US20100039613A1 - Silicone contact lenses with wrinkled surface - Google Patents
Silicone contact lenses with wrinkled surface Download PDFInfo
- Publication number
- US20100039613A1 US20100039613A1 US12/581,646 US58164609A US2010039613A1 US 20100039613 A1 US20100039613 A1 US 20100039613A1 US 58164609 A US58164609 A US 58164609A US 2010039613 A1 US2010039613 A1 US 2010039613A1
- Authority
- US
- United States
- Prior art keywords
- contact lens
- lens
- silicone
- wrinkled
- monomers
- Prior art date
- Legal status (The legal status is an assumption and is not a legal conclusion. Google has not performed a legal analysis and makes no representation as to the accuracy of the status listed.)
- Abandoned
Links
- 229920001296 polysiloxane Polymers 0.000 title claims abstract description 52
- 239000000017 hydrogel Substances 0.000 claims description 26
- 239000000203 mixture Substances 0.000 claims description 25
- -1 polysiloxane Polymers 0.000 claims description 21
- BPQQTUXANYXVAA-UHFFFAOYSA-N Orthosilicate Chemical compound [O-][Si]([O-])([O-])[O-] BPQQTUXANYXVAA-UHFFFAOYSA-N 0.000 claims description 17
- 229920001577 copolymer Polymers 0.000 claims description 17
- 239000002344 surface layer Substances 0.000 claims description 14
- 239000012530 fluid Substances 0.000 claims description 6
- JOYRKODLDBILNP-UHFFFAOYSA-N Ethyl urethane Chemical compound CCOC(N)=O JOYRKODLDBILNP-UHFFFAOYSA-N 0.000 claims description 5
- 210000004087 cornea Anatomy 0.000 claims description 4
- 239000007795 chemical reaction product Substances 0.000 claims 1
- 238000012876 topography Methods 0.000 abstract description 2
- 239000000178 monomer Substances 0.000 description 50
- 239000003795 chemical substances by application Substances 0.000 description 39
- 230000008961 swelling Effects 0.000 description 29
- 239000000463 material Substances 0.000 description 18
- 238000000034 method Methods 0.000 description 14
- 239000011248 coating agent Substances 0.000 description 10
- 238000000576 coating method Methods 0.000 description 10
- 239000003999 initiator Substances 0.000 description 10
- 125000004432 carbon atom Chemical group C* 0.000 description 9
- XLYOFNOQVPJJNP-UHFFFAOYSA-N water Substances O XLYOFNOQVPJJNP-UHFFFAOYSA-N 0.000 description 9
- ZSIAUFGUXNUGDI-UHFFFAOYSA-N hexan-1-ol Chemical compound CCCCCCO ZSIAUFGUXNUGDI-UHFFFAOYSA-N 0.000 description 8
- 229920000642 polymer Polymers 0.000 description 8
- KFZMGEQAYNKOFK-UHFFFAOYSA-N Isopropanol Chemical compound CC(C)O KFZMGEQAYNKOFK-UHFFFAOYSA-N 0.000 description 7
- 239000010410 layer Substances 0.000 description 7
- 125000003903 2-propenyl group Chemical group [H]C([*])([H])C([H])=C([H])[H] 0.000 description 6
- 230000005855 radiation Effects 0.000 description 6
- CSCPPACGZOOCGX-UHFFFAOYSA-N Acetone Chemical compound CC(C)=O CSCPPACGZOOCGX-UHFFFAOYSA-N 0.000 description 5
- 239000007983 Tris buffer Substances 0.000 description 5
- 150000001252 acrylic acid derivatives Chemical class 0.000 description 5
- 125000000217 alkyl group Chemical group 0.000 description 5
- CQEYYJKEWSMYFG-UHFFFAOYSA-N butyl acrylate Chemical compound CCCCOC(=O)C=C CQEYYJKEWSMYFG-UHFFFAOYSA-N 0.000 description 5
- 239000003085 diluting agent Substances 0.000 description 5
- 239000007789 gas Substances 0.000 description 5
- 229930195733 hydrocarbon Natural products 0.000 description 5
- 150000002430 hydrocarbons Chemical class 0.000 description 5
- 239000001257 hydrogen Substances 0.000 description 5
- 229910052739 hydrogen Inorganic materials 0.000 description 5
- 239000004014 plasticizer Substances 0.000 description 5
- BESKSSIEODQWBP-UHFFFAOYSA-N 3-tris(trimethylsilyloxy)silylpropyl 2-methylprop-2-enoate Chemical compound CC(=C)C(=O)OCCC[Si](O[Si](C)(C)C)(O[Si](C)(C)C)O[Si](C)(C)C BESKSSIEODQWBP-UHFFFAOYSA-N 0.000 description 4
- NIXOWILDQLNWCW-UHFFFAOYSA-M Acrylate Chemical compound [O-]C(=O)C=C NIXOWILDQLNWCW-UHFFFAOYSA-M 0.000 description 4
- 239000004215 Carbon black (E152) Substances 0.000 description 4
- RTZKZFJDLAIYFH-UHFFFAOYSA-N Diethyl ether Chemical compound CCOCC RTZKZFJDLAIYFH-UHFFFAOYSA-N 0.000 description 4
- LFQSCWFLJHTTHZ-UHFFFAOYSA-N Ethanol Chemical compound CCO LFQSCWFLJHTTHZ-UHFFFAOYSA-N 0.000 description 4
- UFHFLCQGNIYNRP-UHFFFAOYSA-N Hydrogen Chemical compound [H][H] UFHFLCQGNIYNRP-UHFFFAOYSA-N 0.000 description 4
- NIXOWILDQLNWCW-UHFFFAOYSA-N acrylic acid group Chemical group C(C=C)(=O)O NIXOWILDQLNWCW-UHFFFAOYSA-N 0.000 description 4
- 229910052799 carbon Inorganic materials 0.000 description 4
- 150000001875 compounds Chemical class 0.000 description 4
- ZWRUINPWMLAQRD-UHFFFAOYSA-N nonan-1-ol Chemical compound CCCCCCCCCO ZWRUINPWMLAQRD-UHFFFAOYSA-N 0.000 description 4
- 150000003254 radicals Chemical class 0.000 description 4
- 229920002379 silicone rubber Polymers 0.000 description 4
- 239000002904 solvent Substances 0.000 description 4
- VAYTZRYEBVHVLE-UHFFFAOYSA-N 1,3-dioxol-2-one Chemical compound O=C1OC=CO1 VAYTZRYEBVHVLE-UHFFFAOYSA-N 0.000 description 3
- ZWEHNKRNPOVVGH-UHFFFAOYSA-N 2-Butanone Chemical compound CCC(C)=O ZWEHNKRNPOVVGH-UHFFFAOYSA-N 0.000 description 3
- OKTJSMMVPCPJKN-UHFFFAOYSA-N Carbon Chemical compound [C] OKTJSMMVPCPJKN-UHFFFAOYSA-N 0.000 description 3
- 239000004971 Cross linker Substances 0.000 description 3
- LYCAIKOWRPUZTN-UHFFFAOYSA-N Ethylene glycol Chemical compound OCCO LYCAIKOWRPUZTN-UHFFFAOYSA-N 0.000 description 3
- YXFVVABEGXRONW-UHFFFAOYSA-N Toluene Chemical compound CC1=CC=CC=C1 YXFVVABEGXRONW-UHFFFAOYSA-N 0.000 description 3
- 0 [18*]C(=C)C(=O)CC[Si](O[Si]([19*])([19*])[19*])(O[Si]([19*])([19*])[19*])O[Si]([19*])([19*])[19*] Chemical compound [18*]C(=C)C(=O)CC[Si](O[Si]([19*])([19*])[19*])(O[Si]([19*])([19*])[19*])O[Si]([19*])([19*])[19*] 0.000 description 3
- 150000001298 alcohols Chemical class 0.000 description 3
- 125000003118 aryl group Chemical group 0.000 description 3
- QVGXLLKOCUKJST-UHFFFAOYSA-N atomic oxygen Chemical compound [O] QVGXLLKOCUKJST-UHFFFAOYSA-N 0.000 description 3
- 238000005266 casting Methods 0.000 description 3
- 238000004132 cross linking Methods 0.000 description 3
- 230000036571 hydration Effects 0.000 description 3
- 238000006703 hydration reaction Methods 0.000 description 3
- 229940088644 n,n-dimethylacrylamide Drugs 0.000 description 3
- YLGYACDQVQQZSW-UHFFFAOYSA-N n,n-dimethylprop-2-enamide Chemical compound CN(C)C(=O)C=C YLGYACDQVQQZSW-UHFFFAOYSA-N 0.000 description 3
- 239000001301 oxygen Substances 0.000 description 3
- 229910052760 oxygen Inorganic materials 0.000 description 3
- 238000009832 plasma treatment Methods 0.000 description 3
- 239000003505 polymerization initiator Substances 0.000 description 3
- 229910000077 silane Inorganic materials 0.000 description 3
- 238000005507 spraying Methods 0.000 description 3
- 125000000446 sulfanediyl group Chemical group *S* 0.000 description 3
- 238000011282 treatment Methods 0.000 description 3
- 229940044192 2-hydroxyethyl methacrylate Drugs 0.000 description 2
- DBCAQXHNJOFNGC-UHFFFAOYSA-N 4-bromo-1,1,1-trifluorobutane Chemical compound FC(F)(F)CCCBr DBCAQXHNJOFNGC-UHFFFAOYSA-N 0.000 description 2
- MYMOFIZGZYHOMD-UHFFFAOYSA-N Dioxygen Chemical compound O=O MYMOFIZGZYHOMD-UHFFFAOYSA-N 0.000 description 2
- PEDCQBHIVMGVHV-UHFFFAOYSA-N Glycerine Chemical compound OCC(O)CO PEDCQBHIVMGVHV-UHFFFAOYSA-N 0.000 description 2
- MHAJPDPJQMAIIY-UHFFFAOYSA-N Hydrogen peroxide Chemical compound OO MHAJPDPJQMAIIY-UHFFFAOYSA-N 0.000 description 2
- WOBHKFSMXKNTIM-UHFFFAOYSA-N Hydroxyethyl methacrylate Chemical compound CC(=C)C(=O)OCCO WOBHKFSMXKNTIM-UHFFFAOYSA-N 0.000 description 2
- 239000005058 Isophorone diisocyanate Substances 0.000 description 2
- WHNWPMSKXPGLAX-UHFFFAOYSA-N N-Vinyl-2-pyrrolidone Chemical compound C=CN1CCCC1=O WHNWPMSKXPGLAX-UHFFFAOYSA-N 0.000 description 2
- 239000004743 Polypropylene Substances 0.000 description 2
- WYURNTSHIVDZCO-UHFFFAOYSA-N Tetrahydrofuran Chemical compound C1CCOC1 WYURNTSHIVDZCO-UHFFFAOYSA-N 0.000 description 2
- CIUQDSCDWFSTQR-UHFFFAOYSA-N [C]1=CC=CC=C1 Chemical compound [C]1=CC=CC=C1 CIUQDSCDWFSTQR-UHFFFAOYSA-N 0.000 description 2
- 239000006096 absorbing agent Substances 0.000 description 2
- 125000002877 alkyl aryl group Chemical group 0.000 description 2
- 125000005119 alkyl cycloalkyl group Chemical group 0.000 description 2
- 239000007864 aqueous solution Substances 0.000 description 2
- 230000008901 benefit Effects 0.000 description 2
- 230000015572 biosynthetic process Effects 0.000 description 2
- 125000000753 cycloalkyl group Chemical group 0.000 description 2
- 238000000151 deposition Methods 0.000 description 2
- 229910001882 dioxygen Inorganic materials 0.000 description 2
- STVZJERGLQHEKB-UHFFFAOYSA-N ethylene glycol dimethacrylate Substances CC(=C)C(=O)OCCOC(=O)C(C)=C STVZJERGLQHEKB-UHFFFAOYSA-N 0.000 description 2
- 238000009472 formulation Methods 0.000 description 2
- 230000002209 hydrophobic effect Effects 0.000 description 2
- NIMLQBUJDJZYEJ-UHFFFAOYSA-N isophorone diisocyanate Chemical compound CC1(C)CC(N=C=O)CC(C)(CN=C=O)C1 NIMLQBUJDJZYEJ-UHFFFAOYSA-N 0.000 description 2
- 238000004519 manufacturing process Methods 0.000 description 2
- 125000002496 methyl group Chemical group [H]C([H])([H])* 0.000 description 2
- 238000012986 modification Methods 0.000 description 2
- 230000004048 modification Effects 0.000 description 2
- 239000006199 nebulizer Substances 0.000 description 2
- 230000003287 optical effect Effects 0.000 description 2
- 230000003647 oxidation Effects 0.000 description 2
- 238000007254 oxidation reaction Methods 0.000 description 2
- 229920000435 poly(dimethylsiloxane) Polymers 0.000 description 2
- 238000006116 polymerization reaction Methods 0.000 description 2
- 230000000379 polymerizing effect Effects 0.000 description 2
- 229920001155 polypropylene Polymers 0.000 description 2
- 229920002635 polyurethane Polymers 0.000 description 2
- 239000004814 polyurethane Substances 0.000 description 2
- 230000003068 static effect Effects 0.000 description 2
- 238000004659 sterilization and disinfection Methods 0.000 description 2
- 239000000758 substrate Substances 0.000 description 2
- 238000012546 transfer Methods 0.000 description 2
- LVLANIHJQRZTPY-UHFFFAOYSA-N vinyl carbamate Chemical compound NC(=O)OC=C LVLANIHJQRZTPY-UHFFFAOYSA-N 0.000 description 2
- DTGKSKDOIYIVQL-WEDXCCLWSA-N (+)-borneol Chemical compound C1C[C@@]2(C)[C@@H](O)C[C@@H]1C2(C)C DTGKSKDOIYIVQL-WEDXCCLWSA-N 0.000 description 1
- KCOPAESEGCGTKM-UHFFFAOYSA-N 1,3-oxazol-4-one Chemical compound O=C1COC=N1 KCOPAESEGCGTKM-UHFFFAOYSA-N 0.000 description 1
- OLQFXOWPTQTLDP-UHFFFAOYSA-N 2-(2-hydroxyethoxy)ethyl 2-methylprop-2-enoate Chemical compound CC(=C)C(=O)OCCOCCO OLQFXOWPTQTLDP-UHFFFAOYSA-N 0.000 description 1
- IEPUABWMJBVAAN-UHFFFAOYSA-N 2-[4-[[4-[4-[2-(2-methylprop-2-enoyloxy)ethyl]anilino]-9,10-dioxoanthracen-1-yl]amino]phenyl]ethyl 2-methylprop-2-enoate Chemical compound C1=CC(CCOC(=O)C(=C)C)=CC=C1NC(C=1C(=O)C2=CC=CC=C2C(=O)C=11)=CC=C1NC1=CC=C(CCOC(=O)C(C)=C)C=C1 IEPUABWMJBVAAN-UHFFFAOYSA-N 0.000 description 1
- NPPNUGUVBUJRAB-UHFFFAOYSA-N 2-[tert-butyl(dimethyl)silyl]oxyethyl ethenyl carbonate Chemical compound CC(C)(C)[Si](C)(C)OCCOC(=O)OC=C NPPNUGUVBUJRAB-UHFFFAOYSA-N 0.000 description 1
- 229940095095 2-hydroxyethyl acrylate Drugs 0.000 description 1
- OMIGHNLMNHATMP-UHFFFAOYSA-N 2-hydroxyethyl prop-2-enoate Chemical compound OCCOC(=O)C=C OMIGHNLMNHATMP-UHFFFAOYSA-N 0.000 description 1
- RIWRBSMFKVOJMN-UHFFFAOYSA-N 2-methyl-1-phenylpropan-2-ol Chemical compound CC(C)(O)CC1=CC=CC=C1 RIWRBSMFKVOJMN-UHFFFAOYSA-N 0.000 description 1
- RZVINYQDSSQUKO-UHFFFAOYSA-N 2-phenoxyethyl prop-2-enoate Chemical compound C=CC(=O)OCCOC1=CC=CC=C1 RZVINYQDSSQUKO-UHFFFAOYSA-N 0.000 description 1
- UURVHRGPGCBHIC-UHFFFAOYSA-N 3-(ethenoxycarbonylamino)propanoic acid 4-[[[[[[[[[[[[[[[[[[[[[[[[[[[4-ethenoxycarbonyloxybutyl(dimethyl)silyl]oxy-dimethylsilyl]oxy-dimethylsilyl]oxy-dimethylsilyl]oxy-dimethylsilyl]oxy-dimethylsilyl]oxy-dimethylsilyl]oxy-dimethylsilyl]oxy-dimethylsilyl]oxy-dimethylsilyl]oxy-dimethylsilyl]oxy-dimethylsilyl]oxy-dimethylsilyl]oxy-dimethylsilyl]oxy-dimethylsilyl]oxy-dimethylsilyl]oxy-dimethylsilyl]oxy-dimethylsilyl]oxy-dimethylsilyl]oxy-dimethylsilyl]oxy-dimethylsilyl]oxy-dimethylsilyl]oxy-dimethylsilyl]oxy-dimethylsilyl]oxy-dimethylsilyl]oxy-dimethylsilyl]oxy-dimethylsilyl]butyl ethenyl carbonate 1-ethenylpyrrolidin-2-one ethenyl N-[3-tris(trimethylsilyloxy)silylpropyl]carbamate Chemical compound C=CN1CCCC1=O.OC(=O)CCNC(=O)OC=C.C[Si](C)(C)O[Si](CCCNC(=O)OC=C)(O[Si](C)(C)C)O[Si](C)(C)C.C[Si](C)(CCCCOC(=O)OC=C)O[Si](C)(C)O[Si](C)(C)O[Si](C)(C)O[Si](C)(C)O[Si](C)(C)O[Si](C)(C)O[Si](C)(C)O[Si](C)(C)O[Si](C)(C)O[Si](C)(C)O[Si](C)(C)O[Si](C)(C)O[Si](C)(C)O[Si](C)(C)O[Si](C)(C)O[Si](C)(C)O[Si](C)(C)O[Si](C)(C)O[Si](C)(C)O[Si](C)(C)O[Si](C)(C)O[Si](C)(C)O[Si](C)(C)O[Si](C)(C)O[Si](C)(C)O[Si](C)(C)CCCCOC(=O)OC=C UURVHRGPGCBHIC-UHFFFAOYSA-N 0.000 description 1
- SAPGBCWOQLHKKZ-UHFFFAOYSA-N 6-(2-methylprop-2-enoyloxy)hexyl 2-methylprop-2-enoate Chemical compound CC(=C)C(=O)OCCCCCCOC(=O)C(C)=C SAPGBCWOQLHKKZ-UHFFFAOYSA-N 0.000 description 1
- NHARPDSAXCBDDR-UHFFFAOYSA-N C=C(C)C(=O)OCCC Chemical compound C=C(C)C(=O)OCCC NHARPDSAXCBDDR-UHFFFAOYSA-N 0.000 description 1
- FRXYNLZSGUEFRM-UHFFFAOYSA-N C=C(C)C(=O)OCCC(C1=CC=CC=C1)C1=CC=CC=C1.C=C(C)C(=O)OCCC1=CC2=CC=CC=C2C=C1.C=C(C)C(=O)OCCC[Si](C1=CC=CC=C1)(C1=CC=CC=C1)C1=CC=CC=C1.C=C(C)C(=O)OCCC[Si](O[Si](C1=CC=CC=C1)(C1=CC=CC=C1)C1=CC=CC=C1)(C1=CC=CC=C1)C1=CC=CC=C1.C=C(C)C(=O)OCCC[Si](O[Si](C1=CC=CC=C1)(C1=CC=CC=C1)C1=CC=CC=C1)(O[Si](C1=CC=CC=C1)(C1=CC=CC=C1)C1=CC=CC=C1)O[Si](C1=CC=CC=C1)(C1=CC=CC=C1)C1=CC=CC=C1.[H]C(=C)C(=O)OCCCC1=CC=CC=C1 Chemical compound C=C(C)C(=O)OCCC(C1=CC=CC=C1)C1=CC=CC=C1.C=C(C)C(=O)OCCC1=CC2=CC=CC=C2C=C1.C=C(C)C(=O)OCCC[Si](C1=CC=CC=C1)(C1=CC=CC=C1)C1=CC=CC=C1.C=C(C)C(=O)OCCC[Si](O[Si](C1=CC=CC=C1)(C1=CC=CC=C1)C1=CC=CC=C1)(C1=CC=CC=C1)C1=CC=CC=C1.C=C(C)C(=O)OCCC[Si](O[Si](C1=CC=CC=C1)(C1=CC=CC=C1)C1=CC=CC=C1)(O[Si](C1=CC=CC=C1)(C1=CC=CC=C1)C1=CC=CC=C1)O[Si](C1=CC=CC=C1)(C1=CC=CC=C1)C1=CC=CC=C1.[H]C(=C)C(=O)OCCCC1=CC=CC=C1 FRXYNLZSGUEFRM-UHFFFAOYSA-N 0.000 description 1
- XODWWDLLPURTOQ-UHFFFAOYSA-N CC[Si](C)(C)O[Si](C)(C)CC Chemical compound CC[Si](C)(C)O[Si](C)(C)CC XODWWDLLPURTOQ-UHFFFAOYSA-N 0.000 description 1
- 206010011033 Corneal oedema Diseases 0.000 description 1
- 239000004593 Epoxy Substances 0.000 description 1
- DTGKSKDOIYIVQL-MRTMQBJTSA-N Isoborneol Natural products C1C[C@@]2(C)[C@H](O)C[C@@H]1C2(C)C DTGKSKDOIYIVQL-MRTMQBJTSA-N 0.000 description 1
- QNAYBMKLOCPYGJ-REOHCLBHSA-N L-alanine Chemical compound C[C@H](N)C(O)=O QNAYBMKLOCPYGJ-REOHCLBHSA-N 0.000 description 1
- CERQOIWHTDAKMF-UHFFFAOYSA-M Methacrylate Chemical compound CC(=C)C([O-])=O CERQOIWHTDAKMF-UHFFFAOYSA-M 0.000 description 1
- XNCNNDVCAUWAIT-UHFFFAOYSA-N Methyl heptanoate Chemical compound CCCCCCC(=O)OC XNCNNDVCAUWAIT-UHFFFAOYSA-N 0.000 description 1
- CBENFWSGALASAD-UHFFFAOYSA-N Ozone Chemical compound [O-][O+]=O CBENFWSGALASAD-UHFFFAOYSA-N 0.000 description 1
- 239000004698 Polyethylene Substances 0.000 description 1
- 229920000954 Polyglycolide Polymers 0.000 description 1
- GOOHAUXETOMSMM-UHFFFAOYSA-N Propylene oxide Chemical class CC1CO1 GOOHAUXETOMSMM-UHFFFAOYSA-N 0.000 description 1
- BLRPTPMANUNPDV-UHFFFAOYSA-N Silane Chemical compound [SiH4] BLRPTPMANUNPDV-UHFFFAOYSA-N 0.000 description 1
- 229920006311 Urethane elastomer Polymers 0.000 description 1
- 238000009825 accumulation Methods 0.000 description 1
- 150000003926 acrylamides Chemical class 0.000 description 1
- 150000001253 acrylic acids Chemical class 0.000 description 1
- 239000000654 additive Substances 0.000 description 1
- 230000002411 adverse Effects 0.000 description 1
- 239000003570 air Substances 0.000 description 1
- 235000004279 alanine Nutrition 0.000 description 1
- 125000001931 aliphatic group Chemical group 0.000 description 1
- 150000001412 amines Chemical class 0.000 description 1
- 238000013459 approach Methods 0.000 description 1
- 125000004429 atom Chemical group 0.000 description 1
- 239000012965 benzophenone Substances 0.000 description 1
- 150000008366 benzophenones Chemical class 0.000 description 1
- GCTPMLUUWLLESL-UHFFFAOYSA-N benzyl prop-2-enoate Chemical compound C=CC(=O)OCC1=CC=CC=C1 GCTPMLUUWLLESL-UHFFFAOYSA-N 0.000 description 1
- 239000003618 borate buffered saline Substances 0.000 description 1
- CKDOCTFBFTVPSN-UHFFFAOYSA-N borneol Natural products C1CC2(C)C(C)CC1C2(C)C CKDOCTFBFTVPSN-UHFFFAOYSA-N 0.000 description 1
- 125000001951 carbamoylamino group Chemical group C(N)(=O)N* 0.000 description 1
- 150000001721 carbon Chemical class 0.000 description 1
- 238000004140 cleaning Methods 0.000 description 1
- 230000000295 complement effect Effects 0.000 description 1
- 238000007796 conventional method Methods 0.000 description 1
- 201000004778 corneal edema Diseases 0.000 description 1
- 239000003431 cross linking reagent Substances 0.000 description 1
- 239000008367 deionised water Substances 0.000 description 1
- 229910021641 deionized water Inorganic materials 0.000 description 1
- 230000008021 deposition Effects 0.000 description 1
- XXJWXESWEXIICW-UHFFFAOYSA-N diethylene glycol monoethyl ether Chemical compound CCOCCOCCO XXJWXESWEXIICW-UHFFFAOYSA-N 0.000 description 1
- 229940075557 diethylene glycol monoethyl ether Drugs 0.000 description 1
- 125000005442 diisocyanate group Chemical group 0.000 description 1
- 239000004205 dimethyl polysiloxane Substances 0.000 description 1
- 150000002009 diols Chemical class 0.000 description 1
- 238000003618 dip coating Methods 0.000 description 1
- DTGKSKDOIYIVQL-UHFFFAOYSA-N dl-isoborneol Natural products C1CC2(C)C(O)CC1C2(C)C DTGKSKDOIYIVQL-UHFFFAOYSA-N 0.000 description 1
- 230000000694 effects Effects 0.000 description 1
- 150000002148 esters Chemical class 0.000 description 1
- KZJNAICCMJTRKF-UHFFFAOYSA-N ethenyl 2-trimethylsilylethyl carbonate Chemical compound C[Si](C)(C)CCOC(=O)OC=C KZJNAICCMJTRKF-UHFFFAOYSA-N 0.000 description 1
- RWEUKWCZWYHIQA-UHFFFAOYSA-N ethenyl 3-trimethylsilylpropyl carbonate Chemical compound C[Si](C)(C)CCCOC(=O)OC=C RWEUKWCZWYHIQA-UHFFFAOYSA-N 0.000 description 1
- NDXTZJDCEOXFOP-UHFFFAOYSA-N ethenyl 3-tris(trimethylsilyloxy)silylpropyl carbonate Chemical compound C[Si](C)(C)O[Si](O[Si](C)(C)C)(O[Si](C)(C)C)CCCOC(=O)OC=C NDXTZJDCEOXFOP-UHFFFAOYSA-N 0.000 description 1
- BHBDVHVTNOYHLK-UHFFFAOYSA-N ethenyl 3-tris(trimethylsilyloxy)silylpropylsulfanylformate Chemical compound C[Si](C)(C)O[Si](O[Si](C)(C)C)(O[Si](C)(C)C)CCCSC(=O)OC=C BHBDVHVTNOYHLK-UHFFFAOYSA-N 0.000 description 1
- ILHMPZFVDISGNP-UHFFFAOYSA-N ethenyl n-[3-tris(trimethylsilyloxy)silylpropyl]carbamate Chemical compound C[Si](C)(C)O[Si](O[Si](C)(C)C)(O[Si](C)(C)C)CCCNC(=O)OC=C ILHMPZFVDISGNP-UHFFFAOYSA-N 0.000 description 1
- KRAZQXAPJAYYJI-UHFFFAOYSA-N ethenyl trimethylsilylmethyl carbonate Chemical compound C[Si](C)(C)COC(=O)OC=C KRAZQXAPJAYYJI-UHFFFAOYSA-N 0.000 description 1
- 150000002170 ethers Chemical class 0.000 description 1
- 230000008020 evaporation Effects 0.000 description 1
- 238000001704 evaporation Methods 0.000 description 1
- 238000000605 extraction Methods 0.000 description 1
- 239000004744 fabric Substances 0.000 description 1
- 125000000524 functional group Chemical group 0.000 description 1
- 235000011187 glycerol Nutrition 0.000 description 1
- VOZRXNHHFUQHIL-UHFFFAOYSA-N glycidyl methacrylate Chemical compound CC(=C)C(=O)OCC1CO1 VOZRXNHHFUQHIL-UHFFFAOYSA-N 0.000 description 1
- 150000002431 hydrogen Chemical class 0.000 description 1
- 229920001477 hydrophilic polymer Polymers 0.000 description 1
- 230000004054 inflammatory process Effects 0.000 description 1
- 238000001802 infusion Methods 0.000 description 1
- IQPQWNKOIGAROB-UHFFFAOYSA-N isocyanate group Chemical group [N-]=C=O IQPQWNKOIGAROB-UHFFFAOYSA-N 0.000 description 1
- 206010023332 keratitis Diseases 0.000 description 1
- 150000002576 ketones Chemical class 0.000 description 1
- 150000003951 lactams Chemical class 0.000 description 1
- 239000007788 liquid Substances 0.000 description 1
- FQPSGWSUVKBHSU-UHFFFAOYSA-N methacrylamide Chemical compound CC(=C)C(N)=O FQPSGWSUVKBHSU-UHFFFAOYSA-N 0.000 description 1
- 125000005395 methacrylic acid group Chemical group 0.000 description 1
- 238000000465 moulding Methods 0.000 description 1
- 125000004108 n-butyl group Chemical group [H]C([H])([H])C([H])([H])C([H])([H])C([H])([H])* 0.000 description 1
- JGHZJRVDZXSNKQ-UHFFFAOYSA-N octanoic acid methyl ester Natural products CCCCCCCC(=O)OC JGHZJRVDZXSNKQ-UHFFFAOYSA-N 0.000 description 1
- 239000003960 organic solvent Substances 0.000 description 1
- 230000001590 oxidative effect Effects 0.000 description 1
- MPQXHAGKBWFSNV-UHFFFAOYSA-N oxidophosphanium Chemical class [PH3]=O MPQXHAGKBWFSNV-UHFFFAOYSA-N 0.000 description 1
- 230000035515 penetration Effects 0.000 description 1
- 229920000747 poly(lactic acid) Polymers 0.000 description 1
- 229920001610 polycaprolactone Polymers 0.000 description 1
- 229920000573 polyethylene Polymers 0.000 description 1
- 229920001223 polyethylene glycol Polymers 0.000 description 1
- 229920005862 polyol Polymers 0.000 description 1
- 150000003077 polyols Chemical class 0.000 description 1
- 229920001451 polypropylene glycol Polymers 0.000 description 1
- 238000010526 radical polymerization reaction Methods 0.000 description 1
- 238000009877 rendering Methods 0.000 description 1
- 239000011347 resin Substances 0.000 description 1
- 229920005989 resin Polymers 0.000 description 1
- 230000000717 retained effect Effects 0.000 description 1
- 229910052710 silicon Inorganic materials 0.000 description 1
- 239000010703 silicon Substances 0.000 description 1
- 239000002210 silicon-based material Substances 0.000 description 1
- 239000000243 solution Substances 0.000 description 1
- 238000004528 spin coating Methods 0.000 description 1
- 230000001954 sterilising effect Effects 0.000 description 1
- 238000004381 surface treatment Methods 0.000 description 1
- YLQBMQCUIZJEEH-UHFFFAOYSA-N tetrahydrofuran Natural products C=1C=COC=1 YLQBMQCUIZJEEH-UHFFFAOYSA-N 0.000 description 1
- 239000010409 thin film Substances 0.000 description 1
- UHUUYVZLXJHWDV-UHFFFAOYSA-N trimethyl(methylsilyloxy)silane Chemical compound C[SiH2]O[Si](C)(C)C UHUUYVZLXJHWDV-UHFFFAOYSA-N 0.000 description 1
- 150000003673 urethanes Chemical class 0.000 description 1
- 125000000391 vinyl group Chemical group [H]C([*])=C([H])[H] 0.000 description 1
- 229920002554 vinyl polymer Polymers 0.000 description 1
- 230000037303 wrinkles Effects 0.000 description 1
Classifications
-
- B—PERFORMING OPERATIONS; TRANSPORTING
- B29—WORKING OF PLASTICS; WORKING OF SUBSTANCES IN A PLASTIC STATE IN GENERAL
- B29D—PRODUCING PARTICULAR ARTICLES FROM PLASTICS OR FROM SUBSTANCES IN A PLASTIC STATE
- B29D11/00—Producing optical elements, e.g. lenses or prisms
- B29D11/00009—Production of simple or compound lenses
- B29D11/00038—Production of contact lenses
- B29D11/00076—Production of contact lenses enabling passage of fluids, e.g. oxygen, tears, between the area under the lens and the lens exterior
-
- C—CHEMISTRY; METALLURGY
- C08—ORGANIC MACROMOLECULAR COMPOUNDS; THEIR PREPARATION OR CHEMICAL WORKING-UP; COMPOSITIONS BASED THEREON
- C08G—MACROMOLECULAR COMPOUNDS OBTAINED OTHERWISE THAN BY REACTIONS ONLY INVOLVING UNSATURATED CARBON-TO-CARBON BONDS
- C08G18/00—Polymeric products of isocyanates or isothiocyanates
- C08G18/06—Polymeric products of isocyanates or isothiocyanates with compounds having active hydrogen
- C08G18/28—Polymeric products of isocyanates or isothiocyanates with compounds having active hydrogen characterised by the compounds used containing active hydrogen
- C08G18/40—High-molecular-weight compounds
- C08G18/61—Polysiloxanes
-
- C—CHEMISTRY; METALLURGY
- C08—ORGANIC MACROMOLECULAR COMPOUNDS; THEIR PREPARATION OR CHEMICAL WORKING-UP; COMPOSITIONS BASED THEREON
- C08J—WORKING-UP; GENERAL PROCESSES OF COMPOUNDING; AFTER-TREATMENT NOT COVERED BY SUBCLASSES C08B, C08C, C08F, C08G or C08H
- C08J7/00—Chemical treatment or coating of shaped articles made of macromolecular substances
- C08J7/12—Chemical modification
-
- C—CHEMISTRY; METALLURGY
- C08—ORGANIC MACROMOLECULAR COMPOUNDS; THEIR PREPARATION OR CHEMICAL WORKING-UP; COMPOSITIONS BASED THEREON
- C08L—COMPOSITIONS OF MACROMOLECULAR COMPOUNDS
- C08L75/00—Compositions of polyureas or polyurethanes; Compositions of derivatives of such polymers
- C08L75/04—Polyurethanes
- C08L75/14—Polyurethanes having carbon-to-carbon unsaturated bonds
- C08L75/16—Polyurethanes having carbon-to-carbon unsaturated bonds having terminal carbon-to-carbon unsaturated bonds
-
- C—CHEMISTRY; METALLURGY
- C08—ORGANIC MACROMOLECULAR COMPOUNDS; THEIR PREPARATION OR CHEMICAL WORKING-UP; COMPOSITIONS BASED THEREON
- C08J—WORKING-UP; GENERAL PROCESSES OF COMPOUNDING; AFTER-TREATMENT NOT COVERED BY SUBCLASSES C08B, C08C, C08F, C08G or C08H
- C08J2351/00—Characterised by the use of graft polymers in which the grafted component is obtained by reactions only involving carbon-to-carbon unsaturated bonds; Derivatives of such polymers
-
- C—CHEMISTRY; METALLURGY
- C08—ORGANIC MACROMOLECULAR COMPOUNDS; THEIR PREPARATION OR CHEMICAL WORKING-UP; COMPOSITIONS BASED THEREON
- C08J—WORKING-UP; GENERAL PROCESSES OF COMPOUNDING; AFTER-TREATMENT NOT COVERED BY SUBCLASSES C08B, C08C, C08F, C08G or C08H
- C08J2383/00—Characterised by the use of macromolecular compounds obtained by reactions forming in the main chain of the macromolecule a linkage containing silicon with or without sulfur, nitrogen, oxygen, or carbon only; Derivatives of such polymers
- C08J2383/04—Polysiloxanes
Definitions
- This invention relates to a silicone contact lens wherein at least one of the surfaces is a wrinkled surface, providing the contact lens surface with a desired topography.
- the wrinkled surface is provided as a silicate coating on the contact lens surface.
- the wrinkled surface comprises random ridges, either over the entire surface of the lens, or in a desired pattern on the surface of the lens.
- Non-hydrogels do not absorb appreciable amounts of water; whereas, hydrogels can absorb and retain water in an equilibrium state.
- Hydrogels generally have a water content greater than about ten weight percent and more commonly between about fifteen to about eighty weight percent.
- Silicone contact lenses may tend to have relatively hydrophobic, non-wettable surfaces.
- various publications disclose methods for rendering the surface of silicone contact lenses more hydrophilic to improve their biocompatibility or wettability by tear fluid in the eye. Examples include U.S. Pat. Nos. 6,193,369; 4,143,949; 5,135,297; 5,726,733; 6,550,915; 6,213,604; 6,348,507; 6,630,243; 6,428,839; 6,200,626; 6,440,571; 6,599,559; 4,055,378; 4,122942; 4,214,014; No. 4,143,949; 4,632,844; 4,312,575; 5,326,584; 4,312,575; U.S.
- silicone hydrogel contact lenses include: balafilcon A contact lenses, which include plasma-oxidized silicate surfaces; and lotrafilcon A contact lenses, which include plasma-deposited hydrocarbon coating surfaces.
- contact lenses It is important for contact lenses to be comfortable during wear. Also, it is important to avoid corneal edema, inflammation and other adverse effects resulting from contact lens wear, especially lenses intended for wearing for an extended period of time. Finally, in the case of contact lenses having a modified surface, it is important for the modified surface to be optically clear and able to withstand manufacturing process conditions such as hydration and autoclaving for sterilization, as well as cleaning or disinfection treatments performed by the contact lens wearer.
- the invention provides a silicone contact lens, wherein a surface of the lens is wrinkled and includes raised ridges.
- a wrinkled surface is provided on a posterior surface of the contact lens, so as to facilitating fluid exchange between the lens and a cornea when the lens is worn.
- the invention also provides various methods of achieving the wrinkled surface.
- the method comprises: providing a silicone contact lens with a modified surface layer; swelling the contact lens with a polymerizable swelling agent; and polymerizing the swelling agent; whereby the modified surface layer becomes a wrinkled surface.
- the present invention is advantageous for contact lenses made of a silicone-containing polymer, and especially for silicone hydrogel contact lenses intended for continuous wear for an extended period.
- Hydrogels are a well-known class of materials that comprise hydrated, cross-linked polymeric systems containing water in an equilibrium state. Such materials are usually prepared by polymerizing a mixture containing at least one silicone-containing monomer and at least one hydrophilic monomer. Either the silicone-containing monomer or the hydrophilic monomer may function as a cross-linking agent (a cross-linker being defined as a monomer having multiple polymerizable functionalities) or a separate cross-linker may be employed.
- Applicable silicone-containing monomeric units for use in the formation of silicone hydrogels are well known in the art and numerous examples are provided in U.S. Pat. Nos. 4,136,250; 4,153,641; 4,740,533; 5,034,461; 5,070,215; 5,260,000; 5,310,779; and 5,358,995.
- Examples of applicable silicone-containing monomeric units include bulky polysiloxanylalkyl (meth)acrylic monomers.
- An example of bulky polysiloxanylalkyl (meth)acrylic monomers is represented by the following Formula I:
- X denotes —O— or —NR—
- each R 18 independently denotes hydrogen or methyl
- each R 19 independently denotes a lower alkyl radical, phenyl radical or a group represented by
- each R 19′ independently denotes a lower alkyl or phenyl radical
- h 1 to 10.
- Some preferred bulky monomers are methacryloxypropyl tris(trimethylsiloxy)silane or tris(trimethylsiloxy)silylpropyl methacrylate, sometimes referred to as TRIS and tris(trimethylsiloxy)silylpropyl vinyl carbamate, sometimes referred to as TRIS-VC.
- Such bulky monomers may be copolymerized with a silicone macromonomer, which is a poly(organosiloxane) capped with an unsaturated group at two or more ends of the molecule.
- a silicone macromonomer which is a poly(organosiloxane) capped with an unsaturated group at two or more ends of the molecule.
- U.S. Pat. No. 4,153,641 to Deichert et al. discloses, for example, various unsaturated groups, including acryloxy or methacryloxy.
- silicone-containing monomers includes silicone-containing vinyl carbonate or vinyl carbamate monomers such as: 1,3-bis[4-vinyloxycarbonyloxy)but-1-yl]tetramethyl-disiloxane; 3-(trimethylsilyl)propyl vinyl carbonate; 3-(vinyloxycarbonylthio)propyl-[tris(trimethylsiloxy)silane]; 3-[tris(trimethylsiloxy)silyl] propyl vinyl carbamate; 3-[tris(trimethylsiloxy)silyl] propyl allyl carbamate; 3-[tris(trimethylsiloxy)silyl]propyl vinyl carbonate; t-butyldimethylsiloxyethyl vinyl carbonate; trimethylsilylethyl vinyl carbonate; and trimethylsilylmethyl vinyl carbonate.
- silicone-containing vinyl carbonate or vinyl carbamate monomers such as: 1,3-bis[4-vinyloxycarbonyloxy)but-1-yl
- silicone-containing monomers includes polyurethane-polysiloxane macromonomers (also sometimes referred to as prepolymers), which may have hard-soft-hard blocks like traditional urethane elastomers.
- silicone urethanes are disclosed in a variety or publications, including Lai, Yu-Chin, “The Role of Bulky Polysiloxanylalkyl Methacryates in Polyurethane-Polysiloxane Hydrogels,” Journal of Applied Polymer Science, Vol. 60, 1193-1199 (1996).
- PCT Published Application No. WO 96/31792 discloses examples of such monomers, which disclosure is hereby incorporated by reference in its entirety.
- Further examples of silicone urethane monomers are represented by Formulae II and III:
- D denotes an alkyl diradical, an alkyl cycloalkyl diradical, a cycloalkyl diradical, an aryl diradical or an alkylaryl diradical having 6 to 30 carbon atoms;
- G denotes an alkyl diradical, a cycloalkyl diradical, an alkyl cycloalkyl diradical, an aryl diradical or an alkylaryl diradical having 1 to 40 carbon atoms and which may contain ether, thio or amine linkages in the main chain;
- a is at least 1;
- A denotes a divalent polymeric radical of Formula IV:
- each Rs independently denotes an alkyl or fluoro-substituted alkyl group having 1 to 10 carbon atoms which may contain ether linkages between carbon atoms;
- n′ is at least 1;
- p is a number that provides a moiety weight of 400 to 10,000;
- each of E and E′ independently denotes a polymerizable unsaturated organic radical represented by Formula V:
- R 23 is hydrogen or methyl
- R 24 is hydrogen, an alkyl radical having 1 to 6 carbon atoms, or a —CO—Y—R 26 radical wherein Y is —O—, —S— or —NH—;
- R 25 is a divalent alkylene radical having 1 to 10 carbon atoms
- R 26 is a alkyl radical having 1 to 12 carbon atoms
- X denotes —CO— or —OCO—
- Z denotes —O— or —NH—
- Ar denotes an aromatic radical having 6 to 30 carbon atoms
- w is 0 to 6; x is 0 or 1; y is 0 or 1; and z is 0 or 1.
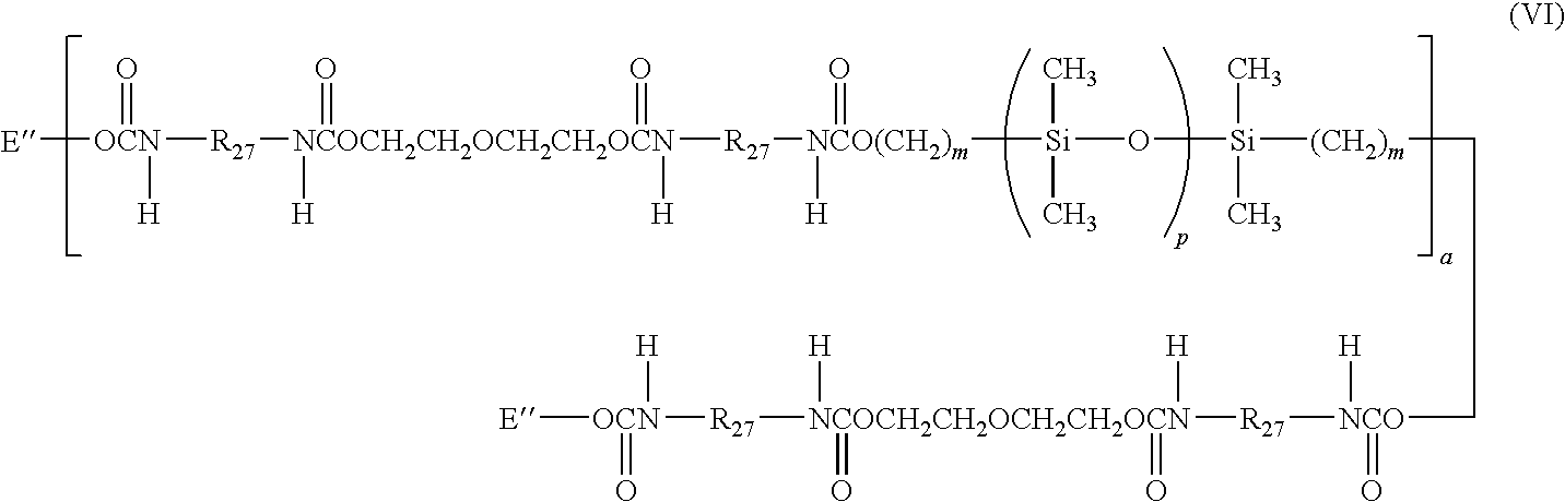
- a representative silicone-containing urethane monomer is represented by Formula (VI):
- R 27 is a diradical of a diisocyanate after removal of the isocyanate group, such as the diradical of isophorone diisocyanate, and each E′′ is a group represented by:
- silicone-containing monomers includes fluorinated monomers. Such monomers have been used in the formation of fluorosilicone hydrogels to reduce the accumulation of deposits on contact lenses made therefrom, as described in U.S. Pat. Nos. 4,954,587, 5,079,319 and 5,010,141.
- silicone-containing monomers having certain fluorinated side groups, i.e. —(CF 2 )—H, have been found to improve compatibility between the hydrophilic and silicone-containing monomeric units, as described in U.S. Pat. Nos. 5,387,662 and 5,321,108.
- a silicone hydrogel material comprises (in bulk, that is, in the monomer mixture that is copolymerized) 5 to 50 percent, preferably 10 to 25, by weight of one or more silicone macromonomers, 5 to 75 percent, preferably 30 to 60 percent, by weight of one or more polysiloxanylalkyl (meth)acrylic monomers, and 10 to 50 percent, preferably 20 to 40 percent, by weight of a hydrophilic monomer.
- hydrophilic monomers include, but are not limited to, ethylenically unsaturated lactam-containing monomers such as N-vinyl pyrrolidinone, methacrylic and acrylic acids; acrylic substituted alcohols, such as 2-hydroxyethylmethacrylate and 2-hydroxyethylacrylate and acrylamides, such as methacrylamide and N,N-dimethylacrylamide, vinyl carbonate or vinyl carbamate monomers such as disclosed in U.S. Pat. No. 5,070,215, and oxazolinone monomers such as disclosed in U.S. Pat. No. 4,910,277.
- Other hydrophilic monomers will be apparent to one skilled in the art.
- Silicone elastomer contact lenses are formed of a silicone elastomer, such as various polydimethylsiloxane materials.
- silicone elastomers are more rubbery and hydrophobic, generally lack a hydrophilic co-monomer, and do not absorb appreciable amounts of water.
- silicone materials are merely exemplary, and other materials for use as substrates that can benefit by this invention have been disclosed in various publications and are being continuously developed for use in contact lenses and other medical devices.
- the following description focuses on silicone hydrogel copolymers, although various aspects of the invention are applicable for silicone elastomer contact lens materials.
- Some monomer mixtures for silicone hydrogels include an organic diluent in the initial monomeric mixture that is unreactive with the monomeric components.
- Suitable organic diluents include, for example, monohydric alcohols, with C 6 -C 10 straight-chained aliphatic monohydric alcohols such as n-hexanol and n-nonanol being especially preferred; diols such as ethylene glycol; polyols such as glycerin; ethers such as diethylene glycol monoethyl ether; ketones such as methyl ethyl ketone; esters such as methyl enanthate; and hydrocarbons such as toluene.
- the diluent when present is included at five to sixty percent by weight of the initial monomeric mixture, with ten to fifty percent by weight being especially preferred.
- the diluent may be removed from the contact lens, after casting, by evaporation and/or exchange with an extracting solvent.
- silicone hydrogel monomer mixture additives commonly employed in the silicone hydrogel monomer mixture include polymerization initiators, tints, and UV absorbing agents, among others.
- the initial monomer mixture is polymerized to form a copolymer.
- Contact lenses may be manufactured by various conventional techniques, to yield a shaped article having the desired posterior and anterior lens surfaces.
- spincasting methods are known, including those disclosed in U.S. Pat. Nos. 3,408,429 and 3,660,545; and static casting methods are known, including those disclosed in U.S. Pat. Nos. 4,197,266 and 5,271,875.
- static cast molding involves dispensing the liquid monomer mixture in the mold cavity of a mold assembly including a posterior mold part and an anterior mold part, the posterior mold part including an optical mold surface for forming the posterior contact lens surface, and the anterior mold part including an optical mold surface for forming the anterior contact lens surface. Then, while the monomer mixture is in this mold cavity, the monomer mixture is exposed to thermal energy and/or light energy to cure the monomer mixture and form the copolymer.
- the cast contact lens is removed from the mold assembly.
- the contact lens is typically extracted with a solvent to remove any unrelated monomers or other undesired materials from the cast lens; an organic solvent, such as isopropyl alcohol, water, or an aqueous solution may be used for extraction.
- the lens is hydrated and packaged in an aqueous solution, whereby the silicone hydrogel copolymer absorbs and retains water, and the packaged contact lens is typically sterilized, such as by autoclaving.
- the cast contact lens may be removed from the mold assembly prior to treating the lens.
- the cast contact lens may be retained on a mold part, where one surface of the lens is exposed for treatment.
- the lens will be treated by the methods of this invention subsequent to casting of the lens, and prior to a final hydration of the silicone hydrogel copolymer.
- This invention provides at least one surface of the contact lens with a wrinkled surface.
- Both the posterior and anterior surfaces of the contact lens may have this wrinkled surface, or only one of the surfaces may be wrinkled. Additionally, if desired, only selected portions of the posterior and/or anterior surfaces may be wrinkled.
- the posterior surface of the lens is wrinkled so as to facilitate improved fluid exchange between the posterior surface of the lens and the cornea while the lens is worn.
- the wrinkled surface generally includes a series of raised ridges with depressions therebetween, wherein the raised ridges have heights of 0.5 to 1000 nm with respect to such depressions. More preferably, the raised ridges have heights of 10 to 600 nm with respect to such adjacent depressions.
- the raised ridges will generally be randomly interspersed. Individual raised ridges may have various shapes, such as circular, cylindrical or curved shapes.
- the present invention provides a contact lens with a more textured surface, the textured surface not compromising comfort but providing the contact lens surface with a desired texture, such as to provide the improved fluid exchange between the contact lens and the cornea.
- the contact lens is initially provided with a modified surface layer, i.e., the surface of the cast contact lens is modified, and subsequently, this modified surface becomes the wrinkled surface.
- a surface of the lens contact lens may be modified by treating it with plasma, or other energy.
- the contact lens surface may be modified to provide a silicate surface layer thereon.
- the silicate surface may be provided by subjecting the surface to strong oxidation, whereby a considerable portion of the silicon at the surface of the lens is converted to silicate.
- the silicate surface may be formed by plasma treatment of the contact lens surface is an oxygen-containing environment.
- the plasma surface treatment involves passing an electrical discharge through the oxygen-containing gas at low pressure.
- the electrical discharge is usually at radio frequency (typically 13.56 MHz), although microwave and other frequencies can be used.
- the term plasma herein also encompasses corona discharge.
- the electrical discharge in a plasma is absorbed by atoms and molecules in their gaseous state, thus forming a plasma that interacts with the surface of the contact lens.
- Plasma treatment when using an electric discharge frequency of 13.56 Mhz, is suitably between about 10 and 1000 watts, preferably 100 to 500 watts, a pressure of about 0.001 to 5.0 torr, preferably 0.1 to 1.0 torr, for a time period of about 10 seconds to 60 minutes, preferably about 1-10 minutes. If both surfaces are being treated, the sides may be treated concurrently or sequentially.
- O 2 oxygen gas
- a silicate surface layer may be formed by exposing the contact lens surface to UV radiation in an ozone environment.
- the contact lens is swelled with a polymerizable swelling agent.
- This agent is polymerizable, i.e., it is a monomeric material.
- Preferred agents include ethylenic unsaturation, such that the agent is polymerizable by free radical polymerization.
- This agent also serves to swell the contact lens copolymeric material which is exposed to the agent.
- the agent swells the contact lens copolymer by at least 15% by volume, more preferably, at least 25% by volume.
- Representative swelling agents include alkyl (meth)acrylates, especially n-butyl acrylate; alcohol-containing (meth)acrylates, especially 2-hydroxyethyl methacrylate and glyercol methacrylate; and epoxy-containing (meth)acrylates, especially glycidyl methacrylate.
- the swelling agent is mixed with a cross-linking monomer, such as a di(meth)acrylated monomer.
- a cross-linking monomer such as a di(meth)acrylated monomer.
- Representative crosslinking monomers include ethylene glycol dimethacrylate, diethyleneglycol methacrylate, hexamethylene dimethacrylate, among others.
- the swelling agent is mixed with a polymerization initiator, for example, a UV initiator if the swelling agent is polymerized with UV radiation, or a thermal initiator if the swelling agent is polymerized with thermal energy.
- the contact lens may be immersed in the polymerizable swelling agent.
- the contact lens may be exposed to the polymerizable swelling agent by other methods such as spraying or dip coating.
- the contact lens should be exposed to the swelling agent for sufficient time, generally one to ten minutes, so that this agent penetrates beneath the modified surface layer, preferably to a depth of at least 5 nm.
- the silicate layer will become wrinkled to a varying degree.
- the particular swelling agent used, and the time of exposure of the contact lens with the swelling agent may be varied selectively to obtain a desired degree of wrinkling.
- excess polymerizable swelling agent at the surface of the lens is removed.
- excess swelling agent may be done by wiping, air blow-off, or the like.
- a solvent may be used to remove the excess swelling agent. Suitable solvents are those in which the swelling agent is soluble, for example, acetone, ethanol, isopropanol, and tetrahydrofuran.
- the swelling agent is polymerized, such as by exposure to light energy (such as UV radiation) and/or thermal energy.
- Polymerization of the swelling agent serves to stabilize the wrinkled modified surface layer.
- the polymerized swelling agent anchors the wrinkled modified surface layer to the underlying silicone copolymer substrate, resulting in a wrinkled, robust coating that does not delaminate from the contact lens surface and in a wrinkled, durable wettable coating.
- the surface of the contact lens may be further modified, such as by grafting or plasma-deposition of a material to the surface.
- a carbon layer may be deposited thereon; an example is subjecting the surface to a plasma polymerization deposition with a gas made from a diolefinic compound having 4 to 8 carbon atoms, in the absence of oxygen, thus forming a carbon layer on the surface on the lens; this carbon layer may be rendered hydrophilic by subjecting it to a second plasma oxidation or by applying a secondary coating of a hydrophilic polymer which is attached thereto.
- a silicate coating may be formed on both surfaces of the silicone contact lens.
- the posterior side of the lens is treated for a relatively longer period with the polymerizable swelling agent, so that the posterior silicate surface layer becomes wrinkled, thus providing a textured surface for fluid exchange when the lens is worn.
- the anterior side of the lens is treated for a relatively shorter period with the polymerizable swelling agent, so that the anterior surface has very little or no wrinkling; a carbon coating or other coating may be applied to the silicate surface layer on the anterior surface.
- Table 1 discloses a monomer mixture for forming a silicone hydrogel lens material useful for the present invention.
- TRIS-VC tris(trimethylsiloxy)silylpropyl vinyl carbamate
- NVP N-vinyl pyrrolidone
- V 2 D 25 a silicone-containing vinyl carbonate as previously described in U.S. Pat. No. 5,534,604.
- Table 2 discloses a monomer mixture for forming a polyurethane silicone hydrogel formulation useful in the present invention.
- TRIS tris(trimethylsiloxy)silylpropyl methacrylate DMA N,N-dimethylacrylamide ID3S4H a polysiloxane-containing urethane prepolymer of Formula (VI) where R 27 is the residue of isophorone diisocyanate, and having a molecular weight about 4000.
- Irgacure-819 a UV initiator
- Table 3 discloses a monomer mixture for forming a polyfumarate silicone hydrogel formulation useful in the present invention.
- TRIS tris(trimethylsiloxy)silylpropyl methacrylate DMA N,N-dimethylacrylamide F 2 D 20 a silicone-containing crosslinking resin as previously described in U.S. Pat. Nos. 5,374,662 and 5,496,871.
- This Example illustrates a process for forming silicone hydrogel contact lenses for a method of this invention.
- the monomer mixture of Table 2 was injected onto a clean polypropylene anterior mold half and covered with the complementary polypropylene posterior mold half.
- the mold halves were compressed, and the mixture was cured by exposure to UV radiation.
- the top mold half was removed, and the lenses were maintained in a forced air oven to remove the majority of the n-hexanol diluent.
- the lenses are removed from the bottom mold half, extracted in isopropanol, and then dried.
- the lenses are placed in a Branson RF plasma unit (13.56 MHz), or similar unit, on a tray which elevates the lenses between two electrodes and allows the flow of gas around the lenses.
- the plasma unit is evacuated of air, then oxygen gas or air is introduced into the chamber, and the plasma is ignited. After completion of the plasma treatment, the lenses are removed from the plasma unit and immersed in a mixture consisting of n-butyl acrylate (75%), ethylene glycol dimethacrylate crosslinker (25%) and photoinitiator (Igracure® 819 initiator).
- This acrylate-containing mixture is allowed to remain on the silicate layer until such time has evolved that sufficient penetration by the swelling agent into the silicone hydrogel has taken place, typically, but not limited to 1-5 minutes, and the silicate layer assumes a wrinkled texture. After this time the excess acrylate-containing mixture is removed by wiping the surface with a clean cloth containing acetone.
- the lens samples are then placed in a chamber and exposed to UV radiation, to polymerize the n-butyl acrylate monomer mixture that has imbibed into the silicone hydrogel copolymer.
- the lenses are then hydrated in deionized water until equilibrated, followed by placing in borate buffered saline and autoclaving at about 120° C.
- an additional coating may be added to the posterior surface, the anterior surface, or both these surfaces.
- plasticizers may be used to create the wrinkled surface.
- An illustration of this approach involves, initially, abstracting hydrogen from the desired lens surface or portions thereof.
- a polymerization initiator may be applied to the contact lens surface; commercially available initiators include benzophenones, thioxanthones, and phosphine oxides, including those available under the tradenames Irgacure and Darocur.
- An initiator-containing solution is applied to and reacted with the lens surface, such as by spray coating, a gas nebulizer or transfer to the surface from the contact lens mold.
- plasticizers preferably include (meth)acrylate functionality, such as: (meth)acrylated silicone based materials, like (meth)acrylated poly(dimethyl siloxane)s; and (meth)acrylated aromatic-containing compounds, like phenoxyethyl acrylate, isoborneol acrylate, or benzyl acrylate.
- (meth)acrylate functionality such as: (meth)acrylated silicone based materials, like (meth)acrylated poly(dimethyl siloxane)s; and (meth)acrylated aromatic-containing compounds, like phenoxyethyl acrylate, isoborneol acrylate, or benzyl acrylate.
- Other specific examples include:
- plasticizers may be applied to the lens surface by the aforementioned methods of such as by spray coating, a gas nebulizer or transfer to the surface from the contact lens mold, followed by curing, including application of heat, UV radiation or visible light. Then, the contact lens may be treated with the swelling agents, discussed above.
- these plasticizers are chosen so that once cured in the near region of the contact lens, the resulting polymers have a different polymer backbone structure and/or modulus from the contact lens bulk copolymer. Infusion with swelling agents like n-butyl acrylate create wrinkles, as disclosed above.
- the contact lens bulk copolymer may include a co-monomer that provides the lens surface with residual allyl groups.
- co-monomers included in the initial monomer mixture used to cast the contact lens, are allyl (meth)acrylates.
- the (meth)acrylate functionality of this co-monomer reacts with the other co-monomers in the monomer mixture, whereas the allyl functionality remains in the near region of the contact lens.
- the allyl functionality may be reacted with a hydrocarbon or silane compound with thio end groups.
- the hydrocarbon or silane compound is a compound able to swell the contact lens bulk copolymer, and further containing at least one thio end group for reacting with the residual allyl functionality of the bulk contact lens copolymer.
- the thio-terminated compounds will covalently bind to the exposed allyl groups which will allow the hydrocarbon and silane materials to interact and swell the polymer in the near surface region, thus creating a mismatch in polymer backbone and/or modulus.
- a swelling agent such as n-butyl acrylate may then be infused, as discussed above.
- various polymeric materials including polylactides, polyglycolides, polydioxananes, polycaprolactones, polyethylene glycols, polypropylene glycols, polyethylene and propylene oxides, fluorocarbons, fluorosiloxanes, polyurethanes, and copolymers thereof, have polymeric backbones and moduli that differ from the contact lens bulk copolymer.
- the use of a thin film or infused layer may be incorporated onto or within the contact lens, to establish a polymer backbone and/or modulus mismatch which will induce stress and ultimately promote wrinkling once a swelling agent is infused into the polymer.
- portions of the contact lens surface may be masked during treatment, such that the masked portions exhibit less wrinkling than the unmasked portions.
Landscapes
- Chemical & Material Sciences (AREA)
- Health & Medical Sciences (AREA)
- Chemical Kinetics & Catalysis (AREA)
- Organic Chemistry (AREA)
- Polymers & Plastics (AREA)
- Medicinal Chemistry (AREA)
- Engineering & Computer Science (AREA)
- Ophthalmology & Optometry (AREA)
- General Chemical & Material Sciences (AREA)
- Mechanical Engineering (AREA)
- Manufacturing & Machinery (AREA)
- Eyeglasses (AREA)
- Treatments Of Macromolecular Shaped Articles (AREA)
- Shaping Of Tube Ends By Bending Or Straightening (AREA)
Abstract
At least one of the surfaces of a silicone contact lens is a wrinkled surface, providing the contact lens surface with a desired topography. The wrinkled surface may include random ridges, either over the entire surface of the lens, or in a desired pattern on the surface of the lens.
Description
- This application is a continuation of application Ser. No. 11/611,317, filed Dec. 15, 2006.
- This invention relates to a silicone contact lens wherein at least one of the surfaces is a wrinkled surface, providing the contact lens surface with a desired topography. Preferably, the wrinkled surface is provided as a silicate coating on the contact lens surface. Generally, the wrinkled surface comprises random ridges, either over the entire surface of the lens, or in a desired pattern on the surface of the lens.
- Contact lenses made from silicone materials can generally be subdivided into two major classes, namely hydrogels and non-hydrogels. Non-hydrogels do not absorb appreciable amounts of water; whereas, hydrogels can absorb and retain water in an equilibrium state. Hydrogels generally have a water content greater than about ten weight percent and more commonly between about fifteen to about eighty weight percent.
- Silicone contact lenses may tend to have relatively hydrophobic, non-wettable surfaces. Thus, various publications disclose methods for rendering the surface of silicone contact lenses more hydrophilic to improve their biocompatibility or wettability by tear fluid in the eye. Examples include U.S. Pat. Nos. 6,193,369; 4,143,949; 5,135,297; 5,726,733; 6,550,915; 6,213,604; 6,348,507; 6,630,243; 6,428,839; 6,200,626; 6,440,571; 6,599,559; 4,055,378; 4,122942; 4,214,014; No. 4,143,949; 4,632,844; 4,312,575; 5,326,584; 4,312,575; U.S. Pat. Nos. 4,632,844; 6,638,563; and 5,760,100; WO 01/34312; WO 04/060431; WO 95/04609 and US 2005-0045589. Examples of commercial silicone hydrogel contact lenses include: balafilcon A contact lenses, which include plasma-oxidized silicate surfaces; and lotrafilcon A contact lenses, which include plasma-deposited hydrocarbon coating surfaces.
- It is important for contact lenses to be comfortable during wear. Also, it is important to avoid corneal edema, inflammation and other adverse effects resulting from contact lens wear, especially lenses intended for wearing for an extended period of time. Finally, in the case of contact lenses having a modified surface, it is important for the modified surface to be optically clear and able to withstand manufacturing process conditions such as hydration and autoclaving for sterilization, as well as cleaning or disinfection treatments performed by the contact lens wearer.
- The invention provides a silicone contact lens, wherein a surface of the lens is wrinkled and includes raised ridges.
- Preferably, a wrinkled surface is provided on a posterior surface of the contact lens, so as to facilitating fluid exchange between the lens and a cornea when the lens is worn.
- The invention also provides various methods of achieving the wrinkled surface. Generally, the method comprises: providing a silicone contact lens with a modified surface layer; swelling the contact lens with a polymerizable swelling agent; and polymerizing the swelling agent; whereby the modified surface layer becomes a wrinkled surface.
- The present invention is advantageous for contact lenses made of a silicone-containing polymer, and especially for silicone hydrogel contact lenses intended for continuous wear for an extended period. Hydrogels are a well-known class of materials that comprise hydrated, cross-linked polymeric systems containing water in an equilibrium state. Such materials are usually prepared by polymerizing a mixture containing at least one silicone-containing monomer and at least one hydrophilic monomer. Either the silicone-containing monomer or the hydrophilic monomer may function as a cross-linking agent (a cross-linker being defined as a monomer having multiple polymerizable functionalities) or a separate cross-linker may be employed. Applicable silicone-containing monomeric units for use in the formation of silicone hydrogels are well known in the art and numerous examples are provided in U.S. Pat. Nos. 4,136,250; 4,153,641; 4,740,533; 5,034,461; 5,070,215; 5,260,000; 5,310,779; and 5,358,995.
- Examples of applicable silicone-containing monomeric units include bulky polysiloxanylalkyl (meth)acrylic monomers. An example of bulky polysiloxanylalkyl (meth)acrylic monomers is represented by the following Formula I:
- wherein:
- X denotes —O— or —NR—;
- each R18 independently denotes hydrogen or methyl;
- each R19 independently denotes a lower alkyl radical, phenyl radical or a group represented by
- wherein each R19′independently denotes a lower alkyl or phenyl radical; and
- h is 1 to 10.
- Some preferred bulky monomers are methacryloxypropyl tris(trimethylsiloxy)silane or tris(trimethylsiloxy)silylpropyl methacrylate, sometimes referred to as TRIS and tris(trimethylsiloxy)silylpropyl vinyl carbamate, sometimes referred to as TRIS-VC.
- Such bulky monomers may be copolymerized with a silicone macromonomer, which is a poly(organosiloxane) capped with an unsaturated group at two or more ends of the molecule. U.S. Pat. No. 4,153,641 to Deichert et al. discloses, for example, various unsaturated groups, including acryloxy or methacryloxy.
- Another class of representative silicone-containing monomers includes silicone-containing vinyl carbonate or vinyl carbamate monomers such as: 1,3-bis[4-vinyloxycarbonyloxy)but-1-yl]tetramethyl-disiloxane; 3-(trimethylsilyl)propyl vinyl carbonate; 3-(vinyloxycarbonylthio)propyl-[tris(trimethylsiloxy)silane]; 3-[tris(trimethylsiloxy)silyl] propyl vinyl carbamate; 3-[tris(trimethylsiloxy)silyl] propyl allyl carbamate; 3-[tris(trimethylsiloxy)silyl]propyl vinyl carbonate; t-butyldimethylsiloxyethyl vinyl carbonate; trimethylsilylethyl vinyl carbonate; and trimethylsilylmethyl vinyl carbonate.
- Another class of silicone-containing monomers includes polyurethane-polysiloxane macromonomers (also sometimes referred to as prepolymers), which may have hard-soft-hard blocks like traditional urethane elastomers. Examples of silicone urethanes are disclosed in a variety or publications, including Lai, Yu-Chin, “The Role of Bulky Polysiloxanylalkyl Methacryates in Polyurethane-Polysiloxane Hydrogels,” Journal of Applied Polymer Science, Vol. 60, 1193-1199 (1996). PCT Published Application No. WO 96/31792 discloses examples of such monomers, which disclosure is hereby incorporated by reference in its entirety. Further examples of silicone urethane monomers are represented by Formulae II and III:
-
E(*D*A*D*G)a*D*A*D*E′; or (II) -
E(*D*G*D*A)a*D*G*D*E′; (III) - wherein:
- D denotes an alkyl diradical, an alkyl cycloalkyl diradical, a cycloalkyl diradical, an aryl diradical or an alkylaryl diradical having 6 to 30 carbon atoms;
- G denotes an alkyl diradical, a cycloalkyl diradical, an alkyl cycloalkyl diradical, an aryl diradical or an alkylaryl diradical having 1 to 40 carbon atoms and which may contain ether, thio or amine linkages in the main chain;
- * denotes a urethane or ureido linkage;
- a is at least 1;
- A denotes a divalent polymeric radical of Formula IV:
- wherein:
- each Rs independently denotes an alkyl or fluoro-substituted alkyl group having 1 to 10 carbon atoms which may contain ether linkages between carbon atoms;
- m′ is at least 1; and
- p is a number that provides a moiety weight of 400 to 10,000;
- each of E and E′ independently denotes a polymerizable unsaturated organic radical represented by Formula V:
- wherein:
- R23 is hydrogen or methyl;
- R24 is hydrogen, an alkyl radical having 1 to 6 carbon atoms, or a —CO—Y—R26 radical wherein Y is —O—, —S— or —NH—;
- R25 is a divalent alkylene radical having 1 to 10 carbon atoms;
- R26 is a alkyl radical having 1 to 12 carbon atoms;
- X denotes —CO— or —OCO—;
- Z denotes —O— or —NH—;
- Ar denotes an aromatic radical having 6 to 30 carbon atoms;
- w is 0 to 6; x is 0 or 1; y is 0 or 1; and z is 0 or 1.
- A representative silicone-containing urethane monomer is represented by Formula (VI):
- wherein m is at least 1 and is preferably 3 or 4, a is at least 1 and preferably is 1, p is a number which provides a moiety weight of 400 to 10,000 and is preferably at least 30, R27 is a diradical of a diisocyanate after removal of the isocyanate group, such as the diradical of isophorone diisocyanate, and each E″ is a group represented by:
- Another class of representative silicone-containing monomers includes fluorinated monomers. Such monomers have been used in the formation of fluorosilicone hydrogels to reduce the accumulation of deposits on contact lenses made therefrom, as described in U.S. Pat. Nos. 4,954,587, 5,079,319 and 5,010,141. The use of silicone-containing monomers having certain fluorinated side groups, i.e. —(CF2)—H, have been found to improve compatibility between the hydrophilic and silicone-containing monomeric units, as described in U.S. Pat. Nos. 5,387,662 and 5,321,108.
- In one preferred embodiment of the invention, a silicone hydrogel material comprises (in bulk, that is, in the monomer mixture that is copolymerized) 5 to 50 percent, preferably 10 to 25, by weight of one or more silicone macromonomers, 5 to 75 percent, preferably 30 to 60 percent, by weight of one or more polysiloxanylalkyl (meth)acrylic monomers, and 10 to 50 percent, preferably 20 to 40 percent, by weight of a hydrophilic monomer. Examples of hydrophilic monomers include, but are not limited to, ethylenically unsaturated lactam-containing monomers such as N-vinyl pyrrolidinone, methacrylic and acrylic acids; acrylic substituted alcohols, such as 2-hydroxyethylmethacrylate and 2-hydroxyethylacrylate and acrylamides, such as methacrylamide and N,N-dimethylacrylamide, vinyl carbonate or vinyl carbamate monomers such as disclosed in U.S. Pat. No. 5,070,215, and oxazolinone monomers such as disclosed in U.S. Pat. No. 4,910,277. Other hydrophilic monomers will be apparent to one skilled in the art.
- Silicone elastomer contact lenses are formed of a silicone elastomer, such as various polydimethylsiloxane materials. In contrast to silicone hydrogel copolymers, silicone elastomers are more rubbery and hydrophobic, generally lack a hydrophilic co-monomer, and do not absorb appreciable amounts of water.
- The above silicone materials are merely exemplary, and other materials for use as substrates that can benefit by this invention have been disclosed in various publications and are being continuously developed for use in contact lenses and other medical devices. For illustrative purposes, the following description focuses on silicone hydrogel copolymers, although various aspects of the invention are applicable for silicone elastomer contact lens materials.
- Some monomer mixtures for silicone hydrogels include an organic diluent in the initial monomeric mixture that is unreactive with the monomeric components. Suitable organic diluents include, for example, monohydric alcohols, with C6-C10 straight-chained aliphatic monohydric alcohols such as n-hexanol and n-nonanol being especially preferred; diols such as ethylene glycol; polyols such as glycerin; ethers such as diethylene glycol monoethyl ether; ketones such as methyl ethyl ketone; esters such as methyl enanthate; and hydrocarbons such as toluene. Generally, the diluent when present is included at five to sixty percent by weight of the initial monomeric mixture, with ten to fifty percent by weight being especially preferred. The diluent may be removed from the contact lens, after casting, by evaporation and/or exchange with an extracting solvent.
- Other additives commonly employed in the silicone hydrogel monomer mixture include polymerization initiators, tints, and UV absorbing agents, among others.
- The initial monomer mixture is polymerized to form a copolymer. Contact lenses may be manufactured by various conventional techniques, to yield a shaped article having the desired posterior and anterior lens surfaces. As examples, spincasting methods are known, including those disclosed in U.S. Pat. Nos. 3,408,429 and 3,660,545; and static casting methods are known, including those disclosed in U.S. Pat. Nos. 4,197,266 and 5,271,875. Generally, static cast molding involves dispensing the liquid monomer mixture in the mold cavity of a mold assembly including a posterior mold part and an anterior mold part, the posterior mold part including an optical mold surface for forming the posterior contact lens surface, and the anterior mold part including an optical mold surface for forming the anterior contact lens surface. Then, while the monomer mixture is in this mold cavity, the monomer mixture is exposed to thermal energy and/or light energy to cure the monomer mixture and form the copolymer.
- According to conventional contact lens manufacturing, the cast contact lens is removed from the mold assembly. The contact lens is typically extracted with a solvent to remove any unrelated monomers or other undesired materials from the cast lens; an organic solvent, such as isopropyl alcohol, water, or an aqueous solution may be used for extraction. The lens is hydrated and packaged in an aqueous solution, whereby the silicone hydrogel copolymer absorbs and retains water, and the packaged contact lens is typically sterilized, such as by autoclaving.
- For the methods of this invention, the cast contact lens may be removed from the mold assembly prior to treating the lens. Alternately, the cast contact lens may be retained on a mold part, where one surface of the lens is exposed for treatment. Generally, the lens will be treated by the methods of this invention subsequent to casting of the lens, and prior to a final hydration of the silicone hydrogel copolymer.
- This invention provides at least one surface of the contact lens with a wrinkled surface. Both the posterior and anterior surfaces of the contact lens may have this wrinkled surface, or only one of the surfaces may be wrinkled. Additionally, if desired, only selected portions of the posterior and/or anterior surfaces may be wrinkled. According to preferred embodiments, the posterior surface of the lens is wrinkled so as to facilitate improved fluid exchange between the posterior surface of the lens and the cornea while the lens is worn.
- The wrinkled surface generally includes a series of raised ridges with depressions therebetween, wherein the raised ridges have heights of 0.5 to 1000 nm with respect to such depressions. More preferably, the raised ridges have heights of 10 to 600 nm with respect to such adjacent depressions. The raised ridges will generally be randomly interspersed. Individual raised ridges may have various shapes, such as circular, cylindrical or curved shapes.
- Various contact lens publications seek to achieve a smoother surface, under the theory that a smoother surface will be more comfortable. In contrast, the present invention provides a contact lens with a more textured surface, the textured surface not compromising comfort but providing the contact lens surface with a desired texture, such as to provide the improved fluid exchange between the contact lens and the cornea.
- According to various preferred embodiments, the contact lens is initially provided with a modified surface layer, i.e., the surface of the cast contact lens is modified, and subsequently, this modified surface becomes the wrinkled surface. For example, a surface of the lens contact lens may be modified by treating it with plasma, or other energy.
- As a further example, the contact lens surface may be modified to provide a silicate surface layer thereon. The silicate surface may be provided by subjecting the surface to strong oxidation, whereby a considerable portion of the silicon at the surface of the lens is converted to silicate. The silicate surface may be formed by plasma treatment of the contact lens surface is an oxygen-containing environment. The plasma surface treatment involves passing an electrical discharge through the oxygen-containing gas at low pressure. The electrical discharge is usually at radio frequency (typically 13.56 MHz), although microwave and other frequencies can be used. The term plasma herein also encompasses corona discharge. The electrical discharge in a plasma is absorbed by atoms and molecules in their gaseous state, thus forming a plasma that interacts with the surface of the contact lens. With an oxidizing plasma, e.g., O2 (oxygen gas), water, hydrogen peroxide, air, and the like, the plasma tends to etch the surface of the lens, creating radicals and oxidized functional groups. Plasma treatment, when using an electric discharge frequency of 13.56 Mhz, is suitably between about 10 and 1000 watts, preferably 100 to 500 watts, a pressure of about 0.001 to 5.0 torr, preferably 0.1 to 1.0 torr, for a time period of about 10 seconds to 60 minutes, preferably about 1-10 minutes. If both surfaces are being treated, the sides may be treated concurrently or sequentially.
- As another example, a silicate surface layer may be formed by exposing the contact lens surface to UV radiation in an ozone environment.
- After forming the modified surface layer, which in the illustrated embodiment is a silicate surface layer, the contact lens is swelled with a polymerizable swelling agent. This agent is polymerizable, i.e., it is a monomeric material. Preferred agents include ethylenic unsaturation, such that the agent is polymerizable by free radical polymerization. This agent also serves to swell the contact lens copolymeric material which is exposed to the agent. Preferably, the agent swells the contact lens copolymer by at least 15% by volume, more preferably, at least 25% by volume. Representative swelling agents include alkyl (meth)acrylates, especially n-butyl acrylate; alcohol-containing (meth)acrylates, especially 2-hydroxyethyl methacrylate and glyercol methacrylate; and epoxy-containing (meth)acrylates, especially glycidyl methacrylate.
- It is preferred that the swelling agent is mixed with a cross-linking monomer, such as a di(meth)acrylated monomer. Representative crosslinking monomers include ethylene glycol dimethacrylate, diethyleneglycol methacrylate, hexamethylene dimethacrylate, among others. It is also preferred that the swelling agent is mixed with a polymerization initiator, for example, a UV initiator if the swelling agent is polymerized with UV radiation, or a thermal initiator if the swelling agent is polymerized with thermal energy.
- The contact lens may be immersed in the polymerizable swelling agent. Alternately, the contact lens may be exposed to the polymerizable swelling agent by other methods such as spraying or dip coating. Generally, the contact lens should be exposed to the swelling agent for sufficient time, generally one to ten minutes, so that this agent penetrates beneath the modified surface layer, preferably to a depth of at least 5 nm. Depending on the amount of swelling, the silicate layer will become wrinkled to a varying degree. The particular swelling agent used, and the time of exposure of the contact lens with the swelling agent, may be varied selectively to obtain a desired degree of wrinkling.
- At this stage, it is preferred that excess polymerizable swelling agent at the surface of the lens is removed. In other words, it is desirable that there is a greater amount of this agent remains at the depth of 5 nm and below, than nearer the surface. The removal of excess swelling agent may be done by wiping, air blow-off, or the like. If a more vigorous removal method is need, a solvent may be used to remove the excess swelling agent. Suitable solvents are those in which the swelling agent is soluble, for example, acetone, ethanol, isopropanol, and tetrahydrofuran.
- Subsequently, the swelling agent is polymerized, such as by exposure to light energy (such as UV radiation) and/or thermal energy. Polymerization of the swelling agent serves to stabilize the wrinkled modified surface layer. In other words, the polymerized swelling agent anchors the wrinkled modified surface layer to the underlying silicone copolymer substrate, resulting in a wrinkled, robust coating that does not delaminate from the contact lens surface and in a wrinkled, durable wettable coating.
- Optionally, the surface of the contact lens may be further modified, such as by grafting or plasma-deposition of a material to the surface. For example, in the case where the contact lens includes a silicate surface layer, a carbon layer may be deposited thereon; an example is subjecting the surface to a plasma polymerization deposition with a gas made from a diolefinic compound having 4 to 8 carbon atoms, in the absence of oxygen, thus forming a carbon layer on the surface on the lens; this carbon layer may be rendered hydrophilic by subjecting it to a second plasma oxidation or by applying a secondary coating of a hydrophilic polymer which is attached thereto.
- It will be appreciated that various combinations of surface characteristics may be employed. As one specific example, a silicate coating may be formed on both surfaces of the silicone contact lens. The posterior side of the lens is treated for a relatively longer period with the polymerizable swelling agent, so that the posterior silicate surface layer becomes wrinkled, thus providing a textured surface for fluid exchange when the lens is worn. In contrast, the anterior side of the lens is treated for a relatively shorter period with the polymerizable swelling agent, so that the anterior surface has very little or no wrinkling; a carbon coating or other coating may be applied to the silicate surface layer on the anterior surface.
- Table 1 discloses a monomer mixture for forming a silicone hydrogel lens material useful for the present invention.
-
TABLE 1 Component Parts by Weight TRIS-VC 55 NVP 30 V2D25 15 VINAL 1 n-nonanol 15 Darocur initiator 0.2 tint agent 0.05 - The following materials are designated above:
-
TRIS-VC tris(trimethylsiloxy)silylpropyl vinyl carbamate NVP N-vinyl pyrrolidone V2D25 a silicone-containing vinyl carbonate as previously described in U.S. Pat. No. 5,534,604. VINAL N-vinyloxycarbonyl alanine Darocur Darocur-1173, a UV initiator tint agent 1,4-bis[4-(2-methacryloxyethyl)phenylamino] anthraquinone - Table 2 discloses a monomer mixture for forming a polyurethane silicone hydrogel formulation useful in the present invention.
-
TABLE 2 Component Parts by Weight ID3S4H 55 TRIS 20 DMA 25 UV Absorber 0.5 n-Hexanol 20 Irgacure-819 initiator 0.5 Tint agent 150 ppm - The following materials are designated above:
-
TRIS tris(trimethylsiloxy)silylpropyl methacrylate DMA N,N-dimethylacrylamide ID3S4H a polysiloxane-containing urethane prepolymer of Formula (VI) where R27 is the residue of isophorone diisocyanate, and having a molecular weight about 4000. Irgacure-819 a UV initiator - Table 3 discloses a monomer mixture for forming a polyfumarate silicone hydrogel formulation useful in the present invention.
-
TABLE 3 Component Parts by Weight F2D20 20 TRIS 40 DMA 40 n-Hexanol 5 Darocur initiator 0.5 Tint Agent 150 ppm - The following materials are designated above:
-
TRIS tris(trimethylsiloxy)silylpropyl methacrylate DMA N,N-dimethylacrylamide F2D20 a silicone-containing crosslinking resin as previously described in U.S. Pat. Nos. 5,374,662 and 5,496,871. - This Example illustrates a process for forming silicone hydrogel contact lenses for a method of this invention. The monomer mixture of Table 2 was injected onto a clean polypropylene anterior mold half and covered with the complementary polypropylene posterior mold half. The mold halves were compressed, and the mixture was cured by exposure to UV radiation. The top mold half was removed, and the lenses were maintained in a forced air oven to remove the majority of the n-hexanol diluent. The lenses are removed from the bottom mold half, extracted in isopropanol, and then dried.
- The lenses are placed in a Branson RF plasma unit (13.56 MHz), or similar unit, on a tray which elevates the lenses between two electrodes and allows the flow of gas around the lenses. The plasma unit is evacuated of air, then oxygen gas or air is introduced into the chamber, and the plasma is ignited. After completion of the plasma treatment, the lenses are removed from the plasma unit and immersed in a mixture consisting of n-butyl acrylate (75%), ethylene glycol dimethacrylate crosslinker (25%) and photoinitiator (Igracure® 819 initiator). This acrylate-containing mixture is allowed to remain on the silicate layer until such time has evolved that sufficient penetration by the swelling agent into the silicone hydrogel has taken place, typically, but not limited to 1-5 minutes, and the silicate layer assumes a wrinkled texture. After this time the excess acrylate-containing mixture is removed by wiping the surface with a clean cloth containing acetone. The lens samples are then placed in a chamber and exposed to UV radiation, to polymerize the n-butyl acrylate monomer mixture that has imbibed into the silicone hydrogel copolymer. The lenses are then hydrated in deionized water until equilibrated, followed by placing in borate buffered saline and autoclaving at about 120° C.
- Optionally, prior to hydration, an additional coating may be added to the posterior surface, the anterior surface, or both these surfaces.
- As an alternative to forming a silicate coating on the lens surface, plasticizers may be used to create the wrinkled surface. An illustration of this approach involves, initially, abstracting hydrogen from the desired lens surface or portions thereof. For example, a polymerization initiator may be applied to the contact lens surface; commercially available initiators include benzophenones, thioxanthones, and phosphine oxides, including those available under the tradenames Irgacure and Darocur. An initiator-containing solution is applied to and reacted with the lens surface, such as by spray coating, a gas nebulizer or transfer to the surface from the contact lens mold.
- Once hydrogen is abstracted from the upper (near) regions of the lens surface, free radicals will remain which are available to react with vinyl-containing plasticizers in the near surface region. Such plasticizers preferably include (meth)acrylate functionality, such as: (meth)acrylated silicone based materials, like (meth)acrylated poly(dimethyl siloxane)s; and (meth)acrylated aromatic-containing compounds, like phenoxyethyl acrylate, isoborneol acrylate, or benzyl acrylate. Other specific examples include:
- These (meth)acrylated plasticizers may be applied to the lens surface by the aforementioned methods of such as by spray coating, a gas nebulizer or transfer to the surface from the contact lens mold, followed by curing, including application of heat, UV radiation or visible light. Then, the contact lens may be treated with the swelling agents, discussed above. Generally, these plasticizers are chosen so that once cured in the near region of the contact lens, the resulting polymers have a different polymer backbone structure and/or modulus from the contact lens bulk copolymer. Infusion with swelling agents like n-butyl acrylate create wrinkles, as disclosed above.
- As a further alternative, the contact lens bulk copolymer may include a co-monomer that provides the lens surface with residual allyl groups. Examples of such co-monomers, included in the initial monomer mixture used to cast the contact lens, are allyl (meth)acrylates. The (meth)acrylate functionality of this co-monomer reacts with the other co-monomers in the monomer mixture, whereas the allyl functionality remains in the near region of the contact lens. The allyl functionality may be reacted with a hydrocarbon or silane compound with thio end groups. The hydrocarbon or silane compound is a compound able to swell the contact lens bulk copolymer, and further containing at least one thio end group for reacting with the residual allyl functionality of the bulk contact lens copolymer. The thio-terminated compounds will covalently bind to the exposed allyl groups which will allow the hydrocarbon and silane materials to interact and swell the polymer in the near surface region, thus creating a mismatch in polymer backbone and/or modulus. Then, a swelling agent such as n-butyl acrylate may then be infused, as discussed above.
- As an additional alternative, various polymeric materials, including polylactides, polyglycolides, polydioxananes, polycaprolactones, polyethylene glycols, polypropylene glycols, polyethylene and propylene oxides, fluorocarbons, fluorosiloxanes, polyurethanes, and copolymers thereof, have polymeric backbones and moduli that differ from the contact lens bulk copolymer. The use of a thin film or infused layer may be incorporated onto or within the contact lens, to establish a polymer backbone and/or modulus mismatch which will induce stress and ultimately promote wrinkling once a swelling agent is infused into the polymer.
- For any of the aforementioned methods, portions of the contact lens surface may be masked during treatment, such that the masked portions exhibit less wrinkling than the unmasked portions.
- It will be understood that various modifications may be made to the embodiments disclosed herein. Therefore the above description should not be construed as limiting, but merely as exemplifications of preferred embodiments. Other arrangements and methods may be implemented by those skilled in the art without departing from the scope and spirit of this invention. Moreover, those skilled in the art will envision other modifications within the scope and spirit of the features and advantages appended hereto.
- We:
Claims (5)
1. A contact lens comprising a silicone contact lens, wherein a surface of the lens is wrinkled and includes raised ridges.
2. The contact lens of claim 1 , wherein the wrinkled surface is on a posterior surface of the contact lens, said wrinkled surface facilitating fluid exchange between the lens and a cornea when the lens is worn.
3. The contact lens of claim 1 , wherein the wrinkled surface is a silicate surface layer.
4. The contact lens of claim 1 , comprised of a silicone hydrogel copolymer.
5. The contact lens of claim 4 , wherein the silicone hydrogel copolymer is the reaction product of a monomeric mixture comprising a polysiloxane-containing urethane prepolymer.
Priority Applications (1)
| Application Number | Priority Date | Filing Date | Title |
|---|---|---|---|
| US12/581,646 US20100039613A1 (en) | 2006-12-15 | 2009-10-19 | Silicone contact lenses with wrinkled surface |
Applications Claiming Priority (2)
| Application Number | Priority Date | Filing Date | Title |
|---|---|---|---|
| US11/611,317 US7625598B2 (en) | 2006-12-15 | 2006-12-15 | Silicone contact lenses with wrinkled surface |
| US12/581,646 US20100039613A1 (en) | 2006-12-15 | 2009-10-19 | Silicone contact lenses with wrinkled surface |
Related Parent Applications (1)
| Application Number | Title | Priority Date | Filing Date |
|---|---|---|---|
| US11/611,317 Continuation US7625598B2 (en) | 2006-12-15 | 2006-12-15 | Silicone contact lenses with wrinkled surface |
Publications (1)
| Publication Number | Publication Date |
|---|---|
| US20100039613A1 true US20100039613A1 (en) | 2010-02-18 |
Family
ID=39186209
Family Applications (2)
| Application Number | Title | Priority Date | Filing Date |
|---|---|---|---|
| US11/611,317 Expired - Fee Related US7625598B2 (en) | 2006-12-15 | 2006-12-15 | Silicone contact lenses with wrinkled surface |
| US12/581,646 Abandoned US20100039613A1 (en) | 2006-12-15 | 2009-10-19 | Silicone contact lenses with wrinkled surface |
Family Applications Before (1)
| Application Number | Title | Priority Date | Filing Date |
|---|---|---|---|
| US11/611,317 Expired - Fee Related US7625598B2 (en) | 2006-12-15 | 2006-12-15 | Silicone contact lenses with wrinkled surface |
Country Status (7)
| Country | Link |
|---|---|
| US (2) | US7625598B2 (en) |
| EP (1) | EP2092375B1 (en) |
| JP (1) | JP5406034B2 (en) |
| CN (1) | CN101558330B (en) |
| AT (1) | ATE538398T1 (en) |
| ES (1) | ES2375518T3 (en) |
| WO (1) | WO2008073571A1 (en) |
Cited By (8)
| Publication number | Priority date | Publication date | Assignee | Title |
|---|---|---|---|---|
| US20130158211A1 (en) * | 2011-12-14 | 2013-06-20 | Semprus Biosciences Corp. | Imbibing process for contact lens surface modification |
| US20130155371A1 (en) * | 2011-12-14 | 2013-06-20 | Semprus Biosciences Corp. | Redox processes for contact lens modification |
| US8870372B2 (en) | 2011-12-14 | 2014-10-28 | Semprus Biosciences Corporation | Silicone hydrogel contact lens modified using lanthanide or transition metal oxidants |
| US9004682B2 (en) | 2011-12-14 | 2015-04-14 | Semprus Biosciences Corporation | Surface modified contact lenses |
| US9244195B2 (en) | 2011-06-09 | 2016-01-26 | Novartis Ag | Silicone hydrogel lenses with nano-textured surfaces |
| US9298019B2 (en) | 2010-05-04 | 2016-03-29 | Johnson & Johnson Vision Care, Inc. | Surface enhanced ophthalmic lens |
| US11899287B2 (en) | 2020-10-23 | 2024-02-13 | Carl Zeiss Vision International Gmbh | Method of manufacturing a spectacle lens |
| US11926557B2 (en) | 2020-10-23 | 2024-03-12 | Carl Zeiss Vision International Gmbh | Method of manufacturing a spectacle lens |
Families Citing this family (5)
| Publication number | Priority date | Publication date | Assignee | Title |
|---|---|---|---|---|
| US7858156B2 (en) * | 2006-11-27 | 2010-12-28 | The University Of Massachusetts | Surface buckling method and articles formed thereby |
| US8906284B2 (en) * | 2008-05-28 | 2014-12-09 | The University Of Massachusetts | Wrinkled adhesive surfaces and methods for the preparation thereof |
| US9089419B2 (en) * | 2008-10-15 | 2015-07-28 | Novartis Ag | System to reduce surface contact between optic and haptic areas |
| KR101197842B1 (en) | 2009-10-01 | 2012-11-05 | 쿠퍼비젼 인터내셔날 홀딩 캄파니, 엘피 | Silicone hydrogel contact lenses and methods of making silicone hydrogel contact lenses |
| KR101825607B1 (en) * | 2010-02-18 | 2018-02-05 | 다우 코닝 코포레이션 | Surface-modified hydrogels and hydrogel microparticles |
Citations (46)
| Publication number | Priority date | Publication date | Assignee | Title |
|---|---|---|---|---|
| US3408429A (en) * | 1963-09-11 | 1968-10-29 | Ceskoslovenska Akademie Ved | Method for centrifugal casting a contact lens |
| US3660545A (en) * | 1961-12-27 | 1972-05-02 | Ceskoslovenska Akademie Ved | Method of centrifugally casting thin edged corneal contact lenses |
| US4055378A (en) * | 1971-12-31 | 1977-10-25 | Agfa-Gevaert Aktiengesellschaft | Silicone contact lens with hydrophilic surface treatment |
| US4122942A (en) * | 1974-01-31 | 1978-10-31 | Wolfson Leonard G | Hydrophilic contact lens case |
| US4136250A (en) * | 1977-07-20 | 1979-01-23 | Ciba-Geigy Corporation | Polysiloxane hydrogels |
| US4143949A (en) * | 1976-10-28 | 1979-03-13 | Bausch & Lomb Incorporated | Process for putting a hydrophilic coating on a hydrophobic contact lens |
| US4153641A (en) * | 1977-07-25 | 1979-05-08 | Bausch & Lomb Incorporated | Polysiloxane composition and contact lens |
| US4197266A (en) * | 1974-05-06 | 1980-04-08 | Bausch & Lomb Incorporated | Method for forming optical lenses |
| US4214014A (en) * | 1977-12-16 | 1980-07-22 | Titmus Eurocon Kontaklinsen GmbH & Co. KG | Method for surface treatment of contact lenses |
| US4312575A (en) * | 1979-09-18 | 1982-01-26 | Peyman Gholam A | Soft corneal contact lens with tightly cross-linked polymer coating and method of making same |
| US4314068A (en) * | 1979-01-26 | 1982-02-02 | George F. Tsuetaki | Oxygen-permeable contact lens compositions, methods, and articles of manufacture |
| US4632844A (en) * | 1984-02-04 | 1986-12-30 | Japan Synthetic Rubber Co., Ltd. | Optical product having a thin film on the surface |
| US4652721A (en) * | 1985-01-03 | 1987-03-24 | Dow Corning Corporation | Method and apparatus for edge contouring lenses |
| US4740533A (en) * | 1987-07-28 | 1988-04-26 | Ciba-Geigy Corporation | Wettable, flexible, oxygen permeable, substantially non-swellable contact lens containing block copolymer polysiloxane-polyoxyalkylene backbone units, and use thereof |
| US4896958A (en) * | 1988-02-18 | 1990-01-30 | Ames Keith S | Flexible contact lens for enhanced movement on the eye |
| US4910277A (en) * | 1988-02-09 | 1990-03-20 | Bambury Ronald E | Hydrophilic oxygen permeable polymers |
| US4954587A (en) * | 1988-07-05 | 1990-09-04 | Ciba-Geigy Corporation | Dimethylacrylamide-copolymer hydrogels with high oxygen permeability |
| US5010141A (en) * | 1989-10-25 | 1991-04-23 | Ciba-Geigy Corporation | Reactive silicone and/or fluorine containing hydrophilic prepolymers and polymers thereof |
| US5034461A (en) * | 1989-06-07 | 1991-07-23 | Bausch & Lomb Incorporated | Novel prepolymers useful in biomedical devices |
| US5070215A (en) * | 1989-05-02 | 1991-12-03 | Bausch & Lomb Incorporated | Novel vinyl carbonate and vinyl carbamate contact lens material monomers |
| US5079319A (en) * | 1989-10-25 | 1992-01-07 | Ciba-Geigy Corporation | Reactive silicone and/or fluorine containing hydrophilic prepolymers and polymers thereof |
| US5135297A (en) * | 1990-11-27 | 1992-08-04 | Bausch & Lomb Incorporated | Surface coating of polymer objects |
| US5166710A (en) * | 1990-01-24 | 1992-11-24 | Ciba-Geigy Corporation | Contact lens and process for the manufacture thereof |
| US5260000A (en) * | 1992-08-03 | 1993-11-09 | Bausch & Lomb Incorporated | Process for making silicone containing hydrogel lenses |
| US5271875A (en) * | 1991-09-12 | 1993-12-21 | Bausch & Lomb Incorporated | Method for molding lenses |
| US5310779A (en) * | 1991-11-05 | 1994-05-10 | Bausch & Lomb Incorporated | UV curable crosslinking agents useful in copolymerization |
| US5321108A (en) * | 1993-02-12 | 1994-06-14 | Bausch & Lomb Incorporated | Fluorosilicone hydrogels |
| US5326584A (en) * | 1989-04-24 | 1994-07-05 | Drexel University | Biocompatible, surface modified materials and method of making the same |
| US5358995A (en) * | 1992-05-15 | 1994-10-25 | Bausch & Lomb Incorporated | Surface wettable silicone hydrogels |
| US5374662A (en) * | 1993-03-15 | 1994-12-20 | Bausch & Lomb Incorporated | Fumarate and fumaramide siloxane hydrogel compositions |
| US5726733A (en) * | 1993-12-21 | 1998-03-10 | Bausch & Lomb Incorporated | Method for increasing hydrophilicity of contact lenses |
| US5760100A (en) * | 1994-09-06 | 1998-06-02 | Ciba Vision Corporation | Extended wear ophthalmic lens |
| US6193369B1 (en) * | 1998-05-05 | 2001-02-27 | Bausch & Lomb Incorporated | Plasma surface treatment of silicone hydrogel contact lenses |
| US6200626B1 (en) * | 1999-05-20 | 2001-03-13 | Bausch & Lomb Incorporated | Surface-treatment of silicone medical devices comprising an intermediate carbon coating and graft polymerization |
| US6213604B1 (en) * | 1999-05-20 | 2001-04-10 | Bausch & Lomb Incorporated | Plasma surface treatment of silicone hydrogel contact lenses with a flexible carbon coating |
| US6348507B1 (en) * | 1998-05-05 | 2002-02-19 | Bausch & Lomb Incorporated | Surface treatment of silicone hydrogel contact lenses |
| US6428839B1 (en) * | 2000-06-02 | 2002-08-06 | Bausch & Lomb Incorporated | Surface treatment of medical device |
| US6440571B1 (en) * | 1999-05-20 | 2002-08-27 | Bausch & Lomb Incorporated | Surface treatment of silicone medical devices with reactive hydrophilic polymers |
| US6550915B1 (en) * | 1998-12-21 | 2003-04-22 | Bausch & Lomb Incorporated | Surface treatment of fluorinated contact lens materials |
| US6599559B1 (en) * | 2000-04-03 | 2003-07-29 | Bausch & Lomb Incorporated | Renewable surface treatment of silicone medical devices with reactive hydrophilic polymers |
| US20030151718A1 (en) * | 2000-07-28 | 2003-08-14 | Ocular Sciences, Inc. | Contact lenses with blended microchannels |
| US6630243B2 (en) * | 1999-05-20 | 2003-10-07 | Bausch & Lomb Incorporated | Surface treatment of silicone hydrogel contact lenses comprising hydrophilic polymer chains attached to an intermediate carbon coating |
| US6638563B2 (en) * | 2000-09-19 | 2003-10-28 | Bausch & Lomb Incorporated | Method for applying renewable polymeric lens coating |
| US6779888B2 (en) * | 2000-07-28 | 2004-08-24 | Ocular Sciences, Inc. | Contact lenses with microchannels |
| US20050045589A1 (en) * | 2003-08-25 | 2005-03-03 | Sanjay Rastogi | Plasma treatment of contact lens and IOL |
| US20050157256A1 (en) * | 2002-04-12 | 2005-07-21 | Menicon Co., Ltd | Contact lens and production method for contact lens |
Family Cites Families (10)
| Publication number | Priority date | Publication date | Assignee | Title |
|---|---|---|---|---|
| US4099859A (en) * | 1974-12-02 | 1978-07-11 | High Voltage Engineering Corporation | Contact lens having a smooth surface layer of a hydrophilic polymer |
| TW253849B (en) | 1993-08-09 | 1995-08-11 | Ciba Geigy | |
| CN1240457A (en) * | 1996-12-13 | 2000-01-05 | 诺瓦提斯公司 | Porous polyorganosiloxane polymers |
| WO2001034312A1 (en) | 1999-11-05 | 2001-05-17 | Bausch & Lomb Incorporated | Surface treatment of non-plasma treated silicone hydrogel contact lenses |
| JP2003517503A (en) * | 2000-05-12 | 2003-05-27 | ボシュ・アンド・ロム・インコーポレイテッド | Plasma surface treatment of silicone hydrogel contact lenses with flexible carbon coating |
| GB2364136B (en) * | 2000-06-29 | 2004-11-17 | Brian David Cantor | Multifocal contact lenses |
| JP3931089B2 (en) * | 2002-01-24 | 2007-06-13 | Hoyaヘルスケア株式会社 | Method for producing soft contact lens comprising silicone hydrogel having hydrophilic surface and soft contact lens |
| US20040054026A1 (en) * | 2002-09-18 | 2004-03-18 | Kunzler Jay F. | Elastomeric, expandable hydrogel compositions |
| US6958169B2 (en) | 2002-12-17 | 2005-10-25 | Bausch & Lomb Incorporated | Surface treatment of medical device |
| JP2005309228A (en) * | 2004-04-23 | 2005-11-04 | Asahi Kasei Corp | Surface treatment contact lens |
-
2006
- 2006-12-15 US US11/611,317 patent/US7625598B2/en not_active Expired - Fee Related
-
2007
- 2007-10-17 EP EP07854130A patent/EP2092375B1/en not_active Not-in-force
- 2007-10-17 AT AT07854130T patent/ATE538398T1/en active
- 2007-10-17 WO PCT/US2007/081631 patent/WO2008073571A1/en not_active Ceased
- 2007-10-17 CN CN2007800464536A patent/CN101558330B/en not_active Expired - Fee Related
- 2007-10-17 ES ES07854130T patent/ES2375518T3/en active Active
- 2007-10-17 JP JP2009541436A patent/JP5406034B2/en not_active Expired - Fee Related
-
2009
- 2009-10-19 US US12/581,646 patent/US20100039613A1/en not_active Abandoned
Patent Citations (50)
| Publication number | Priority date | Publication date | Assignee | Title |
|---|---|---|---|---|
| US3660545A (en) * | 1961-12-27 | 1972-05-02 | Ceskoslovenska Akademie Ved | Method of centrifugally casting thin edged corneal contact lenses |
| US3408429A (en) * | 1963-09-11 | 1968-10-29 | Ceskoslovenska Akademie Ved | Method for centrifugal casting a contact lens |
| US4055378A (en) * | 1971-12-31 | 1977-10-25 | Agfa-Gevaert Aktiengesellschaft | Silicone contact lens with hydrophilic surface treatment |
| US4122942A (en) * | 1974-01-31 | 1978-10-31 | Wolfson Leonard G | Hydrophilic contact lens case |
| US4197266A (en) * | 1974-05-06 | 1980-04-08 | Bausch & Lomb Incorporated | Method for forming optical lenses |
| US4143949A (en) * | 1976-10-28 | 1979-03-13 | Bausch & Lomb Incorporated | Process for putting a hydrophilic coating on a hydrophobic contact lens |
| US4136250A (en) * | 1977-07-20 | 1979-01-23 | Ciba-Geigy Corporation | Polysiloxane hydrogels |
| US4153641A (en) * | 1977-07-25 | 1979-05-08 | Bausch & Lomb Incorporated | Polysiloxane composition and contact lens |
| US4214014A (en) * | 1977-12-16 | 1980-07-22 | Titmus Eurocon Kontaklinsen GmbH & Co. KG | Method for surface treatment of contact lenses |
| US4314068A (en) * | 1979-01-26 | 1982-02-02 | George F. Tsuetaki | Oxygen-permeable contact lens compositions, methods, and articles of manufacture |
| US4312575A (en) * | 1979-09-18 | 1982-01-26 | Peyman Gholam A | Soft corneal contact lens with tightly cross-linked polymer coating and method of making same |
| US4632844A (en) * | 1984-02-04 | 1986-12-30 | Japan Synthetic Rubber Co., Ltd. | Optical product having a thin film on the surface |
| US4652721A (en) * | 1985-01-03 | 1987-03-24 | Dow Corning Corporation | Method and apparatus for edge contouring lenses |
| US4740533A (en) * | 1987-07-28 | 1988-04-26 | Ciba-Geigy Corporation | Wettable, flexible, oxygen permeable, substantially non-swellable contact lens containing block copolymer polysiloxane-polyoxyalkylene backbone units, and use thereof |
| US4910277A (en) * | 1988-02-09 | 1990-03-20 | Bambury Ronald E | Hydrophilic oxygen permeable polymers |
| US4896958A (en) * | 1988-02-18 | 1990-01-30 | Ames Keith S | Flexible contact lens for enhanced movement on the eye |
| US4954587A (en) * | 1988-07-05 | 1990-09-04 | Ciba-Geigy Corporation | Dimethylacrylamide-copolymer hydrogels with high oxygen permeability |
| US5326584A (en) * | 1989-04-24 | 1994-07-05 | Drexel University | Biocompatible, surface modified materials and method of making the same |
| US5070215A (en) * | 1989-05-02 | 1991-12-03 | Bausch & Lomb Incorporated | Novel vinyl carbonate and vinyl carbamate contact lens material monomers |
| US5034461A (en) * | 1989-06-07 | 1991-07-23 | Bausch & Lomb Incorporated | Novel prepolymers useful in biomedical devices |
| US5010141A (en) * | 1989-10-25 | 1991-04-23 | Ciba-Geigy Corporation | Reactive silicone and/or fluorine containing hydrophilic prepolymers and polymers thereof |
| US5079319A (en) * | 1989-10-25 | 1992-01-07 | Ciba-Geigy Corporation | Reactive silicone and/or fluorine containing hydrophilic prepolymers and polymers thereof |
| US5166710A (en) * | 1990-01-24 | 1992-11-24 | Ciba-Geigy Corporation | Contact lens and process for the manufacture thereof |
| US5135297A (en) * | 1990-11-27 | 1992-08-04 | Bausch & Lomb Incorporated | Surface coating of polymer objects |
| US5271875A (en) * | 1991-09-12 | 1993-12-21 | Bausch & Lomb Incorporated | Method for molding lenses |
| US5310779A (en) * | 1991-11-05 | 1994-05-10 | Bausch & Lomb Incorporated | UV curable crosslinking agents useful in copolymerization |
| US5358995A (en) * | 1992-05-15 | 1994-10-25 | Bausch & Lomb Incorporated | Surface wettable silicone hydrogels |
| US5260000A (en) * | 1992-08-03 | 1993-11-09 | Bausch & Lomb Incorporated | Process for making silicone containing hydrogel lenses |
| US5321108A (en) * | 1993-02-12 | 1994-06-14 | Bausch & Lomb Incorporated | Fluorosilicone hydrogels |
| US5387662A (en) * | 1993-02-12 | 1995-02-07 | Bausch & Lomb Incorporated | Fluorosilicone hydrogels |
| US5374662A (en) * | 1993-03-15 | 1994-12-20 | Bausch & Lomb Incorporated | Fumarate and fumaramide siloxane hydrogel compositions |
| US5496871A (en) * | 1993-03-15 | 1996-03-05 | Bausch & Lomb Incorporated | Fumarate and fumaramide siloxane hydrogel compositions |
| US5726733A (en) * | 1993-12-21 | 1998-03-10 | Bausch & Lomb Incorporated | Method for increasing hydrophilicity of contact lenses |
| US5760100A (en) * | 1994-09-06 | 1998-06-02 | Ciba Vision Corporation | Extended wear ophthalmic lens |
| US5760100B1 (en) * | 1994-09-06 | 2000-11-14 | Ciba Vision Corp | Extended wear ophthalmic lens |
| US6348507B1 (en) * | 1998-05-05 | 2002-02-19 | Bausch & Lomb Incorporated | Surface treatment of silicone hydrogel contact lenses |
| US20030039748A1 (en) * | 1998-05-05 | 2003-02-27 | Valint Paul L. | Plasma surface treatment of silicone hydrogel contact lenses |
| US6193369B1 (en) * | 1998-05-05 | 2001-02-27 | Bausch & Lomb Incorporated | Plasma surface treatment of silicone hydrogel contact lenses |
| US6550915B1 (en) * | 1998-12-21 | 2003-04-22 | Bausch & Lomb Incorporated | Surface treatment of fluorinated contact lens materials |
| US6630243B2 (en) * | 1999-05-20 | 2003-10-07 | Bausch & Lomb Incorporated | Surface treatment of silicone hydrogel contact lenses comprising hydrophilic polymer chains attached to an intermediate carbon coating |
| US6440571B1 (en) * | 1999-05-20 | 2002-08-27 | Bausch & Lomb Incorporated | Surface treatment of silicone medical devices with reactive hydrophilic polymers |
| US6213604B1 (en) * | 1999-05-20 | 2001-04-10 | Bausch & Lomb Incorporated | Plasma surface treatment of silicone hydrogel contact lenses with a flexible carbon coating |
| US6200626B1 (en) * | 1999-05-20 | 2001-03-13 | Bausch & Lomb Incorporated | Surface-treatment of silicone medical devices comprising an intermediate carbon coating and graft polymerization |
| US6599559B1 (en) * | 2000-04-03 | 2003-07-29 | Bausch & Lomb Incorporated | Renewable surface treatment of silicone medical devices with reactive hydrophilic polymers |
| US6428839B1 (en) * | 2000-06-02 | 2002-08-06 | Bausch & Lomb Incorporated | Surface treatment of medical device |
| US20030151718A1 (en) * | 2000-07-28 | 2003-08-14 | Ocular Sciences, Inc. | Contact lenses with blended microchannels |
| US6779888B2 (en) * | 2000-07-28 | 2004-08-24 | Ocular Sciences, Inc. | Contact lenses with microchannels |
| US6638563B2 (en) * | 2000-09-19 | 2003-10-28 | Bausch & Lomb Incorporated | Method for applying renewable polymeric lens coating |
| US20050157256A1 (en) * | 2002-04-12 | 2005-07-21 | Menicon Co., Ltd | Contact lens and production method for contact lens |
| US20050045589A1 (en) * | 2003-08-25 | 2005-03-03 | Sanjay Rastogi | Plasma treatment of contact lens and IOL |
Cited By (10)
| Publication number | Priority date | Publication date | Assignee | Title |
|---|---|---|---|---|
| US9298019B2 (en) | 2010-05-04 | 2016-03-29 | Johnson & Johnson Vision Care, Inc. | Surface enhanced ophthalmic lens |
| US9244195B2 (en) | 2011-06-09 | 2016-01-26 | Novartis Ag | Silicone hydrogel lenses with nano-textured surfaces |
| US20130158211A1 (en) * | 2011-12-14 | 2013-06-20 | Semprus Biosciences Corp. | Imbibing process for contact lens surface modification |
| US20130155371A1 (en) * | 2011-12-14 | 2013-06-20 | Semprus Biosciences Corp. | Redox processes for contact lens modification |
| US8870372B2 (en) | 2011-12-14 | 2014-10-28 | Semprus Biosciences Corporation | Silicone hydrogel contact lens modified using lanthanide or transition metal oxidants |
| US9006359B2 (en) * | 2011-12-14 | 2015-04-14 | Semprus Biosciences Corporation | Imbibing process for contact lens surface modification |
| US9004682B2 (en) | 2011-12-14 | 2015-04-14 | Semprus Biosciences Corporation | Surface modified contact lenses |
| US9120119B2 (en) * | 2011-12-14 | 2015-09-01 | Semprus Biosciences Corporation | Redox processes for contact lens modification |
| US11899287B2 (en) | 2020-10-23 | 2024-02-13 | Carl Zeiss Vision International Gmbh | Method of manufacturing a spectacle lens |
| US11926557B2 (en) | 2020-10-23 | 2024-03-12 | Carl Zeiss Vision International Gmbh | Method of manufacturing a spectacle lens |
Also Published As
| Publication number | Publication date |
|---|---|
| EP2092375A1 (en) | 2009-08-26 |
| JP2010513953A (en) | 2010-04-30 |
| US7625598B2 (en) | 2009-12-01 |
| EP2092375B1 (en) | 2011-12-21 |
| ES2375518T3 (en) | 2012-03-01 |
| ATE538398T1 (en) | 2012-01-15 |
| CN101558330A (en) | 2009-10-14 |
| CN101558330B (en) | 2011-11-16 |
| US20080143956A1 (en) | 2008-06-19 |
| JP5406034B2 (en) | 2014-02-05 |
| WO2008073571A1 (en) | 2008-06-19 |
Similar Documents
| Publication | Publication Date | Title |
|---|---|---|
| EP2092375B1 (en) | Silicone contact lenses with wrinkled surface | |
| EP1187872B1 (en) | Surface-treatment of silicone medical devices comprising an intermediate carbon coating and graft polymerization | |
| KR100594414B1 (en) | Plasma Surface Treatment of Silicon Hydrogel Contact Lenses Using Flexible Carbon Coatings | |
| US20080002146A1 (en) | Biocompatible, surface modified materials | |
| US8631631B2 (en) | Packaging solutions | |
| US8668736B2 (en) | Brush copolymers | |
| US20090108479A1 (en) | Method for Making Biomedical Devices | |
| US20100168851A1 (en) | Surface Modified Biomedical Devices | |
| US20100168356A1 (en) | Biomedical Devices | |
| WO2009089205A1 (en) | Packaging solutions | |
| WO2008076513A1 (en) | Silicone contact lenses with silicate coating | |
| US20080206481A1 (en) | Silicone contact lenses with wrinkled surface | |
| US8071660B2 (en) | Surface modified biomedical devices | |
| US20090156745A1 (en) | Surface modified biomedical devices |
Legal Events
| Date | Code | Title | Description |
|---|---|---|---|
| STCB | Information on status: application discontinuation |
Free format text: ABANDONED -- FAILURE TO RESPOND TO AN OFFICE ACTION |






