alkyl, alkoxy, haloalkyl;
- Rc2 is H, OH, CN, halogen, alkyl, alkoxy, haloalkyl, in particular H, Br, OH and OCH3; and
- Rc4 is H, OH, CN, halogen; alkyl, alkoxy, haloalkyl, in particular H, Br, OH and OCH3.
- In a further embodiment of the compounds of the formula I, A, E and G are C—Rc and M is N. These compounds correspond to the formula I.4
- in which the groups Rc1, Rc2 and Rc3 each correspond to a group Rc and preferably have the following meanings:
- Rc1 is H, OH, CN, halogen, alkyl, alkoxy, haolalkyl, in particular H;
- Rc2 is H, OH, CN, halogen, alkyl, alkoxy, haloalkyl, in particular H; and
- Rc3 is H, OH, CN, halogen, alkyl, alkoxy, haloalkyl, in particular H, Br, OH and OCH3.
- In one embodiment of the compounds of the formulae I.1, I.2, I.3 and I.4, at least one group Rc1, Rc2 and Rc3 is not hydrogen.
- Particularly preferred aspects of the compounds of the formula I relate to those of each of the formulae I.1 to I.14 in which the variables have the meanings preferred for formula I.
- In a first preferred embodiment of the invention, R1 is O—RA.
- In a further preferred embodiment of the invention, R1 is S(O)n—RA where n is preferably 0 or 2, in particular 2.
- In a further preferred embodiment, R1 is O—S(O)n—RA where n is preferably 0 or 2, in particular 2, such as, for example, OS(O)2—CH3, OS(O)2—C2H5, OS(O)2—C3H7, OS(O)2—C6H5 or OS(O)2-(4-CH3—C6H4).
- In a further preferred embodiment, R1 is O—S(O)n—NRiRii which has in particular the groups NRiRii mentioned below as being preferred.
- RA is in particular H, C1-C6-alkylcarbonyl, such as C(O)CH3, C(O)CH2CH3, C(O)CH(CH3)2 or C(O)C(CH3)3; C1-C6-cycloalkylcarbonyl, such as cyclopropylcarbonyl, cyclopentylcarbonyl or cyclohexylcarbonyl; C2-C6-alkenylcarbonyl, such as C(O)CH═CH2 or C(O)CH2CH═CH2, optionally subst. benzoyl, such as C(O)C6H5, C(O)[2-CH3—C6H4], C(O)[4-CH3—C6H4], C(O)[2-F—C6H4], C(O)[4-F—C6H4], or optionally subst. heteroaryl, such as pyridine, which is attached via a carbonyl group. Particularly preferably, RA is H or C1-C6-alkylcarbonyl.
- More particularly preferably, RA is selected from the group consisting of H, OCH3, C(O)CH3, C(O)CH2CH3, C(O)CH(CH3)2, C(O)C(CH3)3, C(O)-c-C3H5, C(O)—C6H5, C(O)—CH2C6H5, C(O)CH2Cl, C(O)CF3, C(O)CH2OCH3, C(O)N(CH3)2 and C(O)OCH2CH3.
- In a further preferred embodiment of the invention, RA is NRiRii.
- In a further preferred embodiment of the invention, RA is Z—NRi—C(O)—NRiRii, where Ri and Rii are as defined at the outset and preferably as defined below. In further embodiments, C1-C4-alkoxy, C1-C4-haloalkoxy and C1-C4-alkoxy-C1-C4-alkyl, in particular OCH3, OC2H5, CH2CH2OCH3 and CH2CH2Cl, may also be possible for Ri and Rii, independently of one another.
- Ri and Rii are preferably C1-C8-alkyl, C1-C4-haloalkyl, Z—C3-C6-cycloalkyl, Z—C1-C8-alkoxy, Z—C1-C8-haloalkoxy, Z-phenyl, Z—C(═O)—Ra or Z-hetaryl. Here, preference is given to CH3, C2H5, n-propyl, CH(CH3)2, butyl, 2-choroethyl, cyclopentyl, cyclohexyl, 2-ethoxymethyl, 2-chloroethoxy, phenyl, pyrimidines or triazines whose rings are unsubstituted or substituted. Here, preferred substituents are C1-C4-alkyl-carbonyl or C1-C4-haloalkylcarbonyl, in particular C(═O)—CH3, C(═O)—C2H5, C(═O)—C3H7, C(═O)—CH(CH3)2, butylcarbonyl and C(═O)—CH2Cl. Particularly preferred aspects of the group NRiRii are N(di-C1-C4-alkyl), in particular N(CH3)—C1-C4-alkyl, such as N(CH3)2, N(CH3)CH2CH3, N(CH3)C3H7 and N(CH3)CH(CH3)2.
- Further particularly preferred aspects of NRiRii are NH-aryl, where aryl is preferably phenyl which is substituted—in particular in the 2- and 6-position—by one to three identical or different halogen, CH3, halo-C1-C2-alkyl, halo-C1-C2-alkoxy and carboxyl groups, such as 2-Cl,6-COOH—C6H3, 2,6-Cl2-C6H3, 2,6-F2—C6H3, 2,6-Cl2 3-C6H2, 2-CF3,6-CH2CHF2—C6H3, 2-CF3,6-OCF3—C6H3 and 2-CF3,6-CH2CHF2—C6H3.
- Further preferred aspects of NRiRii are NH-heteroaryl, where heteroaryl is preferably one of the preferred heteroaromatic groups below, in particular triazinyl, pyrimidinyl or triazolopyrimidinyl, such as [1,2,4]triazolo[1,5-a]pyrimidin-2-yl, which groups may be substituted, in particular by C1-C4-alkoxy and/or halogen. Particular preference is given to 5,7-dimethoxy-[1,2,4]triazolo[1,5-a]pyrimidin-2-yl, 5,7-diethoxy-[1,2,4]triazolo-[1,5-a]pyrimidin-2-yl, 5-fluoro-7-methoxy-[1,2,4]triazolo[1,5-a]pyrimidin-2-yl and 5-fluoro-7-ethoxy-[1,2,4]triazolo[1,5-a]pyrimidin-2-yl.
- In a further preferred embodiment of the invention, RA is a 5- or 6-membered heterocycle optionally substituted by Rb as defined above, which preferably has either 1, 2, 3 or 4 nitrogen atoms or 1 oxygen or 1 sulfur atom and if appropriate 1 or 2 nitrogen atoms as ring members and which is unsubstituted or may have 1 or 2 substituents selected from Rb. Preference is given to saturated or unsaturated groups attached via nitrogen, such as, for example:
- Heteroaromatic groups: pyridazin-3-yl, pyridazin-4-yl, pyrimidin-2-yl, pyrimidin-4-yl, pyrimidin-5-yl, pyrazin-2-yl, 2-furyl, 3-furyl, 2-thienyl, 3-thienyl, pyrazol-1-yl, pyrazol-3-yl, pyrazol-4-yl, isoxazol-3-yl, isoxazol-4-yl, isoxazol-5-yl, isothiazol-3-yl, isothiazol-4-yl, isothiazol-5-yl, imidazol-1-yl, imidazol-2-yl, imidazol-4-yl, oxazol-2-yl, oxazol-4-yl, oxazol-5-yl, thiazol-2-yl, thiazol-4-yl and thiazol-5-yl;
- In another aspect, RA is a heteroaromatic group attached via carbon, such as pyrazol-3-yl, imidazol-5-yl, oxazol-2-yl, thiazol-2-yl, thiazol-4-yl, thiazol-5-yl, pyridin-2-yl, pyridin-3-yl, pyridin-4-yl, pyrimidin-2-yl, pyrimidin-4-yl, pyrimidin-5-yl, pyridazin-4-yl, pyrazin-2-yl, [1H]-tetrazol-5-yl and [2H]-tetrazol-5-yl, where each of the heterocycles mentioned here in an exemplary manner may have 1 or 2 substituents selected from Rb. Preferred groups Rb are in particular F, Cl, CN, NO2, CH3, C2H5, OCH3, OC2H5, OCHF2, OCF3 and CF3.
- In a further preferred aspect, R2 is phenyl which is unsubstituted or partially or fully substituted by groups Rb. Particular preference is given to compounds in which a group Rb is located in the ortho-position. Such compounds of the formula I are described by the formula I.A:
- In formula I.A, the index m is zero or an integer from one to four, preferably 0, 1 or 2, in particular 0 or 1. R5 and R6 are groups Rb as defined at the outset, preferably halogen, NO2, C1-C4-alkyl, C1-C2-haloalkyl and C1-C4-alkoxy. One group R6 is preferably located in position 5. A grouip R6 in position 3 is a further preferred embodiment.
- Particularly preferably, R5 is Br, F, NO2, CN, CH3, OCH3, CHF2 or OCHF2. R6 is particularly preferably halogen or halomethyl, such as Cl, F or CF3. Especially preferably, (R6)m is selected from the group consisting of 4-F, 5-F, 6-F, 4-CF3, 5-CF3 and 3,6-F2.
- In a preferred embodiment, X is O.
- In a further embodiment, X is S.
- In a further embodiment, X is NR3.
- R3 is preferably H, C1-C6-alkyl, such as CH3, C2H5, n-C3H7, CH(CH3)2, n-C3H9, or C(CH3)3; C3-C6-cycloalkyl-C1-C4-alkyl, such as cyclopropylmethyl, C3-C6-alkenyl, such as CH2CH═CH2, CH2C(CH3)═CH2, CH2CH2H═CH2, CH2CH2C(CH3)—CH2, CH2CH2CH2CH═CH2, CH2CH2CH2C(CH3)═CH2, or optionally subst. phenyl, such as C6H5, 4-CH3—C6H4, 4-F—C6H4 or S(O)n—RN, where RN is C1-C6-haloalkyl, such as CH2CF3, CH2CHF2. Particularly preferably, R3 is H. If the compounds of the formula I have two groups R3, these groups can be identical or different. A preferred aspect of R3 is CH2CN, a further is CH2C6H5. A further preferred aspect of R3 is optionally substituted phenyl, such as C6H5, 4-CH3—C6H4, 4-F—C6H4 or S(O)n—RN, where RN is C1-C6-haloalkyl, such as CH2CF3, CH2CHF2.
- A further embodiment relates to the N-oxides of the compounds of the formula I.
- A further embodiment relates to salts of the compounds of the formula I, in particular those which are obtainable by quaternization of the pyridine nitrogen atom, which may preferably take place by alkylation or arylation of the compounds of the formula I. Preferred salts of the compounds are thus the N-alkyl salts, in particular the N-methyl salts, and the N-phenyl salts.
- In particular with a view to their use, preference is given to the compounds of the formula I compiled in the tables below, which compounds correspond to the formula I.1A. The groups mentioned for a substituent in the tables are furthermore per se, independently of the combination in which they are mentioned, a particularly preferred aspect of the substituent in question.
- One aspect relates to the compounds of tables 11 to 20 and 31 to 60, the compounds A-1 to A-14 and A-29 to A-341 of tables 21 to 30 and the compounds in which R1 is a group attached via OS(O)2—.
- A further aspect relates to the compounds of tables 131 to 140 and 151 to 180, the compounds A-1 to A-14 and A-29 to A-341 of tables 141 to 150 and the compounds in which R1 is a group attached via OS(O)2—.
- Table 1
- Compounds of the formula I.1A in which X is O and R3 is H, the index m in (R6)m is zero and the combination of R1 and R5 for a compound corresponds in each case to one row of table A
- Table 2
- Compounds of the formula I.1A in which X is O and R3 is CH3, the index m in (R6)m is zero and the combination of R1 and R5 for a compound corresponds in each case to one row of table A
- Table 3
- Compounds of the formula I.1A in which X is O and R3 is C2H5, the index m in (R6)m is zero and the combination of R1 and R5 for a compound corresponds in each case to one row of table A
- Table 4
- Compounds of the formula I.1A in which X is O and R3 is n-C3H7, the index m in (R6)m is zero and the combination of R1 and R5 for a compound corresponds in each case to one row of table A
- Table 5
- Compounds of the formula I.1A in which X is O and R3 is CH(CH3)2, the index m in (R6)m is zero and the combination of R1 and R5 for a compound corresponds in each case to one row of table A
- Table 6
- Compounds of the formula I.1A in which X is O and R3 is n-C4H9, the index m in (R6)m is zero and the combination of R1 and R5 for a compound corresponds in each case to one row of table A
- Table 7
- Compounds of the formula I.1A in which X is O and R3 is CH2CH═CH2, the index m in (R6)m is zero and the combination of R1 and R5 for a compound corresponds in each case to one row of table A
- Table 8
- Compounds of the formula I.1A in which X is O and R3 is CH2C≡CH, the index m in (R6)m is zero and the combination of R1 and R5 for a compound corresponds in each case to one row of table A
- Table 9
- Compounds of the formula I.1A in which X is O and R3 is CH2CN, the index m in (R6)m is zero and the combination of R1 and R5 for a compound corresponds in each case to one row of table A
- Table 10
- Compounds of the formula I.1A in which X is O and R3 is CH2C6H5, the index m in (R6)m is zero and the combination of R1 and R5 for a compound corresponds in each case to one row of table A
- Table 11
- Compounds of the formula I.1A in which X is O and R3 is H, (R6)m is 3-Cl and the combination of R1 and R5 for a compound corresponds in each case to one row of table A
- Table 12
- Compounds of the formula I.1A in which X is O and R3 is CH3, (R6)m is 3-Cl and the combination of R1 and R5 for a compound corresponds in each case to one row of table A
- Table 13
- Compounds of the formula I.1A in which X is O and R3 is C2H5, (R6)m is 3-Cl and the combination of R1 and R5 for a compound corresponds in each case to one row of table A
- Table 14
- Compounds of the formula I.1A in which X is O and R3 is n-C3H7, (R6)m is 3-Cl and the combination of R1 and R5 for a compound corresponds in each case to one row of table A
- Table 15
- Compounds of the formula I.1A in which X is O and R3 is CH(CH3)2, (R6)m is 3-Cl and the combination of R1 and R5 for a compound corresponds in each case to one row of table A
- Table 16
- Compounds of the formula I.1A in which X is O and R3 is n-C4H9, (R6)m is 3-Cl and the combination of R1 and R5 for a compound corresponds in each case to one row of table A
- Table 17
- Compounds of the formula I.1A in which X is O and R3 is CH2CH═CH2, (R6)m is 3-Cl and the combination of R1 and R5 for a compound corresponds in each case to one row of table A
- Table 18
- Compounds of the formula I.1A in which X is O and R3 is CH2C≡CH, (R6)m, is 3-Cl and the combination of R1 and R5 for a compound corresponds in each case to one row of table A
- Table 19
- Compounds of the formula I.1A in which X is O and R3 is CH2CN, (R6)m is 3-Cl and the combination of R1 and R5 for a compound corresponds in each case to one row of table A
- Table 20
- Compounds of the formula I.1A in which X is O and R3 is CH2C6H5, (R6)m is 3-Cl and the combination of R1 and R5 for a compound corresponds in each case to one row of table A
- Table 21
- Compounds of the formula I.1A in which X is O and R3 is H, (R6)n, is 4-Cl and the combination of R1 and R5 for a compound corresponds in each case to one row of table A
Here, the compounds A-15 to A-28 are preferred embodiments. - Table 22
- Compounds of the formula I.1A in which X is O and R3 is CH3, (R6)m is 4-Cl and the combination of R1 and R5 for a compound corresponds in each case to one row of table A
Here, the compounds A-15 to A-28 are preferred embodiments. - Table 23
- Compounds of the formula I.1A in which X is O and R3 is C2H5, (R6)m is 4-Cl and the combination of R1 and R5 for a compound corresponds in each case to one row of table A
Here, the compounds A-15 to A-28 are preferred embodiments. - Table 24
- Compounds of the formula I.1A in which X is O and R3 is n-C3H7, (R6)m is 4-Cl and the combination of R1 and R5 for a compound corresponds in each case to one row of table A
Here, the compounds A-15 to A-28 are preferred embodiments. - Table 25
- Compounds of the formula I.1A in which X is O and R3 is CH(CH3)2, (R6)m is 4-Cl and the combination of R1 and R5 for a compound corresponds in each case to one row of table A
Here, the compounds A-15 to A-28 are preferred embodiments. - Table 26
- Compounds of the formula I.1A in which X is O and R3 is n-C4H9, (R6)m is 4-Cl and the combination of R1 and R5 for a compound corresponds in each case to one row of table A
Here, the compounds A-15 to A-28 are preferred embodiments. - Table 27
- Compounds of the formula I.1A in which X is O and R3 is CH2CH═CH2, (R6)m is 4-Cl and the combination of R1 and R5 for a compound corresponds in each case to one row of table A
Here, the compounds A-15 to A-28 are preferred embodiments. - Table 28
- Compounds of the formula I.1A in which X is O and R3 is CH2C≡CH, (R6)m is 4-Cl and the combination of R1 and R5 for a compound corresponds in each case to one row of table A
Here, the compounds A-15 to A-28 are preferred embodiments. - Table 29
- Compounds of the formula I.1A in which X is O and R3 is CH2CN, (R6)m is 4-Cl and the combination of R1 and R5 for a compound corresponds in each case to one row of table A
Here, the compounds A-15 to A-28 are preferred embodiments. - Table 30
- Compounds of the formula I.1A in which X is O and R3 is CH2C6H5, (R6), is 4-Cl and the combination of R1 and R5 for a compound corresponds in each case to one row of table A
Here, the compounds A-15 to A-28 are preferred embodiments. - Table 31
- Compounds of the formula I.1A in which X is O and R3 is H, (R6)m is 5-Cl and the combination of R1 and R5 for a compound corresponds in each case to one row of table A
- Table 32
- Compounds of the formula I.1A in which X is O and R3 is CH3, (R6)m is 5-Cl and the combination of R1 and R5 for a compound corresponds in each case to one row of table A
- Table 33
- Compounds of the formula I.1A in which X is O and R3 is C2H5, (R6)m is 5-Cl and the combination of R1 and R5 for a compound corresponds in each case to one row of table A
- Table 34
- Compounds of the formula I.1A in which X is O and R3 is n-C3H7, (R6)m is 5-Cl and the combination of R1 and R5 for a compound corresponds in each case to one row of table A
- Table 35
- Compounds of the formula I.1A in which X is O and R3 is CH(CH3)2, (R6)m is 5-Cl and the combination of R1 and R5 for a compound corresponds in each case to one row of table A
- Table 36
- Compounds of the formula I.1A in which X is O and R3 is n-C4H9, (R6)m is 5-Cl and the combination of R1 and R5 for a compound corresponds in each case to one row of table A
- Table 37
- Compounds of the formula I.1A in which X is O and R3 is CH2CH═CH2, (R6)m is 5-Cl and the combination of R1 and R5 for a compound corresponds in each case to one row of table A
- Table 38
- Compounds of the formula I.1A in which X is O and R3 is CH2C≡CH, (R6)m is 5-Cl and the combination of R1 and R5 for a compound corresponds in each case to one row of table A
- Table 39
- Compounds of the formula I.1A in which X is O and R3 is CH2CN, (R6)m is 5-Cl and the combination of R1 and R5 for a compound corresponds in each case to one row of table A
- Table 40
- Compounds of the formula I.1A in which X is O and R3 is CH2C6H5, (R6)m is 5-Cl and the combination of R1 and R5 for a compound corresponds in each case to one row of table A
- Table 41
- Compounds of the formula I.1A in which X is O and R3 is H, (R6)m is 6-Cl and the combination of R1 and R5 for a compound corresponds in each case to one row of table A
- Table 42
- Compounds of the formula I.1A in which X is O and R3 is CH3, (R6)m is 6-Cl and the combination of R1 and R5 for a compound corresponds in each case to one row of table A
- Table 43
- Compounds of the formula I.1A in which X is O and R3 is C2H5, (R6)m is 6-Cl and the combination of R1 and R5 for a compound corresponds in each case to one row of table A
- Table 44
- Compounds of the formula I.1A in which X is O and R3 is n-C3H7, (R6)m is 6-Cl and the combination of R1 and R5 for a compound corresponds in each case to one row of table A
- Table 45
- Compounds of the formula I.1A in which X is O and R3 is CH(CH3)2, (R6)m is 6-Cl and the combination of R1 and R5 for a compound corresponds in each case to one row of table A
- Table 46
- Compounds of the formula I.1A in which X is O and R3 is n-C4H9, (R6)m is 6-Cl and the combination of R1 and R5 for a compound corresponds in each case to one row of table A
- Table 47
- Compounds of the formula I.1A in which X is O and R3 is CH2CH═CH2, (R6)m is 6-Cl and the combination of R1 and R5 for a compound corresponds in each case to one row of table A
- Table 48
- Compounds of the formula I.1A in which X is O and R3 is CH2C≡CH, (R6)m is 6-Cl and the combination of R1 and R5 for a compound corresponds in each case to one row of table A
- Table 49
- Compounds of the formula I.1A in which X is O and R3 is CH2CN, (R6)m is 6-Cl and the combination of R1 and R5 for a compound corresponds in each case to one row of table A
- Table 50
- Compounds of the formula I.1A in which X is O and R3 is CH2C6H5, (R6)m is 6-Cl and the combination of R1 and R5 for a compound corresponds in each case to one row of table A
- Table 51
- Compounds of the formula I.1A in which X is O and R3 is H, (R6)m is 3-F and the combination of R1 and R5 for a compound corresponds in each case to one row of table A
- Table 52
- Compounds of the formula I.1A in which X is O and R3 is CH3, (R6)m is 3-F and the combination of R1 and R5 for a compound corresponds in each case to one row of table A
- Table 53
- Compounds of the formula I.1A in which X is O and R3 is C2H5, (R6)m is 3-F and the combination of R1 and R5 for a compound corresponds in each case to one row of table A
- Table 54
- Compounds of the formula I.1A in which X is O and R3 is n-C3H7, (R6)m is 3-F and the combination of R1 and R5 for a compound corresponds in each case to one row of table A
- Table 55
- Compounds of the formula I.1A in which X is O and R3 is CH(CH3)2, (R6), is 3-F and the combination of R1 and R5 for a compound corresponds in each case to one row of table A
- Table 56
- Compounds of the formula I.1A in which X is O and R3 is n-C4H9, (R6)m is 3-F and the combination of R1 and R5 for a compound corresponds in each case to one row of table A
- Table 57
- Compounds of the formula I.1A in which X is O and R3 is CH2CH═CH2, (R6)m is 3-F and the combination of R1 and R5 for a compound corresponds in each case to one row of table A
- Table 58
- Compounds of the formula I.1A in which X is O and R3 is CH2C≡CH, (R6)m is 3-F and the combination of R1 and R5 for a compound corresponds in each case to one row of table A
- Table 59
- Compounds of the formula I.1A in which X is O and R3 is CH2CN, (R6)m is 3-F and the combination of R1 and R5 for a compound corresponds in each case to one row of table A
- Table 60
- Compounds of the formula I.1A in which X is O and R3 is CH2C6H5, (R6)m is 3-F and the combination of R1 and R5 for a compound corresponds in each case to one row of table A
- Table 61
- Compounds of the formula I.1A in which X is O and R3 is H, (R6)m is 4-F and the combination of R1 and R5 for a compound corresponds in each case to one row of table A
- Table 62
- Compounds of the formula I.1A in which X is O and R3 is CH3, (R6)m is 4-F and the combination of R1 and R5 for a compound corresponds in each case to one row of table A
- Table 63
- Compounds of the formula I.1A in which X is O and R3 is C2H5, (R6)m is 4-F and the combination of R1 and R5 for a compound corresponds in each case to one row of table A
- Table 64
- Compounds of the formula I.1A in which X is O and R3 is n-C3H7, (R6)m is 4-F and the combination of R1 and R5 for a compound corresponds in each case to one row of table A
- Table 65
- Compounds of the formula I.1A in which X is O and R3 is CH(CH3)2, (R6)m is 4-F and the combination of R1 and R5 for a compound corresponds in each case to one row of table A
- Table 66
- Compounds of the formula I.1A in which X is O and R3 is n-C4H9, (R6)m is 4-F and the combination of R1 and R5 for a compound corresponds in each case to one row of table A
- Table 67
- Compounds of the formula I.1A in which X is O and R3 is CH2CH═CH2, (R6)m is 4-F and the combination of R1 and R5 for a compound corresponds in each case to one row of table A
- Table 68
- Compounds of the formula I.1A in which X is O and R3 is CH2C≡CH, (R6)m is 4-F and the combination of R1 and R5 for a compound corresponds in each case to one row of table A
- Table 69
- Compounds of the formula I.1A in which X is O and R3 is CH2CN, (R6)m is 4-F and the combination of R1 and R5 for a compound corresponds in each case to one row of table A
- Table 70
- Compounds of the formula I.1A in which X is O and R3 is CH2C6H5, (R6)m is 4-F and the combination of R1 and R5 for a compound corresponds in each case to one row of table A
- Table 71
- Compounds of the formula I.1A in which X is O and R3 is H, (R6)m is 5-F and the combination of R1 and R5 for a compound corresponds in each case to one row of table A
- Table 72
- Compounds of the formula I.1A in which X is O and R3 is CH3, (R6)m is 5-F and the combination of R1 and R5 for a compound corresponds in each case to one row of table A
- Table 73
- Compounds of the formula I.1A in which X is O and R3 is C2H5, (R6)m is 5-F and the combination of R1 and R5 for a compound corresponds in each case to one row of table A
- Table 74
- Compounds of the formula I.1A in which X is O and R3 is n-C3H7, (R6)m is 5-F and the combination of R1 and R5 for a compound corresponds in each case to one row of table A
- Table 75
- Compounds of the formula I.1A in which X is O and R3 is CH(CH3)2, (R6)m is 5-F and the combination of R1 and R5 for a compound corresponds in each case to one row of table A
- Table 76
- Compounds of the formula I.1A in which X is O and R3 is n-C4H9, (R6)m is 5-F and the combination of R1 and R5 for a compound corresponds in each case to one row of table A
- Table 77
- Compounds of the formula I.1A in which X is O and R3 is CH2CH═CH2, (R6)m is 5-F and the combination of R1 and R5 for a compound corresponds in each case to one row of table A
- Table 78
- Compounds of the formula I.1A in which X is O and R3 is CH2C≡CH, (R6)m is 5-F and the combination of R1 and R5 for a compound corresponds in each case to one row of table A
- Table 79
- Compounds of the formula I.1A in which X is O and R3 is CH2CN, (R6)m is 5-F and the combination of R1 and R5 for a compound corresponds in each case to one row of table A
- Table 80
- Compounds of the formula I.1A in which X is O and R3 is CH2C6H5, (R6)m is 5-F and the combination of R1 and R5 for a compound corresponds in each case to one row of table A
- Table 81
- Compounds of the formula I.1A in which X is O and R3 is H, (R6)m is 6-F and the combination of R1 and R5 for a compound corresponds in each case to one row of table A
- Table 82
- Compounds of the formula I.1A in which X is O and R3 is CH3, (R6)m is 6-F and the combination of R1 and R5 for a compound corresponds in each case to one row of table A
- Table 83
- Compounds of the formula I.1A in which X is O and R3 is C2H5, (R6)m is 6-F and the combination of R1 and R5 for a compound corresponds in each case to one row of table A
- Table 84
- Compounds of the formula I.1A in which X is O and R3 is n-C3H7, (R6)m is 6-F and the combination of R1 and R5 for a compound corresponds in each case to one row of table A
- Table 85
- Compounds of the formula I.1A in which X is O and R3 is CH(CH3)2, (R6)m is 6-F and the combination of R1 and R5 for a compound corresponds in each case to one row of table A
- Table 86
- Compounds of the formula I.1A in which X is O and R3 is n-C4H9, (R6)m is 6-F and the combination of R1 and R5 for a compound corresponds in each case to one row of table A
- Table 87
- Compounds of the formula I.1A in which X is O and R3 is CH2CH═CH2, (R6)m is 6-F and the combination of R1 and R5 for a compound corresponds in each case to one row of table A
- Table 88
- Compounds of the formula I.1A in which X is O and R3 is CH2C≡CH, (R6)m is 6-F and the combination of R1 and R5 for a compound corresponds in each case to one row of table A
- Table 89
- Compounds of the formula I.1A in which X is O and R3 is CH2CN, (R6)m is 6-F and the combination of R1 and R5 for a compound corresponds in each case to one row of table A
- Table 90
- Compounds of the formula I.1A in which X is O and R3 is CH2C6H5, (R6)m is 6-F and the combination of R1 and R5 for a compound corresponds in each case to one row of table A
- Table 91
- Compounds of the formula I.1A in which X is O and R3 is H, (R6)m is 4-CF3 and the combination of R1 and R5 for a compound corresponds in each case to one row of table A
- Table 92
- Compounds of the formula I.1A in which X is O and R3 is CH3, (R6)m is 4-CF3 and the combination of R1 and R5 for a compound corresponds in each case to one row of table A
- Table 93
- Compounds of the formula I.1A in which X is O and R3 is C2H5, (R6)m is 4-CF3 and the combination of R1 and R5 for a compound corresponds in each case to one row of table A
- Table 94
- Compounds of the formula I.1A in which X is O and R3 is n-C3H7, (R6)m is 4-CF3 and the combination of R1 and R5 for a compound corresponds in each case to one row of table A
- Table 95
- Compounds of the formula I.1A in which X is O and R3 is CH(CH3)2, (R6)m is 4-CF3 and the combination of R1 and R5 for a compound corresponds in each case to one row of table A
- Table 96
- Compounds of the formula I.1A in which X is O and R3 is n-C4H9, (R6), is 4-CF3 and the combination of R1 and R5 for a compound corresponds in each case to one row of table A
- Table 97
- Compounds of the formula I.1A in which X is O and R3 is CH2CH═CH2, (R6)m is 4-CF3 and the combination of R1 and R5 for a compound corresponds in each case to one row of table A
- Table 98
- Compounds of the formula I.1A in which X is O and R3 is CH2C≡CH, (R6)n, is 4-CF3 and the combination of R1 and R5 for a compound corresponds in each case to one row of table A
- Table 99
- Compounds of the formula I.1A in which X is O and R3 is CH2CN, (R6)n, is 4-CF3 and the combination of R1 and R5 for a compound corresponds in each case to one row of table A
- Table 100
- Compounds of the formula I.1A in which X is O and R3 is CH2C6H5, (R6)m is 4-CF3 and the combination of R1 and R5 for a compound corresponds in each case to one row of table A
- Table 101
- Compounds of the formula I.1A in which X is O and R3 is H, (R6)m is 5-CF3 and the combination of R1 and R5 for a compound corresponds in each case to one row of table A
- Table 102
- Compounds of the formula I.1A in which X is O and R3 is CH3, (R6)m is 5-CF3 and the combination of R1 and R5 for a compound corresponds in each case to one row of table A
- Table 103
- Compounds of the formula I.1A in which X is O and R3 is C2H5, (R6)m is 5-CF3 and the combination of R1 and R5 for a compound corresponds in each case to one row of table A
- Table 104
- Compounds of the formula I.1A in which X is O and R3 is n-C3H7, (R6)m is 5-CF3 and the combination of R1 and R5 for a compound corresponds in each case to one row of table A
- Table 105
- Compounds of the formula I.1A in which X is O and R3 is CH(CH3)2, (R6)m is 5-CF3 and the combination of R1 and R5 for a compound corresponds in each case to one row of table A
- Table 106
- Compounds of the formula I.1A in which X is O and R3 is n-C4H9, (R6)m is 5-CF3 and the combination of R1 and R5 for a compound corresponds in each case to one row of table A
- Table 107
- Compounds of the formula I.1A in which X is O and R3 is CH2CH═CH2, (R6)m is 5-CF3 and the combination of R1 and R5 for a compound corresponds in each case to one row of table A
- Table 108
- Compounds of the formula I.1A in which X is O and R3 is CH2C≡CH, (R6)m is 5-CF3 and the combination of R1 and R5 for a compound corresponds in each case to one row of table A
- Table 109
- Compounds of the formula I.1A in which X is O and R3 is CH2CN, (R6)m is 5-CF3 and the combination of R1 and R5 for a compound corresponds in each case to one row of table A
- Table 110
- Compounds of the formula I.1A in which X is O and R3 is CH2C6H5, (R6)m is 5-CF3 and the combination of R1 and R5 for a compound corresponds in each case to one row of table A
- Table 111
- Compounds of the formula I.1A in which X is O and R3 is H, (R6)m is 3,6-F2 and the combination of R1 and R5 for a compound corresponds in each case to one row of table A
- Table 112
- Compounds of the formula I.1A in which X is O and R3 is CH3, (R6)m is 3,6-F2 and the combination of R1 and R5 for a compound corresponds in each case to one row of table A
- Table 113
- Compounds of the formula I.1A in which X is O and R3 is C2H5, (R6)m is 3,6-F2 and the combination of R1 and R5 for a compound corresponds in each case to one row of table A
- Table 114
- Compounds of the formula I.1A in which X is O and R3 is n-C3H7, (R6)m is 3,6-F2 and the combination of R1 and R5 for a compound corresponds in each case to one row of table A
- Table 115
- Compounds of the formula I.1A in which X is O and R3 is CH(CH3)2, (R6)m is 3,6-F2 and the combination of R1 and R5 for a compound corresponds in each case to one row of table A
- Table 116
- Compounds of the formula I.1A in which X is O and R3 is n-C4H9, (R6)m is 3,6-F2 and the combination of R1 and R5 for a compound corresponds in each case to one row of table A
- Table 117
- Compounds of the formula I.1A in which X is O and R3 is CH2CH═CH2, (R6)m is 3,6-F2 and the combination of R1 and R5 for a compound corresponds in each case to one row of table A
- Table 118
- Compounds of the formula I.1A in which X is O and R3 is CH2C≡CH, (R6), is 3,6-F2 and the combination of R1 and R5 for a compound corresponds in each case to one row of table A
- Table 119
- Compounds of the formula I.1A in which X is O and R3 is CH2CN, (R6)m is 3,6-F2 and the combination of R1 and R5 for a compound corresponds in each case to one row of table A
- Table 120
- Compounds of the formula I.1A in which X is O and R3 is CH2C6H5, (R6)m is 3,6-F2 and the combination of R1 and R5 for a compound corresponds in each case to one row of table A
- Table 121
- Compounds of the formula I.1A in which X is S and R3 is H, the index m in (R6)m is zero and the combination of R1 and R5 for a compound corresponds in each case to one row of table A
- Table 122
- Compounds of the formula I.1A in which X is S and R3 is CH3, the index m in (R6)m is zero and the combination of R1 and R5 for a compound corresponds in each case to one row of table A
- Table 123
- Compounds of the formula I.1A in which X is S and R3 is C2H5, the index m in (R6)m is zero and the combination of R1 and R5 for a compound corresponds in each case to one row of table A
- Table 124
- Compounds of the formula I.1A in which X is S and R3 is n-C3H7, the index m in (R6)m is zero and the combination of R1 and R5 for a compound corresponds in each case to one row of table A
- Table 125
- Compounds of the formula I.1A in which X is S and R3 is CH(CH3)2, the index m in (R6)m is zero and the combination of R1 and R5 for a compound corresponds in each case to one row of table A
- Table 126
- Compounds of the formula I.1A in which X is S and R3 is n-C4H9, the index m in (R6)m is zero and the combination of R1 and R5 for a compound corresponds in each case to one row of table A
- Table 127
- Compounds of the formula I.1A in which X is S and R3 is CH2CH═CH2, the index m in (R6)m is zero and the combination of R1 and R5 for a compound corresponds in each case to one row of table A
- Table 128
- Compounds of the formula I.1A in which X is S and R3 is CH2C≡CH, the index m in (R6)m is zero and the combination of R1 and R5 for a compound corresponds in each case to one row of table A
- Table 129
- Compounds of the formula I.1A in which X is S and R3 is CH2CN, the index m in (R6)m is zero and the combination of R1 and R5 for a compound corresponds in each case to one row of table A
- Table 130
- Compounds of the formula I.1A in which X is S and R3 is CH2C6H5, the index m in (R6)m is zero and the combination of R1 and R5 for a compound corresponds in each case to one row of table A
- Table 131
- Compounds of the formula I.1A in which X is S and R3 is H, (R6)m is 3-Cl and the combination of R1 and R5 for a compound corresponds in each case to one row of table A
- Table 132
- Compounds of the formula I.1A in which X is S and R3 is CH3, (R6)m is 3-Cl and the combination of R1 and R5 for a compound corresponds in each case to one row of table A
- Table 133
- Compounds of the formula I.1A in which X is S and R3 is C2H5, (R6)m is 3-Cl and the combination of R1 and R5 for a compound corresponds in each case to one row of table A
- Table 134
- Compounds of the formula I.1A in which X is S and R3 is n-C3H7, (R6), is 3-Cl and the combination of R1 and R5 for a compound corresponds in each case to one row of table A
- Table 135
- Compounds of the formula I.1A in which X is S and R3 is CH(CH3)2, (R6)m is 3-Cl and the combination of R1 and R5 for a compound corresponds in each case to one row of table A
- Table 136
- Compounds of the formula I.1A in which X is S and R3 is n-C4H9, (R6)m is 3-Cl and the combination of R1 and R5 for a compound corresponds in each case to one row of table A
- Table 137
- Compounds of the formula I.1A in which X is S and R3 is CH2CH═CH2, (R6), is 3-Cl and the combination of R1 and R5 for a compound corresponds in each case to one row of table A
- Table 138
- Compounds of the formula I.1A in which X is S and R3 is CH2C≡CH, (R6), is 3-Cl and the combination of R1 and R5 for a compound corresponds in each case to one row of table A
- Table 139
- Compounds of the formula I.1A in which X is S and R3 is CH2CN, (R6)m is 3-Cl and the combination of R1 and R5 for a compound corresponds in each case to one row of table A
- Table 140
- Compounds of the formula I.1A in which X is S and R3 is CH2C6H5, (R6)m is 3-Cl and the combination of R1 and R5 for a compound corresponds in each case to one row of table A
- Table 141
- Compounds of the formula I.1A in which X is S and R3 is H, (R6)m is 4-Cl and the combination of R1 and R5 for a compound corresponds in each case to one row of table A
Here, the compounds A-15 to A-28 are preferred embodiments. - Compounds of the formula I.1A in which X is S and R3 is CH3, (R6)m is 4-Cl and the combination of R1 and R5 for a compound corresponds in each case to one row of table A
Here, the compounds A-15 to A-28 are preferred embodiments. - Table 143
- Compounds of the formula I.1A in which X is S and R3 is C2H5, (R6)m is 4-Cl and the combination of R1 and R5 for a compound corresponds in each case to one row of table A
Here, the compounds A-15 to A-28 are preferred embodiments. - Table 144
- Compounds of the formula I.1A in which X is S and R3 is n-C3H7, (R6)m is 4-Cl and the combination of R1 and R5 for a compound corresponds in each case to one row of table A
Here, the compounds A-15 to A-28 are preferred embodiments. - Table 145
- Compounds of the formula I.1A in which X is S and R3 is CH(CH3)2, (R6)m is 4-Cl and the combination of R1 and R5 for a compound corresponds in each case to one row of table A
Here, the compounds A-15 to A-28 are preferred embodiments. - Table 146
- Compounds of the formula I.1A in which X is S and R3 is n-C4H9, (R6)m is 4-Cl and the combination of R1 and R5 for a compound corresponds in each case to one row of table A
Here, the compounds A-15 to A-28 are preferred embodiments. - Table 147
- Compounds of the formula I.1A in which X is S and R3 is CH2CH═CH2, (R6)m is 4-Cl and the combination of R1 and R5 for a compound corresponds in each case to one row of table A
Here, the compounds A-15 to A-28 are preferred embodiments. - Table 148
- Compounds of the formula I.1A in which X is S and R3 is CH2C≡CH, (R6)m is 4-Cl and the combination of R1 and R5 for a compound corresponds in each case to one row of table A
Here, the compounds A-15 to A-28 are preferred embodiments. - Table 149
- Compounds of the formula I.1A in which X is S and R3 is CH2CN, (R6)m is 4-Cl and the combination of R1 and R5 for a compound corresponds in each case to one row of table A
Here, the compounds A-15 to A-28 are preferred embodiments. - Table 150
- Compounds of the formula I.1A in which X is S and R3 is CH2C6H5, (R6)m is 4-Cl and the combination of R1 and R5 for a compound corresponds in each case to one row of table A
Here, the compounds A-15 to A-28 are preferred embodiments. - Table 151
- Compounds of the formula I.1A in which X is S and R3 is H, (R6)m is 5-Cl and the combination of R1 and R5 for a compound corresponds in each case to one row of table A
- Table 152
- Compounds of the formula I.1A in which X is S and R3 is CH3, (R6)m is 5-Cl and the combination of R1 and R5 for a compound corresponds in each case to one row of table A
- Table 153
- Compounds of the formula I.1A in which X is S and R3 is C2H5, (R6)m is 5-Cl and the combination of R1 and R5 for a compound corresponds in each case to one row of table A
- Table 154
- Compounds of the formula I.1A in which X is S and R3 is n-C3H7, (R6)m is 5-Cl and the combination of R1 and R5 for a compound corresponds in each case to one row of table A
- Table 155
- Compounds of the formula I.1A in which X is S and R3 is CH(CH3)2, (R6)m is 5-Cl and the combination of R1 and R5 for a compound corresponds in each case to one row of table A
- Table 156
- Compounds of the formula I.1A in which X is S and R3 is n-C4H9, (R6)m is 5-Cl and the combination of R1 and R5 for a compound corresponds in each case to one row of table A
- Table 157
- Compounds of the formula I.1A in which X is S and R3 is CH2CH═CH2, (R6)m is 5-Cl and the combination of R1 and R5 for a compound corresponds in each case to one row of table A
- Table 158
- Compounds of the formula I.1A in which X is S and R3 is CH2C≡CH, (R6)r, is 5-Cl and the combination of R1 and R5 for a compound corresponds in each case to one row of table A
- Table 159
- Compounds of the formula I.1A in which X is S and R3 is CH2CN, (R6)n, is 5-Cl and the combination of R1 and R5 for a compound corresponds in each case to one row of table A
- Table 160
- Compounds of the formula I.1A in which X is S and R3 is CH2C6H5, (R6)m is 5-Cl and the combination of R1 and R5 for a compound corresponds in each case to one row of table A
- Table 161
- Compounds of the formula I.1A in which X is S and R3 is H, (R6), is 6-Cl and the combination of R1 and R5 for a compound corresponds in each case to one row of table A
- Table 162
- Compounds of the formula I.1A in which X is S and R3 is CH3, (R6)m is 6-Cl and the combination of R1 and R5 for a compound corresponds in each case to one row of table A
- Table 163
- Compounds of the formula I.1A in which X is S and R3 is C2H5, (R6)m is 6-Cl and the combination of R1 and R5 for a compound corresponds in each case to one row of table A
- Table 164
- Compounds of the formula I.1A in which X is S and R3 is n-C3H7, (R6)m is 6-Cl and the combination of R1 and R5 for a compound corresponds in each case to one row of table A
- Table 165
- Compounds of the formula I.1A in which X is S and R3 is CH(CH3)2, (R6)m is 6-Cl and the combination of R1 and R5 for a compound corresponds in each case to one row of table A
- Table 166
- Compounds of the formula I.1A in which X is S and R3 is n-C4H9, (R6)m is 6-Cl and the combination of R1 and R5 for a compound corresponds in each case to one row of table A
- Table 167
- Compounds of the formula I.1A in which X is S and R3 is CH2CH═CH2, (R6)m is 6-Cl and the combination of R1 and R5 for a compound corresponds in each case to one row of table A
- Table 168
- Compounds of the formula I.1A in which X is S and R3 is CH2C≡CH, (R6)m is 6-Cl and the combination of R1 and R5 for a compound corresponds in each case to one row of table A
- Table 169
- Compounds of the formula I.1A in which X is S and R3 is CH2CN, (R6)m is 6-Cl and the combination of R1 and R5 for a compound corresponds in each case to one row of table A
- Table 170
- Compounds of the formula I.1A in which X is S and R3 is CH2C6H5, (R6)m is 6-Cl and the combination of R1 and R5 for a compound corresponds in each case to one row of table A
- Table 171
- Compounds of the formula I.1A in which X is S and R3 is H, (R6)m is 3-F and the combination of R1 and R5 for a compound corresponds in each case to one row of table A
- Table 172
- Compounds of the formula I.1A in which X is S and R3 is CH3, (R6)m is 3-F and the combination of R1 and R5 for a compound corresponds in each case to one row of table A
- Table 173
- Compounds of the formula I.1A in which X is S and R3 is C2H5, (R6)m is 3-F and the combination of R1 and R5 for a compound corresponds in each case to one row of table A
- Table 174
- Compounds of the formula I.1A in which X is S and R3 is n-C3H7, (R6), is 3-F and the combination of R1 and R5 for a compound corresponds in each case to one row of table A
- Table 175
- Compounds of the formula I.1A in which X is S and R3 is CH(CH3)2, (R6), is 3-F and the combination of R1 and R5 for a compound corresponds in each case to one row of table A
- Table 176
- Compounds of the formula I.1A in which X is S and R3 is n-C4H9, (R6)m is 3-F and the combination of R1 and R5 for a compound corresponds in each case to one row of table A
- Table 177
- Compounds of the formula I.1A in which X is S and R3 is CH2CH═CH2, (R6)m is 3-F and the combination of R1 and R5 for a compound corresponds in each case to one row of table A
- Table 178
- Compounds of the formula I.1A in which X is S and R3 is CH2C≡CH, (R6)m is 3-F and the combination of R1 and R5 for a compound corresponds in each case to one row of table A
- Table 179
- Compounds of the formula I.1A in which X is S and R3 is CH2CN, (R6)m is 3-F and the combination of R1 and R5 for a compound corresponds in each case to one row of table A
- Table 180
- Compounds of the formula I.1A in which X is S and R3 is CH2C6H5, (R6)m is 3-F and the combination of R1 and R5 for a compound corresponds in each case to one row of table A
- Table 181
- Compounds of the formula I.1A in which X is S and R3 is H, (R6)m is 4-F and the combination of R1 and R5 for a compound corresponds in each case to one row of table A
- Table 182
- Compounds of the formula I.1A in which X is S and R3 is CH3, (R6)m is 4-F and the combination of R1 and R5 for a compound corresponds in each case to one row of table A
- Table 183
- Compounds of the formula I.1A in which X is S and R3 is C2H5, (R6)m is 4-F and the combination of R1 and R5 for a compound corresponds in each case to one row of table A
- Table 184
- Compounds of the formula I.1A in which X is S and R3 is n-C3H7, (R6)m is 4-F and the combination of R1 and R5 for a compound corresponds in each case to one row of table A
- Table 185
- Compounds of the formula I.1A in which X is S and R3 is CH(CH3)2, (R6)m is 4-F and the combination of R1 and R5 for a compound corresponds in each case to one row of table A
- Table 186
- Compounds of the formula I.1A in which X is S and R3 is n-C4H9, (R6)m is 4-F and the combination of R1 and R5 for a compound corresponds in each case to one row of table A
- Table 187
- Compounds of the formula I.1A in which X is S and R3 is CH2CH═CH2, (R6)m is 4-F and the combination of R1 and R5 for a compound corresponds in each case to one row of table A
- Table 188
- Compounds of the formula I.1A in which X is S and R3 is CH2C≡CH, (R6)m is 4-F and the combination of R1 and R5 for a compound corresponds in each case to one row of table A
- Table 189
- Compounds of the formula I.1A in which X is S and R3 is CH2CN, (R6)m is 4-F and the combination of R1 and R5 for a compound corresponds in each case to one row of table A
- Table 190
- Compounds of the formula I.1A in which X is S and R3 is CH2C6H5, (R6)m is 4-F and the combination of R1 and R5 for a compound corresponds in each case to one row of table A
- Table 191
- Compounds of the formula I.1A in which X is S and R3 is H, (R6)m is 5-F and the combination of R1 and R5 for a compound corresponds in each case to one row of table A
- Table 192
- Compounds of the formula I.1A in which X is S and R3 is CH3, (R6)m is 5-F and the combination of R1 and R5 for a compound corresponds in each case to one row of table A
- Table 193
- Compounds of the formula I.1A in which X is S and R3 is C2H5, (R6)m is 5-F and the combination of R1 and R5 for a compound corresponds in each case to one row of table A
- Table 194
- Compounds of the formula I.1A in which X is S and R3 is n-C3H7, (R6)m is 5-F and the combination of R1 and R5 for a compound corresponds in each case to one row of table A
- Table 195
- Compounds of the formula I.1A in which X is S and R3 is CH(CH3)2, (R6)m is 5-F and the combination of R1 and R5 for a compound corresponds in each case to one row of table A
- Table 196
- Compounds of the formula I.1A in which X is S and R3 is n-C4H9, (R6)m is 5-F and the combination of R1 and R5 for a compound corresponds in each case to one row of table A
- Table 197
- Compounds of the formula I.1A in which X is S and R3 is CH2CH═CH2, (R6)m is 5-F and the combination of R1 and R5 for a compound corresponds in each case to.one row of table A
- Table 198
- Compounds of the formula I.1A in which X is S and R3 is CH2C≡CH, (R6)m is 5-F and the combination of R1 and R5 for a compound corresponds in each case to one row of table A
- Table 199
- Compounds of the formula I.1A in which X is S and R3 is CH2CN, (R6)m is 5-F and the combination of R1 and R5 for a compound corresponds in each case to one row of table A
- Table 200
- Compounds of the formula I.1A in which X is S and R3 is CH2C6H5, (R6)m is 5-F and the combination of R1 and R5 for a compound corresponds in each case to one row of table A
- Table 201
- Compounds of the formula I.1A in which X is S and R3 is H, (R6)m is 6-F and the combination of R1 and R5 for a compound corresponds in each case to one row of table A
- Table 202
- Compounds of the formula I.1A in which X is S and R3 is CH3, (R6)m is 6-F and the combination of R1 and R5 for a compound corresponds in each case to one row of table A
- Table 203
- Compounds of the formula I.1A in which X is S and R3 is C2H5, (R6)m is 6-F and the combination of R1 and R5 for a compound corresponds in each case to one row of table A
- Table 204
- Compounds of the formula I.1A in which X is S and R3 is n-C3H7, (R6)m is 6-F and the combination of R1 and R5 for a compound corresponds in each case to one row of table A
- Table 205
- Compounds of the formula I.1A in which X is S and R3 is CH(CH3)2, (R6)m is 6-F and the combination of R1 and R5 for a compound corresponds in each case to one row of table A
- Table 206
- Compounds of the formula I.1A in which X is S and R3 is n-C4H9, (R6)m is 6-F and the combination of R1 and R5 for a compound corresponds in each case to one row of table A
- Table 207
- Compounds of the formula I.1A in which X is S and R3 is CH2CH═CH2, (R6)m is 6-F and the combination of R1 and R5 for a compound corresponds in each case to one row of table A
- Table 208
- Compounds of the formula I.1A in which X is S and R3 is CH2C≡CH, (R6)m is 6-F and the combination of R1 and R5 for a compound corresponds in each case to one row of table A
- Table 209
- Compounds of the formula I.1A in which X is S and R3 is CH2CN, (R6)m is 6-F and the combination of R1 and R5 for a compound corresponds in each case to one row of table A
- Table 210
- Compounds of the formula I.1A in which X is S and R3 is CH2C6H5, (R6)m is 6-F and the combination of R1 and R5 for a compound corresponds in each case to one row of table A
- Table 211
- Compounds of the formula I.1A in which X is S and R3 is H, (R6)m is 4-CF3 and the combination of R1 and R5 for a compound corresponds in each case to one row of table A
- Table 212
- Compounds of the formula I.1A in which X is S and R3 is CH3, (R6)m is 4-CF3 and the combination of R1 and R5 for a compound corresponds in each case to one row of table A
- Table 213
- Compounds of the formula I.1A in which X is S and R3 is C2H5, (R6), is 4-CF3 and the combination of R1 and R5 for a compound corresponds in each case to one row of table A
- Table 214
- Compounds of the formula I.1A in which X is S and R3 is n-C3H7, (R6)m is 4-CF3 and the combination of R1 and R5 for a compound corresponds in each case to one row of table A
- Table 215
- Compounds of the formula I.1A in which X is S and R3 is CH(CH3)2, (R6)m is 4-CF3 and the combination of R1 and R5 for a compound corresponds in each case to one row of table A
- Table 216
- Compounds of the formula I.1A in which X is S and R3 is n-C4H9, (R6)m is 4-CF3 and the combination of R1 and R5 for a compound corresponds in each case to one row of table A
- Table 217
- Compounds of the formula I.1A in which X is S and R3 is CH2CH═CH2, (R6)m is 4-CF3 and the combination of R1 and R5 for a compound corresponds in each case to one row of table A
- Table 218
- Compounds of the formula I.1A in which X is S and R3 is CH2C≡CH, (R6)m is 4-CF3 and the combination of R1 and R5 for a compound corresponds in each case to one row of table A
- Table 219
- Compounds of the formula I.1A in which X is S and R3 is CH2CN, (R6)m is 4-CF3 and the combination of R1 and R5 for a compound corresponds in each case to one row of table A
- Table 220
- Compounds of the formula I.1A in which X is S and R3 is CH2C6H5, (R6)m is 4-CF3 and the combination of R1 and R5 for a compound corresponds in each case to one row of table A
- Table 221
- Compounds of the formula I.1A in which X is S and R3 is H, (R6)m is 5-CF3 and the combination of R1 and R5 for a compound corresponds in each case to one row of table A
- Table 222
- Compounds of the formula I.1A in which X is S and R3 is CH3, (R6)m is 5-CF3 and the combination of R1 and R5 for a compound corresponds in each case to one row of table A
- Table 223
- Compounds of the formula I.1A in which X is S and R3 is C2H5, (R6)m is 5-CF3 and the combination of R1 and R5 for a compound corresponds in each case to one row of table A
- Table 224
- Compounds of the formula I.1A in which X is S and R3 is n-C3H7, (R6), is 5-CF3 and the combination of R1 and R5 for a compound corresponds in each case to one row of table A
- Table 225
- Compounds of the formula I.1A in which X is S and R3 is CH(CH3)2, (R6)r, is 5-CF3 and the combination of R1 and R5 for a compound corresponds in each case to one row of table A
- Table 226
- Compounds of the formula I.1A in which X is S and R3 is n-C4H9, (R6)m is 5-CF3 and the combination of R1 and R5 for a compound corresponds in each case to one row of table A
- Table 227
- Compounds of the formula I.1A in which X is S and R3 is CH2CH═CH2, (R6)m is 5-CF3 and the combination of R1 and R5 for a compound corresponds in each case to one row of table A
- Table 228
- Compounds of the formula I.1A in which X is S and R3 is CH2C≡CH, (R6)m is 5-CF3 and the combination of R1 and R5 for a compound corresponds in each case to one row of table A
- Table 229
- Compounds of the formula I.1A in which X is S and R3 is CH2CN, (R6)m is 5-CF3 and the combination of R1 and R5 for a compound corresponds in each case to one row of table A
- Table 230
- Compounds of the formula I.1A in which X is S and R3 is CH2C6H5, (R6)m is 5-CF3 and the combination of R1 and R5 for a compound corresponds in each case to one row of table A
- Table 231
- Compounds of the formula I.1A in which X is S and R3 is H, (R6)m is 3,6-F2 and the combination of R1 and R5 for a compound corresponds in each case to one row of table A
- Table 232
- Compounds of the formula I.1A in which X is S and R3 is CH3, (R6)m is 3,6-F2 and the combination of R1 and R5 for a compound corresponds in each case to one row of table A
- Table 233
- Compounds of the formula I.1A in which X is S and R3 is C2H5, (R6)m is 3,6-F2 and the combination of R1 and R5 for a compound corresponds in each case to one row of table A
- Table 234
- Compounds of the formula I.1A in which X is S and R3 is n-C3H7, (R6)m is 3,6-F2 and the combination of R1 and R5 for a compound corresponds in each case to one row of table A
- Table 235
- Compounds of the formula I.1A in which X is S and R3 is CH(CH3)2, (R6)m is 3,6-F2 and the combination of R1 and R5 for a compound corresponds in each case to one row of table A
- Table 236
- Compounds of the formula I.1A in which X is S and R3 is n-C4H9, (R6)m is 3,6-F2 and the combination of R1 and R5 for a compound corresponds in each case to one row of table A
- Table 237
- Compounds of the formula I.1A in which X is S and R3 is CH2CH═CH2, (R6)m is 3,6-F2 and the combination of R1 and R5 for a compound corresponds in each case to one row of table A
- Table 238
- Compounds of the formula I.1A in which X is S and R3 is CH2C≡CH, (R6)m is 3,6-F2 and the combination of R1 and R5 for a compound corresponds in each case to one row of table A
- Table 239
- Compounds of the formula I.1A in which X is S and R3 is CH2CN, (R6)m is 3,6-F2 and the combination of R1 and R5 for a compound corresponds in each case to one row of table A
- Table 240
- Compounds of the formula I.1A in which X is S and R3 is CH2C6H5, (R6)m is 3,6-F2 and the combination of R1 and R5 for a compound corresponds in each case to one row of table A
-
TABLE A Compounds of the formula I which correspond to the formula I.1A I.1A No. R1 R5 A-1 OH Br A-2 OCH3 Br A-3 OC(O)CH3 Br A-4 OC(O)CH2CH3 Br A-5 OC(O)CH(CH3)2 Br A-6 OC(O)C(CH3)3 Br A-7 OC(O)—c-C3H5 Br A-8 OC(O)—C6H5 Br A-9 OC(O)—CH2C6H5 Br A-10 OC(O)CH2Cl Br A-11 OC(O)—CF3 Br A-12 OC(O)—CH2OCH3 Br A-13 OC(O)—N(CH3)2 Br A-14 OC(O)—OCH2CH3 Br A-15 OS(O)2—CH3 Br A-16 OS(O)2—C2H5 Br A-17 OS(O)2—C3H7 Br A-18 OS(O)2—CH(CH3)2 Br A-19 OS(O)2—C6H5 Br A-20 OS(O)2—T1 Br A-21 OS(O)2—T2 Br A-22 OS(O)2—T3 Br A-23 OS(O)2—T4 Br A-24 OS(O)2—T5 Br A-25 OS(O)2—T6 Br A-26 OS(O)2—T7 Br A-27 OS(O)2—T8 Br A-28 OS(O)2—T9 Br A-29 OS(O)2—T10 Br A-30 OS(O)2—T11 Br A-31 OS(O)2—T12 Br A-32 OH Cl A-33 OCH3 Cl A-34 OC(O)CH3 Cl A-35 OC(O)CH2CH3 Cl A-36 OC(O)CH(CH3)2 Cl A-37 OC(O)C(CH3)3 Cl A-38 OC(O)—c-C3H5 Cl A-39 OC(O)—C6H5 Cl A-40 OC(O)—CH2C6H5 Cl A-41 OC(O)CH2Cl Cl A-42 OC(O)—CF3 Cl A-43 OC(O)—CH2OCH3 Cl A-44 OC(O)—N(CH3)2 Cl A-45 OC(O)—OCH2CH3 Cl A-46 OS(O)2—CH3 Cl A-47 OS(O)2—C2H5 Cl A-48 OS(O)2—C3H7 Cl A-49 OS(O)2—CH(CH3)2 Cl A-50 OS(O)2—C6H5 Cl A-51 OS(O)2—T1 Cl A-52 OS(O)2—T2 Cl A-53 OS(O)2—T3 Cl A-54 OS(O)2—T4 Cl A-55 OS(O)2—T5 Cl A-56 OS(O)2—T6 Cl A-57 OS(O)2—T7 Cl A-58 OS(O)2—T8 Cl A-59 OS(O)2—T9 Cl A-60 OS(O)2—T10 Cl A-61 OS(O)2—T11 Cl A-62 OS(O)2—T12 Cl A-63 OH F A-64 OCH3 F A-65 OC(O)CH3 F A-66 OC(O)CH2CH3 F A-67 OC(O)CH(CH3)2 F A-68 OC(O)C(CH3)3 F A-69 OC(O)—c-C3H5 F A-70 OC(O)—C6H5 F A-71 OC(O)—CH2C6H5 F A-72 OC(O)CH2Cl F A-73 OC(O)—CF3 F A-74 OC(O)—CH2OCH3 F A-75 OC(O)—N(CH3)2 F A-76 OC(O)—OCH2CH3 F A-77 OS(O)2—CH3 F A-78 OS(O)2—C2H5 F A-79 OS(O)2—C3H7 F A-80 OS(O)2—CH(CH3)2 F A-81 OS(O)2—C6H5 F A-82 OS(O)2—T1 F A-83 OS(O)2—T2 F A-84 OS(O)2—T3 F A-85 OS(O)2—T4 F A-86 OS(O)2—T5 F A-87 OS(O)2—T6 F A-88 OS(O)2—T7 F A-89 OS(O)2—T8 F A-90 OS(O)2—T9 F A-91 OS(O)2—T10 F A-92 OS(O)2—T11 F A-93 OS(O)2—T12 F A-94 OH NO2 A-95 OCH3 NO2 A-96 OC(O)CH3 NO2 A-97 OC(O)CH2CH3 NO2 A-98 OC(O)CH(CH3)2 NO2 A-99 OC(O)C(CH3)3 NO2 A-100 OC(O)—c-C3H5 NO2 A-101 OC(O)—C6H5 NO2 A-102 OC(O)—CH2C6H5 NO2 A-103 OC(O)CH2Cl NO2 A-104 OC(O)—CF3 NO2 A-105 OC(O)—CH2OCH3 NO2 A-106 OC(O)—N(CH3)2 NO2 A-107 OC(O)—OCH2CH3 NO2 A-108 OS(O)2—CH3 NO2 A-109 OS(O)2—C2H5 NO2 A-110 OS(O)2—C3H7 NO2 A-111 OS(O)2—CH(CH3)2 NO2 A-112 OS(O)2—C6H5 NO2 A-113 OS(O)2—T1 NO2 A-114 OS(O)2—T2 NO2 A-115 OS(O)2—T3 NO2 A-116 OS(O)2—T4 NO2 A-117 OS(O)2—T5 NO2 A-118 OS(O)2—T6 NO2 A-119 OS(O)2—T7 NO2 A-120 OS(O)2—T8 NO2 A-121 OS(O)2—T9 NO2 A-122 OS(O)2—T10 NO2 A-123 OS(O)2—T11 NO2 A-124 OS(O)2—T12 NO2 A-125 OH CN A-126 OCH3 CN A-127 OC(O)CH3 CN A-128 OC(O)CH2CH3 CN A-129 OC(O)CH(CH3)2 CN A-130 OC(O)C(CH3)3 CN A-131 OC(O)—c-C3H5 CN A-132 OC(O)—C6H5 CN A-133 OC(O)—CH2C6H5 CN A-134 OC(O)CH2Cl CN A-135 OC(O)—CF3 CN A-136 OC(O)—CH2OCH3 CN A-137 OC(O)—N(CH3)2 CN A-138 OC(O)—OCH2CH3 CN A-139 OS(O)2—CH3 CN A-140 OS(O)2—C2H5 CN A-141 OS(O)2—C3H7 CN A-142 OS(O)2—CH(CH3)2 CN A-143 OS(O)2—C6H5 CN A-144 OS(O)2—T1 CN A-145 OS(O)2—T2 CN A-146 OS(O)2—T3 CN A-147 OS(O)2—T4 CN A-148 OS(O)2—T5 CN A-149 OS(O)2—T6 CN A-150 OS(O)2—T7 CN A-151 OS(O)2—T8 CN A-152 OS(O)2—T9 CN A-153 OS(O)2—T10 CN A-154 OS(O)2—T11 CN A-155 OS(O)2—T12 CN A-156 OH CH3 A-157 OCH3 CH3 A-158 OC(O)CH3 CH3 A-159 OC(O)CH2CH3 CH3 A-160 OC(O)CH(CH3)2 CH3 A-161 OC(O)C(CH3)3 CH3 A-162 OC(O)—c-C3H5 CH3 A-163 OC(O)—C6H5 CH3 A-164 OC(O)—CH2C6H5 CH3 A-165 OC(O)CH2Cl CH3 A-166 OC(O)—CF3 CH3 A-167 OC(O)—CH2OCH3 CH3 A-168 OC(O)—N(CH3)2 CH3 A-169 OC(O)—OCH2CH3 CH3 A-170 OS(O)2—CH3 CH3 A-171 OS(O)2—C2H5 CH3 A-172 OS(O)2—C3H7 CH3 A-173 OS(O)2—CH(CH3)2 CH3 A-174 OS(O)2—C6H5 CH3 A-175 OS(O)2—T1 CH3 A-176 OS(O)2—T2 CH3 A-177 OS(O)2—T3 CH3 A-178 OS(O)2—T4 CH3 A-179 OS(O)2—T5 CH3 A-180 OS(O)2—T6 CH3 A-181 OS(O)2—T7 CH3 A-182 OS(O)2—T8 CH3 A-183 OS(O)2—T9 CH3 A-184 OS(O)2—T10 CH3 A-185 OS(O)2—T11 CH3 A-186 OS(O)2—T12 CH3 A-187 OH OCH3 A-188 OCH3 OCH3 A-189 OC(O)CH3 OCH3 A-190 OC(O)CH2CH3 OCH3 A-191 OC(O)CH(CH3)2 OCH3 A-192 OC(O)C(CH3)3 OCH3 A-193 OC(O)—c-C3H5 OCH3 A-194 OC(O)—C6H5 OCH3 A-195 OC(O)—CH2C6H5 OCH3 A-196 OC(O)CH2Cl OCH3 A-197 OC(O)—CF3 OCH3 A-198 OC(O)—CH2OCH3 OCH3 A-199 OC(O)—N(CH3)2 OCH3 A-200 OC(O)—OCH2CH3 OCH3 A-201 OS(O)2—CH3 OCH3 A-202 OS(O)2—C2H5 OCH3 A-203 OS(O)2—C3H7 OCH3 A-204 OS(O)2—CH(CH3)2 OCH3 A-205 OS(O)2—C6H5 OCH3 A-206 OS(O)2—T1 OCH3 A-207 OS(O)2—T2 OCH3 A-208 OS(O)2—T3 OCH3 A-209 OS(O)2—T4 OCH3 A-210 OS(O)2—T5 OCH3 A-211 OS(O)2—T6 OCH3 A-212 OS(O)2—T7 OCH3 A-213 OS(O)2—T8 OCH3 A-214 OS(O)2—T9 OCH3 A-215 OS(O)2—T10 OCH3 A-216 OS(O)2—T11 OCH3 A-217 OS(O)2—T12 OCH3 A-218 OH CHF2 A-219 OCH3 CHF2 A-220 OC(O)CH3 CHF2 A-221 OC(O)CH2CH3 CHF2 A-222 OC(O)CH(CH3)2 CHF2 A-223 OC(O)C(CH3)3 CHF2 A-224 OC(O)—c-C3H5 CHF2 A-225 OC(O)—C6H5 CHF2 A-226 OC(O)—CH2C6H5 CHF2 A-227 OC(O)CH2Cl CHF2 A-228 OC(O)—CF3 CHF2 A-229 OC(O)—CH2OCH3 CHF2 A-230 OC(O)—N(CH3)2 CHF2 A-231 OC(O)—OCH2CH3 CHF2 A-232 OS(O)2—CH3 CHF2 A-233 OS(O)2—C2H5 CHF2 A-234 OS(O)2—C3H7 CHF2 A-235 OS(O)2—CH(CH3)2 CHF2 A-236 OS(O)2—C6H5 CHF2 A-237 OS(O)2—T1 CHF2 A-238 OS(O)2—T2 CHF2 A-239 OS(O)2—T3 CHF2 A-240 OS(O)2—T4 CHF2 A-241 OS(O)2—T5 CHF2 A-242 OS(O)2—T6 CHF2 A-243 OS(O)2—T7 CHF2 A-244 OS(O)2—T8 CHF2 A-245 OS(O)2—T9 CHF2 A-246 OS(O)2—T10 CHF2 A-247 OS(O)2—T11 CHF2 A-248 OS(O)2—T12 CHF2 A-249 OH CF3 A-250 OCH3 CF3 A-251 OC(O)CH3 CF3 A-252 OC(O)CH2CH3 CF3 A-253 OC(O)CH(CH3)2 CF3 A-254 OC(O)C(CH3)3 CF3 A-255 OC(O)—c-C3H5 CF3 A-256 OC(O)—C6H5 CF3 A-257 OC(O)—CH2C6H5 CF3 A-258 OC(O)CH2Cl CF3 A-259 OC(O)—CF3 CF3 A-260 OC(O)—CH2OCH3 CF3 A-261 OC(O)—N(CH3)2 CF3 A-262 OC(O)—OCH2CH3 CF3 A-263 OS(O)2—CH3 CF3 A-264 OS(O)2—C2H5 CF3 A-265 OS(O)2—C3H7 CF3 A-266 OS(O)2—CH(CH3)2 CF3 A-267 OS(O)2—C6H5 CF3 A-268 OS(O)2—T1 CF3 A-269 OS(O)2—T2 CF3 A-270 OS(O)2—T3 CF3 A-271 OS(O)2—T4 CF3 A-272 OS(O)2—T5 CF3 A-273 OS(O)2—T6 CF3 A-274 OS(O)2—T7 CF3 A-275 OS(O)2—T8 CF3 A-276 OS(O)2—T9 CF3 A-277 OS(O)2—T10 CF3 A-278 OS(O)2—T11 CF3 A-279 OS(O)2—T12 CF3 A-280 OH OCHF2 A-281 OCH3 OCHF2 A-282 OC(O)CH3 OCHF2 A-283 OC(O)CH2CH3 OCHF2 A-284 OC(O)CH(CH3)2 OCHF2 A-285 OC(O)C(CH3)3 OCHF2 A-286 OC(O)—c-C3H5 OCHF2 A-287 OC(O)—C6H5 OCHF2 A-288 OC(O)—CH2C6H5 OCHF2 A-289 OC(O)CH2Cl OCHF2 A-290 OC(O)—CF3 OCHF2 A-291 OC(O)—CH2OCH3 OCHF2 A-292 OC(O)—N(CH3)2 OCHF2 A-293 OC(O)—OCH2CH3 OCHF2 A-294 OS(O)2—CH3 OCHF2 A-295 OS(O)2—C2H5 OCHF2 A-296 OS(O)2—C3H7 OCHF2 A-297 OS(O)2—CH(CH3)2 OCHF2 A-298 OS(O)2—C6H5 OCHF2 A-299 OS(O)2—T1 OCHF2 A-300 OS(O)2—T2 OCHF2 A-301 OS(O)2—T3 OCHF2 A-302 OS(O)2—T4 OCHF2 A-303 OS(O)2—T5 OCHF2 A-304 OS(O)2—T6 OCHF2 A-305 OS(O)2—T7 OCHF2 A-306 OS(O)2—T8 OCHF2 A-307 OS(O)2—T9 OCHF2 A-308 OS(O)2—T10 OCHF2 A-309 OS(O)2—T11 OCHF2 A-310 OS(O)2—T12 OCHF2 A-311 OH OCF3 A-312 OCH3 OCF3 A-313 OC(O)CH3 OCF3 A-314 OC(O)CH2CH3 OCF3 A-315 OC(O)CH(CH3)2 OCF3 A-316 OC(O)C(CH3)3 OCF3 A-317 OC(O)—c-C3H5 OCF3 A-318 OC(O)—C6H5 OCF3 A-319 OC(O)—CH2C6H5 OCF3 A-320 OC(O)CH2Cl OCF3 A-321 OC(O)—CF3 OCF3 A-322 OC(O)—CH2OCH3 OCF3 A-323 OC(O)—N(CH3)2 OCF3 A-324 OC(O)—OCH2CH3 OCF3 A-325 OS(O)2—CH3 OCF3 A-326 OS(O)2—C2H5 OCF3 A-327 OS(O)2—C3H7 OCF3 A-328 OS(O)2—CH(CH3)2 OCF3 A-329 OS(O)2—C6H5 OCF3 A-330 OS(O)2—T1 OCF3 A-331 OS(O)2—T2 OCF3 A-332 OS(O)2—T3 OCF3 A-333 OS(O)2—T4 OCF3 A-334 OS(O)2—T5 OCF3 A-335 OS(O)2—T6 OCF3 A-336 OS(O)2—T7 OCF3 A-337 OS(O)2—T8 OCF3 A-338 OS(O)2—T9 OCF3 A-339 OS(O)2—T10 OCF3 A-340 OS(O)2—T11 OCF3 A-341 OS(O)2—T12 OCF3 T1 = 4-CH3—C6H4 T2 = N(CH3)2 T3 = N(CH3)CH2CH3 T4 = N(CH3)C3H7 T5 = N(CH3)CH(CH3)2 T6 = 2-Cl, 6-COOH—C6H3 T7 = 2,6-Cl2—C6H3 T8 = 2,6-F2—C6H3 T9 = 2,6-Cl2, 3-CH3—C6H2 T10 = 2-CF3, 6-CH2CHF2—C6H3 T11 = 2-CF3, 6-OCF3—C6H3 T12 = 2-CF3, 6-OCH2CHF2—C6H3 - The compounds I and their agriculturally useful salts are suitable, both as isomer mixtures and in the form of the pure isomers, as herbicides. They are suitable as such or as an appropriately formulated composition. The herbicidal compositions comprising the compound I, in particular the preferred aspects thereof, control vegetation on non-crop areas very efficiently, especially at high rates of application. They act against broad-leaved weeds and weed grasses in crops such as wheat, rice, corn, soybeans and cotton without causing any significant damage to the crop plants. This effect is mainly observed at low rates of application.
- Depending on the application method in question, the compounds I, in particular the preferred aspects thereof, or compositions comprising them can additionally be employed in a further number of crop plants for eliminating unwanted plants. Examples of suitable crops are the following:
- Allium cepa, Ananas comosus, Arachis hypogaea, Asparagus officinalis, Avena sativa, Beta vulgaris spec. altissima, Beta vulgaris spec. rapa, Brassica napus var. napus, Brassica napus var. napobrassica, Brassica rapa var. silvestris, Brassica oleracea, Brassica nigra, Camellia sinensis, Carthamus tinctorius, Carya illinoinensis, Citrus limon, Citrus sinensis, Coffea arabica (Coffea canephora, Coffea liberica), Cucumis sativus, Cynodon dactylon, Daucus carota, Elaeis guineensis, Fragaria vesca, Glycine max, Gossypium hirsutum, (Gossypium arboreum, Gossypium herbaceum, Gossypium vitifolium), Helianthus annuus, Hevea brasiliensis, Hordeum vulgare, Humulus lupulus, Ipomoea batatas, Juglans regia, Lens culinaris, Linum usitatissimum, Lycopersicon lycopersicum, Malus spec., Manihot esculenta, Medicago sativa, Musa spec., Nicotiana tabacum (N. rustica), Olea europaea, Oryza sativa, Phaseolus lunatus, Phaseolus vulgaris, Picea abies, Pinus spec., Pistacia vera, Pisum sativum, Prunus avium, Prunus persica, Pyrus communis, Prunus armeniaca, Prunus cerasus, Prunus dulcis and Prunus domestica, Ribes sylvestre, Ricinus communis, Saccharum officinarum, Secale cereale, Sinapis alba, Solanum tuberosum, Sorghum bicolor (S. vulgare), Theobroma cacao, Trifolium pratense, Triticum aestivum, Triticale, Triticum durum, Vicia faba, Vitis vinifera, Zea mays.
- The term “crop plants” also includes plants which have been modified by breeding, mutagenesis or genetic engineering. Genetically modified plants are plants whose genetic material has been modified in a manner which does not occur under natural conditions by crossing, mutations or natural recombination (i.e. reassembly of the genetic information). Here, in general, one or more genes are integrated into the genetic material of the plant to improve the properties of the plant.
- Accordingly, the term “crop plants” also includes plants which, by breeding and genetic engineering, have acquired tolerance to certain classes of herbicides, such as hydroxyphenylpyruvate dioxygenase (HPPD) inhibitors, acetolactate synthase (ALS) inhibitors, such as, for example, sulfonylureas (EP-A-0257993, U.S. Pat. No. 5,013,659) or imidazolinones (see, for example, U.S. Pat. No. 6,222,100, WO 01/82685, WO 00/26390, WO 97/41218, WO 98/02526, WO 98/02527, WO 04/106529, WO 05/20673, WO 03/14357, WO 03/13225, WO 03/14356, WO 04/16073), enolpyruvylshikimate 3-phosphate synthase (EPSPS) inhibitors, such as, for example, glyphosate (see, for example, WO 92/00377), glutamine synthetase (GS) inhibitors, such as, for example, glufosinate (see, for example, EP-A-0242236, EP-A-242246), or oxynil herbicides (see, for example, U.S. Pat. No. 5,559,024).
- Numerous crop plants, for example Clearfield® oilseed rape, tolerant to imidazolinones, for example imazamox, have been generated with the aid of classic breeding methods (mutagenesis). Crop plants such as soybeans, cotton, corn, beet and oilseed rape, resistant to glyphosate or glufosinate, which are available under the tradenames RoundupReady® (glyphosate) and Liberty Link® (glufosinate) have been generated with the aid of genetic engineering methods.
- Accordingly, the term “crop plants” also includes plants which, with the aid of genetic engineering, produce one or more toxins, for example those of the bacterial strain Bacillus ssp. Toxins which are produced by such genetically modified plants include, for example, insecticidal proteins of Bacillus spp., in particular B. thuringiensis, such as the endotoxins Cry1Ab, Cry1Ac, Cry1F, Cry1Fa2, Cry2Ab, Cry3A, Cry3Bb1, Cry9c, Cry34Ab1 or Cry35Ab1; or vegetative insecticidal proteins (VIPs), for example VIP1, VIP2, VIP3, or VIP3A; insecticidal proteins of nematode-colonizing bacteria, for example Photorhabdus spp. or Xenorhabdus spp.; toxins of animal organisms, for example wasp, spider or scorpion toxins; fungal toxins, for example from Streptomycetes; plant lectins, for example from peas or barley; agglutinins; proteinase inhibitors, for example trypsin inhibitors, serine protease inhibitors, patatin, cystatin or papain inhibitors, ribosome-inactivating proteins (RIPs), for example ricin, corn-RIP, abrin, luffin, saporin or bryodin; steroid-metabolizing enzymes, for example 3-hydroxysteroid oxidase, ecdysteroid-IDP glycosyl transferase, cholesterol oxidase, ecdysone inhibitors, or HMG-CoA reductase; ion channel blockers, for example inhibitors of sodium channels or calcium channels; juvenile hormone esterase; receptors of the diuretic hormone (helicokinin receptors); stilbene synthase, bibenzyl synthase, chitinases and glucanases. In the plants, these toxins may also be produced as pretoxins, hybrid proteins or truncated or otherwise modified proteins. Hybrid proteins are characterized by a novel combination of different protein domains (see, for example, WO 2002/015701). Further examples of such toxins or genetically modified plants which produce these toxins are disclosed in EP-A 374 753, WO 93/007278; WO 95/34656, EP-A 427 529, EP-A 451 878, WO 03/018810 and WO 03/052073. The methods for producing these genetically modified plants are known to the person skilled in the art and disclosed, for example, in the publications mentioned above. Numerous of the toxins mentioned above bestow, upon the plants by which they are produced, tolerance to pests from all taxonomic classes of arthropods, in particular to beetles (Coeleropta), dipterans (Diptera) and butterflies (Lepidoptera) and to nematodes (Nematoda).
- Genetically modified plants which produce one or more genes coding for insecticidal toxins are described, for example, in the publications mentioned above, and some of them are commercially available, such as, for example, YieldGard® (corn varieties producing the toxin Cry1Ab), YieldGard® Plus (corn varieties which produce the toxins Cry1Ab and Cry3Bb1), Starlink® (corn varieties which produce the toxin Cry9c), Herculex® RW (corn varieties which produce the toxins Cry34Ab1, Cry35Ab1 and the enzyme phosphinothricin-N-acetyltransferase [PAT]); NuCOTN® 33B (cotton varieties which produce the toxin Cry1Ac), Bollgard® I (cotton varieties which produce the toxin Cry1Ac), Bollgard® II (cotton varieties which produce the toxins Cry1Ac and Cry2Ab2); VIPCOT® (cotton varieties which produce a VIP toxin); NewLeaf° (potato varieties which produce the toxin Cry3A); Bt-Xtra®, NatureGard®, KnockOut®, BiteGard®, Protecta®, Bt11 (for example Agrisure® CB) and Bt176 from Syngenta Seeds SAS, France (corn varieties which produce the toxin Cry1Ab and the PAT enyzme), MIR604 from Syngenta Seeds SAS, France (corn varieties which produce a modified version of the toxin Cry3A, see WO 03/018810), MON 863 from Monsanto Europe S.A., Belgium (corn varieties which produce the toxin Cry3Bb1), IPC 531 from Monsanto Europe S.A., Belgium (cotton varieties which produce a modified version of the toxin Cry1Ac) and 1507 from Pioneer Overseas Corporation, Belgium (corn varieties which produce the toxin Cry1F and the PAT enzyme).
- Accordingly, the term “crop plants” also includes plants which, with the aid of genetic engineering, produce one or more proteins which are more robust or have increased resistance to bacterial, viral or fungal pathogens, such as, for example, pathogenesis-related proteins (PR proteins, see EP-A 0 392 225), resistance proteins (for example potato varieties producing two resistance genes against Phytophthora infestans from the wild Mexican potato Solanum bulbocastanum) or T4 lysozyme (for example potato cultivars which, by producing this protein, are resistant to bacteria such as Erwinia amylvora).
- Accordingly, the term “crop plants” also includes plants whose productivity has been improved with the aid of genetic engineering methods, for example by enhancing the potential yield (for example biomass, grain yield, starch, oil or protein content), tolerance to drought, salt or other limiting environmental factors or resistance to pests and fungal, bacterial and viral pathogens.
- The term “crop plants” also includes plants whose ingredients have been modified with the aid of genetic engineering methods in particular for improving human or animal diet, for example by oil plants producing health-promoting long-chain omega 3 fatty acids or monounsaturated omega 9 fatty acids (for example Nexera® oilseed rape).
- The term “crop plants” also includes plants which have been modified with the aid of genetic engineering methods for improving the production of raw materials, for example by increasing the amylopectin content of potatoes (Amflora® potato).
- Furthermore, it has been found that the compounds of the formula I are also suitable for the defoliation and/or desiccation of plant parts, for which crop plants such as cotton, potato, oilseed rape, sunflower, soybean or field beans, in particular cotton, are suitable. In this regard, there have been found compositions for the desiccation and/or defoliation of plants, processes for preparing these compositions and methods for desiccating and/or defoliating plants using the compounds of the formula I.
- As desiccants, the compounds of the formula I are particularly suitable for desiccating the above-ground parts of crop plants such as potato, oilseed rape, sunflower and soybean, but also cereals. This makes possible the fully mechanical harvesting of these important crop plants.
- Also of economic interest is to facilitate harvesting, which is made possible by concentrating within a certain period of time the dehiscence, or reduction of adhesion to the tree, in citrus fruit, olives and other species and varieties of pomaceous fruit, stone fruit and nuts. The same mechanism, i.e. the promotion of the development of abscission tissue between fruit part or leaf part and shoot part of the plants is also essential for the readily controllable defoliation of useful plants, in particular cotton.
- Moreover, a shortening of the time interval in which the individual cotton plants mature leads to an increased fiber quality after harvesting.
- The compounds I, or the herbicidal compositions comprising the compounds I, can be used, for example, in the form of ready-to-spray aqueous solutions, powders, suspensions, also highly concentrated aqueous, oily or other suspensions or dispersions, emulsions, oil dispersions, pastes, dusts, materials for broadcasting, or granules, by means of spraying, atomizing, dusting, spreading, watering or treatment of the seed or mixing with the seed. The use forms depend on the intended purpose; in each case, they should ensure the finest possible distribution of the active ingredients according to the invention.
- The herbicidal compositions comprise a herbicidally effective amount of at least one compound of the formula I or an agriculturally useful salt of I, and auxiliaries which are customary for the formulation of crop protection agents.
- Examples of auxiliaries customary for the formulation of crop protection agents are inert auxiliaries, solid carriers, surfactants (such as dispersants, protective colloids, emulsifiers, wetting agents and tackifiers), organic and inorganic thickeners, bactericides, antifreeze agents, antifoams, if appropriate colorants and, for seed formulations, adhesives.
- Examples of thickeners (i.e. compounds which impart to the formulation modified flow properties, i.e. high viscosity in the state of rest and low viscosity in motion) are polysaccharides, such as xanthan gum (Kelzan® from Kelco), Rhodopol® 23 (Rhone Poulenc) or Veegum® (from R.T. Vanderbilt), and also organic and inorganic sheet minerals, such as Attaclay® (from Engelhardt).
- Examples of antifoams are silicone emulsions (such as, for example, Silikon® SRE, Wacker or Rhodorsil® from Rhodia), long-chain alcohols, fatty acids, salts of fatty acids, organofluorine compounds and mixtures thereof.
- Bactericides can be added for stabilizing the aqueous herbicidal formulation. Examples of bactericides are bactericides based on dichlorophen and benzyl alcohol hemiformal (Proxel® from ICI or Acticide® RS from Thor Chemie and Kathon® MK from Rohm & Haas), and also isothiazolinone derivates, such as alkylisothiazolinones and benzisothiazolinones (Acticide MBS from Thor Chemie).
- Examples of antifreeze agents are ethylene glycol, propylene glycol, urea or glycerol.
- Examples of colorants are both sparingly water-soluble pigments and water-soluble dyes. Examples which may be mentioned are the dyes known under the names Rhodamin B, C.I. Pigment Red 112 and C.I. Solvent Red 1, and also pigment blue 15:4, pigment blue 15:3, pigment blue 15:2, pigment blue 15:1, pigment blue 80, pigment yellow 1, pigment yellow 13, pigment red 112, pigment red 48:2, pigment red 48:1, pigment red 57:1, pigment red 53:1, pigment orange 43, pigment orange 34, pigment orange 5, pigment green 36, pigment green 7, pigment white 6, pigment brown 25, basic violet 10, basic violet 49, acid red 51, acid red 52, acid red 14, acid blue 9, acid yellow 23, basic red 10, basic red 108.
- Examples of adhesives are polyvinylpyrrolidone, polyvinyl acetate, polyvinyl alcohol and tylose.
- Suitable inert auxiliaries are, for example, the following:
- mineral oil fractions of medium to high boiling point, such as kerosene and diesel oil, furthermore coal tar oils and oils of vegetable or animal origin, aliphatic, cyclic and aromatic hydrocarbons, for example paraffin, tetrahydronaphthalene, alkylated naphthalenes and their derivatives, alkylated benzenes and their derivatives, alcohols such as methanol, ethanol, propanol, butanol and cyclohexanol, ketones such as cyclohexanone or strongly polar solvents, for example amines such as N-methylpyrrolidone, and water.
- Solid carriers are mineral earths such as silicas, silica gels, silicates, talc, kaolin, limestone, lime, chalk, bole, loess, clay, dolomite, diatomaceous earth, calcium sulfate, magnesium sulfate and magnesium oxide, ground synthetic materials, fertilizers such as ammonium sulfate, ammonium phosphate, ammonium nitrate and ureas, and products of vegetable origin, such as cereal meal, tree bark meal, wood meal and nutshell meal, cellulose powders, or other solid carriers.
- Suitable surfactants (adjuvants, wetting agents, tackifiers, dispersants and also emulsifiers) are the alkali metal salts, alkaline earth metal salts and ammonium salts of aromatic sulfonic acids, for example lignosulfonic acids (e.g. Borrespers-types, Borregaard), phenolsulfonic acids, naphthalenesulfonic acids (Morwet types, Akzo Nobel) and dibutylnaphthalenesulfonic acid (Nekal types, BASF SE), and of fatty acids, alkyl- and alkylarylsulfonates, alkyl sulfates, lauryl ether sulfates and fatty alcohol sulfates, and salts of sulfated hexa-, hepta- and octadecanols, and also of fatty alcohol glycol ethers, condensates of sulfonated naphthalene and its derivatives with formaldehyde, condensates of naphthalene or of the naphthalenesulfonic acids with phenol and formaldehyde, polyoxyethylene octyiphenol ether, ethoxylated isooctyl-, octyl- or nonylphenol, alkylphenyl or tributylphenyl polyglycol ether, alkylaryl polyether alcohols, isotridecyl alcohol, fatty alcohol/ethylene oxide condensates, ethoxylated castor oil, polyoxyethylene alkyl ethers or polyoxypropylene alkyl ethers, lauryl alcohol polyglycol ether acetate, sorbitol esters, lignosulfite waste liquors and proteins, denatured proteins, polysaccharides (e.g. methylcellulose), hydrophobically modified starches, polyvinyl alcohol (Mowiol types Clariant), polycarboxylates (BASF SE, Sokalan types), polyalkoxylates, polyvinylamine (BASF SE, Lupamine types), polyethyleneimine (BASF SE, Lupasol types), polyvinylpyrrolidone and copolymers thereof.
- Powders, materials for broadcasting and dusts can be prepared by mixing or grinding the active ingredients together with a solid carrier.
- Granules, for example coated granules, impregnated granules and homogeneous granules, can be prepared by binding the active ingredients to solid carriers.
- Aqueous use forms can be prepared from emulsion concentrates, suspensions, pastes, wettable powders or water-dispersible granules by adding water. To prepare emulsions, pastes or oil dispersions, the compounds of the formula I or Ia, either as such or dissolved in an oil or solvent, can be homogenized in water by means of a wetting agent, tackifier, dispersant or emulsifier. Alternatively, it is also possible to prepare concentrates comprising active substance, wetting agent, tackifier, dispersant or emulsifier and, if desired, solvent or oil, which are suitable for dilution with water.
- The concentrations of the compounds of the formula I in the ready-to-use preparations can be varied within wide ranges. In general, the formulations comprise from 0.001 to 98% by weight, preferably 0.01 to 95% by weight of at least one active compound. The active compounds are employed in a purity of from 90% to 100%, preferably 95% to 100% (according to NMR spectrum).
- The compounds I of the invention can for example be formulated as follows:
- 1. Products for Dilution with Water
- A Water-Soluble Concentrates
- 10 parts by weight of active compound are dissolved in 90 parts by weight of water or a water-soluble solvent. As an alternative, wetters or other adjuvants are added. The active compound dissolves upon dilution with water. This gives a formulation with an active compound content of 10% by weight.
- B Dispersible Concentrates
- 20 parts by weight of active compound are dissolved in 70 parts by weight of cyclohexanone with addition of 10 parts by weight of a dispersant, for example polyvinylpyrrolidone. Dilution with water gives a dispersion. The active compound content is 20% by weight.
- C Emulsifiable Concentrates
- 15 parts by weight of active compound are dissolved in 75 parts by weight of an organic solvent (e.g. alkylaromatics) with addition of calcium dodecylbenzenesulfonate and castor oil ethoxylate (in each case 5 parts by weight). Dilution with water gives an emulsion. The formulation has an active compound content of 15% by weight.
- D Emulsions
- 25 parts by weight of active compound are dissolved in 35 parts by weight of an organic solvent (e.g. alkylaromatics) with addition of calcium dodecylbenzenesulfonate and castor oil ethoxylate (in each case 5 parts by weight). This mixture is introduced into 30 parts by weight of water by means of an emulsifier (e.g. Ultraturrax) and made into a homogeneous emulsion. Dilution with water gives an emulsion. The formulation has an active compound content of 25% by weight.
- E Suspensions
- In an agitated ball mill, 20 parts by weight of active compound are comminuted with addition of 10 parts by weight of dispersants and wetters and 70 parts by weight of water or an organic solvent to give a fine active compound suspension. Dilution with water gives a stable suspension of the active compound. The active compound content in the formulation is 20% by weight.
- F Water-Dispersible Granules and Water-Soluble Granules
- 50 parts by weight of active compound are ground finely with addition of 50 parts by weight of dispersants and wetters and made into water-dispersible or water-soluble granules by means of technical appliances (for example extrusion, spray tower, fluidized bed). Dilution with water gives a stable dispersion or solution of the active compound. The formulation has an active compound content of 50% by weight.
- G Water-Dispersible Powders and Water-Soluble Powders
- 75 parts by weight of active compound are ground in a rotor-stator mill with addition of 25 parts by weight of dispersants, wetters and silica gel. Dilution with water gives a stable dispersion or solution of the active compound. The active compound content of the formulation is 75% by weight.
- H Gel Formulations
- In a ball mill, 20 parts by weight of active compound, 10 parts by weight of dispersant, 1 part by weight of gelling agent and 70 parts by weight of water or of an organic solvent are ground to give a fine suspension. Dilution with water gives a stable suspension with active compound content of 20% by weight.
- 2. Products to be Applied Undiluted
- I Dusts
- 5 parts by weight of active compound are ground finely and mixed intimately with 95 parts by weight of finely divided kaolin. This gives a dusting powder with an active compound content of 5% by weight.
- J Granules (GR, FG, GG, MG)
- 0.5 parts by weight of active compound are ground finely and associated with 99.5 parts by weight of carriers. Current methods here are extrusion, spray-drying or the fluidized bed. This gives granules to be applied undiluted with an active compound content of 0.5% by weight.
- K ULV Solutions (UL)
- 10 parts by weight of active compound are dissolved in 90 parts by weight of an organic solvent, for example xylene. This gives a product to be applied undiluted with an active compound content of 10% by weight.
- The compounds I or the herbicidal compositions comprising them can be applied pre- or post-emergence, or together with the seed of a crop plant. It is also possible to apply the herbicidal compositions or active compounds by applying seed, pretreated with the herbicidal compositions or active compounds, of a crop plant. If the active compounds are less well tolerated by certain crop plants, application techniques may be used in which the herbicidal compositions are sprayed, with the aid of the spraying equipment, in such a way that as far as possible they do not come into contact with the leaves of the sensitive crop plants, while the active compounds reach the leaves of undesirable plants growing underneath, or the bare soil surface (post-directed, lay-by).
- In a further embodiment, the compounds of the formula I or the herbicidal compositions can be applied by treating seed.
- The treatment of seed comprises essentially all procedures familiar to the person skilled in the art (seed dressing, seed coating, seed dusting, seed soaking, seed film coating, seed multilayer coating, seed encrusting, seed dripping and seed pelleting) based on the compounds of the formula I according to the invention or the compositions prepared therefrom. Here, the herbicidal compositions can be applied diluted or undiluted.
- The term seed comprises seed of all types, such as, for example, corns, seeds, fruits, tubers, cuttings and similar forms. Here, preferably, the term seed describes corns and seeds.
- The seed used can be seed of the useful plants mentioned above, but also the seed of transgenic plants or plants obtained by customary breeding methods.
- The rates of application of active compound are from 0.001 to 3.0, preferably 0.01 to 1.0, kg/ha of active substance (a.s.), depending on the control target, the season, the target plants and the growth stage. To treat the seed, the compounds I are generally employed in amounts of from 0.001 to 10 kg per 100 kg of seed.
- It may also be advantageous to use the compounds of the formula I in combination with safeners. Safeners are chemical compounds which prevent or reduce damage to useful plants without substantially affecting the herbicidal action of the compounds of the formula I on unwanted plants. They can be used both before sowing (for example in the treatment of seed, or on cuttings or seedlings) and before or after the emergence of the useful plant. The safeners and the compounds of the formula I can be used simultaneously or in succession. Suitable safeners are, for example, (quinolin-8-oxy)acetic acids, 1-phenyl-5-haloalkyl-1H-1,2,4-triazole-3-carboxylic acids, 1-phenyl-4,5-dihydro-5-alkyl-1H-pyrazole-3,5-dicarboxylic acids, 4,5-dihydro-5,5-diaryl-3-isoxazolecarboxylic acids, dichloroacetamides, alpha-oximinophenylacetonitriles, acetophenone oximes, 4,6-dihalo-2-phenylpyrimidines, N-[[4-(aminocarbonyl)phenyl]-sulfonyl]-2-benzamides, 1,8-naphthalic anhydride, 2-halo-4-(haloalkyl)-5-thiazole-carboxylic acids, phosphorothiolates and O-phenyl N-alkylcarbamates and their agriculturally useful salts and, provided that they have an acid function, their agriculturally useful derivatives, such as amides, esters and thioesters.
- To broaden the activity spectrum and to obtain synergistic effects, the compounds of the formula I can be mixed and jointly applied with numerous representatives of other herbicidal or growth-regulating groups of active compounds or with safeners. Suitable mixing partners are, for example, 1,2,4-thiadiazoles, 1,3,4-thiadiazoles, amides, aminophosphoric acid and its derivatives, aminotriazoles, anilides, aryloxy/heteroaryl-oxyalkanoic acids and their derivatives, benzoic acid and its derivatives, benzothiadiazinones, 2-(hetaroyl/aroyl)-1,3-cyclohexanediones, heteroaryl aryl ketones, benzylisoxazolidinones, meta-CF3-phenyl derivatives, carbamates, quinoline carboxylic acid and its derivatives, chloroacetanilides, cyclohexenone oxime ether derivates, diazines, dichloropropionic acid and its derivatives, dihydrobenzofurans, dihydrofuran-3-ones, dinitroanilines, dinitrophenols, diphenyl ethers, dipyridyls, halocarboxylic acids and their derivatives, ureas, 3-phenyluracils, imidazoles, imidazolinones, N-phenyl-3,4,5,6-tetrahydrophthalimides, oxadiazoles, oxiranes, phenols, aryloxy- and heteroaryloxyphenoxypropionic esters, phenylacetic acid and its derivatives, 2-phenylpropionic acid and its derivatives, pyrazoles, phenylpyrazoles, pyridazines, pyridinecarboxylic acid and its derivatives, pyrimidyl ethers, sulfonamides, sulfonylureas, triazines, triazinones, triazolinones, triazolecarboxamides, uracils and also phenylpyrazolines and isoxazolines and their derivatives.
- Moreover, it may be useful to apply the compounds I alone or in combination with other herbicides or else also mixed with further crop protection agents, jointly, for example with compositions for controlling pests or phytopathogenic fungi or bacteria. Also of interest is the miscibility with mineral salt solutions which are employed for alleviating nutritional and trace element deficiencies. Other additives such as nonphytotoxic oils and oil concentrates may also be added.
- Examples of herbicides which can be used in combination with the pyridine compounds of the formula I according to the present invention are:
- b1) from the group of the lipid biosynthesis inhibitors:
- alloxydim, alloxydim-sodium, butroxydim, clethodim, clodinafop, clodinafop-propargyl, cycloxydim, cyhalofop, cyhalofop-butyl, diclofop, diclofop-methyl, fenoxaprop, fenoxaprop-ethyl, fenoxaprop-P, fenoxaprop-P-ethyl, fluazifop, fluazifop-butyl, fluazifop-P, fluazifop-P-butyl, haloxyfop, haloxyfop-methyl, haloxyfop-P, haloxyfop-P-methyl, metamifop, pinoxaden, profoxydim, propaquizafop, quizalofop, quizalofop-ethyl, quizalofop-tefuryl, quizalofop-P, quizalofop-P-ethyl, quizalofop-P-tefuryl, sethoxydim, tepraloxydim, tralkoxydim, benfuresate, butylate, cycloate, dalapon, dimepiperate, EPTC, esprocarb, ethofumesate, flupropanate, molinate, orbencarb, pebulate, prosulfocarb, TCA, thiobencarb, tiocarbazil, triallate and vernolate;
- b2) from the group of the ALS inhibitors:
- amidosulfuron, azimsulfuron, bensulfuron, bensulfuron-methyl, bispyribac, bispyribac-sodium, chlorimuron, chlorimuron-ethyl, chiorsulfuron, cinosulfuron, cloransulam, cloransulam-methyl, cyclosulfamuron, diclosulam, ethametsulfuron, ethametsulfuron-methyl, ethoxysulfuron, flazasulfuron, florasulam, flucarbazone, flucarbazone-sodium, flucetosulfuron, flumetsulam, flupyrsulfuron, flupyrsulfuron-methyl-sodium, foramsulfuron, halosulfuron, halosulfuron-methyl, imazamethabenz, imazamethabenz-methyl, imazamox, imazapic, imazapyr, imazaquin, imazethapyr, imazosulfuron, iodosulfuron, iodosulfuron-methyl-sodium, mesosulfuron, metosulam, metsulfuron, metsulfuron-methyl, nicosulfuron, orthosulfamuron, oxasulfuron, penoxsulam, primisulfuron, primisulfuron-methyl, propoxycarbazone, propoxycarbazone-sodium, prosulfuron, pyrazosulfuron, pyrazosulfuron-ethyl, pyribenzoxim, pyrimisulfan, pyriftalid, pyriminobac, pyriminobac-methyl, pyrithiobac, pyrithiobac-sodium, pyroxsulam, rimsulfuron, sulfometuron, sulfometuron-methyl, sulfosulfuron, thiencarbazone, thiencarbazone-methyl, thifensulfuron, thifensulfuron-methyl, triasulfuron, tribenuron, tribenuron-methyl, trifloxysulfuron, triflusulfuron, triflusulfuron-methyl and tritosulfuron;
- b3) from the group of the photosynthesis inhibitors:
- ametryn, amicarbazone, atrazine, bentazone, bentazone-sodium, bromacil, bromofenoxim, bromoxynil and its salts and esters, chlorobromuron, chloridazone, chlorotoluron, chloroxuron, cyanazine, desmedipham, desmetryn, dimefuron, dimethametryn, diquat, diquat-dibromide, diuron, fluometuron, hexazinone, ioxynil and its salts and esters, isoproturon, isouron, karbutilate, lenacil, linuron, metamitron, methabenzthiazuron, metobenzuron, metoxuron, metribuzin, monolinuron, neburon, paraquat, paraquat-dichloride, paraquat-dimetilsulfate, pentanochlor, phenmedipham, phenmedipham-ethyl, prometon, prometryn, propanil, propazine, pyridafol, pyridate, siduron, simazine, simetryn, tebuthiuron, terbacil, terbumeton, terbuthylazine, terbutryn, thidiazuron and trietazine;
- b4) from the group of the protoporphyrinogen-IX oxidase inhibitors:
- acifluorfen, acifluorfen-sodium, azafenidin, bencarbazone, benzfendizone, bifenox, butafenacil, carfentrazone, carfentrazone-ethyl, chlomethoxyfen, cinidon-ethyl, fluazolate, flufenpyr, flufenpyr-ethyl, flumiclorac, flumiclorac-pentyl, flumioxazin, fluoroglycofen, fluoroglycofen-ethyl, fluthiacet, fluthiacet-methyl, fomesafen, halosafen, lactofen, oxadiargyl, oxadiazon, oxyfluorfen, pentoxazone, profluazol, pyraclonil, pyraflufen, pyraflufen-ethyl, saflufenacil, sulfentrazone, thidiazimin, 2-chloro-5-[3,6-dihydro-3-methyl-2,6-dioxo-4-(trifluoromethyl)-[(2H)-pyrimidinyl]-4-fluoro-N-Risopropyl)-methylsulfamoyl]benzamide (H-1; CAS 372137-35-4), ethyl [3-[2-chloro-4-fluoro-5-(1-methyl-6-trifluoromethyl-2,4-dioxo-1,2,3,4-tetrahydropyrimidin-3-yl)phenoxy]-2-pyridyloxy]acetate (H-2; CAS 353292-31-6), N-ethyl-3-(2,6-dichloro-4-trifluoro-methylphenoxy)-5-methyl-1H-pyrazole-1-carboxamide (H-3; CAS 452098-92-9), N-tetrahydrofurfuryl-3-(2,6-dichloro-4-trifluoromethylphenoxy)-5-methyl-1H-pyrazole-1-carboxamide (H-4; CAS 915396-43-9), N-ethyl-3-(2-chloro-6-fluoro-4-trifluoromethyl-phenoxy)-5-methyl-1H-pyrazole-1-carboxamide (H-5; CAS 452099-05-7) and N-tetrahydrofurfuryl-3-(2-chloro-6-fluoro-4-trifluoromethylphenoxy)-5-methyl-1H-pyrazole-1-carboxamide (H-6; CAS 45100-03-7);
- b5) from the group of the bleacher herbicides:
- aclonifen, amitrol, befiubutamid, benzobicyclon, benzofenap, clomazone, diflufenican, fluridone, fiurochloridone, flurtamone, isoxaflutole, mesotrione, norflurazon, picolinafen, pyrasulfutole, pyrazolynate, pyrazoxyfen, sulcotrione, tefuryltrione, tembotrione, topramezone, 4-hydroxy-3-[[2-[(2-methoxyethoxy)methyl]-6-(trifluoromethyl)-3-pyridyl]carbonyl]bicyclo[3.2.1]oct-3-en-2-one (H-7; CAS 352010-68-5) and 4-(3-trifluoromethylphenoxy)-2-(4-trifluoromethylphenyl)pyrimidine (H-8; CAS 180608-33-7);
- b6) from the group of the EPSP synthase inhibitors:
- glyphosate, glyphosate-isopropylammonium and glyphosate-trimesium (sulfosate);
- b7) from the group of the glutamine synthase inhibitors:
- bilanaphos (bialaphos), bilanaphos-sodium, glufosinate and glufosinate-ammonium;
- b8) from the group of the DHP synthase inhibitors:
- asulam;
- b9) from the group of the mitose inhibitors:
- amiprophos, amiprophos-methyl, benfluralin, butamiphos, butralin, carbetamide, chlorpropham, chlorthal, chlorthal-dimethyl, dinitramine, dithiopyr, ethalfluralin, fluchloralin, oryzalin, pendimethalin, prodiamine, propham, propyzamide, tebutam, thiazopyr and trifluralin;
- b10) from the group of the VLCFA inhibitors:
- acetochlor, alachlor, anilofos, butachlor, cafenstrole, dimethachlor, dimethanamid, dimethenamid-P, diphenamid, fentrazamide, flufenacet, mefenacet, metazachior, metolachlor, metolachlor-S, naproanilide, napropamide, pethoxamid, piperophos, pretilachlor, propachlor, propisochlor, pyroxasulfone (KIH-485) and thenylchlor;
- Compounds of the formula 2:
- in which the variables have the following meanings:
Y is phenyl or 5- or 6-membered heteroaryl as defined at the outset, which radicals may be substituted by one to three groups Raa; R21, R22, R23, R24 are H, halogen or C1-C4-alkyl; X is O or NH; N is 0 or 1. - Compounds of the formula 2 have in particular the following meanings:
-
- where # denotes the bond to the skeleton of the molecule; and
R21, R22, R23, R24 are H, Cl, F or CH3; R25 is halogen, C1-C4-alkyl or C1-C4-haloalkyl; R26 is C1-C4-alkyl; R27 is halogen, C1-C4-alkoxy or C1-C4-haloalkoxy; R28 is H, halogen, C1-C4-haloalkyl or C1-C4-haloalkoxy; M is 0, 1, 2 or 3; X is oxygen; N is 0 or 1. - Preferred compounds of the formula 2 have the following meanings:
-
- R21 is H; R22, R23 are F; R24 is H or F; X is oxygen; N is 0 or 1.
- Particularly preferred compounds of the formula 2 are:
- 3-[5-(2,2-difluoroethoxy)-1-methyl-3-trifluoromethyl-1H-pyrazol-4-ylmethane-sulfonyl]-4-fluoro-5,5-dimethyl-4,5-dihydroisoxazole (2-1); 3-{[5-(2,2-difluoro-ethoxy)-1-methyl-3-trifluoromethyl-1H-pyrazol-4-yl]fluoromethanesulfonyl}-5,5-dimethyl-4,5-dihydroisoxazole (2-2); 4-(4-fluoro-5,5-dimethyl-4,5-dihydroisoxazole-3-sulfonyl-methyl)-2-methyl-5-trifluoromethyl-2H-[1,2,3]triazole (2-3); 4-[(5,5-dimethyl-4,5-dihydroisoxazole-3-sulfonyl)fluoromethyl]-2-methyl-5-trifluoromethyl-2H-[1,2,3]-triazole (2-4); 4-(5,5-dimethyl-4,5-dihydroisoxazole-3-sulfonylmethyl)-2-methyl-5-trifluoro-methyl-2H-[1,2,3]triazole (2-5); 3-{[5-(2,2-difluoroethoxy)-1-methyl-3-trifluoromethyl-1H-pyrazol-4-yl]difluoromethanesulfonyl}-5,5-dimethyl-4,5-dihydroisoxazole (2-6); 4-[(5,5-dimethyl-4,5-dihydroisoxazole-3-sulfonyl)difluoromethyl]-2-methyl-5-trifluoro-methyl-2H-[1,2,3]triazole (2-7); 3-{[5-(2,2-difluoroethoxy)-1-methyl-3-trifluoromethyl-1H-pyrazol-4-yl]difluoromethanesulfonyl}-4-fluoro-5,5-dimethyl-4,5-dihydroisoxazole (2-8); 4-[difluoro-(4-fluoro-5,5-dimethyl-4,5-dihydroisoxazole-3-sulfonyl)methyl]-2-methyl-5-trifluoromethyl-2H-[1,2,3]triazole (2-9);
- b11) from the group of the cellulose biosynthesis inhibitors:
- chlorthiamid, dichlobenil, flupoxam and isoxaben;
- b12) from the group of the decoupler herbicides:
- dinoseb, dinoterb and DNOC and its salts;
- b13) from the group of the auxin herbicides:
- 2,4-D and its salts and esters, 2,4-DB and its salts and esters, aminopyralid and its salts such as aminopyralid-tris(2-hydroxypropyl)ammonium and its esters, benazolin, benazolin-ethyl, chioramben and its salts and esters, clomeprop, clopyralid and its salts and esters, dicamba and its salts and esters, dichlorpropand its salts and esters, dichlorprop-P and its salts and esters, fluoroxypyr, fluoroxypyr-butomethyl, fluoroxypyr-meptyl, MCPA and its salts and esters, MCPA-thioethyl, MCPB and its salts and esters, mecopropand its salts and esters, mecoprop-P and its salts and esters, picloram and its salts and esters, quinclorac, quinmerac, TBA (2,3,6) and its salts and esters, triclopyr and its salts and esters, and 5,6-dichloro-2-cyclopropyl-4-pyrimidinecarboxylic acid (H-9; CAS 858956-08-8) and its salts and esters;
- b14) from the group of the auxin transport inhibitors: diflufenzopyr, diflufenzopyr-sodium, naptalam and naptalam-sodium;
- b15) from the group of the other herbicides: bromobutide, chlorflurenol, chlorflurenol-methyl, cinmethylin, cumyluron, dalapon, dazomet, difenzoquat, difenzoquat-metilsulfate, dimethipin, DSMA, dymron, endothal and its salts, etobenzanid, flamprop, flamprop-isopropyl, flamprop-methyl, flamprop-M-isopropyl, flamprop-M-methyl, flurenol, flurenol-butyl, flurprimidol, fosamine, fosamine-ammonium, indanofan, maleic hydrazide, mefluidide, metam, methyl azide, methyl bromide, methyl-dymron, methyl iodide, MSMA, oleic acid, oxaziclomefone, pelargonic acid, pyributicarb, quinoclamine, triaziflam, tridiphane and 6-chloro-3-(2-cyclopropyl-6-methylphenoxy)-4-pyridazinol (H-10; CAS 499223-49-3) and its salts and esters.
- Examples of preferred safeners C are benoxacor, cloquintocet, cyometrinil, cyprosulfamide, dichlormid, dicyclonone, dietholate, fenchlorazole, fenclorim, flurazole, fluxofenim, furilazole, isoxadifen, mefenpyr, mephenate, naphthalic anhydride, oxabetrinil, 4-(dichloroacetyl)-1-oxa-4-azaspiro[4.5]decane (H-11; MON4660, CAS 71526-07-3) and 2,2,5-trimethyl-3-(dichloroacetyl)-1,3-oxazolidine (H-12; R-29148, CAS 52836-31-4).
- The active compounds of groups b1) to b15) and the safeners C are known herbicides and safeners, see, for example, The Compendium of Pesticide Common Names (http://www.alanwood.net/pesticides/); B. Hock, C. Fedtke, R. R. Schmidt, Herbizide [Herbicides], Georg Thieme Verlag, Stuttgart, 1995. Further herbicidally active compounds are known from WO 96/26202, WO 97/41116, WO 97/41117, WO 97/41118, WO 01/83459 and WO 2008/074991 and from W. Kramer et al. (ed.) “Modern Crop Protection Compounds”, Vol. 1, Wiley VCH, 2007 and the literature quoted therein.
- The invention also relates to compositions in the form of a crop protection composition formulated as a 1-component composition comprising an active compound combination comprising at least one pyridine compound of the formula I and at least one further active compound, preferably selected from the active compounds of groups b1 to b15, and at least one solid or liquid carrier and/or one or more surfactants and, if desired, one or more further auxiliaries customary for crop protection compositions.
- The invention also relates to compositions in the form of a crop protection composition formulated as a 2-component composition comprising a first component comprising at least one pyridine compound of the formula I, a solid or liquid carrier and/or one or more surfactants and a second component comprising at least one further active compound selected from the active compounds of groups b1 to b15, a solid or liquid carrier and/or one or more surfactants, where additionally both components may also comprise further auxiliaries customary for crop protection compositions.
- In binary compositions comprising at least one compound of the formula I as component A and at least one herbicide B, the weight ratio of the active compounds A:B is generally in the range of from 1:1000 to 1000:1, preferably in the range of from 1:500 to 500:1, in particular in the range of from 1:250 to 250:1 and particularly preferably in the range of from 1:75 to 75:1.
- In binary compositions comprising at least one compound of the formula I as component A and at least one safener C, the weight ratio of the active compounds A:C is generally in the range of from 1:1000 to 1000:1, preferably in the range of from 1:500 to 500:1, in particular in the range of from 1:250 to 250:1 and particularly preferably in the range of from 1:75 to 75:1.
- In ternary compositions comprising both at least one compound of the formula I as component A, at least one herbicide B and at least one safener C, the relative parts by weight of the components A:B are generally in the range of from 1:1000 to 1000:1, preferably in the range of from 1:500 to 500:1, in particular in the range of from 1:250 to 250:1 and particularly preferably in the range of from 1:75 to 75:1; the weight ratio of the components A:C is generally in the range of from 1:1000 to 1000:1, preferably in the range of from 1:500 to 500:1, in particular in the range of from 1:250 to 250:1 and particularly preferably in the range of from 1:75 to 75:1; and the weight ratio of the components B:C is generally in the range of from 1:1000 to 1000:1, preferably in the range of from 1:500 to 500:1, in particular in the range of from 1:250 to 250:1 and particularly preferably in the range of from 1:75 to 75:1. Preferably, the weight ratio of the components A+B to the component C is in the range of from 1:500 to 500:1, in particular in the range of from 1:250 to 250:1 and particularly preferably in the range of from 1:75 to 75:1.
- Examples of particularly preferred compositions according to the invention comprising in each case one individualized compound of the formula I and one mixing partner or a mixing partner combination are given in Table B below.
- A further aspect of the invention relates to the compositions B-1 to B-1227 listed in Table B below, where in each case one row of Table B corresponds to a herbicidal composition comprising one of the compounds of the formula I individualized in the above description (component 1) and the further active compound from groups b1) to b15) and/or safener C stated in each case in the row in question (component 2). The active compounds in the compositions described are in each case preferably present in synergistically effective amounts.
-
TABLE B Herbicide(s) B Safener C B-1 clodinafop-propargyl — B-2 cycloxydim — B-3 cyhalofop-butyl — B-4 fenoxaprop-P-ethyl — B-5 pinoxaden — B-6 profoxydim — B-7 tepraloxydim — B-8 tralkoxydim — B-9 esprocarb — B-10 prosulfocarb — B-11 thiobencarb — B-12 triallate — B-13 bensulfuron-methyl — B-14 bispyribac-sodium — B-15 cyclosulfamuron — B-16 flumetsulam — B-17 flupyrsulfuron-methyl-sodium — B-18 foramsulfuron — B-19 imazamox — B-20 imazapic — B-21 imazapyr — B-22 imazaquin — B-23 imazethapyr — B-24 imazosulfuron — B-25 iodosulfuron-methyl-sodium — B-26 mesosulfuron — B-27 nicosulfuron — B-28 penoxsulam — B-29 propoxycarbazone-sodium — B-30 pyrazosulfuron-ethyl — B-31 pyroxsulam — B-32 rimsulfuron — B-33 sulfosulfuron — B-34 thiencarbazone-methyl — B-35 tritosulfuron — B-36 2,4-D and its salts and esters — B-37 aminopyralid and its salts and esters — B-38 clopyralid and its salts and esters — B-39 dicamba and its salts and esters — B-40 fluroxypyr-meptyl — B-41 quinclorac — B-42 quinmerac — B-43 H-9 — B-44 diflufenzopyr — B-45 diflufenzopyr-sodium — B-46 clomazone — B-47 diflufenican — B-48 fluorochloridone — B-49 isoxaflutol — B-50 mesotrione — B-51 picolinafen — B-52 sulcotrione — B-53 tefuryltrione — B-54 tembotrione — B-55 topramezone — B-56 H-7 — B-57 atrazine — B-58 diuron — B-59 fluometuron — B-60 hexazinone — B-61 isoproturon — B-62 metribuzin — B-63 propanil — B-64 terbuthylazine — B-65 paraquat dichloride — B-66 flumioxazin — B-67 oxyfluorfen — B-68 sulfentrazone — B-69 H-1 — B-70 H-2 — B-71 glyphosate — B-72 glyphosate-isopropylammonium — B-73 glyphosate-trimesium (sulfosate) — B-74 glufosinate — B-75 glufosinate-ammonium — B-76 pendimethalin — B-77 trifluralin — B-78 acetochlor — B-79 cafenstrole — B-80 dimethenamid-P — B-81 fentrazamide — B-82 flufenacet — B-83 mefenacet — B-84 metazachlor — B-85 metolachlor-S — B-86 pyroxasulfone — B-87 isoxaben — B-88 dymron — B-89 indanofan — B-90 oxaziclomefone — B-91 triaziflam — B-92 atrazine + H-1 — B-93 atrazine + glyphosate — B-94 atrazine + mesotrione — B-95 atrazine + nicosulfuron — B-96 atrazine + tembotrione — B-97 atrazine + topramezone — B-98 clomazone + glyphosate — B-99 diflufenican + clodinafop-propargyl — B-100 diflufenican + fenoxaprop-P-ethyl — B-101 diflufenican + flupyrsulfuron-methyl-sodium — B-102 diflufenican + glyphosate — B-103 diflufenican + mesosulfuron-methyl — B-104 diflufenican + pinoxaden — B-105 diflufenican + pyroxsulam — B-106 flumetsulam + glyphosate — B-107 flumioxazin + glyphosate — B-108 imazapic + glyphosate — B-109 imazethapyr + glyphosate — B-110 isoxaflutol + H-1 — B-111 isoxaflutol + glyphosate — B-112 metazachlor + H-1 — B-113 metazachlor + glyphosate — B-114 metazachlor + mesotrione — B-115 metazachlor + nicosulfuron — B-116 metazachlor + terbuthylazin — B-117 metazachlor + topramezone — B-118 metribuzin + glyphosate — B-119 pendimethalin + H-1 — B-120 pendimethalin + clodinafop-propargyl — B-121 pendimethalin + fenoxaprop-P-ethyl — B-122 pendimethalin + flupyrsulfuron-methyl-sodium — B-123 pendimethalin + glyphosate — B-124 pendimethalin + mesosulfuron-methyl — B-125 pendimethalin + mesotrionee — B-126 pendimethalin + nicosulfuron — B-127 pendimethalin + pinoxaden — B-128 pendimethalin + pyroxsulam — B-129 pendimethalin + tembotrione — B-130 pendimethalin + topramezone — B-131 pyroxasulfone + tembotrione — B-132 pyroxasulfone + topramezone — B-133 sulfentrazone + glyphosate — B-134 terbuthylazin + H-1 — B-135 terbuthylazin + foramsulfuron — B-136 terbuthylazin + glyphosate — B-137 terbuthylazin + mesotrione — B-138 terbuthylazin + nicosulfuron — B-139 terbuthylazin + tembotrione — B-140 terbuthylazin + topramezone — B-141 trifluralin + glyphosate — B-142 — benoxacor B-143 — cloquintocet B-144 — cyprosulfamide B-145 — dichlormid B-146 — fenchlorazole B-147 — isoxadifen B-148 — mefenpyr B-149 — H-11 B-150 — H-12 B-151 clodinafop-propargyl benoxacor B-152 cycloxydim benoxacor B-153 cyhalofop-butyl benoxacor B-154 fenoxaprop-P-ethyl benoxacor B-155 pinoxaden benoxacor B-156 profoxydim benoxacor B-157 tepraloxydim benoxacor B-158 tralkoxydim benoxacor B-159 esprocarb benoxacor B-160 prosulfocarb benoxacor B-161 thiobencarb benoxacor B-162 triallate benoxacor B-163 bensulfuron-methyl benoxacor B-164 bispyribac-sodium benoxacor B-165 cyclosulfamuron benoxacor B-166 flumetsulam benoxacor B-167 flupyrsulfuron-methyl-sodium benoxacor B-168 foramsulfuron benoxacor B-169 imazamox benoxacor B-170 imazapic benoxacor B-171 imazapyr benoxacor B-172 imazaquin benoxacor B-173 imazethapyr benoxacor B-174 imazosulfuron benoxacor B-175 iodosulfuron-methyl-sodium benoxacor B-176 mesosulfuron benoxacor B-177 nicosulfuron benoxacor B-178 penoxsulam benoxacor B-179 propoxycarbazone-sodium benoxacor B-180 pyrazosulfuron-ethyl benoxacor B-181 pyroxsulam benoxacor B-182 rimsulfuron benoxacor B-183 sulfosulfuron benoxacor B-184 thiencarbazone-methyl benoxacor B-185 tritosulfuron benoxacor B-186 2,4-D and its salts and esters benoxacor B-187 aminopyralid and its salts and esters benoxacor B-188 clopyralid and its salts and esters benoxacor B-189 dicamba and its salts and esters benoxacor B-190 fluroxypyr-meptyl benoxacor B-191 quinclorac benoxacor B-192 quinmerac benoxacor B-193 H-9 benoxacor B-194 diflufenzopyr benoxacor B-195 diflufenzopyr-sodium benoxacor B-196 clomazone benoxacor B-197 diflufenican benoxacor B-198 fluorochloridone benoxacor B-199 isoxaflutol benoxacor B-200 mesotrione benoxacor B-201 picolinafen benoxacor B-202 sulcotrione benoxacor B-203 tefuryltrione benoxacor B-204 tembotrione benoxacor B-205 topramezone benoxacor B-206 H-7 benoxacor B-207 atrazine benoxacor B-208 diuron benoxacor B-209 fluometuron benoxacor B-210 hexazinone benoxacor B-211 isoproturon benoxacor B-212 metribuzin benoxacor B-213 propanil benoxacor B-214 terbuthylazin benoxacor B-215 paraquat dichloride benoxacor B-216 flumioxazin benoxacor B-217 oxyfluorfen benoxacor B-218 sulfentrazone benoxacor B-219 H-1 benoxacor B-220 H-2 benoxacor B-221 glyphosate benoxacor B-222 glyphosate-isopropylammonium benoxacor B-223 glyphosate-trimesium (sulfosate) benoxacor B-224 glufosinate benoxacor B-225 glufosinate-ammonium benoxacor B-226 pendimethalin benoxacor B-227 trifluralin benoxacor B-228 acetochlor benoxacor B-229 cafenstrole benoxacor B-230 dimethenamid-P benoxacor B-231 fentrazamide benoxacor B-232 flufenacet benoxacor B-233 mefenacet benoxacor B-234 metazachlor benoxacor B-235 metolachlor-S benoxacor B-236 pyroxasulfone benoxacor B-237 isoxaben benoxacor B-238 dymron benoxacor B-239 indanofan benoxacor B-240 oxaziclomefone benoxacor B-241 triaziflam benoxacor B-242 atrazine + H-1 benoxacor B-243 atrazine + glyphosate benoxacor B-244 atrazine + mesotrione benoxacor B-245 atrazine + nicosulfuron benoxacor B-246 atrazine + tembotrione benoxacor B-247 atrazine + topramezone benoxacor B-248 clomazone + glyphosate benoxacor B-249 diflufenican + clodinafop-propargyl benoxacor B-250 diflufenican + fenoxaprop-P-ethyl benoxacor B-251 diflufenican + flupyrsulfuron-methyl-sodium benoxacor B-252 diflufenican + glyphosate benoxacor B-253 diflufenican + mesosulfuron-methyl benoxacor B-254 diflufenican + pinoxaden benoxacor B-255 diflufenican + pyroxsulam benoxacor B-256 flumetsulam + glyphosate benoxacor B-257 flumioxazin + glyphosate benoxacor B-258 imazapic + glyphosate benoxacor B-259 imazethapyr + glyphosate benoxacor B-260 isoxaflutol + H-1 benoxacor B-261 isoxaflutol + glyphosate benoxacor B-262 metazachlor + H-1 benoxacor B-263 metazachlor + glyphosate benoxacor B-264 metazachlor + mesotrione benoxacor B-265 metazachlor + nicosulfuron benoxacor B-266 metazachlor + terbuthylazin benoxacor B-267 metazachlor + topramezone benoxacor B-268 metribuzin + glyphosate benoxacor B-269 pendimethalin + H-1 benoxacor B-270 pendimethalin + clodinafop-propargyl benoxacor B-271 pendimethalin + fenoxaprop-P-ethyl benoxacor B-272 pendimethalin + flupyrsulfuron-methyl-sodium benoxacor B-273 pendimethalin + glyphosate benoxacor B-274 pendimethalin + mesosulfuron-methyl benoxacor B-275 pendimethalin + mesotrionee benoxacor B-276 pendimethalin + nicosulfuron benoxacor B-277 pendimethalin + pinoxaden benoxacor B-278 pendimethalin + pyroxsulam benoxacor B-279 pendimethalin + tembotrione benoxacor B-280 pendimethalin + topramezone benoxacor B-281 pyroxasulfone + tembotrione benoxacor B-282 pyroxasulfone + topramezone benoxacor B-283 sulfentrazone + glyphosate benoxacor B-284 terbuthylazin + H-1 benoxacor B-285 terbuthylazin + foramsulfuron benoxacor B-286 terbuthylazin + glyphosate benoxacor B-287 terbuthylazin + mesotrione benoxacor B-288 terbuthylazin + nicosulfuron benoxacor B-289 terbuthylazin + tembotrione benoxacor B-290 terbuthylazin + topramezone benoxacor B-291 trifluralin + glyphosate benoxacor B-292 clodinafop-propargyl cloquintocet B-293 cycloxydim cloquintocet B-294 cyhalofop-butyl cloquintocet B-295 fenoxaprop-P-ethyl cloquintocet B-296 pinoxaden cloquintocet B-297 profoxydim cloquintocet B-298 tepraloxydim cloquintocet B-299 tralkoxydim cloquintocet B-300 esprocarb cloquintocet B-301 prosulfocarb cloquintocet B-302 thiobencarb cloquintocet B-303 triallate cloquintocet B-304 bensulfuron-methyl cloquintocet B-305 bispyribac-sodium cloquintocet B-306 cyclosulfamuron cloquintocet B-307 flumetsulam cloquintocet B-308 flupyrsulfuron-methyl-sodium cloquintocet B-309 foramsulfuron cloquintocet B-310 imazamox cloquintocet B-311 imazapic cloquintocet B-312 imazapyr cloquintocet B-313 imazaquin cloquintocet B-314 imazethapyr cloquintocet B-315 imazosulfuron cloquintocet B-316 iodosulfuron-methyl-sodium cloquintocet B-317 mesosulfuron cloquintocet B-318 nicosulfuron cloquintocet B-319 penoxsulam cloquintocet B-320 propoxycarbazone-sodium cloquintocet B-321 pyrazosulfuron-ethyl cloquintocet B-322 pyroxsulam cloquintocet B-323 rimsulfuron cloquintocet B-324 sulfosulfuron cloquintocet B-325 thiencarbazone-methyl cloquintocet B-326 tritosulfuron cloquintocet B-327 2,4-D and its salts and esters cloquintocet B-328 aminopyralid and its salts and esters cloquintocet B-329 clopyralid and its salts and esters cloquintocet B-330 dicamba and its salts and esters cloquintocet B-331 fluroxypyr-meptyl cloquintocet B-332 quinclorac cloquintocet B-333 quinmerac cloquintocet B-334 H-9 cloquintocet B-335 diflufenzopyr cloquintocet B-336 diflufenzopyr-sodium cloquintocet B-337 clomazone cloquintocet B-338 diflufenican cloquintocet B-339 fluorochloridone cloquintocet B-340 isoxaflutol cloquintocet B-341 mesotrione cloquintocet B-342 picolinafen cloquintocet B-343 sulcotrione cloquintocet B-344 tefuryltrione cloquintocet B-345 tembotrione cloquintocet B-346 topramezone cloquintocet B-347 H-7 cloquintocet B-348 atrazine cloquintocet B-349 diuron cloquintocet B-350 fluometuron cloquintocet B-351 hexazinone cloquintocet B-352 isoproturon cloquintocet B-353 metribuzin cloquintocet B-354 propanil cloquintocet B-355 terbuthylazin cloquintocet B-356 paraquat dichloride cloquintocet B-357 flumioxazin cloquintocet B-358 oxyfluorfen cloquintocet B-359 sulfentrazone cloquintocet B-360 H-1 cloquintocet B-361 H-2 cloquintocet B-362 glyphosate cloquintocet B-363 glyphosate-isopropylammonium cloquintocet B-364 glyphosate-trimesium (sulfosate) cloquintocet B-365 glufosinate cloquintocet B-366 glufosinate-ammonium cloquintocet B-367 pendimethalin cloquintocet B-368 trifluralin cloquintocet B-369 acetochlor cloquintocet B-370 cafenstrole cloquintocet B-371 dimethenamid-P cloquintocet B-372 fentrazamide cloquintocet B-373 flufenacet cloquintocet B-374 mefenacet cloquintocet B-375 metazachlor cloquintocet B-376 metolachlor-S cloquintocet B-377 pyroxasulfone cloquintocet B-378 isoxaben cloquintocet B-379 dymron cloquintocet B-380 indanofan cloquintocet B-381 oxaziclomefone cloquintocet B-382 triaziflam cloquintocet B-383 atrazine + H-1 cloquintocet B-384 atrazine + glyphosate cloquintocet B-385 atrazine + mesotrione cloquintocet B-386 atrazine + nicosulfuron cloquintocet B-387 atrazine + tembotrione cloquintocet B-388 atrazine + topramezone cloquintocet B-389 clomazone + glyphosate cloquintocet B-390 diflufenican + clodinafop-propargyl cloquintocet B-391 diflufenican + fenoxaprop-p-ethyl cloquintocet B-392 diflufenican + flupyrsulfuron-methyl-sodium cloquintocet B-393 diflufenican + glyphosate cloquintocet B-394 diflufenican + mesosulfuron-methyl cloquintocet B-395 diflufenican + pinoxaden cloquintocet B-396 diflufenican + pyroxsulam cloquintocet B-397 flumetsulam + glyphosate cloquintocet B-398 flumioxazin + glyphosate cloquintocet B-399 imazapic + glyphosate cloquintocet B-400 imazethapyr + glyphosate cloquintocet B-401 isoxaflutol + H-1 cloquintocet B-402 isoxaflutol + glyphosate cloquintocet B-403 metazachlor + H-1 cloquintocet B-404 metazachlor + glyphosate cloquintocet B-405 metazachlor + mesotrione cloquintocet B-406 metazachlor + nicosulfuron cloquintocet B-407 metazachlor + terbuthylazin cloquintocet B-408 metazachlor + topramezone cloquintocet B-409 metribuzin + glyphosate cloquintocet B-410 pendimethalin + H-1 cloquintocet B-411 pendimethalin + clodinafop-propargyl cloquintocet B-412 pendimethalin + fenoxaprop-P-ethyl cloquintocet B-413 pendimethalin + flupyrsulfuron-methyl-sodium cloquintocet B-414 pendimethalin + glyphosate cloquintocet B-415 pendimethalin + mesosulfuron-methyl cloquintocet B-416 pendimethalin + mesotrione cloquintocet B-417 pendimethalin + nicosulfuron cloquintocet B-418 pendimethalin + pinoxaden cloquintocet B-419 pendimethalin + pyroxsulam cloquintocet B-420 pendimethalin + tembotrione cloquintocet B-421 pendimethalin + topramezone cloquintocet B-422 pyroxasulfone + tembotrione cloquintocet B-423 pyroxasulfone + topramezone cloquintocet B-424 sulfentrazone + glyphosate cloquintocet B-425 terbuthylazin + H-1 cloquintocet B-426 terbuthylazin + foramsulfuron cloquintocet B-427 terbuthylazin + glyphosate cloquintocet B-428 terbuthylazin + mesotrione cloquintocet B-429 terbuthylazin + nicosulfuron cloquintocet B-430 terbuthylazin + tembotrione cloquintocet B-431 terbuthylazin + topramezone cloquintocet B-432 trifluralin + glyphosate cloquintocet B-433 clodinafop-propargyl dichlormid B-434 cycloxydim dichlormid B-435 cyhalofop-butyl dichlormid B-436 fenoxaprop-P-ethyl dichlormid B-437 pinoxaden dichlormid B-438 profoxydim dichlormid B-439 tepraloxydim dichlormid B-440 tralkoxydim dichlormid B-441 esprocarb dichlormid B-442 prosulfocarb dichlormid B-443 thiobencarb dichlormid B-444 triallate dichlormid B-445 bensulfuron-methyl dichlormid B-446 bispyribac-sodium dichlormid B-447 cyclosulfamuron dichlormid B-448 flumetsulam dichlormid B-449 flupyrsulfuron-methyl-sodium dichlormid B-450 foramsulfuron dichlormid B-451 imazamox dichlormid B-452 imazapic dichlormid B-453 imazapyr dichlormid B-454 imazaquin dichlormid B-455 imazethapyr dichlormid B-456 imazosulfuron dichlormid B-457 iodosulfuron-methyl-sodium dichlormid B-458 mesosulfuron dichlormid B-459 nicosulfuron dichlormid B-460 penoxsulam dichlormid B-461 propoxycarbazone-sodium dichlormid B-462 pyrazosulfuron-ethyl dichlormid B-463 pyroxsulam dichlormid B-464 rimsulfuron dichlormid B-465 sulfosulfuron dichlormid B-466 thiencarbazone-methyl dichlormid B-467 tritosulfuron dichlormid B-468 2,4-D and its salts and esters dichlormid B-469 aminopyralid and its salts and esters dichlormid B-470 clopyralid and its salts and esters dichlormid B-471 dicamba and its salts and esters dichlormid B-472 fluroxypyr-meptyl dichlormid B-473 quinclorac dichlormid B-474 quinmerac dichlormid B-475 H-9 dichlormid B-476 diflufenzopyr dichlormid B-477 diflufenzopyr-sodium dichlormid B-478 clomazone dichlormid B-479 diflufenican dichlormid B-480 fluorochloridone dichlormid B-481 isoxaflutol dichlormid B-482 mesotrione dichlormid B-483 picolinafen dichlormid B-484 sulcotrione dichlormid B-485 tefuryltrione dichlormid B-486 tembotrione dichlormid B-487 topramezone dichlormid B-488 H-7 dichlormid B-489 atrazine dichlormid B-490 diuron dichlormid B-491 fluometuron dichlormid B-492 hexazinone dichlormid B-493 isoproturon dichlormid B-494 metribuzin dichlormid B-495 propanil dichlormid B-496 terbuthylazin dichlormid B-497 paraquat dichloride dichlormid B-498 flumioxazin dichlormid B-499 oxyfluorfen dichlormid B-500 sulfentrazone dichlormid B-501 H-1 dichlormid B-502 H-2 dichlormid B-503 glyphosate dichlormid B-504 glyphosate-isopropylammonium dichlormid B-505 glyphosate-trimesium (sulfosate) dichlormid B-506 glufosinate dichlormid B-507 glufosinate-ammonium dichlormid B-508 pendimethalin dichlormid B-509 trifluralin dichlormid B-510 acetochlor dichlormid B-511 cafenstrole dichlormid B-512 dimethenamid-P dichlormid B-513 fentrazamide dichlormid B-514 flufenacet dichlormid B-515 mefenacet dichlormid B-516 metazachlor dichlormid B-517 metolachlor-S dichlormid B-518 pyroxasulfone dichlormid B-519 isoxaben dichlormid B-520 dymron dichlormid B-521 indanofan dichlormid B-522 oxaziclomefone dichlormid B-523 triaziflam dichlormid B-524 atrazine + H-1 dichlormid B-525 atrazine + glyphosate dichlormid B-526 atrazine + mesotrione dichlormid B-527 atrazine + nicosulfuron dichlormid B-528 atrazine + tembotrione dichlormid B-529 atrazine + topramezone dichlormid B-530 clomazone + glyphosate dichlormid B-531 diflufenican + clodinafop-propargyl dichlormid B-532 diflufenican + fenoxaprop-P-ethyl dichlormid B-533 diflufenican + flupyrsulfuron-methyl-sodium dichlormid B-534 diflufenican + glyphosate dichlormid B-535 diflufenican + mesosulfuron-methyl dichlormid B-536 diflufenican + pinoxaden dichlormid B-537 diflufenican + pyroxsulam dichlormid B-538 flumetsulam + glyphosate dichlormid B-539 flumioxazin + glyphosate dichlormid B-540 imazapic + glyphosate dichlormid B-541 imazethapyr + glyphosate dichlormid B-542 isoxaflutol + H-1 dichlormid B-543 isoxaflutol + glyphosate dichlormid B-544 metazachlor + H-1 dichlormid B-545 metazachlor + glyphosate dichlormid B-546 metazachlor + mesotrione dichlormid B-547 metazachlor + nicosulfuron dichlormid B-548 metazachlor + terbuthylazin dichlormid B-549 metazachlor + topramezone dichlormid B-550 metribuzin + glyphosate dichlormid B-551 pendimethalin + H-1 dichlormid B-552 pendimethalin + clodinafop-propargyl dichlormid B-553 pendimethalin + fenoxaprop-P-ethyl dichlormid B-554 pendimethalin + flupyrsulfuron-methyl-sodium dichlormid B-555 pendimethalin + glyphosate dichlormid B-556 pendimethalin + mesosulfuron-methyl dichlormid B-557 pendimethalin + mesotrione dichlormid B-558 pendimethalin + nicosulfuron dichlormid B-559 pendimethalin + pinoxaden dichlormid B-560 pendimethalin + pyroxsulam dichlormid B-561 pendimethalin + tembotrione dichlormid B-562 pendimethalin + topramezone dichlormid B-563 pyroxasulfone + tembotrione dichlormid B-564 pyroxasulfone + topramezone dichlormid B-565 sulfentrazone + glyphosate dichlormid B-566 ferbuthylazin + H-1 dichlormid B-567 terbuthylazin + foramsulfuron dichlormid B-568 terbuthylazin + glyphosate dichlormid B-569 terbuthylazin + mesotrione dichlormid B-570 terbuthylazin + nicosulfuron dichlormid B-571 terbuthylazin + tembotrione dichlormid B-572 terbuthylazin + topramezone dichlormid B-573 trifluralin + glyphosate dichlormid B-574 clodinafop-propargyl fenchlorazole B-575 cycloxydim fenchlorazole B-576 cyhalofop-butyl fenchlorazole B-577 fenoxaprop-P-ethyl fenchlorazole B-578 pinoxaden fenchlorazole B-579 profoxydim fenchlorazole B-580 tepraloxydim fenchlorazole B-581 tralkoxydim fenchlorazole B-582 esprocarb fenchlorazole B-583 prosulfocarb fenchlorazole B-584 thiobencarb fenchlorazole B-585 triallate fenchlorazole B-586 bensulfuron-methyl fenchlorazole B-587 bispyribac-sodium fenchlorazole B-588 cyclosulfamuron fenchlorazole B-589 flumetsulam fenchlorazole B-590 flupyrsulfuron-methyl-sodium fenchlorazole B-591 foramsulfuron fenchlorazole B-592 imazamox fenchlorazole B-593 imazapic fenchlorazole B-594 imazapyr fenchlorazole B-595 imazaquin fenchlorazole B-596 imazethapyr fenchlorazole B-597 imazosulfuron fenchlorazole B-598 iodosulfuron-methyl-sodium fenchlorazole B-599 mesosulfuron fenchlorazole B-600 nicosulfuron fenchlorazole B-601 penoxsulam fenchlorazole B-602 propoxycarbazone-sodium fenchlorazole B-603 pyrazosulfuron-ethyl fenchlorazole B-604 pyroxsulam fenchlorazole B-605 rimsulfuron fenchlorazole B-606 sulfosulfuron fenchlorazole B-607 thiencarbazone-methyl fenchlorazole B-608 tritosulfuron fenchlorazole B-609 2,4-D and its salts and esters fenchlorazole B-610 aminopyralid and its salts and esters fenchlorazole B-611 clopyralid and its salts and esters fenchlorazole B-612 dicamba and its salts and esters fenchlorazole B-613 fluroxypyr-meptyl fenchlorazole B-614 quinclorac fenchlorazole B-615 quinmerac fenchlorazole B-616 H-9 fenchlorazole B-617 diflufenzopyr fenchlorazole B-618 diflufenzopyr-sodium fenchlorazole B-619 clomazone fenchlorazole B-620 diflufenican fenchlorazole B-621 fluorochloridone fenchlorazole B-622 isoxaflutol fenchlorazole B-623 mesotrione fenchlorazole B-624 picolinafen fenchlorazole B-625 sulcotrione fenchlorazole B-626 tefuryltrione fenchlorazole B-627 tembotrione fenchlorazole B-628 topramezone fenchlorazole B-629 H-7 fenchlorazole B-630 atrazine fenchlorazole B-631 diuron fenchlorazole B-632 fluometuron fenchlorazole B-633 hexazinone fenchlorazole B-634 isoproturon fenchlorazole B-635 metribuzin fenchlorazole B-636 propanil fenchlorazole B-637 terbuthylazin fenchlorazole B-638 paraquat dichloride fenchlorazole B-639 flumioxazin fenchlorazole B-640 oxyfluorfen fenchlorazole B-641 sulfentrazone fenchlorazole B-642 H-1 fenchlorazole B-643 H-2 fenchlorazole B-644 glyphosate fenchlorazole B-645 glyphosate-isopropylammonium fenchlorazole B-646 glyphosate-trimesium (sulfosate) fenchlorazole B-647 glufosinate fenchlorazole B-648 glufosinate-ammonium fenchlorazole B-649 pendimethalin fenchlorazole B-650 trifluralin fenchlorazole B-651 acetochlor fenchlorazole B-652 cafenstrole fenchlorazole B-653 dimethenamid-P fenchlorazole B-654 fentrazamide fenchlorazole B-655 flufenacet fenchlorazole B-656 mefenacet fenchlorazole B-657 metazachlor fenchlorazole B-658 metolachlor-S fenchlorazole B-659 pyroxasulfone fenchlorazole B-660 isoxaben fenchlorazole B-661 dymron fenchlorazole B-662 indanofan fenchlorazole B-663 oxaziclomefone fenchlorazole B-664 friaziflam fenchlorazole B-665 atrazine + H-1 fenchlorazole B-666 atrazine + glyphosate fenchlorazole B-667 atrazine + mesotrione fenchlorazole B-668 atrazine + nicosulfuron fenchlorazole B-669 atrazine + tembotrione fenchlorazole B-670 atrazine + topramezone fenchlorazole B-671 clomazone + glyphosate fenchlorazole B-672 diflufenican + clodinafop-propargyl fenchlorazole B-673 diflufenican + fenoxaprop-P-ethyl fenchlorazole B-674 diflufenican + flupyrsulfuron-methyl-sodium fenchlorazole B-675 diflufenican + glyphosate fenchlorazole B-676 diflufenican + mesosulfuron-methyl fenchlorazole B-677 diflufenican + pinoxaden fenchlorazole B-678 diflufenican + pyroxsulam fenchlorazole B-679 flumetsulam + glyphosate fenchlorazole B-680 flumioxazin + glyphosate fenchlorazole B-681 imazapic + glyphosate fenchlorazole B-682 imazethapyr + glyphosate fenchlorazole B-683 isoxaflutol + H-1 fenchlorazole B-684 isoxaflutol + glyphosate fenchlorazole B-685 metazachlor + H-1 fenchlorazole B-686 metazachlor + glyphosate fenchlorazole B-687 metazachlor + mesotrione fenchlorazole B-688 metazachlor + nicosulfuron fenchlorazole B-689 metazachlor + terbuthylazin fenchlorazole B-690 metazachlor + topramezone fenchlorazole B-691 metribuzin + glyphosate fenchlorazole B-692 pendimethalin + H-1 fenchlorazole B-693 pendimethalin + clodinafop-propargyl fenchlorazole B-694 pendimethalin + fenoxaprop-P-ethyl fenchlorazole B-695 pendimethalin + flupyrsulfuron-methyl-sodium fenchlorazole B-696 pendimethalin + glyphosate fenchlorazole B-697 pendimethalin + mesosulfuron-methyl fenchlorazole B-698 pendimethalin + mesotrione fenchlorazole B-699 pendimethalin + nicosulfuron fenchlorazole B-700 pendimethalin + pinoxaden fenchlorazole B-701 pendimethalin + pyroxsulam fenchlorazole B-702 pendimethalin + tembotrione fenchlorazole B-703 pendimethalin + topramezone fenchlorazole B-704 pyroxasulfone + tembotrione fenchlorazole B-705 pyroxasulfone + topramezone fenchlorazole B-706 sulfentrazone + glyphosate fenchlorazole B-707 terbuthylazin + H-1 fenchlorazole B-708 terbuthylazin + foramsulfuron fenchlorazole B-709 terbuthylazin + glyphosate fenchlorazole B-710 terbuthylazin + mesotrione fenchlorazole B-711 terbuthylazin + nicosulfuron fenchlorazole B-712 terbuthylazin + tembotrione fenchlorazole B-713 terbuthylazin + topramezone fenchlorazole B-714 trifluralin + glyphosate fenchlorazole B-715 clodinafop-propargyl isoxadifen B-716 cycloxydim isoxadifen B-717 cyhalofop-butyl isoxadifen B-718 fenoxaprop-P-ethyl isoxadifen B-719 pinoxaden isoxadifen B-720 profoxydim isoxadifen B-721 tepraloxydim isoxadifen B-722 tralkoxydim isoxadifen B-723 esprocarb isoxadifen B-724 prosulfocarb isoxadifen B-725 thiobencarb isoxadifen B-726 triallate isoxadifen B-727 bensulfuron-methyl isoxadifen B-728 bispyribac-sodium isoxadifen B-729 cyclosulfamuron isoxadifen B-730 flumetsulam isoxadifen B-731 flupyrsulfuron-methyl-sodium isoxadifen B-732 foramsulfuron isoxadifen B-733 imazamox isoxadifen B-734 imazapic isoxadifen B-735 imazapyr isoxadifen B-736 imazaquin isoxadifen B-737 imazethapyr isoxadifen B-738 imazosulfuron isoxadifen B-739 iodosulfuron-methyl-sodium isoxadifen B-740 mesosulfuron isoxadifen B-741 nicosulfuron isoxadifen B-742 penoxsulam isoxadifen B-743 propoxycarbazone-sodium isoxadifen B-744 pyrazosulfuron-ethyl isoxadifen B-745 pyroxsulam isoxadifen B-746 rimsulfuron isoxadifen B-747 sulfosulfuron isoxadifen B-748 thiencarbazone-methyl isoxadifen B-749 tritosulfuron isoxadifen B-750 2,4-D and its salts and esters isoxadifen B-751 aminopyralid and its salts and esters isoxadifen B-752 clopyralid and its salts and esters isoxadifen B-753 dicamba and its salts and esters isoxadifen B-754 fluroxypyr-meptyl isoxadifen B-755 quinclorac isoxadifen B-756 quinmerac isoxadifen B-757 H-9 isoxadifen B-758 diflufenzopyr isoxadifen B-759 diflufenzopyr-sodium isoxadifen B-760 clomazone isoxadifen B-761 diflufenican isoxadifen B-762 fluorochloridone isoxadifen B-763 isoxaflutol isoxadifen B-764 mesotrione isoxadifen B-765 picolinafen isoxadifen B-766 sulcotrione isoxadifen B-767 tefuryltrione isoxadifen B-768 tembotrione isoxadifen B-769 topramezone isoxadifen B-770 H-7 isoxadifen B-771 atrazine isoxadifen B-772 diuron isoxadifen B-773 fluometuron isoxadifen B-774 hexazinone isoxadifen B-775 isoproturon isoxadifen B-776 metribuzin isoxadifen B-777 propanil isoxadifen B-778 terbuthylazin isoxadifen B-779 paraquat dichloride isoxadifen B-780 flumioxazin isoxadifen B-781 oxyfluorfen isoxadifen B-782 sulfentrazone isoxadifen B-783 H-1 isoxadifen B-784 H-2 isoxadifen B-785 glyphosate isoxadifen B-786 glyphosate-isopropylammonium isoxadifen B-787 glyphosate-trimesium (sulfosate) isoxadifen B-788 glufosinate isoxadifen B-789 glufosinate-ammonium isoxadifen B-790 pendimethalin isoxadifen B-791 trifluralin isoxadifen B-792 acetochlor isoxadifen B-793 cafenstrole isoxadifen B-794 dimethenamid-P isoxadifen B-795 fentrazamide isoxadifen B-796 flufenacet isoxadifen B-797 mefenacet isoxadifen B-798 metazachlor isoxadifen B-799 metolachlor-S isoxadifen B-800 pyroxasulfone isoxadifen B-801 isoxaben isoxadifen B-802 dymron isoxadifen B-803 indanofan isoxadifen B-804 oxaziclomefone isoxadifen B-805 triaziflam isoxadifen B-806 atrazine + H-1 isoxadifen B-807 atrazine + glyphosate isoxadifen B-808 atrazine + mesotrione isoxadifen B-809 atrazine + nicosulfuron isoxadifen B-810 atrazine + tembotrione isoxadifen B-811 atrazine + topramezone isoxadifen B-812 clomazone + glyphosate isoxadifen B-813 diflufenican + clodinafop-propargyl isoxadifen B-814 diflufenican + fenoxaprop-P-ethyl isoxadifen B-815 diflufenican + flupyrsulfuron-methyl-sodium isoxadifen B-816 diflufenican + glyphosate isoxadifen B-817 diflufenican + mesosulfuron-methyl isoxadifen B-818 diflufenican + pinoxaden isoxadifen B-819 diflufenican + pyroxsulam isoxadifen B-820 flumetsulam + glyphosate isoxadifen B-821 flumioxazin + glyphosate isoxadifen B-822 imazapic + glyphosate isoxadifen B-823 imazethapyr + glyphosate isoxadifen B-824 isoxaflutol + H-1 isoxadifen B-825 isoxaflutol + glyphosate isoxadifen B-826 metazachlor + H-1 isoxadifen B-827 metazachlor + glyphosate isoxadifen B-828 metazachlor + mesotrione isoxadifen B-829 metazachlor + nicosulfuron isoxadifen B-830 metazachlor + terbuthylazin isoxadifen B-831 metazachlor + topramezone isoxadifen B-832 metribuzin + glyphosate isoxadifen B-833 pendimethalin + H-1 isoxadifen B-834 pendimethalin + clodinafop-propargyl isoxadifen B-835 pendimethalin + fenoxaprop-P-ethyl isoxadifen B-836 pendimethalin + flupyrsulfuron-methyl-sodium isoxadifen B-837 pendimethalin + glyphosate isoxadifen B-838 pendimethalin + mesosulfuron-methyl isoxadifen B-839 pendimethalin + mesotrione isoxadifen B-840 pendimethalin + nicosulfuron isoxadifen B-841 pendimethalin + pinoxaden isoxadifen B-842 pendimethalin + pyroxsulam isoxadifen B-843 pendimethalin + tembotrione isoxadifen B-844 pendimethalin + topramezone isoxadifen B-845 pyroxasulfone + tembotrione isoxadifen B-846 pyroxasulfone + topramezone isoxadifen B-847 sulfentrazone + glyphosate isoxadifen B-848 terbuthylazin + H-1 isoxadifen B-849 terbuthylazin + foramsulfuron isoxadifen B-850 terbuthylazin + glyphosate isoxadifen B-851 terbuthylazin + mesotrione isoxadifen B-852 terbuthylazin + nicosulfuron isoxadifen B-853 terbuthylazin + tembotrione isoxadifen B-854 terbuthylazin + topramezone isoxadifen B-855 trifluralin + glyphosate isoxadifen B-856 clodinafop-propargyl mefenpyr B-857 cycloxydim mefenpyr B-858 cyhalofop-butyl mefenpyr B-859 fenoxaprop-P-ethyl mefenpyr B-860 pinoxaden mefenpyr B-861 profoxydim mefenpyr B-862 tepraloxydim mefenpyr B-863 tralkoxydim mefenpyr B-864 esprocarb mefenpyr B-865 prosulfocarb mefenpyr B-866 thiobencarb mefenpyr B-867 triallate mefenpyr B-868 bensulfuron-methyl mefenpyr B-869 bispyribac-sodium mefenpyr B-870 cyclosulfamuron mefenpyr B-871 flumetsulam mefenpyr B-872 flupyrsulfuron-methyl-sodium mefenpyr B-873 foramsulfuron mefenpyr B-874 imazamox mefenpyr B-875 imazapic mefenpyr B-876 imazapyr mefenpyr B-877 imazaquin mefenpyr B-878 imazethapyr mefenpyr B-879 imazosulfuron mefenpyr B-880 iodosulfuron-methyl-sodium mefenpyr B-881 mesosulfuron mefenpyr B-882 nicosulfuron mefenpyr B-883 penoxsulam mefenpyr B-884 propoxycarbazone-sodium mefenpyr B-885 pyrazosulfuron-ethyl mefenpyr B-886 pyroxsulam mefenpyr B-887 rimsulfuron mefenpyr B-888 sulfosulfuron mefenpyr B-889 thiencarbazone-methyl mefenpyr B-890 tritosulfuron mefenpyr B-891 2,4-D and its salts and esters mefenpyr B-892 aminopyralid and its salts and esters mefenpyr B-893 clopyralid and its salts and esters mefenpyr B-894 dicamba and its salts and esters mefenpyr B-895 fluroxypyr-meptyl mefenpyr B-896 quinclorac mefenpyr B-897 quinmerac mefenpyr B-898 H-9 mefenpyr B-899 diflufenzopyr mefenpyr B-900 diflufenzopyr-sodium mefenpyr B-901 clomazone mefenpyr B-902 diflufenican mefenpyr B-903 fluorochloridone mefenpyr B-904 isoxaflutol mefenpyr B-905 mesotrione mefenpyr B-906 picolinafen mefenpyr B-907 sulcotrione mefenpyr B-908 tefuryltrione mefenpyr B-909 tembotrione mefenpyr B-910 topramezone mefenpyr B-911 H-7 mefenpyr B-912 atrazine mefenpyr B-913 diuron mefenpyr B-914 fluometuron mefenpyr B-915 hexazinone mefenpyr B-916 isoproturon mefenpyr B-917 metribuzin mefenpyr B-918 propanil mefenpyr B-919 terbuthylazin mefenpyr B-920 paraquat dichloride mefenpyr B-921 flumioxazin mefenpyr B-922 oxyfluorfen mefenpyr B-923 sulfentrazone mefenpyr B-924 H-1 mefenpyr B-925 H-2 mefenpyr B-926 glyphosate mefenpyr B-927 glyphosate-isopropylammonium mefenpyr B-928 glyphosate-trimesium (sulfosate) mefenpyr B-929 glufosinate mefenpyr B-930 glufosinate-ammonium mefenpyr B-931 pendimethalin mefenpyr B-932 trifluralin mefenpyr B-933 acetochlor mefenpyr B-934 cafenstrole mefenpyr B-935 dimethenamid-p mefenpyr B-936 fentrazamide mefenpyr B-937 flufenacet mefenpyr B-938 mefenacet mefenpyr B-939 metazachlor mefenpyr B-940 metolachlor-S mefenpyr B-941 pyroxasulfone mefenpyr B-942 isoxaben mefenpyr B-943 dymron mefenpyr B-944 indanofan mefenpyr B-945 oxaziclomefone mefenpyr B-946 triaziflam mefenpyr B-947 atrazine + H-1 mefenpyr B-948 atrazine + glyphosate mefenpyr B-949 atrazine + mesotrione mefenpyr B-950 atrazine + nicosulfuron mefenpyr B-951 atrazine + tembotrione mefenpyr B-952 atrazine + topramezone mefenpyr B-953 clomazone + glyphosate mefenpyr B-954 diflufenican + clodinafop-propargyl mefenpyr B-955 diflufenican + fenoxaprop-P-ethyl mefenpyr B-956 diflufenican + flupyrsulfuron-methyl-sodium mefenpyr B-957 diflufenican + glyphosate mefenpyr B-958 diflufenican + mesosulfuron-methyl mefenpyr B-959 diflufenican + pinoxaden mefenpyr B-960 diflufenican + pyroxsulam mefenpyr B-961 flumetsulam + glyphosate mefenpyr B-962 flumioxazin + glyphosate mefenpyr B-963 imazapic + glyphosate mefenpyr B-964 imazethapyr + glyphosate mefenpyr B-965 isoxaflutol + H-1 mefenpyr B-966 isoxaflutol + glyphosate mefenpyr B-967 metazachlor + H-1 mefenpyr B-968 metazachlor + glyphosate mefenpyr B-969 metazachlor + mesotrione mefenpyr B-970 metazachlor + nicosulfuron mefenpyr B-971 metazachlor + terbuthylazin mefenpyr B-972 metazachlor + topramezone mefenpyr B-973 metribuzin + glyphosate mefenpyr B-974 pendimethalin + H-1 mefenpyr B-975 pendimethalin + clodinafop-propargyl mefenpyr B-976 pendimethalin + fenoxaprop-P-ethyl mefenpyr B-977 pendimethalin + flupyrsulfuron-methyl-sodium mefenpyr B-978 pendimethalin + glyphosate mefenpyr B-979 pendimethalin + mesosulfuron-methyl mefenpyr B-980 pendimethalin + mesotrione mefenpyr B-981 pendimethalin + nicosulfuron mefenpyr B-982 pendimethalin + pinoxaden mefenpyr B-983 pendimethalin + pyroxsulam mefenpyr B-984 pendimethalin + tembotrione mefenpyr B-985 pendimethalin + topramezone mefenpyr B-986 pyroxasulfone + tembotrione mefenpyr B-987 pyroxasulfone + topramezone mefenpyr B-988 sulfentrazone + glyphosate mefenpyr B-989 terbuthylazin + H-1 mefenpyr B-990 terbuthylazin + foramsulfuron mefenpyr B-991 terbuthylazin + glyphosate mefenpyr B-992 terbuthylazin + mesotrione mefenpyr B-993 terbuthylazin + nicosulfuron mefenpyr B-994 terbuthylazin + tembotrione mefenpyr B-995 terbuthylazin + topramezone mefenpyr B-996 trifluralin + glyphosate mefenpyr B-997 clodinafop-propargyl H-12 B-998 cycloxydim H-12 B-999 cyhalofop-butyl H-12 B-1000 fenoxaprop-P-ethyl H-12 B-1001 pinoxaden H-12 B-1002 profoxydim H-12 B-1003 tepraloxydim H-12 B-1004 tralkoxydim H-12 B-1005 esprocarb H-12 B-1006 prosulfocarb H-12 B-1007 thiobencarb H-12 B-1008 triallate H-12 B-1009 bensulfuron-methyl H-12 B-1010 bispyribac-sodium H-12 B-1011 cyclosulfamuron H-12 B-1012 flumetsulam H-12 B-1013 flupyrsulfuron-methyl-sodium H-12 B-1014 foramsulfuron H-12 B-1015 imazamox H-12 B-1016 imazapic H-12 B-1017 imazapyr H-12 B-1018 imazaquin H-12 B-1019 imazethapyr H-12 B-1020 imazosulfuron H-12 B-1021 iodosulfuron-methyl-sodium H-12 B-1022 mesosulfuron H-12 B-1023 nicosulfuron H-12 B-1024 penoxsulam H-12 B-1025 propoxycarbazone-sodium H-12 B-1026 pyrazosulfuron-ethyl H-12 B-1027 pyroxsulam H-12 B-1028 rimsulfuron H-12 B-1029 sulfosulfuron H-12 B-1030 thiencarbazone-methyl H-12 B-1031 tritosulfuron H-12 B-1032 2,4-D and its salts and esters H-12 B-1033 aminopyralid and its salts and esters H-12 B-1034 clopyralid and its salts and esters H-12 B-1035 dicamba and its salts and esters H-12 B-1036 fluroxypyr-meptyl H-12 B-1037 quinclorac H-12 B-1038 quinmerac H-12 B-1039 H-9 H-12 B-1040 diflufenzopyr H-12 B-1041 diflufenzopyr-sodium H-12 B-1042 clomazone H-12 B-1043 diflufenican H-12 B-1044 fluorochloridone H-12 B-1045 isoxaflutol H-12 B-1046 mesotrione H-12 B-1047 picolinafen H-12 B-1048 sulcotrione H-12 B-1049 tefuryltrione H-12 B-1050 tembotrione H-12 B-1051 topramezone H-12 B-1052 H-7 H-12 B-1053 atrazine H-12 B-1054 diuron H-12 B-1055 fluometuron H-12 B-1056 hexazinone H-12 B-1057 isoproturon H-12 B-1058 metribuzin H-12 B-1059 propanil H-12 B-1060 terbuthylazin H-12 B-1061 paraquat dichloride H-12 B-1062 flumioxazin H-12 B-1063 oxyfluorfen H-12 B-1064 sulfentrazone H-12 B-1065 H-1 H-12 B-1066 H-2 H-12 B-1067 glyphosate H-12 B-1068 glyphosate-isopropylammonium H-12 B-1069 glyphosate-trimesium (sulfosate) H-12 B-1070 glufosinate H-12 B-1071 glufosinate-ammonium H-12 B-1072 pendimethalin H-12 B-1073 trifluralin H-12 B-1074 acetochlor H-12 B-1075 cafenstrole H-12 B-1076 dimethenamid-P H-12 B-1077 fentrazamide H-12 B-1078 flufenacet H-12 B-1079 mefenacet H-12 B-1080 metazachlor H-12 B-1081 metolachlor-S H-12 B-1082 pyroxasulfone H-12 B-1083 isoxaben H-12 B-1084 dymron H-12 B-1085 indanofan H-12 B-1086 oxaziclomefone H-12 B-1087 triaziflam H-12 B-1088 atrazine + H-1 H-12 B-1089 atrazine + glyphosate H-12 B-1090 atrazine + mesotrione H-12 B-1091 atrazine + nicosulfuron H-12 B-1092 atrazine + tembotrione H-12 B-1093 atrazine + topramezone H-12 B-1094 clomazone + glyphosate H-12 B-1095 diflufenican + clodinafop-propargyl H-12 B-1096 diflufenican + fenoxaprop-P-ethyl H-12 B-1097 diflufenican + flupyrsulfuron-methyl-sodium H-12 B-1098 diflufenican + glyphosate H-12 B-1099 diflufenican + mesosulfuron-methyl H-12 B-1100 diflufenican + pinoxaden H-12 B-1101 diflufenican + pyroxsulam H-12 B-1102 flumetsulam + glyphosate H-12 B-1103 flumioxazin + glyphosate H-12 B-1104 imazapic + glyphosate H-12 B-1105 imazethapyr + glyphosate H-12 B-1106 isoxaflutol + H-1 H-12 B-1107 isoxaflutol + glyphosate H-12 B-1108 metazachlor + H-1 H-12 B-1109 metazachlor + glyphosate H-12 B-1110 metazachlor + mesotrione H-12 B-1111 metazachlor + nicosulfuron H-12 B-1112 metazachlor + terbuthylazin H-12 B-1113 metazachlor + topramezone H-12 B-1114 metribuzin + glyphosate H-12 B-1115 pendimethalin + H-1 H-12 B-1116 pendimethalin + clodinafop-propargyl H-12 B-1117 pendimethalin + fenoxaprop-P-ethyl H-12 B-1118 pendimethalin + flupyrsulfuron-methyl-sodium H-12 B-1119 pendimethalin + glyphosate H-12 B-1120 pendimethalin + mesosulfuron-methyl H-12 B-1121 pendimethalin + mesotrionee H-12 B-1122 pendimethalin + nicosulfuron H-12 B-1123 pendimethalin + pinoxaden H-12 B-1124 pendimethalin + pyroxsulam H-12 B-1125 pendimethalin + tembotrione H-12 B-1126 pendimethalin + topramezone H-12 B-1127 pyroxasulfone + tembotrione H-12 B-1128 pyroxasulfone + topramezone H-12 B-1129 sulfentrazone + glyphosate H-12 B-1130 terbuthylazin + H-1 H-12 B-1131 terbuthylazin + foramsulfuron H-12 B-1132 terbuthylazin + glyphosate H-12 B-1133 terbuthylazin + mesotrione H-12 B-1134 terbuthylazin + nicosulfuron H-12 B-1135 terbuthylazin + tembotrione H-12 B-1136 terbuthylazin + topramezone H-12 B-1137 trifluralin + glyphosate H-12 B-1138 2-1 — B-1139 2-2 — B-1140 2-3 — B-1141 2-4 — B-1142 2-5 — B-1143 2-6 — B-1144 2-7 — B-1145 2-8 — B-1146 2-9 — B-1147 2-1 benoxacor B-1148 2-2 benoxacor B-1149 2-3 benoxacor B-1150 2-4 benoxacor B-1151 2-5 benoxacor B-1152 2-6 benoxacor B-1153 2-7 benoxacor B-1154 2-8 benoxacor B-1155 2-9 benoxacor B-1156 2-1 cloquintocet B-1157 2-2 cloquintocet B-1158 2-3 cloquintocet B-1159 2-4 cloquintocet B-1160 2-5 cloquintocet B-1161 2-6 cloquintocet B-1162 2-7 cloquintocet B-1163 2-8 cloquintocet B-1164 2-9 cloquintocet B-1165 2-1 cyprosulfamide B-1166 2-2 cyprosulfamide B-1167 2-3 cyprosulfamide B-1168 2-4 cyprosulfamide B-1169 2-5 cyprosulfamide B-1170 2-6 cyprosulfamide B-1171 2-7 cyprosulfamide B-1172 2-8 cyprosulfamide B-1173 2-9 cyprosulfamide B-1174 2-1 dichlormid B-1175 2-2 dichlormid B-1176 2-3 dichlormid B-1177 2-4 dichlormid B-1178 2-5 dichlormid B-1179 2-6 dichlormid B-1180 2-7 dichlormid B-1181 2-8 dichlormid B-1182 2-9 dichlormid B-1183 2-1 fenchlorazole B-1184 2-2 fenchlorazole B-1185 2-3 fenchlorazole B-1186 2-4 fenchlorazole B-1187 2-5 fenchlorazole B-1188 2-6 fenchlorazole B-1189 2-7 fenchlorazole B-1190 2-8 fenchlorazole B-1191 2-9 fenchlorazole B-1192 2-1 isoxadifen B-1193 2-2 isoxadifen B-1194 2-3 isoxadifen B-1195 2-4 isoxadifen B-1196 2-5 isoxadifen B-1197 2-6 isoxadifen B-1198 2-7 isoxadifen B-1199 2-8 isoxadifen B-1200 2-9 isoxadifen B-1201 2-1 mefenpyr B-1202 2-2 mefenpyr B-1203 2-3 mefenpyr B-1204 2-4 mefenpyr B-1205 2-5 mefenpyr B-1206 2-6 mefenpyr B-1207 2-7 mefenpyr B-1208 2-8 mefenpyr B-1209 2-9 mefenpyr B-1210 2-1 H-11 B-1211 2-2 H-11 B-1212 2-3 H-11 B-1213 2-4 H-11 B-1214 2-5 H-11 B-1215 2-6 H-11 B-1216 2-7 H-11 B-1217 2-8 H-11 B-1218 2-9 H-11 B-1219 2-1 H-12 B-1220 2-2 H-12 B-1221 2-3 H-12 B-1222 2-4 H-12 B-1223 2-5 H-12 B-1224 2-6 H-12 B-1225 2-7 H-12 B-1226 2-8 H-12 B-1227 2-9 H-12 - The compounds I and the compositions according to the invention may also have a plant-strengthening action. Accordingly, they are suitable for mobilizing the defense system of the plants against attack by unwanted microorganisms, such as harmful fungi, but also viruses and bacteria. Plant-strengthening (resistance-inducing) substances are to be understood as meaning, in the present context, those substances which are capable of stimulating the defense system of treated plants in such a way that, when subsequently inoculated by unwanted microorganisms, the treated plants display a substantial degree of resistance to these microorganisms.
- The compounds I can be employed for protecting plants against attack by unwanted microorganisms within a certain period of time after the treatment. The period of time within which their protection is effected generally extends from 1 to 28 days, preferably from 1 to 14 days, after the treatment of the plants with the compounds I, or, after treatment of the seed, for up to 9 months after sowing.
- The compounds I and the compositions according to the invention are also suitable for increasing the harvest yield.
- Moreover, they have reduced toxicity and are tolerated well by the plants.
- Hereinbelow, the preparation of pyridine compounds of the formula I is illustrated by way of examples, without limiting the subject matter of the present invention to the examples shown.
- With appropriate modification of the starting materials, the procedures given in the synthesis examples below were used to obtain further compounds I. The compounds obtained in this manner are listed in the table that follows, together with physical data.
- At 20-25° C. 13 g of N,N′-diisopropylcarbodiimide (DIC) were added dropwise to a solution of 14 g of 3-hydroxypyridine-2-carboxylic acid and 18.5 g of pentafluorophenol in 700 ml of CH2Cl2. After the reaction had ended (about 40 min), the solution was allowed to stand at 20-25° C. for about 12 hours. The solvent was removed, and the residue formed was then taken up in water and the solution was extracted with CH2Cl2. The organic phase gave, after drying and removal of the solvent, 29 g of the title compound.
- 3.5 g of K2CO3 were added to a solution of 0.64 g of pentafluorophenyl 3-hydroxy-pyridine-2-carboxylate (from step 1) and 0.5 g of (3-trifluoromethoxyphenyl)acetyl chloride in 150 ml of acetonitrile, and the mixture was stirred at 20-25° C. under an atmosphere of nitrogen for about 12 hours. After filtration, the solvent was removed from the filtrate and the residue obtained was taken up in water and, after acidification to pH<4, extracted with CH2Cl2. The organic phase was dried, then freed from the solvent. The residue gave, after preparative HPLC [column: Luna (2), from Phenomenex, 300*50 mm 10 μm; mobile phase: water (+0.0375% trifluoroacetic acid [TFA]) and acetonitrile in mixing ratios of 80:20 and 50:50; flow rate 80 ml/min; detection at 220 and 254 nm), 20-25° C.], 300 mg of the title compound.
- 1H-NMR (CDCl3) δ 8.55 (m, 1H), 7.74 (m, 1H), 7.58-7.73 (m, 3H), 7.48-7.50 (m, 1H), 7.22-7.26 (m, 1H).
- 0.6 g of triethylamine was added to a solution of 0.45 g of 3-aminopyridine-2-methyl ester and 0.66 g of (2-trifluoromethylphenyl)acetyl chloride in 50 ml of CH2Cl2. After about 6 hours of stirring at 20-25° C., the solution was washed with water. After phase separation, the combined organic phases were dried and then freed from the solvent under reduced pressure. The residue gave, after preparative HPLC (stationary phase Luna 100*21.2 mm C18; mobile phase: water [+0.1% trifluoroacetic acid {TFA}] and methanol 70:30-40:60 gradient over 10 min), 0.8 g of the title compound.
- Under an atmosphere of N2, 4.8 ml of a 1.0 M solution were added at −40° C. to a solution of 0.8 g of the ester from step 1 in 50 ml of THF. After about 15 hours of stirring at 20-25° C., the mixture was diluted with water, and the solution was then extracted with CH2Cl2. After drying, the combined organic phases were freed from the solvent under reduced pressure. The residue gave, after preparative HPLC (see Ex. 1), 200 mg of the title compound.
- A mixture of 1.6 g of (2-chloropyridin-3-yl)methylamine, 0.2 g of [1,1′-bis(diphenyl-phosphino)ferrocene]dichloropalladium(II) and 3.1 ml of triethylamine (TEA) in 30 ml of methanol was stirred under a 50 PSI CO atmosphere at 50° C. for 48 hours. Chromatography on silica gel (mobile phase petroleum ether:ethyl acetate 10:1-3:1) gave 360 mg of the title compound as a colorless oil.
- 488 mg of (2-trifluoromethylphenyl)acetyl chloride were added to a mixture of 360 mg of the ester from step 1 in 30 ml of CH2Cl2. 367 μl of TEA were then added slowly and the mixture was subsequently heated under reflux for 24 hours. The mixture gave, after preparative HPLC, 240 mg of the title compound as a yellow oil.
- 27 mg of NaH were added to a solution of 240 mg of the ester from step 2 and 10 ml of THF. The mixture was stirred at 20-25° C. for about 30 min. Preparative HPLC gave 60 mg of the title compound as a yellow crystalline material.
-
TABLE I Compounds of the formula I which correspond to the formula I.1A′: I.1A′ No. A R3 X R1 R5 (R6)m phys. data 1H-NMR (δ [ppm])#) I-1 N H O OH CF3 H (M): 10.14-10.08 (br,s), 8.60 (d), 7.83 (t), 7.69-7.57 (m), 7.39 (d) I-2 N CH3 O OH CF3 H (M): 8.59 (d), 8.12 (d), 7.80-7.74 (m), 7.68 (t), 7.57 (t), 7.36 (d), 3.72 (s) I-3 N—O1) H O OH CF3 H (D): 11.96 (s), 8.32-8.30 (m), 7.77-7.49 (m), 7.33-7.31 (m) I-4 N—O1) H O OH CHF2 H (M): 8.22 (d), 7.70-7.68 (m), 7.59-7.49 (m), 7.32-7.30 (m), 6.69 (t) I-5 N—O1) H O OH OCF3 H (C): 8.06 (d), 7.52-7.41 (m), 7.40-7.26 (m) I-6 N H O OH CHF2 H (C): 8.48 (d), 7.72-7.48 (m), 7.27 (d), 6.7 (t) I-7 N CH2CF3 O OH CF3 H (M): 8.63-8.61 (m), 8.14-8.12 (m), 7.80-7.78 (m), 7.74-7.70 (m), 7.68-7.66 (m), 7.59-7.55 (m), 7.38-7.36 (m), 5.26-5.07 (m) I-8 N CH2CHF2 O OH CF3 H (C): 8.54-8.53 (m), 7.91-7.89 (m), 7.82-7.80 (m), 7.67-7.63 (m), 7.57-7.53 (m), 7.40-7.38 (m), 6.28-5.98 (m), 4.65-4.57 (m) 1)N—O = N-oxide #)Specification of the solvent: (C) = CDCl3; (M) = CH3OD; (D) = DMSO-d6 - The herbicidal activity of the compounds of the formula I was demonstrated by the following greenhouse experiments:
- The culture containers used were plastic flowerpots containing loamy sand with approximately 3.0% of humus as the substrate. The seeds of the test plants were sown separately for each species.
- For the pre-emergence treatment, the active compounds, which had been suspended or emulsified in water, were applied directly after sowing by means of finely distributing nozzles. The containers were irrigated gently to promote germination and growth and subsequently covered with transparent plastic hoods until the plants had rooted. This cover caused uniform germination of the test plants, unless this has been impaired by the active compounds.
- For the post-emergence treatment, the test plants were first grown to a height of 3 to 15 cm, depending on the plant habit, and then treated with the active compounds which had been suspended or emulsified in water. For this purpose, the test plants were either sown directly and grown in the same containers, or they were first grown separately as seedlings and transplanted into the test containers a few days prior to treatment.
- Depending on the species, the plants were kept at 10-25° C. or 20-35° C. The test period extended over 2 to 4 weeks. During this time, the plants were tended, and their response to the individual treatments was evaluated.
- Evaluation was carried out using a scale from 0 to 100. 100 means no emergence of the plants, or complete destruction of at least the aerial moieties, and 0 means no damage, or normal course of growth. A good herbicidal activity is given at values of at least 70 and a very good herbicidal activity is given at values of at least 85.
- The plants used in the greenhouse experiments belonged to the following species:
-
Bayer code Scientific name Common name AMARE Amaranthus retroflexus Carelessweed AVEFA Avena fatua Spring wild-oat APESV Apera spica-venti Corngrass CHEAL Chenopodium album Pigweed SETFA Setaria faberi Giant foxtail - 1) At application rates of 1.0 kg/ha and 0.5 kg/ha, the active compound I-6 and the active compounds I-7 and I-8, respectively, applied by the post-emergence method, showed very good herbicidal activity against AMARE.
- 2) At an application rate of 3.0 kg/ha, the active compounds I-1 and I-2, applied by the post-emergence method, showed very good herbicidal activity against AVEFA.
- 3) At application rates of 1.0 kg/ha and 0.5 kg/ha, the active compounds I-6 and 1-7, respectively, applied by the post-emergence method, showed good and very good herbicidal activity, respectively, against APESV.
- 4) At an application rate of 0.5 kg/ha, the active compound I-7, applied by the post-emergence method, showed very good herbicidal activity against CHEAL.
- 5) At an application rate of 3.0 kg/ha, the active compounds I-1, I-3 and I-4, respectively, applied by the post-emergence method, showed very good herbicidal activity against SETFA.
Claims (25)
1-15. (canceled)
16. A compound of the formula I
wherein
R1 is O—RA, S(O)n—RA or O—S(O)n—RA;
RA is hydrogen, C1-C4-alkyl, Z—C3-C6-cycloalkyl, C1-C4-haloalkyl, C2-C6-alkenyl, Z—C3-C6-cycloalkenyl, C2-C6-alkynyl, Z-(tri-C1-C4-alkyl)silyl, Z—C(═O)—Ra, Z—NRi—C(O)—NRiRii, Z—P(═O)(Ra)2, NRiRii, a 3- to 7-membered monocyclic or 9- or 10-membered bicyclic saturated, unsaturated or aromatic heterocycle which contains 1, 2, 3 or 4 heteroatoms selected from the group consisting of O, N and S, which may be partially or fully substituted by groups Ra and/or Rb,
Ra is hydrogen, OH, C1-C8-alkyl, C1-C4-haloalkyl, Z—C3-C6-cycloalkyl, C2-C8-alkenyl, Z—C5-C6-cycloalkenyl, C2-C8-alkynyl, Z—C1-C6-alkoxy, Z—C1-C4-haloalkoxy, Z—C3-C8-alkenyloxy, Z—C3-C8-alkynyloxy, NRiRii, C1-C6-alkylsulfonyl, Z-(tri-C1-C4-alkyl)silyl, Z-phenyl, Z-phenoxy, Z-phenylamino or a 5- or 6-membered monocyclic or 9- or 10-membered bicyclic heterocycle which contains 1, 2, 3 or 4 heteroatoms selected from the group consisting of O, N and S, where the cyclic groups are unsubstituted or substituted by 1, 2, 3 or 4 groups Rb;
Ri, Rii independently of one another are hydrogen, C1-C8-alkyl, C1-C4-haloalkyl, C3-C8-alkenyl, C3-C8-alkynyl, Z—C3-C6-cycloalkyl, Z—C1-C8-alkoxy, Z—C1-C8-haloalkoxy, Z—C(═O)—Ra, Z-phenyl, a 3- to 7-membered monocyclic or 9- or 10-membered bicyclic saturated, unsaturated or aromatic heterocycle which contains 1, 2, 3 or 4 heteroatoms selected from the group consisting of O, N and S and which is attached via Z; or
Ri and Rii together with the nitrogen atom to which they are attached may form a 5- or 6-membered monocyclic or 9- or 10-membered bicyclic heterocycle which contains 1, 2, 3 or 4 heteroatoms selected from the group consisting of O, N and S;
Z is a covalent bond or C1-C4-alkylene;
n is 0, 1 or 2;
R2 is phenyl, naphthyl or a 5- or 6-membered monocyclic or 9- or 10-membered bicyclic aromatic heterocycle which contains 1, 2, 3 or 4 heteroatoms selected from the group consisting of O, N and S, where the cyclic groups are unsubstituted or substituted by 1, 2, 3 or 4 groups Rb;
Rb independently of one another are Z—CN, Z—OH, Z—NO2, Z-halogen, C1-C8-alkyl, C1-C4-haloalkyl, C2-C8-alkenyl, C2-C8-alkynyl, Z—C1-C8-alkoxy, Z—C1-C8-haloalkoxy, Z—C3-C10-cycloalkyl, O—Z—C3-C10-cycloalkyl, Z—C(═O)—Ra, NRiRii, Z-(tri-C1-C4-alkyl)silyl, Z-phenyl and S(O)nRbb,
where Rbb is C1-C8-alkyl or C1-C6-haloalkyl and
n is 0, 1 or 2; or
Rb together with the group Rb attached to the adjacent carbon atom may form a five- or six-membered saturated or partially or fully unsaturated ring which, in addition to carbon atoms, may contain 1, 2 or 3 heteroatoms selected from the group consisting of O, N and S;
R3 is hydrogen, C1-C6-alkyl, C1-C4-haloalkyl, C2-C6-alkenyl, C3-C6-alkynyl, Z—C3-C10-cycloalkyl, C1-C6-alkoxy-C1-C6-alkyl, C1-C6-cyanoalkyl, Z-phenyl, Z—C(═O)—Ra2 or tri-C1-C4-alkylsilyl;
Ra2 is C1-C6-alkyl, C1-C4-haloalkyl, Z—C1-C6-alkoxy, Z—C1-C4-haloalkoxy or NRiRii;
A, E, G, M are N or C—Rc, one of these groups being N;
Rc is hydrogen or one of the groups mentioned for Rb;
where in the groups RA, R2, R3 and their subsubtituents, the carbon chains and/or the cyclic groups may be partially or fully substituted by groups R1,
or a N-oxide or an agriculturally suitable salt thereof.
17. The compound of the formula I according to claim 16 , wherein
R1 is O—RA or S(O)n—RA;
RA is hydrogen, C1-C4-alkyl, Z—C3-C6-cycloalkyl, C1-C4-haloalkyl, C2-C6-alkenyl, Z—C3-C6-cycloalkenyl, C2-C6-alkynyl, Z-(tri-C1-C4-alkyl)silyl, Z—C(═O)-1e, Z—P(═O)(Ra)2, a 3- to 7-membered monocyclic or 9- or 10-membered bicyclic saturated, unsaturated or aromatic heterocycle which contains 1, 2, 3 or 4 heteroatoms selected from the group consisting of O, N and S which may be partially or fully substituted by groups Ra and/or Rb, and which is attached via C or N,
Ra is hydrogen, OH, C1-C8-alkyl, C1-C4-haloalkyl, Z—C3-C6-cycloalkyl, C2-8-alkenyl, Z—C5-C6-cycloalkenyl, C2-C8-alkynyl, Z—C1-C6-alkoxy, Z—C1-C4-haloalkoxy, Z—C3-C8-alkenyloxy, Z—C3-C8-alkynyloxy, NRiRii, C1-C6-alkylsulfonyl, Z-(tri-C1-C4-alkyl)silyl, Z-phenyl, Z-phenoxy, Z-phenylamino or a 5- or 6-membered monocyclic or 9- or 10-membered bicyclic heterocycle which contains 1, 2, 3 or 4 heteroatoms selected from the group consisting of O, N and S, where the cyclic groups are unsubstituted or substituted by 1, 2, 3 or 4 groups Rb;
Ri, Rii independently of one another are hydrogen, C1-C8-alkyl, haloalkyl, C3-C8-alkenyl, C3-C8-alkynyl, Z—C3-C6-cycloalkyl, Z—C1-C8-alkoxy, or Z—C1-C8-haloalkoxy; or
Ri and Rii together with the nitrogen atom to which they are attached may form a 5- or 6-membered monocyclic or 9- or 10-membered bicyclic heterocycle which contains 1, 2, 3 or 4 heteroatoms selected from the group consisting of O, N and S.
18. The compound of the formula I according to claim 16 , wherein X is S.
19. The compound of the formula I according to claim 16 , wherein X is NR3.
20. The compound of the formula I according to claim 16 , wherein RA is hydrogen, C1-C6-alkylcarbonyl or OS(O)n—RA.
21. The compound of the formula I according to claim 16 , wherein a group R3 is CH2C6H5 or tri-C1-C4-alkylsilyl.
24. The compound of the formula I.1 according to claim 23 , in which
Rc2, Rc3 and Rc4 are H,
R1 is OH, OCH3, OC(O)CH3, OC(O)CH2CH3, OC(O)CH(CH3)2, OC(O)C(CH3)3, OC(O)-c-C3H5, OC(O)—C6H5, OC(O)—CH2C6H5, OC(O)CH2Cl, OC(O)—CF3, OC(O)—CH2OCH3, OC(O)—N(CH3)2 or OC(O)—OCH2CH3;
R2 is phenyl which is substituted by a group selected from the group consisting of 2-Br, 2-Cl, 2,4-Cl2, 2-Cl-4-F, 2-Cl-5-F, 2-Cl-6-F, 2-Cl-4-CF3, 2-Cl-5-CF3, 2-Cl-6-CF3, 2-Cl-3,6-F2, 2-F, 2,4-F2, 2,5-F2, 2,6-F2, 2-F-4-CF3, 2-F-5-CF3, 2-F-6-CF3, 2,3,6-F3, 2-NO2, 2-NO2-4-F, 2-NO2-5-F, 2-NO2-6-F, 2-NO2-4-CF3, 2-NO2-5-CF3, 2-NO2-6-CF3, 2-NO2-3,6-F2, 2-CN, 2-CH3, 2-CH3-4-F, 2-CH3-5-F, 2-CH3-6-F, 2-CH3-4-CF3, 2-CH3-5-CF3, 2-CH3-6-CF3, 2-CH3-3,6-F2, 2-OCH3, 2-OCH3-4-F, 2-OCH3-5-F, 2-OCH3-6-F, 2-OCH3-4-CF3, 2-OCH3-5-CF3, 2-OCH3-6-CF3, 2-OCH3-3,6-F2, 2-CHF2, 2-CHF2-4-F, 2-CHF2-5-F, 2-CHF2-6-F, 2-CHF2-4-CF3, 2-CHF2-5-CF3, 2-CHF2-6-CF3, 2-CHF2-3,6-F2, 2-CF3, 2-CF3-4-F, 2-CF3-5-F, 2-CF3-6-F, 2-CF3-4-CF3, 2-CF3-5-CF3, 2-CF3-6-CF3, 2-CF3-3,6-F2, 2-OCHF2, 2-OCHF2-4-F, 2-OCHF2-5-F, 2-OCHF2-6-F, 2-OCHF2-4-CF3, 2-OCHF2-5-CF3, 2-OCHF2-6-CF3, 2-OCHF2-3,6-F2, 2-OCF3, 2-OCF3-4-F, 2-OCF3-5-F, 2-OCF3-6-F, 2-OCF3-4-CF3, 2-OCF3-5-CF3, 2-OCF3-6-CF3 and 2-OCF3-3,6-F2;
R3 is selected from the group consisting of H, CH3, C2H5, n-C3H7, CH(CH3)2, n-C4H9, CH2CH═CH2, CH2C≡CH, CH2CN and CH2C6H5; and
X is O or S;
with the provisos that
a) R1 is not OH, OC(O)CH(CH3)2 or OC(O)C(CH3)3 if R2 is 2,4-Cl2-phenyl, 2-Cl-3,6-F2-phenyl or 2-OCF3-phenyl, R3 is CH3 and X is O, and
b) R1 is not OH if R2 is 2,4-Cl2-phenyl or 2-OCF3-phenyl, R3 is H and X is O.
25. The compound of the formula I according to claim 16 which corresponds to the formula I.4
26. A process for preparing the compound of the formula I according to claim 16 by reacting a compound of formula II
in which Hal is a halogen atom or another suitable nucleophilic leaving group to give a compound of the formula IV,
which, with agents H-L1 in which L1 is a nucleophilic leaving group is converted into a compound of the formula V
27. A composition comprising a herbicidally effective amount of at least one compound of the formula I or an agriculturally suitable salt thereof according to claim 16 and auxiliaries customary for formulating crop protection agents.
28. The composition according to claim 27 which comprises at least one further active compound.
29. The composition according to claim 28 in the form of a crop protection composition formulated as a 2-component composition comprising a first component comprising at least one compound of the formula I according to claim 16 and a second component comprising at least one further active compound of groups b1 to b15:
b1) lipid biosynthesis inhibitors,
b2) ALS inhibitors,
b3) photosynthesis inhibitors,
b4) protoporphyrinogen-IX oxidase inhibitors,
b5) bleacher herbicides,
b6) EPSP synthase inhibitors,
b7) glutamine synthase inhibitors,
b8) DHP synthase inhibitors,
b9) mitose inhibitors,
b10) VLCFA inhibitors,
b11) cellulose biosynthesis inhibitors,
b12) decoupler herbicides,
b13) auxin herbicides,
b14) auxin transport inhibitors,
b15) other herbicides.
30. A method for controlling unwanted vegetation which comprises allowing a herbicidally effective amount of a compound of claim 16 to act on plants, their seed and/or their habitat.
31. The method of claim 30 , wherein
R1 is O—RA or S(O)n—RA;
RA is hydrogen, C1-C4-alkyl, Z—C3-C6-cycloalkyl, C1-C4-haloalkyl, C2-C6-alkenyl, Z—C3-C6-cycloalkenyl, C2-C6-alkynyl, Z-(tri-C1-C4-alkyl)silyl, Z—C(═O)—Ra, Z—P(═O)(Ra)2, a 3- to 7-membered monocyclic or 9- or 10-membered bicyclic saturated, unsaturated or aromatic heterocycle which contains 1, 2, 3 or 4 heteroatoms selected from the group consisting of O, N and S which may be partially or fully substituted by groups Ra and/or Rb, and which is attached via C or N,
Ra is hydrogen, OH, C1-C8-alkyl, C1-C4-haloalkyl, Z—C3-C6-cycloalkyl, C2-8-alkenyl, Z—C5-C6-cycloalkenyl, C2-C8-alkynyl, Z—C1-C6-alkoxy, Z—C1-C4-haloalkoxy, Z—C3-C8-alkenyloxy, Z—C3-C8-alkynyloxy, NRiRii, C1-C6-alkylsulfonyl, Z-(tri-C1-C4-alkyl)silyl, Z-phenyl, Z-phenoxy, Z-phenylamino or a 5- or 6-membered monocyclic or 9- or 10-membered bicyclic heterocycle which contains 1, 2, 3 or 4 heteroatoms selected from the group consisting of O, N and S, where the cyclic groups are unsubstituted or substituted by 1, 2, 3 or 4 groups Rb;
Ri, Rii independently of one another are hydrogen, C1-C8-alkyl, C1-C4-haloalkyl, C3-C8-alkenyl, C3-C8-alkynyl, Z—C3-C6-cycloalkyl, Z—C1-C8-alkoxy, or Z—C1-C8-haloalkoxy; or
Ri and Rii together with the nitrogen atom to which they are attached may form a 5- or 6-membered monocyclic or 9- or 10-membered bicyclic heterocycle which contains 1, 2, 3 or 4 heteroatoms selected from the group consisting of O, N and S.
32. The method of claim 30 , wherein X is S.
33. The method of claim 30 , wherein X is NR3.
34. The method of claim 30 , wherein RA is hydrogen, C1-C6-alkylcarbonyl or OS(O)n—RA.
35. The method of claim 30 , wherein R3 is CH2C6H5 or tri-C1-C4-alkylsilyl.
38. The method of claim 37 , wherein
Rc2, Rc3 and Rc4 are H,
R1 is OH, OCH3, OC(O)CH3, OC(O)CH2CH3, OC(O)CH(CH3)2, OC(O)C(CH3)3, OC(O)-c-C3H5, OC(O)—C6H5, OC(O)—CH2C6H5, OC(O)CH2Cl, OC(O)—CF3, OC(O)—CH2OCH3, OC(O)—N(CH3)2 or OC(O)—OCH2CH3;
R2 is phenyl which is substituted by a group selected from the group consisting of 2-Br, 2-Cl, 2,4-Cl2, 2-Cl-4-F, 2-Cl-5-F, 2-Cl-6-F, 2-Cl-4-CF3, 2-Cl-5-CF3, 2-Cl-6-CF3, 2-Cl-3,6-F2, 2-F, 2,4-F2, 2,5-F2, 2,6-F2, 2-F-4-CF3, 2-F-5-CF3, 2-F-6-CF3, 2,3,6-F3, 2-NO2, 2-NO2-4-F, 2-NO2-5-F, 2-NO2-6-F, 2-NO2-4-CF3, 2-NO2-5-CF3, 2-NO2-6-CF3, 2-NO2-3,6-F2, 2-CN, 2-CH3, 2-CH3-4-F, 2-CH3-5-F, 2-CH3-6-F, 2-CH3-4-CF3, 2-CH3-5-CF3, 2-CH3-6-CF3, 2-CH3-3,6-F2, 2-OCH3, 2-OCH3-4-F, 2-OCH3-5-F, 2-OCH3-6-F, 2-OCH3-4-CF3, 2-OCH3-5-CF3, 2-OCH3-6-CF3, 2-OCH3-3,6-F2, 2-CHF2, 2-CHF2-4-F, 2-CHF2-5-F, 2-CHF2-6-F, 2-CHF2-4-CF3, 2-CHF2-5-CF3, 2-CHF2-6-CF3, 2-CHF2-3,6-F2, 2-CF3, 2-CF3-4-F, 2-CF3-5-F, 2-CF3-6-F, 2-CF3-4-CF3, 2-CF3-5-CF3, 2-CF3-6-CF3, 2-CF3-3,6-F2, 2-OCHF2, 2-OCHF2-4-F, 2-OCHF2-5-F, 2-OCHF2-6-F, 2-OCHF2-4-CF3, 2-OCHF2-5-CF3, 2-OCHF2-6-CF3, 2-OCHF2-3,6-F2, 2-OCF3, 2-OCF3-4-F, 2-OCF3-5-F, 2-OCF3-6-F, 2-OCF3-4-CF3, 2-OCF3-5-CF3, 2-OCF3-6-CF3 and 2-OCF3-3,6-F2;
R3 is selected from the group consisting of H, CH3, C2H5, n-C3H7, CH(CH3)2, n-C4H9, CH2CH═CH2, CH2C≡CH, CH2CN and CH2C6H5; and
X is O or S;
with the provisos that
a) R1 is not OH, OC(O)CH(CH3)2 or OC(O)C(CH3)3 if R2 is 2,4-Cl-2-phenyl, 2-Cl-3,6-F2-phenyl or 2-OCF3-phenyl, R3 is CH3 and X is O, and
b) R1 is not OH if R2 is 2,4-Cl2-phenyl or 2-OCF3-phenyl, R3 is H and X is O.
Applications Claiming Priority (3)
| Application Number | Priority Date | Filing Date | Title |
|---|---|---|---|
| EP08167850.0 | 2008-10-29 | ||
| EP08167850 | 2008-10-29 | ||
| PCT/EP2009/063386 WO2010049269A1 (en) | 2008-10-29 | 2009-10-14 | Substituted pyridines having a herbicidal effect |
Publications (1)
| Publication Number | Publication Date |
|---|---|
| US20110201501A1 true US20110201501A1 (en) | 2011-08-18 |
Family
ID=41319883
Family Applications (2)
| Application Number | Title | Priority Date | Filing Date |
|---|---|---|---|
| US13/126,270 Abandoned US20110201501A1 (en) | 2008-10-29 | 2009-10-14 | Substituted Pyridines Having a Herbicidal Effect |
| US13/126,267 Expired - Fee Related US8338337B2 (en) | 2008-10-29 | 2009-10-14 | Substituted pyridines having a herbicidal effect |
Family Applications After (1)
| Application Number | Title | Priority Date | Filing Date |
|---|---|---|---|
| US13/126,267 Expired - Fee Related US8338337B2 (en) | 2008-10-29 | 2009-10-14 | Substituted pyridines having a herbicidal effect |
Country Status (18)
| Country | Link |
|---|---|
| US (2) | US20110201501A1 (en) |
| EP (2) | EP2350074B1 (en) |
| JP (2) | JP5681634B2 (en) |
| KR (1) | KR20110082058A (en) |
| CN (2) | CN102203091B (en) |
| AR (2) | AR074069A1 (en) |
| AU (1) | AU2009309837A1 (en) |
| BR (2) | BRPI0919652A2 (en) |
| CA (1) | CA2741138A1 (en) |
| CL (1) | CL2011000955A1 (en) |
| CR (1) | CR20110266A (en) |
| EA (1) | EA201100661A1 (en) |
| IL (1) | IL212536A0 (en) |
| MX (1) | MX2011004396A (en) |
| TW (2) | TW201022263A (en) |
| UY (2) | UY32211A (en) |
| WO (2) | WO2010049270A1 (en) |
| ZA (1) | ZA201103873B (en) |
Cited By (42)
| Publication number | Priority date | Publication date | Assignee | Title |
|---|---|---|---|---|
| WO2013040117A1 (en) | 2011-09-13 | 2013-03-21 | Monsanto Technology Llc | Methods and compositions for weed control |
| US8440594B2 (en) | 2010-03-23 | 2013-05-14 | Basf Se | Pyridothiazines having herbicidal action |
| US8575068B2 (en) | 2010-03-23 | 2013-11-05 | Basf Se | Pyrazinothiazines having herbicidal action |
| US8809535B2 (en) | 2010-03-23 | 2014-08-19 | Basf Se | Substituted pyridines having herbicidal action |
| WO2014151255A1 (en) | 2013-03-15 | 2014-09-25 | Monsanto Technology Llc | Methods and compositions for weed control |
| US8921273B2 (en) | 2010-03-23 | 2014-12-30 | Basf Se | Substituted pyridazines having herbicidal action |
| US20150005168A1 (en) * | 2011-11-02 | 2015-01-01 | Basf Se | Plants having increased tolerance to herbicides |
| US9121022B2 (en) | 2010-03-08 | 2015-09-01 | Monsanto Technology Llc | Method for controlling herbicide-resistant plants |
| US9416363B2 (en) | 2011-09-13 | 2016-08-16 | Monsanto Technology Llc | Methods and compositions for weed control |
| US9422558B2 (en) | 2011-09-13 | 2016-08-23 | Monsanto Technology Llc | Methods and compositions for weed control |
| US9422557B2 (en) | 2011-09-13 | 2016-08-23 | Monsanto Technology Llc | Methods and compositions for weed control |
| US9540642B2 (en) | 2013-11-04 | 2017-01-10 | The United States Of America, As Represented By The Secretary Of Agriculture | Compositions and methods for controlling arthropod parasite and pest infestations |
| US9777288B2 (en) | 2013-07-19 | 2017-10-03 | Monsanto Technology Llc | Compositions and methods for controlling leptinotarsa |
| US9850496B2 (en) | 2013-07-19 | 2017-12-26 | Monsanto Technology Llc | Compositions and methods for controlling Leptinotarsa |
| US10041087B2 (en) | 2012-06-19 | 2018-08-07 | BASF Agro B.V. | Plants having increased tolerance to herbicides |
| US10041068B2 (en) | 2013-01-01 | 2018-08-07 | A. B. Seeds Ltd. | Isolated dsRNA molecules and methods of using same for silencing target molecules of interest |
| US10087460B2 (en) | 2013-08-12 | 2018-10-02 | BASF Agro B.V. | Transgenic or non-transgenic plants with mutated protoporphyrinogen oxidase having increased tolerance to herbicides |
| US10100329B2 (en) | 2012-06-19 | 2018-10-16 | BASF Agro B.V. | Plants having increased tolerance to herbicides |
| US10240162B2 (en) | 2012-05-24 | 2019-03-26 | A.B. Seeds Ltd. | Compositions and methods for silencing gene expression |
| US10294488B2 (en) | 2012-12-18 | 2019-05-21 | Basf Se | Herbicide-metabolizing cytochrome P450 monooxygenases |
| US10334848B2 (en) | 2014-01-15 | 2019-07-02 | Monsanto Technology Llc | Methods and compositions for weed control using EPSPS polynucleotides |
| US10378012B2 (en) | 2014-07-29 | 2019-08-13 | Monsanto Technology Llc | Compositions and methods for controlling insect pests |
| US10392630B2 (en) | 2013-08-12 | 2019-08-27 | BASF Agro B.V. | Plants having increased tolerance to herbicides |
| US10557138B2 (en) | 2013-12-10 | 2020-02-11 | Beeologics, Inc. | Compositions and methods for virus control in Varroa mite and bees |
| US10609930B2 (en) | 2013-03-13 | 2020-04-07 | Monsanto Technology Llc | Methods and compositions for weed control |
| US10612019B2 (en) | 2013-03-13 | 2020-04-07 | Monsanto Technology Llc | Methods and compositions for weed control |
| US10619138B2 (en) | 2013-08-12 | 2020-04-14 | Basf Se | Herbicide-resistant hydroxyphenylpyruvate dioxygenases |
| US10655136B2 (en) | 2015-06-03 | 2020-05-19 | Monsanto Technology Llc | Methods and compositions for introducing nucleic acids into plants |
| US10683505B2 (en) | 2013-01-01 | 2020-06-16 | Monsanto Technology Llc | Methods of introducing dsRNA to plant seeds for modulating gene expression |
| US10760086B2 (en) | 2011-09-13 | 2020-09-01 | Monsanto Technology Llc | Methods and compositions for weed control |
| US10801028B2 (en) | 2009-10-14 | 2020-10-13 | Beeologics Inc. | Compositions for controlling Varroa mites in bees |
| US10806146B2 (en) | 2011-09-13 | 2020-10-20 | Monsanto Technology Llc | Methods and compositions for weed control |
| US10808249B2 (en) | 2011-09-13 | 2020-10-20 | Monsanto Technology Llc | Methods and compositions for weed control |
| US10829828B2 (en) | 2011-09-13 | 2020-11-10 | Monsanto Technology Llc | Methods and compositions for weed control |
| US10883103B2 (en) | 2015-06-02 | 2021-01-05 | Monsanto Technology Llc | Compositions and methods for delivery of a polynucleotide into a plant |
| US10888579B2 (en) | 2007-11-07 | 2021-01-12 | Beeologics Inc. | Compositions for conferring tolerance to viral disease in social insects, and the use thereof |
| US10968449B2 (en) | 2015-01-22 | 2021-04-06 | Monsanto Technology Llc | Compositions and methods for controlling Leptinotarsa |
| US10988764B2 (en) | 2014-06-23 | 2021-04-27 | Monsanto Technology Llc | Compositions and methods for regulating gene expression via RNA interference |
| CN113180040A (en) * | 2021-04-21 | 2021-07-30 | 南京吉星生物技术开发有限公司 | Combination of penoxsulam and safener (mefenpyr-diethyl) for relieving wheat phytotoxicity and application thereof |
| US11091770B2 (en) | 2014-04-01 | 2021-08-17 | Monsanto Technology Llc | Compositions and methods for controlling insect pests |
| US11274313B2 (en) | 2010-12-16 | 2022-03-15 | BASF Agro B.V. | Plants having increased tolerance to herbicides |
| US11807857B2 (en) | 2014-06-25 | 2023-11-07 | Monsanto Technology Llc | Methods and compositions for delivering nucleic acids to plant cells and regulating gene expression |
Families Citing this family (30)
| Publication number | Priority date | Publication date | Assignee | Title |
|---|---|---|---|---|
| EP2350074B1 (en) * | 2008-10-29 | 2013-03-06 | Basf Se | Substituted pyridines having a herbicidal effect |
| WO2010139658A1 (en) | 2009-06-05 | 2010-12-09 | Basf Se | Substituted pyridopyrazines with a herbicidal action |
| WO2011057942A1 (en) * | 2009-11-12 | 2011-05-19 | Basf Se | Insecticidal methods using pyridine compounds |
| AU2011254317A1 (en) | 2010-05-04 | 2012-11-22 | Basf Se | Plants having increased tolerance to herbicides |
| CN103189376B (en) * | 2010-09-01 | 2016-02-24 | 拜耳知识产权有限责任公司 | There is ketone group sultam and the diketo pyridine of weeding activity |
| WO2012028580A1 (en) | 2010-09-01 | 2012-03-08 | Bayer Cropscience Ag | Herbicide-effective pyridyl ketosultams |
| US8877683B2 (en) * | 2010-12-23 | 2014-11-04 | Basf Se | Substituted pyridines having herbicidal activity |
| CN103596959A (en) * | 2011-06-09 | 2014-02-19 | 巴斯夫欧洲公司 | Substituted pyridines having herbicidal activity |
| WO2012168241A1 (en) * | 2011-06-09 | 2012-12-13 | Basf Se | Substituted pyrazines having herbicidal activity |
| MX350775B (en) | 2011-09-13 | 2017-09-15 | Monsanto Technology Llc | Methods and compositions for weed control. |
| CA2848576A1 (en) | 2011-09-13 | 2013-03-21 | Monsanto Technology Llc | Methods and compositions for weed control comprising topical application of 4-hydroxyphenyl-pyruvate-dioxygenase (hppd)-inhibiting polynucleotides |
| CN103958686A (en) | 2011-09-13 | 2014-07-30 | 孟山都技术公司 | Methods and compositions for weed control |
| WO2013144096A1 (en) * | 2012-03-27 | 2013-10-03 | Bayer Intellectual Property Gmbh | Herbicidally and insecticidally active thiazolopyridinones |
| EP2992090A4 (en) | 2013-04-30 | 2017-01-11 | Basf Se | Plants having increased tolerance to herbicides |
| CN105358697A (en) | 2013-04-30 | 2016-02-24 | 巴斯夫欧洲公司 | Plants having increased tolerance to herbicides |
| GB201507497D0 (en) | 2015-04-30 | 2015-06-17 | Syngenta Participations Ag | Herbicidal compounds |
| US20190062777A1 (en) | 2015-06-17 | 2019-02-28 | BASF Agro B.V. | Plants having increased tolerance to herbicides |
| US10045532B2 (en) * | 2015-07-07 | 2018-08-14 | Valent U.S.A., Corporation | Synergistic herbicidal mixtures for glyphosate-resistant volunteer corn control |
| EP3133065A1 (en) | 2015-08-21 | 2017-02-22 | Merck Patent GmbH | Compounds for optically active devices |
| US12203089B2 (en) | 2015-10-22 | 2025-01-21 | Basf Se | Plants having increased tolerance to herbicides |
| WO2017068544A1 (en) | 2015-10-22 | 2017-04-27 | Basf Se | Plants having increased tolerance to herbicides |
| UA127406C2 (en) | 2016-07-15 | 2023-08-16 | Басф Се | Plants having increased tolerance to herbicides |
| US11149030B2 (en) | 2016-07-27 | 2021-10-19 | BASF Agro B.V. | Plants having increased tolerance to herbicides |
| CN110382702A (en) | 2016-12-20 | 2019-10-25 | 巴斯夫农业公司 | Plants with increased herbicide tolerance |
| EP3363793A1 (en) | 2017-02-15 | 2018-08-22 | Merck Patent GmbH | Hydrophobic compounds for optically active devices |
| EP3363786A1 (en) | 2017-02-15 | 2018-08-22 | Merck Patent GmbH | Compounds for optically active devices |
| US11479786B2 (en) | 2017-11-29 | 2022-10-25 | Basf Se | Plants having increased tolerance to herbicides |
| BR112020013929A2 (en) | 2018-01-17 | 2020-12-01 | Basf Se | plants or parts of the plant, seed, plant cells, plant product, progeny or descending plant, methods for controlling weeds, for producing a plant and for producing a descending plant, nucleic acid molecule, expression cassette, vector, polypeptide, method to produce a plant product and plant product |
| MX2022006370A (en) | 2019-11-25 | 2022-09-07 | Amgen Inc | HETEROCYCLIC COMPOUNDS AS DELTA-5 DESATURASE INHIBITORS AND METHODS OF USE. |
| MX2022011615A (en) | 2020-05-20 | 2022-12-15 | AMO Ireland | Azacoumarin and azathiocoumarin derivatives for use in optically active devices. |
Citations (3)
| Publication number | Priority date | Publication date | Assignee | Title |
|---|---|---|---|---|
| US5801183A (en) * | 1995-01-27 | 1998-09-01 | State Of Oregon, Acting By And Through The Oregon State Board Of Higher Education, Acting For And On Behalf Of The Oregon Health Sciences University And The University Of Oregon | Aza and aza (N-oxy) analogs of glycine/NMDA receptor antagonists |
| US20040087577A1 (en) * | 2002-11-01 | 2004-05-06 | Pratt John K | Anti-infective agents |
| US20060160811A1 (en) * | 2003-07-18 | 2006-07-20 | Oliver Wagner | Aryl-condensed 3-arylpridine compounds and use thereof for controlling pathogenic fungi |
Family Cites Families (18)
| Publication number | Priority date | Publication date | Assignee | Title |
|---|---|---|---|---|
| CA988523A (en) * | 1972-06-16 | 1976-05-04 | Merck Sharp And Dohme (I.A.) Corp. | 1,8-naphthyridine compounds |
| DE3368929D1 (en) * | 1982-04-26 | 1987-02-12 | Schering Corp | 1,8-NAPHTHYRIDINE AND 1,5,8-AZANAPHTHYRIDINE DERIVATIVES |
| ES2046167T3 (en) | 1985-12-13 | 1994-02-01 | American Cyanamid Company | PROCEDURE FOR THE PREPARATION OF HERBICIDE COMPOSITIONS OF CONDENSED (2-IMIDAZOLIN-2-IL) -HETEROPYRIDINE. |
| JPH0748359A (en) * | 1992-10-16 | 1995-02-21 | Nippon Soda Co Ltd | Condensed pyrimidine derivative, herbicide and agricultural/horticustural bactericide |
| GB9409264D0 (en) * | 1994-05-10 | 1994-06-29 | Boots Co Ltd | Therapeutic agents |
| US5563280A (en) | 1994-07-25 | 1996-10-08 | American Cyanamid Co. | 4-Phenoxycoumarins as herbicidal agents |
| DE19544457A1 (en) * | 1995-11-29 | 1997-06-05 | Bayer Ag | Oxymethoxy-3-aryl-pyrone derivatives |
| AU4694999A (en) * | 1998-08-06 | 2000-02-28 | Warner-Lambert Company | Use of thiazolidinedione derivatives for the treatment or prevention of cataracts |
| AU2002365198A1 (en) * | 2001-10-30 | 2003-07-30 | Smithkline Beecham Corporation | Novel anti-infectives |
| CA2496164C (en) * | 2002-08-23 | 2010-11-09 | Chiron Corporation | Benzimidazole quinolinones and uses thereof |
| ATE493408T1 (en) * | 2002-11-01 | 2011-01-15 | Abbott Lab | ANTINIFECTIVE AGENTS |
| SG137868A1 (en) * | 2004-08-23 | 2007-12-28 | Hoffmann La Roche | Heterocyclic antiviral compounds |
| GB0614471D0 (en) * | 2006-07-20 | 2006-08-30 | Syngenta Ltd | Herbicidal Compounds |
| GB0624760D0 (en) * | 2006-12-12 | 2007-01-17 | Syngenta Ltd | Herbicidal compounds |
| GB0800856D0 (en) | 2008-01-17 | 2008-02-27 | Syngenta Ltd | Herbicidal compounds |
| GB0800855D0 (en) * | 2008-01-17 | 2008-02-27 | Syngenta Ltd | Herbicidal compounds |
| GB0816880D0 (en) | 2008-09-15 | 2008-10-22 | Syngenta Ltd | Improvements in or relating to organic compounds |
| EP2350074B1 (en) * | 2008-10-29 | 2013-03-06 | Basf Se | Substituted pyridines having a herbicidal effect |
-
2009
- 2009-10-14 EP EP09784000A patent/EP2350074B1/en not_active Not-in-force
- 2009-10-14 EP EP09736916A patent/EP2350069A1/en not_active Withdrawn
- 2009-10-14 US US13/126,270 patent/US20110201501A1/en not_active Abandoned
- 2009-10-14 BR BRPI0919652-8A patent/BRPI0919652A2/en not_active IP Right Cessation
- 2009-10-14 JP JP2011533664A patent/JP5681634B2/en not_active Expired - Fee Related
- 2009-10-14 AU AU2009309837A patent/AU2009309837A1/en not_active Abandoned
- 2009-10-14 CN CN200980143313.XA patent/CN102203091B/en not_active Expired - Fee Related
- 2009-10-14 CA CA2741138A patent/CA2741138A1/en not_active Abandoned
- 2009-10-14 US US13/126,267 patent/US8338337B2/en not_active Expired - Fee Related
- 2009-10-14 WO PCT/EP2009/063387 patent/WO2010049270A1/en not_active Ceased
- 2009-10-14 EA EA201100661A patent/EA201100661A1/en unknown
- 2009-10-14 WO PCT/EP2009/063386 patent/WO2010049269A1/en not_active Ceased
- 2009-10-14 MX MX2011004396A patent/MX2011004396A/en not_active Application Discontinuation
- 2009-10-14 CN CN2009801431986A patent/CN102203090A/en active Pending
- 2009-10-14 KR KR1020117012171A patent/KR20110082058A/en not_active Withdrawn
- 2009-10-14 JP JP2011533663A patent/JP2012506885A/en not_active Withdrawn
- 2009-10-14 BR BRPI0920102-5A patent/BRPI0920102A2/en not_active IP Right Cessation
- 2009-10-28 TW TW098136545A patent/TW201022263A/en unknown
- 2009-10-28 AR ARP090104153A patent/AR074069A1/en not_active Application Discontinuation
- 2009-10-28 AR ARP090104154A patent/AR074070A1/en unknown
- 2009-10-28 TW TW098136547A patent/TW201022277A/en unknown
- 2009-10-29 UY UY0001032211A patent/UY32211A/en unknown
- 2009-10-29 UY UY0001032212A patent/UY32212A/en unknown
-
2011
- 2011-04-28 CL CL2011000955A patent/CL2011000955A1/en unknown
- 2011-04-28 IL IL212536A patent/IL212536A0/en unknown
- 2011-05-18 CR CR20110266A patent/CR20110266A/en unknown
- 2011-05-26 ZA ZA2011/03873A patent/ZA201103873B/en unknown
Patent Citations (3)
| Publication number | Priority date | Publication date | Assignee | Title |
|---|---|---|---|---|
| US5801183A (en) * | 1995-01-27 | 1998-09-01 | State Of Oregon, Acting By And Through The Oregon State Board Of Higher Education, Acting For And On Behalf Of The Oregon Health Sciences University And The University Of Oregon | Aza and aza (N-oxy) analogs of glycine/NMDA receptor antagonists |
| US20040087577A1 (en) * | 2002-11-01 | 2004-05-06 | Pratt John K | Anti-infective agents |
| US20060160811A1 (en) * | 2003-07-18 | 2006-07-20 | Oliver Wagner | Aryl-condensed 3-arylpridine compounds and use thereof for controlling pathogenic fungi |
Cited By (64)
| Publication number | Priority date | Publication date | Assignee | Title |
|---|---|---|---|---|
| US10888579B2 (en) | 2007-11-07 | 2021-01-12 | Beeologics Inc. | Compositions for conferring tolerance to viral disease in social insects, and the use thereof |
| US10801028B2 (en) | 2009-10-14 | 2020-10-13 | Beeologics Inc. | Compositions for controlling Varroa mites in bees |
| US11812738B2 (en) | 2010-03-08 | 2023-11-14 | Monsanto Technology Llc | Polynucleotide molecules for gene regulation in plants |
| US9121022B2 (en) | 2010-03-08 | 2015-09-01 | Monsanto Technology Llc | Method for controlling herbicide-resistant plants |
| US9988634B2 (en) | 2010-03-08 | 2018-06-05 | Monsanto Technology Llc | Polynucleotide molecules for gene regulation in plants |
| US8440594B2 (en) | 2010-03-23 | 2013-05-14 | Basf Se | Pyridothiazines having herbicidal action |
| US8575068B2 (en) | 2010-03-23 | 2013-11-05 | Basf Se | Pyrazinothiazines having herbicidal action |
| US8809535B2 (en) | 2010-03-23 | 2014-08-19 | Basf Se | Substituted pyridines having herbicidal action |
| US8921273B2 (en) | 2010-03-23 | 2014-12-30 | Basf Se | Substituted pyridazines having herbicidal action |
| US11274313B2 (en) | 2010-12-16 | 2022-03-15 | BASF Agro B.V. | Plants having increased tolerance to herbicides |
| US10829828B2 (en) | 2011-09-13 | 2020-11-10 | Monsanto Technology Llc | Methods and compositions for weed control |
| US10806146B2 (en) | 2011-09-13 | 2020-10-20 | Monsanto Technology Llc | Methods and compositions for weed control |
| US10760086B2 (en) | 2011-09-13 | 2020-09-01 | Monsanto Technology Llc | Methods and compositions for weed control |
| WO2013040117A1 (en) | 2011-09-13 | 2013-03-21 | Monsanto Technology Llc | Methods and compositions for weed control |
| US9422558B2 (en) | 2011-09-13 | 2016-08-23 | Monsanto Technology Llc | Methods and compositions for weed control |
| EP3296402A2 (en) | 2011-09-13 | 2018-03-21 | Monsanto Technology LLC | Methods and compositions for weed control |
| US9416363B2 (en) | 2011-09-13 | 2016-08-16 | Monsanto Technology Llc | Methods and compositions for weed control |
| US9422557B2 (en) | 2011-09-13 | 2016-08-23 | Monsanto Technology Llc | Methods and compositions for weed control |
| US10808249B2 (en) | 2011-09-13 | 2020-10-20 | Monsanto Technology Llc | Methods and compositions for weed control |
| EP3434779A1 (en) | 2011-09-13 | 2019-01-30 | Monsanto Technology LLC | Methods and compositions for weed control |
| EP3382027A2 (en) | 2011-09-13 | 2018-10-03 | Monsanto Technology LLC | Methods and compositions for weed control |
| US10801035B2 (en) * | 2011-11-02 | 2020-10-13 | Basf Se | Plants having increased tolerance to herbicides |
| US20150005168A1 (en) * | 2011-11-02 | 2015-01-01 | Basf Se | Plants having increased tolerance to herbicides |
| US10934555B2 (en) | 2012-05-24 | 2021-03-02 | Monsanto Technology Llc | Compositions and methods for silencing gene expression |
| US10240162B2 (en) | 2012-05-24 | 2019-03-26 | A.B. Seeds Ltd. | Compositions and methods for silencing gene expression |
| US10240161B2 (en) | 2012-05-24 | 2019-03-26 | A.B. Seeds Ltd. | Compositions and methods for silencing gene expression |
| US12529066B2 (en) | 2012-06-19 | 2026-01-20 | BASF Agro B.V. | Plants having increased tolerance to herbicides |
| US10041087B2 (en) | 2012-06-19 | 2018-08-07 | BASF Agro B.V. | Plants having increased tolerance to herbicides |
| US10100329B2 (en) | 2012-06-19 | 2018-10-16 | BASF Agro B.V. | Plants having increased tolerance to herbicides |
| US11441154B2 (en) | 2012-06-19 | 2022-09-13 | BASF Agro B.V. | Plants having increased tolerance to herbicides |
| US11572571B2 (en) | 2012-06-19 | 2023-02-07 | BASF Agro B.V. | Plants having increased tolerance to herbicides |
| US10294488B2 (en) | 2012-12-18 | 2019-05-21 | Basf Se | Herbicide-metabolizing cytochrome P450 monooxygenases |
| US10683505B2 (en) | 2013-01-01 | 2020-06-16 | Monsanto Technology Llc | Methods of introducing dsRNA to plant seeds for modulating gene expression |
| US10041068B2 (en) | 2013-01-01 | 2018-08-07 | A. B. Seeds Ltd. | Isolated dsRNA molecules and methods of using same for silencing target molecules of interest |
| US10609930B2 (en) | 2013-03-13 | 2020-04-07 | Monsanto Technology Llc | Methods and compositions for weed control |
| US10612019B2 (en) | 2013-03-13 | 2020-04-07 | Monsanto Technology Llc | Methods and compositions for weed control |
| US10568328B2 (en) | 2013-03-15 | 2020-02-25 | Monsanto Technology Llc | Methods and compositions for weed control |
| WO2014151255A1 (en) | 2013-03-15 | 2014-09-25 | Monsanto Technology Llc | Methods and compositions for weed control |
| US9850496B2 (en) | 2013-07-19 | 2017-12-26 | Monsanto Technology Llc | Compositions and methods for controlling Leptinotarsa |
| US10597676B2 (en) | 2013-07-19 | 2020-03-24 | Monsanto Technology Llc | Compositions and methods for controlling Leptinotarsa |
| US11377667B2 (en) | 2013-07-19 | 2022-07-05 | Monsanto Technology Llc | Compositions and methods for controlling Leptinotarsa |
| US9856495B2 (en) | 2013-07-19 | 2018-01-02 | Monsanto Technology Llc | Compositions and methods for controlling Leptinotarsa |
| US9777288B2 (en) | 2013-07-19 | 2017-10-03 | Monsanto Technology Llc | Compositions and methods for controlling leptinotarsa |
| US10392630B2 (en) | 2013-08-12 | 2019-08-27 | BASF Agro B.V. | Plants having increased tolerance to herbicides |
| US10619138B2 (en) | 2013-08-12 | 2020-04-14 | Basf Se | Herbicide-resistant hydroxyphenylpyruvate dioxygenases |
| US11866720B2 (en) | 2013-08-12 | 2024-01-09 | BASF Agro B.V. | Transgenic or non-transgenic plants with mutated protoporphyrinogen oxidase having increased tolerance to herbicides |
| US11827896B2 (en) | 2013-08-12 | 2023-11-28 | BASF Agro B.V. | Plants having increased tolerance to herbicides |
| US10982227B2 (en) | 2013-08-12 | 2021-04-20 | BASF Agro B.V. | Transgenic or non-transgenic plants with mutated protoporphyrinogen oxidase having increased tolerance to herbicides |
| US10087460B2 (en) | 2013-08-12 | 2018-10-02 | BASF Agro B.V. | Transgenic or non-transgenic plants with mutated protoporphyrinogen oxidase having increased tolerance to herbicides |
| US10968462B2 (en) | 2013-08-12 | 2021-04-06 | BASF Agro B.V. | Plants having increased tolerance to herbicides |
| US10100306B2 (en) | 2013-11-04 | 2018-10-16 | Monsanto Technology Llc | Compositions and methods for controlling arthropod parasite and pest infestations |
| US9540642B2 (en) | 2013-11-04 | 2017-01-10 | The United States Of America, As Represented By The Secretary Of Agriculture | Compositions and methods for controlling arthropod parasite and pest infestations |
| US10927374B2 (en) | 2013-11-04 | 2021-02-23 | Monsanto Technology Llc | Compositions and methods for controlling arthropod parasite and pest infestations |
| US10557138B2 (en) | 2013-12-10 | 2020-02-11 | Beeologics, Inc. | Compositions and methods for virus control in Varroa mite and bees |
| US10334848B2 (en) | 2014-01-15 | 2019-07-02 | Monsanto Technology Llc | Methods and compositions for weed control using EPSPS polynucleotides |
| US11091770B2 (en) | 2014-04-01 | 2021-08-17 | Monsanto Technology Llc | Compositions and methods for controlling insect pests |
| US10988764B2 (en) | 2014-06-23 | 2021-04-27 | Monsanto Technology Llc | Compositions and methods for regulating gene expression via RNA interference |
| US11807857B2 (en) | 2014-06-25 | 2023-11-07 | Monsanto Technology Llc | Methods and compositions for delivering nucleic acids to plant cells and regulating gene expression |
| US11124792B2 (en) | 2014-07-29 | 2021-09-21 | Monsanto Technology Llc | Compositions and methods for controlling insect pests |
| US10378012B2 (en) | 2014-07-29 | 2019-08-13 | Monsanto Technology Llc | Compositions and methods for controlling insect pests |
| US10968449B2 (en) | 2015-01-22 | 2021-04-06 | Monsanto Technology Llc | Compositions and methods for controlling Leptinotarsa |
| US10883103B2 (en) | 2015-06-02 | 2021-01-05 | Monsanto Technology Llc | Compositions and methods for delivery of a polynucleotide into a plant |
| US10655136B2 (en) | 2015-06-03 | 2020-05-19 | Monsanto Technology Llc | Methods and compositions for introducing nucleic acids into plants |
| CN113180040A (en) * | 2021-04-21 | 2021-07-30 | 南京吉星生物技术开发有限公司 | Combination of penoxsulam and safener (mefenpyr-diethyl) for relieving wheat phytotoxicity and application thereof |
Also Published As
| Publication number | Publication date |
|---|---|
| AR074069A1 (en) | 2010-12-22 |
| BRPI0920102A2 (en) | 2015-08-18 |
| CN102203091A (en) | 2011-09-28 |
| UY32211A (en) | 2010-05-31 |
| CN102203091B (en) | 2014-08-13 |
| KR20110082058A (en) | 2011-07-15 |
| TW201022277A (en) | 2010-06-16 |
| CL2011000955A1 (en) | 2011-09-02 |
| CR20110266A (en) | 2011-06-03 |
| EA201100661A1 (en) | 2011-12-30 |
| US8338337B2 (en) | 2012-12-25 |
| WO2010049269A1 (en) | 2010-05-06 |
| TW201022263A (en) | 2010-06-16 |
| BRPI0919652A2 (en) | 2015-08-18 |
| MX2011004396A (en) | 2011-05-25 |
| CA2741138A1 (en) | 2010-05-06 |
| EP2350074A1 (en) | 2011-08-03 |
| US20110224078A1 (en) | 2011-09-15 |
| EP2350069A1 (en) | 2011-08-03 |
| JP2012506886A (en) | 2012-03-22 |
| JP2012506885A (en) | 2012-03-22 |
| ZA201103873B (en) | 2012-08-29 |
| JP5681634B2 (en) | 2015-03-11 |
| UY32212A (en) | 2010-05-31 |
| IL212536A0 (en) | 2011-06-30 |
| AR074070A1 (en) | 2010-12-22 |
| AU2009309837A1 (en) | 2010-05-06 |
| CN102203090A (en) | 2011-09-28 |
| EP2350074B1 (en) | 2013-03-06 |
| WO2010049270A1 (en) | 2010-05-06 |
Similar Documents
| Publication | Publication Date | Title |
|---|---|---|
| US8338337B2 (en) | Substituted pyridines having a herbicidal effect | |
| US20110251063A1 (en) | Heterocyclic diketone derivatives with herbicidal action | |
| US8658569B2 (en) | Substituted quinolinones having herbicidal action | |
| EP3390372B1 (en) | Benzamide compounds and their use as herbicides | |
| EP2550276A1 (en) | Substituted pyridines having herbicidal action | |
| US8575068B2 (en) | Pyrazinothiazines having herbicidal action | |
| EP2550280B1 (en) | Pyridothiazines having herbicidal action | |
| WO2011117211A1 (en) | Substituted pyridazines having herbicidal action | |
| US8841298B2 (en) | Substituted pyrano[2,3-B]pyrazines as herbicides | |
| WO2011117210A1 (en) | Substituted pyridines having herbicidal action | |
| US8921273B2 (en) | Substituted pyridazines having herbicidal action | |
| US20200369629A1 (en) | Benzamide compounds and their use as herbicides | |
| EP2907807A1 (en) | Benzamide compounds and their use as herbicides |
Legal Events
| Date | Code | Title | Description |
|---|---|---|---|
| AS | Assignment |
Owner name: BASF SE, GERMANY Free format text: ASSIGNMENT OF ASSIGNORS INTEREST;ASSIGNORS:SONG, DSCHUN;HUPE, EIKE;PILGER, CHRISTIAN;AND OTHERS;SIGNING DATES FROM 20091105 TO 20100104;REEL/FRAME:026919/0908 |
|
| STCB | Information on status: application discontinuation |
Free format text: ABANDONED -- FAILURE TO RESPOND TO AN OFFICE ACTION |



























