US20100316999A1 - Nucleic Acid Sequence Analysis - Google Patents
Nucleic Acid Sequence Analysis Download PDFInfo
- Publication number
- US20100316999A1 US20100316999A1 US12/651,824 US65182410A US2010316999A1 US 20100316999 A1 US20100316999 A1 US 20100316999A1 US 65182410 A US65182410 A US 65182410A US 2010316999 A1 US2010316999 A1 US 2010316999A1
- Authority
- US
- United States
- Prior art keywords
- polymerase
- blocking group
- nucleotides
- polynucleotide
- target polynucleotide
- Prior art date
- Legal status (The legal status is an assumption and is not a legal conclusion. Google has not performed a legal analysis and makes no representation as to the accuracy of the status listed.)
- Abandoned
Links
- 0 *C(C)C1=C([N+](=O)[O-])C=CC=C1 Chemical compound *C(C)C1=C([N+](=O)[O-])C=CC=C1 0.000 description 1
- ROMCGRIODBQANN-UHFFFAOYSA-N COCC1=C([N+](=O)[O-])C=C(OC)C(OC)=C1 Chemical compound COCC1=C([N+](=O)[O-])C=C(OC)C(OC)=C1 ROMCGRIODBQANN-UHFFFAOYSA-N 0.000 description 1
Images
Classifications
-
- C—CHEMISTRY; METALLURGY
- C12—BIOCHEMISTRY; BEER; SPIRITS; WINE; VINEGAR; MICROBIOLOGY; ENZYMOLOGY; MUTATION OR GENETIC ENGINEERING
- C12Q—MEASURING OR TESTING PROCESSES INVOLVING ENZYMES, NUCLEIC ACIDS OR MICROORGANISMS; COMPOSITIONS OR TEST PAPERS THEREFOR; PROCESSES OF PREPARING SUCH COMPOSITIONS; CONDITION-RESPONSIVE CONTROL IN MICROBIOLOGICAL OR ENZYMOLOGICAL PROCESSES
- C12Q1/00—Measuring or testing processes involving enzymes, nucleic acids or microorganisms; Compositions therefor; Processes of preparing such compositions
- C12Q1/68—Measuring or testing processes involving enzymes, nucleic acids or microorganisms; Compositions therefor; Processes of preparing such compositions involving nucleic acids
-
- C—CHEMISTRY; METALLURGY
- C12—BIOCHEMISTRY; BEER; SPIRITS; WINE; VINEGAR; MICROBIOLOGY; ENZYMOLOGY; MUTATION OR GENETIC ENGINEERING
- C12Q—MEASURING OR TESTING PROCESSES INVOLVING ENZYMES, NUCLEIC ACIDS OR MICROORGANISMS; COMPOSITIONS OR TEST PAPERS THEREFOR; PROCESSES OF PREPARING SUCH COMPOSITIONS; CONDITION-RESPONSIVE CONTROL IN MICROBIOLOGICAL OR ENZYMOLOGICAL PROCESSES
- C12Q1/00—Measuring or testing processes involving enzymes, nucleic acids or microorganisms; Compositions therefor; Processes of preparing such compositions
- C12Q1/68—Measuring or testing processes involving enzymes, nucleic acids or microorganisms; Compositions therefor; Processes of preparing such compositions involving nucleic acids
- C12Q1/6813—Hybridisation assays
- C12Q1/6816—Hybridisation assays characterised by the detection means
- C12Q1/6825—Nucleic acid detection involving sensors
-
- C—CHEMISTRY; METALLURGY
- C12—BIOCHEMISTRY; BEER; SPIRITS; WINE; VINEGAR; MICROBIOLOGY; ENZYMOLOGY; MUTATION OR GENETIC ENGINEERING
- C12Q—MEASURING OR TESTING PROCESSES INVOLVING ENZYMES, NUCLEIC ACIDS OR MICROORGANISMS; COMPOSITIONS OR TEST PAPERS THEREFOR; PROCESSES OF PREPARING SUCH COMPOSITIONS; CONDITION-RESPONSIVE CONTROL IN MICROBIOLOGICAL OR ENZYMOLOGICAL PROCESSES
- C12Q1/00—Measuring or testing processes involving enzymes, nucleic acids or microorganisms; Compositions therefor; Processes of preparing such compositions
- C12Q1/68—Measuring or testing processes involving enzymes, nucleic acids or microorganisms; Compositions therefor; Processes of preparing such compositions involving nucleic acids
- C12Q1/6869—Methods for sequencing
Definitions
- This invention relates to a method for determining the sequence of a polynucleotide.
- the principal method in general use for large-scale DNA sequencing is the chain termination method. This method was first developed by Sanger and Coulson (Sanger et al. Proc. Natl. Acad. Sci. USA 1977; 74: 5463-5467), and relies on the use of dideoxy derivatives of the four nucleoside triphosphates which are incorporated into the nascent polynucleotide chain in a polymerase reaction. Upon incorporation, the dideoxy derivatives terminate the polymerase reaction and the products are then separated by gel electrophoresis and analysed to reveal the position at which the particular dideoxy derivative was incorporated into the chain.
- EP-A-0471732 uses spectroscopic means to detect the incorporation of a nucleotide into a nascent polynucleotide strand complementary to a target.
- the method relies on an immobilised complex of template and primer, which is exposed to a flow containing only one of the different nucleotides.
- Spectroscopic techniques are then used to measure a time-dependent signal arising from the polymerase catalysed growth of the template copy.
- the spectroscopic techniques described are surface plasmon resonance (SPR) spectroscopy, which measures changes in an analyte within an evanescent wave field, and fluorescence measuring techniques.
- SPR surface plasmon resonance
- the present invention is based on the realisation that the measurement of electromagnetic or other radiation can be used to detect a conformational and/or mass change in a polymerase enzyme which occurs when a nucleotide is incorporated into a nascent polynucleotide strand.
- a method for sequencing a polynucleotide comprises the steps of:
- the radiation may be applied to a sample using a number of techniques, including surface-sensitive detection techniques, where a change in the optical response at a solid optical surface is used to indicate a binding interaction at the surface.
- the technique used is evanescent wave spectroscopy, in particular surface plasmon resonance (SPR) spectroscopy.
- the nucleotides used in the method include a blocking group at the 3′ position, and optionally at the 5′ position, which prevents incorporation of the nucleotides into the polynucleotide strand.
- the blocking groups may be selectively removed to allow incorporation to occur.
- the selective removal of the blocking groups is carried out in a way that ensures the detection of each incorporated nucleotide. The method may therefore proceed on a “real-time” basis, to achieve a high rate of sequence analysis.
- FIG. 1 is a schematic illustration of polynucleotide sequence analysis using SPR spectroscopy.
- FIG. 2 illustrates the different response signals detected for the polymerisation of each of the different nucleotides.
- FIG. 3 illustrates the synthesis procedure for the double blocked nucleotides.
- the present method for sequencing a polynucleotide involves the analysis of the kinetic interaction between a polymerase enzyme, a target polynucleotide and a complementary nucleotide. Measurement of the kinetic interaction is carried out by monitoring the changes in or absorption of electromagnetic or other radiation that occurs if the reaction proceeds.
- polynucleotide as used herein is to be interpreted broadly, and includes DNA and RNA, including modified DNA and RNA, as well as other hybridising nucleic acid-like molecules, e.g. peptide nucleic acid (PITA).
- PITA peptide nucleic acid
- the method is carried out by applying electromagnetic radiation, by using the techniques of surface plasmon resonance or nuclear magnetic resonance.
- techniques which measure changes in radiation may be considered, for example spectroscopy by total internal reflectance fluorescence (TIRF), attenuated total reflection (ATR), frustrated total reflection (FTR), Brewster angle reflectometry, scattered total internal reflection (STIR) or evanescent wave ellipsometry.
- Techniques other than those requiring electromagnetic radiation are also envisaged, in particular photochemical techniques such as chemiluminescence, and gravimetric techniques including resonant systems such as surface acoustic wave (SAW) techniques and quartz crystal microbalance (QCM) techniques.
- photochemical techniques such as chemiluminescence
- gravimetric techniques including resonant systems such as surface acoustic wave (SAW) techniques and quartz crystal microbalance (QCM) techniques.
- SAW surface acoustic wave
- QCM quartz crystal microbalance
- SPR Surface plasmon resonance
- Suitable sensor chips are known in the art. Typically, they comprise an optically transparent material, e.g. glass, and a thin reflective film, e.g. silver or gold.
- a thin reflective film e.g. silver or gold.
- Nuclear magnetic resonance (NMR) spectroscopy is another preferred method, and measures the magnetic properties of compounds. Nuclei of compounds are energetically orientated by a combination of applied magnetic field and radio-frequency radiation. When the energy exerted on a nucleus equals the energy difference between spin states (the difference between orientation parallel or anti-parallel to the direction of the applied fields), a condition known as resonance is achieved. The absorption and subsequent emission of energy associated with the change from one spin state to the other, is detected by a radio-frequency receiver.
- An important aspect of the method of the present invention is the use of a polymerase enzyme immobilised onto a solid support. Immobilisation of the polymerase offers several important advantages for the success of this method. Firstly, the problem of random “noise” associated with measuring energy absorption in soluble molecules is reduced considerably. Secondly, the problem of noise from the interaction of any substrate (e.g. nucleotides) not directly involved with the polymerase is reduced, as the polymerase can be maintained within a specifically defined area relative to the field of measurement. This is particularly relevant if the technique used to measure the changes in radiation requires the measurement of fluorescence, as in TIRF, where background fluorescence increases as the nascent chain grows.
- any substrate e.g. nucleotides
- the polymerase reactions are maintained within the evanescent wave field and so accurate measurements can be made irrespective of the size of the polynucleotide.
- the target polynucleotide nor the oligonucleotide primer is irreversibly attached to the solid surface, it is relatively simple to regenerate the surface, to allow further sequencing reactions to take place using the same immobilised polymerase.
- Immobilisation may be carried out using standard procedures known in the art.
- immobilisation using standard amine coupling procedures may be used, with attachment of ligand-associated amines to, say, a dextran or N-hydroxysuccinimide ester-activated surface.
- the polymerase is immobilised onto a SPR sensor chip surface which maintains the polymerase in close proximity to the sensor surface where changes in the refractive index may be measured. Examples of procedures used to immobilise biomolecules to optical sensors are disclosed in EP-A-0589867, and Löfas et al., Biosens. Bioelectron. (1995) 10:813-822.
- the polymerase used in the invention may be of any known type.
- the polymerase may be any DNA-dependent DNA polymerase.
- the polymerase may be a RNA-dependent DNA polymerase, i.e. reverse transcriptase, or a RNA-dependent RNA polymerase, i.e. RNA replicase.
- the polymerase is Taq polymerase.
- the polymerase is either E. coli polymerase III holoenzyme (McHenry, Ann. Rev. Biochem.
- T7 polymerase (Schwager et al., Methods in Molecular and Cellular Biology (1989/90) Vol. 1 (4):155-159, or Bacteriophage T7 gene 5 polymerase complexed with E. coli Thioredoxin (Tabor et al., J. Biol. Chem. (1987); 262:1612-1623).
- Each of these polymerase enzymes allows a binding with the target polynucleotide to occur with high fidelity and therefore maintains a polymerase-polynucleotide complex, even when polymerisation is not actively taking place.
- the polymerase III holoenzyme is composed of three subassemblies that function to create the processive enzyme: (I) the polymerase core, including the polymerase subunit ⁇ ; (II) ⁇ -dimer subunit which acts as a bracelet-like structure around DNA; and (III) a subassembly of two subunits, ⁇ and ⁇ , used to bind and hydrolyse ATP to form the ⁇ -dimer around the DNA.
- the target polynucleotide may be brought into contact with an appropriate primer in hybridising/polymerisation buffer.
- the buffer will be at a sufficiently high temperature to disrupt (or melt) any secondary structures that exist on the target polynucleotide.
- the primer will anneal to its complement on the target.
- This sample may then be brought into contact with the immobilised polymerase, to form the target polynucleotide/polymerase complex.
- the addition of the nucleotides is controlled so that the different nucleotides are added sequentially to the polymerase/target complex.
- dGTP may be added and allowed to flow over the polymerase/polynucleotide complex; any incorporation is then detected. Unbound dGTP flows out of the reaction site and a further nucleotide is introduced. In this manner, the detection of a kinetic interaction can be correlated to the particular nucleotide present at that time and the polynucleotide sequence can therefore be determined.
- the method may also be carried out with all the different nucleotides present.
- the nucleotides may incorporate a blocking group at least at the 3′ position, but preferably at the 3′ and 5′ positions.
- the blocking groups may be light-sensitive and can be removed by applying light of a defined wave length, to release the active molecule. If the nucleotides incorporate blocking groups at both the 3′ and 5′ positions, the blocking groups should be capable of being distinguished on the basis of their spectral absorbency, i.e. it should be possible to remove selectively one of the blocking groups by applying a specific wavelength of light which does not remove the other blocking group. It is also desirable that the blocking group at the 3′ position requires the light to be applied for a longer duration than that required to remove the blocking group at the 5′ position. This allows the blocking groups to be distinguished by both spectral and temporal means.
- the light-sensitive blocking groups undergo photolysis at wavelengths in the range from 200 nm to 450 nm.
- the blocking groups will typically be derived from a compound of the formula R 1 —[O—CO—]X wherein R′ is a photolabile group and X is a leaving group.
- R 1 is o-nitrobenzyl.
- Particularly preferred blocking groups include the o-nitrobenzyl protecting groups described in WO-A-92/10092 and WO-A-97/39151.
- NVOC nitroveratryloxycarbonyl
- NPOC nitropiperonyloxycarbonyl
- MeNVOC ⁇ -methyl-nitroveratryloxycarbonyl
- MeNPOC ⁇ -methyl-nitropiperonyloxycarbonyl
- PYMOC 1-pyrenylmethyloxycarbonyl
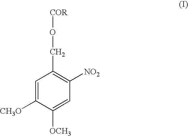
- a suitable 3′ blocking group is a (4,5-dimethoxy-2-nitrobenzyl)oxycarbonyl group which can be formed by reaction of the nucleotide with a compound of formula (I):
- R is any suitable esterifying group, e.g. methyl.
- This blocking group can be selectively removed by a pulse of light with a wavelength of 360 nm.
- a suitable blocking group at the 5′ position is 1-(2-nitrophenyl)ethyl group (II):
- R is any suitable functional group, e.g. halogen.
- This blocking group may be selectively removed at a wavelength of 260 nm.
- double-blocked nucleotides are injected over the primed target polynucleotide (held in association with a high fidelity polymerase complex), and monochromatic light is focussed upstream of the polymerase at a wavelength sufficient to release the blocking group from the terminal phosphate of each nucleotide.
- the nucleotides are then able to flow over the bound polymerase, and incorporation into the nascent polynucleotide strand can occur.
- the blocking group at the 3′ position remains bound, only one nucleotide is incorporated. A measurement of the kinetic interaction will therefore provide information as to the particular nucleotide incorporated into the nascent chain.
- the polymerase used may be a high fidelity polymerase which does not dissociate readily from the target when the reaction stops. Alternatively, a competitive inhibitor may be used to prevent the polymerase dissociating from the target.
- a pulse of monochromatic light is focused on the blocking group within the polymerase catalytic site, to remove the blocking group at the 3′ position.
- the monochromatic light may be pulsed for a longer duration than that required for removal at the 5′ position, and so only the blocking group associated with the nucleotide in the polymerase complex will undergo removal. This reduces the likelihood of the addition of nucleotides not associated with the polymerase complex.
- the polymerase reaction is allowed to continue as further nucleotides arrive at the polymerase reaction site. Uncontrolled polymerisation is prevented by alternating the pulses of light required to remove the blocking groups.
- the procedure may also be carried out using nucleotides having a blocking group at the 3′ position only.
- a competitive inhibitor of the polymerase which will reduce the probability of a nucleotide lacking a blocking group at the 3′ position being incorporated into the nascent chain.
- a suitable competitive inhibitor of polymerase is carbonyldiphosphonate (COMDP).
- the following analysis was carried out on a modified BIAcore 2000 system (BIAcore AB, UPPSALA, Sweden) with a sensor chip CM5 (Research grade, BIAcore AB) as the optical sensor surface.
- the instrument was provided with an integrated ⁇ m-fluidic cartridge (IFC) which allows analysis in four cells by a single sample injection.
- IFC integrated ⁇ m-fluidic cartridge
- E. Coli polymerase III holoenzyme was prepared according to (Millard et al., Methods Enzymol. (1995); 262:22) using hydrophobic interaction chromatography on valyl-Sepharose, to purify the holoenzyme at high salt concentrations. After purification, the hollow enzyme was concentrated using the ion-filtration technique described by Kirkegaard et al, Anal. Biochem. (1972); 50:122.
- the polymerase III Subassembly core 160 ⁇ l, 500 U was mixed with 10 mM sodium acetate (100 ⁇ l, pH 5) and injected across the activated surface. Finally, residual N-hydroxysuccinimide esters on the sensor chip surface were reacted with ethanolamine (35 ⁇ l, 1 M in water, pH 8.5), and non-bound polymerase was washed from the surface. The immobilisation procedure was performed with a continuous flow of Hepes buffer (5 ⁇ l/min) at a temperature of 25° C.
- oligonucleotides Two oligonucleotides were synthesised using standard phosphoramidite chemistry.
- the oligonucleotide defined as SEQ ID No. 1 was used as the target polynucleotide, and the oligonucleotide defined as SEQ ID No. 2 was used as the primer.
- the two oligonucleotides were reacted under hybridising conditions to form the target-primer complex.
- the primed DNA was then suspended in buffer (20 mM Tris-HCl, pH 7.5, 8 mM MgCl 2 , 4% (v/v) glycerol, 5 mM dithiothreitol (DDT), 40 ⁇ g bovine serum albumin) containing 21 ⁇ g ssDNA binding-protein and the DNA pol III sub-assembly, required to form the bracelet-like structure (1.6 pmol ⁇ -dimer and 195 fmol ⁇ subunits).
- 0.5 mM ATP was present together with 60 ⁇ M carbonyldiphosphonate (COMDP).
- the ⁇ subunit acts as a molecular matchmaker, hydrolysing ATP to place the ⁇ -dimer subunits onto the DNA to form the polymerase sub-assembly (Studwell et al, UCLA Symp. Mol. Cell. Biol. New Ser. 1990; 127: 153).
- the primed DNA/sub-assembly complex was then injected over the polymerase III on the sensor chip surface at a flow-rate of 5 ⁇ m/min, and allowed to bind to the polymerase via the action of the ⁇ subunits.
- magnesium and ATP are needed for the Pol III to bind to the primed DNA.
- magnesium also promotes removal of the primer by the proof-reading 3′-5′ exonuclease activity. This problem is circumvented by including the carbonyldiphosphonate, which is a competitive inhibitor of polymerase activity (a pol III lacking the exonuclease activity may be used to avoid this particular problem).
- a continuous flow of 60 ⁇ M carbonyldiphosphonate was maintained over the chip surface, to prevent the exonuclease activity from removing the primer from the target DNA.
- Each nucleotide (dCTP, dTTP, dGTP and dATP) contained a 1-(2-nitrophenyl)ethyl blocking group at the 5′ position, and a (4,5-dimethoxy-2-nitrobenzyl) oxycarbonyl blocking group at the 3′ position as shown in FIG. 3 .
- the synthesis of the double blocked nucleotides was as follows:
- Stage 2 —Addition of the 5′ 1-(2-nitrophenyl)ethyl group to the 3′ 4,5-dimethoxy-2-nitrobenzyl oxycarbonyl blocked dATP
- the residual material which contained among other substances unreacted 4,5-dimethoxy-2-nitrobenzyl oxycarbonyl 5′ dATP and the desired double blocked dATP, was dissolved in a minimal amount of chloroform and separated by flash chromatography on a silica column 3 ⁇ 30 cm. Elution using 100% chloroform removed hydrophobic side products of 1-(2-nitrophenyl)diazoethane from the column. The product was dried on a rotary evaporator. Lyophilization gave 74 mg of the caged compound. The overall yield was 57%.
- each nucleotide was present in the polymerisation buffer (1 mM Tris-HCl pH 8.8, 5 mM KCl, 0.15 mM MgCl 2 , 0.01% (w/v) gelatin).
- FIG. 1 shows a SPR sensing system and fluidic cell ( 7 ), having a means for applying electromagnetic radiation ( 1 ) to a sensor chip ( 2 ) with an immobilised polymerase enzyme ( 3 ) at the sensor surface, an inlet ( 4 ) for introducing the different nucleotides into the cell and two focusing assemblies ( 5 ) and ( 6 ) for pulsing monochromatic light into the cell.
- the different nucleotides are introduced into the fluidic cell ( 7 ) at a flow rate of 30 ⁇ l/min., at a temperature of 25° C. and a data collection rate of 10 Hz.
- the focusing assembly ( 5 ) monochromatic light at a wavelength of 260 nm is pulsed to remove the blocking group at the 5′ position.
- the nucleotides then flow over the sensor chip ( 2 ) and contact the target polynucleotide/polymerase complex ( 3 ) which is held in place by the ⁇ -dimer sub-assembly.
- FIG. 2 shows the results from the sequencing experiment with each nucleotide incorporated into the nascent chain being detected.
- the results show a sequence complementary to that of SEQ ID No. 1.
Landscapes
- Chemical & Material Sciences (AREA)
- Life Sciences & Earth Sciences (AREA)
- Organic Chemistry (AREA)
- Proteomics, Peptides & Aminoacids (AREA)
- Zoology (AREA)
- Wood Science & Technology (AREA)
- Health & Medical Sciences (AREA)
- Engineering & Computer Science (AREA)
- Analytical Chemistry (AREA)
- Microbiology (AREA)
- Immunology (AREA)
- Molecular Biology (AREA)
- Biotechnology (AREA)
- Biophysics (AREA)
- Physics & Mathematics (AREA)
- Biochemistry (AREA)
- Bioinformatics & Cheminformatics (AREA)
- General Engineering & Computer Science (AREA)
- General Health & Medical Sciences (AREA)
- Genetics & Genomics (AREA)
- Measuring Or Testing Involving Enzymes Or Micro-Organisms (AREA)
- Investigating Or Analysing Biological Materials (AREA)
Abstract
Description
- This invention relates to a method for determining the sequence of a polynucleotide.
- The ability to determine the sequence of a polynucleotide is of great scientific importance. For example, the Human Genome Project is an ambitious international effort to map and sequence the three billion basis of DNA encoded in the human genome. When complete, the resulting sequence database will be a tool of unparalleled power for biomedical research. The major obstacle to the successful completion of this project concerns the technology used in the sequencing process.
- The principal method in general use for large-scale DNA sequencing is the chain termination method. This method was first developed by Sanger and Coulson (Sanger et al. Proc. Natl. Acad. Sci. USA 1977; 74: 5463-5467), and relies on the use of dideoxy derivatives of the four nucleoside triphosphates which are incorporated into the nascent polynucleotide chain in a polymerase reaction. Upon incorporation, the dideoxy derivatives terminate the polymerase reaction and the products are then separated by gel electrophoresis and analysed to reveal the position at which the particular dideoxy derivative was incorporated into the chain.
- Although this method is widely used and produces reliable results, it is recognised that it is slow, labour-intensive and expensive.
- An alternative sequencing method is proposed in EP-A-0471732, which uses spectroscopic means to detect the incorporation of a nucleotide into a nascent polynucleotide strand complementary to a target. The method relies on an immobilised complex of template and primer, which is exposed to a flow containing only one of the different nucleotides. Spectroscopic techniques are then used to measure a time-dependent signal arising from the polymerase catalysed growth of the template copy. The spectroscopic techniques described are surface plasmon resonance (SPR) spectroscopy, which measures changes in an analyte within an evanescent wave field, and fluorescence measuring techniques. However, limitations of this method are recognised; the most serious for the SPR technique being that, as the size of the copy strand grows, the absolute size of the signal also grows due to the movement of the strand out of the evanescent wave field, making it harder to detect increments. The fluorescence measuring techniques have the disadvantage of increasing background interference from the fluorophores incorporated on the growing nascent polynucleotide chain. As the chain grows, the background “noise” increases and the time required to detect each nucleotide incorporation needs to be increased. This severely restricts the use of the method for sequencing large polynucleotides.
- There is therefore a need for an improved method for determining the sequence of polynucleotides which significantly increases the rate at which a polynucleotide is sequenced and which is preferably carried out by an automated process, reducing the complexity and cost associated with existing methods.
- The present invention is based on the realisation that the measurement of electromagnetic or other radiation can be used to detect a conformational and/or mass change in a polymerase enzyme which occurs when a nucleotide is incorporated into a nascent polynucleotide strand.
- According to the present invention, a method for sequencing a polynucleotide comprises the steps of:
- (i) reacting a target polynucleotide with a polymerase enzyme immobilised on a solid support, and the different nucleotides, under conditions sufficient for the polymerase reaction; and
- (ii) detecting the incorporation of a specific nucleotide complementary to the target polynucleotide, by measuring radiation.
- The radiation may be applied to a sample using a number of techniques, including surface-sensitive detection techniques, where a change in the optical response at a solid optical surface is used to indicate a binding interaction at the surface. In a preferred embodiment of the invention, the technique used is evanescent wave spectroscopy, in particular surface plasmon resonance (SPR) spectroscopy.
- In an embodiment of the invention, the nucleotides used in the method include a blocking group at the 3′ position, and optionally at the 5′ position, which prevents incorporation of the nucleotides into the polynucleotide strand. However, the blocking groups may be selectively removed to allow incorporation to occur. By using the blocked nucleotides, it is possible for the method to be carried out using all the nucleotides present in the reaction at any one time. The selective removal of the blocking groups is carried out in a way that ensures the detection of each incorporated nucleotide. The method may therefore proceed on a “real-time” basis, to achieve a high rate of sequence analysis.
- The invention will be described by way of example only with reference to the following drawings, where:
-
FIG. 1 is a schematic illustration of polynucleotide sequence analysis using SPR spectroscopy; and -
FIG. 2 illustrates the different response signals detected for the polymerisation of each of the different nucleotides. -
FIG. 3 illustrates the synthesis procedure for the double blocked nucleotides. - The present method for sequencing a polynucleotide involves the analysis of the kinetic interaction between a polymerase enzyme, a target polynucleotide and a complementary nucleotide. Measurement of the kinetic interaction is carried out by monitoring the changes in or absorption of electromagnetic or other radiation that occurs if the reaction proceeds.
- The term “polynucleotide” as used herein is to be interpreted broadly, and includes DNA and RNA, including modified DNA and RNA, as well as other hybridising nucleic acid-like molecules, e.g. peptide nucleic acid (PITA).
- Typically, the method is carried out by applying electromagnetic radiation, by using the techniques of surface plasmon resonance or nuclear magnetic resonance. However, other techniques which measure changes in radiation may be considered, for example spectroscopy by total internal reflectance fluorescence (TIRF), attenuated total reflection (ATR), frustrated total reflection (FTR), Brewster angle reflectometry, scattered total internal reflection (STIR) or evanescent wave ellipsometry.
- Techniques other than those requiring electromagnetic radiation are also envisaged, in particular photochemical techniques such as chemiluminescence, and gravimetric techniques including resonant systems such as surface acoustic wave (SAW) techniques and quartz crystal microbalance (QCM) techniques.
- Surface plasmon resonance (SPR) spectroscopy is a preferred method, and measures the properties of a solution by detecting the differences in refractive index between the bulk phase of the solution and the evanescent wave region. Incident monochromatic light is reflected at a specific angle off a solid optical (sensor chip) surface on the opposite side to a sample under study. The light extends into the sample for a very short distance and is affected by an interaction at the surface.
- Suitable sensor chips are known in the art. Typically, they comprise an optically transparent material, e.g. glass, and a thin reflective film, e.g. silver or gold. For a review of SPR spectroscopy see European Patent Publication No. 0648328 (the entire disclosure of which is incorporated herein by reference).
- Nuclear magnetic resonance (NMR) spectroscopy is another preferred method, and measures the magnetic properties of compounds. Nuclei of compounds are energetically orientated by a combination of applied magnetic field and radio-frequency radiation. When the energy exerted on a nucleus equals the energy difference between spin states (the difference between orientation parallel or anti-parallel to the direction of the applied fields), a condition known as resonance is achieved. The absorption and subsequent emission of energy associated with the change from one spin state to the other, is detected by a radio-frequency receiver.
- An important aspect of the method of the present invention is the use of a polymerase enzyme immobilised onto a solid support. Immobilisation of the polymerase offers several important advantages for the success of this method. Firstly, the problem of random “noise” associated with measuring energy absorption in soluble molecules is reduced considerably. Secondly, the problem of noise from the interaction of any substrate (e.g. nucleotides) not directly involved with the polymerase is reduced, as the polymerase can be maintained within a specifically defined area relative to the field of measurement. This is particularly relevant if the technique used to measure the changes in radiation requires the measurement of fluorescence, as in TIRF, where background fluorescence increases as the nascent chain grows. Also, if SPR spectroscopy is used, the polymerase reactions are maintained within the evanescent wave field and so accurate measurements can be made irrespective of the size of the polynucleotide. Finally, as neither the target polynucleotide nor the oligonucleotide primer is irreversibly attached to the solid surface, it is relatively simple to regenerate the surface, to allow further sequencing reactions to take place using the same immobilised polymerase.
- Immobilisation may be carried out using standard procedures known in the art. In particular, immobilisation using standard amine coupling procedures may be used, with attachment of ligand-associated amines to, say, a dextran or N-hydroxysuccinimide ester-activated surface. In a preferred embodiment of the invention, the polymerase is immobilised onto a SPR sensor chip surface which maintains the polymerase in close proximity to the sensor surface where changes in the refractive index may be measured. Examples of procedures used to immobilise biomolecules to optical sensors are disclosed in EP-A-0589867, and Löfas et al., Biosens. Bioelectron. (1995) 10:813-822.
- The polymerase used in the invention may be of any known type. For example, the polymerase may be any DNA-dependent DNA polymerase. If the target polynucleotide is a RNA molecule, then the polymerase may be a RNA-dependent DNA polymerase, i.e. reverse transcriptase, or a RNA-dependent RNA polymerase, i.e. RNA replicase. In a preferred embodiment of the invention, the polymerase is Taq polymerase. In a further preferred embodiment of the invention, the polymerase is either E. coli polymerase III holoenzyme (McHenry, Ann. Rev. Biochem. 1988; 57:519), T7 polymerase (Schwager et al., Methods in Molecular and Cellular Biology (1989/90) Vol. 1 (4):155-159, or
Bacteriophage T7 gene 5 polymerase complexed with E. coli Thioredoxin (Tabor et al., J. Biol. Chem. (1987); 262:1612-1623). Each of these polymerase enzymes allows a binding with the target polynucleotide to occur with high fidelity and therefore maintains a polymerase-polynucleotide complex, even when polymerisation is not actively taking place. - The polymerase III holoenzyme is composed of three subassemblies that function to create the processive enzyme: (I) the polymerase core, including the polymerase subunit α; (II) β-dimer subunit which acts as a bracelet-like structure around DNA; and (III) a subassembly of two subunits, τ and γ, used to bind and hydrolyse ATP to form the β-dimer around the DNA.
- As a first step in the sequencing process, the target polynucleotide may be brought into contact with an appropriate primer in hybridising/polymerisation buffer. Typically, the buffer will be at a sufficiently high temperature to disrupt (or melt) any secondary structures that exist on the target polynucleotide. On cooling, the primer will anneal to its complement on the target. This sample may then be brought into contact with the immobilised polymerase, to form the target polynucleotide/polymerase complex.
- In one embodiment of the invention, the addition of the nucleotides is controlled so that the different nucleotides are added sequentially to the polymerase/target complex. For example, dGTP may be added and allowed to flow over the polymerase/polynucleotide complex; any incorporation is then detected. Unbound dGTP flows out of the reaction site and a further nucleotide is introduced. In this manner, the detection of a kinetic interaction can be correlated to the particular nucleotide present at that time and the polynucleotide sequence can therefore be determined.
- The method may also be carried out with all the different nucleotides present. For this to be carried out successfully, it is necessary for the nucleotides to incorporate a blocking group at least at the 3′ position, but preferably at the 3′ and 5′ positions. The blocking groups may be light-sensitive and can be removed by applying light of a defined wave length, to release the active molecule. If the nucleotides incorporate blocking groups at both the 3′ and 5′ positions, the blocking groups should be capable of being distinguished on the basis of their spectral absorbency, i.e. it should be possible to remove selectively one of the blocking groups by applying a specific wavelength of light which does not remove the other blocking group. It is also desirable that the blocking group at the 3′ position requires the light to be applied for a longer duration than that required to remove the blocking group at the 5′ position. This allows the blocking groups to be distinguished by both spectral and temporal means.
- Generally, the light-sensitive blocking groups undergo photolysis at wavelengths in the range from 200 nm to 450 nm. The blocking groups will typically be derived from a compound of the formula R1—[O—CO—]X wherein R′ is a photolabile group and X is a leaving group. For example, R1 is o-nitrobenzyl. Particularly preferred blocking groups include the o-nitrobenzyl protecting groups described in WO-A-92/10092 and WO-A-97/39151. These groups include nitroveratryloxycarbonyl (NVOC), nitropiperonyloxycarbonyl (NPOC), α-methyl-nitroveratryloxycarbonyl (MeNVOC), α-methyl-nitropiperonyloxycarbonyl (MeNPOC) and 1-pyrenylmethyloxycarbonyl (PYMOC).
- A suitable 3′ blocking group is a (4,5-dimethoxy-2-nitrobenzyl)oxycarbonyl group which can be formed by reaction of the nucleotide with a compound of formula (I):
- wherein R is any suitable esterifying group, e.g. methyl. This blocking group can be selectively removed by a pulse of light with a wavelength of 360 nm.
- A suitable blocking group at the 5′ position is 1-(2-nitrophenyl)ethyl group (II):
- wherein R is any suitable functional group, e.g. halogen. This blocking group may be selectively removed at a wavelength of 260 nm.
- By way of example, double-blocked nucleotides are injected over the primed target polynucleotide (held in association with a high fidelity polymerase complex), and monochromatic light is focussed upstream of the polymerase at a wavelength sufficient to release the blocking group from the terminal phosphate of each nucleotide. The nucleotides are then able to flow over the bound polymerase, and incorporation into the nascent polynucleotide strand can occur. However, as the blocking group at the 3′ position remains bound, only one nucleotide is incorporated. A measurement of the kinetic interaction will therefore provide information as to the particular nucleotide incorporated into the nascent chain. The polymerase used may be a high fidelity polymerase which does not dissociate readily from the target when the reaction stops. Alternatively, a competitive inhibitor may be used to prevent the polymerase dissociating from the target.
- After measuring the incorporated nucleotide, a pulse of monochromatic light is focused on the blocking group within the polymerase catalytic site, to remove the blocking group at the 3′ position. The monochromatic light may be pulsed for a longer duration than that required for removal at the 5′ position, and so only the blocking group associated with the nucleotide in the polymerase complex will undergo removal. This reduces the likelihood of the addition of nucleotides not associated with the polymerase complex.
- Once the 3′ blocking group is released, the polymerase reaction is allowed to continue as further nucleotides arrive at the polymerase reaction site. Uncontrolled polymerisation is prevented by alternating the pulses of light required to remove the blocking groups.
- While it is preferred to use the double-blocked nucleotides, as described above, the procedure may also be carried out using nucleotides having a blocking group at the 3′ position only. In this case, it is desirable to use a competitive inhibitor of the polymerase, which will reduce the probability of a nucleotide lacking a blocking group at the 3′ position being incorporated into the nascent chain. A suitable competitive inhibitor of polymerase is carbonyldiphosphonate (COMDP).
- The following Example illustrates the invention with reference to the drawings.
- The following analysis was carried out on a modified BIAcore 2000 system (BIAcore AB, UPPSALA, Sweden) with a sensor chip CM5 (Research grade, BIAcore AB) as the optical sensor surface. The instrument was provided with an integrated μm-fluidic cartridge (IFC) which allows analysis in four cells by a single sample injection.
- E. Coli polymerase III holoenzyme was prepared according to (Millard et al., Methods Enzymol. (1995); 262:22) using hydrophobic interaction chromatography on valyl-Sepharose, to purify the holoenzyme at high salt concentrations. After purification, the hollow enzyme was concentrated using the ion-filtration technique described by Kirkegaard et al, Anal. Biochem. (1972); 50:122.
- Immobilisation of the polymerase to the sensor chip surface was carried out according to (Jönsson et al., Biotechniques (1991); 11:620-627). Briefly, the sensor chip environment was equilibrated with Hepes buffer (10 mM Hepes, 150 mM NaCl, 0.05% surfactant P20 (BIAcore AB, Uppsala, Sweden), pH 7.4). Equal volumes of N-hydroxysuccinimide (0.1 M in water) and N-ethyl-n′-(dimethylaminopropyl) carbodiimide (EDC) (0.1 M in water) were mixed together and injected across the chip (CM5) surface, to activate the carboxymethylated dextran. The polymerase III Subassembly core (160 μl, 500 U) was mixed with 10 mM sodium acetate (100 μl, pH 5) and injected across the activated surface. Finally, residual N-hydroxysuccinimide esters on the sensor chip surface were reacted with ethanolamine (35 μl, 1 M in water, pH 8.5), and non-bound polymerase was washed from the surface. The immobilisation procedure was performed with a continuous flow of Hepes buffer (5 μl/min) at a temperature of 25° C.
- Two oligonucleotides were synthesised using standard phosphoramidite chemistry. The oligonucleotide defined as SEQ ID No. 1 was used as the target polynucleotide, and the oligonucleotide defined as SEQ ID No. 2 was used as the primer.
-
SEQ ID No. 1 CAAGGAGAGGACGCTGTCTGTCGAAGGTAAGGAACGGACGAGAGAAGGGA GAG SEQ ID No. 2 CTCTCCCTTCTCTCGTC - The two oligonucleotides were reacted under hybridising conditions to form the target-primer complex.
- The primed DNA was then suspended in buffer (20 mM Tris-HCl, pH 7.5, 8 mM MgCl2, 4% (v/v) glycerol, 5 mM dithiothreitol (DDT), 40 μg bovine serum albumin) containing 21 μg ssDNA binding-protein and the DNA pol III sub-assembly, required to form the bracelet-like structure (1.6 pmol β-dimer and 195 fmol γ subunits). 0.5 mM ATP was present together with 60 μM carbonyldiphosphonate (COMDP). In this reaction, the γ subunit acts as a molecular matchmaker, hydrolysing ATP to place the β-dimer subunits onto the DNA to form the polymerase sub-assembly (Studwell et al, UCLA Symp. Mol. Cell. Biol. New Ser. 1990; 127: 153).
- The primed DNA/sub-assembly complex was then injected over the polymerase III on the sensor chip surface at a flow-rate of 5 μm/min, and allowed to bind to the polymerase via the action of the γ subunits.
- In this experiment, magnesium and ATP are needed for the Pol III to bind to the primed DNA. However, magnesium also promotes removal of the primer by the proof-reading 3′-5′ exonuclease activity. This problem is circumvented by including the carbonyldiphosphonate, which is a competitive inhibitor of polymerase activity (a pol III lacking the exonuclease activity may be used to avoid this particular problem).
- A continuous flow of 60 μM carbonyldiphosphonate was maintained over the chip surface, to prevent the exonuclease activity from removing the primer from the target DNA.
- Each nucleotide (dCTP, dTTP, dGTP and dATP) contained a 1-(2-nitrophenyl)ethyl blocking group at the 5′ position, and a (4,5-dimethoxy-2-nitrobenzyl) oxycarbonyl blocking group at the 3′ position as shown in
FIG. 3 . The synthesis of the double blocked nucleotides was as follows: - The same overall method was applied to dGTP, dCTP and dTTP. A mixture of dATP dihydrate (0.4=01) and approximately 3 mmol of 4,5-dimethoxy-2-nitrophenyldiazomethane, freshly prepared from 900 mg (4 mmol) of 4,5-dimethoxy-2-nitrophenylhydrazone (synthesized by treatment of 6-nitroveraldehyde with hydrazine monohydrate in chloroform by the procedure of Wootton and Trentham, Photochemical Probes in Biochemistry (Nielsen, P. E., Ed,) NATO ASI Ser. C, Vol. 272, p277-296 (1989), was stirred in 15 ml of DMSO at room temperature in the dark for 40 h. Monitoring of the reaction by TLC in a chloroform/methanol (5:1 v/v) solvent system revealed the appearance of a spot with Rf 0.54 corresponding to the caged nucleotide. DMSO, unreacted diazo compound, and reaction products with low polarity were removed by repetitive extraction with 60 ml of ether. The residual material, which, among other substances, contained unreacted nucleotide and the desired product, was dissolved in a minimal amount of chloroform and separated by flash chromatography on a silica column (3×30 cm). Elution using 100% chloroform and methanol/chloroform (955 v/v) removed the hydrophobic side products of 4,5-dimethoxy-2-nitrophenyldiazomethane from the column. The fractions were dried on a rotary evaporator. 78 mg of the caged product was then lyophilised. The overall yield was 45%. The 3′ blocked 4,5-dimethyloxy-2-nitrobenzyl oxycarbonyl dATP was isolated directly with higher purity by preparative reverse-phased HPLC from the crude product.
- A mixture of 4,5-dimethoxy-2-
nitrobenzyl oxycarbonyl 5′ dATP (0.4 mmol) and approximately 3 mmol of 1-(2-nitrophenyl)diazoethane, freshly prepared from 716.7 mg (4 mmol) of hydrazone of 2-nitroacetophenone (synthesized by treatment of 2-nitroacetophenone with hydrazine monohydrate in ethanol) and 2.9 g (30 mmol) of MnO2 (90%) in 20 ml of chloroform by the procedure of walker et al (walker et al, Methods Enzymol. 1989; 172:288-301), was stirred in 15 ml of DMSO at room temperature in the dark for 40 h, Monitoring the reaction by TLC in a chloroform/methanol (5:1 v/v) solvent system revealed the appearance of a pair of spots with Rf 0.68 and Rf 0.58, corresponding to the two diasterioisomers of the axial and the two diasteroisomers of the equatorial form of the 1(2-nitrophenyl)ethyl ester of 4,5-dimethoxy-2-nitrobenzyl oxycarbonyl dATP, respectively. DMSO, unreacted diazo compound, and reaction products with low polarity were removed by repetitive extraction with 50 ml ether. - The residual material, which contained among other substances unreacted 4,5-dimethoxy-2-
nitrobenzyl oxycarbonyl 5′ dATP and the desired double blocked dATP, was dissolved in a minimal amount of chloroform and separated by flash chromatography on asilica column 3×30 cm. Elution using 100% chloroform removed hydrophobic side products of 1-(2-nitrophenyl)diazoethane from the column. The product was dried on a rotary evaporator. Lyophilization gave 74 mg of the caged compound. The overall yield was 57%. - 0.2 mM of each nucleotide was present in the polymerisation buffer (1 mM Tris-HCl pH 8.8, 5 mM KCl, 0.15 mM MgCl2, 0.01% (w/v) gelatin).
-
FIG. 1 shows a SPR sensing system and fluidic cell (7), having a means for applying electromagnetic radiation (1) to a sensor chip (2) with an immobilised polymerase enzyme (3) at the sensor surface, an inlet (4) for introducing the different nucleotides into the cell and two focusing assemblies (5) and (6) for pulsing monochromatic light into the cell. - The different nucleotides are introduced into the fluidic cell (7) at a flow rate of 30 μl/min., at a temperature of 25° C. and a data collection rate of 10 Hz. As the nucleotides pass the focusing assembly (5), monochromatic light at a wavelength of 260 nm is pulsed to remove the blocking group at the 5′ position. The nucleotides then flow over the sensor chip (2) and contact the target polynucleotide/polymerase complex (3) which is held in place by the β-dimer sub-assembly. Since the 3′ position on the primer sequence is free to react, polymerisation may take place as a nucleotide is incorporated onto its complement on the target polynucleotide. This incorporation is then detected by the monochromatic p-polarised light of the SPR device. No further polymerisation occurs, since the incorporated nucleotide has a blocking group at the 3′ position. Monochromatic light of
wavelength 360 nm is then pulsed by the focusing assembly (6) at the site of polymerisation. The high flow rate in the fluidic cell ensures that nucleotides not bound to the polymerase are removed from the cell before sufficient energy has been absorbed to release their 3′ blocking groups. - Once the 3′ blocking group has been released from the polymerised nucleotide, further polymerisation may occur.
-
FIG. 2 shows the results from the sequencing experiment with each nucleotide incorporated into the nascent chain being detected. The results show a sequence complementary to that of SEQ ID No. 1.
Claims (21)
Priority Applications (1)
| Application Number | Priority Date | Filing Date | Title |
|---|---|---|---|
| US12/651,824 US20100316999A1 (en) | 1997-07-28 | 2010-01-04 | Nucleic Acid Sequence Analysis |
Applications Claiming Priority (9)
| Application Number | Priority Date | Filing Date | Title |
|---|---|---|---|
| GB9715942.0 | 1997-07-28 | ||
| GBGB9715942.0A GB9715942D0 (en) | 1997-07-28 | 1997-07-28 | |
| GBGB9727103.5A GB9727103D0 (en) | 1997-12-22 | 1997-12-22 | |
| GB9727103.5 | 1997-12-22 | ||
| US09/463,549 US7008766B1 (en) | 1997-07-28 | 1998-07-24 | Nucleic acid sequence analysis |
| PCT/GB1998/002214 WO1999005315A2 (en) | 1997-07-28 | 1998-07-24 | Nucleic acid sequence analysis |
| US10/786,951 US20040241719A1 (en) | 1997-07-28 | 2004-02-24 | Nucleic acid sequence analysis |
| US11/833,673 US20080014592A1 (en) | 1997-07-28 | 2007-08-03 | Nucleic Acid Sequence Analysis |
| US12/651,824 US20100316999A1 (en) | 1997-07-28 | 2010-01-04 | Nucleic Acid Sequence Analysis |
Related Parent Applications (1)
| Application Number | Title | Priority Date | Filing Date |
|---|---|---|---|
| US11/833,673 Continuation US20080014592A1 (en) | 1997-07-28 | 2007-08-03 | Nucleic Acid Sequence Analysis |
Publications (1)
| Publication Number | Publication Date |
|---|---|
| US20100316999A1 true US20100316999A1 (en) | 2010-12-16 |
Family
ID=26311958
Family Applications (4)
| Application Number | Title | Priority Date | Filing Date |
|---|---|---|---|
| US09/463,549 Expired - Lifetime US7008766B1 (en) | 1997-07-28 | 1998-07-24 | Nucleic acid sequence analysis |
| US10/786,951 Abandoned US20040241719A1 (en) | 1997-07-28 | 2004-02-24 | Nucleic acid sequence analysis |
| US11/833,673 Abandoned US20080014592A1 (en) | 1997-07-28 | 2007-08-03 | Nucleic Acid Sequence Analysis |
| US12/651,824 Abandoned US20100316999A1 (en) | 1997-07-28 | 2010-01-04 | Nucleic Acid Sequence Analysis |
Family Applications Before (3)
| Application Number | Title | Priority Date | Filing Date |
|---|---|---|---|
| US09/463,549 Expired - Lifetime US7008766B1 (en) | 1997-07-28 | 1998-07-24 | Nucleic acid sequence analysis |
| US10/786,951 Abandoned US20040241719A1 (en) | 1997-07-28 | 2004-02-24 | Nucleic acid sequence analysis |
| US11/833,673 Abandoned US20080014592A1 (en) | 1997-07-28 | 2007-08-03 | Nucleic Acid Sequence Analysis |
Country Status (18)
| Country | Link |
|---|---|
| US (4) | US7008766B1 (en) |
| EP (4) | EP2267164B1 (en) |
| JP (1) | JP2001511358A (en) |
| KR (1) | KR100664331B1 (en) |
| CN (1) | CN1152140C (en) |
| AT (1) | ATE225858T1 (en) |
| AU (1) | AU735898B2 (en) |
| BR (1) | BR9812270A (en) |
| CA (1) | CA2294962C (en) |
| DE (1) | DE69808661T3 (en) |
| DK (1) | DK1017848T3 (en) |
| ES (1) | ES2183394T5 (en) |
| IL (1) | IL133411A (en) |
| IS (1) | IS5360A (en) |
| NZ (1) | NZ502557A (en) |
| PT (1) | PT1017848E (en) |
| RU (1) | RU2198221C2 (en) |
| WO (1) | WO1999005315A2 (en) |
Cited By (10)
| Publication number | Priority date | Publication date | Assignee | Title |
|---|---|---|---|---|
| US20110097729A1 (en) * | 2003-07-24 | 2011-04-28 | Daniel Densham | Apparatus and method for sequencing nucleic acid molecules |
| US9951385B1 (en) | 2017-04-25 | 2018-04-24 | Omniome, Inc. | Methods and apparatus that increase sequencing-by-binding efficiency |
| US10077470B2 (en) | 2015-07-21 | 2018-09-18 | Omniome, Inc. | Nucleic acid sequencing methods and systems |
| US10161003B2 (en) | 2017-04-25 | 2018-12-25 | Omniome, Inc. | Methods and apparatus that increase sequencing-by-binding efficiency |
| US10246744B2 (en) | 2016-08-15 | 2019-04-02 | Omniome, Inc. | Method and system for sequencing nucleic acids |
| US10294514B2 (en) | 2016-04-29 | 2019-05-21 | Omniome, Inc. | Sequencing method employing ternary complex destabilization to identify cognate nucleotides |
| US10428378B2 (en) | 2016-08-15 | 2019-10-01 | Omniome, Inc. | Sequencing method for rapid identification and processing of cognate nucleotide pairs |
| US10975427B2 (en) | 2017-01-20 | 2021-04-13 | Omniome, Inc. | Process for cognate nucleotide detection in a nucleic acid sequencing workflow |
| US11193166B2 (en) | 2017-10-19 | 2021-12-07 | Omniome, Inc. | Simultaneous background reduction and complex stabilization in binding assay workflows |
| US11248254B2 (en) | 2016-12-30 | 2022-02-15 | Omniome, Inc. | Method and system employing distinguishable polymerases for detecting ternary complexes and identifying cognate nucleotides |
Families Citing this family (142)
| Publication number | Priority date | Publication date | Assignee | Title |
|---|---|---|---|---|
| GB9620209D0 (en) * | 1996-09-27 | 1996-11-13 | Cemu Bioteknik Ab | Method of sequencing DNA |
| GB9626815D0 (en) | 1996-12-23 | 1997-02-12 | Cemu Bioteknik Ab | Method of sequencing DNA |
| WO1998035012A2 (en) | 1997-02-12 | 1998-08-13 | Chan Eugene Y | Methods and products for analyzing polymers |
| CN1152140C (en) * | 1997-07-28 | 2004-06-02 | 医疗生物系统有限公司 | Nucleic acid sequence analysis |
| US6780591B2 (en) | 1998-05-01 | 2004-08-24 | Arizona Board Of Regents | Method of determining the nucleotide sequence of oligonucleotides and DNA molecules |
| US7875440B2 (en) | 1998-05-01 | 2011-01-25 | Arizona Board Of Regents | Method of determining the nucleotide sequence of oligonucleotides and DNA molecules |
| WO2002061126A2 (en) * | 2001-01-30 | 2002-08-08 | Solexa Ltd. | The preparation of polynucleotide arrays |
| US6787308B2 (en) | 1998-07-30 | 2004-09-07 | Solexa Ltd. | Arrayed biomolecules and their use in sequencing |
| AU772281B2 (en) | 1998-12-14 | 2004-04-22 | Li-Cor Inc. | A system and methods for nucleic acid sequencing of single molecules by polymerase synthesis |
| AU2005201777B2 (en) * | 1999-03-10 | 2007-08-02 | Asm Scientific, Inc. | A Method for Direct Nucleic Acid Sequencing |
| US7270951B1 (en) | 1999-03-10 | 2007-09-18 | Asm Scientific, Inc. | Method for direct nucleic acid sequencing |
| GB9907813D0 (en) * | 1999-04-06 | 1999-06-02 | Medical Biosystems Ltd | Synthesis |
| GB9907812D0 (en) * | 1999-04-06 | 1999-06-02 | Medical Biosystems Ltd | Sequencing |
| AU5059800A (en) | 1999-04-08 | 2000-11-14 | Deutsches Krebsforschungszentrum Stiftung Des Offentlichen Rechts | Nucleoside derivatives with photo-unstable protective groups |
| EP1681357A3 (en) * | 1999-05-19 | 2006-07-26 | Cornell Research Foundation, Inc. | Method for sequencing nucleic acid molecules |
| US7056661B2 (en) | 1999-05-19 | 2006-06-06 | Cornell Research Foundation, Inc. | Method for sequencing nucleic acid molecules |
| US7501245B2 (en) | 1999-06-28 | 2009-03-10 | Helicos Biosciences Corp. | Methods and apparatuses for analyzing polynucleotide sequences |
| US6818395B1 (en) | 1999-06-28 | 2004-11-16 | California Institute Of Technology | Methods and apparatus for analyzing polynucleotide sequences |
| US6927065B2 (en) | 1999-08-13 | 2005-08-09 | U.S. Genomics, Inc. | Methods and apparatus for characterization of single polymers |
| US6982146B1 (en) | 1999-08-30 | 2006-01-03 | The United States Of America As Represented By The Department Of Health And Human Services | High speed parallel molecular nucleic acid sequencing |
| AU7086800A (en) * | 1999-08-30 | 2001-03-26 | Government Of The United States Of America, As Represented By The Secretary Of The Department Of Health And Human Services, The | High speed parallel molecular nucleic acid sequencing |
| US7211390B2 (en) | 1999-09-16 | 2007-05-01 | 454 Life Sciences Corporation | Method of sequencing a nucleic acid |
| US7244559B2 (en) | 1999-09-16 | 2007-07-17 | 454 Life Sciences Corporation | Method of sequencing a nucleic acid |
| GB9923644D0 (en) * | 1999-10-06 | 1999-12-08 | Medical Biosystems Ltd | DNA sequencing |
| US6908736B1 (en) | 1999-10-06 | 2005-06-21 | Medical Biosystems, Ltd. | DNA sequencing method |
| WO2001046464A1 (en) * | 1999-12-21 | 2001-06-28 | Vbc-Genomics Bioscience Research Gmbh | Branched compound for use in nucleic acid detection and analysis reactions |
| GB0002389D0 (en) * | 2000-02-02 | 2000-03-22 | Solexa Ltd | Molecular arrays |
| GB0016473D0 (en) | 2000-07-05 | 2000-08-23 | Amersham Pharm Biotech Uk Ltd | Sequencing method |
| DE60131194T2 (en) | 2000-07-07 | 2008-08-07 | Visigen Biotechnologies, Inc., Bellaire | SEQUENCE PROVISION IN REAL TIME |
| EP1337541B1 (en) | 2000-10-06 | 2007-03-07 | The Trustees of Columbia University in the City of New York | Massive parallel method for decoding DNA and RNA |
| US9708358B2 (en) | 2000-10-06 | 2017-07-18 | The Trustees Of Columbia University In The City Of New York | Massive parallel method for decoding DNA and RNA |
| WO2002044425A2 (en) * | 2000-12-01 | 2002-06-06 | Visigen Biotechnologies, Inc. | Enzymatic nucleic acid synthesis: compositions and methods for altering monomer incorporation fidelity |
| JP2004523243A (en) | 2001-03-12 | 2004-08-05 | カリフォルニア インスティチュート オブ テクノロジー | Method and apparatus for analyzing polynucleotide sequences by asynchronous base extension |
| GB0112238D0 (en) * | 2001-05-18 | 2001-07-11 | Medical Biosystems Ltd | Sequencing method |
| US7118907B2 (en) | 2001-06-06 | 2006-10-10 | Li-Cor, Inc. | Single molecule detection systems and methods |
| US6613523B2 (en) * | 2001-06-29 | 2003-09-02 | Agilent Technologies, Inc. | Method of DNA sequencing using cleavable tags |
| US7668697B2 (en) * | 2006-02-06 | 2010-02-23 | Andrei Volkov | Method for analyzing dynamic detectable events at the single molecule level |
| US6852492B2 (en) * | 2001-09-24 | 2005-02-08 | Intel Corporation | Nucleic acid sequencing by raman monitoring of uptake of precursors during molecular replication |
| US6902921B2 (en) | 2001-10-30 | 2005-06-07 | 454 Corporation | Sulfurylase-luciferase fusion proteins and thermostable sulfurylase |
| US6956114B2 (en) | 2001-10-30 | 2005-10-18 | '454 Corporation | Sulfurylase-luciferase fusion proteins and thermostable sulfurylase |
| GB0129012D0 (en) | 2001-12-04 | 2002-01-23 | Solexa Ltd | Labelled nucleotides |
| US7057026B2 (en) | 2001-12-04 | 2006-06-06 | Solexa Limited | Labelled nucleotides |
| EP2607369B1 (en) | 2002-08-23 | 2015-09-23 | Illumina Cambridge Limited | Modified nucleotides for polynucleotide sequencing |
| US11008359B2 (en) | 2002-08-23 | 2021-05-18 | Illumina Cambridge Limited | Labelled nucleotides |
| US7414116B2 (en) | 2002-08-23 | 2008-08-19 | Illumina Cambridge Limited | Labelled nucleotides |
| US7575865B2 (en) | 2003-01-29 | 2009-08-18 | 454 Life Sciences Corporation | Methods of amplifying and sequencing nucleic acids |
| CA2513535C (en) | 2003-01-29 | 2012-06-12 | 454 Corporation | Bead emulsion nucleic acid amplification |
| US7151598B2 (en) * | 2003-04-04 | 2006-12-19 | Vladimir Poponin | Method and apparatus for enhanced nano-spectroscopic scanning |
| RU2334958C2 (en) * | 2003-04-04 | 2008-09-27 | Интернэшнл Фронтьер Сайенс Организейшн | Device and method for improved nanospectroscopic scanning |
| JP2004347621A (en) * | 2003-04-24 | 2004-12-09 | Dainippon Printing Co Ltd | Transmission screen |
| EP1644524A1 (en) * | 2003-07-15 | 2006-04-12 | Daniel Henry Densham | Measurement of a polynucleotide amplification reaction |
| GB0316553D0 (en) * | 2003-07-15 | 2003-08-20 | Densham Daniel | Method |
| US7169560B2 (en) | 2003-11-12 | 2007-01-30 | Helicos Biosciences Corporation | Short cycle methods for sequencing polynucleotides |
| US7595160B2 (en) | 2004-01-13 | 2009-09-29 | U.S. Genomics, Inc. | Analyte detection using barcoded polymers |
| WO2005067692A2 (en) | 2004-01-13 | 2005-07-28 | U.S. Genomics, Inc. | Detection and quantification of analytes in solution using polymers |
| CA2557177A1 (en) | 2004-02-19 | 2005-09-01 | Stephen Quake | Methods and kits for analyzing polynucleotide sequences |
| AR048685A1 (en) | 2004-04-09 | 2006-05-17 | Monsanto Technology Llc | METHODS FOR CONTROL OF INSECT INFESTATIONS IN PLANTS. |
| US7635562B2 (en) | 2004-05-25 | 2009-12-22 | Helicos Biosciences Corporation | Methods and devices for nucleic acid sequence determination |
| US7476734B2 (en) | 2005-12-06 | 2009-01-13 | Helicos Biosciences Corporation | Nucleotide analogs |
| GB0413082D0 (en) | 2004-06-11 | 2004-07-14 | Medical Biosystems Ltd | Method |
| JP2008513782A (en) | 2004-09-17 | 2008-05-01 | パシフィック バイオサイエンシーズ オブ カリフォルニア, インコーポレイテッド | Apparatus and method for molecular analysis |
| US7170050B2 (en) | 2004-09-17 | 2007-01-30 | Pacific Biosciences Of California, Inc. | Apparatus and methods for optical analysis of molecules |
| US7220549B2 (en) | 2004-12-30 | 2007-05-22 | Helicos Biosciences Corporation | Stabilizing a nucleic acid for nucleic acid sequencing |
| US7482120B2 (en) | 2005-01-28 | 2009-01-27 | Helicos Biosciences Corporation | Methods and compositions for improving fidelity in a nucleic acid synthesis reaction |
| US7274458B2 (en) * | 2005-03-07 | 2007-09-25 | 3M Innovative Properties Company | Thermoplastic film having metallic nanoparticle coating |
| US7666494B2 (en) | 2005-05-04 | 2010-02-23 | 3M Innovative Properties Company | Microporous article having metallic nanoparticle coating |
| ES2373686T3 (en) * | 2005-06-23 | 2012-02-07 | Biocartis Sa | CARTRIDGE, SYSTEM AND PROCEDURE FOR AUTOMATED MEDICAL DIAGNOSTICS. |
| EP1901057A1 (en) * | 2005-07-07 | 2008-03-19 | Sony Corporation | Substance information acquisition method and substance information measurement device using evanescent light, and base arrangement decision method and device |
| CN101263241B (en) | 2005-07-14 | 2011-03-23 | 3M创新有限公司 | Water-soluble polymer substrate having metallic nanoparticle coating |
| US7805081B2 (en) * | 2005-08-11 | 2010-09-28 | Pacific Biosciences Of California, Inc. | Methods and systems for monitoring multiple optical signals from a single source |
| GB0517097D0 (en) | 2005-08-19 | 2005-09-28 | Solexa Ltd | Modified nucleosides and nucleotides and uses thereof |
| US7666593B2 (en) | 2005-08-26 | 2010-02-23 | Helicos Biosciences Corporation | Single molecule sequencing of captured nucleic acids |
| PT2431473T (en) | 2005-09-16 | 2017-02-15 | Monsanto Technology Llc | Methods for genetic control of insect infestations in plants and compositions thereof |
| US7405281B2 (en) | 2005-09-29 | 2008-07-29 | Pacific Biosciences Of California, Inc. | Fluorescent nucleotide analogs and uses therefor |
| US7763423B2 (en) | 2005-09-30 | 2010-07-27 | Pacific Biosciences Of California, Inc. | Substrates having low density reactive groups for monitoring enzyme activity |
| US7998717B2 (en) | 2005-12-02 | 2011-08-16 | Pacific Biosciences Of California, Inc. | Mitigation of photodamage in analytical reactions |
| US8703734B2 (en) | 2005-12-12 | 2014-04-22 | The United States Of America, As Represented By The Secretary, Department Of Health And Human Services | Nanoprobes for detection or modification of molecules |
| ATE481505T1 (en) | 2005-12-12 | 2010-10-15 | Us Gov Health & Human Serv | NUCLEIC ACID SEQUENCING PROBE AND METHOD OF USE |
| US7692783B2 (en) | 2006-02-13 | 2010-04-06 | Pacific Biosciences Of California | Methods and systems for simultaneous real-time monitoring of optical signals from multiple sources |
| US7715001B2 (en) * | 2006-02-13 | 2010-05-11 | Pacific Biosciences Of California, Inc. | Methods and systems for simultaneous real-time monitoring of optical signals from multiple sources |
| US7995202B2 (en) | 2006-02-13 | 2011-08-09 | Pacific Biosciences Of California, Inc. | Methods and systems for simultaneous real-time monitoring of optical signals from multiple sources |
| US7397546B2 (en) | 2006-03-08 | 2008-07-08 | Helicos Biosciences Corporation | Systems and methods for reducing detected intensity non-uniformity in a laser beam |
| US8975216B2 (en) | 2006-03-30 | 2015-03-10 | Pacific Biosciences Of California | Articles having localized molecules disposed thereon and methods of producing same |
| US7563574B2 (en) | 2006-03-31 | 2009-07-21 | Pacific Biosciences Of California, Inc. | Methods, systems and compositions for monitoring enzyme activity and applications thereof |
| AU2007289057C1 (en) * | 2006-09-01 | 2014-01-16 | Pacific Biosciences Of California, Inc. | Substrates, systems and methods for analyzing materials |
| US8207509B2 (en) | 2006-09-01 | 2012-06-26 | Pacific Biosciences Of California, Inc. | Substrates, systems and methods for analyzing materials |
| US20080076123A1 (en) * | 2006-09-27 | 2008-03-27 | Helicos Biosciences Corporation | Polymerase variants for DNA sequencing |
| US20080080059A1 (en) * | 2006-09-28 | 2008-04-03 | Pacific Biosciences Of California, Inc. | Modular optical components and systems incorporating same |
| US8399188B2 (en) | 2006-09-28 | 2013-03-19 | Illumina, Inc. | Compositions and methods for nucleotide sequencing |
| GB2457402B (en) | 2006-12-01 | 2011-10-19 | Univ Columbia | Four-color DNA sequencing by synthesis using cleavable fluorescent nucleotide reversible terminators |
| US8551704B2 (en) | 2007-02-16 | 2013-10-08 | Pacific Biosciences Of California, Inc. | Controllable strand scission of mini circle DNA |
| US20080277595A1 (en) * | 2007-05-10 | 2008-11-13 | Pacific Biosciences Of California, Inc. | Highly multiplexed confocal detection systems and methods of using same |
| US20100167413A1 (en) * | 2007-05-10 | 2010-07-01 | Paul Lundquist | Methods and systems for analyzing fluorescent materials with reduced autofluorescence |
| DE102007022915A1 (en) * | 2007-05-14 | 2008-11-20 | Stiftung Caesar Center Of Advanced European Studies And Research | Method for analyzing polymerization of analyte in fluid, particularly organic monomer, involves overflowing reaction medium before beginning of analyzing sensor surface |
| EP2183388A4 (en) | 2007-07-26 | 2010-09-08 | Pacific Biosciences California | Molecular redundant sequencing |
| US7960116B2 (en) | 2007-09-28 | 2011-06-14 | Pacific Biosciences Of California, Inc. | Nucleic acid sequencing methods and systems |
| US8003330B2 (en) | 2007-09-28 | 2011-08-23 | Pacific Biosciences Of California, Inc. | Error-free amplification of DNA for clonal sequencing |
| EP2940029B1 (en) | 2007-10-19 | 2023-11-29 | The Trustees of Columbia University in the City of New York | Design and synthesis of cleavable fluorescent nucleotides as reversible terminators for dna sequencing by synthesis |
| EP2725107B1 (en) | 2007-10-19 | 2018-08-29 | The Trustees of Columbia University in the City of New York | DNA sequencing with non-fluorescent nucleotide reversible terminators and cleavable label modified ddNTPs and nucleic acid comprising inosine with reversible terminators |
| CA2711560A1 (en) | 2008-01-10 | 2009-07-16 | Pacific Biosciences Of California, Inc. | Methods and systems for analysis of fluorescent reactions with modulated excitation |
| US8252911B2 (en) | 2008-02-12 | 2012-08-28 | Pacific Biosciences Of California, Inc. | Compositions and methods for use in analytical reactions |
| WO2009120374A2 (en) | 2008-03-28 | 2009-10-01 | Pacific Biosciences Of California, Inc. | Methods and compositions for nucleic acid sample preparation |
| US8628940B2 (en) | 2008-09-24 | 2014-01-14 | Pacific Biosciences Of California, Inc. | Intermittent detection during analytical reactions |
| WO2009120372A2 (en) | 2008-03-28 | 2009-10-01 | Pacific Biosciences Of California, Inc. | Compositions and methods for nucleic acid sequencing |
| US8198023B2 (en) | 2008-08-05 | 2012-06-12 | Pacific Biosciences Of California, Inc. | Prevention and alleviation of steric hindrance during single molecule nucleic acid synthesis by a polymerase |
| US8795961B2 (en) | 2008-09-05 | 2014-08-05 | Pacific Biosciences Of California, Inc. | Preparations, compositions, and methods for nucleic acid sequencing |
| DK3629011T3 (en) * | 2008-09-16 | 2024-01-29 | Pacific Biosciences California Inc | INTEGRATED OPTICAL DEVICE |
| US8481264B2 (en) | 2008-09-19 | 2013-07-09 | Pacific Biosciences Of California, Inc. | Immobilized nucleic acid complexes for sequence analysis |
| US8921046B2 (en) | 2008-09-19 | 2014-12-30 | Pacific Biosciences Of California, Inc. | Nucleic acid sequence analysis |
| US8383369B2 (en) | 2008-09-24 | 2013-02-26 | Pacific Biosciences Of California, Inc. | Intermittent detection during analytical reactions |
| WO2010036287A1 (en) | 2008-09-24 | 2010-04-01 | Pacific Biosciences Of California, Inc. | Intermittent detection during analytical reactions |
| US8252910B2 (en) | 2008-11-19 | 2012-08-28 | Pacific Biosciences Of California, Inc. | Modular nucleotide compositions and uses therefor |
| WO2010059235A2 (en) | 2008-11-20 | 2010-05-27 | Pacific Biosciences Of California, Inc. | Algorithms for sequence determination |
| US8993230B2 (en) | 2008-12-04 | 2015-03-31 | Pacific Biosciences of Californ, Inc. | Asynchronous sequencing of biological polymers |
| CN102317473A (en) | 2008-12-11 | 2012-01-11 | 加利福尼亚太平洋生物科学股份有限公司 | Shenzhen tcl new technology co. , ltd |
| US9175338B2 (en) | 2008-12-11 | 2015-11-03 | Pacific Biosciences Of California, Inc. | Methods for identifying nucleic acid modifications |
| US12527665B2 (en) | 2008-12-11 | 2026-01-20 | Pacific Biosciences Of California, Inc. | Methods for identifying modified bases in nucleic acid templates |
| CA2760155A1 (en) | 2009-04-27 | 2010-11-11 | Pacific Biosciences Of California, Inc. | Real-time sequencing methods and systems |
| US8501406B1 (en) | 2009-07-14 | 2013-08-06 | Pacific Biosciences Of California, Inc. | Selectively functionalized arrays |
| US8518643B2 (en) | 2010-02-04 | 2013-08-27 | Pacific Biosciences Of California, Inc. | Method to improve single molecule analyses |
| WO2011103507A1 (en) | 2010-02-19 | 2011-08-25 | Pacific Biosciences Of California, Inc. | Optics collection and detection system and method |
| US20110311963A1 (en) * | 2010-03-16 | 2011-12-22 | Life Technologies Corporation | Method and Apparatus for Addressable Flow Cells in Single Molecule Sequencing |
| US8318094B1 (en) | 2010-06-18 | 2012-11-27 | Pacific Biosciences Of California, Inc. | Substrate analysis systems |
| US8834847B2 (en) | 2010-08-12 | 2014-09-16 | Pacific Biosciences Of California, Inc. | Photodamage mitigation compounds and systems |
| US8465922B2 (en) | 2010-08-26 | 2013-06-18 | Pacific Biosciences Of California, Inc. | Methods and systems for monitoring reactions |
| EP2689028B1 (en) | 2011-03-23 | 2017-08-30 | Pacific Biosciences Of California, Inc. | Isolation of polymerase-nucleic acid complexes and loading onto substrates |
| US9611510B2 (en) | 2011-04-06 | 2017-04-04 | The University Of Chicago | Composition and methods related to modification of 5-methylcytosine (5-mC) |
| WO2013019759A1 (en) * | 2011-07-30 | 2013-02-07 | The Regents Of The University Of California | Enzymatic preparation of 10 base to 50 kb double-strand dna reagent for sequencing with a nanopore-polymerase sequencing device |
| WO2013056241A2 (en) | 2011-10-14 | 2013-04-18 | Pacific Biosciences Of California, Inc. | Real-time redox sequencing |
| US9267917B2 (en) | 2011-11-04 | 2016-02-23 | Pacific Biosciences Of California, Inc. | Nanopores in zero mode waveguides |
| US9238836B2 (en) | 2012-03-30 | 2016-01-19 | Pacific Biosciences Of California, Inc. | Methods and compositions for sequencing modified nucleic acids |
| WO2013163207A1 (en) | 2012-04-24 | 2013-10-31 | Pacific Biosciences Of California, Inc. | Identification of 5-methyl-c in nucleic acid templates |
| WO2014139596A1 (en) | 2013-03-15 | 2014-09-18 | Illumina Cambridge Limited | Modified nucleosides or nucleotides |
| US9416414B2 (en) | 2013-10-24 | 2016-08-16 | Pacific Biosciences Of California, Inc. | Delaying real-time sequencing |
| US10302972B2 (en) | 2015-01-23 | 2019-05-28 | Pacific Biosciences Of California, Inc. | Waveguide transmission |
| EP3292220B1 (en) | 2015-05-07 | 2022-07-13 | Pacific Biosciences of California, Inc. | Multiprocessor pipeline architecture |
| US10731211B2 (en) | 2015-11-18 | 2020-08-04 | Pacific Biosciences Of California, Inc. | Methods and compositions for loading of polymerase complexes |
| US9932631B1 (en) | 2017-09-11 | 2018-04-03 | Omniome, Inc. | Genotyping by polymerase binding |
| AU2017394644B2 (en) | 2017-01-20 | 2020-02-06 | Pacific Biosciences Of California, Inc. | Allele-specific capture of nucleic acids |
| US11078534B2 (en) * | 2017-11-27 | 2021-08-03 | Roche Molecular Systems, Inc. | Photocleavable nucleotide reagents with high stability |
| CA3103296A1 (en) | 2018-12-21 | 2020-06-25 | Illumina, Inc. | Sensing systems |
| KR20230108222A (en) * | 2020-11-16 | 2023-07-18 | 일루미나, 인코포레이티드 | Incorporation and Imaging Mixture |
Citations (29)
| Publication number | Priority date | Publication date | Assignee | Title |
|---|---|---|---|---|
| US3728032A (en) * | 1971-10-13 | 1973-04-17 | H Noll | Flow cell for spectroscopic analysis of density gradients |
| GB2102005A (en) * | 1981-07-23 | 1983-01-26 | Mta Koezponti Kemiai Kutato In | Process for synthesis of polydeoxynucleotides |
| US4863849A (en) * | 1985-07-18 | 1989-09-05 | New York Medical College | Automatable process for sequencing nucleotide |
| US4971903A (en) * | 1988-03-25 | 1990-11-20 | Edward Hyman | Pyrophosphate-based method and apparatus for sequencing nucleic acids |
| US5064754A (en) * | 1984-12-14 | 1991-11-12 | Mills Randell L | Genomic sequencing method |
| US5087338A (en) * | 1988-11-15 | 1992-02-11 | Aligena Ag | Process and device for separating electrically charged macromolecular compounds by forced-flow membrane electrophoresis |
| US5198766A (en) * | 1991-02-11 | 1993-03-30 | Bruker Analytische Messtechnik Gmbh | Apparatus for measuring chemical and/or physical reaction sequences by nuclear magnetic resonance spectrometry |
| WO1993006241A1 (en) * | 1991-09-16 | 1993-04-01 | The Secretary Of State For Defence In Her Britannic Majesty's Government Of The United Kingdom Of Great Britain And Northern Ireland | Gene probe biosensor method |
| US5302509A (en) * | 1989-08-14 | 1994-04-12 | Beckman Instruments, Inc. | Method for sequencing polynucleotides |
| US5360714A (en) * | 1992-08-28 | 1994-11-01 | Fox Chase Cancer Center | Hepadnavirus polymerase gene product having RNA-dependent DNA priming and reverse transcriptase activities and methods of measuring the activities thereof |
| US5485277A (en) * | 1994-07-26 | 1996-01-16 | Physical Optics Corporation | Surface plasmon resonance sensor and methods for the utilization thereof |
| US5620854A (en) * | 1993-08-25 | 1997-04-15 | Regents Of The University Of California | Method for identifying biochemical and chemical reactions and micromechanical processes using nanomechanical and electronic signal identification |
| US5635608A (en) * | 1994-11-08 | 1997-06-03 | Molecular Probes, Inc. | α-carboxy caged compounds |
| US5753439A (en) * | 1995-05-19 | 1998-05-19 | Trustees Of Boston University | Nucleic acid detection methods |
| US5801042A (en) * | 1994-08-18 | 1998-09-01 | The Trustees Of Columbia University In The City Of New York | Unique associated Kaposi's sarcoma virus sequences and uses thereof |
| US6159687A (en) * | 1997-03-18 | 2000-12-12 | Novo Nordisk A/S | Methods for generating recombined polynucleotides |
| US6221642B1 (en) * | 1994-08-31 | 2001-04-24 | Cornell Research Foundation, Inc. | Process for reconstituting the polymerase III* and other subassemblies of E. coli DNA polymerase III holoenzyme from peptide subunits |
| US6331392B1 (en) * | 1997-03-05 | 2001-12-18 | Anadys Pharmaceutical, Inc. | Screen employing fluorescence anisotropy to identify compounds with affinity for nucleic acids |
| US6623929B1 (en) * | 1999-04-06 | 2003-09-23 | Medical Biosystems, Ltd. | Polynucleotide synthesis using a processing enzyme |
| US6780591B2 (en) * | 1998-05-01 | 2004-08-24 | Arizona Board Of Regents | Method of determining the nucleotide sequence of oligonucleotides and DNA molecules |
| US20040241678A1 (en) * | 2001-05-18 | 2004-12-02 | Densham Daniel Henry | Polynucleotide sequencing method |
| US20040241719A1 (en) * | 1997-07-28 | 2004-12-02 | Densham Daniel Henry | Nucleic acid sequence analysis |
| US6908736B1 (en) * | 1999-10-06 | 2005-06-21 | Medical Biosystems, Ltd. | DNA sequencing method |
| US20050214849A1 (en) * | 1999-10-06 | 2005-09-29 | Densham Daniel H | DNA sequencing method |
| US7033764B2 (en) * | 1999-05-19 | 2006-04-25 | Cornell Research Foundation, Inc. | Method for sequencing nucleic acid molecules |
| US7604963B2 (en) * | 2003-07-24 | 2009-10-20 | Medical Biosystems Ltd | Method for sequencing nucleic acid molecules |
| US7608397B2 (en) * | 2004-06-11 | 2009-10-27 | Medical Biosystems Ltd | Method for determining biophysical properties |
| US7875440B2 (en) * | 1998-05-01 | 2011-01-25 | Arizona Board Of Regents | Method of determining the nucleotide sequence of oligonucleotides and DNA molecules |
| US20140373606A1 (en) * | 2012-02-03 | 2014-12-25 | Agilent Technologies, Inc. | Micromachined flow cell with freestanding fluidic tube |
Family Cites Families (15)
| Publication number | Priority date | Publication date | Assignee | Title |
|---|---|---|---|---|
| US4629747A (en) * | 1984-07-09 | 1986-12-16 | Phillips Petroleum Company | Microbiocidal anionic sequesterants with polyvalent metal cations for permeability correction process |
| EP0425563B1 (en) † | 1988-07-20 | 1996-05-15 | David Segev | Process for amplifying and detecting nucleic acid sequences |
| SE462454B (en) | 1988-11-10 | 1990-06-25 | Pharmacia Ab | METHOD FOR USE IN BIOSENSORS |
| GB8910880D0 (en) † | 1989-05-11 | 1989-06-28 | Amersham Int Plc | Sequencing method |
| SE465516B (en) * | 1989-08-18 | 1991-09-23 | Kurt G I Nilsson | MADE TO MAKE A OLIGOSACCARIDE COMPOUND WHICH GLYCOSIDAS FROM A MOLLUSK IS USED |
| CA2044616A1 (en) * | 1989-10-26 | 1991-04-27 | Roger Y. Tsien | Dna sequencing |
| CA2097708A1 (en) | 1990-12-06 | 1992-06-07 | Stephen P. A. Fodor | Very large scale immobilized polymer synthesis |
| US6004744A (en) † | 1991-03-05 | 1999-12-21 | Molecular Tool, Inc. | Method for determining nucleotide identity through extension of immobilized primer |
| GB9208733D0 (en) * | 1992-04-22 | 1992-06-10 | Medical Res Council | Dna sequencing method |
| SE9201984D0 (en) | 1992-06-29 | 1992-06-29 | Pharmacia Biosensor Ab | IMPROVEMENT IN OPTICAL ASSAYS |
| AU5449094A (en) * | 1992-11-02 | 1994-05-24 | Affymax Technologies N.V. | Novel photoreactive protecting groups |
| DE69430909T2 (en) | 1993-03-19 | 2003-02-27 | Sequenom, Inc. | DNA SEQUENCE DETERMINATION BY MASS SPECTROMETRY ON THE WAY OF DEGRADATION WITH EXONUCLEASE |
| RU2041262C1 (en) * | 1993-08-11 | 1995-08-09 | Институт молекулярной биологии им.В.А.Энгельгардта РАН | Method for immobilization of water soluble bioorganic compounds on capillary-porous carrier |
| US5959098A (en) | 1996-04-17 | 1999-09-28 | Affymetrix, Inc. | Substrate preparation process |
| US6331692B1 (en) * | 1996-10-12 | 2001-12-18 | Volker Krause | Diode laser, laser optics, device for laser treatment of a workpiece, process for a laser treatment of workpiece |
-
1998
- 1998-07-24 CN CNB988076233A patent/CN1152140C/en not_active Expired - Lifetime
- 1998-07-24 EP EP10181931.6A patent/EP2267164B1/en not_active Expired - Lifetime
- 1998-07-24 BR BR9812270-3A patent/BR9812270A/en not_active Application Discontinuation
- 1998-07-24 EP EP10182026.4A patent/EP2267165B1/en not_active Expired - Lifetime
- 1998-07-24 DE DE69808661T patent/DE69808661T3/en not_active Expired - Lifetime
- 1998-07-24 AT AT98935212T patent/ATE225858T1/en not_active IP Right Cessation
- 1998-07-24 AU AU84559/98A patent/AU735898B2/en not_active Expired
- 1998-07-24 EP EP98935212A patent/EP1017848B2/en not_active Expired - Lifetime
- 1998-07-24 JP JP2000504282A patent/JP2001511358A/en active Pending
- 1998-07-24 KR KR1020007000971A patent/KR100664331B1/en not_active Expired - Fee Related
- 1998-07-24 CA CA2294962A patent/CA2294962C/en not_active Expired - Lifetime
- 1998-07-24 US US09/463,549 patent/US7008766B1/en not_active Expired - Lifetime
- 1998-07-24 RU RU2000104843/13A patent/RU2198221C2/en not_active IP Right Cessation
- 1998-07-24 ES ES98935212T patent/ES2183394T5/en not_active Expired - Lifetime
- 1998-07-24 EP EP02005331.0A patent/EP1229133B1/en not_active Expired - Lifetime
- 1998-07-24 PT PT98935212T patent/PT1017848E/en unknown
- 1998-07-24 WO PCT/GB1998/002214 patent/WO1999005315A2/en not_active Ceased
- 1998-07-24 DK DK98935212T patent/DK1017848T3/en active
- 1998-07-24 IL IL13341198A patent/IL133411A/en not_active IP Right Cessation
- 1998-07-24 NZ NZ502557A patent/NZ502557A/en unknown
-
2000
- 2000-01-25 IS IS5360A patent/IS5360A/en unknown
-
2004
- 2004-02-24 US US10/786,951 patent/US20040241719A1/en not_active Abandoned
-
2007
- 2007-08-03 US US11/833,673 patent/US20080014592A1/en not_active Abandoned
-
2010
- 2010-01-04 US US12/651,824 patent/US20100316999A1/en not_active Abandoned
Patent Citations (49)
| Publication number | Priority date | Publication date | Assignee | Title |
|---|---|---|---|---|
| US3728032A (en) * | 1971-10-13 | 1973-04-17 | H Noll | Flow cell for spectroscopic analysis of density gradients |
| GB2102005A (en) * | 1981-07-23 | 1983-01-26 | Mta Koezponti Kemiai Kutato In | Process for synthesis of polydeoxynucleotides |
| US5064754A (en) * | 1984-12-14 | 1991-11-12 | Mills Randell L | Genomic sequencing method |
| US4863849A (en) * | 1985-07-18 | 1989-09-05 | New York Medical College | Automatable process for sequencing nucleotide |
| US4971903A (en) * | 1988-03-25 | 1990-11-20 | Edward Hyman | Pyrophosphate-based method and apparatus for sequencing nucleic acids |
| US5087338A (en) * | 1988-11-15 | 1992-02-11 | Aligena Ag | Process and device for separating electrically charged macromolecular compounds by forced-flow membrane electrophoresis |
| US5302509A (en) * | 1989-08-14 | 1994-04-12 | Beckman Instruments, Inc. | Method for sequencing polynucleotides |
| US5198766A (en) * | 1991-02-11 | 1993-03-30 | Bruker Analytische Messtechnik Gmbh | Apparatus for measuring chemical and/or physical reaction sequences by nuclear magnetic resonance spectrometry |
| WO1993006241A1 (en) * | 1991-09-16 | 1993-04-01 | The Secretary Of State For Defence In Her Britannic Majesty's Government Of The United Kingdom Of Great Britain And Northern Ireland | Gene probe biosensor method |
| US5360714A (en) * | 1992-08-28 | 1994-11-01 | Fox Chase Cancer Center | Hepadnavirus polymerase gene product having RNA-dependent DNA priming and reverse transcriptase activities and methods of measuring the activities thereof |
| US5620854A (en) * | 1993-08-25 | 1997-04-15 | Regents Of The University Of California | Method for identifying biochemical and chemical reactions and micromechanical processes using nanomechanical and electronic signal identification |
| US5485277A (en) * | 1994-07-26 | 1996-01-16 | Physical Optics Corporation | Surface plasmon resonance sensor and methods for the utilization thereof |
| US5801042A (en) * | 1994-08-18 | 1998-09-01 | The Trustees Of Columbia University In The City Of New York | Unique associated Kaposi's sarcoma virus sequences and uses thereof |
| US6221642B1 (en) * | 1994-08-31 | 2001-04-24 | Cornell Research Foundation, Inc. | Process for reconstituting the polymerase III* and other subassemblies of E. coli DNA polymerase III holoenzyme from peptide subunits |
| US5635608A (en) * | 1994-11-08 | 1997-06-03 | Molecular Probes, Inc. | α-carboxy caged compounds |
| US5753439A (en) * | 1995-05-19 | 1998-05-19 | Trustees Of Boston University | Nucleic acid detection methods |
| US6331392B1 (en) * | 1997-03-05 | 2001-12-18 | Anadys Pharmaceutical, Inc. | Screen employing fluorescence anisotropy to identify compounds with affinity for nucleic acids |
| US6159687A (en) * | 1997-03-18 | 2000-12-12 | Novo Nordisk A/S | Methods for generating recombined polynucleotides |
| US7008766B1 (en) * | 1997-07-28 | 2006-03-07 | Medical Biosystems, Ltd. | Nucleic acid sequence analysis |
| US20080014592A1 (en) * | 1997-07-28 | 2008-01-17 | Densham Daniel H | Nucleic Acid Sequence Analysis |
| US20040241719A1 (en) * | 1997-07-28 | 2004-12-02 | Densham Daniel Henry | Nucleic acid sequence analysis |
| US20110183323A1 (en) * | 1998-05-01 | 2011-07-28 | Arizona Board Of Regents | Method of determining the nucleotide sequence of oligonucleotides and dna molecules |
| US20110183321A1 (en) * | 1998-05-01 | 2011-07-28 | Arizona Board Of Regents | Method of determining the nucleotide sequence of oligonucleotides and dna molecules |
| US20110183322A1 (en) * | 1998-05-01 | 2011-07-28 | Arizona Board Of Regents | Method of determining the nucleotide sequence of oligonucleotides and dna molecules |
| US7875440B2 (en) * | 1998-05-01 | 2011-01-25 | Arizona Board Of Regents | Method of determining the nucleotide sequence of oligonucleotides and DNA molecules |
| US7645596B2 (en) * | 1998-05-01 | 2010-01-12 | Arizona Board Of Regents | Method of determining the nucleotide sequence of oligonucleotides and DNA molecules |
| US6780591B2 (en) * | 1998-05-01 | 2004-08-24 | Arizona Board Of Regents | Method of determining the nucleotide sequence of oligonucleotides and DNA molecules |
| US6623929B1 (en) * | 1999-04-06 | 2003-09-23 | Medical Biosystems, Ltd. | Polynucleotide synthesis using a processing enzyme |
| US7485424B2 (en) * | 1999-05-19 | 2009-02-03 | Cornell Research Foundation, Inc. | Labeled nucleotide phosphate (NP) probes |
| US20110111401A1 (en) * | 1999-05-19 | 2011-05-12 | Cornell University | Method for sequencing nucleic acid molecules |
| US7361466B2 (en) * | 1999-05-19 | 2008-04-22 | Cornell Research Foundation, Inc. | Nucleic acid analysis using terminal-phosphate-labeled nucleotides |
| US7416844B2 (en) * | 1999-05-19 | 2008-08-26 | Cornell Research Foundation, Inc. | Composition for nucleic acid sequencing |
| US7943307B2 (en) * | 1999-05-19 | 2011-05-17 | Cornell Research Foundation | Methods for analyzing nucleic acid sequences |
| US7056661B2 (en) * | 1999-05-19 | 2006-06-06 | Cornell Research Foundation, Inc. | Method for sequencing nucleic acid molecules |
| US7056676B2 (en) * | 1999-05-19 | 2006-06-06 | Cornell Research Foundation, Inc. | Method for sequencing nucleic acid molecules |
| US7943305B2 (en) * | 1999-05-19 | 2011-05-17 | Cornell Research Foundation | High speed nucleic acid sequencing |
| US7052847B2 (en) * | 1999-05-19 | 2006-05-30 | Cornell Research Foundation, Inc. | Method for sequencing nucleic acid molecules |
| US7033764B2 (en) * | 1999-05-19 | 2006-04-25 | Cornell Research Foundation, Inc. | Method for sequencing nucleic acid molecules |
| US20110177520A1 (en) * | 1999-10-06 | 2011-07-21 | Daniel Henry Densham | Dna sequencing method |
| US20050214849A1 (en) * | 1999-10-06 | 2005-09-29 | Densham Daniel H | DNA sequencing method |
| US7939264B1 (en) * | 1999-10-06 | 2011-05-10 | Gen-Probe Incorporated | DNA sequencing method |
| US6908736B1 (en) * | 1999-10-06 | 2005-06-21 | Medical Biosystems, Ltd. | DNA sequencing method |
| US20090029383A1 (en) * | 2001-05-18 | 2009-01-29 | Daniel Henry Densham | Polynucleotide Sequencing Method |
| US20040241678A1 (en) * | 2001-05-18 | 2004-12-02 | Densham Daniel Henry | Polynucleotide sequencing method |
| US7604963B2 (en) * | 2003-07-24 | 2009-10-20 | Medical Biosystems Ltd | Method for sequencing nucleic acid molecules |
| US20110097729A1 (en) * | 2003-07-24 | 2011-04-28 | Daniel Densham | Apparatus and method for sequencing nucleic acid molecules |
| US7888073B2 (en) * | 2003-07-24 | 2011-02-15 | Gen-Probe Incorporated | Method for sequencing nucleic acid molecules |
| US7608397B2 (en) * | 2004-06-11 | 2009-10-27 | Medical Biosystems Ltd | Method for determining biophysical properties |
| US20140373606A1 (en) * | 2012-02-03 | 2014-12-25 | Agilent Technologies, Inc. | Micromachined flow cell with freestanding fluidic tube |
Non-Patent Citations (11)
| Title |
|---|
| "Fungi," (Wikipedia.com; accessed 03 June 2013). * |
| "How many species of bacteria are there" (wisegeek.com; accessed 21 January 2014). * |
| "List of sequenced bacterial genomes" (Wikipedia.com; accessed 24 January 2014). * |
| "Mammal," (Wikipedia.com; accessed 22 September 2011 ) * |
| "Mammal," (Wikipedia.com; accessed 22 September 2011) * |
| "Murinae," (Wikipedia.com, accessed 18 March 2013). * |
| "Plant," (Wikipedia.com; accessed 08 March 2013). * |
| "Viruses" (Wikipedia.com, accessed 24 November 2012). * |
| âList of sequenced bacterial genomesâ (Wikipedia.com; accessed 24 January 2014). * |
| âMammal,â (Wikipedia.com; accessed 22 September 2011). * |
| âMurinae,â (Wikipedia.com, accessed 18 March 2013). * |
Cited By (21)
| Publication number | Priority date | Publication date | Assignee | Title |
|---|---|---|---|---|
| US8592183B2 (en) | 2003-07-24 | 2013-11-26 | Gen-Probe Incorporated | Apparatus and method for sequencing nucleic acid molecules |
| US20110097729A1 (en) * | 2003-07-24 | 2011-04-28 | Daniel Densham | Apparatus and method for sequencing nucleic acid molecules |
| US11499185B2 (en) | 2015-07-21 | 2022-11-15 | Pacific Biosciences Of California, Inc. | Nucleic acid sequencing methods and systems |
| US10077470B2 (en) | 2015-07-21 | 2018-09-18 | Omniome, Inc. | Nucleic acid sequencing methods and systems |
| US10633692B2 (en) | 2016-04-29 | 2020-04-28 | Omniome, Inc. | Sequencing method employing ternary complex destabilization to identify cognate nucleotides |
| US11203778B2 (en) | 2016-04-29 | 2021-12-21 | Omniome, Inc. | Sequencing method employing ternary complex destabilization to identify cognate nucleotides |
| US10294514B2 (en) | 2016-04-29 | 2019-05-21 | Omniome, Inc. | Sequencing method employing ternary complex destabilization to identify cognate nucleotides |
| US10246744B2 (en) | 2016-08-15 | 2019-04-02 | Omniome, Inc. | Method and system for sequencing nucleic acids |
| US11203779B2 (en) | 2016-08-15 | 2021-12-21 | Omnionie, Inc. | Sequencing method for rapid identification and processing of cognate nucleotide pairs |
| US10428378B2 (en) | 2016-08-15 | 2019-10-01 | Omniome, Inc. | Sequencing method for rapid identification and processing of cognate nucleotide pairs |
| US10443098B2 (en) | 2016-08-15 | 2019-10-15 | Omniome, Inc. | Method and system for sequencing nucleic acids |
| US11168364B2 (en) | 2016-08-15 | 2021-11-09 | Omniome, Inc. | Method and system for sequencing nucleic acids |
| US11248254B2 (en) | 2016-12-30 | 2022-02-15 | Omniome, Inc. | Method and system employing distinguishable polymerases for detecting ternary complexes and identifying cognate nucleotides |
| US10975427B2 (en) | 2017-01-20 | 2021-04-13 | Omniome, Inc. | Process for cognate nucleotide detection in a nucleic acid sequencing workflow |
| US12344890B2 (en) | 2017-01-20 | 2025-07-01 | Pacific Biosciences Of California, Inc. | Process for cognate nucleotide detection in a nucleic acid sequencing workflow |
| US10161003B2 (en) | 2017-04-25 | 2018-12-25 | Omniome, Inc. | Methods and apparatus that increase sequencing-by-binding efficiency |
| US10655176B2 (en) | 2017-04-25 | 2020-05-19 | Omniome, Inc. | Methods and apparatus that increase sequencing-by-binding efficiency |
| US11447823B2 (en) | 2017-04-25 | 2022-09-20 | Pacific Biosciences Of California, Inc. | Methods and apparatus that increase sequencing-by-binding efficiency |
| US9951385B1 (en) | 2017-04-25 | 2018-04-24 | Omniome, Inc. | Methods and apparatus that increase sequencing-by-binding efficiency |
| US12180545B2 (en) | 2017-04-25 | 2024-12-31 | Pacific Biosciences Of California, Inc. | Methods and apparatus that increase sequencing-by-binding efficiency |
| US11193166B2 (en) | 2017-10-19 | 2021-12-07 | Omniome, Inc. | Simultaneous background reduction and complex stabilization in binding assay workflows |
Also Published As
Similar Documents
| Publication | Publication Date | Title |
|---|---|---|
| US7008766B1 (en) | Nucleic acid sequence analysis | |
| CA2386115C (en) | Dna sequencing method | |
| US6908736B1 (en) | DNA sequencing method | |
| AU769140B2 (en) | Polynucleotide sequencing using a helicase | |
| AU751766B2 (en) | Nucleic acid sequence analysis | |
| HK1031130B (en) | Nucleic acid sequence analysis | |
| MXPA00000715A (en) | Nucleic acid sequence analysis | |
| HK1045857B (en) | Dna sequencing method |
Legal Events
| Date | Code | Title | Description |
|---|---|---|---|
| AS | Assignment |
Owner name: MOBIOUS BIOSYSTEMS LIMITED, UNITED KINGDOM Free format text: CHANGE OF NAME;ASSIGNOR:REJUVIGEN LIMITED;REEL/FRAME:024896/0336 Effective date: 20070323 Owner name: GEN-PROBE INCORPORATED, CALIFORNIA Free format text: ASSIGNMENT OF ASSIGNORS INTEREST;ASSIGNOR:MOBIOUS BIO SYSTEMS LIMITED;REEL/FRAME:024896/0309 Effective date: 20091117 Owner name: REJUVIGEN LIMITED, UNITED KINGDOM Free format text: ASSIGNMENT OF ASSIGNORS INTEREST;ASSIGNOR:MEDICAL BIOSYSTEMS LIMITED;REEL/FRAME:024896/0283 Effective date: 20070724 |
|
| AS | Assignment |
Owner name: GOLDMAN SACHS BANK USA, NEW YORK Free format text: SECURITY AGREEMENT;ASSIGNORS:HOLOGIC, INC.;BIOLUCENT, LLC;CYTYC CORPORATION;AND OTHERS;REEL/FRAME:028810/0745 Effective date: 20120801 |
|
| AS | Assignment |
Owner name: CYTYC SURGICAL PRODUCTS, LIMITED PARTNERSHIP, MASSACHUSETTS Free format text: SECURITY INTEREST RELEASE REEL/FRAME 028810/0745;ASSIGNOR:GOLDMAN SACHS BANK USA, AS COLLATERAL AGENT;REEL/FRAME:035820/0239 Effective date: 20150529 Owner name: CYTYC CORPORATION, MASSACHUSETTS Free format text: SECURITY INTEREST RELEASE REEL/FRAME 028810/0745;ASSIGNOR:GOLDMAN SACHS BANK USA, AS COLLATERAL AGENT;REEL/FRAME:035820/0239 Effective date: 20150529 Owner name: BIOLUCENT, LLC, MASSACHUSETTS Free format text: SECURITY INTEREST RELEASE REEL/FRAME 028810/0745;ASSIGNOR:GOLDMAN SACHS BANK USA, AS COLLATERAL AGENT;REEL/FRAME:035820/0239 Effective date: 20150529 Owner name: CYTYC SURGICAL PRODUCTS, LIMITED PARTNERSHIP, MASS Free format text: SECURITY INTEREST RELEASE REEL/FRAME 028810/0745;ASSIGNOR:GOLDMAN SACHS BANK USA, AS COLLATERAL AGENT;REEL/FRAME:035820/0239 Effective date: 20150529 Owner name: SUROS SURGICAL SYSTEMS, INC., MASSACHUSETTS Free format text: SECURITY INTEREST RELEASE REEL/FRAME 028810/0745;ASSIGNOR:GOLDMAN SACHS BANK USA, AS COLLATERAL AGENT;REEL/FRAME:035820/0239 Effective date: 20150529 Owner name: THIRD WAVE TECHNOLOGIES, INC., MASSACHUSETTS Free format text: SECURITY INTEREST RELEASE REEL/FRAME 028810/0745;ASSIGNOR:GOLDMAN SACHS BANK USA, AS COLLATERAL AGENT;REEL/FRAME:035820/0239 Effective date: 20150529 Owner name: HOLOGIC, INC., MASSACHUSETTS Free format text: SECURITY INTEREST RELEASE REEL/FRAME 028810/0745;ASSIGNOR:GOLDMAN SACHS BANK USA, AS COLLATERAL AGENT;REEL/FRAME:035820/0239 Effective date: 20150529 Owner name: GEN-PROBE INCORPORATED, MASSACHUSETTS Free format text: SECURITY INTEREST RELEASE REEL/FRAME 028810/0745;ASSIGNOR:GOLDMAN SACHS BANK USA, AS COLLATERAL AGENT;REEL/FRAME:035820/0239 Effective date: 20150529 |
|
| AS | Assignment |
Owner name: BANK OF AMERICA, N.A., AS COLLATERAL AGENT, NORTH CAROLINA Free format text: SECURITY AGREEMENT;ASSIGNORS:HOLOGIC, INC.;BIOLUCENT, LLC;CYTYC CORPORATION;AND OTHERS;REEL/FRAME:036307/0199 Effective date: 20150529 Owner name: BANK OF AMERICA, N.A., AS COLLATERAL AGENT, NORTH Free format text: SECURITY AGREEMENT;ASSIGNORS:HOLOGIC, INC.;BIOLUCENT, LLC;CYTYC CORPORATION;AND OTHERS;REEL/FRAME:036307/0199 Effective date: 20150529 |
|
| AS | Assignment |
Owner name: CYTYC SURGICAL PRODUCTS, LIMITED PARTNERSHIP, MASSACHUSETTS Free format text: CORRECTIVE ASSIGNMENT TO CORRECT THE INCORRECT PATENT NO. 8081301 PREVIOUSLY RECORDED AT REEL: 035820 FRAME: 0239. ASSIGNOR(S) HEREBY CONFIRMS THE SECURITY INTEREST RELEASE;ASSIGNOR:GOLDMAN SACHS BANK USA, AS COLLATERAL AGENT;REEL/FRAME:044727/0529 Effective date: 20150529 Owner name: GOLDMAN SACHS BANK USA, NEW YORK Free format text: CORRECTIVE ASSIGNMENT TO CORRECT THE INCORRECT PATENT NO. 8081301 PREVIOUSLY RECORDED AT REEL: 028810 FRAME: 0745. ASSIGNOR(S) HEREBY CONFIRMS THE SECURITY AGREEMENT;ASSIGNORS:HOLOGIC, INC.;BIOLUCENT, LLC;CYTYC CORPORATION;AND OTHERS;REEL/FRAME:044432/0565 Effective date: 20120801 Owner name: BIOLUCENT, LLC, MASSACHUSETTS Free format text: CORRECTIVE ASSIGNMENT TO CORRECT THE INCORRECT PATENT NO. 8081301 PREVIOUSLY RECORDED AT REEL: 035820 FRAME: 0239. ASSIGNOR(S) HEREBY CONFIRMS THE SECURITY INTEREST RELEASE;ASSIGNOR:GOLDMAN SACHS BANK USA, AS COLLATERAL AGENT;REEL/FRAME:044727/0529 Effective date: 20150529 Owner name: CYTYC SURGICAL PRODUCTS, LIMITED PARTNERSHIP, MASS Free format text: CORRECTIVE ASSIGNMENT TO CORRECT THE INCORRECT PATENT NO. 8081301 PREVIOUSLY RECORDED AT REEL: 035820 FRAME: 0239. ASSIGNOR(S) HEREBY CONFIRMS THE SECURITY INTEREST RELEASE;ASSIGNOR:GOLDMAN SACHS BANK USA, AS COLLATERAL AGENT;REEL/FRAME:044727/0529 Effective date: 20150529 Owner name: GEN-PROBE INCORPORATED, MASSACHUSETTS Free format text: CORRECTIVE ASSIGNMENT TO CORRECT THE INCORRECT PATENT NO. 8081301 PREVIOUSLY RECORDED AT REEL: 035820 FRAME: 0239. ASSIGNOR(S) HEREBY CONFIRMS THE SECURITY INTEREST RELEASE;ASSIGNOR:GOLDMAN SACHS BANK USA, AS COLLATERAL AGENT;REEL/FRAME:044727/0529 Effective date: 20150529 Owner name: HOLOGIC, INC., MASSACHUSETTS Free format text: CORRECTIVE ASSIGNMENT TO CORRECT THE INCORRECT PATENT NO. 8081301 PREVIOUSLY RECORDED AT REEL: 035820 FRAME: 0239. ASSIGNOR(S) HEREBY CONFIRMS THE SECURITY INTEREST RELEASE;ASSIGNOR:GOLDMAN SACHS BANK USA, AS COLLATERAL AGENT;REEL/FRAME:044727/0529 Effective date: 20150529 Owner name: CYTYC CORPORATION, MASSACHUSETTS Free format text: CORRECTIVE ASSIGNMENT TO CORRECT THE INCORRECT PATENT NO. 8081301 PREVIOUSLY RECORDED AT REEL: 035820 FRAME: 0239. ASSIGNOR(S) HEREBY CONFIRMS THE SECURITY INTEREST RELEASE;ASSIGNOR:GOLDMAN SACHS BANK USA, AS COLLATERAL AGENT;REEL/FRAME:044727/0529 Effective date: 20150529 Owner name: THIRD WAVE TECHNOLOGIES, INC., MASSACHUSETTS Free format text: CORRECTIVE ASSIGNMENT TO CORRECT THE INCORRECT PATENT NO. 8081301 PREVIOUSLY RECORDED AT REEL: 035820 FRAME: 0239. ASSIGNOR(S) HEREBY CONFIRMS THE SECURITY INTEREST RELEASE;ASSIGNOR:GOLDMAN SACHS BANK USA, AS COLLATERAL AGENT;REEL/FRAME:044727/0529 Effective date: 20150529 Owner name: SUROS SURGICAL SYSTEMS, INC., MASSACHUSETTS Free format text: CORRECTIVE ASSIGNMENT TO CORRECT THE INCORRECT PATENT NO. 8081301 PREVIOUSLY RECORDED AT REEL: 035820 FRAME: 0239. ASSIGNOR(S) HEREBY CONFIRMS THE SECURITY INTEREST RELEASE;ASSIGNOR:GOLDMAN SACHS BANK USA, AS COLLATERAL AGENT;REEL/FRAME:044727/0529 Effective date: 20150529 |
|
| STCB | Information on status: application discontinuation |
Free format text: ABANDONED -- FAILURE TO PAY ISSUE FEE |
|
| STCB | Information on status: application discontinuation |
Free format text: ABANDONED -- FAILURE TO PAY ISSUE FEE |

