US20100311910A1 - Optical film and information technology apparatus comprising the same - Google Patents
Optical film and information technology apparatus comprising the same Download PDFInfo
- Publication number
- US20100311910A1 US20100311910A1 US12/858,073 US85807310A US2010311910A1 US 20100311910 A1 US20100311910 A1 US 20100311910A1 US 85807310 A US85807310 A US 85807310A US 2010311910 A1 US2010311910 A1 US 2010311910A1
- Authority
- US
- United States
- Prior art keywords
- based unit
- optical film
- cyclic
- styrene
- film
- Prior art date
- Legal status (The legal status is an assumption and is not a legal conclusion. Google has not performed a legal analysis and makes no representation as to the accuracy of the status listed.)
- Abandoned
Links
- 239000012788 optical film Substances 0.000 title claims abstract description 64
- 238000005516 engineering process Methods 0.000 title claims abstract description 8
- PPBRXRYQALVLMV-UHFFFAOYSA-N Styrene Chemical compound C=CC1=CC=CC=C1 PPBRXRYQALVLMV-UHFFFAOYSA-N 0.000 claims abstract description 104
- 125000003118 aryl group Chemical group 0.000 claims abstract description 52
- 125000002887 hydroxy group Chemical group [H]O* 0.000 claims abstract description 22
- 239000010408 film Substances 0.000 claims description 78
- 125000004122 cyclic group Chemical group 0.000 claims description 74
- NIXOWILDQLNWCW-UHFFFAOYSA-M Acrylate Chemical compound [O-]C(=O)C=C NIXOWILDQLNWCW-UHFFFAOYSA-M 0.000 claims description 43
- 229920001577 copolymer Polymers 0.000 claims description 35
- 239000004973 liquid crystal related substance Substances 0.000 claims description 34
- 125000004432 carbon atom Chemical group C* 0.000 claims description 20
- 229920005989 resin Polymers 0.000 claims description 17
- 239000011347 resin Substances 0.000 claims description 17
- UHOVQNZJYSORNB-UHFFFAOYSA-N Benzene Chemical compound C1=CC=CC=C1 UHOVQNZJYSORNB-UHFFFAOYSA-N 0.000 claims description 14
- 230000001681 protective effect Effects 0.000 claims description 12
- PEEHTFAAVSWFBL-UHFFFAOYSA-N Maleimide Chemical compound O=C1NC(=O)C=C1 PEEHTFAAVSWFBL-UHFFFAOYSA-N 0.000 claims description 11
- FPYJFEHAWHCUMM-UHFFFAOYSA-N maleic anhydride Chemical compound O=C1OC(=O)C=C1 FPYJFEHAWHCUMM-UHFFFAOYSA-N 0.000 claims description 11
- 125000000951 phenoxy group Chemical group [H]C1=C([H])C([H])=C(O*)C([H])=C1[H] 0.000 claims description 11
- 125000002947 alkylene group Chemical group 0.000 claims description 7
- 150000001252 acrylic acid derivatives Chemical class 0.000 claims description 4
- VANNPISTIUFMLH-UHFFFAOYSA-N glutaric anhydride Chemical compound O=C1CCCC(=O)O1 VANNPISTIUFMLH-UHFFFAOYSA-N 0.000 claims description 4
- 150000002596 lactones Chemical class 0.000 claims description 4
- 150000003440 styrenes Chemical class 0.000 claims 2
- 238000000034 method Methods 0.000 description 17
- 230000003287 optical effect Effects 0.000 description 15
- 150000001875 compounds Chemical class 0.000 description 13
- 238000004519 manufacturing process Methods 0.000 description 13
- 239000011342 resin composition Substances 0.000 description 12
- 230000008859 change Effects 0.000 description 11
- 210000002858 crystal cell Anatomy 0.000 description 11
- 239000002994 raw material Substances 0.000 description 10
- IJGRMHOSHXDMSA-UHFFFAOYSA-N Atomic nitrogen Chemical compound N#N IJGRMHOSHXDMSA-UHFFFAOYSA-N 0.000 description 7
- 230000000052 comparative effect Effects 0.000 description 7
- 239000000203 mixture Substances 0.000 description 7
- 230000008569 process Effects 0.000 description 7
- BQTPKSBXMONSJI-UHFFFAOYSA-N 1-cyclohexylpyrrole-2,5-dione Chemical compound O=C1C=CC(=O)N1C1CCCCC1 BQTPKSBXMONSJI-UHFFFAOYSA-N 0.000 description 6
- 0 C.C.COCO*(C)O Chemical compound C.C.COCO*(C)O 0.000 description 6
- -1 acryl Chemical group 0.000 description 6
- 230000009477 glass transition Effects 0.000 description 6
- 239000008188 pellet Substances 0.000 description 6
- 125000003342 alkenyl group Chemical group 0.000 description 5
- 125000000217 alkyl group Chemical group 0.000 description 5
- 239000001257 hydrogen Substances 0.000 description 5
- 229910052739 hydrogen Inorganic materials 0.000 description 5
- 125000004435 hydrogen atom Chemical class [H]* 0.000 description 5
- 239000000178 monomer Substances 0.000 description 5
- 229920000642 polymer Polymers 0.000 description 5
- 230000035882 stress Effects 0.000 description 5
- 239000000126 substance Substances 0.000 description 5
- PYSRRFNXTXNWCD-UHFFFAOYSA-N 3-(2-phenylethenyl)furan-2,5-dione Chemical compound O=C1OC(=O)C(C=CC=2C=CC=CC=2)=C1 PYSRRFNXTXNWCD-UHFFFAOYSA-N 0.000 description 4
- VVQNEPGJFQJSBK-UHFFFAOYSA-N Methyl methacrylate Chemical compound COC(=O)C(C)=C VVQNEPGJFQJSBK-UHFFFAOYSA-N 0.000 description 4
- 239000004372 Polyvinyl alcohol Substances 0.000 description 4
- 229920000147 Styrene maleic anhydride Polymers 0.000 description 4
- 238000005266 casting Methods 0.000 description 4
- 230000006355 external stress Effects 0.000 description 4
- 238000002156 mixing Methods 0.000 description 4
- 229910052757 nitrogen Inorganic materials 0.000 description 4
- 229920002451 polyvinyl alcohol Polymers 0.000 description 4
- VYZAMTAEIAYCRO-UHFFFAOYSA-N Chromium Chemical compound [Cr] VYZAMTAEIAYCRO-UHFFFAOYSA-N 0.000 description 3
- XYLMUPLGERFSHI-UHFFFAOYSA-N alpha-Methylstyrene Chemical compound CC(=C)C1=CC=CC=C1 XYLMUPLGERFSHI-UHFFFAOYSA-N 0.000 description 3
- 229920002678 cellulose Polymers 0.000 description 3
- 239000001913 cellulose Substances 0.000 description 3
- 230000000694 effects Effects 0.000 description 3
- 239000000463 material Substances 0.000 description 3
- 238000002844 melting Methods 0.000 description 3
- 230000008018 melting Effects 0.000 description 3
- 229920006254 polymer film Polymers 0.000 description 3
- 239000002861 polymer material Substances 0.000 description 3
- 238000007152 ring opening metathesis polymerisation reaction Methods 0.000 description 3
- ZCYVEMRRCGMTRW-UHFFFAOYSA-N 7553-56-2 Chemical compound [I] ZCYVEMRRCGMTRW-UHFFFAOYSA-N 0.000 description 2
- BTMRYSYEOPOPBR-UHFFFAOYSA-N C1=CC=CC=C1.CC Chemical compound C1=CC=CC=C1.CC BTMRYSYEOPOPBR-UHFFFAOYSA-N 0.000 description 2
- BAPJBEWLBFYGME-UHFFFAOYSA-N Methyl acrylate Chemical compound COC(=O)C=C BAPJBEWLBFYGME-UHFFFAOYSA-N 0.000 description 2
- GWEVSGVZZGPLCZ-UHFFFAOYSA-N Titan oxide Chemical compound O=[Ti]=O GWEVSGVZZGPLCZ-UHFFFAOYSA-N 0.000 description 2
- 239000006096 absorbing agent Substances 0.000 description 2
- 229920006026 co-polymeric resin Polymers 0.000 description 2
- 238000009826 distribution Methods 0.000 description 2
- 229910052740 iodine Inorganic materials 0.000 description 2
- 239000011630 iodine Substances 0.000 description 2
- 239000001301 oxygen Substances 0.000 description 2
- 229910052760 oxygen Inorganic materials 0.000 description 2
- 230000000704 physical effect Effects 0.000 description 2
- 229920003229 poly(methyl methacrylate) Polymers 0.000 description 2
- 230000002265 prevention Effects 0.000 description 2
- 238000007493 shaping process Methods 0.000 description 2
- 238000003860 storage Methods 0.000 description 2
- 230000001629 suppression Effects 0.000 description 2
- JNPCNDJVEUEFBO-UHFFFAOYSA-N 1-butylpyrrole-2,5-dione Chemical compound CCCCN1C(=O)C=CC1=O JNPCNDJVEUEFBO-UHFFFAOYSA-N 0.000 description 1
- HIDBROSJWZYGSZ-UHFFFAOYSA-N 1-phenylpyrrole-2,5-dione Chemical compound O=C1C=CC(=O)N1C1=CC=CC=C1 HIDBROSJWZYGSZ-UHFFFAOYSA-N 0.000 description 1
- WDQMWEYDKDCEHT-UHFFFAOYSA-N 2-ethylhexyl 2-methylprop-2-enoate Chemical compound CCCCC(CC)COC(=O)C(C)=C WDQMWEYDKDCEHT-UHFFFAOYSA-N 0.000 description 1
- GLPRMVXDDLGWOG-UHFFFAOYSA-N CCC(O)COC1=CC=C(C(C)(C)C2=CC=C(OC)C=C2)C=C1 Chemical compound CCC(O)COC1=CC=C(C(C)(C)C2=CC=C(OC)C=C2)C=C1 GLPRMVXDDLGWOG-UHFFFAOYSA-N 0.000 description 1
- 229920002284 Cellulose triacetate Polymers 0.000 description 1
- 208000032544 Cicatrix Diseases 0.000 description 1
- JIGUQPWFLRLWPJ-UHFFFAOYSA-N Ethyl acrylate Chemical compound CCOC(=O)C=C JIGUQPWFLRLWPJ-UHFFFAOYSA-N 0.000 description 1
- 239000004642 Polyimide Substances 0.000 description 1
- 239000012963 UV stabilizer Substances 0.000 description 1
- NNLVGZFZQQXQNW-ADJNRHBOSA-N [(2r,3r,4s,5r,6s)-4,5-diacetyloxy-3-[(2s,3r,4s,5r,6r)-3,4,5-triacetyloxy-6-(acetyloxymethyl)oxan-2-yl]oxy-6-[(2r,3r,4s,5r,6s)-4,5,6-triacetyloxy-2-(acetyloxymethyl)oxan-3-yl]oxyoxan-2-yl]methyl acetate Chemical compound O([C@@H]1O[C@@H]([C@H]([C@H](OC(C)=O)[C@H]1OC(C)=O)O[C@H]1[C@@H]([C@@H](OC(C)=O)[C@H](OC(C)=O)[C@@H](COC(C)=O)O1)OC(C)=O)COC(=O)C)[C@@H]1[C@@H](COC(C)=O)O[C@@H](OC(C)=O)[C@H](OC(C)=O)[C@H]1OC(C)=O NNLVGZFZQQXQNW-ADJNRHBOSA-N 0.000 description 1
- 238000010521 absorption reaction Methods 0.000 description 1
- 238000012644 addition polymerization Methods 0.000 description 1
- 150000001338 aliphatic hydrocarbons Chemical class 0.000 description 1
- 239000003963 antioxidant agent Substances 0.000 description 1
- 230000003078 antioxidant effect Effects 0.000 description 1
- QVGXLLKOCUKJST-UHFFFAOYSA-N atomic oxygen Chemical compound [O] QVGXLLKOCUKJST-UHFFFAOYSA-N 0.000 description 1
- 230000008901 benefit Effects 0.000 description 1
- AOJOEFVRHOZDFN-UHFFFAOYSA-N benzyl 2-methylprop-2-enoate Chemical compound CC(=C)C(=O)OCC1=CC=CC=C1 AOJOEFVRHOZDFN-UHFFFAOYSA-N 0.000 description 1
- 229920001400 block copolymer Polymers 0.000 description 1
- 238000012662 bulk polymerization Methods 0.000 description 1
- CQEYYJKEWSMYFG-UHFFFAOYSA-N butyl acrylate Chemical compound CCCCOC(=O)C=C CQEYYJKEWSMYFG-UHFFFAOYSA-N 0.000 description 1
- 210000004027 cell Anatomy 0.000 description 1
- 239000000470 constituent Substances 0.000 description 1
- 230000007547 defect Effects 0.000 description 1
- 238000009792 diffusion process Methods 0.000 description 1
- GMSCBRSQMRDRCD-UHFFFAOYSA-N dodecyl 2-methylprop-2-enoate Chemical compound CCCCCCCCCCCCOC(=O)C(C)=C GMSCBRSQMRDRCD-UHFFFAOYSA-N 0.000 description 1
- 238000001035 drying Methods 0.000 description 1
- 238000004043 dyeing Methods 0.000 description 1
- 238000007720 emulsion polymerization reaction Methods 0.000 description 1
- 238000001125 extrusion Methods 0.000 description 1
- 238000010528 free radical solution polymerization reaction Methods 0.000 description 1
- 125000005842 heteroatom Chemical group 0.000 description 1
- 229920001519 homopolymer Polymers 0.000 description 1
- 238000005984 hydrogenation reaction Methods 0.000 description 1
- 230000006872 improvement Effects 0.000 description 1
- 230000000977 initiatory effect Effects 0.000 description 1
- 239000007788 liquid Substances 0.000 description 1
- 239000000314 lubricant Substances 0.000 description 1
- 125000002496 methyl group Chemical group [H]C([H])([H])* 0.000 description 1
- SEEYREPSKCQBBF-UHFFFAOYSA-N n-methylmaleimide Chemical compound CN1C(=O)C=CC1=O SEEYREPSKCQBBF-UHFFFAOYSA-N 0.000 description 1
- QJGQUHMNIGDVPM-UHFFFAOYSA-N nitrogen group Chemical group [N] QJGQUHMNIGDVPM-UHFFFAOYSA-N 0.000 description 1
- JFNLZVQOOSMTJK-KNVOCYPGSA-N norbornene Chemical compound C1[C@@H]2CC[C@H]1C=C2 JFNLZVQOOSMTJK-KNVOCYPGSA-N 0.000 description 1
- JRZJOMJEPLMPRA-UHFFFAOYSA-N olefin Natural products CCCCCCCC=C JRZJOMJEPLMPRA-UHFFFAOYSA-N 0.000 description 1
- PNJWIWWMYCMZRO-UHFFFAOYSA-N pent‐4‐en‐2‐one Natural products CC(=O)CC=C PNJWIWWMYCMZRO-UHFFFAOYSA-N 0.000 description 1
- 239000013034 phenoxy resin Substances 0.000 description 1
- 229920006287 phenoxy resin Polymers 0.000 description 1
- 125000001997 phenyl group Chemical group [H]C1=C([H])C([H])=C(*)C([H])=C1[H] 0.000 description 1
- 239000000049 pigment Substances 0.000 description 1
- 229920003023 plastic Polymers 0.000 description 1
- 239000004033 plastic Substances 0.000 description 1
- 229920000515 polycarbonate Polymers 0.000 description 1
- 239000004417 polycarbonate Substances 0.000 description 1
- 229920000728 polyester Polymers 0.000 description 1
- 229920006267 polyester film Polymers 0.000 description 1
- 229920001721 polyimide Polymers 0.000 description 1
- 229920002635 polyurethane Polymers 0.000 description 1
- 239000004814 polyurethane Substances 0.000 description 1
- 229920005604 random copolymer Polymers 0.000 description 1
- 238000007142 ring opening reaction Methods 0.000 description 1
- 231100000241 scar Toxicity 0.000 description 1
- 230000037387 scars Effects 0.000 description 1
- 125000001424 substituent group Chemical group 0.000 description 1
- 239000000758 substrate Substances 0.000 description 1
- 238000010557 suspension polymerization reaction Methods 0.000 description 1
- 239000003017 thermal stabilizer Substances 0.000 description 1
- 239000010409 thin film Substances 0.000 description 1
- 238000002834 transmittance Methods 0.000 description 1
- ILJSQTXMGCGYMG-UHFFFAOYSA-N triacetic acid Chemical compound CC(=O)CC(=O)CC(O)=O ILJSQTXMGCGYMG-UHFFFAOYSA-N 0.000 description 1
- 125000000391 vinyl group Chemical group [H]C([*])=C([H])[H] 0.000 description 1
- XLYOFNOQVPJJNP-UHFFFAOYSA-N water Substances O XLYOFNOQVPJJNP-UHFFFAOYSA-N 0.000 description 1
Images
Classifications
-
- G—PHYSICS
- G02—OPTICS
- G02B—OPTICAL ELEMENTS, SYSTEMS OR APPARATUS
- G02B5/00—Optical elements other than lenses
- G02B5/30—Polarising elements
- G02B5/3083—Birefringent or phase retarding elements
-
- C—CHEMISTRY; METALLURGY
- C08—ORGANIC MACROMOLECULAR COMPOUNDS; THEIR PREPARATION OR CHEMICAL WORKING-UP; COMPOSITIONS BASED THEREON
- C08F—MACROMOLECULAR COMPOUNDS OBTAINED BY REACTIONS ONLY INVOLVING CARBON-TO-CARBON UNSATURATED BONDS
- C08F220/00—Copolymers of compounds having one or more unsaturated aliphatic radicals, each having only one carbon-to-carbon double bond, and only one being terminated by only one carboxyl radical or a salt, anhydride ester, amide, imide or nitrile thereof
- C08F220/02—Monocarboxylic acids having less than ten carbon atoms; Derivatives thereof
- C08F220/04—Acids; Metal salts or ammonium salts thereof
- C08F220/06—Acrylic acid; Methacrylic acid; Metal salts or ammonium salts thereof
-
- C—CHEMISTRY; METALLURGY
- C08—ORGANIC MACROMOLECULAR COMPOUNDS; THEIR PREPARATION OR CHEMICAL WORKING-UP; COMPOSITIONS BASED THEREON
- C08F—MACROMOLECULAR COMPOUNDS OBTAINED BY REACTIONS ONLY INVOLVING CARBON-TO-CARBON UNSATURATED BONDS
- C08F212/00—Copolymers of compounds having one or more unsaturated aliphatic radicals, each having only one carbon-to-carbon double bond, and at least one being terminated by an aromatic carbocyclic ring
- C08F212/02—Monomers containing only one unsaturated aliphatic radical
- C08F212/04—Monomers containing only one unsaturated aliphatic radical containing one ring
- C08F212/06—Hydrocarbons
- C08F212/08—Styrene
-
- C—CHEMISTRY; METALLURGY
- C08—ORGANIC MACROMOLECULAR COMPOUNDS; THEIR PREPARATION OR CHEMICAL WORKING-UP; COMPOSITIONS BASED THEREON
- C08J—WORKING-UP; GENERAL PROCESSES OF COMPOUNDING; AFTER-TREATMENT NOT COVERED BY SUBCLASSES C08B, C08C, C08F, C08G or C08H
- C08J5/00—Manufacture of articles or shaped materials containing macromolecular substances
- C08J5/18—Manufacture of films or sheets
-
- C—CHEMISTRY; METALLURGY
- C09—DYES; PAINTS; POLISHES; NATURAL RESINS; ADHESIVES; COMPOSITIONS NOT OTHERWISE PROVIDED FOR; APPLICATIONS OF MATERIALS NOT OTHERWISE PROVIDED FOR
- C09D—COATING COMPOSITIONS, e.g. PAINTS, VARNISHES OR LACQUERS; FILLING PASTES; CHEMICAL PAINT OR INK REMOVERS; INKS; CORRECTING FLUIDS; WOODSTAINS; PASTES OR SOLIDS FOR COLOURING OR PRINTING; USE OF MATERIALS THEREFOR
- C09D125/00—Coating compositions based on homopolymers or copolymers of compounds having one or more unsaturated aliphatic radicals, each having only one carbon-to-carbon double bond, and at least one being terminated by an aromatic carbocyclic ring; Coating compositions based on derivatives of such polymers
- C09D125/02—Homopolymers or copolymers of hydrocarbons
- C09D125/04—Homopolymers or copolymers of styrene
- C09D125/08—Copolymers of styrene
- C09D125/14—Copolymers of styrene with unsaturated esters
-
- G—PHYSICS
- G02—OPTICS
- G02B—OPTICAL ELEMENTS, SYSTEMS OR APPARATUS
- G02B5/00—Optical elements other than lenses
- G02B5/30—Polarising elements
-
- C—CHEMISTRY; METALLURGY
- C09—DYES; PAINTS; POLISHES; NATURAL RESINS; ADHESIVES; COMPOSITIONS NOT OTHERWISE PROVIDED FOR; APPLICATIONS OF MATERIALS NOT OTHERWISE PROVIDED FOR
- C09K—MATERIALS FOR MISCELLANEOUS APPLICATIONS, NOT PROVIDED FOR ELSEWHERE
- C09K2323/00—Functional layers of liquid crystal optical display excluding electroactive liquid crystal layer characterised by chemical composition
- C09K2323/03—Viewing layer characterised by chemical composition
- C09K2323/031—Polarizer or dye
-
- C—CHEMISTRY; METALLURGY
- C09—DYES; PAINTS; POLISHES; NATURAL RESINS; ADHESIVES; COMPOSITIONS NOT OTHERWISE PROVIDED FOR; APPLICATIONS OF MATERIALS NOT OTHERWISE PROVIDED FOR
- C09K—MATERIALS FOR MISCELLANEOUS APPLICATIONS, NOT PROVIDED FOR ELSEWHERE
- C09K2323/00—Functional layers of liquid crystal optical display excluding electroactive liquid crystal layer characterised by chemical composition
- C09K2323/03—Viewing layer characterised by chemical composition
- C09K2323/035—Ester polymer, e.g. polycarbonate, polyacrylate or polyester
Definitions
- the present invention relates to an optical film having excellent heat resistance and optical transparency, low haze, and excellent optical property, is not easily broken, and has excellent mechanical strength and durability, and a polarizing plate and an information technology apparatus including the same.
- various polymer films such as a polarizing film, a polarizer protection film, a retardation film, a plastic substrate, a light guide plate and the like are used, and as the liquid crystal, various modes of liquid crystal displays such as twisted nematic (TN), super twisted nematic (STN), vertical alignment (VA), in-plane switching (IPS) liquid crystal cells are developed. Since these liquid crystal cells have all intrinsic liquid crystal alignment, the intrinsic optical anisotropic property is ensured, and in order to compensate the optical anisotropic property, a film in which a retardation function is provided by stretching various kinds of polymers has been suggested.
- TN twisted nematic
- STN super twisted nematic
- VA vertical alignment
- IPS in-plane switching
- a liquid crystal display device uses high birefringence property and alignment of liquid crystal molecules, the birefringences are different according to the viewing angle and thus the color and brightness of the picture are changed.
- a retardation compensation according to the kind of liquid crystal molecule is required.
- most liquid crystal molecules that are used in a vertical alignment method have the thickness refractive index that is larger than the average in-plane refractive index in a liquid crystal display surface, in order to compensate this, a compensation film in which the thickness refractive index has retardation property which is smaller than the average in-plane refractive index is required.
- the compensate film having the in-plane retardation is required.
- the display device using the liquid crystal requires both the thickness retardation compensation and the in-plane retardation compensation in order to widen the angle view.
- the film birefringence is formed by a basic birefringence which belongs to the material and the orientation of polymer chains in the film.
- the orientation of the polymer chains is mostly forcibly performed by force applied from the outside or is caused by the intrinsic properties of the material, and the orientation method of the molecules by the external force is to uniaxially or biaxially stretch the polymer film.
- the present invention relates to an optical film having excellent optical property and optical transparency, and low haze, that is not easily broken unlike an acryl-based film that is easily broken while stretching processes are carried out, and has excellent mechanical strength and processability, and durability such as heat resistance, and in particular, has a low absolute value of in-plane retardation and thickness retardation and a low absolute value of photoelasticity coefficient regardless of the stretching, and a polarizing plate and an information technology apparatus including the same.
- the present invention provides an optical film that comprises an aromatic based unit having chain having the hydroxy group containing portion and aromatic moiety; and a styrene-based unit comprising one or more styrene-based derivatives, wherein absolute values of in-plane retardation (R in ) and thickness retardation (R th ) of 10 nm or less regardless of stretching.
- R in in-plane retardation
- R th thickness retardation
- n x is the largest refractive index among in-plane refractive indexes of the film
- n y is the refractive index in a direction that is vertical to n x of the in-plane refractive index of the film
- n z is the thickness refractive index of the film
- d is the thickness of the film.
- the present invention provides a polarizing plate that comprises a polarizer; and the optical film which is provided on at least one side of the polarizer.
- the present invention provides a liquid crystal display device that comprises the polarizing plate.
- the present invention provides an information technology apparatus that comprises the optical film.
- An optical film according to the present invention has excellent optical property and optical transparency, and low haze, is not easily broken unlike an acryl-based film that is easily broken while stretching processes are carried out, and has excellent mechanical strength and processability, and heat resistance, and has a low absolute value of in-plane retardation and thickness retardation and a low absolute value of photoelasticity coefficient regardless of the stretching. Accordingly, the optical film may be useful for the case of when the retardation and the photoelasticity coefficient are low like a protective film of a polarizer.
- FIG. 1 is a graph that illustrates a retardation distribution according to a width direction of the film that is produced in Example.
- An optical film according to the present invention comprises an aromatic-based unit comprising chain and aromatic moiety having a hydroxyl group containing portion; and a styrene-based unit comprising one or more styrene-based derivatives, and has absolute values of in-plane retardation (R in ) and thickness retardation (R th ) of 10 nm or less and preferably 5 nm or less regardless of stretching.
- the optical film according to the present invention has an absolute value of photoelasticity coefficient of 3 ⁇ 10 ⁇ 12 m 2 /N or less regardless of stretching.
- the protective film of the polarizer and the optical film having the small retardation value may be usefully applied to the desired purpose.
- the optical film according to the present invention has the low photoelasticity coefficient, a change in retardation value by external stress is small, such that a light leakage phenomenon may be reduced.
- the content ratio of the aromatic-based unit and the styrene-based unit is in the range of 65 to 75:100 on the basis of mole. In addition, it is preferable that the content ratio of the aromatic-based unit and the styrene-based unit is in the range of 45 to 55:100 on the basis of weight.
- the optical film according to the present invention may further include a (meth)acrylate-based unit comprising one or more (meth)acrylate-based derivatives.
- the ratio of the sum total of the contents of the aromatic-based unit and the styrene-based unit and the content of the (meth)acrylate-based unit is in the range of 1:99 to 50:50 on the basis of weight.
- the composition within the above range is useful to obtain the above retardation value and photoelasticity coefficient.
- the (meth)acrylate-based unit comprising one or more (meth)acrylate-based derivatives, the aromatic-based unit that comprises the chain and aromatic moiety including the hydroxy group containing portion, and the styrene-based unit comprising one or more styrene-based derivatives may be each included in different compounds, or two or more units of the above units may be included in one compound.
- the (meth)acrylate-based unit provides a weak negative in-plane retardation (Rin) and a weak thickness retardation (Rth)
- the aromatic-based unit comprising the chain and aromatic moiety having the hydroxy group containing portion provides a positive in-plane retardation (Rin) property and a positive thickness retardation (Rth) property
- the styrene-based unit provides a strong negative in-plane retardation (Rin) and a negative thickness retardation (Rth).
- the negative in-plane retardation means the highest in-plane refractive index that is perpendicular in respects to the stretching direction
- the positive in-plane retardation means the highest refractive index in respects to the stretching direction
- the negative thickness retardation means that the thickness retardation is larger than the in-plane average refractive index
- the positive thickness retardation means that the in-plane average refractive index is larger than the thickness retardation.
- the film maintains an optical refractive index isotropic property, the film having the absolute values of the in-plane retardation and thickness retardation of 10 nm may be manufactured, and the optical film that hardly has the remaining retardation may be provided.
- the resin composition according to the present invention is capable of providing an optical film having excellent mechanical properties unlike an acryl based film that is easily broken.
- the (meth)acrylate-based unit is capable of providing excellent optical properties
- the (meth)acrylate-based unit is capable of providing excellent miscibility with the compound comprising the (meth)acrylate-based unit.
- the resin composition according to the present invention is capable of controlling a value of photoelasticity coefficient according to the content of the aromatic based unit having chain having the hydroxy group containing portion and aromatic portions, the film having a small change in retardation value by external stress may be manufactured.
- the optical film according to the present invention may further include the cyclic-based unit having the cyclic moiety.
- the cyclic-based unit having the cyclic moiety may be included in at least one of the (meth)acrylate-based unit, the aromatic-based unit comprising the chain and aromatic moiety having the hydroxy group containing portion, and the styrene-based unit, and may be included in the compound that is different from the compound in which at least one of the (meth)acrylate-based unit, the aromatic-based unit comprising the chain and aromatic moiety having the hydroxy group containing portion, and the styrene-based unit is included.
- the cyclic-based unit having the cyclic moiety may provide excellent heat resistance to the film.
- the copolymer comprising the (meth)acrylate-based unit and the cyclic-based unit having the cyclic moiety, the copolymer comprising the (meth)acrylate-based unit and the styrene-based unit, the copolymer comprising the styrene-based unit and the cyclic-based unit having the cyclic moiety, and the copolymer comprising the (meth)acrylate-based unit, the aromatic-based unit comprising the chain and aromatic moiety having the hydroxy group containing portion, and the styrene-based unit may be used.
- the above copolymers may include at least one of two types or more units.
- the copolymer comprising the (meth)acrylate-based unit such as methyl(meth)acrylate and the cyclic-based unit such as N-cyclohexylmaleimide, that is, poly(N-cyclohexylmaleimide-co-methyl(meth)acrylate), may be used.
- the copolymer comprising the styrene-based unit such as styrene and cyclic-based unit such as maleic anhydride may be used.
- the copolymer comprising methyl methacrylate as the (meth)acrylate-based unit, styrene and alpha methyl styrene as the styrene-based unit, and N-cyclohexylmaleimide as the cyclic-based unit may be used.
- the copolymer comprising methyl methacrylate as the (meth)acrylate-based unit, styrene or alpha methyl styrene as the styrene-based unit, and N-cyclohexylmaleimide and maleic anhydride as the cyclic-based unit may be used.
- the above examples are set forth to illustrate the present invention, but are not to be construed to limit the present invention.
- each unit is not particularly limited, and in consideration of the role of each component, in order to obtain desired in-plane retardation, thickness retardation, optical property, mechanical property, transparency, miscibility and the like, the content of each unit may be determined.
- the contents of the (meth)acrylate-based unit, an aromatic based resin having chain having the hydroxy group containing portion and aromatic moiety, the styrene-based unit and the cyclic-based unit may be selected within the range of about 0.1 to 99 wt %.
- the content of the (meth)acrylate-based unit is in the range of about 50 to 98 wt %
- the content of an aromatic based resin having chain having the hydroxy group containing portion and aromatic moiety is in the range of about 0.5 to about 40 wt %
- the content of the styrene-based unit is in the range of about 0.5 to about 30 wt %
- the content of the cyclic-based unit may is in the range of about 0.5 to about 45 wt %.
- the compound comprising the (meth)acrylate-based unit, the aromatic based unit having chain having the hydroxy group containing portion and aromatic moiety, the styrene-based unit and the cyclic-based unit may be a homopolymer or a copolymer, and the compound may further include units other than the (meth)acrylate-based unit, the aromatic based unit having chain having the hydroxy group containing portion and aromatic moiety, the styrene-based unit and the cyclic-based unit within the scope of the present invention.
- the copolymer may be a random or block copolymer.
- the (meth)acrylate-based unit may include (meth)acrylate and a (meth)acrylate derivative.
- the (meth)acrylate based monomer there are methyl methacrylate, methyl acrylate, ethyl acrylate, butyl acrylate, 2-ethylhexyl methacrylate, lauryl methacrylate, benzyl methacrylate and the like, but it is not limited thereto.
- methyl methacrylate (MMA) is used.
- a copolymer comprising the (meth)acrylate based unit and the cyclic based unit having the cyclic moiety may be used as the compounds comprising the (meth)acrylate-based unit.
- the content of the (meth)acrylate based unit in the copolymer comprising the (meth)acrylate based unit and the cyclic based unit having the cyclic moiety is in the range of about 50 to 99% by weight, and preferably in the range of about 70 to about 98% by weight, and the content of the cyclic based unit having the cyclic moiety is in the range of about 1 to 50% by weight and preferably about 2 to about 30% by weight.
- the content of the cyclic based unit having the cyclic moiety is 50% by weight or less, it is useful to reduce a haze value of the film.
- the cyclic based unit having the cyclic moiety of the copolymer comprising the (meth)acrylate based unit and the cyclic based unit having the cyclic moiety functions to improve heat resistance of the film.
- Examples of the cyclic based unit having the cyclic moiety will be described below. However, it is most preferable that the cyclic based unit having the cyclic moiety, which is included in the copolymer in conjunction with the (meth)acrylate based unit, is a maleimide based unit including a maleimide portion.
- the maleimide based unit may include a cyclic moiety that is derived from N-cyclohexylmaleimide, N-phenylmaleimide, N-methylmaleimide, N-butylmaleimide and the like, but is not limited thereto. In particular, it is most preferable that it includes the cyclic moiety that is derived from N-cyclohexylmaleimide.
- the copolymer comprising the (meth)acrylate based unit and the cyclic based unit having the cyclic moiety may be manufactured by a method such as a bulk polymerization, a solution polymerization, a suspension polymerization, an emulsion polymerization and the like using a (meth)acryl based monomer and a cyclic based monomer such as a maleimide based monomer.
- the number average molecular weight of the aromatic based unit having chain having the hydroxy group containing portion and aromatic moiety comprising the chain having the hydroxy group containing portion and aromatic moiety is in the range of 1,500 to 2,000,000 g/mol.
- the aromatic based resin includes the phenoxy based resin.
- the phenoxy based resin includes a structure in which at least one oxygen radical is bonded to the benzene cycle.
- the aromatic based unit having chain having the hydroxy group containing portion and aromatic moiety having the chain having the hydroxy group containing portion and aromatic moiety may include one or more units that are represented by the following Formula 1.
- the aromatic based unit having chain having the hydroxy group containing portion and aromatic moiety includes 5 to 10,000 of the unit of the following Formula 1, preferably 5 to 7,000 of the unit of the following Formula 1, and more preferably 5 to 5,000 of the unit of the following Formula 1.
- two kinds or more units of the following Formula 1 are included in the aromatic based unit having chain having the hydroxy group containing portion and aromatic moiety, they may be included in a random form, an alternating form, or a block form.
- X is a divalent group comprising at least one benzene cycle and R is a straight- or branched-chained alkylene group having 1 to 6 carbon atoms.
- X is a divalent group that is derived from the compounds of the following Formulas 2 to 4, but is not limited thereto.
- R 1 is a direct bond, straight- or branched-chained alkylene having 1 to 6 carbon atoms, or cycloalkylidene having 3 to 20 carbon atoms,
- R 2 and R 3 are each hydrogen, straight- or branched-chained alkyl having 1 to 6 carbon atoms, or straight- or branched-chained alkenyl having 2 to 6 carbon atoms, and n and m are each an integer in the range of 1 to 5.
- R 4 is each hydrogen, straight- or branched-chained alkyl having 1 to 6 carbon atoms, or straight- or branched-chained alkenyl having 2 to 6 carbon atoms, and p is an integer in the range of 1 to 6.
- R 6 and R 7 are each a direct bond, straight- or branched-chained alkylene having 1 to 6 carbon atoms, or cycloalkylidene having 3 to 20 carbon atoms,
- R 5 and R 8 are each hydrogen, straight- or branched-chained alkyl having 1 to 6 carbon atoms, or straight- or branched-chained alkenyl having 2 to 6 carbon atoms, and q and r are each an integer in the range of 1 to 5.
- R 4 is each hydrogen, straight- or branched-chained alkyl having 1 to 6 carbon atoms, or straight- or branched-chained alkenyl having 2 to 6 carbon atoms, and p is an integer in the range of 1 to 6.
- R 6 and R 7 are each a direct bond, straight- or branched-chained alkylene having 1 to 6 carbon atoms, or cycloalkylidene having 3 to 20 carbon atoms,
- R 5 and R 8 are each hydrogen, straight- or branched-chained alkyl having 1 to 6 carbon atoms, or straight- or branched-chained alkenyl having 2 to 6 carbon atoms, and q and r are each an integer in the range of 1 to 5.
- the aromatic based unit includes one kind or more 5 to 10,000 phenoxy based units that are represented by the following Formula 5:
- R 9 is a direct bond, straight- or branched-chained alkylene having 1 to 6 carbon atoms
- R 10 is a direct bond, straight- or branched-chained alkylene having 1 to 6 carbon atoms.
- Formula 5 is represented by the following Formula 6.
- An end of the aromatic based resin may be an OH group.
- the styrene-based unit is construed to include the styrene-based derivative as well as styrene.
- the styrene-based derivative includes a compound comprising one or more substituent groups having aliphatic hydrocarbons or hetero atoms at a benzene cycle or vinyl group of styrene, and in detail, it includes alpha methyl styrene.
- the copolymer comprising the styrene-based unit and the cyclic moiety may be used as the compound comprising the unit.
- the content of the styrene-based unit in the copolymer comprising the styrene-based unit and the cyclic-based unit having the cyclic moiety is in the range of about 1 to about 99 wt %, preferably in the range of about 30 to about 99 wt %, and more preferably in the range of about 40 to about 95 wt %
- the content of the cyclic-based unit having the cyclic moiety is in the range of about 1 to about 99 wt %, preferably in the range of about 1 to about 70 wt %, and more preferably in the range of about 5 to about 60 wt %.
- the adhesion property and heat resistance of the film may be improved. If the content of the cyclic-based unit having the cyclic moiety is very low, the miscibility may be slightly reduced. Examples of the cyclic-based unit having the cyclic moiety will be described later. However, it is most preferable that the cyclic-based unit having the cyclic moiety that is included in the copolymer in conjunction with the cyclic-based unit is a maleic anhydride-based unit including a maleic anhydride portion.
- the cyclic-based unit may improve the heat resistance of the film.
- the content of the cyclic-based unit is in the range of about 0.1 to about 99 wt %, and preferably about 0.5 to about 45 wt %.
- Examples of the cyclic moiety of the cyclic-based unit include maleic anhydride, maleimide, glutaric anhydride, glutalimide, lactone and lactame, but are not limited thereto.
- a copolymer comprising the (meth)acrylate based unit and the maleimide based unit, 2) the resin comprising the phenoxy based (phenoxy-based) unit, and 3) the copolymer comprising the styrene-based unit and the maleic anhydride unit may be used.
- the content of each component is in the range of 1 to 99 wt %.
- the content of 1) the copolymer is preferably in the range of about 50 to about 99 wt % and more preferably in the range of about 75 to about 98 wt %.
- the content of the 2) resin is preferably in the range of about 0.5 to about 40 wt % and more preferably in the range of about 1 to about 30 wt %.
- the content of 3) the copolymer is preferably in the range of about 0.5 to about 30 wt % and more preferably in the range of about 1 to about 20 wt %.
- the optical film having the resin composition is advantageous in that it has a single glass transition temperature T g .
- the thickness of the optical film according to the present invention is in the range of 5 to 500 ⁇ m, and more preferably 5 to 300 ⁇ m, but is not limited thereto.
- the transmittance of the optical film is 90% or more, the haze is 2.5% or less, preferably 1% or less, and more preferably 0.5% or less. It is preferable that the glass transition temperature of the optical film according to the present invention is 100° C. or more.
- the optical film may control the value of the photoelasticity coefficient at a very small value according to the content of the aromatic based unit having chain having the hydroxy group containing portion and aromatic moiety and the styrene-based unit, and in this case, a characteristic in which a change in retardation caused by the external stress hardly occurs is ensured, such that a light leakage phenomenon may be reduced.
- the method for manufacturing the optical film according to the present invention comprises the steps of preparing the above resin composition; and casting a film by using the resin composition.
- the manufacturing method may further comprise the step of uniaxially or biaxially stretching the film.
- the resin composition may be manufactured by melting and blending the above components.
- the melting and the mixing of the components may be carried out by using an extruder.
- the resin composition may further include a lubricant, an antioxidant, a UV stabilizer, a thermal stabilizer and absorber and the like that are generally used.
- the optical film according to the present invention When the optical film according to the present invention is manufactured, a method that is known in the art may be used, and in detail, an extrusion molding method may be used. For example, after the resin composition is dried under a vacuum and removes water and dissolved oxygen, the composition is supplied from the raw material hopper to a single or twin extruder that is filled with nitrogen, and melted at a high temperature to obtain a raw material pellet, the obtained raw material pellet is dried under a vacuum, melted from the raw material hopper to a single extruder that is substituted with nitrogen, passes through a coat hanger type T-die, and a chrome-coated casting roll and a drying roll to manufacture the film.
- an extrusion molding method For example, after the resin composition is dried under a vacuum and removes water and dissolved oxygen, the composition is supplied from the raw material hopper to a single or twin extruder that is filled with nitrogen, and melted at a high temperature to obtain a raw material pellet, the obtained raw material pellet is dried under
- the manufacturing method may further comprise the step of uniaxially or biaxially stretching the film.
- the stretching process may be carried out by using any one of a longitudinal direction (MD) stretching and a transverse direction (TD) stretching or both of the longitudinal direction stretching and the transverse direction stretching.
- MD longitudinal direction
- TD transverse direction
- any one of them may be first carried out and then the other may be carried out, or both of them may be carried out simultaneously.
- the stretching may be carried out through a single step or through multi-steps.
- the stretching may be carried out by using a difference in speed between rolls, and in the case of when the stretching is carried out in the transverse direction, the tenter may be used.
- the rail initiating angle of the tenter is 10° or less, a bowing phenomenon that occurs when the transverse direction stretching is carried out is suppressed, and the angle of the optical axis is regularly controlled.
- the stretching may be carried out at a temperature in the range of (Tg ⁇ 20° C.) to (Tg+30° C.) when the glass transition temperature of the resin composition is T g .
- the glass transition temperature means a range from a temperature at which storage elasticity of the resin composition starts to be reduced and the loss elasticity starts to be larger than the storage elasticity to a temperature at which alignment of the polymer chain is loosened and removed.
- the glass transition temperature may be measured by using a differential scanning calorimeter (DSC).
- the stretching rate is in the range of 1 to 100 mm/min. In the case of a pilot stretching machine, it is preferable that the stretching rate is in the range of 0.1 to 2 mm/min. In addition, it is preferable that the film is stretched by using a stretching ratio in the range of 5 to 300%.
- the stretching may be carried out through a separate step that is different from the shaping of the film, or carried out through one step in the same process as the shaping of the film.
- composition of each unit may be combined with the longitudinal direction stretching ratio, the transverse direction stretching ratio, the stretching temperature and the stretching rate.
- the optical film according to the present invention has the absolute value of in-plane retardation and thickness retardation of 10 nm or less and preferably 5 nm or less regardless of the stretching.
- the optical film according to the present invention has the absolute value of photoelasticity coefficient of 3 ⁇ 10 ⁇ 12 m 2 /N or less regardless of the stretching.
- the optical film according to the present invention may be provided with an additional layer comprising at least one of an organic substance and an inorganic substance on at least one side, and an adhesion property in respects to a retardation value, a compensation property and/or a polarizer may be controlled.
- the organic substance include cellulose, polyimide, polyester, polyurethane, liquid crystal and/or a derivative thereof
- examples of the inorganic substance include TiO 2 , ITO and the like, but are not limited thereto.
- the present invention provides a polarizing plate that comprises a polarizer, and the optical film which is provided on at least one side of the polarizer.
- a polarizer comprises a dichromic pigment and consists of a polyvinyl alcohol film that is uniaxially stretched, it is very weak and has the reduced durability in respects to the temperature or moisture, and laminated with the protective film.
- a liquid crystal display device having the polarizing plate mostly consists of a device having a relatively small display area, such as clocks or instrument boards, or a light diffusion type device, a surface of which is subjected to reflection prevention treatment.
- a liquid crystal display device has a large display area like a display having a large image or has a surface that is subjected to low haze reflection prevention treatment, such as polished surfaces, by using a multilayered reflection way.
- defects such lines, curve marks, scars, stains and the like formed on the surface of the protective film for polarizing plate are observed.
- the most protective film for polarizing plate uses triacetylcellulose films.
- a cellulose derivative has excellent moisture permeation, in a process for manufacturing the polarizing plate, it is advantageous in that moisture contained in the polarizer may be volatilized through the film.
- the dimensional change according to the absorption or the optical property change is relatively significant and in the case of when the humidity is changed at around room temperature, a change in retardation value is large, and there is a limit in improvement of the stable angle view, thus there is a problem in that the durability of the optical property of the polarizing plate is reduced.
- the photoelasticity coefficient that is, the change rate of birefringence when a stress load is received is high, since adhesion nonuniformity when adhesion is carried out in conjunction with a liquid crystal layer or a polarizing plate, a difference between thermal expansions of constituent materials formed by receiving heat from a backlight or an external environment, and a change in retardation that is caused by an effect of stress generated by shrinkage of a polarizing film and the like are increased, color uniuniformity of the display device is reduced or contrast is reduced.
- the acryl-based film may control the value of the photoelasticity coefficient at a very small value, and in this case, a characteristic in which a change in retardation caused by the external stress hardly occurs is ensured, such that a light leakage phenomenon may be reduced.
- the optical film according to the present invention may be provided on one side of the polarizer or on both sides of the polarizer.
- a protective film that is known in the art may be provided on the other side thereof.
- a triacetate cellulose (TAC) film a polynorbonene-based film that is produced by using a ring opening metathesis polymerization (ROMP), a HROMP (ring opening metathesis polymerization followed by hydrogenation) polymer film that is obtained by hydrogenating the ring opening cyclic olefin-based polymer again, a polyester film, a polynorbonene-based film that is produced by the addition polymerization and the like may be used.
- a film that is produced by using a transparent polymer material may be used as the protective film, but not limited thereto.
- polarizer a film that consists of polyvinyl alcohol (PVA) comprising iodine or a dichromic dye may be used.
- PVA polyvinyl alcohol
- the polarizing film may be produced by dyeing iodine or the dichromic dye on the PVA film, but the production method thereof is not particularly limited thereto.
- the polarizing film means a state that does not comprise the protective film
- the polarizing plate means a state that comprises the polarizing film and the protective film.
- the protection film and the polarizer may be combined by using the method that is known in the art.
- the present invention provides a liquid crystal display that comprises the polarizing plate.
- the liquid crystal display device according to the present invention is a liquid crystal display device comprising a liquid crystal cell and a first polarizing plate and a second polarizing plate that are provided on both sides of the liquid crystal cell, and at least one of the first polarizing plate and the second polarizing plate is the polarizing plate according to the present invention.
- the optical film or the polarizer protective film that are provided on the side that is opposite to the liquid crystal cell of the polarizing plate includes a UV absorbing agent.
- the present invention provides an information electronic device comprising the optical film.
- the information electronic device include display devices such as a liquid crystal display (LCD), an organic light emitting diode (OLED) and the like.
- the liquid crystal display according to the present invention is a liquid crystal display device comprising a liquid cell, and a first polarizing plate and a second polarizing plate that are provided on both sides of the liquid crystal cell, and between at least one of the first polarizing plate and the second polarizing plate and the liquid crystal cell, the optical film according to the present invention may be provided. That is, between the first polarizing plate and the liquid crystal cell, between the second polarizing plate, and the liquid crystal cell, or both between the first polarizing plate and the liquid crystal cell and between the second polarizing plate and the liquid crystal cell, one or more optical films according to the present invention may be provided.
- the resin composition in which poly(N-cyclohexylmaleimide-co-methylmethacrylate), the styrene-maleic anhydride resin and the phenoxy-based resin were uniformly mixed with each other at a weight ratio of 100:2.5:5 was provided to a 24 ⁇ extruder in which nitrogen was substituted from the raw material hopper to the extruder, and melted at 250° C. to manufacture the raw material pellet.
- Dylarck 332 that included 85 wt % of styrene and 15 wt % of maleic anhydride was used as the styrene-maleic anhydride copolymer resin.
- the content of N-cyclohexylmaleimide was 6.5 wt % which was analyzed by using the NMR.
- the obtained raw material pellets were dried in the vacuum, melted at 260° C. by using the extruder, and passed through the coat hanger type of T-die, the chrome-coated casting roll and the dry roll to manufacture the film that had the thickness of 150 ⁇ m.
- This film was stretched by using the pilot stretching device at 125° C. in the MD direction using a difference between speeds of rolls at the ratios described in the following Table 1, and stretched in the TD direction at 125° C. by using the tenter at the ratios described in the following Table 1 to manufacture the film.
- the in-plane retardation value and the thickness retardation of the film are described in the following Table 1.
- the retardation distribution according to the width direction is shown in FIG. 1 .
- the resin composition in which poly(N-cyclohexylmaleimide-co-methylmethacrylate), the styrene-maleic anhydride resin and the phenoxy-based resin were uniformly mixed with each other at a weight ratio of 100:2.5:5 was provided to a 24 ⁇ extruder in which nitrogen was substituted from the raw material hopper to the extruder, and melted at 250° C. to manufacture the raw material pellet.
- the obtained raw material pellets were dried in the vacuum, melted at 260° C. by using the extruder, and passed through the coat hanger type of T-die, the chrome-coated casting roll and the dry roll to manufacture the film that had the thickness of 150 ⁇ m.
- This film was stretched by using the pilot stretching device at 125 to 140° C. in the MD direction using a difference between speeds of rolls at the ratio of 170% described in the following Table 2, and stretched in the TD direction at 125 to 140° C. by using the tenter at the ratio of 250% described in the following Table 2 to manufacture the film.
- the in-plane retardation value and the thickness retardation of the film are described in the following Table 2.
- poly(N-cyclohexylmaleimide-co-methylmethacrylate) resin IE830HR resin that was manufactured by LGMMA, Co., Ltd. was used, as the phenoxy-based resin, InChemRez Phenoxy PKFE® resin that was the phenoxy resin manufactured by InChem Corporation was used, and as the styrene-maleic anhydride copolymer resin, DYLARK® 332 (styrene 85 wt %, maleic anhydride 15 wt %) that was manufactured by NOVA Chemicals, Co., Ltd. was used to manufacture the film by using the same method as Example 1 and measure physical properties thereof.
- the composition and physical properties of the film are described in the following Tables 3 and 4.
- the absolute value of each of in-plane retardation, thickness retardation and photoelasticity coefficient is almost 0 before and after the stretching.
Landscapes
- Chemical & Material Sciences (AREA)
- Physics & Mathematics (AREA)
- Organic Chemistry (AREA)
- Engineering & Computer Science (AREA)
- Materials Engineering (AREA)
- Polymers & Plastics (AREA)
- Medicinal Chemistry (AREA)
- Health & Medical Sciences (AREA)
- Chemical Kinetics & Catalysis (AREA)
- General Physics & Mathematics (AREA)
- Optics & Photonics (AREA)
- Manufacturing & Machinery (AREA)
- Life Sciences & Earth Sciences (AREA)
- Wood Science & Technology (AREA)
- Polarising Elements (AREA)
- Manufacture Of Macromolecular Shaped Articles (AREA)
Abstract
The present invention relates to an optical film comprising an aromatic based unit having chain having the hydroxy group containing portion and aromatic moiety; and a styrene-based unit comprising one or more styrene-based derivatives, and has absolute values of in-plane retardation (Rin) and thickness retardation (Rth) of 10 nm or less regardless of stretching, and a polarizing plate and an information technology apparatus including the same.
Description
- The present application is a continuation of application Ser. No. 12/387,553, filed May 4, 2009, which is a continuation of International Application No. PCT/KR2009/002303, filed Apr. 30, 2009, which claims the benefit of Korean Patent Application No. 10-2008-0040843, filed Apr. 30, 2008 and 10-2009-00020070, filed Jan. 9, 2009. The disclosures of said applications are incorporated by reference herein.
- The present invention relates to an optical film having excellent heat resistance and optical transparency, low haze, and excellent optical property, is not easily broken, and has excellent mechanical strength and durability, and a polarizing plate and an information technology apparatus including the same.
- Recently, display technologies using various methods such as a plasma display panel (PDP), a liquid crystal display (LCD) and the like that are used instead of a known braun tube in accordance with the development of optical technologies are suggested and sold. The higher properties of the polymer material for displays are required. For example, in the case of the liquid crystal display, according to the development toward the thin film, the lightness, and enlargement of the picture area, the wide viewing angle, the high contrast, the suppression of change in picture color tone according to the viewing angle and the uniformity of the picture display are particularly considered as important problems.
- Therefore, various polymer films such as a polarizing film, a polarizer protection film, a retardation film, a plastic substrate, a light guide plate and the like are used, and as the liquid crystal, various modes of liquid crystal displays such as twisted nematic (TN), super twisted nematic (STN), vertical alignment (VA), in-plane switching (IPS) liquid crystal cells are developed. Since these liquid crystal cells have all intrinsic liquid crystal alignment, the intrinsic optical anisotropic property is ensured, and in order to compensate the optical anisotropic property, a film in which a retardation function is provided by stretching various kinds of polymers has been suggested.
- In detail, since a liquid crystal display device uses high birefringence property and alignment of liquid crystal molecules, the birefringences are different according to the viewing angle and thus the color and brightness of the picture are changed. Thus, a retardation compensation according to the kind of liquid crystal molecule is required. For example, since most liquid crystal molecules that are used in a vertical alignment method have the thickness refractive index that is larger than the average in-plane refractive index in a liquid crystal display surface, in order to compensate this, a compensation film in which the thickness refractive index has retardation property which is smaller than the average in-plane refractive index is required.
- In addition, light does not pass through the front sides of two polarizing plates that are vertical to each other, but if the angle is inclined, the light axes of two polarizing plates are not vertical to each other, thus light leakage occurs. In order to compensate this, the compensate film having the in-plane retardation is required. In addition, the display device using the liquid crystal requires both the thickness retardation compensation and the in-plane retardation compensation in order to widen the angle view.
- Requirement of the retardation compensation film is to easily control the birefringence. However, the film birefringence is formed by a basic birefringence which belongs to the material and the orientation of polymer chains in the film. The orientation of the polymer chains is mostly forcibly performed by force applied from the outside or is caused by the intrinsic properties of the material, and the orientation method of the molecules by the external force is to uniaxially or biaxially stretch the polymer film.
- In the related art, there is a need to develop a polymer material that satisfies the above requirement properties in order to be used in displays.
- The present invention relates to an optical film having excellent optical property and optical transparency, and low haze, that is not easily broken unlike an acryl-based film that is easily broken while stretching processes are carried out, and has excellent mechanical strength and processability, and durability such as heat resistance, and in particular, has a low absolute value of in-plane retardation and thickness retardation and a low absolute value of photoelasticity coefficient regardless of the stretching, and a polarizing plate and an information technology apparatus including the same.
- The present invention provides an optical film that comprises an aromatic based unit having chain having the hydroxy group containing portion and aromatic moiety; and a styrene-based unit comprising one or more styrene-based derivatives, wherein absolute values of in-plane retardation (Rin) and thickness retardation (Rth) of 10 nm or less regardless of stretching. Here, the in-plane retardation (Rin) and the thickness retardation (Rth) are defined by the following Equation:
-
R in=(n x −n y)×d -
R th=[(n x +n y)/2−n z ]×d - In
1 and 2, nx is the largest refractive index among in-plane refractive indexes of the film,Equations - ny is the refractive index in a direction that is vertical to nx of the in-plane refractive index of the film,
- nz is the thickness refractive index of the film, and
- d is the thickness of the film.
- In addition, the present invention provides a polarizing plate that comprises a polarizer; and the optical film which is provided on at least one side of the polarizer.
- In addition, the present invention provides a liquid crystal display device that comprises the polarizing plate.
- In addition, the present invention provides an information technology apparatus that comprises the optical film.
- An optical film according to the present invention has excellent optical property and optical transparency, and low haze, is not easily broken unlike an acryl-based film that is easily broken while stretching processes are carried out, and has excellent mechanical strength and processability, and heat resistance, and has a low absolute value of in-plane retardation and thickness retardation and a low absolute value of photoelasticity coefficient regardless of the stretching. Accordingly, the optical film may be useful for the case of when the retardation and the photoelasticity coefficient are low like a protective film of a polarizer.
-
FIG. 1 is a graph that illustrates a retardation distribution according to a width direction of the film that is produced in Example. - An optical film according to the present invention comprises an aromatic-based unit comprising chain and aromatic moiety having a hydroxyl group containing portion; and a styrene-based unit comprising one or more styrene-based derivatives, and has absolute values of in-plane retardation (Rin) and thickness retardation (Rth) of 10 nm or less and preferably 5 nm or less regardless of stretching. In addition, preferably, the optical film according to the present invention has an absolute value of photoelasticity coefficient of 3×10−12 m2/N or less regardless of stretching.
- Since the optical film according to the present invention has the small in-plane retardation and thickness retardation, the protective film of the polarizer and the optical film having the small retardation value may be usefully applied to the desired purpose. In addition, since the optical film according to the present invention has the low photoelasticity coefficient, a change in retardation value by external stress is small, such that a light leakage phenomenon may be reduced.
- It is preferable that the content ratio of the aromatic-based unit and the styrene-based unit is in the range of 65 to 75:100 on the basis of mole. In addition, it is preferable that the content ratio of the aromatic-based unit and the styrene-based unit is in the range of 45 to 55:100 on the basis of weight. By the composition within the above range, it is easy to obtain the above retardation value and photoelasticity coefficient.
- The optical film according to the present invention may further include a (meth)acrylate-based unit comprising one or more (meth)acrylate-based derivatives.
- In addition, it is preferable that the ratio of the sum total of the contents of the aromatic-based unit and the styrene-based unit and the content of the (meth)acrylate-based unit is in the range of 1:99 to 50:50 on the basis of weight. The composition within the above range is useful to obtain the above retardation value and photoelasticity coefficient.
- The (meth)acrylate-based unit comprising one or more (meth)acrylate-based derivatives, the aromatic-based unit that comprises the chain and aromatic moiety including the hydroxy group containing portion, and the styrene-based unit comprising one or more styrene-based derivatives may be each included in different compounds, or two or more units of the above units may be included in one compound.
- In the present invention, the (meth)acrylate-based unit provides a weak negative in-plane retardation (Rin) and a weak thickness retardation (Rth), the aromatic-based unit comprising the chain and aromatic moiety having the hydroxy group containing portion provides a positive in-plane retardation (Rin) property and a positive thickness retardation (Rth) property, and the styrene-based unit provides a strong negative in-plane retardation (Rin) and a negative thickness retardation (Rth). Here, the negative in-plane retardation means the highest in-plane refractive index that is perpendicular in respects to the stretching direction, the positive in-plane retardation means the highest refractive index in respects to the stretching direction, the negative thickness retardation means that the thickness retardation is larger than the in-plane average refractive index, and the positive thickness retardation means that the in-plane average refractive index is larger than the thickness retardation. Because of the retardation characteristics of the above units, the retardation characteristics of the optical film may depend on the composition, the stretching direction, the stretching ratio, and the stretching method such as uniaxial or biaxial stretching of each component. Therefore, in the present invention, while a stretching process is carried out by appropriately combining the compositions of the components, an effect in which birefringences of the units offset each other may be obtained. Accordingly, in the present invention, since the film maintains an optical refractive index isotropic property, the film having the absolute values of the in-plane retardation and thickness retardation of 10 nm may be manufactured, and the optical film that hardly has the remaining retardation may be provided.
- In addition, the resin composition according to the present invention is capable of providing an optical film having excellent mechanical properties unlike an acryl based film that is easily broken. In addition, the (meth)acrylate-based unit is capable of providing excellent optical properties, and the (meth)acrylate-based unit is capable of providing excellent miscibility with the compound comprising the (meth)acrylate-based unit. In addition, since the resin composition according to the present invention is capable of controlling a value of photoelasticity coefficient according to the content of the aromatic based unit having chain having the hydroxy group containing portion and aromatic portions, the film having a small change in retardation value by external stress may be manufactured.
- The optical film according to the present invention may further include the cyclic-based unit having the cyclic moiety. The cyclic-based unit having the cyclic moiety may be included in at least one of the (meth)acrylate-based unit, the aromatic-based unit comprising the chain and aromatic moiety having the hydroxy group containing portion, and the styrene-based unit, and may be included in the compound that is different from the compound in which at least one of the (meth)acrylate-based unit, the aromatic-based unit comprising the chain and aromatic moiety having the hydroxy group containing portion, and the styrene-based unit is included. The cyclic-based unit having the cyclic moiety may provide excellent heat resistance to the film.
- According to an embodiment of the present invention, the copolymer comprising the (meth)acrylate-based unit and the cyclic-based unit having the cyclic moiety, the copolymer comprising the (meth)acrylate-based unit and the styrene-based unit, the copolymer comprising the styrene-based unit and the cyclic-based unit having the cyclic moiety, and the copolymer comprising the (meth)acrylate-based unit, the aromatic-based unit comprising the chain and aromatic moiety having the hydroxy group containing portion, and the styrene-based unit may be used. At this time, the above copolymers may include at least one of two types or more units.
- As a detailed example, the copolymer comprising the (meth)acrylate-based unit such as methyl(meth)acrylate and the cyclic-based unit such as N-cyclohexylmaleimide, that is, poly(N-cyclohexylmaleimide-co-methyl(meth)acrylate), may be used. In addition, the copolymer comprising the styrene-based unit such as styrene and cyclic-based unit such as maleic anhydride may be used. In addition, the copolymer comprising methyl methacrylate as the (meth)acrylate-based unit, styrene and alpha methyl styrene as the styrene-based unit, and N-cyclohexylmaleimide as the cyclic-based unit may be used. In addition, the copolymer comprising methyl methacrylate as the (meth)acrylate-based unit, styrene or alpha methyl styrene as the styrene-based unit, and N-cyclohexylmaleimide and maleic anhydride as the cyclic-based unit may be used. However, the above examples are set forth to illustrate the present invention, but are not to be construed to limit the present invention.
- The content of each unit is not particularly limited, and in consideration of the role of each component, in order to obtain desired in-plane retardation, thickness retardation, optical property, mechanical property, transparency, miscibility and the like, the content of each unit may be determined. For example, the contents of the (meth)acrylate-based unit, an aromatic based resin having chain having the hydroxy group containing portion and aromatic moiety, the styrene-based unit and the cyclic-based unit may be selected within the range of about 0.1 to 99 wt %. In detail, it is preferable that the content of the (meth)acrylate-based unit is in the range of about 50 to 98 wt %, it is preferable that the content of an aromatic based resin having chain having the hydroxy group containing portion and aromatic moiety is in the range of about 0.5 to about 40 wt %, and it is preferable that the content of the styrene-based unit is in the range of about 0.5 to about 30 wt %. It is preferable that the content of the cyclic-based unit may is in the range of about 0.5 to about 45 wt %.
- In the present invention, the compound comprising the (meth)acrylate-based unit, the aromatic based unit having chain having the hydroxy group containing portion and aromatic moiety, the styrene-based unit and the cyclic-based unit may be a homopolymer or a copolymer, and the compound may further include units other than the (meth)acrylate-based unit, the aromatic based unit having chain having the hydroxy group containing portion and aromatic moiety, the styrene-based unit and the cyclic-based unit within the scope of the present invention. The copolymer may be a random or block copolymer.
- In the present invention, it should be understood that the (meth)acrylate-based unit may include (meth)acrylate and a (meth)acrylate derivative. To be specific, as the (meth)acrylate based monomer, there are methyl methacrylate, methyl acrylate, ethyl acrylate, butyl acrylate, 2-ethylhexyl methacrylate, lauryl methacrylate, benzyl methacrylate and the like, but it is not limited thereto. In particular, it is most preferable that methyl methacrylate (MMA) is used.
- In the present invention, as the compounds comprising the (meth)acrylate-based unit, a copolymer comprising the (meth)acrylate based unit and the cyclic based unit having the cyclic moiety may be used. The content of the (meth)acrylate based unit in the copolymer comprising the (meth)acrylate based unit and the cyclic based unit having the cyclic moiety is in the range of about 50 to 99% by weight, and preferably in the range of about 70 to about 98% by weight, and the content of the cyclic based unit having the cyclic moiety is in the range of about 1 to 50% by weight and preferably about 2 to about 30% by weight. When the content of the cyclic based unit having the cyclic moiety is 50% by weight or less, it is useful to reduce a haze value of the film.
- The cyclic based unit having the cyclic moiety of the copolymer comprising the (meth)acrylate based unit and the cyclic based unit having the cyclic moiety functions to improve heat resistance of the film. Examples of the cyclic based unit having the cyclic moiety will be described below. However, it is most preferable that the cyclic based unit having the cyclic moiety, which is included in the copolymer in conjunction with the (meth)acrylate based unit, is a maleimide based unit including a maleimide portion. The maleimide based unit may include a cyclic moiety that is derived from N-cyclohexylmaleimide, N-phenylmaleimide, N-methylmaleimide, N-butylmaleimide and the like, but is not limited thereto. In particular, it is most preferable that it includes the cyclic moiety that is derived from N-cyclohexylmaleimide.
- The copolymer comprising the (meth)acrylate based unit and the cyclic based unit having the cyclic moiety may be manufactured by a method such as a bulk polymerization, a solution polymerization, a suspension polymerization, an emulsion polymerization and the like using a (meth)acryl based monomer and a cyclic based monomer such as a maleimide based monomer.
- In the present invention, it is preferable that the number average molecular weight of the aromatic based unit having chain having the hydroxy group containing portion and aromatic moiety comprising the chain having the hydroxy group containing portion and aromatic moiety is in the range of 1,500 to 2,000,000 g/mol. It is preferable that the aromatic based resin includes the phenoxy based resin. Here, the phenoxy based resin includes a structure in which at least one oxygen radical is bonded to the benzene cycle. For example, the aromatic based unit having chain having the hydroxy group containing portion and aromatic moiety having the chain having the hydroxy group containing portion and aromatic moiety may include one or more units that are represented by the following
Formula 1. The aromatic based unit having chain having the hydroxy group containing portion and aromatic moiety includes 5 to 10,000 of the unit of the followingFormula 1, preferably 5 to 7,000 of the unit of the followingFormula 1, and more preferably 5 to 5,000 of the unit of the followingFormula 1. In the case when two kinds or more units of the followingFormula 1 are included in the aromatic based unit having chain having the hydroxy group containing portion and aromatic moiety, they may be included in a random form, an alternating form, or a block form. - wherein X is a divalent group comprising at least one benzene cycle and R is a straight- or branched-chained alkylene group having 1 to 6 carbon atoms.
- To be specific, it is preferable that X is a divalent group that is derived from the compounds of the following
Formulas 2 to 4, but is not limited thereto. - R1 is a direct bond, straight- or branched-chained alkylene having 1 to 6 carbon atoms, or cycloalkylidene having 3 to 20 carbon atoms,
- R2 and R3 are each hydrogen, straight- or branched-chained alkyl having 1 to 6 carbon atoms, or straight- or branched-chained alkenyl having 2 to 6 carbon atoms, and n and m are each an integer in the range of 1 to 5.
- R4 is each hydrogen, straight- or branched-chained alkyl having 1 to 6 carbon atoms, or straight- or branched-chained alkenyl having 2 to 6 carbon atoms, and p is an integer in the range of 1 to 6.
- R6 and R7 are each a direct bond, straight- or branched-chained alkylene having 1 to 6 carbon atoms, or cycloalkylidene having 3 to 20 carbon atoms,
- R5 and R8 are each hydrogen, straight- or branched-chained alkyl having 1 to 6 carbon atoms, or straight- or branched-chained alkenyl having 2 to 6 carbon atoms, and q and r are each an integer in the range of 1 to 5.
- R4 is each hydrogen, straight- or branched-chained alkyl having 1 to 6 carbon atoms, or straight- or branched-chained alkenyl having 2 to 6 carbon atoms, and p is an integer in the range of 1 to 6.
- R6 and R7 are each a direct bond, straight- or branched-chained alkylene having 1 to 6 carbon atoms, or cycloalkylidene having 3 to 20 carbon atoms,
- R5 and R8 are each hydrogen, straight- or branched-chained alkyl having 1 to 6 carbon atoms, or straight- or branched-chained alkenyl having 2 to 6 carbon atoms, and q and r are each an integer in the range of 1 to 5.
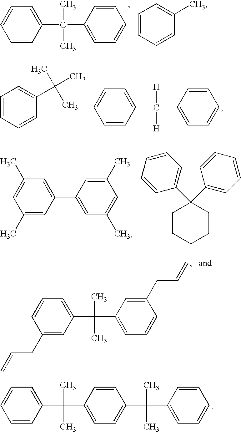
- Detailed examples of the compounds that are represented by
Formulas 2 to 4 are the same as the following compounds, but are not limited thereto: - It is most preferable that the aromatic based unit includes one kind or more 5 to 10,000 phenoxy based units that are represented by the following Formula 5:
- wherein R9 is a direct bond, straight- or branched-chained alkylene having 1 to 6 carbon atoms, and R10 is a direct bond, straight- or branched-chained alkylene having 1 to 6 carbon atoms.
- It is preferable that Formula 5 is represented by the following Formula 6.
- An end of the aromatic based resin may be an OH group.
- In the present invention, the styrene-based unit is construed to include the styrene-based derivative as well as styrene. The styrene-based derivative includes a compound comprising one or more substituent groups having aliphatic hydrocarbons or hetero atoms at a benzene cycle or vinyl group of styrene, and in detail, it includes alpha methyl styrene.
- In the present invention, as the compound comprising the unit, the copolymer comprising the styrene-based unit and the cyclic moiety may be used. The content of the styrene-based unit in the copolymer comprising the styrene-based unit and the cyclic-based unit having the cyclic moiety is in the range of about 1 to about 99 wt %, preferably in the range of about 30 to about 99 wt %, and more preferably in the range of about 40 to about 95 wt %, and the content of the cyclic-based unit having the cyclic moiety is in the range of about 1 to about 99 wt %, preferably in the range of about 1 to about 70 wt %, and more preferably in the range of about 5 to about 60 wt %. By melting and mixing the copolymer comprising the styrene-based unit and the cyclic-based unit having the cyclic moiety and using it, the adhesion property and heat resistance of the film may be improved. If the content of the cyclic-based unit having the cyclic moiety is very low, the miscibility may be slightly reduced. Examples of the cyclic-based unit having the cyclic moiety will be described later. However, it is most preferable that the cyclic-based unit having the cyclic moiety that is included in the copolymer in conjunction with the cyclic-based unit is a maleic anhydride-based unit including a maleic anhydride portion.
- In the present invention, the cyclic-based unit may improve the heat resistance of the film. The content of the cyclic-based unit is in the range of about 0.1 to about 99 wt %, and preferably about 0.5 to about 45 wt %. Examples of the cyclic moiety of the cyclic-based unit include maleic anhydride, maleimide, glutaric anhydride, glutalimide, lactone and lactame, but are not limited thereto.
- According to an embodiment of the present invention, as the components that include the units, 1) a copolymer comprising the (meth)acrylate based unit and the maleimide based unit, 2) the resin comprising the phenoxy based (phenoxy-based) unit, and 3) the copolymer comprising the styrene-based unit and the maleic anhydride unit may be used. In this case, it is preferable that the content of each component is in the range of 1 to 99 wt %. To be specific, the content of 1) the copolymer is preferably in the range of about 50 to about 99 wt % and more preferably in the range of about 75 to about 98 wt %. The content of the 2) resin is preferably in the range of about 0.5 to about 40 wt % and more preferably in the range of about 1 to about 30 wt %. The content of 3) the copolymer is preferably in the range of about 0.5 to about 30 wt % and more preferably in the range of about 1 to about 20 wt %.
- In particular, in the case when the content of the maleimide based monomer in the copolymer comprising 1) the (meth)acrylate based unit and maleimide based unit is 50% by weight or less, regardless of the mixing ratio of 1) to 2) components, it can show miscibility in respects to the entire range, and the optical film having the resin composition is advantageous in that it has a single glass transition temperature Tg.
- The thickness of the optical film according to the present invention is in the range of 5 to 500 μm, and more preferably 5 to 300 μm, but is not limited thereto. The transmittance of the optical film is 90% or more, the haze is 2.5% or less, preferably 1% or less, and more preferably 0.5% or less. It is preferable that the glass transition temperature of the optical film according to the present invention is 100° C. or more.
- The optical film may control the value of the photoelasticity coefficient at a very small value according to the content of the aromatic based unit having chain having the hydroxy group containing portion and aromatic moiety and the styrene-based unit, and in this case, a characteristic in which a change in retardation caused by the external stress hardly occurs is ensured, such that a light leakage phenomenon may be reduced.
- The method for manufacturing the optical film according to the present invention comprises the steps of preparing the above resin composition; and casting a film by using the resin composition. The manufacturing method may further comprise the step of uniaxially or biaxially stretching the film.
- The resin composition may be manufactured by melting and blending the above components. The melting and the mixing of the components may be carried out by using an extruder.
- The resin composition may further include a lubricant, an antioxidant, a UV stabilizer, a thermal stabilizer and absorber and the like that are generally used.
- When the optical film according to the present invention is manufactured, a method that is known in the art may be used, and in detail, an extrusion molding method may be used. For example, after the resin composition is dried under a vacuum and removes water and dissolved oxygen, the composition is supplied from the raw material hopper to a single or twin extruder that is filled with nitrogen, and melted at a high temperature to obtain a raw material pellet, the obtained raw material pellet is dried under a vacuum, melted from the raw material hopper to a single extruder that is substituted with nitrogen, passes through a coat hanger type T-die, and a chrome-coated casting roll and a drying roll to manufacture the film.
- When the optical film according to the present invention is manufactured, the manufacturing method may further comprise the step of uniaxially or biaxially stretching the film. The stretching process may be carried out by using any one of a longitudinal direction (MD) stretching and a transverse direction (TD) stretching or both of the longitudinal direction stretching and the transverse direction stretching. In the case of when both of the longitudinal direction stretching and the transverse direction stretching are carried out, any one of them may be first carried out and then the other may be carried out, or both of them may be carried out simultaneously. The stretching may be carried out through a single step or through multi-steps. In the case of when the stretching is carried out in the longitudinal direction, the stretching may be carried out by using a difference in speed between rolls, and in the case of when the stretching is carried out in the transverse direction, the tenter may be used. The rail initiating angle of the tenter is 10° or less, a bowing phenomenon that occurs when the transverse direction stretching is carried out is suppressed, and the angle of the optical axis is regularly controlled. By carrying out the transverse direction stretching through multi-steps, the suppression phenomenon of the bowing phenomenon may be obtained.
- The stretching may be carried out at a temperature in the range of (Tg−20° C.) to (Tg+30° C.) when the glass transition temperature of the resin composition is Tg. The glass transition temperature means a range from a temperature at which storage elasticity of the resin composition starts to be reduced and the loss elasticity starts to be larger than the storage elasticity to a temperature at which alignment of the polymer chain is loosened and removed. The glass transition temperature may be measured by using a differential scanning calorimeter (DSC).
- In the case of a small stretching machine (Universal testing machine, Zwick Z010), it is preferable that the stretching rate is in the range of 1 to 100 mm/min. In the case of a pilot stretching machine, it is preferable that the stretching rate is in the range of 0.1 to 2 mm/min. In addition, it is preferable that the film is stretched by using a stretching ratio in the range of 5 to 300%.
- The stretching may be carried out through a separate step that is different from the shaping of the film, or carried out through one step in the same process as the shaping of the film.
- The composition of each unit may be combined with the longitudinal direction stretching ratio, the transverse direction stretching ratio, the stretching temperature and the stretching rate.
- In addition, since toughness of the stretched film is increased, a disadvantage of the (meth)acrylate based film that is easily broken may be effectively compensated.
- The optical film according to the present invention has the absolute value of in-plane retardation and thickness retardation of 10 nm or less and preferably 5 nm or less regardless of the stretching. In addition, the optical film according to the present invention has the absolute value of photoelasticity coefficient of 3×10−12 m2/N or less regardless of the stretching.
- The optical film according to the present invention may be provided with an additional layer comprising at least one of an organic substance and an inorganic substance on at least one side, and an adhesion property in respects to a retardation value, a compensation property and/or a polarizer may be controlled. Examples of the organic substance include cellulose, polyimide, polyester, polyurethane, liquid crystal and/or a derivative thereof, and examples of the inorganic substance include TiO2, ITO and the like, but are not limited thereto.
- In addition, the present invention provides a polarizing plate that comprises a polarizer, and the optical film which is provided on at least one side of the polarizer. Since a polarizer comprises a dichromic pigment and consists of a polyvinyl alcohol film that is uniaxially stretched, it is very weak and has the reduced durability in respects to the temperature or moisture, and laminated with the protective film. In the related art, a liquid crystal display device having the polarizing plate mostly consists of a device having a relatively small display area, such as clocks or instrument boards, or a light diffusion type device, a surface of which is subjected to reflection prevention treatment. Currently, a liquid crystal display device has a large display area like a display having a large image or has a surface that is subjected to low haze reflection prevention treatment, such as polished surfaces, by using a multilayered reflection way. In this case, defects such lines, curve marks, scars, stains and the like formed on the surface of the protective film for polarizing plate are observed. This is because the most protective film for polarizing plate uses triacetylcellulose films.
- A cellulose derivative has excellent moisture permeation, in a process for manufacturing the polarizing plate, it is advantageous in that moisture contained in the polarizer may be volatilized through the film. However, under the high temperature and high humidity atmosphere, the dimensional change according to the absorption or the optical property change is relatively significant and in the case of when the humidity is changed at around room temperature, a change in retardation value is large, and there is a limit in improvement of the stable angle view, thus there is a problem in that the durability of the optical property of the polarizing plate is reduced.
- In addition, in a polycarbonate-based, since the glass transition temperature is high, the stretching process is required at high temperatures, and since the light elasticity-coefficient of the film is large, light deformation occurs by the stress. In the case of when the norbornene-based film is stretched, there are problems in that the stress is increased in the stretching or the stress nonuniformity occurs in the stretching. The solving of the above problems is capable of being solved by adopting the acryl-based retardation film having the excellent angle view compensation effect and a small change in retardation value even though the environment is changed.
- If the photoelasticity coefficient, that is, the change rate of birefringence when a stress load is received is high, since adhesion nonuniformity when adhesion is carried out in conjunction with a liquid crystal layer or a polarizing plate, a difference between thermal expansions of constituent materials formed by receiving heat from a backlight or an external environment, and a change in retardation that is caused by an effect of stress generated by shrinkage of a polarizing film and the like are increased, color uniuniformity of the display device is reduced or contrast is reduced. The acryl-based film may control the value of the photoelasticity coefficient at a very small value, and in this case, a characteristic in which a change in retardation caused by the external stress hardly occurs is ensured, such that a light leakage phenomenon may be reduced.
- The optical film according to the present invention may be provided on one side of the polarizer or on both sides of the polarizer.
- In the case of when the optical film according to the present invention is provided on only any one side of the polarizer, a protective film that is known in the art may be provided on the other side thereof. As the protective film that is known in the art, a triacetate cellulose (TAC) film, a polynorbonene-based film that is produced by using a ring opening metathesis polymerization (ROMP), a HROMP (ring opening metathesis polymerization followed by hydrogenation) polymer film that is obtained by hydrogenating the ring opening cyclic olefin-based polymer again, a polyester film, a polynorbonene-based film that is produced by the addition polymerization and the like may be used. In addition to this, a film that is produced by using a transparent polymer material may be used as the protective film, but not limited thereto.
- As the polarizer, a film that consists of polyvinyl alcohol (PVA) comprising iodine or a dichromic dye may be used. The polarizing film may be produced by dyeing iodine or the dichromic dye on the PVA film, but the production method thereof is not particularly limited thereto. In the present specification, the polarizing film means a state that does not comprise the protective film, and the polarizing plate means a state that comprises the polarizing film and the protective film.
- In the present invention, the protection film and the polarizer may be combined by using the method that is known in the art.
- In addition, the present invention provides a liquid crystal display that comprises the polarizing plate. For example, the liquid crystal display device according to the present invention is a liquid crystal display device comprising a liquid crystal cell and a first polarizing plate and a second polarizing plate that are provided on both sides of the liquid crystal cell, and at least one of the first polarizing plate and the second polarizing plate is the polarizing plate according to the present invention. It is preferable that the optical film or the polarizer protective film that are provided on the side that is opposite to the liquid crystal cell of the polarizing plate includes a UV absorbing agent.
- In addition, the present invention provides an information electronic device comprising the optical film. Examples of the information electronic device include display devices such as a liquid crystal display (LCD), an organic light emitting diode (OLED) and the like.
- In one embodiment, the liquid crystal display according to the present invention is a liquid crystal display device comprising a liquid cell, and a first polarizing plate and a second polarizing plate that are provided on both sides of the liquid crystal cell, and between at least one of the first polarizing plate and the second polarizing plate and the liquid crystal cell, the optical film according to the present invention may be provided. That is, between the first polarizing plate and the liquid crystal cell, between the second polarizing plate, and the liquid crystal cell, or both between the first polarizing plate and the liquid crystal cell and between the second polarizing plate and the liquid crystal cell, one or more optical films according to the present invention may be provided.
- Hereinbelow, the present invention will be described in detail with reference to Examples. The present invention may, however, be embodied in many different forms and should not be construed as being limited to the Examples set forth herein.
- The resin composition in which poly(N-cyclohexylmaleimide-co-methylmethacrylate), the styrene-maleic anhydride resin and the phenoxy-based resin were uniformly mixed with each other at a weight ratio of 100:2.5:5 was provided to a 24φ extruder in which nitrogen was substituted from the raw material hopper to the extruder, and melted at 250° C. to manufacture the raw material pellet.
- As the phenoxy-based resin, PKFE (Mw=60,000, Mn=16,000, and Tg=95° C.) manufactured by InChemRez®, Co., Ltd. was used, and Dylarck 332 that included 85 wt % of styrene and 15 wt % of maleic anhydride was used as the styrene-maleic anhydride copolymer resin. In the poly(N-cyclohexylmaleimide-co-methylmethacrylate) resin, the content of N-cyclohexylmaleimide was 6.5 wt % which was analyzed by using the NMR.
- The obtained raw material pellets were dried in the vacuum, melted at 260° C. by using the extruder, and passed through the coat hanger type of T-die, the chrome-coated casting roll and the dry roll to manufacture the film that had the thickness of 150 μm. This film was stretched by using the pilot stretching device at 125° C. in the MD direction using a difference between speeds of rolls at the ratios described in the following Table 1, and stretched in the TD direction at 125° C. by using the tenter at the ratios described in the following Table 1 to manufacture the film. The in-plane retardation value and the thickness retardation of the film are described in the following Table 1. In addition, the retardation distribution according to the width direction is shown in
FIG. 1 . -
TABLE 1 MD stretching TD stretching retardation value (nm) thickness ratio ratio Rin Rth (μM) 100% 100% 0.4 +0.6 160 150% 100% 0.2 +1.0 118 150% 200% 1.0 −1.6 59 150% 250% 0.9 −1.1 47 160% 100% 0.4 +0.1 116 160% 200% 0.9 −1.5 56 160% 250% 0.8 −1.3 46 170% 100% 1.0 +1.9 114 170% 200% 0.7 −1.9 55 170% 220% 0.5 −1.5 50 170% 250% 0.5 −1.4 42 - The resin composition in which poly(N-cyclohexylmaleimide-co-methylmethacrylate), the styrene-maleic anhydride resin and the phenoxy-based resin were uniformly mixed with each other at a weight ratio of 100:2.5:5 was provided to a 24φ extruder in which nitrogen was substituted from the raw material hopper to the extruder, and melted at 250° C. to manufacture the raw material pellet.
- The obtained raw material pellets were dried in the vacuum, melted at 260° C. by using the extruder, and passed through the coat hanger type of T-die, the chrome-coated casting roll and the dry roll to manufacture the film that had the thickness of 150 μm. This film was stretched by using the pilot stretching device at 125 to 140° C. in the MD direction using a difference between speeds of rolls at the ratio of 170% described in the following Table 2, and stretched in the TD direction at 125 to 140° C. by using the tenter at the ratio of 250% described in the following Table 2 to manufacture the film. The in-plane retardation value and the thickness retardation of the film are described in the following Table 2.
-
TABLE 2 Stretching temperature MD stretching TD stretching retardation value (nm) (° C.) ratio ratio Rin Rth 125 170% 250% 0.5 +1.7 130 170% 250% 0.0 −0.1 135 170% 250% 1.0 −0.9 140 170% 250% 1.3 −1.1 - As the poly(N-cyclohexylmaleimide-co-methylmethacrylate) resin, IE830HR resin that was manufactured by LGMMA, Co., Ltd. was used, as the phenoxy-based resin, InChemRez Phenoxy PKFE® resin that was the phenoxy resin manufactured by InChem Corporation was used, and as the styrene-maleic anhydride copolymer resin, DYLARK® 332 (styrene 85 wt %, maleic anhydride 15 wt %) that was manufactured by NOVA Chemicals, Co., Ltd. was used to manufacture the film by using the same method as Example 1 and measure physical properties thereof. The composition and physical properties of the film are described in the following Tables 3 and 4.
-
TABLE 3 Parts by weight wt % Mol Mole ratio Tg HR Dylark PKFE Dylark Styrene PKFE Styrene PKFE PKFE/St (° C.) Example 3 100.0 2.9 5.0 2.7 2.3 4.6 0.02 0.02 0.71 120 Example 4 100.0 4.7 8.0 4.2 3.5 7.1 0.03 0.02 0.71 120 Example 5 100.0 7.1 12.0 5.9 5.0 10.1 0.05 0.03 0.71 120 Comparative 100.0 0.0 0.0 0.0 0.0 0.0 0.00 0.00 — 125 Example 1 Comparative 100.0 0.0 9.0 0.0 0.0 8.3 0.00 0.03 — 120 Example 2 Comparative 100.0 11.8 10.0 9.7 8.2 8.2 0.08 0.03 0.36 121 Example 3 -
TABLE 4 MD stretching TD stretching Stretching Stretching Stretching Stretching Retardation photoelasticity temperature ratio temperature ratio (nm) coefficient (° C.) (%) (° C.) (%) Rin Rth 10−12 m2/N Example 3 120 25 120 50 1.0 −3.1 0.5 Example 4 120 25 120 50 1.5 −3.8 0.6 Example 5 120 25 120 50 0.8 1.7 0.4 Comparative 125 25 150 50 1.9 −5.3 −4.6 Example 1 Comparative 120 25 120 50 10.1 18.5 2.2 Example 2 Comparative 120 25 120 50 24.5 13.6 −3.1 Example 3 - As seen from the above Examples, in the optical film according to the present invention, the absolute value of each of in-plane retardation, thickness retardation and photoelasticity coefficient is almost 0 before and after the stretching.
Claims (24)
1. An optical film comprising:
an aromatic based unit having chain having the hydroxy group containing portion and aromatic moiety; and a styrene-based unit comprising one or more styrene-based derivatives, wherein absolute values of in-plane retardation (Rin) and thickness retardation (Rth) are defined by the following Equation are 10 nm or less regardless of stretching:
R in=(n x −n y)×d, R th=[(n x +n y)/2−n z]×d
R in=(n x −n y)×d, R th=[(n x +n y)/2−n z]×d
nx is the largest refractive index among in-plane refractive indexes of the film,
ny is the refractive index in a direction that is vertical to nx of the in-plane refractive index of the film,
nz is the thickness refractive index of the film, and
d is the thickness of the film.
2. The optical film of claim 1 , wherein in the optical film, regardless of the stretching, the absolute value of the photoelasticity coefficient is 3×10−12 m2/N or less.
3. The optical film of claim 1 , further comprising:
one or more a (meth)acrylate-based unit that include (meth)acrylate-based derivative.
4. The optical film of claim 1 , wherein the content ratio of the aromatic-based unit and the styrene-based unit is in the range of 65 to 75:100 on the basis of mole.
5. The optical film of claim 1 , wherein the content ratio of the aromatic-based unit and the styrene-based unit is in the range of 45 to 55:100 on the basis of weight.
6. The optical film of claim 3 , wherein the ratio of the sum total of the contents of the aromatic-based unit and the styrene-based unit and the content of the (meth)acrylate-based unit is in the range of 1:99 to 50:50 on the basis of weight.
7. The optical film of claim 1 , further comprising:
a cyclic-based unit having a cyclic moiety.
8. The optical film of claim 7 , wherein the cyclic moiety is selected from the group consisting of maleic anhydride, maleimide, glutaric anhydride, glutalimide, lactone and lactame.
9. The optical film of claim 3 , wherein the (meth)acrylate-based unit is a copolymer of the (meth)acrylate derivative and a cyclic-based unit having a cyclic moiety.
10. The optical film of claim 9 , wherein the cyclic moiety of the cyclic-based unit is selected from the group consisting of maleic anhydride, maleimide, glutaric anhydride, glutalimide, lactone and lactame.
11. The optical film of claim 9 , wherein the content of the (meth)acrylate derivative of the copolymer is in the range of about 50% to about 99% on the basis of the weight of the copolymer.
12. The optical film of claim 1 , wherein the styrene-based unit is a copolymer of the styrene derivative and the cyclic-based unit having the cyclic moiety.
13. The optical film of claim 12 , wherein the cyclic moiety of the cyclic-based unit is selected from the group consisting of maleic anhydride, maleimide, glutaric anhydride, glutalimide, lactone and lactame.
14. The optical film of claim 12 , wherein the copolymer includes about 30% to about 99% of styrene-based derivative and about 1% to about 70% of cyclic-based unit on the basis of the weight of the copolymer.
15. The optical film of claim 1 , wherein the styrene-based unit forms a copolymer in conjunction with one or more (meth)acrylate-based units.
16. The optical film of claim 1 , wherein the aromatic-based unit includes a phenoxy-based resin.
17. The optical film of claim 16 , wherein the aromatic-based unit has a number average molecular weight in the range of 1,500 to 2,000,000 g/mol.
19. The optical film of claim 3 , wherein the (meth)acrylate-based unit is the copolymer of the (meth)acrylate derivative and the cyclic-based unit having the cyclic moiety, and the styrene-based unit is the copolymer of the styrene derivative and the cyclic-based unit having the cyclic moiety.
20. The optical film of claim 3 , wherein the optical film includes the copolymer of the (meth)acrylate-based unit, the styrene-based unit and the cyclic-based unit.
21. The optical film of claim 1 , wherein the optical film is a protective film for polarizer.
22. A polarizing plate comprising:
a polarizer; and
the optical film of claim 1 , which is provided on at least one side of the polarizer.
23. A liquid crystal display device comprising:
the polarizing plate of claim 22 .
24. An information technology apparatus comprising:
the optical film of claim 1 .
Priority Applications (2)
| Application Number | Priority Date | Filing Date | Title |
|---|---|---|---|
| US12/858,073 US20100311910A1 (en) | 2008-04-30 | 2010-08-17 | Optical film and information technology apparatus comprising the same |
| US13/603,763 US8613986B2 (en) | 2008-04-30 | 2012-09-05 | Optical film and information technology apparatus comprising the same |
Applications Claiming Priority (7)
| Application Number | Priority Date | Filing Date | Title |
|---|---|---|---|
| KR20080040843 | 2008-04-30 | ||
| KR10-2008-0040843 | 2008-04-30 | ||
| KR1020090002070A KR101091534B1 (en) | 2008-04-30 | 2009-01-09 | Optical film and information electronic device including the same |
| KR10-2009-0002070 | 2009-01-09 | ||
| PCT/KR2009/002303 WO2009134098A2 (en) | 2008-04-30 | 2009-04-30 | Optical film, and an electronic information device comprising the same |
| US12/387,553 US7875328B2 (en) | 2008-04-30 | 2009-05-04 | Optical film and information technology apparatus comprising the same |
| US12/858,073 US20100311910A1 (en) | 2008-04-30 | 2010-08-17 | Optical film and information technology apparatus comprising the same |
Related Parent Applications (1)
| Application Number | Title | Priority Date | Filing Date |
|---|---|---|---|
| US12/387,553 Continuation US7875328B2 (en) | 2008-04-30 | 2009-05-04 | Optical film and information technology apparatus comprising the same |
Related Child Applications (1)
| Application Number | Title | Priority Date | Filing Date |
|---|---|---|---|
| US13/603,763 Continuation-In-Part US8613986B2 (en) | 2008-04-30 | 2012-09-05 | Optical film and information technology apparatus comprising the same |
Publications (1)
| Publication Number | Publication Date |
|---|---|
| US20100311910A1 true US20100311910A1 (en) | 2010-12-09 |
Family
ID=41255572
Family Applications (2)
| Application Number | Title | Priority Date | Filing Date |
|---|---|---|---|
| US12/387,553 Active US7875328B2 (en) | 2008-04-30 | 2009-05-04 | Optical film and information technology apparatus comprising the same |
| US12/858,073 Abandoned US20100311910A1 (en) | 2008-04-30 | 2010-08-17 | Optical film and information technology apparatus comprising the same |
Family Applications Before (1)
| Application Number | Title | Priority Date | Filing Date |
|---|---|---|---|
| US12/387,553 Active US7875328B2 (en) | 2008-04-30 | 2009-05-04 | Optical film and information technology apparatus comprising the same |
Country Status (7)
| Country | Link |
|---|---|
| US (2) | US7875328B2 (en) |
| EP (1) | EP2272901B1 (en) |
| JP (1) | JP5330502B2 (en) |
| KR (1) | KR101091534B1 (en) |
| CN (1) | CN102015848B (en) |
| TW (1) | TWI412550B (en) |
| WO (1) | WO2009134098A2 (en) |
Cited By (2)
| Publication number | Priority date | Publication date | Assignee | Title |
|---|---|---|---|---|
| US20140091288A1 (en) * | 2012-09-28 | 2014-04-03 | Samsung Display Co., Ltd. | Organic light emitting diode display and method of manufacturing the same |
| WO2016043505A1 (en) * | 2014-09-18 | 2016-03-24 | 주식회사 효성 | Cellulose ester film excellent in retardation expression |
Families Citing this family (16)
| Publication number | Priority date | Publication date | Assignee | Title |
|---|---|---|---|---|
| KR20090076753A (en) * | 2008-01-08 | 2009-07-13 | 주식회사 엘지화학 | Transparent resin composition |
| KR20090076754A (en) * | 2008-01-08 | 2009-07-13 | 주식회사 엘지화학 | Optical film, retardation film, protective film and liquid crystal display device comprising the same |
| US8613986B2 (en) | 2008-04-30 | 2013-12-24 | Lg Chem, Ltd. | Optical film and information technology apparatus comprising the same |
| KR101091534B1 (en) * | 2008-04-30 | 2011-12-13 | 주식회사 엘지화학 | Optical film and information electronic device including the same |
| KR101105424B1 (en) * | 2008-04-30 | 2012-01-17 | 주식회사 엘지화학 | Resin composition and optical film formed using the same |
| JP5912277B2 (en) * | 2010-04-22 | 2016-04-27 | 株式会社日本触媒 | Optical film, polarizer protective film, polarizing plate, and image display device |
| KR101279612B1 (en) * | 2010-08-13 | 2013-06-28 | 주식회사 엘지화학 | Polarizing plate and liquid crystal display comprising the same |
| US10030134B2 (en) * | 2011-07-01 | 2018-07-24 | Asahi Kasei Kabushiki Kaisha | Acrylic thermoplastic resin composition and molded article thereof |
| KR101304591B1 (en) | 2011-07-06 | 2013-09-05 | 주식회사 엘지화학 | Retardation film, preparation method thereof, and liquid crystal display comprising the same |
| TWI516537B (en) * | 2011-10-04 | 2016-01-11 | Lg化學股份有限公司 | Resin composition and optical compensation film formed by using the same |
| WO2013051847A2 (en) * | 2011-10-04 | 2013-04-11 | 주식회사 엘지화학 | Resin composition and optical compensation film formed by using same |
| KR20170084219A (en) * | 2014-11-14 | 2017-07-19 | 주식회사 쿠라레 | Methacrylic resin composition and molded body |
| CN107533174B (en) * | 2015-04-17 | 2020-06-16 | 株式会社钟化 | Retardation film and use thereof |
| KR102417139B1 (en) | 2016-01-07 | 2022-07-04 | 삼성전자주식회사 | Compensation film and optical film and display device |
| KR102063204B1 (en) * | 2017-02-16 | 2020-01-07 | 삼성에스디아이 주식회사 | Optical film, display device comprising the same and display apparatus comprising the same |
| CN111640373B (en) * | 2020-06-09 | 2023-06-23 | 京东方科技集团股份有限公司 | Cover plate and display device |
Citations (34)
| Publication number | Priority date | Publication date | Assignee | Title |
|---|---|---|---|---|
| US4419399A (en) * | 1981-07-06 | 1983-12-06 | Toyo Boseki Kabushiki Kaisha | Transparent conductive film |
| US4607079A (en) * | 1985-06-24 | 1986-08-19 | General Electric Company | Blend of polycarbonate, acrylate elastomeric copolymer and a phenoxy resin |
| US5004777A (en) * | 1985-08-27 | 1991-04-02 | Rohm And Haas Company | Imide polymers |
| US5049313A (en) * | 1989-09-05 | 1991-09-17 | Advanced Products Inc. | Thermoset polymer thick film compositions and their use as electrical circuitry |
| US5200492A (en) * | 1990-10-29 | 1993-04-06 | Kuraray Co., Ltd. | Polymer blends |
| US5344868A (en) * | 1993-03-23 | 1994-09-06 | Rohm And Haas Company | Polyglutarimide/glass fiber combinations |
| US5710216A (en) * | 1994-12-14 | 1998-01-20 | Basf Aktiengesellschaft | Thermoplastic molding materials based on partly aromatic polyamides and polymethacrylamides |
| US5891357A (en) * | 1995-09-27 | 1999-04-06 | Fuji Xerox Co., Ltd. | Optical element and method of manufacturing the same, and macromolecular liquid crystal for an optical element |
| US5905554A (en) * | 1994-05-27 | 1999-05-18 | The University Of Akron | Non-birefringent optical adhesives and films |
| US5994022A (en) * | 1996-11-14 | 1999-11-30 | Jsr Corporation | Radiation sensitive resin composition |
| US6080833A (en) * | 1996-07-31 | 2000-06-27 | Mitsui Chemicals, Inc. | Low-birefringent organic optical component and a spirobiindan polymer |
| US6197898B1 (en) * | 1997-11-18 | 2001-03-06 | General Electric Company | Melt-mixing thermoplastic and epoxy resin above Tg or Tm of thermoplastic with curing agent |
| US20020018163A1 (en) * | 2000-05-02 | 2002-02-14 | Tomohisa Yamamoto | Anti-static film for display |
| US20020039651A1 (en) * | 2000-05-31 | 2002-04-04 | Chikara Murata | Adhesive film for displays |
| US20030043730A1 (en) * | 2000-03-29 | 2003-03-06 | Akihiko Uchiyama | Protecting film for optical recording medium and optical recording medium |
| US20030137620A1 (en) * | 2002-01-14 | 2003-07-24 | Zongkai Wang | Twisted nematic micropolarizer and its method of manufacturing |
| US20040063887A1 (en) * | 2002-09-30 | 2004-04-01 | Tosoh Corporation | Transparent heat-resistant resin optical material and film |
| US20050046967A1 (en) * | 2003-08-05 | 2005-03-03 | Masahisa Kosaka | Plastic lens and process for preparing the lens |
| US20050068492A1 (en) * | 2003-09-30 | 2005-03-31 | Shinsuke Itoh | Plastic lens and process for preparing the lens |
| US20050117099A1 (en) * | 2002-02-19 | 2005-06-02 | Takashi Yamaoka | Inclined optical compensation film method for producing the same and liquid crystal display including the same |
| US20050129895A1 (en) * | 2002-05-27 | 2005-06-16 | Ajinomoto Co., Inc. | Adhesive film and prepreg |
| US20060013967A1 (en) * | 2002-12-20 | 2006-01-19 | Hitoshi Mikoshiba | Transparent conductive laminate, touch panel and liquid crystal display unit with touch panel |
| US20060055853A1 (en) * | 2002-07-30 | 2006-03-16 | Nao Murakami | Optical film and its manufacturing method |
| US20060063858A1 (en) * | 2004-09-15 | 2006-03-23 | Samsung Electronics Co., Ltd. | Ink composition and color filter including the same |
| US20060066946A1 (en) * | 2004-09-30 | 2006-03-30 | Jong-Min Liu | Polarizer protective film, polarizing plate, and visual display |
| US20060066787A1 (en) * | 2004-09-29 | 2006-03-30 | Nitto Denko Corporation | Liquid crystal panel and liquid crystal display apparatus |
| US20060093845A1 (en) * | 2004-10-29 | 2006-05-04 | Chien Bert T | Optical films incorporating cyclic olefin copolymers |
| US20060177607A1 (en) * | 2005-02-08 | 2006-08-10 | Nitto Denko Corporation | Retardation film, polarizing element, liquid crystal panel, and liquid crystal apparatus |
| US20060252234A1 (en) * | 2004-07-07 | 2006-11-09 | Lintec Corporation | Hardenable pressure sensitive adhesive sheet for dicing/die-bonding and method for manufacturing semiconductor device |
| US20070172181A1 (en) * | 2004-02-25 | 2007-07-26 | Kansai Paint Co., Ltd. | Curable resin composition for optical waveguide, curable dry film for optical waveguide, optical waveguide and method for forming core part for optical waveguide |
| US20070282077A1 (en) * | 2004-12-27 | 2007-12-06 | Jsr Corporation | Thermoplastic Resin Composition, Optical Film And Oriented Film |
| US20090197020A1 (en) * | 2008-01-08 | 2009-08-06 | Lg Chem, Ltd. | Optical film and information technology apparatus comprising the same |
| US20090275718A1 (en) * | 2008-04-30 | 2009-11-05 | Lg Chem, Ltd. | Resin composition and optical films formed by using the same |
| US7875328B2 (en) * | 2008-04-30 | 2011-01-25 | Lg Chem, Ltd. | Optical film and information technology apparatus comprising the same |
Family Cites Families (12)
| Publication number | Priority date | Publication date | Assignee | Title |
|---|---|---|---|---|
| NL9002345A (en) * | 1990-10-29 | 1992-05-18 | Stamicarbon | POLYMER COMPOSITION. |
| US5244862A (en) * | 1992-07-31 | 1993-09-14 | Bailey David B | Thermal dye transfer receiving element with modified bisphenol-A epichlorohydrin polymer dye-image receiving layer |
| JP2001220515A (en) | 2000-02-08 | 2001-08-14 | Kawamura Inst Of Chem Res | Resin composite having co-continuous structure and production method therefor |
| US20030215736A1 (en) * | 2002-01-09 | 2003-11-20 | Oberlander Joseph E. | Negative-working photoimageable bottom antireflective coating |
| JP2004045893A (en) * | 2002-07-12 | 2004-02-12 | Kanegafuchi Chem Ind Co Ltd | Transparent film, polarizer protective film, and polarizing plate |
| KR100519516B1 (en) * | 2002-11-25 | 2005-10-07 | 주식회사 하이닉스반도체 | Organic anti-reflective coating polymer, its preparation method and organic anti-reflective coating composition comprising the same |
| CN1816439A (en) * | 2003-05-02 | 2006-08-09 | 通用电气公司 | Polymeric blends for optical devices and method of manufacture thereof |
| JP4679808B2 (en) * | 2003-08-26 | 2011-05-11 | Jsr株式会社 | Composition for forming retardation film |
| KR100570211B1 (en) * | 2003-12-24 | 2006-04-12 | 주식회사 하이닉스반도체 | Crosslinking agent polymer for organic antireflection film, organic antireflection film composition comprising same and pattern formation method of photoresist using same |
| JP2005266464A (en) * | 2004-03-19 | 2005-09-29 | Teijin Ltd | Polarizer protective film, polarizing plate and liquid crystal display element |
| CN100549739C (en) * | 2005-03-31 | 2009-10-14 | 株式会社日本触媒 | Polarizer protective film, polarizer, and image display device |
| JP5288150B2 (en) * | 2005-10-24 | 2013-09-11 | 株式会社スリーボンド | Thermosetting composition for sealing organic EL elements |
-
2009
- 2009-01-09 KR KR1020090002070A patent/KR101091534B1/en active Active
- 2009-04-30 CN CN2009801152259A patent/CN102015848B/en active Active
- 2009-04-30 WO PCT/KR2009/002303 patent/WO2009134098A2/en not_active Ceased
- 2009-04-30 TW TW098114365A patent/TWI412550B/en active
- 2009-04-30 EP EP09739004.1A patent/EP2272901B1/en not_active Not-in-force
- 2009-04-30 JP JP2011507355A patent/JP5330502B2/en active Active
- 2009-05-04 US US12/387,553 patent/US7875328B2/en active Active
-
2010
- 2010-08-17 US US12/858,073 patent/US20100311910A1/en not_active Abandoned
Patent Citations (35)
| Publication number | Priority date | Publication date | Assignee | Title |
|---|---|---|---|---|
| US4419399A (en) * | 1981-07-06 | 1983-12-06 | Toyo Boseki Kabushiki Kaisha | Transparent conductive film |
| US4607079A (en) * | 1985-06-24 | 1986-08-19 | General Electric Company | Blend of polycarbonate, acrylate elastomeric copolymer and a phenoxy resin |
| US5004777A (en) * | 1985-08-27 | 1991-04-02 | Rohm And Haas Company | Imide polymers |
| US5049313A (en) * | 1989-09-05 | 1991-09-17 | Advanced Products Inc. | Thermoset polymer thick film compositions and their use as electrical circuitry |
| US5200492A (en) * | 1990-10-29 | 1993-04-06 | Kuraray Co., Ltd. | Polymer blends |
| US5344868A (en) * | 1993-03-23 | 1994-09-06 | Rohm And Haas Company | Polyglutarimide/glass fiber combinations |
| US5905554A (en) * | 1994-05-27 | 1999-05-18 | The University Of Akron | Non-birefringent optical adhesives and films |
| US5710216A (en) * | 1994-12-14 | 1998-01-20 | Basf Aktiengesellschaft | Thermoplastic molding materials based on partly aromatic polyamides and polymethacrylamides |
| US5891357A (en) * | 1995-09-27 | 1999-04-06 | Fuji Xerox Co., Ltd. | Optical element and method of manufacturing the same, and macromolecular liquid crystal for an optical element |
| US6080833A (en) * | 1996-07-31 | 2000-06-27 | Mitsui Chemicals, Inc. | Low-birefringent organic optical component and a spirobiindan polymer |
| US5994022A (en) * | 1996-11-14 | 1999-11-30 | Jsr Corporation | Radiation sensitive resin composition |
| US6197898B1 (en) * | 1997-11-18 | 2001-03-06 | General Electric Company | Melt-mixing thermoplastic and epoxy resin above Tg or Tm of thermoplastic with curing agent |
| US20030043730A1 (en) * | 2000-03-29 | 2003-03-06 | Akihiko Uchiyama | Protecting film for optical recording medium and optical recording medium |
| US20020018163A1 (en) * | 2000-05-02 | 2002-02-14 | Tomohisa Yamamoto | Anti-static film for display |
| US20020039651A1 (en) * | 2000-05-31 | 2002-04-04 | Chikara Murata | Adhesive film for displays |
| US20030137620A1 (en) * | 2002-01-14 | 2003-07-24 | Zongkai Wang | Twisted nematic micropolarizer and its method of manufacturing |
| US20050117099A1 (en) * | 2002-02-19 | 2005-06-02 | Takashi Yamaoka | Inclined optical compensation film method for producing the same and liquid crystal display including the same |
| US20050129895A1 (en) * | 2002-05-27 | 2005-06-16 | Ajinomoto Co., Inc. | Adhesive film and prepreg |
| US20060055853A1 (en) * | 2002-07-30 | 2006-03-16 | Nao Murakami | Optical film and its manufacturing method |
| US20040063887A1 (en) * | 2002-09-30 | 2004-04-01 | Tosoh Corporation | Transparent heat-resistant resin optical material and film |
| US20060013967A1 (en) * | 2002-12-20 | 2006-01-19 | Hitoshi Mikoshiba | Transparent conductive laminate, touch panel and liquid crystal display unit with touch panel |
| US20050046967A1 (en) * | 2003-08-05 | 2005-03-03 | Masahisa Kosaka | Plastic lens and process for preparing the lens |
| US20070141355A1 (en) * | 2003-08-05 | 2007-06-21 | Hoya Corporation | Plastic lens and process for preparing the lens |
| US20050068492A1 (en) * | 2003-09-30 | 2005-03-31 | Shinsuke Itoh | Plastic lens and process for preparing the lens |
| US20070172181A1 (en) * | 2004-02-25 | 2007-07-26 | Kansai Paint Co., Ltd. | Curable resin composition for optical waveguide, curable dry film for optical waveguide, optical waveguide and method for forming core part for optical waveguide |
| US20060252234A1 (en) * | 2004-07-07 | 2006-11-09 | Lintec Corporation | Hardenable pressure sensitive adhesive sheet for dicing/die-bonding and method for manufacturing semiconductor device |
| US20060063858A1 (en) * | 2004-09-15 | 2006-03-23 | Samsung Electronics Co., Ltd. | Ink composition and color filter including the same |
| US20060066787A1 (en) * | 2004-09-29 | 2006-03-30 | Nitto Denko Corporation | Liquid crystal panel and liquid crystal display apparatus |
| US20060066946A1 (en) * | 2004-09-30 | 2006-03-30 | Jong-Min Liu | Polarizer protective film, polarizing plate, and visual display |
| US20060093845A1 (en) * | 2004-10-29 | 2006-05-04 | Chien Bert T | Optical films incorporating cyclic olefin copolymers |
| US20070282077A1 (en) * | 2004-12-27 | 2007-12-06 | Jsr Corporation | Thermoplastic Resin Composition, Optical Film And Oriented Film |
| US20060177607A1 (en) * | 2005-02-08 | 2006-08-10 | Nitto Denko Corporation | Retardation film, polarizing element, liquid crystal panel, and liquid crystal apparatus |
| US20090197020A1 (en) * | 2008-01-08 | 2009-08-06 | Lg Chem, Ltd. | Optical film and information technology apparatus comprising the same |
| US20090275718A1 (en) * | 2008-04-30 | 2009-11-05 | Lg Chem, Ltd. | Resin composition and optical films formed by using the same |
| US7875328B2 (en) * | 2008-04-30 | 2011-01-25 | Lg Chem, Ltd. | Optical film and information technology apparatus comprising the same |
Non-Patent Citations (2)
| Title |
|---|
| JPO Website Machine English Translation of JP 07-304870, Matsumoto et al. November 21, 1995. * |
| JPO Website Machine English Translation of JP 2004-204208, Suzuki Minoru, July 22, 2004. * |
Cited By (2)
| Publication number | Priority date | Publication date | Assignee | Title |
|---|---|---|---|---|
| US20140091288A1 (en) * | 2012-09-28 | 2014-04-03 | Samsung Display Co., Ltd. | Organic light emitting diode display and method of manufacturing the same |
| WO2016043505A1 (en) * | 2014-09-18 | 2016-03-24 | 주식회사 효성 | Cellulose ester film excellent in retardation expression |
Also Published As
| Publication number | Publication date |
|---|---|
| TWI412550B (en) | 2013-10-21 |
| WO2009134098A2 (en) | 2009-11-05 |
| EP2272901A4 (en) | 2012-04-25 |
| TW200951164A (en) | 2009-12-16 |
| CN102015848B (en) | 2013-11-13 |
| US20090273838A1 (en) | 2009-11-05 |
| KR20090115041A (en) | 2009-11-04 |
| EP2272901B1 (en) | 2014-08-06 |
| EP2272901A2 (en) | 2011-01-12 |
| KR101091534B1 (en) | 2011-12-13 |
| JP5330502B2 (en) | 2013-10-30 |
| WO2009134098A3 (en) | 2010-03-11 |
| US7875328B2 (en) | 2011-01-25 |
| JP2011519434A (en) | 2011-07-07 |
| CN102015848A (en) | 2011-04-13 |
Similar Documents
| Publication | Publication Date | Title |
|---|---|---|
| US7875328B2 (en) | Optical film and information technology apparatus comprising the same | |
| US8512825B2 (en) | Optical film and information technology apparatus comprising the same | |
| US8344083B2 (en) | Resin composition and optical films formed by using the same | |
| JP5429759B2 (en) | Resin composition, optical film, and liquid crystal display device | |
| US9168694B2 (en) | Transparent resin composition | |
| US8613986B2 (en) | Optical film and information technology apparatus comprising the same | |
| KR101226935B1 (en) | Optical film comprising acryl-based resin, and liquid-crystal-display comprising the same |
Legal Events
| Date | Code | Title | Description |
|---|---|---|---|
| AS | Assignment |
Owner name: LG CHEM, LTD., KOREA, REPUBLIC OF Free format text: ASSIGNMENT OF ASSIGNORS INTEREST;ASSIGNORS:UM, JUN-GEUN;LEE, MIN-HEE;LEE, NAM-JEONG;AND OTHERS;REEL/FRAME:024858/0178 Effective date: 20090430 |
|
| STCB | Information on status: application discontinuation |
Free format text: ABANDONED -- FAILURE TO RESPOND TO AN OFFICE ACTION |







