US20090312260A1 - Drug therapy for celiac sprue - Google Patents
Drug therapy for celiac sprue Download PDFInfo
- Publication number
- US20090312260A1 US20090312260A1 US12/535,587 US53558709A US2009312260A1 US 20090312260 A1 US20090312260 A1 US 20090312260A1 US 53558709 A US53558709 A US 53558709A US 2009312260 A1 US2009312260 A1 US 2009312260A1
- Authority
- US
- United States
- Prior art keywords
- ttgase
- group
- peptide
- inhibitor
- amino acid
- Prior art date
- Legal status (The legal status is an assumption and is not a legal conclusion. Google has not performed a legal analysis and makes no representation as to the accuracy of the status listed.)
- Abandoned
Links
- 208000015943 Coeliac disease Diseases 0.000 title 1
- 238000002651 drug therapy Methods 0.000 title 1
- 239000003112 inhibitor Substances 0.000 claims abstract 9
- 108090000765 processed proteins & peptides Proteins 0.000 claims 10
- 230000002401 inhibitory effect Effects 0.000 claims 5
- ONIBWKKTOPOVIA-UHFFFAOYSA-N Proline Natural products OC(=O)C1CCCN1 ONIBWKKTOPOVIA-UHFFFAOYSA-N 0.000 claims 4
- 125000003342 alkenyl group Chemical group 0.000 claims 4
- 125000003545 alkoxy group Chemical group 0.000 claims 4
- 125000000217 alkyl group Chemical group 0.000 claims 4
- 125000004414 alkyl thio group Chemical group 0.000 claims 4
- 125000000539 amino acid group Chemical group 0.000 claims 4
- -1 aralkenyl Chemical group 0.000 claims 4
- 125000003710 aryl alkyl group Chemical group 0.000 claims 4
- 125000003118 aryl group Chemical group 0.000 claims 4
- 125000000753 cycloalkyl group Chemical group 0.000 claims 4
- 125000004438 haloalkoxy group Chemical group 0.000 claims 4
- 125000001188 haloalkyl group Chemical group 0.000 claims 4
- 125000001475 halogen functional group Chemical group 0.000 claims 4
- 125000004404 heteroalkyl group Chemical group 0.000 claims 4
- 125000001072 heteroaryl group Chemical group 0.000 claims 4
- 125000000623 heterocyclic group Chemical group 0.000 claims 4
- 125000004415 heterocyclylalkyl group Chemical group 0.000 claims 4
- 125000001500 prolyl group Chemical group [H]N1C([H])(C(=O)[*])C([H])([H])C([H])([H])C1([H])[H] 0.000 claims 4
- 150000001413 amino acids Chemical class 0.000 claims 3
- 125000003088 (fluoren-9-ylmethoxy)carbonyl group Chemical group 0.000 claims 2
- DHMQDGOQFOQNFH-UHFFFAOYSA-N Glycine Chemical compound NCC(O)=O DHMQDGOQFOQNFH-UHFFFAOYSA-N 0.000 claims 2
- UCXQIIIFOOGYEM-ULQDDVLXSA-N Leu-Pro-Tyr Chemical compound CC(C)C[C@H](N)C(=O)N1CCC[C@H]1C(=O)N[C@H](C(O)=O)CC1=CC=C(O)C=C1 UCXQIIIFOOGYEM-ULQDDVLXSA-N 0.000 claims 2
- 208000012902 Nervous system disease Diseases 0.000 claims 2
- 102000035195 Peptidases Human genes 0.000 claims 2
- 108091005804 Peptidases Proteins 0.000 claims 2
- 210000004899 c-terminal region Anatomy 0.000 claims 2
- 125000000404 glutamine group Chemical class N[C@@H](CCC(N)=O)C(=O)* 0.000 claims 2
- BEBCJVAWIBVWNZ-UHFFFAOYSA-N glycinamide Chemical compound NCC(N)=O BEBCJVAWIBVWNZ-UHFFFAOYSA-N 0.000 claims 2
- 125000000956 methoxy group Chemical group [H]C([H])([H])O* 0.000 claims 2
- 239000000816 peptidomimetic Substances 0.000 claims 2
- 229920001184 polypeptide Polymers 0.000 claims 2
- 102000004196 processed proteins & peptides Human genes 0.000 claims 2
- 235000019833 protease Nutrition 0.000 claims 2
- 125000006239 protecting group Chemical group 0.000 claims 2
- 125000000472 sulfonyl group Chemical group *S(*)(=O)=O 0.000 claims 2
- 125000004213 tert-butoxy group Chemical group [H]C([H])([H])C(O*)(C([H])([H])[H])C([H])([H])[H] 0.000 claims 2
- 108010016626 Dipeptides Proteins 0.000 claims 1
- 125000003275 alpha amino acid group Chemical group 0.000 claims 1
- 230000027455 binding Effects 0.000 claims 1
- 150000001875 compounds Chemical class 0.000 claims 1
- 108010068370 Glutens Proteins 0.000 abstract 2
- 235000021312 gluten Nutrition 0.000 abstract 2
- 231100000331 toxic Toxicity 0.000 abstract 2
- 230000002588 toxic effect Effects 0.000 abstract 2
- 206010012468 Dermatitis herpetiformis Diseases 0.000 abstract 1
- 102000015636 Oligopeptides Human genes 0.000 abstract 1
- 108010038807 Oligopeptides Proteins 0.000 abstract 1
- 230000000254 damaging effect Effects 0.000 abstract 1
- 0 [1*]NC(C([2*])=O)C1CC(Cl)=NO1.[1*]NC(CCC(=O)C=[N+]=[N-])C([2*])=O.[1*]NC(CCC(=O)NC1=NC(C)=NS1)C(C)=O.[1*]NC(CCNC(=O)C=C)C(C)=O.[1*]NC(CCNC1=NC(OC)=NS1)C(C)=O.[1*]NC(CCS(C)(=O)=O)C([2*])=O Chemical compound [1*]NC(C([2*])=O)C1CC(Cl)=NO1.[1*]NC(CCC(=O)C=[N+]=[N-])C([2*])=O.[1*]NC(CCC(=O)NC1=NC(C)=NS1)C(C)=O.[1*]NC(CCNC(=O)C=C)C(C)=O.[1*]NC(CCNC1=NC(OC)=NS1)C(C)=O.[1*]NC(CCS(C)(=O)=O)C([2*])=O 0.000 description 5
- KTCUSYDRLUOPPF-UHFFFAOYSA-N C.C.CCC1CC(Cl)=NO1.NCC1CC(Cl)=NO1 Chemical compound C.C.CCC1CC(Cl)=NO1.NCC1CC(Cl)=NO1 KTCUSYDRLUOPPF-UHFFFAOYSA-N 0.000 description 1
- ICIUIWFQMQXUMR-UHFFFAOYSA-N C=CC(=O)NCCC(NC(=O)OC(C)(C)C)C(=O)O.C=CC(=O)NCCC(NC(=O)OC(C)(C)C)C(C)=O.C=CC(=O)NCCC(NC)C(C)=O.CC(C)(C)OC(=O)NC(CCC(N)=O)C(=O)O.CC(C)(C)OC(=O)NC(CCN)C(=O)O.NC(=O)CCC(N)C(=O)O Chemical compound C=CC(=O)NCCC(NC(=O)OC(C)(C)C)C(=O)O.C=CC(=O)NCCC(NC(=O)OC(C)(C)C)C(C)=O.C=CC(=O)NCCC(NC)C(C)=O.CC(C)(C)OC(=O)NC(CCC(N)=O)C(=O)O.CC(C)(C)OC(=O)NC(CCN)C(=O)O.NC(=O)CCC(N)C(=O)O ICIUIWFQMQXUMR-UHFFFAOYSA-N 0.000 description 1
- COADIGRSXYTWMN-UHFFFAOYSA-N C=CC(=O)NCCC(NC)C(C)=O.CNC(C(C)=O)C1CC(Cl)=NO1.CNC(CCC(=O)C=[N+]=[N-])C(C)=O.CNC(CCC(=O)NC1=NC(C)=NS1)C(C)=O.CNC(CCNC1=NC(OC)=NS1)C(C)=O.CNC(CCS(N)(=O)=O)C(C)=O Chemical compound C=CC(=O)NCCC(NC)C(C)=O.CNC(C(C)=O)C1CC(Cl)=NO1.CNC(CCC(=O)C=[N+]=[N-])C(C)=O.CNC(CCC(=O)NC1=NC(C)=NS1)C(C)=O.CNC(CCNC1=NC(OC)=NS1)C(C)=O.CNC(CCS(N)(=O)=O)C(C)=O COADIGRSXYTWMN-UHFFFAOYSA-N 0.000 description 1
- PBALDHSKKQBJJE-UHFFFAOYSA-N CC(=O)C(C)C1CC(Cl)=NO1.NC(C(=O)O)C1CC(Cl)=NO1.O=C(NC(C(=O)O)C1CC(Cl)=NO1)OCC1C2=C(C=CC=C2)C2=C1C=CC=C2.[N-]=[SH]C(=O)OCC1C2=C(C=CC=C2)C2=C1C=CC=C2 Chemical compound CC(=O)C(C)C1CC(Cl)=NO1.NC(C(=O)O)C1CC(Cl)=NO1.O=C(NC(C(=O)O)C1CC(Cl)=NO1)OCC1C2=C(C=CC=C2)C2=C1C=CC=C2.[N-]=[SH]C(=O)OCC1C2=C(C=CC=C2)C2=C1C=CC=C2 PBALDHSKKQBJJE-UHFFFAOYSA-N 0.000 description 1
- ZUTXIGYXFRXHNO-UHFFFAOYSA-N CC(=O)C(C)CCC(=O)C=[N+]=[N-].CC(=O)C(C)CCC(=O)O Chemical compound CC(=O)C(C)CCC(=O)C=[N+]=[N-].CC(=O)C(C)CCC(=O)O ZUTXIGYXFRXHNO-UHFFFAOYSA-N 0.000 description 1
- XLMIHFPSASNGPN-UHFFFAOYSA-N CC(C)CC(NC(=O)C(CCC(N)=O)NC(=O)C1CCCN1C(=O)C(CCC(N)=O)NC(=O)C1CCCN1)C(=O)N1CCCC1C(=O)NC(CC1=CC=C(O)C=C1)C(=O)O.CC1CC(N)C(=O)N2C(C(=O)O)CCC12.NC(=O)C1CC(N)C(=O)N2C(C(=O)O)CCC12 Chemical compound CC(C)CC(NC(=O)C(CCC(N)=O)NC(=O)C1CCCN1C(=O)C(CCC(N)=O)NC(=O)C1CCCN1)C(=O)N1CCCC1C(=O)NC(CC1=CC=C(O)C=C1)C(=O)O.CC1CC(N)C(=O)N2C(C(=O)O)CCC12.NC(=O)C1CC(N)C(=O)N2C(C(=O)O)CCC12 XLMIHFPSASNGPN-UHFFFAOYSA-N 0.000 description 1
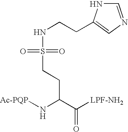
- RCXWQJJLNLSYAZ-UHFFFAOYSA-N CNC(CCS(=O)(=O)NCCC1=CN=CN1)C(C)=O Chemical compound CNC(CCS(=O)(=O)NCCC1=CN=CN1)C(C)=O RCXWQJJLNLSYAZ-UHFFFAOYSA-N 0.000 description 1
Classifications
-
- C—CHEMISTRY; METALLURGY
- C07—ORGANIC CHEMISTRY
- C07K—PEPTIDES
- C07K7/00—Peptides having 5 to 20 amino acids in a fully defined sequence; Derivatives thereof
- C07K7/04—Linear peptides containing only normal peptide links
- C07K7/08—Linear peptides containing only normal peptide links having 12 to 20 amino acids
-
- A—HUMAN NECESSITIES
- A61—MEDICAL OR VETERINARY SCIENCE; HYGIENE
- A61K—PREPARATIONS FOR MEDICAL, DENTAL OR TOILETRY PURPOSES
- A61K31/00—Medicinal preparations containing organic active ingredients
- A61K31/185—Acids; Anhydrides, halides or salts thereof, e.g. sulfur acids, imidic, hydrazonic or hydroximic acids
- A61K31/19—Carboxylic acids, e.g. valproic acid
- A61K31/195—Carboxylic acids, e.g. valproic acid having an amino group
- A61K31/197—Carboxylic acids, e.g. valproic acid having an amino group the amino and the carboxyl groups being attached to the same acyclic carbon chain, e.g. gamma-aminobutyric acid [GABA], beta-alanine, epsilon-aminocaproic acid or pantothenic acid
- A61K31/198—Alpha-amino acids, e.g. alanine or edetic acid [EDTA]
-
- A—HUMAN NECESSITIES
- A61—MEDICAL OR VETERINARY SCIENCE; HYGIENE
- A61K—PREPARATIONS FOR MEDICAL, DENTAL OR TOILETRY PURPOSES
- A61K31/00—Medicinal preparations containing organic active ingredients
- A61K31/33—Heterocyclic compounds
- A61K31/395—Heterocyclic compounds having nitrogen as a ring hetero atom, e.g. guanethidine or rifamycins
- A61K31/41—Heterocyclic compounds having nitrogen as a ring hetero atom, e.g. guanethidine or rifamycins having five-membered rings with two or more ring hetero atoms, at least one of which being nitrogen, e.g. tetrazole
- A61K31/42—Oxazoles
-
- A—HUMAN NECESSITIES
- A61—MEDICAL OR VETERINARY SCIENCE; HYGIENE
- A61K—PREPARATIONS FOR MEDICAL, DENTAL OR TOILETRY PURPOSES
- A61K38/00—Medicinal preparations containing peptides
- A61K38/04—Peptides having up to 20 amino acids in a fully defined sequence; Derivatives thereof
- A61K38/05—Dipeptides
-
- A—HUMAN NECESSITIES
- A61—MEDICAL OR VETERINARY SCIENCE; HYGIENE
- A61K—PREPARATIONS FOR MEDICAL, DENTAL OR TOILETRY PURPOSES
- A61K38/00—Medicinal preparations containing peptides
- A61K38/04—Peptides having up to 20 amino acids in a fully defined sequence; Derivatives thereof
- A61K38/06—Tripeptides
-
- A—HUMAN NECESSITIES
- A61—MEDICAL OR VETERINARY SCIENCE; HYGIENE
- A61K—PREPARATIONS FOR MEDICAL, DENTAL OR TOILETRY PURPOSES
- A61K38/00—Medicinal preparations containing peptides
- A61K38/16—Peptides having more than 20 amino acids; Gastrins; Somatostatins; Melanotropins; Derivatives thereof
- A61K38/168—Peptides having more than 20 amino acids; Gastrins; Somatostatins; Melanotropins; Derivatives thereof from plants
-
- A—HUMAN NECESSITIES
- A61—MEDICAL OR VETERINARY SCIENCE; HYGIENE
- A61K—PREPARATIONS FOR MEDICAL, DENTAL OR TOILETRY PURPOSES
- A61K38/00—Medicinal preparations containing peptides
- A61K38/16—Peptides having more than 20 amino acids; Gastrins; Somatostatins; Melanotropins; Derivatives thereof
- A61K38/55—Protease inhibitors
-
- A—HUMAN NECESSITIES
- A61—MEDICAL OR VETERINARY SCIENCE; HYGIENE
- A61P—SPECIFIC THERAPEUTIC ACTIVITY OF CHEMICAL COMPOUNDS OR MEDICINAL PREPARATIONS
- A61P1/00—Drugs for disorders of the alimentary tract or the digestive system
- A61P1/06—Anti-spasmodics, e.g. drugs for colics, esophagic dyskinesia
-
- C—CHEMISTRY; METALLURGY
- C07—ORGANIC CHEMISTRY
- C07D—HETEROCYCLIC COMPOUNDS
- C07D261/00—Heterocyclic compounds containing 1,2-oxazole or hydrogenated 1,2-oxazole rings
- C07D261/02—Heterocyclic compounds containing 1,2-oxazole or hydrogenated 1,2-oxazole rings not condensed with other rings
- C07D261/04—Heterocyclic compounds containing 1,2-oxazole or hydrogenated 1,2-oxazole rings not condensed with other rings having one double bond between ring members or between a ring member and a non-ring member
-
- C—CHEMISTRY; METALLURGY
- C07—ORGANIC CHEMISTRY
- C07D—HETEROCYCLIC COMPOUNDS
- C07D413/00—Heterocyclic compounds containing two or more hetero rings, at least one ring having nitrogen and oxygen atoms as the only ring hetero atoms
- C07D413/02—Heterocyclic compounds containing two or more hetero rings, at least one ring having nitrogen and oxygen atoms as the only ring hetero atoms containing two hetero rings
- C07D413/12—Heterocyclic compounds containing two or more hetero rings, at least one ring having nitrogen and oxygen atoms as the only ring hetero atoms containing two hetero rings linked by a chain containing hetero atoms as chain links
-
- C—CHEMISTRY; METALLURGY
- C07—ORGANIC CHEMISTRY
- C07K—PEPTIDES
- C07K7/00—Peptides having 5 to 20 amino acids in a fully defined sequence; Derivatives thereof
- C07K7/04—Linear peptides containing only normal peptide links
- C07K7/06—Linear peptides containing only normal peptide links having 5 to 11 amino acids
-
- A—HUMAN NECESSITIES
- A61—MEDICAL OR VETERINARY SCIENCE; HYGIENE
- A61K—PREPARATIONS FOR MEDICAL, DENTAL OR TOILETRY PURPOSES
- A61K38/00—Medicinal preparations containing peptides
Definitions
- gluten a common dietary protein present in wheat, barley and rye causes a disease called Celiac Sprue in sensitive individuals.
- Gluten is a complex mixture of glutamine- and proline-rich glutenin and prolamine molecules and is thought to be responsible for induction of Celiac Sprue. Ingestion of such proteins by sensitive individuals produces flattening of the normally luxurious, rug-like, epithelial lining of the small intestine known to be responsible for efficient and extensive terminal digestion of peptides and other nutrients.
- Celiac Sprue Other clinical symptoms include fatigue, chronic diarrhea, malabsorption of nutrients, weight loss, abdominal distension, anemia, as well as a substantially enhanced risk for the development of osteoporosis and intestinal malignancies such as lymphoma and carcinoma.
- the disease has an incidence of approximately 1 in 200 in European populations and is believed to be significantly under diagnosed in other populations.
- a related disease is dermatitis herpetiformis, which is a chronic eruption of the skin characterized by clusters of intensely pruritic vesicles, papules, and urticaria-like lesions.
- IgA deposits occur in almost all normal-appearing and perilesional skin.
- Asymptomatic gluten-sensitive enteropathy is found in 75 to 90% of patients and in some of their relatives. Onset is usually gradual. Itching and burning are severe, and scratching often obscures the primary lesions with eczematization of nearby skin, leading to an erroneous diagnosis of eczema. Strict adherence to a gluten-free diet for prolonged periods may control the disease in some patients, obviating or reducing the requirement for drug therapy. Dapsone, sulfapyridine, and colchicines are sometimes prescribed for relief of itching.
- Celiac Sprue is generally considered to be an autoimmune disease and the antibodies found in the serum of the patients support the theory that the disease is immunological in nature.
- Antibodies to tissue transglutaminase (tTGase or tTG) and gliadin appear in almost 100% of the patients with active CS, and the presence of such antibodies, particularly of the IgA class, has been used in diagnosis of the disease.
- HLA-DQ2 [DQ(a1*0501, b1*02)] and/or DQ8 [DQ(a1*0301, b1*0302)] molecules. It is believed that intestinal damage is caused by interactions between specific gliadin oligopeptides and the HLA-DQ2 or DQ8 antigen, which in turn induce proliferation of T lymphocytes in the sub-epithelial layers. T helper 1 cells and cytokines apparently play a major role in a local inflammatory process leading to villous atrophy of the small intestine.
- Gluten is so widely used, for example, in commercial soups, sauces, ice creams, hot dogs, and other foodstuffs, that patients need detailed lists of foodstuffs to avoid and expert advice from a dietitian familiar with celiac disease. Ingesting even small amounts of gluten may prevent remission or induce relapse. Supplementary vitamins, minerals, and hematinics may also be required, depending on deficiency. A few patients respond poorly or not at all to gluten withdrawal, either because the diagnosis is incorrect or because the disease is refractory. In the latter case, oral corticosteroids (e.g., prednisone 10 to 20 mg bid) may induce response.
- prednisone 10 to 20 mg bid may induce response.
- the present invention provides methods for treating Celiac Sprue and/or dermatitis herpetiformis and the symptoms thereof by administration of a tTGase (tissue transglutaminase) inhibitor to the patient.
- a tTGase inhibitor employed in the method is a known small molecule tTGase inhibitor selected from the group consisting of vinylogous amides, sulfonamides, 2-[(2-oxoalkyl)thio]imidazolium compounds, diazoketones, and 3-halo-4,5-dihydroisoxazoles.
- the tTGase inhibitor is a dipeptide mimetic, a compound that mimics in structure a dipeptide selected from the group consisting of PQ, PY, QL, and QP.
- the present invention provides novel tTGase inhibitors and methods for treating Celiac Sprue and/or dermatitis herpetiformis by administering those compounds.
- the tTGase inhibitor is a peptide or peptidomimetic that has or contains within a longer sequence the structure of the peptide PQPQLPY (SEQ ID NO:01) or PQPELPY (SEQ ID NO:02) in which the E or the second Q is replaced by a glutamine mimetic that is an inhibitor of tTGase or in which a dipeptide selected from the group consisting of QP and LP is replaced by a constrained dipeptide mimetic compound.
- Such compounds are analogs of a sequence contained in gluten oligopeptides that are resistant to digestion and are believed to stimulate the autoimmune reaction that characterizes Celiac Sprue.
- the invention provides pharmaceutical formulations comprising a tTGase inhibitor and a pharmaceutically acceptable carrier.
- such formulations comprise an enteric coating that allows delivery of the active agent to the intestine, and the agents are stabilized to resist digestion or acid-catalyzed modification in acidic stomach conditions.
- the formulation also comprises one or more glutenases, as described in U.S. Provisional Application 60/392,782 filed Jun. 28, 2002; and U.S. Provisional Application 60/428,033, filed Nov. 20, 2002, both of which are incorporated herein by reference.
- the invention also provides methods for the administration of enteric formulations of one or more tTGase inhibitors to treat Celiac Sprue.
- the invention provides methods for screening candidate compounds to determine their suitability for use in the subject methods, by assessing the ability of a candidate agent for its ability to bind to, and/or to inhibit the activity of, tTGase.
- Candidate agents may also be screened for anti-allergic and anti-inflammatory activity by assessing their ability to bind to, and/or to inhibit the activity of, tTGase.
- the tTGase inhibitors and/or pharmaceutical formulations of the present invention are useful in treating disorders where TGases are a factor in the disease etiology, where such disorders may include cancer, neurological disorders, wound healing, etc.
- disorders may include cancer, neurological disorders, wound healing, etc.
- These conditions include Alzheimer's and Huntington's diseases, where the TGases appear to be a factor in the formation of inappropriate proteinaceous aggregates that may be cytotoxic.
- diseases such as progressive supranuclear palsy, Huntington's, Alzheimer's and Parkinson's diseases, the aberrant activation of TGases may be caused by oxidative stress and inflammation.
- Celiac Sprue and/or dermatitis herpetiformis are treated by inhibition of tissue transglutaminase.
- Therapeutic benefit can be enhanced in some individuals by increasing the digestion of gluten oligopeptides, whether by pretreatment of foodstuffs to be ingested or by administration of an enzyme capable of digesting the gluten oligopeptides, together with administration of the tTGase inhibitor.
- Gluten oligopeptides are highly resistant to cleavage by gastric and pancreatic peptidases such as pepsin, trypsin, chymotrypsin, and the like, and their prolonged presence in the digestive tract can induce an autoimmune response mediated by tTGase.
- the antigenicity of gluten oligopeptides and the ill effects caused by an immune response thereto can be decreased by inhibition of tissue transglutaminase.
- gluten oligopeptides are cleaved into fragments, thereby contributing to the prevention of the disease-causing toxicity.
- compositions are provided for the administration of one or more tTGase inhibitors to a patient suffering from Celiac Sprue and/or dermatitis herpetiformis.
- the methods of the invention remove the requirement that abstention from ingestion of glutens be maintained to keep the disease in remission.
- the compositions of the invention include formulations of tTGase inhibitors that comprise an enteric coating that allows delivery of the agents to the intestine in an active form; the agents are stabilized to resist digestion or alternative chemical transformations in acidic stomach conditions.
- food is pretreated or combined with glutenase, or a glutenase is co-administered (whether in time or in a formulation of the invention) with a tTGase inhibitor of the invention.
- the term “treating” is used to refer to both prevention of disease, and treatment of a pre-existing condition.
- the treatment of ongoing disease, to stabilize or improve the clinical symptoms of the patient is a particularly important benefit provided by the present invention.
- Such treatment is desirably performed prior to loss of function in the affected tissues; consequently, the prophylactic therapeutic benefits provided by the invention are also important.
- Evidence of therapeutic effect may be any diminution in the severity of disease, particularly diminution of the severity of such symptoms as fatigue, chronic diarrhea, malabsorption of nutrients, weight loss, abdominal distension, and anemia.
- disease indicia include the presence of antibodies specific for glutens, antibodies specific for tissue transglutaminase, the presence of pro-inflammatory T cells and cytokines, and degradation of the villus structure of the small intestine.
- Application of the methods and compositions of the invention can result in the improvement of any and all of these disease indicia of Celiac Sprue.
- Patients that can benefit from the present invention include both adults and children. Children in particular benefit from prophylactic treatment, as prevention of early exposure to toxic gluten peptides can prevent development of the disease into its more severe forms. Children suitable for prophylaxis in accordance with the methods of the invention can be identified by genetic testing for predisposition, e.g. by HLA typing; by family history, and by other methods known in the art. As is known in the art for other medications, and in accordance with the teachings herein, dosages of the tTGase inhibitors of the invention can be adjusted for pediatric use.
- Such toxic oligopeptides include the peptide sequence PQPQLPY (SEQ ID NO:01) and longer peptides containing that sequence or multiple copies of that sequence.
- This peptide sequence is a high affinity substrate for the enzyme tissue transglutaminase (tTGase), an enzyme found on the extracellular surface in many organs including the intestine.
- tTGase tissue transglutaminase
- the tTGase enzyme catalyzes the formation of isopeptide bonds between glutamine and lysine residues of different polypeptides, leading to protein-protein crosslinks in the extracellular matrix.
- the tTGase enzyme acts on the peptide sequence PQPQLPY (SEQ ID NO:01) to deamidate the second Q residue, forming the peptide sequence PQPELPY (SEQ ID NO:02).
- the tTGase enzyme is the primary focus of the autoantibody response in Celiac Sprue. Gliadins, secalins and hordeins contain several of the PQPQLPY (SEQ ID NO:01) sequences or sequences similar thereto rich in Pro-Gln residues that are high-affinity substrates for tTGase.
- tTGase inhibitors that can be used in the methods of the invention. While known, these compounds have never before been used to treat Celiac Sprue effectively, because the compounds have not been administered to Celiac Sprue patients in the formulations and dosages required to deliver the active inhibitor to the small intestine in efficacious amounts.
- Known tTGase inhibitors include certain glutamine mimetic compounds, including compounds selected from the group consisting of vinylogous amides, sulfonamides, diazoketones, 3-halo-4,5-dihydroisoxazoles, and 1,2,4-thiadiazoles.
- PQPQLPY (SEQ ID NO:01) is a high affinity substrate for tTGase, because it has a structure that is highly complementary to the structure of the active site of the tTGase enzyme.
- the peptide bonds preceding Pro residues adopt trans configurations, thereby allowing the peptide to adopt an extended polyproline II helical structure.
- This polyproline II helical character is a general property of immunogenic gliadin peptides, and is an important determinant of their high affinity toward tTGase. Therefore, it has been exploited in the design of certain tTGase inhibitors of the invention.
- the present invention arises out of the discoveries that the dipeptides QP and LP play an important role in forming the structure that binds to the active site of the tTGase enzyme and that compounds that mimic the configurations of these dipeptides in a polyproline helix (i.e.
- the present invention provides methods in which a small organic molecule that is a constrained mimetic of a dipeptide selected from the group consisting of PQ, QP, PE, PY, and LP is administered to a Celiac Sprue patient to treat celiac disease.
- tTGase inhibitors of the present invention that have structures that mimic the conformation of the key dipeptide moieties of the tTGase substrate can be thought of as “tTGase inhibitory motif” or “tTGase inhibitory moiety”.
- Human tTGase has a strong preference for peptide substrates with Type II polyproline character. This conformational preference is exploited by the selective tTGase inhibitors of the invention.
- Dipeptide moieties of interest have the formula XP, wherein X can be any amino acid but is preferably selected from the group consisting of Q, Y, L, E, or F. Inhibitors of the invention containing such moieties are referred to as “peptide mimetics” or “peptidomimetics”.
- dipeptidomimetics based on the trans-PQPQLPY (SEQ ID NO:01) peptide are shown below.
- Similar dipeptidomimetics can be identified based on sequences of other high-affinity gliadin peptide substrates of tTGase.
- Common constrained dipeptide mimetics useful for purposes of the invention also include quinozilidinone, pyrroloazepinone, indolizidinone, alkylbranched azabicyclo[X.Y.0]alkane amino acids (Gosselin et al., J. Org. Chem. 2000, 65, 2163-71; Polyak et al., J. Org. Chem. 2001, 66, 1171-80), 6,5-fused bicyclic lactam (Mueller et al., Tetrahedron Lett. 1994, 4091-2; Dumas, Tetrahedron Lett. 1994, 1493-6, and Kim, 1997 , J. Org. Chem. 62, 2847-52), and lactam methylene linker.
- the dipeptide mimetic tTGase inhibitor compounds like the glutamine mimetic tTGase inhibitor compounds, are believed to provide a therapeutic benefit to Celiac Sprue patients by preventing tTGase from binding the toxic oligopeptide comprising the PQPQLPY (SEQ ID NO:01) sequence and converting it to the PQPELPY (SEQ ID NO:02) sequence, thus preventing the initiation of the autoimmune response responsible for the symptoms of the disease.
- these dipeptidomimetics can be incorporated into a PQPQLPY (SEQ ID NO:01) sequence or longer peptide or peptidomimetic containing that sequence in place of the corresponding dipeptide moiety.
- glutamine and dipeptide mimetic inhibitors of the invention can be used to treat Celiac Sprue, there will in some instances be a need for or benefit from compounds with greater specificity for and affinity to tTGase.
- the present invention provides such compounds.
- the tTGase inhibitor is contained in a molecule that is a high affinity peptide or peptidomimetic substrate of tTGase or a peptidomimetic thereof.
- the inhibitors of tTGase provided by the present invention include modified high affinity peptide substrates for tTGase, where one or more glutamine residues of the peptide substrate are substituted with tTGase inhibitory moieties or one or more dipeptides in the substrate are substituted with a dipeptide mimetic or both. In either event, the peptide or peptidomimetic does not induce an autoimmune response in the Celiac Sprue patient.
- High affinity peptide substrates for tTGase include the following peptides, and, with respect to the larger peptides shown, fragments thereof: PQPQLPY (SEQ ID NO:01), PQPQLPYPQPQLP (SEQ ID NO:04); LQLQPFPQPQLPYPQPQLPYPQPQLPYPQPQPF (SEQ ID NO:03); QPQPFPPQLPYPQTQPFPPQQQPYPQPQPQYPQPQ (SEQ ID NO:06) (from ⁇ 1- and ⁇ 6-gliadins); QQQPFPQQPIPQQPQPYPQQPQPYPQQPFPPQQPF (SEQ ID NO:07) (from B1 hordein); QPFPQPQQTFPQQPQLPFPQQPQPQ (SEQ ID NO:08) (from ⁇ -gliadin); VQWP
- peptides are resistant toward endo- and exo-proteolysis by gastric, pancreatic and small intestinal enzymes.
- Conservative amino acid substitutions such as Y->F, Q->N/E, or L->M, are also tolerated. Therefore, in accordance with the present invention, selective inhibitors of tTGase are provided by substituting either a glutamine that is deamidated by tTGase or a dipeptide contained in the peptide that binds in the active site of tTGase with a mimetic such that the resulting compound is an inhibitor of tTGase that does not stimulate the autoimmune response in a Celiac Sprue patient.
- the reactive glutamines in the above proteolytically stable peptides include those glutamines identified as “(Q->E)”, E being the amino acid formed by deamidation of glutamine, in the following sequences: PQP(Q->E)LPY (SEQ ID NO:15), PQP(Q->E)LPYPQPQLP (SEQ ID NO:16); LQLQPFPQP(Q->E)LPYPQPQLPYPQP(Q->E)LPYPQPQPF (SEQ ID NO:17), FSQP(Q->E)Q(Q->E)FPQPQQPQQSFP(Q->E)Q(Q->E)PP (SEQ ID NO:18), VQGQGIIQP(Q->E)QPAQ (SEQ ID NO:19), and FLQPQQPFP(Q->E)QP(Q->E)QPYPQQPQPFPQ (SEQ ID NO:20).
- Reactive glutamine residues in other peptides can be identified by standard HPLC-MS-MS procedures, and can be replaced by glutamine mimetics.
- the (Q->E) residues can be replaced by glutamine mimetics and/or the QP and LP dipeptides in these sequences can be replaced by dipeptidomimetics as discussed above.
- the novel tTGase inhibitors of the invention are peptides or peptidomimetic compounds in which either a reactive glutamine or a dipeptide that binds in the active site of tTGase or both has been replaced by a small molecule mimetic are referred to herein as “substituted peptides”.
- the tTGase inhibitors useful in the methods and compositions of the present invention are those for which the affinity of the inhibitory moiety for the tTG active site increases (as measured by a decrease in K l or an increase in k inh /K l ) when presented in the context of a high affinity, proteolytically stable peptide substrate of the enzyme. This aspect of the invention is illustrated in the Examples below.
- Such compounds of the invention are illustrated below by compounds in which a reactive glutamine is replaced by a tTGase inhibitory moiety.
- Various tTGase inhibitory moieties useful in the methods of the invention and that are incorporated into the novel substituted peptide and peptidomimetic tTGase inhibitors of the invention include the following compounds, which are shown with variable (designated R) groups to indicate that the compounds can be used directly as small molecule inhibitors or incorporated into a larger dipeptide mimetic or peptide or peptidomimetic tTGase inhibitory compound of the invention.
- R1, R2 and R3 are independently selected from H, alkyl, alkenyl, cycloalkyl, aryl, heteroalkyl, heteroaryl, alkoxy, alkylthio, aralkyl, aralkenyl, halo, haloalkyl, haloalkoxy, heterocyclyl, and heterocyclylalkyl groups.
- R1 and R2 can also be an amino acid, a peptide, a peptidomimetic, or a peptidic protecting groups.
- R 1 is selected from the group consisting of Cbz, Fmoc, Boc, PQP, Ac-PQP, PQPQLPYPQP (SEQ ID NO:21), Ac-PQPQLPFPQP (SEQ ID NO:22), QLQPFPQP (SEQ ID NO:23), LQLQPFPQPLPYPQP (SEQ ID NO:24), X 2-15 —P (where X 2-15 is a peptide consisting of any 2-15 amino acid residues followed by a N-terminal proline); and R 2 is selected from the group consisting of OMe, OtBu, Gly, Gly-NH 2 , LPY, LPF-NH 2 , LPYPQPQLPY (SEQ ID NO:25), LPFPQPQLPF-NH 2 (SEQ ID NO:26), LPYPQPQLP (SEQ ID NO:27), LPYPQPQLPYPQPQ
- an inhibitor of the invention with greater specificity is provided by individual or combinatorial substitution of Q, L and F with alternative amino acids.
- sulfonamide inhibitors the following analogs are also provided, where R is selected from an alkyl, alkenyl, cycloalkyl, aryl, heteroalkyl, heteroaryl, alkoxy, alkylthio, aralkyl, aralkenyl, halo, haloalkyl, haloalkoxy, heterocyclyl, or heterocyclylalkyl group.
- R is selected from an alkyl, alkenyl, cycloalkyl, aryl, heteroalkyl, heteroaryl, alkoxy, alkylthio, aralkyl, aralkenyl, halo, haloalkyl, haloalkoxy, heterocyclyl, or heterocyclylalkyl group.
- R′ is H.
- alkyl alkenyl, cycloalkyl, aryl, heteroalkyl, heteroaryl, alkoxy, alkylthio, aralkyl, aralkenyl, halo, haloalkyl, haloalkoxy, heterocyclyl, or heterocyclylalkyl group.
- R is a functional group whose corresponding amine is a preferred nucleophilic co-substrate of human tTGase.
- Illustrative vinylogous amide compounds of the invention include compounds in which a glutamine mimetic with an acrylamide motif such as 2 (see the numbered structure below) is contained in a peptide or peptidomimetic having the following structures:
- R 1 is selected from the group consisting of PQP, Ac-PQP, PQPQLPYPQP (SEQ ID NO:21), Ac-PQPQLPFPQP (SEQ ID NO:22), QPFPQP (SEQ ID NO:30), LQLQPFPQPLPYPQP (SEQ ID NO:24), or an amino acid protecting group, including but not limited to Boc and Fmoc;
- R 2 is selected from the group consisting of LPY, LPF-NH 2 , LPYPQPQLPY (SEQ ID NO:25), LPFPQPQLPF-NH 2 (SEQ ID NO:26), LPYPQPQ (SEQ ID NO:31), LPYPQPQLP
- the acrylamides can be incorporated into a high affinity peptide of the invention by fragment condensation as illustrated below in a synthetic method of the invention using intermediate compounds of the invention.
- tTGase inhibitory compounds of the invention from the sulfonamides, diazoketones, 1,2,4 thiadiazoles, and isoxazoles can likewise be readily prepared using methods known in the art for other purposes and the teachings herein.
- the following amino acid analogs are employed: 4-sulfonamido-2-amino-butyric acid (Sab), 6-diazo-5-oxo-norleucine (Don), and acivicin (Aci).
- Sab 4-sulfonamido-2-amino-butyric acid
- Don 6-diazo-5-oxo-norleucine
- Aci acivicin
- novel tTGase inhibitors of the invention comprise the structures of these compounds as part of a larger, high affinity inhibitor of tTGase, as illustrated by the structures above.
- any high affinity tTGase substrate can be used to provide the scaffold for presenting a tTGase inhibitor moiety.
- compounds not known to be tTGase substrates can be identified by screening peptide libraries, for example on chips or beads or displayed on phages using reporter groups such as dansyl- or biotinyl-cadaverine, using procedures known in the art.
- the tTGase inhibitors of the invention can include other moieties.
- the tTGase inhibitor further comprise one or more proline residues C- and/or N-terminally of the glutamine mimetic-containing peptides to block exoproteolytic degradation.
- tTGase inhibitors of the invention a variety of relatively small and large inhibitors were synthesized and tested for inhibitory activity.
- small molecule inhibitors Z-Don-OMe and Z-Sab-Gly-OH were synthesized.
- larger inhibitors the compounds Ac-PQP-X-LPF-NH2 (SEQ ID NO:32), where X was Sab, a diazoketone, or acivicin, were synthesized.
- Z-Don-OMe was synthesized as described (Allevi & Anatasia, Tetrahedron Asymmetry (2000) 11, 3151-3160; Pettit & Nelson, Can. J. Chem . (1986) 64, 2097-2102; Bailey & Bryans, Tetrahedron Lett . (1988) 29, 2231-2234).
- commercially available racemic homocysteine thiolactone 24 was first protected to give 25 and subsequently saponified and acetylated in situ to give the free racemic acid 26 in high yield. Its coupling with the glycine benzyl ester 30 provided the dipeptide 31.
- the sulfonamide building block (Sab) 9 was incorporated into the Ac-PQP-X-LPF-NH 2 (SEQ ID NO:32) scaffold by fragment condensation as illustrated in the following scheme:
- the diazo-ketone 10a motif was introduced into the same scaffold by post-synthetic modification of Ac-PQP-Glu-LPF-NH 2 (SEQ ID NO:34) 40 to yield compound 41.
- the present invention provides a variety of different classes of known and novel tTGase inhibitors.
- the tTGase inhibitors of the invention have in part been described above with structures containing variable “R” groups that are defined by reference to the various organic moieties that can be present at the indicated position in the structure. Below, brief definitions are provided for the phrases used to define the organic moieties listed for each R group.
- alkyl refers to a straight or branched hydrocarbon chain radical consisting solely of carbon and hydrogen atoms, containing no unsaturation, having from one to eight carbon atoms, and which is attached to the rest of the molecule by a single bond, e.g., methyl, ethyl, n-propyl, 1-methylethyl (iso-propyl), n-butyl, n-pentyl, 1,1-dimethylethyl (t-butyl), and the like.
- the alkyl radical may be optionally substituted by hydroxy, alkoxy, aryloxy, haloalkoxy, cyano, nitro, mercapto, alkylthio, —N(R 8 ) 2 , —C(O)OR 8 , —C(O)N(R 8 ) 2 or —N(R 8 )C(O)R 8 where each R 8 is independently hydrogen, alkyl, alkenyl, cycloalkyl, cycloalkylalkyl, aralkyl or aryl.
- radicals, as defined below that contain a substituted alkyl group that the substitution can occur on any carbon of the alkyl group.
- Alkoxy refers to a radical of the formula —OR a where R a is an alkyl radical as defined above, e.g., methoxy, ethoxy, n-propoxy, 1-methylethoxy (iso-propoxy), n-butoxy, n-pentoxy, 1,1-dimethylethoxy (t-butoxy), and the like. Unless stated otherwise specifically in the specification, it is understood that for radicals, as defined below, that contain a substituted alkoxy group that the substitution can occur on any carbon of the alkoxy group.
- the alkyl radical in the alkoxy radical may be optionally substituted as described above.
- Alkylthio refers to a radical of the formula —SR a where R a is an alkyl radical as defined above, e.g., methylthio, ethylthio, n-propylthio, 1-methylethylthio (iso-propylthio), n-butylthio, n-pentylthio, 1,1-dimethylethylthio (t-butylthio), and the like. Unless stated otherwise specifically in the specification, it is understood that for radicals, as defined below, that contain a substituted alkylthio group that the substitution can occur on any carbon of the alkylthio group.
- the alkyl radical in the alkylthio radical may be optionally substituted as described above.
- Alkenyl refers to a straight or branched hydrocarbon chain radical consisting solely of carbon and hydrogen atoms, containing at least one double bond, having from two to eight carbon atoms, and which is attached to the rest of the molecule by a single bond or a double bond, e.g., ethenyl, prop-1-enyl, but-1-enyl, pent-1-enyl, penta-1,4-dienyl, and the like.
- the alkenyl radical may be optionally substituted by hydroxy, alkoxy, haloalkoxy, cyano, nitro, mercapto, alkylthio, cycloalkyl, —N(R 8 ) 2 , —C(O)OR 8 , —C(O)N(R 8 ) 2 or —N(R 8 )—C(O)—R 8 where each R 8 is independently hydrogen, alkyl, alkenyl, cycloalkyl, cycloalkylalkyl, aralkyl or aryl.
- radicals, as defined below that contain a substituted alkenyl group that the substitution can occur on any carbon of the alkenyl group.
- Aryl refers to a phenyl or naphthyl radical. Unless stated otherwise specifically in the specification, the term “aryl” or the prefix “ar-” (such as in “aralkyl”) is meant to include aryl radicals optionally substituted by one or more substituents selected from the group consisting of hydroxy, alkoxy, aryloxy, haloalkoxy, cyano, nitro, mercapto, alkylthio, cycloalkyl, —N(R 8 ) 2 , —C(O)OR 8 , —C(O)N(R 8 ) 2 or —N(R 8 )C(O)R 8 where each R 8 is independently hydrogen, alkyl, alkenyl, cycloalkyl, cycloalkylalkyl, aralkyl or aryl.
- “Aralkyl” refers to a radical of the formula —R a R b where R a is an alkyl radical as defined above and R b is one or more aryl radicals as defined above, e.g., benzyl, diphenylmethyl and the like. The aryl radical(s) may be optionally substituted as described above.
- alkenyl refers to a radical of the formula —R c R b where R c is an alkenyl radical as defined above and R b is one or more aryl radicals as defined above, e.g., 3-phenylprop-1-enyl, and the like.
- the aryl radical(s) and the alkenyl radical may be optionally substituted as described above.
- Alkylene chain refers to a straight or branched divalent hydrocarbon chain consisting solely of carbon and hydrogen, containing no unsaturation and having from one to eight carbon atoms, e.g., methylene, ethylene, propylene, n-butylene, and the like.
- the alkylene chain may be optionally substituted by one or more substituents selected from the group consisting of aryl, halo, hydroxy, alkoxy, haloalkoxy, cyano, nitro, mercapto, alkylthio, cycloalkyl, —N(R 8 ) 2 , —C(O)OR 8 , —C(O)N(R 8 ) 2 or —N(R 8 )C(O)R 8 where each R 8 is independently hydrogen, alkyl, alkenyl, cycloalkyl, cycloalkylalkyl, aralkyl or aryl.
- the alkylene chain may be attached to the rest of the molecule through any two carbons within the chain.
- Alkenylene chain refers to a straight or branched divalent hydrocarbon chain consisting solely of carbon and hydrogen, containing at least one double bond and having from two to eight carbon atoms, e.g., ethenylene, prop-1-enylene, but-1-enylene, pent-1-enylene, hexa-1,4-dienylene, and the like.
- the alkenylene chain may be optionally substituted by one or more substituents selected from the group consisting of aryl, halo, hydroxy, alkoxy, haloalkoxy, cyano, nitro, mercapto, alkylthio, cycloalkyl, —N(R 8 ) 2 , —C(O)OR 8 , —C(O)N(R 8 ) 2 or —N(R 8 )C(O)R 8 where each R 8 is independently hydrogen, alkyl, alkenyl, cycloalkyl, cycloalkylalkyl, aralkyl or aryl.
- the alkenylene chain may be attached to the rest of the molecule through any two carbons within the chain.
- Cycloalkyl refers to a stable monovalent monocyclic or bicyclic hydrocarbon radical consisting solely of carbon and hydrogen atoms, having from three to ten carbon atoms, and which is saturated and attached to the rest of the molecule by a single bond, e.g., cyclopropyl, cyclobutyl, cyclopentyl, cyclohexyl, decalinyl and the like.
- cycloalkyl is meant to include cycloalkyl radicals which are optionally substituted by one or more substituents independently selected from the group consisting of alkyl, aryl, aralkyl, halo, haloalkyl, hydroxy, alkoxy, haloalkoxy, cyano, nitro, mercapto, alkylthio, cycloalkyl, —N(R 8 ) 2 , —C(O)OR 8 , —C(O)N(R 8 ) 2 or —N(R 8 )C(O)R 8 where each R 8 is independently hydrogen, alkyl, alkenyl, cycloalkyl, cycloalkylalkyl, aralkyl or aryl.
- Cycloalkylalkyl refers to a radical of the formula —R a R d where R a is an alkyl radical as defined above and R d is a cycloalkyl radical as defined above.
- the alkyl radical and the cycloalkyl radical may be optionally substituted as defined above.
- Halo refers to bromo, chloro, fluoro or iodo.
- Haloalkyl refers to an alkyl radical, as defined above, that is substituted by one or more halo radicals, as defined above, e.g., trifluoromethyl, difluoromethyl, trichloromethyl, 2,2,2-trifluoroethyl, 1-fluoromethyl-2-fluoroethyl, 3-bromo-2-fluoropropyl, 1-bromomethyl-2-bromoethyl, and the like.
- Haloalkoxy refers to a radical of the formula —OR c where R c is an haloalkyl radical as defined above, e.g., trifluoromethoxy, difluoromethoxy, trichloromethoxy, 2,2,2-trifluoroethoxy, 1-fluoromethyl-2-fluoroethoxy, 3-bromo-2-fluoropropoxy, 1-bromomethyl-2-bromoethoxy, and the like.
- Heterocyclyl refers to a stable 3- to 15-membered ring radical which consists of carbon atoms and from one to five heteroatoms selected from the group consisting of nitrogen, oxygen and sulfur.
- the heterocyclyl radical may be a monocyclic, bicyclic or tricyclic ring system, which may include fused or bridged ring systems; and the nitrogen, carbon or sulfur atoms in the heterocyclyl radical may be optionally oxidized; the nitrogen atom may be optionally quaternized; and the heterocyclyl radical may be aromatic or partially or fully saturated.
- the heterocyclyl radical may not be attached to the rest of the molecule at any heteroatom atom.
- heterocyclyl radicals include, but are not limited to, azepinyl, acridinyl, benzimidazolyl, benzthiazolyl, benzothiadiazolyl, benzoxazolyl, benzodioxolyl, benzodioxinyl, benzopyranyl, benzopyranonyl, benzofuranyl, benzofuranonyl, benzothienyl (benzothiophenyl), benzotriazolyl, carbazolyl, cinnolinyl, decahydroisoquinolyl, dioxolanyl, furanyl, furanonyl, isothiazolyl, imidazolyl, imidazolinyl, imidazolidinyl, isothiazolidinyl, indolyl, indazolyl, isoindolyl, indolinyl, isoindolinyl, indolizinyl, isoxazolyl,
- heterocyclyl is meant to include heterocyclyl radicals as defined above which are optionally substituted by one or more substituents selected from the group consisting of alkyl, halo, nitro, cyano, haloalkyl, haloalkoxy, aryl, heterocyclyl, heterocyclylalkyl, —OR 8 , —R 7 —OR 8 , —C(O)OR 8 , —R 7 —C(O)OR 8 , —C(O)N(R 8 ) 2 , —N(R 8 ) 2 , —R 7 —N(R 8 ) 2 , and —N(R 8 )C(O)R 8 wherein each R 7 is a straight or branched alkylene or alkenylene chain and each R 8 is independently hydrogen, alkyl, alkenyl, cycloalkyl, cycloalkylalkyl, aralkyl
- Heterocyclylalkyl refers to a radical of the formula —R a R e where R a is an alkyl radical as defined above and R e is a heterocyclyl radical as defined above, and if the heterocyclyl is a nitrogen-containing heterocyclyl, the heterocyclyl may be attached to the alkyl radical at the nitrogen atom.
- the heterocyclyl radical may be optionally substituted as defined above.
- isosteric replacement refers to the concept of modifying chemicals through the replacement of single atoms or entire functional groups with alternatives that have similar size, shape and electro-magnetic properties, e.g. O is the isosteric replacement of S, N, COOH is the isosteric replacement of tetrazole, F is the isosteric replacement of H, sulfonate is the isosteric replacement of phosphate etc.
- compounds which are “commercially available” may be obtained from standard commercial sources including Acros Organics (Pittsburgh Pa.), Aldrich Chemical (Milwaukee Wis., including Sigma Chemical and Fluka), Apin Chemicals Ltd. (Milton Park UK), Avocado Research (Lancashire U.K.), BDH Inc. (Toronto, Canada), Bionet (Cornwall, U.K.), Chemservice Inc. (West Chester Pa.), Crescent Chemical Co. (Hauppauge N.Y.), Eastman Organic Chemicals, Eastman Kodak Company (Roley N.Y.), Fisher Scientific Co. (Pittsburgh Pa.), Fisons Chemicals (Leicestershire UK), Frontier Scientific (Logan Utah), ICN Biomedicals, Inc.
- suitable conditions for carrying out a synthetic step are explicitly provided herein or may be discerned by reference to publications directed to methods used in synthetic organic chemistry.
- Optional or “optionally” means that the subsequently described event of circumstances may or may not occur, and that the description includes instances where said event or circumstance occurs and instances in which it does not.
- optionally substituted aryl means that the aryl radical may or may not be substituted and that the description includes both substituted aryl radicals and aryl radicals having no substitution.
- “Pharmaceutically acceptable base addition salt” refers to those salts which retain the biological effectiveness and properties of the free acids, which are not biologically or otherwise undesirable. These salts are prepared from addition of an inorganic base or an organic base to the free acid. Salts derived from inorganic bases include, but are not limited to, the sodium, potassium, lithium, ammonium, calcium, magnesium, iron, zinc, copper, manganese, aluminum salts and the like. Preferred inorganic salts are the ammonium, sodium, potassium, calcium, and magnesium salts.
- Salts derived from organic bases include, but are not limited to, salts of primary, secondary, and tertiary amines, substituted amines including naturally occurring substituted amines, cyclic amines and basic ion exchange resins, such as isopropylamine, trimethylamine, diethylamine, triethylamine, tripropylamine, ethanolamine, 2-dimethylaminoethanol, 2-diethylaminoethanol, dicyclohexylamine, lysine, arginine, histidine, caffeine, procaine, hydrabamine, choline, betaine, ethylenediamine, glucosamine, methylglucamine, theobromine, purines, piperazine, piperidine, N-ethylpiperidine, polyamine resins and the like.
- Particularly preferred organic bases are isopropylamine, diethylamine, ethanolamine, trimethylamine, dicyclohexylamine, choline and caffeine.
- the tTGase inhibitors, or their pharmaceutically acceptable salts may contain one or more asymmetric centers and may thus give rise to enantiomers, diastereomers, and other stereoisomeric forms that may be defined, in terms of absolute stereochemistry, as (R)- or (S)- or, as (D)- or (L)- for amino acids.
- the present invention is meant to include all such possible isomers, as well as, their racemic and optically pure forms.
- Optically active (+) and ( ⁇ ), (R)- and (S)-, or (D)- and (L)- isomers may be prepared using chiral synthons or chiral reagents, or resolved using conventional techniques, such as reverse phase HPLC.
- the compounds described herein contain olefinic double bonds or other centers of geometric asymmetry, and unless specified otherwise, it is intended that the compounds include both E and Z geometric isomers. Likewise, all tautomeric forms are also intended to be included.
- the present invention provides the tTGase inhibitors in a variety of formulations for therapeutic administration.
- the agents are formulated into pharmaceutical compositions by combination with appropriate, pharmaceutically acceptable carriers or diluents, and are formulated into preparations in solid, semi-solid, liquid or gaseous forms, such as tablets, capsules, powders, granules, ointments, solutions, suppositories, injections, inhalants, gels, microspheres, and aerosols.
- administration of the tTGase inhibitors is achieved in various ways, although oral administration is a preferred route of administration.
- the tTGase inhibitors are systemic after administration; in others, the inhibitor is localized by virtue of the formulation, such as the use of an implant that acts to retain the active dose at the site of implantation.
- the tTGase inhibitors are administered in the form of their pharmaceutically acceptable salts.
- the tTGase inhibitor is used alone, while in others, the tTGase is used in combination with another pharmaceutically active compounds.
- the other active compound is, in some embodiments, a glutenase that can cleave or otherwise degrade a toxic gluten oligopeptide, as described in the Examples below.
- the following methods and excipients are merely exemplary and are in no way limiting.
- the agents are used alone or in combination with appropriate additives to make tablets, powders, granules or capsules, for example, with conventional additives, such as lactose, mannitol, corn starch or potato starch; with binders, such as crystalline cellulose, cellulose derivatives, acacia, corn starch or gelatins; with disintegrators, such as corn starch, potato starch or sodium carboxymethylcellulose; with lubricants, such as talc or magnesium stearate; and in some embodiments, with diluents, buffering agents, moistening agents, preservatives and flavoring agents.
- conventional additives such as lactose, mannitol, corn starch or potato starch
- binders such as crystalline cellulose, cellulose derivatives, acacia, corn starch or gelatins
- disintegrators such as corn starch, potato starch or sodium carboxymethylcellulose
- lubricants such as talc or magnesium stearate
- the oral formulations comprise enteric coatings, so that the active agent is delivered to the intestinal tract.
- Enteric formulations are often used to protect an active ingredient from the strongly acid contents of the stomach.
- Such formulations are created by coating a solid dosage form with a film of a polymer that is insoluble in acid environments and soluble in basic environments.
- Exemplary films are cellulose acetate phthalate, polyvinyl acetate phthalate, hydroxypropyl methylcellulose phthalate and hydroxypropyl methylcellulose acetate succinate, methacrylate copolymers, and cellulose acetate phthalate.
- enteric formulations of the tTGase inhibitors of the invention comprise engineered polymer microspheres made of biologically erodable polymers, which display strong adhesive interactions with gastrointestinal mucus and cellular linings, can traverse both the mucosal absorptive epithelium and the follicle-associated epithelium covering the lymphoid tissue of Peyer's patches.
- the polymers maintain contact with intestinal epithelium for extended periods of time and actually penetrate it, through and between cells. See, for example, Mathiowitz et al. (1997) Nature 386 (6623): 410-414.
- Drug delivery systems can also utilize a core of superporous hydrogels (SPH) and SPH composite (SPHC), as described by Dorkoosh et al. (2001) J Control Release 71 (3):307-18.
- the tTGase inhibitor or formulation thereof is admixed with food, or used to pre-treat foodstuffs containing glutens.
- Formulations are typically provided in a unit dosage form, where the term “unit dosage form,” refers to physically discrete units suitable as unitary dosages for human subjects, each unit containing a predetermined quantity of tTGase inhibitor calculated in an amount sufficient to produce the desired effect in association with a pharmaceutically acceptable diluent, carrier or vehicle.
- the specifications for the unit dosage forms of the present invention depend on the particular complex employed and the effect to be achieved, and the pharmacodynamics associated with each complex in the host.
- the pharmaceutically acceptable excipients such as vehicles, adjuvants, carriers or diluents, are readily available to the public.
- pharmaceutically acceptable auxiliary substances such as pH adjusting and buffering agents, tonicity adjusting agents, stabilizers, wetting agents and the like, are readily available to the public.
- the tTGase inhibitor is administered in dosages of 0.01 mg to 500 mg V/kg body weight per day, e.g. about 20 mg/day for an average person. Dosages are appropriately adjusted for pediatric formulation. Those of skill will readily appreciate that dose levels can vary as a function of the specific inhibitor, the diet of the patient and the gluten content of the diet, the severity of the symptoms, and the susceptibility of the subject to side effects. Some of the inhibitors of the invention are more potent than others. Preferred dosages for a given inhibitor are readily determinable by those of skill in the art by a variety of means. A preferred means is to measure the physiological potency of a given compound.
- the methods of the invention are useful in the treatment of individuals suffering from Celiac Sprue and/or dermatitis herpetiformis, by administering an effective dose of a tTGase inhibitor, through a pharmaceutical formulation, and the like.
- Diagnosis of suitable patients may utilize a variety of criteria known to those of skill in the art.
- a quantitative increase in antibodies specific for gliadin, and/or tissue transglutaminase is indicative of the disease.
- Family histories and the presence of the HLA alleles HLA-DQ2 [DQ(a1*0501, b1*02)] and/or DQ8 [DQ(a1*0301, b1*0302)] are indicative of a susceptibility to the disease.
- tTG plays an important role in other diseases, such as Huntington's disease and skin diseases in addition to dermatitis herpetiformis
- a variety of formulated versions of the compounds of the invention are useful for the treatment of such medical conditions.
- These conditions include Alzheimer's and Huntington's diseases, where the TGases appear to be a factor in the formation of inappropriate proteinaceous aggregates that may be cytotoxic.
- diseases such as progressive supranuclear palsy, Huntington's, Alzheimer's and Parkinson's diseases, the aberrant activation of TGases may be caused by oxidative stress and inflammation.
- Therapeutic effect is measured in terms of clinical outcome, or by immunological or biochemical tests. Suppression of the deleterious T-cell activity can be measured by enumeration of reactive Th1 cells, by quantitating the release of cytokines at the sites of lesions, or using other assays for the presence of autoimmune T cells known in the art. Also both the physician and patient can identify a reduction in symptoms of a disease.
- oral administration for example with meals
- the dosage of the therapeutic formulation can vary widely, depending upon the nature of the disease, the frequency of administration, the manner of administration, the clearance of the agent from the patient, and the like.
- the initial dose can be larger, followed by smaller maintenance doses.
- the dose can be administered as infrequently as weekly or biweekly, or more often fractionated into smaller doses and administered daily, with meals, semi-weekly, and the like, to maintain an effective dosage level.
- PQPAciLPY (SEQ ID NO:37) was synthesized by standard Fmoc solid phase chemistry using Fmoc-acivicin and commercially available building blocks in a 25 ⁇ mol scale. Preparative reversed phase HPLC purification yielded 4 OD 275 (3.4 ⁇ mol, 14%).
- Reactive Motif Gln Aci DON k cat K M k cat /K M k inh K I k inh /K I k inh K I k inh /K I Scaffold: [min ⁇ 1 ] [M] [min ⁇ 1 M ⁇ 1 ] [min ⁇ 1 ] [M] [min ⁇ 1 M ⁇ 1 ] [min ⁇ 1 ] [M] [min ⁇ 1 M ⁇ 1 ] H-X-OH — >0.2 ⁇ 2 0.015 0.087 0.17 0.025 0.13 0.2 Cbz-X- — >0.03 90 — — — 0.12 1.35 ⁇ 10 ⁇ 4 890 OMe PQP-X- 28 3 ⁇ 10 ⁇ 4 8.2 ⁇ 10 ⁇ 4 0.014 7.8 ⁇ 10 ⁇ 4 18 — — — LPY (SEQ ID NO: 33) Ac-PQP- 40 4 ⁇ 10 ⁇ 4 9.7 ⁇ 10 4 — —
Landscapes
- Health & Medical Sciences (AREA)
- Chemical & Material Sciences (AREA)
- Life Sciences & Earth Sciences (AREA)
- Organic Chemistry (AREA)
- Medicinal Chemistry (AREA)
- General Health & Medical Sciences (AREA)
- Veterinary Medicine (AREA)
- Pharmacology & Pharmacy (AREA)
- Animal Behavior & Ethology (AREA)
- Public Health (AREA)
- Proteomics, Peptides & Aminoacids (AREA)
- Epidemiology (AREA)
- Engineering & Computer Science (AREA)
- Bioinformatics & Cheminformatics (AREA)
- Immunology (AREA)
- Gastroenterology & Hepatology (AREA)
- Biochemistry (AREA)
- Biophysics (AREA)
- Genetics & Genomics (AREA)
- Molecular Biology (AREA)
- Botany (AREA)
- Chemical Kinetics & Catalysis (AREA)
- General Chemical & Material Sciences (AREA)
- Nuclear Medicine, Radiotherapy & Molecular Imaging (AREA)
- Medicines That Contain Protein Lipid Enzymes And Other Medicines (AREA)
- Pharmaceuticals Containing Other Organic And Inorganic Compounds (AREA)
- Peptides Or Proteins (AREA)
Abstract
Administering an effective dose of a tTGase inhibitor to a Celiac or dermatitis herpetiformis patient reduces the toxic effects of toxic gluten oligopeptides, thereby attenuating or eliminating the damaging effects of gluten.
Description
- This application claims priority to U.S. patent application Ser. No. 10/514,177 filed Jun. 28, 2005, which is a 371 of PCT/US03/15343 filed May 14, 2003, which claims the benefit of U.S. Provisional Application 60/380,761 filed May 14, 2002; U.S. Provisional Application 60/392,782 filed Jun. 28, 2002; U.S. Provisional application No. 60/422,933, filed Oct. 31, 2002; and U.S. Provisional Application 60/428,033, filed Nov. 20, 2002, each of which are herein specifically incorporated by reference.
- In 1953, it was first recognized that ingestion of gluten, a common dietary protein present in wheat, barley and rye causes a disease called Celiac Sprue in sensitive individuals. Gluten is a complex mixture of glutamine- and proline-rich glutenin and prolamine molecules and is thought to be responsible for induction of Celiac Sprue. Ingestion of such proteins by sensitive individuals produces flattening of the normally luxurious, rug-like, epithelial lining of the small intestine known to be responsible for efficient and extensive terminal digestion of peptides and other nutrients. Other clinical symptoms of Celiac Sprue include fatigue, chronic diarrhea, malabsorption of nutrients, weight loss, abdominal distension, anemia, as well as a substantially enhanced risk for the development of osteoporosis and intestinal malignancies such as lymphoma and carcinoma. The disease has an incidence of approximately 1 in 200 in European populations and is believed to be significantly under diagnosed in other populations.
- A related disease is dermatitis herpetiformis, which is a chronic eruption of the skin characterized by clusters of intensely pruritic vesicles, papules, and urticaria-like lesions. IgA deposits occur in almost all normal-appearing and perilesional skin. Asymptomatic gluten-sensitive enteropathy is found in 75 to 90% of patients and in some of their relatives. Onset is usually gradual. Itching and burning are severe, and scratching often obscures the primary lesions with eczematization of nearby skin, leading to an erroneous diagnosis of eczema. Strict adherence to a gluten-free diet for prolonged periods may control the disease in some patients, obviating or reducing the requirement for drug therapy. Dapsone, sulfapyridine, and colchicines are sometimes prescribed for relief of itching.
- Celiac Sprue (CS) is generally considered to be an autoimmune disease and the antibodies found in the serum of the patients support the theory that the disease is immunological in nature. Antibodies to tissue transglutaminase (tTGase or tTG) and gliadin appear in almost 100% of the patients with active CS, and the presence of such antibodies, particularly of the IgA class, has been used in diagnosis of the disease.
- The large majority of patients express the HLA-DQ2 [DQ(a1*0501, b1*02)] and/or DQ8 [DQ(a1*0301, b1*0302)] molecules. It is believed that intestinal damage is caused by interactions between specific gliadin oligopeptides and the HLA-DQ2 or DQ8 antigen, which in turn induce proliferation of T lymphocytes in the sub-epithelial layers. T helper 1 cells and cytokines apparently play a major role in a local inflammatory process leading to villous atrophy of the small intestine.
- At the present time, there is no good therapy for the disease, except to avoid completely all foods containing gluten. Although gluten withdrawal has transformed the prognosis for children and substantially improved it for adults, some people still die of the disease, mainly adults who had severe disease at the outset. A leading cause of death is lymphoreticular disease, especially intestinal lymphoma. It is not known whether a gluten-free diet diminishes this risk. Apparent clinical remission is often associated with histologic relapse that is detected only by review biopsies or by increased EMA titers.
- Gluten is so widely used, for example, in commercial soups, sauces, ice creams, hot dogs, and other foodstuffs, that patients need detailed lists of foodstuffs to avoid and expert advice from a dietitian familiar with celiac disease. Ingesting even small amounts of gluten may prevent remission or induce relapse. Supplementary vitamins, minerals, and hematinics may also be required, depending on deficiency. A few patients respond poorly or not at all to gluten withdrawal, either because the diagnosis is incorrect or because the disease is refractory. In the latter case, oral corticosteroids (e.g., prednisone 10 to 20 mg bid) may induce response.
- In view of the serious and widespread nature of Celiac Sprue and the difficulty of removing gluten from the diet, better methods of treatment are of great interest. In particular, there is a need for treatment methods that allow the Celiac Sprue individual to eat gluten-containing foodstuffs without ill effect or at least to tolerate such foodstuffs in small or moderate quantities without inducing relapse. The present invention meets this need for better therapies for Celiac Sprue by providing new drugs and methods and formulations of new and existing drugs to treat Celiac Sprue. International Patent Application US03/04743, herein specifically incorporated by reference, discloses aspects of gluten protease stability and immunogenicity.
- In one aspect, the present invention provides methods for treating Celiac Sprue and/or dermatitis herpetiformis and the symptoms thereof by administration of a tTGase (tissue transglutaminase) inhibitor to the patient. In one embodiment, the tTGase inhibitor employed in the method is a known small molecule tTGase inhibitor selected from the group consisting of vinylogous amides, sulfonamides, 2-[(2-oxoalkyl)thio]imidazolium compounds, diazoketones, and 3-halo-4,5-dihydroisoxazoles. In another embodiment, the tTGase inhibitor is a dipeptide mimetic, a compound that mimics in structure a dipeptide selected from the group consisting of PQ, PY, QL, and QP.
- In another aspect, the present invention provides novel tTGase inhibitors and methods for treating Celiac Sprue and/or dermatitis herpetiformis by administering those compounds. In one embodiment, the tTGase inhibitor is a peptide or peptidomimetic that has or contains within a longer sequence the structure of the peptide PQPQLPY (SEQ ID NO:01) or PQPELPY (SEQ ID NO:02) in which the E or the second Q is replaced by a glutamine mimetic that is an inhibitor of tTGase or in which a dipeptide selected from the group consisting of QP and LP is replaced by a constrained dipeptide mimetic compound. Such compounds are analogs of a sequence contained in gluten oligopeptides that are resistant to digestion and are believed to stimulate the autoimmune reaction that characterizes Celiac Sprue.
- In another aspect, the invention provides pharmaceutical formulations comprising a tTGase inhibitor and a pharmaceutically acceptable carrier. In one embodiment, such formulations comprise an enteric coating that allows delivery of the active agent to the intestine, and the agents are stabilized to resist digestion or acid-catalyzed modification in acidic stomach conditions. In another embodiment, the formulation also comprises one or more glutenases, as described in U.S. Provisional Application 60/392,782 filed Jun. 28, 2002; and U.S. Provisional Application 60/428,033, filed Nov. 20, 2002, both of which are incorporated herein by reference. The invention also provides methods for the administration of enteric formulations of one or more tTGase inhibitors to treat Celiac Sprue.
- In another aspect, the invention provides methods for screening candidate compounds to determine their suitability for use in the subject methods, by assessing the ability of a candidate agent for its ability to bind to, and/or to inhibit the activity of, tTGase. Candidate agents may also be screened for anti-allergic and anti-inflammatory activity by assessing their ability to bind to, and/or to inhibit the activity of, tTGase.
- In another aspect, the tTGase inhibitors and/or pharmaceutical formulations of the present invention are useful in treating disorders where TGases are a factor in the disease etiology, where such disorders may include cancer, neurological disorders, wound healing, etc. These conditions include Alzheimer's and Huntington's diseases, where the TGases appear to be a factor in the formation of inappropriate proteinaceous aggregates that may be cytotoxic. In diseases such as progressive supranuclear palsy, Huntington's, Alzheimer's and Parkinson's diseases, the aberrant activation of TGases may be caused by oxidative stress and inflammation.
- These and other aspects and embodiments of the invention and methods for making and using the invention are described in more detail in the description of the drawings and the invention, the examples, the claims, and the drawings that follow.
- Celiac Sprue and/or dermatitis herpetiformis are treated by inhibition of tissue transglutaminase. Therapeutic benefit can be enhanced in some individuals by increasing the digestion of gluten oligopeptides, whether by pretreatment of foodstuffs to be ingested or by administration of an enzyme capable of digesting the gluten oligopeptides, together with administration of the tTGase inhibitor. Gluten oligopeptides are highly resistant to cleavage by gastric and pancreatic peptidases such as pepsin, trypsin, chymotrypsin, and the like, and their prolonged presence in the digestive tract can induce an autoimmune response mediated by tTGase. The antigenicity of gluten oligopeptides and the ill effects caused by an immune response thereto can be decreased by inhibition of tissue transglutaminase. In another embodiment of the invention, by also providing a means for digestion of gluten oligopeptides with glutenase, gluten oligopeptides are cleaved into fragments, thereby contributing to the prevention of the disease-causing toxicity.
- Methods and compositions are provided for the administration of one or more tTGase inhibitors to a patient suffering from Celiac Sprue and/or dermatitis herpetiformis. In some embodiments and for some individuals, the methods of the invention remove the requirement that abstention from ingestion of glutens be maintained to keep the disease in remission. The compositions of the invention include formulations of tTGase inhibitors that comprise an enteric coating that allows delivery of the agents to the intestine in an active form; the agents are stabilized to resist digestion or alternative chemical transformations in acidic stomach conditions. In another embodiment, food is pretreated or combined with glutenase, or a glutenase is co-administered (whether in time or in a formulation of the invention) with a tTGase inhibitor of the invention.
- The subject methods are useful for both prophylactic and therapeutic purposes. Thus, as used herein, the term “treating” is used to refer to both prevention of disease, and treatment of a pre-existing condition. The treatment of ongoing disease, to stabilize or improve the clinical symptoms of the patient, is a particularly important benefit provided by the present invention. Such treatment is desirably performed prior to loss of function in the affected tissues; consequently, the prophylactic therapeutic benefits provided by the invention are also important. Evidence of therapeutic effect may be any diminution in the severity of disease, particularly diminution of the severity of such symptoms as fatigue, chronic diarrhea, malabsorption of nutrients, weight loss, abdominal distension, and anemia. Other disease indicia include the presence of antibodies specific for glutens, antibodies specific for tissue transglutaminase, the presence of pro-inflammatory T cells and cytokines, and degradation of the villus structure of the small intestine. Application of the methods and compositions of the invention can result in the improvement of any and all of these disease indicia of Celiac Sprue.
- Patients that can benefit from the present invention include both adults and children. Children in particular benefit from prophylactic treatment, as prevention of early exposure to toxic gluten peptides can prevent development of the disease into its more severe forms. Children suitable for prophylaxis in accordance with the methods of the invention can be identified by genetic testing for predisposition, e.g. by HLA typing; by family history, and by other methods known in the art. As is known in the art for other medications, and in accordance with the teachings herein, dosages of the tTGase inhibitors of the invention can be adjusted for pediatric use.
- Because most proteases and peptidases are unable to hydrolyze the amide bonds of proline residues, the abundance of proline residues in gliadins and related proteins from wheat, rye and barley can constitute a major digestive obstacle for the enzymes involved. This leads to an increased concentration of relatively stable gluten derived oligopeptides in the gut. These stable gluten derived oligopeptides, called “toxic oligopeptides” herein, interact with tTGase to stimulate an immune response that results in the autoimmune disease aspects of Celiac Sprue.
- Such toxic oligopeptides include the peptide sequence PQPQLPY (SEQ ID NO:01) and longer peptides containing that sequence or multiple copies of that sequence. This peptide sequence is a high affinity substrate for the enzyme tissue transglutaminase (tTGase), an enzyme found on the extracellular surface in many organs including the intestine. The tTGase enzyme catalyzes the formation of isopeptide bonds between glutamine and lysine residues of different polypeptides, leading to protein-protein crosslinks in the extracellular matrix. The tTGase enzyme acts on the peptide sequence PQPQLPY (SEQ ID NO:01) to deamidate the second Q residue, forming the peptide sequence PQPELPY (SEQ ID NO:02). The tTGase enzyme is the primary focus of the autoantibody response in Celiac Sprue. Gliadins, secalins and hordeins contain several of the PQPQLPY (SEQ ID NO:01) sequences or sequences similar thereto rich in Pro-Gln residues that are high-affinity substrates for tTGase. The tTGase catalyzed deamidation of such sequences dramatically increases their affinity for HLA-DQ2, the class II MHC allele present in >90% Celiac Sprue patients. Presentation of these deamidated sequences by DQ2 positive antigen presenting cells effectively stimulates proliferation of gliadin-specific T cells from intestinal biopsies of most Celiac Sprue patients, providing evidence for the proposed mechanism of disease progression in Celiac Sprue.
- There are a number of known tTGase inhibitors that can be used in the methods of the invention. While known, these compounds have never before been used to treat Celiac Sprue effectively, because the compounds have not been administered to Celiac Sprue patients in the formulations and dosages required to deliver the active inhibitor to the small intestine in efficacious amounts. Known tTGase inhibitors include certain glutamine mimetic compounds, including compounds selected from the group consisting of vinylogous amides, sulfonamides, diazoketones, 3-halo-4,5-dihydroisoxazoles, and 1,2,4-thiadiazoles. While the present invention is not to be bound by a mechanistic theory, it is believed that these compounds provide an effective therapy for Celiac Sprue by reversibly or irreversibly inhibiting the tTGase in the small intestine, thereby preventing it from acting on the oligopeptides comprising the PQPQLPY (SEQ ID NO:01) sequence.
- PQPQLPY (SEQ ID NO:01) is a high affinity substrate for tTGase, because it has a structure that is highly complementary to the structure of the active site of the tTGase enzyme. In particular, the peptide bonds preceding Pro residues adopt trans configurations, thereby allowing the peptide to adopt an extended polyproline II helical structure. This polyproline II helical character is a general property of immunogenic gliadin peptides, and is an important determinant of their high affinity toward tTGase. Therefore, it has been exploited in the design of certain tTGase inhibitors of the invention. By administering compounds that bind to the active site of the tTGase enzyme and prevent either the binding of immunogenic gliadin peptides such as the 33-mer LQLQPFPQPQLPYPQPQLPYPQPQLPYPQPQPF (SEQ ID NO:03), or their conversion to regioselectively deamidated products, a therapeutic benefit can be achieved in Celiac Sprue patients. In part, the present invention arises out of the discoveries that the dipeptides QP and LP play an important role in forming the structure that binds to the active site of the tTGase enzyme and that compounds that mimic the configurations of these dipeptides in a polyproline helix (i.e. where the imide bond adopts a trans configuration) can be used to inhibit tTGase and treat Celiac Sprue. Thus, in addition to the methods for administering the glutamine mimetic compounds described above, the present invention provides methods in which a small organic molecule that is a constrained mimetic of a dipeptide selected from the group consisting of PQ, QP, PE, PY, and LP is administered to a Celiac Sprue patient to treat celiac disease.
- The tTGase inhibitors of the present invention that have structures that mimic the conformation of the key dipeptide moieties of the tTGase substrate can be thought of as “tTGase inhibitory motif” or “tTGase inhibitory moiety”. Human tTGase has a strong preference for peptide substrates with Type II polyproline character. This conformational preference is exploited by the selective tTGase inhibitors of the invention. Dipeptide moieties of interest have the formula XP, wherein X can be any amino acid but is preferably selected from the group consisting of Q, Y, L, E, or F. Inhibitors of the invention containing such moieties are referred to as “peptide mimetics” or “peptidomimetics”.
- Examples of dipeptidomimetics based on the trans-PQPQLPY (SEQ ID NO:01) peptide are shown below.
- Similar dipeptidomimetics can be identified based on sequences of other high-affinity gliadin peptide substrates of tTGase. Common constrained dipeptide mimetics useful for purposes of the invention also include quinozilidinone, pyrroloazepinone, indolizidinone, alkylbranched azabicyclo[X.Y.0]alkane amino acids (Gosselin et al., J. Org. Chem. 2000, 65, 2163-71; Polyak et al., J. Org. Chem. 2001, 66, 1171-80), 6,5-fused bicyclic lactam (Mueller et al., Tetrahedron Lett. 1994, 4091-2; Dumas, Tetrahedron Lett. 1994, 1493-6, and Kim, 1997, J. Org. Chem. 62, 2847-52), and lactam methylene linker.
- The dipeptide mimetic tTGase inhibitor compounds, like the glutamine mimetic tTGase inhibitor compounds, are believed to provide a therapeutic benefit to Celiac Sprue patients by preventing tTGase from binding the toxic oligopeptide comprising the PQPQLPY (SEQ ID NO:01) sequence and converting it to the PQPELPY (SEQ ID NO:02) sequence, thus preventing the initiation of the autoimmune response responsible for the symptoms of the disease. Alternatively, these dipeptidomimetics can be incorporated into a PQPQLPY (SEQ ID NO:01) sequence or longer peptide or peptidomimetic containing that sequence in place of the corresponding dipeptide moiety. It is well understood in the pharmaceutical arts that the more selective a drug for its intended target, and the greater affinity of a drug for its intended target, the more useful the drug for the treatment of the disease relating to that target. Thus, while the glutamine and dipeptide mimetic inhibitors of the invention can be used to treat Celiac Sprue, there will in some instances be a need for or benefit from compounds with greater specificity for and affinity to tTGase. The present invention provides such compounds.
- Thus, while beneficial therapeutic effect can be achieved by delivery of any tTGase inhibitor to the small intestine of a Celiac Sprue patient, in a preferred embodiment, the tTGase inhibitor is contained in a molecule that is a high affinity peptide or peptidomimetic substrate of tTGase or a peptidomimetic thereof. Thus, the inhibitors of tTGase provided by the present invention include modified high affinity peptide substrates for tTGase, where one or more glutamine residues of the peptide substrate are substituted with tTGase inhibitory moieties or one or more dipeptides in the substrate are substituted with a dipeptide mimetic or both. In either event, the peptide or peptidomimetic does not induce an autoimmune response in the Celiac Sprue patient.
- High affinity peptide substrates for tTGase include the following peptides, and, with respect to the larger peptides shown, fragments thereof: PQPQLPY (SEQ ID NO:01), PQPQLPYPQPQLP (SEQ ID NO:04); LQLQPFPQPQLPYPQPQLPYPQPQLPYPQPQPF (SEQ ID NO:03); QPQPFPPQLPYPQTQPFPPQQPYPQPQPQYPQPQ (SEQ ID NO:06) (from α1- and α6-gliadins); QQQPFPQQPIPQQPQPYPQQPQPYPQQPFPPQQPF (SEQ ID NO:07) (from B1 hordein); QPFPQPQQTFPQQPQLPFPQQPQQPFPQPQ (SEQ ID NO:08) (from γ-gliadin); VQWPQQQPVPQPHQPF (SEQ ID NO:09) (from γ-gliadin), VQGQGIIQPQQPAQ (SEQ ID NO:10) (from γ-gliadin), FLQPQQPFPQQPQQPYPQQPQQPFPQ (SEQ ID NO:11) (from γ-gliadin), FSQPQQQFPQPQQPQQSFPQQQPP (SEQ ID NO:12) (from γ-gliadin), and QPFPQPQQPTPIQPQQPFPQRPQQPFPQPQ (SEQ ID NO:13). These peptides are resistant toward endo- and exo-proteolysis by gastric, pancreatic and small intestinal enzymes. Conservative amino acid substitutions, such as Y->F, Q->N/E, or L->M, are also tolerated. Therefore, in accordance with the present invention, selective inhibitors of tTGase are provided by substituting either a glutamine that is deamidated by tTGase or a dipeptide contained in the peptide that binds in the active site of tTGase with a mimetic such that the resulting compound is an inhibitor of tTGase that does not stimulate the autoimmune response in a Celiac Sprue patient.
- The reactive glutamines in the above proteolytically stable peptides include those glutamines identified as “(Q->E)”, E being the amino acid formed by deamidation of glutamine, in the following sequences: PQP(Q->E)LPY (SEQ ID NO:15), PQP(Q->E)LPYPQPQLP (SEQ ID NO:16); LQLQPFPQP(Q->E)LPYPQPQLPYPQP(Q->E)LPYPQPQPF (SEQ ID NO:17), FSQP(Q->E)Q(Q->E)FPQPQQPQQSFP(Q->E)Q(Q->E)PP (SEQ ID NO:18), VQGQGIIQP(Q->E)QPAQ (SEQ ID NO:19), and FLQPQQPFP(Q->E)QP(Q->E)QPYPQQPQQPFPQ (SEQ ID NO:20). Reactive glutamine residues in other peptides can be identified by standard HPLC-MS-MS procedures, and can be replaced by glutamine mimetics. The (Q->E) residues can be replaced by glutamine mimetics and/or the QP and LP dipeptides in these sequences can be replaced by dipeptidomimetics as discussed above. The novel tTGase inhibitors of the invention are peptides or peptidomimetic compounds in which either a reactive glutamine or a dipeptide that binds in the active site of tTGase or both has been replaced by a small molecule mimetic are referred to herein as “substituted peptides”. In one embodiment, the tTGase inhibitors useful in the methods and compositions of the present invention are those for which the affinity of the inhibitory moiety for the tTG active site increases (as measured by a decrease in Kl or an increase in kinh/Kl) when presented in the context of a high affinity, proteolytically stable peptide substrate of the enzyme. This aspect of the invention is illustrated in the Examples below.
- Such compounds of the invention are illustrated below by compounds in which a reactive glutamine is replaced by a tTGase inhibitory moiety. Various tTGase inhibitory moieties useful in the methods of the invention and that are incorporated into the novel substituted peptide and peptidomimetic tTGase inhibitors of the invention include the following compounds, which are shown with variable (designated R) groups to indicate that the compounds can be used directly as small molecule inhibitors or incorporated into a larger dipeptide mimetic or peptide or peptidomimetic tTGase inhibitory compound of the invention.
- In the compounds shown above, R1, R2 and R3 are independently selected from H, alkyl, alkenyl, cycloalkyl, aryl, heteroalkyl, heteroaryl, alkoxy, alkylthio, aralkyl, aralkenyl, halo, haloalkyl, haloalkoxy, heterocyclyl, and heterocyclylalkyl groups. R1 and R2 can also be an amino acid, a peptide, a peptidomimetic, or a peptidic protecting groups. Illustrative functional groups include: R1 is selected from the group consisting of Cbz, Fmoc, Boc, PQP, Ac-PQP, PQPQLPYPQP (SEQ ID NO:21), Ac-PQPQLPFPQP (SEQ ID NO:22), QLQPFPQP (SEQ ID NO:23), LQLQPFPQPLPYPQP (SEQ ID NO:24), X2-15—P (where X2-15 is a peptide consisting of any 2-15 amino acid residues followed by a N-terminal proline); and R2 is selected from the group consisting of OMe, OtBu, Gly, Gly-NH2, LPY, LPF-NH2, LPYPQPQLPY (SEQ ID NO:25), LPFPQPQLPF-NH2 (SEQ ID NO:26), LPYPQPQLP (SEQ ID NO:27), LPYPQPQLPYPQPQPF (SEQ ID NO:28), LP-X2-15 (where X2-15 is a peptide consisting of any 2-15 amino acid residues followed by a C-terminal proline).
- Given the high selectivity of human tTGase for the peptide Ac-PQPQLPF-NH2 (SEQ
- ID NO:29), and the intrinsic resistance of this peptide toward gastrointestinal proteolysis, the following tTGase inhibitors are provided by the present invention.
- In each case, an inhibitor of the invention with greater specificity is provided by individual or combinatorial substitution of Q, L and F with alternative amino acids. In the case of sulfonamide inhibitors, the following analogs are also provided, where R is selected from an alkyl, alkenyl, cycloalkyl, aryl, heteroalkyl, heteroaryl, alkoxy, alkylthio, aralkyl, aralkenyl, halo, haloalkyl, haloalkoxy, heterocyclyl, or heterocyclylalkyl group. Of particular interest are the sulfonyl hydrazides (R═NHR′) where R′ is H. alkyl, alkenyl, cycloalkyl, aryl, heteroalkyl, heteroaryl, alkoxy, alkylthio, aralkyl, aralkenyl, halo, haloalkyl, haloalkoxy, heterocyclyl, or heterocyclylalkyl group.
- In one preferred embodiment, R is a functional group whose corresponding amine is a preferred nucleophilic co-substrate of human tTGase. For example, the biological amine histamine is an excellent co-substrate of tTGase (kcat=20 min−1, KM=40 μM). Consequently, the following compound is a preferred tTGase inhibitor of this invention:
- The synthesis of such compounds of the invention can be carried out using methods known in the art for other purposes and the teachings herein. For example, the synthesis of vinylogous amides such as 1 (see the numbered structure shown below) containing an acrylamide function have been reported by Macedo et al. (Bioorg. Med. Chem. (2002) 10, 355-360). Their ability to inhibit guinea pig tTG has been demonstrated (Marrano et al., Bioorg. Med. Chem. (2001) 9, 3231-3241). Illustrative vinylogous amide compounds of the invention include compounds in which a glutamine mimetic with an acrylamide motif such as 2 (see the numbered structure below) is contained in a peptide or peptidomimetic having the following structures: R1 is selected from the group consisting of PQP, Ac-PQP, PQPQLPYPQP (SEQ ID NO:21), Ac-PQPQLPFPQP (SEQ ID NO:22), QPFPQP (SEQ ID NO:30), LQLQPFPQPLPYPQP (SEQ ID NO:24), or an amino acid protecting group, including but not limited to Boc and Fmoc; and R2 is selected from the group consisting of LPY, LPF-NH2, LPYPQPQLPY (SEQ ID NO:25), LPFPQPQLPF-NH2 (SEQ ID NO:26), LPYPQPQ (SEQ ID NO:31), LPYPQPQLP (SEQ ID NO:27), LPYPQPQLPYPQPQPF (SEQ ID NO:28), or an amino acid protecting group, including but not limited to OtBu, OFm or additionally OBn or OMe.
- The acrylamides can be incorporated into a high affinity peptide of the invention by fragment condensation as illustrated below in a synthetic method of the invention using intermediate compounds of the invention.
- a) Boc2O, RT, 4 h, Na2CO3/dioxane, 95% b) C6H5I(OCOCF3)2, pyridine, DMF/H2O, RT, 3 h, 80% c) acryl chloride, MeOH/TEA, 0° C.-RT, 12 h d) EDC, TEA, DCM e) LPF-NH2, RT, 12 h f) HCl (gaseous), DCM, RT, 4 h g) Ac-PQP, RT, 12 h.
- The tTGase inhibitory compounds of the invention from the sulfonamides, diazoketones, 1,2,4 thiadiazoles, and isoxazoles can likewise be readily prepared using methods known in the art for other purposes and the teachings herein. To illustrate the invention with respect to such classes of compounds, the following amino acid analogs are employed: 4-sulfonamido-2-amino-butyric acid (Sab), 6-diazo-5-oxo-norleucine (Don), and acivicin (Aci). These compounds are useful tTGase inhibitors without further modification, and novel tTGase inhibitors of the invention comprise the structures of these compounds as part of a larger, high affinity inhibitor of tTGase, as illustrated by the structures above.
- Any high affinity tTGase substrate can be used to provide the scaffold for presenting a tTGase inhibitor moiety. Moreover, compounds not known to be tTGase substrates can be identified by screening peptide libraries, for example on chips or beads or displayed on phages using reporter groups such as dansyl- or biotinyl-cadaverine, using procedures known in the art. Additionally, the tTGase inhibitors of the invention can include other moieties. As one example, in some embodiments, the tTGase inhibitor further comprise one or more proline residues C- and/or N-terminally of the glutamine mimetic-containing peptides to block exoproteolytic degradation.
- To illustrate various tTGase inhibitors of the invention, a variety of relatively small and large inhibitors were synthesized and tested for inhibitory activity. As examples of small molecule inhibitors, Z-Don-OMe and Z-Sab-Gly-OH were synthesized. As examples of larger inhibitors, the compounds Ac-PQP-X-LPF-NH2 (SEQ ID NO:32), where X was Sab, a diazoketone, or acivicin, were synthesized.
- Thus, Z-Don-OMe was synthesized as described (Allevi & Anatasia, Tetrahedron Asymmetry (2000) 11, 3151-3160; Pettit & Nelson, Can. J. Chem. (1986) 64, 2097-2102; Bailey & Bryans, Tetrahedron Lett. (1988) 29, 2231-2234). For the synthesis of Z-Sab-Gly-OH 33, commercially available racemic homocysteine thiolactone 24 was first protected to give 25 and subsequently saponified and acetylated in situ to give the free racemic acid 26 in high yield. Its coupling with the glycine benzyl ester 30 provided the dipeptide 31. Then, the conversion to the sulfonamide 32 was achieved via chlorination of the thioacetate moiety to a sulfonamide intermediate, followed by treatment with ammonia in CHCl3. Finally, the benzyl ester protecting group was removed by saponification with an aqueous NaOH solution.
- The sulfonamide building block (Sab) 9 was incorporated into the Ac-PQP-X-LPF-NH2 (SEQ ID NO:32) scaffold by fragment condensation as illustrated in the following scheme:
- The diazo-ketone 10a motif was introduced into the same scaffold by post-synthetic modification of Ac-PQP-Glu-LPF-NH2(SEQ ID NO:34) 40 to yield compound 41.
- Incorporation of the acivicin moiety 12 into the high affinity PQPXLPY (SEQ ID NO:35) scaffold was achieved by Fmoc-protection of commercially available acivicin and Fmoc-compatible solid phase peptide chemistry as outlined below.
- Synthesis of peptides containing 1,2,4 thiadiazoles is described by Marrano et al., Bioorg. Med. Chem. 9, 3231-3241 (2001). Because the carboxyl group of acivicin is not needed for tTG inhibition (Killackey et al., Mol. Pharmacol. (1989) 35, 701-706), the 3-chloro-4,5-dihydro-5-amino-isoxazole (Cai) group 13 was synthesized as described (Castelhano et al., Bioorg. Chem. (1988) 16, 335-340) and coupled C-terminally to a high-affinity peptide as depicted below:
- The illustrative compounds of the invention described above were tested in a tTGase assay with recombinant human tissue transglutaminase, which was expressed, purified and assayed as described (Piper et al., Biochemistry (2001) 41, 386-393). Competitive inhibition with respect to the Cbz-Gln-Gly substrate was observed for all substrates; in all cases except for the Sab derivatives, irreversible inactivation of the enzyme was also observed. Importantly, all glutamine mimetics described above showed significant improved specificity within a tTG-specific peptide context. The results also demonstrated that, while the small molecule inhibitors can be used to inhibit tTGase, the larger compounds that present the glutamine mimetic tTGase inhibitor in the context of a peptide based on the PQPQLPY (SEQ ID NO:01) sequence tended to be better inhibitors.
- Thus, the present invention provides a variety of different classes of known and novel tTGase inhibitors. To facilitate an appreciation of the invention, the tTGase inhibitors of the invention have in part been described above with structures containing variable “R” groups that are defined by reference to the various organic moieties that can be present at the indicated position in the structure. Below, brief definitions are provided for the phrases used to define the organic moieties listed for each R group.
- As used herein, “alkyl” refers to a straight or branched hydrocarbon chain radical consisting solely of carbon and hydrogen atoms, containing no unsaturation, having from one to eight carbon atoms, and which is attached to the rest of the molecule by a single bond, e.g., methyl, ethyl, n-propyl, 1-methylethyl (iso-propyl), n-butyl, n-pentyl, 1,1-dimethylethyl (t-butyl), and the like. Unless stated otherwise specifically in the specification, the alkyl radical may be optionally substituted by hydroxy, alkoxy, aryloxy, haloalkoxy, cyano, nitro, mercapto, alkylthio, —N(R8)2, —C(O)OR8, —C(O)N(R8)2 or —N(R8)C(O)R8 where each R8 is independently hydrogen, alkyl, alkenyl, cycloalkyl, cycloalkylalkyl, aralkyl or aryl. Unless stated otherwise specifically in the specification, it is understood that for radicals, as defined below, that contain a substituted alkyl group that the substitution can occur on any carbon of the alkyl group.
- “Alkoxy” refers to a radical of the formula —ORa where Ra is an alkyl radical as defined above, e.g., methoxy, ethoxy, n-propoxy, 1-methylethoxy (iso-propoxy), n-butoxy, n-pentoxy, 1,1-dimethylethoxy (t-butoxy), and the like. Unless stated otherwise specifically in the specification, it is understood that for radicals, as defined below, that contain a substituted alkoxy group that the substitution can occur on any carbon of the alkoxy group. The alkyl radical in the alkoxy radical may be optionally substituted as described above.
- “Alkylthio” refers to a radical of the formula —SRa where Ra is an alkyl radical as defined above, e.g., methylthio, ethylthio, n-propylthio, 1-methylethylthio (iso-propylthio), n-butylthio, n-pentylthio, 1,1-dimethylethylthio (t-butylthio), and the like. Unless stated otherwise specifically in the specification, it is understood that for radicals, as defined below, that contain a substituted alkylthio group that the substitution can occur on any carbon of the alkylthio group. The alkyl radical in the alkylthio radical may be optionally substituted as described above.
- “Alkenyl” refers to a straight or branched hydrocarbon chain radical consisting solely of carbon and hydrogen atoms, containing at least one double bond, having from two to eight carbon atoms, and which is attached to the rest of the molecule by a single bond or a double bond, e.g., ethenyl, prop-1-enyl, but-1-enyl, pent-1-enyl, penta-1,4-dienyl, and the like. Unless stated otherwise specifically in the specification, the alkenyl radical may be optionally substituted by hydroxy, alkoxy, haloalkoxy, cyano, nitro, mercapto, alkylthio, cycloalkyl, —N(R8)2, —C(O)OR8, —C(O)N(R8)2 or —N(R8)—C(O)—R8 where each R8 is independently hydrogen, alkyl, alkenyl, cycloalkyl, cycloalkylalkyl, aralkyl or aryl. Unless stated otherwise specifically in the specification, it is understood that for radicals, as defined below, that contain a substituted alkenyl group that the substitution can occur on any carbon of the alkenyl group.
- “Aryl” refers to a phenyl or naphthyl radical. Unless stated otherwise specifically in the specification, the term “aryl” or the prefix “ar-” (such as in “aralkyl”) is meant to include aryl radicals optionally substituted by one or more substituents selected from the group consisting of hydroxy, alkoxy, aryloxy, haloalkoxy, cyano, nitro, mercapto, alkylthio, cycloalkyl, —N(R8)2, —C(O)OR8, —C(O)N(R8)2 or —N(R8)C(O)R8 where each R8 is independently hydrogen, alkyl, alkenyl, cycloalkyl, cycloalkylalkyl, aralkyl or aryl.
- “Aralkyl” refers to a radical of the formula —RaRb where Ra is an alkyl radical as defined above and Rb is one or more aryl radicals as defined above, e.g., benzyl, diphenylmethyl and the like. The aryl radical(s) may be optionally substituted as described above.
- “Aralkenyl” refers to a radical of the formula —RcRb where Rc is an alkenyl radical as defined above and Rb is one or more aryl radicals as defined above, e.g., 3-phenylprop-1-enyl, and the like. The aryl radical(s) and the alkenyl radical may be optionally substituted as described above.
- “Alkylene chain” refers to a straight or branched divalent hydrocarbon chain consisting solely of carbon and hydrogen, containing no unsaturation and having from one to eight carbon atoms, e.g., methylene, ethylene, propylene, n-butylene, and the like. The alkylene chain may be optionally substituted by one or more substituents selected from the group consisting of aryl, halo, hydroxy, alkoxy, haloalkoxy, cyano, nitro, mercapto, alkylthio, cycloalkyl, —N(R8)2, —C(O)OR8, —C(O)N(R8)2 or —N(R8)C(O)R8 where each R8 is independently hydrogen, alkyl, alkenyl, cycloalkyl, cycloalkylalkyl, aralkyl or aryl. The alkylene chain may be attached to the rest of the molecule through any two carbons within the chain.
- “Alkenylene chain” refers to a straight or branched divalent hydrocarbon chain consisting solely of carbon and hydrogen, containing at least one double bond and having from two to eight carbon atoms, e.g., ethenylene, prop-1-enylene, but-1-enylene, pent-1-enylene, hexa-1,4-dienylene, and the like. The alkenylene chain may be optionally substituted by one or more substituents selected from the group consisting of aryl, halo, hydroxy, alkoxy, haloalkoxy, cyano, nitro, mercapto, alkylthio, cycloalkyl, —N(R8)2, —C(O)OR8, —C(O)N(R8)2 or —N(R8)C(O)R8 where each R8 is independently hydrogen, alkyl, alkenyl, cycloalkyl, cycloalkylalkyl, aralkyl or aryl. The alkenylene chain may be attached to the rest of the molecule through any two carbons within the chain.
- “Cycloalkyl” refers to a stable monovalent monocyclic or bicyclic hydrocarbon radical consisting solely of carbon and hydrogen atoms, having from three to ten carbon atoms, and which is saturated and attached to the rest of the molecule by a single bond, e.g., cyclopropyl, cyclobutyl, cyclopentyl, cyclohexyl, decalinyl and the like. Unless otherwise stated specifically in the specification, the term “cycloalkyl” is meant to include cycloalkyl radicals which are optionally substituted by one or more substituents independently selected from the group consisting of alkyl, aryl, aralkyl, halo, haloalkyl, hydroxy, alkoxy, haloalkoxy, cyano, nitro, mercapto, alkylthio, cycloalkyl, —N(R8)2, —C(O)OR8, —C(O)N(R8)2 or —N(R8)C(O)R8 where each R8 is independently hydrogen, alkyl, alkenyl, cycloalkyl, cycloalkylalkyl, aralkyl or aryl.
- “Cycloalkylalkyl” refers to a radical of the formula —RaRd where Ra is an alkyl radical as defined above and Rd is a cycloalkyl radical as defined above. The alkyl radical and the cycloalkyl radical may be optionally substituted as defined above.
- “Halo” refers to bromo, chloro, fluoro or iodo.
- “Haloalkyl” refers to an alkyl radical, as defined above, that is substituted by one or more halo radicals, as defined above, e.g., trifluoromethyl, difluoromethyl, trichloromethyl, 2,2,2-trifluoroethyl, 1-fluoromethyl-2-fluoroethyl, 3-bromo-2-fluoropropyl, 1-bromomethyl-2-bromoethyl, and the like.
- “Haloalkoxy” refers to a radical of the formula —ORc where Rc is an haloalkyl radical as defined above, e.g., trifluoromethoxy, difluoromethoxy, trichloromethoxy, 2,2,2-trifluoroethoxy, 1-fluoromethyl-2-fluoroethoxy, 3-bromo-2-fluoropropoxy, 1-bromomethyl-2-bromoethoxy, and the like.
- “Heterocyclyl” refers to a stable 3- to 15-membered ring radical which consists of carbon atoms and from one to five heteroatoms selected from the group consisting of nitrogen, oxygen and sulfur. For purposes of this invention, the heterocyclyl radical may be a monocyclic, bicyclic or tricyclic ring system, which may include fused or bridged ring systems; and the nitrogen, carbon or sulfur atoms in the heterocyclyl radical may be optionally oxidized; the nitrogen atom may be optionally quaternized; and the heterocyclyl radical may be aromatic or partially or fully saturated. The heterocyclyl radical may not be attached to the rest of the molecule at any heteroatom atom. Examples of such heterocyclyl radicals include, but are not limited to, azepinyl, acridinyl, benzimidazolyl, benzthiazolyl, benzothiadiazolyl, benzoxazolyl, benzodioxolyl, benzodioxinyl, benzopyranyl, benzopyranonyl, benzofuranyl, benzofuranonyl, benzothienyl (benzothiophenyl), benzotriazolyl, carbazolyl, cinnolinyl, decahydroisoquinolyl, dioxolanyl, furanyl, furanonyl, isothiazolyl, imidazolyl, imidazolinyl, imidazolidinyl, isothiazolidinyl, indolyl, indazolyl, isoindolyl, indolinyl, isoindolinyl, indolizinyl, isoxazolyl, isoxazolidinyl, morpholinyl, naphthyridinyl, oxadiazolyl, octahydroindolyl, octahydroisoindolyl, 2-oxopiperazinyl, 2-oxopiperidinyl, 2-oxopyrrolidinyl, 2-oxoazepinyl, oxazolyl, oxazolidinyl, oxiranyl, piperidinyl, piperazinyl, 4-piperidonyl, phenazinyl, phenothiazinyl, phenoxazinyl, phthalazinyl, pteridinyl, purinyl, pyrrolyl, pyrrolidinyl, pyrazolyl, pyrazolidinyl, pyridinyl, pyrazinyl, pyrimidinyl, pyridazinyl, quinazolinyl, quinoxalinyl, quinolinyl, quinuclidinyl, isoquinolinyl, thiazolyl, thiazolidinyl, thiadiazolyl, triazolyl, tetrazolyl, tetrahydrofuryl, triazinyl, tetrahydropyranyl, thienyl, thiamorpholinyl, thiamorpholinyl sulfoxide, and thiamorpholinyl sulfone. Unless stated otherwise specifically in the specification, the term “heterocyclyl” is meant to include heterocyclyl radicals as defined above which are optionally substituted by one or more substituents selected from the group consisting of alkyl, halo, nitro, cyano, haloalkyl, haloalkoxy, aryl, heterocyclyl, heterocyclylalkyl, —OR8, —R7—OR8, —C(O)OR8, —R7—C(O)OR8, —C(O)N(R8)2, —N(R8)2, —R7—N(R8)2, and —N(R8)C(O)R8 wherein each R7 is a straight or branched alkylene or alkenylene chain and each R8 is independently hydrogen, alkyl, alkenyl, cycloalkyl, cycloalkylalkyl, aralkyl or aryl.
- “Heterocyclylalkyl” refers to a radical of the formula —RaRe where Ra is an alkyl radical as defined above and Re is a heterocyclyl radical as defined above, and if the heterocyclyl is a nitrogen-containing heterocyclyl, the heterocyclyl may be attached to the alkyl radical at the nitrogen atom. The heterocyclyl radical may be optionally substituted as defined above.
- In the formulas provided herein, molecular variations are included, which may be based on isosteric replacement. “Isosteric replacement” refers to the concept of modifying chemicals through the replacement of single atoms or entire functional groups with alternatives that have similar size, shape and electro-magnetic properties, e.g. O is the isosteric replacement of S, N, COOH is the isosteric replacement of tetrazole, F is the isosteric replacement of H, sulfonate is the isosteric replacement of phosphate etc.
- As used herein, compounds which are “commercially available” may be obtained from standard commercial sources including Acros Organics (Pittsburgh Pa.), Aldrich Chemical (Milwaukee Wis., including Sigma Chemical and Fluka), Apin Chemicals Ltd. (Milton Park UK), Avocado Research (Lancashire U.K.), BDH Inc. (Toronto, Canada), Bionet (Cornwall, U.K.), Chemservice Inc. (West Chester Pa.), Crescent Chemical Co. (Hauppauge N.Y.), Eastman Organic Chemicals, Eastman Kodak Company (Rochester N.Y.), Fisher Scientific Co. (Pittsburgh Pa.), Fisons Chemicals (Leicestershire UK), Frontier Scientific (Logan Utah), ICN Biomedicals, Inc. (Costa Mesa Calif.), Key Organics (Cornwall U.K.), Lancaster Synthesis (Windham N.H.), Maybridge Chemical Co. Ltd. (Cornwall U.K.), Parish Chemical Co. (Orem Utah), Pfaltz & Bauer, Inc. (Waterbury Conn.), Polyorganix (Houston Tex.), Pierce Chemical Co. (Rockford Ill.), Riedel de Haen AG (Hannover, Germany), Spectrum Quality Product, Inc. (New Brunswick, N.J.), TCI America (Portland Oreg.), Trans World Chemicals, Inc. (Rockville Md.), Wako Chemicals USA, Inc. (Richmond Va.), Novabiochem and Argonaut Technology.
- As used herein, “suitable conditions” for carrying out a synthetic step are explicitly provided herein or may be discerned by reference to publications directed to methods used in synthetic organic chemistry. The reference books and treatise set forth above that detail the synthesis of reactants useful in the preparation of compounds of the present invention, will also provide suitable conditions for carrying out a synthetic step according to the present invention.
- As used herein, “methods known to one of ordinary skill in the art” may be identified though various reference books and databases. Suitable reference books and treatise that detail the synthesis of reactants useful in the preparation of compounds of the present invention, or provide references to articles that describe the preparation, include for example, “Synthetic Organic Chemistry”, John Wiley & Sons, Inc., New York; S. R. Sandler et al., “Organic Functional Group Preparations,” 2nd Ed., Academic Press, New York, 1983; H. O. House, “Modern Synthetic Reactions”, 2nd Ed., W. A. Benjamin, Inc. Menlo Park, Calif. 1972; T. L. Gilchrist, “Heterocyclic Chemistry”, 2nd Ed., John Wiley & Sons, New York, 1992; J. March, “Advanced Organic Chemistry: Reactions, Mechanisms and Structure”, 4th Ed., Wiley-Interscience, New York, 1992. Specific and analogous reactants may also be identified through the indices of known chemicals prepared by the Chemical Abstract Service of the American Chemical Society, which are available in most public and university libraries, as well as through on-line databases (the American Chemical Society, Washington, D.C., www.acs.org may be contacted for more details). Chemicals that are known but not commercially available in catalogs may be prepared by custom chemical synthesis houses, where many of the standard chemical supply houses (e.g., those listed above) provide custom synthesis services.
- “Optional” or “optionally” means that the subsequently described event of circumstances may or may not occur, and that the description includes instances where said event or circumstance occurs and instances in which it does not. For example, “optionally substituted aryl” means that the aryl radical may or may not be substituted and that the description includes both substituted aryl radicals and aryl radicals having no substitution.
- “Pharmaceutically acceptable base addition salt” refers to those salts which retain the biological effectiveness and properties of the free acids, which are not biologically or otherwise undesirable. These salts are prepared from addition of an inorganic base or an organic base to the free acid. Salts derived from inorganic bases include, but are not limited to, the sodium, potassium, lithium, ammonium, calcium, magnesium, iron, zinc, copper, manganese, aluminum salts and the like. Preferred inorganic salts are the ammonium, sodium, potassium, calcium, and magnesium salts. Salts derived from organic bases include, but are not limited to, salts of primary, secondary, and tertiary amines, substituted amines including naturally occurring substituted amines, cyclic amines and basic ion exchange resins, such as isopropylamine, trimethylamine, diethylamine, triethylamine, tripropylamine, ethanolamine, 2-dimethylaminoethanol, 2-diethylaminoethanol, dicyclohexylamine, lysine, arginine, histidine, caffeine, procaine, hydrabamine, choline, betaine, ethylenediamine, glucosamine, methylglucamine, theobromine, purines, piperazine, piperidine, N-ethylpiperidine, polyamine resins and the like. Particularly preferred organic bases are isopropylamine, diethylamine, ethanolamine, trimethylamine, dicyclohexylamine, choline and caffeine.
- The tTGase inhibitors, or their pharmaceutically acceptable salts may contain one or more asymmetric centers and may thus give rise to enantiomers, diastereomers, and other stereoisomeric forms that may be defined, in terms of absolute stereochemistry, as (R)- or (S)- or, as (D)- or (L)- for amino acids. The present invention is meant to include all such possible isomers, as well as, their racemic and optically pure forms. Optically active (+) and (−), (R)- and (S)-, or (D)- and (L)- isomers may be prepared using chiral synthons or chiral reagents, or resolved using conventional techniques, such as reverse phase HPLC. When the compounds described herein contain olefinic double bonds or other centers of geometric asymmetry, and unless specified otherwise, it is intended that the compounds include both E and Z geometric isomers. Likewise, all tautomeric forms are also intended to be included.
- The present invention provides the tTGase inhibitors in a variety of formulations for therapeutic administration. In one aspect, the agents are formulated into pharmaceutical compositions by combination with appropriate, pharmaceutically acceptable carriers or diluents, and are formulated into preparations in solid, semi-solid, liquid or gaseous forms, such as tablets, capsules, powders, granules, ointments, solutions, suppositories, injections, inhalants, gels, microspheres, and aerosols. As such, administration of the tTGase inhibitors is achieved in various ways, although oral administration is a preferred route of administration. In some formulations, the tTGase inhibitors are systemic after administration; in others, the inhibitor is localized by virtue of the formulation, such as the use of an implant that acts to retain the active dose at the site of implantation.
- In some pharmaceutical dosage forms, the tTGase inhibitors are administered in the form of their pharmaceutically acceptable salts. In some dosage forms, the tTGase inhibitor is used alone, while in others, the tTGase is used in combination with another pharmaceutically active compounds. In the latter embodiment, the other active compound is, in some embodiments, a glutenase that can cleave or otherwise degrade a toxic gluten oligopeptide, as described in the Examples below. The following methods and excipients are merely exemplary and are in no way limiting.
- For oral preparations, the agents are used alone or in combination with appropriate additives to make tablets, powders, granules or capsules, for example, with conventional additives, such as lactose, mannitol, corn starch or potato starch; with binders, such as crystalline cellulose, cellulose derivatives, acacia, corn starch or gelatins; with disintegrators, such as corn starch, potato starch or sodium carboxymethylcellulose; with lubricants, such as talc or magnesium stearate; and in some embodiments, with diluents, buffering agents, moistening agents, preservatives and flavoring agents.
- In one embodiment of the invention, the oral formulations comprise enteric coatings, so that the active agent is delivered to the intestinal tract. Enteric formulations are often used to protect an active ingredient from the strongly acid contents of the stomach. Such formulations are created by coating a solid dosage form with a film of a polymer that is insoluble in acid environments and soluble in basic environments. Exemplary films are cellulose acetate phthalate, polyvinyl acetate phthalate, hydroxypropyl methylcellulose phthalate and hydroxypropyl methylcellulose acetate succinate, methacrylate copolymers, and cellulose acetate phthalate.
- Other enteric formulations of the tTGase inhibitors of the invention comprise engineered polymer microspheres made of biologically erodable polymers, which display strong adhesive interactions with gastrointestinal mucus and cellular linings, can traverse both the mucosal absorptive epithelium and the follicle-associated epithelium covering the lymphoid tissue of Peyer's patches. The polymers maintain contact with intestinal epithelium for extended periods of time and actually penetrate it, through and between cells. See, for example, Mathiowitz et al. (1997) Nature 386 (6623): 410-414. Drug delivery systems can also utilize a core of superporous hydrogels (SPH) and SPH composite (SPHC), as described by Dorkoosh et al. (2001) J Control Release 71 (3):307-18.
- In another embodiment, the tTGase inhibitor or formulation thereof is admixed with food, or used to pre-treat foodstuffs containing glutens.
- Formulations are typically provided in a unit dosage form, where the term “unit dosage form,” refers to physically discrete units suitable as unitary dosages for human subjects, each unit containing a predetermined quantity of tTGase inhibitor calculated in an amount sufficient to produce the desired effect in association with a pharmaceutically acceptable diluent, carrier or vehicle. The specifications for the unit dosage forms of the present invention depend on the particular complex employed and the effect to be achieved, and the pharmacodynamics associated with each complex in the host.
- The pharmaceutically acceptable excipients, such as vehicles, adjuvants, carriers or diluents, are readily available to the public. Moreover, pharmaceutically acceptable auxiliary substances, such as pH adjusting and buffering agents, tonicity adjusting agents, stabilizers, wetting agents and the like, are readily available to the public.
- Depending on the patient and condition being treated and on the administration route, the tTGase inhibitor is administered in dosages of 0.01 mg to 500 mg V/kg body weight per day, e.g. about 20 mg/day for an average person. Dosages are appropriately adjusted for pediatric formulation. Those of skill will readily appreciate that dose levels can vary as a function of the specific inhibitor, the diet of the patient and the gluten content of the diet, the severity of the symptoms, and the susceptibility of the subject to side effects. Some of the inhibitors of the invention are more potent than others. Preferred dosages for a given inhibitor are readily determinable by those of skill in the art by a variety of means. A preferred means is to measure the physiological potency of a given compound.
- The methods of the invention are useful in the treatment of individuals suffering from Celiac Sprue and/or dermatitis herpetiformis, by administering an effective dose of a tTGase inhibitor, through a pharmaceutical formulation, and the like. Diagnosis of suitable patients may utilize a variety of criteria known to those of skill in the art. A quantitative increase in antibodies specific for gliadin, and/or tissue transglutaminase is indicative of the disease. Family histories and the presence of the HLA alleles HLA-DQ2 [DQ(a1*0501, b1*02)] and/or DQ8 [DQ(a1*0301, b1*0302)] are indicative of a susceptibility to the disease. Moreover, as tTG plays an important role in other diseases, such as Huntington's disease and skin diseases in addition to dermatitis herpetiformis, a variety of formulated versions of the compounds of the invention (e.g. topical formulations, intravenous injections) are useful for the treatment of such medical conditions. These conditions include Alzheimer's and Huntington's diseases, where the TGases appear to be a factor in the formation of inappropriate proteinaceous aggregates that may be cytotoxic. In diseases such as progressive supranuclear palsy, Huntington's, Alzheimer's and Parkinson's diseases, the aberrant activation of TGases may be caused by oxidative stress and inflammation.
- Therapeutic effect is measured in terms of clinical outcome, or by immunological or biochemical tests. Suppression of the deleterious T-cell activity can be measured by enumeration of reactive Th1 cells, by quantitating the release of cytokines at the sites of lesions, or using other assays for the presence of autoimmune T cells known in the art. Also both the physician and patient can identify a reduction in symptoms of a disease.
- Various methods for administration are employed in the practice of the invention. In one preferred embodiment, oral administration, for example with meals, is employed. The dosage of the therapeutic formulation can vary widely, depending upon the nature of the disease, the frequency of administration, the manner of administration, the clearance of the agent from the patient, and the like. The initial dose can be larger, followed by smaller maintenance doses. The dose can be administered as infrequently as weekly or biweekly, or more often fractionated into smaller doses and administered daily, with meals, semi-weekly, and the like, to maintain an effective dosage level.
- The following examples are put forth so as to provide those of ordinary skill in the art with a complete disclosure and description of how to make and use the present invention, and are not intended to limit the scope of what the inventors regard as their invention nor are they intended to represent that the experiments below are all or the only experiments performed. Efforts have been made to ensure accuracy with respect to numbers used (e.g., amounts, temperature), but some experimental errors and deviations may be present. Unless indicated otherwise, parts are parts by weight, molecular weight is weight average molecular weight, temperature is in degrees Centigrade, and pressure is at or near atmospheric.
- Synthesis of N—(Carbobenzyloxy)-D,L-homocysteine thiolactone (25). To a solution of DL-homocysteine thiolactone hydrochloride (1 eq.) in an aqueous solution of Na2CO3 (10 eq.) and dioxane (v/v), cooled to 0° C., benzylchloroformate (1 eq) in dioxane is added. After 20 h at room temperature, the bulk of the dioxane is evaporated and the resulting aqueous solution extracted with AcOEt. The combined extracts are washed with brine, dried over sodium sulfate and evaporated. The crude product is triturated in ether and finally filtered. White solid. Yield 95%. 1H NMR (CDCl3) δ 1.98 (m, 1H), 2.87 (m, 1H), 3.24-3.34 (m, 2H), 4.31 (m, 1H), 5.12 (s, 2H), 7.35 (m, 5H)
- Synthesis of S-acetyl-N-(carbobenzyloxy)-D,L-homocysteine (26). A solution of N—(Carbobenzyloxy)-D,L-homocysteine thiolactone 25 (1 eq.) in THF:H2O 1.5:0.5 was degassed three times. A solution of 6M aqueous degassed KOH (3 eq.), was added the thiolactone solution. After the solution was stirred at room temperature for 1.5 h, acetic anhydride (5.3 eq.) was then added dropwise with continued cooling (ice bath), maintaining a temperature of <27° C. After an additional 30 min. at room temperature, the reaction was acidified with 6N aqueous HCl to pH 4.3, and then concentrated in vacuo. The concentrate was acidified further with additional 6N aqueous HCl to pH 2.6. The product was extracted with EtOAc. The combined organic extracts were washed three times with saturated brine, dried (Na2SO4), filtered, and concentrated under vacuum to afford a tacky white solid. The residue was azeotroped three times with toluene to remove residual acetic acid. The solid was collected by filtration using hexane:EtOAc 1:1 and dried to afford racemic 26, free acid form, as a white solid. Yield 85%. TLC Rf0.48 (EtOAC:AcOH 98:2). 1H NMR (CDCl3) δ 1.99 (m, 1H), 2.08 (m, 1H), 2.29 (s, 3H), 2.86-2.98 (m, 2H), 4.14 (m, 1H), 5.12 (s, 2H), 7.35 (m, 5H).
- Synthesis of (31). To a solution of the free racemic acid of S-acetyl-N-(carbobenzyloxy)-D,L-homocysteine 26 (1 eq.) in DCM at 0° C. was added 1-hydroxybenzotrizole hydrate (HOBt, 1.1 eq.), followed by 1-[3-(dimethylamino)propyl]-3-ethylcarbodiimide hydrochloride (EDPI, 1 eq.). The resulting suspension was stirred at 0° C. for 30 min and then a solution of glycine benzylester 30 (1 eq.) in DCM was added, followed by dropwise addition of a solution of 4-dimethylaminopyridine (DMAP, 1.2 eq.) in DCM. The resulting suspension was stirred at room temperature for 20 h. The reaction mixture was partitioned between EtOAc and 5% aqueous NaHPO4. The separated organic layer was then washed with 5% aqueous NaHPO4, saturated aqueous Na2CO3, H2O, and brine, dried over Na2SO4, and filtered. The filtrate was concentrated in vacuo, and the residue was flash chromatographed on a short silica gel column to afford the pure dipeptide 31 as a colorless oil. Yield 75%. 1H NMR (CDCl3) δ 1.98 (m, 1H), 2.05-2.13 (m, 3H), 2.29 (s, 3H), 2.86 (m, 1H), 2.98 (m, 1H), 4.14 (m, 1H), 5.10-5.14 (m, 4H), 7.28-7.42 (m, 10H).
- Synthesis of (32). A solution of 31 (1 eq.) and NaOAc (10 eq.) in HOAc:H2O 5:1 was stirred below 10° C. Gaseous chlorine was bubbled into the solution. After 10 min argon was blown through the yellow mixture for 10 min to remove excess Cl2 and the solvent was evaporated. The residue was partitioned between EtOAc and H2O. The EtOAc solution was washed with brine, dried, and evaporated to the yellow oily sulfonylchloride. This product was used without further purification in the next stage. A solution of the crude sulfonylchloride (1 eq.) in CHCl3 was stirred below 10° C. Gaseous ammoniac was bubbled into the solution. After 20 min, the mixture was stirred for 30 min, allowed to warm to room temperature, and evaporated to dryness. The residue was partitioned between EtOAc and H2O. The EtOAc solution was washed with brine, dried, and evaporated to a colorless oil. Yield 75%. 1H NMR (CDCl3) δ 2.01 (m, 1H), 2.13 (s, 2H), 2.22-2.32 (m, 1H), 3.21-3.31 (m, 2H), 4.14 (m, 1H), 5.10-5.14 (m, 4H), 7.27-7. 41 (m, 10H).
- Synthesis of (33). The benzyl ester 32 (1 eq.) was stirred for 2 h in a mixture of aqueous 1N NaOH:EtOH 1.2:3 (10 eq.). The reaction mixture was evaporated to dryness and the residue was dissolved in a small amount of H2O. The solution was filtered into a centrifuge tube and acidified to pH 3. The gelatinous precipitate was isolated by centrifugation, washed with CHCl3, and dried to a white solid. Yield 60%. MS m/z 372.3 [M−H−]−.
- Synthesis of Fmoc-Acivicin 45. 3.1 ml of a 0.75 M solution of Fmoc-N-hydroxysuccinimide in acetone was added to 0.4 g acivicin (2.25 mmol, Biomol) dissolved in 3.1 ml of a 10% Na2CO3 aqueous solution. The slurry was stirring for 4 hours and the pH of was maintained at 9.0 by addition of Na2CO3. The solvent was removed by rotary evaporation, the residual solid was dissolved in 0.6 M HCL, extracted with ethyl acetate and concentrated to a yellow oil. Recrystallization from ethyl acetate:hexane yielded 0.62 g (1.55 mmol, 70%) of the desired product as white crystals.
- Rf (CH2Cl2:iPrOH:AcOH=100:3:1)=0.3
- 1H (d6-acetone, 200 MHz) cpm=7.87 ArH (2H, d, J=7.4 Hz); 7.73 ArH (2H, d, J=7 Hz); 7.28-7.48 ArH (4H, m); 7.17 NH (1H, d, J=8 Hz); 5.22 CH2CHO (1H, m); 4.66 (1H, q, J=4.4 Hz); 4.2-4.4 (3H); 3.6-3.4 (2H).
- m [M−Na]+=423.4, 425.3 g/mol.
- Synthesis of Pro-Gln-Pro-Aci-Leu-Pro-Tyr (SEQ ID NO:36) 46. PQPAciLPY (SEQ ID NO:37) was synthesized by standard Fmoc solid phase chemistry using Fmoc-acivicin and commercially available building blocks in a 25 μmol scale. Preparative reversed phase HPLC purification yielded 4 OD275 (3.4 μmol, 14%).
- LC-MS: Rt=12 min, [M+H]+=874.6.
- Synthesis of Ac-Pro-Gln-Pro-Don-Leu-Pro-Phe-NH2(SEQ ID NO:38) 41. 72 mg (8.3 μmol) of HPLC-purified, lyophilized Ac-Pro-Gln-Pro-Glu-Leu-Pro-Phe-NH2 (SEQ ID NO:39) in 1 ml THF and 15 μl (135 mmol) N-methyl morpholine were mixed with 13 μl (100 mmol) at 0° C., followed by addition of up to 0.5 mol of a saturated diazomethane solution in dry ether generated from Diazald as described by the supplier. After 1 hour the solvents were evaporated, the residual solid was extracted with ethyl ester and a 5% aqueous solution of NH4HCO3, and the combined aqueous phases were concentrated by rotary evaporation. The crude product was purified by preparative reversed phase HPLC on a Beckman Ultrashpere C18 column (15×2.54 cm) using a 1% NH4HCO3 as buffer A and 0.5% NH4HCO3, 80% acetonitrile as buffer B. The product eluting at 22.5% buffer B was concentrated yielding 16 mg (150 OD275) of lyophyllized product. [M+Na]+=914.4.
- 1.00 g (3.65 mmol) of L-homocystine (Bachem, CA) was dissolved in 15 ml of 1:1 (v/v) mixture of 1,4-dioxane and water, and NaOH (0.30 g, 2.0 eq) was added. To the solution cooled down to 0° C., benzyl chloroformate (1.27 ml, 2.3 eq) was added dropwise as the pH of the solution was maintained slightly basic by simultaneous addition of 1 N NaOH. After stirring for 1 hr, the solution was washed with ether, acidified with 6 N HCl and extracted with ethyl acetate. The organic layer was washed with brine and dried over Na2SO4. After filtration, the solvent was removed by evaporation and the residue was dried under vacuum to give the title compound as a white solid (1.83 g, 92%).
- 1H NMR (DMSO-d6, 200 MHz): δ=7.59 (d, 2H, J=8.0 Hz), 7.29-7.26 (m, 10H), 4.96 (s, 4H), 4.03-3.97 (m, 2H), 2.70-2.62 (m, 4H), 2.05-1.84 (m, 4H)
- MS (ESI): m/z=536.9 [M+H]+, 559.1 [M+Na]+
- 1.00 g (1.86 mmol) of (Cbz-homocys)2 was dissolved in 10 ml EtOH. To the solution cooled down to 0° C., SOCl2 (0.33 ml, 2.4 eq) was added dropwise and the stirring was continued overnight at room temperature. The solvent was removed by evaporation and the residue was redissolved in ethyl acetate. The solution was washed with sat. NaHCO3 solution and brine, and dried over Na2SO4. After filtration, the solvent was removed by evaporation and the residue was dried under vacuum to give the title compound as a white solid (1.10 g, quant.).
- 1H NMR (CDCl3, 200 MHz): δ=7.30-7.27 (m, 10H), 5.40 (d, 2H, J=8.2 Hz), 5.04 (s, 4H), 4.43-4.38 (m, 2H), 4.15 (q, 4H, J=7.0 Hz), 2.69-2.61 (m, 4H), 2.20-1.94 (m, 4H), 1.22 (t, 3H, J=7.0 Hz)
- MS (ESI): m/z=592.9 [M+H]+, 615.2 [M+Na]+
- 1.00 g (1.77 mmol) of (Cbz-homocys-OEt)2 was dissolved in 12 ml of 2:1 (v/v) mixture of CCl4 and EtOH. Cl2 (g) was bubbled through the solution cooled down to 0° C. for 1 hr. Stirring was continued for 20 min at room temperature with Ar bubbling. The solvents were removed by evaporation and the residue was dried under vacuum.
- This (S)-2-benzyloxycarbonylamino-4-chlorosulfonyl-butyric acid ethyl ester was dissolved in 10 ml CH2Cl2 and NH3 (g) was bubbled through the solution at 0° C. for 30 min. The solvent was removed by evaporation and the residue was redissolved in ethyl acetate. The solution was washed with brine and dried over Na2SO4. After filtration, the solvent was removed by evaporation and the residue was purified by SiO2 chromatography to give the title compound as a white solid (0.95 g, 82%).
- 1H NMR (CDCl3, 200 MHz): δ=7.32-7.30 (m, 5H), 5.49 (d, 1H, J=8.4 Hz), 5.07 (s, 2H), 4.71 (br, 2H), 4.50-4.45 (m, 1H), 4.18 (q, 2H, J=7.2 Hz), 3.21-3.13 (m, 2H), 2.42-2.14 (m, 2H), 1.24 (t, 3H, J=7.2 Hz)
- MS (ESI): m/z=367.1 [M+Na]+
- Synthesis of (S)-2-Benzyloxycarbonylamino-4-hydrazinosulfonyl-butyric acid ethyl ester (S)-2-benzyloxycarbonylamino-4-chlorosulfonyl-butyric acid ethyl ester, prepared from 0.10 g of (Cbz-homocys-OEt)2 as above, was reacted with hydrazine monohydrate (38 μl, 2.2 eq) in 2 ml CH2Cl2 for 1 hr. The solution was diluted with ethyl acetate and washed with 0.1 N HCl, sat. NaHCO3 solution and brine. The solvents were evaporated and the residue was purified to by SiO2 chromatography to give the title compound as clear oil (84 mg, 70%).
- 1H NMR (CDCl3, 200 MHz): δ=7.30-7.28 (m, 5H), 5.54 (d, 1H, J=8.4 Hz), 5.05 (s, 2H), 4.45-4.40 (m, 1H), 4.16 (q, 2H, J=7.0 Hz), 4.11 (br, 3H), 3.24-3.08 (m, 2H), 2.38-2.02 (m, 2H), 1.22 (t, 3H, J=7.0 Hz)
- MS (ESI): m/z=352.1 [M+Na]+
- Synthesis of (S)-2-Benzyloxycarbonylamino-4-phenylhydrazinosulfonyl-butyric acid ethyl ester. According to the procedure described for the synthesis of (S)-2-Benzyloxycarbonylamino-4-hydrazinosulfonyl-butyric acid ethyl ester, the title compound was obtained from phenylhydrazine as slightly orange oil.
- 1H NMR (CDCl3, 200 MHz): δ=7.29-7.15 (m, 9H), 6.87 (d, 2H, J=7.0 Hz), 6.09 (s, 1H), 5.31 (d, 1H, J=7.8 Hz), 5.02 (s, 2H), 4.34-4.30 (m, 1H), 4.10 (q, 2H, J=7.2 Hz), 3.07-2.99 (m, 2H), 2.36-2.04 (m, 2H), 1.18 (t, 3H, J=7.2 Hz)
- MS (ESI): m/z=458.0 [M+Na]+
- Inhibition of tTG. tTG (9 μM) was inactivated in 200 mM MOPS, pH=7.1, 5 mM CaCl2, 1 mM ETDA at 30° C. containing 0-600 μM Pro-Gln-Pro-Aci-Leu-Pro-Tyr (SEQ ID NO:36). Every 20 minutes a 40 μl aliquot was removed and residual tTG activity was assayed in 0.5 ml reaction containing 200 mM MOPS, pH=7.1, 5 mM CaCl2, 1 mM ETDA, 10 mM α-ketoglutarate, 180 U/ml glutamate dehydrogenase (Biozyme laboratories) at 30° C. for 20 minutes by measuring the decrease of absorption at 340 nm. Residual activity was corrected by the corresponding uninhibited tTG reaction (0 μM inhibitor) and fitted to an exponential decay. Kinetic parameters were obtained by double-reciprocal plotting of the apparent second-order inactivation constant or, for sulfonamides and sulfonyl hydrazides, by fitting the data for reversible inhibitors to a standard Michaelis Menten equation with a competitive inhibition constant. The results of these inhibition experiments are shown in Tables 1, and 2 and 3 below.
-
TABLE 1 Kinetic parameters of catalysis and inhibition of tissue transglutaminase by reactive glutamine peptide analogs. The reactive glutamine (-X-) in the peptide substrate was substituted by the inhibitory residue acivicin (Aci) or 6-diazo-5-oxo-norleucine (DON). Reactive Motif: Gln Aci DON kcat KM kcat/KM kinh KI kinh/KI kinh KI kinh/KI Scaffold: [min−1] [M] [min−1M−1] [min−1] [M] [min−1M−1] [min−1] [M] [min−1M−1] H-X-OH — >0.2 ≦2 0.015 0.087 0.17 0.025 0.13 0.2 Cbz-X- — >0.03 90 — — — 0.12 1.35 × 10−4 890 OMe PQP-X- 28 3 × 10−4 8.2 × 10−4 0.014 7.8 × 10−4 18 — — — LPY (SEQ ID NO: 33) Ac-PQP- 40 4 × 10−4 9.7 × 104 — — — 0.2 7 × 10−8 2.9 × 106 X-LPF- NH2 (SEQ ID NO: 32) -
TABLE 2 Kinetic parameters of catalysis and inhibition of tissue transglutaminase by Sab and Z-Sab-Gly. Compound Sab Z-Sab-Gly KI [mM] >200 8 kinh [min−1] — — kinh/KI — — [mM−1min−1] -
TABLE 3 Tissue transglutaminase inhibition by sulfonamides and sulfonyl hydrazides inhibition tested compound constant (M) (S)-2-Benzyloxycarbonylamino-4-sulfamoyl-butyric acid 4.4 × 10−3 ethyl ester (S)-2-Benzyloxycarbonylamino-4-hydrazinosulfonyl-butyric 2.2 × 10−3 acid ethyl ester (S)-2-Benzyloxycarbonylamino-4-phenylhydrazinosulfonyl- 1.3 × 10−4 butyric acid ethyl ester - The above results demonstrate that the compounds tested have tTGase inhibitory activity.
- All publications and patent applications cited in this specification are herein incorporated by reference as if each individual publication or patent application were specifically and individually indicated to be incorporated by reference.
- The present invention has been described in terms of particular embodiments found or proposed by the present inventor to comprise preferred modes for the practice of the invention. It will be appreciated by those of skill in the art that, in light of the present disclosure, numerous modifications and changes can be made in the particular embodiments exemplified without departing from the intended scope of the invention. Moreover, due to biological functional equivalency considerations, changes can be made in protein structure without affecting the biological action in kind or amount. All such modifications are intended to be included within the scope of the appended claims.
Claims (13)
1-7. (canceled)
8. A tTGase inhibitor that is a peptidase resistant polypeptide comprising one or more tTGase inhibitory moieties.
9. The tTGase inhibitor of claim 8 , wherein said tTGase inhibitory moiety is a glutamine analog.
10. A tTGase inhibitory selected from the group consisting of:
wherein R1, R2 and R3 are independently selected from H, alkyl, alkenyl, cycloalkyl, aryl, heteroalkyl, heteroaryl, alkoxy, alkylthio, aralkyl, aralkenyl, halo, haloalkyl, haloalkoxy, heterocyclyl, and heterocyclylalkyl groups, and wherein R1 and R2 can also be an amino acid, a peptide, a peptidomimetic, or a peptidic protecting group, and wherein R1 can additionally be selected from the group consisting of Cbz, Fmoc, Boc, PQP, Ac-PQP, PQPQLPYPQP, Ac-PQPQLPFPQP, QLQPFPQP, LQLQPFPQPLPYPQP, X2-15—P (where X2-15 is a peptide consisting of any 2-15 amino acid residues followed by a N-terminal proline); R2 can additionally be selected from the group consisting of OMe, OtBu, Gly, Gly-NH2, LPY, LPF-NH2, LPYPQPQLPY, LPFPQPQLPF-NH2, LPYPQPQLP, LPYPQPQLPYPQPQPF, LP-X2-15 (where X2-15 is a peptide consisting of any 2-15 amino acid residues followed by a C-terminal proline); and R3 can additionally be a sulfonyl hydrazide (NHR′) where R′ is selected from H, alkyl, alkenyl, cycloalkyl, aryl, heteroalkyl, heteroaryl, alkoxy, alkylthio, aralkyl, aralkenyl, halo, haloalkyl, haloalkoxy, heterocyclyl, and heterocyclylalkyl group.
11. The tTGase inhibitor of claim 9 , wherein said glutenase resistant peptide is selected from the group consisting of:
12. A tTGase inhibitor comprising:
a compound that mimics a binding activity of tTGase reactive dipeptide having the amino acid sequence of XP; wherein said X is any amino acid.
13. The tTGase inhibitor of claim 12 , wherein X is selected from the group consisting of Q, L, Y and F.
14-21. (canceled)
22. A method of treating a neurological disorder, the method comprising:
administering to a patient an effective dose of a tTGase inhibitor that is a peptidase resistant polypeptide comprising one or more tTGase inhibitory moieties.
23. The method of claim 22 , wherein said tTGase inhibitory moiety is a glutamine analog.
24. A method of treating a neurological disorder, the method comprising:
administering to a patient an effective dose of a tTGase inhibitor selected from the group consisting of:
wherein R1, R2 and R3 are independently selected from H, alkyl, alkenyl, cycloalkyl, aryl, heteroalkyl, heteroaryl, alkoxy, alkylthio, aralkyl, aralkenyl, halo, haloalkyl, haloalkoxy, heterocyclyl, and heterocyclylalkyl groups, and wherein R1 and R2 can also be an amino acid, a peptide, a peptidomimetic, or a peptidic protecting group, and wherein R1 can additionally be selected from the group consisting of Cbz, Fmoc, Boc, PQP, Ac-PQP, PQPQLPYPQP, Ac-PQPQLPFPQP, QLQPFPQP, LQLQPFPQPLPYPQP, X2-15—P (where X2-15 is a peptide consisting of any 2-15 amino acid residues followed by a N-terminal proline); R2 can additionally be selected from the group consisting of OMe, OtBu, Gly, Gly-NH2, LPY, LPF-NH2, LPYPQPQLPY, LPFPQPQLPF-NH2, LPYPQPQLP, LPYPQPQLPYPQPQPF, LP-X2-15 (where X2-15 is a peptide consisting of any 2-15 amino acid residues followed by a C-terminal proline); and R3 can additionally be a sulfonyl hydrazide (NHR′) where R′ is selected from H, alkyl, alkenyl, cycloalkyl, aryl, heteroalkyl, heteroaryl, alkoxy, alkylthio, aralkyl, aralkenyl, halo, haloalkyl, haloalkoxy, heterocyclyl, and heterocyclylalkyl group.
25. The method of claim 22 , wherein said glutenase resistant peptide is selected from the group consisting of:
26. The method of claim 24 , wherein said tTGase inhibitor is a 3-halo-4,5-dihydroisoxazole.
Priority Applications (1)
| Application Number | Priority Date | Filing Date | Title |
|---|---|---|---|
| US12/535,587 US20090312260A1 (en) | 2002-05-14 | 2009-08-04 | Drug therapy for celiac sprue |
Applications Claiming Priority (7)
| Application Number | Priority Date | Filing Date | Title |
|---|---|---|---|
| US38076102P | 2002-05-14 | 2002-05-14 | |
| US39278202P | 2002-06-28 | 2002-06-28 | |
| US42293302P | 2002-10-31 | 2002-10-31 | |
| US42803302P | 2002-11-20 | 2002-11-20 | |
| US10/514,177 US7605150B2 (en) | 2002-05-14 | 2003-05-14 | Drug therapy for Celiac Sprue |
| PCT/US2003/015343 WO2003096979A2 (en) | 2002-05-14 | 2003-05-14 | Drug therapy for celiac sprue |
| US12/535,587 US20090312260A1 (en) | 2002-05-14 | 2009-08-04 | Drug therapy for celiac sprue |
Related Parent Applications (2)
| Application Number | Title | Priority Date | Filing Date |
|---|---|---|---|
| PCT/US2003/015343 Continuation WO2003096979A2 (en) | 2002-05-14 | 2003-05-14 | Drug therapy for celiac sprue |
| US10/514,177 Continuation US7605150B2 (en) | 2002-05-14 | 2003-05-14 | Drug therapy for Celiac Sprue |
Publications (1)
| Publication Number | Publication Date |
|---|---|
| US20090312260A1 true US20090312260A1 (en) | 2009-12-17 |
Family
ID=29554449
Family Applications (2)
| Application Number | Title | Priority Date | Filing Date |
|---|---|---|---|
| US10/514,177 Expired - Fee Related US7605150B2 (en) | 2002-05-14 | 2003-05-14 | Drug therapy for Celiac Sprue |
| US12/535,587 Abandoned US20090312260A1 (en) | 2002-05-14 | 2009-08-04 | Drug therapy for celiac sprue |
Family Applications Before (1)
| Application Number | Title | Priority Date | Filing Date |
|---|---|---|---|
| US10/514,177 Expired - Fee Related US7605150B2 (en) | 2002-05-14 | 2003-05-14 | Drug therapy for Celiac Sprue |
Country Status (5)
| Country | Link |
|---|---|
| US (2) | US7605150B2 (en) |
| EP (1) | EP1507549A4 (en) |
| AU (2) | AU2003234634A1 (en) |
| CA (1) | CA2487247A1 (en) |
| WO (2) | WO2003096979A2 (en) |
Cited By (1)
| Publication number | Priority date | Publication date | Assignee | Title |
|---|---|---|---|---|
| US20100196955A1 (en) * | 2007-03-16 | 2010-08-05 | Harmit Vora | Scaleable Manufacturing Process for Cysteine Endoprotease B, Isoform 2 |
Families Citing this family (35)
| Publication number | Priority date | Publication date | Assignee | Title |
|---|---|---|---|---|
| GB9923306D0 (en) | 1999-10-01 | 1999-12-08 | Isis Innovation | Diagnostic and therapeutic epitope, and transgenic plant |
| US7780961B2 (en) | 2001-05-03 | 2010-08-24 | Actogenix N.V. | Self-containing Lactococcus strain |
| AU2003215272B2 (en) | 2002-02-14 | 2008-04-03 | The Board Of Trustees Of The Leland Stanford Junior University | Enzyme treatment of foodstuffs for celiac sprue |
| US8143210B2 (en) * | 2002-02-14 | 2012-03-27 | The Board Of Trustees Of The Leland Stanford Junior University | Enzyme treatment of foodstuffs for celiac sprue |
| US7265093B2 (en) * | 2002-05-14 | 2007-09-04 | The Board Of Trustees Of The Leland Stanford Junior University | Drug therapy for Celiac Sprue |
| US7462688B2 (en) * | 2002-05-14 | 2008-12-09 | The Board Of Trustees Of The Leland Stanford Junior University | Peptides for diagnostic and therapeutic methods for celiac sprue |
| WO2003096979A2 (en) * | 2002-05-14 | 2003-11-27 | The Board Of Trustees Of The Leland Stanford Junior University | Drug therapy for celiac sprue |
| GB0212885D0 (en) * | 2002-06-05 | 2002-07-17 | Isis Innovation | Therapeutic epitopes and uses thereof |
| CA2502700C (en) | 2002-11-20 | 2017-01-17 | Chaitan Khosla | Diagnostic method for celiac sprue |
| AU2003288434B2 (en) * | 2002-12-06 | 2011-03-17 | IRP Health Pty Ltd | Peptides, antibodies thereto, and their use in the treatment of central nervous system damage |
| US7579313B2 (en) | 2003-11-18 | 2009-08-25 | The Board Of Trustees Of The Leland Stanford Junior University | Transglutaminase inhibitors and methods of use thereof |
| AU2011247868B2 (en) * | 2004-04-28 | 2014-05-22 | Btg International Limited | Epitopes related to coeliac disease |
| MXPA06012322A (en) * | 2004-04-28 | 2007-01-31 | Btg Int Ltd | Epitopes related to coeliac disease. |
| US10105437B2 (en) | 2004-04-28 | 2018-10-23 | Btg International Limited | Epitopes related to coeliac disease |
| EP1600504A1 (en) * | 2004-05-28 | 2005-11-30 | N-Zyme BioTec GmbH | Control of transglutaminase catalyzed protein modification by selective irreversible transglutaminase inhibitors |
| EP1602719B1 (en) * | 2004-05-28 | 2007-06-06 | N-Zyme BioTec GmbH | Control of transglutaminase catalyzed protein modification by selective irreversible transglutaminase inhibitors |
| EP1954285A2 (en) * | 2005-10-25 | 2008-08-13 | Alvine Pharmaceuticals, Inc. | Transglutaminase inhibitors and methods of use thereof |
| CN101316611B (en) | 2005-11-29 | 2017-05-03 | 英特瑞克斯顿阿克图比奥帝克斯有限公司 | Induction of mucosal tolerance to antigens |
| US20070238183A1 (en) * | 2006-04-04 | 2007-10-11 | Stout Robert L | Methods for assessment of cardiovascular disease risk |
| DE102006052755A1 (en) * | 2006-11-08 | 2008-05-15 | N-Zyme Biotec Gmbh | New peptide derivatives and peptidomimetics are transglutaminase inhibitors useful for the treatment or prophylaxis of e.g. celiac disease, fibrosis, thrombosis, neurodegenerative disorders, Huntington's chorea and Parkinson disease |
| WO2008090223A2 (en) | 2007-01-25 | 2008-07-31 | Actogenix N.V. | Treatment of immune disease by mucosal delivery of antigens using genetically modified lactobacillus |
| MX2009009780A (en) * | 2007-03-16 | 2010-05-20 | Univ Leland Stanford Junior | Combination enzyme therapy for digestion of dietary gluten. |
| BRPI0922122A2 (en) | 2008-11-30 | 2017-08-01 | Immusant Inc | compositions and methods for treating celiac disease. |
| US9011842B2 (en) | 2010-02-02 | 2015-04-21 | Amano Enzyme Inc. | Use of proteases for gluten intolerance |
| US20140322278A1 (en) * | 2011-06-20 | 2014-10-30 | The Board Of Trustees Of The Leland Stanford Junior University | Modulation of Tissue Transglutaminase Activation in Disease |
| ES2896489T3 (en) | 2011-08-10 | 2022-02-24 | Univ Washington Through Its Center For Commercialization | Compositions and procedures for the treatment of celiac sprue disease |
| EP2687511A1 (en) * | 2012-07-17 | 2014-01-22 | Zedira GmbH | Pyridinone derivatives as tissue transglutaminase inhibitors |
| JP6517204B2 (en) | 2013-08-14 | 2019-05-22 | ユニバーシティ オブ ワシントン スルー イッツ センター フォー コマーシャリゼーション | Compositions and methods for treating celiac sprue disease |
| US10449228B2 (en) | 2013-09-10 | 2019-10-22 | Immusant, Inc. | Dosage of a gluten peptide composition |
| CA2962933A1 (en) | 2014-09-29 | 2016-04-07 | Immusant, Inc. | Use of hla genetic status to assess or select treatment of celiac disease |
| CR20170567A (en) | 2015-06-08 | 2018-06-14 | Univ California | COMPOSITIONS AND METHODS TO TREAT CELIAC DISEASE. |
| CA2994258C (en) | 2015-07-31 | 2024-09-10 | The Johns Hopkins University | Prodrugs of glutamine analogs |
| CN108348492B (en) * | 2015-07-31 | 2021-09-28 | 约翰霍普金斯大学 | Methods for cancer and immunotherapy using glutamine analogs |
| US10842763B2 (en) * | 2015-07-31 | 2020-11-24 | The Johns Hopkins University | Methods for cancer and immunotherapy using prodrugs of glutamine analogs |
| EP4092038A1 (en) | 2017-09-11 | 2022-11-23 | Protagonist Therapeutics, Inc. | Opioid agonist peptides and uses thereof |
Citations (40)
| Publication number | Priority date | Publication date | Assignee | Title |
|---|---|---|---|---|
| US4203967A (en) * | 1977-01-13 | 1980-05-20 | Hoffmann-La Roche Inc. | Diagnostic test for malabsorption |
| US4656253A (en) * | 1984-10-26 | 1987-04-07 | California Biotechology, Inc. | Monoclonal antibodies against alveolar surfactant protein |
| US4912120A (en) * | 1986-03-14 | 1990-03-27 | Syntex (U.S.A.) Inc. | 3,5-substituted 4,5-dihydroisoxazoles as transglutaminase inhibitors |
| US4929630A (en) * | 1986-03-14 | 1990-05-29 | Syntex (U.S.A.) Inc. | Transglutaminase inhibitors |
| US5208021A (en) * | 1987-10-05 | 1993-05-04 | The United States Of America As Represented By The Secretary Of The Department Of Health And Human Services | Method of preparing diphtheria immunotoxins |
| US5372933A (en) * | 1988-10-03 | 1994-12-13 | The Scripps Research Institute | Polypeptides that mimic receptor-induced binding sites, and methods of using same |
| US5716794A (en) * | 1996-03-29 | 1998-02-10 | Xybernaut Corporation | Celiac antigen |
| US5789180A (en) * | 1994-02-07 | 1998-08-04 | The United States Of America As Represented By The Secretary Of Agriculture | Detection of wheat that has experienced elevated temperatures during the grain filling period |
| US5817523A (en) * | 1996-07-24 | 1998-10-06 | Picarelli; Antonio | Method and kit for confirming in vitro diagnosis of coeliac disease |
| US5834428A (en) * | 1995-04-14 | 1998-11-10 | 1149336 Ontario Inc. | Glucagon-like peptide-2 and its therapeutic use |
| US6197356B1 (en) * | 1993-08-03 | 2001-03-06 | Immunopath Profile, Inc. | Process for preparing hypoallergenic foods |
| US6294320B1 (en) * | 1998-12-04 | 2001-09-25 | Barnes-Jewish Hospital | Cell matrix plaques of initial bone formation |
| US20010036639A1 (en) * | 2000-03-15 | 2001-11-01 | Fine Kenneth D. | Method for diagnosing immunologic food sensitivity |
| US6319756B2 (en) * | 1998-10-26 | 2001-11-20 | Micron Technology, Inc. | Heat sink for chip stacking applications |
| US6319726B1 (en) * | 1996-07-18 | 2001-11-20 | Detlef Schuppan | Immunological method for detecting antibodies directed against tissue transglutaminase (tTG), use of tTG in diagnosis and therapy control, and an oral pharmaceutical agent containing tTG |
| US20020039599A1 (en) * | 1995-05-17 | 2002-04-04 | Lin Henry C. | Methods of diagnosing and treating small intestinal bacterial overgrowth (SIBO) and SIBO-related conditions |
| US6395889B1 (en) * | 1999-09-09 | 2002-05-28 | Millennium Pharmaceuticals, Inc. | Nucleic acid molecules encoding human protease homologs |
| US6410550B1 (en) * | 1997-12-31 | 2002-06-25 | Pfizer Inc | Aryl fused azapolycyclic compounds |
| US20030215438A1 (en) * | 2002-02-14 | 2003-11-20 | Felix Hausch | Enzyme treatment of foodstuffs for celiac sprue |
| US20030224476A1 (en) * | 2002-03-01 | 2003-12-04 | Szu-Yi Chou | Method of producing transglutaminase reactive compound |
| US20040167069A1 (en) * | 2002-05-14 | 2004-08-26 | Chaitan Khosla | Drug therapy for Celiac Sprue |
| US20040241664A1 (en) * | 2000-12-07 | 2004-12-02 | Dekker Petrus Jacobus Theodorus | Protein Hydrolysates Enriched In Peptides Having A Carboxy Terminal Proline Residue |
| US6833447B1 (en) * | 2000-07-10 | 2004-12-21 | Monsanto Technology, Llc | Myxococcus xanthus genome sequences and uses thereof |
| US20050031603A1 (en) * | 2000-10-31 | 2005-02-10 | Hubertus De Jong Govardus Adrianus | Food grade transglutaminase inhibitor and uses thereof |
| US20050049064A1 (en) * | 2003-09-02 | 2005-03-03 | Gagne Robert M. | Golf training apparatus |
| US20050090653A1 (en) * | 2001-11-28 | 2005-04-28 | Jo Klaveness | Metal complex compounds |
| US6903246B2 (en) * | 2002-05-28 | 2005-06-07 | The Regents Of The University Of California | Dehydroascorbate reductase (“DHAR”) genes from Triticum aestivum and their use to modulate ascorbic acid levels in plants |
| US20050244823A1 (en) * | 2002-02-04 | 2005-11-03 | Academisch Ziekenhuis Leiden | Novel epitopes for celiac disease and autoimmune diseases, methods for detecting those and novel non-antigenic food compounds |
| US6962989B1 (en) * | 1999-07-08 | 2005-11-08 | Basf Aktiengesellschaft | Corynebacterium glutamicum genes encoding novel proteins |
| US20060052308A1 (en) * | 2003-11-18 | 2006-03-09 | The Board Of Trustees Of The Leland Stanford Junior University | Transglutaminase inhibitors and methods of use thereof |
| US20060178299A1 (en) * | 2002-06-05 | 2006-08-10 | Anderson Robert P | Therapeutic epitopes and uses thereof |
| US20060240475A1 (en) * | 2002-11-20 | 2006-10-26 | Chaitan Khosla | Diagnostic method for celiac sprue |
| US7144569B1 (en) * | 1999-10-01 | 2006-12-05 | Isis Innovation Limited | Diagnosis of coeliac disease using a gliadin epitope |
| US7202216B2 (en) * | 2002-05-14 | 2007-04-10 | The Board Of Trustees Of The Leland Stanford Junior University | Drug therapy for celiac sprue |
| US7320788B2 (en) * | 2002-02-14 | 2008-01-22 | The Board Of Trustees Of The Leland Stanford Junior University | Enzyme treatment of foodstuffs for Celiac Sprue |
| US20080299108A1 (en) * | 2005-08-04 | 2008-12-04 | Chaitan Khosla | Peptides for Diagnostic and Therapeutic Methods for Celiac Sprue |
| US7534426B2 (en) * | 2004-04-26 | 2009-05-19 | The Board Of Trustees Of The Leland Stanford Junior University | Glutenase enzyme assays |
| US20090220554A1 (en) * | 2005-10-25 | 2009-09-03 | John Griffin | Transglutaminase Inhibitors and Methods of Use Thereof |
| US7605150B2 (en) * | 2002-05-14 | 2009-10-20 | The Board Of Trustees Of The Leland Stanford Junior University | Drug therapy for Celiac Sprue |
| US20090304754A1 (en) * | 2005-10-12 | 2009-12-10 | Srebrenka Robic | Pegylated glutenase polypeptides |
Family Cites Families (6)
| Publication number | Priority date | Publication date | Assignee | Title |
|---|---|---|---|---|
| ATE63906T1 (en) | 1986-03-14 | 1991-06-15 | Syntex Inc | 3,5-DISUBSTITUTED 4,5-DIHYDROISOXAZOLES AS TRANSGLUTAMINASE INHIBITORS. |
| WO1994026774A1 (en) | 1993-05-19 | 1994-11-24 | Cytel Corporation | Novel treatments for allergic diseases |
| JPH10508005A (en) * | 1994-09-29 | 1998-08-04 | メルク エンド カンパニー インコーポレーテッド | Thiol-free farnesyl-protein transferase inhibitors |
| JPH08151396A (en) * | 1994-11-28 | 1996-06-11 | Teijin Ltd | HLA-binding oligopeptide and immunomodulator containing the same |
| EP0905518A1 (en) * | 1997-09-23 | 1999-03-31 | Academisch Ziekenhuis Leiden | Peptides specific for gluten-sensitive T-cells and use thereof |
| WO2000042213A1 (en) * | 1999-01-13 | 2000-07-20 | The Research Foundation Of State University Of New York | A novel method for designing protein kinase inhibitors |
-
2003
- 2003-05-14 WO PCT/US2003/015343 patent/WO2003096979A2/en not_active Ceased
- 2003-05-14 US US10/514,177 patent/US7605150B2/en not_active Expired - Fee Related
- 2003-05-14 WO PCT/US2003/015506 patent/WO2003096984A2/en not_active Ceased
- 2003-05-14 AU AU2003234634A patent/AU2003234634A1/en not_active Abandoned
- 2003-05-14 CA CA002487247A patent/CA2487247A1/en not_active Abandoned
- 2003-05-14 AU AU2003234597A patent/AU2003234597A1/en not_active Abandoned
- 2003-05-14 EP EP03728939A patent/EP1507549A4/en not_active Withdrawn
-
2009
- 2009-08-04 US US12/535,587 patent/US20090312260A1/en not_active Abandoned
Patent Citations (48)
| Publication number | Priority date | Publication date | Assignee | Title |
|---|---|---|---|---|
| US4203967A (en) * | 1977-01-13 | 1980-05-20 | Hoffmann-La Roche Inc. | Diagnostic test for malabsorption |
| US4656253A (en) * | 1984-10-26 | 1987-04-07 | California Biotechology, Inc. | Monoclonal antibodies against alveolar surfactant protein |
| US4912120A (en) * | 1986-03-14 | 1990-03-27 | Syntex (U.S.A.) Inc. | 3,5-substituted 4,5-dihydroisoxazoles as transglutaminase inhibitors |
| US4929630A (en) * | 1986-03-14 | 1990-05-29 | Syntex (U.S.A.) Inc. | Transglutaminase inhibitors |
| US5208021A (en) * | 1987-10-05 | 1993-05-04 | The United States Of America As Represented By The Secretary Of The Department Of Health And Human Services | Method of preparing diphtheria immunotoxins |
| US5372933A (en) * | 1988-10-03 | 1994-12-13 | The Scripps Research Institute | Polypeptides that mimic receptor-induced binding sites, and methods of using same |
| US6197356B1 (en) * | 1993-08-03 | 2001-03-06 | Immunopath Profile, Inc. | Process for preparing hypoallergenic foods |
| US20010007690A1 (en) * | 1993-08-03 | 2001-07-12 | Immunopath Profile, Inc. | Process for preparing hypoallergenic and reduced fat foods |
| US5789180A (en) * | 1994-02-07 | 1998-08-04 | The United States Of America As Represented By The Secretary Of Agriculture | Detection of wheat that has experienced elevated temperatures during the grain filling period |
| US5834428A (en) * | 1995-04-14 | 1998-11-10 | 1149336 Ontario Inc. | Glucagon-like peptide-2 and its therapeutic use |
| US20020039599A1 (en) * | 1995-05-17 | 2002-04-04 | Lin Henry C. | Methods of diagnosing and treating small intestinal bacterial overgrowth (SIBO) and SIBO-related conditions |
| US20020076834A1 (en) * | 1995-07-18 | 2002-06-20 | Schuppan Detlef | Immunological method for detecting antibodies directed against tissue transglutaminase (tTG), use of tTG in diagnosis and therapy control, and an oral pharmaceutical agent containing tTG |
| US5716794A (en) * | 1996-03-29 | 1998-02-10 | Xybernaut Corporation | Celiac antigen |
| US6319726B1 (en) * | 1996-07-18 | 2001-11-20 | Detlef Schuppan | Immunological method for detecting antibodies directed against tissue transglutaminase (tTG), use of tTG in diagnosis and therapy control, and an oral pharmaceutical agent containing tTG |
| US5817523A (en) * | 1996-07-24 | 1998-10-06 | Picarelli; Antonio | Method and kit for confirming in vitro diagnosis of coeliac disease |
| US6410550B1 (en) * | 1997-12-31 | 2002-06-25 | Pfizer Inc | Aryl fused azapolycyclic compounds |
| US6319756B2 (en) * | 1998-10-26 | 2001-11-20 | Micron Technology, Inc. | Heat sink for chip stacking applications |
| US6294320B1 (en) * | 1998-12-04 | 2001-09-25 | Barnes-Jewish Hospital | Cell matrix plaques of initial bone formation |
| US6962989B1 (en) * | 1999-07-08 | 2005-11-08 | Basf Aktiengesellschaft | Corynebacterium glutamicum genes encoding novel proteins |
| US6395889B1 (en) * | 1999-09-09 | 2002-05-28 | Millennium Pharmaceuticals, Inc. | Nucleic acid molecules encoding human protease homologs |
| US7144569B1 (en) * | 1999-10-01 | 2006-12-05 | Isis Innovation Limited | Diagnosis of coeliac disease using a gliadin epitope |
| US20010036639A1 (en) * | 2000-03-15 | 2001-11-01 | Fine Kenneth D. | Method for diagnosing immunologic food sensitivity |
| US6667160B2 (en) * | 2000-03-15 | 2003-12-23 | Kenneth D. Fine | Method for diagnosing immunologic food sensitivity |
| US6833447B1 (en) * | 2000-07-10 | 2004-12-21 | Monsanto Technology, Llc | Myxococcus xanthus genome sequences and uses thereof |
| US20050031603A1 (en) * | 2000-10-31 | 2005-02-10 | Hubertus De Jong Govardus Adrianus | Food grade transglutaminase inhibitor and uses thereof |
| US20040241664A1 (en) * | 2000-12-07 | 2004-12-02 | Dekker Petrus Jacobus Theodorus | Protein Hydrolysates Enriched In Peptides Having A Carboxy Terminal Proline Residue |
| US20050090653A1 (en) * | 2001-11-28 | 2005-04-28 | Jo Klaveness | Metal complex compounds |
| US20050244823A1 (en) * | 2002-02-04 | 2005-11-03 | Academisch Ziekenhuis Leiden | Novel epitopes for celiac disease and autoimmune diseases, methods for detecting those and novel non-antigenic food compounds |
| US20030215438A1 (en) * | 2002-02-14 | 2003-11-20 | Felix Hausch | Enzyme treatment of foodstuffs for celiac sprue |
| US7320788B2 (en) * | 2002-02-14 | 2008-01-22 | The Board Of Trustees Of The Leland Stanford Junior University | Enzyme treatment of foodstuffs for Celiac Sprue |
| US7303871B2 (en) * | 2002-02-14 | 2007-12-04 | The Board Of Trustees Of The Leland Stanford Junior University | Enzyme treatment of foodstuffs for Celiac Sprue |
| US20030224476A1 (en) * | 2002-03-01 | 2003-12-04 | Szu-Yi Chou | Method of producing transglutaminase reactive compound |
| US7202216B2 (en) * | 2002-05-14 | 2007-04-10 | The Board Of Trustees Of The Leland Stanford Junior University | Drug therapy for celiac sprue |
| US7462688B2 (en) * | 2002-05-14 | 2008-12-09 | The Board Of Trustees Of The Leland Stanford Junior University | Peptides for diagnostic and therapeutic methods for celiac sprue |
| US7605150B2 (en) * | 2002-05-14 | 2009-10-20 | The Board Of Trustees Of The Leland Stanford Junior University | Drug therapy for Celiac Sprue |
| US20040167069A1 (en) * | 2002-05-14 | 2004-08-26 | Chaitan Khosla | Drug therapy for Celiac Sprue |
| US7265093B2 (en) * | 2002-05-14 | 2007-09-04 | The Board Of Trustees Of The Leland Stanford Junior University | Drug therapy for Celiac Sprue |
| US20090156490A1 (en) * | 2002-05-14 | 2009-06-18 | The Board Of Trustees Of The Leland Stanford Junior University | Peptides for diagnostic and therapeutic methods for celiac sprue |
| US6903246B2 (en) * | 2002-05-28 | 2005-06-07 | The Regents Of The University Of California | Dehydroascorbate reductase (“DHAR”) genes from Triticum aestivum and their use to modulate ascorbic acid levels in plants |
| US20060178299A1 (en) * | 2002-06-05 | 2006-08-10 | Anderson Robert P | Therapeutic epitopes and uses thereof |
| US20060240475A1 (en) * | 2002-11-20 | 2006-10-26 | Chaitan Khosla | Diagnostic method for celiac sprue |
| US20050049064A1 (en) * | 2003-09-02 | 2005-03-03 | Gagne Robert M. | Golf training apparatus |
| US7579313B2 (en) * | 2003-11-18 | 2009-08-25 | The Board Of Trustees Of The Leland Stanford Junior University | Transglutaminase inhibitors and methods of use thereof |
| US20060052308A1 (en) * | 2003-11-18 | 2006-03-09 | The Board Of Trustees Of The Leland Stanford Junior University | Transglutaminase inhibitors and methods of use thereof |
| US7534426B2 (en) * | 2004-04-26 | 2009-05-19 | The Board Of Trustees Of The Leland Stanford Junior University | Glutenase enzyme assays |
| US20080299108A1 (en) * | 2005-08-04 | 2008-12-04 | Chaitan Khosla | Peptides for Diagnostic and Therapeutic Methods for Celiac Sprue |
| US20090304754A1 (en) * | 2005-10-12 | 2009-12-10 | Srebrenka Robic | Pegylated glutenase polypeptides |
| US20090220554A1 (en) * | 2005-10-25 | 2009-09-03 | John Griffin | Transglutaminase Inhibitors and Methods of Use Thereof |
Cited By (2)
| Publication number | Priority date | Publication date | Assignee | Title |
|---|---|---|---|---|
| US20100196955A1 (en) * | 2007-03-16 | 2010-08-05 | Harmit Vora | Scaleable Manufacturing Process for Cysteine Endoprotease B, Isoform 2 |
| US8148105B2 (en) | 2007-03-16 | 2012-04-03 | The Board Of Trustees Of The Leland Stanford Junior University | Scaleable manufacturing process for cysteine endoprotease B, isoform 2 |
Also Published As
| Publication number | Publication date |
|---|---|
| WO2003096979A2 (en) | 2003-11-27 |
| WO2003096979A3 (en) | 2004-02-12 |
| CA2487247A1 (en) | 2003-11-27 |
| WO2003096984A3 (en) | 2004-07-01 |
| EP1507549A4 (en) | 2009-07-01 |
| AU2003234634A1 (en) | 2003-12-02 |
| WO2003096984A2 (en) | 2003-11-27 |
| AU2003234634A8 (en) | 2003-12-02 |
| US7605150B2 (en) | 2009-10-20 |
| AU2003234597A8 (en) | 2003-12-02 |
| AU2003234597A1 (en) | 2003-12-02 |
| EP1507549A2 (en) | 2005-02-23 |
| US20060035838A1 (en) | 2006-02-16 |
Similar Documents
| Publication | Publication Date | Title |
|---|---|---|
| US7605150B2 (en) | Drug therapy for Celiac Sprue | |
| US20080044401A1 (en) | Drug therapy for celiac sprue | |
| US8153593B2 (en) | Transglutaminase inhibitors and methods of use thereof | |
| ES2361993T3 (en) | TREATMENT WITH ENZYMES OF FOOD PRODUCTS FOR CELIAQUÍA. | |
| JP7317109B2 (en) | Pyridinyl sulfonamide derivatives, pharmaceutical compositions and uses thereof | |
| US8685392B2 (en) | Rothia species glutamine endopeptidases and use thereof | |
| BRPI0817060B1 (en) | COMPOUNDS, PROCESS FOR THE PREPARATION OF THESE COMPOUNDS, PHARMACEUTICAL COMPOSITIONS THAT INCLUDE THEM, AND USES OF THESE COMPOUNDS | |
| RS54509B1 (en) | BENZYLAMINE DERIVATIVES AS Plasma KALIKREIN INHIBITORS | |
| JP2015038089A (en) | Combination enzyme therapy for digestion of dietary gluten | |
| JPS61183253A (en) | Novel peptidase inhibitor | |
| JP7425793B2 (en) | Pyridinylsulfonamide derivatives, pharmaceutical compositions and uses thereof | |
| EA025164B1 (en) | Guanidinobenzoic acid compound | |
| CA2266849A1 (en) | 4-substituted-3-(2-amino-2-cycloalkyl methyl)-acetamido azetidin-2-one derivatives as cysteine proteinase regulators | |
| US20090304754A1 (en) | Pegylated glutenase polypeptides | |
| TW201932139A (en) | Oral delivery of GLP-1 peptide analogs | |
| JP2002505339A (en) | Thiadiazole compounds useful as inhibitors of cysteine activity-dependent enzymes | |
| US20060194742A1 (en) | Pyrane derivatives as both ACE- and NEP-inhibitors | |
| US20030195247A1 (en) | Compounds that modulate the activity of PTP-1B and TC-PTP | |
| JPH05213927A (en) | Novel furancarboxylic acid amidinonaphthyl ester derivatives and acid addition salts thereof | |
| JP7657151B2 (en) | Cyclic peptides as proprotein convertase subtilisin/kexin type 9 (PCSK9) inhibitors for the treatment of metabolic disorders | |
| CN101282724A (en) | Pharmaceutically active tetrahydro-pyrrolo [1, 2-B ] isothiazole 1, 1-dioxides | |
| IE46838B1 (en) | Novel substituted phenylacetic acid amide compounds and processes for their preparation | |
| JPH10512585A (en) | Use of a STAT 5 SH2 region specific compound to enhance erythropoiesis | |
| KR19980702115A (en) | Use of LCK SH2 specific compounds for the treatment of autoimmune diseases and allograft rejection | |
| JPS60109587A (en) | Prostaglandin antagonist |
Legal Events
| Date | Code | Title | Description |
|---|---|---|---|
| AS | Assignment |
Owner name: THE BOARD OF TRUSTEES OF THE LELAND STANFORD JUNIO Free format text: ASSIGNMENT OF ASSIGNORS INTEREST;ASSIGNORS:KHOSLA, CHAITAN;HAUSCH, FELIX;PARROT, ISABELLE;AND OTHERS;SIGNING DATES FROM 20050510 TO 20051205;REEL/FRAME:023918/0508 |
|
| AS | Assignment |
Owner name: NATIONAL SCIENCE FOUNDATION, VIRGINIA Free format text: CONFIRMATORY LICENSE;ASSIGNOR:STANFORD UNIVERSITY;REEL/FRAME:026304/0995 Effective date: 20110415 |
|
| STCB | Information on status: application discontinuation |
Free format text: ABANDONED -- FAILURE TO RESPOND TO AN OFFICE ACTION |













