US20100210552A1 - Human glucagon-like peptide-1 mimics and their use in the treatment of diabetes and related conditions - Google Patents
Human glucagon-like peptide-1 mimics and their use in the treatment of diabetes and related conditions Download PDFInfo
- Publication number
- US20100210552A1 US20100210552A1 US12/771,096 US77109610A US2010210552A1 US 20100210552 A1 US20100210552 A1 US 20100210552A1 US 77109610 A US77109610 A US 77109610A US 2010210552 A1 US2010210552 A1 US 2010210552A1
- Authority
- US
- United States
- Prior art keywords
- bip
- alkyl
- group
- phe
- hydrogen
- Prior art date
- Legal status (The legal status is an assumption and is not a legal conclusion. Google has not performed a legal analysis and makes no representation as to the accuracy of the status listed.)
- Abandoned
Links
- 238000011282 treatment Methods 0.000 title claims abstract description 20
- 206010012601 diabetes mellitus Diseases 0.000 title claims description 14
- DTHNMHAUYICORS-KTKZVXAJSA-N Glucagon-like peptide 1 Chemical class C([C@@H](C(=O)N[C@@H]([C@@H](C)CC)C(=O)N[C@@H](C)C(=O)N[C@@H](CC=1C2=CC=CC=C2NC=1)C(=O)N[C@@H](CC(C)C)C(=O)N[C@@H](C(C)C)C(=O)N[C@@H](CCCCN)C(=O)NCC(=O)N[C@@H](CCCNC(N)=N)C(N)=O)NC(=O)[C@H](CCC(O)=O)NC(=O)[C@H](CCCCN)NC(=O)[C@H](C)NC(=O)[C@H](C)NC(=O)[C@H](CCC(N)=O)NC(=O)CNC(=O)[C@H](CCC(O)=O)NC(=O)[C@H](CC(C)C)NC(=O)[C@H](CC=1C=CC(O)=CC=1)NC(=O)[C@H](CO)NC(=O)[C@H](CO)NC(=O)[C@@H](NC(=O)[C@H](CC(O)=O)NC(=O)[C@H](CO)NC(=O)[C@@H](NC(=O)[C@H](CC=1C=CC=CC=1)NC(=O)[C@@H](NC(=O)CNC(=O)[C@H](CCC(O)=O)NC(=O)[C@H](C)NC(=O)[C@@H](N)CC=1N=CNC=1)[C@@H](C)O)[C@@H](C)O)C(C)C)C1=CC=CC=C1 DTHNMHAUYICORS-KTKZVXAJSA-N 0.000 title abstract description 49
- 101500028774 Homo sapiens Glucagon-like peptide 1 Proteins 0.000 title abstract description 3
- 108090000765 processed proteins & peptides Proteins 0.000 claims abstract description 153
- -1 hydroxy, mercapto Chemical class 0.000 claims description 104
- 125000000217 alkyl group Chemical group 0.000 claims description 74
- 150000001875 compounds Chemical class 0.000 claims description 72
- 102000004196 processed proteins & peptides Human genes 0.000 claims description 69
- 238000000034 method Methods 0.000 claims description 66
- 229910052739 hydrogen Inorganic materials 0.000 claims description 57
- 239000001257 hydrogen Substances 0.000 claims description 55
- 125000003118 aryl group Chemical group 0.000 claims description 48
- 150000002431 hydrogen Chemical class 0.000 claims description 45
- 125000000539 amino acid group Chemical group 0.000 claims description 43
- 125000001072 heteroaryl group Chemical group 0.000 claims description 41
- 125000000623 heterocyclic group Chemical group 0.000 claims description 40
- 125000000753 cycloalkyl group Chemical group 0.000 claims description 39
- 238000006467 substitution reaction Methods 0.000 claims description 39
- 229920001184 polypeptide Polymers 0.000 claims description 38
- 125000003710 aryl alkyl group Chemical group 0.000 claims description 34
- 229910052799 carbon Inorganic materials 0.000 claims description 34
- 150000001413 amino acids Chemical class 0.000 claims description 33
- 125000001424 substituent group Chemical group 0.000 claims description 30
- 125000004446 heteroarylalkyl group Chemical group 0.000 claims description 27
- 125000001316 cycloalkyl alkyl group Chemical group 0.000 claims description 24
- 239000003814 drug Substances 0.000 claims description 24
- 239000003795 chemical substances by application Substances 0.000 claims description 23
- JCZLABDVDPYLRZ-AWEZNQCLSA-N biphenylalanine Chemical group C1=CC(C[C@H](N)C(O)=O)=CC=C1C1=CC=CC=C1 JCZLABDVDPYLRZ-AWEZNQCLSA-N 0.000 claims description 22
- 125000000592 heterocycloalkyl group Chemical group 0.000 claims description 20
- 125000004181 carboxyalkyl group Chemical group 0.000 claims description 19
- 125000005160 aryl oxy alkyl group Chemical group 0.000 claims description 17
- 125000005420 sulfonamido group Chemical group S(=O)(=O)(N*)* 0.000 claims description 15
- PEDCQBHIVMGVHV-UHFFFAOYSA-N Glycerine Chemical compound OCC(O)CO PEDCQBHIVMGVHV-UHFFFAOYSA-N 0.000 claims description 12
- 125000003342 alkenyl group Chemical group 0.000 claims description 12
- 125000003545 alkoxy group Chemical group 0.000 claims description 12
- 125000000304 alkynyl group Chemical group 0.000 claims description 12
- 125000002102 aryl alkyloxo group Chemical group 0.000 claims description 12
- 125000004104 aryloxy group Chemical group 0.000 claims description 12
- 125000005553 heteroaryloxy group Chemical group 0.000 claims description 12
- 125000002768 hydroxyalkyl group Chemical group 0.000 claims description 12
- 125000004415 heterocyclylalkyl group Chemical group 0.000 claims description 11
- UFHFLCQGNIYNRP-UHFFFAOYSA-N Hydrogen Chemical compound [H][H] UFHFLCQGNIYNRP-UHFFFAOYSA-N 0.000 claims description 10
- 125000004103 aminoalkyl group Chemical group 0.000 claims description 10
- 150000003857 carboxamides Chemical class 0.000 claims description 10
- 125000005518 carboxamido group Chemical group 0.000 claims description 10
- 125000005326 heteroaryloxy alkyl group Chemical group 0.000 claims description 10
- XSQUKJJJFZCRTK-UHFFFAOYSA-N Urea Chemical compound NC(N)=O XSQUKJJJFZCRTK-UHFFFAOYSA-N 0.000 claims description 9
- 239000003524 antilipemic agent Substances 0.000 claims description 9
- 229940124597 therapeutic agent Drugs 0.000 claims description 9
- 125000002252 acyl group Chemical group 0.000 claims description 8
- 125000004442 acylamino group Chemical group 0.000 claims description 8
- 125000004423 acyloxy group Chemical group 0.000 claims description 8
- 125000004390 alkyl sulfonyl group Chemical group 0.000 claims description 8
- 125000004391 aryl sulfonyl group Chemical group 0.000 claims description 8
- 239000003937 drug carrier Substances 0.000 claims description 8
- 125000002485 formyl group Chemical group [H]C(*)=O 0.000 claims description 8
- 239000003472 antidiabetic agent Substances 0.000 claims description 7
- 150000002148 esters Chemical class 0.000 claims description 7
- 125000004470 heterocyclooxy group Chemical group 0.000 claims description 7
- 239000008194 pharmaceutical composition Substances 0.000 claims description 7
- 201000001320 Atherosclerosis Diseases 0.000 claims description 6
- KXDHJXZQYSOELW-UHFFFAOYSA-N Carbamic acid Chemical group NC(O)=O KXDHJXZQYSOELW-UHFFFAOYSA-N 0.000 claims description 6
- 125000003275 alpha amino acid group Chemical group 0.000 claims description 6
- 150000001408 amides Chemical group 0.000 claims description 6
- 229940125708 antidiabetic agent Drugs 0.000 claims description 6
- 239000004202 carbamide Substances 0.000 claims description 6
- 208000011580 syndromic disease Diseases 0.000 claims description 6
- 208000001072 type 2 diabetes mellitus Diseases 0.000 claims description 6
- AVXURJPOCDRRFD-UHFFFAOYSA-N Hydroxylamine Chemical compound ON AVXURJPOCDRRFD-UHFFFAOYSA-N 0.000 claims description 5
- 206010022489 Insulin Resistance Diseases 0.000 claims description 5
- 239000000883 anti-obesity agent Substances 0.000 claims description 5
- 229940125710 antiobesity agent Drugs 0.000 claims description 5
- 125000004122 cyclic group Chemical group 0.000 claims description 5
- 206010060378 Hyperinsulinaemia Diseases 0.000 claims description 4
- 208000008589 Obesity Diseases 0.000 claims description 4
- 230000000879 anti-atherosclerotic effect Effects 0.000 claims description 4
- 229940030600 antihypertensive agent Drugs 0.000 claims description 4
- 239000002220 antihypertensive agent Substances 0.000 claims description 4
- 230000036765 blood level Effects 0.000 claims description 4
- 201000001421 hyperglycemia Diseases 0.000 claims description 4
- 230000003451 hyperinsulinaemic effect Effects 0.000 claims description 4
- 201000008980 hyperinsulinism Diseases 0.000 claims description 4
- 235000020824 obesity Nutrition 0.000 claims description 4
- 229940124530 sulfonamide Drugs 0.000 claims description 4
- 208000002249 Diabetes Complications Diseases 0.000 claims description 3
- 206010012655 Diabetic complications Diseases 0.000 claims description 3
- 208000031226 Hyperlipidaemia Diseases 0.000 claims description 3
- 206010020772 Hypertension Diseases 0.000 claims description 3
- 150000001735 carboxylic acids Chemical class 0.000 claims description 3
- 208000006575 hypertriglyceridemia Diseases 0.000 claims description 3
- 230000029663 wound healing Effects 0.000 claims description 3
- LJLSJYDMNNKCHK-UHFFFAOYSA-N (diaminomethylideneamino)-diazonioazanide Chemical compound NC(=N)NN=[N+]=[N-] LJLSJYDMNNKCHK-UHFFFAOYSA-N 0.000 claims description 2
- 235000021588 free fatty acids Nutrition 0.000 claims description 2
- 125000001475 halogen functional group Chemical group 0.000 claims 10
- 208000007342 Diabetic Nephropathies Diseases 0.000 claims 1
- 208000032131 Diabetic Neuropathies Diseases 0.000 claims 1
- 206010012689 Diabetic retinopathy Diseases 0.000 claims 1
- CHJJGSNFBQVOTG-UHFFFAOYSA-N N-methyl-guanidine Natural products CNC(N)=N CHJJGSNFBQVOTG-UHFFFAOYSA-N 0.000 claims 1
- ZRALSGWEFCBTJO-UHFFFAOYSA-N anhydrous guanidine Natural products NC(N)=N ZRALSGWEFCBTJO-UHFFFAOYSA-N 0.000 claims 1
- 208000033679 diabetic kidney disease Diseases 0.000 claims 1
- SWSQBOPZIKWTGO-UHFFFAOYSA-N dimethylaminoamidine Natural products CN(C)C(N)=N SWSQBOPZIKWTGO-UHFFFAOYSA-N 0.000 claims 1
- 125000005844 heterocyclyloxy group Chemical group 0.000 claims 1
- 150000003456 sulfonamides Chemical class 0.000 claims 1
- 101800000224 Glucagon-like peptide 1 Proteins 0.000 abstract description 45
- 230000000694 effects Effects 0.000 abstract description 28
- 208000037265 diseases, disorders, signs and symptoms Diseases 0.000 abstract description 11
- 230000004071 biological effect Effects 0.000 abstract description 5
- 230000001965 increasing effect Effects 0.000 abstract description 5
- 230000003278 mimic effect Effects 0.000 abstract description 5
- 208000035475 disorder Diseases 0.000 abstract description 4
- 238000007911 parenteral administration Methods 0.000 abstract description 4
- 230000003914 insulin secretion Effects 0.000 abstract description 3
- GCYXWQUSHADNBF-AAEALURTSA-N preproglucagon 78-108 Chemical compound C([C@@H](C(=O)N[C@@H]([C@@H](C)CC)C(=O)N[C@@H](C)C(=O)N[C@@H](CC=1C2=CC=CC=C2NC=1)C(=O)N[C@@H](CC(C)C)C(=O)N[C@@H](C(C)C)C(=O)N[C@@H](CCCCN)C(=O)NCC(=O)N[C@@H](CCCNC(N)=N)C(=O)NCC(O)=O)NC(=O)[C@H](CCC(O)=O)NC(=O)[C@H](CCCCN)NC(=O)[C@H](C)NC(=O)[C@H](C)NC(=O)[C@H](CCC(N)=O)NC(=O)CNC(=O)[C@H](CCC(O)=O)NC(=O)[C@H](CC(C)C)NC(=O)[C@H](CC=1C=CC(O)=CC=1)NC(=O)[C@H](CO)NC(=O)[C@H](CO)NC(=O)[C@@H](NC(=O)[C@H](CC(O)=O)NC(=O)[C@H](CO)NC(=O)[C@@H](NC(=O)[C@H](CC=1C=CC=CC=1)NC(=O)[C@@H](NC(=O)CNC(=O)[C@H](CCC(O)=O)NC(=O)[C@H](C)NC(=O)[C@@H](N)CC=1N=CNC=1)[C@@H](C)O)[C@@H](C)O)C(C)C)C1=CC=CC=C1 GCYXWQUSHADNBF-AAEALURTSA-N 0.000 abstract description 3
- 230000006337 proteolytic cleavage Effects 0.000 abstract description 3
- 230000002473 insulinotropic effect Effects 0.000 abstract description 2
- 230000004044 response Effects 0.000 abstract description 2
- 229940124598 therapeutic candidate Drugs 0.000 abstract description 2
- 230000009286 beneficial effect Effects 0.000 abstract 1
- 230000006806 disease prevention Effects 0.000 abstract 1
- 108091005601 modified peptides Proteins 0.000 abstract 1
- COLNVLDHVKWLRT-QMMMGPOBSA-N L-phenylalanine Chemical group OC(=O)[C@@H](N)CC1=CC=CC=C1 COLNVLDHVKWLRT-QMMMGPOBSA-N 0.000 description 120
- 229920005989 resin Polymers 0.000 description 81
- 239000011347 resin Substances 0.000 description 81
- 125000000956 methoxy group Chemical group [H]C([H])([H])O* 0.000 description 67
- SECXISVLQFMRJM-UHFFFAOYSA-N N-Methylpyrrolidone Chemical compound CN1CCCC1=O SECXISVLQFMRJM-UHFFFAOYSA-N 0.000 description 65
- ZMXDDKWLCZADIW-UHFFFAOYSA-N N,N-Dimethylformamide Chemical compound CN(C)C=O ZMXDDKWLCZADIW-UHFFFAOYSA-N 0.000 description 59
- YMWUJEATGCHHMB-UHFFFAOYSA-N Dichloromethane Chemical compound ClCCl YMWUJEATGCHHMB-UHFFFAOYSA-N 0.000 description 58
- 230000015572 biosynthetic process Effects 0.000 description 54
- 238000003786 synthesis reaction Methods 0.000 description 54
- 239000000243 solution Substances 0.000 description 49
- 102100040918 Pro-glucagon Human genes 0.000 description 40
- 239000000203 mixture Substances 0.000 description 37
- 235000001014 amino acid Nutrition 0.000 description 32
- 238000005859 coupling reaction Methods 0.000 description 32
- 238000010168 coupling process Methods 0.000 description 31
- 230000008878 coupling Effects 0.000 description 30
- 239000003112 inhibitor Substances 0.000 description 27
- WYURNTSHIVDZCO-UHFFFAOYSA-N Tetrahydrofuran Chemical compound C1CCOC1 WYURNTSHIVDZCO-UHFFFAOYSA-N 0.000 description 26
- XLYOFNOQVPJJNP-UHFFFAOYSA-N water Substances O XLYOFNOQVPJJNP-UHFFFAOYSA-N 0.000 description 25
- 238000006243 chemical reaction Methods 0.000 description 23
- QTBSBXVTEAMEQO-UHFFFAOYSA-N Acetic acid Chemical compound CC(O)=O QTBSBXVTEAMEQO-UHFFFAOYSA-N 0.000 description 22
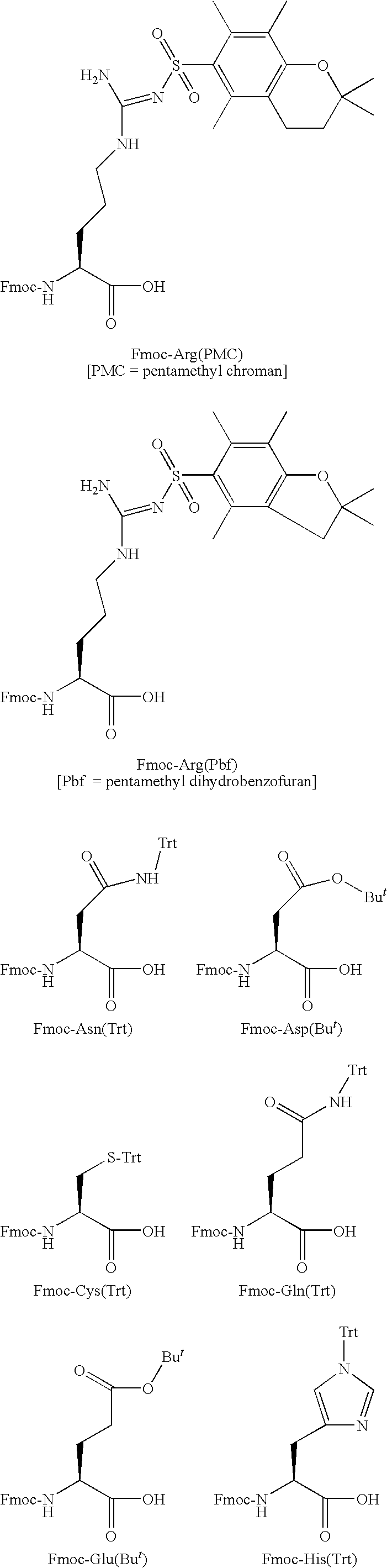
- 125000003088 (fluoren-9-ylmethoxy)carbonyl group Chemical group 0.000 description 21
- WEVYAHXRMPXWCK-UHFFFAOYSA-N Acetonitrile Chemical compound CC#N WEVYAHXRMPXWCK-UHFFFAOYSA-N 0.000 description 21
- DTQVDTLACAAQTR-UHFFFAOYSA-N trifluoroacetic acid Substances OC(=O)C(F)(F)F DTQVDTLACAAQTR-UHFFFAOYSA-N 0.000 description 21
- RTZKZFJDLAIYFH-UHFFFAOYSA-N Diethyl ether Chemical compound CCOCC RTZKZFJDLAIYFH-UHFFFAOYSA-N 0.000 description 20
- XEKOWRVHYACXOJ-UHFFFAOYSA-N Ethyl acetate Chemical compound CCOC(C)=O XEKOWRVHYACXOJ-UHFFFAOYSA-N 0.000 description 20
- WQZGKKKJIJFFOK-GASJEMHNSA-N Glucose Natural products OC[C@H]1OC(O)[C@H](O)[C@@H](O)[C@@H]1O WQZGKKKJIJFFOK-GASJEMHNSA-N 0.000 description 16
- CSNNHWWHGAXBCP-UHFFFAOYSA-L Magnesium sulfate Chemical compound [Mg+2].[O-][S+2]([O-])([O-])[O-] CSNNHWWHGAXBCP-UHFFFAOYSA-L 0.000 description 16
- 239000000047 product Substances 0.000 description 16
- 239000008103 glucose Substances 0.000 description 15
- NQRYJNQNLNOLGT-UHFFFAOYSA-N Piperidine Chemical compound C1CCNCC1 NQRYJNQNLNOLGT-UHFFFAOYSA-N 0.000 description 14
- IJGRMHOSHXDMSA-UHFFFAOYSA-N Atomic nitrogen Chemical compound N#N IJGRMHOSHXDMSA-UHFFFAOYSA-N 0.000 description 13
- YLQBMQCUIZJEEH-UHFFFAOYSA-N Furan Chemical group C=1C=COC=1 YLQBMQCUIZJEEH-UHFFFAOYSA-N 0.000 description 13
- 239000004480 active ingredient Substances 0.000 description 13
- FPIRBHDGWMWJEP-UHFFFAOYSA-N 1-hydroxy-7-azabenzotriazole Chemical compound C1=CN=C2N(O)N=NC2=C1 FPIRBHDGWMWJEP-UHFFFAOYSA-N 0.000 description 12
- WFDIJRYMOXRFFG-UHFFFAOYSA-N Acetic anhydride Chemical compound CC(=O)OC(C)=O WFDIJRYMOXRFFG-UHFFFAOYSA-N 0.000 description 12
- CKLJMWTZIZZHCS-REOHCLBHSA-N L-aspartic acid Chemical compound OC(=O)[C@@H](N)CC(O)=O CKLJMWTZIZZHCS-REOHCLBHSA-N 0.000 description 12
- 102000001494 Sterol O-Acyltransferase Human genes 0.000 description 12
- 108010054082 Sterol O-acyltransferase Proteins 0.000 description 12
- 238000004128 high performance liquid chromatography Methods 0.000 description 12
- 125000001449 isopropyl group Chemical group [H]C([H])([H])C([H])(*)C([H])([H])[H] 0.000 description 12
- 238000010511 deprotection reaction Methods 0.000 description 11
- 229940079593 drug Drugs 0.000 description 10
- HQKMJHAJHXVSDF-UHFFFAOYSA-L magnesium stearate Chemical compound [Mg+2].CCCCCCCCCCCCCCCCCC([O-])=O.CCCCCCCCCCCCCCCCCC([O-])=O HQKMJHAJHXVSDF-UHFFFAOYSA-L 0.000 description 10
- 239000007790 solid phase Substances 0.000 description 10
- 125000002023 trifluoromethyl group Chemical group FC(F)(F)* 0.000 description 10
- OKKJLVBELUTLKV-UHFFFAOYSA-N Methanol Chemical compound OC OKKJLVBELUTLKV-UHFFFAOYSA-N 0.000 description 9
- 241000700159 Rattus Species 0.000 description 9
- HEMHJVSKTPXQMS-UHFFFAOYSA-M Sodium hydroxide Chemical compound [OH-].[Na+] HEMHJVSKTPXQMS-UHFFFAOYSA-M 0.000 description 9
- ZMANZCXQSJIPKH-UHFFFAOYSA-N Triethylamine Chemical compound CCN(CC)CC ZMANZCXQSJIPKH-UHFFFAOYSA-N 0.000 description 9
- KRKNYBCHXYNGOX-UHFFFAOYSA-N citric acid Chemical compound OC(=O)CC(O)(C(O)=O)CC(O)=O KRKNYBCHXYNGOX-UHFFFAOYSA-N 0.000 description 9
- 125000001153 fluoro group Chemical group F* 0.000 description 9
- 125000005843 halogen group Chemical group 0.000 description 9
- 238000001802 infusion Methods 0.000 description 9
- 238000010647 peptide synthesis reaction Methods 0.000 description 9
- 239000011541 reaction mixture Substances 0.000 description 9
- 125000000876 trifluoromethoxy group Chemical group FC(F)(F)O* 0.000 description 9
- MTCFGRXMJLQNBG-REOHCLBHSA-N (2S)-2-Amino-3-hydroxypropansäure Chemical group OC[C@H](N)C(O)=O MTCFGRXMJLQNBG-REOHCLBHSA-N 0.000 description 8
- JGFZNNIVVJXRND-UHFFFAOYSA-N N,N-Diisopropylethylamine (DIPEA) Chemical compound CCN(C(C)C)C(C)C JGFZNNIVVJXRND-UHFFFAOYSA-N 0.000 description 8
- 102000035554 Proglucagon Human genes 0.000 description 8
- 108010058003 Proglucagon Proteins 0.000 description 8
- VYPSYNLAJGMNEJ-UHFFFAOYSA-N Silicium dioxide Chemical compound O=[Si]=O VYPSYNLAJGMNEJ-UHFFFAOYSA-N 0.000 description 8
- 238000004458 analytical method Methods 0.000 description 8
- 125000001495 ethyl group Chemical group [H]C([H])([H])C([H])([H])* 0.000 description 8
- 229910052943 magnesium sulfate Inorganic materials 0.000 description 8
- 125000000449 nitro group Chemical group [O-][N+](*)=O 0.000 description 8
- 238000002953 preparative HPLC Methods 0.000 description 8
- KDLHZDBZIXYQEI-UHFFFAOYSA-N Palladium Chemical compound [Pd] KDLHZDBZIXYQEI-UHFFFAOYSA-N 0.000 description 7
- 239000002775 capsule Substances 0.000 description 7
- 238000003776 cleavage reaction Methods 0.000 description 7
- 201000010099 disease Diseases 0.000 description 7
- 235000019439 ethyl acetate Nutrition 0.000 description 7
- 238000001990 intravenous administration Methods 0.000 description 7
- 125000002496 methyl group Chemical group [H]C([H])([H])* 0.000 description 7
- 229910052757 nitrogen Inorganic materials 0.000 description 7
- 238000000746 purification Methods 0.000 description 7
- 230000007017 scission Effects 0.000 description 7
- 238000010254 subcutaneous injection Methods 0.000 description 7
- 239000007929 subcutaneous injection Substances 0.000 description 7
- 125000001433 C-terminal amino-acid group Chemical group 0.000 description 6
- 229940126062 Compound A Drugs 0.000 description 6
- IAZDPXIOMUYVGZ-UHFFFAOYSA-N Dimethylsulphoxide Chemical compound CS(C)=O IAZDPXIOMUYVGZ-UHFFFAOYSA-N 0.000 description 6
- LFQSCWFLJHTTHZ-UHFFFAOYSA-N Ethanol Chemical compound CCO LFQSCWFLJHTTHZ-UHFFFAOYSA-N 0.000 description 6
- 108010086246 Glucagon-Like Peptide-1 Receptor Proteins 0.000 description 6
- NLDMNSXOCDLTTB-UHFFFAOYSA-N Heterophylliin A Natural products O1C2COC(=O)C3=CC(O)=C(O)C(O)=C3C3=C(O)C(O)=C(O)C=C3C(=O)OC2C(OC(=O)C=2C=C(O)C(O)=C(O)C=2)C(O)C1OC(=O)C1=CC(O)=C(O)C(O)=C1 NLDMNSXOCDLTTB-UHFFFAOYSA-N 0.000 description 6
- WHUUTDBJXJRKMK-VKHMYHEASA-N L-glutamic acid Chemical group OC(=O)[C@@H](N)CCC(O)=O WHUUTDBJXJRKMK-VKHMYHEASA-N 0.000 description 6
- DNIAPMSPPWPWGF-UHFFFAOYSA-N Propylene glycol Chemical compound CC(O)CO DNIAPMSPPWPWGF-UHFFFAOYSA-N 0.000 description 6
- UIIMBOGNXHQVGW-UHFFFAOYSA-M Sodium bicarbonate Chemical compound [Na+].OC([O-])=O UIIMBOGNXHQVGW-UHFFFAOYSA-M 0.000 description 6
- YXFVVABEGXRONW-UHFFFAOYSA-N Toluene Chemical compound CC1=CC=CC=C1 YXFVVABEGXRONW-UHFFFAOYSA-N 0.000 description 6
- 239000000556 agonist Substances 0.000 description 6
- 125000003368 amide group Chemical group 0.000 description 6
- 210000004027 cell Anatomy 0.000 description 6
- 239000003153 chemical reaction reagent Substances 0.000 description 6
- 125000001309 chloro group Chemical group Cl* 0.000 description 6
- NPZTUJOABDZTLV-UHFFFAOYSA-N hydroxybenzotriazole Substances O=C1C=CC=C2NNN=C12 NPZTUJOABDZTLV-UHFFFAOYSA-N 0.000 description 6
- 239000010410 layer Substances 0.000 description 6
- 235000019341 magnesium sulphate Nutrition 0.000 description 6
- 238000004519 manufacturing process Methods 0.000 description 6
- 125000001997 phenyl group Chemical group [H]C1=C([H])C([H])=C(*)C([H])=C1[H] 0.000 description 6
- 239000000018 receptor agonist Substances 0.000 description 6
- 229940044601 receptor agonist Drugs 0.000 description 6
- 102000005962 receptors Human genes 0.000 description 6
- 108020003175 receptors Proteins 0.000 description 6
- 239000007787 solid Substances 0.000 description 6
- 239000003826 tablet Substances 0.000 description 6
- FODJWPHPWBKDON-IBGZPJMESA-N (2s)-2-(9h-fluoren-9-ylmethoxycarbonylamino)-4-[(2-methylpropan-2-yl)oxy]-4-oxobutanoic acid Chemical compound C1=CC=C2C(COC(=O)N[C@@H](CC(=O)OC(C)(C)C)C(O)=O)C3=CC=CC=C3C2=C1 FODJWPHPWBKDON-IBGZPJMESA-N 0.000 description 5
- 0 *C(=O)N[C@@H]([1*])C(C)=O.*CN[C@@H]([1*])C(C)=O.CC.[1*][C@H]([N-]C(=O)OCC1C2=C(C=CC=C2)C2=C1C=CC=C2)C(C)=O.[1*][C@H]([N-]C(=O)OCC1C2=C(C=CC=C2)C2=C1C=CC=C2)C(C)=O Chemical compound *C(=O)N[C@@H]([1*])C(C)=O.*CN[C@@H]([1*])C(C)=O.CC.[1*][C@H]([N-]C(=O)OCC1C2=C(C=CC=C2)C2=C1C=CC=C2)C(C)=O.[1*][C@H]([N-]C(=O)OCC1C2=C(C=CC=C2)C2=C1C=CC=C2)C(C)=O 0.000 description 5
- 102000009515 Arachidonate 15-Lipoxygenase Human genes 0.000 description 5
- 108010048907 Arachidonate 15-lipoxygenase Proteins 0.000 description 5
- 102000007446 Glucagon-Like Peptide-1 Receptor Human genes 0.000 description 5
- DHMQDGOQFOQNFH-UHFFFAOYSA-N Glycine Chemical group NCC(O)=O DHMQDGOQFOQNFH-UHFFFAOYSA-N 0.000 description 5
- HNDVDQJCIGZPNO-YFKPBYRVSA-N L-histidine Chemical group OC(=O)[C@@H](N)CC1=CN=CN1 HNDVDQJCIGZPNO-YFKPBYRVSA-N 0.000 description 5
- AYFVYJQAPQTCCC-GBXIJSLDSA-N L-threonine Chemical group C[C@@H](O)[C@H](N)C(O)=O AYFVYJQAPQTCCC-GBXIJSLDSA-N 0.000 description 5
- FAPWRFPIFSIZLT-UHFFFAOYSA-M Sodium chloride Chemical compound [Na+].[Cl-] FAPWRFPIFSIZLT-UHFFFAOYSA-M 0.000 description 5
- 229920002472 Starch Polymers 0.000 description 5
- 238000013459 approach Methods 0.000 description 5
- 230000037396 body weight Effects 0.000 description 5
- 210000004899 c-terminal region Anatomy 0.000 description 5
- HVYWMOMLDIMFJA-DPAQBDIFSA-N cholesterol Chemical compound C1C=C2C[C@@H](O)CC[C@]2(C)[C@@H]2[C@@H]1[C@@H]1CC[C@H]([C@H](C)CCCC(C)C)[C@@]1(C)CC2 HVYWMOMLDIMFJA-DPAQBDIFSA-N 0.000 description 5
- 238000009833 condensation Methods 0.000 description 5
- 230000005494 condensation Effects 0.000 description 5
- 239000002552 dosage form Substances 0.000 description 5
- 239000012634 fragment Substances 0.000 description 5
- 239000007924 injection Substances 0.000 description 5
- 238000002347 injection Methods 0.000 description 5
- 235000019359 magnesium stearate Nutrition 0.000 description 5
- MZRVEZGGRBJDDB-UHFFFAOYSA-N n-Butyllithium Substances [Li]CCCC MZRVEZGGRBJDDB-UHFFFAOYSA-N 0.000 description 5
- 239000012071 phase Substances 0.000 description 5
- 229920000642 polymer Polymers 0.000 description 5
- 125000002924 primary amino group Chemical group [H]N([H])* 0.000 description 5
- 125000001436 propyl group Chemical group [H]C([*])([H])C([H])([H])C([H])([H])[H] 0.000 description 5
- 235000002639 sodium chloride Nutrition 0.000 description 5
- 238000010532 solid phase synthesis reaction Methods 0.000 description 5
- 239000008107 starch Substances 0.000 description 5
- 235000019698 starch Nutrition 0.000 description 5
- 238000007920 subcutaneous administration Methods 0.000 description 5
- 239000000725 suspension Substances 0.000 description 5
- LZOLWEQBVPVDPR-VLIAUNLRSA-N (2s,3r)-2-(9h-fluoren-9-ylmethoxycarbonylamino)-3-[(2-methylpropan-2-yl)oxy]butanoic acid Chemical compound C1=CC=C2C(COC(=O)N[C@@H]([C@H](OC(C)(C)C)C)C(O)=O)C3=CC=CC=C3C2=C1 LZOLWEQBVPVDPR-VLIAUNLRSA-N 0.000 description 4
- YEDUAINPPJYDJZ-UHFFFAOYSA-N 2-hydroxybenzothiazole Chemical compound C1=CC=C2SC(O)=NC2=C1 YEDUAINPPJYDJZ-UHFFFAOYSA-N 0.000 description 4
- 101100268670 Caenorhabditis elegans acc-3 gene Proteins 0.000 description 4
- 102000015779 HDL Lipoproteins Human genes 0.000 description 4
- 108010010234 HDL Lipoproteins Proteins 0.000 description 4
- 229940121710 HMGCoA reductase inhibitor Drugs 0.000 description 4
- OUYCCCASQSFEME-QMMMGPOBSA-N L-tyrosine Chemical group OC(=O)[C@@H](N)CC1=CC=C(O)C=C1 OUYCCCASQSFEME-QMMMGPOBSA-N 0.000 description 4
- GUBGYTABKSRVRQ-QKKXKWKRSA-N Lactose Natural products OC[C@H]1O[C@@H](O[C@H]2[C@H](O)[C@@H](O)C(O)O[C@@H]2CO)[C@H](O)[C@@H](O)[C@H]1O GUBGYTABKSRVRQ-QKKXKWKRSA-N 0.000 description 4
- IMNFDUFMRHMDMM-UHFFFAOYSA-N N-Heptane Chemical compound CCCCCCC IMNFDUFMRHMDMM-UHFFFAOYSA-N 0.000 description 4
- SJRJJKPEHAURKC-UHFFFAOYSA-N N-Methylmorpholine Chemical compound CN1CCOCC1 SJRJJKPEHAURKC-UHFFFAOYSA-N 0.000 description 4
- 108010028924 PPAR alpha Proteins 0.000 description 4
- 102000023984 PPAR alpha Human genes 0.000 description 4
- 108010016731 PPAR gamma Proteins 0.000 description 4
- JYVXNLLUYHCIIH-ZCFIWIBFSA-N R-mevalonolactone, (-)- Chemical class C[C@@]1(O)CCOC(=O)C1 JYVXNLLUYHCIIH-ZCFIWIBFSA-N 0.000 description 4
- 150000001299 aldehydes Chemical class 0.000 description 4
- 239000005557 antagonist Substances 0.000 description 4
- 125000005110 aryl thio group Chemical group 0.000 description 4
- 125000001797 benzyl group Chemical group [H]C1=C([H])C([H])=C(C([H])=C1[H])C([H])([H])* 0.000 description 4
- 125000001584 benzyloxycarbonyl group Chemical group C(=O)(OCC1=CC=CC=C1)* 0.000 description 4
- 235000013877 carbamide Nutrition 0.000 description 4
- 239000003054 catalyst Substances 0.000 description 4
- 230000009977 dual effect Effects 0.000 description 4
- JBKVHLHDHHXQEQ-UHFFFAOYSA-N epsilon-caprolactam Chemical compound O=C1CCCCCN1 JBKVHLHDHHXQEQ-UHFFFAOYSA-N 0.000 description 4
- 239000007903 gelatin capsule Substances 0.000 description 4
- 238000007429 general method Methods 0.000 description 4
- 230000010030 glucose lowering effect Effects 0.000 description 4
- 125000002887 hydroxy group Chemical group [H]O* 0.000 description 4
- 230000000055 hyoplipidemic effect Effects 0.000 description 4
- 238000010348 incorporation Methods 0.000 description 4
- NOESYZHRGYRDHS-UHFFFAOYSA-N insulin Chemical compound N1C(=O)C(NC(=O)C(CCC(N)=O)NC(=O)C(CCC(O)=O)NC(=O)C(C(C)C)NC(=O)C(NC(=O)CN)C(C)CC)CSSCC(C(NC(CO)C(=O)NC(CC(C)C)C(=O)NC(CC=2C=CC(O)=CC=2)C(=O)NC(CCC(N)=O)C(=O)NC(CC(C)C)C(=O)NC(CCC(O)=O)C(=O)NC(CC(N)=O)C(=O)NC(CC=2C=CC(O)=CC=2)C(=O)NC(CSSCC(NC(=O)C(C(C)C)NC(=O)C(CC(C)C)NC(=O)C(CC=2C=CC(O)=CC=2)NC(=O)C(CC(C)C)NC(=O)C(C)NC(=O)C(CCC(O)=O)NC(=O)C(C(C)C)NC(=O)C(CC(C)C)NC(=O)C(CC=2NC=NC=2)NC(=O)C(CO)NC(=O)CNC2=O)C(=O)NCC(=O)NC(CCC(O)=O)C(=O)NC(CCCNC(N)=N)C(=O)NCC(=O)NC(CC=3C=CC=CC=3)C(=O)NC(CC=3C=CC=CC=3)C(=O)NC(CC=3C=CC(O)=CC=3)C(=O)NC(C(C)O)C(=O)N3C(CCC3)C(=O)NC(CCCCN)C(=O)NC(C)C(O)=O)C(=O)NC(CC(N)=O)C(O)=O)=O)NC(=O)C(C(C)CC)NC(=O)C(CO)NC(=O)C(C(C)O)NC(=O)C1CSSCC2NC(=O)C(CC(C)C)NC(=O)C(NC(=O)C(CCC(N)=O)NC(=O)C(CC(N)=O)NC(=O)C(NC(=O)C(N)CC=1C=CC=CC=1)C(C)C)CC1=CN=CN1 NOESYZHRGYRDHS-UHFFFAOYSA-N 0.000 description 4
- 239000008101 lactose Substances 0.000 description 4
- 239000007788 liquid Substances 0.000 description 4
- 230000001404 mediated effect Effects 0.000 description 4
- 239000003921 oil Substances 0.000 description 4
- 235000019198 oils Nutrition 0.000 description 4
- 239000012044 organic layer Substances 0.000 description 4
- AHLBNYSZXLDEJQ-FWEHEUNISA-N orlistat Chemical compound CCCCCCCCCCC[C@H](OC(=O)[C@H](CC(C)C)NC=O)C[C@@H]1OC(=O)[C@H]1CCCCCC AHLBNYSZXLDEJQ-FWEHEUNISA-N 0.000 description 4
- 229960001243 orlistat Drugs 0.000 description 4
- NFHFRUOZVGFOOS-UHFFFAOYSA-N palladium;triphenylphosphane Chemical compound [Pd].C1=CC=CC=C1P(C=1C=CC=CC=1)C1=CC=CC=C1.C1=CC=CC=C1P(C=1C=CC=CC=1)C1=CC=CC=C1.C1=CC=CC=C1P(C=1C=CC=CC=1)C1=CC=CC=C1.C1=CC=CC=C1P(C=1C=CC=CC=1)C1=CC=CC=C1 NFHFRUOZVGFOOS-UHFFFAOYSA-N 0.000 description 4
- 125000000538 pentafluorophenyl group Chemical group FC1=C(F)C(F)=C(*)C(F)=C1F 0.000 description 4
- QZAYGJVTTNCVMB-UHFFFAOYSA-N serotonin Chemical compound C1=C(O)C=C2C(CCN)=CNC2=C1 QZAYGJVTTNCVMB-UHFFFAOYSA-N 0.000 description 4
- 239000000741 silica gel Substances 0.000 description 4
- 229910002027 silica gel Inorganic materials 0.000 description 4
- 238000010898 silica gel chromatography Methods 0.000 description 4
- 239000002904 solvent Substances 0.000 description 4
- 239000004059 squalene synthase inhibitor Substances 0.000 description 4
- YROXIXLRRCOBKF-UHFFFAOYSA-N sulfonylurea Chemical class OC(=N)N=S(=O)=O YROXIXLRRCOBKF-UHFFFAOYSA-N 0.000 description 4
- 238000013268 sustained release Methods 0.000 description 4
- 239000012730 sustained-release form Substances 0.000 description 4
- ZGYICYBLPGRURT-UHFFFAOYSA-N tri(propan-2-yl)silicon Chemical compound CC(C)[Si](C(C)C)C(C)C ZGYICYBLPGRURT-UHFFFAOYSA-N 0.000 description 4
- 239000003643 water by type Substances 0.000 description 4
- OISVCGZHLKNMSJ-UHFFFAOYSA-N 2,6-dimethylpyridine Chemical compound CC1=CC=CC(C)=N1 OISVCGZHLKNMSJ-UHFFFAOYSA-N 0.000 description 3
- VHYFNPMBLIVWCW-UHFFFAOYSA-N 4-Dimethylaminopyridine Chemical compound CN(C)C1=CC=NC=C1 VHYFNPMBLIVWCW-UHFFFAOYSA-N 0.000 description 3
- XAEWTDMGFGHWFK-IMJSIDKUSA-N Ala-Asp Chemical compound C[C@H](N)C(=O)N[C@H](C(O)=O)CC(O)=O XAEWTDMGFGHWFK-IMJSIDKUSA-N 0.000 description 3
- OKTJSMMVPCPJKN-UHFFFAOYSA-N Carbon Chemical group [C] OKTJSMMVPCPJKN-UHFFFAOYSA-N 0.000 description 3
- IVOMOUWHDPKRLL-KQYNXXCUSA-N Cyclic adenosine monophosphate Chemical compound C([C@H]1O2)OP(O)(=O)O[C@H]1[C@@H](O)[C@@H]2N1C(N=CN=C2N)=C2N=C1 IVOMOUWHDPKRLL-KQYNXXCUSA-N 0.000 description 3
- COLNVLDHVKWLRT-MRVPVSSYSA-N D-phenylalanine Chemical compound OC(=O)[C@H](N)CC1=CC=CC=C1 COLNVLDHVKWLRT-MRVPVSSYSA-N 0.000 description 3
- 108010016626 Dipeptides Proteins 0.000 description 3
- 108060003199 Glucagon Proteins 0.000 description 3
- 208000002705 Glucose Intolerance Diseases 0.000 description 3
- 241000282412 Homo Species 0.000 description 3
- 102000004877 Insulin Human genes 0.000 description 3
- 108090001061 Insulin Proteins 0.000 description 3
- DCXYFEDJOCDNAF-REOHCLBHSA-N L-asparagine Chemical compound OC(=O)[C@@H](N)CC(N)=O DCXYFEDJOCDNAF-REOHCLBHSA-N 0.000 description 3
- SNDPXSYFESPGGJ-UHFFFAOYSA-N L-norVal-OH Natural products CCCC(N)C(O)=O SNDPXSYFESPGGJ-UHFFFAOYSA-N 0.000 description 3
- 239000012448 Lithium borohydride Substances 0.000 description 3
- 208000001145 Metabolic Syndrome Diseases 0.000 description 3
- 102000000536 PPAR gamma Human genes 0.000 description 3
- NINIDFKCEFEMDL-UHFFFAOYSA-N Sulfur Chemical group [S] NINIDFKCEFEMDL-UHFFFAOYSA-N 0.000 description 3
- 238000006069 Suzuki reaction reaction Methods 0.000 description 3
- IVOMOUWHDPKRLL-UHFFFAOYSA-N UNPD107823 Natural products O1C2COP(O)(=O)OC2C(O)C1N1C(N=CN=C2N)=C2N=C1 IVOMOUWHDPKRLL-UHFFFAOYSA-N 0.000 description 3
- 230000004913 activation Effects 0.000 description 3
- 108010041407 alanylaspartic acid Proteins 0.000 description 3
- 239000002830 appetite depressant Substances 0.000 description 3
- 238000003556 assay Methods 0.000 description 3
- 239000012298 atmosphere Substances 0.000 description 3
- 239000012267 brine Substances 0.000 description 3
- 125000004432 carbon atom Chemical group C* 0.000 description 3
- 150000001732 carboxylic acid derivatives Chemical class 0.000 description 3
- 238000006482 condensation reaction Methods 0.000 description 3
- 239000012043 crude product Substances 0.000 description 3
- 229940095074 cyclic amp Drugs 0.000 description 3
- 239000000706 filtrate Substances 0.000 description 3
- 235000012631 food intake Nutrition 0.000 description 3
- 238000009472 formulation Methods 0.000 description 3
- 125000000524 functional group Chemical group 0.000 description 3
- 230000030136 gastric emptying Effects 0.000 description 3
- 210000001035 gastrointestinal tract Anatomy 0.000 description 3
- 108010063245 glucagon-like peptide 1 (7-36)amide Proteins 0.000 description 3
- 235000011187 glycerol Nutrition 0.000 description 3
- 125000001188 haloalkyl group Chemical group 0.000 description 3
- 125000005114 heteroarylalkoxy group Chemical group 0.000 description 3
- 125000005842 heteroatom Chemical group 0.000 description 3
- 229930195733 hydrocarbon Natural products 0.000 description 3
- 150000002430 hydrocarbons Chemical class 0.000 description 3
- 239000002471 hydroxymethylglutaryl coenzyme A reductase inhibitor Substances 0.000 description 3
- RAXXELZNTBOGNW-UHFFFAOYSA-N imidazole Natural products C1=CNC=N1 RAXXELZNTBOGNW-UHFFFAOYSA-N 0.000 description 3
- 125000000959 isobutyl group Chemical group [H]C([H])([H])C([H])(C([H])([H])[H])C([H])([H])* 0.000 description 3
- 150000002632 lipids Chemical class 0.000 description 3
- 239000002502 liposome Substances 0.000 description 3
- 238000004895 liquid chromatography mass spectrometry Methods 0.000 description 3
- PCZOHLXUXFIOCF-BXMDZJJMSA-N lovastatin Chemical compound C([C@H]1[C@@H](C)C=CC2=C[C@H](C)C[C@@H]([C@H]12)OC(=O)[C@@H](C)CC)C[C@@H]1C[C@@H](O)CC(=O)O1 PCZOHLXUXFIOCF-BXMDZJJMSA-N 0.000 description 3
- 238000004949 mass spectrometry Methods 0.000 description 3
- 239000011159 matrix material Substances 0.000 description 3
- 238000012544 monitoring process Methods 0.000 description 3
- QJGQUHMNIGDVPM-UHFFFAOYSA-N nitrogen group Chemical group [N] QJGQUHMNIGDVPM-UHFFFAOYSA-N 0.000 description 3
- 210000000496 pancreas Anatomy 0.000 description 3
- 230000000144 pharmacologic effect Effects 0.000 description 3
- 150000002993 phenylalanine derivatives Chemical class 0.000 description 3
- 229940096701 plain lipid modifying drug hmg coa reductase inhibitors Drugs 0.000 description 3
- 201000009104 prediabetes syndrome Diseases 0.000 description 3
- 229940002612 prodrug Drugs 0.000 description 3
- 239000000651 prodrug Substances 0.000 description 3
- 108090000623 proteins and genes Proteins 0.000 description 3
- 238000005932 reductive alkylation reaction Methods 0.000 description 3
- 229920006395 saturated elastomer Polymers 0.000 description 3
- 230000028327 secretion Effects 0.000 description 3
- 230000019491 signal transduction Effects 0.000 description 3
- 229910000030 sodium bicarbonate Inorganic materials 0.000 description 3
- 239000011780 sodium chloride Substances 0.000 description 3
- HPALAKNZSZLMCH-UHFFFAOYSA-M sodium;chloride;hydrate Chemical compound O.[Na+].[Cl-] HPALAKNZSZLMCH-UHFFFAOYSA-M 0.000 description 3
- 239000007921 spray Substances 0.000 description 3
- 235000000346 sugar Nutrition 0.000 description 3
- 125000000999 tert-butyl group Chemical group [H]C([H])([H])C(*)(C([H])([H])[H])C([H])([H])[H] 0.000 description 3
- 230000001225 therapeutic effect Effects 0.000 description 3
- 108090000721 thyroid hormone receptors Proteins 0.000 description 3
- 102000004217 thyroid hormone receptors Human genes 0.000 description 3
- JYVXNLLUYHCIIH-UHFFFAOYSA-N (+/-)-mevalonolactone Natural products CC1(O)CCOC(=O)C1 JYVXNLLUYHCIIH-UHFFFAOYSA-N 0.000 description 2
- REITVGIIZHFVGU-IBGZPJMESA-N (2s)-2-(9h-fluoren-9-ylmethoxycarbonylamino)-3-[(2-methylpropan-2-yl)oxy]propanoic acid Chemical compound C1=CC=C2C(COC(=O)N[C@@H](COC(C)(C)C)C(O)=O)C3=CC=CC=C3C2=C1 REITVGIIZHFVGU-IBGZPJMESA-N 0.000 description 2
- SJVFAHZPLIXNDH-QFIPXVFZSA-N (2s)-2-(9h-fluoren-9-ylmethoxycarbonylamino)-3-phenylpropanoic acid Chemical compound C([C@@H](C(=O)O)NC(=O)OCC1C2=CC=CC=C2C2=CC=CC=C21)C1=CC=CC=C1 SJVFAHZPLIXNDH-QFIPXVFZSA-N 0.000 description 2
- HSINOMROUCMIEA-FGVHQWLLSA-N (2s,4r)-4-[(3r,5s,6r,7r,8s,9s,10s,13r,14s,17r)-6-ethyl-3,7-dihydroxy-10,13-dimethyl-2,3,4,5,6,7,8,9,11,12,14,15,16,17-tetradecahydro-1h-cyclopenta[a]phenanthren-17-yl]-2-methylpentanoic acid Chemical compound C([C@@]12C)C[C@@H](O)C[C@H]1[C@@H](CC)[C@@H](O)[C@@H]1[C@@H]2CC[C@]2(C)[C@@H]([C@H](C)C[C@H](C)C(O)=O)CC[C@H]21 HSINOMROUCMIEA-FGVHQWLLSA-N 0.000 description 2
- ZGGHKIMDNBDHJB-NRFPMOEYSA-M (3R,5S)-fluvastatin sodium Chemical compound [Na+].C12=CC=CC=C2N(C(C)C)C(\C=C\[C@@H](O)C[C@@H](O)CC([O-])=O)=C1C1=CC=C(F)C=C1 ZGGHKIMDNBDHJB-NRFPMOEYSA-M 0.000 description 2
- KWTSXDURSIMDCE-QMMMGPOBSA-N (S)-amphetamine Chemical compound C[C@H](N)CC1=CC=CC=C1 KWTSXDURSIMDCE-QMMMGPOBSA-N 0.000 description 2
- HVRUGFJYCAFAAN-UHFFFAOYSA-N 1-bromo-2-ethylbenzene Chemical compound CCC1=CC=CC=C1Br HVRUGFJYCAFAAN-UHFFFAOYSA-N 0.000 description 2
- LMDZBCPBFSXMTL-UHFFFAOYSA-N 1-ethyl-3-(3-dimethylaminopropyl)carbodiimide Chemical compound CCN=C=NCCCN(C)C LMDZBCPBFSXMTL-UHFFFAOYSA-N 0.000 description 2
- 125000000022 2-aminoethyl group Chemical group [H]C([*])([H])C([H])([H])N([H])[H] 0.000 description 2
- ILPUOPPYSQEBNJ-UHFFFAOYSA-N 2-methyl-2-phenoxypropanoic acid Chemical class OC(=O)C(C)(C)OC1=CC=CC=C1 ILPUOPPYSQEBNJ-UHFFFAOYSA-N 0.000 description 2
- SWLAMJPTOQZTAE-UHFFFAOYSA-N 4-[2-[(5-chloro-2-methoxybenzoyl)amino]ethyl]benzoic acid Chemical class COC1=CC=C(Cl)C=C1C(=O)NCCC1=CC=C(C(O)=O)C=C1 SWLAMJPTOQZTAE-UHFFFAOYSA-N 0.000 description 2
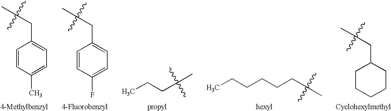
- 125000004176 4-fluorobenzyl group Chemical group [H]C1=C([H])C(=C([H])C([H])=C1F)C([H])([H])* 0.000 description 2
- 125000006181 4-methyl benzyl group Chemical group [H]C1=C([H])C(=C([H])C([H])=C1C([H])([H])[H])C([H])([H])* 0.000 description 2
- MVDXXGIBARMXSA-PYUWXLGESA-N 5-[[(2r)-2-benzyl-3,4-dihydro-2h-chromen-6-yl]methyl]-1,3-thiazolidine-2,4-dione Chemical compound S1C(=O)NC(=O)C1CC1=CC=C(O[C@@H](CC=2C=CC=CC=2)CC2)C2=C1 MVDXXGIBARMXSA-PYUWXLGESA-N 0.000 description 2
- KKWOBMDHVBWFRT-UHFFFAOYSA-N 9H-fluoren-9-ylmethyl 2-amino-2-(2,4-dimethoxyphenyl)-2-[4-[2-[[(4-methylphenyl)-phenylmethyl]amino]-2-oxoethoxy]phenyl]acetate Chemical compound COC1=C(C=CC(=C1)OC)C(C1=CC=C(OCC(=O)NC(C2=CC=C(C=C2)C)C2=CC=CC=C2)C=C1)(N)C(=O)OCC1C2=CC=CC=C2C2=CC=CC=C12 KKWOBMDHVBWFRT-UHFFFAOYSA-N 0.000 description 2
- JDDWRLPTKIOUOF-UHFFFAOYSA-N 9h-fluoren-9-ylmethyl n-[[4-[2-[bis(4-methylphenyl)methylamino]-2-oxoethoxy]phenyl]-(2,4-dimethoxyphenyl)methyl]carbamate Chemical compound COC1=CC(OC)=CC=C1C(C=1C=CC(OCC(=O)NC(C=2C=CC(C)=CC=2)C=2C=CC(C)=CC=2)=CC=1)NC(=O)OCC1C2=CC=CC=C2C2=CC=CC=C21 JDDWRLPTKIOUOF-UHFFFAOYSA-N 0.000 description 2
- 239000005541 ACE inhibitor Substances 0.000 description 2
- USFZMSVCRYTOJT-UHFFFAOYSA-N Ammonium acetate Chemical compound N.CC(O)=O USFZMSVCRYTOJT-UHFFFAOYSA-N 0.000 description 2
- 239000005695 Ammonium acetate Substances 0.000 description 2
- 208000000103 Anorexia Nervosa Diseases 0.000 description 2
- CEUORZQYGODEFX-UHFFFAOYSA-N Aripirazole Chemical compound ClC1=CC=CC(N2CCN(CCCCOC=3C=C4NC(=O)CCC4=CC=3)CC2)=C1Cl CEUORZQYGODEFX-UHFFFAOYSA-N 0.000 description 2
- CIWBSHSKHKDKBQ-JLAZNSOCSA-N Ascorbic acid Chemical compound OC[C@H](O)[C@H]1OC(=O)C(O)=C1O CIWBSHSKHKDKBQ-JLAZNSOCSA-N 0.000 description 2
- XUKUURHRXDUEBC-KAYWLYCHSA-N Atorvastatin Chemical compound C=1C=CC=CC=1C1=C(C=2C=CC(F)=CC=2)N(CC[C@@H](O)C[C@@H](O)CC(O)=O)C(C(C)C)=C1C(=O)NC1=CC=CC=C1 XUKUURHRXDUEBC-KAYWLYCHSA-N 0.000 description 2
- XUKUURHRXDUEBC-UHFFFAOYSA-N Atorvastatin Natural products C=1C=CC=CC=1C1=C(C=2C=CC(F)=CC=2)N(CCC(O)CC(O)CC(O)=O)C(C(C)C)=C1C(=O)NC1=CC=CC=C1 XUKUURHRXDUEBC-UHFFFAOYSA-N 0.000 description 2
- PTQXTEKSNBVPQJ-UHFFFAOYSA-N Avasimibe Chemical compound CC(C)C1=CC(C(C)C)=CC(C(C)C)=C1CC(=O)NS(=O)(=O)OC1=C(C(C)C)C=CC=C1C(C)C PTQXTEKSNBVPQJ-UHFFFAOYSA-N 0.000 description 2
- 229940123208 Biguanide Drugs 0.000 description 2
- FERIUCNNQQJTOY-UHFFFAOYSA-N Butyric acid Chemical compound CCCC(O)=O FERIUCNNQQJTOY-UHFFFAOYSA-N 0.000 description 2
- WSFSSNUMVMOOMR-UHFFFAOYSA-N C=O Chemical compound C=O WSFSSNUMVMOOMR-UHFFFAOYSA-N 0.000 description 2
- CKDWPUIZGOQOOM-UHFFFAOYSA-N Carbamyl chloride Chemical compound NC(Cl)=O CKDWPUIZGOQOOM-UHFFFAOYSA-N 0.000 description 2
- CURLTUGMZLYLDI-UHFFFAOYSA-N Carbon dioxide Chemical compound O=C=O CURLTUGMZLYLDI-UHFFFAOYSA-N 0.000 description 2
- JZUFKLXOESDKRF-UHFFFAOYSA-N Chlorothiazide Chemical compound C1=C(Cl)C(S(=O)(=O)N)=CC2=C1NCNS2(=O)=O JZUFKLXOESDKRF-UHFFFAOYSA-N 0.000 description 2
- 102000034534 Cotransporters Human genes 0.000 description 2
- 108020003264 Cotransporters Proteins 0.000 description 2
- FBPFZTCFMRRESA-FSIIMWSLSA-N D-Glucitol Natural products OC[C@H](O)[C@H](O)[C@@H](O)[C@H](O)CO FBPFZTCFMRRESA-FSIIMWSLSA-N 0.000 description 2
- QNAYBMKLOCPYGJ-UHFFFAOYSA-N D-alpha-Ala Natural products CC([NH3+])C([O-])=O QNAYBMKLOCPYGJ-UHFFFAOYSA-N 0.000 description 2
- AYFVYJQAPQTCCC-STHAYSLISA-N D-threonine Chemical group C[C@H](O)[C@@H](N)C(O)=O AYFVYJQAPQTCCC-STHAYSLISA-N 0.000 description 2
- 241000790917 Dioxys <bee> Species 0.000 description 2
- QUSNBJAOOMFDIB-UHFFFAOYSA-N Ethylamine Chemical compound CCN QUSNBJAOOMFDIB-UHFFFAOYSA-N 0.000 description 2
- 108010010803 Gelatin Proteins 0.000 description 2
- HEMJJKBWTPKOJG-UHFFFAOYSA-N Gemfibrozil Chemical compound CC1=CC=C(C)C(OCCCC(C)(C)C(O)=O)=C1 HEMJJKBWTPKOJG-UHFFFAOYSA-N 0.000 description 2
- 102000051325 Glucagon Human genes 0.000 description 2
- 101800004266 Glucagon-like peptide 1(7-37) Proteins 0.000 description 2
- 102400000324 Glucagon-like peptide 1(7-37) Human genes 0.000 description 2
- 102400000326 Glucagon-like peptide 2 Human genes 0.000 description 2
- 101800000221 Glucagon-like peptide 2 Proteins 0.000 description 2
- WHUUTDBJXJRKMK-UHFFFAOYSA-N Glutamic acid Natural products OC(=O)C(N)CCC(O)=O WHUUTDBJXJRKMK-UHFFFAOYSA-N 0.000 description 2
- 208000022559 Inflammatory bowel disease Diseases 0.000 description 2
- 229940122355 Insulin sensitizer Drugs 0.000 description 2
- ONIBWKKTOPOVIA-BYPYZUCNSA-N L-Proline Chemical group OC(=O)[C@@H]1CCCN1 ONIBWKKTOPOVIA-BYPYZUCNSA-N 0.000 description 2
- KDXKERNSBIXSRK-YFKPBYRVSA-N L-lysine Chemical group NCCCC[C@H](N)C(O)=O KDXKERNSBIXSRK-YFKPBYRVSA-N 0.000 description 2
- 239000000867 Lipoxygenase Inhibitor Substances 0.000 description 2
- 241000124008 Mammalia Species 0.000 description 2
- FXHOOIRPVKKKFG-UHFFFAOYSA-N N,N-Dimethylacetamide Chemical compound CN(C)C(C)=O FXHOOIRPVKKKFG-UHFFFAOYSA-N 0.000 description 2
- AHLBNYSZXLDEJQ-UHFFFAOYSA-N N-formyl-L-leucylester Natural products CCCCCCCCCCCC(OC(=O)C(CC(C)C)NC=O)CC1OC(=O)C1CCCCCC AHLBNYSZXLDEJQ-UHFFFAOYSA-N 0.000 description 2
- 238000005481 NMR spectroscopy Methods 0.000 description 2
- 102000003729 Neprilysin Human genes 0.000 description 2
- 108090000028 Neprilysin Proteins 0.000 description 2
- PVNIIMVLHYAWGP-UHFFFAOYSA-N Niacin Chemical compound OC(=O)C1=CC=CN=C1 PVNIIMVLHYAWGP-UHFFFAOYSA-N 0.000 description 2
- 229920000954 Polyglycolide Polymers 0.000 description 2
- 239000004793 Polystyrene Substances 0.000 description 2
- TUZYXOIXSAXUGO-UHFFFAOYSA-N Pravastatin Natural products C1=CC(C)C(CCC(O)CC(O)CC(O)=O)C2C(OC(=O)C(C)CC)CC(O)C=C21 TUZYXOIXSAXUGO-UHFFFAOYSA-N 0.000 description 2
- JUJWROOIHBZHMG-UHFFFAOYSA-N Pyridine Chemical compound C1=CC=NC=C1 JUJWROOIHBZHMG-UHFFFAOYSA-N 0.000 description 2
- KAESVJOAVNADME-UHFFFAOYSA-N Pyrrole Chemical compound C=1C=CNC=1 KAESVJOAVNADME-UHFFFAOYSA-N 0.000 description 2
- SMWDFEZZVXVKRB-UHFFFAOYSA-N Quinoline Chemical compound N1=CC=CC2=CC=CC=C21 SMWDFEZZVXVKRB-UHFFFAOYSA-N 0.000 description 2
- 208000017442 Retinal disease Diseases 0.000 description 2
- 206010038923 Retinopathy Diseases 0.000 description 2
- YASAKCUCGLMORW-UHFFFAOYSA-N Rosiglitazone Chemical compound C=1C=CC=NC=1N(C)CCOC(C=C1)=CC=C1CC1SC(=O)NC1=O YASAKCUCGLMORW-UHFFFAOYSA-N 0.000 description 2
- RYMZZMVNJRMUDD-UHFFFAOYSA-N SJ000286063 Natural products C12C(OC(=O)C(C)(C)CC)CC(C)C=C2C=CC(C)C1CCC1CC(O)CC(=O)O1 RYMZZMVNJRMUDD-UHFFFAOYSA-N 0.000 description 2
- 229940100389 Sulfonylurea Drugs 0.000 description 2
- AYFVYJQAPQTCCC-UHFFFAOYSA-N THREONINE Chemical compound CC(O)C(N)C(O)=O AYFVYJQAPQTCCC-UHFFFAOYSA-N 0.000 description 2
- 229940123464 Thiazolidinedione Drugs 0.000 description 2
- YTPLMLYBLZKORZ-UHFFFAOYSA-N Thiophene Chemical compound C=1C=CSC=1 YTPLMLYBLZKORZ-UHFFFAOYSA-N 0.000 description 2
- KJADKKWYZYXHBB-XBWDGYHZSA-N Topiramic acid Chemical compound C1O[C@@]2(COS(N)(=O)=O)OC(C)(C)O[C@H]2[C@@H]2OC(C)(C)O[C@@H]21 KJADKKWYZYXHBB-XBWDGYHZSA-N 0.000 description 2
- HCHKCACWOHOZIP-UHFFFAOYSA-N Zinc Chemical compound [Zn] HCHKCACWOHOZIP-UHFFFAOYSA-N 0.000 description 2
- ATZKAUGGNMSCCY-VVFNRDJMSA-N [(1r,2r,3r)-2-[(3e)-4,8-dimethylnona-3,7-dienyl]-2-methyl-3-[(1e,5e)-2,6,10-trimethylundeca-1,5,9-trienyl]cyclopropyl]methyl phosphono hydrogen phosphate Chemical compound CC(C)=CCC\C(C)=C\CC\C(C)=C\[C@@H]1[C@@H](COP(O)(=O)OP(O)(O)=O)[C@]1(C)CC\C=C(/C)CCC=C(C)C ATZKAUGGNMSCCY-VVFNRDJMSA-N 0.000 description 2
- 238000010521 absorption reaction Methods 0.000 description 2
- 125000002777 acetyl group Chemical group [H]C([H])([H])C(*)=O 0.000 description 2
- 239000013543 active substance Substances 0.000 description 2
- 102000030621 adenylate cyclase Human genes 0.000 description 2
- 108060000200 adenylate cyclase Proteins 0.000 description 2
- 239000000048 adrenergic agonist Substances 0.000 description 2
- 239000000443 aerosol Substances 0.000 description 2
- 125000004453 alkoxycarbonyl group Chemical group 0.000 description 2
- 125000004457 alkyl amino carbonyl group Chemical group 0.000 description 2
- 125000003282 alkyl amino group Chemical group 0.000 description 2
- 125000003806 alkyl carbonyl amino group Chemical group 0.000 description 2
- 125000004448 alkyl carbonyl group Chemical group 0.000 description 2
- 125000005196 alkyl carbonyloxy group Chemical group 0.000 description 2
- 125000004414 alkyl thio group Chemical group 0.000 description 2
- 150000001414 amino alcohols Chemical class 0.000 description 2
- 125000003277 amino group Chemical group 0.000 description 2
- 235000019257 ammonium acetate Nutrition 0.000 description 2
- 229940043376 ammonium acetate Drugs 0.000 description 2
- 229940044094 angiotensin-converting-enzyme inhibitor Drugs 0.000 description 2
- 150000008064 anhydrides Chemical class 0.000 description 2
- 229940125709 anorectic agent Drugs 0.000 description 2
- 239000003529 anticholesteremic agent Substances 0.000 description 2
- 239000000164 antipsychotic agent Substances 0.000 description 2
- 125000005100 aryl amino carbonyl group Chemical group 0.000 description 2
- 125000004658 aryl carbonyl amino group Chemical group 0.000 description 2
- 125000005129 aryl carbonyl group Chemical group 0.000 description 2
- 125000005199 aryl carbonyloxy group Chemical group 0.000 description 2
- 125000005135 aryl sulfinyl group Chemical group 0.000 description 2
- 125000004657 aryl sulfonyl amino group Chemical group 0.000 description 2
- 125000005164 aryl thioalkyl group Chemical group 0.000 description 2
- QVGXLLKOCUKJST-UHFFFAOYSA-N atomic oxygen Chemical group [O] QVGXLLKOCUKJST-UHFFFAOYSA-N 0.000 description 2
- 229960005370 atorvastatin Drugs 0.000 description 2
- 210000003719 b-lymphocyte Anatomy 0.000 description 2
- WQZGKKKJIJFFOK-VFUOTHLCSA-N beta-D-glucose Chemical compound OC[C@H]1O[C@@H](O)[C@H](O)[C@@H](O)[C@@H]1O WQZGKKKJIJFFOK-VFUOTHLCSA-N 0.000 description 2
- UCMIRNVEIXFBKS-UHFFFAOYSA-N beta-alanine Chemical compound NCCC(O)=O UCMIRNVEIXFBKS-UHFFFAOYSA-N 0.000 description 2
- 239000003613 bile acid Substances 0.000 description 2
- 229920000080 bile acid sequestrant Polymers 0.000 description 2
- 229940096699 bile acid sequestrants Drugs 0.000 description 2
- 239000011230 binding agent Substances 0.000 description 2
- 229920002988 biodegradable polymer Polymers 0.000 description 2
- 239000004621 biodegradable polymer Substances 0.000 description 2
- ZADPBFCGQRWHPN-UHFFFAOYSA-N boronic acid Chemical compound OBO ZADPBFCGQRWHPN-UHFFFAOYSA-N 0.000 description 2
- OSGAYBCDTDRGGQ-UHFFFAOYSA-L calcium sulfate Chemical compound [Ca+2].[O-]S([O-])(=O)=O OSGAYBCDTDRGGQ-UHFFFAOYSA-L 0.000 description 2
- 125000003917 carbamoyl group Chemical group [H]N([H])C(*)=O 0.000 description 2
- 150000001721 carbon Chemical group 0.000 description 2
- 150000004649 carbonic acid derivatives Chemical class 0.000 description 2
- 125000002915 carbonyl group Chemical group [*:2]C([*:1])=O 0.000 description 2
- 125000003178 carboxy group Chemical group [H]OC(*)=O 0.000 description 2
- 239000001768 carboxy methyl cellulose Substances 0.000 description 2
- 239000000969 carrier Substances 0.000 description 2
- 239000001913 cellulose Substances 0.000 description 2
- 235000010980 cellulose Nutrition 0.000 description 2
- 229920002678 cellulose Polymers 0.000 description 2
- 229960005110 cerivastatin Drugs 0.000 description 2
- SEERZIQQUAZTOL-ANMDKAQQSA-N cerivastatin Chemical compound COCC1=C(C(C)C)N=C(C(C)C)C(\C=C\[C@@H](O)C[C@@H](O)CC(O)=O)=C1C1=CC=C(F)C=C1 SEERZIQQUAZTOL-ANMDKAQQSA-N 0.000 description 2
- FZFAMSAMCHXGEF-UHFFFAOYSA-N chloro formate Chemical compound ClOC=O FZFAMSAMCHXGEF-UHFFFAOYSA-N 0.000 description 2
- OSASVXMJTNOKOY-UHFFFAOYSA-N chlorobutanol Chemical compound CC(C)(O)C(Cl)(Cl)Cl OSASVXMJTNOKOY-UHFFFAOYSA-N 0.000 description 2
- IJOOHPMOJXWVHK-UHFFFAOYSA-N chlorotrimethylsilane Chemical compound C[Si](C)(C)Cl IJOOHPMOJXWVHK-UHFFFAOYSA-N 0.000 description 2
- 235000012000 cholesterol Nutrition 0.000 description 2
- 239000007891 compressed tablet Substances 0.000 description 2
- 229920001577 copolymer Polymers 0.000 description 2
- 125000004210 cyclohexylmethyl group Chemical group [H]C([H])(*)C1([H])C([H])([H])C([H])([H])C([H])([H])C([H])([H])C1([H])[H] 0.000 description 2
- QQKNSPHAFATFNQ-UHFFFAOYSA-N darglitazone Chemical compound CC=1OC(C=2C=CC=CC=2)=NC=1CCC(=O)C(C=C1)=CC=C1CC1SC(=O)NC1=O QQKNSPHAFATFNQ-UHFFFAOYSA-N 0.000 description 2
- 238000013461 design Methods 0.000 description 2
- HPNMFZURTQLUMO-UHFFFAOYSA-N diethylamine Chemical compound CCNCC HPNMFZURTQLUMO-UHFFFAOYSA-N 0.000 description 2
- VYFYYTLLBUKUHU-UHFFFAOYSA-N dopamine Chemical compound NCCC1=CC=C(O)C(O)=C1 VYFYYTLLBUKUHU-UHFFFAOYSA-N 0.000 description 2
- 231100000673 dose–response relationship Toxicity 0.000 description 2
- 238000002330 electrospray ionisation mass spectrometry Methods 0.000 description 2
- 229940125753 fibrate Drugs 0.000 description 2
- 238000004401 flow injection analysis Methods 0.000 description 2
- 125000003983 fluorenyl group Chemical group C1(=CC=CC=2C3=CC=CC=C3CC12)* 0.000 description 2
- 229960003765 fluvastatin Drugs 0.000 description 2
- 230000037406 food intake Effects 0.000 description 2
- 239000003629 gastrointestinal hormone Substances 0.000 description 2
- 239000008273 gelatin Substances 0.000 description 2
- 229920000159 gelatin Polymers 0.000 description 2
- 235000019322 gelatine Nutrition 0.000 description 2
- 235000011852 gelatine desserts Nutrition 0.000 description 2
- 229960003627 gemfibrozil Drugs 0.000 description 2
- 229960004580 glibenclamide Drugs 0.000 description 2
- MASNOZXLGMXCHN-ZLPAWPGGSA-N glucagon Chemical compound C([C@@H](C(=O)N[C@H](C(=O)N[C@@H](CCC(N)=O)C(=O)N[C@@H](CC=1C2=CC=CC=C2NC=1)C(=O)N[C@@H](CC(C)C)C(=O)N[C@@H](CCSC)C(=O)N[C@@H](CC(N)=O)C(=O)N[C@@H]([C@@H](C)O)C(O)=O)C(C)C)NC(=O)[C@H](CC(O)=O)NC(=O)[C@H](CCC(N)=O)NC(=O)[C@H](C)NC(=O)[C@H](CCCNC(N)=N)NC(=O)[C@H](CCCNC(N)=N)NC(=O)[C@H](CO)NC(=O)[C@H](CC(O)=O)NC(=O)[C@H](CC(C)C)NC(=O)[C@H](CC=1C=CC(O)=CC=1)NC(=O)[C@H](CCCCN)NC(=O)[C@H](CO)NC(=O)[C@H](CC=1C=CC(O)=CC=1)NC(=O)[C@H](CC(O)=O)NC(=O)[C@H](CO)NC(=O)[C@@H](NC(=O)[C@H](CC=1C=CC=CC=1)NC(=O)[C@@H](NC(=O)CNC(=O)[C@H](CCC(N)=O)NC(=O)[C@H](CO)NC(=O)[C@@H](N)CC=1NC=NC=1)[C@@H](C)O)[C@@H](C)O)C1=CC=CC=C1 MASNOZXLGMXCHN-ZLPAWPGGSA-N 0.000 description 2
- 229960004666 glucagon Drugs 0.000 description 2
- TWSALRJGPBVBQU-PKQQPRCHSA-N glucagon-like peptide 2 Chemical compound C([C@@H](C(=O)N[C@H](C(=O)N[C@@H](CC(N)=O)C(=O)N[C@@H](CC=1C2=CC=CC=C2NC=1)C(=O)N[C@@H](CC(C)C)C(=O)N[C@@H]([C@@H](C)CC)C(=O)N[C@@H](CCC(N)=O)C(=O)N[C@@H]([C@@H](C)O)C(=O)N[C@@H](CCCCN)C(=O)N[C@@H]([C@@H](C)CC)C(=O)N[C@@H]([C@@H](C)O)C(=O)N[C@@H](CC(O)=O)C(O)=O)[C@@H](C)CC)NC(=O)[C@H](CC(O)=O)NC(=O)[C@H](CCCNC(N)=N)NC(=O)[C@H](C)NC(=O)[C@H](C)NC(=O)[C@H](CC(C)C)NC(=O)[C@H](CC(N)=O)NC(=O)[C@H](CC(O)=O)NC(=O)[C@H](CC(C)C)NC(=O)[C@@H](NC(=O)[C@@H](NC(=O)[C@H](CC(N)=O)NC(=O)[C@H](CCSC)NC(=O)[C@H](CCC(O)=O)NC(=O)[C@H](CC(O)=O)NC(=O)[C@H](CO)NC(=O)[C@H](CC=1C=CC=CC=1)NC(=O)[C@H](CO)NC(=O)CNC(=O)[C@H](CC(O)=O)NC(=O)[C@H](C)NC(=O)[C@@H](N)CC=1NC=NC=1)[C@@H](C)O)[C@@H](C)CC)C1=CC=CC=C1 TWSALRJGPBVBQU-PKQQPRCHSA-N 0.000 description 2
- 230000004153 glucose metabolism Effects 0.000 description 2
- 238000007446 glucose tolerance test Methods 0.000 description 2
- ZNNLBTZKUZBEKO-UHFFFAOYSA-N glyburide Chemical compound COC1=CC=C(Cl)C=C1C(=O)NCCC1=CC=C(S(=O)(=O)NC(=O)NC2CCCCC2)C=C1 ZNNLBTZKUZBEKO-UHFFFAOYSA-N 0.000 description 2
- 125000004438 haloalkoxy group Chemical group 0.000 description 2
- LNEPOXFFQSENCJ-UHFFFAOYSA-N haloperidol Chemical compound C1CC(O)(C=2C=CC(Cl)=CC=2)CCN1CCCC(=O)C1=CC=C(F)C=C1 LNEPOXFFQSENCJ-UHFFFAOYSA-N 0.000 description 2
- 230000036541 health Effects 0.000 description 2
- 125000004447 heteroarylalkenyl group Chemical group 0.000 description 2
- 125000005368 heteroarylthio group Chemical group 0.000 description 2
- 125000005885 heterocycloalkylalkyl group Chemical group 0.000 description 2
- 125000004051 hexyl group Chemical group [H]C([H])([H])C([H])([H])C([H])([H])C([H])([H])C([H])([H])C([H])([H])* 0.000 description 2
- 239000012535 impurity Substances 0.000 description 2
- 238000001727 in vivo Methods 0.000 description 2
- 238000011534 incubation Methods 0.000 description 2
- 230000001939 inductive effect Effects 0.000 description 2
- 229940125396 insulin Drugs 0.000 description 2
- 238000007918 intramuscular administration Methods 0.000 description 2
- 238000007912 intraperitoneal administration Methods 0.000 description 2
- 239000012948 isocyanate Substances 0.000 description 2
- 150000002513 isocyanates Chemical class 0.000 description 2
- CTAPFRYPJLPFDF-UHFFFAOYSA-N isoxazole Chemical compound C=1C=NOC=1 CTAPFRYPJLPFDF-UHFFFAOYSA-N 0.000 description 2
- 208000017169 kidney disease Diseases 0.000 description 2
- 239000000314 lubricant Substances 0.000 description 2
- 229950004994 meglitinide Drugs 0.000 description 2
- NQIFXJSLCUJHBB-LBPRGKRZSA-N methyl (2s)-3-(4-hydroxyphenyl)-2-[(2-methylpropan-2-yl)oxycarbonylamino]propanoate Chemical compound CC(C)(C)OC(=O)N[C@H](C(=O)OC)CC1=CC=C(O)C=C1 NQIFXJSLCUJHBB-LBPRGKRZSA-N 0.000 description 2
- 229920000609 methyl cellulose Polymers 0.000 description 2
- 239000001923 methylcellulose Substances 0.000 description 2
- 235000010981 methylcellulose Nutrition 0.000 description 2
- 229940057061 mevalonolactone Drugs 0.000 description 2
- 230000004048 modification Effects 0.000 description 2
- 238000012986 modification Methods 0.000 description 2
- VLKZOEOYAKHREP-UHFFFAOYSA-N n-Hexane Chemical class CCCCCC VLKZOEOYAKHREP-UHFFFAOYSA-N 0.000 description 2
- 125000004108 n-butyl group Chemical group [H]C([H])([H])C([H])([H])C([H])([H])C([H])([H])* 0.000 description 2
- 125000004123 n-propyl group Chemical group [H]C([H])([H])C([H])([H])C([H])([H])* 0.000 description 2
- 125000001624 naphthyl group Chemical group 0.000 description 2
- PKWDZWYVIHVNKS-UHFFFAOYSA-N netoglitazone Chemical compound FC1=CC=CC=C1COC1=CC=C(C=C(CC2C(NC(=O)S2)=O)C=C2)C2=C1 PKWDZWYVIHVNKS-UHFFFAOYSA-N 0.000 description 2
- 201000001119 neuropathy Diseases 0.000 description 2
- 230000007823 neuropathy Effects 0.000 description 2
- 231100000252 nontoxic Toxicity 0.000 description 2
- 230000003000 nontoxic effect Effects 0.000 description 2
- KVWDHTXUZHCGIO-UHFFFAOYSA-N olanzapine Chemical compound C1CN(C)CCN1C1=NC2=CC=CC=C2NC2=C1C=C(C)S2 KVWDHTXUZHCGIO-UHFFFAOYSA-N 0.000 description 2
- 125000004043 oxo group Chemical group O=* 0.000 description 2
- 239000001301 oxygen Chemical group 0.000 description 2
- 229910052760 oxygen Inorganic materials 0.000 description 2
- LXCFILQKKLGQFO-UHFFFAOYSA-N p-hydroxybenzoic acid methyl ester Natural products COC(=O)C1=CC=C(O)C=C1 LXCFILQKKLGQFO-UHFFFAOYSA-N 0.000 description 2
- 239000003182 parenteral nutrition solution Substances 0.000 description 2
- 208000033808 peripheral neuropathy Diseases 0.000 description 2
- 239000008024 pharmaceutical diluent Substances 0.000 description 2
- 230000003285 pharmacodynamic effect Effects 0.000 description 2
- DHHVAGZRUROJKS-UHFFFAOYSA-N phentermine Chemical compound CC(C)(N)CC1=CC=CC=C1 DHHVAGZRUROJKS-UHFFFAOYSA-N 0.000 description 2
- HYAFETHFCAUJAY-UHFFFAOYSA-N pioglitazone Chemical compound N1=CC(CC)=CC=C1CCOC(C=C1)=CC=C1CC1C(=O)NC(=O)S1 HYAFETHFCAUJAY-UHFFFAOYSA-N 0.000 description 2
- 229920000747 poly(lactic acid) Polymers 0.000 description 2
- 229920001223 polyethylene glycol Polymers 0.000 description 2
- 239000004633 polyglycolic acid Substances 0.000 description 2
- 239000004626 polylactic acid Substances 0.000 description 2
- 229920002223 polystyrene Polymers 0.000 description 2
- 230000000291 postprandial effect Effects 0.000 description 2
- BWHMMNNQKKPAPP-UHFFFAOYSA-L potassium carbonate Chemical compound [K+].[K+].[O-]C([O-])=O BWHMMNNQKKPAPP-UHFFFAOYSA-L 0.000 description 2
- 230000003389 potentiating effect Effects 0.000 description 2
- 239000000843 powder Substances 0.000 description 2
- 229960002965 pravastatin Drugs 0.000 description 2
- TUZYXOIXSAXUGO-PZAWKZKUSA-N pravastatin Chemical compound C1=C[C@H](C)[C@H](CC[C@@H](O)C[C@@H](O)CC(O)=O)[C@H]2[C@@H](OC(=O)[C@@H](C)CC)C[C@H](O)C=C21 TUZYXOIXSAXUGO-PZAWKZKUSA-N 0.000 description 2
- 239000002243 precursor Substances 0.000 description 2
- 238000002360 preparation method Methods 0.000 description 2
- 230000002265 prevention Effects 0.000 description 2
- 229960003912 probucol Drugs 0.000 description 2
- FYPMFJGVHOHGLL-UHFFFAOYSA-N probucol Chemical compound C=1C(C(C)(C)C)=C(O)C(C(C)(C)C)=CC=1SC(C)(C)SC1=CC(C(C)(C)C)=C(O)C(C(C)(C)C)=C1 FYPMFJGVHOHGLL-UHFFFAOYSA-N 0.000 description 2
- 238000012545 processing Methods 0.000 description 2
- QELSKZZBTMNZEB-UHFFFAOYSA-N propylparaben Chemical compound CCCOC(=O)C1=CC=C(O)C=C1 QELSKZZBTMNZEB-UHFFFAOYSA-N 0.000 description 2
- 235000018102 proteins Nutrition 0.000 description 2
- 102000004169 proteins and genes Human genes 0.000 description 2
- LVTJOONKWUXEFR-FZRMHRINSA-N protoneodioscin Natural products O(C[C@@H](CC[C@]1(O)[C@H](C)[C@@H]2[C@]3(C)[C@H]([C@H]4[C@@H]([C@]5(C)C(=CC4)C[C@@H](O[C@@H]4[C@H](O[C@H]6[C@@H](O)[C@@H](O)[C@@H](O)[C@H](C)O6)[C@@H](O)[C@H](O[C@H]6[C@@H](O)[C@@H](O)[C@@H](O)[C@H](C)O6)[C@H](CO)O4)CC5)CC3)C[C@@H]2O1)C)[C@H]1[C@H](O)[C@H](O)[C@H](O)[C@@H](CO)O1 LVTJOONKWUXEFR-FZRMHRINSA-N 0.000 description 2
- 239000002464 receptor antagonist Substances 0.000 description 2
- 229940044551 receptor antagonist Drugs 0.000 description 2
- 230000002829 reductive effect Effects 0.000 description 2
- 238000004007 reversed phase HPLC Methods 0.000 description 2
- LALFOYNTGMUKGG-BGRFNVSISA-L rosuvastatin calcium Chemical compound [Ca+2].CC(C)C1=NC(N(C)S(C)(=O)=O)=NC(C=2C=CC(F)=CC=2)=C1\C=C\[C@@H](O)C[C@@H](O)CC([O-])=O.CC(C)C1=NC(N(C)S(C)(=O)=O)=NC(C=2C=CC(F)=CC=2)=C1\C=C\[C@@H](O)C[C@@H](O)CC([O-])=O LALFOYNTGMUKGG-BGRFNVSISA-L 0.000 description 2
- 150000003839 salts Chemical class 0.000 description 2
- 230000036186 satiety Effects 0.000 description 2
- 235000019627 satiety Nutrition 0.000 description 2
- 229940076279 serotonin Drugs 0.000 description 2
- 210000002966 serum Anatomy 0.000 description 2
- UNAANXDKBXWMLN-UHFFFAOYSA-N sibutramine Chemical compound C=1C=C(Cl)C=CC=1C1(C(N(C)C)CC(C)C)CCC1 UNAANXDKBXWMLN-UHFFFAOYSA-N 0.000 description 2
- 229960004425 sibutramine Drugs 0.000 description 2
- 229960002855 simvastatin Drugs 0.000 description 2
- RYMZZMVNJRMUDD-HGQWONQESA-N simvastatin Chemical compound C([C@H]1[C@@H](C)C=CC2=C[C@H](C)C[C@@H]([C@H]12)OC(=O)C(C)(C)CC)C[C@@H]1C[C@@H](O)CC(=O)O1 RYMZZMVNJRMUDD-HGQWONQESA-N 0.000 description 2
- WXMKPNITSTVMEF-UHFFFAOYSA-M sodium benzoate Chemical compound [Na+].[O-]C(=O)C1=CC=CC=C1 WXMKPNITSTVMEF-UHFFFAOYSA-M 0.000 description 2
- 239000004299 sodium benzoate Substances 0.000 description 2
- 235000010234 sodium benzoate Nutrition 0.000 description 2
- GEHJYWRUCIMESM-UHFFFAOYSA-L sodium sulfite Chemical compound [Na+].[Na+].[O-]S([O-])=O GEHJYWRUCIMESM-UHFFFAOYSA-L 0.000 description 2
- 239000000600 sorbitol Substances 0.000 description 2
- 235000010356 sorbitol Nutrition 0.000 description 2
- 239000003381 stabilizer Substances 0.000 description 2
- 230000004936 stimulating effect Effects 0.000 description 2
- 238000003756 stirring Methods 0.000 description 2
- QAHVHSLSRLSVGS-UHFFFAOYSA-N sulfamoyl chloride Chemical compound NS(Cl)(=O)=O QAHVHSLSRLSVGS-UHFFFAOYSA-N 0.000 description 2
- 125000004963 sulfonylalkyl group Chemical group 0.000 description 2
- 229910052717 sulfur Inorganic materials 0.000 description 2
- 239000011593 sulfur Chemical group 0.000 description 2
- YBBRCQOCSYXUOC-UHFFFAOYSA-N sulfuryl dichloride Chemical compound ClS(Cl)(=O)=O YBBRCQOCSYXUOC-UHFFFAOYSA-N 0.000 description 2
- 239000006188 syrup Substances 0.000 description 2
- 235000020357 syrup Nutrition 0.000 description 2
- 238000012360 testing method Methods 0.000 description 2
- 150000001467 thiazolidinediones Chemical class 0.000 description 2
- 150000003573 thiols Chemical class 0.000 description 2
- 210000001519 tissue Anatomy 0.000 description 2
- 229960004394 topiramate Drugs 0.000 description 2
- WJKHJLXJJJATHN-UHFFFAOYSA-N triflic anhydride Chemical compound FC(F)(F)S(=O)(=O)OS(=O)(=O)C(F)(F)F WJKHJLXJJJATHN-UHFFFAOYSA-N 0.000 description 2
- 239000002691 unilamellar liposome Substances 0.000 description 2
- 150000003672 ureas Chemical class 0.000 description 2
- 238000005406 washing Methods 0.000 description 2
- QSSPYZOSTJDTTL-UHFFFAOYSA-N (2-ethylphenyl)boronic acid Chemical compound CCC1=CC=CC=C1B(O)O QSSPYZOSTJDTTL-UHFFFAOYSA-N 0.000 description 1
- NSJVYHOPHZMZPN-UHFFFAOYSA-N (2-methylphenyl)boronic acid Chemical compound CC1=CC=CC=C1B(O)O NSJVYHOPHZMZPN-UHFFFAOYSA-N 0.000 description 1
- XUFXOAAUWZOOIT-SXARVLRPSA-N (2R,3R,4R,5S,6R)-5-[[(2R,3R,4R,5S,6R)-5-[[(2R,3R,4S,5S,6R)-3,4-dihydroxy-6-methyl-5-[[(1S,4R,5S,6S)-4,5,6-trihydroxy-3-(hydroxymethyl)-1-cyclohex-2-enyl]amino]-2-oxanyl]oxy]-3,4-dihydroxy-6-(hydroxymethyl)-2-oxanyl]oxy]-6-(hydroxymethyl)oxane-2,3,4-triol Chemical compound O([C@H]1O[C@H](CO)[C@H]([C@@H]([C@H]1O)O)O[C@H]1O[C@@H]([C@H]([C@H](O)[C@H]1O)N[C@@H]1[C@@H]([C@@H](O)[C@H](O)C(CO)=C1)O)C)[C@@H]1[C@@H](CO)O[C@@H](O)[C@H](O)[C@H]1O XUFXOAAUWZOOIT-SXARVLRPSA-N 0.000 description 1
- VXEVKSKAINMPFG-QWUNSSNDSA-N (2S)-5-[[(5S)-5-[[(2S)-2-[[(2S)-2-[[(2S)-5-amino-2-[[2-[[(2S)-2-[[(2S)-2-[[(2S)-2-[[(2S)-2-[[(2S)-2-[[(2S)-2-[[(2S)-2-[[(2S)-2-[[(2S,3R)-2-[[(2S)-2-[[(2S,3R)-2-[[2-[[(2S)-2-[[(2S)-2-[[(2S)-2-amino-3-(1H-imidazol-4-yl)propanoyl]amino]propanoyl]amino]-4-carboxybutanoyl]amino]acetyl]amino]-3-hydroxybutanoyl]amino]-3-phenylpropanoyl]amino]-3-hydroxybutanoyl]amino]-3-hydroxypropanoyl]amino]-3-carboxypropanoyl]amino]-3-methylbutanoyl]amino]-3-hydroxypropanoyl]amino]-3-hydroxypropanoyl]amino]-3-(4-hydroxyphenyl)propanoyl]amino]-4-methylpentanoyl]amino]-4-carboxybutanoyl]amino]acetyl]amino]-5-oxopentanoyl]amino]propanoyl]amino]propanoyl]amino]-6-[[(2S)-4-carboxy-1-[[(2S)-1-[[(2S,3S)-1-[[(2S)-1-[[(2S)-1-[[(2S)-1-[[(2S)-1-[[(2S)-1-[[2-[[(2S)-1-(carboxymethylamino)-5-(diaminomethylideneamino)-1-oxopentan-2-yl]amino]-2-oxoethyl]amino]-5-(diaminomethylideneamino)-1-oxopentan-2-yl]amino]-3-methyl-1-oxobutan-2-yl]amino]-4-methyl-1-oxopentan-2-yl]amino]-3-(1H-indol-3-yl)-1-oxopropan-2-yl]amino]-1-oxopropan-2-yl]amino]-3-methyl-1-oxopentan-2-yl]amino]-1-oxo-3-phenylpropan-2-yl]amino]-1-oxobutan-2-yl]amino]-6-oxohexyl]amino]-2-(hexadecanoylamino)-5-hydroxypentanoic acid Chemical compound CCCCCCCCCCCCCCCC(=O)N[C@@H](CCC(NCCCC[C@@H](C(=O)N[C@@H](CCC(=O)O)C(=O)N[C@@H](CC1=CC=CC=C1)C(=O)N[C@@H]([C@@H](C)CC)C(=O)N[C@@H](C)C(=O)N[C@@H](CC2=CNC3=CC=CC=C32)C(=O)N[C@@H](CC(C)C)C(=O)N[C@@H](C(C)C)C(=O)N[C@@H](CCCN=C(N)N)C(=O)NCC(=O)N[C@@H](CCCN=C(N)N)C(=O)NCC(=O)O)NC(=O)[C@H](C)NC(=O)[C@H](C)NC(=O)[C@H](CCC(=O)N)NC(=O)CNC(=O)[C@H](CCC(=O)O)NC(=O)[C@H](CC(C)C)NC(=O)[C@H](CC4=CC=C(C=C4)O)NC(=O)[C@H](CO)NC(=O)[C@H](CO)NC(=O)[C@H](C(C)C)NC(=O)[C@H](CC(=O)O)NC(=O)[C@H](CO)NC(=O)[C@H]([C@@H](C)O)NC(=O)[C@H](CC5=CC=CC=C5)NC(=O)[C@H]([C@@H](C)O)NC(=O)CNC(=O)[C@H](CCC(=O)O)NC(=O)[C@H](C)NC(=O)[C@H](CC6=CNC=N6)N)O)C(=O)O VXEVKSKAINMPFG-QWUNSSNDSA-N 0.000 description 1
- LNAZSHAWQACDHT-XIYTZBAFSA-N (2r,3r,4s,5r,6s)-4,5-dimethoxy-2-(methoxymethyl)-3-[(2s,3r,4s,5r,6r)-3,4,5-trimethoxy-6-(methoxymethyl)oxan-2-yl]oxy-6-[(2r,3r,4s,5r,6r)-4,5,6-trimethoxy-2-(methoxymethyl)oxan-3-yl]oxyoxane Chemical compound CO[C@@H]1[C@@H](OC)[C@H](OC)[C@@H](COC)O[C@H]1O[C@H]1[C@H](OC)[C@@H](OC)[C@H](O[C@H]2[C@@H]([C@@H](OC)[C@H](OC)O[C@@H]2COC)OC)O[C@@H]1COC LNAZSHAWQACDHT-XIYTZBAFSA-N 0.000 description 1
- NVXFXLSOGLFXKQ-JMSVASOKSA-N (2s)-1-[(2r,4r)-5-ethoxy-2,4-dimethyl-5-oxopentanoyl]-2,3-dihydroindole-2-carboxylic acid Chemical compound C1=CC=C2N(C(=O)[C@H](C)C[C@@H](C)C(=O)OCC)[C@H](C(O)=O)CC2=C1 NVXFXLSOGLFXKQ-JMSVASOKSA-N 0.000 description 1
- XXMYDXUIZKNHDT-QNGWXLTQSA-N (2s)-2-(9h-fluoren-9-ylmethoxycarbonylamino)-3-(1-tritylimidazol-4-yl)propanoic acid Chemical compound C([C@@H](C(=O)O)NC(=O)OCC1C2=CC=CC=C2C2=CC=CC=C21)C(N=C1)=CN1C(C=1C=CC=CC=1)(C=1C=CC=CC=1)C1=CC=CC=C1 XXMYDXUIZKNHDT-QNGWXLTQSA-N 0.000 description 1
- OTKXCALUHMPIGM-FQEVSTJZSA-N (2s)-2-(9h-fluoren-9-ylmethoxycarbonylamino)-5-[(2-methylpropan-2-yl)oxy]-5-oxopentanoic acid Chemical compound C1=CC=C2C(COC(=O)N[C@@H](CCC(=O)OC(C)(C)C)C(O)=O)C3=CC=CC=C3C2=C1 OTKXCALUHMPIGM-FQEVSTJZSA-N 0.000 description 1
- QWXZOFZKSQXPDC-NSHDSACASA-N (2s)-2-(9h-fluoren-9-ylmethoxycarbonylamino)propanoic acid Chemical compound C1=CC=C2C(COC(=O)N[C@@H](C)C(O)=O)C3=CC=CC=C3C2=C1 QWXZOFZKSQXPDC-NSHDSACASA-N 0.000 description 1
- MGOGKPMIZGEGOZ-REOHCLBHSA-N (2s)-2-amino-3-hydroxypropanamide Chemical compound OC[C@H](N)C(N)=O MGOGKPMIZGEGOZ-REOHCLBHSA-N 0.000 description 1
- BIDNLKIUORFRQP-XYGFDPSESA-N (2s,4s)-4-cyclohexyl-1-[2-[[(1s)-2-methyl-1-propanoyloxypropoxy]-(4-phenylbutyl)phosphoryl]acetyl]pyrrolidine-2-carboxylic acid Chemical compound C([P@@](=O)(O[C@H](OC(=O)CC)C(C)C)CC(=O)N1[C@@H](C[C@H](C1)C1CCCCC1)C(O)=O)CCCC1=CC=CC=C1 BIDNLKIUORFRQP-XYGFDPSESA-N 0.000 description 1
- RICKQPKTSOSCOF-HKUYNNGSSA-N (3s)-2-[(2s)-2-amino-3-(1h-indol-3-yl)propanoyl]-3,4-dihydro-1h-isoquinoline-3-carboxylic acid Chemical compound C1C2=CC=CC=C2C[C@@H](C(O)=O)N1C(=O)[C@@H](N)CC1=CNC2=CC=CC=C12 RICKQPKTSOSCOF-HKUYNNGSSA-N 0.000 description 1
- RWIUTHWKQHRQNP-ZDVGBALWSA-N (9e,12e)-n-(1-phenylethyl)octadeca-9,12-dienamide Chemical compound CCCCC\C=C\C\C=C\CCCCCCCC(=O)NC(C)C1=CC=CC=C1 RWIUTHWKQHRQNP-ZDVGBALWSA-N 0.000 description 1
- BKMMTJMQCTUHRP-VKHMYHEASA-N (S)-2-aminopropan-1-ol Chemical compound C[C@H](N)CO BKMMTJMQCTUHRP-VKHMYHEASA-N 0.000 description 1
- PAAZPARNPHGIKF-UHFFFAOYSA-N 1,2-dibromoethane Chemical compound BrCCBr PAAZPARNPHGIKF-UHFFFAOYSA-N 0.000 description 1
- JLHMJWHSBYZWJJ-UHFFFAOYSA-N 1,2-thiazole 1-oxide Chemical class O=S1C=CC=N1 JLHMJWHSBYZWJJ-UHFFFAOYSA-N 0.000 description 1
- RYHBNJHYFVUHQT-UHFFFAOYSA-N 1,4-Dioxane Chemical compound C1COCCO1 RYHBNJHYFVUHQT-UHFFFAOYSA-N 0.000 description 1
- BOVGTQGAOIONJV-BETUJISGSA-N 1-[(3ar,6as)-3,3a,4,5,6,6a-hexahydro-1h-cyclopenta[c]pyrrol-2-yl]-3-(4-methylphenyl)sulfonylurea Chemical compound C1=CC(C)=CC=C1S(=O)(=O)NC(=O)NN1C[C@H]2CCC[C@H]2C1 BOVGTQGAOIONJV-BETUJISGSA-N 0.000 description 1
- POQMHHDKXWTFHB-UHFFFAOYSA-N 1-[5-[(4,5-diphenyl-1h-imidazol-2-yl)sulfinyl]pentyl]-3,5-dimethylpyrazole Chemical compound N1=C(C)C=C(C)N1CCCCCS(=O)C1=NC(C=2C=CC=CC=2)=C(C=2C=CC=CC=2)N1 POQMHHDKXWTFHB-UHFFFAOYSA-N 0.000 description 1
- IXPNQXFRVYWDDI-UHFFFAOYSA-N 1-methyl-2,4-dioxo-1,3-diazinane-5-carboximidamide Chemical compound CN1CC(C(N)=N)C(=O)NC1=O IXPNQXFRVYWDDI-UHFFFAOYSA-N 0.000 description 1
- 229940123153 15 Lipoxygenase inhibitor Drugs 0.000 description 1
- 238000005160 1H NMR spectroscopy Methods 0.000 description 1
- SGTNSNPWRIOYBX-UHFFFAOYSA-N 2-(3,4-dimethoxyphenyl)-5-{[2-(3,4-dimethoxyphenyl)ethyl](methyl)amino}-2-(propan-2-yl)pentanenitrile Chemical compound C1=C(OC)C(OC)=CC=C1CCN(C)CCCC(C#N)(C(C)C)C1=CC=C(OC)C(OC)=C1 SGTNSNPWRIOYBX-UHFFFAOYSA-N 0.000 description 1
- NDKDFTQNXLHCGO-UHFFFAOYSA-N 2-(9h-fluoren-9-ylmethoxycarbonylamino)acetic acid Chemical compound C1=CC=C2C(COC(=O)NCC(=O)O)C3=CC=CC=C3C2=C1 NDKDFTQNXLHCGO-UHFFFAOYSA-N 0.000 description 1
- NWYYWIJOWOLJNR-UHFFFAOYSA-N 2-Amino-3-methyl-1-butanol Chemical compound CC(C)C(N)CO NWYYWIJOWOLJNR-UHFFFAOYSA-N 0.000 description 1
- HZAXFHJVJLSVMW-UHFFFAOYSA-N 2-Aminoethan-1-ol Chemical compound NCCO HZAXFHJVJLSVMW-UHFFFAOYSA-N 0.000 description 1
- JIVPVXMEBJLZRO-CQSZACIVSA-N 2-chloro-5-[(1r)-1-hydroxy-3-oxo-2h-isoindol-1-yl]benzenesulfonamide Chemical compound C1=C(Cl)C(S(=O)(=O)N)=CC([C@@]2(O)C3=CC=CC=C3C(=O)N2)=C1 JIVPVXMEBJLZRO-CQSZACIVSA-N 0.000 description 1
- 125000004777 2-fluoroethyl group Chemical group [H]C([H])(F)C([H])([H])* 0.000 description 1
- XWKFPIODWVPXLX-UHFFFAOYSA-N 2-methyl-5-methylpyridine Natural products CC1=CC=C(C)N=C1 XWKFPIODWVPXLX-UHFFFAOYSA-N 0.000 description 1
- 125000000094 2-phenylethyl group Chemical group [H]C1=C([H])C([H])=C(C([H])=C1[H])C([H])([H])C([H])([H])* 0.000 description 1
- VWFJDQUYCIWHTN-YFVJMOTDSA-N 2-trans,6-trans-farnesyl diphosphate Chemical class CC(C)=CCC\C(C)=C\CC\C(C)=C\CO[P@](O)(=O)OP(O)(O)=O VWFJDQUYCIWHTN-YFVJMOTDSA-N 0.000 description 1
- CZMRCDWAGMRECN-UHFFFAOYSA-N 2-{[3,4-dihydroxy-2,5-bis(hydroxymethyl)oxolan-2-yl]oxy}-6-(hydroxymethyl)oxane-3,4,5-triol Chemical compound OCC1OC(CO)(OC2OC(CO)C(O)C(O)C2O)C(O)C1O CZMRCDWAGMRECN-UHFFFAOYSA-N 0.000 description 1
- APIXJSLKIYYUKG-UHFFFAOYSA-N 3 Isobutyl 1 methylxanthine Chemical compound O=C1N(C)C(=O)N(CC(C)C)C2=C1N=CN2 APIXJSLKIYYUKG-UHFFFAOYSA-N 0.000 description 1
- AKUSZFPCJFNRSZ-UHFFFAOYSA-N 3,4-dimethyl-1,2-oxazole Chemical compound CC1=CON=C1C AKUSZFPCJFNRSZ-UHFFFAOYSA-N 0.000 description 1
- SRKIBXBMSGIQFP-UHFFFAOYSA-N 3-[4-(2,6-dimethylheptyl)phenyl]-n-(2-hydroxyethyl)butanamide Chemical compound CC(C)CCCC(C)CC1=CC=C(C(C)CC(=O)NCCO)C=C1 SRKIBXBMSGIQFP-UHFFFAOYSA-N 0.000 description 1
- NBYATBIMYLFITE-UHFFFAOYSA-N 3-[decyl(dimethyl)silyl]-n-[2-(4-methylphenyl)-1-phenylethyl]propanamide Chemical compound C=1C=CC=CC=1C(NC(=O)CC[Si](C)(C)CCCCCCCCCC)CC1=CC=C(C)C=C1 NBYATBIMYLFITE-UHFFFAOYSA-N 0.000 description 1
- RIZIYJOVNPJCDN-UHFFFAOYSA-N 3-hydroxy-4-phosphonobutanoic acid Chemical class OC(=O)CC(O)CP(O)(O)=O RIZIYJOVNPJCDN-UHFFFAOYSA-N 0.000 description 1
- OEBIVOHKFYSBPE-UHFFFAOYSA-N 4-Benzyloxybenzyl alcohol Chemical compound C1=CC(CO)=CC=C1OCC1=CC=CC=C1 OEBIVOHKFYSBPE-UHFFFAOYSA-N 0.000 description 1
- QBQLYIISSRXYKL-UHFFFAOYSA-N 4-[[4-[2-(5-methyl-2-phenyl-1,3-oxazol-4-yl)ethoxy]phenyl]methyl]-1,2-oxazolidine-3,5-dione Chemical compound CC=1OC(C=2C=CC=CC=2)=NC=1CCOC(C=C1)=CC=C1CC1C(=O)NOC1=O QBQLYIISSRXYKL-UHFFFAOYSA-N 0.000 description 1
- FUSNOPLQVRUIIM-UHFFFAOYSA-N 4-amino-2-(4,4-dimethyl-2-oxoimidazolidin-1-yl)-n-[3-(trifluoromethyl)phenyl]pyrimidine-5-carboxamide Chemical compound O=C1NC(C)(C)CN1C(N=C1N)=NC=C1C(=O)NC1=CC=CC(C(F)(F)F)=C1 FUSNOPLQVRUIIM-UHFFFAOYSA-N 0.000 description 1
- MXNQOXJLUJUCGE-UHFFFAOYSA-N 4-amino-2-(4,4-dimethyl-2-oxoimidazolidin-1-yl)-n-[3-(trifluoromethyl)phenyl]pyrimidine-5-carboxamide;hydrochloride Chemical compound Cl.O=C1NC(C)(C)CN1C(N=C1N)=NC=C1C(=O)NC1=CC=CC(C(F)(F)F)=C1 MXNQOXJLUJUCGE-UHFFFAOYSA-N 0.000 description 1
- WUBBRNOQWQTFEX-UHFFFAOYSA-N 4-aminosalicylic acid Chemical compound NC1=CC=C(C(O)=O)C(O)=C1 WUBBRNOQWQTFEX-UHFFFAOYSA-N 0.000 description 1
- 229960000549 4-dimethylaminophenol Drugs 0.000 description 1
- QZSLSNBAVPUQPW-UHFFFAOYSA-N 4-iodo-2-methyl-1-phenylmethoxybenzene Chemical compound CC1=CC(I)=CC=C1OCC1=CC=CC=C1 QZSLSNBAVPUQPW-UHFFFAOYSA-N 0.000 description 1
- VSMDINRNYYEDRN-UHFFFAOYSA-N 4-iodophenol Chemical class OC1=CC=C(I)C=C1 VSMDINRNYYEDRN-UHFFFAOYSA-N 0.000 description 1
- NFFXEUUOMTXWCX-UHFFFAOYSA-N 5-[(2,4-dioxo-1,3-thiazolidin-5-yl)methyl]-2-methoxy-n-[[4-(trifluoromethyl)phenyl]methyl]benzamide Chemical compound C1=C(C(=O)NCC=2C=CC(=CC=2)C(F)(F)F)C(OC)=CC=C1CC1SC(=O)NC1=O NFFXEUUOMTXWCX-UHFFFAOYSA-N 0.000 description 1
- HCEQQASHRRPQFE-UHFFFAOYSA-N 5-chloro-n-[2-[4-(cyclohexylcarbamoylsulfamoyl)phenyl]ethyl]-2-methoxybenzamide;3-(diaminomethylidene)-1,1-dimethylguanidine;hydrochloride Chemical compound Cl.CN(C)C(=N)N=C(N)N.COC1=CC=C(Cl)C=C1C(=O)NCCC1=CC=C(S(=O)(=O)NC(=O)NC2CCCCC2)C=C1 HCEQQASHRRPQFE-UHFFFAOYSA-N 0.000 description 1
- XVMSFILGAMDHEY-UHFFFAOYSA-N 6-(4-aminophenyl)sulfonylpyridin-3-amine Chemical compound C1=CC(N)=CC=C1S(=O)(=O)C1=CC=C(N)C=N1 XVMSFILGAMDHEY-UHFFFAOYSA-N 0.000 description 1
- VFFZWMWTUSXDCB-ZDUSSCGKSA-N 6-[2-[[2-[(2s)-2-cyanopyrrolidin-1-yl]-2-oxoethyl]amino]ethylamino]pyridine-3-carbonitrile Chemical compound N1([C@@H](CCC1)C#N)C(=O)CNCCNC1=CC=C(C#N)C=N1 VFFZWMWTUSXDCB-ZDUSSCGKSA-N 0.000 description 1
- SLXKOJJOQWFEFD-UHFFFAOYSA-N 6-aminohexanoic acid Chemical compound NCCCCCC(O)=O SLXKOJJOQWFEFD-UHFFFAOYSA-N 0.000 description 1
- 208000030507 AIDS Diseases 0.000 description 1
- DJQOOSBJCLSSEY-UHFFFAOYSA-N Acipimox Chemical compound CC1=CN=C(C(O)=O)C=[N+]1[O-] DJQOOSBJCLSSEY-UHFFFAOYSA-N 0.000 description 1
- 229920001817 Agar Polymers 0.000 description 1
- NLXLAEXVIDQMFP-UHFFFAOYSA-N Ammonia chloride Chemical class [NH4+].[Cl-] NLXLAEXVIDQMFP-UHFFFAOYSA-N 0.000 description 1
- VHUUQVKOLVNVRT-UHFFFAOYSA-N Ammonium hydroxide Chemical compound [NH4+].[OH-] VHUUQVKOLVNVRT-UHFFFAOYSA-N 0.000 description 1
- BSYNRYMUTXBXSQ-UHFFFAOYSA-N Aspirin Chemical compound CC(=O)OC1=CC=CC=C1C(O)=O BSYNRYMUTXBXSQ-UHFFFAOYSA-N 0.000 description 1
- 241000416162 Astragalus gummifer Species 0.000 description 1
- 208000023275 Autoimmune disease Diseases 0.000 description 1
- GUBGYTABKSRVRQ-DCSYEGIMSA-N Beta-Lactose Chemical compound OC[C@H]1O[C@@H](O[C@H]2[C@H](O)[C@@H](O)[C@H](O)O[C@@H]2CO)[C@H](O)[C@@H](O)[C@H]1O GUBGYTABKSRVRQ-DCSYEGIMSA-N 0.000 description 1
- XNCOSPRUTUOJCJ-UHFFFAOYSA-N Biguanide Chemical compound NC(N)=NC(N)=N XNCOSPRUTUOJCJ-UHFFFAOYSA-N 0.000 description 1
- MUTVZNJUVDFYAY-SBAGDHDGSA-M C.C1CCOC1.CC1=C(C2=C(C)C=C(C[C@@H](NC(=O)OCC3C4=C(C=CC=C4)C4=C3C=CC=C4)C(=O)O)C=C2)C=CC=C1.CC1=C(C2=C(C)C=C(C[C@H](NC(=O)OC(C)(C)C)C(=O)O)C=C2)C=CC=C1.CC1=CC(I)=CC=C1OCC1=CC=CC=C1.CC1=CC=CC=C1B(O)O.COC(=O)[C@H](CC1=CC(C)=C(C2=C(C)C=CC=C2)C=C1)NC(=O)OC(C)(C)C.COC(=O)[C@H](CC1=CC=C(O)C(C)=C1)NC(=O)OC(C)(C)C.COC(=O)[C@H](CC1=CC=C(OCC2=CC=CC=C2)C(C)=C1)NC(=O)OC(C)(C)C.COC(=O)[C@H](CC1=CC=C(OS(=O)(=O)C(F)(F)F)C(C)=C1)NC(=O)OC(C)(C)C.COC(=O)[C@H](CI)NC(=O)OC(C)(C)C.O=S(=O)(OS(=O)(=O)C(F)(F)F)C(F)(F)F.O[Na] Chemical compound C.C1CCOC1.CC1=C(C2=C(C)C=C(C[C@@H](NC(=O)OCC3C4=C(C=CC=C4)C4=C3C=CC=C4)C(=O)O)C=C2)C=CC=C1.CC1=C(C2=C(C)C=C(C[C@H](NC(=O)OC(C)(C)C)C(=O)O)C=C2)C=CC=C1.CC1=CC(I)=CC=C1OCC1=CC=CC=C1.CC1=CC=CC=C1B(O)O.COC(=O)[C@H](CC1=CC(C)=C(C2=C(C)C=CC=C2)C=C1)NC(=O)OC(C)(C)C.COC(=O)[C@H](CC1=CC=C(O)C(C)=C1)NC(=O)OC(C)(C)C.COC(=O)[C@H](CC1=CC=C(OCC2=CC=CC=C2)C(C)=C1)NC(=O)OC(C)(C)C.COC(=O)[C@H](CC1=CC=C(OS(=O)(=O)C(F)(F)F)C(C)=C1)NC(=O)OC(C)(C)C.COC(=O)[C@H](CI)NC(=O)OC(C)(C)C.O=S(=O)(OS(=O)(=O)C(F)(F)F)C(F)(F)F.O[Na] MUTVZNJUVDFYAY-SBAGDHDGSA-M 0.000 description 1
- 239000002083 C09CA01 - Losartan Substances 0.000 description 1
- 239000004072 C09CA03 - Valsartan Substances 0.000 description 1
- 239000002947 C09CA04 - Irbesartan Substances 0.000 description 1
- MRQZKUCUAKJOKO-MYXFFJBJSA-N C1=C\C2CCCC(C/1)CCC2.C1C2CC3CC1CC(C2)C3.C1CC2CCCC(C1)CCC2.C1CCC2CCCCC2C1 Chemical compound C1=C\C2CCCC(C/1)CCC2.C1C2CC3CC1CC(C2)C3.C1CC2CCCC(C1)CCC2.C1CCC2CCCCC2C1 MRQZKUCUAKJOKO-MYXFFJBJSA-N 0.000 description 1
- NLQHWKPIUDWMEJ-YFUOKXBOSA-N CC#CC1=CC=C(C[C@H](NC)C(C)=O)C=C1.CC(=O)CN(C)C.CC(=O)[C@@H]1CSCN1C.CC(=O)[C@H](C)N(C)C.CC=CC1=CC=C(C[C@H](NC)C(C)=O)C=C1.CC[C@H](NC)C(C)=O.CN[C@@H](CC(C(=O)O)C(=O)O)C(C)=O.CN[C@@H](CC1=C(C)C=C(O)C=C1C)C(C)=O.CN[C@@H](CC1=CC=C(O)C(I)=C1)C(C)=O.CN[C@@H](CC1=CC=C(O)C([N+](=O)[O-])=C1)C(C)=O.CN[C@@H](CC1=CC=CS1)C(C)=O.CN[C@@H](CC1=CSC=N1)C(C)=O.CN[C@@H](CCC(C)C)C(C)=O.CN[C@@H](CN)C(C)=O Chemical compound CC#CC1=CC=C(C[C@H](NC)C(C)=O)C=C1.CC(=O)CN(C)C.CC(=O)[C@@H]1CSCN1C.CC(=O)[C@H](C)N(C)C.CC=CC1=CC=C(C[C@H](NC)C(C)=O)C=C1.CC[C@H](NC)C(C)=O.CN[C@@H](CC(C(=O)O)C(=O)O)C(C)=O.CN[C@@H](CC1=C(C)C=C(O)C=C1C)C(C)=O.CN[C@@H](CC1=CC=C(O)C(I)=C1)C(C)=O.CN[C@@H](CC1=CC=C(O)C([N+](=O)[O-])=C1)C(C)=O.CN[C@@H](CC1=CC=CS1)C(C)=O.CN[C@@H](CC1=CSC=N1)C(C)=O.CN[C@@H](CCC(C)C)C(C)=O.CN[C@@H](CN)C(C)=O NLQHWKPIUDWMEJ-YFUOKXBOSA-N 0.000 description 1
- PQYJHDCRGCWGHS-ADAZKAJASA-N CC(=O)CCC1=CNC=N1.CCCCCC[C@H](NC)C(C)=O.CCC[C@H](NC)C(C)=O.CN[C@@H](CC1=CC=C(C2=CC=CC=C2C)C=C1)C(=O)NCCC1=C(F)C(F)=C(F)C(F)=C1F.CN[C@@H](CC1=CC=C(OCC2=CC=CC=C2)C=C1)C(C)=O.CN[C@@H](CCC1=CC=CC=C1)C(C)=O.CN[C@@H](CCCC(=O)O)C(C)=O.CN[C@@H](CCO)C(C)=O.CN[C@H](C(C)=O)[C@@H](C)O Chemical compound CC(=O)CCC1=CNC=N1.CCCCCC[C@H](NC)C(C)=O.CCC[C@H](NC)C(C)=O.CN[C@@H](CC1=CC=C(C2=CC=CC=C2C)C=C1)C(=O)NCCC1=C(F)C(F)=C(F)C(F)=C1F.CN[C@@H](CC1=CC=C(OCC2=CC=CC=C2)C=C1)C(C)=O.CN[C@@H](CCC1=CC=CC=C1)C(C)=O.CN[C@@H](CCCC(=O)O)C(C)=O.CN[C@@H](CCO)C(C)=O.CN[C@H](C(C)=O)[C@@H](C)O PQYJHDCRGCWGHS-ADAZKAJASA-N 0.000 description 1
- OGDGWHXJGMNKCX-MPDITTGVSA-N CC(=O)CCCCCN.CC(=O)CCN.CCC[C@H](N)C(C)=O Chemical compound CC(=O)CCCCCN.CC(=O)CCN.CCC[C@H](N)C(C)=O OGDGWHXJGMNKCX-MPDITTGVSA-N 0.000 description 1
- UGBZHRQCRCKCDB-PZNNYPIYSA-I CC(=O)OCC1C2=CC=CC=C2C2=C1C=CC=C2.CC(C)(C)OC(=O)NCCCC[C@H]([N-]C(=O)OCC1C2=C(C=CC=C2)C2=C1C=CC=C2)C(=O)O.CC(C)(C)OC(=O)[N-]1C=C(C[C@H]([N-]C(=O)OCC2C3=C(C=CC=C3)C3=C2C=CC=C3)C(=O)O)C2=C1C=CC=C2.CC[C@H]([N-]C(=O)OCC1C2=C(C=CC=C2)C2=C1C=CC=C2)C(=O)O.COC(C)[C@H]([N-]C(=O)OCC1C2=C(C=CC=C2)C2=C1C=CC=C2)C(=O)O.COC1=CC=C(C[C@H]([N-]C(=O)OCC2C3=C(C=CC=C3)C3=C2C=CC=C3)C(=O)O)C=C1 Chemical compound CC(=O)OCC1C2=CC=CC=C2C2=C1C=CC=C2.CC(C)(C)OC(=O)NCCCC[C@H]([N-]C(=O)OCC1C2=C(C=CC=C2)C2=C1C=CC=C2)C(=O)O.CC(C)(C)OC(=O)[N-]1C=C(C[C@H]([N-]C(=O)OCC2C3=C(C=CC=C3)C3=C2C=CC=C3)C(=O)O)C2=C1C=CC=C2.CC[C@H]([N-]C(=O)OCC1C2=C(C=CC=C2)C2=C1C=CC=C2)C(=O)O.COC(C)[C@H]([N-]C(=O)OCC1C2=C(C=CC=C2)C2=C1C=CC=C2)C(=O)O.COC1=CC=C(C[C@H]([N-]C(=O)OCC2C3=C(C=CC=C3)C3=C2C=CC=C3)C(=O)O)C=C1 UGBZHRQCRCKCDB-PZNNYPIYSA-I 0.000 description 1
- IULRDSJJZWXADG-ANNIYNITSA-N CC(=O)[C@@H](N)CC1=CN=CC=C1.N[C@H]1CCCCN(CC=O)C1=O Chemical compound CC(=O)[C@@H](N)CC1=CN=CC=C1.N[C@H]1CCCCN(CC=O)C1=O IULRDSJJZWXADG-ANNIYNITSA-N 0.000 description 1
- DNHVACWWGUWLSZ-NEOFYNRHSA-N CC(=O)[C@@]1(C)CCCN1C.CC[C@](C)(NC)C(C)=O.CNC(C)(C)C(C)=O.CNC1(C(C)=O)CC1.CN[C@@H](CC1=CC=C(C2=C3OC4=C(C=CC=C4)C3=CC=C2)C=C1)C(C)=O.CN[C@@H](CC1=CC=C(C2=C3OC4=C(C=CC=C4)SC3=CC=C2)C=C1)C(C)=O.CN[C@@H](CC1=CC=C(C2=CC3=C(C=CC=C3)O2)C=C1)C(C)=O.CN[C@@H](CC1=CC=C(C2=CN=C3C=CC=CC3=C2)C=C1)C(C)=O Chemical compound CC(=O)[C@@]1(C)CCCN1C.CC[C@](C)(NC)C(C)=O.CNC(C)(C)C(C)=O.CNC1(C(C)=O)CC1.CN[C@@H](CC1=CC=C(C2=C3OC4=C(C=CC=C4)C3=CC=C2)C=C1)C(C)=O.CN[C@@H](CC1=CC=C(C2=C3OC4=C(C=CC=C4)SC3=CC=C2)C=C1)C(C)=O.CN[C@@H](CC1=CC=C(C2=CC3=C(C=CC=C3)O2)C=C1)C(C)=O.CN[C@@H](CC1=CC=C(C2=CN=C3C=CC=CC3=C2)C=C1)C(C)=O DNHVACWWGUWLSZ-NEOFYNRHSA-N 0.000 description 1
- MHDUNHJSPQQBRJ-UHFFFAOYSA-N CC(C)(C)CC1=C(F)C(F)=C(F)C(F)=C1F.CC(C)(C)CC1=CC=CS1.CC(C)(C)CC1=CSC=C1.CC(C)(C)CCCCCO Chemical compound CC(C)(C)CC1=C(F)C(F)=C(F)C(F)=C1F.CC(C)(C)CC1=CC=CS1.CC(C)(C)CC1=CSC=C1.CC(C)(C)CCCCCO MHDUNHJSPQQBRJ-UHFFFAOYSA-N 0.000 description 1
- RDEZKPMTAJWCTB-UHFFFAOYSA-N CC(C)(C)CC1=C2C=CC=CC2=CC2=CC=CC=C21.CC(C)(C)CC1=CC2=CC=CC=C2C=C1.CC(C)(C)CC1=CC=C(C2=CC=CC=C2)C=C1.CC(C)(C)CC1=CC=CC=C1 Chemical compound CC(C)(C)CC1=C2C=CC=CC2=CC2=CC=CC=C21.CC(C)(C)CC1=CC2=CC=CC=C2C=C1.CC(C)(C)CC1=CC=C(C2=CC=CC=C2)C=C1.CC(C)(C)CC1=CC=CC=C1 RDEZKPMTAJWCTB-UHFFFAOYSA-N 0.000 description 1
- OFQRLMYFSDEKMQ-UHFFFAOYSA-N CC(C)(C)CC1=CC=C(F)C=C1.CC(C)(C)CC1CCCCC1.CC1=CC=C(CC(C)(C)C)C=C1.CCCC(C)(C)C.CCCCCCC(C)(C)C Chemical compound CC(C)(C)CC1=CC=C(F)C=C1.CC(C)(C)CC1CCCCC1.CC1=CC=C(CC(C)(C)C)C=C1.CCCC(C)(C)C.CCCCCCC(C)(C)C OFQRLMYFSDEKMQ-UHFFFAOYSA-N 0.000 description 1
- CYGLSUQWJFPMAW-NCNXVUMPSA-N CC(C)(C)CCN.CC(C)(C)C[C@@H](N)CC1=CC=CC=C1.C[C@H](N)CC(C)(C)C Chemical compound CC(C)(C)CCN.CC(C)(C)C[C@@H](N)CC1=CC=CC=C1.C[C@H](N)CC(C)(C)C CYGLSUQWJFPMAW-NCNXVUMPSA-N 0.000 description 1
- DGVJZCLRMRLXPB-RNFZOYBASA-F CC1=C(C)C(S(=O)(=O)/N=C(\N)NCCC[C@@H]([N-]C(=O)OCC2C3=C(C=CC=C3)C3=C2C=CC=C3)C(=O)O)=C(C)C2=C1OC(C)(C)CC2.CC1=C(C)C(S(=O)(=O)/N=C(\N)NCCC[C@H]([N-]C(=O)OCC2C3=C(C=CC=C3)C3=C2C=CC=C3)C(=O)O)=C(C)C2=C1OC(C)(C)C2.COC(=O)CC[C@H]([N-]C(=O)OCC1C2=C(C=CC=C2)C2=C1C=CC=C2)C(=O)O.COC(=O)C[C@H]([N-]C(=O)OCC1C2=C(C=CC=C2)C2=C1C=CC=C2)C(=O)O.O=C(CC[C@H]([N-]C(=O)OCC1C2=C(C=CC=C2)C2=C1C=CC=C2)C(=O)O)NC(C1=CC=CC=C1)(C1=CC=CC=C1)C1=CC=CC=C1.O=C(C[C@H]([N-]C(=O)OCC1C2=C(C=CC=C2)C2=C1C=CC=C2)C(=O)O)NC(C1=CC=CC=C1)(C1=CC=CC=C1)C1=CC=CC=C1.O=C([N-][C@@H](CC1=CN(C(C2=CC=CC=C2)(C2=CC=CC=C2)C2=CC=CC=C2)C=N1)C(=O)O)OCC1C2=C(C=CC=C2)C2=C1C=CC=C2.O=C([N-][C@@H](C[SH-]C(C1=CC=CC=C1)(C1=CC=CC=C1)C1=CC=CC=C1)C(=O)O)OCC1C2=C(C=CC=C2)C2=C1C=CC=C2 Chemical compound CC1=C(C)C(S(=O)(=O)/N=C(\N)NCCC[C@@H]([N-]C(=O)OCC2C3=C(C=CC=C3)C3=C2C=CC=C3)C(=O)O)=C(C)C2=C1OC(C)(C)CC2.CC1=C(C)C(S(=O)(=O)/N=C(\N)NCCC[C@H]([N-]C(=O)OCC2C3=C(C=CC=C3)C3=C2C=CC=C3)C(=O)O)=C(C)C2=C1OC(C)(C)C2.COC(=O)CC[C@H]([N-]C(=O)OCC1C2=C(C=CC=C2)C2=C1C=CC=C2)C(=O)O.COC(=O)C[C@H]([N-]C(=O)OCC1C2=C(C=CC=C2)C2=C1C=CC=C2)C(=O)O.O=C(CC[C@H]([N-]C(=O)OCC1C2=C(C=CC=C2)C2=C1C=CC=C2)C(=O)O)NC(C1=CC=CC=C1)(C1=CC=CC=C1)C1=CC=CC=C1.O=C(C[C@H]([N-]C(=O)OCC1C2=C(C=CC=C2)C2=C1C=CC=C2)C(=O)O)NC(C1=CC=CC=C1)(C1=CC=CC=C1)C1=CC=CC=C1.O=C([N-][C@@H](CC1=CN(C(C2=CC=CC=C2)(C2=CC=CC=C2)C2=CC=CC=C2)C=N1)C(=O)O)OCC1C2=C(C=CC=C2)C2=C1C=CC=C2.O=C([N-][C@@H](C[SH-]C(C1=CC=CC=C1)(C1=CC=CC=C1)C1=CC=CC=C1)C(=O)O)OCC1C2=C(C=CC=C2)C2=C1C=CC=C2 DGVJZCLRMRLXPB-RNFZOYBASA-F 0.000 description 1
- PMABDVYDDWWPIC-UHFFFAOYSA-N CC1=C(C2=CC=C(CC(N)C(=O)O)C=C2)C=CC=C1.CC1=C(C2=CC=C(CC(NC(=O)OC(C)(C)C)C(=O)O)C=C2)C=CC=C1.CC1=C(C2=CC=C(CC(NC(=O)OCC3C4=C(C=CC=C4)C4=C3C=CC=C4)C(=O)O)C=C2)C=CC=C1.COC(=O)C(CC1=CC=C(C2=C(C)C=CC=C2)C=C1)NC(=O)OC(C)(C)C.COC(=O)C(CC1=CC=C(O)C=C1)NC(=O)OC(C)(C)C.COC(=O)C(CC1=CC=C(O)C=C1)NC(=O)OC(C)(C)C.Cl Chemical compound CC1=C(C2=CC=C(CC(N)C(=O)O)C=C2)C=CC=C1.CC1=C(C2=CC=C(CC(NC(=O)OC(C)(C)C)C(=O)O)C=C2)C=CC=C1.CC1=C(C2=CC=C(CC(NC(=O)OCC3C4=C(C=CC=C4)C4=C3C=CC=C4)C(=O)O)C=C2)C=CC=C1.COC(=O)C(CC1=CC=C(C2=C(C)C=CC=C2)C=C1)NC(=O)OC(C)(C)C.COC(=O)C(CC1=CC=C(O)C=C1)NC(=O)OC(C)(C)C.COC(=O)C(CC1=CC=C(O)C=C1)NC(=O)OC(C)(C)C.Cl PMABDVYDDWWPIC-UHFFFAOYSA-N 0.000 description 1
- NEMFNOHRHMQTQO-IVHWNUIRSA-N CCC1=C(C2=CC=C(C[C@H](NC)C(C)=O)C=C2)C=C2OCOC2=C1.CNC(C)(CC1=CC=CC=C1)C(C)=O.CNC(CC1=CC=C(C2=CC=CC=C2)C=C1)C(C)=O.CNC(CC1=CC=CC=C1)C(C)=O.CN[C@@H](CC1=CC=C(C2=CC3=C(C=C2)OCO3)C=C1)C(C)=O.CN[C@@H](CC1=CC=C(C2=CC3=C(C=CC=C3)C=C2)C=C1)C(C)=O Chemical compound CCC1=C(C2=CC=C(C[C@H](NC)C(C)=O)C=C2)C=C2OCOC2=C1.CNC(C)(CC1=CC=CC=C1)C(C)=O.CNC(CC1=CC=C(C2=CC=CC=C2)C=C1)C(C)=O.CNC(CC1=CC=CC=C1)C(C)=O.CN[C@@H](CC1=CC=C(C2=CC3=C(C=C2)OCO3)C=C1)C(C)=O.CN[C@@H](CC1=CC=C(C2=CC3=C(C=CC=C3)C=C2)C=C1)C(C)=O NEMFNOHRHMQTQO-IVHWNUIRSA-N 0.000 description 1
- WSDNBMKGZMYIQU-UHFFFAOYSA-N CC[Y]C Chemical compound CC[Y]C WSDNBMKGZMYIQU-UHFFFAOYSA-N 0.000 description 1
- HSBMARRIDBOBKB-UHFFFAOYSA-N CN.COC1=CC=C(C(NC(=O)OCC2C3=C(C=CC=C3)C3=C2C=CC=C3)C2=CC=C(OCC(=O)CNC(C3=CC=CC=C3)C3=CC=C(C)C=C3)C=C2)C(OC)=C1 Chemical compound CN.COC1=CC=C(C(NC(=O)OCC2C3=C(C=CC=C3)C3=C2C=CC=C3)C2=CC=C(OCC(=O)CNC(C3=CC=CC=C3)C3=CC=C(C)C=C3)C=C2)C(OC)=C1 HSBMARRIDBOBKB-UHFFFAOYSA-N 0.000 description 1
- GLIVEQQXNAVOES-MNHBYHHDSA-N CNCCCC(C)=O.CN[C@@H](CC1=CC2=C(C=CC=C2)C=C1)C(C)=O.CN[C@@H](COCC1=CC=CC=C1)C(C)=O Chemical compound CNCCCC(C)=O.CN[C@@H](CC1=CC2=C(C=CC=C2)C=C1)C(C)=O.CN[C@@H](COCC1=CC=CC=C1)C(C)=O GLIVEQQXNAVOES-MNHBYHHDSA-N 0.000 description 1
- RWDCXYAWHJYYFU-UHFFFAOYSA-N CNCCCCC(C)=O Chemical compound CNCCCCC(C)=O RWDCXYAWHJYYFU-UHFFFAOYSA-N 0.000 description 1
- PHZHOJSWXROGBE-KXHLAVNOSA-N CN[C@@H](CC1=CC2=C(C=C1)C1=C(C=CC=C1)C2)C(C)=O.CN[C@@H](CC1=CC2=C(C=C1)C1=C(C=CC=C1)CC2)C(C)=O.CN[C@@H](CC1=CC=C(C2=CC(NC(C)=O)=CC=C2)C=C1)C(C)=O.CN[C@@H](CC1=CC=C(C2=CN=CC=C2)C=C1)C(C)=O.CN[C@@H](CC1=CC=C(C2=CSC=C2)C=C1)C(C)=O Chemical compound CN[C@@H](CC1=CC2=C(C=C1)C1=C(C=CC=C1)C2)C(C)=O.CN[C@@H](CC1=CC2=C(C=C1)C1=C(C=CC=C1)CC2)C(C)=O.CN[C@@H](CC1=CC=C(C2=CC(NC(C)=O)=CC=C2)C=C1)C(C)=O.CN[C@@H](CC1=CC=C(C2=CN=CC=C2)C=C1)C(C)=O.CN[C@@H](CC1=CC=C(C2=CSC=C2)C=C1)C(C)=O PHZHOJSWXROGBE-KXHLAVNOSA-N 0.000 description 1
- KKVWHNAKUHVOTD-OMBRLVIOSA-N CN[C@@H](CC1=CC=C(C2=C(C)ON=C2C)C=C1)C(C)=O.CN[C@@H](CC1=CC=C(C2=C3C=CC=CC3=CC=C2)C=C1)C(C)=O.CN[C@@H](CC1=CC=C(C2=CC3=C(C=CC=C3)S2)C=C1)C(C)=O.CN[C@@H](CC1=CC=C(C2=CN=C(OC)N=C2OC)C=C1)C(C)=O Chemical compound CN[C@@H](CC1=CC=C(C2=C(C)ON=C2C)C=C1)C(C)=O.CN[C@@H](CC1=CC=C(C2=C3C=CC=CC3=CC=C2)C=C1)C(C)=O.CN[C@@H](CC1=CC=C(C2=CC3=C(C=CC=C3)S2)C=C1)C(C)=O.CN[C@@H](CC1=CC=C(C2=CN=C(OC)N=C2OC)C=C1)C(C)=O KKVWHNAKUHVOTD-OMBRLVIOSA-N 0.000 description 1
- 229940127291 Calcium channel antagonist Drugs 0.000 description 1
- 229920002134 Carboxymethyl cellulose Polymers 0.000 description 1
- 208000024172 Cardiovascular disease Diseases 0.000 description 1
- 208000002177 Cataract Diseases 0.000 description 1
- RKWGIWYCVPQPMF-UHFFFAOYSA-N Chloropropamide Chemical compound CCCNC(=O)NS(=O)(=O)C1=CC=C(Cl)C=C1 RKWGIWYCVPQPMF-UHFFFAOYSA-N 0.000 description 1
- 229940122502 Cholesterol absorption inhibitor Drugs 0.000 description 1
- 229920001268 Cholestyramine Polymers 0.000 description 1
- KPSRODZRAIWAKH-JTQLQIEISA-N Ciprofibrate Natural products C1=CC(OC(C)(C)C(O)=O)=CC=C1[C@H]1C(Cl)(Cl)C1 KPSRODZRAIWAKH-JTQLQIEISA-N 0.000 description 1
- BMOVQUBVGICXQN-UHFFFAOYSA-N Clinofibrate Chemical compound C1=CC(OC(C)(CC)C(O)=O)=CC=C1C1(C=2C=CC(OC(C)(CC)C(O)=O)=CC=2)CCCCC1 BMOVQUBVGICXQN-UHFFFAOYSA-N 0.000 description 1
- 208000015943 Coeliac disease Diseases 0.000 description 1
- 229920002911 Colestipol Polymers 0.000 description 1
- 206010009900 Colitis ulcerative Diseases 0.000 description 1
- 241000699800 Cricetinae Species 0.000 description 1
- 208000011231 Crohn disease Diseases 0.000 description 1
- XZMCDFZZKTWFGF-UHFFFAOYSA-N Cyanamide Chemical compound NC#N XZMCDFZZKTWFGF-UHFFFAOYSA-N 0.000 description 1
- DCXYFEDJOCDNAF-UWTATZPHSA-N D-Asparagine Chemical group OC(=O)[C@H](N)CC(N)=O DCXYFEDJOCDNAF-UWTATZPHSA-N 0.000 description 1
- FBPFZTCFMRRESA-KVTDHHQDSA-N D-Mannitol Chemical compound OC[C@@H](O)[C@@H](O)[C@H](O)[C@H](O)CO FBPFZTCFMRRESA-KVTDHHQDSA-N 0.000 description 1
- CKLJMWTZIZZHCS-UHFFFAOYSA-N D-OH-Asp Natural products OC(=O)C(N)CC(O)=O CKLJMWTZIZZHCS-UHFFFAOYSA-N 0.000 description 1
- MTCFGRXMJLQNBG-UWTATZPHSA-N D-Serine Chemical group OC[C@@H](N)C(O)=O MTCFGRXMJLQNBG-UWTATZPHSA-N 0.000 description 1
- QNAYBMKLOCPYGJ-UWTATZPHSA-N D-alanine Chemical group C[C@@H](N)C(O)=O QNAYBMKLOCPYGJ-UWTATZPHSA-N 0.000 description 1
- CKLJMWTZIZZHCS-UWTATZPHSA-N D-aspartic acid Chemical compound OC(=O)[C@H](N)CC(O)=O CKLJMWTZIZZHCS-UWTATZPHSA-N 0.000 description 1
- FBPFZTCFMRRESA-JGWLITMVSA-N D-glucitol Chemical compound OC[C@H](O)[C@@H](O)[C@H](O)[C@H](O)CO FBPFZTCFMRRESA-JGWLITMVSA-N 0.000 description 1
- HPJYKMSFRBJOSW-JHSUYXJUSA-N Damsin Chemical compound C[C@H]1CC[C@H]2C(=C)C(=O)O[C@H]2[C@]2(C)C(=O)CC[C@@H]12 HPJYKMSFRBJOSW-JHSUYXJUSA-N 0.000 description 1
- 235000019739 Dicalciumphosphate Nutrition 0.000 description 1
- 108010067722 Dipeptidyl Peptidase 4 Proteins 0.000 description 1
- 102100025012 Dipeptidyl peptidase 4 Human genes 0.000 description 1
- SNRUBQQJIBEYMU-UHFFFAOYSA-N Dodecane Natural products CCCCCCCCCCCC SNRUBQQJIBEYMU-UHFFFAOYSA-N 0.000 description 1
- 239000006144 Dulbecco’s modified Eagle's medium Substances 0.000 description 1
- 108010061435 Enalapril Proteins 0.000 description 1
- HTQBXNHDCUEHJF-XWLPCZSASA-N Exenatide Chemical compound C([C@@H](C(=O)N[C@@H]([C@@H](C)CC)C(=O)N[C@@H](CCC(O)=O)C(=O)N[C@@H](CC=1C2=CC=CC=C2NC=1)C(=O)N[C@@H](CC(C)C)C(=O)N[C@@H](CCCCN)C(=O)N[C@@H](CC(N)=O)C(=O)NCC(=O)NCC(=O)N1[C@@H](CCC1)C(=O)N[C@@H](CO)C(=O)N[C@@H](CO)C(=O)NCC(=O)N[C@@H](C)C(=O)N1[C@@H](CCC1)C(=O)N1[C@@H](CCC1)C(=O)N1[C@@H](CCC1)C(=O)N[C@@H](CO)C(N)=O)NC(=O)[C@H](CC(C)C)NC(=O)[C@H](CCCNC(N)=N)NC(=O)[C@@H](NC(=O)[C@H](C)NC(=O)[C@H](CCC(O)=O)NC(=O)[C@H](CCC(O)=O)NC(=O)[C@H](CCC(O)=O)NC(=O)[C@H](CCSC)NC(=O)[C@H](CCC(N)=O)NC(=O)[C@H](CCCCN)NC(=O)[C@H](CO)NC(=O)[C@H](CC(C)C)NC(=O)[C@H](CC(O)=O)NC(=O)[C@H](CO)NC(=O)[C@@H](NC(=O)[C@H](CC=1C=CC=CC=1)NC(=O)[C@@H](NC(=O)CNC(=O)[C@H](CCC(O)=O)NC(=O)CNC(=O)[C@@H](N)CC=1NC=NC=1)[C@@H](C)O)[C@@H](C)O)C(C)C)C1=CC=CC=C1 HTQBXNHDCUEHJF-XWLPCZSASA-N 0.000 description 1
- 102000030914 Fatty Acid-Binding Human genes 0.000 description 1
- 208000036119 Frailty Diseases 0.000 description 1
- 102000003688 G-Protein-Coupled Receptors Human genes 0.000 description 1
- 108090000045 G-Protein-Coupled Receptors Proteins 0.000 description 1
- GGUVRMBIEPYOKL-WMVCGJOFSA-N GW 409544 Chemical compound C([C@H](NC(/C)=C\C(=O)C=1C=CC=CC=1)C(O)=O)C(C=C1)=CC=C1OCCC(=C(O1)C)N=C1C1=CC=CC=C1 GGUVRMBIEPYOKL-WMVCGJOFSA-N 0.000 description 1
- 108010016122 Ghrelin Receptors Proteins 0.000 description 1
- 108010088406 Glucagon-Like Peptides Proteins 0.000 description 1
- 102400000322 Glucagon-like peptide 1 Human genes 0.000 description 1
- 102100032882 Glucagon-like peptide 1 receptor Human genes 0.000 description 1
- FAEKWTJYAYMJKF-QHCPKHFHSA-N GlucoNorm Chemical compound C1=C(C(O)=O)C(OCC)=CC(CC(=O)N[C@@H](CC(C)C)C=2C(=CC=CC=2)N2CCCCC2)=C1 FAEKWTJYAYMJKF-QHCPKHFHSA-N 0.000 description 1
- 102000004366 Glucosidases Human genes 0.000 description 1
- 108010056771 Glucosidases Proteins 0.000 description 1
- QMXOFBXZEKTJIK-UHFFFAOYSA-N Glycinol Natural products C1=C(O)C=C2OCC3(O)C4=CC=C(O)C=C4OC3C2=C1 QMXOFBXZEKTJIK-UHFFFAOYSA-N 0.000 description 1
- 102000007390 Glycogen Phosphorylase Human genes 0.000 description 1
- 108010046163 Glycogen Phosphorylase Proteins 0.000 description 1
- 102100039256 Growth hormone secretagogue receptor type 1 Human genes 0.000 description 1
- 229910004373 HOAc Inorganic materials 0.000 description 1
- 101000788682 Homo sapiens GATA-type zinc finger protein 1 Proteins 0.000 description 1
- 101000886868 Homo sapiens Gastric inhibitory polypeptide Proteins 0.000 description 1
- 101001015516 Homo sapiens Glucagon-like peptide 1 receptor Proteins 0.000 description 1
- 102000004286 Hydroxymethylglutaryl CoA Reductases Human genes 0.000 description 1
- 108090000895 Hydroxymethylglutaryl CoA Reductases Proteins 0.000 description 1
- PMMYEEVYMWASQN-DMTCNVIQSA-N Hydroxyproline Chemical compound O[C@H]1CN[C@H](C(O)=O)C1 PMMYEEVYMWASQN-DMTCNVIQSA-N 0.000 description 1
- 208000035150 Hypercholesterolemia Diseases 0.000 description 1
- 206010061218 Inflammation Diseases 0.000 description 1
- 229940122199 Insulin secretagogue Drugs 0.000 description 1
- 206010067745 Intestinal mucosal atrophy Diseases 0.000 description 1
- 102000036770 Islet Amyloid Polypeptide Human genes 0.000 description 1
- 108010041872 Islet Amyloid Polypeptide Proteins 0.000 description 1
- PMRVFZXOCRHXFE-FMEJWYFOSA-L Kad 1229 Chemical compound [Ca+2].C([C@@H](CC(=O)N1C[C@@H]2CCCC[C@@H]2C1)C(=O)[O-])C1=CC=CC=C1.C([C@@H](CC(=O)N1C[C@@H]2CCCC[C@@H]2C1)C(=O)[O-])C1=CC=CC=C1 PMRVFZXOCRHXFE-FMEJWYFOSA-L 0.000 description 1
- XUJNEKJLAYXESH-REOHCLBHSA-N L-Cysteine Chemical compound SC[C@H](N)C(O)=O XUJNEKJLAYXESH-REOHCLBHSA-N 0.000 description 1
- QNAYBMKLOCPYGJ-REOHCLBHSA-N L-alanine Chemical group C[C@H](N)C(O)=O QNAYBMKLOCPYGJ-REOHCLBHSA-N 0.000 description 1
- ODKSFYDXXFIFQN-BYPYZUCNSA-N L-arginine Chemical compound OC(=O)[C@@H](N)CCCN=C(N)N ODKSFYDXXFIFQN-BYPYZUCNSA-N 0.000 description 1
- ZDXPYRJPNDTMRX-VKHMYHEASA-N L-glutamine Chemical compound OC(=O)[C@@H](N)CCC(N)=O ZDXPYRJPNDTMRX-VKHMYHEASA-N 0.000 description 1
- 229930182816 L-glutamine Natural products 0.000 description 1
- FFEARJCKVFRZRR-BYPYZUCNSA-N L-methionine Chemical compound CSCC[C@H](N)C(O)=O FFEARJCKVFRZRR-BYPYZUCNSA-N 0.000 description 1
- OBSIQMZKFXFYLV-QMMMGPOBSA-N L-phenylalanine amide Chemical compound NC(=O)[C@@H](N)CC1=CC=CC=C1 OBSIQMZKFXFYLV-QMMMGPOBSA-N 0.000 description 1
- JLSKPBDKNIXMBS-VIFPVBQESA-N L-tryptophanamide Chemical compound C1=CC=C2C(C[C@H](N)C(N)=O)=CNC2=C1 JLSKPBDKNIXMBS-VIFPVBQESA-N 0.000 description 1
- QIVBCDIJIAJPQS-VIFPVBQESA-N L-tryptophane Chemical compound C1=CC=C2C(C[C@H](N)C(O)=O)=CNC2=C1 QIVBCDIJIAJPQS-VIFPVBQESA-N 0.000 description 1
- 125000000510 L-tryptophano group Chemical group [H]C1=C([H])C([H])=C2N([H])C([H])=C(C([H])([H])[C@@]([H])(C(O[H])=O)N([H])[*])C2=C1[H] 0.000 description 1
- 102000007330 LDL Lipoproteins Human genes 0.000 description 1
- 108010007622 LDL Lipoproteins Proteins 0.000 description 1
- 102000000853 LDL receptors Human genes 0.000 description 1
- 108010001831 LDL receptors Proteins 0.000 description 1
- 235000010643 Leucaena leucocephala Nutrition 0.000 description 1
- 240000007472 Leucaena leucocephala Species 0.000 description 1
- 229910010084 LiAlH4 Inorganic materials 0.000 description 1
- 229940127470 Lipase Inhibitors Drugs 0.000 description 1
- 229940086609 Lipase inhibitor Drugs 0.000 description 1
- 102000004895 Lipoproteins Human genes 0.000 description 1
- 108090001030 Lipoproteins Proteins 0.000 description 1
- 108010019598 Liraglutide Proteins 0.000 description 1
- 108010007859 Lisinopril Proteins 0.000 description 1
- 229930195725 Mannitol Natural products 0.000 description 1
- ZPXSCAKFGYXMGA-UHFFFAOYSA-N Mazindol Chemical compound N12CCN=C2C2=CC=CC=C2C1(O)C1=CC=C(Cl)C=C1 ZPXSCAKFGYXMGA-UHFFFAOYSA-N 0.000 description 1
- CESYKOGBSMNBPD-UHFFFAOYSA-N Methyclothiazide Chemical compound ClC1=C(S(N)(=O)=O)C=C2S(=O)(=O)N(C)C(CCl)NC2=C1 CESYKOGBSMNBPD-UHFFFAOYSA-N 0.000 description 1
- 229920000168 Microcrystalline cellulose Polymers 0.000 description 1
- 208000026940 Microvillus inclusion disease Diseases 0.000 description 1
- IBAQFPQHRJAVAV-ULAWRXDQSA-N Miglitol Chemical compound OCCN1C[C@H](O)[C@@H](O)[C@H](O)[C@H]1CO IBAQFPQHRJAVAV-ULAWRXDQSA-N 0.000 description 1
- PCZOHLXUXFIOCF-UHFFFAOYSA-N Monacolin X Natural products C12C(OC(=O)C(C)CC)CC(C)C=C2C=CC(C)C1CCC1CC(O)CC(=O)O1 PCZOHLXUXFIOCF-UHFFFAOYSA-N 0.000 description 1
- 230000006181 N-acylation Effects 0.000 description 1
- RTHCYVBBDHJXIQ-UHFFFAOYSA-N N-methyl-3-phenyl-3-[4-(trifluoromethyl)phenoxy]propan-1-amine Chemical compound C=1C=CC=CC=1C(CCNC)OC1=CC=C(C(F)(F)F)C=C1 RTHCYVBBDHJXIQ-UHFFFAOYSA-N 0.000 description 1
- 150000001204 N-oxides Chemical class 0.000 description 1
- 125000001429 N-terminal alpha-amino-acid group Chemical group 0.000 description 1
- 229930193140 Neomycin Natural products 0.000 description 1
- 102400000064 Neuropeptide Y Human genes 0.000 description 1
- KAFHLONDOVSENM-HNNXBMFYSA-N O-Benzyl-L-tyrosine Chemical compound C1=CC(C[C@H](N)C(O)=O)=CC=C1OCC1=CC=CC=C1 KAFHLONDOVSENM-HNNXBMFYSA-N 0.000 description 1
- 150000007930 O-acyl isoureas Chemical class 0.000 description 1
- REYJJPSVUYRZGE-UHFFFAOYSA-N Octadecylamine Chemical compound CCCCCCCCCCCCCCCCCCN REYJJPSVUYRZGE-UHFFFAOYSA-N 0.000 description 1
- 241000283973 Oryctolagus cuniculus Species 0.000 description 1
- 208000001132 Osteoporosis Diseases 0.000 description 1
- ZCQWOFVYLHDMMC-UHFFFAOYSA-N Oxazole Chemical compound C1=COC=N1 ZCQWOFVYLHDMMC-UHFFFAOYSA-N 0.000 description 1
- 102100041030 Pancreas/duodenum homeobox protein 1 Human genes 0.000 description 1
- 101710144033 Pancreas/duodenum homeobox protein 1 Proteins 0.000 description 1
- 102100038831 Peroxisome proliferator-activated receptor alpha Human genes 0.000 description 1
- 102100038825 Peroxisome proliferator-activated receptor gamma Human genes 0.000 description 1
- OGNKZWAQLJPNLL-STQMWFEESA-N Phe(4-NO2)-Gln Chemical compound NC(=O)CC[C@@H](C(O)=O)NC(=O)[C@@H](NC(=O)C)CC1=CC=C([N+]([O-])=O)C=C1 OGNKZWAQLJPNLL-STQMWFEESA-N 0.000 description 1
- BELBBZDIHDAJOR-UHFFFAOYSA-N Phenolsulfonephthalein Chemical compound C1=CC(O)=CC=C1C1(C=2C=CC(O)=CC=2)C2=CC=CC=C2S(=O)(=O)O1 BELBBZDIHDAJOR-UHFFFAOYSA-N 0.000 description 1
- 239000002202 Polyethylene glycol Substances 0.000 description 1
- 229920001710 Polyorthoester Polymers 0.000 description 1
- CYLWJCABXYDINA-UHFFFAOYSA-N Polythiazide Polymers ClC1=C(S(N)(=O)=O)C=C2S(=O)(=O)N(C)C(CSCC(F)(F)F)NC2=C1 CYLWJCABXYDINA-UHFFFAOYSA-N 0.000 description 1
- 229910019020 PtO2 Inorganic materials 0.000 description 1
- CZPWVGJYEJSRLH-UHFFFAOYSA-N Pyrimidine Chemical compound C1=CN=CN=C1 CZPWVGJYEJSRLH-UHFFFAOYSA-N 0.000 description 1
- AJLFOPYRIVGYMJ-UHFFFAOYSA-N SJ000287055 Natural products C12C(OC(=O)C(C)CC)CCC=C2C=CC(C)C1CCC1CC(O)CC(=O)O1 AJLFOPYRIVGYMJ-UHFFFAOYSA-N 0.000 description 1
- 229920005654 Sephadex Polymers 0.000 description 1
- 239000012507 Sephadex™ Substances 0.000 description 1
- VMHLLURERBWHNL-UHFFFAOYSA-M Sodium acetate Chemical compound [Na+].CC([O-])=O VMHLLURERBWHNL-UHFFFAOYSA-M 0.000 description 1
- DWAQJAXMDSEUJJ-UHFFFAOYSA-M Sodium bisulfite Chemical compound [Na+].OS([O-])=O DWAQJAXMDSEUJJ-UHFFFAOYSA-M 0.000 description 1
- BCKXLBQYZLBQEK-KVVVOXFISA-M Sodium oleate Chemical compound [Na+].CCCCCCCC\C=C/CCCCCCCC([O-])=O BCKXLBQYZLBQEK-KVVVOXFISA-M 0.000 description 1
- 229940123518 Sodium/glucose cotransporter 2 inhibitor Drugs 0.000 description 1
- 235000021355 Stearic acid Nutrition 0.000 description 1
- 208000007107 Stomach Ulcer Diseases 0.000 description 1
- CZMRCDWAGMRECN-UGDNZRGBSA-N Sucrose Chemical compound O[C@H]1[C@H](O)[C@@H](CO)O[C@@]1(CO)O[C@@H]1[C@H](O)[C@@H](O)[C@H](O)[C@@H](CO)O1 CZMRCDWAGMRECN-UGDNZRGBSA-N 0.000 description 1
- 229930006000 Sucrose Natural products 0.000 description 1
- 229920001615 Tragacanth Polymers 0.000 description 1
- 102000040945 Transcription factor Human genes 0.000 description 1
- 108091023040 Transcription factor Proteins 0.000 description 1
- 206010067584 Type 1 diabetes mellitus Diseases 0.000 description 1
- 201000006704 Ulcerative Colitis Diseases 0.000 description 1
- KZSNJWFQEVHDMF-UHFFFAOYSA-N Valine Chemical compound CC(C)C(N)C(O)=O KZSNJWFQEVHDMF-UHFFFAOYSA-N 0.000 description 1
- 240000008042 Zea mays Species 0.000 description 1
- 235000005824 Zea mays ssp. parviglumis Nutrition 0.000 description 1
- 235000002017 Zea mays subsp mays Nutrition 0.000 description 1
- 201000000690 abdominal obesity-metabolic syndrome Diseases 0.000 description 1
- 229940056213 abilify Drugs 0.000 description 1
- 230000002159 abnormal effect Effects 0.000 description 1
- 238000002835 absorbance Methods 0.000 description 1
- 229960002632 acarbose Drugs 0.000 description 1
- XUFXOAAUWZOOIT-UHFFFAOYSA-N acarviostatin I01 Natural products OC1C(O)C(NC2C(C(O)C(O)C(CO)=C2)O)C(C)OC1OC(C(C1O)O)C(CO)OC1OC1C(CO)OC(O)C(O)C1O XUFXOAAUWZOOIT-UHFFFAOYSA-N 0.000 description 1
- DPXJVFZANSGRMM-UHFFFAOYSA-N acetic acid;2,3,4,5,6-pentahydroxyhexanal;sodium Chemical compound [Na].CC(O)=O.OCC(O)C(O)C(O)C(O)C=O DPXJVFZANSGRMM-UHFFFAOYSA-N 0.000 description 1
- 229960001138 acetylsalicylic acid Drugs 0.000 description 1
- 239000002253 acid Substances 0.000 description 1
- DFDGRKNOFOJBAJ-UHFFFAOYSA-N acifran Chemical compound C=1C=CC=CC=1C1(C)OC(C(O)=O)=CC1=O DFDGRKNOFOJBAJ-UHFFFAOYSA-N 0.000 description 1
- 229950000146 acifran Drugs 0.000 description 1
- 229960003526 acipimox Drugs 0.000 description 1
- 239000011149 active material Substances 0.000 description 1
- 230000010933 acylation Effects 0.000 description 1
- 238000005917 acylation reaction Methods 0.000 description 1
- YKIOKAURTKXMSB-UHFFFAOYSA-N adams's catalyst Chemical compound O=[Pt]=O YKIOKAURTKXMSB-UHFFFAOYSA-N 0.000 description 1
- 239000008272 agar Substances 0.000 description 1
- 235000010419 agar Nutrition 0.000 description 1
- 230000008484 agonism Effects 0.000 description 1
- 235000004279 alanine Nutrition 0.000 description 1
- XSDQTOBWRPYKKA-UHFFFAOYSA-N amiloride Chemical compound NC(=N)NC(=O)C1=NC(Cl)=C(N)N=C1N XSDQTOBWRPYKKA-UHFFFAOYSA-N 0.000 description 1
- 229960002576 amiloride Drugs 0.000 description 1
- 229920003180 amino resin Polymers 0.000 description 1
- 229960004909 aminosalicylic acid Drugs 0.000 description 1
- HTIQEAQVCYTUBX-UHFFFAOYSA-N amlodipine Chemical compound CCOC(=O)C1=C(COCCN)NC(C)=C(C(=O)OC)C1C1=CC=CC=C1Cl HTIQEAQVCYTUBX-UHFFFAOYSA-N 0.000 description 1
- 229960000528 amlodipine Drugs 0.000 description 1
- 239000000908 ammonium hydroxide Substances 0.000 description 1
- 239000002333 angiotensin II receptor antagonist Substances 0.000 description 1
- 238000010171 animal model Methods 0.000 description 1
- 239000002259 anti human immunodeficiency virus agent Substances 0.000 description 1
- 230000003262 anti-osteoporosis Effects 0.000 description 1
- 230000003064 anti-oxidating effect Effects 0.000 description 1
- 229940127226 anticholesterol agent Drugs 0.000 description 1
- 239000003146 anticoagulant agent Substances 0.000 description 1
- 229940058303 antinematodal benzimidazole derivative Drugs 0.000 description 1
- 230000003078 antioxidant effect Effects 0.000 description 1
- 229960004676 antithrombotic agent Drugs 0.000 description 1
- 239000008346 aqueous phase Substances 0.000 description 1
- 239000007900 aqueous suspension Substances 0.000 description 1
- 229960004372 aripiprazole Drugs 0.000 description 1
- 125000006615 aromatic heterocyclic group Chemical group 0.000 description 1
- 238000003491 array Methods 0.000 description 1
- 206010003246 arthritis Diseases 0.000 description 1
- 150000003975 aryl alkyl amines Chemical class 0.000 description 1
- 150000001543 aryl boronic acids Chemical class 0.000 description 1
- 235000010323 ascorbic acid Nutrition 0.000 description 1
- 239000011668 ascorbic acid Substances 0.000 description 1
- 229960005070 ascorbic acid Drugs 0.000 description 1
- 206010003549 asthenia Diseases 0.000 description 1
- 230000002238 attenuated effect Effects 0.000 description 1
- 229940090047 auto-injector Drugs 0.000 description 1
- 229950010046 avasimibe Drugs 0.000 description 1
- 108010014210 axokine Proteins 0.000 description 1
- 229960003515 bendroflumethiazide Drugs 0.000 description 1
- HDWIHXWEUNVBIY-UHFFFAOYSA-N bendroflumethiazidum Chemical compound C1=C(C(F)(F)F)C(S(=O)(=O)N)=CC(S(N2)(=O)=O)=C1NC2CC1=CC=CC=C1 HDWIHXWEUNVBIY-UHFFFAOYSA-N 0.000 description 1
- 230000008901 benefit Effects 0.000 description 1
- XMQFTWRPUQYINF-UHFFFAOYSA-N bensulfuron-methyl Chemical compound COC(=O)C1=CC=CC=C1CS(=O)(=O)NC(=O)NC1=NC(OC)=CC(OC)=N1 XMQFTWRPUQYINF-UHFFFAOYSA-N 0.000 description 1
- 239000000440 bentonite Substances 0.000 description 1
- 229910000278 bentonite Inorganic materials 0.000 description 1
- 235000012216 bentonite Nutrition 0.000 description 1
- SVPXDRXYRYOSEX-UHFFFAOYSA-N bentoquatam Chemical compound O.O=[Si]=O.O=[Al]O[Al]=O SVPXDRXYRYOSEX-UHFFFAOYSA-N 0.000 description 1
- 229960000686 benzalkonium chloride Drugs 0.000 description 1
- 125000003785 benzimidazolyl group Chemical class N1=C(NC2=C1C=CC=C2)* 0.000 description 1
- NDTSRXAMMQDVSW-UHFFFAOYSA-N benzthiazide Chemical compound C1=C(Cl)C(S(=O)(=O)N)=CC(S(N2)(=O)=O)=C1N=C2CSCC1=CC=CC=C1 NDTSRXAMMQDVSW-UHFFFAOYSA-N 0.000 description 1
- 229960001541 benzthiazide Drugs 0.000 description 1
- CADWTSSKOVRVJC-UHFFFAOYSA-N benzyl(dimethyl)azanium;chloride Chemical compound [Cl-].C[NH+](C)CC1=CC=CC=C1 CADWTSSKOVRVJC-UHFFFAOYSA-N 0.000 description 1
- 239000002876 beta blocker Substances 0.000 description 1
- 229960000516 bezafibrate Drugs 0.000 description 1
- IIBYAHWJQTYFKB-UHFFFAOYSA-N bezafibrate Chemical compound C1=CC(OC(C)(C)C(O)=O)=CC=C1CCNC(=O)C1=CC=C(Cl)C=C1 IIBYAHWJQTYFKB-UHFFFAOYSA-N 0.000 description 1
- 150000004283 biguanides Chemical class 0.000 description 1
- 230000003115 biocidal effect Effects 0.000 description 1
- 230000002051 biphasic effect Effects 0.000 description 1
- 229920001400 block copolymer Polymers 0.000 description 1
- 210000004556 brain Anatomy 0.000 description 1
- 239000000872 buffer Substances 0.000 description 1
- MAEIEVLCKWDQJH-UHFFFAOYSA-N bumetanide Chemical compound CCCCNC1=CC(C(O)=O)=CC(S(N)(=O)=O)=C1OC1=CC=CC=C1 MAEIEVLCKWDQJH-UHFFFAOYSA-N 0.000 description 1
- 229960004064 bumetanide Drugs 0.000 description 1
- 125000000484 butyl group Chemical group [H]C([*])([H])C([H])([H])C([H])([H])C([H])([H])[H] 0.000 description 1
- 210000004900 c-terminal fragment Anatomy 0.000 description 1
- 230000003491 cAMP production Effects 0.000 description 1
- 239000000480 calcium channel blocker Substances 0.000 description 1
- 239000001506 calcium phosphate Substances 0.000 description 1
- 235000011132 calcium sulphate Nutrition 0.000 description 1
- 229960000830 captopril Drugs 0.000 description 1
- FAKRSMQSSFJEIM-RQJHMYQMSA-N captopril Chemical compound SC[C@@H](C)C(=O)N1CCC[C@H]1C(O)=O FAKRSMQSSFJEIM-RQJHMYQMSA-N 0.000 description 1
- 125000001589 carboacyl group Chemical group 0.000 description 1
- 150000001720 carbohydrates Chemical class 0.000 description 1
- 235000014633 carbohydrates Nutrition 0.000 description 1
- 235000011089 carbon dioxide Nutrition 0.000 description 1
- 235000010948 carboxy methyl cellulose Nutrition 0.000 description 1
- 125000002057 carboxymethyl group Chemical group [H]OC(=O)C([H])([H])[*] 0.000 description 1
- 239000008112 carboxymethyl-cellulose Substances 0.000 description 1
- 229940105329 carboxymethylcellulose Drugs 0.000 description 1
- 230000015556 catabolic process Effects 0.000 description 1
- 238000000423 cell based assay Methods 0.000 description 1
- 230000001413 cellular effect Effects 0.000 description 1
- MVCQKIKWYUURMU-UHFFFAOYSA-N cetilistat Chemical compound C1=C(C)C=C2C(=O)OC(OCCCCCCCCCCCCCCCC)=NC2=C1 MVCQKIKWYUURMU-UHFFFAOYSA-N 0.000 description 1
- 229950002397 cetilistat Drugs 0.000 description 1
- 238000012512 characterization method Methods 0.000 description 1
- 238000002512 chemotherapy Methods 0.000 description 1
- 229960004926 chlorobutanol Drugs 0.000 description 1
- 229960002155 chlorothiazide Drugs 0.000 description 1
- 229960001761 chlorpropamide Drugs 0.000 description 1
- 229960001523 chlortalidone Drugs 0.000 description 1
- 230000001906 cholesterol absorption Effects 0.000 description 1
- 239000003354 cholesterol ester transfer protein inhibitor Substances 0.000 description 1
- 238000013375 chromatographic separation Methods 0.000 description 1
- 238000004587 chromatography analysis Methods 0.000 description 1
- 230000001684 chronic effect Effects 0.000 description 1
- 229960002174 ciprofibrate Drugs 0.000 description 1
- KPSRODZRAIWAKH-UHFFFAOYSA-N ciprofibrate Chemical compound C1=CC(OC(C)(C)C(O)=O)=CC=C1C1C(Cl)(Cl)C1 KPSRODZRAIWAKH-UHFFFAOYSA-N 0.000 description 1
- 229950003072 clinofibrate Drugs 0.000 description 1
- 229960001214 clofibrate Drugs 0.000 description 1
- KNHUKKLJHYUCFP-UHFFFAOYSA-N clofibrate Chemical compound CCOC(=O)C(C)(C)OC1=CC=C(Cl)C=C1 KNHUKKLJHYUCFP-UHFFFAOYSA-N 0.000 description 1
- QZUDBNBUXVUHMW-UHFFFAOYSA-N clozapine Chemical compound C1CN(C)CCN1C1=NC2=CC(Cl)=CC=C2NC2=CC=CC=C12 QZUDBNBUXVUHMW-UHFFFAOYSA-N 0.000 description 1
- 229960004170 clozapine Drugs 0.000 description 1
- 238000000576 coating method Methods 0.000 description 1
- 229960002604 colestipol Drugs 0.000 description 1
- GMRWGQCZJGVHKL-UHFFFAOYSA-N colestipol Chemical compound ClCC1CO1.NCCNCCNCCNCCN GMRWGQCZJGVHKL-UHFFFAOYSA-N 0.000 description 1
- 229940075614 colloidal silicon dioxide Drugs 0.000 description 1
- 239000003086 colorant Substances 0.000 description 1
- 238000004040 coloring Methods 0.000 description 1
- 238000013270 controlled release Methods 0.000 description 1
- 235000005822 corn Nutrition 0.000 description 1
- 235000012343 cottonseed oil Nutrition 0.000 description 1
- 239000002385 cottonseed oil Substances 0.000 description 1
- 125000005167 cycloalkylaminocarbonyl group Chemical group 0.000 description 1
- 125000001995 cyclobutyl group Chemical group [H]C1([H])C([H])([H])C([H])(*)C1([H])[H] 0.000 description 1
- 125000000582 cycloheptyl group Chemical group [H]C1([H])C([H])([H])C([H])([H])C([H])([H])C([H])(*)C([H])([H])C1([H])[H] 0.000 description 1
- 125000000596 cyclohexenyl group Chemical group C1(=CCCCC1)* 0.000 description 1
- 125000000113 cyclohexyl group Chemical group [H]C1([H])C([H])([H])C([H])([H])C([H])(*)C([H])([H])C1([H])[H] 0.000 description 1
- 125000000640 cyclooctyl group Chemical group [H]C1([H])C([H])([H])C([H])([H])C([H])([H])C([H])(*)C([H])([H])C([H])([H])C1([H])[H] 0.000 description 1
- 125000001511 cyclopentyl group Chemical group [H]C1([H])C([H])([H])C([H])([H])C([H])(*)C1([H])[H] 0.000 description 1
- 150000001942 cyclopropanes Chemical class 0.000 description 1
- 125000001559 cyclopropyl group Chemical group [H]C1([H])C([H])([H])C1([H])* 0.000 description 1
- 230000009089 cytolysis Effects 0.000 description 1
- 230000006378 damage Effects 0.000 description 1
- 229950006689 darglitazone Drugs 0.000 description 1
- 125000002704 decyl group Chemical group [H]C([H])([H])C([H])([H])C([H])([H])C([H])([H])C([H])([H])C([H])([H])C([H])([H])C([H])([H])C([H])([H])C([H])([H])* 0.000 description 1
- WOUOLAUOZXOLJQ-MBSDFSHPSA-N delapril Chemical compound C([C@@H](C(=O)OCC)N[C@@H](C)C(=O)N(CC(O)=O)C1CC2=CC=CC=C2C1)CC1=CC=CC=C1 WOUOLAUOZXOLJQ-MBSDFSHPSA-N 0.000 description 1
- 229960005227 delapril Drugs 0.000 description 1
- 230000003111 delayed effect Effects 0.000 description 1
- 239000007933 dermal patch Substances 0.000 description 1
- 238000011161 development Methods 0.000 description 1
- 239000008121 dextrose Substances 0.000 description 1
- 125000004663 dialkyl amino group Chemical group 0.000 description 1
- NEFBYIFKOOEVPA-UHFFFAOYSA-K dicalcium phosphate Chemical compound [Ca+2].[Ca+2].[O-]P([O-])([O-])=O NEFBYIFKOOEVPA-UHFFFAOYSA-K 0.000 description 1
- 229940038472 dicalcium phosphate Drugs 0.000 description 1
- 229910000390 dicalcium phosphate Inorganic materials 0.000 description 1
- 229940120124 dichloroacetate Drugs 0.000 description 1
- JXTHNDFMNIQAHM-UHFFFAOYSA-N dichloroacetic acid Chemical compound OC(=O)C(Cl)Cl JXTHNDFMNIQAHM-UHFFFAOYSA-N 0.000 description 1
- LCSNDSFWVKMJCT-UHFFFAOYSA-N dicyclohexyl-(2-phenylphenyl)phosphane Chemical group C1CCCCC1P(C=1C(=CC=CC=1)C=1C=CC=CC=1)C1CCCCC1 LCSNDSFWVKMJCT-UHFFFAOYSA-N 0.000 description 1
- 235000005911 diet Nutrition 0.000 description 1
- 230000037213 diet Effects 0.000 description 1
- 235000014113 dietary fatty acids Nutrition 0.000 description 1
- HSUGRBWQSSZJOP-RTWAWAEBSA-N diltiazem Chemical compound C1=CC(OC)=CC=C1[C@H]1[C@@H](OC(C)=O)C(=O)N(CCN(C)C)C2=CC=CC=C2S1 HSUGRBWQSSZJOP-RTWAWAEBSA-N 0.000 description 1
- 229960004166 diltiazem Drugs 0.000 description 1
- 239000003085 diluting agent Substances 0.000 description 1
- 229910001873 dinitrogen Inorganic materials 0.000 description 1
- 229940090124 dipeptidyl peptidase 4 (dpp-4) inhibitors for blood glucose lowering Drugs 0.000 description 1
- 235000011180 diphosphates Nutrition 0.000 description 1
- 239000007884 disintegrant Substances 0.000 description 1
- 238000006073 displacement reaction Methods 0.000 description 1
- 239000002934 diuretic Substances 0.000 description 1
- 229940030606 diuretics Drugs 0.000 description 1
- DLNKOYKMWOXYQA-UHFFFAOYSA-N dl-pseudophenylpropanolamine Natural products CC(N)C(O)C1=CC=CC=C1 DLNKOYKMWOXYQA-UHFFFAOYSA-N 0.000 description 1
- 125000003438 dodecyl group Chemical group [H]C([H])([H])C([H])([H])C([H])([H])C([H])([H])C([H])([H])C([H])([H])C([H])([H])C([H])([H])C([H])([H])C([H])([H])C([H])([H])C([H])([H])* 0.000 description 1
- 229960003638 dopamine Drugs 0.000 description 1
- 238000001035 drying Methods 0.000 description 1
- 238000010828 elution Methods 0.000 description 1
- 239000000839 emulsion Substances 0.000 description 1
- GBXSMTUPTTWBMN-XIRDDKMYSA-N enalapril Chemical compound C([C@@H](C(=O)OCC)N[C@@H](C)C(=O)N1[C@@H](CCC1)C(O)=O)CC1=CC=CC=C1 GBXSMTUPTTWBMN-XIRDDKMYSA-N 0.000 description 1
- 229960000873 enalapril Drugs 0.000 description 1
- 230000002124 endocrine Effects 0.000 description 1
- 229950002375 englitazone Drugs 0.000 description 1
- 239000003623 enhancer Substances 0.000 description 1
- 230000032050 esterification Effects 0.000 description 1
- 238000005886 esterification reaction Methods 0.000 description 1
- 229960003199 etacrynic acid Drugs 0.000 description 1
- AVOLMBLBETYQHX-UHFFFAOYSA-N etacrynic acid Chemical compound CCC(=C)C(=O)C1=CC=C(OCC(O)=O)C(Cl)=C1Cl AVOLMBLBETYQHX-UHFFFAOYSA-N 0.000 description 1
- 239000012259 ether extract Substances 0.000 description 1
- 239000000284 extract Substances 0.000 description 1
- 239000000194 fatty acid Substances 0.000 description 1
- 229930195729 fatty acid Natural products 0.000 description 1
- 108091022862 fatty acid binding Proteins 0.000 description 1
- 150000004665 fatty acids Chemical class 0.000 description 1
- 229960002297 fenofibrate Drugs 0.000 description 1
- YMTINGFKWWXKFG-UHFFFAOYSA-N fenofibrate Chemical compound C1=CC(OC(C)(C)C(=O)OC(C)C)=CC=C1C(=O)C1=CC=C(Cl)C=C1 YMTINGFKWWXKFG-UHFFFAOYSA-N 0.000 description 1
- 239000002871 fertility agent Substances 0.000 description 1
- 238000011049 filling Methods 0.000 description 1
- 238000001914 filtration Methods 0.000 description 1
- 229960003028 flumethiazide Drugs 0.000 description 1
- RGUQWGXAYZNLMI-UHFFFAOYSA-N flumethiazide Chemical compound C1=C(C(F)(F)F)C(S(=O)(=O)N)=CC2=C1NC=NS2(=O)=O RGUQWGXAYZNLMI-UHFFFAOYSA-N 0.000 description 1
- 235000003599 food sweetener Nutrition 0.000 description 1
- 229960002490 fosinopril Drugs 0.000 description 1
- 238000004108 freeze drying Methods 0.000 description 1
- ZZUFCTLCJUWOSV-UHFFFAOYSA-N furosemide Chemical compound C1=C(Cl)C(S(=O)(=O)N)=CC(C(O)=O)=C1NCC1=CC=CO1 ZZUFCTLCJUWOSV-UHFFFAOYSA-N 0.000 description 1
- 229960003883 furosemide Drugs 0.000 description 1
- 230000027119 gastric acid secretion Effects 0.000 description 1
- 230000002496 gastric effect Effects 0.000 description 1
- 239000000499 gel Substances 0.000 description 1
- YRSVDSQRGBYVIY-GJZGRUSLSA-N gemopatrilat Chemical compound O=C1N(CC(O)=O)C(C)(C)CCC[C@@H]1NC(=O)[C@@H](S)CC1=CC=CC=C1 YRSVDSQRGBYVIY-GJZGRUSLSA-N 0.000 description 1
- 229950006480 gemopatrilat Drugs 0.000 description 1
- 239000011521 glass Substances 0.000 description 1
- 229960000346 gliclazide Drugs 0.000 description 1
- WIGIZIANZCJQQY-RUCARUNLSA-N glimepiride Chemical compound O=C1C(CC)=C(C)CN1C(=O)NCCC1=CC=C(S(=O)(=O)NC(=O)N[C@@H]2CC[C@@H](C)CC2)C=C1 WIGIZIANZCJQQY-RUCARUNLSA-N 0.000 description 1
- 229960004346 glimepiride Drugs 0.000 description 1
- ZJJXGWJIGJFDTL-UHFFFAOYSA-N glipizide Chemical compound C1=NC(C)=CN=C1C(=O)NCCC1=CC=C(S(=O)(=O)NC(=O)NC2CCCCC2)C=C1 ZJJXGWJIGJFDTL-UHFFFAOYSA-N 0.000 description 1
- 229960001381 glipizide Drugs 0.000 description 1
- 235000001727 glucose Nutrition 0.000 description 1
- 230000014101 glucose homeostasis Effects 0.000 description 1
- 229940112611 glucovance Drugs 0.000 description 1
- 125000000267 glycino group Chemical group [H]N([*])C([H])([H])C(=O)O[H] 0.000 description 1
- 150000002334 glycols Chemical class 0.000 description 1
- 239000008187 granular material Substances 0.000 description 1
- 208000037824 growth disorder Diseases 0.000 description 1
- 125000003106 haloaryl group Chemical group 0.000 description 1
- 229960003878 haloperidol Drugs 0.000 description 1
- 230000002440 hepatic effect Effects 0.000 description 1
- 125000003187 heptyl group Chemical group [H]C([*])([H])C([H])([H])C([H])([H])C([H])([H])C([H])([H])C([H])([H])C([H])([H])[H] 0.000 description 1
- 125000004404 heteroalkyl group Chemical group 0.000 description 1
- 125000005241 heteroarylamino group Chemical group 0.000 description 1
- 125000005222 heteroarylaminocarbonyl group Chemical group 0.000 description 1
- 102000056448 human GLP1R Human genes 0.000 description 1
- 229960002003 hydrochlorothiazide Drugs 0.000 description 1
- DMDGGSIALPNSEE-UHFFFAOYSA-N hydroflumethiazide Chemical compound C1=C(C(F)(F)F)C(S(=O)(=O)N)=CC2=C1NCNS2(=O)=O DMDGGSIALPNSEE-UHFFFAOYSA-N 0.000 description 1
- 229960003313 hydroflumethiazide Drugs 0.000 description 1
- 239000000017 hydrogel Substances 0.000 description 1
- 230000000871 hypocholesterolemic effect Effects 0.000 description 1
- 210000003405 ileum Anatomy 0.000 description 1
- 229950010293 imanixil Drugs 0.000 description 1
- 150000002460 imidazoles Chemical class 0.000 description 1
- 230000002519 immonomodulatory effect Effects 0.000 description 1
- 230000001771 impaired effect Effects 0.000 description 1
- 238000011065 in-situ storage Methods 0.000 description 1
- 125000003454 indenyl group Chemical class C1(C=CC2=CC=CC=C12)* 0.000 description 1
- 229940125699 infertility agent Drugs 0.000 description 1
- 230000002757 inflammatory effect Effects 0.000 description 1
- 230000004054 inflammatory process Effects 0.000 description 1
- 230000002401 inhibitory effect Effects 0.000 description 1
- 230000005764 inhibitory process Effects 0.000 description 1
- 239000004026 insulin derivative Substances 0.000 description 1
- 208000028774 intestinal disease Diseases 0.000 description 1
- 230000000968 intestinal effect Effects 0.000 description 1
- 208000037817 intestinal injury Diseases 0.000 description 1
- 210000004347 intestinal mucosa Anatomy 0.000 description 1
- 210000000936 intestine Anatomy 0.000 description 1
- 230000003834 intracellular effect Effects 0.000 description 1
- 150000002500 ions Chemical class 0.000 description 1
- 229960002198 irbesartan Drugs 0.000 description 1
- YCPOHTHPUREGFM-UHFFFAOYSA-N irbesartan Chemical compound O=C1N(CC=2C=CC(=CC=2)C=2C(=CC=CC=2)C=2[N]N=NN=2)C(CCCC)=NC21CCCC2 YCPOHTHPUREGFM-UHFFFAOYSA-N 0.000 description 1
- 208000028867 ischemia Diseases 0.000 description 1
- 125000004491 isohexyl group Chemical group C(CCC(C)C)* 0.000 description 1
- 125000000468 ketone group Chemical group 0.000 description 1
- 230000003907 kidney function Effects 0.000 description 1
- 239000003446 ligand Substances 0.000 description 1
- 230000037356 lipid metabolism Effects 0.000 description 1
- 239000008297 liquid dosage form Substances 0.000 description 1
- 229960002394 lisinopril Drugs 0.000 description 1
- RLAWWYSOJDYHDC-BZSNNMDCSA-N lisinopril Chemical compound C([C@H](N[C@@H](CCCCN)C(=O)N1[C@@H](CCC1)C(O)=O)C(O)=O)CC1=CC=CC=C1 RLAWWYSOJDYHDC-BZSNNMDCSA-N 0.000 description 1
- 239000012280 lithium aluminium hydride Substances 0.000 description 1
- DLEDOFVPSDKWEF-UHFFFAOYSA-N lithium butane Chemical compound [Li+].CCC[CH2-] DLEDOFVPSDKWEF-UHFFFAOYSA-N 0.000 description 1
- 210000004185 liver Anatomy 0.000 description 1
- 230000003908 liver function Effects 0.000 description 1
- 238000011068 loading method Methods 0.000 description 1
- KJJZZJSZUJXYEA-UHFFFAOYSA-N losartan Chemical compound CCCCC1=NC(Cl)=C(CO)N1CC1=CC=C(C=2C(=CC=CC=2)C=2[N]N=NN=2)C=C1 KJJZZJSZUJXYEA-UHFFFAOYSA-N 0.000 description 1
- 229960004773 losartan Drugs 0.000 description 1
- 229960004844 lovastatin Drugs 0.000 description 1
- QLJODMDSTUBWDW-UHFFFAOYSA-N lovastatin hydroxy acid Natural products C1=CC(C)C(CCC(O)CC(O)CC(O)=O)C2C(OC(=O)C(C)CC)CC(C)C=C21 QLJODMDSTUBWDW-UHFFFAOYSA-N 0.000 description 1
- 239000006166 lysate Substances 0.000 description 1
- 239000000594 mannitol Substances 0.000 description 1
- 235000010355 mannitol Nutrition 0.000 description 1
- 229960000299 mazindol Drugs 0.000 description 1
- 235000012054 meals Nutrition 0.000 description 1
- 230000007246 mechanism Effects 0.000 description 1
- 239000002609 medium Substances 0.000 description 1
- 229950008446 melinamide Drugs 0.000 description 1
- 125000005358 mercaptoalkyl group Chemical group 0.000 description 1
- 230000004060 metabolic process Effects 0.000 description 1
- 229910052751 metal Inorganic materials 0.000 description 1
- 239000002184 metal Substances 0.000 description 1
- XZWYZXLIPXDOLR-UHFFFAOYSA-N metformin Chemical compound CN(C)C(=N)NC(N)=N XZWYZXLIPXDOLR-UHFFFAOYSA-N 0.000 description 1
- 229960003105 metformin Drugs 0.000 description 1
- XHELTNAGGIPNAF-LURJTMIESA-N methyl (2s)-2-[iodo-[(2-methylpropan-2-yl)oxycarbonyl]amino]propanoate Chemical compound COC(=O)[C@H](C)N(I)C(=O)OC(C)(C)C XHELTNAGGIPNAF-LURJTMIESA-N 0.000 description 1
- 239000004292 methyl p-hydroxybenzoate Substances 0.000 description 1
- 235000010270 methyl p-hydroxybenzoate Nutrition 0.000 description 1
- 229960002216 methylparaben Drugs 0.000 description 1
- AJLFOPYRIVGYMJ-INTXDZFKSA-N mevastatin Chemical compound C([C@H]1[C@@H](C)C=CC2=CCC[C@@H]([C@H]12)OC(=O)[C@@H](C)CC)C[C@@H]1C[C@@H](O)CC(=O)O1 AJLFOPYRIVGYMJ-INTXDZFKSA-N 0.000 description 1
- 229950009116 mevastatin Drugs 0.000 description 1
- BOZILQFLQYBIIY-UHFFFAOYSA-N mevastatin hydroxy acid Natural products C1=CC(C)C(CCC(O)CC(O)CC(O)=O)C2C(OC(=O)C(C)CC)CCC=C21 BOZILQFLQYBIIY-UHFFFAOYSA-N 0.000 description 1
- 239000004530 micro-emulsion Substances 0.000 description 1
- 229940016286 microcrystalline cellulose Drugs 0.000 description 1
- 235000019813 microcrystalline cellulose Nutrition 0.000 description 1
- 239000008108 microcrystalline cellulose Substances 0.000 description 1
- 239000011859 microparticle Substances 0.000 description 1
- 239000004005 microsphere Substances 0.000 description 1
- 229960001110 miglitol Drugs 0.000 description 1
- 229960003365 mitiglinide Drugs 0.000 description 1
- 125000002950 monocyclic group Chemical group 0.000 description 1
- KRKPYFLIYNGWTE-UHFFFAOYSA-N n,o-dimethylhydroxylamine Chemical compound CNOC KRKPYFLIYNGWTE-UHFFFAOYSA-N 0.000 description 1
- SYSQUGFVNFXIIT-UHFFFAOYSA-N n-[4-(1,3-benzoxazol-2-yl)phenyl]-4-nitrobenzenesulfonamide Chemical class C1=CC([N+](=O)[O-])=CC=C1S(=O)(=O)NC1=CC=C(C=2OC3=CC=CC=C3N=2)C=C1 SYSQUGFVNFXIIT-UHFFFAOYSA-N 0.000 description 1
- 125000001280 n-hexyl group Chemical group C(CCCCC)* 0.000 description 1
- WGESLFUSXZBFQF-UHFFFAOYSA-N n-methyl-n-prop-2-enylprop-2-en-1-amine Chemical class C=CCN(C)CC=C WGESLFUSXZBFQF-UHFFFAOYSA-N 0.000 description 1
- OELFLUMRDSZNSF-BRWVUGGUSA-N nateglinide Chemical compound C1C[C@@H](C(C)C)CC[C@@H]1C(=O)N[C@@H](C(O)=O)CC1=CC=CC=C1 OELFLUMRDSZNSF-BRWVUGGUSA-N 0.000 description 1
- 229960000698 nateglinide Drugs 0.000 description 1
- 208000037931 necrotizing enteritis Diseases 0.000 description 1
- 230000009707 neogenesis Effects 0.000 description 1
- 229960004927 neomycin Drugs 0.000 description 1
- 229960003512 nicotinic acid Drugs 0.000 description 1
- 235000001968 nicotinic acid Nutrition 0.000 description 1
- 239000011664 nicotinic acid Substances 0.000 description 1
- HYIMSNHJOBLJNT-UHFFFAOYSA-N nifedipine Chemical compound COC(=O)C1=C(C)NC(C)=C(C(=O)OC)C1C1=CC=CC=C1[N+]([O-])=O HYIMSNHJOBLJNT-UHFFFAOYSA-N 0.000 description 1
- 229960001597 nifedipine Drugs 0.000 description 1
- FEMOMIGRRWSMCU-UHFFFAOYSA-N ninhydrin Chemical compound C1=CC=C2C(=O)C(O)(O)C(=O)C2=C1 FEMOMIGRRWSMCU-UHFFFAOYSA-N 0.000 description 1
- 150000002823 nitrates Chemical class 0.000 description 1
- 125000001400 nonyl group Chemical group [H]C([*])([H])C([H])([H])C([H])([H])C([H])([H])C([H])([H])C([H])([H])C([H])([H])C([H])([H])C([H])([H])[H] 0.000 description 1
- 235000016709 nutrition Nutrition 0.000 description 1
- QIQXTHQIDYTFRH-UHFFFAOYSA-N octadecanoic acid Chemical compound CCCCCCCCCCCCCCCCCC(O)=O QIQXTHQIDYTFRH-UHFFFAOYSA-N 0.000 description 1
- OQCDKBAXFALNLD-UHFFFAOYSA-N octadecanoic acid Natural products CCCCCCCC(C)CCCCCCCCC(O)=O OQCDKBAXFALNLD-UHFFFAOYSA-N 0.000 description 1
- 125000002347 octyl group Chemical group [H]C([*])([H])C([H])([H])C([H])([H])C([H])([H])C([H])([H])C([H])([H])C([H])([H])C([H])([H])[H] 0.000 description 1
- 229960005017 olanzapine Drugs 0.000 description 1
- 239000004006 olive oil Substances 0.000 description 1
- 235000008390 olive oil Nutrition 0.000 description 1
- LVRLSYPNFFBYCZ-VGWMRTNUSA-N omapatrilat Chemical compound C([C@H](S)C(=O)N[C@H]1CCS[C@H]2CCC[C@H](N2C1=O)C(=O)O)C1=CC=CC=C1 LVRLSYPNFFBYCZ-VGWMRTNUSA-N 0.000 description 1
- 229950000973 omapatrilat Drugs 0.000 description 1
- 229940126701 oral medication Drugs 0.000 description 1
- 239000007935 oral tablet Substances 0.000 description 1
- 125000001715 oxadiazolyl group Chemical group 0.000 description 1
- MUMZUERVLWJKNR-UHFFFAOYSA-N oxoplatinum Chemical compound [Pt]=O MUMZUERVLWJKNR-UHFFFAOYSA-N 0.000 description 1
- 125000005476 oxopyrrolidinyl group Chemical group 0.000 description 1
- 125000004430 oxygen atom Chemical group O* 0.000 description 1
- 125000000636 p-nitrophenyl group Chemical group [H]C1=C([H])C(=C([H])C([H])=C1*)[N+]([O-])=O 0.000 description 1
- 235000019629 palatability Nutrition 0.000 description 1
- LXNAVEXFUKBNMK-UHFFFAOYSA-N palladium(II) acetate Substances [Pd].CC(O)=O.CC(O)=O LXNAVEXFUKBNMK-UHFFFAOYSA-N 0.000 description 1
- YJVFFLUZDVXJQI-UHFFFAOYSA-L palladium(ii) acetate Chemical compound [Pd+2].CC([O-])=O.CC([O-])=O YJVFFLUZDVXJQI-UHFFFAOYSA-L 0.000 description 1
- 125000001312 palmitoyl group Chemical group O=C([*])C([H])([H])C([H])([H])C([H])([H])C([H])([H])C([H])([H])C([H])([H])C([H])([H])C([H])([H])C([H])([H])C([H])([H])C([H])([H])C([H])([H])C([H])([H])C([H])([H])C([H])([H])[H] 0.000 description 1
- 230000037361 pathway Effects 0.000 description 1
- 229950008492 pentopril Drugs 0.000 description 1
- 125000001147 pentyl group Chemical group C(CCCC)* 0.000 description 1
- 125000001151 peptidyl group Chemical group 0.000 description 1
- 230000000737 periodic effect Effects 0.000 description 1
- 229940083256 peripheral vasodilators nicotinic acid and derivative Drugs 0.000 description 1
- 210000002824 peroxisome Anatomy 0.000 description 1
- 108091008725 peroxisome proliferator-activated receptors alpha Proteins 0.000 description 1
- 239000000546 pharmaceutical excipient Substances 0.000 description 1
- 125000001792 phenanthrenyl group Chemical group C1(=CC=CC=2C3=CC=CC=C3C=CC12)* 0.000 description 1
- ICFJFFQQTFMIBG-UHFFFAOYSA-N phenformin Chemical compound NC(=N)NC(=N)NCCC1=CC=CC=C1 ICFJFFQQTFMIBG-UHFFFAOYSA-N 0.000 description 1
- 229960003243 phenformin Drugs 0.000 description 1
- 150000002989 phenols Chemical class 0.000 description 1
- 229960003531 phenolsulfonphthalein Drugs 0.000 description 1
- 229960003562 phentermine Drugs 0.000 description 1
- QIIPQYDSKRYMFG-UHFFFAOYSA-M phenyl carbonate Chemical compound [O-]C(=O)OC1=CC=CC=C1 QIIPQYDSKRYMFG-UHFFFAOYSA-M 0.000 description 1
- UYWQUFXKFGHYNT-UHFFFAOYSA-N phenylmethyl ester of formic acid Natural products O=COCC1=CC=CC=C1 UYWQUFXKFGHYNT-UHFFFAOYSA-N 0.000 description 1
- DLNKOYKMWOXYQA-APPZFPTMSA-N phenylpropanolamine Chemical compound C[C@@H](N)[C@H](O)C1=CC=CC=C1 DLNKOYKMWOXYQA-APPZFPTMSA-N 0.000 description 1
- 229960000395 phenylpropanolamine Drugs 0.000 description 1
- 150000008105 phosphatidylcholines Chemical class 0.000 description 1
- ACVYVLVWPXVTIT-UHFFFAOYSA-N phosphinic acid Chemical class O[PH2]=O ACVYVLVWPXVTIT-UHFFFAOYSA-N 0.000 description 1
- 150000003904 phospholipids Chemical class 0.000 description 1
- 230000008288 physiological mechanism Effects 0.000 description 1
- 239000006187 pill Substances 0.000 description 1
- 229960005095 pioglitazone Drugs 0.000 description 1
- 125000004193 piperazinyl group Chemical group 0.000 description 1
- 125000003386 piperidinyl group Chemical group 0.000 description 1
- 229960002797 pitavastatin Drugs 0.000 description 1
- RHGYHLPFVJEAOC-FFNUKLMVSA-L pitavastatin calcium Chemical compound [Ca+2].[O-]C(=O)C[C@H](O)C[C@H](O)\C=C\C1=C(C2CC2)N=C2C=CC=CC2=C1C1=CC=C(F)C=C1.[O-]C(=O)C[C@H](O)C[C@H](O)\C=C\C1=C(C2CC2)N=C2C=CC=CC2=C1C1=CC=C(F)C=C1 RHGYHLPFVJEAOC-FFNUKLMVSA-L 0.000 description 1
- 229910003446 platinum oxide Inorganic materials 0.000 description 1
- 229920000371 poly(diallyldimethylammonium chloride) polymer Polymers 0.000 description 1
- 229920001610 polycaprolactone Polymers 0.000 description 1
- 201000010065 polycystic ovary syndrome Diseases 0.000 description 1
- 229920000656 polylysine Polymers 0.000 description 1
- 239000002952 polymeric resin Substances 0.000 description 1
- 229920006324 polyoxymethylene Polymers 0.000 description 1
- 229920005990 polystyrene resin Polymers 0.000 description 1
- 229960005483 polythiazide Drugs 0.000 description 1
- 229920000046 polythiazide Polymers 0.000 description 1
- 239000001267 polyvinylpyrrolidone Substances 0.000 description 1
- 235000013855 polyvinylpyrrolidone Nutrition 0.000 description 1
- 239000013641 positive control Substances 0.000 description 1
- 230000029537 positive regulation of insulin secretion Effects 0.000 description 1
- CHKVPAROMQMJNQ-UHFFFAOYSA-M potassium bisulfate Chemical compound [K+].OS([O-])(=O)=O CHKVPAROMQMJNQ-UHFFFAOYSA-M 0.000 description 1
- 229910000343 potassium bisulfate Inorganic materials 0.000 description 1
- 229910000027 potassium carbonate Inorganic materials 0.000 description 1
- 239000003755 preservative agent Substances 0.000 description 1
- 230000003449 preventive effect Effects 0.000 description 1
- 235000010232 propyl p-hydroxybenzoate Nutrition 0.000 description 1
- 239000004405 propyl p-hydroxybenzoate Substances 0.000 description 1
- 229960003415 propylparaben Drugs 0.000 description 1
- 125000006239 protecting group Chemical group 0.000 description 1
- 229940035613 prozac Drugs 0.000 description 1
- 230000002685 pulmonary effect Effects 0.000 description 1
- 150000003217 pyrazoles Chemical class 0.000 description 1
- UMJSCPRVCHMLSP-UHFFFAOYSA-N pyridine Natural products COC1=CC=CN=C1 UMJSCPRVCHMLSP-UHFFFAOYSA-N 0.000 description 1
- 150000003222 pyridines Chemical class 0.000 description 1
- JSDRRTOADPPCHY-HSQYWUDLSA-N quinapril Chemical compound C([C@@H](C(=O)OCC)N[C@@H](C)C(=O)N1[C@@H](CC2=CC=CC=C2C1)C(O)=O)CC1=CC=CC=C1 JSDRRTOADPPCHY-HSQYWUDLSA-N 0.000 description 1
- 229960001455 quinapril Drugs 0.000 description 1
- HDACQVRGBOVJII-JBDAPHQKSA-N ramipril Chemical compound C([C@@H](C(=O)OCC)N[C@@H](C)C(=O)N1[C@@H](C[C@@H]2CCC[C@@H]21)C(O)=O)CC1=CC=CC=C1 HDACQVRGBOVJII-JBDAPHQKSA-N 0.000 description 1
- 229960003401 ramipril Drugs 0.000 description 1
- 238000011552 rat model Methods 0.000 description 1
- 239000012429 reaction media Substances 0.000 description 1
- 238000011084 recovery Methods 0.000 description 1
- 230000009711 regulatory function Effects 0.000 description 1
- 239000002461 renin inhibitor Substances 0.000 description 1
- 229940086526 renin-inhibitors Drugs 0.000 description 1
- 229960002354 repaglinide Drugs 0.000 description 1
- 230000003979 response to food Effects 0.000 description 1
- 229960004586 rosiglitazone Drugs 0.000 description 1
- IMNTVVOUWFPRSB-JWQCQUIFSA-N sch-48461 Chemical compound C1=CC(OC)=CC=C1[C@H]1N(C=2C=CC(OC)=CC=2)C(=O)[C@@H]1CCCC1=CC=CC=C1 IMNTVVOUWFPRSB-JWQCQUIFSA-N 0.000 description 1
- 238000007086 side reaction Methods 0.000 description 1
- PHWXUGHIIBDVKD-UHFFFAOYSA-N sitaxentan Chemical compound CC1=NOC(NS(=O)(=O)C2=C(SC=C2)C(=O)CC=2C(=CC=3OCOC=3C=2)C)=C1Cl PHWXUGHIIBDVKD-UHFFFAOYSA-N 0.000 description 1
- 229960002578 sitaxentan Drugs 0.000 description 1
- 239000011734 sodium Substances 0.000 description 1
- 239000001632 sodium acetate Substances 0.000 description 1
- 235000017281 sodium acetate Nutrition 0.000 description 1
- 235000010413 sodium alginate Nutrition 0.000 description 1
- 239000000661 sodium alginate Substances 0.000 description 1
- 229940005550 sodium alginate Drugs 0.000 description 1
- 235000019812 sodium carboxymethyl cellulose Nutrition 0.000 description 1
- 229920001027 sodium carboxymethylcellulose Polymers 0.000 description 1
- 235000010267 sodium hydrogen sulphite Nutrition 0.000 description 1
- RYYKJJJTJZKILX-UHFFFAOYSA-M sodium octadecanoate Chemical compound [Na+].CCCCCCCCCCCCCCCCCC([O-])=O RYYKJJJTJZKILX-UHFFFAOYSA-M 0.000 description 1
- 235000010265 sodium sulphite Nutrition 0.000 description 1
- 239000003549 soybean oil Substances 0.000 description 1
- 235000012424 soybean oil Nutrition 0.000 description 1
- 241000894007 species Species 0.000 description 1
- LXMSZDCAJNLERA-ZHYRCANASA-N spironolactone Chemical compound C([C@@H]1[C@]2(C)CC[C@@H]3[C@@]4(C)CCC(=O)C=C4C[C@H]([C@@H]13)SC(=O)C)C[C@@]21CCC(=O)O1 LXMSZDCAJNLERA-ZHYRCANASA-N 0.000 description 1
- 229960002256 spironolactone Drugs 0.000 description 1
- 238000010561 standard procedure Methods 0.000 description 1
- 239000007858 starting material Substances 0.000 description 1
- 239000008117 stearic acid Substances 0.000 description 1
- 230000000638 stimulation Effects 0.000 description 1
- 239000000126 substance Substances 0.000 description 1
- 239000005720 sucrose Substances 0.000 description 1
- 150000008163 sugars Chemical class 0.000 description 1
- 125000000446 sulfanediyl group Chemical group *S* 0.000 description 1
- 230000001629 suppression Effects 0.000 description 1
- 239000003765 sweetening agent Substances 0.000 description 1
- 208000024891 symptom Diseases 0.000 description 1
- 238000010189 synthetic method Methods 0.000 description 1
- 229920003002 synthetic resin Polymers 0.000 description 1
- 150000003505 terpenes Chemical class 0.000 description 1
- 125000005931 tert-butyloxycarbonyl group Chemical group [H]C([H])([H])C(OC(*)=O)(C([H])([H])[H])C([H])([H])[H] 0.000 description 1
- 150000003512 tertiary amines Chemical class 0.000 description 1
- 125000003718 tetrahydrofuranyl group Chemical group 0.000 description 1
- UEUXEKPTXMALOB-UHFFFAOYSA-J tetrasodium;2-[2-[bis(carboxylatomethyl)amino]ethyl-(carboxylatomethyl)amino]acetate Chemical compound [Na+].[Na+].[Na+].[Na+].[O-]C(=O)CN(CC([O-])=O)CCN(CC([O-])=O)CC([O-])=O UEUXEKPTXMALOB-UHFFFAOYSA-J 0.000 description 1
- 238000002560 therapeutic procedure Methods 0.000 description 1
- 229930192474 thiophene Natural products 0.000 description 1
- 150000003577 thiophenes Chemical class 0.000 description 1
- 230000000699 topical effect Effects 0.000 description 1
- 235000010487 tragacanth Nutrition 0.000 description 1
- 239000000196 tragacanth Substances 0.000 description 1
- 229940116362 tragacanth Drugs 0.000 description 1
- 230000037317 transdermal delivery Effects 0.000 description 1
- 238000012546 transfer Methods 0.000 description 1
- 238000002054 transplantation Methods 0.000 description 1
- 150000003626 triacylglycerols Chemical class 0.000 description 1
- LMJSLTNSBFUCMU-UHFFFAOYSA-N trichlormethiazide Chemical compound C1=C(Cl)C(S(=O)(=O)N)=CC2=C1NC(C(Cl)Cl)NS2(=O)=O LMJSLTNSBFUCMU-UHFFFAOYSA-N 0.000 description 1
- 229960004813 trichlormethiazide Drugs 0.000 description 1
- AJSTXXYNEIHPMD-UHFFFAOYSA-N triethyl borate Chemical compound CCOB(OCC)OCC AJSTXXYNEIHPMD-UHFFFAOYSA-N 0.000 description 1
- ITMCEJHCFYSIIV-UHFFFAOYSA-M triflate Chemical compound [O-]S(=O)(=O)C(F)(F)F ITMCEJHCFYSIIV-UHFFFAOYSA-M 0.000 description 1
- 125000000026 trimethylsilyl group Chemical group [H]C([H])([H])[Si]([*])(C([H])([H])[H])C([H])([H])[H] 0.000 description 1
- FTVLMFQEYACZNP-UHFFFAOYSA-N trimethylsilyl trifluoromethanesulfonate Chemical compound C[Si](C)(C)OS(=O)(=O)C(F)(F)F FTVLMFQEYACZNP-UHFFFAOYSA-N 0.000 description 1
- COIOYMYWGDAQPM-UHFFFAOYSA-N tris(2-methylphenyl)phosphane Chemical compound CC1=CC=CC=C1P(C=1C(=CC=CC=1)C)C1=CC=CC=C1C COIOYMYWGDAQPM-UHFFFAOYSA-N 0.000 description 1
- GXPHKUHSUJUWKP-UHFFFAOYSA-N troglitazone Chemical compound C1CC=2C(C)=C(O)C(C)=C(C)C=2OC1(C)COC(C=C1)=CC=C1CC1SC(=O)NC1=O GXPHKUHSUJUWKP-UHFFFAOYSA-N 0.000 description 1
- 229960001641 troglitazone Drugs 0.000 description 1
- GXPHKUHSUJUWKP-NTKDMRAZSA-N troglitazone Natural products C([C@@]1(OC=2C(C)=C(C(=C(C)C=2CC1)O)C)C)OC(C=C1)=CC=C1C[C@H]1SC(=O)NC1=O GXPHKUHSUJUWKP-NTKDMRAZSA-N 0.000 description 1
- 150000003667 tyrosine derivatives Chemical class 0.000 description 1
- 238000000825 ultraviolet detection Methods 0.000 description 1
- 125000002948 undecyl group Chemical group [H]C([*])([H])C([H])([H])C([H])([H])C([H])([H])C([H])([H])C([H])([H])C([H])([H])C([H])([H])C([H])([H])C([H])([H])C([H])([H])[H] 0.000 description 1
- SJSNUMAYCRRIOM-QFIPXVFZSA-N valsartan Chemical compound C1=CC(CN(C(=O)CCCC)[C@@H](C(C)C)C(O)=O)=CC=C1C1=CC=CC=C1C1=NN=N[N]1 SJSNUMAYCRRIOM-QFIPXVFZSA-N 0.000 description 1
- 229960004699 valsartan Drugs 0.000 description 1
- MWOOGOJBHIARFG-UHFFFAOYSA-N vanillin Chemical compound COC1=CC(C=O)=CC=C1O MWOOGOJBHIARFG-UHFFFAOYSA-N 0.000 description 1
- FGQOOHJZONJGDT-UHFFFAOYSA-N vanillin Natural products COC1=CC(O)=CC(C=O)=C1 FGQOOHJZONJGDT-UHFFFAOYSA-N 0.000 description 1
- 235000012141 vanillin Nutrition 0.000 description 1
- 208000019553 vascular disease Diseases 0.000 description 1
- 239000003981 vehicle Substances 0.000 description 1
- 229960001722 verapamil Drugs 0.000 description 1
- 239000001993 wax Substances 0.000 description 1
- 239000000230 xanthan gum Substances 0.000 description 1
- 235000010493 xanthan gum Nutrition 0.000 description 1
- 229920001285 xanthan gum Polymers 0.000 description 1
- 229940082509 xanthan gum Drugs 0.000 description 1
- 229910052725 zinc Inorganic materials 0.000 description 1
- 239000011701 zinc Substances 0.000 description 1
- IAIDUHCBNLFXEF-MNEFBYGVSA-N zofenopril Chemical compound C([C@@H](C)C(=O)N1[C@@H](C[C@@H](C1)SC=1C=CC=CC=1)C(O)=O)SC(=O)C1=CC=CC=C1 IAIDUHCBNLFXEF-MNEFBYGVSA-N 0.000 description 1
- 229960002769 zofenopril Drugs 0.000 description 1
- 229940039925 zyprexa Drugs 0.000 description 1
- 229930195724 β-lactose Natural products 0.000 description 1
Images
Classifications
-
- A—HUMAN NECESSITIES
- A61—MEDICAL OR VETERINARY SCIENCE; HYGIENE
- A61K—PREPARATIONS FOR MEDICAL, DENTAL OR TOILETRY PURPOSES
- A61K45/00—Medicinal preparations containing active ingredients not provided for in groups A61K31/00 - A61K41/00
- A61K45/06—Mixtures of active ingredients without chemical characterisation, e.g. antiphlogistics and cardiaca
-
- C—CHEMISTRY; METALLURGY
- C07—ORGANIC CHEMISTRY
- C07K—PEPTIDES
- C07K7/00—Peptides having 5 to 20 amino acids in a fully defined sequence; Derivatives thereof
- C07K7/04—Linear peptides containing only normal peptide links
- C07K7/08—Linear peptides containing only normal peptide links having 12 to 20 amino acids
-
- A—HUMAN NECESSITIES
- A61—MEDICAL OR VETERINARY SCIENCE; HYGIENE
- A61P—SPECIFIC THERAPEUTIC ACTIVITY OF CHEMICAL COMPOUNDS OR MEDICINAL PREPARATIONS
- A61P13/00—Drugs for disorders of the urinary system
- A61P13/12—Drugs for disorders of the urinary system of the kidneys
-
- A—HUMAN NECESSITIES
- A61—MEDICAL OR VETERINARY SCIENCE; HYGIENE
- A61P—SPECIFIC THERAPEUTIC ACTIVITY OF CHEMICAL COMPOUNDS OR MEDICINAL PREPARATIONS
- A61P17/00—Drugs for dermatological disorders
- A61P17/02—Drugs for dermatological disorders for treating wounds, ulcers, burns, scars, keloids, or the like
-
- A—HUMAN NECESSITIES
- A61—MEDICAL OR VETERINARY SCIENCE; HYGIENE
- A61P—SPECIFIC THERAPEUTIC ACTIVITY OF CHEMICAL COMPOUNDS OR MEDICINAL PREPARATIONS
- A61P25/00—Drugs for disorders of the nervous system
-
- A—HUMAN NECESSITIES
- A61—MEDICAL OR VETERINARY SCIENCE; HYGIENE
- A61P—SPECIFIC THERAPEUTIC ACTIVITY OF CHEMICAL COMPOUNDS OR MEDICINAL PREPARATIONS
- A61P27/00—Drugs for disorders of the senses
- A61P27/02—Ophthalmic agents
-
- A—HUMAN NECESSITIES
- A61—MEDICAL OR VETERINARY SCIENCE; HYGIENE
- A61P—SPECIFIC THERAPEUTIC ACTIVITY OF CHEMICAL COMPOUNDS OR MEDICINAL PREPARATIONS
- A61P3/00—Drugs for disorders of the metabolism
-
- A—HUMAN NECESSITIES
- A61—MEDICAL OR VETERINARY SCIENCE; HYGIENE
- A61P—SPECIFIC THERAPEUTIC ACTIVITY OF CHEMICAL COMPOUNDS OR MEDICINAL PREPARATIONS
- A61P3/00—Drugs for disorders of the metabolism
- A61P3/04—Anorexiants; Antiobesity agents
-
- A—HUMAN NECESSITIES
- A61—MEDICAL OR VETERINARY SCIENCE; HYGIENE
- A61P—SPECIFIC THERAPEUTIC ACTIVITY OF CHEMICAL COMPOUNDS OR MEDICINAL PREPARATIONS
- A61P3/00—Drugs for disorders of the metabolism
- A61P3/06—Antihyperlipidemics
-
- A—HUMAN NECESSITIES
- A61—MEDICAL OR VETERINARY SCIENCE; HYGIENE
- A61P—SPECIFIC THERAPEUTIC ACTIVITY OF CHEMICAL COMPOUNDS OR MEDICINAL PREPARATIONS
- A61P3/00—Drugs for disorders of the metabolism
- A61P3/08—Drugs for disorders of the metabolism for glucose homeostasis
- A61P3/10—Drugs for disorders of the metabolism for glucose homeostasis for hyperglycaemia, e.g. antidiabetics
-
- A—HUMAN NECESSITIES
- A61—MEDICAL OR VETERINARY SCIENCE; HYGIENE
- A61P—SPECIFIC THERAPEUTIC ACTIVITY OF CHEMICAL COMPOUNDS OR MEDICINAL PREPARATIONS
- A61P43/00—Drugs for specific purposes, not provided for in groups A61P1/00-A61P41/00
-
- A—HUMAN NECESSITIES
- A61—MEDICAL OR VETERINARY SCIENCE; HYGIENE
- A61P—SPECIFIC THERAPEUTIC ACTIVITY OF CHEMICAL COMPOUNDS OR MEDICINAL PREPARATIONS
- A61P5/00—Drugs for disorders of the endocrine system
- A61P5/48—Drugs for disorders of the endocrine system of the pancreatic hormones
- A61P5/50—Drugs for disorders of the endocrine system of the pancreatic hormones for increasing or potentiating the activity of insulin
-
- A—HUMAN NECESSITIES
- A61—MEDICAL OR VETERINARY SCIENCE; HYGIENE
- A61P—SPECIFIC THERAPEUTIC ACTIVITY OF CHEMICAL COMPOUNDS OR MEDICINAL PREPARATIONS
- A61P9/00—Drugs for disorders of the cardiovascular system
- A61P9/10—Drugs for disorders of the cardiovascular system for treating ischaemic or atherosclerotic diseases, e.g. antianginal drugs, coronary vasodilators, drugs for myocardial infarction, retinopathy, cerebrovascula insufficiency, renal arteriosclerosis
-
- A—HUMAN NECESSITIES
- A61—MEDICAL OR VETERINARY SCIENCE; HYGIENE
- A61P—SPECIFIC THERAPEUTIC ACTIVITY OF CHEMICAL COMPOUNDS OR MEDICINAL PREPARATIONS
- A61P9/00—Drugs for disorders of the cardiovascular system
- A61P9/12—Antihypertensives
-
- C—CHEMISTRY; METALLURGY
- C07—ORGANIC CHEMISTRY
- C07K—PEPTIDES
- C07K14/00—Peptides having more than 20 amino acids; Gastrins; Somatostatins; Melanotropins; Derivatives thereof
- C07K14/435—Peptides having more than 20 amino acids; Gastrins; Somatostatins; Melanotropins; Derivatives thereof from animals; from humans
- C07K14/575—Hormones
- C07K14/605—Glucagons
-
- A—HUMAN NECESSITIES
- A61—MEDICAL OR VETERINARY SCIENCE; HYGIENE
- A61K—PREPARATIONS FOR MEDICAL, DENTAL OR TOILETRY PURPOSES
- A61K38/00—Medicinal preparations containing peptides
Definitions
- the present invention provides novel human glucagon-like peptide-1 (GLP-1) peptide mimics, which duplicate the biological activity of the native peptide, exhibit increased stability to proteolytic cleavage as compared to GLP-1 native sequences, and thus are useful for the amelioration of the diabetic condition.
- GLP-1 glucagon-like peptide-1
- GLP-1 is an important gut hormone with regulatory function in glucose metabolism and gastrointestinal secretion and metabolism.
- Human GLP-1 is a 30 amino acid residue peptide originating from preproglucagon, which is synthesized for example, in the L-cells in the distal ileum, in the pancreas and in the brain. Processing of preproglucagon to yield GLP-1(7-36) amide and GLP-2 occurs mainly in the L-cells.
- GLP-1 is normally secreted in response to food intake; in particular carbohydrates and lipids stimulate GLP-1 secretion.
- GLP-1 has been identified as a very potent and efficacious stimulator for insulin release.
- GLP-1 lowers glucagon concentration, slows gastric emptying, stimulates insulin biosynthesis and enhances insulin sensitivity (Nauck, Horm. Metal. Res., 47:1253-1258 (1997)). GLP-1 also enhances the ability of the B-cells to sense and respond to glucose in subjects with impaired glucose tolerance (Byrne, Eur. J. Clin. Invest., 28:72-78 (1998)). The insulinotropic effect of GLP-1 in humans increases the rate of glucose metabolism partly due to increased insulin levels and partly due to enhanced insulin sensitivity (D'Alessio, Eur. J. Clin. Invest., 28:72-78 (1994)). The above stated pharmacological properties of GLP-1 make it a highly desirable therapeutic agent for the treatment of type-II diabetes.
- GLP-1 stimulates the expression of the transcription factor IDX-1 while stimulating B-cell neogenesis and may thereby be an effective treatment and/or preventive agent for diabetes (Stoffers, D. A. et al., Diabetes, 40:741-748 (2000)). GLP-1 has also been shown to inhibit gastric acid secretion (Wettergren, A. et al., Dig. Dis. Sci., 38:665-673 (1993)), which may provide protection against gastric ulcers.
- GLP-1 is an incretin hormone, for example, an intestinal hormone that enhances meal-induced insulin secretion (Hoist, J. J., Curr. Med. Chem., 6:1005-1017 (1999)). It is a product of the glucagon gene encoding proglucagon. This gene is expressed not only in the A-cells of the pancreas but also in the endocrine L-cells of the intestinal mucosa. Proglucagon is a peptide (protein) containing 160 amino acids. Further processing of proglucagon results in the generation of a) glucagon, b) an N-terminal, presumably inactive fragment, and e) a large C-terminal fragment commonly referred as “the major proglucagon fragment”.
- This fragment is considered to be biologically inactive. Even though this fragment is present in both pancreas and in the L-cells of the gut, it is only in the intestines the breakdown products of the “the major proglucagon fragment” resulting in two highly homologous peptides commonly referred as GLP-1 and GLP-2 are observed. These two peptides have important biological activities. As such, the amino acid sequence of GLP-1, which is present in the L-cells, is identical to the 78-107 portion of proglucagon.
- the present invention provides novel GLP-1 peptide mimics that duplicate the biological activity of the native peptide and thus are useful for the amelioration of the diabetic condition.
- GLP-1(7-37) has a serum half-life of only 3 to 5 minutes.
- GLP-1(7-37) has a serum half-life of only 3 to 5 minutes.
- X aa1-9 is a naturally or nonnaturally occurring amino acid residue
- Y and Z are amino acid residues
- substitutions at the alpha-carbon atoms of Y and Z may each independently be substituted with a primary substituent group selected from the group consisting of hydrogen, alkyl, cycloalkyl, cycloalkylalkyl, heterocyclylalkyl, arylalkyl and heteroarylalkyl, heterocyclylalkyl said primary substituent optionally being substituted with a secondary substituent selected from a cycloalkyl, heterocyclyl, aryl or heteroaryl group; any of said primary or secondary substituents may further be substituted with one or more of, hydrogen, alkyl, cycloalkyl, arylalkyl, aryl, heterocyclyl, heteroaryl, alkenyl, alkynyl, halo, hydroxy, mercapto, nitro, cyano, amino, acylamino, azido, guanidino, amidino, carboxyl, carboxamido, carboxamido alky
- substitution at the alpha-carbon of Y may be substituted with hydrogen, alkyl, aminoalkyl, hydroxyalkyl or carboxyalkyl;
- substitution at the alpha-carbon of Z may be substituted with hydrogen, alkyl, aminoalkyl, hydroxyalkyl or carboxyalkyl;
- a and B are optionally present;
- A is present and A is hydrogen, an amino acid or peptide containing from about 1 to about 15 amino acid residues, an R group, an R—C(O) (amide) group, a carbamate group RO—C(O), a urea R 4 R 5 N—C(O), a sulfonamido R—SO 2 , or a R 4 R 5 N—SO 2 ;
- R is selected from the group consisting of hydrogen, alkyl, cycloalkyl, cycloalkylalkyl, heterocyclyl, heterocycloalkyl, aryl, heteroaryl, arylalkyl, aryloxyalkyl, heteroarylalkyl and heteroaryloxyalkyl;
- R 4 and R 5 are each independently selected from the group consisting of hydrogen, alkyl, cycloalkyl, cycloalkylalkyl, heterocyclyl, heterocycloalkyl, aryl, heteroaryl, arylalkyl, aryloxyalkyl, heteroarylalkyl and heteroaryloxyalky;
- alpha-amino group of X aa1 is substituted with a hydrogen or an alkyl group, said alkyl group may optionally form a ring with A;
- B is present and B is OR 1 , NR 1 R 2 , or an amino acid or peptide containing from 1 to 15 amino acid residues, preferably 1 to 10, more preferably 1 to 5 terminating at the C-terminus as a carboxamide, substituted carboxamide, an ester, a free carboxylic acid or an amino-alcohol;
- R 1 and R 2 are independently chosen from hydrogen, alkyl, cycloalkyl, cycloalkylalkyl, heterocyclyl, heterocycloalkyl, aryl, heteroaryl, arylalkyl, aryloxyalkyl, heteroarylalkyl or heteroaryloxyalkyl.
- Preferred substitutions upon the alpha-carbon atoms of Y and Z are selected from the group consisting of heteroarylarylmethyl, arylheteroarylmethyl or biphenylmethyl forming biphenylalanine residues, any of which is also optionally substituted with one or more, hydrogen, alkyl, cycloalkyl, arylalkyl, aryl, heterocyclyl, heteroaryl, alkenyl, alkynyl, halo, hydroxy, mercapto, nitro, cyano, amino, acylamino, azido, guanidine, amidino, carboxyl, carboxamido, carboxamido alkyl, formyl, acyl, carboxyl alkyl, alkoxy, aryloxy, arylalkyloxy, heteroaryloxy, heterocyclooxy, acyloxy, mercapto, mercapto alkyl, mercaptoaryl, mercapto acyl, halo,
- Further embodiments include isolated polypeptides wherein the other substitution at the alpha-carbon of Y is substituted with hydrogen, methyl or ethyl; and wherein, the other substitution at the alpha-carbon of Z is substituted with hydrogen, methyl or ethyl.
- X aa1 is naturally or nonnaturally occurring amino acid residue in which one of the substitutions at the alpha-carbon is a primary substituent selected from the group consisting of heterocyclylalkyl, heteroaryl, heteroarylalkyl and arylalkyl, said primary substituent optionally being substituted with secondary substituent selected from heteroaryl or heterocyclyl; and in which the other substitution at the alpha-carbon is hydrogen or alkyl;
- X aa2 is naturally or nonnaturally occurring amino acid residue in which one of the substitutions at the alpha-carbon is an alkyl or cycloalkyl where the alkyl group may optionally form a ring with the nitrogen of X aa2 ; and wherein the other substitution at the alpha-carbon is hydrogen or alkyl;
- X aa3 is a naturally or nonnaturally occurring amino acid residue in which one of the substitutions at the alpha-carbon is selected from the group consisting of a carboxyalkyl, bis-carboxyalkyl, sulfonylalkyl, heteroalkyl and mercaptoalkyl; and wherein the other substitution at the alpha-carbon is hydrogen or alkyl;
- X aa4 is a naturally or nonnaturally occurring amino acid residue in which the alpha-carbon is not substituted, or in which one of the substitutions at the alpha-carbon is selected from the group consisting of aminoalkyl, carboxyalkyl heteroarylalkyl and heterocyclylalkyl;
- X aa5 is a naturally or nonnaturally occurring amino acid residue in which one of the substitutions at the alpha-carbon is an alkyl or hydroxyalkyl, and in which the other substitution at the alpha-carbon is hydrogen or alkyl;
- X aa6 is a naturally or nonnaturally occurring amino acid residue in which one of the substitutions at the alpha-carbon is selected from the group consisting of alkyl, aryl, heteroaryl, heterocyclyl, cycloalkylalkyl, heterocyclylalkyl, arylalkyl and heteroarylalkyl group, and wherein the other substitution at the alpha-carbon is hydrogen or alkyl;
- X aa7 is a naturally or nonnaturally occurring amino acid residue in which one of the substitutions at the alpha-carbon is a hydroxyalkyl group;
- X aa8 is a naturally or nonnaturally occurring amino acid residue in which one of the substitutions at the alpha-carbon is selected from the group consisting of alkyl, hydroxyalkyl, heteroarylalkyl and carboxamidoalkyl, and in which the other substitution at the alpha-carbon is hydrogen or alkyl;
- X aa9 is a naturally or nonnaturally occurring amino acid residue in which one of the substitutions at alpha-carbon is selected from the group consisting of carboxylalkyl, bis-carboxylalkyl, carboxylaryl, sulfonylalkyl, carboxylamidoalkyl and heteroarylalkyl; and wherein
- A is hydrogen, an amino acid or peptide containing from about 1 to about 5 amino acid residues, an R group, an R—C(O) amide group, a carbamate group RO—C(O), a urea R 4 R 5 N—C(O), a sulfonamido R—SO 2 or a R 4 R 5 N—SO 2 .
- X aa1 is an amino acid residue selected from the group consisting of L-His, D-H is, L-N-Methyl-His, D-N-Methyl-His, L-4-ThiazolylAla and D-4-ThiazolylAla;
- X aa2 is an amino acid residue selected from the group consisting of L-Ala, D-Ala, L-Pro, Gly, D-Ser, D-Asn, L-N-Methyl-Ala, D-N-Methyl-Ala, L-4-ThioPro, L-Pro(t-4-OH) (“L-4-hydroxyproline”), L-2-Pip, L-2-Azt, Aib, S- or R-Iva and Acc 3 ;
- X aa3 is an amino acid residue selected from the group consisting of L-Glu, L-N-Methyl-Glu, L-Asp, D-Asp, L-His, L-Gla, L-Adp, L-Cys and L-4-ThiazolylAla;
- X aa4 is an amino acid residue selected from the group consisting of Gly, L-His, L-Lys and L-Asp;
- X aa5 is an amino acid residue selected from the group consisting of L-Thr, D-Thr, L-Nle, L-Met, L-Nva and L-Aoc;
- X aa6 is an amino acid residue selected from the group consisting of L-Phe, L-Tyr, L-Tyr(Bzl), Tyr(3-NO 2 ), L-Nle, L-Trp, L-Phe(penta-Fluoro), D-Phe(penta-Fluoro), Phe(2-Fluoro), Phe(3-Fluoro), Phe(4-Fluoro), Phe(2,3-di-Fluoro), Phe(3,4-di-Fluoro), Phe(3,5-di-Fluoro), L-Phe(2,6-di-Fluoro), Phe(3,4,5-tri-Fluoro), Phe(2-Iodo), Phe(2-OH), Phe(2-OMethyl), Phe(3-OMethyl), Phe(3-Cyano), Phe(2-Chloro), Phe(2-
- X aa7 is an amino acid residue selected from the group consisting of L-Thr, D-Thr, L-Ser and L-hSer;
- X aa8 is an amino acid residue selected from the group consisting of L-Ser, L-hSer, L-His, L-Asn and L- ⁇ -Me-Ser;
- X aa9 is an amino acid residue selected from the group consisting of L-Asp, L-Glu, L-Gla, L-Adp, L-Asn and L-His.
- Y is selected from the group consisting of L-Bip, D-Bip, L-Bip(2-Me), D-Bip(2-Me), L-Bip(2′-Me), L-Bip(2-Et), D-Bip(2-Et), L-Bip(3-Et), L-Bip(4-Et), L-Bip(2-n-Propyl), L-Bip(2-n-Propyl, 4-OMe), L-Bip(2-n-Propyl,2′-Me), L-Bip(3-Me), L-Bip(4-Me), L-Bip(2,3-di-Me), L-Bip(2,4-di-Me), L-Bip(2,6-di-Me), L-Bip(2,4-di-Et), L-Bip(2-Me, 2′-Me), L-Bip(2-E
- Z is selected from the group consisting of L-Bip, D-Bip, L-Bip(2-Me), D-Bip(2-Me), L-Bip(2′-Me), L-Bip(2-Et), D-Bip(2-Et), L-Bip(2-Et), L-Bip(3-Me), L-Bip(4-Me), L-Bip(3-OMe), L-Bip(4-OMe), L-Bip(4-Et), L-Bip(2-n-Propyl,2′-Me), L-Bip(2,4-di-Me), L-Bip(2-Me, 2′-Me), L-Bip(2-Me,4-OMe), L-Bip(2-Et,4-OMe), D-Bip(2-Et,4-OMe), L-Bip(2,6-di-Me), L-Bip
- A is selected from the group consisting of H, Acetyl, ⁇ -Ala, Ahx, Gly, Asp, Glu, Phe, Lys, Nva, Asn, Arg, Ser, Thr, Val, Trp, Tyr, Caprolactam, L-Bip, L-Ser(Bzl), 3-PyridylAla, Phe(4-Me), Phe(penta-Fluoro), 4-Methylbenzyl, 4-Fluorobenzyl, n-propyl, n-hexyl, cyclohexylmethyl, 6-hydroxypentyl, 2-Thienylmethyl, 3-Thienylmethyl, penta-Fluorobenzyl, 2-naphthylmethyl, 4-biphenylmethyl, 9-Anthracenylmethyl, benzyl, (S)-(2-amino-3-phenyl)propyl, methyl, 2-aminoethyl
- B is selected from the group consisting of OH, NH 2 , Trp-NH 2 , 2-NaphthylAla-NH 2 , Phe(penta-Fluoro)-NH 2 , Ser(Bzl)-NH 2 , Phe(4-NO 2 )—NH 2 , 3-PyridylAla-NH 2 , Nva-NH 2 , Lys-NH 2 , Asp-NH 2 , Ser-NH 2 , His-NH 2 , Tyr-NH 2 , Phe-NH 2 , L-Bip-NH 2 , D-Ser-NH 2 , Gly-OH, ⁇ -Ala-OH, GABA-OH and APA-OH.
- X aa1 is an R group, an R—C(O) (amide) group, a carbamate group RO—C(O), a urea R 4 R 5 N—C(O), a sulfonamido R—SO 2 , or a R 4 R 5 N—SO 2 ;
- R is selected from the group consisting of hydrogen, alkyl, cycloalkyl, cycloalkylalkyl, heterocyclyl, heterocycloalkyl, aryl, heteroaryl, arylalkyl, aryloxyalkyl, heteroarylalkyl, heteroaryloxyalkyl and heteroarylalkoxyalkyl; and wherein
- R 4 and R 5 are each independently selected from the group consisting of hydrogen, alkyl, cycloalkyl, cycloalkylalkyl, heterocyclyl, heterocycloalkyl, aryl, heteroaryl, arylalkyl, aryloxyalkyl, heteroarylalkyl and heteroaryloxyalky.
- R 1 and R 2 are independently chosen from hydrogen, alkyl, cycloalkyl, cycloalkylalkyl, heterocycle, heterocycloalkyl, aryl, heteroaryl, arylalkyl, aryloxyalkyl, heteroarylalkyl or heteroaryloxyalkyl.
- X aa1 (where applicable), X aa2 and X aa3 are N—H or N-alkylated, preferably N-methylated amino acid residues.
- the isolated polypeptide is a 10-mer to 15-mer and such polypeptide and binds to and activates the GLP-1 receptor.
- the present invention also provides a method of making a polypeptide that mimics the activity of a polypeptide receptor agonist.
- the synthetic isolated peptides described herein possess the ability to mimic the biological activity of GLP peptides, with preference for mimicking GLP-1.
- These synthetic peptide GLP-1 mimics exhibit desirable in-viva properties, thus making them ideal therapeutic candidates for oral or parenteral administration.
- the present invention also provides an isolated polypeptide according to Formula I, wherein the polypeptide is a Glucagon-Like-Peptide derivative, preferably a Glucagon-Like-Peptide-1 derivative.
- the present invention provides for polypeptides of formula I, pharmaceutical compositions employing such polypeptides and for methods of using such polypeptides.
- the present invention provides a pharmaceutical composition comprising a therapeutically effective amount of a polypeptide of formula I, alone or in combination with a pharmaceutically acceptable carrier.
- a method for treating or delaying the progression or onset of diabetes especially type II diabetes, including complications of diabetes, including retinopathy, neuropathy, nephropathy and delayed wound healing, and related diseases such as insulin resistance (impaired glucose homeostasis), hyperglycemia, hyperinsulinemia, elevated blood levels of fatty acids or glycerol, obesity, hyperlipidemia including hypertriglyceridemia, Syndrome X, atherosclerosis and hypertension, and for increasing high density lipoprotein levels, wherein a therapeutically effective amount of a polypeptide of formula I is administered to a mammalian, e.g., human, patient in need of treatment.
- a mammalian e.g., human
- polypeptides of the invention can be used alone, in combination with other polypeptides of the present invention, or in combination with one or more other agent(s) active in the therapeutic areas described herein.
- a method for treating diabetes and related diseases as defined above and hereinafter wherein a therapeutically effective amount of a combination of a polypeptide of formula I and at least one other type of therapeutic agent, such as an antidiabetic agent, a hypolipidemic agent or anti-obesity agent, is administered to a human patient in need of treatment.
- a therapeutically effective amount of a combination of a polypeptide of formula I and at least one other type of therapeutic agent such as an antidiabetic agent, a hypolipidemic agent or anti-obesity agent
- FIG. 1 illustrates the effects of intravenous infusion of Compound A and GLP-1 on plasma glucose in scGTT in rats.
- FIG. 2 illustrates the effects of intravenous infusion of Compound B and GLP-1 on plasma glucose in scGT in rats.
- FIG. 3 illustrates the effects of subcutaneous injection of Compound A and GLP-1 on plasma glucose in scGTT in rats.
- FIG. 4 illustrates the effects of subcutaneous injection of Compound B and GLP-1 on plasma glucose in scGTT in rats.
- FIG. 5 illustrates the effects of subcutaneous injection of Compound C on plasma glucose in an ipGTT model in rats.
- FIG. 6 illustrates the effects of subcutaneous injection of Compound Don plasma glucose in an ipGTT model in rats.
- FIG. 7 illustrates the effects of subcutaneous injection of GLP-1 on plasma glucose in an ipGTT model in rats.
- amino-alcohol as employed herein alone or as part of another group includes a natural or un-natural amino acid in which the carboxy group is replaced (reduced) to a methyl alcohol such as valinol, glycinol, alaninol, arylalaninol, heteroarylalaninol.
- alkyl as employed herein alone or as part of another group includes both straight and branched chain hydrocarbons, containing 1 to 40 carbons, preferably 1 to 20 carbons, more preferably 1 to 8 carbons, in the normal chain, such as methyl, ethyl, propyl, isopropyl, butyl, t-butyl, isobutyl, pentyl, hexyl, isohexyl, heptyl, 4,4-dimethylpentyl, octyl, 2,2,4-trimethylpentyl, nonyl, decyl, undecyl, dodecyl, the various branched chain isomers thereof, and the like.
- alkyl groups may optionally be substituted on any available carbon atom with one or more functional groups commonly attached to such chains, such as, but not limited to alkyl, aryl, alkenyl, alkynyl, hydroxy, arylalkyl, cycloalkyl, cycloalkylalkyl, alkoxy, arylalkyloxy, heteroaryloxy, heteroarylalkyloxy, alkanoyl, halo, hydroxyl, thio, nitro, cyano, carboxyl, carbonyl
- carboxamido amino, alkylamino, dialkylamino, amido, alkylamino, arylamido, heteroarylamino, azido, guanidino, amidino, phosphonic, phosphinic, sulfonic, sulfonamido, haloaryl, CF 3 , OCF 2 , OCF 3 , aryloxy, heteroaryl, cycloalkylalkoxyalkyl, cycloheteroalkyl and the like to form alkyl groups such as trifluoro methyl, 3-hydroxyhexyl, 2-carboxypropyl, 2-fluoroethyl, carboxymethyl, cyanobutyl and the like.
- alkenyl as employed herein alone or as part of another group includes both straight and branched chain hydrocarbons, containing 2 to 40 carbons with one or more double bonds, preferably 2 to 20 carbons with one to three double bonds, more preferably 2 to 8 carbons with one to two double bonds, in the normal chain, such that any carbon may be optionally substituted as described above for “alkyl”.
- alkynyl as employed herein alone or as part of another group includes both straight and branched chain hydrocarbons, containing 2 to 40 carbons with one or more triple bonds, preferably 2 to 20 carbons with one to three triple bonds, more preferably 2 to 8 carbons with one to two triple bonds, in the normal chain, such that any carbon may be optionally substituted as described above for “alkyl”.
- cycloalkyl as employed herein alone or as part of another group includes saturated or partially unsaturated (containing 1 or 2 double bonds) cyclic hydrocarbon groups containing 1 to 3 rings, appended or fused, including monocyclic alkyl, bicyclic alkyl and tricyclic alkyl, containing a total of 3 to 20 carbons forming the rings, preferably 4 to 7 carbons, forming each ring; which may be fused to 1 aromatic ring as described for aryl, which include cyclopropyl, cyclobutyl, cyclopentyl, cyclohexyl, cycloheptyl, cyclooctyl, cyclodecyl, cyclododecyl, cyclohexenyl,
- any of which groups may be optionally substituted through any available carbon atoms with 1 or more groups selected from hydrogen, halo, haloalkyl, alkyl, haloalkyl, alkoxy, haloalkoxy, alkenyl, trifluoromethyl, trifluoromethoxy, alkynyl, cycloalkylalkyl, fluorenyl, heterocycloalkyl, heterocycloalkylalkyl, aryl, heteroaryl, arylalkyl, aryloxy, aryloxyalkyl, arylalkoxy, arylthio, arylazo, heteroarylalkyl, heteroarylalkenyl, heteroarylheteroaryl, heteroaryloxy, hydroxy, nitro, oxo, cyano, carboxyl, carbonyl
- aryl refers to monocyclic and bicyclic aromatic groups containing 6 to 10 carbons in the ring portion (such as phenyl or naphthyl) and may optionally include one to three additional rings fused to “aryl” (such as aryl, cycloalkyl, heteroaryl or heterocycloalkyl rings) and may be optionally substituted through any available carbon atoms with 1 or more groups selected from hydrogen, alkyl, halo, haloalkyl, alkoxy, haloalkoxy, alkenyl, trifluoromethyl, trifluoromethoxy, alkynyl, cycloalkylalkyl, fluorenyl, heterocycloalkyl, heterocycloalkylalkyl, aryl, heteroaryl, arylalkyl, aryloxy, aryloxyalkyl, arylalkoxy, arylthio, arylazo, heteroarylalky
- arylalkyl as used herein alone or as part of another group refers to alkyl groups as defined above having an aryl substituent, such as benzyl, phenethyl or naphthylpropyl, wherein said aryl and/or alkyl groups may optionally be substituted as defined above.
- alkoxy as employed herein alone or as part of another group includes an alkyl or aryl group as defined above linked through an oxygen atom.
- heterocyclo represents an unsubstituted or substituted stable 4-, 5-, 6- or 7-membered monocyclic ring system which may be saturated or unsaturated, and which consists of carbon atoms and from one to four heteroatoms selected from nitrogen, sulfur, oxygen and/or a SO or SO 2 group, wherein the nitrogen and sulfur heteroatoms may optionally be oxidized, and the nitrogen heteroatom may optionally be quaternized.
- the heterocyclic ring may be attached at any heteroatom or carbon atom which results in the creation of a stable structure.
- heterocyclic groups include, but are not limited to, tetrahydrofuranyl, tetrahydrothiophenyl pyrrolidinyl, piperidinyl, piperazinyl, oxopyrrolidinyl, oxopiperazinyl, oxopiperidinyl and oxadiazolyl.
- a heterocyclo group may be substituted with one or more functional groups, such as those described for “alkyl” or “aryl”.
- heterocycloalkyl as used herein alone or as part of another group refers to alkyl groups as defined above having a heterocycloalkyl substituent, wherein said “heterocyclo” and/or alkyl groups may optionally be substituted as defined above.
- heteroaryl refers to a 5-, 6- or 7-membered aromatic heterocyclic ring which contains one or more heteroatoms selected from nitrogen, sulfur, oxygen and/or a SO or SO 2 group. Such rings may be fused to another aryl or heteroaryl ring and include possible N-oxides; Examples of such heteroaryl groups include, but are not limited to, furan, pyrrole, thiophene, pyridine, isoxazole, oxazole, imidazole and the like. Optionally a heteroaryl group may be substituted with one or more functional groups commonly attached to such chains, such as those described for “alkyl” or “aryl”.
- heteroarylalkyl as used herein alone or as part of another group refers to alkyl groups as defined above having a heteroaryl substituent, wherein said heteroaryl and/or alkyl groups may optionally be substituted as defined above.
- diabetes and related diseases or related conditions refers to Type II diabetes, Type I diabetes, impaired glucose tolerance, obesity, hyperglycemia, Syndrome X, dysmetabolic syndrome, diabetic complications, and hyperinsulinemia.
- lipid-modulating or “lipid lowering” agent as employed herein refers to agents that lower LDL and/or raise HDL and/or lower triglycerides and/or lower total cholesterol and/or other known mechanisms for therapeutically treating lipid disorders.
- An administration of a therapeutic agent of the invention includes administration of a therapeutically effective amount of the agent of the invention.
- therapeutically effective amount refers to an amount of a therapeutic agent to treat or prevent a condition treatable by administration of a composition of the invention. That amount is the amount sufficient to exhibit a detectable therapeutic or preventative or ameliorative effect. The effect may include, for example, treatment or prevention of the conditions listed herein.
- the precise effective amount for a subject will depend upon the subject's size and health, the nature and extent of the condition being treated, recommendations of the treating physician, and the therapeutics or combination of therapeutics selected for administration. Thus, it is not useful to specify an exact effective amount in advance.
- the peptides and analogs thereof described herein may be produced by chemical synthesis using various solid-phase techniques such as those described in Barany, G. et al., The Peptides: Analysis, Synthesis, Biology , Vol. 2, “Special Methods in Peptide Synthesis, Part A”, pp. 3-284, Gross, E. et al., eds., Academic Press, New York (1980); and in Stewart, J. M. et al., Solid - Phase Peptide Synthesis, 2nd Edition, Pierce Chemical Co., Rockford, Ill. (1984).
- the preferred strategy for use in this invention is based on the Fmoc (9-Fluorenylmethylmethyloxycarbonyl) group for temporary protection of the ⁇ -amino group, in combination with the tert-butyl group for temporary protection of the amino acid side chains (see for example Atherton, E. et al., “The Fluorenylmethoxycarbonyl Amino Protecting Group”, The Peptides: Analysis, Synthesis, Biology , Vol. 9, “Special Methods in Peptide Synthesis, Part C”, pp. 1-38, Undenfriend, S. et al., eds., Academic Press, San Diego (1987).
- the peptides can be synthesized in a stepwise manner on an insoluble polymer support (also referred to as “resin”) starting from the C-terminus of the peptide.
- a synthesis is begun by appending the C-terminal amino acid of the peptide to the resin through formation of an amide or ester linkage. This allows the eventual release of the resulting peptide as a C-terminal amide or carboxylic acid, respectively.
- the C-terminal residue may be attached to 2-Methoxy-4-alkoxybenzyl alcohol resin (Sasrin, Bachem Bioscience, Inc., King of Prussia, Pa.) as described herein and, after completion of the peptide sequence assembly, the resulting peptide alcohol is released with LiBH 4 in THF (see Stewart, J. M. et al., supra, p. 92).
- 2-Methoxy-4-alkoxybenzyl alcohol resin Sasrin, Bachem Bioscience, Inc., King of Prussia, Pa.
- the C-terminal amino acid and all other amino acids used in the synthesis are required to have their ⁇ -amino groups and side chain functionalities (if present) differentially protected such that the ⁇ -amino protecting group may be selectively removed during the synthesis.
- the coupling of an amino acid is performed by activation of its carboxyl group as an active ester and reaction thereof with the unblocked ⁇ -amino group of the N-terminal amino acid appended to the resin.
- the sequence of ⁇ -amino group deprotection and coupling is repeated until the entire peptide sequence is assembled.
- the peptide is then released from the resin with concomitant deprotection of the side chain functionalities, usually in the presence of appropriate scavengers to limit side reactions.
- the resulting peptide is finally purified by reverse phase HPLC.
- peptidyl-resins required as precursors to the final peptides utilizes commercially available cross-linked polystyrene polymer resins (Novabiochem, San Diego, Calif.).
- Preferred for use in this invention are 4-(2′,4′-dimethoxyphenyl-Fmoc-aminomethyl)-phenoxyacetyl-p-methyl benzhydrylamine resin (Rink amide MBHA resin) or p-benzyloxybenzyl alcohol resin (HMP resin) to which the C-terminal amino acid may or may not be already attached.
- the C-terminal amino acid is not attached, its attachment may be achieved by DMAP-catalyzed esterification with the O-acylisourea or the HOAT active ester of the Fmoc-protected amino acid formed by its reaction with DIC or DIC/HOAT, respectively. Coupling of the subsequent amino acids can be accomplished using HOBT or HOAT active esters produced from DIC/HOBT or DIC/HOAT, respectively.
- the syntheses of the 11-mer peptide analogs described herein can be carried out by using a peptide synthesizer, such as an Advanced Chemtech Multiple Peptide Synthesizer (MPS396) or an Applied Biosystems Inc. peptide synthesizer (ABI 433A). If the MPS396 was used, up to 96 peptides were simultaneously synthesized. If the ABI 433A synthesizer was used, individual peptides were synthesized sequentially. In both cases the stepwise solid phase peptide synthesis was carried out utilizing the Fmoc/t-butyl protection strategy described herein. The non-natural non-commercial amino acids present at position 11 and at position 10 were incorporated into the peptide chain in one of two methods.
- MPS396 Advanced Chemtech Multiple Peptide Synthesizer
- ABSI 433A Applied Biosystems Inc. peptide synthesizer
- Preferred for use in this invention are the Fmoc amino acids derivatives shown below.
- Peptides with the desired purity can be obtained by purification using preparative HPLC, for example, on a Waters Model 4000 or a Shimadzu Model LC-8A liquid chromatograph.
- the solution of crude peptide is injected into a YMC S5 ODS (20 ⁇ 100 mm) column and eluted with a linear gradient of MeCN in water, both buffered with 0.1% TEA, using a flow rate of 14-20 mL/min with effluent monitoring by UV absorbance at 220 nm.
- the structures of the purified peptides can be confirmed by electro-spray MS analysis.
- amino acid residues occur as both D and L isomers, and that the instant invention contemplates the use of either or a mixture of isomers for amino acid residues incorporated in the synthesis of the peptides described herein.
- the present invention provides a method of making a polypeptide of formula
- the address sequence of the polypeptide confers the ability of a polypeptide to bind to a receptor and the message sequence is capable of inducing receptor mediated signal transduction upon binding of the polypeptide to the receptor.
- the method of making the polypeptide comprises replacing the message sequence of a polypeptide receptor agonist with Y and Z wherein Y and Z are amino acid residues;
- substitutions at the alpha-carbon atoms of Y and Z may each independently be substituted with a primary substituent group selected from the group consisting of hydrogen, alkyl, cycloalkyl, cycloalkylalkyl, heterocyclylalkyl, arylalkyl and heteroarylalkyl, heterocyclylalkyl said primary substituent optionally being substituted with a secondary substituent selected from a cycloalkyl, heterocyclyl, aryl or heteroaryl group; any of said primary or secondary substituents may further be substituted with one or more of, hydrogen, alkyl, cycloalkyl, arylalkyl, aryl, heterocyclyl, heteroaryl, alkenyl, alkynyl, halo, hydroxy, mercapto, nitro, cyano, amino, acylamino, azido, guanidino, amidino, carboxyl, carboxamido, carboxamido alky
- substitution at the alpha-carbon of Y may be substituted with hydrogen, alkyl, aminoalkyl, hydroxyalkyl or carboxyalkyl;
- substitution at the alpha-carbon of Z may be substituted with hydrogen, alkyl, aminoalkyl, hydroxyalkyl or carboxyalkyl.
- the present invention provides a method of making a polypeptide that mimics the activity of an endogenous polypeptide receptor agonist.
- the polypeptide receptor agonist is GLP-1.
- the method of making the polypeptide further comprises replacing the message sequence of the polypeptide with a variant message sequence capable of inducing receptor mediated signal transduction.
- Variant message sequences can be made by replacing or modifying one or more amino acid residues of a polypeptide receptor agonist message sequence.
- Dipeptidyl resin containing non-natural non-commercial amino acid residues at positions 10 and 11, was prepared using the following manual procedure in a batch-wise mode before continuing peptide chain elongation utilizing the automated simultaneous synthesis protocol on the MPS-396 peptide synthesizer.
- the synthesis of the N ⁇ -Fmoc-protected biphenylalanine derivatives used in the manual couplings is described in Examples 8-10.
- dipeptidyl-resins required for the synthesis of a set of designed analogs were then used in the automated MPS synthesis of up to 96 peptides per run in the following manner.
- the dipeptidyl-resins were loaded as suspensions in dichloromethane/DMF (60:40) into the 96-well reactor of an Advanced ChemTech MPS 396 synthesizer in volumes corresponding to 0.01-0.025 mmol (20-50 mg) of resin per reactor well. The reactor was placed on the instrument and drained.
- the Fmoc-protected dipeptidyl-resin prepared above was deprotected by treating with 1.5 M (15%) piperidine in DMF (0.6 mL; 1 ⁇ 3 minutes; 1 ⁇ 18 minutes). The resin was then washed with DMF (4 ⁇ 0.5 mL), DMF/EtOH (80:20) (1 ⁇ 0.5 mL) and NMP (3 ⁇ 0.5 mL).
- Coupling of the next amino acid residue, typically Fmoc-Asp(OtBu)-OH or another Fmoc-amino acid with appropriate orthogonal protection if required was carried out by automated addition of a 0.36 M solution of the appropriate Fmoc-amino acid (0.072 mmol, 7.2 eq.) and HOAt (7.2 eq.) in NMP (0.2 mL) to all 96 wells. This was followed by addition to all 96 wells of a 0.36 M solution of DIC (0.072 mmol, 7.2 eq.) in NMP (0.2 mL). The coupling was allowed to proceed for 2 hrs.
- the next coupling cycle started with the removal of the Fmoc group as described above, and involved the coupling of either Fmoc-Ser(tBu)-OH or of a different Fmoc-amino acid as required by the sequence substitutions desired at this position.
- the coupling was carried out in a manner identical to that described for Fmoc-Asp(OtBu)-OH.
- the next coupling step was carried out in the same way to incorporate either Fmoc-Thr(tBu)-OH or any of the other selected Fmoc-amino acids into this sequence position as required.
- the next Fmoc-amino acid (for example Fmoc-Phe-OH) was coupled as described above.
- the coupling was modified as follows: after Fmoc deprotection in the usual manner, the Fmoc-amino acid (5 eq.) and HOAt (5 eq.) were added manually as a 0.36 M solution in NMP (0.139 mL). The 0.36 M solution of DIC in NMP (0.139 mL) was then added by the instrument and the coupling was allowed to proceed for 16-24 hrs. The coupling was not repeated in this case. After the usual post-coupling washes, the peptidyl-resins were capped with acetic anhydride as described.
- the next coupling step involved either Fmoc-Thr(tBu)-OH or substitution analogs as required by sequence replacements at this position.
- the coupling was performed as described for the initial MPS coupling of Fmoc-Asp(OtBu)-OH and its analogs.
- This identical coupling protocol was repeated four additional times in order to complete the sequence assembly of the desired 96 11-mer peptide analogs.
- a single coupling protocol similar to that described above for the novel amino acid at position 6 (X aa6 ) was used.
- the Fmoc group was removed with 20% piperidine in DMF as described above, and the peptidyl-resins were washed with DMF (4 ⁇ 0.5 mL) and DCM (4 ⁇ 0.5 mL). They were then dried on the reactor block by applying a constant pressure of nitrogen gas (5 psi) for 10-15 min.
- the desired peptides were cleaved/deprotected from their respective peptidyl-resins by treatment with a TFA cleavage mixture as follows.
- a solution of TFA/water/tri-isopropylsilane (94:3:3) (1.0 mL) was added to each well in the reactor block, which was then vortexed for 2 hrs.
- the TEA solutions from the wells were collected by positive pressure into pre-tared vials located in a matching 96-vial block on the bottom of the reactor.
- the resins in the wells were rinsed twice with an additional 0.5 mL of TFA cocktail and the rinses were combined with the solutions in the vials.
- Preparative HPLC was carried out either on a Waters Model 4000 or a Shimadzu Model LC-8A liquid chromatograph. Each solution of crude peptide was injected into a YMC S5 ODS (20 ⁇ 100 mm) column and eluted using a linear gradient of MeCN in water, both buffered with 0.1% TFA. A typical gradient used was from 20% to 70% 0.1% TFA/MeCN in 0.1% TFA/water over 15 min. at a flow rate of 14 mL/min with effluent UV detection at 220 nm. The desired product eluted well separated from impurities, typically after 10-11 min., and was usually collected in a single 10-15 mL fraction on a fraction collector. The desired peptides were obtained as amorphous white powders by lyophilization of their HPLC fractions.
- each peptide was analyzed by analytical RP-HPLC on a Shimadzu LC-10AD or LC-10AT analytical HPLC system consisting of: a SCL-10A system controller, a SIL-10A auto-injector, a SPD10AV or SPD-M6A UV/VIS detector, or a SPD-M10A diode array detector.
- a YMC ODS S3 (4.6 ⁇ 50 mm) column was used and elution was performed using one of the following gradients: 10-70% B in A over 8 min, 2.5 mL/min. (method A); 5-80% B in A over 8 min, 2.5 mL/min. (method B); 5-70% B in A over 8 min., 2.5 mL/min.
- method C 25-75% B in A over 8 mM, 2.5 mL/min
- method D 20-75% B in A over 8 min, 2.5 mL/min.
- method E 15-70% B in A over 8 min, 2.5 mL/min.
- method F 10-90% B in A over 8 min, 2.5 mL/min.
- method G 20-65% B in A over 8 min, 2.5 mL/min.
- method H 5-90% B in A over 8 min., 2.0 mL/min.
- method I 5-90%13 in A over 8 min., 2.5 mL/min.
- method J 20-80% B in A over 8 mM., 2.5 mL/min.
- ES-MS electrospray mass spectrometry
- Finnigan SSQ7000 single quadrupole mass spectrometers (ThermoFinnigan, San Jose, Calif.) were used in all analyses in positive and negative ion electrospray mode. Full scan data was acquired over the mass range of 300 to 2200 amu for a scan time of 1.0 second. The quadrupole was operated at unit resolution.
- the mass spectrometer was interfaced to a Waters 616 HPLC pump (Waters Corp., Milford, Mass.) and equipped with an HTS PAL autosampler (CTC Analytics, Zwingen, Switzerland).
- the experimentally measured molecular weight was within 0.5 Daltons of the calculated mono-isotopic molecular weight.
- N-alkylated 11-mer peptide analogs was started from the protected intermediate 11-mer peptidyl-resin (1) (0.025 mmol), which was prepared by the general method described herein.
- the Fmoc group was removed using the procedure described in that method, to yield the protected resin intermediate 2. This was swollen in DMF, washed 3 times with 1% AcOH/DMF, and then treated with 2-20 eq. of aldehyde or N-Boc-protected aminoaldehyde (see synthesis below), dissolved in 1% AcOH/DMF (or CH 2 Cl 2 ) (1 M), and the same excess amount of Na(AcO) 3 BH as that of the aldehyde.
- N-Boc-protected aminoaldehydes were synthesized using Castro's procedure (Fehrentz, J. A. et al., Synthesis, 676-678 (1983)) as follows.
- the Boc-protected amino acid (2.0 mmol) was dissolved in 5 mL DCM.
- BOP reagent (1.1 eq.) and DIEA (1.15 eq) were added.
- DIEA 1.15 eq
- a solution of N,O-dimethylhydroxylamine (1.2 eq) and DIEA (1.3 eq) in 5 mL DCM was added.
- the reaction mixture was stirred for 2 hrs, diluted with DCM (30 mL), and washed with 2N HCl (3 ⁇ ), sat.
- aldehyde was characterized by 1 H NMR and electrospray MS, and was used in the reductive alkylation step without further purification.
- the synthesis of the N-acylated 11-mer peptide analogs was started from the protected 11-mer peptidyl-resin intermediate (1) (0.025 mmol), prepared as described herein.
- the Fmoc group was removed using the procedure described herein, and the resulting resin intermediate 2 was coupled with the relevant Fmoc-protected amino acid or carboxylic acid using the coupling protocol described in the general method described herein.
- the N-acylation was performed using 10 eq. of the anhydride in NMP.
- the resulting 12-mer analogs (3) were cleaved/deprotected and purified by prep. HPLC by the general method described herein.
- N-carbamate derivatives of 11-mer peptide analogs may be started from the protected 11-mer peptidyl-resin intermediate (1) (0.025 mmol), prepared as described herein.
- the Fmoc group is removed using the procedure described herein, and the resulting resin intermediate 2 is allowed to react with the relevant chloroformate in the presence of an appropriate base such as a tertiary amine, or with a di-carbonate or an activated carbonate such as p-nitrophenyl or phenyl carbonate.
- N-carbamate derivatives of 10-mer peptide analogs may be prepared starting from a protected 10-mer peptidyl-resin intermediate, Fmoc removal and reaction of the resulting peptidyl-resin intermediate with the relevant chloroformate, di-carbonate or activated carbonate.
- N-urea derivatives of 11-mer peptide analogs may be started from the protected 11-mer peptidyl-resin intermediate (1) (0.025 mmol), prepared as described herein.
- the Fmoc group is removed using the procedure described herein, and the resulting resin intermediate 2 is allowed to react with the relevant isocyanate prepared, for example, as in Burgess, K. et al., J. Am. Chem. Soc., 119:1556-1564 (1997); alternatively, the resin intermediate 2 may be allowed to react with the relevant carbamyl chloride.
- N-urea derivatives of 10-mer peptide analogs may be prepared starting from a protected 10-mer peptidyl-resin intermediate, Fmoc removal and reaction of the resulting peptidyl-resin intermediate with the relevant isocyanate or carbamyl chloride.
- N-sulfonamides of 1′-mer peptide analogs may be started from the protected 11-mer peptidyl-resin intermediate (1) (0.025 mmol), prepared as described herein. The Fmoc group is removed using the procedure described herein, and the resulting resin intermediate 2 is allowed to react with the relevant sulfonyl chloride.
- N-sulfonamides of 10-mer peptide analogs may be prepared starting from a protected 10-mer peptidyl-resin intermediate, Fmoc removal and reaction of the resulting peptidyl-resin intermediate with the relevant sulfonyl chloride.
- N-sulfonylurea derivatives of 11-mer peptide analogs may be started from the protected 11-mer peptidyl-resin intermediate (1) (0.025 mmol), prepared as described herein.
- the Fmoc group is removed using the procedure described herein, and the resulting resin intermediate 2 is allowed to react with the relevant sulfamoyl chloride R 4 R 5 N—SO 2 —Cl to yield a sulfonyl urea intermediate (see, for example, Davern, P. et al., J. Chem. Soc., Perkin Trans., 2(2):381-387 (1994)).
- N-sulfonyl urea derivatives of 10-mer peptide analogs may be prepared starting from a protected 10-mer peptidyl-resin intermediate, Fmoc removal and reaction of the resulting peptidyl-resin intermediate with the relevant sulfamoyl chloride R 4 R 5 N—SO 2 —Cl.
- N-arylalkyl amides of 10-mer peptide analogs was started with a reductive alkylation reaction of a relevant arylalkylamine with an alkoxybenzaldehyde resin as in the following example.
- 2-(3,5-Dimethoxy-4-formylphenoxy)ethoxymethyl polystyrene resin (Novabiochem, 1.12 mmol/gram, 0.025 mmol, 27.3 mg) was washed with 1% Acetic Acid in DCM (5 ⁇ 3 mL).
- a solution of 2-(2-pentafluorophenyl)ethyl amine (0.125 mmol, 26.4 mg) in DCM (3 mL) was added to the resin.
- solid NaBH(OAc) 3 (0.125 mmol, 26.5 mg, was added and the reaction was vortexed for 16 hours.
- the resin was rinsed with DMF (5 ⁇ 3 mL) and DCM (5 ⁇ 3 mL).
- Fmoc-Asp(OtBu)—OH was coupled next using the following method: Fmoc-Asp(OtBu)-OH (1 mmol, 10 eq.) was dissolved in 2 mL of NMP and activated by subsequent addition of 0.45 M HBTU/HOBt in DMF (2.2 mL) and 2 M DIEA/NMP (1 mL).
- the solution of the activated Fmoc-protected amino acid was then transferred to the reaction vessel and the coupling was allowed to proceed for 30 to 60 min., depending on the feedback from the deprotection steps.
- the resin was then washed 6 times with NMP, and subjected to 8 additional deprotection/coupling cycles as described above in order to complete the assembly of the desired sequence.
- the Fmoc-amino acids sequentially used were: Fmoc-Ser(tBu)-OH, Fmoc-Thr(tBu)-OH, Fmoc-Phe-OH, Fmoc-Thr(tBu)-OH, Fmoc-Gly-OH, Fmoc-Glu(OtBu)-OH, Fmoc-Ala-OH and Fmoc-His(Trt)-OH.
- the Fmoc group was removed with 22% piperidine in NMP as described above, and the peptidyl-resin was washed 6 times with NMP and DCM, and dried in vacuo.
- a modified coupling protocol was used in which the Fmoc-protected amino acid (1 mmol) was activated by subsequent addition of 0.5 M HOAt in NMP (2 mL) and 1 M DIC/NMP (1 mL), transferred to the reaction vessel and allowed to couple for 1-2 hrs.
- the desired peptide was cleaved/deprotected from its respective peptidyl-resin (0.141 g) by treatment with a solution of TFA/water/tri-isopropylsilane (94:3:3) (2.5 mL) for 2 hrs.
- the resin was filtered off, rinsed with TFA cleavage solution (0.5 mL), and the combined TFA filtrates were dried in vacuo.
- the resulting solid was triturated and washed with diethyl ether, and finally dried, to yield 35.6 mg (58%) of crude peptide product as a white solid.
- Polystyrene (1% DVB crosslinked) resins 50 mg, 0.025 mmole) derivatized with an N ⁇ -Boc-4-iodophenylalanine residue either attached directly via a Knorr linkage (Boc-amino acid-resin) or via an amino acid-Knorr linkage (Boc-dipeptide-resin) were weighed into 13 ⁇ 100 mm glass culture tubes with screw caps.
- Aryl-boronic acids (0.5 mmole) were dissolved in 0.75 ml of 25% by volume diisopropylethylamine in N-methylpyrrolidinone and added to the resins followed by 0.05 ml of an N-methylpyrrolidinone solution containing 1.0 mg of tetrakis(triphenylphosphine)palladium(0) catalyst (ca. 3.5 mole %).
- the resulting mixtures were blanketed with a stream of nitrogen and the reaction vessels tightly capped and maintained at 85-90° C. for 17-20 hours with periodic shaking.
- the resins were washed with 5 ⁇ 1 ml of N-methylpyrrolidinone and 5 ⁇ 1 ml of dichloromethane prior to Boc group cleavage (see General Procedure below).
- the reactions were performed as in General Procedure A except a different catalyst was employed.
- the catalyst solution was prepared by dissolving 9.0 mg of palladium(II) acetate and 56 mg of 2-(dicyclohexylphosphino)biphenyl in 2.0 ml of N-methylpyrrolidinone. For 0.025 mmole scale reactions, 0.038 ml (ca. 3 mole %) of catalyst solution was employed.
- Method A The Boc-protected resins prepared as described in General Procedures A or B were treated with 0.5 ml of reagent solution consisting of trimethylsilyl trifluoromethanesulfonate, 2,6-lutidine and dichloromethane (1:1:3 by volume). After 3 such reagent treatments for 1 hour each with shaking, the resins were washed with 4 ⁇ 1 ml of dichloromethane, 3 ⁇ 1 ml of N,N-dimethylformamide, 3 ⁇ 1 ml of 20% MeOH in N,N-dimethylformamide and 4 ⁇ 1 ml dichloromethane prior to transfer to the automated peptide synthesizer.
- Method B The Boc-protected resins prepared as described in General Procedures A or B were treated with 1.0 ml of 1N HCl in anhydrous 1,4-dioxane for 1 hour at room temperature with shaking. The resins were washed with 4 ⁇ 1 ml of dichloromethane, 3 ⁇ 1 ml of 5% diisopropylethylamine in dichloromethane (vol:vol), 3 ⁇ 1 ml of dichloromethane, and 5 ⁇ 1 ml of N-methylpyrrolidinone to provide the free amino-resins ready for the next acylation (coupling reaction) step.
- Boc-L-Tyrosine-O-triflate To a solution of 37 g (126 mmol of Boc-tyrosine methyl ester, and 25.4 mL (314 mmol, 2.5 eq.) of pyridine in 114 mL of dry dichloromethane, kept at ⁇ 15° C. under N 2 , was added slowly 25.4 mL (151 mmol, 1.2 eq.) of triflic anhydride. The solution was stirred at ⁇ 15° C. for 15 min. HPLC analysis indicated that the reaction was complete. The reaction was quenched by addition of 150 mL of water.
- Boc-(2-Me) biphenylalanine methyl ester The above red oil was dissolved in 70 mL of toluene, and added to a degassed suspension containing 19.0 g (140 mmol, 1.2 eq.) of o-tolylboronic acid, 24.1 g (175 mmol, 1.5 eq.) of potassium carbonate, and 4.6 g (4.0 mol, 0.034 eq.) of tetrakis(triphenylphosphine) palladium (0) in 580 mL of toluene preheated at 80° C. The mixture was heated at 80° C. under N 2 for 3 h, cooled to room temperature, and then filtered through CELITE®.
- the reaction mixture was washed with 2 ⁇ 150 mL of 0.5% of NaOH, and 2 ⁇ 150 mL of 15% citric acid solution, dried over magnesium sulfate and concentrated.
- the crude mixture thus obtained was purified by silica gel chromatography using ethyl acetate/heptane (1:9) as eluant, [crude mixture was preabsorbed on silica gel (2 g silica gel/g crude mixture), 1:35:: mixture:silica gel used for the column], yield varied from 50 to 80%.
- Boc-(2-Me) biphenylalanine To a solution of 44.5 g (120 mmol) of Boc-(2-Me) biphenylalanine methyl ester in 147 mL of methanol and 442 mL of tetrahydrofuran, kept at room temperature, was added 147.4 mL of 1 N NaOH (147 mmol, 1.2 eq.). HPLC analysis indicated that the reaction was complete after 1 h. The reaction mixture was concentrated and partitioned between 500 mL of water and 300 mL of ether. The ethereal solution was discarded.
- Aqueous layer was acidified with 160 mL of 1 N HCl solution, and then extracted with 2 ⁇ 250 mL of ethyl ether. The ethereal solutions were combined, and dried over magnesium sulfate. After filtration, concentration and drying 41.5 g of product was obtained.
- Fmoc-(2-Me) biphenylalanine To a solution of 41.5 g (117 mmol) of Boc-(2-Me) biphenylalanine in 1 L of dichloromethane, kept at room temperature, was bubbled in gaseous HCl. A white solid started to precipitate in approximately 5 min. HPLC taken after 2 hours showed that the reaction was complete. The mixture was concentrated. The residue was redissolved in 600 mL of tetrahydrofuran and 150 mL of water, and solid NaHCO 3 was added slowly until the pH of the mixture was basic (a white solid precipitated out), followed by addition of 38.9 g (115 mmol, 1 eq.) of Fmoc-Osu.
- the mixture was then stirred at room temperature. A homogeneous biphasic solution was obtained within 1 h. The stirring was continued at room temperature under N 2 overnight. The layers were separated. The tetrahydrofuran layer was acidified with 58 mL 2 N HCl, and then diluted with 400 mL of ethyl acetate. The layers were separated, and the organic layer washed with 2 ⁇ 100 mL of water, dried over magnesium sulfate, and concentrated. The crude product was purified using silica gel column chromatography using dichloromethane as eluant until most of the impurities had been removed. The solvent was then changed to 25% ethyl acetate in heptane containing 1% acetic acid, [approximately 23 g silica gel/g crude mixture used for the column]. The yield was >90% for the three steps.
- 2-Ethylphenyl boronic acid To a solution of 25 g (135 mmol) of 1-bromo-2-ethylbenzene in 280 mL of dry tetrahydrofuran, kept at ⁇ 78° C. in an oven-dried 3 neck flask, was added slowly (keeping the temperature below ⁇ 68° C.) 67.5 mL of 2.5N n-Butyl lithium in hexanes solution (169 mmol, 1.25 eq.). The reaction was stirred for an additional 1 h, and then 69 mL (405 mmol, 3 eq.) of triethylborate was added slowly, keeping the temperature below ⁇ 68° C.
- the reaction was stirred for an additional 40 minutes and then the dry ice bath was removed, the reaction was allowed to warm up to room temperature, and then was poured into 300 mL of ice cold saturated ammonium chloride solution. 200 mL of ice cold ethyl acetate was added, and the mixture stirred for another 30 min. The layers were separated. The organic layer was washed with water, and brine. It was then dried over magnesium sulfate, and concentrated to give 19 g (92% yield) of product. The boronic acid was used without purification in the next step.
- a suitably protected tyrosine derivative was prepared by reaction of Boc- ⁇ -iodo alanine with the required 4-iodophenol derivative using a zinc mediated condensation.
- the product from this reaction was subjected to Suzuki condensation reaction as described herein, to afford the required Fmoc-protected biphenylalanine analogs with substitution in the phenyl ring directly attached to the ⁇ -carbon (internal ring) of the amino acid moiety.
- Fmoc-2′-methyl-2-methyl-biphenylalnine is given below.
- Boc-2′-Methyl-Tyrosine benzyl ether methyl ester 2.2 g (33 mmol) of oven-dried zinc dust was placed in an oven dried flask under nitrogen. 5.2 mL of dry tetrahydrofuran, and 140 ⁇ L (1.6 mmol) of 1,2-dibromoethane were added, and the mixture warmed briefly with a heat gun until the solvent began to boil, and then stirred vigorously for a few minutes. This procedure was repeated five times, and then the reaction mixture was cooled to 35° C. 40 ⁇ L (0.32 mmol) of chlorotrimethylsilane was added, and the mixture stirred vigorously at 35° C. for 30 min.
- Boc-2′-Methyl-tyrosine methyl ester A suspension of 7.5 g (18.7 mmol) of the above compound (Boc-2′-methyl-tyrosine benzyl ether methyl ester) in 30 mL of tetrahydrofuran, and 2.25 g 10% Degussa type 10% palladium on carbon was stirred under hydrogen atmosphere at room temperature and atmospheric pressure for 2 days. The reaction mixture was then filtered through CELITE®, and concentrated. The product was purified by silica gel chromatography (74% yield).
- Fmoc-2′-methyl-2-methyl-biphenyl alanine This compound was prepared using the Suzuki Condensation procedure described herein, using Boc-2′-Methyl-Tyrosine methyl ester as the starting material. The product obtained in the above Suzuki condensation reaction, after removal of the Boc-group and reprotection with Fmoc-group using conditions described herein afforded the desired product.
- H A E G T F T S D Bip(2-Me) Bip(4-Phenyl) 75.
- H A E G T F T S D 4-(2-Naphthyl)-Phe Bip 97. H A E G T F T S D 4-(4-Dibenzofuran)-Phe Bip 98. H A E G T F T S D Bip(2,6-di-OMe) Bip(2-Me) 99. H A E G T F T S D 4-(2,4-dimethoxy- Bip(2-Me) pyrimidine)-Phe 100. H A E G T F T S D Bip(2,4,6-Trimethyl) Bip(2-Me) 101. H A E G T F T S D 4-(4-(3,5-dimethyl- Bip(2-Me) isoxazole))-Phe 102.
- H A E G T F T S D Bip(2-Et) Bip(3-Et) 123.
- the EC 50 value determined for the peptide corresponding to the “message” sequence of GLP-1 was greater than 1 millimolar.
- the GLP-1 receptor is a G-protein coupled receptor.
- GLP-1 (7-36)-amide the biologically active form, binds to the GLP-1 receptor and through signal transduction causes activation of adenylate cyclase and raises intracellular cAMP levels.
- agonism of peptide compounds in stimulating the GLP-1 receptor adenyl cyclase activity was monitored by assaying for cellular cAMP levels.
- Full-length human glucagon-like peptide 1 receptor was stably expressed in CHO-K1 cells. The clones were screened for best expression of GLP-1R and CHO-GLP1R-19 was selected.
- CHO-GLP-1R-19 cells (2,500 in 100 ⁇ l of media) were plated into each well of a 96-well tissue culture microtiter plate and incubated in 5% CO 2 atmosphere at 37° C., for 72 h. On the day of the assay, cells were washed once with 100 ⁇ l of PBS.
- reaction media Phenol red free DMEM media with low glucose (Gibco#11054-020), 0.1% BSA (Sigma #A7284), 0.3 mM IBMX (3-isobutyl-1 methylxanthine, Sigma # I5879) were added and incubated at 37° C. for 1 h.
- the compounds were initially screened at 1 ⁇ M and 10 ⁇ M for stimulation of cAMP. Dose dependence for compounds showing 50% of maximal GLP-1 (at 100 nM) activity was determined at half-log concentrations in duplicate. After incubation, medium was removed and cells were washed once with 100 ⁇ l of PBS.
- lysis reagent-1 from the cyclic AMP SPA kit (Amersham Pharmacia Biotech, RPA 559; reagents were reconstituted according to the kit instructions) was added into each well. The plate was shaken at room temperature for 15 min. Twenty ⁇ l of lysate was transferred into each well of a 96-well OptiPlate (Packard # 6005190) and 60 ⁇ l of SPA immunoreagent from the kit was added. After incubation at room temperature for 15-18 h, plates were counted 2 min each/well in a TOPCOUNT® NXT(Packard).
- the significant glucose lowering effect for compound A and compound B was observed at 12 and 120 pmol/kg/min, respectively, when the compound was administered by continuous infusion.
- the maximum effective doses for Compound A and Compound B were about 2 and 20 nmol/kg, respectively.
- FIG. 7 shows the effects of native GLP-1 in this model.
- the present invention provides novel GLP peptide mimics, with a preference for mimicking GLP-1, such that the compounds of the present invention have agonist activity for the GLP-1 receptor. Further, the GLP peptide mimics of the present invention exhibit increased stability to proteolytic cleavage as compared to GLP-1 native sequences.
- the compounds of the present invention can be administered to mammals, preferably humans, for the treatment of a variety of conditions and disorders, including, but not limited to, treating or delaying the progression or onset of diabetes (preferably Type II, impaired glucose tolerance, insulin resistance, and diabetic complications, such as nephropathy, retinopathy, neuropathy and cataracts), hyperglycemia, hyperinsulinemia, hypercholesterolemia, elevated blood levels of free fatty acids or glycerol, hyperlipidemia, hypertriglyceridemia, obesity, wound healing, tissue ischemia, atherosclerosis, hypertension, AIDS, intestinal diseases (such as necrotizing enteritis, microvillus inclusion disease or celiac disease), inflammatory bowel syndrome, chemotherapy-induced intestinal mucosal atrophy or injury, anorexia nervosa, osteoporosis, dysmetabolic syndrome, as well as inflammatory bowel disease(such as Crohn's disease and ulcerative colitis).
- the compounds of the present invention may also be utilized to increase the blood levels of high density lip
- the present invention includes within its scope pharmaceutical compositions comprising, as an active ingredient, a therapeutically effective amount of at least one of the compounds of formula I, alone or in combination with a pharmaceutical carrier or diluent.
- compounds of the present invention can be used alone, in combination with other compounds of the invention, or in combination with one or more other therapeutic agent(s), e.g., an antidiabetic agent or other pharmaceutically active material.
- the compounds of the present invention may be employed in combination with other GLP-1 peptide mimics or other suitable therapeutic agents useful in the treatment of the aforementioned disorders including: anti-diabetic agents; anti-hyperglycemic agents; hypolipidemic/lipid lowering agents; anti-obesity agents (including appetite suppressants/modulators) and anti-hypertensive agents.
- the compounds of the present invention may be combined with one or more of the following therapeutic agents; infertility agents, agents for treating polycystic ovary syndrome, agents for treating growth disorders, agents for treating frailty, agents for treating arthritis, agents for preventing allograft rejection in transplantation, agents for treating autoimmune diseases, anti-AIDS agents, anti-osteoporosis agents, agents for treating immunomodulatory diseases, antithrombotic agents, agents for the treatment of cardiovascular disease, antibiotic agents, anti-psychotic agents, agents for treating chronic inflammatory bowel disease or syndrome and/or agents for treating anorexia nervosa.
- infertility agents agents for treating polycystic ovary syndrome, agents for treating growth disorders, agents for treating frailty, agents for treating arthritis, agents for preventing allograft rejection in transplantation, agents for treating autoimmune diseases, anti-AIDS agents, anti-osteoporosis agents, agents for treating immunomodulatory diseases, antithrombotic agents, agents for the treatment of cardiovascular disease, antibiotic agents, anti-psych
- Suitable anti-diabetic agents for use in combination with the compounds of the present invention include biguanides (e.g., metformin or phenformin), glucosidase inhibitors (e.g., acarbose or miglitol), insulins (including insulin secretagogues or insulin sensitizers), meglitinides (e.g., repaglinide), sulfonylureas (e.g., glimepiride, glyburide, gliclazide, chlorpropamide and glipizide), biguanide/glyburide combinations (e.g., GLUCOVANCE®), thiazolidinediones (e.g., troglitazone, rosiglitazone and pioglitazone), PPAR-alpha agonists, PPAR-gamma agonists, PPAR alpha/gamma dual agonists, glycogen phosphorylase inhibitors, inhibitors of fatty
- Suitable thiazolidinediones include Mitsubishi's MCC-555 (disclosed in U.S. Pat. No. 5,594,016), Glaxo-Wellcome's GL-262570, englitazone (CP-68722, Pfizer) or darglitazone (CP-86325, Pfizer, isaglitazone (MIT/J&J), JTT-501 (JPNT/P&U), L-895645 (Merck), R-119702 (Sankyo/WL), N,N-2344 (Dr. Reddy/NN), or YM-440 (Yamanouchi).
- Suitable PPAR alpha/gamma dual agonists include AR-HO39242 (Astra/Zeneca), GW-409544 (Glaxo-Wellcome), KRP297 (Kyorin Merck) as well as those disclosed by Murakami et al., “A Novel Insulin Sensitizer Acts As a Coligand for Peroxisome Proliferation—Activated Receptor Alpha (PPAR alpha) and PPAR gamma. Effect on PPAR alpha Activation on Abnormal Lipid Metabolism in Liver of Zucker Fatty Rats”, Diabetes, 47:1841-1847 (1998), and in U.S. application Ser. No. 09/644,598, filed Sep. 18, 2000, the disclosure of which is incorporated herein by reference, employing dosages as set out therein, which compounds designated as preferred are preferred for use herein.
- Suitable aP2 inhibitors include those disclosed in U.S. application Ser. No. 09/391,053, filed Sep. 7, 1999, and in U.S. application Ser. No. 09/519,079, filed Mar. 6, 2000, employing dosages as set out herein.
- Suitable DPP4 inhibitors that may be used in combination with the compounds of the invention include those disclosed in WO 99/38501, WO 99/46272, WO 99/67279 (PROBIODRUG), WO 99/67278 (PROBIODRUG), WO 99/61431 (PROBIODRUG), NVP-DPP728A (1-[[[2-[(5-cyanopyridin-2-yl)amino]ethyl]amino]acetyl]-2-cyano-(S)-pyrrolidine) (Novartis) as disclosed by Hughes et al., Biochemistry, 38(36):11597-11603 (1999), TSL-225 (tryptophyl-1,2,3,4-tetrahydroisoquinoline-3-carboxylic acid (disclosed by Yamada et al., Bioorg .
- Suitable meglitinides include nateglinide (Novartis) or KAD 1229 (PF/Kissei).
- GLP-1 glucagon-like peptide-1
- GLP-1(1-36) amide, GLP-1(7-36) amide, GLP-1(7-37) as disclosed in U.S. Pat. No. 5,614,492 to Habener
- AC2993 Amylin
- LY-315902 Lily
- NN-2211 NovoNordisk
- hypolipidemic/lipid lowering agents for use in combination with the compounds of the present invention include one or more MTP inhibitors, HMG CoA reductase inhibitors, squalene synthetase inhibitors, fibric acid derivatives, ACAT inhibitors, lipoxygenase inhibitors, cholesterol absorption inhibitors, ileal Na + /bile acid cotransporter inhibitors, upregulators of LDL receptor activity, bile acid sequestrants, cholesterol ester transfer protein inhibitors (e.g., CP-529414 (Pfizer)) and/or nicotinic acid and derivatives thereof.
- MTP inhibitors HMG CoA reductase inhibitors
- squalene synthetase inhibitors fibric acid derivatives
- ACAT inhibitors lipoxygenase inhibitors
- cholesterol absorption inhibitors ileal Na + /bile acid cotransporter inhibitors
- upregulators of LDL receptor activity e.g., CP-529414 (P
- MTP inhibitors which may be employed as described above include those disclosed in U.S. Pat. Nos. 5,595,872, 5,739,135, 5,712,279, 5,760,246, 5,827,875, 5,885,983 and 5,962,440.
- HMG CoA reductase inhibitors which may be employed in combination with one or more compounds of formula I include mevastatin and related compounds, as disclosed in U.S. Pat. No. 3,983,140, lovastatin (mevinolin) and related compounds, as disclosed in U.S. Pat. No. 4,231,938, pravastatin and related compounds, such as disclosed in U.S. Pat. No. 4,346,227, simvastatin and related compounds, as disclosed in U.S. Pat. Nos. 4,448,784 and 4,450,171.
- Other HMG CoA reductase inhibitors which may be employed herein include, but are not limited to, fluvastatin, disclosed in U.S. Pat. No.
- Preferred hypolipidemic agents are pravastatin, lovastatin, simvastatin, atorvastatin, fluvastatin, cerivastatin, atavastatin and ZD-4522.
- phosphinic acid compounds useful in inhibiting HMG CoA reductase such as those disclosed in GB 2205837, are suitable for use in combination with the compounds of the present invention.
- the squalene synthetase inhibitors suitable for use herein include, but are not limited to, ⁇ -phosphono-sulfonates disclosed in U.S. Pat. No. 5,712,396, those disclosed by Biller et al., J. Med. Chem., 31(10):1869-1871 (1988), including isoprenoid (phosphinyl-methyl)phosphonates, as well as other known squalene synthetase inhibitors, for example, as disclosed in U.S. Pat. Nos. 4,871,721 and 4,924,024 and in Biller, S. A., et al., Current Pharmaceutical Design, 2:1-40 (1996).
- squalene synthetase inhibitors suitable for use herein include the terpenoid pyrophosphates disclosed by Ortiz de Montellano, P. et al., J. Med. Chem., 20:243-249 (1977), the farnesyl diphosphate analog A and presqualene pyrophosphate (PSQ-PP) analogs as disclosed by Corey et al., J. Am. Chem. Soc., 98:1291-1293 (1976), phosphinylphosphonates reported by McClard, R. W. et al., J.A.C.S., 109:5544 (1987) and cyclopropanes reported by Capson, T. L., Ph.D., dissertation, Dept. Med. Chem., Univ. Utah, Abstract, Table of Contents, pp. 16, 17, 40-43, 48-51, Summary (June 1987).
- fibric acid derivatives which may be employed in combination with one or more compounds of formula I include fenofibrate, gemfibrozil, clofibrate, bezafibrate, ciprofibrate, clinofibrate and the like, probucol, and related compounds, as disclosed in U.S. Pat. No.
- bile acid sequestrants such as cholestyramine, colestipol and DEAE-SEPHADEX® (SECHOLEX®, policexide), as well as LIPOSTABIL® (Rhone-Poulenc), EISAI® E-5050 (an N-substituted ethanolamine derivative), imanixil (HOE-402), tetrahydrolipstatin (THL), istigmastanylphos-phorylcholine (SPC, Roche), aminocyclodextrin (Tanabe Seiyoku), Ajinomoto AJ-814 (azulene derivative), melinamide (Sumitomo), Sandoz 58-035, American Cyanamid CL-277,082 and CL-283,546 (disubstituted urea derivatives), nicotinic acid, acipimox, acifran, neomycin, p-aminosalicylic acid
- the ACAT inhibitor which may be employed in combination with one or more compounds of formula I include those disclosed in Drugs of the Future, 24:9-15 (1999), (Avasimibe); Nicolosi et al., “The ACAT inhibitor, CI-1011 is effective in the prevention and regression of aortic fatty streak area in hamsters”, Atherosclerosis (Shannon, Irel.), 137(1):77-85 (1998); Ghiselli, G., “The pharmacological profile of FCE 27677: a novel ACAT inhibitor with potent hypolipidemic activity mediated by selective suppression of the hepatic secretion of ApoB100-containing lipoprotein”, Cardiovasc. Drug Rev., 16(1):16-30 (1998); Smith, C.
- the hypolipidemic agent may be an upregulator of LD2 receptor activity, such as MD-700 (Taisho Pharmaceutical Co. Ltd) and LY295427 (Eli Lilly).
- Suitable cholesterol absorption inhibitor for use in combination with the compounds of the invention include SCH48461 (Schering-Plough), as well as those disclosed in Atherosclerosis, 115:45-63 (1995) and J. Med. Chem., 41:973 (1998).
- ileal Na + /bile acid cotransporter inhibitors for use in combination with the compounds of the invention include compounds as disclosed in Drugs of the Future, 24:425-430 (1999).
- the lipoxygenase inhibitors which may be employed in combination with one or more compounds of formula I include 15-lipoxygenase (15-LO) inhibitors, such as benzimidazole derivatives, as disclosed in WO 97/12615, 15-LO inhibitors, as disclosed in WO 97/12613, isothiazolones, as disclosed in WO 96/38144, and 15-LO inhibitors, as disclosed by Sendobry et al., “Attenuation of diet-induced atherosclerosis in rabbits with a highly selective 15-lipoxygenase inhibitor lacking significant antioxidant properties”, Brit. J. Pharmacology, 120:1199-1206 (1997), and Cornicelli et al., “15-Lipoxygenase and its Inhibition: A Novel Therapeutic Target for Vascular Disease”, Current Pharmaceutical Design, 5:11-20 (1999).
- 15-LO 15-lipoxygenase
- 15-LO 15-lipoxygenase
- benzimidazole derivatives as
- Suitable anti-hypertensive agents for use in combination with the compounds of the present invention include beta adrenergic blockers, calcium channel blockers (L-type and T-type; e.g., diltiazem, verapamil, nifedipine, amlodipine and mybefradil), diuretics (e.g., chlorothiazide, hydrochlorothiazide, flumethiazide, hydroflumethiazide, bendroflumethiazide, methylchlorothiazide, trichloromethiazide, polythiazide, benzthiazide, ethacrynic acid tricrynafen, chlorthalidone, furosemide, musolimine, bumetanide, triamtrenene, amiloride, spironolactone), renin inhibitors, ACE inhibitors (e.g., captopril, zofenopril, fosin
- Dual ET/AII antagonist e.g., compounds disclosed in WO 00/01389
- neutral endopeptidase (NEP) inhibitors neutral endopeptidase (NEP) inhibitors
- vasopepsidase inhibitors dual NEP-ACE inhibitors
- omapatrilat and gemopatrilat e.g., omapatrilat and gemopatrilat
- Suitable anti-obesity agents for use in combination with the compounds of the present invention include a NPY receptor antagonist, a MCH antagonist, a GHSR antagonist, a CRH antagonist, a beta 3 adrenergic agonist, a lipase inhibitor, a serotonin (and dopamine) reuptake inhibitor, a thyroid receptor beta drug and/or an anorectic agent.
- beta 3 adrenergic agonists which may be optionally employed in combination with compounds of the present invention include AJ9677 (Takeda/Dainippon), L750355 (Merck), or CP331648 (Pfizer,) or other known beta 3 agonists, as disclosed in U.S. Pat. Nos. 5,541,204, 5,770,615, 5,491,134, 5,776,983 and 5,488,064, with AJ9677, L750,355 and CP331648 being preferred.
- lipase inhibitors which may be optionally employed in combination with compounds of the present invention include orlistat or ATL-962 (Alizyme), with orlistat being preferred.
- the serotonin (and dopoamine) reuptake inhibitor which may be optionally employed in combination with a compound of formula I may be sibutramine, topiramate (Johnson & Johnson) or AXOKINE® (Regeneron), with sibutramine and topiramate being preferred.
- thyroid receptor beta compounds which may be optionally employed in combination with compounds of the present invention include thyroid receptor ligands, such as those disclosed in WO 97/21993 (U. Cal SF), WO 99/00353 (KaroBio) and WO 00/039077 (KaroBio), with compounds of the KaroBio applications being preferred.
- the anorectic agent which may be optionally employed in combination with compounds of the present invention include dexamphetamine, phentermine, phenylpropanolamine or mazindol, with dexamphetamine being preferred.
- Suitable anti-psychotic agents include clozapine, haloperidol, olanzapine (ZYPREXA®), PROZAC® and aripiprazole (ABILIFY®).
- a suitable GLP-1 peptide mimic can be administered to patients to treat diabetes and other related diseases as the compound alone and or mixed with an acceptable carrier in the form of pharmaceutical formulations.
- the route of administration may include but is not limited to oral, intraoral, rectal, transdermal, buccal, intranasal, pulmonary, subcutaneous, intramuscular, intradermal, sublingual, intracolonic, intraocular, intravenous, or intestinal administration.
- the compound is formulated according to the route of administration based on acceptable pharmacy practice (Fingl et al., Chapter 1: “The Pharmacological Basis of Therapeutics”, p. 1 (1975); Remington's Pharmaceutical Sciences, 18th Edition, Mack Publishing Co., Easton, Pa. (1990)).
- the pharmaceutically acceptable GLP-1 peptide mimic composition of the present invention can be administered in multiple dosage forms such as tablets, capsules (each of which includes sustained release or timed release formulations), pills, powders, granules, elixirs, in situ gels, microspheres, crystalline complexes, liposomes, micro-emulsions, tinctures, suspensions, syrups, aerosol sprays and emulsions.
- the composition of the present invention can also be administered in oral, intravenous (bolus or infusion), intraperitoneal, subcutaneous, transdermally or intramuscular form, all using dosage forms well known to those of ordinary skill in the pharmaceutical arts.
- the composition may be administered alone, but generally will be administered with a pharmaceutical carrier selected on the basis of the chosen route of administration and standard pharmaceutical practice.
- the dosage regimen for the composition of the present invention will, of course, vary depending upon known factors, such as the pharmacodynamic characteristics of the particular agent and its mode and route of administration; the species, age, sex, health, medical condition, and weight of the recipient; the nature and extent of the symptoms; the kind of concurrent treatment; the frequency of treatment; the route of administration, the renal and hepatic function of the patient, and the effect desired.
- a physician or veterinarian can determine and prescribe the effective amount of the drug required to prevent, counter, or arrest the progress of the disease state.
- the daily oral dosage of the active ingredient when used for the indicated effects, will range between about 0.001 to 1000 mg/kg of body weight, preferably between about 0.01 to 100 mg/kg of body weight per day, and most preferably between about 0.6 to 20 mg/kg/day.
- the daily dosage of the active ingredient when used for the indicated effects will range between 0.001 ng to 100.0 ng per min/per Kg of body weight during a constant rate infusion.
- Such constant intravenous infusion can be preferably administered at a rate of 0.01 ng to 50 ng per min per Kg body weight and most preferably at 0.1 ng to 10.0 mg per min per Kg body weight.
- composition of this invention may be administered in a single daily dose, or the total daily dosage may be administered in divided doses of two, three, or four times daily.
- the composition of this invention may also be administered by a depot formulation that will allow sustained release of the drug over a period of days/weeks/months as desired.
- composition of this invention can be administered in intranasal form via topical use of suitable intranasal vehicles, or via transdermal routes, using transdermal skin patches.
- suitable intranasal vehicles or via transdermal routes, using transdermal skin patches.
- the dosage administration will, of course, be continuous rather than intermittent throughout the dosage regimen.
- composition is typically administered in a mixture with suitable pharmaceutical diluents, excipients, or carriers (collectively referred to herein as pharmaceutical carriers) suitably selected with respect to the intended form of administration, that is, oral tablets, capsules, elixirs, aerosol sprays generated with or without propallant and syrups, and consistent with conventional pharmaceutical practices.
- suitable pharmaceutical diluents, excipients, or carriers suitably selected with respect to the intended form of administration, that is, oral tablets, capsules, elixirs, aerosol sprays generated with or without propallant and syrups, and consistent with conventional pharmaceutical practices.
- the active drug component can be combined with an oral, non-toxic, pharmaceutically acceptable, inert carrier such as but not limited to, lactose, starch, sucrose, glucose, methyl cellulose, magnesium stearate, dicalcium phosphate, calcium sulfate, mannitol, and sorbitol;
- an oral, non-toxic, pharmaceutically acceptable, inert carrier such as but not limited to, lactose, starch, sucrose, glucose, methyl cellulose, magnesium stearate, dicalcium phosphate, calcium sulfate, mannitol, and sorbitol
- the oral drug components can be combined with any oral, non-toxic, pharmaceutically acceptable inert carrier such as, but not limited to, ethanol, glycerol, and water.
- suitable binders, lubricants, disintegrating agents, and coloring agents can also be incorporated into the mixture.
- Suitable binders include, but not limited to, starch, gelatin, natural sugars such as, but not limited to, glucose or beta-lactose, corn sweeteners, natural and synthetic gums such as acacia, tragacanth, or sodium alginate, carboxymethylcellulose, polyethylene glycol, and waxes.
- Lubricants used in these dosage forms include sodium oleate, sodium stearate, magnesium stearate, sodium benzoate, sodium acetate, and sodium chloride.
- Disintegrants include, but are not limited to, starch, methyl cellulose, agar, bentonite, and xanthan gum.
- composition of the present invention may also be administered in the form of mixed micellar or liposome delivery systems, such as small unilamellar vesicles, large unilamellar vesicles, and multilamellar vesicles.
- Liposomes can be formed from a variety of phospholipids, such as cholesterol, stearylamine, or phosphatidylcholines. Permeation enhancers may be added to enhance drug absorption.
- prodrugs are known to enhance numerous desirable qualities of pharmaceuticals (i.e., solubility, bioavailability, manufacturing, etc.) the compounds of the present invention may be delivered in prodrug form.
- the present invention is intended to cover prodrugs of the presently claimed compounds, methods of delivering the same and compositions containing the same.
- compositions of the present invention may also be coupled with soluble polymers as targetable drug carriers.
- soluble polymers can include polyvinyl-pyrrolidone, pyran copolymer, polyhydroxypropyl- methacrylamide-phenol, polyhydroxyethylaspartamidephenol, or polyethyleneoxide-polylysine substituted with palmitoyl residues.
- composition of the present invention may be combined with a class of biodegradable polymers useful in achieving controlled release of a drug, for example, polylactic acid, polyglycolic acid, copolymers of polylactic and polyglycolic acid, polyepsilon caprolactone, polyhydroxy butyric acid, polyorthoesters, polyacetals, polydihydropyrans, polycyanoacylates, and crosslinked or amphipathic block copolymers of hydrogels.
- Dosage forms suitable for administration may contain from about 0.1 milligram to about 500 milligrams of active ingredient per dosage unit.
- the active ingredient will ordinarily be present in an amount of about 0.5-95% by weight based on the total weight of the composition.
- Gelatin capsules may contain the active ingredient and powdered carriers, such as lactose, starch, cellulose derivative, magnesium stearate, and stearic acid. Similar diluents can be used to make compressed tablets. Both tablets and capsules can be manufactured as sustained release products to provide for continuous release of medication over a period of hours. Compressed tablets can be sugar coated or film coated to mask any unpleasant taste and protect the tablet from the atmosphere, or enteric coated for selective disintegration in the gastrointestinal tract.
- powdered carriers such as lactose, starch, cellulose derivative, magnesium stearate, and stearic acid. Similar diluents can be used to make compressed tablets. Both tablets and capsules can be manufactured as sustained release products to provide for continuous release of medication over a period of hours. Compressed tablets can be sugar coated or film coated to mask any unpleasant taste and protect the tablet from the atmosphere, or enteric coated for selective disintegration in the gastrointestinal tract.
- Liquid dosage forms for oral administration can contain coloring and flavoring to increase patient acceptance.
- solution for parenteral administration preferably contains a water-soluble salt of the active ingredient, suitable stabilizing agents, and if necessary, buffer substances.
- suitable stabilizing agents such as sodium bisulfite, sodium sulfite, or ascorbic acid, either alone or combined, are suitable stabilizing agents.
- citric acid and its salts and sodium EDTA are suitable stabilizing agents.
- parenteral solutions can contain preservatives, such as benzalkonium chloride, methyl- or propyl-paraben, and chlorobutanol.
- Suitable pharmaceutical carriers are described in Remington: The Science and Practice of Pharmacy, 19th Edition, Mack Publishing Company (1995), a standard reference text in this field
- a large number of unit capsules can be prepared by filling standard two-piece hard gelatin capsules with 100 milligrams of powdered active ingredient, 150 milligrams of lactose, 50 milligrams of cellulose, and 6 milligrams magnesium stearate.
- a mixture of active ingredient in a digestible oil such as soybean oil, cottonseed oil or olive oil may be prepared and injected by means of a positive displacement pump into gelatin to form soft gelatin capsules containing 100 milligrams of the active ingredient.
- the capsules should be washed and dried.
- Tablets may be prepared by conventional procedures so that the dosage unit, for example is 100 milligrams of active ingredient, 0.2 milligrams of colloidal silicon dioxide, 5 milligrams of magnesium stearate, 275 milligrams of microcrystalline cellulose, 11 milligrams of starch and 98.8 milligrams of lactose. Appropriate coatings may be applied to increase palatability or delay absorption.
- a parenteral composition suitable for administration by injection may be prepared by stirring for example, 1.5% by weight of active ingredient in 10% by volume propylene glycol and water.
- the solution should be made isotonic with sodium chloride and sterilized.
- An aqueous suspension can be prepared for oral and/or parenteral administration so that, for example, each 5 mL contains 100 mg of finely divided active ingredient, 20 mg of sodium carboxymethyl cellulose, 5 mg of sodium benzoate, 1.0 g of sorbitol solution, U.S.P., and 0.025 mL of vanillin or other palatable flavoring.
- a sustained-release parenteral composition suitable for administration by injection may be prepared, for example, by dissolving a suitable biodegradable polymer in a solvent, adding to the polymer solution the active agent to be incorporated, and removing the solvent from the matrix thereby forming the matrix of the polymer with the active agent distributed throughout the matrix.
Landscapes
- Health & Medical Sciences (AREA)
- Chemical & Material Sciences (AREA)
- Life Sciences & Earth Sciences (AREA)
- Organic Chemistry (AREA)
- General Health & Medical Sciences (AREA)
- Medicinal Chemistry (AREA)
- Pharmacology & Pharmacy (AREA)
- Public Health (AREA)
- Veterinary Medicine (AREA)
- Animal Behavior & Ethology (AREA)
- Bioinformatics & Cheminformatics (AREA)
- Engineering & Computer Science (AREA)
- General Chemical & Material Sciences (AREA)
- Nuclear Medicine, Radiotherapy & Molecular Imaging (AREA)
- Chemical Kinetics & Catalysis (AREA)
- Diabetes (AREA)
- Hematology (AREA)
- Obesity (AREA)
- Endocrinology (AREA)
- Proteomics, Peptides & Aminoacids (AREA)
- Molecular Biology (AREA)
- Genetics & Genomics (AREA)
- Biophysics (AREA)
- Biochemistry (AREA)
- Zoology (AREA)
- Heart & Thoracic Surgery (AREA)
- Epidemiology (AREA)
- Urology & Nephrology (AREA)
- Cardiology (AREA)
- Toxicology (AREA)
- Gastroenterology & Hepatology (AREA)
- Ophthalmology & Optometry (AREA)
- Emergency Medicine (AREA)
- Child & Adolescent Psychology (AREA)
- Neurosurgery (AREA)
- Vascular Medicine (AREA)
- Neurology (AREA)
- Dermatology (AREA)
- Biomedical Technology (AREA)
- Medicines That Contain Protein Lipid Enzymes And Other Medicines (AREA)
Abstract
The present invention provides novel human glucagon-like peptide-1 (GLP-1) peptide mimics that mimic the biological activity of the native GLP-1 peptide and thus are useful for the treatment or prevention of diseases or disorders associated with GLP activity. Further, the present invention provides novel, chemically modified peptides that not only stimulate insulin secretion in type II diabetics, but also produce other beneficial insulinotropic responses. These synthetic peptide GLP-1 mimics exhibit increased stability to proteolytic cleavage making them ideal therapeutic candidates for oral or parenteral administration.
Description
- This application is a continuation of U.S. application Ser. No. 11/740,031, filed on Apr. 25, 2007 which is a divisional of U.S. application Ser. No. 10/273,975, filed Oct. 18, 2002, which claims the benefit of U.S. Provisional Application Ser. No. 60/342,015, filed Oct. 18, 2001. Each of the priority applications are incorporated by reference in their entireties.
- The present invention provides novel human glucagon-like peptide-1 (GLP-1) peptide mimics, which duplicate the biological activity of the native peptide, exhibit increased stability to proteolytic cleavage as compared to GLP-1 native sequences, and thus are useful for the amelioration of the diabetic condition.
- GLP-1 is an important gut hormone with regulatory function in glucose metabolism and gastrointestinal secretion and metabolism. Human GLP-1 is a 30 amino acid residue peptide originating from preproglucagon, which is synthesized for example, in the L-cells in the distal ileum, in the pancreas and in the brain. Processing of preproglucagon to yield GLP-1(7-36) amide and GLP-2 occurs mainly in the L-cells. GLP-1 is normally secreted in response to food intake; in particular carbohydrates and lipids stimulate GLP-1 secretion. GLP-1 has been identified as a very potent and efficacious stimulator for insulin release. GLP-1 lowers glucagon concentration, slows gastric emptying, stimulates insulin biosynthesis and enhances insulin sensitivity (Nauck, Horm. Metal. Res., 47:1253-1258 (1997)). GLP-1 also enhances the ability of the B-cells to sense and respond to glucose in subjects with impaired glucose tolerance (Byrne, Eur. J. Clin. Invest., 28:72-78 (1998)). The insulinotropic effect of GLP-1 in humans increases the rate of glucose metabolism partly due to increased insulin levels and partly due to enhanced insulin sensitivity (D'Alessio, Eur. J. Clin. Invest., 28:72-78 (1994)). The above stated pharmacological properties of GLP-1 make it a highly desirable therapeutic agent for the treatment of type-II diabetes. Additionally, recent studies have shown that infusions of slightly supraphysiological amounts of GLP-1 significantly enhance satiety and reduce food intake in normal subjects (Flint, A. et al., J. Clin. Invest., 101:515-520 (1998); Gutswiller, J. P. et al., Gut, 44:81-86 (1999)). The effect on food intake and satiety has also been reported to be preserved in obese subjects (Naslund, E. et al., Int. J. Obes. Relat. Metab. Disord., 23:304-311 (1999)). In the above-cited studies a pronounced effect of GLP-1 on gastric emptying was also suspected to occur. Gastric emptying results in post-prandial glucose excursions. It has also been shown that in addition to stimulation of insulin secretion, GLP-1 stimulates the expression of the transcription factor IDX-1 while stimulating B-cell neogenesis and may thereby be an effective treatment and/or preventive agent for diabetes (Stoffers, D. A. et al., Diabetes, 40:741-748 (2000)). GLP-1 has also been shown to inhibit gastric acid secretion (Wettergren, A. et al., Dig. Dis. Sci., 38:665-673 (1993)), which may provide protection against gastric ulcers.
- GLP-1 is an incretin hormone, for example, an intestinal hormone that enhances meal-induced insulin secretion (Hoist, J. J., Curr. Med. Chem., 6:1005-1017 (1999)). It is a product of the glucagon gene encoding proglucagon. This gene is expressed not only in the A-cells of the pancreas but also in the endocrine L-cells of the intestinal mucosa. Proglucagon is a peptide (protein) containing 160 amino acids. Further processing of proglucagon results in the generation of a) glucagon, b) an N-terminal, presumably inactive fragment, and e) a large C-terminal fragment commonly referred as “the major proglucagon fragment”. This fragment is considered to be biologically inactive. Even though this fragment is present in both pancreas and in the L-cells of the gut, it is only in the intestines the breakdown products of the “the major proglucagon fragment” resulting in two highly homologous peptides commonly referred as GLP-1 and GLP-2 are observed. These two peptides have important biological activities. As such, the amino acid sequence of GLP-1, which is present in the L-cells, is identical to the 78-107 portion of proglucagon.
- The present invention provides novel GLP-1 peptide mimics that duplicate the biological activity of the native peptide and thus are useful for the amelioration of the diabetic condition.
- Presently, therapy involving the use of GLP-1-type molecules has presented a significant problem because the serum half-life of such peptides is quite short. For example, GLP-1(7-37) has a serum half-life of only 3 to 5 minutes. Thus there exists a critical need for biologically active GLP-1 mimics that possess extended pharmacodynamic profiles.
- In accordance with the present invention, synthetic isolated polypeptides are provided which have the structure of Formula I
-
A-Xaa1-Xaa2-Xaa3-Xaa4-Xaa5-Xaa6-Xaa7-Xaa8-Xaa9-Y-Z-B I - wherein,
- Xaa1-9 is a naturally or nonnaturally occurring amino acid residue;
- Y and Z are amino acid residues;
- wherein one of the substitutions at the alpha-carbon atoms of Y and Z may each independently be substituted with a primary substituent group selected from the group consisting of hydrogen, alkyl, cycloalkyl, cycloalkylalkyl, heterocyclylalkyl, arylalkyl and heteroarylalkyl, heterocyclylalkyl said primary substituent optionally being substituted with a secondary substituent selected from a cycloalkyl, heterocyclyl, aryl or heteroaryl group; any of said primary or secondary substituents may further be substituted with one or more of, hydrogen, alkyl, cycloalkyl, arylalkyl, aryl, heterocyclyl, heteroaryl, alkenyl, alkynyl, halo, hydroxy, mercapto, nitro, cyano, amino, acylamino, azido, guanidino, amidino, carboxyl, carboxamido, carboxamido alkyl, formyl, acyl, carboxyl alkyl, alkoxy, aryloxy, arylalkyloxy, heteroaryloxy, heterocyclooxy, acyloxy, mercapto, mercapto alkyl, mercaptoaryl, mercapto acyl, halo, cyano, nitro, azido, amino, guanidino alkyl, guanidino acyl, sulfonic, sulfonamido, alkyl sulfonyl, aryl sulfonyl or phosphonic group; wherein, the primary or secondary substituents may optionally be bridged by covalent bonds to form one or more fused cyclic or heterocyclic systems with each other;
- wherein, the other substitution at the alpha-carbon of Y may be substituted with hydrogen, alkyl, aminoalkyl, hydroxyalkyl or carboxyalkyl;
- wherein, the other substitution at the alpha-carbon of Z may be substituted with hydrogen, alkyl, aminoalkyl, hydroxyalkyl or carboxyalkyl;
- A and B are optionally present;
- wherein A is present and A is hydrogen, an amino acid or peptide containing from about 1 to about 15 amino acid residues, an R group, an R—C(O) (amide) group, a carbamate group RO—C(O), a urea R4R5N—C(O), a sulfonamido R—SO2, or a R4R5N—SO2;
- wherein R is selected from the group consisting of hydrogen, alkyl, cycloalkyl, cycloalkylalkyl, heterocyclyl, heterocycloalkyl, aryl, heteroaryl, arylalkyl, aryloxyalkyl, heteroarylalkyl and heteroaryloxyalkyl;
- wherein R4 and R5 are each independently selected from the group consisting of hydrogen, alkyl, cycloalkyl, cycloalkylalkyl, heterocyclyl, heterocycloalkyl, aryl, heteroaryl, arylalkyl, aryloxyalkyl, heteroarylalkyl and heteroaryloxyalky;
- wherein the alpha-amino group of Xaa1 is substituted with a hydrogen or an alkyl group, said alkyl group may optionally form a ring with A;
- wherein B is present and B is OR1, NR1R2, or an amino acid or peptide containing from 1 to 15 amino acid residues, preferably 1 to 10, more preferably 1 to 5 terminating at the C-terminus as a carboxamide, substituted carboxamide, an ester, a free carboxylic acid or an amino-alcohol;
- wherein R1 and R2 are independently chosen from hydrogen, alkyl, cycloalkyl, cycloalkylalkyl, heterocyclyl, heterocycloalkyl, aryl, heteroaryl, arylalkyl, aryloxyalkyl, heteroarylalkyl or heteroaryloxyalkyl.
- Preferred substitutions upon the alpha-carbon atoms of Y and Z are selected from the group consisting of heteroarylarylmethyl, arylheteroarylmethyl or biphenylmethyl forming biphenylalanine residues, any of which is also optionally substituted with one or more, hydrogen, alkyl, cycloalkyl, arylalkyl, aryl, heterocyclyl, heteroaryl, alkenyl, alkynyl, halo, hydroxy, mercapto, nitro, cyano, amino, acylamino, azido, guanidine, amidino, carboxyl, carboxamido, carboxamido alkyl, formyl, acyl, carboxyl alkyl, alkoxy, aryloxy, arylalkyloxy, heteroaryloxy, heterocyclooxy, acyloxy, mercapto, mercapto alkyl, mercaptoaryl, mercapto acyl, halo, cyano, nitro, azido, amino, guanidino alkyl, guanidino acyl, sulfonic, sulfonamido, alkyl sulfonyl, aryl sulfonyl and phosphonic group.
- Further embodiments include isolated polypeptides wherein the other substitution at the alpha-carbon of Y is substituted with hydrogen, methyl or ethyl; and wherein, the other substitution at the alpha-carbon of Z is substituted with hydrogen, methyl or ethyl.
- Further embodiments include isolated polypeptides as described above wherein
- Xaa1 is naturally or nonnaturally occurring amino acid residue in which one of the substitutions at the alpha-carbon is a primary substituent selected from the group consisting of heterocyclylalkyl, heteroaryl, heteroarylalkyl and arylalkyl, said primary substituent optionally being substituted with secondary substituent selected from heteroaryl or heterocyclyl; and in which the other substitution at the alpha-carbon is hydrogen or alkyl;
- Xaa2 is naturally or nonnaturally occurring amino acid residue in which one of the substitutions at the alpha-carbon is an alkyl or cycloalkyl where the alkyl group may optionally form a ring with the nitrogen of Xaa2; and wherein the other substitution at the alpha-carbon is hydrogen or alkyl;
- Xaa3 is a naturally or nonnaturally occurring amino acid residue in which one of the substitutions at the alpha-carbon is selected from the group consisting of a carboxyalkyl, bis-carboxyalkyl, sulfonylalkyl, heteroalkyl and mercaptoalkyl; and wherein the other substitution at the alpha-carbon is hydrogen or alkyl;
- Xaa4 is a naturally or nonnaturally occurring amino acid residue in which the alpha-carbon is not substituted, or in which one of the substitutions at the alpha-carbon is selected from the group consisting of aminoalkyl, carboxyalkyl heteroarylalkyl and heterocyclylalkyl;
- Xaa5 is a naturally or nonnaturally occurring amino acid residue in which one of the substitutions at the alpha-carbon is an alkyl or hydroxyalkyl, and in which the other substitution at the alpha-carbon is hydrogen or alkyl;
- Xaa6 is a naturally or nonnaturally occurring amino acid residue in which one of the substitutions at the alpha-carbon is selected from the group consisting of alkyl, aryl, heteroaryl, heterocyclyl, cycloalkylalkyl, heterocyclylalkyl, arylalkyl and heteroarylalkyl group, and wherein the other substitution at the alpha-carbon is hydrogen or alkyl;
- Xaa7 is a naturally or nonnaturally occurring amino acid residue in which one of the substitutions at the alpha-carbon is a hydroxyalkyl group;
- Xaa8 is a naturally or nonnaturally occurring amino acid residue in which one of the substitutions at the alpha-carbon is selected from the group consisting of alkyl, hydroxyalkyl, heteroarylalkyl and carboxamidoalkyl, and in which the other substitution at the alpha-carbon is hydrogen or alkyl;
- Xaa9 is a naturally or nonnaturally occurring amino acid residue in which one of the substitutions at alpha-carbon is selected from the group consisting of carboxylalkyl, bis-carboxylalkyl, carboxylaryl, sulfonylalkyl, carboxylamidoalkyl and heteroarylalkyl; and wherein
- A is hydrogen, an amino acid or peptide containing from about 1 to about 5 amino acid residues, an R group, an R—C(O) amide group, a carbamate group RO—C(O), a urea R4R5N—C(O), a sulfonamido R—SO2 or a R4R5N—SO2.
- Preferred are isolated peptides wherein
- Xaa1 is an amino acid residue selected from the group consisting of L-His, D-H is, L-N-Methyl-His, D-N-Methyl-His, L-4-ThiazolylAla and D-4-ThiazolylAla;
- Xaa2 is an amino acid residue selected from the group consisting of L-Ala, D-Ala, L-Pro, Gly, D-Ser, D-Asn, L-N-Methyl-Ala, D-N-Methyl-Ala, L-4-ThioPro, L-Pro(t-4-OH) (“L-4-hydroxyproline”), L-2-Pip, L-2-Azt, Aib, S- or R-Iva and Acc3;
- Xaa3 is an amino acid residue selected from the group consisting of L-Glu, L-N-Methyl-Glu, L-Asp, D-Asp, L-His, L-Gla, L-Adp, L-Cys and L-4-ThiazolylAla;
- Xaa4 is an amino acid residue selected from the group consisting of Gly, L-His, L-Lys and L-Asp;
- Xaa5 is an amino acid residue selected from the group consisting of L-Thr, D-Thr, L-Nle, L-Met, L-Nva and L-Aoc;
- Xaa6 is an amino acid residue selected from the group consisting of L-Phe, L-Tyr, L-Tyr(Bzl), Tyr(3-NO2), L-Nle, L-Trp, L-Phe(penta-Fluoro), D-Phe(penta-Fluoro), Phe(2-Fluoro), Phe(3-Fluoro), Phe(4-Fluoro), Phe(2,3-di-Fluoro), Phe(3,4-di-Fluoro), Phe(3,5-di-Fluoro), L-Phe(2,6-di-Fluoro), Phe(3,4,5-tri-Fluoro), Phe(2-Iodo), Phe(2-OH), Phe(2-OMethyl), Phe(3-OMethyl), Phe(3-Cyano), Phe(2-Chloro), Phe(2-NH2), Phe(3-NH2), Phe(4-NH2), Phe(4-NO2), Phe(4-Methyl), Phe(4-Allyl), Phe(n-butyl), Phe(4-Cyclohexyl), Phe(4-Cyclohexyloxy), Phe(4-Phenyloxy), 2-NaphthylAla, 2-PyridylAla, L-4-ThiazolylAla, L-2-Thi, L-α-Me-Phe, D-α-Me-Phe, L-α-Et-Phe, D-α-Et-Phe, L-α-Me-Phe(2-Fluoro), D-α-Me-Phe(2-Fluoro), L-α-Me-Phe(2,3-di-Fluoro), D-α-Me-Phe(2,3-di-Fluoro), L-α-Me-Phe(2,6-di-Fluoro), D-α-Me-Phe(2,6-di-Fluoro), L-α-Me-Phe(penta-Fluoro) and D-α-Me-Phe(penta-Fluoro);
- Xaa7 is an amino acid residue selected from the group consisting of L-Thr, D-Thr, L-Ser and L-hSer;
- Xaa8 is an amino acid residue selected from the group consisting of L-Ser, L-hSer, L-His, L-Asn and L-α-Me-Ser; and
- Xaa9 is an amino acid residue selected from the group consisting of L-Asp, L-Glu, L-Gla, L-Adp, L-Asn and L-His.
- Additional embodiments include those wherein
- Y is selected from the group consisting of L-Bip, D-Bip, L-Bip(2-Me), D-Bip(2-Me), L-Bip(2′-Me), L-Bip(2-Et), D-Bip(2-Et), L-Bip(3-Et), L-Bip(4-Et), L-Bip(2-n-Propyl), L-Bip(2-n-Propyl, 4-OMe), L-Bip(2-n-Propyl,2′-Me), L-Bip(3-Me), L-Bip(4-Me), L-Bip(2,3-di-Me), L-Bip(2,4-di-Me), L-Bip(2,6-di-Me), L-Bip(2,4-di-Et), L-Bip(2-Me, 2′-Me), L-Bip(2-Et, 2′-Me), L-Bip(2-Et, 2′-Et), L-Bip(2-Me,4-OMe), L-Bip(2-Et,4-OMe), D-Bip(2-Et,4-OMe), L-Bip(3-OMe), L-Bip(4-OMe), L-Bip(2,4,6-tri-Me), L-Bip(2,3-di-OMe), L-Bip(2,4-di-OMe), L-Bip(2,5-di-OMe), L-Bip(3,4-di-OMe), L-Bip(2-Et,4,5-di-OMe), L-Bip(3,4-Methylene-di-oxy), L-Bip(2-Et, 4,5-Methylene-di-oxy), L-Bip(2-CH2OH, 4-OMe), L-Bip(2-Ac), L-Bip(3-NH-Ac), L-Bip(4-NH-Ac), L-Bip(2,3-di-Chloro), L-Bip(2,4-di-Chloro), L-Bip(2,5-di-Chloro), L-Bip(3,4-di-Chloro), L-Bip(4-Fluoro), L-Bip(3,4-di-Fluoro), L-Bip(2,5-di-Fluoro), L-Bip(3-n-Propyl), L-Bip(4-n-Propyl), L-Bip(2-iso-Propyl), L-Bip(3-iso-Propyl), L-Bip(4-iso-Propyl), L-Bip(4-tent-Butyl), L-Bip(3-Phenyl), L-Bip(2-Chloro), L-Bip(3-Chloro), L-Bip(2-Fluoro), L-Bip(3-Fluoro), L-Bip(2-CF3), L-Bip(3-CF3), L-Bip(4-CF3), L-Bip(3-NO2), L-Bip(3-OCF3), L-Bip(4-OCF3), L-Bip(2-OEt), L-Bip(3-OEt), L-Bip(4-OEt), L-Bip(4-SMe), L-Bip(2-OH), L-Bip(3-OH), L-Bip(4-OH), L-Bip(2-CH2—COOH), L-Bip(3-CH2—COOH), L-Bip(4-CH2—COOH), L-Bip(2-CH2—NH2), L-Bip(3-CH2—NH2), L-Bip(4-CH2—NH2), L-Bip(2-CH2—OH), L-Bip(3-CH2—OH), L-Bip(4-CH2—OH), L-Phe[4-(1-propargyl)], L-Phe[4-(1-propenyl)], L-Phe[4-n-Butyl], L-Phe[4-Cyclohexyl], Phe(4-Phenyloxy), L-Phe(penta-Fluoro), L-2-(9,10-Dihydrophenanthrenyl)-Ala, 4-(2-Benzo(b)furan)-Phe, 4-(4-Dibenzofuran)-Phe, 4-(4-Phenoxathiin)-Phe, 4-(2-Benzo(b)thiophene)-Phe, 4-(3-thiophene)-Phe, 4-(3-Quinoline)-Phe, 4-(2-Naphthyl)-Phe, 4-(1-Naphthyl)-Phe, 4-(4-(3,5-dimethylisoxazole))-Phe, 4-(2,4-dimethoxypyrimidine)-Phe, homoPhe, Tyr(Bzl), Phe(3,4-di-Chloro), Phe(4-Iodo), 2-Naphthyl-Ala, L-α-Me-Bip and D-α-Me-Bip;
- Z is selected from the group consisting of L-Bip, D-Bip, L-Bip(2-Me), D-Bip(2-Me), L-Bip(2′-Me), L-Bip(2-Et), D-Bip(2-Et), L-Bip(3-Me), L-Bip(4-Me), L-Bip(3-OMe), L-Bip(4-OMe), L-Bip(4-Et), L-Bip(2-n-Propyl,2′-Me), L-Bip(2,4-di-Me), L-Bip(2-Me, 2′-Me), L-Bip(2-Me,4-OMe), L-Bip(2-Et,4-OMe), D-Bip(2-Et,4-OMe), L-Bip(2,6-di-Me), L-Bip(2,4,6-tri-Me), L-Bip(2,3,4,5,-tetra-Me), L-Bip(3,4-di-OMe), L-Bip(2,5-di-OMe), L-Bip(3,4-Methylene-di-oxy), L-Bip(3-NH-Ac), L-Bip(2-iso-Propyl), L-Bip(4-iso-Propyl), L-Bip(2-Phenyl), L-Hip(4-Phenyl), L-Bip(2-Fluoro), L-Bip(4-CF3), L-Bip(4-OCF3), L-Bip(2-OEt), L-Bip(4-OEt), L-Bip(4-SMe), L-Bip(2-CH2—COOH), D-Bip(2-CH2—COOH), L-Bip(2′-CH2—COOH), L-Bip(3-CH2—COOH), L-Bip(4-CH2—COOH), L-Bip(2-CH2—NH2), L-Bip(3-CH2—NH2), L-Bip(4-CH2—NH2), L-Bip(2-CH2—OH), L-Bip(3-CH2—OH), L-Bip(4-CH2—OH), L-Phe(3-Phenyl), L-Phe[4-n-Butyl], L-Phe[4-Cyclohexyl], Phe(4-Phenyloxy), L-Phe(penta-Fluoro), L-2-(9,10-Dihydrophenanthrenyl)-Ala, 4-(3-Pyridyl)-Phe, 4-(2-Naphthyl)-Phe, 4-(1-Naphthyl)-Phe, 2-Naphthyl-Ala, 2-Fluorenyl-Ala, L-α-Me-Bip, D-α-Me-Bip, L-Phe(4-NO2) and L-Phe(4-Iodo);
- A is selected from the group consisting of H, Acetyl, β-Ala, Ahx, Gly, Asp, Glu, Phe, Lys, Nva, Asn, Arg, Ser, Thr, Val, Trp, Tyr, Caprolactam, L-Bip, L-Ser(Bzl), 3-PyridylAla, Phe(4-Me), Phe(penta-Fluoro), 4-Methylbenzyl, 4-Fluorobenzyl, n-propyl, n-hexyl, cyclohexylmethyl, 6-hydroxypentyl, 2-Thienylmethyl, 3-Thienylmethyl, penta-Fluorobenzyl, 2-naphthylmethyl, 4-biphenylmethyl, 9-Anthracenylmethyl, benzyl, (S)-(2-amino-3-phenyl)propyl, methyl, 2-aminoethyl and (S)-2-Aminopropyl; and
- B is selected from the group consisting of OH, NH2, Trp-NH2, 2-NaphthylAla-NH2, Phe(penta-Fluoro)-NH2, Ser(Bzl)-NH2, Phe(4-NO2)—NH2, 3-PyridylAla-NH2, Nva-NH2, Lys-NH2, Asp-NH2, Ser-NH2, His-NH2, Tyr-NH2, Phe-NH2, L-Bip-NH2, D-Ser-NH2, Gly-OH, β-Ala-OH, GABA-OH and APA-OH.
- When A is not present, and Xaa1 is an R group, an R—C(O) (amide) group, a carbamate group RO—C(O), a urea R4R5N—C(O), a sulfonamido R—SO2, or a R4R5N—SO2; wherein
- R is selected from the group consisting of hydrogen, alkyl, cycloalkyl, cycloalkylalkyl, heterocyclyl, heterocycloalkyl, aryl, heteroaryl, arylalkyl, aryloxyalkyl, heteroarylalkyl, heteroaryloxyalkyl and heteroarylalkoxyalkyl; and wherein
- R4 and R5 are each independently selected from the group consisting of hydrogen, alkyl, cycloalkyl, cycloalkylalkyl, heterocyclyl, heterocycloalkyl, aryl, heteroaryl, arylalkyl, aryloxyalkyl, heteroarylalkyl and heteroaryloxyalky.
- When B is not present and Z is OR1, NR1R2 or an amino-alcohol; wherein
- R1 and R2 are independently chosen from hydrogen, alkyl, cycloalkyl, cycloalkylalkyl, heterocycle, heterocycloalkyl, aryl, heteroaryl, arylalkyl, aryloxyalkyl, heteroarylalkyl or heteroaryloxyalkyl.
- Preferred are isolated polypeptides wherein Xaa1(where applicable), Xaa2 and Xaa3 are N—H or N-alkylated, preferably N-methylated amino acid residues.
- Preferably the isolated polypeptide is a 10-mer to 15-mer and such polypeptide and binds to and activates the GLP-1 receptor.
- The present invention also provides a method of making a polypeptide that mimics the activity of a polypeptide receptor agonist.
- In accordance with the present invention, the synthetic isolated peptides described herein possess the ability to mimic the biological activity of GLP peptides, with preference for mimicking GLP-1. These synthetic peptide GLP-1 mimics exhibit desirable in-viva properties, thus making them ideal therapeutic candidates for oral or parenteral administration.
- The present invention also provides an isolated polypeptide according to Formula I, wherein the polypeptide is a Glucagon-Like-Peptide derivative, preferably a Glucagon-Like-Peptide-1 derivative.
- The present invention provides for polypeptides of formula I, pharmaceutical compositions employing such polypeptides and for methods of using such polypeptides. In particular, the present invention provides a pharmaceutical composition comprising a therapeutically effective amount of a polypeptide of formula I, alone or in combination with a pharmaceutically acceptable carrier.
- Further provided is a method for treating or delaying the progression or onset of diabetes, especially type II diabetes, including complications of diabetes, including retinopathy, neuropathy, nephropathy and delayed wound healing, and related diseases such as insulin resistance (impaired glucose homeostasis), hyperglycemia, hyperinsulinemia, elevated blood levels of fatty acids or glycerol, obesity, hyperlipidemia including hypertriglyceridemia, Syndrome X, atherosclerosis and hypertension, and for increasing high density lipoprotein levels, wherein a therapeutically effective amount of a polypeptide of formula I is administered to a mammalian, e.g., human, patient in need of treatment.
- The polypeptides of the invention can be used alone, in combination with other polypeptides of the present invention, or in combination with one or more other agent(s) active in the therapeutic areas described herein.
- In addition, a method is provided for treating diabetes and related diseases as defined above and hereinafter, wherein a therapeutically effective amount of a combination of a polypeptide of formula I and at least one other type of therapeutic agent, such as an antidiabetic agent, a hypolipidemic agent or anti-obesity agent, is administered to a human patient in need of treatment.
-
FIG. 1 illustrates the effects of intravenous infusion of Compound A and GLP-1 on plasma glucose in scGTT in rats. -
FIG. 2 illustrates the effects of intravenous infusion of Compound B and GLP-1 on plasma glucose in scGT in rats. -
FIG. 3 illustrates the effects of subcutaneous injection of Compound A and GLP-1 on plasma glucose in scGTT in rats. -
FIG. 4 illustrates the effects of subcutaneous injection of Compound B and GLP-1 on plasma glucose in scGTT in rats. -
FIG. 5 illustrates the effects of subcutaneous injection of Compound C on plasma glucose in an ipGTT model in rats. -
FIG. 6 illustrates the effects of subcutaneous injection of Compound Don plasma glucose in an ipGTT model in rats. -
FIG. 7 illustrates the effects of subcutaneous injection of GLP-1 on plasma glucose in an ipGTT model in rats. - The following definitions apply to the terms as used throughout this specification, unless otherwise limited in specific instances.
- Unless otherwise indicated, the term “amino-alcohol” as employed herein alone or as part of another group includes a natural or un-natural amino acid in which the carboxy group is replaced (reduced) to a methyl alcohol such as valinol, glycinol, alaninol, arylalaninol, heteroarylalaninol.
- Unless otherwise indicated, the term “alkyl” as employed herein alone or as part of another group includes both straight and branched chain hydrocarbons, containing 1 to 40 carbons, preferably 1 to 20 carbons, more preferably 1 to 8 carbons, in the normal chain, such as methyl, ethyl, propyl, isopropyl, butyl, t-butyl, isobutyl, pentyl, hexyl, isohexyl, heptyl, 4,4-dimethylpentyl, octyl, 2,2,4-trimethylpentyl, nonyl, decyl, undecyl, dodecyl, the various branched chain isomers thereof, and the like. Further, alkyl groups, as defined herein, may optionally be substituted on any available carbon atom with one or more functional groups commonly attached to such chains, such as, but not limited to alkyl, aryl, alkenyl, alkynyl, hydroxy, arylalkyl, cycloalkyl, cycloalkylalkyl, alkoxy, arylalkyloxy, heteroaryloxy, heteroarylalkyloxy, alkanoyl, halo, hydroxyl, thio, nitro, cyano, carboxyl, carbonyl
- carboxamido, amino, alkylamino, dialkylamino, amido, alkylamino, arylamido, heteroarylamino, azido, guanidino, amidino, phosphonic, phosphinic, sulfonic, sulfonamido, haloaryl, CF3, OCF2, OCF3, aryloxy, heteroaryl, cycloalkylalkoxyalkyl, cycloheteroalkyl and the like to form alkyl groups such as trifluoro methyl, 3-hydroxyhexyl, 2-carboxypropyl, 2-fluoroethyl, carboxymethyl, cyanobutyl and the like.
- Unless otherwise indicated, the term “alkenyl” as employed herein alone or as part of another group includes both straight and branched chain hydrocarbons, containing 2 to 40 carbons with one or more double bonds, preferably 2 to 20 carbons with one to three double bonds, more preferably 2 to 8 carbons with one to two double bonds, in the normal chain, such that any carbon may be optionally substituted as described above for “alkyl”.
- Unless otherwise indicated, the term “alkynyl” as employed herein alone or as part of another group includes both straight and branched chain hydrocarbons, containing 2 to 40 carbons with one or more triple bonds, preferably 2 to 20 carbons with one to three triple bonds, more preferably 2 to 8 carbons with one to two triple bonds, in the normal chain, such that any carbon may be optionally substituted as described above for “alkyl”.
- Unless otherwise indicated, the term “cycloalkyl” as employed herein alone or as part of another group includes saturated or partially unsaturated (containing 1 or 2 double bonds) cyclic hydrocarbon groups containing 1 to 3 rings, appended or fused, including monocyclic alkyl, bicyclic alkyl and tricyclic alkyl, containing a total of 3 to 20 carbons forming the rings, preferably 4 to 7 carbons, forming each ring; which may be fused to 1 aromatic ring as described for aryl, which include cyclopropyl, cyclobutyl, cyclopentyl, cyclohexyl, cycloheptyl, cyclooctyl, cyclodecyl, cyclododecyl, cyclohexenyl,
- any of which groups may be optionally substituted through any available carbon atoms with 1 or more groups selected from hydrogen, halo, haloalkyl, alkyl, haloalkyl, alkoxy, haloalkoxy, alkenyl, trifluoromethyl, trifluoromethoxy, alkynyl, cycloalkylalkyl, fluorenyl, heterocycloalkyl, heterocycloalkylalkyl, aryl, heteroaryl, arylalkyl, aryloxy, aryloxyalkyl, arylalkoxy, arylthio, arylazo, heteroarylalkyl, heteroarylalkenyl, heteroarylheteroaryl, heteroaryloxy, hydroxy, nitro, oxo, cyano, carboxyl, carbonyl
- carboxamido, amino, substituted amino wherein the amino includes 1 or 2 substituents (which are alkyl, aryl or any of the other aryl compounds mentioned in the definitions), amido, azido, guanidino, amidino, phosphonic, phosphinic, sulfonic, sulfonamido, thiol, alkylthio, arylthio, heteroarylthio, arylthioalkyl, alkoxyarylthio, alkylcarbonyl, arylcarbonyl, alkylaminocarbonyl, arylaminocarbonyl, alkoxycarbonyl, aminocarbonyl, alkylcarbonyloxy, arylcarbonyloxy, alkylcarbonylamino, arylcarbonylamino, arylsulfinyl, arylsulfinylalkyl, arylsulfonylamino or arylsulfonaminocarbonyl, or any of alkyl substituents as set out above.
- The term “aryl” as employed herein alone or as part of another group refers to monocyclic and bicyclic aromatic groups containing 6 to 10 carbons in the ring portion (such as phenyl or naphthyl) and may optionally include one to three additional rings fused to “aryl” (such as aryl, cycloalkyl, heteroaryl or heterocycloalkyl rings) and may be optionally substituted through any available carbon atoms with 1 or more groups selected from hydrogen, alkyl, halo, haloalkyl, alkoxy, haloalkoxy, alkenyl, trifluoromethyl, trifluoromethoxy, alkynyl, cycloalkylalkyl, fluorenyl, heterocycloalkyl, heterocycloalkylalkyl, aryl, heteroaryl, arylalkyl, aryloxy, aryloxyalkyl, arylalkoxy, arylthio, arylazo, heteroarylalkyl, heteroarylalkenyl, heteroaryloxy, heteroarylalkyloxy, heteroarylalkyloxyalkyl, hydroxy, nitro, oxo, cyano, amino, substituted amino wherein the amino includes 1 or 2 substituents (which are alkyl, cycloalkyl, heterocycloalkyl, heteroaryl, or aryl or any of the other aryl compounds mentioned in the definitions), thiol, alkylthio, arylthio, heteroarylthio, arylthioalkyl, alkoxyarylthio, alkylcarbonyl, arylcarbonyl, alkylaminocarbonyl, cycloalkylaminocarbonyl, arylaminocarbonyl, heteroarylaminocarbonyl, heteroarylalkylaminocarbonyl alkoxycarbonyl, aminocarbonyl, alkylcarbonyloxy, arylcarbonyloxy, alkylcarbonylamino, arylcarbonylamino, arylsulfinyl, arylsulfinylalkyl, arylsulfonylamino or arylsulfonaminocarbonyl, or any of alkyl substituents as set out above.
- The term “arylalkyl” as used herein alone or as part of another group refers to alkyl groups as defined above having an aryl substituent, such as benzyl, phenethyl or naphthylpropyl, wherein said aryl and/or alkyl groups may optionally be substituted as defined above.
- The term “alkoxy”, “aryloxy”, “heteroaryloxy” “arylalkyloxy”, or “heteroarylalkyloxy” as employed herein alone or as part of another group includes an alkyl or aryl group as defined above linked through an oxygen atom.
- The term “heterocyclo”, “heterocycle” “heterocyclyl” or “heterocyclic”, as used herein, represents an unsubstituted or substituted stable 4-, 5-, 6- or 7-membered monocyclic ring system which may be saturated or unsaturated, and which consists of carbon atoms and from one to four heteroatoms selected from nitrogen, sulfur, oxygen and/or a SO or SO2 group, wherein the nitrogen and sulfur heteroatoms may optionally be oxidized, and the nitrogen heteroatom may optionally be quaternized. The heterocyclic ring may be attached at any heteroatom or carbon atom which results in the creation of a stable structure. Examples of such heterocyclic groups include, but are not limited to, tetrahydrofuranyl, tetrahydrothiophenyl pyrrolidinyl, piperidinyl, piperazinyl, oxopyrrolidinyl, oxopiperazinyl, oxopiperidinyl and oxadiazolyl. Optionally a heterocyclo group may be substituted with one or more functional groups, such as those described for “alkyl” or “aryl”.
- The term “heterocycloalkyl” as used herein alone or as part of another group refers to alkyl groups as defined above having a heterocycloalkyl substituent, wherein said “heterocyclo” and/or alkyl groups may optionally be substituted as defined above.
- The term “heteroaryl” as used herein refers to a 5-, 6- or 7-membered aromatic heterocyclic ring which contains one or more heteroatoms selected from nitrogen, sulfur, oxygen and/or a SO or SO2 group. Such rings may be fused to another aryl or heteroaryl ring and include possible N-oxides; Examples of such heteroaryl groups include, but are not limited to, furan, pyrrole, thiophene, pyridine, isoxazole, oxazole, imidazole and the like. Optionally a heteroaryl group may be substituted with one or more functional groups commonly attached to such chains, such as those described for “alkyl” or “aryl”.
- The term “heteroarylalkyl” as used herein alone or as part of another group refers to alkyl groups as defined above having a heteroaryl substituent, wherein said heteroaryl and/or alkyl groups may optionally be substituted as defined above.
- The term “diabetes and related diseases or related conditions” refers to Type II diabetes, Type I diabetes, impaired glucose tolerance, obesity, hyperglycemia, Syndrome X, dysmetabolic syndrome, diabetic complications, and hyperinsulinemia.
- The term “lipid-modulating” or “lipid lowering” agent as employed herein refers to agents that lower LDL and/or raise HDL and/or lower triglycerides and/or lower total cholesterol and/or other known mechanisms for therapeutically treating lipid disorders.
- An administration of a therapeutic agent of the invention includes administration of a therapeutically effective amount of the agent of the invention. The term “therapeutically effective amount” as used herein refers to an amount of a therapeutic agent to treat or prevent a condition treatable by administration of a composition of the invention. That amount is the amount sufficient to exhibit a detectable therapeutic or preventative or ameliorative effect. The effect may include, for example, treatment or prevention of the conditions listed herein. The precise effective amount for a subject will depend upon the subject's size and health, the nature and extent of the condition being treated, recommendations of the treating physician, and the therapeutics or combination of therapeutics selected for administration. Thus, it is not useful to specify an exact effective amount in advance.
- The peptides and analogs thereof described herein may be produced by chemical synthesis using various solid-phase techniques such as those described in Barany, G. et al., The Peptides: Analysis, Synthesis, Biology, Vol. 2, “Special Methods in Peptide Synthesis, Part A”, pp. 3-284, Gross, E. et al., eds., Academic Press, New York (1980); and in Stewart, J. M. et al., Solid-Phase Peptide Synthesis, 2nd Edition, Pierce Chemical Co., Rockford, Ill. (1984). The preferred strategy for use in this invention is based on the Fmoc (9-Fluorenylmethylmethyloxycarbonyl) group for temporary protection of the α-amino group, in combination with the tert-butyl group for temporary protection of the amino acid side chains (see for example Atherton, E. et al., “The Fluorenylmethoxycarbonyl Amino Protecting Group”, The Peptides: Analysis, Synthesis, Biology, Vol. 9, “Special Methods in Peptide Synthesis, Part C”, pp. 1-38, Undenfriend, S. et al., eds., Academic Press, San Diego (1987).
- The peptides can be synthesized in a stepwise manner on an insoluble polymer support (also referred to as “resin”) starting from the C-terminus of the peptide. A synthesis is begun by appending the C-terminal amino acid of the peptide to the resin through formation of an amide or ester linkage. This allows the eventual release of the resulting peptide as a C-terminal amide or carboxylic acid, respectively. Alternatively, in cases where a C-terminal amino alcohol is present, the C-terminal residue may be attached to 2-Methoxy-4-alkoxybenzyl alcohol resin (Sasrin, Bachem Bioscience, Inc., King of Prussia, Pa.) as described herein and, after completion of the peptide sequence assembly, the resulting peptide alcohol is released with LiBH4 in THF (see Stewart, J. M. et al., supra, p. 92).
- The C-terminal amino acid and all other amino acids used in the synthesis are required to have their α-amino groups and side chain functionalities (if present) differentially protected such that the α-amino protecting group may be selectively removed during the synthesis. The coupling of an amino acid is performed by activation of its carboxyl group as an active ester and reaction thereof with the unblocked α-amino group of the N-terminal amino acid appended to the resin. The sequence of α-amino group deprotection and coupling is repeated until the entire peptide sequence is assembled. The peptide is then released from the resin with concomitant deprotection of the side chain functionalities, usually in the presence of appropriate scavengers to limit side reactions. The resulting peptide is finally purified by reverse phase HPLC.
- The synthesis of the peptidyl-resins required as precursors to the final peptides utilizes commercially available cross-linked polystyrene polymer resins (Novabiochem, San Diego, Calif.). Preferred for use in this invention are 4-(2′,4′-dimethoxyphenyl-Fmoc-aminomethyl)-phenoxyacetyl-p-methyl benzhydrylamine resin (Rink amide MBHA resin) or p-benzyloxybenzyl alcohol resin (HMP resin) to which the C-terminal amino acid may or may not be already attached. If the C-terminal amino acid is not attached, its attachment may be achieved by DMAP-catalyzed esterification with the O-acylisourea or the HOAT active ester of the Fmoc-protected amino acid formed by its reaction with DIC or DIC/HOAT, respectively. Coupling of the subsequent amino acids can be accomplished using HOBT or HOAT active esters produced from DIC/HOBT or DIC/HOAT, respectively.
- The syntheses of the 11-mer peptide analogs described herein can be carried out by using a peptide synthesizer, such as an Advanced Chemtech Multiple Peptide Synthesizer (MPS396) or an Applied Biosystems Inc. peptide synthesizer (ABI 433A). If the MPS396 was used, up to 96 peptides were simultaneously synthesized. If the ABI 433A synthesizer was used, individual peptides were synthesized sequentially. In both cases the stepwise solid phase peptide synthesis was carried out utilizing the Fmoc/t-butyl protection strategy described herein. The non-natural non-commercial amino acids present at position 11 and at
position 10 were incorporated into the peptide chain in one of two methods. In the first approach a Boca or Fmoc-protected non-natural amino acid was prepared in solution using appropriate organic synthetic procedures. The resulting derivative was then used in the step-wise synthesis of the peptide. Alternatively the required nonnatural amino acid was built on the resin directly using synthetic organic chemistry procedures. When a nonnatural non-commercial amino acid was needed for incorporation at position Xaa6 or at any other Xaa position as needed, the required Fmoc-protected nonnatural amino acid was synthesized in solution. Such a derivative was then used in stepwise solid phase peptide synthesis. - Preferred for use in this invention are the Fmoc amino acids derivatives shown below.
-
-
- The peptidyl-resin precursors for their respective peptides may be cleaved and deprotected using any of the standard procedures described in the literature (see, for example, King, D. S. et al., Int. J. Peptide Protein Res., 36:255-266 (1990)). A preferred method for use in this invention is the use of TFA in the presence of water and TIS as scavengers. Typically, the peptidyl-resin is stirred in TFA/water/TIS (94:3:3, v:v:v; 1 mL/100 mg of peptidyl resin) for 1.5-2 hrs at room temperature. The spent resin is then filtered off and the TFA solution is concentrated or dried under reduced pressure. The resulting crude peptide is either precipitated and washed with Et2O, or is redissolved directly into DMSO or 50% aqueous acetic acid for purification by preparative HPLC.
- Peptides with the desired purity can be obtained by purification using preparative HPLC, for example, on a Waters Model 4000 or a Shimadzu Model LC-8A liquid chromatograph. The solution of crude peptide is injected into a YMC S5 ODS (20×100 mm) column and eluted with a linear gradient of MeCN in water, both buffered with 0.1% TEA, using a flow rate of 14-20 mL/min with effluent monitoring by UV absorbance at 220 nm. The structures of the purified peptides can be confirmed by electro-spray MS analysis.
- The following abbreviations are employed in the Examples and elsewhere herein:
- Ph=phenyl
- Bn=benzyl
- i-Bu=iso-butyl
- Me=methyl
- Et=ethyl
- Pr=n-propyl
- Bu=n-butyl
- TMS=trimethylsilyl
- TIS=Triisopropylsilane
- Et2O=diethyl ether
- HOAc or AcOH=acetic acid
- MeCN=acetonitrile
- DMF=N,N-dimethylformamide
- EtOAc=ethyl acetate
- THF=tetrahydrofuran
- TFA=trifluoroacetic acid
- Et2NH=diethylamine
- NMM=N-methyl morpholine
- NMP=N-methylpyrrolidone
- DCM=dichloromethane
- n-BuLi=n-butyllithium
- Pd/C=palladium on carbon
- PtO2=platinum oxide
- TEA=triethylamine
- min=minute(s)
- h or hr=hour(s)
- L=liter
- mL=milliliter
- μL=microliter
- g=gram(s)
- mg=milligram(s)
- mol=mole(s)
- mmol=millimole(s)
- meq=milliequivalent
- rt=room temperature
- sat or sat'd=saturated
- aq.=aqueous
- mp=inciting point
- Bip=biphenylalanine
- LiBH4=lithium borohydride
- PyBOP reagent=benzotriazol-1-yloxy-tripyrrolidino phosphonium hexafluorophosphate
- DMAP=4-(dimethylamino)pyridine
- EDAC=3-ethyl-3′-(dimethylamino)propyl-carbodiimide hydrochloride (or 1-[(3-(dimethyl)amino)propyl])-3-ethylcarbodiimide hydrochloride)
- FMOC=fluorenylmethoxycarbonyl
- Doe or BOC=tert-butoxycarbonyl
- Cbz=carbobenzyloxy or carbobenzoxy or benzyloxycarbonyl
- HOBT or HOBT∩H2O=1-hydroxybenzotriazole hydrate
- HOAT=1-hydroxy-7-azabenzotriazole
- TLC=thin laser chromatography
- HPLC=high performance liquid chromatography
- LC/MS=high performance liquid chromatography/mass spectrometry
- MS or Mass Sec=mass spectrometry
- NMR=nuclear magnetic resonance
- Those skilled in the art of peptide chemistry are aware that amino acid residues occur as both D and L isomers, and that the instant invention contemplates the use of either or a mixture of isomers for amino acid residues incorporated in the synthesis of the peptides described herein.
- In one embodiment, the present invention provides a method of making a polypeptide of formula
- that mimics the activity of a polypeptide receptor agonist having a message sequence and an address sequence. In this embodiment, the address sequence of the polypeptide confers the ability of a polypeptide to bind to a receptor and the message sequence is capable of inducing receptor mediated signal transduction upon binding of the polypeptide to the receptor. The method of making the polypeptide comprises replacing the message sequence of a polypeptide receptor agonist with Y and Z wherein Y and Z are amino acid residues;
- wherein one of the substitutions at the alpha-carbon atoms of Y and Z may each independently be substituted with a primary substituent group selected from the group consisting of hydrogen, alkyl, cycloalkyl, cycloalkylalkyl, heterocyclylalkyl, arylalkyl and heteroarylalkyl, heterocyclylalkyl said primary substituent optionally being substituted with a secondary substituent selected from a cycloalkyl, heterocyclyl, aryl or heteroaryl group; any of said primary or secondary substituents may further be substituted with one or more of, hydrogen, alkyl, cycloalkyl, arylalkyl, aryl, heterocyclyl, heteroaryl, alkenyl, alkynyl, halo, hydroxy, mercapto, nitro, cyano, amino, acylamino, azido, guanidino, amidino, carboxyl, carboxamido, carboxamido alkyl, formyl, acyl, carboxyl alkyl, alkoxy, aryloxy, arylalkyloxy, heteroaryloxy, heterocyclooxy, acyloxy, mercapto, mercapto alkyl, mercaptoaryl, mercapto acyl, halo, cyano, nitro, azido, amino, guanidino alkyl, guanidino acyl, sulfonic, sulfonamido, alkyl sulfonyl, aryl sulfonyl or phosphonic group; wherein, the primary or secondary substituents may optionally be bridged by covalent bonds to form one or more fused cyclic or heterocyclic systems with each other;
- wherein, the other substitution at the alpha-carbon of Y may be substituted with hydrogen, alkyl, aminoalkyl, hydroxyalkyl or carboxyalkyl;
- wherein, the other substitution at the alpha-carbon of Z may be substituted with hydrogen, alkyl, aminoalkyl, hydroxyalkyl or carboxyalkyl.
- In a preferred embodiment, the present invention provides a method of making a polypeptide that mimics the activity of an endogenous polypeptide receptor agonist. In another preferred embodiment, the polypeptide receptor agonist is GLP-1.
- In another aspect, the method of making the polypeptide further comprises replacing the message sequence of the polypeptide with a variant message sequence capable of inducing receptor mediated signal transduction. Variant message sequences can be made by replacing or modifying one or more amino acid residues of a polypeptide receptor agonist message sequence.
- Dipeptidyl resin, containing non-natural non-commercial amino acid residues at
positions 10 and 11, was prepared using the following manual procedure in a batch-wise mode before continuing peptide chain elongation utilizing the automated simultaneous synthesis protocol on the MPS-396 peptide synthesizer. The synthesis of the Nα-Fmoc-protected biphenylalanine derivatives used in the manual couplings is described in Examples 8-10. - An amount of 4-(2′,4′-dimethoxyphenyl-Fmoc-aminomethyl)-phenoxyacetyl-p-methyl benzhydrylamine resin (Rink amide MBHA resin; loading: 0.5 mmol/g) sufficient to synthesize several 11-mer analogs, was swelled by washing with DMF (4×10 mL/g, 5 minutes). The Fmoc group was then removed using two treatments, 3 and 18 minutes each respectively, with 20% piperidine in DMF (10 mL/g). The resin was washed with DMF (4×10 mL/g) and NMP (4×10 mL/g). A 0.5 M solution of Fmoc-L-biphenylalanine-OH (2.0 eq.), or analog thereof, and HOAt (2.0 eq.) in NMP was added to the resin, followed by a 1.0 M solution of DIC (2.05 eq.) in NMP. The resin was then shaken or vortexed for 16-24 hours. Coupling completion was monitored using a qualitative ninhydrin test. The resin was drained, washed with NMP (3×10 mL/g) and DMF (3×10 mL/g), and treated twice, 5 and 20 minutes each respectively, with 20% acetic anhydride in DMF (8 mL/g). After DMF washes (4×10 mL/g), a second manual coupling cycle was then performed as described above, starting from the removal of the Fmoc group with 20% piperidine in DMF, and using either the same or a different Fmoc-protected biphenylalanine analog in the coupling step. This synthesis scheme produced the desired Fmoc-protected dipeptidyl-Rink amide MBHA resin.
- Similar dipeptidyl resins were also obtained by another procedure, described in Examples 5-7, using solid phase Suzuki condensation reactions.
- Such dipeptidyl-resins required for the synthesis of a set of designed analogs were then used in the automated MPS synthesis of up to 96 peptides per run in the following manner. The dipeptidyl-resins were loaded as suspensions in dichloromethane/DMF (60:40) into the 96-well reactor of an Advanced ChemTech MPS 396 synthesizer in volumes corresponding to 0.01-0.025 mmol (20-50 mg) of resin per reactor well. The reactor was placed on the instrument and drained. The wells were then washed with DMF (0.5-1.0 mL, 3×2 min) and subjected to the number of automated coupling cycles required to assemble the respective peptide sequences as determined by the pre-programmed sequence synthesis table. The detailed stepwise synthesis protocol used for a typical 0.01 mmol/well simultaneous synthesis of 96 compounds is described below. This protocol was adapted for the simultaneous synthesis of arrays of analogs ranging from 12 to 96 per individual run. The general synthesis protocol is depicted in Scheme I.
- Prior to starting the synthesis, the following reagent solutions were prepared and placed on the instrument as required: 1.5 M (15%) piperidine in DMF; 0.5 M DIEA in NMP; 0.36 M DIC in NMP; 1 M (10%) acetic anhydride in DMF. The required Fmoc-protected amino acids were prepared as 0.36 M solutions in 0.36 M HOAt/NMP and placed into the appropriate positions in the 32-position amino acid rack.
- The Fmoc-protected dipeptidyl-resin prepared above was deprotected by treating with 1.5 M (15%) piperidine in DMF (0.6 mL; 1×3 minutes; 1×18 minutes). The resin was then washed with DMF (4×0.5 mL), DMF/EtOH (80:20) (1×0.5 mL) and NMP (3×0.5 mL).
- Coupling of the next amino acid residue, typically Fmoc-Asp(OtBu)-OH or another Fmoc-amino acid with appropriate orthogonal protection if required, was carried out by automated addition of a 0.36 M solution of the appropriate Fmoc-amino acid (0.072 mmol, 7.2 eq.) and HOAt (7.2 eq.) in NMP (0.2 mL) to all 96 wells. This was followed by addition to all 96 wells of a 0.36 M solution of DIC (0.072 mmol, 7.2 eq.) in NMP (0.2 mL). The coupling was allowed to proceed for 2 hrs. After reactor draining by nitrogen pressure (3-5 psi) and washing the wells with NMP (1×0.5 mL), the coupling was repeated as described above. At the end of the coupling cycle, the wells were treated with 1 M acetic anhydride in DMF (1×0.5 mL, 30 min.) and finally washed with DMF (3×0.5 mL).
- The next coupling cycle started with the removal of the Fmoc group as described above, and involved the coupling of either Fmoc-Ser(tBu)-OH or of a different Fmoc-amino acid as required by the sequence substitutions desired at this position. The coupling was carried out in a manner identical to that described for Fmoc-Asp(OtBu)-OH. The next coupling step was carried out in the same way to incorporate either Fmoc-Thr(tBu)-OH or any of the other selected Fmoc-amino acids into this sequence position as required.
- The next Fmoc-amino acid (for example Fmoc-Phe-OH) was coupled as described above. For sequences requiring incorporation of a novel non-commercially available aromatic or non-aromatic amino acid analog at this step, the coupling was modified as follows: after Fmoc deprotection in the usual manner, the Fmoc-amino acid (5 eq.) and HOAt (5 eq.) were added manually as a 0.36 M solution in NMP (0.139 mL). The 0.36 M solution of DIC in NMP (0.139 mL) was then added by the instrument and the coupling was allowed to proceed for 16-24 hrs. The coupling was not repeated in this case. After the usual post-coupling washes, the peptidyl-resins were capped with acetic anhydride as described.
- The next coupling step involved either Fmoc-Thr(tBu)-OH or substitution analogs as required by sequence replacements at this position. The coupling was performed as described for the initial MPS coupling of Fmoc-Asp(OtBu)-OH and its analogs. This identical coupling protocol was repeated four additional times in order to complete the sequence assembly of the desired 96 11-mer peptide analogs. For the coupling of commercially and non-commercially available non-natural amino acids needed at a certain sequence position, a single coupling protocol similar to that described above for the novel amino acid at position 6 (Xaa6) was used.
- Finally, the Fmoc group was removed with 20% piperidine in DMF as described above, and the peptidyl-resins were washed with DMF (4×0.5 mL) and DCM (4×0.5 mL). They were then dried on the reactor block by applying a constant pressure of nitrogen gas (5 psi) for 10-15 min.
- The desired peptides were cleaved/deprotected from their respective peptidyl-resins by treatment with a TFA cleavage mixture as follows. A solution of TFA/water/tri-isopropylsilane (94:3:3) (1.0 mL) was added to each well in the reactor block, which was then vortexed for 2 hrs. The TEA solutions from the wells were collected by positive pressure into pre-tared vials located in a matching 96-vial block on the bottom of the reactor. The resins in the wells were rinsed twice with an additional 0.5 mL of TFA cocktail and the rinses were combined with the solutions in the vials. These were dried in a SPEEDVAC® (Savant) to yield the crude peptides, typically in >100% yields (20-40 mgs). The crude peptides were either washed with ether or more frequently re-dissolved directly in 2 mL of DMSO or 50% aqueous acetic acid for purification by preparative HPLC as follows.
- Preparative HPLC was carried out either on a Waters Model 4000 or a Shimadzu Model LC-8A liquid chromatograph. Each solution of crude peptide was injected into a YMC S5 ODS (20×100 mm) column and eluted using a linear gradient of MeCN in water, both buffered with 0.1% TFA. A typical gradient used was from 20% to 70% 0.1% TFA/MeCN in 0.1% TFA/water over 15 min. at a flow rate of 14 mL/min with effluent UV detection at 220 nm. The desired product eluted well separated from impurities, typically after 10-11 min., and was usually collected in a single 10-15 mL fraction on a fraction collector. The desired peptides were obtained as amorphous white powders by lyophilization of their HPLC fractions.
- After purification by preparative HPLC as described above, each peptide was analyzed by analytical RP-HPLC on a Shimadzu LC-10AD or LC-10AT analytical HPLC system consisting of: a SCL-10A system controller, a SIL-10A auto-injector, a SPD10AV or SPD-M6A UV/VIS detector, or a SPD-M10A diode array detector. A YMC ODS S3 (4.6×50 mm) column was used and elution was performed using one of the following gradients: 10-70% B in A over 8 min, 2.5 mL/min. (method A); 5-80% B in A over 8 min, 2.5 mL/min. (method B); 5-70% B in A over 8 min., 2.5 mL/min. (method C); 25-75% B in A over 8 mM, 2.5 mL/min (method D); 20-75% B in A over 8 min, 2.5 mL/min. (method E); 15-70% B in A over 8 min, 2.5 mL/min. (method F); 10-90% B in A over 8 min, 2.5 mL/min. (method G); 20-65% B in A over 8 min, 2.5 mL/min. (method H); 5-90% B in A over 8 min., 2.0 mL/min. (method I); 5-90%13 in A over 8 min., 2.5 mL/min. (method J); 20-80% B in A over 8 mM., 2.5 mL/min. (method K); 10-100% B in A over 8 min., 2.5 mL/min. (method L); 10-75% B in A over 8 min., 2.5 mL/min. (method M). Mobile phase A: 0.1% TFA/water; mobile phase B: 0.1% TFA/acetonitrile. The purity was typically >90%.
- Each peptide was characterized by electrospray mass spectrometry (ES-MS) either in flow injection or LC/MS mode. Finnigan SSQ7000 single quadrupole mass spectrometers (ThermoFinnigan, San Jose, Calif.) were used in all analyses in positive and negative ion electrospray mode. Full scan data was acquired over the mass range of 300 to 2200 amu for a scan time of 1.0 second. The quadrupole was operated at unit resolution. For flow injection analyses, the mass spectrometer was interfaced to a Waters 616 HPLC pump (Waters Corp., Milford, Mass.) and equipped with an HTS PAL autosampler (CTC Analytics, Zwingen, Switzerland). Samples were injected into a mobile phase containing 50:50 water:acetonitrile with 0.1% ammonium hydroxide. The flow rate for the analyses was 0.42 mL/min. and the injection volume 6 μl. A ThermoSeparations Constametric 3500 liquid chromatograph (ThermoSeparation Products, San Jose, Calif.) and HTS PAL autosampler were used for LC/MS analyses. Chromatographic separations were achieved employing a Luna C18, 5 micron column, 2×30 mm (Phenomenex, Torrance, Calif.). The flow rate for the analyses was 1.0 mL/min and column effluent was split, so that the flow into the electrospray interface was 400 μl/min. A linear gradient from 0% to 100% B in A over 4 minutes was run, where mobile phase A was 98:2 water:acetonitrile with 10 mM ammonium acetate and mobile phase B was 10:90 water:acetonitrile with 10 mM ammonium acetate. The UV response was monitored at 220 nm. The samples were dissolved in 200 μl 50:50 H2O:MeCN (0.05% TFA). The injection volume was 5 μl.
- In all cases, the experimentally measured molecular weight was within 0.5 Daltons of the calculated mono-isotopic molecular weight.
- The synthesis of N-alkylated 11-mer peptide analogs was started from the protected intermediate 11-mer peptidyl-resin (1) (0.025 mmol), which was prepared by the general method described herein. The Fmoc group was removed using the procedure described in that method, to yield the protected
resin intermediate 2. This was swollen in DMF, washed 3 times with 1% AcOH/DMF, and then treated with 2-20 eq. of aldehyde or N-Boc-protected aminoaldehyde (see synthesis below), dissolved in 1% AcOH/DMF (or CH2Cl2) (1 M), and the same excess amount of Na(AcO)3BH as that of the aldehyde. After overnight reaction, the resin was drained, washed with DMF and DCM, 3 times each, and dried. The reductively alkylated peptide (4) was cleaved and deprotected by treatment with TFA/tri-isopropylsilane/water (90:5:5, v:v:v; 1-2 mL) for 2 hrs. The resin was filtered off and rinsed with 1 mL of cleavage solution, which was combined with the filtrate and dried in a SPEEDVAC® (Savant) to yield the crude product. This was purified by preparative HPLC as described in the general peptide synthesis method outlined herein. The purity and identity of the desired products were confirmed by analytical HPLC and electrospray MS. - N-Boc-protected aminoaldehydes were synthesized using Castro's procedure (Fehrentz, J. A. et al., Synthesis, 676-678 (1983)) as follows. The Boc-protected amino acid (2.0 mmol) was dissolved in 5 mL DCM. BOP reagent (1.1 eq.) and DIEA (1.15 eq) were added. After 5 minutes, a solution of N,O-dimethylhydroxylamine (1.2 eq) and DIEA (1.3 eq) in 5 mL DCM was added. The reaction mixture was stirred for 2 hrs, diluted with DCM (30 mL), and washed with 2N HCl (3×), sat. NaHCO3 (3×) and brine (1×). The organic extracts were dried over MgSO4, filtered and evaporated to dryness to yield the Weinreb amide. This was then dissolved in ether or THF (10 mL/mmol)) and reacted with a 1M solution of LiAlH4 in THF (2 mL/mmol of hydroxamate) for 30 minutes. The reaction mixture was quenched with 5 mL of 0.35 M KHSO4, and diluted with ether (20 mL). The aqueous phase was separated and extracted with ether (3×20 mL). The combined ether extracts were washed with 2N HCl (2×), sat. NaHCO3 (2×) and brine (1×), dried over MgSO4, filtered and evaporated to dryness to yield the Boc-protected aldehyde in 20-30% yield. The aldehyde was characterized by 1H NMR and electrospray MS, and was used in the reductive alkylation step without further purification.
- Similarly, the synthesis of the N-acylated 11-mer peptide analogs was started from the protected 11-mer peptidyl-resin intermediate (1) (0.025 mmol), prepared as described herein. The Fmoc group was removed using the procedure described herein, and the resulting resin intermediate 2 was coupled with the relevant Fmoc-protected amino acid or carboxylic acid using the coupling protocol described in the general method described herein. In cases where the appropriate anhydride was available, the N-acylation was performed using 10 eq. of the anhydride in NMP. The resulting 12-mer analogs (3) were cleaved/deprotected and purified by prep. HPLC by the general method described herein.
- The synthesis of N-carbamate derivatives of 11-mer peptide analogs may be started from the protected 11-mer peptidyl-resin intermediate (1) (0.025 mmol), prepared as described herein. The Fmoc group is removed using the procedure described herein, and the resulting resin intermediate 2 is allowed to react with the relevant chloroformate in the presence of an appropriate base such as a tertiary amine, or with a di-carbonate or an activated carbonate such as p-nitrophenyl or phenyl carbonate. Similarly, N-carbamate derivatives of 10-mer peptide analogs may be prepared starting from a protected 10-mer peptidyl-resin intermediate, Fmoc removal and reaction of the resulting peptidyl-resin intermediate with the relevant chloroformate, di-carbonate or activated carbonate.
- The synthesis of N-urea derivatives of 11-mer peptide analogs may be started from the protected 11-mer peptidyl-resin intermediate (1) (0.025 mmol), prepared as described herein. The Fmoc group is removed using the procedure described herein, and the resulting resin intermediate 2 is allowed to react with the relevant isocyanate prepared, for example, as in Burgess, K. et al., J. Am. Chem. Soc., 119:1556-1564 (1997); alternatively, the resin intermediate 2 may be allowed to react with the relevant carbamyl chloride. Similarly, N-urea derivatives of 10-mer peptide analogs may be prepared starting from a protected 10-mer peptidyl-resin intermediate, Fmoc removal and reaction of the resulting peptidyl-resin intermediate with the relevant isocyanate or carbamyl chloride.
- The synthesis of N-sulfonamides of 1′-mer peptide analogs may be started from the protected 11-mer peptidyl-resin intermediate (1) (0.025 mmol), prepared as described herein. The Fmoc group is removed using the procedure described herein, and the resulting resin intermediate 2 is allowed to react with the relevant sulfonyl chloride. Similarly, N-sulfonamides of 10-mer peptide analogs may be prepared starting from a protected 10-mer peptidyl-resin intermediate, Fmoc removal and reaction of the resulting peptidyl-resin intermediate with the relevant sulfonyl chloride.
- The synthesis of N-sulfonylurea derivatives of 11-mer peptide analogs may be started from the protected 11-mer peptidyl-resin intermediate (1) (0.025 mmol), prepared as described herein. The Fmoc group is removed using the procedure described herein, and the resulting resin intermediate 2 is allowed to react with the relevant sulfamoyl chloride R4R5N—SO2—Cl to yield a sulfonyl urea intermediate (see, for example, Davern, P. et al., J. Chem. Soc., Perkin Trans., 2(2):381-387 (1994)). Similarly, N-sulfonyl urea derivatives of 10-mer peptide analogs may be prepared starting from a protected 10-mer peptidyl-resin intermediate, Fmoc removal and reaction of the resulting peptidyl-resin intermediate with the relevant sulfamoyl chloride R4R5N—SO2—Cl.
- The synthesis of N-arylalkyl amides of 10-mer peptide analogs was started with a reductive alkylation reaction of a relevant arylalkylamine with an alkoxybenzaldehyde resin as in the following example. 2-(3,5-Dimethoxy-4-formylphenoxy)ethoxymethyl polystyrene resin (Novabiochem, 1.12 mmol/gram, 0.025 mmol, 27.3 mg) was washed with 1% Acetic Acid in DCM (5×3 mL). A solution of 2-(2-pentafluorophenyl)ethyl amine (0.125 mmol, 26.4 mg) in DCM (3 mL) was added to the resin. After 5 minutes, solid NaBH(OAc)3 (0.125 mmol, 26.5 mg,) was added and the reaction was vortexed for 16 hours. The resin was rinsed with DMF (5×3 mL) and DCM (5×3 mL).
- A solution of Fmoc-[BIP(2-Et)]-OH (0.05 mmol, 25.3 mg) and HOAt (0.05 mmol, 6.81 mg) in NMP(0.5 mL) was added to the resin followed by DIC (0.05 mmol, 7.82 μL). The reaction was vortexed for 16 hrs. The resin was rinsed with NMP(5×3 mL). The remaining sequence of the desired 10-mer N-arylalkyl amide analog was then assembled as described in Example 1.
- Following is the general description for the solid phase synthesis of typical 11-mer peptide analogs, using an upgraded Applied Biosystems Model 433A peptide synthesizer. The upgraded hardware and software of the synthesizer enabled conductivity monitoring of the Fmoc deprotection step with feedback control of coupling. The protocols allowed a range of synthesis scale from 0.05 to 1.0 mmol.
- The incorporation of the two non-natural C-terminal amino acid residues was described earlier in connection with simultaneous synthesis of 11-mer analogs. Such a Fmoc-protected dipeptidyl resin was used in this ABI synthesis. The Fmoc-protected dipeptidyl-resin (0.1 mmol) was placed into a vessel of appropriate size on the instrument, washed 6 times with NMP and deprotected using two treatments with 22% piperidine/NMP (2 and 8 min. each). One or two additional monitored deprotection steps were performed until the conditions of the monitoring option were satisfied (<10% difference between the last two conductivity-based deprotection peaks). The total deprotection time was 10-12 min. The deprotected dipeptidyl-resin was washed 6 times with NMP and then coupled with the next amino acid. The procedure is illustrated by the example used in the next step. Thus, Fmoc-Asp(OtBu)—OH was coupled next using the following method: Fmoc-Asp(OtBu)-OH (1 mmol, 10 eq.) was dissolved in 2 mL of NMP and activated by subsequent addition of 0.45 M HBTU/HOBt in DMF (2.2 mL) and 2 M DIEA/NMP (1 mL). The solution of the activated Fmoc-protected amino acid was then transferred to the reaction vessel and the coupling was allowed to proceed for 30 to 60 min., depending on the feedback from the deprotection steps. The resin was then washed 6 times with NMP, and subjected to 8 additional deprotection/coupling cycles as described above in order to complete the assembly of the desired sequence. The Fmoc-amino acids sequentially used were: Fmoc-Ser(tBu)-OH, Fmoc-Thr(tBu)-OH, Fmoc-Phe-OH, Fmoc-Thr(tBu)-OH, Fmoc-Gly-OH, Fmoc-Glu(OtBu)-OH, Fmoc-Ala-OH and Fmoc-His(Trt)-OH. Finally, the Fmoc group was removed with 22% piperidine in NMP as described above, and the peptidyl-resin was washed 6 times with NMP and DCM, and dried in vacuo.
- Alternatively, a modified coupling protocol was used in which the Fmoc-protected amino acid (1 mmol) was activated by subsequent addition of 0.5 M HOAt in NMP (2 mL) and 1 M DIC/NMP (1 mL), transferred to the reaction vessel and allowed to couple for 1-2 hrs.
- The desired peptide was cleaved/deprotected from its respective peptidyl-resin (0.141 g) by treatment with a solution of TFA/water/tri-isopropylsilane (94:3:3) (2.5 mL) for 2 hrs. The resin was filtered off, rinsed with TFA cleavage solution (0.5 mL), and the combined TFA filtrates were dried in vacuo. The resulting solid was triturated and washed with diethyl ether, and finally dried, to yield 35.6 mg (58%) of crude peptide product as a white solid. This was purified by preparative HPLC as described herein. The gradient used was from 20% to 75% 0.1% TFA/MeCN in 0.1% TFA/water over 15 min. The fraction containing a pure product was lyophilized, to yield 7.2 mg (20% recovery) of pure product.
- For those analogs wherein position-10 and position-11 residues were represented by substituted phenylalanine analogs, i.e., biphenylalanine analogs (Bip-analogs), their incorporation into the peptide chain was carried out in one of two approaches.
- In approach A, solid phase Suzuki condensation was practiced to prepare the required modified phenylalanine residue in a manner suitable for carrying out subsequent solid phase peptide synthesis to obtain the target peptides. When the amino acid at position-11 in the target peptide was represented by a modified phenylalanine residue, it was prepared as shown in Scheme 3. After removal of the Boc α-amine protecting group, chain elongation was continued using multiple peptide synthesis as described in the previous section to obtain the desired 11-mer peptides or its derivatives thereof. When the modified phenylalanine analog was in position-10 of the target peptides, the required amino acid was prepared using a suitable dipeptide resin as shown in Scheme 4. The resulting dipeptidyl resin containing the required modified phenylalanine derivative was then used to carry out the synthesis of the target 11-mer peptide or its derivatives thereof. When both position-10 and position-11 required novel biphenylalanine residues, two sequential solid phase Suzuki reactions were carried out as shown in Scheme 5.
- Polystyrene (1% DVB crosslinked) resins (50 mg, 0.025 mmole) derivatized with an Nα-Boc-4-iodophenylalanine residue either attached directly via a Knorr linkage (Boc-amino acid-resin) or via an amino acid-Knorr linkage (Boc-dipeptide-resin) were weighed into 13×100 mm glass culture tubes with screw caps. Aryl-boronic acids (0.5 mmole) were dissolved in 0.75 ml of 25% by volume diisopropylethylamine in N-methylpyrrolidinone and added to the resins followed by 0.05 ml of an N-methylpyrrolidinone solution containing 1.0 mg of tetrakis(triphenylphosphine)palladium(0) catalyst (ca. 3.5 mole %). The resulting mixtures were blanketed with a stream of nitrogen and the reaction vessels tightly capped and maintained at 85-90° C. for 17-20 hours with periodic shaking. The resins were washed with 5×1 ml of N-methylpyrrolidinone and 5×1 ml of dichloromethane prior to Boc group cleavage (see General Procedure below).
- The reactions were performed as in General Procedure A except a different catalyst was employed. The catalyst solution was prepared by dissolving 9.0 mg of palladium(II) acetate and 56 mg of 2-(dicyclohexylphosphino)biphenyl in 2.0 ml of N-methylpyrrolidinone. For 0.025 mmole scale reactions, 0.038 ml (ca. 3 mole %) of catalyst solution was employed.
- Method A: The Boc-protected resins prepared as described in General Procedures A or B were treated with 0.5 ml of reagent solution consisting of trimethylsilyl trifluoromethanesulfonate, 2,6-lutidine and dichloromethane (1:1:3 by volume). After 3 such reagent treatments for 1 hour each with shaking, the resins were washed with 4×1 ml of dichloromethane, 3×1 ml of N,N-dimethylformamide, 3×1 ml of 20% MeOH in N,N-dimethylformamide and 4×1 ml dichloromethane prior to transfer to the automated peptide synthesizer.
- Method B: The Boc-protected resins prepared as described in General Procedures A or B were treated with 1.0 ml of 1N HCl in
anhydrous 1,4-dioxane for 1 hour at room temperature with shaking. The resins were washed with 4×1 ml of dichloromethane, 3×1 ml of 5% diisopropylethylamine in dichloromethane (vol:vol), 3×1 ml of dichloromethane, and 5×1 ml of N-methylpyrrolidinone to provide the free amino-resins ready for the next acylation (coupling reaction) step. - The general procedures described above (A or B) for Suzuki coupling were utilized to obtain the required dipeptidyl resin containing modified Phe at position-10 starting with the amino acid (at position-11) bound resin as shown in Scheme 4.
- Utilizing the procedures described for position 11 modified analogs (Scheme 1) and carrying out the Suzuki coupling procedure two successive times produced dipeptidyl resins containing modified phenylalanine residues at both positions-10 and -11 as illustrated in Scheme 5.
- Using this method, exemplified by the synthesis of Fmoc-2-methyl-biphenylalanine, several N-α-Fmoc protected biphenylalanine derivatives were prepared. They were utilized for the solid phase synthesis of 11-mers and other peptide analogs as described herein.
- The following Scheme 6 describes the synthesis of Fmoc-2-methyl-biphenylalanine.
- Boc-L-Tyrosine-O-triflate: To a solution of 37 g (126 mmol of Boc-tyrosine methyl ester, and 25.4 mL (314 mmol, 2.5 eq.) of pyridine in 114 mL of dry dichloromethane, kept at −15° C. under N2, was added slowly 25.4 mL (151 mmol, 1.2 eq.) of triflic anhydride. The solution was stirred at −15° C. for 15 min. HPLC analysis indicated that the reaction was complete. The reaction was quenched by addition of 150 mL of water. The layers were separated, and the organic layer washed with 2×150 mL of 0.5 M NaOH, and 2×150 mL of 15% citric acid solution. The organic layer was dried over magnesium sulfate, filtered concentrated and dried in vacuo to give the crude product as a red oil. (Crude yield varied between 90% to quantitative).
- Boc-(2-Me) biphenylalanine methyl ester: The above red oil was dissolved in 70 mL of toluene, and added to a degassed suspension containing 19.0 g (140 mmol, 1.2 eq.) of o-tolylboronic acid, 24.1 g (175 mmol, 1.5 eq.) of potassium carbonate, and 4.6 g (4.0 mol, 0.034 eq.) of tetrakis(triphenylphosphine) palladium (0) in 580 mL of toluene preheated at 80° C. The mixture was heated at 80° C. under N2 for 3 h, cooled to room temperature, and then filtered through CELITE®. The reaction mixture was washed with 2×150 mL of 0.5% of NaOH, and 2×150 mL of 15% citric acid solution, dried over magnesium sulfate and concentrated. The crude mixture thus obtained was purified by silica gel chromatography using ethyl acetate/heptane (1:9) as eluant, [crude mixture was preabsorbed on silica gel (2 g silica gel/g crude mixture), 1:35:: mixture:silica gel used for the column], yield varied from 50 to 80%.
- Boc-(2-Me) biphenylalanine: To a solution of 44.5 g (120 mmol) of Boc-(2-Me) biphenylalanine methyl ester in 147 mL of methanol and 442 mL of tetrahydrofuran, kept at room temperature, was added 147.4 mL of 1 N NaOH (147 mmol, 1.2 eq.). HPLC analysis indicated that the reaction was complete after 1 h. The reaction mixture was concentrated and partitioned between 500 mL of water and 300 mL of ether. The ethereal solution was discarded. Aqueous layer was acidified with 160 mL of 1 N HCl solution, and then extracted with 2×250 mL of ethyl ether. The ethereal solutions were combined, and dried over magnesium sulfate. After filtration, concentration and drying 41.5 g of product was obtained.
- Fmoc-(2-Me) biphenylalanine: To a solution of 41.5 g (117 mmol) of Boc-(2-Me) biphenylalanine in 1 L of dichloromethane, kept at room temperature, was bubbled in gaseous HCl. A white solid started to precipitate in approximately 5 min. HPLC taken after 2 hours showed that the reaction was complete. The mixture was concentrated. The residue was redissolved in 600 mL of tetrahydrofuran and 150 mL of water, and solid NaHCO3 was added slowly until the pH of the mixture was basic (a white solid precipitated out), followed by addition of 38.9 g (115 mmol, 1 eq.) of Fmoc-Osu. The mixture was then stirred at room temperature. A homogeneous biphasic solution was obtained within 1 h. The stirring was continued at room temperature under N2 overnight. The layers were separated. The tetrahydrofuran layer was acidified with 58 mL 2 N HCl, and then diluted with 400 mL of ethyl acetate. The layers were separated, and the organic layer washed with 2×100 mL of water, dried over magnesium sulfate, and concentrated. The crude product was purified using silica gel column chromatography using dichloromethane as eluant until most of the impurities had been removed. The solvent was then changed to 25% ethyl acetate in heptane containing 1% acetic acid, [approximately 23 g silica gel/g crude mixture used for the column]. The yield was >90% for the three steps.
- Synthesis of various biphenyl alanine derivatives were carried out using the above described procedure, starting with the commercially available phenol derivative (e.g., Boc-Tyrosine methyl ester) to prepare the triflate and using the appropriate boronic acid to prepare the biphenylalanine analogs. When a required botanic acid was not available from commercial sources the synthesis of this intermediate was carried out as exemplified in the following example.
- 2-Ethylphenyl boronic acid: To a solution of 25 g (135 mmol) of 1-bromo-2-ethylbenzene in 280 mL of dry tetrahydrofuran, kept at −78° C. in an oven-dried 3 neck flask, was added slowly (keeping the temperature below −68° C.) 67.5 mL of 2.5N n-Butyl lithium in hexanes solution (169 mmol, 1.25 eq.). The reaction was stirred for an additional 1 h, and then 69 mL (405 mmol, 3 eq.) of triethylborate was added slowly, keeping the temperature below −68° C. The reaction was stirred for an additional 40 minutes and then the dry ice bath was removed, the reaction was allowed to warm up to room temperature, and then was poured into 300 mL of ice cold saturated ammonium chloride solution. 200 mL of ice cold ethyl acetate was added, and the mixture stirred for another 30 min. The layers were separated. The organic layer was washed with water, and brine. It was then dried over magnesium sulfate, and concentrated to give 19 g (92% yield) of product. The boronic acid was used without purification in the next step.
- Synthesis of the Fmoc-protected biphenylalanine analogs with substitution in the phenyl ring directly attached to the β-carbon (internal ring) of the amino acid moiety was carried as depicted in the following Scheme 7.
- As a general method, initially a suitably protected tyrosine derivative was prepared by reaction of Boc-β-iodo alanine with the required 4-iodophenol derivative using a zinc mediated condensation. The product from this reaction was subjected to Suzuki condensation reaction as described herein, to afford the required Fmoc-protected biphenylalanine analogs with substitution in the phenyl ring directly attached to the β-carbon (internal ring) of the amino acid moiety. Synthesis of a specific example, Fmoc-2′-methyl-2-methyl-biphenylalnine is given below.
- Boc-2′-Methyl-Tyrosine benzyl ether methyl ester: 2.2 g (33 mmol) of oven-dried zinc dust was placed in an oven dried flask under nitrogen. 5.2 mL of dry tetrahydrofuran, and 140 μL (1.6 mmol) of 1,2-dibromoethane were added, and the mixture warmed briefly with a heat gun until the solvent began to boil, and then stirred vigorously for a few minutes. This procedure was repeated five times, and then the reaction mixture was cooled to 35° C. 40 μL (0.32 mmol) of chlorotrimethylsilane was added, and the mixture stirred vigorously at 35° C. for 30 min. A solution of 3 mL of 1.04 g (3.17 mmol) of Boc-iodoalanine methyl ester in 1:1 tetrahydrofuran:dimethylacetamide was added slowly, and the reaction mixture stirred at 35° C. for 30 min. A solution of 3 mL of 1:1 tetrahydrofuran: dimethylacetamide containing 819 mg (2.5 mmol) of 4-iodo-2-methyl-1-benzyloxybenzene was added slowly, followed by 338 mg (1.11 mmol) of tri-o-tolylphosphine, and 288 mg (0.31 mmol) of Pd2(dba)3. The reaction mixture was degassed, and then stirred at 60° C. for 4 h. The reaction mixture was cooled to room temperature, diluted with ethyl acetate, and filtered through CELITE®. The filtrate was washed with 2×25 mL of 1N HCl, dried over magnesium sulfate, filtered and concentrated. The product was purified by silica gel chromatography (72% yield).
- Boc-2′-Methyl-tyrosine methyl ester: A suspension of 7.5 g (18.7 mmol) of the above compound (Boc-2′-methyl-tyrosine benzyl ether methyl ester) in 30 mL of tetrahydrofuran, and 2.25
g 10% Degussa type 10% palladium on carbon was stirred under hydrogen atmosphere at room temperature and atmospheric pressure for 2 days. The reaction mixture was then filtered through CELITE®, and concentrated. The product was purified by silica gel chromatography (74% yield). - Fmoc-2′-methyl-2-methyl-biphenyl alanine: This compound was prepared using the Suzuki Condensation procedure described herein, using Boc-2′-Methyl-Tyrosine methyl ester as the starting material. The product obtained in the above Suzuki condensation reaction, after removal of the Boc-group and reprotection with Fmoc-group using conditions described herein afforded the desired product.
- Utilizing the synthetic methods described herein the following GLP-1 mimic peptides were prepared.
-
TABLE I The peptide sequences listed below contain a free amino group at the N-terminus and a carboxamide at the C-terminus. The amino acids shown in Tables I-IV are contiguous. SEQ ID NO: Xaa 1Xaa 2Xaa 3 Xaa 4 Xaa 5 Xaa 6 Xaa 7 Xaa 8 Xaa 9 Y Z 1. H A E G T F T S D Bip Phe(4-NO2) 2. H A E G T F T S D Bip 2-Nal 3. H A E G T F T S D Bip Bip 4. H A E G T F T S D Bip Phe(penta- Fluoro) 5. H A E G T F T S D Bip Phe(4-Me) 6. H A E G T F T S D 2-Nal Bip 7. H A E G T F T S D Bip F 8. H A E G T F T S D Bip Y 9. H A E G T F T S D 2-Nal Phe(penta- Fluoro) 10. H A E G T F T S D Bip Phe(4-Iodo) 11. H A E G T F T S D Bip(2-Me) Bip(4-OMe) 12. H A E G T F T S D Bip(2-Me) Bip(3,4- Methylenedioxy) 13. H A E G T F T S D Bip(2-Me) 4-(1- Naphthyl)-Phe 14. H A E G T F T S D Bip(2-Me) Bip(4-Me) 15. H A E G T F T S D Bip(2-Me) Bip(3-Me) 16. H A E G T F T S D Bip(2,4-di-OMe) Bip(2-Me) 17. H A E G T F T S D Bip(2-Me, 4-OMe) Bip(2-Me) 18. H A D G T F T S D Bip(2-Me) Bip(2-Me) 19. H A E G Nle F T S D Bip(2-Me) Bip(2-Me) 20. H A E G T Phe(penta-Fluoro) T S D Bip(2-Me) Bip(2-Me) 21. H A H G T Phe(penta-Fluoro) T S D Bip(2-Me) Bip(2-Me) 22. H A D G Nle F T S D Bip(2-Me) Bip(2-Me) 23. H A E G Nle Phe(penta-Fluoro) T S D Bip(2-Me) Bip(2-Me) 24. H A E G Nle F T H D Bip(2-Me) Bip(2-Me) 25. H ala D G Nle F T S D Bip(2-Me) Bip(2-Me) 26. H ala D G T Phe(penta-Fluoro) T S D Bip(2-Me) Bip(2-Me) 27. H A H G Nle Phe(penta-Fluoro) T S D Bip(2-Me) Bip(2-Me) 28. H A H G T Phe(penta-Fluoro) T H D Bip(2-Me) Bip(2-Me) 29. H A D G T Phe(penta-Fluoro) T H D Bip(2-Me) Bip(2-Me) 30. H A D G Nle F T H D Bip(2-Me) Bip(2-Me) 31. H ala D G Nle Phe(penta-Fluoro) T S D Bip(2-Me) Bip(2-Me) 32. H A E G T F T S D Bip(2-Et) Bip 33. H A E G Nle Phe(penta-Fluoro) T H D Bip(2-Me) Bip(2-Me) 34. H A E G T F T S D Bip(2-OEt) Bip(2-Me) 35. H A E G T F T S D Bip(2-Propyl) Bip(2-Me) 36. H A E G T F T S D Bip(2-Propyl, 4-OMe) Bip(2-Me) 37. H A E G T F T S D Bip(2-Trifluoromethyl) Bip 38. H A E G T F T S D Bip(2-Chloro) Bip 39. H A E G T F T S D Bip(4-Fluoro) Bip 40. H A E G T F T S D Bip(4-Trifluoromethyl) Bip 41. H A E G T F T S D 4-(1-Naphthyl)-Phe Bip 42. H A E G T F T S D 4-(3-thiophene)-Phe Bip 43. H A E G T F T S D 4-(3-Quinoline)-Phe Bip 44. H A E G T F T S D Bip(2-Me) Phe(penta- Fluoro) 45. H A E G T F T S D Bip(2-OMe) Phe(penta- Fluoro) 46. H A E G T F T S D Bip(2-Trifluoromethyl) Phe(penta- Fluoro) 47. H A E G T F T S D Bip(2-Trifluoromethyl) Phe(penta- Fluoro) 48. H A E G T F T S D Bip(2-Chloro) Phe(penta- Fluoro) 49. H A E G T F T S D Bip(2-Fluoro) Phe(penta- Fluoro) 50. H A E G T F T S D Bip(4-OMe) Phe(penta- Fluoro) 51. H A E G T F T S D Bip(3,4- Phe(penta- Methylenedioxy) Fluoro) 52. H A E G T F T S D Bip(2-Me) 2-Nal 53. H A E G T F T S D Bip(2-OMe) 2-Nal 54. H A E G T F T S D Bip(2-Trifluoromethyl) 2-Nal 55. H A E G T F T S D Bip(2-Chloro) 2-Nal 56. H A E G T F T S D Bip(2-Fluoro) 2-Nal 57. H A E G T F T S D Bip(4-Me) 2-Nal 58. H A E G T F T S D Bip(4-OMe) 2-Nal 59. H A E G T F T S D Bip(3,4- 2-Nal Methylenedioxy) 60. H A E G T F T S D 4-(1-Naphthyl)-Phe 2-Nal 61. H A E G T F T S D 4-(3-thiophene)-Phe 2-Nal 62. H A E G T F T S D Bip(2-Me) Phe(4-Me) 63. H A E G T F T S D Bip(2-Trifluoromethyl) Phe(4-Me) 64. H A E G T F T S D Bip(2-Chloro) Phe(4-Me) 65. H A E G T F T S D Bip(2-Fluoro) Phe(4-Me) 66. H A E G T F T S D Bip(4-Chloro) Phe(4-Me) 67. H A E G T F T S D Bip(4-Me) Phe(4-Me) 68. H A E G T F T S D Bip(4-Fluoro) Phe(4-Me) 69. H A E G T F T S D Bip(4-OMe) Phe(4-Me) 70. H A E G T F T S D Bip(3,4- Phe(4-Me) Methylenedioxy) 71. H A E G T F T S D 4-(1-Naphthyl)-Phe Phe(4-Me) 72. H A E G T F T S D Bip(3-Phenyl) Phe(4-Me) 73. H A E G T F T S D Bip(2-Me) Bip(2-Fluoro) 74. H A E G T F T S D Bip(2-Me) Bip(4-Phenyl) 75. H A E G T F T S D Bip(2-Me) Bip(3-OMe) 76. H A E G T F T S D Bip(2-Me) 4-(3-Pyridyl)- Phe 77. H A E G T F T S D Phe(penta-Fluoro) Bip(4-OMe) 78. H A E G T F T S D Bip(2-Me) Bip(3- Acetamido) 79. H A E G T F T S D Bip(2-Me) Bip(4- Isopropyl) 80. H A E G T F T S D Bip 4-(1- Naphthyl)-Phe 81. H A E G T F T S D Bip 4-(3-Pyridyl)- Phe 82. H A E G T F T S D Phe(penta-Fluoro) Bip(2-Me) 83. H A E G T F T S D 2-Nal Bip(2-Me) 84. H A E G T F T S D Phe(4-Iodo) Bip(2-Me) 85. H A E G T F T S D Phe(3,4-di-Chloro) Bip(2-Me) 86. H A E G T F T S D Tyr(Bzl) Bip(2-Me) 87. H A E G T F T S D homoPhe Bip(2-Me) 88. H A E G T F T S D Bip(2,4-di-OMe) Bip 89. H A E G T F T S D 4-(4-(3,5- Bip dimethylisoxazole))- Phe 90. H A E G T F T S D Bip(2-Me, 4-OMe) Bip 91. H A E G T F T S D Bip(2,6-di-Me) Bip 92. H A E G T F T S D Bip(2,4-di-Me) Bip 93. H A E G T F T S D Bip(2,3-di-Me) Bip 94. H A E G T F T S D Bip(4- Bip Trifluoromethoxy) 95. H A E G T F T S D Bip(4-Et) Bip 96. H A E G T F T S D 4-(2-Naphthyl)-Phe Bip 97. H A E G T F T S D 4-(4-Dibenzofuran)-Phe Bip 98. H A E G T F T S D Bip(2,6-di-OMe) Bip(2-Me) 99. H A E G T F T S D 4-(2,4-dimethoxy- Bip(2-Me) pyrimidine)- Phe 100. H A E G T F T S D Bip(2,4,6-Trimethyl) Bip(2-Me) 101. H A E G T F T S D 4-(4-(3,5-dimethyl- Bip(2-Me) isoxazole))-Phe 102. H A E G T F T S D Bip(2,4-di-Chloro) Bip(2-Me) 103. H A E G T F T S D Bip(2,6-di-Me) Bip(2-Me) 104. H A E G T F T S D Bip(2,4-di-Me) Bip(2-Me) 105. H A E G T F T S D Bip(2,3-di-Me) Bip(2-Me) 106. H A E G T F T S D Bip(4-Et) Bip(2-Me) 107. H A E G T F T S D Bip(4-SMe) Bip(2-Me) 108. H A E G T F T S D Bip(4-OEt) Bip(2-Me) 109. H A E G T F T S D 4-(2-Naphthyl)-Phe Bip(2-Me) 110. H A E G T F T S D 4-(2- Bip(2-Me) Benzo(b)thiophene)- Phe 111. H A E G T F T S D 4-(2-Benzo(b)furan)- Bip(2-Me) Phe 112. H A E G T F T S D 4-(4-Dibenzofuran)-Phe Bip(2-Me) 113. H A E G T F T S D 4-(4-Phenoxathiin)-Phe Bip(2-Me) 114. H A E G T F T S D Bip(2-Me) Bip(4-Et) 115. H A E G T F T S D Bip(2-Me) Bip(4-SMe) 116. H A E G T F T S D Bip(2-Me) Bip(2,4-di- Me) 117. H A E G T F T S D Bip(2-Me) Bip(2-Me, 4- OMe) 118. H A E G T F T S D Bip(2-Me) Bip(2,3-di- Me) 119. H A E G T F T S D Bip(2-Me) 4-(2- naphthyl)- Phe 120. H A E G T F T S D Bip(2-Me) Bip(2-OEt) 121. H A E G T F T S D Bip(2-Me) Bip(2-Et, 4- OMe) 122. H A E G T F T S D Bip(2-Et) Bip(3-Et) 123. H A E G T F T S D Bip(2-Et) Bip(3-Propyl) 124. H A E G T F T S D Bip(2-Et) Bip(3-Phenyl) 125. H A E G T F T S D Bip(2-Et) Bip(3-OEt) 126. H A E G T F T S D Bip(2-Et) Bip(4-Et) 127. H A E G T F T S D Bip(2-Et) Bip(4-SMe) 128. H A E G T F T S D Bip(2-Et) Bip(4-OCF3) 129. H A E G T F T S D Bip(2-Et) Bip(4-OEt) 130. H A E G T F T S D Bip(2-Et) Bip(2-Me, 4- OMe) 131. H A E G T F T S D Bip(2-Et) Bip(2,6-di- Me) 132. H A E G T F T S D Bip(2-Et) Bip(2,4,6-tri- Me) 133. H A E G T F T S D Bip(2-Et) Bip(2-Phenyl) 134. H A E G T F T S D Bip(2-Et) Bip(2- Isopropyl) 135. H A E G T F T S D Bip(2-Et) 4-(2- naphthyl)-Phe 136. H A E G T F T S D Bip(2-Et) Bip(2,5-di- OMe) 137. H A E G T F T S D Bip(2-Et) Bip(2-OEt) 138. H A E G T F T S D Bip(2-Et) Bip(3,4-di- OMe) 139. H A E G T F T S D Bip(2-Et) Bip(2-Et, 4- OMe) 140. H ala E G Nle Phe(penta-Fluoro) T S D Bip(2-Me) Bip(2-Me) 141. H A H G T F T H D Bip(2-Me) Bip(2-Me) 142. H A H G T F T S D Bip(2-Me) Bip(2-Me) 143. H A E G T F T S D Bip Phe(4- Trifluoro- methyl) 144. H Aib E G Nle Phe(penta-Fluoro) T S D Bip(2-Et) Bip(2-Me) 145. H Aib D G T F T S D Bip(2-Et) Bip(2-Me) 146. H Aib D G Nle F T H D Bip(2-Et) Bip(2-Me) 147. H Aib H G T Phe(penta-Fluoro) T H D Bip(2-Et) Bip(2-Me) 148. H Aib D G Nle F T S D Bip(2-Et) Bip(2-Me) 149. H Aib H G T F T H D Bip(2-Et) Bip(2-Me) 150. H ala asp G Nle Phe(penta-Fluoro) T S D Bip(2-Me) Bip(2-Me) 151. H A D G Nle F T H D Bip(2-Et) Bip(2-Me) 152. H ala D G Nle Phe(penta-Fluoro) T H D Bip(2-Et) Bip(2-Me) 153. H A D G T (L)-Phe(2,4-di- T S D Bip(2-Me) Bip(2-Me) Fluoro) 154. H Aib asp G Nle Phe(penta-Fluoro) T S D Bip(2-Me) Bip(2-Me) 155. H A D G T (D)-Phe(2,4-di- T S D Bip(2-Me) Bip(2-Me) Fluoro) 156. H Aib D G Nle F T H D Bip(2-Me) Bip(2-Me) 157. H Aib D G Nle F T S D Bip(2-Me) Bip(2-Me) 158. H Aib D G T F T S D Bip(2-Me) Bip(2-Me) 159. H Aib D G T Phe(penta-Fluoro) T S D Bip(2-Me) Bip(2-Me) 160. H Aib E G Nle F T S D Bip(2-Me) Bip(2-Me) 161. H Aib E G Nle Phe(penta-Fluoro) T H D Bip(2-Me) Bip(2-Me) 162. H Aib E G Nle Phe(penta-Fluoro) T S D Bip(2-Me) Bip(2-Me) 163. H Aib E G T Phe(penta-Fluoro) T H D Bip(2-Me) Bip(2-Me) 164. H Aib E G T Phe(penta-Fluoro) T S D Bip(2-Me) Bip(2-Me) 165. H Aib H G T F T H D Bip(2-Me) Bip(2-Me) 166. H Aib H G T F T S D Bip(2-Me) Bip(2-Me) 167. H Aib H G T Phe(penta-Fluoro) T H D Bip(2-Me) Bip(2-Me) 168. his Aib D G Nle Phe(penta-Fluoro) T S D Bip(2-Me) Bip(2-Me) 169. H ala D G Nle Phe(penta-Fluoro) T S D Bip(2-Et) Bip(2-Me) 170. H Aib D G Nle Phe(penta-Fluoro) T S D Bip(2-Et) Bip(2-Me) 171. H Aib D G Nle Phe(penta-Fluoro) T S D Bip(2-Me) Bip(2-Et) 172. H Aib D G Nle Phe(penta-Fluoro) T S D Phe(penta-Fluoro) Bip(2-Me) 173. H ala D G T Phe(penta-Fluoro) T S D Bip(2-Et) Bip(2-Me) 174. H Aib E G T Phe(penta-Fluoro) T S D Bip(2-Et) Bip(2-Me) 175. H A D G T (L)-Phe(2,5-di-F) T S D Bip(2-Me) Bip(2-Me) 176. H A Dpr G T Phe(penta-Fluoro) T S D Bip(2-Et) Bip(2-Me) 177. H Aib Dpr G T Phe(penta-Fluoro) T S D Bip(2-Et) Bip(2-Me) 178. H ala Dpr G Nle Phe(penta-Fluoro) T S D Bip(2-Et, 2′-Me) Bip(2-Me) 179. H A Dpr G T Phe(penta-Fluoro) T S D Bip(2-Et, 2′-Me) Bip(2-Me) 180. H A Dpr G T F T S D Bip(2-Et, 2′-Me) Bip(2-Me) 181. H Iva E G T F T S D Bip(2-Me) Bip(2-Me) 182. H A E G homoLeu F T S D Bip(2-Me) Bip(2-Me) 183. H A E G T homoLeu T S D Bip(2-Me) Bip(2-Me) 184. H A E G T F T S D 2-(9,10-Dihydro- Bip(2-Me) phenanthrenyl)-Ala 185. H A E G T F T S D Bip(2-Et) 2-(9,10- Dihydrophenanthrenyl)- Ala 186. H A E G T F T S D Bip(2-Et) 2-(9,10- Dihydrophenanthrenyl)- Ala 187. H A E G T F T S D 2-(9,10-Dihydrophenanthrenyl)- 2-(9,10- Ala Dihydrophenanthrenyl)- Ala 188. H A E G T F T S D 2-(9,10-Dihydrophenanthrenyl)- 2-(9,10- Ala Dihydrophenanthrenyl)- Ala 189. H A E G T F T S D 2-FluorenylAla 2-(9,10- Dihydrophenanthrenyl)- Ala 190. H A E G T F T S D 2-(9,10-Dihydro- 2- phenanthrenyl)-Ala FluorenylAla 191. H A E G T F T S D 2-(9,10-Dihydro- 2- phenanthrenyl)-Ala FluorenylAla 192. H A E G T F T S D Bip(2-Et, 2′-Et) Bip 193. H A E G T F T S D Bip(2-Et, 2′-Et) Bip(2-Me) 194. H ala D G Nle Phe(penta-Fluoro) T S D Bip(2-Et, 4-OMe) Bip(2-Me) 195. H A E G T F T S D Bip(2-Propyl, 2′-Me) Bip 196. H A D G T L-α-Me-Phe T S D Bip Bip(2-Et) 197. H A D G T L-α-Me-Phe T S D Bip(2-Et) Bip(2-Et) 198. H A D G T L-α-Me-Phe T S D Bip(2-Me) Bip(2-Et) 199. H ala E G T L-α-Me-Phe T S D Bip(2-Et) Bip(2-Me) 200. H A D G T L-α-Me-Phe T S D Bip Bip 201. H ala asp G Nle L-α-Me-Phe T S D Bip(2-Me) Bip(2-Me) 202. H ala D G nle L-α-Me-Phe T S D Bip(2-Me) Bip(2-Me) 203. H Aib D G nle L-α-Me-Phe T S D Bip(2-Me) Bip(2-Me) 204. H Aib D G Nle L-α-Me-Phe thr S D Bip(2-Me) Bip(2-Me) 205. H Aib D G Nle L-α-Me-Phe T ser D Bip(2-Me) Bip(2-Me) 206. H Aib D G Nle L-α-Me-Phe T S D Bip(2-Me) Bip 207. H G E G T F T S D Bip(2-Me) Bip(2-Me) 208. H A E G T F T S D Bip(2-Et, 4-OMe) Bip(2,4-di- Me) 209. H A E G T F T S D Bip(2-Et, 4-OMe) Bip(4-OMe) 210. H A E G T F T S D Bip(2-Et, 4-OMe) Bip(3-Me) 211. H A E G T F T S D Bip(2-CH2OH, 4-OMe) Bip(2-Me) 212. H A E G T F T S D Bip(2-Me) Bip(2-Propyl, 2′-Me) 213. H A E G T F T S D Bip(2-Et, 4-OMe) Bip(2,3,4,5- tetra-Me) 214. H A E G T F T S D Bip(2-Et) Bip(2,2′-di- Me) 215. H A D G T Phe(2-OMe) T S D Bip(2-Me) Bip(2-Me) 216. H A D G T Phe(2-Hydroxy) T S D Bip(2-Me) Bip(2-Me) 217. H A D G T Phe(2-Iodo) T S D Bip(2-Me) Bip(2-Me) 218. H A D G T Phe(3-OMe) T S D Bip(2-Me) Bip(2-Me) 219. H A D G T Tyr(3-Iodo) T S D Bip(2-Me) Bip(2-Me) 220. H A D G T Tyr(3-NO2) T S D Bip(2-Me) Bip(2-Me) 221. H A D G T (L)-Phe(2,3-di- T S D Bip(2-Me) Bip(2-Me) Fluoro) 222. H A D G T Tyr(2,6-di-Me) T S D Bip(2-Me) Bip(2-Me) 223. H A D G T 2-ThienylAla T S D Bip(2-Me) Bip(2-Me) 224. H A D G T (D)-Phe(2,3-di- T S D Bip(2-Me) Bip(2-Me) Fluoro) 225. H A E G T F T S D Bip(2-Et, 2′-Me) Bip(2-Et) 226. H ala D G Nle F T S D Bip(2-Et, 2′-Me) Bip(2-Me) 227. H Acc3 D G Nle Phe(penta-Fluoro) T S D Bip(2-Me) Bip(2-Me) 228. H Acc3 D G Nle F T H D Bip(2-Me) Bip(2-Me) 229. H Acc3 D G T Phe(penta-Fluoro) T H D Bip(2-Me) Bip(2-Me) 230. H Acc3 D G Nle Phe(penta-Fluoro) T H D Bip(2-Me) Bip(2-Me) 231. H A D G T Phe(2- T S D Bip(2-Me) Bip(2-Me) Trifluoromethyl) 232. H A D G T Phe(2,4-di-Chloro) T S D Bip(2-Me) Bip(2-Me) 233. H 2-Abu E G T F T S D Bip(2-Me) Bip(2-Me) 234. his A asp G Nle Phe(penta-Fluoro) T S D Bip(2-Me) Bip(2-Me) 235. H A E G Nle Phe(penta-Fluoro) T H D Bip(2-Et) Bip(2-Me) 236. H Aib D G T Phe(penta-Fluoro) T S D Bip(2-Et) Bip(2-Me) 237. H Aib E G Nle Phe(penta-Fluoro) T H D Bip(2-Et) Bip(2-Me) 238. H A E G T Phe(2-Me) T S D Bip(2-Me) Bip(2-Me) 239. H A E G T F T S D Bip(2-Et) Bip(2-Et) 240. H A E G T F T S D Bip(2-Et, 4-OMe) Bip 241. H A E G T Phe(2-Chloro) T S D Bip(2-Me) Bip(2-Me) 242. H A E G T F T S D Bip(2-Et, 2′-Me) Bip(2,2′-di- Me) 243. H A γ-carboxy- G T F T S D Bip(2-Me) Bip(2-Me) Glu 244. H A C G T F T S D Bip(2-Me) Bip(2-Me) 245. H ala E G Nle L-α-Me-Phe T S D Bip(2-Et) Bip(2-Me) 246. H L-4- E G T F T S D Bip Bip ThioPro 247. H A E G T F T S D Bip Bip(2,2′-di- Me) 248. H A E G T F T S D Bip(2-Me) Bip(2,2′-di- Me) 249. H A E G T F T S D Bip(2′-Me) Bip(2-Me) 250. H A E G T F T S D Bip Bip(2′-Me) 251. H A E G T F T S D Bip(2-Me) Bip(2′-Me) 252. H A E G T F T S D Bip(2′-Me) Bip 253. H Aib E G Nle Phe(penta-Fluoro) T S D bip(2′-Me) Bip(2-Me) 254. H A E G T F T S D Bip(2′-Me) Bip(2,2′-di- Me) 255. H A E G T F T S D Bip(2′-Me) Bip(2′-Me) 256. H A E G T F T S D Bip(2,2′-di-Me) Bip 257. H A E G T F T S D Bip(2,2′-di-Me) Bip(2-Me) 258. H A E G T F T S D Bip(2,2′-di-Me) Bip(2-Et) 259. H A E G T F T S D Bip(2,2′-di-Me) Bip(2,2′-di- Me) 260. H A E G T F T S D Bip(2-Me) Phe(4-n-Butyl) 261. H A E G T F T S D Bip(2-Me) Phe(3-Phenyl) 262. H A E G T F T S D Bip(2-Me) Phe(4- Cyclohexyl) 263. H A E G T F T S D Bip(2-Me) Phe(4- Phenoxy) 264. H A E G T F T S D Phe(4-n-Butyl) Bip(2-Me) 265. H A E G T F T S D Phe(4-Cyclohexyl) Bip(2-Me) 266. H A E G T F T S D Phe(4-Phenoxy) Bip(2-Me) 267. H A D G T Phe(3-Fluoro) T S D Bip(2-Me) Bip(2-Me) 268. H A D G T Phe(4-Fluoro) T S D Bip(2-Me) Bip(2-Me) 269. H A D G T Phe(3,4-di-Fluoro) T S D Bip(2-Me) Bip(2-Me) 270. H A D G T Phe(3,5-di-Fluoro) T S D Bip(2-Me) Bip(2-Me) 271. H A D G T Phe(3,4,5-tri- T S D Bip(2-Me) Bip(2-Me) Fluoro) 272. H ala D G Nle F T H D Bip(2-Me) Bip(2-Me) 273. H ala D G T Phe(penta-Fluoro) T H D Bip(2-Me) Bip(2-Me) 274. H ala E G Nle Phe(penta-Fluoro) T H D Bip(2-Me) Bip(2-Me) 275. H A H G Nle Phe(penta-Fluoro) T H D Bip(2-Me) Bip(2-Me) 276. H A D G Nle Phe(penta-Fluoro) T S D Bip(2,4-di-OMe) Bip(2-Me) 277. H A E G T F T S D Bip(2-Me, 4-OMe) Bip(3,4- Methylene- dioxy) 278. H A E G T F T S D Bip(2-Et) Bip(3,4- Methylene- dioxy) 279. H A D G T F T S D Bip(2,4-di-OMe) 4-(1- Naphthyl)-Phe 280. H A E G T F T S D Bip(2-Me, 4-OMe) 4-(1- Naphthyl)-Phe 281. H A D G T F T S D Bip(2,4-di-OMe) Bip(4-OMe) 282. H A E G T F T S D Bip(2-Me, 4-OMe) Bip(4-OMe) 283. H A E G T F T S D Bip(2,4-di-OMe) Bip(4-Me) 284. H A E G T F T S D Bip(2-Me, 4-OMe) Bip(4-Me) 285. H A D G T F T S D Bip(2,4-di-OMe) Bip(2,4-di- OMe) 286. H A E G T F T S D Bip(2-Me, 4-OMe) Bip(2-Me, 4- OMe) 287. H A D G T F T S D Bip(2,4-di-Me) Bip(2,4-di- Me) 288. H A E G T F T S D Bip(2,4-di-OMe) Bip(3-Me) 289. H A E G T F T S D Bip(2-Me, 4-OMe) Bip(3-Me) 290. H A 4- G T F T S D Bip(2-Me) Bip(2-Me) ThiazoylAla 291. H ala D G Nle Phe(penta-Fluoro) T H D Bip(2-Me) Bip(2-Me) 292. H A E G T F T S D Bip(2-Et, 4,5- Bip(2-Me) Methylenedioxy) 293. H N-Me- E G Nle Phe(penta-Fluoro) T H D Bip(2-Et) Bip(2-Me) Ala 294. H N-Me- D G Nle Phe(penta-Fluoro) T S D Bip(2-Me) Bip(2-Me) Ala 295. H N-Me- D G T Phe(penta-Fluoro) T S D Bip(2-Me) Bip(2-Me) Ala 296. H N-Me- E G Nle Phe(penta-Fluoro) T H D Bip(2-Me) Bip(2-Me) Ala 297. H N-Me- E G T Phe(penta-Fluoro) T S D Bip(2-Me) Bip(2-Me) Ala 298. H Sarcosyl E G T F T S D Bip(2-Me) Bip(2-Me) 299. H A E G T F T S D Bip(3-CH2NH2) Bip(2-Me) 300. H A E G T F T S D Bip(2-CH2NH2) Bip(2-Me) 301. H A E G T F T S D Bip(4-CH2NH2) Bip(2-Me) 302. H A E G T F T S D Bip(3-CH2—COOH) Bip(2-Me) 303. H A E G T F T S D Bip(2-Me) Bip(2′-CH2—COOH) 304. H A E G T F T S D Bip(2-Me) (D,L)-Bip(2- CH2—COOH) 305. H A E G T F T S D Bip(2-Me) Bip(4-CH2—COOH) 306. H A E G T F T S D Bip(2-Me) Bip(3-CH2—COOH) 307. H A E G T F T S D Bip(2-Me) Bip(3- CH2NH2) 308. H A E G T F T S D Bip(2-Me) Bip(4- CH2NH2) 309. H A E G T F T S D Bip(2-Me) Bip(2- CH2NH2) 310. H A E G T F T S D Phe[4-(1-propargyl)] Bip(2-Me) 311. H A E G T F T S D Phe[4-(1-propenyl)] Bip(2-Me) 312. H A asp G T L-α-Me-Phe T S D Bip(2-Et) Bip(2-Me) 313. H A D G thr L-α-Me-Phe T S D Bip(2-Et) Bip(2-Me) 314. H A D G T L-α-Me-Phe T S asp Bip(2-Et) Bip(2-Me) 315. H A D G T L-α-Me-Phe T S D bip(2-Et) Bip(2-Me) 316. H ala asp G T L-α-Me-Phe T S D Bip(2-Et) Bip(2-Me) 317. H Aib D G T L-α-Me-Phe thr S D Bip(2-Et) Bip(2-Me) 318. H Aib D G T L-α-Me-Phe T S asp Bip(2-Et) Bip(2-Me) 319. H ala D G Nle Phe(penta-Fluoro) T S D bip(2-Me) Bip(2-Me) 320. H ala D G Nle Phe(penta-Fluoro) T S D bip(2-Et) Bip(2-Me) 321. H ala D G Nle Phe(penta-Fluoro) T S D Bip(2-Me) bip(2-Me) 322. H ala D G Nle Phe(penta-Fluoro) T S D Bip(2-Me) bip(2-Et) 323. H Aib D G Nle Phe(penta-Fluoro) T S D bip(2-Me) Bip(2-Me) 324. H Aib D G Nle Phe(penta-Fluoro) T S D bip(2-Et) Bip(2-Me) 325. H Aib D G Nle Phe(penta-Fluoro) T S D Bip(2-Me) bip(2-Me) 326. H Aib D G Nle Phe(penta-Fluoro) T S D Bip(2-Me) bip(2-Et) 327. H A E G T F T S D Bip(2-Me) (D,L)-α-Me- Bip 328. H A E G T F T S D Bip (D,L)-α-Me- Bip 329. H A D G allo-Thr L-α-Me-Phe T S D Bip(2-Et) Bip(2-Me) 330. H A D G T L-α-Me-Phe allo-Thr S D Bip(2-Et) Bip(2-Me) 331. H A D G T L-α-Me-Phe T hSer D Bip(2-Et) Bip(2-Me) 332. H A D G T L-α-Me-Phe T T D Bip(2-Et) Bip(2-Me) 333. H A D G T L-α-Me-Phe T S E Bip(2-Et) Bip(2-Me) 334. H A E G Nle F T S D Bip(2-Et) Bip(2-Me) 335. H A asp G T L-α-Me-Phe T S D Bip(2-Et) Bip(2-Me) 336. H Aib D G thr L-α-Me-Phe T S D Bip(2-Et) Bip(2-Me) 337. H Aib D G T L-α-Me-Phe thr S D Bip(2-Et) Bip(2-Me) 338. H Aib D G T L-α-Me-Phe T S asp Bip(2-Et) Bip(2-Me) 339. H A D G T L-α-Me-Phe T S D Bip(2-Et)-NH-[2- (penta-Fluoro- phenyl)ethyl] 340. H A D G Nle L-α-Me-Phe T S D Bip(2-Et)-NH-[2- (penta-Fluoro- phenyl)ethyl] 341. H Aib E G T L-α-Me-Phe T S D Bip(2-Et)-NH-[2- (penta-Fluoro- phenyl)ethyl] 342. H Aib D G Nle L-α-Me-Phe T S D Bip(2-Et)-NH-[2- (penta-Fluoro- phenyl)ethyl] 343. H Aib asp G T L-α-Me-Phe T S D Bip(2-Et) Bip(2-Me) 344. H ala E G T L-α-Me-Phe T S D Bip(2-Et) Bip(2-Me) 345. H ala E G T L-Phe(2,6-di- T S D Bip(2-Et) Bip(2-Me) Fluoro) 346. H N-Me- E G T L-α-Me-Phe T S D Bip(2-Et) Bip(2-Me) Ala 347. H A N-Me-Glu G T L-α-Me-Phe T S D Bip(2-Et) Bip(2-Me) 348. H A E N-Me- T L-α-Me-Phe T S D Bip(2-Et) Bip(2-Me) Gly 349. H A D G Nle (D,L)-α-Me- T S D Bip(2-Et,4-OMe) Bip(2-Me) Phe(penta-Fluoro) 350. H ala D G Nle (D,L)-α-Me- T S D Bip(2-Et,4-OMe) Bip(2-Me) Phe(penta-1Fluoro) 351. H Aib D G Nle (D,L)-α-Me- T S D Bip(2-Et,4-OMe) Bip(2-Me) Phe(penta-Fluoro) 352. H ala E G T D-Phe(2,6-di- T S D Bip(2-Et) Bip(2-Me) Fluoro) 353. H Aib D G T D-Phe(2,6-di- T S D Bip(2-Et) Bip(2-Me) Fluoro) 354. H A E G T (D,L)-α-Me- T S D Bip(2-Et,4-OMe) Bip(2-Me) Phe(penta-Fluoro) 355. H A D G T (D,L)-α-Me- T S D Bip(2-Et,4-OMe) Bip(2-Me) Phe(penta-Fluoro) 356. H ala E G T (D,L)-α-Me- T S D Bip(2-Et,4-OMe) Bip(2-Me) Phe(penta-Fluoro) 357. H A D G T L-α-Me-Phe T S D Bip(2-Et) bip(2-Et) 358. H Aib D G T L-α-Me-Phe T S D Bip(2-Et) bip(2-Me) 359. H A E G T L-α-Me-Phe T S D Bip(3-OH) Bip(2-Me) 360. H A E G T L-α-Me-Phe T S D Bip(4-OH) Bip(2-Me) 361. H A E G T L-α-Me-Phe T S D Bip(2-OEt) Bip(2-Me) 362. H A E G T L-α-Me-Phe T S D Bip(3-OEt) Bip(2-Me) 363. H A E G T L-α-Me-Phe T S D Bip(3-OCF3) Bip(2-Me) 364. H A E G T L-α-Me-Phe T S D Bip(3-NO2) Bip(2-Me) 365. H A E G T L-α-Me-Phe T S D Bip(3-CF3) Bip(2-Me) 366. H A E G T L-α-Me-Phe T S D Bip(3-F) Bip(2-Me) 367. H A E G T L-α-Me-Phe T S D Bip(3-Cl) Bip(2-Me) 368. H A E G T L-α-Me-Phe T S D Bip(3-Ph) Bip(2-Me) 369. H A E G T L-α-Me-Phe T S D Bip(3-Et) Bip(2-Me) 370. H A E G T L-α-Me-Phe T S D Bip(3-i-Pr) Bip(2-Me) 371. H A E G T L-α-Me-Phe T S D Bip(4-i-Pr) Bip(2-Me) 372. H A E G T L-α-Me-Phe T S D Bip(4-Pr) Bip(2-Me) 373. H A E G T L-α-Me-Phe T S D Bip(3-Pr) Bip(2-Me) 374. H A E G T L-α-Me-Phe T S D Bip(2,5-di-Cl) Bip(2-Me) 375. H A E G T L-α-Me-Phe T S D Bip(2,5-di-F) Bip(2-Me) 376. H A E G T L-α-Me-Phe T S D Bip(3,4-di-F) Bip(2-Me) 377. H A E G T L-α-Me-Phe T S D Bip(3,4-di-Cl) Bip(2-Me) 378. H A E G T L-α-Me-Phe T S D Bip(2,3-di-Cl) Bip(2-Me) 379. H A E G T L-α-Me-Phe T S D Bip(3-NHAc) Bip(2-Me) 380. H A E G T L-α-Me-Phe T S D Bip(4-NHAc) Bip(2-Me) 381. H A E G Aoc L-α-Me-Phe T S D Bip(2-Et) Bip(2-Me) 382. H A D G Nle F T S D Bip(2-Et) Bip(2-Me) 383. H ala E G T L-Phe(2-Fluoro) T S D Bip(2-Et) Bip(2-Me) 384. H Aib D G Nle (D,L)-α-Et-Phe T S D Bip(2-Et) Bip(2-Me) 385. H Aib D G T L-α-Me-Phe T (D,L)-α-Me- D Bip(2-Et) Bip(2-Me) Ser 386. H A D G T (L)-α-Me-Phe(2,6- T S D Bip(2-Et,4-OMe) Bip(2-Me) di-Fluoro) 387. H A E G T L-α-Me-Phe T S D Bip(4-t-Bu) Bip(2-Me) 388. H ala E G Nle (L)-α-Me-Phe(2,6- T S D Bip(2-Et,4-OMe) Bip(2-Me) di-Fluoro) 389. H ala D G Nle (L)-α-Me-Phe(2,6- T S D Bip(2-Et,4-OMe) Bip(2-Me) di-Fluoro) 390. H Aib E G Nle (L)-α-Me-Phe(2,6- T S D Bip(2-Et,4-OMe) Bip(2-Me) di-Fluoro) 391. H Aib D G Nle (L)-α-Me-Phe(2,6- T S D Bip(2-Et,4-OMe) Bip(2-Me) di-Fluoro) 392. H A D G Nle (L)-α-Me-Phe(2,6- T S D Bip(2-Et) Bip(2-Me) di-Fluoro) 393. H A D G T F T S D Bip(2-Et) Bip(2-Me) -
-
TABLE II The peptides listed below are carboxamide at the C-terminus. SEQ ID Xaa Xaa Xaa Xaa Xaa Xaa Xaa Xaa Xaa NO: A 1 2 3 4 5 6 7 8 9 Y Z 394. Acetyl H A E G T F T S D Bip Bip 395. β-Ala H A E G T F T S D Bip Bip 396. Ahx H A E G T F T S D Bip Bip 397. D H A E G T F T S D Bip Bip 398. E H A E G T F T S D Bip Bip 399. F H A E G T F T S D Bip Bip 400. G H A E G T F T S D Bip Bip 401. K H A E G T F T S D Bip Bip 402. Nva H A E G T F T S D Bip Bip 403. N H A E G T F T S D Bip Bip 404. R H A E G T F T S D Bip Bip 405. S H A E G T F T S D Bip Bip 406. T H A E G T F T S D Bip Bip 407. V H A E G T F T S D Bip Bip 408. W H A E G T F T S D Bip Bip 409. Y H A E G T F T S D Bip Bip 410. Caprolactam H A E G T F T S D Bip Bip 411. Bip H A E G T F T S D Bip Bip 412. Ser(Bzl) H A E G T F T S D Bip Bip 413. 3-PyridylAla H A E G T F T S D Bip Bip 414. Phe(4-Me) H A E G T F T S D Bip Bip 415. Phe(pentafluoro) H A E G T F T S D Bip Bip -
TABLE III SEQ ID Xaa Xaa Xaa Xaa Xaa Xaa Xaa Xaa Xaa NO: R—CH2— 1 2 3 4 5 6 7 8 9 Y Z 416. 4-Methylbenzyl H A E G T F T S D Bip Bip (2-Me) (2-Me) 417. 4-Fluorobenzyl H A E G T F T S D Bip Bip (2-Me) (2-Me) 418. Propyl H A E G T F T S D Bip Bip (2-Me) (2-Me) 419. Hexyl H A E G T F T S D Bip Bip (2-Me) (2-Me) 420. Cyclohexylmethyl H A E G T F T S D Bip Bip (2-Me) (2-Me) 421. 6-Hydroxypentyl H A E G T F T S D Bip Bip (2-Me) (2-Me) 422. 2-Thienylmethyl H A E G T F T S D Bip Bip (2-Me) (2-Me) 423. 3-Thienylmethyl H A E G T F T S D Bip Bip (2-Me) (2-Me) 424. Pentafluorobenzyl H A E G T F T S D Bip Bip (2-Me) (2-Me) 425. 2-Naphthylmethyl H A E G T F T S D Bip Bip (2-Me) (2-Me) 426. 4-Biphenylmethyl H A E G T F T S D Bip Bip (2-Me) (2-Me) 427. 9-Anthracenylmethyl H A E G T F T S D Bip Bip (2-Me) (2-Me) 428. Benzyl H A E G T F T S D Bip Bip (2-Me) (2-Me) 429. (S)-(2-Amino-3- H A E G T F T S D Bip Bip phenyl)propyl (2-Me) (2-Me) 430. Methyl H A E G T F T S D Bip Bip 431. Benzyl- H A E G T F T S D Bip Bip 432. 2-aminoethyl H A E G T F T S D Bip Bip (2-Me) (2-Me) 433. (S)-2-Aminopropyl H A E G T F T S D Bip Bip (2-Me) (2-Me) *All of the compounds in Table III were prepared as C-terminal carboxamides. -
TABLE IV SEQ ID Xaa Xaa Xaa Xaa Xaa Xaa Xaa Xaa Xaa NO: 1 2 3 4 5 6 7 8 9 Y Z B 434. H A E G T F T S D Bip 2-Nal W 435. H A E G T F T S D Bip Phe(penta- 2-Nal Fluoro) 436. H A E G T F T S D Bip Phe(penta- Phe(penta- Fluoro) Fluoro) 437. H A E G T F T S D Bip Phe(penta- Ser(Bzl) Fluoro) 438. H A E G T F T S D Bip Phe(penta- Phe(4-NO2) Fluoro) 439. H A E G T F T S D Bip Phe(penta- 3- Fluoro) PyridylAla 440. H A E G T F T S D Bip Phe(penta- Nva Fluoro) 441. H A E G T F T S D Bip Phe(penta- K Fluoro) 442. H A E G T F T S D Bip Phe(penta- D Fluoro) 443. H A E G T F T S D Bip Phe(penta- S Fluoro) 444. H A E G T F T S D Bip Phe(penta- H Fluoro) 445. H A E G T F T S D Bip Phe(penta- Y Fluoro) 446. H A E G T F T S D Bip Phe(penta- W Fluoro) 447. H A E G T F T S D Bip Phe(penta- F Fluoro) 448. H A E G T F T S D 2-Nal Phe(penta- W Fluoro) 449. H A E G T F T S D Bip Bip Bip 450. H A E G T F T S D Bip Bip Nva 451. H A E G T F T S D Bip Bip ser (2-Me) (2-Me) 452. H A E G T F T S D Bip Bip Gly-OH (2-Me) (2-Me) 453. H A E G T F T S D Bip Bip β-Ala-OH (2-Me) (2-Me) 454. H A E G T F T S D Bip Bip GABA-OH (2-Me) (2-Me) 455. H A E G T F T S D Bip Bip APA-OH (2-Me) (2-Me) 456. T S D Bip Bip 518. T H D Bip Bip *All of the compounds in Table IV were prepared as C-terminal carboxamides, except for those compounds marked by an asterisk, which are carboxylic acids. - Synthesis and testing of a peptide corresponding to the “message” sequence of GLP-1 and of the same peptide to which an “address” biphenylalanine dipeptide unit is attached at the C-terminus.
- The peptide corresponding to the N-terminal 1-9 sequence of GLP-1, His-Ala-Glu-Gly-Thr-Phe-Thr-Ser-Asp-NH2, which in this invention is referred to as the “message” sequence of GLP-1, and the GLP-1 11-mer peptide analog His-Ala-Glu-Gly-Thr-Phe-Thr-Ser-Asp-Bip-Bip-NH2, which is comprised of the message sequence of GLP-1 and of a C-terminal biphenylalanine dipeptide unit, were prepared using the methods described herein and tested in the cAMP cell-based assay describe in Example 13. The GLP-1 11-mer peptide analog stimulated cAMP production in a dose-response mariner corresponding to an EC50 value of 1.1 micromolar, determined as in Example 13. In the same assay, the EC50 value determined for the peptide corresponding to the “message” sequence of GLP-1 was greater than 1 millimolar. The EC50 value for GLP-1, used in the assay as a positive control, was less than 0.100 nanomolar.
- The GLP-1 receptor is a G-protein coupled receptor. GLP-1 (7-36)-amide, the biologically active form, binds to the GLP-1 receptor and through signal transduction causes activation of adenylate cyclase and raises intracellular cAMP levels. To monitor agonism of peptide compounds in stimulating the GLP-1 receptor, adenyl cyclase activity was monitored by assaying for cellular cAMP levels. Full-length human glucagon-
like peptide 1 receptor was stably expressed in CHO-K1 cells. The clones were screened for best expression of GLP-1R and CHO-GLP1R-19 was selected. Cells were cultured in Ham's F12 nutritional media (Gibco # 11765-054), 10% FBS, 1×L-Glutamine, 1× Pen/Strep, and 0.4 mg/ml G418. CHO-GLP-1R-19 cells (2,500 in 100 μl of media) were plated into each well of a 96-well tissue culture microtiter plate and incubated in 5% CO2 atmosphere at 37° C., for 72 h. On the day of the assay, cells were washed once with 100 μl of PBS. To cells in each well, 10 μl of compound and 90 μl of reaction media (Phenol red free DMEM media with low glucose (Gibco#11054-020), 0.1% BSA (Sigma #A7284), 0.3 mM IBMX (3-isobutyl-1 methylxanthine, Sigma # I5879) were added and incubated at 37° C. for 1 h. The compounds were initially screened at 1 μM and 10 μM for stimulation of cAMP. Dose dependence for compounds showing 50% of maximal GLP-1 (at 100 nM) activity was determined at half-log concentrations in duplicate. After incubation, medium was removed and cells were washed once with 100 μl of PBS. Fifty μl of lysis reagent-1 from the cyclic AMP SPA kit (Amersham Pharmacia Biotech, RPA 559; reagents were reconstituted according to the kit instructions) was added into each well. The plate was shaken at room temperature for 15 min. Twenty μl of lysate was transferred into each well of a 96-well OptiPlate (Packard # 6005190) and 60 μl of SPA immunoreagent from the kit was added. After incubation at room temperature for 15-18 h, plates were counted 2 min each/well in a TOPCOUNT® NXT(Packard). - In each 96-well plate, GLP-1 (control), and five compounds (in duplicate) were run at seven half-log doses. Ten nM GLP-1 was plated into ten additional wells to serve as a reference standard for determination of maximal activity. The data obtained was processed in Excel-fit database. From a cyclic AMP standard curve, the amounts of released cAMP were determined and the % maximal activity was calculated and plotted against log compound concentration. The data was analyzed by nonlinear regression curve fit (sigmoidal dose) to determine the EC50 of the compounds.
- The in-vivo glucose lowering properties for four representative 11-mer peptides, compound A, compound B, compound C and compound D in a rat model is described below. Continuous intravenous infusion of compound A and compound B significantly attenuated the postprandial glucose excursion curve in subcutaneous glucose tolerance test (scGTT) (see
FIG. 1 andFIG. 2 ). In addition, these two 11-mer peptides administered by subcutaneous injection also produced a significant glucose lowering effect in this model (seeFIG. 3 andFIG. 4 ). A clear dose-response relationship was observed following both continuous intravenous infusion and subcutaneous bolus injection of the analogs for their glucose lowering effects. The significant glucose lowering effect for compound A and compound B was observed at 12 and 120 pmol/kg/min, respectively, when the compound was administered by continuous infusion. For the subcutaneous administration, the maximum effective doses for Compound A and Compound B were about 2 and 20 nmol/kg, respectively. - For compounds C and D, studies using subcutaneous injection in a rat intraperitoneal glucose tolerance test (ipGTT) model showed that significant glucose excursion attenuation could be achieved for both compounds in a dose-related fashion(see
FIG. 5 andFIG. 6 ).FIG. 7 shows the effects of native GLP-1 in this model. - The present invention provides novel GLP peptide mimics, with a preference for mimicking GLP-1, such that the compounds of the present invention have agonist activity for the GLP-1 receptor. Further, the GLP peptide mimics of the present invention exhibit increased stability to proteolytic cleavage as compared to GLP-1 native sequences.
- Accordingly, the compounds of the present invention can be administered to mammals, preferably humans, for the treatment of a variety of conditions and disorders, including, but not limited to, treating or delaying the progression or onset of diabetes (preferably Type II, impaired glucose tolerance, insulin resistance, and diabetic complications, such as nephropathy, retinopathy, neuropathy and cataracts), hyperglycemia, hyperinsulinemia, hypercholesterolemia, elevated blood levels of free fatty acids or glycerol, hyperlipidemia, hypertriglyceridemia, obesity, wound healing, tissue ischemia, atherosclerosis, hypertension, AIDS, intestinal diseases (such as necrotizing enteritis, microvillus inclusion disease or celiac disease), inflammatory bowel syndrome, chemotherapy-induced intestinal mucosal atrophy or injury, anorexia nervosa, osteoporosis, dysmetabolic syndrome, as well as inflammatory bowel disease(such as Crohn's disease and ulcerative colitis). The compounds of the present invention may also be utilized to increase the blood levels of high density lipoprotein (HDL).
- In addition, the conditions, diseases, and maladies collectively referenced to as “Syndrome X” or Metabolic Syndrome as detailed in Johansson, J., Clin. Endocrinol. Metab., 82:727-734 (1997), may be treated employing the compounds of the invention.
- The present invention includes within its scope pharmaceutical compositions comprising, as an active ingredient, a therapeutically effective amount of at least one of the compounds of formula I, alone or in combination with a pharmaceutical carrier or diluent. Optionally, compounds of the present invention can be used alone, in combination with other compounds of the invention, or in combination with one or more other therapeutic agent(s), e.g., an antidiabetic agent or other pharmaceutically active material.
- The compounds of the present invention may be employed in combination with other GLP-1 peptide mimics or other suitable therapeutic agents useful in the treatment of the aforementioned disorders including: anti-diabetic agents; anti-hyperglycemic agents; hypolipidemic/lipid lowering agents; anti-obesity agents (including appetite suppressants/modulators) and anti-hypertensive agents. In addition, the compounds of the present invention may be combined with one or more of the following therapeutic agents; infertility agents, agents for treating polycystic ovary syndrome, agents for treating growth disorders, agents for treating frailty, agents for treating arthritis, agents for preventing allograft rejection in transplantation, agents for treating autoimmune diseases, anti-AIDS agents, anti-osteoporosis agents, agents for treating immunomodulatory diseases, antithrombotic agents, agents for the treatment of cardiovascular disease, antibiotic agents, anti-psychotic agents, agents for treating chronic inflammatory bowel disease or syndrome and/or agents for treating anorexia nervosa.
- Examples of suitable anti-diabetic agents for use in combination with the compounds of the present invention include biguanides (e.g., metformin or phenformin), glucosidase inhibitors (e.g., acarbose or miglitol), insulins (including insulin secretagogues or insulin sensitizers), meglitinides (e.g., repaglinide), sulfonylureas (e.g., glimepiride, glyburide, gliclazide, chlorpropamide and glipizide), biguanide/glyburide combinations (e.g., GLUCOVANCE®), thiazolidinediones (e.g., troglitazone, rosiglitazone and pioglitazone), PPAR-alpha agonists, PPAR-gamma agonists, PPAR alpha/gamma dual agonists, glycogen phosphorylase inhibitors, inhibitors of fatty acid binding protein (aP2), DPP-IV inhibitors, and SGLT2 inhibitors.
- Other suitable thiazolidinediones include Mitsubishi's MCC-555 (disclosed in U.S. Pat. No. 5,594,016), Glaxo-Wellcome's GL-262570, englitazone (CP-68722, Pfizer) or darglitazone (CP-86325, Pfizer, isaglitazone (MIT/J&J), JTT-501 (JPNT/P&U), L-895645 (Merck), R-119702 (Sankyo/WL), N,N-2344 (Dr. Reddy/NN), or YM-440 (Yamanouchi).
- Suitable PPAR alpha/gamma dual agonists include AR-HO39242 (Astra/Zeneca), GW-409544 (Glaxo-Wellcome), KRP297 (Kyorin Merck) as well as those disclosed by Murakami et al., “A Novel Insulin Sensitizer Acts As a Coligand for Peroxisome Proliferation—Activated Receptor Alpha (PPAR alpha) and PPAR gamma. Effect on PPAR alpha Activation on Abnormal Lipid Metabolism in Liver of Zucker Fatty Rats”, Diabetes, 47:1841-1847 (1998), and in U.S. application Ser. No. 09/644,598, filed Sep. 18, 2000, the disclosure of which is incorporated herein by reference, employing dosages as set out therein, which compounds designated as preferred are preferred for use herein.
- Suitable aP2 inhibitors include those disclosed in U.S. application Ser. No. 09/391,053, filed Sep. 7, 1999, and in U.S. application Ser. No. 09/519,079, filed Mar. 6, 2000, employing dosages as set out herein.
- Suitable DPP4 inhibitors that may be used in combination with the compounds of the invention include those disclosed in WO 99/38501, WO 99/46272, WO 99/67279 (PROBIODRUG), WO 99/67278 (PROBIODRUG), WO 99/61431 (PROBIODRUG), NVP-DPP728A (1-[[[2-[(5-cyanopyridin-2-yl)amino]ethyl]amino]acetyl]-2-cyano-(S)-pyrrolidine) (Novartis) as disclosed by Hughes et al., Biochemistry, 38(36):11597-11603 (1999), TSL-225 (tryptophyl-1,2,3,4-tetrahydroisoquinoline-3-carboxylic acid (disclosed by Yamada et al., Bioorg. & Med. Chem. Lett., 8:1537-1540 (1998), 2-cyanopyrrolidides and 4-cyanopyrrolidides, as disclosed by Ashworth et al., Bioorg. & Med. Chem. Lett., 6(22):1163-1166 and 2745-2748 (1996) employing dosages as set out in the above references.
- Suitable meglitinides include nateglinide (Novartis) or KAD 1229 (PF/Kissei).
- Examples of other suitable glucagon-like peptide-1 (GLP-1) compounds that may be used in combination with the GLP-1 mimics of the present invention include GLP-1(1-36) amide, GLP-1(7-36) amide, GLP-1(7-37) (as disclosed in U.S. Pat. No. 5,614,492 to Habener), as well as AC2993 (Amylin), LY-315902 (Lilly) and NN-2211 (NovoNordisk).
- Examples of suitable hypolipidemic/lipid lowering agents for use in combination with the compounds of the present invention include one or more MTP inhibitors, HMG CoA reductase inhibitors, squalene synthetase inhibitors, fibric acid derivatives, ACAT inhibitors, lipoxygenase inhibitors, cholesterol absorption inhibitors, ileal Na+/bile acid cotransporter inhibitors, upregulators of LDL receptor activity, bile acid sequestrants, cholesterol ester transfer protein inhibitors (e.g., CP-529414 (Pfizer)) and/or nicotinic acid and derivatives thereof.
- MTP inhibitors which may be employed as described above include those disclosed in U.S. Pat. Nos. 5,595,872, 5,739,135, 5,712,279, 5,760,246, 5,827,875, 5,885,983 and 5,962,440.
- The HMG CoA reductase inhibitors which may be employed in combination with one or more compounds of formula I include mevastatin and related compounds, as disclosed in U.S. Pat. No. 3,983,140, lovastatin (mevinolin) and related compounds, as disclosed in U.S. Pat. No. 4,231,938, pravastatin and related compounds, such as disclosed in U.S. Pat. No. 4,346,227, simvastatin and related compounds, as disclosed in U.S. Pat. Nos. 4,448,784 and 4,450,171. Other HMG CoA reductase inhibitors which may be employed herein include, but are not limited to, fluvastatin, disclosed in U.S. Pat. No. 5,354,772, cerivastatin, as disclosed in U.S. Pat. Nos. 5,006,530 and 5,177,080, atorvastatin, as disclosed in U.S. Pat. Nos. 4,681,893, 5,273,995, 5,385,929 and 5,686,104, atavastatin (Nissan/Sankyo's nisvastatin (NK-104)), as disclosed in U.S. Pat. No. 5,011,930, visastatin (Shionogi-Astra/Zeneca (ZD-4522)), as disclosed in U.S. Pat. No. 5,260,440, and related statin compounds disclosed in U.S. Pat. No. 5,753,675, pyrazole analogs of mevalonolactone derivatives, as disclosed in U.S. Pat. No. 4,613,610, indene analogs of mevalonolactone derivatives, as disclosed in PCT application WO 86/03488, 6-[2-(substituted-pyrrol-1-yl)-alkyl)pyran-2-ones and derivatives thereof, as disclosed in U.S. Pat. No. 4,647,576, Searle's SC-45355 (a 3-substituted pentanedioic acid derivative) dichloroacetate, imidazole analogs of mevalonolactone, as disclosed in PCT application WO 86/07054, 3-carboxy-2-hydroxy-propane-phosphonic acid derivatives, as disclosed in French Patent No. 2,596,393, 2,3-disubstituted pyrrole, furan and thiophene derivatives, as disclosed in European Patent Application No. 0221025, naphthyl analogs of mevalonolactone, as disclosed in U.S. Pat. No. 4,686,237, octahydronaphthalenes, such as disclosed in U.S. Pat. No. 4,499,289, keto analogs of mevinolin (lovastatin), as disclosed in European Patent Application No. 0142146 A2, and quinoline and pyridine derivatives, as disclosed in U.S. Pat. Nos. 5,506,219 and 5,691,322.
- Preferred hypolipidemic agents are pravastatin, lovastatin, simvastatin, atorvastatin, fluvastatin, cerivastatin, atavastatin and ZD-4522.
- In addition, phosphinic acid compounds useful in inhibiting HMG CoA reductase, such as those disclosed in GB 2205837, are suitable for use in combination with the compounds of the present invention.
- The squalene synthetase inhibitors suitable for use herein include, but are not limited to, α-phosphono-sulfonates disclosed in U.S. Pat. No. 5,712,396, those disclosed by Biller et al., J. Med. Chem., 31(10):1869-1871 (1988), including isoprenoid (phosphinyl-methyl)phosphonates, as well as other known squalene synthetase inhibitors, for example, as disclosed in U.S. Pat. Nos. 4,871,721 and 4,924,024 and in Biller, S. A., et al., Current Pharmaceutical Design, 2:1-40 (1996).
- In addition, other squalene synthetase inhibitors suitable for use herein include the terpenoid pyrophosphates disclosed by Ortiz de Montellano, P. et al., J. Med. Chem., 20:243-249 (1977), the farnesyl diphosphate analog A and presqualene pyrophosphate (PSQ-PP) analogs as disclosed by Corey et al., J. Am. Chem. Soc., 98:1291-1293 (1976), phosphinylphosphonates reported by McClard, R. W. et al., J.A.C.S., 109:5544 (1987) and cyclopropanes reported by Capson, T. L., Ph.D., dissertation, Dept. Med. Chem., Univ. Utah, Abstract, Table of Contents, pp. 16, 17, 40-43, 48-51, Summary (June 1987).
- The fibric acid derivatives which may be employed in combination with one or more compounds of formula I include fenofibrate, gemfibrozil, clofibrate, bezafibrate, ciprofibrate, clinofibrate and the like, probucol, and related compounds, as disclosed in U.S. Pat. No. 3,674,836, probucol and gemfibrozil being preferred, bile acid sequestrants, such as cholestyramine, colestipol and DEAE-SEPHADEX® (SECHOLEX®, Policexide), as well as LIPOSTABIL® (Rhone-Poulenc), EISAI® E-5050 (an N-substituted ethanolamine derivative), imanixil (HOE-402), tetrahydrolipstatin (THL), istigmastanylphos-phorylcholine (SPC, Roche), aminocyclodextrin (Tanabe Seiyoku), Ajinomoto AJ-814 (azulene derivative), melinamide (Sumitomo), Sandoz 58-035, American Cyanamid CL-277,082 and CL-283,546 (disubstituted urea derivatives), nicotinic acid, acipimox, acifran, neomycin, p-aminosalicylic acid, aspirin, poly(diallylmethylamine) derivatives, such as disclosed in U.S. Pat. No. 4,759,923, quaternary amine poly(diallyldimethylammonium chloride) and ionenes, such as disclosed in U.S. Pat. No. 4,027,009, and other known serum cholesterol lowering agents.
- The ACAT inhibitor which may be employed in combination with one or more compounds of formula I include those disclosed in Drugs of the Future, 24:9-15 (1999), (Avasimibe); Nicolosi et al., “The ACAT inhibitor, CI-1011 is effective in the prevention and regression of aortic fatty streak area in hamsters”, Atherosclerosis (Shannon, Irel.), 137(1):77-85 (1998); Ghiselli, G., “The pharmacological profile of FCE 27677: a novel ACAT inhibitor with potent hypolipidemic activity mediated by selective suppression of the hepatic secretion of ApoB100-containing lipoprotein”, Cardiovasc. Drug Rev., 16(1):16-30 (1998); Smith, C. et al., “RP 73163: a bioavailable alkylsulfinyl-diphenylimidazole ACAT inhibitor”, Bioorg. Med. Chem. Lett., 6(1):47-50 (1996); Krause, B. R. et al., Chapter 6: “ACAT Inhibitors: Physiologic Mechanisms for Hypolipidemic and Anti-Atherosclerotic Activities in Experimental Animals”, Inflammation: Mediators and Pathways, pp. 173-198, CRC Press, Inc., publ., Ruffolo, Jr., R. R. et al., eds. (1995); Sliskovic et al., “ACAT inhibitors: potential anti-atherosclerotic agents”, Curr. Med. Chem., 1(3):204-225 (1994); Stout et al., “Inhibitors of acyl-CoA:cholesterol O-acyl transferase (ACAT) as hypocholesterolemic agents. 6. The first water-soluble ACAT inhibitor with lipid-regulating activity. Inhibitors of acyl-CoA:cholesterol acyltransferase (ACAT). 7. Development of a series of substituted N-phenyl-N′-[(1-phenylcyclopentyl)methyl]ureas with enhanced hypocholesterolemic activity”, Chemtracts: Org. Chem., 8(6):359-362 (1995), or TS-962 (Taisho Pharmaceutical Co. Ltd).
- The hypolipidemic agent may be an upregulator of LD2 receptor activity, such as MD-700 (Taisho Pharmaceutical Co. Ltd) and LY295427 (Eli Lilly).
- Examples of suitable cholesterol absorption inhibitor for use in combination with the compounds of the invention include SCH48461 (Schering-Plough), as well as those disclosed in Atherosclerosis, 115:45-63 (1995) and J. Med. Chem., 41:973 (1998).
- Examples of suitable ileal Na+/bile acid cotransporter inhibitors for use in combination with the compounds of the invention include compounds as disclosed in Drugs of the Future, 24:425-430 (1999).
- The lipoxygenase inhibitors which may be employed in combination with one or more compounds of formula I include 15-lipoxygenase (15-LO) inhibitors, such as benzimidazole derivatives, as disclosed in WO 97/12615, 15-LO inhibitors, as disclosed in WO 97/12613, isothiazolones, as disclosed in WO 96/38144, and 15-LO inhibitors, as disclosed by Sendobry et al., “Attenuation of diet-induced atherosclerosis in rabbits with a highly selective 15-lipoxygenase inhibitor lacking significant antioxidant properties”, Brit. J. Pharmacology, 120:1199-1206 (1997), and Cornicelli et al., “15-Lipoxygenase and its Inhibition: A Novel Therapeutic Target for Vascular Disease”, Current Pharmaceutical Design, 5:11-20 (1999).
- Examples of suitable anti-hypertensive agents for use in combination with the compounds of the present invention include beta adrenergic blockers, calcium channel blockers (L-type and T-type; e.g., diltiazem, verapamil, nifedipine, amlodipine and mybefradil), diuretics (e.g., chlorothiazide, hydrochlorothiazide, flumethiazide, hydroflumethiazide, bendroflumethiazide, methylchlorothiazide, trichloromethiazide, polythiazide, benzthiazide, ethacrynic acid tricrynafen, chlorthalidone, furosemide, musolimine, bumetanide, triamtrenene, amiloride, spironolactone), renin inhibitors, ACE inhibitors (e.g., captopril, zofenopril, fosinopril, enalapril, ceranopril, cilazopril, delapril, pentopril, quinapril, ramipril, lisinopril), AT-1 receptor antagonists (e.g., losartan, irbesartan, valsartan), ET receptor antagonists (e.g., sitaxsentan, atrsentan and compounds disclosed in U.S. Pat. Nos. 5,612,359 and 6,043,265), Dual ET/AII antagonist (e.g., compounds disclosed in WO 00/01389), neutral endopeptidase (NEP) inhibitors, vasopepsidase inhibitors (dual NEP-ACE inhibitors) (e.g., omapatrilat and gemopatrilat), and nitrates.
- Examples of suitable anti-obesity agents for use in combination with the compounds of the present invention include a NPY receptor antagonist, a MCH antagonist, a GHSR antagonist, a CRH antagonist, a beta 3 adrenergic agonist, a lipase inhibitor, a serotonin (and dopamine) reuptake inhibitor, a thyroid receptor beta drug and/or an anorectic agent.
- The beta 3 adrenergic agonists which may be optionally employed in combination with compounds of the present invention include AJ9677 (Takeda/Dainippon), L750355 (Merck), or CP331648 (Pfizer,) or other known beta 3 agonists, as disclosed in U.S. Pat. Nos. 5,541,204, 5,770,615, 5,491,134, 5,776,983 and 5,488,064, with AJ9677, L750,355 and CP331648 being preferred.
- Examples of lipase inhibitors which may be optionally employed in combination with compounds of the present invention include orlistat or ATL-962 (Alizyme), with orlistat being preferred.
- The serotonin (and dopoamine) reuptake inhibitor which may be optionally employed in combination with a compound of formula I may be sibutramine, topiramate (Johnson & Johnson) or AXOKINE® (Regeneron), with sibutramine and topiramate being preferred.
- Examples of thyroid receptor beta compounds which may be optionally employed in combination with compounds of the present invention include thyroid receptor ligands, such as those disclosed in WO 97/21993 (U. Cal SF), WO 99/00353 (KaroBio) and WO 00/039077 (KaroBio), with compounds of the KaroBio applications being preferred.
- The anorectic agent which may be optionally employed in combination with compounds of the present invention include dexamphetamine, phentermine, phenylpropanolamine or mazindol, with dexamphetamine being preferred.
- Examples of suitable anti-psychotic agents include clozapine, haloperidol, olanzapine (ZYPREXA®), PROZAC® and aripiprazole (ABILIFY®).
- The aforementioned patents and patent applications are incorporated herein by reference.
- The above other therapeutic agents, when employed in combination with the compounds of the present invention may be used, for example, in those amounts indicated in the Physicians' Desk Reference, as in the patents set out above or as otherwise determined by one of ordinary skill in the art.
- A suitable GLP-1 peptide mimic can be administered to patients to treat diabetes and other related diseases as the compound alone and or mixed with an acceptable carrier in the form of pharmaceutical formulations. Those skilled in the art of treating diabetes can easily determine the dosage and route of administration of the compound to mammals, including humans, in need of such treatment. The route of administration may include but is not limited to oral, intraoral, rectal, transdermal, buccal, intranasal, pulmonary, subcutaneous, intramuscular, intradermal, sublingual, intracolonic, intraocular, intravenous, or intestinal administration. The compound is formulated according to the route of administration based on acceptable pharmacy practice (Fingl et al., Chapter 1: “The Pharmacological Basis of Therapeutics”, p. 1 (1975); Remington's Pharmaceutical Sciences, 18th Edition, Mack Publishing Co., Easton, Pa. (1990)).
- The pharmaceutically acceptable GLP-1 peptide mimic composition of the present invention can be administered in multiple dosage forms such as tablets, capsules (each of which includes sustained release or timed release formulations), pills, powders, granules, elixirs, in situ gels, microspheres, crystalline complexes, liposomes, micro-emulsions, tinctures, suspensions, syrups, aerosol sprays and emulsions. The composition of the present invention can also be administered in oral, intravenous (bolus or infusion), intraperitoneal, subcutaneous, transdermally or intramuscular form, all using dosage forms well known to those of ordinary skill in the pharmaceutical arts. The composition may be administered alone, but generally will be administered with a pharmaceutical carrier selected on the basis of the chosen route of administration and standard pharmaceutical practice.
- The dosage regimen for the composition of the present invention will, of course, vary depending upon known factors, such as the pharmacodynamic characteristics of the particular agent and its mode and route of administration; the species, age, sex, health, medical condition, and weight of the recipient; the nature and extent of the symptoms; the kind of concurrent treatment; the frequency of treatment; the route of administration, the renal and hepatic function of the patient, and the effect desired. A physician or veterinarian can determine and prescribe the effective amount of the drug required to prevent, counter, or arrest the progress of the disease state.
- By way of general guidance, the daily oral dosage of the active ingredient, when used for the indicated effects, will range between about 0.001 to 1000 mg/kg of body weight, preferably between about 0.01 to 100 mg/kg of body weight per day, and most preferably between about 0.6 to 20 mg/kg/day. Intravenously, the daily dosage of the active ingredient when used for the indicated effects will range between 0.001 ng to 100.0 ng per min/per Kg of body weight during a constant rate infusion. Such constant intravenous infusion can be preferably administered at a rate of 0.01 ng to 50 ng per min per Kg body weight and most preferably at 0.1 ng to 10.0 mg per min per Kg body weight. The composition of this invention may be administered in a single daily dose, or the total daily dosage may be administered in divided doses of two, three, or four times daily. The composition of this invention may also be administered by a depot formulation that will allow sustained release of the drug over a period of days/weeks/months as desired.
- The composition of this invention can be administered in intranasal form via topical use of suitable intranasal vehicles, or via transdermal routes, using transdermal skin patches. When administered in the form of a transdermal delivery system, the dosage administration will, of course, be continuous rather than intermittent throughout the dosage regimen.
- The composition is typically administered in a mixture with suitable pharmaceutical diluents, excipients, or carriers (collectively referred to herein as pharmaceutical carriers) suitably selected with respect to the intended form of administration, that is, oral tablets, capsules, elixirs, aerosol sprays generated with or without propallant and syrups, and consistent with conventional pharmaceutical practices.
- For instance, for oral administration in the form of a tablet or capsule, the active drug component can be combined with an oral, non-toxic, pharmaceutically acceptable, inert carrier such as but not limited to, lactose, starch, sucrose, glucose, methyl cellulose, magnesium stearate, dicalcium phosphate, calcium sulfate, mannitol, and sorbitol; for oral administration in liquid form, the oral drug components can be combined with any oral, non-toxic, pharmaceutically acceptable inert carrier such as, but not limited to, ethanol, glycerol, and water. Moreover, when desired or necessary, suitable binders, lubricants, disintegrating agents, and coloring agents can also be incorporated into the mixture. Suitable binders include, but not limited to, starch, gelatin, natural sugars such as, but not limited to, glucose or beta-lactose, corn sweeteners, natural and synthetic gums such as acacia, tragacanth, or sodium alginate, carboxymethylcellulose, polyethylene glycol, and waxes. Lubricants used in these dosage forms include sodium oleate, sodium stearate, magnesium stearate, sodium benzoate, sodium acetate, and sodium chloride. Disintegrants include, but are not limited to, starch, methyl cellulose, agar, bentonite, and xanthan gum.
- The composition of the present invention may also be administered in the form of mixed micellar or liposome delivery systems, such as small unilamellar vesicles, large unilamellar vesicles, and multilamellar vesicles. Liposomes can be formed from a variety of phospholipids, such as cholesterol, stearylamine, or phosphatidylcholines. Permeation enhancers may be added to enhance drug absorption.
- Since prodrugs are known to enhance numerous desirable qualities of pharmaceuticals (i.e., solubility, bioavailability, manufacturing, etc.) the compounds of the present invention may be delivered in prodrug form. Thus, the present invention is intended to cover prodrugs of the presently claimed compounds, methods of delivering the same and compositions containing the same.
- The compositions of the present invention may also be coupled with soluble polymers as targetable drug carriers. Such polymers can include polyvinyl-pyrrolidone, pyran copolymer, polyhydroxypropyl- methacrylamide-phenol, polyhydroxyethylaspartamidephenol, or polyethyleneoxide-polylysine substituted with palmitoyl residues. Furthermore, the composition of the present invention may be combined with a class of biodegradable polymers useful in achieving controlled release of a drug, for example, polylactic acid, polyglycolic acid, copolymers of polylactic and polyglycolic acid, polyepsilon caprolactone, polyhydroxy butyric acid, polyorthoesters, polyacetals, polydihydropyrans, polycyanoacylates, and crosslinked or amphipathic block copolymers of hydrogels.
- Dosage forms (pharmaceutical compositions) suitable for administration may contain from about 0.1 milligram to about 500 milligrams of active ingredient per dosage unit. In these pharmaceutical compositions the active ingredient will ordinarily be present in an amount of about 0.5-95% by weight based on the total weight of the composition.
- Gelatin capsules may contain the active ingredient and powdered carriers, such as lactose, starch, cellulose derivative, magnesium stearate, and stearic acid. Similar diluents can be used to make compressed tablets. Both tablets and capsules can be manufactured as sustained release products to provide for continuous release of medication over a period of hours. Compressed tablets can be sugar coated or film coated to mask any unpleasant taste and protect the tablet from the atmosphere, or enteric coated for selective disintegration in the gastrointestinal tract.
- Liquid dosage forms for oral administration can contain coloring and flavoring to increase patient acceptance.
- In general, water, a suitable oil, saline, aqueous dextrose (glucose), and related sugar solutions and glycols such as propylene glycol or polyethylene glycols are suitable carriers for parenteral solutions. Solution for parenteral administration preferably contains a water-soluble salt of the active ingredient, suitable stabilizing agents, and if necessary, buffer substances. Antioxidizing agents such as sodium bisulfite, sodium sulfite, or ascorbic acid, either alone or combined, are suitable stabilizing agents. Also used are citric acid and its salts and sodium EDTA. In addition, parenteral solutions can contain preservatives, such as benzalkonium chloride, methyl- or propyl-paraben, and chlorobutanol.
- Suitable pharmaceutical carriers are described in Remington: The Science and Practice of Pharmacy, 19th Edition, Mack Publishing Company (1995), a standard reference text in this field
- Representative useful pharmaceutical dosage forms for administration of the compound of this invention can be illustrated as follows:
- A large number of unit capsules can be prepared by filling standard two-piece hard gelatin capsules with 100 milligrams of powdered active ingredient, 150 milligrams of lactose, 50 milligrams of cellulose, and 6 milligrams magnesium stearate.
- A mixture of active ingredient in a digestible oil such as soybean oil, cottonseed oil or olive oil may be prepared and injected by means of a positive displacement pump into gelatin to form soft gelatin capsules containing 100 milligrams of the active ingredient. The capsules should be washed and dried.
- Tablets may be prepared by conventional procedures so that the dosage unit, for example is 100 milligrams of active ingredient, 0.2 milligrams of colloidal silicon dioxide, 5 milligrams of magnesium stearate, 275 milligrams of microcrystalline cellulose, 11 milligrams of starch and 98.8 milligrams of lactose. Appropriate coatings may be applied to increase palatability or delay absorption.
- A parenteral composition suitable for administration by injection may be prepared by stirring for example, 1.5% by weight of active ingredient in 10% by volume propylene glycol and water. The solution should be made isotonic with sodium chloride and sterilized.
- An aqueous suspension can be prepared for oral and/or parenteral administration so that, for example, each 5 mL contains 100 mg of finely divided active ingredient, 20 mg of sodium carboxymethyl cellulose, 5 mg of sodium benzoate, 1.0 g of sorbitol solution, U.S.P., and 0.025 mL of vanillin or other palatable flavoring.
- A sustained-release parenteral composition suitable for administration by injection may be prepared, for example, by dissolving a suitable biodegradable polymer in a solvent, adding to the polymer solution the active agent to be incorporated, and removing the solvent from the matrix thereby forming the matrix of the polymer with the active agent distributed throughout the matrix.
- Obviously, numerous modifications and variations of the present invention are possible in light of the above teachings. It is therefore understood that within the scope of the appended claims, the invention may be practiced otherwise than as specifically described herein.
- The present invention is not to be limited in scope by the specific embodiments described that are intended as single illustrations of individual aspects of the invention. Functionally equivalent methods and components in addition to those shown and described herein will become apparent to those skilled in the art from the foregoing description and accompanying drawings. Such modifications are intended to fall within the scope of the appended claims.
Claims (11)
1. An isolated polypeptide having a sequence of Formula I
A-Xaa1-Xaa2-Xaa3-Xaa4-Xaa5-Xaa6-Xaa7-Xaa8-Xaa9-Y-Z-B I
A-Xaa1-Xaa2-Xaa3-Xaa4-Xaa5-Xaa6-Xaa7-Xaa8-Xaa9-Y-Z-B I
wherein,
Xaa1-9 is a naturally or nonnaturally occurring amino acid residue;
Y and Z are amino acid residues;
wherein one of the substitutions at the alpha-carbon atoms of Y and Z may each independently be substituted with a primary substituent group selected from the group consisting of hydrogen, alkyl, cycloalkyl, cycloalkylalkyl, heterocyclylalkyl, arylalkyl and heteroarylalkyl, heterocyclylalkyl said primary substituent optionally being substituted with a secondary substituent selected from a cycloalkyl, heterocyclyl, aryl or heteroaryl group; any of said primary or secondary substituents may further be substituted with one or more of, hydrogen, alkyl, cycloalkyl, arylalkyl, aryl, heterocyclyl, heteroaryl, alkenyl, alkynyl, halo, hydroxy, mercapto, nitro, cyano, amino, acylamino, azido, guanidino, amidino, carboxyl, carboxamido, carboxamido alkyl, formyl, acyl, carboxyl alkyl, alkoxy, aryloxy, arylalkyloxy, heteroaryloxy, heterocyclooxy, acyloxy, mercapto, mercapto alkyl, mercaptoaryl, mercapto acyl, halo, cyano, nitro, azido, amino, guanidino alkyl, guanidine acyl, sulfonic, sulfonamido, alkyl sulfonyl, aryl sulfonyl or phosphonic group; wherein, the primary or secondary substituents may optionally be bridged by covalent bonds to form one or more fused cyclic or heterocyclic systems with each other;
wherein, the other substitution at the alpha-carbon of Y may be substituted with hydrogen, alkyl, aminoalkyl, hydroxyalkyl or carboxyalkyl;
wherein, the other substitution at the alpha-carbon of Z may be substituted with hydrogen, alkyl, aminoalkyl, hydroxyalkyl or carboxyalkyl;
A and B are optionally present;
wherein A is present and A is hydrogen, an amino acid or peptide containing from about 1 to about 15 amino acid residues, an R group, an R—C(O) (amide) group, a carbamate group RO—C(O), a urea R4R5N—C(O), a sulfonamido R—SO2, or a R4R5N—SO2;
wherein R is selected from the group consisting of hydrogen, alkyl, cycloalkyl, cycloalkylalkyl, heterocyclyl, heterocycloalkyl, aryl, heteroaryl, arylalkyl, aryloxyalkyl, heteroarylalkyl and heteroaryloxyalkyl;
wherein R4 and R5 are each independently selected from the group consisting of hydrogen, alkyl, cycloalkyl, cycloalkylalkyl, heterocyclyl, heterocycloalkyl, aryl, heteroaryl, arylalkyl, aryloxyalkyl, heteroarylalkyl and heteroaryloxyalky;
wherein the alpha-amino group of Xaa1 is substituted with a hydrogen or an alkyl group, said alkyl group may optionally form a ring with A;
wherein B is present and B is OR1, NR1R2, or an amino acid or peptide containing from 1 to 15 amino acid residues, terminating at the C-terminus as a carboxamide, substituted carboxamide, an ester, a free carboxylic acid or an amino-alcohol;
wherein R1 and R2 are independently chosen from hydrogen, alkyl, cycloalkyl, cycloalkylalkyl, heterocyclyl, heterocycloalkyl, aryl, heteroaryl, arylalkyl, aryloxyalkyl, heteroarylalkyl or heteroaryloxyalkyl.
2. The isolated polypeptide of claim 1 wherein the substitutions upon the alpha-carbon atoms of Y and Z are selected from the group consisting of heteroarylarylmethyl, arylheteroarylmethyl or biphenylmethyl forming biphenylalanine residues, any of which is also optionally substituted with one or more, hydrogen, alkyl, cycloalkyl, arylalkyl, aryl, heterocyclyl, heteroaryl, alkenyl, alkynyl, halo, hydroxy, mercapto, nitro, cyano, amino, acylamino, azido, guanidino, amidino, carboxyl, carboxamido, carboxamido alkyl, formyl, acyl, carboxyl alkyl, alkoxy, aryloxy, arylalkyloxy, heteroaryloxy, heterocyclooxy, acyloxy, mercapto, mercapto alkyl, mercaptoaryl, mercapto acyl, halo, cyano, nitro, azido, amino, guanidino alkyl, guanidino acyl, sulfonic, sulfonamido, alkyl sulfonyl, aryl sulfonyl and phosphonic group.
3. The isolated polypeptide of claim 1 wherein B is an amino acid or peptide containing 1 to about 10 amino acid residues.
4. An isolated polypeptide having a sequence of Formula I
A-Xaa1-Xaa2-Xaa3-Xaa4-Xaa5-Xaa6-Xaa7-Xaa8-Xaa9-Y-Z-B I
A-Xaa1-Xaa2-Xaa3-Xaa4-Xaa5-Xaa6-Xaa7-Xaa8-Xaa9-Y-Z-B I
wherein,
Xaa1-9 is a naturally or nonnaturally occurring amino acid residue;
Y and Z are amino acid residues;
wherein one of the substitutions at the alpha-carbon atoms of Y and Z may each independently be substituted with a primary substituent group selected from the group consisting of hydrogen, alkyl, cycloalkyl, cycloalkylalkyl, heterocyclylalkyl, arylalkyl and heteroarylalkyl, said primary substituent optionally being substituted with a secondary substituent selected from a cycloalkyl, heterocyclyl, aryl or heteroaryl group; any of said primary or secondary substituents may further be substituted with one or more of, hydrogen, alkyl, cycloalkyl, arylalkyl, aryl, heterocycle, heteroaryl, alkenyl, alkynyl, halo, hydroxy, mercapto, nitro, cyano, amino, acylamino, azido, guanidine, amidino, carboxyl, carboxamido, carboxamido alkyl, formyl, acyl, carboxyl alkyl, alkoxy, aryloxy, arylalkyloxy, heteroaryloxy, heterocyclooxy, acyloxy, mercapto, mercapto alkyl, mercaptoaryl, mercapto acyl, halo, cyano, nitro, azido, amino, guanidino alkyl, guanidino acyl, sulfonic, sulfonamido, alkyl sulfonyl, aryl sulfonyl or phosphonic group; wherein, the primary or secondary substituents may optionally be bridged by covalent bonds to form one or more fused cyclic or heterocyclic systems with each other;
wherein, the other substitution at the alpha-carbon of Y may be substituted with hydrogen, alkyl, aminoalkyl, hydroxyalkyl or carboxyalkyl;
wherein, the other substitution at the alpha-carbon of Z may be substituted with hydrogen, alkyl, aminoalkyl, hydroxyalkyl or carboxyalkyl;
A and B are optionally present;
wherein A is not present, and Xaa1 is an R group, an R—C(O) (amide) group, a carbamate group RO—C(O), a urea R4R5N—C(O), a sulfonamido R—SO2, or a R4R5N—SO2;
wherein R is selected from the group consisting of hydrogen, alkyl, cycloalkyl, cycloalkylalkyl, heterocyclyl, heterocycloalkyl, aryl, heteroaryl, arylalkyl, aryloxyalkyl, heteroarylalkyl, heteroaryloxyalkyl and heteroarylalkoxyalkyl;
wherein R4 and R5 are each independently selected from the group consisting of hydrogen, alkyl, cycloalkyl, cycloalkylalkyl, heterocyclyl, heterocycloalkyl, aryl, heteroaryl, arylalkyl, aryloxyalkyl, heteroarylalkyl and heteroaryloxyalky;
wherein B is present and B is OR1, NR1R2, or an amino acid or peptide containing from 1 to 15 amino acid residues, terminating at the C-terminus as a carboxamide, substituted carboxamide, an ester, a free carboxylic acid or an amino-alcohol;
wherein R1 and R2 are independently chosen from hydrogen, alkyl, cycloalkyl, cycloalkylalkyl, heterocyclyl, heterocycloalkyl, aryl, heteroaryl, arylalkyl, aryloxyalkyl, heteroarylalkyl or heteroaryloxyalkyl.
5. The isolated polypeptide of claim 4 wherein 13 is an amino acid or peptide containing 1 to about 10 amino acid residues.
6. An isolated polypeptide having a sequence of Formula I
A-Xaa1-Xaa2-Xaa3-Xaa4-Xaa5-Xaa6-Xaa7-Xaa8-Xaa9-Y-Z-B I
A-Xaa1-Xaa2-Xaa3-Xaa4-Xaa5-Xaa6-Xaa7-Xaa8-Xaa9-Y-Z-B I
wherein,
Xaa1-9 is a naturally or nonnaturally occurring amino acid residue;
Y is an amino acid residue;
wherein one of the substitutions at the alpha-carbon atom of Y may independently be substituted with a primary substituent group selected from the group consisting of hydrogen, alkyl, cycloalkyl, cycloalkylalkyl, heterocyclylalkyl, arylalkyl and heteroarylalkyl, said primary substituent optionally being substituted with a secondary substituent selected from a cycloalkyl, heterocyclyl, aryl or heteroaryl group; any of said primary or secondary substituents may further be substituted with one or more of, hydrogen, alkyl, cycloalkyl, arylalkyl, aryl, heterocyclyl, heteroaryl, alkenyl, alkynyl, halo, hydroxy, mercapto, nitro, cyano, amino, acylamino, azido, guanidino, amidino, carboxyl, carboxamido, carboxamido alkyl, formyl, acyl, carboxyl alkyl, alkoxy, aryloxy, arylalkyloxy, heteroaryloxy, heterocyclyloxy, acyloxy, mercapto, mercapto alkyl, mercaptoaryl, mercapto acyl, halo, cyano, nitro, azido, amino, guanidino alkyl, guanidino acyl, sulfonic, sulfonamido, alkyl sulfonyl, aryl sulfonyl or phosphonic group; wherein, the primary or secondary substituents may optionally be bridged by covalent bonds to form one or more fused cyclic or heterocyclic systems with each other;
wherein, the other substitution at the alpha-carbon of Y may be substituted with hydrogen, alkyl, aminoalkyl, hydroxyalkyl or carboxyalkyl;
A and B are optionally present;
wherein A is present and A is hydrogen, an amino acid or peptide containing from about 1 to about 15 amino acid residues, an R group, an R—C(O) (amide) group, a carbamate group RO—C(O), a urea R4R5N—C(O), a sulfonamido R—SO2 or a R4R5N—SO2;
wherein R is selected from the group consisting of hydrogen, alkyl, cycloalkyl, cycloalkylalkyl, heterocycle, heterocycloalkyl, aryl, heteroaryl, arylalkyl, aryloxyalkyl, heteroarylalkyl and heteroaryloxyalkyl;
wherein R4 and R5 are each independently selected from the group consisting of hydrogen, alkyl, cycloalkyl, cycloalkylalkyl, heterocycle, heterocycloalkyl, aryl, heteroaryl, arylalkyl, aryloxyalkyl, heteroarylalkyl and heteroaryloxyalky;
wherein the alpha-amino group of Xaa1 is substituted with a hydrogen or an alkyl group, said alkyl group may optionally form a ring with A;
wherein B is not present and Z is OR1, NR1R2 or an amino-alcohol; and
wherein R1 and R2 are independently chosen from hydrogen, alkyl, cycloalkyl, cycloalkylalkyl, heterocycle, heterocycloalkyl, aryl, heteroaryl, arylalkyl, aryloxyalkyl, heteroarylalkyl or heteroaryloxyalkyl.
7. The isolated polypeptide of claim 6 wherein the substitutions upon the alpha-carbon atoms of Y are selected from the group consisting of heteroarylarylmethyl, arylheteroarylmethyl or biphenylmethyl forming biphenylalanine residues, any of which is also optionally substituted with one or more, hydrogen, alkyl, cycloalkyl, arylalkyl, aryl, heterocyclyl, heteroaryl, alkenyl, alkynyl, halo, hydroxy, mercapto, nitro, cyano, amino, acylamino, azido, guanidino, amidino, carboxyl, carboxamido, carboxamido alkyl, formyl, acyl, carboxyl alkyl, alkoxy, aryloxy, arylalkyloxy, heteroaryloxy, heterocyclooxy, acyloxy, mercapto, mercapto alkyl, mercaptoaryl, mercapto acyl, halo, cyano, nitro, azido, amino, guanidino alkyl, guanidino acyl, sulfonic, sulfonamide, alkyl sulfonyl, aryl sulfonyl and phosphonic group.
8. A pharmaceutical composition comprising a compound as defined in claim 1 and a pharmaceutically acceptable carrier therefor.
9. A pharmaceutical combination comprising a compound as defined in claim 1 and at least one therapeutic agent selected from the group consisting of an antidiabetic agent, an anti-obesity agent, a anti-hypertensive agent, an anti-atherosclerotic agent and a lipid-lowering agent.
10. A method for treating or delaying the progression or onset of diabetes, diabetic retinopathy, diabetic neuropathy, diabetic nephropathy, wound healing, insulin resistance, hyperglycemia, hyperinsulinemia, Syndrome X, diabetic complications, elevated blood levels of free fatty acids or glycerol, hyperlipidemia, obesity, hypertriglyceridemia, atherosclerosis or hypertension, which comprises administering to a mammalian species in need of treatment a therapeutically effective amount of a compound as defined in claim 1 .
11. A method according to claim 10 further comprising administering, concurrently or sequentially, a therapeutically effective amount of at least one additional therapeutic agent selected from the group consisting of an antidiabetic agent, an anti-obesity agent, a anti-hypertensive agent, an anti-atherosclerotic agent and a lipid-lowering agent.
Priority Applications (1)
| Application Number | Priority Date | Filing Date | Title |
|---|---|---|---|
| US12/771,096 US20100210552A1 (en) | 2001-10-18 | 2010-04-30 | Human glucagon-like peptide-1 mimics and their use in the treatment of diabetes and related conditions |
Applications Claiming Priority (4)
| Application Number | Priority Date | Filing Date | Title |
|---|---|---|---|
| US34201501P | 2001-10-18 | 2001-10-18 | |
| US10/273,975 US7238670B2 (en) | 2001-10-18 | 2002-10-18 | Human glucagon-like-peptide-1 mimics and their use in the treatment of diabetes and related conditions |
| US11/740,031 US20070287670A1 (en) | 2001-10-18 | 2007-04-25 | Human glucagon-like peptide-1 mimics and their use in the treatment of diabetes and related conditions |
| US12/771,096 US20100210552A1 (en) | 2001-10-18 | 2010-04-30 | Human glucagon-like peptide-1 mimics and their use in the treatment of diabetes and related conditions |
Related Parent Applications (1)
| Application Number | Title | Priority Date | Filing Date |
|---|---|---|---|
| US11/740,031 Continuation US20070287670A1 (en) | 2001-10-18 | 2007-04-25 | Human glucagon-like peptide-1 mimics and their use in the treatment of diabetes and related conditions |
Publications (1)
| Publication Number | Publication Date |
|---|---|
| US20100210552A1 true US20100210552A1 (en) | 2010-08-19 |
Family
ID=23339970
Family Applications (3)
| Application Number | Title | Priority Date | Filing Date |
|---|---|---|---|
| US10/273,975 Expired - Lifetime US7238670B2 (en) | 2001-10-18 | 2002-10-18 | Human glucagon-like-peptide-1 mimics and their use in the treatment of diabetes and related conditions |
| US11/740,031 Abandoned US20070287670A1 (en) | 2001-10-18 | 2007-04-25 | Human glucagon-like peptide-1 mimics and their use in the treatment of diabetes and related conditions |
| US12/771,096 Abandoned US20100210552A1 (en) | 2001-10-18 | 2010-04-30 | Human glucagon-like peptide-1 mimics and their use in the treatment of diabetes and related conditions |
Family Applications Before (2)
| Application Number | Title | Priority Date | Filing Date |
|---|---|---|---|
| US10/273,975 Expired - Lifetime US7238670B2 (en) | 2001-10-18 | 2002-10-18 | Human glucagon-like-peptide-1 mimics and their use in the treatment of diabetes and related conditions |
| US11/740,031 Abandoned US20070287670A1 (en) | 2001-10-18 | 2007-04-25 | Human glucagon-like peptide-1 mimics and their use in the treatment of diabetes and related conditions |
Country Status (21)
| Country | Link |
|---|---|
| US (3) | US7238670B2 (en) |
| EP (1) | EP1572892A4 (en) |
| JP (1) | JP2005514337A (en) |
| KR (1) | KR20040054729A (en) |
| CN (1) | CN1630709A (en) |
| AU (1) | AU2002348469B2 (en) |
| BR (1) | BR0213377A (en) |
| CA (1) | CA2463908A1 (en) |
| GE (1) | GEP20063908B (en) |
| HR (1) | HRP20040343A2 (en) |
| HU (1) | HUP0700151A2 (en) |
| IL (1) | IL160917A0 (en) |
| IS (1) | IS7185A (en) |
| MX (1) | MXPA04003553A (en) |
| NO (1) | NO20041203L (en) |
| NZ (1) | NZ531788A (en) |
| PL (1) | PL377687A1 (en) |
| RU (1) | RU2353625C2 (en) |
| WO (1) | WO2003033671A2 (en) |
| YU (1) | YU31004A (en) |
| ZA (1) | ZA200402846B (en) |
Families Citing this family (90)
| Publication number | Priority date | Publication date | Assignee | Title |
|---|---|---|---|---|
| US7238671B2 (en) | 2001-10-18 | 2007-07-03 | Bristol-Myers Squibb Company | Human glucagon-like-peptide-1 mimics and their use in the treatment of diabetes and related conditions |
| HRP20040343A2 (en) | 2001-10-18 | 2005-08-31 | Bristol-Myers Squibb Company | Human glucagon-like-peptide-1 mimics and their use in the treatment of diabetes and related conditions |
| US7648957B2 (en) * | 2002-09-04 | 2010-01-19 | Dsm Ip Assets B.V. | Nutritional and therapeutic composition of an insulin sensitizer and a peptide fraction |
| WO2004094823A2 (en) | 2003-04-23 | 2004-11-04 | Biovalve Technologies, Inc. | Hydraulically actuated pump for long duration medicament administration |
| EP1625122A1 (en) | 2003-05-14 | 2006-02-15 | Takeda San Diego, Inc. | Dipeptidyl peptidase inhibitors |
| SI3300721T2 (en) | 2003-11-20 | 2025-05-30 | Novo Nordisk A/S | Propylene glycol-containing peptide formulations which are optimal for production and for use in injection devices |
| EP1694278A4 (en) * | 2003-12-16 | 2009-08-12 | Ipsen Pharma | Glp-1 pharmaceutical compositions |
| EP1750862B1 (en) | 2004-06-04 | 2011-01-05 | Teva Pharmaceutical Industries Ltd. | Pharmaceutical composition containing irbesartan |
| TW200611704A (en) * | 2004-07-02 | 2006-04-16 | Bristol Myers Squibb Co | Human glucagon-like-peptide-1 modulators and their use in the treatment of diabetes and related conditions |
| US7145040B2 (en) * | 2004-07-02 | 2006-12-05 | Bristol-Myers Squibb Co. | Process for the preparation of amino acids useful in the preparation of peptide receptor modulators |
| US7534763B2 (en) | 2004-07-02 | 2009-05-19 | Bristol-Myers Squibb Company | Sustained release GLP-1 receptor modulators |
| US9089636B2 (en) * | 2004-07-02 | 2015-07-28 | Valeritas, Inc. | Methods and devices for delivering GLP-1 and uses thereof |
| AR051446A1 (en) | 2004-09-23 | 2007-01-17 | Bristol Myers Squibb Co | C-ARYL GLUCOSIDS AS SELECTIVE INHIBITORS OF GLUCOSE CONVEYORS (SGLT2) |
| US7589088B2 (en) | 2004-12-29 | 2009-09-15 | Bristol-Myers Squibb Company | Pyrimidine-based inhibitors of dipeptidyl peptidase IV and methods |
| US7635699B2 (en) | 2004-12-29 | 2009-12-22 | Bristol-Myers Squibb Company | Azolopyrimidine-based inhibitors of dipeptidyl peptidase IV and methods |
| DOP2006000008A (en) * | 2005-01-10 | 2006-08-31 | Arena Pharm Inc | COMBINED THERAPY FOR THE TREATMENT OF DIABETES AND RELATED AFFECTIONS AND FOR THE TREATMENT OF AFFECTIONS THAT IMPROVE THROUGH AN INCREASE IN THE BLOOD CONCENTRATION OF GLP-1 |
| US7521557B2 (en) | 2005-05-20 | 2009-04-21 | Bristol-Myers Squibb Company | Pyrrolopyridine-based inhibitors of dipeptidyl peptidase IV and methods |
| CN101282991A (en) * | 2005-05-26 | 2008-10-08 | 布里斯托尔-迈尔斯斯奎布公司 | N-terminally modified glucagon-like peptide-1 receptor modulators |
| AU2006287562B2 (en) * | 2005-09-08 | 2012-05-10 | Trustees Of Tufts College | Stabilized GLP-1 analogs |
| ME02005B (en) | 2005-09-14 | 2012-08-31 | Takeda Pharmaceuticals Co | Dipeptidyl peptidase inhibitors for treating diabetes |
| CN101360723A (en) | 2005-09-16 | 2009-02-04 | 武田药品工业株式会社 | Process for preparing pyrimidinedione derivatives |
| EP1943215A2 (en) | 2005-10-31 | 2008-07-16 | Brystol-Myers Squibb Company | Pyrrolidinyl beta-amino amide-based inhibitors of dipeptidyl peptidase iv and methods |
| WO2007051987A1 (en) * | 2005-11-01 | 2007-05-10 | Activotec Spp Limited | Insulinotropic compounds and uses thereof |
| WO2007056362A2 (en) * | 2005-11-07 | 2007-05-18 | Indiana University Research And Technology Corporation | Glucagon analogs exhibiting physiological solubility and stability |
| GB0526291D0 (en) | 2005-12-23 | 2006-02-01 | Prosidion Ltd | Therapeutic method |
| EP1976873A2 (en) * | 2006-01-11 | 2008-10-08 | Brystol-Myers Squibb Company | Human glucagon-like-peptide-1 modulators and their use in the treatment of diabetes and related conditions |
| EP2471810A1 (en) * | 2006-02-22 | 2012-07-04 | Merck Sharp & Dohme Corporation | Oxyntomodulin derivatives |
| PE20080168A1 (en) * | 2006-03-23 | 2008-02-25 | Bristol Myers Squibb Co | ENZYME PREPARATION OF (S) -AMINO ACID FROM (R, S) -AMINO ACID OR FROM ACID KETO |
| WO2007112347A1 (en) | 2006-03-28 | 2007-10-04 | Takeda Pharmaceutical Company Limited | Dipeptidyl peptidase inhibitors |
| ES2566058T3 (en) | 2006-03-30 | 2016-04-08 | Valeritas, Inc. | Multi-cartridge fluid supply device |
| US7833730B2 (en) * | 2006-04-11 | 2010-11-16 | Arena Pharmaceuticals, Inc. | Methods of using GPR119 to identify compounds useful for increasing bone mass in an individual |
| PE20071221A1 (en) | 2006-04-11 | 2007-12-14 | Arena Pharm Inc | GPR119 RECEPTOR AGONISTS IN METHODS TO INCREASE BONE MASS AND TO TREAT OSTEOPOROSIS AND OTHER CONDITIONS CHARACTERIZED BY LOW BONE MASS, AND COMBINED THERAPY RELATED TO THESE AGONISTS |
| AU2007240315A1 (en) * | 2006-04-20 | 2007-11-01 | Amgen Inc. | GLP-1 compound/glucagon antibody compositions |
| WO2007139589A1 (en) * | 2006-05-26 | 2007-12-06 | Bristol-Myers Squibb Company | Sustained release glp-1 receptor modulators |
| US7919598B2 (en) | 2006-06-28 | 2011-04-05 | Bristol-Myers Squibb Company | Crystal structures of SGLT2 inhibitors and processes for preparing same |
| US20080044326A1 (en) * | 2006-07-04 | 2008-02-21 | Esencia Co., Ltd. | Sterilizer for baby products |
| US8324383B2 (en) | 2006-09-13 | 2012-12-04 | Takeda Pharmaceutical Company Limited | Methods of making polymorphs of benzoate salt of 2-[[6-[(3R)-3-amino-1-piperidinyl]-3,4-dihydro-3-methyl-2,4-dioxo-1(2H)-pyrimidinyl]methyl]-benzonitrile |
| PE20080840A1 (en) | 2006-09-13 | 2008-08-27 | Smithkline Beecham Corp | METHODS FOR ADMINISTERING LONG-LIVED HYPOGLYCEMIANT AGENTS |
| WO2008062457A2 (en) * | 2006-10-03 | 2008-05-29 | Cadila Healthcare Limited | Antidiabetic compounds |
| TW200838536A (en) | 2006-11-29 | 2008-10-01 | Takeda Pharmaceutical | Polymorphs of succinate salt of 2-[6-(3-amino-piperidin-1-yl)-3-methyl-2,4-dioxo-3,4-dihydro-2H-pyrimidin-1-ylmethy]-4-fluor-benzonitrile and methods of use therefor |
| EP2124974B1 (en) * | 2007-01-05 | 2017-03-15 | Indiana University Research and Technology Corporation | Glucagon analogs exhibiting enhanced solubility in physiological ph buffers |
| RU2432361C2 (en) * | 2007-01-05 | 2011-10-27 | КовЭкс Текнолоджиз Айэлэнд Лимитед | Glucagon-like protein-1 receptor (glp-1r) agonist compounds |
| AU2008216265B2 (en) * | 2007-02-15 | 2014-04-03 | Indiana University Research And Technology Corporation | Glucagon/GLP-1 receptor co-agonists |
| US8093236B2 (en) | 2007-03-13 | 2012-01-10 | Takeda Pharmaceuticals Company Limited | Weekly administration of dipeptidyl peptidase inhibitors |
| AR065809A1 (en) | 2007-03-22 | 2009-07-01 | Bristol Myers Squibb Co | PHARMACEUTICAL FORMULATIONS CONTAINING AN SGLT2 INHIBITOR |
| PE20090696A1 (en) | 2007-04-20 | 2009-06-20 | Bristol Myers Squibb Co | CRYSTALLINE FORMS OF SAXAGLIPTIN AND PROCESSES FOR PREPARING THEM |
| JP5669582B2 (en) | 2007-10-30 | 2015-02-12 | インディアナ ユニバーシティー リサーチ アンド テクノロジー コーポレーションIndiana University Research And Technology Corporation | Glucagon antagonist |
| EP2214691B1 (en) * | 2007-10-30 | 2015-09-30 | Indiana University Research and Technology Corporation | Compounds exhibiting glucagon antagonist and glp-1 agonist activity |
| ES2382579T3 (en) * | 2007-12-11 | 2012-06-11 | Cadila Healthcare Limited | Peptidomimetics with glucagon antagonist activity and GLP-1 agonist |
| AU2009210570B2 (en) * | 2008-01-30 | 2014-11-20 | Indiana University Research And Technology Corporation | Ester-based insulin prodrugs |
| EP2146210A1 (en) | 2008-04-07 | 2010-01-20 | Arena Pharmaceuticals, Inc. | Methods of using A G protein-coupled receptor to identify peptide YY (PYY) secretagogues and compounds useful in the treatment of conditions modulated by PYY |
| MX337038B (en) * | 2008-06-17 | 2016-02-10 | Univ Indiana Res & Tech Corp | Glucagon/glp-1 receptor co-agonists. |
| CN104447980A (en) * | 2008-06-17 | 2015-03-25 | 印第安纳大学研究及科技有限公司 | Glucagon analogs exhibiting enhanced solubility and stability in physiological pH buffers |
| EP2300035B1 (en) * | 2008-06-17 | 2015-08-12 | Indiana University Research and Technology Corporation | Gip-based mixed agonists for treatment of metabolic disorders and obesity |
| EP2373681B1 (en) | 2008-12-10 | 2017-01-18 | Glaxosmithkline LLC | Pharmaceutical compositions of albiglutide |
| SG172291A1 (en) | 2008-12-19 | 2011-07-28 | Univ Indiana Res & Tech Corp | Amide based glucagon superfamily peptide prodrugs |
| MX2011013625A (en) | 2009-06-16 | 2012-01-20 | Univ Indiana Res & Tech Corp | Gip receptor-active glucagon compounds. |
| CN105535943A (en) * | 2009-07-06 | 2016-05-04 | 赛诺菲-安万特德国有限公司 | Aqueous insulin preparations containing methionine |
| US20120264685A1 (en) | 2009-10-22 | 2012-10-18 | Rajesh Bahekar | Short chain peptidomimetics based orally active glp 1 agonist and glucagon receptor antagonist |
| WO2011060255A1 (en) | 2009-11-13 | 2011-05-19 | Bristol-Myers Squibb Company | Reduced mass metformin formulations |
| CN102740839B (en) | 2009-11-13 | 2015-05-06 | 阿斯利康(瑞典)有限公司 | immediate release tablet |
| CA2780939C (en) | 2009-11-13 | 2018-06-12 | Bristol-Myers Squibb Company | Bilayer tablet formulations |
| KR20120118008A (en) | 2009-12-18 | 2012-10-25 | 아이데닉스 파마슈티칼스, 인코포레이티드 | 5,5-fused arylene or heteroarylene hepatitis c virus inhibitors |
| WO2011075393A2 (en) | 2009-12-18 | 2011-06-23 | Indiana University Research And Technology Corporation | Glucagon/glp-1 receptor co-agonists |
| JP2013518115A (en) | 2010-01-27 | 2013-05-20 | インディアナ ユニバーシティー リサーチ アンド テクノロジー コーポレーション | Glucagon antagonist-GIP agonist conjugates and compositions for the treatment of metabolic disorders and obesity |
| TWI562775B (en) | 2010-03-02 | 2016-12-21 | Lexicon Pharmaceuticals Inc | Methods of using inhibitors of sodium-glucose cotransporters 1 and 2 |
| WO2011140176A1 (en) | 2010-05-04 | 2011-11-10 | Glaxosmithkline Llc | Methods for treating or preventing cardiovascular disorders and providing cardiovascular protection |
| ES2661228T3 (en) | 2010-05-13 | 2018-03-28 | Indiana University Research And Technology Corporation | Glucagon superfamily peptides that show nuclear hormone receptor activity |
| RU2012153753A (en) | 2010-05-13 | 2014-06-20 | Индиана Юниверсити Рисерч Энд Текнолоджи Корпорейшн | Glucagon superfamily peptides with activity in relation to G-protein-coupled receptors |
| WO2011143788A1 (en) | 2010-05-17 | 2011-11-24 | Zhejiang Beta Pharma Inc. | Novel glucagon like peptide analogs, composition, and method of use |
| CA2796894A1 (en) | 2010-06-24 | 2011-12-29 | Indiana University Research And Technology Corporation | Amide based glucagon superfamily peptide prodrugs |
| AU2011274229A1 (en) | 2010-07-02 | 2013-01-10 | Angiochem Inc. | Short and D-amino acid-containing polypeptides for therapeutic conjugates and uses thereof |
| EA201390941A1 (en) | 2010-12-22 | 2013-12-30 | Индиана Юниверсити Рисерч Энд Текнолоджи Корпорейшн | GLUCAGON ANALOGUES, EXPERIENCING ACTIVITY ON GIP RECEPTOR |
| TWI631963B (en) | 2011-01-05 | 2018-08-11 | 雷西肯製藥股份有限公司 | Composition and application method comprising inhibitors of sodium-glucose co-transporters 1 and 2 |
| CN102250315A (en) * | 2011-05-10 | 2011-11-23 | 郑州大学 | Amino-acid-derived epoxy resin |
| MX2013015168A (en) | 2011-06-22 | 2014-03-31 | Univ Indiana Res & Tech Corp | Glucagon/glp-1 receptor co-agonists. |
| ME02816B (en) | 2011-06-22 | 2018-01-20 | Univ Indiana Res & Tech Corp | Glucagon/glp-1 receptor co-agonists |
| HK1198810A1 (en) | 2011-11-17 | 2015-06-12 | Indiana University Research And Technology Corporation | Glucagon superfamily peptides exhibiting glucocorticoid receptor activity |
| CN104583232B (en) | 2012-06-21 | 2018-04-13 | 印第安纳大学研究及科技有限公司 | Show the glucagon analogs of GIP receptor actives |
| CN102920658B (en) * | 2012-11-02 | 2015-01-21 | 艾韦特(溧阳)医药科技有限公司 | Liposome combined with GLP-1 (Glucagon-Like Peptide-1) analogue and polyethylene glycol and preparation method of liposome |
| AU2013348233C1 (en) | 2012-11-20 | 2018-09-06 | Lexicon Pharmaceuticals, Inc. | Inhibitors of sodium glucose cotransporter 1 |
| KR20150131213A (en) | 2013-03-14 | 2015-11-24 | 인디애나 유니버시티 리서치 앤드 테크놀로지 코퍼레이션 | Insulin-incretin conjugates |
| CN105683153B (en) * | 2013-09-17 | 2018-07-13 | 维克图斯生物系统有限公司 | composition for treating hypertension and/or fibrosis |
| ES2822994T3 (en) | 2014-09-24 | 2021-05-05 | Univ Indiana Res & Tech Corp | Incretin-insulin conjugates |
| MX2020001525A (en) | 2017-08-24 | 2020-03-20 | Novo Nordisk As | COMPOSITIONS OF GLUCAGON-LIKE PEPTIDE TYPE 1 (GLP-1) AND THEIR USES. |
| MX2021003545A (en) | 2018-09-26 | 2021-05-27 | Lexicon Pharmaceuticals Inc | Crystalline forms of n-(1 -((2-(dimethylamino)ethyl)amino)-2-m ethyl-1 -oopropan-2-yl)-4-(4-(2-methyl-5- (2s,3r,4r,5s,6r)-3,4,5 -trihydroxy-6-(methylthio)tetrahydro-2h-pyran-2-yl)benzyl) phenl)butanamide and methods of their synthesis. |
| IL294521A (en) | 2020-02-18 | 2022-09-01 | Novo Nordisk As | Glp-1 compositions and uses thereof |
| US20230348390A1 (en) * | 2020-05-28 | 2023-11-02 | Hangzhou Zhongmei Huadong Pharmaceutical Co., Ltd. | Method for preparing methyl(s)-2-amino-3-(4-(2,3-dimethylpyridin-4-yl)phenylpropionate and salt thereof |
| CN114591418A (en) * | 2020-12-04 | 2022-06-07 | 南京大学 | Phosphorylation of threonine 166 of PPARγ protein and its application |
| US11806405B1 (en) | 2021-07-19 | 2023-11-07 | Zeno Management, Inc. | Immunoconjugates and methods |
Citations (56)
| Publication number | Priority date | Publication date | Assignee | Title |
|---|---|---|---|---|
| US2019419A (en) * | 1931-05-11 | 1935-10-29 | Du Pont | Hydrogenation of pyridine bodies |
| US3674836A (en) * | 1968-05-21 | 1972-07-04 | Parke Davis & Co | 2,2-dimethyl-{11 -aryloxy-alkanoic acids and salts and esters thereof |
| US3983140A (en) * | 1974-06-07 | 1976-09-28 | Sankyo Company Limited | Physiologically active substances |
| US4027009A (en) * | 1973-06-11 | 1977-05-31 | Merck & Co., Inc. | Compositions and methods for depressing blood serum cholesterol |
| US4231938A (en) * | 1979-06-15 | 1980-11-04 | Merck & Co., Inc. | Hypocholesteremic fermentation products and process of preparation |
| US4346227A (en) * | 1980-06-06 | 1982-08-24 | Sankyo Company, Limited | ML-236B Derivatives and their preparation |
| US4448784A (en) * | 1982-04-12 | 1984-05-15 | Hoechst-Roussel Pharmaceuticals, Inc. | 1-(Aminoalkylphenyl and aminoalkylbenzyl)-indoles and indolines and analgesic method of use thereof |
| US4450171A (en) * | 1980-08-05 | 1984-05-22 | Merck & Co., Inc. | Antihypercholesterolemic compounds |
| US4499289A (en) * | 1982-12-03 | 1985-02-12 | G. D. Searle & Co. | Octahydronapthalenes |
| US4613610A (en) * | 1984-06-22 | 1986-09-23 | Sandoz Pharmaceuticals Corp. | Cholesterol biosynthesis inhibiting pyrazole analogs of mevalonolactone and its derivatives |
| US4613810A (en) * | 1985-05-10 | 1986-09-23 | The United States Of America As Represented By The Secretary Of The Navy | High output programmable signal current source for low output impedance applications |
| US4647476A (en) * | 1984-03-05 | 1987-03-03 | General Electric Company | Insulating glass body with electrical feedthroughs and method of preparation |
| US4647576A (en) * | 1984-09-24 | 1987-03-03 | Warner-Lambert Company | Trans-6-[2-(substitutedpyrrol-1-yl)alkyl]-pyran-2-one inhibitors of cholesterol synthesis |
| US4681893A (en) * | 1986-05-30 | 1987-07-21 | Warner-Lambert Company | Trans-6-[2-(3- or 4-carboxamido-substituted pyrrol-1-yl)alkyl]-4-hydroxypyran-2-one inhibitors of cholesterol synthesis |
| US4686237A (en) * | 1984-07-24 | 1987-08-11 | Sandoz Pharmaceuticals Corp. | Erythro-(E)-7-[3'-C1-3 alkyl-1'-(3",5"-dimethylphenyl)naphth-2'-yl]-3,5-dihydroxyhept-6-enoic acids and derivatives thereof |
| US4759923A (en) * | 1987-06-25 | 1988-07-26 | Hercules Incorporated | Process for lowering serum cholesterol using poly(diallylmethylamine) derivatives |
| US4871721A (en) * | 1988-01-11 | 1989-10-03 | E. R. Squibb & Sons, Inc. | Phosphorus-containing squalene synthetase inhibitors |
| US4924024A (en) * | 1988-01-11 | 1990-05-08 | E. R. Squibb & Sons, Inc. | Phosphorus-containing squalene synthetase inhibitors, new intermediates and method |
| US5006530A (en) * | 1988-01-20 | 1991-04-09 | Bayer Aktiengesellschaft | Certain 7-[2,6-diisopropyl-4-phenyl-5-lower alkoxymethyl-pyrid-3-yl]-3,5-dihydroxy-6-enoates and derivatives useful for treating circulatory diseases |
| US5011930A (en) * | 1987-08-20 | 1991-04-30 | Nissan Chemical Industries Ltd. | Quinoline type mevalonolactones |
| US5177080A (en) * | 1990-12-14 | 1993-01-05 | Bayer Aktiengesellschaft | Substituted pyridyl-dihydroxy-heptenoic acid and its salts |
| US5260440A (en) * | 1991-07-01 | 1993-11-09 | Shionogi Seiyaku Kabushiki Kaisha | Pyrimidine derivatives |
| US5273995A (en) * | 1989-07-21 | 1993-12-28 | Warner-Lambert Company | [R-(R*R*)]-2-(4-fluorophenyl)-β,δ-dihydroxy-5-(1-methylethyl-3-phenyl-4-[(phenylamino) carbonyl]- 1H-pyrrole-1-heptanoic acid, its lactone form and salts thereof |
| US5354772A (en) * | 1982-11-22 | 1994-10-11 | Sandoz Pharm. Corp. | Indole analogs of mevalonolactone and derivatives thereof |
| US5385929A (en) * | 1994-05-04 | 1995-01-31 | Warner-Lambert Company | [(Hydroxyphenylamino) carbonyl] pyrroles |
| US5424395A (en) * | 1990-08-10 | 1995-06-13 | Enichem S.P.A. | Antimicrobial peptides active against plant pathogens |
| US5488064A (en) * | 1994-05-02 | 1996-01-30 | Bristol-Myers Squibb Company | Benzo 1,3 dioxole derivatives |
| US5488065A (en) * | 1983-11-17 | 1996-01-30 | Roth; Willy | Antimicrobial compositions |
| US5491134A (en) * | 1994-09-16 | 1996-02-13 | Bristol-Myers Squibb Company | Sulfonic, phosphonic or phosphiniic acid β3 agonist derivatives |
| US5506219A (en) * | 1988-08-29 | 1996-04-09 | E. R. Squibb & Sons, Inc. | Pyridine anchors for HMG-CoA reductase inhibitors |
| US5516642A (en) * | 1992-11-16 | 1996-05-14 | Bristol-Myers Squibb Company | Polypeptides derived from major histocompatibility complex Class I antigen |
| US5519115A (en) * | 1991-02-01 | 1996-05-21 | Enichem S.P.A. | Reverse antimicrobial peptides |
| US5541204A (en) * | 1994-12-02 | 1996-07-30 | Bristol-Myers Squibb Company | Aryloxypropanolamine β 3 adrenergic agonists |
| US5591322A (en) * | 1986-01-29 | 1997-01-07 | Chevron U.S.A. Inc. | Dewaxing process using zeolite SSZ-25 |
| US5594016A (en) * | 1992-12-28 | 1997-01-14 | Mitsubishi Chemical Corporation | Naphthalene derivatives |
| US5595872A (en) * | 1992-03-06 | 1997-01-21 | Bristol-Myers Squibb Company | Nucleic acids encoding microsomal trigyceride transfer protein |
| US5612356A (en) * | 1992-12-28 | 1997-03-18 | Eisai Co., Ltd. | Heterocycle-containing carbonic acid derivatives |
| US5612359A (en) * | 1994-08-26 | 1997-03-18 | Bristol-Myers Squibb Company | Substituted biphenyl isoxazole sulfonamides |
| US5614492A (en) * | 1986-05-05 | 1997-03-25 | The General Hospital Corporation | Insulinotropic hormone GLP-1 (7-36) and uses thereof |
| US5686104A (en) * | 1993-01-19 | 1997-11-11 | Warner-Lambert Company | Stable oral CI-981 formulation and process of preparing same |
| US5712279A (en) * | 1995-02-21 | 1998-01-27 | Bristol-Myers Squibb Company | Inhibitors of microsomal triglyceride transfer protein and method |
| US5712396A (en) * | 1992-10-28 | 1998-01-27 | Magnin; David R. | α-phosphonosulfonate squalene synthetase inhibitors |
| US5753675A (en) * | 1989-03-03 | 1998-05-19 | Novartis Pharmaceuticals Corporation | Quinoline analogs of mevalonolactone and derivatives thereof |
| US5760246A (en) * | 1996-12-17 | 1998-06-02 | Biller; Scott A. | Conformationally restricted aromatic inhibitors of microsomal triglyceride transfer protein and method |
| US5770615A (en) * | 1996-04-04 | 1998-06-23 | Bristol-Myers Squibb Company | Catecholamine surrogates useful as β3 agonists |
| US5776983A (en) * | 1993-12-21 | 1998-07-07 | Bristol-Myers Squibb Company | Catecholamine surrogates useful as β3 agonists |
| US5827875A (en) * | 1996-05-10 | 1998-10-27 | Bristol-Myers Squibb Company | Inhibitors of microsomal triglyceride transfer protein and method |
| US5885983A (en) * | 1996-05-10 | 1999-03-23 | Bristol-Myers Squibb Company | Inhibitors of microsomal triglyceride transfer protein and method |
| US5962440A (en) * | 1996-05-09 | 1999-10-05 | Bristol-Myers Squibb Company | Cyclic phosphonate ester inhibitors of microsomal triglyceride transfer protein and method |
| US6043265A (en) * | 1997-01-30 | 2000-03-28 | Bristol-Myers Squibb Co. | Isoxazolyl endothelin antagonists |
| US6548667B2 (en) * | 2000-04-07 | 2003-04-15 | Samsung Electronics Co. Ltd. | Sulfonamide derivative as a matrix metalloproteinase inhibitor |
| US6737417B2 (en) * | 1999-12-13 | 2004-05-18 | Chugai Seiyaku Kabushiki Kaisha | Compounds with hydroxycarbonyl-halogenoalkyl side chain |
| US7238671B2 (en) * | 2001-10-18 | 2007-07-03 | Bristol-Myers Squibb Company | Human glucagon-like-peptide-1 mimics and their use in the treatment of diabetes and related conditions |
| US7238670B2 (en) * | 2001-10-18 | 2007-07-03 | Bristol-Myers Squibb Company | Human glucagon-like-peptide-1 mimics and their use in the treatment of diabetes and related conditions |
| US7385025B2 (en) * | 2000-12-19 | 2008-06-10 | Palatin Technologies, Inc. | Metallopeptide compounds |
| US7417028B2 (en) * | 2004-07-02 | 2008-08-26 | Bristol-Myers Squibb Company | Human glucagon-like-peptide-1 modulators and their use in treatment of diabetes and related conditions |
Family Cites Families (37)
| Publication number | Priority date | Publication date | Assignee | Title |
|---|---|---|---|---|
| CA1327360C (en) | 1983-11-14 | 1994-03-01 | William F. Hoffman | Oxo-analogs of mevinolin-like antihypercholesterolemic agents |
| ATE60571T1 (en) | 1984-12-04 | 1991-02-15 | Sandoz Ag | INDENE ANALOGUES OF MEVALONOLACTONE AND THEIR DERIVATIVES. |
| US4668794A (en) | 1985-05-22 | 1987-05-26 | Sandoz Pharm. Corp. | Intermediate imidazole acrolein analogs |
| EP0221025A1 (en) | 1985-10-25 | 1987-05-06 | Sandoz Ag | Heterocyclic analogs of mevalonolactone and derivatives thereof, processes for their production and their use as pharmaceuticals |
| FR2596393B1 (en) | 1986-04-01 | 1988-06-03 | Sanofi Sa | HYDROXY-3 DIHYDROXYOXOPHOSPHORIO-4 BUTANOIC ACID DERIVATIVES, THEIR PREPARATION PROCESS, THEIR USE AS MEDICAMENTS AND THE COMPOSITIONS CONTAINING THEM |
| ES2009918A6 (en) | 1987-05-22 | 1989-10-16 | Squibb & Sons Inc | PROCEDURE FOR PREPARING HMG-COA-REDUCTASE INHIBITORS CONTAINING PHOSPHORUS. |
| CZ315594A3 (en) * | 1992-06-15 | 1995-07-12 | Pfizer | Peptide of glucagon type, insulinotropic derivatives, process of their preparation, pharmaceutical composition containing such compounds and use |
| US5620997A (en) | 1995-05-31 | 1997-04-15 | Warner-Lambert Company | Isothiazolones |
| WO1997012613A1 (en) | 1995-10-05 | 1997-04-10 | Warner-Lambert Company | Method for treating and preventing inflammation and atherosclerosis |
| US6236946B1 (en) | 1995-12-13 | 2001-05-22 | Thomas S. Scanlan | Nuclear receptor ligands and ligand binding domains |
| KR100556067B1 (en) * | 1996-08-30 | 2006-03-07 | 노보 노르디스크 에이/에스 | Glp-1 derivatives |
| GB9713739D0 (en) | 1997-06-27 | 1997-09-03 | Karobio Ab | Thyroid receptor ligands |
| AU8334298A (en) * | 1997-07-15 | 1999-02-10 | Novo Nordisk A/S | Nociceptin analogues |
| US6380357B2 (en) * | 1997-12-16 | 2002-04-30 | Eli Lilly And Company | Glucagon-like peptide-1 crystals |
| CA2819705C (en) | 1998-02-02 | 2014-07-08 | Trustees Of Tufts College | Method of regulating glucose metabolism, and reagents related thereto |
| CA2320371C (en) * | 1998-02-13 | 2012-01-17 | Amylin Pharmaceuticals, Inc. | Inotropic and diuretic effects of exendin and glp-1 |
| JP2002506075A (en) | 1998-03-09 | 2002-02-26 | フォンダテッヒ・ベネルクス・ナムローゼ・フェンノートシャップ | Serine peptidase modulator |
| FR2777283B1 (en) | 1998-04-10 | 2000-11-24 | Adir | NOVEL GLUCAGON-PEPTIDE- 1 (7-37) ANALOGUE PEPTIDE COMPOUNDS, PROCESS FOR THEIR PREPARATION AND THE PHARMACEUTICAL COMPOSITIONS CONTAINING THE SAME |
| DE19823831A1 (en) | 1998-05-28 | 1999-12-02 | Probiodrug Ges Fuer Arzneim | New pharmaceutical use of isoleucyl thiazolidide and its salts |
| DE19828114A1 (en) | 1998-06-24 | 2000-01-27 | Probiodrug Ges Fuer Arzneim | Produgs of unstable inhibitors of dipeptidyl peptidase IV |
| DE19828113A1 (en) | 1998-06-24 | 2000-01-05 | Probiodrug Ges Fuer Arzneim | Prodrugs of Dipeptidyl Peptidase IV Inhibitors |
| CN1149196C (en) | 1998-07-06 | 2004-05-12 | 布里斯托尔-迈尔斯斯奎布公司 | Biphenylsulfonamides as dual antagonists of angiotensin and endothelin receptors |
| CZ2001690A3 (en) * | 1998-08-28 | 2002-04-17 | Eli Lilly And Company | Method of administering insulinotropic peptides |
| US6461834B1 (en) * | 1998-11-06 | 2002-10-08 | Bionebraska, Inc. | Clostripain catalyzed amidation of peptides |
| KR100458748B1 (en) * | 1998-12-07 | 2004-12-03 | 더 어드미니스트레이터즈 오브 더 튜래인 어듀케이셔널 훤드 | Glp-1 analogues |
| CZ295890B6 (en) | 1998-12-07 | 2005-11-16 | Societe De Conseils De Recherches Et D'application | GLP-1 analogues having aminoisobutyric acid in position 8 and D-arginine in position 36, their use and pharmaceutical compositions in which the analogues are comprised |
| PT1140145E (en) * | 1999-01-14 | 2005-11-30 | Amylin Pharmaceuticals Inc | NEW FORMULATIONS OF EXENDINA AGONISTS AND METHODS FOR ITS ADMINISTRATION |
| NZ512657A (en) * | 1999-01-14 | 2004-01-30 | Amylin Pharmaceuticals Inc | Glucagon suppression |
| WO2000066629A1 (en) * | 1999-04-30 | 2000-11-09 | Amylin Pharmaceuticals, Inc. | Modified exendins and exendin agonists |
| SI1180121T1 (en) * | 1999-05-17 | 2004-04-30 | Conjuchem, Inc. | Long lasting insulinotropic peptides |
| US6344180B1 (en) * | 1999-06-15 | 2002-02-05 | Bionebraska, Inc. | GLP-1 as a diagnostic test to determine β-cell function and the presence of the condition of IGT and type II diabetes |
| JP4716641B2 (en) * | 2000-06-16 | 2011-07-06 | イーライ リリー アンド カンパニー | Glucagon-like peptide-1 analog |
| US6579889B2 (en) | 2000-06-22 | 2003-06-17 | Merck & Co., Inc. | Substituted isonipecotyl derivatives as inhibitors of cell adhesion |
| BR0116024A (en) * | 2000-12-07 | 2005-12-13 | Lilly Co Eli | Heterologous Fusion Protein and Use thereof |
| US7259233B2 (en) * | 2000-12-13 | 2007-08-21 | Eli Lilly And Company | Chronic treatment regimen using glucagon-like insulinotropic peptides |
| AU2002308706A1 (en) * | 2001-06-01 | 2002-12-16 | Eli Lilly And Company | Glp-1 formulations with protracted time action |
| US7145040B2 (en) * | 2004-07-02 | 2006-12-05 | Bristol-Myers Squibb Co. | Process for the preparation of amino acids useful in the preparation of peptide receptor modulators |
-
2002
- 2002-10-18 HR HR20040343A patent/HRP20040343A2/en not_active Application Discontinuation
- 2002-10-18 JP JP2003536401A patent/JP2005514337A/en active Pending
- 2002-10-18 WO PCT/US2002/033386 patent/WO2003033671A2/en not_active Ceased
- 2002-10-18 CN CNA028205588A patent/CN1630709A/en active Pending
- 2002-10-18 KR KR10-2004-7005731A patent/KR20040054729A/en not_active Ceased
- 2002-10-18 CA CA002463908A patent/CA2463908A1/en not_active Abandoned
- 2002-10-18 AU AU2002348469A patent/AU2002348469B2/en not_active Ceased
- 2002-10-18 NZ NZ531788A patent/NZ531788A/en unknown
- 2002-10-18 IL IL16091702A patent/IL160917A0/en unknown
- 2002-10-18 HU HU0700151A patent/HUP0700151A2/en unknown
- 2002-10-18 RU RU2004114836/04A patent/RU2353625C2/en not_active IP Right Cessation
- 2002-10-18 US US10/273,975 patent/US7238670B2/en not_active Expired - Lifetime
- 2002-10-18 YU YU31004A patent/YU31004A/en unknown
- 2002-10-18 MX MXPA04003553A patent/MXPA04003553A/en active IP Right Grant
- 2002-10-18 GE GE5582A patent/GEP20063908B/en unknown
- 2002-10-18 EP EP02782185A patent/EP1572892A4/en not_active Withdrawn
- 2002-10-18 BR BRPI0213377-6A patent/BR0213377A/en not_active IP Right Cessation
- 2002-10-18 PL PL377687A patent/PL377687A1/en not_active Application Discontinuation
-
2004
- 2004-03-16 IS IS7185A patent/IS7185A/en unknown
- 2004-03-23 NO NO20041203A patent/NO20041203L/en not_active Application Discontinuation
- 2004-04-15 ZA ZA200402846A patent/ZA200402846B/en unknown
-
2007
- 2007-04-25 US US11/740,031 patent/US20070287670A1/en not_active Abandoned
-
2010
- 2010-04-30 US US12/771,096 patent/US20100210552A1/en not_active Abandoned
Patent Citations (58)
| Publication number | Priority date | Publication date | Assignee | Title |
|---|---|---|---|---|
| US2019419A (en) * | 1931-05-11 | 1935-10-29 | Du Pont | Hydrogenation of pyridine bodies |
| US3674836A (en) * | 1968-05-21 | 1972-07-04 | Parke Davis & Co | 2,2-dimethyl-{11 -aryloxy-alkanoic acids and salts and esters thereof |
| US4027009A (en) * | 1973-06-11 | 1977-05-31 | Merck & Co., Inc. | Compositions and methods for depressing blood serum cholesterol |
| US3983140A (en) * | 1974-06-07 | 1976-09-28 | Sankyo Company Limited | Physiologically active substances |
| US4231938A (en) * | 1979-06-15 | 1980-11-04 | Merck & Co., Inc. | Hypocholesteremic fermentation products and process of preparation |
| US4346227A (en) * | 1980-06-06 | 1982-08-24 | Sankyo Company, Limited | ML-236B Derivatives and their preparation |
| US4450171A (en) * | 1980-08-05 | 1984-05-22 | Merck & Co., Inc. | Antihypercholesterolemic compounds |
| US4448784A (en) * | 1982-04-12 | 1984-05-15 | Hoechst-Roussel Pharmaceuticals, Inc. | 1-(Aminoalkylphenyl and aminoalkylbenzyl)-indoles and indolines and analgesic method of use thereof |
| US5354772A (en) * | 1982-11-22 | 1994-10-11 | Sandoz Pharm. Corp. | Indole analogs of mevalonolactone and derivatives thereof |
| US4499289A (en) * | 1982-12-03 | 1985-02-12 | G. D. Searle & Co. | Octahydronapthalenes |
| US5488065A (en) * | 1983-11-17 | 1996-01-30 | Roth; Willy | Antimicrobial compositions |
| US4647476A (en) * | 1984-03-05 | 1987-03-03 | General Electric Company | Insulating glass body with electrical feedthroughs and method of preparation |
| US4613610A (en) * | 1984-06-22 | 1986-09-23 | Sandoz Pharmaceuticals Corp. | Cholesterol biosynthesis inhibiting pyrazole analogs of mevalonolactone and its derivatives |
| US4686237A (en) * | 1984-07-24 | 1987-08-11 | Sandoz Pharmaceuticals Corp. | Erythro-(E)-7-[3'-C1-3 alkyl-1'-(3",5"-dimethylphenyl)naphth-2'-yl]-3,5-dihydroxyhept-6-enoic acids and derivatives thereof |
| US4647576A (en) * | 1984-09-24 | 1987-03-03 | Warner-Lambert Company | Trans-6-[2-(substitutedpyrrol-1-yl)alkyl]-pyran-2-one inhibitors of cholesterol synthesis |
| US4613810A (en) * | 1985-05-10 | 1986-09-23 | The United States Of America As Represented By The Secretary Of The Navy | High output programmable signal current source for low output impedance applications |
| US5591322A (en) * | 1986-01-29 | 1997-01-07 | Chevron U.S.A. Inc. | Dewaxing process using zeolite SSZ-25 |
| US5614492A (en) * | 1986-05-05 | 1997-03-25 | The General Hospital Corporation | Insulinotropic hormone GLP-1 (7-36) and uses thereof |
| US4681893A (en) * | 1986-05-30 | 1987-07-21 | Warner-Lambert Company | Trans-6-[2-(3- or 4-carboxamido-substituted pyrrol-1-yl)alkyl]-4-hydroxypyran-2-one inhibitors of cholesterol synthesis |
| US4759923A (en) * | 1987-06-25 | 1988-07-26 | Hercules Incorporated | Process for lowering serum cholesterol using poly(diallylmethylamine) derivatives |
| US5011930A (en) * | 1987-08-20 | 1991-04-30 | Nissan Chemical Industries Ltd. | Quinoline type mevalonolactones |
| US4871721A (en) * | 1988-01-11 | 1989-10-03 | E. R. Squibb & Sons, Inc. | Phosphorus-containing squalene synthetase inhibitors |
| US4924024A (en) * | 1988-01-11 | 1990-05-08 | E. R. Squibb & Sons, Inc. | Phosphorus-containing squalene synthetase inhibitors, new intermediates and method |
| US5006530A (en) * | 1988-01-20 | 1991-04-09 | Bayer Aktiengesellschaft | Certain 7-[2,6-diisopropyl-4-phenyl-5-lower alkoxymethyl-pyrid-3-yl]-3,5-dihydroxy-6-enoates and derivatives useful for treating circulatory diseases |
| US5506219A (en) * | 1988-08-29 | 1996-04-09 | E. R. Squibb & Sons, Inc. | Pyridine anchors for HMG-CoA reductase inhibitors |
| US5691322A (en) * | 1988-08-29 | 1997-11-25 | E.R. Squibb & Sons, Inc. | Quinoline and pyridine anchors for HMG-CoA reductase inhibitors |
| US5753675A (en) * | 1989-03-03 | 1998-05-19 | Novartis Pharmaceuticals Corporation | Quinoline analogs of mevalonolactone and derivatives thereof |
| US5273995A (en) * | 1989-07-21 | 1993-12-28 | Warner-Lambert Company | [R-(R*R*)]-2-(4-fluorophenyl)-β,δ-dihydroxy-5-(1-methylethyl-3-phenyl-4-[(phenylamino) carbonyl]- 1H-pyrrole-1-heptanoic acid, its lactone form and salts thereof |
| US5424395A (en) * | 1990-08-10 | 1995-06-13 | Enichem S.P.A. | Antimicrobial peptides active against plant pathogens |
| US5177080A (en) * | 1990-12-14 | 1993-01-05 | Bayer Aktiengesellschaft | Substituted pyridyl-dihydroxy-heptenoic acid and its salts |
| US5519115A (en) * | 1991-02-01 | 1996-05-21 | Enichem S.P.A. | Reverse antimicrobial peptides |
| US5260440A (en) * | 1991-07-01 | 1993-11-09 | Shionogi Seiyaku Kabushiki Kaisha | Pyrimidine derivatives |
| US5595872A (en) * | 1992-03-06 | 1997-01-21 | Bristol-Myers Squibb Company | Nucleic acids encoding microsomal trigyceride transfer protein |
| US5712396A (en) * | 1992-10-28 | 1998-01-27 | Magnin; David R. | α-phosphonosulfonate squalene synthetase inhibitors |
| US5516642A (en) * | 1992-11-16 | 1996-05-14 | Bristol-Myers Squibb Company | Polypeptides derived from major histocompatibility complex Class I antigen |
| US5594016A (en) * | 1992-12-28 | 1997-01-14 | Mitsubishi Chemical Corporation | Naphthalene derivatives |
| US5612356A (en) * | 1992-12-28 | 1997-03-18 | Eisai Co., Ltd. | Heterocycle-containing carbonic acid derivatives |
| US5686104A (en) * | 1993-01-19 | 1997-11-11 | Warner-Lambert Company | Stable oral CI-981 formulation and process of preparing same |
| US5739135A (en) * | 1993-09-03 | 1998-04-14 | Bristol-Myers Squibb Company | Inhibitors of microsomal triglyceride transfer protein and method |
| US5776983A (en) * | 1993-12-21 | 1998-07-07 | Bristol-Myers Squibb Company | Catecholamine surrogates useful as β3 agonists |
| US5488064A (en) * | 1994-05-02 | 1996-01-30 | Bristol-Myers Squibb Company | Benzo 1,3 dioxole derivatives |
| US5385929A (en) * | 1994-05-04 | 1995-01-31 | Warner-Lambert Company | [(Hydroxyphenylamino) carbonyl] pyrroles |
| US5612359A (en) * | 1994-08-26 | 1997-03-18 | Bristol-Myers Squibb Company | Substituted biphenyl isoxazole sulfonamides |
| US5491134A (en) * | 1994-09-16 | 1996-02-13 | Bristol-Myers Squibb Company | Sulfonic, phosphonic or phosphiniic acid β3 agonist derivatives |
| US5541204A (en) * | 1994-12-02 | 1996-07-30 | Bristol-Myers Squibb Company | Aryloxypropanolamine β 3 adrenergic agonists |
| US5712279A (en) * | 1995-02-21 | 1998-01-27 | Bristol-Myers Squibb Company | Inhibitors of microsomal triglyceride transfer protein and method |
| US5770615A (en) * | 1996-04-04 | 1998-06-23 | Bristol-Myers Squibb Company | Catecholamine surrogates useful as β3 agonists |
| US5962440A (en) * | 1996-05-09 | 1999-10-05 | Bristol-Myers Squibb Company | Cyclic phosphonate ester inhibitors of microsomal triglyceride transfer protein and method |
| US5827875A (en) * | 1996-05-10 | 1998-10-27 | Bristol-Myers Squibb Company | Inhibitors of microsomal triglyceride transfer protein and method |
| US5885983A (en) * | 1996-05-10 | 1999-03-23 | Bristol-Myers Squibb Company | Inhibitors of microsomal triglyceride transfer protein and method |
| US5760246A (en) * | 1996-12-17 | 1998-06-02 | Biller; Scott A. | Conformationally restricted aromatic inhibitors of microsomal triglyceride transfer protein and method |
| US6043265A (en) * | 1997-01-30 | 2000-03-28 | Bristol-Myers Squibb Co. | Isoxazolyl endothelin antagonists |
| US6737417B2 (en) * | 1999-12-13 | 2004-05-18 | Chugai Seiyaku Kabushiki Kaisha | Compounds with hydroxycarbonyl-halogenoalkyl side chain |
| US6548667B2 (en) * | 2000-04-07 | 2003-04-15 | Samsung Electronics Co. Ltd. | Sulfonamide derivative as a matrix metalloproteinase inhibitor |
| US7385025B2 (en) * | 2000-12-19 | 2008-06-10 | Palatin Technologies, Inc. | Metallopeptide compounds |
| US7238671B2 (en) * | 2001-10-18 | 2007-07-03 | Bristol-Myers Squibb Company | Human glucagon-like-peptide-1 mimics and their use in the treatment of diabetes and related conditions |
| US7238670B2 (en) * | 2001-10-18 | 2007-07-03 | Bristol-Myers Squibb Company | Human glucagon-like-peptide-1 mimics and their use in the treatment of diabetes and related conditions |
| US7417028B2 (en) * | 2004-07-02 | 2008-08-26 | Bristol-Myers Squibb Company | Human glucagon-like-peptide-1 modulators and their use in treatment of diabetes and related conditions |
Also Published As
| Publication number | Publication date |
|---|---|
| RU2353625C2 (en) | 2009-04-27 |
| IL160917A0 (en) | 2004-08-31 |
| WO2003033671A3 (en) | 2005-12-29 |
| RU2004114836A (en) | 2005-04-10 |
| WO2003033671A2 (en) | 2003-04-24 |
| GEP20063908B (en) | 2006-08-25 |
| US20070287670A1 (en) | 2007-12-13 |
| HUP0700151A2 (en) | 2007-05-29 |
| PL377687A1 (en) | 2006-02-06 |
| EP1572892A4 (en) | 2007-08-22 |
| BR0213377A (en) | 2006-05-23 |
| CA2463908A1 (en) | 2003-04-24 |
| AU2002348469B2 (en) | 2008-03-13 |
| YU31004A (en) | 2006-08-17 |
| US7238670B2 (en) | 2007-07-03 |
| ZA200402846B (en) | 2005-08-16 |
| NZ531788A (en) | 2008-01-31 |
| CN1630709A (en) | 2005-06-22 |
| US20030195157A1 (en) | 2003-10-16 |
| NO20041203L (en) | 2004-06-10 |
| IS7185A (en) | 2004-03-16 |
| EP1572892A2 (en) | 2005-09-14 |
| MXPA04003553A (en) | 2004-07-22 |
| JP2005514337A (en) | 2005-05-19 |
| HRP20040343A2 (en) | 2005-08-31 |
| KR20040054729A (en) | 2004-06-25 |
Similar Documents
| Publication | Publication Date | Title |
|---|---|---|
| US7238670B2 (en) | Human glucagon-like-peptide-1 mimics and their use in the treatment of diabetes and related conditions | |
| US7238671B2 (en) | Human glucagon-like-peptide-1 mimics and their use in the treatment of diabetes and related conditions | |
| AU2002348469A1 (en) | Human glucagon-like-peptide-1 mimics and their use in the treatment of diabetes and related conditions | |
| US7960349B2 (en) | N-terminally modified GLP-1 receptor modulators | |
| US7417028B2 (en) | Human glucagon-like-peptide-1 modulators and their use in treatment of diabetes and related conditions | |
| US20070021346A1 (en) | N-terminally modified GLP-1 receptor modulators | |
| US20070238669A1 (en) | Human glucagon-like-peptide-1 modulators and their use in the treatment of diabetes related conditions | |
| US7534763B2 (en) | Sustained release GLP-1 receptor modulators | |
| CN101010339A (en) | Human glucagon-like-peptide-1 modulators and their use in treatment of diabetes and related conditions | |
| CN101400699A (en) | Human glucagon-like-peptide-1 modulators and their use in the treatment of diabetes and related conditions |
Legal Events
| Date | Code | Title | Description |
|---|---|---|---|
| STCB | Information on status: application discontinuation |
Free format text: ABANDONED -- FAILURE TO RESPOND TO AN OFFICE ACTION |

























